La naturaleza y los griegos
Erwin Schrödinger
A mi amigo A. B. Clery, en agradecimiento por su inestimable ayuda.
En sus años de docencia en una institución universitaria de Dublín, el profesor Schrödinger, premio Nobel de Física, se distancia (relativamente) de sus investigaciones directas en física teórica para consagrarse a una reflexión sobre el concepto mismo que se halla en el origen de la disciplina: physis, término equívocamente vertido por naturaleza , que Schrödinger se propone iluminar a partir de la percepción que de ella tienen los más arcaicos pensadores griegos; resultado de tal reflexión es este pequeño libro. Su importancia no reside en el grado de erudición filosófica del autor (que sin embargo para sí quisieran muchos profesores de la disciplina) y ni siquiera en su indudable autoridad para vincular la historia de la filosofía a la historia de la ciencia. Lo que llama la atención es sobre todo la disposición de espíritu con la que el ilustre científico acomete la tarea de hurgar en los textos presocráticos. Textos que no cabe aún catalogar propiamente ni de científicos ni de filosóficos y ello porque tal división encuentra origen en un singularísimo rasgo de la operación de pensar que se va fraguando por vez primera en tales textos. Schrödinger parece reconocerse y deleitarse en este horizonte previo a la parcialización de las tareas del espíritu. «La filosofía de los antiguos griegos nos atrae hoy porque nunca… se ha establecido nada parecido a su altamente avanzado y articulado sistema de conocimiento y especulación sin la fatídica división que nos ha estorbado durante siglos y que ha llegado a hacerse insufrible en nuestros días», escribe el autor.Pero es más: El científico que, tras forjar las ecuaciones en las que arranca la mecánica cuántica, puso de relieve que las paradojas que esta plantea se dan asimismo en el nivel macroscópico, el científico que en mayor medida contribuyó a subvertir los pilares sobre los que creíamos asentada la teoría del conocimiento, se propone determinar inequívocamente dónde reside la importancia del pensamiento griego (al que tantos se acercan de forma puramente beata) alcanzando a señalar que lo fundamental estriba en el doble rasgo siguiente: a) allí se instaura la convicción de que el mundo en nuestro entorno es cognoscible, y b) se considera que el sujeto que conoce es neutro respecto a la entidad conocida y al propio acto de conocer.
La reflexión de Schrödinger nos conduce así hasta el advenimiento de algo que a priori no era necesario ni evidente, que para nosotros llegó sin embargo a ser la evidencia misma y que, precisamente tras Schrödinger (junto a otros grandes científicos de nuestro tiempo), ha dejado de ser tal.
En este discurrir sobre los griegos no deja jamás de estar presente la mirada del físico cuántico. El nombre de Schrödinger ha quedado vinculado, de manera casi popular, al célebre apólogo del «gato enclaustrado», que recordaremos brevemente. En una caja se encuentra el felino junto a un dispositivo mortal que tiene un 50% de posibilidades de funcionar. Suponiendo que no tenemos medio de saber si ha funcionado o no, antes de que se abra la caja ignoramos si el gato está vivo o muerto; hasta ahí todo normal. Mas según los principios de la mecánica cuántica, el investigador que ha construido la situación ha superpuesto un estado que implica gato vivo y un estado que implica gato muerto. Ahora bien, tal superposición cuenta entre los rasgos constitutivos del fenómeno que se investiga; por consiguiente, no se trata tan sólo de que no sepamos (antes de abrir la caja) si el gato está vivo o muerto, se trata de que está a la vez vivo y muerto, el gato está en el limbo, por así decirlo.
Muchas han sido las controversias en torno a la significación real de tal apólogo y en general respecto a las paradojas de la mecánica cuántica. En cualquier caso ¡Kant jamás se hubiera permitido ignorarlas! (Contrariamente a tantos «metafísicos» actuales que creen poder permanecer indiferentes a las ecuaciones de Schrödinger).
En un pasaje central de su reflexión, Schrödinger se refiere a las teorizaciones en las que el ideal del conocimiento científico parece quedar reducido al de computar y describir los fenómenos renunciando así a toda dimensión explicativa . Los orígenes de tal concepción se remontan como mínimo a un célebre texto de los Principia de Newton del cual no tenemos espacio para ocuparnos. Señalemos tan sólo que en él se erige en soporte teorético exclusivo de la ciencia, la llamada «filosofía experimental», en la cual —escribe Newton— «se extraen proposiciones de los fenómenos y después se generaliza por inducción». Según tal filosofía, sabiendo cómo cae un cuerpo es ocioso preguntarse por qué cae (hipothesis non fingo , dice Newton al respecto). No es discutible que la actividad consistente en computar, describir, generalizar por inducción y efectuar previsiones aparecería así como modelo único de cientificidad, respecto al cual quedaría como residuo de espiritualidad adolescente una ciencia vinculada a la filosofía propiamente dicha; aquella filosofía que, en términos de Leibniz, «busca siempre la razón»: esa razón sin la cual Kant (tan newtoniano por otra parte) negaba el derecho a decir «todo cuerpo es pesado» por mucho que la gravedad fuera constatada por doquier.
Pues bien, esta ruptura de facto entre filosofía y física está a punto de ser superada, y ello como resultado de la interrogación de los propios físicos, aguijoneados por la aparición en sus teorías de lagunas de inteligibilidad que les parecen a ellos mismos escandalosas y que desde luego lo son mucho menos que el evocado hypothesis non fingo . No se trata sólo de que algunas de las cuestiones planteadas por la relatividad y la teoría cuántica hayan llegado a ser centrales en la filosofía de la ciencia. Se trata, fundamentalmente, de que la física contemporánea tiende intrínsecamente a convertirse en reflexión sobre los conceptos que constituyen el soporte no sólo de la propia disciplina, sino quizá de todo conocimiento humano, y que al efectuar tal viraje, la física encuentra exactamente los mismos problemas que constituyen el núcleo duro de la filosofía, a saber, la teoría de las determinaciones del ser u ontología . Para la propia filosofía, la mediación de sus problemas clásicos por las reflexiones precedentes de los físicos constituye auténtico alimento revitalizador, que restaura la frescura originaria y le otorga nueva legitimidad. De ahí la importancia que dábamos a la disposición misma del autor de este pequeño texto.
Víctor Gómez Pin
Universidad Autónoma de Barcelona
Capítulo 1
Razones de un retorno al pensamiento antiguo
Pocos meses más tarde, en mayo, disertando acerca del mismo tema en el University College de Londres (Conferencias Shearman, 1948), ya me sentí bastante más seguro de mí mismo. El apoyo inicial que había encontrado en eruditos del mundo clásico tan eminentes como Theodor Gomperz, John Burnet, Ciryl Bailley y Benjamín Farrington —algunas de cuyas agudas observaciones serán más tarde citadas— hizo que muy pronto tomara conciencia de que no había sido ni el azar ni una predilección personal lo que me había inducido a sumergirme en profundidad en veinte siglos de la historia del pensamiento —a diferencia de otros científicos que respondían al ejemplo y la exhortación de Ernst Mach—. Lejos de ceder a un extravagante impulso, había sido arrastrado inadvertidamente, como sucede a menudo, por una tendencia del pensamiento enraizada de alguna manera en la situación intelectual de nuestro tiempo. En efecto, en el corto plazo de uno o dos años se habían publicado varios libros de autores que no eran eruditos clásicos, sino personas interesadas sobre todo en el pensamiento científico y filosófico de nuestros días; no obstante habían dedicado una parte sustancial de su trabajo de erudición a escrutar en los escritos antiguos las más tempranas raíces del pensamiento moderno. Cabe citar Growth of Physical Science (Desarrollo de la ciencia física), la obra póstuma del difunto Sir James Jeans, eminente astrónomo y físico, ampliamente conocido por el gran público por sus brillantes y celebradas obras de divulgación, así como la maravillosa Historia de la filosofía occidental, de Bertrand Russell, sobre cuyos méritos no creo que sea preciso extenderse aquí; únicamente quisiera recordar que Bertrand Russell inició su brillante carrera como filósofo de las matemáticas modernas y de la lógica matemática. Alrededor de una tercera parte de cada uno de estos libros se ocupa de la Antigüedad. Por la misma época recibí un hermoso volumen de similar perfil, titulado Die Geburt der Wissenschaft (El nacimiento de la ciencia), que me envió su autor, Anton von Mörl, quien no es ni estudioso de la Antigüedad ni de la ciencia ni tampoco de la filosofía; tuvo la desgracia de ser el jefe de la policía (Sicherheitsdirector) del Tirol en la época en que Hitler entró en Austria, crimen que le supuso varios años en un campo de concentración; afortunadamente sobrevivió a la prueba.
Ahora bien, si estoy en lo cierto al considerar esta vuelta a las raíces una tendencia general de nuestro tiempo, entonces las preguntas surgen con toda naturalidad: ¿cómo surgió esta tendencia?, ¿cuáles fueron sus causas?, ¿cuál es su auténtica significación? Cuestiones a las que es difícil contestar exhaustivamente incluso en el caso de que la tendencia del pensamiento considerado se sitúe lo bastante lejos en la historia como para que tengamos una buena perspectiva de la situación humana global de la época. Cuando se trata de un desarrollo reciente cabe esperar como máximo poner de relieve uno u otro de los hechos o rasgos que han contribuido a él. En el presente caso son, creo, dos las circunstancias (entre aquellas que afectan a la historia de las ideas) que pueden explicar parcialmente esta acusada inclinación retrospectiva: la primera se refiere a la fase intelectual y emocional en la que en general la humanidad se halla en nuestros días; la segunda es la singular situación crítica en la que prácticamente todas las ciencias fundamentales se encuentran envueltas de manera cada vez más desconcertante (en contradicción con sus florecientes derivaciones, como la ingeniería, la química aplicada —incluida la nuclear—, la medicina y las técnicas quirúrgicas). Permítaseme explicar brevemente estos dos puntos, comenzando por el primero.
Como Bertrand Russell ha señalado recientemente con especial claridad [1] , el creciente antagonismo entre religión y ciencia no surgió de circunstancias accidentales ni tiene su causa, hablando en términos generales, en la mala voluntad de una u otra parte. Un número considerable de recelos mutuos es, lamentablemente, natural y comprensible. Uno de los objetivos, si no la tarea primordial, de los movimientos religiosos ha sido siempre el de redondear la siempre incompleta comprensión de la insatisfactoria y perpleja situación en la que el hombre se encuentra en el mundo: cerrar la desconcertante «apertura» de la perspectiva resultante de la mera experiencia, con vistas a aumentar su confianza en la vida y fortalecer su natural benevolencia y simpatía hacia el prójimo, innatas según creo, pero supeditadas a las desventuras personales y a los zarpazos de la miseria. Ahora bien, para satisfacer al hombre corriente, no cultivado, este completar la fragmentaria e incoherente imagen del mundo debe proporcionar entre otras cosas una explicación de todos aquellos rasgos del mundo material que no han sido hasta ahora comprendidos o que lo han sido de manera no accesible al hombre de la calle. Esta exigencia es raramente pasada por alto, por la sencilla razón de que, como norma, es compartida por la persona o personas que, en virtud de su carácter sobresaliente, su inclinación sociable y su profunda comprensión de las cuestiones humanas, tienen prevalencia sobre las masas y la capacidad de producir entusiasmo con su luminosa enseñanza moral. Sucede no obstante que tales personas, por lo que concierne a su educación y fuera de las extraordinarias cualidades señaladas, han sido por lo general bastante corrientes. Su visión del universo material sería de facto tan precaria como la de quienes les siguen. En cualquier caso la difusión de las novedades en torno a esta cuestión (en el caso de que las conocieran) les parecería irrelevante para sus objetivos.
Si consideramos el pasado, este asunto tenía poca o ninguna importancia. Pero con el transcurso de los siglos, particularmente tras el renacimiento de la ciencia en el siglo XVII, comenzó a tener mucha. Por una parte, la enseñanza de la religión estaba codificada y petrificada, mientras que, por otra, la ciencia vino a transformar —por no decir desfigurar— la vida cotidiana mucho más de lo que se admitía y en consecuencia vino a entrometerse en la mente de cada hombre. De esta forma, el recelo mutuo entre religión y ciencia fue creciendo cada vez más. El problema no se reduce a las bien conocidas controversias sobre si la Tierra se mueve, o sobre si el hombre es un descendiente del reino animal; tales barreras de separación pueden ser vencidas, y en gran medida lo han sido. El equívoco se halla mucho más profundamente enraizado. Al ampliarse la explicación sobre la estructura material del mundo, y sobre la forma en que nuestro entorno y nuestra propia corporalidad alcanzaron, por causas naturales, la condición presente (haciendo que este conocimiento fuera accesible a cualquiera que estuviera interesado en ello) la visión científica del mundo fue arrebatando sigilosamente (tal como muchos temían) máximas parcelas de las manos de la divinidad, apuntando así a un mundo autosuficiente en el cual Dios corría el peligro de convertirse en un adorno gratuito. No haríamos justicia a quienes abrigaban tal temor si afirmáramos que era totalmente infundado. Podían surgir, y ocasionalmente surgieron, recelos social y moralmente peligrosos, desde luego no en aquellos que eran muy sabios, sino en quienes creían serlo más de lo que en realidad eran.
Igualmente justificada es, sin embargo, una aprensión en cierto modo complementaria y que ha obsesionado a la ciencia desde sus comienzos. La ciencia debe mantenerse vigilante frente a incompetentes interferencias de la otra parte, particularmente cuando llevan disfraz científico; recuérdese a Mefisto, quien, con el traje prestado de Doctor, se burla con bromas irreverentes del ingenuo estudioso. Lo que intento decir es que la búsqueda honesta del conocimiento a menudo requiere permanecer en la ignorancia durante un periodo indefinido. En lugar de llenar los huecos por mera conjetura, la ciencia auténtica prefiere asumirlos; y no tanto por escrúpulos conscientes sobre la ilegitimidad de las mentiras como por la consideración de que, por fastidioso que sea el vacío, su superación mediante impostura elimina el imperativo de perseguir una respuesta admisible. La atención puede quedar tan distraída que la respuesta se nos escape incluso cuando la suerte nos la pone al alcance de la mano. La firmeza en asumir un no liquet, considerándolo como un estímulo y una señal de partida para indagaciones ulteriores, es una disposición natural e indispensable en la mente de un científico. Esto basta por sí solo para situarle en discrepancia con la tendencia religiosa de redondear la imagen, a menos que cada una de las dos actitudes antagonistas, ambas legitimadas desde el punto de vista de sus fines respectivos, se aplique con prudencia.
Tales lagunas (que provocan fácilmente la impresión de ser vulnerables puntos débiles) son en ocasiones explotadas por personas que ven en ellas no un incentivo para una investigación ulterior, sino un antídoto contra su temor de que la ciencia pueda llegar a «explicarlo todo», privando al mundo de su interés metafísico. Se aventura entonces una nueva hipótesis, como cualquiera, por supuesto, está autorizado a hacer en tales circunstancias. A primera vista tal hipótesis parece firmemente anclada en datos obvios. Uno sólo se pregunta por qué esos datos, o la facilidad con que la explicación propuesta se sigue de ellos, se nos han escapado a todos los demás. Pero esto no constituye en sí mismo una objeción, puesto que es precisamente la situación a la que tan a menudo nos enfrentamos cuando se trata de genuinos descubrimientos. No obstante, una inspección más cuidadosa revela el verdadero carácter de la empresa (en los casos que tengo en mente) por el hecho de que, aunque aparentemente tienda a una explicación aceptable dentro de un espectro suficientemente amplio de investigación, de facto está en discrepancia con los principios generalmente establecidos de la ciencia, los cuales pretende o bien pasar por alto, o bien menoscabar. Darles crédito, se nos dice, era precisamente el prejuicio que cerraba el camino a una interpretación correcta de los fenómenos en cuestión. Sin embargo, el vigor creativo de un principio general depende precisamente de su generalidad. Al perder terreno, pierde toda su fuerza y ya no puede servir como guía fidedigna, pues en cada instancia de aplicación su competencia puede ser desafiada. Para confirmar la sospecha de que este destronamiento no es un producto accidental del proyecto, sino su siniestra finalidad, el territorio del que se invita a la jurisdicción científica a retirarse es con admirable destreza proclamado como el patio de recreo de determinada ideología religiosa, la cual no puede en realidad sacar provecho alguno de él, porque su verdadero dominio está lejos de ser algo susceptible de investigación o explicación científica.
Un ejemplo bien conocido de esta clase de intrusión lo constituyen las tentativas recurrentes por reintroducir la finalidad en la ciencia, alegando que las reiteradas crisis de la causalidad prueban que ésta, por sí sola, es impotente; de hecho porque se considera infra dig de Dios todopoderoso crear un mundo en el que desde su origen Él mismo no tendría ya derecho a intervenir. En tal caso los puntos débiles atacables son obvios. Ni en la teoría de la evolución ni en el problema materia-mente ha sido la ciencia capaz de bosquejar satisfactoriamente la conexión causal, ni siquiera para sus más ardientes discípulos. Se introducen así vis viva, élan vital, entelequia, totalidad, mutaciones dirigidas, mecánica cuántica del libre albedrío, etcétera. Mencionaré como curiosidad un elegante volumen [2] , impreso en mucho mejor papel y de forma mucho más lujosa de lo que acostumbraban por aquellos tiempos los autores británicos. Tras un sólido y erudito informe sobre la física moderna, el autor se embarca alegremente en cuestiones relativas a la teleología o finalidad del interior del átomo, e interpreta de esta manera todas sus actividades, los movimientos de los electrones, la emisión y absorción de radiación, etcétera.
And hopes to please by this peculiar whim the God who fashioned it and gave it him [3].Pero volvamos a nuestra cuestión general. Estaba intentando exponer las causas intrínsecas de la hostilidad natural entre ciencia y religión. Las disputas que estallaron entre ellas en el pasado son demasiado conocidas como para requerir más comentarios. Por otra parte, no es esto lo que nos concierne ahora. Por deplorables que fueran, tales disputas reflejaban un interés mutuo. Los científicos por una parte, y los metafísicos por otra, tanto oficiales como eruditos, eran conscientes de que sus esfuerzos por afianzar el propio punto de vista se referían después de todo al mismo objeto: el hombre y su mundo. Se percibía aún como una necesidad la clarificación de la divergencia de opiniones, algo que todavía no se ha alcanzado. La relativa tregua a la que hoy asistimos, al menos entre la gente culta, no ha sido fruto de una armonización de ambos puntos de vista, el estrictamente científico y el metafísico, sino más bien de la decisión de ignorarse mutuamente, no sin cierta dosis de desprecio. En un tratado de física o biología, aunque sea divulgativo, se consideraría impertinente cualquier digresión sobre las implicaciones metafísicas del tema, y si un científico osara introducirla, se expondría a una crítica severa, ya sea por haber ofendido a la ciencia o a la particular rama de la metafísica a la cual se adhiere el crítico. Es patéticamente divertido observar cómo los unos sólo toman en serio la información científica, mientras los otros clasifican la ciencia entre las actividades mundanas, cuyos hallazgos son menos trascendentes y tienen, lógicamente, que dar paso, en caso de desacuerdo, al conocimiento superior obtenido a través del pensamiento puro o la revelación. Uno lamenta contemplar al género humano esforzándose por alcanzar el mismo objetivo, siguiendo dos tortuosos senderos diferentes y difíciles, con anteojeras y muros de separación, y con pocas intenciones de aunar fuerzas y alcanzar, si no un entero conocimiento de la naturaleza y la situación humana, al menos el reconocimiento consolador de la intrínseca unidad de nuestra búsqueda. Es algo deplorable, digo, y es en todo caso un triste espectáculo, en la medida en que obviamente reduce la magnitud de lo que podría alcanzarse si todo el poder del pensamiento a nuestra disposición estuviera unido sin cortes. No obstante, el perjuicio podría quizá tolerarse si la metáfora que he utilizado fuera en realidad apropiada, es decir, si verdaderamente hubiera dos grupos diferentes de personas que siguen dos senderos. Pero no es así. Muchos de nosotros no hemos decidido aún cuál de ellos seguir. A pesar suyo, cuando no con desesperación, muchos se encuentran decantándose alternativamente por una u otra perspectiva. No es ciertamente habitual que una completa educación científica satisfaga enteramente el anhelo innato de estabilización religiosa o filosófica, frente a las vicisitudes de la vida cotidiana, como si ello bastara para sentirse feliz. Lo que suele suceder es que la ciencia basta para poner en tela de juicio las convicciones religiosas populares, pero no para reemplazarlas por otra cosa. De ahí el fenómeno grotesco de mentes altamente competentes, con buena formación científica pero con una perspectiva filosófica increíblemente infantil, subdesarrollada o atrofiada.
[Y espera complacer mediante esta peculiar quimera al Dios que lo modeló y se lo otorgó.]
Si se vive en condiciones moderadamente seguras y confortables, y se las toma como norma general de lo que es la vida humana (lo que, gracias al inevitable progreso en que uno confía, lleva camino de propagarse y convertirse en universal), uno parece manejarse bastante bien sin ninguna perspectiva filosófica; si no indefinidamente, al menos hasta que uno envejece, llega la decrepitud y comienza a ver la muerte como una realidad. Pero mientras las primeras etapas del rápido avance material que vino como consecuencia de la ciencia moderna parecieron inaugurar una era de paz, seguridad y progreso, este estado de cosas ya no rige. Lamentablemente las cosas han cambiado. Mucha gente, incluso poblaciones enteras, se han visto privadas de seguridad y confort, han sido despojadas de casi todo y se enfrentan a un sombrío futuro al igual que aquellos de sus hijos que no han perecido. La mera supervivencia del hombre, no digamos el progreso continuo, han dejado de estar asegurados. La miseria personal, las esperanzas enterradas, los inminentes desastres y la desconfianza respecto a las reglas de prudencia y honestidad bastan para hacer que los hombres se aferren a una vaga esperanza (sea o no probable) de que el «mundo» o la «vida» de la experiencia se inserte en un contexto de más alta significación por más que sea inescrutable. Pero hay un muro que separa los «dos senderos», el del corazón y el de la pura razón. Miramos atrás a lo largo del muro: ¿no es posible derribarlo?, ¿ha estado siempre ahí? Si nos adentramos en la historia siguiendo su trazado por encima de montes y valles, contemplaremos una tierra muy lejana, unos dos mil años atrás, donde el muro se allana y desaparece y el sendero ya no se escinde, sino que es sólo uno. Algunos estimamos que merece la pena volver atrás y ver qué se puede aprender de esta atractiva unidad original.
Dejando de lado la metáfora, pienso que la filosofía de los antiguos griegos nos atrae hoy porque nunca antes o desde entonces, en ningún lugar del mundo, se ha establecido nada parecido a su altamente avanzado y articulado sistema de conocimiento y especulación sin la fatídica división que nos ha estorbado durante siglos y que ha llegado a hacerse insufrible en nuestros días. Entre los griegos se dio, sin duda, la más rica divergencia de opiniones, y combatieron entre sí con no menos fervor (y ocasionalmente con medios nada honorables, tales como apropiaciones no reconocidas y destrucción de escritos) que en cualquier otro lugar o periodo. Pero no había limitación en cuanto a los temas sobre los que un hombre cultivado se sentía autorizado para emitir una opinión. Se estaba todavía de acuerdo en que el verdadero problema era esencialmente uno, y que las conclusiones importantes relativas a un aspecto de éste podrían, y por regla general deberían, afectar a casi todos los demás. No se había extendido todavía la delimitación en compartimentos estancos. Por el contrario, un hombre podía fácilmente ser censurado precisamente por haber cerrado sus ojos a tal interconexión, como lo fueron los primeros atomistas por silenciar las implicaciones éticas derivadas de la necesidad universal que propugnaban y por no haber explicado cómo se habían originado el movimiento de los átomos y el observado en los cielos. Para expresarlo de una manera gráfica: uno puede imaginar a un alumno de la escuela de Atenas de visita en Abdera (con la debida precaución de que su Maestro no se enterase), recibido por el sabio, conocedor de países lejanos y mundialmente famoso anciano caballero Demócrito, al que interrogaría acerca de los átomos, la forma de la Tierra, la conducta moral, Dios o la inmortalidad del alma, sin ser censurado en ninguna de estas cuestiones. ¿Puede uno imaginar fácilmente una conversación heterogénea de ese estilo entre un estudiante y su profesor en nuestros días? Sin embargo, es seguro que buen número de jóvenes tiene un cúmulo similar —deberíamos decir singular— de interrogantes en su mente, que les gustaría discutir con una persona de confianza.
En relación al primer punto ya he avanzado mi intención de ofrecer pistas sobre el renovado interés por el pensamiento antiguo. Permítaseme ahora desarrollar el segundo punto, es decir, la presente crisis de las ciencias fundamentales.
La mayoría de nosotros cree que una ciencia idealmente lograda de los acontecimientos en el espacio y el tiempo debería ser capaz de reducirlos en principio a eventos que sean completamente accesibles e inteligibles para la física (idealizada a su vez). Pero, a principios de siglo, y precisamente desde la física, surgieron los primeros motivos de estupor —teoría cuántica y teoría de la relatividad— que hicieron tambalear los fundamentos de la ciencia. Durante el gran periodo clásico del siglo XIX, por remota que pudiera parecer la descripción en términos físicos del crecimiento de una planta o los procesos fisiológicos en el cerebro de un pensador humano o de una golondrina construyendo su nido, el lenguaje en el que eventualmente se esbozaba el relato parecía descifrable: corpúsculos, constituyentes últimos de la materia, moviéndose en mutua interacción, la cual no es instantánea, sino que es transmitida por un medio ubicuo que podemos o no llamar éter; los mismos términos «movimiento» y «transmisión» implican que la medida y la localización de todo ello son el tiempo y el espacio; éstos no tienen otra propiedad o función que constituir el escenario, por así decir, en el cual imaginamos a los corpúsculos moviéndose y transmitiendo su interacción. Ahora bien, por una parte, la teoría relativista de la gravitación viene a mostrar que la distinción entre «actor» y «escenario» no es operativa. La materia y la propagación de algo (campo u onda) que transmite la interacción debería más bien ser estimada como la trama del espacio-tiempo mismo, el cual no debería ser considerado conceptualmente como previo a aquello que hasta ahora se denominaba su contenido, al igual que no diríamos que los vértices de un triángulo son previos al triángulo. La teoría cuántica, por otra parte, nos dice que lo que formalmente se consideraba como la propiedad más obvia y fundamental de los corpúsculos (hasta el punto de que difícilmente era siquiera mencionada), a saber, su carácter de individualidades identificables, tenía sólo una significación limitada. Únicamente cuando un corpúsculo se mueve a suficiente velocidad en una región no demasiado repleta de corpúsculos del mismo tipo su identidad persiste (casi) sin ambigüedad. En caso contrario tal identidad se diluye. Y con esta afirmación no estamos simplemente indicando la incapacidad fáctica para seguir el movimiento de la partícula de referencia; la noción misma de identidad absoluta se considera inadmisible. Al mismo tiempo se nos dice que la interacción misma, cuando adopta —como frecuentemente ocurre— la forma de ondas de pequeña longitud de onda y baja intensidad, adquiere la forma de partículas claramente identificables (en contra de su descripción previa como onda). Las partículas que representan la interacción en el curso de su propagación son, en cada caso, diferentes de las que interactúan; y, sin embargo, tienen el mismo derecho a ser denominadas partículas. Para redondear el cuadro, las partículas de cualquier tipo exhiben el carácter de ondas que se hace más pronunciado cuanto más lentamente se mueven y con mayor densidad se acumulan, con la correspondiente pérdida de individualidad.
Podría reforzar mi argumentación mencionando «la disolución de la frontera entre el observador y lo observado», que muchos consideran una revolución aún más importante del pensamiento, y que a mi juicio no sería más que un aspecto provisional y exagerado carente de significación profunda. En cualquier caso, mi posición es ésta: el desarrollo moderno, tan difícil de comprender incluso por los mismos que lo han destacado, ha interferido en el esquema relativamente simple de la física, estabilizado en apariencia hacia el final del siglo pasado. Esta intrusión ha derribado parcialmente lo que se construyó sobre los fundamentos establecidos en el siglo XVII, principalmente por Galileo, Huygens y Newton. Los fundamentos mismos se han visto sacudidos. No se trata de que no estemos todavía bajo la influencia de este gran periodo. Utilizamos de continuo sus concepciones básicas, aunque en una forma que sus autores difícilmente reconocerían, y al mismo tiempo somos conscientes de haber tocado fondo. Es, pues, natural recordar que los pensadores que modelaron la ciencia moderna no partieron de la nada. Aunque fue poco lo que tomaron directamente prestado de los primeros siglos de nuestra era, revivieron y continuaron la ciencia y la filosofía antiguas. En tal fuente (impresionante tanto por su lejanía en el tiempo como por su genuina grandeza) pueden haber bebido los padres de la ciencia moderna ciertas ideas preconcebidas y asunciones no justificadas que (por la autoridad de los evocados) llegaron a perpetuarse. De haber pervivido el espíritu flexible y abierto que prevalecía en la Antigüedad, tales puntos habrían sido debatidos y eventualmente corregidos. Es más fácil detectar un prejuicio en la forma primitiva, ingenua, en la que en principio brota, que bajo la forma del sofisticado dogma osificado en el que llega a convertirse más tarde. La ciencia parece estar desconcertada por culpa de hábitos del pensamiento profundamente arraigados, algunos muy difíciles de detectar, mientras que otros ya han sido descubiertos. La teoría de la relatividad ha echado por tierra los conceptos newtonianos de espacio y tiempo absolutos, en otras palabras los conceptos, de movimiento absoluto y de simultaneidad absoluta, y ha desbancado la honorable pareja «fuerza y materia» cuando menos de su posición dominante. La teoría cuántica, a la vez que expande el atomismo casi ilimitadamente, se sumerge en una crisis más grave de lo que la mayoría está dispuesta a admitir. En conjunto la presente crisis en la ciencia fundamental moderna apunta a la necesidad de llevar a cabo una revisión de sus principios hasta los estratos más profundos.
Esto constituye, pues, un nuevo incentivo para plantear una vez más el retorno a un estudio asiduo del pensamiento griego. No se trata sólo, como apuntamos al comienzo de este capítulo, de la esperanza de desenterrar una sabiduría enterrada, sino también de descubrir el error inveterado en la fuente misma, donde es más fácil de reconocer. En la rigurosa tentativa de situarnos en la situación intelectual de los pensadores antiguos (bien poco experimentados en lo que respecta al comportamiento efectivo de la naturaleza, pero muy a menudo mucho menos parciales o mal predispuestos), podemos restaurar la libertad de pensamiento que les caracterizó —aunque posiblemente para, ayudados por nuestro superior conocimiento de los hechos, corregir aquellos de sus errores que todavía pudieran confundirnos.
Permítaseme concluir este capítulo con algunas citas. La primera se refiere a lo que acabamos de decir. Está traducida del libro de Theodor Gomperz, Griechische Denker (Pensadores griegos) [4]. A fin de confrontar la posible objeción de que no puede obtenerse ventaja práctica alguna del estudio del pensamiento antiguo, reemplazado hace tiempo por concepciones mejores basadas en una información ampliamente superior, Gomperz nos presenta una serie de argumentos que culmina en el siguiente párrafo:
«Es de la mayor importancia recordar un tipo de aplicación o utilización indirecta que debe considerarse de enorme valor. Prácticamente toda nuestra educación intelectual tiene su origen en los griegos. Un conocimiento escrupuloso de estos orígenes es pues requisito indispensable para liberarnos de su aplastante influencia. Ignorar el pasado es aquí no sólo indeseable, sino simplemente imposible. Uno no necesita conocer las doctrinas y escritos de los grandes maestros de la Antigüedad, de Platón y Aristóteles, no necesita haber oído nunca sus nombres, para estar, sin embargo, bajo el hechizo de su autoridad. Su influencia no sólo se ha dejado sentir sobre quienes aprendieron de ellos en la Antigüedad y en los tiempos modernos; todo nuestro pensamiento, las categorías lógicas en las que éste se mueve, los esquemas lingüísticos que utiliza (y que por consiguiente lo dominan), es en cierto grado una elaboración y, en lo fundamental, el producto de los grandes pensadores de la Antigüedad. Debemos investigar, pues, este devenir con toda meticulosidad, a fin de no tomar por primitivo lo que es resultado de un proceso de crecimiento y desarrollo, y por natural lo que es de facto artificial».Las siguientes líneas están tomadas del Prefacio del libro de John Burnet Early Greek Philosophy (Filosofía griega primitiva):
«… es una adecuada descripción de la ciencia el decir que en ella se trata de “pensar sobre el mundo a la manera de los griegos”. Por tal razón la ciencia nunca ha existido excepto entre los pueblos que vivieron bajo la influencia de Grecia».
Ésta es la mínima justificación que un científico puede encontrar, para excusar su tendencia a «perder el tiempo» en este tipo de estudios.
Parece en efecto necesitarse una excusa, dado que Ernst Mach, un físico y colega de Gomperz en la Universidad de Viena, a la vez que eminente historiador (!) de la física, había hablado, unas décadas antes, sobre los «escasos y pobres restos de la ciencia antigua» [5]. Continúa así:
«Nuestra cultura ha adquirido gradualmente una independencia total que la ha situado muy por encima de la de la Antigüedad. Ha seguido una senda enteramente nueva centrada en la ilustración científica y matemática. Las huellas de las antiguas ideas, todavía persistentes en filosofía, jurisprudencia, arte y ciencia, constituyen impedimentos más que ventajas, y serán a la postre consideradas insostenibles en comparación con el desarrollo de nuestra propia perspectiva».Con toda su desdeñosa rudeza, la visión de Mach presenta un punto relevante en común con el texto citado de Gomperz: el alegato relativo a la necesidad de superar a los griegos. Pero mientras Gomperz sostiene algo no trivial con argumentos obviamente ciertos, Mach remacha el aspecto trivial con grandes exageraciones. En otros pasajes de la misma obra recomienda un curioso método para situarse por encima de la Antigüedad: olvidarse de ella e ignorarla. En esto, que yo sepa, ha tenido poco éxito; afortunadamente, pues los errores de los grandes hombres, de ser expuestos a la par que los descubrimientos de su genio, son susceptibles de producir grandes estragos.
Capítulo 2
La rivalidad Razón - Sentidos
No entraremos por el momento en esta cuestión fundamental. Antes bien, con vistas a preparar la respuesta, quisiera introducir al lector en las partes del antiguo pensamiento griego que considero relevantes en nuestro contexto. Para ello no adoptaré un orden cronológico, pues ni pretendo ni me considero competente para escribir una breve historia de la filosofía griega, habiendo tantas y tan buenas, modernas y atractivas (particularmente las de Bertrand Russell y Benjamin Farrington) a disposición del lector. En lugar de seguir un orden cronológico dejémonos llevar por la intrínseca conexión de los temas. Ello permitirá ensamblar las ideas de varios pensadores sobre el mismo problema, en lugar de atenernos a la actitud de un solo filósofo, o de un grupo de sabios, frente a las más variadas cuestiones. Son las ideas lo que intentamos reconstruir aquí, no las personas o las mentes aisladas. Así que elegiremos dos o tres ideas directrices o motivos de reflexión, que brotaron en una etapa temprana, mantuvieron las mentes alerta en la Antigüedad y se encuentran en íntima conexión, si no en relación de identidad, con problemas que tienen todo el vigor de las agitadas disputas actuales. Sintetizando las posturas de los antiguos pensadores en torno a estas ideas directrices, sentiremos que sus momentos tanto de entusiasmo como de desaliento intelectual nos son más próximos de lo que a veces se sospecha.
Un amplio tema de discusión, dada su enorme importancia en la filosofía natural de los antiguos desde su propio origen, tiene relación con la veracidad de los sentidos. Bajo este título se plantea el problema en los tratados eruditos modernos. Se originó a partir de la observación de que los sentidos en ocasiones nos «engañan» —como cuando una barra recta, sumergida oblicuamente hasta la mitad en agua, parece quebrada—, así como de la constatación de que el mismo objeto afecta de forma distinta a personas diferentes —el ejemplo corriente en la Antigüedad era la miel, que resulta amarga al enfermo de ictericia—. Hasta hace poco algunos científicos se contentaban con la distinción entre lo que ellos denominaban cualidades «secundarias» de la materia (color, sabor, olor, etcétera) y sus cualidades «primarias», extensión y moción. Esta distinción era sin duda una derivación tardía de la antigua controversia, un intento de solución: las cualidades primarias se concebían como constituyentes del extracto verdadero e inquebrantable, destilado por la razón a partir de la información directa de los datos sensoriales. Esta perspectiva hace tiempo que no es aceptable, por supuesto, dado que la teoría de la relatividad nos ha enseñado (si es que no lo sabíamos ya antes) que el espacio y el tiempo, así como la forma y el movimiento de la materia en el espacio y en el tiempo, son elaboradas construcciones hipotéticas de la mente, en absoluto inquebrantables, mucho menos todavía que las sensaciones directas, para las cuales debe reservarse el epíteto «primario» (si es que algo merece tal apelativo).
Pero la cuestión de la veracidad de los sentidos es sólo el preámbulo de otras mucho más profundas, que siguen en vigencia hoy día y de las cuales algunos de los pensadores de la Antigüedad estaban enteramente al corriente. ¿Se basa nuestra imagen del mundo únicamente en las percepciones de los sentidos? ¿Qué papel juega la razón en su construcción? ¿Reposa quizás esta construcción en último extremo exclusivamente en la razón pura?
En el horizonte del triunfal avance de los descubrimientos experimentales del siglo XIX, cualquier perspectiva filosófica con una fuerte inclinación hacia la «razón pura» era verdaderamente mal recibida por los científicos destacados. Esto ya no es así. El desaparecido Sir Arthur Eddington se sentía cada vez más emocionalmente vinculado a la teoría de la razón pura. Aunque pocos lo siguieran hasta este extremo, su exposición fue admirada en lo que tenía de ingeniosa y fructífera. Max Born creyó necesario, sin embargo, escribir un panfleto como refutación. Sir Edmund Whittaker casi suscribía la afirmación de Eddington de que algunas constantes puramente empíricas pueden inferirse ostensiblemente de la razón pura, por ejemplo el número de partículas elementales del universo. Dejando de lado los detalles y considerando desde una perspectiva amplia el esfuerzo de Eddington, surgido de una sólida confianza en la sensatez y simplicidad de la naturaleza, tales ideas no nos parecen en absoluto aisladas. Incluso la maravillosa teoría de la gravitación de Einstein, basada en evidencias experimentales firmes y sólidamente afianzadas en nuevos hechos observacionales predichos por él, sólo pudo ser descubierta por un genio con fuerte inclinación por la simplicidad y la belleza de las ideas. Las tentativas de generalizar su magna y triunfante concepción para unificar el electromagnetismo y la interacción de las partículas nucleares respondían a la esperanza de «conjeturar» en gran medida el modo en que la naturaleza trabaja realmente, apoyándose en los principios clave de simplicidad y belleza. De hecho, derivados de esta actitud impregnan, quizá demasiado, el trabajo en la física teórica moderna, pero no es éste el lugar para las críticas.
Los puntos de vista más enfrentados en cuanto a la construcción a priori, a partir de la razón, del comportamiento efectivo de la naturaleza puede decirse que están representados en la actualidad por los nombres de Eddington por una parte y, si se me permite, Ernst Mach por otra. El abanico completo de posibles actitudes entre estos límites y el vigor con que se sostiene un punto de vista, defendiéndolo y atacando, si no ridiculizando, la alternativa contraria tiene notables representantes entre los grandes pensadores de la Antigüedad. No sabemos realmente si asombrarnos de que estos pensadores, con su conocimiento infinitamente inferior de las leyes efectivas de la naturaleza, pudieran desplegar una diversidad tan grande de opiniones acerca de sus fundamentos (junto con el exaltado celo con que cada uno defiende su hipótesis favorita), o más bien extrañarnos de que la controversia no se haya calmado, vencida por la enorme cantidad de información obtenida desde entonces.
Parménides, que tuvo su acmé en Elea, Italia, alrededor del 480 a. C. (aproximadamente una década antes del nacimiento de Sócrates en Atenas, y poco más de una década antes del nacimiento de Demócrito en Abdera), es uno de los primeros en desarrollar un punto de vista extremadamente anti sensual y apriorístico sobre el mundo. Su mundo contenía muy poco, tan poco de hecho y en tan llana contradicción con los datos observados que se sintió obligado a proporcionar, junto con su concepción «verdadera», una descripción atractiva de (como nosotros diríamos) «el mundo como realmente es», con cielo, Sol, Luna y estrellas y ciertamente muchas otras cosas. Pero este segundo mundo, decía Parménides, se reducía a mera creencia, era producto de la ilusión de los sentidos. En verdad no había múltiples cosas en el mundo, sino sólo Una Cosa. Y esta Cosa Única es (perdónenme) la cosa que es, a diferencia de la cosa que no es. Esta última, a partir de la pura lógica, no es —y así sólo la Cosa Única, antes mencionada, es—. Además, no puede haber lugar en el espacio ni momento en el tiempo en los que el Uno no sea: siendo la cosa que es, nunca ni en ningún lugar puede atribuírsele la predicación contradictoria de que no es. Así, pues, el Uno es ubicuo y eterno. No puede haber cambio ni movimiento, desde el momento en que no hay espacio vacío hacia el cual, no hallándose allí todavía, el Uno pueda desplazarse. Todo lo que aportemos como testimonio de lo contrario es falacia.
El lector notará que nos topamos con una religión —recitada, por cierto, en delicados versos griegos— más que con una visión científica del mundo. Pero en aquellos tiempos esta distinción no habría podido darse. La religión o la piedad hacia los dioses, para Parménides, pertenece sin duda al mundo aparente de las «creencias». Su «verdad» era el más puro monismo que jamás se haya concebido. Se convirtió en el padre de una escuela (los Eleatas) y tuvo una enorme influencia en la generación siguiente. Platón tomó muy en serio las objeciones de la escuela eleática a su «teoría de las formas». En el diálogo que lleva por nombre el de nuestro sabio y que dató en retrospectiva antes de su propio nacimiento (aproximadamente cuando Sócrates era joven), Platón expone estas objeciones, pero apenas intenta refutarlas.
Me detendré en algo que quizá sea más que un detalle. De mi breve caracterización anterior —para la que he seguido la versión usual—, podría pensarse que el dogmatismo de Parménides se refería al mundo material, que habría reemplazado por otra cosa más acorde con sus preferencias y en flagrante contradicción con la observación. No obstante, su monismo era más profundo. A uno de los textos citados por Diels [6], Parménides fragmento 5, «pues es lo mismo el pensar y el ser», sigue inmediatamente (con una implicación de similitud de significado) una cita de Aristófanes: «el pensar tiene el mismo poder que el hacer». Igualmente, en la primera línea del fr. 6 leemos: «el decir y el pensar son ambos la cosa que es».
Y en el fr. 8, líneas 34 f. «Uno y lo mismo es el pensar y aquello por cuya causa el pensamiento se da».
(He seguido la interpretación de Diels y he dejado de lado la objeción de Burnet de que se requiere el artículo definido para hacer de los infinitivos griegos —que he traducido por «el pensar» y «el ser»— los sujetos de la proposición. En la traducción de Burnet del fragmento 5 se pierde la similitud con la afirmación de Aristófanes, mientras que la línea del fragmento 8 resulta llanamente tautológica en la versión de Burnet: «lo que puede ser pensado y aquello por cuya causa el pensamiento existe es lo mismo»).
Permítaseme añadir una observación de Plotino (citada por Diels para el fragmento 5) en la que dice que Parménides «unía en uno lo que es y la razón y no situaba lo que es en lo sensible». Al decir «pues lo mismo es el pensar y el ser», dice también que este último «carece de moción, y por su unión al pensamiento este queda privado de toda moción de tipo corporal.» […εἰζ ταὐτὸ συνῆγεν ὄν καὶ νοῦν καὶ τὸ ὀν οὐκ ἐν τοῖζ αἰσθητοῖζ ἐτίθετο ᾽᾽τὀ γὰρ αὐτὸ νοεῖν ἐστἰν τε καὶ ειναι᾽᾽ λέγων καὶ ἆκίνητον λέγει τοῦτο, καίτοι προστιθεὶζ τὸ νοεῖν σωματικὴν πᾶσαν κίνησιν ἐξαιρῶν ἀπ᾽ αῦτοῦ.]
De este repetido énfasis en la identidad del ὄν (lo que es) y del νοεῖν (pensar) o νόημα (pensamiento) y por el modo en que los pensadores de la Antigüedad se referían a estas afirmaciones, debemos inferir que el Uno eterno inmóvil de Parménides no se refería a una caprichosa imagen mental inadecuada y distorsionada del mundo real en nuestro entorno, como si su verdadera naturaleza fuera la de un fluido homogéneo, ocupando eternamente la totalidad espacial sin límites —un simplificado universo einsteniano hiperesférico, como el físico moderno estaría inclinado a denominarlo—. Su actitud es la de no tomar el mundo material como una realidad garantizada. Sitúa la verdadera realidad en el pensamiento, en el sujeto del conocimiento, como diríamos nosotros. El mundo que nos rodea es un producto de los sentidos, una imagen creada por la percepción sensible en el sujeto pensante «por la vía de la opinión». Esta imagen bien merece ser considerada y descrita, como muestra el poeta-filósofo en la segunda parte de su poema, que le está dedicada por entero. Pero lo que los sentidos nos deparan no es el mundo como es en realidad, no la «cosa en sí» a la que Kant se refería. Ese mundo real reside en el sujeto, en el hecho de que es un sujeto, es decir, capaz de pensar, capaz al menos de algún tipo de proceso mental (de tener voluntad permanentemente, como Schopenhauer lo contemplaba). Me parece indudable que éste es el Uno inmóvil y eterno de nuestro filósofo. Permanece intrínsecamente privado de afecciones, no modificado por el cambiante espectáculo que los sentidos despliegan ante él (lo mismo que Schopenhauer afirmaba de la Voluntad, que era, según intentaba explicar, la cosa-en-sí de Kant). Nos hallamos frente a un intento poético —poético no sólo por su forma métrica— de una unión entre la Mente (o si prefieren el Alma), el Mundo y la Divinidad. Confrontado con la claramente percibida unicidad e inmutabilidad de la Mente, el carácter aparentemente caleidoscópico del Mundo tenía que abandonarse y entenderse como mera ilusión. Esto desemboca claramente en una distorsión imposible, a la cual ponía remedio, si cabía tal cosa, la segunda parte del poema de Parménides.
Cierto es que esta segunda parte implica una grave inconsistencia que ninguna interpretación podría resolver. Si la realidad es arrancada al mundo material de los sentidos, ¿es este último entonces un μὴ ὄν, algo que de hecho no existe? ¿Y es entonces la segunda parte un cuento de hadas, que versa acerca de las cosas que no son? Pero al menos se dice que tiene algo que ver con las opiniones (δόξαι) humanas; están en la mente (νοεῖν), que es identificada con la existencia (εῖναι). ¿Tienen estas entonces una cierta existencia como fenómenos de la mente? Son cuestiones a las que no podemos contestar, contradicciones que no podemos eliminar. Debemos contentamos con recordar que quien alcanza por primera vez una profunda y escondida verdad, contraria a la opinión universalmente aceptada, normalmente exagera hasta un punto en el que es fácil entrar en contradicciones lógicas.
Consideraremos brevemente las ideas de alguien que representa el extremo opuesto en cuanto a la cuestión de si es la información directa de los sentidos o el razonamiento de la mente humana lo que constituye la fuente de acceso a la verdad y por tanto a la realidad propiamente dicha. Nos referimos al gran sofista Protágoras, ejemplo destacado de sensorialismo puro. Nacido alrededor del 492 a. C. en Abdera (lugar de nacimiento una generación más tarde, alrededor del 460 a. C., del gran Demócrito), Protágoras consideraba las percepciones de los sentidos como lo único realmente existente, el único material a partir del cual se construye nuestra imagen del mundo. En principio, todas tenían que considerarse igualmente verdaderas, incluso cuando se hallaran modificadas o distorsionadas por la fiebre, la enfermedad, la intoxicación o la locura. El ejemplo empleado en la Antigüedad era el sabor amargo que la miel tenía para el enfermo de ictericia, mientras que las otras personas la encontraban dulce. Protágoras no juzgaría como «apariencia» o ilusión ninguno de estos casos, aunque era, decía, nuestro deber el intentar curar a la gente poseída por anomalías de este tipo. No era un científico (algo más, no obstante, que Parménides), aunque tenía profundo interés por la ilustración jónica (de la cual hablaremos más tarde). De acuerdo con B. Farrington, los esfuerzos de Protágoras se centraron en el establecimiento de los derechos humanos en general, en promover un sistema social más equitativo, los mismos derechos ciudadanos para todos los seres humanos —verdadera democracia, en suma—. No tuvo éxito, por supuesto, dado que la cultura antigua iba a continuar, hasta su decadencia, aferrándose a un sistema económico y social que dependía vitalmente de la desigualdad de los seres humanos. Su sentencia más conocida, «el hombre es la medida de todas las cosas», normalmente se entiende como referida a su teoría sensorial del conocimiento, pero podría abarcar una elemental actitud en lo referente a la cuestión política y social: que los asuntos humanos fueran ordenados por leyes y costumbres generadas por la naturaleza del hombre y no sometidas a prejuicios derivados de algún tipo de tradición o superstición. Su actitud ante la religión tradicional queda reflejada en las siguientes palabras, tan prudentes como agudas: «Con respecto a los dioses, no puedo saber si existen o no existen; tampoco puedo saber cómo es su figura, pues muchas cosas dificultan un conocimiento seguro al respecto: la oscuridad del tema y la brevedad de la vida humana».
La actitud epistemológica más avanzada que he encontrado en cualquiera de los pensadores de la Antigüedad está expresada de manera clara y efectiva en uno de los fragmentos de Demócrito. Volveremos a referimos a él como gran atomista. Por el momento baste decir que creía en la conveniencia de la visión material del mundo tan firmemente como cualquier físico de nuestro tiempo: los pequeños corpúsculos rígidos e inmutables que se mueven en el espacio vacío a lo largo de líneas rectas, entran en colisión y rebotan, produciendo toda la inmensa variedad de lo que se observa en el mundo material. Creía en esta reducción de la indescriptiblemente rica variedad de estados a imágenes puramente geométricas, y tenía razón. La física teórica se hallaba en aquel tiempo muy alejada de la experimentación (que era difícilmente conocida), más de lo que nunca antes o después (por no hablar de nuestros propios días en que los experimentos se acumulan) lo ha estado. Demócrito, sin embargo, se percató en su época de que la pura construcción intelectual (que en su imagen del mundo había suplantado el mundo efectivo de luz y color, de sonido y fragancia, dulzura, amargura y belleza) no estaba basada realmente sino en las percepciones sensibles ostensiblemente expulsadas de la primera. En el fragmento D 125, tomado de Galeno y desconocido hasta finales del siglo pasado, nos presenta al intelecto (διάνοια) en lucha con los sentidos (αἰθἠσειζ). El primero dice: «De manera ostensible hay color, dulzor, amargura, verdaderamente solo átomos y el vacío», a lo que los sentidos replican: «Pobre intelecto, ¿esperas acaso vencernos mientras de nosotros tomas prestada tu evidencia? Tu victoria es tu derrota». No cabe expresarse de manera más breve y más clara.
Muchos otros fragmentos de este gran pensador podrían ser lugares comunes de la obra de Kant: que no conocemos nada tal como es en realidad, que verdaderamente no conocemos nada, que la verdad está profundamente escondida en la oscuridad, etcétera.
El mero escepticismo es asunto estéril y de poco valor. El escepticismo en un hombre que ha llegado más cerca de la verdad que nadie antes que él, y a pesar de ello reconoce claramente los estrechos límites de su propia construcción mental, es grande y fructífero, y no sólo no reduce sino que duplica el valor de sus descubrimientos. Al tratar a autores como Parménides o Protágoras, que no eran científicos, poco o nada podemos inferir acerca de la eficacia científica de los puntos de vista extremos que mantenían. El prototipo de una escuela de pensadores de clara orientación científica tendente a reducir el edificio de la naturaleza a la razón (aunque al mismo tiempo con un sesgo bien marcado, que rozaba el prejuicio religioso) lo constituyeron los pitagóricos. Su asentamiento principal se encontraba en el sur de Italia, en las ciudades de Crotona, Síbaris y Taranto, situadas en la bahía que se forma entre el «talón» y la «punta» de la península. Sus partidarios formaban algo muy parecido a una orden religiosa con curiosos ritos relativos a la comida y otras cosas, obligados al secretismo con los extranjeros, al menos en lo referente a parte de las enseñanzas [7]. El fundador, Pitágoras, quien tuvo su actividad en la segunda mitad del siglo VI a. C., debió de ser una de las personalidades más notables de la Antigüedad, y en su entorno se tejieron toda clase de leyendas relativas a sus poderes sobrenaturales, como la de que era capaz de recordar todas las vidas anteriores de su metempsicosis (transmigración del alma); o la de que alguien, por un cambio accidental de vestimenta, se percató de que su fémur era de oro puro. Parece no haber dejado una sola línea escrita. Su palabra era infalible para sus pupilos, como lo evidencia la conocida frase αὐτὸζ ἐϕα («el Maestro lo ha dicho»), con la que se zanjaba cualquier disputa entre ellos. Se dice también que tenían prohibido pronunciar su nombre, refiriéndose a él como «ese hombre» (ἐκεῖνοζ ἀνἠρ). Pero no siempre nos resulta fácil decidir cuándo una doctrina particular proviene de él y cuándo no, habida cuenta del carácter y actitudes de la comunidad.
Su perspectiva apriorística la retomaron claramente Platón y la Academia, profundamente impresionados e influidos por la escuela del sur de Italia. De hecho, desde el punto de vista de la historia de las ideas bien podríamos presentar la escuela ateniense como una rama de la pitagórica. El hecho de que no se hallarán formalmente vinculados a la «Orden» tiene poca relevancia y menos relevante aún es su preocupación por velar, más que enfatizar, su dependencia respecto de la escuela pitagórica con vistas a resaltar la propia originalidad. En cualquier caso, la mejor información acerca de los pitagóricos se la debemos, como tantas otras informaciones, a las sinceras y honestas referencias de Aristóteles, aunque la mayoría de las veces el Estagirita está en desacuerdo con los puntos de vista de los pitagóricos y los critica por su infundadas tendencias apriorísticas, a las que él mismo sin embargo se inclinaba.
La doctrina básica de los pitagóricos, se nos dice, era que las cosas son números, aunque algunos transmisores tratan de encubrir la paradoja, diciendo que «son como números» o análogos a éstos. Estamos lejos de conocer el alcance real de esta afirmación. Muy posiblemente se originó como una generalización a partir del impactante descubrimiento que hizo Pitágoras de las subdivisiones integrales o racionales (por ejemplo, 1/2, 2/3, 3/4) de una cuerda, produciendo intervalos musicales que, al componerse en la armonía de una canción, puede conducimos al borde de las lágrimas, como si hablaran, de alguna manera, directamente al alma. (A la Escuela se debe un hermoso símil de la relación entre el alma y el cuerpo, probablemente proveniente de Filolao: se denomina alma a la armonía del cuerpo, vinculándose a este del mismo modo en que lo está un instrumento musical con los sonidos que produce.)
Según Aristóteles, las «cosas» (que eran números) eran en primer lugar objetos sensibles, materiales; por ejemplo, después de que Empédocles desarrollara su teoría de los cuatro elementos, éstos también «se convertirían» en números; pero también «cosas» tales como Alma, Justicia, Oportunidad tenían sus números, o «eran» números. Un aspecto relevante era la atribución de algunas propiedades simples de la teoría de los números. Por ejemplo, los números cuadrados (4, 9, 16, 25,…) tenían que ver con la Justicia, particularmente identificada con el primero de ellos, concretamente el 4. La idea implícita sería la posibilidad de dividir el número en dos factores iguales (compárense palabras como «equidad», «equitativo»). Un número cuadrado de puntos puede ser ordenado en un cuadrado, como por ejemplo en el juego de bolos. En el mismo sentido los pitagóricos hablaban de triangulares como 3, 6, 10,…
El número se origina multiplicando el número de puntos de un lado (n) por el número siguiente (n + 1) y dividiendo el producto (que siempre es par) por dos: n(n + 1)/2 (Lo que puede apreciarse con mayor claridad yuxtaponiendo un segundo triángulo invertido y desplazando la figura hasta formar un rectángulo).
En la teoría moderna el «cuadrado del momento orbital delmomentum» es n (n + 1) h2, no n2h2, donde n es un entero. Señalamos esto únicamente para ilustrar el hecho de que la distinción de los números triangulares no era una mera ilusión, pues estos aparecen en matemáticas con relativa frecuencia.
El número triangular 10 merecía singular respeto, posiblemente por ser el cuarto y, por tanto, el que designaba a la justicia.
Ilustramos a partir del testimonio fiable —y nunca despectivo— de Aristóteles, el cúmulo de sinsentidos que inevitablemente acarreaba tal tesis.
La primera propiedad de un número es la de ser impar o par. (El matemático está familiarizado con la distinción fundamental entre números primos impares y pares, aunque esta última clase sólo contenga el número 2.) Pero se suponía que el número impar determina el límite o el carácter finito de una cosa, haciéndose así al par responsable del carácter ilimitado o infinito de otras cosas. Simboliza la infinita (!) divisibilidad, puesto que un número par puede ser dividido en dos partes iguales. Otro comentarista señala un rasgo defectivo o de incompletitud (apuntando al infinito) del número par por el hecho de que al dividirlo en dos
.. .|.. .
queda en medio un espacio vacío carente tanto de posesor como de número (ἀδέσποτοζ καὶ ἀνάριθμοζ).Los cuatro elementos (fuego, agua, tierra, aire) parecen haber sido concebidos como si se hubieran construido a partir de cuatro de los cinco poliedros regulares, mientras el quinto, el dodecaedro, se destinaba a simbolizar el receptáculo del universo entero, probablemente por aproximarse a la esfera y por estar formado por pentágonos; el pentágono tenía por sí mismo un papel místico, así como esta misma figura más sus cinco diagonales (5 + 5 = 10), que forma el conocido pentagrama. Uno de los pitagóricos más antiguos, Petron, afirmaba que existían alrededor de 183 mundos, configurados en un triángulo —aunque, dicho sea de paso, 183 no sea un número triangular—. ¿Resultaría muy irreverente recordar en esta ocasión que recientemente un eminente científico nos comunicaba que el número total de partículas elementales en el mundo es de 16 × 17 × 2256, donde 256 es el cuadrado del cuadrado del cuadrado de 2?
Los pitagóricos tardíos creían en la transmigración del alma en un sentido muy literal. Es habitual afirmar que Pitágoras también lo creía. Jenófanes nos cuenta esta anécdota acerca del maestro en un par de dísticos. Viendo golpear cruelmente a un perrito, sintió lástima de él y dijo al que así lo atormentaba: «Deja de golpearlo; es el alma de un amigo, al que he reconocido al oír su voz». En boca de Jenófanes se trataba probablemente de ridiculizar al gran hombre por su creencia extravagante. Hoy día no podemos evitar interpretar la anécdota de manera diferente. Suponiendo que sea cierta, uno buscaría un significado mucho más simple en las palabras de Pitágoras, algo así como: basta, oigo la voz de un amigo atormentado, pidiendo mi ayuda, («nuestro amigo el perro» se convirtió en una frase hecha con Charles Sherrington).
Permítaseme retornar por un momento a la idea general, mencionada al principio, de que los números se encuentran detrás de todas las cosas. He dicho que ello obviamente partió de los descubrimientos acústicos sobre las longitudes de las cuerdas en vibración. Pero, en justicia (pese a sus extravagantes derivaciones), uno no debería olvidar que es la época y el lugar de los primeros grandes descubrimientos en aritmética y geometría, que estuvieron corrientemente vinculados a algún tipo de aplicación real o imaginada sobre objetos materiales. La esencia del pensamiento matemático es abstraer números del soporte material (longitudes, ángulos y otras cantidades) para operar con ellos y sus relaciones. Por la naturaleza de tal procedimiento, las relaciones, modelos, fórmulas y figuras geométricas a las que se llega por esta vía muy a menudo resultan inesperadamente aplicables a entidades materiales muy diferentes de aquéllas de las que fueron abstraídas originalmente. De pronto, la fórmula matemática proporciona orden en un dominio para el cual no estaba previsto y en el que nunca se había pensado cuando se derivó el modelo matemático. Esta experiencia sorprendente es idónea para que surja la creencia en el poder místico de las matemáticas. Al encontrárnoslas de manera inesperada allí donde no las habíamos aplicado, las «Matemáticas» parecen hallarse en el fondo de todas las cosas. Este hecho, que debió de impresionar profunda y reiteradamente a los jóvenes amantes de la matemática, retorna como un singular evento para marcar el progreso de la ciencia física. Así, para dar al menos un ejemplo famoso, Hamilton descubrió que el movimiento de un sistema mecánico general se regía exactamente por las mismas leyes que un rayo de luz al propagarse en un medio no homogéneo. Hoy la ciencia se ha sofisticado, ha aprendido a ser cauta en tales casos y a no tener por conocimientos garantizados e intrínsecos lo que podría ser simplemente una analogía formal, resultado de la naturaleza misma del pensamiento matemático. Pero no debe extrañamos encontrar, en la infancia de las ciencias, conclusiones precipitadas de carácter místico a las que nos hemos referido.
Un caso moderno, divertido, aunque irrelevante, de un modelo aplicado a un asunto completamente diferente es el de la denominada curva de transición en la planificación de una pista o carretera. La curva que conecta dos tramos rectos de la pista no es simplemente un arco de círculo, pues eso supondría que el conductor tendría que girar de repente el volante al entrar en el círculo desde la recta. La condición para una curva de transición ideal se presenta por sí misma: requiere una proporción uniforme del giro del volante en la primera mitad, y la misma proporción uniforme de giro contrario en la segunda mitad de la transición. La formulación matemática de esta condición conduce a la exigencia de que la curvatura sea proporcional a la longitud de la curva. Se trata de una curva muy especial, denominada espiral de Cornu, que era conocida mucho antes de la aparición de los vehículos de motor. Su única aplicación anterior, que yo sepa, fue en un problema simple de óptica, concretamente la interferencia tras una rendija iluminada por una fuente luminosa puntiforme; este problema condujo al descubrimiento teorético de la espiral de Cornu.
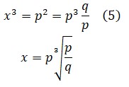
Un problema muy simple, conocido por todo escolar, es el de intercalar entre dos longitudes (o números) dadas, p y q, una tercera, x, tal que la razón entre p y x sea la misma que entre x y q.
p:x = x:q (1)
La cantidad x es la que se conoce como «media geométrica» de p y q. Por ejemplo, si q fuera 9 veces p, x sería 3 veces p y por tanto un tercio de q. De lo cual se puede apreciar mediante sencilla generalización que el cuadrado de x es igual al producto pq,x2 = pq (2)
(Esto puede también inferirse de la regla general de las proporciones, según la cual el producto de los medios o miembros «interiores» es igual al producto de los extremos o miembros «exteriores»). Los griegos habrían interpretado esta fórmula geométricamente como la «cuadratura del rectángulo», en la que x es el lado de un cuadrado de área igual a la del rectángulo con lados p y q. Conocían la fórmula algebraica y las ecuaciones únicamente en una interpretación geométrica, puesto que en general no había número que se adaptara bien a la fórmula. Por ejemplo, si se dan a q los valores 2p, 3p, 5p ,… (siendo p para simplificar igual a 1) entonces x es lo que denominamos √2, √3, √5,…, pero para ellos éstos no eran números, no los habían inventado todavía. Cualquier construcción geométrica que verifique la fórmula anterior es, pues, una extracción de la raíz cuadrada.
Fig. 1.
La proporción (1) se sigue del hecho de que ABC es un triángulo rectángulo, dado que C es un «ángulo en una semicircunferencia», configurándose tres triángulos ABC, ACN, CBN geométricamente semejantes. Tales triángulos exhiben dos nuevas «medias geométricas», a saber (tomando p + q = c, como hipotenusa).
q : b = b : c, así b2 = qc,
p : a = a : c, así a2 = pc.
De donde se sigue:a2 + b2 = (p + q)c = c2,
lo que constituye la demostración más simple del denominado teorema de Pitágoras.La proporción (1) podría habérseles ocurrido a los pitagóricos partiendo de algo completamente diferente. Si p, q, x son longitudes que uno delimita sobre la misma cuerda mediante soportes, o simplemente presionando con el dedo como lo hacen los violinistas, entonces x producirá un tono que será la «media proporcional» de los producidos por p y q; los intervalos musicales entre p y x y entre x y q serán iguales. Esto puede conducir fácilmente al problema de dividir un intervalo musical dado en más de dos intervalos iguales. A primera vista esto parece apartamos de la armonía, en la medida en que, por más que el cociente inicial p : q fuera racional, las relaciones intercaladas podrían no serlo. Precisamente este procedimiento de intercalar distancias es el empleado en el sistema temperado de los tonos del piano, con los doce grados. Se trata de un compromiso, condenable desde el punto de vista de la armonía pura, pero difícilmente evitable en un instrumento con tonos prefabricados.
Arquitas (también conocido por su amistad con Platón en Tarento hacia mediados del siglo IV) solucionó geométricamente el problema de hallar dos medias geométricas (δύο μέσαζ ἀνὰ λόγον εὑρεῖν), o dividir un intervalo musical en tres partes iguales. Lo que, por otra parte, equivale a encontrar geométricamente la raíz cúbica de un cociente dado q:p. Bajo esta última forma —hallar una raíz cúbica—, el asunto era conocido como el Problema Délico; a los sacerdotes de Apolo en la isla de Delos el oráculo les encargó en cierta ocasión duplicar las medidas de la piedra que servía de altar. Ahora bien, esta piedra era un cubo, y un cubo de doble volumen debería tener una arista de magnitud 3 √2 veces la del cubo inicial.
Con símbolos modernos el problema se plantea así:
p : x = x : y = y : q, (3)
de donde se deducex2 = py, xy = pq (4)
Multiplicando miembro a miembro y eliminando el factor y:

Fig. 2.
p : x = x : y y x : y = y : q
No obstante, esto es sólo el resultado final de la construcción de Arquitas, una construcción muy elaborada que utiliza intersecciones de una esfera, un cono y un cilindro —tan complicadas que en mi primera edición del Presocráticos de Diels la figura que debía ilustrar el texto era absolutamente errónea—. De hecho, la figura anterior, aparentemente simple, no puede construirse directamente con regla y compás a partir de los datos p y q. Y es que con una regla únicamente pueden construirse líneas rectas (curvas de primer orden), con un compás una circunferencia, que es una curva particular de segundo orden; pero para extraer una raíz cúbica es preciso disponer de al menos una curva particular de tercer orden. Arquitas lo resolvió de la manera más ingeniosa mediante curvas de intersección. Su método para solucionar el problema no supone, como cabría imaginar, una complicación añadida, y es una verdadera hazaña el que lo consiguiera aproximadamente medio siglo antes de Euclides.El último aspecto de las enseñanzas pitagóricas que consideraremos aquí es el relativo a su cosmología. Resulta de particular interés para nosotros, puesto que nos revela la inesperada eficiencia de un punto de vista tan lastrado por ideales de perfección, belleza y simplicidad preconcebidos e infundados.
Los pitagóricos sabían que la Tierra era esférica y fueron probablemente los primeros en saberlo. Ello se infería posiblemente a partir de las sombras circulares de la Luna durante los eclipses lunares, fenómeno que interpretaban más o menos correctamente (véase más adelante). Su modelo del sistema planetario y de las estrellas queda recogido sumaria y esquemáticamente en la siguiente figura:

Fig. 3.
A primera vista este modelo parece tan erróneo que difícilmente justificaría que se le dedique la menor reflexión. Considerémoslo, sin embargo, cuidadosamente, recordando que no se sabía nada acerca de las dimensiones de (a) la Tierra y ( b) las órbitas. La parte entonces conocida de nuestro planeta, la región mediterránea, se mueve en círculo en veinticuatro horas en torno a un centro invisible, ante el cual presenta siempre la misma cara. Esto causa, precisamente, el rápido movimiento diurno común a todos los cuerpos celestes. Reconocer este último como movimiento meramente aparente es en sí mismo un logro enorme. El punto erróneo respecto al movimiento de la Tierra sólo era tal en lo que concierne al periodo (se le atribuía una revolución en el mismo periodo) y al centro de revolución. Estos errores, por considerables que nos parezcan, pesan poco en comparación con el espectacular descubrimiento de que la Tierra es uno más entre los planetas (como la Luna, el Sol y los otros cinco cuerpos a los que nosotros denominamos planetas). Estamos ante un admirable ejercicio de autoliberación del prejuicio según el cual el hombre y su morada deben situarse en el centro del universo, el primer paso hacia el punto de vista actual, que reduce nuestro globo a un planeta más de una de las estrellas en una de las galaxias del cosmos. Es sabido que este paso, tras ser completado por Aristarco de Samos hacia el 280 a. C., fue a continuación rápidamente desandado y el prejuicio se mantuvo —al menos oficialmente en algunos sectores— hasta principios del siglo XIX.
Cabría preguntarse por qué se inventó el Fuego Central. La dificultad de explicar los evocados eclipses excepcionales, en los que tanto la Luna como el Sol resultan visibles, difícilmente parecería suficiente [8]. Que la Luna no tiene luz por sí misma, sino que es iluminada por otra fuente, es algo que se conoció muy pronto. Ahora bien, los dos fenómenos más llamativos en los cielos, el Sol y la Luna, son bastante similares en sus movimientos diurnos, en aspecto y en tamaño; esto último debido a la coincidencia de que la Luna se encuentra aproximadamente tantas veces más cerca de nosotros como veces es más pequeña que el Sol. Lo que induce necesariamente a otorgar el mismo estatus a ambos, a proyectar sobre el Sol lo que se conoce acerca de la Luna, y de este modo a considerar que ambos están iluminados por la misma fuente, que no sería sino el hipotético Fuego Central. Éste, al no ser visible, no podía ser ubicado más que «bajo nuestros pies», oculto a nuestros ojos por nuestro propio planeta.
Este modelo, quizás equivocadamente, se ha atribuido a Filolao (segunda mitad del siglo V). Un vistazo a sus desarrollos posteriores muestra que incluso grandes errores, resultado del influjo de ideas preconcebidas sobre perfección y simplicidad, pueden resultar relativamente inocuos. Es más: cuanto más arbitraria e infundada sea una afirmación, tanto menor será el daño mental que pueda causar, ya que la experiencia la eliminará más rápidamente. Como alguna vez se ha dicho, es mejor tener una teoría equivocada que no tener ninguna.
En el presente caso, ni los viajes de los mercaderes cartaginenses, más allá de las «columnas de Hércules», ni, poco más tarde, la expedición de Alejandro a la India revelaron nada acerca del Fuego Central o del antichthon, ni tampoco sobre que la Tierra se hiciera menos habitable más allá de los límites de la cultura mediterránea. De modo que todo ello debía ser olvidado. Desaparecido el centro ficticio (el Fuego Central), resultaba natural abandonar la idea de la revolución diurna de la Tierra y reemplazarla por una pura rotación sobre su propio eje. Los historiadores de la filosofía antigua disienten a la hora de decidir a quién se debe la «nueva doctrina de la rotación de la Tierra». Algunos hablan de Ecfanto, uno de los pitagóricos más jóvenes, mientras que otros se inclinan a considerarlo un personaje de un diálogo de Heráclides Póntico (un nativo de Heraclea en el Mar Negro, asiduo de las escuelas de Platón y Aristóteles) a quien de hecho atribuyen la «nueva doctrina» (que, por cierto, Aristóteles menciona pero rechaza). Pero quizá conviene poner de relieve que no se trata de una doctrina nueva. La rotación de la Tierra ya estaba contemplada en el sistema de Filolao: de un cuerpo que gira alrededor de un centro y se mantiene rotando siempre con la misma cara hacia este centro —como lo hace la Luna con respecto a la Tierra— no debe decirse que carece de rotación, sino que gira con un periodo exactamente igual a su periodo de revolución. No se trata de una sofisticada descripción científica, como tampoco es una coincidencia la igualdad de los periodos en el caso de la Luna (y de otros cuerpos similares); se debe a la fricción de las mareas, bien en un océano o envoltura atmosférica previamente existentes, bien en la masa del cuerpo celeste [9].
Así, como afirmábamos antes, el sistema de Filolao atribuye a la Tierra, con respecto al Fuego Central, exactamente este tipo de movimiento: una rotación y una revolución con el mismo periodo. El abandono de esta última no debe vincularse al descubrimiento de la primera, puesto que ya estaba descubierta. Nos inclinamos más bien a calificarlo de paso en la dirección errónea, puesto que la revolución se articula en torno a otro centro.
Pero, según parece, hay que atribuir al antes mencionado Heráclides, en contacto con los pitagóricos tardíos, el paso más importante hacia el reconocimiento de la situación efectiva. Los llamativos cambios de luminosidad de los planetas interiores, Mercurio y Venus, ya se habían constatado. Heráclides los atribuyó correctamente a cambios de distancia con respecto a la Tierra. Por tanto no podía ser que se movieran en circunferencias alrededor de esta última. El hecho adicional de que en su movimiento principal siguieran la trayectoria solar ayudó probablemente a inspirar la hipótesis correcta de que ambos se movieran en circunferencias alrededor del Sol. Se harían pronto consideraciones similares sobre Marte, que también muestra cambios apreciables de luminosidad. Finalmente, como es bien sabido, Aristarco de Samos estableció (hacia el 280 a. C.) el sistema heliocéntrico, tan sólo un siglo y medio después de Filolao. No tuvo demasiado eco, y alrededor de 150 años más tarde fue desechado por la autoridad del gran Hiparco, «rector de la Universidad de Alejandría», como diríamos en nuestros días.
Constituye un hecho sorprendente, no poco desconcertante para el científico de nuestros días, el que los pitagóricos, con todos sus prejuicios y sus ideas preconcebidas acerca de la belleza y la simplicidad, progresaran más que otros hacia una intelección de la estructura del universo, más que la sobria escuela de los physiologoi jónicos, de los que hablaremos a continuación, y más también que el de los atomistas, sus sucesores espirituales. Por razones que veremos enseguida, los científicos tienden a considerar a los jónicos (Tales, Anaximandro) y, sobre todo, al gran atomista Demócrito como sus ancestros espirituales, a pesar incluso de que este último se mantuviera aferrado a la idea de una Tierra plana y configurada como un tambor, idea perpetuada entre los atomistas por Epicuro y prolongada hasta el poeta Lucrecio, en el siglo I a. C. Las infundadas y excéntricas fantasías y el arrogante misticismo de los pitagóricos podrían haber contribuido a que un pensador lúcido como Demócrito rechazara toda la enseñanza pitagórica como una construcción arbitraria o artificial. Pero el poder de sus observaciones, a partir de simples experimentos acústicos con cuerdas vibrantes, debería haber permitido reconocer, a través de la niebla de sus prejuicios, algo tan próximo a la verdad que sirviera de fundamento sólido sobre el que establecer la perspectiva heliocéntrica. Es triste decirlo, pero ésta también fue rechazada rápidamente bajo la influencia de la escuela de Alejandría, cuyos componentes se tenían a sí mismos por sobrios científicos, libres de prejuicios y guiados únicamente por los hechos.
No he mencionado en este rápido repaso los descubrimientos anatómicos y fisiológicos de Alcmeón de Crotona, un joven contemporáneo de Pitágoras; descubrió los principales nervios sensibles y siguió su curso hasta el cerebro, en el que reconoció el órgano central, la sede de la actividad de la mente. Hasta entonces —y durante mucho tiempo después, pese a su descubrimiento— el corazón (ητορ, καρδία), el diafragma (ϕρένεζ) y la respiración (πνεῦμα, lat. anima > animus) se consideraban conectados a la mente o el alma, como lo evidencian las expresiones que en todas las lenguas modernas utilizamos metafóricamente para designarlos. Pero con esto basta para nuestro propósito. El lector puede encontrar fácilmente información más completa sobre ello en los documentos médicos de la Antigüedad. Nos centraremos ahora en los filósofos habitualmente clasificados bajo la denominación común de escuela de Mileto (Tales, Anaximandro, Anaxímenes), reservando el capítulo próximo para otros más o menos vinculados a ellos (Heráclito, Jenófanes) y el siguiente a los atomistas (Leucipo, Demócrito). Tengo que decir en primer lugar que el orden con respecto al capítulo precedente no es cronológico: el acmé de los tres physiologoi jónicos (Tales, Anaximandro, Anaxímenes) data aproximadamente del 585, 565, 545 a. C. respectivamente, mientras que el acmé de Pitágoras se sitúa alrededor del 532 a. C. En segundo lugar, quisiera señalar el doble papel que la escuela de Mileto desempeña en el presente contexto. Se trata de un conjunto de pensadores con objetivos y perspectivas decididamente científicos, igual que los pitagóricos, pero opuestos a éstos en lo que atañe a la oposición «Razón - Sentidos», tratada en el segundo capítulo de este libro. La escuela de Mileto toma el mundo tal como nos viene dado a través de los sentidos y trata de explicarlo, sin preocuparse por los preceptos de la razón, como lo haría el hombre de la calle, con cuya manera de pensar se identifican.
Efectivamente, a menudo la reflexión parte de problemas o analogías de tipo práctico o manual, enfocándolos hacia aplicaciones prácticas en navegación, elaboración de planos y triangulación. Permítaseme recordar al lector nuestro principal problema, el de poner de relieve rasgos singulares y bastante artificiales de la ciencia que se suponen (Gomperz, Burnet) tener origen en la filosofía griega. Presentaremos y discutiremos dos de estas características, a saber, la asunción de que el mundopuede ser entendido, y el lema provisional y simplificado de excluir la persona «que comprende» de la representación racional del mundo que se va a construir. La primera se establece definitivamente con los tres physiologoi jónicos o, si se prefiere, con Tales. La segunda, la exclusión del sujeto, se ha convertido en un viejo hábito firmemente establecido. Se ha hecho inherente a todo intento de proporcionar una imagen del mundo objetivo a la manera de los jónicos. Tan poca conciencia había de que tal exclusión resultaba de un presupuesto singular, que se intentaba seguir el rastro del sujeto en el seno mismo de la imagen material del mundo bajo la forma de un alma, ya estuviera formada por una materia particularmente fina, volátil y móvil, ya fuera una sustancia espectral en interacción con la materia. Estas ingenuas construcciones se mantuvieron durante siglos y están lejos de haberse extinguido hoy en día. Aunque no podamos describir la «exclusión» como un paso definido, consciente (lo que probablemente nunca ha sucedido), podemos hallar en los fragmentos de Heráclito (que tuvo su acmé alrededor del 500 a. C.) una evidencia notable de que éste ya la tenía en mente. Y el fragmento de Demócrito que hemos citado al final del capítulo II muestra su preocupación por el hecho de que su modelo atomista del mundo está despojado de todas las cualidades subjetivas, los datos sensoriales a partir de los cuales había sido construido.
El movimiento conocido como cultura o ilustración jónica nació en el extraordinario siglo VI a. C.; fue también durante ese siglo cuando se produjeron en el Lejano Oriente movimientos espirituales de tremendas consecuencias, vinculados a los nombres de Gautama Buddha (nacido hacia el 560 a. C.), Lao Tse y su más joven contemporáneo Confucio (nacido el 551 a. C.). El grupo jónico surgió, aparentemente, sin antecedentes en la estrecha franja denominada Jonia, en la costa oeste de Asia Menor e islas adyacentes. Las condiciones geográficas e históricas particularmente favorables que aquí se daban han sido descritas con una retórica bastante más espléndida que la que puedo ofrecer; la situación era favorable al desarrollo de un pensamiento libre, sobrio e inteligente. Permítaseme mencionar tres puntos.
La región (al igual que el sur de Italia en los tiempos de Pitágoras) no pertenecía a un imperio ni a un gran estado poderoso, que habría sido hostil al pensamiento libre. Políticamente estaba conformada por numerosas pequeñas ciudades o islas-estado, autogobernadas y prósperas, fueran repúblicas o tiranías. En cualquiera de los dos casos parecían dirigidas o gobernadas con bastante frecuencia por los mejores cerebros, lo que siempre ha sido un evento bastante excepcional.
En segundo lugar, los jónicos, habitantes de las islas de la abrupta costa del continente, eran marinos, gente a caballo entre Oriente y Occidente. Su floreciente comercio se basaba en el intercambio de mercancías entre las costas de Asia Menor, Fenicia y Egipto por una parte, y Grecia, el sur de Italia y el sur de Francia por otra. El intercambio mercantil siempre y en todas partes ha sido, y todavía es, el principal vehículo para el intercambio de ideas. Puesto que las personas entre las que este intercambio tiene lugar no son eruditos, poetas o profesores de filosofía, sino marinos y mercaderes, es seguro que tal intercambio comenzó con cuestiones prácticas. Instrumentos manufacturados, nuevas técnicas de artesanía, sistemas de transporte, mejoras en la navegación, distribuciones portuarias, construcción de diques y almacenes, control del suministro de agua, etcétera, se encuentran entre las primeras cosas que en estas circunstancias se aprenden de unos a otros. El rápido desarrollo de las habilidades técnicas que se da en un pueblo inteligente a través de un proceso vital de este tipo, despierta las mentes de los pensadores teoréticos, cuya ayuda será a menudo solicitada para redondear el dominio de alguna técnica recientemente aprendida. Si éstos se dedican a problemas abstractos relativos a la constitución física del mundo, su manera de pensar presentará, sin embargo, rasgos derivados de su origen práctico. Esto es precisamente lo que encontramos en los filósofos jónicos.
Se ha señalado como tercera circunstancia favorable el que estas comunidades, para decirlo pronto, no estuvieran dirigidas por sacerdotes. No existía, como en Babilonia y Egipto, una casta sacerdotal privilegiada y hereditaria que o era la clase dirigente o habitualmente coincidía con ella en la oposición al desarrollo de nuevas ideas, compartiendo un sentimiento instintivo de que cualquier cambio en la manera de entender el mundo podría eventualmente volverse contra ellos y sus privilegios. Diferencia suficiente en las condiciones que favorecieron el nacimiento de una nueva era de pensamiento independiente en Jonia.
Más de un escolar o joven estudiante ha topado en sus libros de texto (u otros cualesquiera) con una breve presentación de Tales, Anaximandro y otros. Al leer que uno enseñaba que todo era agua, el otro que todo era aire, un tercero que todo era fuego; al enterarse de que se referían a cosas tan singulares como discos incandescentes con ventanas (los cuerpos celestes), el fluir ascendente y descendente en la atmósfera, etcétera, el estudiante puede perfectamente aburrirse, preguntándose por qué se le supone interesado en semejante teoría vieja e ingenua que sabemos completamente periclitada. ¿Qué es, pues, lo que aconteció en aquel momento en la historia de las ideas que nos permite hablar del nacimiento de la Ciencia y referimos a Tales de Mileto como el primer científico del mundo (Burnet)?
La gran idea que configuraron estos hombres fue que el mundo que les rodeaba era algo que podía ser comprendido; bastaba con que uno se tomara simplemente el trabajo de observarlo cuidadosamente; ya no era el terreno de acción de dioses y espíritus actuando de manera impulsiva y más o menos arbitraria, movidos por pasiones como la cólera, el amor y el deseo de venganza, en el que daban rienda suelta a sus odios y podían hacerse propicios con ofrendas piadosas. Aquellos hombres ya no creían nada de esto, se habían liberado de la superstición. Vieron el mundo como un mecanismo complicado, actuando de acuerdo con leyes innatas y eternas, que tenían curiosidad por desvelar. Esto constituye, por supuesto, la actitud fundamental de la ciencia hasta nuestros días. Actitud que para nosotros se ha convertido en un lugar común, hasta el punto de olvidar que alguien tuvo que plantearla, hacer de ella un programa y embarcarse en él. La curiosidad es el estímulo. La primera condición del científico es ser curioso. Debe ser capaz de mostrarse atónito y ansioso por descubrir. Platón, Aristóteles y Epicuro enfatizan la importancia del asombro (θαυμάζειν). Y esto no es trivial cuando se refiere a cuestiones generales acerca del mundo como totalidad; pues, en efecto, nos es dado tan sólo una vez y no tenemos otro con el que compararlo.
Este primer paso fue de una importancia suprema, con independencia de la adecuación de las explicaciones efectivamente presentadas. Creo que es correcto afirmar que se trataba de una completa novedad. Los babilonios y los egipcios, por supuesto, conocían mucho sobre las regularidades de las órbitas de los cuerpos celestes, particularmente en lo que atañía a los eclipses. Pero los contemplaban como fenómenos religiosos, lejos de buscarles explicaciones naturales. Y se hallaban ciertamente muy lejos de una descripción exhaustiva del mundo en términos de tales regularidades. La incesante interferencia de los dioses en los acontecimientos naturales en los poemas de Homero, los repelentes sacrificios humanos narrados en La Ilíada, ilustran en términos generales lo ya dicho. Pero para reconocer en el original descubrimiento de los jónicos la creación por primera vez de una perspectiva científica, no necesitamos contrastarlos con quienes los precedieron. Los jónicos tuvieron tan poco éxito en la erradicación de la superstición que a lo largo de los siglos y hasta nuestros mismos días no ha habido época que se haya desembarazado completamente de ella. Con esto no me estoy refiriendo a las creencias populares, sino a la oscilante actitud incluso de auténticos grandes hombres, como Arthur Schopenhauer, Sir Oliver Lodge o Rainer Maria Rilke, por nombrar unos pocos. La actitud de los jónicos se mantuvo viva con los atomistas (Leucipo, Demócrito, Epicuro, Lucrecio) y con los científicos de la escuela de Alejandría, aunque en diferentes sentidos, porque, desgraciadamente, la filosofía natural y la investigación científica en los últimos tres siglos a. C. se separaron tanto como en los tiempos modernos. Tras esto la perspectiva científica fue muriendo gradualmente, cuando en los primeros siglos de nuestra época el mundo comenzó a interesarse cada vez más por la ética y aspectos extraños de la metafísica, y a despreocuparse por la ciencia. Hasta el siglo XVII la actitud científica no recobró su importancia.
El segundo paso, casi igual de importante, se remonta a Tales. Se trata del reconocimiento de que la materia que constituye el mundo, a pesar de su infinita variedad, tiene tanto en común en sus diversas formas que debe contener intrínsecamente el mismo elemento. Bien podemos denominar a esto la hipótesis de Proust en estadio embrionario. Fue el primer movimiento hacia una comprensión del mundo, en consecuencia hacia la puesta en práctica de lo que hemos denominado el primer paso, la convicción de que el mundo puede ser entendido. Desde nuestra perspectiva presente cabe decir que allí se tocó el punto esencial y que la conjetura fue asombrosamente adecuada. Tales se aventuró a considerar el agua (ὕδωρ) como elemento básico. Pero haríamos bien en no identificar esto ingenuamente con nuestro «H2O», sino más bien con líquidos o fluidos (τὰ ὐγρά) en general. Tales debió de haber observado que todo lo vivo parece originarse en lo líquido o en lo húmedo. Al juzgar el líquido más familiar (agua) como el material único del que todo se compone, implícitamente sostenía que el estado físico de agregación (sólido, fluido, gaseoso) era un asunto secundario, no demasiado esencial. No podemos esperar que se quedara satisfecho —como correspondería a una mente moderna— simplemente diciendo: vamos a dar a esto un nombre, llamémoslo materia (ὕλη), y a investigar sus propiedades. Todo nuevo descubrimiento suele sobrevalorarse y a menudo se formula en forma de hipótesis con un exceso de detalles que después se esfuman. Esto proviene de nuestro intenso deseo de «descubrir», de nuestro afán de conocimiento científico, esencial para hallar cualquier cosa, como ya hemos dicho. Un detalle algo más interesante, relatado por varios doxógrafos como una opinión de Tales, es que la tierra flota en el agua «como un pedazo de madera»; lo que necesariamente significa que una parte considerable se encuentra inmersa. Esto evoca, por una parte, el antiguo mito de la isla de Delos vagando erráticamente hasta que Leto diera a luz a dos gemelos, Apolo y Artemisa; pero, por otra parte, se parece asombrosamente a la moderna teoría de la isostasia, de acuerdo con la cual los continentes flotan en un líquido, aunque no exactamente en el agua de los océanos sino en una sustancia más densa, fundida, situada bajo ellos.
De hecho, la «exageración» o «temeridad» de Tales al avanzar sus hipótesis generales fue rápidamente corregida por su discípulo y asociado (ἑταῖροζ) Anaximandro, unos veinte años más joven. Éste negó que la materia universal fuera idéntica a ninguna materia conocida e inventó un nombre para ella: lo ilimitado o infinito (ἄπειρον). Se habló mucho en la Antigüedad acerca de este interesante término, como si fuera algo más que un nombre de nuevo cuño. No me detendré en ello, sino que seguiré la corriente de las ideas físicas esenciales indicando lo que quisiera denominar el tercer paso decisivo en este desarrollo. Se debe a Anaxímenes, colaborador y discípulo de Anaximandro, aproximadamente unos veinte años más joven (muerto hacia el 526 a. C.). Anaxímenes reconoció que las transformaciones más obvias de la materia eran la «rarefacción» y la «condensación». Mantuvo explícitamente que todo tipo de materia podía encontrarse en estado sólido, líquido o gaseoso según las circunstancias. Eligió el aire como sustancia básica, apoyándose así de nuevo sobre una base más firme que su maestro. De hecho, si hubiera dicho «gas hidrógeno disociado» (cosa que difícilmente podía esperarse que dijera) no hubiera estado lejos de nuestro punto de vista actual. A partir del aire, decía Anaxímenes, los cuerpos más ligeros (por ejemplo, el fuego y elementos aún más puros y ligeros en lo más alto de la atmósfera) se formaban por rarefacción creciente, mientras que la niebla, las nubes, el agua y la tierra sólida resultaban de etapas sucesivas de condensación. Estas afirmaciones son todo lo adecuadas y correctas que permitían los conocimientos y concepciones de la época. Téngase en cuenta que no se trata sólo de pequeños cambios de volumen. En la transición desde el estado gaseoso ordinario al estado sólido o líquido la densidad se incrementa por un factor entre mil y dos mil. Por ejemplo, una pulgada cúbica de vapor de agua a presión atmosférica, al condensarse, se contrae en una gota de agua de poco más de una décima de pulgada de diámetro. La hipótesis de Anaxímenes, según la cual el agua líquida, e incluso una piedra firme y sólida, están formadas por la condensación de una sustancia gaseosa básica (aunque parezca tener el mismo peso que la perspectiva opuesta de Tales) es aún más audaz y mucho más cercana al punto de vista actual. Pues nosotros consideramos un gas como el estado más simple, más primitivo, «no-agregado», a partir del cual la formación relativamente complicada de líquidos y sólidos se sigue de la intervención de agentes que tienen un papel subordinado. Que Anaxímenes no se complacía en fantasías abstractas, sino que estaba impaciente por aplicar su teoría a hechos concretos, puede apreciarse en las conclusiones sorprendentemente correctas a las que llegó en algunos casos. Así, a propósito de la diferencia entre granizo y nieve (consistentes ambos en agua solidificada, es decir, hielo), nos dice que el granizo se forma cuando se hiela el agua que cae de las nubes (esto es, gotas de lluvia), mientras que la nieve resulta de nubes húmedas que alcanzan por sí mismas el estado sólido. Cualquier texto moderno de meteorología contará aproximadamente lo mismo. Las estrellas (dicho sea de paso y sin que venga a cuento) no nos proporcionan calor, decía Anaxímenes, porque se encuentran demasiado lejos.
Pero, con mucho, lo más importante de la teoría de la rarefacción-condensación es que se trata del paso más firme hacia el atomismo, que efectivamente muy pronto siguió esta pista. Este punto merece atención, ya que para nosotros, modernos, no es obvio en absoluto. Estamos familiarizados con la idea del continuum, o así lo creemos. No lo estamos con la enorme dificultad que este concepto representa para la mente, a menos que hayamos estudiado las matemáticas más modernas (Dirichlet, Dedekind, Cantor).
Los griegos tropezaron con estas dificultades, fueron perfectamente conscientes de ellas y se sintieron profundamente turbados. Así se puede apreciar en su desconcierto ante el hecho de que «ningún número» corresponda a la diagonal del cuadrado de lado 1 (sabemos que es √2); puede apreciarse en las conocidas paradojas de Zenón (el Eléata), la paradoja de Aquiles y la tortuga, la de la flecha al vuelo, al igual que en otras paradojas acerca de la arena y en las cuestiones recurrentes sobre si la línea consiste en puntos y, de ser así, cuántos contiene. El que nosotros (al menos los no matemáticos) hayamos aprendido a sortear estas dificultades (y seamos en consecuencia incapaces de entender este aspecto del pensamiento griego) creo que se debe, en gran parte, a la notación decimal. En algún momento de nuestra época escolar se nos hace tragar la píldora de que uno puede operar con fracciones decimales cuyas cifras se suceden hasta el infinito, y que cada una de ellas representa un número, incluso cuando no es posible indicar la recurrencia de las cifras. La píldora en cuestión pasa mejor gracias a nuestro conocimiento previo de que números muy sencillos, como 1/7 (un séptimo), no poseen una sucesión decimal finita correspondiente, sino una infinita, con recurrencia:
1/7 = 0,142857 | 142857 | 142857 |…
La enorme diferencia entre este caso y, por ejemplo,√2 = 1,4142135624…
aparece cuando constatamos que √2 conservaría su especificidad cualquiera que fuera la «base de numeración» que eligiéramos en lugar de nuestra convencional base 10, mientras que en base 7 [10], por supuesto, tenemos para 1/7 la «fracción séptima».1/7 = 0,1
En cualquier caso, tras habernos tragado la píldora, nos damos cuenta de que estamos ya en condiciones de asignar un número definitivo a cualquier punto de la línea recta entre cero y uno, así como entre cero e infinito, e incluso entre menos infinito y más infinito, siempre que hayamos marcado previamente en la recta el punto cero. Nos sentimos en posesión y control del continuum.Además, nosotros conocemos el caucho. Sabemos que podemos estirar una tira de caucho dentro de unos límites amplios, o incluso una superficie de caucho, como hacemos cuando inflamos un globo. No tenemos dificultad en imaginar que podemos hacer algo similar con una masa sólida de caucho. Por ello no tenemos problemas para conciliar un modelo continuo de la materia con cambios considerables de forma y volumen; ciertamente, muy pocos físicos del siglo XIX encontraron dificultad en ello.
Los griegos, por las razones mencionadas, no tenían esta facilidad. Tarde o temprano se veían obligados a interpretar los cambios de volumen como una prueba de que los cuerpos constan de partículas discretas, inalterables en sí mismas, pero que se mueven alejándose o aproximándose entre sí, dejando más o menos espacio vacío entre ellas. En esto consiste su teoría atómica, que es también la nuestra. Parece como si hubiera sido precisamente una deficiencia —una laguna de conocimiento acerca del continuo— lo que les condujo al camino correcto. A finales del siglo pasado uno todavía podría haber aceptado esta conclusión, pese a su improbabilidad intrínseca. La última fase de la física moderna, inaugurada en 1900 con el descubrimiento del quantum de acción de Planck, apunta en dirección opuesta. Pese a aceptar el atomismo griego en lo relativo a la materia ordinaria, nos damos cuenta de que hemos hecho un uso impropio de nuestra familiaridad con el continuo. Hemos utilizado este concepto para la energía; sin embargo, el trabajo de Planck ha proyectado dudas sobre su adecuación. Todavía usamos el continuo en relación con el espacio y el tiempo. Será difícil eliminarlo de la geometría abstracta, pero podría perfectamente revelarse fuera de lugar en relación al espacio y al tiempo físico. Esto en lo que se refiere al desarrollo de las ideas físicas de la escuela de Mileto, que, estimo, constituyen su contribución más importante al pensamiento occidental.
Otra conocida afirmación procedente de esta escuela es la de que toda la materia está dotada de vida. Aristóteles, tratando acerca del alma, nos cuenta que algunos la consideraban confundida con «el todo». Así, Tales pensaba que todo se hallaba repleto de dioses; se nos dice también que atribuía poder motriz al alma y adscribía un alma incluso a la piedra, ya que ésta movía el hierro (refiriéndose, por supuesto, a la piedra imán). Ésta y la propiedad similar otorgada al ámbar (elektron) al cargarse eléctricamente por frotamiento se aducen siempre como las razones por las que Tales adscribe un alma incluso a lo inanimado (= sin alma). También se dice que concebía a Dios como el intelecto (o mente) del universo, y pensaba que todo él estaba animado (dotado de alma) y lleno de deidades. Más tarde se inventaría el nombre de «hylozoístas» (hyle, materia; zo-os, vivo) para los miembros de la escuela de Mileto, en referencia a su punto de vista, entendido como bastante excéntrico e infantil. En efecto, ya Platón y Aristóteles estipularon una clara división entre lo vivo y lo inanimado: lo vivo es aquello que se mueve por sí mismo, como un hombre, un gato o un pájaro, o como el Sol, la Luna y los planetas. Ciertas teorías modernas se aproximan a lo que los hylozoístas creían y sentían. Schopenhauer extendió su noción fundamental de «Voluntad» a todo, adscribió voluntad a la piedra que cae y a la planta que crece, así como a los movimientos espontáneos de los animales y del hombre. (Consideraba el conocimiento consciente y el intelecto como fenómenos secundarios, accesorios, perspectiva que no se trata de discutir aquí.) El gran psicofisiólogo G. Th. Fechner desarrolló, aunque sólo en sus horas de asueto, algunas ideas sobre las «almas» de las plantas, de los planetas y del sistema planetario, que constituyen una interesante lectura y pretenden proporcionar algo más que entretenidas ensoñaciones. Finalmente, permítaseme evocar las Conferencias Gifford de Sir Charles Sherrington (1937-1938), publicadas en 1940 bajo el título de Man on his Nature (Hombre versus Naturaleza[11]). Una discusión de varias páginas sobre el aspecto físico (energético) de los acontecimientos naturales, y de la actividad de los organismos en particular, se resume destacando la posición histórica de nuestra visión actual: «… en la Edad Media, y después… así como anteriormente en Aristóteles, se daba el problema de lo animado y lo inanimado y el de hallar los límites entre ambos. El esquema actual hace obvio el porqué de esta dificultad y la anula. No hay frontera»[12]. Si Tales pudiera leer esto, diría: «Eso es justamente lo que yo sostuve doscientos años antes de Aristóteles».
Esta idea de que la naturaleza orgánica e inorgánica están unidas inseparablemente no era para los Milesios una simple y estéril declaración filosófica, como lo fue, por ejemplo, para Schopenhauer, cuyo principal error consistió en oponer (o quizá mejor, ignorar) la evolución, pese a que la evolución biológica estaba, en la versión de Lamarck, establecida en su tiempo y tuvo una gran influencia sobre algunos filósofos contemporáneos. En la escuela de Mileto se extrajeron inmediatamente sus consecuencias, dando por sentado que la vida debía originarse de alguna manera a partir de la materia inanimada, y obviamente de un modo gradual. Hemos mencionado antes que Tales decidió considerar el agua como sustancia primordial, probablemente porque creyó haber sido testigo de que la vida surgía espontáneamente en medios húmedos. En esto, por supuesto, se equivocaba. Pero su discípulo Anaximandro, reflexionando sobre el origen y desarrollo de los seres vivos, llegó a conclusiones notablemente correctas, y, lo que es más, a través de un agudo sentido de la observación y la inferencia. A partir de la indefensión de los animales terrestres recién nacidos, incluidos los bebés humanos, concluyó que ésta no podía ser la primera forma de vida. Los peces, por el contrario, no prestan mayor atención a su progenie. Sus pequeños tienen que salir adelante solos y —debemos añadir— pueden manejarse con mayor facilidad dado que su peso queda compensado en el agua. La vida, pues, debe provenir del agua. Nuestros ancestros tuvieron que ser peces. Todo esto coincide tan sorprendentemente con los descubrimientos modernos y es tan intrínsecamente sensato que uno lamenta los detalles novelescos añadidos. Se creía —en contraste con lo que acabamos de decir— que ciertos peces, quizás una especie de tiburón (γαλεόζ), criaban a sus pequeños con particular ternura, guardándolos en su seno (o incluso reintroduciéndolos en él) hasta que alcanzaban el estadio en que eran enteramente capaces de valerse por sí mismos. Se dice que Anaximandro mantenía que peces de este tipo, cariñosos con sus crías, habrían sido nuestros ancestros, en cuyo seno nos habríamos desarrollado hasta ser capaces de alcanzar la tierra firme y sobrevivir durante cierto tiempo. Leyendo esta novelesca e ilógica historia uno no puede evitar recordar que la mayor parte de estos relatos, si no todos, provienen de autores vigorosamente enfrentados con la teoría de Anaximandro, que ya había sido ridiculizada por el gran Platón de manera poco elegante. Estaban, pues, difícilmente dispuestos a entenderla. ¿Es posible que Anaximandro apuntara, muy consistentemente, a un estadio intermedio entre los peces y los animales terrestres, concretamente a los Anfibia (la clase a la que pertenecen las ranas), que engendran en el agua, comienzan su vida en el agua y después, tras una considerable metamorfosis, salen a tierra para vivir ya siempre en ella? Alguien que encontrara demasiado ridícula la idea de que un pez pueda gradualmente desarrollarse hasta convertirse en hombre pudo fácilmente distorsionar esta hipótesis convirtiéndola en esa historia «explicativa» que haría crecer al hombre dentro de un pez. Esto tiene un gran parecido con otras ficciones literarias sobre la historia natural con las que el círculo socrático-platónico tenía por costumbre entretenerse.
Capítulo 5
La religión de Jenófanes. Heráclito de Éfeso
Fue también él quien descubrió e interpretó correctamente fósiles en las rocas del sur de Italia, ¡en el siglo VI a. C.! Quisiera recordar aquí algunos de sus fragmentos más famosos, que nos proporcionan una idea de la actitud de los avanzados pensadores de aquel periodo con respecto a la religión y la superstición. Para dar paso a una visión científica del mundo, era, por supuesto, necesario en primer lugar deshacerse de ideas tales como las de Zeus lanzando rayos y truenos, Apolo provocando pestilencias para dar rienda suelta a su cólera, etcétera.
Jenófanes señala (fr. 11 [14]) que Homero y Hesíodo atribuyen a los dioses todo tipo de cualidades que constituyen una vergüenza y una desgracia entre los mortales: impostura, robo, adulterio, engaños entre unos y otros con enorme ingenio. Y (fr. 14):
«Los mortales creen que los dioses han sido procreados como lo son ellos mismos, que utilizan prendas de vestir como las suyas y que tienen voz y forma»[15].
Me detendré un momento para plantear lo siguiente: ¿Cómo podrían los griegos en general aceptar una idea tal acerca de los dioses? La respuesta es, creo, que todo eso no les parecía en absoluto bajeza. Por el contrario, testimoniaba el poder, libertad e independencia de los dioses; éstos podrían hacer sin censura cosas que a nosotros nos convertirían en culpables, pues sólo somos pobres mortales. Ellos modelaban a sus dioses a imagen de los que, entre ellos, tenían mayor riqueza, fuerza, poder e influencia y que, a menudo, entonces como ahora, podían permitirse evadir la ley y conseguir la indulgencia para crímenes y acciones vergonzosas, gracias a su poder y riqueza.
En varios fragmentos Jenófanes destrona a los dioses en un par de líneas, ridiculizándolos por no ser patentemente nada más que el producto de la imaginación humana:
«Sí, y si los bueyes, caballos o leones tuvieran manos y pudieran pintar con ellas y producir obras de arte como los hombres, los caballos pintarían las figuras de los dioses como si fueran caballos, y los bueyes como bueyes, dando a sus cuerpos la imagen de sus diferentes especies.» (Fr. 15).
«Los etíopes hacen a sus dioses negros y chatos; los tracios dicen que los suyos tienen ojos azules y cabello rojo». (Fr. 16).
A continuación, unos fragmentos que nos deparan su propia idea —clara y singular— acerca de la divinidad:
«Un dios, el más grande entre dioses y hombres, ni en forma ni en pensamiento es semejante a los mortales.» (Fr. 23).
«Él lo ve todo, lo piensa todo y lo oye todo.» (Fr. 24).
«Pero sin ningún esfuerzo dirige todas las cosas con el vigor de su mente.» (Fr. 25).
«Y permanece siempre en el mismo lugar, sin moverse en absoluto; pues no le corresponde hallarse ahora aquí y en otro momento allá». (Fr. 26).
Y he aquí su, para mí, particular e impresionante agnosticismo:
«Nunca hubo ni habrá hombre alguno que tenga conocimiento cierto acerca de los dioses y sobre las cosas de las que hablo. Incluso si alcanzara por fortuna a decir la verdad plena, él mismo ignoraría que es así. No existe otra cosa que la opinión fortuita». (Fr. 34).
Fijémonos ahora en un pensador algo posterior, Heráclito de Éfeso. Era un poco más joven (tuvo su acmé hacia el 500 a. C.); probablemente no era un discípulo de Jenófanes, pero conoció sus escritos y recibió influencias de éste y de los jonios anteriores. Llegó incluso a pasar por «oscuro» en la Antigüedad y fue (aventuro que por esta razón) aprovechado por Zenón, el fundador de la escuela estoica, y por los estoicos que le siguieron, incluido Séneca. Los pocos fragmentos existentes lo evidencian. Los detalles de su visión del mundo tienen poco interés. Sus ideas participan del carácter general de la cultura jónica, con un fuerte tinte agnóstico en la línea de Jenófanes. He aquí algunos de sus escritos característicos más comprensibles:
«Este mundo, el mismo para todos nosotros, no ha sido creado por ninguno de los dioses ni de los humanos; siempre ha sido, es y será un fuego perdurable, iluminándose a intervalos y a intervalos extinguiéndose.» (Fr. 30).
«Lo que espera a los hombres tras la muerte no es ni lo que prevén ni lo que sueñan». (Fr. 27).
Como ejemplo de los fragmentos oscuros (la traducción es la de Burnet) [16]:
«El hombre enciende una luz para sí mismo en la noche, cuando ha muerto y sin embargo vive. El que duerme, carente de visión, resplandece de entre los muertos; el que es despertado resplandece de entre los durmientes». (Fr. 26).
Hay un conjunto de fragmentos que denota a mi juicio una perspectiva profundamente epistemológica, a saber: puesto que todos los conocimientos se basan en percepciones sensoriales, a priori deben valorarse igualmente, así ocurran en estado de vigilia, en un sueño o en una alucinación; y sea en persona de mente sana o de mente enferma. Lo que marca la diferencia y permite construir una imagen del mundo verosímil a partir de ellos es que este mundo puede ser construido de tal modo que sea común para todos nosotros, o al menos para toda persona sana y en estado de vigilia. (No debe olvidarse que en aquel tiempo era mucho más habitual considerar las apariciones oníricas como algo real; la mitología griega está llena de este tipo de historias.) Estos fragmentos dicen:
«Es por ende necesario seguir lo común. Pero mientras que la razón (λόγοζ) es común, la mayoría vive como si cada uno poseyera un discernimiento particular.» (Fr. 2)
«No debemos actuar ni hablar como si estuviéramos dormidos. (Explicación: pues entonces, en nuestro sueño, también creemos que hablamos y actuamos)». (Fr. 73).
Y fundamentalmente:
«Aquellos que hablan con mente clarividente (ξὺν νόω) deben buscar apoyo en lo que es común a todos, al igual que una ciudad se fundamenta en su ley, e incluso con mucha mayor radicalidad; pues todas las leyes de los hombres se nutren de una única ley divina. Esta prevalece tanto cuanto quiere y es más que suficiente para todo.» (Fr. 114).
«Los que están en estado de vigilia poseen un solo mundo en común, pero los que duermen penetran cada uno en su propio mundo». (Fr. 89).
Lo que me impresiona en particular es el gran énfasis en mantener lo que es común, en el sentido de escapar a la insensatez, eludir ser un «idiota» (de ἴδιοζ, privado, lo que es propio). No se trataba, pues, de un socialista, sino en todo caso de un aristócrata, quizá un «fascista» [17].
Creo que esta interpretación es correcta. No he podido encontrar en ningún sitio una explicación razonable para este «común» en un hombre como él. En una ocasión dice algo así como: un hombre de genio pesa más que diez mil de los comunes. A veces nos recuerda a Nietzsche, ¡el gran fascista! Todas las cosas que merecen la pena se han originado a partir de conflictos y violencia.
Para resumir, el sentido de todo esto sería, a mi juicio, lo siguiente: nos forjamos ideas acerca de un mundo que nos rodea partiendo de que una parte de nuestras sensaciones y experiencias coincide con él. Tal fracción coincidente es el mundo real.
Creo que, por regla general, uno no debería asombrarse demasiado de encontrar ocasionalmente un pensamiento filosófico verdaderamente profundo con respecto al mundo en los fragmentos considerados más arcaicos del pensamiento humano; encontrar ideas para darles forma o inteligir nos cuesta hoy día bastante esfuerzo y una considerable labor de abstracción. Pensemos que esta infancia del pensamiento humano se hallaba, en sentido figurado, «aún más próxima a la naturaleza». Todavía no se había alcanzado la imagen racional del mundo, no se había logrado aún la construcción de «el mundo real que nos rodea». En cualquier caso, tenemos bastantes ejemplos que ilustran la existencia de tal pensamiento primitivo y profundo en los escritos religiosos antiguos de muchos pueblos, los indios, los judíos, los persas.
Comparando estos periodos tempranos de la intelección filosófica, no puedo evitar recordar las palabras de P. Deussen, el gran especialista en sánscrito e interesante filósofo, quien decía: «Es una lástima que los niños en los dos primeros años de su vida no puedan hablar, porque si pudieran, probablemente lo harían en filosofía kantiana». ¿Es la antigua teoría atómica —la que se vincula a los nombres de Leucipo y Demócrito (nacidos hacia el 460 a. C.)— la verdadera precursora de la teoría moderna? Esta cuestión se ha planteado a menudo y se han recogido opiniones muy diferentes a este respecto. Gompertz, Coumot, Bertrand Russell, J. Burnet dicen que «sí». Benjamín Farrington afirma que lo es «en cierto sentido», y que ambas tienen mucho en común. Charles Sherrington sostiene que «no», señalando el carácter puramente cualitativo del atomismo antiguo y el hecho de que su idea básica, al vincularse a la palabra «átomo» (no susceptible de partición o indivisible), ha convertido su propio nombre en un término equívoco. No tengo noticia del veredicto negativo en boca de ningún especialista en el mundo clásico. Y cuando tal opinión procede de un científico, siempre se delatará por algún detalle que considera la química —no la física— como el dominio propio de las nociones de átomo y molécula. Mencionará el nombre de Dalton (nacido en 1766) y omitirá, en este contexto, el nombre de Gassendi (nacido en 1592). Fue este último, sin embargo, el que reintrodujo definitivamente el atomismo en la ciencia moderna, y llegó a él tras estudiar los importantísimos escritos conocidos de Epicuro (nacido hacia el 341 a. C.), quien, a su vez, recogió la teoría de Demócrito, del que únicamente han llegado a nosotros escasos fragmentos originales. Es de destacar que en química, tras el impulso decisivo que, hacia finales del siglo XIX, siguió a los descubrimientos de Lavoisier y Dalton, se originó un fuerte movimiento (los «energéticos»), encabezado por Wilhelm Ostwald y sustentado en Ernst Mach, que clamaba por el abandono del atomismo. Se dijo entonces que éste no era necesario en la química y que debería prescindirse de él, como hipótesis no probada e improbable, una actitud que, al igual que el origen del antiguo atomismo y su conexión con la teoría moderna, tiene un interés bastante mayor que el puramente histórico. Volveremos sobre ello. Antes, quisiera esbozar los principales rasgos de la teoría de Demócrito. Son los siguientes:
(i) Los átomos son muy pequeños, indivisibles, todos de la misma materia o naturaleza (ϕύσιζ), pero con una enorme diversidad de formas y tamaños, y en ello reside su propiedad característica. Son impermeables y actúan entre sí por contacto directo, empujándose y desviándose mutuamente. Así, las más variadas formas de agregación y enlace entre átomos del mismo y diferente tipo produce, en sus diversas interacciones, la infinita variedad de los cuerpos materiales que observamos. El espacio exterior a los átomos está vacío, un aspecto que a nosotros nos resulta natural, pero que fue objeto de infinitas controversias en la Antigüedad, ya que muchos filósofos consideraban que el μὴ ὄν, lo que no es, no podía ser que fuera, ¡lo cual equivalía a negar la posibilidad del espacio vacío!
(ii) Los átomos se encuentran en perpetuo movimiento, y podríamos entender que este movimiento se consideraba irregular o desordenadamente distribuido en todas direcciones, puesto que nada puede ser concebido si los átomos se encuentran en perpetuo movimiento incluso en los cuerpos que permanecen en reposo o se mueven a poca velocidad. Demócrito afirma explícitamente que en el espacio vacío no hay abajo ni arriba, delante ni detrás, no hay dirección privilegiada alguna, el espacio vacío es isótropo, diríamos nosotros.
(iii) Su movimiento continuo persiste por sí mismo, no cesa; esto se daba por supuesto. Tal descubrimiento, intuitivo, de la ley de inercia debe ser considerado una hazaña, puesto que contradice de forma patente la experiencia. Fue restablecido 2000 años más tarde por Galileo, quien llegó a la misma conclusión mediante una ingeniosa generalización a partir de experimentos cuidadosamente realizados con péndulos y bolas que hacía rodar por planos inclinados. En tiempos de Demócrito esta idea era totalmente inaceptable; creó enormes dificultades a Aristóteles, para quien únicamente el movimiento circular de los cuerpos celestes era susceptible de persistir indefinidamente sin cambio. En términos modernos diríamos que los átomos estaban dotados de una masa inerte que les impelía a continuar sus movimientos en el espacio vacío y a traspasarlos a otros átomos contra los que chocaban.
(iv)No consideraba el peso o la gravedad una propiedad primitiva de los átomos. Se explicaba de una manera que en sí es sumamente ingeniosa: por un movimiento de rotación que hace que los átomos más grandes y con mayor masa tiendan hacia el centro, donde la velocidad lineal de rotación es menor, mientras que los más ligeros eran empujados o expulsados del centro, hacia los cielos. Leyendo esta descripción uno recuerda lo que sucede con la fuerza centrífuga, aunque en este caso, por supuesto, suceda todo lo contrario, siendo los cuerpos específicamente más densos arrastrados hacia el exterior, mientras que los más ligeros tienden hacia el centro. Por otra parte, si Demócrito tras preparar una taza de té la hubiera removido circularmente con una cucharilla, habría constatado que el té deja restos en el centro de la taza, un ejemplo excelente para ilustrar su teoría del remolino. (El verdadero fundamento de este hecho es exactamente el opuesto, dado que el remolino es más fuerte en el centro que en los extremos, donde los muros lo retardan.) Lo que más me sorprende es lo siguiente: uno tendería a pensar que esta idea de la gravedad debida a un giro continuo sugeriría automáticamente un modelo para el mundo de simetría esférica, y por tanto una Tierra esférica. Sin embargo, no fue éste el caso: Demócrito se decantó, bastante inconsistentemente, por la forma de un tambor; continuó considerando las revoluciones diurnas de los cuerpos celestes como reales, haciendo que la Tierra-tambor se sustentase en una especie de cojín de aire. Quizá sintiera tal aversión por el insensato discurso de los pitagóricos y los eléatas que no quería aceptar nada proveniente de ellos.
(v) Pero, a mi juicio, el defecto más grave del que adolecía la teoría, y lo que la condenó a ser la «bella durmiente» durante tantos siglos, fue el que se hiciese extensiva al alma. El alma fue considerada como compuesta de átomos materiales, particularmente diminutos y de elevada movilidad, probablemente repartidos a lo largo de todo el cuerpo e interviniendo en su funcionamiento. Lo que es una pena, pues condujo a que en los siglos venideros los pensadores más sutiles y profundos rechazaran la teoría. No hay que juzgar sin embargo a Demócrito con excesiva severidad. Fue un momento de irreflexión en un hombre cuya profunda intelección de la teoría del conocimiento intentaré probar a continuación. En su teoría atómica asumió y desarrolló la antigua concepción errónea, firmemente anclada en el lenguaje hasta el presente, del alma como un soplo. Todas las palabras antiguas para designar el alma significan aire o respiración: ψυχή, μνεῦμα, spiritus, anima,athman (sánscrito), de donde proceden las modernas expirar, animado, inanimado, psicología, etcétera. Como el aliento es aire y el aire está compuesto de átomos, el alma también debería estar compuesta de ellos. No deja de ser una comprensible reducción del problema central de la metafísica, de facto sin resolver (véase la magistral exposición que ofrece Charles Sherrington en Hombre versus Naturaleza).
Esto tiene una consecuencia tremenda que ha traído de cabeza a pensadores de muchos siglos y que, con algún ligero cambio de forma, todavía hoy sigue constituyendo un enigma para nosotros. El modelo del mundo consistente en átomos y espacio vacío incorpora el postulado básico de que la naturaleza es comprensible, siempre y cuando en cualquier momento pueda determinarse el movimiento ulterior de los átomos a partir exclusivamente de su configuración y estado de movimiento actuales. Así, la situación alcanzada en cualquier momento engendra por necesidad la siguiente; ésta a su vez explica la siguiente, y así sucesivamente. Todo el proceso se halla estrictamente determinado desde su inicio, y en él no alcanza a verse cómo afecta el comportamiento de los seres vivos, incluidos nosotros, que nos consideramos aptos para elegir en gran medida los movimientos de nuestro cuerpo mediante libre decisión de nuestra mente. Si resulta que esta mente o alma está ella misma compuesta de átomos que se mueven en la misma forma ineluctable, no habrá al parecer lugar para la ética ni para la conducta moral. Estaríamos determinados por las leyes de la física a hacer en todo momento exactamente lo que hacemos. ¿A qué vendría entonces el deliberar sobre lo que es correcto o incorrecto? ¿Quedaría acaso lugar para la ley moral si la ley natural fuera todopoderosa y frustrara enteramente los designios de la primera?
La antinomia está tan poco resuelta hoy como hace veintitrés siglos. Con todo, podemos distinguir en la asunción de Demócrito un aspecto muy verosímil y otro perfectamente absurdo. Demócrito admitía
- que el comportamiento de todos los átomos en el interior de un cuerpo vivo está determinado por las leyes físicas de la naturaleza y
- que algunos de ellos venían a componer lo que denominamos la mente o el alma.
El aspecto completamente absurdo es (2).
Por desgracia los sucesores de Demócrito, Epicuro y sus discípulos, incapacitados para encarar tal antinomia, abandonaron la hipótesis verosímil (1) y se aferraron al error absurdo (2).
La diferencia entre estos dos hombres, Demócrito y Epicuro, residía en que Demócrito estaba modestamente convencido de que no sabía nada, mientras que Epicuro estaba muy seguro de que sabía un poco de todo.
Epicuro añadió al sistema otra muestra de sinsentido cuidadosamente recogida por todos sus seguidores, incluido, por supuesto, Lucrecio Caro. Epicuro era un sensorialista convencido. Para él, siempre que los sentidos nos proporcionen alguna evidencia conclusiva, debemos seguirlos. Cuando no sea así, somos libres de avanzar cualquier hipótesis razonable para explicar lo que vemos. Desgraciadamente, incluyó entre las cosas sobre las cuales los sentidos nos proporcionarían una evidencia incuestionable el tamaño del Sol, la Luna y las estrellas. Hablando acerca del Sol, argumentaba (1) que su circunferencia es neta, no difusa, y (2) que nosotros percibimos su calor. Señalaba además que podemos conocer el tamaño real de cualquier hoguera en la tierra, siempre que sea suficientemente grande y podamos discernir sus contornos claramente y sentir algo de su calor. ¡Vemos la hoguera exactamente tan grande como es! Conclusión: el Sol (y la Luna y los planetas) son tan grandes como nosotros los vemos, ni mayores ni menores.
El principal sinsentido es, por supuesto, la expresión «tan grandes como nosotros los vemos». Asombra que incluso los filólogos modernos, cuando se refieren a esto, no se extrañen por esta expresión sin sentido, sino sólo por el hecho de que Epicuro asintiera. Éste no distingue entre tamaño angular y tamaño linear, viviendo en Atenas casi tres siglos después de Tales, quien había medido la distancia de los barcos por triangulación, tal y como lo hacemos nosotros.
Pero detengámonos en sus palabras. ¿Qué pudo haber querido decir? ¿De qué tamaño vemos nosotros, pues, el Sol? ¿A qué distancia se encuentra si es tan grande como nosotros lo vemos?
Su diámetro angular es de 1/2 de grado. A partir de aquí, uno puede establecer fácilmente, que si se hallara a 10 millas de distancia, tendría que tener un diámetro de aproximadamente 1/10 de milla o 500 pies. No creo que nadie pueda mantener que el Sol da la impresión inmediata de ser tan grande como una catedral. Pero permítasenos atribuirle diez o quince veces tal talla, lo que nos daría un diámetro de una milla y media y una distancia de 150 millas. Esto significaría que cuando uno viera el Sol por la mañana en Atenas en el horizonte oriental, en realidad estaría saliendo en ese momento por la costa de Asia Menor. Reflexionemos:

Fig. 4.
En cualquier caso esto demuestra, creo, que tras Demócrito los hábitos de la física abrigaron a filósofos que no tenían interés real en la ciencia y que, por la gran influencia que tuvieron como filósofos, la degradaron, pese al brillante trabajo especializado realizado en Alejandría y otros lugares. La ciencia tuvo así poca influencia en la actitud de la población en general, e incluso en hombres de la talla de Cicerón, Séneca o Plutarco.
Volvamos ahora a la cuestión histórica evocada al comienzo de este capítulo y a la que atribuyo mucho más interés que el meramente histórico. Nos encontramos aquí frente a uno de los casos más fascinantes en la historia de las ideas. El punto sorprendente es éste: de las vidas y escritos de Gassendi y Descartes, introductores del atomismo en la ciencia moderna, sabemos como dato histórico efectivo que, al hacerlo, estaban enteramente convencidos de estar retomando la teoría de los antiguos filósofos, cuyos escritos habían estudiado con diligencia. Y lo que es más importante, todos los rasgos básicos de la antigua teoría sobrevivieron en la moderna hasta nuestros días, enormemente realzados y ampliamente elaborados, pero sin cambios sustanciales desde el punto de vista del filósofo natural, no en la perspectiva miope del especialista. Por otro lado sabemos que ni un atisbo de la rica evidencia experimental que un físico moderno aduce como sostén de estos modelos básicos era conocido ni por Demócrito ni por Gassendi.
Cada vez que este tipo de cosas sucede hay que considerar dos posibilidades. La primera es que los primeros pensadores hicieron una afortunada conjetura que más tarde se reveló correcta. La segunda es que tal esquema de pensamiento no está exclusivamente basada en evidencias recientes, como los modernos pensadores creen, sino en la concordancia de muchos datos simples, conocidos anteriormente, y en la estructura a priori, o al menos en la inclinación natural, del intelecto humano. Sería de gran importancia que la verosimilitud de la segunda alternativa pudiera ser probada. Naturalmente, ello no debería, ni siquiera en el caso de que fuera cierta, inducimos a abandonar la idea —en nuestro caso, el atomismo— como si se tratara de una mera ficción de nuestra mente; simplemente nos proporcionará una visión más profunda del origen y naturaleza de nuestra imagen intelectiva. Estas consideraciones nos incitan a descubrir, si es posible, qué es lo que llevó a los filósofos antiguos hasta su concepción de los átomos inmutables y del vacío.
Que yo sepa, no hay evidencia alguna que nos guíe. Hoy en día, si declaramos las creencias científicas propias o ajenas, nos vemos obligados a añadir la razón de que las sostengamos o las hayamos sostenido. El mero hecho de que tal o cual persona crea una cosa u otra, sin motivación, carece de interés para nosotros. Esto no era una práctica común en la Antigüedad. Los denominados doxografoi se muestran usualmente bastante satisfechos con decimos, por ejemplo, «Demócrito sostenía…», pero es de destacar en el presente contexto el hecho de que el propio Demócrito considerase su teoría una creación del intelecto. Esto puede apreciarse en el fr. 125, más adelante citado in extenso, así como en su distinción entre las dos vías para obtener conocimiento, la genuina y la oscura (fr. 11). La última la constituyen los sentidos, que nos resultan inadecuados cuando intentamos penetrar en pequeñas regiones del espacio. Entonces, el método genuino de conocimiento basado en un órgano refinado del pensamiento viene en nuestra ayuda. Que esto se refiere entre otras cosas a la teoría atómica parece obvio, aunque en el fragmento de que disponemos no esté explícitamente mencionado.
¿Qué era, pues, lo que guiaba su refinado órgano del pensamiento hasta el extremo de que llegara a producir el concepto de átomo?
Demócrito estaba muy interesado por la geometría, no sólo como mero entusiasta a la manera de Platón; era un distinguido geómetra. Le debemos el teorema según el cual el volumen de una pirámide o un cono es un tercio del producto de su base y altura. Para el que conozca el calculus es un lugar común, pero he conocido buenos matemáticos que tuvieron dificultades para recordar la prueba elemental que aprendieron en sus años de estudiantes. Demócrito difícilmente pudo haber llegado al teorema sin utilizar, al menos en algún paso, un sustituto para el calculus (como lo hacen los niños en el colegio, así el principio de Cavalieri, al menos en Austria). Demócrito tuvo una comprensión profunda de la significación y las dificultades de las magnitudes infinitesimales. Así lo sugiere una interesante paradoja con la que sin duda tropezó al cavilar sobre esta demostración. Sea un cono cortado en dos por un plano paralelo a su base; ¿son los dos círculos producto de la sección (el cono más pequeño arriba y el tronco de cono abajo), iguales o desiguales? Si son desiguales, entonces, puesto que ello sería válido para cualquier corte de este tipo, la parte lateral de la superficie del cono no sería lisa, sino escalonada; si se dice que son iguales, entonces, por la misma razón, ¿no significaría ello que todas estas secciones paralelas a la base son iguales y por tanto que el cono es un cilindro?
De todo esto y de los títulos de otros dos escritos suyos («De la diferencia de opinión o del contacto de un círculo y una esfera» y «De las líneas y sólidos irracionales») uno saca la impresión de que finalmente Demócrito llegó a una clara distinción entre, por una parte, los conceptos geométricos de cuerpo, superficie o línea, con propiedades bien definidas (por ejemplo una pirámide, una superficie cuadrada o una circunferencia), y las realizaciones más o menos imperfectas de estos conceptos a través de (o en) un cuerpo físico. (Platón, un siglo más tarde, les asignó la primera categoría entre sus «ideas»; fueron incluso, creo, sus prototipos; de esta manera la cosa se confundió con la metafísica.)
Vinculemos ahora lo anterior con el hecho de que Demócrito no solo conocía las opiniones de los filósofos jónicos, sino que, cabe decir, continuó su tradición. Como hemos mencionado en el capítulo cuarto, el último de ellos, Anaxímenes, sostuvo, en completo acuerdo con nuestro punto de vista moderno, que todos los cambios importantes observados en la materia son sólo aparentes, pues en realidad se deben a la rarefacción y la condensación. Pero ¿tiene sentido decir que el material en sí mismo se mantiene sin cambio, si de hecho cualquier fragmento de este material, por pequeño que sea, se va rarificando o comprimiendo? El geómetra Demócrito estaba en condiciones de concebir este «por pequeño que sea». El método obvio es considerar que todo cuerpo físico se halla efectivamente compuesto de innumerables cuerpos pequeños, que permanecen inmutables y en los que se produce la rarefacción cuando se alejan unos de otros, y la condensación cuando se agregan y ocupan un volumen menor. Para que puedan comportarse de esta forma, dentro de unos límites, es exigencia necesaria que el espacio entre ellos sea vacío, es decir, que no contenga nada en absoluto. Al mismo tiempo la integridad de las proposiciones puramente geométricas podría salvaguardarse por la vía de desplazar las paradojas y retos que se planteaban desde los conceptos geométricos a sus realizaciones físicas imperfectas. La superficie de un cono real o, en este caso, de cualquier cuerpo real, en rigor no sería lisa, puesto que está formada por acumulación de átomos y, en consecuencia, perforada por pequeños agujeros con prominencias entre ellos. Podría también atribuirse a Protágoras (quien habría planteado problemas de este tipo) la idea de que una esfera real en reposo sobre un plano no tendría con éste un único punto de contacto, sino toda una pequeña región de contacto «próximo». Estas paradojas no impedirían que la geometría pura conservara su exactitud. Puede inferirse que tal era el punto de vista de Demócrito a partir de una consideración de Simplicio, quien nos cuenta que, según Demócrito, sus átomos físicamente indivisibles eran, en un sentido matemático, divisibles ad infinitum.
Durante los últimos cincuenta años hemos obtenido evidencia experimental de la «existencia real de corpúsculos discretos». Hay una amplia gama de observaciones interesantes que no podemos recoger aquí y que los atomistas de finales del siglo pasado no habrían aventurado ni en sus sueños más desatados. Podemos ver con nuestros propios ojos el registro de las trazas lineales de las trayectorias de partículas individuales en la cámara de Wilson y en emulsiones fotográficas. Tenemos instrumentos (contadores Geiger) que responden con un click audible cuando una radiación cósmica hace que penetre en el instrumento una sola partícula; más aún, el instrumento puede perfeccionarse hasta el extremo de que la aguja de un sencillo amperímetro comercial avance en una unidad, de manera que pueda contarse el número de partículas detectadas en un tiempo determinado. Este tipo de cálculos, realizados por diferentes métodos y en condiciones diversas, concuerdan tanto entre sí como con las teorías atómicas desarrolladas mucho antes de que esta evidencia directa fuera posible. Los grandes atomistas, desde Demócrito hasta Dalton, Maxwell y Boltzmann, se habrían extasiado con estas pruebas palpables de sus convicciones.
Pero, al mismo tiempo, la moderna teoría atómica ha entrado en crisis. No hay duda de que la teoría de partículas elementales es demasiado ingenua. En realidad no es demasiado sorprendente, considerando las especulaciones que hemos revisado sobre su origen. Si éstas son correctas, el atomismo se forjó como arma para vencer las dificultades del continuum matemático, del cual, como hemos visto, Demócrito era conocedor. Para él, el atomismo sirvió de puente entre los cuerpos reales de la física y las formas idealizadas de la matemática pura. Pero no sólo para Demócrito. En cierto sentido, el atomismo ha cumplido esa función a lo largo de toda su historia, la de facilitar nuestro pensamiento acerca de los cuerpos palpables. Un fragmento de materia se reduce en nuestro pensamiento a innumerables, aunque finitos, constituyentes que podemos contar (o al menos imaginar que lo hacemos) mientras que somos incapaces de establecer el número de puntos de una línea recta de 1 cm de longitud. Podemos también contar, en nuestro pensamiento, el número de choques en un tiempo dado. Cuando el hidrógeno y el cloro se unen para formar ácido hidroclórico, podemos, en nuestra mente, acoplar los átomos de los dos tipos y pensar que cada par se une para formar un pequeño cuerpo nuevo, una molécula del compuesto. Este cálculo, esta manera de acoplar, esta manera misma de pensar, ha desempeñado un papel predominante en el descubrimiento de los teoremas físicos más importantes. Esto no hubiera resultado posible si hubiéramos seguido ateniéndonos a la consideración de la materia como un continuo gelatinoso y sin estructura. Así pues, el atomismo se ha revelado como una teoría infinitamente fértil. No obstante, cuanto más reflexiona uno sobre él, menos puede evitar preguntarse hasta qué punto se trata de una teoría verdadera. ¿Está efectivamente fundada exclusivamente en la estructura objetiva del «mundo real que nos rodea»? ¿No se tratará de una parcela importante condicionada por la naturaleza del conocimiento humano, lo que Kant denominaría « a priori»? Estamos obligados, creo, a no adoptar una actitud mental excesivamente abierta respecto al problema de las pruebas palpables de la existencia de partículas simples individuales, sin detrimento de nuestra profunda admiración por los genios de aquellos experimentadores que nos han proporcionado tan rico conocimiento. Lo incrementan, de hecho, día a día, y con ello nos ayudan a resarcirnos de la triste constatación de que nuestro conocimiento teorético sobre el asunto disminuye, me atrevo a decir, casi en la misma proporción.
Concluiré este capítulo citando algunos fragmentos agnósticos y escépticos de Demócrito, los que más me han impresionado. La traducción sigue a Cyril Bailey [18]:
«Todo hombre debe aprender sobre la base de que se encuentra lejos de la verdad». (D. fr. 6)
«No conocemos verdaderamente nada acerca de cosa alguna, sino que en cada uno de nosotros la opinión es un influjo (es decir, le es transmitido por influjo de “ídolos [19] ” desde el exterior).» (D. fr. 7)
«Saber verdaderamente lo que es cada cosa, es causa de incertidumbre». (D. fr. 8)
«Verdaderamente no conocemos nada con certeza, sino sólo en sus transformaciones, de acuerdo con la disposición de nuestro cuerpo y de las cosas que en él se introducen y le afectan». (D. fr. 9).
«No conocemos nada ciertamente, pues la verdad yace escondida en el abismo». (D. fr. 117).
Y a continuación el famoso diálogo entre el intelecto y los sentidos:
«(Intelecto:) Lo dulce es por convención y lo amargo por convención, lo caliente por convención, lo frío por convención, el color por convención; en verdad no hay más que átomos y vacío.
»(Los Sentidos:) Pobre mente, ¿tomas de nosotros la evidencia por la cual quisieras destronarnos? Tu victoria es tu derrota». (D. fr. 125).
Capítulo 7
¿Cuáles son los rasgos peculiares?
Recuerden las líneas del prefacio de Burnet: la ciencia es una invención griega, y nunca existió excepto entre los pueblos bajo influencia griega. Más tarde, en el mismo libro afirma: «El fundador de la escuela de Mileto y por consiguiente [!] el primer hombre de ciencia fue Tales» [20]. Gomperz asegura (lo he citado por extenso) que toda nuestra actual manera de pensar se basa en el pensamiento griego; éste es, pues, algo especial, algo que se ha desarrollado históricamente durante siglos, no es el general, el único modo posible de pensar sobre la naturaleza. Gomperz pone mucho énfasis en la apreciación de este extremo, en que reconozcamos las peculiaridades como tales, posiblemente liberándonos así de su poco menos que irresistible hechizo.
¿Cuáles son pues? ¿Cuáles son los rasgos peculiares, específicos de nuestra imagen científica del mundo?
No cabe duda acerca del primero de estos rasgos fundamentales. Consiste en la hipótesis de que el despliegue de la naturaleza puede ser inteligido. He abordado este punto repetidamente. Se trata de la perspectiva no-espiritista, no-supersticiosa, no-mágica. Cabría decir mucho más acerca de ella. En este contexto, habría que discutir las cuestiones siguientes: ¿qué significa realmente la comprensibilidad y en qué sentido, si hay alguno, la ciencia proporciona explicaciones? El gran descubrimiento de David Hume (1711-1776) fue que la relación entre causa y efecto no es directamente observable y no enuncia nada sino una sucesión regular. Este descubrimiento epistemológico fundamental llevó a grandes físicos como Gustav Kirchhoff (1824-1887), Ernst Mach (1838-1916) y otros a sostener que la ciencia natural no ofrece ninguna explicación, que su finalidad es sólo una completa y económica (Mach) descripción de los datos observados, siendo impotente para alcanzar otra cosa. Esta perspectiva, en la forma más elaborada de positivismo filosófico, ha sido abrazada con entusiasmo por los físicos modernos. Tiene gran consistencia y es muy difícil, si no imposible, de refutar; como ocurre con el solipsismo, pese a ser mucho más razonable que este último. Aunque la perspectiva positivista contradiga la « inteligibilidad de la naturaleza», no supone una vuelta al pensamiento mágico y supersticioso de antaño; por el contrario, expulsa la noción de fuerza de la física, la más peligrosa reliquia del animismo en esta ciencia. Es un antídoto saludable contra la temeridad de los científicos propensos a creer que han comprendido un fenómeno, cuando en realidad únicamente se han aprehendido los hechos describiéndolos. Pero incluso desde el punto de vista positivista uno no debería, creo, declarar que la ciencia transmite lo que no ha comprendido. Pues aunque fuera cierto (como los positivistas mantienen) que en principio nosotros únicamente observamos, registramos datos y los colocamos en un orden nemotécnico conveniente, hay una relación factual, tanto entre nuestros hallazgos en los diferentes dominios (ampliamente separados) del conocimiento, como entre éstos y las nociones generales más fundamentales (así los enteros naturales 1, 2, 3, 4…); relaciones tan sorprendentes e interesantes que, para designar el hecho de aprehenderlas y registrarlas, el término «conocimiento» parece muy apropiado. Los ejemplos más destacados, a mi entender, son la teoría mecánica del calor, que equivale a una reducción numérica, y la teoría de la evolución de Darwin, ejemplo de nuestra posibilidad de obtener conocimiento verdadero. Lo mismo cabe decir de la genética, basada en los descubrimientos de Mendel y Hugo de Vries, mientras que en física la teoría cuántica ha alcanzado una prometedora perspectiva, pero todavía no una inteligibilidad completa, por válida y provechosa que sea en diversos campos, incluida la genética y la biología en general.
Existe, no obstante, a mi juicio, un segundo rasgo, mucho menos claro y abiertamente expuesto, pero de igual y fundamental importancia: la ciencia, en su intento de describir y comprender la naturaleza, simplifica el (muy difícil) problema al que se enfrenta. De forma inconsciente, el científico simplifica su problema de entender la naturaleza al ignorar (o desconectar de la imagen del mundo a construir) su propia personalidad, el sujeto de conocimiento.
Inadvertidamente el pensador se retrotrae al papel de observador externo. Esto facilita mucho la tarea. Pero deja huecos, enormes lagunas; conduce a paradojas y antinomias cada vez que, ignorando la renuncia inicial, uno intenta hallarse a sí mismo en el marco descrito, situar de nuevo en él su propio pensamiento y su intelección sensible.
Este paso importante —desconectarse uno mismo, retrotraerse a la posición del observador que nada tiene que ver con la tarea global— ha recibido otros nombres, que lo hacen aparecer como algo inofensivo, natural, inevitable. Podría ser denominado objetivación, la contemplación del mundo como un objeto. En el momento en que se hace tal cosa, uno se excluye virtualmente a sí mismo. Una expresión frecuentemente utilizada es «la hipótesis de un mundo real que nos rodea» ( Hypothese der realen Aussenwelt). ¡Evidente! ¡Sólo un insensato podría ignorarlo! Y sin embargo se trata de un rasgo distintivo, un hecho peculiar en nuestra manera de entender la Naturaleza, y la emergencia de tal rasgo tiene sus consecuencias.
Los vestigios más claros de esta idea en los antiguos escritos griegos son los fragmentos de Heráclito que hemos discutido y analizado anteriormente. Pues se trata de este «mundo en común», este ξυνόν o κοινόν de Heráclito, lo que estamos construyendo; estamos hipostasiando el mundo como un objeto, realizando la asunción de un mundo real a nuestro alrededor —como dice la sentencia— construido de hecho sobre las partes superpuestas de nuestras distintas conciencias. Y al hacer tal cosa, cada cual, lo quiera o no, se coloca a sí mismo —el sujeto de conocimiento, la cosa que dice «cogito ergo sum»— fuera del mundo, se traslada a sí mismo hacia una posición de observador externo, dejando de pertenecer él mismo al conjunto. El «sum» se convierte en «est».
¿Es realmente así? ¿Debe ser así? ¿Por qué es así? De hecho no nos damos cuenta de ello por una razón que luego expondré. Antes permítaseme indicar por qué es así.
Tanto el «mundo real que nos rodea» como «nosotros mismos», es decir, nuestras mentes, proceden del mismo material de construcción; los dos consistimos en los mismos ladrillos, por así decir, sólo que acomodados en distinto orden —percepciones sensibles, imágenes mnémicas, imaginación, pensamiento—. Es preciso, por supuesto, un mínimo de reflexión, pero entonces uno fácilmente cae en la cuenta de que la materia está compuesta exclusivamente de estos elementos. Más aún: imaginación y pensamiento juegan un papel cada vez más importante (frente a la cruda percepción sensorial), bajo forma de ciencia, conocimiento de la naturaleza, progreso.
Lo que sucede es lo siguiente. Podemos pensar en estos elementos —permítaseme llamarlos así— bien como constituyentes de la mente, la propia mente de cada uno, bien como integrantes del mundo material. Pero no podemos, o podemos sólo con enorme dificultad, pensar ambas cosas al mismo tiempo. Para pasar del aspecto-mente al aspecto-materia, o viceversa, tenemos, por así decir, que tomar los elementos y colocarlos juntos de nuevo en un orden enteramente diferente. Por ejemplo —no es fácil dar ejemplos pero lo intentaré— mi mente en este momento está constituida por todo lo que siento a mi alrededor: mi propio cuerpo, todos ustedes sentados ahí delante, escuchándome muy amablemente, el guión de mi conferencia ante mí y, sobre todo, las ideas que quiero exponer, su adecuada estructuración en palabras. Pero ahora consideremos alguno de los objetos materiales que tenemos alrededor, por ejemplo mi brazo. En tanto objeto material está compuesto, no sólo por mis propias sensaciones directas de él, sino también por las sensaciones imaginadas que tendría al girarlo en redondo, moviéndolo, mirándolo desde diferentes ángulos; a lo que se añade que está compuesto de las percepciones que imagino que ustedes tienen de él, y también, si ustedes piensan en él de manera puramente científica, de todo aquello que ustedes podrían verificar y podrían verdaderamente hallar, si lo tomaran y lo diseccionaran para convencerse de su naturaleza y composición intrínsecas. Y así sucesivamente. Se podría hacer una enumeración sin fin de todas las hipotéticas percepciones y sensaciones por mi parte y por la suya que se incluyen en mi discurso acerca de este brazo en tanto rasgo objetivo del «mundo real que nos rodea».
El símil siguiente no es muy bueno, pero es el mejor que he podido encontrar: se proporciona a un niño una complicada caja de ladrillos de diferentes medidas, formas y colores. Puede construir con ellos una casa, una torre, una iglesia, la Muralla China, etcétera. Pero no puede realizar dos de estas construcciones al mismo tiempo porque, al menos parcialmente, necesita los mismos ladrillos en cada caso.
Ésta es la razón por la que creo cierto que yo verdaderamente desconecto mi mente cuando construyo el mundo real a mi alrededor, sin darme cuenta de que estoy desconectando. Y entonces me quedo muy perplejo de que la imagen científica del mundo real a mi alrededor sea muy deficiente. Proporciona mucha información factual, pone toda nuestra experiencia en un orden admirablemente consistente, pero es horriblemente muda acerca de todas y cada una de las cosas que están realmente cerca de nuestro corazón, que realmente nos interesan. No nos puede decir una palabra acerca de rojo y azul, amargo y dulce, dolor físico y placer físico; no sabe nada de bello y feo, bueno o malo, Dios y eternidad. La ciencia a veces pretende contestar a preguntas en estos dominios, pero las respuestas son muy a menudo tan endebles que ni siquiera las tomamos en serio.
De modo que, en resumen, no pertenecemos a este mundo material que la ciencia construye para nosotros. Nosotros no estamos dentro de él, estamos fuera. Sólo somos espectadores. La razón por la que creemos que estamos dentro de él, que pertenecemos al cuadro, es que nuestros cuerpos están en el cuadro. Nuestros cuerpos pertenecen a éste. No sólo mi propio cuerpo, sino los de mis amigos, así como los de mi perro, mi gato y mi caballo, y los de todas las otras personas y animales. Y ésta es la única manera que tengo de comunicarme con ellos.
Por otro lado, mi cuerpo está implicado en buena parte de los cambios más interesantes —movimientos— que tienen lugar en este mundo material, y está implicado de tal manera que me siento en parte el autor de estas idas y venidas. Pero entonces llega el impasse, este descubrimiento tan desconcertante de la ciencia, de que no soy necesario como autor. En el seno de la imagen científica del mundo todos estos acontecimientos tienen soporte en sí mismos. Se explican ampliamente mediante influencia energética recíproca. Incluso los movimientos del cuerpo humano «son autónomos», como afirmó Sherrington. La imagen científica del mundo se digna conceder un conocimiento muy completo de todo lo que sucede, hace todo un poco demasiado comprensible. Le permite a uno imaginar el despliegue total de las cosas como el de un mecanismo de relojería, en el que todo lo que la ciencia conoce funcionaría exactamente como el reloj mismo; sin que en conexión con él se dieran conciencia, voluntad, deber, dolor, placer y responsabilidad —que de hecho sí operan—. Y la razón de esta desconcertante situación es justamente que, para el propósito de construir la imagen del mundo externo, hemos utilizado el enormemente simplificado procedimiento consistente en desconectar nuestra personalidad, la hemos cambiado de lugar; por lo tanto ha desaparecido; se ha evaporado y se ha hecho ostensiblemente innecesaria.
En particular, y esto es lo importante, tal es la razón de que la visión científica del mundo no contenga en sí misma valores éticos, ni valores estéticos, ni una palabra acerca de nuestra finalidad última o destino, y nada de Dios, si lo prefieren. ¿De dónde vengo, adonde voy?
La ciencia no nos puede decir una palabra acerca de la música que nos agrada, o por qué y de qué manera una vieja canción nos conmueve hasta las lágrimas.
La ciencia, estimamos, puede, en principio, describir con todo detalle cuanto sucede (en relación al último caso) en nuestros sensorium y motorium desde el momento en que las ondas de comprensión y de dilatación alcanzan nuestro oído hasta el momento en que ciertas glándulas secretan un fluido salado que emerge en nuestros ojos. Pero en lo que respecta a los sentimientos de placer y tristeza que acompañan al proceso, la ciencia es completamente ignorante, y por esta razón reticente.
La ciencia es reticente también cuando se trata la cuestión de la gran Unidad —el Ser de Parménides—, del cual todos formamos parte de alguna manera y al cual pertenecemos. El nombre más popular para ello en nuestros tiempos es Dios, con mayúscula. A la ciencia, muy a menudo, se la tacha de atea. Después de lo que hemos dicho, no debe sorprendemos. Si su imagen del mundo no contiene siquiera el azul, amarillo, amargo, dulce —belleza, placer y dolor—, si la personalidad queda descartada por convenio, ¿cómo podría contener la idea más sublime que se presenta por sí misma a la mente humana?
El mundo es grande, magnífico y hermoso. Mi conocimiento científico de los hechos que en él se dan comprende cientos de millones de años. Pero en otro sentido está ostensiblemente contenido en los pocos (setenta, ochenta o noventa) años que me han sido otorgados —yo, un pequeño punto en el inconmensurable tiempo, nada incluso en relación al número finito de millones de años que he aprendido a medir y a calcular—. ¿De dónde vengo y adónde voy? Ésta es la gran cuestión insondable, la misma para cada uno de nosotros. La ciencia no tiene respuesta a eso, aunque constituye el peldaño más alto que hemos sido capaces de establecer en el camino del conocimiento seguro e incontrovertible.
No obstante, nuestra vida como seres humanos ha durado, como máximo, sólo alrededor de medio millón de años. Por todo lo que sabemos, podemos anticipar, aun en este globo en particular, unos cuantos millones de años por venir. Y al final nos queda la sensación de que ningún pensamiento completado durante todo este tiempo habrá sido pensado en vano.
- Bayley, Cyril, The Greek Atomists and Epicurus, Oxford University Press, Oxford, 1928. —, Epicurus, Oxford University Press, Oxford, 1926 (selección de textos con traducción y comentarios). —, Translation of Lucretius' De rerum natura, Oxford University Press, Oxford, 1936, con introducción y notas.
- Burnet, John, Early Greek Philosophy, A. and C. Black, Londres, 1930 (4a ed.). —, Greek Philosophy, Thales to Plato, Macmillan and Co., Londres, 1932.
- Diels, Hermann, Die Fragmente der Vorsokratiker, Weidmann, Berlín, 1903.
- Farrington, Benjamin, Science and Politics in the Ancient World, Alien and Unwin, Londres, 1939. —, Greek Science, I ( Thales to Aristotle); II (Theophastrus to Galen), Pelican, Londres.
- Gomperz, Theodor, Griechische Denker Veit und Comp. Leipzig, 1911.
- Heath, Sir Thomas L., Greek Astronomy, J. M. Dent and Sons, Londres, 1932. —, A Manual of Greek Mathematics, Oxford University Press, Oxford, 1931.
- Heiberg, J. L., Mathematics and Physical Science in Classical Antiquity, Oxford University Press, Oxford, 1922.
- Mach, Emst, Populärwissenschaftliche Vorlesungen, J. A. Barth, Leipzig, 1903.
- Munro, H. A., Titus Lucretius Carus, De rerum natura, Deighton, Bell and Co., Cambridge, 1889.
- Russel, Bertrand, History of Western Philosophy, Alien and Unwin, Londres, 1946. [Trad. esp.: Historia de la filosofía occidental, Espasa Calpe, Madrid, 1984.]
- Schrödinger, Erwin, «Die Besonderheit des Weltbilds der Naturwissenschaft», Acta Physica Austriaca, 1, 201 (1948).
- Sherrington, Sir Charles, Man on his Nature, Cambridge University Press, Cambridge, 1940. [Trad. esp.: Hombre versus Naturaleza, Tusquets Editores (Metatemas 5), Barcelona, 1983.]
- Windelband, Wilhelm, Geschichte der Philosophie, J. C. B. Mohr, Tubinga y Leipzig, 1903.
Notas:
[1]History of Western Philosophy , pág. 559.
[2] Zeno Bucher, Die Innenwelt der Atome. Josef Stoker, Lucerne, 1946.
[3] En Kenneth Hare, El Puritano.
[4] Vol. I, pág 419 (3.ª ed. 1911).
[5]Popular Lectures. 3.ª ed., ensayo XVII (J. A. Barth, 1903).
[6] Diels. Die Fragmente der Versokratiker. Berlin, 1903.
[7] Algunos autores antiguos comentan el gran escándalo que provocó Hipaso al divulgar la existencia del pentágono-dodecaedro, o, como otros dicen, una cierta «inconmensurabilidad» (ἀλογία) y «asimetría». Fue expulsado de la Orden. Se mencionan otros castigos: se preparó su tumba como si estuviera ya difunto y fue por venganza divina ahogado en alta mar. Otro gran escándalo de la Antigüedad se vincula al rumor de que Platón había pagado un alto precio a un pitagórico necesitado de dinero, por tres manuscritos, a fin de usarlos él mismo sin divulgar su procedencia.
[8] Dicho se de paso, no parece que un eclipse de este tipo hubiera sido nunca observado.
[9] La fricción de las mareas en la Tierra produce un (lentísimo) retardo en su rotación. La reacción en la Luna se limita a una (muy lenta) recesión con respecto a la Tierra, junto al correspondiente incremento del período de revolución de la Luna. De todo ello uno se inclina a concluir que algún agente opera para mantener la exacta igualdad de los dos períodos de la Luna.
[10] La raíz cuadrada de dos en base 7 es: 1,2620346…
[11] Traducción española en Tusquets Editores (Metatemas 5), Barcelona, 1984. (N. del T.).
[12] Primera edición, pág. 302.
[13] No quisiera que se infiera de esto que considero La Ilíada únicamente como un canto de guerra cuya pérdida no resultaría profundamente deplorable.
[14] La numeración de los fragmentos sigue la de la primera edición de Diels.
[15] En las citas que siguen de los fragmentos respetamos la lectura de Schrödinger tal como se pone de relieve en las versiones que él nos ofrece en inglés. En consecuencia nos limitamos a hacer una versión en castellano de los términos que él presenta en inglés. (N. del T.).
[16] Se refiere a la evocada anteriormente. Respecto a la oscuridad del fragmento, baste comparar tal versión con la que ofrecen, siguiendo la lección que remonta a Wilamowitz, E. S. Kirk y J. E. Raven en su conocida obra Los filósofos presocráticos (versión española de Jesús García Hernández, Gredos, 1979): «El hombre de noche enciende para sí una luz cuando su visión está extinta; vive cuando duerme, está en contacto con el que está muerto y despierto con el que duerme». Versiones totalmente diferentes, interpretando las diferentes lecciones textuales, se encuentran en ciertas ediciones francesas o italianas. (N. del T.).
[17] Esta calificación absurda, además de anacrónica, al igual que la similar respecto a Nietzsche unas líneas más abajo, puede explicarse parcialmente por el uso que de ciertos pensadores se hacía en la cultura nacionalsocialista. Recordemos que a diferencia de su colega Heisenberg (que permaneció en Alemania y contribuyó con sus teorías al esfuerzo de guerra), Schrödinger abandonó Alemania desde el advenimiento de los nazis. (N. del T.).
[18] Intentamos mantener la lectura propuesta por Schrödinger. ( N. del T.).
[19] En griego, ἔἰδωλον, imagen.
[20]Early Greek Philosophy , pág. 40