La ley de Boyle
Eugenio Fernández
A mis hermanas Mariola y Vicky, perfectas violadoras de la ley de Boyle: se ensanchan ante presiones externas.
La denominada Revolución científica, suele situarse entre los siglos XVI y XVII. Se trata de un período en el que se establecieron las bases de la ciencia moderna, especialmente en física, astronomía, química, biología y medicina. Las dos obras que se citan habitualmente como más representativas de este fenómeno son Sobre el movimiento de tas esferas celestes, de Nicolás Copérnico, y Sobre la estructura del cuerpo humano, de Andreas Vesalius. En varias disciplinas se establecieron nuevos objetivos, nuevos enfoques y nuevos métodos de trabajo en la investigación científica, pero, sobre todo, surgió la voz de la naturaleza para imponerse a los argumentos del pasado, basados muchas veces en los clásicos griegos. La Revolución científica se caracterizó, ante todo, por basarse en el experimento para conocer la naturaleza, ofreciéndole al ser humano nuevos fenómenos que nunca había presenciado. Un denominador común en esta época es la palabra nuevo, como se puede ver en algunos de los títulos publicados: Nueva astronomía (Kepler, 1609), Discurso y demostraciones matemáticas en torno a dos nuevas ciencias (Galileo, 1638) o Nuevos experimentos físico-mecánicos sobre el resorte del aire (1660) de Robert Boyle.
El honorable Robert Boyle fue sin duda el personaje más popular de la ciencia inglesa de aquella época, eclipsado únicamente y en sus últimos años por un joven llamado Isaac Newton, para quien sería una influencia importante. Dado que era hijo de la nobleza —el conde de Cork—. Boyle tenía derecho a utilizar el tratamiento de «Honorable», y de hecho así es como firmó sus libros, cartas y artículos. El desarrollo de su vida científica estuvo íntimamente relacionado con este aspecto aristocrático, pues gracias a ello tuvo la posibilidad de codearse con los más extraordinarios pensadores de su época. Sin embargo, la lectura de sus libros y resto de escritos puede ocasionamos cierto bochorno si lo hacemos como lectores del siglo XXI, si solo atendemos a que dedicó buena parte de su tiempo a la religión, a la alquimia y a fenómenos paranormales. Es de vital importancia que el lector haga un esfuerzo de empatía, que se ponga en la piel del propio Robert Boyle y su realidad temporal, y que bucee entre sus escritos para hacer resurgir lo valioso de sus estudios científicos. Durante toda su vida Boyle sufrió una lucha interior entre sus creencias y su confianza en la filosofía material, aunque finalmente supo (o eso creyó) hacerlas confluir. Su fuerte carácter moralista le condujo a visiones proféticas, en las que la ciencia mejoraría la vida del ser humano. Invirtió muchos esfuerzos en poner de manifiesto que la medicina mejoraría notablemente con los avances y descubrimientos que estaba realizando la ciencia, y que esa medicina no podía reservarse únicamente a los ricos. Entre sus obras se pueden encontrar varios libros dedicados a esta disciplina, y en su epistolario la confección o mejora de recetas médicas era uno de sus temas preferidos con muchos de sus corresponsales. Intentó relacionar su visión corpuscularista de la materia con la fisiología y con la medicina en general, pues no aceptaba las ideas clásicas de Galeno. Sin embargo, como hombre al que le gustaban las buenas maneras y que cuidaba con celo sus relaciones sociales, Boyle no se atrevió nunca a inmiscuirse en agrias polémicas que le podrían haber acarreado problemas sociales.
Tras muchos años de abandono de sus estudios en medicina, ya casi al final de su vida publicó Historia natural de la sangre humana, obra en la que realizaba un estudio científico de las propiedades de la sangre a partir de multitud de experimentos. En ella se aprecia la gran habilidad de Boyle en el uso del instrumental y las técnicas de laboratorio. Se interesó principalmente por conocer las propiedades y características de la materia prima, más allá de la experimentación directa con seres humanos, aunque es cierto que fue testigo de algunas transfusiones y de que en la época en que vivía las sangrías habían llegado a su máximo apogeo. Incluso él mismo realizó transfusiones entre perros, pero su profundo respeto por los animales le generaba sentimientos encontrados. Apostó por delimitar la composición de la sangre antes de la prescripción indiscriminada de terapias poco comprobadas. Extrapolando su postura, podríamos decir que hoy sería un detractor de todas esas terapias alternativas tan de moda en el siglo XXI que no han probado su valía en base al estudio de sus principios activos.
Boyle fue un entusiasta de los nuevos instrumentos, pues pertenecía a esas nuevas generaciones de científicos crecidos durante la Revolución científica. En su juventud conoció los trabajos de Galileo y quedó fascinado con los telescopios, microscopios o con cualquier otro aparato con el que se pudiese ampliar la forma de percibir el mundo. A pesar de que los escolásticos habían considerado este tipo de instrumentos como introductores de sensaciones falsas, Boyle vivió su infancia en la decadencia de tal idea. Tuvo noticias de la bomba de aire creada por un alemán, lo cual le produjo tal excitación que introdujo mejoras significativas en el instrumento con la ayuda imprescindible de su ayudante más famoso, Robert Hooke. Los experimentos que realizó con su bomba de aire quedaron inmortalizados en un libro que le llevaría hacia la primera fila del panorama científico. Para Boyle el valor del experimento era crucial, estaba por encima de cualquier especulación teórica y su función en las demostraciones de los fenómenos naturales era necesaria, descartando las matemáticas para este fin. En este sentido, fue un baconiano convencido, pues llevó a la máxima potencia el proyecto de la metodología experimental e historias naturales de Bacon. Durante toda su vida continuó usando y mejorando la bomba, y se hizo muy popular haciendo demostraciones con ella en su propia casa o en la Royal Society; incluso la propia Sociedad llegó a tomar la bomba de Boyle como emblema en alguna ocasión. Tanto Boyle como Hooke fueron los científicos que más artículos publicaron en Philosophical Transactions, la primera revista científica documentada, nacida en el seno de la Royal Society.
De carácter heroico, las biografías realizadas en tiempos pasados sobre Boyle nos mostraban a un científico en términos actuales, pero la realidad es que Robert vivió en una época en la que la investigacióncientífica todavía estaba salpicada de ciertas ideas pseudocientíficas difícilmente evitables. En ocasiones, ha sido considerado como fundador de la química, como el científico colosal que dio un carpetazo definitivo a la alquimia. Es completamente cierto que Boyle se esforzó por acabar con los cuatro elementos aristotélicos y con la Tria Prima paracelsiana, pero no llegó a dar una definición acertada de «elemento», lo que sí hizo Antoine Lavoisier, en contra de lo que a veces se ha recogido en distintos textos. Si bien no fue un alquimista al uso, tampoco puede considérame un químico como se entiende en la actualidad. En este sentido, el principal logro de Boyle fue unificar la filosofía mecanicista y el atomismo para observar la intimidad de la naturaleza desde un corpuscularismo en el que las partículas interaccionan entre ellas. Se trata de otra de sus visiones proféticas, ya que estas ideas son la base de la actual teoría cinética, cuyos pilares son el mecanicismo newtoniano y el atomismo en general.
El análisis completo de la obra de Boyle es literalmente inabarcable: contiene en tomo a los cuatro millones de palabras. Su libro más conocido es El químico escéptico, una obra que pretende tratar la química como ciencia independiente (realmente como una rama de la física), aunque con la terminología alquimista del momento. Estudió infinidad de fenómenos en distintas obras: la naturaleza del color, el frío, las gemas, aguas minerales, ácidos y álcalis, hidrostática, fosforescencia, distintos fluidos humanos, etcétera. Pero sus mayores contribuciones hacen referencia a su defensa del experimento y, a partir de ella, a lo que hoy conocemos como ley de Boyle. El estudio del aire sedujo su mente, así que puso manos a la obra con su bomba de vacío para demostrar empíricamente que el aire presenta elasticidad. A partir de finales del siglo XVI, el tema del aire se puso de moda en Europa y se organizó todo un movimiento de investigación en este sentido. Boyle consiguió acceder a los avances más punteros en el conocimiento del aire, dada su posición socioeconómica. En la segunda edición del libro dedicado al Resorte del aire presentó los datos de sus experimentos sobre la naturaleza elástica del aire, llegando a establecer la ley que lleva su nombre y que concluye que la presión y el volumen de un gas son inversamente proporcionales. En su época, la ciencia y la filosofía compartían intereses, y el estudio del aire es buen ejemplo de ello: fue un tema tratado por varias generaciones de filósofos, y fue precisamente Boyle el que dotó a dicho estudio de la seriedad científica que merece, centrando toda su investigación en el experimento. La ley de Boyle le valió a nuestro biografiado su inscripción en los libros de historia de la ciencia. Sin embargo, la verdadera valía de Boyle y sus aportaciones se extienden a otros muchos campos.
Aunque nació en Irlanda, pasaría casi toda su vida en Inglaterra Debido a su posición socioeconómica, tuvo la fortuna de no tener que trabajar nunca para poder vivir, aunque lo hizo para la ciencia hasta el agotamiento, superando muchos cuadros de fiebre y distintos problemas de salud. Su posición le permitió también la posibilidad de realizar grandes viajes, montar laboratorios, pagar a innumerables ayudantes y financiar proyectos de todo tipo. Con tan solo ocho años, fue enviado a Inglaterra para recibir la formación básica en distintas disciplinas. A los doce, realizó un viaje de unos cuatro años por Francia e Italia, donde tuvo sus primeros encuentros provechosos con la ciencia, aunque más en el plano teórico. Una vez terminado el tour, volvió a Inglaterra, su lugar de residencia habitual. Desde allí visitó los Países Bajos y regresó en una ocasión a Irlanda para poner al día las propiedades que había heredado de su padre, el conde de Cork. Desde 1656 hasta 1668 residió en Oxford, donde realmente creó su red de conocidos: entró en el mítico Círculo de Hartlib y, de este modo, formó parte del nacimiento de la Roya! Society. Fue esta una época de gran actividad científica, cuando salieron a la luz sus primeras y más importantes publicaciones. Abandonó Oxford para ir a vivir a Londres en casa de su hermana Katherine, con quien estaría unido durante toda su vida debido a sus intereses afines, tanto en el plano científico como en el religioso, Robert Boyle se rodeó de los mejores científicos de la época, y pudo aprender de todas las personas de su entorno y divulgar lo que veía. Él mismo se convirtió en promotor de jóvenes investigadores, citándolos constantemente en sus libros y artículos. Un ejemplo de ello es la promoción que hizo de su ayudante Robert Hooke, cuya imagen no se vio nunca ensombrecida por la de su maestro. Por esta forma de trabajar, y aunque son pocos los resultados de Boyle que han pasado a la historia, ha sido reconocido como uno de los personajes más influyentes de la historia de la ciencia.
| 1627 | El 25 de enero nace Robert Boyle en Waterford, Irlanda. Tres años más tarde fallece su madre. |
| 1635 | Ingresa en el Eton College, en Inglaterra, donde cursa estudios durante tres años, tras los cuales se establece en Stalbridge, cerca de Londres. |
| 1639 | Junto con su hermano Francis, comienza el Grand Tour por Europa. Viaja a Francia e Italia durante casi cinco años. |
| 1643 | Muere su padre. |
| 1646 | Regresa a Stalbridge, donde comienza a mostrar interés por los experimentos. |
| 1649 | Escribe Sobre el estudio del Libro de la Naturaleza. |
| 1654 | Durante una visita a Dublín, sufre una caída de un caballo y su visión se ve afectarla de por vida. |
| 1656 | Se muda a Oxford para reforzar sus relaciones sociales e intelectuales. |
| 1659 | Con la asistencia de Robert Hooke, construye su famosa bomba de aire. |
| 1660 | Publica Nuevos experimentas físico- mecánicos sobre el resorte del aire, una de sus obras más célebres. |
| 1661 | Presenta su bomba de aire en la Royal Society. Publica El químico escéptico, otra de sus obras más conocidas. |
| 1662 | Publica una segunda edición de Nuevos experimentos con anexos en respuesta a las críticas de Thomas Hobbes y Francis Line. Demuestra la elasticidad del aire y establece las bases de la ley de Boyle. |
| 1668 | Se muda definitivamente a Londres a casa de su hermana Katherine, donde vivirá hasta su muerte. |
| 1670 | Sufre una enfermedad que él denomina «moquillo paralizante», pero que posiblemente fue de origen neurológico o cardiovascular. Su salud, ya maltrecha, se resiente aún más. A partir de este año comienza a publicar una serie de libros que recopilan su vasta producción de artículos, los Tratados, |
| 1684 | Publica Ensayos para una historia natural de la sangre humana, donde se exponen más de medio centenar de experimentos en los que se exploran las propiedades físico-químicas de la sangre y sus compuestos. |
| 1690 | Publica Medicina hidrostática, obra en la que confiere un papel importante al uso de la gravedad específica para establecer la naturaleza y pureza de fluidos, minerales y demás sustancias. |
| 1691 | El 23 de diciembre muere su hermana Katherine, con la que había vivido más de veinte años. Robert Boyle muere poco después, el 31 de diciembre, a causa de una parálisis. |
Capítulo 1
El honorable Robert Boyle
En la antesala de una Irlanda entregada a las revueltas revolucionarias y los conflictos político-religiosos nacía Robert Boyle en el seno de una familia aristocrática. Para alejarlo de todos los peligros del momento, su padre, el conde de Cork, lo llevó a Inglaterra, donde le procuró una exquisita educación, adecuada a su estatus.
A las tres de la tarde del 25 de enero de 1627 Robert Boyle venía al mundo en las dependencias del castillo de Lismore, situado junto al río Blackwater, en el condado de Waterford, Irlanda Su padre, Richard Boyle, era un hombre económicamente bien posicionado y ostentaba el título de conde de Cork. Robert Naylor, familiar de la madre de Richard, bautizó a «Robyn» quince días más tarde en la capilla privada del castillo, «mi capilla», como le gustaba decir al conde. El carácter profundamente religioso del padre ha dejado para la historia las primeras palabras escritas que hacen referencia a Boyle: «Dios le bendiga», escribía con alegría. A esto añadía «su nombre será Robert Boyle», en honor al padrino, Robert Digby, el primer barón Digby de Geashill, sobrino del conde de Bristol. Lord Digby se había casado en 1626 con Sarah, hermana de Robert Boyle. En este ambiente aristocrático creció y se crió el pequeño Robert; veamos cómo se forjó dicho entorno antes de su nacimiento.
Richard Boyle estudió leyes en Londres y, a pesar de que consiguió un puesto de empleado en el famoso Middle Temple (uno de los cuatro Inris of Court, agrupaciones profesionales en el derecho anglosajón), se volvió a Irlanda tras la muerte de su madre (su padre había muerto anteriormente) en busca de fortuna aprendiendo de la «escuela de la vida», aunque ello supusiese empezar prácticamente desde cero. En 1595 contrajo matrimonio con Joan Apsley, hija y coheredera de William Apsley, un miembro del Consejo de Munster, la provincia más meridional de la isla de Irlanda. Joan falleció al dar a luz a su primer hijo, que tampoco consiguió sobrevivir al parto. Con la herencia de su esposa comenzó la fortuna del conde. El segundo matrimonio llegó en 1603; Richard tenía entonces treinta y siete años y Katherine Fenton, hija del secretario de Estado Geoffrey Fenton, contaba con tan solo diecisiete. Richard Boyle fue escalando posiciones sociales paulatinamente y sus negocios lo llevaron a convertirse en el mayor empresario de Irlanda en el período isabelino y jacobino.
La descendencia del conde de CorkRichard Boyle dejó una numerosa progenie en situaciones sociales y económicas muy ventajosas, fruto de cincuenta años de trabajo empresarial. La siguiente lista incluye los nombres de todos sus hijos, hermanos de Robert, con los matrimonios y títulos que consiguieron:El título ha ido pasando de generación en generación, de modo que en 2003 John Richard Boyle tomaba posesión del título de XV conde de Cork. El primer conde mandó construir dos monumentos funerarios para él y su familia, uno en la Colegiata de St Mary de Youghal, condado de Cork, y el otro en la Catedral de St Patrik de Dublín.
- Roger Boyle (1606-1615).
- Alice Boyle (1607-1667). Primer marido: David Barry, conde de Barrymore; segundo marido; John Barry.
Richard Boyle, primer conde de Cork, en un retrato de juventud obra del pintor miniaturista Isaac Oliver.- Sarah Boyle (1609-1633). Primer marido: sir Thomas Moore; segundo marido: Robert Digby, primer barón de Digby.
- Lettice Boyle (1610-1657). Casada con el coronel George Goring, lord Goring.
- Joan Boyle (1611-1657). Casada con George Fltzgerald, decimosexto conde de Kildare.
- Richard Boyle (1612-1698). Principal heredero tras la prematura muerte de Roger. Segundo conde de Cork (1643), barón Clifford de Lanesborough (1644), lord Gran Tesorero de Irlanda (1660-1695) y primer conde de Burlington (1664).
- Katherine Boyle (1615-1691). Casada con Arthur Jones, segundo vizconde de Ranelagh.
- Geoffrey Boyle (1616-1617).
- Dorothy Boyle. Casada con sir Arthur Loftus y madre del primer vizconde de Lisbume.
- Lewis Boyle (1619-1642). Primer vizconde Boyle de Kinalmeaky, sucedido por su hermano Richard.
- Roger Boyle (1621-1679). Primer conde de Orrey.
- Francis Boyle (1623-1699). Primer vizconde de Shannon (1660).
- Robert Boyle (1627-1691). Honorable.
- Margaret Boyle (1629-1637).
Consiguió un puesto de consejero privado de Estado del Reino de Irlanda en 1612 y fue nombrado lord Boyle en 1616, año en que también obtuvo el título de barón de Youghal. Pero hay que remontarse a 1620 para la concesión del título de primer conde de Cork, además de vizconde de Dungarvan. Por fortuna se conservan tanto un extenso diario del conde, sus libros de cuentas y una espectacular actividad epistolar. Resulta fácil, por tanto, seguir los pasos de la vida de Richard y reconstruir la infancia de Robert Boyle. La fuerte personalidad y el gran ego del conde tuvieron mucho que ver en sus éxitos empresariales y pudo dejar una gran herencia a todos sus lujos. De hecho, en la época del nacimiento de Robert su riqueza estaba a punto de alcanzar el cénit y se dedicó en cuerpo y alma a buscar alianzas matrimoniales ventajosas para su extensa progenie, sobre todo entre terratenientes irlandeses y la aristocracia inglesa
§. Hijo de la fortuna
Robert se sentía querido por su padre, como afirmaría su amigo el obispo Gilbert Burnet (1643-1715) en su extensamente citado sermón fúnebre. Tal vez una de las mejores referencias que tenemos sobre la vida de Robert Boyle sea el conocido Memorando de Burnet, unas anotaciones que escribió Boyle para que el obispo pudiese escribir su biografía, aunque esta nunca tuviese lugar. Al menos el religioso usó estos papeles como base para escribir su sermón fúnebre, que luego significó un punto de partida para posteriores biógrafos.
De los propios escritos del conde se deduce que Boyle ocupó una posición privilegiada, por ser el menor de catorce hermanos, aunque en realidad tuvo una hermana menor, Margaret, pero murió con solo ocho años (el conde tuvo en total dieciséis hijos).
El padre buscó y fomentó el trabajo solidario y colaborativo entre todos sus hijos; por ejemplo, solía emparejarlos para que aprendieran en común y les asignaba niñeras para que se ocuparan de ellos. La responsabilidad de Robert recayó en una niñera nada más nacer y su educación y formación pasarían por manos de varios empleados. De hecho, ni siquiera llegó a conocer a su madre, quien murió en febrero de 1630 en Dublín, puesto que pronto fue apartado de la casa natal por precaución.
En 1630 Robert y su hermano Francis no vivían en el castillo, se encontraban en la localidad irlandesa de Youghal a cargo de sirvientes, pero tras la tragedia, el conde los hizo venir a la casa familiar. A tenor de las palabras escritas en su obra An Account of Philaretus during his Minority(Philaretus en adelante), una autobiografía escrita entre los años 1648 y 1649, Robert calificó de «desastre» la muerte de su madre. En su madurez, su hermana Katherine representaría de algún modo esa figura materna perdida en la infancia, además de compartir con ella, en su época de científico, algunos intereses, como los experimentos con recetas médicas y la propagación del protestantismo en Irlanda y más allá.
Esta relación se estrecharía a partir de 1668, cuando Robert decidió ir a vivir a la casa de Katherine en Pall Mall, Londres.
La relación entre ambos fue tan estrecha que Robert falleció ocho días después de la muerte de su hermana.
El primer conde de Cork fue muy celoso de su economía, hasta el punto de que anotaba hasta el más mínimo detalle en sus libros de cuentas. Gracias a estos papeles nos han llegado noticias de los primeros libros comprados para el joven Robyn: la Biblia (junio de 1632), las Fábulas de Esopo (septiembre de 1633) y Flores poetarum (enero de 1634). Los apuntes reflejan también que no escatimó gastos en la reforma del castillo de Lismore, una antigua construcción medieval que necesitaba ser reconvertida y adaptada a las nuevas necesidades. No todas las adaptaciones llevadas a cabo por el conde se mantienen hoy: la capilla, por ejemplo, se convirtió en una sala de banquetes en el siglo XIX.
«El padre de Boyle era un hombre hecho a sí mismo [...]. Llegado a Dublín desde Inglaterra a los veintiún años [...] emprendió una carrera cuya ambición y codicia solo tienen parangón en sus espectaculares éxitos. [...] Pero tamaña hazaña no se consigue sin labrarse un sinfín de enemigos.»
Steven Shapin, A Social History of Truth: Civility and Science in Seventeenth-Century England (1994).
En las biografías se suelen señalar las primeras lecturas de los personajes como algo decisivo en su formación, y lo mismo ocurre con los viajes, fuente de aprendizaje y de apertura a nuevas formas de pensar y de hacer. Robert realizó múltiples viajes —tal vez demasiados para la época— y residió en distintas partes de Irlanda, Inglaterra y Francia.
En diciembre de 1634 realizó el primer viaje documentado a Dublín, donde el conde tenía otra de sus propiedades. El hijo mayor y principal heredero, Richard, fue para Robert un referente al que consultar todo tipo de temas. Precisamente, el motivo del viaje a Dublín no fue otro que visitar a Richard y a su cuñada Elizabeth, residentes en dicha ciudad, un viaje que cabe resaltar porque marcó para siempre al joven Robyn.
En el Philaretus narra algunos detalles sobre el retomo de Dublín a Lismore, una travesía de unos doscientos kilómetros y cuatro días. Recuerda el viaje lleno de acontecimientos; en concreto, relata cómo los caballos perdieron el control y fueron arrastrados por la corriente, aunque afortunadamente el carro quedó anclado en las profundidades de un arroyo. Los sirvientes salvaron la situación cortando los arneses, y así alejaron al joven Boyle del peligro.
Por aquella época Robert parecía presentar cierta tartamudez, como de hecho él mismo cuenta en el Philaretus de forma trágica, donde incluso llegó a comparar la situación con la muerte de su madre. Era tal el sufrimiento que le provocaba su disfemia que pensaba que se trataba de un castigo de Dios por haberse burlado de otros chicos con el mismo problema.
Robert no volvió a comentar más el asunto en otros escritos, no se sabe si por considerarlo tabú o por dejar de darle importancia, pues existe cierta documentación que parece indicar que no se liberó nunca de la tartamudez. Henry Wotton (1568-1639), preboste del Eton College, trató sin éxito su problema de locución entre los años 1635 y 1637. Por otra parte, Isaac Marcombes, uno de sus tutores, relató en 1640 un acontecimiento en Ginebra en el que comenzó a balbucear y tartamudear. También Thomas Molyneux, un físico irlandés, se percató de que tartamudeó al conocerlo, ya al final de su vida, y el inglés John Evelyn (1620-1706) lo comenta en su memoria póstuma, aunque relaciona la dificultad de dicción de Boyle con alguna parálisis debida a los experimentos químicos.
Por último, se cuenta con el testimonio del filósofo italiano Lorenzo Magalotti, que en 1668 notó impedimentos en el discurso de Boyle. Algunos biógrafos defienden que su tartamudez y otros acontecimientos acaecidos en su vida lo convirtieron en alguien comprensivo y considerado con los sirvientes y personas situadas en un nivel social inferior. Aunque son especulaciones difíciles de corroborar, sí es cierto que tuvo un tacto especial con sus ayudantes e incluso con sus adversarios filosóficos.
La influencia del padre estaría presente los primeros quince años de su vida y continuaría incluso más allá de su muerte, A pesar de que pasaron poco tiempo juntos, la comunicación entre ambos fue constante, tanto a través de los cuidadores de Robert como por él mismo.
Richard quería que su fortuna se perpetuara de generación en generación y sabía que el único modo era darles a sus hijos la mejor educación. Por eso fue programándoles viajes por distintos lugares, con el fin de convertirlos en personas con una preparación óptima.
§. Eton College
En el verano de 1635 Richard Boyle discutió sobre la educación de Francis y Robert con lord Clifford, el suegro de su hijo mayor, Richard. Clifford lo animó a que enviara a los hermanos a sir Henry Wotton, el ya mencionado preboste del Eton College, prestigioso colegio situado en la localidad inglesa de Eton, y se ofreció a mediar en favor de ellos.
Los dos hermanos partieron hacia Inglaterra en septiembre de 1635 acompañados por dos sirvientes de confianza, Thomas Badnedge y Robert Carew, haciendo escala en Youghal. Francis y Robert —con doce y ocho años, respectivamente— viajaban por primera vez fuera de Irlanda y sin familiares adultos, solo acompañados por Carew, que fue quien continuó el viaje con ellos.
La etapa de aprendizaje en el Eton College está muy bien documentada gracias a las misivas entre el conde y Carew, A estas hay que añadir las cartas de Wotton, figura que tiene cierto paralelismo con la del padre, especialmente por su compromiso con el protestantismo. También el director de la escuela estuvo al corriente de las evoluciones de los hermanos y participó en el intercambio epistolar. Los jóvenes aristócratas no estaban solos; llegaron en octubre de 1635, tras unos veinte días de viaje, y el propio Wotton los recibió y se encargó de que se sintieran cómodos.
Francis y Robert fueron «comensales», lo que significa que pagaron por la comida, pero no por la enseñanza, que era gratuita. Gracias al libro de auditorías del colegio, hallamos detalles de lo más curioso que contextualizan el entorno en el que Robert se acercó al estudio; por ejemplo, que por ser hijos de la nobleza se sentaban en la segunda mesa, un lugar de gran privilegio. No existen evidencias de que conservara los contactos que hizo durante los dos años de estancia en dicha institución escolar.
Los alumnos se levantaban a las 5:30 y su primera tarea consistía en ir a la escuela a rezar. Una hora por la mañana y otra por la tarde eran reservadas para que pudieran escribir según sus necesidades; las asignaturas que estudiaron fueron música, drama, francés y latín. Es evidente que Wotton y Carew querían dar una buena impresión, por eso se esmeraban en proporcionar toda clase de detalles en sus cartas y se extendían de manera notoria. Solían relatar los grandes logros de los chicos, que eran muy estudiosos, diligentes en satisfacer a Dios y a sus superiores, respetuosos y muy queridos por todos. Este continuo optimismo convierte en ardua tarea evaluar los verdaderos logros y avances de Robert, aunque los informes solían mover la balanza hacia el futuro científico. Lo cierto es que estamos ante un personaje que mostró curiosidad e inquietud por el conocimiento desde pequeño, pues no se conformó con el currículum normal de la época, más enfocado a las pedantes convenciones sociales que a un verdadero conocimiento, Se interesó especialmente por las lecturas de historia; leyó por ejemplo a Quinto Curdo Rufo. Tuvo además acceso a la extensa biblioteca de Harrison, que aún hoy sigue existiendo en el colegio.
Resulta interesante el detalle de que en algunas obras se han encontrado inscripciones realizadas por mano del propio Robert. Por ejemplo, en una copia de Ética a Nicómaco de Aristóteles dejó escrito «Yo, Robert Boyle, digo que Albert Morton es un chico valiente» y en una obra de Treminius esbozó otras palabras en la misma dirección: «Albertus Morton es el más valiente y raro chico. 1638».
Albert era el sobrino-nieto de Wotton y parece que causó cierta impresión en el joven Robert, aunque no sabemos en qué sentido, pues no aparecen referencias en sus cartas ni diarios.
No todas las actividades en el Eton College fueron docentes; en marzo de 1636 Francis y Robert disfrutaron de una visita al castillo de Windsor en compañía de sus hermanos mayores Lewis y Roger. Poco después harían también un par de breves visitas a Lewes, una pequeña localidad a poco más de 100 km de Windsor, con el fin de visitar a su hermana Lettice.
En marzo de 1638 Robert fue por primera vez a Londres, a ver a su hermano Richard, ya convertido en lord Dungarvan. Fue allí donde sufrió algunos episodios desafortunados. En una ocasión el muro de su habitación cayó y lo sepultó; pudo salvarse de la asfixia gracias a que las sábanas le cubrían la cabeza, formando una cámara de aire.

Vista del castillo de Lismore en la actualidad, donde nació Robert Boyle el 25 de enero de 1627. La edificación está situada junto al río Blackwater, en el condado de Waterford, Irlanda.
En esa misma época, un tratamiento que comprendía la toma de un vomitivo que le administraron por error lo debilitó enormemente pues justo estaba saliendo de una disentería con fiebres altas. Tal vez este tipo de acontecimientos hicieron que se interesara por los remedios y recetas médicas en distintos momentos de su vida.
Sea como fuere, la cadena de infortunios causaron en Robert, por entonces un chico de once años, un estado de «melancolía», como llamaban en la época a la depresión.

Vista aérea del Eton College, en un grabado de David Loggan publicado en su Cantabrigia Illustrata, 1690. En este prestigioso colegio inglés Boyle cursó estudios durante tres años.
Fue en ese momento cuando se interesó por las lecturas del género de los romances, entre ellas el mítico Amadís de Gaula. Sin embargo, como cuenta el propio Robert, estas lecturas fallaron en su propósito, que no era más que aliviar los delirios que sentía en sus pensamientos. Pero a pesar de las exageraciones, es más que probable que estos desvaríos no fuesen más que los de una mente inquieta y lo que sí es seguro es que constituirían una clara influencia formativa en la evolución de Boyle.
Mientras que Robert había seguido exitosamente su programa de estudios, Francis resultó ser una decepción. El conde de Cork acabó desilusionado y sentía que había perdido tiempo y dinero.
En agosto de 1638, el conde cruzó Inglaterra para tomar posesión de las tierras que había comprado en Stalbridge, Dorset, dos años antes. Entre tanto, Francis y Robert seguían en Londres, pero regresaron a Eton en octubre para abandonar definitivamente el colegio pocas semanas después por decisión paterna. Su nuevo hogar estaría en Stalbridge, aunque no en la casa del padre, sino en la de su tutor, el reverendo William Douch, a quien Robert recordaría más adelante por sus intereses en el latín. Ya en la primavera de 1639, fue a residir en la casa paterna de Stalbridge, que se le dejaría en herencia para el resto de su vida en 1640. Actualmente no existe la construcción, pues fue demolida en el siglo XIX, sin embargo allí le esperaría un cambio de rumbo en su trayectoria que te empujó directamente hacia la edad adulta.
§. El Grand Tour
En la casa de Stalbridge, Francis y Robert fueron tutelados por Isaac Marcombes, quien volvía de un viaje con dos de los hermanos mayores, Lewis y Roger. Marcombes era un francés de la región de Auvernia y había sido recomendado al conde por el propio Wotton. A la par que Francis y Robert ingresaron en Eton, la pareja de hermanos mayores partían hacia la Europa continental en compañía del francés. Isaac Marcombes había vivido varios años en Ginebra, donde frecuentó el entorno del famoso teólogo italiano Giovanni Diodati, quien tuvo que abandonar su país a causa del apoyo mostrado al protestantismo. Marcombes, tras el viaje con Lewis y Roger, se concedió un descanso para casarse con Madelaine, sobrina de Diodati, en 1637.
Eran varias las cualidades de Marcombes que gustaron al conde: su comprometido protestantismo, sus maneras de caballero de la época, su amplia cultura, etcétera. El conde no dudó en ningún momento: su interés se centraba ahora en que Francis y Robert repitiesen la experiencia de sus hermanos conducidos por Isaac Marcombes, todo un caballero al que imitar.
Pero antes del viaje, el conde estaba interesado en realizar algunas gestiones, relacionadas con la cuestión de legar el patrimonio que había atesorado durante más de cuarenta años a sus hijos. Era momento de ir pensando en el reparto de tierras y propiedades, así como de rentas vitalicias. Incluso tenía algunos hijos solteros aún, así que siguió buscando alianzas, entre ellas la que atañía directamente a Robert; decidió que Anne Howard, la hija de Edward, lord Howard de Scrick, un alto aristócrata de la época, sería una buena esposa para su hijo, aunque el matrimonio nunca tuvo lugar.
El que sí se produjo fue el de su hermano Francis con Elizabeth Killigrew, el 20 de octubre de 1639, en la capilla real de Whitehall y en presencia de los reyes. El conde de Cork, en su ambición por preservar su dinastía, casó a su hijo Francis con tan solo quince años, lo cual no fue óbice para que los chicos, casados o no, cumplieran con su viaje formativo a Francia. Sin perder tiempo, partieron pocos días después de las nupcias. Francis y Robert comenzaron su aventura acompañados por Isaac Marcombes y dos sirvientes, siguiendo los pasos ya marcados por sus hermanos mayores. A pesar de que las cartas de Marcombes fueron menos exhaustivas que durante el primer viaje, contamos hoy con bastante información sobre las vivencias de Robert. El más joven de los hermanos contaba con doce años y medio y volvería en 1644, con diecisiete años y medio; regresaría más prudente y sofisticado: se fue siendo niño y volvió hecho un hombre.
El Grand Tour fue un itinerario de viaje por Europa que se puso de moda en el siglo XVII entre los jóvenes de la clase media-alta.
El Grand Tour en la literaturaEl Grand Tour fue un itinerario de viaje que abarcaba varios lugares de Europa, entre la primera mitad del siglo XVII y mediados del XIX. Aunque fueron muchos los viajeros, se puso especialmente de moda entre los jóvenes británicos de dase media-alta. Este itinerario es considerado por los expertos como el antecedente del actual turismo. Los orígenes se remontan al siglo XVI y era un evento destinado a la formación de los jóvenes de la época. No existía un circuito oficial, si bien Francia e Italia eran de visita obligada. Los Países Bajos, Suiza, Bélgica y Alemania eran opciones que enriquecían la experiencia y que irían haciéndose un hueco con el paso de los años. Muchos son los literatos y eruditos que han dejado plasmado el Grand Tour en la historia. La primera referencia escrita a un viaje de este tipo se encuentra en Viaje completo a través de Italia, un libro que el jesuita Richard Lassels publicó en 1670, es decir, en tiempos de Boyle el Grand Tour no estaba más que comenzando. Un siglo después, ya en sus últimos años, Voltaire (1694-1778) haría las veces de anfitrión para los viajeros que visitaban Ferney (Ferney-Voltaire en su honor), muy cerca de Ginebra. Por otra parte, las Confesiones de Rousseau (1712-1778) fue también un reclamo para intensificar las visitas a Saboya y Suiza. Respecto a Italia, el helenista Johann Joachim Winckelmann (1717-1768) fue quien trazó un viaje basado en la historia del arte. Posiblemente, una de las obras más conocidas sobre este tema sea Viaje a Italia, de Goethe (1749-1832). Gracias a este autor, Alemania empezaría a tomar fuerza en el itinerario del Grand Tour en el siglo XIX, precisamente cuando el ferrocarril irrumpió en la sociedad y el recorrido desapareció como exclusividad para los adinerados, pues los viajes eran accesibles para un abanico más amplio de viajeros. Goethe utilizó un estilo en su relato del periplo por Italia que comenzó a popularizarse en la época: los libros de viajes ya no eran simples descripciones objetivas, sino relatos repletos de observaciones y sentimientos personales. En esta línea, forman parte del elenco literario ¡as obras Viaje sentimental (1767), de Laurence Sterne (1713-1768), y la recopilación de título resumido Historia de un tour en seis semanas (1817), de las hermanas Mary Shelley y Percy Bysshe Shelley. A partir de ese momento los diarios de viajes experimentarían un gran auge en la época, especialmente entre las mujeres, que fueron viajeras y artífices de sus propias composiciones.
Goethe en la campiña romana (1787), de Johann Heinrich Wilhelm Tischbein. La obra de Goethe Viaje a Italia ha sido uno de los libros más influyentes en lo que concierne al Grand Tour por Europa.
Aunque el recorrido era muy variado, lo más usual era visitar Francia e Italia como, de hecho, hicieron los hermanos. Como bien sabía el conde, el viaje no solo consistía en ver ciudades, cortes y colegios, sino que sus hijos adquirirían conocimientos y aprenderían religión y civilidad, además de dotarse de las aptitudes necesarias para jóvenes de su estatus social. El propio conde no había ido más allá de Irlanda e Inglaterra, así que no era consciente de los desafíos y peligros de un viaje de tal índole en aquella época.
Los chicos no estaban habituados al clima mediterráneo, con altas temperaturas en el verano italiano, y la inestabilidad política y social en Europa era preocupante. Sin embargo, confiaba en el buen hacer de Marcombes.
Consiguieron cruzar el canal de la Mancha en un segundo intento, desde Rye (Inglaterra) hasta Dieppe (Francia). Desde allí fueron hacia París vía Rúan, donde Robert quedó fascinado por un puente colgante que subía y bajaba con la marea El trayecto hacia Ginebra les llevó a conocer otras ciudades, entre ellas Moulins y Lyon. Durante el tiempo que estuvieron de viaje, hablaron en francés continuamente y recibieron diversas clases, no solo en francés, sino también en latín. Además, realizaron diversas traducciones en ambas lenguas. Estudiaron historia, retórica, lógica, matemáticas, diseño de fortificaciones e, incluso, geografía, basada en la obra Le Monde, de Pierre d'Avity. Como era de esperar, profundizaron en sus estudios del Antiguo y el Nuevo Testamento, estudiaron el Catecismo de Calvino, rezaban dos veces al día y acudían a la iglesia dos veces por semana.
Todo en el ambiente moralista que deseaba el padre y que Marcombes compartía de motu proprio. Sin llegar a ser excesivamente desmedidos, las condiciones de vida en cuanto a dieta y vestimenta fueron bastante buenas, tal como se extrae de la correspondencia entre el tutor y el padre. Por las cartas se sabe también que dedicaban algún tiempo a actividades de recreo, como jugar al tenis, la equitación, el baile, la esgrima y las lecturas personales, que en el caso de Boyle solían ser romances.
No solo disfrutaron de estos momentos rutinarios de expansión: la recompensa al duro trabajo intelectual se haría material en un viaje a Italia a principios de 1641. Pero la situación religiosa no era la más adecuada para dos jóvenes protestantes, así que se sustituyó por un viaje a la región de Saboya, debido a que tantos meses seguidos en Ginebra empezaban a hacer mella en los chicos. Sería durante esta breve estancia cuando Boyle experimentó un cambio sustancial en su visión de la vida.
Cuenta en el Philaretus que se despertó en mitad de una noche de tormenta, y fuera de la casa donde residían se escuchaban los truenos con violencia, el viento sacudiendo los árboles y la oscuridad se interrumpía con la cegadora luz de los relámpagos. Dada su falta de experiencia en este tipo de fenómenos, estaba verdaderamente asustado. Esa noche afloraron en su mente todo tipo de contradicciones referentes a su fe y vinieron ecos del estado de «melancolía» de sus años en Eton.
Su decisión fue clara, entregarse en cuerpo y alma a una vida más religiosa. Y así fue: aunque este relato no vuelva a aparecer en ninguna carta ni escrito, todo su programa científico tendría siempre el telón de fondo de su compromiso cristiano, lo cual no es óbice para que sus estudios tuvieran siempre una postura crítica y objetiva El prometido viaje a Italia no se cancelaría, simplemente se pospuso, pues en septiembre del mismo año comenzaron su periplo por Italia, pasando, entre otros lugares, por Venecia, Florencia y Roma.
En el invierno de 1641-1642 leyó La vida de los filósofos, del historiador griego Diógenes Laercio (siglo III d.C.), obra que lo recondujo a la senda de la filosofía estoica, que estaba calando fuerte en la Europa de la época, aunque luego la rechazaría. También las Cuestiones naturales, de Séneca (4 a.C. - 65 d.C.), tuvieron una gran influencia en Robert, e incluso llegaría a citar la obra en su libro La utilidad de la filosofía natural (1663), más de veinte años después, cuando ya era un reconocido experimentador. Aprendió italiano del propio Marcombes y así pudo leer los trabajos de Galileo, de cuya muerte tuvo noticias justo cuando pasaban por Florencia.
En el Philaretus describe que estuvo en Florencia coincidiendo con el Carnaval y vio algunas cosas que no le gustaron, en especial la visita a los burdeles de la ciudad, ante lo cual protestó a Marcombes porque pretendía mantener su castidad. En marzo de 1642 llegaron a Roma, donde presenciaron un oficio por parte del papa Urbano VIII y quedó impresionado por el tipo de culto. La vuelta la hicieron desde Livorno a Génova y de ahí a Marsella. En todo el recorrido por Italia se hicieron pasar por jóvenes franceses por miedo a represalias, y era tal su pronunciación que consiguieron pasar desapercibidos.
Mientras los hermanos iban de ciudad en ciudad por Italia, se fue forjando un problema político grave en Inglaterra: el 23 de octubre de 1641 estallaba la conocida como revolución irlandesa de 1641. Este hecho, unido a la crisis que sufría Inglaterra, dejó su marca en la situación financiera familiar. El conde de Cork pidió a Marcombes que regresara con sus hijos a Irlanda o que los enrolase en el ejército en Holanda.

El mapa muestra las ciudades más importantes que visitaron Francis y Robert Boyle en el Grand Tour por Europa tutelados por Marcombes, su preceptor.
Mientras que Francis cumplió con los deseos del padre —recordemos que había dejado en Inglaterra a su esposa—, Boyle se quedó en Ginebra con Marcombes durante tíos años más. Con tan solo quince años de edad, no tomó a bien la propuesta del padre, al que de hecho no volvería a ver, pues Richard falleció el 15 de septiembre de 1643. Por otra parte, su hermano Lewis ya había perdido la vida en la batalla de Liscarroll.
Este lapso es una época poco documentada en la vida de Robert. Sin embargo, podemos afirmar que sus intereses por la ciencia dieron comienzo en ese período, pues hay escritos en los que relata los efectos de un terremoto y la fermentación de licores. Son pequeños flashes que se van grabando en la memoria de un futuro maestro de los experimentos. Estas referencias escritas provienen de la propia mano de Robert: se trata de una libreta de ejercicios datada en 1643. Es interesante resaltar que en ella se han encontrado tablas de calendarios, diagramas de los cuatro elementos y del universo ptolemaico.
Las guerras de los tres reinosLas guerras de los Tres Reinos (o de las tres naciones) fueron un conjunto de conflictos interconectados que tuvieron lugar en Inglaterra, Irlanda y Escocia entre los años 1639 y 1651, es decir, durante la Infancia y la adolescencia de Robert Boyle. El periodo está dentro del tiempo en que gobernó Carlos I de Inglaterra, el conocido como Reinado Personal, que reunía el control de los tres países, entre 1629 y 1640. Estos conflictos fueron los siguientes: la guerra de los Obispos (1639-1640), la guerra civil escocesa (1644-1645), la rebelión irlandesa (1641), la Irlanda confederada (1642-1649) y la conquista de Irlanda por Cromwell (1649), y las guerras civiles Inglesas (primera: 1642-1646; segunda: 1648-1649, y tercera: 1650-1651).
Retrato de Carlos I de Inglaterra por Anthony van Dyck, 1640.
El resto de la libreta está plagado de observaciones teológicas y morales, en francés y en inglés, aunque también se observan algunas anotaciones matemáticas, como problemas, definiciones e instrucciones sobre medidas de tiempo y distancia. A pesar de que las matemáticas no ocuparon ni mucho menos la mayoría de su tiempo de estudio, en la sección sobre medidas de longitudes cita el Elementale mathematicum (1611), del enciclopedista protestante Johann Heinrich Alsted (1588-1638). El documento también contiene partes dedicadas a fortificaciones holandesas, lo que constata algo que contaría más tarde, que había escrito un tratado sobre fortificaciones en su juventud.
Boyle regresó a Inglaterra en el verano de 1644, convertido en una figura sofisticada y francófona. Contaba con la experiencia de cuatro años en el extranjero, algo que la inmensa mayoría de los jóvenes de su edad no tenía debido a que se veían obligados a trabajar. Al llegar a la casa londinense de su hermana Katherine, lady Ranelagh, sus parientes lo confundieron con un francés por su vestimenta y su acento. Incluso Katherine no supo reconocerlo en un primer momento. Allí permanecería durante casi cinco meses.
§. El círculo de Hartlib
Cuando Boyle regresó a Inglaterra, la guerra civil ya llevaba algo más de dos años de recorrido. En julio de 1644 el ejército parlamentario ganó una decisiva victoria sobre las tropas realistas en Marston Moor, lo cual no era más que un presagio de su victoria final. Londres se había convertido en un centro de parlamentarios, y la corte real se había desplazado a Oxford. Lady Ranelagh, es decir, Katherine, había sido testigo directo de todos los acontecimientos, puesto que su cuñada Margaret era la esposa de sir John Clotworthy, uno de los líderes políticos parlamentarios del momento. Además, compartían casa en Londres, parece que en Holbom.
Hay evidencias de que a finales de 1644 Robert se instaló en la casa solariega de Stalbridge, que sería su residencia principal durante una década, con algunos viajes a Londres (principalmente), Bristol y Cambridge. Volvió a Francia en 1645, posiblemente para saldar una deuda con Marcombes, pues tuvo que hacerse cargo de los pagos paternos no efectuados por problemas de envío a causa de la guerra en referencia a los últimos meses de su estancia en Francia. Más adelante, en 1648, iría a los Países Bajos, a visitar a su hermano Francis y su esposa, que residían en La Haya En su paso por Ámsterdam conoció a intelectuales judíos y cristianos. De este viaje cabe destacar su descubrimiento del funcionamiento de una cámara oscura (figura 1), que le permitió ver proyectada la ciudad de Leiden mediante el uso adecuado de distintas lentes.
Este encuentro con la óptica fue el causante posiblemente de que en el futuro dedicase parte de su tiempo a realizar experimentos sobre el color.

Figura 1. El funcionamiento básico de una cámara oscura consiste en la proyección de imágenes en un recinto totalmente oscuro y cerrado excepto por un orificio pequeño, que es por donde penetran los rayos luminosos que se proyectan en la cara opuesta al agujero, dando como resultado la inversión de las imágenes captadas. Las cámaras oscuras que proyectan las imágenes de ciudades solían disponer de un juego de lentes para mejorar la proyección.
Tras esta etapa de acumulación de vivencias vendría un período de tranquilidad y reposo, sobre todo sabiendo que en Inglaterra tenía asegurada una renta anual de 3000 libras, podía vivir holgadamente y dedicarse a sus aficiones, que irían dando un giro gradual en los siguientes años. En los comienzos de su etapa en Stalbridge se mostró preocupado por la ética y la búsqueda de la virtud, tema con el que comienza uno de sus múltiples tratados sobre ética, algunos de los cuales fueron escritos en esta época. En este período temprano se deja notar la influencia de la lectura de los romances y la filosofía estoica, en textos que exhalan moralidad; se trata de una continua lucha contra sus «delirios» de juventud y una afanada búsqueda de los más altos objetivos intelectuales, de autoconocimiento y de disciplina. Está claro que estamos ante un Boyle ingenuo, primerizo, pero que está a punto de alcanzar la madurez. Prueba de ello es su escrito Philaretus, la autobiografía ya mencionada, escrita entre 1648 y 1649, y que da muestras de una madurez real, hablando de sí mismo en tercera persona y haciendo esfuerzos por mostrarse objetivo. De hecho, se denomina a sí mismo Philaretus, que deriva del término griego antiguo que podría traducirse como «el que ama la virtud».
Hacia la mitad del siglo, Robert comenzó a tener contactos serios con el mundo de la filosofía y de la ciencia, que le llevarán, irremediablemente, hacia la fama como experimentador y a dejar su nombre grabado en la historia de la ciencia Tal vez uno de los detonantes sea el contacto que mantuvo con Samuel Hartlib (1600- 1662), en tomo a 1647, a tenor del prolífico epistolario entre ambos intelectuales.
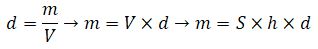
Boyle en los sellosEl mundo de la filatelia le ha hecho varios homenajes a Robert Boyle. Con motivo del 350º aniversario de la Royal Society, en Inglaterra se emitió una colección de diez sellos dedicados a sus miembros más importantes: uno de los elegidos fue Robert Boyle, y el sello, el que aparece reproducido a la izquierda. También aprovechando un 350° aniversario, esta vez el de la ley de Boyle, el servido postal irlandés emitió un sello en el que se representaba la ley tanto gráficamente como mediante su expresión matemática, a pesar de que esta no se deba a Boyle (a la derecha). Este sello fue emitido de manera conjunta después de que Dublín fuera declarada Ciudad de las Ciencias en 2012.
Hartlib era un contertulio usual en las reuniones en la casa londinense de lady Ranelagh, mujer interesada por las conversaciones intelectuales y científicas. Sin embargo, no se trataba de un contertulio más.
Samuel Hartlib era un polímata anglo-germánico con la idea firme de coleccionar conocimiento y repartirlo gratuitamente entre todos sus conocidos. En torno a él se creó lo que hoy se denomina el Círculo de Hartlib, una red de correspondencia entre 1630 y 1660 entre Hartlib y sus múltiples contactos. Para poder hacemos una idea de la cantidad de información que fluía en dicho Círculo, la Universidad de Sheffield publicó a finales del siglo XX un CD con la digitalización de todas las cartas recuperadas: un total de 25 000 páginas.
El acercamiento de Boyle a este Círculo le propició otros contactos de interés, como son el caso del poeta inglés John Hall, el médico irlandés Benjamín Worsley (1618-1677) y el filósofo inglés William Petty (1623-1687). Aunque no entraremos a analizar en profundidad cada una de estas relaciones, sí es necesario recalcar que este Círculo fue una de las más profundas influencias formativas para el futuro de Boyle como científico. Nunca fue a la universidad, su enseñanza reglada se limitaba a la que recibió en Eton, y en Francia tuvo algunos profesores privados, así que es obvio que estos contactos, y otros posteriores, se convertirían en sus verdaderos profesores.
Uno de los proyectos interesantes de Hartlib fue la Office of Address. Su idea era crear oficinas en todas las ciudades en las que se compartiría de manera pública y gratuita toda la información y conocimiento albergado por los filósofos y científicos. La idea recuerda en cierta manera a la Wikipedia, pues tal como se enuncia en su página web, «Wikipedia es una enciclopedia libre, políglota y editada colaborativamente». Pero en el siglo XVII, montar una oficina de estas características en cada ciudad era una idea ciertamente utópica, aunque esto no impidió que Hartlib distribuyese un panfleto con la propuesta junto al escocés John Dury, el segundo de a bordo en el Círculo, ambos firmes aliados del cosmopolita Comenius, considerado el padre de la Pedagogía. En dicho panfleto se abogaba además por una reforma educativa. Robert se sentía cómodo con estos enfoques, y expresó entusiasmo por el establecimiento de un lenguaje universal y mejoras en la educación. Mostró curiosidad por ingenios de todo tipo (Petty le dedicó un dispositivo de doble escritura), intercambió asiduamente recetas con Hartlib y ambos hombres discutieron sobre los trabajos de filósofos naturales como Marín Mersenne (1588-1648) y Pierre Gassendi (1592-1655), al que el propio Boyle describía como «uno de mis favoritos».
Situados en este contexto intelectual, es momento de hablar de un grupo de hombres que es difícil enmarcar y al que Boyle llamaba «nuestro Colegio Invisible». Escribe sobre el Colegio Invisible en cartas enviadas a Marcombes, Tallents y Hartlib. Sale mencionado también en un cuarto documento, el ensayo de la época titulado La doctrina del pensamiento, aunque en este caso se refiere al Colegio Filosófico. Nada más. Hay varios enfoques referentes a las actividades del grupo, pero lo que sí parece ser cierto es que nació cercano al Círculo de Hartlib y que sería el precursor de la Royal Society de Londres.
§. Camino de la fe y de la ciencia
Estos últimos años que hemos tratado fueron determinantes en el futuro científico y social de Boyle. Durante su etapa en Eton adquirió la dinámica y la disciplina en el estudio y la lectura. Aprendió a conocerse a sí mismo y a dominar sus propios conflictos internos. El periplo por Francia e Italia lo convirtió en un hombre a la altura de su posicionamiento social y le permitió profundizar en sus estudios. En dicho viaje pudo además conocer otras lenguas y culturas, y recibió cierto adiestramiento en ciencias. Y decidió entregarse, durante una noche de tormenta, a los estudios religiosos y morales como consecuencia del pavor. Pero su vuelta a Inglaterra y los nuevos contactos creados gracias a su hermana Katherine lo acercaron de forma directa a la vida intelectual y la filosofía natural. El cambio estaba a punto de producirse, pronto iba a girar su interés hacia la filosofía experimental, como se verá más adelante.
«Entre todos sus experimentos él nunca realizó el del matrimonio.»
John Evelyn, acerca del celibato de Boyle.
A finales de la década de 1640, el honorable Robert Boyle había resuelto indiscutiblemente permanecer en el celibato. Además, Katherine le había informado en una carta que Anne Howard —la mujer que su padre le había asignado— se había casado en 1645 con su sobrino, Charles Howard, que se convertiría en el primer conde de Carlisle.
Se sospecha que hubo un segundo intento de que Boyle se casara, esta vez con Elizabeth Caney, como cuenta John Evelyn.
A pesar de que su hermana le dio un toque de atención en 1657 y de que en 1669 John Wallis le propuso a la hija del conde de Huntingdon, Robert siguió firme en su propósito. «El amor engendró en él un noble corazón sin el inconveniente del deseo», escribiría en Amor seráfico, un ensayo moralista dedicado a su hermana Mary y publicado en 1659.
«Nullius in verba»A un lector actual le puede parecer que Robert Boyle vivió en una continua tensión entre su religiosidad y sus ideas científicas. Sin embargo, sus investigaciones estaban enfocadas a conocer «la obra de Dios». En cualquier caso y a pesar de la contradicción, no estaba dispuesto a defender afirmaciones que no fuesen demostradas por medio de la experiencia. Aunque su actividad fue disminuyendo progresivamente en la Royal Society, Boyle se sintió muy cómodo entre sus miembros. Y no solo porque hubiese obtenido un gran prestigio, sino porque la línea de investigación seguida por sus componentes era parte de su propia filosofía. Para Boyle lo Importante era el experimento y la Sociedad había adquirido en 1663 para sí un lema con el que no podía dejar de sentirse identificado: Nullius in verba. Esta expresión latina significa «En palabra de nadie» y procede de un verso de las Epístolas de Horacio (Nullius addictus iurare in verba magistri, quo me cumque rapit tempestas, deferor hospes, es decir, «No soy dado a reverenciar la palabra de ningún maestro, dondequiera que la tormenta me arrastre, me tenderé como un huésped»). La Royal Society dejaba patente que nada podía conocerse por la autoridad de un científico, por Instituciones políticas e Incluso religiosas. La naturaleza, tomando como aparato fonador el experimento, es la que habla.
Anverso de una de las medallas concedidas por la Royal Society, con su lema Nullius in verba.
Seguiría por este camino trazado a conciencia, pues moriría virgen con más de sesenta años.
§. La lista de deseos
La educación recibida durante su infancia marcaría en el futuro los intereses de Boyle. Sus enfoques científicos siempre estarían guiados en el fondo por sus creencias e inclinaciones filantrópicas, asimiladas tanto en la familia como en el Círculo de Hartlib. En su época de madurez científica, escribió una curiosa «lista de deseos» a modo de guía de investigación, es decir, una serie de ítems en los que podrían trabajar los científicos para que fuese posible una mejora de la vida del ser humano. Lo interesante de esta lista es que 21 de los 24 objetivos se han visto cumplidos, a pesar de que fueron propuestos en una época dominada por tas supersticiones mágicas y religiosas.
A continuación se relacionan estos retos para el futuro que nuestro visionario supo concretar en el mismo orden en que fueron escritos; entre paréntesis se añaden seguidamente algunos comentarios:
- La prolongación de la vida. (Desde el siglo XVII, la esperanza de vida ha aumentado gracias a varios factores, entre ellos el alcantarillado, el control de las enfermedades y las mejoras de las condiciones higiénicas.)
- La recuperación de la juventud, o al menos algunas señales de ella, como dientes nuevos, coloración del pelo. (Botox, cirugía plástica, dentaduras, tintes y trasplantes.)
- El arte de volar. (Aviones, globos y cohetes.)
- El arte de permanecer durante mucho tiempo debajo del agua y realizar funciones allí. (Escafandras, batiscafos, submarinos y submarinismo.)
- La cura de heridas a distancia. (No cumplido.)
- La cura de enfermedades a distancia o al menos por trasplantes. (Los trasplantes superan con creces el segundo objetivo; respecto al primero, no se ha conseguido, a pesar de que hay quien asegura que puede curar por teléfono o enviando señales electromagnéticas.)
- Alcanzar dimensiones gigantes, (La altura de las personas ha ido aumentando desde entonces, como también las dimensiones de algunas plantas y animales.)
- Emulación de los peces sin máquinas, solo mediante la costumbre y la educación. (Buceo libre.)
- Aceleración de la producción sin semillas, (Ingeniería genética)
- La transmutación de los metales. (Se ha demostrado que la transmutación es posible mediante la manipulación del núcleo, lo cual supera el objetivo; sin embargo, es imposible mediante procesos químicos y tampoco se puede llevar a cabo en todos los metales, lo cual significa que no se habría conseguido el objetivo.)
- Fabricación de vidrio maleable. (Hoy hay todo tipo de vidrios.)
- La transmutación de las especies en minerales, animales y vegetales. (Biología sintética e ingeniería genética.)
- El líquido alcaesto y otros disolventes. (No existe el disolvente universal.)
- La construcción de vidrios parabólicos e hiperbólicos. (Telescopios y gafas.)
- La fabricación de armaduras ligeras y extremadamente resistentes. (Armaduras y cascos de kevlar.)
- Una forma factible y cierta de encontrar longitudes. (GPS.)
- El uso de los péndulos en el mar y en los viajes, así como su aplicación en los relojes. (Relojes de cuarzo.)
- El uso de drogas para enaltecer la imaginación, para despertarse, para la memoria y otras funciones y calmar dolores, dormir inocentemente, para sueños inofensivos, etc. (Fármacos.)
- Un barco que navegue con todos los vientos y que no sea hundido. (Respecto al primer objetivo, la navegación por motor.)
- No tener la necesidad de dormir demasiado. (Estimulantes.)
- Sueños agradables y exámenes físicos... (Drogas alucinógenas.)
- Gran fuerza y habilidad del cuerpo. (Drogas para mejorar el rendimiento.)
- Luz perpetua. (Luz eléctrica.)
- Lacas que perfuman por frotamiento. (Scratch and sniff, «rasca y huele», etiquetas que se ponen en algunos productos, como perfumes, con la finalidad de que, al rascarlos, liberen el olor que contiene el recipiente.)
Capítulo 2
El valor del experimento
A mediados del siglo XVII se estaba experimentando un cambio en la metodología científica y en la visión de la propia ciencia. Las ideas mecanicistas de Descartes, por un lado, y el proyecto experimental de las historias naturales de Bacon, por otro, habían impactado de lleno en el panorama científico que, además, estaba lidiando con los inicios de una gran revolución científica.
En el verano de 1649 Boyle sufría un ataque de fiebre, posiblemente debido al paludismo, que estuvo a punto de costarle la vida, pero afortunadamente se repuso. Existen dos cartas a lady Ranelagh fechadas en agosto en las que habla con entusiasmo de un nuevo tema que atrajo su interés en tomo a esta fecha. Acababa de descubrir en primera persona el deleite por los experimentos y se mostraba palpablemente excitado por el tema de los volcanes. Pero debido a la enfermedad se vio obligado a retrasar sus planes de investigación. Ya en 1647 se había embarcado en una primera tentativa de montaje de equipos de laboratorio en su casa de Stalbridge. Quería emular de manera independiente las actividades químicas que había hecho en compañía de Bergantín Worsley, uno de los científicos del Círculo de Hartlib. Pero los equipos que encargó se retrasaban demasiado y, como diría a Worsley en una caita, «hace que suba y baje tristemente a mi laboratorio como un impaciente laudista que tiene la partitura y el instrumento preparado pero está desprovisto de cuerdas». Nos encontramos ante un incipiente y apresurado aprendiz de experimentador, ávido de material para indagar en la naturaleza, y con ojos y manos preparados. Para colmo, el homo de barro que esperaba desde cientos de kilómetros de distancia (tal vez Alemania o Bohemia) llegó destrozado, y la misma suerte corrió un aparato de destilación y diversas vasijas. En definitiva, un equipo inútil que frustró su primer intento de montar un laboratorio. Fue tal el desengaño, que llegó a comparar la cantidad de piezas en las que se había dividido el homo con la situación religiosa divergente de Londres, «tantas piezas como nosotros en sectas». Esta decepción estaba tintada de inocencia y algo de tremendismo, «sé que no he sido designado para encontrar la piedra filosofal», diría en referencia a uno de los principios alquímicos, asunto que trataremos más adelante.
Dos años más tarde, sus expectativas empezarían a tomar forma. Desde la década de 1640, Robert registró bastantes de sus vivencias en unos diarios y gracias a ellos conocemos algunos detalles sobre su primer laboratorio funcional, que podría considerarse como puntero en aquella época. En torno al año 1649 comenzó a incluir en sus anotaciones recetas y procesos de todo tipo; pueden leerse ingredientes de lo más variado, como tabaco de pipa, harina de centeno, estiércol de caballo, lana, etcétera. Su interés principal era repetir algunos cambios en las sustancias que previamente había visto con Hartlib y otros del Círculo para producir por sí mismo algunos remedios usando medios químicos. Parece que el laboratorio estaba equipado con los suficientes utensilios para comenzar su tarea investigadora, no solo crisoles o destiladores, incluso un microscopio, que parece haber sido conseguido en los Países Bajos por mediación del químico alemán Johann Moriaen. Y, por supuesto, un horno, pero esta vez en una sola pieza.
§. El punto de inflexión
En el verano de 1649, fruto de su nuevo interés experimental, Robert escribió un libro que sería el germen de futuros trabajos: Sobre el estudio del Libro de la Naturaleza. Parte de esta obra de juventud está repleta de referencias bíblicas e incluso cita a Hermes Trismegisto nada menos que como modelo de hombre con actitud adecuada hacia Dios. Pero seamos justos con Boyle: se trata de un texto de transición en el que intenta casar sus ideas religiosas con el nuevo mundo que se abre ante sus ojos gracias a los experimentos; representa, por tanto, un estadio temprano en su desarrollo científico. Es más, resaltemos el hecho de que en este texto muestra signos de antiaristotelismo, se comienza a esbozar el futuro panorama de escepticismo ante las ideas establecidas en el momento. Sin embargo, en esta etapa aún defiende una idea aristotélica que luego pondrá en duda con evidencias experimentales: la imposibilidad del vacío. Efectivamente, ya en Sobre el estudio del Libro de la Naturaleza alude al gran potencial del experimento y del uso de instrumentos (microscopio y telescopio) como camino generalizado hacia la búsqueda de resultados.
Siguieron unos años de rápido aprendizaje, gracias a ese impulso personal por los experimentos y a las figuras a las que se acercó en dicha época. La influencia de Nathaniel Highmore (1613- 1685) y George Starkey (1628-1665) fue determinante en los enfoques que daría en el futuro a sus investigaciones. Highmore fue un cirujano del condado de Dorset, geográficamente muy cercano a la localización de Boyle. Fue seguidor de William Harvey y dedicó un libro al propio Boyle, Corporis humani disquisitio anatómica (1651). Lo que nos interesa aquí es que Highmore alentó a Robert a realizar experimentos precisos sobre la respiración de animales y plantas. Más importante aún fue su encuentro con el químico estadounidense Starkey, graduado en Harvard, quien había adquirido cierta fama por sus ensayos alquímicos. Aunque llegó a Inglaterra en 1650, conoció a Boyle en enero del año siguiente, gracias, una vez más, a un enlace del Círculo de Hartlib, Robert Child. Starkey era un firme seguidor del médico flamenco Jan Baptiste van Helmont, lo cual curiosamente le llevó a la muerte, pues quiso poner en práctica las técnicas aprendidas en la plaga de Londres de 1665 con un desenlace desastroso. De los diarios de Boyle se desprende que hizo las veces de alumno mientras Starkey realizaba todo tipo de experiencias.
Recordemos que Boyle no asistió a la universidad, y (pie todos estos contactos en primera persona supusieron una enseñanza totalmente personalizada. Starkey fue una de las vías que seguiría hacia la alquimia. En la década de 1650, Starkey envió a Boyle largas cartas en las que le contaba algunos de sus proyectos, entre ellos la búsqueda de un método para obtener el «mercurio filosofal», un disolvente universal de metales, entre ellos el oro.
Jan Baptiste Van Helmont (1579-1644)Van Helmont cultivó diversos campos del saber, pero obtuvo un doctorado en Medicina en 1599. Sus experimentos sobre el crecimiento de las plantas, por los que consiguió una gran popularidad, le sirvieron para encontrar algunos gases, entre ellos el dióxido de carbono («gas silvestre»), e Incluso descubrió que se trataba del mismo gas en una combustión y en la fermentación del mosto. Fue quien acuñó la palabra gas, que proviene del latín criaos, y este del griego Xáop Por ser el primero en diferenciar el aire de otros gases, es considerado a veces como el fundador de la química neumática. Algunos incluso lo señalan como el padre de la bioquímica, pues fue el primero en utilizar la química para investigar la respiración, la digestión y la nutrición en el campo de los problemas fisiológicos.
Durante un tiempo se pensó que este retrato de Van Helmont era en realidad el de Robert Hooke.
Como era habitual en los científicos de la época, presentó algunas contradicciones, que no deben ser causa para subestimarlo: por un lado, se volcó en la experimentación científica al modo sugerido por Bacon, siendo un cuidadoso observador de la naturaleza; por otro, fue un firme seguidor de Paracelso y un místico alquimista.Experimento del sauce llorón
Van Helmont llegó a una conclusión equivocada a partir del famoso experimento del sauce llorón. Pesó la tierra antes de plantar el árbol y cinco años después, cuando había crecido hasta una masa de 75 kg, pero la tierra solo había disminuido la suya en 500 g. Concluyó que el árbol solo había adquirido masa por el agua de riego, fundamentalmente de la lluvia. A partir de aquí sostuvo que el agua era el único elemento y que toda la materia se creaba a partir de ella. Si bien Boyle no siguió esta misma idea, si tomó a Van Helmont como referente en el campo experimental.
Estos intereses fueron compartidos por varios científicos de la época, entre ellos Newton, el principal seguidor de Eirenaeus Philalethes («pacífico amante de la verdad»), pseudónimo que parece que usó Starkey para publicar sus estudios alquímicos, y que tanto Boyle como Newton sospechaban. Tendremos ocasión de tratar este tema más adelante.
Lo que nos interesa ahora resaltar aquí es que una buena parte de las cosas que aprendió de Starkey quedó reflejada en Sobre el estudio del Libro de la Naturaleza y en un trabajo posterior, Ensayo sobre las Sagradas Escrituras. Este último, a pesar del título, trataba sobre filosofía natural, aunque en un intento por defender la verdad de las Sagradas Escrituras. En esa época Boyle estaba creciendo en todas las facetas de su vida, especialmente en la profundización intelectual en tomo al estudio de la Biblia. La influencia más decisiva de ese momento fue la del irlandés, exiliado en Inglaterra, James Ussher (1581-1656), arzobispo de Armagh, quien ingenuamente había deducido que la creación del mundo tuvo lugar en el año 4004 a.C., como figura en su obra Los anales del mundo (1650). Boyle no encajó bien las críticas de Ussher sobre su ignorancia a la hora de leer la Biblia en griego, así que en respuesta estudió no solo griego, sino también hebreo, sirio, caldeo y arameo, simplemente para poder leer las Sagradas Escrituras en sus lenguas vernáculas. Y nos interesa este aspecto de la vida de Robert porque sería una de las razones que le condujeron a cambiar su estilo como autor. Comenzó a abandonar la retórica que tan arraigada tenía debido a la lecturas de romances y buscó un estilo más descriptivo, directo y afín a su incipiente carrera científica.
§. Los amanuenses
En junio de 1652, después de no haber estado en su tierra natal desde los doce años, cuando inició el Grand Tour con su hermano Francis, Boyle decidió volver a Irlanda. Permanecería allí durante un par de años, exceptuando algunos meses en el verano y el otoño de 1653. El motivo principal de su visita no era otro que restablecer sus propiedades. Además de pasar por Youghal y Waterford, pudo reunirse en noviembre con sus hermanos en Ballynatray y en agosto cerró tratos con algunos de ellos en Lismore sobre el arrendamiento de tierras.
En Irlanda no solo se dedicó a los asuntos financieros para que le quedase una situación cómoda y estable, sino que también tuvo algo de tiempo para sus experimentos, aunque en este campo sus sensaciones en Irlanda fueron decepcionantes, como afirmó en una carta al médico alemán Frederick Clodius, yerno de Hartlib. Veía su país como una tierra de bárbaros en la que conseguir instrumental químico era prácticamente imposible, aunque lo que realmente le afectaba era la incomprensión que sufrían sus ideas ante el hermetismo general que le rodeaba. Sí logró llevar a cabo algunas disecciones de animales vivos asistido por William Petty, lo que amplió su conocimiento de la anatomía animal y también de la humana. Comprobó por sí mismo las técnicas de la época, pues Petty había estudiado medicina en Leiden, París y Oxford e incluso accedió al descubrimiento de la circulación de la sangre de Harvey, además de las investigaciones sobre el conducto torácico del francés Jean Pecquet. Estos pequeños detalles tendrán una importancia extrema y producirán su eco en trabajos posteriores, como el que veremos en el último capítulo, Ensayos para una historia natural de la sangre humana, publicado treinta años más tarde.
En mayo de 1654 tuvo lugar un suceso que, como él mismo diría, constituyó el origen de todos sus problemas futuros: se cayó desde lo alto de un caballo algo nervioso y acabó muy magullado. Sin tiempo para recuperarse, se vio obligado a realizar un largo viaje en condiciones deficientes y bajo un tiempo desfavorable. Es más, debido al «error de un guía inexperto o borracho» tuvo que vagar toda una noche a la intemperie. El resultado de todos estos infortunios fue la combinación de un cuadro de fiebre e hidropesía. Pero el desastre no acabó ahí. En esas maltrechas condiciones tuvo que volver a Londres, donde esperaba por fin recuperarse. Sin embargo, los problemas físicos no lucieron más que agravarse a causa de una epidemia de fiebre que ya había afectado a parte de la población. A pesar de su empobrecida salud, Robert insistió en continuar con sus estudios bíblicos, lo que resultó fatal para su vista. Boyle tenía la esperanza de que el problema podría ser temporal, pero la realidad fue que el daño causado a su vista tuvo secuelas que serían permanentes. Fue tal la pérdida de visión que dependería de amanuenses el resto de su vida para poder escribir sus trabajos. La mayoría de los escritos anteriores a 1654 sobreviven de su propia mano, pero a partir de esa fecha serán dictados con breves correcciones a mano realizadas por él mismo; aun así se aprecian errores introducidos por los múltiples copistas con los que contó. Incluso tuvo que delegar lecturas a la espera de que le hicieran resúmenes, además de necesitar asistentes de todo tipo para la observación y el registro de sus actividades experimentales. Sus diarios están escritos por él mismo hasta mediados de la década de 1650, y a partir de ahí aparecen casi veinte manos distintas, entre ellas las del médico inglés Frederick Slare (1647-1727).
Los siguientes meses a la caída los pasó entre Stalbridge y Londres. En ese período de convalecencia tomó la firme decisión de irse a vivir a Oxford, algo que se le había pasado por la cabeza dos años antes y que tomó fuerza con una visita de dos días en septiembre de 1655. En dicha visita conoció a un inglés que supo persuadirlo en esa dirección, John Wilkins (1614-1672), el creador de una de las primeras lenguas sintéticas, plasmada por ejemplo en el Ensayo sobre un Carácter Real y una Lengua Filosófica (1668). Boyle tuvo que contar con el consentimiento de su hermana Katherine y ella misma lo ayudó para encontrar alojamiento. Finalmente se mudaría, en el invierno de 1655-1656, a la casa (Deep Hall) del boticario John Cross, en High Street, lugar ahora ocupado por el University College. Allí permanecería doce años, durante los cuales realizaría buena parte de sus investigaciones científicas y crearía sus obras más conocidas e influyentes. Los expertos en los estudios científicos de Boyle consideran este traslado, no sin razón, como un hecho trascendental y memorable. En Irlanda, como se ha dicho antes, había sufrido un aislamiento intelectual notable debido, sobre todo, a la carencia de medios técnicos. En Oxford, por el contrario, se estaba viviendo un momento excitante desde el punto de vista intelectual, tanto en lo referente a la infraestructura técnica como al material humano.
§. El grupo de Oxford
Oxford fue el lugar de concentración para un sinfín de personalidades. Wilkins fue nombrado director del Wadham College; Jonathan Goddard, director de Merton; Seth Ward, profesor saviliano de Astronomía, y John Wallis, profesor saviliano de Geometría. Este último era uno de los integrantes de un grupo que Boyle conoció en una visita a Londres en 1645, en la que trató temas de astronomía, física y anatomía, en tomo a nombres como Galileo, Torricelli y Harvey. Hubo otros nombramientos en el Círculo de Oxford, como el de los médicos Ralph Bathurst y Thomas Willis, y el arquitecto Christopher Wren, que se hizo famoso por la reconstrucción de las iglesias de Londres tras el gran incendio que la ciudad sufrió en 1666. Menos cercanos a este Círculo había tina multitud de otras figuras, entre las que encontramos algunas que después serían colegas de Boyle, por ejemplo, el famoso filósofo inglés John Locke y John Ward, vicario de Stratford, en Avon. A pesar del aluvión de personajes importantes, el personaje clave en la etapa de Oxford sería un joven aprendiz de científico de apenas veinte años, Robert Hooke (1635-1703), un verdadero portento en el manejo de instrumental de laboratorio. Hooke era un protegido de John Wilkins que había estudiado en el Westminster School a comienzos de la década de 1650; comenzó siendo ayudante de Willis, pero pronto se convertiría en el principal asistente del honorable Robert Boyle. Con este comienzo, su carrera científica estaba asegurada.
Afirma Michael Hunter, un experto en la figura de Boyle, que el verdadero «Movimiento de Oxford» no debería ser el originado alrededor de la High Church anglicana en el siglo XIX, sino que debería asignarse a esta brillante colección de mentes e ideas de los años cuarenta y cincuenta del siglo XVII.
La experienciaBoyle fue una influencia fundamental en la filosofía de John Locke (1632-1704), uno de los más importantes empiristas de la filosofía británica. Locke entabló amistad con Boyle en su época de Oxford, donde el filósofo estudió medicina y se interesó por las ciencias. En 1690 publicó su libro más conocido, Ensayo sobre el entendimiento humano, con el que abrió una nueva rama en la filosofía, la teoría del conocimiento. Su objetivo era investigar los orígenes, alcance y certidumbre del entendimiento humano. Para ello negaba que hubiese ideas innatas en la mente (es el conocido innatismo de los racionalistas). A pesar de que lo que conocemos son las ideas mentales de los objetos y no los propios objetos, Locke no duda de la existencia de un mundo material en el que hay objetos. Y estos objetos presentan cualidades que son las que provocan la idea en nuestra mente. En este punto retoma una división realizada por Boyle en su visión corpuscular de la materia: la diferencia entre cualidades primarlas (solidez, extensión, forma, movimiento, reposo y número) y cualidades secundarlas, Locke refleja perfectamente su conexión con la visión de Boyle al comienzo del segundo capítulo, según la cual la mente es una tabula rasa lista para escribir las observaciones que se realizan del mundo:
Todas las ideas provienen de la sensación o de la reflexión. Vamos a suponer que la mente es, como suele decirse, un papel en blanco, vacio de caracteres, sin ninguna idea: ¿Cómo llegan a tenerse?, ¿de dónde viene ese gran almacén lleno que el hombre ha pintado con una variedad ilimitada?, ¿de dónde provienen todos los materiales de la razón y el entendimiento? Ante esto respondo con una palabra, la experiencia.
Retrato de John Locke plasmado por el pintor alemán sir Godfrey Kneller (1697),
Las reuniones entre estos hombres constituyeron algo parecido a un club de filosofía experimental en tomo a 1649, un grupo de unos treinta miembros que poco después establecerían un conjunto de reglas. El principal interés de este Círculo se centraba en informar de sus actividades investigadoras.
Solían intercambiar información con Hartlib por mediación de varios informadores, entre los que se encontraba el propio Boyle. Por ejemplo, en 1657 describía la variación que Wren había realizado de un compás como «muy noble diseño», Boyle se mostró siempre entusiasmado por los nuevos instrumentos y la mejora de los ya conocidos, algo que tendrá relevancia en su programa experimental, como se verá enseguida. También le envió a
«Philosophical Transactions»La primea revista del mundo que se dedicó exclusivamente a la ciencia es Philosophical Transactions, editada por la Royal Society. El 6 de marzo de 1665 vio la luz la primera edición, de manos del secretario de la Sociedad, Henry Oldenburg. A partir de 1887 la publicación se dividió en dos más especializadas, una dedicada a las ciencias físicas y otra a las ciencias de la vida. Boyle publicó una gran cantidad de artículos en sus páginas y otros científicos de gran relevancia histórica también reflejarían allí sus trabajos: James Clerk Maxwell. Michael Faraday y Charles Darwin, entre otros. El primer artículo que publicó Newton fue «Una carta de Mr. Isaac Newton, profesor de Matemáticas en la Universidad de Cambridge: contiene su nueva teoría sobre la luz y el color». En julio de 2011, Greg Maxwell pirateó la base de datos de Jstor donde se albergan los artículos digitalizados de la revista, para denunciar el hecho de que había que pagar para visionar artículos que tienen ya siglos de antigüedad. En total accedió a unos 19 000 artículos, pero poco después, en septiembre de 2011, la Royal Society decidió liberar la totalidad del contenido anterior a 1923, sin mencionar que Maxwell tuviera nada que ver con la apertura gratuita de los artículos.
Portada de la primera publicación de Philosophical Transactions.
Hartlib una copia de un libro de Willis sobre la fermentación en el cuerpo humano, lo cual demuestra su continuo interés en temas médicos.
Muchos de los proyectos de Oxford en los que Boyle se vio involucrado fueron retomados por él mismo en libros que publicaría más tarde. Realizó experimentos con Wilkins en casa del boticario, y hacia fútales de la década de los cincuenta experimentó sobre la compresibilidad del agua, disecciones de perros, etcétera. Estuvo también presente en autopsias y clases del químico alsaciano Peter Stahl. En definitiva, llevó a cabo todo tipo de experimentos y manipulaciones de la naturaleza. En esta década su producción de textos científicos por fin superaría la de textos religiosos y morales de la década anterior. Su propio diario muestra la inmensa cantidad de horas que dedicó a la investigación de los fenómenos naturales y probando curas médicas.
Y para terminar de contextualizar el ambiente intelectual en el que se movía, cabe también mencionar otros dos contactos que hizo en la época de Oxford. El primero es el alemán emigrado Henry Oldenburg (1619-1677), quien estableció un fructífero intercambio epistolar con personajes de toda Europa. Se convertiría en el editor de Philosophical Transactions, la revista de la Royal Society, institución de la que fue el primer secretario. El contacto de Oldenburg con Boyle sería de por vida y traspasaría lo meramente profesional para convertirse en una verdadera amistad. Oldenburg pasó un tiempo en Oxford, pero se fue justo cuando Boyle visitaba Londres en uno de sus múltiples viajes. Sería en este viaje en el que Boyle conocería al ya mencionado John Evelyn, un horticultor famoso por escribir unos diarios muy completos, donde Boyle sale citado. Evelyn publicó en 1664 el libro Sylva, o un Discurso sobre árboles forestales y fue un bibliófilo empedernido, llegando a acumular unos 4 000 libros en su biblioteca.
§. Ciencias sin matemáticas
La figura de Boyle emergió como una voz original a finales de la década de 1650 a través de los manuscritos que enviaba a sus contactos. Solo habría que esperar una década para ver sus obras impresas. Su actividad científica era un fiel reflejo del contexto social e intelectual del Oxford en el que vivía, influenciado además por las ideas de Hartlib, aunque este permanecía en Londres, una distancia que no impidió que ambos compartieran con entusiasmo las nuevas ideas e invenciones. Los escritos por los que Boyle alcanzó verdadero reconocimiento en su propia época se concentran, básicamente, entre los años 1661 y 1667. El programa de Boyle tiene varios componentes que lo identifican:
Defensa de los métodos fundamentalmente experimentales basados en sus propios motivos religiosos. Un ejemplo es la ya citada obra La utilidad de la Filosofía Natural (1661).
Escritos que explican cómo deben ser presentados y ejecutados los experimentos, con ilustraciones muy detalladas de experimentos reales. Aquí se enmarcan, por ejemplo, los Ensayos sobre la certeza fisiológica (1663).
Cómo los descubrimientos científicos deben ser usados para apoyar un punto de vista corpuscular de la materia. La obra más representativa al respecto es El químico escéptico (1661), aunque también cabe destacar Experimentos sobre los colores (1664), Nuevos experimentos sobre el frío (1665) y El origen de las formas y las cualidades (1666-1667).
La singularidad de la propuesta de Boyle se hace patente porque adopta algunas ideas prácticas desarrolladas por Galileo (observación, experimentación y descubrimiento de nuevos fenómenos) y se muestra como un cartesiano convencido, en el sentido de que entiende un mundo que funciona mecánicamente. A la par, es significativa la ausencia casi total de las matemáticas, aunque en ningún momento las desprecia. Esto último puede chocar desde el punto de vista actual, pero para entender la importancia de los trabajos de Robert Boyle hay que trasladarse a la concepción de ciencia que se vivía en el siglo XVII. Debe tenerse en cuenta que Boyle no recibió una formación reglada universitaria, y aunque no fue un autodidacta, su aprendizaje se basó en clases personalizadas y desde un punto de vista aristocrático, lo cual se podría traducir en ciertas carencias, que supo atenuar gracias a sus variados contactos. Es posible que en sus múltiples estudios no profundizara lo suficiente en geometría, ni matemáticas, y quizá por eso las apartaba de su programa de investigación. Por otra parte, las matemáticas y la geometría requieren de una atención personal y del uso de lápiz y papel, y el hecho de que su visión fuese tan limitada podría haber sido otro factor para distanciarse de ambas disciplinas. Ya fuese por una razón u otra, lo que verdaderamente interesa es que la propuesta de Boyle es íntegra e independiente, pese a la ausencia de las matemáticas, y se puede considerar como una de las piezas claves del gran puzle que supone hoy la investigación científica. Si a pesar de ello nos sigue pareciendo extraño, podemos defender su esquema trazando una línea distintiva entre filosofía natural especulativa y filosofía experimental. El ingrediente cartesiano en el pensamiento de Boyle juega un papel importante en su desarrollo, pero no es posible apuntarlo como el aspecto principal. Para Boyle el experimento tiene un papel que sobrepasa la mera comprobación de hipótesis; el experimento es en sí mismo un vehículo para la investigación. Es más, a medida que avanzan sus trabajos, se va dejando ver una tendencia baconiana que irá tomando fuerza y que se convertirá en el núcleo de su propuesta de investigación científica La evolución de su propio proyecto viene acompañada por la asimilación de que el conocimiento humano es limitado, de que a la humanidad le queda mucho por descubrir y que debe mostrarse cauta:
El libro de la naturaleza es una fina y larga pieza de tapiz enrollada, que no podemos ver en toda su extensión al mismo tiempo, sino que debemos contentamos con esperar el descubrimiento de su belleza y simetría poco a poco, a medida que gradualmente llegue a ser más y más desenrollada o exhibida.
Aunque este pasaje sea muy posterior a la época de Oxford —en tomo a 1690—, es una buena muestra de cómo entendía Boyle el camino hacia el conocimiento de la naturaleza, mediante un vehículo muy diferente al de Galileo, que defendía que el libro de la naturaleza está escrito en lenguaje matemático. Dos formas de leer el mismo libro, si bien en absoluto opuestas, pues se han complementado a lo largo de más de trescientos años. Galileo aboga por el conocimiento objetivo, la búsqueda de regularidades en forma de leyes matemáticas, un mundo racional que nos lleve a un saber duradero. Por otra parte, Boyle defiende que el experimento es la única vía para descubrir en la naturaleza lo que no es directamente observable, es decir, defiende la intervención humana en la experimentación, un saber provisional basado en resultados probables e hipotéticos. La propuesta de Boyle es cambiar la certeza matemática por un plan de mejora continua del conocimiento, violentando la naturaleza para descubrir cosas nuevas. Y para ello señaló la importancia de la parte práctica del juego, dedicar más esfuerzos a rescatar el conocimiento técnico y operativo, mediante el uso de herramientas y con una nueva concepción de experimento. Así, es posible expresar la diferencia a la que hemos hecho referencia, entre la filosofía especulativa de moda en la época y una incipiente filosofía experimental que motiva a muchos filósofos naturales para redirigir su mirada hacia la experimentación, haciendo de la filosofía experimental una forma autónoma de investigar la naturaleza. En el ideal de Robert siempre estaba encontrar aplicaciones que beneficiaran a la humanidad: construcción de nuevos instrumentos, descubrimiento de nuevos territorios o desarrollo de técnicas en las distintas artes de la época (construcción, metalurgia, agricultura, etcétera).
§. Las historias naturales
Resulta interesante reseñar brevemente las diferencias entre Descartes y Bacon, pues es un asunto que tuvo repercusión en nuestro autor. Para Descartes tiene importancia el conocimiento previo a la hora de investigar, además de la organización de lo ya conocido, de manera que los manuales de enseñanza y el uso de las matemáticas son relevantes; la naturaleza responde a unas leyes universales impuestas por vía divina, lo que trasciende a la intervención humana, a sus experimentos, aunque es posible conocerlas de primera mano.
Boyle, en cambio, mezcla aspectos teológicos, filosóficos, epistemológicos y prácticos, lo cual hace que no termine de arrancar con una verdadera teoría en el sentido mecanicista de la época. Algunos estudiosos han sabido encontrar elementos de la teoría voluntarista en sus escritos, pues Robert entiende que las leyes de la naturaleza son regularidades impuestas por Dios.

Robert Boyle en un grabado de William Faithorne (1664). En realidad se trata de una segunda versión del grabado original en la que el artista inglés añadió la bomba de aire (a la derecha) que tanta popularidad dio a Boyle.
Con este telón de fondo, el ser humano solo puede acceder a las propiedades de las cosas y además de una manera hipotética. Pero, cuidado, esto no le impide a Boyle sostener que mientras más se investigue la naturaleza más nos acercaremos a «la obra de Dios», pues ello supone un mejor conocimiento del Creador. Para ello afirma que Dios crea las cosas con un fin determinado, que puede ser accesible y racionalizado por el ser humano. Esta visión nos lleva a una concepción mecanicista de la naturaleza, y Boyle no solo es consciente sino que sabe que no es la única posibilidad; prueba de ello son sus menciones al corpuscularismo y a la teleología.
No es, por tanto, un mecanicista extremo, investiga el mecanismo del mundo a nivel local, sin buscar leyes universales, solo procesos y fenómenos que presenten regularidades. De este modo los dos pilares de su filosofía serán la observación (para buscar regularidades) y la experimentación (para confirmar las regularidades de forma controlada).
«Si el autor omnisciente de la naturaleza supiera que el estudio de sus obras tiende a hacer que los hombres no crean en su Ser o atributos, no les habría dado tantas invitaciones para estudiar y contemplar la naturaleza.»
Robert Boyle, Ciertas consideraciones acerca de la utilidad de la filosofía experimental (1663).
Las conocidas como «historias naturales» fueron el eje vertebrador de las obras científicas de Boyle. Sabía que los objetos físicos son difícilmente clasificables, escapan a las categorías de los entes abstractos, requieren mayor análisis y un trato experimental. Sin embargo, en la construcción de las historias naturales no encontramos los problemas que produce el tratamiento matemático y teórico en general, es decir, las contradicciones y las incoherencias.
El principal aspecto de una historia natural es el tamaño de la muestra: mientras más datos se tengan, mejor. No hay que especular ni teorizar, es una interpretación directa del libro de la naturaleza, una lectura página por página, frase por frase, palabra por palabra. Un arduo trabajo pero en el que Boyle se encontraba seguro, a pesar de la extrema dedicación. Lo que se busca es la mejor de las hipótesis, nunca un modelo explicativo basado en leyes y axiomas a priori.
No se puede caer en la tentación de que se trata de observar y experimentar sin más, sin ningún tipo de reglas; hay que seguir unos pasos y ser cuidadosos con el procedimiento y la utilización de herramientas. Si nos remitimos a la época medieval, el concepto de experiencia se asociaba solo a observar las cosas creadas por Dios para que el ser humano pudiese verlas, de tal forma que si había algún tipo de intervención humana se produciría automáticamente un hecho falso o una distorsión de la realidad.
El ejemplo más conocido lo encontramos en el telescopio de Galileo, a través del cual se negaron a mirar los escolásticos contemporáneos. Cuando Boyle oyó noticias de la muerte de Galileo se sorprendió al escuchar las burlas de algunos frailes por su ceguera, debida a algún castigo divino por mirar el cielo con un instrumento del diablo. Sin instrumentación estamos hablando de un experimento basado en un proceso pasivo, sin embargo la idea de Boyle era muy superior: el uso de cualquier instrumento podría mejorar la observación empírica y esta era tomada como un estudio real de la naturaleza. Se trata de un hachazo más al argumento de autoridad en una época en la que este iba a ser derribado por completo, con las figuras de Galileo, Kepler y Newton. Esta forma de violentar la naturaleza con experiencias mediante el uso de instrumentos también se trataba de un ataque a la memoria individual.
Cualquier sabio tenía una enciclopedia en su mente con hechos de todo tipo, y mostrarle experimentos que hicieran entrar en conflicto sus propias ideas era de mal gusto, pues planteaban una situación de duda y confusión. Es curioso que lo que propone Boyle, el uso de instrumentos, case con la actual concepción de progreso científico y con el avance de la ciencia mediante la búsqueda de fenómenos anómalos que llagan tambalear lo que Thomas Kuhn llamó ciencia normal, para alcanzar cambios de paradigmas y, con ellos, el mencionado progreso científico.
En este sentido, Boyle fue un profeta de la filosofía de la ciencia del siglo XX e incluso debería incluirse entre los impulsores de la revolución científica del siglo XVII. A pesar de todo, era plenamente consciente de que el instrumental podía contar con errores de construcción o por el mal uso, y resulta curioso el hecho de que hoy en los primeros cursos de cualquier carrera científica y técnica se dedican partes de la asignatura a estudiar este campo.
Por otra parte, el conocimiento en Bacon no es previo, se obtiene a partir cié la recopilación de las historias naturales y de una inducción posterior a ella. Boyle comienza siendo cartesiano en el sentido mecanicista: el mundo es un gran mecanismo, pero, sin embargo, no pretende conocer las causas primeras, las leyes universales. En este sentido se decanta poco a poco por la imagen baconiana de la investigación, pero solo en lo referente a las historias naturales, pues en muy pocas ocasiones llegó a incluir la inducción en sus esquemas.
Añádase a esto que Bacon participó también en una de las tensiones que empezaban a formarse en el siglo XVII, y que concernía a los alquimistas. Se trataba de saberes ocultos y cerrados, aunque su forma de experimentación podía dar frutos interesantes y, por tanto, no debía rechazarse. La tensión desaparecería en cuanto lo hiciese el hermetismo y se divulgasen los métodos llevados a cabo.
De hecho, eso fue lo que ocurrió, aunque poco a poco, y esa transformación dio como resultado una nueva ciencia llamada química, en cuyo alumbramiento Boyle jugó un papel destacado.
Bacon no concebía la idea de ciencia como una simple cadena de demostraciones para presentar resultados. La solución que proponía era que la veracidad de un conjunto de proposiciones no solo debía depender de las demostraciones lógicas, sino también de la elaboración de experiencias, historias naturales y una posterior inducción.
Es decir, Bacon sitúa al filósofo en mitad de la naturaleza, lo hace partícipe de la intervención en los procesos naturales, es parte de los fenómenos naturales. Su propuesta fue desoída por muchos científicos y filósofos, pero otros muchos supieron recoger los elementos importantes. Hay que tener en cuenta que Bacon no puso en práctica sus propias «reglas». Robert Boyle fue posiblemente el principal filósofo natural (que implemento sus ideas, aunque de una forma sofisticada y estricta en algunos puntos y descartando la inducción.
Los ídolos de BaconFrancis Bacon (1561-1626) es tal vez la figura principal a la hora de hablar del papel de laexperimentación en el método científico.
No es de extrañar, por tanto, que se considere uno de los padres del empirismo inglés. En líneas generales, defendió la Importancia del experimento, del estudio de los casos particulares para llegar a enunciados universales por medio de la inducción. No descartó completamente la deducción, sino que sometió el pensamiento deductivo a la comprobación mediante razonamientos inductivos. De este modo se opuso a las ideas preconcebidas y afirmaba que el científico tiene que ser ante todo escéptico.
Su obra más conocida fue Novum Organum, muy estudiada y tenida en cuenta por Robert Boyle. En este libro proponía un cambio de actitud ante la investigación científica con el fin de obtener un nuevo y mejor conocimiento de las cosas. Para ello hay que destruir los «ídolos» que han dominado el conocimiento humano, que no son más que prejuicios. Los ídolos de los que habla son:
- Ídolos de la caverna: falsas creencias aprendidas mediante la educación y hábitos de cada uno, como si cada persona tuviese en su interior una caverna al modo platónico.
- Ídolos de la tribu: la búsqueda de consenso social y tradiciones propias del ser humano; no se pueden olvidar las limitaciones inherentes a la propia especie.
- Ídolos del foro: la reducción del conocimiento a la especulación teórica y el uso exclusivo del lenguaje.
- Ídolos del teatro: las doctrinas filosóficas, los dogmas y las falsas demostraciones. que construyen teatros en nuestras mentes.
Pero no fueron solo las figuras individuales, también la Royal Society comenzó su andadura como plenamente baconiana, dando importancia a lo particular frente a lo universal y promoviendo el trabajo colaborativo, dejando de lado al pensador aislado.
En este sentido, pues, Boyle y la Royal Society eran más baconianos que el propio Bacon.
Como ya se ha mencionado, Boyle no aceptó la filosofía de Bacon tal cual, sino que le dio algunos giros importantes.
Experimentos probatorios frente a experimentos exploratoriosBoyle estableció una diferenciación clara entre experimentos probatorios y experimentos exploratorios. Escribió una serle de «títulos» a los que se debía reducir cada una de las dos categorías.
- Experimentos probatorios:
- Sensaciones inmediatas. → Medicina.
- Estática. → Anatomía.
- Hidrostática. → Tecnología.
- Química estrictamente hablando. → Mecánica.
- Matemáticas. → Compuestos.
- Magnetismo. → Miscelánea.
- Química en un sentido más general.
- Experimentos exploratorios:
- Casi todos los experimentos probatorios debidamente variados pueden reducirse a este caso,
- Analogías.
- Formulación de hipótesis y posterior comprobación mediante ensayos adecuados.
- La extracción de consecuencias de las opiniones recibidas de manera habitual y el examen de ellas mediante ensayos adecuados.
- La elaboración de nuevas y convenientes herramientas u otros instrumentos para alterar el normal estado del curso común de las cosas, o modificar la naturaleza para producir nuevas investigaciones.
- Composición de dos o más de los tipos anteriores.
- Resultados imprevisibles.
Experimento con un pájaro en una bomba de aire (1768), por Joseph Wright de Derby. Boyle realizó numerosos experimentos con seres vivos, a los que colocaba en su bomba de vacío para estudiar sus reacciones a medida que el aire era extraído.
Bacon entendía dos tipos de experimentos útiles para la filosofía experimental: los que producen una experiencia ilustrada (no producen axiomas, son pruebas inmediatas) y los que producen una interpretación de la naturaleza (producen nuevos axiomas y pueden llegar a conformar una teoría). Sin embargo, Boyle asigna a las experiencias ilustradas la categoría de motores del descubrimiento y del conocimiento. Así, Boyle va a distinguir entre dos tipos de experimentos: los «experimentos probatorios» (evalúan hipótesis en áreas de conocimiento ya establecidas) y los «experimentos exploratorios» (tienen lugar en el terreno de lo probable, la sospecha y el tanteo). Una división que recuerda a la visión de Bacon respecto a la filosofía natural, pues la divide en dos tipos: la especulativa (investiga las causas) y la operativa (produce efectos).
Aunque los experimentos exploratorios pueden no ser interesantes a la hora de encontrar resultados, sí son un punto de partida para la formación de nuevas hipótesis, para el cuestionamiento de opiniones comunes y para la producción de nuevos instrumentos útiles para la humanidad. Durante toda la obra de Boyle se pueden encontrar los dos tipos de experimentos, aunque en la última etapa se decantará por los exploratorios. Uno de sus objetivos, posible con los experimentos exploratorios, era expandir y motivar el conocimiento en las áreas del saber menos estudiadas o que aún no habían sido indagadas por el ser humano. Es en este punto donde se deja ver cómo el proyecto de investigación de Boyle pasa de un compromiso con el cartesianismo a una visión baconiana centrada en la elaboración de historias naturales como método para producir puntos de partida en estas nuevas áreas.
Las historias naturales emplean el método de establecer listas con títulos o encabezamientos (heads) ordenados como guía para futuras investigaciones. En De imperfectione historiae naturalis Boyle afirma que las historias naturales deberían ser el fundamento del conocimiento natural. Si bien con Bacon comenzaron siendo un cúmulo de informaciones, Boyle consigue que las historias naturales constituyan un conjunto de observaciones y experiencias con un orden natural en tomo a un tema. La experiencia hay que organizaría, programarla, es decir, la información no se recoge sin más, sino que se genera, hay que produciría. Se trata, por tanto, de un método de descubrimiento. En esta línea, los títulos pretendían descomponer el fenómeno en varios sucesos menores más fácilmente analizables. Podemos hacer una analogía a partir de aquí con el tipo de experimentación actual. Boyle hablaba de cualidades secundarias, como el peso, el color, la fluidez. Estas establecerían las variables independientes, controlables por el experimentador. Si el científico no hace nada y se dedica a observar, siempre estará ante una misma propiedad (condensación, rarefacción, etc.). Sin embargo, con la intervención del experimentador podemos observar distintas consecuencias en estas propiedades, que harán las veces de variables dependientes. El punto de vista de Boyle no era encontrar aquí una relación matemática, sino establecer una lista de cualidades y descubrir nuevas propiedades con posibles usos para el bienestar del ser humano, sin hacer mayor caso a las causas de la relación. Es una visión que se acerca a la fenomenología, pero que constituye una puerta hacia distintos campos de estudio. Insistamos de nuevo en que la desatención de Boyle hacia las matemáticas se tradujo en una voluminosa obra escrita de cientos de páginas con historias naturales explicadas con un detalle extremo. En resumen, el primer paso de la agenda investigadora de Boyle será el establecimiento de títulos, tras lo cual se comienza a experimentar para «ver qué ocurre» y de ahí puede construirse una historia natural.
§. La obra de Boyle
Los escritos de Boyle son difíciles de enmarcar para algunos filósofos de la ciencia clásicos, pues se sienten incómodos frente a algunos temas que encuentran en su obra, como la alquimia, la religión o el eclecticismo. Durante mucho tiempo los biógrafos habían elevado a Boyle al máximo exponente investigador, lo habían dibujado como un héroe de la ciencia, como el fundador de la química y como un científico moderno en todos los sentidos. Pero esta épica visión no hizo más que ocultarnos al verdadero Boyle, con sus virtudes y sus miserias, como cualquier ser humano. Ni fue un científico en el sentido actual de la palabra, ni tampoco mi alquimista medieval. Afortunadamente, a finales del siglo XX los estudios sobre Boyle supusieron un giro en el conocimiento de su obra y su persona, poniendo el acento en las historias naturales. La historia de la ciencia se ha ocupado de los grandes científicos físico-matemáticos, olvidando las infinitas horas de trabajo de Boyle. Y no sin razón, pues los logros de las matemáticas son indudables. Sin embargo, cuando se navega en la ingente cantidad de observaciones realizadas por Boyle es inevitable sentir cierta desazón e injusticia ante esa postura, porque siempre se tiende a felicitar al arquitecto, nunca a los obreros.
Entre los años 1999 y 2000 Michael Hunter y Edward B. Davis publicaron todas las obras de Boyle. Si se tiene en cuenta que ocupan catorce volúmenes, es fácil comprender que estudiar sus escritos en este formato es una tarea ingente. Por tanto, lo más aconsejable es realizar un breve recorrido por la evolución de sus trabajos, citar algunos y dedicar sendos capítulos a tratar el estudio del aire, de la química y de la medicina. Es lo que haremos en los próximos capítulos.
Desde que Torricelli descubrió que el aire pesaba, se desencadenó una carrera por estudiar sus propiedades y características, en la que intervendrían científicos de generaciones diferentes. Entre ellos se encontraba Robert Boyle, que irrumpió en la pugna con la presentación de una bomba de aire mejorada que daría mucho de qué hablar.
En 1659 veía la luz Algunos motivos para el amor de Dios, usualmente conocido como Amor seráfico (Seraphic Lave), un libro que Boyle dedicó a su hermana Mary. La obra fue escrita en 1648 como una versión extendida de las epístolas que escribió en la década de 1640. Los libros de esta temática comenzarían a perder su preponderancia —temporalmente— en los intereses de Boyle, pues se trataba del famoso año que construyó la bomba de aire o de vacío, cuando comenzó a realizar descubrimientos que divulgaría en su primera obra científica, Nuevos experimentos físico- mecánicos sobre el resorte del aire y sus efectos (1660), al que nos referiremos como Resorte del aire (Spring of the Air). Entre 1660 y 1666 publicó doce libros, a una vertiginosa media de 140 000 palabras por año. Fue una etapa de trabajo incesante, unido a una excesiva cantidad de viajes (Chelsea, Londres, Beaconfield, etc.), que le condujeron en varias ocasiones al agotamiento físico y mental, circunstancia que no dejó de reflejar en las introducciones de algunas de sus obras. Ya desde su primera producción científica el experimento ocupó un puesto central para el descubrimiento científico. El experimento como escaparate de los «hechos objetivos» o «cuestiones de hecho» (el término anglosajón, de difícil traducción a otros idiomas, es matter-of-fact), es decir, hechos incuestionables, probados per se.
Ley de HookeLa ley de Hooke, como su nombre indica, se debe al ayudante de Boyle, Robert Hooke. En estaley se establece la relación de dependencia entre una fuerza aplicada a un cuerpo elástico y su estiramiento. Se aplica, por tanto, a cualquier cuerpo que recupera su forma tras ser estirado, como son los resortes, muelles, cuerdas de guitarra, gomas elásticas, globos, etcétera. La ley de Hooke dice que la deformación es directamente proporcional a la fuerza aplicada. Esto significa que si colgamos un peso de 2 kg de un muelle suspendido que cuelgo del techo, este se estirará el doble que si colgamos un peso de 1 kg (véase la figura). La forma en la que Hooke presentó por primera vez el resultado es bastante curiosa: lo anunció en forma de anagrama. Así, escribió en una publicación: «La verdadera teoría de la elasticidad: ceiiinossssttuu». Más tarde, cuando la certeza se lo permitió, daba la solución a su anagrama: «Ut tensio, sic vis» (como la tensión, así es la fuerza).
Mientras que los hechos objetivos son incuestionables, las teorías y las hipótesis son construcciones humanas, artificiales, por lo que pueden acabar desmoronándose. Lo que el hombre hace, él mismo puede deshacerlo, pero lo que la naturaleza hace ningún hombre puede disputarlo. En los siguientes epígrafes veremos algunos de estos experimentos y los hechos que pudieron observarse gracias a ellos. Sin embargo, a pesar de la falta de inclinación de Boyle por la inducción, acabaremos analizando algunas conclusiones llevadas a cabo por él mismo, que lo condujeron hacia la ley que lleva su nombre, la ley de Boyle. Fue tal la precisión experimental en sus trabajos que, unido a la falta de precedentes, se puede comparar el uso de su bomba de aire con los experimentos con tubos de rayos X llevarlos a cabo a finales del siglo XIX y comienzos del XX.
§. El peso del aire
La neumática surge en el período helenístico y fragua como ciencia en la segunda mitad del siglo XVII. Trata de la naturaleza, peso y presión del aire, junto con los efectos que producen. Se organiza en tomo a dos innovaciones: el tubo de Torricelli (un tipo de baroscopio) y la bomba de vacío. Los dos instrumentos van a producir un gran número de experimentos nuevos con grandes consecuencias en el pensamiento científico. A mediados del siglo XVIII entró a formar parte del panorama científico el termómetro y los fenómenos térmicos y meteorológicos, además del estudio del sonido y sus propiedades, incluyendo las que conciernen a su aspecto biológico. Aunque el surgimiento de estos instrumentos tuvo más que ver con cuestiones clásicas y matemáticas, pronto surgió una rama baconiana que consistía en explorar la naturaleza en condiciones en las que esta no se encontraba normalmente. Y uno de los elementos que se puso de moda fue el aire, estudiado por científicos de toda índole, unos en su aspecto teórico y matemático y otros en el piano experimental baconiano. Todos querían hablar del aire.
Desde tiempo atrás ya existía un cuerpo teórico-matemático, la hidrostática, que podía aplicarse al aire si este era considerado como un fluido. Ese cuerpo teórico fue formulado por Arquímedes dieciocho siglos antes. El italiano Evangelista Torricelli fue quien conectaría esas ideas con la neumática.
Se considera como un clásico establecer el origen de los estudios de neumática en la cuestión propuesta por Galileo en tomo a un problema artesanal bien conocido: las bombas de agua no funcionan por encima de los 18 codos (unos 10,5 metros).
La bomba de aguaLa bomba de agua manual todavía se usa en muchos países y se basa en un principio básico: la presión atmosférica. Al bajar la empuñadura, el pistón sube, creando un vacío parcial en el cilindro, y es entonces cuando el agua asciende. El nivel del agua va subiendo en cada movimiento hasta que surge por el caño (figura 1). En la Edad Media se pensaba que el principio de este efecto no era más que el horror al vacío de la naturaleza, pues al crearse un espacio vacío en el cilindro, el agua rápidamente Intentaba ocuparlo. Sin embargo, gracias a Torricelli se entendió que era la presión atmosférica la encargada de rellenar el cilindro (figura 2), lo cual puede hoy fácilmente deducirse gracias al empleo del álgebra (véase el anexo). El agua seguirá subiendo hasta que el peso de la columna que asciende sea Igual al peso de la columna de aire que ejerce presión sobre la superficie del agua.
El experimento de Galileo pretendía indagar sobre la idea aristotélica de que la naturaleza aborrece el vacío, y aunque Galileo no lo niega de manera rotunda, defiende que este horror vacui tiene un límite, situado precisamente en 18 codos. Sin embargo, rechazaba la idea de su compatriota Giovanni Battista Baliani, que consideraba que la clave estaba en el peso del aire. Será su alumno, Torricelli, el que dé el salto hacia la matematización del problema al afirmar que vivimos inmersos en un mar de aire de cincuenta millas de altura que ejerce sobre el suelo un peso igual al de dieciocho codos de agua. Todo se resume, pues, a una cuestión arquimediana de equilibrio estático entre dos cuerpos. Es fácil extrapolar esta idea a otros líquidos de diferentes densidades: a mayor densidad, mayor será el peso de la columna, por lo que la altura de dicha columna será menor. Torricelli demostró que el agua alcanzaba una altura de 10,5 m, y una columna de mercurio, de 76 cm, todo ello mediante experimentos fácilmente ejecutables con instrumentos de menores dimensiones.
El experimento de Torricelli es hermoso por su sencillez. Tomó un cilindro hueco de vidrio cerrado por un extremo (como un tubo de ensayo muy grande). Con el extremo abierto hacia arriba, llenó de mercurio el cilindro hasta colmarlo, de forma que no quedara ni un poco de aire. Poniendo el dedo en la parte abierta, le dio la vuelta y lo introdujo en un recipiente grande también lleno de mercurio. Una vez situado en posición vertical quitó el dedo. Lo que ocurrió fue que el nivel del mercurio del cilindro descendió, pero no hasta vaciarse, sino hasta una altura determinada (figura 1).

Figura 1. Representación esquemática del experimenta de Torricelli. La columna de mercurio baja hasta alcanzar una altura de 76 cm, dejando un vacío en la parte superior»
La explicación está en que los puntos A y C —y, de hecho, cualquier otro punto de la superficie del líquido— están soportando la presión atmosférica, es decir, el peso de la columna de aire que está por encima de ella En el punto B la presión es la misma que en los puntos A y C, aunque aquí la presión se debe al peso de la columna de mercurio. Por tanto, el peso de la columna de mercurio se equilibra exactamente con el peso del aire que hay sobre la superficie del mercurio libre. No solo demostró que la atmósfera tiene un peso y es medible, sino que con este experimento realizó la primera comprobación de que es posible conseguir un espacio vacío. En una carta fechada en 1644 a su colega el matemático italiano Michelangelo Ricci, quien luego la publicaría en el libro póstumo Lezioni d'Evangelista Torricelli (1715), Torricelli simplificaba su descubrimiento con estas palabras: «Vivimos sumergidos en el fondo de un océano del elemento aire, que por experimentación indudablemente pesa». Un tratamiento matemático de este experimento se presenta en el Anexo.
Las noticias pronto llegarían a Francia vía Marin Mersenne, y en 1647 Pierre Petit repitió el experimento en Rúan ante la presencia de Etienne Pascal y Blaise Pascal, padre e lujo. Pascal hijo lo realizará de manera independiente en un tubo de 15 m con perforaciones uniformes y con líquidos de distintas densidades, produciéndose siempre el espacio vacío de Torricelli. Defenderá el vacío macroscópico, más allá del vacío microscópico existente diseminado entre los átomos. Descartes le sugirió entonces realizar el experimento a distinta altitud, generando así uno de los experimentos más emblemáticos y referidos en la historia de la ciencia: en septiembre de 1648, Pascal enviaba a su cuñado Florin Périer a realizar el experimento en el Puy-de-Dôme, un volcán al sur de Francia de casi 1500 metros de altura. La contestación de su cuñado tenía lugar mediante carta fechada el 22 de septiembre de 1648; el experimento diseñado por Pascal había sido realizado tres días antes:
Por fin he hecho el experimento que durante tiempo habéis deseado
[...]. Así pues, [...] resulta que una elevación de unas 7 toesas arroja una diferencia de media línea en la altura del mercurio.
Evangelista Torricelli (1608-1647)Torricelli fue un físico italiano que jugó un papel muy importante en la instauración de la física matemática moderna.
Torricelli por Lorenzo Lippi (1647).Fue uno de los primeros alumnos de Galileo y destacó notoriamente en el uso de las matemáticas y en los montajes experimentales. El famoso experimento con el que demostró la existencia del vado y el peso del aire tuvo repercusiones de todo tipo. Sirvió, por ejemplo, para construir el primer barómetro, Instrumento utilizado para medir la presión atmosférica. Su funcionamiento cualitativo es sencillo: a mayor presión atmosférica más alta deberá ser la columna de mercurio, y viceversa, a menor presión, más baja deberá ser dicha columna. También es conocido por el teorema de Torricelli, que estudia el flujo de un líquido que cae a través de un orificio practicado en un recipiente. En su honor se denominó torricelli (Torr) a una unidad de medida de presión equivalente a la presión de un milímetro de mercurio, aunque en 2006 fue eliminada del Sistema Internacional.
Unas 27 toesas: 2 líneas y media.
Unas 150 toesas: 15 líneas y media, que equivalen a una pulgada y 3 líneas y media.
Y unas 500 toesas: 37 líneas y media, que equivalen a 3 pulgadas y una línea y inedia.
Una toesa equivale a 1,949 m, una pulgada francesa a 2,7 cm y una línea a 2,26 mm. El cuñado de Pascal había realizado otra comprobación de que el aire pesaba y había cuantificado cuál era el efecto de ese peso dependiendo de la altura, pues a más altura menos presión debería ejercer, debido a que la capa de aire era más delgada. El éxito fue sonado, pues la altura de la columna disminuía durante el ascenso y de nuevo aumentó en el descenso.
Parece que el aire pesaba, como había demostrado previamente Torricelli, y, evidentemente, el peso depende de la cantidad de aire que hay por encima. Muchos se negaron a creer en dicho resultado, e incluso hubo quien se burló del asunto, como el dramaturgo inglés Thomas Shadwell, que en su obra El virtuoso (1676) se mofaba de la absurdidad de pesar el aire.
No viene mal insistir en que estos experimentos probaban dos cosas: el aire tiene cierto peso y puede crearse el vacío. En este sentido, el instrumento más importante sería la bomba de vacío o máquina neumática de Otto von Guericke (1602-1686). Este físico alemán, que tuvo noticias de los logros de Torricelli y Pascal, realizó una descomunal demostración de la presión que podría realizar la atmósfera si se conseguía el vacío en determinadas cavidades. Tomó dos semiesferas de cobre de 50 cm de diámetro perfectamente iguales, de tal modo que si se extraía el aire de su interior quedaban adheridas. Entre ambas semiesferas se formaba una esfera que unió a dos tiros enfrentados de ocho caballos. Los dieciséis caballos no pudieron separarlas. El experimento, conocido como «Experimento de los hemisferios de Magdeburgo», fue incluido en el apéndice del libro Mechanica-hydraulica-pneumatica (1657), obra del jesuita alemán Gaspar Schott, aunque más tarde el ejecutor lo incluiría en su propia obra Experimenta nova, ut vocatur Magdeburgica (1672). Boyle leyó el libro de Schott y quedó fuertemente impresionado. Una lectura que marcaría el verdadero comienzo de su carrera como filósofo experimental y que acabaría dándole credibilidad y posición en la comunidad intelectual.
§. Lo que parece probar
En Resorte del aire se encuentran pasajes que sorprenden a un lector actual. Son experimentos que bien podrían formar parte de un espectáculo de física televisivo, o de un museo o feria de la ciencia; de hecho, muchos de ellos aparecen de alguna u otra forma en los libros más clásicos de la física recreativa.
Después de comenzar a emplear la bomba parece que poco a poco el sonido se va haciendo más débil, de modo que cuando estaba tan vacío como en los experimentos anteriores, ninguno de nosotros ni de los que entraron en la habitación por casualidad al poner nuestras orejas en cualquiera de los lados oímos ningún ruido del interior; aunque podíamos fácilmente ver el movimiento de las manecillas, el cual marcaba cada segundo.
La cita anterior corresponde al Experimento XXVII del libro Nuevos experimentos sobre el resorte del aire. En esta ocasión Boyle describía cómo introdujo un reloj en la bomba de vacío y dejó de escucharse al extraer el aire (figura 2).

Figura 2. Mediante el Experimento XXVII, Boyle demostró que al extraer el aire de la bomba de vacío que contiene el reloj, este deja de oírse, de lo que dedujo que el sonido requiere del aire para transmitirse.
Se trata, por tanto, de un experimento probatorio, pues se pretendía probar algo que se sospechaba, y que ya Otto von Guericke parece que había tanteado; el sonido no se transmite sin la presencia del aire. Sin embargo, la gran novedad residía en que el experimento se había realizado en presencia de varios testigos, además de que el hecho de explicarlo con tanto detalle convierte en testigo virtual a cualquier lector. Y todo gracias a un nuevo instrumento que le abría el camino liara poner en marcha su programa de investigación, basarlo en la experiencia, y en el que no tienen cabida las teorías establecidas a priori. Con este tipo de experimentos puso a prueba a la propia ciencia establecida; sus propias conclusiones no se convierten en materia de autoridad, sino que entran en el terreno de lo «muy probable» y siempre dejando las puertas abiertas a interpretaciones más amplías o simplemente a nuevas interpretaciones.
Una muestra de ello es esta frase del mismo Experimento XXVII a modo de conclusión: «Lo que parece probar que el aire, sea o no el único, sí es el principal medio de transporte del sonido».
Como se ha dicho más arriba, Boyle no quedó indiferente ante la máquina neumática del experimento de Magdeburgo. Propuso mejoras a su joven ayudante Hooke, quien mostraba excelentes dotes en el manejo del instrumental de laboratorio. Entre 1658 y 1659 Hooke construyó la bomba de vacío de Boyle, con piezas encargadas a Ralph Greatorex, un constructor de Londres que también trabajó para Hartlib. El resultado fue una bomba notablemente optimizada respecto a la de Otto von Guericke, para la cual Boyle había advertido las siguientes desventajas: debía ser sumergida en mi gran volumen de agua, el recipiente era opaco y en él no se podían insertar aparatos para experimentar y era necesario el trabajo constante de dos hombres fuertes durante horas para poder desalojar el aire. Todo esto lo cuenta en su libro Resorte del aire, donde también mostraba su admiración por Otto von Guericke, Greatorex y Hooke. Un hombre agradecido y que reconocía el valor añadido de cada una de las personas de las que aprendía y con las que trabajaba. El recipiente de la bomba tenía una capacidad de unos 30 litros, aunque dispuso de algunos recipientes menores, en torno al litro, pues pensaba que serían más fáciles de vaciar. Sin embargo, comprobó que no fue así.
El aparato experimental podía ser introducido en el recipiente (A) por la abertura (B) en la parte superior (figura 3), incluso podía sobresalir de la abertura, pues tenía formas de sellar el recipiente con el aparato experimental. En la parte inferior, el recipiente se estrechaba para poder ajustarse a un dispositivo de latón que contenía una llave (C) y que se insertaba en un cilindro vacío (G). En la parte superior de este cilindro podía insertarse una válvula (H), y dentro tenía un pistón o émbolo de madera (D) que podía accionarse mediante una manivela (F), que constaba de una cremallera de hierro (E).
El conjunto se sostenía con un zócalo de madera y su altura estaba en torno al metro y medio. Para hacerlo funcionar, se insertaba la válvula, se cerraba la llave y se accionaba la manivela para que el émbolo subiese dentro del cilindro. Al bajar el émbolo y abrir la llave, parte del aire del recipiente pasaba hacia el cilindro, se extraía dicho cilindro y se dejaba escapar el aire por la válvula. Así, el recipiente había perdido algo de su contenido. A continuación, se colocaba de nuevo el cilindro, se volvía a situar el émbolo en la parte superior y se repetía la operación tantas veces como la fuerza de los operarios o la fragilidad de los instrumentos, permitiese.
Todo estaba preparado para realizar multitud de experimentos. El título completo del libro es Nuevos experimentos físico- mecánicos sobre el resorte del aire y sus efectos, realizados en su mayor parte en una nueva máquina neumática, escrita bajo forma de carta al recto honorable Carlos Lord Vizconde de Durngarvan, hijo primogénito del Conde de Cork. El tratado estaba dedicado a su sobrino Carlos, lujo de su hermano Richard. Elizabeth, la esposa de su hermano, le había pedido consejo sobre libros y tutores para que sus hijos crecieran en la piedad, para luchar contra las tentaciones peligrosas a las que pudiera exponerse. Le recomendó como tutor al astrónomo Walter Pope, otro miembro del grupo de Oxford. Boyle se convirtió en protector de algunos de sus sobrinos, pues era un referente para sus hermanos. Precisamente a través de Richard Jones, el hijo de su hermana Katherine, fue a Oxford en la primavera de 1656.

Figura 3. Representación esquemática de la bomba de aire de Boyle.
Venía acompañado de un tutor que acabaría siendo una persona importante para Boyle, el alemán Henry Oldenburg, a quien conocería por mediación de su sobrino. De la mano de Boyle y lady Ranelagh entraría en el Círculo de Hartlib, y de ahí en la Royal Society.
Volviendo al libro de Boyle, el tratado fue escrito sorprendentemente rápido. Comenzó a principios de 1659 y terminó el 20 de diciembre, en Beaconsfield (iba de viaje de Oxford a Londres). Se imprimieron 500 copias en junio de 1660. En él se reflejan un total de cuarenta y tres experimentos, todos ellos minuciosamente realizados y expuestos por su autor en Resorte del aire, dejando entrever distintos niveles de dificultad, aunque todos especialmente llamativos en la época. Se ha dicho a veces en la bibliografía especializada que muchos de estos experimentos fueron una muestra de ingenuidad por parte del autor, pues trataban fenómenos que ya se conocían o cuya sospecha era muy evidente, como es el caso de que en el vacío no se transmite el sonido, fenómeno que abre este apartado. Sin embargo, un punto de vista interesante es considerar estos experimentos como simples pruebas de funcionamiento de la bomba o, como se ha dicho, como experimentos probatorios. Por otra parte, hay en el tratado un importante conjunto de experimentos que sí tienen relevancia científica: son los que se refieren al resorte o elasticidad del aire, aunque no dejan de ser experimentos probatorios. A principios del siglo XVII, se había conjeturado que el aire podría tener cierta elasticidad, pero no se había probado experimentalmente.

Grabado de Boyle en el que muestra minuciosamente la composición de la bomba de aire, aparecido en su obra Nuevos experimentos físico-mecánicos sobre el resorte del aire (1660). La profusión de detalles es buen ejemplo del gusto de Boyle por exponer sus experimentos lo más claramente posible, incluso los más sencillos, para que cualquier lector los entendiera sin dificultad y pudiera reproducirlos por su cuenta.
Varios son los experimentos de Boyle que evidenciaron la existencia del resorte del aire como hecho objetivo: el aire podía comprimirse o expandirse, lo cual va a estar íntimamente relacionado con la ley de Boyle, como veremos en el siguiente apartado.
Fueran sencillos, útiles o inútiles, todos los experimentos fueron expuestos laboriosamente y con todo lujo de detalles para que cualquier lector pudiera reproducirlos por su cuenta.
Por primera vez se podía controlar la presión ejercida por el aire, conviniéndola en una variable independiente. Ya no estamos ante un simple equilibrio de pesos, sino un equilibrio entre la fuerza de la gravedad sufrida por el mercurio y la fuerza elástica del aire encerrado. Es decir, no nos encontramos ante un sistema biestable: atmósfera cero o uno; el rango de alturas pasaba a un continuo. Boyle hablaba de «resorte» (spring) del aire por la semejanza encontrada en el estudio de los muelles y resortes que se hallaba por aquel entonces investigando Robert Hooke. En este caso también hay un equilibrio de fuerzas, salvando las diferencias conceptuales y de vocabulario con la época: al suspender una pesa del extremo libre de un muelle se equilibra la fuerza-peso de la pesa con la fuerza elástica ejercida por el muelle.
Además del Experimento XXVII, podemos citar aquí algunos más, si bien solo vamos a profundizar en uno anterior, el XVII. Desafortunadamente no podemos tratarlos todos, por el formato del libro que tenemos entre manos, y eso teniendo en cuenta que el tratado, junto con otros dos que versan sobre el aire, no llegan a representar el I % de la obra de Boyle. Antes de pasar a estudiar con cierta profundidad el Experimento XVII podemos listar algunas experiencias y resaltar su peculiaridad:
I: Muestra la forma en que hay que usar la bomba para extraer todo el aire del interior del recipiente. Es un comienzo necesario para poder realizar el resto de experimentos y una buena forma de comenzar, propia de artículos científicos actuales.
IV: Introduce en la bomba una vejiga de cordero parcialmente llena de aire y convenientemente atada. Al extraer el aire del recipiente, la vejiga se hincha, y recupera su volumen al volver a bombear aire. Gilíes Pensarme de Roberval ya había realizado este experimento, como se comentará más adelante. (Recuerda a la forma de funcionamiento de los pulmones.) En el V muestra las condiciones en las que la vejiga anterior se rompe.
VIII: Implosión de un casco de vidrio por colapso al vaciar el aire del interior. (Recuerda a la implosión de los antiguos televisores con tubos de rayos catódicos.)
X: Introducción de una vela encendida en el recipiente; al extraer el aire se apaga. (Las combustiones necesitan oxígeno. Si se introduce una vela en un bote y se tapa, se apagara cuando se consuma el oxígeno; sin embargo, sigue habiendo aire en el interior.) Los experimentos XI-XV tratan también de incandescencias.
XVI: Muestra que los fenómenos magnéticos no sufren alteraciones al ser introducidos en un ambiente de vacío. (El campo magnético no necesita medio material.)
XVII: Vacío dentro del vacío de Torricelli. (Se trata más adelante.)
XVIII: Variación de la columna cada día. No supo interpretar el fenómeno.
XXTXXIII; Experimentos con agua y burbujas. (Al disminuir la presión sobre un líquido, comienza a evaporarse a una temperatura inferior.)
XXVI: Vibraciones de un péndulo. Observan que el período fuera y dentro de la bomba es el mismo, pero mientras que fuera las oscilaciones duran unos quince minutos, dentro duran algo más. (Fuera se frena por el rozamiento con el aire, dentro este rozamiento no existe, pero pierde energía por la unión del hilo con el recipiente. Ocurre algo parecido con las banderas que se colocaron en la Luna.)
XXVII: Experimentos con campanas y sonido en el vacío.
XXXI: Experimentos sobre la adherencia entre mármoles pulidos.
XXXV: Experimentos sobre el comportamiento del sifón en el vacío.
XL: Vuelo de insectos en el vacío. Observa que no pueden mantener el vuelo. (Es evidente, pues para que un insecto vuele necesita impulsarse con sus alas; al abatirlas, estas ejercen una fuerza sobre el aire y este reacciona con la misma fuerza, según la tercera ley de Newton.)
XLI: Experimento sobre respiración de animales. Observa que los pájaros y ratas mueren si se extrae el aire. Estos experimentos serán muy importantes, pues comienzan a relacionar el aire con la sangre.
XLII; Experimentos con líquidos corrosivos.
XLIII: Ebullición espontánea de líquidos calientes. (Si se extrae aire en el entorno de un líquido, disminuye la presión de vapor y, por ende, entra en ebullición a una temperatura inferior a la normal.)
§. Experimento XVII
Pascal había demostrado ser un maestro de los experimentos mentales. Actualmente estamos bastante familiarizados con ellos y se toman como punto de partida muy válido para comenzar investigaciones en el campo de la física. Recuérdense, por ejemplo, los míticos experimentos mentales que llevaron a Einstein a formular la teoría de la relatividad especial. Sin embargo, para Boyle los experimentos mentales no eran válidos para demostrar un fenómeno natural. Además, en su época este tipo de experimentos no habían alcanzado el mismo nivel de conceptualización que en la actualidad.
Por ejemplo, Boyle criticó un famoso grabado aparecido en el libro de Pascal Tratado del equilibrio de los líquidos y del peso de la masa del aire (1663). En esta ilustración se puede apreciar a una persona sentada en el fondo de un estanque, sosteniendo sobre el muslo y con un brazo un tubo de vidrio de veinte pies. Leyendo las explicaciones de Boyle sobre sus experimentos es difícil dudar' acerca de su realización; es más que evidente que todos han sido realizados y supervisados por él mismo. Para Boyle son los mismos experimentos los que hablan, no el intelecto puro, desnudo de la realidad física. Aunque acepta plenamente las conclusiones teóricas de Pascal, pues son coherentes con los principios de la hidrostática, no puede dejar de protestar por las pruebas experimentales ofrecidas, alejadas de los hechos objetivos de su programa baconiano.
En Paradojas hidrostáticas (1666) decía: «Haya hecho o no personalmente esos experimentos el Sr. Pascal, no parece haber tenido un gran deseo de que otros lo hagan siguiéndolo a él», es decir, no contaba con su requisito de reproducibilidad. Y terminaba diciendo sobre el hombre abisal que «aunque sea fácil de suponer para un matemático, difícilmente se podría obtener de un comerciante», dejando claro su deseo de comunicación científica abierta a todos, su afán por crear un público científico. Lo cierto es que Pascal utilizó con frecuencia este tipo de experimentos y no deben considerarse erróneos, pues también se basó en experimentos reales, como el que se ha descrito de la subida a un volcán. En cualquier caso, se justifica la postura de Boyle por el hecho de que un experimento mental podría ser el principio, pero el experimento probatorio debería dejar constancia final de su validez.
No desdeñemos que Boyle admiró el trabajo y el pensamiento de Pascal, a pesar de que los procedimientos no fueran de su agrado. En el capítulo VI del mismo libro, Pascal propone el conocido como «Experimento de vacío en el vacío», al cual Boyle supo sacar partido. Lo describirá en su libro Resorte del aire, concretamente se trata del Experimento XVII. Como puede verse en la primera imagen de la figura 4, supóngase un recipiente cilíndrico curvado en el centro, lo cual puede conseguirse, por ejemplo, con una manguera. La mitad superior del tubo está cerrada por arriba y contiene un líquido que llega hasta la curva de unión con la parte inferior del tubo, sin rebasarla. La parte inferior del tubo, por contra, no está cenada por arriba, sino que se comunica con la parte superior mediante la curva; además, por abajo está abierta y gravita sobre un recipiente que contiene el mismo líquido que hay en el tubo.
El tubo inferior también contiene líquido, pero hasta una altura inferior a la parte del tubo situada a la izquierda de la curva de unión. Las zonas del tubo que no contienen líquido tampoco contienen aire, es decir, contienen vacío (A), de ahí la expresión de «vacío en el vacío». La pregunta que procura responder Pascal y cuya respuesta experimenta Boyle es: si practicamos un orificio en la curva (C), ¿qué ocurrirá? A pesar de las críticas de Boyle a los razonamientos a priori, para un lector actual podría ser fácil deducir que el tubo superior verá reducido su espacio vacío en pro de una mayor altura del líquido, mientras que el tubo inferior será desalojado por completo sobre el recipiente recolector (derecha de la figura 4).
Boyle comienza las explicaciones del Experimento XVII como una verdadera declaración de intenciones y mía justificación principal de la construcción de su bomba de vacío:
Procedamos ahora a mencionar ese experimento cuya satisfactoria realización constituía el principal fruto que esperaba de nuestra máquina, siendo de sobra conocido que, en el experimento de vacío, el mercurio del tubo ha de permanecer elevado unos 27 dedos [75 cm] sobre la superficie de aquel sobre el que descansa.

Figura 4. Esquema del experimento del vacío en el vacío.
Boyle piensa que si el experimento de Torricelli se hace dentro de un ambiente con menos aire, la columna de mercurio descenderá, y lo hará en proporción al aire sustraído.
De este modo, introdujo «cuidadosamente mediante cuerdas en la campana» un tubo de poco más de 90 cm, con un agujero menor que el grosor de un dedo, precisamente para poder taparlo y darle la vuelta sin derramar nada. Obviamente un tubo tan largo no cabía en la campana, así que debía hacerlo sobresalir de ella, por lo que se vio forzado a sellar el hueco entre el tubo y la campana con un ungüento utilizado en medicina llamado «diaquilón fundido» (figura 5). Podemos resumir las observaciones llevadas a cabo por Boyle en los siguientes puntos:
1. Tras sellar el recipiente y sin extraer aire no percibe variación en la altura de la columna, «como si el recipiente de vidrio interpuesto no interrumpiese la presión inmediata de la atmósfera ambiente sobre el aire encerrado, por lo que este parece operar sobre el mercurio más bien en virtud de su resorte que por su peso».
Es decir, una vez aislado el tubo de la atmósfera (en realidad la superficie libre del recipiente que contiene el mercurio), la columna de mercurio no puede estar soportada por el peso de la columna de aire, pues este descansa sobre la superficie exterior de la campana de cristal. Esto significa que la única opción para que se soporte el cilindro de mercurio se debe al «resorte» del aire, es decir, a la presión ejercida por la elasticidad del aire encerrado en la campana, igual a la misma presión atmosférica externa.
2. Al ir extrayendo aire de la campana, observa que el mercurio pierde altura dentro del tubo, aunque no consiguió hacerlo bajar del todo, achacando el problema a las posibles fugas de la campana.

En el Experimento XVII se introduce un tubo de Torricelli de 91,5 cm dentro de una campana de vidrio de 1 litro de capacidad. La parte superior de la campana se sella para evitar la entrada de aire.
Pudieron tomar algunas anotaciones, pues colocaron papel sobre el tubo; sin embargo, la columna bajó hasta alturas que se encontraban dentro de la campana, «a partir de ese momento solo podíamos marcarlos a ojo».
3. Al realizar el proceso contrario, esto es, introduciendo el aire con sucesivas emboladas, observaron que el mercurio, efectivamente, ascendía de nuevo. Pero no llegaba a alcanzar la altura inicial; se quedaba en torno a medio centímetro por debajo. La razón no era otra que las pequeñas partículas de aire que se quedaban dentro del mercurio, las cuales «con el descenso del mercurio, ascendían visiblemente en forma de burbujas hacia la parte superior del tubo».
Boyle cuenta en su explicación que el experimento fue realizado en presencia de los matemáticos Wallis, Ward y Wren, aspecto importante en su proyecto de investigación científica, en el que los testigos eran fundamentales.
La reproducibilidad del experimento generaría a su vez testigos virtuales, por lo que en su relato ofrece todo tipo de detalles técnicos. De hecho, dedica parte de la explicación a una descripción detallada de trucos para poder eliminar las molestas burbujas de aire del mercurio y que el experimento no se falsee.
Obviamente pretendía informar de sus errores para que otros los tuvieran en cuenta y que los pudieran solventar. Con este experimento era muy difícil la inducción de una relación matemática, pues no solo era compleja la medida, sino que las extracciones de aire eran demasiado volumétricas.
Para extraer el aire se usaba un cilindro de cobre a modo de émbolo, cuyas dimensiones eran de 35,5 cm de largo por 7,62 cm de diámetro. A partir de aquí, y teniendo en cuenta las indicaciones de Boyle, la primera extracción de aire era de unos 850 cm3, que vaciaba casi por completo la campana de 1 litro, que es la que usaron. En este tipo de campanas la entrada de aire es proporcional al vacío producido; puesto que este era alto, los errores por entrada de aire también eran importantes. Aun con todas las medidas de precisión, verdaderamente sorprendentes y pioneras, Boyle humilde y equivocadamente reconoce en la explicación que existen:
[...] algunas otras dificultades que exigen más habilidad matemática que la que yo tengo, así como mucho más tiempo del que mis presentes circunstancias me permitirían disponer, desearía transferir la más sutil consideración del problema a algunos de nuestros doctos y exactos matemáticos, considerando suficiente para mí haber dado la pista ya sugerida.
Como ya se ha comentado anteriormente, durante la época de la campana de vacío Boyle estaba verdaderamente atareado. Además, optó por realizar multitud de experimentos diferentes sin profundizar en ninguno de ellos. Prefería tocar por encima varios temas y dejar vías libres de investigación a otros científicos.
Incluso acepta que algunas de las burbujas de aire pueden Ilegal’ a ocupar el espacio vacío. Esta observación le lleva a una de las pistas de interés notable: «Esta es la razón por la que, cuando se aplican cuerpos calientes a la parte vacía del tubo, el mercurio subyacente desciende mi poco más abajo». Es un indicio de lo que más adelante sería la ley de Charles y que dice que, a presión constante, si elevamos la temperatura de un gas, este ve incrementado su volumen. Obviamente, lo contrario también tiene lugar:
Hallamos que tras la acción de paños de agua a esta misma parte del tubo, el mercurio ascendía un tanto, como si el frío hubiese condensado el aire aprisionado, reduciéndolo a un espacio menor.
§. Reacciones
Las quinientas copias del Resorte del aire fueron distribuidas a conciencia entre intelectuales de todo el mundo. Con la ayuda clave de Hartlib llegaron a las mentes más importantes del momento. Fueron muchas las felicitaciones y varios libros incluyeron comentarios sobre la obra de Boyle, añadiéndole más notoriedad si cabe. Por ejemplo, el propio Hooke publicó An attempt for the explication of the phoenomena observable in an experiment published by the Honourable Robert Boyle, un trabajo que trataba de explicar el fenómeno de capilaridad observado en el Experimento XXXV. Sin embargo, como ocurre a menudo, fueron las críticas negativas las que se convirtieron en constructivas, en concreto las del filósofo inglés Thomas Hobbes, Francis Line y, en menor medida, la de Henry More.
En agosto de 1661, un Hobbes que superaba ya los setenta y tres años publicaba el tratado Dialogus physicus, sive De natura aeris, en el que el anciano filósofo exponía su falta de acuerdo en algunos puntos tratados en el ensayo de Boyle, que podemos resumir como sigue:
1. Mostró escepticismo acerca del carácter público de los experimentos. Aludía al carácter cerrado de las reuniones de la Royal Society, que él consideraba como un club para unos pocos.2. Consideró inútil el programa experimental baconiano. Si se encontraba el hecho que conectaba un efecto con su causa, ¿para qué seguir realizando experimentos?
3. Negaba el término «filosofía» a un programa basado en experimentos. La verdadera «filosofía» es la que conectaba efectos con causas.
4. Rechazaba la posibilidad de encontrar universales a partir de las regularidades encontradas en los experimentos con casos particulares.
5. Afirmaba que Boyle invocaba al «vacuismo» para realizar sus afirmaciones.
Las críticas de Hobbes van mucho más allá de estos cinco puntos, pues su batalla era algo más elevada: el conjunto completo de la Royal Society, De sobras es conocida su controversia con el matemático John Wallis, así que analizar toda esta problemática escapa por completo de nuestro objetivo. Respecto a los primeros cuatro puntos señalados, poco más hay que añadir, pues se han ido tratando a lo largo del libro. En cuanto al quinto, habría que decir que el concepto de vacío que tenía Boyle en mente no era el que Hobbes denunció; es más, en este sentido puede hablarse de una lectura interesada para poder defender su oposición generalizada. Estaba en lo correcto Hobbes cuando hablaba de las imperfecciones de la bomba, pero, si bien es cierto que no se conseguía un vacío perfecto, se evacuaba una buena parte del aire contenido.

El alemán Otto von Guericke fue el primer constructor de una bomba de vacío, con la que realizó el célebre «Experimento de los hemisferios de Magdeburgo», del que Boyle tuvo extenso conocimiento a través de la obra Mechanica-hydraulica-pneumática (1657) del jesuita Gaspar Schott.
Desde esta posición, Hobbes centró sus esfuerzos en negarle el derecho a Boyle de usar el término vacío con otras connotaciones. Mientras que Hobbes solo concebía un vacío metafísico, Boyle lo entendía como un simple modo operacional en su nuevo ingenio.
Como se ha dicho, esta controversia supera los límites de este libro, pues se trata de un problema que involucra cuestiones lingüísticas, políticas e incluso religiosas. Y, por supuesto, el miedo de Thomas Hobbes a perder el papel de filósofo más importante del momento.

Grabado que muestra al «hombre abisal pascalino». Incluido en la obra de Pascal, Tratado del equilibrio de los líquidos y del peso de la masa del aire (1663), muy criticado por Boyle como paradigma de los experimentos mentales, no basados en pruebas experimentales.
Por lo que respecta a Francis Line, este trazó su réplica en el Tratado sobre la naturaleza inseparable de los cuerpos, también de 1661, con un subtítulo elocuente: «Son examinados los experimentos de vacío de Torricelli, Von Guericke y Boyle, se dan sus verdaderas explicaciones y, consecuentemente, se muestra que el vacío no puede producirse de manera natural, así que la enseñanza de Aristóteles sobre la rarefacción se confirma». Se trataba, como es fácil interpretar, de un aristotélico convencido y, por ende, su libro no fue más que una defensa del horror vacui de Aristóteles. Conocía las afirmaciones de Boyle de primera mano, pues algunos científicos jesuitas replicaron el experimento de la montaña de Pascal. Pero las conclusiones a las que llegó es que existía una especie de hilo, al que llamó funiculus (cuerda en latín), que ocupaba todo el espacio sobre la columna de mercurio dentro del barómetro y que era el responsable del efecto observado, es decir, de la subida y bajada de la columna. Afirmaba que no podía haber vacío en el espacio de Torricelli, pues se podía ver a través de él. Estaba convencido de que el vacío debería aparecer como una pequeña columna negra. Hay que señalar aquí que Line no se oponía a la existencia de una elasticidad en ese espacio en el que no había mercurio.
Su oposición era parecida a la de Hobbes, pues se basaba en la acusación a Boyle de vacuista, pero con una notable diferencia, importante y digna de mencionar: veía que la explicación no estaba en el resorte del aire, sino en la elasticidad de una sustancia sutil, el ya mencionado funículo. Esta sustancia era una especie de hilo que podría ser el propio mercurio rarificado. Este hilo invisible se adhería al dedo del experimentador y a la superficie del mercurio, se expandía cuando había rarefacción y se contraía en condiciones opuestas.
De paso, Line explicaba por qué el dedo se veía absorbido por el tubo de Torricelli y por qué a los operarios de la bomba de aire les costaba cada vez más trabajo tirar del émbolo, pues al extraer el aire, el funículo que quedaba tiraba con más fuerza.
«Y podría añadir la confianza con que las personas distraídas, muchas veces, cuando están despiertas, piensan que ven demonios negros en lugares donde no hay ningún objeto negro a la vista.»
Robert Boyle.
En cuanto a More, baste con decir que su punto de vista sobre los resultados de los experimentos de Boyle se sostenía según un «espíritu de la naturaleza» que actuaba entre Dios y el mundo natural. Esta visión, que sustituía a la filosofía corpuscular de Boyle, fue publicada en el Manual de metafísica (1671), en especial dentro de dos capítulos dedicados a reinterpretar los experimentos de la bomba de aire de Boyle.
Evidentemente, Boyle no permaneció impasible ante los desacuerdos de Line y Hobbes, y en el año 1662 publicó sendas respuestas en un apéndice a la segunda edición del Resorte del aire. En el anexo dedicado a Line se encontraba la famosa ley de Boyle. Respecto a More, publicó su respuesta en el Discurso hidrostático, dentro de sus Tratados, donde evidenciaba que la hipótesis de un agente espiritual de la naturaleza era superflua e innecesaria.
§. La ley de Boyle
En los planes de estudio de cualquier país están contenidas las leyes de los gases en algún momento de los estudios de secundaria. Una de las tres leyes de los gases es la conocida ley de Boyle, que puede ser enunciada de la siguiente manera, haciendo acopio del propio vocabulario boyleano (en el siguiente apartado veremos cómo se enuncia actualmente): «El volumen de un gas es inversamente proporcional a la presión que se ejerce sobre él».
Esta formulación literaria de la ley sufrió varias matizaciones a medida que Boyle fue trabajando hasta llegar a ella, y luego el físico francés Edme Mariotte (1620-1684) realizó su importante y definitivo aporte matemático. La ley de Boyle es una consecuencia de la respuesta de su autor a los inconvenientes planteados por el jesuita Line, que publicó como anexo a la segunda edición del Resorte del aire, con el explícito título: Una defensa de la doctrina relativa al resorte y el peso del aire, propuesto por Mr. R. Boyle, en sus nuevos experimentos físico-mecánicos; contra las objeciones de Franciscus Linus(Defensa en adelante), con la cual la hipótesis funicular es también examinada. Dada la posición y elegancia habituales en et honorable Robert Boyle, el texto era educado y cortés, pero también firme y resolutivo. Dedicó la tercera parte del anexo a responder una por una y en orden todas las objeciones de Line a sus cuarenta y tres experimentos. Fue tal su paciencia y dedicación que incluso llegó a dedicar algunas palabras a la falta de críticas: «Experimentos XXXVIII y XXXIX. Contra estas nuestro autor no hace objeciones particulares». Pero nuestro objetivo está en la parte II del capítulo V, «Dos nuevos experimentos relativos a la medida de la fuerza del resorte del aire comprimido y dilatado», donde, por fin, podemos encontrar los experimentos que condujeron directamente a la ley de Boyle. Lo más irónico: no utilizó la bomba de aire.
En su experimento, Boyle tomó un tubo largo y con la ayuda de mía lámpara lo curvó, dándole forma de «J» (figura 6, pág. 98).
La ley de Boyle y el modelo cinéticoAunque Boyle no tenía Integrados en su filosofía los conceptos modernos de molécula y de dinámica newtoniana actual, sí llegó a Intuir muy acertadamente una explicación a la elasticidad del aire en la naturaleza íntima de la materia, en el movimiento continuo de las partículas que la conforman. Los postulados más importantes del modelo cinético de los gases son:Imaginemos que introducimos cierta cantidad de aire en un recipiente, una de cuyas paredes ha sido sustituida por un émbolo móvil (algo parecido a una jeringuilla; véase la figura). La pregunta es qué ocurrirá si aplicamos presión sobre el émbolo: evidentemente, que el volumen de aire se reducirá. Es decir, según la ley de Boyle, el volumen es inversamente proporcional a la presión, lo cual demuestra la elasticidad del aire. Efectivamente, atendiendo al primero de los postulados, hay una gran distancia entre las moléculas, lo cual significa que si ejercemos presión sobre el aire tenemos la posibilidad de acercar estas moléculas, reduciendo por tanto el volumen. También se puede razonar al contrario. Si tiramos del émbolo, el volumen va a aumentar, como dice la lógica y la ley de Boyle. Lo que ocurre en este caso es que se deja al aire más espacio libre para que las moléculas puedan moverse, es decir, las distancias intermoleculares aumentarán.
- Los gases están constituidos por un gran número de moléculas, de tal forma que su separación es muy superior a sus dimensiones.
- El movimiento de las moléculas responde a las leyes de Newton, pero de forma independiente y con distintas condiciones de inicio cada una.
- Los choques entre las moléculas son elásticos, es decir, se conserva la energía cinética y el momento lineal del conjunto.
«Una vez sellado herméticamente por el orificio de este brazo más corto del sifón» lo graduó en pulgadas y, estas, en ocho partes cada una. Vemos aquí un intento por cuantificar el problema, alejado de su proceder habitual.

En la situación (a) el aire soporta tan solo la presión atmosférica porque las columnas de mercurio alcanzan la misma altura. A medida que se va introduciendo más mercurio, se va creando una diferencia de altura (h) entre las columnas que va aumentando con la cantidad de mercurio, y el aire sufre más presión disminuyendo, por ende, su volumen.
Seguidamente, introdujo mercurio hasta llenar la zona de la curva, superándola hasta que llegase enrasada perfectamente con el comienzo de la graduación realizada. De esta forma, en el brazo más corto quedaba encerrada cierta cantidad de aire, que fue comprimiendo a medida que iba vertiendo más y más mercurio, hasta llegar a ocupar el aire un volumen inferior a la mitad del volumen inicial. También prestaron atención a la parte más larga del tubo:
[...] observando no sin deleite y satisfacción que el mercurio en esta parte más larga del tubo se hallaba 29 pulgadas más alto que en la otra [lo que confirmaba el resorte (elasticidad) del aire] [...] pues cuanto mayor es el peso que se apoya sobre el aire, más fuerte es su tendencia a la dilatación y consiguientemente su poder de resistencia.
Incluso llegó a compararlo con resortes reales que «se doblan con pesos mayores», es decir, muelles que superan su límite de elasticidad. Hay que notar una ventaja importante respecto al Experimento XVII de la primera edición del Resorte del aire: aquí se medía directamente la presión y la densidad del aire. Teniendo en cuenta que la masa de aire encerrada permanece constante, la densidad irá aumentando a medida que el volumen disminuye, es decir, la densidad es inversamente proporcional al volumen: d = m/V. A menor volumen, mayor será la densidad. Esto lo sabía Boyle y también dejó las observaciones pertinentes en sus escritos.
Es notable el hecho de que, llegado a cierto punto del relato, Boyle interrumpe la narración del experimento para explicar que tuvieron que pararlo por una rotura accidental del tubo, presentando los errores como vehículo de credibilidad una vez más. Quizá pensaba que la perfección es molesta y que en los errores es donde el investigador se crece. De hecho, mejoraron el diseño, ahora con un tubo de mayores dimensiones: 12 pulgadas (30,5 cm) en la parte pequeña y varios pies en la grande. Las dimensiones del experimento eran tales que Boyle se vio impelido a aclarar algunos aspectos. La parte grande de la «J» alcanzaba tal altura que tuvieron que sostenerla con cuerdas desde una escalera, y la zona curva se situó sobre una caja para recoger el mercurio en caso de rotura accidental. Se necesitaron dos personas para realizarlo, una para ir vertiendo el mercurio y otra para tomar medidas en la parte corta; utilizaron espejos para ver cuándo se detenía el mercurio. En este punto reproducimos los datos recogidos por Boyle y su equipo, una rareza entre toda la literatura cualitativa del irlandés (véase la página siguiente).
Boyle introdujo una notación que aún se usa en muchos contextos y en algunos países, consistente en escribir números enteros seguidos de una fracción en caracteres más pequeños para facilitar la comprensión de la cantidad fraccionaria. Como en la actualidad se ha extendido el uso de la notación decimal para dichas fracciones, sería interesante reescribir la tabla para una mejor lectura. Antes de proceder a ello veamos qué significa cada una de las columnas:
A/A: Las dos primeras columnas corresponden a dos experiencias, y en ambos casos el aire se divide a 1/4 de su volumen inicial: por ejemplo, de 48 a 12 unidades o de 12 a 3 unidades.
B: Medida de la altura de la columna de mercurio en el brazo más largo; esto será una medida de presión. La presión aumentará con la altura de dicha columna.

Tabla de recogida de datos en Defense. Contiene un error en la columna C: donde dice «Added to 22 1/3 makes» (sumado a 22 1/3 da) debe decir «Added to 29 2/16 makes» (sumado a 29 2/16 da), que es el dato con el que comienza la columna D.

Se ha representado solo la experiencia 2, correspondiente a la segunda columna A del original. En la columna E se ponen entre paréntesis los valores teóricos reales, salvando los errores de cálculo, y la columna F es un añadido que muestra la ley de Boyle, es decir, que el producto Presión por Volumen se mantiene constante.
C: Altura que alcanza la columna de mercurio en un tubo de Torricelli, es decir, la presión atmosférica del día Aquí se cometió un error, pues esta presión debe corresponderse con la primera entrada de la columna D.
D: Suma de la presión atmosférica y la presión ejercida por la columna de mercurio.
E: Presión total teórica, según la hipótesis de que presión y compresión son inversamente proporcionales. Hay algunos errores en los cálculos, pero tan solo de decimales. Corresponde a la propia expresión matemática de la ley de Boyle.
A la vista de la tabla anterior podemos inducir que la presión es inversamente proporcional al volumen ocupado por el aire encerrado, que no es más que la ley de Boyle. Lo más curioso de la historia es que Boyle no pretendía demostrar ninguna ley, sino que lo que quería era demostrarle a su adversario Line que el resorte del aire existía y que su elasticidad era enorme. Con sus propias palabras, y como conclusión a su experimento, encontramos que la ley de Boyle dice:
Es evidente que el aire común, cuando se reduce a la mitad [de 12 a 6] de su extensión habitual, adquiere un resorte, algo así como cerca del doble [de 29,13 a 58,82] más potente que el que tenía antes; de manera que al embutir de nuevo este aire así comprimido en la mitad de este estrecho espacio [de 6 a 3], adquiere con ello otra vez un resorte tan fuerte como el que tenía, siendo por consiguiente cuatro veces [de 29,13 a 117,57] más fuerte que el aire común.
Boyle no tomó ningún tipo de precauciones con respecto a la temperatura. Sí es verdad que experimentó calentando o enfriando el tubo, pero no tuvo en cuenta que para que se cumpla la ley la temperatura debe ser constante, además de tratarse de un gas ideal. Quien realmente acabaría formulando correctamente la ley fue Mariotte, que en este caso sí tendría en cuenta la temperatura. Así, la ley de Boyle-Mariotte puede formularse como sigue:
A temperatura constante, el volumen ocupado por un gas ideal es inversamente proporcional a la presión ejercida sobre él, siguiendo, por tanto, la siguiente expresión: P × V = K, donde K es una constante de proporcionalidad.
Nos queda pendiente la pregunta de cómo calculó Boyle la presión total teórica. Sin aplicar la fórmula que acabamos de ver, se puede expresar mediante simples proporciones inversas: el volumen de un estado (1) es al volumen de un estado (2) como la presión de un estado (2) es a la presión de un estado (1). Simplemente, se trataba de comparar estados. Así, en el experimento de Boyle la situación inicial era (prescindimos de unidades, pues nos importan las proporciones) P1 = 29,13 y V1 = 12. El volumen en cualquier otro estado podía medirse, por ejemplo, en la segunda medida: V2 = 11,50. Simplemente se trata de que la proporción entre presión-volumen se mantiene constante:

De aquí es inmediato obtener la presión en el segundo estado: P2 = 30,40. Evidentemente puede hacerse uso de la expresión algebraica de la ley de Boyle, aunque caigamos en un anacronismo, pero estamos más habituados a ello. Puesto que P × V = cte., podemos calcular dicho producto en el estado inicial: P1 × V1 = 349,56. ¿Cuál sería la presión a un volumen V2 = 11,50? Pues dado que el producto de dicho volumen por la presión correspondiente debe ser siempre constante P2 × 11,50 = 349,56, una vez más tenemos que P2 = 30,40.
Generalizando, la columna E se obtiene dividiendo la cantidad constante 349,56 entre los valores correspondientes de la columna A. Hay formas matemáticas alternativas de escribir la ley de Boyle, por ejemplo:
P1× V1 = P2× V2 = P3× V3 =....
donde los subíndices indican dos estados distintos del mismo gas, es decir, aquí además de indicarse que el producto se mantiene constante, se muestra con claridad que cualesquiera dos estados que tomemos están conectados. Por último, con los datos de Boyle podemos construir una gráfica que adoptará forma de hipérbola y que en este caso recibirá el nombre de isoterma, pues se trata de representar volúmenes frente a presión a temperatura constante (figura 7), La idea es convertir la ley de Boyle en una relación funcional:

Figura 7. La ley de Boyle establece una relación funcional de proporcionalidad inversa entre presión y volumen. Gráficamente se representa mediante una hipérbola.

es decir, el volumen hace el papel de variable independiente y la presión el papel de variable dependiente.
Las aplicaciones del resorte del aire son hoy ilimitadas: armas de aire comprimido, destornilladores neumáticos, etc. Y, por supuesto, igualmente ilimitadas son las aplicaciones de la consecuencia de los estudios de la elasticidad del aire, la ley de Boyle: síndrome de descompresión en los buzos, mal de altura, aumento del volumen de las burbujas al ascender en un líquido, explosión de globos a grandes alturas, aumento de la presión interna en recipientes (botellas, bolsas de patatas, etc.).
§. La rarefacción del aire
A continuación de este experimento que acabamos de ver, Boyle añade un segundo. Se trata del caso opuesto, es decir, cuando el aire se rarifica (se expande), perdiendo así su resorte, como el propio Boyle diría. El dispositivo experimental es algo más complejo y se asemeja a uno que ya usó el matemático francés Gilles Personne de Roberval. Se ha citado anteriormente a este matemático, en concreto en el Experimento IV del Resorte del aire. Roberval introdujo una vejiga dentro de un tubo de Torricelli, y al darle la vuelta y quedar en el espacio vacío, la vejiga aumentaba su volumen. Boyle lo tomó como una demostración de que el aire se rarifica y de hecho repitió el experimento en su bomba de vacío. No tuvo problemas en citar a todas sus fuentes y precedentes. Así, por medio de él mismo nos ha llegado que Henry Power y Richard Towneley comenzaron sus investigaciones sobre la elasticidad del aire en 1653 y en abril de 1661 tomaron medidas que condujeron a establecer que el volumen es inversamente proporcional a la presión. Incluso en la Micrografía (1665) de Hooke puede leerse: «De estos experimentos pienso que debemos concluir con seguridad que la elasticidad del aire es recíproca a su extensión». También cita al matemático inglés William Brouncker, que había realizado experimentos del mismo estilo.
Pero sería Boyle quien en septiembre del mismo año confeccionaría la primera tabla de proporcionalidad entre resorte y densidad del aire, tal como quedó registrado en las actas de la Royal Society. En diciembre de 1661 adaptó el aparato de Roberval para el estudio del aire rarificado y Towneley le sugirió la relación inversa entre presión y expansión del aire:
Como ese ingenioso caballero, Sr. Richard Towneley, tuvo a bien informarme [...] el aire dilatado pierde su fuerza elástica según la medida de la dilatación.
Es decir, la ley de compresión del aire se extiende a su expansión o rarefacción, algo que había omitido Boyle por simple prudencia, hasta que los datos experimentales hablaron. Finalmente, Boyle se adelantó en las publicaciones a todos, siendo el primero en compartir con la comunidad científica una demostración clara de que la presión y el volumen en los gases son inversamente proporcionales.
§. El emblema
La bomba de vacío de Boyle se convirtió rápidamente en un emblema y pasaría a formar parte de la iconografía del siglo XVII. Fue tal la popularidad, que William Faithome modificó un primer grabado de Boyle para representarlo luego junto a su bomba de vacío. Y muy posiblemente por encargo de John Evelyn para el miembro de la Royal Society John Beale, Wenceslaus Hollar realizó un grabado que luego aparecería en algunas copias de la Historia de la Royal Society (1667), de Thomas Sprat, donde aparecía, efectivamente, la bomba de vacío. Pero tal vez la imagen con mayor potencia iconográfica sea la que realizara Hubert-François Bourguignon, conocido como Gravelot, para la edición completa de los trabajos de Robert Boyle de los años 1744 y 1772. Una figura femenina apunta hacia el cielo con la mano derecha mientras que con la izquierda señala la bomba de vacío. Se refuerza el conjunto con una inscripción latina: «Conocer la Causa Suprema a partir de las causas de las cosas», que no es más que la idea de Boyle de acercarse a Dios mediante el conocimiento de la naturaleza.
La importancia que tuvo la bomba de vacío no fue la bomba en sí, sino el uso que Boyle hizo de ella. La bomba de aire es a la neumática lo que el telescopio a la astronomía. Si bien el telescopio fue en sus orígenes un instrumento de recreo, Galileo le dio un uso que fue más allá; se dice que su gran acierto fue dirigirlo al cielo. Boyle emuló la hazaña, rediseñando la bomba de aire y dirigiéndola al escrutinio de la naturaleza Continuó realizando experimentos con la bomba durante toda su vida (en 1669 y 1682 publicó sendos libros con más experimentos). La bomba de aire era un producto humano, pero lo que puede verse con ella no son más que cuestiones de hecho, hechos objetivos que pueden catalogarse en historias naturales.
Capítulo 4
El químico escéptico
A mediados del siglo XVII la Europa Occidental estaba despertando de la ensoñación alquimista medieval. La búsqueda de la piedra filosofal y del elixir de la vida eterna comenzaba a considerarse una tarea alejada de la ciencia. Sin embargo, la naciente química heredó los métodos instrumentales de la alquimia, pero sin los hermetismos que la habían acompañado.
El adjetivo escéptico no tiene hoy las mismas connotaciones que en la época de Boyle, como tampoco en su época tema las mismas connotaciones que en la Grecia antigua. Incluso en nuestra realidad, el gran público confunde a veces al escéptico con un negacionista y, para empeorar las cosas, en ocasiones no hay acuerdo entre los propios escépticos sobre qué es el escepticismo. Un largo debate para el que no disponemos de espacio, si bien podríamos hacer un breve análisis, dado el título del libro más famoso de Robert Boyle, El químico escéptico, publicado en 1661.
Efectivamente, hoy día ser escéptico no es negarlo todo, sino dudar de afirmaciones que no han sido comprobadas, afirmaciones que producen extrañeza, sin importar de quién provengan. El escéptico necesita pruebas no basadas en argumentos de autoridad. Si alguien muestra un fenómeno que se sale de lo habitual (avistamiento de un ovni, fantasmas, poderes sobrenaturales, etc.), debe demostrarlo mediante evidencias tangibles; para ello toma como punto de partida conjuntos de hechos, hipótesis y teorías que ya han sido demostradas por distintas generaciones de científicos.
Por tanto, el escéptico del siglo XXI no niega, simplemente plantea la duda y deja el peso de la prueba a la persona que afirma el fenómeno en cuestión. Esto se conoce como onus probandi, expresión latina que significa «carga de la prueba». Este tipo de escepticismo, muy de moda en la actualidad, es el que se viene denominando escepticismo científico.
El término escéptico proviene del griego y significa «el que examina». A su vez, su raíz indoeuropea significa «mirar» y «observar». De ahí que en muchos textos se lea que escéptico es «el que mira con detenimiento», lo cual está en la línea de las connotaciones que se acaban de trazar. Históricamente, se atribuye a Pirrón de Elis (360 a.C.-270 a.C.) una escuela, el pirronismo, basada en el escepticismo, y aunque Pirrón no dejó nada escrito, sí tenemos conocimiento de ella gracias a La vida de los filósofos, de Diógenes Laercio (siglo III d.C.), que Boyle leyó durante su viaje por Europa. La visión de los pirronistas es algo más radical que la de un escéptico actual, pues aceptaban que cualquier percepción tiene un valor relativo, por lo que es imposible conocer la verdad; proclamaban la suspensión del juicio. El escepticismo pirrónico se retomó en el Renacimiento y se dividió en dos vertientes algo más relajadas: el racionalismo de Descartes y el escepticismo constructivo de Pierre Gassendi y Marín Mersenne. De todos estos autores, sin excepción, se nutrió Boyle, que aunque no buscaba encontrar la verdad con sus investigaciones, sí pretendía indagar en la naturaleza, a pesar de que este escrutinio estuviese marcado por ciertos límites divinos. Por un lado, la versión racionalista superaba la crisis pirrónica, presentando las matemáticas como modelo de certeza, ruta por la que no caminó Boyle. Por o tía parte, Gassendi y Mersenne proponían una forma de conocimiento probable, centrada en el terreno de la experiencia, rescatando la idea pirrónica de que lo único cognoscible es el mundo de las apariencias y fenómenos, pero no el mundo de las esencias. Será esta la idea sobre la que establece sus cimientos la filosofía experimental de Robert Boyle.
«Yo simplemente voy con lo que funciona. Y lo que funciona es el sano escepticismo inherente al método científico.»
Neil DeGrasse Tyson, astrofísico v divulgados científico estadounidense.
Pero volviendo al El químico escéptico, tan solo considerando el título ya pueden plantearse varias cuestiones: ¿qué es un químico escéptico?, ¿sobre qué es escéptico este químico?, ¿qué entiende Boyle por escéptico?, etcétera. A estas y otras preguntas trataremos de responder en las siguientes páginas.
§. Hacia la diversidad de la materia
Un problema que ha preocupado a los pensadores desde los presocráticos es de dónde viene la diversidad de la materia, porque cuando miramos la naturaleza vemos objetos con distintos estados de agregación, con distintos colores, con distintas densidades, etcétera. El punto de partida de la visión de Boyle sobre la materia se encuentra en una crítica a las teorías de la materia vigentes en el siglo XVII: la teoría aristotélica de los cuatro elementos y la teoría paracelsiana de los tres principios. La postura de Aristóteles ante la diversidad del mundo es compartida por la escuela escolástica y fue muy estudiada y admirada por Boyle en su juventud. En esta concepción se postula que existen cuatro únicos elementos, a partir de los cuales se generan todas las cosas: tierra, agua, aire y fuego (figura 1).

Figura 1 y Figura 2. Representaciones simbólicas usuales de los cuatro elementos aristotélicos y la Tria Prima de Paracelso, conceptos con los que Boyle estaba muy familiarizado.
Asienta sus principios en las ideas de Empédocles, aunque sería Aristóteles quien la difundiera. La segunda visión se debe al iatroquímico (la iatroquímica enlazaba la química y la medicina) Paracelso, quien defendió la Tria Prima (figura 2), a saber: mercurio, azufre y sal (aunque no deben confundirse con los compuestos homónimos). La Tria Prima era una herencia de la tradición alquimista árabe, que centraba su atención en el mercurio y el azufre.
Paracelso amplió los principios a los tres mencionados, afirmando que antes de conocer cualquier cosa es necesario conocer estas tres sustancias y todas sus propiedades.
Aunque uno de los objetivos de la alquimia era la obtención del oro filosofa], la nueva interpretación paracelsiana de la iatroquímica se centraba más en aprovechar lo necesario de la alquimia para producir medicamentos. En realidad, el nombre de Paracelso era Theophrastus Phillippus Aureolus Bombastus von Hohenheim, pero escogió el nombre de Paracelso por su significado: «superior a Celso», es decir, al médico romano Aulo Cornelio Celso. Lo cierto es que su concepción de la medicina rompía por completo con las visiones estáticas anteriores. Supuso un punto de inflexión en el uso de sustancias químicas para la cura de enfermedades, aunque, obviamente, salvando las distancias con nuestra medicina actual, pues Paracelso se encontraba en buena medida bombardeado por el ambiente mágico y hermético de la alquimia.
Boyle conocía con bastante profundidad la obra aristotélica y paracelsiana, pero pronto comenzó a abrazar la interpretación del ya mencionado iatroquímico Jan Baptiste van Helmont, aunque luego llegaría a su propia visión del tema. Van Helmont señaló que no toda la materia puede ser descompuesta en los tres principios de Paracelso y tampoco estaba de acuerdo con la doctrina de los cuatro elementos. Incluso afirmaba que el fuego no es un elemento, sino que él lo entendía como un cambio, algo volátil y pasajero, un obrero de la naturaleza. En el aire no ve posibles cambios, solo el relacionado con lo mecánico. Sí es capaz de entender que la tierra puede transformarse en agua, y así llegará a la poco novedosa conclusión de que el agua es lo que está presente en todos los cuerpos. A raíz de su famoso experimento del sauce llorón, pensó que el agua podía convertirse en cualquier cosa, A partir de allí persiguió la tarea de buscar un disolvente universal, pues si el agua está en toda la materia, cualquier sustancia se podrá descomponer siempre de una manera u otra para acabar obteniendo el agua primigenia. Así, justificó la diversidad de la materia en función del grado de condensación del agua presente en cada cuerpo.
El movimiento loco de las partículasEl libro Hydrodynamica, de Daniel Bernoulli, marcó un antes y un después en los estudios de hidrodinámica. Partiendo de la idea de la conservación de la energía de Christiaan Huygens (1629-1695), proponía una unificación entre las matemáticas de la mecánica newtoniana y los enfoques corpuscularistas de la materia, entre los que se encontraba la visión prematura de Boyle.
Portada de Hydrodynamica (1738), de Daniel Bernoulli.De hecho, mostró que la presión de un gas es proporcional a la energía cinética de las partículas de dicho gas (es decir, la velocidad con la que se mueven), así que la temperatura del gas también es proporcional a la energía cinética de dichas partículas. Fue el comienzo de la formulación matemática de la teoría cinética, que se haría definitiva con Ludwig Boltzmann y James Clerk Maxwell en el siglo XIX.
Boyle fue un visionario, pero planteó demasiado pronto la resolución de este problema, pues no disponía ni del instrumental ni del talento matemático necesarios, dado que el cálculo infinitesimal aún tenía que afirmarse.
Por otra parte, en el siglo XVII, en medio de ese contexto de los cuatro elementos, la Trio Prima y el agua de Van Helmont, comenzó a tomar ventaja la teoría corpuscular. Como se ha dicho, de todos ellos bebió Boyle. Una vez más debemos hacer un esfuerzo de contextualización histórica para no caer en anacronías que puedan descalificar y subestimar el pensamiento de nuestro autor. El vocabulario que había en la época hacía referencia a ese mundo mágico y pseudocientífico de la alquimia, y los textos de Boyle van a estar dominados por él. Es tarea nuestra saber extraer de sus textos lo que escapa a ese carácter místico y hermético. Boyle abrazó con fuerza la teoría corpuscular, que podría tomarse como un precedente de la teoría cinética de los gases, aunque poco se haya dicho sobre ello. Es más, el propio Daniel Bernoulli demostró la ley de Boyle en su obra Hydrodynamica (1738), en la que establecía los pilares de la teoría cinética. Este aspecto nos va a llevar a estudiar el concepto de elemento en la filosofía de Boyle, presente en El químico escéptico y en otras obras menos conocidas. Y con respecto a los «elementos» nos llevaremos alguna sorpresa.
§. El corpuscularismo de Boyle
Sin entrar en detalle, Boyle centra su crítica tanto en los cuatro elementos aristotélicos como en los tres principios paracelsianos. Robert niega la existencia de unos y otros; para él solo hay un tipo de materia, y es el movimiento local el responsable de la diversidad encontrada Así es como se puede resumir el corpuscularismo boyleano, que da respuesta al apartado anterior. En honor a la verdad, es de rigor mencionar que en el siglo XVII tanto la doctrina aristotélica como la paracelsiana comenzaron a considerarse muy pobres, por lo que cada vez más pensadores fueron adaptándose a las distintas visiones atomistas. El atomismo de Epicuro empezó a retomar fuerza gracias a la publicación, en 1649, de Syntagma Philosophiae Epicuri, obra de Pierre Gassendi. Los átomos constituyentes de la materia no pueden ser creados ni destruidos, se caracterizan por su peso y son indivisibles, como su nombre indica. Gassendi salvó el atomismo del ateísmo afirmando que los átomos no se mueven por sí mismos, sino que lo hacen gracias a la mano de Dios. Y para ello requería la existencia del vacío, aspecto que no necesitará Descartes en su mecanicismo.
Tanto Gassendi como Daniel Sennert y Joachim Jung influyeron de manera decisiva en Boyle a la hora de elaborar Sobre la filosofía atómica (1652-1654). Sin embargo, en esta obra vemos a un Boyle lleno de contradicciones, pues si bien los átomos son indestructibles, como afirmaba Gassendi, ¿cómo se explica la transubstanciación del pan en carne y del vino en sangre? De nuevo alegamos al contexto de Boyle, y vamos a quedamos con lo que defendió en el plano científico, que no se aleja de la realidad actual. Estamos hablando del corpuscularismo mecanicista, que no es más que una respuesta a la pregunta: «¿qué relación hay entre los átomos y las propiedades químicas específicas que pueden observarse en los cuerpos?», planteada por algunos atomistas de la época.
Pierre Gassendi (1592-1655)Gassendi fue un sacerdote católico francés que ya había cumplido los treinta años cuando Boyle nació.Ha pasado a la historia por ser el primer astrónomo que recogió datos del tránsito de Mercurio a través del Sol. Adoptó una postura muy equilibrada entre el escepticismo radical y el empirismo de la época, lo que constituyó un ejemplo para Boyle.
Su principal aportación al tema que estamos tratando fue el Intento de reconciliar el epicureísmo con el cristianismo, pues afirmaba que los átomos no estaban gobernados por el azar, sino por el designio divino. En 1649 publicó el libro Animadversiones in decimvm librvm Diogenis, en el que estudió el atomismo de Epicuro. En esta obra mantenía la máxima empirista de que «No hay nada en el cerebro que no haya estado antes en los sentidos», que bien podría adoptar Boyle. Sin embargo, no rechazaba la capacidad del intelecto para desarrollar ideas generales.
Boyle se negó a considerar estas propiedades como copias macroscópicas de las propiedades de cada uno de los elementos, defendiendo, por contra, que dichas propiedades se explican por los distintos tipos de agregaciones entre partículas y de las interacciones mecánicas entre ellas. No se está tratando aquí, por tanto, del concepto de elemento actual, sino de propiedades que son fruto de la forma en que los corpúsculos microscópicos se unen. Apuntó hacia un objetivo demasiado ambicioso para su época, que no se acabaría resolviendo hasta la llegada de la química cuántica Su colega Christopher Wren puede ser calificado también de visionario, pues predijo que gracias a los microscopios podría establecerse la forma en la que estaban agregados estos constituyentes íntimos de la naturaleza.
Se nos presenta por tanto a un Boyle ecléctico que tomó ideas de aquí y de allá, sin comprometerse por completo con ninguna teoría, sin elaborar detalladamente la suya propia, pero sí creando un cuerpo de pensamiento que le serviría para dar explicación a muchos de los fenómenos que pudo generar en su práctica experimental. Volviendo brevemente a los experimentos con la bomba de aire, vemos con más claridad ahora que Boyle explicara la elasticidad del aire como la posibilidad de acercar o separar corpúsculos, sin la necesidad de entrar en un debate sobre la existencia del vacío. De Van Helmont tomó que una sola sustancia podría explicarlo todo (Boyle habló de corpúsculos, partículas), además de la crítica a los dogmatismos; de Descartes, el mecanicismo plenum (sin necesidad de vacío), y de Gassendi la hipótesis deísta del movimiento, Su corpuscularismo mecanicista se convirtió en un comodín que supo aplicar inteligentemente a muchas situaciones. Tal vez, comparándola con otras visiones y teniendo en cuenta que en la época aún no se habían realizado experimentos sobre la cuestión de la existencia de los átomos, podría pensarse que todas las hipótesis atómicas eran igual de gratuitas que las visiones aristotélicas y paracelsianas. Y puede ser cierto. La ciencia en general, y la física en particular, está constituida de modelos abstractos que procuran explicar los fenómenos físicos. Estos modelos comienzan como hipótesis, se refuerzan con experimentos probatorios, se amplían con experimentos exploratorios y se asientan como teorías con el apoyo de las matemáticas.
Es preciso recalcar que Boyle acabó cayendo en su propia trampa, pues puede deducirse con lo dicho que, si bien no admitía la formulación de hipótesis precipitadas, sí defendió el atomismo, que en su momento histórico podría considerarse como una teoría especulativa. Pero en su defensa diremos que se trató de una intuición que merecía la pena: no iba a cambiar todo su programa por introducir un mínimo elemento de hipótesis; esta es la razón por la que habíamos adelantado al principio del capítulo que el escepticismo de Boyle no es radical, pirrónico, sino que es un escepticismo constructivo, moderado.
Eso sí, como si se tratase de un homenaje a Boyle, la existencia de los átomos no se ha demostrado mediante lápiz y papel (exceptuando tal vez la majestuosa distribución de Maxwell-Boltzmann), sino que se ha hecho gracias al trabajo experimental de muchos científicos.
Depende del historiador apuntar hacia cuál es la prueba definitiva de este «hecho objetivo» que hoy no se pone en duda bajo ningún concepto: la ley de las proporciones definidas de Proust, el movimiento browniano de Einstein o las imágenes de los microscopios de fuerza atómica, por resaltar solo tres evidencias experimentales. Cuando a Feynman le preguntaron en una ocasión con qué pensamiento científico se quedaría si solo pudiera salvar uno, respondió sin dudarlo que «todo está hecho de átomos».
§. «El químico escéptico»
La obra más famosa de Boyle, El químico escéptico, suele presentarse como un ataque a los dogmatismos generados por la doctrina tetraelementarista aristotélica y la Tria Prima paracelsiana. De hecho, aquí hemos presentado a Boyle en más de una ocasión como el personaje que acabó con la alquimia para siempre, fijó una definición de elemento y fundó la química moderna. No obstante, y asumiendo la decepción propia, todas estas interpretaciones son erróneas y precipitadas, o al menos imprecisas, como veremos en este y en el siguiente epígrafe.
El análisis que realiza Boyle se puede adelantar y resumir en dos puntos fundamentales. En primer lugar, pide referencias observacionales y experimentos a la hora de efectuar críticas o defensas sobre una idea. Una actitud escéptica natural ante la que los aristotélicos van a protestar, pues el punto fuerte de sus enfoques es puramente conceptual. Desde su postura, el experimento tiene un valor meramente ilustrativo, nunca se usa para demostrar. Los paracelsianos, en cambio, ven dicha reclamación con buenos ojos, pues la experimentación, a la que el propio Paracelso daba un elevado valor, formaba parte de su programa. En segundo lugar, denuncia la absoluta falta de precisión en el concepto de elemento que usan ambos puntos de vista, además de la ausencia de acuerdo.
Dígase de entrada que El químico escéptico no es un libro de lectura fácil, no ya para un lector actual, sino para uno de la época, a pesar de los esfuerzos de Boyle por publicar una obra que llegara a cualquier tipo de lector. Ya desde el principio, el lector no puede dejar de fruncir el ceño ante sus primeras palabras: «Para dar cuenta al lector de por qué este tratado sale a la luz tan mutilado e imperfecto».
Afirma que algunas partes del texto las tenía escritas desde hacía años, pero por miedo a que caigan en las manos equivocadas ha decidido revisarlas y publicarlas con algunos remiendos y añadidos de sus últimos estudios, «a fin de omitir ciertas cosas que no resulta apropiado sostener ante cualquier tipo de lector». No queda claro si por «cualquier tipo de lector» se refiere a filósofos naturales que rechazaban la alquimia por ser una práctica oscura, lo cual sostendría la tesis de algunos expertos sobre el hecho de que El químico escéptico está repleto de guiños a la alquimia.
Pero que esta obra histórica se hile con un lenguaje verboso, cultista y alambicado no significa que no pueda analizarse como se merece y que podamos encontrar en ella ecos de lo que pocos años después sería una nueva ciencia. Y pese a que las estructuras de las argumentaciones sean demasiado complicadas, como mínimo resulta interesante estudiar la distribución del libro, los personajes que aparecen y los contenidos que se esgrimen en cada capítulo.
El texto es una mezcla de escritos realizados en diferentes años relativos al mismo tema. Los expertos han identificado al menos dos partes. Hasta 1954 no se rescató una versión temprana, editada por Boas Hall, titulada Reflexiones sobre experimentos que refutan los 4 elementos peripatéticos o los 3 principios químicos de los cuerpos mixtos. Este trabajo constituye bastante más de la mitad del libro que publicaría en 1661. El químico escéptico es un diálogo dividido en seis partes, precedidas de un prefacio y del «Fragmento del primer diálogo», como el mismo Boyle lo denominó, algo parecido a una introducción.
En el prefacio ofrece algunos motivos de por qué ha entregado el texto a su editor. Se alegra de que la química se comience a cultivar por hombres doctos que antes la desdeñaban. Quiere compartir con ellos y con otros su inquietud acerca de los miles de fenómenos que no han sido explicados con las doctrinas dogmáticas que no tienen en cuenta «los movimientos y las formas de las partes diminutas de la materia».
El propio Boyle reconoce en el prefacio que para este fin ha hablado de sí mismo en tercera persona, no llega a identificarse al cien por cien con ningún personaje y prefiere no tomar partido, aunque hay un paralelismo claro que enseguida veremos. Y a partir de ahí va presentando los distintos personajes:
Caméades: Juega el papel de antagonista escéptico. Se trata del alter ego de Boyle y conduce todo el texto. Su tarea fundamental es la de «proponer dudas y reparos». Caméades fue un filósofo escéptico griego (en tomo al siglo u a.C.) que luchó contra el dogmatismo. Afirmaba que no hay medio de distinguir lo verdadero de lo falso, pero entendía que no se podía suspender el juicio, así que desarrolló una doctrina del conocimiento probable.
Eleuterio: Su nombre significa «libre» e «independiente». No toma partido, escucha y se mantiene como moderador, dando pie a nuevas consideraciones con sus preguntas. Este personaje aparece en otras obras de Boyle.
Temistio: Es el representante y defensor de la doctrina de los cuatro elementos. Su nombre hace referencia al filósofo griego del siglo IV a.C., comentarista de las obras de Platón y Aristóteles. Como seguidor de los cuatro elementos, prefería las deducciones lógicas a las evidencias experimentales.
Filópono: Representa la visión de la Tria Prima. Defenderá a Paracelso. Su nombre significa «amante del trabajo» y es posible que esté inspirado en el teólogo bizantino Juan Filópono (490-566).
En el prefacio dice de Caméades que aunque está dispuesto a discutir con civilidad cualquier tema con cualquier persona, lo hará con los que lo merecen y proponen alternativas interesantes, pues «estima en mucho su tiempo como para pensar que merezca la pena perderlo en responder tales nimiedades». La estrategia de Caméades es, frente a la arrogancia del dogmático, la educación en su discurso, y pronto advierte que: «un hombre puede ser un campeón de la verdad sin ser un enemigo de la cortesía, y una opinión se puede refutar sin necesidad de ser áspero con quienes la sostienen».
«De Natura Deorum»Sobre la naturaleza de los dioses (De Natura Deorum) es un libro de Cicerón escrito en forma de diálogo entre estoicos y epicúreos: Cayo Veleio representa a la escuela epicúrea, Quincio Lucilio Balbo a los estoicos y Cayo Cotta mantiene una postura escéptica.
Busto de Marco Tulio CicerónEl paralelismo entre Boyle y Cicerón respecto a sus respectivos personajes Caméades y Cotta resulta bastante claro. En palabras de Boyle: «No he hecho más que convertirme en el personaje que le ha tocado representar, especialmente si se compara lo que he puesto en su boca con lo que el príncipe de los oradores romanos [Cicerón] hacía decir a los amigos y a otros grandes personajes en los excelsos diálogos de su De Natura Deorum». En el libro de Cicerón podemos leer algo que está muy en la línea del prefacio de El químico escéptico:
«[...] pero te ruego que no creas que he venido a actuar como un aliado, sino en calidad de oyente, y oyente imparcial, sin ningún prejuicio, bajo ninguna clase de atadura o coacción que me fuerce, quiera o no, a defender alguna sentencia determinada».
Así, la estrategia no es tanto atacar los contenidos, sino apuntar las inconsistencias de las afirmaciones dogmáticas. Se trata de favorecer el conflicto cognitivo para señalar y desmontar las inconsistencias resultantes. Estas buenas maneras en el proceder de Caméades son un reflejo del estilo discursivo del propio Boyle, que puede extenderse a toda la Royal Society, que hizo de este estilo una marca propia.
Tras el prefacio, y antes de comenzar la primera parte, encontramos unas «Consideraciones fisiológicas sobre los experimentos que usualmente se emplean para probar, tanto los cuatro elementos peripatéticos, como los tres principios de los cuerpos mixtos»,
a lo cual sigue el subtítulo «Fragmento del primer diálogo». Se recuerda que al extremo defensor de una doctrina le cuesta admitir que sus ideas puedan favorecer una incoherencia; sin embargo, Boyle propone una alternativa que recuerda a la consigna socrática, que no es otra que reconocer que se duda o se desconoce un asunto o tema cuando realmente es así.
«Pero no me ruborizo al reconocer que tengo menos problemas en confesar que dudo, cuando así es, que en afirmar que sé lo que no sé.»
Robert Boyle en El químico escéptico.
En esta línea Boyle asienta lo que deja claro en el prefacio, que la importancia en las palabras del título de su libro no recae en «químico», sino en «escéptico». En el libro critica a los «químicos vulgares», que no son más que los iatroquímicos y los perseguidores de objetivos alquímicos que se corresponden con la obtención del lucro personal (la búsqueda de la piedra filosofal), y defiende al químico híbrido entre lo académico y lo artesano, a pesar de que la práctica en el laboratorio químico fuese considerada en la época como maloliente y trabajosa. Por otra parte, arremete contra el otro extremo y se muestra claramente opositor de los dogmas académicos:
Podría tener más esperanzas de las que no obstante albergo en ver la filosofía sólidamente establecida si los hombres fueran capaces de distinguir con más cuidado las cosas que saben de las que ignoran.
La clave está en conocer los límites del conocimiento humano, en establecer líneas divisorias para poder sondear la naturaleza, sin pasar por especulaciones teóricas ni acudir a secretos mágicos. El diálogo comienza con una invitación de Eleuterio al narrador del texto (Boyle no aclara si es él mismo) para dialogar con Caméades y otros dos amigos. A continuación, Caméades afirma que ni los peripatéticos ni los «maravillosos experimentos» en los laboratorios químicos han podido «ofrecer argumentaciones más relevantes a la hora de mostrar la verdad de las afirmaciones que acostumbran a realizar». El ataque va en la dirección del número de elementos que conforman las sustancias (los cuatro peripatéticos y los tres espagiristas), ante lo cual Caméades afirma con cierto humor:
Cuando me tomo la molestia de examinar imparcialmente los cuerpos de los que se afirma que están compuestos de una mezcla de elementos y los torturo para obligarles a confesar de qué principios están constituidos, rápidamente me inducen a pensar que el número de elementos ha sido atribuido con más ardor que éxito.
Esta cita contiene los principales elementos que se han ido desgranando a lo largo de esta biografía. Por un lado, la expresión «me tomo la molestia» hace referencia a los múltiples experimentos químicos que Boyle realizó y que los aristotélicos, por un lado, no realizaban y los iatroquímicos, por otro, realizaban de manera imprecisa y descuidada Es más, no se quedaba con simples experiencias, sino que quería retorcer la naturaleza, llevarla a los extremos, de ahí «los torturo para obligarles a confesar». Y lo que es más importante en la visión de Boyle, lo hace «imparcialmente», es decir, es labor del experimentador escéptico indagar la naturaleza sin prejuicios ni ideas preestablecidas. A partir de ahí entran en el diálogo Temistio y Filópono. Será Temistio quien ofrezca el conocido ejemplo del trozo de madera ardiendo, una prueba mental en la que se pueden apreciar los cuatro elementos: el fuego es la propia llama, el aire se identifica con el humo, el agua se ve hervir en las ramas, y las cenizas en el rescoldo que queda quemado representarían la tierra Pero Temistio, haciendo uso de los métodos de la escuela aristotélica, cae en un argumento ad antiquitatem:
Una hipótesis tan madura y cuidadosamente establecida como la suya no había sido puesta en cuestión hasta que el siglo pasado Paracelso y algunos otros empíricos tiznados de carbonilla, que no filósofos como ellos gustan llamarse, que habían acabado con los ojos y los cerebros enturbiados por el hollín de sus hornos, comenzaron a poner el grito en el cielo contra la doctrina peripatética profiriendo al mundo de los crédulos que no había sino tres ingredientes en los cuerpos mixtos, y para ganarse la reputación de los inventores, se esforzaron en camuflarlo poniéndoles los nombres de sal, azufre y mercurio en lugar de vapor, tierra y aire y otorgándoles el hipócrita título de principios hipostáticos [relativos a la Santísima Trinidad].
Boyle pone en boca de Temistio lo que él mismo piensa: que los cuatro elementos peripatéticos ofrecen al entendimiento lo mismo que los tres principios iatroquímicos, es decir, nada. Es más, esta incoherencia, esta doble forma de ver un fenómeno, lleva a Boyle a dudar de las dos posturas. El diálogo de las «Consideraciones fisiológicas» termina con la insistencia de Caméades de que con el fuego no siempre se obtienen cuatro elementos, sino que hay cuerpos mixtos que contienen más de cuatro sustancias. Y como ejemplo utiliza un compuesto por el que siente gran predilección y del que hablaremos en el capítulo siguiente: «la sangre y otras partes de los hombres y los animales que, al ser analizadas, arrojan cinco sustancias distintas, flema, espíritu [sustancias volátiles], aceite, sal y tierra».
El resto del libro se divide en seis partes, que de alguna manera han sido ya anunciadas en el prefacio y en las «Consideraciones fisiológicas». Es posible hacer una somera síntesis del tema tratado en cada una de las partes:
Primera: El fuego no es el agente universal para analizar o descomponer cuerpos. Crítica al homo del alquimista.
Segunda: No todo lo que se separa de un cuerpo tiene por qué estar preexistente en él. Crítica a los elementos aristotélicos.
Tercera: No todos los cuerpos pueden descomponerse en tres principios. Crítica a la Tria Prima.
Cuarta: Las sustancias resultantes de la separación por medio del fuego no son universales.
Quinta: La doctrina de los elementos es inadecuada para una teoría general.
Sexta: Niega la validez de cualquier teoría que pruebe la existencia de elementos o principios verdaderos e inmutables.
§. El nacimiento de la química
Un estudio profundo de la obra de Boyle desde el punto de vista filosófico nos llevaría a demostrar que en realidad su objetivo principal coincidía con las ideas aristotélicas y paracelsianas que criticó, es decir, explicar las causas de las cualidades. Pero Boyle introduce una gran novedad, que consiste en acudir a principios claros y tangibles, es decir, a la materia y el movimiento, sin necesidad de echar mano de los dogmatismos académicos. Si nos acercamos al problema desde la posición de las ciencias puras, una forma de ver la situación es que Boyle sometió la química a la física, antes de que la propia química terminara de emerger como ciencia independiente.
Con este objetivo, se adelantó mucho a su tiempo, aunque no consiguiera resolverlo, sino que en realidad se trató más bien de una desviación de la atención al verdadero nacimiento de la química moderna. En muchas ocasiones se ha presentado a Boyle como el iniciador de la revolución química moderna, lo cual es bastante impreciso, como veremos en este epígrafe, aunque sí expondremos algunos matices que le dan un papel clave en el nacimiento de la química como la entendemos hoy.
Históricamente, el químico reduce los cuerpos a principios palpables (sales, ácidos, etc.) utilizando operaciones de laboratorio, mientras que el físico reduce los cuerpos a entidades teóricas (corpúsculos, movimiento, etc.) haciendo uso de especulaciones. El químico corpuscularista reduce la materia a átomos con cualidades y formas sustanciales, mientras que el físico corpuscularista reduce la materia a átomos tan solo con propiedades geométricas y movimiento.
Boyle podría entrar en esta definición grosera de físico abstracto (de la época), lo cual no le sitúa en la posición de fundador de la química. Añádase que durante años se ha extendido el mito de que Boyle fue el que formuló el concepto moderno de elemento, copiándose de un manual a otro sin comprobar las fuentes primarias, y se ha querido convertirlo en un antecesor de Lavoisier. No solo no produjo ninguna definición personal de elemento, sino que además rechazaba la existencia de elementos desde la antigua concepción. En la sexta parte de El químico escéptico llega a decir:
Y para prevenir errores, debo advertirle que aquí entiendo por elementos lo mismo que entienden los químicos que tan llanamente hablan por sus principios, esto es, ciertos cuerpos sin mezcla, primitivos y simples, que no están hechos de ningún otro cuerpo, tú los unos de los otros, y que constituyen los ingredientes de los que los llamados cuerpos perfectamente mixtos están inmediatamente formados. Lo que cuestiono entonces es si existe algún cuerpo semejante que podamos hallar siempre en todos y cada uno de los cuerpos a los que se denomina elementos.
Pero debemos ser justos con Boyle, no porque se haya exagerado su liderazgo en el nacimiento de la química deberíamos terminar aquí el relato. Entre sus logros hay que citar que realizó técnicas de identificación de clases de cuerpos (ácidos frente a álcalis), desarrolló una larga lista de test químicos (solución coral, cambios de color del jarabe de violetas, etc.) y, en general, introdujo la importancia del experimento preciso y su descripción detallada, usando un vocabulario abierto a todos desde la visión baconiana. Desde esta perspectiva, Boyle jugó un papel importante en el establecimiento de la experimentación sistemática en la química, justo cuando estaba a punto de tomar una vía independiente de investigación para ser elevada a la categoría de ciencia.
§. El primer indicador ácido-base
Boyle no es considerado por unanimidad como el padre de la química, pero sí se le considera como uno de los iniciadores del análisis químico. En 1661 publicó Algunos ensayos fisiológicos, obra que venía escribiendo durante cuatro años y que, como indica su título, es un compendio de distintos ensayos. La importancia de este escrito es que se trata de una mezcla de algunas de las ideas del programa que Boyle iría desarrollando en los años siguientes: la teoría corpuscular y la importancia de los experimentos y de su exactitud, concretada en el caso del estudio del nitro, compuesto por nitrato de sodio (NaNO3 y nitrato de potasio (KNO3). Boyle describe complejos experimentos con todo lijo de detalles, lo cual no es más que una confirmación de lo que demanda en El químico escéptico, introduciendo incluso los experimentos fallidos, como en sus estudios sobre el aire. Descubrió que el nitro está compuesto de una parte fija y una parte volátil que podía separarse para luego recogerse y volver a formar salitre, o «reintegrarse», en el vocabulario del propio Boyle. Para ello, tomaba salitre común, lo purificaba a través de recristalización y lo calentaba en un crisol hasta fundirlo por completo. Y por otro lado recogía el «espíritu del nitro» (gas), que había conseguido mediante la destilación seca de dicho nitro. Al unir ambas sustancias, conseguía el compuesto original. Con esto demostró que la doctrina peripatética de las cualidades era incorrecta y que la hipótesis mecánica ofrecía una explicación más simple del proceso.
También usó la misma hipótesis en «Historia de la fluidez y la firmeza» (último ensayo del libro) para afirmar que el cambio de estado de sólido a líquido se debía a que el calor inducía una mayor agitación de los corpúsculos, sin duda un precedente de la teoría cinético-molecular.
Siguiendo este hilo, en esa misma época escribió Anotaciones en un ensayo sobre el salitre, obra que sería publicada entre los años 1666 y 1667 bajo el título El origen de las formas y las cualidades (según la filosofía corpuscular), ilustrado por consideraciones y experimentos. En líneas generales, en este escrito procura explicar las macroestructuras (cualidades) en términos de microestructuras (corpúsculos). En cuanto a sus consecuencias, estamos ante un brillante trabajo que mostró el increíble potencial de la hipótesis corpuscular frente a su rival escolástico.
De hecho, John Locke debe mucho a las ideas corpusculares de Boyle y, sin embargo, llegaron más lejos que las del propio aristócrata, pues se convertiría con el paso del tiempo en una de las raíces del empirismo británico.
Otros trabajos en los que Boyle utilizó la hipótesis corpuscular y colecciones exhaustivas de datos observacionales y experimentos son los tratados Experimentos sobre colores (1664) y Nuevos experimentos y observaciones sobre el frío (1665). En el primero explicó que la blancura o la negrura pueden ser interpretadas en términos de luz reflejada o absorbida y que el color puede ser cambiado mediante manipulaciones químicas. Sería aquí donde viese la luz por primera vez un proceso claro para distinguir ácidos y bases; para ello utilizó jarabe de violetas, un indicador natural que se tomaba rojo ante la presencia de un ácido. Respecto al segundo trabajo, el del frío, presentó una colección muy extensa de datos, incluyendo reportes de viajeros en condiciones extremas a las que él no tema acceso. Por ejemplo, en contra de la opinión de Aristóteles, mostró muy acertadamente que el agua se expande al congelarse, pequeñas observaciones que en conjunto forman una base de datos experimentales de la que bebieron muchos científicos.
§. La Royal Society
La época en la que Boyle publicó El químico escéptico es su período de más actividad científica. Recordemos que justo el año anterior, en 1660, publicó también su Resorte del aire y, por tanto, realizó sus primeros experimentos con la bomba de aire. Por entonces, la Royal Society oficiaba su reunión inaugural el 28 de noviembre de 1660, en el Gresham College, donde Christopher Wren daría la primera conferencia. En la Sociedad, Boyle se encontró con viejos conocidos de la década anterior, como John Wilkins. El papel de Boyle fue muy activo en las primeras reuniones, pese a que residía en Oxford, mientras que la Sociedad tenía su sede en Londres.
El comienzo de la química industrialLas relaciones de Boyle con los científicos de su época fueron tan fructíferas que se hace imposible tratar aquí por completo. Dentro del Círculo de Hartlib y por mediación de Benjamín Worsley conoció los trabajos del químico alemán Johann Rudolph Glauber (1604-1670), quien se dedicó a la investigación en química y farmacología. Su trabajo principal es el estudio de las sales acidas, del que Boyle sacaría mucho provecho. Encontró formas de obtener concentraciones más puras de ácido nítrico y ácido sulfúrico. Entre 1650 y 1660 descubrió el sulfato de sodio (sal de Glauber) y consiguió sintetizarlo a partir del cloruro de sodio y del ácido sulfúrico, proceso considerado como el comienzo de la química industrial:2NaCl + H2SO4 → Na2SO4 + Cl2
Por sus propiedades higroscópicas, la sal de Glauber se hizo muy popular en su época como laxante y purgante del aparato digestivo en caso de algunas enfermedades. Glauber escribió unos cuarenta libros sobre química y acabó enfermando en los últimos años de su vida por el trabajo continuado con metales pesados.
Johann Rudolph Glauber.
A lo largo de la historia se ha escrito mucho sobre la primera institución pública cuyo propósito declarado era la investigación científica. En 1668 Joseph Glanvill (el Divino) publicó Plus Ultra: o el progreso y avance del conocimiento desde los días de Aristóteles. Dedicó dos capítulos completos a los escritos del honorable Robert Boyle, con la intención de ensalzar a un miembro ejemplar de la Sociedad.

Izquierda: Grabado de un experimento para demostrar que el agua se expande al congelarse incluido en la edición de Nuevos experimentos y observaciones sobre el frío (1665). Derecha: Portada de El químico escéptico, edición de Londres de 1661.
De hecho, le dedicó más espacio que a ningún otro miembro. Reconoce que la mayoría de sus libros importantes se escribieron antes de que se fundara la institución, pero también afirma que Boyle se sentía afín a los ideales de la misma, elevando al máximo nivel la práctica experimental. Incluso menciona como contribución que dejara a su empleado Robert Hooke convertirse en el encargado de los experimentos de la Sociedad en 1662, donde permanecería dos décadas.

El filósofo Pirrón en un mar embravecido, de Petrarca-Meister (siglo XVI). En mitad de una tormenta Pirrón señala a un cerdo comiendo tranquilamente; con esa imperturbabilidad debe reaccionar el sabio, planteando dudas con serenidad.
Entre los años 1662 y 1663 la presencia de Boyle en la Sociedad comenzó a ser irregular. Pero, paradójicamente, sería en esos años cuando la Sociedad recibió una mayor influencia formativa de Boyle. Por entonces, Robert había desarrollado una nueva fórmula de trabajo que contrastaba con sus escritos discursivos anteriores. La puso en práctica en su ensayo sobre el frío antes mencionado, donde se puede apreciar una clara separación temática acompañada por encabezamientos expositivos, tales como «Cuerpos capaces de enfriar a otros», «Los grados de frío en distintos cuerpos», etcétera.
Comenzó a dedicar además más espacio a la exposición de los equipos experimentales (especialmente a los termómetros) y le otorgó un papel preponderante a las citas y testimonios de sus informantes, que habían accedido a condiciones meteorológicas inaccesibles para él. En pocas palabras: se había convertido en más baconiano que nunca. Y el cambio lo había reforzado el ambiente de la Royal Society. Boyle llegó a hacer circular listas con los encabezamientos que organizaba para los miembros de la Sociedad, haciendo propaganda de sus propias historias baconianas naturales e intentando poner a trabajar a todos los científicos en ellas.
Un trabajo que cabe resaltar de esta época, aunque la Sociedad tuvo poco que ver con él, es Paradojas hidrostáticas (1666). En una reunión de la Sociedad en enero de 1664 mencionó el trabajo de Blaise Pascal Tratado del equilibrio de los líquidos y del peso de la masa del aire. Como ya se mencionó en el capítulo anterior, aunque Boyle admiró el trabajo de Pascal, no supo tolerar las demostraciones meramente teóricas. En la reunión alegó que algunos experimentos no habían sido sometidos a ensayos reales, así que se comprometió a probar alguno de ellos. Pero por entonces las reuniones de la Royal Society sufrieron un parón temporal debido a la Gran Plaga de Londres, desde el 28 de junio de 1665 hasta el 21 de febrero de 1666. En el verano de 1665, Boyle siguió trabajando en sus Paradojas mientras permanecía en Durdens, Surrey, junto a Hooke y otros miembros de la Sociedad que habían huido de la plaga. Finalmente, en 1666 publicó su libro a modo de secuela de su Resorte del aire, demostrando que algunas de las propuestas de Pascal no podían ejecutarse en la realidad, pues requerían condiciones físicamente imposibles.
La máquina perpetuaEl matraz de autollenado de Boyle es un sifón retorcido sobre sí mismo de tal forma que lo que entra por una boca debería salir por la otra. Se trata de una máquina de movimiento perpetuo imposible, pues la altura a la que llega el tubo pequeño es superior a la altura de la boca en forma de copa. Lo más curioso es que esta paradoja no es de Boyle: se trata de un artificio mental Ingeniado por el francés Denis Papin (1647 - ca. 1712), al que llamó matraz de Boyle, lo cual no debe extrañar. En 1675 fue a Londres con una carta de recomendación de Huygens para Boyle, quien consiguió que entrase como tutor en casa de Henry Oldenburg. Poco después fue ayudante del propio Boyle (ayudó al perfeccionamiento de la bomba de aire) y luego pasó a ser ayudante de Hooke, En 1681 se convirtió en miembro de la Royal Society. Papin fue un inventor prolijo: es conocido por construir la primera olla a presión con válvula de seguridad y utilizó la idea de la elasticidad del aire para diseñar armas de aire comprimido. El lugar y fecha de su muerte se desconocen, posiblemente entre 1712 y 1714.
Matraz de autollenado de Boyle.
Para ser más exactos, la imposibilidad es de tipo operacional, no teórica. En honor a la verdad, el problema de los experimentos de Pascal es que se definen bajo condiciones ideales, algo muy común y aceptado en la actualidad, pues delimita los problemas y son un punto de partida legítimo para estudios más complejos.
Philosophical Transactions, la revista de la Sociedad, se había convertido en un suplemento a la profusa actividad epistolaria de sus miembros. En el primer número apareció anunciado el trabajo sobre el frío, ahora con artículos de autores individuales escritos en tercera persona. En el número 11 Boyle publicó tres artículos: una revisión de «Origen de formas y cualidades»; «Encabezamientos generales para una Historia Natural de un país», y «Grande o pequeño». Los «Encabezamientos» fue uno de los artículos más influyentes de Boyle entre los miembros de la Sociedad, por seguir con claridad las indicaciones de Bacon. En esta misma línea, más tarde publicó en la revista «Preguntas referentes a las minas», siempre con la idea de despertar el interés entre los científicos para que investigasen sobre temas concretos.
En la época en que vivía en Oxford, el presidente de la Sociedad, el primero de ellos (entre los años 1662 y 1677), era el matemático William Brouncker, segundo vizconde de Brouncker. Entre 1677 y 1680 lo sucedió Joseph Williamson, mientras Boyle se mudaba a Londres. Una vez allí se le propuso la presidencia, en 1680, que rehusó, pues no estaba de acuerdo con los juramentos que se debían realizar. Sería su amigo el matemático Christopher Wren quien la aceptara en su lugar.
Como gran amante de los estudios sobre medicina que era, Boyle se relacionó con médicos de distintos puntos geográficos y de diversas especialidades. Sin embargo, no compartía las visiones clásicas de la disciplina y se posicionó en una línea de investigación basada en la química de los procesos fisiológicos. Abogó por un uso libre de recetas para toda la población.
En 1668 Londres se convertía en hogar permanente de Boyle. Residió en casa de su hermana Katherine, lady Ranelagh, en Pall Mall hasta su fallecimiento. En los últimos años había sido demasiado itinerante y necesitaba establecer una residencia más estable. De realizar más de dos viajes importantes al año a varios destinos distintos, pasó a efectuar un solo desplazamiento anual, y solo a Leez para visitar a Mary Rich.
La decisión de establecer su residencia en Londres no solo tuvo que ver con sus múltiples desplazamientos. Los días de gloria del Grupo de Oxford ya habían terminado, y algunos de sus integrantes habían abandonado la ciudad en 1667 para ir a Londres. La marcha que más afectó a Boyle fue la de John Locke, Richard Lower y Thomas Willis. A esto hay que añadir que en 1666 John Fell ocupó el cargo de rector de la Universidad de Oxford, un personaje que no despertaba gran entusiasmo en Boyle, pues ya había mostrado su estilo conservador mientras ocupaba el cargo de deán de Christ Church.
Por otro lado, las atracciones de Londres eran múltiples, además del incentivo de vivir con su hermana. Pall Mall, ubicado actualmente en Westminster, se había convertido en una elegante y amplia vía flanqueada por grandes casas. La cara sur daba a los jardines reales, entre los que destacaba uno repleto de pájaros y animales exóticos, reformado por Cardos II. Concretamente, la
casa de lady Ranelagh estaba en el lado sur de la calle, en parte de lo que ahora ocupa el Royal Automobile Club. Las majestuosas dimensiones del vecindario servían de marco a una casa llena de comodidades y decorada con gusto exquisito y a la moda de la época: parece ser que tenían sobre la chimenea un paisaje de Hendrick Danckerts, pintor de la corte real. Boyle disponía de suspropias dependencias, que incluían una alcoba y un gran salón. Durante las comidas, sin embargo, solía hacer vida común con su hermana y el resto de la familia. Incluso fue partícipe de algunos de los dramas de Katherine: la muerte de sus sobrinas Frances (1672) y Catherine (1675), el aborto de La hijastra de su hermana (1676) o la relación de su sobrina Elizabeth con un lacayo (1677).
Boyle se sentía cómodo y bien acogido en Pall Mall. Tal vez uno de los elementos más decisivos para ello fue que estaba verdaderamente cautivado por la religiosidad de lady Ranelagh. En esa época los experimentos siguieron formando parte de su vida diaria, así que una de las premisas de Boyle fue la construcción de un laboratorio bien equipado en la casa de Pall Mall. A finales de la década de 1670 mejoró notablemente su laboratorio gracias a las capacidades arquitectónicas de Robert Hooke, pues realizó una importante reforma en la casa. Los sujetos de los experimentos eran variados: hidrostática, magnetismo, química, bomba de aire, etcétera. De nuevo se procuró la compañía de varios asistentes, algunos sin identificar, pero otros sí pasaron a la historia. Tal es el caso de Frederick Slare, un asistente de confianza que, entre otros logros, demostró la presencia de sal en la sangre y repitió algunos experimentos de Boyle, haciendo posible así el sueño del honorable de que sus historias naturales fuesen oídas por otros. Durante el resto de su vida, Boyle disfrutó de todas las comodidades necesarias en esta casa y sería visitado por todo tipo de personalidades. Irónicamente, sus relaciones con la Royal Society disminuyeron una vez instalado tan cerca de la sede. Cada vez fue menos frecuente su presencia en las reuniones y cesaron por completo a partir de 1669. Tal vez la novedad que suponía la Sociedad había ido perdiendo fuelle, y poco a poco fue costando más trabajo que los miembros asistieran a las reuniones y pagaran sus cuotas. Posiblemente tuvieran que ver con ello también los ataques de Henry Stubbe, antiguo protegido de Boyle, contra la Sociedad, además de la sátira que Thomas Shadwell le dedicó a la entidad en El virtuoso (1676).
Boyle contó con una nutrida red de «informadores» que le daban cuenta de observaciones realizadas en tierras a las que no tenía acceso. Gracias a ella pudo acumular una gran cantidad de testimonios, con mayor o menor credibilidad: las minas de Hungría, la búsqueda de perlas en Ceilán (actual Sri Lanka), el movimiento de las mareas en los Mares del Sur, la altitud de las montañas en África, y un largo etcétera.
Cualquier dato era valioso para construir la historia natural de un país. No es de extrañar entonces que en 1669 se convirtiera en director de la Compañía Británica de las Indias Orientales, la entidad que lideraba la explotación comercial con Extremo Oriente. Este nombramiento le permitió hacer nuevos contactos con informadores en localizaciones exóticas y su nueva residencia en Londres facilitó la transferencia de datos. Según explicó en el Memorando de Burnet, durante este período accedió a algunos datos interesantes sobre diamantes, pudiendo así satisfacer su curiosidad sobre estas gemas, información que recogió en el libro Un ensayo sobre el origen y las virtudes de las gemas (1672). Aunque la inversión de Boyle en la compañía fue cuantiosa, disfrutó tanto de los beneficios del comercio como de resolver sus interrogantes científicos. Por otra parte, como muchos otros cristianos de la época, consideró como obligación moral la conversión de los indios nativos de las tierras explotadas al cristianismo, a lo que dedicó bastante tiempo y dinero, aunque este es un tema en el que no entraremos.
§. La etapa de Londres
Cuando Boyle se instaló en Londres ya gozaba de gran reputación. No tuvo problemas en seguir publicando, aunque ahora con mayor alcance y con un formato que cambió respecto a las publicaciones de los años 1660-1666. A finales de este período realizó varias listas de sus obras que sugieren que estaba modificando su modo de enfocar la escritura. En tomo a 1665 había escrito «El orden de varios de mis tratados», una lista que acompañó poco después con un anexo: «Varios Tratados, como Ensayos y otros». Desafortunadamente, el programa de trabajo de finales de la década de 1660 fue interrumpido abruptamente por un evento de suma seriedad. En junio de 1670 sufrió una enfermedad que él mismo describió como «moquillo paralizante», a pesar de que el moquillo es una afección vírica sufrida por algunos animales y a la que el ser humano es inmune. Es posible que sufriera alguna dolencia de origen neurológico o un accidente cardiovascular, aunque con los datos con los que se cuenta no resulta fácil determinar el origen de la enfermedad. Para empeorar la situación, su hermana Katherine estaba ausente, pues se encontraba en Dublín por asuntos de negocios. La dolencia le tuvo fuera de combate durante varios meses, sufría convulsiones y desmayos y mostraba una debilidad extrema, hasta el punto de que necesitaba que lo ayudaran para moverse desde una simple silla a un carruaje y se vio privado del movimiento de sus manos. Es muy posible, por referencias futuras, que la enfermedad dejase lacras en su movilidad. Un elemento más que se añadía a sus varios problemas de salud.
Más o menos a partir de esta época, desde 1660 en adelante, empezó a escribir de manera más fragmentaria, en forma de artículos, por lo que encontró un estímulo en la revista Philosophical Transactions. Sea como fuere, a partir de 1670 comenzó a publicar una serie de libros que recopilaban estos artículos y formaron un conjunto denominado Tratados. Estas obras contienen temas muy dispares, incluso dentro de un mismo volumen, lo cual le permitía a Boyle imprimir una variada miscelánea de material.
En uno de los Tratados aparece un artículo titulado «Nuevos experimentos sobre la relación entre la luz y el aire». Se trata de dieciséis experimentos con la bomba de vacío en los que investiga la respiración. Gracias a estos experimentos en ambientes de vacío, pudo relacionar el aire que respiramos con la sangre. La vinculación entre la luz y el aire también queda patente en otro artículo, «Llama y aire», del volumen de 1672 de los Tratados. A Boyle no le costaría entender que el oscurecimiento de la sangre venosa tenía alguna relación con la combustión.
La listaPoco antes de instalarse definitivamente en Londres, Boyle escribió entre sus papeles la lista «El orden de varios de mis tratados». En este documento escribe una lista de dieciséis ítems con un anexo de cuatro «Ensayos».
- El libro de la bomba (se trata de Resorte del aire, 1660).
- Ciertos ensayos fisiológicos.
- El químico escéptico.
- La defensa contra Hobbes y Linus (es el anexo a la segunda edición de Resorte del aire).
- Utilidad de la filosofía experimental (tomo 1).
- Colores
- Frío.
- Utilidad de la filosofía experimenta! (tomo 2).
- Apéndice a El Libro de la bomba (se trata de Resorte del aire: Primera continuación, 1669).
- Paradojas hidrostáticas.
- El origen de las formas y las cualidades.
- La historia de las cualidades.
- Generación espontánea.
- Una compilación de Historia Natural.
- Sobre verdades improbables.
- El naturalista escéptico.
En muchos de estos tratados divulgó algunos aspectos de la compresión del aire, en otros investigaba sobre la conservación de alimentos en el vacío, etc. La cantidad de artículos, libros y temáticas en esta época es inabarcable para nosotros: observaciones y experimentos sobre la sal del mar, sospechas sobre el crecimiento de metales, un ensayo sobre el origen de las gemas y ensayos sobre efluvios, entre otros muchos. En los siguientes apartados nos centraremos en el estudio de la sangre, aunque antes se hará un breve recorrido por la relación de Boyle con la alquimia.
§. Entre la alquimia y la ciencia
El 21 de febrero de 1676 aparecía el número 122 de Philosophical Transactions, con un texto firmado por B.R.: «Un discurso experimental del crecimiento del azogue caliente con oro». Las iniciales «B.R.» no eran más que un tosco pseudónimo de Robert Boyle y la publicación se hacía bajo un formato de doble columna, algo inédito en la revista. La razón de tanto misterio era que se trataba de un texto sobre alquimia en el que anunciaba, en tono de broma, que había encontrado el mercurio filosofal (la base que convertiría cualquier metal en oro) e invitaba a los miembros de la Sociedad a contactarle para desvelarles el secreto. Uno de los miembros más destacados, Isaac Newton, le contestó. Mediante una carta, instó a Henry Oldenburg a que trataran un descubrimiento de tal calibre con suma discreción, pues aunque de gran potencial, podía ocasionar daños incalculables si caía en manos equivocadas, algo que Boyle ya había contemplado en otras ocasiones.
El interés de Boyle por la alquimia se había intensificado en esa época, aunque no era nada nuevo, pues en el propio artículo comenta que el mercurio fue adquirido en tomo a 1652 a George Starkey. Desafortunadamente, se ha perdido mucha información sobre esta faceta de Boyle, pues Thomas Birch y Henry Miles, preocupados por su reputación científica, destruyeron gran parte del material en el siglo XVIII. Tan solo sobreviven algunos documentos dispersos. Nos han llegado evidencias de los intentos de Boyle por aprender operaciones alquímicas. En este sentido, entre los papeles de Robert se da una «Información recogida del Embajador Imperial y miembros de su séquito sobre la transmutación del oro, realizada por J. W. Seiler». Boyle ya había oído hablar de él en 1675 y pudieron reunirse en 1677.
Sin embargo, hay un conjunto de cartas que no pasaron por la mano de los censores, pues estaban en francés, y que nos han dado la oportunidad de conocer una singular conexión con el extraño Georges Pierre. Las respuestas de Boyle se han perdido, pero deben de haber sido profusas, pues Pierre, que escribía unas 1400 palabras por carta, dice en una de las suyas que una de las respuestas de Boyle era muy larga. Parece que se conocieron en el verano de 1677 durante una visita de Pierre a Londres. Su reunión se describe en una misiva que Pierre escribió a un tal Georges Mesnillet, a quien se refiere como el «Patriarca de Antioquía», y de la que le envió una copia a Robert. A partir de aquí entra en un extraño mundo vía epistolar durante los doce meses siguientes. Al parecer, Pierre había sido elegido como el «agente del patriarca» en el enlace con Boyle, por ser candidato a convertirse en miembro de un selecto club de adeptos a la alquimia, que incluía a expertos en el tema de Francia, Italia, Polonia e incluso China.
Boyle debía ofrecer pruebas de sus conocimientos alquímicos para poder ser calificado. Con este fin enrió algunas recetas y eso le permitió quedar al tanto de los más íntimos secretos de la extraña sociedad. Teóricamente debería haber asistido a una cábala al química en Francia para aceptar la iniciación en persona, pero Pierre lo sustituyó.
Boyle enrió todo tipo de regalos a Pierre para demostrarle sus buenas intenciones, entre los que se encontraban microscopios, telescopios y relojes de péndulo, entre otros. Por su parte, Pierre le enrió elaborados informes con las actividades realizadas por los miembros de la cábala, entre ellas la producción de mi homúnculo en un frasco de vidrio.
Sin embargo, Boyle comenzó a desconfiar de estas cartas y sus sospechas se confirmaron cuando en septiembre de 1678 contactó con un amigo de Pierre. El «agente» decía que iba a recorrer grandes distancias en nombre del patriarca, pero en realidad no había estado muy lejos de su casa, donde permanecía bajo orden de arresto. Puede sorprender que Boyle confiara tanto tiempo en este sujeto, pues estaba perfectamente enterado de los fraudes que había en torno a la práctica alquímica. Y no es que Robert no insistiera en pedir una información más detallada sobre las prácticas que realizaba, pero Pierre era todo un maestro en el arte de dar largas.
Joseph Glanvill (1636-1680)Joseph Glanvill, apodado el Divino, fue un clérigo inglés que investigó el mundo sobrenatural. Boyle mantuvo correspondencia con Glanvill en su época de Londres, desde finales de 1677 hasta comienzos de 1678. En sus cartas, Robert volvía a recalcar el importante papel del testigo para darle veracidad a los experimentos. Para ello pone como ejemplo el testimonio fiable de la transmutación de Seiler.
Grabado que representa la historia bíblica de Saúl, primer rey de Israel, y la bruja de Endor, frontispicio de la obra de Glanvill Sadducismus Triumphatus.La relación epistolar con Glanvill viene a colación porque Boyle demandaba que los casos sobrenaturales, al igual que los naturales, debían ser «totalmente probados y debidamente argumentados». Sin embargo, mostró una gran ingenuidad en su programa de testigos, pues en ocasiones pasó por alto que estos podrían estar equivocados, enajenados mentalmente o ser víctimas de algún tipo de falacia o error cognitivo (falsa memoria, abstracción selectiva, argumento ad consequentiam, etc.). O simplemente que se tratara de un farsante. El testimonio personal no tiene en la actualidad ningún valor en las pruebas experimentales, si estas no pueden repetirse de forma controlada. Confundió así anécdota con hecho: ambos formaron parte de su concepto de «hecho objetivo». Glanvill recogió un catálogo de casos de brujas con poderes sobrenaturales malignos que se publicaron de forma póstuma en el libro Sadducismus Triumphatus (1681).
De hecho, Boyle fue tan solo una de sus muchas víctimas. Sus cartas estaban repletas de hechos y personajes verosímiles que podían despistar a cualquiera. Incluso supo jugar la caita de la adulación: mostró un profundo interés por los logros intelectuales de Robert, alabó su humildad y filantropía, y le preguntaba asiduamente por su delicada salud.
Se desconoce el destino final de Georges Pierre, En cualquier caso, parece que el episodio no alejó a Boyle de la alquimia. Estuvo trabajando en un diálogo sobre la transmutación y mejoramiento de los metales, pero solo han sobrevivido algunos fragmentos entre sus papeles. Un breve fragmento fue publicado en 1678 en formato de panfleto, bajo el título «Sobre la degradación del oro, hecho con un anti-elixir una extraña narración química». Y así es, se trata de un trabajo muy extraño en el que contaba que había reducido oro a un metal básico no identificado mediante la acción de un polvo rojo que había recibido de un visitante en Londres, que perfectamente podría haber sido Pierre.
Obviamente, Boyle no se interesó por la alquimia solo durante la década de 1670. Uno de sus nuevos intereses fue el estudio del fósforo, que consiguió a través de un visitante extranjero. Primero escribió una pequeña anotación sobre las propiedades de las que había sido testigo y posteriormente lo convirtió en libro. Poco después, en septiembre de 1677, Johann Daniel Kraft le mostró más muestras de fósforo, una sustancia sumamente interesante, pues parecía estallar y ser visible en la oscuridad. En ese momento Kraft estaba involucrado en un negocio en Ámsterdam con el empresario alemán Johan Joachim Becher, quien casualmente publicaría una nota sobre la transmutación alquímica de J. W. Seiler. Convergían así dos mundos divergentes, el del mundo arcano de la alquimia y el mundo público de la ciencia, pues Boyle divulgaría la nueva sustancia en Philosophical Transactions. Su fascinación por el fósforo le venía de un previo interés por los objetos luminiscentes. Las anotaciones iniciales fueron publicadas por Robert Hooke en el libro Colecciones filosóficas (1677).
Para describir los fenómenos de luminiscencia Boyle usó la palabra latina noctiluca, que significa «que brilla por la noche», y dividió sus especies en noctilucas sólidas y noctilucas líquidas. Él mismo obtuvo dos por destilación: noctiluca helada y noctiluca aérea. La «helada», denominada así por su apariencia cerosa y blanquecina, era el fósforo blanco. Produjo la suficiente cantidad como para poder estudiar muchas de sus propiedades, que acabó incluyendo en sus libros La noctiluca aérea (Aerial Noctiluca, 1680) y Nuevos experimentos y observaciones, hechos bajo noctiluca helada (ley Noctiluca, 1682), ambos dedicados a su amigo John Beale de Yeovil, el principal autor de los trabajos de luminiscencia en Philosophi.cal Transactions, además de Boyle. El 30 de septiembre de 1680 depositó en la Royal Society un método para extraer fósforo de la orina humana. Había salvaguardado el documento con tres sellos, uno propio y dos de los cuatro testigos de la entrega. El documento se abrió tras su muerte y se publicó en el número de enero de 1693 de Philosophical Transactions, aunque el propio Boyle ya lo había incluido en La noctiluca aérea.
Dado que la actividad de Boyle había decaído, fue Frederick Slare, su principal asistente de laboratorio, el que presentó los experimentos relacionados con el fósforo. En una de las presentaciones escribió las palabras Vivat Rex Carolas («Viva el rey Carlos») con sustancia luminiscente. Fue en agosto de 1681 y estaba presente John Evelyn, quien dejó escrito en su diario que se trataba de un «extraordinario experimento», y no dejó de sorprenderse, pues también estuvo presente en los experimentos de luminiscencia dentro de la bomba de vacío en febrero de 1682.
El estudio del fósforo coincidió con una revisión de los experimentos sobre el aire. Estos experimentos le sirvieron también para introducir mejoras significativas en su bomba de aire y publicó una Segunda continuación al Resorte del aire, en 1682. En esta ocasión había colaborado con el francés Denis Papin, quien había trabajado con Huygens. En esta obra Boyle incluyó una lista de sus escritos, cada vez más preocupado por defender su propiedad intelectual. Tanto es así que en Cualidades mecánicas (1675-1676) acusó a William Salmón por citar sus experimentos sobre el color sin su conocimiento, así como al filósofo J. B. du Hamel.

Grabado que muestra a Robert Boyle (a la derecha) y a su ayudante Denis Papin discutiendo sobre sus experimentos con la bomba de aire en 1675.
Pero lo que realmente le irritó fue el caso de Samuel Tournes, que en 1677 reeditó algunas de sus obras en latín sin su consentimiento. Si bien es verdad que no se puede dudar de las buenas intenciones de Tournes, hasta el más mediocre de los escritores estaría furioso, como de hecho se mostró Boyle.

Retrato de Robert Boyle pintado hada 1689 por el pintor alemán Johann Kerseboom.
En el mismo año Henry Oldenburg publicó una áspera noticia en la que criticaba la publicación, pues la consideraba incompleta e incorrecta. Faltaba, por ejemplo, El origen de las formas y las cualidades (lo incluyó en la edición de 1687), además de que no se habían ordenado según su cronología.

Vista aérea del St James Palace en 1715, zona donde se ubicaba la casa de la hermana de Robert Boyle y donde él vivió hasta su muerte, en 1691.
En la Segunda continuación reiteró Boyle su hostilidad hacia esta publicación y continuó publicando listas con el orden cronológico de sus libros.
§. La química aplicada
En el capítulo anterior ya se mencionó que Boyle quiso darle una interpretación corpuscular a lo que venían haciendo los alquimistas. Y cabe también recordar que Paracelso fundó la iatroquímica, una disciplina que trataba de aplicar la química a la medicina. Estos químicos-médicos del siglo XVII son precisamente los antecedentes prácticos de la química. Y aunque Boyle defendía la independencia de la química (en realidad como una rama de la física a través del corpuscularismo), también aplicó sus conocimientos experimentales al estudio de la medicina. Estos conocimientos venían acompañados por los equipos instrumentales que había venido utilizando desde la instalación de su primer laboratorio. Merece la pena realizar un inciso para acercamos a los instrumentos utilizados por Boyle y formarnos así un contexto histórico adecuado.
En el siglo XVII ya se contaba con algunos aparatos de medida y observación a los que Boyle pudo acceder sin demasiados problemas: termoscopios, termómetros de alcohol, barómetros, péndulos, balanzas, relojes de agua, anemómetros, higrómetros y, por supuesto, bombas de aire. Por otra parte, se habían popularizado dos instrumentos fundamentales en la práctica química: los aparatos de destilación y los hornos. Boyle no solo usó estos dos para sus experiencias químicas generales, sino que también supo aplicarlos en la destilación de la sangre, cuyo producto era sangre seca, que él sometía a calcinación y combustión.
En términos actuales, la destilación consiste en separar líquidos de una mezcla homogénea o disolución (como la sangre) aprovechando los distintos puntos de ebullición. Por ejemplo, si un vaso se rellena con alcohol y agua en las mismas proporciones y se calienta lentamente, primero se evaporará el alcohol (78 ºC) y luego el agua (100 ºC). Pero en un proceso de destilación no se deja escapar la sustancia evaporada, sino que se licúa y se recoge en algún recipiente. En definitiva, al final obtendríamos el agua por un lado y el alcohol por otro. El aparato de destilación más antiguo es la retorta, una botella con el cuello curvo que se estrecha hacia abajo para hacer caer las gotas de la sustancia condensada.
Se le comunicaba calor por medio de un homo y el destilado se licuaba sobre un recipiente receptor llamado redoma. En el siglo XVI, por ejemplo, se extrajo el ácido acético a partir del vinagre con aparatos de destilación muy perfeccionados.
El conjunto de los instrumentos que formaban el aparato de destilación fue denominado por los árabes al-inbiq, de ahí la denominación actual: alambique. Los que utilizaba Boyle constaban de tres partes: un matraz de fondo redondo (donde se ponía la sustancia a destilar), la cabeza de destilación (donde comienza la condensación de la sustancia evaporada) y una serie de tubos por donde se hacía circular el vapor condensado. Entre las múltiples técnicas de destilación existentes en la actualidad, Boyle utilizó la llamada destilación simple, aunque con su bomba de aire podría haber realizado la destilación al vacío para conseguir mejores resultados.
Boyle consideró el trabajo de laboratorio esencial para la práctica médica. Afirmaba que muchos remedios eran más perjudiciales que beneficiosos, entre los que incluyó en especial las terapias de sangría y purgados. Afortunadamente, ha llegado a nuestros días un manuscrito de la época de Oxford en el que ataca la práctica médica ortodoxa del momento: Consideraciones y dudas sobre los métodos vulgares de la medicina. Sin embargo, tras escribir este texto aparcó el tema hasta bien entrada la década de 1680, tal vez para evitar posibles disputas con médicos de renombre de su entorno. Optó por publicar tratados en los que mostrar los métodos de la filosofía natural y explicar lo que observaba en base al corpuscularismo, experiencias que podrían tener un uso efectivo en un contexto médico.
En 1684 publicó el primer trabajo en esta línea: Ensayos para una historia natural de la sangre humana, del que trataremos en un epígrafe posterior. En 1690 publicó Medicina Hidrostática, donde afirmaba que la medicina galénica había fallado al examinar la materia médica y le concedía un papel importante al uso de la gravedad específica (densidad) para establecer la naturaleza y pureza de fluidos, minerales y demás sustancias.
En esta misma línea de interés por la medicina también se puede incluir su inclinación por la salud en general. Un trabajo muy relevante en estos últimos años de su vida sería Memorias para la historia natural experimental de aguas minerales (1685). Ya había presentado sus investigaciones sobre aguas minerales en una reunión de la Royal Society en julio de 1664, y su interés estaba relacionado con su inclinación por el estudio de la mineralogía y la petrificación. Esta obra parecía reflejar la apariencia de un libro sobre baños y manantiales médicos de Inglaterra que el médico inglés Martin Lister había recogido en un libro de 1682, así como de un trabajo similar- del francés Samuel Cottereau du Clos traducido al inglés en 1684. También William Petty había publicado un artículo en Philosophical Transactions en el mismo año.
«Vuestras historias naturales son irrefutables y suministrarán los mejores cimientos sobre los que construir hipótesis.»
Ralph Cudwohrth, filósofo inglés en una carta a Robert Boyle en octubre de 1684.
El libro de Boyle respondía a su programa baconiano de redacción de «títulos» para guiar la investigación científica a través del análisis de aguas medicinales y de las fuentes geológicas de dichas aguas. Para ello propone el uso de indicadores de color, la destilación y la precipitación. Boyle declaró delante de varias personas que el agua de un manantial de Finsbury era la de mejor dureza, la mejor agua medicinal ferruginosa en las afueras de Londres. El propio Boyle designó la casa como The London Spaw y su propietario, John Halhed, no dudó en aprovechar el gancho publicitario de las palabras del «eminente sabio y gran experimentado filósofo, químico y médico, el honorable Robert Boyle» para imprimir unas hojas anunciando su manantial. En el pie del anuncio escribió: «Los pobres pueden entrar gratis», un lema con el que probablemente Boyle estaría muy de acuerdo.
Los estudios del agua de Boyle fueron más allá de las aplicaciones médicas y se interesó también por el desarrollo tecnológico. Estuvo involucrado muy de cerca en el proyecto de desalinización de aguas, dirigido por su sobrino Robert Fitzgerald, hijo de su hermana Joan Boyle y del conde de Kildare; el propio Boyle jugó un papel de liderazgo en el proyecto y fue el verdadero iniciador del sistema. Anteriormente, en su artículo «Observaciones y experimentos sobre la salinidad del mar», publicado en Philosophical Transactions en 1673, había apuntado que podría obtenerse agua potable a partir de la destilación del agua de mar, lo que sería «muy beneficioso para la navegación y, en consecuencia, para la humanidad». Poco después, en 1675, William Walcot obtenía la primera patente relacionada con la desalinización por el «arte de hacer apta para el uso el agua corrupta, y la del mar convertirla en fresca, clara y sana en grandes cantidades» (La purificación de aguas residuales y otras aguas, de W. J. Dibdin, 1897).
Pero en 1678 Walcot no pudo sacar adelante su proyecto en el Parlamento, por más vigoroso que se mostrara a la hora de defenderlo. No obstante, Boyle había dejado bien claro que un asunto de esta importancia debía ser tratado por un experto en la materia. El 30 de abril de 1683 aparecía anunciado el proyecto en la London Gazzete y la opinión de Boyle animó al rey para dar su aprobación al proyecto. El aparato se podía colocar perfectamente en la cubierta de un barco; en su interior se hervía el agua de mar, y luego se recogía y se trataba el vapor una vez condensado. A pesar del eco que tuvo en varios países y que ha sido recogido en bastantes libros, finalmente el ingenio no gozó del esperado éxito comercial (solo instalaron tres artefactos en once años y medio), tal vez porque quedaban algunos residuos salinos y pronto se mejoraría la técnica.
Como se ha visto a lo largo de este apartado, Boyle se sentía inclinado por la aplicación de la ciencia a la mejora de la vida del ser humano. En concreto, dedicó mucho tiempo a realizar experimentos con fluidos corporales y en especial con la sangre. En las investigaciones que realizó sobre la sangre tuvo mucho que ver su larga experiencia en el laboratorio y sus habilidades con el instrumental, aunque conviene no olvidar que en esa época el conocimiento sobre la sangre ya estaba muy avanzado a raíz de los descubrimientos que se habían producido durante el último siglo. Así que antes de analizar la obra de Boyle al respecto, haremos un breve recorrido por los estudios sobre la sangre en tomo al siglo XVII.
§. La sangre en el siglo XVII
Galeno (130 - ca. 200) había adoptado la teoría de los cuatro humores tras estudiar a Aristóteles y a Hipócrates. Según esta teoría, en el cuerpo conviven cuatro humores (fluidos orgánicos) en proporciones variables; los problemas de salud en la persona son una manifestación del desequilibrio entre estas proporciones. Los cuatro humores eran la sangre (caliente y húmeda), la flema (fría y húmeda), la bilis amarilla (caliente y seca) y la bilis negra (fría y seca). En el siglo XVII todavía se realizaban prácticas terapéuticas basadas en la falta de equilibrio entre los cuatro humores, como la sangría terapéutica.
El propio Hipócrates había recomendado la sangría cerca del órgano enfermo con el fin de eliminar el exceso de humores (efecto derivativo) o en otro lugar del cuerpo para evitar la diseminación (efecto revulsivo). La sangría derivativa solía realizarse con sanguijuelas o con ventosas, mientras que la revulsiva, también llamada flebotomía, se practicaba con un bisturí. Galeno advirtió del peligro de extraer demasiada sangre, pues ello podría llevar a la muerte. Durante la época en la que vivió Boyle esta práctica alcanzó su máximo exponente, tanto es así que, por ejemplo, Luis XIII recibió en un año cuarenta y siete sangrías. En este contexto, no es de extrañar pues que Boyle consiguiera su materia prima a partir de aplicar sangrías, aunque no terminase de aceptarlas como terapia médica.
Según la fisiología de Galeno, la ingestión de alimentos daba lugar a los cuatro humores, a través de tres digestiones. La digestión primaria tiene lugar en el estómago, donde se obtienen alimentos purificados que se dirigen hacia el hígado, órgano en el que experimentan la segunda digestión, que dará lugar a los cuatro humores. Los restos de la digestión primaria son las heces, y los de la digestión secundaria, la orina. La sangre venosa se dirige desde el hígado al corazón y pasaría desde el ventrículo derecho al izquierdo a través de unos supuestos poros donde se propicia el intercambio de gases, pues se mezcla con el aire que viene de la tráquea. Desde el ventrículo izquierdo la sangre vital es transportada por las arterias y lleva el calor a todos los tejidos, donde se enfría y se coagula transformándose en las distintas partes del cuerpo. A esto último lo llamó Galeno tercera digestión, y su residuo sería el sudor, los pelos y las uñas. Por muy imaginativa que parezca la fisiología galénica, lo que más debe llamar la atención es que la sangre no retoma al corazón, es decir, sigue un flujo continuo.
Desde Galeno en el siglo 11 hasta el siglo XVII no se dieron muchos avances en el conocimiento de la sangre, pues su fisiología se consideraba toda una institución. Serían J. van Home y T. Bartholin quienes establecieron que la generación de sangre se producía en el corazón, no en el hígado. Por otra parte, Marcelo Malpighi, el primer italiano miembro de la Royal Society, descubría los capilares, unas comunicaciones microscópicas entre los vasos arteriales y los vasos venosos. Estas dos nuevas ideas hicieron abandonar la idea galénica para llevar las investigaciones hacia un circuito cerrado de la sangre en el que esta está en movimiento continuo gracias a las contracciones del corazón. También se centró el interés en desentrañar la composición de la sangre y se desencadenó una carrera por intentar descifrar cuáles eran los componentes de dicho fluido.
Pero realmente la verdadera revolución vendría de la mano del médico inglés William Harvey (1578-1657). En 1628 publicó su obra Exercitatio Anatómica de Motu Cordis et Sanguinis in Animalibus, libro en el que cambia la concepción sobre la circulación de la sangre y su composición, además de establecer con acierto que la única función del corazón es bombear la sangre. Se anticipó a Harvey el teólogo y científico español Miguel Servet (1509-1553), que describió por primera vez la circulación sanguínea pulmonar en Christianismi Restitutio (1553), y que fue condenado y ejecutado en Ginebra por negar la Trinidad y defender el bautismo en la edad adulta. En el capítulo VII de su obra, Harvey describe del siguiente modo la función de la circulación de la sangre:
El movimiento de la sangre nutre, da calor y vigoriza todas las partes, al llevarles sangre más caliente, más perfecta, más vaporosa y espirituosa y aun diría yo, más alimentaria. En las partes (órganos) sucede lo contrario; la sangre se enfría, se espesa, y por decirlo así, tiene que volver al principio, o sea el corazón, al cual regresa como a la fuente u hogar del cuerpo, para recuperarse. Allí, por el calor natural, potente cuanto impetuoso tesoro de vida, vuelve a licuarse y a preñarse de espíritus (que es como si dijésemos de un bálsamo), para volver a ser distribuida.
Como vemos, pues, en los años que Boyle realizaba experimentos ya se había avanzado bastante con respecto a la concepción galénica y se estaban llevando a cabo fructíferas investigaciones. Aun así, quedaba mucho por saber sobre la sangre, al menos desde nuestra perspectiva actual. No se entendía bien cómo se coagulaba la sangre y por qué lo hacía. Tanto Hipócrates como Aristóteles habían explicado la coagulación mediante solidificación por enfriamiento; Galeno pensaba que al alejarse la sangre del corazón perdía su calor interno, e incluso Harvey defendía que la sangre debía regresar al corazón para poder licuarse por medio del calor innato. Harvey afirmaba también que la fuerza vital que mantiene la sangre líquida se evapora en las extracciones, por eso se coagula fuera de los vasos sanguíneos. Uno de los problemas principales es que el poco conocimiento que se tenía en la época sobre este asunto provenía de los cadáveres. Pero será Malpighi quien observe por primera vez la fibrina, que él hace responsable de los coágulos, tal como cuenta en De Viseen mi structvra exerxitatio anatómica (1666). No iba demasiado desencaminado; aunque la coagulación es un proceso muy complejo en el que hay una serie de reacciones con más de diez proteínas, es el fibrinógeno el que produce la coagulación cuando se vuelve insoluble, formando precisamente la fibrina.
Otro aspecto sobre la sangre que se venía tratando en el siglo XVII era el de las transfusiones sanguíneas. En 1666, Boyle había realizado transfusiones entre dos perros. En humanos era un tema muy delicado y complejo que trajo más de mi disgusto. La primera transfusión de sangre documentada data del 15 de junio de 1667, obra del médico francés Jean-Baptiste Denys a un joven de quince años y repitió luego con un trabajador. Si sobrevivieron a la reacción alérgica (el ser humano solo tolera la sangre humana y de su grupo o afín) se debe a la pequeña cantidad de sangre administrada.
Transfusiones sanguíneasEn la época de Boyle, las transfusiones sanguíneas fueron un tema de gran controversia. Por un lado, habían dado problemas de todo tipo y, por otro, se estaba desarrollando una Investigación médica basada en la experimentación. Las transfusiones sanguíneas seguras no vendrían hasta que se descubrieran los grupos de sangre mayoritarios, junto con sus antígenos (sistema ABO), así como el factor RH (+/-). Dependiendo de las combinaciones que presente una persona, podrá donar o recibir sangre de unas combinaciones concretas, tal como aparece en la tabla siguiente. Puede verse que AB+ es el receptor universal, mientras que O- es el donante universal.
El problema vino cuando murió un paciente llamado Antoine Mauro y tras realizarle varias transfusiones, pues Denys fue acusado de asesinato. Sin embargo, quedó absuelto cuando se demostró que la esposa del paciente lo había envenenado con arsénico. Aun así, Denys acabó abandonando la práctica médica. En cualquier caso, las transfusiones de sangre animal a humana quedaron prohibidas desde 1670 por su demostrada inviabilidad. Y en 1902, Karl Landsteiner descubrió finalmente los cuatro tipos de sangre humana, un aspecto fundamental para que las transfusiones sean seguras.
§. El estudio de la sangre de Boyle
El trabajo principal de Boyle en el terreno de la medicina es Ensayos para una historia natural de la sangre humana, publicado en 1684. En este libro se exponen más de medio centenar de experimentos en los que se exploran las propiedades físico-químicas de la sangre y sus compuestos. La obra está dedicada a John Locke. Siguiendo su técnica de encabezamientos o títulos, establece aquí una división entre títulos de primer orden y, subordinados a estos, los de segundo orden. La obra se divide en cuatro partes, a las que hay que añadir un apéndice, un post-scriptum y unas páginas finales a modo de conclusión.
En el prefacio comienza con su habitual estilo de investigación: dice que tal vez se equivoque, pero es posible que «todo lo que se sabe hasta ahora sobre la sangre humana es todavía defectuoso e incompleto y se basa más en observaciones que en experimentos». Al realizar esta afirmación no quiere defender que los estudiosos en la sangre no realizaran observaciones, sino que las que se realizaban estaban más en la línea de investigación de «los fenómenos que la propia naturaleza proporcionó espontáneamente», es decir, no se violenta la naturaleza con situaciones artificiales.
Si bien no es cierto al completo, pues ya se habían efectuado algunas experiencias importantes, sí es verdad que la dinámica común no era proceder a investigar la sangre mediante análisis químico. Muy claramente Boyle delimita los límites de su estudio; ni se refiere a cómo se genera la sangre ni a cómo es la sangre dentro de las vías sanguíneas: «He decidido escribir sobre este líquido plena e íntegramente elaborado, pero sin estar encerrado en las venas de los seres vivos». Es una muestra clara del concepto de historia natural baconiana a la que se llega por experimentos exploratorios, o sea, se propone fabricar los hechos. Su objetivo es confeccionar un catálogo de las propiedades de la sangre, sin una aplicación médica inmediata.
Es decir, se trata de un paso previo necesario para comprender cómo funciona la sangre dentro de los seres vivos. Incluso aclara que solo ha usado la sangre proveniente de cuerpos sanos, pues antes de estudiar problemas en los cuerpos enfermos hay que saber cómo es la composición sana para establecer las oportunas comparaciones.
Conservar la sangrePara Boyle fue motivo de preocupación la conservación de todo tipo de sustancias. Por ejemplo, indagó con la bomba de aire para conservar alimentos. Con el título número doce invitaba al estudio de líquidos que sirvieran para la conservación de la sangre humana, pues una vez salía del cuerpo se coagulaba con rapidez.
Fotografía de la primera transfusión de sangre conservada con citrato de sodio, realizada en el hospital Rawson. Buenos Aires (Argentina). Agote es el segundo por la derecha.Este hecho resultó ser de gran importancia para las transfusiones, especialmente para poder realizar transfusiones diferidas. El médico argentino Luis Agote (1868-1954) descubrió que el citrato de sodio evitaba la formación de coágulos y era eliminado por el cuerpo sin producir daños. La primera prueba tuvo lugar en noviembre de 1914 y fue el comienzo de una nueva época que iniciaría la era de los bancos de sangre. Esta técnica también fue hallada de manera independiente muy poco tiempo después por el médico belga Albert Hustin (1882-1967).
Así, «el esquema de los títulos que se refieren a la sangre sana podrá proporcionar luz a quien quiera escribir la historia de la sangre malsana y deteriorada». El final del epígrafe anterior ejemplifica esta idea de Boyle: hasta que no se identificaron los grupos sanguíneos no se pudieron realizar transfusiones válidas y seguras.
En la primera parte se establece el catálogo de títulos de primer orden o clase de la historia de la sangre humana, «que se le ocurren a uno fácilmente y enseguida al contemplar por primera vez un tema que ha de tratarse de manera general». Se ha hablado durante toda esta biografía de los encabezamientos o títulos y su importancia en las historias naturales. Recordemos que no son más que unas líneas a seguir para poder investigar una historia natural concreta. Es interesante utilizar el caso del libro de la sangre para transcribir los títulos de primer orden que aparecen en la primera parte:
- Sobre los colores de la sangre humana arterial y venosa.
- Sobre los olores de la sangre humana y su sabor.
- Sobre el calor de la sangre humana recién salida de la vena.
- Sobre la inflamabilidad y otras cualidades de la sangre humana.
- Sobre las partículas de aire mezcladas de forma natural con la sangre humana y halladas también en sus distintas partes.
- Sobre el peso específico de la sangre humana entera.
- Sobre el peso específico de las dos partes evidentes de la sangre humana, la roja (fibrosa) y la serosa
- Sobre la consistencia de la sangre humana completa.
- Sobre la tendencia de la sangre humana a la coagulación y el tiempo que requiere para dicho proceso.
- Sobre los líquidos y las sales que coagulan la sangre humana
- Sobre los líquidos y las sales que impiden la disolución de la sangre humana y los que la disuelven una vez coagulada.
- Sobre los líquidos, etcétera, que conservan la sangre humana.
- Sobre las mezclas de la sangre humana originadas por los alimentos.
- Sobre la descomposición espontánea o natural de la sangre humana en partes serosas y fibrosas.
- Sobre la diferente cantidad de la parte serosa y fibrosa de la sangre humana.
- Sobre las diferencias entre las proporciones serosas de la parte roja de la sangre humana.
- Sobre el análisis artificial y químico de la sangre humana, y, en primer término, de los espíritus.
- Sobre la sal volátil de la sangre humana y su configuración.
- Sobre la flema destilada de la sangre humana.
- Sobre los dos aceites de la sangre humana.
- Sobre la sal que se ha fijado en la sangre humana.
- Sobre la tetra damnata de la sangre humana.
- Sobre la proporción de las diferentes sustancias extraídas químicamente de la sangre humana.
- Sobre la fermentación o putrefacción de la sangre humana y sus fenómenos.
- Sobre los usos mecánicos de la sangre humana, como la agricultura, etcétera.
- Sobre los usos médicos de la sangre humana,
- Sobre los usos químicos de la sangre humana.
- Sobre las diferencias de la sangre humana en sujetos de temperamento distinto y en diversas circunstancias, como hombres, mujeres cuando menstrúan y cuando no, niños, moros, negros, etcétera,
- Sobre la afinidad y la diferencia entre la sangre de los hombres y la de distintos animales, como cuadrúpedos, aves, peces e insectos de sangre.
Boyle es plenamente consciente de que su propuesta es ambiciosa y reconoce que estos títulos pueden sufrir mejoras y agregados, y que su completo estudio puede llevar vatios siglos, como de hecho se vio después. En la primera parte Boyle afirma también que ha establecido títulos para otros fluidos humanos (saliva, jugo pancreático, linfa, leche, etc.) y expone como ejemplo los títulos de primera clase de la historia natural de la orina humana. En estos títulos, de cuya transcripción prescindimos, se puede apreciar un paralelismo con los de la sangre, pues se lanza la propuesta del estudio de los colores, sabores, olores, peso específico, temperatura y todo tipo de análisis químicos.
En definitiva, la técnica de los títulos alienta a los investigadores a seguir caminos y pueden entenderse como un precedente a la súper especialización científica actual dentro de disciplinas ya especializadas por sí mismas.
Igual que ocurría con El químico escéptico, en los ensayos sobre la sangre persisten visibles lagunas internas. En palabras del propio autor:
Soy consciente de lo inacabado de esta rapsodia que recoge notas incoherentes de épocas diversas y sin que hayan sido todas ellas redactadas de una tirada.
No debe extrañar, por tanto, que en la segunda parte del tratado no se estudien los veintinueve títulos propuestos. Se citan algunos de los títulos primarios y se exponen uno o varios experimentos relacionados, que en ocasiones son simples observaciones. Así, solo hace referencia a nueve de los títulos, además de incluir un apéndice dedicado exclusivamente a otro de ellos. Pueden trazarse algunas de sus observaciones y experimentos:
Título cuarto. En los primeros cuatro experimentos trata el cambio de temperatura de la sangre al ser extraída del cuerpo humano. Probó que la temperatura de la sangre es superior a la del cuerpo y que se enfría al extraerse, como de hecho ocurre (en los vasos sanguíneos es de 38 ºC).
Título quinto. El aceite que se obtiene por destilación de la sangre es inflamable.
Título sexto. La medida del peso específico (densidad) de la sangre es muy compleja, debido a la rapidez con que se coagula una vez sacada del cuerpo. Además, depende del individuo, e incluso extracciones en un mismo individuo en días distintos arrojan resultados diferentes. Determinó que la densidad de la sangre es veinticinco veces mayor que la del agua, una cifra demasiado elevada. En realidad, la densidad del agua es de 1000 g/l y la de la sangre oscila entre los 1050 y 1060 g/l, dependiendo de la edad, sexo y otros factores.
Título decimonoveno. Aquí realiza siete experimentos relacionados con lo que se denominaba sal volátil, que hoy recibe el nombre de carbonato de amonio (NH4HCO3). El término sal volátil proviene del hecho de que el carbonato de amonio se descompone en óxido de carbono (IV) y amoniaco, ambos gases. Comprobó que al disolver la sal volátil en sangre se producía un descenso térmico, lo cual indica que se ha producido un proceso endotérmico. Por otra parte, al mezclar la sangre con el espíritu de nitro fuerte (ácido nítrico, HNO3) se produce un proceso exotérmico.
Título vigésimo primero. Observa los colores y determina los pesos específicos de diversos aceites extraídos de la sangre. Este punto es muy importante porque usa por primera vez el jarabe de violetas como indicador ácido-base: aparece ya como una técnica madura. Luego lo menciona en más ocasiones a lo largo del libro.
Como se ha visto, en esta apuesta Boyle se decanta con claridad por las descripciones, no por las interpretaciones, mostrando total coherencia con la objetividad de su programa de confección de historias naturales.
Debido a los límites evidentes de nuestra biografía, no podemos analizar todo el magnífico ensayo de Boyle, así que sobre la tercera parte se harán breves comentarios. Consta de diecisiete experimentos referentes a los títulos decimosexto y decimoséptimo, uno dedicado a la orina y el resto al estudio de las dos partes que componen la sangre enfriada y en reposo, la fluida y la serosa. Entre otros temas, realiza varios experimentos para investigar la coagulación.
Quizá sea más interesante el insistente uso del jarabe de violeta para detectar ácidos y álcalis. En este sentido, explica que en una de sus experiencias mezcló el suero de la sangre con limaduras de cobre y «al cabo de un día cogió un color profundamente azul». Pero al agregar el jarabe de violeta vio que tornaba a verde, ante lo cual concluyó que eran las partículas de la sal volátil del líquido las que producían el color azul (las disoluciones que contienen cationes Cu2+ presentan color azul; por ejemplo, el sulfato de cobre, un conocido alguicida, disuelto en agua presenta ese característico color). Seguimos aquí, por tanto, presentando muestras que sitúan a Boyle como uno de los pioneros no solo del análisis químico, sino de la búsqueda de las relaciones entre la física y la química.
Tal vez la cuarta parte sea la más interesante del tratado que nos ocupa. Consciente, una vez más, de sus limitaciones de tiempo, se centra en el espíritu de la sangre, estableciendo una lista de dieciséis títulos secundarios. Sin embargo, su desarrollo es demasiado concreto y profundo para poder analizarlo aquí.
El color de la sangreNo se equivocaba Boyle en buscar la explicación de los accidentes de la materia en las partículas que la componen, salvando su terminología y precisión.Como tantos en la historia de la medicina, observó que la sangre venosa presentaba un color rojo oscuro, mientras que la sangre arterial mostraba un color rojo escarlata. La razón esté, efectivamente, en la naturaleza íntima de la materia. A Boyle no le falló la intuición al ver que muchos fenómenos químicos podían ser reducidos a procesos físicos.
Como es sabido, los glóbulos rojos son los encargados de transportar el oxígeno por la sangre hasta las distintas partes del cuerpo.
Representación del grupo hemo.La hemoglobina, que forma parte de los glóbulos rojos, está formada por cuatro cadenas polipéptidas, a cada una de las cuales se une un grupo hemo. El centro del grupo hemo lo preside un átomo de hierro doblemente ionizado, es decir, Fe2+. El color rojo característico de la sangre proviene de la radiación reflejada por estos cuatro átomos de hierro en cada grupo hemo, que resalta por encima de todos los átomos que tienen alrededor. Si el grupo hemo captura el oxígeno, formará la oxihemogloblna, la cual tiene un color escarlata (sangre arterial). Sin embargo, al perder el oxígeno (hemoglobina reducida), el color será oscuro (sangre venosa). Algunos animales presentan otras coloraciones en su sangre: ciertos crustáceos contienen hemocianina en su sangre, en vez de hemoglobina, y dentro de ella un átomo de cobre, lo cual le proporciona un característico color dan (azul), de ahí el nombre.
Baste decir que incluso se arriesgó a proponer algunos usos médicos del espíritu de la sangre, lo que deja entrever su faceta iatroquímica por más que quisiese desprenderse de ella Por último, en los experimentos post-scriptum aparece algo que debería sorprender y que poco se ha comentado en los estudios de los aportes científicos de Boyle.
El objetivo de los experimentos de esta parte es, abusando del vocabulario actual, investigar cómo afecta el frío a las disoluciones, obviamente en el contexto de la sangre. En estos experimentos se habla de un hecho que ya se conocía, que para evitar la congelación (descenso crioscópico) se podía proceder introduciendo un soluto en el líquido en cuestión (como se hace en las carreteras con nieve al esparcir sal para que se derrita). En algunos de estos experimentos puede verse incluso un precedente de la ley de Roult.
A modo de resumen, podemos hacer referencia a las principales contribuciones de Boyle al conocimiento de la sangre. Por un lado, mejoró notablemente los procesos de destilación, para conseguir separar al menos tres componentes químicos en la sangre: uno volátil, otro aceitoso y el tercero salino. La segunda aportación es que encontró una relación entre el «espíritu» de la sangre y las partículas del aire. Esta sospecha tiene el precedente de sus estudios en la bomba de aire sobre la necesidad de aire para los organismos vivos. Concluyó que en la combustión y en la respiración existe un mismo componente fundamental.
§. Los últimos años
A medida que Boyle se iba haciendo mayor, más se preocupaba por el legado que había construido. Muchos de sus escritos se habían perdido, debido a la diversidad de amanuenses y ayudantes, a la gran cantidad de temas tratados y a los continuos viajes. En mayo de 1688 incluso llegó a publicar en un periódico un pequeño artículo en el que solicitaba a los lectores que si encontraban alguno de sus escritos los remitieran a su ayudante John Warr. En el mismo año publicó un pequeño panfleto con una lista de recetas médicas que no ha sobrevivido.
Las conferencias de BoyleEl testamento de Boyle fue muy laborioso e Incluso dejó fondos económicos para que cada año se realizaran conferencias sobre cristianismo, en contra de los ateos y los «infieles». Se eligió como primer ponente al filólogo inglés Richard Bentley (1662-1742), que daría su primera conferencia en 1692: «Una refutación del ateísmo a partir del origen y la estructura del mundo». Llegó a impartir un total de siete en los meses siguientes. Gracias a este encargo, Bentley recibió cuatro agradecidas cartas de Isaac Newton, pues el clérigo había utilizado los Principia de Newton y otras disciplinas científicas para defender su refutación del ateísmo. Las conferencias dejaron de celebrarse a finales del siglo XX, aunque fueron restablecidas de nuevo a partir del año 2004 en la iglesia londinense de St Mary-le-Bow.
Se trata de una lista liberada para que fuese utilizada por cualquier persona. Durante toda su vida había perseguido que los remedios médicos fuesen accesibles a toda la población de forma altruista y gratuita. Esta lista de recetas es una estupenda sinopsis de su proyecto de investigación, basado en buscar una mejoría de las condiciones de vida del ser humano, aunque sus motivos fueran religiosos.
Parecía que Boyle sentía que su final se acercaba, así que en 1691 publicó el que sería su último libro, una miscelánea de trabajos de los comienzos de su carrera: Experimentos y observaciones físicas. Trataba de magnetismo, ensayos químicos, cambios de colores y diamantes.
En estos últimos años las visitas a su casa se habían convertido en todo un evento. Pero al afamado aristócrata le empezaba a pesar su activa vida social. Con más de sesenta años, entre las ocupaciones, los negocios, las enfermedades y los visitantes, sentía que se quedaba sin tiempo libre. Así que decidió establecer un horario de visitas que colgó en un tablero en su puerta (sobrevivió hasta 1740): solo recibiría las mañanas de los jueves y los viernes, además de las tardes de los miércoles y los sábados. Como si supiera que pronto iba a llegar su final, puso todos sus asuntos en orden en el verano de 1691. En junio de ese año tuvo una serie de entrevistas con Gilbert Burnet, obispo de Salisbury, y con Edward Stiltingfleet, obispo de Worcester. Gracias a estos encuentros y a las anotaciones posteriores de John Warr han llegado hasta nosotros los documentos más completos sobre el estado de la consciencia de Boyle en toda su vida. En julio del mismo año volvió a elaborar uno de sus escritos filosóficos, el más detallado de todos los que había realizado. Esta lista sería la base de la edición de sus Trabajos en 1744 por Thomas Birch. En septiembre realizó un inventario de sus escritos, conocido en la actualidad como los Papeles de Boyle (Boyle Papers). El inventario contenía cajas, bolsas, estanterías con rollos de papeles, carpetas y manuscritos.
El 18 de julio de 1691 escribió sus voluntades, pues su salud estaba muy mermada desde 1689. Dejaba el conjunto de todos SUS papeles a su hermana Katherine, mientras que sus posesiones en Irlanda pasaban a manos de su hermano Richard, el conde de Burlington. Además de una misteriosa campana para cada uno de los otros dos, realizó una serie de legados a familiares y amigos: a su hermano Francis, a Gilbert Burnet, a Robert Hooke, a Edmund King, a su sirviente John Nicholls, a su mayordomo de Stalbridge y a todo un conjunto de amanuenses y ayudantes de laboratorio. Cedió su colección de minerales a la Royal Society. Nombró como albaceas a su hermano Richard, a lady Ranelagh y a John Warr. Sin embargo, lady Ranelagh pereció el 23 de diciembre de 1691, por lo que su colega de la New England Company, sir Henry Ashurst, tomó su puesto.
Tal como parecía esperar Boyle, a finales de 1691 su salud empeoró notablemente. Una carta de octubre a su oculista, Daubeney Turberville, revela que su vista se había visto muy deteriorada en los últimos años: notaba una «fina niebla o un poco de humo» en la percepción de objetos distantes. La muerte de su hermana Katherine el 23 de diciembre no hizo más que acelerar la suya propia: el honorable Robert Boyle moría en la madrugada del 31 de diciembre de 1691. Fue enterrado cerca de su hermana, en St Martin-in-the-Fields, el 7 de enero de 1692, después de un modesto funeral en el que Gilbert Burnet leyó un sermón que cambió algunas percepciones sobre Boyle desde ese mismo momento. Señaló la «sabiduría, conocimientos y alegría» de Robert, se detuvo en el contexto familiar y se explayó en su compromiso religioso, haciendo hincapié en sus donaciones caritativas. También supo señalar adecuadamente su mano experta en las historias naturales y en el descubrimiento de fenómenos naturales de todo tipo.
Bumet supo entender su esencia, un hombre situado entre Dios y la ciencia, un aristócrata que superó la distancia existente entre la herencia de las pseudociencias medievales y el método experimental moderno.
Anexo
Principio fundamental de la hidrostática
La experiencia del tubo de mercurio de Torricelli puede analizarse matemáticamente en base al principio fundamental de la hidrostática, que dice que la presión en el interior de un fluido sigue la siguiente expresión algebraica:
P=d×g×h,
donde d es la densidad del fluido, g la aceleración gravitatoria y h la profundidad del punto donde se desea conocer la presión.
Es sencillo llegar a esta expresión mediante la definición de fuerza-peso, inaccesible para Torricelli y sus contemporáneos:
F = m× g,
donde m es la masa del objeto. Supongamos que tomamos un cilindro imaginario sumergido en un fluido (véase la figura), de altura h y con una base de superficie S. ¿Cuál será el peso de este cilindro imaginario? Para responder necesitamos conocer su masa.

Como los datos son d (densidad del fluido), h (altura) y S (área de la base), a partir de la definición de densidad podemos razonar como sigue para obtener la masa en función de los datos conocidos:

donde se ha tenido en cuenta que el volumen V de un cilindro se calcula como el producto del área de su base (S) por su altura (h). Tan solo nos queda introducir la expresión que hemos encontrado para la masa en la definición anterior de fuerza-peso:

Pero atendiendo a que la definición de presión es fuerza dividida entre la superficie

podemos deducir finalmente que
P = d× g × h.
§. La experiencia de Torricelli
De la expresión obtenida en el apartado anterior es inmediato demostrar los resultados de la experiencia de Torricelli. En primer lugar, es evidente que la presión en un fluido será menor si el punto en el que nos fijamos está más cerca de la superficie. Así, la presión atmosférica en un lugar dependerá de la altura, es decir, a mayor altitud, más cerca estaremos del «borde» de la atmósfera y menor será el factor h en la expresión
P = d× g × h
Apliquemos esta fórmula al tubo de Torricelli, con el fin de calcular la presión en un día normal. De hecho, esto fue lo que hizo: se definió la presión en base a la altura que alcanzaba la columna de mercurio. Fue el primer barómetro de la historia. La densidad del mercurio es de 13 600 kg/m3, la aceleración gravitatoria es de 9,8 m/s2 y la altura a la que Llegaba la columna es de 76 cm. Para averiguar la presión, que mediremos en paséales (Pa), la unidad de presión del Sistema Internacional de Unidades, introduciremos estos valores en la expresión matemática siguiente:

A partir de este dato se define la unidad de presión atmósfera, de tal manera que 1 atm equivale a 1,013 105 Pa.
§. La columna de agua
Con lo visto en los dos apartados anteriores, se puede demostrar que no es posible extraer agua de una bomba a una altura superior a unos diez metros. Los datos de partida son: 1000 kg/m3 (densidad del agua, d), 9,8 m/s2 (aceleración gravitatoria, g) y 1,013×105 Pa (presión atmosférica normal, P).
Si despejamos del principio fundamental de la hidrostática, podemos conseguir una expresión para calcular la altura que tendría una columna de agua en un experimento como el de Torricelli (equivalente a la bomba de agua):

Efectivamente, la columna de agua alcanzaría 10,3 m de altura.
§. Ley de los gases ideales
La ley de Boyle solo es una de las tres leyes de los gases ideales, que se reúnen para constituir la ley de los gases ideales. En todas las leyes entran en juego tres variables: presión (P), temperatura (T) y volumen (V). Hay tres leyes de los gases, y en cada una se mantiene constante una de las variables. En el caso de la ley de Boyle, se mantiene constante la temperatura, aunque él no fuera consciente de ello.
Ley de Boyle-Mariotte (T = cte.): P× V= k1
Ley de Charles (P = cte.): V/T = k2
Ley de Gay-Lussac (V = cte.): V/T = k3
Estas tres leyes se complementan con la ley de Avogadro, que dice que a presión y temperatura constantes, el volumen es directamente proporcional al número de moléculas del gas (n):
y
Ley de Avogadro (P, T = ctes.): V/n = k4
Se puede reunir toda esta información para escribir una sola fórmula, la conocida ecuación de los gases ideales (R es la constante universal de los gases ideales):
P× V = n × R × T.
§. Temperatura de Boyle
Pese a que no fue el propio Boyle quien lo acuñó, este término hace referencia a la temperatura a la que un gas se comporta de manera similar a un gas ideal. La realidad es que los gases ideales no existen, pero sí las condiciones bajo las cuales un gas puede ser tratado como si lo fuese. La ecuación de los gases reales puede expresarse mediante una suma infinita de términos:

Si todos los términos sucesivos a partir de B2(T) (incluido el mismo) son muy pequeños, se recupera la ecuación de los gases ideales, puesto que Vm es el volumen molar (Vm = V/n). Esto ocurre a la denominada temperatura de Boyle, cuya expresión matemática es:

De alguna manera es una forma de homenaje y recuerda a la ley de Hooke. Esta es la ley de elasticidad de un resorte (i cualquier objeto elástico, pero no se cumple para cualquier fuerza; hay un momento en que el material no sigue la ley: a esto se le llama límite de elasticidad. Boyle habló en sus trabajos sobre el «resorte» del aire, pues había comprendido desde un principio la equivalencia. Es más, incluso encontró que su ley de proporción inversa no se cumplía cuando las presiones eran muy elevadas.
- Boyle, R., El químico escéptico, Edición de Javier Ordóñez y Natalia Pérez-Galdós, Barcelona, Crítica, 2012. —Ensayos para una historia natural de la sangre humana, Traducción y estudio preliminar de J. Beltrán Serra, Castellón, Universitat Jaume I, 2011.
- Gamow, G., Biografía de la física, Madrid, Alianza Editorial, 2007.
- Gribbin, J., Historia de la ciencia, 1543-2001, Barcelona, Crítica, 2003.
- Humter, M., Boyle. Between God and Science, Londres, Yale University Press, 2010.
- Shapin, S. y Shaffer, S., El Leviathan y la bomba de vacío, Buenos Aires, Princeton University Press, 1985.
- Solís, C., Robert Boyle. Química, física y filosofía mecánica, Madrid, Alianza Editorial, 1985.








experimentación en el método científico.
ley se establece la relación de dependencia entre una fuerza aplicada a un cuerpo elástico y su estiramiento. Se aplica, por tanto, a cualquier cuerpo que recupera su forma tras ser estirado, como son los resortes, muelles, cuerdas de guitarra, gomas elásticas, globos, etcétera. La ley de Hooke dice que la deformación es directamente proporcional a la fuerza aplicada. Esto significa que si colgamos un peso de 2 kg de un muelle suspendido que cuelgo del techo, este se estirará el doble que si colgamos un peso de 1 kg (véase la figura). La forma en la que Hooke presentó por primera vez el resultado es bastante curiosa: lo anunció en forma de anagrama. Así, escribió en una publicación: «La verdadera teoría de la elasticidad: ceiiinossssttuu». Más tarde, cuando la certeza se lo permitió, daba la solución a su anagrama: «Ut tensio, sic vis» (como la tensión, así es la fuerza).



Ha pasado a la historia por ser el primer astrónomo que recogió datos del tránsito de Mercurio a través del Sol. Adoptó una postura muy equilibrada entre el escepticismo radical y el empirismo de la época, lo que constituyó un ejemplo para Boyle.





