La evolución estelar
Eduardo Battaner López
El siglo XX es el gran siglo de la astrofísica. La irrupción de las mecánicas cuántica y relativista proporcionó nuevas formas de pensar para interpretar los datos y, a su vez, la irrupción de los grandes telescopios proporcionó nuevos datos sobre los que pensar. Y en ese admirable siglo XX muy pocos dudarían en señalar a Chandrasekhar como el gran astrofísico. Sin embargo, fue Chandrasekhar un astrofísico atípico: nunca observó con un telescopio y muy pocas veces, y aun torpemente, usó un ordenador. Leyó mucho y escribió mucho; su cerebro era su herramienta: en su cabeza estaba el universo. Fue atípico no solo como científico, sino también en su vida personal. Era un hindú en América, absolutamente abstemio y absolutamente vegetariano. Su control y aprovechamiento del tiempo eran también excepcionales.
Es tarea difícil escribir una biografía de Chandrasekhar, «Chandra» para los amigos. La razón es que Chandra no hizo más que trabajar. No perdió ni un segundo de su vida, toda ella dedicada a la ciencia. Como consecuencia, no tuvo aventuras, no tuvo desequilibrios, ni siquiera anécdotas. Su aventura era interior, la tensión estaba dentro de su cabeza; su drama era mental. Sus investigaciones sí que eran apasionantes, abordando numerosos temas, en los que partía prácticamente de cero, para abandonarlos completos y perfectos, y pasar a dedicar su atención a otro problema nuevo y distinto. Pero también es difícil transcribir esta vida interior, sus inquietudes científicas y sus logros, porque sus investigaciones fueron extremadamente técnicas.
Las tres etapas de su vida consistieron en unos veinte años en la India, unos seis en Cambridge y el resto entre Yerkes y Chicago. Chandra fue un hindú, que se educó como hindú y que vivió como hindú toda su vida. También es cierto que compatibilizó su educación hindú con la inglesa, no solo en Cambridge, sino también antes, en su propia patria, entonces colonia británica. Sus raíces profundamente hindúes son la clave para acercarse a comprender su personalidad, aunque, como en el caso de todo hombre genial, esta es imposible de definir y encasillar.
Chandra fue distinguido con el premio Nobel, o el premio Nobel fue distinguido con su nombre, por un descubrimiento astrofísico de trascendental importancia: dedujo que había un límite superior para la masa de una estrella enana blanca, lo que ya en su tiempo se denominó límite de Chandrasekhar. En este libro veremos qué es una estrella, qué es una estrella enana blanca, por qué su masa tiene límite y por qué este hallazgo fue tan trascendental.
Sin embargo, lo más notorio no es lo que hizo, sino cómo lo hizo, ya que realizó su descubrimiento durante un trayecto en barco desde la India a Europa, concretamente entre Bombay y Venecia, en tan solo diecinueve días, muchos de los cuales transcurrieron con mar arbolada, por lo que Chandra trabajaba contra viento y marea, entre vómito y vómito. Apenas tenía veinte años. Había sido becado por el Gobierno indio para realizar su tesis en Cambridge y... aprovechó el viaje para hacer un trabajo de premio Nobel. Lo llevó a cabo en 1930 y le dieron el Nobel en 1983, es decir, cincuenta y tres años más tarde. ¿Por qué se tardó tanto en reconocer su mérito?
En Cambridge había un científico veterano, Eddington, que tenía un prestigio podríamos decir que «excesivo». Tenía tanta seguridad en sí mismo e infundía tanto respeto en sus colegas que una cuestión era considerada cierta o falsa según lo que él dictaba. La larga controversia entre Eddington y Chandra es una de las más clásicas, no ya en el mundo de la astrofísica, sino en el de la ciencia en general. A ella será preciso dedicar la atención que requiere, por ser una clara muestra de cómo un enfrentamiento aparentemente estéril puede suponer un avance muy fructífero. Lo que parecía un tropezón acabó siendo un gran salto. En esta controversia resultó vencedor Chandra, y no solo porque la verdad estaba de su parte, sino también por la elegancia humana con que afrontó aquellas circunstancias. Ganaron la ciencia y la humildad, y nadie perdió.
Eddington no solo no supo apreciar el trabajo del joven Chandra, sino que le ridiculizó públicamente y rechazó su idea como falsa en tonos bastante impertinentes. Chandra sufrió lo indecible; precisamente Eddington, a quien él veneraba y quien tanto le había enseñado, era quien le escamoteaba la razón. Su trabajo ni siquiera sería publicado al no contar con la aprobación del gran Eddington.
¿Cuál fue la reacción de Chandra? No se enfangó en una discusión interminable en la que hubiera perdido mucho tiempo, mucha energía y mucha paz de espíritu. Publicó su primer libro, An Introduction to the Study of Stellar Structure, en el que expuso sus ideas, siempre precisas y matemáticamente impecables, y en el que trataba también el límite de la masa de las enanas blancas. Se dedicó a otros trabaos muy diferentes, trató con respeto y educación a Eddington y terminaron siendo buenos amigos. Ni uno ni otro cedieron en sus opiniones contrapuestas hasta la muerte del veterano profesor, pero Chandra respondió con estoicismo hindú y, en 1983, escribió un artículo de carácter biográfico con el asombroso título de «Eddington: el astrofísico más distinguido de su tiempo».
Como las estrellas enanas blancas eran un objetivo astronómico, puede decirse que su premio Nobel fue otorgado por su contribución a la astronomía. Pero, paradójicamente, Chandra no quería hacer astronomía, ni siquiera astrofísica, en el sentido de aportar teoría física a la observación astronómica Él quería dedicarse a la física. Era el gran astrónomo que no quería ser astrónomo. Y poco a poco fue desplazándose hacia la física pura hasta dedicarse a ella por completo. Vivió una buena parte de su vida en un observatorio, el de Yerkes, sin que tuviera la más mínima intención de aplicar su ojo al ocular. Era un astrónomo sin telescopio.
Él sabía que su contribución a la ciencia estaba en la pluma Con ella escribió hermosas ecuaciones diferenciales que solo él era capaz de integrar. Su fuerza era su capacidad matemática. Su estilográfica vertió un fluyo copioso, sublime y constante. Esta constancia parecía ser independiente de sus compromisos y circunstancias. Ni en su senescencia disminuyó un ápice.
Su vida, o bien se puede subdividir teniendo en cuenta los lugares donde residió, o bien los temas científicos que abordó, aunque hay cierta correspondencia cuando se aplican ambos criterios. Y es que Chandra trató problemas muy diversos solapándose muy poco en el tiempo. Consideraba un tema amplio, llegaba a sus últimas consecuencias y comenzaba otro tema amplio, y así sucesivamente. Cada etapa acababa con un libro definitivo que englobaba una larga serie de artículos que lo habían precedido. Trabajó tanto y publicó tanto que Penrose decía que nadie podía saber en todo lo que había trabajado. Es imposible leer todo lo que escribió. Esto lo conseguía a base de un dominio completo del tiempo, con una disciplina de acero, sin perderse nunca en conversaciones superfluas. O se hablaba de ciencia, o se hablaba de arte, o ¿para qué hablar?
Dividir el presente libro en capítulos es dividirlo en los distintos aspectos científicos a los que Chandra dedicó toda su concentración. Él mismo dividió su vida en siete etapas, según las materias de estudio a las que se dedicó:
- La estructura estelar, incluyendo la teoría de las enanas blancas (1929-1939).
- La dinámica estelar, incluyendo la teoría del movimiento browniano (1938-1943).
- La teoría del transporte radiativo, la teoría de la iluminación y la polarización del cielo bajo el Sol, la teoría de las atmósferas estelares y la teoría cuántica del ión negativo de hidrógeno (1943-1950).
- La estabilidad hidrodinámica e hidromagnética (1952-1961).
- El equilibrio y la estabilidad de las figuras elipsoidales de equilibrio (1961-1968).
- La teoría general de la relatividad y la astrofísica relativista (1962-1971).
- La teoría matemática de los agujeros negros (1974-1983).
Y cuando escribió esto no sabía que aún tendría lugar una nueva y última etapa, la octava, la más diferente de todas: la del estudio de los Principia de Newton (1984-1995).
La mayoría de sus artículos eran la base de sus libros, los cuales nos pueden servir para analizar, orientar y clasificar su ingente obra La esencia escrita de su descomunal aportación, que se corresponde bastante bien con las etapas de su vida que él mismo identificó, está formada por los siguientes ocho libros: An Introduction to the Study of Stellar Structure, The Principies of Stellar Dynamics, Radiative Transfer, Hydrodynamic and Hydromagnetic Stability, Elipsoidal Figures of Equilibrium, The Mathematical Theory of Black Holes, Truth and Beauty y Newton 's Principia for the Common Reader.
Ya hablamos del primero, que fue la escapatoria de la controversia con Eddington y que contenía el concepto por el que fue laureado con el Nobel.
La dinámica estelar, objeto de su segundo libro, The Principies of Stellar Dynamics, tiene un planteamiento básico realmente atractivo. Si un gas está formado por moléculas, ¿cómo se comportaría un gas de estrellas? Es decir, un gas en el que las moléculas se sustituyen por estrellas. Una galaxia es, o se podía considerar entonces, como un gas de estrellas.
El libro Radiative Transfer sigue actualmente en pleno vigor. Todo investigador incipiente interesado en el transporte de fotones debe tener este libro en su mesilla de noche. El tema no podía ser de mayor trascendencia: cómo se comportan los fotones en un medio en el que se generan y se absorben, y se explica, entre otras muchas cosas, el comportamiento de la luz procedente de las estrellas tras atravesar su atmósfera y la nuestra. Había trabajos anteriores, pero deslavazados, imprecisos y poco sistematizados, y, de forma muy especial, no se había resuelto el problema del transporte de fotones en la radiación polarizada. Es muy posible que este libro sea el de mayor trascendencia en la física y la astrofísica actuales. Cubría una gran laguna y está dotado de una gran perfección matemática. Según la opinión de su propio autor, su elaboración correspondió al período más feliz de su vida, teniendo él el concepto de felicidad en la vida como aquel que le proporcionaba los mejores y más bellos descubrimientos científicos.
El libro Hydrodynamic and Hydromagnetic Stability sigue teniendo también pleno vigor y puede tenerlo siempre. Posee una gran trascendencia en el estudio de muchos problemas astrofísicos, y quienes más han citado este tratado han sido los investigadores del campo de la mecánica de fluidos. El tema es de una extraordinaria dificultad, especialmente cuando el fluido está magnetizado, ya que ello provoca que las inestabilidades adquieran una riquísima variedad. Es un tratado ciclópeo, muy técnico y, como siempre, realizado con una objetividad matemática que le da perennidad.
En Elipsoidal Figures of Equilibrium se trata un problema ya iniciado por Newton cuando calculó la excentricidad de la Tierra con pluma y papel encerrado en su habitación, y cuyo valor fue comprobado muy posteriormente por Maupertuis en una expedición histórica a las regiones boreales. El libro trata, en general, de la forma que adquieren los sistemas autogravitantes rotantes.
En The Mathematical Theory of Black Holes Chandra se preocupó de la teoría de los agujeros negros de Kerr, es decir, de los agujeros negros que además de poseer una masa poseen un momento cinético; son, por tanto, agujeros negros que giran. Y así encontró soluciones de las ecuaciones de Einstein muy generales y, según él mismo manifestó, de sorprendente belleza matemática.
El científico realizó un giro audaz al escribir y recopilar sus pensamientos en tomo a la belleza en el libro Truth and Beauty. Era Chandra una persona muy sensible al arte, en especial a la música, la literatura y la pintura Proponía como modelos de creatividad en las artes y en las ciencias a Newton, Beethoven y Shakespeare, quienes no hacían variaciones o extensiones de lo creado, sino que creaban realmente de la nada.
En los últimos años de su vida profundizó en la biografía y los textos de Newton y analizó de forma intensiva sus Principia. Y entonces encontró que Newton no solo fue un creador de nueva ciencia, sino un espíritu con un alto sentido estético, ingenioso para hallar los caminos deductivos más simples, atractivos y exactos. Chandra se enamoró de Newton. Y así escribió su último libro, Newton's Principia for the Common Reader.
Chandra también fue editor de The Astrophysical Journal (ApJ), entonces una publicación local de la Universidad de Chicago y hoy, gracias a él, la revista de mayor impacto en su especialidad. Su dedicación a esta labor le supuso un ingente esfuerzo, aunque su propia producción científica no disminuyó nada gracias a un control riguroso y gélido del tiempo. Él decidía qué artículos se publicaban en la revista y cuáles se rechazaban. Convirtió esta publicación en la de la comunidad astrofísica estadounidense, por lo que la evolución de esta ciencia estuvo en sus manos durante casi veinte años. Hoy es inconcebible que el control de una revista científica de esta categoría recaiga en una sola persona.
Así era Chandra, siempre vestido con traje gris oscuro, camisa blanca y corbata No hay constancia de que en su casa se pusiera algo más cómodo; todos le recordaban con esta invariable, pulcra y peculiar indumentaria Nunca levantó la voz, nunca se ensució, nunca comió carne, nunca bebió alcohol, nunca pronunció una frase incorrecta Según unos, podía tener un carácter cortante y distante; según otros, era la afabilidad personificada Lo curioso, como pronto veremos, es que tanto unos como otros tenían razón.
| 1910 | Nace el 19 de octubre en Lahore, India, Subrahmanyan Chandrasekhar. |
| 1918 | La familia se traslada a Madrás. Tres años más tarde ingresa en una escuela regular. |
| 1925 | Ingresa en el Presidency College. |
| 1929 | Escribe su primer artículo, «The Compton Scattering and the New Statistics». |
| 1930 | Finaliza sus estudios en el Presidency College. Obtiene una beca para estudiar en Cambridge. En el que desarrolla el «límite de Chandrasekhar», por el que años más tarde recibiría el Nobel. |
| 1931 | Muere su madre. Visita Gotinga invitado por Max Born. Dos años más tarde, Niels Bohr le invita a visitar Copenhague. |
| 1933 | Lee su tesis doctoral sobre polítropos autogravitantes en rotación. Es nombrado fellow del Trinity College. |
| 1934 | Visita Rusia y se relaciona con el astrofísico armenio Viktor Ambartsumian. |
| 1935 | Comienza el enfrentamiento con Arthur S. Eddington. Visita Harvard con Shapley. |
| 1936 | Se casa con Lalitha. Realiza una estancia en Cambridge y más tarde se incorpora al Observatorio Yerkes, en la Universidad de Chicago. |
| 1939 | Publica An Introduction to Stellar Structure. Cuatro años más tarde publica The Principies of Stellar Dynamics. |
| 1950 | Publica Radiative Transfer. |
| 1952 | Ingresa en el Departamento de Física de la Universidad de Chicago. Recibe la medalla Bruce de la Royal Society. |
| 1953 | Recibe la medalla de oro de la Royal Astronomical Society. Es nombrado editor de The Astrophysical Journal (ApJ). Se nacionaliza estadounidense. |
| 1955 | Es nombrado miembro de la National Academy of Sciences. |
| 1961 | Publica Hydrodynamic and Hydromagnetic Stability. |
| 1964 | Se instala definitivamente en Chicago. |
| 1967 | Creación de ApJ Letters. |
| 1969 | Publica Ellipsoidal Figures of Equllibrium. |
| 1971 | Abandona ApJ. |
| 1983 | Obtiene el premio Nobel. Publica The Mathematical Theory of Black Holes. |
| 1987 | Publica Truth and Beauty. |
| 1995 | Publica Newton’s Principia for the Common Reader. Muere el 21 de agosto de un ataque al corazón. |
Capítulo 1
¿Qué es una estrella?
¿Por qué brilla una estrella? Eterna pregunta cuya respuesta hoy conocemos. La conocía también un adolescente hindú, afincado en Madrás, porque la había leído y porque su asombrosa capacidad matemática le permitía, a pesar de su juventud, leer libros de esta índole. Tuvo además la suerte de que dos grandes físicos, Sommerfeld y Heisenberg, visitaran su ciudad, y él aprovechó muy bien sus enseñanzas. ¿Quién le iba a decir que acabaría revolucionando la teoría de la evolución estelar?
Subrahmanyan Chandrasekhar nació en 1910 en Lahore, en el seno de una familia culta y próspera de origen tamil. Más concretamente, nació el 19 de octubre de 1910, fecha a la que él mismo se refería humorísticamente como 19101910. Su familia procedía del sur y, al sur, concretamente a Madrás, volvería cuando Subrahmanyan tenía solo ocho años. La ciudad de Madrás, una de las más populosas de la India, ha cambiado de nombre y hoy se denomina Chennai. El desplazamiento a Lahore fue una más de las mudanzas que la familia tuvo que realizar debido a que el padre de Chandra, de nombre Ayyar, era un alto funcionario del ferrocarril.
Uno de los hermanos de su padre, Chandrasekhara Venkataraman (1888-1970), conocido mundialmente como C. V. Raman, fue premio Nobel en 1930 por el descubrimiento del efecto que lleva su nombre. El «efecto Raman» pertenece al ámbito de la espectroscopia y demuestra la existencia de efectos cuánticos en la dispersión de la luz por las moléculas. Pudiera pensarse que teniendo un tío premio Nobel, este influyó decisivamente en la formación y vocación de Chandra como científico. Sin embargo, no fue así y, de hecho, en algunos momentos de sus vidas, sus relaciones personales fueron bastante distantes. Más adelante veremos el origen del resentimiento de Chandrasekhar para con su tío. En cualquier caso, tener un tío carnal premio Nobel no influyó excesivamente en su temprana dedicación a la matemática y la física.
§. La infancia
La familia de Chandra pertenecía a la secta brahmánica shivaísta, una de las dos principales sectas de la India meridional. A pesar de tener una actitud vital castiza, el bisabuelo del futuro científico, Ramanathan (1837-1906), había educado a su hijo Ramanathan Chandrasekhar (1866-1910) de modo que su cultura genuinamente tamil se beneficiara de las ventajas de los principios didácticos ingleses. La conquista de la India por los británicos se hallaba consolidada desde mediados del siglo XIX, pero la cultura occidental había penetrado de forma desigual en el laberinto de las seculares tradiciones indias. El Gobierno británico quiso introducir su cultura —incluida su ciencia— en el complejo entramado indio, el cual se veía complicado por muy diferentes castas, credos y razas. El estudio del inglés tenía que adentrarse en la tradición india sin desbaratarla. Los antecesores de Chandrasekhar aceptaron esta intromisión sin abandonar su lengua tamil, ni tampoco sus creencias. Y, en efecto, sus abuelos y el mismo Chandrasekhar conservaron sus raíces profundamente hindúes, pero impregnadas de la filosofía europea.
Chandrasekhar fue siempre un hindú; él decía que su fidelidad a la tradición hindú era parte de su honestidad. A pesar de que su vida transcurrió en Cambridge y, sobre todo, en Chicago, y a pesar de su gran contribución a la cultura occidental, y también a pesar de su nacionalidad estadounidense adoptada posteriormente, Chandrasekhar fue siempre un auténtico hindú.
Los educadores británicos pretendieron llevar a cabo una occidentalización de la India, eliminando tradiciones atávicas horrorosas, como la quema de las viudas tras la muerte del marido —práctica que mantenían algunas castas—, y buscaron apoyo en ciudadanos de piel oscura pero con cultura y pensamiento propios de los blancos. Aunque fracasaron en ello, el cultivo de la lengua inglesa y la introducción de la ciencia occidental fueron beneficiosos, al menos para las clases acomodadas, como era la estirpe de los descendientes de Ramanathan. La occidentalización de la India era una misión imposible, pero dejó algunas semillas fértiles en algunas castas. La colonización británica chocó frontalmente con las admirables tradiciones indias, pero en el choque las arañó, aunque fuera superficial y parcialmente. La fusión de dos culturas aparentemente incompatibles dio sus pequeños frutos, uno de los cuales fue la contribución de un hindú a la astrofísica internacional. Rabindranath Tagore y William Shakespeare eran diferentes, pero no incompatibles.
Chandra no conoció a su abuelo Ramanathan Chandrasekhar, pues nació siete meses después de su muerte, pero se benefició de la mentalidad abierta con la que aquel educó a sus hijos junto a su esposa Parvati. Era profesor de Matemáticas y escribió varios libros. Tuvo ocho hijos, entre ellos, Subrahmanyan Ayyar, nacido en 1885, que fue el padre de Chandra, y Chandrasekhara Venkataraman, más conocido como C.V. Raman, su tío premio Nobel, nacido en 1888.
Ayyar fue un hombre culto, graduado por la Universidad de Madrás, el Presidency College, que logró un puesto destacado en el servicio de los ferrocarriles de la India. Como ya se dijo, este cargo de alto funcionario le obligó a numerosos cambios de residencia y es por este motivo por el que Chandra nació en Labore, una ciudad de tradición musulmana (de hecho, esta localidad pasó a formar parte de Pakistán tras la creación de este Estado en 1947). De allí la familia se trasladó a Lucknow y de esta última a Madrás, reencontrándose con su tradición tamil original.
Su madre, Sitalakshmi, se había casado a los diecisiete años. Era una mujer de gran talento natural que, aunque no pudo completar estudios, llegó a realizar traducciones de diversos autores.
La pareja tuvo muchos hijos. Las dos primeras hijas, Rajalakshmi (Rajam) y Balaparvathi (Bala), precedieron a Chandra, pero como este era el primer hijo varón recayeron en él la propiedad, la responsabilidad del cuidado de la familia cuando muriera su padre, la realización de los rituales que asegurarían la felicidad de sus ascendientes, etc. Y también heredó el nombre de su abuelo. Sus hermanas mayores le llamaban Ayya, y sus hermanos menores, Anna. Luego venían Vishwanathan (Vishvan), Balakrishnan, Ramanathu (Ramnath) y las hijas menores, cuyos nombres abreviados eran Savada, Vidya, Savitri y Sundari.
De todos sus hermanos, con quien más se entendió fue con Balakrishnan, a juzgar por su extensa correspondencia epistolar. Más cartas aún se conservan dirigidas a su padre, gracias a las cuales podemos adentramos en la mentalidad del joven Chandra. Y más íntima fue su relación con su madre, aunque esta murió a los pocos meses de que Chandra viajara a Cambridge. Su enfermedad estuvo a punto de desbaratar el viaje, pero ella misma, consciente del valor intelectual de su hijo, le pidió que marchara a Inglaterra. Chandra estaba hecho para el mundo, no para ella; que se fuera, aunque no pudiera volver a verle nunca más.
«Aunque mi madre no estudió más allá de la escuela secundaria, aprendió bien el inglés. De hecho, tradujo algunas de las obras de Ibsen al tamil. Uno de los libros que tradujo, y que tuvo buenas ventas, fue La casa de muñecas. [...] Desde entonces, Ibsen es uno de mis escritores favoritos.»
SUBRAHMANYAN CHANDRASEKHAR.
Los padres de Chandra se ocuparon personalmente de su educación. Ayyar le enseñaba aritmética; Sitalakshmi, tamil. La educación en los colegios indios de la época era muy deficiente, así que hasta los once años no fue a uno de ellos, mientras que a los quince entró ya en el Presidency College para estudiar física. Su familia tenía en Madrás una gran casa de dos pisos y nueve dormitorios, y contaban con los servicios de un cocinero, un jardinero y dos sirvientes. Esta hermosa mansión se llamaba Chandra Vilas, aunque no por el nombre de nuestro sabio, sino por el de su abuelo.
Una de sus vecinas era Savitri Doraiswamy, viuda del capitán Doraiswamy y madre de una muchacha, Lalitha, que también ingresó como estudiante en el Presidency College para estudiar física como Chandra y quien, andando el tiempo, se convertiría en su esposa. De momento, en aquellos tiempos de su mutua juventud, se les podía observar sentándose en clase cerca, invariablemente ella detrás de él, y manteniendo un silencio común.
Chandra fue un niño prodigio, con un especial don para las matemáticas que asombró a su padre, a su familia y a todos sus profesores. Siempre hacía más de lo que le pedían, hasta que empezó a estudiar por su cuenta libros de cursos superiores.
India e InglaterraCuando Chandra era un niño la India era una colonia británica. Los ingleses querían que su cultura penetrara en el seno de la complicada sociedad india. Muchos indios estudiaron ciencias en Inglaterra y regresaron a la India para participar en el desarrollo de su país. La juventud se debatía entre apegarse a la tradición o demostrar que los indios estaban tan dotados como los británicos para hacer ciencia. Pero, sobre todo, la India necesitaba recuperar su independencia.Aunque el país era pobre y con una riqueza mal repartida, estaba aflorando un sentimiento nacional de liberación pacífica; fueron los años de Mahatma Gandhi y Jawaharlal Nehru. Dos personalidades indias consiguieron sendos premios Nobel: Raman (el tío de Chandra) y Tagore. Por otra parte, diversos científicos indios formados en Inglaterra llegaron a formar parte de la Royal Society. Dignos de mención son Meghnad Saha (1893-1956) y Satyendra Nath Bose (1894-1974). El primero es muy conocido por la ley que lleva su nombre, la ley de Saha, que rige la proporción de átomos Ionizados en el equilibrio termo- dinámico. El segundo estableció la mecánica estadística de los fotones, completada posteriormente por Einstein, que es válida para los sistemas cuánticos de partículas que no obedecen el principio de exclusión de Pauli. Esta distribución estadística se denomina hoy con el nombre de Bose-Einstein y es válida para todo tipo de bosones. Precisamente, el término «bosones» recuerda el apellido de este físico indio, Bose.
Satyendra Nath Bose.
Cuando entró en el Presidency College ya era objeto de una admiración que hacía prever su futuro trascendente. No estudió matemáticas, sino física, por decisión paterna, pero en toda su vida profesional descolló por el poder matemático que aplicaba a los problemas físicos o astrofísicos. Lo que tan perenne hizo su investigación fue su dominio matemático. A Chandra no le importó la decisión de estudiar física, puesto que deseaba estudiar física matemática, pero su padre también quería que, una vez acabara los estudios, se convirtiera en funcionario. El joven tenía otros planes y, afortunadamente, encontró apoyo en su madre.
§. La juventud
A pesar de que había buenos físicos en la India, los tres más distinguidos —Saha, Bose y Raman— se llevaban muy mal. Paul Dirac contó que en su viaje a la India observó una gran hostilidad entre Bose y Saha, quienes no podían estar juntos en la misma habitación. También había rivalidad entre Saha y Raman, que se agudizó en una conferencia dada por este último, la cual contó con la presencia de Arnold Sommerfeld. En aquella ocasión, Saha se levantó en el turno de preguntas y dijo que el descubrimiento de Raman no era más que la confirmación de la predicción de Adolf Smekal (1895-1959); más adelante, escribió en la revista Nature que la explicación de Raman era incorrecta. Según Chandra, que estaba al corriente de los trapicheos políticos gracias a su amigo Krishnan —el gran colaborador de Raman—, «Bose era el mejor, era generoso, gentil y no se preocupaba de los aspectos “glamorosos” de la ciencia».
Quizá el más lamentable de estos enfrentamientos fue el que se produjo entre Raman y Kariamanickam Srinivasa Krishnan (1898- 1961). Ambos habían descubierto, en colaboración, el hoy llamado «espectro Raman» y la primera comunicación en Nature estaba firmada por ambos; de hecho, se piensa que el espectro debería llamarse Raman-Krishnan. Pero al mes siguiente Raman escribió otra carta a Nature firmada por él solo, sin decir nada a Krishnan. Posteriormente, Raman incluso dudó de la integridad de Krishnan y, tras la muerte de este, escribió que su antiguo colaborador había sido «el más grande charlatán que había conocido y que toda su vida fue una máscara tras la capa del descubrimiento de otro hombre». Esto hizo sufrir mucho a Chandra, que era gran amigo de Krishnan.
Tampoco Chandra y su tío se entendieron, aunque la causa principal de su hostilidad ocurrió más tarde, en 1937, en un viaje a la India desde Chicago. Chandra visitó a su tío en Bangalore. Cuando entró en su despacho, Raman estaba casualmente desempaquetando el último libro de Chandra, Hydrodynamic and Hydromagnetic Stabillity. Dijo Raman:
El único libro que he visto antes de este tamaño fue una novela de Anthony Trollope. Verdadera basura. ¿Cómo te las arreglas para escribir un libro de este tamaño? Nunca encontré tiempo para escribir un libro. Siempre encontré la investigación mucho más interesante. En 1926 quise escribir un libro sobre la dispersión de la luz. Oí que Henri Cabbannes estaba escribiendo uno, así que no lo hice. El resultado fue que yo descubrí el efecto Raman y me dieron el premio Nobel, mientras que Cabbannes escribió el libro. Ahora yo tengo el Nobel, y Cabbannes, un libro.
Repuso Chandra: «Dios mío, he perdido la oportunidad de recibir cuatro premios Nobel», y acabó Raman con fatuo desdén: «Obtener el premio Nobel no es tan fácil».
Pero el científico que más influyó en la formación semiautodidacta de Chandra fue el matemático Srinivasa Ramanujan (1887- 1920), quien trabajó en Inglaterra y murió muy joven, tras regresar a la India Más adelante, Chandra deseó colaborar cuando se quiso erigir una escultura con su busto, pero no se conservaba ni una sola fotografía suya. Finalmente, Chandra consiguió una, la del pasaporte; la esposa de Ramanujan, que vivía en la indigencia, lo conservaba por casualidad. Aunque dada la diferencia de épocas no lo conoció, Chandra siempre idolatró a Ramanujan, de cuyas investigaciones tanto aprendió.
En 1927 llegó a sus manos el libro de Arnold Sommerfeld Atomic Structure and Spectral Lines. Lo estudió sin dificultad de principio a fin, orgulloso porque su profesor le había prevenido que no lo entendería. ¿Quién le iba a decir que al año siguiente conocería personalmente al gran Sommerfeld? ¡Con lo grande que es el mundo y lo grande que es la India, el físico alemán tenía que visitar precisamente Madrás y dar una conferencia en su college. Le había avisado Krishnan, el físico que colaboraba con su tío Raman en Calcuta, e incluso le dijo en qué hotel se iba a hospedar. Allí fue Chandra sin intimidarse y Sommerfeld le recibió con amabilidad.
Le dijo que su propio libro estaba ya pasado de moda, que había una nueva mecánica cuántica desarrollada por Heisenberg y Schrödinger. Le habló de Dirac, Pauli y Fermi y de toda la nueva física que estaba emergiendo. ¿Qué investigaba él mismo por entonces? Sommerfeld estudiaba los electrones en un metal utilizando la nueva mecánica estadística desarrollada por Fermi y Dirac.
Sommerfeld, pionero de la mecánica cuánticaArnold Sommerfeld (1868-1951) estudió matemáticas en Königsberg, su ciudad natal: fue catedrático en Gotinga y pasó por las universidades de Clausthal-Zellerfeld, Aquisgrán y Múnich. Fue uno de los fundadores de la mecánica cuántica, tanto por su propia investigación como por la escuela que creó. Werner Heisenberg (1901-1976) y Wolfgang Pauli (1900-1958) leyeron sus tesis doctorales bajo su dirección. Estudió los espectros de los átomos más sencillos y, posteriormente, los más complejos, empezando por el manganeso: el espectro delmanganeso fue proporcionado por Miguel Catalán (1894- 1957), con quien colaboró ampliamente desde su viaje a Madrid en 1921. Según Sommerfeld, las órbitas circulares de Bohr tenían que ser sustituidas por órbitas elípticas, introduciendo más números cuánticos. Introdujo la constante de estructura fina y fue un gran defensor y divulgador de la relatividad general. También aplicó la estadística de Fermi-Dirac al sistema de electrones en un metal. Con este tema pronunció algunas conferencias en la India. Chandra quiso contactar con él en Madrás y lo consiguió gracias a su característico tesón. El encuentro fue definitivo para alentar su vocación científica.
El tesón de Chandra y la suerte se combinaron nuevamente para provocar su explosión vocacional cuando Heisenberg visitó Madrás en 1929 y, en este caso, ya no tuvo que atreverse a abordarle en el hotel. Se le encomendó que se hiciera cargo de Heisenberg y le enseñara la ciudad. De este modo, Chandra tuvo una ocasión inesperada para conversar con Heisenberg durante no muchos días, pero sí de forma ilimitada e intensa. Además, el científico alemán, a pesar de su prestigio, solo tema entonces veintiocho años, lo que facilitó su entendimiento. Sommerfeld y Heisenberg fueron dos grandes personalidades que orientaron al joven Chandra, viniendo, por así decirlo, a su casa.
Chandra publicó con dieciocho años su primer trabajo, titulado «The Compton Scattering and the New Statistics», en Proceedings of the Royal Astronomical Society. En su estudio utilizaba la estadística de Fermi-Dirac y demostraba haber asimilado con total eficacia las enseñanzas de Sommerfeld. Le envió el trabajo a los sabios que creyó oportuno y uno de ellos fue Ralph Howard Fowler (1889-1944), profesor en Cambridge, que estaba trabajando en la teoría de las estrellas enanas blancas. Fowler apreció el mérito del trabajo y presentó una comunicación en la Royal Society exponiéndolo. El destino de Chandra se estaba materializando.
«Gran parte de los estudiantes que salieron del Presidency College en la década de 1910 y 1920, es decir, en mi época, fueron luego personas conocidas de la India. [...] Si uno mira la historia de la India durante las décadas de 1950 y 1960, encontrará que muchos de los personajes conocidos proceden
del Presidency College.»
Subrahmanyan Chandrasekhar.
Chandra hizo por entonces un par de viajes a Calcuta, al instituto donde trabajaba su tío. Este quiso iniciarle en la física experimental. El joven tenía ya muy claro que los experimentos no eran lo suyo y allí bien lo demostró, pues involuntariamente rompió el instrumental con que su tío quería involucrarle en la estructura molecular. También quiso Chandra discutir con su pariente sus investigaciones sobre el efecto Compton, pero no despertó el interés de su tío. Raman reconocía el talento de Chandra, como todo el mundo, pero estaba demasiado envanecido con su propia investigación y con su premio Nobel como para admirar a nadie. En cambio, Chandra hizo entonces una muy buena amistad con Krishnan, el colaborador de su tío.
El joven envió otro trabajo sobre la influencia del campo magnético en el efecto Compton a una revista india. La voracidad de su pluma empezaba a dar muestras de su insólita producción científica posterior.
Los tres tipos de mecánica estadística de partículasEn mecánica estadística se suele utilizar un espacio de seis dimensiones formado por las coordenadas espacialesx, y, z y las coordenadas de momento Px, Py, Pz. Al elemento de volumen en este espacio se le llama celdilla. Los diferentes tipos de estadística tratan de cómo situar las partículas en las diferentes celdillas. La mecánica estadística clásica se denomina «estadística de Maxwell-Boltzmann». Trata de las partículas clásicas que tienen la propiedad de ser discernibles, es decir, que si se tiene un átomo A y un átomo B tenemos dos átomos diferentes. Pero en la mecánica estadística cuántica las partículas no son discernibles. Puede haber dos electrones, pero se trata de un par; el par es lo que existe, no cada electrón por separado. Hay dos tipos de partículas cuánticas: fermiones y bosones. Los fermiones obedecen al principio de exclusión de Pauli; dos fermiones no pueden ocupar el mismo estado cuántico, al contrario de los bosones, que pueden hacerlo sin ningún límite en cuanto a su número. Los fermiones obedecen a la estadística de Fermi-Dirac, y los bosones, a la de Bose-Einstein. Ejemplos de fermiones son el protón, el electrón y el neutrón. El ejemplo más conocido de bosón es el fotón. Posteriormente se vio que los bosones son las partículas que los fermiones intercambian para producir las cuatro fuerzas de la naturaleza, y últimamente se ha popularizado el bosón de Higgs. Los fermiones tienen espín semientero, y los bosones, o nulo o entero. Debido al principio de exclusión de Pauli, si el número de celdillas es finito, los fermiones no pueden ocupar el mismo espacio cuántico, cuestión que está relacionada con el límite de Chandrasekhar.
Sus encuentros con científicos famosos, que tan fecundos fueron, se habían de completar con una reunión científica nacional que tuvo lugar en Allahabad, una población del sur del país, donde conoció a Salía Para asombro de Chandra, Saha conocía muy bien sus trabajos incipientes e incluso había encomendado a sus estudiantes una extensión de lo que él había hecho.
Chandra no perdía el tiempo, nunca lo perdió en la vida. Estudiaba y los profesores del Presidency College hacían con él una excepción, dejándole que estudiara lo que quisiera Cayó entonces en sus manos un libro que le influyó de forma especial: el texto de Eddington, The Intemal Constitution of Stars, escrito en un excelente inglés. Sería un volumen fundamental para preparar el trabajo por el que le concedieron después el premio Nobel. Pero este buen libro tenía un grave defecto que él corregiría, por lo que se ganó la hostilidad de su autor. También se adentró en la teoría de los polítropos (el concepto de «polítropo» se desarrolla en un anexo). El libro de Sommerfeld Compton’s X-rays and Electrons le sirvió también para su futura investigación. En su volumen conservaba una dedicatoria para su amiga Lalithambika, la que fue luego su esposa.
El desarrollo científico de la India era suficiente como para percibir la genialidad del joven Chandra. El mismo Presidency College le proporcionó una beca para estudiar en Inglaterra, con la condición de que volviera a su patria al transcurrir tres años y, en caso de no hacerlo, con el compromiso de devolver el dinero. La beca había sido creada prácticamente para él y, a la vuelta, se debía encontrar con una cátedra de Física Teórica, también creada expresamente para él. Las esperanzas puestas en Chandra no tenían límite, como vemos, y se aprecia en los gestores científicos indios, al menos en los de Madrás, la buena disposición para aprovechar la ciencia británica a pesar de hallarse el país en pleno proceso de liberación nacional.
Su tío Raman le aconsejó que no se fuera. Al contrario que Ramanujan, Bose o Saha, él no había salido de la India y había conseguido el reconocimiento mundial.
Por fin, Chandra subió al tren que le conduciría a Bombay, donde cogería un barco italiano que le llevaría a Venecia, donde tomaría un tren con destino a Cambridge. Mucha gente acudió al andén a despedirle. No pudo ir su madre por encontrarse enferma, ni tampoco una de sus tías porque era viuda y, según la tradición, las viudas traían mala suerte, pero sí toda su extensa familia y varios de sus profesores del Presidency College.
Chandra partió. Dejó a su madre sin poder decirle un último adiós; no volvería a verla nunca más. Dejó también a su querida amiga Lalithambika, Lalitha para los amigos, con quien a pesar de «todo» no había contraído ningún compromiso formal. Había que elegir: o ella o la ciencia Y eligió la ciencia. No se podía vacilar. Empezaba una nueva vida. En Madrás era tenido por un genio, pero... ¿en Cambridge? Allí estaban Ernest Rutherford (1871-1937), Arthur Stanley Eddington (1882-1944), Paul Dirac (1902-1984), Fred Hoyle (1915-2001), William Fowler (1911-1995), Edward Arthur Milne (1896-1950)... Ilusión y miedo.
RacismoCuando volvía en tren a Madrás tras uno de sus desplazamientos, Chandra sufrió un episodio de intolerancia racista, uno de tantos. Como su padre era un alto funcionario del ferrocarril, él tenía el privilegio de viajar en primera. En el vagón se hallaba una pareja de ingleses; ella dijo que era horrible que les hicieran compartir aquel espacio con un indio de piel oscura, aunque, al menos, este iba vestido a la europea. Chandra, que lo oyó, se fue al servicio y apareció en el vagón con traje indio y turbante. La dama se puso histérica y exigió al revisor que cambiara de vagón a aquel «negro». El revisor preguntó a Chandra si le importaría cambiarse a otro vagón, pero él respondió: «No lo haré; ¿por qué habría de hacerlo?». Cuando el revisor comunicó a la pareja que no podía echarle, la dama, en el colmo de la intransigencia, pulsó la alarma y el tren se detuvo. Al final, tras una demora sin sentido, la dama se tuvo que ir, no supo Chandra a dónde, y él permaneció en el vagón de primera. Además de la resolución natural de Chandra, influyó en su actitud el movimiento creciente de liberación de los jóvenes Indios, admiradores de Nehru y Gandhi. Lo cierto es que Chandra sufrió vejaciones de tipo racista por los británicos en su propia patria y también en Estados Unidos. En cambio, en Cambridge, no fue objeto de racismo alguno, según él mismo comentaba.
La primera parte del viaje fue muy mala. La mar estaba picada y Chandra sufrió un mareo perpetuo. Cuando se valora tanto el trabajo por el que Chandra recibió el premio Nobel, por haberlo hecho con veinte años, en solo los diecinueve días que duró el viaje, no se tiene en cuenta que la mitad de ellos no hizo otra cosa que vomitar. Pero así fue.
Sommerfeld le había llamado la atención sobre la nueva mecánica estadística de Fermi-Dirac, lo que le llevó a interesarse por el trabajo de Eddington sobre las estrellas y el estudio de Fowler sobre las enanas blancas, y él pensó que una estrella muy densa tenía que ser relativista. Sus propias ecuaciones le condujeron al resultado de que las enanas blancas no podían tener una masa superior a 1, 4 masas solares: lo que hoy se denomina el límite de Chandrasekhar. Este fue, esquemáticamente, el rumbo de sus ideas para llegar a un concepto que pronto tendría una gran repercusión en la teoría de los estados finales de una estrella.
Chandra estaba dispuesto a llevar una vida perfectamente austera. Al llegar a Venecia durmió en la estación a la espera de su tren para no gastar inútilmente el dinero en una pensión innecesaria Y al fin se presentó en Cambridge.
§. Clasificación estelar
Para entender lo que significó el establecimiento del límite de Chandrasekhar, la masa máxima que puede tener una estrella enana blanca, antes hemos de plantearnos qué es una estrella «normal» y, después, debemos hablar de otros tipos de estrellas y, muy en particular, de qué es una enana blanca.
Una estrella «normal» es lo que más técnicamente se denomina «estrella de la secuencia principal». Una estrella de la secuencia principal está formada por un gas ideal, básicamente hidrógeno, autogravitante, es decir, que se mantiene unida debido a su propia gravedad, y que convierte cuatro átomos de hidrógeno en un núcleo de helio. Esta sería una definición algo simplista, pero que da cuenta de las propiedades más importantes de estas estrellas.
Casi todas las estrellas que vemos a simple vista pertenecen a la secuencia principal. El conocimiento de la estructura interna de una estrella es básicamente logro de Eddington. Se debe al alemán Hans Bethe (1906-2005) la idea de que el brillo de una estrella proviene de la liberación de energía de la reacción atómica de fusión del hidrógeno para formar helio, reacción que se puede ver catalizada por procesos más complejos. Y se debe al matrimonio Burbidge —Geoffrey Ronald (1925-2010) y Margaret (n. 1919)—, a Fowler y a Hoyle el que se consideraran todos los procesos de fusión en el interior de una estrella para formar elementos más pesados y explicar así la composición química actual del universo (William Fowler es quien compartió el premio Nobel con Chandra y no es el mismo Fowler de Cambridge que supervisó su tesis doctoral). Los autores mencionados serían los más destacados en la comprensión de lo que es una estrella de la secuencia principal, aunque este tipo de reducción de investigadores en un proceso histórico complejo es siempre injusto, ya que muchos otros contribuyeron al producto final, incluidos aquellos que se equivocaron.
La siguiente tabla muestra la abundancia de los elementos químicos en el universo. Exceptuando las componentes de materia oscura y energía oscura que son mayoritarias, la materia ordinaria se refleja en esta tabla. En términos simples, se puede decir que el hidrógeno y el helio se formaron en épocas cosmológicas, mientras que todos los demás elementos han sido generados en las estrellas.
| Elemento químico | Abundancia (%) |
| Hidrógeno | 93,9 |
| Helio | 5,9 |
| Oxígeno | 0,06 |
| Carbono | 0,04 |
| Nitrógeno | 0,008 |
| Silicio | 0,004 |
| Magnesio | 0,004 |
| Neón | 0,003 |
| Hierro | 0,003 |
| Azufre | 0, 003 |
Para clasificar las estrellas, cuando de ellas solo se terna como información una estrecha región visible del espectro electromagnético, se disponía de dos datos básicos: su luminosidad y su espectro. La luminosidad de una estrella es la cantidad de energía que emite por segundo. El espectro es la descomposición de la luz en todas sus longitudes de onda Si vemos una estrella muy brillante puede ser que sea intrínsecamente muy brillante, es decir, que su luminosidad sea alta, o que esté muy cerca. El flujo luminoso que recibimos en la Tierra es función de estas dos magnitudes: luminosidad y distancia Si, de alguna forma, conocemos la distancia, podremos determinar la luminosidad y, si de alguna forma, conocemos su luminosidad, podremos determinar la distancia, pero no las dos cosas a la vez, si nos basamos únicamente en el flujo recibido en la Tierra.
La historia de la determinación de distancias en astrofísica es la historia misma de la astrofísica. Hay numerosos métodos para realizar este cálculo y unos se basan en otros para llegar más y más lejos, en una especie de escalera en la que un peldaño se afianza en el inferior. Pero es una historia larga, que omitimos aquí por no constituir el problema central que nos ocupa; por tanto, vamos a suponer que conocemos las distancias de los distintos objetos astrofísicos y que, en consecuencia, conocemos las luminosidades estelares, a las que denotamos con la letra L.
Más difícil puede ser la clasificación de los espectros, puesto que estos se caracterizan por una multitud de rayas espectrales de absorción producidas por numerosos elementos químicos en la parte externa de una estrella. Esta parte externa, que es la que vemos, se denomina «atmósfera estelar», distinguiéndola del interior estelar, que no vemos, y a la que, casi podríamos decir, solo tenemos acceso mediante la teoría La atmósfera es una capa muy delgada que envuelve el interior.
Reuniendo una gran cantidad de espectros estelares, tarea que fue un proceso arduo y difícil, se acabó viendo que se podían poner en fila india, de tal forma que muy pocos espectros quedaban fuera de la fila. Eso fue una buena clasificación, pues se basaba en datos simples y directos y englobaba casi todos los objetos a clasificar. Se llegó pronto a una clasificación espectral, según la cual, los espectros se denominaban mediante la siguiente extraña secuencia de letras: OBAFGKMRNS.
Un cuento del joven ChandraLos compañeros de Chandra, al verle trabajar tanto, se reían de él: «Ese trabajo extra no te va a servir en los exámenes». Pero él les narró el siguiente cuento:
El rey con su séquito pasó por un bosque y vio a un anciano plantando unos árboles de mango.
—¿Para qué plantas estos árboles? Eres muy viejo y cuando los árboles empiecen a dar su fruto ya estarás muerto. No sacarás ningún provecho.
—Yo comí mangos de los árboles que plantó mi padre. Y de estos que planto comerán mis hijos.
El rey, complacido con la sabiduría del anciano, le dio unas monedas de oro. Cuando se alejaba, el anciano, contando las monedas, dijo para sí:
—Si que les he sacado ya provecho a los mangos.
Para apreciar la dificultad del alineamiento que resume la denominación anterior, piénsese que, inicialmente, el orden era el alfabético, pero según se iba perfeccionando, se fueron haciendo permutaciones, eliminaciones y añadidos hasta llegar a esta extraña secuencia de letras (en realidad, las últimas tres letras, más que corresponder a un alineamiento, parecen asociarse a una bifurcación, pero nos desentenderemos aquí de los detalles).
Una interpretación inicial errónea de la clasificación espectral consistió en suponer que el tiempo era la magnitud física que engarzaba los diferentes tipos espectrales. Se pensó erróneamente que las estrellas empezaban su vida siendo del tipo O y la acababan siendo del tipo S. Como fósil de aquella interpretación, a las estrellas de la izquierda de la secuencia se las denomina aun hoy «tempranas», y a las de la derecha, «tardías», nomenclatura completamente equívoca, pero usada Para mayor confusión, el tiempo no está ausente del todo en la secuencia, en cuanto que las de la izquierda son efímeras, y las de la derecha, duraderas. Esta propiedad fue demostrada posteriormente.
Si no es el tiempo la magnitud física que permite el alineamiento de los espectros, ¿cuál es la magnitud que subyace realmente tras él? Pronto se vio que era la temperatura Las estrellas O son las más calientes, y las R, N y S, las más frías. Es comprensible que la temperatura tenga tanta influencia en los espectros. Las de la derecha, llamémoslas «tardías» empleando la confusa nomenclatura usual, al ser muy frías, tienen en sus espectros bandas moleculares. Cuando se eleva la temperatura, las moléculas se rompen y solo quedan rayas espectrales de átomos. Cuando seguimos elevando la temperatura, los elementos empiezan a ionizarse y las estrellas más calientes, llamémoslas tempranas, muestran rayas de elementos más y más ionizados. La relación aproximada entre temperatura y tipo espectral se muestra en la tabla siguiente:
| Tipo espectral | Temperatura superficial |
| O | 50000 K |
| B | 25000 K |
| A | 15000 K |
| F | 7600 K |
| G | 6000 K |
| K | 5100 K |
| M | 3600 K |
Una vez que tenemos la luminosidad y el tipo espectral de muchas estrellas las podemos representar en el diagrama debido a Enjar Herzsprung (1873-1967) y Henry Norris Russell (1877-1957), que lo obtuvieron independientemente, y que se conoce como diagrama H-R (figura 1). Este diagrama sirve para delimitar los diferentes tipos de estrellas, especialmente para distinguir entre estrellas de la secuencia principal y estrellas enanas blancas, que son las que más nos interesan para apreciar el descubrimiento de Chandrasekhar. Digamos que, como corresponde a una clasificación antigua, de principios del siglo XX, solo hemos tenido en cuenta la región visible del espectro. Hoy, en cambio, las estrellas se estudian desde los rayos gamma y rayos X hasta en ondas de radio.
Otra nomenclatura usada en astrofísica, pero que también resulta equívoca, denomina «óptico» a lo que debería llamar «visible», es decir, a la región del espectro electromagnético en la cual el ojo humano es sensible. El infrarrojo y el ultravioleta también son objeto de la óptica.
El diagrama H-R muestra que casi todas las estrellas están en una franja poco ancha, la cual corresponde a las estrellas de la secuencia principal. Pero hay excepciones que son muy interesantes.

El diagrama H-R, luminosidad frente a tipo espectral. Casi todas las estrellas están en la franja estrecha del diagrama. Las estrellas enanas blancas se encuentran en la parte inferior (poco luminosas) y por el centro (temperatura normal). En ordenadas se representa la luminosidad de la estrella tomando la del Sol como unidad.
Lo que vemos de la estrella es luz y para obtener una interpretación primera, aunque no sea la más precisa, hemos de recurrir al modelo más sencillo que tenemos de la luz. Este modelo es el del cuerpo negro. Un cuerpo negro es un sistema de fotones en equilibrio termodinámico.
El flujo q saliente de la superficie de la estrella (es decir, la energía luminosa saliente por unidad de tiempo y unidad de superficie de la estrella) es una función exclusiva de la temperatura. Más concretamente, depende de la cuarta potencia de la temperatura. La constante de proporcionalidad se denomina «constante de Stefan-Boltzmann» y se representa con la letra σ.
q = σT4
Aunque incluyamos esta fórmula sin justificación, no puede sorprender que el flujo saliente dependa solo de la temperatura, porque un sistema en equilibrio termodinámica, sea de las partículas que sea, únicamente tiene una magnitud que lo caracteriza: la temperatura. Este finjo saliente es la misma magnitud que el flujo recibido en la Tierra, pero aquí el flujo será mucho menor porque este se pierde según el inverso del cuadrado de la distancia, siendo Johannes Kepler (1571-1630) el primero que encontró este resultado.
Hay otra forma de caracterizar un cuerpo negro por su apariencia externa, y esta es por su color. Cuando se eleva la temperatura del objeto emisor estudiado, su color va cambiando, y llega un momento que se pone rojo, luego blanco y después azul. Por muy acostumbrados que estemos a los colores asignados a los grifos de la ducha, donde el azul corresponde al agua fría, y el rojo, a la caliente, la física nos dice claramente que un cuerpo que se pone azul está a mayor temperatura que cuando se pone rojo.
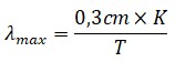
Pero ¿qué es realmente el color de un cuerpo negro? En su interior hay fotones de muy diversas longitudes de onda, tal y como puede apreciarse en la figura 2. Como sabemos, los fotones de mayor longitud de onda son los rojos y su energía es pequeña, mientras que los más energéticos son los azules, de menor longitud de onda Pero hay una longitud de onda dominante. En el espectro continuo del cuerpo negro hay un máximo. Llamamos a la longitud de onda máxima, la que caracteriza el color del objeto radiante, λmax.
Esta longitud de onda máxima es una función exclusiva de la temperatura La fórmula correspondiente es así muy sencilla y se llama «ley del desplazamiento de Wien»:

Si medimos la longitud de onda en centímetros y la temperatura en grados Kelvin, la constante vale aproximadamente 0, 3. Si no queremos hacer cálculos muy precisos, sino estimar someramente el color del objeto radiante, podemos aproximar esta constante a la unidad, de forma que no tenemos que memorizar nada.
Con esta fórmula puede verse que cuanto mayor es la temperatura, menor es la longitud de onda característica de su color.

Este gráfico corresponde a la radiación cósmica de microondas, y es la distribución del cuerpo negro medido por la misión espacial COBE. Experimentalmente, para obtener la curva del cuerpo negro en una cavidad, hay que practicar un agujero en la superficie de la misma. Los fotones que salen por el agujero nos informan de lo que hay dentro. Pero el agujero destruye el equilibrio dentro de la cavidad. Para evitarlo, la mejor manera de observar el cuerpo negro es meterse dentro de la cavidad. Como estamos forzosamente dentro del universo, la radiación cósmica de microondas constituye una determinación de la curva del cuerpo negro tan perfecta como no se ha obtenido en ningún laboratorio.
Pongamos algunos ejemplos para familiarizarnos con ella Un cuerpo a 5 000 K emite a una longitud de onda de 6×10-6 cm, es decir, 600 nm (nanómetros), en la región visible del espectro. Esta temperatura es típica de una atmósfera estelar. Por eso se ven las estrellas con los ojos. Si el objeto radiante es el cuerpo humano, a unos 300 K, obtenemos que nosotros emitimos en el infrarrojo, que no es visible. Nuestro ojo no es sensible al infrarrojo, pero ciertamente emitimos en esta longitud de onda.
Estas dos simples fórmulas nos permiten interpretar de una forma simple alguna de las propiedades del diagrama H-R de las páginas anteriores. Las estrellas fuera de la secuencia principal que están situadas por encima de ellas y a la derecha tienen una gran luminosidad, emiten mucho, pero son rojas (frías); es decir, emiten poco por unidad de superficie. Luego su superficie es muy grande y, por lo tanto, su radio es muy grande. Por eso son denominadas «gigantes rojas».

Raman, tío de Chandra, junto a su esposa y la escritora Selma Lagerlöf, en la ceremonia de concesión del premio Nobel en 1930.
Las estrellas que están por debajo de la secuencia principal tienen una temperatura «normal» porque son de un color que no es ni muy rojo ni muy azul, sino más bien blanco. Su luminosidad es baya y su flujo normal. Emiten muy poco, pero emiten mucho en cada centímetro cuadrado de la estrella. Eso significa que son estrellas muy pequeñas. Por eso se las denomina «enanas blancas». Empezamos ya a acercarnos al objeto de interés de Chandrasekhar.
Así pues, una estrella enana blanca es una estrella muy pequeña, pero ¿cómo de pequeña? Hagamos unas pequeñas cuentas. La conocida estrella Sirio, tan espectacular a simple vista, tiene una compañera, Sirio B, una de las enanas blancas mejor estudiadas. Su temperatura es normal para una estrella, unos 5 000 K. El valor de la constante de Stefan-Boltzmann es σ = 5, 67×10-8 Js-1 m-2K-1. Calculamos q = 3, 6×107 J m-2 s-1. La relación entre la luminosidad L (energía emitida por toda la estrella) y el flujo q (energía emitida por metro cuadrado de estrella) es evidente, pensando que la superficie de la estrella es 4p R2.
L = 4𝜋R2q,
de donde podemos deducir que el radio de la enana blanca es de unos 4000 km, semejante al radio de la Tierra (6300 km, aproximadamente). Para apreciar la enorme densidad en una estrella tan pequeña tiene que conocerse su masa. La masa de las estrellas se calcula con diversos procedimientos, la mayoría de los cuales se basan en la tercera ley de Kepler, de la misma forma que conocemos la masa del Sol conociendo la distancia al Sol y la duración del año de un planeta. La masa de Sirio B es también bastante típica de una enana blanca: 0, 96 veces la masa del Sol.
Imaginémonos una estrella que tiene la masa del Sol y el tamaño de la Tierra. Rápidamente, obtenemos una densidad de
ρ = 6000 g/cm3.
Se comprende que, con esta tremenda densidad, la materia obedezca a un comportamiento físico poco intuitivo. Tenemos que ver cuál es ese comportamiento.

Una fotografía del joven Chandrasekhar. El físico estableció su conocido límite con tan solo veinte años de edad.
Pero antes, entendamos la física de las estrellas normales, las estrellas de la secuencia principal.
§. Estrellas de la secuencia principal
Hoy sabemos que una estrella brilla por una liberación de energía nuclear, concretamente mediante reacciones de fusión, pero evidentemente esto no se podía sospechar en el siglo XIX, antes de que se conociera la famosa ecuación E = mc2, una de las más celebradas conclusiones de la teoría de la relatividad. Veamos lo que se pensaba en el marco de la física prerrelativista, concretamente lo que pensaba William Thomson, lord Kelvin (1824-1907), uno de los físicos más feraces y penetrantes de la historia.

El Presidency College, donde estudiaron Chandra, su padre y su tío Raman; allí estudió también su esposa Lalitha.
El físico y matemático británico propuso lo que se conoce como el «mecanismo de Kelvin». Es un hecho bien conocido que una expansión adiabática produce enfriamiento. Con el término «adiabático» queremos decir que el proceso se hace sin intercambio de calor, bien porque el sistema evoluciona muy rápidamente, no dando tiempo al calor a fluir, o porque el sistema está aislado térmicamente. La razón básica del enfriamiento es que la energía de la expansión se obtiene a costa de la energía interna, que depende de la temperatura. De igual forma, si el sistema se contrae, se calienta. En la formación de una estrella hay una contracción rápida del gas interestelar. Este se calienta mucho y todo cuerpo caliente emite radiación (según la cuarta potencia de la tempera- tula si la estrella fuera un cuerpo negro, como ya hemos visto). Esta emisión —suponía lord Kelvin— es la que vemos en el brillo de una estrella. Esta explicación era correcta y atractiva desde el punto de vista cualitativo, pero al hacer cuentas algo no cuadraba
¿Cuál es la energía ganada en la contracción? Es la diferencia de energía potencial antes de formarse la estrella y después de formada, en su estado de brillo actual. La estrella se forma por el colapso gravitatorio de una masa gaseosa de dimensiones mucho más grandes que la estrella. Para simplificar el problema digamos que los átomos de la estrella estaban esparcidos hasta el infinito. Como lo que queremos es encontrar la diferencia de energía potencial, podemos situar el origen de esta donde queramos. Y lo vamos a situar en aquel instante previo a la formación de la estrella, cuando los átomos de la futura estrella estaban en el infinito.
Bien es sabido que la energía potencial de una piedra es mayor cuanto más alta está. Inicialmente, los átomos de la protoestrella están tan altos que se puede suponer que están en el infinito, y si se toma esta situación como origen de la energía potencial, todas las energías potenciales posteriores, en el proceso del nacimiento de la estrella, serán negativas. Para calcular la energía potencial de un átomo en la superficie de la estrella, se utiliza la fórmula:
GMm /R
siendo G la constante de gravitación universal; M, la masa de la estrella; m, la masa del átomo, y R, el radio de la estrella. No es sorprendente entonces, sin que se necesite una demostración detallada, que la energía potencial, no de un átomo, sino de todos los átomos de las estrella, se calcule mediante la fórmula:
W = -GM2/R
y, por tanto, la energía térmica, E, ganada en la contracción que supone la formación estelar, sea 0 - W, es decir,
E = GM2/R
Así pues, según los cálculos de lord Kelvin, esta era la energía máxima de que disponía la estrella para ser posteriormente radiada. Para hacer cálculos, particularicemos al caso de la estrella que tenemos más a mano: el Sol.
La masa del Sol es 2×1033 g, y su radio, 7×105 km, de tal forma que obtenemos que la máxima energía disponible es:
E = 4×1041 J
Y aquí viene el problema, porque la luminosidad del Sol es de L = 4×1026 Js-1. Si el Sol hubiera estado desde su comienzo brillando como hoy, habría tenido una vida de:
E /L = 1015 s = 3×107 años
Este tiempo, llamado «tiempo de Kelvin», es muy pequeño. La Tierra tiene fósiles mucho más antiguos y la vida de la Tierra se estima mediante procedimientos radiactivos en más de 4×109 años. Esto quiere decir que el mecanismo de Kelvin no puede explicar el brillo de una estrella como el Sol.
Así, el mecanismo de Kelvin, consistente en decir que la energía luminosa radiada por la estrella es la energía potencial ganada en el proceso de colapso gravitacional en su formación, es un argumento fallido para explicar la larga duración de una estrella como el Sol. Pero el mecanismo de Kelvin no ha pasado a las viejas carpetas de la historia, porque es clave para entender la evolución estelar, como pronto veremos.
Pero, si no es la energía potencial, ¿cuál es el origen de la energía de una estrella para brillar durante tanto tiempo? Exploremos la posibilidad de que sea la energía nuclear liberada en los procesos de fusión. Imaginemos que toda la masa de la estrella se convierte en energía. Entonces dispondríamos de una energía Mc2 = 2×1047. Ahora E/L ya sería mucho mayor, del orden de 10 13 años. Este tiempo es mucho mayor que la vida del universo, del orden de catorce mil millones de años. Por tanto, en principio, salvamos la paradoja si suponemos que la energía que se libera es de tipo nuclear, convirtiendo masa en energía según la conocida fórmula de Einstein.
Pero tenemos que precisar más, porque sería difícil imaginar que toda la masa de la estrella se habría de convertir íntegramente en energía y porque procesos nucleares puede haber muchos. Queremos encontrar uno que sea muy eficiente.
¿Qué es lo que se puede «quemar»? Una estrella normal está hecha de hidrógeno. No fue fácil llegar a esta conclusión; en un tiempo se pensó que las estrellas eran de hierro. Pero hoy es ya un hecho bien establecido que las estrellas normales están formadas a partir del medio interestelar del que nacieron, que inicialmente era hidrógeno con un poco de helio. El hidrógeno y, en menor proporción, el helio son los dos grandes elementos que se formaron poco después del Big Bang, mientras que todos los demás elementos han sido formados por las estrellas posteriormente. Aunque el medio interestelar se ha ido enriqueciendo en elementos más pesados, el hidrógeno sigue siendo el componente del medio interestelar más abundante.
«De alguna extraña manera, cualquier nueva aportación que he realizado nunca me ha parecido un “descubrimiento” propio, sino más bien algo que siempre había estado allí y que yo he tenido la oportunidad de percibir.»
Subrahmanyan Chandrasekhar.
Una estrella, como consecuencia, es una esfera de hidrógeno, con algo de helio y algunos otros elementos en mucha menor proporción. Busquemos entonces cómo quemar hidrógeno. En una reacción de fusión que convierte cuatro núcleos de hidrógeno (cuatro protones) en uno de helio (dos protones y dos neutrones) hay, como en todo proceso nuclear exotérmico, un «defecto de masa». El núcleo de helio pesa menos que los cuatro protones de partida. La energía liberada es este defecto de masa multiplicado por c2.
Este defecto de masa es muy grande, del orden del 0, 7%. En consecuencia, en el cálculo anterior, el tiempo de vida de una estrella como el Sol ha de ser multiplicado por 0, 007. Aun así, disponemos de un tiempo de 7×10 10 años. Este valor empieza a ser muy interesante. Es del orden de la vida del universo, aunque algo mayor, lo que no importa porque el Sol no ha muerto todavía. Se estima que tiene una vida de unos 4.500 millones de años y que seguirá «vivo», emitiendo más o menos como hoy, otro tanto.
Pero, cuando todo el hidrógeno se haya convertido en helio, ¿no podrá haber procesos de combustión del helio dando lugar a elementos más pesados? Desde luego que sí, se pueden ir formando más elementos y, de hecho, este es el origen de todos los elementos que existen en el universo hasta llegar al hierro. Para formar elementos más pesados que el hierro los procesos son endotérmicos; necesitan energía más que liberarla. Esto se consigue en procesos de gran violencia energética, como son las explosiones de supernova. Esta descripción es algo simplista, pero es buena para nuestros propósitos, centrados en otro tema.
Volvamos a nuestro balance energético. Si quemamos helio, tenemos una fuente adicional de energía; y más, si luego quemamos carbono, etc. Ahora bien, en un proceso ideal que convirtiera catorce núcleos de helio en uno de hierro, el defecto de masa sería solo del 0, 1%. Es decir, que quemar helio puede ser muy importante para explicar la composición química del universo, pero ya no nos aporta gran cantidad de energía para la pervivencia de la luz solar. Salvo casos excepcionales, una estrella normal, es decir, una estrella de la secuencia principal, quema hidrógeno para formar helio.
Pero la fusión del hidrógeno no se da en condiciones normales (por desgracia). Hace falta una gran temperatura, de unos diez millones de grados. Al alcanzar esta temperatura, empiezan a producirse los procesos de fusión del hidrógeno, bien directamente, bien mediante procesos catalíticos con otros elementos.
Empezamos a formarnos una idea. El gas interestelar colapsa para formar la estrella. Según se va produciendo la contracción por autogravitación, ese gas se va calentando por el mecanismo de Kelvin. Pero al alcanzar los diez millones de grados la contracción se detiene. Los procesos nucleares detienen el colapso. La alta temperatura crea una gran presión. Es el gradiente de presión, mayor en el interior, menor en el exterior, lo que crea una fuerza que contrarresta a la gravitación. El colapso inicial queda frenado.
Pero, además, el proceso se autorregula Es decir, imaginemos que, por alguna causa, la estrella se expande; al expandirse se enfría; al enfriarse disminuyen las reacciones nucleares; al disminuir las reacciones nucleares, disminuye el gradiente de presión, y se produce la contracción de Kelvin y volvemos a la situación inicial. Si por el contrario, la estrella se contrae más de la cuenta por alguna causa, aumenta la temperatura, aumenta la producción de energía nuclear, aumenta el gradiente de presión y la estrella recupera la situación inicial.
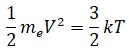
Con un razonamiento aproximado, llegamos a la conclusión de que en el centro de la estrella tenemos una temperatura de diez millones de grados (en realidad, es ligeramente mayor). El argumento ha sido independiente de la masa de la estrella. Por tanto, llegamos a una importante propiedad de una estrella de la secuencia principal: su temperatura central es independiente de la masa de la estrella, siempre algo superior a los diez millones de grados (huelga especificar que) Kelvin.
Es quizá intuitivo que las estrellas más masivas son más grandes. Esto puede justificarse mediante un razonamiento aproximado. Sabido es que la temperatura de un sistema de partículas monoatómicas es la energía cinética de las partículas que lo componen. La energía cinética media de las partículas es proporcional a la temperatura y la constante de proporcionalidad es la llamada «constante de Boltzmann», k. Así que la energía media de una partícula es kT.
Cuando la estrella está en equilibrio, la energía de un átomo (de hidrógeno) debe ser igual a su energía potencial, luego:
GMm /R = kT0
siendo G la constante de gravitación universal; M, la masa de la estrella; m, la masa de un átomo; R, el radio de la estrella, y T0, la temperatura en el centro de la estrella (reservamos el subíndice 0 para las magnitudes en el centro de la estrella). Por tanto,
M /R = kT0 /Gm
Pero, como ya hemos dicho, la temperatura central es constante, de algo más de diez millones de grados, y todas las magnitudes del segundo miembro de la ecuación son constantes, por lo que se llega a la conclusión de que M ∝ R, es decir, cuanto mayor es la masa, mayor es el radio. Las estrellas de la secuencia principal más masivas son, efectivamente, más grandes.
La densidad central se puede estimar fácilmente si igualamos la masa deducida de la fórmula anterior y la masa mediante la fórmula aproximada:
M = 4/3 pR3 ρ0
Prescindamos de los valores numéricos próximos a la unidad, puesto que más que deducciones estamos justificando órdenes de magnitud, y obtendremos:
ρ0 = kT0/Gm 1/R2
Es decir, que las estrellas más grandes tienen menor densidad central, según
ρ0 ∝ 1/R2
Este resultado no es muy intuitivo. Las densidades centrales estelares no son desmesuradamente altas. Por esta razón, se puede considerar con éxito que las estrellas son gases ideales, es decir, gases que obedecen a la denominada «ecuación de estado de Clapeyron»:
P0 = kT0 ρ0 /m
Se comprende que entonces la presión central dependerá del radio como lo hace la densidad central, según 1/R2.
Sigamos obteniendo fórmulas aproximadas para obtener órdenes de magnitud característicos de los interiores estelares.
La luminosidad de una estrella se obtendrá pensando que la energía nuclear generada en el interior tendrá que acabar saliendo. Si llamamos 𝜀 a la energía nuclear generada por unidad de masa, la luminosidad se obtendrá con la fórmula aproximada:
L = 𝜀 ρ04/3𝜋 R3,
donde L depende solo de la temperatura y, si la temperatura es constante, será constante; luego:
L ∝ R3,
y, por tanto,
L ∝ M3,
conocida fórmula llamada «de relación masa-luminosidad». Las estrellas más masivas son más luminosas, según la tercera potencia. Fue este uno de los más notables logros de Eddington.
Recordemos finalmente cómo habíamos calculado el tiempo de vida de una estrella, dividiendo Mc2 por L. Entonces, el tiempo de vida de una estrella de la secuencia principal se ajustará a la relación de proporcionalidad:
T ∝ M/L ∝ M-2.
Esto es una propiedad muy interesante. Las estrellas más masivas duran muy poco, y las más pequeñas, mucho. Esto no era tan intuitivo, pues las estrellas más grandes emiten más, pero también tienen más materia que quemar. Estos dos efectos no se compensan. Una estrella de diez masas solares dura cien veces menos tiempo que el Sol y una estrella de la décima parte de la masa del Sol, dura cien veces más. A veces se hacen modelos simples en los que las estrellas masivas son efímeras, mueren nada más nacer, mientras que las pequeñas duran más que la vida del universo; son prácticamente eternas. En la siguiente tabla puede verse la masa, luminosidad y duración de las estrellas de la secuencia principal.
| Tipo espectral | Masa (Sol = 1) | Luminosidad (Sol=1) | Duración (millones de años) |
| O | 40 | 400.000 | 1 |
| B | 15 | 13.000 | 11 |
| A | 3, 5 | 80 | 440 |
| F | 17 | 6, 4 | 3.000 |
| G | 1, 1 | 1, 4 | 8.000 |
| K | 0, 8 | 0, 5 | 17.000 |
| M | 0, 5 | 0, 1 | 56.000 |
En este capítulo hemos visto unas fórmulas aproximadas que nos permiten obtener las propiedades más importantes de las estrellas de la secuencia principal. Se comprende que la astronomía profesional recurre normalmente a modelos numéricos mucho más precisos, encargando los cálculos al ordenador. Una vez en posesión de estas nociones básicas de las estrellas de la secuencia principal, podemos adentrarnos mejor en la naturaleza de las enanas blancas, objeto del siguiente capítulo.
Capítulo 2
¿Qué es una estrella enana blanca?
El joven Chandrasekhar sabía lo que era una enana blanca porque ya conocía la nueva mecánica estadística cuántica. Eran estrellas tanto más pequeñas cuanta más masa tenían. ¿Y si se añadía más y más masa? Chandra pensaba en esta cuestión en el barco que le llevaba a Cambridge y, al llegar, ya tenía la respuesta: la masa no podía superar el valor de 1, 4 masas solares. Pero el ambiente científico de Cambridge fue hostil y poco receptivo a sus ideas. El prestigioso Eddington, en cambio, sí le escuchó, pero tachó su tesis de absurda.
Cuando Chandra se presentó en la Universidad de Cambridge no tenía asignado un college determinado. El plan no se había tramado perfectamente desde la India. Había escrito a Fowler y, en principio, esperaba que fuera su supervisor, pero esto tampoco se había podido aclarar. Cuando llegó, Fowler estaba de vacaciones en Irlanda. Nadie le esperaba.
Una «odiosa secretaria» le recibió y le dijo que todos los colleges de Cambridge estaban llenos y que no podía quedarse allí; que se fuera a Londres, al University College. Además —decía la secretaria— no se sabía qué calificaciones había tenido en el Presidency College de la India. Al día siguiente, Chandra volvió a presentarse a la secretaria enseñándole sus calificaciones, que eran absolutamente brillantes. «Nosotros no sabemos los criterios que se adoptan en la India. Esto no es suficiente.» Chandra le mostró los artículos publicados en revistas inglesas. Tampoco era suficiente. Se enfadó como pocas veces en su vida:
No he venido desde tan lejos solo por el gusto de estudiar en una universidad inglesa. Quiero estudiar aquí porque quiero trabajar con el profesor Fowler. ¡Me volveré a la India! A usted le pagan por ayudarme.
Ella le dijo que no constaba que el profesor Fowler estuviera dispuesto a supervisar su tesis. La única forma de que se le pudiera admitir era con una recomendación expresa del profesor Fowler. Pero no estaba previsto que este volviera inmediatamente de sus vacaciones. Chandra le escribió contándole sus diálogos con la secretaria. Fowler escribió entonces una carta al comité de admisión. Conocía el trabajo de Chandra, que era «bastante» bueno, sobre todo teniendo en cuenta su juventud, y que él estaba «bastante» dispuesto a supervisar su tesis. Pero a la secretaria la recomendación de Fowler no le pareció suficientemente firme.
Chandra llegó a escribir a su padre diciendo que no tenía que haber ido a Inglaterra y que se volvía. Afortunadamente, la discusión había llegado a más altas esferas, gracias a la tenacidad del joven indio, y Chandra recibió una carta en la que se consideraba que la recomendación de Fowler sí era suficientemente explícita y que se le admitía como estudiante de investigación en el glorioso Trinity College. Glorioso era, en verdad, el college donde había vivido y trabajado el mismísimo Isaac Newton (1643-1727). La alegría de Chandra no tenía límite. Como las cartas entre Cambridge y Madrás tardaban tanto, tuvo que poner un telegrama para que su padre no tuviera en cuenta las pesimistas viejas nuevas que le había escrito. Chandra acabó venciendo las trabas burocráticas, en esta ocasión conducidas por aquella «odiosa secretaria».
§. Cambridge
Fue admitido el 4 de septiembre y Fowler volvió de sus vacaciones en Irlanda el 2 de octubre.

Subrahmanyan Chandrasekhar en el curso de una de sus exposiciones. El trabajo por el que recibió el premio Nobel en 1983 se elaboró en su juventud y le ocasionó un arduo enfrentamiento con Eddington, la máxima autoridad de la época en astrofísica.
Ahora Chandra terna que pasar de la batalla burocrática a la científica. Tenía que convencer a Fowler de que fuera su supervisor.
No hubo problema. Le mostró dos trabajos: uno era una extensión del de Fowler y le gustó mucho; en cambio, dijo que él no entendía bien el resultado mágico que aparecía en el otro texto, en el que se deducía el hoy llamado «límite de Chandrasekhar» y que le pediría opinión a Milne.
Pero, desde luego, podía contar con él para la supervisión de su tesis. Loco de alegría, Chandra bajó las escaleras de cuatro en cuatro, tanto es así que un Fowler satisfecho le dijo: «Tranquilo, tranquilo».
Fowler era un hombre fuerte y alegre. Pero, poco a poco, empezó a vislumbrarse que no ponía demasiado interés en el trabajo de Chandra y que cada vez era más difícil entrevistarse con él. La situación se complicaba, porque Fowler, por muy extraño que parezca, aun no tenía un despacho en el Trinity. También puede entenderse un poco que rehuyera las corteses pero insistentes entrevistas con Chandra, dada su prolija actividad científica, Para mayor complicación, al curso siguiente tuvo un año sabático. Ello tampoco le importó demasiado a Chandra, porque la educación de los estudiantes de investigación en Cambridge era muy libre y porque (¡oh bendición!), durante su año sabático, Fowler sería sustituido por el mismísimo Dirac. Chandra seguía asistiendo a las clases magistrales que le había recomendado Fowler e investigaba febrilmente en su humilde casita de dos habitaciones, teniendo por compañeras unas larguísimas ecuaciones.
Chandra no tuvo apenas amigos en Cambridge; con las ansias que tenía de aprovechar al máximo su beca, los amigos le suponían una pérdida de tiempo. Dos de sus pocas amistades fueron el matemático Sarvadaman Chowla (1907-1995), entonces también estudiante en Cambridge, y una teóloga ciega, de nombre Freye, que era novia de un estudiante físico y, como este, muy implicada en los movimientos pacifistas, siendo admiradora de Gandhi por la valentía de una revolución sin violencia. En cierto modo, Freye humanizó un poco la actividad de Chandra, diciéndole que no todo era física y astrofísica, con lo que las ecuaciones podían admitir un paréntesis para dedicar un poco de tiempo a la buena literatura. Así lo hizo Chandra, que, por entonces, se aficionó a los escritores rasos, especialmente a Tolstoi y a Dostoievski. También leyó mucho a Virginia Wolf y a James Joyce.
Como lector, tenía Chandra una costumbre atípica que mantuvo toda su vida. En su biblioteca, en los libros que tenían marcapáginas, estos siempre estaban justo en la mitad del libro. Y es que si el libro le gustaba llegaba hasta el final y no le hacía falta el marcapáginas. Pero si no le gustaba, le daba una oportunidad hasta la mitad. Si seguía sin gustarte, allí detenía su lectura y allí quedaba el marcapáginas.
Al contrario que Fowler, Dirac era una persona retraída, con algo de debilidad física, con algo de timidez, hasta el punto que cuando iba por la calle caminaba un poco encogido y rozándose con la pared «como si fuera un ladrón». Sus clases, en cambio, eran algo extraordinario. El segundo año Chandra volvió a ellas. «¿Por qué —le preguntó Dirac—, si tus notas el año pasado fueron excelentes?». Y el joven respondió: «¿A quién le importa escuchar dos veces una síntoma de Beethoven?». Y aunque a veces salían a pasear juntos no hablaban casi nada. Había un camino con unos badenes seguidos en el que el infantil Dirac se dejaba caer en las bajadas y subía por el impulso recibido, convirtiendo energía potencial en cinética y luego energía cinética en potencial.
¿De qué hablaban cuando hablaban poco? Es posible que de religión, o más bien de lo inútil de esa conversación, porque Chandra siempre fue ateo y Dirac, por entonces, también era un ferviente ateo. Como los físicos de entonces, Dirac no entendía por qué Chandra hacía astrofísica. Él nunca tendría esa inclinación, salvo, a lo sumo, cosmología. Y, en efecto, acabaría haciendo un modelo cosmológico basado en la inconstancia de las constantes universales.
«Antes de presentar mi exposición, me gustaría hacer una declaración personal con el fin de que mis comentarios posteriores no sean mal interpretados. Me considero ateo.»
Subrahmanyan Chandrasekhar.
Milne se interesó por el trabajo de Chandra, aunque parece ser que no le concedió excesiva importancia. En cambio, al joven le interesaba el trabajo de aquel sobre los interiores estelares, porque ponía en jaque la venerable opinión de Eddington. Chandra fue a escuchar una de las reuniones de la Royal Astronomical Society con gran interés, porque preveía un enfrentamiento entre Eddington y Milne, el cual, al final y para desilusión de Chandra, no se produjo. Milne no era amigo de contradecir públicamente al prestigioso Eddington. Chandra y Milne colaboraron en algunas cuestiones de interiores y atmósferas estelares, pero este tampoco se entusiasmó con el denominado «límite de Chandrasekhar». En realidad, en sus primeros años en Cambridge, nadie se interesaba por este trabajo. Y según él mismo contó, nadie se interesaba realmente por nada de lo que él hacía. Vivía aislado en un páramo cultural, en medio de tanto sabio.
Chandra trabajaba y trabajaba, y supo lo que es la soledad. Aliviaba esta con la correspondencia con su familia, especialmente con su padre y con su hermano Balakrishnan. El 21 de mayo de 1931 murió su madre.
§. Los viajes del joven Chandra
Chandra estaba mal en Cambridge. Se encontraba solo. Tenía pocos amigos y a los profesores, aunque parecían abiertos a sus ideas, en realidad no les importaban nada. Estaba trabajando con nombres que para él eran míticos, pero que científicamente estaban tan lejos como cuando él se encontraba en la India. A Fowler, su teórico supervisor, casi no le veía. A Dirac, no le interesaba la astrofísica, y casi no hablaba. Eddington estaba demasiado alto; Milne, demasiado lejos, en Oxford. Y, además, la muerte de su madre le había destrozado las ilusiones. ¿Qué podía hacer? pensaba mientras paseaba por Cambridge, recorriendo sus calles solo, una y otra vez. Siendo tan pequeña la ciudad y tan grande su soledad, tenía que dar varias vueltas en un circuito burlonamente repetido.
Había grandes científicos, siempre los había habido en Cambridge, empezando por su admirado Newton. Era difícil creer que una localidad tan pequeña hubiera sido y continuara siendo el centro científico del mundo. ¿Era el efecto de la tradición? Difícil de entender, porque las tradiciones tenían allí algo de arbitrario y algo de caprichoso. Se le antojaba que los científicos eran perfectamente corteses y él tampoco estaba interesado en una relación más íntima, pero deseaba una permeabilidad científica más intensa Y la comida era insufrible para un vegetariano.
En Madrás, con un nivel científico muy inferior, se había sentido más comprendido. Su madre había muerto y su familia se reducía a un montón de papeles. Epístolas calientes y afectivas, pero papeles. ¿Y Lalitha? La recordaba constantemente, con sus ojos comprensivos al entender que él había preferido la astrofísica a ella ¿Dónde estaba Lalitha? Tan lejos y tan cerca.
Le dijo Dirac:
No hagas astrofísica. Haz física. Cambridge te da mucha libertad. Vete a Gotinga; allí está Max Born. Ahora es el director del Instituto de Física Teórica, yo le escribiré. O vete a Copenhague, conocerás a Bohr, el más grande de los físicos vivos.
Y así lo hizo Chandra. Se fue primero a Gotinga, en el verano de 1931. Y allí se encontró con un ambiente humanamente mucho más favorable y, científicamente, más abierto. El mismo Max Born (1882-1970) fue a recibirle a la estación, aunque luego comprobó que su cargo de director le absorbía mucho tiempo. Allí conocían sus trabajos. La comida era mucho mejor para un vegetariano. Su espíritu se expandió. Conoció a colegas interesantes, tanto del propio Instituto como visitantes. Conoció al húngaro Edward Teller (1908-2003), quien más adelante tendría un papel importante en el Proyecto Manhattan, de tan tristes consecuencias en Hiroshima y Nagasaki. Conoció a Ludwig Biermann (1907-1986), quien imaginó la fuente de magnetismo en el universo. Se reencontró con Heisenberg, venido como visitante desde Leipzig, quien le habló de la nueva electrodinámica cuántica.
Si Cambridge era un hervidero científico desde hacía siglos, también lo era Gotinga. Si en Cambridge había vivido Newton, en Gotinga había vivido Cari Friedrich Gauss (1777-1855). Es posible que Chandra tuviera la ocasión de visitar la casa de Gauss y coger con sus manos la pluma más fértil de la humanidad, la que había convertido el vuelo de un ave en el vuelo de la ciencia Allí estaba Gauss con su amigo Wilhelm Eduard Weber (1804-1891), inmortalizados en una plaza de la ciudad, una ciudad pequeña como Cambridge, que aún conservaba su encantadora estructura medieval.
Además, Chandra sabía alemán. Lo había aprendido en Madrás sin que muchos de sus hermanos ni siquiera se hubieran enterado, ni hubieran entendido para qué en caso de saberlo.

El Trinity College de Cambridge, donde Chandra fue nombrado fellow tras la lectura de su tesis doctoral.
El joven hizo turismo: Colonia, Berlín, Kassel... Y más adelante, ya de vuelta en Cambridge, se fue a Copenhague en 1932. Allí aprendió algo de danés, aunque en el Instituto se hablaba alemán.
El genio silenciosoDe ascendencia suiza y francesa, Paul Dirac (1902-1984) estudió en su ciudad natal, Bristol, primero ingeniería eléctrica, luego lo que realmente le interesaba: matemáticas. Casi toda su vida profesional la pasó como catedrático de la Universidad de Cambridge. Era de carácter difícil desde su infancia, quizá por la severidad de su padre. Extremadamente callado, casi autista, era de carácter retraído y modesto.El joven Chandra dio sus primeros pasos usando la estadística de Fermi-Dirac, estadística que Dirac, en su extremada modestia, atribuía solo a Enrico Fermi (1901-1954). Después, al conocerle en persona, le admiró por sus magistrales lecciones y pasearon juntos en frecuentes ocasiones. Pero en aquellos paseos no decían nada ninguno de los dos. Sus principales aportaciones, además de la estadística de los fermiones, se dieron en los campos de la mecánica cuántica y la electrodinámica cuántica. La hoy conocida como «ecuación de Dirac» es una ecuación relativista de ondas del electrón, que le llevó a predecir la existencia del positrón, la cual fue confirmada experimentalmente por Cari David Anderson (1905- 1991). También concibió la existencia de monopolos magnéticos. Ateo convencido inicialmente, Dirac defendió pública y obstinadamente sus ideas contrarias a cualquier forma de religión. Tanto es así que Pauli llegó a decir en tono bromista: «Dios no existe y Dirac es su profeta». Más adelante, sin embargo, su actitud se flexibilizó. Fue un buen amigo de Monseñor Lemaître. Dirac murió en Tallahassee (Florida) en 1984.
El clima humano y científico le pareció aún mejor que el de Gotinga. Pasó de ser un hombre solitario a ser un hombre ameno. Sin embargo, tampoco pudo hablar mucho con Niels Bohr (1885-1962), porque estaba siempre muy ocupado, aunque jugaba mucho con su hijo. Su relación fue breve, pero intensa. Le decía Bohr:
No encuentro simpática la idea de trabajar en astrofísica. La primera pregunta que me hago es de dónde viene la energía de una estrella. Nadie puede decírmelo, por lo tanto, ¿cómo puedo seguir adelante con otras cuestiones?
No conocían en profundidad, ni en Gotinga ni en Copenhague, lo que llamaban la «Eddingtonishe Theorie» y, en consonancia, Chandra se fue desentendiendo de la astrofísica, para interesarse más y más por la física pura. Estuvo en Copenhague unos siete meses. En su viaje de vuelta, se detuvo en Lieja, donde conocían sus ideas y le invitaron a dar un cursillo. Y, finalmente, volvió a Cambridge para leer su tesis. Era su gran momento. Tras la tesis tendría que regresar a la India.
§. La tesis doctoral
Ya estaba decidido el día de la lectura y también el tribunal, que estaría formado por dos profesores: uno, el propio supervisor, Fowler, y el otro, el mismísimo Eddington. Esto puede parecer extraño en otros países, pero la calidad de las tesis depende más de su nivel científico que de la composición más o menos reducida del tribunal. Todo estaba decidido salvo... el tema de la tesis.
Chandra había trabajado en tantas cosas ya por entonces que podía presentar varias tesis. Era prudente que fuera de astrofísica. Como Eddington había introducido con éxito el concepto de poli- tropos en las estrellas, pensó que agradaría a este presentando una extensión del tema de los polítropos, por lo que eligió como tema el de los «polítropos distorsionados (el concepto de «polítropo» se desarrolla en un anexo).
Se presentó en la sala a la hora convenida, pero allí no había nadie más que él, ya con su tiza preparada. Ni Fowler, ni Eddington, ni nadie entre el público. Al cabo de quince minutos se presentó Fowler, quien sin pedir perdón por el retraso pensó que lo mejor era que se trasladaran los dos a las habitaciones de Eddington. Era un contraste grotesco: Chandra, con traje académico, y Eddington, en zapatillas.
Empezó el turno de preguntas. Según contaba Chandra, Fowler empezó a preguntar y quedó contento con sus respuestas, pero no Eddington. Luego, Eddington quedó contento con las respuestas de Chandra a sus preguntas, pero no Fowler. De pronto, Fowler miró el reloj y, pidiendo perdón, dijo que se tenía que ir. Y se fue. Entonces dijo Eddington: «Esto es todo». Chandra abandonó entonces las habitaciones particulares de su admirado profesor, el gran autor del tratado más completo de estructura estelar, el mejor divulgador de la relatividad, según el propio Einstein, pero un hombre completamente descuidado en lo que a las formalidades académicas se refiere. ¿Era así como se leían las tesis en Cambridge?
Para colmo, Chandra no sabía si el informe de los dos profesores había sido favorable o no, ni se le dio ninguna nota escrita, ni se sabía dónde estaba Fowler. Al cabo de unos días se enteró en secretaría que ya era doctor. Nadie le había dado importancia, ni siquiera él mismo. No podía ni estar seguro de que todo aquello había sucedido, dada la dejadez con que se había consumado. Sin embargo, y fuera como fuera, ya era doctor por la Universidad de Cambridge.
Ahora debía volver a la India, aunque también podía pedir una beca con la cual se convertiría en un fellow del Trinity. Eso estaría muy bien, pero Fowler le desanimó; era imposible que lo consiguiera. Si lo lograba tendría habitaciones propias, comería en la High Table, tendría dinero más que suficiente para los cinco años que duraba la beca y... ¡tendría derecho a pisar el césped del college! Incluso el último año podría residir en el lugar que él eligiera; podía ser incluso en la India, mientras él encontraba el siguiente trabajo. Solicitó la beca a pesar de que Fowler le repetía que no se hiciera ilusiones. Y no se las hizo, y decidió pasar sus últimos meses en Oxford con Milne y acabar algunas investigaciones que tenían en común. Pero no llegó a tomar el taxi que ya había pedido porque en el Último momento se enteró de que le habían dado la deseada e inaccesible beca. Chandra pasó a ser fellow del Trinity College.
La poca pompa en el acto de la defensa de la tesis doctoral se compensó con la de la medieval ceremonia de concesión de la condición de Trinity fellow, en la que Chandra recibió arrodillado su credencial con el Master pronunciando frases en latín. Luego supo que Milne y Fowler le habían propuesto y recomendado vehementemente. Desde entonces, Chandra fue tratado con mucha más camaradería y su visión pesimista de la ciencia de Cambridge mejoró súbitamente. Hasta se hacía frecuente y animosa la conversación con Fowler, que ya atendía con más interés la tesis del límite de masa de las enanas blancas.
«Fue el conocimiento simultáneo de The Intemal Constitution of Stars de Eddington y la estadística moderna —al menos moderna entonces— a través de Sommerfeld, lo que despertó mi interés en la teoría de las enanas blancas.»
Subrahmanyan Chandrasekhar.
Rutherford y Eddington discutían con él sobre temas diversos con completa naturalidad, especialmente Eddington, quien, aunque tenía fama de persona solitaria, se hizo muy accesible. Era un hombre modesto en su vida particular —pensó entonces Chandra—, pero muy cabezota en sus ideas científicas. Era muy devoto, ferviente cuáquero. La Royal Society hizo una encuesta preguntando quién creía en la presencia divina y él fue de los pocos que contestaron, y contestó afirmativamente. Escribió sobre estas cuestiones un libro maravilloso, titulado Science and the Unseen World. Más adelante las relaciones entre ambos se enturbiaron debido a la bien conocida controversia que trataremos más adelante.
Con Rutherford también hablaba a menudo. Era muy radical en sus ideas y, como físico perteneciente a una generación anterior, tenía una clara aversión a la astrofísica. Refiriéndose a lo que se hacía en su laboratorio, decía: «Lo que estoy haciendo ahora tiene más que ver con las estrellas que lo que hacéis en el observatorio». Y en otra discusión: «Aquí no se habla del universo».
Sin embargo, por aquel tiempo, la astrofísica empezaba a considerarse ya interesante para los físicos, lo que le hizo centrarse en los problemas a los que la agitación browniana de su vida le habían conducido. Chandra recobró la alegría y la confianza en sí mismo. Ahora le gustaba tanto la Cambridge que no hacía mucho había despreciado que adquirió maneras inglesas que conservó durante toda su vida. Eso sí, sin abandonar jamás su personalidad hindú.
Recibió con cierta inquietud la noticia de que su padre tenía la intención de hacer un viaje por Europa y, por supuesto, Cambridge sería una de sus principales etapas. Por una parte, temía la desilusión paterna cuando viera que aquellos sabios ingleses trataban con cierta indiferencia a su hijo tenido por el genio de la familia, y eso a pesar de que apreciaba ya una actitud más cercana en ellos. Y por otra parte, la visita no sería corta y podría desbaratar sus planificaciones temporales tan ajustadas. Intentó disuadirle hablándole de la perniciosa comida británica, pero él ya había preparado una lista con todos los restaurantes vegetarianos de Europa. Además, tocaba música kamatic con violín y había concertado numerosos recitales en diversas ciudades.
La visita se produjo, en efecto, y Chandra fue el guía turístico de su padre en Cambridge, Oxford, Londres... y una semana en Alemania. Al contrario de lo que temía, la visita fue feliz y ambos se entendieron y conocieron en mayor profundidad que cuando estaban rodeados de una extensísima familia.
Por iniciativa de Milne, Chandra fue elegido también fellow de la Royal Astronomical Society. Allí conoció a ilustres visitantes como Henry Norris Russell (1877-1957), Harlow Shapley (1885- 1972), etc., y conoció al científico organista inadaptado James Hopwood Jeans (1877-1946), cuyas valiosas aportaciones siguen siendo admiradas hoy en día por la comunidad astrofísica.
En el verano de 1934 decidió visitar Rusia en un viaje de un mes de duración. Primero fue a Leningrado (hoy San Petersburgo) en barco, con frecuentes avistamientos de destructores y acorazados alemanes que hacían presagiar una próxima contienda de proporciones continentales. Allí conoció a Viktor Ambartsumian (1908-1996) y a Lev Landau (1908-1968). Ambos acabarían teniendo gran incidencia en los objetivos de Chandra. Landau encontró tiempo después un límite de masa para las estrellas de neutrones, por entonces aún sin descubrir, similar al de Chandra para las enanas blancas (el denominado «límite de Landau-Oppenheimer-Volkoff»), y Ambartsumian estaba llamado a hacer un desarrollo paralelo e independiente al que después haría Chandra sobre el transporte radiativo.
Ambartsumian se mostró entusiasmado con el límite de Chandrasekhar. En aquel famoso viaje de la India a Inglaterra, Chandra había realizado unas aproximaciones muy correctas a las que los teóricos de entonces recurrían, las cuales no solo hacían la resolución matemática más accesible, sino que además conseguían una mayor comprensión del problema físico. Ambartsumian, por supuesto, apreciaba estas aproximaciones teóricas, pero aconsejó a Chandra, con vistas a convencer a los más reticentes, que hiciera un cálculo sin aproximaciones. El problema se complicaba algebraicamente, pero podía resolverse con una calculadora, si es que encontraba a alguien que la tuviera y se la prestara. Chandra acogió la idea como buena y se prometió volver al problema de las enanas relativistas con nuevos bríos.
Luego visitó Moscú, Crimea, Odesa, Estambul... Hizo amistad con muchos otros científicos. Lo que no podía suponer es que poco tiempo después todos ellos fueron eliminados o enviados a campos de concentración en Siberia a causa de la intolerancia del régimen de Stalin. Solo Ambartsumian logró escapar.
Cuando Chandra se duchó con tres mujeresChandra contaba esta anécdota de su viaje en barco de Odessa a Estambul, Al subir al barco se le notificó que compartiría camarote con dos rusas y una alemana. Aquello era aterrador, tanto para él como para las mujeres. Como él sabía alemán y la alemana sabía ruso, pudieron establecer unas reglas de comportamiento. Al ir a dormir, Chandra saldría al pasillo, mientras las mujeres se ponían el camisón y se metían en la cama. Chandra debía entrar a oscuras y meterse en la cama. Las mujeres quisieron dejar la ventana abierta, aunque Chandra las avisó de que el capitán le había informado de la existencia de solitones muy elevados por aquellos mares y en aquellas épocas. Cuando se disponían a dormir, un tremendo solitón irrumpió por la ventana inundando el camarote y empapando a los cuatro viajeros, los cuales —olvidando sus reglas de comportamiento— saltaron impúdicamente de la cama. Fue la única vez que Chandra se duchó en compañía de tres damas.
Chandra continuaba aprendiendo por sí mismo. Todo lo que aprendió en su vida lo hizo por su cuenta. Él contaba que, por entonces, leía elMonthly Notices of the Royal Astronomical Society (MNRAS) y The Astrophysical Journal (ApJ) de cabo a rabo, todos los números. También leía los artículos del Zeitschrift fiir Astrophysik, que se había fundado no hacía mucho, y ojeaba Nature regularmente.
§. La controversia Eddington-Chandrasekhar
Ha habido controversias conocidas en la historia de la ciencia. Normalmente, la comunidad científica acaba dando la razón a uno de los científicos involucrados, o a todo un grupo: el vencedor es ensalzado, y el vencido, despreciado. En esta controversia el vencedor fue Chandrasekhar, pero tanto él como su oponente, Eddington, han pasado a la historia como dos extraordinarios astrónomos. La discusión fue larga: desde que Chandra obtuvo el resultado de la masa límite hasta su aceptación general por la comunidad astronómica pasaron treinta años y otros veinte más para que le dieran el premio Nobel. Fueron dos caballeros en la contienda, aunque en algunos momentos perdieron ligeramente su elegancia natural, especialmente Eddington. Lo que sí puede decirse es que la controversia fue de gran fecundidad. El error suele ser tan importante como el acierto en el desarrollo de las ideas.
Chandra era una joven promesa de poco mas de veinte años; Eddington, el más prestigioso de los astrónomos, prestigio que bien merecido tenía por su contribución decisiva al conocimiento de la estructura estelar, su aportación a la cosmología, su excelente interpretación de la relatividad general, su divulgación de la termodinámica y muchas otras cosas. Tenía un humor fácil y penetrante, aunque algo ácido. De él se decía que nunca en su vida había acabado una frase. Pero a la hora de escribir, su pluma era hechicera Tenía tanto prestigio y autoridad que él dictaba lo que era verdadero y lo que era falso y todos acataban su veredicto.
Nadie, excepto Milne y Chandra, se atrevía a «batir sus espadas con la suya». Así que la disputa recordaba al humilde David y al gigante Goliat.
Una estrella de la secuencia principal es un polítropo con la presión proporcional a la potencia 5/3 de la densidad, si se puede considerar la estrella en equilibrio convectivo (como ya se ha apuntado anteriormente, el concepto de «polítropo» se explica en un anexo). La introducción de la estadística de Fermi-Dirac en las enanas blancas por Fowler, equivalía a identificar este exponente también corno 5/3. Con este exponente de 5/3 todas las estrellas morían como enanas blancas. Pero esta conclusión tan aceptable por la intuición, venía a romperse con la estadística de las enanas blancas relativistas, porque ese exponente se convertía en 4/3. Esto implicaba que las estrellas que tenían inicialmente una masa superior al límite de Chandrasekhar, de aproximadamente 1, 4 masas solares, «no podían morir en paz», según la expresión de Eddington. Si una estrella tenía más masa que 1, 4 masas solares ¿cómo moría? A esta pregunta tendría que enfrentarse Chandra tarde o temprano. De momento, él simplemente decía que una enana blanca de más de 1, 4 masas solares no podía existir.
Siguiendo el consejo de Ambartsumian, Chandra hizo un cálculo más exacto, resolviendo la ecuación numéricamente con una calculadora —si es que a aquel aparato se le podía dar este nombre— que le había prestado un amigo. Los resultados sobre la degeneración relativista tardaban en salir. Eddington pasaba muy frecuentemente por la habitación de Chandra atento al resultado, sorprendiéndole a este el inesperado interés que mostraba por su cálculo, el cual debía presentar en la reunión de la Royal Astronómica! Society de 1935.
Cuando Chandra vio el programa de la reunión con el orden de intervenciones se sorprendió al ver que tras su comunicación venía la de Eddington, que tenía el inesperado título de «Degeneración relativista». ¿Cómo era posible? Ese era su tema, no el de Eddington. Entonces empezó a sospechar con preocupación que las frecuentes visitas de Eddington a su habitación habían tenido otro tipo de intereses menos presentables. En la cena del día anterior, comieron juntos, pero Eddington no mencionó ni una palabra sobre el tema. Si él estaba interesado en la degeneración relativista, ¿por qué no le había dicho nunca nada?
Chandra presentó su comunicación. A continuación, venía la de Eddington, que empezaba así: «No sé si acabaré vivo en esta reunión, porque el artículo que acaban de oír, tiene unos fundamentos que son completamente erróneos». Chandra se quedó blanco. Al final, todos, sumisos ante la autoridad del gran profesor, le decían: «Demasiado malo, demasiado malo». Compungido, se fue a la estación para coger el tren. Allí se encontró a Milne, que le dijo: «Siento en mis huesos que Eddington tiene razón», a lo que Chandra, muy malhumorado, contestó: «Hubiera deseado que lo sintieras en otras partes».
Este tipo de contestación no era nada propia de Chandra, pero estaba disgustado, enfadado, humillado y desprestigiado. Mas adelante, Chandra y Eddington no cruzaron tampoco buenas palabras. Después, Chandra rehuía la presencia de Eddington, mientras que este le buscaba como si no hubiera pasado nada; eso sí, seguía manteniendo que el cálculo de Chandra no tenía ningún sentido.
En una conferencia, celebrada en París en 1935, Eddington insistió en su desprecio a la existencia de la degeneración relativista. Chandra pasó una nota al chairman, que era Russell, diciéndole que deseaba responder cuando Eddington acabara. Russell le contestó con otra nota: «Prefiero que no lo haga».
En otra reunión en París, un observacional como Gerard Kuiper (1905-1973) preguntó a Eddington si había alguna forma para dirimir el litigio entre ambas teorías recurriendo a las observaciones. La contestación del gran caballero fue: «No hay dos teorías». Entonces Chandra se levantó indignado protestando, pero Russell, que era también el chairman de la reunión, sentenció: «La discusión está cerrada», impidiéndole defenderse.
Pero ¿qué razones aducía Eddington para rechazar la degeneración relativista? No rechazaba la deducción ni los cálculos numéricos, que conocía bien tras tantas visitas a la habitación de Chandra. Rechazaba el mismo concepto. La ecuación de estado de la que partía Chandra era el resultado de un matrimonio infecundo de la mecánica cuántica y la relatividad general. Y en su ofuscación llegó a interpretar mal el principio de exclusión de Pauli.
Arthur S. Eddington (1882-1944)Eddington es uno de los grandes astrónomos de todos los tiempos, y así fue reconocido por Chandra en frecuentes ocasiones. Era cuáquero y de padres cuáqueros, por lo que fue un hombre profundamente religioso.Era además un buen conocedor de la literatura inglesa, lo que Chandra debía de apreciar. Trabajó en el legendario laboratorio de Cavendish en Cambridge, y en el no menos legendario observatorio de Greenwich. Casi toda su vida profesional se desarrolló en Cambridge, donde fue director de su observatorio, y sucedió en la cátedra a George Darwin (hijo del más famoso Darwin). Su obra más majestuosa, The InternaI Constitution of Stars, se centró en los interiores y la evolución estelares. Fue quien concluyó que una estrella de la secuencia principal podía ser tratada como un gas ideal, cuantificó los efectos radiativos turbulentos y de la presión de radiación, explicó la relación entre la luminosidad y el período en las estrellas cefeidas, sugirió que la energía provenía de la fusión del hidrógeno (idea desarrollada por Bethe) y explicó la relación masa-luminosidad, siendo la luminosidad proporcional al cubo de la masa, aproximadamente. Si Chandrasekhar tenía un límite, Eddington también tenía el suyo. El «límite de Eddington» se refiere a la máxima luminosidad esperable de un objeto que acrecienta materia, tal como se observó posteriormente en los cuásares. Escribió un libro (Mathematical Theory of Relativity) sobre la teoría de la relatividad, que fue muy elogiado por Einstein. El 29 de mayo de 1919 condujo una expedición a las islas Príncipe con el fin de comprobar la deflexión de la luz de las estrellas angularmente próximas al Sol en un eclipse, tal como predecía la relatividad general. Según Chandra, con esta expedición, además de un objetivo científico, Eddington pretendía evitar la cárcel por su objeción de conciencia en la Primera Guerra Mundial, consecuente con su religión. En su encomiable difusión de la teoría de la relatividad, tampoco olvidó la teoría cosmológica de Lemaître. Como Milne, pretendió hacer cosmología, pero sin demasiado éxito. Según Chandra, tanto él como Milne se desfondaron en el intento, razón por la cual él no quiso nunca dedicarse a la cosmología. Al final de su vida buscó una teoría de gran unificación, propósito en el que también fracasó Einstein, y que aún se sigue persiguiendo.
En realidad, podemos interpretar que, en el fondo, le molestaba que las estrellas de más de 1, 4 masas solares «no pudieran morir en paz»; la paz que les aseguraba el exponente 5/3 del polítropo de Fowler.
Chandra estaba desacreditado y con pocas posibilidades de defenderse públicamente. Los artículos en la revista de la Royal Astronomical Society serían rechazados sin la venia de Eddington, y en las reuniones científicas no le dejaban defenderse. Tomó tres sabias determinaciones:
- Dedicarse a otras investigaciones, ya que la pelea con Eddington consumiría demasiado tiempo y energía.
- Conservar la admiración por el cascarrabias profesor y comportarse con cortesía y elegancia, aunque sin renunciar a su cálculo. Después de todo, el ofuscado caballero seguía ofreciendo su amistad. Su comportamiento había sido avieso, era verdad, pero era la consecuencia de su endiosamiento en el ambiente astronómico mundial, no solo en Cambridge. Eddington estaba acostumbrado a hablar ex cátedra, sin que nadie osara disentir.
- Puesto que las objeciones de Eddington penetraban en el corazón de la física, incidían directamente en la interpretación de las leyes recién nacidas de la física, ¿por qué no pedir la opinión a los autores de las nuevas leyes: Bohr, Pauli, Dirac...?
Empezó abordando a Bohr. Se sirvió como intermediario de su amigo León Rosenfeld (1904-1974), que trabajaba con Bohr. «Por favor, envíame la respuesta por correo aéreo.» Tanto Rosenfeld como Bohr veían claro que la interpretación de Chandra era la correcta. En el mundo de los físicos, Eddington no era el omnipotente líder de la ciencia. Incluso le menospreciaban porque, como se dijo, los físicos se desentendían por aquel entonces de la astrofísica. Pero cuando Chandra pidió una opinión escrita presentable públicamente, Rosenfeld le dijo que Bohr le había dicho que no tema tiempo y estaba cansado, y era verdad. No quería abrir otra línea de trabajo.
Pauli también estaba de acuerdo con la interpretación de Chandra, pero prefería no complicarse la vida en esa disputa desatada por un astrónomo tan pertinaz y blindado a los argumentos. Y de la misma opinión era Dirac, como lo expresó por carta, porque por entonces se encontraba, no en Cambridge, sino en Princeton. Chandra no obtuvo ningún manifiesto escrito. Al menos sacó una conclusión preciosa: él estaba en lo cierto. Eddington se equivocaba Y es que, alguna vez en su ánimo decaído, llegó a admitir que podía ser él el ofuscado. No; pasaría página, escribiría un libro (los libros no sufrían el rigor de la censura de las revistas) y el tiempo le acabaría dando la razón.
En cuanto a la relación personal con Eddington, muy pronto recuperó la cordialidad, pudiéndose hablar incluso de amistad. En efecto, hacían bastantes salidas juntos en bicicleta, tomaban el té, etc. Baste con dos detalles: cuando Chandra acabó su período de fellow habló con el viejo profesor sobre cuál debía ser su próximo destino, y efectivamente siguió su consejo; y cuando Chandra volvió a Cambridge recién casado, Eddington invitó a la pareja a sus habitaciones a tomar té. Chandra recuperó el respeto y la admiración por quien tanto le había enseñado. Comprendió que la controversia se había salido de los cauces puramente científicos, simplemente porque Eddington... era así. Omnipotente, pero inocente. Por extraño que pueda parecer, Eddington necesitaba a Chandra Alguna vez, para facilitar la buena marcha de las relaciones personales, le dijo Eddington: «No hablemos de ciencia». Repuso Chandra: «Eso es lo que venimos haciendo desde hace algún tiempo».
En la cena de gala de un congreso celebrado en París, a la que asistieron físicos tan destacados como Louis-Victor de Broglie (1892-1987) y Marie Curie (1867-1934), y en la que estaba Chandra perdido en su resentimiento tras un nuevo ataque despiadado de Eddington, este se le acercó y tuvo lugar este diálogo que Chandra Sofía recordar:
—Lo siento. Espero no haberle herido esta mañana —dijo Eddington.
—¿Ha cambiado su opinión? —preguntó Chandra
—No —contestó Eddington.
—Entonces ¿por qué dice que lo siente? —preguntó de nuevo Chandra.
Eddington miró a Chandra y se fue. Este lamentó siempre esta conversación. Después de todo, aquel venía a pedirle perdón. Además no volvieron a verse; la Segunda Guerra Mundial interrumpió el curso feraz de la ciencia y Eddington murió antes de que terminara, en 1944. Hay quien ha sospechado que esta controversia era el afloramiento de un mal reprimido sentimiento racista por parte de Eddington. Sin embargo, esta suposición es errónea. Chandrasekhar, que conoció profundamente a Eddington, siempre lo negó. Eddington no tenía nada de racista.
Pero es conveniente adentrarse no solo en los episodios de la «histeria» de la astrofísica, sino en los de su «historia». Hay aspectos muy interesantes, pertenecientes a la aventura interior de Chandra, decisivos para llegar a la respuesta actual de esa eterna pregunta, ya formulada por algún Pithecanthropus, ¿qué es una estrella?
§. La muerte de las estrellas
Antes de la irrupción de Chandra en la investigación de la evolución estelar, la muerte de una estrella era el estado de enana blanca, hasta que terminaba como una enana negra, sin emisión alguna La enana blanca ya podía ser considerada como un estado fósil, la muerte en paz que satisfacía a Fowler y a Eddington. Pero Chandra había demostrado que este podía ser realmente el final si la estrella tenía una masa inferior al llamado «límite de Chandrasekhar», de 1, 4 masas solares aproximadamente. Pero como se había determinado la masa de muchas estrellas, alguna de las cuales tenía una masa superior, quedaba flotando una pregunta ineludible: ¿cómo mueren las estrellas masivas?
Chandra pensaba que ya había hecho bastante por las estrellas y que no era misión suya responder a todas las preguntas. Pero es fácil imaginar que esta postura no era de su propio agrado. Y que la pregunta se le había quedado como un pelo en la lengua.
En un congreso de París de 1939, Chandra abordó este problema, en términos cualitativos pero lúcidos. En primer lugar, él había estudiado la inestabilidad en el equilibrio de una estrella, por ejemplo, las inestabilidades radiales y rotacionales, encontrando muestras de equilibrio inestable en los estados finales de la secuencia principal. Era concebible una explosión de la estrella, en la que, al menos, esta podría perder masa y quedarse por debajo del límite por él establecido. En realidad, se produce una pérdida de masa expulsada por la estrella, lo que constituye una nebulosa planetaria.
A pesar de su nombre, una nebulosa planetaria no tiene nada que ver con los planetas, pero el material eyectado se ve como formando un anillo de material que recordó a sus descubridores los anillos de Saturno. Era como si la estrella «supiera» que tenía demasiada masa para morir como enana blanca y se despojara de la que le sobraba. También podían interpretarse así las llamadas «estrellas Wolf-Rayet», en las que debido a una eyección de masa era como si estuviéramos viendo directamente su interior.
Pero aun así, esta respuesta no hacía desaparecer la intranquilidad. ¿Y si la masa inicial de la estrella era aún mayor y la estrella era incapaz de despojarse de toda su masa sobrante? No se podía confiar en que la estrella «supiera» que existía un límite de masa impuesto por el doctor Chandrasekhar. Traduzcamos sus propias palabras extraídas de la reunión de París de 1939, porque decidieron la futura investigación de la evolución estelar:
[Para estrellas de mayor masa] existen otras posibilidades. Durante la fase de contracción, estas estrellas podrían desarrollar núcleos degenerados. Si estos núcleos degenerados alcanzaran una densidad lo suficientemente alta (como es posible para estas estrellas), los protones y electrones se combinarían para formar neutrones. Esto causaría una brusca disminución de presión, resultando el colapso de la estrella en un núcleo de neutrones y dando lugar a una enorme liberación de energía gravitacional. Este podría ser el origen del fenómeno de supernova.
Ya Walter Baade (1893-1960) y Fritz Zwicky (1898-1974) habían hablado en una reunión de la American Physical Society de la posible existencia de estrellas de neutrones, relacionándolas además con las supernovas. Chandra pensó que esta podría ser la muerte de las estrellas muy masivas.

La Nebulosa del Cangrejo es un resto de supernova. Las inestabilidades en una estrella masiva producen esta explosión.
Por otra parte, los neutrones también son fermiones y, por tanto, las estrellas de neutrones tenían que tener también un límite de masa Este límite fue obtenido por Lev Landau, Robert Oppenheimer (1904-1967) y George Volkoff (1914-2000) y se le denomina «límite de Landau-Oppenheimer-Volkoff». Y en 1967 Jocelyn Bell (n. 1943) y Antony Hewish (n. 1924) descubrieron los púlsares, que son estrellas de neutrones, de una densidad altísima, como corresponde a la masa de una estrella algo mayor que el Sol concentrada en una esfera de unos 10 km de radio.

La estrella de neutrones (pulsar) en el centro no supera el límite de Landau- Oppenheimer- Volkoff. Esto fue anunciado por Chandrasekhar antes del descubrimiento de los pulsares.
Era la confirmación de la predicción de Chandra veintisiete años después.
La identificación de los observacionales pulsares y las teóricas estrellas de neutrones no se hizo esperar. En una charla en la que Hewish daba a conocer el descubrimiento de los pulsares por Bell, al final, en el turno de preguntas, Hoyle levantó la mano: «Creo que un púlsar es un resto de supernova», quizá recordando la predicción de Chandra.

Otro resto de supernova, donde se aprecia el punto que corresponde a la emisión de la estrella de neutrones cuya existencia fue predicha por Chandra.
Una aclaración lingüística hoy se llama «resto de supernova» a la envoltura eyectada en la explosión; Hoyle se refería tanto al material eyectado como al residuo de estrella de neutrones que permanece en el centro.
Y si la presión de Fermi de los neutrones no podía soportar la autogravitación de una estrella muy grande, entonces la estrella tenía que convertirse en un agujero negro. Pero las investigaciones relativistas de los agujeros negros no habían abordado su interior.

Izquierda: Chandra también intuyó la formación de agujeros negros por la muerte de estrellas masivas. En esta imagen artística, una galaxia es tragada por el agujero negro y se deforma por las fuerzas de marea. Derecha: En un cúmulo globular pueden aparecer conjuntos de enanas blancas. Los círculos en la imagen de la derecha son enanas blancas.
Hacía falta que alguien estudiara los agujeros negros abordando las ecuaciones de Einstein en situaciones muy alejadas de la aproximación de campo débil, es decir, de curvatura leve. Ese trabajo sería llevado a cabo varios años después por Chandrasekhar, quien no sabía relatividad general, sino que la estudió con este objetivo. Las figuras 1-4 de la página siguiente muestran los estados finales de las estrellas deducidos o intuidos por Chandra restos de supernovas, agujeros negros y enanas blancas.
Eddington siguió perturbando el reconocimiento del trabajo de Chandra aun después de muerto. En diversos premios que le dieron a Chandra, tales como la Gold Medal of the RAS (1952) o la Bruce Medal (1953), nunca incluyeron ninguna mención al límite de Chandrasekhar.
El primer premio recibido con mención expresa del límite fue el Dannie Heineman Price (1974), que fue otorgado treinta años después de la muerte de Eddington, a pesar de que ya se había reconocido la validez de la degeneración relativista En algunos libros en los que se hablaba de ello, pusieron una nota al pie previniendo al lector de que Eddington no estuvo de acuerdo.
§. Estrellas enanas blancas
En el capítulo anterior vimos qué es una estrella de la secuencia principal, como, por ejemplo, nuestro propio Sol. Convierte hidrógeno en helio. Este proceso nuclear produce una presión mucho mayor en el interior, y este gradiente de presión crea una fuerza que contrarresta la gravedad. Las reacciones de fusión detienen el colapso gravitatorio. La cuestión es lo que pasa cuando se acaba el hidrógeno. Al consumirse mucho hidrógeno, al menos en la parte más interna, desaparece la presión que evitaba el colapso. Este colapso lleva implícito, como sabemos, un aumento mayor de temperatura, debido al denominado «mecanismo de Kelvin». Cuando se alcanzan los cien millones de grados, empieza la combustión del helio. Ahora la reacción de fusión nuclear consiste en que a partir de tres átomos de helio se forma uno de carbono.
Esta reacción produce nuevamente un gradiente de presión que detiene el colapso. Pero ya sabemos que con este proceso no se genera mucha energía, por lo que este estado en el que se quema helio tampoco es muy duradero, ni mucho menos tan duradero como la fase de la secuencia principal. Se puede quemar «lo que sea» hasta llegar al hierro. A partir de aquí ya no se produce ninguna presión que detenga el colapso por medio de la fusión nuclear.
Entre la fase de la combustión del hidrógeno y la fase de la combustión del helio, el radio aumenta mucho, pasando por la fase de «gigante roja», que dura una porción muy pequeña de la vida de una estrella. Cuando se termina el helio, el colapso avanza inexorablemente hasta que aparece un nuevo tipo de presión, la llamada «presión de Fermi», que vuelve a detener el colapso. En ese momento, la estrella entra en la fase de enana blanca. ¿Qué es esta presión de Fermi?
«Es un hecho increíble que lo que la mente humana percibe como hermoso encuentre su realización en la naturaleza. Lo que es inteligible es también hermoso.»
Subrahmanyan Chandrasekhar.
En Cambridge estaban bullendo estas ideas. En términos muy esquemáticos, Eddington entendió lo que era una estrella normal; Fowler, lo que era una enana blanca, y Chandrasekhar, lo que era una enana blanca relativista. Tras estos estudios pocas cuestiones quedaban para conocer la evolución de una estrella en función de su masa. Vamos a centrarnos en primer lugar en una enana blanca no relativista. Eddington esperaba que esta fuera la muerte natural de cualquier estrella, la cual, al transcurrir un tiempo largo, acabaría apagándose y convirtiéndose en una enana negra. Pero Chandra vendría para negar una muerte tan dulce a una estrella con masa ligeramente superior a la del Sol.
Los electrones son partículas de los llamados fermiones. Desde el punto de vista de la mecánica estadística, esto significa que tienen un par de propiedades. Los fermiones son partículas indistinguibles. Un electrón no es algo diferente de otro electrón; un par de electrones es un par simplemente. El par es lo que es real, no el conjunto de los dos electrones. La otra propiedad que caracteriza a un sistema estadístico de electrones es que se manifiesta el principio de exclusión de Pauli. Dos electrones no pueden ocupar el mismo estado cuántico. Cuando queremos meter un electrón de más en el sistema aparece una repulsión, para que no entre a ocupar un estado cuántico ya ocupado. Esto hace que el sistema se oponga a la contracción, lo que equivale a decir que el principio de exclusión de Pauli genera una especie de presión, la presión de Fermi.
¿Por qué hablamos de electrones si la estrella antes de llegar a este colapso tema carbono, nitrógeno, hierro, etc.? Porque a altas temperaturas todos los elementos están muy ionizados, y los elementos más pesados arrojan al medio muchos electrones, de tal forma que al llegar a esta fase de la evolución estelar tenemos más electrones en la estrella que cualquier otra partícula. Los electrones son los que más contribuyen a crear una presión.
Cuando un sistema tiene tan alta densidad, de forma que la presión de Fermi sea la más importante de las presiones, recibe el nombre de «sistema degenerado». Así pues, definirnos la estrella enana blanca como una «estrella degenerada de electrones». La degeneración puede ser parcial, como la existente en el interior de los planetas externos, o total, que es el caso extremo de las enanas blancas.
§. Degeneración total
No deja de ser algo paradójico que un científico tan ordenado y puro como Chandra fuera el gran especialista en las estrellas degeneradas. En realidad, no hay tal paradoja, sino un término inadecuado. Una estrella degenerada no tiene nada de degenerada, en el sentido usual del término, por lo que debemos precisar qué entendemos por ello.
Los efectos cuánticos no son despreciables en una enana blanca Al contrario, son perfectamente determinantes. Hace falta que nos replanteemos las ecuaciones de equilibrio que vimos en el primer capítulo. Ahora ya no hay combustible que quemar porque ya se ha quemado todo el que se puede quemar. Hay que prevenir que normalmente se utiliza la palabra «quemar» como si se tratara de una combustión ordinaria. No es así. En la combustión ordinaria se produce un proceso químico de energías muy bajas comparadas con las nucleares. Cuando decimos ahora que «quemamos» hidrógeno, por ejemplo, con cierta extensión superfina del lenguaje, nos referimos al proceso de fisión nuclear con el que a partir de cuatro protones obtenemos un núcleo de helio.
El caso es que en la fase de enana blanca ya no tenemos casi nada que «quemar», e=0. Y ya no es esperable que se cumpla la ecuación de estado de los gases perfectos, que ha de ser sustituida por la ecuación de estado de un gas degenerado de electrones, que hemos de encontrar.
Lo primero que debemos establecer es un criterio para saber cuándo se dan las condiciones de degeneración completa. Este va a ser el criterio: habrá degeneración cuando la longitud de onda de las partículas, asociada a su comportamiento cuántico, sea del mismo orden de magnitud que la distancia típica entre partículas. Para caracterizar la distancia típica entre partículas, consideremos que si n es el número de partículas por unidad de volumen, su inverso será el volumen por partícula, es decir, el volumen ocupado por una partícula sin que haya otra en él. Algo así como el volumen de su «parcela», empleando un símil catastral. No hay otro «propietario» en su parcela. Pero no hablamos de volúmenes, sino de tamaño. Habrá que extraer la raíz cúbica. En definitiva, como índice de distancia entre partículas adoptamos n-1/3, el inverso de la raíz cúbica del número de partículas por unidad de volumen.
Tal como estableció Louis de Broglie en 1923, a toda partícula de momento p se le asocia una longitud de onda, que se expresa:
λ = h /p.
El pequeño valor de la constante de Planck h hace que esta longitud de onda pueda ser ignorada en la mayoría de situaciones de la vida corriente, pero no es el caso cuando consideramos los electrones en una enana blanca. Sin embargo, el momento p depende de la temperatura. Como sabemos que

siendo me la masa de electrón y V la velocidad cuadrática media, tendremos:

Obsérvese que hemos omitido el factor 3. Cuando estamos operando buscando órdenes de magnitud, los factores numéricos próximos a la unidad pueden ignorarse. Obtendremos el momento multiplicando por m:
p = √(mekT)
luego la longitud de onda de De Broglie es:

En realidad, cuando se hacen los cálculos de forma más precisa que los aproximados presentados aquí, se obtiene:

que solo difiere del valor de nuestra aproximación en un factor numérico del orden de la unidad, de los que estamos sistemáticamente ignorando.
Pues bien, habrá degeneración si:

donde n con el subíndice e indica el numero de electrones por unidad de volumen. Si la temperatura fuera cero, la degeneración completa estaría asegurada. Por eso, para estudiar este tipo de sistemas, se recurre a la idealización de suponer T= 0. Esta idealización se admite para el caso de una enana blanca, a pesar de que su temperatura real puede ser muy alta, debido a la pequeña separación entre sus electrones.
En una enana blanca, los electrones circulan con toda libertad, como ocurre con los electrones en un metal. Esto hace que la conductividad calorífica sea muy alta, por lo que en el interior la temperatura es la misma en todos sus puntos. Esto ya lo habíamos supuesto al admitir T = 0, pero T = constante es una propiedad real, mientras que T = 0 es una idealización para simplificar los cálculos. De todas formas, si la enana blanca se ve, para que emita luz debe haber un gradiente en la superficie, es decir, una capa estrecha externa que no estará degenerada. Con la emisión, la enana blanca va perdiendo energía, su temperatura irá disminuyendo en el tiempo y acabala siendo una enana negra. Pero para que esto ocurra se necesita mucho tiempo.
§. Sobre el concepto de presión
Antes de determinar la ecuación de estado de un sistema degenerado de fermiones, hagamos una pequeña reflexión sobre el significado de la magnitud presión, algo más abstracta que la presión ordinaria, por ejemplo, la atmosférica, para que podamos comprender plenamente el significado de la presión en un sistema de fermiones. La presión de un fluido se suele definir como la fuerza por unidad de superficie perpendicular a la superficie del recipiente que contiene al fluido. En el cosmos no hay recipientes. De hecho, clásicamente, también se habla de presión atmosférica sin necesidad de que haya una superficie susceptible de ser empujada, Pero vamos a aprovechar esta representación clásica pal a encontrar una expresión válida para todo tipo de partículas.
«La ciencia es una percepción del mundo que nos rodea. La ciencia es un lugar donde lo que encuentras en la naturaleza te satisface plenamente.»
Subrahmanyan Chandrasekhar.
A la pared acudirán al azar partículas y, como no pueden atravesarla, se reflejarán y retrocederán. Pero en el proceso de la reflexión, empujarán la pared. Este empuje constituye la fuerza que se ejerce sobre la pared, es decir, la presión que el fluido ejerce sobre ella. Imaginemos provisionalmente que las partículas acuden perpendicularmente a la pared.
La fuerza es la variación de la cantidad de movimiento por unidad de tiempo. El momento es el que atravesaría la pared si esta no estuviera En una superficie elemental S y en un tiempo t habría pasado un momento debido a todas las partículas que llegaran a la pared en ese tiempo. Las partículas que llegan en un tiempo t a una superficie S serán las contenidas en un cilindro de base S y altura Vt, siendo V la velocidad de las partículas. Este número de partículas será nSVt, es decir, el número de partículas por unidad de volumen por el volumen de ese cilindro. Cada una de ellas acude con un momento p, por lo que la cantidad de movimiento que atravesaría la pared sería pnSVt. La fuerza sería esto mismo, pero dividiendo por el tiempo, es decir, pnSV. Y la presión esto mismo dividiendo por la superficie, es decir, pnV.
En realidad, no todas las partículas acudirán perpendicular- mente, y el momento empleado en el empuje será menor. Si el movimiento de las partículas es isótropo, puede demostrarse fácilmente que hay que dividir la expresión anterior por 3, aunque no nos detendremos mucho en ello porque estamos ignorando los valores puramente numéricos del orden de la unidad. Así pues, para todo tipo de partículas podemos calcular la presión mediante la fórmula general:
P = 1 /3pnV.
Recordemos que P es la presión, haya o no pared; p, el momento característico de las partículas; n, el número de partículas por unidad de volumen, y V, una velocidad característica de las partículas.
Antes de aplicarlo al caso de los fermiones, vemos que sí se trata de un sistema clásico de partículas, p = mV, por lo que la presión sería (1/3) mnV2 y, como la relación entre la energía cinética y la temperatura viene dada por (l/2)mV2= (3/2) kT, rápidamente obtenemos la ecuación de los gases perfectos:
P = nkT.
Y vemos que, para un sistema de fotones, como ahora será V= c, y, como el momento de un fotón es hv/c, donde v es la frecuencia, tendremos que la presión será 1/3nhv. Pero hv es la energía de un fotón, luego nhν será la densidad de energía radiante por unidad de volumen, magnitud a la que llamamos e. Así obtenemos lo que se llama «ecuación de estado de la radiación»:
ε = 3P
conocida fórmula de ecuación de estado del cuerpo negro.
§. Ecuación de estado de los fermiones de la enana blanca
La degeneración supone que haya una indeterminación en la posición de un electrón del orden de la distancia entre electrones. A esta indeterminación en la posición le corresponde una indeterminación en el momento. Los momentos tendrán diversos valores permitidos por el principio de incertidumbre de Heisenberg, por lo que un momento representativo medio será el dado por:
p = hne1/3.
Calculemos ahora la presión con la fórmula general de la sección precedente, omitiendo factores numéricos:

Esta es la ecuación de estado de los fermiones y, en particular, de los electrones de una enana blanca. La ecuación de estado de los gases ideales ha de ser sustituida por esta. Como la constante de Planck y la masa del electrón son constantes, lo más importante a resaltar en esta ecuación es que la presión es proporcional a la potencia 5/3 de la densidad de electrones. Esta es la extraña propiedad de las enanas blancas y pronto veremos la repercusión que esto tiene en su estructura interna.
Es evidente que tiene que haber una relación entre el número de electrones por unidad de volumen y la densidad de la estrella. Aprovechándola, nos gustaría expresar la ecuación de estado anterior como una relación entre la presión y la densidad. Puede estimarse fácilmente que esta relación es del tipo:
ρ = 2mHne
es decir, como si la masa equivalente de una partícula de la estrella fuera el doble de la masa del protón mH relación que es válida para cualquier tipo de enana blanca que haya consumido su hidrógeno y su helio y que esté formada básicamente por carbono o nitrógeno o hierro, admitiendo que el elemento básico esté completamente ionizado. Para no interferir con el ritmo deductivo, explicaremos esta relación en un anexo. Entonces tendremos finalmente como ecuación de estado:
P = K ρ5/3
donde esta constante K tiene el valor exacto (constantes numéricas incluidas) siguiente:

fórmula con apariencia aparatosamente compleja, pero que no debe distraernos de la extraordinariamente simple fórmula anterior:
P ∝ ρ5/3
interesante resultado ya obtenido por Fowler aplicando la estadística de Fermi-Dirac a las enanas blancas. Este número, 5/3, había de volverse obsesivo para muchos astrofísicos, hasta que Chandra dijo que podría ser diferente en estrellas suficientemente grandes y que entonces podría ser 4/3. La controversia Eddington-Chandra podía resumirse así:
Eddington: 5/3
Chandra: 4/3.
Capitulo 3
¿Qué es una estrella enana blanca relativista?
Una estrella de masa superior al límite de Chandrasekhar no puede morir como enana blanca. Entonces ¿cómo muere? Chandrasekhar se había limitado a decir que, como enana blanca, no. Pero no podía eludir esta pregunta, que se llevó a Estados Unidos como algo intranquilizador en un rincón de su cerebro. No investigó en esta línea, pero señaló la dirección correcta para hacerlo. Unas breves insinuaciones suyas condujeron a la comprensión tan completa que hoy tenemos de la evolución estelar.
Se acababa el período de Trinity fellow. Chandra tenía que buscar alguna mesa en algún lugar del mundo donde escribir fórmulas y más fórmulas. Su padre quería que volviese a la India. La razón era, claro, que después de haberse formado en Inglaterra, podía encontrar una buena posición en su país; eso era bueno para él y bueno para el país. Pero su padre tenía también otros motivos para desear su vuelta: Chandra se tenía que casar, porque siendo el primogénito varón, hasta que no se casara él, no se podían casar sus otros hermanos, sobre todo, las mujeres. Las niñas en la India se casaban muy jóvenes; incluso se podían casar a los once años. Aunque su familia, con un componente británico importante en su educación, ignoraba esta costumbre, al fin y al cabo, vivían en la India, y las bodas de las hijas no se podían demorar mucho tiempo más. Como su padre sabía que había una relación latente entre su hijo y Lalitha, la vuelta de Chandra a Madrás mataba varios pájaros de un tiro.
Su padre le incitaba a casarse: «Te puedes convertir en un animal astrofísico; existen otros lados de tu naturaleza». Pero Chandra, a pesar de la inclinación sentimental por su compañera de estudios cuando estaba en la India, había decidido no casarse con ella. Se habían escrito intermitentemente durante su estancia en Cambridge, pero había pasado demasiado tiempo. Ella habría evolucionado; probablemente ni se conocerían después de tantos años.

Viktor Ambartsumian, quien aconsejó a Chandrasekhar que realizara un cálculo más exacto de la masa límite de las enanas blancas.
Además, una boda entorpecería sus investigaciones, que eran su prioridad absoluta. Él había decidido permanecer soltero, al menos por entonces. En cuanto a sus hermanas, que se casaran cuando quisieran y que su familia no estuviera tan atada por una tradición india tan nefasta para las mujeres.
§. Lalitha
Lalitha había esperado mucho tiempo en silencio. No había entre ellos ningún compromiso, ni formal ni natural, que les relacionara, pero lo cierto es que ella le esperaba Se veía atada por una cuerda, invisible pero tensa, que se había tramado en su adolescencia. Ahora decía Chandra que no quería casarse. La cuerda invisible se enroscaba en su cuello, pero ¿qué podía hacer, sino aceptarlo, callar y no protestar? No protestaba porque no sabía cómo se hacía Según Chandra, «Lalitha y yo acordamos interrumpir nuestro “entendimiento” puesto que las consideraciones extra-intelectuales como el amor o el matrimonio ponían una restricción en nuestra libertad mutua requerida por mis estudios». ¿Libertad mutua requerida por mis estudios?
Pero ¿quién era Lalitha? Era su vecina, hija del capitán Doraiswamy y vivía en una casa llamada Sri Vilas, contigua a la Chandra Vilas. Su padre había muerto cuando era una niña y ella vivía con su madre y cuatro hermanas. Al igual que Chandra, Lalitha había estudiado física en el Presidency College y, como Chandra, era también una alumna aventajada. Pero ¿cómo es posible que no la hubieran casado siendo niña y que permaneciera soltera cuando ya tenía veintiséis años? La razón era que si la familia de Chandra era bastante liberal como para prescindir de algunos de los ritos injustos de la India, la familia de Lalitha aún lo era más. Si Chandra tenía a un tío premio Nobel, Lalitha tenía una tía que era aún más popular que Raman: la Hermana Subbalakshmi.

Chandra y su esposa Lalitha, quien abandonó su propia carrera científica para dedicarse al cuidado de su marido.
Subbalakshmi fue casada con once años, pero su marido murió muy pronto. Se convirtió así en una viuda virgen, lo peor que podía pasarle a una niña en la India tradicional. Nunca podría volver a casarse, tendría que vestir de un modo sobrio y pobre, sin llevar adorno alguno, y tendría que desaparecer en cualquier celebración, porque se consideraba que su presencia traía mala suerte. Sería la criada del resto de la familia, con dos saris al año y dos comidas al día. A pesar de que era una niña inteligente y prometedora, no podría estudiar.
Pero su familia supo zafarse de tradiciones tan injustas y, contra todas las convenciones sociales y a pesar de todos los insultos callejeros, Subbalakshmi siguió estudiando y se convirtió en una ardiente feminista, defensora de las viudas indias y las mujeres en general. Primero acogió a las viudas que necesitaban casa y protección, y luego consiguió un palacete abandonado porque las viudas necesitadas eran cada vez más numerosas. Su comuna y sus hirvientes defensas de las viudas la hicieron muy popular, dividiendo a la población en acérrimos atacantes o acérrimos defensores. Todo el mundo conocía a la Hermana Subbalakshmi.
También su cuñada, la madre de Lalitha, era viuda, y ella y sus hijas habían vivido en lo que se llamaba la Ice House, sede de la institución. Vivían con ellas también Ammamma (abuela) y Thatha (abuelo). La madre de Lalitha consiguió ahorrar y comprar una casa, la Sri Vilas que se hallaba junto a la Chandra Vilas. Lalitha era inteligente, trabajadora, buena estudiante y, además, guapa. Quería haberse ido a Cambridge con Chandra, pero su madre no la dejó. «Cásate con Chandra —le dijo— y entonces te vas a Cambridge». Pero Chandra no quería casarse. Ella trabajaba como enseñante de física y, en la época que estamos considerando, investigaba en el Indian Instituto of Science de Bangalore, dirigido por Raman, el tío de Chandra.
§. Yerkes
Chandra tenía varias ofertas de trabajo. Su padre le informó que podía optar a ser el director del Observatorio de Kodaikanal, pero él no quería un trabajo de tipo administrativo; y su tío Raman le ofreció un puesto de profesor asistente en Bangalore, pero él quería más libertad para poder realizar sus investigaciones. En Lahore, su ciudad natal, había una plaza de profesor en el Government College, pero se presentaba a ella su amigo Chowla, que le había ayudado mucho en sus balbucientes primeros pasos en Cambridge y no quiso competir con un amigo. Chandra, además, tenía el compromiso de regresar a Madrás, pues le habían concedido la beca con esa condición. Pero como no le habían creado una plaza de profesor de Física Teórica, tal y como le habían prometido, se vio libre de aquel compromiso. En cualquier caso, no parecía que tuviera un deseo irrefrenable de regresar a su patria. Una causa de tal rechazo era la constatación de las rivalidades existentes entre los más destacados científicos de su país, como podía ser la de Saha con Raman. Además, la intuición le decía que mejor era no deberle nada a su tío.
También tenía algunas ofertas de Estados Unidos. El gran Harlow Shapley (1885-1972), buen astrónomo y mal enemigo de Hubble, le propuso que se fuera a Harvard para dar clases sobre física cósmica. Y una oferta similar le hizo Otto Struve (1897-1963), descendiente de la gran familia de astrónomos del mismo apellido, director del Observatorio Yerkes. Chandra pidió consejo a Milne y a Eddington, y ambos le aconsejaron que se fuera a Estados Unidos, mejor Yerkes que Harvard. También su padre, cuando ya desistió de hacerle volver a la India, le animó a tal resolución. El puesto en ambos observatorios era muy provisional, pero podría ampliarse si todo iba bien.
Chandra se fue primero a Harvard y luego a Yerkes. Ambos observatorios le parecieron muy atractivos. El clima era sumamente cordial, sin los melifluos atavismos de Cambridge. Le gustó especialmente Yerkes, donde le ofrecían un puesto de profesor asistente y le respetaban toda la libertad que necesitase, que era ciertamente mucha. Struve quería combinar las posibilidades observacionales de Yerkes con la astrofísica teórica, objetivo que a Chandra le pareció excelente idea, digna de dedicarse a ella con todo vigor. Y tomó la decisión.

El Observatorio Yerkes, al que Chandra se incorporó tras su llegada a Estados Unidos.
El Observatorio Yerkes tenía la residencia de los astrónomos —que pertenecía a la Universidad de Chicago— en el pueblecito de Williams Bay. Chandra congenió allí, además de con Struve, con Gerard Kuiper, que también se incorporó entonces y con quien había coincidido en diversas reuniones científicas, y con Bengt Strömgren (1908-1987), con quien ya habían hecho amistad en Copenhague.
Había entre los astrónomos de Estados Unidos un rechazo a la astrofísica teórica que Struve quería romper: «No tenemos en este país a nadie con la tradición de Eddington, Milne y otros teóricos de este tipo». Pero muchos criticaron el que se contratara a un astrofísico en un observatorio.
Pero antes de asentarse en Williams Bay, Chandra tema que regresar a la India. Su familia no le veía desde hacía seis años.
Y volvió. Desde Bombay, a donde llegó el barco y donde por entonces estaba destinado su padre, escribió a Lalitha, que estaba en Bangalore. «Estoy aquí; voy a Madrás». Lalitha viajó inmediatamente a Madrás para encontrarse con él. ¿Seguiría su amado empeñado en su cruzada científica en solitario? ¿Volvería a dejarla esperando una vez más? Sí, conocía bien a Chandra, demasiado bien. Para él la ciencia era todo; ella nada.
Se casaron el 11 de septiembre de 1936.
Tras pasar una breve temporada en Cambridge, tenían la intención de viajar a Estados Unidos. Pero hubo problemas para obtener los visados: Chandra no podía ir a trabajar allí. Un áspero administrador había sido tajante. No había cupo para indios. Pero la burocracia siempre encuentra sus soluciones, tan enrevesadas como los problemas que crea. La única forma que había para obtener el visado de Chandra era que demostrara que era misionero. Y así pudo viajar a Estados Unidos, ¡como misionero!
Para Lalitha también había preparada una andanada de dificultades. La más importante era que tenía que presentar un certificado de matrimonio, pero como se habían casado por el rito hindú, no existía tal certificado. También hubo solución para ello. Los buenos burócratas se enorgullecen encontrando caminos ingeniosos en el entramado de las normas.
Lalitha tuvo la intención de proseguir su trayectoria científica y Chandra la animó a ello. Pero pronto renunció a su carrera como física y pensó que su mejor contribución a esta disciplina era la de cuidar a un físico. Esto lo hizo tan bien que su nombre merece la mención en la historia de la astrofísica, aunque su contribución fuera de forma tan indirecta. Eligió la sombra.
No tuvieron hijos y su entendimiento fue completo durante toda la vida, quizá más debido a la discreción de ella que a las atenciones de él. Solo había un problema para este perfecto entendimiento. Lalitha veía poco a Chandra y cuando le veía, él no la veía a ella, porque estaba ensimismado. Únicamente, después de mucho tiempo, al final, Lalitha le pidió más tiempo para ella, y él reorganizó su organigrama temporal de forma que Lalitha pasaría a ocupar una fracción significativa del tiempo dedicado a los agujeros negros.
«Me temo que al otorgar a la ciencia la más alta prioridad uno distorsiona necesariamente su vida personal. Eso incluye a mi matrimonio, en el sentido de que la vida ha sido muy
difícil para mi esposa.»
Subrahmanyan Chandrasekhar,
Lalitha cantaba muy bien canciones tradicionales hindúes, acompañándose de un instrumento musical llamado veena, con las que deleitaba y enternecía a Chandra.
La estructura interna de las enanas blancas
La idea era que la fuerza del gradiente de presión era capaz de igualar a la autogravitación de la enana blanca, deteniendo definitivamente el colapso. Para buscar una expresión analítica simple, estimemos la fuerza del gradiente de presión que en una longitud del radio de la estrella pasa de ser la presión central a cero en la superficie. Es decir, la fuerza del gradiente de presión actuando sobre una unidad de volumen de la estrella se podría obtener, en órdenes de magnitud y de forma muy aproximada, como:
![]()
Igualando esta fuerza a la gravitación sobre la unidad de volumen, obtenemos:
![]()
Tenemos las ecuaciones para resolver el problema de la estructura de las enanas blancas. Además, contamos con la ecuación de estado vista en el capítulo anterior:
P0 = K ρ05/3
y la relación aproximada evidente:
M = ρ0R3.
Podemos obtener con ellas unas relaciones tan extraordinarias que parecen una equivocación, pero no lo son. Así, obtenemos:
P0 ∝ R-10
𝜌0∝ R-6
y la más sorprendente de todas:
![]()
Es decir, que al contrario que en una estrella de la secuencia principal, tanto más grande cuanto más masiva, una estrella enana blanca es, por el contrario, ¡más pequeña cuanto más masiva! La figura 1 muestra una estrella como nuestro Sol, que seguirá la ecuación de los gases ideales en la fase de secuencia principal (SP) y morirá en el punto M. A partir de aquí sufrirá un cambio en la ecuación de estado compleja (representado con la línea de puntos) hasta que aparezca como estrella degenerada (D) en la fase de enana blanca (EB). La figura 2, por su parte, corresponde a un esquema de la evolución del radio del Sol, desde la fase de pre- secuencia principal (SP), siguiendo por la fase de secuencia principal y la breve fase de gigante roja, hasta convertirse en una enana blanca.

Ecuaciones de estado de una estrella como nuestro Sol.

Esquema de la evolución del radio del Sol.
§. La ecuación de estado de una enana blanca relativista
Aunque todas estas cuestiones forman parte del primer libro que escribió Chandrasekhar, y aunque él le diera un tratamiento unificado más general y elegante, no habían sido producto de su propia investigación. Pero a partir de aquí, era ya todo lo que imaginó un jovencito de menos de veinte años en medio de un viaje en barco desde la India a Inglaterra lo que incendiaría los pasillos de Cambridge y lo que mereció un premio Nobel, por muy tarde que este llegara.
Los arqueros del reyChandra solía contar una leyenda hindú a sus estudiantes. Sin seguirla al pie de la letra, esta leyenda decía algo así: Un rey quería nombrar a un arquero real y tenía como candidatos a tres magníficos arqueros. Para quedarse con uno solamente, les sometió a una prueba. Le dijo al primero: «¿Ves aquel pajarillo? Hay que disparar al ojo del pajarillo. Tensa el arco, pero, antes de disparar, dime ¿qué ves?». Respondió: «Veo las ramas, las hojas, el pajarillo, su ojo». Preguntó al segundo: «¿Qué ves?». Y este dijo: «Veo además el ligero viento que mueve las ramas y las plumas del pajarillo». Y preguntó al tercero: «¿Qué ves?». Y este respondió: «Yo solo veo el ojo del pajarillo». Fue este último quien fue designado como arquero real. Con este cuento, Chandra Invitaba a concentrarse en un único problema. Y así fue su vida científica. Abordó muchos problemas de muy diferente naturaleza, pero no trató dos problemas o más a la vez. Cada diez años aproximadamente cambiaba de tema. Abandonaba el anterior para dedicarse al siguiente con absoluta y exclusiva concentración. Por esta razón, aunque tuvo muchos estudiantes de doctorado (51 para ser exactos), y algunos muy reputados posteriormente, Chandra no creó escuela.
Básicamente, pensó que por encima de cierta masa, por encima del llamado «límite de Chandrasekhar», los electrones estarían obligados a ocupar los niveles más altos de energía, por lo que tendrían velocidades relativistas. Si fuéramos añadiendo electrones a una enana blanca normal, bien sea por un proceso real, atrapando materia de una estrella compañera, bien sea por un proceso imaginario, los electrones incorporados verían todos los niveles energéticos más bajos ocupados y estarían obligados a ocupar los más altos, los que precisan velocidades relativistas. Añadiendo más y más masa, casi todos los electrones tendrían velocidades próximas a la velocidad de la luz.
Pero como la velocidad es finita, así lo es la cantidad de electrones que podemos añadir, es decir, es finita la cantidad de materia que podemos añadir. La masa de una enana blanca no puede ser indefinidamente alta. Hay una masa límite que, con toda justicia, se llama «límite de Chandrasekhar». En realidad, el proceso de añadir materia puede ser imaginario. Una estrella que hubiera nacido con una masa superior a este límite, simplemente, no podría existir en fase de enana blanca.
Con la preparación del capítulo anterior, ahora es fácil encontrar la ecuación de estado de la enana blanca relativista. Como antes, habrá un momento de origen cuántico p = hne1/3, calculamos la presión con P = (1/3)nepv y tenemos la conversión ρ = 2 mHne. Lo único que cambia es que ahora la velocidad de los electrones es prácticamente la velocidad de la luz, que es una constante. Es inmediato obtener:

P ∝𝜌-4/3
con una constante de proporcionalidad que puede expresarse
como:

No hay que poner mucha atención en las constantes numéricas próximas a la unidad, puesto que estamos interesados en órdenes de magnitud.
La misión espacial ChandraEn 1999 la NASA puso en órbita un telescopio de rayos X que fue bautizado con el nombre de Chandra en honor al célebre astrónomo indio. Es el telescopio de rayos X de mayor resolución espacial, unas cincuenta veces mejor que su predecesor. Esto quiere decir que el tamaño del píxel es cincuenta veces menor, o que el detalle conseguido en sus imágenes es cincuenta veces mejor. Los rayos X son radiación electromagnética de longitud de onda extremadamente pequeña, de entre 10 y 0, 01 nanómetros.
Según la fórmula vista del desplazamiento de Wien del cuerpo de rayos X obtenida por la misión espacial Chandra, negro, esto corresponde a una temperatura de 107-109K.
La conocida Nebulosa del Cangrejo en una imagen de rayos X obtenida por la misión espacial Chandra.Estas altas temperaturas se dan en varios objetos astrofísicos, como son el gas intergaláctico en un cúmulo de galaxias, el material que órbita en un disco de acrecimiento al caer en un agujero negro, los restos de supernovas y las regiones de la corona solar. La radiación electromagnética no puede atravesar nuestra atmósfera más que en las ventanas correspondientes a la luz visible, a las ondas de radio y a algunas regiones pequeñas del Infrarrojo. Por tanto, la atmósfera terrestre es completamente opaca para los rayos X. Estos son detenidos por la alta atmósfera, donde se pierden por reacciones de fotodisociación, entre otras. Por esta razón, los rayos X solo se pueden observar mediante vehículos espaciales. Chandra está orbitando a unos 140000 km.
El valor de la constante más exactamente es:
KR = 4, 68×1014 g-1/4 cm3 s-2.
Lo que sí conviene resaltar, como así hacía Chandra, es que la constante depende de constantes universales como h, c y la masa del protón.
«El punto principal que quería destacar era el significado de la combinación de constantes naturales que aparece en el límite de las enanas blancas.»
Subrahmanyan Chandrasekhar.
§. Propiedades macroscópicas de las enanas blancas relativistas
Las expresiones que tenemos que deducir a continuación son muy sencillas de obtener, puesto que el procedimiento es el mismo que en el caso de las enanas blancas no relativistas, con la única excepción de que ahora la ecuación de estado es diferente. Estamos prestando especial atención a la relación entre la masa de la estrella y su radio. Recordemos que para una estrella de la secuencia principal teníamos Roe M. Para una enana blanca normal era R oc Ahora rehacemos los cálculos y, al hacerlo, ¡nos encontramos con un resultado curioso y desconcertante! El radio no depende de la masa (figura 3). El radio de la enana blanca relativista puede ser cualquiera (siempre que no sea tan grande que pierda su condición de tal).

En una enana blanca, cuanto mayor es la masa, menor es el radio, pero en algún momento las correcciones relativistas harán que la masa no pueda aumentar.
La masa no depende del radio, ni depende de nada, sino que tiene un valor fijo:
MChandra = (KR/G)3/2
y, al hacer estas operaciones, resulta el gran hallazgo:
MChandra = 1, 4 MSol
La figura 4 muestra una comparación entre las curvas masa- radio para una enana blanca no relativista y una relativista. Para masas pequeñas, ambas curvas coinciden. Para masas del orden de la masa del Sol, Chandrasekhar demostró que la curva superior es imposible y estableció su conocido límite.
La masa límite de Chandrasekhar, además, no depende más que de constantes universales. La deducción hecha aquí sigue esencialmente el mismo camino que siguió la mente de Chandra en el vapor que le conducía a Cambridge, aunque las aproximaciones no son exactamente las mismas; su cálculo era un poco más refinado, pero con idealizaciones semejantes a las que hemos recurrido.

Comparación entre las curvas masa-radio para una enana blanca no relativista y otra relativista.
Como ya se dijo en el capítulo anterior, Chandra, por consejo de Ambartsumian, hizo posteriormente un cálculo más exacto, aunque para ello necesitó una calculadora, un aparato que por aquel entonces todavía se hallaba en un estado muy rudimentario. Este nuevo cálculo corroboró el cálculo idealizado semejante al esbozado aquí.

Chandra ya lo sabía y no necesitaba tal cálculo, pero lo desarrolló para ganar poder de convicción ante su admirado enemigo Eddington.
Werner Heisenberg (1901-1976)Tras estudiar matemáticas en Würzburgo, su localidad natal, Heisenberg recorrió varias universidades: en Gotinga fue ayudante de Born y en Copenhagueconoció a Bohr; después estuvo en Leipzig, Berlín, Saint Andrews y, finalmente, en su universidad definitiva, Münich. Su tesis doctoral fue dirigida por Sommerfeld; viajó a la India y fue atendido por Chandrasekhar, por lo que influyó tanto como Sommerfeld en la definición de la vocación científica del gran teórico indio. De hecho, el trabajo de este sobre el límite de masa de las enanas blancas era una aplicación del principio de incertidumbre de Heisenberg. Dice este conocido principio que no se pueden medir simultáneamente con precisión ilimitada la posición y el momento de una partícula, siendo el producto de sus indeterminaciones del orden de la constante de Planck. Heisenberg recibió el premio Nobel en 1932 con solo treinta años. Su vida es digna de una película apasionante, ya que a pesar de haber explicado teorías que los nazis consideraban propias del pensamiento judío, como la relatividad y la cuántica, dirigió la investigación sobre las reacciones nucleares y la bomba atómica bajo el Gobierno alemán. Heisenberg, sin embargo, no quería que se hiciera tal bomba. Cuando acabó la guerra, se comprobó que los alemanes habían ido mucho más lentos que los americanos en el diseño y la fabricación de la bomba atómica. Seguramente, se debió a la lentitud intencionada de Heisenberg, quien había propuesto a Bohr un acuerdo entre los científicos de todo el mundo, y en particular entre los americanos y los alemanes, para impedir la construcción de la bomba. Cuando terminó la guerra, Heisenberg estuvo preso en Inglaterra o, al menos, confinado. Toda esta historia está envuelta en una espesa niebla, aunque seguramente no se puede tachar a Heisenberg de pro-nazi. El principio de incertidumbre tuvo y tiene una gran repercusión no solo en la física, sino también en la filosofía; el mismo Heisenberg escribió un libro titulado Física y filosofía.
La figura 5 muestra cómo situar partículas en celdillas cuánticas. La estadística de Fermi-Dirac, la última en la figura, es la que corresponde a los electrones de la enana blanca Con este gráfico se comprende muy bien por qué las enanas blancas no pueden tener una masa mayor que cierto límite. En las dos primera estadísticas podemos poner un número indefinido de partículas en una celdilla No así para los fermiones. Debido al principio de exclusión de Pauli, si tenemos más partículas que celdillas no tenemos dónde meterlas.
§. Estrella de neutrones
Pero el resultado de Chandra plantea una pregunta acuciante. Una estrella de más de 1, 4 veces la masa del Sol no puede morir como enana blanca. Pero, entonces, si una estrella tiene más masa, y sabemos que muchas la tienen, ¿cómo puede morir? La respuesta a esta pregunta suponía la introducción de nuevos conceptos en astrofísica de los que Chandra no podía inhibirse. Recordemos las propuestas de Chandra, ya vistas en el capítulo anterior, porque aunque cualitativas han sido dramáticamente fértiles en la teoría de la evolución estelar.
Una de sus ideas más recurrentes fue el estudio de las inestabilidades hidrodinámicas en diversos sistemas y, en particular, en las estrellas. Una de estas inestabilidades en estrellas de masas algo superiores a las de su límite podía ser causante de una eyección de materia. De esta forma, la estrella se podía despojar de la masa sobrante y, en el centro de la masa eyectada, debía aparecer una estrella desprovista de su envoltura. La naturaleza pareció proporcionar la solución a sus dudas. La materia eyectada constituía el fenómeno de las «nebulosas planetarias» y la estrella central que, por así decirlo, mostraba «impúdicamente» su interior, eran las estrellas Wolf-Rayet. Aunque la investigación posterior añadiera conceptos dinámicos a este simple escenario, esta atractiva idea ya fue sugerida por Chandra.
Pero todavía podía ocurrir que las inestabilidades no fueran suficientes para despojar a la estrella de su masa sobrante. ¿Qué proceso podía impedir que la estrella tuviera una masa que Chandra había demostrado que no podía existir sin perder su naturaleza de estrella degenerada de electrones? Podía la estrella perder su naturaleza. Podía producirse una reacción consistente en la unión de un protón y un electrón para dar lugar a un neutrón (y un neutrino). Los electrones desaparecerían y no habría ninguna presión de Fermi de los electrones.
Pero los neutrones también son fermiones y, correspondientemente, también tendrían los agregados de neutrones su masa límite. Ese límite se llama de Landau-Oppenheimer-Volkoff, como ya vimos, en honor a los astrónomos que desarrollaron el modelo concreto, según la sugerencia de Chandra. Por entonces, se descubrieron los púlsares, que son precisamente estrellas de neutrones.
Las estrellas más grandes y las más pequeñasAunque no se trate de algo directamente investigado por Chandra veamos cuál es la masa de la estrella más grande, y cuál, la de la más pequeña. Acostumbrados a los valores extremos de las magnitudes en astrofísica, la masa de las estrellas no tiene una distribución estadística que se caracterice por un rango excesivamente grande de órdenes de magnitud. Hay pocas estrellas con una masa superior a treinta masas solares y son muy inestables y breves. Y hay muy pocas estrellas con masa inferior a una décima de la masa solar. En la figura puede verse el esquema de Chandrasekhar sobre la evolución estelar, que esencialmente se corresponde con el que hoy se tiene. El Sol también pasará por la fase de eyección de una nebulosa planetaria y morirá como enana blanca, sin llegar al régimen relativista.
No hace falta que repitamos los cálculos. Si tenemos en cuenta que la Única diferencia con respecto a las enanas blancas es que ahora habrá que escribir la presión de Fermi, sustituyendo la masa del electrón por la masa del neutrón, que es 1800 veces mayor. Ahora hemos de escribir.

La presión es proporcional al número de neutrones por unidad de volumen elevado a 5/3. La relación entre la densidad de la estrella también cambia Ahora será simplemente:
ρ = mNnN
Al repetir los cálculos, se encuentra que la densidad de una estrella de neutrones es unas 1800 veces superior a la de la enana blanca. Ahora el radio resulta ser de unos 10 km. La densidad es impresionante, equivalente a una masa superior a la del Sol en el tamaño de una ciudad. Concretamente, se obtiene ρ = 2 ×1014 g/cm 3 del mismo orden que si la estrella estuviera con todos sus neutrones en contacto. Las fórmulas para un sistema así, en el que la curvatura del espacio-tiempo es también extrema, son mucho más complejas. Finalmente, el límite de Landau-Oppenheimer-Volkoff es de unas 2 masas solares. La velocidad de escape es de 0, 93 veces la velocidad de la luz. En realidad, bastante antes, John von Neumann (1903-1957) y Chandra ya habían obtenido las mismas ecuaciones del clásico artículo de Oppenheimer y Volkoff, pero no lo habían publicado.
Si una estrella tiene una masa superior a este límite, no puede morir como estrella de neutrones. En este caso, la eyección de materia sobrante constituye una explosión de supernova, en el centro de cuyos restos se encuentra una estrella de neutrones.
El límite superior se produce cuando la luminosidad es tan grande que la presión de radiación no es despreciable. La radiación empuja a las partículas de la estrella. Cuando la fuerza debida a la presión de radiación llega a equilibrar a la fuerza de gravitación estamos en el llamado «límite de Eddington». En el otro extremo, las estrellas mis pequeñas son las llamadas enanas marrones, estrellas de tan poca masa que la presión de Fermi de la degeneración de los electrones llega a detener el colapso aun antes de que la estrella alcance la temperatura suficiente como para que se produzcan reacciones de fusión. Las enanas marrones brillan muy poco, por lo que su detección fue elusiva hasta su descubrimiento por María Rosa Zapatero (n. 1969), Rafael Rebolo (n. 1961) y colaboradores.
Capítulo 4
¿Qué es una galaxia?
Chandrasekhar formó parte de la plantilla del Observatorio Yerkes, pero nunca en su vida usó un telescopio. Tampoco usó ordenadores, salvo en alguna rara ocasión. Su único instrumento para hacer astronomía era la pluma. Uno de sus más logrados éxitos realizados con ella fue considerar a la galaxia como un gas de estrellas. La interacción directa entre dos estrellas de este gas era tan infrecuente que sus propiedades hidrodinámicas resultaban peculiares y matemáticamente muy atractivas.
El Observatorio Yerkes fue durante mucho tiempo el que tuvo el mayor telescopio del mundo. Sus instalaciones, incluyendo la casa de Chandra, se hallaban junto al idílico lago Geneva, en Williams Bay, en el estado de Wisconsin. Allí vivieron Chandra y Lalitha durante unos veintisiete años. Pero esta larga residencia no se corresponde con la tumultuosa vida que llevaron, especialmente, la tumultuosa vida interior que transcurría en la cabeza de Chandra.
Otto Struve era el director del Observatorio, y Robert Hutchins (1899-1977), el presidente de la Universidad de Chicago. La intención de ambos era fertilizar la observación astronómica con la interpretación teórica, algo que, por extraño que parezca, no se practicaba en América Como ya se ha dicho, la astronomía y la física se ignoraban mutuamente. Struve quiso incorporar a astrónomos y físicos jóvenes y destacados y por eso se buscó la incorporación de dos brillantes astrónomos observacionales, Strömgren y Kuiper, y también la de un teórico, Chandrasekhar, quien, como ya se ha apuntado, conocía a ambos. Aunque el objetivo no podía ser más interesante, desde el principio hubo algunos movimientos intrigantes.
Para consolidar la contratación de Chandra, este tuvo que entrevistarse con Hutchins; sin embargo, una simple contratación de este tipo nunca requería que el presidente interviniera directamente. La explicación apareció en The New York Times, mucho después, en 1968, cuando Hutchins reveló que el entonces director del departamento de Física de la universidad, de nombre Dean Gale, se opuso violentamente a que «un indio negro» formara parte de la plantilla y diera conferencias en su departamento. Pero Hutchins se portó con valentía para evitar tal desacierto racista.
Quizá motivado por esta tensión inicial, Struve no trató por igual a Chandra y a los demás. Quizá también porque lo que hacía Chandra no se consideraba astronomía. Strömgren, Morgan y Kuiper fueron contratados comoassistant professors, mientras que Chandra solo como research associate. Al año siguiente, los otros investigadores alcanzaron la estabilidad y mejoraron el sueldo. Él siguió con la misma categoría, la misma provisionalidad y el mismo sueldo. Hubo otros detalles claramente discriminatorios, a los que Chandra, sin embargo, no prestó ninguna atención. Estas cuestiones le importaban muy poco. Hasta 1942 no alcanzó la máxima categoría de full professor.
Struve, último representante de una gran dinastía de astrónomos, no era un hombre feliz. Consiguió varias medallas de oro por su ciencia, las cuales, tras su muerte, ¡fueron fundidas por su propia esposa! Sus libros y artículos también fueron destruidos. Con Chandra tuvo buenas relaciones, pero ello debió de ser gracias al carácter de Chandra y a su deseo inequívoco y expreso de no escalar en el terreno competitivo de la gestión. Siempre le tuvo en la más alta estima.
De entre sus nuevos jóvenes colegas, con quien más se entendió fue con Kuiper, quien por su parte no tuvo una buena relación con Struve. Este buscaba en él un ayudante administrativo que incluso se ocupara de mecanografiar su correspondencia Kuiper era un gran astrónomo que, entre otras cosas, fue el re-descubridor de la atmósfera de Titán —el descubridor fue José Comás y Solá (1868-1937)— y descubrió el monóxido de carbono en la atmósfera de Marte y el cinturón de asteroides-cometas transneptunianos que hoy lleva su nombre. Decía Chandra «¿Cómo iba a aceptar un científico así sentarse y mecanografiar cartas para Struve?».
En Estados Unidos, Chandra y Lalitha tuvieron que soportar acosos y desprecios racistas en frecuentes ocasiones. El astrofísico Martín Schwarzschild (1912-1997) contó que tuvo que vencer una cierta repulsión inicial, ñuto de una educación desviada, contraria al trato con alguien de piel negra, aunque, al poco tiempo de hablar con el respetuoso, sabio y culto Chandra, se impuso la racionalidad y, desde entonces, desde aquella misma noche y para siempre, le tuvo por uno de sus más queridos amigos.
Donna Elbert, que fue su secretaria y calculista en Yerkes, contaba que la vida de Chandra era muy ordenada y disciplinada Se levantaba a las cinco de la mañana y trabajaba en su casa Aparecía en el trabajo a las ocho, comía en su casa, volvía al Observatorio a la una y trabajaba hasta las seis, cuando se iba a cenar para volver pronto al trabajo, que prolongaba hasta las diez de la noche. Elbert tenía que trabajar casi tan intensamente como él, pero Chandra tema tacto para hacer evidente que ella trabajaba con él y no para él.
Donna Elbert hacía los cálculos con el ordenador. Aunque él utilizara alguna rara vez el ordenador para integraciones numéricas, y aunque reconociera que podía ser muy útil en manos de un buen investigador, no había forma de que lo usara regularmente. «No pertenezco a esta civilización», decía. Hay que tener en cuenta que los ordenadores de su tiempo funcionaban a válvulas.
§. La segunda guerra mundial
Como casi todos los estadounidenses, Chandra era pro británico y temía el auge de la Alemania nazi. Y cuando Estados Unidos se unió a la contienda, él quiso ayudar a la causa aliada con su ciencia, al igual que otros científicos americanos, tales como Hoyle, Bondi y Gold —famosos por proponer la teoría cosmológica del «estado estacionario»—, Schwarzschild, Oppenheimer, Bethe, Teller y tantos otros. Su amigo John von Neumann le animó a que se presentara como voluntario científico al Aberdeen Proving Ground (APG), centro militar que poseía un laboratorio de investigación balística en el que ya trabajaban el «mayor» Edwin Hubble, Robert Sachs y muchos otros, siendo Robert Kent el científico que lideraba la participación de físicos y matemáticos.
Caracteres contrapuestosNacido con el nombre de Neuman János Lajos en el seno de una familia judía de Budapest, cuando esta ciudad aún pertenecía al Imperio austrohúngaro,John von Neumann (1903-1957) fue famoso desde su niñez por su gran inteligencia. Destacó en varias ramas de la matemática, como la teoría de conjuntos, la teoría de juegos y el análisis numérico; trabajó también en física cuántica, computación y economía. Estudió en las universidades de Budapest y Berlín (donde recibió clases de Einstein) y trabajó en la Escuela Politécnica de Zúrich y en la Universidad de Berlín. En Gotinga asistió a un seminario de Hilbert y conoció a Oppenheimer, con quien mantuvo una amistad duradera.
Emigró a Estados Unidos a la vez que Einstein, a causa de la persecución de los judíos por los nazis, Integrándose en el Instituto de Estudios Avanzados de Princeton. Fue uno de los mejores amigos de Chandrasekhar, a quien había conocido en Cambridge en 1935. Esta amistad era curiosa por la diferencia de caracteres. A John le gustaban las fiestas, la bebida, los chistes verdes...; era de espíritu abierto, rápido y humorista, lo cual contrastaba con el equilibrio impecable de Chandra. Este último había escrito un largo artículo, casi un libro, sobre los procesos estocásticos en astrofísica, que no quería publicar porque lo había escrito para él mismo. Von Neumann le instó a que lo publicara y, finalmente, él mismo lo envió a publicar a pesar de la prudente negativa de su amigo. Fue, y sigue siendo, el articulo más citado de Chandrasekhar. Von Neumann participó muy activamente en el Proyecto Manhattan, y fue uno de los miembros fundamentales de la Comisión de Energía Atómica estadounidense, a la que también pertenecían Oppenheimer, Teller y Wigner, y en la que no quiso entrar Chandra. No era partidario del control del armamento nuclear y su método de implosión fue utilizado en Hiroshima y Nagasaki. Su actividad armamentística, incluso durante la Guerra Fría, también contrastaba con el carácter pacífico y pacifista de Chandra. Murió de cáncer, enfermedad que no supo aceptar. Agnóstico durante su vida, se bautizó y abrazó el catolicismo en sus últimos días, quizá por su horror a la muerte, ante la impotencia de su segunda esposa, Klara, también buena amiga de Chandra. El final de Klara también sería dramático: se ahogó en el mar.
Aunque para incorporarse al APG hacía falta ser estadounidense, Chandra fue aceptado por su nacionalidad británica Allí trabajó hasta que terminó la guerra, compaginando tres semanas en Yerkes con tres semanas en Aberdeen.
Los trabajos que se le encomendaron en Aberdeen, siempre aprovechando su potencia matemática, estaban relacionados con pruebas de balística, las ondas de choque y su reflexión, la fragmentación de las bombas y cómo se puede conseguir una mayor área de dispersión de los fragmentos, el efecto Mach, la difusión de neutrones, etc. Mientras tanto, en Yerkes, inició sus estudios sobre hidrodinámica y magnetohidrodinámica y dio conferencias sobre la recientemente descubierta fisión nuclear. Seguía también sus investigaciones sobre transporte radiativo.
«Soy muy consciente de la utilidad de la ciencia en la sociedad y de los beneficios que la sociedad obtiene de ella.»
Subrahmanyan Chandrasekhar.
Su amigo Von Neumann trató de que se incorporara al Proyecto Manhattan, como lo habían hecho Bethe, Oppenheimer, Teiler y otros. En un principio, Chandra aceptó, pero, más adelante, juzgó que tenía que cumplir con su investigación en Yerkes.
Tampoco hubiera sido sencillo que, no siendo estadounidense, pudiera haber participado en un proyecto como aquel. Él sabía, por conversaciones con sus colegas en Chicago, como Fermi y Teiler, que se estaba fabricando la bomba atómica, pero el caso es que prefirió la paz de Yerkes a la amenaza atómica de Los Alamos. Chandra, como Hubble, no participó nunca en el diseño de la bomba atómica.
También en Aberdeen sufrió las intransigencias del racismo, sobre todo en los restaurantes e incluso entre sus propios compañeros de trabajo. En el servicio de hombres había un lavabo para las personas de color. Y había dos servicios para las mujeres, uno para las blancas y otro para las negras. Lo ponía en un letrero a la entrada, ¡en un edificio federal! Chandra no quiso llevar nunca a Lalitha a Aberdeen.
§. Chandra docente
La calidad de las clases de Chandra en el Observatorio Yerkes y en la Universidad de Chicago ha trascendido y su fama ha llegado hasta nuestros días; sin embargo, era tan destacado como profesor, que tuvo amargos problemas. Sus clases eran perfectas; sus frases, precisas e intocables; su inglés, exquisito; su profundidad, abisal. Llenaba tres pizarras con una sucesión de fórmulas escritas con minuciosidad cristalina. El ritmo era inexorable y hasta ponía candor en su expresión. Era un excelente autor de sus discursos y menos, pero también, destacable actor de su propia obra teatral. Esa es la impresión unánime que nos ha legado la historia.
Pero quizá se podrían poner también algunas pequeñas objeciones a tan perfecta didáctica. En primer lugar, sus clases eran muy difíciles de seguir por el elevado tono de su matemática y el bajo tono de su dicción. Su fluidez sin pausas no estaba exenta de cierta monotonía. En el discurso pronunciado por la concesión del Nobel no es sorprendente que su distinguida audiencia mostrara un interés decreciente, dado el rigor de un planteamiento inaccesible, aunque este tuviera un nivel matemático inferior al de sus clases. En estas, en ocasiones, sus estudiantes eran solamente dos; es difícil imaginar que tres pizarras llenas de fórmulas largas e ininterrumpidas pudieran estar al alcance de todos los estudiantes. Su voz, como propia de un espíritu reposado y equilibrado, sería toda una nana para muchos de los alumnos. Pero aquellos que tenían una formación suficiente y esa ansia que tienen algunos estudiantes por entender, veían en sus clases un manantial de rigor, elegancia y originalidad.
Aunque hoy lo podríamos juzgar tanto como un defecto pedagógico o como mía virtud, lo cierto es que Chandra no hacía diferencia entre su investigación y su didáctica. Explicaba lo último que había descubierto y, como lo que había descubierto era forzosamente muy reciente, no se podía saber, al principio del curso, en qué iban a consistir sus clases, lo que introducía cierta aleatoriedad. Se sabía que iba a ser algo bueno, pero no se sabía qué.
Henry Norris Russell (1877-1957)La relación de Russell con Chandra fue esporádica pero excelente, a pesar de que en un par de congresos le impidió hablar —en calidad de chairman de la reunión— cuando quiso defenderse de los ataques de Eddington, Contaba Chandra que era muy activo y sabia despertar la vocación astronómica en los jóvenes, pero que también era muy autoritario y dominante, y hablaba sin parar. En una ocasión, Chandra le preguntó por qué, teniendo tanta autoridad, figuraba en tan pocos comités. Y contestó Russell: «Es muy sencillo si quieres que no tepongan en comités. No importa la materia de que se trate, lo que hay que hacer es hablar sin parar. No te vuelven a poner en ninguno». Se llevaban bien porque Chandra le escuchaba, a pesar de que sus investigaciones tenían poco en común. Russell trabajaba en binarias eclipsantes y curvas de luz, deduciendo relaciones de masas estelares. El tema era muy interesante y de ahí salió el conocido diagrama H-R, pero la física involucrada era sencilla, con poco atractivo para Chandra. Este le hizo frecuentes visitas en Princeton y en varias ocasiones fue su huésped. A pesar de tener intereses diferentes, sus múltiples encuentros siempre fueron cordiales.
Además, la seguridad, la elocuencia, la convicción y el carácter de Chandra podían también jugar en su contra En una ocasión, cuando Chandra iba por su tercera pizarra, un alumno le interpeló: «Ese signo más está mal». Chandra, inalterado, siguió su discurso. «Profesor Chandrasekhar, ¿no piensa contestar a la pregunta de este alumno?» oyó que se decía a sus espaldas. Sin desviar su mirada de la tercera pizarra, Chandra repuso: «No fue una pregunta, sino una aseveración. Y más que una aseveración, fue una equivocación», y siguió con sus demostraciones. Y en otra ocasión, evadió responder a una pregunta de un alumno del siguiente modo: «Le recuerdo que ya me hizo esa pregunta anteriormente y ya le dije que leyera cierto artículo. ¿Lo leyó usted? Aparentemente no». Y siguió con su tiza y su pizarra. Tanto en el Observatorio Yerkes como en la propia Universidad de Chicago, Chandra tuvo una actividad docente extraordinaria.
Impartió cursos de astrofísica, astrofísica fundamental, espectrometría y fotometría; trató materias como atmósferas e interiores estelares, dinámica estelar, estructura galáctica y medio interestelar, impartiendo unas seis asignaturas al año. Al principio, una alumna oyente de sus clases era Lalitha, pues recordemos que era licenciada en física.
En 1944 Chandra estuvo a punto de trasladarse a Princeton, por petición de Russell, que se retiraba. Le ofrecían bastante más dinero y él aceptó. Pero Hutchins no quería perder tan estimable científico, «quiso» el envite económico de Princeton y acorraló a Chandra, pero este le respondió: «Ya le dije a Russell que aceptaba. Es un honor sustituir a tan destacado astrónomo». Hutchins repuso: «¿Sabes quién sucedió a Kelvin? No, nadie se acuerda. El honor no es sustituir a un gran científico, sino haber sido un gran científico cuando seas sustituido». Finalmente, ganó Hutchins y Chandra se quedó en Chicago. Con humor, Hutchins le comunicó a Russell: «No sabes cómo tuve que presionar a Chandra». Muy posteriormente, en una entrevista, revelaba que para él, haber retenido a Chandrasekhar había sido uno de los logros más satisfactorios durante su mandato como presidente de la Universidad de Chicago.
Pero las miserias humanas revolotean cerniéndose en torno a los grandes hombres y la ciencia no es ajena a este efecto. En las universidades y centros de investigación la mezquindad también acecha a los sabios. Chandra tuvo que soportar un segundo disgusto tan molesto como el desencuentro inicial con Eddington.
Nombraron a su «amigo» Strömgren director del Departamento de Astronomía. Este científico, sin embargo, era mejor observador que gestor y pronto el departamento empezó a sufrir la desorganización. A modo de ejemplo, en sus ficheros había cartas sin contestar tras medio año. Chandra le dijo con franqueza que sería mejor que lo dejase y que fuese Kuiper quien tomara la dirección. Fue un grave error. Por muy amigos que fueran, a Strömgren aquello le molestó desorbitadamente. A él no le parecía que nada estuviese desorganizado y entendió como aviesa la crítica de Chandra. Decidió vengarse nombrando una comisión para analizar la actividad docente impulsada por Chandra desde su llegada a Yerkes. La comisión había sido elegida convenientemente y el veredicto fue negativo: «Chandra había trabajado mucho pero sin éxito». Por este motivo dejó de dar clases de astronomía, a pesar del esfuerzo y de la entrega con que había desempeñado esta labor.
El gran físico italianoNacido en Roma, los estudios de Enrico Fermi (1901-1954) abarcaron muy diversos temas de física teórica, como la estadística de Fermi-Dirac, la radiactividad beta —según la cual el neutrón se descompone en un protón, un electrón y un neutrino—, la radiactividadartificial y el bombardeo de neutrones, los elementos transuránidos, etc. Formó parte del equipo que construyó el primer reactor nuclear. Menos conocidos son sus trabajos en astrofísica, la mayoría motivados por su estrecha amistad con Chandrasekhar, pues ambos coincidieron en la Universidad de Chicago. ¿Quién le iba a decir a Chandra que, habiendo realizado su gran trabajo a los diecinueve años con la aplicación de la estadística desarrollada por Fermi, acabaría siendo uno de sus mejores amigos y colaborador asiduo? Se veían y comían juntos al menos una vez por semana. Aunque poco conocido, Fermi hizo un gran descubrimiento astrofísico. Los rayos cósmicos estaban confinados en la galaxia por un campo magnético cuya existencia se desconocía, estimando correctamente su orden de magnitud de unos micro-Gauss. Con Chandrasekhar, estudió los plasmas cósmicos en los brazos espirales y en las nubes interestelares. Recibió el premio Nobel en 1938. Emigró a Estados Unidos; primero se Incorporó a la Universidad de Columbia y, a partir de 1942, a la de Chicago. Murió de cáncer, aunque un ataque al corazón le evitó el sufrimiento final. Vivió agnóstico y murió agnóstico, con valentía y sentido del humor hasta el final. Le consolaba a Chandrasekhar en broma: «Nada especial puede pasarle a un hombre que ha pasado de los cincuenta y su pérdida no es tan grande como uno pudiera pensar. Y ahora dime, Chandra: ¿seré un elefante en mi próxima vida?».
Su moral se agrietó, el abatimiento le encorvó y su confianza en la amistad se evaporó.
Pero no era fácil derribar a Chandra. Fermi, que sería uno de sus colaboradores más firmes, le ofreció un puesto en el Instituto de Investigación que él dirigía —y que hoy lleva su nombre— y que éntrala en el Departamento de Física.

George Ellery Hale, astrónomo nacido en Chicago que fue el fundador de la revista The Astrophysical Journal (ApJ).
Hacía precisamente falta un sustituto para el curso de física matemática y le ofreció la plaza a Chandra. Pero este, ante la humillación que había sufrido, recurrió a la misma estrategia que había empleado durante el conflicto con Eddington: pasó la página emborronada procurando que no le afectara anímicamente. Desde entonces, su carga docente —en su caso, su descarga docente— versó sobre física fundamental, mecánica cuántica, electrodinámica, física matemática y relatividad. Después de todo, él era el astrónomo que no quería ser astrónomo.
Por otra parte, señalar otra actividad docente en la que destacó Chandra la organización de seminarios. A lo largo de su vida quizá organizara unos mil quinientos. En Yerkes, por mandato de Struve, había uno a la semana, a veces a cargo de visitantes, a veces a cargo de los otros astrónomos del Observatorio, a veces a caigo de él mismo.

Otto Struve, quien fue jefe de Chandra en el Observatorio Yerkes y también, en su época como director de ApJ, quien le convirtió en associate editor de la revista.
De acuerdo con su peculiar forma de entender la investigación y la docencia, no solo como inseparables, sino más bien como actividades idénticas, las investigaciones de Chandra también cobraron nuevos bríos, alimentados porque su traje gris ya había recibido el adorno de dos importantes medallas y porque, ya desde 1944, había sido nombrado fellow de la Royal Society, una distinción que escaseaba y estaba limitada a científicos realmente sobresalientes. Desde entonces ya podía firmar como Chandmsekhar FRS.
§. «The Astrophysical Journal»
Chandra rehuía siempre las comisiones, los cargos de gestión y cualquier función administrativa que distrajera su investigación. Y, sin embargo, se convirtió en el gestor exclusivo de la revista de astrofísica más citada hoy en día, gracias precisamente al prestigio de que Chandra la dotó.

Martin Schwarzschild, quien tenía un gran peso en la Sociedad Astronómica Americana e intervino a favor de Chandra en el cambio de orientación de ApJ.
Un científico joven puede rehuir la gestión, pero, según van pasando los años en una institución, el sentido de la responsabilidad va minando la actitud introspectiva del investigador puro. Los acontecimientos se fueron enredando de tal forma que Chandra tuvo que aceptar este reto de organización.

Subrahmanyan Chandrasekhar fue director del The Astrophysical Journal durante casi veinte años y convirtió la revista en la referencia mundial en astrofísica.
Pasó casi veinte años al mando de The Astrophysical Journal (ApJ) y, cuando dejó el cargo, pensó que no debería haber aceptado la responsabilidad, pero que tenía que hacerlo y lo hizo. Extraña, pero muy frecuente norma de conducta.
El ApJ fue creado por George Ellery Hale (1868-1938), el promotor más contumaz en la carrera por conseguir unos telescopios cada vez más grandes que hervía en Estados Unidos en aquella época Entonces, y aun hoy, quien tenía el telescopio más grande era quien lideraba la astronomía. Fundó la revista en 1895 y fue su primer managing editor. Hale quería hacer una revista astrofísica de carácter mundial, previendo el auge que a esta rama del conocimiento le esperaba. Desde un principio, el ApJ se editó en la Universidad de Chicago. Pero no consiguió el objetivo cosmopolita que su creador quiso darle y, hasta la llegada de Chandra, era una revista cuyo ámbito apenas traspasaba el diámetro de la propia universidad.
En 1932 la dirección pasó a Struve, el jefe de Chandra en Yerkes. Para aliviar su trabajo, se quedó con el cargo, pero se liberó de la carga, que la apiló en las espaldas de Chandra, quien fue nombrado associate editor. Esto fue en 1944, con un Chandra recién incorporado a Yerkes. No podía negarse y no le importó; así no tendría problemas para publicar lo que quisiera. Como es de imaginar, Chandra cumplió a la perfección su cometido.
En 1947 Struve pasó la dirección a William Morgan (1906- 1994), quien tema una salud vacilante y manifestó cierta falta de energía Chandra continuó como editor asistente. Él veía que había que cambiar las cosas para dotar a la revista del valor internacional, o al menos americano, que su fundador había soñado. El cambio de director era el momento preciso para plantearse tal objetivo. Comenzó a hacer propuestas, procurando que sus acciones silenciosas fueran invisibles. La idea de Chandra era un poco difícil de mantener, ya que proponía que la revista pasase a ser dirigida y sufragada por la Sociedad Astronómica Americana (AAS, por sus siglas en inglés), pero que la gestión siguiera residiendo en la Universidad de Chicago. Sin embargo, la AAS no quería un protagonismo tan excluyente de la Universidad de Chicago.
Chandra tuvo que hacer estrategias de «alta resolución», con conversaciones privadas con sus amigos Lyman Spitzer (1914- 1997) y Martin Schwarzschild, quienes teman mucho peso en la AAS. Las negociaciones fueron tensas y Morgan acabó enemistándose con Chandra. Al ver la actitud sesgada del director y comprobando que estaba disgustado con su perseverancia oculta, Chandra, indignado, amenazó con dimitir. Y dimitió. Que buscara Morgan otro editor asistente. Pero a los pocos días, también dimitió Morgan y ApJ se quedó sin nadie que la gestionara. El presidente de la Universidad de Chicago, para salir de este caos, pidió a Chandra que aceptara la dirección, el cargo de managing editor. Y Chandra, aun previendo la enorme tarea que se le venía encima, puesto que había removido toda la comunidad astronómica estadounidense para salirse con la suya, no pudo renunciar, víctima de su propia eficiencia.
¿De qué disponía para llevar a cabo la gestión de la revista y, especialmente, su renovación? En los primeros anos, solo de media secretaria y, por supuesto, de la maquinaria de la prensa de la Universidad. Él llevaba la contabilidad, revisaba las galeradas y vigilaba la impresión, las facturas, los anuncios, absolutamente todo. Pero él quería hacerlo todo. Esa era su forma de abordar los problemas. Especialmente importante era la selección de los artículos; él cargaba con toda la responsabilidad decidiendo lo que había de publicarse y lo que no en la revista que pronto sería la más importante de su ámbito. El destino de la astrofísica de Estados Unidos nunca había recaído tanto en las manos de una sola persona.
Desde el principio, tomó la resolución de que todos los artículos enviados a publicar tenían que ser analizados por un referee, una especie de juez o árbitro que opinar a sobre la idoneidad y vaha científica del texto. Él elegía al referee y este escribía su informe a modo de consejo, puesto que la decisión de aceptación o rechazo dependía solo de Chandra. La intervención forzosa de un referee es hoy práctica habitual en las revistas especializadas, pero entonces era una novedad que tendría que ser impuesta brutalmente.
Chandra leía prácticamente todos los artículos que llegaban a ApJ, tanto a la revista principal como a los suplementos, los cuales contenían mayor cantidad de tablas y datos observacionales. Pero este trabajo, insoportable para cualquier mortal, y que se fue acrecentando a medida que el prestigio de la revista aumentaba con los años, no fue nada comparado con lo que él mismo echó sobre sus inquebrantables vértebras, al crear otra sección de la revista: ApJ Letters. El objetivo de esta era una difusión rápida de trabaos de especial novedad y trascendencia.
¿Cómo conseguir esta rapidez? Para una persona como él, la respuesta estaba clara- ¡él sería el referee de todas las letters! Para conseguir una mayor objetividad en su cometido, decidió aislarse de la comunidad astronómica, acudiendo a escasas reuniones y evitando las relaciones personales. Este aislamiento y el escozor de muchos colegas al ver sus artículos rechazados le crearon numerosos enemigos. «Es un teórico; no entiende de astronomía», decían unos; «¿qué se ha creído este Chandrasekhar?», decían otros. El carácter autocrático de su gestión era tan conocido que al ApJ se le llamaba el Journal de Chandra.
La decisión inquebrantable e inquebrantada de que todos los artículos pasaran por un referee ¿se aplicaba a sí mismo? No solía presentarse el problema, ya que normalmente enviaba sus artículos a publicar en Inglaterra. Pero ¿y los libros? Según dijo a Richard Dalitz (1925-2006), un colega del hoy llamado Instituto Fermi, no quería que sus libros fueran sometidos al juicio de ningún crítico. Cuando un editor estaba interesado en publicar un libro suyo, le exigía que no hubiera ningún referee. Chandra no estaba interesado en la opinión de los críticos, porque escribía para él mismo. Cada libro, pensaba (y era verdad), era como un trabajo artístico, como una pintura, algo coherente que no admitía cambio alguno.
Además, de permitirse rechazar o modificar artículos, cuidaba también el estilo, que debía ser de un correcto inglés. A uno de sus estudiantes, que había hecho un buen trabajo, pero lo había escrito en un pésimo inglés, le dijo que leyera una obra de Shakespeare y que después lo redactar a otra vez.
Eugene Parker (n. 1927), también de la Universidad de Chicago, hoy autor consagrado, era un joven desconocido cuando envió su primer artículo a ApJ. Le dijo Chandra: «He enviado su artículo a dos referees distintos, ambos grandes especialistas en el tema, y los dos han emitido un informe negativo. ¿Quiere usted realmente que se publique?». Parker contestó: «Sí, ninguno de los dos especifica cuál es el error». Tras un momento de duda, Chandra dijo: «De acuerdo, lo publicaré». Él había leído el artículo y, más especialista que los especialistas, le había gustado; y él y solo él era quien decidía El artículo en cuestión proponía ni más ni menos que era inevitable la expansión de la corona solar a velocidades supersónicas hasta grandes distancias; era lo que el mismo Parker llamó el «viento solar». Aquel artículo fue realmente decisivo. ¡Cuántos trabemos fundamentales han sufrido la incomprensión de la censura!
«Apreciar las artes de una manera consciente, disciplinada, podría ayudar a hacer ciencia de mejor modo.»
Subrahmanyan Chandrasekhar.
Normalmente, Chandra era sumamente correcto en la correspondencia con los autores. Por ejemplo, a uno que escribió sapos y culebras al consejo editorial, quejándose de la forma tan personal con que Chandra gestionaba el ApJ, al rechazarle un artículo, le respondió con una frase parecida a esta «Le agradezco mucho su franqueza al exponer sus quejas ante el consejo editorial». En cambio, en alguna ocasión no pudo reprimirse. Un doctorando quería publicar toda su tesis como un artículo de la revista El comentario de Chandra parece que fue: «Primero, quema la tesis; luego, escribe el artículo». En cualquier caso, todos los autores, hasta los más reconocidos, tenían que pasar por un referee.
En una ocasión, John Waddel, hijo de John Waddel, que había enviado un artículo a ApJ, quedó en un estado tan depresivo por haber sido rechazado, que salió a la carretera tan desesperado que tuvo un accidente y murió. El padre acusó a Chandra de haber matado a su hijo y le exigió que publicara su artículo. Fue esta la única vez que dulcificó sus propias normas y el trabajo fue publicado. Eso sí, pasó de tener sesenta páginas a solo seis, y estas fueron escritas de su puño y letra. Posteriormente, John Waddel pidió comprensión y perdón a Chandra.
Pero en favor de Chandra hay que decir que, si bien sus relaciones con sus colegas se iban deteriorando, todos los que trabajaban con él, ya fuera en las oficinas o en la imprenta, le querían de modo sincero. En cierta ocasión, Maarten Schmidt (n. 1929) le llamó por teléfono. Había escrito una letter dando cuenta de un descubrimiento importante. Había encontrado el desplazamiento al rojo de un cuásar tan alto (z = 0, 2) que demostraba que los cuásares eran extragalácticos, cuestión esta que en aquel momento estaba en hirviente discusión. Chandra reconoció pronto el gran valor de aquel artículo. Tenía que publicarse rápidamente. Schmidt tenía que enviárselo inmediatamente, él juzgaría el trabajo y lo mandaría a la imprenta el mismo domingo para que saliera publicado en el próximo número. De este modo, Chandra pidió a los operarios de la imprenta y al personal de la oficina que trabajaran el domingo, pero uno de ellos, hablando en nombre de todos, le comunicó que los trabajadores tenían derecho al descanso dominical. Chandra quedó triste, callado y cabizbajo, tan deseoso estaba de publicar cuanto antes aquel valioso artículo. El operario se retiró, pero, al poco, volvió, diciéndole: «He hablado con los trabajadores y me dicen que sí estarán dispuestos a trabajar para usted el domingo». A Chandra se le humedecieron los ojos de alegría. «Pero hay una condición —siguió el operario—, que nos explique usted qué es un cuásar y por qué es tan importante el artículo.» Así lo hizo Chandra. El personal de la imprenta y del ApJ fueron los primeros en enterarse de que los cuásares eran objetos extragalácticos.
A Chandra el trabajo extenuante no le extenuaba Por prodigioso que parezca, su ritmo de producción científica no disminuyó nada Distribuía su tiempo con todo rigor: por las mañanas, ApJ, por las tardes, investigación. Si alguien le llamaba por teléfono por la tarde hablándole de su artículo, le decía que la oficina de ApJ solo abría por las mañanas (cuando todos sabían que la oficina de ApJ era él). Mantenía esta actitud de modo estricto, incluso para sus más cercanos amigos. Fueron sus años más duros, cuando Chandra no perdía ni un segundo de su tiempo, cuando ni siquiera viajaba fuera de Chicago.
El articulo de S. CandlestickmakerEn 1957 apareció un falso reprint de un artículo de ApJ que pretendía ser una sátira, aunque bien intencionada e impregnada de un sano espíritu humorístico, escrito por uno de sus estudiantes, en el que se parodiaba el estilo personal de Chandra. El artículo estaba firmado por un tal S. Candlestlckmaker, que significa algo así como el «constructor de los palos de la vela». Aunque no se decía a quien se refería, con la S. del nombre y el parecido del apellido no era difícil imaginar que el supuesto y fingido autor pretendía imitar a Chandra. El título del artículo era «On the Imperturbability of Elevator Operators. LVII » (« Sobre la Imperturbabilidad de los ascensoristas », aunque la apariencia científica del artículo en inglés, dada la investigación de Chandra, era más oportuna). Entresacamos algunas frases: «Una solución explícita se obtiene en el caso de que la ocupación [del ascensor] sea cero. [...] En un artículo anterior (Candlestickmaker 1954q; este artículo será referenciado como XXX- VIII) se ha considerado el efecto simultáneo de un campo magnético, un campo eléctrico, un campo Marshall, rotación, revolución, traslación y retraslación de la ecuanimidad del ascensorista. [...] Su ocurrencia se ha demostrado experimentalmente por Shopwalker y Salesperson (1955) en completo desacuerdo con las predicciones teóricas (Nostradamus, 1555) [...] usando también la relación (Pitágoras, 520) 32 + 42 = 5 2(5). [...] Sin embargo, a partir de experiencias pasadas con problemas de este tipo se aprecia que una solución es mejor que ninguna. [...] El autor espera tratar este problema el próximo sábado por la tarde. [...] La investigación considerada en este artículo ha sido en parte suprimida por la Oficina de Investigación Naval bajo contrato AI-tum-OU812 con el Institute of Studied Advances». El artículo, aunque pierde gracia al ser traducido, no tiene desperdicio.
Cuando abandonó ApJ le hicieron un sentimental y entrañable acto de despedida. Jean Sacks, una de las trabajadoras de la editorial, fue la encargada de dirigirle unas pocas cariñosas palabras:
«Cuando hago la composición de los artículos que se van a publicar, leo a menudo que tratan del límite de Chandrasekhar. Pero yo no creo que Chandrasekhar tenga ningún límite» .
Lalitha su dio cuenta de que Chandra estaba sacrificando en demasía su vida personal. Le dijo que ya estaba bien, que quería que tuvieran un poco más de tiempo para ellos dos, que se quitara tanta carga de encima, sacrificándose por todos y sacrificado por todos: «¿No deberías pensar en mis necesidades también?». Chandra la miró con los ojos bien abiertos, se echó a llorar y, de pronto, al cabo de veinte años, se dio cuenta de que Lalitha tenía razón. Fue entonces cuando decidió abandonar ApJ, allá por 1967, hecho que
se materializó en 1971, porque tardó cuatro años en encontrar un sustituto (Helmut A. Abt fue finalmente el elegido). Nadie quería el cargo, porque nadie era capaz de sustituirle. Pero él mismo buscó una nueva forma de gestionar la revista, pasando la responsabilidad a la AAS y creando un mayor grupo de editores, de forma que una docena de personas pudieran hacer lo que él había hecho solo.
Desde entonces, cesaron las tensiones con sus colegas, afianzó las relaciones con sus amigos, viajó más, volvió a abrirse al arte... y habló con Lalitha de corazón a corazón. Volvió a estremecerse como antaño con las canciones tradicionales que cantaba su esposa.
§. Un gas de estrellas
Una galaxia como la nuestra tiene unos 300000 millones de estrellas. Si la galaxia solo tuviera esta componente estelar, podríamos tratarla como tratamos a un gas, solo que, en lugar de moléculas, ahora tenemos estrellas. Las estrellas serían entonces como las moléculas de nuestro gas: un gas de estrellas. Es una idea realmente atrayente. Podemos, pues, aplicar las ecuaciones de un gas, es decir, las ecuaciones de los fluidos, para saber cómo se comporta una galaxia. Esta es la idea brillante que Chandra tenía que desarrollar.
Las ecuaciones de los fluidos se deducen de una ecuación más general, llamada «de Boltzmann». Como se trata de un fluido diferente en el que la intuición no nos proporciona un acercamiento seguro a este problema, Chandra prefirió integrar directamente la ecuación de Boltzmann. En esto fue un distinguidísimo maestro, puesto que la mayoría de sus trabajos consistieron en la integración de esta ecuación aplicada a diversos tipos de partículas, con inclusión o no de un tratamiento relativista. La ecuación de Boltzmann es la ecuación básica de la mecánica estadística y nos dice cómo se comporta un sistema macroscópico de muchas partículas cuando se conocen las leyes que rigen a nivel microscópico, al nivel de sus partículas.
El gas de galaxias tiene similitudes aprovechables con respecto a un gas ordinario, pero también tiene notables diferencias. En un gas una partícula interacciona con su vecina mediante choques elásticos o repulsiones y atracciones de tipo electromagnético, y, además, puede estar sometido a fuerzas externas, como puede ser la gravedad terrestre. La fuerza externa que se aplica a una galaxia es la autogravitación, es decir, la fuerza de gravedad producida por todas sus partículas. La fuerza entre partículas no debe entenderse como una colisión real y dramática entre estrellas, sino como la desviación de sus trayectorias por la fuerza entre una estrella y su vecina. Esta fuerza es también la gravedad, aunque ahora se trate de la mutuamente ejercida entre dos estrellas próximas.
Otra diferencia importante: en un gas ordinario no vemos el microestado; es decir, no vemos las moléculas ni dónde están ni con qué velocidad se mueven. Lo que vemos es el macroestado, es decir, el sistema a una escala mucho mayor que las moléculas, a la escala de la persona que lo observa. En nuestra galaxia ocurre precisamente lo contrario: no vemos el macroestado, pues el polvo interestelar nos impide observar algo que esté mucho más allá de 1 kpc más o menos (1 kpc, un kilopársec, es unos tres mil años luz). Así que no vemos nuestra galaxia como un todo. En cambio, vemos el microestado porque vemos en nuestro entorno estrellas individuales y podemos conocer la distribución estadística de sus velocidades. Esto sería el sueño de un termodinámica En el cosmos ese sueño se cumple. El que no veamos el macroestado en nuestra galaxia no es un inconveniente, porque podemos observarlo en otras galaxias siempre que tengamos buenas razones para pensar que son parecidas a la nuestra. Así pues, disponemos de observaciones del microestado y del macroestado. Esto es una gran ventaja.
En un gas ordinario, las moléculas chocan con tanta frecuencia que pronto se alcanza el equilibrio termodinámico, en el cual todas las direcciones de las moléculas son equivalentes y las velocidades obedecen a un tipo de distribución estadística denominada «de Maxwell-Boltzmann». Cuando observamos en una determinada dirección vemos una distribución gaussiana, con la que el lector está probablemente familiarizado. Para un gas de estrellas, ¿se puede suponer una distribución de equilibrio tan simple como esta? La respuesta es que no. Lo primero que hizo Chandra fue adoptar un criterio para establecer un tiempo de relajación, es decir, un tiempo tal que las colisiones estelares hubieran hecho alcanzar al gas de estrellas el equilibrio termodinámica Al hablar de colisiones estelares no nos referimos a choques centrales entre dos estrellas, sino a que estas pasan lo suficientemente cerca una de la otra como para desviar sus trayectorias. La influencia de una estrella sobre otra no cesa en ningún momento por alejadas que estén, pero una estrella modifica la dirección de su trayectoria gracias a la influencia gravitatoria de corto alcance en un ángulo significativo, del orden del radián, debido a una serie de encuentros con toda una serie de estrellas.
Este tiempo de relajación depende de la velocidad de las estrellas al cubo (prescindiendo de la velocidad de rotación de la galaxia), que es del orden de unos 20 km/s; depende también del inverso de una masa típica estelar, que es del orden de la masa solar, 2×1030 kg, y depende finalmente del inverso del número de estrellas por unidad de volumen, que es del orden de una estrella en un volumen de 10 pc3, al menos en la vecindad solar. El resultado, en la vecindad solar, es que el tiempo de relajación es del orden de 1014 años. Este tiempo es mucho mayor que la edad del universo. Por tanto, no hay tiempo para que una galaxia alcance el equilibrio termodinámico, es decir, para que se comporte como un gas ordinario, con la distribución de Maxwell-Boltzmann.
Con una habilidad matemática que parecería sorprendente en alguien que no fuera el propio Chandra, este integró la ecuación de Boltzmann para un sistema sin colisiones y obtuvo todas las propiedades en ausencia de equilibrio para una galaxia Si no era válida la distribución de Maxwell-Boltzmann, encontró otra ley de distribución denominada «elipsoide de Schwarzschild», según la cual en cada dirección que se observe se encuentra una gaussiana, pero el parámetro de anchura de la gaussiana depende de la dirección de observación. La figura de la anchura en función de la dirección forma un elipsoide de revolución.
Las estrellas no interaccionan unas con otrasEn una galaxia, las estrellas están sometidas a la gravitación creada por el conjunto de sus estrellas y por la materia oscura galáctica. Pero las interacciones entre dos estrellas son muy escasas, si exceptuamos las estrellas dobles, triples y otros sistemas múltiples. Ello es debido al tiempo de relajación tan alto que calculó Chandrasekhar. Esta ausencia de colisiones, entendiendo «colisiones» no como choques frontales sino como interacción entre dos estrellas que se acercan, tiene algunas consecuencias llamativas. Por ejemplo, como las galaxias no pueden alcanzar el equilibrio termodinámico en el tiempo de vida del universo, la distribución de sus estrellas no tiene que tener una simetría esférica. Así, las galaxias elípticas que no tienen simetría esférica, no la tienen no debido a un achatamiento por rotación, sino porque las dispersiones de velocidad son diferentes en las distintas direcciones. Si dos galaxias interaccionan y sufren un proceso de fusión (tal es el caso previsible en el futuro entre la galaxia Andrómeda y la nuestra), a pesar del proceso violento que esto supone, las estrellas no lo notarían. La hipotética vida en algún planeta no quedaría afectada, aunque la visión del firmamento sería diferente. De hecho, en una galaxia actual, se encuentran a veces dos poblaciones estelares que una rota en sentido contrario a la otra y ambas poblaciones conviven sin perder su identidad; eso sí, sometidas a un único potencial gravitatorio creado por las dos. La antigua teoría de que el sistema planetario se forma por la interacción de dos estrellas que pasaron cerca intercambiando material que quedó en suspenso entre ambas, lo que se denominó «hipótesis catastrofista», es muy poco probable, por ser tan escaso el número de encuentros estelares. Aun así, nuestro sistema planetario pudiera ser excepcional, pero teniendo en cuenta que ya se conocen tantos sistemas planetarios extrasolares, esta teoría no puede ser mantenida.
En la dirección radial, es decir, desde el centro de la galaxia hacia afuera, la anchura, a, es del orden de 25 km/s. En las direcciones azimutal (en el sentido de círculo alrededor del centro) y vertical (perpendicular al plano de simetría de la galaxia) la anchura es de unos 20 km/s. Chandra encontró las ecuaciones del gas de estrellas y, como consecuencia, en condiciones estacionarias, la distribución en la dirección vertical, la ecuación del equilibrio radial, etc.
Este estudio fue clave para entender que es una galaxia y ha condicionado la interpretación actual. El análisis era correcto, pero incompleto. Hoy sabemos que una galaxia no es un gas autogravitante de estrellas; no es una colección de estrellas. Hay, además, gas interestelar que obedece a otras ecuaciones, porque está sujeto a otras fuerzas; por ejemplo, el gas interestelar, que está parcialmente ionizado, obedece a la fuerza del campo magnético. Como las estrellas nacen del colapso del gas interestelar, no se puede concebir la dinámica estelar sin conocer la dinámica del medio interestelar.
El otro gran problema por el que el análisis de Chandra está obsoleto proviene de la existencia de materia oscura en una galaxia. La cantidad de materia oscura en una galaxia, de naturaleza desconocida, es muy superior a la de materia visible, quizá más de diez veces más, por lo que la gravedad está regida prácticamente por ella. En tiempos de Chandra la existencia de materia oscura era impensable, pero la dinámica galáctica está muy influida por la distribución de materia oscura. De hecho, es así como se llegó a plantear la necesidad de la existencia de materia oscura galáctica Las galaxias giran demasiado deprisa y su velocidad no decrece con la distancia como lo hacen los planetas en su giro con respecto al Sol.
Uno de los resultados obtenidos desde el punto de vista estético, a los ojos de su propio creador, fue el paralelismo entre el efecto acumulativo de los encuentros de una estrella con las que se va encontrando con el movimiento browniano. En este, una partícula de polvo en el seno de un líquido tiene una dirección errática debido a las colisiones con las partículas del líquido, mucho más pequeñas pero con alta velocidad. Un elefante zarandeado por una nube de mosquitos. Así también, la trayectoria de la estrella era errática, aunque el conjunto de todas ellas tenía un comportamiento macroscópico regular.
Chandra no quería hacer astrofísica, sino física fundamental. De este modo, a lo largo de su carrera, su investigación fue derivando del primer ámbito al segundo. Esta transformación paulatina respondió a un cambio de residencia de Williams Bay, sede del Observatorio Yerkes, a Chicago, donde se incorporó a la universidad de la ciudad. En esta etapa, la más feliz de su vida, se centró en el estudio de un gas de fotones y abordó la física de los «objetos macroscópicos más perfectos del universo»: los agujeros negros.
En 1952 Estados Unidos relujó la llamada «Ley de Exclusión Oriental» que impedía que las personas de procedencia asiática pudieran adquirir la nacionalidad estadounidense. A partir de esa fecha se abrió un pequeño cupo. Era la ocasión para que él y Lalitha realizaran aquel trámite. Teman que seguir previamente un curso en la Universidad de Wisconsin que versaba sobre la historia americana y la Constitución. Tras superar el examen, al año siguiente, y tras el correspondiente juramento, Lalitha y él pasaron a ser ciudadanos estadounidenses y perdieron la ciudadanía india, hecho debido a que la India no admitía la doble nacionalidad.
Esta determinación no gustó a su padre, ya que la entendía como una falta de patriotismo, un desarraigo de su propia tierra y un desapego a las venerables tradiciones hindúes. Así, tuvo pal a la pareja las más duras palabras. ¿Por qué habían ocultado sus intenciones en su viaje a la India el año anterior? Fueron las cartas de Lalitha las que intentaran justificar su cambio de ciudadanía y aplacar la ira de su suegro.
Por no ser estadounidenses en la tierra en que vivían y en la que previsiblemente iban a vivir el resto de sus días, tenían una serie de desventajas. Chandra no podía ser nombrado miembro de la Academia Nacional, no podía invitar a estudiantes y colegas de otros países y, cada vez que salían al extranjero, se tropezaban con dificultades burocráticas al volver. Ni mucho menos por adquirir la nueva ciudadanía iban a renunciar a su casticismo, ni a sus tradiciones, ni a sus pautas de alimentación. Ella seguiría tocando el veenu y cantando a Chandra las canciones en tamil que le emocionaban, y vestiría su sari como siempre. Nunca en su vida ninguno de los dos había probado el alcohol y nunca nada les haría cambiar. Ellos eran, ante todo, hindúes. Siempre se consideraron unos extranjeros en América.
Una vez obtenida la ciudadanía, Chandra fue acogido en la Academia Nacional. Además, comenzaron ambos a participar activamente en política, haciéndose miembros del Partido Demócrata, que defendía ideas con las que ellos se sentían identificados.
§. Ciudadano americano. De Williams Bay a Chicago
Desde 1937 hasta 1964, Chandra y su esposa vivieron en Williams Bay, junto al Observatorio Yerkes, a pesar de que él impartía cursos en la Universidad de Chicago. Conducía los jueves hasta Chicago —tenía un gran Buick ¡con aire acondicionado!—; daba sus clases y luego atendía sus quehaceres al frente de ApJ, y volvía el viernes. Conducía muy rápido, pero el camino era largo y tardaba dos horas y media en realizarlo. Así estuvo viajando semanalmente durante años. Era estrictamente metódico: siempre repostaba en la misma gasolinera y paraba a comer en el mismo restaurante y comía lo mismo. Su horario era inflexible.
En 1959 Chandra alquiló un pequeño apartamento en Chicago, aunque seguía viviendo en Williams Bay y haciendo, por lo tanto, los mismos viajes. Finalmente, en 1964 el matrimonio se instaló en Chicago, adquiriendo una casa en la Avenida Dorchester. Este fue su domicilio definitivo. Se acabó el suplicio de conducir cinco horas semanales, aunque Chandra nunca se había quejado de ello. Tampoco perdía el tiempo en sus viajes, porque a veces iba acompañado por sus estudiantes de doctorado y aprovechaba el trayecto para hablar de ciencia.
Con el cambio de residencia también cambiaron sus amistades, que pasaron a ser familias de colegas, tales como Fermi, Teiler y otros ilustres científicos que trabajaban en Chicago. Normalmente Chandra y Lalitha eran invitados a cenar y ellos tenían que corresponder, pero como eran abstemios y vegetarianos, tenían dificultades para mantener este tipo de relaciones. ¿Qué americano podía salir de la cena sin haber probado una gota de alcohol?
Ellos preferían invitar al té. La amistad de Chandra con sus colegas era una amistad científica, en el sentido de que muy raramente trascendía a cuestiones personales y, mucho menos, íntimas. Pero Chandra no era tan frío, como resultaba patente cuando trataba con los lujos de sus amigos. Él siempre decía que se entendía mejor con los hijos de sus amigos que con sus amigos. También era más afectuoso con sus jóvenes estudiantes y, como ya vimos, con sus subordinados en la dirección de ApJ. A lo largo de su vida, Chandra tuvo 51 estudiantes de doctorado, lo cual contrasta con el hecho de que muchos astrónomos no dirigían tesis, como eran los casos de Shapley, Eddington, Jeans y muchos otros. Hubble solo tuvo a Sandage, y Sandage a ninguno. Con los estudiantes de doctorado tenía Chandra mejor relación que con los profesores colegas.
Sus intereses también fueron desplazándose con la mudanza, rolando de más bien astrofísicos a más bien físicos. A Chandra siempre le había atraído más la física que la astrofísica. De esta Última etapa, cuando ya residía en Chicago, datan sus trabajos sobre temas puramente físicos, como la magnetohidrodinámica, el equilibrio de sistemas rotantes, la relatividad general, los agujeros negros y Newton. Sin duda su creciente amistad con Fermi influyó en su deseado cambio de intereses científicos.
Seguía escribiendo con su estilográfica —nunca usó bolígrafo— impecables artículos. Y eran impecables porque repetía borrador tras borrador hasta que alcanzaban tal condición. Una de sus estudiantes, llamada Bilma Buti, llamó a su casa por teléfono cuando estaba escribiendo su libro Hidrodynamics and Hydromagnetic Instabilities. Cogió el teléfono Lalitha, contestando que Chandra «estaba ocupado con la versión (n - 1) del libro». A veces, escribía hasta diez veces una página solo para corregir errores mínimos. Y seguía con su perenne traje gris. Seguramente tenía varios trajes grises iguales, pero eso era algo que nadie podía saber, excepto Lalitha. Siempre con su mismo traje, sin perder un segundo, sin decir una palabra de más.
En 1961 volvió a la India en un viaje de cuatro meses, aunque su padre había muerto el año anterior. Su familia había experimentado el silencioso paso del tiempo y, aunque el trato con sus más jóvenes familiares no fuera tan inmediato, la concordia renacía por afloramientos nuevos. El quedó impresionado al reencontrarse con sus hermanitas, Vidya, Savitri, Sundari..., que ya eran no solo todo unas mujeres, sino todo unas señoras. Chandra y Lalitha se reencontraban con los suyos y con lo suyo, y su sangre se regeneró con el agua del Ganges.
Chandra se jubiló en 1980, aunque se le ofreció un título de carácter post-jubilación, y finalmente acabó siendo profesor emérito. Por fin tema la oportunidad de trabajar sin obligaciones, lo que aprovechó... para trabajar como siempre, como cuando las tema.
§. Los viajes del viejo Chandra
Durante el período de dirección de ApJ Chandra vivió atado a Williams Bay y Chicago, aunque, en realidad, tampoco es que él tuviera muchos deseos de viajar. Sin embargo, tras su jubilación, realizó diversos viajes. El primero a Rusia, país que ya había visitado cuando era joven. En 1981 se celebraba una reunión conmemorando el «40 aniversario del trabajo pionero en transporte radiativo y los principios de invariancia de Ambartsumian y Chandrasekhar». Por una parte, tenía que acudir, ya que su nombre figuraba en el título mismo del congreso; pero, por otra, la Rusia de entonces ya no era la de su juventud. Ahora, la población, también la científica, sufría la intransigencia de un severo régimen. Además, Ambartsumian le había hecho llegar un ejemplar de unos libros suyos en los que solo se citaba a Chandra en notas escritas a mano por el propio Ambartsumian, lo que, lógicamente, le había irritado.
Pero fueron, él y Lalitha, y el viaje resultó un éxito inolvidable por la amabilísima acogida que recibieron en todos los sitios que estuvieron —Moscú, Leningrado, los observatorios de Erevan y Pulkovo, etc.—, por el interés mostrado por un amplio público y por la admiración verdadera que despertaba. Conoció, o re-conoció, a muchos científicos que hoy son autores leídos por todos los estudiantes de astrofísica o de física. Mantuvo relaciones cálidas y afectuosas no solo con Ambartsumian, quien le había invitado, sino también con Yakov Zeldóvich (1914-1987), Igor Novikov (n. 1935), Benjamín Markarian (1913-1985), etc. Yevgeni Lifshitz (1915-1985), el fiel compañero de Landau, coautor de tantos tratados obligados para todos los estudiantes de física del mundo entero, les invitó a cenar. Por cierto, uno de los méritos más sorprendentes de Lifshitz, por su carácter pionero, fue el uso de la relatividad general para describir la formación de protogalaxias, una importante contribución que suele olvidarse. En uno de los discursos de las celebraciones en su honor, Serguei Sobolev (1908-1989), que aun no conocía a Chandra, le dedicó esta hermosa frase: «Hasta hoy eras un libro; ahora eres una persona».
Otro viaje del que Chandra guardaría un buen recuerdo fue el de España. En Granada, en 1989, se celebraba una reunión científica de la Unión Astronómica Internacional sobre «Estructura y dinámica del medio interestelar», organizada por el Instituto de Astrofísica de Andalucía y la Universidad de Granada y dedicada al astrofísico Guido Münch (n. 1921), uno de los antiguos estudiantes de doctorado de Chandra. Chandra venía de Creta, donde había estado trabajando con uno de sus más eficientes colaboradores en su última etapa de investigación, Basilis Xanthopoulos (1951-1990), quien habría de acabar asesinado por un loco. Cuando llegó a Granada, Chandra no mostró mucho interés en su antiguo discípulo y decidió no acudir al congreso. «Mi interés actual no guarda relación con las áreas cubiertas en el coloquio dedicado a la jubilación de Guido» dijo con su habitual elegancia en sus negativas. Al parecer, la escasa o diferente sensibilidad por la cultura por parte de Münch había distanciado a maestro y discípulo ya tiempo atrás.
Se dedicaron, él y Lalitha, a vivir «las experiencias de las cosas de Granada y su entorno por las que era tan famosa». Lo hicieron con colegas de la Universidad de Granada, que era la que, en definitiva, les había invitado, con los que mantuvieron una relación cordialísima. Teman ambos una sensibilidad penetrante por el arte. Chandra dijo que «había estado esperando toda su vida para visitar Granada». La minuciosidad en la contemplación de los mocárabes de la Alhambra era absoluta; empleaba mucho más tiempo que nadie en admirar los detalles de su arte.
La Primera Ministra de la IndiaIndira Gandhi (1917-1984) tuvo relaciones ocasionales con Chandra, pero esos pocos encuentros le dejaron una impronta profunda. Tras la independencia de la India en 1947, Chandra recibió de las autoridades ofertas para regresar a su país, aunque este había dejado de serlo oficialmente. El mismo Nehru se lo había pedido cuando era primer ministro e instó al director del Consejo Científico Indio, señor Thaker, a fijar los detalles del contrato. Chandra debía retomar la ciudadanía india, a pesar de que el contrato no era permanente, sino por cinco años, aunque el presidente le aseguraba que mientras él siguiera siendo presidente, tenía asegurada su prórroga. Chandra le contestó: «Todos los hombres son mortales». La hija de Nehru, Indira Gandhi, también se Interesó por la vuelta de Chandra a la India. Lo conoció en 1968, cuando Chandra fue honrado como Padmavibhusan, la más alta condecoración india a «extranjeros»; cuando Chandra pronunció una conferencia en Washington, presidida por Indira, fue ella misma quien lo presentó. Llamó esta presentación la atención del orador, porque habló durante diez minutos sin nota escrita alguna y con una elocuencia sencilla y perfecta, a pesar de que aquella misma mañana había sufrido un boicot en un acto oficial. Chandra fue Invitado por ella a cenar posteriormente junto con otros invitados.
Nehru, su hermana Vijaya e Indira Gandhi (a la izquierda) junto a Einstein en una fotografía realizada en 1949.Chandra, caballerosamente, se ofreció a mover la silla en que se sentaba la mandataria india. «No me ayude. No estoy acostumbrada a que me ayuden.» Charlaron amistosamente. En otra ocasión Indira Gandhi le ofreció que se ocupara de la dirección de la Comisión de Energía Atómica de la India. Evidentemente, era este un cargo que Chandra odiaba, pero tuvo que recurrir a su elegante diplomacia para rechazar la oferta de tan Importante mandataria. En 1982 Indira Gandhi volvió a invitar a su casa a Chandra, esta vez sin ningún objetivo concreto ni ninguna propuesta ni ninguna petición, sino por pura simpatía mutua. Chandra preguntó: «¿Es usted optimista con el futuro de la India?». Ella tardó en responder: «No puedo permitírmelo». Y sonrió con la sonrisa franca y graciosa que, según Chandra, la caracterizaba. Como es sabido, fue asesinada por sus propios guardaespaldas dos años después.
La belleza y la verdad eran para él la misma cosa También fue una oportunidad de gran interés científico. Hablar con Chandra era como hablar con la ciencia personificada.
En la Universidad de Granada pronunció una conferencia memorable: «The Intellectual Achievement that the Principia Is». Se acondicionó una sala de un aforo de cien personas, pero la afluencia de estudiantes, profesores y curiosos fue tan formidable que se propuso trasladar la conferencia al Aula Magna, que tema un aforo de mil. Él se negó: «Le que voy a decir no puede ser entendido por tanta gente».
Como curiosidad, mencionemos que Chandra, con su impoluto traje gris de siempre, atravesaba las calles sin mirar, con un constante peligro de atropello. Los colegas de la universidad le acompañaron en toda su estancia y le llevaron a Madrid, donde terna que pronunciar otra conferencia Cuando alguno de sus acompañantes procuró solícito facilitar los movimientos del sabio, este protestó: «No soy tan frágil». Chandra tenía una actitud cortante con unos y atenta con otros, sin existir término medio. Una periodista que le hizo preguntas triviales, salió llorando tras un par de respuestas secas: «Eso ya está en los registros» («This is on the records»). En cambio, a otro periodista le atendió sin límite de tiempo y poniendo toda la atención de su mente profunda en las preguntas y rebuscando en su memoria las respuestas más precisas.
§. El premio Nobel
En 1983 la Academia de las Ciencia de Suecia reconoció el trabajo de Chandra con lo que se considera el premio más destacable para un físico: el Nobel. Se le concedió fundamentalmente por su trabajo del límite que hoy se llama «de Chandrasekhar». Sonó el teléfono a las seis de la mañana y él recibió la noticia recién salido de la ducha. Su vida sufrió bruscamente una transformación con un torrente de telegramas e invitaciones de todo tipo. ¿Cómo recibió la noticia? El caso es asombroso y único, porque le causó cierto mal humor. Durante toda su vida había criticado la institución del premio Nobel, ya que, según él, este galardón distorsionaba la vida de un científico, algo así como introduciendo un elemento de alboroto y grandilocuencia que contrastaba con el quehacer diario de un científico ensimismado en la búsqueda de la verdad. Era una ceremonia fútil que envanecía al investigador hasta hacerle perder su sabiduría Había presenciado escenas grotescas de colegas admirados suspirando porque ellos no habían sido los elegidos. Quizá recordaba el caso de su propio tío, ególatra desde su Nobel, palabra suprema que repetía y se repetía a sí mismo varias veces al día.
Él nunca había trabajado para obtener el Nobel y nunca pensó que acabaría obteniéndolo. Su trabajo era muy difícil de apreciar por el gran público, su forma de ser no era la de un artista que pudiera volver histérica a toda una multitud. Escribía a su hermano:
El premio, aunque gratificante, no es lo que yo busqué, o en verdad lo que considero relevante en una carrera científica [...] Estoy muy cansado, física, mental y emocionalmente. Solo con el mayor de los esfuerzos pude concentrarme lo suficiente para escribir mi discurso que voy a dar la semana que viene en Estocolmo.
Sin embargo, esa actitud despectiva hacia el Nobel contrastaba con cómo se había ufanado con sus distinciones anteriores, tal como cuando fue elegido miembro de la Royal Society, cuando le otorgaron la medalla de oro de la Royal Astronomical Society, o cuando el presidente Johnson le colgó la National Medal of Science y otras distinciones que disfrutó con orgullo.
«La teoría matemática de los agujeros negros es un tema de gran complejidad; pero su estudio me ha convencido de la verdad básica de dos antiguos aforismos: lo simple es el sello de la verdad y la belleza es el esplendor de la verdad.»
Subrahmanyan Chandrasekhar en su discurso ante los académicos suecos.
El caso es que agradeció el premio, pero con cierto sentimiento de enojo. Las entrevistas incluían invariablemente la pregunta evidente: «¿Se alegró mucho cuando supo que le habían concedido el Nobel?». La pregunta le enervaba porque la respuesta tenía que ser que sí, pero era que no. A veces eludía la presión con frases bastante desabridas. En cierta ocasión dijo, en el colmo de la irritación, algo así como: «No, no me alegré, porque el premio se lo dieron a un Chandrasekhar muy joven, que yo sé que había existido, pero que no reconozco como yo mismo». Ciertamente, la Academia Sueca había tardado cuarenta años en reconocer su mérito. Pero, probablemente, pensaba que si se lo hubieran dado entonces, los medios de difusión y sus propios colegas hubieran distorsionado de tal forma su vida que no podría haber hecho lo que hizo.
Pero cambió su traje gris y su corbata por un parsimonioso frac y una pajarita blanca y aceptó el galardón del rey Carlos XVI de Suecia con toda cordialidad y respeto por el protocolo. Su discurso ante los académicos suecos fue admirable, consiguiendo dar unidad a sus numerosos trabajos sobre estructura estelar, desde su famoso límite, obtenido en sus años mozos, hasta los más recientes sobre el colapso gravitacional, las inestabilidades de carácter relativístico y los modos no axisimétricos de oscilación, y terminando con la teoría matemática de los agujeros negros. Fue una gran conferencia, aunque difícil de seguir con atención. Diagramas y fórmulas se sucedían en un preciso pero monótono flujo de términos científicos.
En el banquete, pronunció unas palabras más breves, con menos física y más arte, con citas a su paisano Rabindranath Tagore. Y en cuanto pudo quitarse el frac, volvió a pasar del mundo de los fastos y los discursos a su propio mundo, el mundo de las ecuaciones diferenciales, volvió a hurgar en la naturaleza, a ensanchar el horizonte que separa lo conocido y lo desconocido, a picar en las menas de la verdad. Ni se durmió en los laureles ni tocó con ellos su cabeza Los dejó a un lado, ni los destruyó ni dejó que ellos lo destruyeran a él.
§. La teoría de la luz
Según el propio Chandra, su libro Radiative Transfer correspondió al período más feliz de su vida No hace falta añadir «científica», pues para él su vida y su ciencia eran casi lo mismo. Su vida le daba ciencia y su ciencia le daba vida. Este trabajo, además, es quizá el de mayor trascendencia, si acaso comparable al de su «límite». Está escrito en su etapa más creativa y elegante. La elección de sus otros grandes temas fue afortunada, pero en este caso era además necesaria ¿Qué puede hacer un astrónomo para interpretar lo que ve si no tiene una teoría matemática que lo haga posible?
Si Chandra sabía lo que era un gas, si sabía lo que era un gas de estrellas, ahora se enfrentaba con un gas de fotones, un gas de luz. Y para ello tenía la misma ecuación de siempre: la ecuación de Boltzmann. En este caso, la ecuación de Boltzmann relativista, para lo que se llama un «fluido caliente». Un fluido caliente es aquel en el que sus partículas tienen velocidades próximas a la de la luz. Los fotones tienen todos la velocidad de la luz. Por tanto, un gas de fotones es el fluido absolutamente caliente.
«Empecé sin una clara idea de que un artículo conduciría a otro, y este a otro, y este a otro, y así hasta veinticuatro artículos.
El contenido se desarrollaba por sí mismo.»
Subrahmanyan Chandrasekhar a propósito de su teoría de la luz.
No partía de cero. Por ejemplo, el modelo más simple que tenemos de la luz es el cuerpo negro. Wien, Boltzmann, Rayleigh, Jeans, Kirchhoff, Planck y Einstein habían hecho trabaos memorables en este ámbito. Y en esta lista no pueden estar ausentes los nombres de Kepler y Newton. Pero hacía falta una sistematización y había lagunas. Las lagunas eran las correspondientes al transporte radiativo. Y muy especialmente, las del transporte de la luz polarizada. Ahora tema que saberse cuánta luz viaja en una determinada dirección por unidad de tiempo, unidad de superficie y unidad de frecuencia, a través de un medio que distorsiona la luz a la vez que la genera.
Chandra se encontró con otro científico muy alejado que hacía un análisis parecido: Ambartsumian, el gran astrónomo georgiano con quien ya había coincidido en el pasado. Este había conseguido establecer un principio de invariancia que Chandra generalizó en cuatro principios de invariancia La luz tiene una propiedad extraña que, además, tiene muchas aplicaciones prácticas: la polarización. Como se sabe, la luz puede considerarse corno una onda en la que el campo eléctrico y el magnético tienen una oscilación que se propaga En la luz ordinaria, el plano de oscilación del campo eléctrico (o el del magnético, que es perpendicular) es arbitrario: todos los planos perpendiculares a la dirección de propagación coexisten. En la luz polarizada, en cambio, hay un plano preferente de oscilación.
El problema es complejo, pues el medio de propagación no solo extingue la luz que le llega y no solo la crea y la puede crear polarizada, sino que, además, si el medio está ionizado, rota el plano de oscilación (un efecto denominado «rotación de Faraday», en honor a su genial descubridor). Muchos otros ingredientes han de ser tenidos en cuenta. El problema era complejo, pero Chandra consiguió hacerlo simple..., al menos para él.
¿Cómo describir la luz polarizada? Muchos han estudiado los llamados parámetros de Stokes, I, Q, U, V, que constituyen unos valores que describen completamente el estado de polarización de la radiación. Sin entrar en su definición y su tratamiento, digamos que habían sido introducidos con estas letras por el físico irlandés George Gabriel Stokes (1819-1903). Pero dar a estos valores el nombre de «Stokes» es obra de Chandra, que fue, además, el científico que rescató a Stokes del olvido. Este hecho no es conocido. Antes de Chandra nadie sabía qué eran estos parámetros y muy pocos sabían quién había sido Stokes. Chandra se dijo: «Nadie ha intentado la polarización; yo intentaré la polarización». Fue un gesto audaz bien recompensado por el éxito.
El campo magnético primordialAl hablar de campo magnético primordial nos referimos al que existía en épocas muy primitivas, anteriores a 400000 años después del Big Bang. Esta edad corresponde a poco menos de 14000 millones de años y lo que vemos se produjo a una distancia en años luz equivalente a la cantidad anterior multiplicada por la velocidad de la luz. ¿Cómo puede medirse el campo magnético de algo que tuvo lugar hace tantísimo tiempo? ¿Qué especie de brújula cósmica estamos utilizando para ello? Un método muy Interesante es utilizar la llamada «rotación de Faraday». Nos referimos a un experimento del genial Michael Faraday (1791-1867), aunque no sea el más conocido de los suyos. Cuando una luz polarizada atraviesa una región sometida a la acción de un potente electroimán, el plano de polarización rota. Igualmente, la luz polarizadadel denominado «fondo cósmico de microondas», si estuviera sometida a un campo magnético primordial, sufriría una rotación de Faraday. Pero el medio responsable de la rotación también emite luz polarizada. Para tener en cuenta estas y otras alteraciones de la luz hasta llegar a nosotros tenemos que seguir la evolución de los parámetros de Stokes, es decir, tenemos que integrar las ecuaciones que Chandra nos legó. Este es solo uno de los muchos ejemplos de los que podríamos presentar para resaltar la gran utilidad del estudio de Chandra sobre transporte radiativo. Este estudio es particularmente interesante en astrofísica, pues casi toda la Información que recibimos del cosmos nos llega en forma de luz, frecuentemente muy polarizada. A pesar del interés del ejemplo propuesto, todavía no se ha medido ningún campo magnético primordial, pero la precisión creciente de las misiones espaciales podría depararnos un gran descubrimiento. En la figura se muestra el mapa de polarización de la Vía Láctea. El estudio de transferencia radiativa ha sido clave para Interpretar la luz polarizada en regiones muy remotas del universo. Esta imagen fue obtenida por la misión espacial Planck. El eje mayor de la figura corresponde al plano de simetría de la Vía Láctea. Esta imagen es una proyección de lo que el observador «ve» desde la Tierra (en frecuencias de varios cientos de gigahercios).
El artículo de Stokes yacía en los archivos de la historia olvidada de la ciencia desde 1852 y allí rebuscó Chandra. Por entonces no había un solo artículo o libro que hablara de la polarización que mencionara a Stokes.
«El libro está escrito exactamente en la forma que quise escribirlo.» Aunque muy completo, Chandra prefirió no agotar el tema. «En cierto modo, es como acudir a una cena maravillosa y decirse “no quiero comer demasiado porque estropearía el efecto”.» Y lo abandonó en su perfección y no volvió a preocuparse de él, ni de los beneficios que su lectura estaba aportando a una gran variedad de físicos. Al cabo de unos quince años se vio presionado para dar una conferencia sobre transporte radiativo. En quince años bien puede uno olvidarse de su propia obra y, además, no tuvo tiempo de prepararla.
El descubrimiento de StebbinsLa luz sale parcialmente polarizada en la reflexión; es un hecho bien conocido por los fabricantes de gafas, incluso por sus portadores. Pensó Chandra que en un sistema de binarias eclipsantes la luz de una estrella se reflejaría en la otra produciendo luz parcialmente polarizada durante el eclipse. En una de las pocas veces que Chandra se preocupó de las observaciones, le propuso a Joel Stebbins (1878-1966), destacado astrónomo que desarrolló la fotometría fotoeléctrica, que buscase luz polarizada durante el eclipse mutuo de un sistema binario de estrellas. ¡Y en efecto: la luz estaba polarizada! Pero, al día siguiente, pasado el eclipse, la luz polarizada seguía allí. Tenía que ser otro efecto... Fue así como se descubrió la polarización de la luz en el medio interestelar por efecto del campo magnético galáctico.
Pero se sorprendió a sí mismo, porque las palabras acudían a su boca y las ecuaciones a la pizarra con la misma lozanía que tres lustros antes. «Recapturé completamente el espíritu [...] porque fue un tiempo en el que fui feliz con la ciencia.» Esa «felicidad científica» no volvió Chandra a recuperarla, o quizá sí, con los agujeros negros de Kerr.
§. Hidrodinámica y magnetohidrodinámica
El libro Hydrodynamics and Hydromagnetic Stability es otro de los grandes hitos jalonados por Chandra Sintió que debía buscar algo diferente, dentro de la física pura, a la que se dedicaba ya completamente, aunque tratando temas que tenían una repercusión directa en los objetos astrofísicos. La idea inicial era embarcarse en el tema de la turbulencia, pero pronto vio que había problemas de equilibrio en sistemas fluidos magnetizados que podían tener repercusión en el campo de la astrofísica (figura 1) y en muchos otros campos de plasmas de laboratorio e industriales. En esta ocasión sí se preocupó de los experimentos que podían respaldar las cuestiones teóricas. En efecto, en la propia Universidad de Chicago trabajaban Nakagawa y Fultz y había un viejo ciclotrón arrumbado porque iba a ser sustituido por otro más grande.
La concordancia entre las predicciones teóricas y los experimentos fue completa. Fueron años más duros que felices, porque el trabajo estaba lleno de posibilidades, pero por entonces se encargaba de lleno de la gestión del Astrophysical Journal y tenía también que atender a sus estudiantes.
§. Cuerpos rotantes en equilibrio
El libro Ellipsoidal Figures of Equilibrium fue también el compendio de una serie de artículos. Este volumen fue fruto del capricho de Chandra, porque no pensaba que tuviera que tener mayor proyección futura ni en la astrofísica ni en la física general. El primero que abordó un problema semejante fue Newton, cuando calculó la elipticidad de la superficie terrestre.

Las inestabilidades magnetohidrodinárnicas estudiadas por Chandra se materializan en el cosmos. Este enorme filamento es eyectado por el Sol, dando lugar a un viento solar que recorre el sistema solar, que, en la Tierra, produce auroras. Este viento solar fue predicho por Eugene Parker en un artículo que Chandra autorizó en The Astrophysical Journal, a pesar del informe negativo de dos referees.
Hoy sabemos que la Tierra no es una esfera, sino que está achatada por los polos, formando un elipsoide de revolución. Los geodestas precisan mucho más, pero la aproximación elipsoidal es ya muy precisa ¿Cómo es posible que Newton pudiera calcular esta elipticidad con pluma y papel sin salir de su cuarto?

Con estos dos pozos imaginarios, uno con la boca en el polo y al otro con la boca en el ecuador, Newton calculó el achatamiento de los polos. La figura reproduce la publicada en los Principia.
Newton hizo una primera aproximación suponiendo que el interior de la Tierra era homogéneo. En su imaginación construyó dos pozos: uno en el polo, que llegaba hasta el centro de la Tierra, y otro, en un punto del ecuador, que llegaba también hasta el centro de la Tierra y se unía con el anterior (figura 2). Llenaba mentalmente el canal así construido con un fluido. Y «observaba» (en su cabeza) que el fluido alcanzaba el equilibrio y que llenaba al ras ambos pozos comunicantes. Las longitudes de los pozos no podían ser iguales porque la gravedad en el pozo del ecuador quedaba «diluida» por la fuerza centrífuga.
La elipticidad, definida precisamente como el radio ecuatorial menos el radio polar, todo ello dividido por el radio medio, era de 1/294. Este valor difiere del actualmente aceptado de 1/230. La diferencia se debe a que el interior de la Tierra no es homogéneo, pero el cálculo de Newton es deslumbrante y admirable.
La cuesta hacia el poloLa Tierra, corno una figura elipsoidal más, tiene un radio polar menor que el radio ecuatorial. Es decir, hay lo que Francisco Morán Samaniego (1901-1984) llamaba «la cuesta hacia el polo». El polo está «cuesta abajo». ¿Quiere decir esto que abandonada una bolita perfectamente redonda en una Tierra sin montañas ni rugosidad alguna acabaría rodando hasta alcanzar el polo, deslizándose por esta pendiente? No, la bolita no se movería. La razón es que la fuerza centrífuga se equilibra perfectamente con esta componente de la gravedad que supone la cuesta hacia el polo. La razón de tal equilibrio hay que buscarla en los tiempos en los que la Tierra era más líquida, cuando su superficie se amoldó a este equilibrio. Los físicos de la atmósfera no introducen en sus ecuaciones ni la cuesta abajo hacia el polo ni la fuerza centrífuga (a no ser que se trate de cálculos extremadamente precisos). O se consideran las dos o no se considera ninguna, tan bien se contraponen. En principio, en la Tierra hay que considerar tanto la fuerza centrífuga como la de Coriolis cuando se considera como sistema de referencia una Tierra inmóvil. Como este sistema no es inercial, hay que considerar e incluir en las ecuaciones fuerzas de inercia.
El problema del equilibrio de objetos rotantes ha sido investigado por matemáticos ilustres. Chandra estudió los elipsoides de MacLaurin, Jacobi, Meyer, Liouville, Dirichlet, Dedekind, Riemann, Poincaré, Carian, Roche, Darwin y Jeans. Matemáticos de todas las épocas habían considerado este problema que Chandra analizó minuciosamente. El libro es más corto, unas 240 páginas, raro, pues estamos acostumbrados a ver sus inacabables tratados.
§. Agujeros negros
El primer trabajo importante de Chandra, el límite de Chandrasekhar, en el que demostraba que una enana blanca no puede tener una masa superior a 1, 4 masas solares, era un cálculo relativista Cuando lo desarrolló en el barco que le llevaba a Europa, no tenía, según él decía, una gran preparación matemática, pero pudo hacerlo porque era una cuestión de aplicar un principio, más que de un cálculo matemático intrincado o laborioso. Eso decía él, y así sería desde su punto de vista, porque ya entonces tenía fama de ser un excelente matemático, al menos en la India Lo cierto es que había aplicado la relatividad sin tener grandes conocimientos de relatividad. Tras este cálculo, tras la ingrata disputa con Eddington y tras dedicarse a temas muy diversos, un gusanillo le carcomía las entrañas: él quería dedicarse a la relatividad general.
Pero su edad era ya avanzada (cincuenta y dos años), teniendo en cuenta que había pasado la supuesta edad de la mejor creatividad (los cuarenta años), según evolucionan la «mayoría» de los científicos. Este capítulo de la física se había ya remontado a una gran altura, lo que requería una especialización muy aguda. Había que competir con investigadores muy jóvenes y brillantes. Uno de ellos era Roger Penrose. Cuando conoció a Chandra, Penrose tenía solo treinta y un años y quedó impresionado porque un científico de tan alto prestigio quisiese comenzar un tema tan arduo y competitivo como si fuera un estudiante.
Estudió a fondo la relatividad general y en poco tiempo se convirtió en uno de los más destacados especialistas, encontrando su nicho de investigación en la teoría matemática de los agujeros negros, tanto de Schwarzschild como de Kerr. Los agujeros negros de Schwarzschild tienen solamente masa, mientras que los de Kerr tienen además momento cinético; son agujeros negros que giran, introducía perturbaciones en el agujero negro para ver la estabilidad o inestabilidad del sistema.
«Los agujeros negros de la naturaleza son los objetos macroscópicos más perfectos que hay en el universo.»
Subrahmanyan Chandrasekhar.
Asociaba la teoría de los agujeros negros a la colisión de dos ondas gravitacionales. Había una curiosa interrelación entre estas y las soluciones de las ecuaciones de Einstein de los agujeros negros que ejercían una fascinación sin límites en Chandra Puede apreciarse la anticipación de Chandra al abordar su investigación cuando todavía hoy no se han descubierto las ondas gravitacionales, a pesar de haber sido predichas por el mismo Einstein.
Su interés por los agujeros negros nació porque tenía que ser el estado final de una estrella muy masiva tras el estallido de la fase de supernova Como decía Penrose:
Se encontró con la conclusión final aceptada hoy de que, al menos en algunos casos, el destino de un cuerpo en colapso gravitatorio debe ser encontrarse con una singularidad del espacio-tiempo, que representa, para los constituyentes de ese cuerpo, un fin del tiempo.
Chandra quedó fascinado por la belleza matemática subyacente en la teoría de los agujeros negros, a los que consideraba como «los objetos macroscópicos más perfectos que hay en el universo».
Pensaba Chandra que Einstein había descubierto con la relatividad general una gran mina preciosa, pero que, debido a su poca habilidad matemática, se había dedicado a encontrar consecuencias que no eran más que simples arañazos en la mina aflorada
El viejo estudianteLa siguiente anécdota fue contada por su amigo y compatriota S. Ramaseshan. «Un amigo mío estaba visitando a Chandrasekhar. Estaban paseando por una crujía. De pronto vio venir desde el fondo a un joven con unos vaqueros desgarrados. Chandrasekhar iba, por supuesto, inmaculadamente ataviado con su traje grisáceo, tan elegante como siempre. Se ajustó la corbata y se adelantó rápidamente para saludar al joven. Le cogió las manos y habló con él un poco, le abrió la puerta del coche casi con deferencia y el joven se fue conduciendo. Chandrasekhar volvió para reencontrarse con mi amigo que le preguntó: “¿Quién es ese hippie?". Dijo Chandrasekhar: “¿No le conoces? Es Geroch". "¿Quién es Geroch?". “Es uno de los mejores relativistas de hoy en día. Tiene veintitantos años. Le he invitado a dar una conferencia en Chicago este verano. He estado siguiendo su curso. Me ha llevado todo el fin de semana entender algunas de las ecuaciones que escribió en la pizarra, para estar listo para su conferencia del lunes. Cuando estoy atascado le llamo por teléfono, incluso si es tarde por la noche, para que me saque del apuro"». Toda una prueba de humildad de un hombre de cincuenta y cinco años, ya consagrado por sus descubrimientos, atendiendo las lecciones de un joven, aunque vestido descuidadamente, brillante y sabio. También nos ilustra esta anécdota de algo que sabía Chandra: no existe un prototipo de científico. La imagen del científico olvidadizo y despistado no es representativa.
No se había dedicado a buscar soluciones no lineales más allá de las correspondientes a casos de curvatura suave del espacio-tiempo. Su fascinación juvenil por Einstein se desplazó hacia Newton, quien sí tenía una habilidad matemática completamente fuera de lo común. Dijo en cierta ocasión: «El problema con Einstein es que no se creía suficientemente la teoría de la relatividad general». Probablemente, Chandra no fue muy justo al enjuiciar al sabio Einstein, cuya admiración y reconocimiento pasaba por entonces por un suave mínimo entre sus colegas, debido a su rechazo testarudo a embarcarse en la nueva interpretación de la mecánica cuántica.
En la relación entre Penrose y Chandra hubo algo realmente increíble. Cuando estaba Penrose de visita en Houston, Texas, en 1985, le telefoneó Chandra diciéndole que quería verle para consultarle algunas cuestiones de relatividad.
Roger Penrose (n. 1931)Nacido en Colchester, Reino Unido, Penrose se doctoró en la Universidad de Cambridge en 1958. Actualmente es profesor emérito de la Universidad de Oxford, centro en el que desarrolló casi toda su carrera profesional. Es uno de los grandes relativistas de todos los tiempos.
Recibió el premio Wolf en 1988 junto con Stephen Hawking (n. 1942). Estudió especialmente las singularidades producidas por estrellas moribundas masivas. Es conocida su hipótesis de la censura cósmica, según la cual el universo nos protege de la inherente impredecibilidad de las singularidades en los agujeros negros, que no pueden ser observadas. También realizó contribuciones en el ámbito de la geometría, el mejor ejemplo de las cuales es la teselación aperiódica que lleva su nombre.Una teselación es el recubrimiento completo de una superficie (o un volumen) con figuras geométricas definidas. Su origen etimológico es del latín «tesela», que, en castellano, dio «teja». Además de sus contribuciones científicas, Penrose es conocido por sus ideas filosóficas, a la vez atractivas y controvertidas. Así, resucitó la dualidad mente-cerebro como entes separables. La mente tendría un comportamiento no deducible de las leyes físicas. Aunque esta teoría se remonta a tiempos de la infancia de la ciencia, siendo el matemático Euler uno de sus más agudos defensores, Penrose desempolvó esta dualidad basándose en el teorema de Gödel, en las investigaciones sobre materia celular de Hameroff y la mecánica cuántica. Su relación con Chandrasekhar fue breve pero intensa. Chandra se desplazaba de Chicago hasta Oxford en transatlántico solo para estar menos de un día con Penrose y discutir con él cuando se atascaba en alguna interpretación o cálculo sobre relatividad general.
Haría un viaje relativamente corto de Chicago a Houston, pasarían un día juntos y se volvería al día siguiente. Esto no tiene mucho de particular. Lo que sí lo tiene es que, en 1986, Chandra volvió a hacer la misma petición a Penrose, pero ahora este estaba en Oxford. Chandra tema que acercarse a la costa atlántica desde Chicago, coger un transatlántico, llegar a Oxford, hablar con Penrose durante solo un día y volverse. Este viaje se repitió una tercera vez en 1988. A Penrose le ponía ciertamente nervioso que Chandra hiciera un sacrificio semejante para hablar con él. ¿Cómo podía él resolver las dudas del mismísimo Chandrasekhar en un solo día? ¿Cuál sería el tema de discusión? Porque Chandra no se lo revelaba por teléfono. Pero para este las entrevistas estaban llenas de aliciente científico; la prueba es que se repetían.
Hemos de admirar, como Penrose, el entusiasmo sin límites de Chandra por las investigaciones que abordaba —¡incluso a los setenta y ocho años!—, que no vacilaba en los esfuerzos y sacrificios que fuera, para obtener un poquito de luz en sus tribulaciones, por quien «quizá» pudiera alumbrarle. También hay que admirar en estos viajes el carácter humilde de Chandra. Humildad y entusiasmo que convierten a Chandra en un verdadero héroe en el mundo de las ideas.
Su libro The Mathematical Theory of Black Holes tiene 650 páginas. En uno de los más largos capítulos se lee:
Las deducciones necesarias para pasar de una fórmula a otra son frecuentemente muy elaboradas y requerirían diez, veinte o incluso cincuenta páginas. En caso de que algún lector desee comprobar el desarrollo completo, las deducciones del autor se han depositado en la biblioteca Joseph Regenstein de la Universidad de Chicago.
§. Belleza y verdad
Sus pensamientos sobre la antítesis entre verdad y belleza y, a la vez, la confluencia de ambos conceptos en la ciencia, fue el tema de su libro Truth and Beauty: Aesthetics and Motivations in Science. En realidad, más que un libro es una colección de ocho conferencias pronunciadas en diferentes épocas de su vida. En este sentido, este libro es una excepción a sus otros tratados, no solo por su temática, sino porque no es representativo del método creativo de Chandra. Su método tenía una notable periodicidad, caracterizada por intervalos notablemente estables y regulares que podrían resumirse así: elección de un tema nuevo y virgen, desarrollo matemático completo, finalización, elección de un tema nuevo sin aparente conexión y abandono total del anterior.
Las ocho conferencias se titulan: «El científico» (1947), «La indagación de la ciencia: su motivación» (1985), «Shakespeare, Newton y Beethoven, modelos de creatividad» (1975), «Belleza y búsqueda de la belleza en la ciencia» (1979), «Edward Arthur Milne: su contribución al desarrollo de la astrofísica moderna» (1979), «Eddington: el astrofísico más distinguido de su tiempo» (1982), «Eddington: el expositor y el exponente de la relatividad general» (1984) y «El fundamento estético de la teoría de la relatividad general» (1986).
Algunas son biográficas y llama la atención el respeto y la admiración por Eddington, científico que tantos disgustos le había dado. La más famosa de las conferencias es la que relaciona la labor creativa de Shakespeare, Newton y Beethoven, los grandes genios que crearon arte o ciencia prácticamente sin antecedentes. Chandra argumentaba, analizando los casos de estos genios y otros artistas y científicos, que los procesos creativos en la ciencia y en el arte siguen pautas inversas. Los artistas van aumentando la intensidad de sus creaciones con la edad, de forma que lo mejor acaba floreciendo a edad avanzada, mientras que la creatividad del científico se produce antes de los treinta o cuarenta años y luego decae. Aunque respaldaba su tesis con numerosos ejemplos, gracias a su complacencia en leer biografías de artistas y científicos, llama la atención que Chandra defendiera esta tesis, por otra parte bastante popular y cierta. Pero, decimos, llama la atención que Chandra también la defendiera, porque hay excepciones y... ¡una excepción era él mismo!
Las conferencias están escritas en un lenguaje elegante y cuidado, y demuestran gran erudición (¿de dónde podía este hombre sacar tiempo?). Estos escritos esporádicos alcanzan la gloria de sus otras contribuciones científicas.
§. Chandra y Newton
Al cumplirse el tricentenario de la publicación de los Principia de Newton, se le pidió que diera una conferencia sobre esta obra.

Chandra y el autor de este libro, Eduardo Battaner, en La Alhambra, durante la visita a España del gran científico en 1989, cuando ya estaba retirado.
Para la preparación tuvo que leer y estudiar aquel texto. Pero dada la concentración y exhaustividad con que abordó todas las tareas de su vida, una simple preparación de una conferencia se convirtió en un libro, un libro que es el mejor análisis nunca realizado sobre el gran Newton.
«El científico ideal tiene que ser un historiador, de igual modo que el historiador ideal debe ser un científico.»
Subrahmanyan Chandrasekhar.
Leyó los Principia de cabo a rabo, repitió las demostraciones, los teoremas, los corolarios y los lemas, haciendo especial esfuerzo en las demostraciones omitidas por el propio Newton por considerarlas triviales.

Lalitha en una fotografía tomada en 1999 en su visita a la NASA con motivo de la puesta en órbita del telescopio de rayos X bautizado con el nombre de su marido.
Se reencontró con las insólitas conclusiones sobre la forma de la Tierra, las mareas, la braquistócrona y tantos temas que los Principia abordaban con genialidad y elegancia Llegó a reproducir las figuras omitidas por Newton, pero conservadas en sus papeles de borrador, con tanta exactitud, que Lalitha le dijo: «Chandra, has conseguido penetrar en la mente de Newton y descubrir cómo trabajaba su mente». Y él decía que siempre descubría algo nuevo en casi cada página de los Principia.
En frecuentes ocasiones, Chandra utilizaba para las demostraciones de Newton el cálculo diferencial. Se consideraba autorizado a ello, ya que era Newton quien lo había inventado. Aunque el resultado de Chandra siempre coincidía, en ocasiones las demostraciones no eran las mismas. En esos casos, Chandra apreció que las de Newton eran siempre más ingeniosas, más simples y más breves. Nadie realmente había sido consciente, como lo fue Chandra, de la suprema elegancia matemática de Newton. No solo es lo que hizo, sino además cómo lo hizo.
En plena adolescencia, contó su hermano Balakrishnan que decía: «¡Dios mío, si pudiera ser como Newton!». ¿Quién iba a decirle que, ya viejo, habría de ser no como él, pero sí contemplaría internamente los recovecos de su cerebro por donde fluyó tanta sabiduría? También esta fase de su vida quedó resumida en su libro Newton’s Principia for the Common Reader.
Aunque no con tanta profundidad, Chandra leía mucho y con mucho agrado las biografías de otros grandes científicos. Creía que un conocimiento completo de una ciencia requería el conocimiento de su historia.
§. Ataques al corazón
A partir de 1974 la salud de Chandra se fue deteriorando. En una ocasión, tuvieron que llevarle al hospital, donde tuvo un ataque al corazón. Unos rumores de los médicos le hicieron creer que iba a morir. «Sentí una enorme sensación de paz.» Pero esta primera sensación se enturbió: «¿Qué pasará con Lalitha?». Económicamente no había que temer ningún problema, pero le esperaría la soledad. Este pensamiento truncó su esperanza y buena disposición para la muerte. También, como su amigo Fermi y como Einstein, estaba preparado para morir dignamente, casi felizmente. Nunca tuvo miedo a la muerte, según él mismo contaba. Pronto tuvieron que someterle a una cirugía compleja con tres válvulas by-pass. Y su vida se prolongó considerablemente, pues vivió bien hasta un nuevo ataque al corazón, en 1995. No sufrió, su cuerpo fue incinerado y sus cenizas esparcidas por el campus de la Universidad de Chicago, en los lugares concretos que él había elegido.
Durante su convalecencia tenía prohibido hacer física, por lo que ¡solo pudo mandar dos artículos a publicar! Esta inactividad le llevó a reencontrarse con Shakespeare. Desde sus tiempos de Cambridge pensaba que sería maravilloso no solo leer todas las obras de Shakespeare, sino memorizarlas. No llegó a tanto. Su internamiento no fue suficientemente largo.
Su ateísmo debió ayudarle en su necesario final. Siempre se declaró ateo. Al final de su vida dijo: «No soy religioso en ningún sentido, de hecho, me considero ateo». Añadía a sus declaraciones infrecuentes, pero firmes de ateísmo, este «me considero» que hace vislumbrar una brizna de vacilación. En este período realizó numerosos viajes, arrojando semilla incluso en tierras consideradas áridas; estudió los agujeros negros y su estabilidad, y estudió los Principia de Newton comprendiendo su valor y su elegancia matemática como nadie lo había hecho después del mismo Newton.
«Sigo en la ciencia por placer y, quizá, porque no sé hacer otra cosa.» Y, cosa sorprendente, no estaba satisfecho completamente de cómo había encarrilado su vida: «¿Qué hago yo aquí, tan viejo, poniéndome nervioso por si me aceptarán o no el último artículo, pudiéndome deleitar con la lectura de Shakespeare?».
Y ya muy viejo afirmaba: «No creo que un científico —un verdadero científico— pueda tener una vida personal completa. A veces me pregunto si todo lo que hice y cumplí en mi vida mereció la pena». Al final de su vida no estaba satisfecho con ella.
Según Eugene Parker, que está considerado como el padre de la magnetohidrodinámica astrofísica (título justo si consideramos a Chandra como el abuelo), «su muerte fue heraldo del fin de una era que desarrolló la física básica estelar. Fue el más prolífico y de más amplio rango de todos aquellos que aplicaron física dura a los problemas astronómicos». O como dijo Penrose, «nadie puede saber todo lo que hizo».
Chandra y Lalitha tenían una planta que al principio tenía flores. Pero dejó de darlas a pesar de los cuidados que ambos le procuraban. La planta tenía hermosas hojas, pero no flores. Pero tras la muerte de Chandra, la planta volvió a dar unas hermosas flores y Lalitha pensó: «Chandra: estás floreciendo para mí». Y llamó a esta planta «mi llama eterna».
Anexos
Densidad y número de electrones por unidad de volumen en una enana blanca
La estrella puede morir como enana blanca aunque su composición puede variar, pudiendo tener carbono, nitrógeno, hierro, etc., como elemento mayoritario, dependiendo de si la degeneración se produjo antes de que se quemara alguno de estos compuestos, siendo el hierro el metal terminal. Lo que sí podremos decir es que se agotó el hidrógeno y el helio. ¿Cómo encontrar la masa equivalente de una mezcla de elementos? Se determina con esta fórmula evidente:
![]()
donde m es la masa equivalente que queremos encontrar. En la suma de los n elementos predominarán los electrones, pues con elevada ionización cada elemento aporta una gran cantidad de electrones:
Σni ≈ ne
En cambio, como la masa del electrón es tan pequeña, los electrones aportarán muy poco al segundo sumatorio. Si x sirve para denotar el elemento dominante, será:
Σ(mi, ni) = mx, nx
Pero
mx ≈ 2ZxmH
siendo los Z los números atómicos. Y por otra parte
ne = Zxnx
si la ionización es total. Se tiene finalmente:
ρ = 2 mHne
Es decir, la masa equivalente es el doble de la masa del hidrógeno, a pesar de que la estrella ya no tenga hidrógeno. Obsérvese que el resultado no depende de x, luego es independiente de cuál sea el elemento dominante e, incluso, puede ser la mezcla de varios elementos existentes en la estrella.
§. Polítropos
En la controversia Eddington-Chandrasekhar estos dos púgiles del pensamiento creían que las estrellas podían tratarse como polítropos. Pero el polítropo que proponía Chandrasekhar para las enanas blancas relativistas era diferente al polítropo que suponía Eddington para las enanas blancas. De hecho, Eddington pensaba que las enanas blancas relativistas no existían. En cualquier caso, el concepto de polítropo aparece con frecuencia al narrar aquellas desavenencias históricas y también actualmente, al considerar los interiores estelares y aun en otro tipo de objetos, como pueden ser los halos de materia oscura, según se ha estudiado recientemente.
Pero ¿qué es un polítropo? ¿Y por qué se usa tanto este concepto matemático al considerar los interiores estelares? La respuesta es que proporciona una descripción en numerosos casos con hipótesis simplificatorias admisibles. Hoy se prefieren soluciones numéricas confiadas a la rapidez de los ordenadores.
En un polítropo se supone que la presión y la densidad están relacionadas con una relación del tipo
P = Kρ(n+1)/n
siendo K una constante; a n se le llama «índice politrópico». Si la estrella admite una expresión de este tipo se dice que la estrella es un polítropo. Lo interesante es que puede hacerse un tratamiento algebraico común para estrellas con diferente índice politrópico. La suposición de que se cumple la relación de definición supone una idealización y, en la práctica, hay al menos tres situaciones extremas que la admiten. Estas son:
- Estrella en equilibrio convectivo adiabático. En ella la energía generada en el interior debido a las reacciones nucleares se transporta hacia la superficie mediante células de convección. Un buen ejemplo sería el de las capas externas de una estrella de masa similar a la del Sol, pues en el Sol se aprecian las células convectivas muy llamativas por su notable regularidad geométrica La ecuación de las adiabáticas es de tipo poiitrópico y si la estrella es un gas monoatómico perfecto, el índice politrópico es n = 1, 5, como se puede comprobar rápidamente.
- Estrella en la que la presión de radiación es importante. Este es el caso de las estrellas muy masivas, que damos sin demostración, aunque esta es muy sencilla, ya que en este caso el índice politrópico es n = 3.
- Estrella completamente degenerada de electrones, es decir, el caso de las enanas blancas no relativistas. Con las fórmulas que hemos visto, el índice politrópico resulta ser n = 1, 5, como en las estrellas con transporte convectivo de energía.
Una atmósfera isoterma tendría un índice politrópico 0, por lo que este tratamiento no es utilizable.
La novedad introducida por Chandrasekhar es que las estrellas completamente degeneradas y en el límite relativista también admiten una idealización politrópica y, con las fórmulas vistas, fácilmente encontramos que n = 3, como en el caso segundo de la presión de radiación no despreciable.
La ecuación que sirve para todos los polítropos es la ecuación de Lane-Emden. Chandra podía beneficiarse de esta ecuación al poder atribuir la situación física de sus estrellas a un polítropo. No lo hizo así en su primer cálculo, pero las discusiones con Eddington y su propia tesis empleaban este lenguaje. Lo extraordinario es que los polítropos de índice 3 tenían propiedades muy singulares desde el punto de vista físico, como se ha visto, que repugnaban a la intuición de Eddington.
- Battaner, E., Introducción a la astrofísica, Madrid, Alianza Editorial, 1999; —: Física de las noches estrelladas, Madrid, Alianza Editorial, 2011; —: ¿Qué es el Universo? ¿Qué es el hombre?, Madrid, Alianza Editorial, 2011.
- Ferris, T., La aventura del universo, Barcelona, Crítica, 2007.
- Galadí, D., Cuestiones curiosas de astronomía resueltas por el perito en lunas, Madrid, Alianza Editorial, 2014; —: A ras de cielo, Barcelona, Ediciones B, 1998.
- Gamow, G., Biografía de la física, Madrid, Alianza Editorial, 2007.
- Gribbin, J., Historia de la ciencia, 1543-2001, Barcelona, Crítica, 2003.
- Kragh, H., Historia de la cosmología, Barcelona, Crítica, 2008.
- Lara, L., Introducción a la física del cosmos, Granada, Editorial Universidad de Granada, 2007.
- Mitton, S. y Ostriker, J., El corazón de las tinieblas. Materia y energía oscuras, Barcelona, Editorial Pasado y Presente, 2014.
- Penrose, R., Ciclos del tiempo: Una extraordinaria nueva visión del universo, Barcelona, Debate, 2010.
- Thorne, K.S., Agujeros negros y tiempo curvo, Barcelona, Crítica, 2000 .
F I N

manganeso fue proporcionado por Miguel Catalán (1894- 1957), con quien colaboró ampliamente desde su viaje a Madrid en 1921. Según Sommerfeld, las órbitas circulares de Bohr tenían que ser sustituidas por órbitas elípticas, introduciendo más números cuánticos. Introdujo la constante de estructura fina y fue un gran defensor y divulgador de la relatividad general. También aplicó la estadística de Fermi-Dirac al sistema de electrones en un metal. Con este tema pronunció algunas conferencias en la India. Chandra quiso contactar con él en Madrás y lo consiguió gracias a su característico tesón. El encuentro fue definitivo para alentar su vocación científica.
El joven Chandra dio sus primeros pasos usando la estadística de Fermi-Dirac, estadística que Dirac, en su extremada modestia, atribuía solo a Enrico Fermi (1901-1954). Después, al conocerle en persona, le admiró por sus magistrales lecciones y pasearon juntos en frecuentes ocasiones. Pero en aquellos paseos no decían nada ninguno de los dos. Sus principales aportaciones, además de la estadística de los fermiones, se dieron en los campos de la mecánica cuántica y la electrodinámica cuántica. La hoy conocida como «ecuación de Dirac» es una ecuación relativista de ondas del electrón, que le llevó a predecir la existencia del positrón, la cual fue confirmada experimentalmente por Cari David Anderson (1905- 1991). También concibió la existencia de monopolos magnéticos. Ateo convencido inicialmente, Dirac defendió pública y obstinadamente sus ideas contrarias a cualquier forma de religión. Tanto es así que Pauli llegó a decir en tono bromista: «Dios no existe y Dirac es su profeta». Más adelante, sin embargo, su actitud se flexibilizó. Fue un buen amigo de Monseñor Lemaître. Dirac murió en Tallahassee (Florida) en 1984.
Era además un buen conocedor de la literatura inglesa, lo que Chandra debía de apreciar. Trabajó en el legendario laboratorio de Cavendish en Cambridge, y en el no menos legendario observatorio de Greenwich. Casi toda su vida profesional se desarrolló en Cambridge, donde fue director de su observatorio, y sucedió en la cátedra a George Darwin (hijo del más famoso Darwin). Su obra más majestuosa, The InternaI Constitution of Stars, se centró en los interiores y la evolución estelares. Fue quien concluyó que una estrella de la secuencia principal podía ser tratada como un gas ideal, cuantificó los efectos radiativos turbulentos y de la presión de radiación, explicó la relación entre la luminosidad y el período en las estrellas cefeidas, sugirió que la energía provenía de la fusión del hidrógeno (idea desarrollada por Bethe) y explicó la relación masa-luminosidad, siendo la luminosidad proporcional al cubo de la masa, aproximadamente. Si Chandrasekhar tenía un límite, Eddington también tenía el suyo. El «límite de Eddington» se refiere a la máxima luminosidad esperable de un objeto que acrecienta materia, tal como se observó posteriormente en los cuásares. Escribió un libro (Mathematical Theory of Relativity) sobre la teoría de la relatividad, que fue muy elogiado por Einstein. El 29 de mayo de 1919 condujo una expedición a las islas Príncipe con el fin de comprobar la deflexión de la luz de las estrellas angularmente próximas al Sol en un eclipse, tal como predecía la relatividad general. Según Chandra, con esta expedición, además de un objetivo científico, Eddington pretendía evitar la cárcel por su objeción de conciencia en la Primera Guerra Mundial, consecuente con su religión. En su encomiable difusión de la teoría de la relatividad, tampoco olvidó la teoría cosmológica de Lemaître. Como Milne, pretendió hacer cosmología, pero sin demasiado éxito. Según Chandra, tanto él como Milne se desfondaron en el intento, razón por la cual él no quiso nunca dedicarse a la cosmología. Al final de su vida buscó una teoría de gran unificación, propósito en el que también fracasó Einstein, y que aún se sigue persiguiendo.
conoció a Bohr; después estuvo en Leipzig, Berlín, Saint Andrews y, finalmente, en su universidad definitiva, Münich. Su tesis doctoral fue dirigida por Sommerfeld; viajó a la India y fue atendido por Chandrasekhar, por lo que influyó tanto como Sommerfeld en la definición de la vocación científica del gran teórico indio. De hecho, el trabajo de este sobre el límite de masa de las enanas blancas era una aplicación del principio de incertidumbre de Heisenberg. Dice este conocido principio que no se pueden medir simultáneamente con precisión ilimitada la posición y el momento de una partícula, siendo el producto de sus indeterminaciones del orden de la constante de Planck. Heisenberg recibió el premio Nobel en 1932 con solo treinta años. Su vida es digna de una película apasionante, ya que a pesar de haber explicado teorías que los nazis consideraban propias del pensamiento judío, como la relatividad y la cuántica, dirigió la investigación sobre las reacciones nucleares y la bomba atómica bajo el Gobierno alemán. Heisenberg, sin embargo, no quería que se hiciera tal bomba. Cuando acabó la guerra, se comprobó que los alemanes habían ido mucho más lentos que los americanos en el diseño y la fabricación de la bomba atómica. Seguramente, se debió a la lentitud intencionada de Heisenberg, quien había propuesto a Bohr un acuerdo entre los científicos de todo el mundo, y en particular entre los americanos y los alemanes, para impedir la construcción de la bomba. Cuando terminó la guerra, Heisenberg estuvo preso en Inglaterra o, al menos, confinado. Toda esta historia está envuelta en una espesa niebla, aunque seguramente no se puede tachar a Heisenberg de pro-nazi. El principio de incertidumbre tuvo y tiene una gran repercusión no solo en la física, sino también en la filosofía; el mismo Heisenberg escribió un libro titulado Física y filosofía.
John von Neumann (1903-1957) fue famoso desde su niñez por su gran inteligencia. Destacó en varias ramas de la matemática, como la teoría de conjuntos, la teoría de juegos y el análisis numérico; trabajó también en física cuántica, computación y economía. Estudió en las universidades de Budapest y Berlín (donde recibió clases de Einstein) y trabajó en la Escuela Politécnica de Zúrich y en la Universidad de Berlín. En Gotinga asistió a un seminario de Hilbert y conoció a Oppenheimer, con quien mantuvo una amistad duradera.
pongan en comités. No importa la materia de que se trate, lo que hay que hacer es hablar sin parar. No te vuelven a poner en ninguno». Se llevaban bien porque Chandra le escuchaba, a pesar de que sus investigaciones tenían poco en común. Russell trabajaba en binarias eclipsantes y curvas de luz, deduciendo relaciones de masas estelares. El tema era muy interesante y de ahí salió el conocido diagrama H-R, pero la física involucrada era sencilla, con poco atractivo para Chandra. Este le hizo frecuentes visitas en Princeton y en varias ocasiones fue su huésped. A pesar de tener intereses diferentes, sus múltiples encuentros siempre fueron cordiales.
artificial y el bombardeo de neutrones, los elementos transuránidos, etc. Formó parte del equipo que construyó el primer reactor nuclear. Menos conocidos son sus trabajos en astrofísica, la mayoría motivados por su estrecha amistad con Chandrasekhar, pues ambos coincidieron en la Universidad de Chicago. ¿Quién le iba a decir a Chandra que, habiendo realizado su gran trabajo a los diecinueve años con la aplicación de la estadística desarrollada por Fermi, acabaría siendo uno de sus mejores amigos y colaborador asiduo? Se veían y comían juntos al menos una vez por semana. Aunque poco conocido, Fermi hizo un gran descubrimiento astrofísico. Los rayos cósmicos estaban confinados en la galaxia por un campo magnético cuya existencia se desconocía, estimando correctamente su orden de magnitud de unos micro-Gauss. Con Chandrasekhar, estudió los plasmas cósmicos en los brazos espirales y en las nubes interestelares. Recibió el premio Nobel en 1938. Emigró a Estados Unidos; primero se Incorporó a la Universidad de Columbia y, a partir de 1942, a la de Chicago. Murió de cáncer, aunque un ataque al corazón le evitó el sufrimiento final. Vivió agnóstico y murió agnóstico, con valentía y sentido del humor hasta el final. Le consolaba a Chandrasekhar en broma: «Nada especial puede pasarle a un hombre que ha pasado de los cincuenta y su pérdida no es tan grande como uno pudiera pensar. Y ahora dime, Chandra: ¿seré un elefante en mi próxima vida?».
del denominado «fondo cósmico de microondas», si estuviera sometida a un campo magnético primordial, sufriría una rotación de Faraday. Pero el medio responsable de la rotación también emite luz polarizada. Para tener en cuenta estas y otras alteraciones de la luz hasta llegar a nosotros tenemos que seguir la evolución de los parámetros de Stokes, es decir, tenemos que integrar las ecuaciones que Chandra nos legó. Este es solo uno de los muchos ejemplos de los que podríamos presentar para resaltar la gran utilidad del estudio de Chandra sobre transporte radiativo. Este estudio es particularmente interesante en astrofísica, pues casi toda la Información que recibimos del cosmos nos llega en forma de luz, frecuentemente muy polarizada. A pesar del interés del ejemplo propuesto, todavía no se ha medido ningún campo magnético primordial, pero la precisión creciente de las misiones espaciales podría depararnos un gran descubrimiento. En la figura se muestra el mapa de polarización de la Vía Láctea. El estudio de transferencia radiativa ha sido clave para Interpretar la luz polarizada en regiones muy remotas del universo. Esta imagen fue obtenida por la misión espacial Planck. El eje mayor de la figura corresponde al plano de simetría de la Vía Láctea. Esta imagen es una proyección de lo que el observador «ve» desde la Tierra (en frecuencias de varios cientos de gigahercios).
Una teselación es el recubrimiento completo de una superficie (o un volumen) con figuras geométricas definidas. Su origen etimológico es del latín «tesela», que, en castellano, dio «teja». Además de sus contribuciones científicas, Penrose es conocido por sus ideas filosóficas, a la vez atractivas y controvertidas. Así, resucitó la dualidad mente-cerebro como entes separables. La mente tendría un comportamiento no deducible de las leyes físicas. Aunque esta teoría se remonta a tiempos de la infancia de la ciencia, siendo el matemático Euler uno de sus más agudos defensores, Penrose desempolvó esta dualidad basándose en el teorema de Gödel, en las investigaciones sobre materia celular de Hameroff y la mecánica cuántica. Su relación con Chandrasekhar fue breve pero intensa. Chandra se desplazaba de Chicago hasta Oxford en transatlántico solo para estar menos de un día con Penrose y discutir con él cuando se atascaba en alguna interpretación o cálculo sobre relatividad general.