
Con habilidad, ingenio y buen humor, La seducción de las matemáticas consigue demostrar la importancia de las matemáticas, su relativa simplicidad y su faceta más sorprendente. Lo logra con tres estrategias principales: Mostrando que las preguntas filosóficas que la gente suele hacerse también se pueden formular en términos matemáticos, destacando la importancia del valor de los números y usando ejemplos cotidianos.
El autor demuestra que es posible aplicar las matemáticas a cualquier situación cotidiana y explica que muchas operaciones matemáticas fundamentales se descubrieron durante la búsqueda de soluciones a problemas lógicos. Así, el libro habla de loterías; de la importancia relativa de dar respuestas exactas, de políticos que gastan millardos sin conocer qué significa esa cifra, inventa situaciones ficticias (policías y ladrones, por ejemplo) y cita anécdotas reales de la historia, la política, el arte (Goethe, Bach, Pitágoras, etc.), la realidad social (la discriminación femenina) o la economía (salarios).
Un libro dirigido al gran público que ha sido un fenómeno de ventas en Alemania, dando inicio a una colección que hoy ya complementan La seducción de la física y La seducción de la música
A Andrea,
mi número de la suerte
Capítulo 1
SIN MIEDO A LOS GRANDES NÚMEROS
O seis moléculas de Goethe
«La asignatura de matemáticas es tan importante
que no habría que desaprovechar ninguna
ocasión para hacerla más entretenida.»
Blaise Pascal (1623-1662)
El último aliento de Goethe sería sin duda una preciada bocanada para los admiradores empedernidos del poeta (y tal vez una idea repulsiva para otros). ¿Adónde ha ido a parar? ¿Hay en el aire que respiramos aquí y ahora alguna molécula que haya espirado Goethe alguna vez? ¿Tal vez incluso una de aquel último aliento?
Ante preguntas de este tipo es fácil dedicarse a filosofar. También se puede optar por calcular. A muy pocas personas se les ocurre esta última posibilidad, y eso que el problema no es tan difícil si se conocen algunos valores numéricos básicos.
Algunos quizá todavía recuerden del colegio el significado de la unidad «mol». Un mol de cualquier sustancia es una cantidad de 6 x 1023 moléculas, o sea,
600.000.000.000.000.000.000.000 en total.
En el caso de un gas, bajo presión atmosférica normal, un mol tiene un volumen de unos 25 litros. Una bocanada de aire —por ejemplo, el último aliento de Goethe— tiene el volumen aproximado de un litro, es decir, 1/25 de mol o 2,4 x 1022 moléculas. En promedio respiramos unas 20 veces por minuto, lo que nos da a lo largo de 83 años (los que había cumplido Goethe cuando murió)
20 x 60 x 24 x 365 x 83 = 872.496.000
Es de suponer que desde que murió el poeta en 1832, el aire de nuestra atmósfera se ha mezclado muy bien y por tanto en cada litro de aire hay más o menos la misma cantidad de moléculas de Goethe. ¿Cuánto aire contiene la atmósfera? Según he leído en alguna parte, la masa de este aire es de 5 x 1021 gramos. Un mol de aire pesa unos 30 gramos, por lo que 5 x 1021 : 30 = 1,7 x 1020 mol de aire o, lo que es lo mismo, la cantidad inimaginable de 1044 moléculas.
Con esto ya hemos reunido todos los números para el cálculo final. Dividimos el número de moléculas de aire entre el número de moléculas aspiradas por Goethe y resulta que hay 5 x 1012 (o 5 billones) de moléculas de aire por cada molécula aspirada por el poeta, 4 x 1021 moléculas por cada molécula del último aliento. Puesto que nosotros, como Goethe, inhalamos cada vez que respiramos 2,4 x 1022 moléculas, entre ellas hay en promedio 4.800 millones de moléculas que alguna vez ha aspirado Goethe, y 6 moléculas que espiró el poeta al expirar. Por cierto que del mismo modo se puede calcular el número de moléculas de un vaso de agua que alguna vez han pasado por el cuerpo de Goethe.
¡Seis moléculas del último aliento de Goethe en cada litro de aire que respiramos! Sabiendo esto, uno ya respira con más respeto. Claro que todo este cálculo es bastante absurdo, pues he partido de muchas estimaciones aproximadas y he redondeado generosamente, hacia arriba o hacia abajo, cada resultado intermedio. Pero no era ese el problema, porque de lo que se trataba era del orden de magnitud: saber si es plausible que continuamente estamos respirando moléculas de Goethe. Y por lo visto lo es, no importa si son 6, 2 o 20 moléculas.
La pregunta en sí era del todo irrelevante, pero estos cálculos nos dan una idea de los órdenes de magnitud, y es importante saber manejarse en este terreno, por lo menos cuando se trata de dinero: al fin y al cabo, no es lo mismo gastarse 100 euros que 10.000. Tuvimos una vez un ministro de Economía que ante la pregunta de un periodista de cuántos ceros tiene el número de mil millones, se puso a adivinar: «¡Por Dios! ¿Siete? ¿Ocho?» ¡Son nueve, señor Bangemann!
Es cierto que cuando uno se ve de pronto ante una cámara de televisión o un micrófono se le pueden atascar las palabras, y que hay que dejarle al interrogado un poco de tiempo para pensar. Pero por desgracia es probable que muchos políticos no lo sepan, a pesar de que todos los días toman decisiones sobre importes que llevan siete, ocho o nueve ceros.
Aunque constantemente nos bombardean con noticias sobre importes multimillonarios, son muy pocas las personas que se forman realmente una idea de cuánto son mil millones. La relación de las personas con el dinero ha sido objeto de estudios psicológicos que indican que hasta unos 500.000 (entonces todavía eran marcos alemanes) aún se forman una idea de la magnitud que representan («una casa propia», contestan cuando se les pregunta qué se puede comprar con esa cantidad), pero a partir de ahí ya claudican. Tal vez un ministro esté dando la batalla por conseguir este año un presupuesto de 21.000 millones de euros porque el año pasado había recibido 20.000 millones, pero es legítimo dudar de que realmente pueda imaginar la magnitud de ese importe.
No obstante, por mucho que los grandes números excedan a menudo de lo que podemos captar con los sentidos, conviene ejercitarse en el manejo de los mismos, y no solo si se es ministro, para estar en condiciones de comprobar su plausibilidad comparándolos con otras magnitudes conocidas. De hecho, calcular con esos números es igual de sencillo que hacer operaciones con otros más pequeños, como hemos podido ver en el ejemplo de Goethe (para esto son muy útiles los exponentes).
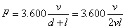
Veamos otro ejemplo, esta vez relacionado con el dinero. Supongamos que el presidente de la Junta Directiva del Deutsche Bank, Josef Ackermann, está trabajando con su ordenador. Desde su asiento ve delante de la puerta de su despacho, en el suelo, un billete de 5 euros que alguien debe de haber perdido. ¿Le vale la pena a Ackermann levantarse y recoger el billete? Se supone que durante el tiempo en que no está trabajando delante del ordenador no gana dinero (lo cual, desde luego, es absurdo). Así que la pregunta debe formularse en realidad del modo siguiente: ¿Durante cuánto tiempo ha de trabajar el señor Ackermann para ganarse 5 euros? Antes de calcularlo, haga usted una estimación aproximada.
En el año 2006, Ackermann ganó unos 12 millones de euros, una cantidad enorme de dinero. Le concederemos que por ese sueldo trabajó durante 60 horas semanales y no se tomó vacaciones. Dividiendo su sueldo entre 52 semanas y luego entre 60 horas, resulta que por cada hora que trabaja percibe 3.846 euros. Si redondeamos el resultado a la baja, a 3.600 euros, es fácil calcular que gana 1 euro por segundo. Por consiguiente, para que le valga la pena levantarse e ir a por el billete de 5 euros, no debe demorarse más de 5 segundos. ¡Dese prisa, señor director!
He aquí otra comparación que ilustra cuánto ganan los directivos mejor pagados: el señor Ackermann tiene que trabajar durante 345 segundos, apenas 6 minutos, para cobrar el equivalente al importe base del subsidio de desempleo. Hablando del subsidio, calcule ¿cuántos parados que lo perciben podrían seguir cobrando el importe base durante un año más por el precio de un avión de combate Eurofighter? ¿180, 1.800 o 18.000?
Un Eurofighter le cuesta al contribuyente 75 millones de euros. Dividido entre el importe base del subsidio y después entre 12, el resultado es de unos 18.000, y este es el número de beneficiarios del subsidio de desempleo que hay en una ciudad como Bochum. Claro que no se puede cambiar una cosa por otra, no son lo mismo. Tampoco está de más contar con un avión como ese. Ahora bien, Alemania no ha pedido solo una de esas aeronaves, sino nada menos que 180.
Sin duda se puede alegar, desde un punto de vista político, que este cálculo es demagógico y que compara peras con manzanas; que necesitamos esa fuerza de combate para nuestra defensa y que el precio está justificado. Puede que así sea, pero el cálculo es correcto. Quien defienda este tipo de inversiones, no solo debe argumentar en términos cualitativos («los necesitamos porque...»), sino también cuantitativos («podemos permitirnos ese gasto»). Y entonces debe aceptar una comparación de peras con manzanas, pues cada euro tan solo se puede gastar una vez.
Atreverse a ser imprecisos
Otro ejemplo, esta vez a modo de apuesta: alguien ha clavado en la cuneta de la autopista que va de Hamburgo a Berlín un listón de madera de 2 metros de alto y 2 centímetros de ancho, en algún lugar situado entre ambas ciudades (que se hallan a unos 300 km de distancia entre ellas). Usted no tiene ni idea de dónde se encuentra, pero circula de noche por la autopista y lleva una pistola. En algún momento, que puede usted decidir libremente, baja la ventanilla del coche y dispara hacia la cuneta. Una vez. Si le da al listón, ha ganado.
¿Apostaría usted siquiera 1 euro, por mucho que la ganancia, en caso de dar al listón, fuera de 1 millón? ¿No? Pues eso es lo que hacen cada semana millones de personas cuando rellenan el boleto de la lotería primitiva. Resulta que la probabilidad de acertar seis números es igual de grande que la que tiene el automovilista nocturno de clavar la bala en el listón, aproximadamente 1 sobre 14 millones. ¡Le deseo suerte en el futuro!
Nuestra capacidad intuitiva también es escasa en lo que respecta a las probabilidades. Según cómo se formule un problema, nos solemos equivocar con respecto a las posibilidades que tenemos. La única solución consiste en calcular, aunque sea por encima.
En la escuela esperaban de nosotros que calculáramos con precisión. A la pregunta de «¿Cuánto es 7 multiplicado por 14?» no se podía responder «más o menos 100»; la profesora quería una respuesta exacta, en este caso 98.
Sin embargo, en la mayoría de los casos prácticos 7 x 14 es más o menos 100, el número π es más o menos 3 (en lugar de 3,1416…), la aceleración terrestre es más o menos 10 m/s2 (en vez de 9,81). Los valores exactos solo hacen falta cuando se requiere realmente una gran precisión y las pequeñas diferencias pueden ser determinantes. En atletismo, por ejemplo, no se trata de saber si alguien ha corrido los 100 metros lisos en «unos 10 segundos», ya que entre 9,8 y 10,4 segundos hay todo un mundo. En cambio, cuando se calcula con grandes números, la precisión a menudo no es más que aparente. El estadístico Walter Krämer suele aducir el ejemplo de un cuadro tomado de una publicación británica sobre el número de víctimas civiles de la segunda guerra mundial:
| Civiles | ||||
| Aliados | Gran Bretaña | 60.595 | ||
| Bélgica | 90.000 | |||
| China | muchísimos | |||
| Dinamarca | desconocido | |||
| Francia | 152.000 | |||
| Paises Bajos | 242.000 | |||
| Noruega | 3.638 | |||
| URSS | 6.000.000 | |||
Total | 6.548.233 | |||
| Enemigos | Alemania | 500.000 | ||
| Austria | 125.000 | |||
| Italia | 180.000 | |||
| Japón | 600.000 | |||
| Polonia | 5.300.000 | |||
| Yugoslavia | muchos | |||
| Total | 6.705.000 | |||
En particular el primero de los dos cuadros es completamente absurdo, pues junta números precisos (Noruega) con otros aproximados (Bélgica) o totalmente desconocidos. Estas sumas suelen dar como resultado un número aparentemente exacto, que nos inspira confianza, pero que con toda seguridad es falso.
En suma: hay que atreverse a ser imprecisos, siempre que el orden de magnitud sea acertado. Con un poco de práctica se conseguirá así dominar los grandes números.
Ejercicio.
En la Tierra viven unos 6.500 millones de seres humanos. Si se agolparan todos como en un concierto de rock, ¿cabrían en el espacio cubierto por el lago de Costanza? Haga primero una estimación y después calcule. (El lago de Costanza tiene un área de 536 kilómetros cuadrados.)
Solución.
Si cuatro personas ocupan un metro cuadrado, cada una dispone de un área de 50 por 50 centímetros. Aplicado a la superficie del lago de Costanza, en él cabrían 2.100 millones de personas.
Capítulo 2
EL ASESINO DE LA GASOLINERA
En apenas dos horas, la noticia se ha propagado por toda la pequeña ciudad renana. «¿Se ha enterado de lo que le ha pasado a Inge Herkenbusch? Una chica tan simpática.» A la mañana siguiente, el diario local titula a toda plana: «El último cliente paga con un asesinato».
El periódico pasa de mano en mano entre los reunidos a última hora de la mañana para contrastar datos. Detlef Behnke, jefe de la brigada de homicidios, ha utilizado las páginas para contener la inundación causada por el desbordamiento de la cafetera adquirida en el centro de bricolaje. El diario huele mejor, pero ya casi no se puede leer.
Cada uno de los presentes expone lo que sabe. Inge Herkenbusch, de 28 años de edad, inició a las 20 horas el turno de noche de la gasolinera en la carretera B91. Su turno concluía a las 4 de la madrugada. La carretera nacional, muy transitada por ser una ruta alternativa a la autopista, circunvala la ciudad. A las 2.15 horas, un automovilista entró en la tienda de la gasolinera para pagar 50 litros de súper plus, pero no vio a nadie. Tras esperar dos o tres minutos, se acercó a la caja y descubrió un cadáver en el suelo detrás del mostrador. Con su móvil llamó a la policía.
La víctima murió estrangulada. La caja estaba vacía, y el automovilista que avisó a la policía, sin que nadie se lo pidiera, se vació los bolsillos delante de los agentes. Quería demostrar su inocencia y tal vez destruyó de este modo posibles huellas valiosas. En la discusión subsiguiente con los agentes, el automovilista profirió unas palabras que uno de los policías considera un insulto personal. Seguramente se abrirá un expediente.
—No nos desviemos del tema —advierte el comisario Behnke.
En el ordenador de caja, Inge Herkenbusch había registrado 32 cobros desde que comenzó su turno. Hubo 28 clientes que repostaron, uno de ellos gas licuado. Los demás cobros se refieren a alimentos, dulces (¡10 cilindros de caramelos Mentos con sabor a fruta!) y cigarrillos. Veinte pagaron con tarjeta y los investigadores están comprobando los datos de los titulares. El último cobro se registró a la 1.03 horas.
Si el autor del crimen es un cliente de la gasolinera, a esta hora de la mañana ya puede estar a cientos de kilómetros de distancia o en el extranjero. ¿O tal vez solo compró cigarrillos? En este caso, podría ser un vecino del lugar.
—Esta discusión no conduce a nada —corta Behnke las especulaciones de sus subordinados—. ¿Cuántos asesinos ha habido en los últimos años que han pagado su compra antes de cometer el crimen?
La agente Benz, que tiene una memoria de elefante, levanta la mano, pero su jefe no se da cuenta.
Ahora está trabajando la policía científica. Todas las huellas dactilares halladas en la caja y el mostrador son de la víctima y otros empleados de la gasolinera, además del automovilista que insistió en demostrar su inocencia. Justo cuando los congregados están a punto de marcharse de nuevo, entra el subcomisario Hufnagel, con su ajada taza de café, que lleva la inscripción «I Love Justice», en la mano derecha. Informa de que ha estado investigando en el entorno de la víctima. Su piso de dos habitaciones es convencional, está lleno de muebles y en el sofá hay ocho cojines. La pareja de Inge, un hombre cuatro años más joven que ella y muy delgado, ha sufrido un shock y todavía no ha podido ser interrogado.
—Si hubiera colocado los cojines delante del sofá y no encima, no se habría hecho tanto daño al caer en redondo —observa Hufnagel lacónicamente. Antes de desmayarse todavía pudo declarar que Inge había acudido la noche antes al trabajo con su Opel Corsa, como de costumbre. Nadie la había amenazado y por lo demás tampoco había habido ningún conflicto.
—Viven como una pareja de ancianos —explica Hufnagel—. Sin altibajos, sin dramas, sin ambiciones, sin fantasía.
—Tras esas fachadas acechan abismos —opina la agente Benz. Ella debe de saberlo, pues su casa paterna era así.
Todos los vecinos hablan bien de la víctima. ¿Un rival? Imposible. ¿Deudas? ¿Negocios oscuros? No, Inge seguro que no.
Los agentes de Behnke salen a investigar, mientras él se queda esperando el resultado del examen forense. A primera hora de la tarde llama Horst Schlächter, amigo íntimo del comisario desde hace muchos años.
—Hasta a los hombres malos les sonríe a veces la buena suerte —atruena su voz por el teléfono—. ¡Hemos dado en el blanco! No hubo violación, la víctima se defendió como gato panza arriba. Debajo de las uñas hemos encontrado sangre, suficiente para un análisis del ADN.
—Horst, ¿te he confesado alguna vez que con quien más me gusta hablar por teléfono es contigo?
—Espera, espera, que hay más. He contrastado el resultado con nuestra base de datos de delincuentes sexuales.
—¿Bingo?
—¡Bingo! Matthias Bernsdorf, 43 años, con antecedentes por violación. Estuvo cinco años encerrado y desde hace dos vuelve a estar libre. ¿Estás llorando?
—Si tienes su dirección, seguro que lo haré.
Matthias Bernsdorf está empadronado en Colonia. Durante el viaje, el comisario escucha las alabanzas que hace el agente que le acompaña de las series CSI en televisión. Se sabe las tres de memoria y explica largamente por qué su preferida es la de Las Vegas. Con sus detectives preferidos se ha creado una versión particular de CSI, compuesta únicamente de mujeres.
—Suena más a suspense erótico —comenta Behnke sin mucho interés.
El agente no se lo toma como un reproche.
—Me gusta cuando todo encaja —dice con cara de satisfacción—. La investigación sobre el terreno a la vieja usanza y por otro lado el laboratorio con esa luz azul, la pipeta y la muestra sobre la tira de gel. La justicia es una delicia.
También le parece una delicia el plan de registrar el ADN de todos los alemanes, si hace falta obligándoles por ley. Un pelo, una escama, una gota de sangre o de esperma en el escenario del crimen y el ordenador escupe el nombre del autor. Behnke no comparte el entusiasmo de su subordinado, pero se calla porque le cansa discutir con fanáticos del progreso.
La urbanización de las afueras de Colonia se halla cerca de la autopista y se ajusta a todos los tópicos, desde el bloque de pisos hasta el propio Matthias Bernsdorf. En chándal y en chanclas, el televisor encendido, el piso desordenado y el aliento con olor a cerveza que le precede. Dado que este sospechoso no parece un tipo que se preste a una charla informal, el comisario va al grano:
— ¿Dónde estaba usted anoche entre las 0 y las 2 horas?
— ¿Quiere usted decir desde que salí de la ópera y perdí todo en el casino? —Bernsdorf ríe, pero su voz no suena alegre—. ¿Adónde quiere que vaya? Como violador convicto no es fácil encontrar amigos, es curioso, y con el subsidio de desempleo no se llega muy lejos.
— ¿Tiene testigos? —pregunta el comisario—. Si no, tengo que pedirle que venga con nosotros a la comisaría.
—Supongo que antes me dirá de qué se me acusa, ¿no?
—Es usted sospechoso de haber asesinado anoche en la gasolinera de Greversrath a la cajera Inge Herkenbusch.
Bernsdorf se ha quedado boquiabierto. ¿O simula asombro?
— ¿Greversrath? Nunca he estado allí —protesta.
El agente da un paso al frente, pero el acusado no ofrece resistencia. Se enganchan las esposas y en el camino dice el detenido:
—Hace años que no iba en un coche tan elegante.
El comisario Behnke es un buen detective. Ha aprendido a fiarse de su intuición. Y algo le dice que el asombro de Bernsdorf era sincero. De inmediato se añade a este sentimiento un argumento sólido: el hombre que huele a cerveza nunca ha sido acusado de atraco o robo. Violó a una muchacha de 17 años de edad de su entorno de conocidos, un delito que no cuadra con el asesinato de la gasolinera.
Después de dejar a Bernsdorf en la comisaría, Behnke va a ver a su amigo Schlächter. El forense agita con gesto triunfante las páginas de su informe:
—Si seguimos así, pronto ya no haréis falta —exclama con su vozarrón.
Behnke hojea el informe y murmura:
—Por supuesto que me faltan las palabras ante estas potentes pruebas científicas. Pero ya sabes que tengo mis problemas con el 100 %.
Detrás de Schlächter hay una máquina de café. De fabricación suiza, cuyo precio supera el millar. Behnke se esfuerza por no mirar, pues la envidia es un sentimiento fuerte.
—Este test de la empresa Bionconvict, que es nuestra última adquisición, es de verdad para quitarse el sombrero —dice Schlächter eufórico.
— ¿Hacen también máquinas de café?
— ¿Máquinas de café? Que yo sepa, no.
—Entonces sigue contando.
—Cuando dos muestras tienen el mismo perfil genético, el test lo detecta prácticamente con certeza. Y a la inversa, si los perfiles difieren, el test solo indica una coincidencia en el 0,001 % de los casos, es decir, en uno de cada 100.000.
—Suena impresionante —contesta Behnke—. Pero siempre hablas de «perfil genético». ¿No es posible que dos personas tengan un perfil idéntico? En este caso podríamos enviar a la cárcel a un inocente.
—Cierto, esto ocurre —admite Schlächter—, pero es todavía más raro. La probabilidad de que el perfil genético de un hombre cualquiera coincida con el de la muestra del escenario del crimen es del 0,0001 %. Es decir, de uno entre un millón. No, puedes estar seguro al 100% de que hemos pillado al culpable. Bueno, digamos que al 99,99 %, con un par de nueves más detrás de la coma.
¿Estadística o investigación policial?
A pesar de todo, Behnke no está convencido del todo. Y el comisario hace bien en dudar, porque en realidad las cifras impresionantes del forense no son nada más que una cortina de humo estadística. De la tasa de acierto de «casi» el 100 % no se deduce «casi» nada, pues falta otra magnitud importante, que hace que el resultado de la investigación adquiera un cariz bastante distinto.
Un ejemplo más sencillo de la práctica policial nos ayudará a aclarar el problema de la «probabilidad relativa»: un turista observa por la noche en una ciudad que no conoce cómo un taxista deja abollado un coche aparcado pero no se para y sigue su camino. El turista declara a la policía haber visto un taxi azul. Puesto que en la ciudad solo hay dos empresas de taxis, una con los coches azules y otra con los vehículos verdes, la sospecha recae de inmediato en la empresa de taxis azules. Sin embargo, la policía quiere saber si puede fiarse del testigo, toda vez que era de noche y con poca luz es fácil confundir un color con otro. Así que a la noche siguiente llevan a cabo una prueba en condiciones visuales similares, de la que resulta que el testigo distingue en el 80 % de los casos los coches azules de los verdes. Este 80 % es para el juez una prueba suficiente y condena a la empresa de taxis azules.
¿Es correcta la estadística? No, porque al efectuar el cálculo no se tuvo en cuenta que en la ciudad hay 25 taxis verdes, pero solo 5 azules. Si combinamos entonces la tasa de acierto del testigo con el número de coches, el resultado se puede exponer en un llamado cuadro de cuatro casillas:
Testigo: «Es azul» | Testigo: «Es verde» | |
| El taxi es azul | 4 | 1 |
| El taxi es verde | 5 | 20 |
Según la prueba visual practicada por la policía, el testigo se equivoca en el 20 % de los casos. Es decir, de 1 de los 5 coches azules dice que es verde y de 5 de los 25 verdes dice que son azules. Si se hacen pasar los 30 taxis, el testigo identificará, estadísticamente hablando, 9 veces un coche azul, cuando en realidad en 5 de estos 9 casos el choche es verde. A falta de otros indicios, la declaración de nuestro testigo no prueba nada.
El valor probatorio de la declaración de un testigo no se puede deducir de su capacidad de percepción (tasa de acierto del 80 %). En el caso de los diagnósticos médicos se dice que cuando una prueba de cáncer de mama, sida o EEB da positivo, la validez de este resultado solo se puede enjuiciar si se conoce la prevalencia de la enfermedad entre todas las personas o animales de un país (en el caso del sida y del cáncer de mama se sabe más o menos, en el de la EEB se ignora por completo). Si una enfermedad es muy rara, la mayoría de pacientes que han dado positivo en la prueba estarán en realidad sanos.
En el caso del asesinato en la gasolinera, esto significa que el valor probatorio de la prueba de ADN solo se puede evaluar si se conoce el número total de individuos potencialmente sospechosos. En principio lo serían todos los hombres que en el momento del crimen podrían haber estado en el lugar de los hechos. No hay indicios de que se trate de alguien de los alrededores de Greversrath, ya que en esa carretera nacional circulan también muchos coches de fuera. Supongamos a título de ejemplo que hay 10 millones de hombres potencialmente sospechosos (tantos como los que habitan más o menos en 200 kilómetros a la redonda del escenario del crimen).
El resultado se puede ilustrar de nuevo con el cuadro de las cuatro casillas. ¿Cuántos de estos 10 millones tendrán un perfil genético idéntico al hallado en las uñas de la víctima? En primer lugar, por supuesto, el propio autor del crimen. Pero además otros diez hombres tendrían el mismo perfil, pues «uno entre un millón», como ha explicado el forense, puede presentar el mismo perfil. Y dado que el test de ADN detecta esta coincidencia con una probabilidad de prácticamente el 100 %, podemos registrar a todos esos 11 hombres como sujetos que han dado positivo en la prueba. En el segundo renglón hemos de indicar el número de todos los hombres cuyo perfil genético es distinto del hallado en el lugar del crimen. Sin embargo, debido a que la tasa de error es del 0,001 %, uno de cada 100.000 hombres sometidos a prueba dará positivo, es decir, entre 10 millones serán en total 100 hombres. Los demás se asignarán al resultado correcto de «no idéntico».
Resultado de la prueba: | ||
Positivo (perfil idéntico) | Negativo (perfil no idéntico | |
| Perfil genético idéntico | 11 | 0 |
| Perfil genético no idéntico | 100 | 9.999.889 |
El resultado es sorprendente: si se sometiera a prueba a los 10 millones de hombres, 111 de ellos darían positivo, siendo 1 el culpable y los 110 restantes, inocentes.
Sería relativamente fácil identificar a los 100 falsos positivos, no en vano en estos diagnósticos siempre conviene repetir la prueba: del mismo modo que es casi improbable que uno gane la lotería dos veces seguidas, también lo es que dé dos veces seguidas un resultado positivo; estadísticamente, esto solo sucede en uno de cada 100.000 por 100.000 casos, es decir, en uno de cada 10.000 millones de casos.
Sin embargo, con los 11 casos restantes no habrá manera de aclararse por muchas pruebas que se hagan. En todos ellos el resultado será de nuevo — y correctamente— positivo, por lo que los investigadores tendrán que admitir que además de su sospechoso hay otros 10 hombres cuya sangre podría ser la que se encuentra bajo las uñas de la víctima. El comisario Behnke tendrá que seguir empleando sus clásicos métodos de investigación policial para dar con el asesino.
Ejercicio
En una fiesta, dos invitados descubren que su cumpleaños cae en el mismo día. «¡Qué casualidad!», exclama uno. «Yo no lo diría», replica el otro. «En una fiesta con tanta gente, la probabilidad de que esto suceda es de más del 50 %.» ¿Cuántos invitados como mínimo han acudido a la fiesta?
Solución
A partir de 23 personas la probabilidad de que dos cumplan años el mismo día es superior al 50 %.
Capítulo 3
TRES PASOS PARA EL ÉXITO
Al decir de muchos, Marilyn vos Savant es la mujer más inteligente del mundo; en todo caso, durante años figuró en el Libro Guinness de los récords como la persona con el coeficiente de inteligencia más alto que jamás se haya medido, hasta que se suprimió esta sección del libro.
Esta señora publica una columna semanal (Ask Marilyn) en la revista estadounidense Parade, en la que resuelve problemas de lógica y responde a preguntas de contenido filosófico. La más famosa es su respuesta (correcta) al «problema de las cabras», que trata de la mejor estrategia electoral en un programa de televisión. No abordaremos aquí el problema de las cabras, pero sí haremos constar que Marilyn vos Savant tuvo razón y miles de lectores que enviaron cartas al director, incluidos algunos catedráticos de matemáticas, se equivocaron.
Un lector le planteó una vez la siguiente pregunta: «Si una gallina y media pone un huevo y medio en un día y medio, ¿cuántas gallinas hacen falta para que en seis días pongan seis huevos?»
La sabia mujer respondió: «A mi padre también le gustaba este problema, pero de niña logré entenderlo tan poco como hoy: ¿cuál es el problema? ¿Es la respuesta “una gallina” demasiado evidente? Si una gallina y media pone un huevo y medio, etc., significa que una gallina pone un huevo por día. Y si una única gallina pone cada día un huevo a lo largo de seis días, obtenemos exactamente seis huevos, ¿no es cierto?».
En este caso, Marilyn vos Savant se equivocó. La respuesta «una gallina» es incorrecta (la solución correcta se indica más abajo). Por lo que se ve, hasta los más sabios entre los sabios tienen problemas con el método de cálculo que nos enseñan en el colegio con el nombre de «regla de tres». Normalmente se aprende al final de la primaria, pero todavía hoy recibo llamadas de amigos que me piden que calcule el importe del IVA a partir del total de una factura, para lo cual también se aplica la regla de tres.
En una página de Internet dedicada a las matemáticas he encontrado esta bella definición: «Un problema se resuelve con la regla de tres cuando una magnitud (la incógnita) es proporcional o inversamente proporcional a una o varias magnitudes distintas, se conoce el valor de la incógnita que corresponde a valores fijos de las demás magnitudes y se trata de calcular el valor de la incógnita que corresponde a otros valores de dichas magnitudes». Es correcta, la frase, pero poco útil. La dificultad ya aparece, por ejemplo, en el momento de definir cuál es la «incógnita» en el problema de las gallinas: ¿Los huevos? ¿El número de gallinas? ¿El tiempo?
En los problemas más sencillos, dos magnitudes son proporcionales entre sí: cuando una aumenta, la otra también lo hace en la misma medida. Por ejemplo, si vemos en la frutería un letrero que dice «Manzanas a 2,90 euros el kilo», las dos magnitudes «peso de las manzanas» y «precio» son proporcionales entre sí: si duplicamos la cantidad de manzanas, también se duplica el precio, y diez veces la cantidad de manzanas cuesta diez veces el precio.
Un problema al que hay que aplicar la regla de tres formula por tanto una pregunta más o menos complicada en este contexto:
- «¿Cuánto cuestan 3 kilos de manzanas?» Seguramente el 90 % de la población sabría contestar correctamente.
- «¿Cuánto cuestan 700 gramos de manzanas?» Esto ya es más complicado, pero sin duda la mayoría sabrá hallar la solución, si hace falta con ayuda de papel y lápiz.
- «¿Cuántas manzanas me darán por 5 euros?» Ante este problema, tal vez la mitad de la población acierta con la respuesta.
- El mismo problema, en principio, es el que plantea la siguiente pregunta: «Si un televisor cuesta 599 euros, IVA incluido, ¿cuál es el precio sin IVA?» Sin embargo, es probable que la mayoría se equivoque con la respuesta restando simplemente un 19 %.
Pero vayamos por partes.
1. La regla de tres más sencilla es una regla de dos:
- 1 kilo de manzanas cuesta 2,90 euros.
- 3 kilos de manzanas cuestan 3 x 2,90 euros, es decir, 8,70 euros.
Si se conoce el precio por kilo, basta multiplicarlo por el número de kilos.
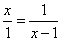
2. Si un kilo de manzanas cuesta 2,9 euros. Entonces:
1 … → … 2,9
0,7 … → … x
1/0,7 = 2,9/x ó x = 0,7 x 2,9/1 = 2,03.
P = 2,90 x M

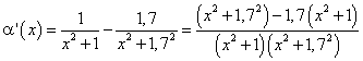
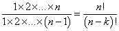
Sin embargo, en las relaciones lineales también se puede formar la función inversa, calculando la cantidad en función del precio. Para ello hay que transformar la ecuación de manera que la incógnita sea M:
P = 2,90 x M
![]()
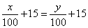
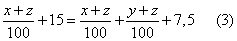
4. El cálculo porcentual del IVA también se basa en una relación lineal, es decir, se resuelve con ayuda de la regla de tres. El precio bruto es el precio neto más el 18%, o lo que es lo mismo, el precio neto multiplicado por 1,18.
B = 1,18 x N
N = 0,82 x B
B = 1,18 x N
![]()
Matemáticas en el gallinero
Analicemos ahora el problema que no supo resolver la titular del récord del coeficiente de inteligencia. Recordemos la formulación: «Si una gallina y media pone un huevo y medio en un día y medio, ¿cuántas gallinas hacen falta para que en seis días se pongan seis huevos?»
Lo primero que llama la atención es que hay tres magnitudes, a saber, el número de gallinas (G), el número de días (D) y el número de huevos (H). Por supuesto que no existen medias gallinas ni tercios de huevos, pero esto no es ningún impedimento, pues las tres magnitudes podrán adoptar valores enteros. ¿Cómo se relacionan las tres magnitudes? Podemos utilizar un truco y mantener constante una de las tres magnitudes; por ejemplo, nos referiremos a un solo día. Entonces no cabe duda de que G y H son proporcionales entre sí: cuantas más gallinas haya, tantos más huevos producirán cada día.
Si se mantiene constante el valor de G y se considera únicamente la producción de una única gallina, D y H también son proporcionales entre sí: cuantos más días demos a la gallina, tantos más huevos pondrá.
La relación entre D y G, sin embargo, es distinta: si se trata de calcular el tiempo necesario para obtener un número predeterminado de huevos, digamos que 10, el número de días disminuirá al aumentar el de gallinas. Esto significa que el tiempo y las gallinas son magnitudes «inversamente proporcionales»: una magnitud aumenta cuando la otra disminuye. Si representamos gráficamente esta relación, veremos que la línea ya no es para nada recta:

HG = l x D
El subíndice G indica que contemplamos la relación en el supuesto de que sólo haya 1 gallina. La l minúscula es una constante e indica el número de huevos que pone una gallina cada día. (En el ejemplo, el rendimiento de cada gallina, por supuesto, es el mismo.)Esta es la producción de huevos de cada gallina. Para calcular la producción total de huevos hay que multiplicar el conjunto por el número de gallinas.
H = l x D x G
![]()
![]()
¿Cuántos huevos pone una gallina en el mismo periodo? ¡Menos! Hay que dividir el número de huevos entre 3/2 (el número de gallinas), con lo que obtenemos que 1 gallina pone 1 huevo en 3/2 días.
¿Cuántos huevos son al día? Hay que dividir nuevamente entre 3/2 (este es el paso que seguramente omitió la señora Vos Savant):
1 gallina pone en 1 día 2/3 de huevo.
![]()
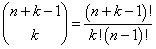
Aunque este cálculo ha sido un poco extenso, tiene la ventaja de que es aplicable a todos los problemas con magnitudes inversamente proporcionales que pueden resolverse con la regla de tres, incluso cuando se trata de cuatro magnitudes, como en el siguiente: «Si 2 máquinas quitanieves son capaces de retirar en 3 horas la nieve de un tramo de 12 kilómetros de una carretera de 4 metros de ancho, ¿cuánto tiempo tardarán 10 máquinas quitanieves para despejar 1 kilómetro de una carretera de 12 metros de ancho?»
Solución
Las 10 máquinas terminan la tarea en 9 minutos.
Por supuesto, Marilyn vos Savant recibió numerosas cartas de lectores que le echaron en cara su error, y ella se lo tomó con deportividad: «¡Me habéis pillado, queridos! Los que han respondido que una gallina y media tienen razón, y mi respuesta de “una gallina” es incorrecta. Siempre pensé que se trataba de un trabalenguas al estilo de How much wood would a woodchuck chuck if a woodchuck would chuck wood?, pero en realidad se trata de un problema de lógica».
Ejercicio
En una mesa hay dos vasos del mismo tamaño. Contienen la misma cantidad de líquido, pero en uno es agua y en el otro es whisky. Tomamos una cucharadita de whisky y lo vertemos en el vaso de agua removiendo bien. De esta mezcla tomamos ahora una cucharadita y la trasladamos al vaso de whisky. ¿Hay ahora más agua en el whisky que whisky en el agua?
Solución
Hay exactamente tanta agua en el whisky como whisky en el agua. O cómo equivocarse de medio a medio
Con sus profundos pliegues entre la nariz y las comisuras de los labios, el movimiento de las mandíbulas y ese curioso hoyuelo en el entrecejo, el jefe parece estar preocupado. Würmer sonríe confiado: cuando flaquea el mandamás, su mejor caballo en el establo ha de mover la cola para animarle.
—Siéntese —murmura Max Bauner, propietario de la empresa Bauner Elektronik, dirigiéndose a su director gerente—. Y disfrute todos y cada uno de los minutos en que está sentado, quién sabe hasta cuándo podremos permitirnos tener sillas. Hay mar de fondo.
A Würmer se le congela la sonrisa.
—Permítame que lo adivine: el comité de empresa.
—Afirma que el personal cobra demasiado poco —dice Bauner. Würmer resopla.
—Pura codicia —dice despectivamente—. Yo opino que pagamos muy bien y que deberían estar contentos.
—Bueno, el comité de empresa opina lo contrario. Como usted sabe, tiene acceso a la nómina y estas últimas semanas ha estado haciendo cálculos. Resulta que nuestros trabajadores ganan 2.850 euros brutos en promedio. Antes de que me responda usted que esto está muy bien y que pueden estar contentos, debería saber que el salario medio en nuestro sector es de 3.000 euros. No quiero que anden por ahí tachándome de tacaño.
—Si la tan apreciada sindicalista que es la señora Weise tuviera más tareas en su puesto de trabajo, no dedicaría tanto tiempo a hacer esa clase de números —gruñe Würmer.
—Siempre hay alguien haciendo números. Últimamente incluso hay libros que explican qué hay detrás de todas esas cuentas. El caso es que quiero que reine la paz social en mi empresa. ¿Tiene usted la lista?
El gerente deposita la nómina sobre le mesa, donde figuran los salarios de todos los trabajadores de la empresa.
—Mira por dónde —dice Bauner impresionado—. Resulta que diez de nuestros trabajadores cobran 2.000 euros brutos al mes. ¿Se contentaría usted con eso?
—No tiene nada que ver —se indigna Würmer—. Son obreros no cualificados que trabajan en el montaje. En cualquier otra empresa les pagarían menos.
—Luego tenemos a cinco empleados que ganan 2.500 euros. Tal vez se trate de los administrativos.
—Exactamente. Y los tres que cobran 3.500 son nuestros vendedores, que se lo merecen hasta el último céntimo. Ahí no hay envidia que valga.
—Su suplente, la señora Kraft, percibe 4.000 euros. ¿Es suficiente?
—Si uno ha terminado la carrera hace tan solo dos años, no está de más que tenga que demostrar su valía bregando en el día a día de la empresa real —declara Würmer en tono didáctico y con ese aire paternalista que nadie odia más que la señora Kraft.
—Vaya, vaya, y usted mismo cobra mes tras mes 10.000 euros.
Würmer se desliza hacia el canto de la silla.
—Señor Bauner, soy director gerente de una mediana empresa. ¡Soy el responsable! En los últimos dos años he logrado incrementar la facturación un 12 % cada vez, y mi sueldo está en la parte baja de la escala.
Bauner ejecuta con calma todos los prolongados rituales hasta encender su pipa.
—¡Respire hondo! —dice sonriente—. Hace usted un buen trabajo. Por eso vamos a pensar ahora ambos en la respuesta. ¿Qué podemos hacer? El comité de empresa insiste en los 3.000 euros. ¿Qué la parece, concedemos a los pobres diablos que no ganan más que 2.000 euros un aumento de 200? ¿Y otro tanto a los parias de la administración? Voy a hacer números.
Su pipa aterriza como siempre en el cenicero, emitiendo en silencio el humo dulzón. Cuando Bauner ha terminado, muestra al gerente la siguiente lista:
| Antes | Después | |||||
10 x 2.000 | = | 20.000 | 10 x 2.200 | = | 22.000 | |
5 x 2.500 | = | 12.500 | 5 x 2.700 | = | 13.500 | |
3 x 3.500 | = | 10.500 | 3 x 3.500 | = | 10.500 | |
1 x 4.000 | = | 4.000 | 1 x 4.000 | = | 4.000 | |
1 x 10.000 | = | 10.000 | 1 x 10.000 | = | 10.000 | |
Total | 57.000 | Total | 60.000 | |||
Promedio | 2.850 | Promedio | 3.000 | |||
Würmer examina la lista.
—Claro que se puede hacer así —dice con el retintín de quien piensa que sabe más—. Parece lógico. Pero no olvide que la cosa no acaba con los 200 euros multiplicados por 15, es decir, con el aumento total de 3.000 euros, ya que a esto hay que añadir los gastos sociales, que aumentan con el salario: el seguro de enfermedad, el de pensiones de vejez, el de desempleo y todo eso. Al final no es poca cosa.
Würmer saca una hoja de papel plegada del bolsillo de su americana y la despliega ceremoniosamente.
—También podríamos abordar la cuestión de otra manera. Eche un vistazo.
Bauner examina la lista.
| Antes | Después | |||||
| 10 x 2.000 | = | 20.000 | 10 x 2.000 | = | 20.000 | |
| 5 x 2.500 | = | 12.500 | 5 x 2.500 | = | 12.500 | |
| 3 x 3.500 | = | 10.500 | 3 x 3.500 | = | 10.500 | |
| 1 x 4.000 | = | 4.000 | 1 x 4.000 | = | 4.000 | |
| 1 x 10.000 | = | 10.000 | 1 x 13.000 | = | 13.000 | |
| Total | 57.000 | Total | 60.000 | |||
| Promedio | 2.850 | Promedio | 3.000 | |||
Los dos hombres se miran a la cara.
—Veo que es usted muy listo —dice Bauner—. Esto supone un aumento de sueldo del 30 % que solo le beneficia a usted.
—Me volvería un 30 % más amable —replica Würmer, que se da cuenta de lo fácil que es pasarse de la raya con una broma en un asunto moralmente tan delicado, por lo que prosigue en un tono más serio—. A usted le resultaría más barato, puesto que yo no origino ni mucho menos tantos gastos sociales. Mi seguro de enfermedad privado no aumenta. Y el resultado es el mismo: el salario medio asciende a 3.000 euros. De este modo respondemos con la misma moneda a los representantes del comité de empresa tan dados a los números.
—Pero eso no nos asegura la paz social —observa Bauner—. El personal mirará su nómina y se preguntará: ¿a quién han aumentado la paga? Acto seguido se dispararán las envidias, que como sabemos es la peor amenaza para la paz social en la empresa.
—Sin embargo, así es como se hace siempre —se defiende Würmer—. El Instituto de Estadística publica justamente esta clase de números. Hace poco aparecieron las cifras de 2005 en la prensa, según las cuales los empleados ganan en promedio en Alemania 3.452 euros brutos al mes. Ahí meten todo en la misma cesta, desde la mano de obra no cualificada hasta los empleados altamente cualificados como... bueno... digamos que como yo.
—Cierto —dice Bauner—. Me lo pensaré. Volveremos a hablar.
Cuando Würmer abandona el despacho, el jefe recupera su pipa y decide aumentar en 200 euros la pequeña subvención que recibe la señora Kraft para gastos de vivienda. Después estudia las dos listas que tiene sobre la mesa y escribe una tercera, en la que figura un aumento tanto para los trabajadores del montaje como para el director gerente.
Qué refleja el promedio
El «promedio» es un término de uso común con el que nos topamos continuamente en la vida cotidiana: calculamos la nota media de nuestro hijos en la escuela, el sistema de navegación del coche nos dice a qué velocidad circulamos en promedio y los estadísticos del fútbol en televisión saben exactamente cuántos goles se marcan en promedio en un encuentro liguero.
Utilizamos el promedio cuando queremos reducir muchas magnitudes a una sola y suponemos que refleja bastante bien la realidad. Cuando nos dicen que el hombre medio mide 1,78 metros, vemos con nuestro ojo interior una figura sin rostro que de alguna manera es el ciudadano «típico».
Sin embargo, la idea de que el promedio describe al representante «medio» de un grupo es un error. Al menos, en muchos casos. Los matemáticos conocen muchos valores medios distintos de una cantidad de números, y según qué situación utilizan uno u otro. Así, por ejemplo, hay que distinguir entre la media aritmética, la geométrica, la armónica y la mediana.
Cuando el profano ha de calcular un promedio, suma todos los valores numéricos y divide el resultado entre la cantidad de valores. Esta es la llamada media aritmética. Para calcular el salario medio de la empresa Bauner hay que sumar el salario de los 20 empleados y dividir la suma entre 20. Es resultado ya lo conocemos: 2.850.
Pero ¿gana tanto el trabajador «típico» de Bauner?
Lo primero que llama la atención, desde luego, es que ninguno de los trabajadores de la empresa cobra este importe mensualmente. Por tanto, eso que se denomina trabajador «medio» en realidad no existe. Claro que seguramente tampoco lo esperaba nadie, ya que se trata de un promedio.
¿Refleja dicho importe por lo menos lo que nos imaginamos por un trabajador «medio»? De ningún modo, como revela una simple mirada al siguiente diagrama, donde el personal aparece ordenado en función de su salario, desde el que gana menos hasta el mejor pagado:

Esto se debe a que la media aritmética es muy sensible a los «excéntricos», es decir, a los valores que se desvían mucho del promedio. Un único habitante con ingresos millonarios puede empujar al alza la renta media de una aldea mayoritariamente pobre. Por tanto, una estadística basada en el promedio no refleja necesariamente el nivel de renta real de las «amplias masas».
Hay otra magnitud matemática que lo refleja mejor: la llamada mediana. Para calcularla hay que buscar literalmente al representante «medio» del conjunto. El «trabajador medio» será aquel que gana más que una mitad de la plantilla y menos que la otra mitad.
Si el número de trabajadores es impar, entonces este compañero «medio» existe realmente; si la plantilla consta de 3, será el segundo; si consta de 15, será el octavo en orden al nivel de renta. En cambio, si el número de trabajadores es par, entonces la mediana caerá exactamente entre dos de ellos, en nuestro caso entre el décimo y el undécimo. De ser así, la mediana se determina calculando la media aritmética de los salarios de estos dos. En la empresa Bauner, la mediana es la media del salario del décimo trabajador (2.000 euros) y el del undécimo (2.500 euros), es decir, 2.250 euros.
Vemos, por tanto, que en este caso la mediana es notablemente más baja que el promedio y que refleja mucho más fielmente la realidad económica de tres cuartos de la plantilla. Además, la mediana es menos sensible a los «excéntricos» de que hemos hablado. Si el director gerente Würmer consigue el copioso aumento salarial que sugiere, entonces subirá el salario medio, pero la mediana no variará para nada, manteniéndose en los 2.250 euros.
La cosa cambia, no obstante, si se opta por la variante socialmente más justa del aumento salarial: el promedio asciende igualmente a 3.000 euros, pero la mediana también sube. El décimo trabajador pasa a ganar 2.200 euros y el undécimo 2.700 euros, situándose la mediana en la media entre ambos, a saber, en 2.450 euros.
Cuestiones de distribución
Por consiguiente, la media aritmética siempre será un mal indicador del valor medio si la distribución de los distintos valores se inclina mucho hacia un lado; en nuestro ejemplo, si el número de «pobres» es mucho mayor que el número de «ricos».
Sin embargo, no por ello el Instituto de Estadística se abstiene de publicar el valor de la renta media de los ciudadanos. Así, en 2005 los empleados ganaban en promedio 3.452 euros brutos mensuales, y si alguien se siente desfavorecido a la vista de esta cifra, puede estar seguro de que comparte este destino con la mayoría de los habitantes del país.
Es posible generalizar el concepto de mediana cuando en lugar de dividir a la población en dos mitades, la repartimos en unos 10 grupos, abarcando cada uno de ellos a aproximadamente el 10 % de la población total. Este es el caso cuando se habla de los llamados «deciles». En el año 2004, el ingreso neto de los hogares alemanes estaba distribuido del modo siguiente:

Pero el diagrama también revela que el 60% de la población tenía ingresos inferiores a la media, que un 10 % ganaba más o menos el salario medio (habría que subdividir todavía más para saber dónde se situaba exactamente la mediana), y tan solo el 30% tenían una renta claramente superior a la media. El ejemplo de la empresa de componentes electrónicos Bauner, por consiguiente, es bastante realista.
Así, tenemos que el promedio solo es una magnitud significativa si los distintos valores numéricos están distribuidos más o menos uniformemente, cosa que se da pocas veces en la realidad (véase también el capítulo sobre la ley de Benford). En conclusión: ¡Mucho cuidado cuando alguien saca el argumento del promedio!
Otro error con el promedio lo cometen muchos automovilistas cuando planean su ruta, como muestra el siguiente ejemplo: la señora Milz ha de ir a otra ciudad para asistir a una reunión importante. Ha calculado que ha de circular en promedio a una velocidad de 100 kilómetros por hora para llegar a tiempo. Se pone en marcha y de pronto se halla en medio de un embotellamiento. La caravana avanza lentamente y el atasco no se disuelve hasta la mitad del trayecto. El ordenador de a bordo indica que desde que partió ha circulado a una velocidad media de 50 km/h. Dado que todavía tiene por delante la mitad del trayecto, piensa: ahora tendré que tratar de alcanzar una velocidad media de 150 km/h, pues entonces habré hecho un promedio de 100 km/h y llegaré a tiempo. Cuando llega a su destino se sorprende de que lleva un retraso de 40 minutos.
¿Cuál ha sido el error de la señora Milz? Ha aplicado la velocidad media al trayecto recorrido; la mitad del trayecto a 50 km/h, la otra mitad a 150 km/h. Si la distancia total es de 200 kilómetros (lo mismo ocurriría con cualquier otro valor), la situación es la siguiente:

Sin embargo, no era esta la velocidad media en que estaba pensando la señora Milz. Ella quería, a fin de cuentas, recorrer una determinada distancia en un determinado espacio de tiempo, y la velocidad media es la distancia total dividida entre el tiempo total.
Si lo exponemos en forma de diagrama, hemos de indicar el trayecto recorrido en función del tiempo, obteniendo entonces una imagen muy distinta:

- La señora Milz llega a su destino al cabo de 2 horas y 40 minutos.
- Su velocidad media (es decir, «trayecto dividido entre tiempo») es de 75 km/h.
- Por mucho que hubiera apretado el acelerador, nunca habría alcanzado la velocidad media prevista, porque como se desprende del gráfico, en el momento en que se disuelve el atasco (el punto de inflexión de la curva) ya han pasado dos horas y, de acuerdo con su plan, ya tendría que haber llegado a su destino. Únicamente por teleportación podría llegar puntualmente a la reunión.
Ejercicio
Un corredor recorre una distancia de A a B y luego de vuelta a A. En la ida tiene viento de cola y corre a una velocidad de 12 km/h, mientras que a la vuelta le sopla el viento de cara y solo corre a 8 km/h. ¿Cuál es su velocidad media?
Solución
La velocidad media no es la media aritmética de las dos velocidades (10 km/h), sino
![]()
Capítulo 5
EL DILEMA DEL MATRIMONIO
—¡Lo ha hecho! —exclama Marina antes incluso de sentarse con su amiga en la mesa de la esquina del bar «Latte».
—Pero si lo hacéis regularmente —replica Julia displicente.
—Sabes exactamente a qué me refiero. Karsten me ha propuesto casarnos. ¡Y yo que pensaba que ya nunca lo haría!
Piden las bebidas sin decir palabra: la ventaja de ser asiduas de la casa. Marina está emocionada.
—Estuvo encantador. Primero fuimos a comer juntos, un sitio muy fino que supera en dos ceros nuestro presupuesto.
—Entonces ya te podías imaginar lo que vendría.
—No, sí, bueno, no sé. Fue tan bonito. ¡Los platos tenían una pinta...! Incluso los comensales tenían mejor aspecto que en otras partes. Hasta los postres hizo como si nada. Pero ya sabes que Karsten no sabe hacer teatro. Entonces se levantó y lanzó un verdadero discurso. Dijo que ya llevamos dos años juntos. Que está hasta las narices de ir y venir entre su piso y el mío, aunque casi siempre estamos en el mío. Que encajamos como la tapa con la olla y que por tanto ya es hora de dar el paso. Al final vino el camarero con un ramo de flores y un champaña.
—Y tú dijiste que sí, todos aplaudieron y yo seré tu testigo de boda.
—Aplaudieron, sí. Pero yo pedí una semana para pensármelo.
Julia no contaba con esto. Pensativamente mueve la cucharilla en el café con leche que ha pedido. Marina se da cuenta de la sorpresa de su amiga y se pone a hablar como si le hubieran dado cuerda.
—¡Es un paso tan grande! La decisión más importante en la vida. Y yo solo quiero casarme una sola vez, a saber, con el padre de mis dos queridos hijos. Una semana para pensárselo tampoco es un drama, ¿no te parece?
—¿Quieres que te diga la verdad?
—No estoy segura. —Marina se pone a romper a cachitos un posavasos de cartón y dice en voz baja—: Camino de casa, Karsten casi no abrió la boca. Incluso creo que no dijo ni una palabra. En casa nos fuimos a dormir de inmediato. Si no me durmiera yo siempre con tanta facilidad, seguro que ayer me habría costado conciliar el sueño.
—Igual que Karsten.
—Si me ama, lo entenderá. Al fin y al cabo, si yo no quisiera casarme le habría dicho que no allí mismo.
No por primera vez la mirada de Marina se desvía en dirección a un hombre de cabellera rubia que está sentado junto a la barra tomando un café y hojeando una revista.
—Mirémoslo desde el lado pragmático —propone Julia—. Ahora tienes 34 años. Vale, 33. Conoces a Karsten desde hace tres años y convives con él desde hace dos. Desde que nos conocemos, siempre has tenido claro que quieres casarte y tener hijos. Esto por un lado. Por otro, Karsten está muy bien, todas las amigas lo dicen...
—Casi todas...
—Vale, casi todas opinan que el chaval no está nada mal. Tiene un buen puesto de trabajo y cada mes trae tanto dinero a casa que ni siquiera le dices a tu mejor amiga cuánto.
—Entiéndelo, eso es...
—Tranquila, yo ya casi lo he olvidado todo. Karsten te adora, es un hombre fiel. Que se sepa, no tiene ninguna enfermedad asquerosa e incluso podría ser un buen padre. Agárralo antes de que te lo quite otra.
—A mí también me parece encantador —dice Marina—. Es un amor. En la cama, todo estupendo. Además, ayuda en las tareas del hogar sin que tenga que pedírselo.
De nuevo se le va la mirada hacia el rubio.
—No me lo tomes a mal, pero he escuchado frases más apasionadas —dice Julia—. Si no me equivoco, incluso de tu boca. ¿Qué es exactamente lo que no tienes claro? Es normal que al cabo de tres años ya no sientas la misma emoción que después de tres semanas. Haces como si te ofrecieran el matrimonio cada dos meses.
—Uwe también se me insinuó.
—¿Uwe? ¿Tu primer gran amor?
—A los 18 años rechazas todas las propuestas, todavía no has vivido. Christian no era tan aburrido como Uwe, pero era demasiado veleta como para casarse con él. ¿Te acuerdas de lo que quería ser? Conserje. Ahí sí que me dije: adiós muy buenas...
—¿Y Marcel? Mira que era soso.
—Ese también me hizo proposiciones. Pero para él, casarse era como prejubilarse. Cuando un hombre te viene al cabo de dos meses con el programa habitual, claro que desconfías. Y Lorenz...
Julia se acuerda muy bien. Este último conoció a Mona ocho semanas antes de la boda. Ahora viven ambos en un adosado, tienen dos coches, tres hijos, cuatro móviles.
—Eres una candidata difícil, entras bien, pero cuesta contentarte. Eres un claro ejemplo del síndrome del príncipe azul —afirma Julia y pide dos cafés, esta vez con coñac.
—Piensas que no le amo lo suficiente —dice Marina con tono de lamento—. Pero nada de eso. Solo que a veces pienso...
—Piensas que la semana que viene aparecerá un pretendiente que con solo verlo se te pondrán a bailar las neuronas —ambas miran al rubio sentado junto a la barra.
—Karsten es un amor —insiste Marina, como si tuviera que convencerse a sí misma.
—Pero tienes miedo de que tu amor por él no te dure toda la vida. ¿Se lo has dicho así?
—Claro que no, solo lo he insinuado, como en broma. Le dije que sería de tontos casarse para rechazar de golpe y porrazo a mil quinientos millones de hombres que pudieran llamar a la puerta.
Julia se ríe, ambas brindan. El rubio las mira y enseguida aparta la mirada.
—A este tampoco hace falta trabajárselo mucho —dice Marina con tono de experta.
—Todas y todos llevamos dentro nuestro reloj biológico. ¿Cuántas proposiciones de matrimonio te han hecho? ¿Cinco? Pues son cinco más que las que me han hecho a mí, pero eso ahora no nos importa.
—¿Ni una? ¿Qué fue de Florian? Me dijiste...
—A veces hasta la amigas dicen mentiras, ¿vale? Pues cinco proposiciones. Sospecho que en toda la vida no llegarás a diez. Si le dices que no a Karsten, el próximo pretendiente tampoco será mejor que el bueno de Karsten. Entonces te tirarás de los pelos, pero Karsten tendrá ya cuatro contratos de ahorro-vivienda de los que no podrá escapar.
—Hay que ver cómo animas a la gente...
—Es que sé muy bien lo excitante que es acudir cada semana a esos encuentros de solteros y toparse allí ante la colección actual de jerséis de C&A.
—Pero no puedo agarrar al primero que pasa...
—¿Quieres un consejo? —pregunta Julia—. Es el último que te daré hoy.
—¿Por qué? ¿Acaso tienes que ir a tu reunión semanal de solteros?
Ambas ríen. Se quieren. Julia resume:
—Para mí la cosa está clara. Karsten no es tu príncipe azul, se te ve en la cara, en tus palabras, en tus dudas. Hay algo en él que te resulta demasiado serio, decente, aburguesado, anodino. ¿Te das cuenta con qué elegancia evito la palabra «aburrido»?
—Le quiero, de veras.
—Es que también es difícil no querer a esa clase de hombres. Son ideales como yernos, pero no son el hombre de tus sueños.
—No quiero hacerle daño de ningún modo —declara Marina—. Sin embargo, temo hacerme daño a mí misma si no tomo la buena decisión. ¿Qué pasará si le digo que no? Que nuestra relación se irá al garete.
Julia asiente:
—Terminar una relación también es algo que nadie va a aprender jamás a hacer como es debido... ¿Quieres casarte o no?
—Sí, quiero.
—Entonces mírate con lupa a los siguientes pretendientes. Haces un examen completo y al primero que te parezca mejor que Karsten, signifique esto lo que signifique, te tragas todas tus dudas y dices que sí. Y lo dices de inmediato, sin dilaciones. De lo contrario, dentro de veinte años seguiré oyendo tus quejas.
El licor surte efecto.
—Me convertiré en una vieja solterona —suspira Marina quejumbrosa.
—No, escucharás a la voz de la razón. Y que conste que también lo hago por interés propio, pues no quiero ver a mi mejor amiga convertida en vieja solterona.
La mirada de Marina recorre el bar. Sobre la barra hay una taza de café y al lado unas monedas.
Guía matemática para el amor
Siempre llega un momento en la vida en que las personas desean sobre todo hacerse, de alguna manera, adultas, dejar atrás las relaciones temporales y buscarse una pareja estable. Curiosamente, este momento de la vida se puede calcular matemáticamente. Claro que tampoco hay que tomarse demasiado en serio el resultado, pues está claro que el amor no se puede encerrar totalmente en unas cuantas fórmulas matemáticas. Pero si se plantean un par de hipótesis más o menos realistas, es posible formular al menos una recomendación.
¿Es correcta la estrategia aconsejada por Julia? El problema consiste en seleccionar al pretendiente óptimo entre cierto número de candidatos, algunos de los cuales (los futuros) no se conocen. Debido a esta incertidumbre, no hay garantías de que la decisión sea correcta, pero es posible, siempre que se cumplan ciertas condiciones, calcular al menos la probabilidad de que se tome la mejor opción. Entre los matemáticos, este problema se conoce por «el problema de las secretarias», porque al principio se enmarcó en una historia en que se trataba de seleccionar a la mejor candidata para un puesto de secretaria. No era un planteamiento muy realista, pues en realidad un jefe no debería tomar la decisión hasta haber examinado a todas las candidatas. Por eso, el dilema de Marina y el matrimonio es un ejemplo mejor de este problema de selección. Para resolverlo solo hace falta hacer que la realidad sea un poco más predecible que lo que suele ser normalmente, y dar por supuesto lo siguiente:
Existe un claro orden preferencial entre los pretendientes, es decir, si Marina los conociera a todos, sería capaz de clasificarlos sin dudarlo en una escala del amor.
Existe un número fijo y conocido de pretendientes (esto introduce un factor bastante irreal en el cálculo, pero también existe una solución en el caso de que este número no se conozca, como veremos más adelante). Supongamos en el caso de Marina que se le acercarán en total 10 hombres para hacerle en algún momento de su vida una proposición matrimonial.
El cálculo de probabilidades es para muchos un tabú. Querer meter hechos y posibilidades, que en la vida real suelen ser más bien vagos, es decir, casuales, en fórmulas matemáticas precisas suena siempre un poco a brujería. Pero una vez aceptados los principios básicos (que se verifican de modo impresionante, por ejemplo, en el caso del casino, permitiendo convertir una pequeña ventaja aritmética frente a los jugadores en ganancias millonarias), las prevenciones desaparecen rápidamente.
La definición de probabilidad es tan sencilla como plausible: se trata de dividir el número de sucesos «favorables» entre el número de sucesos posibles. Una manera común de ilustrarlo es la de los dados: si queremos sacar con el dado un 6, cada vez que lo echamos tendremos un suceso favorable (que salga el 6) entre seis sucesos posibles (que salga el 1, 2, 3, 4, 5 o 6). Por tanto, la probabilidad de que saquemos un 6 es de 1/6. A veces también se indica el resultado en forma de porcentaje: una probabilidad de 1/6 equivale al 16,67 %.
Hasta aquí está todo claro. Sin embargo, a menudo se presenta la dificultad insuperable de cuantificar correctamente el número de sucesos posibles. Si no tenemos más que un dado, no hay problema, pero si son dos, la cosa ya se complica un poco. Calculemos por ejemplo la probabilidad de que al jugar con dos dados nos salgan parejas (el mismo número en los dos dados). El número de sucesos favorables es 6 (pareja de unos a parejas de seises), pero ¿cuál es el número de sucesos posibles? En este punto, muchos cometen un error, porque no distinguen el resultado 1-2 del resultado 2-1. Por mucho que parezca lo mismo, se trata de dos sucesos distintos, pues ambos dados muestran distintos números. De hecho, existen 6 posibles sucesos con el primer dado, y a cada uno de ellos le corresponden 6 posibles sucesos con el segundo, lo que nos da un total de 36 posibles sucesos. La probabilidad de que nos salga una pareja, por tanto, es de 6/36, es decir, también de 1/6.
¿Cuál es entonces la probabilidad de que Marina, siguiendo la estrategia de Julia, encuentre al hombre de sus sueños, al mejor de todos? Puede que al final sí que fuera Karsten. O Uwe. O Christian. Entonces se daría el triste caso de que Marina se quedaría sin su príncipe azul. Únicamente tendrá una oportunidad si todavía no se le ha cruzado en el camino el hombre en cuestión, llamémosle Adonis. Puesto que la distribución de los 10 hombres ha de ser puramente aleatoria, la probabilidad de que lo encuentre es la misma que la probabilidad de que su Adonis se hallara ya entre los 5 primeros, a saber, de 5/10 o del 50 %.
¿Significa esto que Marina puede contar con que la siguiente vez que se le disparen las hormonas a la vista de un hombre tendrá un 50 % de probabilidades de tener delante a su príncipe? No, porque en este caso habría olvidado que antes de Adonis podría aparecer otro candidato que, aun siendo mejor que los primeros 5, todavía no fuera el mejor de todos. Es decir, el peor rival para Adonis es el mejor de todos los candidatos que aparezcan antes que él; digamos que se llama Bruno.
El asunto se complica todavía más. Porque Bruno no tiene que ser necesariamente el segundo mejor de todos, si aparece después de Adonis. En términos matemáticos, mientras que Adonis es una constante, la identidad de Bruno es una variable. Si este último se hallaba entre los 5 primeros candidatos, entonces todo irá sobre ruedas, pues por así decirlo habrá puesto el listón tan alto que el único que podrá superarlo será Adonis. Sin embargo, si Bruno no aparece hasta más tarde, entonces le quitará la novia a Adonis, si es que no lo ha hecho antes algún otro.
Este dilema se puede describir a base de probabilidades individuales.
Si Adonis aparece en 6° lugar, no hay problema: será aceptado ipso facto. La probabilidad de que esto ocurra es de 1/10, pues el 6° lugar es igual de probable que todos los demás.
Si aparece en 7° lugar, la pregunta es: ¿cuándo apareció Bruno, el hasta entonces segundo mejor? Si llegó el 6°, la cosa se pone fea para Adonis, mientras que en los otros cinco casos el elegido será el príncipe. La probabilidad de que esto ocurra es de 5/6 multiplicado por 1/10 para el 7° lugar.
Si Adonis es el 8° pretendiente, entonces Bruno podrá quitarle la novia en 2 de 7 casos; la probabilidad a favor de Adonis será de 1/10 multiplicado por 5/7.
Así sucesivamente hasta el caso en que Adonis es el último candidato: Bruno se le podría interponer entonces en 4 de 9 casos. La probabilidad de que Marina todavía no se haya decidido hasta entonces es de 5/9.
Ahora hay que sumar todas estas cinco probabilidades individuales (el cálculo se reproduce, para los que no se arredran, en la «letra pequeña» de este capítulo). El resultado es: Marina tiene un 37,3 % de probabilidades, es decir, más de un tercio, de conseguir al mejor de los candidatos. A primera vista puede parecer poco, pero es mucho mejor que si Marina, presa de pánico, se agarrara al siguiente en aparecer. Y para su consuelo diremos que la posibilidad de elegir a uno de los dos mejores candidatos es, con esta estrategia, del 46,8 %, ¡casi la mitad!
¿Existe para Marina alguna estrategia mejor que la que propone Julia? Ahora ya no, pero sus probabilidades habrían sido mayores si hubiera atendido antes al consejo de su amiga. Si hubiera rechazado a los tres primeros pretendientes y aceptado al siguiente que fuera mejor que esos tres, la probabilidad de conseguir de este modo al mejor habría aumentado al 39,9 %. Claro que en este caso seguramente ahora estaría casada con Karsten. Cosas de las matemáticas.
La fórmula para los que no se arredran
La fórmula establecida para 10 pretendientes puede generalizarse a un número aleatorio (n) de candidatos. Entonces se puede calcular la probabilidad p de conseguir a Adonis si la mujer casamentera rechaza a todos hasta el pretendiente b y elige entonces al siguiente que le parece mejor que todos los anteriores:
![]()
![]()
Por supuesto que toda la hipótesis del ejemplo cojea de un pie. Dejando de lado la posibilidad de objetivar el amor, el número de 10 pretendientes casamenteros es una estimación muy imprecisa, y todo el cálculo, que va de diferencias muy pequeñas, no vale nada si esta cifra varía en la vida real. Claro que las matemáticas también tienen una respuesta para este caso: si Marina recibe un número cualquiera de proposiciones, hay una solución asombrosamente sencilla, desarrollada por el matemático F. Thomas Bruss. Basta con tener una idea de la distribución de las proposiciones de matrimonio en el tiempo, se dibuja la curva correspondiente y se intenta determinar a ojo de buen cubero qué línea vertical separa aproximadamente el 36,7 % del área delimitada por la curva. En el eje horizontal del tiempo obtenemos entonces el punto x que indica que ha llegado el momento de decir adiós a la vida licenciosa y buscarse un candidato para la vida.

La posibilidad de Adonis: n es la posición que ocupa en la cola de pretendientes. n puede adoptar un valor situado entre 6 y 10.
La probabilidad total será:
![]()
![]()
![]()
![]()
![]()

Fácil, ¿no le parece?
EjercicioEn una velada han estado presentes 15 parejas, que ahora se van una por una a casa y practican el siguiente ritual de despedida: los hombres se dan un fuerte apretón de manos y las mujeres se despiden con un besito en cada mejilla. Entre hombres y mujeres se dan la mano y un beso en la mejilla izquierda. Cuántos besos se estampan en total y cuántos apretones de manos se producen?
Solución
Se dan 420 besos y 315 veces se aprietan las manos. (Ojo: suponemos que las parejas se van a casa juntas y por tanto los que las forman no se despiden entre sí.)
Capítulo 6
LA VICTORIA ELECTORAL CALCULADA
La atmósfera está cargada en el Post de Hoppenstadt, y no precisamente porque en el bar, donde está prohibido fumar, alguien se haya pasado de la raya. Desde hace tres horas, la dirección del Partido Ciudadano (PC), reunida en el salón de actos, está devanándose los sesos con el análisis de la situación política en el municipio de Hoppenstadt, o mejor dicho, en Heinfelden-Hoppenstadt, pues a comienzos de año ambas localidades se fusionaron a raíz de una reordenación territorial decidida por el gobierno regional. En virtud de esta reforma, ahora hay que delimitar de nuevo las circunscripciones electorales: si hasta ahora había en total 16, es preciso reducirlas a 8, sobre todo para ahorrar gastos. En principio no hay nada que objetar, pero aun así este cambio produce serios quebraderos de cabeza a los cinco miembros de la directiva del PC. Porque Hoppenstadt es más pequeña que Heinfelden, y en esta última gobierna con amplia mayoría del partido Ciudadanos para el Progreso (CP), el gran rival del PC.
—Queridos compañeros, es hora de que definamos una postura. El CP ha elaborado una redistribución de los distritos electorales. ¿Alguien tiene una opinión?
Justus Nöthing, presidente del partido y alcalde saliente de Hoppenstadt, trata en vano de olvidar la preocupación por la pérdida inminente del cargo mostrando una actitud decidida.
En la pared cuelgan los planos. Gesine Schwing, pastelera, y Fred Kugel, albañil, parecen más concentrados en su agua y su cerveza, respectivamente. Únicamente Pia Paulsen, estudiante, y Matthias Sauer, empleado de banca con perspectivas de promoción a director de sucursal, estudian los gráficos y las cifras. Para ellos no se trata de una materia inerte, sino que sospechan que es una realidad maleable.

—¡Qué tiempos, aquellos! —exclama el presidente y mira el plano con el fervor de un turista que contempla la puesta de sol junto al mar—. La propuesta del CP parece muy lógica, ya que han juntado en todos los casos dos distritos colindantes, manteniendo la antigua separación entre las dos partes del nuevo municipio. Quedan cinco distritos en el oeste y tres en el este.

—Es muy fácil —dice Pia—, basta con calcular el promedio de los últimos resultados electorales de los dos distritos y ya está.
(En este caso tiene razón; ya hemos visto que con el «promedio» se pueden cometer toda clase de errores.)
En el nuevo municipio combinado, el PC alcanza el 46% de los votos, como podemos calcular sumando los resultados de los 16 distritos y dividiendo el total entre 16. En el futuro ayuntamiento conseguirá así 3 de 8 representantes, es decir, el 37,5%. Por consiguiente, todos los cargos importantes, desde el alcalde hasta los concejales, caerán en manos del CP.
—¿Qué decían que tenía de bueno la democracia? —pregunta Gesine amargamente.
—Eso de los distritos electorales está muy bien, pero hay otra manera de plantearlo. ¿Alguno de vosotros ha oído hablar alguna vez de «gerrymandering»?
Todos los presentes miran a Pia perplejos. A esta ya no hay quien la pare:
—En el siglo XIX, en Estados Unidos, el senador Elbridge Gerry solo consiguió ganar la elección porque previamente había ajustado creativamente las circunscripciones electorales. Una de ellas tenía forma de salamandra, de ahí la expresión «gerrymandering».
—¿Salamandra en inglés se dice «gerry»? No lo sabía —dice Sauer en voz baja y lo apunta en un trozo de papel. Pia se acerca a los planos de la pared:
—Nuestro problema es el mismo que el de Gerry. Por un lado, disponemos apenas de la mitad de los votos y, por otro, la distribución de los mismos es muy desigual. En nuestra mejor circunscripción sacamos el 70%, pero para ganar no necesitamos más que el 50% y un puñado más de votos. El 20% que sobran no nos sirven de nada.
—En realidad me gustan las mayorías amplias —le interrumpe Kugel—. Los de la CSU las consiguen desde tiempos inmemoriales allá en Baviera y no se aburren.
—Un momento —dice Pia con voz animosa—. Hasta ahora teníamos en Hoppenstadt una mayoría holgada del 60%. Después de cada elección lo celebrábamos con la legendaria tarta del 60%.
—Esto se ha acabado, desde luego —anuncia la pastelera.
—O tal vez no. Todo lo que tenemos que hacer es exportar unos cuantos votos de los distritos más fuertes a los más débiles.
—No pienso mudarme a Heinfelden —interviene Gesine con cara de susto—. Mi amor por el partido no llega tan lejos.
—Creo que lo entiendo —dice Sauer, que por lo visto se ha dado cuenta de a dónde quiere llegar Pia—. Se trata de comprobar si con la reordenación no podemos aprovechar para, digamos, nivelar un poco la desigualdad de la distribución de los votos.

De pronto se ha volatilizado toda desazón. Cuando la camarera trae otra ronda, contempla cómo los cinco se afanan en escribir y calcular.
—Alumnos aplicados —exclama, mientras espera a que Pia apure su vaso.
Veinte minutos después, el mundo vuelve a ser bello. En las cuatro circunscripciones formadas por distritos situados a uno y otro lado de la antigua demarcación, el PC obtendría la mayoría, aunque en parte por muy poca diferencia. En cuanto al resultado global, el PC pasaría de este modo a tener 5 votos en el consejo municipal. Cinco de ocho.
—Pero el 51% en una circunscripción no es una mayoría muy sólida —advierte el presidente, guardándose por rutina los típicos insultos a los que siempre tienen algo que criticar.
—Sin duda habrá que hacer algo de campaña electoral —admite Pia—. Pero ahora hablamos de proporciones, que podemos inclinar a nuestro favor. Antes estábamos condenados a la oposición.
—Pero se darán cuenta —advierte Gesine Schwing—. Tampoco son idiotas. Bueno, idiotas sí lo son, pero tontos no.
Ahora viene uno de esos momentos por los que Justus Nöthing entró en la política 17 años atrás. Todas las miradas confluyen en él, y en todas ellas ve la chispa de la esperanza.
—Desde luego que no pondré los números cuando envíe nuestra propuesta de nuevos distritos electorales a Heinfelden y al ministerio —dice sonriendo maliciosamente—. Se lo venderemos con argumentos políticos. Incluso con una pequeña dosis de demagogia.
Prosigue en voz alta y alzando el puño cerrado:
—¡El Partido Ciudadano es el partido de la nueva unidad de Hoppenstadt y Heinfelden! Derribamos las viejas fronteras en vez de consolidar la división.
A lo largo de esa velada, la camarera servirá tantas rondas en el salón de actos como nunca antes. Piensa que, según como, la política incluso puede ser divertida.
Matemática electoral
Las localidades de Hoppenstadt y Heinfelden, por supuesto, son imaginarias, igual que las modalidades electorales que la dirección del Partido Ciudadano trata de manipular con tanta creatividad. El «gerrymandering» (mediante el cual Elbridge Gerry ganó en 1812, en Massachusetts, en 29 de 40 circunscripciones electorales, pese a que la oposición obtuvo el 51% de los votos) solo funciona en los sistemas mayoritarios, en los que el parlamento se compone de diputados elegidos directamente entre distintos candidatos de cada distrito electoral, como sucede actualmente en EE.UU. y en Gran Bretaña. En Alemania se aplica, en las elecciones a los parlamentos locales y regionales, al igual que al parlamento federal, el sistema proporcional, es decir, se distribuyen los escaños en función del porcentaje de votos de cada partido. Sin embargo, dado que esta representación proporcional se combina casi siempre con la elección directa de personas, en este país también es posible influir en el resultado delimitando de nuevo los distritos electorales.
El ejemplo de la gran parte occidental con la pequeña parte oriental no se ha escogido por casualidad, sino de forma intencionada: en Berlín se definieron en el año 2000 las circunscripciones electorales siguiendo exactamente el modelo de Heinfelden-Hoppenstadt, formándose nuevos distritos mediante la fusión de algunos orientales con otros occidentales, sin tener en cuenta la presencia del muro que antaño separaba ambas partes de la ciudad. En este caso no se trataba de reforzar al «partido oriental», el PDS (Partido del Socialismo Democrático), sino todo lo contrario, de debilitarlo. La razón es que según nuestra ley electoral, un partido puede estar representado en el parlamento federal aunque no supere la barrera del 5% de los votos si consigue por lo menos tres mandatos directos, en cuyo caso, además, su representación será proporcional a su porcentaje de votos. En Berlín se redujeron las posibilidades del PDS de conseguir escaños de elección directa extendiendo los distritos orientales hacia el oeste, donde este partido, heredero del antiguo partido único de la RDA, apenas tenía apoyos. De este modo, partiendo de los votos conseguidos en 1998, solo conseguiría dos mandatos directos en vez de cuatro. (De hecho, el resultado del PDS en 2002 fue tan malo que incluso con la antigua distribución de circunscripciones habría conseguido los mismos dos escaños directos que logró efectivamente).
La compleja interrelación entre la representación mayoritaria y proporcional que entra en juego en las elecciones al parlamento federal alemán, sin embargo, produce también otros efectos sorprendentes que al no ser deseados políticamente, son tanto más absurdos. La cosa va tan lejos que puede suceder que un partido consiga menos escaños cuando recibe más votos: los matemáticos electorales llaman a este fenómeno «peso negativo de los votos». Se puso de manifiesto, por ejemplo, en la elección en el distrito electoral 160 de Dresde que tuvo lugar en 2005. Una candidata del NPD (Partido Nacional Democrático de Alemania) había fallecido poco antes de las elecciones, de manera que estas tuvieron que aplazarse dos semanas en su distrito, para que el partido de extrema derecha tuviera tiempo para presentar a otro candidato. El resultado global entre el ex canciller Schröder y su futura sucesora Merkel ya estaba claro tendencialmente, pero el resultado del distrito 160 de Dresde todavía podía alterar un poco el reparto de escaños. Paradójicamente, la CDU (Unión Demócrata Cristiana) corría peligro de perder un escaño si obtenía demasiados votos. El candidato democristiano, por tanto, tendría que haber llamado a los electores a votar por él en la elección directa, asegurándole así el escaño parlamentario, pero a no votar por su partido en la elección indirecta, por la que se define la proporción de escaños en el parlamento.
Para entender cómo es posible que se den semejantes paradojas es preciso examinar más de cerca el complejo mecanismo de elección del parlamento federal alemán. Funciona del modo siguiente: la mitad de los diputados, 299, son elegidos directamente con el primer voto que tiene cada ciudadano con derecho a voto en su circunscripción electoral. El candidato que obtiene el mayor número de votos tendrá su escaño en el parlamento y nadie se lo podrá quitar.
La otra mitad de la cámara la ocupan representantes de los partidos políticos, de tal manera que la composición global del parlamento refleje lo más exactamente posible la proporción de segundos votos obtenidos por cada partido (el modo de determinar el número de escaños en función del porcentaje de votos también es un problema complejo que aquí, sin embargo, no nos interesa). Los votos obtenidos por cada partido se desglosan a escala regional.
Veamos un ejemplo: supongamos que el partido X tiene derecho a 180 escaños en el parlamento federal y que 93 de sus candidatos han salido elegidos directamente con el primer voto de los ciudadanos en las respectivas circunscripciones. Sin embargo, ahora no se procede a añadir los 87 diputados que le faltan, tomándolos de su lista de candidatos, sino que el método es mucho más complicado: los 180 mandatos se reparten primero entre todos los Estados federados en función del porcentaje de votos obtenido por el partido en cada uno de ellos, es decir, casi como si hubiera 16 partidos —uno por cada Estado federado— compitiendo por esos 180 escaños.
De este modo queda determinado el número de diputados del partido X de cada Estado federado. Ahora es cuando entran en juego los diputados elegidos directamente y entonces puede suceder que su número ya es mayor que el número de escaños que le corresponde al partido X en uno u otro Estado federado. Un ejemplo es el del SPD (Partido Socialdemócrata) en Hamburgo, que en los buenos años consigue los 6 escaños directos, pero por la proporción de votos solo le corresponden 4 escaños. De este modo aparecen los llamados mandatos excedentarios: como ya se ha dicho, a los diputados elegidos directamente no se les puede denegar el escaño, pero por otro lado tampoco se puede castigar a otra lista regional del SPD por los buenos resultados obtenidos por el partido en Hamburgo. En tal caso, el parlamento federal cuenta entonces con dos escaños más.
Volvamos ahora a Dresde y veamos la situación justo antes de la elección postergada de 2005: si la CDU hubiera obtenido más de 42.000 segundos votos, habría perdido un escaño en el parlamento federal. El cálculo es el siguiente: el resultado de la elección no habría alterado la distribución de escaños por la regla proporcional, pues para ello el distrito 160 es demasiado pequeño. Sin embargo, sí habría cambiado el reparto entre las listas regionales de la CDU: el Estado federado de Sajonia tendría un escaño más y Renania-Westfalia un escaño menos. Por consiguiente, la CDU sajona no tendría 10 escaños, como hasta entonces, sino 11, pero la CDU renana se llevaría 46 en vez de 47.
Ahora bien, en Sajonia ya habían salido elegidos directamente 13 candidatos de la CDU, por lo que este partido ya tenía 3 mandatos excedentarios. La única diferencia habría sido, por tanto, que solo 2 habrían contado como mandatos excedentarios, pero que el número de diputados sajones de la CDU en el parlamento federal seguiría siendo el mismo. El resultado final es que la CDU tendría tantos sajones como antes en el parlamento federal, pero un renano menos, o sea, en resumidas cuentas, que habría perdido un escaño.
De alguna manera, la CDU logró transmitir este dilema a sus electores sin llamarles directamente a dar su segundo voto a otro partido: en la elección del distrito 160 solamente obtuvo unos 38.000 votos, es decir, unos 11.000 menos que tres años antes, con un porcentaje del 24,4%. En cuanto a los primeros votos, el candidato de la CDU, Andreas Lämmel, ganó por goleada con un 37% de los votos. Esto le supuso a la CDU, encima, un mandato excedentario más.
Pero si el candidato de la CDU por Renania-Westfalia que responde el bonito nombre de Caius Julius Caesar ya se frotaba las manos ante la perspectiva de conservar su escaño, se había precipitado, pues el mal resultado de la CDU en Dresde desplazó los pesos relativos dentro del grupo parlamentario cristianodemócrata de tal manera que un escaño de Renania-Westfalia se fue a Sarre. Anette Hübinger se ganó su puesto en el parlamento federal gracias a la intrincada normativa electoral alemana.
En la elección del distrito 160 de Dresde se puso de manifiesto el problema del peso negativo de los votos, pero eso no significa que no se produzca también en otras circunstancias. La diferencia estriba en que normalmente no se sabe antes de las elecciones y en que solo a toro pasado se puede decir que «si en el distrito Y el partido X hubiera recibido menos votos, ahora contaría con un escaño más en el parlamento».
Coalición antimatemática
Si el lector tiene problemas para comprender la compleja matemática electoral, tal vez le sirva de consuelo saber que a muchos políticos y jueces les ocurre lo mismo. No en vano, el Tribunal Constitucional ha declarado ahora que el «derecho de voto negativo» es inconstitucional. Sin embargo, esto no quiere decir que se ponga en tela de juicio del resultado de las elecciones al parlamento federal, ya que en este caso tendría que cuestionar también las decisiones tomadas hasta ahora por la cámara. Así se ha llegado a una coalición de todos los partidos a favor del statu quo y en contra de las matemáticas.
Ejercicio
En la asociación de horticultores urbanos van a elegir al nuevo presidente. Se han presentado tres candidatos (A, B y C) y se ha acordado que cada uno de los 21 socios no solamente elegirá a un candidato, sino que anotará en una hoja el orden de preferencia de los tres candidatos que le parece mejor, reflejando así una idea más matizada de la voluntad de los electores. Hay seis posibles órdenes de preferencia, y los socios votan del modo siguiente:
| A-B-C: | 4 votos | B-C-A: | 7 votos | |
| A-C-B: | 4 votos | C-A-B: | 2 votos | |
| B-A-C: | 0 votos | C-B-A: | 4 votos |
Hecho el recuento los tres candidatos se proclaman vencedores.
- A dice: «8 de 21 electores me han puesto en el primer puesto de la lista, mientras que en el caso de B solo han sido 7 y en el de C, 6. No cabe duda de que he ganado yo.»
- B afirma: «La mayoría de los electores me prefieren a mí antes que a A (7 + 4 = 11 socios) y que a C (4 + 2 + 4 = 10 socios), así que el vencedor soy yo.»
- C propone: «Hemos de ponderar los votos de manera que el primero cuente 3 puntos, el segundo 2 y el tercero 2. Yo tengo en total 44 puntos, A tiene 39 y B 43. Soy el primero.»
¿Quién tiene razón?
Solución
Ninguno tiene razón. Los tres argumentos pueden ser plausibles y no existe ningún método «justo» para determinar quién ha ganado una elección de este tipo.
Capítulo 7
EL TRABAJO DE CURSO FALSIFICADO
Maya pincha con desgana los trozos de carne de su gulash de pavo «Esterházy». Se ha ahorrado 40 céntimos, ha desechado el plato del día recomendado por el chef de la cantina y ha acumulado un montón de rabia.
—Un aprobado pelado —murmura.
Sascha la mira con cara de conmiseración y ella le acerca el plato. Con aire de experto, su compañero de estudios se abalanza sobre los restos que quedan en el plato del comedor estudiantil.
—Aprobado pelado —vuelve a murmurar Maya—.
Y mira que le he dedicado mucho esfuerzo.
—Ah, te refieres al trabajo —dice Sascha masticando—. Pensaba que hablabas de la comida.
—He preguntado a cien personas en la calle por sus ingresos, con un frío que pelaba, y con uno de cada tres tuve que salir corriendo porque el tipo quería contarme su vida.
—Por encuesta sola ya no te dan una buena nota —comenta Sascha—. Esto no es un curso de supervivencia, sino de estadística, y lo que cuenta es el correcto procesado de los datos.
Estamos a finales de enero y dentro de tres semanas concluye el semestre. En la asignatura de «Estadística para economistas» han devuelto hoy los trabajos con la nota correspondiente. Los estudiantes tenían que comprobar si determinados enunciados simples sobre interrelaciones económicas son ciertos a la luz de los datos de la realidad. Sobre todo tenían que analizar esos datos con diversos métodos estadísticos.
Sascha va a decir algo, pero nota que está a punto de atragantarse, así que primero sigue masticando, se traga el bocado y dice:
—Tal vez no sea una idea tan original la de investigar la relación entre nivel de renta y el importe del alquiler. La gente pobre suele pagar en promedio menos por su vivienda que la gente rica, eso es de cajón y no requiere ningún estudio.
—Qué gracioso —replica Maya mientras trata de leer un panfleto manchado de grasa y restos de comida que sujeta entre las puntas de los dedos—. Tú te has llevado un «bien». Haz el favor de no pavonearte. De todos modos, todavía estás muy lejos de Gero. Creo que ese es simplemente incapaz de hacer nada que no merezca un sobresaliente.
En el extremo de la hilera de mesas está sentado Gero conversando con unos amigos. Incluso entre los estudiantes de económicas llama la atención por su vestimenta formal, cara, siempre con traje y maletín. Mientras todavía iba a la escuela ya fundó su primera empresa, y después del bachillerato creó en los barrios de población inmigrante, con ayuda de una empresa informática, una red de comunicación electrónica. En el semestre anterior obtuvo un galardón por su campaña de marketing para ancianos de alto poder adquisitivo. Había invitado a Maya a la fiesta, y esa noche se conocieron mejor de lo que ella había previsto.
—Lo sencillo no encaja con él —se burla Maya y cita el título del trabajo de Gero—: «La relación entre el importe del subsidio de desempleo y la duración del paro». ¿Sabes a qué resultado ha llegado? Cuanto más alto el subsidio, tanto más le cuesta a uno encontrar otro trabajo. Me pregunto a qué partido político está haciendo la pelota.
—A cuál no —dice Sascha masticando—. No hace falta que le quieras, por desde el punto de vista estadístico, su trabajo está muy bien. Además, se ha aplicado: ha recabado datos a 100 oficinas de empleo y ha calculado una regresión con todos los coeficientes. El sobresaliente se lo ha ganado.
Maya se concentra en su flan de vainilla y escucha cómo en la mesa de al lado Gero explica el mundo a sus compañeros.
—Si quiero impresionar, yo también escojo uno de esos temas enormes con diez mil números. ¿Crees que el profesor Richter los comprueba? Apuesto a que Gero ha consultado a lo sumo a 10 oficinas de empleo, el resto se lo ha inventado.
—¿Acaso le tienes manía al listo de la clase? —pregunta Sascha mientras sigue engullendo el nutritivo menú del comedor estudiantil.
—No tengo nada contra él —dice Maya—, lo que pasa es que no me gusta.
—Se podría descubrir —dice Sascha masticando—. Los trabajos están todos colgados en el servidor de la facultad. Dame un día de plazo. Y tu flan, que parece que ya estás llena.
Al día siguiente, en la misma mesa. Maya elige el menú recomendado, Sascha se lo piensa. Cuando por fin llega con su bandeja, agita un pedazo de papel que lleva en una mano.
—Creo que tenías razón —exclama y mira a su alrededor—. No veo ningún postre.
Maya ha de ir a por algo dulce. Sascha empieza dando cuenta de un requesón con fruta, que primero olisquea con fruición.
—No sé si algún día acabaré contigo —interrumpe Maya el ritual—. Si lo hago, lo único seguro es que será mientras estás comiendo.
—Mejor que reserves tu cabreo para Gero. Los datos son falsos.
—¿Seguro?
Sascha levanta la mano como para jurar.
—¿Cómo lo has descubierto? ¿Has llamado a todas las oficinas de empleo?
—Eso lo haría un aficionado —contesta Sascha dándose ínfulas—. Un matemático utiliza la ley de Benford.
Acerca la hoja de papel a donde está Maya.
—He examinado los datos de Gero con los coeficientes de regresión de todas las oficinas de empleo —dice gozando con la mirada perpleja de Maya y sigue entre risas—: En realidad deberías saber de qué estoy hablando. Se trata de determinar la desviación de los valores empíricos respecto de la recta lineal con la que los ha aproximado. Lo importante en este contexto es que en principio esos datos han de comportarse como números del mundo real, y en particular obedecer a la ley de Benford.
Terminado el requesón, se abalanza sobre el flan.
—Se trata de una extraña regla que formuló el físico estadounidense Frank Benford en 1938 —explica Sascha—. Esa ley dice que si abres el periódico de hoy y sacas todos los números que aparecen en sus páginas, desde las cotizaciones bursátiles hasta los deportes y los programas de televisión, pasando por la información meteorológica, y anotas la primera cifra de cada número, verás que no todas las cifras del 1 al 9 aparecen con la misma frecuencia.
Sascha se interrumpe, a la espera de que Maya formule una pregunta. Maya dice:
—Quien sabe algo, pronto o tarde lo dirá. Sobre todo si es hombre.
—El 30% de los números empiezan por 1, el 18% por 2, y así sucesivamente. Menos del 5% empiezan por 9.
Dos chicas con bandejas en las manos se acercan a la mesa y dan media vuelta cuando ven la hoja de papel de Sascha con todos esos números. Sascha les sigue con la mirada, y solo cuando Maya suelta un sonoro «¡ejem!» vuelve al grano.
—Bueno, ese Benford descubrió que su ley funciona con una cantidad asombrosa de conjuntos de números del mundo real, como por ejemplo el número de habitantes de las ciudades o las tiradas de revistas. Hace tres años, y esto es importante para nosotros, un sociólogo de Suiza descubrió que también vale para los valores en estos análisis de regresión.

—Las barras grises muestran los valores que cabría esperar de acuerdo con la ley de Benford. El 1 es de lejos el que se lleva la palma, y después disminuye la frecuencia progresivamente. Las barras negras reflejan los valores que aparecen en el trabajo de Gero. Mírate el gráfico detenidamente, yo mientras sigo comiendo.
Le llega el turno al tiramisú.
Maya se da perfectamente cuenta de las discrepancias. «En el trabajo de Gero hay muchos menos números que empiezan por 1 y por 2, pero a cambio hay más que empiezan por 3, 6 y 7.» Levanta la vista y pregunta escéptica:
—¿Eso es tu prueba?
—¿Qué crees que es eso? —exclama Sascha. Encima de la mesa flota una tenue nubecilla de cacao en polvo—. Con análisis de este tipo confirmaron que los balances de Enron estaban manipulados. ¡Falsificados! Y también se han descubierto fraudes electorales.
Gero también está hoy en el comedor, una mesa más allá, en compañía de un hombre entrado en años. Parece que le estuviera ofreciendo o vendiendo algo, o ambas cosas; entre ellos se encuentra el ordenador portátil, sobre el que Gero señala a menudo.
—¿Qué vas a hacer? —pregunta Maya—. ¿Vas a ir con tu papel al profe y chivarte?
—¿Me ves capaz de eso?
—Pero esto es... ¿qué es exactamente? ¿Fraude?
—Fraude científico. El profesor Richter es estadístico, ya se dará cuenta de que nuestro trajeado Gero es un caradura.
—Entonces Gero tendrá un sobresaliente menos —dice Maya—, y tú recibirás una mención especial por la aplicación práctica de conocimientos estadísticos.
—Preferiría una suscripción mensual a postres gratis —murmura Sascha.
En la mesa de al lado, Gero y el hombre mayor se dan la mano, cada cual más sonriente. Gero tiene futuro en el mundo de los negocios.
Probabilidades distribuidas desigualmente
La historia es inventada, pero los datos son reales. ¡Palabra de honor! El físico Benford existió efectivamente, como existe la ley que lleva su nombre y el sociólogo suizo Andreas Diekmann, que estudió las posibilidades de descubrir las falsificaciones de datos. Pidió a unos estudiantes que apuntaran datos falsos (precisamente sobre el mismo tema al que dedicó su trabajo el Gero ficticio), y el diagrama de Sascha refleja los verdaderos números falsos de uno de aquellos estudiantes.
La ley de Benford tendría que llamarse en realidad «ley de Newcomb», pues fue el matemático Simon Newcomb quien descubrió en 1881 esa curiosa regla y también la publicó. Le había llamado la atención que los libros con tablas logarítmicas estaban más manoseados en las primeras páginas que en las últimas. Más adelante hablaremos de los logaritmos, de momento nos basta saber que en las primeras páginas se buscan los logaritmos que corresponden a números con cifra inicial pequeña y en las últimas los de cifra inicial grande. Estaba visto que la gente calcula más con números que empiezan por 1, 2 o 3. ¿Cómo es posible? ¿Por qué en un gran volumen de números aparece con mayor frecuencia el 143 que el 943? ¿Acaso no debería tener cualquier número las mismas probabilidades?
Aunque intuitivamente nos parezca mentira, la probabilidad no está igualmente repartida. Cuando se pide a alguien que diga «un número cualquiera», es cierto que puede elegir entre una cantidad infinita de posibilidades, pero no todas tienen la misma probabilidad. Preguntadas por un número que se les ocurra espontáneamente, sin duda más personas dirán uno situado entre 1 y 10 que entre 11.000 y 11.010. Cuanto mayor el número, tanto menos probable es, se supone.
Lo mismo sucede con otros grupos de números, como por ejemplo los de los habitantes de las ciudades. Hay más ciudades pequeñas que medianas, y más medianas que grandes. No cabe duda de que los números de habitantes de las ciudades alemanas no están igualmente distribuidas entre 300 y 3.000.000. Pero ¿cómo están distribuidas?
Para abordar la cuestión matemáticamente, lo mejor es examinar un caso práctico que, a diferencia de datos empíricos como el número de habitantes de las ciudades, pueda calcularse con precisión. El dinero es un buen ejemplo. Supongamos que una persona deposita 1.000 euros en una cuenta de ahorro que le rinde un interés anual del 10% (tanto no le dará ningún banco, pero se trata únicamente de un ejemplo de cálculo). Al cabo de un año tiene 1.100 euros, al cabo de dos (si reinvierte lo ganado) 1.210 euros. Tendrá que esperar ocho años hasta que el importe supere los 2.000 euros. Tan solo cuatro años después ya tiene más de 3.000 euros y al cabo de otros tres ya cuenta con más de 4.000 euros. En otras palabras: mientras que durante ocho años contesta a la pregunta de cuántos euros tiene en la cuenta con cantidades que empiezan por 1, tan solo durante tres años dirá algún importe que empiece por 3. Y los espacios de tiempo entre una cifra inicial y otra se acortan progresivamente. Al cabo de 24 años, el dinero casi se ha multiplicado por diez.
Pero la cuenta sigue creciendo. Ahora el ahorrador tendrá de nuevo durante ocho años un importe que empiece por 1, hasta que al cabo de 32 años rebasa la marca de los 20.000 euros.


Números en potencia: el logaritmo
Las curvas exponenciales tienen la mala costumbre de volverse rápidamente muy empinadas. Es posible mantenerlas bajo control si en vez de contemplar el importe monetario mismo, se utiliza su logaritmo de base 10, log(x) en su forma abreviada, de forma similar al capítulo sobre el piano de Bach, aunque allí el logaritmo sea de base 2. log(x) es el número al que hay que elevar 10 para obtener x. El logaritmo de 1.000 es 3, el de 100.000 es 5. Con ayuda de los logaritmos no solo se puede explicar la ley de Benford, sino también cuantificarla exactamente. Por tanto, si desea usted saber si la ley de Benford es válida y por qué, lea los siguientes párrafos.


En la escala superior están reflejados los logaritmos, en la inferior los saldos de la cuenta de nuestro ejemplo. Si los logaritmos están distribuidos regularmente, la probabilidad de que un valor caiga dentro de un determinado margen es exactamente igual al tamaño de este margen con respecto al conjunto de la escala.
Si contemplamos ahora los logaritmos situados entre 3 y 4 y nos preguntamos por la probabilidad de que el número subyacente comience por 2, es decir, se sitúe entre 2.000 y 3.000, tendremos que calcular la longitud del segmento resaltado en gris.
p (2) = log (3000) - log (2000)

p (i) = log (i + 1) - log (i)
Tampoco encontraremos una distribución de Benford si contemplamos la talla de las personas en centímetros: la gran mayoría empezará por 1, con unos pocos gigantes de dos metros y más o una minoría de niños de menos de un metro. El coeficiente de inteligencia de las personas, a su vez, sigue un patrón de distribución distinto, la llamada «distribución normal de Gauss», por lo que tampoco obedece a la ley de Benford.
Cuando tenemos un grupo de números a los que se aplica la ley de Benford, estos conservan su patrón de distribución incluso si los multiplicamos por un valor constante. Podemos convertir el saldo de la cuenta de ahorro a dólares, yenes o libras, el caso es que la regla seguirá siendo válida, por mucho que el valor de partida ya no sea 1.000.
Es sorprendente que una mezcla de grupos de números que, tomados de uno en uno, no responden estrictamente a la ley de Benford, se ajusta más exactamente a ese patrón de distribución. Por eso el experimento con los números que aparecen en un periódico suele funcionar muy bien, pues se juntan cotizaciones bursátiles con pronósticos de temperatura, víctimas de accidentes, artículos de leyes y resultados electorales porcentuales: todos juntos responden con bastante exactitud a la regla de Benford.
Hasta hace pocos años, el descubrimiento de Newcomb y Benford era una bufonada matemática que muchos desconocían. Y justamente quien ignora esa ley no será un buen falsificador de números. Cuando alguien manipula los gastos de viaje o los balances de una empresa, tiende a elegir cantidades que parezcan «aleatorias», poco «redondas», y para darles una apariencia de autenticidad, tiende a repartirlas lo más regularmente posible por todas las cifras del espectro. De este modo, el 1 estará infrarrepresentado y el 6 aparecerá con excesiva frecuencia. Según unos estudios realizados, está visto que las personas, cuando se inventan números, suelen tener verdaderas «huellas dactilares», que se reflejan en la tabla de valores de Benford en la primera cifra y también en las tablas correspondientes que analizan la segunda cifra o pares de cifras. Ocurre que a más de una persona siempre se le antoja el «37» cuando ha de pensar en una cantidad «poco redonda» de céntimos.
Actualmente, el método de Benford se utiliza mucho en la revisión de balances y declaraciones de impuestos. El matemático estadounidense Mark Nigrini no solo pudo demostrar su eficacia en el caso de la compañía energética Enron, en cuyos balances se embellecieron muchos números. Una vez examinó también la declaración de renta del ex-presidente Bill Clinton, concluyendo que salvo algunos redondeos, aparentemente todo era correcto.
Ejercicio
«Más de la mitad viven solos», rezaba hace unos años el titular de un artículo de prensa. El subtítulo decía: «En el 55 por ciento de los hogares solo vive una persona». ¿Por qué son contradictorias estas dos afirmaciones?
Solución
Si en el 55% de los hogares solo vive una persona, en el 45% restante viven por lo menos dos. Por consiguiente, la proporción de personas que viven solas es como máximo de 55/145, alrededor del 38%. O un sistema perfecto
Así no se imaginaba Frank Burmeister un casino de juego. El de Hohensyburg, cerca de Dortmund, se halla en un bloque de hormigón funcional de la década de 1980, más parecido a un centro cultural municipal. Ni rastro del típico ambiente señorial de estos lugares, con sus porteros uniformados, su glamour a lo James Bond, hombres con smoking y hermosas mujeres, no: en su lugar, todos son jubilados y caballeros de fortuna cincuentones que esperan mejorar en el plano monetario sus vidas descarriladas. El interior está decorado en tonos marrones y la atmósfera está cargada de humo, gris como el cielo contaminado de cualquier zona industrial en su apogeo.
Burmeister y su compinche Bernd Biehl han de exhibir su documento de identidad y pagar los cinco euros de entrada. La etiqueta exige llevar americana, si es preciso prestada por la casa; con traje y corbata, los dos recién llegados se sienten aquí un poco desplazados.
—Bueno, ahora demuéstrame tu sistema totalmente seguro, Frankie —insiste Biehl antes de empezar. —No lo he inventado yo; el sistema se llama «martingala» y es muy antiguo. Conoces las reglas de la ruleta, ¿no?
Biehl está ansioso por empezar a apostar, y Burmeister, por si acaso, le explica rápidamente algunas cuestiones elementales. En la ruleta se puede apostar por números sueltos, pares de números o incluso grupos de cuatro y seis números, por números pares («pair») e impares («impair»), por el color rojo («rouge») o el negro («noir») o por los números 1 a 18 («manque») o 19 a 36 («passe»). También está el fastidioso cero («zéro»).
—Lo mejor es apostar por las «suertes sencillas», como el negro o los pares —explica Burmeister. Le gusta transmitir lo que sabe, por mucho que todo esto sea de momento pura teoría, ya que tampoco él se ha acercado jamás a una mesa de ruleta—. Si ganas, te dan el doble de tu apuesta, es decir, 10 euros si has apostado 5. La probabilidad de ganar es más o menos del 50%.
Como era de esperar, Biehl plantea la pregunta lógica:
—¿Por qué «más o menos»? ¿No es exactamente del 50%?
—No, porque también cuenta el cero, que no es rojo ni negro. Si sale el cero, tu apuesta queda bloqueada y solo vuelve a estar «libre» la próxima vez que sale el negro. Entonces solo puedes ganar en la segunda jugada posterior. Pero estos detalles no tienen importancia. Los compenso apostando más dinero.

—Me fijo un objetivo de cuánto quiero ganar. Seamos realistas y digamos que 5 euros. Así que apuesto 5 euros a una suerte sencilla, digamos que al negro. Si sale un número negro, recupero mis 5 euros y gano otros 5. Entonces he cumplido mi objetivo.
—Y si sale un número rojo, adiós a los 5 euros —añade Biehl lacónicamente.
—Así es, pero nada trágico. Porque entonces apuesto 10 euros. Si gano, me dan 20 euros. El balance es entonces el siguiente: he apostado 15 euros y he ganado 5.
Biehl comprende enseguida por dónde van los tiros. Si pierde otra vez, sube la apuesta a 20 euros. Si entonces gana, recibe 40 euros y, una vez deducida la cantidad que ha apostado, le quedan 5 euros de ganancia.
—Es decir, tengo que insistir en apostar por el negro hasta que salga el negro, y entonces gano. Una cosa sí tienes que evitar a toda costa: perder los nervios. Es perfectamente posible que salga varias veces seguidas el rojo.
Burmeister sonríe tan confiado como alguien que nunca ha estado sentado a una mesa de ruleta. Biehl no se deja arrastrar por la euforia:
—Pero si doblas la apuesta después de cada ronda que pierdes, según cómo necesitas un buen capital, ya que de lo contrario llegará un momento en que no podrás seguir el juego.
Burmeister mete la mano en el bolsillo del pantalón y saca con cuidado un fajo de billetes.
—Esto son 20.475 euros, que hasta esta mañana estaban casi inactivos en mi cuenta de ahorro.
—Pero bueno, ¡tú te guardas un as en la manga! —exclama Biehl y pregunta—: ¿Por qué esa cantidad? Normalmente uno saca un número redondo...
Burmeister vuelve a guardar el dinero.
—No, es que he calculado con precisión: este es exactamente el importe que necesitaré para poder aguantar una travesía del desierto de 11 veces que no salga negro y apostar una vez más por el negro.
Biehl mira desconcertado a su amigo.
—¿Vas a correr ese riesgo? ¿Por una mísera ganancia de 5 euros? Si vuelve a salir rojo por duodécima vez habrás dejado correr un Polo GTI nuevo con 150 caballos y equipamiento especial.
Pero la confianza de Burmeister es como una roca.
—Has de pensar en términos matemáticos, Bernd. Que lleve encima tanto dinero es por pura teoría, porque la probabilidad de que salga rojo doce veces seguidas es cero.
—Casi cero.
—De acuerdo, casi cero. Para ese caso improbable ya va bien que me haya traído la tarjeta de crédito. ¿Tú también?
Biehl deja claro que ni en sueños piensa asumir tales riesgos, pero le acompaña a cambiar el dinero por fichas. En la taquilla les dan un puñado de fichas de 5 euros por unos cuantos billetes.
Encuentran dos asientos libres en la mesa n° 10. Rodean la ruleta ocho personas, entre ellas una pareja de jubilados acomodados y un hombre despeinado y vestido con un traje que ya ha visto tiempos mejores; mientras anota sin parar columnas de números en un cuaderno, murmura algo que nadie entiende.
—Ese es uno de los que creen que los números que ya han salido permiten deducir qué números saldrán después. Pobre hombre —susurra Burmeister al oído de su amigo—. Es asombroso que todavía no se haya enterado todo el mundo. La ruleta no tiene memoria, y antes de cada jugada la probabilidad de que salga un número u otro es exactamente la misma. Sucede como en la lotería: si un viernes salen los números 1, 2, 3, 4, 5 y 6, la probabilidad de que una semana después salgan los mismos sigue siendo igual.
Cuando Burmeister pasa del dicho al hecho y decide apostar con dinero contante y sonante, se le nota un poco nervioso. El crupier está sentado en un taburete un poco más elevado, lleva en una mano el rastrillo con el que coloca y retira las fichas sobre el tapete y con la otra mueve el plato de la ruleta. Los jugadores hacen sus apuestas con rapidez. La bola ya empieza a botar sobre el plato cuando se acerca un hombre más a la mesa y deposita unas fichas sobre el tapete verde.
—No va más —exclama el crupier y unos segundos después la bola se queda atrapada en una casilla junto a un número. El rastrillo recoge rápidamente la mayoría de fichas y el crupier paga a los que han acertado.
Frank Burmeister apuesta ahora 5 euros por el negro. Los demás participantes se juegan cantidades mayores o menores, según su temperamento y disponibilidades; se ven algunas fichas de 50 euros.
—16, rouge, pair, manque —dice el crupier en la lengua universal de la ruleta.
Burmeister ha perdido 5 euros, posibilidad que estaba prevista. Sin inmutarse coloca dos fichas sobre el negro.
—12, rouge, pair, manque —constata el crupier tras la siguiente tirada y Burmeister coloca cuatro fichas sobre el negro.
—23, rouge, impair, passe.
—30, rouge, pair, passe.
—30, rouge, pair, passe.
Ha salido rojo cinco veces seguidas. Frank Burmeister ha perdido 31 fichas, es decir, 155 euros.
—Ahora demostrará el sistema su solidez —dice más para sus adentros que a Biehl, pero su sonrisa ya no parece tan confiada. Biehl, en cambio, no se esfuerza por ocultar su preocupación cuando Burmeister deposita 31 fichas sobre el negro.
El hombre con el cuaderno de notas cree haber descubierto el sistema que sigue Burmeister.
—No se ponga nervioso —dice como para darle ánimos—. La ley de los grandes números trabaja a favor de usted. Al negro ya le toca hace rato.
Claro que él puede estar animado, no en vano acaba de ganar con el 30 dos veces seguidas el pleno, cobrando 36 veces lo apostado.
El rótulo luminoso encima de la mesa, que indica el resultado de las últimas tiradas, propaga la noticia de que el rojo ha salido cinco veces seguidas. De todas direcciones acuden curiosos y expertos a la mesa n° 10. Algunos de ellos también apuestan, por el rojo o por el negro. Unos especulan con la probabilidad de que salga negro y otros apuestan por la ola del rojo.
—1, rouge, impair, manque.
—25, rouge, impair, passe.
—12, rouge, pair, manque.
¡Ocho veces seguidas ha salido rojo! Las murmuraciones alrededor de la mesa suben de volumen. Burmeister envía a su amigo a la caja a comprar más fichas. De momento pierde 1.275 euros y siente cómo le empieza a invadir el pánico. Con aparente sangre fría deposita una pila de doce fichas de 100 euros, una de 50 y tres de 10 en la casilla del negro, lo que da un total de 1.280 euros.
—3, rouge, impair, manque.
Biehl le susurra algo al oído a su amigo: que lo deje estar, se levante y salga del casino. Que recapacite. Biehl hace todo lo que ha de hacer un buen amigo. Burmeister no dice nada y permanece sentado.
—34, rouge, pair, passe.
—3, rouge, impair, manque.
Las demás mesas se han quedado desiertas, mientras una multitud se agolpa alrededor de la de nuestros amigos. Se intercambian en voz baja toda clase de teorías: ¿manipula el crupier la ruleta? ¿Tiene un defecto el plato? ¿Es la primera vez que sucede algo así? Incluso el jugador que cree en la magia de los números ha visto cambiar su suerte: su montón de fichas se ha reducido a la nada, por lo visto hoy no está en vigor la ley de los grandes números.
Frank Burmeister contempla sus fichas con el rostro petrificado. Ya no está para nadie, pero sigue siendo capaz de calcular. En once rondas se ha ventilado 10.235 euros y delante de él le quedan 10.240 euros en fichas. Si apuesta y no sale el negro, estará arruinado. Biehl, en la silla de al lado, no para de moverse por los nervios.
—Todo o nada, murmura Burmeister y empuja la pila de fichas a la casilla del negro. Si ahora sale el negro, y tiene que salir por fuerza, habrá ganado 5 euros.
—Lo siento, señor, pero no puedo aceptarlo. —Las palabras del crupier imponen de golpe el silencio alrededor de la mesa. Todas las miradas se centran en Burmeister.
—Qué quiere, he pagado las fichas —dice este con la voz tan quebrada que ni él mismo la reconoce como suya.
—En esta mesa hay un límite de 7.000 euros para las apuestas a suertes sencillas —explica el crupier con profesionalidad—. Por tanto, no puede usted apostar más que 7.000 euros.
—¡Pero tengo que hacerlo! —se le escapa a Burmeister.
—Lo lamento, señor, pero son las normas de la casa. Le ruego que reduzca la apuesta o abandone la mesa.
Burmeister se queda como paralizado, ante su mirada se difumina todo en un magma rojo, negro y verde. Biehl recoge las fichas de su amigo, le ayuda a levantarse y le acompaña a la caja. Burmeister recibe 10.420 euros, la misma cantidad que ha perdido. Bueno, 5 euros menos que los que ha perdido.
Lo último que oyen los dos es la voz del crupier:
8, noir, pair, manque.
El error de los jugadores
El lector piensa tal vez que esta historia es fácil de imaginar, y la verdad es que esta serie de once veces seguidas que sale el rojo ocurre seguramente una vez cada cien años.
No obstante, la secuencia de números que narra la historia sucedió realmente el 10 de marzo de 2007 en el Casino Hohensyburg. Las entidades de juegos de azar publican en Internet sus «permanencias», como se denominan las series de números, a la atención de aquellos ingenuos coetáneos que creen poder sacar alguna conclusión de cara al futuro. Ni siquiera tuve que repasar cientos de esas listas, sino que en la permanencia del tercer día que examiné ya apareció la secuencia indicada.
Antes de ocuparnos de la matemática del juego de azar y en particular de la martingala con la que Frank Burmeister quería ganar sus 5 euros, le propongo al lector un ejercicio: escriba una secuencia de rojos y negros de cien tiradas que parezca lo más aleatoria posible. Dejaremos de lado el cero.
Es probable que su serie se parezca a esta:
R N RR N R NNN RR N R NN RR N R NNN R
N RR NN R N RRR N R N R NNNN R NN RR
N RRR N R NN RR N R NN R N RR N RRR
NN R N RR NNN R N RR N R NNN R N RR
NNN R N R N RR N
He aquí los últimos cien números que salieron el 10 de marzo de 2007 en la mesa n° 10 del Casino Hohensyburg (he eliminado los seis ceros):
R NN R N RRR NNNN RR NN R N R NNNNN
RRRRRRRRRRR N RR NNN R NN R NNN R
N RRRR NNN RRR N R N RR NNNNN RRRR
N RRR N RRR NN R NN RRR N RR NN RR
N R N
Ningún estadístico dirá que esta secuencia de números es «poco casual». Así, el rojo aparece 54 veces y el negro 46, lo que se acerca bastante a la distribución previsible de 50 : 50.
Sea como fuere, la probabilidad de que el juego resultara tan catastrófico para Frank Burmeister era muy escasa. Si volvemos a dejar de lado el cero, la probabilidad de que en cada tirada salga el rojo o el negro es de 0,5. Recordemos que para calcularla hay que dividir el número de casos favorables (o desfavorables) entre el número de todos los resultados posibles.
En dos tiradas, el número de resultados posibles es 4: RR, RN, NR, NN. Por eso la probabilidad de RR es de un cuarto o 0,25.
En tres tiradas hay 2 x 2 x 2, es decir, 8 resultados posibles, y la probabilidad de que salga RRR es de 1/8.
Podemos seguir calculando las probabilidades hasta 11 tiradas, en las que habrá en total 211 secuencias posibles de rojo y de negro, y Burmeister solo pierde en un único caso. Así que la probabilidad de que esto suceda es:
![]()
Por desgracia no basta con calcular la probabilidad. Puesto que se trata de dinero, no solo hay que tener en cuenta la probabilidad de un determinado resultado, sino también la ganancia o la pérdida asociada al mismo. Una pérdida de 10.000 euros pesa más que una ganancia de 5 euros.
En estadística, existe la «esperanza matemática», que aplicada a los juegos de azar nos ayuda a conocer la ganancia media o, si es negativa, la pérdida media. La esperanza matemática revela si un juego de azar es «limpio». Un valor negativo de la esperanza matemática implica que a la larga siempre gana la banca. Y como era de esperar, con cualquier apuesta posible en la ruleta resulta un valor negativo.
Concretamente, la esperanza matemática se define del modo siguiente: si hay n posibles acontecimientos, se multiplica la probabilidad p de cada uno de ellos por la ganancia g que le corresponde y se suma el conjunto:
E = p1 x g1 + p2 x g2 + ... + gn x pn
![]()
Existen 6 x 6 x 6 x 6 posibles combinaciones de resultados, es decir, 1.296, de las que cada una tiene la misma probabilidad de 1/1.296.
¿En cuántas de ellas sale un 6? Calcular esto es bastante complicado, pues hay que diferenciar los casos en lo que pueden salir 1, 2, 3 o 4 seises, o calcular las respectivas combinaciones de los otros dados. Es mucho más sencillo calcular el número de combinaciones en las que no aparece ningún 6, es decir, todas aquellas en las que los cuatro dados mostrarán un número situado entre 1 y 5.
Son 5 x 5 x 5 x 5 = 625 casos en los que usted pierde 1 euro. En los otros 671 casos gana usted. Esto suena muy bien.
El valor exacto de la esperanza matemática es:
![]()
Volvamos al problema de la ruleta, cuya esperanza matemática es mucho más fácil de calcular, siempre que dejemos de lado el cero. En 11 tiradas hay 2.048 resultados posibles en los que sale el rojo o el negro, y en 2.047 casos gana Frank Burmeister 5 euros porque el negro sale por lo menos una vez. En el único caso desfavorable pierde todo lo apostado hasta entonces, es decir, 10.235 euros. El valor de la esperanza matemática será por tanto el siguiente:
![]()
Ahora bien, sucede que el casino no ganaría dinero con este juego limpio. Por esto existe el famoso cero, que en caso de salir hace que la ficha colocada en negro quede «bloqueada» y en la próxima tirada se pierda (si sale rojo), permanezca en la casilla del negro, pero sin ganancia (si sale negro) o vuelva a quedar bloqueada (si sale de nuevo el cero). Esto supone una clara ventaja para la banca y hace que el valor de la esperanza matemática sea negativo. Todas las posibles apuestas en la ruleta dan un resultado similar.
Hay numerosas guías para el jugador de ruleta que aconsejan sistemas supuestamente seguros para ganar. Pocas veces se aconseja la simple martingala, sino más a menudo sistemas a veces muy complejos en los que el jugador ha de ir tomando notas y seguir una determinada estrategia en función del resultado de cada tirada, apostando varias fichas a distintas posibilidades. Pero el principio siempre es el mismo: si uno pierde, ha de aumentar la apuesta para que en las siguientes jugadas no solo gane, sino que además recupere la pérdida inicial.
Los matemáticos no pueden más que mostrarse escépticos con todos estos sistemas. Saben muy bien que la esperanza matemática es aditiva, es decir, los valores de juegos independientes entre sí se suman. Y si los valores de la esperanza matemática de cada uno de los juegos son negativos, por muchas combinaciones complejas que se hagan será imposible crear un juego que lo tenga positivo.
Esto se puede demostrar matemáticamente, pero también en la realidad: las pequeñas ventajas de la banca se suman al cierre de (casi) cada día dando un beneficio que se deja ver. Aunque solo se trate de un pequeño porcentaje de las apuestas de todos los jugadores, es suficiente para que el establecimiento pueda florecer. La «ley de los grandes números» le garantiza que cuando se realizan muchas tiradas (y cada apuesta del jugador es una nueva tirada), el beneficio se acerque efectivamente al valor de la esperanza matemática.
Muchos jugadores malinterpretan esta ley de los grandes números, que dice, por ejemplo, que la proporción entre rojo y negro se acerca cada vez más a 1 cuantas más tiradas se efectúen. El no iniciado deduce de ello que si durante un rato ha salido el rojo con mucha frecuencia, llegará un momento en que lo hará el negro. Error fatal, pues el plato de la ruleta, como señaló con razón Frank Burmeister, realmente no tiene memoria.
¿Cómo cuadra esto? Examinemos de nuevo la situación hasta la racha de mala suerte de Burmeister:
R NN R N RRR NNNN RR NN R N R NNNNN
RRRRRRRRRRR
Pero ¿de verdad ha salido el negro con mucha frecuencia después de la quiebra de Burmeister? Veamos las 65 siguientes tiradas:
N RR NNN R NN R NNN R N RRRR NNN
RRR N R N RR NNNNN RRRR N RRR N RRR
NN R NN RRR N RR NN RR N R N
Esto se explica por el hecho de que la diferencia absoluta entre el rojo y el negro ha seguido aumentando en el curso del juego, concretamente de 5 a 8, pero la ventaja de 5 representa una proporción mayor de las 35 rondas jugadas hasta entonces que la ventaja de 8 entre las 100 rondas.
Por consiguiente, la ley de los grandes números no dice que se reduce la diferencia absoluta entre el número estadísticamente esperado de rojos y el de negros (en general incluso puede crecer), sino que se refiere a la proporción entre rojos y negros. Una cosa no tiene nada que ver con la otra. No existe la justicia compensatoria, al menos no en los juegos de azar.
Ejercicio
Noche de estreno en la ópera, adonde acuden 1.500 espectadores a disfrutar de la nueva escenificación de La flauta mágica. Lamentablemente, la señora de la guardarropía se confunde totalmente con los números y como única salida se le ocurre entregar al final a cada espectador, sea hombre o mujer, cualquiera de los abrigos. ¿Qué probabilidad existe de que al menos un espectador reciba su propio abrigo?
Solución
La probabilidad de que al menos uno reciba el abrigo que le pertenece es del 63,3%.
Capítulo 9
UNA ASOCIACIÓN CRIMINAL
—Filolao, ¡ya no puedo seguir callando!
Hipaso está que trina. El joven veinteañero deambula junto con su amigo, mayor que él, por el centro de Metaponto, una pequeña ciudad situada en el tacón de la bota italiana.
Estamos en el año 449 antes de Cristo, el sol abrasa desde el cielo del sur de la península italiana y en el mercado mujeres de los alrededores venden higos y aceitunas. Junto a un puesto se han reunido varios hombres y saborean el excelente vino de la región, incluso a esta hora temprana de la tarde. Sin embargo, Hipaso no hace caso del trajín y no para de hablar en tono furioso.
—¡Todo es número! ¡Todo es número! ¡Estoy harto, ya no quiero oírlo más! —exclama en voz tan alta que los transeúntes vuelven la cabeza.
—Hipaso, cuidado con lo que dices —le advierte Filolao—, que aquí las paredes oyen. Si se entera el Círculo Interior...
—¡Oh, el Círculo Interior! —bromea el más joven de los dos y hace una reverencia exagerada—. Los guardianes de la fe que han grabado sus teoremas en piedra para que sean eternamente válidos. ¡Si Pitágoras ya murió hace cincuenta años!
—Pero sus ideas viven —replica Filolao en calma—. Han cimentado una nueva visión del mundo, han definido nuestra fe y han creado nuestra comunidad de 600 hombres y mujeres. Han transformado este paraje olvidado en un paisaje floreciente.
—Por eso tal vez también huyó de Crotona después de la guerra —lanza Hipaso con inquina—, porque todos le admiraban.
—No seas injusto. Tuvo que huir de quienes le envidiaban y no le perdonaban el éxito que tenía. Nuestra comunidad preserva su legado. También tú has jurado seguir sus enseñanzas, vivir modestamente y guardar los secretos de la hermandad. ¡Tenemos que estarle agradecidos por tantas cosas! Mi música sería inimaginable sin los descubrimientos de Pitágoras sobre la armonía. Todo el mundo obedece a sus leyes, desde la vibración de una cuerda hasta el movimiento de las estrellas.
—Desde luego que fue un gran hombre —admite Hipaso—. Pero también los genios pueden equivocarse. No era un dios, pero la hermandad declara sagradas sus obras. La santidad es lo contrario de la ciencia. La santidad implica devoción. La santidad no nos necesita. Lo que necesita son fieles. No he educado mi mente durante años para luego no utilizarla.
—Si no fueras mi amigo y alumno, Hipaso, tendría que informar de tu comportamiento al Círculo Interior —dice Filolao mirando con preocupación al joven iracundo—. ¿Por qué estás tan enfadado? Ya ves, esta es la casa de un hombre, no de un dios.
Los dos se hallan delante de la casa donde había vivido Pitágoras. Preside la entrada el pentagrama, la estrella de cinco puntas que es el símbolo de la hermandad pitagórica.
—Se equivoca —contesta Hipaso—. Dice que todo es número. Piensa que todas las relaciones en nuestro mundo pueden expresarse mediante números enteros. Esto significa que dos números cualesquiera tienen una medida común, es decir, un número entero que está contenido en ambos. Esto no es cierto. Determinamos la medida común de dos números mediante restas sucesivas, de modo que al final llegamos al máximo común divisor.
Pasa un grupo de niños. Hipaso dice algo al chico que lleva un bastón. El chico niega con la cabeza y entonces Hipaso muestra una moneda y el bastón cambia de manos. Hipaso lo utiliza para dibujar figuras en la arena. Los niños se quedan mirando.
—Tomemos los números 7 y 19 —murmura el joven erudito—. Este es un tramo de 19 unidades, y si elimino dos veces 7 unidades, me quedan 5. Resto 5 de 7 y me quedan 2. Resto dos veces 2 de 5 y me queda 1 y el 1 cabe dos veces en 2. Exactamente dos veces.
—Conozco el procedimiento —dice Filolao sonriendo—. También funciona con números que son quebrados de números enteros. Es más: funciona siempre. Siempre hay una medida común. Todo es número, como dice el maestro.

Señala el pentagrama de la pared de la casa y acto seguido dibuja en la arena la estrella de cinco puntas y el pentágono que la rodea. El chico que le ha vendido el bastón vuelve y le pregunta:
—¿Qué nos dais si el trayecto de la carrera que vamos a hacer no pasa por encima de vuestro dibujo?

Hipaso mira expectante a su mentor, pero este escucha atentamente y dice:
—Tengo la sensación de que te guardas algo en la manga.
—Desde luego —dice Hipaso excitado—. Porque hemos vuelto al punto de partida. ED y DF son el lado y la diagonal del pentágono pequeño, que tiene la misma forma que el grande. La proporción entre el tramo pequeño y el grande ha sido siempre igual y sigue siendo igual. El proceso no termina nunca. Estos dos tramos no tienen medida común. Y esto significa que la proporción entre lado y diagonal en el pentágono no puede expresarse mediante un quebrado de números enteros. Todo este tiempo hemos tenido en el símbolo de nuestra hermandad la demostración palpable de que la doctrina de Pitágoras tiene los pies de barro. ¡Todo es número! Puede que sí, pero no todo viene de los números enteros.
Hipaso, nervioso, va y viene de un lado para otro y finalmente se detiene muy cerca de su amigo.
—¿No tienes nada que decir? ¡Esto es sensacional! ¡Esto hay que publicarlo!
—¿Sabes, Hipaso? —responde Filolao—. Me encanta tu afán. Tienes el fuego que les falta a muchos eruditos. Pero he de frenar tu ímpetu. Los pitagóricos no somos borregos. Lo que planteas no se nos había escapado.
—Ah —es lo único que sale de la boca del joven genio, que está pasmado.
—Algunos de nosotros se han dado cuenta de que hay números que no tienen medida común. Mira el teorema del triángulo rectángulo, que incluso lleva el nombre de Pitágoras. Incluso en ese teorema aparece la contradicción que dices. Si los dos lados que delimitan el ángulo recto son iguales, es decir, si montan un cuadrado, entonces la diagonal de ese cuadrado no tiene ninguna medida común con dichos lados.
—¡Lo sospechaba! —exclama Hipaso fuera de sí—. Lo único es que todavía no he logrado demostrarlo.
—Yo lo he descubierto gracias a mi arte, la música —dice el amigo mayor sonriendo—. Según Pitágoras, todas las armonías se derivan de las proporciones entre números enteros, cuanto más simple, más bonita. Incluso las esferas celestes se mueven dentro de esta armonía divina.
—¿Es que esto también es falso? —pregunta Hipaso asombrado.
—Bueno, esas armonías existen, pero tampoco ellas encajan del todo bien. Una y otra vez existen pequeñas disonancias, y yo me dedico a compensarlas del modo más elegante posible. (Véase el capítulo sobre Bach y el clave bien temperado.)
—Así que ¿estáis al tanto de los errores y contradicciones y no decís nada?
Hipaso, aturdido, rasga la arena con el bastón hasta borrar su dibujo.
—¿Acaso no aspiramos a la verdad? —pregunta en un murmullo—. Pues la verdad tiene que salir a la luz.
Un poco más tarde, ambos hombres están sentados a una de las mesas que hay dispuestas en un costado de la plaza del mercado. El vino está fresco y el corazón de Hipaso arde. Filolao quisiera cambiar de tema, pero se da cuenta de que la cuestión no deja tranquilo al joven.
—Hipaso, amigo mío, los pitagóricos no somos un club que se dedica simplemente a los enigmas de los números. Nuestra asociación preconiza una manera de ver el mundo, se trata del orden divino y del estilo de vida correcto.
Hipaso se ríe con la boca pequeña.
—Tal vez Pitágoras esté en este momento poniendo nerviosos a los dioses con su soberbia y estos estén pensando en cómo deshacerse de ese aguafiestas.
—El orden divino también tolera a los aguafiestas.
Hipaso deposita el vaso sobre la mesa y dice:
—Menuda hermandad, la nuestra. Con los pies sobre el suelo. Lo que más me gusta es la tesis de las alubias: producen flatulencia porque en ellas habitan almas humanas. ¿Por qué? Pues porque su forma recuerda a la del embrión. ¿Quieres saber qué pienso, Filolao?
—¿Te frenaría si te dijera que no?
—Creo que lo que busca la hermandad es poder. Nuestros miembros ocupan en Nueva Grecia muchos cargos importantes, que les han otorgado porque los consideran sabios e intachables. Pero si se extiende el rumor de que las doctrinas del gran maestro tienen fallos, ¿qué quedará de su sabiduría? Si se equivocan, es que son seres humanos corrientes. Y si son seres humanos corrientes, son sustituibles. Y si son sustituibles, entonces pierden sus importantes cargos.
Filolao echa un vistazo alrededor. ¿Han bajado de volumen las conversaciones en las mesas vecinas? Agarra a Hipaso por los hombros y le dice recalcando sus palabras:
—Primero fuiste mi alumno, luego también nos hicimos amigos. Eres uno de los hombres más inteligentes que jamás he conocido. Te advierto, como advierte un padre a su hijo: el Círculo Interior observa con preocupación lo que haces. Te enfureces con facilidad y entonces levantas la voz. Hablas de ciertos temas, lo haces a menudo y ante personas que no deberías.
—¿Prohibís pensar? —salta Hipaso—. ¿Un erudito prohíbe a otro erudito que piense? ¡La verdad tiene que saberse!
—No te prohibimos pensar. Pero te aconsejo encarecidamente que no pregones todo en seguida en la plaza del mercado.
—Pero... pero si he hallado el error...
—Un problema matemático no solo tiene que ver con lo correcto o lo erróneo. Encierra más cosas.
Hipaso respira con dificultad. Ha entendido la amenaza. En las mesas de al lado todos callan.
—Escuchadme todos —exclama Hipaso, fuera de sí—. Pitágoras estaba equivocado y yo, Hipaso de Metaponto, puedo demostrarlo.
Acto seguido se levanta con tanto ímpetu que se vuelcan los vasos de vino. Pasa rápidamente entre las demás mesas, empujando a quienes no se apartan a tiempo. Dos días después, unos pescadores hallan en la costa de Metaponto el cadáver de un hombre joven.
Cuadrado, práctico, bueno: geometría para cerebritos
El diálogo está inventado, pero Hipaso de Metaponto existió de verdad y seguramente fue el primero en demostrar que la idea de Pitágoras de que todos los números pueden representarse como proporciones de números enteros es falsa. También existió el músico teórico Filolao, al igual que la hermandad secreta de los pitagóricos, que desde hacía tiempo ya no estaba consagrada únicamente a la verdad científica. Y cuenta la leyenda que Hipaso fue realmente asesinado, concretamente por sus hermanos, que lo lanzaron de un bote en pleno mar abierto.
Hoy en día, el hecho de que no todas las parejas de números tengan una medida común ya no es una novedad. Lo aprendemos en el colegio, cuando nos enseñan las raíces. La raíz cuadrada de un número x es un número que, multiplicado por sí mismo, da exactamente x. A veces es un número entero, como por ejemplo la raíz cuadrada de 9. Sin embargo, a veces se trata de un número irracional, por ejemplo cuando se calcula la raíz cuadrada de 2. En geometría, la raíz cuadrada de 2 es la diagonal de un cuadrado cuyo lado mide 1. Hoy en día, el hecho de que no todas las parejas de números tengan una medida común, es decir, que no se pueda expresar su proporción como un quebrado de números enteros, ya no es una novedad.
La proporción entre lado y diagonal en el pentágono, cuya irracionalidad demostró Hipaso, es muy importante no solo en matemáticas, sino también en la estética, ya que se trata de la llamada «proporción áurea». ¿Cuál es el valor numérico de esa proporción? Esto es fácil de calcular con ayuda de las raíces, aprovechando la característica que ya señaló Hipaso: la proporción del tramo más grande con respecto al más pequeño es igual a la proporción del más pequeño con respecto a la diferencia entre ambos. Esto se puede ilustrar geométricamente dibujando un rectángulo cuyos lados corresponden a ambos tramos:

Como vio correctamente Hipaso, este proceso se puede continuar: se corta simplemente un cuadrado y se obtiene una versión reducida del mismo rectángulo. Las figuras sucesivas se insertan a modo de espiral en el rectángulo.

![]()
x × (x - 1) = 1
o, lo que es lo mismo:
x2 - x = 0
![]()
![]()
Φ tiene una característica asombrosa: si se invierte la proporción, es decir, si se divide el lado menor entre el mayor, entonces se obtiene el número 1/Φ, que es menor que 1. Este se designa también con la letra minúscula f.
![]()
![]()


Una fracción continua infinita siempre es característica de un número irracional. Si se interrumpe la cadena en algún punto se obtiene una aproximación racional a dicho número. En el caso de Φ sucede que debido a la gran cantidad de unos en el denominador el «error» de esta aproximación siempre es máximo. Φ es el número irracional al que resulta más difícil aproximarse mediante fracciones racionales, y por eso a veces también lo llaman el más irracional o también el más «noble» de todos los números.
Fi el «hermoso»
Si tomamos una hoja de papel cuyos lados tienen entre sí la «proporción áurea», podemos cortar un cuadrado y obtenemos de nuevo un rectángulo «áureo». Si seguimos haciendo lo mismo con cada nuevo rectángulo, vamos cortando un montón de cuadrados cada vez más pequeño, hasta que el final no queda más que un diminuto trocito de papel que nos es imposible cortar.
No obstante, para los impresores y los aficionados al bricolaje tiene más interés la hoja de papel con una proporción distinta entre sus lados: la que hace que al doblar el papel por la mitad, se obtenga nuevamente una hoja con la misma proporción entre sus lados. Este es el caso, por ejemplo, del formato DIN: una hoja DIN A5 tiene las mismas proporciones que una DIN A4, pero es la mitad de grande.

![]()
![]()
x2 = 2
(Con arreglo a la norma DIN, los lados de la hoja DIN A0 no miden 1 y 1,41 metros, sino que están definidos de manera que el área de la hoja mide exactamente 1 metro cuadrado. De este modo, el formato es de 841 por 1.189 milímetros.)
¿Qué rectángulo le parece más bonito al lector, el áureo o el de la norma DIN? Para dificultarle la elección mostramos a continuación algunos formatos más, ordenados desde el «más cuadrado» hasta el «más alargado»:

Hoy en día se contempla todo esto de manera menos apasionada. Cada persona es distinta. ¿Realmente nos parecen más bellos los rostros en los que determinadas distancias entre los ojos o con la nariz guardan la proporción áurea? Algunos psicólogos dicen haber comprobado que la mayoría de las personas eligen, entre varios rectángulos, el áureo por considerarlo el más hermoso, pero otros afirman que no pueden confirmarlo. También en el arte moderno encontramos una y otra vez la famosa proporción, pero si contemplamos por ejemplo los cuadros abstractos atravesados por líneas perpendiculares de un Piet Mondrian, en ellos aparecen tantos rectángulos que por fuerza habrá alguno que tenga las medidas de la proporción áurea. He examinado los formatos de una veintena de cuadros famosos y resulta que abarcan toda una gama que van del cuadrado al rectángulo alargado, sin que se detecte alguna preferencia por una determinada proporción.
El astrofísico Mario Livio, que ha escrito todo un libro sobre Φ, opina que «pese a las fascinantes cualidades matemáticas de la proporción áurea y su tendencia a aparecer en la naturaleza donde menos se la espera, deberíamos dejar de considerarla la norma universal de la belleza, tanto en el rostro humano como en el arte».
Ejercicio
Disponga 10 puntos sobre 5 rectas de manera que cada una de ellas contenga 4 de los puntos.
Solución

Capítulo 10
¿DISCRIMINACIÓN DE LAS MUJERES?
—Queridas y queridos colegas, les he convocado para... ejem... discutir un problema que no se puede postergar.
Holger Ehrmann, rector de la Escuela Superior de Traducción de Erlangen, tiene la expresión tan seria como si estuviera en un acto solemne. Frente a él están sentados los cuatro directores de área de la escuela de idiomas: Gerd Miesgang, encargado del departamento de ruso; Kathleen Cross, la profesora de inglés; Franz Vogler, representante de los profesores de español; e Ivana Campagnola, del más pequeño de los departamentos, el de italiano. Al lado del rector se halla una mujer joven de cabello oscuro peinado hacia atrás y con gafas de diseño moderno, que hojea en un listado salido de la impresora.
—Sin duda conocen ustedes a la señora Weisser, la encargada de las cuestiones de igualdad de género en nuestra escuela. Hace unos días me llamó la atención sobre un grave problema del que vamos a tener que hablar. Señora Weisser, por favor.
Aline Weisser lanza una mirada retadora a los presentes y comienza:
—Es probable que ustedes todavía no hayan tenido nada que tratar conmigo, pero esto no ha de preocuparles. La mayoría de las personas piensan que únicamente me dedico a comprobar que los formularios estén redactados de forma que no den preponderancia a un sexo sobre otro. No es este mi principal cometido, aunque está claro que las formulaciones discriminatorias tampoco desaparecen por sí solas. Vogler y Miesgang intercambian una mirada que hace que Aline Weisser enderece un poco más la espalda en su asiento.
—Como todos ustedes saben, en los últimos años las chicas y mujeres jóvenes han progresado mucho en las escuelas alemanas. Actualmente aprueban el bachillerato más chicas que chicos y en promedio ellas también sacan mejores notas, precisamente en lenguas extranjeras. Todos pensábamos, yo incluida, lo reconozco, que este avance también se reflejaría en la enseñanza superior.
—Y eso es lo que está ocurriendo —le interrumpe Vogler—. Al menos, en lo que respecta a mi departamento, puedo confirmarlo. Mis mejores estudiantes son féminas.
—Le ruego que me deje terminar, señor Vogler —replica la encargada de igualdad de género con cierto «pique» en el tono—. No estoy hablando de los resultados, sino de que a muchas mujeres jóvenes ni siquiera les damos la oportunidad de matricularse en nuestra escuela.
—¿En nuestra escuela?
—Sí, en nuestra escuela —insiste la señora Weisser—. Desde hace algunos años tenemos la suerte de poder seleccionar a nuestros y nuestras estudiantes. Ha pasado a la historia el tiempo en que teníamos que guiarnos exclusivamente por la nota media.
—Y ya era hora —interviene el rector Ehrmann—. El significado de las notas del colegio es más bien... cómo diría yo...
—Nulo —propone Vogler—. Es natural que una escuela de idiomas seleccione a sus estudiantes en función de sus conocimientos lingüísticos. ¿En función de qué, si no?
La señora Weisser trata de retomar el hilo:
—En teoría eso suena muy bien, pero ¿seleccionamos realmente según la cualificación de cada uno? Tengo mis dudas, dudas fundamentadas.
Parece que ninguno de los presentes entiende qué quiere decir, de modo que Aline Weisser tiene la impresión de que ha de hablar en plata:
—Estamos postergando a las mujeres en la selección.
—¿Cuándo? ¿Cómo? ¿De qué manera? —pregunta Kathleen Cross asombrada.
—Precisamente estamos aquí, querida colega —contesta la señora Weisser con la mayor dulzura de que es capaz—, para demostrárselo a ustedes.
Entre los reunidos cunde la inquietud y se oyen murmullos de reprobación.
—Por favor, colegas —interviene el rector para poner orden—, vamos a dejar que la señora Weisser presente la cuestión en calma. Prosiga, señora Weisser.
Con cierta teatralidad, la encargada de asuntos de igualdad de género saca una hoja de papel de su archivador.
—El último semestre tuvimos solicitudes de ingreso de 2.175 jóvenes hombres y 840 mujeres.
—Jóvenes mujeres —interrumpe Vogler y se gana la ya famosa mirada de la señora Weisser, una mirada severa un poco por encima del borde de las gafas.
—En eso de las solicitudes no podemos influir —alega el rector.
—No se trata del número de aspirantes, aunque pienso que no estaría mal que en el futuro resaltáramos más qué pueden esperar precisamente las mujeres de una carrera en nuestra escuela.
El rector Ehrmann está jugando con la cadenilla de sus gafas y no se entera de la mirada retadora que le echa la señora Weisser.
—Hablemos de la cuota de aprobados —prosigue esta—. De los aspirantes masculinos resultaron admitidos el 47%, de las candidatas tan solo el 31%. La diferencia es demasiado grande para ser casual. Y en los últimos tres años ha ocurrido algo parecido.
Espera a que sus frases surtan efecto y constata con satisfacción que todos parecen impresionados.
—Esto significa, a mi modo de ver, que se está dando preferencia a los hombres en el proceso de selección. Puesto que mi fantasía no llega tan lejos como para imaginarme que los hombres están hasta tal punto mejor cualificados, creo que tenemos un problema.
La primera en romper el silencio es Ivana Campagnola. Con su acento italiano, tan apreciado por todos, dice:
—La culpa no la tiene nostro departamento. Nel último semestre solo pudimos admitir a 46 estudiantes, mezzo hombres, mezzo mujeres, aunque había más de diez veces más solicitudes. Y las cuotas, un attimo... —Hojea en su desgastado cuaderno que tanto gusta a todos—. Fueron admitidos el 6% de los hombres y el 7% de las mujeres.
También los demás han estado revisando sus papeles, pues nadie quiere aceptar el reproche de discriminar a las mujeres.
—En mi departamento de inglés aceptamos a muchos más candidatos y candidatas, no en vano somos el más concurrido —interviene Kathleen Cross—. Más de 600 nuevos estudiantes cada año. Resulta que hemos sido mucho más estrictos con los hombres, pues fueron admitidos el 62%, mientras que en el caso de las mujeres fueron el 82%.
Son números contundentes, Kathleen Cross ha logrado quitarse el muerto de encima. Ahora toca informar a los dos directores de departamento masculinos. El primero en rechazar el reproche de machismo es Miesgang.
—Yo tampoco sé por qué tan pocas mujeres se interesan por aprender ruso. Tal vez el ruso no se considera sexy. —Mira expectante a los demás, pero como nadie da muestras de apoyarle, suspira y prosigue—: Hubo tan solo 25 solicitudes de mujeres frente a 560 de hombres, pero la cuota de admisión también ha sido mayor para las mujeres, a saber, del 68% frente al 63% en el caso de los hombres. Así que el problema no es mío, quién lo iba a decir. Parece que las cosas no pintan bien para el querido amigo Vogler.
—Un poco más de solidaridad masculina no le sentaría mal, colega —contesta el aludido, profesor de español. Por si acaso se guarda su idea de que la encargada de asuntos de igualdad de género también debería velar por la igualdad de derechos de los hombres, idea que había manifestado, ante testigos, la última noche que bebió un poco más de la cuenta—. Estos son mis números: 792 solicitudes, un par de hombres más que de mujeres. El 35% de las candidatas fueron admitidas, frente al 33% de los candidatos.
Ya nadie está para bromas, más bien reina la perplejidad, ya que los números presentados no dejan lugar a dudas. Toma la palabra el rector:
—Los resultados son claros. En los cuatro departamentos, el porcentaje de mujeres admitidas es mayor que el de hombres. En realidad, esto se merecería una nota de prensa y se ajusta perfectamente a la orientación que la apreciada señora Weisser ha defendido antes con tanto garbo.
Todas las miradas se centran en la encargada de asuntos de igualdad de género, que es muy consciente de que todos le plantean la misma pregunta.
—Mis números son correctos —se defiende—. Desde luego que son actuales, pues me los han dado esta mañana en la secretaría. Recién salidos del ordenador. Admito que hay algo que no cuadra.
Vogler piensa: qué «algo» ni qué ocho cuartos. Has metido la pata, muchacha. El rector resume:
—Sí que suena un poco paradójico. Propongo que maduremos la cuestión. Nos reuniremos de nuevo el miércoles que viene y le pediré al señor Weingarten, del centro de cálculo, que asista también. Es un hombre que vive por y para los números. Mientras, me permito recordarles lo que dijo Churchill: no te fíes de ninguna estadística que no hayas falsificado tú mismo.
—¡Protesto! —le interrumpe Kathleen Cross—. Eso es un mito germánico. La frase no es de Churchill, en todo caso en Inglaterra el dicho no lo conoce nadie.
La paradoja del señor Simpson
El rector Ehrmann dice que esos números son paradójicos, y lo cierto es que en matemáticas estas extrañas relaciones se denominan «paradoja de Simpson». El matemático E. H. Simpson la formuló por primera vez en 1951 y desde entonces es causa de bastante confusión, a pesar de que se explica muy fácilmente.
Antes de abordar la cuestión de las mujeres en la escuela de idiomas, veamos un ejemplo un poco más sencillo. A ver qué le parece al lector la siguiente historia: dos deportistas A y B participan en una especie de triatlón descafeinada, en la que primero han de correr un poco y después nadar. En total recorren 10 kilómetros. El deportista A realiza el tramo de carrera a una velocidad de 15 km/h, mientras que B, que es más lento, alcanza una velocidad media de 12 km/h. A también es más rápido nadando que B: 4 km/h frente a 3 km/h. A pesar de todo, B realiza el conjunto de la prueba en 1 hora y 40 minutos y A necesita 2 horas y 8 minutos. ¿Cómo es posible?
Tal vez el lector proteste cuando vea la solución. Resulta que la combinación de las dos disciplinas no era la misma para los dos atletas: mientras que A tenía que correr 2 km y nadar 8 km, B hizo justo lo contrario: correr 8 km y nadar 2 km. Claro que no es nada extraño que B llegara antes a la meta, por mucho que fuera más lento en cada una de las disciplinas.
También podemos representar la situación gráficamente en forma de diagrama de distancia-tiempo de A (negro) y B (gris).

No es extraño, desde luego, pues la prueba no era equitativa. Y algo parecido ocurre con los números de solicitantes de los distintos departamentos de la escuela de idiomas. Por cierto que los datos también son reales en este caso: en la década de 1970 se debatió efectivamente en la Universidad de Berkeley en California sobre la supuesta discriminación de las mujeres en el proceso de selección; incluso se publicó un estudio en la revista científica Science, que demostró que se trataba de un ejemplo de la clásica paradoja de Simpson. He retomado los números exactos de cuatro departamentos que aparecen en la citada revista, únicamente he cambiado el nombre de las asignaturas.
| Asignatura | Aspirantes masculinos | Admitidos | % | Aspirantes femeninas | Admitidas | % |
| Inglés | 825 | 512 | 62 | 108 | 89 | 82 |
| Ruso | 560 | 353 | 63 | 25 | 17 | 68 |
| Español | 417 | 138 | 33 | 375 | 131 | 35 |
| Italiano | 373 | 22 | 6 | 341 | 24 | 7 |
| Total | 2.175 | 1.024 | 47 | 849 | 261 | 31 |
De nuevo podemos verlo claramente: en cada una de las asignaturas, la cuota de admisión de las mujeres fue mayor que la de hombres, pero en el porcentaje total salen perdiendo las mujeres, que no consiguen más que un 31% de plazas. ¿Significa esto que las mujeres están discriminadas? O para formularlo a la luz del ejemplo de los atletas: ¿tienen ellas que nadar cuando los hombres pueden correr?
La realidad es que muchas mujeres escogieron las disciplinas más «difíciles». Basta examinar la tabla para ver que en la asignatura de inglés fueron admitidos la mayoría de aspirantes (en total, entre hombres y mujeres, alrededor del 64%), mientras que en la de italiano no alcanzaron más que el 6,5%. Y mientras los hombres eligieron las asignaturas en las que era fácil conseguir una plaza (por decirlo así, las de «correr»), las mujeres aspiran a estudiar las asignaturas cuyas condiciones de admisión son más duras (es decir, ellas tienen que «nadar»). No es extraño, por tanto, que sumados todos los datos resultan admitidas, porcentualmente, menos mujeres. Esto también se puede representar gráficamente:

Como vemos, los distintos segmentos tienen una pendiente más pronunciada para las mujeres que para los hombres, pero la pendiente total de las mujeres es menor.
En todas las paradojas de Simpson existe una «variable oculta», un factor que no se tiene en cuenta en el resultado global. En el caso de los atletas se trata del reparto desigual de los recorridos a la carrera y a nado, y en el de la universidad, de la distribución dispar de los aspirantes entre las distintas asignaturas.
A veces, este factor oculto y distorsionante no es tan fácil de detectar. Veamos otro ejemplo tomado de la realidad: las compañías aéreas estadounidenses publican cada año un «balance de puntualidad», en el que se calcula el porcentaje de los aviones que han aterrizado con retraso en una treintena de aeropuertos seleccionados. El caso es que la compañía American West Airlines (que después se fusionaría con US Airways) siempre sacaba mejores resultados que Alaska Airlines. ¿Acaso no indica esto que aquella funciona mejor que la competencia?
La «variable oculta» en este caso radica en el hecho de que las dos líneas aéreas no vuelan a todos los aeropuertos con la misma frecuencia. Cada compañía tiene sus «hubs» o plataformas, los nodos de una red desde los que parten sus itinerarios en todas direcciones. En el caso de American West Airlines es el aeropuerto de Phoenix, en Arizona, donde el cielo casi nunca está nublado a lo largo del año. Alaska Airlines, una compañía pequeña, en cambio, no voló en el pasado más que a 5 de los 30 aeropuertos seleccionados, y su plataforma en el territorio principal de EE.UU. era Seattle, en el extremo noroccidental, lugar predilecto de los bancos de niebla. He aquí los números de las dos compañías citadas en los cinco aeropuertos a los que atendían ambas:
| Alaska Airlines | American West | |||
| Vuelos | % retrasados | Vuelos | % retrasados | |
| Los Ángeles | 559 | 11,1 | 811 | 14,4 |
| Phoenix | 233 | 5,2 | 5.255 | 7,9 |
| San Diego | 232 | 8,6 | 448 | 14,5 |
| San Francisco | 605 | 16,9 | 449 | 28,7 |
| Seattle | 2.146 | 14,2 | 262 | 23,3 |
| Total | 3.775 | 13,3 | 7.225 | 10,9 |
Alaska Airlines tuvo un porcentaje mejor en todos los cinco aeropuertos, pero en la suma sale ganando American West. ¿Qué enfoque es el correcto, el global de los números totales o los resultados detallados? Hay que decir que sin lugar a dudas las tablas pormenorizadas nos proporcionan informaciones complementarias sobre una situación aparente que pueden cambiar totalmente el juicio que nos merece. En nuestro ejemplo nos demuestran que la compañía aérea menor es más puntual que su competidora tanto si hace mal tiempo como si hace bueno.
Aplicado al caso de la «biatlón» exclamaríamos: «¡Esto no es justo!» Y en la cuestión de la discriminación en la escuela de idiomas, la conclusión es la siguiente: las mujeres han decidido libremente escoger las respectivas asignaturas; han optado simplemente por la vía más difícil y esto no se le puede reprochar a la escuela. En todo caso se podría plantear la ampliación de los departamentos que por lo visto atraen más a las mujeres (cosa poco probable) o asesorar mejor a las aspirantes antes de que se decidan.
Pero esto ya no tiene que ver con las matemáticas. En resumidas cuentas podemos decir que deducir del balance general que se discriminaba a las mujeres fue un error. Los detalles pueden revelar una situación muy distinta y en este caso reflejan mejor la realidad.
Ejercicio
La tabla siguiente muestra datos reales de un estudio que se llevó a cabo en Gran Bretaña entre 1972 y 1994. Se trataba de determinar la tasa de mortalidad de los fumadores y no fumadores. En cada grupo de edad se comprobaba cuántos fumadores o no fumadores habían fallecido al cabo de 20 años. Los resultados fueron los siguientes:
|
|
| ||||
Fumadores |
|
|
|
|
|
|
No fumadores |
|
|
|
|
|
|
Los números parecen indicar que los fumadores viven más tiempo que los no fumadores. ¿Es correcta esta interpretación?
Solución
Dado que los fumadores mueren antes, son menos los miembros de este grupo que llegan a cumplir 65 años de edad. Por eso, el grupo de los no fumadores está «sobreenvejecido» y su riesgo de muerte es en total más alto.
Capítulo 11
FANTASÍAS DE HOMBRE
Expectación en Hamburgo: ¿en qué día comenzará este año la primavera? En el mejor de los casos, el clima suave se impone durante unas horas en abril y mayo. Como por encanto salen entonces centenares de descapotables a arrastrarse por la avenida del Elba de un semáforo a otro, en busca de la única plaza de aparcamiento libre que queda entre el «balcón» de Altona y el parque de Blankenese.
El ambiente está garantizado en el Strandperle (perla de la playa), un chiringuito que ofrece una limitada selección de bebidas y cosas de comer, pero muchas oportunidades para dejarse ver y flirtear. La playa, de cinco toallas de ancho, está abarrotada de jóvenes tumbados entre los restos de las brasas de la hoguera de Semana Santa y las cacas de los Golden Retriever. Ni siquiera los «Beach-Clubs» de la ciudad hacen la competencia al Strandperle. Muchos clientes aprenden la lección a más tardar en la segunda visita y se llevan la estera bajo el brazo.
Kolya y Jens, dos amigos, están tumbados entre redactoras de revistas femeninas con gafas Heinz-Ehrhardt y dinámicos técnicos de telecomunicaciones con el móvil desconectado. La ensaladilla de patatas con la salchicha es del Strandperle, mientras que las latas de cerveza de medio litro con una buena relación calidad-precio las han adquirido en el súper. Las reservas están puestas al fresco, allí donde rompen las olas del Elba. En la estrecha pasarela de hormigón, jóvenes mujeres enseñan la primera pierna de la temporada: depilada, morena, a punto.
Absorto en lo que está viendo, Kolya toma un trago de cerveza y deposita de nuevo la lata sobre la arena. Esta se vuelca y el líquido dorado desaparece en la arena.
—¡Mierda! —exclama Kolya y salva el resto que queda en la lata—. ¡Malditas latas, nunca se mantienen de pie en la arena!
—Esto se debe a que su centro de gravedad está bastante alto, más o menos a media altura. —No en vano, Jens ha estudiado cuatro semestres de Física—. Al menos cuando está llena —añade y gira su lata para hundirla un poco en la arena.
—El centro de gravedad se halla siempre en el centro —dice Kolya, estudiante de Filología alemana, contento por haber logrado expresar sus conocimientos elementales en una sola frase—. Incluso cuando la lata está vacía, se halla en el centro. Entonces se tumba con mayor facilidad aún.
Con el golpecito de un dedo coloca la lata manchada de arena en posición horizontal.
—Cuando está vacía —asiente Jens pensativo—, es verdad. Pero antes de que esté totalmente vacía se sitúa un poco más abajo del centro. Cuando está, digamos, medio vacía, el centro de gravedad de la lata de cerveza se sitúa en un cuarto de su altura. En estas condiciones es fácil que se mantenga de pie, ya que la lata como tal es relativamente ligera en comparación con la cerveza. Esa es la razón por la que el centro de gravedad del conjunto no se halla mucho más arriba.
Jens agarra la lata vacía, la columpia entre dos dedos. Se reflejan rayos de sol en las partes doradas. Kolya alisa la arena con la palma de la mano y dibuja con un dedo una curva en forma de U.
—Así que al comienzo, cuando la lata está llena, el centro de gravedad se halla a media altura. A medida que desciende el nivel de cerveza, también baja el centro de gravedad. Sin embargo, cuando la lata está vacía, el centro de gravedad se encuentra de nuevo a media altura. Esto significa que existe un momento en que el centro de gravedad está en la posición más baja, a partir de la cual vuelve a subir.
—Está bastante claro —confirma Jens—. Al principio hay mucha cerveza y relativamente poca lata. Con cada trago disminuye el peso de la cerveza en relación con la lata metálica, lo que provoca que el centro de gravedad disminuya progresivamente y la lata caiga con menor probabilidad.
—Esto significa que hay estrategias de bebida tontas y otras inteligentes —añade Kolya, estimulado por la conversación.
—La variante tonta ya la hemos visto —dice Jens maliciosamente—. Volcamos la lata.
—Vale, vale. El proceso ideal es el siguiente: abres la lata... —Kolya demuestra lo que hace tomando una lata llena—. Bebes y bebes sin poner la lata en la arena, bebes exactamente tanta cerveza como hace falta para alcanzar el centro de gravedad más bajo. —La mirada de Kolya adquiere ese cariz extasiado que precede al brindis—. Entonces es cuando está más estable. —Deposita la lata sobre la arena—. Y con el trago siguiente hay que vaciarla, con lo que recupera la finalidad de su existencia.
La cabeza llena de rizos que se halla frente a Kolya está girada lo suficiente a un lado para que Kolya pueda ver la oreja izquierda. Ella le está escuchando, está interesada. Su acompañante es peludo y da la impresión de que se deja untar. Kolya piensa en cuántas salchichas se encargan en la Strandperle para atraerse la simpatía del perro de una dueña bonita.
—¿Qué más nos falta? —pregunta Jens en ese momento—. El nivel de cerveza ideal dentro de la lata o, por decirlo de otra manera, el punto más bajo de la curva en U que has dibujado un poco borrosamente en la arena. Se trata de lo que llaman un problema del valor extremo, que para muchos estudiantes de bachillerato es el horror de los horrores. En realidad, el trazado de curva no es difícil.
—No hace falta —declina Kolya—, a menos que pidamos a alguna de las pobres mujeres solas que se una a nosotros para mediar en el debate.
—Di «trazado de curva» y te romperán la cara —responde Jens.
—¿Sabes que la rubia es la cuarta vez que pasa? ¡Qué piernas! ¡Y tiene dos!
—Como dos paralelas que se cortan en el infinito —musita Jens.
—Hay que acercarse más —repone Kolya—. Como un periodista de investigación. Incorruptible y procaz.
—Pero no acercarse demasiado.
—¿Por qué no?
—Para ver el máximo posible de las piernas, el ángulo desde el que las observamos ha de ser lo más grande posible.
—Y bonito.
—No hay ángulos bonitos ni feos.
Jens toma un trago de cerveza y, para no correr riesgos, uno más. Acto seguido dice:
—Así que tenemos a una mujer de casi un metro ochenta. Muy rubia, muy erguida, muy orgullosa, con piernas de más de un metro diez. Con fruición reposa nuestra mirada en esas piernas.
—Y en el infinito.
—Ese lo dejamos ahora de lado. Hermosa mujer, hermosas piernas. Y cuatro ojos que quieren ver. El ángulo ha de ser grande. Si estamos muy lejos, es demasiado pequeño, y entonces esas piernas no ocupan más que una parte pequeña de nuestro campo visual.
—Así que hay que arrimarse para hallar la verdad —dice Kolya ensoñado.
—Pero no demasiado, porque entonces el ángulo vuelve a ser demasiado pequeño.
—La matemática es antimasculina.
—Parto del supuesto de que uno se acerca a la hermosa mujer caminando erguido, y no arrastrándose como una babosa sobre la arena. Llega un momento en que has de mirar verticalmente hacia abajo y las piernas no ocupan más que una pequeña parte de tu campo visual.
—Vuelve a ser cierto —admite Kolya—. Ángulo pequeño, ángulo grande, ángulo pequeño. Suena otra vez al maldito problema del valor extremo.
—Si me esfuerzo un poco, seguro que puedo calcular la distancia óptima.
—Yo la distraigo y tú calculas.
Con aire profesional observan cómo las dos piernas se alejan por el camino de hormigón en dirección a Blankenese, donde reside el infinito.
Valores extremos que requieren mucho valor
Los problemas de valor extremo como el de la lata de cerveza y las piernas de la mujer nos remiten al cálculo diferencial, que forma parte del análisis matemático. Es un segmento de las matemáticas en el que muchos alumnos de bachillerato pierden definitivamente el oremus o empiezan a dudar de su propia materia gris, no en vano se habla de números infinitamente pequeños y de valores límite, todo conceptos bastante abstractos, y el cálculo con ellos no es precisamente sencillo.
A esto se añade que a menudo los propios conceptos son un poco confusos, por decirlo con benevolencia. Por ejemplo, un «trazado de curva» no tiene nada que ver, por supuesto, con la construcción de carreteras, sino que más bien se trata de analizar las características de una función matemática: si es «continua» (es decir, si se puede dibujar de un trazo sin levantar el lápiz del papel) y «diferenciable» (lisa y sin ángulos), si tiene máximos locales (o sea, «picos») y mínimos («valles»), o el grado de curvatura.
Cuando se buscan máximos y mínimos, lo que hay que analizar es la pendiente de la curva. Y el resultado principal del análisis es que no solo se puede definir una pendiente de una recta, sino también una «pendiente momentánea» de cada punto de una curva. Esto coincide perfectamente con la experiencia: cuando escalamos una montaña, en cada punto del trayecto notamos cuál es la pendiente, por mucho que la cuesta sea a ratos más y a ratos menos pronunciada.
En matemáticas, la pendiente de una curva en un punto se define como la pendiente de una tangente trazada en ese punto. Y los valores extremos locales se encuentran buscando los puntos en los que la pendiente es igual a cero. Esto ya casi es todo.

Para volver con Kolya y Jens: ¿cuál es el nivel de cerveza dentro de la lata en que el centro de gravedad se halla en su punto más bajo? Debido a que la lata es perfectamente cilíndrica, podemos limitar el análisis a una sección longitudinal de la misma, es decir, a un rectángulo. El centro de gravedad S de la lata vacía (SD) se halla exactamente en el punto central del rectángulo mayor, el centro de gravedad de la cerveza (SB) en el punto central del rectángulo menor y varía en función del
nivel x. Si tomamos la altura de la lata como unidad de medida, los centros de gravedad SD y SB se sitúan en ½ y en x/2. Está bien que designemos el nivel de cerveza con x, pues es la única variable en este problema; todas las demás magnitudes son constantes.¿Dónde se sitúa entonces el centro de gravedad del conjunto de la lata con la cerveza incluida? Cabría pensar que exactamente en el centro entre SD y SB, pero el caso es que la cerveza pesa más que la lata. Hemos de tener en cuenta un factor que utilizan, por ejemplo, los astrónomos para calcular el centro de gravedad de un sistema compuesto de dos estrellas: el centro de gravedad común del sistema se halla en la línea que une ambos centros de gravedad específicos y divide esa distancia en proporción a las dos masas, de manera que se sitúa más cerca de la masa más pesada. Si ambos tramos parciales se denominan s1 y s2, la fórmula de cálculo es la siguiente:
![]()

![]()
![]()

¿Dónde exactamente se halla ese punto? Para ello hay que calcular la pendiente de la función s. El gráfico parece indicar que primero es negativa (la curva desciende) y después positiva (la curva asciende). El punto más bajo se halla justamente allí donde la pendiente es nula. El cálculo preciso se describe en la letra pequeña de este capítulo, que concluye que el centro de gravedad de la lata de cerveza alcanza su punto más bajo cuando el nivel de cerveza en su interior es un poco inferior a un quinto. Esto significa que Kolya ha de beber un poco más del 80% de su cerveza antes de poder depositarla en la arena.
Belleza para intrépidos
Habiendo resuelto el problema de la cerveza, veamos ahora la cuestión de las piernas bonitas. Para calcular el ángulo de visión óptimo tendremos que esforzarnos un poco más que en el caso de la lata de cerveza, pero las piernas bien lo merecen.
En este caso también se trata de hallar el valor extremo, a saber, el ángulo más grande que permite contemplar las piernas de la dama. Empezaremos de nuevo con un gráfico: un hombre cuyos ojos se hallan a una altura m por encima del suelo mira por detrás a una mujer que muestra f metros de piernas. La distancia entre uno y otra es de x metros.
La incógnita es el ángulo α. Poco se sabe de él, de entrada, pues forma parte de un triángulo del que solo se conoce un lado, y además dicho triángulo parece muy irregular.

Para calcular los ángulos partiendo de los lados de un triángulo hay que recurrir a las temidas funciones trigonométricas como el seno, el coseno y la tangente, así como sus funciones recíprocas, que llevan delante la palabra «arco». Pero descuide el lector, que aquí solo abordaremos las definiciones básicas de estas funciones, el resto se puede consultar o confiar a la calculadora.
El ángulo γ forma parte de un triángulo rectángulo cuyos lados x y m son conocidos y que constituyen sus catetos. El cociente x/m también se denomina tangente de γ, tan(γ). La tangente es la función que atribuye este cociente a un ángulo. Si por el contrario se desea determinar el ángulo a partir del cociente, hay que emplear la función recíproca de la tangente, la arcotangente. De este modo se obtiene la siguiente ecuación:
![]()
![]()
![]()
![]()

Para alcanzar el ángulo de visión óptimo, el hombre ha de seguir a la mujer a una distancia equivalente a la raíz cuadrada del producto de la altura de sus ojos sobre el suelo y el extremo inferior del vestido de ella. Con los valores del ejemplo, m = 1,7 y f = 0,7, la distancia es exactamente de 1,3 metros. No cabe duda de que la «víctima» podría sentirse acosada, y la excusa de que «solo quería contemplar sus piernas bajo un ángulo óptimo» mutaría esa sensación en certeza.
Letra pequeña
La función relativa a la cerveza, cuyo valor mínimo buscamos, es:
![]()



![]()
200x2 + 20x - 10 = 0
![]()
![]()
![]()
![]()
![]()
![]()
![]()
Ahora tenemos todo preparado para calcular la solución; lo importante es no cometer errores...



x2 = 1,7
David Hasselhoff está tumbado en la playa de Malibú y ve que en el mar está Pamela Anderson pidiendo socorro. Cuestión de vida o muerte. Él se halla a 20 metros del agua y ella a 20 metros de la orilla. Además, entre ambos hay una distancia de 50 metros a lo largo del litoral. David, que es un buen deportista, corre en la arena a una velocidad de 5 metros por segundo y nada en el agua a una velocidad de 2 metros por segundo. Podría acercarse a ella corriendo y nadando en línea recta (1), o correr primero al punto de la orilla desde el cual ella está menos alejada (2) o elegir cualquier otra variante intermedia. ¿Cuál es la estrategia óptima para salvar a Pamela?
Solución
Si el tramo que recorre Hasselhoff sobre la arena es s1 y el que nada en el agua es s2, el socorrista necesita en total el tiempo siguiente:
![]()
—Buenos días, señora Weniger. Buenos días, señor Weniger.
Con una sonrisa de oreja a oreja, la esbelta señora rubia vestida con traje chaqueta azul oscuro saluda a los recién llegados y se presenta:
—Saskia Weichmann, asesora de clientes.
Mientras que la joven empleada de banco camina sobre sus zapatos de tacón alto hacia su despacho detrás de los tiestos con plantas, Georg Weniger la observa por detrás y, como se da cuenta su esposa, se recrea con el suave contoneo de las caderas de la señora Weichmann. Pero el señor Weniger no está pensando en las curvas, sino en el sueldo que debe de ganar esa mujer que podría ser su hija; calcula que unos 3.500 euros al mes. Eso es más que lo que cobra él. Además, seguro que ella lo sabe, al menos debería estar perfectamente informada de sus circunstancias económicas, no en vano estas informaciones son sumamente valiosas para los bancos. La idea de ser un cliente transparente no le agrada a Weniger.
Todo comenzó con una llamada telefónica la semana pasada.
—Buenas, le habla Weichmann, de la caja de ahorros de Wilmersdorf. Señor Weniger, acabo de ver que en su cuenta de ahorro se ha acumulado con el tiempo una bonita suma. Convendría que habláramos de ello en algún momento, ya que podría usted hacerla crecer. El interés del 2,5% que percibe ahora no tiene por qué ser el novamás.
Weniger ya había recibido con anterioridad llamadas de su banco, solo que el tono era muy distinto. Cada vez había un empleado diferente al otro lado de la línea, cuyo nombre desconocía y que hablaba con ese tono forzadamente neutro, subliminal y ligeramente despectivo, para decirle que nuevamente tenía un descubierto. Los bancos saben cómo dar a entender a tiempo a sus clientes que están convirtiéndose en un factor de riesgo. Pero ahora, de pronto, todo es distinto, tanto el tono como el contenido. La «bonita suma» consiste en 60.000 euros, fruto de 30 años de rigurosa disciplina de hormiguita. Cuando al final del mes sobraba algo, Weniger, que es mecánico de profesión, lo metía en una cuenta de ahorro, ora 30 euros, ora 100 euros. Ya había pensado en otras ocasiones en invertir el dinero en algo más rentable, pero su temor al complejo mundo de las finanzas le había retenido. Su mujer y él están de acuerdo en que no se dejarán convencer de que inviertan en acciones o fondos: ese no es su mundo, no quieren correr riesgos. Prefieren un rendimiento menor, pero seguro. Sus dos hijos todavía están estudiando.
—¿Puedo ofrecerles un capuccino o un latte? —pregunta la asesora.
—¿No tiene un café normal? —indaga el señor Weniger, y su mujer asiente con la cabeza. La empleada del banco va a por los cafés.
—O sea que eso todavía ha de hacerlo ella misma —murmura el señor Weniger.
Una vez atendidos todos, la señora Weichmann abre una carpeta.
—60.000 euros —repite satisfecha—, de verdad que ya era hora de que habláramos.
—Nada de acciones —aclara Weniger de entrada—. Tengo un compañero que ha perdido varias decenas de miles, y eso en un par de semanas. También conozco a algunos que en su momento cayeron en la trampa de Telekom. A eso, yo no juego.
—Sí, ya me dijo usted por teléfono que lo que quiere es una inversión segura.
—Dije que soy un tipo conservador.
—Nada de qué avergonzarse —asiente la empleada con cierta frialdad en la voz, mientras se esfuerza en no pensar en el final de su última relación. Él había sido demasiado conservador, sin duda, en todos los aspectos—. Ya me dijo usted por teléfono que lo que busca es una inversión a largo plazo y segura —le tranquiliza la asesora—. Y sepa que si desea poner su dinero a plazo fijo durante un tiempo, puedo ofrecerle unas condiciones extraordinarias.
Weniger piensa: ¿cómo me hablarías si el saldo de mi cuenta fuera cero?
—Desde hace poco tenemos tres nuevos productos de inversión en nuestra cartera —recita Saskia Weichmann—. Nada de acciones, nada de fondos, nada de depredadores, pero sí inversiones que rinden mucho más de lo habitual.
—¿Qué grado de seguridad tienen? —interviene la señora Weniger.
—La variante más segura es la cuenta de ahorro que ya tienen ustedes. La llamamos la «inversión clásica».
—Pero eso es algo para gente aburrida.
Los demás miran pasmados a la señora Weniger. Un poco desconcertada, la experta prosigue:
—Claro que tenemos muchas cosas más que ofrecer. La única condición es que deben invertir ustedes su dinero a plazo fijo durante tres años. Les ofrecemos un 8% de interés, garantizado a largo plazo. En estos momentos perciben ustedes un 2,5%.
Disfruta visiblemente con el efecto que causan sus palabras.
—Suena bien —admite el señor Weniger—. Tres años ya nos van bien. Para nosotros ese dinero es una reserva de cara a un futuro más lejano.
—Entonces tenemos otras ofertas que les irán como anillo al dedo —afirma la señora Weichmann—. En la primera variante, que denominamos «lineal», les pagamos por cada euro invertido inicialmente 50 céntimos al año. De este modo, 100 euros se convierten al cabo de un año en 150. Al segundo año ya son 200, al tercero 250 y así sucesivamente. Ya saben ustedes que el tiempo pasa rápido.
—Eso es un tipo de interés del 50% —dice Weniger impresionado.
—Más o menos —asiente la señora Weichmann—. Claro que en este caso se trata de un interés simple, no acumulado, pero a cambio su capital crece que da gusto.
—¿Garantizado?
—Garantizado —dice Weichmann y levanta la mano como para un juramento, aunque la vuelve a bajar enseguida.
—Suena bien —admite el señor Weniger. Tal vez sí hizo bien en no anular la cita a última hora, como estuvo a punto de hacer, pero Andrea, su mujer, le urgió a que fueran de una vez al banco.
—La tercera variante es todavía más increíble —prosigue la asesora, que poco a poco se va acelerando—.
La llamamos «inversión dinámica». En esta perciben ustedes el primer año, por cada 100 euros invertidos, 5 euros de interés, es decir, menos que en los otros modelos. Pero después viene lo bueno: el segundo año les pagamos 10 euros, después 15, luego 20 y así sucesivamente. En el décimo año percibirán ustedes 50 euros.
Weniger mira a su mujer sin saber qué decir. La asesora les muestra un gráfico:
—Aquí pueden ver las tres variantes comparadas entre sí. Observen tranquilamente cómo evoluciona una inversión de 100 euros año tras año. Y no olviden que se trata de su dinero y de hacer que aumente, ¿no?
Los Weniger examinan el gráfico.
—La línea gris oscura muestra el interés clásico, la de color gris claro, la inversión dinámica. La línea negra ilustra finalmente la variante lineal.

—¿Cien euros se convierten en 600? ¿En tan solo diez años? Eso es para no pensarlo más, dicho y hecho, ¿no, Georg?
El señor Weniger conoce la tendencia de Andrea a tomar decisiones rápidas. Él ha asumido en la familia el papel del indeciso, que desempeña con convicción.
—¿Cuál es la pega? —pregunta a la empleada del banco—. Porque tiene una pega, ¿no?
—Se trata de una oferta extraordinaria —explica la señora Weichmann tratando de envolver el producto en muchas palabras—. Y las ofertas extraordinarias solo podemos hacerlas en condiciones extraordinarias. Pero no se asusten. Ya han dicho ustedes que buscan una inversión a largo plazo. A muy largo plazo.
—¿A qué plazo?
—Cuarenta años para la variante lineal y sesenta para la dinámica.
Se hace el silencio.
—¿Cuarenta años? —repite la señora Weniger sin acabar de creerlo—. ¿Sesenta años? Si entonces ya no viviremos.
—No ahorramos para nosotros, sino para nuestros hijos —afirma la señora Weichmann en un tono que delata que es un argumento de manual.
—¡Pero no para nuestros nietos! —Andrea Weniger está indignada.
—Llévense los documentos a casa —propone la asesora— y consúltenlo con la almohada. ¿Les parece bien que volvamos a vernos a las 16.30? El jueves, no dentro de 40 años.
Saskia Weichmann se despide de los Weniger y dice:
—Para cualquier duda pueden llamarme por teléfono cuando lo deseen. Piénsenlo: hoy perciben un 2,5%. Lo que ganen mañana está en sus manos.
Al salir de la sucursal bancaria, los Weniger respiran hondo.
—¿Dónde está la calculadora? —pregunta el señor Weniger—. Vamos a hacer números tranquilamente con los niños.
Crecer no es lo mismo que crecer
Es de esperar que al menos uno de los hijos de los Weniger sepa algo de matemáticas, pues entonces descubrirá rápidamente que la oferta de la caja de ahorros es un camelo.
De entrada diremos que los bancos, desde luego, no hacen este tipo de ofertas, sino que el ejemplo es totalmente ficticio y no pretende más que demostrar que nuestro sentido común no haría bien en comparar entre sí distintos tipos de crecimiento. Por cierto, que si su banco o caja le ofrece un 8% de interés por un depósito de ahorro a plazo fijo de tres años, diga que sí de inmediato.
Esta inversión «clásica» con un 8% de interés, que a primera vista parece la menos rentable, es incluso mejor que las otras dos ofertas ficticias del banco. Para comparar las tres variantes de inversión no basta con limitarse a un periodo de diez años. Entre los nuevos modelos «creativos» de depósitos remunerados, el dinero no vuelve a estar disponible más que al cabo de 40 años. Veamos por tanto cómo evolucionan los tres modelos a lo largo de esos 40 años:

«Modelo lineal»
y = 100 + 50x

y = 100 x 1,08x
En términos matemáticos, el modelo lineal es un ejemplo de crecimiento lineal (como refleja la misma línea recta negra en el gráfico), el modelo dinámico lo es de crecimiento geométrico (en la ecuación aparece la x elevada al cuadrado) y el modelo clásico, de crecimiento exponencial (en la ecuación, la x es el exponente). Al cabo de 40 años, el impresionante crecimiento lineal, por el que cada año uno percibe 50 euros, ha sido superado por los otros dos modelos. Por tanto, en el momento en que la inversión correspondiente está de nuevo disponible, supone la opción menos ventajosa de las tres, y la distancia aumenta de año en año. O sea que lo mejor es rechazarla de plano.
La línea de color gris claro, en cambio, parece ampliar continuamente su ventaja. El plan de ahorro «dinámico» ha hecho crecer el capital, al cabo de 40 años, a más de 40 veces el importe de partida, es decir, al doble que los otros dos métodos. ¿Acaso no les conviene aceptarlo a los Weniger?
Cuidado, porque ese dinero no estará disponible más que para sus hijos o nietos al cabo de 60 años. Por eso conviene examinar la evolución de las curvas durante un periodo más prolongado:

El hecho de que el crecimiento geométrico supere al lineal y el exponencial al geométrico no se debe únicamente a los valores numéricos específicos que hemos elegido, sino que se explica por su propia naturaleza y por tanto sucederá en todos los casos. Más exactamente: cualquier curva con una función geométrica que crece positivamente «adelantará» en algún momento a cualquier recta, por mucho que esta ascienda con una pendiente elevada. Del mismo modo, cualquier función exponencial, por mucho que el tipo de interés no sea más que del 0,01%, superará en algún momento a toda función geométrica (y a cualquier función en la que la x aparezca elevada a la 3a, 4a o 1.000a potencia).
Los bancos y cajas de ahorros suelen pagar los intereses cada año o cada seis meses, por lo que la curva de los saldos no es «lisa». Sin embargo, podemos reducir, al menos teóricamente, los intervalos de pago de los intereses hasta obtener una especie de devengo continuado de los mismos. En este proceso nos topamos entonces con un número que es menos popular que el famoso número π, pero que para las matemáticas es por lo menos igual de importante: el número e.
Puesto que ahora estamos hablando de matemáticas y no de dinero contante y sonante, partiremos de un valor inicial de 1 y un tipo de interés anual del 100%. Al cabo de un año, el capital ha aumentado a 2, al cabo de dos años a 4, al cabo de n años a 2n. ¿Cómo se presenta esta evolución si en vez de percibir cada año el 100%, se cobra cada seis meses el 50%? Entonces el capital crecerá en medio año a 1,5, en un año a 1,5 · 1,5 = 2,25. El «tipo de interés efectivo», por tanto, ya no es del 100%, sino del 125%.
Si ahora en vez de cobrar los intereses cada medio año, lo hacemos cuatrimestralmente por el 33,3%, al cabo de un año obtenemos una cantidad mayor aún:
![]()
| n | |
| 10 | 2,5937… |
| 100 | 2,7048… |
| 1.000 | 2,7169… |
| 1.000.000 | 2,7182… |
La serie tiende lenta, pero inexorablemente, a un valor límite, a saber, el ya citado número e = 2,71828182845... Al igual que π, el número e también es un número irracional y trascendente.
Con el devengo continuo de los intereses, el capital aumenta según la función
y = ex
Esta particularidad, según la cual el crecimiento momentáneo depende directamente del valor momentáneo de una magnitud, es propia de muchos procesos naturales. Por ejemplo, del crecimiento de cultivos bacterianos: la cantidad en que aumentan tiene que ver con la cantidad de bacterias que ya existen, pues cada bacteria se desdobla a un determinado ritmo. Estos procesos se describen muy bien con ayuda de la función e (o, en general, con cualquier función exponencial). Al mismo tiempo se contradicen con nuestra intuición, que suele amoldarse más a un crecimiento lineal: suponemos que de alguna manera todo seguirá igual que hasta ahora. Tendemos a subestimar al principio los procesos de crecimiento exponenciales o incluso a pasarlos por alto, hasta que de pronto observamos que ahí hay algo que crece desmesuradamente. Entonces casi siempre es demasiado tarde.
Lo que parece tan insignificante
...puede acabar desbordándonos muy pronto. Esto tuvo que constatarlo, por ejemplo, el gobernante indio que estuvo tan entusiasmado con el (entonces) nuevo juego de ajedrez que ofreció a su inventor satisfacerle un deseo. El buen hombre pidió arroz: un grano para la primera celda del tablero, dos para la segunda, cuatro para la tercera... y así sucesivamente, doblando el número de granos de una celda a otra. El regente se asombró ante tanta modestia, pensando que lo que resultaría sería un saquito de arroz. En realidad, al llegar a la 64a celda tendría que haber entregado 9.223.372.036.854.775.808 granos de arroz. La cantidad total de arroz habría ascendido a unos 500.000 millones de toneladas, que equivalen aproximadamente a mil veces la producción mundial de este cereal.
No solo solemos equivocarnos con estas series basadas en la duplicación sucesiva, sino también con los intereses normales que genera el dinero. El peor negocio inmobiliario de todos los tiempos se considera la venta de Manhattan por los indios a los holandeses a cambio de 24 dólares en el año 1624. Si los indígenas hubieran invertido ese dinero percibiendo un interés del 5%, hoy habría aumentado a un importe de más de 3.000 millones. Aunque no llega ni de lejos al valor inmobiliario de Manhattan, no deja de ser una bonita cantidad de dinero. Y con un tipo de interés del 8% (que sin duda es difícil de conseguir durante 383 años), la fortuna habría crecido a nada menos que 150 billones de dólares.
Otro ejemplo de crecimiento exponencial es el que subyace al siguiente problema matemático un tanto insidioso: la superficie de un estanque cubierta por nenúfares se duplica cada día. Al cabo de un mes, el estanque está totalmente cubierto de nenúfares. ¿Cuándo estaba cubierto el estanque tan solo hasta la mitad? La respuesta correcta es, por supuesto: el día antes.
Alarma en el lago victoria
El ejemplo de los nenúfares tampoco está traído por los pelos. Así, los habitantes ribereños del lago Victoria han de luchar desde hace 20 años contra la expansión del lirio de agua. Esta planta, originaria de Brasil, fue detectada por primera vez en 1988 en el lago africano. Puesto que allí no tenía enemigos naturales, pudo propagarse sin obstáculos, duplicando cada dos semanas la superficie que cubre del lago. En 1998, el daño causado por la planta ya era palpable: las zonas litorales estaban cubiertas por densas alfombras vegetales y las embarcaciones se quedaban encalladas. Finalmente, llegó a abarcar una extensión de 180 km2. Aunque esto solo representaba un 0,25% de la superficie total del lago, el lago Victoria habría quedado totalmente cubierto, al menos en teoría, tras otras 9 duplicaciones, es decir, al cabo de 18 semanas.
Después de tratar de combatir el lirio de agua durante mucho tiempo sobre todo con medios mecánicos, es decir, segando y triturando las plantas, incluso aprovechando el material obtenido para hacer muebles, finalmente alguien tuvo la idea de aplicar el control biológico: importaron a uno de sus enemigos naturales, el gorgojo. Este insecto se come las hojas, anida en el tallo y deposita allí sus huevos. Las larvas destruyen la planta por dentro, hasta que esta acaba hundiéndose y pudriéndose en el fondo.
La ventaja del control biológico está clara: mientras que el número de máquinas segadoras y trituradoras que se pueden comprar es limitado y estas nunca podrán hacer frente al crecimiento exponencial de la planta acuática, el número de gorgojos se adapta al de lirios de agua, pues cuantas más plantas, tanto más alimento y por consiguiente tantos más insectos. De este modo, en los años siguientes el número de plantas disminuyó drásticamente.

He aquí un ejemplo típico de la evolución de las poblaciones de depredadores y presas:

Ejercicio
Colocamos una ficha de dominó tumbada junto al borde de una mesa. Acto seguido construimos una escalera de fichas de dominó que se «asoma» más allá del borde de la mesa. ¿Cuánto puede «sobresalir» del borde esta escalera de fichas sin caer al suelo?
Solución
Con las fichas se puede salvar cualquier distancia.
Capítulo 13
PLANIFICACIÓN DE RUTAS
Bonn, 1 de diciembre de 1966. Willy Brandt, flamante ministro de Asuntos Exteriores de la coalición gobernante en la República Federal de Alemania, acaba de tomar posesión de su nuevo cargo. Hasta el día antes, el político socialdemócrata era alcalde en ejercicio de Berlín Occidental, pero ahora ha tenido que mudarse de la gran metrópolis a la provinciana capital federal para hacerse cargo de la Vicecancillería y del Ministerio de Asuntos Exteriores en el gobierno presidido por Kurt Georg Kissinger, el candidato democristiano con pasado nazi. La coalición es un matrimonio de conveniencia.
A las 9 de la mañana, sobre el voluminoso escritorio de madera de nogal del Ministerio de Asuntos Exteriores hay un florero con claveles y al lado una corona de adviento con la vela encendida. Brandt se sienta en el sillón de cuero con la mirada perdida en el vacío: son los últimos estertores de su habitual depresión de noviembre.
Llaman a la puerta y entra con paso ligero un hombre joven con el cabello corto y traje gris de Trevira. Todo él irradia la voluntad incondicional de realizar un buen trabajo. Herbert Freiling, del departamento de protocolo, da la bienvenida al nuevo ministro. Sin importarle el conocido malhumor matutino de Brandt, enseguida va al grano.
—Perdone que le venga ya el primer día con estos asuntos —dice el funcionario de protocolo—, pero tenemos que programar sus visitas de presentación en los otros cinco países miembros de la Comunidad Económica Europea. Deberíamos hacerlo sin demora, habida cuenta las sensibilidades de nuestros aliados.
—¿Qué? —gruñe Brandt—. ¿A todos esos sitios tengo que ir? ¿Incluso a Luxemburgo?
De inmediato piensa si ha podido herir la sensibilidad del pequeño país aliado.
—Incluso a Luxemburgo —confirma el joven funcionario—. Propongo que hagamos un periplo, así podremos resolver todo de un tirón.
Freiling se permite sonreír con expresión pícara y Brandt piensa que la cosa hasta puede resultar divertida.

Freiling le ríe la broma a su ministro, al fin y al cabo para eso están los funcionarios.
—El camino más corto, desde luego —dice mostrándose muy motivado—. Casualmente he traído un mapa de Europa con las seis capitales. ¿Quiere que fijemos el itinerario ahora mismo?
—Está bien —murmura Brandt sin entusiasmo—. Supongo que no nos llevará mucho tiempo.
El ministro se inclina sobre el mapa y le entran dudas.
—Ejem. Pues quizá tampoco sea tan sencillo. Propongo que empecemos por los Países Bajos, de ahí vamos a Bruselas, luego a París. Y después está la disyuntiva: ¿Primero a Roma y después a Luxemburgo o primero a Luxemburgo y finalmente a Roma?
Freiling agarra una regla del escritorio y mide las distancias.
—Primero a Roma, que es un poco más corto. Dibujaré la ruta en el mapa.
—Hágalo —dice Brandt y da por terminada la conversación—. Ahora tengo que leer el resumen de prensa. ¡El ministro de Asuntos Exteriores ha de saber qué ocurre en el mundo!
Primera optimización
Bonn, 17 de mayo de 1974. Hans-Dietrich Genscher acaba de tomar posesión de su nuevo cargo de ministro de Asuntos Exteriores. La dimisión del canciller Willy Brandt ha precipitado una remodelación del gabinete y Walter Scheel, que hasta ahora era ministro de Asuntos Exteriores, ha sido elegido presidente federal. De este modo, Genscher ha pasado del Ministerio del Interior al de Asuntos Exteriores. ¡El puesto con que siempre había soñado!
Por fin es titular de la cartera de Asuntos Exteriores. Genscher camina como un tigre enjaulado de un lado para otro en su nuevo despacho y se detiene delante de un gran mapamundi. Está preparado: ya se ve volando por todo el planeta. ¡Tantos países! Claro que tiene que admitir que hay algunos de los que nunca ha oído hablar.
Llaman a la puerta. Un hombre joven, de unos treinta años o poco más, con cabello corto y traje gris, entra en el despacho. Todo él irradia la voluntad de hacer un buen trabajo. Herbert Freiling, del departamento de protocolo, da la bienvenida al nuevo ministro. Experto que es en asuntos protocolarios, se percata enseguida de que este nuevo ministro está ansioso por ponerse manos a la obra. Genscher está visiblemente satisfecho con su nuevo cargo, aunque, como hace saber a Freiling, le habría gustado vivir la Copa del Mundo de Fútbol, que va a comenzar dentro de cuatro semanas en Alemania, siendo todavía ministro del Interior, a quien compete la organización del acontecimiento.
Freiling le tranquiliza: como es un hombre previsor, ha hecho reservar una entrada para el partido Alemania-Chile a nombre del señor ministro.
—Si nuestra selección nacional supera la fase previa, en la tribuna veremos de todos modos por lo menos a la mitad del gobierno —profetiza el funcionario, que acto seguido va al grano.

Freiling mueve la cabeza pensativamente, en señal de compasión.
—¿Fatigoso? Qué va —contesta Genscher—. ¿Ya ha programado usted la ruta? ¿Adónde he de ir primero? Lo mejor es que tomemos la ruta más corta, al fin y al cabo queremos estar de vuelta cuando comience la Copa del Mundo.
—Tengo aquí un mapa de Europa. ¿Quiere que nos lo miremos juntos? —Sin esperar la respuesta, Freiling extiende el mapa sobre el escritorio ministerial.
—Jugar al parchís es más sencillo —gruñe Genscher, a quien no le gusta entretenerse en detalles complicados—. Tal vez vaya primero a Copenhague, después a La Haya...
—Yo iría primero a Bruselas, después a París y a Londres...
—¿Cree usted que es más corto? Bueno, ¿sabe qué? Marque una ruta y avíseme mañana. Ahora tengo que hacer una importante llamada telefónica. Ese Kohl de la CDU ya está criticando al nuevo gobierno. ¡Es preciso que el canciller Schmidt haga algo!
A la mañana siguiente aparece Freiling a las nueve en punto en el despacho del ministro con un listado de ordenador que extiende sobre el suelo delante del ministro, que está perplejo.
—El problema era más difícil de lo que pensaba —suspira el jefe de protocolo—, pues hay 20.160 distintos itinerarios para un periplo por las nueve capitales de la CE y queríamos encontrar el más corto. Por suerte tenemos uno de esos modernos ordenadores en la casa, que ha estado calculando esta noche durante cinco horas. He dibujado la ruta más corta en el mapa.
Freiling despliega el mapa.
—Parece muy plausible —murmura Genscher—. ¿Y para eso necesita el ordenador cinco horas? Entonces no sé qué avanzará más en los próximos años, la ampliación europea o el desarrollo de los ordenadores.
Freiling mueve la cabeza.
—¿Se imagina usted una Comunidad de 15 o 20 Estados miembros? Entonces las reuniones en Bruselas serán todavía más aburr..., quiero decir, más largas.
—Espere y verá, Freiling —dice el ministro con una sonrisa—. A veces la historia avanza a saltos. Bueno, pues ahora organíceme todos estos viajes...
Miedo a los grandes números
Berlín, 22 de noviembre de 2005. El nuevo ministro de Asuntos Exteriores del gobierno de coalición (entre cristianodemócratas y socialdemócratas) toma posesión de su cargo. El socialdemócrata Frank-Walter Steinmeier está familiarizado con el gran palacio de cristal que alberga el Ministerio, pues siendo ministro de la Cancillería bajo el gobierno anterior de Gerhard Schröder tenía que ocuparse a menudo de asuntos relacionados con la política exterior, sobre todo cuando el canciller quería demostrar a su gran competidor Joschka Fischer, de los Verdes, a la sazón ministro del ramo, quién marcaba la línea.
Llaman a la puerta. Entra un hombre de cabello gris y vestido con un traje gris. Herbert Freiling, del departamento de protocolo, da la bienvenida al nuevo ministro. Hete aquí uno de los últimos dinosaurios, piensa Steinmeier, pero le da las gracias y conversan.
—En realidad no he hecho otra cosa que cambiar de despacho —dice el ministro—, pero mi trabajo seguirá siendo parecido: viajar, viajar, viajar...
—De eso se trata, precisamente. Entre sus antecesores era costumbre que el nuevo ministro realizara lo antes posible una visita de cortesía a las capitales de la Unión Europea.
—¡No lo dirá usted en serio! —salta Steinmeier, una persona que no suele alterarse—. La UE tiene 25 Estados miembros, que pronto serán 27. No me dirá usted que tengo que ir a saludar a todos ellos, ¿no? Además, ya conozco personalmente a todos los colegas. Consígame usted una cita con París, Londres, Varsovia y, si quiere, Roma; a los colegas de los demás países ya los veré pronto. Y ahora le ruego que me perdone, pues tengo que preparar la reunión del gabinete.
El planificador de rutas desbordado
Para contestar de inmediato a la pregunta ficticia del ex ministro Genscher: los ordenadores de hoy son unas 30.000 veces más rápidos que las máquinas que se utilizaban cuando él tomó posesión de su cargo. Sin embargo, a pesar de todo no tendrían ninguna posibilidad frente a la creciente complejidad de la planificación de rutas: con 27 Estados miembros de la UE se precisan unas 1022 veces más cálculos como cuando eran nueve. La ruta óptima por las 27 capitales no la podrían calcular ni siquiera los superordenadores más modernos en todo un siglo de trabajo continuado, y para entonces seguramente ya tendremos un gobierno mundial.
El problema del periplo más corto se conoce en la ciencia matemática por el nombre de «problema del viajante de comercio». Se aplica, por ejemplo, cuando hay que programar una perforadora robotizada para que taladre cientos de agujeros en una placa de circuitos impresos; en estos casos es importante encontrar un itinerario que permita llevar a cabo la tarea de la manera más rápida posible.
En el colegio apenas enseñan nada sobre este problema de optimización, pues encierra muy poca matemática «pura». En principio, la cuestión es sencilla: se examinan todas las rutas posibles, se calculan las distancias y se elige la más corta.
¿Cuántas rutas posibles existen? Si el periplo pasa por n ciudades, entonces tenemos n - 1 posibilidades para la primera ciudad que hemos de visitar. Para la siguiente etapa quedan n - 2 ciudades para elegir, y así sucesivamente. Por consiguiente, hemos de hallar el producto de todos los números que van de 1 a n - 1, pero cuidado: cada periplo aparece dos veces, pues también podemos realizarlo en orden inverso. Por tanto, el número de rutas posibles es:
![]()
![]()
n | |
3 | 1 |
5 | 12 |
10 | 181.440 |
20 | 6 × 1016 |
50 | 3 × 10155 |
100 | 5 × 1016 |
Para valores grandes de n, el cálculo es prácticamente imposible de realizar, no porque no se sepa cómo hacerlo, sino porque no existe ningún ordenador capaz de hacerlo. Y por mucho que se fabriquen ordenadores más rápidos, el problema con 101 ciudades requiere 101 veces más cálculos que con 100 ciudades. El problema engulle de inmediato cualquier avance tecnológico.
Sin embargo, suponiendo que es imposible hallar la mejor solución, ¿existe la posibilidad de encontrar por lo menos una que sea buena? Es decir, una ruta que tal vez sea como máximo un 10% más larga que la óptima? Para ello existen, en efecto, diversos métodos, de los que presentaremos dos en este capítulo. Tomaremos el ejemplo de las nueve ciudades que tenía que visitar Genscher, pues en este caso conocemos la solución óptima y podemos calcular cuánto se desvían las rutas que hemos encontrado de aquel plan óptimo. Veamos primero un cuadro de distancias entre las nueve ciudades:
Bonn | La Ha | Bru | Lux | Par | Roni | Lon | Dub | Cop | |
| Bonn | 0 | 240 | 190 | 140 | 400 | 1.040 | 520 | 980 | 660 |
| La Ha | 240 | 0 | 240 | 280 | 380 | 1.210 | 290 | 690 | 590 |
| Bru | 190 | 240 | 0 | 190 | 260 | 1.100 | 310 | 790 | 760 |
| Lux | 140 | 280 | 190 | 0 | 280 | 970 | 490 | 960 | 800 |
| Par | 400 | 380 | 260 | 280 | 0 | 1.080 | 350 | 790 | 1.020 |
| Roni | 1.040 | 1.210 | 1.100 | 970 | 1.080 | 0 | 1.420 | 1.870 | 1.510 |
| Lon | 520 | 290 | 310 | 490 | 350 | 1.420 | 0 | 480 | 950 |
| Dub | 980 | 690 | 790 | 960 | 790 | 1.870 | 480 | 0 | 1.250 |
| Cop | 660 | 590 | 760 | 800 | 1.020 | 1.510 | 950 | 1.250 | 0 |
El periplo óptimo (Bonn - Bruselas - París - Londres - Dublín - La Haya - Copenhague - Roma - Luxemburgo) supone recorrer una distancia de 5.180 kilómetros. Este es el listón por el que han de medirse las soluciones aproximativas.
La primera estrategia parte del hecho de que no tiene sentido recorrer toda Europa de punta a cabo de manera que se crucen los itinerarios: se trata de «pensar globalmente y actuar localmente», como dice la divisa. En concreto, esto significa que desde cada ciudad se acude a la que está más cerca y todavía no se ha visitado. De entrada, parece que es muy fácil: de Bonn vamos a Luxemburgo, después a Bruselas, La Haya y Londres. Pero entonces la cosa se pone más difícil: la capital más cercana todavía no visitada es París, y luego, en un zigzag nada elegante, hay que ir a Dublín, desde donde la ruta prosigue a Copenhague, luego a Roma y finalmente de vuelta a Bonn.
La longitud total de este periplo es de 5.800 kilómetros, casi un 12% más que la de la ruta óptima. La razón es que se trata de un método «miope», que solo tiene en cuenta las ciudades más cercanas, de manera que al final solo quedan las más lejanas. Para visitarlas hay que recorrer entonces largas distancias.

- Buscamos el lugar más alejado del punto de partida (en este caso es Roma) y unimos ambos con una línea.
- Ahora buscamos la ciudad que se halla más lejos de ambas capitales ya contempladas. Mejor dicho, elegimos la ciudad para la que la distancia mínima a Bonn y Roma sea lo mayor posible. En este caso es Dublín. Dibujamos el periplo por estas tres ciudades.

- Buscamos otra vez el lugar cuya distancia más corta de las otras tres sea máxima (Copenhague). La integramos en el periplo de manera que el recorrido total aumente lo menos posible (así obtenemos la ruta Bonn - Dublín - Copenhague - Roma).
- Procedemos del modo descrito en el punto 3 hasta que se incorporen todas las ciudades en el periplo.
n | n2 | n3 | |
3 | 1 | 9 | 27 |
5 | 12 | 25 | 125 |
10 | 181.440 | 100 | 1.000 |
20 | 6,E+16 | 400 | 8.000 |
50 | 3,E+62 | 2.500 | 125.000 |
100 | 5,E+155 | 10.000 | 1.000.000 |
Problemas como el del viajante de comercio, que en principio son fáciles de resolver, pero difíciles de calcular debido al aumento explosivo del tiempo necesario para las operaciones aritméticas, hay muchos en matemáticas. Uno de ellos es el desglose de grandes números en sus factores primos: precisamente los sistemas de encriptación que nos garantizan las conexiones seguras en Internet se basan en la práctica imposibilidad de calcularlos. La única esperanza de poder resolver algún día estos problemas reside en los llamados ordenadores cuánticos, de los que se dice que resolverán estos problemas de optimización calculando, por seguir con el ejemplo del viajante de comercio, todas las rutas posibles al mismo tiempo y seleccionando la más corta. Pero esto son sueños de futuro: por ahora habremos de contentarnos con las buenas, aunque no óptimas, soluciones aproximativas. Mientras, nuestras operaciones bancarias por Internet no corren peligro.
Ejercicio
El siguiente problema lo resolvió por primera vez Leonhard Euler con carácter general: en la ciudad de Königsberg (ahora Kaliningrado) concluyen dos brazos del río Pregel, y en el centro del río hay una isla. Un total de siete puentes que comunican entre sí las distintas orillas A, B, C y D. ¿Es posible dar un paseo cruzando nada más que una vez cada uno de los puentes?
Solución
Este paseo dominical es imposible.

Capítulo 14
EN LAS CALLES DE MANHATTAN
Lugar de las actuaciones: Tribunal Superior del Estado de Nueva York
Fecha: 20 de octubre de 2005
Intervinientes:
Juez
Acusado
Defensora
Fiscal
Juez: Acusado, se le acusa de haber ofrecido en venta una droga, concretamente crack, a un agente de policía vestido de paisano en marzo de 2002 en el cruce de la calle 40 con la 8a avenida.
Acusado: Eso ya lo he reconocido.
Juez: Pero hoy se trata de dilucidar si cometió usted un delito especialmente grave. Con arreglo al artículo 220 del Código Penal, el caso debe considerarse especialmente grave si el delito se comete en un recinto escolar o dentro de un radio de mil pies a la redonda de una escuela. Tengo aquí un plano de la ciudad donde está marcado el lugar en que fue usted detenido y la escuela más cercana, el colegio de Enseñanza Primaria Holy Cross, que se halla a tres manzanas de distancia. ¿Qué distancia hay exactamente entre los dos puntos?
Defensora: Del expediente de instrucción se desprende que la policía envió a un agente que midió la distancia recorriéndola a pie. Primero fue por la calle 43 y la 8a avenida y midió 1.294 pies. Después tomó el atajo por el aparcamiento entre los edificios y la distancia fue de 1.091 pies. Este fue el camino más corto posible, y mide más de 1.000 pies, por lo que no se dan las condiciones para considerarlo un delito especialmente grave.

Acusado: ¿Nos va a dar ahora una lección de mates, o qué?
Fiscal: Por suerte, las calles de Nueva York suelen cruzarse en ángulos rectos, de modo que tenemos aquí un caso muy sencillo, que podemos resolver incluso sin necesidad de un plano. (Señala el plano dispuesto sobre un caballete.) El tramo de la calle 43 que va de la escuela a la 8a avenida, que es el lado a del triángulo dibujado en el plano, mide 490 pies. Las tres manzanas de la 8a avenida entre las calles 43 y 40, el lado b, miden 764 pies. Para calcular la distancia c, que es la distancia en línea recta entre la escuela y el lugar del crimen, hemos de calcular la raíz cuadrada de la suma de los cuadrados de los catetos... (Escribe sobre un rotafolio situado junto al plano.) Para c tenemos
![]()
Acusado: Distancia en línea recta, ¡no me haga reír! ¿Así que los alumnos vienen volando por el aire para comprarme drogas? (Su abogada defensora le propina una ligera patadita debajo de la mesa.)
Defensora: Señoría, este artículo tiene por objeto proteger a los niños de las actividades de los camellos interponiendo una distancia. La prueba práctica del agente de policía ha demostrado que el camino a pie, cualquiera que sea el itinerario, mide más de 1.000 pies, y por tanto se cumple la norma de protección.
Juez: ¿O sea que pretende usted que la distancia dependa de si hay edificios de por medio o no? ¿Tenemos entonces que comprobar cada vez si los edificios en cuestión estaban abiertos al público y el horario en que lo estaban y si era posible pasar por ellos para acortar la distancia?
Fiscal: Por cierto que hay numerosos precedentes en los que siempre se aplicó el teorema de Pitágoras, es decir, el criterio de la distancia en línea recta. Por ejemplo, en el Estado de Indiana, donde las tiendas de bebidas alcohólicas han de situarse a cierta distancia mínima de cualquier iglesia.
Acusado: ¡Ahí, ahí, esos son los peores traficantes!
Juez (golpeando con el martillo sobre la mesa): ¡Silencio! He decidido: se rechaza el recurso del acusado y se confirma la sentencia de la instancia inferior. El sentido de la ley es trazar un círculo alrededor de las escuelas en cuyo interior los niños deben estar protegidos de toda amenaza del narcotráfico. No es razonable que haya que tener en cuenta el estado de edificación del barrio en que se halla la escuela. La distancia de 1.000 pies, por tanto, debe interpretarse, conforme a lo estipulado por el teorema del señor Pitágoras, como la línea recta entre dos puntos. Se levanta la sesión.
El teorema matemático más conocido
Aunque en este caso (auténtico) seguramente habría sido más fácil medir la distancia entre la escuela y el lugar del crimen sobre el mismo plano, el teorema de Pitágoras es tan conocido y elemental que se emplea incluso en la jurisprudencia. En otro caso judicial se aplicó cuando un preso se opuso a que le encerraran junto con otro preso en la misma celda, alegando que el mal olor del retrete le molestaba. Con ayuda del teorema de Pitágoras se midió la distancia en línea recta entre la litera superior y el retrete.
A la pregunta de, ante un triángulo rectángulo, «¡Cuánto es a2 + b2?», casi todas las personas responden espontáneamente «c2». El porcentaje de aquellos que son capaces de explicar también esta ecuación será probablemente mucho menor.
El origen del teorema no se conoce; lo único que se sabe es que no lo descubrió Pitágoras. Ya se utilizaba en el antiguo Egipto, donde existía el gremio de los «harpedonaptas», que trazaban perpendiculares con las llamadas cuerdas de doce nudos. En India se empleaban cuerdas similares, y también en China y Babilonia se conocían los llamados «triples pitagóricos», es decir, grupos de tres números enteros que obedecen al teorema de Pitágoras.

El teorema de Pitágoras habla de los tres lados de un triángulo rectángulo. «El cuadrado de la hipotenusa es igual a la suma de los cuadrados de los catetos». Otra de esas frases horribles del colegio, pero no hace falta memorizar cuál de los lados es la hipotenusa (ni cómo se escribe). «a2 + b2 = c2» es más fácil de recordar y con c se designa siempre el lado más largo del triángulo.
La ecuación se puede resolver despejando cualquiera de los lados a, b ó c, lo que significa que si se conocen dos lados (y, por supuesto, uno de los ángulos, el recto) se puede calcular la longitud del tercer lado. Hay una generalización del teorema para todo tipo de triángulos, pero habría que usar las funciones angulares del seno y el coseno, lo que nos lleva a un nivel superior de la ciencia matemática. Sin embargo, el teorema también se aplica a muchas otras figuras geométricas. Un ejemplo lo tenemos en este mismo libro. Un truco que casi siempre ayuda: si quiere demostrar usted algo en relación con una figura geométrica, descompóngala de alguna manera en triángulos rectángulos y aplique entones el teorema de Pitágoras.
El teorema mismo se puede demostrar de cientos de maneras distintas; en un solo libro están recopiladas nada menos que 370. La que más me gusta es una demostración que mezcla geometría y álgebra. Hay que confeccionar (con papel o en la imaginación) cuatro triángulos rectángulos iguales y formar con ellos la siguiente figura:

(a + b)2 = c2 + 2ab
a2 + 2ab + b2 = c2 + 2ab
Una mirada al horizonte
Para terminar veremos una aplicación del teorema que permite calcular la distancia del horizonte cuando se mira, por ejemplo, desde una cumbre de 1.000 metros de altitud hacia el mar.



También podemos utilizar valores menores en la misma ecuación, por ejemplo la altura de los ojos de una persona que está en la playa. Suponiendo que es de 1,60 metros, es decir, 0,0016 kilómetros, el horizonte que ve se halla a tan solo 4,5 kilómetros de distancia.
Ejercicio
Una demostración de que 90 grados equivalen a 89 grados:

Ahora trazamos la mediatriz sobre AB y CD, es decir, la línea perpendicular que pasa por el punto central de cada tramo. Dado que AB y CD no son paralelas, estas mediatrices tampoco son paralelas entre sí, sino que se cruzan en algún punto que llamaremos S.
Ahora unimos el punto S con A, B, C y D, tal como vemos en el dibujo (que no está hecho a escala) y examinamos las congruencias:
- AS = BS, pues S se halla en la mediatriz de AB.
- CS = DS, pues S se halla en la mediatriz de CD.
- Por tanto, el triángulo ASC es congruente con BSD, pues ambos tienen iguales los tres lados (AC era por definición igual a BD).
- Por consiguiente, el ángulo CAS es igual al ángulo DBS. Además, el ángulo SAM1 es igual al ángulo SBM1, pues S se halla en la mediatriz de AB. En resumen, tenemos que:
90°=CAS + SAM1 = DBS + SBM1 = 89°
Solución
El error está en el dibujo. El punto S debería estar mucho más arriba (se saldría de la página).
Capítulo 15
MATEMÁTICAS SONORAS
«El clave bien temperado, o preludios y fugas en todos los tonos y semitonos, ambos con la tercera mayor o do, re, mi y con la tercera menor o re, mi, fa, están compuestos para la práctica y el provecho de los jóvenes músicos deseosos de aprender y para el entretenimiento de aquellos que ya conocen este arte, por Johann Sebastian Bach». Así dice la portada manuscrita del Clave bien temperado del gran compositor barroco.
Hace 300 años no solo se hablaba y se escribía de otra manera, sino que también se componía música de un modo distinto. Un nuevo método para afinar instrumentos de teclado, el «bien temperado», permitía tocar en todos los 24 modos (12 en modo mayor y 12 en modo menor) en el clavicordio o el órgano sin que sonara horriblemente en los oídos. Bach estaba tan entusiasmado que compuso inmediatamente la conocida obra, que comprende 24 preludios y 24 fugas a través de todos los tonos y semitonos (el más conocido es el preludio en do mayor titulado «Ave María» que aparece en todos los CD de grandes clásicos).
¿En qué consistía ese método de afino «bien temperado» que tanto entusiasmó a Bach? Hasta ahora, los historiadores de la música no lo sabían muy bien, y por desgracia en tiempos del barroco todavía no se grababan discos. Pero hete aquí que ahora aparece un americano llamado Bradley Lehman y afirma que el compositor escribió en la portada de su obra un código oculto que contiene la clave para contestar a esa pregunta. ¿Un mensaje secreto del genio del barroco?
Que la cuestión de cómo hay que afinar un piano sea un problema puede resultar sorprendente para muchos. Al fin y al cabo, en cualquiera de los grandes almacenes podemos comprar un teclado que está perfectamente afinado y además armoniza con cualquier otro. Con ese teclado se pueden tocar sin problemas los 24 modos del Clave bien temperado, con el único escollo, tal vez, de la dificultad de las piezas. ¿Cuál es el problema?
Los 12 tonos con los que hacemos música hoy en día no han caído del cielo, no son armónicos «naturales». Otras naciones tienen escalas musicales distintas, que a nosotros nos suenan muy exóticas. A un coetáneo de Bach con buen oído, el sonido de un teclado moderno le habría sonado bastante «torcido».

Los únicos armónicos realmente naturales que existen son los llamados concomitantes. Por ejemplo, cuando vibra la cuerda de una guitarra, no solo oímos la frecuencia básica, sino también la doble, triple y cuádruple. La proporción de estos sonidos concomitantes o armónicos naturales determina el carácter de un instrumento. Cuantos más concomitantes, tanto más complejo es el sonido. El sonido más claro y que más se acerca a la frecuencia básica pura es tal vez el de la flauta travesera. Las frecuencias puras sin armónicos naturales, en cambio, tienen un sonido clínico, incoloro, como el de los primeros sintetizadores de la década de 1960.
Los primeros concomitantes tienen frecuencias que a su vez corresponden a tonos de nuestra escala. El primero de todos, el de la frecuencia doble, es la octava. Si la tónica es do, entonces la octava vuelve a ser do: sentimos que de alguna manera es el mismo «tono», solo que más alto. Así, por ejemplo, las mujeres y los niños suelen cantar una octava más alto que los hombres, por mucho que se trate de la misma melodía.
El siguiente concomitante, el de la triple frecuencia, es la quinta, es decir, si la tónica es do, la quinta es sol. En comparación con la do situada directamente debajo tiene 3/2 veces más frecuencia. Después viene la cuádruple frecuencia básica, la octava doble. Entre esta octava y la quinta (do - sol) la razón es de 4 : 3, es decir, una cuarta. El quíntuple de la frecuencia es la que tiene la tercera mayor, mi, cuya razón con respecto a la do inferior es de 5 : 4. Encima se halla de nuevo la quinta sol, porque 6 es el doble de 3. La razón con la mi anterior es de 6 : 5, una tercera menor.
Pero después viene una concomitante extraña: ¡el tono que septuplica la frecuencia básica no se corresponde con ninguno de nuestra escala! Si halla justo debajo de si, es decir, es un poco inferior a nuestra séptima. Esta es la primera señal de que no todas las relaciones entre frecuencias naturales tienen un tono. Después siguen nuevamente una octava do, la novena armónica re, cuya razón con do es de 9/8, es decir, una segunda mayor.
Ahora ya han aparecido casi todos los tonos de la escala que conocemos, y de esta manera también podemos fijar la segunda menor; otros intervalos, como la sexta menor, se pueden determinar de manera que se multipliquen con su contraparte (en este caso la tercera mayor) dando 2, es decir, una octava, ya que cuando se apilan intervalos, las frecuencias hay que multiplicarlas, no sumarlas.

Ahora tenemos que en el centro del teclado hay un tono, fa menor/sol mayor, que lleva anotados dos números. La fa menor es una cuarta sobredimensionada que debería corresponder a la distancia entre fa y si, que es de 15/8 a 4/3, es decir, de 45/32, que equivale más o menos a 1,406. La sol mayor es una quinta subdimensionada, que equivale a la distancia entre si y fa de la octava siguiente. La razón es de 8/3 : 15/8, es decir, de 64/45 (aproximadamente 1,422). El teclado del piano, sin embargo, sugiere que se trata del mismo tono. ¿Qué valor podría servir de «valor medio»? De do a fa menor/sol mayor hay 6 semitonos, de ahí a do de nuevo 6 pasos, es decir, el intervalo es el mismo. Si agregamos dos veces el intervalo, el resultado tiene que ser 2. Por tanto,
x2 = 2
Ahí aparece la primera contradicción de nuestro sistema tonal supuestamente tan racional: en el caso de fa menor/sol mayor, el afinador del teclado ha de hacer concesiones. Pero este no es el único aspecto en que el sistema chirría, pues si contemplamos las relaciones entre semitonos consecutivos, el valor de las mismas oscila notablemente: la razón entre do menor y do es de 16/15, es decir, 1,067. La razón entre mi y mi mayor es de 5/4 : 6/5, es decir, 25/24 o 1,042. Hay una diferencia, pero ¿es audible? ¿Tiene importancia?
Estos datos sobre relaciones entre sonidos no son muy intuitivos. Para ilustrarlos de forma gráfica en una escala de frecuencias hay que pasar de la notación lineal a la llamada notación logarítmica. El objetivo es lograr que una octava de do a do abarque siempre un tramo de la misma magnitud, aunque el margen de frecuencias en términos absolutos se ensancha continuamente. Esto significa que los números 1 - 2 - 4 - 8 - 16 deben situarse siempre a la misma distancia entre sí. Esto se consigue utilizando el «logaritmo de la frecuencia de base 2». La palabra logaritmo nos retrotrae a los sudores que pasamos en la escuela y por eso vamos a refrescar un poco la memoria.
Disonancias y círculo de quintas
El «logaritmo de base 2» de un número x, que se escribe log2(x), es el exponente al que hay que elevar el número 2 para obtener x.
![]()
El logaritmo de 2 es 1, el de 4 es 2, el log2(8) es 3. ¿Y los de los números intermedios? ¿Cuál es, por ejemplo, el log2(5)? Aunque no existe ningún número natural que indique cuántas veces hay que multiplicar 2 por sí mismo para obtener 5, pero el exponente también puede estar representado por números no enteros. Así, por ejemplo, el logaritmo de la raíz cuadrada de 2 es ½.
Si anotamos ahora los semitonos de una octava completa en una escala cuya unidad es el logaritmo de la frecuencia, referido a la frecuencia de la tónica, el resultado es el siguiente:

![]()
Ya se sabe desde hace siglos que este «círculo de quintas» no se cierra bien. La diferencia entre ambos extremos se denomina «coma pitagórica», tal vez porque asestó el golpe de gracia al sueño de Pitágoras de la armonía perfecta en la música y la matemática.
¿Cómo resuelven los músicos este dilema? La solución más radical es la que encontramos hoy en cualquier teclado electrónico: se divide la octava en la escala logarítimica en 12 tramos realmente iguales, de modo que cada paso de semitono mide en esta escala 1/12, y para obtener la proporción entre frecuencias hay que «deslogaritmar»:

El clave «bien temperado»
Los afinadores de clavicordios de los siglos pasados no quisieron ir tan lejos, y antes del barroco tampoco era necesario, pues la mayoría de piezas y canciones se movían dentro de una misma tonalidad, siendo las tonalidades más habituales las que giraban en torno a do mayor. Por eso se intentaba, mediante el «temperamento mesotónico», que esas tonalidades usuales sonaran lo más puras posible. En la práctica se afinaban once de las doce quintas un poco más bajo, pero no un octavo de tono más bajo, como en el temperamento igual, sino aproximadamente un décimo de tono. De este modo, el tono que se obtiene de cuatro de esas quintas es una tercera mayor bastante pura. A cambio, la duodécima quinta que quedaba (entre los tonos sol menor y re menor) resultaba bastante grande: sonaba horriblemente y recibió el nombre de «quinta del lobo». En la práctica era inservible, y el compositor tenía que evitar las tonalidades en las que aparecen los dos tonos.
Esto no suponía para los primeros compositores ningún contratiempo trágico, ya que se limitaban a las tonalidades «biensonantes». La música de Johann Sebastian Bach, sin embargo, era más compleja que todo lo que se había compuesto hasta entonces. En particular, a Bach le encantaba cambiar continuamente de tonalidad en sus fugas, y por mucho que eligiera una tónica inicial inocua, rápidamente se adentraba en terreno peligroso.
Se entiende por tanto el entusiasmo de Bach cuando el músico teórico Andreas Werckmeister desarrolló un nuevo temperamento que iba a permitir utilizar todas las tonalidades en el clavicordio. Tan eufórico estuvo el maestro que, ni corto ni perezoso, compuso toda una obra en homenaje al «buen temperamento».
Pero ¿de qué temperamento se trataba? No del temperamento igual que se emplea hoy en día, en esto están de acuerdo los historiadores de la música. Pero existen distintas variantes del «buen temperamento» y, por tanto, se pensaba que seguramente no sabremos jamás cómo sonaba originalmente el clave bien temperado de Bach.

Dicho ornamento está formado por once volutas. Once son las quintas que hay que indicar para fijar exactamente el temperamento de un instrumento de teclado, y este fue el motivo por el que Lehman decidió examinar el dibujo más de cerca. Primero descubrió que hay tres volutas de un solo rizo; después, que otras tres volutas contienen en su interior sendos rizos simples y, finalmente, que cinco volutas encierran un doble rizo en su interior. En aquella época se determinaban los temperamentos indicando la fracción de la coma pitagórica por la que se reducían las respectivas quintas. En el temperamento igual, cada quinta pierde un doceavo de la coma.
Para destilar una fórmula a partir de los garabatos de Bach, lo primero que hizo Lehman fue invertir la imagen del ornamento, y acto seguido interpretó las volutas del modo siguiente: un rizo simple equivale a una quinta pura, una voluta con un rizo en su interior equivale a un sexto de coma y una voluta con doble rizo en su interior a un doceavo de coma. Por consiguiente, primero se suceden cinco quintas acortadas en un sexto de coma, después tres quintas puras y finalmente tres reducidas en un doceavo de coma. Si se hace el cálculo, al final sobra un doceavo y por tanto la última quinta resultante ha de resultar un poco demasiado grande.
Pero ¿cuál es el tono por el que comienza el diagrama? Bach también nos da una pista a este respecto, según Lehman: la «C» de la palabra «Clavier» choca en la imagen invertida con la primera voluta e incluso se repite una vez más, lo que según su descubridor es una indicación clara; por tanto, Lehman asigna los tonos del círculo de quintas con arreglo a las volutas del diagrama.

Ejercicio
Carsten tiene varios tubos metálicos del mismo diámetro y quiere construirse con ellos un instrumento de viento. Su deseo es que los tubos generen los tonos más armónicos posibles. En Internet ha leído que la frecuencia de los tubos es inversamente proporcional al cuadrado de su longitud. ¿Cuánto tiene que acortar un tubo para que suene una octava más alto? (Una octava más alto equivale al doble de frecuencia.)
Solución
Si la frecuencia ha de ser dos veces mayor, el tubo ha de tener la longitud inicial dividida entre la raíz cuadrada de 2. O atracadores en el atasco
—Manfred, no corras, que llevas objetos de valor a bordo —dice Harry moviéndose nervioso en el asiento del acompañante. La forma de conducir de su compañero no es el único motivo por el que está alterado: en el asiento de atrás hay dos bolsas de plástico con 55.000 euros en billetes pequeños. El atraco en la sucursal de la caja de ahorros en una población del sur de Hamburgo ha funcionado perfectamente. Han entrado, han actuado con decisión, el personal no ha rechistado, un cliente ha colaborado, y luego fuera y al coche. Todo en tres minutos. Las máscaras que imitan la cara de George W. Bush están ahora en el asiento de atrás, pero habrá que deshacerse de ellas.
Ahora Manfred conduce el coche a todo trapo en dirección a la comarca de Lüchow-Dannenberg. En un lugar apartado, cerca de la antigua frontera entre las dos Alemanias, les espera una casita de campo, donde aguardarán a que las aguas vuelvan a su cauce mientras sueñan con su futuro en la opulencia.
La aguja del tacómetro se mantiene en 180 y su BMW familiar es un «adelantador» de prestigio, del que tanto le gusta hablar a Manfred, un forofo empedernido de la marca. Cuando el coche aparece en el retrovisor y crece por momentos, los coches menos potentes le ceden respetuosamente el paso metiéndose en el carril derecho.
—No temas —murmura Manfred Engel—. Solo recupero el tiempo que hemos perdido en llegar a la autopista.
—Si ahora montas un accidente, la poli no tendrá otra cosa que hacer que trasladarnos de vehículo.
—Con un BMW has de circular rápido, Harry, de lo contrario llamas la atención. Hey, sube el volumen, que creo que salimos en la radio.
Harry gira el botón y la voz dice: «... pide la policía su colaboración. Los atracadores han huido en un BMW 5 familiar de color antracita con matrícula de Bad Segeberg. Para cualquier información, póngase en contacto con la comisaría más cercana...». Manfred baja de nuevo el volumen.
—O sea que han visto la matrícula. Era previsible, porque taparla habría sido sospechoso.
—Porque al señorito le gusta ser original y tenía que mangar un coche con la matrícula SE-X 333 —se queja Harry.
Una señal indica que hay obras en la autopista a 1.000 metros. Manfred levanta el pie del acelerador y la aguja del tacómetro va descendiendo a 100, 80 y luego esos míseros 60. Los vehículos del carril derecho empiezan a meterse en el izquierdo. Medio kilómetro antes de que se estreche la calzada se forma en el carril izquierdo una cola, mientras que el carril derecho se queda vacío.
—¡Sistema cremallera, tontos del culo! —grita Manfred y se cuela por el carril derecho hasta el punto en que se estrecha la calzada. Acciona brevemente el intermitente y se incorpora sin parar en el carril izquierdo. El conductor de atrás le hace un feo gesto con el dedo.
—No ha estado bien, Manfred —critica Harry—. No ha estado nada bien.
—Es lo que dice el código de circulación y dicta el sentido común —contesta Manfred—. Es lógico que se apure el espacio tanto como sea posible. Incluso lo dice la ley, aunque muchos no lo sepan.
—No sabía que fueras tan respetuoso con la ley —le fustiga Harry. Pasan junto a la obra: ocho máquinas y dos trabajadores, cada uno apoyado en una pala. Pasada la obra, el tráfico recupera fluidez, pero la aguja del tacómetro no supera los 100 por hora. Manfred se acerca una y otra vez al coche de delante, frena en último momento, vuelve a acelerar y reacciona cada vez más furioso.
—¡Venga, apártate!
—Ese tampoco puede correr más —advierte Harry.
—Pues que deje pasar. Me pone nervioso este trote —contesta Manfred—. Si todos circularan 20 kilómetros por hora más rápidos, todos llegaríamos antes. Disponemos de dos carriles y no los aprovechamos. Solo porque cada uno quiere impedir que le adelante otro.
Manfred descubre a la derecha un hueco y se mete, sin accionar el intermitente.
—¿Puedes decirme por qué cuando hay caravana el carril derecho siempre es más rápido, a pesar de los camiones?
—Tal vez precisamente debido a los camiones. En todo caso, esos circulan más tranquilos que tú.
—La próxima vez que hagamos caja conduces tú —dice Manfred con malicia, a sabiendas de que Harry es realista al valorar sus limitadas aptitudes. Harry se fija en los rostros de uno y otro lado por si hay signos alarmantes, pero nadie presta especial atención al BMW gris oscuro. Caras malhumoradas, todos quieren correr más de lo que pueden.
Entonces la caravana reduce la velocidad, parece que hay un atasco. Manfred ha de pisar con fuerza el pedal de freno porque estaba muy cerca del coche de delante.
—Explícame cómo puede ser esto. Desde hace cinco kilómetros no ha habido ninguna entrada, o sea que la cantidad de coches es la misma. A pesar de todo estamos casi parados.
—Esto es lo que se llama un «atasco sin motivo aparente» —aventura Harry—. Esto se produce cuando le gente circula en una caravana como los verdugos, todo el rato acelerando, frenando y cambiando de carril.
En el cruce de Walsrode se incorporan a la autopista, donde la circulación ya es lenta, más coches procedentes de Bremen. Al final, hay tantos vehículos que el tráfico se detiene. La congestión se convierte en embotellamiento.
«... los atracadores han huido en un BMW de color antracita con matrícula de Bad Segeberg. La policía ha establecido controles en todas las salidas de Hamburgo...»
Harry lanza una mirada melancólica al asiento de atrás y murmura:
—Ya me había acostumbrado a vosotros. Pero enseguida vendrán y todo habrá terminado.
—No digas tonterías —le regaña Manfred—, la policía está tan atrapada en el atasco como nosotros.
En ese instante les adelanta por el arcén un coche de la policía con las luces y la sirena puestas. Por encima de sus cabezas se oye el golpeteo de un motor.
—¡Helicópteros! —gime Harry—. Esos no se andan con chiquitas.
—Tranqui, compañero. Es un helicóptero de salvamento, señal de que allí delante ha habido un tortazo. Además, desde el helicóptero no distingues las matrículas. Y mira alrededor: uno de cada dos coches son de color gris oscuro. El tío Manfred sabe muy bien por qué los roba del color de moda.
La serpiente de coches avanza a trompicones poniendo a prueba los nervios de los conductores. A la siguiente salida, Manfred abandona la autopista y toma la carretera que conduce a Celle y hacia el este. Salvo la temible B4 ya no espera más sorpresas desagradables.
Pero apenas han entrado en la nueva vía, la circulación se atasca de nuevo ante un estrecho puente, porque debido a las obras uno de los carriles está cerrado al tráfico. Los atracadores ven el puente a un kilómetro de distancia. La caravana ya ni avanza a trompicones. Todo está parado. Salvo las luces del coche de la policía, que da vueltas alegremente y se ve desde lejos. Por lo visto hay ahí unos policías que regulan el tráfico. No cabe duda de que están informados del atraco y conocen la descripción del vehículo en que han huido los atracadores.
—Da la vuelta —dice Harry angustiado—, da la vuelta aquí mismo.
—¡No bromees! ¿Cómo quieres que dé la vuelta aquí? —Al otro lado tampoco se mueve nada—. Si doy la vuelta, aquí se arma la marimorena.
—Entonces voy a salir a mear.
—¿Estás loco? Deja que pensemos cómo...
—La solución es salir a mear.
Manfred pone una cara como si quisiera estrangular a Harry, pero este se le adelanta:
—Tenemos que deshacernos de la pasta. Y de las máscaras. Y de los cacharros también.
Manfred suda y guarda silencio.
—Entonces solo podrán acusarnos de lo del coche —prosigue Harry—. Tal vez tengamos suerte y todavía no han denunciado el robo, entonces no nos pedirán los papeles. Y si lo hacen, les enseñas tu carnet de conducir. ¡Y no me mires con esa cara! Un atasco en la cabeza es peor que en la carretera.
—¿Qué dices? Que ¿quieres tirar la pasta por la ventana? ¿Con todo lo que hemos hecho? —consigue decir Manfred, totalmente desconcertado.
Harry mete la mano en una de las bolsas y le alcanza a su amigo un fajo de billetes.
—Esto cabe en tu cartera. Yo también me guardaré un fajo.
Unos cuantos cientos de metros antes del puente, Harry sale del coche con dos bolsas de plástico y desaparece en el matorral. Dos minutos después vuelve aliviado.
Faltan 26 coches para llegar a donde está la policía.
—Comprendo — dice Manfred, que ahora parece mucho más tranquilo—. Dentro de unos días nos vamos de excursión por esta zona. Nunca pensé que un día iría contigo a echar un pis juntos.
¿Cuándo es más fluido el tráfico?
El atracador Manfred expresa en esta historia casi todos los tópicos con que los amantes de la velocidad suelen justificar su falta de respeto hacia los demás. (Solo tiene razón en un punto: cuando se estrecha la calzada, hay que aprovechar todos los carriles hasta el punto en que se juntan; esto no solo favorece la fluidez del tráfico, sino que además lo aconseja efectivamente el código de circulación.)
Examinaremos en particular dos de esos lugares comunes. El primero dice que cuanto más rápido circulan los automóviles, tanto mayor es la capacidad de una vía. El segundo afirma que construyendo nuevas vías se logra que haya menos embotellamientos y la gente llegue antes a su destino. Nada de esto es cierto, al menos no con este grado de generalidad.
Actualmente ya hay más de un matemático que se ha especializado en «teoría de los atascos». Suelen trabajar mediante simulaciones, es decir, haciendo circular en el ordenador (es un decir) miles de coches según determinadas reglas y observar el resultado. De este modo se ha logrado, por ejemplo, explicar los «atascos sin motivo aparente». Estos se forman cuando hay tráfico denso y los coches circulan en caravana y aparecen conductores que se comportan como Manfred. En vez de aceptar la circulación lenta, estos conductores tratan de sacar de alguna manera pequeñas ventajas: cambian de carril, se acercan mucho al coche de delante, de modo que a veces tienen que frenar abruptamente (o hacen que frenen otros). Estos frenazos se trasladan en la caravana hacia atrás, ya que el coche que sigue ha de frenar al menos tanto como el que tiene delante. De este modo se refuerza el efecto y llega un momento en que tiene que detenerse un coche. Se produce una retención y el conductor que la ha provocado ni siquiera se entera de lo que ha hecho.
Además de estas simulaciones por ordenador, sin embargo, también existen algunas sencillas fórmulas matemáticas aplicables al flujo del tráfico, con las que es relativamente fácil demostrar que la vía no es capaz de absorber más coches por mucho que se circule más rápido.
Aclaremos primero algunos conceptos: por flujo de tráfico se entiende el número de coches que pasan por carril y unidad de tiempo por un punto de la autopista en que está instalado un contador. En un atasco, el flujo es cero. ¿Cuál es el valor máximo que puede alcanzar el flujo? ¿Existe acaso un límite superior?
Cuando la autopista está tan llena que los automóviles circulan todos a la misma velocidad v en caravana, podemos calcular el flujo si también conocemos a distancia media d entre los vehículos y la longitud media l de los mismos. Entonces, el paso de dos coches por el mismo punto dura el tiempo t, que se calcula del modo siguiente:
![]()
![]()
La idea subyacente es que los coches en la carretera son como una especie de largo tren de mercancías, para el que sí es válido el axioma de que cuanto más rápido circula, tantos más vagones pasan en una hora por un determinado punto. Pero esto no funciona en la autopista, al menos no con conductores humanos. El problema es que d no es constante. Ni siquiera los fittipaldis más descarados pueden circular a 180 kilómetros por hora continuamente pegados al parachoques del coche de delante, sino que tenderán a agrandar esa distancia. Este hecho de que d sea variable cambia mucho la situación.
Pero empecemos con hipótesis muy prudentes: elegiremos la distancia entre los coches de manera que se corresponda con la llamada distancia de seguridad, es decir, en la que todo conductor podría detener su coche si en vez del coche de delante apareciera de pronto un muro que le cerrara el paso.
La distancia de seguridad, como hemos aprendido en la autoescuela, se compone de dos tramos: el primero es la distancia de reacción, es decir, el tramo que recorre el coche sin frenar mientras el conductor toma conciencia del peligro que se avecina. Normalmente se supone que el tiempo de reacción es de 1 segundo, durante el cual el coche todavía recorre v metros (indicamos la velocidad en metros por segundo).
El segundo tramo de la distancia de seguridad es la distancia de frenada, que depende, por supuesto, de numerosos factores, como la calidad de los frenos y la fuerza con la que el conductor pisa sobre el pedal. Pero aquí pasaremos por alto estas diferencias y, para facilitar las cosas, supondremos que un conductor dispone de una fuerte deceleración de frenada de 10 m/s2.
Una pequeña nota al margen: las aceleraciones y deceleraciones se miden en «metros por segundo elevado al cuadrado». Este es otro de los temas que llevan al desespero a muchos alumnos en la escuela: ¿qué hemos de imaginarnos por un segundo cuadrado? Sería más sencillo si leyéramos «metros por segundo por segundo», con lo que una deceleración de 10 m/s2 indica que cada segundo la velocidad disminuye 10 m/s. Un coche que circula a 30 m/s se detiene por tanto al cabo de exactamente 3 segundos.
La fórmula de la distancia de frenada es:
![]()
![]()
![]()


Por la forma de la curva se ve que el flujo de tráfico no aumenta de modo constante, sino que alcanza un punto máximo. El cálculo de este punto máximo es un problema del valor extremo que nos abstendremos de resolver en este contexto, toda vez que ya nos hemos atrevido a algo parecido en el capítulo «Fantasías de hombre». El resultado, en todo caso, dice que el máximo se sitúa en una velocidad de 10 m/s, que equivalen a ¡36 km/h!
En el carril derecho de la autopista suelen circular los camiones, que en muchos casos miden más de 5 metros de longitud. Si suponemos que la longitud media de los vehículos es de 15 metros, entonces la curva cambia un poco de trazado:

Sin embargo, nuestros supuestos tampoco no son del todo realistas. Si en la fórmula de la distancia entre vehículos sustituimos v por 100 km/h, es decir, 28 m/s, entonces obtenemos:
![]()
Esto tiene que ver con que el coche que nos precede tampoco se convierte de repente en un obstáculo estático. Si tiene que frenar, primero recorrerá la distancia de frenada. Si suponemos que todos los coches frenan igual de bien, basta con que la distancia entre ellos equivalga al recorrido del coche durante el «segundo de susto». Para mayor seguridad, la demora en la reacción se fija en dos segundos. Esta «regla de los dos segundos» es fácil de verificar en la práctica: por ejemplo, cuando el coche que va delante pasa por un punto de referencia fijo, como el comienzo de un puente, entonces contamos dos segundos y solo entonces debemos pasar nosotros también por ese punto. Desde el punto de vista matemático, esta distancia de seguridad equivale a 2v, con lo que obtenemos para el flujo de tráfico:
![]()

![]()
(La eliminación sin más de la l de la ecuación es por cierto una típica trampa que los matemáticos cometen a menudo. Si se procediera con precisión habría que contemplar el valor límite de la expresión en el supuesto de que v tendiera a infinito. El resultado, sin embargo, sería el mismo.)
En la práctica, no obstante, el tráfico deja de fluir con regularidad cuando se circula a alta velocidad. La conducción es más nerviosa, y basta con que uno frene con fuerza para que se interrumpa el flujo uniforme. Por tanto, nunca se alcanza el flujo teóricamente posible. Las mediciones realizadas demuestran que la capacidad de las autopistas alcanza su punto máximo con velocidades situadas entre 80 y 90 km/h, en cuyo caso pueden conseguirse valores punta de hasta 2.600 vehículos por hora. Los coches circulan entonces, desde el punto de vista de la normativa sobre la distancia de seguridad, demasiado cerca unos de otros, pero a pesar de ello no se producen situaciones peligrosas. Por cierto que en EE.UU. esto funciona mejor que en Alemania, ya que allí están acostumbrados desde hace tiempo a unos límites de velocidad estrictos y en general se toman la conducción con más calma. Puesto que además no existe la obligación estricta de utilizar el carril derecho y se puede circular por este a mayor velocidad que por el izquierdo, se producen menos cambios de carril, que son puro veneno para el flujo de tráfico.
¿Alivio o no?
El matemático alemán Dietrich Braess demostró en 1968 que la construcción de nuevas vías no tiene por qué aliviar necesariamente la carga de tráfico en las vías existentes y reducir el tiempo que se tarda en llegar de un lugar a otro. No se trata del hecho de que las carreteras nuevas favorecen que más gente se compre un coche, sino que incluso manteniendo constante el número de coches en circulación, una «carretera de alivio» puede hacer que todavía más conductores se metan en un atasco.
¿Cómo es posible? Nos adentramos ahora en el terreno de la teoría de juegos: las personas han de tomar decisiones y al hacerlo han de sopesar sus intereses frente a los de los demás. En este caso se trata de elegir entre varios itinerarios que llevan de un lugar a otro.
Entre las dos ciudades de Hummelsheim y Bienstadt, que se hallan en las orillas opuestas de un río, hay un tráfico intenso. Por la mañana, muchos trabajadores van de Hummelsheim a Bienstadt y por la tarde recorren el trayecto inverso. Por la mañana circulan mil automóviles por hora.
Los conductores tienen dos posibilidades: atravesar el puente a y tomar entonces la autovía b, o seguir por la autovía c y cruzar el río en d.

Por tanto, si fueran 1.000 los conductores que eligen el camino que pasa por a y b, tardarían 10 minutos para el tramo a y 15 minutos para el tramo b, con un total de 25 minutos.
Sin embargo, los conductores no solo conocen bien las circunstancias (son capaces de estimar la duración del viaje porque recorren el trayecto a menudo), sino que también son egoístas, es decir, quieren llegar lo antes posible a su destino. Tan pronto como sea previsible que la ruta alternativa es más rápida, elegirán por tanto el segundo itinerario.
¿Existe un punto de equilibrio en el que todos los conductores tardan el menor tiempo posible para ir al trabajo? Podemos describir el problema con dos ecuaciones:
El número de coches por hora es 1.000. Si x conductores circulan por a y b e y conductores por c y d, entonces tenemos que
x + y = 1.000 (1)
La duración del viaje por ambas rutas es la misma, pues de lo contrario algunos conductores optarían de inmediato por la otra. Por consiguiente, tenemos que
(2)
![]()
Pero hete aquí que llega el progreso: está previsto integrar las dos ciudades en la red nacional de autopistas. Para ahorrar dinero, no se construirá un enlace para cada ciudad, sino un único nodo denominado Hummelsheim-Bienstadt. En la orilla norte del río solo se puede entrar en la autopista y en el lado sur solo se puede salir de ella.

Así es efectivamente para los primeros que cambian de ruta, pero cada vez son más los que lo hacen y pronto tenemos tres grupos de automovilistas que van y vienen entre las dos ciudades. Por las conversaciones en la taberna se sabe que a pesar de haberse establecido un equilibrio, todos los conductores tardan lo mismo en hacer el recorrido, pero ¡todos ellos tardan más que antes! Para calcular este resultado paradójico necesitamos tres incógnitas —además de los números x e y de antes, el número z de conductores que toman la ruta a - e - d.
Las ecuaciones adquieren ahora un aspecto más complicado. Suponemos que la suma de las tres incógnitas vuelve a ser 1.000:
x + y + z = 1.000 (1)
En este caso, los tiempos que duran los recorridos se calculan de un modo distinto, pues por el puente a no solo circulan los conductores x que han optado por la ruta tradicional, sino también los automovilistas z que utilizan la nueva. Lo mismo ocurre en el puente d, por donde quieren pasar y + z coches. Además, la duración del viaje ha de ser igual para todos los que se desplazan.![]()
Para determinar exactamente tres incógnitas se necesitan en realidad tres ecuaciones, pero en la segunda se ocultan dos, a saber:
![]()
![]()
Para reducir un poco la complejidad, en primer lugar simplificaremos radicalmente las ecuaciones 2 y 3. La quintaesencia de la ecuación 2 es que las condiciones de las dos rutas tradicionales son las mismas, por lo que por cada una de ellas circulará el mismo número de coches.
x = y (2)
La ecuación 3 se puede simplificar un poco, pues las dos expresiones en que aparece x se anulan mutuamente.![]()
y + z = 750 (3)
He aquí cómo queda el conjunto del sistema de tres ecuaciones:x + y + z = 1.000 (1)
x = y (2)
y + z = 750 (3)
2y + z = 1.000 (1)(2)
Ahora ya solo quedan dos ecuaciones con dos incógnitas, y y z. Despejamos z en ambas:z = 1.000 − 2y (1)(2)
z = 750 –y (3)
1.000 −2y = 750 – y (1)(2)(3)
Sumamos 2y en ambos miembros y restamos 750, y ya lo tenemos:y = 250
Enseguida vemos que x también equivale a 250 y z tiene el valor de 500.La construcción de la nueva autopista, por tanto, hace que la mitad de los conductores opten por la nueva ruta, supuestamente más rápida. De este modo, el tráfico se reparte entre tres itinerarios y es de suponer que todos llegarán antes a su destino, ¿no? En las tres rutas se tarda lo mismo, como se describe en la ecuación (3) inicial. Podemos determinar cualquiera de los tres términos, por ejemplo
![]()
¿Qué hacer? Lo más razonable sería que los 500 automovilistas que han optado por la autopista reconsideraran su decisión y volvieran a su ruta de siempre, pues entonces todos tardarían 20 minutos en llegar. Pero en este caso no hay decisiones colectivas, sino individuales, y si un conductor individual decide cambiar nuevamente de itinerario, para él no se reducirá la duración del viaje. Por tanto, no hay motivos «egoístas» para cambiar: el sistema es estable.
Esta paradoja de Braess no es, ni mucho menos, el hábil sofisma de un matemático, sino que se hace realidad siempre que existe una excelente vía de alivio pero el acceso a ella pasa por un cuello de botella. Así, los concejales del Ayuntamiento de Stuttgart tuvieron que comprobar en 1969 cómo la costosa reforma de la red de calles alrededor de la Schlossplatz provocó más embotellamientos. Los habitantes de Nueva York experimentaron el efecto contrario: en 1990 cerraron temporalmente al tráfico la calle 42, y los embotellamientos en la zona se redujeron. Hoy en día, los planificadores de carreteras conocen muy bien el problema y simulan los flujos de tráfico con métodos matemáticos antes de empezar siquiera a mover tierras para construir una nueva vía de alivio.
Ejercicio
Un niño tiene 21 años menos de edad que su madre. Dentro de 6 años, la madre será cinco veces mayor que el niño. ¿Dónde está el padre?
Solución
Los datos dan lugar a un sistema de ecuaciones con dos incógnitas, y la solución da una edad del niño negativa: - 9 meses.
Capítulo 17
EL CUADRADOR DE CÍRCULOS
La jornada ha sido larga y agotadora para el profesor Clarence Abiathar Waldo. Desde primera hora de la mañana, este matemático, que a sus 35 años de edad es joven para ser profesor universitario, ha estado reunido en Indianápolis con funcionarios del gobierno del Estado de Indiana, EE.UU. El tema de la conversación era el presupuesto de su academia, la prestigiosa Purdue University de Lafayette.
El calendario marca el 5 de febrero de 1897. Waldo se dispone a volver a casa y cuando está a punto de abandonar la Statehouse, oye a través de las puertas cerradas del hemiciclo que en la Cámara de Diputados se sigue debatiendo con vehemencia. El oído de Waldo capta algunas palabras significativas: «cuadratura del círculo», «enigma matemático», «compás y lineal». Waldo se olvida de la fatiga, entra en el hemiciclo y toma asiento en la galería del público.
—El caso es sencillo —dice el diputado que está en la tarima—. Si aprobamos esta ley, que fija un nuevo valor correcto del número π, el autor nos ofrece la posibilidad de utilizar su descubrimiento sin coste alguno y publicarlo en nuestros libros de texto, mientras que todos los demás usuarios tendrán que pagarle un canon por el uso.
¿Un nuevo valor de π? El matemático Waldo está atónito. Este número, que indica la relación entre la circunferencia y el diámetro de un círculo, es conocido desde la Antigüedad. En estos momentos incluso se conocen más de 30 cifras decimales: 3,14159... ¿Acaso alguien ha calculado nuevas cifras? Pero a nadie se le ocurriría escribirlas en una ley. ¿Y el pago de un canon de licencia por conocimientos matemáticos? Primera noticia para Waldo.
Antes de enterarse de qué va la cosa, el presidente del parlamento procede a la votación. La nueva ley es aprobada por 67 votos a favor y ninguno en contra. Se suspende la sesión y los diputados salen al vestíbulo, y Waldo aprovecha para informarse. Taylor Record, agricultor y leñador, es el diputado que ha propuesto la ley. Admite abiertamente que no entiende nada del asunto, pero el médico Edwin J. Goodwin, de la pequeña ciudad de Solitude, en su circunscripción electoral, le ha asegurado que su descubrimiento es histórico y que ofrece al Estado de Indiana la oportunidad irrepetible de aprovecharla sin coste alguno, siempre que «la verdad quedara consagrada de una vez por todas en la ley».
Waldo pide ver el texto de la ley y comprueba que está lleno de términos técnicos, pero no se deja impresionar por ello. Se habla de la cuadratura del círculo, de la trisección del ángulo y de la duplicación del cubo, o sea, de los clásicos problemas irresolubles de la matemática.
En cuando a la cuadratura del círculo, es decir, el diseño de un cuadrado que tenga exactamente la misma superficie que un círculo, el matemático alemán Lindemann ya había demostrado 15 años antes que eso no es posible con ayuda de un compás y una regla. Uno de los motivos es que el número π no solo es irracional, sino también trascendente. Waldo tiene en su oficina varias cartas de extravagantes «cuadradores de círculos» como Goodwin que creen que pueden hacer posible lo imposible. Sin embargo, a nadie se le había ocurrido todavía la audaz idea de consagrar su descubrimiento en una ley.
Los artículos del proyecto de ley presentan lagunas e incluso se contradicen. Y ahí está la frase clave:
«La relación entre el diámetro y la circunferencia (del círculo) es de cinco cuartos a cuatro». Esto significa que π, la relación inversa, es de 4 a 5/4, es decir, de 16/5 o 3,2.
Por lo que se ve, este desvarío ha pasado sin más por varias comisiones del parlamento sin que se alzara ni una voz crítica. «La ley más extraña que jamás se ha promulgado en Indiana», escribe al día siguiente el Indianapolis Sentinel. Son unos campesinos, todos campesinos, piensa Waldo cuando ve que el diputado Record se apresura hacia él.
—¡Es un genio, ese Goodwin —exclama el diputado fuera de sí—. Y qué generoso. Se lo puedo presentar, si lo desea. No dudo de que le explicará sus descubrimientos.
—Gracias —contesta Waldo secamente—. Ya conozco a bastantes locos.
Son varios los que han escuchado las palabras de Waldo y le preguntan qué quiere decir con ellas.
—Están ustedes a punto de convertirse en el hazmerreír del mundo científico para todo el siglo que viene —les espeta Waldo—. Por suerte todavía tiene que votar el Senado. Con mucho gusto les mostraré esta noche en un seminario de geometría que esta ley es una supina idiotez.
Los representantes del pueblo guardan silencio. Un pequeño grupo de ellos se reúne más tarde en un pequeño despacho y escucha las explicaciones de Waldo sobre la imposibilidad de cuadrar el círculo y la irracionalidad del número π.
Pocos días después, el proyecto de ley que más tarde sería conocido por el nombre de «ley de pi» (en la que, por cierto, la palabra «pi» no aparece ni una sola vez) se somete a votación en la segunda cámara. En menos de una semana, la actitud ha cambiado totalmente. El Indianapolis News del día siguiente informa de que «los senadores estuvieron bromeando sobre la ley y burlándose de ella. La chirigota duró media hora. El senador Hubbell criticó que el Senado, que le cuesta al Estado 250 dólares al día, perdiera el tiempo con esas tonterías». Y el Indianapolis Journal se mofa: «El Senado también podría decretar que el agua fluyera montaña arriba».
No se discute sobre el contenido de la jerga de Goodwin, sino que todos están de acuerdo en que estas cosas no se pueden regular por ley. El senador Hubbell propone que la decisión sobre la ley se aplace por tiempo indefinido. La famosa «ley de pi» desaparece en un cajón, donde continúa durmiendo el sueño de los justos.
El número irracional más famoso
Los Goodwin de este mundo todavía no se han extinguido y sigue habiendo personas que intentan cuadrar el círculo en cientos de hojas de papel repletas de dibujos, por mucho que desde hace ya tiempo se haya demostrado teóricamente la imposibilidad de este propósito.
«Dibujo con compás y regla»: esta tarea clásica implica que solo se pueden trazar líneas rectas y circunferencias (la regla no tiene escala métrica) y delimitar magnitudes con ayuda del compás. Expresado en el lenguaje algebraico, permiten sumar y multiplicar números, determinar el recíproco de un número y sacar la raíz cuadrada del mismo. La relación entre circunferencia y diámetro de un círculo, o sea, el número π, no solo es un número irracional, sino también trascendente, es decir, que no puede representarse como solución de una «ecuación algebraica», en la que solo aparecen números naturales, sus potencias y sus raíces. Esto lo diferencia, por ejemplo, de la raíz cuadrada de dos, que también tiene una cantidad infinita de decimales que no se repiten, pero que puede representarse como solución de la ecuación x2 = 2.
¿Cómo entonces se puede calcular π si no existe la ecuación correspondiente? En la Antigüedad se dibujaban círculos y se medían; así, entre los egipcios y los babilonios ya existían valores aproximados racionales de π: 25/8 o 256/81.
Los primeros cálculos sistemáticos de π los emprendió Arquímedes, quien observó lo siguiente: si se dibujan dos polígonos regulares —digamos que dos cuadrados— de manera que el más pequeño se sitúe dentro del círculo tocando con sus esquinas la circunferencia y el más grande toque con sus lados la circunferencia por fuera, a medida que aumenta el número de lados se reduce la diferencia entre la figura exterior y la interior, y si entonces se calcula el valor medio de los dos perímetros, este se acercará cada vez más al número π. En el siguiente gráfico se ve claramente: la zona gris que marca la diferencia entre las dos figuras empequeñece progresivamente.

Ahora bien, incluso Arquímedes ya sabía que si se conoce el perímetro de un polígono de n lados, es fácil calcular el de uno de 2n lados. Para ello no hace falta más que hacer algunas operaciones con el teorema de Pitágoras.
Contemplamos un círculo de radio 1 cuya circunferencia mide, por tanto, 2π. Supongamos que la longitud de los lados y, por tanto, el perímetro de un polígono de n lados son conocidos. Ahora dividimos entre 2 cada uno de los n ángulos interiores, obteniendo así un polígono de 2n lados.

La incógnita que buscamos es s2n. Este segmento es el lado más largo de un triángulo rectángulo, por lo que aplicando el teorema de Pitágoras obtenemos:
![]()
![]()
![]()
Esto se puede resolver con ayuda de la ecuación ya vista, despejando d:
![]()
Esta ecuación tiene dos soluciones, pero a nosotros solo nos interesa la de signo negativo, pues está claro que d es menor que 1. La fórmula se complica, pero ahora se trata de aguantar el chaparrón:

Por suerte, todo se simplifica sustituyendo en la fórmula de s2n:

![]()


![]()

![]()
¿Qué ocurre? Los lados del polígono se acortan cada vez más. En la ecuación:
![]()
Hay secuencias que convergen hacia π y no son tan sensibles a los errores de redondeo como esta. De todos modos, con medios matemáticos rudimentarios hemos logrado determinar el valor de π hasta ocho decimales.
También es posible expresar π mediante una serie infinita, es decir, en forma de una suma con un número infinito de sumandos. El pensador Gottfried Wilhelm Leibniz (1646-1716) halló la siguiente:
![]()
Si el lector se sorprende por esta representación de π, se asombrará todavía más cuando vea lo que hizo el matemático Leonhard Euler (1707-1783) con ella, mostrando de paso la existencia de una extraña relación de π con los números primos.
Euler llama A a la serie anterior y acto seguido divide el conjunto entre 3:
![]()
![]()
![]()
![]()

![]()
![]()
Recordemos que las letras B, C, D... no eran más que variables auxiliares, y si ahora sustituimos todo, obtenemos:
![]()
![]()
![]()
Ejercicio
Tendemos una cinta de unos 40.000 kilómetros de longitud lo más prietamente posible alrededor del ecuador. Si acto seguido la alargamos 1 metro, ¿estará suficientemente suelta como para que pueda pasar por debajo un ratón?
Solución
Si se alarga la cinta 1 metro, el radio crece 1/2π = 0,16 metros. Por tanto, la cinta se separa 16 centímetros de la superficie alrededor del globo.
Las matemáticas constituyen un ámbito del saber muy amplio con numerosas subdisciplinas, de las que cada una tiene cientos de teoremas y fórmulas. Aun así, hay unas cuantas fórmulas, conceptos y reglas básicos con los que nos encontramos una y otra vez. Por ejemplo, el teorema de Pitágoras que de alguna manera está presente en casi todos los teoremas fundamentales de la geometría y en casi todos los problemas geométricos prácticos.
Si uno comprende estas cuestiones básicas y las memoriza, podemos decir que está pertrechado para abordar gran parte de las matemáticas. La relación no es completa: faltan, por ejemplo, el cálculo integral y la trigonometría, que se sitúan un poco más allá del horizonte de este libro.
Fórmulas binomiales
Al elevar una suma al cuadrado, lo que se expresa en forma de (a + b)2, muchos piensan que es lo mismo que a2 + b2; pero esto es un típico error escolar. En realidad, el cuadrado de la suma es mayor que la suma de los cuadrados. La diferencia es lo que nos indica la primera fórmula binomial.
Esta fórmula (y sus dos hermanas) se puede calcular algebraicamente multiplicando los dos paréntesis (a + b) × (a + b) con arreglo a la regla distributiva. Pero también podemos imaginarnos la cuestión geométricamente, cosa que tal vez resulte más comprensible.
1a fórmula binomial:
(a + b)2 = a2 + 2ab + b2
2a fórmula binomial:
(a - b)2 = a2 - 2ab + b2
3a fórmula binomial:
(a + b) × (a - b) = a2 – b2
Ecuaciones de segundo grado
Las ecuaciones en las que la incógnita x aparece elevada al cuadrado no son tan fáciles de resolver como las lineales, donde la x figura sin exponente.
Las ecuaciones de segundo grado aparecen tan a menudo en la práctica que vale la pena aprender de memoria la fórmula de ambas soluciones.
Para resolver una ecuación de segundo grado, en primer lugar hay que transponerla a la llamada forma normal. Es decir, se trasladan todas las expresiones a un lado y se clasifican en elementos con x2, x y términos sin variable.
Por ejemplo: la ecuación
3x2 + 12 − 6x = 10 + x2 + 16x
2x2 - 22x + 2 = 0
x2 - 11x + 1 = 0
x2 + px + q = 0


Si el elemento bajo la raíz cuadrada es negativo, entonces la ecuación no tiene solución, si es positivo, tiene dos soluciones; y si es igual a cero, entonces la parábola toca el eje x en un punto y solo existe una solución. Así, el ejemplo numérico desarrollado más arriba tiene la siguiente solución:

x2 + px + q = (x - n1) ⋅ (x - n2)
Multiplicando los dos paréntesis del miembro derecho y transponiendo los elementos, se obtienen las siguientes fórmulas de p y q:
p = - (n1 + n2)
q = n1 × n2
La jerarquía de los números
Números racionales, números reales, números trascendentes: ¿qué significan estas distintas categorías de números? Existe una jerarquía en el mundo de los números, y cada una de estas categorías se apoya en otra. Casi todas se crearon porque los matemáticos sentían que una sola era demasiado limitada.
Uno, dos, tres, cuatro, cinco, seis, siete...: la base de todo cálculo son los números naturales. Estos son fruto de la Creación, como dijo una vez el matemático Leopold Kronecker, todo lo demás es obra humana. En esta categoría se incluye también, a veces, el cero. Se pueden sumar y multiplicar entre sí, y siempre resulta otro número natural. En cambio, no siempre se pueden restar: por ejemplo, 5 menos 8 no da un número natural.
Para resolver este dilema se crearon los números enteros, que abarcan los números naturales y los números negativos enteros. Todos estos números se pueden sumar, multiplicar y restar entre ellos a voluntad, pero no dividir, ya que, por ejemplo, 1 : 2 no da un número entero. Por eso se amplió el reino de los números enteros al de los números racionales, que abarcan todas las fracciones de números enteros. La única excepción es que no se pueden dividir entre 0. (El ámbito de los números racionales no puede ampliarse de modo que admitan la división entre 0.) Ahora tenemos que es posible ejecutar las cuatro operaciones aritméticas básicas casi sin limitación alguna. Si representamos números racionales con fracciones decimales, detrás de la coma puede haber una cantidad finita de cifras o un grupo de cifras que se repite periódicamente, como en 1/3 = 0,3333...
Pero cuando se desea sacar una raíz, entonces los números racionales chocan con sus limitaciones. La raíz cuadrada de 2 no es un número racional, como ya observaron con desasosiego los propios pitagóricos.
La siguiente ampliación del reino de los números abarca los números algebraicos, que podemos imaginar como el conjunto de los números racionales y todas las raíces de los mismos y sus combinaciones (aunque no es posible sacar la raíz de un número negativo). Pero con esto todavía no se ha acabado la historia. Existen series de números algebraicos que tienden a un valor límite que a su vez no es un número algebraico. Ejemplos de ello son el número π y el número e. La representación decimal de estos números trascendentes no se diferencia a simple vista de las raíces irracionales: en este caso también aparece, detrás de la coma, una serie interminable de cifras que aparentemente no siguen ninguna pauta.
Ampliando los números algebraicos a los trascendentes, tenemos finalmente los números reales. Estos abarcan prácticamente todos los puntos situados en la recta numérica y con ellos podemos calcular casi sin limitación. Lo que sigue siendo imposible es dividir entre 0 y sacar la raíz de números negativos.
Si se permite esto último y se define un número i como la raíz cuadrada de −1 (de este modo se puede obtener la raíz cuadrada de cualquier número negativo), entonces llegamos a los llamados números complejos.
Potencias y logaritmos
Elevar un número a la n potencia, si n es un número entero, no significa otra cosa que multiplicar ese número n veces por sí mismo.
![]()
![]()
![]()

![]()
![]()
Hoy en día ya no necesitamos tablas logarítmicas porque cualquier móvil tiene una calculadora. No obstante, los logaritmos siguen siendo útiles cuando se calcula con grandes números, que gracias a los logaritmos son más manejables. Para ello modificamos un poco el método de cálculo y podemos multiplicar números enormes casi sin necesidad de una calculadora. Por ejemplo, si queremos saber el producto de 567.836.120 por 6.732.987, procedemos así:

Contar bien
En el cálculo de probabilidades se trata de comparar el número de acontecimientos «favorables» con el número de acontecimientos posibles. O sea que hay que contar, y aunque se trata de una operación sencilla, la mayoría de errores se producen al contar.
Casi todos estos cálculos se pueden reducir a cuatro casos simples, que se resumen en el llamado «modelo de la urna». Se trata de unas bolas numeradas que hay que sacar de una urna sin mirar adentro (no me pregunten por qué llaman «urna» a esa cosa; normalmente nadie mete la mano en una urna electoral o de cenizas del crematorio). En la tal urna hay n bolas, de las que se sacan k unidades (k, por supuesto, no puede ser mayor que n). Hay dos modos de proceder:
- Toda bola que se saca se vuelve a meter antes de sacar la siguiente.
- Las bolas sacadas permanecen fuera. El resultado se puede interpretar de diversas maneras:
- El orden en que se sacan las bolas es importante.
- El orden en que se sacan las bolas no tiene importancia.
Por consiguiente, tenemos cuatro casos que deben considerarse por separado.
1a. Ejemplo: ¿Cuántos números de cinco cifras están formados exclusivamente por las cifras 1 a 4?
Podemos imaginar una urna con 4 bolas (numeradas del 1 al 4) de la que se extrae cinco veces seguidas 1 bola que se vuelve a meter en la urna antes de sacar la siguiente. El orden en que se saca, desde luego, es importante. Para la primera cifra existen 4 variantes posibles, al igual que para la segunda, la tercera, la cuarta y la quinta. En total hay 4 × 4 × 4 × 4 × 4 = 1.024 combinaciones posibles (fórmula general: nk).
2a. Ejemplo: 12 velocistas comienzan una carrera en la que los tres que lleguen primero recibirán una medalla (oro, plata, bronce). ¿Cuántas combinaciones posibles de galardonados existen? En este caso hay que sacar 3 veces de una urna de 12 bolas, esta vez sin devolverlas a la urna, y el orden en que se sacan también es importante. Si primero se saca al que recibe la medalla de oro, hay 12 posibilidades, para la plata solamente 11 y para el bronce 10. Esto son 12 × 11 × 10 = 1.320 combinaciones posibles. En términos generales, la solución es n × (n - 1) × ... × (n - k + 1). Esto también se puede escribir de este modo:
![]()
2b. Ejemplo: ¿Qué probabilidad hay de acertar los 6 números de la lotería primitiva? En este caso está claro cómo se extraen las bolas: tal como se puede ver en televisión. En la urna hay 49 bolas y se extraen 6; ninguna de estas, por supuesto, vuelve a meterse en la urna. En primer lugar hay que calcular el número de posibles resultados según el apartado 2a: para la primera bola hay 49 posibilidades, para la siguiente 48, y así sucesivamente. Según la fórmula del último párrafo, esto da 49!/43! posibilidades, es decir, alrededor de 10.000 millones.
Sin embargo, una vez extraídas las seis bolas, estas se reordenan, normalmente en sentido ascendente, para mayor facilidad. El caso es que no importa el orden en que se han sacado las bolas. Supongamos que los números de las bolas sacadas son 1, 3, 15, 16, 47 y 48: ¿de cuántas maneras distintas podría obtenerse este resultado? Esto se calcula de nuevo con ayuda de la fórmula de 2a, con la salvedad de que ahora n y k equivalen ambas a 6. Así obtenemos el número de «permutaciones» de 6 números: 6! Este es el número entre el que hemos de dividir los 10.000 millones, obteniendo
![]()
Dado que esta cuestión aparece en muchos problemas estadísticos, se ha introducido un nuevo símbolo, que se lee «n sobre k»:
![]()
![]()
El error que se suele cometer comúnmente es que la probabilidad de uno de esos resultados no es de 1/21, porque no todos tienen la misma probabilidad. La combinación (1, 2) es el doble de frecuente que (1, 1). Para calcular la probabilidad, en realidad hay que diferenciar de nuevo los dos dados y estamos entonces en el caso 1a: hay 36 resultados que tienen la misma probabilidad. En dos de ellos salen 1 y 2, pero solo en uno salen 1 y 1. ¿Ha quedado claro?
Para terminar, veamos las cuatro fórmulas en el siguiente cuadro sinóptico:
| 1. Volviendo a meter la bola | 2. Sin volver a meter la bola | |
| a. El orden es importante | ||
| b. El orden no tiene importancia |
FUENTES
El asesino de la gasolinera
Los ejemplos de la prueba del sida y el taxi están tomados del libro Der Schein der Weisen, de Hans-Peter Beck-Bornholdt y Hans-Hermann Dubben.
El sueldo medio
Las cifras relativas a los salarios en Alemania están tomadas del análisis «Entwicklung der personellen Einkommensverteilung in Deutschland», un extracto del informe de 2006/2007 del Consejo de expertos para la evaluación de la evolución económica general.
El dilema del matrimonio
Véase una descripción detallada del «problema de la secretaria» en Strategien der besten Wahl, de F. Thomas Bruss (Spektrum der Wissenschaft, mayo de 2004, pp. 102-104).
La victoria electoral calculada
En www.wahlrecht.de hay muchos artículos sobre paradojas de nuestro sistema electoral. De esta página web he tomado también los datos de la elección al parlamento federal en la circunscripción de Dresde.
El trabajo de curso falsificado
Los auténticos valores falsificados del análisis regresivo proceden del trabajo titulado Not the First Digit! Using Benford’s Law to Detect Fraudulent Scientifi c Data, de Andreas Diekmann, de la Escuela Técnica Superior de Zúrich.
Juego limpio
La bola de la ruleta se detuvo, en efecto, 11 veces seguidas en un número rojo, concretamente en la mesa 10 del casino de juego Hohensyburg el día 10 de marzo de 2007. El casino archiva todos los resultados en www.westspiel-casinos.info.
¿Discriminación de las mujeres?
El artículo sobre la supuesta discriminación de las mujeres en Berkeley se titula «Sex Bias in Graduate Admissions: Data from Berkeley» (Science, vol. 187, n.º 4175 [1975], pp. 398-404). El ejemplo de las líneas aéreas estadounidenses está tomado del artículo «How Numbers Are Tricking You», de Arnold Barnett (Technology Review, octubre de 1994, pp. 39-45).
Fantasías de hombre
El problema de la lata de cerveza y de las piernas está tomado del libro Mathematik ist überall, de Norbert Herrmann (Oldenbourg Verlag 2005).
El tiempo es oro
Los números de la catástrofe en el lago Victoria están tomados del artículo «Wasserhyazinthe - Fluch oder Chance», de Heide von Seggern, de la Universidad de Bremen. El modelo discreto de los depredadores y presas que menciono es de Franz Schoberleitner, de la Academia Pedagógica Federal de Alta Austria en Linz.
Planificación de rutas
La idea para este capítulo, y en particular los métodos de aproximación, se describen en el artículo «Das Problem des Handlungsreisenden», de Joachim Jäger y Hans Schupp (mathematik lehren, n.º 81, pp. 21-51).
En las calles de Manhattan
La vista oral que describo en este capítulo corresponde a la causa «People vs. James Robbins», que tuvo lugar en octubre y noviembre de 2005 ante la audiencia del Estado de Nueva York.
Matemáticas que suenan
Bradley Lehman publicó su teoría sobre el «Código de Bach» en el artículo «Bach’s extraordinary temperament: our Rosetta Stone» (Early Music, vol. 23, n.º 1 [2005]).
¿Todo fluye?
En el artículo «Mathematik des Autoverkehrs» (Matemática del tráfi co automovilístico), de Matthias Risch (Mathematisch-naturwissenschaftlicher Unterricht, vol. 59, n.º 7 [2006], pp. 405-406) he encontrado ideas básicas sobre la matemática de los atascos.
El cuadrador de círculos
He encontrado una descripción detallada de los sucesos que rodearon a la «ley de pi» del Estado de Indiana en la página web del Department for Agricultural Economics de la Purdue University de Indiana. La representación de pi como raíz continua la he retomado del artículo «Pi, e und Kettenwurzeln», de Clemens Hauser (Mathematischnaturwissenschaftlicher Unterricht, vol. 56, n.º 4 [2003], pp. 201-203). La extraña fórmula de Euler se describe en «Was hat dis Kreiszahl π mit Primzahlen zu tun?», de Hermann Hammer (Mathematisch-naturwissenschaftlicher Unterricht, vol. 57, n.º 4 [2004], pp. 211-214).