Historia de la matemática
Julio Rey Pastor y Jose Babini
Allá por los años cuarenta, cuando me debatía en una serie de vacilaciones sobre si la carrera que yo debía seguir sería la de físicas o bien la de letras, empecé a oír hablar de un manual ampliamente concebido y claramente expuesto, titulado Curso Cíclico de Matemáticas, de don Julio Rey Pastor. Terminadas mis dudas y embarcado ya en el estudio de la Filosofía Semántica para poder leer, en su original, los documentos de Historia dé la Ciencia que a mí me interesaba trabajar — textos astronómicos y náuticos principalmente—, tuve ocasión de conocer a don Julio, llevado de la mano de mi Maestro, José M. Millás, que era buen amigo de aquél.Desde ese momento se estableció entre los dos una corriente de afecto que se transformó en verdadera amistad con el correr de los años y con el intercambio de ideas acerca de la historia de la cartografía, que a ambos nos interesaba aunque fuese en áreas culturales distintas. Cuando charlábamos acerca de sus problemas le entendía rápidamente; todo lo contrario ocurría si tenía que hacerme con el contenido de una carta manuscrita suya escrita, con frecuencia, con lápiz y letra enmarañada y pequeña: la dificultad no estribaba en las ideas, sino en la letra. Para evitar estos inconvenientes de su caligrafía, que él era el primero en reconocer, procuraba utilizar la máquina de escribir siempre que podía y pergeñar en pocas líneas lo que me atrevería a llamar su pensamiento analítico-sintético.
Terminados mis estudios de letras, y en espera de unas oposiciones que nunca acababan de llegar, me enfrasqué, para aprovechar el tiempo, en el Análisis matemático, el Curso Cíclico y… la Historia de la Matemática que hoy, como consecuencia de aquellas querencias, tengo ocasión de prologar por deferencia del Prof. J Babini y del Sr. Rey Pastor, hijo.
Juan Verney
Capítulo 1
La matemática empírica
La prehistoria
Letras y números
Formas y problemas
La prehistoria
La expresión: el mundo está impregnado de matemática, convertida en lugar común en una era tecnológica como la actual, es una expresión válida para todas las épocas humanas, tan consustanciados están el contar y el comparar con las especificas actividades del hombre: pensar, hablar y fabricar instrumentos.
En la mente y en la acción del hombre prehistórico no están ausentes los números más simples, las formas más elementales y la ordenación más visible de las cosas. En el hombre que da nombre a las cosas y a los actos; que conserva el fuego e imagina trampas para cazar animales; que construye viviendas y tumbas; que observa el movimiento de los astros y destaca direcciones especiales; que computa distancias con su cuerpo y sus pasos; que graba escenas de un impresionante realismo; en ese hombre y en esas actividades están prefigurados los conceptos básicos de la matemática: número, medida, orden.
Al pasar de la etapa paleolítica a la neolítica el proceso se afina: las nuevas técnicas agrícolas y pastoriles, la cerámica y la carpintera; la industria textil; la minería y la metalurgia, el trueque de bienes y objetos, la navegación y el transporte, las normas que rigen la naciente organización familiar, social y económica exigen una precisión cada vez mayor en el contar, en el medir y en el ordenar. El hallazgo del proceso deductivo y de la relación causa-efecto y los inagotables recursos de la imaginación humana harán el resto.
Y cuando asoma la escritura, como subproducto de la cultura urbana, ese saber matemático, aún vago y nebuloso. Comienza a adquirir consistencia.
Una hipótesis verosímil acerca del origen de la escritura vincula este origen con prácticas aritméticas. En efecto, según tal hipótesis, la escritura nace a mediados del IV milenio antes de Cristo en la Baja Mesopotamia, en el seno de la cultura urbana de los sumerios cuyas ciudades estaban construidas alrededor del templo, edificado sobre una colina artificial, como una torre escalonada, que no sólo representaba la unidad espiritual de la comunidad, sino que encerraba además su riqueza económica. Los bienes del templo, acumulados en sus talleres y graneros, eran administrados por los sacerdotes. Y es explicable que a medida que esos bienes aumentaban con el crecimiento de la población, se tomaba más difícil retener de memoria las "cuentas del templo", es decir, los datos relativos a los tributos que se debían al dios y la cantidad de semillas y de ganado que se entregaba a los campesinos y pastores; de ahí la necesidad de fijar signos convencionales que permitieran retener esos datos sin confiar en la memoria individual. Que tal fuera el origen de los primeros signos grabados, lo comprobaría el hecho de que las tablillas pictográficas de Erech del 3.500 a. C., que son las más antiguas que se conocen, contienen signos que representan una cabeza de vaca, una espiga de trigo, un pez, acompañados de signos especiales que sin duda representan signos numéricos. Por lo demás, cabe recordar que entre los sumerios existía la costumbre de marcar con sellos individuales los objetos de propiedad personal, y que por ser el dios de la ciudad el único propietario de la tierra y de todos sus frutos, los sellos que marcaban los bienes del templo adquirirían un sentido más convencional y una mayor difusión.
Letras y números
Esta notación numérica de las "cuentas del templo" pone de relieve ciertas conexiones entre la escritura y los sistemas de numeración que pueden dar pábulo a la tentadora hipótesis de admitir que los sistemas escritos de numeración fueron anteriores a la escritura misma.
Observemos en primer lugar que todos los pueblos sin excepción, sean o no primitivos, tengan o no escritura, disponen de palabras especiales para designar los números y fracciones sencillas, así como disponen de gestos y signos convencionales para indicar números o unidades.
Igualmente se encuentra en los pueblos primitivos una gran variedad de procedimientos de cómputos, que se presentan siempre como una relación cualitativa de un signo a la cosa significada, y siempre también bajo el imperio de una imagen concreta.
Nota complementaria
Es natural que el hombre para contar y hasta para sumar haya acudido a lo que tenía más cerca: su propio cuerpo; en especial los dedos de las manos y eventualmente de los pies. Aun hoy hablamos de dígitos (del latín digítus = dedo) para referirnos a las cifras 1 a 9 inclusive. Los antiguos romanos hablaban de "numerarse por dígitos": contar por los dedos; también el primitivo y el niño "cuentan con los dedos" (no "cuentan los dedos"). Este cálculo digital se ha extendido y convertido en un "calculo corporal", como ocurre con ciertos pueblos primitivos, que además de los dedos de las manos y de los pies utilizan otras partes del cuerpo, para contar y sumar; mientras que el cálculo digital mismo, mediante simbolismos adecuados relacionados con las posiciones de los dedos frente a otras partes del cuerpo, se perfecciono permitiendo el recuento de números bastante grandes, como presenta en sistemas de épocas históricas; ya en la antigüedad y hasta en tiempos medievales.
Los “números corporales”
Tal presencia constante de lo concreto en la numeración primitiva se puede presentar bajo diversos aspectos. Así, un primitivo dirá que ha tomado tantos peces como dedos tiene la mano, y si designa este hecho con una palabra que deriva de la palabra "mano", esa palabra no quiere significar el número 5, sino solamente que los objetos en cuestión son tantos como los dedos de la mano. Por otra parte, el ejemplo abstracto no cabe en la mentalidad primitiva. Así, un indio norteamericano, a quien se trataba de familiarizar con el inglés, no pudo traducir: "Ayer el hombre blanco mató seis osos”, pues ese hecho significaba una imposibilidad material.
En otros casos los números 1, 2, 3 se designan con vocablos diferentes según se refieran a personas, días u objetos, y en este último caso según sean ellos esféricos o alargados. Quizá pueda verse un residuo en nuestro léxico actual cuando al referimos a zapatos decimos "un par", mientras que para los bueyes, por ejemplo, decimos "una yunta".
También se han facilitado los cálculos mediante el uso de objetos materiales, como hojas secas o piedrecillas, que actúan a la manera de unidades en la forma como aún se acostumbra para el puntaje en los juegos de naipes. Nuestra palabra "cálculo" proviene del latín calculí (guijarros), y los ábacos para contar y sumar que se perfeccionaron en los tiempos históricos, hasta construir rudimentarias máquinas de calcular, no son sino dispositivos mecánicos fundados en el agrupamiento de objetos materiales.
En este campo como en tantos otros la variedad preside la actividad humana: así nativos de la isla Fidji indican el número de víctimas logrado en la caza mediante entalladuras en sus mazas, con la característica de que después de nueve entalladuras iguales, la siguiente es algo más larga, de ahí que con un sistema limitado de numeración hablada pueden llegar a contar números relativamente grandes. Por ejemplo, al observar cinco entalladuras largas y cuatro últimas cortas, el nativo tendrá idea del número 54 para el cual seguramente en su lenguaje no dispone de la palabra adecuada. Si este sistema de entalladuras se toma convencional, entre él y un sistema de numeración escrita de tipo decimal aditivo sólo existiría una diferencia de grado, no esencial.
Nota complementaria
Un dispositivo semejante para contar es el fundado en las cuerdecillas con nudos, de los cuales el más conocido es el "quipo" (del quechua kipu = nudo) peruano con el cual, mediante un sistema de cuerdas de distintos colores con nudos en números y disposición diferentes, los antiguos peruanos, sin disponer de escritura, realizaban un cabal sistema de numeración escrita que les permitió registrar cuanto dato de utilidad para el Estado podía registrarse, gracias, claro es, también a la prodigiosa memoria de sus calculadores.
Los "quipos" peruanos
Al pasar a los sistemas escritos de numeración, se advierte igual variedad; ya en la base, es decir en el número simple que sirve de jalón para expresar los números mayores; ya en la lectura, que puede ser de tipo aditivo, con variantes distintas, o posicional. En los sistemas aditivos el valor del número se obtiene sumando (en ocasiones restando) los valores correspondientes a cada signo individual, independientemente de la posición del signo en el contexto; mientras que en los sistemas posicionales el valor de cada signo depende de la posición de éste en el contexto. Por la base 10 y el tipo de lectura, nuestro sistema actual es decimal y posicional.
En cuanto a la base de los sistemas escritos antiguos, que probablemente provienen de bases ya existentes en los sistemas orales, se advierte igual variedad: puede ser 2, como lo comprueba el hecho de que seguimos hablando de pares y de yuntas, puede ser 3, 4 ó 5 aunque la base más difundida es 10, que ya Aristóteles justificaba en vista del número de dedos de la mano. En el idioma francés actual quedan rastros de una base 20 de los celtas, base que fue adoptada también por pueblos primitivos descalzos; nuestras docenas son también residuos de una base 12, utilizada ya por el número (aproximado) de lunaciones del año, ya por su comodidad en las medidas, en vista de la facilidad que ofrece el mayor número de sus divisores, frente por ejemplo a los de la base 10.
Casi todos los sistemas antiguos de escritura disponen de signos especiales para representar los números. Constituyen excepción el griego, el árabe, el hebreo y otros que utilizan para ese fin las letras del alfabeto respectivo. El caso griego tiene un interés especial, ya que se conocen dos sistemas de numeración escrita, ambos aditivos. Un sistema, cuyos signos se llaman herodiánicos (por Herodiano, gramático griego del siglo II que estudió, y expuso estos signos), en el cual la unidad y las primeras cuatro potencias de 10 se indican con las iniciales de las palabras respectivas, agregándose un signo especial para el 5; y un segundo sistema en el cual los nueve dígitos, las nueve decenas y las nueve centenas se representan por las 24 letras del alfabeto griego en su orden, intercalando tres letras de un alfabeto arcaico para el 6, el 90 y el 900; y en el cual se indican con ápices y otros signos especiales las fracciones unitarias y los números superiores al millar. Por el empleo de las letras del alfabeto arcaico se supuso que el segundo sistema fuera anterior al primero, pero el hecho es que el primer sistema cayó en desuso hacia el s. IV a. C., quedando en vigencia el segundo.
Es interesante destacar que en algunos casos el sistema de numeración escrita presenta, frente a la escritura, cierta prelación, si no cronológica, por lo menos en el sentido de la sencillez y de la abstracción. Un ejemplo lo ofrecen las escrituras cretenses de las que se reconocen tres tipos: uno pictográfico y dos lineales A y B. Son todos del II milenio y la última de ellas; la lineal B, que resultó pertenecer a un idioma griego arcaico, fue descifrada por Michael Ventris en 1952. De tal escrituras ya se habían identificado no sólo los signos numéricos pertenecientes a un sistema decimal aditivo, sino también algunas operaciones aritméticas simples: sumas y probablemente cálculos de porcentajes, y sin duda tal desciframiento previo ayudó al posterior desciframiento de la escritura.
Nota complementaria
Otro ejemplo lo ofrecen los mayas de cuya escritura jeroglífica se descifraron últimamente 1961, con calculadoras electrónicas, algunos textos religiosos: mientras que ya se conocían sus dos sistemas de numeración. En uno de ellos, con signos jeroglíficos, cada número indicaba se indicaba con una cabeza de dios, de hombre o de animal; mientras que en el otro de índole más abstracta se utilizaba un sistema posicional de base 20 (aunque no coherente), en el cual no figuran sino tres signos un punto para la unidad, una barra para cinco unidades y una especie de conchilla u ojo semicerrado para indicar en cero: de manera que en este sistema cada cifra está representada por un determinado grupo de pocos puntos y barras. El número se forma ordenando las cifras de abajo hacia arriba. Este sistema, utilizado principalmente con fines cronológicos, no es coherente en el sentido que la tercera unidad no es 400 = 20, sino 360 discrepancia que se explicaría en vista de aquellos fines por ser el año oficial maya de 360 días.
La cronología maya
Mientras que este sistema permite expresar números muy grandes en los códices mayas aparecen números que superan los doce millones, es sintomático destacar en cambio que la escritura maya no ha podido superar la etapa pictográfica. Es posible que el afán de fijar con precisión las fechas vinculadas con los dioses patronos de la ciudad o de cada individuo estimulara en los mayas la búsqueda de un adecuado sistema de numeración escrita que resultó dotado de un grado de abstracción muy superior al que revela su incipiente escritura.
Formas y problemas
El contar y el numerar, con ser actividades comunes y frecuentes, no agotan el campo de las nociones matemáticas del hombre primitivo y conjeturalmente del prehistórico.
Por su nombre: geometría en griego alude a "medir la tierra", los conocimientos geométricos tuvieron un origen práctico. Por lo menos, así lo atestigua Herodoto en un conocido pasaje de su Historia: "El rey Egipcio dividió en suelo del país entre sus habitantes, asignando lotes cuadrados de igual extensión a cada uno de ellos y obteniendo sus principales recursos de las rentas que cada poseedor pagaba anualmente. Si el río arrasaba una parte del lote de un habitante, éste se presentaba al rey y le exponía lo ocurrido, a lo que el rey enviaba personas a examinar y medir la extensión de la perdida y más adelante la renta exigida era proporcional al tamaño reducido del lote. En virtud de esta práctica que, pienso, comenzó a conocerse la geometría en Egipto, de donde pasó a Grecia".
Más no sólo el hombre midió la tierra; otras mediciones exigió la construcción de sus viviendas y tumbas, de sus graneros y canales. Por lo demás nuevas nociones geométricas surgieron de las formas y figuras con que el hombre decoró y ornamentó sus viviendas y sus objetos, así como de la observación de formas que atrajeron su atención por su sencillez o su simetría: la línea ("línea" viene de lino), el círculo, los polígonos y poliedros regulares. El ladrillo, de antigua dala, aportó probablemente la noción de ángulo recto, mientras que nuevas formas geométricas nacían de los movimientos: ya las danzas humanas, ya del andar de los astros en la bóveda celeste.
Por último, cabe mencionar otras nociones matemáticas de origen completamente distinto: es el conjunto de problemas, enigmas y adivinanzas que componen el folklore matemático que practican todos los pueblos. Mostrando a veces curiosas coincidencias de temas en pueblos totalmente alejados explicándose tal coincidencia solamente por trasmisión oral a la manera de semillas que lleva el viento, favorecidas por el carácter recreativo, enigmático y, a veces, sorprendente del problema.
Sin embargo, no obstante tal finalidad extra matemática, las cuestiones del folklore matemático encierran interesantes nociones de orden aritmético y, a veces, hasta algebraico.
Capítulo 2
La matemática prehelénica
Los babiloniosLas babilonias
Los egipcios
Hasta el primer tercio de este siglo, los conocimientos que se poseían acerca de la matemática de los pueblos que habitaron la Mesopotamia: sumerios, acadios, babilonios, asirios... eran escasos y no revelaban mayor contenido científico.
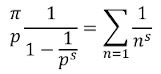
Sin duda, ya se había advertido la característica fundamental, entonces más bien sorprendente, que ofrecían los sistemas de numeración utilizados en los textos cuneiformes. En efecto, hacia el año 3.000 a. C. los sumerios introdujeron un sistema de numeración posicional de base 60, que en definitiva es el sistema sexagesimal que aún utilizamos nosotros para las medidas de tiempo y angulares.
En ese sistema las cifras de 1 a 59 se escribían de acuerdo con un arcaico sistema decimal aditivo, sobre la base de dos signos cuneiformes: uno vertical para la unidad y otro horizontal para el 10. Pero a partir de 60 y para las fracciones el sistema se toma posicional, las potencias sucesivas de 50, en orden creciente o decreciente, se representan por la unidad, y cada conjunto numérico hasta 59 debe computarse 60 veces menor que el anterior.
La inexistencia de un signo para el cero, que no aparecerá hasta los tiempos helenísticos, así como de un signo que separe la parte entera de la fraccionaria, hace que el sistema no sea coherente para nosotros, aunque el contexto del problema, y a veces ocasionalmente ciertos signos especiales, impedían al calculista sumerio caer en equívocos.
Ya desde comienzos de este siglo (1906) se había revelado el carácter posicional del sistema sumerio al descifrarse textos cuneiformes con tablas de multiplicación, de recíprocos, de cuadrados,... y algunos cálculos; pero fue recientemente con la labor de desciframiento que hicieron conocer Neugebauer (1935) y Thureau Dangin (1938) que esta matemática sexagesimal muestra su verdadera faz.
Los textos últimamente descifrados pertenecen al período babilónico (II milenio a. C.) aunque registran conocimientos de los sumerios del milenio anterior; la índole y la solución de las colecciones de problemas que aportan esos textos no sólo justifican la necesidad de un sistema de numeración flexible como el posicional, sin el cual aquella solución hubiera sido imposible, sino que arrojan nueva luz sobre las relaciones entre la matemática prehelénica y la matemática griega, de manera que actualmente nociones y figuras de la matemática antigua adquieren nuevas interpretaciones en la historia de la matemática.
Aunque en algún caso se ha querido ver la expresión de reglas generales, los problemas de los textos babilónicos son problemas numéricos particulares, con datos escogidos al efecto, en especial para que los divisores no contengan sino factores 2, 3 y 5; en muchos casos no tienen otra finalidad que el cálculo numérico, en otros se trata de aplicaciones de distinta índole.
Desde el punto de vista matemático, las novedades más importantes que registran los textos babilónicos se refieren a la solución algebraica de ecuaciones lineales y cuadráticas, y el conocimiento del llamado "teorema de Pitágoras" y de sus consecuencias numéricas.
En los problemas de primer grado con una sola incógnita las tablas de multiplicación o de recíprocos ofrecen de inmediato la solución; en los sistemas lineales, en cambio, a veces con varias incógnitas, ya entra en juego la habilidad algebraica del calculista.
Nota complementaria
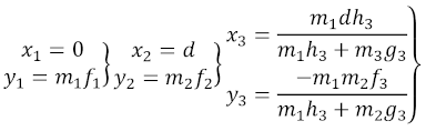
He aquí un ejemplo del tipo de problema de mezclas en el que además se utilizan unidades de medidas agrarias de la época. Se conocen la extensión total [1.800] de un campo compuesto de dos parcelas, en cada una de las cuales el rendimiento del grano por unidad de área está afectado por coeficientes diferentes [2/3 y 1/2). Se desea saber la extensión de cada parcela conociendo la diferencia (500) del producido de la cosecha. De acuerdo con nuestros símbolos el problema exige la resolución del sistema de dos incógnitas:
Un problema de primer gradox + y = 1.800;
2/3x - 1/2y = 50.
de soluciónx = 1.200; y = 600
Aunque la marcha que sigue el calculista no es clara y aparentemente presupone un método de falsa posición, en realidad, los cálculos encierran un proceso correcto en el cual implícitamente se hace intervenir, al lado de la suma conocida de las incógnitas, su diferencia desconocida x - y = 2z. En efecto, el calculista comienza admitiendo que las dos parcelas son iguales (a la semisuma 900) y con esa hipótesis falsa llega al valor erróneo de la diferencia de producido: 150 (es decir 1/6 = 2/3 - 1/2 de 900). Para compensar el error de 350 = 500 - 150 reconoce, sin decirlo, que ese error es los 7/6 (suma de 2/3 y 1/2) del valor que, sumado y restado al dato inicial erróneo, dará la extensión de parcelas. Para obtener aquel valor deberá dividir 350 por 7/6, operación que, por la presencia del factor 7, las tablas no facilitan; el calculista obvia la cuestión preguntándose simplemente por cuanto debe multiplicar 7/6 para obtener 350; su respuesta es obvia: 300, y este dato, sumado y restado a 900, da los valores de las incógnitas. Es fácil ver que, aun con un lenguaje de valores erróneos, la marcha del proceso es la que hoy se seguiría si se introducen los valores x = 900 + z, y = 900 - z, y se calcula z de acuerdo con la segunda ecuación.
Tal habilidad se pone de relieve más claramente en los problemas, a veces agrupados en colecciones, que exigen la resolución de ecuaciones cuadráticas o reducibles a cuadráticas; resolución que el calculista babilónico lleva a cabo utilizando la actual resolvente a veces mediante el recurso de reducir el problema a la determinación de dos números de los cuales se conoce el producto y la suma (o la diferencia).
Nota complementaria
He aquí el enunciado de un ejercicio típico tomado de una tablilla de los babilonios: Largo y ancho. He multiplicado largo y ancho y he obtenido el área. He agregado al área el exceso del largo sobre el ancho: 183, además he sumado largo y ancho: 27. Se pide largo, ancho y área. Este problema, al sumar áreas y longitudes absurdo desde el punto de vista práctico, revela claramente que su interés es exclusivamente técnico o numérico. Con nuestros símbolos el problema lleva el sistema de segundo grado:
Un problema de segundo gradoxy + x - y = 183
x + y = 27
y aunque pueda parecer anacrónico conviene seguir con nuestros símbolos la marcha de los cálculos que señala la tablilla, para poner de manifiesto su carácter algebraico. El calculista comienza por sumar los dos datos numéricos 183 + 27 = 210, [x (y + 2) = 210] y agrega 2; (x + y + 2 = 29).
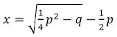
Lo que sigue es el método actual de nuestra resolvente para obtener los valores de dos números (en este caso x e y + 2), conociendo su suma 29 y su producto 210. En efecto, toma la mitad de 29: 14 1/2 de cuyo cuadrado resta 210, obteniendo 1/4, cuya raíz cuadrada 1/2 suma y resta a 14 √2 obteniendo los valores 15 y 14, de este último, resta 2, llegando a la solución del problema: 15, 12, 180.
Por supuesto que el calculista no advirtió la existencia de una segunda solución x = 13, y y = 14, por cuanto estos problemas, por su probable carácter didáctico son problemas artificiales con soluciones preparadas de antemano y son estas soluciones las que se buscan y no otras.
Otros problemas, de interés aritmético o algebraico, traen la suma de términos en progresión aritmética o en progresión geométrica de base 2; la suma de los cuadrados de los diez primeros números mediante una expresión correcta y hasta una ecuación exponencial resuelta en forma aproximada.
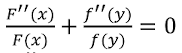
Nota complementaria
Se trata del clásico problema de la determinación del tiempo en que se duplica un capital, a una determinada tasa de interés compuesto. En el caso de la tablilla esa tasa el del 20 %, dato que a la par, que puede interesar a la historia económica de esos pueblos, facilita bastante la solución aritmética. El problema es trascendente y exige la solución de la ecuación exponencial 1,2x = 2, para lo cual el calculista después de comprobar que x está entre 3 y 4 y más próximo a 4 que a 3, determina el incremento 4 - x mediante la proporción de los incrementos ofreciendo quizás el primer ejemplo de la aplicación del más tarde llamado método de falsa posición. De acuerdo con esta hipótesis, aquel incremento está dado por el cociente
Un problema de interés compuesto(1,2x - 2) × (1,2x - 1,2x.
que da el tiempo de doble capitalización con error (por defecto) inferior a seis días.
Los problemas que se refieren a aplicaciones geométricas revelan el conocimiento de la proporcionalidad entre los lados de triángulos semejantes, de las áreas de triángulos y trapecios así como de volúmenes de prismas y cilindros; en cambio, para la longitud de la circunferencia y el área del círculo se adoptan los valores poco aproximados de dar para la circunferencia el valor de tres diámetros (valores que se conservan en la Biblia) y para el círculo el triple del cuadrado del radio. También son erróneas las expresiones del volumen del tronco de cono y de la pirámide de base cuadrada y del cono.
Pero, sin duda, el conocimiento geométrico más interesante que revelan las tablillas es del llamado "teorema de Pitágoras”, y en especial, como consecuencia, la ley de formación de los tripletes- pitagóricos, es decir, de las ternas de números enteros, que, a par de representar medidas de los lados de triángulos rectángulos, expresan la posibilidad aritmética de descomponer un numero cuadrado en suma de dos cuadrados.
Nota complementaria
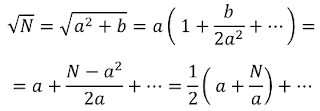
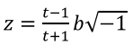
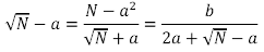
Varios problemas de las tablillas son variantes de un problema frecuente en el folklore matemático: el problema de la caña, cuya solución exige el conocimiento del teorema de Pitágoras. Veamos un caso simple: una caña que se apoya en una pared de igual altura que ella de desliza sin caer. Calcular su altura x conocido el deslizamiento a de su tope y la distancia b en que se ha apartado el pie de la caña respecto de la pared. Este problema, que equivale a la determinación del radio de un círculo del cual se conoce una semicuerda y la flecha respectiva, exige la aplicación del teorema de Pitágoras que da por solución x = 1/2(a2 + b2) + a; y son estos cálculos, efectivamente, los que efectúa el calculista babilónico partiendo de a = 3; b = 9, obteniendo x = 15.
El teorema de Pitágoras
El conocimiento del "teorema de Pitágoras", un milenio largo antes de la existencia de su pretendido autor, se pone de manifiesto en distintos problemas cuya solución correcta no podrá lograrse sin ese teorema y, en especial, mediante un texto: el Plimpton 322 (del nombre de la colección que se conserva en la Columbia University) que se hizo conocer en 1945 y que presupone el conocimiento de la ley de formación de los tripletes pitagóricos, que aparecerá por primera vez en Occidente en los Elementos de Euclides hacia el 300 a. C.
Nota complementaria
Se reproduce a continuación el texto de la tablilla en signos modernos, tomados de O. Neugebauer. The Exact Sciences un Antiquity. Nueva York, Dover, 1969, pág. 37.
El texto Plimton 322
Se trata de la parte derecha de una tablilla mutilada que comprende a cuatro columnas: la primera, a partir de la derecha, no contiene sino los números 1 a 15 para ordenar las filas; la segunda y tercera, encabezadas respectivamente con palabras "diagonal" (d) y "ancho" (b), contienen números enteros aparentemente sin orden alguno, mientras que la cuarta columna, encabezada por un término ininteligible, contiene expresiones fraccionarias, a veces hasta con siete fracciones sexagesimales. Descifrada la tablilla, el resultado fue que las columnas (d) y (b) comprenden los componentes de tripletes pitagóricos correspondientes a la hipotenusa y a un cateto, es decir,d = m2 + n2 y b = m2 - n2, cuyo otro cateto b = 2mn, del cual sus valores, que figurarían probablemente en la parte que falta, deben cumplir la condición de no contener sino divisores de 2, 3, 5, circunstancia que explicaría el aparente desorden de las columnas d y b, pues la cuarta columna contiene los valores numéricos de ( dla)2, es decir, con nuestro léxico los valores de sec2 α siendo α el ángulo opuesto a. Agreguemos que los valores de la cuarta columna decrecen de manera casi lineal, así como los valores de α decrecen bastante uniformemente entre 45° y 31°, lo que hace suponer que otras tablillas contendrían los valores correspondientes a los otros sectores de 15°.
Por ejemplo, en la fila sexta los valores de las tres columna son en el sistema sexagesimal,d = 8,1; d = 5,19 ; (d/a) 2 = 1; 47.6.41.40
Es fácil ver que en este caso m = 20, n = 9: d = 481; b = 319resultando a = 360, que no figura, pero que cumple con la condición de no contener sino factores 2, 3, 5 y que (d/a)2 = (481/360) 2 expresado en el sistema sexagesimal es precisamente el valor que aparece en la cuarta columna. Para estos valores a es aproximadamente 40°.
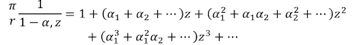
No es ésta la única conexión entre los datos que aportan las tablillas de los babilonios y la clásica matemática griega. Desde el punto de vista técnico, es más importante señalar la atmósfera común de álgebra no lineal, de álgebra cuadrática, que preside ambos campos; atmósfera que en las tablillas de los babilonios se revela en las ecuaciones algebraicas, y en los Elementos en toda la obra, en espacial el libro II, que el historiador de la matemática Zeuthem bautizó proféticamente de álgebra geométrica hace casi 90 años, cuando ni por asomo podía pensarse en la vinculación que hoy se vislumbra entre la geometría griega y la milenaria álgebra de los babilonios.
Es posible que mediante esta álgebra geométrica podamos hacer alguna conjetura acerca del origen de los conocimientos de los babilónicos. Sean dos números a y b representados por los segmentos AB y AD (fig. 1), respectivamente; si a continuación de AB se lleva BC = AD los segmentos AC y DB serán, respectivamente, a + b y a - b. Introduciendo el centro O de simetría de la figura, resulta fácilmenteAO = OC = 1/2(a + b) y DO = OB = 1/2( a - b) y, por lo tanto, de AB = AO + OB y AD = AO - OD se desprenden las relaciones entre dos números, su semisuma y su semidiferencia, que los babilonios utilizaron en sus problemas.
Supongamos ahora que en pos de conjeturas elevamos al cuadrado la figura y obtenemos el cuadrado de lado AC descompuesto en cuadrados y rectángulos. Así:
(a + b)2 = AE
(a - b)2 = FG
ab = LI = IM = DL

(a + b)2 = a2 + b2 + 2ab
(a - b)2 + 2ab = a2 + b2;
(a + b)(a-b) = a2-b2;
(a+b)2 - (a-b)2 = 4 ab
ó[1/2 (a + b)]2 - [1/2 (a - b)] 2 = ab
que los babilonios utilizaron en la resolución de sus ecuaciones cuadráticas.Hagamos un paso más y tracemos las diagonales LI, IM, MD, DL de los rectángulos que bordean la figura que no serán sino la hipotenusa c de los triángulos rectángulos de catetos a y b, y por tanto el cuadrado LM = DI es el cuadrado construido sobre esa hipotenusa. De la figura se deduce una propiedad geométrica que los babilonios parece que no utilizaron, como lo hará en cambio más tarde Diofanto; esa propiedad dice que si al cuadrado de la hipotenusa se le suma o se le resta cuatro veces el triángulo se obtiene, en ambos casos, un cuadrado, o en símbolos c2 ± 2ab = (a ± b)2 propiedad que implícitamente contiene el llamado "teorema de Pitágoras", aunque el teorema puede obtenerse directamente utilizando una de sus numerosas "demostraciones" por descomposición de figuras; así, por ejemplo, una demostración muy simple, que aparecerá en escritos árabes del siglo IX, consiste en suprimir del cuadrado DI los triángulos LGI eIHM, desplazándolos respectivamente a DCM y LAD; el cuadrado DI se convierte en la figura equivalente LGHMCAL, suma de los cuadrados AG y BM de los catetos.
Como curiosidad agreguemos que el matemático Hamilton del siglo XIX, al reproducir esa demostración sombreó en la figura LIMCAL esos cuatro triángulos, inscribiendo en el pentágono cóncavo LGHMDL una leyenda que parafraseamos: Como se ve: Soy a2 + b2 - ab; si me adoso los dos triángulos compongo el cuadrado de la hipotenusa, si me sustento sobre los dos triángulos, compongo la suma de los cuadrados de los catetos.
Una última conjetura nos llevaría a los tripletes pitagóricos. De la propiedad (a + b)2 = (a - b)2 + 4ab se puede llegar a la descomposición de un cuadrado en suma de los cuadrados, es decir, a la ecuación pitagórica (¿o habría que llamarla seudo-pitagórica?) x2 + y2 = z2, sin más que tomar para a y b números cuadrados m2 y n2, llegándose a las expresiones x = m2 - n2; y = 2mn; z = m2 + n2, con las cuales se ha construido la tabla del Plimpton 322.
Conjeturas de otra índole merecerían las consideraciones acerca de la finalidad que persiguieron sumerios y babilónicos con su sorprendente álgebra. Sin duda en sus albores la matemática nació bajo los signos que Spranger señalo al calificar de semi-juego y semi- religiosidad, pero en el álgebra de los babilónicos la atmósfera técnica que envuelve a sus problemas revela también aspectos más positivos, menos místicos. Una hipótesis verosímil, que la índole de los problemas corroboraría fija a los textos matemáticos de los babilonios une finalidad formativa: su estudio y práctica serían considerados indispensables en el aprendizaje y adiestramiento de escribas y funcionarios de pueblos de un avanzado desarrollo comercial.
Los egipcios
Comparada con el contenido de las tablillas de los babilonios, la matemática de los egipcios resulta de un nivel muy inferior. Una de las causas reside en el sistema de numeración adoptado por los egipcios: aditivo decimal compuesto de ocho signos jeroglíficos para indicar la unidad y las primeras siete potencias de 10 y que en el contexto numérico se escribían de derecha a izquierda según las potencias decrecientes.
Con ese sistema, el escriba o calculador egipcio realizaba operaciones aritméticas elementales, con números enteros o fraccionarios, utilizando una técnica operatoria. No exenta de ingeniosidad, de la cual cabe destacar dos notas características: la multiplicación por duplicación y el uso casi exclusivo de fracciones unitarias, es decir, de numerador la unidad.
El conocimiento de los métodos de cálculo de los egipcios y de su aplicación en distintos problemas proviene de algunos papiros, no muy numerosos, entre los cuales sigue siendo más importante el papiro Rhind (del nombre de su propietario que lo lego al museo Británico) que data de la época de los hiesos (s. XIII a. C) aunque, como nos lo asegura su autor o compilador, el egipcio Ahmes: su contenido proviene de épocas anteriores. Aproximadamente de comienzos del II milenio.
Aunque el papiro declare que contiene " las reglas para lograr un conocimiento de todo lo oscuro y de todos los misterios que residen en las cosas... ” es en realidad un manual de aritmética, probablemente destinado a la formación de los escribas oficiales que tenían a su cargo el conocimiento y la práctica de los cálculos que exigía la típica organización económica de la sociedad egipcia.
Nota complementaria
Para multiplicar por duplicación el egipcio escribía en columna el factor mayor y sucesivamente sus dobles, mientras que en otra columna la izquierda señalaba la unida y sus dobles. La operación se suspendía al llegar el mayor doble inferior al segundo factor; el calculista marcaba entonces con un signo especial los dobles cuya suma componían este segundo factor y sumaba los términos correspondientes de la primera columna. Esa suma es el resultado. A la izquierda puede verse el producto 34 × 27 = 918.
La multiplicación y división egipciasPara abreviar la operación en algunos casos se multiplicaba por 10 y a veces este múltiplo se dividía por 2 con lo cual, en la columna de la izquierda, además de dobles, aparecían los números 10 y 5, que había que tomar en cuenta en el cálculo del segundo factor.
Para dividir procedían como en la multiplicación considerando la división como una multiplicación de producto y un factor conocidos. Dividir por ejemplo 1.120 por 80 es una multiplicación "comenzando con 80". A la izquierda está indicado el cálculo que se ha facilitado comenzando por tomar el décuplo del divisor. Como en este caso, de la columna de la derecha se obtiene la suma 1.120, el resultado es de una división exacta 1.120 / 80 = 14.
¿Pero qué hubiera ocurrido si en lugar de 1.120 el dividendo hubiera sido 1.150? Con nuestro léxico, de los cálculos anteriores hubiéramos deducido que el cociente entero es 14 y el resto es 30, pero en las divisiones egipcias no hay resto: el cociente es siempre exacto, para lo cual en este caso se hubiera acudido a las fracciones y proseguido la operación introduciendo en la columna de la izquierda las fracciones 1/2, 1/4, 1/8 y con los correspondientes valores 40, 20, 10, se habría llegado a la suma exacta 1.150 y al cociente exacto 14 1/4 1/8
El interés mayor que ofrece la aritmética de los egipcios reside en su característico uso y manejo de las fracciones. Si se exceptúa 2/3 (y ocasionalmente 3/4), fracción para la cual existía un signo especial y de la cual, por lo demás, conocían la descomposición en 1/2 + 1/6, el calculista egipcio utiliza exclusivamente fracciones unitarias Y. por tanto, todo cociente o parte de un cociente menor que la unidad debía expresarse como suma de fracciones unitarias, problema indeterminado desde el punto de vista teórico y que los egipcios resolvieron empíricamente, aunque tratando de dar, y a veces en forma ingeniosa, la descomposición más simple.
Muchas de esas descomposiciones eran conocidas de memoria por el escriba, pero para denominadores no pequeños la cuestión se tornaba difícil, de ahí que sea explicable que el papiro Rhind se abriera con una tabla que facilitaba esa descomposición dando la misma para todos los cocientes de dividendo 2 y divisor impar desde 5 hasta 101.
Nota complementaria
El ejemplo anterior, donde los valores cómodos 80 y 30, del divisor y el resto, facilitaron sobremanera las operaciones, no es un ejemplo adecuado para mostrar los cálculos egipcios con fracciones unitarias, ya para construir la tabla de los cocientes 2/n, ya para utilizar sus datos.
Las fracciones unitarias
Así señalaba Van der Waerden la marcha del proceso en la, obtención del cociente 2/31 = 1/20 1/124 1/155. El calculista ha utilizado la fracción auxiliar 1/20 reconociendo que 31/20 = 1 1/2 1/20. Conociendo además la descomposición 1/4=1/5 1/20 y que evidentemente 2 = 1 1 1/2 1/4 1/4, mediante un proceso de "completar la unidad" llega a la descomposición 2 = 1 1/2 1/20 1/20 1/4 1/5. Y como 1/4 1/5 = 31 (1/120 1/155) se llega a la descomposición de la tabla.
Supongamos que haya que dividir 11 por 23. El calculista procedería así:11/23 = 1/23 10/23 = 1/23 5 2/2.
acudiría a la tabla que descompone2/23 = l/12 1/27.
y seguiría11/23 = 1/23 5/12 5/276 = 1/23 1/12 1/276 1/3 1/6.
Sin necesidad de volver a la tabla, y el resultado sería11/23 = 1/3 1/12 1/23 1/69 1/276
Consideremos por último el problema de dividir 7 panes entre 10 personas. Sin explicación alguna el papiro da el resultado: 2/3 y 2/30 y se dispone a comprobarlo mediante la multiplicación de ese dato por 10 tal como se ve en la izquierda. Al multiplicar por 4 aparece el cociente 2:15 que la tabla da como 1/10 1/30. En este caso no hubo que acudir más a la tabla.
El conocimiento aritmético de los egipcios no se limita a las operaciones elementales con enteros y fracciones: en los papiros matemáticos aparecen progresiones aritméticas y geométricas y hasta algún ejemplo de raíz cuadrada. En cuanto a las aplicaciones se trata en general de problemas de repartición proporcional o de medidas de capacidad, de superficie o de volumen, así como cuestiones de distinta índole que conducen a problemas de primer grado con una o más incógnitas.
Nota complementaria
He aquí un par de problemas de primer grado resueltos por los egipcios. Una cantidad y su séptima parte dan 19. Para resolverlo, el calculista toma sucesivamente 7 más 1, es decir, 8. Divide 19 por 8 obteniendo 2 1/8 1/4 y este resultado lo multiplico por 7, obteniendo 16 1/2 1/8 que es la cantidad buscada, comprobándolo al agregarle 2 1/4 1/8 y obtener 19.
Problemas de primer grado
Menos simple es el problema de dividir 100 panes entre cinco personas siguiendo una progresión aritmética (serían de distintas clases sociales), de manera que la parte de las dos últimas sea 1/7 de las partes de las tres primeras. Aquí escuetamente el papiro dice: 'Toma como diferencia 5 1/2,de donde 23, 17 1/2, 12, 6 1/2, 1. Aumenta esos números en la proporción 1 2/3 y obtendrás las partes que corresponden a cada persona". Y la solución es correcta.
En efecto, el número 5 1/2 es la razón entre la diferencia de la progresión y la parte de la última persona, que puede deducirse de los datos del problema, pues las dos últimas personas reciben dos de esas partes más una diferencia, mientras que las tres siguientes reciben 3 de esas partes más 9 diferencias, que han de ser equivalentes a 14 partes y 7 diferencias, de ahí la razón 11/2, es decir, 5 1/2. Admitiendo que la última parte es 1 pan, la suma, de acuerdo con la diferencia 5 1/2, daría 60 panes y no 100 como exige el problema; de ahí la última parte de la solución el elevar los valores anteriores en la proporción de 60 a 100, es decir, en la proporción 3 a 5.
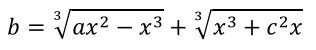
Los conocimientos geométricos de los egipcios son más bien extensos: disponen de reglas exactas para el área de triángulos, rectángulos y trapecios, así como para el volumen de prismas y pirámides. En un ejemplo aparece la determinación de la inclinación del plano oblicuo de una pirámide, aunque entendida más como factor de proporcionalidad que medida angular, mientras que el máximo logro de la geometría egipcia debe verse en la determinación correcta del volumen del tronco de pirámide de base cuadrada, mediante un cálculo de difícil interpretación. Además se debe al calculista egipcio una excelente aproximación para la cuadratura del círculo.
Nota complementaria
La regla del calculista egipcio para obtener el área del círculo, consiste en adoptar como lado del cuadrado equivalente al círculo, el diámetro menos un noveno del mismo, lo que significa para nuestro π el valor 256/81 ≈ 3,1604...bastante aproximado con un error relativo por exceso de 0,6 %. En cuanto al origen de esta regla observamos que si hoy deseáramos conocer qué fracción del diámetro, de la forma 1-1/n debe tomarse para obtener el lado del cuadrado equivalente encontraríamos para n el valor 8,7...bastante próximo a 9, de ahí que cabe sospechar que los egipcios obtuvieron su regla operando por tanteos con fracciones unitarias y complementos a la unidad.
La cuadratura del círculo
Capítulo 3
La matemática helénica
Los griegos
Tales
Los pitagóricos
Las eleatas
La matemática del siglo V
La Academia y el Liceo
La matemática del siglo IV
Los griegos
Un largo milenio transcurre entre la época de las tablillas cuneiformes y de los papiros egipcios que hemos reseñado, y la época de la revolución intelectual que tendrá por teatro el mundo griego del Mediterráneo oriental; revolución que significó el advenimiento del sabio y de un saber cada vez más consciente de su propia misión y de la responsabilidad que le impone la exigencia de su comprobación o de su verificación.
Al hacerse referencia al nacimiento de este nuevo tipo de saber: la ciencia, suele aún hablarse de "milagro griego", expresión que encierra la idea de un surgimiento de la ciencia, del arte y de la filosofía como de la nada, por generación espontánea.
Más hoy, al respecto, y en especial para la matemática, cabe ser cauteloso. Por lo pronto, la ciencia prehistórica ha puesto de relieve el largo camino recorrido por el hombre en la senda del saber hasta llegar a los umbrales de la ciencia. Por su parte, ya no es posible dejar de considerar que el "milagro griego" tuvo como antecedente el saber que desarrollaron los países orientales, en especial Egipto y la Mesopotamia. La misma tradición griega atestigua la importancia que los primeros griegos atribuían a ese saber y es significativo que, según tal tradición, grandes sabios y filósofos del período helénico habían estado en Oriente, en especial en Egipto, frecuentando los sacerdotes de esa región.
Otro factor que ha contribuido a mantener la creencia en el "milagro griego" proviene de las características del período inmediato anterior al advenimiento de la ciencia griega, allá hacia el siglo VI a. C. En efecto, el medio milenio anterior a este siglo es una de las épocas más oscuras e inciertas de la historia del Mediterráneo, aunque tal oscuridad no proviene de causas intrínsecas, sino del hecho de tratarse de una época de movimientos de pueblos y de la aparición de las armas de hierro que aportaron un poder destructor desconocido hasta entonces; movimiento y destrucción que han contribuido a silenciar ecos y documentos que podrían informarnos acerca de los orígenes de la ciencia en Grecia.
Por lo demás, en este período, Grecia mantuvo relaciones comerciales y bélicas con los pueblos del Cercano y Medio-Oriente, y si bien es cierto que los griegos no supieron leer las jeroglíficos egipcios ni los signos cuneiformes, el hecho de desconocer el idioma no significa ignorar totalmente sus bienes culturales y las conexiones que actualmente se advierten entre la matemática griega y la antigua matemática de los babilonios, como consecuencia de las tablillas descifradas en este siglo, comprobarían tal afirmación.
Una última observación, de carácter más bien paradójico, reafirma la cautela con la cual deben tomarse las informaciones relativas a la antigua matemática griega. En efecto, mientras hoy a 30 ó 40 siglos de distancia, conservamos en las tablillas cuneiformes y en los papiros egipcios documentos originales o copias fieles de las contribuciones matemáticas de los antiguos pueblos orientales, nada de eso ocurre con los griegos; a pesar de ser mucho más recientes, pues de las no muy numerosas producciones matemáticas que han sobrevivido hasta hoy, sólo disponemos de copias y compilaciones tardías a veces posteriores en varios siglos, cuando no meras traducciones.
Esto es particularmente cierto para la matemática del periodo helénico (siglos VI a IV a. C.), ya que de los escritores anteriores a Euclides no se conoce sino el fragmento, relativo a las "lúnulas" de Hipócrates, de la "historia de la matemática" de Eudemo de Rodas, que, a su vez, se conoce mediante una reproducción no muy fiel, aparecida en un comentario aristotélico de Simplicio del s. VI, es decir, de un milenio después.
De ahí que la historia de la matemática del periodo helénico haya sido reconstruida sobre la base de fuentes indirectas, informaciones dispersas en autores de la época posteriores, en especial, en los escritos de comentaristas del último período de la ciencia griega, entre los que cabe destacar el resumen histórico, que aparece en Los comentarios del libro 1 de los Elementos de Euclides de Proclo; probablemente fundado también en la "historia" de Eudemo.
Nota complementaria
Cuenta Proclo en la segunda parte del Prólogo a sus comentarios;...muchos autores informan que los egipcios fueron inventores de la geometría, que nació de la medida de los campos, necesarias debido a las crecidas del Nilo que borraban el límite entre las propiedades. Por lo demás, no ha de asombrar que haya sido una exigencia práctica la determinante de la invención de esa ciencia, pues todo lo que está sujeto a la generación procede de lo imperfecto a lo perfecto, y que es natural que se produzca una transición de la sensación al razonamiento y de este a la inteligencia. De manera que así como los fenicios, debido al intercambio y transacciones comerciales, fueron los primeros en tener un conocimiento cabal de los números, por la razón mencionada los egipcios inventaron la geometría.
El resumen histórico de Proclo
Tales que estuvo en Egipto, fue el primero que introdujo la teoría en Grecia; él mismo realizo varios descubrimientos y encamino a sus sucesores hacia sus principios; algunas cuestiones las resolvió de una manera más general; otras de una manera más intuitiva. Después de él se menciona a Mamerco, hermano del poeta Estesicoro que se interesó por la geometría, a la cual debió su fama, según cuenta Hipias de Elis.
Los siguió Pitágoras quien trasformó él estudió de la geometría en una enseñanza liberal, remontándose a los principios generales y estudiando los teoremas abstractamente y con la inteligencia pura; se le debe el descubrimiento de las figuras cósmicas. Más tarde Anaxágoras de Cazomene se ocupó de distintas cuestiones geométricas así como Enópides de Quíos, algo más joven qu.
Anaxágoras, ambos mencionados por Platón en Ricales como famosos matemáticos. Más tarde, fueron célebres en geometría Hipócrates de Cirene; Hipócrates además fue el primero que compuso Elementos.
Platón, que los sigue, dio a la geometría, como a toda la matemática, un impulso extraordinario mediante el gran interés que demostró por ella, del cual dan fe sus escritos repletos de consideraciones matemáticas, que en todo momento despiertan la admiración hacia esa ciencia de aquellos que se consagran a la filosofía.
Al mismo período pertenecen Leodema de Taso, Arquitas de Tarento y Teeteto de Atenas, que aumentaron el número de teoremas de geometría, mientras le deban una forma más científica. A Leodemas sigue Neoclides y el discípulo de éste: León, que acrecieron el saber geométrico de manera que León pudo escribir unos Elementos, muy superiores por el valor y el número de sus demostraciones. León además descubrió las distinciones que indican si un problema puede resolverse o no.
Algo más joven que León, y compañero se los discípulos de Platón, es Eudoxo de Cnido, quien aumento el número de los teoremas geométricos, agrego tres nuevas proporciones a las tres antiguas, y mediante el análisis hizo progresar lo que Platón había aprendido respecto de la sección. Amticlas de Heraclea, discípulo de Platón, y Menecmo, discípulo de Eudoxo como miembro del círculo de Platón, y su hermano Dinotrasto perfeccionaron aún más la geometría en su conjunto. Teudio de Magnesia gozó de gran renombre tanto en matemática cuanto en otra doctrina filosófica, pues coordino Elementos y generalizo muchas cosas particulares. Igualmente Ateneo de Cicico, de la misma época, se hizo célebre como matemático y en especial como geómetra. Todos ellos se congregaban en la Academia e instituyeron en común sus investigaciones. Hermotimo de Colofón desarrolló lo que había encontrado Eudoxo y Teeteto, descubrió muchas proposiciones relativas a los Elementos y se ocupó de los lugares. Filipo de Mende, discípulo de Platón e iniciado por éste en la matemática, realizó investigaciones siguiendo las indicaciones de su maestro, aunque se propuso también todas aquellas cuestiones que según su entender podían contribuir al desarrollo de la filosofía de Platón. Es hasta estos últimos que se han ocupado los historiadores que trataron el desarrollo de la geometría.
En este resumen, al lado de figuras conocidas de la filosofía y de las ciencias griegas, aparecen nombres de los cuales se tienen escasas o ninguna noticia. Faltan, en cambio, nombres importantes como el de Demócrito de Abdera, omisión que se explica en vista de la tendencia neoplatónica de Proclo. Contraria a las concepciones filosóficas de Demócrito. Pero, salvadas esta y otras lagunas, ese resumen histórico señala en líneas generales el proceso seguido por la matemática griega durante el periodo helénico.
Tales
La matemática griega comienza con el mismo nombre con que se inicia la filosofía griega: Tales de Mileto, uno de los "siete sabios de Grecia", primero a quien se dio ese nombre, no ya por su género de vida y sus preceptos con referencia a la conducta moral, sino por el hecho de estudiar los secretos de la naturaleza y hacer conocer sus investigaciones.
En efecto, Tales, como sus conciudadanos más jóvenes: Anaximandro y Anaxímenes, fue un filósofo de la naturaleza, un "fisiólogo" que por sus observaciones empíricas sobre los seres, sobre las cosas y sobre los fenómenos, en especial meteorológicos, llego a la concepción de estar todo el Universo sometido a un proceso, a una transformación continua, como si algo viviente lo habitase ("Todo está lleno de dioses"), proceso y transformación cuyo origen, causa y devenir busca ("el agua es el principio de todas las cosas, pues todo proviene del agua y todo se reduce a ella").
Como en todos los casos de los pensadores antiguos, no se dispone de Tales sino de escasas referencias debidas a comentaristas muy posteriores, pero cabe destacar que es el único entre los filósofos de Mileto a quien se atribuyen conocimientos científicos en sentido estricto: ya astronómicos, ya matemáticos.
Así, se le atribuye la predicción de un eclipse de sol que, según los astrónomos modernos, fue el del 28 de mayo de 585 a. C. (fecha esta última que, aun convencional, puede servir para fijar el nacimiento de la ciencia griega), eclipse que reviste un singular interés histórico, pues ocurrió cuando medas y lidios estaban por entrar en batalla, que el fenómeno celeste detuvo, y facilitó gestiones de paz.
Actualmente se duda de tal predicción por parte de Tales, en vista de la propia concepción cosmológica que se le atribuye, y de los conocimientos teóricos que exige, salvo que estuviera en posesión de reglas de los antiguos babilonios, lo que no es muy verosímil. Más verosímil resulta suponer que la predicción del eclipse no fue sino una atribución gratuita, consecuencia de la fama y de la popularidad alcanzadas por Tales en su condición de sabio.
Nota complementaria
Según constancias posteriores, se atribuyó a Tales la demostración de los siguientes teoremas: Todo diámetro biseca a la circunferencia. Los ángulos en la base de un triángulo isósceles son iguales. Ángulos opuestos por el vértice son iguales. Los ángulos inscritos en una semicircunferencia son rectos; y la resolución de los problemas: Determinar la distancia de una nave al puerto. Determinar la altura de una pirámide conociendo la sombra que proyecta: problemas cuya solución exigió a su vez el conocimiento de la igualdad de los triángulos que tienen dos lados y el ángulo comprendido respectivamente iguales, y la proporcionalidad de los lados homólogos de dos triángulo, semejantes.
Las contribuciones geométricas de Tales
Respecto de esta última propiedad cabe recordar que en papiros egipcios y en tablillas cuneiformes se encuentran aplicaciones numéricas de las propiedades de los triángulos semejantes, pero tales aplicaciones prácticas no presuponen el conocimiento previo de la demostración teóricas de ellas. De ahí que de atribuir alguna contribución original de Tales al respecto, debería referirse a la deducción racional de esas propiedades, pero nada de eso aparece en las referencias disponibles, donde a lo sumo se indica el método utilizado, por ejemplo, midiendo la sombra proyectada por la pirámide en el instante en que la propia sombra del operador era igual a la altura de su cuerpo. Pero aun en este caso, fundado sobre un método de comprobación intuitiva, nada prueba que Tales haya demostrado el teorema que, con frecuencia, lleva su nombre en los textos elementales de geometría, pero cuya primera demostración, nada fácil, aparece en el libro VI de los Elementos de Euclides.
Al respecto de esta inconsistencia histórica cabe citar la feliz "boutade" del matemático Félix Klein, quien recordaba que si un teorema lleva el nombre de un matemático, es seguro que este matemático no es su inventor. Tal cosa ocurre precisamente con el teorema de Tales y, puede agregarse, con el "teorema de Pitágoras"; el "binomio de Newton", el triángulo de Pascal...
Algo semejante podría decirse con respecto a las contribuciones matemáticas, o mejor geométricas, que se atribuyen a Tales y que consisten en algunas propiedades teóricas y en un par de problemas prácticos, cuyo interés reside esencialmente en que tanto unas cuanto otros se refieren a propiedades generales de rectas, igualdades entre ángulos, y semejanzas de figuras, es decir, propiedades cuya índole las distingue del conocimiento empírico de los egipcios, con el cual directa o indirectamente Tales pudo entrar en contacto.
También aquí, como en el caso de la predicción del eclipse, la atribución de conocimientos geométricos teóricos puede fundarse en la fama de la que Tales gozó en vida y que, sin duda, se trasmitió deformada a las generaciones posteriores. Más también puede dársele un sentido distinto, vinculado con la revolución intelectual que se estaba produciendo en el mundo griego en tiempos de Tales: el nacimiento de un nuevo saber.
La nota esencial de ese nuevo saber fue su acentuado carácter discursivo, su tónica racional, que en sus comienzos se manifestó meramente en los intentos de explicación de los fenómenos naturales sin acudir a causas extra-naturales, pero que pronto adquirió una sólida consistencia y logró conquistas perdurables en la rama más fecunda y más dócil a los dictados de la razón: en la matemática, mediante la demostración rigurosa de sus propiedades, traducción en su campo de la explicación de los fenómenos naturales. Y si Tales, el "primero entre los siete sabios", había sido también el primero, cronológicamente, en poner de manifiesto las exigencias de la razón en el campo, de la naturaleza mediante la "explicación racional de sus fenómenos", ¿por qué no dotarlo de igual capacidad en el campo matemático, atribuyéndole el invento de la "demostración", en vista de la similitud de los fundamentos de ambos procesos? Sean o no exagerados los méritos que, las generaciones futuras asignaron a Tales, es indudable que termina con él una etapa en la marcha del saber: la etapa pre- científica, para iniciarse el período del saber crítico, objetivo, científico.
Varios factores contribuyeron al advenimiento de esta especial conciencia científica que ante todo significó una liberación, aún no total, de la maraña de elementos extra-científicos que envolvían al saber oriental. Por un lado, el carácter del pueblo griego, pueblo de legisladores y de colonizadores que, en contacto con pueblos orientales de larga tradición cultural, heredaron de ellos lo que ofrecían más objetivo: el saber. Ese pueblo disponía además de un idioma que una estupenda tradición literaria, casi familiar, había tornado bastante flexible como para permitirle lanzarse a nuevas aventuras. Si en esa tradición figuraba un poeta épico como Homero, también incluía un poeta más didáctico como Hesíodo y, por tanto, más afín con el saber.
También pudo haber contribuido al movimiento de libación la índole especial de la religión griega, con su antropomorfismo y la vinculación de sus mitos, dioses y cultos con fenómenos naturales, así como los juegos olímpicos, que se inician en el siglo VIII a. C. en los que lo colectivo, representado por sus facetas religiosas y nacionales, se combina con lo individual, encarnado en el reconocimiento de los propios méritos y en la libertad y valores personales.
Por último, cabe acentuar el carácter especial de la cuna del nuevo saber: la ciudad de Mileto, nudo de rutas comerciales y floreciente mercado, ubicada en las costas de una región como el Asia Menor, rica en razas y culturas diferentes; factores todos que permitieron a los milesios ponerse en contacto con pueblos y problemas diversos que estimularon su actividad intelectual.
Los pitagóricos
El juego de la razón y la índole del ente primordial capaz de engendrar todas las cosas, son los fundamentos que caracterizan a las corrientes filosóficas que alimentan el pensamiento helénico.
En cierto sentido diríase que la geografía influyó en esas corrientes. Mientras que de las colonias de Asia Menor provienen los "fisiólogos" con su acentuada tendencia hacia "la naturaleza de las cosas", fincada en entes de consistencia natural: agua, aire, fuego...; de las colonias itálicas provendrá una corriente más mística con un ente primordial de naturaleza ambivalente, como habitante de dos mundos: del mundo de la razón y del mundo de las cosas. Ese nuevo ente fue el número y sus artífices fueron los pitagóricos o itálicos.
Si las figuras de los fisiólogos son legendarias, también lo es y quizá con mayor razón la de Pitágoras, filósofo que habría vivido a lo largo de gran parte del siglo VI a. C. y cuya vida y doctrinas han sido deformadas por la atmósfera mística que las envolvió, contribuyendo sin duda a esa deformación la imposición del secreto y del silencio místicos que regían en la escuela que había fundado Pitágoras, en especial, en lo referente a los conocimientos.
Pitágoras y su escuela pertenecen por igual a la ciencia y a la filosofía, a la mística y a la política; pues Pitágoras no fue sólo un filósofo, sino también un sacerdote de ritos arcaicos y hasta un político, pues fueron las luchas políticas de mediado, del siglo V a. C. las que provocaron la destrucción de la escuela fundada por Pitágoras en Crotona (Italia) y la emigración de los pitagóricos y de sus doctrinas a la metrópoli, donde hacia esa época comenzaron a difundirse.
No es fácil reconstruir el camino que del misticismo pitagórico condujo a las verdades matemáticas. Se ha querido ver una influencia del orfismo y del poder especial que ese mito otorgaba a la música, así como a la vinculación existente entre la armonía musical y la armonía reflejada en los números, vinculación fortalecida por el descubrimiento que se atribuye a Pitágoras de la relación simple entre las longitudes de las cuerdas de la lira y los acordes de los sonidos emitidos por sus vibraciones. En efecto, cuando la longitud de la cuerda se reducía a la mitad, es decir, en la relación 1:2, se obtenía la octava; si en cambio las relaciones eran 3:4 ó 2:3 se obtenían, respectivamente, la cuarta y la quinta. Si se agrega que en estas relaciones simples aparecen los cuatro primeros dígitos 1, 2, 3, 4, que a su vez dispuestos en forma de pila dibujaban el triángulo equilátero; y que su suma era 10, número místico con propiedades geométricas (por ejemplo, el número de caras y aristas del tetraedro), etcétera, se explica cómo esta combinación de sonidos, números y figuras convirtió al número en "esencia de todas las cosas”.
Aristóteles, que prefiere hablar de pitagóricos, no de Pitágoras, expone de esta manera esa conclusión: "Los así llamados pitagóricos, habiéndose aplicado a la matemática fueron los primeros en hacerla progresar, y nutridos de ella creyeron que su principio fuera el de todas las cosas. Ya que los números por su naturaleza son los primeros que se presentan en ella, les pareció observar en los números semejanzas con los seres y con los fenómenos, mucho más que en el fuego, o en la tierra o en el agua (por ejemplo, tal determinación de los números les parecía que era la justicia, tal otra el alma o la razón, aquella otra la oportunidad y, por así decir, análogamente toda otra cosa), y como también veían en los números las determinaciones y las proporciones de las armonías y como, por otra parte, les parecía que toda la naturaleza estaba por lo demás hecha a imagen de los números, y que los números son los primeros en la naturaleza, supusieron que los elementos de los números fuesen los elementos de todos los seres y que el universo entero fuese armonía y número. Y todas las concordancias que podían demostrar en los números y en las armonías con las condiciones y partes del universo y con su ordenación total, las recogieron y coordinaron".
Es posible que un primer resultado de tal coordinación y ordenación, fuera el advenimiento de la matemática, como ciencia, a la sombra de tal concepción metafísica y aliado de tal mística de los números. Por lo menos esto es lo que se deduciría de la frase de Proclo al afirmar que Pitágoras "transformó el estudio de la geometría en una enseñanza liberal remontándose a los principios generales y estudiando los teoremas abstractamente y con la inteligencia pura ..." De ser así, sería mérito de Pitágoras o de los pitagóricos el de haber convertido el conjunto de los conocimientos matemáticos en una estructura racional deductiva, con la introducción de la demostración como recurso característico de la matemática como ciencia.
En cuanto al tratamiento de esta disciplina en la escuela pitagórica, se dispone de algunos datos, aunque por comentaristas tardíos como San Hipólito del siglo III, quien refiere que en la secta pitagórica los adeptos se distinguían en novicios y en iniciados, Los primeros sólo podían escuchar y callar (exotéricos o acústicos), mientras que los segundos (esotéricos o matemáticos), podían hablar y expresar lo que pensaban acerca de las cuestiones científicas de las que se ocupaba la escuela. De ahí que sea probable que se deba a los pitagóricos el nombre de la nueva ciencia: matemática (de mathemata = ciencias) que significa algo que puede aprenderse.
Nota complementaria
Dejando de lado todos los fantásticos atributos que los pitagóricos concedían a ciertos números, consideremos algunos resultados positivos que se atribuyen a los pitagóricos en el campo de la aritmética. Por lo pronto, se les debe la distinción entre la aritmética como ciencia o teoría de los números y la logística como arte o práctica de cálculo, separando netamente los números abstractos, esencia de las cosas, de las cantidades concretas, que el hombre maneja en sus transacciones comerciales y en los menesteres ordinarios de la vida. También se les debe la clasificación de los números en vista de sus propiedades aritméticas: pares e impares, perfectos, amigos.
La aritmética pitagórica
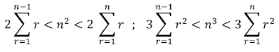
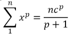
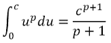
Nuestro léxico actual conserva reminiscencias pitagóricas; las palabras cuadrado y cubo mantienen su doble acepción de número y de figura en inglés figure es también cifra. En cambio expresiones de indudable origen pitagórico como las de los "números figurados": triangulares, pentagonales, poligonales,... no conservan sino un interés histórico, aunque ha sido esta aritmogeometría de los números figurados el origen de las primeras propiedades de la teoría de números.Véase en la figura siguiente un número de puntos rectangular tal que el número de un lado (la altura) supera en una unidad al otro (la base). Si se descompone en escuadras de carpintero, en la forma indicada por la figura, cada escuadra, o gnomon según la nomenclatura griega, contiene un número par, de ahí la propiedad: la suma de los primeros n números pares sucesivos es el producto de este número por el sucesivo. Si se supone eliminada la fila inferior, el rectángulo se convierte en un cuadrado y cada gnomon contiene ahora un número impar, de ahí la propiedad: la suma de los primeros n números impares es el cuadrado n2 de ese número. Por último, si se supone bifurcado el número rectangular por la línea de puntos, cada mitad se convierte en un número triangular y de ahí la propiedad: la suma de los primeros n números sucesivos es el semiproducto de ese número por el sucesivo. En la figura n = 6, de ahí que la suma de los primeros seis pares es n ( n+1) = 42; la suma de los primeros seis impares es n2= 36 ; y la suma de los primeros seis sucesivos es 1/2 n (n +1) = 21.
También se atribuye a los pitagóricos el conocimiento de las tres medias: aritmética, geométrica y armónica. Esta última designación, resto fósil de las contribuciones de los pitagóricos que aún se emplea en matemática, proviene de que las razones que caracterizan la octava, la quinta y la cuarta musicales pueden formarse con la terna 6, 8, 12 que constituye una terna en progresión armónica. Con nuestros símbolos si, c y h son, respectivamente, las medias aritmética y armónica de los números a y b, serác - a = b - c; (h - a):a = (b - h) : b
o seac= 1/2(a + b) y h =2ab: ( a + b).
Por otra parte, se atribuye a los pitagóricos la llamada proporción musical (que según una referencia Pitágoras habría traído de Babilonia), que expresa a:c = h:b, o con nuestro léxico: la media geométrica de dos números es la media geométrica de sus medias aritmética y armónica.
También informa San Hipólito acerca de su contenido al decir que los pitagóricos mezclaban astronomía y geometría, aritmética y música. Proclo, un par de siglos después, es más explícito al expresar que los pitagóricos distinguían en la matemática cuatro ramas: la aritmética (de aritmein = contar) que consideraba al número en sí, debiéndose entender por número, entre los griegos, nuestros números enteros y faccionarios positivos; la geometría, que consideraba la cantidad ya no discreta sino continua pero también en sí, perdiendo así en consecuencia la palabra "geometría” su antiguo sentido etimológico de "medir la tierra"; la música, como estudio de la cantidad discreta, pero no en sí sino en sus relaciones mutuas; y la astronomía, como estudio de la cantidad continua, no en sí sino en movimiento.
Nota complementaria
Dos tendencias presiden la geometría de los pitagóricos: por un lado, el sentido de armonía universal que campea en su metafísica y, por el otro, la preocupación casi exclusiva por el estudio de las propiedades de figuras concretas, planas o sólidas, probable herencia de conocimientos orientales pero ahora, claro es, amasados con el método deductivo.
La geometría de los pitagóricos.
De tal combinación surge la preferencia que se advierte en la geometría pitagórica por los polígonos y poliedros regulares. Así es de origen pitagórico el teorema que enumera las escasas posibilidades (triángulos, cuadrados, hexágonos) de llenar un área con polígonos regulares. En cambio, la construcción geométrica de esos polígonos exige mayores conocimientos. Si bien tal construcción es muy sencilla cuando se trata del cuadrado y del hexágono: y de los infinitos polígonos que derivan de ellos, la cosa no es tan simple cuando se trata del pentágono. Se sabe, por comentaristas muy posteriores, que los pitagóricos utilizaban, como símbolo de reconocimiento de la secta, un pentágono cóncavo: la estrella de cinco puntas que es un pentágono regular, cuya construcción por tanto conocían. Esa construcción es un caso particular de un grupo de problemas, característicos de la geometría griega, llamados de "aplicación de áreas" y precisamente se sabe por referencias de Proclo que el aristotélico Eudemo de Rodas atribuía a los pitagóricos el descubrimiento y conocimiento de ese tipo de problemas. Pero hoy sabemos algo más pues, en virtud de los conocimientos matemáticos revelados por las tablillas cuneiformes descifradas en este siglo, se comprueba (que muchos problemas numéricos resueltos por los matemáticos babilonios no son sino la contraparte algebraica de los problemas de "aplicación de áreas", circunstancia que pone de relieve una vinculación, sobre la base efectiva de la naturaleza de los problemas, entre la matemática de los babilonios y la de los pitagóricos.
Un ejemplo típico es el problema de dividir un segmento en media y extrema razón, que encierra la posibilidad de la construcción del pentágono regular. Se trata de dividir un segmento dado en dos partes de manera tal que el cuadrado construido sobre la parte mayor sea equivalente al rectángulo cuyos lados son el segmento dado y la parte menor. Una simple transformación de figuras permite reducir el problema a la determinación de un rectángulo conociendo su área y la diferencia entre sus lados, problema que traducido aritméticamente consiste en determinar dos números conociendo su producto y su diferencia, típico problema del álgebra de los babilonios.
En cuanto al conocimiento y construcción de los poliedros regulares parece natural que los pitagóricos se interesaran por estos cuerpos simétricos y "armoniosos"; interés que se trasmitió a Platón proporcionándole las bases materiales de su cosmogonía, como lo revela la denominación de cuerpos platónicos que se ha dado a los poliedros regulares, aunque en un "escolio" del último libro de los Elementos de Euclides se agrega que estos "cuerpos” no se deben a Platón, pues tres de ellos: el cubo, el tetraedro y el dodecaedro se deben a los pitagóricos, mientras que el octaedro y el icosaedro se deben a Teeteto. De todas maneras los poliedros regulares, todos o no, constituyeron uno de los temas de la geometría pitagórica.
Ya hicimos referencia al llamado "teorema de Pitágoras" que los babilónicos conocían, así como su consecuencia numérica: la ley general de formación de los "tripletes pitagóricos". Es posible que los pitagóricos demostraran el teorema, probablemente por descomposición de figuras, aunque en el estudio de los "triplete” no lograron la generalidad de los babilonios.
Nota complementaria
Después del desciframiento de las tablillas de los babilonios de este siglo, es sabido que los babilonios no sólo conocieron el "teorema de Pitágoras", que aplicaron en la resolución de problemas, sino que tuvieron también un conocimiento completo de los “tripletes pitagóricos", es decir, de la solución en números enteros de la llamada ecuación pitagórica: x2 + y2 = z2. No obstante, puede aún mantenerse la opinión del historiador de la matemática Zeuthen, quien sostuvo que ese teorema constituyó el origen de la geometría racional en la escuela pitagórica y que las deducciones que paulatinamente fue realizando la escuela tuvieron por objeto lograr una demostración general del teorema, advertida su verdad en casos particulares.
El teorema de Pitágoras y la ecuación pitagórica
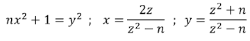
En cuanto a la ecuación pitagórica se atribuye a la escuela la solución particularx = 1/2 (n2 - 1);
y = n;
z = 1/2(n2 + l);
con n impar, solución que probablemente dedujeron de la propiedad conocida de ser todo número impar diferencia de dos cuadrados, de manera que si, a su vez, ese impar es un cuadrado, queda satisfecha la ecuación.
Fue el conocimiento de un caso particular del teorema de Pitágoras, quien aportó una consecuencia importante para el destino de la secta cuando no de la matemática toda: el "descubrimiento de los irracionales", es decir, el descubrimiento de pares de cantidades diferentes, tales que la mayor no es múltiplo de la menor ni múltiplo de una parte de la menor; y por tanto cuya razón no resulta expresable mediante un número entero ni fraccionario. Si se piensa que los griegos no conocieron otra clase de números y que la matemática pitagórica exigía que el número era la esencia de todas las cosas, se explica que para los pitagóricos aquellas cosas simplemente no existían; el hecho de presentarse en figuras consideradas perfectas, como el cuadrado o muy simples, como el triángulo rectángulo isósceles, así como el carácter tajante y categórico de la demostración que probablemente se desarrolló en el seno de la escuela, tornaron aún más desconcertante el descubrimiento; el hecho es que varias leyendas rodean al suceso, y el secreto se impuso al descubrimiento.
Nota complementaria
La demostración que trae Aristóteles en uno de sus escritos alude al descubrimiento de la irracionalidad del número que hoy expresamos como √2. En efecto, un caso particular del teorema de Pitágoras muy fácil de demostrar independientemente del caso general, comprobaba que el cuadrado construido sobre la hipotenusa de un triángulo rectángulo isósceles era el doble del cuadrado construido sobre cualquiera de los dos catetos. Era claro que la hipotenusa no podía ser múltiplo del cateto, pues era mayor que él, pero menor que su doble, de ahí (que la razón entre la hipotenusa y el cateto debía ser un múltiplo m de la parte n2 del cateto, siendo m y n números primos entre sí y, por tanto, no podían ser ambos, pares. Ahora bien, de la propiedad que hoy expresaríamos m2 = 2n2 es fácil deducir que m, por contener el factor 2, debe ser par, también lo ha de ser entonces su cuadrado y por contener este el factor 4, n2 ha de contener el factor 2 y, por tanto, también n, ha de ser par, luego n y m son ambos pares, contradicción que implicaba la inexistencia de m y n.
El descubrimiento de los Irracionales
Una visión de conjunto de las contribuciones matemáticas que se atribuyen a los pitagóricos produce una impresión más bien extraña, en vista de que las contribuciones más importantes y numerosas son geométricas, mientras que las contribuciones aritméticas son pobres y escasas, hecho de visos más bien paradójicos si se piensa en la concepción pitagórica de la omnipotencia del número, esencia de todas las cosas.
Una solución de esta aparente contradicción ha sido dada últimamente como consecuencia del desciframiento de las tablillas cuneiformes de este siglo. En efecto, según Neugebauer "lo que se llama pitagórico en la tradición griega debería probablemente ser llamado babilonio", pues los pitagóricos habrán bebido sus conocimientos matemáticos en la aritmética y en el álgebra de los babilonios, pero es natural que imprimieran a esos conocimientos su propio estilo, es decir "el carácter específicamente griego", como se expresa Van der Waerden, anteponiendo al mero carácter operativo e instrumental de los babilonios el rigor lógico y la demostración matemática. Y fue en esa tarea, que el comienzo no encontraría contradicción con la propia metafísica, cuando chocaron con el "escándalo de los irracionales", que los obligó a torcer el rumbo de sus investigaciones abandonando el campo de la aritmética donde los irracionales cerraban el paso a todo proceso, y transformando las consideraciones aritméticas y algebraicas en cuestiones de índole geométrica.
Los eleatas
El siglo V a. C. fue el gran siglo griego, el "siglo de Pericles”, el siglo del auge de las artes plásticas y literarias, de la música y del teatro, el siglo en el cual la filosofía, superado el empirismo de los fisiólogos y el misticismo de los pitagóricos, se dirige hacia los problemas que han de constituir sus futuros temas de investigación: los problemas lógicos, la metafísica, la teoría del conocimiento, la ética; temas que en buena medida se vinculan con la matemática, primer esfuerzo científico concreto de los griegos.
La primera figura, cronológicamente, de la filosofía griega del siglo V es Parménides de Elea, que se habría formado en la escuela de esa colonia italiana: aunque una antigua leyenda asegura que Parménides fue instruido por un pitagórico.
Con Parménides se presenta un nuevo protagonista en el pensamiento reflexivo: es el juego de la razón con el proceso dialéctico del pensar, surgiendo como primer producto de ese proceso la distinción entre la apariencia y la esencia de las cosas. Según Parménides, frente a la realidad sensible que percibimos, cambiante y efímera, existe la realidad eterna, inmutable e inmóvil del ser. La ciencia ha de buscar esa realidad detrás de las apariencias del mundo de los sentidos y distinguir la verdad (el ser] de la opinión (el no ser). Sin duda que en su poema Sobre la naturaleza, exento en tono profético y alegórico, Parménides no señala el camino para llegar a la verdad, pero no es menos indudable que con él se inicia la crítica del conocimiento y se introduce en la construcción científica un rigor lógico que busca y trata de encontrarlo en el poder racional del hombre, el carácter de permanencia que otorga al conocimiento su esencia, su objetividad, y en su discípulo Zenón de Elea puede advertirse con qué eficacia se esgrime ese poder mediante sus clásicos argumentos en contra de la pluralidad y del movimiento, argumentos de tinte paradójico que se han interpretado como críticas dirigidas a las concepciones pitagóricas, al denunciar los absurdos que implicaba la concepción de los cuerpos como suma de puntos, del tiempo como suma de instantes, del movimiento como suma de pasajes de un lugar a otro.
Nota complementaria
La importancia matemática de los argumentos de Zenón no reside sólo en el concreto significado matemático que algunos de ellos poseen, sino en el hecho de que, al tomar como blanco de sus ataques la concepción pitagórica y en especial los conceptos matemáticos en ella implicados, ha contribuido a forjar la concepción racional de los entes geométricos fundamentales, tal como se presentará más adelante.
Los argumentos de Zenón
Así, en sus argumentos en contra de la pluralidad refuta la hipótesis de estar compuestas las magnitudes geométricas de elementos indivisibles y extensos. En efecto, tal hipótesis conduce a un absurdo pues si algo está compuesto de elementos indivisibles, éstos no tienen extensión y un conjunto de elementos inextensos, por grande que sea su número, no puede dar sino una cantidad inextensa, es decir, nula. Por otra parte, las unidades que componen toda pluralidad deben estar separadas entre sí por algo, entre este algo y la unidad anterior debe haber a su vez otro algo (el vacío no existe), y así sucesivamente, de manera que un conjunto de infinitos elementos no puede dar sino una cantidad infinita. Luego toda pluralidad es nula e infinita al mismo tiempo.
También los cuatro argumentos en contra del movimiento: la dicotomía, el Aquiles, la flecha en el aire y el estadio, van dirigidos a combatir la tesis de los pitagóricos. Veamos el Aquiles, que es el argumento de contornos más dramáticos. Aquiles, "el de los pies ligeros", no alcanzará la lenta tortuga, por escasa que sea la distancia con la que la tortuga precede al corredor. Pues, cuando Aquiles ha recorrido esa distancia y llega donde estaba la tortuga, ésta estará en un lugar algo más adelante; cuando Aquiles llegue a ese lugar la tortuga habrá avanzado otro poco y así sucesivamente. De ahí que la conclusión es evidentemente absurda: de suponer finito el número de lugares, Aquiles no alcanzará jamás a la tortuga, de suponerlo infinito, el lugar del encuentro existe, pero más allá de esos infinitos lugares.
Los dos argumentos anteriores, así como algún otro, aluden a la divisibilidad infinita de las cantidades y ponen por tanto en evidencia el peligro que entrañaba el manejo poco cuidadoso de un concepto tan vago y riesgoso como el infinito, de ahí que sea probable que otra de las consecuencias indirectas de las críticas de Zenón fuera esa característica de los matemáticos griegos posteriores de tratar de eliminar o de reprimir el infinito de su ciencia.
Las críticas de Zenón no dejaron de tener influencia en el desarrollo ulterior de la matemática. Por lo pronto, introduce la continuidad, como una de las notas del ser, y elimina así la discontinuidad que había procurado a los pitagóricos "el escándalo de los irracionales". Por lo demás, la dicotomía del ser y no ser sienta las bases del principio lógico de “no contradicción" de perdurables consecuencias en el proceso discursivo, en especial en la matemática donde dará lugar a un recurso de demostración: el método de reducción al absurdo.
La matemática del siglo V
En el siglo V a. C. la matemática aún no se había sistematizado. No obstante, la labor de los pitagóricos había dejado dos saldos importantes, uno de carácter general: la exigencia de la demostración, y otro de carácter circunstancial: la consagración casi exclusiva de los matemáticos a las investigaciones geométricas.
De ahí que los matemáticos del siglo V se dedicaron a la búsqueda de nuevas propiedades de las figuras, ya de carácter general; nuestros teoremas, ya de carácter particular; nuestras construcciones, que deben considerarse como "teoremas de existencia" pues para los antiguos construir una figura, partiendo de elementos dados y con propiedades prefijadas, era demostrar que tal figura existe o, lo que es lo mismo, deducir su existencia de propiedades conocidas.
Como las primeras figuras de las que partieron los griegos fueron la recta y la circunferencia, todas las proposiciones geométricas fueran teoremas o construcciones, debían fundarse sobre esas dos figuras y sus relaciones y conexiones mutuas.
Por su parte, y ésta es otra de las características de la matemática del siglo, muchas de esas nuevas propiedades fueron logradas mediante la búsqueda y la persecución de algunos problemas particulares que, a manera de polos atrajeron la atención de los matemáticos. Esos problemas, hoy llamados "los problemas clásicos de la geometría", fueron tres: la trisección del ángulo, la duplicación del cubo y la cuadratura del círculo.
La división de un ángulo cualquiera en tres partes iguales
mediante construcciones con rectas y circunferencias o, como suele también decirse, con regla y compás, es un problema que ha de haber nacido naturalmente y si llamó la atención fue seguramente por la desconcertante discrepancia entre la sencillez de sus términos y la imposibilidad de resolverlo con regla y compás; imposibilidad tanto más llamativa cuanto con esos medios podía dividirse un ángulo cualquiera en 2, 4, 8,... partes, mientras que podían trisecarse ángulos especiales, como el recto y sus múltiplos. Es posible, además, que la construcción de los polígonos regulares contribuyera a aumentar el interés por el problema, pues así como la bisección de un ángulo permitía construir un polígono de doble número de lados de otro dado, la trisección hubiera permitido la de un polígono de triple número de lados.
Sin embargo, todos los intentos de los matemáticos griegos para resolver el problema, en general, resultaron infructuosos cuando se pretendía utilizar las propiedades de una geometría fundada exclusivamente en las rectas y circunferencias y sus intersecciones, mientras que la cosa resultaba factible cuando a esa geometría se agregaban nuevas líneas o se admitían nuevas posibilidades entre las líneas conocidas.
Nota complementaria
Los griegos denominaban "inserción" a una relación entre figuras que consistía en admitir que dadas dos transversales en general, y un punto fijos, siempre existe una recta que pasa por el punto fijo y tal que sus intersecciones con las transversales determinan un segmento de longitud prefijada. Con la inserción, postulada como una construcción posible más, el campo de la resolubilidad de los problemas geométricos se amplía (la inserción presupone la resolución de una ecuación de cuarto grado] si las transversales son rectas.
Una trisección por "inserción".Por ejemplo, añadida la inserción, la trisección del ángulo es posible con regla y compás, Sea AVB el ángulo a trisecar. Por un punto M de AV se trazan MP y MQ perpendicular y paralela respectivamente a VB; la rectaVC que por inserción determina entre MP y MQ un segmento RS doble del VM, biseca el ángulo dado, pues el ángulo CVB es mitad del A VC. Basta para comprobarlo unir el punto medio O de RS con M y considerar los ángulos de los triángulos isósceles MOS y VOM.
El problema de la duplicación del cubo
Determinar geométricamente el lado de un cubo de volumen doble del de un cubo de lado dado, ofrece otro cariz. Por lo pronto, varias leyendas le atribuyen un origen extra-matemático. Una de ellas refiere que consultado el oráculo de Delfos a fin de aplacar una peste, habría aconsejado duplicar el ara de Apolo que era cúbica, de ahí el nombre de "problema de Délos" con que a veces se lo designa. Pero es posible que también en este caso su origen fuera geométrico, como natural generalización del problema de la duplicación del cuadrado, de fácil solución, sin más que tomar la diagonal como lado del cuadrado doble. Pero al trasladar el problema del plano al espacio, todos los intentos de resolver el problema con los medios ordinarios de la geometría resultaron vanos.
En cuanto al problema de la cuadratura del círculo, surgió sin duda de la exigencia práctica de determinar el área de un círculo conociendo su radio o su diámetro, y traduciéndose geométricamente en un problema de equivalencia: dado un segmento como radio de un círculo, determinar otro segmento como lado del cuadrado equivalente.
Los pitagóricos habían resuelto el problema de la "cuadratura de los polígonos", pero al pasar de los polígonos al círculo, el proceso resultaba inaplicable y, al igual que en los otros dos problemas clásicos, los intentos de "cuadrar el círculo", sin acudir a recursos especiales, resultaron infructuosos.
Son interesantes los intentos que en este sentido realizaron los sofistas Antifón y Brisón. El primero parte de la propiedad: es siempre posible, dado un polígono inscrito en un círculo, construir otro de doble número de lados, agregando que si el número de lados aumenta, el polígono se aproxima cada vez más al círculo; llegando a la conclusión de que, al ser todos los polígonos cuadrables, lo será en definitiva también el círculo, conclusión final falsa, pues, como ya observó Aristóteles, por grande que sea el número de lados, el polígono jamás llenará el círculo. Brisón, por su parte, agregó a estas consideraciones las análogas referentes a los polígonos circunscritos, mostrando cómo las dos series de polígonos estrechan cada vez más al círculo, cuya área estará siempre comprendida entre la de dos polígonos: uno inscrito y otro circunscrito. Si Brisón llegó hasta aquí, aún sin resolver el problema, habría señalado la senda por la cual más tarde Arquímedes logrará notables resultados, pero si, como se dice, agregó que el área del círculo es media proporcional entre la de los cuadrados inscrito y circunscrito, habría entonces cometido un error bastante grosero, aproximadamente del 10 %.
Con los problemas de Délos y de la cuadratura del círculo se vincula la figura de Hipócrates de Quíos, el primer matemático "profesional", quien habiendo llegado a Atenas en la primera mitad del siglo por razones nada científicas, se interesó por la matemática y, siguiendo una probable tradición de mercader, enseñó esa ciencia por dinero a la manera de los sofistas.
Nota complementaria
La historia de este problema aparece brevemente expuesta en una carta que Eratóstenes (s. III a. C.) envió a Ptolomeo III con una solución propia y un instrumento con el cual se llevaba a cabo prácticamente esa solución. La primera parte de esa carta expresa: "Se cuenta que uno de los antiguos poetas trágicos" hiciese aparecer en escena al rey Minos en el acto de ordenar la construcción de una tumba para su hijo Glauco, y advirtiendo que la tumba tenía en cada uno de sus lados una longitud de cien pies, exclamó: "Escaso espacio en verdad concedéis a un sepulcro real, duplicadlo, Conservando siempre la forma cúbica, duplicad de inmediato a cada uno de sus lados". Es evidente que en esto se engañaba, puesto que duplicando los lados de una figura plana, ésta se cuadruplica mientras que si es sólida se octuplica. Se agitó entonces entre los geómetras la cuestión de cómo podía duplicarse una figura sólida cualquiera, manteniendo su especie. Y este problema se llamó de la duplicación del cubo. Después de muchos titubeos, fue Hipócrates de Quíos el primero que encontró que si entre dos rectas una doble de la otra se insertan dos medias proporcionales se duplicará el cubo, con lo que convirtió una dificultad en otra no menor. En efecto, aun reducido a un problema de geometría plana, no pudo resolverse por medio de recursos elementales. Mas, es posible que más adelante esa reducción no agradara a Platón, que criticaba a los geómetras griegos por su escasa dedicación a la geometría del espacio.
El problema del mesolabio
El razonamiento que condujo a Hipócrates a esa reducción pudo ser el siguiente: si los volúmenes de cuatro cubos están en progresión geométrica de razón 2, el cuarto cubo tiene el lado doble del lado del primero, mientras que el segundo cubo es de volumen doble del primero; y como al estar una serie de cubos en progresión geométrica, también lo están en sus lados, resulta en definitiva que si se intercalan dos medias proporcionales entre dos segmentos, uno doble del otro, la primera de esas medias resolvía el problema de Délos. Más tarde se eliminó tal limitación y con el nombre de "problema del mesolabio" se conoció el problema de intercalar dos segmentos medios proporcionales entre dos segmentos dados; es decir, dados a y b, determinar geométricamente dos segmentos x e y tales quea : x:: x: y:: y : b de donde x2 = a2b; y3 = ab2. Cuandob = 2a, x3 = 2a3, se cae en el problema de Délos.
Las contribuciones de Hipócrates son importantes; en el problema de la duplicación del cubo redujo la cuestión a un problema de geometría plana que, generalizado, tomó el nombre de "problema del mesolabio", mientras que, sin lograr cuadrar el círculo, logró cuadrar recintos limitados por arcos de círculos, aparentemente más complicados que el círculo, que por su forma de luna creciente se los llamó "lúnulas de Hipócrates".
Nota complementaria
La contribución de Hipócrates al problema de la cuadratura del círculo es más importante, no sólo porque la cuadratura de las lúnulas es un aporte positivo, sino también por el cúmulo de propiedades geométricas que tal aporte entrañaba que, por lo demás, proporciona una medida de los conocimientos de la época.
Las lúnulas de Hipócrates
En la cuadratura de las lúnulas, Hipócrates utiliza la proporcionalidad entre los círculos y los cuadrados de sus diámetros, que probablemente admitió intuitivamente como extensión de la propiedad, sin duda conocida, de la proporcionalidad entre polígonos semejantes y los cuadrados de los lados homólogos. En efecto, la demostración rigurosa, por parte de los griegos, de aquella propiedad exigió la introducción de un nuevo método, el de exhaución, que no aparecerá hasta el siglo siguiente.Ya dijimos que el fragmento relativo a las lúnulas es el fragmento matemático más antiguo que se conoce, de ahí que probablemente estemos en condiciones de conocer el proceso que originariamente siguió Hipócrates en su investigación. Resumiendo el fragmento, digamos que Hipócrates logra cuadrar tres lúnulas, la más simple de las cuales se obtiene considerando en el semicírculo ACBA los segmentos circulares semejantes S y s de cuerdas AB y AC.Si indicamos con L la lúnula ACBDA y conT el triángulo ABC se comprueba que L + S - T + 2s, pero, en virtud de la proporcionalidad aludida, S = 2s, de donde L = T: la lúnula es equivalente al triángulo y, por tanto, al cuadrado de lado 1/2 AB.
Mientras que en esta primera lúnula la razón de los cuadrados de las cuerdas homologas es 2, en las otras dos lúnulas de Hipócrates, algo más complicadas, esa razón es 3/2 y 3. (Modernamente se ha comprobado que existen otras dos lúnulas cuadrables en las cuales esa razón es 5/3 y 5.)
Agreguemos que algunas curvas o recursos especiales que permitían resolver uno de los problemas clásicos también a veces resolvía otro de ellos, hecho que revelaba alguna relación entre esos problemas que permaneció siempre oculta a los matemáticos griegos. Un caso interesante lo ofrece una curva inventada por el sofista Hipias, que permitía resolver la trisección o, mejor, la multisección del ángulo y que más tarde se comprobó que permitía resolver también el problema de la cuadratura del círculo, razón por la cual se la conoció desde entonces como la "cuadratriz de Hipias".
Nota complementaria
Esta curva que fue la primera definida cinemáticamente, puede, por esa misma definición, construirse por puntos. Sea un segmento AB que gira alrededor de A con un movimiento uniforme de rotación, mientras que al mismo tiempo el segmento igual BC se traslada paralelamente a sí mismo con un movimiento uniforme de traslación de manera que ambos segmentos coinciden en AD. La intersección en cada instante de las posiciones AE y FG de los dos segmentos móviles, determinan un punto M de la cuadratriz BMN (los griegos no consideraron sino la parte de la curva comprendida en el cuadrante BAD).Como el ángulo BAE es proporcional al segmento BF, es fácil comprender cómo esta curva permite dividir un ángulo en un número cualquiera de partes iguales, sin más que dividir el segmento proporcional en ese número de partes; y es así cómo Hipias resolvió con esta curva el problema de la trisección del ángulo.
La cuadratriz de Hipias
Sin embargo, esta curva ha llegado a nosotros con el nombre de "cuadratriz de Hipias" porque resuelve el problema de la cuadratura del círculo. Aunque esto no se advirtió sino un par de siglos después que Hipias imaginara la curva, puede tener interés desde ya exponer la justificación del nombre. La clave está en el punto N donde la curva corta a AD, y que no puede obtenerse como los demás puntos de la curva, pues en esta posición final ambos segmentos móviles coinciden y, por tanto, no tienen punto de intersección. Pero en el siglo V el matemático Dinostrato por el método de exhaución demostró que el segmento AB es medio proporcional entreAN y la longitud del arco de cuadranteBED, de manera que mediante este segmento AN era posible rectificar la circunferencia o. El último paso lo dará Arquímedes al demostrar cómo se podía pasar, con regla y compás, de la circunferencia rectificada a la cuadratura del círculo de manera que desde entonces quedó justificado el nombre de la curva inventada dos siglos antes por Hipias.
Por último, mencionemos a otro matemático del siglo V, el maestro de Platón: Teodoro de Cirene, a quien se atribuye la demostración de la inconmensurabilidad de una serie de segmentos, cuyas medidas son las raíces cuadradas de los primeros números no cuadrados hasta el 17 inclusive.
La Academia y el Liceo
En el siglo IV a. C. las dos escuelas filosóficas más importantes de Atenas: la Academia fundada por Platón en 387 a. C., y el Liceo de Aristóteles que éste funda en 335, ejercerán en distinta medida su influencia en el desarrollo de la matemática del siglo.
La influencia de Platón y de la Academia fue singularmente notable. Esa influencia, favorecida por la índole especial de la teoría de las ideas y la teoría del conocimiento de Platón, se ejerció ya por el papel asignado a la matemática en la propia concepción filosófica y en la construcción del mundo, ya por las contribuciones técnicas aportadas por Platón o que se le atribuyen y por los matemáticos del círculo platónico o vinculados con él.
El valor de la matemática como propedéutica en la formación del filósofo y la concepción de los entes matemáticos como intermediarios entre el mundo de las ideas y el mundo de las cosas, justificarían la clásica frase que Platón habría estampado en el pórtico de la Academia, impidiendo su ingreso a los ignorantes en geometría.
Por su parte, en el Timeo. Platón, influido por el pitagorismo, mostrará el papel que asigna a la matemática en la construcción del mundo, en la que el Demiurgo hace intervenir de manera especial los antiguos cuatro elementos: fuego, aire, agua, tierra, vinculados a su vez con los poliedros regulares, al hacerlos corresponder, respectivamente, con el tetraedro, octaedro, icosaedro y cubo. Como, con excepción del cubo, las caras de los otros tres poliedros son triángulos equiláteros y, por tanto, semejantes, los elementos respectivos: fuego, aire, agua, podrán transformarse entre sí, no así en tierra, pues las caras del cubo son cuadrados que no pueden descomponerse en triángulos equiláteros sino en triángulos rectángulos isósceles. Estos triángulos y la mitad de los equiláteros son triángulos rectángulos, de ahí que sean estos triángulos las figuras fundamentales con las que el Demiurgo construyó el mundo, según la fantasía del Timeo. Quedaba, sin embargo, un quinto poliedro regular: el dodecaedro, de caras pentagonales no descomponibles en los triángulos anteriores. En el Timeo se alude fugazmente a este poliedro diciendo que el Demiurgo lo utilizó para decorar el universo, aunque en un diálogo (apócrifo] se hace corresponder el dodecaedro a un quinto elemento: el éter, que luego será la "quintaesencia" de Aristóteles.
Es natural que Platón estimulara en la Academia el estudio de la matemática, de ahí que puedan señalarse contribuciones matemáticas surgidas del seno de la institución, cuando no de Platón mismo.
Así se atribuye a Teeteto de Atenas, inmortalizado en el diálogo de ese nombre, el estudio de los inconmensurables, con lo cual habría sentado las bases de las propiedades que más tarde se reunirán en el Libro X de los Elementos de Euclides.
En cuanto a las contribuciones de Platón, algunas son, sin duda, apócrifas, como la atribución de un método y de un dispositivo mecánico respectivo, para resolver el problema de la duplicación del cubo en vista de las concepciones platónicas opuestas a toda manipulación. Quizá sea también dudosa la solución que se le atribuye de los "tripletes pitagóricos", muy semejante, por lo demás, a la que se atribuye a los pitagóricos (la solución de Platón sería x = 1/2 m2 - 1; y = m; z = 1/2 m2 + 1 para m par). En cambio, se le ha atribuido con mayor verosimilitud, una contribución metodológica: la distinción entre "método analítico" y "método sintético" en las demostraciones de los teoremas y contribuciones geométricas, distinción que los matemáticos griegos utilizaron en sus investigaciones.
Nota complementaria
La distinción entre los métodos analítico y sintético explica un hecho que llama la atención cuando se examinan las proporciones, en especial las construcciones, de los tratados geométricos griegos. En efecto, se advierte en esos tratados que para demostrar un teorema o construir una figura se parte, a veces, de propiedades totalmente alejadas del tema en cuestión, para luego, en ocasiones por caminos algo misteriosos, llegar a la demostración o construcción deseadas.
El método analítico
Parece natural pensar que no pudo haber sido ése el camino por el cual se descubrió la propiedad, y que en verdad lo que se nos muestra es el edificio libre de todo el andamiaje que sirvió para elevarlo. Así fue, en general, como se deduce de la distinción entre los métodos analítico y sintético.
El método analítico, que es también el método heurístico y actualmente empleado en la enseñanza, consiste en suponer cierto el teorema a demostrar o resuelto el problema a construir, y mediante verdades ya demostradas deducir un teorema o un problema conocidos, de manera que si el proceso puede invertirse, el teorema queda demostrado y el problema resuelto. Este proceso inverso es el método sintético que consiste en partir de una verdad conocida para deducir, por pasos sucesivos, la verdad a probar. Es este método sintético, deductivo por excelencia, el que utilizaron con preferencia los griegos después de haber obtenido por el método analítico, que silencian el resultado buscado.
Veamos, por ejemplo, la construcción de un triángulo isósceles cuyos ángulos en la base sean dobles del ángulo en el vértice, problema importante en la construcción del pentágono regular. Supongamos el problema resuelto, según las normas del método analítico, y sea ABC de vértice A, el triángulo buscado. Si se traza la bisectriz interior del ángulo B, que cortará al lado opuesto en D, es fácil comprobar, por igualdad de ángulos, que AD = DB = BC, y que el triángulo isósceles DBC es semejante al triángulo ABC. Se deduce en consecuencia AB : BC = BC: OC = AD : DC y por una propiedad de las proporciones (AB + BC): AB = (AD + DC): AD =AB: BC y por tantoAB2 = (AB + BC) BC, es decir, que en el segmento suma de los lados desiguales del triángulo ABC; AB y BC, el punto de separación B lo divide en media y extrema razón: "análisis" que explica por qué Euclides, en sus Elementos, para construir el pentágono comienza por dividir un segmento en media y extrema razón, sin justificación aparente alguna de la vinculación entre ambas construcciones, y es evidente que sin la aplicación del método analítico hubiera sido difícil prever tal vinculación.
En cambio, ni Aristóteles ni su escuela parecen haberse ocupado especialmente de matemática. Además de las frecuentes referencias a la matemática que aparecen en las obras de Aristóteles, se le debe un par de contribuciones indirectas. Por un lado, con su sistematización de la lógica, Aristóteles fijó las bases sobre las cuales se ordena y se erige una ciencia deductiva tal cual es la matemática; por el otro, fue Aristóteles quien encomendó a su discípulo Eudemo de Rodas la redacción de "historias" de la matemática, de la geometría y de la astronomía, habiéndose conservado como dijimos, un fragmento de la historia de la geometría.
La matemática del siglo IV
La matemática griega de la primera mitad del siglo IV ofrece el espectáculo de una aritmética estancada y de un cúmulo de propiedades geométricas aun no sistematizadas, obtenidas en gran parte mediante la búsqueda de la solución de problemas particulares, como los "problemas clásicos" y otros. Quedaban, en efecto, aún en pie dos obstáculos importantes: el de las cantidades inconmensurables que en número cada vez mayor aparecían invadiendo la geometría, y un grupo de problemas de equivalencia, entre ellos, la cuadratura del círculo, y la cubatura de la pirámide y de la esfera, para los que no se habían dado aún demostraciones rigurosas que facilitaran su solución.
Entre los matemáticos de la primera mitad del siglo cabe mencionar a una figura que, sin pertenecer a la Academia, estaba vinculada con Platón por lazos de amistad: Arquitas de Taras (Tarento), estadista y científico que se ocupó de mecánica teórica y práctica (autómatas), de aritmética (progresiones y proporciones) y de geometría, dejando en este campo una ingeniosa solución del problema del mesolabio, mediante la intersección de tres superficies: un cilindro, un cono y una superficie tórica, es decir, la superficie engendrada por un circunferencia que gira alrededor de una recta de su plano, que no sea un diámetro, y que en este caso particular es una tangente.
Nota complementaria
En síntesis la construcción de Arquitas que en realidad opera con propiedades de geometría plana, puede resumirse así: Sea en el plano base una circunferencia de diámetro AB = b, y por A una recta tal que determine sobre la circunferencia una cuerda AC = a. Imaginemos ahora las tres superficies siguientes:
La solución de Arquitas
- el cilindro circular recto de base la circunferencia de diámetro b (de ecuación en coordenadas polares R cos cp = b cos a);
- el cono circular recto engendrado por la rotación de la generatriz AC alrededor de AB (de ecuación a = b cos φ × cos φ;
- la superficie engendrada por una semicircunferencia de diámetro AB situada en el plano perpendicular al plano de la base, que gira alrededor de su tangente en A (de ecuación R cos2 φ = a).
Sea ahora M el punto de intersección de las tres superficies. Ese punto pertenecerá a la semicircunferencia móvil de diámetro AB’ = b, a la generatriz MN del cilindro siendo N un punto de AB', y a la generatriz AM del cono que contiene el punto C’ tal queAC’ = a. Se demuestra fácilmente que el ángulo AC’N es recto, por tanto, de los triángulos rectángulos AC’N; AMN; AMB’ se deduce la proporcionalidad AC: AN = AN: NM = NM: AB’ que demuestra que los segmentos AN y AM resuelven el problema del mesolabio. (Analíticamente, si de las tres ecuaciones se elimina ay se introducer = cos φ, se obtiene igualmente cos φ = a : r = r: R = R:b).
También es probablemente de esta época un Timaridas de Paros, matemático enigmático hasta hace poco, pues se le atribuye la resolución de un problema algebraico, que implica un sistema de ecuaciones lineales, pero que actualmente se lo vincula con los babilonios y su matemática. Ese problema que se resuelve con una regla que más tarde se llamó “superfloraciones (epantema) de Timaridas", consiste en determinar un número, conociendo sus sumas, con cada uno de n números desconocidos y con la suma de todos ellos.
Pero el más grande de los matemáticos del siglo y uno de los más grandes matemáticos griegos es Eudoxo de Cnido, médico, matemático y astrónomo que estuvo en Atenas frecuentando la Academia como discípulo de Platón, viajó luego a Egipto donde residió un año y medio, regresando luego a Atenas muriendo relativamente joven en su ciudad natal.
Nota complementaria
La posibilidad de llegar a una definición de la razón entre dos cantidades, sean éstas conmensurables o no, la fija Eudoxo partiendo ante todo de un recurso de tipo lógico, enunciando un "principio" que expresa la condición para que dos cantidades "tengan razón mutua". Este principio afirma que "dos cantidades tienen razón mutua cuando un múltiplo de la menor supera a la mayor", o en términos actuales; dadas dos cantidades A > B, existe siempre un entero n tal que B > A o también que 1/2A < B. Euclides en sus Elementos otorgó a este enunciado el mismo carácter lógico de "principio", pero Arquímedes de olfato matemático más fino, verá en él un postulado y en sus escritos así lo considera. Hoy mantiene tal carácter, confirmado brillantemente por las geometrías no arquimedianas de este siglo, y se le conoce ya como "postulado de la continuidad", ya como "postulado de Arquímedes" y a veces "de Eudoxo o Arquímedes".
La obra matemática de Eudoxo
La segunda etapa del proceso de Eudoxo es la definición de razón entre dos cantidades, sean conmensurables o no. Es la siguiente "definición por abstracción": Dos razones a : b, c : d son iguales si dados dos números enteros cualesquiera m y n y ma (mayor, menor o igual) nb, se verifica respectivamente mc (mayor, menor o igual) nd. Con esta definición que tiene cierto aire de familia con la actual definición de los números reales mediante la teoría de las cortaduras de Dedekind, Eudoxo logra conceder carta de ciudadanía geométrica a las cantidades inconmensurables, con lo que acentúa el proceso iniciado por los pitagóricos de sacrificar, en aras de la geometría, la aritmética y el álgebra, cuyas nociones seguirán presentándose en la matemática griega bajo ropaje geométrico.
En conexión con el postulado anterior Eudoxo introduce un método de demostración que una discutible traducción renacentista bautizó como "método de exhaución", nombre con que se le conoce y que sustituye en la matemática griega la noción de límite del actual análisis infinitesimal. Ese método consiste en una doble reducción al absurdo y según él, para demostrar que una cantidad A es igual a una cantidad B o que una figura A es equivalente a una figura B, basta probar que A no puede ser ni mayor ni menor que B.
Una de las primeras demostraciones que habría logrado Eudoxo es la proporcionalidad entre dos círculosC y C' y los cuadrados D yD’ construidos sobre sus diámetros, es decir, C : C' = D : D’. Para ello supone que X sea el cuarto proporcional entre C, D y D' y admite X < C'. Inscribe un C' polígono P' tal que en virtud del "principio", resulte C' - P' < C' - X o, lo que es lo mismo, P' < X. Si P es el polígono semejante inscrito en C, en virtud de la proporcionalidad conocida entre los polígonos semejantes y los cuadrados de los lados homólogosC : X = D; D' - P’: P' y por tanto P > C, evidentemente absurdo pues P es un polígono inscripto en C. Como consecuencia de este teorema, o siguiendo un camino semejante, se llega también a un absurdo si se parte de X > C’, por tanto X = C’ y el teorema queda probado.
También por este método habría demostrado Eudoxo la equivalencia entre prismas y pirámides según referencias de Arquímedes, quien a este respecto agrega la siguiente observación de interés histórico: " ... no debe dejar de atribuirse un mérito no pequeño a Demócrito que fue el primero que dio esas proposiciones sin las demostraciones ".
Cabe señalar que el método de exhaución no es un método de descubrimiento como el método analítico, pues el resultado al que debe llegarse se da por admitido; ni es un método constructivo como el método sintético, en el que partiendo de propiedades conocidas se llega por vía deductiva a nuevas verdades. El método de exhaución es puramente un método de demostración que no pretende descubrir una nueva verdad, sino demostrarla, circunstancia que pone de relieve una característica de la matemática griega. A diferencia de matemáticos de otras épocas, los matemáticos griegos pusieron el acento en la demostración y no en el resultado, en el camino y no en la meta. Y esa demostración no podía ser cualquiera, sino rigurosamente deductiva a partir de los postulados y propiedades ya demostradas, pues cualquier otro camino, por evidente o convincente que fuera, "no comporta una verdadera demostración", como dirá alguna vez Arquímedes.
Las triadas de Menecmo. Sea un cono circular recto de vértice V, por un punto de una generatriz un plano perpendicular a la misma y por V un plano paralelo al anterior. Si el ángulo en el vértice del cono es agudo, el plano paralelo no contendrá ninguna generatriz y el plano secante cortará a todas las generatrices (alargadas si es necesario); la sección cónica será una curva cerrada que se bautizó entonces, según se dice, por el matemático Aristeo, contemporáneo de Euclides aunque más joven, como sección del cono acutángulo (es nuestra elipse). Si el ángulo en el vértice es recto, el plano paralelo contendrá la generatriz paralela al plano secante, y en este caso la sección cónica será una curva abierta que se extiende indefinidamente: es la sección del cono rectángulo (nuestra parábola). Si el ángulo en el vértice es obtuso el plano paralelo contendrá dos generatrices paralelas al plano secante de manera que ahora éste sólo cortará a las generatrices de un lado de aquel plano, mientras que no cortará a las generatrices de ese plano y las que estén más allá, aunque más tarde se advirtió que cortaría también a estas generatrices si se las prolongaba más allá del vértice.
La sección cónica en este caso es también una rama abierta, pero que se mantiene dentro de un ángulo a cuyos lados, nuestras asíntotas, se acerca indefinidamente. Esta sección es entonces la sección del cono obtusángulo (una rama de nuestra hipérbola). Cuando el ángulo que contiene esa rama es recto (nuestra hipérbola equilátera) la curva adquiere propiedades especiales.
Desde el comienzo esas curvas pusieron de manifiesto sus elementos de simetría (centro, ejes, vértices) y sus propiedades más elementales, así la parábola permitía transformar en cuadrado equivalente los rectángulos de un lado fijo, la hipérbola equilátera permitía obtener todos los rectángulos equivalentes, propiedades que según referencias posteriores, habrían permitido a Menecmo dar dos soluciones distintas del problema del mesolabio con esas curvas. En efecto, de la proporcionalidad a : x:: x :y ::y: b se obtiene x2 = ay ;y2 = bx; xy = ab, de ahí que los dos medios proporcionales x e y podían obtenerse o bien mediante la intersección de dos parábolas de vértice común y ejes perpendiculares entre sí o bien mediante la intersección de una de esas parábolas con la hipérbola equilátera de centro aquel vértice y de asíntota aquellos ejes.
Como astrónomo se debe a Eudoxo la primera explicación científica del sistema planetario, mientras que reveló su talento matemático al cortar el nudo gordiano que impedía el progreso de la geometría, pues resolvió al mismo tiempo las dos máximas dificultades que entonces se oponían a ese progreso: los irracionales y las equivalencias. Eudoxo los resolvió mediante un proceso único que comporta un principio, una definición y un métodoy que aun en forma oculta, abarcaba las nociones de índole infinitesimal que precisamente significaban los elementos indispensables para resolver aquellos problemas.
Por su parte el acontecimiento matemático más notable de la segunda mitad del siglo es la aparición de unas curvas nuevas; nuestras cónicas, cuyo estudio adquirirá un gran desarrollo en manos de Arquímedes y de Apolonio.
Se ha atribuido ese descubrimiento a Menecmo, hermano del matemático Dinostrato que mencionamos con motivo de la cuadratriz de Hipias, aunque se ha conjeturado (Neugebauer) que ese descubrimiento se debió al empleo de los relojes de sol, ya que la sombra del extremo de la barra vertical que servía de reloj (el gnomon) dibuja arcos de cónicas en el suelo durante la marcha del sol. Sea lo que fuere, su nombre actual, abreviatura de "secciones cónicas" alude a su origen, pues se obtienen como intersecciones de las generatrices de un cono circular recto con un plano que no pase por el vértice del cono. Esas curvas son distintas según la posición del plano secante, pero en los comienzos tal distinción se vio en la naturaleza del ángulo formado en el vértice del cono, por dos generatrices coplanares con el eje del cono, manteniendo siempre el plano secante normal a una generatriz. Según fuera agudo, recto u obtuso aquel ángulo, se obtenían tres curvas distintas que a veces se designaron como “tríada de Menecmo".
Capítulo 4
La matemática helenística
AlejandríaAlejandría
Euclides y sus Elementos
Arquímedes
Apolonio de Perga
Los epígonos del siglo de oro
La matemática griega
Al iniciarse el siglo III a. C. las condiciones políticas y culturales del mundo mediterráneo han cambiado radicalmente. En la península italiana un pequeño pueblo se había convertido en la mayor potencia de Italia e iniciaba una expansión que lo convertiría en un gran imperio, mientras que en el mundo griego las expediciones, conquistas y muerte de Alejandro habían modificado por completo su fisonomía.
Si bien el incipiente imperio que fundó Alejandro desapareció con él, la idea de imperio universal que encarnó y que había intentado realizar arraigó en el campo de la cultura; y la cultura griega, a favor del rápido derrumbe del imperio persa se extendió helenizando todo el Oriente.
Por otra parte, las campañas de Alejandro, a la par que ampliaron el horizonte geográfico de los griegos, dilataron sus conocimientos. Un intercambio fecundo se establece entre Oriente y Occidente y los centros intelectuales se extienden y desplazan. Atenas, perdida su importancia política, pierde ahora su supremacía cultural, y en el mundo griego de Oriente surgen nuevos focos de irradiación de la cultura griega, entre los cuales sobresale Alejandría, fundada en 332 y pronto convertida en el gran emporio del comercio mediterráneo.
El idioma griego, al universalizarse, contribuyó al intercambio y a la difusión de la cultura, sirviendo de vehículo a todos los intelectuales del mundo helenizado y favoreciendo el progreso de la ciencia a la sazón en una etapa de franca especialización y ramificación. Además, los príncipes helenísticos dispensaron una amplia protección a las ciencias que permitió no sólo ofrecer a los científicos las condiciones de seguridad y bienestar que facilitaran su dedicación exclusiva a la investigación y a la enseñanza, sino que permitió la adquisición de los materiales e instrumental, a veces costosos necesarios para los estudios científicos. Modelo de esta corte de mecenas fue la de los Ptolomeos de Egipto, que convirtieron el gran puerto comercial de Alejandría en el centro científico más importante del mundo griego y también el más duradero.
En Alejandría es donde nacen y se desarrollan las dos grandes instituciones científicas que caracterizaron el período alejandrino: el Museo y la Biblioteca.
Aunque los datos de que se disponen acerca de la organización del Museo son escasos, puede decirse que en esa institución residían a expensas del rey y dependientes de él, científicos provenientes de todas partes, con la única obligación de dedicarse a tareas de investigación o docentes en las que colaboraban estudiosos y estudiantes provenientes también de todos los rincones del mundo helenizado. Contaba para ello con el material científico y el instrumental necesario: instrumentos astronómicos y un local que podría calificarse de observatorio; locales para la investigación fisiológicas y salas de disecciones; quizás contara a su alrededor con un jardín botánico y un parque zoológico. Sus actividades se desarrollaron alrededor de cuatros secciones o departamentos principales: matemática, astronomía, medicina, letras y, por supuesto, la Biblioteca, ésta más adelante se convirtió en una institución en cierto modo independiente.
Así como el Museo resultó el centro de las investigaciones del campo de las ciencias exactas y naturales, la Biblioteca de Alejandrina lo fue de las humanidades, en especial de la filología y la gramática y, su dirección, en especial en el período inicial, fue confiada a verdaderos sabios.
Con este ambiente científico de Alejandría se vinculan, directa o indirectamente, las tres figuras máximas de la matemática griega, los "tres grandes": Euclides, Arquímedes y Apolonio, cuyo brillo justifica por sí sólo que se considere la época alejandrina como "edad de oro de la matemática griega".
Euclides y sus Elementos
Muy poco se sabe de Euclides, fuera de las noticias que menciona Proclo en su resumen histórico ya citado, según el cual Euclides fue un sabio que floreció hacia el 300 a. C., autor de numerosas obras científicas, entre ellas sus célebres Elementos de geometría, cuya importancia científica se mantuvo indiscutida hasta el advenimiento de las geometrías no euclidianas en la primera mitad del siglo pasado y cuyo valor didáctico se mantuvo hasta comienzos de este siglo, cuando aún algunas escuelas utilizaban los Elementos como texto escolar.
Nota complementaria
La continuación del fragmento de Proclo ya mencionado en el Cap. III, reza así: "Euclides, el autor de los Elementos, no es mucho más joven que Hermotamo de Colofón y que Filipo de Mende; ordenó varios trabajos de Eudoxo, mejoró los de Teeteto y dio además demostraciones indiscutibles de todo aquello que sus predecesores no habían demostrado con el rigor necesario. Euclides floreció durante el reinado de Ptolomeo I, pues es citado por Arquímedes que nació hacia fines del reinado de ese soberano. Además se cuenta que un día Ptolomeo preguntó a Euclides si para aprender geometría no existía un camino más breve que el de los Elementos, obteniendo la respuesta: en la geometría no existe ningún camino especial para los reyes. .. Euclides es, pues, posterior a los discípulos de Platón, pero anterior a Eratóstenes y a Arquímedes, que eran contemporáneos, según lo afirma Eratóstenes en alguna parte. Euclides era de opiniones platónicas y estaba familiarizado con la filosofía del Maestro, tanto que se propuso como objetivo final de sus Elementosla construcción de las figuras platónicas.
Euclides y su obra según Proclo
Se poseen de él muchas otras obras matemáticas escritas con singular precisión y de un elevado carácter teórico. Tales son la Óptica, la Catóptrica, los Elementos de música, y también los libros Sobre las divisiones. Pero son de admirar especialmente sus Elementos de geometría,por el orden que reina en ellos, por la elección de los teoremas y de los problemas considerados como fundamentales, puesto que no ha incluido todos aquellos que estaban en condiciones de dar, sino únicamente aquellos capaces de funcionar como elementos y también por la variedad de los raciocinios que son conducidos de todas las maneras posibles, ya partiendo de las causas, ya remontando los hechos, pero siempre son convincentes e irrefutables, exactos y dotados del tono más científico. Agréguese que utiliza todos los procedimientos de la dialéctica: el método de división para determinar las especies, el de la definición para determinar los razonamientos esenciales; el apodíctico en la marcha de los principios a las cosas y el analítico en la marcha inversa de lo desconocido a los principios. Ese tratado también nos presenta en forma bien separada los distintos tipos de proposiciones recíprocas, ya muy simples, ya más complicadas, pudiendo la reciprocidad cumplirse entre el todo y el todo, entre el todo y una parte, entre una parte y el todo o entre una parte y una parte. ¿Y qué diremos del método de investigación, de la economía y del orden entre las distintas partes, del rigor con que cada punto queda fijado? Si pretendieras agregar o quitar algo, reconocerías de inmediato que te alejas de la ciencia y te acercas hacia el error y la ignorancia. Pues en verdad muchas cosas poseen la apariencia de ser verdaderas y de surgir de los principios de la ciencia, mientras en cambio se alejan de estos principios y engañan a los espíritus superficiales. Por eso Euclides expuso también los métodos que utiliza la mente que ve claro y con los que deben familiarizarse todos aquellos que quieren acometer el estudio de la geometría, advirtiendo los paralogismos y evitando los errores. Este trabajo lo ha realizado Euclides en su escrito Sofismas,en el que enumera ordenada y separadamente los distintos tipos de raciocinios erróneos, ejercitando sobre cada uno de ellos nuestra inteligencia mediante teoremas de toda clase en los que opone la verdad a la falsedad y pone en evidencia la demostración de la verdad con la refutación del error. Este libro tiene entonces por objeto purificar y ejercitar la inteligencia, mientras los Elementosconstituyen la guía más segura y completa para la contemplación científica de las figuras geométricas.
Por lo demás, Euclides y sus Elementos fueron siempre considerados como sinónimo de Geometría.
Los Elementos no contienen toda la geometría griega de la época, ni constituyen un resumen de toda ella; sin duda contiene una buena parte de la matemática elaborada por los matemáticos griegos anteriores a Euclides y por Euclides mismo, pero esa parte no fue tomada al azar, sino seleccionada de acuerdo con un criterio prefijado que convirtió a ese conjunto de conocimientos en un sistema estructurado según un método.
Ese sistema y este método resultaron tan fecundos que no sólo la obra de Euclides eclipsó otros Elementos redactados anteriormente sino que no se poseen datos de obras análogas posteriores a la de Euclides.
Varios factores favorecieron la labor de Euclides. En primer lugar la posibilidad de disponer del tiempo y de los elementos necesarios para su labor científica, mediante el régimen "full-time" implantado en el Museo. Por otra parte, Euclides tuvo a su disposición una gran cantidad de propiedades matemáticas acumuladas en especial por obra de los pitagóricos, de Arquitas, de Teeteto y de Eudoxo, que le permitió seleccionar el material adecuado para organizar, con añadidos propios y por primera vez, un sistema de conocimientos matemáticos sujeto a una estructura unitaria.
Además, Euclides dispuso de la palanca que le permitió levantar esa estructura: la lógica aristotélica que le sirvió de argamasa para construir, con el material seleccionado un edificio de tal solidez que resistió casi sin deterioros los embates críticos de siglos. Con esa construcción Euclides instaura un método hoy llamado axiomático, que resultó el método científico por excelencia. Método preconizado por Aristóteles como único a seguirse en toda ciencia deductiva y que fue adoptado por otros científicos griegos y luego por científicos modernos para convertirse hoy en el método general empleado en la matemática y en otras ciencias. Consiste en la denuncia previa de las propiedades que han de admitirse sin demostración para deducir de ellas, sin otro recurso que la lógica, todo el conjunto de proposiciones del sistema. Esas propiedades básicas son las que se llaman "axiomas" y que Euclides designó con los nombres de "postulados" y de "nociones comunes".
Por último, Euclides pudo imprimir un sello y conferir un sentido a su obra: el sello y el destino del platonismo, doctrina de la cual era adepto y de la cual distintos rasgos se advierten en los Elementos. Así, en sus proposiciones, cerca de quinientas, no figura una sola aplicación práctica, ni figura un solo ejemplo numérico. No obstante que tres libros de los Elementos se ocupan de aritmética, en ellos los números aparecen disfrazados de segmentos y las propiedades numéricas se demuestran operando con esos segmentos. Tampoco hay en los Elementos mención alguna a instrumentos geométricos y si bien suele decirse que la geometría de Euclides no admite sino construcciones con regla y compás hay que agregar que estas palabras no figuran en el tratado y que de atenerse al mismo, habría que decir que sólo admite construcciones con rectas y circunferencias, y siempre que tales construcciones obedezcan al sistema.
Otro rasgo platónico de los Elementos se ha querido ver en la importancia que asignaban a los poliedros regulares, a los que se dedica íntegramente el último libro considerándose que la construcción de esos "cuerpos platónicos" pudo constituir precisamente la finalidad de toda la obra. En cualquier caso, es indudable la atmósfera platónica o, mejor, platónico-pitagórico, que envuelve el tratado, que por igual satisface a la pretensión platónica de no ver en la geometría otro objeto que el conocimiento, ya la pretensión pitagórica de convertir su estudio en una enseñanza liberal, remontándose a los principios generales y estudiando los teoremas abstractamente y con la inteligencia pura. Es en vista de esa atmósfera que debe juzgarse la obra de Euclides, en especial al considerarse el sistema de axiomas básicos que, al sentir de la crítica moderna, no aparece revestido de las precauciones necesarias, olvidando por un lado que tales observaciones son el resultado de más de veinte siglos de crítica y, por otro lado, que el método axiomático no es de fácil realización, ya por la elección de los supuestos básicos, ya por el desarrollo deductivo en el que pueden deslizarse admisiones implícitas de supuestos no denunciados explícitamente.
Cabe una última advertencia: lo que hoy llamamos Elementos de Euclides es un texto que ha llegado hasta hoy mediante una redacción de Teón de Alejandría del siglo IV y que pudo ser completado posteriormente con la ayuda de papiros y manuscritos antiguos, algunos anteriores a Teón, y aunque la redacción de éste es bastante completa y revisada, no debe olvidarse que es posterior en seis siglos a la redacción original, a la cual pudo haberse introducido durante ese lapso buen número de modificaciones e interpolaciones.
Los Elementos se componen de trece libros con un total de 465 proposiciones: 93 problemas y 372 teoremas. Gran parte de los libros se abre con un grupo de definiciones o, mejor términos según el vocablo utilizado por Euclides, a las que en el primer libro se agregan las proposiciones básicas, nuestros axiomas, que Euclides distingue en postulados y nociones comunes.
Las definiciones de Euclides no deben entenderse en un sentido lógico estricto. Algunas son meramente nominales; otras reflejan el sentido de la realidad existente en el mundo griego, admitiendo con esas definiciones la existencia de objetos de esa realidad; otras parecen tener sentido sólo en vista del desarrollo histórico anterior y hasta queda entre ellas algún resto fósil, como la definición de ángulo curvilíneo que en ningún momento se aplica en los Elementos. Lo importante es que tales definiciones no se utilizan como argumento deductivo en la construcción euclidiana, manteniendo solamente el papel de mención o descripción del ente definido, a quien en la construcción geométrica no se aplicarán sino los postulados, las nociones comunes o las proposiciones deducidas de esos principios. Cabe citar, por ejemplo, las definiciones de punto y de recta (nuestro segmento), típicas definiciones discutibles y bastante se ha discutido sobre ellas. Dice Euclides: "Punto es lo que no tiene partes. Una recta es la que yace igualmente respecto de todos los puntos". Estas definiciones no se sostienen desde el punto de vista lógico, pero tal deficiencia no afecta a la construcción geométrica, pues en ésta nunca aparecen y cuando se habla de puntos o de rectas no se alude a su pretendida definición, sino a las propiedades de esos elementos que se deducen de los axiomas o de proposiciones demostradas, de manera que en definitiva se procede como en la geometría actual, considerando que el punto y la recta no son aquello, entes tan deficientemente definidos sino los entes abstractos definidos implícitamente por sus propiedades enunciadas en los axiomas.
Si alguna conclusión puede extraerse de las definiciones de Euclides es más de tipo histórico que lógico. Hoy sabemos que la geometría de los Elementos no es la geometría sino una geometría, de ahí que las definiciones configuran el ámbito y la índole de los entes que caracterizan a esa geometría. Así, son características las definiciones de "término", como extremo de algo, y de "figura" como lo que está comprendido entre uno o más término definiciones, que revelan el espíritu de la geometría euclidiana puesto de manifiesto en la predilección hacia lo visual, lo limitado, lo finito, que entraría en crisis con la introducción de las paralelas, cuya definición: "Son paralelas aquellas rectas de un plano que prolongadas por ambas partes en ninguna de éstas se encuentran", evidentemente implica un comportamiento de las figuras que excede todo término.
El número de axiomas sobre los que funda Euclides su sistema es reducido: trece en total, cinco postulados y ocho nociones comunes.
Nota complementaria
Euclides enuncia sus cinco postulados de la siguiente manera:
Los axiomas de Euclides
1º. Postúlese: que por cualquier punto se pueda trazar una recta que pasa por otro punto cualquiera;
2º. que toda recta limitada pueda prolongarse indefinidamente en la misma dirección;
3º. que con un centro dado y un radio dado se pueda trazar un círculo;
4º. que todos los ángulos rectos sean iguales entre sí, y
5º. que si una recta, al cortar a otras dos, forma los ángulos internos de un mismo lado menores que dos rectos, esas dos rectas prolongadas indefinidamente se cortan del lado en que estén los ángulos menores que dos rectos.
La primera impresión que produce la lectura de estos postulados es que enuncian proposiciones de índole distinta: los primeros tres aluden a construcciones; el cuarto a una propiedad, y el quinto tiene todo el aspecto del enunciado de un teorema. Pero si se encaran como juicios que afirman la existencia y unicidad de los elementos: punto, recta y circunferencia, con los que se construirá la geometría, su función se aclara. En efecto, los dos primeros postulados fijan la existencia de la recta determinada por dos puntos. A su vez, la unicidad de esa recta queda determinada por el cuarto postulado al fijar la igualdad de los ángulos rectos o, lo que es lo mismo, que las prolongaciones son únicas. Por otra parte, un sexto postulado que generalmente se incluye (erróneamente) entre las nociones comunes, afirma que entre dos rectas no existe espacio alguno.
Por su parte, el tercer postulado afirma la existencia y unicidad de una circunferencia dado su centro y su radio, de ahí que en definitiva los primeros cuatro postulados admitan la existencia de rectas y circunferencias o, en otros términos, permiten el uso de la regla y del compás como instrumentos geométricos. Aunque ya advertimos, que en ningún momento Euclides alude a estos u otros instrumentos geométricos.
Por último, el quinto postulado fija las condiciones para que dos rectas determinen un punto cuya unicidad quedaría asegurada por el postulado ya citado, que se incluye generalmente en las nociones comunes.
Es claro que, encarados desde este punto de vista, faltarían en la geometría euclídea los postulados acerca de las intersecciones de las circunferencias con rectas o con circunferencias que Euclides admite implícitamente. Y no deja de ser curioso señalar que los Elementos se abren con el problema: Construir un triángulo equilátero de lado dado, donde tal construcción queda determinada mediante la intersección de dos circunferencias.
En cuanto a las nociones comunes, he aquí los ocho enunciados de Euclides:
1º. cosas iguales a una misma cosa, son iguales entre sí;
2°. si a cosas iguales se agregan cosas iguales las sumas (Euclides dice: el total o la reunión) son iguales;
3º. si de cosas iguales se quitan cosas iguales, los restos son iguales;
4º. si a cosas desiguales se agregan cosas iguales, los resultados son desiguales;
5º. las cosas dobles de una misma cosa son iguales entre sí;
6º. las mitades de una misma cosa son iguales entre sí;
7º. las cosas que se pueden superponer una a la otra son iguales entre sí;
8º. el todo es mayor que la parte.
Ya dijimos que generalmente se agrega una novena noción común: dos rectas no comprenden un espacio, enunciado que tendría su lugar más adecuado entre los postulados.
Se advierten fácilmente las funciones de las nociones comunes de Euclides: ellas postulan la igualdad, desigualdad, suma, resta, duplicación y división por mitades, de las "cosas", es decir, de nuestras magnitudes. Es interesante destacar la séptima noción común que introduce la noción de movimiento en la construcción geométrica.
Al observar en su conjunto los axiomas de Euclides, la primera observación a señalar es la ausencia de postulados relativos a la geometría del espacio; en efecto, Euclides no ha construido la geometría sólida en la forma tan completa y rigurosa que aparece en la geometría plana.
Pero si se limita el análisis a la geometría plana y se compara el sistema de axiomas de Euclides con un sistema moderno, por ejemplo el de Hilbert, se advierte que los postulados de Euclides desempeñan el papel de los axiomas de enlace y de las paralelas de Hilbert; y que las nociones comunes de Euclides sustituyen los axiomas de congruencia de Hilbert; de ahí que faltarían en los Elementoslos axiomas del orden y el de la continuidad, admitidos implícitamente por Euclides, el último como "principio". Tales omisiones, como el de algún otro axioma necesario desde el punto de vista lógico y técnico, no perjudican sin embargo a la construcción euclídea que en momento alguno peca contra ellas.
Dado el carácter de la geometría griega, tales omisiones se explican no sólo por el carácter fuertemente intuitivo de los axiomas omitidos, sino también porque se veía en esos enunciados algo superfluo, en vista de que para los griegos no eran imaginables las proposiciones contrarias.
Los postulados se refieren a los entes básicos específicamente geométricos y su función, de acuerdo con una plausible interpretación, consiste en fijar la posibilidad constructiva de las figuras formadas por rectas y circunferencias determinando así su existencia y unicidad. En efecto, los tres primeros postulados aseguran la existencia y unicidad de la recta, es decir, de un segmento prolongado indefinidamente cuando se dan dos punto, de ella; mientras que un cuarto postulado fija la existencia de una circunferencia cuando se da un punto (su centro] y un segmento (su radio).
Esos cuatro postulados fijan la existencia de rectas y circunferencias concebidas en forma independiente; quedaba por fijar sus vinculaciones mutuas. Por razones intuitivas, o quizá llevado por la concepción que entrañaba la definición de figura, Euclides, admite la naturaleza de las posibles intersecciones de rectas con circunferencias, con rectas y de circunferencias, sin acudir al "postulado de la continuidad", hoy considerado indispensable y que, según dijimos, Euclides reemplazó por el "principio" de Eudoxo.
Quedaba pues a Euclides únicamente por demostrar o postular las posibilidades de la intersección entre dos rectas, que por su propiedad de prolongarse indefinidamente configuraban una estructura, no una "figura", a la cual la intuición no podía acoplar ni justificar comportamiento alguno.
El reconocimiento de este hecho pone de manifiesto uno de los rasgos geniales de Euclides, pues éste fija aquel comportamiento por medio de un postulado: el último de la serie y que más tarde se destacó como el "Quinto postulado", por la celebridad y notoriedad que alcanzó en vista de las discusiones, a que dio lugar; no obstante la buena dosis de evidencia intuitiva que comporta su enunciado. Y las geometrías no euclidianas que nacerán cerca de veintidós siglos más tarde no harán sino corroborar el acertado sentido matemático y lógico que llevó a Euclides a adoptar tan genial decisión.
En cuanto a las nociones comunes, que Euclides acepta sin demostración no son sino las operaciones fundamentales entre magnitudes sean geométricas o no.
Nota complementaria
Considerando como tales los primeros cuatro libros de los Elementos digamos que el primer libro, de 48 proposiciones, puede considerarse dividido en dos partes: las primeras 32 proposiciones se refieren a las propiedades de los triángulos, terminando con el teorema característico de la geometría euclidiana de ser constante el igual a dos rectos la suma de los ángulos de cualquier triángulo. Cabe agregar que el "quinto postulado", el de las paralelas, por cuanto se deduce de él la existencia de la paralela única a una recta desde un punto exterior no se introduce hasta la proposición 19, lo que prueba que Euclides trató evidentemente de evitarlo en las 18 anteriores, grupo de proposiciones que constituye de por sí una geometría independiente del quinto postulado.
Los libros pitagóricos de los Elementos
Las últimas 16 proposiciones del libro se refieren en cambio a paralelogramos y triángulos y sus equivalencias para terminar, como último par de proposiciones, con los teoremas, directo y recíproco de Pitágoras. La demostración de ese teorema, según comentaristas antiguos. Pertenecería al mismo Euclides.
El libro segundo de 14 proposiciones se abre con la definición de una figura muy utilizada en las demostraciones euclidianas de equivalencias: es el "gnomon", palabra que parece tener un origen astronómico pues indica la posición de una barra vertical descansando sobre un plano horizontal, y utilizada para medidas astronómicas o de tiempo. En la matemática el gnomon es en general todo aquello que agregado a un número o figura convierte a estos en un número o figura semejante. Así cualquiera de las escuadras de carpintero que utilizamos en las demostraciones aritméticas, de los pitagóricos, en un gnomon.
En este segundo libro aparece el "álgebra geométrica”, representada por 10 proposiciones que traducen geométricamente las siguientes propiedades, expresadas algebraicamente con los símbolos actuales:m (a + b + c +...) = ma + mb + mc +...
(a + b)a + (a + b)b = ( a + b)2
(a + b)a = a2 + ab
(a + b)2 = a2 + 2ab + b2
ab + [1/2 (a + b)-b]2 = [1/2 (a + b)]2
(2a + b)b + a2=( a + b)2
(a + b)2 + a2 = 2(a + b)a + b2
4(a + b)a + b2 = [(a + b) + a]2
a2 + b2 = 2 [[1/2(a + b)2 + [1/2(a + b)-b] 2]
(2a + b)2 + b2 = 2 [a2 + (a + b)2]
Las cuatro últimas proposiciones comprenden los problemas; división en media y extrema razón; "cuadrar" cualquier figura poligonal, y las generalizaciones del teorema de Pitágoras a los triángulos acutángulos y obtusángulos.
El libro tercero, de 37 proposiciones, estudia las propiedades de la circunferencia, terminando por el teorema de la constancia del producto de los segmentos determinado por las secantes trazadas desde un punto interior o exterior. El libro cuarto, de 16 proposiciones, se refiere a la inscripción y circunscripción de polígonos regulares a una circunferencia enseñando Euclides a construir efectivamente los polígonos regulares de 4, 5, 6 y 15 lados, la construcción de polígonos regulares por duplicación de lados era conocida; en cambio no hace alusión a los polígonos cuyo número de lados es 7, 9, 11 Y 13 que no pueden construirse con regla y compás.
Los primeros cuatro libros de los Elementos, de probable origen pitagórico, comprenden las proposiciones más importante, de geometría plana elemental, referentes a triángulos, paralelogramos, equivalencias, teorema de Pitágoras, con quien se cierra el primer libro, circunferencias e inscripción y circunscripción de polígonos regulares.
Nota complementaria
Los libros quinto y sexto tratan de la proporcionalidad y la semejanza de acuerdo con los fundamentos sentados por Eudoxo. El libro quinto, de 25 proposiciones, expone la teoría geométrica de la proporcionalidad, independiente de la naturaleza de las cantidades proporcionales: entre las definiciones aparece el "principio" de Eudoxo (nuestro axioma de la continuidad) y la definición, también de Eudoxo de la proporcionalidad mediante desigualdades.
La proporcionalidad en los Elementos
El sexto libro aplica de 33 proposiciones, esa teoría general a las magnitudes geométricas dando nacimiento a la teoría de los polígonos semejantes; y como aplicación la generalización de los problemas de aplicación de áreas de origen pitagórico y que involucran la resolución de la ecuación algebraica de segundo grado en forma general, pero con ropaje geométrico.
El primero de esos problemas, llamado de aplicación simple, consiste en construir un polígono equivalente a un polígono dado R y semejante a otros polígonos. El problema se reduce a construir una media proporcional, pues si x y a son lados homólogos del polígono que se busca y S, seráx2: a2= R : S que, por otra parte, es la expresión de una ecuación de segundo grado en x incompleta.
El segundo problema, llamado de aplicación por defecto, consiste en construir sobre una parte de un segmento dado a un paralelogramo equivalente a un polígono dado R de tal manera que el paralelogramo "faltante", de igual altura que el anterior construido sobre la otra parte del segmento dado, sea semejante a un paralelogramo dado S. Pero al enunciado de este problema Euclides agrega. Es necesario que R no exceda al paralelogramo semejante a S construido sobre la mitad del segmento. En efecto, un teorema anterior demostraba que tal condición es indispensable para que el problema de aplicación de áreas por defecto tenga solución.
Si S0 es este paralelogramo máximo Euclides lleva el problema al caso anterior determinado un paralelogramo semejante a S y equivalente S0 - R. Pero en verdad la incógnita x (la parte faltante) no es sino una cualquiera de las dos raíces positivas de la ecuación de segundo grado x(a - x) = a2 R:4S0.
El tercer caso semejante al anterior, de aplicación de áreas por exceso, consiste en construir sobre el segmento prolongado el paralelogramo equivalente a R de manera que el paralelogramo construido sobre la prolongación sea semejante a S. En este caso el problema siempre posible, se lleva al primer caso donde el paralelogramo que se busca es equivalente a S0 + P, y la incógnita x (el segmento excedente es la raíz positiva de la ecuación x (a - x)= a2 R: 4 S0.
Los dos libro, siguiente, se refieren a la proporcionalidad sobre la base de la teoría de Eudoxo y sus aplicaciones: semejanza de polígonos y generalización de los problemas de aplicación de áreas de los pitagóricos.
Nota complementaria
No existe en los Elementos el menor intento de fundar la aritmética sobre un sistema de postulados. Los tres libros que se dedican a la aritmética, con un total de 102 proposiciones, se abre con un conjunto de 12 definiciones donde se dice que "Unidad es aquello por lo cual cada cosa singular se dice uno"; "Número es una pluralidad compuesta de unidades", para luego seguir con las definiciones de números mayor y menor, múltiplo y submúltiplo, par e impar, primo y compuesto, etcétera; también se habla de números planos (de dos factores), números sólidos (de tres factores), de los cuales el cuadrado y el cubo son casos particulares, para terminar con la definición de números perfectos como aquellos números suma de sus divisores, excepto sí mismo.
La aritmética de los Elementos
En el libro séptimo se expone la teoría del máximo común divisor, por el método de las divisiones sucesivas, y del mínimo común múltiplo que define así: Dados dos números a, b, se expresa la fraccióna : b en la forma irreducible a': b', su mínimo común múltiplo es ab'= a'b, lo que equivale a tomar como mínimo común múltiplo el producto de los números dividido por su máximo común divisor.
Los otros dos libros contienen varios teoremas importantes:
a). la serie de los números primos es ilimitada;
b). la suma de los términos de una progresión geométrica, expresada en la forma con nuestros símbolos,(a2-a1): a1= (an-a1): S)
donde a1, a2… an son los términos primero, segundo y último de la progresión, y S es la suma de los precedentes a an; expresión como es fácil comprobar, que equivale a la actual;
a). la aplicación de la expresión anterior a la progresión de razón duplicada, es decir 2, y primer término la unidad diferencia entre el término que sigue al último menos el primero; y
b). la expresión de los números perfectos pares.
Este último teorema, sin duda la contribución aritmética más original de Euclides, expresa que si la suma de una progresión geométrica de razón duplicada es un número primo, ese número por el último término de la progresión es un número perfecto. Con nuestros símbolos: si Sn + 1 - 1 es primo, el número N = 2nS es un número perfecto. En efecto, los divisores de N son: 1, 2, 22,...2n, S, 2S, 22S,...2n-1S, y su suma esS + S(1 + 2 + 22 + … 2n-1) = S(1 + 2n - 1) = 2nS = N
y N es perfecto. Aunque Euclides no trae ningún ejemplo numérico es indudable que conocía los números perfectos más pequeños dados por su expresión. Por lo demás se sabe que ya Nicomaco (s. I) da los cuatros perfectos menores 6, 28, 496, y 8128 que corresponde a n = 1, 2, 4, 6 (para n impar, con excepción de 1, S no es primo). Actualmente la lista de números perfectos pares se ha extendido, todos pertenecientes a la expresión euclídea y aunque se conoce la forma que tendrían los perfectos impares no se conoce ninguno de ellos.
Los tres libros siguientes son aritméticos o, mejor, en ellos se trata de teoría de números: divisibilidad, números primos, progresiones geométricas cerrándose con la proposición en la que Euclides enuncia la expresión de los números perfectos pares.
El siguiente libro, el décimo, es el más extenso y el más difícil se ocupa de los irracionales clasificando, mas no calculando, una serie de combinaciones de expresiones racionales e irracionales, tales como las que se presentarían como raíces de una ecuación bicuadrada.
Nota complementaria
El libro décimo es el más extenso, pues comprende 115 proposiciones, y en él se estudian en forma geométrica las propiedades de un cierto grupo de expresiones irracionales, hoy llamadas cuadráticas y bicuadráticas con algunas aplicaciones. Por ejemplo, demuestra que en el problema de aplicación de áreas por defecto de expresión algebraica x(a - x)=1/4b2, los segmentos x y (a - x) son conmensurables si los sona y √(a2 - b2).
Los irracionales en los Elementos
En definitiva el libro contiene una clasificación de irracionales bicuadráticas que pueden resumirse algebraicamente considerando la identidady considerando los 12 casos posibles que se obtiene combinando:
a) dos signos superiores o inferiores;
b) que p o q o ninguno de los dos sea un cuadrado perfecto y
c) que p y p - q sean o no conmensurables.
Algunas de estas combinaciones se aplican más tarde en la teoría de los poliedros regulares, aunque ha de reconocerse que existe una verdadera desproporción entre el material acumulado en el libro décimo y el reducido uso que después se hace de él.
Los tres últimos libros de los Elementos son de un contenido más bien heterogéneo: podrían calificarse de geometría superior, no por su factura sino por tratar cuestiones ya de geometría del espacio, ya que implican nociones del actual análisis infinitesimal. En efecto, el libro XI expone algunos teoremas de geometría del espacio, necesarios para los dos libros siguientes: el XII comprende en cambio teoremas del plano o del espacio que exigen para su demostración la aplicación del método de exhaución, mientras que el XIII se ocupa exclusivamente de los cinco poliedro regulares y de su inscripción y circunscripción en la esfera.
Nota complementaria
Tienen 75 proposiciones, y están dedicados en su mayor parte de la geometría del espacio. En el primero de esos libros se antepone la definiciones de ángulos diedros y poliedros y de poliedros y cuerpos redondos, utilizándose para las definiciones de estos últimos el movimiento pues la esfera, el cilindro y el cono se definen mediante la rotación de un semicírculo alrededor de su diámetro, de un rectángulo alrededor de uno de sus lados y de un triángulo rectángulo alrededor de uno de sus catetos, respectivamente.
Los tres últimos libros de los elementos
Euclides no establece postulado alguno para la geometría del espacio, omisión lógica cuyas consecuencias se advierten en los primeros teoremas de estos libros en los que se pretende vanamente demostrar la existencia del plano, del cual por lo demás se da una definición defectuosa.
La geometría del espacio en los Elementos sigue en la forma actual aunque cabe destacar que Euclides no procede en este campo en la forma ordenada y completa como había procedido en geometría plana; se advierten además ciertas omisiones: por ejemplo, se habla de paralelismo entre rectas o entre planos, pero no entre rectas y planos; como si Euclides no se hubiera propuesto sino reunir el material indispensable para la demostración de los teoremas de los libros siguientes, en especial del último.
El segundo de estos tres libros se caracteriza por el hecho de ser sus teoremas aquellos que exigen el método de exhaución introducido por Eudoxo, método que Euclides aplica únicamente en estos cuatro casos: proporcionalidad entre los círculos y los cuadrados construidos sobre los diámetros respectivos e igualmente entre las esferas y los cubos construidos sobre esos diámetros; equivalencia entre la pirámide y la tercera parte del prisma de igual base y altura e igualmente esa equivalencia entre cono y cilindro.
El último libro de los Elementos está totalmente dedicado a los cinco poliedros regulares con un teorema final que expresa las relaciones entre las aristas de esos poliedros y el diámetro de la esfera circunscrita.
Aparece por último, como lema probablemente añadido posteriormente el teorema, que se atribuye a los pitagóricos, según el cual fuera de los cinco poliedros regulares conocidos no existe ningún otro poliedro regular, demostración que se funda en la naturaleza especial de los ángulos poliedros que se forman en los vértices de los poliedros regulares.
Tal es en síntesis la obra más importante de Euclides. Por grande que haya sido el aporte de los matemáticos anteriores, queda siempre para Euclides el mérito de haber aplicado por primera vez un método que resultó fecundo para la matemática y la ciencia en general, y el de haber estructurado sistemáticamente mediante ese método, en forma orgánica y ordenada, una gran cantidad de conocimientos matemáticos, en especial de geometría plana, sin olvidar que Euclides con sus Elementos acentúa una nota característica y permanente de la matemática: su carácter abstracto y su finalidad fincada exclusivamente en el Conocimiento. Ya Platón en la República lo había afirmado:"... aun aquellos que tengan escasos conocimientos de geometría no pondrán en duda que esta ciencia es todo lo contrario de lo que supondría la terminología de los geómetras... Es una terminología demasiado ridícula y pobre, pues como si se tratara de alguna finalidad práctica, ellos hablan siempre de cuadrar, de prolongar, de agregar, cuando en verdad la ciencia se cultiva con el único objeto de conocer..
Pero en matemática conocer es demostrar y los Elementos nos ofrecen el primer ejemplo en gran escala de ese fecundo juego de la razón, creador de nuevos conocimientos que se presentan atraídos por la irresistible fuerza del raciocinio y cuya única finalidad es el conocimiento mismo. Sin duda que para los gustos de hoy las demostraciones de Euclides son áridas, encuadradas en moldes formales demasiado rígidos, algo pedantes pero con todo ha de verse en el orden lógico, en los recursos deductivos y en los métodos de demostración otro de los méritos de los Elementos de Euclides.
Los editores antiguos agregaron a los trece libros de los Elementos un par de libros más (apócrifos] relacionados con los poliedros regulares. El llamado Libro XIV de los Elementos se debe a un matemático importante de la primera mitad del siglo II a. c.: Hipsicles de Alejandría; en verdad es una continuación natural del último libro de Euclides, pues se ocupa de los poliedros regulares anotando, entre otras, esta interesante propiedad: Si en una esfera se inscriben un cubo, un dodecaedro y un icosaedro, los lados del cubo y del icosaedro son proporcionales a las áreas y a los volúmenes del dodecaedro y del icosaedro, dependiendo el factor de proporcionalidad de la razón entre los segmentos que divide una recta en media y extrema razón.
Además Hipsicles se habría ocupado de aritmética, abordando un viejo tema de origen pitagórico, pues según Diofanto se le debería la definición de número poligonal P de p lados y n términos de una manera que traducida algebraicamente sería
p = n + 1/2 n(n - 1) (p - 2.)
En cuanto al libro XV, muy inferior al anterior y que también se ocupa de poliedros regulares se atribuye a un discípulo de Isidoro de Mileto, matemático que floreció en el siglo VI.Los Elementos constituyen un conjunto sistemático y sistematizado de conocimientos matemáticos griegos, pero no es el conjunto de todos esos conocimientos que poseían los griegos de la época de Euclides, de manera que para conocer el estado de la matemática griega a principios del siglo III a. C. debemos agregar los conocimientos matemáticos que aquéllos no contenían.
Por lo pronto, los Elementos no podían contener sino aquella parte de la matemática griega compatible en el sistema euclídeo, es decir, aquella que podía deducirse de los postulados que, explícita o implícitamente, le servían de fundamento. Pero es claro que tampoco podían contener todas las propiedades susceptibles de deducirse de estos postulados. Ya Proclo nos informa que Euclides no dio sino aquellas propiedades que podían servir de "elementos", pero fuera de estas omisiones deliberadas hay que agregar omisiones forzosas, representadas por las propiedades desconocidas en tiempos de Euclides y las que éste no estudió o no pudo deducir. En este sentido hay que señalar que tales omisiones son singularmente importantes en el campo de la geometría de la medida. Así no figura en los Elementos intento alguno para rectificar la circunferencia o arcos de circunferencia, como tan poco para "cuadrar" el círculo o sus partes o las extensiones superficiales totales o parciales de las figuras que limitaban los cuerpos redondos: cilindro, cono y esfera. En este sentido, la única propiedad que trae los Elementas es la proporcionalidad entre los círculos y los cuadrados de sus diámetros respectivos. Igual cosa ocurre en el espacio: pueden compararse los poliedros entre sí y algunos cuerpos redondos entre sí (la esfera con la esfera, el cono con el cilindro), pero falta toda comparación entre los poliedros y los cuerpos redondos.
Además de esas omisiones deliberadas o forzadas los Elementos no podían contener aquellos conocimientos que no encuadraban en el sistema de los postulados euclídeos tuvieran o no conciencia de ello los griegos, conocimientos a los que pertenecían, por ejemplo, todo lo concerniente a los tres problemas clásicos: trisección del ángulo, duplicación del cubo y cuadratura del círculo.
Nota complementaria
Ya aludimos a los sistemas de numeración de los griegos. El sistema utilizando las letras del alfabeto permitían escribir los números hasta el millar; anteponiendo una coma a las letras que indicaban las unidades se tenían las unidades correspondientes de los millares, llegándose así hasta la miríada (10 4), a veces simbolizada por una M. Para números superiores a las miríadas se utilizaron reglas diferentes, mientras que para las fracciones de numerador unitario se señalaba el denominador con un signo especial, aunque también parece que usaron fracciones con numerador y denominador. En astronomía se utilizó con preferencia el sistema sexagesimal.
La logística griega
En cuanto a las reglas operatorias, poco se sabe, fuera de algunos ejemplos diseminados en los textos científicos; es probable que para la suma, la resta y, quizá, para la multiplicación se utilizara el ábaco; para operaciones más complejas operaban con los números escritos con letras en una forma semejante a la actual.He aquí un ejemplo de multiplicación "griega", donde las letras superpuestas a las M indican las unidades de miríadas y las rayas superpuestas a las letras es una manera de evitar la confusión entre letras y números. A la derecha de la multiplicación griega está la traducción en símbolos numéricos actuales y la multiplicación tal como la efectuaríamos hoy.
Otro grupo de conocimientos matemáticos griegos de comienzos del siglo III no podio estar incluido en los Elementos. Nos referimos ante todo a los elementos de aritmética práctica, la llamada "logística" por los griegos, que abarcaba el sistema de numeración y las reglas operatorias elementales con enteros y fracciones, necesarias en las aplicaciones de la vida práctica o de la astronomía, topografía, mecánica, y, por otra parte, a ciertas ramas de la ciencia natural que, por su fácil geometrización, se construyeron en íntima conexión con la matemática: astronomía, óptica, cinemática.
Esa íntima conexión se pone en evidencia considerando que ramas de la geometría del espacio, como la geometría esférica, integraban la astronomía, mientras que ciertas nociones elementales relativas al movimiento: congruencia por superposición, generación de los cuerpos redondos, integraban la geometría.
Nota complementaria
Es sistemática en los Elementos la ausencia de las propiedades relativas a las figuras trazadas sobre la esfera. Si se exceptúa la definición y la proporcionalidad entre las esferas y los cubos construidos sobre sus diámetros, la esfera sólo se presenta en su relación con los poliedros inscritos y circunscritos. Este significativo silencio hizo pensar en la existencia de tratados que se refirieran especialmente a esa rama de la geometría del espacio y que, por su aplicación a la astronomía se consideraran más pertenecientes a esta última ciencia que a la geometría.
La "Esférica" antes de Euclides
En efecto, se tienen noticias acerca de una Esférica del periodo helénico aunque de autor no bien individualizado, atribuyéndose el tratado a Eudoxo en vista de que éste en su teoría del sistema planetario utiliza esferas concéntricas; amén de sus méritos como matemático. En cambio, se conoce el autor: Autolico de Pitaña del siglo IV, de una Esférica aunque de carácter más astronómico que geométrico, a la cual se asemejaría la obra Fenómenos de Euclides.
Además de los Elementos indudablemente su obra máxima, se deben a Euclides otros escritos matemáticos algunos existentes, otros perdidos. Entre los escritos de índole geométrica figuran los Datos, obra que parece haber sido escrita para aquellos que habiendo completado el estudio de los Elementos deseaban ejercitarse en la resolución de problemas que exigían el conocimiento de las propiedades del tratado de Euclides. En efecto, Datos se compone de un centenar de proposiciones en las que se demuestra cómo partiendo de ciertos datos -de ahí el nombre- quedaba determinada una figura ya en posición, ya en magnitud o ya en su forma.
Nota complementaria
Las obras geométricas de EuclidesDatos, que además de los Elementos es la obra geométrica de Euclides aún existente, contiene problemas de este tipo: si se conoce un ángulo de un triángulo y la razón entre el rectángulo formado por los lados adyacentes al ángulo y el cuadrado del lado opuesto, el triángulo está dado en su forma (Euclides dice en "especie') es decir, queda determinado un conjunto de triángulos semejantes. Otros problemas son aplicaciones de álgebra geométrica con reminiscencias del álgebra de los babilonios.
Respecto de la obra sobre la división de las figuras que cita Proclo, sólo se tienen noticias mediante un par de versiones árabes sobre la base de las cuales se ha reconstruido, comprendiendo un conjunto de proposiciones en las que se plantea el problema de dividir figuras planas, polígonos, círculo y hasta una figura mixtilínea, mediante rectas que cumplen ciertas condiciones, en figuras parciales que deben cumplir también condiciones prefijadas.
Otra obra geométrica (perdida) sobre la cual se han tejido numerosas conjeturas es Porisrnas de la cual, sobre la base de las noticias que trae Pappus, se han hecho varias reconstrucciones. Pappus dice que esta obra en tres libros compuesta de 38 lemas 171 teoremas era "una colección ingeniosa de una cantidad de cosas útiles para resolver los problemas más difíciles". El mismo significado del título no es claro, pues "porisma" puede significar "corolario", pero también tiene otro sentido al cual se refiere Pappus al decir que "los diversos tipos de porismas no son ni, teoremas ni problemas, representando en cierto sentido una forma intermedia". De ahí que Chasles, que es uno de los matemáticos que reconstruyó la obra dice que los porismas son teoremas incompletos que expresan ciertas relaciones entre elementos que varían de acuerdo con una ley determinada, y que tendrían por objeto no sólo demostrar esas relaciones, sino completarlas determinando la magnitud y posición de las figuras que satisfarán aquellas relaciones.
De las restantes obras geométricas de Euclides, o que se le atribuyen se han perdido los originales griegos. De la obra Sobre la división de las figuras se dispone de versiones árabes; de los Porismas de función probablemente semejante a Datos no se tiene sino noticias; menos aún se conoce acerca de sus Paralogismos o Sofismas probablemente una obra didáctica escrita para adiestrar a los discípulos en el razonamiento correcto; de sus Cónicas, en cuatro libros que sería un tratado sobre este tema comprendido entre los de Aristeo y de Apolonio; y de sus Lugares superficiales, respecto del cual no hay todavía formada opinión sobre el significado del título.
Además de estas obras, estrictamente geométricas, se deben o atribuyen a Euclides otras obras sobre temas de la matemática griega en sentido lato. Así, se le atribuye un fragmento sobre la teoría matemática del sonido, un tratado elemental de astronomía titulado Fenómenos; un fragmento de Sobre la palanca, conocido a través de fuentes árabes y dos escritos sobre óptica: Una óptica que contiene las proposiciones fundamentales de óptica geométrica fundadas sobre la hipótesis: "Los rayos que parten del ojo son rectilíneos": y una Catóptrica que estudia los fenómenos de la reflexión en espejos planos.
Arquímedes
Si Euclides es un maestro y un sistematizador, no muy original, la figura que le sigue cronológicamente, Arquímedes de Siracusa es el arquetipo de matemático original, que al igual que los científicos de hoy, no escribe sino monografías o memorias originales, relativas a los más variados campos de la matemática antigua en sentido lato: aritmética, geometría, astronomía, estática e hidrostática. Fue, en particular, la incorporación al saber científico de estas dos ramas de la física la circunstancia que explica la extraordinaria influencia que ejercieron los escritos de Arquímedes sobre los hombres del Renacimiento y de la Edad Moderna, convirtiéndoselo en una de las grandes figuras de la historia de la ciencia.
En verdad, su figura ya fue célebre y famosa para sus conciudadanos de Siracusa. Quizá lo fuera por sus méritos científicos o por las excentricidades y grandes inventos que le atribuyeron o por su vinculación, quizá parentesco, con la familia real. Hasta se cita una Vida de Arquímedes escrita por uno de sus contemporáneos.
Sin embargo, hoy esa vida solo puede reconstruirse sobre los datos, no muy abundantes, de diversos historiadores, en especial de los que se ocuparon de las guerras Púnicas. El hecho indudable de haber muerto Arquímedes en el saqueo que siguió a la caída de Siracusa en manos de los romanos en 212, combinado con otro dato, según el cual Arquímedes habría vivido 75 años, ubica la fecha de su nacimiento en el año 287 a. C.
Las actividades de su padre, astrónomo, influyeron sin duda en la vocación y formación científica de Arquímedes que, desde joven, estuvo en Alejandría donde, sin pertenecer al Museo, trabó amistad con varios maestros alejandrinos con quienes mantuvo luego correspondencia científica: fueron los sucesores de Euclides: Conón de Samos y, a la muerte de éste Desiteo de Pelusa, y Eratóstenes. Regresado a Siracusa dedico toda su vida a la investigación científica.
Esa vida, como la de otros grandes sabios, fue embellecida o deformada por la imaginación popular que la revistió de anécdotas más o menos verosímiles o la exaltó con elogios que a veces contribuyeron a rodear su existencia de una atmósfera sobrenatural.
Plutarco, al referirse a la vida del general romano Marcelo que conquistó Siracusa, describe la vida de Arquímedes y le confiere grandes dotes de mecánico práctico y de ingeniero militar aunque en ninguno de los escritos del siracusano aparecen menciones a investigaciones en esos campos. Este silencio a que Arquímedes consideraba la mecánica y, en general, todo arte tendiente a satisfacer nuestras necesidades como artes “innobles y oscuras", y por eso no dejó nada escrito sobre ellas.
Su muerte misma fue rodeada de cierta atmósfera novelesca y narrada de diferentes maneras; y el acto del soldado romano que atraviesa con su espada al viejo sabio absorto ante una demostración geométrica no dejó de excitar la imaginación. Con todo, es probable que la muerte de Arquímedes fuera lamentada por Marcelo, el hecho es que fue respetada la voluntad del sabio en el sentido de grabar en su tumba uno de sus más hermosos teoremas: el relativo a la esfera inscripta en un cilindro. Y esa figura permitió, siglo y medio después, que Cicerón descubriera, ya perdida y olvidada entre la maleza, la tumba del célebre siracusano en una época en la que sus conciudadanos ya habían olvidado su figura y su fama.
Esa fama hoy sobrevive, no por su vida, sino por sus escritos, cabales trabajos originales en los que se da por conocido todo lo producido antes sobre el tema y se aportan nuevos elementos.
En esos escritos siguió rigurosamente el método euclidiano de fijar previamente las hipótesis que postulaba, a mas que seguían los teoremas cuidadosamente elaborados y terminados; en general utilizando el método sintético sin mencionar el camino seguido para llegar a la tesis de la proposición que demuestra de ahí que en general no es de lectura fácil, aunque para demostrar una vez más la amplitud de su talento matemático, proporciona una notable excepción a esta regla general en su escrito Método.
Solía enviar a amigos de Alejandría los trabajos que escribía, a veces sólo los enunciados de los resultados sin la demostración, costumbre que en alguna ocasión le permitió formular cierta mordaz observación acerca de los profesores alejandrinos. En efecto, al advertir en una ocasión que algunos enunciados remitidos eran falsos, sin que ninguno de los profesores hubiera señalado el error, pudo decir Arquímedes: "...aquellos que pretenden haber resuelto todos los problemas, pero sin dar la demostración quedan refutados por el hecho mismo de haber declarado que demostraron algo imposible".
No es fácil establecer un nexo lógico o cronológico entre los escritos de Arquímedes. En parte por la índole monográfica de los mismos, en parte por el distinto contenido que se refiere a matemática, a astronomía y a física, sin olvidar que probablemente algunos de sus escritos se han perdido.
Se conocen de Arquímedes, en versión original, cuatro escritos de geometría: dos de geometría plana: De las espirales; De la medida del círculo, y dos de geometría del espacio: De la esfera y Del cilindro (dos libros) y De los conoides y de los esferoides.
Siguiendo la norma euclídea, hay definiciones en todos esos escritos, excepto De la medida del círculo, y postulados en De la esfera y del cilindro.
Nota complementaria
En él escrito De la esfera y del cilindro, hay seis definiciones, de las cuales las cuatro primeras son:
Definiciones y postulados geométricos de Arquímedes
1º. Existen en el plano ciertos arcos de curva totalmente situados de un mismo lado de las rectas que unen los extremos del arco;
2º. llamo cóncava en la misma dirección una línea tal que la recta que une dos puntos cualesquiera de ella, o bien está toda del mismo lado de la línea, o bien está parte del mismo lado y parte sobre la línea misma;
3º. de igual modo hay ciertas porciones de superficie, no situadas en un plano, pero cuya línea extrema está en un plano situado totalmente del mismo lado respecto de la superficie;
4º. llamo cóncavas en la misma dirección superficies tales que las rectas que unen dos puntos cualesquiera de ellas, o bien están todas del mismo lado de la superficie, o bien parte del mismo lado y parte sobre la superficie misma.
Con estas definiciones no sólo se introduce un nuevo concepto geométrico: el de concavidad, que Euclides no había necesitado si no que aparece un concepto de curva de superficie más general, no limitado a las escasas líneas y superficies de los Elementos: rectas, circunferencia, plano, cono, cilindro y esfera; sino que incluye líneas y superficies cualesquiera que comprenden poligonales y hasta líneas formadas por rectas y curvas, así como las superficies correlativas.
Las definiciones 5 y 6 se refieren al sector esférico y al "rombo sólido”, cuerpo que Arquímedes utiliza en muchas de sus demostraciones, constituido por dos conos de base y eje comunes y vértices en semiespacios distintos respecto de la base. Es interesante, por ejemplo, la proposición que en forma ingeniosa determina la diferencia de dos rombos sólidos de iguales ejes y vértices y de bases diferentes. Con las primeras cuatro definiciones se relacionan los cinco postulados del escritos;
1º. La recta es la más corta de las líneas de igual extremo;
2º. En cuanto a las demás líneas planos con los mismos extremos, son desiguales cuando siendo cóncavas en la misma dirección una de ellas está totalmente comprendida entre otra y la recta con los mismos extremos o en parte está comprendida y en partes es común; y la línea comprendida es menor;
3º. Del mismo modo, cuando varias superficies tienen los mismos extremos y esos extremos están en un plano esa figura plana es la menor;
4º. Entre las superficies con los mismos extremos, cuyos extremos están en un plano, serán desiguales cuando siendo con todas cóncavas en la misma dirección una de ellas está totalmente comprendida entre otra y la figura plana con los mismos extremos, o está en parte comprendida y en parte en común; y la superficie comprendida es menor;
5º. Por otra parte, entre las líneas, superficies y sólidos desiguales la menor excede a la menor de una cantidad tal que agregada a sí misma puede superar a cualquier cantidad dada homogénea con las dos anteriores.
Los postulados 1º a 4º establecen las condiciones de desigualdad de ciertas líneas y de ciertas porciones de superficies, así como fija un principio de mínimo, que si bien son intuitivos y los elementos habían demostrado en casos muy particulares, su demostración en el caso general planteado no era ni fácil ni posible con los recursos geométricos de la época, de ahí que darlos por omitidos en forma de postulado representa por parte de Arquímedes, tanto una genial intuición como un rasgo de audacia.
El postulado 1º tuvo mucha suerte. El hecho de postular para la recta una propiedad característica, intuitiva y de interpretación simple y única, unida a la necesidad instintiva (no lógica) de definir ese ente fundamental de la recta. El primer intento en ese sentido aparece en Teón de Esmirna, comentarista del siglo II.
Por su parte, el postulado 5º es el postulado que hoy se designa por antonomasia con el nombré de "postulado de Arquímedes", que Euclides había incluido entre las definiciones del Libro V de sus Elementos. Al admitirlo por primera vez entre los postulados, Arquímedes puso en evidencia que tal enunciado no era un principio, ni una definición, ni un teorema que podía deducirse de los demás postulados; de ahí que lo enuncie como un postulado independiente y haga uso de él en todos los numerosos teoremas de carácter infinitesimal que demuestra. Las actuales geometrías no arquimedianas, para las cuales son válidos los postulados ordinarios de las magnitudes con excepción del postulado de Arquímedes, constituyen una brillante confirmación del modo de ver de Arquímedes.
En el escrito De los conoides y de los esferoides se dan las definiciones de estos cuerpos engendrados por un movimiento de rotación de las tres secciones cónicas, que en tiempos de Arquímedes aún tenían los antiguos nombres dados por Menecmo y Aristeo.
Tales definiciones son:
1º. Una sección del cono rectángulo da una vuelta completa alrededor de su eje; la figura engendrada por esa sección se llama conoide rectángulo (es nuestro paraboloide de revolución);
2º. Si se tiene en un plano una sección del cono obtusángulo así como sus rectas más aproximadas y el plano da una vuelta completa alrededor del eje, las rectas más aproximadas describen un cono isósceles mientras que la figura engendrada por la sección se llama conoide obtusángulo (las rectas más aproximadas son nuestras asíntotas y el conoide obtusángulo es el hiperboloide de revolución de dos hojas. En Arquímedes no hay alusión al hiperboloide de revolución de una hoja);
3º. si una sección del cono acutángulo da una vuelta completa alrededor de su eje mayor, la figura engendrada por esa sección se llama esferoide alargado, mientras que si gira alrededor de su eje menor, se llama esferoide aplanado (son nuestros elipsoides de revolución).
También mediante el movimiento se engendran las espirales, cuyas propiedades estudia en el escrito que lleva ese nombre. Así define Arquímedes sus espirales: Si en un plano se consideran una recta que mantiene uno de sus extremos fijo y gira un número cualquiera de veces con movimiento uniforme, retomando sucesivamente la posición de donde ha partido, mientras que sobre la recta que gira se mueve uniformemente un punto a partir del extremo fijo, el punto describirá una espiral en el plano.
Mientras que en las definiciones de los conoides y esferoides el tiempo no interviene para nada, pues el movimiento sólo se utiliza para la definición de los sólidos, en el caso de las espirales se hacen necesarias dos proposiciones iniciales para fijar la proporcionalidad entre los segmentos recorridos y los tiempos empleados en recorrerlos.
El primer libro de este escrito puede considerarse un complemento de los Elementos de Euclides, al demostrar una serie de teoremas, relativos a las áreas y volúmenes de los cuerpos redondos, omitidos en los Elementos.
En esas demostraciones, por ejemplo en el caso del área de la esfera o del segmento esférico, pero también en otros libros geométricos, Arquímedes expone propiedades que traducidas algebraicamente, representan igualdades o desigualdades entre sumatorias que en conexión con el postulado de Arquímedes y el método de exhaución, permiten llegar geométricamente a aquellas áreas y volúmenes que hoy se obtienen analíticamente mediante los recursos del análisis infinitesimal.
Nota complementaria
Las igualdades y desigualdades entre sumatorias que se presentan en los escritos de Arquímedes expresadas con lenguaje geométrico, son las siguientes, que por comodidad traducimos en lenguaje algebraico: En Cuadratura de la parábola se da la suma de una progresión geométrica en la siguiente forma:
Las sumatorias de ArquímedesEn De las espirales, así como en De los conoides y de los esferoides, expresa Arquímedes la suma de los primeros n cuadrados en la forma especial;
mientras que en el escrito De la esfera y del cilindro, en los teoremas que permiten determinar el área de la esfera y del segmento esférico, Arquímedes demuestra un teorema de una sencillez extraordinaria que, expresado en forma algebraica, es:
expresión que al convertirse en integral definida mediante el paso al límite, permite hoy calcular esas áreas.
Además en De las espirales y en De los conoides y de los esferoides, Arquímedes utiliza las siguientes desigualdades:y si Ar = arh + (rh)2 , entonces
Algunos de los teoremas del primer libro del escrito De las esfera y del cilindro; área lateral del cono y del cilindro, área de la esfera se han incorporado a nuestra geometría elemental mientras que otros ofrecen tal sencillez y simetría que explican el deseo de Arquímedes de quedar sus resultados eternamente grabados en su tumba.
El segundo libro del escrito comporta una serie de problemas, algunos de los cuales, nada fáciles, conducen a problemas del tipo de la duplicación del cubo y de la trisección del ángulo.
Nota complementaria
Además de las definiciones y postulados ya citados, en el primer libro de este escrito figura una serie de teoremas relativos a las áreas y a los volúmenes de los cuerpos redondos, de los cuales los más importantes son:
El escrito De la esfera y del cilindro
1º. La superficie lateral de un cilindro circular recto es equivalente a un circulo cuyo radio es medio proporcional entre la generatriz del cilindro y el diámetro de la base;
2º. la superficie lateral de un cono circular recto es equivalente a un círculo cuyo radio es medio proporcional entre la generatriz del cono y el radio de la base;
3º. la superficie lateral de un tronco de cono circular recto, de bases paralelas, es equivalente a un círculo cuyo radio es medio proporcional entre la generatriz del tronco de cono y la suma de los radios de las bases;
4º. la superficie de la esfera es equivalente a cuatro veces su círculo máximo;
5º. toda esfera es equivalente a cuatro veces el cono cuya base es un círculo máximo y cuya altura es el radio de la esfera. En un corolario posterior Arquímedes demuestra que si se considera un cilindro de altura igual al diámetro de la base y en él se inscribe una esfera, las áreas y los volúmenes de esos dos sólidos están en la misma proporción simple 3:2. La sencillez de estos términos, que definen una razón igual, entre pares de magnitudes de distinta naturaleza, en contraste quizá con el esfuerzo realizado para obtenerla (área y volumen de la esfera) fue quizás el motivo que indujo a Arquímedes a expresar el deseo, que se cumplió, de grabar en su tumba una esfera con un cilindro circunscrito;
6º. la superficie de un casquete esférico, exceptuada la base, es equivalente a un círculo cuyo radio es el segmento trazado desde el vértice del casquete a un punto cualquiera de la base;
7º el sector esférico es equivalente a un cono cuya base es equivalente a la superficie del casquete del sector y cuya altura es el radio de la esfera.
De los problemas, que con una serie de otras proposiciones comprende el libro II, sólo citamos aquellos que conducen a cuestiones no resolubles con regla y compás:
1º. Determinar una esfera equivalente a un cilindro o a un cono dado. Este problema se reduce a algún problema del mesolabio; en efecto, para resolverlo Arquímedes determina dos medias proporcionales entre dos segmentos dados, pero sin indicar el procedimiento seguido en esa determinación, lo que hace suponer que Arquímedes daba ese problema por conocido y resuelto;
2º. cortar una esfera por un plano de manera que los dos segmentos tengan sus volúmenes en una razón dada. El problema, como dice Arquímedes, se reduce a dividir el triple del radio de la esfera en dos partes tales que una de ellas sea a un segmento conocido como el cuadrado del diámetro de la esfera es el cuadrado de la otra parte. Arquímedes agrega que al final del libro dará la solución, que en este caso corresponde a un problema de trisección del ángulo, pero en ningún manuscrito se encuentra esa solución;
3º. determinar un segmento esférico de volumen dado y semejante a otro segmento también dado. Este problema se reduce al del mesolabio; en efecto, Arquímedes lo reduce a la búsqueda de dos medias proporcionales entre dos segmentos dados.
Terminemos agregando que en la penúltima proposición de este libro se habla de una razón "sesquilátera", es decir, multiplicada una vez y media para indicar nuestra potencia de exponente 3/2 ; mientras que en la última proposición se demuestra que entre todos los segmentos esféricos de igual superficie, el hemisferio es el de volumen máximo. (Estas dos últimas proposiciones del escrito son precisamente aquéllas, cuyo enunciado, que resultó erróneo, había enviado a los maestros alejandrinos sin que éstos advirtieran el error.)
En cierto sentido el único libro De los conoides y de los esferoides es una continuación del anterior, pues en él se estudian las propiedades métricas de los sólidos que Arquímedes designa con el nombre de conoides (nuestro paraboloide y una del hiperboloide de dos hojas, de revolución] y esferoides (nuestro elipsoide de revolución).
Nota complementaria
En el escrito De los conoides y de los esferoides Arquímedes, después de un largo preámbulo dirigido a Dositeo, donde figuran las definiciones de los términos que utilizará en el escrito, introduce algunos lemas aritméticos y propiedades de las cónicas que en algún caso enuncia sin demostrar agregando que esas demostraciones "se encuentran en los elementos sobre las cónicas", aludiendo indudablemente a escritos sobre ese tema existentes en su época, probablemente los de Euclides o de Aristeo.
Los conoides y esferoides de Arquímedes
Pasa luego a enunciar propiedades de los conoides y esferoides, para terminar con el objeto del escrito, que es expresar la equivalencia de segmentos de estos sólidos con sólidos conocidos. Así demuestra:
1°. Todo segmento de conoide rectángulo es equivalente a una vez y media el cono de igual base que el segmento y cuyo vértice es el punto del conoide de donde el plano tangente es paralelo a la base;
2°. la razón entre un segmento de conoide obtusángulo y el cono definido como en el caso anterior no es ahora constante, sino que es igual a la razón entre los dos segmentos de recta que se obtienen agregando al eje del segmento el triple y el doble, respectivamente, de la porción de recta "agregada", que según la terminología actual es la longitud del semidiámetro conjugado a la dirección determinada por la base del segmento de conoide;
3º. si un plano determina en un esferoide dos segmentos la razón entre uno de ellos y el cono, definido como siempre, es igual a la razón entre el eje correspondiente al otro segmento, agregándole la semirrecta que une los vértices, es decir, el semidiámetro conjugado a la dirección de la base, y ese eje.
Basta exponer estos enunciados para advertir la importancia de los resultados logrados por Arquímedes y la pericia técnica que en ellos despliega, si se considera que tales resultados se obtienen actualmente mediante los recursos del cálculo integral.
Una última contribución conocida de Arquímedes a la geometría del espacio, de índole diferente de las anteriores, la proporciona Pappus cuando al hablar de las figuras inscritas en la esfera, cita los poliedros regulares y 13 poliedros semiregulares que, según Pappus, habría descubierto Arquímedes, pero sin señalar cómo llegó a ellos.
Nota complementaria
En el cuadro siguiente se enumeran los 13 poliedros semiregulares que se atribuyen a Arquímedes, con sus características: ángulos poliedros y aristas iguales entre sí; y caras polígonos regulares no todos semejantes.
Los poliedros semiregulares de Arquímedes
Según un antiguo comentarista anónimo parece que estos poliedros pueden obtenerse partiendo de los regulares o de los mismos semiregulares seccionando los vértices con planos a la manera de los cristales. Por ejemplo, seccionando los vértices de un cubo de manera tal que sus aristas se bisequen, se obtiene el segundo de los semiregulares del cuadro.
En geometría plana la contribución más original de Arquímedes es el escrito De los espirales, uno de los más difíciles por sus largas demostraciones, la concisión de su texto, que subentiende muchas relaciones intermediarias, la aplicación de expresiones en forma geométrica de la suma de términos en progresión aritmética o de sus cuadrados; todo hace su lectura nada fácil, circunstancia que explica que en los siglos XVII y XVIII hubo matemáticos que desistieron de entender este escrito y hasta quien, frente a sus dificultades, prefirió considerar erróneos sus resultados. También en este escrito aparecen problemas no resolubles con regla y compás que Arquímedes da por resueltos por inserción, pero sin señalar la construcción correspondiente.
Nota complementaria
Enunciamos las propiedades más importantes de esta curva que Arquímedes demuestra en su escrito De las espirales:
La espiral de Arquímedes
1º. Mediante el trazado de la tangente a la espiral en uno de sus puntos puede obtenerse un segmento igual a la longitud de un arco de circunferencia de radio y ángulo central dado, es decir, que mediante esta curva se puede rectificar la circunferencia o uno de sus arcos;
2º. el área barrida por el radio vector en la primera revolución es la tercera parte del círculo, cuyo radio es la posición final del radio vector. Esa área barrida en la segunda revolución está en la razón 7:12 con el circulo cuyo radio es la posición final del radio vector. En un corolario Arquímedes da la expresión general, en forma geométrica, de esta razón para una revolución cualquiera. Es fácil comprobar que esa razón es [n3 — (n — l)3];
3º. también en forma bastante general expresa Arquímedes la razón de las áreas comprendidas entre las espirales engendradas en las revoluciones sucesivas con la porción de recta perteneciente a la posición inicial del radio vector; así como la razón en que queda dividido por el arco de espiral, el trapecio circular situado en el sector circular cuyos extremos corresponden a las posiciones inicial y final del arco de espiral y cuyos arcos de circunferencia bases son los que tienen por radios esos radios vectores.
El escrito De la medida del círculo, muy breve, es uno de los más importantes de Arquímedes, pues en él no sólo demuestra la equivalencia de los problemas de la rectificación de la circunferencia y el de la cuadratura del círculo, sino que al dar una solución aproximada de esos problemas, con un valor bastante cómodo para nuestro número π, aporta interesantes cuestiones aritméticas.
Nota complementaria
Además del teorema que expresa la equivalencia del círculo con el triángulo de altura el radio y de base la circunferencia rectificada, el escrito De la medida del círculo contiene dos proposiciones, cuyo orden debería invertirse pues la primera es consecuencia de la siguiente. En efecto, la última proposición demuestra que la razón de la circunferencia al diámetro está comprendida entre 3 10/71 y 3 1/7 mientras que la anterior dice simplemente que la razón del círculo al cuadrado del diámetro es 11:14, que por supuesto es la cuarta parte del 3 10/71. En cambio, no menciona que es un valor aproximado por exceso, ni da el valor aproximado por defecto 223/284 que habría obtenido del 3 10/71.
El número π de Arquímedes
La extensa última proposición del escrito es uno de los teoremas más notables de Arquímedes, pues con los números 3 10/71 y 3 1/7 proporciona dos valores aproximados, por defecto y por exceso, de nuestro número π, que logra utilizando el método de inscribir y circunscribir polígonos duplicando el número de lados, partiendo del hexágono para llegar hasta el de 96 lados, y calculando aproximadamente sus perímetros, pero manteniendo el sentido del error.Si se recuerda que, exceptuando el hexágono, todos esos polígonos tienen sus lados inconmensurables con el diámetro, tales perímetros están expresados mediante raíces cuadradas que Arquímedes calcula aproximadamente, por defecto o por exceso según el caso, mediante reglas para obtener raíces aproximadas, seguramente conocidas en su época, pero de las cuales nada dice Arquímedes habiendo avanzado los historiadores de la matemática distintas conjeturas al respecto. El hecho es que Arquímedes llega a probar que nuestro número π está entre los valores 6336 /2017+1/4 y 2937/6347 que sustituye por los más cómodos 3 10/ 71 y 3 1/7, siendo este último valor muy utilizado como 22/ 7 en la antigüedad y más adelante también.
El cuadro que sigue da una idea de la notable aproximación de los valores de Arquímedes como puede comprobarse mediante las expresiones decimales que agregamos al respecto
Queda aún un tema de geometría plana que Arquímedes trata en un escrito que, desde el punto de vista de hoy, no es exclusivamente geométrico. Es Cuadratura de la parábola, primer ejemplo de cuadratura de una figura mixtilínea (las lúnulas de Hipócrates habían sido las primeras figuras cuadrables curvilíneas) y que Arquímedes logra por un doble camino: uno exclusivamente geométrico y otro empleando los recursos de la estática, mediante la ley de la palanca que él mismo había demostrado.
Nota complementaria
"... ninguno de mis predecesores, que yo sepa, ha buscado la cuadratura de un segmento limitado por una recta y una sección de cono rectangular, cosa que ahora nosotros hemos encontrado ”, dice Arquímedes en el preámbulo dirigido a Dosileo que precede a su escrito cuadratura de la parábola, donde demuestra que el segmento de parábola excede en 1/3 al triángulo de igual base que el segmento y por vértice el del segmento, es decir, la intersección con el arco del diámetro de la parábola que pasa por el punto medio de la base. Además de exponer en el escrito numerosas propiedades de la parábola, demuestra la equivalencia por dos caminos: uno "mecánico" y el otro exclusivamente geométrico.
La cuadratura de la parábola
Resumamos ambos métodos. Sea el segmento de parábola de base AB y vértice V. Si se traza la tangente en A y el diámetro en B, se obtiene el triángulo ABC que, en virtud de la propiedad de la parábola OV = VO’, será cuádruple del triángulo T = AVB. Si se traza ahora un diámetro cualquiera NM que corta a AB en P, por las propiedades de la parábola se tendráAB : NB = NP o lo que es lo mismo AB × MN = NB : NP; y es esta "igualdad de momentos" lo que llevó sin duda a Arquímedes a aplicar la "ley de la palanca" que había encontrado en sus estudios de estática. Parafraseando el proceso de Arquímedes diríamos que en una palanca de brazos iguales AB = BH, un peso proporcional a MN con su centro de gravedad en H, equilibra un peso proporcional a PN en su sitio. Utilizando dos escaloides inscriptos y circunscriptos al segmento y, por supuesto, por el método de exhaución, en definitiva Arquímedes demuestra que el segmento, con su centro de gravedad en H, equilibra el triángulo ABC y como éste tiene su centro de gravedad al tercio de BA, resultará que el segmento es un tercio de ABC y, por lo tanto, los 4/3 de T.
La demostración geométrica consiste en llenar el segmento con el triángulo T, repetir la operación en los segmentos restantes de base AV y VB, luego en los de base W y así sucesivamente. Como se demuestra que cada operación llena 1/4 del área llenada por la operación anterior, al cabo de n operaciones el segmento se habrá llenado de una poligonal de área T(1 + 1/4 + (1/4)2 +…+(1/4)n-1) y en virtud del lema aritmético que le permitió obtener esta suma y con el método de exhaución, llega Arquímedes a demostrar que el segmento es equivalente a 4/3 de T
Por último se atribuye a Arquímedes un llamado Libro de ¡os Lemas, conocido en su versión árabe, que contiene una serie de proposiciones de geometría plana, algunas muy elementales, pero otras con interesantes equivalencias entre figuras circulares, que es muy posible que sean originales del geómetra de Siracusa.
Nota complementaria
De las proposiciones de este libro, entre las que figura la trisección por inserción en la forma de una propiedad de la circunferencia, son interesantes algunas aplicaciones de álgebra geométrica a los círculos. Sea un semicírculo de diámetro AC y en éste un punto interior B; si se trazan los semicírculos de diámetros AB y BC, el recinto bordeado por los tres semicírculos que Arquímedes designa con el nombre de arbelos (lezna de zapatero) es equivalente al círculo de diámetro la semicuerda BD, perteneciente a la tangente común a los dos semicírculos anteriores. Arquímedes agrega algunas propiedades, en especial relativas a los círculos del interior del arbelos y tangentes a sus bordes, figuras que serán estudiadas más adelante por Pappus.
El libro de los lemas
Otro recinto de contornos semicirculares es el salinon (palabra de discutible significado), obtenido partiendo de cuatro puntos A, B, C, D, tales que AB = CD y dibujando en un semiplano los semicírculos de diámetros AD, AB, CD y en el otro de diámetro BC. Arquímedes, también muy fácilmente, demuestra que el recinto ABCDA es equivalente al círculo de diámetro el segmento de eje de simetría de la figura comprendido entre los semicírculos de diámetros AD y BC.
La demostración no es sino una ingeniosa extensión a los círculos de la última identidad algebraica del segundo libro de los Elementos.
Cabe por lo demás observar que las equivalencias dadas por el arbelos y el salinon son casos muy particulares de la equivalencia entre recintos bordeados por cuatro semicircunferencias, dispuestas en forma especial, y un círculo cuyo diámetro es el segmento de eje radical de un par de esas circunferencias, comprendido entre los arcos de las otras dos. Puede observarse en los casos de Arquímedes cómo se verifica tal propiedad.
A estos escritos puramente geométricos, cabe agregar en la producción de Arquímedes, los escritos sobre temas de ciencia natural: astronomía y física, que los griegos incluían, por su índole, en la matemática. El escrito que, sin tener finalidad astronómica, se ocupa incidentalmente de astronomía, es un trabajo dedicado al hijo del tirano de Siracusa y de quien era preceptor, con el objeto de probarle que el número de granos de arena del mar no era infinito, haciendo alusión al verso de Pindaro "numerosas como las arenas del mar". Con tal fin se propone contar o, mejor, dar nombre al número de granos de arena que llenaría no sólo a todos los mares, sino a todo el universo, adoptando para éste sus máximas dimensiones posibles o imaginables.
El interés de este escrito, conocido como Arenario o El contador de arenas, es múltiple. Por un lado, justifica la fama que, según testimonios antiguos, poseía Arquímedes como astrónomo, en vista de los conocimientos astronómicos que el escrito revela, figurando hasta un procedimiento experimental para determinar aproximadamente el diámetro aparente del Sol. Por otra parte, en el Arenario figura un párrafo importante desde el punto de vista histórico, pues constituye la única alusión conocida al sistema heliocéntrico de Aristarco de Samas, concepción del universo que Arquímedes no comparte, pero que adopta por cuanto sus dimensiones eran mayores de las del universo que ordinariamente concebían los astrónomos de la época. A estas notas de índole extra-matemático cabe agregar que en el Arenario figura un sistema especial de numeración: las "octadas", que Arquímedes crea ante la necesidad de manejar números muy grandes, sistema que le facilitará contar o mejor, nombrar esos números.
Nota complementaria
Paro describir el sistema que adopta, a fin de dar nombre a números muy grandes, Arquímedes recuerda que tradicionalmente los griegos tenían esos nombres para los números hasta la miríada, es decir 104, de manera que podían "nombrar" números hasta la miríada de la miríada (108). Arquímedes adopta entonces este número como nueva unidad (llamémosla u) de primer orden del primer periodo, definiendo sucesivamente órdenes sucesivos hasta completar el orden u-simo y con el primer período P = uu. A continuación define los períodos sucesivos, en cada uno de los cuales hay u órdenes, hasta llegar al periodo u-simo, es decir Pu, cuyo último número nombra: es "u unidades del orden u-simo del período u-simo", es decir, uu2 que con nuestras cifras sería la unidad seguida de ochenta billones de ceros. Da luego Arquímedes la regla para operar con los números de su sistema, regla que equivale a nuestra propiedad del producto de potencias de igual base (con la diferencia que Arquímedes opera con números ordinales, no cardinales), para luego pasar a la determinación efectiva del número de granos de arena del Universo.
Las "octadas" de Arquímedes
Partiendo del hecho de que una semilla de amapola no contiene más de una miríada de granos de arena y que la semilla de amapola es una esfera de diámetro la 40-ava parte del dedo (10-4 parte del estadio), va calculando sucesivamente el número de granos de arena que contienen las esferas de los siguientes diámetros: 100 dedos, 104 dedos, es decir, el estadio; 100 estadios, 104 estadios, 100 miríadas de estadios (que es el diámetro de la Tierra que adopta Arquímedes]; u estadios; 100 u estadios (diámetro del Universo, según los astrónomos ortodoxos] y 106u (diámetro del universo de Aristarco]; llegando finalmente a que el número de granos de arena que llenarían este universo no superaría a un número que con nuestra notación es 10 63, o sea mil decallones.
Por último, se deben a Arquímedes dos escritos que pueden calificarse de física matemática que proporcionaron los primeros resultados perdurables de estática: la ley de la palanca y el llamado "principio de Arquímedes".
Fuera de las reflexiones sobre mecánica práctica vinculadas con las máquinas simples, muy poco había progresado la mecánica como rama de la matemática; será Arquímedes quien concederá jerarquía científica a esta rama, mediante sus escritos: Sobre el equilibrio de los planos (en dos libros) y De los cuerpos flotantes (también en dos libros), que se ocupan, respectivamente, de estática y de hidrostática.
Del equilibrio de los planos, donde la palabra "planos" se refiere a figuras planas limitadas, es un estudio acerca de la determinación de los centros de gravedad y de las condiciones de equilibrio de cuerpos geométricos, cuando en cada uno de sus puntos se considera, además de su posición, el peso; aunque Arquímedes no estudia sino cuerpos homogéneos. El escrito está construido a la manera euclídea con definiciones, postulados y teoremas, comprendiendo el primer libro las condiciones de equilibrio de la palanca, y la determinación de los centros de gravedad de algunos polígonos, mientras que en el segundo libro llega a determinar el centro de gravedad de un trapecio parabólico, es decir la porción de parábola comprendida entre dos cuerdas paralelas.
Nota complementaria
El escrito Del equilibrio de los planos crea la teoría general de la palanca, fundada sobre la base de 7- postulados, con los que se abre su primer libro. No trae definiciones no obstante figurar en los postulados conceptos como el centro de gravedad, cuya definición no aparece en ninguno de los escritos conocidos de Arquímedes, circunstancia que hace pensar que esa definición ya era conocida en tiempos de Arquímedes o más verosímilmente, figuraba en otro escritos de Arquímedes hoy perdido.
La ley de la palanca.
En definitiva los siete postulados afirman:
1º. la unicidad del centro de gravedad;
2º. que el equilibrio se mantiene sustituyendo cuerpos equivalentes,
3º. que el equilibrio sólo depende de los pesos y de las distancias a las que los cuerpos están colocados respecto del centro de rotación; y
4º. que existe equilibrio en el caso particular de simetría completa de pesos y distancias, mientras que existe desequilibrio cuando no existe tal simetría.
De esos postulados deduce Arquímedes la conocida ley general de la palanca: "Dos pesos, conmensurables o no, se equilibran a distancias inversamente proporcionales a esos pesos".
Se ha objetado, en especial por Mach, que en realidad esta ley está implícita en las demostraciones de Arquímedes, pues de sus postulados que no traducen sino las experiencias e intuiciones que establecen las condiciones cualitativas del equilibrio, no es posible deducir una ley, como la de la palanca, que es cuantitativa.
De todos modos, obtenida la ley Arquímedes, en las restantes proposiciones del primer libro, determina el centro de gravedad de los paralelogramos, triángulos y trapecios. En cambio, en el segundo libro, combinando los resultados anteriores con la cuadratura de la parábola llega a determinar el centro de gravedad de un segmento de parábola y de un trapecio parabólico, determinación esta última que constituye una de las aplicaciones más brillantes del "álgebra geométrica".
Si respecto de la estática, subsiste aún alguna duda acerca de la posibilidad de existencia de escritos antiguos sobre esa rama de la mecánica anteriores a Arquímedes no hay duda alguna respecto de la hidrostática, cuyo creador indiscutible es Arquímedes con su escrito De los cuerpos flotantes, con el cual se dan científicamente las condiciones de equilibrio de los cuerpos sumergidos parcialmente, se enuncia el hoy llamado "principio de Arquímedes" y se estudian las aplicaciones del principio al caso de un casquete esférico y de un segmento de paraboloide de revolución. En realidad, en la forma dada por Arquímedes, los problemas de hidrostática se reducen a problemas de estática sólo algo más complicados, al hacer intervenir la razón entre los pesos específicos del cuerpo y del fluido.
Nota complementaria
En forma semejante al anterior está construido el escrito De los cuerpos flotantes. En el primer libro después de postular la naturaleza del fluido en la forma, postulamos que la naturaleza de fluido es tal que estando sus partes dispuestas en forma uniforme y continua, las partes menos comprimidas son desplazadas por aquellas que lo están más, mientras que cada parte está comprimida por el fluido situado encima de ella según la dirección de la vertical, salvo que ese fluido esté encerrado en alguna parte o esté comprimido por alguna otra cosa.
El "principio de Arquímedes"
En virtud de este postulado y de las propiedades de la esfera Arquímedes demuestra que la forma de equilibrio que adopta un fluido es una esfera "cuyo centro es el mismo que el de la Tierra", y deduce las condiciones de equilibrio de los cuerpos sumergidos enunciando las siguientes proposiciones:
1°. Un cuerpo tan pesado como el fluido y abandonado en él, se sumerge hasta que ninguna parte de él emerja de la superficie, pero sin descender mayormente;
2º. un cuerpo menos pesado que el fluido no se sumergirá totalmente y abandonado en él, sino hasta que el volumen del fluido desalojado por la parte sumergida tenga igual peso que el de todo el cuerpo. Si ese cuerpo es sumergido forzadamente recibirá un empuje hacia arriba igual a lº. un cuerpo más pesado que el fluido y abandonado en él se sumergirá hasta el fondo, y en el fluido el peso del cuerpo disminuirá de un peso igual al del fluido desalojado.
Estas proposiciones demuestran que en el equilibrio, de los cuerpos flotantes interviene una fuerza -el empuje- cuya intensidad está determinada mediante esas mismas proposiciones, pero de la cual se desconoce su punto de aplicación, de ahí que Arquímedes introduzca, al finalizar el primer libro, un segundo postulado que se enuncia así en un fluido todos los cuerpos que se dirigen hacia arriba lo hacen según la vertical trazada por su centro de gravedad.
Con estos postulados y demostraciones Arquímedes, en el segundo libro del escrito, realiza una verdadera proeza científica al estudiar distintas condiciones de equilibrio de un segmento de paraboloide de revolución sumergido parcialmente en un fluido más pesado que él.
Es fácil advertir cómo la índole de este escrito contrasta con él carácter elemental del problema de la corona de Hierón y la bañera, que según la creencia popular habría dado origen al principio de Arquímedes. Según la conocida anécdota, tal como la reproduce Vitruvio, Arquímedes, para comprobar que la corona no era de oro puro sino mezcla de oro y plata había hecho confeccionar dos masas de oro y de plata de igual peso que la corona y habría medido el volumen de agua desalojado por cada uno de esos tres cuerpos: la corona y las dos masas. Bastaba verificar que el volumen desalojado por la corona estaba comprendido entre los otros dos volúmenes para comprobar el fraude. Por otra parte, también fácil le hubiera sido a Arquímedes calcular la proporción de oro y plata en la corona, pues se trata de un elemental problema de mezcla.
Terminemos con los escritos de Arquímedes reseñando quizás el más original de todos ellos: Del método relativo a los teoremas mecánicos, que se conoce abreviadamente como Método, en el que explota hábilmente las propiedades de la palanca y de los centros de gravedad.
Recordemos que muchos de los resultados logrados por Arquímedes: áreas, volúmenes, centros de gravedad, se obtienen hoy mediante los recursos del cálculo integral, recursos que los matemáticos griegos sustituyeron por el "método de exhaución" de Eudoxo. Pero, como dijimos, este método es un método de demostración, no de descubrimiento y por tanto exige conocer de antemano el resultado a demostrar.
En algunos casos era fácil prever ese resultado, ya por inducción, ya por intuición, pero en otros casos tal previsión era imposible. ¿Cómo podía, por ejemplo, preverse la complicada posición que ocupa el centro de gravedad de un trapecio parabólico? Este hecho no dejó de intrigar a los matemáticos occidentales cuando en el siglo XVI comenzaron a difundirse los escritos de Arquímedes, y no faltó el matemático que afirmara que seguramente Arquímedes disponía de un método especial para lograr esos resultados, método que habría mantenido en secreto.
Tal afirmación resultó una verdad a medias; en efecto, Arquímedes había ideado un método con ese objeto, pero no lo mantuvo en secreto, sino que lo expuso en una larga carta destinada a Eratóstenes, que estaba en Alejandría, carta que lamentablemente quedó desconocida para Occidente hasta 1906 cuando el historiador de la ciencia Heiberg descubrió una copia en un palimpsesto de Constantinopla. Esa carta es hoy el Método de Arquímedes.
En ese escrito figuran varias determinaciones "mecánicas" de equivalencias y centros de gravedad, aunque su finalidad fue la de hacer conocer dos cubaturas especiales, de la una cilíndrica y de la doble bóveda cilíndrica.
Nota complementaria
La marcha del pensamiento de Arquímedes, en este original escrito, puede seguirse tomando una cualquiera de sus proposiciones, por ejemplo la determinación del volumen de un segmento esférico. La primera etapa es puramente geométrica; comparar secciones del cuerpo cuyo volumen se busca con secciones de cuerpos conocidos. En este caso, sea la circunferencia de diámetro AB = 2r la sección diametral de la esfera y a la altura del segmento. Superpongamos a la esfera un cono rectángulo de vértice A y eje AB y un cilindro de base el área de la esfera y de altura la del segmento. Si los tres sólidos se cortan con un plano normal a AB a la distanciaAM' = x los radios r0 =M'M; r2 = M'M2; r3 = M'M3 son tales que r02 = x(2r - x); r2 = x; r3 = 2r y por tanto las secciones S, S2, S3 de la esfera, del cono y del cilindro estarán vinculadas por la relaciónxS3 = 2r(S + S2). Obtenida en general una relación de este tipo se entra en la segunda etapa: es la etapa mecánica en la cual la relación anterior se concibe como una igualdad de momentos de una palanca introducida al efecto. En este caso basta tomar HA = AB para establecer el equilibrio entre la sección del cilindro, en su sitio, y las secciones del cono y de la esfera con su centro de gravedad en H. Hasta aquí el proceso que sigue Arquímedes es riguroso y el resultado se funda en postulados y demostraciones conocidas. Es en la etapa que sigue, y final, donde aparece la particularidad del método "según el cual -como se expresa Arquímedes en la carta a Eratóstenes- será posible captar ciertas cuestiones matemáticas por medios mecánicos, lo cual, estoy convencido, será útil también para demostrar los mismos teoremas. Yo mismo, algunas de las cosas que descubrí primero por vía mecánica, las demostré luego geométricamente, ya que la investigación hecha por este método no implica verdadera demostración. Pero es más fácil, una vez adquirido por este método un cierto conocimiento de los problemas, dar luego la demostración, que buscarla sin ningún conocimiento previo".
El método de Arquímedes
En esta tercera etapa, en el caso considerado, Arquímedes traslada las secciones de la esfera y del cono en H y apoyándose en la expresión, más bien vaga, de que esas secciones "llenan los sólidos" admite que esas secciones recomponen los sólidos en H, de ahí que ahora son la esfera y el cono, con su centro de gravedad en H, los sólidos que equilibran el cilindro en su sitio, de manera que entre los volúmenes V, V2> V3 del segmento, del cono y del cilindro, se verificará la relación1/2aV3 = 2r ( V + V2)
recordando que el centro de gravedad del cilindro es el centro de simetría, expresión que le permitirá deducirV puesto que los volúmenes V2, V3 son conocidos. En realidad, en este caso, Arquímedes hace intervenir el cono de volumen V1 de igual base y altura que el segmento, demostrando en definitiva que V : V1 = (3r - a): (2 r - a).
Es evidente que la idea subyacente en la tercera etapa del proceso: los sólidos se componen de sus secciones, como en otras demostraciones: las figuras planas se componen de sus cuerdas, no tiene asidero alguno: ni matemático pues no se apoya en postulados, ni material pues viola la ley de la homogeneidad, ni intuitivo ya que el procedimiento es inexperimentable. Y no obstante tantas incongruencias, el resultado es correcto.
La explicación de esta aparente paradoja debe verse en el proceso real, se trata de una integral definida y el resultado de tales integrales no depende sino de las funciones integrando, que son precisamente las secciones con las cuales opera Arquímedes en su absurdo proceso.Cuando se trata, con su Método de determinar centros de gravedad se dispone la palanca de manera que sea la figura cuya área o volumen se conoce y de la cual se busca el centro de gravedad, la que queda en su sitio.
En Método, Arquímedes demuestra, entre otras, las siguientes proposiciones:
1) Cuadratura de la parábola;
2) equivalencia entre la esfera, el esferoide de revolución, el segmento esférico y de un paraboloide de revolución con conos;
3) centro de gravedad del segmento esférico y del segmento de paraboloide de revolución.
Es interesante agregar que, después de demostrar la equivalencia entre el volumen de la esfera y el de un cono de base igual al círculo máximo de la esfera y de altura el radio Arquímedes confiesa que llegó a la superficie de la esfera por analogía: "... pues así como todo círculo equivale al triángulo cuya base es igual a la circunferencia y cuya altura es el radio, supuse que toda esfera equivale a un cono cuya base es la superficie de la esfera y cuya altura es el radio".
Al final considera las "cubaturas", que en realidad constituían el objeto de la carta a Eratóstenes, que define de la siguiente manera:
1) Si a un prisma recto de base cuadrada se le inscribe un cilindro cuyas bases están inscriptas en los cuadrados opuestos y se traza un plano por el centro de una base y uno de los lados del cuadrado de la base opuesta, queda separado del cilindro un segmento (una cilíndrica), limitado por ese plano, por una de las bases y por la superficie del cilindro, que equivale a la sexta parte del prisma;
2) si en un cubo se inscribe un cilindro con sus bases en dos caras opuestas, y en el mismo cubo otro cilindro con sus bases en otro par de caras opuestas, el sólido comprendido entre ambos cilindros y común a ambos: la doble bóveda cilíndrica, equivale a los dos tercios del cubo. De la uña cilíndrica Arquímedes aporta demostraciones geométricas y mecánicas, mientras que la parte relativa a la doble bóveda cilíndrica no aparece en el único ejemplar, mutilado y deteriorado, del Método que se conoce; aunque no fue difícil reconstruir las demostraciones pertinentes.
Además, en el transcurso del escrito, Arquímedes señala cómo podrían demostrarse de la misma manera otras proposiciones semejantes que enumera, agregando todavía que deja muchas proposiciones expresamente de lado y otras que, como expresa en la carta "a mí no se me han ocurrido todavía, pero supongo que algunos de mis contemporáneos o sucesores podrán encontrar".
Por último, cabe citar como de Arquímedes un par de escritos que se clasificarían hoy entre los problemas de matemática recreativa. Uno de ellos, conocido como Stomachion es geométrico y consiste en llenar una cavidad rectangular con 14 figuras poligonales, cada una de las cuales era conmensurable con el total. El otro problema es aritmético y consiste en un dificilísimo problema de análisis indeterminado de segundo grado, denominado, "Problema de los bueyes”, que probablemente Arquímedes enunció, pero no resolvió, pues según algunas versiones su solución transporta, a números de un centenar de miles de cifras.
Además de los escritos anteriores, se atribuyen a Arquímedes obras actualmente perdidas, de las que se tienen noticias ya por el mismo autor, ya mediante fuentes árabes o griegas. Así, en el Arenario Arquímedes se refiere a un escrito aritmético dirigido a Zeusipo acerca de la denominación de los números; además de una obra Sobre la palanca que le atribuyen autores antiguos y su estudio de los poliedros semiregulares ya citados, otros autores lo dan como autor de una Óptica, así como de obras astronómicas: construcción de una esfera planetaria, longitud del año.
Con Arquímedes la matemática griega llega a su apogeo. Sin duda que él encontró una ciencia ya madura, a la que agregó nuevos capítulos o mejoró los existentes. Pero en esa obra de complemento y de perfeccionamiento, demuestra una mayor flexibilidad que torna más maleable el rígido molde euclídeo y le confiere mayor riqueza y autonomía, desvinculando casi totalmente los lazos que habían mantenido ligada la matemática con la filosofía. Esa mayor libertad y autonomía, sin descuido del rigor, se refleja en la elección de los postulados, en las aplicaciones a la ciencia natural, en sus incursiones por el campo de los números y de la matemática aproximada, y convierten a Arquímedes en un matemático, y un gran matemático, en el sentido actual y permanente del vocablo.
Apolonio de Perga
El tercero, cronológicamente, de los grandes matemáticos griegos de la edad de oro, es Apolonio de Perga de cuya vida se tienen escasas noticias y no siempre de fácil identificación, dada la gran cantidad de Apolonios que figuran en la historia griega.
Se sabe que estudió en Alejandría, donde probablemente también enseñó y que residió en Éfeso y en Pérgamo, ciudad está última que constituyó otro de los centros culturales del mundo griego. De todos modos debe considerarse posterior a Arquímedes ubicándose su florecimiento a fines del siglo II a. C. o comienzos del III.
Así como el nombre de Euclides está indisolublemente ligado a sus Elementos, el nombre de Apolonio lo está con el de Cónicas, su escrito más famoso y de cuyos ocho libros se poseen: los cuatro primeros en su texto original, los tres siguientes mediante traducciones árabes y el último, totalmente perdido, por noticias de Pappus y una reconstrucción parcial del astrónomo Halley.
En el libro primero Apolonio define en general las superficies cónicas de directriz circular y vértice un punto no perteneciente al plano de la directriz, y demuestra algunas propiedades de estas superficies, entre las cuales la existencia de dos series de secciones circulares en los conos oblicuos. Estudia luego los tres tipos de secciones que se obtienen cortando el cono con un plano que no pase por el vértice e introduce los actuales nombres: parábola, elipse e hipérbola.
Nota complementaria
Dejando de lado el caso particular en el cual el plano secante es paralelo al plano de la directriz y, por tanto, la sección cónica es una circunferencia semejante a la directriz; en todos los demás casos Apolonio considera un plano diametral constituido por el eje de la superficie cónica: recta que une el vértice con el centro de la directriz, y la recta AB del plano de la directriz normal a la intersección PQ de este plano con el plano secante. Si V'N es la intersección del plano secante con el diametral, Apolonio demuestra que las secciones cónicas serán diferentes según que la recta VN' // V'N, del plano diametral, sea interior, exterior o pertenezca a la superficie.
Generación y nombre de las cónicas, según Apolonio
Para eso sea A'B' el diámetro de una sección circular cualquiera de un plano paralelo al plano de la directriz y sea N” la intersección de A'B' con el plano secante. Si se indica con y la ordenada común de la circunferencia y de la sección cónica N”P’ y N"Q', y con x = V W la abscisa correspondiente de la sección cónica tendremos, en todos los casos, llamando por comodidadA' N" = x ±;
N" B' = x2;
AN' = n;
VN' = m;
y2 = x1x2 = nx x2:m
Consideremos como primer caso que la paralelaVN' coincida con la generatriz VB;x2 es constante y si se indica con 2 p = V’R el segmento cuarto proporcional entre n, m y x2 , que Apolonio designa como lado recto, se tendrá y 2 = 2 px, expresión analítica que en forma geométrica Apolonio designa como "síntoma" de la curva y que no es sino la ecuación de la misma en coordenadas cartesianas oblicuas, tomando como ejes un diámetro y la tangente paralela a su dirección conjugada. Por otro lado, es claro que el cuadrado del lado y es equivalente al rectángulo de lado x aplicado al segmento 2p, de ahí que los puntos de la cónica pueden obtenerse, sin salirse de su plano, resolviendo para cada punto del problema de aplicación simple (parábola) de áreas, de ahí el nombre con el cual Apolonio bautiza la curva y nombre con el cual hoy se la conoce.
Si en cambio VN' es interior a la superficie, Apolonio da al segmento fijo V’V" = 2a el nombre de lado transverso e introduciendo un segmento p tal que la razón p:a sea igual a la razón mn’: m2, y llega al "síntoma" de la nueva curvay2 = (p/a) x (2a + x.
o lo que es lo mismoy2 = 2px + (p/a) x2
En este caso el cuadrado construido sobre el ladoy es equivalente a un rectángulo de altura x aplicado al segmento fijo 2p, al cual hay que agregarle otro rectángulo de igual altura y semejante a un rectángulo dado, de lados proporcionales a p y aa. Es decir, que x se obtiene resolviendo un problema de aplicación de áreas por exceso, por hipérbole, de ahí el nombre de hipérbola con el cual desde Apolonio se ha bautizado la curva.Por último, si VN' es exterior a la superficie las mismas notaciones dan como "síntoma" de la curva y
y en este caso el problema de aplicación de áreas es por defecto, por elipse, de ahí el nombre de la curva.
Por supuesto que Apolonio reconoce que si el plano diametral y secante son normales entre sí, los ejes de referencia son los ejes de la cónica.

Nota complementaria
He aquí la introducción al libro primero de Cónicas: Apolonio a Eudemo, salud. Si gozas de buena salud y en lo demás las cosas salen a la medida de tus deseos, muy bien está; para mí las cosas también marchan pasablemente bien. Durante el tiempo que estuve contigo en Pérgamo advertí tu anhelo para conocer mi obra sobre las cónicas; te remito, por lo tanto, el primer libro corregido y te remitiré los restantes libros cuando los termine según mis deseos. Me atrevo a decir que no habrás olvidado, según te conté, que emprendí la investigación de ese lema a requerimiento de Naucrates, el geómetra, quien así me lo pidió cuando vino a Alejandría y se detuvo conmigo. Compuse la obra en ocho libros y se los entregué en seguida y con toda premura pues estaba a punto de embarcarse, por tanto, no los había revisado bien; y en verdad había puesto por escrito todo cuanto se me ocurría, dejando para más adelante su revisión. En consecuencia ahora público, en la medida en que se me presente la ocasión, las partes corregidas de la obra. Como ha ocurrido que en el intervalo algunas otras personas con quienes me he encontrado han visto también el primero y segundo libros antes de ser corregidos, no haz de sorprenderte si los encuentras en distinta forma de los que conoces.
Resumen del contenido de los ocho libros de Cónicas.
Ahora bien, de los ocho libros, los cuatro primeros forman una introducción elemental. El primero contiene la generación de las tres secciones y de las ramas opuestas, exponiéndose las propiedades fundamentales en una forma más completa y general que en los escritos de los demás. El segundo libro se refiere a las propiedades de los diámetros y de los ejes de las secciones, así como de las asíntotas, con otras cosas necesarias, y generalmente empleadas en la determinación de los límites y condición de posibilidad de los problemas; lo que entiendo por diámetros y ejes lo aprenderás en este libro. El tercer libro contiene muchos teoremas notables, útiles para la síntesis de los lugares sólidos y para las condiciones de posibilidad; la mayoría y los más hermosos de estos teoremas son nuevos y por su descubrimiento advertí que Euclides no había expuesto la síntesis del lugar relativo a las tres o cuatro líneas, sino por casualidad una parte de ella y tampoco con mucho éxito, pues no es posible completar esa síntesis sin los teoremas que he descubierto. El cuarto libro demuestra de cuántas maneras pueden cortarse entre sí las secciones de conos o con la circunferencia del círculo; contiene, además, otras cosas, ninguna de las cuales había sido discutida por los escritores anteriores, en particular las cuestiones que se refieren al número de puntos en que una doble rama de hipérbolas pueda cortar una sección de un cono, o una circunferencia de un circulo pueden cortar a una doble rama de hipérbolas o dos ramas de hipérbolas, entre sí.
Los restantes libros son más elevados; uno de ellos trata algo extensamente de máximos y mínimos; otro, de secciones de cono iguales o semejantes; otro, de teoremas de la naturaleza de la determinación de límites y el último de determinados problemas decónicas. Pero, por supuesto, cuando todos se publiquen, quienes los lean, podrán formularse su propio juicio acerca de ellos, de acuerdo con su gusto individual. Adiós."
De los ocho libros, cuyo contenido resume Apolonio en la introducción al libro primero dedicado a un Eudemo de Pérgamo, los primeros cuatro abarcan la teoría general de las cónicas y sus propiedades más importantes, completando en este campo la obra de Arquímedes. Tal carácter de esos libros explica quizá que sean los únicos sobrevivientes en su texto original. En cambio, los libros siguientes se refieren a propiedades especiales y deben considerarse más bien como monografías.
Nota complementaria
Propiedades de las cónicas, según ApolonioEn el libro primero las propiedades de las cónicas que Apolonio demuestra se refieren a la posición relativa de una recta respecto de ellas y de ahí la construcción de la tangente en un punto mediante la propiedad que en lenguaje actual expresa que la tangente y la secante que pasan por un punto separan armónicamente los extremos del diámetro conjugado a la dirección de la secante. El libro se cierra con teoremas en cierto modo recíprocos de los teoremas iniciales, es decir: dada una cónica, existe siempre un cono de sección circular del cual esa cónica es una sección plana.
El libro segundo está dedicado en general a la hipérbola y sus asíntotas y, por tanto, a las secciones opuestas y a las opuestas conjugadas. Aparece la propiedad del segmento de tangente comprendido entre las asíntotas, bisecado por el punto de tangencia, y la constancia del paralelogramo de lados las asíntotas y vértices opuestos el centro y un punto cualquiera de la hipérbola.
En el libro tercero se estudian propiedades relativas a los triángulos y cuadriláteros inscritos y circunscritos, y es probable que sean éstas las propiedades que Apolonio utilizó para estudiar, como lo afirma en la introducción al libro primero, los "problemas de las tres rectas y de las cuatro rectas" que más tarde aparecerán en Pappus y desempeñarán un papel histórico en el advenimiento de la geometría analítica. En este tercer libro aparecen los polos y polares de las cónicas, así como los focos de la elipse y de la hipérbola y las conocidas propiedades focales de estas curvas. No menciona el foco de la parábola que sin duda conoció, aunque no habrá deducido de él propiedades interesantes. En cambio, no deja de llamar la atención que Apolonio no aluda para nada a las directrices de las cónicas. Finaliza el libro con algunas propiedades métricas que hoy se estudian con los recursos de la geometría proyectiva.
El cuarto libro está dedicado a las intersecciones y contactos de las cónicas con circunferencias o de las cónicas entre sí, demostrando que dos cónicas no pueden más de cuatro puntos comunes.
El libro quinto es uno de los libros que más han contribuido a elevar la fama de Apolonio como geómetra. Se estudian en él las distancias máximas y mínimas de un punto a los puntos de una cónica en su plano, estudio que involucra la teoría de las normales a una cónica que pasan por un punto dado, teoría vinculada con la determinación de las actuales evolutas. Apolonio resuelve el problema demostrando que los pies de las normales que pasan por un punto fijo están sobre una hipérbola, hoy llamada "hipérbola de Apolonio", cuya intersección con la cónica resuelve el problema. En realidad, cuando la cónica es una parábola esos puntos se encuentran también sobre una circunferencia, circunstancia que no advirtió Apolonio y que le reprochará más tarde Pappus por haber resuelto como lugar sólido un problema que podía haberse resuello como lugar plano.
El libro siguiente, menos importante, se refiere a la congruencia y semejanza de las cónicas y, como lo manifiesta el mismo Apolonio, su objeto era aclarar y completar trabajos de sus antecesores, refiriéndose probablemente a estudios de Arquímedes en el tratado sobre los conoides y esferoides.
El libro séptimo vuelve a tratar asuntos originales, al estudiar los máximos y mínimos de ciertas funciones de los diámetros de las cónicas. Es en este libro donde aparecen los hoy llamados "dos teoremas de Apolonio", relativos a la constancia de la suma (para la elipse) o la diferencia (para la hipérbola) de los cuadrados construidos sobre un par de diámetros conjugados y a la constancia del paralelogramo construido sobre un par de diámetros conjugados.
Los tres primeros libros de Cónicas están dedicados a Eudemo, los restantes, pues Eudemo había muerto, a un Atalo, también de Pérgamo.
Algunas indicaciones que aparecen en las introducciones a los dos primeros libros, pueden dar alguna idea de cómo se trasmitían los conocimientos en su época. Así dice Apolonio a Eudemo en la introducción al libro segundo: "He puesto en manos de mi hijo Apolonio el libro II de Cónicas que he escrito para que te lo entregue. Léelo con cuidado y comunícaselo a quien se interese por él. Hazlo conocer también al geómetra Filónides que te he presentado en Éfeso, si por casualidad llega a Pérgamo".
Además de Cónicas, su obra máxima y a la que debe su fama de gran matemático, se conoce de Apolonio en versión árabe un problema de segundo grado con su solución: Sobre las secciones de razón, que consiste en determinar por un punto fijo una recta que al cortar dos transversales determina sobre éstas segmentos, a partir de puntos dados, de razón también dada.
Además, por comentaristas posteriores en especial Pappus, se atribuyen a Apolonio otros escritos matemáticos:
1) un grupo de problemas semejante al anterior: Sobre las secciones determinadas; Sobre las secciones de áreas;
2) un segundo grupo de problemas, vinculados en general con los lugares geométricos.
Cabe recordar que los griegos clasificaban los lugares geométricos en tres tipos: lugares planos, que se resolvían con rectas y circunferencias; lugares sólidos, que se resolvían mediante cónicas; y lugares lineales, que exigían otras líneas para su solución. Entre los escritos atribuidos a Apolonio y vinculados con los lugares, figuran: unoSobre los lugares planos con distintos problemas; otro denominadoDe las inclinaciones, con problemas de inserción y un tercero Sobre ¡os contactos, donde se estudian muchos casos particulares de un problema que, generalizado, toma el nombre de "problema de Apolonio" y que consiste en determinar una circunferencia tangente a tres circunferencias dadas.
3) se atribuyen también a Apolonio escritos sobre los temas: Elementos de Euclides, sobre los poliedros regulares, la cuadratura del círculo, sobre el problema de Délos y sobre sistemas de numeración.
Nota complementaria
Esta solución es muy simple. Sea un rectánguloOADB de centro C de lados OA = a; OB = b; si por D se determina una recta tal que sus intersecciones X e Y, respectivamente, con las prolongaciones de A OA y OB cumplen la condición CX = CY, las distancias AX = x y BY=y resuelven el problema. En efecto, por semejanza de triángulos
La solución de Apolonio del problema de Délosb:x=y:a = (b +y ):(a +x );
por la condición de equidistancia x ( x + a ) =y(y + b) expresión que, combinada con las igualdades anteriores, dab : x = x : y = y : b, por tanto x e y son medias proporcionales entre b y a
Agreguemos, por último, que de atenerse al testimonio del astrónomo Ptolomeo, Apolonio no sólo fue un gran matemático sino también un gran astrónomo, ya que le atribuye proposiciones de índole astronómica en las que Apolonio utiliza la teoría de los epiciclos y de las excéntricas, de la cual sería el inventor, que en manos de Hiparco y de Ptolomeo mismo se convertirían en las bases de la astronomía antigua.
Los epígonos del Siglo de Oro
Además de los "tres grandes" de Hipsicles, ya mencionado, pueden citarse algunos otros matemáticos del período helenístico. Contemporáneo de Arquímedes, aunque algo más joven, es Eratóstenes de Cirene, sabio de actividad múltiple que fue bibliotecario de Alejandría y cuya hazaña científica más notable es la primera medida de la circunferencia terrestre.
En matemática, donde no descolló tanto como en geografía, se le conocen tres contribuciones: una resolución del problema de Delos, interesante porque con ella dio la historia del problema y los intentos realizados por sus predecesores; un escrito Sobre las proporciones donde se ocupa de las distintas "medias"; y su conocida "criba", que ofrece un procedimiento para construir una tabla de números primos.Nota complementaria
Es con este nombre que Pappus designó al instrumento que Eratóstenes acompañó a la solución del problema de intercalar dos medias proporcionales entre dos segmentos dados. Se componía de tres marcos rectangulares iguales, provisto cada uno de sus diagonales. Esos marcos podían deslizarse: el primero sobre el segundo, el tercero debajo del segundo; si se realizaba ese desplazamiento de manera tal que los extremos visibles de las diagonales aparecieran alineados, los montantes de los marcos estaban en proporción continua y por tanto resolvían el problema del mesolabio. En efecto si a, x, y, b son los montantes y h, h’, h" las bases de los marcos; de las dos ternas de triángulos semejantes se deduce
El mesolabioa : b = a : h = x : h' = y : h"
x : h = y : h' = b : h
De dondea : x = x : y = y : b.
Entre Arquímedes y Apolonio se sitúa Nicomedes, a quien se debe una curva: la "concoide" de Nicomedes y un instrumento para trazarla, con la cual se pueden resolver los problemas de la trisección del ángulo y de la duplicación del cubo.
Nota complementaria
Dado un punto fijo P (polo) y una recta fija b (base) que no le pertenece, la concoide es la curva, en forma de concha (de allí su nombre), lugar de los puntos de las rectas que pasan por P, tales que sus distancias a la intersección con la base es un segmento constante dado. La curva comprende dos ramas, situadas en ambos semiplanos separados por la recta, aunque Nicomedes no considera sino la rama situada en el semiplano que no contiene P.
La concoide de NicomedesPara trisecar, por ejemplo, el ángulo (agudo) en P del triángulo rectángulo OPR bastará construir la concoide de polo P, base OR y distancia constante el doble de PR. El punto M de la concoide situado sobre RM, normal a OR, unido con P, determina el ángulo MPO tercio del dado. Para comprobarlo basta tomar MS = SR = PR.
La solución del problema de la duplicación del cubo, mediante la concoide es menos simple. Algo simplificada consiste en lo siguiente. Sea el triángulo rectánguloOPA, cuya hipotenusa PA y cateto OA sean, respectivamente las mitades de los segmentos b y a entre los que deben intercalarse dos medias proporcionales. Si se toma AA' = 2 a y se traen por A la paralela AR a A'P, la concoide de polo P, base AR y distancia AP resuelve el problema, pues si M es la intersección de esa concoide con AA' tendremos que uniendo P con M y llamandoPR = x; AM = y, los triángulos semejantes MA'P y MAR dan a : x = y : b. Comparando luego el valor del cateto OP, deducido de los triángulos OPA y OMP, se llega a x (x + b) =y (y + a ), se tendrá por tanto a : x = y : b = ( a + y):(x + b) = x : y de donde los segmentos x e y son medios proporcionales entre 2a y b.
Otra solución al problema de Délos la ofreció un matemático posiblemente contemporáneo del anterior: Diocles, quien determinó las dos medias proporcionales mediante una curva que tomó el nombre de "cisoide" (de kissos=hiedra) por la forma semejante a una hoja de hiedra que adopta la figura limitada por un arco de esa curva y una semicircunferencia.
Nota complementaria
Sea una circunferencia de centro O, diámetros perpendiculares AB y O'O” y dos semicuerdas MM' y NN' simétricas respecto de O'O" y normales a AB. La intersección P de AM' con NN' es un punto de la cisoide que se obtiene haciendo variar la pareja de semicuerdas. La rama de la curva O"AO', situada dentro del círculo, con la semicircunferencia O"BO' dibuja la hoja de hiedra. La proporcionalidad AM : MM' = AN : NP puede escribirse AN : NP = BN : NN', razón esta última igual a NN': An, de manera que combinando esas razones resulta BN : NN' = NN'; AN = AN: NP y por tanto NN' y AN son medias proporcionales entreBN y NP. Como a su vez BN : NP = BO : OQ bastará tomar BO y OQ como segmentos dados, construir la cisoide en la circunferencia de radio OB y buscar su intersección P con la recta BQ, para tener en AN y NN' segmentos proporcionales a las dos medias buscadas.
La cisoide de Diocles
A Diocles se atribuye también una solución del problema de Arquímedes, dividir una esfera en dos segmentos cuyos volúmenes están en una razón dada, mediante cónicas (elipse e hipérbola), mientras que una solución análoga, mediante parábola e hipérbola, se atribuye a Dionisiadoro de Amiso, probablemente del s. I a. C.
De otros matemáticos de este período se dispone de escasos datos acerca de las personas, y sólo algunas referencias de sus escritos proporcionadas por comentaristas posteriores.
El más original es Zenodoro, algo posterior a Arquímedes a quien cita, que introduce en la geometría antigua un nuevo problema: el de los isoperímetros, que resuelve en casos particulares: el círculo es de mayor área que cualquier polígono regular de igual perímetro que la circunferencia del círculo; que la esfera es de mayor volumen que cualquier sólido de igual superficie...
Cabe citar a Perseo, que habría estudiado las curvas llamadas "espíricas", por ser secciones con planos paralelos al eje de rotación de superficies tóricas, que los antiguos denominaban espiras o anillos.
Citemos, por último, algunas figuras, no exclusivamente geómetras: el astrónomo Hiparco de Nicea, predecesor de Ptolomeo, a quien se atribuyen contribuciones matemáticas que más tarde desarrollará Ptolomeo; Teodosio de Bitinia, también astrónomo, autor de una Esférica, más bien elemental, que es el tratado más antiguo sobre el tema que ha sobrevivido; Gemino de Rodas, quien se ocupó de astronomía, aunque de mayor interés es una introducción a la matemática, de la cual se conservan fragmentos, donde trata cuestiones vinculadas con los fundamentos y la clasificación de la matemática.
La matemática griega
Ya dijimos que el primer siglo helenístico fue la edad de oro de la matemática griega; es con los "tres grandes" que esa ciencia culmina, mostrando así más claramente sus características: unas permanentes, otras más vinculadas con el propio mundo griego.
La primera nota permanente que los griegos aportaron a la matemática fue distinguir un determinado conjunto de conocimientos, confiriéndole, mediante el método axiomático y la demostración, los caracteres de una ciencia deductiva o, mejor, haciendo de él el modelo de toda ciencia deductiva.
La segunda nota matemática permanente que aportan los griegos es la abstracción, aunque la abstracción de la matemática griega tiene rasgos propios, conferidos por el pitagorismo que la vio nacer, por el platonismo en cuyo seno se desarrolló, sin olvidar los factores técnicos (piénsese en el "escándalo de los irracionales"] que influyeron en el curso de ese desarrollo. La abstracción de la matemática griega es una especie de abstracción de primer grado, semejante a la abstracción de las ciencias naturales, muy distinta de la abstracción que introducirá el álgebra o de la abstracción quintaesenciada de la matemática de hoy. Las figuras de la matemática griega no son entes abstractos muy distintos de los elementos químicos, de los gases perfectos, de las especies biológicas, de las formas cristalográficas...
Este tipo de abstracción explica el imperialismo de la geometría que se advierte en la matemática griega, apegada a los cuerpos naturales, una matemática de figuras, visual, táctil.
Esta abstracción explica también por qué la matemática griega no logra grandes generalizaciones: es una matemática que no va a la caza de métodos generales, sino de problemas singulares, aunque a veces las nociones previas que la solución de tales problemas singulares son tantas y tan complejas que de por sí esas nociones pueden llegar a constituir un sistema, como ocurre con los Elementos.
Esta predilección por el problema, despreocupándose por la generalización, impidió ver el proceso y la continuidad, con la noción anexa de variabilidad. Los problemas de máximo y mínimo que estudian los griegos no son momentos especiales de un proceso continuo, sino casos particulares, fijos, que revelan una propiedad también particular, fija, que revela otra característica específica de la matemática griega: su estatismo, su carácter más estático que dinámico, más cinemática que cinético. En los contados momentos que en ella aparece el movimiento, es un movimiento pobre, diríase sin fuerza: es el movimiento uniforme rectilíneo o circular.
Otra característica que distingue claramente la matemática griega de la moderna y actual, proviene de la influencia del platonismo que arrojó los objetos matemáticos en un trasmundo, lejos de todo contacto y vinculación posibles con este mundo sublunar de los hombres y de las cosas.
De ahí el destierro al que se condenó la logística y toda aplicación práctica; de ahí la naturaleza especial de la vinculación de la matemática griega con ciertos campos de la ciencia natural: astronomía, óptica, estática, campos que los griegos consideraron que pertenecían a la matemática con igual derecho que la aritmética y la geometría; de ahí que de ellas no estudiaron sino su esqueleto geométrico y de ninguna manera su estructura física. Baste pensar en la astronomía griega, de la cual nada ha quedado, o en la palanca de Arquímedes de la que sólo cuelgan polígonos y segmentos de parábola, o en su fluido ideal, donde no flotan embarcaciones sino segmentos de paraboloides de revolución.
Capítulo 5
El período grecorromano
Epígonos y comentaristasEpígonos y comentaristas
Ptolomeo y Pappus
Herón y Diofanto
En el mundo grecorromano de los primeros siglos cristianos, la matemática conserva las características de los dos siglos anteriores, siendo, en general, sus representantes epígonos y comentaristas de los grandes matemáticos griegos. Hacen excepción Pappus de Alejandría, matemático original; Claudio Ptolomeo, más astrónomo que matemático, y Diofanto que, con Herón alejandrino, forma una pareja de matemáticos algo heterodoxos, que hoy se vinculan preferentemente con la matemática de los babilonios.
La serie de los matemáticos de este período se abre con Nicómaco de Cerasa, de fines del siglo I o comienzos del II, sin duda un neopitagórico, pues Pappus lo designa "el pitagórico". De sus obras, la más conocida es una Introducción aritmética de escaso valor científico, pues en ella las demostraciones se sustituyen por el examen de casos particulares, pero interesante pues hace conocer el no muy extenso saber aritmético de los griegos anteriores. Por otra parte, esta obra se convirtió en el texto de aritmética durante la Edad Media, gracias a la versión latina que de ella compuso Boecio. La Introducción de Nicómaco se compone de dos libros que se ocupan de progresiones aritméticas, números figurados, proporciones, etcétera.
Nota complementaria
En el libro I las únicas novedades respecto de los Elementos de Euclides se refieren a las progresiones aritméticas, que Euclides no trata y a la mención de los cuatro primeros números perfectos, agregando que deben terminar en 6 o en 8, propiedad que demostró Jámblico y a la que Boecio agregó la falsa inducción de aparecer esas terminaciones en forma alternada (el sexto número termina en 6 y no en 8). Agreguemos que el quinto número perfecto aparece en un manuscrito del siglo XV; que en 1592 se conocían 12 números perfectos y que más tarde, con las computadoras electrónicas, se pudo calcular otros tres, el último de los cuales 21278(21279 - 1) tiene aproximadamente 770 cifras.
La aritmética de Nicómaco
Más interesante es el libro segundo de Nicómaco que se refiere a los números "figurados" señalando algunas propiedades, por ejemplo: todo cuadrado es suma de dos triangulares consecutivos o, más general, todo número poligonal es suma de un poligonal de un lado menos y de un triangular. Habla de números piramidales como suma de poligonales semejantes; de números truncados, suprimiendo los primeros términos a los piramidales, de números heteromecos: producto de dos enteros consecutivos o dobles de los triangulares; de números paralelepípedos: cuadrado de un número por el consecutivo, etcétera. Dando algunas relaciones entre ellos. La más importante de esas relaciones es la que expresa que todo cubo es la suma de una serie de impares consecutivos, propiedad de la cual se deduce que la suma de los primeros n cubos es el cuadrado de la suma de los primeros n números consecutivos, y que Nicómaco no demuestra, pero que era conocida, pues figura en el llamado Código Arceriano (del nombre de uno de sus propietarios; Joannes Arcerius de Groninga, del siglo XVI] compilación de conocimientos griegos, para agrimensores y administradores romanos, del siglo V o VI.
Por lo demás, puede deducirse fácilmente de las propiedades que figuran en Nicómaco. En efecto: si en la sucesión de impares consecutivos, comenzando por la unidad, se agrupan en la siguiente forma: el primero, los dos siguientes, los tres siguientes. Etcétera, se demuestra que esas diferencias de cuadrados no son sino los cubos sucesivos 1, 8, 27...; De manera que la suma de los primeros n cubos será la suma de tantos impares consecutivos como suma de los n enteros consecutivos, es decir [l/2n(n + l)] 2; que expresado con números figurados, la suma de cubos es el cuadrado de un número triangular.
Contemporáneo del anterior es Menelao de Alejandría, matemático y astrónomo, que hizo observaciones en Roma en 98 y autor de una Esférica en tres libros, que ha llegado hasta nosotros en versiones árabes y hebreas y que representa la culminación de esta rama de la geometría. Con la Esférica de Menelao hace su aparición el triángulo esférico, del cual Menelao da las propiedades más importantes, siguiendo un camino semejante al recorrido por Euclides al estudiar los triángulos planos, pero mostrando tanto las analogías como las diferencias entre ambas clases de triángulos. Entre las primeras figuras el hoy llamado "teorema de Menelao" que es válido tanto para los triángulos planos como para los esféricos, sin más que cambiar en estos últimos la expresión "semicuerdas del arco doble" (nuestros senos actuales] por los segmentos de los triángulos planos.
Nota complementaria
En realidad Menelao no considera, como actualmente, un triángulo ABC cuyos lados son cortados por una transversal A'B'C, sino los segmentos AB y AB', por cuyos extremos traza las transversales BC y B'C que se cortan en A', y demuestra la igualdad entre la razón de un par de segmentos y el producto de las razones de otros dos pares. Por ejemplo, trazando CD//AB se tiene
El teorema de Menelao.AB’: CB’= AC’: CD ; CD : C’B = A’C: A'B
y eliminando CD se llega a la siguiente relación entre los segmentos rectilíneosAB' /CB' = AC'/C'B - A'B/AF
Un teorema muy simple le permite pasar a la esfera. En un círculo de centro O considera una cuerda AB, y en ella un punto interior C (igual resultado se obtiene cuando el punto es exterior), que unido con O divide el arco AB en dos segmentos de arco AD y DB; las perpendiculares AA'Y BB', respectivamente semicuerdas de los arcos dobles (nuestros senos), son proporcionales a los segmentos AC y CB. De ahí que si en la figura anterior en lugar de segmentos se consideran arcos de círculos máximos de una esfera, se llega a la expresión, con nuestro simbolismosen AB'/sen CB' = sen AC'/sen C'B × sen A'B/sen A'C.
Del siglo II es Teón de Esmirna que, además de ocuparse de astronomía y de geometría, en un escrito Sobre los conocimientos matemáticos útiles para la lectura de Platón trata cuestiones aritméticas a la manera de Nicómaco, sin demostraciones y enunciando las proposiciones con ejemplos numéricos. Algunas de esas cuestiones, no tratadas por Nicómaco, conservan cierto interés aritmético.
Nota complementaria
Entre las propiedades de número, que Teón enuncia, sin demostrar, sólo citamos la siguiente: todo cuadrado es múltiplo de 3 o de 4, o múltiplo de esos números más 1. Como consecuencia: ningún cuadrado es múltiplo de 3 o de 4 menos 1, o múltiplo de 4 más o menos 2.
La aritmética de Teón de Esmirna
Más interesante es la correspondencia que Teón expone entre dos series de números que obtiene geométricamente partiendo de una sucesión de cuadrados, en cada uno de los cuales el lado es la suma del lado más la diagonal del anterior. Teón llama a estos números laterales y diametrales, según midan los lados o las diagonales, enunciando algunas relaciones simples entre los mismos. Estos números ln y dn desempeñarán más tarde su papel en teoría de números: cumplen la relación fundamental nn2 - 2dn2= (-1)n, se presentan en las reducidas de ciertas fracciones continuas infinitas, en la solución de la llamada "ecuación de Pell", etcétera.
Hay que dejar transcurrir un par de siglos para dar con otro Teón matemático, ahora de Alejandría, importante por haber editado y comentado los Elementos de Euclides, así como por sus comentarios al Almagesto de Ptolomeo y por sus noticias sobre la logística griega. Con Teón de Alejandría se vincula su hija Hipatía, también matemática, que habría colaborado con el padre en los comentarios del Almagesto y ocupado además de las Cónicas de Apolonio. Pero el nombre de Hipatía tiene una connotación histórica trágica: su muerte en manos de la turba durante las luchas entre paganos y cristianos.
Con Hipatía puede decirse que la matemática deja de cultivarse en Alejandría. Aun, por un pequeño lapso, encuentra albergue en el seno del neoplatonismo, uno de cuyos primeros adeptos: Jámblico de Calcis, de la primera mitad del siglo IV, compone una Colección de las doctrinas pitagóricas, de la cual se conservan algunas partes matemáticas en las que se ocupa de aritmética pitagórica en forma semejante a Nicómaco, a quien en buena medida comenta y completa.
Nota complementaria
Entre las propiedades de números que Jámblico "demuestra", ya con casos particulares o mediante los números figurados todas de fácil comprobación, figuran: el óctuplo de un número triangular más 1 es un cuadrado; un número rectangular, cuyos factores difieren en dos unidades, más 1 es un cuadrado; la suma de dos números triangulares, de orden alternado, menos 1 es un heteromeco,... Ya dijimos que demostró que los números perfectos terminan en 6 o en 8; además afirmó que existe un número perfecto en cada miríada, lo que ya no es cierto. Una propiedad más interesante, por estar vinculada con las "cifras"; es decir, los números representativos de las unidades, decenas, centenas... es la siguiente: Si se tienen tres números consecutivos, el último de los cuales es múltiplo de 3, y se suman sus cifras, de este resultado vuelven a sumarse sus cifras y así sucesivamente, el resultado final es siempre el número 6.
La aritmética de Jámblico
Por último, es el escrito de Jámblico donde aparece la contribución "algebraica" de Timaridas, ya mencionada, consistente en un sistema lineal de varias incógnitas: determinar un número conociendo sus sumas con cada uno de n números desconocidos y con la suma de todos ellos. Si a1 a2,.... +an y a son tales sumas, es claro que la incógnita x se obtiene mediante la expresión x(a1 + a2 + an - a):( n — 1) que es la regla que Jámblico atribuye a Timaridas y que denomina "epantema".
Además Jámblico reduce al "epantema" a un par de sistemas indeterminados, de los cuales da la solución mínima en números enteros.
En contra de la tendencia de Nicómaco y de Jámblico, reaccionó Domnino de Larisa del siglo V, quien, en un manual de introducción a la aritmética, sostiene la necesidad de volver al rígido sistema euclídeo de demostración, insistiendo que en lugar de enunciar propiedades sobre la base de algunos casos particulares se debía volver a la representación de los números mediante segmentos rectilíneos y demostrar sus propiedades geométricamente. Pero no parece que su crítica haya tenido éxito.
Domnino fue condiscípulo de Proclo de Bizancio, uno de los más importantes miembros del neoplatonismo, que se estableció en Atenas como jefe de la escuela y autor de un importante Comentario a los Elementos de Euclides, cuya parte filosófica le pertenece, pero en cuya parte matemática utiliza escritores anteriores, desde Eudemo de Rodas hasta Pappus. Sólo se conserva de ese escrito el Comentario al Libro I de los Elementos en cuatro libros, que citamos un par de veces, y cuyo mayor interés se basa en los datos de interés histórico que trasmite. Como aporte geométrico mencionemos que en él aparece la primera mención a la construcción de la elipse mediante el recorrido de un punto fijo de un segmento que se mueve manteniendo sus extremos sobre dos ejes fijos.
Algo posterior a Proclo es otro comentarista: Eutocio de Ascalona a quien se deben comentarios a los escritos de Arquímedes: De la esfera y del cilindro; De la medida del circulo; Del equilibrio de los planos y a los cuatro primeros libros de las Cónicas de Apolonio. Al comentar el primer escrito de Arquímedes aporta noticias interesantes sobre la resolución geométrica de los problemas de tercer grado.
Más difícil de ubicar en el tiempo y en el espacio es un geómetra griego: Sereno de Antisa o de Antinópolis, posiblemente posterior a Pappus, Proclo y Eutocio que no lo citan. Se le deben dos escritos geométricos: uno Sobre la sección del cilindro que se propone probar, en contra de la creencia de algunos geómetras, que las secciones elípticas de un cilindro no difieren de las secciones elípticas de un cono; y otro Sobre las secciones del cono, en el que estudia los triángulos obtenidos cortando un cono por planos que pasan por el vértice, abundando en ambos escritos de interesantes cuestiones geométricas.
Mientras tanto, en Atenas, a Proclo siguió en la jefatura de la escuela su discípulo Marino de Neapolis a quien, además de una prolija biografía de su maestro, se le debe un comentario a los Datos de Euclides con un extenso prefacio. A Marino siguió Isidoro de Mileto, quien tuvo por discípulos a Eutocio ya mencionado, y a Damascio de Damasco, de fines del siglo V, uno de los autores a quien se atribuye parte del apócrifo Libro XV de los Elementos. Damascio profesó en Atenas y fue el último jefe de la Academia, cuando también profesaba en ella Simplicio, comentarista de las obras de Aristóteles, pero también de los Elementos de Euclides. Fue durante la jefatura de Damascio que en 529 Justiniano clausuró la Academia como último reducto del paganismo; y Damascio, Simplicio y otros cinco filósofos encontraron refugio en la corte persa.
Ptolomeo y Pappus
Claudio Ptolomeo forma, con su contemporáneo el médico Galeno de Pérgamo, la pareja de figuras científicas sobresalientes de este período. Poco se sabe de Ptolomeo: nació en Egipto y residió en Alejandría, donde realizó observaciones y trabajos astronómicos entre los años 127 y 151. Sabio enciclopédico, se ocupó de matemática, astronomía y astrología, geografía, óptica y acústica, cronología, aunque su fama científica se funda sobre el Almagesto, tratado que sistematizó la astronomía antigua y que constituyó, con su autor, las autoridades máximas e indiscutidas en materia de astronomía durante catorce siglos.
Su verdadero título, que acentúa su carácter matemático es Sintaxis matemática, en 13 libros, que más tarde llegó a conocerse como "la gran sintaxis de astronomía", para distinguirla de una "pequeña sintaxis" colección de algunas obras astronómicas menores; pero la admiración que la obra despertó hizo que se le aplicara el superlativo, griego megiste (la más grande) con lo cual, al anteponérsele el artículo en su versión árabe, el título se convirtió en el anacrónico Almagesto con que se le cita generalmente.
Si se excluye una obra probablemente juvenil, que se le atribuye, sobre la teoría de las paralelas y el conocimiento de las proyecciones ortográfica y estereográfica, toda la contribución matemática de Ptolomeo está diseminada en sus escritos astronómicos, en especial, en las partes de Sintaxis matemática que tratan las cuestiones matemáticas necesarias para el estudio racional de los fenómenos celestes.
Nota complementaria
He aquí lo que dice al respecto Ptolomeo en el primer libro del Almagesto: "Para facilitar la tarea práctica, construiremos una tabla de estos segmentos dividiendo la circunferencia en 360 partes, tomando los arcos de medio grado en medio grado, y dando para cada arco el valor de la cuerda respectiva, suponiendo dividido el diámetro en 120 partes. El uso demostrará que estos números son los más cómodos. Ante todo, demostraremos que con un cierto número de teoremas, el menor posible y siempre los mismos, se podrá obtener un método general y rápido para hallar aquellos valores. No nos limitaremos a presentar la tabla con esos valores, sino que haremos conocer la teoría para facilitar la manera de encontrarlos y verificarlos, exponiendo su método de construcción.
La "tabla de cuerdas" de Ptolomeo
Para evitar las fracciones utilizaremos la división sexagesimal y en las multiplicaciones y divisiones tomaremos siempre los valores más aproximados de manera que, no obstante lo que despreciaremos, los resultados serán sensiblemente exactos".
Para construir su tabla, Ptolomeo comienza por considerar los polígonos regulares de 3, 4, 5, 6,10 lados, que dan las cuerdas de 36º, 60º, 72º, 90º, 120º. De ellas, mediante el teorema de Pitágoras, obtiene las cuerdas del 108º y 144º, mientras que del teorema de los cuadriláteros inscriptibles obtiene las cuerdas de arcos diferencia; así el de 12°, partiendo de los de 60° y 72°, pasando luego de la cuerda de 12º a las de 6º, 3º, 1º30' y 45', utilizando un teorema de los arcos mitad.
Ahora Ptolomeo demuestra el siguiente teorema: dados dos arcos desiguales, ambos menores que un recto, la razón entre el arco mayor y el arco menor, es mayor que la razón entre las cuerdas respectivas, que equivale a demostrar con nuestro simbolismo que la función sen x : x es decreciente.
Este teorema era conocido por Aristarco y por Arquímedes, pero la primera demostración conocida es la de Ptolomeo. (Véase fig. 20..
Sean a < b los dos arcos y sus cuerdas AB y BC. Si el punto O, medio del arco AC que no contiene a B, se une con A, B, C y el punto M medio de AC, el teorema de las bisectrices daNC: AN = BC: BA = (2 MN + AN) : AN
Si, por otro lado, el arco HK de centro O y radio ON determina el sector NOH, menor que el triángulo NOA, y el sector KON, mayor que el triángulo MON, tendremosMN: NA = MON: NOA < ONK: ONH = p : a,
siendo a y b los ángulos de los sectores. Y en definitiva.BC: BA = (2 MN + AN) : AN, (2p + a): a = b : a
y la razón de los arcos es mayor que la razón de las cuerdas respectivas.
Ptolomeo aplica el teorema para obtener aproximadamente la cuerda de 1º, conociendo las cuerdas de 45' y de 1º30'. En efecto, la razón entre las cuerdas de 1º y de 45' es menor que la de sus arcos respectivos: 60’ y 45’, es decir 4:3; de la misma manera la razón entre las cuerdas de 1º30' y de 1º es menor que 3:2; obteniendo para su cuerda incógnita valores por exceso y por defecto que permite dar para ella el valor: cuerda 1º = 377 : 360, que da para el sen 30' un valor exacto hasta la sexta decimal.
Partiendo del valor de cuerda 1º, y mediante una adecuada utilización de las fórmulas que expresan los teoremas de adición, Ptolomeo construye su "tabla de cuerdas", sirviéndole de control los valores ya calculados de cuerdas de arcos notables. Para las fracciones menores que 30' utiliza la interpolación lineal.
De paso observemos que el valor de cuerda 1º permite obtener para el valor aproximado 377 : 120 = 3,141666 ... que en alguna ocasión Ptolomeo utiliza sin mencionar su origen, limitándose a observar que está comprendido entre los valores de Arquímedes: 31/7 y 310/ 71
En este sentido una exigencia fundamental fue la construcción de una "tabla de cuerdas" para los distintos arcos, partes alícuotas de la circunferencia. Tal construcción, iniciada por Hiparco, fue continuada y perfeccionada por Ptolomeo, quien utilizó los resultados de Menelao para el análisis de los triángulos esféricos, de manera que el Almagesto constituye la primera sistematización de la hoy llamada "trigonometría plana y esférica". En muchas de las expresiones que figuran en el Almagesto si se cambia la palabra "cuerda" por la locución "doble del seno del arco mitad", se obtienen expresiones de nuestra trigonometría.
Nota complementaria
Uno de los teoremas que emplea Ptolomeo en la construcción de la tabla, y que hoy lleva su nombre, es el que expresa la conocida relación entre los lados y las diagonales de un cuadrilátero inscriptible. Su demostración es muy simple: si ABCD es el cuadrilátero y se traza BE tal que los ángulos AED y BCD sean iguales, las parejas de triángulos AEB y BCD; BEC y BDA, son semejantes, de donde
La "trigonometría" del AlmagestoAE ´ BD =AB ´ CD; EC ´ BD = AD ´ BC,
igualdades que sumadas expresan el teorema de Ptolomeo:AB ´ CD + AD ´ BC = AC ´ BD.
En el caso particular de ser AB un diámetro y llamando a y b los arcos AC y AB, respectivamente, el teorema del cuadrilátero en este caso puede escribirse: cuerda b ´ cuerda (180° - a) + AD ´ Cuerda (a - b) = cuerda a ´ cuerda (180° - b), que no es sino el "teorema de sustracción" de nuestras funciones circulares.
Ptolomeo, demuestra también el "teorema de adición". Toma para ello el cuadrilátero inscripto BCDF, siendo F el simétrico de B respecto del centro O de la circunferencia en el cual valeBC ´ DF + CD ´ BF = BD ´ CF o, lo que es lo mismo, BC ´ AB + AD ´ CD = BD ´ CF que puede escribirse, llamando b = d y a = c + d: cuerda c ´ cuerda d + AD, cuerda [180° - (c + d)] = cuerda (180 ° - c), cuerda (180° - d), que es una forma del teorema de adición.Otro teorema, que aporta Ptolomeo, equivale a la relación de las funciones de un arco y de su mitad. Sean AB y BC dos arcos iguales; si desde el extremo D del diámetro que pasa por A se trazan DC y DB, y desde este último punto la normal BM a AD y BE simétrica de BA respecto de esa normal, se tendrá
AB2 = AM ´ AD = 1/2 AD (AD - DE) = 1/2 AD (AD - DC.
Y por tanto(cuerda a)2 = 1/2 AD ´ [ AD - cuerda (180° -2a)]
que no difiere, sino en la escritura, de la relación entre las funciones de un arco y de su arco doble.
Así como "el teorema de Ptolomeo" permite a éste demostrar relaciones "trigonométricas" planas, el "teorema de Menelao" cumple esa función en lo que atañe a la esfera estableciendo relaciones entre los elementos de los triángulos esféricos rectángulos (Ptolomeo los considera triángulos oblicuángulos). Por ejemplo, para determinar la ascensión recta y la declinación de un punto de la eclíptica, considera los cuatro círculos máximos siguientes: ecuador, eclíptica y los círculos que pasan por los polos celestes y el punto considerado y los polos de la eclíptica. Eligiendo convenientemente entre esos círculos los que actúan de transversales el teorema de Menelao permite dar expresiones que resuelven el problema y que hoy no son sino aplicaciones de las fórmulas que resuelven los triángulos esféricos rectángulos.
Más matemático "profesional" es Pappus, también de Alejandría, de quien se sabe que hizo observaciones astronómicas en 320. Además de obras desaparecidas y de un comentario al libro décimo de los Elementos, que se conoce mediante un arreglo árabe, se le debe una obra importante en ocho libros: la Colección matemática, resumen de conocimientos anteriores con agregados originales, correcciones y críticas, que resultó de un valor inestimable por las informaciones históricas y bibliográficas que contiene acerca de la matemática griega.
De sus ocho libros, el primero y parte del segundo se han perdido, pero del contenido de la parte sobreviviente del segundo se desprende que probablemente esos dos libros se ocupaban de cuestiones aritméticas. El libro tercero se ocupa de asuntos variados: proporciones, poliedros regulares, lugares geométricos, mientras que el cuarto revela mayor unidad, pues se ocupa de las curvas ideadas para la resolución de los tres problemas clásicos, a las que Pappus agrega alguna nueva. El libro V se dedica a los isoperímetros, mientras que el sexto y el octavo se ocupan de astronomía y de mecánica, respectivamente. El libro séptimo es el más interesante desde el punto de vista histórico. Dedicado a su hijo, comprende una serie de obras de autores anteriores, cuyo objeto era adiestrar en la resolución de los problemas geométricos a aquellas personas que ya habían adquirido cierto dominio de la geometría, mediante el estudio de sus elementos. Entre esas obras, algunas debidas a Euclides, Apolonio y Eratóstenes están hoy pérdidas, de ahí el valor documental de la Colección de Pappus que nos las conservan. Mas a este valor extrínseco debe agregarse el valor intrínseco de los comentarios y agregados del mismo Pappus, para facilitar y completar esas obras. Baste citar entre esos agregados una proposición, cuyo enunciado se conoció durante mucho tiempo como "teorema de Guldin", del nombre del matemático suizo del siglo XVII que lo redescubrió.
Nota complementaria
Entre las cuestiones de interés matemático o histórico que aparecen en Pappus, mencionemos las siguientes: En el libro segundo Pappus se ocupa de un sistema de numeración, atribuido a Apolonio, semejante al que Arquímedes expone en el Arenario, de base la miríada, y no la miríada de miríada. En conexión con ese sistema, Pappus expone algunos procedimientos, que también atribuye a Apolonio, para facilitar las operaciones aritméticas con números grandes, que en definitiva equivalen a reducir esas operaciones a operaciones con dígitos, como ocurre con nuestro sistema decimal.
La Colección de Pappus
En el libro tercero se ocupa de una solución aproximada del problema del mesolabio, que Pappus reconoce que no es exacta. Es a raíz de este problema que Pappus recuerda la definición de lugares geométricos.
También en este libro aparece un problema de interés histórico. Se trata de determinar, mediante tres números en progresión geométrica, los elementos de las diez proporciones o medias, que aún estaban en uso en la época de Pappus, y que probablemente eran de origen pitagórico. No interesa mayormente la solución particular que Pappus da de este problema indeterminado; puede en cambio tener interés recordar la definición y nombre de las diez proporciones o medias de la antigua matemáticas griega. Dados tres números a, b, c, se dice que, forman una proporción aritmética, geométrica, armónica, contra-armónica, quinta y sexta, según que la razón ( a - b) : (b - c) sea igual, respectivamente, a a : a; a - b; a - c; c : a; c: b y b : c.
Se dice que están en proporción séptima, octava y novena, según qué la razón (a - c) : ( a - b) sea igual a b : c; a : b; a : c, respectivamente. Y finalmente están en proporción décima si (a - c); (b - c) = b - c.
Los ejemplos numéricos que obtiene Pappus son los siguientes: (6,4,2); (4,2,1); (6,3,2); (6,5,2); (5,4,2); (6,4,1); (3,2,1); (6,4,3); (4,3,2); (3,2,1); en su orden.
En el libro cuarto, Pappus trata cuestiones variadas. En la primera sección, demuestra una muy simple generalización del teorema de Pitágoras: Si a los lados AB y AC de un triángulo ABC se adosan dos paralelogramos y P2) yA' es la intersección de los lados paralelos a AB y AC, el segmento AA', en magnitud y dirección, forma con el tercer ladoBC un paralelogramo P = P1 + P2. La demostración por equivalencias es inmediata.
Otra cuestión que trata Pappus en esta primera sección trae a colación una familia de curvas, cosa poco frecuente en la geometría griega. Pappus considera el arbelos de Arquímedes y en la zona comprendida entre dos de los tres semicírculos inscribe una serie de círculos tangentes entre sí, dando la ley que relaciona la altura del centro de cada círculo con su radio. En forma algo más general esa relación expresa que en la sucesión numerable de esos círculos aquella razón, al pasar de un círculo al sucesivo, disminuye en dos unidades (Pappus considera los casos particulares en los cuales la primera razón es 0 y 1). Esta demostración, que en Pappus exige una larga y engorrosa serie de teoremas y que mediante la geometría analítica se resuelve con relativa facilidad es de solución inmediata utilizando la "transformación por inversión", lo que no deja de constituir un buen ejemplo de comparación de métodos antiguos y modernos.
En la segunda sección de este libro, Pappus se ocupa de la espiral de Arquímedes, de la concoide de Nicomedes y de la cuadratriz de Hipias estudiando sus propiedades ya para resolver el problema, más general que el de la trisección, de dividir un ángulo en dos partes que estén en una razón dada; ya para extender la definición de la espiral al espacio mediante el movimiento de un punto sobre la esfera.; ya dando nuevas maneras de engendrar la cuadratriz mediante superficies helicoidales que Pappus denomina plectoides.
El libro quinto se ocupa de los isoperímetros. En el prefacio, al observar que las abejas construyen sus celdas en forma de prismas de base hexagonal y recordar que entre los tres polígonos que pueden llenar el plano: triángulo, cuadrado y hexágono, es este último el que, a igualdad de área, su perímetro es el mayor, trae a colación comparaciones entre la inteligencia humana y la de los animales. Es en este libro donde se mencionan los poliedros semirregulares de Arquímedes y donde se demuestran propiedades geométricas que hoy se traducen en igualdades y desigualdades entre las funciones circulares.
Pero sin duda es más importante el libro séptimo, donde Pappus, al comentar los escritos que reproduce, agrega y completa teoremas. En ese libro aparece el "teorema de Guldin" que Pappus enuncia como: las figuras engendradas por rotación completa se obtienen como producto de lo que gira por el camino recorrido por el centro de gravedad móvil. También en este libro figura "el problema de las tres o más rectas" que Descartes llamará "problema de Pappus", así como una serie de teoremas y proposiciones de álgebra geométrica, algunos de carácter más gráfico o proyectivo que métrico.
Así estudia: el problema de determinar sobre una recta, que contiene los puntos A, B, C, D, un punto X tal que la razónAX´ BX: CX´ DX
sea máxima o mínima; demuestra casos particulares de la identidadAD2 - BC + BD2 ´ CA + CD2 ´ AB + BC - CA - AB = O
Así como la constancia de la razón doble de cuatro puntos determinados sobre una transversal por un haz de rayos, y la propiedad que en un cuadrilátero completo cada diagonal es dividida armónicamente por las otras dos, un caso particular de la cual no es sino el teorema del hexágono de Pascal en el caso en que la cónica degenera en dos rectas.
Respecto de las cónicas se debe a Pappus la primera mención del foco de la parábola y de las directrices de las cónicas, así como la definición de éstas mediante la razón constante entre las distancias a un punto fijo (foco) y una recta fija (directriz).
Por último, en el libro octavo, dedicado a la mecánica, mencionamos que en él aparece la definición de centro de gravedad, que no figuraba en los escritos de Arquímedes.
Herón y Diofanto
Herón de Alejandría es, o fue, una de las figuras más discutidas en la historia de la matemática. Hoy se lo ve con más claridad; con toda verosimilitud se lo ubica en la segunda mitad del siglo I y se considera su obra más como la de un técnico, un mecánico práctico, que de un matemático. También hoy sabemos, por fuentes árabes, que la llamada no muy correctamente "fórmula" de Herón, procede de Arquímedes. Es la conocida expresión del área de un triángulo en función de sus lados.
Nota complementaria
Ordinariamente se da este nombre a la expresión
La "fórmula” de Herónsiendo a, b, c, los lados de un triángulo y p su semiperímetro, que implica un doble anacronismo: hablar de "fórmula" y utilizar una notación algebraica actual para referirse a un teorema griego, amén de ese producto de cuatro segmentos que aparece en la expresión que carece de contenido intuitivo y de interpretación geométrica.
Por supuesto que el teorema de Herón o de Arquímedes no incurre en tales anacronismos. Se trata de un típico teorema de la geometría griega que puede considerarse un modelo del método sintético, pues en él se parte de ciertas propiedades conocidas para deducir de ellas el resultado, pero sin señalar por qué se partió de aquellas propiedades conocidas que, por lo demás, en este caso no tienen nada que ver aparentemente con la equivalencia de figuras pues se trata de las propiedades de los segmentos determinados en los lados del triángulo por los puntos de tangencia del círculo inscrito. Es posible que el inventor del teorema haya partido más directamente de la equivalencia del triángulo con el rectángulo de igual base y mitad de la altura para luego, mediante los recursos del "álgebra geométrica" comprobar que en el resultado aparecen aquellos segmentos y de ahí haya buscado y encontrado una demostración más directa partiendo de ellos.
He aquí resumida la marcha de la demostración del teorema, utilizando por comodidad el simbolismo actual. Sea el triángulo ABC de lado a, b, c, semiperímetro p y radio r del círculo inscrito de centro O, y puntos de tangencia A', B', C', tales queAC' = p - a; BA' = p - b; CA' = p - c.
De los extremos de los segmentos OB y BC se trazan las normales a los mismos que se cortan enH y configuran el cuadrilátero inscriptibleBOCH, de ahí la igualdad de los ángulosHBC y HOC. Por otra parte este ángulo HOC es igual al ángulo OAC' (ambos son complementarios de la suma de los ángulos en B y en C.), de manera que se tienen dos pares de triángulos semejantes: HBC, OAC' y OA'K, KCH, siendo K la intersección de BC con OH.
Si CH = h; A'K = k, de la primera pareja de triángulos semejantes se deduce (p - a) : a = r: h o sea (p - a) : p = r: (r + h) razón esta última que es igual en la segunda pareja ak: (p - c) = k (p - b) : ( p - b) (p - c).
En definitiva puede escribirsep (p - a) : p2 = k (p - b) : (p - b) ( p - c.
Si del triángulo rectángulo BOK se deduce que k (p - b) = r2 y se recuerda que pr = S siendo S el área del triángulo al introducir las medias proporcionalesm2 = p (p - a) yn2 = (p - b)( p - c) resulta S = mn, y el teorema está demostrado. Como vemos la raíz del producto de cuatro segmentos que aparece en la expresión algebraica no es sino el disfraz del producto de dos segmentos cada una de los cuales es medio proporcional entre dos segmentos que se obtiene de los lados del triángulo.
Como teorema geométrico, probablemente interpolado, aparece en un escrito de Herón denominado Dioptra, donde describe un aparato que lleva este nombre, lejano precursor sin lentes del teodolito actual, y cabal manual para agrimensores, mientras que bajo la forma de un ejemplo numérico de la aplicación de la "fórmula" aparece en otro escrito denominado Métrica, más matemático, pero no muy "griego", donde utiliza otras contribuciones de Arquímedes.
Nota complementaria
El primer libro de la Métrica está dedicado a las superficies de las figuras planas y sólidas. Después de una introducción histórica se ocupa de triángulos, aplicando la fórmula del área conociendo los lados; luego de cuadriláteros especiales, aunque no del inscriptible limitándose a señalar que en el caso general además de los lados debe darse una diagonal.
La Métrica de Herón
Para los polígonos regulares da fórmulas aproximadas mediante coeficientes que expresan la razón entre el lado y el área y el radio y su cuadrado respectivamente. Algunas de estas fórmulas las atribuye Herón a Hiparco. Para el heptágono por ejemplo esos coeficientes son 7/8 y 43/12. Para el área de figuras circulares, o de la elipse o de las superficies de cuerpos redondos utiliza los resultados de Arquímedes, tomando para n en general el valor 22/ 7, aunque en algún caso admite √3π = 3.
La finalidad puramente práctica del libro se refleja en las reglas para el área de figuras de contornos cualesquiera, que aconseja sustituir por un polígono lo más aproximado posible y hasta de superficie de objetos en el espacio como estatuas aconsejando ahora revestir la superficie con hojuelas de papiro o de tela muy fina, que luego se extienden en un plano midiendo su área como en el caso anterior.
También Arquímedes es la guía en el segundo libro, que trato de volúmenes; agrega el volumen del toro con su fórmula exacta pero deducida intuitivamente; para los poliedros regulares da expresiones aproximadas y para cuerpos de formas cualesquiera aconseja o bien el método de Arquímedes; midiendo el volumen del agua desalojada por el cuerpo, al sumergirlo en un recipiente con ese líquido; o bien, de manera más ingeniosa, recubriendo el cuerpo con arcilla hasta dar al cuerpo y su revestimiento la forma de un paralelepípedo: la diferencia entre los volúmenes del prisma y el de la arcilla utilizada es el volumen del cuerpo.
El libro tercero está dedicado a la división de figuras planas o sólidas en partes que estén en una razón dada o en determinadas condiciones prefijadas dando en algunos casos soluciones interesantes.
En la Métrica de Herón existen ejemplos de extracción aproximada de raíces cuadradas y hasta un ejemplo de raíz cúbica. Para la raíz cuadrada emplea una regla, sin duda conocida por Arquímedes, según la cual si a es un valor aproximado de N, un valor más aproximado es 1/2 (a + N/a) que coincide con el valor de los dos primeros términos del desarrollo en serie de
hecho que explica la buena convergencia del procedimiento, ya que el nuevo error es del orden del cuadrado del error anterior.
En cuanto a la raíz cúbica, el único ejemplo que trae Herón (la raíz cúbica de 100, de la cual da el valor aproximado 4 9/14) no hace fácil advertir la regla empleada. Con todo, de ese ejemplo parecería deducirse que Herón siguió un "método de falsa posición", no lineal sino cuadrático. La expresión algebraica que se deduce del ejemplo utilizado diría que si N = (a + l)3 - c2 = a3 + c1 el valor aproximado de su raíz cúbica se obtiene como razón entre (a + 1)2c1 + a2c2 y (a + 1) c1 + ac2 (En el ejemplo numérico N = 100, a = 4; y la raíz cúbica aproximada es 4 9/ 14 con un error menor que 0,02.)
Es un escrito en tres libros, que se refiere a áreas y volúmenes de figuras planas y sólidas así como a la división de figuras, pero en la que, en contra de la tendencia euclídea, no sólo aparecen ejemplos numéricos con fracciones unitarias sino también resultados aproximados en aquellos casos en que la geometría euclidiana no permite dar exactamente el área o el volumen de la figura considerada, estudiándose hasta figuras de contornos cualesquiera; de ahí que se viera en esta obra y en Herón reminiscencias de la matemática de los antiguos pueblos orientales, en especial de los babilonios.
Aun menos "griego" y más vinculado por su producción a la matemática de los babilonios, es el matemático más original de este periodo: Diofanto de Alejandría, probablemente del s III. De atenernos a un epigrama de la llamada Antología griega estaríamos mejor informados en lo que se refiere a la edad en la que habría fallecido Diofanto, aunque es poco probable que ese epigrama tenga alguna finalidad informativa.
Nota complementaria
Con este nombre o de Antología palatina, atribuida a un Metrodoro de fines del siglo V o comienzos, del VI, se conoce una colección de 48 epigramas con problemas de índole muy variada, que hoy se incluirían en la matemática recreativa. En general, son problemas curiosos con enunciados pintorescos que se resuelven con simples raciocinios o, a lo sumo, con ecuaciones lineales, con excepción del "problema de los vinos" que aparece en la Aritmética de Diofanto. Además, uno de los epigramas revelaría la edad de este matemático. Según ese epigrama Diofanto transcurrió en la niñez el sexto de su vida, un dozavo en la adolescencia y que, después de otro séptimo de su existencia, se desposó naciéndole un hijo a los cinco años de casado. Más el hijo vivió la mitad de la vida del padre y éste, afligido, buscó consuelo en la ciencia de los números y cuatro años después de la muerte del hijo, falleció. Un cálculo simple da para la vida de Diofanto 84 años, aunque otra interpretación del epigrama, admitiendo que el hijo hubiera muerto cuando tenía la mitad de la edad del padre, abrevia la vida de Diofanto a 65 años y un tercio.
La Antología griega
De Diofanto se conoce un fragmento de un escrito Sobre los números poligonales, y seis libros de su Aritmética que, según el prefacio debía tener trece, aunque parece que en verdad no se compusiera sino de los seis aún existentes.
Sobre los números poligonales es un estudio de teoría de números cuyo resultado importante es la generalización de la propiedad de los números impares de ser su óctuplo más uno un cuadrado. En efecto. Diofanto demuestra en forma retórica la propiedad que hoy expresaríamos:
[2n (p - 2) - (p - 4)]2 = 8 P (p - 2) + (p - 4)2,
siendo P un número poligonal de lado p y n términos.Pero más novedosa y original es su Aritmética, que no contiene teoremas o proposiciones, sino problemas entre números abstractos, con excepción de un problema entre cantidades, aunque poco real, que figura también en la Antología y la colección de problemas del último libro en el cual los datos y las incógnitas son elementos de triángulos rectángulos que han de satisfacer por tanto a la ecuación pitagórica.
Las características de los problemas de la Aritmética son:
- Se trata de problemas, a veces determinados, pero en más de los casos indeterminados, en los cuales la solución que halla Diofanto comporta exclusivamente números racionales positivos (y no necesariamente enteros como haría pensar la denominación de análisis diofántico con que a veces se designa este estudio);
- En la resolución de tales problemas se aplica cierto simbolismo semejante al actual, por lo menos en el tratamiento de los polinomios con una letra;
- En los problemas de Diofanto no aparece orden alguno, ni en lo referente a la naturaleza de los problemas, ni en cuanto al método de resolución, aunque pueden agruparse siguiendo ciertos criterios de analogía. Los métodos de resolución aparecen distintos en cada caso particular, pero la elección del método y los recursos auxiliares de los que echa mano Diofanto, confieren a su escrito la fisonomía algebraica que los caracteriza y distingue de los demás escritos griegos.
Nota complementaria
En el primer libro de su Aritmética Diofanto expone los signos que utilizará y sus reglas operatorias.
El simbolismo de Diofanto
Los signos son: signos literales para indicar las tres primeras potencias de la incógnita, que reitera para indicar las tres siguientes; un signo especial agregado a las anteriores servía para indicar las potencias recíprocas; agregando un par de signos más para la igualdad y la sustracción, en cambio no hay signo para la suma; ésta se indica escribiendo los sumandos uno tras otro. Como esos signos (deformados, sin duda, por copistas posteriores) parecen ser las iniciales de las palabras griegas correspondientes podría decirse con algún abuso de lenguaje que el "álgebra" de Diofanto es "sincopada", es decir, está en esa etapa que recorrerá más adelante entre el álgebra retórica, sin símbolos, y la simbólica actual.
Aún limitada, pues no dispone sino de una incógnita que le obliga a ciertos recursos y artificios cuando se trata de problemas de varias incógnitas y sus potencias no van sino desde la sexta negativa a la sexta positiva, su álgebra le permite operar con potencias y polinomios, agregando también la operación de pasar de un miembro a otro de sus igualdades. Y agrega Diofanto: "Considerando la suma, la diferencia, el producto y la razón de estos números combinados con sus lados, se llega a enunciar una cantidad de problemas, cuya solución se logra por el camino que enseñaré".
La habilidad e ingeniosidad, de que Diofanto revela en especial en sus problemas de análisis indeterminado de sistemas no lineales no son, sin embargo, casuales: se fundan sobre el conocimiento de una gran cantidad de propiedades aritméticas, que no demuestra, pero que aplica, por ejemplo el producto de dos números, cada uno de los cuales es suma de dos cuadrados y puede expresarse de dos maneras distintas como suma de dos cuadrados; todo cubo es suma de tres cubos, etcétera.
Nota complementaria
En todos sus problema, Diofanto adopta para las constantes, valores numéricos particulares, pero el método que emplea es en general independiente de esos valores que, por supuesto, están elegidos de antemano para que el problema tenga solución. Veamos algunos ejemplos de los distintos tipos de problema de la Aritmética de Diofanto.
Los problemas de Diofanto
a. Problemas de primer grado con una incógnita.
El primer problema de la Aritmética consiste en determinar dos números conociendo su suma y su diferencia. Dice Diofanto: Si x es el menor de esos números el mayor será x + d (la diferencia conocida) de manera que 2x + d será la suma también conocida, de ahí que el menor será la semidiferencia de los datos y el mayor la semisuma (Diofanto dice el menor más la semidiferencia).
Un problema interesante (que geométricamente equivaldría a buscar el cuarto armónico de una terna dada) es el que Diofanto enuncia diciendo: Dados dos números, buscar un tercero tal que los productos de cada uno de ellos por la suma de los otros dos estén en progresión aritmética. Diofanto distingue y resuelve los tres casos posibles. En todos los casos el problema se resuelve mediante una simple ecuación que exprese que uno de los productos sea media aritmética de los otros dos. Por supuesto que los datos de Diofanto están elegidos de manera que la solución sea positiva.
b. Sistemas lineales.
En general, cuando aparecen varias incógnitas, Diofanto mediante la introducción de variables auxiliares reduce el problema al caso anterior. Por ejemplo en un sistema que con nuestros símbolos sería(x + a):(y - a) = m ; ( x + b ) : (x - b ) = n
toma como incógnita auxiliar (y - a) que determina mediante eliminación de x.
En otros problemas esa elección es menos evidente, pero más feliz. Por ejemplo, sea calcular cuatro números conociendo las cuatro diferencias entre la suma de tres de ellos y el restante. Para ello, Diofanto introduce una quinta incógnita auxiliar, como semisuma de las cuatro incógnitas del problema; y deduce fácilmente mediante una ecuación de primer grado esta quinta incógnita, y de ahí los números buscados. (En efecto, cada una de las incógnitas del problema es la quinta incógnita menos la mitad de uno de los datos.)
c. Ecuaciones de segundo grado.
Diofanto conoce la resolvente de la ecuación cuadrática aunque no considera sino una sola raíz; la positiva, aun en el caso en que la ecuación contenga dos raíces positivas. Veamos el "problema de los vinos", en el cual Diofanto despliega singular habilidad. Se trata de determinar las cantidades de dos clases de vino de precios proporcionales a 8 y 5, de manera que el costo sea un cuadrado, que sumado al número 60, reproduzca el cuadrado de la suma de las dos cantidades. Si éstas son x e y, el problema se reduce a resolver el sistema, con nuestros símbolos:8x + 5y = z2 ; z2 + 60 = (x + y) 2.
Diofanto comienza por tomar como incógnita auxiliaru = x + y que lo lleva al sistema u2 - 60 = 3x + 5 u = 8u - 3y y, por tanto, a las desigualdades 8u > u2 - 60 > 5u. Considerando las resolventes de las ecuaciones cuadráticas correspondientes (transformando las desigualdades en igualdades), que en ambos casos no tienen sino una sola raíz positiva, encuentra que u está entre 11 y 12. Como u2 - 60 debe ser un cuadrado Diofanto, para reducir la ecuación a lineal, introduce una nueva incógnita v tal que u2 - 60 = (u - v)2 y utilizando los valores extremos deu llega a un nuevo par de inecuaciones env : 22v < 60 + v2 < 24v. En este caso, las ecuaciones correspondientes tienen ambas dos raíces positivas, pero por el resultado se advierte que Diofanto no considera sino la mayor. Llega así a la desigualdad 19 < v < 21. Toma v = 20, de ahí u = 23/2 y de ahíx =59/12; y =79/12; z = 17/2
También en el caso de sistemas de grado superior al primero la solución depende de la adecuada elección de variables auxiliares. Por ejemplo, en el sistema de tres ecuaciones con tres incógnitas que nosotros escribiríamos;x (y + x) = a; y(z + x) = b; z(x +y) = c
toma como nuevas incógnitas: xz = u; yz = v, pasando al sistema linealu + v = c; u - v = a - b; de ahí los valoresde uy vy con ellos los de x2 ; y2 ; z2 .
d. Sistemas indeterminados.
Es en estos sistemas donde Diofanto pone de relieve su habilidad "algebraica". Es claro que los problemas indeterminados de primer grado no tienen para nosotros mayor interés, pues siendo los coeficientes racionales existe una infinidad de soluciones racionales. En estos casos Diofanto adopta una sola de ellas como solución o determina la que corresponde a un valor prefijado de una de las incógnitas. Pero en los sistemas de grado superior esto no puede hacerse, y es necesario acudir a recursos especiales.
En algún caso Diofanto habla de "expresión general", por ejemplo cuando enuncia las reglas para encontrar dos números tales que su producto más (o menos) su suma es un valor dado, regla que equivale a escribirxy + (x + y) = a en la forma (x + 1) (y + 1) = a + 1 , de ahí que conocido uno de los números se obtiene el otro.
En general, Diofanto resuelve estos problemas mediante adecuadas elecciones de variables auxiliares. Así, si la ecuación es x2 + y2 = a2 hacey = xz - a y la ecuación se torna lineal enx ; igualmente la ecuación x2 + y2 = a2 + b2 se hace lineal en z mediante las sustitucionesx = zu - ma;y = zv - b; o la ecuación x2 - y2 = a2 se hace lineal eny con x=y + z.
En otros casos la solución es más rebuscada, pero no por eso menos ingeniosa. Sea, por ejemplo, determinar cuatro números tales que sumando a cada uno de ellos el cuadrado de su suma se obtenga en todos los casos un cuadrado. Para resolverlo, Diofanto acude a una propiedad de los triángulos rectángulos: el cuadrado de la hipotenusa más cuatro veces el área es un cuadrado (de la suma de los catetos), de ahí que el problema se reduzca ante todo a buscar cuatro triángulos rectángulos de igual hipotenusa, que logra partiendo de dos triángulos rectángulos cualesquiera de catetosb, c; b', c' e hipotenusas respectivamente, a,a' utilizando factores de proporcionalidad y las identidades entre sumas de dos cuadrados. En efecto, los triángulos de catetos ba', ca'; b'a, c'a; bb' + cc', be'-b'c, bb' - cc', be' + b'c respectivamente, tienen todos la misma hipotenusa aa'. De esta manera se obtienen cuatro números (los cuádruplos del área) que, sumados al mismo cuadrado, se obtienen cuadrados. Para que ese cuadrado común sea a su vez suma de esos números bastará encontrar un factor de proporcionalidad que haga cumplir esa condición.
El sexto libro de Aritmética, con excepción del último problema que es de "los vinos”, está dedicado íntegramente a problemas de triángulos rectángulos de lados racionales, de manera que se trata siempre de un sistema de ecuaciones una de las cuales es la pitagórica. La solución depende en cada caso del problema. Veamos un par de ejemplos; Determinar un triángulo tal que el área más un cateto sea un cuadrado y el perímetro, un cubo. En este problema, como en otros, no hay respeto alguno por la homogeneidad característica que señalamos también en algún problema de los babilonios. Diofanto parte de la solución general de la ecuación pitagórica atribuida a los pitagóricos que por comodidad afecta por un factor de proporcionalidad, con lo cual llega a las condiciones que un cierto número u debe ser, tal que 2 u + 1 debe ser un cuadrado y su doble un cubo, lo que exige que 2u + 1 debe ser el cuádruplo de una sexta potencia. Toma como base de esta potencia la unidad que da para u el valor 3/ 2 y de ahí obtiene para los lados del triángulo 8/5; 3 y 17/ 5 cuya área 12/5 más el cateto 8/5 es cuadrado de 2 y cuyo perímetro 8 es un cubo.
Otro problema, también de reminiscencias babilónicas, pide determinar un triángulo rectángulo tal que el área más un cateto sea una constante dada, que Diofanto toma igual a 7. Si la indicamos con a, el sistema a resolver es 1/2xy + x/s= a; x2 + y2 = z2. El proceso que sigue Diofanto puede resumirse así: si se considera un triángulo semejante al buscado de factor de proporcionalidad h, la primera ecuación se convierte en una ecuación de segundo grado en h que exige para que sus raíces sean racionales que la expresión V2axy + 1/4x2 sea un cuadrado perfecto; como lo debe ser, por la segunda ecuación x2 +y2 sea así un sistema de "doble ecuación" que se le presenta también en otros problemas. Siy = kx el sistema es V2ak + V4 = u2; 1 + k2 = v2. Restando la diferencia de cuadrados es igual a un producto, de ahí fácilmente la solución particularu = 1/2 a (7/2) y k = ( a2 - 1) : 22 (24/7) de ahí que el triángulo es semejante a uno de los lados 7, 24 y 25. De acuerdo con la primera ecuación el factor de proporcionalidad es 1/4 y el triángulo buscado es de catetos 7/4 y 6 y de hipotenusa 25/4. Habría que decir que ésta es una solución, pues el análisis del problema revela una segunda solución racional; x = 24 /7; y = 25/12; z = 337/84, pero es claro que Diofanto no buscaba sino la solución que había pensado de antemano al proponer el problema.
Contenido:
La temprana Edad MediaEn el capítulo anterior reseñamos el desarrollo de la matemática griega, o elaborada por griegos, durante el período grecorromano, periodo en el cual la matemática en ese sentido no tuvo cabida en el mundo romano.
La alta Edad Media
La baja Edad Media
En las enciclopedias a las que eran afectos los polígrafos romanos, no figuraban sino las nociones matemáticas destinadas a las aplicaciones, ya fueran los conocimientos aritméticos útiles para satisfacer las necesidades de la vida diaria, las exigencias de las transacciones comerciales o, a lo sumo, alguna cuestión tribunalicia; ya fueran los conocimientos geométricos que requería la agrimensura y la agricultura.
Es conocido por las contadas ocasiones en que aún se utiliza, el sistema de numeración de los romanos, de base 10 y no posicional y en el cual en la numeración hablada el 20 ocupa un lugar especial, mientras que en la numeración escrita se intercalan las unidades intermedias 5, 50, 500. Una característica del sistema es el procedimiento sustractivo para abreviar la escritura de ciertos números.
IX = 9, XL = 40 (el IV = 4 parece ser algo posterior], aunque no es original, pues se han encontrado ejemplos entre los babilonios. Los romanos utilizaron fracciones de numerador unitario y denominadores 12 o múltiplos de 12, en conexión con el sistema de medidas y de monedas.
Para operar, utilizaban ya el cálculo digital, ya prontuarios o tablas de cuentas hechas o el ábaco, instrumento del cual se poseen ejemplares que permitían calcular con números grandes y fracciones.
En cuanto a los conocimientos geométricos que aparecen en algunas enciclopedias de los romanos se limitan a unas cuantas reglas empíricas.
Nota complementaria
En las enciclopedias romanas, además de las reglas para la determinación exacta del área del cuadrado, del rectángulo y del triángulo rectángulo se encuentra una fórmula aproximada para el área del triángulo equilátero que supone tomar para √3 el valor bastante aproximado 26/15; otra para los cuadriláteros no rectángulos, que no es sino la antigua fórmula egipcia que adopta como área el producto de las dos semisumas de los lados opuestos; y una para el área del círculo tomando para n el valor de Arquímedes 22/7. Agreguemos que los agrimensores romanos admitían como bastante exacta la determinación del área de una ciudad de forma irregular, sin más que medir su perímetro.
La geometría de los romanos
Cierta reacción en favor de los antiguos textos griegos se advierte en los escritores latinos después de la caída del Imperio de Occidente. Así en Marciano Capella, de mediados del siglo V, autor de una obra en prosa y en verso: De las nupcias de Filología y Mercurio y de las siete artes liberales, en nueve libros, precursora de las enciclopedias medievales en la que se ocupa de esas artes, es decir, el trivium: gramática, dialéctica y retórica, y el quadrivium: geometría, aritmética, astronomía y música. En este escrito que, como otros de esta época, gozaron de estima y difusión durante la Edad Media, la geometría se reduce a las definiciones de los Elementos con el enunciado de su primer problema, y la aritmética a unas cuantas nociones de carácter neopitagórico.
Algo posteriores a Capella, y de comienzos y mediados del siglo VI, son contemporáneos Boecio y Casiodoro. Severino Boecio, más conocido como filósofo, dedicó parte de su producción a la traducción, recopilación o composición de manuales relacionados con el quadrivium (ya aludimos a su compilación de la Aritmética de Nicómaco), obras que sirvieron para mantener vivas ciertas nociones del saber antiguo durante los tiempos medievales, por la difusión que alcanzaron esos escritos.
También se ocupó de las artes liberales Casiodoro en un escrito, muy citado en la Edad Media, donde aparece una exposición del saber pagano necesario para la comprensión de la Biblia; aunque el mérito mayor de Casiodoro fue el de haber sido el iniciador de la costumbre de incitar a los monjes de su convento al estudio, imponiéndoles la obligación de copiar antiguos textos, costumbre que, al mantenerse en los tiempos posteriores, permitió conservar buena parte de la literatura antigua.
Ya mencionamos el Código arceriano de estos tiempos, con su interesante aporte aritmético, aunque a su lado figura un error grosero, que aparece también en escritos ulteriores, proveniente de confundir el área de un polígono con el número poligonal correspondiente.
Otro autor enciclopédico, cuya obra Etimologías sirvió de modelo de las futuras enciclopedias medievales San Isidoro, obispo de Sevilla desde 601, en la que considera todas las disciplinas de su época, desde astronomía a medicina con definiciones y clasificaciones.
El próximo nombre ya no pertenece a la cuenca del Mediterráneo, es el del benedictino inglés Beda el Venerable, que en su obra enciclopédica De natura rerum mejora los conocimientos de Isidoro con las aportaciones de Plinio, que Isidoro no conoce. En especial, cabe mencionar a Beda por un escrito sobre el cálculo digital, aunque más importante ha sido su influencia que, a la larga, ejerció sobre Alcuino de York, uno de los maestros a los que acudió Carlomagno para mejorar el nivel cultural de su administración y de su clero. Aunque la labor más importante y valiosa de Beda fue el esfuerzo educativo, se le deben varios escritos, entre ellos una colección de problemas aritméticos y geométricos, "para desarrollar el ingenio de los jóvenes". En esa colección figuran los clásicos problemas de matemática recreativa: el de los 100 pájaros, de los móviles, de las canillas que llenan un tanque, etcétera; además cuestiones de números, por ejemplo, habla acerca de los números perfectos, y da fórmulas aproximadas para las áreas. Entre esos problemas figura el de aquel testador romano que al morir, cuando su esposa está por dar a luz, disponiendo la distinta manera en que debe repartirse la herencia según el sexo del hijo a nacer. Nace un par de mellizos de distinto sexo ¿cómo ha de repartirse la herencia.
El escaso valor científico de estos problemas muestra el bajo nivel que había alcanzado la matemática en el "renacimiento carolingio” que se había iniciado con Alcuino. Sin embargo, con la muerte de Carlomagno murió también aquel "renacimiento" y el nivel matemático descendió aún más, tal como lo revela una correspondencia entre dos "matemáticos" de comienzos del siglo XI, en la que vanamente se trata de probar que la suma de los ángulos de un triángulo es igual a dos rectos, sugiriendo finalmente una demostración experimental recortando ángulos de pergamino.
Pero ya asomaba un nuevo despertar favorecido por los vientos que venían del Oriente. El aporte oriental a la matemática, durante el primer milenio de nuestra era, proviene de tres centros culturales distintos: chino, hindú y árabe, y distintos fueron también su valor y su influencia.
Aunque actualmente se está conociendo cada vez más y mejor la antigua ciencia china puede decirse que la matemática china es la que ejerció menor influencia sobre la futura matemática occidental.
Nota complementaria
En verdad, la historia de China comienza a fines del siglo III a. C., cuando se unifica y nace el imperio chino, cuyo primer emperador ordena la "quema de los libros", con excepción de los de agricultura, de medicina y de adivinación. Aunque tal destrucción no fue completa hace, de todos modos, muy difícil la investigación del saber chino anterior a esa época. Por lo demás, China no estuvo totalmente aislada de otros pueblos orientales y hasta de Occidente. El comercio de la seda con países occidentales es muy antiguo y las relaciones con la India, y más tarde con los árabes, fueron continuas: el budismo es introducido por lo menos oficialmente, en China en el siglo I y las relaciones económicas y políticas con los árabes datan del siglo VII.
Lo matemática china
Por otra parte, los más antiguos documentos existentes revelan que la matemática china no difiere esencialmente en lo que se refiere al nivel de los conocimientos de la matemática de los pueblos orientales: un sistema de numeración aditivo mediante rayas horizontales y verticales, proveniente de un antiguo cálculo con varillas de bambú; y el empleo del ábaco, cuya mención más antigua aparece en un tratado aritmético de fines del siglo II; fórmulas empíricas y aproximadas para áreas y volúmenes de figuras simples; y colección de problemas, algunos típicos, y como dato interesante la presencia, que parece de origen inmemorial de cuadrados mágicos.
A partir de los primeros siglos cristianos se tienen algunos datos más concretos: en el siglo III Liu Hui compone un escrito aritmético con problemas, algunos de los cuales implican cierta noción algebraica; se le debe además un comentario al tratado clásico Las reglas de cálculo en nueve partes, compuesto según es tradicional, en el siglo II a. C, sobre la base de escritos más antiguos.
Debemos llegar a fines de la alta Edad Media para encontrar el nombre de un matemático chino, importante: Ch'in Chiu-Shao, autor de las nueve secciones de matemática, que contiene 81 problemas de análisis indeterminado y ecuaciones algebraicas de grado superior. Dos características algebraicas distinguen este tratado: por un lado la notación distinguiendo con el color rojo y negro los coeficientes positivos y negativos respectivamente y el cero con un circulito (otro matemático independiente de Ch'in, en lugar de colores diferenció los coeficientes cruzando con una diagonal los coeficientes negativos); y por el otro, el método numérico de resolución de ecuaciones que en esencia coincide con el método hoy llamado de Ruffini-Horner.
También del siglo XIII es Yang Hui, quien en un Análisis de las reglas aritméticashace conocer, por primera vez en la literatura matemática, la expresión de la suma de los primeros n números que los pitagóricos llamaron triangulares, es decir, con nuestros símbolos:
mientras que del siglo siguiente es Chu Shih-Chieh, considerado uno de los grandes matemáticos chinos, en cuyo tratadoEl precioso espejo de los cuatro elementosexpone, como algo no original, un diagrama numérico, que no es sino nuestro "triángulo aritmético", hasta la novena línea. Agreguemos que mediante el tratado de Chu Shih-Chieh se introdujo el álgebra china en Japón.
Para terminar con la matemática en China, recordemos que en el siglo XVI los misioneros jesuitas introducen la matemática occidental en Extremo Oriente.
En cambio, se deben a la matemática hindú aportaciones originales importantes, así como una notable influencia sobre la ciencia árabe y, por intermedio de ésta, sobre la occidental.
Una característica de la ciencia hindú es la dificultad que ofrece la ubicación de sus obras en el tiempo, en vista de la carencia de una cronología precisa, de la escasez de la documentación y las discrepancias que esos factores provocan en los historiadores. Ha de agregarse que por el hecho de haber sido en la India siempre muy vigorosa la tradición oral, la escritura se adoptó en forma amplia en fecha tardía, digamos hacia el primer milenio a. C., de ahí que sólo desde esta época se tengan datos concretos acerca del saber hindú.
Aunque la influencia de la matemática hindú se ejercerá en especial en los campos de la aritmética, del álgebra y de la trigonometría, sus primeras manifestaciones son de índole geométrica, y han de verse en los rituales brahmánicos, donde aparecen nociones destinadas a la ubicación y forma de los altares de los sacrificios. Pertenecen a una época comprendida entre los siglos VIII y II a. C. y en ellos figuran reglas para la construcción de los altares y en un complemento: el Sulvasutra, se dan las reglas para la construcción de cuadrados y rectángulos, relaciones entre la diagonal y el lado de un cuadrado, y equivalencias entre el rectángulo, el cuadrado y el círculo.
Nota complementaria
Además de algunas aplicaciones del teorema de Pitágoras para transformar un rectángulo en un cuadrado equivalente, aparece en el Sulvasutrauna expresión racional de la diagonal del cuadrado en función del lado que equivale a la igualdad aproximada que proporciona un valor exacto hasta la quinta decimal.
Las construcciones del Sulvasutra
Se utiliza luego este valor para resolver aproximadamente el problema inverso de la cuadratura del círculo: obtener el diámetro de un círculo equivalente a un cuadrado dado. La solución hindú consiste en tomar como diámetro el lado del cuadrado más el tercio de la diferencia entre la diagonal y el lado, solución que daría para π el valor poco aproximado de 3,0888. Más aproximado es el valor 3 1/8 que aparece en otro problema (valor que por lo demás era conocido por los babilonios), al tomar como diámetro del círculo los 4/5 de la diagonal del cuadrado equivalente. Menos aproximadas aún son las reglas que dan, para el lado del cuadrado, fracciones como 7/8 o 13/15, del diámetro del círculo equivalente.
Estas construcciones geométricas ya no figuran en las obras que aparecen en el segundo período hindú de producción matemática: es el periodo astronómico, que transcurre entre los siglos IV y XII de nuestra era. Las obras más antiguas de este período son las Siddhanta, obras de carácter astronómico, en las que se advierte la influencia griega. Se conocen, por lo menos de nombre, cinco Siddhanta, de las cuales se posee el texto de una y comentarios de otra. La importancia matemática, además de su influencia en el mundo islámico, estriba en el hecho de que en las Siddhanta aparecen por primera vez las funciones circulares, por lo menos el seno y el coseno (bajo la forma de seno verso), mediante una tabla en la que se advierte la ventaja de medir los arcos no por sus cuerdas, como lo hace Ptolomeo en su Almagesto, sino por la semicuerda del arco doble (seno) y por la flecha del arco doble (seno verso).
Un mayor desarrollo de estos conceptos aparece en algunos matemáticos posteriores, ya en el primero, en orden cronológico, de los grandes matemáticos: Aiyabhata, nacido probablemente en 476 y en Varahamihira, del siglo VI, que en una de sus obras resume una de las antiguas Siddhanta. Aiyabhata es autor de un tratado astronómico- matemático en versos: Aryabhatiyam, dividido en cuatro capítulos, de los cuales el más importante, desde el punto de vista matemático, es el segundo que comprende, además de otras cuestiones, una tabla de senos y ejemplos de análisis indeterminado de primer grado, tema este último que constituye su contribución más original. Mientras que en Diofanto el objeto de su análisis indeterminado de primer grado era hallar soluciones racionales positivas, en los hindúes ese análisis adquiere el significado actual, pues se propone buscar soluciones enteras de ecuaciones lineales de la forma a x + b y = c , con a, b, c números enteros.
Nota complementaria
En cuanto al análisis indeterminado de Aryabhata, he aquí la reconstrucción, de acuerdo con un comentarista hindú, del proceso seguido para resolver el sistema de dos ecuaciones lineales con tres incógnitas:
Las contribuciones de Aryabhata8x - 29y = 4
17x - 45z = 7
con números enteros. El método que llamaban de "pulverización", no es sino nuestro método de cambios de variable, a fin de lograr ecuaciones con coeficientes cómodos como para que una primera solución "salte a la vista"; tal es el camino que revelan las operaciones que se van efectuando. Mediante ese proceso se llega a una primera solución (mínima) x =15, y =4 para la primera ecuación y x= 11, y= 4 para la segunda. De acuerdo con nuestro simbolismo, esas soluciones señalan como solución, general de cada ecuación, tomada aisladamente, para la variable común x:
x = 15+29u;
x = 11+45v
de donde por igualación resulta una nueva ecuación lineal45v - 29u =4
que, vuelta a "pulverizar", da como nueva solución mínima u =34; v =22 y de ahí en definitiva la solución mínima del sistema:x =1001; y =276 ; z =378, que aparece en el comentario citado.
Respecto de la construcción de la tabla de senos. Aryabhata adopta para ti el valor 3 177/ 1250 (= 3,1416), conocido por Ptolomeo, y como unidad de longitud el minuto de arco, de manera que resulta para su circunferencia un radio de 3438 unidades (el número de minutos de la vuelta dividido por π). Divide ahora el cuadrante en 24 arcos. Cada uno de los cuales será entonces de 225 unidades y supone que este arco mínimo es igual a su seno, suposición que implica un error menor que una unidad. Partiendo del seno de este arco mínimo, que llamaremos a, los siguientes se calculan por recurrencia mediante una fórmula aproximada que mediante nuestros símbolos sería
siendo r el radio, expresión que presupone 1 - cos α= 1/450 expresión exacta hasta la cuarta decimal, hecho que explica que redondeando las unidades y utilizando los valores conocidos de senos de arcos notables, Aryabhata llegue a encontrar para el sen 90° un valor igual al radio.
Un segundo matemático hindú de este periodo es Brahmagupta, del siglo VII, cuyo tratado astronómico Siddhanta dedica unos capítulos a la matemática con algunas contribuciones nuevas: valor aproximado de n, ecuaciones indeterminadas de segundo grado, y en especial propiedades de los cuadriláteros inscriptibles, en la que se advierte la influencia griega, pero que constituyen sin duda la contribución más interesante de Brahmagupta.
Nota complementaria
Una contribución geométrica de la matemática hindú es la generalización de la llamada "fórmula de Herón", aplicable a los cuadriláteros inscriptibles, que aparece en los escritos de Brahmagupta y que expresada con nuestros símbolos de como área S de un cuadrilátero inscriptible de lados a, b, c, d y semiperímetro
Las contribuciones de Brahmagupta
Brahmagupta reconoce además que esa fórmula puede aplicarse a los triángulos anulando uno de los lados del cuadrilátero. Aunque el texto no es muy claro, parece que Brahmagupta no ignoraba que esta fórmula era aplicable sólo a los cuadriláteros inscriptibles; Baskhara cinco siglos después no advierte esta limitación.
También revela Brahmagupta el conocimiento de las expresiones que permiten obtener las diagonales de un cuadrilátero inscriptibles conociendo los lados y que hoy escribiríamos si esas diagonales son x e y:
Más interesante, aunque menos original, es la construcción de un cuadrilátero inscriptible de lados, diagonales y área conmensurables y además de diagonales perpendiculares entre sí. Para ello acude a Diofanto, con el mismo ejemplo numérico, en el problema que hemos mencionado (de los cuatro números, cada uno de los cuales, sumado al cuadrado de su suma, dan cuadrados); obtiene así cuatro triángulos rectángulos de lados enteros, semejantes dos a dos y con catetos iguales también dos a dos, que al reunirlos haciendo coincidir el vértice del ángulo recto y los catetos iguales, configuran un cuadrilátero inscriptible en las condiciones dadas. (Si se adoptaran los triángulos de lados 3, 4, 5 y 5, 12, 13, los lados del cuadrilátero serían 25, 52, 60, 39 las diagonales perpendiculares entre sí 63 y 56 y el área 1764.)
Empero, el aporte oriental más notable de estos primeros tiempos medievales provino del mundo árabe del Islam, movimiento que se inicia con la hégira de Mahoma de 622 y que ha desempeñado un papel singular en el desarrollo de la ciencia de este periodo.
Ese movimiento comprende un primer período de conquistas bélicas y de expansión política que culmina a mediados del siglo VIII, cuando los árabes están en posesión de una extensión territorial mayor que la del imperio romano en sus mejores tiempos, que abarca desde Asia Central hasta los Pirineos a través de África del Norte y gran parte de Asia occidental.
A partir del siglo VIII la fisonomía del Islam cambia. Por un lado, el levantamiento del sitio de Constantinopla, la batalla de Poitiers, que frena la expansión árabe en Europa, y la batalla de Talas que no obstante ser una victoria para los árabes, éstos no prosiguen su avance, detienen las conquistas bélicas; por el otro, la creación del califato de Córdoba y la división del califato oriental en los de Bagdad y del Cairo, acentúan las disensiones políticas y religiosas internas. A estas circunstancias, en cierto modo extrínsecas, se agregan factores intrínsecos:
- el hecho de que el islamismo puso a los árabes en contacto con pueblos y regiones que habían sido centros de antiguas culturas, como Mesopotamia, o que lo eran en la época de la conquista árabe, como Persia, Siria, India, o que conservaban restos de la cultura helénica o romana, como España, Cirenaica, Egipto;
- la tolerancia que en general los conquistadores mostraron hacia los habitantes de las regiones sometidas, en especial hacia aquellos que tenían "libros": cristianos, judíos, persas;
- la atmósfera de libre discusión y libertad de opinión que había nacido con las polémicas religiosas y teológicas surgidas en el seno del Islam, que indirectamente venían a favorecer el intercambio y desarrollo científico; y
- la existencia de cortes árabes que, a la manera de las persas, protegían y fomentaban el arte y las ciencias.
La primera manifestación de la actividad científica de los árabes se pone de relieve en las traducciones al árabe de obras hindúes y griegas. La traducción de obras griegas había sido precedida por las versiones al siríaco, realizadas en Siria y Mesopotamia. Entre los escritores sirios cabe mencionar al obispo Severo Seboth, de fines del siglo VII, que tradujo las Analíticas de Aristóteles y escribió sobre temas astronómicos, siendo el primer escritor que, fuera de la India, menciona las cifras hindúes. Este hecho nos lleva a hablar de esas cifras y por tanto del sistema de numeración decimal y posicional actualmente en uso en Occidente.
Su historia es bastante complicada y aún no muy clara, aunque el origen hindú parece indudable. Esa fantasía exuberante que revelan las construcciones y relieves hindúes y que en los problemas aritméticos se pone de manifiesto en la presencia de grandes números, pudo ser una causa, consciente o no, que condujo a buscar un sistema de numeración que hiciera factible su manipulación. Siguiendo a Van der Waerden, su historia puede resumirse así: Hacia la época del rey Asoka (siglo III a. C.] estaba en uso un sistema llamado Brahmi, no posicional y por tanto sin el cero, con nueve signos, que mostraban cierta semejanza con las futuras "cifras arábigas", junto con signos especiales para las decenas, centenas y millares. Mientras el nombre de estas cifras se mantiene en el lenguaje escrito sus símbolos se modifican en la escritura numérica, y en las más antiguas tablas de senos (s. VI) y en las inscripciones epigráficas ya aparece el sistema posicional decimal con el cero. Hay que agregar que al principio este sistema fue adoptado dentro del tono poético de la matemática hindú, utilizando palabras en lugar de signos, y escribiendo el número en orden inverso del actual. La posible influencia aportada por el conocimiento del sistema sexagesimal de los astrónomos griegos, que ya habían introducido el cero y escribiendo los números de mayor a menor, facilitó probablemente esta modificación también en el sistema hindú, y hacia el 500 el sistema es el actual.
El sistema hindú penetró en Occidente por caminos distintos y en diferentes épocas, con el cero y sin el cero, pero será por intermedio de los árabes que se conocerá en Occidente en la forma actual, de ahí el nombre de cifras arábigas que se ha dado a los signos hindúes.
Es probable que los árabes se pusieran en contacto con estas cifras en el siglo VIII cuando tradujeron las Siddhanta, que figuran entre las primeras obras vinculadas con la matemática que se tradujeron al árabe. Cabe advertir que antes de Mahoma los árabes no tenían cifras. Más tarde, adoptaron los sistemas de numeración de algunos de los pueblos conquistados, mientras gradualmente fundaban un sistema propio a la manera griega y hebrea fundado sobre el uso de las letras del alfabeto.
Este sistema, a su vez, fue reemplazado por el de las cifras hindúes, que mostraron su superioridad, tanto en las transacciones comerciales cuanto en las operaciones aritméticas. Sólo en obras astronómicas, en especial en las traducidas del griego, se continuó usando el sistema alfabético, al traducir también los números en griego, hecho caso en el cual la desventaja del sistema alfabético no era muy pronunciada.
A partir del siglo IX comienzan a aparecer las traducciones al árabe de las obras griegas y poco después con comentarios. Las primeras versiones árabes de obras matemáticas griegas fueron las de Al-Haggag, que vivió en Bagdad entre 786 y 813, a quien se debe la traducción de los primeros seis libros de los Elementos y una re traducción del Almagesto del siríaco. Las traducciones de los Elementos por Al-Haggag, pues hizo dos, fueron comentadas en forma interesante por Al-Nayrizi (el Anaritius de los latinos], que murió en 922.
Más importante, aunque menos difundida, fue la versión de los Elementos de Ishaq b. Hunayn (muerto en 910/11], miembro de una importante escuela de traductores que floreció en el siglo IX y de la cual el jefe fue su padre Hunayn b. Ishaq (el Johannitius de los latinos), a su vez prolífico escritor y traductor del griego y del siríaco. Ishaq b. Hunayn tradujo además escritos de Arquímedes, Menelao, Ptolomeo, Hipsicles y Autolico.
Su versión de los Elementos fue a su vez revisada por Tabit b. Qurra (827-901), que además de ser uno de los grandes traductores, fue también un investigador original. Se le deben traducciones de Apolonio, Arquímedes, Eutocio, Teodosio y otros. Es importante su versión de los libros quinto a séptimo de Cónicas de Apolonio, pues sólo por medio de esa versión se conocen esos libros. Los cuatro primeros habían sido traducidos por Hilal AI-Himsi (muerto en 883) y la traducción de los siete libros fue revisada por Abu-al-Fath de fines del siglo X.
Cabe agregar que tanto Iohannitius como Tabit b.Qurra estaban al servicio de una de esas familias que, a la par de los califas, protegían a la ciencia y a los sabios: la familia de los tres hermanos Banu Musa, dos de los cuales se dedicaron a la matemática y el tercero a la mecánica.
Otro traductor de este periodo es Qusta b. Luqa (muerto hacia 912), que tradujo a Diofanto, Teodosio, Autolico y Herón, de éste la Mecánica. Al siglo X pertenecen Abu Uthman, a quien se debe la traducción del libro décimo de los Elementos y de los comentarios de Pappus a este libro, comentarios éstos de los cuales se posee esta versión árabe; y Abu Al-Waffa, astrónomo matemático a quien, además de traducciones, se deben comentarios de Euclides, Diofanto y Ptolomeo.
Con sus traducciones los árabes entraron en posesión de una gran parte de la matemática griega e hindú, que a comienzos del siglo IX comenzó a dar sus frutos.
La primera figura cronológicamente, pero muy importante, de la matemática árabe es el geógrafo, astrónomo y matemático Al-Khuwarizmi, de cuya vida poco se sabe, si se exceptúa que fue bibliotecario del califa Al-Mamun, que reinó entre 813 a 833. En su obra matemática hay influencias griegas e hindúes y tanto en el sentido de Euclides como en el de Diofanto habiéndose advertido últimamente también influencias de la matemática de los babilonios. A su vez, la obra de Al-Khuwarizmi ha ejercido una notable influencia no sólo en la ciencia del Islam, sino también y muy importante, en la ciencia cristiana occidental.
Se le debe una Aritmética, que no se ha conservado en su texto árabe pero sí en su versión latina Algoritmi de número indorum reelaborada como Líber algorismi de práctica arithmetica por Juan de Sevilla en el siglo XII. También es probable que sea de Al-Khuwarizmi un escrito en cinco libros sobre cuestiones de aritmética y de matemática aplicada a la astronomía, cuya versión latina es Líber ysagogarum Alchorismi in artem astronomicam a mogistro A. (¿Adelardo de Bath?) compositus.
En todos estos títulos aparece traducido y deformado el nombre del autor; deformación de la que más tarde surgió el término "algoritmo" con la acepción técnica actual. La Aritmética de Al- Khuwarizmi, contribuyó a la difusión en el mundo árabe de las cifras hindúes y del uso del cero; como en textos posteriores contiene las reglas de las cuatro operaciones con enteros y fracciones y una serie de problemas resueltos con la regla de falsa posición.
Pero, sin duda, el libro más importante de Al-Khuwarizmi, y que ha dado el nombre a una rama de la matemática es Hisab al-jabr wa-al- muqabala de traducción no fácil, pero cuyo término al-jabar dio luego nacimiento a nuestro vocablo álgebra.
Para comprender el significado de los términos que aparecen en el título de esa obra hay que tener presente que los árabes operaron siempre con ecuaciones de coeficientes enteros y positivos de manera que, después de planteada la ecuación de acuerdo con los datos del problema, la primera transformación era "restablecer o restaurar el orden" llamamos: pasaje de un miembro a otro mediante la operación que actualmente correspondería alal-jabar árabe (en castellano antiguo, por ejemplo, en el Quijote se llama "algebrista" a quien recompone los huesos descoyuntados]. También aquella restauración significa suprimir los denominadores en el caso de aparecer coeficientes fraccionarios. Pero aun la ecuación puede necesitar otras operaciones: eliminación de factores comunes en los coeficientes (operación que llamaban al-hatt o eliminación en ambos miembros de términos iguales, nuestra reducción de términos semejantes), que sería la wa-al-muqabala.
La exigencia de los coeficientes positivos aumenta el número de casos de ecuaciones de segundo grado. Así Al-Khuwarizmi considera seis casos posibles de ecuaciones cuadráticas completas o incompletas, apareciendo como ejemplos de las ecuaciones completas
x2 + 10x = 39; x2 + 21 = 10x; x2 = 3x + 4
ejemplos que aparecerán durante siglos en la literatura algebraica posterior. A la resolución algebraica, según la regla actual Al- Khuwarizmi agrega comprobaciones geométricas.Nota complementaria
En su escrito dice Al-Khuwarizmi: " Los números que se presentan en el cálculo mediante la restauración y la reducción son de tres clases, a decir: raíces, cuadrados y números simples, que no se refieren ni a las raíces ni a los cuadrados... Un número que pertenece a una de esas tres clases puede ser igual a uno de los números de las otras dos, por ejemplo, cuadrados igual a raíces; cuadrados igual a números, raíces igual a números ". Se hace así referencia a los tres casos de ecuaciones incompletas
La ecuación de segundo grado en Al-Khuwarizmiax2 = bx; ax2 = c; bx = c
casos que se reducen simplemente a la extracción de una raíz o a una ecuación de primer grado.
Pasa luego a los tres casos posibles de ecuaciones completas de segundo grado de coeficientes positivos, agregando: "Encuentro que esas tres especies de números pueden combinarse entre sí y dar lugar a tres tipos compuestos que son: cuadrados y raíces igual a números; cuadrados y números igual a raíces; cuadrados igual a raíces y números", o lo que es lo mismo, distingue los tres casos de ecuacionesx2 + px = q ; x2 + q = px ; x2 = px + q
Para resolver el primer caso, ateniéndose al ejemplo numérico: ¿Cuál es el cuadrado que sumado a diez raíces da el número 39? Dice: “Debes tomar la mitad del número de las raíces, en este caso 5, y multiplicarlo por sí mismo y obtienes 25 al que le sumas el número 39, con el resultado 64. Tomas la raíz cuadrada de este número que es 8 y le restas la mitad de las raíces 5 y obtienes 3, que es el valor buscado". Se advierte que la regla no es sino nuestra resolvente expuesta en forma retórica. Cabe agregar que en un segundo ejemplo de este caso, donde el coeficiente de los cuadrados no es la unidad, señala que para aplicar la regla anterior debe hacerse ese coeficiente la unidad, dividiendo por él todo los coeficientes.
El segundo caso es interesante, pues la ecuación tiene dos raíces positivas. Con el ejemplo x2 + 21 = 10 x, dice Al-Khuwarizmi: "Debes tomar la mitad del número de las raíces, en este caso 5, multiplicarlo por sí mismo, obtienes 25 al que debes restar los números, en este caso 21, obteniendo 4. Extraes la raíz cuadrada que es 2 y lo restas del número de la mitad de las raíces que era 5 y obtienes 3 que es la solución. Si deseas, puedes también sumar ese valor 2 a la mitad de las raíces que es 5 y obtienes 7, que también es solución. Cuando un problema está dado en esta forma, puedes ensayar con la adición. Si no resulta, es indudable que resultará con la sustracción. Éste es el único caso, en que hay que tomar la mitad de las raíces, y que puede ofrecer solución por adición o por sustracción. Además hay que observar que si en este caso el cuadrado de la mitad de las raíces es menor que los números, no hay solución. Si es igual a esos números, la solución es la mitad de las raíces sin aumentos o disminuciones".
A c. El tercer caso de ecuación completa no agrega ninguna novedad. A continuación da las comprobaciones geométricas de las reglas aritméticas, pero sólo de los casos “en los que es necesario tomar la mitad de las raíces”, es decir, de las ecuaciones completas.
Para el primer caso, de forma x2 + px = 9 y en el ejemplo: x2 + 10x = 39 da dos comprobaciones geométricas.
En la primera, supone un cuadrado de lado x y, por tanto, de valor x2 a cada uno de cuyos lados adosa un rectángulo de base x y altura 1/4 p ( 5/2 ) el dodecágono así formado tendrá por áreax2 + 4 1/4 px = x2 + px = q (39).
de ahí que si a esa figura se le agregan los cuatro cuadrados de los vértices de área total 4 × (1 /4p)2 = 25 se obtiene un cuadrado de área1/4 p2 + q (25 + 39 = 64)
y de lado su raíz, 8.
Como ese lado es x + 2(1/4 p) = x + 1/2 p(x + 5) y se obtiene finalmente el valor deexpresión que justifica la regla aritmética y que en este caso da la solución x = 3. Cuyo cuadrado 9 más 10 veces su valor, 30 da el valor de los números: 39.
La segunda comprobación geométrica de este caso es más euclidiana. Ahora adosa a dos lados contiguos del cuadrado de lado x rectángulos de base x y altura 1/2 p con lo cual el "gnomon" de vértice G será x2 + 2(1/2 px) = x2 + px = q. Al agregarle el cuadrado de lado 1/2 p, es decir, 1/4+ p2 se obtiene un cuadrado de lado x + 1/2 p, y de ahí x. Si a continuación de uno de los rectángulos adosados se agrega (punteado en la figura) ese mismo rectángulo se ve claramente la reducción del problema a una aplicación de áreas por exceso; sobre el segmentop prolongado construir un rectángulo de valor q tal que la figura, sobrante sea un cuadrado.
La comprobación geométrica de los otros casos es algo más rebuscada, presentándose también problemas de aplicación de áreas.
El libro contiene además una parte puramente geométrica bastante floja (teorema de Pitágoras en el caso particular del triángulo isósceles, valores aproximados de n ya conocidos) y finalmente una colección de problemas que, según el prefacio constituían el objeto del libro, relativos en general a problemas de herencia, legados, particiones, problemas de aritmética comercial y de geometría práctica. Etcétera.
El álgebra de Al-Khuwarizmi es retórica, designa a la incógnita con la palabra "cosa", nombre que más tarde pasó a Occidente. Se debe por último a Al-Khuwarizmi una geometría y tablas astronómicas, donde aparece por primera vez en árabe la función seno. Esas tablas fueron publicadas y corregidas por Maslama hispanoárabe muerto en 1007. Es posible que las restantes funciones circulares que en ellas aparecen fueran introducidas por Maslama.
Contemporáneo de Al-Khuwarizmi fue Tabit B. Qurra, ya citado como traductor aunque fue también un investigador cuyos trabajos se relacionan especialmente con la matemática de los griegos: se ocupó del escrito de Arquímedes De los esferoides y de los conoides, de los teoremas de Menelao que pasaron por esta vía a la latinidad con el nombre de "regula sex quantitatum", aunque sin duda su contribución más original es en teoría de números, pues se debe a Tabit un método para hallar números amigos, es decir, pares de números cada uno de los cuales es suma de los divisores del otro; método que hasta ahora es el único que se conoce para tal determinación.
Nota complementaria
Podemos mencionar en este sentido que es en los escritos de Tabit, donde aparece la demostración del teorema de Pitágoras mediante desplazamientos de triángulos que citamos al referimos a los babilonios. Pero, sin duda, es más original la regla que ofrece para la determinación de números amigos. Esa regla, expuesta, con símbolos actuales es la siguiente: Si para n > 1 los números a = 3 × 2n-1 — 1; b = 3 × 2n — 1; c = 32 × 22n-1 — 1 son primos los númerosA = 22 ab y B = 2 n c son amigos. Basta comprobar que si SA y SB representan las sumas de los divisores de A y B respectivamente se cumple Sa + A = Sb + B = A + B de donde SA = B y SB =A . Para n = 2 se tiene a = 5; b = 11; c = 71 y, por tanto,A = 4 - 5 - 11 = 220; B = 4 - 71 = 284 que ofrecen la pareja más antigua de números amigos. Para n = 3, c no es primo; para n = 4 se obtiene como nueva pareja A = 17296, B = 18416.
Las contribuciones de Tabit b.Qurra
Algo posterior a los dos matemáticos anteriores es Abu Kamil de los siglos IX y X algebrista que perfeccionó la obra de Al-Khuwarizmi y ejerció influencia en matemáticos árabes y latinos, en especial en Leonardo Pisano. Se le debe, además, de su Álgebra: un escrito sobre problemas de análisis indeterminado; un escrito donde trata algebraicamente problemas geométricos de inscripción y circunscripción de pentágonos y decágonos; y finalmente se le atribuye una obra, que más tarde habría sido vertida al hebreo por el judío español Aben Ezra del siglo XII y luego al latín como Sobre los aumentos y disminuciones que trata del procedimiento de falsa posición para resolver las ecuaciones lineales con una incógnita mediante uno o dos ensayos. De ahí los nombres de regula falsi o de regula duorum falsorum con que las designaron los escritores latinos, reglas que no son sino la solución de la ecuación lineal por el método de interpolación lineal, exacto en este caso.
Nota complementaria
El método de simple falsa posición se aplicaba a los problemas cuya ecuación lineal se escribiría con nuestra notación en la forma ax = b obteniendo su solución partiendo de un valor arbitrario x1 para la incógnita que llevaría a un valor falso ax1 = b1 ≠ b, pero que una simple regla de tres x : x1 = b : b± permite obtener el valor exacto x. Tomemos un ejemplo de un texto árabe: ¿cuál es el número cuyos 2/3 es 5? Se parte de un valor arbitrario para ese número, en general cómodo para los cálculos, en este caso 3 , cuyos 2/3 es 2 diferente de 5, pero la regla de tres x: 3 = 5 : 2 da para x el valor exacto 7 1/2.
Los métodos de falsa posición
El caso de doble falsa posición se aplicaba en cambio a las ecuaciones de la formaax = b; ax + b = c; ax + bx = c; ax + bx + c = d.
Para resolver la ecuación se parte de dos valores arbitrarios de la incógnita: x1 Λ x2 calculando los errores respectivos y1 Λ y2 como las diferencias de los valores de ambos miembros de las ecuaciones anteriores; operando con esos cuatro números de acuerdo con esquemas empíricos diferentes según el sentido de los errores se llega al valor exacto x = (x1y2 - x2y1 ): (y2-y1).
Por ejemplo: ¿cuál es el número que, sumado a sus 2/3 y agregándole la unidad, el resultado es 10? El aritmético árabe parte de los valores x1 = 9; x2 = 6 obteniendo y1 = 6; y2 = 1, y aplicando la regla correspondiente a este caso (los errores de igual signo) obtiene x = 5 2/5 que es la solución.
En el Islam los astrónomos contribuyeron en gran medida al progreso de la matemática. En cierto sentido puede decirse que entre los árabes no hay matemáticos puros, ante todo son astrónomos. Ya desde la época de la expansión árabe las prescripciones religiosas plantearon una serie de cuestiones astronómicas: problemas de orientación y de determinación de fechas y de horas que exigieron la instalación de observatorios y el perfeccionamiento de tablas e instrumentos, así como el estudio e investigación de las cuestiones astronómicas y matemáticas conexas.
Entre los astrónomos árabes que influyeron en el progreso de la matemática citemos a Al-Mahani muerto hacia 874, que además de traducir obras de Euclides y de Arquímedes, fue el primero en poner en ecuación (de tercer grado) el problema arquimediano de dividir una esfera en dos segmentos de razón dada.
Pero la contribución más importante de los astrónomos fue la introducción y ampliación de las funciones circulares, así como el perfeccionamiento de sus tablas; entre los astrónomos que se ocuparon del tema cabe recordar a Habash contemporáneo del anterior, Al-Baltani, el Albategnius de los latinos, de los siglos IX y X y Abu-al-Wafa del siglo X. Es a estos astrónomos a quienes se debe la ampliación de las funciones circulares a las seis actualmente en uso y el conocimiento de sus primeras relaciones.
Nuestra palabra seno, del latín sinus, proviene de una curiosa traducción: los hindúes designaban a ese segmento con la palabra exacta "semicuerda" o abreviadamente "cuerda", que en sánscrito, en la forma de grupo de consonantes sin vocales, no tenían ningún sentido para los árabes, quienes por razones fonéticas la sustituyeron por la palabra que en su propio idioma significaba seno (pecho) o en forma figurada golfo o ensenada. Las funciones "tangente" y "cotangente" surgieron al tabularse las sombras (umbra versa y umbra recta en latín), proyectadas por el sol en sus distintas alturas, de un gnomon horizontal o vertical, respectivamente. En cuanto a la "secante" y "cosecante", medidas de las distancias entre el extremo del gnomon y su sombra, fueron llamadas transversales de la sombra.
En particular se debe a Al-Battani el teorema del coseno para los triángulos esféricos que no figuraba en el Almagesto; por su parte, se debe a Abu Al-Wafa un perfeccionamiento del método de Ptolomeo para la construcción de su tabla de cuerdas, ahora de senos, llegando a dar sen 30° con 9 decimales exactos.
Se debe además a Abu Al- Wafa un libro sobre construcciones geométricas con una serie de problemas resueltos con una sola abertura de compás, tipo de cuestiones que estarán de moda en Europa varios siglos después.Nota complementaria
Simplemente para mostrar la pericia de este astrónomo, digamos que para la construcción de su tabla procede a la manera de Ptolomeo, partiendo de los lados del pentágono y triángulo regulares para obtener sen 36° y sen 60°, de donde por sucesivas bisecciones llega a sen 28° 7 1/2" y sen 33° 45", valores con los cuales obtiene el sen 22° 30" sen 22° 30", ángulo que es cuádruplo de la diferencia de los anteriores. Mediante un engorroso juego de desigualdades llega a la igualdad aproximada paro ángulos pequeños
La tabla de Abu Al-Waffasen (a + b) = sen a + 1/6[sen (a + 3b) - sen (a-3b).
evidente sin más que sustituir los senos por los arcos.
Con esa igualdad, y dando los valores a = 28° 7 1/2"; b = 1º 52 1/2" obtiene el seno de 30°, valor mínimo de su tabla, mediante la expresiónsen 30° = sen 28° 7 1/2"+ 1/6 (sen 33° 45" - sen 22° 30')
Las contribuciones matemáticas de los sabios árabes más renombrados: Al-Biruni, Avicena y Alhazen, pertenecen al siguiente período medieval.
La alta Edad Media
Ya aludimos al carácter enciclopédico de los científicos árabes, de manera que en todos ellos, en medida mayor o menor, tiene cabida la matemática. En tal sentido cabe mencionar las cuatro grandes figuras de la ciencia árabe, que florecen entre los siglos X y XI; Al-Razi (el Rhazes de los latinos), médico y alquimista a quien se atribuyen escritos matemáticos sin mayor relevancia; Ibn Sina (el Avicena de los latinos), considerado el sabio más famoso del Islam, que se ocupó de alguna cuestión aritmética, como nuestra "regla del 9" que enuncia "según el método hindú" como "la expulsión de los 9", con algunos ejemplos y consecuencias, dice así: Todo número que, dividido por 9 da por resto 1, 4 ó 7, su cubo, dividido por 9, da siempre por resto 1; Al-Biruni (no tiene nombre latinizado, pues no fue traducido) en cuya obra astronómica se incluyen cuestiones matemáticas: construcción de poliedros regulares y tratamiento algebraico de los problemas de tercero y cuarto grado, novedad que aparece con los árabes; y el último de los "cuatro grandes".
Nota complementaria
Ya vimos cómo los geómetras griegos resolvían los problemas, que hoy llamamos de tercero o de cuarto grado por la índole de la ecuación algebraica que los resuelve, mediante construcciones que trascendían el uso de rectas y circunferencias, en especial utilizando cónicas. Los matemáticos árabes conocían, por supuesto, tales construcciones, pero sus conocimientos de álgebra les permitieron "poner en ecuación" esos problemas, aunque no podían resolver aritméticamente la ecuación, sino en forma aproximada. Un ejemplo lo ofrecen las ecuaciones a las que conduciría la construcción del eneágono regular. Para ello un discípulo de Al-Biruni parte del lado del polígono regular de 18 lados:x = sen 10° y lleva la ecuación: x3 + 1 = 3x que resuelve el problema. Por su parte, Al-Biruni había llegado a una ecuación semejante: x3 = 1 + 3x para x = 2 cos 20°, que resolvió aproximadamente sin indicar el procedimiento dando el valor de x en el sistema sexagesimal hasta las unidades de cuarto orden, que corresponde a un valor exacto hasta nuestra sexta decimal.
Los problemas de tercer grado
Ibn Al-Hayttham (el Alhazen de los latinos), importante por su obra en el campo de la óptica a quien se debe, entre otras cuestiones, la determinación del volumen del sólido engendrado por la rotación de un arco de parábola alrededor de un diámetro o de una de sus cuerdas perpendiculares, a la manera griega, lo que lo llevó a utilizar la fórmula de la suma de las cuartas potencias de los números naturales, que no figura en ningún texto griego; además se conoce con el nombre de "problema de Alhazen", una cuestión de óptica, que lleva a una ecuación de cuarto grado que Alhazen resuelve geométricamente.
Complementario 79
Este problema consiste en determinar en un espejo convexo la ubicación de la imagen conociendo las posiciones del objeto y del observador. Si O es el centro de la sección circular del espejo, de radio r, en el plano que contiene los puntos A (objeto) y B (observador), y por lo tanto, la imagen M; siendo OA = r1; OB = r2 , α1,α2 los ángulos que OM forman con OA y OB, respectivamente, se tendrán, de acuerdo con la ley de la reflexión (proyectando A y B sobre OM):
El problema de Alhazen(r1 cos α1 — r) :r1 sen α2 = (r2cos α1 — e) : r2 sen α2
, con α1 + α 2 = a, conocido; sistema de ecuaciones que resuelve el problema. Es un problema de cuarto grado, comprobándose que el punto M está sobre una hipérbola equilátera de asíntotas paralelas a las bisectrices del ángulo α2 y, por tanto, comparando con la ecuación de la circunferencia, ese punto M está también en dos parábolas de ejes paralelos a los ejes de la hipérbola, respectivamente. Y es mediante la intersección de la circunferencia con una de esas hipérbolas que Alhazen da la solución geométrica del problema.
Entre los matemáticos árabes de Oriente que florecen entre los siglos X a XII cabe mencionar a Ibn Al-Husayn que se ocupó del problema de la duplicación del cubo y de los "tripletes pitagóricos", por ejemplo, demuestra que el número mayor es siempre supuesto primo con los otros dos (múltiplo de 12) más 1 o más 5; aunque más importantes son las contribuciones de Al-Karhi y Ornar Khayyam. Al-Karhi es un algebrista en quien no se advierte la influencia hindú, si se exceptúa "la regla del 9", pues se funda en Euclides y en especial en Diofanto, hecho que aparece también en otros matemáticos árabes y que se ha atribuido a rivalidades de escuela.
Con Al-Karhi hace su aparición en la matemática árabe el análisis indeterminado a la manera de Diofanto, algo mejorado; además se le debe la demostración, al estilo pitagórico, de la suma de los cubos.
Nota complementaria
La "demostración" de Al- Karhi, utilizando al gnomon a la manera pitagórica, es notable. Considera el cuadrado pitagórico formado por la sucesión de los números impares, pero ahora los gnómones agrupan 1, 2, 3,... números impares sucesivos. Comprueba que cada gnomon es un cubo:
La suma de los cubos de Al-Karhi1 = 13 ; 3 + 5 = 8 = 23 ; 7 + 9 + 11 = 27 = 33 ...
(en general el p0 gnomon es suma de dos rectángulos de lados p y 1/2 p( p - 1) y 1/2 p(p + 1), respectivamente, cuya suma de puntos es p3, de manera que si el cuadrado contiene n de esos gnómones, el lado del cuadrado contiene un número de puntos igual a la suma de los n primeros números, mientras que el número total de puntos del cuadrado es la suma de los primeros n cubos, demostrando así la propiedad.
Con Ornar Khayyam, el celebrado poeta de los Rubaiyat, puede decirse que el álgebra árabe llega a su culminación. Como algebrista se le debe una clasificación completa de las ecuaciones de primero, segundo y tercer grado, en la que especifica 25 casos distintos, según el tipo de ecuación completa o incompleta de coeficientes positivos. Mientras resuelve aritméticamente las ecuaciones de primero y de segundo grado, resuelve geométricamente, por medio de intersección de cónicas, las de tercer grado, y es probable que él, o algún discípulo, haya extendido el procedimiento a las ecuaciones de cuarto grado, por lo menos en algún caso particular. Al referirse a los casos de las cúbicas no reducibles a cuadráticas dice: "... excepto uno de ellos (el ejemplo dado por Al-Mahani) ninguno ha sido tratado por los algebristas, mas yo los discutiré y los demostraré geométricamente, no numéricamente". Esta conexión de los problemas de tercero y de cuarto grado, que los árabes no supieron resolver aritméticamente con los problemas geométricos, es un progreso importante de la matemática árabe. Así como algunos matemáticos árabes "pusieron en ecuación", mediante su traducción algebraica, ciertos problemas de índole geométrica, otros como Ornar, trataron el caso inverso: la traducción y solución geométrica de ecuaciones algebraicas.
Nota complementaria
He aquí los 25 casos en que Omar Khayyam distingue y clasifica sus ecuaciones:
El álgebra de Omar Khayyam
Simples (binomias):a = x ; a = x2 ; a = x3 ; bx = x2 ; cx = x3 ; bx2 = cx3
Compuestas trinomias (cuadráticas):x2 + bx = a ; x2 +a = bx ; bx + a = x2 ;
Compuestas trinomias (cúbicas reducibles a cuadráticas):x3 + cx2 = bx ; x3 + bx = cx2 ;cx2 + bx = x3 ;
Compuestas trinomias (cúbicas):x3 + bx = a
x3 + a = bx
bx + a = x3
x3 + cx2 = a
x3 + a = cx2
cx2 + a = x3
Compuestas cuatrinomias (un término igual a la suma de tres términos):x3 + cx2 + bx = a
x3 + cx2 + a = bx
x3 + bx + a = cx2
x3 = cx2 + bx + a ;
Compuestas cuatrinomias (suma de dos términos igual a suma de dos términos):x3 + cx2 = bx + a
x3 + bx = cx2 + a
x3 + a = cx2 + bx .
Veamos la solución geométrica de Omar en el caso de la cuatrinomiax3 = cx2 + bx + a.
Considera un prisma de base cuadrada de área b y de volumen a y dibuja dos hipérbolas equiláteras de ecuación enDe acuerdo con las propiedades de esas cónicas Ornar logra comprobar que cierto segmento cumple la condición de la incógnita x de la ecuación.
Por supuesto que no advierte que el punto T, donde también se cortan las dos hipérbolas, es otra solución pues opera únicamente con los valores positivos de la incógnita. En efecto, al eliminar y entre las dos ecuaciones en coordenadas cartesianas, aparece una ecuación de cuarto grado que tiene en ambos miembros el factor a + bx. Eliminando ese factor, que es en realidad una raíz extraña a la ecuación cúbica, queda esta ecuación como resultante.
Es probable que se advirtiera que el procedimiento podía extenderse a ecuaciones de cuarto grado, pues en un escrito posterior aparece resuelto, mediante la intersección de una circunferencia con una hipérbola, el problema de determinar la base menor de un trapecio de área conocida y cuyos otros tres lados son iguales a un valor también conocido. Si S y a son los datos y con x e y se indican la proyección del lado del trapecio sobre la base mayor y la altura, se tieneS = (a — x)y; x2 + y2 = a2 ecuaciones de una hipérbola y una circunferencia que resuelven, en este caso, una ecuación de cuarto grado en x o en y.
El siglo XII ve el principio de la decadencia de la ciencia árabe del Oriente, pero en cambio es el siglo en que esta ciencia alcanza su apogeo en la España musulmana. No abundaron en ella los matemáticos; entre los más notables mencionemos al judío Abraham Bar Hiyya, apodado Sarrasorda, traductor sistemático de obras, en especial astronómicas, del árabe al hebreo, y de ahí uno de los creadores del lenguaje científico hebreo. Se le debe una obra original en hebreo traducida al latín por el autor en colaboración con Platón de Tivoli, con el título de Líber embadorum, tratado de agrimensura y de geometría prácticas; obra que ejerció influencia tanto entre los hebreos como entre los cristianos. Su versión latina es una de las primeras obras que aporía la resolución de la ecuación de segundo grado en este idioma. Otro matemático importante hispanoárabe es el astrónomo Jaber b. Aflah, el Geber de los latinos, a veces confundido con el célebre Geber de los alquimistas cuando no se utilizó la semejanza de su nombre con la palabra "álgebra" para atribuirle el invento y denominación de esa rama de la matemática. La contribución de Geber a la matemática corresponde al campo de la trigonometría esférica en la que demostró una propiedad de los triángulos rectángulos a veces llamada "teorema de Geber".
Nota complementaria
Una de las primeras modificaciones que introduce Geber es sustituir la "regla de las seis cantidades" por una "regla de las cuatro cantidades" propia. Para ello parte de los triángulos esféricos AA'B' y CC'B' rectángulos en A' y C'; aplica a estos triángulos el teorema del seno y eliminando el sen B' obtiene la "regla de las cuatro cantidades".
El teorema de Gebersen AA' : sen CC' = sen AB' : sen CB'.
Si B es el polo de A'B'C', supuesto que también el ángulo A es recto, se tiene otro triángulo rectángulo ABC de hipotenusa a. Si la regla de las cuatro cantidades se aplica a los triángulos ABC y A'B'C' se obtienen fórmulas sen b = sen a × sen b, ya conocida, pero que, aplicada a B'CC' rectángulo en C' se llega a sen B'C' = cosA'C' = sen C × sen B'C, o sea cos B = sen C cos b, fórmula de los triángulos esféricos aún no conocida entonces.
En este período, siglos XI a XIII la ciencia oriental, hindú y árabe, deja de tener influencia directa o indirecta sobre el saber occidental y, éste inicia un despertar que adquirirá impulso en los tiempos renacentistas para empalmar con los albores de la ciencia moderna.
No obstante, tal declinación de la influencia de la ciencia oriental en Occidente, conviene para terminar con esa ciencia, resumir en líneas generales esa influencia, así como recordar algunas de sus manifestaciones tardías que revelen interés.
El último, cronológicamente de los matemáticos hindúes de importancia es Baskhara del siglo XII, en cuya obra astronómica dedica dos capítulos: Lilavati (la hermosa o la noble ciencia) y Vija- Ganita a la aritmética y al álgebra. Es probablemente la obra más importante de la matemática hindú, en la que se advierten influencias de la matemática griega, como de las árabe y china; por lo demás, el autor reconoce haber utilizado obras de autores anteriores, entre ellos de Brahmagupta.
Nota complementaria
He aquí algunos casos de ecuaciones indeterminadas de segundo grado que los hindúes resolvieron mediante ejemplos numéricos. Así, la ecuación
El análisis indeterminado no lineal de los hindúesxy = ax + by+ c
la resolvían buscando dos números m y ntales quemn = ab + c,
de donde es fácil comprobar que las solucionesx = m + b
y = n+a
satisfacen a la ecuación.
Más interesante son las investigaciones acerca de la ecuación cuadrática de la forma nx2 + m = y2, de la cual, conociendo una solución, deducían otras para la misma ecuación o semejantes. Por ejemplo, si x1,y2 y x2, y2 eran dos soluciones (que podían coincidir) de la ecuación anterior en virtud de la propiedadm = y12 - nx12 = y22 - nx22
se llega am2 = (nx1x2 + y1y2)2 -n(x1y2 + x2y2)2
y por tanto a una solución de la ecuaciónnx2 + m2 = y2
De ahí que en caso de m = 1 conocida una solución se obtiene otra y así sucesivamente. También se obtenía una solución de la ecuaciónnx2 + 1 = y2
si la solución anterior era un par de números múltiplo de m.
Otro proceso "ciclo" se aplicaba para reducir el coeficiente m de la ecuación. Si x1y1 es una solución con x1 primo con m, buscaban los valores z y u que satisfacían la ecuación indeterminada lineal x1z + y1 = mu, y de esas soluciones elegían aquella que hacía lo más pequeño posiblez2 - n - (mu2 - 2uy1 + 1): x2 = mm' con m’ entero y pequeño. Además se comprueba que la nueva ecuación nx2 + m' = y2 se satisface para x = u; y = ( y1u - 1)/x1 pudiendo aplicar a la ecuación con m' el mismo proceso, y reducir aún más ese término.
Por último, señalemos la solución de reminiscencia diofántica que Brahmagupta dio a la ecuación
Como contribuciones originales pueden mencionarse cuestiones de análisis indeterminado de segundo grado; algunas fórmulas aproximadas, por ejemplo para √2 da el valor 24/17 (que se obtendría restando los numeradores y denominadores de las reducidas 41/29 y 17/12 del desarrollo en fracción continua de √2; y unas lacónicas demostraciones de teoremas, como el de Pitágoras y de equivalencias, mediante figuras con ciertas descomposiciones y recomposiciones, y como única explicación un imperativo: ¡Mira! Por ejemplo, descompone un círculo en doce sectores y un rectángulo de base la semicircunferencia rectificada y altura el radio en ocho triángulos rectángulos iguales, para "demostrar" la equivalencia entre el círculo y el rectángulo.
Ya hablamos de las contribuciones originales de la matemática hindú: la introducción de las funciones circulares y el sistema de numeración. Podemos agregar que más adelante aparece cierto simbolismo precursor del álgebra sincopada, así como del uso del cero como símbolo, vieron además los hindúes claramente la diferencia entre números positivos y negativos que interpretaban como créditos y débitos que distinguían simbólicamente, hecho que les permitió unificar las ecuaciones de segundo grado en un solo tipo, cualesquiera fueran los coeficientes y hasta de admitir las soluciones negativas, aunque sin tomarlas en consideración, pues, como dice Baskhara, "la gente no aprueba las raíces negativas".
Otro rasgo caracteriza el período histórico de la matemática, que tiene por escenario la India de los siglos V a XII: es la época que el historiador Smith calificó de "época de la poesía", pues esa ciencia se muestra revestida de un ropaje poético; todas las obras se escribieron en verso, y en ellas se utilizó un lenguaje metafórico que en especial se pone de relieve en el folklore matemático, donde se eligieron con preferencia aquellos temas que más se prestaban a ser expresados en forma poética.
Veamos algunos ejemplos: "Hermosa niña de ojos radiantes, dime, si has comprendido el método de inversión: ¿cuál es el número que multiplicado por 3, agregándole 1/2 del producto, dividiendo por 7 y disminuyendo en 1/3 el cociente multiplicándolo por sí mismo, disminuyéndolo de 52, extrayendo la raíz cuadrada, sumándole 8 y dividiéndolo por 10, da el número a?" El resultado es 28, que se obtiene recorriendo todas las operaciones en orden inverso: 2, 20, 12, 144, 196, 14, 21, 147, 84, 28.
He aquí un par de problemas hindúes que exigen el conocimiento del teorema de Pitágoras. El primero que también podría ser chino, es una variante del "problema de la caña": ¿cuál es la longitud de la rama más alta de un árbol de bambú que el viento ha quebrado, conociendo la altura del árbol y la distancia en el suelo desde la cima hasta la raíz.
El segundo es más hindú; dos ascetas, viven en la cima de una montaña de altura conocida, cuya base está a una distancia conocida de la aldea próxima. Para ir a esa aldea uno de ellos desciende y se dirige a ella caminando; el otro, que es mago, prefiere volar; asciende una cierta altura, y luego se dirige directamente, siempre en vuelo, a la aldea. ¿Cuál debe ser esa altura para que ambos ascetas recorran la misma distancia.
Veamos por último un problema típico que aparece en Baskhara: "La raíz cuadrada de la mitad de un enjambre de abejas se esconde en la espesura de un jardín. Una abeja hembra con un macho quedan encerrados en una flor de loto, que los sedujo por su dulce perfume. Los 8/9 del enjambre quedaron atrás. Dime el número de abejas". El problema exige la resolución de una ecuación de segundo grado, que tiene dos raíces positivas; pero de las cuales: sólo la entera 72 (la otra es 9/2) satisface las poéticas exigencias del problema.
Nota complementaria
En la España musulmana, fuera de algunos autores de compendios de aritmética y de álgebra como Ibn Badr (el Abenbeder de los latinos), probablemente de los siglos XII o XIII sólo cabe mencionar al marroquí Ibn-Banna, que floreció entre los siglos XIII y XIV y, autor de numerosos escritos, algunos muy difundidos y comentados, en especial un resumen de las operaciones aritméticas en el que usa constantemente las cifras hindúes, mejora el tratamiento con fracciones, da reglas de raíz cuadrada abreviada, expone con esquemas gráficos las reglas de "doble falsa posición" para la resolución de las ecuaciones lineales, explica las pruebas de las operaciones mediante los restos por 9, 8 y 7, etcétera.
La matemática árabe a partir del siglo XIII.
Más importantes son los científicos orientales. Durante la época de la invasión y dominio de los mongoles florece un científico persa Nasir Al-Din, escritor fecundo y enciclopédico, pero especialmente matemático y astrónomo. Se le atribuyen más de 60 obras en árabe y en persa, entre las que se cuentan traducciones y elaboraciones de autores griegos. En matemática es autor de un estudio original sobre el "cuadrilátero completo", en el que analiza todos los casos posibles que se distinguen tanto desde el punto de vista gráfico como métrico; de un tratado en el que desarrolla las funciones circulares independientemente de su aplicación a la astronomía con sus aplicaciones a la trigonometría plana y esférica; y también de una interesante "demostración" del postulado de Euclides, único intento ubicado entre los que habían realizado los antiguos griegos y los que realizaran los matemáticos del Renacimiento.
Esa demostración consiste en admitir como evidente una hipótesis distinta, pero equivalente. En efecto, Nasir da como evidente que si se tiene el segmento AB, por A una recta CD perpendicular y porB otra recta EF oblicua, los segmentos A'B', perpendiculares a CD y comprendidos entre CD y EF son menores que AB, si están en el semiplano en el que EF forma con AB un ángulo agudo, y mayores que AB en el otro semiplano. Con esta proposición deduce que dos segmentos MN y PQ iguales y perpendiculares a MP, situados en el mismo semiplano respecto de esa recta formarán un rectángulo MNPQ, de donde deduce fácilmente el teorema de la suma de los ángulos de un triángulo y de ahí el postulado de Euclides.
En el mundo mongol cabe aun recordar la figura del príncipe Ulug Beg, del siglo XV, astrónomo que realizó una importante labor científica reflejada en las mejores tablas astronómicas del Islam, que completan las de Nasir Al-Din que comprenden una serie de cuestiones de orden matemático.
Terminemos esta reseña mencionando una obra algebraica de Baha Al-Din. Ya en pleno Renacimiento europeo, que entre otros asuntos contiene una nómina de siete problemas que "han permanecido insolubles desde los tiempos antiguos, resistiéndose a todos los genios hasta esta época", como se expresa el autor. Damos a continuación, con algunas consideraciones, los enunciados de esos problemas, que pueden dar una idea del progreso realizado por el álgebra árabe desde la época de su advenimiento con Al- Khuwarizmi cerca de siete siglos antes.
1. Dividir el número 10 en dos partes tales que si a cada parte se le agrega su raíz cuadrada el producto de las dos sumas es un número dado (ecuación de cuarto grado que puede tener soluciones enteras para determinados valores del producto dado).
2. Buscar un número de cuyo cuadrado sumándole o restándole 10, se obtienen cuadrados (imposible).
3. Hallar un número tal que el primero es 10 menos la raíz cuadrada del segundo y éste 5 menos la raíz cuadrada del primero (ecuación de cuarto grado sin raíces racionales enteras).
4. Descomponer un cubo en suma de dos cubos (Imposible).
5. Dividir 10 en dos partes tales que su cociente más su recíproco de éste dé por resultado a uno de los números (ecuación de tercer grado sin raíces racionales).
6. Hallar tres cuadrados en progresión geométrica, cuya suma sea un cuadrado (imposible).
Hallar un número cuyo cuadrado sumándole o restándole ese número más 2 dé siempre un cuadrado (éste es el único problema que tiene solución racional, pues el número 34/15 más 2 que es 64/15, sumado o restado del cuadrado 1156/225 a los cuadrados, respectivamente de 46/15 y 14/15.
En cuanto a la matemática árabe, tanto en Oriente como en Occidente, continuó progresando con ritmo decreciente, mientras declinaba su influencia en el mundo cristiano. Esa influencia había sido notable no tanto en el sentido de aportar contribuciones originales pues en realidad la ciencia árabe bebió en fuentes griegas, hindúes quizá chinas y hasta en algún resto de la antigua ciencia de los babilonios, sino por haber sido esa ciencia árabe el conducto mediante el cual el antiguo saber griego conservado y reelaborado se trasvasó a Occidente.
Sin duda, ese antiguo saber griego se había conservado en el mundo bizantino, pero en ese mundo aquel saber quedó como fosilizado, petrificado; lo prueba el escaso aporte científico de los bizantinos, aun a partir del año 1000, época del llamado "renacimiento bizantino", en el cual, desde el punto de vista matemático, sólo podemos mencionar a un Máximo Planude del siglo XIII que es el primer griego que conoce las cifras "árabes" y a un Manuel Manscopulo, de comienzos del siglo XIV, que introduce, probablemente por primera vez en griego, las reglas para la construcción de cuadrados mágicos.
En cambio, el contacto entre árabes y cristianos, ya en forma esporádica, ya en forma más permanente produjo su fruto que, en el campo matemático, significó una adquisición más completa del saber griego con el agregado del saber hindú y árabe, lograda a través de las traducciones al latín de los principales escritos de autores griegos y árabes.
Los primeros signos de la influencia árabe en Occidente se han visto en Gerberto de Aurillac, papa Silvestre II en 999, que hacia 970 residió en el condado de Barcelona y que, por las obras matemáticas que se le atribuyen, fue el primer científico que divulgó en Occidente las cifras árabes sin el cero. En efecto, Gerberto habría introducido en Occidente el "ábaco" de los árabes, diferente del ábaco con bolillas, pues con él se opera con fichas que llevaban grabadas las nueve cifras o letras equivalentes (la ficha del cero no era necesaria), de una manera tal que condujo naturalmente a nuestra manera habitual de operar (el "algoritmo" de los medievales), cuando en lugar del instrumento y de las fichas se comenzó a operar escribiendo las cifras en cuadros con arenillas, de ahí el nombre de "cifras gubar" (de gubar = polvo, en árabe), que se dio a las nueve cifras sin el cero. Pero la mayor influencia de la matemática árabe se debió a los contactos más directos: el comercio mediterráneo, las contiendas bélicas y, en especial, las Cruzadas y sobre todo la permanencia de árabes en tierras cristianas: Sicilia y España.
A mediados del siglo XII se inicia una era de traducciones, en gran parte del árabe al latín, aunque también del hebreo al latín, como del árabe al hebreo y más adelante también directamente del griego al latín.
De los traductores que estuvieron en Oriente citemos a Adelardo de Bath, que tradujo del árabe los Elementos de Euclides y escritos de Al-Khuwarizmi: las tablas astronómicas y probablemente la Aritmética.
En Sicilia, donde bajo el impulso de los reyes normandos, hubo un intenso intercambio entre las culturas griega, árabe y latina, también se realizaron traducciones del árabe al latín, y hasta del griego al latín. En este último caso, están Datos y la Óptica de Euclides, y el Almagesto de Ptolomeo, y no deja de ser interesante destacar que esta traducción directa de la obra de Ptolomeo no tuvo mayor difusión, pues fue desplazada por la traducción indirecta del árabe, que poco después realizó Gerardo de Cremona.
Pero el centro más activo de traducciones fue España. Entre los traductores más antiguos figura la pareja de mediados del siglo XII: Domingo Gundisalvo y Juan de Sevilla, que traducían en colaboración: Juan, del árabe al castellano, y Gundisalvo del castellano al latín. Entre sus traducciones figura una aritmética donde ya se mencionan las cifras hindúes con el cero, no se habla del ábaco, y aparece el término "algoritmo".
Contemporáneo de los anteriores es Roberto de Chester que residió en España a mediados de siglo y a quien se debe la importante traducción latina del álgebra de Al-Khuwarizmi.
Pero los más fecundos traductores de obras científicas fueron Platón de Tívoli y Gerardo de Cremona. Ya mencionamos a Platón, quien, entre otras obras, tradujo la Esférica de Teodosio, con motivo de su colaboración con Bar Hiyya. En cuanto a Gerardo de Cremona que residió y murió en Toledo, y a quien se debe la traducción de más de 80 obras, figurando entre los autores matemáticos que tradujo, los griegos Euclides, Arquímedes, Apolonio, Autolico, Hipsicles, Teodosio, Gemino y Ptolomeo, y los árabes Al-Khuwarizmi, Al-Nayrizi, Tabit b. Qurra, Abu Kamil, Jabir b.Aflah y Al-Zarqali. De este último, el Arzachel de los latinos, conocido astrónomo y constructor de instrumentos del siglo XI tradujo las Tablas toledanas, compilación de las observaciones realizadas por Al-Zarqali y sus colegas que más tarde sirvieron de base para la preparación de las Tablas alfonsinas que ordenó compilar Alfonso el Sabio.
Entre las traducciones directamente del griego al latín citemos la versión del escrito de Arquímedes De los cuerpos flotantes, realizada por el dominico flamenco Guillermo de Moerbecke, del siglo XIII versión importante, pues es la que hizo conocer esa obra al mundo cristiano que no entró en posesión de un manuscrito original en griego hasta comienzos de este siglo.
La obra de los traductores puso a disposición de los científicos occidentales gran parte del saber griego y del saber árabe, circunstancia que, unida a la atmósfera cultural de la época escolástica, universidades,... explica el renacimiento que en el siglo XIII experimentara la matemática en Occidente.
Ese renacimiento inicia con una figura notable: Leonardo Pisano, llamado Fibonacci (contracción de la expresión "hijo de Banaccio", apellido del padre), sin duda el más grande de los matemáticos medievales.
Con motivo de una misión oficial encomendada al padre, Leonardo estuvo en África del Norte y recorrió más tarde varios países musulmanes, donde se puso en contacto con los árabes y adquirió su saber matemático. Al regresar a Pisa publicó en 1202 y reeditó en 1228 un Líber abad o Libro de los ábacos que, no obstante el título, combate el uso de los ábacos, para mostrar en cambio las ventajas del sistema decimal y de las cifras hindúes sobre el sistema romano y los números romanos. En realidad no fue Leonardo quien introdujo en la Europa cristiana las cifras hindúes, pero sí fue quien divulgó su uso mostrando sus ventajas (por ejemplo, el número 4321 exige en números romanos diez letras), aunque no por eso quedaron desterradas los antiguos números romanos y el ábaco que continuaron en uso en especial en la vida comercial durante mucho tiempo, mientras en el campo más científico se entablaba una lucha entre abacistas y algorítmicos que se prolongaría hasta comienzos del siglo XVI.
Además del Líber abad se deben a Leonardo una Practica geometriae de 1220, donde introduce en Occidente la resolución de problemas geométricos mediante el álgebra, uno de estos problemas, que muestra además su pericia de calculista aparece en una Epístola al maestro Teodoro (un matemático del emperador no mejor especificado); además en Practica geometriae aparecen procedimientos para medir alturas y depresiones con un cuadrante. Pero los escritos más originales de Fibonacci son: el de título abreviado... super solutionibus quaestionum ... Y Líber quadratorum ambos de 1225, que tratan distintas cuestiones de aritmética y de álgebra entre las cuales tres problemas que a modo de desafío le lanzó Juan de Palermo de la corte de Federico II y que Leonardo resolvió.
Nota complementaria
Reseñemos brevemente el contenido de los 15 capítulos del Líber Abad de Leonardo, obra que ha ejercido notable influencia entre sus contemporáneos y sucesores inmediatos. En el primer capítulo habla de las nueve cifras "hindúes" a las que, dice, debe agregarse el cero que llama "zephirum” del árabe "sifr” que significa vacío, palabra con que los árabes designaban el cero y que luego dio nacimiento a nuestro vocablo "cifra". En el mismo capítulo, agrega algunas reglas de cálculo digital y tablas de suma y de multiplicación. En los cuatro capítulos siguientes, se ocupa de las operaciones con enteros en el orden: multiplicación, suma, resta, división, se dan vanas reglas operatorias para la multiplicación y las pruebas del 7, del 9, y del 11 y se enuncia la descomposición de fracciones en suma de fracciones unitarias.
La obra de Fibonacci
Los capítulos VI y VII se ocupan de las operaciones con fracciones con la descomposición de fracciones en suma de fracciones unitarias; mientras que los capítulos VIII a XI tratan de las aplicaciones, enunciado y resolviendo problemas de toda índole: de tres simple y de tres compuesta; de sociedad, de cambio de monedas, etcétera. Aparecen problemas de análisis indeterminado del tipo de los "100 pájaro...”. (Problemas de este tipo, modificando el número de animales, se presentan también en la mencionada Epístola al maestro Teodoro..
De índole más variada son los problemas de los dos capítulos siguientes entre los cuales cabe mencionar:
1. problemas de progresiones, entre ellos el del ajedrez. Aparece la suma de los cuadrados que Leonardo estudia también en su Líber quadratorum.
2. Sistemas lineales del tipo siguiente: hallar n números sabiendo que cada uno de ellos sumado a determinadas fracciones de los demás da el mismo resultado, conocido o indeterminado. Para estos sistemas, a veces hasta de seis incógnitas Leonardo da reglas bastante generales.
3. El problema que dio lugar a una sucesión recurrente (1,1, 2, 3, 5, 8, 13,...) hoy llamada de Fibonacci, que mereció muchos estudios desde el siglo pasado y cuyo enunciado es el siguiente: Calcular el número de parejas de conejos que se tendrán al cabo de un año, sabiendo que se ha partido de una sola pareja y que cada pareja a partir de su segundo mes produce mensualmente una pareja.
Mientras el penúltimo capítulo se ocupa de la extracción de raíces el último trata de cuestiones relativas a la geometría y al álgebra. Aparecen: la solución de la ecuación pitagórica y al final la resolución de la ecuación de segundo grado a la manera árabe hasta con los ejemplos numéricos de Al-Khuwarizmi.
En este sentido, es importante el problema que plantea en la mencionada Epístola, probablemente la primera "puesta en ecuación” en Occidente de un problema geométrico. Se trata de suprimir de un triángulo isósceles, de base 12 y lado igual 10, dos triángulos simétricos en los vértices de la base de manera que lo que queda sea un pentágono equilátero. Es una ecuación de segundo grado de expresión 7x2 + 256x = 1280, cuya raíz positiva no es entera; sin embargo, Leonardo da su valor aproximado y en una forma curiosa, pues la parte fraccionaria la expresa mediante fracciones sexagesimales, costumbre que se mantendrá hasta la aparición de las fracciones decimales en el siglo XVI. Leonardo da el resultado hasta la cuarta fracción sexagesimal con todas sus cifras exactas, pero sin indicar cómo llegó a él. Es posible que Leonardo haya sido inducido a buscar la solución algebraica de este problema ante la dificultad de resolverlo geométricamente. Sin embargo, hoy tal solución es inmediata: se trata de determinar las direcciones desconocidas de dos vectores de un pentágono cerrado conociendo las direcciones de tres de ellos y las intensidades de todos los vectores.
Leonardo no admite números negativos, aunque en un problema indeterminado que figura en Flos referente a intercambio de dinero que no tiene solución positiva reconoce "que es necesario conceder que alguna persona tenga un crédito".
Otra serie de cuestiones suscitan los problemas propuestos por Juan de Palermo. El primero de los tres problemas es: Hallar un número cuyo cuadrado aumentado o disminuido de 5, siga siendo un cuadrado.
Este problema llevó, sin duda, a Leonardo a estudiar una serie de cuestiones y problemas vinculados con los cuadrados, que dieron lugar a su Líber quadratorum . En este libro estudia las propiedades de los números de la forma 4mn ( m2 - n2 ) con m y n naturales, que interviene en la identidad a veces que lleva su nombre:(m2 + n2)2 ± 4mn(m2 -n2) = (m2 - n2 ± 2mn)2
y que le sirvió para resolver el problema propuesto por Juan de Palermo, pues bastaría hacer 4mn( m2 - n2) = 5; como esto no es posible para m y n enteros admite una solución fraccionaria, de manera que deberá ser 5q2 = 4mn(m2 — n2) siendo q el denominador de la fracción. La igualdad anterior se satisface para m = 5; n = 4; q = 12 y en definitiva el número que resuelve la cuestión es 41/12, cuyo cuadrado aumentado o disminuido de 5 da los cuadrados de 49/12 y 31/12 respectivamente, y ésta fue la solución de Fibonacci. Agreguemos que en líber quadratorum hay problemas menos fáciles como, por ejemplo: hallar tres números cuya suma agregada al cuadrado del primer número sea un cuadrado que, agregado al cuadrado del segundo número, vuelva a dar un cuadrado, que a su vez sumado al cuadrado del tercer número aparezca nuevamente un cuadrado. La solución de Fibonacci es: los números son 35, 144 y 360 y los cuadrados que se van obteniendo son los de los números 42,150 y 390.
El segundo problema propuesto por Juan era: hallar con los métodos del libro décimo de los Elementos una línea cuya longitud satisfaga a la condición (expresada con símbolos modernos),x3 + 2x2 + 10x = 20.
Este problema condujo a Leonardo a uno de los primeros análisis de una ecuación algebraica demostrando que la raíz no es un número entero, pues está comprendida entre 1 y 2, ni pertenece a ninguno de los tipos de irracionales del Libro X y finalmente y sin decir cómo logró la solución, da el valor de la raíz en forma aproximada hasta con seis fracciones sexagesimales, valor exacto hasta nuestra novena decimal.
El tercer problema es un problema indeterminado de primer grado que se enuncia: Tres hombres tienen en común un capital repartido en la proporción 1/2; 1/3; 1/6. Cada uno de ellos toma al azar una parte del capital, apartan de esas partes respectivamente 1/2; 1/3; 1/6 que reúnen y dividen en tres partes iguales. Cada una de estas partes, agregada al sobrante de la cantidad tomada al azar, reproduce para cada persona el capital inicial propio. ¿Qué parte tomó cada uno al azar.
Es Leonardo que elige adecuadamente como nueva incógnita las partes iguales en que se ha dividido la reunión de las fracciones de las cantidades tomadas al azar. Si esa incógnita es u y el capital total es s, la parte sobrante de cada uno es respectivamente 1/2 s - u; 1/3 s- u; 1/6 s - u que son respectivamente 1/2; 1/3; 1/6 y 5/6 de las cantidades tomadas al azar, que a su vez suman s de donde s = 2 (1/2s - u) + 1/2 (1/3 s- mu) + 1/5 (1/6 s - u) y en definitiva 7s = 47u y haciendo u = 7 (solución mínima) encuentra s = 47. Y las partes tomadas al azar resultan 33, 13, 1.
Algo posterior a Leonardo es Giovanni Campano de Novara, que tradujo los Elementos de Euclides, incluyendo los llamados Libros XIV y XV, para lo cual utilizó la versión de Adelardo, pero recurrió también directamente a las fuentes árabes. Con esa traducción, que por lo demás constituyó el primer texto impreso de los Elementos (Venecia, 1482), Campano demostró ser algo más que un traductor. Por ejemplo, se le debe el intento, sin duda el primero, de fundar la aritmética de los números naturales sobre un sistema de cuatro axiomas postulados. Los tres primeros afirman que la sucesión de los números naturales es limitada, mientras que el cuarto establece la existencia de un mínimo en todo grupo de números al fijar "que un número no puede disminuir indefinidamente”. Utiliza estos postulados en la determinación del máximo común divisor, así como en la demostración de la inconmensurabilidad de un segmento con los segmentos que lo dividen en media y extrema razón. Agreguemos que en sus comentarios Campano señala el carácter especial del ángulo formado por dos circunferencias tangentes, reabriendo la cuestión del "ángulo de contingencia" que ocupó y preocupó a los matemáticos hasta el siglo XVIII. El nombre de "ángulo de contingencia", para referirse al ángulo formado por la circunferencia con su recta tangente en su punto de tangencia, aparece en una obra de este siglo, perteneciente a un autor (o autores) de identidad discutida: Jordanus Nemorarius, a quien (o a quienes) se deben varios escritos mecánicos y matemáticos.
Nota complementaria
A este autor (o autores) se han atribuido: varios escritos importantes sobre mecánica y una obra cosmográfica donde se expone la propiedad de la proyección estereográfica que Ptolomeo sólo había verificado en casos particulares.
Los escritos atribuidos a Jordanus Nemorarius
Una Aritmética y una Demostratio de algoritmo, que fuera del problema de determinar tres cuadrados en progresión aritmética no revelan mayor originalidad, pues están calcados sobre Nicómaco y Boecio.
Un Tractatus de numeris datis, con ecuaciones de primero y de segundo grados. Por ejemplo, determinar los términos de una proporción conociendo la suma de los extremos, de los medios, y la razón entre los antecedentes.
Una geometría plana De Triangulis, que no obstante el título, se ocupa de polígonos y circunferencias. Está escrita con rigor y en ella aparecen algunas relaciones notables entre las áreas y los perímetros de los polígonos regulares inscritos y circunscritos a una circunferencia. Se advierten influencias griegas al hacerse referencia a los problemas clásicos de la duplicación del cubo y la trisección del ángulo, así como también resonancias árabes al darse una fórmula general para el lado de un polígono regular inscrito en una circunferencia, fórmula exacta para los polígonos de 3, 4 y 6 lados, aproximada en otros casos reproduciendo para el caso del heptágono a un valor aproximado conocido por Abu Al-Wafa, que Jordanus llama "regla hindú".
También al siglo XIII pertenece John de Holywood, más conocido por su nombre latinizado Sacrobosco, que en 1230 era maestro en París. Por la fama que gozaron y la influencia que ejercieron, más que por su valor intrínseco, cabe recordar su Sphera mundi, compilación de las partes más elementales del Almagesto, que sirvió de texto en toda Europa hasta después de Copérnico, y su Algoritmus vulgarís o Tractatus de arte numerandi tratado elemental de aritmética que trata de la numeración, adición, sustracción, división por 2, duplicación, multiplicación, división, suma de números naturales y de impares, y extracción de raíces. Con todo, este texto elemental contribuyó a la difusión de las cifras arábigas y de la numeración decimal.
La baja Edad Media
Al finalizar el siglo XIII Occidente penetra en una era de transición hacia el Renacimiento, ya que ese siglo fue la culminación cultural de los tiempos medievales, siglo en el que se destacan las figuras de Alberto Magno y Santo Tomás, de Bacon, el fraile, de Ramón Lull y Dante; figuras que, desde el punto de vista matemático, de esas figuras sobresalen Bacon por la importancia que asignaba a esa ciencia, aun sin ocuparse de ella, y Ramón Lull, cuyas investigaciones, o mejor lucubraciones lógicas, no dejaron de ser un primer esbozo, por grosero que fuere, de la futura lógica matemática y un anticipo de la característica universal leibniziana.
A la primera mitad del siglo XIV pertenece el teólogo inglés Thomas Bradwardine, que se ocupó de mecánica y de matemática. El más original de sus escritos matemáticos es una Geometría especulativa, donde considera los polígonos estrellados que no figuran en los Elementos, pero que hicieron su presencia en los comentarios de Boecio y en las versiones de Adelardo de Bath y de Campano. Bradwardine los engendra sistemáticamente, mediante prolongación de los lados de los polígonos regulares de orden inferior (los polígonos de primer orden son los convexos) y da correctamente la fórmula para la suma de los ángulos internos de los polígonos estrellados de orden inferior (Campano la había dado para el pentágono estrellado.) En otro tratado de Bradwardine (inédito): Tractatus de continuo aparecen algunas consideraciones acerca del ángulo de contingencia, del continuo y del infinito.
Durante el siglo XIV aparece en Inglaterra el primer tratado occidental, escrito en latín, en el que se exponen los principales teoremas de trigonometría a la manera euclidea: Quadripartitum de sinibus demonstratis del benedictino Richard de Wallingford de Oxford, aunque unos años antes de su muerte aparece en Francia una obra semejante, pero en hebreo, del judío provenzal Levi ben Gerson, matemático y astrónomo, entre cuyos escritos matemáticos figura unaAritmética; una memoria sobre los números de la forma 2 171 y 3n, demostrando que, con pocas excepciones, su diferencia es siempre mayor que uno; comentarios a los Elementos en los que intenta reducir el número de postulados y demostrar el postulado de las paralelas; y, como labor más original, un tratado de trigonometría donde considera al mismo tiempo la manera griega de medir los ángulos por medio de las cuerdas y las flechas, y la manera hindú mediante los senos y cosenos, dando las relaciones mutuas entre los cuatro elementos. Entre sus aportes a la trigonometría figura el actual "teorema del seno" para triángulos rectilíneos y una tabla de senos, construida a la manera de Ptolomeo.
Pero la novedad más interesante del siglo es la aparición de cuestiones de índole infinitesimal, diferentes de aquéllas de esa índole enlarvadas en la geometría griega. Se ocuparon de estas cuestiones en Inglaterra los maestros del colegio de Merton de Oxford: Richard (o Roger) Swineshead o Suisset y William Heytesbury. El primero fue un teólogo, matemático y mecánico que en virtud del título de su Líber calculationum (publicación postuma de 1477), se le apodó "Calculator". En ese tratado, como en otro semejante de Heytesbury, se demuestra en forma retórica comparando movimientos uniformes y uniformemente variados, la siguiente regla que algunos autores ingleses denominan actualmente “regla de Merton”: el espacio recorrido en un movimiento uniformemente variado es igual al espacio recorrido en el mismo tiempo por un movimiento uniforme, cuya velocidad es la velocidad media entre las velocidades inicial y final del movimiento variado.
A este importante resultado de índole cinemática agrega "Calculator” un resultado no menos interesante de índole infinitesimal, al considerar movimientos arbitrarios de ley artificial y tales que el cálculo de los espacios recorridos presupone la determinación de la suma de una serie convergente.
Un paso más adelante en el tratamiento de estas cuestiones lo da el maestro de París Nicolás Oresme, en cuyos trabajos matemáticos, aparece como novedad la representación gráfica de las "intensidades de las cualidades". Por supuesto que las representaciones gráficas en sí no significaban una novedad pues las figuras geométricas y los mapas son ejemplos antiguos de representaciones gráficas, pero la novedad que introduce Oresme, con su Tractatus de latitudinibus, es que ahora desaparece la homogeneidad entre la representación, que es un segmento, y la magnitud representada que es: tiempo o intensidad. Tomando como longitudo (nuestra abscisa) el tiempo, y como latitudo (nuestra ordenada) una intensidad: velocidad, calor u otras intensidades, que no siempre significan magnitudes, Oresme representa la cualidad o propiedad de acuerdo con la variación de la intensidad respecto del tiempo, aunque tal variación no se refleja, como en las coordenadas cartesianas, por la curva dibujada por los puntos de coordenadas dadas, sino por la figura total, por el área encerrada entre aquella curva, el eje de los tiempos y las intensidades inicial y final.
Cuando esa intensidad es la velocidad, dando por sabido que esa área (mensura) representa el espacio recorrido, la gráfica revelará, en efecto, la naturaleza del movimiento. Si el movimiento es uniforme ( latitudo uniformis) la gráfica es una paralela al eje; si el movimiento es uniformemente variado (latitudo uniformíter difformis ). La gráfica es una recta inclinada de pendiente distinta, según sea el movimiento acelerado o retardado; de igual manera otras gráficas representarán movimientos no uniformemente variados ( latitudo diffomiter difformis).
En el caso del movimiento uniformemente variado, Oresme demuestra geométricamente, por comparación de figuras equivalentes, la regla que los maestros de Merton habían encontrado retóricamente. También Oresme considera, como “Calculator” movimientos aparentemente aún más complicados que implican el cálculo de sumas de series convergentes como valor de los espacios recorridos.
Nota complementaria
La regla de Merton, tal como la expone gráficamente Oresme, es la siguiente: si BC es la gráfica de un movimiento uniformemente acelerado, el trapecio ABCD representa el espacio recorrido durante el tiempo t = AD. Como ese trapecio equivale al rectángulo de base AD y altura MN, base media del trapecio, aquel espacio será el recorrido por el movimiento uniforme, cuya gráfica es EF, de velocidad vm = MN media entre las velocidades v = AB, inicial y V= DC, final del movimiento uniformemente acelerado. La justificación algebraica es inmediata. En efecto, el espacio recorrido por ambos movimientos es e = t × vm = 1/20 + V)t, pero, por ley del movimiento variado V = v + gt siendo una constante, y en definitiva e = vt + 1/2gt2, que es la ley de ese movimiento respecto del tiempo.
La regla de Merton y OresmeEn cuanto a los movimientos artificiales de "Calculator” y de Oresme, son los siguientes. El primero considera una serie de movimientos uniformes, tales, que los intervalos sucesivos de tiempo forman una progresión geométrica de primer término y razón, mientras que las velocidades son los términos de una progresión aritmética de primer término y razón 1; y llega a la conclusión de que el espacio total es el cuádruplo del espacio recorrido por el primer movimiento, es decir, 4- 1/2 = 2. En efecto, la suma de los rectángulos de área 1/2; 2/4; 3/8, equivale a la suma de los rectángulos de altura unitaria y bases 1; 1/2 ; 1/4;..., que es 2.
El "movimiento" de Oresme es aparentemente más complicado pues las áreas parciales son alternativamente de rectángulos y de trapecios. En efecto Oresme considera, con igual división del tiempo en intervalos como en el caso anterior, una suma de movimientos alternativamente uniformes y uniformemente acelerados, tales que sin discontinuidad en cada movimiento variado la velocidad final es doble de la inicial, de manera que al partir de un movimiento uniforme de velocidad 1, los distintos espacios recorridos serán 1/2; 3/8; 3/4; 3/16;... Como en definitiva se trata de dos progresiones geométricas de razón 1/2, cuya suma respectiva es el doble del primer término y como el primer término el de la segunda serie es 3/4 ei siendo ei el primer término de la primera serie, el espacio total recorrido será 3/7/4 ei que es el resultado que da Oresme, es decir, en la forma de los 7/2 de ei.
No menos original es Oresme en otra de sus obras: Algorísmus proportionum, donde con el nombre de "proporciones" dobles, mitad, una vez y media indica nuestras potencias de exponente 2, 1/2, 3/2,...; en una palabra expone una teoría de las operaciones con exponentes fraccionarios para los que adopta un simbolismo especial.
También algunos atisbos del concepto infinitesimal de límite pueden advertirse en la figura científica de Nicolás de Cusa o el Cusano del siglo XV que en sus escritos matemáticos se ocupó un par de veces de la cuadratura del círculo aunque partió del supuesto erróneo de ser en los polígonos isoperimétricos proporcional la diferencia entre el área del círculo y la del polígono con la diferencia entre el radio y la apotema del polígono. En otras investigaciones el Cusano se ocupó de la rectificación de la circunferencia dando expresiones bastante aproximadas.
Nota complementaria
Según el Cusano la circunferencia es igual al perímetro del triángulo equilátero inscrito en un círculo cuyo diámetro es el radio de la circunferencia a rectificar más el lado de su cuadrado inscrito, regla que equivale tomar para π el valor 3/4√3 (l + √2) = 3,136...
Las rectificaciones aproximada de Nicolás de Cusa
Como solución del problema inverso de la rectificación da la regla siguiente: Sea ABC un triángulo equilátero de centro de gravedad G y N un punto sobre AB tal que AN =1/4 AB. Un segmento igual a los 5/4 de GN es el radio de la circunferencia de igual perímetro que el del triángulo. En este caso el valor aproximado de π es 24/35 √21 = 3,142 ...
Por último, figura en los escritos del Cusano la siguiente rectificación bastante aproximada para ángulos menores de 30°; Si AB es el arco de una circunferencia de radio r y D un punto de la tangente en A alineado con B y un con un punto C situado sobre la prolongación del diámetro de A a la distancia 3r de éste, el segmento AD es aproximadamente igual arco AB. Se comprueba que para arcos menores que 30° el error relativo es menor que 3×10-4
Desde el punto de vista técnico una obra matemática importante del siglo XV se debe a los astrónomos Georg Peurbach y su discípulo y colaborador Johannes Müller llamado el Regiomontano por su ciudad de origen Königsberg. Peurbach había iniciado una versión directa del Almagesto que continuó Regiomontano sustituyendo la tabla de cuerdas por tablas de senos tomando el radio de 600.000 partes y los arcos de 10° en 10°. Regiomontano mejoro esas tablas tomando los arcos de minuto en minuto y el radio de 10 8 partes, y agregó una tabla de tangentes que llama "números" para arcos de grado en grado con un radio de 100.000 partes.
Se debe a Regiomontano el primer tratado de trigonometría de influencia duradera. Es el De tríangulis omnimodis en cinco libros compuesto hacia 1464 e impreso en 1533. En ellos aparece una nueva demostración del teorema del seno de la trigonometría rectilínea, el teorema del coseno para los triángulos esféricos una tabla como apéndice junto con la tabla de tangentes, de "doble entrada” para el cálculo de los valores de una fórmula de triángulos esféricos rectángulos, y una serie de problemas relativos a triángulos planos con la innovación de resolverse mediante el álgebra retórica, aún en los casos en que la solución geométrica podría haber sido más simple. También introduce la innovación de dar métodos generales, prescindiendo de los valores numéricos que no elige previamente como sus antecesores.
Se debe además a Regiomontano un Apéndice a los Elementos, donde considera los polígonos estrellados con el estudio relativo a los ángulos exteriores. En su correspondencia aparecen problemas de análisis indeterminado semejantes a los de Leonardo Pisano; un problema de máximo, el primero después de Apolonio; y un problema geométrico, que cuyo planteo lleva a una ecuación cúbica que Regiomontano no resuelve, aunque reconoce en ella un problema de trisección.
Un acontecimiento cultural del siglo XV que tendrá notable repercusión científica es el invento de la imprenta con tipos móviles de mediados de siglo que facilitó extraordinariamente la trasmisión y difusión de los escritos científicos. Ya dijimos que la versión latina de Campano fue la primera edición impresa de los Elementos de Euclides en 1484, aunque fue especialmente durante el siglo XVI cuando se dieron a la imprenta las obras matemáticas clásicas de manera que a fines de ese siglo ya en idioma original, ya en versión latina los estudiosos estaban en posesión de los escritos más importantes de Arquímedes, Apolonio, Diofanto,...
Con todo conviene recordar algunos incunables, es decir, impresos del siglo XV, de interés matemático. Fuera de algunas aritméticas prácticas publicadas desde 1478 en Italia y Alemania,el incunable más importante es probablemente la aritmética de Johann Widmann, aparecida en Leipzig en 1489. Comprende tres partes, la primera de las cuales, sin mayores novedades, se dedica a las operaciones aritméticas con números enteros y a las progresiones aritméticas y geométricas; la segunda parte trata de las fracciones, de las proporciones y problemas de tres y comerciales; mientras que la tercera parte es geométrica.
Complemenmtaria 89
Las primeras aritméticas impresasEl primer escrito matemático que apareció impreso es una Aritmética llamada "de Treviso", pues fue publicada en esta ciudad en 1478. Es una obrita anónima de 62 páginas de índole práctica que trata de las cuatro operaciones y de la determinación de la fecha de Pascua.
Cuatro años después un escrito semejante en Bamberg del cual no se conservan sino fragmentos, mientras se conserva actualmente un ejemplar de esta "Aritmética" de Bamberg publicada el año siguiente. Es una obra algo más larga que la anterior, dedicada especialmente a los cálculos que se presentan en las transacciones comerciales; no se ocupa de la fecha de Pascua, en cambio trae reglas para la suma de los números naturales y de términos en progresión geométrica.
En 1484 aparece en Italia otra aritmética práctica, ahora de autor conocido: Pietro Borghi, sin mayor valor respecto de las anteriores, pero que contó, hasta fines del siglo XVI, 15 ediciones.
La novedad que aporta la segunda parte es que en ella aparecen por primera vez los signos "+" y aunque no en la forma puramente simbólica con que hoy se utilizan. El signo " +" no es sólo signo de la suma, sino más bien sustituye a la cópula "y", mientras que el signo no es usado exclusivamente en la sustracción, pues en ocasiones aparece la acostumbrada palabra "minus". De todos modos, el autor no indica el origen de estos signos, de manera que acerca de tal origen pueden tejerse y se han tejido toda clase de conjeturas.
La parte geométrica del libro de Widmann es irregular: al lado de reglas, erróneas para las áreas de figuras rectilíneas, aparece el cálculo correcto del radio del círculo circunscrito a un triángulo del cual se conoce un lado, su altura y la proyección de otro lado sobre él. Pero estos problemas geométricos, como en Regiomontano, no son sino pretextos para aplicar las reglas aritméticas.
Otro acontecimiento cultural del siglo XV, que tuvo influencia en el desarrollo de la geometría fue la feliz conjunción que se realizó entonces entre la ciencia, el arte y la técnica. Así es como especialmente por obra de artistas las antiguas consideraciones griegas y árabes sobre la óptica geométrica dieron origen a una rama de la geometría: la perspectiva. Las primeras obras europeas con ese título: la Perspectiva communis, de John Peckam, y la De perspectiva, de Witelo, ambos del siglo XIII, no eran sino reelaboraciones de la óptica de Alhazen que, sobre la de Euclides, tenía entre otras la ventaja de considerar los rayos visuales partiendo de los objetos y no del ojo como lo hacía el geómetra griego.
Pero durante los siglos XIV y XV la perspectiva va perdiendo su antiguo significado para convertirse en una rama de la geometría, cuyo problema capital es la intersección con un plano (el cuadro) de las rectas que, partiendo de los distintos puntos del espacio, llegan hasta el ojo o en términos más geométricos, la intersección de un plano con un haz de rayos. Es explicable que este problema geométrico haya surgido en el seno del arte pictórico y en una época en que muchos pintores trataban de investigar los fundamentos científicos de su propio arte. A esos pintores y a tal tendencia pertenecen Filippo Brunlleschi, Lorenzo Ghiberti y, en especial, León Battista Alberti a quien se debe, entre otras obras, una De pictura que escribió en latín y en vulgar, en la que resume las consideraciones de la época sobre la geometría aplicada al dibujo y a la pintura.
Estas consideraciones dieron lugar, algo más tarde, a un tratado especial: el primero en su género, que escribió en latín, pero también en vulgar el pintor Piero deba Francesca a fines del siglo XV: De perspectiva pingendi "proyección central", donde aún en forma embrionaria aparecen las primeras nociones de la rama de la actual geometría descriptiva. En ese tratado, que no se publicó hasta fines del siglo pasado, se exponen: en la primera parte los principios generales, en la segunda la proyección de cuerpos regulares y en la tercera de cuerpos irregulares. Otra obra de Piero della Francesca en latín sobre los poliedros regulares, que Pacioli hizo conocer más tarde en vulgar.
Dos artistas egregios se ocuparon de perspectiva: Leonardo y Dürer, quienes, por lo demás, también contribuyeron en otras ramas de la matemática.
Nota complementaria
Las libretas de apuntes de Leonardo muestran que poseía buenos conocimientos matemáticos, como las consideraciones que aparecen en el Tratado de la pintura lo comprueba, así como otras contribuciones de carácter geométrico no totalmente desvinculadas de su condición de artista; entre ellas algunas que hasta pueden calificarse de juegos como sus variadas aplicaciones de las lúnulas de Hipócrates. Por ejemplo, partiendo de la propiedad de la equivalencia del semicírculo de diámetro AB y el sector circular OAB de ángulo central el semirrecto, es claro que duplicando la figura el recinto mixtilíneo ABOB'A'A' es equivalente al triángulo AOA' y, por tanto, cuadrable.
La matemática en Leonardo y DürerEs probable que este tipo de juegos lo llevara a investigar el problema análogo, pero referente al espacio sobre el cual se propuso escribir un tratado: Sobre la trasformaciones de un cuerpo sin disminución o aumento de materia.
Las figuras regulares atrajeron a Leonardo, pues en sus manuscritos aparecen numerosos dibujos y propiedades de esas figuras: construcción aproximada de polígonos regulares, no construibles exactamente con regla y compás, y es casi seguro que le pertenecen las figuras nada fáciles de dibujar, de los poliedros regulares y semirregulares llenos o huecos cuyas copias ilustran el manuscrito códice de la Divina proportione que, en 1498, Pacioli ofreció a Ludovico il Moro.
Agreguemos que también se le deben dibujos y proyectos de instrumentos matemáticos como compases de proporción y un parabológrafo que probablemente construyó y utilizó en la construcción de espejos parabólicos.
En cuanto a Dürer además de utilizar las proyecciones horizontal y vertical en su escrito sobre las proporciones del cuerpo humano, se le debe un tratado geométrico que en versión latina es Institutionem geometricarum, donde se ocupa de curvas, de superficies y de sólidos, así como de otras cuestiones, cuyo objeto era poner a disposición de los artistas construcciones geométricas que podían serles útiles. Se le debe la invención de una curva de cuarto grado y del aparato para construirla así como construcciones aproximadas para trisecar ángulos, y construir polígonos regulares. Por la forma "artística" que comporta puede ser de interés señalar la construcción del eneágono. Con radio 3r dibuja la “flor de tres pétalos" mediante los arcos de ese radio con centros en los vértices de un triángulo equilátero; luego, corta la figura con la circunferencia de radio r considerando como lado del eneágono inscrito en este segundo círculo la cuerda que une los puntos de su circunferencia situados en los "bordes de cada pétalo". El método comporta un error relativo del 2 %.
Recordemos, por último, que en su grabado Melancholia aparece un cuadrado mágico de 16 casillas; sin ser una novedad es uno de los primeros que hacen su presencia en Europa occidental.
Las consideraciones sobre perspectiva de Leonardo figuran en la compilación que, en 1651, apareció con el nombre de Tratado de la pintura. Es posible que tales consideraciones fueran tratadas por Leonardo en forma especial pues se tiene noticias de que a mediados del siglo XVI, un par de decenios después de su muerte, circulaban manuscritos con tales consideraciones.
En cuanto a Dürer es interesante destacar que en sus escritos introdujo el uso de las proyecciones horizontal y vertical, que tres siglos después sistematizaría Monge; sin embargo, no encontraron entonces igual apoyo que los métodos de proyección central de la perspectiva.
Discípulo de Piero della Francesca y vinculado con el mundo de artistas y técnicos del Renacimiento italiano, fue Lúea Pacioli, a quien se debe, entre otras obras, una Summa de Arithmetica, Geometría, Proportioni et Proportionalita, impresa en 1494, de carácter enciclopédico y resumen de todo el saber matemático de la época, cuyo objeto fue poner ese conocimiento a disposición de los técnicos, artistas y comerciantes, por lo cual la escribió en lengua vulgar, aunque con más precisión habría que decir en una mezcla de latín, de italiano y de todos los dialectos de las numerosas regiones que Pacioli visitó o en las que enseñó.
Nota complementaria
La Summa de Pacioli se compone de cinco partes, de las cuales la primera se ocupa de aritmética y de álgebra, las tres siguientes de aplicaciones al comercio, mientras que la última está dedicada a la geometría.
La obra de Pacioli
La parte aritmética se inicia con una serie de consideraciones mística sobre los números para luego pasar a las operaciones con números "sanos" (enteros). Para la multiplicación da ocho procedimientos y dos para la división agregando en cada caso la prueba del 9 y del 7, pues la del 9 "no es muy segura". Siguen luego operaciones especiales: progresiones aritméticas y geométricas, suma de los números naturales, sus cuadrados y sus cubos, extracción aproximada de la raíz cuadrada. A continuación se dan una serie de problemas: del ajedrez, de los móviles de matemática recreativa,... después de lo cual pasa a los números rotos (fracciones) que escribe en la forma actual separando con una raya el "numerador" del "denominador", enseñando a descomponerla según fracciones continuas ascendentes.
Siguen una seria de problemas de aritmética comercial, entre los cuales se destacan algunos de tipo hoy llamados trascendentes de los cuales Picioli da soluciones bastantes aproximadas. Por ejemplo, en un problema concreto que llevaría a nuestra ecuación x ´ 2 X = 30, Picioli encuentra por tanteos que 3 < x < 4; haciendo por tanto x = 3 + y y en el resultado de la sustitución tomando aproximadamente, por ser y pequeño, 2 y = y + 1; llega a una ecuación de segundo grado que da para x el valor 3,179... (el valor exacto es 3,22...).
Otra ecuación trascendente, de reminiscencia babilónica, tiene como incógnita el tiempo en que se duplica un capital a interés compuesto con la tasa t, del cual Pacioli da como solución 72/t. Actualmente el primer término del desarrollo en serie de la incógnita sería 69,3.../t.
Después de una serie de consideraciones acerca de las proporciones, tema al cual Pacioli dedicó en sus estudios preferente atención pasa a considerar problemas resueltos por el método de falsa posición, cuyo nombre árabe recuerda, y finalmente estima haber llegado al objeto de su libro que el álgebra que inicia con las siguientes palabras que parafraseamos: "Hemos llegado con ayuda de Dios a la meta deseada; vale decir, a la madre de todos los casos que el vulgo llama regla de la cosa o Arte mayor o Parte especulativa, pero también llamada Algebra y Almucabala en lengua árabe o caldea, según otros y que en nuestra lengua equivale a restauración y oposición. Algebra id est restaurationis. Almu-cabala id est oppositionis".
Si en la parte puramente técnica Pacioli no va mucho más allá de sus antecesores es en cambio interesante esta etapa de "álgebra sincopada” intermedia entre el álgebra retórica y el álgebra simbólica. Así Pacioli abrevia las palabras plus y minus con p y m, letras que funcionan entonces como nuestros signos + y - ; indica las raíces cuadradas y cúbicas con una R cruzada por una raya oblicua y seguida del número 2 y 3, respectivamente. A la incógnita la llama cosa y abrevia co (cuando hay una segunda incógnita ésta es denominada cantidad); y a sus distintas potencias con palabras especiales y abreviadas respectivamente. Claro es que bastaba designar las potencias de exponentes primos: así x2 es censo, abreviado ce,x3 es cubo, abreviado cu, x5 es primo relato abreviado p°r°, x7 secondo relato, abreviado 2°r° y así sucesivamente hasta x27 (en realidad no es muy consecuente pues x25 que debía ser primo relatio de primo relato lo designa ottavo relato). Otra abreviatura empleada es ae por la palabra aequalis (igual).
En sus ecuaciones no aparece ninguna novedad. No admite números negativos, pues "es claro -dice- m4 es menos que nada". Sin mayores especificaciones considera imposible la ecuación de tercer grado, y al resolver las ecuaciones se deja llevar a veces por el algoritmo algebraico dando soluciones no enteras para problemas que sólo admiten raíces de esa naturaleza.
Las tres partes siguientes de la Summa tienen menor interés matemático: se refieren a la contabilidad y teneduría de libros, con una extensa aplicación a la llamada "partida doble", innovación técnica medieval probablemente italiana del siglo XIII. Un problema que figura en estas partes, no resuelto en forma satisfactoria por Pacioli, sobre el reparto de la apuesta entre dos jugadores antes de terminar el juego, tiene interés histórico, pues reaparecerá un par de siglos después con el advenimiento del cálculo de probabilidades.
La quinta parte de la Summa se dedica a la geometría y en ella se exponen las propiedades, sin demostraciones, relativas a figuras planas y del espacio con sus áreas y volúmenes. Más original es el final del libro que comprende 100 problemas geométricos: gráficos y métricos. Estos últimos se resuelven algebraicamente y en algunos casos complicándolos innecesariamente; como en el caso de determinar los lados de un triángulo conociendo el radio del círculo inscrito y los segmentos en que el punto de tangencia del círculo divide a uno de los lados. En lugar de aplicar el teorema de Herón, que conoce, y que resolvería el problema mediante una ecuación de primer grado hace un largo rodeo que lo obliga a calcular 10 segmentos intermediarios y resolver una ecuación de segundo grado.
Una segunda obra de Pacioli, que publicó en 1509, es Divina proportione, de escaso valor matemático en tres partes. La primera es un estudio, más místico que geométrico de la "divina proporción", es decir, la división en media y extrema razón con algunas propiedades sin demostración; la segunda se ocupa de arquitectura, y la tercera no es sino la traducción en vulgar del escrito de Piero della Francesca Libellus in tres partíales tractatus divisus quinqué corporum regularum; en verdad la parte más matemática de la obra, donde se tratan problemas geométricos acerca de triángulos, polígonos y poliedros, cuyo objeto es determinar con ejemplos numéricos, longitudes, áreas y volúmenes de figuras planas y sólidas.
Una tercera obra de Pacioli, inédita, es una colección de problemas aritméticos y geométricos del tipo de la matemática recreativa, con agregado de refranes, anécdotas, etcétera. En general son problemas ya conocidos, como novedad pueden citarse los cuadrados mágicos de los que Pacioli da ejemplo de cuadrados de 9, 16, 25,...81 casillas, que vincula con los siete cuerpos celestes de la antigüedad.
Sin contar el entusiasmo que Pacioli muestra por la matemática en todos sus escritos su mérito principal consiste en haber ofrecido en especial en su Summa un arqueo del saber matemático de su tiempo, que sirve muy bien de jalón para apreciar los progresos realizados desde Leonardo Pisano y para medir también los avances que se harán en los siglos sucesivos.
Aunque en la obra de Pacioli ya hay importantes atisbos en materia de simbolismo algebraico, en este campo son más originales las aportaciones de un francés, Nicolás Chuquet, que por haber permanecido inéditas, ejercieron menor influencia. Aparecen en una obra compuesta en 1484, en tres partes, de ahí su nombre Le Triparty en la Science des nombres. La primera parte comprende las operaciones con enteros y fracciones, dando explícitamente la regla de los signos para la multiplicación y división, en la segunda parte se estudian las raíces y sus operaciones que maneja con gran desenvoltura, utilizando la multiplicación por la expresión conjugada para racionalizar denominadores, mientras que la tercera parte se ocupa de la resolución de ecuaciones que Chuquet denomina "equipolencia entre números" cuadráticas o reducibles a cuadráticas. Como apéndice, el manuscrito del Triparty trae una colección de 166 problemas, probablemente del mismo autor.
Es posible que la mayor originalidad de Chuquet resida en el simbolismo: aparece como signo de raíz la letra R con un exponente 2 ó 3 según sea cuadrada o cúbica; todas las potencias de las incógnitas se indican mediante el exponente aplicado al coeficiente, apareciendo en algún caso el exponente cero y el -1; la suma y la resta se indican con las síncopas p y m,...
Nota complementaria
Mencionemos un par de ejemplos de este libro. En ciertos sistemas lineales muestra Chuquet un claro sentido de la generalización, resolviendo ordenadamente sistemas de 3, 4, 5 ecuaciones del mismo tipo. Un ejemplo de interés es el siguiente: Hallar cinco números tales, que cada uno de ellos sumados, respectivamente, a la suma de los restantes por 1/2, 2/3; 3/4; 4/5; 5/6 el resultado es siempre 40 Chuquet llega al resultado mediante un método no muy diferente del actual y en que aplica en cierto momento la falsa posición simple, pero el interés del resultado es que en él aparecen valores nulo y negativo, pues los números son 30; 20; 10; 0; -10 (número este último que Chuquet llama “ menos 10”).
El Triparty de Chuquet
En las ecuaciones cuadráticas no reconoce, en cambio, la solución nula (la ecuación 5x2 = 9 x2 no tiene solución), mientras interpreta correctamente, como imposible, una raíz cuadrada de radicando negativo.
He aquí ecuaciones cuadráticas resuelta por Chuquet con su notación algebraica y, a la derecha, su traducción con el simbolismo actual.De donde se deduce fácilmente el valor de la incógnita.
Capítulo 7
La matemática renacentista
Los progresos de la aritméticaLos progresos de la aritmética
Los progresos del álgebra
Los progresos de la trigonometría y de la geometría
Si se exceptúan el advenimiento de la perspectiva, que del seno de los artistas se traslada al campo matemático, y algunos atisbos del futuro cálculo infinitesimal, puede decirse que en ese campo la preocupación del siglo XVI fue de índole instrumental, ya en el sentido de completar el conocimiento de la matemática antigua mediante los textos impresos que se difunden, ya en el sentido de perfeccionar los métodos y recursos que desde el siglo XIII se desarrollaban en aritmética, en álgebra y en trigonometría.
Otra característica de la matemática renacentista debe verse en la influencia que ejercieron en su desarrollo factores extrínsecos: así como las exigencias de los artistas dieron nacimiento a la perspectiva, que se convertirá en una nueva rama de la geometría, así las necesidades de los comerciantes, contadores y calculistas provocaron innovaciones aritméticas y las exigencias de los astrónomos condujeron a perfeccionamientos en la trigonometría.
La única rama que se mantuvo dentro de su carácter técnico especulativo, fue el álgebra, aunque en su desarrollo no deja de advertirse cierta nota proveniente del ambiente de la época: el interés por el planteo y la propuesta de cuestiones difíciles y la atracción que aún ejercían las justas y desafíos otorgaron al latente carácter lúdico de la matemática una característica propia. En ninguna otra época de su historia la matemática vio episodios semejantes a los que se desarrollaron entre los matemáticos italianos de la primera mitad del siglo XVI; en ningún otro momento se suscitó un interés público semejante al que despertaron entonces cuestiones tan inocentes como la de averiguar cuál era el número que agregado a su raíz cúbica sume 14, sobre todo cuando la respuesta es una complicada combinación de raíces cuadradas y cúbicas superpuestas.
En el campo aritmético el siglo XVI asiste a la paulatina eliminación del cálculo con el ábaco y su sustitución por las reglas ordinarias del cálculo con las cifras arábigas. En el siglo XV el ábaco ya habla desaparecido de España e Italia; paulatinamente fue ocurriendo lo mismo en Francia, Alemania e Inglaterra. Una difundida figura de la enciclopedia Margarita Philosophica de Gregor Reisch, aparecida a comienzos del siglo XVI, muestra a la "Dama Aritmética" presidiendo una especie de torneo entre un algorítmico (que opera de la nueva manera) y un abacista: las expresiones de los rostros de ambos rivales revelan a las claras el triunfador.
Como importantes innovaciones aritméticas del siglo deben considerarse los números decimales, los logaritmos y las fracciones continuas.
Tal aparición tardía de los números decimales no deja de ser extraña cuando se piensa que la introducción definitiva del sistema decimal de numeración en Occidente data del siglo XIII y que tal introducción parecería traer aparejada la de los números decimales como parte integrante del sistema. Sin embargo no fue así y en sus comienzos no se advirtió que las ventajas que ofrecía el sistema, al representar los números como suma de múltiplos de potencias de 10 en sentido creciente, también las arrecia en el sentido decreciente de esas potencias. Ya vimos cómo los matemáticos mismos escribían y utilizaban a veces los números, adoptando para la parte entera el sistema posicional decimal, mientras que para la parte menor que la unidad empleaban fracciones ordinarias o sexagesimales.
Aunque pueden señalarse ciertos intentos anteriores en el sentido de adoptar un sistema de fracciones decimales, el primer tratamiento sistemático de aquéllas se debe a una de las figuras científicas del siglo: el belga Simón Stevin, de actividades múltiples, como funcionario y como científico.
Su primera publicación en 1584 consistió en unas tablas para el cálculo de interés compuesto, mientras que en el año siguiente hizo conocer un breve opúsculo sobre los números decimales, en flamenco La Thiende y en francés La Disme, títulos que aluden al "décimo", aunque en verdad el libro es una aritmética decimal. En el subtítulo se agrega que el tratado "enseña cómo todos los cálculos que se presentan en los negocios pueden realizarse con enteros solamente, sin ayuda de fracciones". La Disme comprende dos partes: en la primera define los números decimales; en la segunda enuncia las reglas para realizar con ellos las operaciones elementales; agrega luego aplicaciones a la astronomía, la agricultura, el comercio, para terminar expresando el deseo de que los gobiernos extiendan la división decimal al sistema de monedas, pesas y medidas, adelantándose un par de siglos a la declaración de la adopción universal del sistema métrico decimal. El simbolismo de Stevin al escribir, después de cada cifra decimal, el exponente de la potencia de 10 del denominador encerrado en un pequeño círculo no fue feliz, pero pocos años después se advirtió que para representar los números decimales bastaba separar de alguna manera la parte entera de la fraccionaria. Dejando de lado otras propuestas en tal sentido, recordemos que el uso de la coma para tal oficio se debe al astrónomo Giovanni A. Magini, mientras que el uso del punto con el mismo fin aparece en la Constructio de Napier de 1619.
También la invención de los logaritmos obedeció a un propósito de simplificar los cálculos aritméticos, sobre todo las engorrosas multiplicaciones, divisiones y raíces de números de muchas cifras con las que se encontraban, en especial, los astrónomos.
El concepto, aunque no el nombre, de logaritmo, ya como operación inversa de la potenciación, ya como correspondencia entre los términos de una progresión aritmética y otra geométrica, aparece en la Arithmetica integra de Michael Stifel aparecida en 1544 que, según el título, debía comprender todo lo que en esa época se entendía como aritmética: teoría de números, proporciones y álgebra. Es en ese libro donde aparece por primera vez la relación recurrente entre los términos del "triángulo aritmético", que Stifel extiende hasta el orden 17.
Es también en esa obra donde Stifel, al ocuparse de la teoría de las proporciones, dice que 729/64 puede dividirse 6 veces por 3/2 o que 2187/128 puede "dividirse" 2 veces, con un resto de 1/3, por 27/8, expresiones que en lenguaje moderno se traducirían diciendo que 6 es el logaritmo de base 3/2 del número 729/64 o que 7/3 es el logaritmo de base 2718 del número 2187/128. Además, en la comparación entre los términos de una progresión aritmética de razón 1, que llama "número” con los de una progresión geométrica de razón 2, que llama "exponentes”, (comparación que tiene un lejano precursor en Arquímedes y uno más próximo en Chuquet), se extiende en ambas direcciones y, señala, en especial, la correspondencia que existe entre las operaciones que se realizan con los términos de ambas series. Así, dice, a la suma, resta, multiplicación y división por un número de los elementos de la progresión aritmética, corresponden, respectivamente, la multiplicación, división, potenciación y extracción de raíces de los elementos de la serie geométrica.
Es posible que estas ideas influyeran en los matemáticos que trataban de simplificar las operaciones aritméticas, entre cuyos procedimientos figuraba la prostaféresis, neologismo para denominar la transformación de una multiplicación en suma, usada principalmente por los astrónomos utilizando relaciones entre las funciones circulares.
Nota complementaria
Es claro que la prostaféresis más antigua, sin este nombre ni tal finalidad, es la clásica identidad, de reminiscencias babilónicas y diofánticas, que expresa el producto mediante la diferencia de dos cuadrados y que en tiempos recientes (siglo XIX y aun comienzos del siglo XX) se utilizó en las "tablas de cuartos de cuadrado" en la forma
La prostaféresisxy = E(1/4 (x + y)2) - E( 1/4 (x - y)2).
con la introducción de la función E (parte entera de un número), que ahorra la escritura en la tabla de la parte fraccionaria. Con esa tabla el producto se obtiene mediante una suma, dos diferencias y dos lecturas en la tabla.
Como prostaféresis renacentista citemos el ejemplo que ofrece el astrónomo Tycho Brahe, quien para calcular el valor de b en la fórmula de trigonometría esférica:cos a = cos b × cos c + sen b × sen c × cos A
utiliza un ángulo auxiliar h tal que cosh = 1/2 (cos (b - c) - cos ( b + c)), mediante el cual puede obtener el valor de cos a en la forma:cos a = 1/2 [cos (b + c) + cos ( b - c)] + 1/2 [cos (A + h) + cos (A - h)].
mediante sumas y diferencias.
Pero es claro que la función logarítmica, mediante la simple identidad xy = elx + ly, ofrece la solución más adecuada, aunque el nacimiento de los logaritmos en una época en que no se conocía aún la función exponencial, no fue fruto de especulaciones teóricas sino de intuiciones y exigencias prácticas.
Pero serán los logaritmos los que resolverán totalmente la cuestión y fueron precisamente aquellas exigencias prácticas las que hicieron que los logaritmos, operación inversa de la exponenciación, aparecieran antes de haberse constituido la operación directa.
Que la exigencia práctica de los calculistas del siglo XVI estaba en el aire lo prueba el hecho de que los logaritmos nacen por obra de dos autores distintos y en forma independiente: el escocés Napier y el suizo Bürgi, que publican sus tablas a comienzos del siglo XVII con pocos años de diferencia: el Mirífici logarithmorum canonis descriptio de Napier es de 1614; las Progress-tabulen de Bürgi son de 1620.
La tabla de logaritmos que hace conocer John Napier con su libro de 1614 no es de logaritmos de números sino de logaritmos de senos, en la cual, para obviar los números negativos, utilizó como razón de la progresión geométrica un número próximo a la unidad, pero menor que ella.
Nota complementaria
En su concepción cinemática Napier supone dos móviles M y M' que se mueven, respectivamente, sobre un segmento AB = a y una semirrecta de origen A'; ambos parten simultáneamente de A y A' con igual velocidad inicial v, pero mientras que el movimiento de M' es uniforme, el de M es tal que su velocidad estable y proporcional a MB; en estas condiciones Napier dice que A'M' es el logaritmo de MB.
Los logaritmos de Napier
Si traducimos ese movimiento con las notaciones actuales tendremos: llamando x = MB,y = A'M' y la velocidad inicial, adx= - vx dt = -xdy. Integrada esa ecuación, teniendo en cuenta la condición inicial, da y = -al × x/a = al1 × x/a, indicando con l1 el símbolo de los logaritmos de base l:e. Considerando que y.a = a sen x tendríamos finalmente que los logaritmos de Napier, con su concepción cinemática serian proporcionales a los logaritmos naturales de los senos, con signo contrario, o los logaritmos de base l:e de los senos de los ángulos.
Claro que no son éstos los logaritmos de la tabla de Napier, pues no disponiendo éste de los recursos del cálculo infinitesimal, no pudo mantener su concepción cinemática de los logaritmos como función continua. Para construir su tabla tuvo que acudir a la correspondencia entre las dos progresiones y transformar su movimiento en una sucesión discontinua de etapas, demostrando que los correspondientes valores de x respondían a los términos de una progresión geométrica decreciente de razón menor que la unidad aunque muy próxima a ésta, pues toma esa razón igual a (1 — a-1), con a = 10 7.
Mediante tablas auxiliares construye con esa razón una progresión geométrica de 3.600 términos que va desde 107 = a sen 90° hasta 1/2×10 7 = a sen 30°, que hace corresponder a los logaritmos de los senos de los ángulos entre 90° y 30° de minuto en minuto. Para valores anteriores de 30° utiliza los valores calculados para sen 2a y sen (90° - a) para obtener el logaritmo del sen a mediante la expresión 2 sen a × cos (90° - a) = sen 2a, con lo que puede ofrecer la tabla de sus logaritmos de las tres funciones circulares, seno, coseno y tangente, que publica en 1614.
Además, y esto es un gran progreso teórico, introdujo los logaritmos mediante una concepción cinemática, con lo que implícitamente admitió la propiedad de la función logarítmica de ser una función continua, circunstancia que no se advierte cuando los logaritmos se conciben como términos de una sucesión discreta, como lo es la progresión aritmética. Por supuesto que, para la construcción efectiva de sus logaritmos, Napier tuvo que acudir a ambas progresiones.
Se debe a Napier el nombre de "logaritmo" (de logos y arithmo), como número de razones, pues en el caso de ser el logaritmo un número entero, es el número de factores que se toman de la razón dada (base) para obtener el antilogaritmo. Napier dio su tabla en 1614 sin la explicación de su construcción, que aparece póstuma en 1619 como Mirífici logaríthmorum canonis constructio.
La preocupación de Napier por facilitar los cálculos numéricos se manifestó también mediante la invención de unos dispositivos elementales, llamados "bastoncillos de Napier", aunque si se prescinde de su máxima invención los logaritmos, se le deben también contribuciones a la trigonometría esférica donde con su nombre se conoce una "regla" mnemotécnica para recordar las relaciones entre los elementos de los triángulos esféricos rectángulos y unas "analogías" (proporciones) para los triángulos esféricos oblicuángulos. De esas analogías Napier dio dos; las otras dos las dio Heniy Briggs, un profesor londinense a quien se debe en buena parte la difusión y el perfeccionamiento de los logaritmos inventados por Napier.
Nota complementaria
Aunque es de carácter anecdótica, no deja de tener interés la primera entrevista entre John Napier, barón de Merchiston, y el profesor de Oxford Henry Briggs, que se propuso ir a Escocia con el objeto de visitar al inventor de los logaritmos. He aquí el detalle de esa entrevista, relatada por un contemporáneo, aunque la traducción pierda todo el sabor del inglés antiguo, Cuenta ese autor que Briggs "se puso al efecto en contacto ron John Marr, que iría a Escocia antes que Mr. Briggs, ya que sería ahí donde estas dos tan cultas personas debían encontrarse. Mr. Briggs señaló el día preciso en que se encontraría en Escocia, Edimburgo, pero falló en su propósito de modo que Lord Napier dudaba de que llegara. Ocurrió cierto día que John Marr y Lord Napier hablaban de Mr. Briggs. -¡Ah! ¡Ah, John! - Dijo Merchiston- Mr. Briggs ya no ha de venir. En ese mismo instante alguien golpeó en la entrada. John Marr acudió presuroso y con gran alegría comprobó que se trataba de Mr. Briggs. Condujo entonces a Mr. Briggs a la cámara de mi Señor y durante casi un cuarto de hora ambos se contemplaron con admiración sin decir palabra; al final Mr. Briggs comenzó: Mi Señor, he emprendido este largo viaje con el propósito de ver a usted y conocer mediante qué rasgos de saber y de ingenio ha llegado usted a pensar en esa excelente ayuda para los astrónomos, es decir los logaritmos"
La entrevista Napier-Briggs
En efecto, los actuales logaritmos decimales surgieron de una entrevista entre Napier y Briggs.
Nota complementaria
Briggs había, calculado la tabla de los logaritmos de las funciones circulares utilizando la división centesimal del grado, pero sus tablas fueron publicadas póstumas en 1633 por Henry Gellibrand, cuando ya habían aparecido las tablas de logaritmos de esas funciones, de acuerdo con el sistema sexagesimal, de Edmund Gunter en 1620, de manera que la división centesimal no prevaleció. En la obra de Gunter aparecen por primera vez los términos coseno y cotangente. Contribuyó a la difusión de los logaritmos el matemático, editor y librero Adrián Vlacq, que en 1628 dio la tabla de los logaritmos de los números de 1 a 105, llenando el hueco entre 104 y 9 × 10 4 que había dejado Briggs.
Los logaritmos después de Briggs
En cuanto a los logaritmos de Napier, la versión inglesa de la Descriptio de 1614 apareció en 1618 por obra de Edward Wright, mientras que los que podríamos llamar los actuales logaritmos naturales aparecieron en una tabla de 1622, debida a John Speidell, que no hizo sino tomar los complementos de los logaritmos de Napier. En la versión, de Wright apareció un "Apéndice", que se atribuyó a otro matemático inglés, William Oughtred, inventor de la regla de cálculo rectilínea. La paternidad de la regla de cálculo circular, también inventada por Oughtred, le fue disputada por otro inventor, probablemente en forma independiente.
Al insinuar Briggs la conveniencia de adaptar los logaritmos al sistema de numeración y tomar para ello la base 1/10 Napier replicó diciendo que ya había pensado en esa conveniencia pero que aconsejaba tomar la base 10. Briggs se dedicó a la tarea de construir la tabla de acuerdo con el nuevo sistema y en 1624 aparecieron las tablas de los llamados también "Logaritmos de Briggs", con catorce cifras, de los números de 1 a 2 × 10 14 y de 9 × 104 a 105, donde ya aparece la palabra "característica" (la palabra "mantisa" fue utilizada por primera vez por Wallis en 1693).
Jobst Bürgi fue un científico versado en cuestiones de matemática, astronomía y mecánica y, sobre todo, hábil calculista, En su Aríthmetische und Ceometrísche Progress-tabulen da, además de la tabla de logaritmos, una tabla de senos para cuya construcción utiliza la expresión de los senos de los múltiplos de los arcos en función de los senos de los arcos, para el cálculo de algunos de los cuales resuelve ecuaciones en forma aproximada.
En cuanto a sus "logaritmos" Bürgi utiliza las dos progresiones tomando como razón de la progresión geométrica un número próximo a la unidad, algo mayor que ésta. Puede comprobarse que, tomando las cifras significativas de sus "logaritmos" y de sus "antilogaritmos”, coinciden sensiblemente con nuestros logaritmos naturales y sus antilogaritmos.
Nota complementaria
Bürgi parte de una progresión aritmética de primer término 0 y razón 10 y último término 32.000. Estos números, que serían nuestros logaritmos, los denomina números rojos (por el color con que aparecen impresos en su tabla). La progresión geométrica correspondiente empieza con el número 108 y la razón es 1+10 -4. Éstos son sus números negros. La tabla es de doble entrada, entrando con los números rojos, de manera que Bürgi construyó una tabla de antilogaritmos. Teniendo en cuenta las cifras significativas de los números rojos y negros, es fácil comprobar que los logaritmos de Bürgi tienen por base (1+10-4) 10^4, bastante próxima al número e, pues es 2,7184…Para obviar los logaritmos negativos que podrían presentarse en el caso de la división de un número por otro mayor, utiliza números rojos constantes, los "números rojos enteros", que no son sino logaritmos de potencias de 10, que suma al logaritmo del dividendo para que la diferencia de logaritmos sea siempre positiva y que, en definitiva, mantienen las cifras significativas del cociente.
Los "logaritmos" de Bürgi
Para obviar los logaritmos negativos que podrían presentarse en el caso de la división de un número por otro mayor, utiliza números rojos constantes, los "números rojos enteros", que no son sino logaritmos de potencias de 10, que suma al logaritmo del dividendo para que la diferencia de logaritmos sea siempre positiva y que, en definitiva, mantienen las cifras significativas del cociente.
En lo que se refiere al algoritmo de las fracciones continuas, que estaba implícito en el método de las divisiones sucesivas de Euclides para la obtención del máximo común divisor, el siglo XVI aporta la novedad de extender el algoritmo a números irracionales (raíces cuadradas) naciendo así uno de los primeros algoritmos infinitos. Aunque ya aparece en el Álgebra de Bombelli, que pronto citaremos, un estudio sistemático se debe a Pietro A. Cataldi, autor de numerosos escritos matemáticos, dos de los cuales son los más importantes: el que se refiere a los números perfectos, donde rectifica los errores que acerca de esos números corrían en su época, y el que dedica a "una manera muy breve de encontrar la raíz cuadrada de los número”.
Nota complementaria
Cataldi opera con fracciones continuas de numerador cualquiera. Aunque opera con ejemplos numéricos, el desarrollo de una raíz cuadrada en fracción continua es general y semejante al actual. Si hay que calcular √ N y a es el mayor número cuyo cuadrado es menor que N, siendo b = N - a 2, podrá expresarse
Las fracciones continuas de Cataldiy al reiterar el valor de √N - a se obtiene la fracción continua que, por razones tipográficas, Cataldi escribe
donde con el punto que sigue al denominador quiere indicar que es ahí donde debe agregarse el numerador de la fracción siguiente.
Por ejemplo, encuentra que
Señalando que la primera aproximación es 4 1/4 con un error por exceso de 1/16; la segunda es 4 8/33 por defecto con error de 1/1689, y así sucesivamente. En sus ejemplos calcula numerosas reducidas sucesivas de manera que llega a fracciones con términos de más de 20 cifras, realmente de manejo incómodo.
Esa manera no es otra que el desarrollo de la raíz en una fracción continua infinita, de la cual da la ley de formación de las hoy llamadas "reducidas" sucesivas, el signo alternado de la diferencia entre dos reducidas consecutivas y el valor de la raíz, así como su aproximación indefinida a este valor. En cambio, Cataldi no parece haber advertido la propiedad de ser las reducidas de una fracción continua los valores racionales aproximados más simples de un número racional o irracional dado. Esta observación se encuentra en una obra de 1618 de uno de sus contemporáneos, Daniel Schwenter, quien precisamente se propuso encontrar esas expresiones.
Los progresos del álgebra
Aun dentro de su carácter instrumental, los progresos del álgebra resultaron más importantes, pues incluyen la resolución, de las ecuaciones cúbica y cuártica e innovaciones en el simbolismo.
El estudio y resolución de las ecuaciones de tercero y de cuarto grados se llevan a cabo en la primera mitad del siglo XVI en el seno de algebristas italianos, en circunstancias personales difíciles de precisar dada la costumbre de la época de mantener el secreto de los descubrimientos científicos con el objeto de resaltar y prevalecer sobre los adversarios en los torneos y justas, a veces públicos, donde se planteaban problemas científicos.
Se atribuye a Scipione del Ferro, profesor en Bologna, el haber sido el primero en resolver la ecuación cúbica de la forma x3 + px = q, es decir "cubo más cosa igual número", en 1506 según Tartaglia, en 1515 según Cardano. Pero ni se conoce la solución de Del Ferro ni se ha logrado encontrar, no obstante las búsquedas, una libreta de apuntes en la que se habría consignado la solución. De existir esa solución se habría dado el caso, no frecuente, de haberse malogrado voluntariamente una celebridad y una prioridad indiscutibles.
El hecho es que a principios de siglo comienzan a aparecer, en el ambiente de los calculistas y algebristas italianos, problemas que conducen a ecuaciones de tercer grado, entre cuyos proponentes figura el discípulo de Del Ferro, Antonio María Fior, o Florido, como lo latiniza Cardano.
Es ahora que aparece uno de los protagonistas de estos sucesos: el ingeniero y matemático autodidacta Niccolo Tartaglia quien, estimulado sin duda por aquellos problemas, encuentra por su cuenta, según propias declaraciones, la regla para resolver ecuaciones cúbicas en 1534. Cuando el año siguiente se produce un importante desafío matemático entre Fior y Tartaglia, éste resuelve las 30 cuestiones que le propuso Fior (en dos horas, según afirma Tartaglia) mientras Fior no resuelve ninguna de las cuestiones que, en igual número e índole, le propone Tartaglia.
Nota complementaria
De origen muy humilde, Tartaglia sufrió en su niñez heridas que le dificultaban el habla, de ahí el apodo de "Tartaglia", por tartamudo, que le quedó como apellido. De inteligencia viva, se convirtió en un experto en cuestiones técnicas y matemáticas, que adquirió fama como profesor particular, y no le faltaron editores para sus obras. Su primera obra impresa es Nova scientia inventa de 1537, que se refiere a la balística. Le sigue en 1546 los Quesiti et inventioni diverse que, en forma dialogada y con numerosas notas autobiográficas y de carácter general, considera distintas cuestiones que le habían sido planteadas. En su mayor parte se trata de cuestiones de ingeniería y de arte militar, aunque abundan también las de matemática. Histórica y técnicamente importantes son sus referencias a la resolución de la ecuación cúbica, que nos enteran que es en 1530 cuando le proponen las primeras cuestiones que conducen a ecuaciones cúbicas y que, en vista de la afirmación de Pacioli, Tartaglia reprocha al proponente haberle sometido cuestiones que él (el proponente) no sabía resolver, aunque Tartaglia agrega que él (Tartaglia) no creía en la afirmación de Pacioli. También nos enteramos que una de las cuestiones que le proponen en 1535 conduce a una ecuación de cuarto grado, precisamente aquella que más adelante resolverá Ferrari. Por último, figuran en los Quesiti las incidencias de la disputa con Fior, algunas de las cuestiones propuestas en ella, la entrevista entre Cardano y Tartaglia, en la que éste le hace entrega de los tercetos con la solución de la cúbica. Desde el punto de vista técnico se deduce que, además de los resultados logrados con las reglas que figuran en los tercetos, se debe a Tartaglia la reducción de cualquier ecuación cúbica binomia a los tres tipos a los que aluden sus reglas. En cambio, no hay referencia alguna, en sus escritos, al caso irreducible, como tampoco al caso general de la ecuación cúbica completa.
Tartaglia y su obra
De tales cuestiones volvió a ocuparse en La travagliata inventione de 1551, así como debía haberse ocupado de ellas en su obra máxima, el Tratado general de números y de medidas, que empezó a publicar en 1556. De los seis volúmenes aparecidos, los últimos cuatro son postumos y el último de ellos no fue redactado por Tartaglia sino por un "docto matemático" sobre la base de los apuntes del autor. Este tratado es una obra enciclopédica, del tipo de la Summa de Pacioli. Los dos primeros volúmenes se refieren a la aritmética teórica y práctica; entre sus problemas citemos, como original, el de determinar la naturaleza del menor número de pesas diferentes con las que se puede pesar desde 1 hasta 40 libras, problema que se funda en la propiedad de descomponerse todo número en sumas de potencias de 2 o en suma algebraica de potencias de 3. Las tres partes siguientes se refieren a la geometría y tratan al final la resolución de construcciones geométricas con una sola abertura de compás. Por ejemplo, la primera proposición de los Elementos-, construir un triángulo equilátero de lado AB dado, Tartaglia la resuelve de esta manera con la abertura de compásr > AB. Sobre las prolongaciones deAB y BA, respectivamente, toma los puntos C y D tales que AC = DB = r. Con este radio y con centros A, B, C, D traza arcos de circunferencias que determinan los triángulos equiláteros ACF y DBE\ la intersección de AF con BE determina el punto G que, con AB, da el triángulo pedido.
La última parte del Tratado se refiere al álgebra, pero desgraciadamente termina con las ecuaciones cuadráticas, sin entrar en las cúbicas.
Además de estas obras y de los Contracartelli, aparecidos con motivo de su polémica con Ferrari, se debe a Tartaglia la primera edición italiana de los Elementos (una anterior de Pacioli se ha perdido), así como versiones y ediciones de obras de Arquímedes y Jordanus Nemorarius.
La fama que entonces conquista Tartaglia llega a oídos de otro protagonista de esta cuestión, el médico y matemático Gerolamo Cardano, entonces profesor en Milán, con quien se vincula.
Nota complementaria
Cardano es una de las figuras más curiosas del Renacimiento. De vida poco feliz y llena de alternativas, en sus últimos años redactó una Autobiografía (que apareció póstuma en 1643) en la que no escatima vicios ni defectos. Escritor prolífico, sus escritos se ocupan de temas de toda índole. Como fue un jugador conocedor de todas las tretas y fullerías del juego, que en ocasiones tuvo que utilizar como modus vivendi, se explica que en un escrito especial, Líber de Ludo aleae (póstumo), se ocupara de los juegos de azar, lo que lo convierte en el iniciador del cálculo de probabilidades.
Cardano y su obra
Su primer escrito matemático es un tratado de aritmética de 1539, pero su obra más importante es Ars magna, que debe considerarse el primer tratado de álgebra merecedor de este nombre.
En ese tratado Cardano se expresa así respecto de la invención de la solución de las cúbicas: "En nuestros tiempos Scipione Del Ferro, boloñés, resolvió el capítulo de cubo y cosas igual a número, hazaña realmente hermosa y admirable. Este arte, verdadero regalo de los dioses, que supera toda sutileza humana posible y el esplendor de todo ingenio mortal, es una prueba del valor de las inteligencias y es tan maravillosa que quien la haya logrado puede creer que ya nada le ha de ser imposible".
En emulación con el matemático mencionado Niccolo Tartaglia, de Brescia, amigo nuestro, habiendo entrado en disputa con Antonio María Florido, discípulo de Del Ferro, y a fin de vencer en la justa encontró el mismo capítulo y me lo confió, pues con insistentes ruegos se lo había pedido.
En verdad, engañado yo por las palabras de Lúca Pacioli, que afirmaba que además de sus capítulos no podían existir otros generales, y aunque el descubrimiento hubiera podido ser facilitarlo por otras cosas que yo había encontrado, con todo desesperaba de encontrar lo que no tuve el coraje de buscar.
Después de obtener ese capítulo y hallada su demostración, comprendí que podían deducirse muchas cosas más; ya aumentada mi confianza llegué a encontrarlas, en parte por mi cuenta, en parte con la ayuda de Ludovico Ferrari, antiguo discípulo mío. Todo lo que éste encontró será indicado con su nombre, y aquello que no se atribuye a otro, me pertenece.
Respecto de las cúbicas, Cardano agrega la transformación de las ecuaciones cuadrinomias en trinomias, al mismo tiempo que asoman algunos atisbos acerca de las raíces negativas, que llama falsos, y hasta de las imaginarias, así como de las relaciones entre los coeficientes y las raíces. En sus ejemplos aparecen también transformaciones de las ecuaciones, con el objeto de hacer aparecer factores lineales que, al eliminarse, disminuyen el grado de la ecuación.
En cuanto a las ecuaciones de cuarto grado expone el método de resolución que, con gran complacencia, atribuye a su discípulo Ferrari.
Además, un tercer nombre del equipo, Ludovico Ferrari, probablemente el matemático más brillante del grupo, que aporta la solución de la ecuación cuártica mediante un método que hoy lleva su nombre.
Nota complementaria
El problema que dio lugar a la ecuación de cuarto grado que Ferrari resolvió, por el método que hoy lleva su nombre, es el siguiente: descomponer el número x10 en tres partes en proporción continua, tal que el producto de los dos primeros términos sea 6 .
La obra de Ferro.
Ferrari toma como incógnita el medio proporcional y llega a una ecuación de cuarto grado que, con nuestros símbolos es: x4 + 6x2 + 36 = 60. El método de Ferrari consiste en transformar esta ecuación, mediante la introducción de un término indeterminado, en una diferencia de cuadrados. La manera como trató Ferrari a su ecuación, que hoy se simplifica, es la indicada por las transformaciones siguientes:Para que el segundo miembro sea un cuadrado perfecto el valor de y deberá satisfacer la cúbica: (y + 3) (y 2 + 12y) = 480 cuya raíz y dará, como valor de x, la raíz de la cuadrática
Otros aportes matemáticos de Ferrari se encuentran en los Cartelli intercambiados con Tartaglia donde, por ejemplo, en la segunda respuesta de Tartaglia, de 31 problemas que éste propone a Ferrari, más de la mitad se refieren a construcciones geométricas con una sola abertura de compás, mientras que los restantes son cuestiones aritméticas relativamente sencillas: cuestiones a las que Ferrari responde con creces y en forma concreta, aunque lo hace más de seis meses después, con motivo de remitir a Tartaglia el quinto cartel. Pero ya en el tercero había propuesto a Tartaglia 31 cuestiones mucho más difíciles y de todo orden: matemáticas, astronómicas, metodológicas y filosóficas. Entre las cuestiones algebraicas algunas exigían cúbicas y hasta ecuaciones de grados superiores, otras eran problemas de máximo; por ejemplo, dividir un número dado en dos partes tales que su producto por su diferencia sea máximo, problema que figura en un escrito de Cardano. En su respuesta Tartaglia contesta a 26 de esas cuestiones y no todas correctamente; por ejemplo, en el problema de máximo da la solución exacta pero sin la demostración, lo que permitirá afirmar a Ferrari que la cuestión no había sido resuelta. Más tarde, en su General Trattato, Tartaglia incluirá esa cuestión con la demostración.
Enterado de los hallazgos de Tartaglia, Cardano se esfuerza en conocerlos para incluirlos en su Ars magna en preparación, pero Tartaglia, deseoso de hacerlos aparecer en sus propios libros, se resiste hasta 1539, cuando Cardano logra una entrevista con Tartaglia y éste cede, y revela a Cardano las soluciones de las cúbicas mediante unos tercetos, no sin hacerle jurar "por los Santos Evangelios" que no las hará conocer antes de que Tartaglia las publique por su cuenta.
Nota complementaria
Damos en traducción libre en prosa con un breve comentario final, los tercetos con que Tartaglia enseño a Cardano las reglas para resolver la ecuación cúbica, en las tres formas en que en esa época podía presentarse la ecuación. A la derecha se da la traducción de las reglas en símbolos modernos.
Los "tercetos" de Tartaglia
Cuando el cubo más las cosas es igual a un número, debes buscar dos números cuya diferencia sea este número y cuyo producto sea igual al cubo de la tercera parte de las cosas conocidas la diferencia de sus raíces cúbicas es la cosa principal. Cuando, en cambio, el cubo está solo debes seguir esta regla: dividirás el número en dos partes tales que el producto sea igual al cubo del tercio de las cosas, y entonces la suma de las raíces cúbicas de esas partes dará lo que buscas. El tercer caso, si bien miras, se resuelve como el segundo, al cual mucho se parece. He encontrado estas cosas en 1534, con sólidos fundamentos, en Venecia. x3 + q = px
Mientras el primer caso, que siempre tiene una sola raíz positiva, no ofrece mayor dificultad y la regla de Tartaglia es siempre válida, en el segundo caso puede fallar esa regla en el llamado, más tarde, "caso irreducible" (27q2 < 4 p3). Cuando Cardano plantea a Tartaglia un ejemplo que lleva precisamente a ese caso, Tartaglia no contesta. Más discutible es lo que expresa Tartaglia al final de sus tercetos, al aludir, sin mayor especificación, al tercer tipo de ecuación cúbica. Pues en ese caso, o bien la regla no es aplicable por aparecer otra vez el caso irreducible, o bien al aplicarse la regla del segundo caso, si, (27q2 < 4p3) no se obtiene sino el valor absoluto de la raíz, que ahora es negativa. Como es claro que el valor absoluto no satisface la ecuación y los números negativos no eran entonces admitidos ¿qué quiere decir Tartaglia con su elíptico lenguaje?
Pero en 1545 Cardano, probablemente ante la demora de Tartaglia en publicar esas soluciones, rompe el juramento y las hace conocer en su Ars magna, exponiendo al respecto su propio punto de vista acerca de la cuestión, hecho que da lugar a que Tartaglia, en sus Quesiti del año siguiente, publique ciertas apreciaciones sobre Cardano que provocan una polémica entre Tartaglia y Ferrari, que se prolonga desde principios de 1547 hasta 1548, nada edificante y que tampoco agrega nada a la cuestión de la solución de las ecuaciones de tercero y cuarto grados.
Nota complementaria
La cuestión que en la primera mitad del siglo XVI suscitó la resolución de las ecuaciones cúbicas, en la que intervinieron Tartaglia, Cardano y Ferrari, tuvo su fin en el desafío público entre Tartaglia y Ferrari (éste instigado probablemente por Cardano), mediante "carteles” y ''contracarteles'' que ambos adversarios se lanzan. Esos carteles de desafío contenían cuestiones matemáticas, no sin improperios, que se proponían al adversario mientras se imprimían y difundían con profusión.
Los "Cartelli" y "Contracartelli"
Hubo seis de esos Cartelli di matemática disfida de Ferrari (que constituyen su única colaboración matemática escrita), y seis Controcartelli de Tartaglia en respuesta de los anteriores. El acto público poco edificante con que terminó el desafío, tuvo lugar en Milán en el atrio de una iglesia.
Sin embargo, quedaba aún una laguna, el llamado "caso irreducible" que se presentaba cuando, al aplicar las reglas de Tartaglia, aparecían por parejas raíces cuadradas de radicandos negativos sin interpretación real, no obstante lo cual era fácil comprobar que existían valores reales que satisfacían la ecuación. Esta dificultad la salvará, para casos particulares, otro matemático italiano del siglo; Rafael Bombelli, con su Álgebra de 1572.
Nota complementaria
Esta obra es la última de los, algebristas italianos del siglo XVI y, por lo menos su redacción, es posterior a la polémica Tartaglia-Ferrari, de ahí que se haya fijado como fecha del manuscrito el año 1550. Entre esa fecha y la primera edición de 1572 (de los tres primeros libros, pues los dos últimos quedaron inéditos hasta 1929) el autor conoció la obra de Diofanto, conocimiento que tuvo en él gran influencia, como se comprueba comparando el manuscrito de toda la obra con la parte impresa.
El Álgebra de Bombelli
El Álgebra de Bombelli es importante no sólo por las innovaciones, algunas patentes y otras latentes, que introduce, sino también porque mide el progreso que se va realizando en el proceso de disolución del imperialismo geométrico de la ciencia griega, reflejado en la absorción de la geometría por el álgebra, que en cierto momento será casi total.
En su primer libro, el Álgebra de Bombelli supone conocidas las reglas de las operaciones con números racionales, para entrar de lleno en las operaciones con radicales. Aparece un método de raíz cuadrada aproximada que preludia las fracciones continuas y, en una construcción geométrica de la raíz, por primera vez el segmento unitario. Extiende el método de aproximación a la raíz cúbica, dando de ella construcciones geométricas "instrumentales", como él las llama, y "a pedido de amigos" trata también de la extracción de raíces cuartas, quintas, etcétera, aunque reconoce su escasa utilidad.
A continuación expone las operaciones con raíces cuadradas y cúbicas, en especial de los tipos que se presentan en las ecuaciones de tercer grado. Utiliza, a semejanza con otros autores, como símbolo de la raíz una R seguida de una q o de una c, según se trate de raíz cuadrada (quadrata) o cúbica, encerrando el radicando en un doble ángulo recto que en el texto impreso se convierten en dos L invertidas. Pero la novedad más importante que introduce Bombelli en su Álgebra es el tratamiento de los números complejos y de sus operaciones. Mientras que en el manuscrito aparecen los números imaginarios como raíces cuadradas de números negativos, en el texto, de más de veinte años después, utiliza un simbolismo especial para esos números. Dice textualmente en el libro impreso: "He encontrado otra especie de raíces cúbicas ligadas (se refiere a las raíces cúbicas de irracionales cuadráticas) que se presentan en la cuestión de cubo igual a tantos y números después de haber leído a Diofanto, Bombelli utiliza la expresión "tantos" en lugar de "cosas”, cuando el cubo de la tercera parte de los tantos es mayor que el cuadrado de la mitad del número (es nuestro caso irreducible) y esa especie de raíz cuadrada tiene en el algoritmo otro nombre y otras operaciones. Como en este caso esa parte no puede llamarse ni más ni menos, la llamaré más de menos cuando deba agregarse y menos de menos cuando ha de restarse... que a muchas personas ha de parecer más sofistico que real, como supuse yo también hasta que encontré su demostración geométrica... Expone luego correctamente las operaciones con los símbolos pdm y mdm (por piú di meno y memo di meno) en la misma forma que se hace actualmente con sus equivalentes i y - /, agregando que cada vez que aparece una de esas expresiones, aparece también la conjugada. A continuación opera con estos nuevos símbolos, dando reglas que luego necesitará en el caso irreducible, para calcular la raíz cúbica de los números que actualmente llamamos complejos. Veamos un ejemplo numérico de Bombelli, agregando a la derecha las ecuaciones y expresiones con símbolos modernos que justifican aquellas reglas, que por lo demás sólo son válidas para valores racionales.
Sea obtener la raíz cúbica de 52 + 47i.
Súmense los cuadrados de ambos números, lo que da 4913 que es el cubo de 17. Búsquese ahora un número cuyo cuadrado sea menor que 17 y cuyo cubo sea mayor que 52. Ese número no puede ser sino 4. Si es así, la raíz será 4 + /, cuya suma de los cuadrados es 17 y el cubo del primer número menos el triple del primero por el cuadrado del segundo, que es 12 , es 52.
El libro II del Álgebra se ocupa de polinomios y de ecuaciones. Indica los monomios de una letra con el coeficiente y el exponente en su parte superior encerrado en un semicírculo y expone las reglas operatorias de los monomios y polinomios hasta la división de un polinomio por un binomio lineal con coeficiente unitario de la variable.
En cuanto a las ecuaciones, pasa ordenadamente desde las ecuaciones más simples de primer grado hasta las ecuaciones completas de cuarto grado, aunque siempre con coeficientes positivos, lo que le obliga a estudiar numerosos casos particulares y, con alguna excepción, nunca con el segundo miembro nulo.
Su algoritmo del pdm y mdm le permite obtener las raíces complejas conjugadas de una ecuación de segundo grado sin raíces reales.
Al respecto dice Bombelli (utilizamos símbolos actuales): Si deseas igualar x2+ 20 a 8x siendo el cuadrado de la mitad de los tantos: 16, menor que 20, esa igualación no podrá hacerse sino de esta manera sofistica. Resta 20 de 16, será -4, cuya raíz es 2i que agregamos y restamos a la mitad de los tantos, obteniendo 4 + 2i ó 4 - 2i , y cada una de estas cantidades, separadamente, será el valor del tanto.
Es claro entonces que su mayor contribución a la teoría de ecuaciones será la resolución, mediante su algoritmo como intermediario, del caso irreducible de la ecuación cúbica. Así, por ejemplo, sea igualar x3 a 15x + 4. En ese caso, dice Bombelli, tómese la tercera parte de los tantos, que es 5, y elévese al cubo, que es 125, el cual debe restarse del cuadrado de la mitad de los números que es 4; se obtiene m 121, cuya raíz cuadrada será pdm 11 (es decir 11i). Esta raíz, agregada a la mitad del número, hace 2 pdm 11, cuya raíz cúbica es 2 pdm 1, que agregada a su residuo (el conjugado) 2 mdp 1 da 4, que es el valor del tanto (la raíz de la ecuación).
En realidad, como lo reconoce Bombelli, la regla sólo es válida en el caso en que la raíz sea racional o irracional cuadrática de parte real racional no nula, pero insinúa la relación entre el caso general y la trisección del ángulo.
También es notable en Bombelli el estudio general que emprende de la ecuación de cuarto grado, que ni Ferrari ni Cardano habían llevado a cabo, así como lo es todo lo referente a la teoría de ecuaciones: cambio de signo de las raíces, sustitución de la incógnita por un valor proporcional a su reciproco, o por otra incógnita sumándole o restándole un número, etcétera; transformaciones que utiliza para reducir toda cúbica a las formas canónicas.
En el tercer libro del Álgebra es donde se nota más la influencia de Diofanto. Es una colección de 273 cuestiones, más de la mitad de las cuales no son sino transcripciones de problemas de la Aritmética de Diofanto.
Como novedad interesante anotemos que una cuestión se resuelve con letras, cuando trata la división de 12 + a en dos partes, cuyo producto sea 20.
Los libros cuartos y quintos, que comprenden la "parte geométrica", son en verdad de álgebra geométrica en el cabal sentido de la expresión. Después de haber expuesto la construcción geométrica de las figuras y equivalencias elementales, pasa a la resolución geométrica de las operaciones aritméticas, incluyendo la raíz cúbica, mediante la determinación de dos medias proporcionales. Aplica esas construcciones, en primer lugar, a la resolución de las ecuaciones de primero, segundo y tercer grado, y luego a numerosos problemas geométricos en los que pone a contribución la geometría, el álgebra y el hoy denominado "cálculo gráfico". En definitiva, toda la geometría de Bombelli es una prueba de su afirmación: "todo lo que se hace con números puede hacerse también con líneas".

Además de la resolución de las ecuaciones cúbica y cuártica, sin duda el principal acontecimiento algebraico de la primera mitad del siglo XVI, este siglo vio otras innovaciones algebraicas, en especial referentes al simbolismo.
Durante ese siglo se publicaron aritméticas y álgebras en distintos países de Europa, inspiradas en gran parte en la Summa de Pacioli. Así, en Alemania el álgebra tomó el nombre de Die Coss, es decir "la cosa", nombre con que en Italia se designaba a la incógnita; las abreviaturas para indicar sus potencias fueron denominadas "signos cósicos".
La primer álgebra publicada en alemán vulgar, en 1525, es de Christoff Rudolff. Allí aparece, por primera vez, el símbolo √; corrupción de la inicial de la palabra radix, para indicar la raíz cuadrada (duplica el signo para la raíz cuarta y lo triplica para la cúbica). El signo = aparece por primera vez en The Whetstone of Witte (El aguzador del ingenio) publicada en 1557 por Robert Recordé, que es el primer tratado inglés de álgebra, donde el autor afirma que ha elegido ese símbolo porque dos cosas no pueden ser más iguales que dos rectas paralelas. Este símbolo se generalizó hacia fines del siglo XVII; todavía en ese siglo Descartes utiliza un signo semejante al símbolo del infinito, probable corrupción de la inicial de la palabra ae qualis (igual, en latín).
Entre los matemáticos de la península ibérica citemos a Juan de Ortega, que en las ediciones de 1534, 1537 y 1542 de su Tractado subtilisimo de Aritmética y Geometría da, sin indicación de método, interesantes aproximaciones de raíces cuadradas, y Pedro Nunes (Nonius en latín, Núñez en español), astrónomo, cosmógrafo y matemático, autor de importantes contribuciones a las tres disciplinas.
Núñez resuelve con ingenio el problema del crepúsculo mínimo y en De crepusculis, donde los estudia, describe un dispositivo para aumentar la precisión de los instrumentos de medida. Ese dispositivo experimentó posteriormente varias modificaciones, hasta mantenerse la que introdujo Pierre Vernier en 1631, que dio lugar al hoy llamado "nonius" o "vernier".
Como cosmógrafo Núñez resolvió el problema de determinar la curva que corta a todos los meridianos terrestres bajo ángulo constante, que llamó "línea de rumbo" (nuestra loxodromia). Entre sus obras matemáticas citemos De erratis Orontii Finei de 1546 y su Álgebra de 1564. La primera de estas obras alude al matemático y astrónomo francés Oronce Finé, que había creído hallar una solución de los tres antiguos problemas de la geometría griega, pretendidas soluciones que Núñez refuta. En cuanto al Álgebra, escrita en portugués en 1532, no la publicó en español hasta 1564, aprovechando entonces todos los progresos realizados en ese lapso, aunque no la resolución de la ecuación cúbica, pues no le satisfacía "aquella manera de notificar el valor de la cosa". Con todo, es el primer y más completo tratado de álgebra en español aparecido en el siglo.
El matemático más importante de la segunda mitad del siglo XVI es François Viéte, más comúnmente conocido por su apellido latinizado Vieta, que se ocupó de todas las ramas de la matemática. Respecto del álgebra fue su mérito ordenar y adecuar todo el material existente, otorgándole unidad y sentido lógico, no obstante el lenguaje oscuro y difícil que utiliza y agrava al introducir un número excesivo de helenismos y neologismos.
Así, en una de sus primeras obras, In artem analyticen isagoge (Introducción al arte del análisis, donde "análisis" quiere decir "álgebra", palabra que Viéte no emplea por ser de origen árabe) de 1591, expone los principios fundamentales del álgebra, no sólo considerando el método analítico en el sentido antiguo y sus etapas, sino estableciendo también una serie de postulados en que se han de fundar las transformaciones algebraicas. Agrega que la debilidad de los antiguos analistas fue la de ejercitar sus facultades sobre los números, es decir hacer lo que Viéte llama "logística numerosa" dando a la palabra "logística' también la acepción griega. Lo que debe hacerse, agrega, es una nueva logística, una "logística speciosa" comparando entre sí las magnitudes. En esta "logística speciosa" reside uno de sus mayores méritos, pues trajo consigo la importante innovación de utilizar en las cuestiones algebraicas cantidades cualesquiera y, por lo tanto, la de introducir el uso sistemático de las letras.
Nota complementaria
Viéte fue un magistrado y hombre de corte famoso, fuera del campo matemático, por su hazaña, nada simple, de descifrar los mensajes secretos que el rey de España enviaba a su ejército en Flandes. En sus contribuciones al álgebra aparece, vinculada con su "logística speciosa", una "ley de homogeneidad", según la cual sólo pueden compararse magnitudes de igual dimensión. Tales magnitudes son el lado, el cuadrado, el cubo, el cuadrado cuadrado, el cuadrado cubo, etcétera y sus géneros son la longitud, el plano, el sólido, el plano plano, el plano sólido, etcétera. En cuanto al simbolismo utiliza los signos + y - aunque, cuando el sentido de la sustracción es indeciso, utiliza el signo =. No tiene signo para la multiplicación y utiliza la raya para la división. En cuanto a los paréntesis, los sustituye por llaves y, a veces, por una barra horizontal. Pero su innovación más importante fue el uso de las letras, aunque su simbolismo literal no es muy adecuado, pues emplea exclusivamente letras mayúsculas, vocales para las incógnitas, consonantes para las constantes; por otra parte, la ley de homogeneidad complica su uso. He aquí, con símbolos de Viéte, nuestra ecuación
Viéte y su obra
mientras que la identidad que expresa el cubo de una suma la escribe:
A cubus B in A quad. 3 Ain B quad. 3 B cubo equalis A + B cubo.
En su Isagoge y en otras obras, algunas postumas, Viéte desarrolla casi todo el algoritmo algebraico actual correspondiente a las operaciones racionales, que aplica a numerosas cuestiones de análisis indeterminado y a las ecuaciones algebraicas. En el tratamiento de las ecuaciones de tercero y cuarto grados, introduce algunas modificaciones respecto de los métodos de los algebristas italianos. Así, en la cúbica, ya reducida y sometida a su ley de homogeneidad, x3 + 3 b2x + c3 = 0 sustitución, original de Viéte, es x = (h2 - y2):y, con lo cual la cúbica se transforma en la trinomia y6 -c3y3 - b6 = 0, que se reduce a cuadrática; del valor de y así obtenido deduce x.
En cuanto a la ecuación cuártica, simplifica algo la transformación de Ferrari. A la ecuación reducida x4 + a2x2 + b3x + c 4 = 0 agrega a ambos miembrosx2y2 + 1/4y4 de donde (x2 + l/2y2)2 = x2(y2 - a2) - b3x + l/4y4 - c4. Al imponer la condición del segundo miembro cuadrado perfecto, se obtiene una cúbica en y2.
En los sistemas indeterminados Viéte está influenciado por Diofanto, aunque los clasifica según un orden lógico; otras cuestiones algebraicas están vinculadas con la geometría, en especial con la división del ángulo en partes iguales. Así reconoce que el caso irreducible de las cúbicas se reduce a la trisección de un ángulo.
Aunque admite coeficientes positivos y negativos, racionales e irracionales, no considera sino las raíces de una ecuación que anticipa el actualmente llamado "método de Newton”.
También el ya mencionado Stevin se ocupó de álgebra. Se le debe la idea del método de aproximación de las raíces mediante sustituciones sucesivas, señalando que si la diferencia entre los valores numéricos de ambos miembros de la ecuación cambia de signo para dos valores numéricos de la incógnita, la raíz está comprendida entre estos dos valores. Así, en la ecuación x3 = 300x + 33915024, da a x los valores 10, 100, 1000, y comprueba que x está entre 100 y 1000; al darle luego los valores 100, 200, 300, 400, comprueba que está entre 300 y 400 y así sucesivamente.
Con Stevin se vincula Albert Girará, que tradujo al francés varias obras del primero, autor de contribuciones originales al álgebra, en especial a la teoría de ecuaciones. Escribe éstas en forma completa, separando en cada miembro los términos de igual paridad de las potencias de la incógnita y admitiendo coeficientes nulos cuando la ecuación carece de este término. Afirma, sin demostrarlo, el enunciado del teorema fundamental del álgebra: toda ecuación tiene tantas raíces como indica el grado, para lo cual considera, además de las raíces positivas, las negativas y las complejas (que llama "enveloppés") simples y dobles. Observa que las raíces "imposibles" (negativas e imaginarias) sirven para asegurar la validez de la regla general y comprobar que no hay otras soluciones y, asimismo, que prestan utilidad para inventar las ecuaciones que las contienen. Por lo demás, agrega ejemplos en los cuales las soluciones negativas tienen interpretación concreta, como en el problema, por otra parte clásico: dado un cuadrado de vértices opuestos A y B, determinar por A rectas cuya inserción entre los lados (o sus prolongaciones) del cuadrado que concurren en B sea un segmento dado, mayor que el doble de la diagonal del cuadrado.
Entre otras propiedades que figuran en Girará, mencionemos la resolución completa de la ecuación cúbica en el caso irreducible, mediante la trisección del ángulo, las relaciones entre los coeficientes de una ecuación de cualquier grado y las raíces, o la suma de potencias de igual exponente de esas raíces.
Nota complementaria
La resolución de la cúbica por Girard, en el caso irreducible, mediante la trisección de un ángulo es la siguiente. Sea la ecuación x3 +px = q con la condición (27q2 < 4p3) siendo p y q positivos. Considera una circunferencia de diámetro AB = 2√p/3 , en la que, por la desigualdad anterior, existirá una cuerda AC = 3 q/p. Si se triseca el ángulo CAB = 3a, conBAX± = a, la cuerda AX1 = x1 da la raíz positiva de la ecuación.
El caso irreductible en Girard
En efecto, basta sustituir los valores de x1 = 2y√p/3 cos a y de q = 2/3 p-√p/3 cos 3a en la ecuación, para comprobar que se satisface la identidad 4 cos3a - 3cos = cos 3 a.
Si a partir de X1 se divide la circunferencia en tres partes iguales, mediante los puntos X2 y X3, las cuerdas AX2 y AX3 proporcionan los valores absolutos de las otras raíces de la ecuación, en este caso ambas negativas.
Tales relaciones, así como la descomposición factorial, aunque limitada al caso de raíces reales positivas, aparecen también en el inglés Thomas Harriot, a quien se debe la importante innovación, en el simbolismo, de indicar las potencias mediante los factores repetidos, y la menos importante de sustituir las mayúsculas de Viéte (para las incógnitas) por minúsculas. Por ejemplo una ecuación de incógnita a y de factores a - b, a + c, a + d, tiene la "forma canónica" (la expresión es suya):
aaa - baa + caa + daa - bca - bda + cda - bcd.
A Harriot se debe la introducción de los símbolos actuales para mayor y menor. En alguna ocasión utilizó el punto como símbolo de multiplicación, aunque como tal el punto no se difundió hasta el siglo XVIII por obra de Leibniz. El signo x para la multiplicación parece ser original de Oughtred, quien dio entre propios y ajenos unos 150 signos matemáticos. De ellos se han conservado el de la multiplicación, los signos : y :: para la razón y proporción, aunque ya en desuso, y algunas abreviaturas como log. para logaritmo. Como signo precursor agreguemos el símbolo π/d para la razón de la circunferencia al diámetro.
Los progresos de la trigonometría y de la geometría
Sin ser tan espectaculares como en álgebra, durante el siglo XVI la trigonometría experimentó progresos, ya en el campo de la trigonometría plana y esférica propiamente dichas, ya en el campo de las funciones circulares y en la construcción de sus tablas.
A comienzos de siglo la trigonometría está aún vinculada con la astronomía. Recordemos que en la célebre obra de Copérnico; De revolutionibus orbium coelestium, tres capítulos están dedicados a las funciones circulares, dos de los cuales habían aparecido en 1542, año anterior al de la publicación de la obra de Copérnico, en un escrito de su editor, Georg Joachim, llamado Rheticus por el lugar de su nacimiento. Por lo demás, a Rheticus se deben, como a otros matemáticos del siglo, importantes aportaciones a la trigonometría.
Nota complementaria
Se debe a Rheticus el estudio sistemático de las seis funciones circulares, que aparecen por primera vez en Europa definidas mediante el triángulo rectángulo de hipotenusa el radio de la circunferencia fundamental. Fuera del seno y coseno, Rheticus no dio nombre especial a las demás líneas. Los nombres de tangente y secante aparecen en una obra de Thomas Fincke de 1583.
Las aportaciones a la trigonometría
A Rheticus y sus continuadores; Valentín Otto y Bartholomaus Pitiscus, se debe la construcción de las tablas de esas funciones con gran precisión: ángulos de 10" en 10" y funciones hasta con 15 decimales, es decir tomando el radio hasta de 1015 unidades.
Pero tal tediosa tarea, que a veces insumió toda una vida, encontraba dificultades de impresión, no sólo por la naturaleza tipográfica de la obra, sino también porque no era fácil encontrar mecenas que ligaran su nombre a un tipo de libros de difusión limitada y muy especializados. Además, y esto fue lo más lamentable, tal tarea resultó en cierto modo inútil, pues a partir de la tercera década del siglo XVII esas tablas fueron paulatinamente reemplazadas, con ventajas, por las tablas de logaritmos de las funciones circulares, semejantes a la tabla con la que Napier había introducido el nuevo algoritmo en la aritmética.
Agreguemos que en la obra de Pitiscus aparece por primera vez el término "trigonometría". Pero el máximo progreso en el estudio de las funciones circulares y sus aplicaciones a los triángulos se debe a Viéte.
En lo referente a las funciones circulares, además de las relaciones comunes, Viéte agregó las fórmulas que expresan el seno y el coseno del múltiplo de un arco en función del seno y coseno del arco, y así mismo las fórmulas que resuelven el problema inverso para la división de un arco en 3, 5, 7 partes. Estos conocimientos le permitieron resolver, en forma espectacular, un problema que el holandés Adrián Van Roomen había lanzado en 1593 como desafío a todos los matemáticos del mundo. Se trataba de resolver una ecuación de grado 45, en la que Viéte reconoció que no era sino el desarrollo del seno del múltiplo 45 de cierto arco desconocido, de ahí que "inmediatamente", como dice Viéte, dio 23 soluciones de la ecuación (las otras 22 no las dio porque eran negativas).
En cuanto a la trigonometría, tanto plana como esférica, también aparecen en Viéte los teoremas fundamentales, aunque en forma algo diferente de la actual, así como el empleo del triángulo suplementario de la trigonometría esférica.
Agreguemos que la fórmula de recurrencia para los senos y cosenos de los múltiplos de los arcos está en escritos de Otto, mientras que la fórmula del área del triángulo esférico, extendida a los polígonos esféricos, aparece en obras de Girard y que en escritos del físico y geodesta Willebrord Snel figura la fórmula que da la suma de los senos y cosenos de arcos en progresión aritmética, que Arquímedes había dado en forma geométrica.
En conexión con los problemas planteados por las funciones circulares el problema de la cuadratura del círculo recobra durante el siglo un renovado vigor, y es probable que date de esta época la fama, frecuentemente fundada sobre la ignorancia de los términos del problema, de que gozó hasta fines del siglo pasado. No siempre esa ignorancia resultó perjudicial, por cuanto las refutaciones a las soluciones erróneas no dejaron de ser contribuciones positivas al problema, así como lo fue un conocimiento de valores cada vez más aproximados al número n, cuyo primer desarrollo en un algoritmo infinito ve este siglo, por obra de Viéte.
Nota complementaria
Mediante el antiguo método de Arquímedes, utilizando los polígonos inscritos y circunscritos de gran número de lados, y explotando las ventajas del sistema decimal y la práctica de las operaciones aritméticas, se llegó en el siglo XVI a obtener el valor de π con muchos decimales. Por ejemplo, el hábil calculista Rudolph van Ceulen llegó a dar el valor de π con 35 decimales en un escrito (póstumo) de comienzos del siglo XVII. Asimismo, en el siglo XVI aparecieron fracciones que daban el valor de π con buena aproximación. Mientras que el 22/7 de Arquímedes no daba sino dos decimales 355/113exactos, el valor 355/113 que circula en el siglo llega hasta la sexta decimal exacta.
El número π en el siglo XV
También en este campo sobresale Viéte. Fuera de una construcción muy aproximada del problema de la cuadratura del círculo, se le debe la primera expresión convergente, en producto infinito, de número π. Viéte parte de la expresión del perímetro P de un polígono regular de 2n-1 lados y, utilizando de manera recurrente la expresión del seno del ángulo doble, en función del seno y coseno del arco, llega después de n-2 transformaciones aQue, al pasar del polígono a la circunferencia, resulta la expresión límite que Viéte da mediante una serie de raíces superpuestas de irracionales cuadráticos, expresiones algebraicas de los cosenos.
Un par de siglos después, Euler generalizó la expresión anterior tomando una poligonal regular de ángulo central
Quizá sea interesante agregar cómo los variados aspectos de este problema revelaban, sin que todavía se advirtiera, la unidad de la matemática. En efecto, un problema exclusivamente geométrico; de transformación de figuras equivalentes, se había convertido en un problema aritmético, la determinación del valor numérico de cierta razón, problema aritmético que había encontrado soluciones aproximadas en términos finitos, pero también una solución exacta mediante cierta combinación, ahora infinita, de signos matemáticos.
Frente a los progresos de la aritmética, del álgebra y de la trigonometría, sin duda notables, no cabe registrar iguales progresos en la geometría del siglo XVI, si se exceptúan las versiones y comentarios de las antiguas obras geométricas griegas, y la consolidación de la perspectiva como nueva rama de la geometría.
Es explicable el escaso interés que el siglo demostró por la geometría en sí. Por un lado, no era fácil superar los tratados perfectos de un Euclides, de un Arquímedes, de un Apolonio, que a través de versiones, ediciones y comentarios se difundieron durante el siglo. Por otro lado, la preferente atención que el siglo dedicaba a los problemas particulares y a las aplicaciones no dejaba mucho campo a la geometría pura, sin olvidar que muchos problemas geométricos se resolvían más fácilmente con el álgebra.
El más importante geómetra del siglo fue el italiano, de origen griego, Francesco Maurolyco que se ocupó también de óptica y de mecánica, pero cuya vasta producción en parte se ha perdido y en parte es póstuma, por lo que en su tiempo no ejerció mayor influencia. Comentarista y traductor de obras griegas, sus comentarios a Cónicas de Apolonio, lo llevaron a considerar el estudio de esas curvas deduciendo directamente sus propiedades del cono del cual eran secciones, y no a la manera de Apolonio como figuras planas, procedimiento ya utilizado por Johannes Werner, algo anterior, autor de la primera obra europea sobre cónicas.
A Maurolyco se debe la aplicación, en forma aún rudimentaria, del método de inducción completa en la demostración de ciertas propiedades de los números poligonales y poliédricos, que publicó en su Aríthmeticorum librí dúo, escrita en 1557 y aparecida en 1575.
Nota complementaria
En las demostraciones por el hoy llamado método de inducción completa, Maurolyco procede como en el siguiente caso. Sea demostrar que la suma de los primeros n impares es el cuadrado del enésimo término. (En símbolos modernos 1 + 3 + 5 ... + 2 n — 1 = n2.) Empieza por demostrar esta propiedad general: si a un cuadrado de orden n se le suma el impar de orden n-1, se obtiene el cuadrado de orden n + l (n2 + (2n + 1) = (n + l) 2). En virtud de tal proposición Maurolyco dice que si a la unidad, que es primer cuadrado y a la vez el primer impar, se agrega el segundo impar, se obtiene el segundo cuadrado (1 + 3 = 4 = 22 ); si a este segundo cuadrado se agrega el tercer impar se obtiene el tercer cuadrado (4 + 5 = 9 = 3 2); si a este cuadrado se le suma el cuarto impar se obtiene el cuarto cuadrado (9 + 7 = 16 = 4 2) y aplicando indefinidamente esa propiedad queda demostrada la proposición general. En verdad, en Maurolyco la inducción completa no es un principio sino un método de demostración por aplicación reiterada de un mismo silogismo que, sin fundamento lógico, extiende indefinidamente.
La inducción completa en Maurolyco
Entre los traductores y comentaristas cabe mencionar a Federico Commandino, a quien se deben, además de traducciones, contribuciones al estudio de los centros de gravedad y a la perspectiva, ya Clavius Christopher Schlüssel, conocido por el papel que desempeñó en la reforma del calendario de 1582 (Reforma gregoriana) y por la influencia que ejerció en la enseñanza mediante su edición comentada de los Elementos de Euclides. También en geometría se destacó Viéte, al ocuparse de problemas clásicos y de su época.
Como respuesta al desafío que lanzó el holandés Van Roomen, la resolución de una ecuación de grado 45, Viéte propuso el antiguo "problema de Apolonio", enunciado en la forma más general de construir, en todos los casos posibles, una circunferencia que pase por puntos dados y sea tangente a rectas y circunferencias dadas, que estudió en su Apollonius Gallus de 1600.
En la segunda mitad del siglo XVI la perspectiva, hasta entonces tratada por los artistas a su manera, comienza a ser objeto de contribuciones de geómetras. Inicia esta labor el ya mencionado Commandino con un escrito de 1558 donde, después de referirse a la proyección estereográfica, pasa a ocuparse de la perspectiva.
Es posible que, para los artistas, una obra escrita por un geómetra excediera sus conocimientos; de ahí la aparición de obras que explicaran las reglas de la perspectiva en forma accesible a los artistas. En este sentido cabe mencionar La práctica de la perspectiva... obra muy útil a pintores, escultores y arquitectos... que en 1568 hace conocer Daniele Bárbaro, pero en especial Las dos reglas de la perspectivo práctica del arquitecto Jacopo Barozzi, apodado "il Vignola" por el nombre de su ciudad natal. La obra apareció postuma en 1583 con comentarios del dominico Egnazio (=Carlo Pellegrino) Danti, profesor de matemática y divulgador de conocimientos científicos. Esta obra del Vignola tuvo gran difusión y se tradujo a varios idiomas como también la tuvo otro de sus escritos, Las reglas de los cinco órdenes de arquitectura de 1562, que llegó a convertirse durante tres siglos en sinónimo de arquitectura.
Aunque se lo debe también a Giovanni Benedetti, científico que se ocupó en especial de temas de dinámica y que trató cuestiones vinculadas con la perspectiva, que incluyó en sus escritos geométricos, la obra mediante la cual esta rama de la geometría adquiere jerarquía científica es Los seis libros de la perspectiva que en 1600 publica Guidubaldo Del Monte, donde aparece por primera vez el teorema que demuestra que la perspectiva de un haz de rectas paralelas es en general un haz de rectas concurrentes.
Cerremos esta reseña de la matemática renacentista mencionando que es en 1556 cuando aparece en el Nuevo Mundo el primer libro impreso de matemática, un modesto Sumario compendioso de las quentas de plata y oro, que se publica en México.Contenido:
Descartes y la geometría analíticaDescartes y la geometría analítica
La teoría de números, las probabilidades y la geometría proyectiva
El cálculo infinitesimal: los precursores
El cálculo infinitesimal: los fundadores
Ya ha tomado cuerpo la expresión "revolución científica" para señalar el proceso que en el campo científico se inicia en Occidente en las primeras décadas del siglo XVII. Para la matemática, ese proceso fue singularmente favorable y fecundo: a su abrigo nace una notable conjunción del álgebra con la geometría que tomará más tarde el nombre de "geometría analítica"; surge el cálculo infinitesimal en su doble aspecto de algoritmo del infinito y de instrumento indispensable para el estudio de los fenómenos naturales y, por si eso no fuera bastante, el siglo asiste al nacimiento de la teoría de números, del cálculo de probabilidades y de la geometría proyectiva.
Claro es que tal florecimiento no se produjo por generación espontánea. Si fue fruto de las condiciones favorables de la época también lo fue del largo proceso que se inicia con el renacimiento matemático del siglo XIII, proceso que por un lado pone a Occidente en contacto con el saber antiguo a través del conducto árabe, saber que se afina y perfecciona con el conocimiento directo de las obras de Euclides, Arquímedes, Apolonio, Diofanto y Pappus; por el otro, aporta un nuevo territorio a la matemática: el álgebra, diferente en forma y contenido de la geometría.
En el álgebra la abstracción matemática adquiere una jerarquía distinta, en cierto sentido superior, frente a la abstracción geométrica. Los objetos matemáticos dejan de ser exclusivamente números particulares que cuentan o miden las cosas del mundo, o figuras que aluden a los cuerpos y objetos naturales; ahora se hacen presentes nuevos objetos matemáticos: las letras, esas especies de la "logística speciosa" de Viéte, símbolos que no se refieren a un número particular o a una cantidad geométrica especial, sino a todos los números, a todas las cantidades, letras "vacías", como alguna vez dirá Descartes, que permiten ser llenadas con cualquier contenido, con cualquier número o medida, sea cual fuere su naturaleza o la de sus magnitudes cuyas cantidades mide.
Por lo demás, los recursos del álgebra permiten unificar la aritmética aplicando un molde común a las propiedades de los números, cualquiera sea su índole, y conferir a la matemática métodos de una generalidad que la geometría no podía permitirse.
Por último, a la influencia del saber griego y del álgebra ha de agregarse otro factor favorable al desarrollo de la matemática en la edad moderna; un factor intrínseco a la ciencia moderna: la matematización del mundo o mejor una renovación de este proceso que se había producido entre los griegos y abandonado durante los tiempos medievales. Pero tal matematización del mundo moderno es distinta de la matematización antigua. En ésta el proceso era a cara descubierta; en la naturaleza idealizada, platonizante, de los antiguos, las figuras geométricas eran elementos del mundo. Baste recordar la óptica geométrica, la astronomía con sus excéntricas y epiciclos, las leyes de la palanca y del equilibrio de los cuerpos flotantes de Arquímedes.
La ciencia moderna seguirá sí la senda abierta por Arquímedes pero, obediente a los nuevos tiempos, devolverá esas leyes a su hábitat natural, el mundo físico, y la aplicación de la matemática a los fenómenos naturales no obedecerá ya a la abstracción matemática, sino al proceso lógico de abstracción lo que equivale a reconocer que el mundo es inteligible y está sometido a las leyes de la razón, por ende a su instrumento natural, la matemática. Las figuras geométricas ya no serán elementos del mundo sino, como dirá Galileo, son el lenguaje, la escritura del mundo y estarán, por lo tanto, al alcance de la mano.
La primera, cronológicamente, de las nuevas ramas matemáticas del siglo XVII es la actual geometría analítica, cuyo advenimiento se vincula con la obra de René Descartes, que en este campo está ligada a la de sus predecesores y contemporáneos, aunque tal vinculación es difícil de establecer, en parte por la escasa propensión de Descartes a reconocer métodos ajenos, haciendo casi imposible averiguar en sus escritos cuáles autores conoce, y en parte por el lugar y el papel que atribuye a la matemática en el campo de los conocimientos. Una de las características del pensamiento cartesiano es lo que se ha llamado su "afán cósmico", es decir un anhelo de generalización y de absoluto, que le hace perseguir la realización de una física general, capaz de explicar completamente todo lo que el universo encierra en la tierra y en los cielos, meta que cree alcanzar con sus Principios de la filosofía de 1644, aunque ese afán es visible desde 1619, fecha de sus primeros descubrimientos (entre los papeles de Descartes se encuentra un breve escrito con la frase inicial: "10 de noviembre de 1619, cuando lleno de entusiasmo, descubrí los fundamentos de una ciencia admirable).
Es en virtud de ese afán que en Descartes la matemática no tiene un fin en sí: la considerará como modelo de la ciencia a la que dictará sus preceptos lógicos, servirá por eso admirablemente, a manera de cobayo, para ensayar su método, pero no será más que eso, un medio, un método. El uso que Descartes hace de los términos "matemática" y "matemáticas" da cuenta de este hecho. En efecto, Descartes habla de "matemáticas" cuando se refiere a sus estudios escolares y destaca entre ellas el álgebra y la geometría, reconociendo en estas ramas cierta sencillez y prioridad respecto de las demás, aunque para él la geometría, está siempre tan ligada a consideraciones sobre las figuras que no pueden ejercer el intelecto sin cansar mucho la imaginación", y en el álgebra "se está tan sujeto a ciertas reglas y ciertas letras que en lugar de una ciencia que eduque a la mente se convierte en un arte oscuro y confuso que la turba. De ahí que la vinculación que establecerá entre ambas ramas será precisamente para tomar "lo mejor del análisis geométrico y del álgebra, corrigiendo los defectos del uno por el otro", Pero, más allá de estas matemáticas, Descartes aspira a una ciencia única a una ciencia integral, ciencia que será la "matemática universal" -ahora en singular, restituyendo al vocablo su valor etimológico- que ha de explicar "todo aquello que pueda preguntarse acerca del orden y de la medida, no importando que la medida deba buscarse en números, figuras, astros, sonidos o cualquier otro objeto"; matemática universal de la cual "las matemáticas constituirán -como él dice- la envoltura".
Esta tendencia hacia una ciencia universal explica también el juicio, a veces hasta despectivo, que le merece a Descartes la matemática pura y el factor negativo que asigna al carácter formal de esta ciencia, cuyas disciplinas, dice "son tan abstractas que no parecen tener ningún uso" y en cuyos problemas "acostumbran a entretenerse geómetras y calculadores ociosos". Tilda de "muy inútiles" las cuestiones de teoría de números que a veces "pueden ser resueltas mejor por un hombre paciente que examine cuidadosamente la sucesión de los números".
En cambio verá una finalidad de la matemática en el método de demostración y en sus aplicaciones. Así dirá en el Discurso "las matemáticas tienen invenciones sutilísimas que pueden satisfacer tanto a los curiosos como facilitar todas las artes y disminuir el trabajo humano", y se asombra algo más delante de "que siendo sus fundamentos tan sólidos y estables no se hubiera edificado sobre ellas nada más importante", mientras que de la práctica matemática que ha realizado no esperará otra cosa "que acostumbrar a la mente a nutrirse de verdades y no satisfacerse con falsas razones".
Además, parece que mucho antes de la aparición del Discurso ya se había apartado de la matemática, pues en 1630 escribe: "en cuanto a los problemas, estoy tan cansado de las matemáticas y me ocupo tan poco de ellas, que no sabría ya tomarme el trabajo de resolverlos por mi cuenta". Sin embargo, no obstante esta desestimación de Descartes hacia la matemática pura y hacia el carácter formal que el álgebra introducía en ella, no obstante el desapego que le demuestra, su afán cósmico, su ansia de unificación lo lleva a realizar, quizá sin advertirlo, una revolución en aquella ciencia abstracta que desvalorizó; esa revolución es la unificación del álgebra con la geometría.
Aunque en la correspondencia y en los papeles póstumos de Descartes figuran cuestiones matemáticas, el único escrito matemático que publicó es Géométrie, tercero y último de los "ensayos" que figuran como apéndices del célebre Discurso del método para conducir bien la razón y buscar la verdad en las ciencias. Además La Dióptrica, Las Meteoros y La Geometría, que son ensayos de este método, aparecido en 1637. Ya en el primer capítulo del Libro primero de los tres que componen la Geometría,había claramente de aquella unificación al titular su primer parágrafo: "Cómo el cálculo de la aritmética se relaciona con las operaciones de la geometría".
Esa unificación la lleva a cabo mediante un recurso muy simple. En efecto, una diferencia esencial entre los elementos geométricos (segmentos) y los elementos algebraicos (letras), que impedía su comparación, consistía en que mientras con las letras pueden realizarse operaciones aritméticas en número ilimitado obteniéndose nuevas combinaciones de letras, con los segmentos tales combinaciones quedan limitadas al caso en que la "dimensión" del resultado es 1, 2, 3, pues en los otros casos ese resultado deja de ser inteligible, es decir, de ser expresable en términos de figuras geométricas: líneas, superficies, sólidos.
Para eliminar tal limitación Descartes recurre a la idea simple del segmento unitario. Así como en aritmética, el número 1 agregado como factor o divisor a cualquier expresión aritmética o algebraica no altera su valor pero sí modifica arbitrariamente el número de factores o divisores, es decir su "dimensión", de igual modo Descartes, a fin de que "los segmentos se reduzcan tanto mejor a los números", adopta un segmento arbitrario como unidad y, operando convenientemente con él, reduce toda combinación de segmentos, cualquiera sea su "dimensión", a un segmento único, Por otra parte esa unidad irá "sobreentendida" y, de hecho, ni ella ni sus operaciones aparecerán, pues - y ésta es la segunda etapa de este proceso genial de Descartes - bastará indicar con una letra cada uno de los datos y el resultado con la combinación respectiva de las letras de acuerdo con las reglas del álgebra.
De ahí que a cada problema geométrico corresponderá cierta relación entre letras, es decir una ecuación. Si esta ecuación tiene una sola incógnita, su valor dará el segmento que resuelve el problema geométrico; si éste es "indeterminado", es decir conduce a una ecuación con dos o más incógnitas, lo reduce, a un sistema determinado, dando valores a todas las incógnitas menos una. De allí que, en el caso de tratarse de dos incógnitas, resultará que si una de éstas representa un segmento variable sobre una recta fija, uno de cuyos extremos es fijo y la otra coincide con uno de los extremos del segmento de dirección fija distinta de la anterior que representa la segunda incógnita, el otro extremo de este segmento dibujará una curva que resuelve el problema. Tal es la manera cartesiana de introducir el método que luego se denominó de las coordenadas, aunque este nombre, no figura en los escritos de Descartes, como tampoco la mención especial de ejes.
De acuerdo con tales principios, Descartes inicia su Geometría indicando cómo se realizan con segmentos las operaciones: suma, resta, multiplicación, división y raíz cuadrada. Señala a continuación, al referirse a "Cómo pueden emplearse letras en geometría", el significado de la unidad "sobreentendida" con el siguiente ejemplo: Si ha de extraerse la raíz cúbica de a2b2 — b, debe entenderse que el primer término está dividido una vez por la unidad y el segundo término multiplicado dos veces por la unidad. Pasa luego a la resolución gráfica de la ecuación de segundo grado, de la cual da dos procedimientos distintos según tenga la ecuación una o dos raíces positivas. En el caso de raíces imaginarias el "problema propuesto es imposible", "El primer libro termina con un "ejemplo tomado de Pappus en el cual Descartes muestra, con legítimo orgullo, la excelencia de su método al resolver un problema que los antiguos sólo habían resuelto en casos particulares.
Nota complementaria
El problema que Pappus denomina "de las 3 o más rectas" se enuncia de este modo: Dadas 2n — 1 (o 2 n) rectas, determinar el lugar geométrico de los puntos tales que trazando por ellos 2n - 1 (o 2 n) rectas, que forman, respectivamente con las anteriores ángulos dados, el producto de n segmentos así determinados esté en una razón dada con el producto de los n — 1 restantes por un segmento dado (o de los nrestantes). Al respecto Pappus dice que, si se trata de un número de rectas que no supera a 4, el lugar es plano o sólido, es decir recta o cónica, y que si se trata de 5 ó 6 el punto "se encontrará sobre cierta línea", agregando que "si fueran más de 6 rectas ya no puede decirse que se da la razón entre un objeto comprendido por cuatro rectas y otro formado por las demás, pues no hay nada que esté formado por más de tres dimensiones". Aunque añade: "sin embargo, poco tiempo antes de nosotros se ha acordado la libertad de hablar así sin designar, empero, nada que no sea inteligible". En efecto, el recurso empleado era el de dar los productos de las razones entre pares de segmentos homólogos, pero -agrega- tanto en este caso como en los anteriores de más de 4 rectas "no hay una síntesis ya hecha que permita conocer la línea".
El ejemplo tomado de Pappus
Descartes muestra entonces cómo puede resolverse el caso general. Para eso supone, como siempre, el problema resuelto y "para salir de la confusión de todas esas líneas", considera como principales una de las dadas y una de las que hay que encontrar, y a ellas trata de referir las demás. Es decir, simplificando la figura, toma la recta dada BA, el segmento OA = x y al segmento y como elementos de referencia, y si BC es otra de las rectas, demuestra que el segmento z, según la dirección dada, es función lineal de x e y. En efecto, si BO = a; AM = y;MN = z; AC = h, siendoB y C las intersecciones de BC conAB y MA, respectivamente, los triángulos ABC y MNC,de lados de direcciones fijas, permiten escribir: b(h +y ) = z; h = ( a + x )c, con b y c constantes, eliminando h resulta abe + bcx + by = z, terminando Descartes: "... se ve también que, multiplicando varias de estas líneas entre sí, las cantidades x e y que se encuentran en el producto, no pueden tener cada una más que tantas dimensiones como líneas haya. De modo que ellas no tendrán nunca más de dos dimensiones cuando se trate sólo de la multiplicación de dos líneas, ni más de tres cuando se trate sólo del producto de tres, y así al infinito".
Entonces, continúa Descartes, si el problema es a lo sumo de 4 rectas, dando un valor fijo a una de las incógnitas se obtendrá una ecuación de segundo grado, que permitirá obtener con regla y compás puntos del lugar geométrico.En el libro segundo demostrará, además, que ese lugar será plano o sólido, mientras que si se trata de 5 o más líneas aparece una ecuación de un grado más compuesto, en cuyo caso Descartes designa el lugar como hipersólido. A continuación demuestra que el caso más simple de estos lugares está representado por la "parábola cartesiana", curva que resuelve el problema de Pappus cuando se dan cinco rectas, 4 de ellas equidistantes y paralelas y la quinta normal a las cuatro anteriores.
Como en la resolución de ese problema pueden presentarse rectas o circunferencias (lugares planos), cónicas (lugares sólidos) u otra clase de curvas no conocidas por los antiguos, Descartes dice que antes de considerar el caso general "es necesario que diga algo en general de la naturaleza de las líneas curvas". Tal es el objeto del segundo libro, en el cual, después de criticar la clasificación de los antiguos en problemas planos, sólidos y lineales, introduce una clasificación poco feliz de las curvas planas algebraicas en géneros (en su Geometría no figuran curvas trascendentes, que denomina mecánicas), dando a continuación dos métodos, con sus correspondientes trazados mecánicos, para obtener curvas de género cada vez mayor. Con notaciones actuales las curvas obtenidas por esos métodos tienen por ecuaciones, respectivamente, x4m = a2(x2 + y2)2n-1 y xy = (y - a) y, donde y es la ordenada de la curva de género inmediato inferior. Cuando Y es una función lineal se obtiene una hipérbola que, para Descartes, es entonces curva de primer género, mientras que, siY es la ordenada de una parábola de ecuación y = (x2 — b2): b, se obtiene para a = 2b la hoy llamada "parábola cartesiana", curva de tercer grado que resuelve el problema de Pappus para el caso particular de 5 rectas, que los antiguos no habían resuelto. Un segundo problema, en el que Descartes pone a prueba su método, se refiere a la determinación de las normales a las curvas planas, "problema que me atrevo a decir que es el más útil y general no sólo que yo conozca, sino aun que yo haya anhelado jamás conocer en Geometría". Se advierte la razón de esta afirmación cuando se piensa en la concepción cartesiana de la matemática, pues este problema se aplica, unas páginas más adelante, a la construcción de las normales a ciertos óvalos (hoy llamados óvalos de Descartes), que encuentran aplicación en su Dióptrica.
Aquí también aparece un rasgo original de Descartes, pues si bien su método para la determinación de normales o de tangentes, que es lo mismo, es algo engorroso, tiene valor desde el punto de vista algebraico porque resuelve el problema de índole infinitesimal sin recurrir a nociones infinitesimales, amén de emplear en sus cálculos algebraicos el "método de los coeficientes indeterminados" de gran porvenir en matemática.
Nota complementaria
El método algebraico de Descartes para determinar la normal a una curva en un punto de abscisa x1 se traduce geométricamente en la determinación de la circunferencia con centro en el eje de la curva y tangente a la curva en ese punto. Si x0 es la abscisa del centro de la circunferencia, el segmento de valor |x1 — x0| es la subnormal. Para ello trata de que la ecuación que da los puntos de intersección de ambas curvas, tenga una raíz doble utilizando, si es necesario, el método de los coeficientes indeterminados, respecto del cual advierte que "puede servir a una infinidad de otros problemas".
La determinación de las normales según Descartes
Aunque Descartes se limita en su libro, a exponer el método en casos particulares, quizá sea conveniente verlo en general.
Sea y2 = a0 +a1x +…+anxn la ecuación de la curva y (x - x0)2 + y2 = r2 la de la circunferencia en el punto de abscisa x1. Descarte identifica entonces:(x - x0)2 +a0 + a1x +…+anxn - r2 =
= (x - x1)2(b0 + b1x +…+bn-2xn-2.
con coeficientes b1 indeterminados. Establece las ecuaciones resultantes de la identidad de polinomios y, mediante un ingenioso recurso, elimina las b1 y llega al valor de |x1 - x0| en función de las a1 que resulta de la forma:1/2 (a1 + 2a2x1 +…+ nanxn-1.
que es fácil comprobar que es el valor de y1y1 es decir la subnormal.
Al final del segundo libro Descartes hace una excursión, no muy feliz a las curvas del espacio.
a. El libro tercero de la Geometría es un tratado de álgebra cuyo objeto es la resolución de problemas, que llevan a ecuaciones de grado superior al segundo. Cabe señalar entre las propiedades que trata.
b. La reconstrucción de una ecuación conociendo sus raíces, supuestas reales, que distingue en verdaderas (positivas) y falsas (valor absoluto de las negativas). De tal reconstrucción deduce empíricamente la hoy llamada regla de los signos de Descartes, para determinar el número de raíces verdaderas y falsas de una ecuación (en verdad la regla da sólo un valor máximo y de igual paridad de ese número).
c. las transformaciones hoy comunes de las ecuaciones algebraicas: supresión del segundo término, cambio de signo de las raíces, multiplicación de las raíces por un valor constante, aumento o disminución de las raíces según un valor fijo, supresión de factores cuando se conocen raíces, etcétera. Al final de estas transformaciones aparece, por primera vez, la distinción entre raíces reales e imaginarias, dando a este último término el sentido que en una ecuación "pueden imaginarse raíces, en vista de su grado, que sin embargo no existen"; y la resolución algebraica de las ecuaciones de tercero y de cuarto grado, donde no presenta mayores novedades: para la cúbica utiliza la regla "cuya invención atribuye Cardano a un llamado Scipion Ferreus y para la cuártica utiliza como transformación una combinación de los métodos de Ferrari y de Viéte. Sin embargo, pueden anotarse un par de cuestiones interesantes. Los ejemplos que adopta permiten reconstruir la resolución completa, en términos algebraicos y con letras, de un problema geométrico. Toma un problema, también de Pappus, que no es sino el que había utilizado Girard para comprobar un caso de interpretación concreta de las raíces negativas, y después de exponer la solución geométrica de Pappus, plantea la ecuación, que resulta de cuarto grado, suprime el segundo término, aplica el método de Ferrari (sin citarlo) y deduce en la cúbica resultante, por simple observación, una raíz con la cual da la expresión algebraica de la solución del problema. En realidad. Descartes no da sino la raíz positiva menor, sin advertir que siempre existe otra raíz positiva. También es de interés la resolución gráfica de las ecuaciones algebraicas mediante la intersección de una curva con una circunferencia.
Nota complementaria
El método utilizado por Descartes es el de la "parábola fija" y consiste en considerar la ecuación de cuarto grado reducida x4 = px2 + qx + r (que para r = 0 coincide con una cúbica) como resultante de la eliminación de y entre las ecuaciones:
La resolución gráfica de las ecuaciones cúbica y cuadráticaecuaciones de una parábola fija de "lado recto" unitario y de una circunferencia de centro y radio dados por los coeficientes de la ecuación, que Descartes determina o construye gráficamente tomando como elementos de referencia el eje y el vértice de la parábola fija.
Esa curva es una parábola ordinaria en la resolución de las ecuaciones hasta de cuarto grado, resolución que Descartes aplica a los problemas de Délos y de la trisección, demostrando de paso que cualquier problema de tercero o de cuarto grado puede reducirse a uno de esos dos. Da fin a su Geometría con un verdadero alarde técnico al resolver gráficamente una ecuación completa de sexto grado, mediante la intersección de la "parábola cartesiana" (cúbica que para Descartes es una curva de segundo género) con una circunferencia y señala varias aplicaciones del problema: división de un ángulo en cinco partes iguales, construcción de polígonos regulares de 11 y de 13 lados, etcétera.
Creemos también de interés transcribir el párrafo final del libro: "Pero mi objeto no es escribir un libro abultado; trata más bien de muchas cosas en pocas palabras... si se considera que habiendo reducido a una misma construcción todos los problemas de un mismo género, he dado a la vez la manera de reducirlos a una infinidad de otras diversas y, así, de resolver cada uno de ellos, de una infinidad de maneras; y además de esto, que habiendo construido todos los que son planos; cortando un círculo con una línea recta, y todos los que son sólidos, cortando también con un círculo una parábola y, en fin, todos los que son de grado más compuesto, cortando lo mismo con un círculo una línea que no es más que de grado más compuesto que la parábola no hay más que seguir el mismo camino para construir todos los que son más compuestos, hasta el infinito. Pues en materia de progresiones matemáticas, cuando se tienen los dos o tres primeros términos no es difícil encontrar los otros. Espero que nuestros descendientes me estén agradecidos no sólo por las cosas que aquí expliqué, sino también por aquellas que voluntariamente omití para proporcionarles el placer de descubrirlas".
Se advierte en esta frase, mejor que en cualquier otra, todo el pensamiento de Descartes frente a la matemática. Ahí está su escaso interés por el aspecto formal de la matemática Y por su índole técnica, que demuestra dominar: que los demás redescubran lo que él ya ha encontrado. Ahí, en cambio, está también su acentuación del valor metódico de la matemática, mostrando cómo sirve admirablemente de ejemplo, de modelo, de su precepto lógico de "conducir ordenadamente mis pensamientos comenzando por los objetos más simples y más fáciles de conocer para ir subiendo poco a poco gradualmente hasta los conocimientos más complejos... hasta el infinito", como se expresa en ese párrafo final de su ensayo.
Nota complementaria
Las innovaciones o modificaciones que introdujo Descartes en el simbolismo pueden resumirse como sigue. Aunque conoce el signo = prefiere utilizar para la igualdad un signo propio, semejante al actual para el infinito; cuando le conviene escribe el segundo miembro de una ecuación igual a 0 "pues es mejor -dice- considerar así en conjunto toda la suma, que hacer una parte igual a otra"; introduce el uso de letras minúsculas y la novedad, que se ha conservado, de indicar los valores conocidos con las primeras letras del alfabeto y las incógnitas con las últimas. Se le debe la introducción sistemática de los exponentes, con excepción de la segunda potencia, que escribe mediante los dos factores iguales (es posible que esta notación, que es la que probablemente haga más extraña la lectura de la Geometría a un lector actual, se deba a razones tipográficas, pues es más simple y requiere igual espacio que la expresión con el exponente). No usa paréntesis, y escribe en columna los factores que son sumas, agrupados por una llave que a veces omite; indica la raíz cuadrada como hoy con el vínculo, anteponiendo al radicando una C, cuando se trata de raíz cúbica. Como trabaja exclusivamente con números positivos debe distinguir los distintos casos de combinaciones de signos de los coeficientes, aunque cuando el signo puede ser indistintamente + o - lo indica poniendo un punto en lugar del signo, mientras que, como innovación superflua, indica con un asterisco la ausencia de un término de una ecuación por ser nulo su coeficiente.
El simbolismo algebraico de la Geometría
Destaquemos, para terminar, algunas contribuciones más de Descartes a la matemática como, por ejemplo, los perfeccionamientos del simbolismo algebraico que introduce en la Geometría y que reduce notablemente la diferencia con los actuales, y otras aportaciones geométricas y algebraicas diseminadas en sus papeles póstumos y en su abundante correspondencia motivada por frecuentes consultas y polémicas: el estudio de las parábolas de orden superior de ecuación y = axn; de la curva llamada hoja de Descartes (de ecuación x3 + y3 = 3axy); el conocimiento de la relación, que se atribuye a Euler, entre el número de caras, aristas y vértices de un poliedro y una interesante construcción geométrica de los diámetros de los círculos cuyos polígonos regulares circunscriptos de 4, 8, 16... lados tienen igual perímetro, cuyo límite daría una solución del problema inverso de la rectificación de la circunferencia: dada la longitud de la circunferencia construir el diámetro.
Si en la Geometría de Descartes la aplicación del álgebra a la geometría aparece más bien como método, en otro matemático francés del siglo XVII, Pierre Fermat, esa aplicación se presenta más naturalmente como un recurso técnico. Fermat, no obstante sus ocupaciones oficiales de magistrado, dedicó con tanta eficacia su tiempo libre a la matemática que dejó honda huella en varias de sus ramas. Profundo conocedor de las obras clásicas griegas: Euclides, Apolonio, Diofanto, es probable que el estudio de Apolonio, de quien reconstruyo obras perdidas, tuviera cono consecuencia la memoria Ad locos planos et sólidos isagoge, escrita antes de 1637 pero publicada póstuma en 1679, donde aparecen los principios fundamentales del método de las coordenadas, si no en forma tan extensa como en la Geometría de Descartes, por lo menos en forma tan clara o más. Lo mismo que Descartes, toma un eje de referencia y en él un punto fijo que considera el origen de segmentos variables, en general perpendicularmente, de manera que este segundo segmento dibujará un lugar diferente según sea la relación algebraica que vincula a los dos segmentos variables.
En esa memoria aparece la ecuación de la recta, que no figura explícitamente en Descartes. Si la recta pasa por el origen Fermat, que sigue el simbolismo de Viéte, escribe D in A aeq.B in E, es decir ax = by, mientras que en el caso general su notación equivale a c2 - ax = by. Igualmente, da la ecuación de la circunferencia, con centro en el origen o en un punto cualquiera, y de las cónicas, elementos con los cuales resuelve algunos problemas geométricos relativos a lugares planos y sólidos. En conexión con esos problemas Fermat estudia la resolución geométrica de ecuaciones mediante la intersección de curvas y, en el campo puramente algebraico, problemas de eliminación y racionalización.
Nota complementaria
El método de Fermat, no muy diferente del actual, puede apreciarse mediante el siguiente ejemplo, en el cual se propone eliminar y entre las ecuaciones x3 + y3 = c3 y ax +y2 + by =n2 . Escribe ambas ecuaciones como fracciones iguales a 1, cuyos numeradores tengan como factor común la letra que debe eliminarse, en este caso:
Una eliminación algebraica de Fermat1 = y3 : (c3 -x3) = (y2 + by) : (n2 - ax)
de dondey2 (n2 - ax) = (y + b)(c3 — x3).
Comparando esta ecuación con la segunda de las dadas (ambas cuadráticas en y] y aplicando el mismo proceso se llega a una ecuación lineal en y, que despeja y sustituye en cualquiera de las dadas. Fermat utiliza, además, la eliminación para racionalizar expresiones. Sea, por ejemplo, racionalizarHace y3 = x3 + c2x y elimina y entre esta ecuación y ax2 — x3 = (b - y)3
Debido a que la Geometría de Descartes se publicó como último apéndice de una obra en francés editada en Holanda, su difusión no fue inmediata. Se la logró, en gran parte, debido a los esfuerzos del profesor holandés Franciscus van Schooten, que en 1649 dio la versión latina de la Geometría con comentarios y se dedicó después a difundir y perfeccionar el método de coordenadas. Entre otros perfeccionamientos cabe mencionar las fórmulas de trasformación de coordenadas, dadas por el mismo Schooten, y la primera idea de coordenadas en el espacio, que aparece en un escrito de Philippe de La Hire de 1679; aunque no se desarrolla hasta mediados del siglo XVIII, sistematizándose así la nueva rama de la matemática, denominada más tarde geometría analítica, como un saber matemático propio y distinto, tanto de la geometría de los antiguos como del álgebra de los árabes.
La teoría de números, las probabilidades y la geometría proyectiva
Ya dijimos que Fermat se dedicó a varias ramas de la matemática. De una de ellas puede considerarse iniciador, la teoría de números, campo en el cual dejó demostraciones y teoremas, algunos de los cuales hoy llevan su nombre.
En 1621 había aparecido la edición greco-latina de la Aritmética de Diofanto, por el poeta y humanista Claude-Gaspard Bachet de Méziriac, autor por lo demás del primer tratado moderno de matemática recreativa, Problémes plaisants & delectables qui sefont par les nombres (1612, 2a edición aumentada 1624) que, además de los conocidos juegos con números y con naipes, trae algunas cuestiones más serias: construcción de cuadrados mágicos, problemas de análisis indeterminado, etcétera.
En los márgenes de un ejemplar de aquella edición de Diofanto, así como en su correspondencia, encontramos notas y resultados de las investigaciones que Fermat realizó en el campo de la teoría de números, de cuya novedad e importancia Fermat tenía plena conciencia. Así dice en sus comentarios: "La teoría de los números enteros, que es muy hermosa y sutil, no fue conocida hasta hoy ni por Bachet ni por otros" y, en otro lugar, "la aritmética tiene un dominio propio: la teoría de los números enteros que ha sido apenas esbozada por Euclides y no cultivada suficientemente por quienes le siguieron".
Nota complementaria
Además del llamado "Gran teorema de Fermat", en los márgenes del Diofanto se encuentran los teoremas siguientes: Todo número primo de la forma 4n + 1 sólo puede ser una vez hipotenusa de un triángulo rectángulo (de lados enteros); su cuadrado lo es dos veces, su cubo tres veces, etcétera (fue demostrado por Euler). Una suma de dos cubos puede descomponerse de infinidad de maneras en suma de dos cubos. Todo número es triangular o suma de 2 ó 3 triangulares; es un cuadrado o suma de 2, 3 ó 4 cuadrados; es pentagonal o suma de 2, 3, 4 ó 5 pentagonales, etcétera. Respecto de este enunciado agrega: "No puedo dar aquí su demostración, que depende de muchos y difíciles misterios de la ciencia de los números, respecto de este tema tengo intención de consagrarle todo un libro..." que jamás apareció.
Algunas cuestiones de Fermat acerca de la teoría de números
En sus cartas aparecen, además del teorema de la periodicidad de los restos potenciales, los siguientes: "La ecuación x4 + y4 = z4 no tiene soluciones enteras (fue probado por Euler). Ningún triángulo rectángulo de lados enteros tiene por área un cuadrado (fue probado por Lagrange). Todo entero primo mayor que 2 puede expresarse como diferencia de cuadrados de una sola manera.
Admitió, aun reconociendo que no podía demostrarlo rigurosamente que los números de la forma 22 + 1 son primos. En realidad se trató de una inducción precipitada, pues esos números son primos para n = 0, 1, 2, 3, 4, pero para n = 5, Euler demostró que era compuesto.
Fermat se ocupó, además, de números "poliédricos", de ecuaciones indeterminadas de grado superior, de números perfectos, de cuadrados y cubos mágicos, etcétera.
Entre los resultados consignados en los márgenes del Diofanto figura la proposición, hoy célebre, que no es posible encontrar cuatro números naturales x, y, z, n para n >2, tales que xn + yn = zn. La celebridad de esta proposición reside en el hecho de que aún hoy, a tres siglos largos de Fermat, no se ha logrado dar una demostración general de esa proposición, ni comprobarse, aun con un solo ejemplo, que es falsa. Fermat la enuncia al comentar el problema de Diofanto de descomponer un cuadrado en suma de dos cuadrados, escribiendo en el margen del libro: "Por otro lado, es imposible descomponer un cubo en suma de dos cubos o un bicuadrado en suma de dos bicuadrados, o en general cualquier potencia en suma de dos potencias de igual exponente, con excepción del cuadrado. He encontrado una demostración de esa proposición, realmente maravillosa, pero el margen del libro es demasiado estrecho para contenerla".
Como la demostración general a que alude Fermat no apareció ni en la correspondencia ni en los papeles que dejó, es de presumir que efectivamente no dispuso de tal "demostración... maravillosa", que creyó en algún momento poseer, y que el hijo, al hacer conocer en 1670 la frase del margen del Diofanto, cometió una indiscreción que, sin embargo, los matemáticos han de agradecer por el estímulo que significó para el desarrollo ulterior de la teoría de números, que debe importantes capítulos a las investigaciones realizadas en pos de la pretendida demostración fermatiana.
Nota complementaria
Este método, ideado por Fermat para resolver algunas de sus cuestiones de teoría de números, es una combinación de la inducción completa con la propiedad de tener un mínimo la sucesión de los números. Por ejemplo, he aquí cómo lo aplica en las proposiciones negativas. Sea demostrar que ningún triángulo rectángulo de lados enteros tiene por área un cuadrado. "Si hubiera algún triángulo rectángulo de lados enteros cuya área es un cuadrado, habría otro triángulo menor que el anterior con igual propiedad. Si hubiera este segundo triángulo con tal propiedad, por el mismo raciocinio existiría un tercero menor que el anterior con igual propiedad y luego un cuarto, un quinto, etcétera, hasta el infinito descendiendo. Ahora bien (entiendo hablar siempre de números enteros) dado un número no existen infinitos números menores que él, luego es imposible que exista un triángulo de lados enteros....
El método de "descenso infinito"
En las cuestiones afirmativas combina el método con la reducción al absurdo. Así, para demostrar que todo número primo de la forma 4n + 1 es siempre suma de dos cuadrados, dice: "si no se compone de dos cuadrados, existirá otro número primo de la misma forma menor que el anterior que tampoco se compone de dos cuadrados, y luego un tercero, etcétera, descendiendo al infinito hasta llegar al número 5 que es el menor de todos los números de este tipo y que por tanto no sería suma de dos cuadrados. Como esto es imposible, todos los números de esa naturaleza están compuestos de esa manera."
Aplicando un método "de descenso infinito" dice Fermat que ha demostrado la proposición para n = 3 y en otra ocasión afirma haberla demostrado para n = 4.
Actualmente se ha demostrado la proposición de Fermat para extensas categorías de números, pero aún no se ha encontrado una demostración general. Tampoco se encontró ningún ejemplo que comprobara la falsedad de la proposición, no obstante las posibilidades que ofrecen actualmente las computadoras, que permiten manipular números grandes, únicos que en la situación actual podrían satisfacer la ecuación.
Por las circunstancias que rodearon a la cuestión y hasta por haber sido objeto de concursos con valiosos premios, ese problema, que a veces suele llamarse no muy propiamente "el gran teorema de Fermat", adquirió gran popularidad, aunque el descubrimiento más notable de Fermat en el campo de la teoría de números, aparecido en una carta de 1640, es el de la periodicidad de los restos de las potencias de a al dividirlas por un número primo p no divisor de a, de manera que al llegar a la potencia de exponente p - 1 se reproduce el resto 1 (este teorema suele llamarse "el pequeño teorema de Fermat"). El teorema fue demostrado por Leibniz; Euler y Gauss generalizaron más tarde este descubrimiento en direcciones diversas.
Hablando de Fermat conviene recordar que, conforme a la costumbre de la época, numerosas investigaciones en el campo de la matemática, como en el de otras ciencias, fueron provocadas o estimuladas por los problemas o cuestiones que los científicos se dirigían en forma de propuestas o desafíos, a veces públicos.
De ahí que muchas contribuciones científicas de entonces figuren en la correspondencia de los científicos, que se tramitaba mediante intermediarios científicos, entre los cuales cabe destacar por su eficaz actividad, en Francia, el padre franciscano Marín Mersenne y, en Inglaterra, Henry Oldenburg, quien fue secretario de la Royal Society, fundada en 1660.
Así en teoría de números intervinieron, en tales cuestiones, en Francia Fermat, Descartes y Mersenne mismo, en Inglaterra Wallis y Brouncker, en Holanda van Schooten,...
La segunda rama matemática que tiene a Fermat de fundador, o cofundador con Pascal, es el cálculo de probabilidades, cuyos primeros problemas resueltos en el siglo XII nacieron en las mesas de juego y fueron propuestos por el caballero De Méré a Pascal, quien a su vez los propuso a Fermat; sin olvidar que el primer libro sobre juegos de azar, como ya recordamos, se debe a Cardano.
Los problemas propuestos, hoy clásicos, san el "problema de los dados" y el "problema de las partidas". El primer problema consistía en demostrar que en 4 tiros con un solo dado es más probable que salga un 6 que el caso contrario; y que en cambio, en 24 tiros con dos dados, es menos probable que salga un doble 6. En el segundo problema había que averiguar cómo debía distribuirse la bolsa entre dos jugadores de igual habilidad si se suspendía el juego antes de terminarlo y se conocían los puntos logrados por cada jugador en el momento de la suspensión.
En forma distinta, aunque con resultados concordantes, Fermat y Pascal resolvieron la cuestión.
Nota complementaria
En el problema de los dados Fermat, partiendo de la definición de la probabilidad como razón de los casos favorables a los casos posibles, demuestra que en el tiro con un solo dado, los casos posibles son 6 4 = 1296 y los no favorables 54 = 625, de manera que los casos favorables 671 > 625, comprueban el aserto. En el caso del tiro con dos dados, los casos posibles son 3624 y los no favorables 3524 de manera que la probabilidad buscada es 1 - (35/36)24 que, por ser menor que 1/2, vuelve a confirmar la afirmación del caballero De Méré, cuya pericia como notable jugador se revela al advertirse que en ambos casos la diferencia en un solo tiro invierte la probabilidad.
Los problemas del caballero De Méré
En el problema de las partidas Fermat utiliza la teoría combinatoria. Considera el ejemplo concreto en el que dos jugadores A y B suspenden el juego cuando al jugador A le faltan 2 puntos para ganar y al jugador B le faltan 3. Como a lo sumo la partida se habría terminado a las 4 jugadas, Fermat hace las 16 posibles combinaciones con repetición de dos letras ay b tomadas de 4 en 4, cuenta las combinaciones en las que a aparece dos o más veces y las restantes en las que b aparece tres o más veces. Como las primeras son 11 y las segundas son 5, Fermat deduce que las probabilidades de ganar están entre sí como 11 es a 5, proporción en la que debe entonces dividirse la bolsa.
Pascal llega a la misma solución, aunque razona algo diferentemente. He aquí sus palabras: "El siguiente es mi método para determinar la parte de cada jugador, cuando por ejemplo dos jugadores juegan un partido a tres puntos y cada jugador ha apostado 32 pistolas Supongamos que el primer jugador ha ganado dos puntos y el segundo jugador uno; ahora deben jugar por un punto en estas condiciones: si gana el primer jugador se lleva todo el monto de la apuesta, es decir 64 pistolas, si en cambio es el segundo jugador quien gana, cada jugador tiene dos puntos y estarán así en equilibrio, y si dejaran de jugar cada uno retirarían sus 32 pistolas. De modo que si el primer jugador gana las 64 pistolas le pertenecen, mientras que si pierde le pertenecen entonces 32 pistolas. Luego, si los jugadores desean no jugar ese juego y separarse sin jugarlo, el primer jugador podría decir al segundo: 'Tengo aseguradas 32 pistolas aun en el caso de perder el punto, en cambio respecto de las otras 32 pistolas puedo ganarlas o puedo perderlas, las chances son iguales. Dividamos entonces esas 32 pistolas en partes iguales y dadme además las 32 pistolas que tengo aseguradas". De ahí que el primer jugador tendrá 48 pistolas y el segundo 16 pistolas. Si se aplicara el procedimiento de Fermat a este caso se llegaría a igual resultado.
Agreguemos que el nombre de Fermat se vincula, como veremos, con el nacimiento del cálculo infinitesimal y con la óptica, pues en 1661 demuestra la ley de la refracción utilizando el principio de tiempo mínimo.
Como el de Fermat, el nombre de Blaise Pascal está vinculado con la historia de varias ramas de la matemática, además de figurar en la historia de la física, de la filosofía, de las letras y de la religión.
Con su contribución al cálculo de probabilidades se vincula un folleto de 1624 sobre el Triángulo aritmético (a veces inapropiadamente llamado "triángulo de Pascal"), donde aparecen los números combinatorios con su expresión general y algunas de sus propiedades.
También fue Pascal iniciador del cálculo mecánico, pues a los 18 años construyó una máquina de calcular que más tarde Leibniz mejoró. Últimamente se ha mencionado a un precursor alemán, que habría construido una máquina de calcular en la época del nacimiento de Pascal y algo más perfecta que la de éste.
Pascal fue un científico precoz, que aún niño redescubre, sin libros ni ayuda alguna, los primeros teoremas de geometría y que a los 16 años contribuye al resurgimiento de la geometría mediante un teorema que hoy lleva su nombre y que entonces fue llamado "exagrama místico", Pero, según propia confesión, ese teorema y otras propiedades de las cónicas que componían su Essay pour les coniques escrito en 1640, le habían sido inspirados por Girard Desargues, geómetra a quien conoció en las reuniones científicas que se celebraban en la celda del padre Mersenne y que más tarde dieron lugar a la creación de la Academia de Ciencias de Francia (1666).
Desargues fue un ingeniero militar y arquitecto a quien, no obstante su propia declaración de no interesarse en las investigaciones científicas sino en la medida que "puedan ofrecer al espíritu un medio de lograr algún conocimiento... de las cosas que puedan traducirse en actos para la conservación de la salud o en sus aplicaciones en la práctica de algún arte", se le puede considerar como el primer cultor de una de las ramas de la matemática más alejada de la realidad, la geometría proyectiva.
Preocupado por los problemas prácticos de la construcción de relojes de sol y del corte de piedras, se ocupó de perspectiva -sobre la cual publicó dos breves trabajos (1636, 1640)- y de propiedades geométricas en un curso de lecciones que, a pedido de sus discípulos, se publicó en 1639 con el título Brouillon Project d'une atteinte aux évenemenls des rencontres d'une cone avec un plan , que constituye un tratado sobre las cónicas, con conceptos e ideas originales que hoy forman parte de la geometría proyectiva.
En su escrito Desargues observa que las tres cónicas -elipse, parábola e hipérbola- que se obtienen por proyección de una circunferencia desde un punto sobre un plano, deben tener las mismas propiedades que la circunferencia e inversamente. Eso lo lleva a distinguir las propiedades que se mantienen en la proyección y las que no se mantienen. Entre las primeras considera el grupo que hoy llamamos teoría de los polos y polares, añadiendo las propiedades de la involución (el término es suyo), con lo que demuestra una numerosa serie de propiedades de las cónicas, entre ellas las del cuadrivértice completo que hoy lleva su nombre. Extiende algunas de sus observaciones al espacio y se le debe la importante observación que un haz de rayos paralelos debe considerarse como de iguales propiedades que un haz de rayos concurrentes. Más tarde, en 1643, enunció, entre otros muchos y variados, el teorema hoy llamado de los triángulos homológicos.
Aunque apreciada por sus contemporáneos la obra de Desargues no tuvo influencia alguna. El estilo oscuro con que presentaba las nuevas ideas y su terminología, pero en especial el deslumbrante efecto que en esa época ejercían los métodos analíticos (geometría analítica, cálculo infinitesimal) sobre los matemáticos, hizo que el Brouillon-Project permaneciera desconocido por los sucesores, hasta que Chasles lo descubrió en 1845 en la única copia hoy existente, que para su uso personal había hecho confeccionar La Hire en 1679. La Hire había compuesto en 1673 un tratado sobre las cónicas, que estudia mediante una transformación geométrica y precisamente al referirse seis años después al tratado de Desargues se lamenta de no haberlo conocido antes, pues sin duda ese conocimiento le habría ahorrado el escribir el propio tratado, tan simples y generales le parecieron los métodos de Desargues.
Con todo habrá que esperar más de un siglo para que las propiedades proyectivas de las figuras, cuyo estudio inició Desargues, vuelvan a ser objeto de investigaciones sistemáticas y formen una rama autónoma de la matemática.
El cálculo infinitesimal: los precursores
Las consideraciones de índole infinitesimal son tan antiguas como la matemática misma, pues residen en la esencia misma de esa ciencia. En la mera sucesión indefinida de los números está enlarvado el concepto de infinito, en la ilimitada divisibilidad de los segmentos lo está el infinitésimo, y no deja de ser significativo que en el léxico matemático de hoy las expresiones infinito o infinitésimo actual o potencial conserven el sello que les imprimió Aristóteles, precisamente en los siglos en que nace la matemática como ciencia.
De ahí que se encuentren rastros de los métodos infinitesimales en todas las etapas de la evolución de la matemática. Asoman en las críticas de los eleatas y en algunas argumentaciones de los sofistas y adquieren categoría y rigor científicos en la teoría de las proporciones y en el método de exhaución de Eudoxo; método que en manos de Arquímedes y vinculado con el postulado de la continuidad le permite obtener rigurosamente resultados que hoy se logran con el algoritmo infinitesimal, circunstancia que convierte a Arquímedes en precursor de los métodos infinitesimales. Es indudable que la lectura de sus obras por los matemáticos del Renacimiento y modernos, influyó en el resurgimiento de esos métodos, resurgimiento que sin duda se habría acelerado de haberse conocido entonces el Método, no redescubierto hasta 1906.
Nuevamente asoman consideraciones de índole infinitesimal en los tiempos medievales, con la introducción del cero como símbolo operatorio, con la "regla de Merton" y con las primeras series convergentes de Oresme y Calculator, a las que cabe agregar las del portugués Alvaro Tomas, uno de los pocos matemáticos ibéricos del siglo XVI, quien no sólo calcula exactamente series geométricas o reducibles a geométricas, sino que da también el valor bastante aproximado de series convergentes, cuyo cálculo exige el conocimiento de funciones trascendentes.
Nota complementaria
He aquí dos series, combinaciones lineales de series geométricas, cuyo resultado correcto calcula Tomas:
Las series de A. TomasEn cambio, esta serie, combinación de serie geométrica y logarítmica:
no está en condiciones de calcularla sino aproximadamente. Probablemente por comparación con series geométricas dice que su suma está comprendida entre 2 y 4. El valor exacto es 2 + l.2 = 2,693...
Ya vimos también cómo en el siglo XVI aparecen otros algoritmos infinitos: las fracciones continúas de Cataldi, el producto infinito de Viéte para n,...
A este proceso interno se agregará en el siglo XVII la presión externa que ejercerán la mecánica y la astronomía, en cuyo desarrollo los métodos infinitesimales desempeñarán papel decisivo.
En el siglo de la revolución científica, las primeras consideraciones de índole infinitesimal son claras reminiscencias de la influencia de Arquímedes aunque ahora, al compás de los nuevos tiempos, los rigurosos aunque engorrosos métodos griegos, se interpretan con una desenvuelta libertad de razonamiento, no exenta de falta de rigor, que se suple en vista de la exactitud de los resultados y, más tarde, por la utilidad y eficacia que muestran los nuevos métodos en las aplicaciones.
Así Stevin, en 1586, para determinar el centro de gravedad de un paraboloide de revolución, circunscribe a ese sólido un número de cilindros de igual altura que va duplicando y comprueba que el centro de gravedad de esos cilindros, fácil de determinar, se acerca indefinidamente a un punto fijo, que es entonces el centro de gravedad buscado. Ese método muestra semejanza con el método que utilizó Arquímedes en la determinación geométrica, no mecánica, de la cuadratura de la parábola. En ambos casos el resultado, que se admite conocido, es el valor límite de una sucesión convergente, pero mientras que Stevin se limita a comprobar, sobre la base de los tres o cuatro primeros términos de la sucesión, que su límite es cero, Arquímedes, sobre la base del valor de la suma de un número finito de términos de una progresión geométrica de razón menor que la unidad, llega al resultado mediante el riguroso método de exhaución.
En este sentido da un paso más adelante el italiano Lúca Valerio, calificado por Galileo como "el Arquímedes de nuestro tiempo", quien en un tratado de 1604 modifica el raciocinio de Stevin mediante un teorema general, según el cual si se inscribe o circunscribe una figura escaloide (en forma de escalerilla) formada por polígonos, prismas o cilindros, a una figura plana o sólida, la diferencia entre los escaloides inscritos y circunscritos puede hacerse tan pequeña como se quiera y por lo tanto (ahora sin demostración) será también tan pequeña como se quiera la diferencia entre uno de esos escaloides y la figura dada, resultado que admite sobre la base de razonamientos geométricos intuitivos, no rigurosos.
También sigue las huellas de Arquímedes, Johannes Kepler cuya obra matemática más importante, Nova stereometria doliorum vinaríorum de 1615 contiene consideraciones de índole infinitesimal. Por razones más de orden práctico que teórico, ese tratado le fue sugerido a Kepler, en un año de abundante cosecha de uva, por el propósito de comparar las capacidades de los toneles entonces en uso, con el fin de determinar las dimensiones más convenientes desde el punto de vista del material mínimo a emplearse para lograr igual volumen.
Para ello estudió la cubatura de numerosos cuerpos de rotación, obtenidos haciendo girar circunferencias, elipses o arcos de estas curvas o de las otras cónicas, alrededor de ejes paralelos a los ejes de aquellas. En esa forma describe y denomina, generalmente con nombres derivados de frutas, más de 90 cuerpos.
La primera parte del tratado de Kepler se inicia con las cuadraturas y cubaturas de Arquímedes, pero sin utilizar el método de exhaución, sino recurriendo directamente a expresiones de carácter "infinitesimal", admitiendo "como si" las figuras estuvieran compuestas de infinitas figuras infinitamente pequeñas de áreas o volúmenes conocidos. Así supone que el círculo o la esfera están compuestos de pequeños triángulos o conos, respectivamente, de vértices en el centro y de base una pequeña porción del círculo o de la esfera. De esa manera el círculo equivale a un triángulo de altura el radio y de base la longitud de la circunferencia, y la esfera a un cono de altura el radio y de base la superficie de la esfera. Como estos resultados, y otros semejantes, coinciden con los obtenidos penosamente por, el engorroso método de exhaución, aplica iguales consideraciones a los cuerpos nuevos que describe, cuando no los puede reducir a casos conocidos, y logra dar, no siempre con éxito, su volumen.
Nota complementaria
Kepler llama limón al sólido de revolución obtenido haciendo girar un segmento circular, menor que un semicírculo, alrededor de su cuerda. Construye en cada punto A del segmento un triángulo rectángulo en A, de catetos la distancia AB igual a la semicuerda, y la normal AC al plano del segmento, de longitud la circunferencia rectificada de radio AB. El triángulo ABC es equivalente al círculo que describe el punto A en la rotación, de manera que el volumen buscado será el del sólido descrito por el triángulo. Ese sólido es una uña cilíndrica, que a su vez integra, con otros sólidos de volumen conocido, una uña cilíndrica mayor, del tipo estudiado por Arquímedes, y por tanto también de volumen conocido; de ahí que por diferencia obtenga el volumen del "limón".
El "limón" de Kepler
Además dada la índole del problema que lo había conducido a estudiar el tema, Kepler se ocupa de cuestiones de máximo y mínimo, que resuelve empíricamente mediante la observación de cuadros de valores numéricos. De esa manera reconoce el cuadrado como rectángulo de perímetro constante y área máxima, determina el paralelepípedo inscrito en una esfera de volumen máximo, etcétera. Por otra parte, la observación de sus cuadros de valores le permite afirmar que los toneles austríacos eran los más convenientes, pues con el mismo material encerraban mayor volumen, y esboza la condición, ya señalada por Oresme, que en las proximidades de un máximo las variaciones de la cantidad se hacen insensibles, forma rudimentaria de expresar la actual condición de derivada nula en los puntos en que una función pasa por un máximo.
Se deben a Kepler otras consideraciones de índole infinitesimal: la caracterización de una curva a partir de una propiedad de sus tangentes; el valor aproximado de la longitud de la elipse como la de una circunferencia de diámetro semisuma de los ejes de la elipse; la aplicación del principio de continuidad, que supone que la parábola es un caso límite de la elipse o de la hipérbola, cuando uno de los focos (este término le pertenece) se aleja infinitamente, en cuyo caso el sistema de rayos focales se convierte en un haz de rayos paralelos.
Concepciones semejantes a las de Kepler y también vinculadas con la obra de Arquímedes, se encuentran en el jesuita Buonaventura Cavalieri, miembro del grupo de amigos y discípulos de Galileo. Cavalieri, que se ocupó de trigonometría y de aplicaciones de los logaritmos, a cuya difusión en Italia contribuyó en gran medida, es autor de un método de "integración" fundado en los "indivisibles", que ocupa un lugar intermedio entre las rigurosas demostraciones de Arquímedes y los métodos infinitesimales que surgirán en la segunda mitad del siglo. Sin definir el término, Cavalieri adopta los indivisibles de la filosofía escolástica, es decir entes de dimensión menor respecto del continuo del cual forman parte: los puntos son los indivisibles de las líneas; las líneas lo son de las figuras planas, etcétera. En verdad, Cavalieri no utiliza esta definición, ni ninguna otra, sino que para él los indivisibles son una manera de hablar para referirse a los elementos de dos figuras que compara y que, mediante cierta técnica algebraica, le permiten calcular áreas y volúmenes.
El método lo expone en Geometría indivisibilibus continuorum nova quadam ratione promota (1635, 2a. edición modificada, póstuma, 1653) aunque el método está mejor expuesto en Exercitationes geométrica sex (1647). Este último trabajo perseguía también una finalidad polémica, pues estaba dirigido a responder a las objeciones de Paul Guldin contra su método. En sus Exercitationes, Cavalieri demuestra con su método los teoremas, que figuran en Pappus, relativos al área y al volumen de los cuerpos de rotación, conocidos hoy con el nombre de teoremas de Guldin, que éste no había demostrado sino mediante raciocinios metafísicos.
Sin recurrir al engorroso método de exhaución, Cavalieri logra dar en sus "integraciones" el resultado de la "integración" de las primeras tres potencias de la variable y cuando más tarde logra también la demostración para la cuarta potencia, extiende por analogía el resultado a una potencia de exponente natural cualquiera. Con estos resultados pudo resolver problemas de los antiguos, otros resueltos o propuestos por Kepler y también algunos nuevos. Entre sus contribuciones originales citemos la cuadratura de la espiral de Arquímedes, que reduce a la de la parábola, y la observación, que hubiera sin duda sorprendido a Arquímedes, de que el arco de la espiral estudiada por él era igual al arco de una determinada parábola.
Nota complementaria
Las "integraciones" de Cavalieri, con el lenguaje de los "indivisibles", siguen el siguiente razonamiento: Consideremos el paralelogramo ABCD de base AD =c y el triángulo ABC, e indiquemos con x los segmentos variables paralelos a la base c. En el lenguaje de los indivisibles n segmentos x llenan el triángulo, como n segmentos c llenan el paralelogramo, y por ser el triángulo la mitad del paralelogramo resultará, con nuestro símbolos
Los "indivisibles" de CavalieriDe la misma manera, si se compara la pirámide de vértice A y base el cuadrado de lado BC, con el prisma de igual base y altura de volumen triple del de la pirámide
Para los exponentes 3 y 4 Cavalieri acude al álgebra. Biseca el paralelogramo mediante la paralela MN a AB y llama y y z los segmentos paralelos a la base de los triángulos ACD y ONC, siendo O el centro del paralelogramo.
Será entoncesx = 1/2 c + z
y = 1/2 c - z
Ahora, dice Cavalieri, los n indivisibles del triángulo ABC pueden descomponerse por mitades en los triángulos ABC y ADC de dondeComo los triángulos NOC y ABC son semejantes y de lados mitades, los 1/2 n indivisibles iguales a z2 equivalen a la mitad de los n indivisibles iguales a (1/2 x)2 y en definitiva, teniendo en cuenta el resultado para el exponente 2:
En forma semejante demuestra Cavalieri
Admitiendo entonces, en general
Que, en el lenguaje de los divisibles, expresa que la suma de los n indivisibles dexp, cuando x va de 0 a c, es a la suma de n indivisibles iguales a cp como 1 es a p + 1. Si se multiplica la igualdad de Cavalieri por el incrementoc/n en ambos miembros y se pasa al límite para n → ∞, se llega a nuestra integral definida
Del círculo científico de Galileo se ocuparon también de matemática Evangelista Torricelli y Vincenzo Viviani. Torricelli se ocupó de cuestiones infinitesimales en su Opera geométrica de 1644, donde, entre cuestiones relacionadas con las tangentes, cuadraturas y cubaturas, figura una interesante aplicación de los "indivisibles" que aportó además la novedad, en cierto modo paradójica para la época, de una figura infinita de volumen finito.
Nota complementaria
Por el método de los indivisibles Torricelli demuestra que si OA y OB son las asíntotas de la hipérbola equilátera MD, el sólido infinito que se obtiene haciendo girar el segmento DC y la rama infinita DM alrededor de la asíntota OB, es equivalente al cilindro de altura OC y de base el círculo de diámetroOS, doble de la distancia OR del centro O a la hipérbola.
Lo indivisible, en Torricelli.Para eso considera como "indivisibles" del sólido las superficies, laterales de los cilindros de altura MQ y base el círculo de radio OQ y como "indivisible," del cilindro de altura OC los círculos paralelos a la base de diámetro QT. Es fácil comprobar que ambas figuras, el cilindro y el círculo, son equivalentes pues de la propiedad de la hipérbola se deduce
2OQ × OM = OR2 = 1/4 QT2
Por otra parte, de las obras completas de Torricelli conocidas en este siglo se desprende que se ocupó de curvas nuevas, como las hoy llamadas "logarítmica" y "espiral logarítmica"; de la primera dio la cuadratura y la cubatura del sólido engendrado por rotación de la curva, y de la segunda la longitud del arco, resolviendo así el primer problema de rectificación.
El nombre de Viviani, geómetra que dio versiones y reconstrucciones de Euclides, Apolonio y Arísteo, está vinculado con un problema propuesto por él y llamado "enigma florentino": construir en una bóveda esférica dos ventanas iguales de manera que la porción restante de la semiesfera sea cuadrable. Viviani dio como solución las ventanas cuya proyección sobre el plano de la bóveda son circunferencias de diámetro igual al radio de la esfera; en cuyo caso la porción restante del hemisferio es equivalente al cuadrado construido sobre el diámetro de la esfera.
Notable influencia sobre el desarrollo de los métodos infinitesimales ejerció el estudio de una curva que ocupó a casi todos los matemáticos de la primera mitad del siglo XVII. Se trata de la cicloide (el nombre es de Galileo), curva descrita por un punto de una circunferencia que rueda sin resbalar sobre una recta. El estudio de esta curva motivó polémicas, controversias y desafíos, en los que intervino Galileo y, además, Mersenne, Torricelli, Viviani, Roberval, Descartes, Pascal, Fermat, Huygens, Wren, Wallis,... Con tal motivo veamos las contribuciones de algunos de estos matemáticos a los métodos infinitesimales nacientes.
Giles Personne de Roberval se ocupó de numerosas cuestiones relacionadas con los métodos infinitesimales. Se le debe un método cinemático para construir las tangentes a todas las curvas planas conocidas en su época, a las que él añadió la actual sinusoide, que denominó "compañera" de la cicloide, considerando la curva descrita por un doble movimiento, cuya resultante, de acuerdo con la regla del paralelogramo, proporcionaba la dirección de la tangente. Se ocupó además de calcular áreas y volúmenes, así como rectificaciones y centros de gravedad, utilizando una concepción semejante a la de los indivisibles, aunque ya algo más próxima a la de los "infinitamente pequeños".
Nota complementaria
Consideremos, como ejemplo, el método empleado por Roberval para determinar el área de la cicloide y el volumen del sólido engendrado por su rotación, mostrando al mismo tiempo el eficaz empleo en este ejemplo de la "compañera" de la cicloide, es decir de la sinusoide. Sea AMC una semicicloide engendrada por el punto A del círculo generador de diámetro d. Trazando por M la paralela a la base, el punto Pdonde corta al diámetro normal a la base del círculo móvil dibuja la sinusoide APC. Si x es el ángulo central de los arcos AN = MS será RN = MP = ½ d sen x. De ahí, utilizando los indivisibles, Roberval concluye que el área AMCPA, comprendida entre la cicloide y la sinusoide, es el área del semicírculo generador y que el volumen engendrado por la rotación de AMCPA será igual al engendrado por la rotación del semicírculo generador.
Los indivisibles en Roberval
Por la simetría de la sinusoide, ésta divide al rectángulo ABCD en dos partes iguales y por tanto la figura APCD será equivalente al semirrectángulo o, lo que es lo mismo, al círculo generador, de ahí que el área encerrada por la semicicloide AMCD es equivalente a tres semicírculos generadores.
Para determinar el volumen del sólido engendrado por la sinusoide tendremos, llamado SP = y; PT = z, quePero como x varía de 0 a π, la suma de los indivisibles de (sen x)2 será
y, en definitiva,
es decir que el volumen engendrado por la sinusoide es los 3/8 del volumen del cilindro engendrado por la rotación del rectángulo ABCD, y como el volumen engendrado por la figura AMCPA era 1/2 de ese cilindro, en definitiva el volumen engendrado por la cicloide, al girar alrededor de su base, es los 5/8 del volumen engendrado por su rectángulo circunscrito, que es el resultado que da Roberval.
Con métodos semejantes estudia Pascal numerosas propiedades de la cicloide, que llamó "roulette", propiedades que constituyeron el tema de un desafío lanzado públicamente por Pascal en 1658 a todos los matemáticos de la época.
En cuanto a Fermat, sus contribuciones al cálculo infinitesimal abarcan todas sus ramas y muestran su habilidad algorítmica. Fermat traduce algebraicamente la idea, ya esbozada por Oresme y por Kepler, relativa a la anulación de la variación de las cantidades en las proximidades de un máximo o un mínimo, y expone un método para la determinación de esos valores, que aplica a la determinación de las tangentes. Explotando con habilidad la suma de términos de una progresión geométrica, logra la cuadratura de las parábolas de orden superior o, lo que es lo mismo, la integración de las funciones de potencia, con excepción del exponente -1. También se ocupó de rectificaciones de curvas, reduciendo en algunos casos ese problema al de las cuadraturas, lo que ponía de manifiesto la analogía entre ambos problemas.
Nota complementaria
Empecemos por considerar el "método de máximos y mínimos" de Fermat, quien traduce algebraicamente la observación de anularse, en las proximidades de esos valores, la variación de la función. Aplicándolo a un ejemplo simple, consideremos el problema de determinar entre todos los rectángulos isoperímetros el de área máxima. Si 2a es el perímetro y x el lado del rectángulo buscado, deberá hacerse máximo el producto x(a - x). De acuerdo con la propiedad mencionada la diferencia entre ese producto y su valor en las proximidades del máximo tendrá que anularse, de ahí que para el valor próximo ( x + e) será
Las contribuciones infinitesimales de Fermatx (a - x) - (x + e)(a -x - e) = e(2x - a + e.
Dividiendo por e y luego anulando e, se obtiene x = 1/2 a, resultado correcto pues el cuadrado es el rectángulo isoperímetro de mayor área.
Fermat utiliza este método en la determinación de las tangentes a las curvas planas, concibiéndolas como las rectas que, entre todas las secantes que pasan por un punto fijo del eje, determinan el máximo o el mínimo coeficiente angular, es decir el cociente y : z, siendo z el segmento que hoy llamamos subtangente.
Sea, por ejemplo, determinar la tangente a la parábola x = x2/a.
De acuerdo con la regla de Fermat se tendrá:Por tanto que es precisamente la subtangente de la parábola.
Como ejemplo de una cuadratura de Fermat, sea calcular el área de la figura comprendida entre el eje de lasam-nyn = xm (con m >n, naturales), y la ordenada en el extremo de coordenadas x, y. Fermat divide el intervalo en puntos de abscisa x, tales quexr = xqr (con q < 1) y comprueba ante todo queAsimilando ahora los trapezoides de bases
(x, xn)(xn, x2n).
rectángulos de igual base y de altura las ordenadasy1, yn … sus áreas Sn, S2n… están en progresión geométrica. En efecto,y por tanto el área total, sumando la serie geométrica convergente, es
siendo S0 el área del rectángulo de los lados x e y. Finalmente, admitiendo que todos los rectangulitos son iguales, Fermat llega al resultado exacto
Mientras el estudio de estas cuestiones geométricas: tangente, rectificaciones, cuadraturas, cubaturas, centros de gravedad, etcétera, iban proporcionando elementos para los futuros algoritmos del cálculo diferencial e integral, hacían su aparición otros algoritmos infinitos.
La suma de la serie geométrica convergente, ya utilizada por Fermat en sus cuadraturas, aparece en una voluminosa obra del jesuíta belga Gregorius Saint Vincent en la que, no obstante pretender con ella demostrar la cuadratura del círculo, figuran cosas interesantes. Al analizar los métodos de los antiguos introduce, no muy apropiadamente, el vocablo "exhaución", con el que designamos hoy el proceso de demostración inaugurado por Eudoxo. Saint Vincent insinúa además una noción de límite y vislumbra la relación entre los logaritmos y la cuadratura de la hipérbola.
Entre quienes se ocuparon en refutar las demostraciones de Saint Vincent figura uno de los grandes científicos del siglo: Christian Huygens, que además de su labor como físico y astrónomo realizó diversas investigaciones matemáticas, algunas en conexión con sus trabajos físicos, otras independientes. Entre estas últimas pueden mencionarse cuestiones de geometría elemental, relacionadas en especial con el problema de la cuadratura del círculo, que perfecciona los métodos conocidos para obtener valores aproximados de n o para rectificaciones aproximadas. También se le debe el primer tratado orgánico relativo al cálculo de probabilidades, fundado sobre la correspondencia de pascal y Fermat, el Tractatus de ratiociniis in ludo aleae de 1657. Se ocupó de curvas planas, algunas nuevas como la tractriz y la catenaria, mientras que en conexión con sus estudios mecánicos enriqueció el estudio de las curvas con la teoría de las evolutas y evolventes, que figura en su célebre Horologium oscilatoríum de 1673, teoría con la que se abre un nuevo capítulo de la geometría diferencial, el relativo a la curvatura de las curvas planas.
Nota complementaria
La demostración de Huygens es puramente geométrica. Parte de la curva suponiendo dos puntos de ellaA y B próximos y considera la tangenteTA en A y las normales AM y BN en esos puntos, cuya intersección C será el centro de curvatura y la distancia AC el radio de curvatura, que determina partiendo de los triángulos semejantes AN'C y MNC y los ABN' y TBN, utilizando por último una curva auxiliar de puntos próximos cuyas ordenadas son las subnormales de A y B y en la que considera tangente. He aquí resumida su demostración:
La determinación del radio de curvatura por Huygens
Y como, por su parte,
Se llega a
de donde se deduce AC en función de datos conocidos, pues AM es la longitud de la normal, TB' es la subtangente, TN es la suma de la subtangente y subnormal; B0B' es la subnormal y T1B' es la subtangente de la curva cuyas ordenadas son las subnormales (el cociente B0B'/T1B' resulta ser la derivada de la subnormal). Si se sustituyen en la fórmula última los valores de esos segmentos por sus expresiones actuales se obtiene, como puede comprobarse, la expresión actual, en valor absoluto, del radio de curvatura.
También se ocupó de series y de la cuadratura del círculo James Gregory, con quien aparece, probablemente por primera vez la distinción entre series convergentes y divergentes. Estudia en especial las series de las funciones circulares inversas y es precisamente en la circunstancia de la imposibilidad de expresar mediante un número finito de términos algebraicos la relación entre el área de un sector circular y la de las poligonales inscritas o circunscritas, donde cree ver la imposibilidad de la cuadratura del círculo.
Las series fueron introducidas sistemáticamente en el análisis por John Wallis, uno de los matemáticos más originales del siglo, que cubrió en gran parte con su larga vida, pues murió casi nonagenario. Escribió sobre álgebra y sobre las cónicas, que consideró por primera vez como las curvas cuya ecuación en coordenadas cartesianas es de segundo grado. Se ocupó de la teoría de las paralelas y sustituyó la noción de equidistancia en la que casi todos los comentaristas y traductores de Euclides se apoyaban para justificar el quinto postulado, por la existencia de un triángulo semejante a un triángulo dado y de magnitud arbitraria. Wallis trató de justificar este postulado por analogía con el tercer postulado euclidiano, que admitía que por un punto cualquiera puede trazarse una circunferencia de radio arbitrario, aceptando que pudiera existir un triángulo semejante a otro tan grande como se quiera. Aunque no es tan simple ni tan intuitivo como el de Euclides, el postulado de Wallis es equivalente, y por tanto muestra la vinculación del quinto postulado con la teoría de la semejanza e inversamente, como se demostró más tarde, que en las geometrías no euclidianas no pueden subsistir triángulos semejantes, pues la magnitud de cada figura está indisolublemente ligada a la de sus ángulos.
La obra más importante de Wallis es su Arithmetica infinitorum de 1655. En ella aparece el actual símbolo de "infinito", que utiliza también para "la nada" (non-quanta) como recíproco 1: ∞, así como también los exponentes fraccionarios e irracionales, interpretándose también correctamente los recíprocos de las potencias de exponente positivo como potencias de exponente negativo, aunque éstos no los escribe.
Un resultado fundamental, expuesto por Wallis mediante un método que es mezcla de inducción e interpolación, le permite expresar nuestra integral de la función xm en el intervalo (0,1) como l/(m + 1), para cualquier exponente. Este resultado correcto para m = -1, de acuerdo con la concepción de Wallis, no tiene sentido para m < -1, y en efecto la interpretación de Wallis no es correcta en este caso. Wallis extiende luego esta regla a toda suma o serie de potencias, de donde resultó una importante contribución al problema de la cuadratura del círculo. Al aplicar su regla a la expresión entera (1 — x2)n para valores sucesivos de n trató de obtener, por interpolación, el valor para n = 1/2 al que correspondería como resultado 1/2 π. Como no logró éxito fue modificando los valores del exponente n, al mismo tiempo que modificaba los de la potencia de x, y siguiendo ciertas leyes de generalización e interpolación llegó a un nuevo desarrollo de n en producto infinito en la forma


Agreguemos que las series oscilantes hacen su aparición a comienzos del siglo XVIII, en una carta de 1705 dirigida a Leibniz por Guido Grandi, mediante el clásico ejemplo de la serie
![]()
Nota complementaria
Con la figura y notación de Barrow pero con terminología actual, el método aparece descrito en esta forma. Sean AP = p y PM = m las coordenadas de un punto M de la curva en el cual debe trazarse la tangente que cortará al eje en el punto T tal que TP = t. Se toma un arco MN infinitamente pequeño (indefinite paroum), se traza la paralela NR= e, que forma con RM = a un triángulo RNM, que más tarde sellamó "triángulo característico".
El método de las tangentes de BarrowSe calculan de acuerdo con la ecuación de la curva los valores de a y de e observando las reglas siguientes: en virtud de la ecuación quedan eliminados todos los términos que no contienen a o e ; se suprimen todos los términos de grado superior de a y de e porque esos términos "nihil valebunt" y se deduce la razón a : e que es igual a m : t, de donde se despeja t, nuestra subtangente. Resulta evidente que en estos cocientes a : e o m : testá implícita la actual derivada como pendiente de la tangente a la curva.
Claro es que por el método de Barrow se obtiene t en función de ambas coordenadas. Así si la ecuación es (el ejemplo es de Barrow):p2 (p2 + m2) = h2m2
Barrow obtienet = m2(h2 - p2) : p(2p2 + m2.
mientras que nuestra subtangente seríat = p(h2 - p2) : (2h2 - p2)
Por un lado se le debe un método para la determinación de las tangentes a las curvas planas, mediante el "triángulo característico", que no difiere del actual sino en la notación, con lo que en suma puede considerarse el fundador de la noción de derivada; por el otro, Barrow fue el maestro de Newton, a quien en 1669 cede su cátedra de Cambridge para dedicarse a la teología. Las frecuentes discusiones entre maestro y discípulo, la mutua colaboración, pues Newton revisó y corrigió una de las ediciones de una obra de Barrow, son hechos que sin duda contribuyeron a asignar importancia a la influencia de Barrow en el futuro del cálculo infinitesimal.
El cálculo infinitesimal: Los fundadores
La obra de los precursores y predecesores de Newton y de Leibniz preparó y allanó el camino para que ellos lograran, con su propia labor, dar nacimiento a una rama autónoma de la matemática, que hoy llamamos análisis infinitesimal pero que durante mucho tiempo siguió siendo en realidad un cálculo, un conjunto de reglas de gran utilidad y eficacia, puestas en evidencia por sus notables éxitos en las aplicaciones, pero desde el punto de vista matemático no mucho más que eso.
Aquellos precursores y predecesores habían tratado y resuelto numerosos problemas relativos a los tres capítulos que más tarde constituirían la nueva disciplina: de cálculo diferencial, al estudiar la determinación de las rectas tangentes, la curvatura y los problemas de máximo y de mínimo; de cálculo integral, en la determinación de cuadraturas, cubaturas, rectificaciones, centros de gravedad; y de algoritmos infinitos, al ocuparse de series, de productos infinitos, de fracciones continuas infinitas.
Pero fuera de algunos atisbos, faltó en ellos todo nexo que vinculara esos problemas aparentemente independientes; faltó en esos métodos todo carácter riguroso, carentes como estuvieron de toda demostración entendida en el sentido lógico, tal como se presentaba en los métodos de los antiguos. Esos métodos yacían bajo casos particulares, o cuya generalidad no se demostraba, y en ellos se mezclaban consideraciones geométricas con desarrollos algebraicos.
Esta evolución empírica será en parte superada por la obra de Newton y de Leibniz, pero debe reconocerse que si esa obra dio nacimiento al cálculo infinitesimal no fue sino una etapa, sin duda muy importante, en el desarrollo del análisis infinitesimal.
La labor matemática de Isaac Newton, íntimamente vinculada con sus investigaciones de filosofía natural, no se limitó a cuestiones infinitesimales, sino que abarca amplias zonas del álgebra y de la geometría. Así, en sus célebres Principia de 1687, dedica un par de secciones del primer libro a estudiar propiedades de las cónicas, en forma geométrica.
Aparece la solución geométrica del "problema de las cuatro rectas", a la que agrega la construcción de las tangentes del lugar y del foco de la cónica, mientras que, con evidente alusión a quienes seguían la tendencia cartesiana, dice que esos problemas "no los ha resuelto mediante un cálculo analítico, sino por una construcción geométrica tal como lo requerían los antiguos". Aparecen también teoremas de construcción de cónicas cuando se dan cinco elementos entre puntos y tangentes u otras condiciones.
Se debe a Newton la iniciación de la teoría de las curvas algebraicas (curvas cuya ecuación en coordenadas cartesianas es de naturaleza algebraica) con Enumeratio linearum tertii ordinis, escrito terminado en 1695 pero aparecido en 1704 como apéndice de la Óptica. En ese tratado, después de haber demostrado algunas propiedades generales de las curvas algebraicas, se ocupa en particular de las cúbicas, estudia su generación y clasificación (dio 72 "especies" diferentes) y demuestra, entre otras propiedades, que a semejanza de las cónicas las cúbicas pueden obtenerse por proyección de una cúbica especial y ulterior sección plana del cono.
Aplica las cúbicas para resolver ecuaciones, tema al que dedica en gran parte su Aríthmetica universalis, resumen de sus lecciones dictadas en Cambridge entre 1673 y 1683, publicado por su sucesor en la cátedra en 1707. No obstante su título, la Arithmetica universalis es un tratado de álgebra, que generaliza y mejora los conocimientos de la época relativos a la teoría general de las ecuaciones, la eliminación algebraica y la resolución por el álgebra de problemas geométricos. Habla de raíces afirmativas (positivas), negativas e imposibles (imaginarias), se ocupa de raíces múltiples y extiende, sin demostrarla, la regla de los signos de Descartes a las raíces imaginarias. Enuncia una regla para encontrar, cuando existen, factores lineales en las ecuaciones; deduce, de las relaciones entre los coeficientes y la suma de las potencias de igual exponente de las raíces, reglas para obtener límites de las raíces reales; introduce nuevos métodos para resolver gráficamente las ecuaciones mediante la intersección de curvas de fácil trazado, por ejemplo, la concoide. Con el nombre de "método de Newton" se conoce hoy un método numérico de aproximación de las raíces, que apareció por primera vez en el Algebra de Wallis de 1685, aunque figura en obras de Newton anteriores.
Nota complementaria
Newton expuso el método con un solo ejemplo, que expone de la forma siguiente, algo abreviada: Sea resolver y3 — 2y — 5 = 0, y sea 2 un valor que difiere de la raíz en menos de 0,1. Si se hace y = 2 + p se llega a p3 + 60p2 + 10p — 1 = 0. Si se eliminan los dos primeros términos, por ser pequeños, se llega a 10p — 1 = 0, de dondep = 0,1. Si entonces, nuevamente, se hacep = 0,1 + q se llega a q3 +6,3q2 + 11,23q + 0,061 = 0 y, como antes, eliminando los dos primeros términos resulta q = —0,0054. Si ahora q = —0,0054 + r y se sustituye, despreocupándonos del término en q3, se obtiene 6,3 r2 + 11,16196r + 0,000541708 = 0 y, despreciando 6,3r2, resulta r = -0,00004853 y, en definitiva y = 2,09455147, valor exacto hasta la séptima decimal.
El método de aproximación de Newton
Un contemporáneo de Newton, Joseph Raphson, publicó en 1690 un tratado en el cual, sin mencionar a Newton, mejora el método al operar siempre con la ecuación inicial. Así, en el ejemplo de Newton, después de haber obtenido p = 0,1, habría sustituido y = 2,1 + q obteniendo q = —0,0054, sustituyendo entonces y = 2,0946 + r, etcétera.
En ente método, que consiste en partir de un valor aproximado a, sustituir y = a + p y suprimir en la ecuación trasformada las potencias superiores a la primera, se efectúa una aproximación lineal que geométricamente significa sustituir la gráfica de la ecuación por la recta tangente en el punto de la abscisa a. Con esta interpretación geométrica el método se extiende a ecuaciones algebraicas o trascendentes, en el cual introdujo Fourier, en 1818, un perfeccionamiento importante que, de no seguirse, se corre el riesgo de que las aproximaciones que ofrece el método resulten más groseras que aquellas de las que se ha partido. Es curioso señalar que Newton, en su ejemplo, contraria la regla de Fourier, aunque por el ejemplo elegido la segunda aproximación y = 2,1 cumple con esa regla.
Una de estas obras es De Analysi per Aequationes numero terminorum infinitas, terminada en 1669 pero no publicada hasta 1711, aunque su contenido era conocido mediante la correspondencia científica (parte de ese escrito fue remitido por carta del mismo Newton a Leibniz en 1676), aparte de que también aparece en el Tractatus de quadratura curvarum, publicado como apéndice de la Óptica de 1704.
En De Analysi aparece el teorema general del binomio, al cual llega partiendo de los resultados obtenidos por Wallis que generaliza para exponentes racionales. En los casos de la raíz cuadrada sustituye la inducción de Wallis por la comprobación directa del resultado, elevándolo al cuadrado, o por extracción de la raíz "more arithmetico". Obtiene otras series por división, procedimiento ya conocido, mientras que aplica por primera vez el método de inversión para obtener nuevas series. Así nacen la serie exponencial de la logarítmica, la de las funciones circulares seno y coseno partiendo de las ciclométricas, etcétera. También desarrolla en serie funciones dadas implícitamente, utilizando una regla denominada del "paralelogramo de Newton".
Aunque se encuentran en Newton algunas alusiones a la convergencia de las series, en realidad este algoritmo no es estudiado en sí, sino como recurso para la determinación de rectificaciones y cuadraturas, desarrollando en serie la ordenada. Un caso interesante es la cuadratura de las diferenciales binomias de hoy, que expresa mediante una serie cuyos coeficientes, como en el caso de la fórmula del binomio, están dados de manera recurrente.
Nota complementaria
La generalización para exponentes cualesquiera de la conocida fórmula del desarrollo de la potencia de un binomio para exponentes naturales, generalización que con propiedad histórica debe llamarse "binomio de Newton", fue expuesta por éste ya en una de las cartas a Leibniz de 1676 en la forma
La La obra matemática de Jacob BernoulliDonde los coeficientes A, B, C,... se dan en forma recurrente, pues cada uno representa el término anterior en la suma del segundo miembro. He aquí un ejemplo de Newton, donde da dos desarrollos distintos de la misma expresión.
Donde
Mientras que, si se toma
Se obtiene
agregando Newton, con claro atisbo de la convergencia, que el primer desarrollo ha de elegirse si x es pequeño, mientras que ha de elegirse el segundo para x grande.
Como ejemplo de la integración de una diferencial binomia, veamos el caso del integrando xβ(a + bn) λ en el cual, mediante transformaciones que no difieren mayormente de las actuales, llega al desarrollo siguiente, donde los coeficientes A, B, C,... tienen igual significado que la fórmula del binomio:
También como recurso para efectuar cuadraturas, aparece en Methodus differentialis de 1712 la hoy llamada "fórmula de interpolación de Newton", que permite determinar la ecuación de una parábola de orden superior que pasa por n puntos prefijados de abscisas en progresión aritmética y que constituye el punto de partida de la teoría de las diferencias finitas.
En De Analysi la cuadratura de las potencias se realiza de acuerdo con la regla general del exponente dada por Wallis pero la novedad reside en que parte del resultado y, al aplicar el método de Barrow para la determinación de la tangente, vuelve a aparecer la potencia, con lo cual queda desatado el nudo gordiano del nuevo cálculo, es decir el carácter inverso de los problemas de la tangente y de la cuadratura.
Nota complementaria
Newton parte de la curva OMN, tal que el área z del recinto OMN'sea
La cuadratura como problema inverso del de la tangenteQue escribe en la forma
z = cxP/n
De donde zn = cnxp, ecuación a la que aplica el método de Barrow para la determinación de la tangente, considerando como incremento de x el segmento o y, por tanto, como incremento de z el valor oy, siendo y la ordenada de la curva. Será entonces
De donde
ordenada de la curva cuya área resulta el valor de z.
Cuando en el desarrollo en serie aparecía la potencia de exponente -1, para el cual la regla del exponente no era válida, Newton separa el término, indicando que se trata de un sector hiperbólico.
Pero la contribución más original de Newton a los métodos infinitesimales es su "método de las fluxiones", que constituyó el tema de un tratado especial de 1671, que no se publicó, traducido, hasta 1736. Del carácter general del método ya da cuenta Newton en una carta de 1672 al decir que puede aplicarse "no sólo al trazado, de tangentes a cualquier curva, sea geométrica o mecánica... Sino también para resolver cualquier clase de problemas sobre curvaturas, áreas, longitudes, centros de gravedad, etcétera" y agrega que ha "entrelazado ese método con aquel otro método que consiste en trabajar con las ecuaciones reduciéndolas a series infinitas". En efecto, el método de las fluxiones de Newton, con su esencia y notación propias no es sino una forma de tratar los problemas del actual análisis infinitesimal. El método es de naturaleza geométrico-mecánica pues supone que todas las magnitudes geométricas son engendradas por movimientos de velocidades diferentes, mientras el tiempo fluye constante y uniformemente, de ahí que el tiempo, que actúa como telón de fondo, no aparezca explícita sino implícitamente en las velocidades, en las velocidades de las velocidades, etcétera. Las magnitudes engendradas son las "fluentes", las velocidades de éstas son las "fluxiones", el incremento del tiempo es designado por una o y el producto de este incremento por la respectiva fluxión, que Newton denomina "momento", sustituye nuestra diferencial. La notación característica de Newton para las fluxiones, mantenida durante cierto tiempo por sus sucesores y utilizada actualmente en mecánica, consiste en indicar las sucesivas fluxiones mediante puntos superpuestos a la fluente correspondiente; así, la fluxión de y (nuestra derivada) se indica y.
El primer problema que resuelve Newton con su método es el de determinar la relación entre las fluxiones conociendo la relación entre las fluentes. Si esta relación es entera, el procedimiento es el actual: se sustituye cada fluente por la fluente más el momento, se simplifica y en el resultado se anula el incremento, obteniéndose la relación buscada. Cuando la relación de las fluentes no es entera, Newton introduce variables auxiliares para convertirla en entera.
Nota complementaria
Veamos, como ejemplo, la determinación entre las fluxiones (es decir, la ecuación diferencial], cuando las fluentes (es decir, las variables) están vinculadas por la relación
El método de las fluxionesTratándose de expresiones no enteras, Newton transforma la ecuación en un sistema de ecuaciones enteras mediante las sustituciones:
y el sistema es
Determinemos, por ejemplo, las fluxiones en la ecuación 2. Sustituyendo en esa ecuación las fluentes más sus momentos
Efectuando las operaciones, teniendo en cuenta la 2, dividiendo por o y luego anulando los momentos, se llega a la relación
Eliminando
entre 2, 3, 4, 5, 6 se llega a la relación buscada.
Tomando en cuenta las objeciones que había provocado la anulación de los incrementos, Newton introdujo en el Tractatus la expresión "razón de los incrementos evanescentes", es decir la razón entre los incrementos correspondientes que, después de "evanescer" la fluxión aparecía como resultado de la razón en esas condiciones, asomando así, en forma aún rudimentaria, la idea del límite.
Nota complementaria
Newton considera, por ejemplo, el “triángulo característico” mixtilíneo, formado por los incrementos MP, PN y el arco MN, que compara con los triángulos MPN y MPT, siendo MT la tangente en M, y dice que al coincidir N con M, la cuerda y el arco coinciden con la tangente y el triángulo mixtilíneo evanescenteMPN en su última forma es semejante alMPT, y sus lados evanescentes MP, PN y MN son proporcionales a los lados del triángulo MPT, de ahí que las fluxiones de la abscisa, de la ordenada y del arco, que al final son las razones de los incrementos evanescentes, sean proporcionales a los lados del triángulo MPTo, lo que es lo mismo, a los lados del triángulo MRM' formado por la ordenada, la tangente y la subtangente.
Los incrementos evanescentes de NewtonAplica un razonamiento semejante en los Principia, con ayuda del cual puede aplicar los nuevos resultados utilizando los métodos de los antiguos.
Con su método de las fluxiones Newton resuelve los siguientes problemas geométricos: trazado de tangentes, mediante la subtangente; máximos y mínimos, anulando la fluxión; determinación de los puntos de inflexión, como máximos o mínimos del coeficiente angular de la tangente; determinación del centro y radio de curvatura.
Nota complementaria
Es interesante comparar la demostración de Huygens con la de Newton. Éste considera el triángulo característico ADB y las normales en A y en B que determinan en C el centro de curvatura y construyeCGF, semejante al ADB y tal que CG = 1. Por ser AD =
El radio de curvatura por Newton; BD = yo, será FG = DB : AD =
; llamando z a este cociente será FH =zo. Del triángulo rectángulo ABE deduce DE = BD² : AD y de los triángulos semejantes AEC y FHC deduce el radio de curvatura
AC = R = FC×AE:FH = FC×(AD+ DE:):FH =
= FC ×(AD²+DB²) : FH ·AD = FC×AD (1+FG²) : FH =
= AD(l + FG2f/2 FH
Y con la notación newtoniana
Si se hace x = 1, lo que a veces hace Newton al suponer que el fluir del tiempo es el fluir de la variable x, y se considera que z y z' son la primera y segunda derivadas de la función, la fórmula anterior es la expresión actual del radio de curvatura.
Pasa luego al problema inverso, del cual distingue tres tipos:
- Determinar la fluente, dadas dos fluxiones y una sola fluente. Corresponde a nuestras cuadraturas, que en general Newton resuelve por el desarrollo en serie.
- Determinar la relación entre las fluentes, dadas dos fluxiones y dos fluentes. Corresponde a un tipo de nuestras ecuaciones diferenciales ordinarias de primer orden, que Newton resuelve por desarrollos en serie utilizando, si es necesario, el método de los coeficientes indeterminados.
- Determinar la relación entre las fluxiones, cuando se dan varias fluxiones y fluentes. Corresponde a nuestras ecuaciones con derivadas parciales que Newton resuelve considerando integrales particulares, sin desconocer el hecho de la presencia de funciones arbitrarias.
Nota complementaria
He aquí un ejemplo de ecuación diferencial del tipo actual lineal que, según la nomenclatura newtoniana, es un caso del segundo tipo del "método inverso de la tangente": determinar las fluentes tales que
Una ecuación diferencial de NewtonPara resolver la cuestión Newton desarrolla y en serie con coeficientes indeterminados. Sustituye esa serie y su fluxión en la ecuación y determina los coeficientes mediante igualación. Dando al primer coeficiente un valor determinado (nuestra constante de integración) obteniendo una solución particular desarrollada en serie.
Mientras en Inglaterra, por obra especial de Newton, el cálculo infinitesimal lograba nuevos resultados y adquiría las primeras notas que le conferían unidad y autonomía, en el continente, ahora por obra especial de Gottfried Wilhelm Leibniz, tal unidad y autonomía se acentuaban. Si la obra matemática de Newton fue la de un "filósofo natural", la de Leibniz fue la de un filósofo" y de un "algorítmico", Su preocupación por la claridad de los conceptos y por el aspecto formal de la matemática le permitieron, entre otras innovaciones, crear el simbolismo adecuado al nuevo algoritmo. Además de sus contribuciones al cálculo infinitesimal, la labor matemática de Leibniz se extendió a la teoría de números, al cálculo mecánico (perfeccionó la máquina de calcular de Pascal), al álgebra (eliminación, potencia de polinomios, etcétera), al perfeccionamiento de la notación y del simbolismo, mientras que se le considera iniciador del cálculo geométrico, de la teoría de los determinantes, de la lógica matemática, de la topología.
Como promotor científico se le debe la fundación de las Acta Eruditorum en 1682, siguiendo las huellas del Journal du Savants (1665) y de los Philosophical Transactions(1665), y la creación de la Academia de Berlín en 1700, al principio como Sociedad Científica; iniciativas semejantes le deben las Academias de San Petersburgo, Dresde y Viena.
Nota complementaria
Leibniz obtuvo las actuales series del arco tangente circular y del arco tangente hiperbólico mediante el cálculo de los sectores elíptico e hiperbólico, desarrollados en series. En el caso elíptico Leibniz considera una elipse de centro O, semejantes a y b y del sector AOM, uno de cuyos lados es el semieje, del cual toma las tangentes en los extremosAN y MN. Toma como parámetro un valor t tal que AN = bt y demuestra, en virtud de las propiedades de la elipse, que AM' = 2at2/(1 + t2) y que el cuadrilátero OANM es abt. Para calcular el área de la figura mixtilínea ANM' considera los triángulosMNN' de altura AM' y base NN' =bt, de área abt1t2/(1 + t2); desarrolla en serie la función en t y variando éste desde A a N obtiene como área de ANM el valor
La serie de Leibnizque, al restarla del área del cuadrilátero OANM, da finalmente como área del sector elíptico
que para t = 1 corresponde al cuarto de círculo, apareciendo por tanto un nuevo desarrollo en serie del número n, que ya había dado en forma independiente Gregory:
Para el sector hiperbólico Leibniz encuentra una fórmula semejante, cambiando t2 por — t2.
En el estudio de las series Leibniz dedujo por procedimientos originales varias de ellas, obtuvo nuevas y dio, además, el criterio de convergencia de las series alternadas. Para el desarrollo en serie de la función seno, por ejemplo, se valió del método de los coeficientes indeterminados, partiendo de la ecuación diferencial de segundo orden que define esa función obtenida geométricamente.
Las consideraciones infinitesimales de Leibniz, que se encuentran ya en manuscritos de 1673, parten de la consideración del "triángulo característico" (el nombre es suyo) que ya había considerado Barrow pero que Leibniz dice que tomó de Pascal que "como un relámpago" le iluminó toda la cuestión. Mediante consideraciones sobre ese triángulo y sus semejantes, el de la ordenada y subtangente, o el de la ordenada y subnormal reconoció que los problemas de la tangente y de la cuadratura son inversos. En efecto, ese triángulo muestra que en el problema de la tangente interviene el incremento, es decir la "diferencia" de las ordenadas, mientras que en el problema de la cuadratura interviene la "suma" de las ordenadas, aspecto puramente formal de la cuestión que revela que ambos problemas son inversos, como lo son en aritmética la diferencia y la suma.
En cuanto al simbolismo, al principio indicó las sumas mediante la abreviatura Omn. (de Omnia = todo), que luego sustituyó por el actual signo de integral, proveniente de la deformación de la letra alemana S inicial de suma, llegando a escribir ∫y = 1/2y2. Como la operación simbolizada así aumentaba en uno el número de las dimensiones, supuso que la operación inversa (la diferencial, que simbolizó con d) debía disminuir a toda expresión también en una unidad, de ahí que al principio escribió el símbolo d como denominador, aunque más tarde le dio la forma y el uso actuales.
Aunque desde 1676 está en posesión de las reglas y fórmulas más simples del cálculo infinitesimal, la primera publicación de Leibniz sobre estos temas es de 1684 y se refiere al cálculo diferencial. Es una memoria de apenas seis páginas Y en ella aparecen definidas las diferenciales en la forma actual: "Designamos con dx un segmento arbitrario y designamos con dy un segmento que es a dx como la ordenada y, de la cual dy es la diferencia, es a la subtangente". Aparecen las reglas comunes de diferenciación de las expresiones racionales e irracionales. Y se muestra, con un ejemplo complicado, cómo pueden obtenerse directamente las diferencias de expresiones fraccionadas y con radicales. Aplica la diferenciación a la resolución de los problemas de máximos y mínimos, que distingue según el signo de la segunda diferencial ( different differentiarum), cuya interpretación geométrica es la concavidad o convexidad, que al anularse se pasa de un tipo de curvatura a otro por el "puntum flexus contrarii". Como ejemplo de mínimo da la ley de la refracción y como ejemplo de construcción de tangentes utiliza la curva lugar de los puntos cuya suma de las distancias a distintos puntos es constante. Termina dando la solución de uno de los problemas propuestos por Florimond de Beaune, que fue el primero en definir curvas mediante las propiedades de su tangente, dando lugar así a la determinación de curvas por el llamado método inverso de la tangente. El problema que aquí resuelve Leibniz es el de encontrar la curva cuya subtangente es constante, en que los incrementos son proporcionales a la ordenada.
Nota complementaria
Leibniz resolvió uno de los más difíciles problemas propuestos por De Beaune a Descartes, que éste había estudiado pero sin resolverlo completamente. Se trata de determinar la curva cuya ordenada es a la subtangente como un segmento dado es a la diferencia de la ordenada comprendida entre una curva y una recta dada. Si ésta es la bisectriz del primer cuadrante, esa propiedad se expresa, mediante las diferenciales de Leibniz, como a dx = (y — x) dy, ecuación diferencial que Leibniz resuelve, para el caso particular que satisface la condición x = y = 0, por el método de los coeficientes indeterminados. En el resultado
El problema de De Beaune
Reconoce el carácter logarítmico de la curva.
En 1686 aparecen los primeros escritos de Leibniz relativos al cálculo integral y aparece también impreso por primera vez el signo integral. Esos escritos muestran, por ejemplo, cómo con ese signo pueden definirse, mediante expresiones algebraicas, curvas que no lo son, por ejemplo, la cicloide. El vocablo "trascendente" para las ecuaciones en las que la incógnita figura en el exponente, se debe a Leibniz.
A 1695 pertenecen consideraciones para refutar objeciones que les habían presentado, a raíz de lo cual da, entre otros ejemplos, la diferenciación de funciones de la forma uv mediante el recurso de los logaritmos, tal como se hace actualmente. Del mismo año es el teorema que lleva su nombre, acerca de la regla para las diferenciales sucesivas de un producto de funciones, sin más que cambiar en la fórmula del binomio los exponentes por órdenes de diferenciación. Parece que trató de extender la regla a exponentes negativos (integración) y hasta a exponentes fraccionarios.
En otros trabajos se ocupó del círculo osculador, de la teoría de las envolventes (de la cual es iniciador), de las coordenadas curvilíneas y de la descomposición de las funciones racionales en sumas de fracciones parciales simples; de las series oscilantes, del ángulo de contingencia y, en general, de todos los problemas de índole geométrico-mecánica que interesaban a los matemáticos de la época.
La circunstancia, que hoy nos parece natural, de que en la segunda mitad del siglo XVII los tiempos estaban maduros para que surgiera el cálculo infinitesimal y el hecho, también natural, de que éste naciera por obra de dos matemáticos insignes, provocó entonces una lamentable cuestión, que se inició con una pretensión de prioridad para convertirse luego en una acusación de plagio, polémica que enturbió las relaciones entre los matemáticos ingleses y los continentales durante más de un siglo.
Aunque la polémica estallo hacia fines de siglo, estaba latente desde unos lustros antes, cuando se establece, mediante Oldenburg, una correspondencia en la que Leibniz informa a Newton de sus resultados, mientras que Newton da cuenta a Leibniz de su método de las fluxiones mediante un anagrama nada fácil de descifrar. La cuestión pudo haber terminado con honor para ambos en 1687 cuando Newton, en los Principia, cita al "eminente matemático C. W. Leibniz", revela su anagrama (que no era sino un enunciado) y agrega que el método de Leibniz "no difiere del mío sino en las palabras y en la notación". No deja de ser sintomático que en la correspondencia de diez años antes Leibniz, al referirse al trabajo de Newton, había escrito: "Es realmente de admirar la variedad de caminos por los cuales puede llegarse al mismo resultado".
Pero en 1689 Leibniz. En un trabajo de mecánica, al referirse a cuestiones infinitesimales no cita a Newton, cuyas investigaciones sobre el tema, aunque todavía no hubiera publicado nada al respecto, eran conocidas, sobre todo por Leibniz mismo. Es posible que se deba a esta omisión que en el Álgebra de Wallis de 1695 aparezcan fragmentos de un escrito de Newton, aún inédito, sobre temas infinitesimales.
La cuestión se agrava en 1699 cuando un matemático suizo emprende un ataque contra Leibniz, alegando en favor de Newton la prioridad en el "invento" del nuevo cálculo ante el cual Leibniz reacciona y la cuestión parece concluir. Pero, al aparecer en 1704 la Óptica de Newton, en cuyo apéndice éste agrega un antiguo escrito matemático con el único objeto de afirmar su prioridad, la polémica enardece y los matemáticos ingleses acusan directamente a Leibniz de plagio.
En 1711 la Royal Society presidida entonces por Newton, toma cartas en el asunto y nombra una Comisión cuyo informe sostenía que Newton había sido el "primer inventor del nuevo cálculo". Ni este informe, ni la publicación en 1714 de un Commercium epistolicum con la correspondencia clave del asunto, ni siquiera la muerte de los actores principales dio fin a esta desagradable polémica, de la cual ni los dos grandes protagonistas salieron bien parados.
A tres siglos de distancia y aun reconociendo que en aquellos tiempos las cuestiones de prioridad se trataban con ardor desusado, esa controversia nos parece privada de fundamento, no sólo porque era natural que las nociones del nuevo cálculo, que estaban entonces en el aire, surgieran de mentes inteligentes, y Newton y Leibniz las tenían de sobra, sino también porque de ninguna manera se podía hablar de "primeros inventores", ya que ambos matemáticos habían erigido su edificio con materiales ajenos, acumulados por una pléyade de matemáticos que desde la antigüedad, pero en especial en la primera mitad del siglo XVII, se habían ocupado del tema. Es posible, también, que los contemporáneos de Newton y de Leibniz no advirtieran algo que hoy nos resulta claro: la diversidad de métodos y de notación con que ambos matemáticos expusieron sus respectivas investigaciones, no era sino el resultado de sus distintas modalidades intelectuales, la de Newton como filósofo natural, físico y mecánico, la de Leibniz como filósofo, metafísico y lógico y que las diferentes notaciones resultaron fieles reflejos de las respectivas modalidades.
La consecuencia más lamentable de la polémica fue el aislamiento de cada bando y la falta de cooperación científica resultante de ese aislamiento, y aunque en definitiva los métodos no diferían sino en la notación, tal diferencia impedía que los progresos de un bando fueran conocidos y asimilados por el bando contrario. En esta situación eran los ingleses quienes llevaban las de perder, por las ventajas de la notación de Leibniz, fruto de una mente simbólica, frente a la de Newton, creación de una mente más empírica. De ahí que deba verse el fin de tan lamentable polémica en el gesto de un grupo de novenes matemáticos ingleses, John F.W. Herschel, Charles Babbage y George Peacock, al crear a comienzos del siglo pasado (1813) la "Analytical Society", que resuelve adoptar la notación de los matemáticos del continente o, como decían humorísticamente uno de ellos, para imponer los principios puros D-ismo (para aludir a la notación diferencial) frente a la dotage, es decir a la "edad del punto" (para aludir a la notación newtoniana), pero haciendo al mismo tiempo un juego de palabras intraducibles (dotage = chochera).Contenido:
El siglo newtaniano
Euler
El siglo de oro de las matemáticas francesas
El renacimiento de la geometría y el nacimiento de la física matemática
El siglo newtoniano
Por sus características culturales el siglo XVIII fue calificado de "siglo de las luces", de la "Ilustración", del "Iluminismo": fue el "siglo de la razón". Pero desde el punto de vista de la historia de la ciencia y en especial de la ciencia exacta, fue en verdad un siglo newtoniano: casi podría afirmarse que desde tal punto de vista el siglo XVIII nace en 1687, fecha de la aparición de los Principia de Newton, libro promotor del auge de la mecánica, de la astronomía y del cálculo infinitesimal, característico de aquel siglo.
El éxito de la gravitación universal que, juntamente con las leyes de la mecánica newtoniana, permite traducir en ecuaciones diferenciales los movimientos celestes, y el cálculo que logra resolverlas prediciendo el porvenir, releer el pasado y calcular hasta sus últimos pormenores el mecanismo que parecía secreto inviolable, dio a la ciencia exacta notable impulso.
Al abrigo de ese impulso, la matemática del siglo XVIII mostró su fecundidad no tanto en el sentido de la creación de nuevas ramas, como lo había sido el siglo anterior, sino en el sentido de la elaboración de esas nuevas ramas y sobre todo en la riqueza de las aplicaciones, en especial del nuevo cálculo infinitesimal. De allí que un rasgo relevante de la matemática del siglo fue su condición de ciencia auxiliar, de "doncella de la ciencia natural", sin duda de gran utilidad, pero auxiliar al fin.
La tarea más importante de los matemáticos del siglo se realizó pues en el campo de los métodos infinitesimales y de sus aplicaciones, contrastando los progresos técnicos y el éxito de las aplicaciones con la debilidad de sus fundamentos básicos, que continuaron envueltos en vaguedades y contradicciones. Es conocida la frase con que D'Alembert alentaba a los estudiantes, vacilantes ante tantas dificultades y oscuridades de esos fundamentos: "Allez en avant et la foi vous viendra"; es decir: Proseguid y confiad, ya llegará la fe.
Aunque los métodos infinitesimales de Newton y Leibniz se hicieron conocer hacia fines del siglo XVII, la difusión de las nuevas ideas que ellos encerraban fue muy lenta. El carácter novedoso de esas ideas, las notaciones inusitadas y diferentes, su publicación en memorias aisladas y fragmentarias, todo contribuía a que los nuevos métodos no se extendieran rápidamente, de manera que a fines del siglo XVII, fuera de sus autores, eran pocos los matemáticos que estaban enterados de esos métodos, y sobre todo muy pocos los que estaban en condiciones de aplicarlos. Entre estos últimos figuran los Bernoulli, nombre que campeará en la matemática en un período de aproximadamente dos siglos.
Nota complementaria
Jacob Bernoulli parte de la propiedad siguiente: a pequeños intervalos iguales de tiempo, es decir a pequeños descensos verticales iguales, corresponden arcos de curva tales que los cuadrados de los recorridos son proporcionales a las caídas; por tanto, si se compara un punto variable de la curva de altura de caída y con un punto fijo de altura de caídab y correspondiente longitud de la tangente a, se tiene:
La integración de la isócrona
de donde dy√(a2y- b2) = √b3dx, cuya integración da por resultado una parábola semicúbica.
La familia Bernoulli, de origen holandés pero residente en Suiza, proporcionó durante los siglos XVII, XVIII y XIX más de una docena de matemáticos, de los cuales tres sobresalen: Jacob, su hermano Johann y uno de los hijos de éste, Daniel.
Nota complementaria
El método utilizado por Johann Bernoulli para integrar la ecuación propuesta por Jacob, en la forma ady = ypdx + bynqdx , donde ay b son constantes y py q funciones de x, no difiere esencialmente del actual. En efecto, Johann hace y = mz, siendo my z dos funciones indeterminadas. Obtiene
La integración de la ecuación de Bernoulliady = amdz + azdm = mzpdx + mnznqbdx
y elige las funciones de tal manera que amdz = mzpdx, y por tantoDe la primera de estas dos ecuaciones deduce z que, sustituida en la segunda, permite obtener m . El producto de las dos funciones así obtenidas es y.
Con los Bernoulli se vincula, además, el mayor de los matemáticos del siglo de la razón: Euler.
Nota complementaria
Johann Bernoulli parte de la siguiente identidad, en la que por comodidad sustituimos la notación bernoullianaddy, dddy,... por la actual d2y, d3y,...
La "serie de Bernoulli"E integrando entre 0 y x, llega a
serie con la que puede efectuar cuadraturas mediante el conocimiento de la función y de sus diferenciales sucesivas. Ahora bien, si con notaciones modernas hacemos y = f(x), tendremos:
por lo tanto
![]()
que no es sino la serie de Taylor
La obra matemática de Jacob Bernoulli se repartió por igual entre los nuevos métodos infinitesimales y el cálculo de probabilidades. En el primer campo se ocupó de series y de las propiedades de las curvas, introduciendo el uso sistemático de las coordenadas polares, que hasta entonces sólo se habían aplicado al estudio de las espirales. Las notables propiedades que descubrió en la espiral logarítmica, que se reproduce en su evoluta, en su envolvente, en su cáustica, etcétera, lo llevó a imitar el gesto de Arquímedes, pidiendo que en su tumba se grabase esa curva con la leyenda Eadem mutata resurgo (Aunque cambio resurjo la misma).
Se le debe la primera resolución con demostración del problema de la " curva descensus aequabilis" propuesto por Leibniz, es decir, de la curva isócrona tal que un punto cae sobre esa curva con movimiento uniforme respecto de la vertical.
Nota complementaria
Esta regla está expuesta en el Analyseen forma geométrica. Si y y z son dos funciones, ambas positivas, que se anulan simultáneamente para cierto valor de la variable, sus gráficas se cortarán en el eje en un punto P tal que, observa L'Hôpital, en las proximidades de ese punto el valor del cociente es próximo al del cociente de las diferencias dyydz, cociente que da el valor de la función y/z en el punto M respectivo. Entre los ejemplos de L'Hôpital figura el cociente, cuyo valor para x = a quiere conocer:
La "regla de L'Hôpital"a2 - ax
a - 4ax
Que calcula, ya por la regla, ya directamente racionalizado y eliminado el factor x-a.En ambos casos el "verdadero valor” del cociente es 2a.
Es en ese estudio donde aparece por primera vez la palabra "integral'" con la acepción actual.
En enconada emulación científica con su hermano Johann, fueron propuestos y resueltos numerosos problemas de aplicación de los métodos infinitesimales a la geometría y a la mecánica. Así Johann propuso en 1696 el problema de la curva de tiempo mínimo (braquistócrona) que fue resuelto, entre otros, por Jacob mientras éste propuso la ecuación diferencial que hoy lleva el nombre de Bernoulli y que fue resuelta por Johann.
Nota complementaria
He aquí el razonamiento de Berkeley en el caso de la parábola AMN y su tangente en M. Considera los triángulos semejantes TPM, formado por la ordenada y la subtangente, y el triángulo característico, establece la proporcionalidad PT /y = dx/RL, y agrega que RL = RN + NL = dy + a; por tanto al tomar, como hace el cálculo infinitesimal, PT = ydx: dy se sustituye dy + a por dy y se comete un error por defecto por ser a > 0.
La "compensación de errores" de Berkeley
Por otra parte, si se calcula dy partiendo de la fórmula y2 = 2px, ese cálculo procede de la siguiente manera:(y +dy)2 = 2p(x + dx), de donde en definitivaY al tomar para dy, como lo hace el cálculo infinitesimal el valor -pdx/y, continúa Berkeley, se comete un segundo error, pero ahora por exceso -(dy2)/2y. Como, según Berkeley, este segundo error es igual y de signo contrario al primero, he ahí la "compensación de errores”. En efecto, Berkeley dice que según Apolonio PT = 2x, de manera que
ley considera que la "compensación de errores" se produce debido a que, al anular la diferencia, por un lado se toman como semejantes triángulos que no lo son, mientras que por el otro se toma como tangente la recta secante.
Por supuesto que no hay tal "compensación" ni tales "errores", lo que ocurre es que en los tiempos de Berkeley la distinción entre el incremento Δy y la diferencia dy aún no se había establecido claramente, de ahí que su confusión trajera aparejados los pretendidos errores de Berkeley. Por lo demás, en el caso particular considerado por Berkeley el valor de a es negativo y sólo por dejarse llevar por la figura Berkeley puede admitir erróneamente que se trata de dos errores distintos que se compensan. En realidad, se trata siempre del mismo valor: la diferencia entre el incremento y la diferencia.
El problema de las trayectorias isogonales, y en particular ortogonales, fue propuesto en 1694 por Johann, pero al principio pasó inadvertido, y fue reiterado por Leibniz en 1716, para "tantear el pulso de los matemáticos ingleses..
El problema de los isoperímetros, propuesto por Jacob y estudiado por ambos hermanos, provocó una agria disputa entre éstos, que continuó entre Johann y otros matemáticos aún después de la muerte de Jacob. La forma original de este problema era la siguiente: entre todas las líneas de igual perímetro y que tienen iguales extremos, determinar aquélla tal que cierta función de sus ordenadas tenga área máxima, o mínima. Este problema, el de la braquistócrona, el de la superficie mínima de revolución y varios otros, atacados en violenta competencia y resueltos por uno u otro de los apasionados hermanos, dieron origen a la disciplina matemática hoy conocida como "cálculo de variaciones".
La obra más importante de Jacob es Ars Conjectandi, aparecida ocho años después de su muerte, con la cual el cálculo de probabilidades adquiere autonomía científica. Se compone de cuatro partes: la primera reproduce, con valiosos comentarios, la obra de Huygens sobre probabilidades; la segunda es un tratado de combinatoria y en ella aparece la expresión, que Bernoulli deduce inductivamente partiendo de la suma de los números combinatorios de igual denominador, de la suma de las primeras diez potencias de los primeros n números naturales, expresión en la que aparecen los coeficientes hoy llamados "números de Bernoulli", algunas de cuyas propiedades estudia. La tercera parte se refiere a los juegos de azar y la cuarta, incompleta, aplica "las doctrinas precedentes a cuestiones civiles, morales y económicas". En esta última parte aparece el problema de límites hoy denominado "teorema de Bernoulli", y la llamada "ley de los grandes números".
Según Mach, en los dos hermanos Bernoulli se dieron, aunque separadamente, los dos aspectos del genio científico: Mientras Johann es un verdadero artista en el dominio de las ciencias naturales, Jacob está dotado de un mayor espíritu crítico, aunque con menor imaginación creadora.
Además de su labor como físico-matemático se deben a Johann numerosas contribuciones matemáticas, muchas en combinación, o mejor en oposición, a su hermano Jacob y hasta a su hijo Daniel. Esas contribuciones se refieren especialmente a la teoría de las series y a la aplicación de éstas al cálculo integral y a las ecuaciones diferenciales. En especial se le debe la cuadratura de funciones de la forma xx y los métodos del factor integrante y de la separación de variables en la integración de las ecuaciones diferenciales. Un original método de cuadratura por series, expuesto en 1694, dio nacimiento a una serie que no es sino un caso particular de la hoy llamada "serie de Taylor", de unos veinte años después. A veces se designa aquella serie con el nombre de "serie de Bernoulli".
Nota complementaria
De Moivre enunció la fórmula que lleva su nombre, sin demostración, de la siguiente forma:
La fórmula de De Moivre y el teorema de Cotes
Donde
l = cosA; x = cos B; A = nBEn cuanto al "teorema de Cotes", su enunciado es el siguiente: Si desde un punto O se trazan secantes a una curva algebraica de orden n que la cortan en los puntos P1, P2, P3,…Pn, el punto P tal que
describe una recta.
Con el nombre de Johann Bernoulli está íntimamente vinculado el del Marqués de L'Hôpital, único francés que durante mucho tiempo estuvo en condiciones de resolver los problemas que Leibniz y los Bernoulli proponían a los matemáticos de la época y autor del primer tratado sistemático de cálculo diferencial: Analyse des infiniment petit pour l’intelligerice des lignes courbes , aparecido anónimo en 1696 y con nombre de autor a partir de 1715. El hallazgo, en este siglo, de los apuntes de la lecciones de Bernoulli y, sobre todo, el contenido de la correspondencia de Bernoulli con L'Hôpital, muestran que el libro del marqués no contiene sino las lecciones que le impartió Bernoulli, a su pedido, y la enseñanza que siguió impartiéndole por correspondencia. Las lecciones de Bernoulli comprenden también el cálculo integral, que el marqués no publicó pues se había enterado de que pensaba hacerlo Bernoulli directamente. Las lecciones de cálculo integral, impartidas a L'Hôpital durante los años 1691-1692, habrían sido pues el primer tratado sistemático sobre el tema y resumen de todos los conocimientos de la época sobre aquél: integración (de potencias o series de potencias), cuadraturas, rectificaciones, ecuaciones diferenciales y aplicaciones geométricas y mecánicas. En esas lecciones aparece la constante de integración y los métodos de integración por sustitución de variables.
En el Anlyse se siguen designando diferencias a las diferenciales, aparecen los términos de abscisa (la coupée) y de círculo osculador ("cercle baisant") y aparece la célebre regla, comúnmente vinculada con el nombre de L'Hôpital, más tarde convertida en teorema, para el cálculo de límites indeterminados y cuya paternidad reivindicó Bernoulli después de la muerte del marqués.
Nota complementaria
En la deducción de la sede que lleva su nombre Taylor parte de la fórmula de Newton que expresa una función mediante las diferencias finitas
La serie de Taylore indicando con u = Δx ;u' = (n - 1)Δx; u" = (n - 2)Δ x;... la fórmula anterior se transforma en
Bastará hacer Δx pequeña y n grande para que los valores de u, u', u", se hagan iguales y en definitiva
Que es la serie de Taylor.
Aunque opuesto a los nuevos métodos que en Francia estaban representados por el marqués de L'Hôpital, su compatriota y contemporáneo Michel Rolle es conocido en la historia de la matemática por un teorema que lleva su nombre y que se refiere al nuevo algoritmo. Rolle se ocupó en especial de la resolución de ecuaciones, de las que obtuvo, en una transformación lineal, una serie de polinomios de grado decreciente que denominó "cascadas", que no son sino las derivadas sucesivas de la ecuación. Utilizó esas "cascadas" para determinar un límite superior de las raíces, así como para enunciar el teorema que lleva su nombre que aplicó, como actualmente, a la separación de las raíces reales de una ecuación.
En Italia se ocuparon de los nuevos métodos infinitesimales Riccati y Fagnano. Jacopo Riccati se ocupó de transformación e integración de ecuaciones, una de las cuales, que lleva su nombre, fue estudiada en especial por Daniel Bernoulli, quien mostró en qué casos podía integrarse mediante un número finito de términos.
Giulio Cario, conde de Fagnano fue más original. Se ocupó de geometría y en especial de geometría del triángulo, adelantándose a Euler en el empleo e interpretación de los exponentes imaginarios, aunque su contribución más importante se refiere a la rectificación de las curvas. Sus estudios sobre la rectificación de los arcos de elipse y de hipérbola pueden considerarse como punto de partida de las integrales elípticas. En conexión con estos estudios llegó a la interesante propiedad de que el cuadrante de lemniscata (curva estudiada por primera vez por Jacob Bernoulli en 1694) puede dividirse, como el de la circunferencia, en un número de partes, con regla y compás, siempre que ese número contenga los factores 2n , 3 y 5.
En Alemania, el único matemático de esta época que se ocupó de los nuevos métodos, aunque sin mayor éxito, fue Ehrenfried Walter von Tschirnhausen, más conocido por su método de transformación de ecuaciones con el cual resolvió las ecuaciones de segundo, tercero y cuarto grado, pero que ya no tenía éxito al aplicarlo a las de grado superior. Con todo, el método de Tschirnhausen quedó como método de transformación, si no de solución. Parece que ya Leibniz había previsto la imposibilidad de resolver ecuaciones de grado superior por ese método, pues en carta al autor le dice: " ... no me parece que logre tener éxito en las ecuaciones de grado superior, excepto para casos particulares. Creo disponer de una demostración de esta afirmación. ” Leibniz nunca dio tal demostración, en cambio parece que también él, como otros matemáticos de los siglos XVII y XVIII, se ilusionó en resolver algebraicamente la ecuación de quinto grado. " Nadie hasta hoy dio una fórmula general para la solución de las ecuaciones de grado superior -dice- creo haber encontrado un método adecuado y puedo probarlo, pero aún no he podido vencer el fastidio provocado por los tediosos cálculos necesarios. .
En Inglaterra, después de las fluxiones, el acontecimiento matemático más clamoroso, según el historiador Cajori, fue la crítica que el filósofo George Berkeley dirigió a los nuevos métodos. Esa crítica tuvo un origen extramatemático y aparece en The Analyst de 1734, cuyo subtítulo reza: " O discurso dirigido a un matemático infiel, donde se examina si el objeto, principios e inferencias del análisis moderno son concebidos más claramente o son deducidos con mayor evidencia que los misterios de la religión y de los asuntos de la fe ".
El "matemático infiel" era Edmund Halley, el astrónomo que, entre otros méritos, tuvo el de sufragar los gastos de impresión de los Principia de Newton. Como científico, Halley se ocupó también de matemática; se le deben restauraciones de Apolonio y la propiedad de la proporcionalidad de los logaritmos del mismo número en bases diferentes.
Halley fue sin duda un libre pensador y, en cierto sentido, activo, de ahí la acusación de infiel de Berkeley, pues por el hecho de ser reputado un gran matemático y por eso un maestro de la razón, utilizaba indebidamente su autoridad opinando y decidiendo sobre cuestiones ajenas a su incumbencia, sobre las que no tenía derecho alguno a opinar. Hábil polemista, Berkeley se dirige entonces hacia los objetos mismos de la ciencia que Halley profesa, mostrando triunfalmente que quienes se quejan sin razón de la incomprensibilidad científica de la religión, aceptan una ciencia que en su raíz misma es incomprensible y cuyas conclusiones se apoyan en raciocinios que la lógica no acepta.
Si bien la finalidad de Berkeley no es tanto criticar los nuevos métodos como vindicar los misterios de la fe, la crítica contra aquellos métodos es pertinente, aguda, incisiva. En efecto, los nuevos métodos, tanto en la forma de Newton como en la de los matemáticos continentales, estaban envueltos en principios oscuros, vagos y contradictorios. Acertadamente Berkeley critica esos "incrementos evanescentes", esos "momentos" que no son cero pero que luego se anulan y que califica de "fantasmas de cantidades desaparecidas", aquellas fluxiones de fluxiones, aquellos infinitamente pequeños de infinitamente pequeños, etcétera. En sus críticas, en las que esgrimía hábilmente el principio de contradicción, envuelve no sólo a los principios del nuevo algoritmo, sino a las demostraciones mismas que los matemáticos empleaban en él.
La incisiva crítica de Berkeley era, desde el punto de vista técnico, inobjetable y se explica entonces la impresión que causó entre los mismos matemáticos. Es en cambio muy objetable la doctrina de "compensación de errores", en la que se embarcó Berkeley, impresionado sin duda por el aparentemente paradójico hecho de que fundándose sobre principios y demostraciones tan deleznables, los nuevos métodos lograran resultados exactos, como lo comprobaba el extraordinario triunfo de la mecánica newtoniana. Cabe agregar que en esa teoría de compensación de errores, Berkeley no se encuentra solo, pues más tarde fue adoptada por matemáticos y hasta buenos matemáticos.
Quizá desde el punto de vista técnico la parte más interesante del Analyst es un apéndice de 67 Queries, donde se plantean cuestiones acerca del cero y del infinito, de la divisibilidad infinita, del carácter metafísico del tiempo, del espacio y del movimiento absolutos, etcétera.
La influencia de la crítica de Berkeley se hizo sentir en forma más o menos visible en todos los matemáticos ingleses, contemporáneos o inmediatos sucesores de Newton.
De éstos, el más antiguo es Abraham De Moivre, de origen francés pero residente en Londres desde la revocación del Edicto de Nantes. Se ocupó en especial de probabilidades y, por tanto, de los ternas vinculados con los números combinatorios, suma de las potencias de los números naturales, etcétera. Introdujo el estudio de las "series recurrentes", en las que los coeficientes se determinan mediante una ley lineal fija de los coeficientes anteriores, así como la fórmula que lleva su nombre para la potenciación de los números complejos.
De Moivre se ocupó también de descomposición en factores simples de las expresiones algebraicas, completando estudios realizados por Roger Cotes, brillante matemático muerto lamentablemente muy joven.
Cotes dio en forma geométrica la descomposición de las ecuaciones trinomias en factores, y el teorema que hoy lleva su nombre. También se adelantó a Euler en la relación entre las funciones circulares y los exponentes imaginarios y completó la fórmula de Newton, hoy llamada de Newton-Cotes, para la integración aproximada, partiendo de los valores de n ordenadas correspondientes a abscisas equidistantes.
Contemporáneo de los anteriores es Brook Taylor, que se ocupó de física y de matemática. Además de una obra sobre perspectiva, en la que sienta las bases del actual método de proyección central, se le debe un Methodus incrementorum, directa e inversa de 1715, en el que hace uso sistemático de las diferencias finitas. En esa obra y partiendo de las diferencias da la serie hoy conocida por su nombre, aunque sin consideración alguna respecto de su convergencia. También llega a la serie en la forma dada por Johann Bernoulli, pero partiendo del método de integración por partes y no de la identidad de la cual había partido Bernoulli.
Asimismo se deben a Taylor fórmulas para el cambio de variable independiente e investigaciones acerca de ecuaciones diferenciales y de resolución aproximada de ecuaciones.
También se ocupó de diferencias finitas James Stirling en su Methodus differentialis, con sumas o series de términos que son polinomios de factoriales de grado positivo o negativo, así como la fórmula que lleva su nombre para n!, cuando n es muy grande. En realidad esa fórmula la obtuvo continuando los trabajos de De Moivre sobre el desarrollo en serie del logaritmo de n!, de ahí que a veces se la cita como fórmula de Moivre-Stirling.
En un trabajo de 1717 en el que Stirling se ocupa de cúbicas, aumenta en 4 el número de las dadas por Newton y estudia las propiedades generales de las curvas algebraicas aplicándolas a las de segundo y tercer grado.
De geometría, álgebra, cálculo infinitesimal, así como de física y astronomía se ocupó el último matemático inglés y quizás el más importante del período, Colín Maclaurin, quien para escapar a las críticas de Berkeley, volvió a los clásicos métodos de los geómetras antiguos, con lo que, si bien logró hacer más rigurosas las demostraciones, contribuyó indirectamente a aumentar el aislamiento de los matemáticos ingleses frente a los continentales.
En su Geometría orgánica de 1719, así como en su De Linearum geometrícarum propietatibus de 1720 y en varias memorias más, Maclaurin dio numerosas propiedades de las curvas algebraicas, generalizando teoremas conocidos y exponiendo nuevas propiedades, en especial para las curvas de segundo, tercero y cuarto grado. En su Álgebra (póstuma) utiliza indistintamente números positivos y negativos y trata de justificar la regla de los signos.

Su Treatise on Fluxiones en dos volúmenes (1737, 1742) es un tratado sistemático del cálculo de las fluxiones con sus aplicaciones geométricas y mecánicas, que hizo declarar a Lagrange que era "una obra maestra de geometría, que puede compararse a todo lo que Arquímedes nos legó de más hermoso e ingenioso". En ese tratado se deduce la serie binómica de Newton por un método de coeficientes indeterminados que, aplicado a funciones cualesquiera, dio lugar a la llamada "serie de Maclaurin" que el autor mismo reconoció no ser sino un caso especial de la serie de Taylor.
También aparece en ese tratado el método de integración aproximada, llamado hoy de Maclaurin, en el que cada trapezoide es sustituido por el rectángulo de altura la ordenada en el punto medio, así como la fórmula, descubierta independientemente por él y por Euler, que expresa la sumatoria de una función mediante la integral y las derivadas.
Euler
Paralelamente con el desarrollo de la mecánica y con el fin de servirla, el siglo XVIII fue también el siglo del algoritmo; es decir, fue el siglo en el que el análisis, tanto en el campo del álgebra como en el del cálculo infinitesimal, adquiere vida propia y tiñe a toda la matemática de un marcado carácter formal aunque no riguroso. En cierto sentido el análisis se independiza de la geometría y de la ciencia natural. Si en el siglo anterior la geometría analítica y los métodos infinitesimales habían sido instrumentos analíticos para la solución de problemas geométricos y para la investigación de las leyes naturales, en el siglo XVIII el análisis, sin dejar de proseguir esos fines, se estudia por sí mismo, mientras que la geometría y los fenómenos naturales se convierten además en estímulos para nuevos desarrollos y problemas analíticos.
Este carácter puramente algorítmico de la matemática se pierde a fines de siglo, cuando la geometría vuelve a penetrar en el campo de la matemática, pero ahora con la jerarquía de geometría pura.
La figura representativa del período algorítmico es Leonhard Euler, que además de la matemática cultivó otras disciplinas, entre ellas la física matemática, ciencia que comparte con los matemáticos franceses que sobresalen en ella en el período comprendido entre Euler y Gauss.
Con Euler se comprueba que, en este siglo de la razón, también en la matemática la razón mostró una confianza excesiva. En el período en que, teniendo a su disposición el juego de símbolos algebraicos y el algoritmo infinitesimal, no se duda de que toda ecuación algebraica tiene siempre solución, que toda ecuación diferencial puede siempre integrarse y que cualquier serie puede siempre sumarse. A tal confianza en el poder del símbolo, que en definitiva resultó beneficiosa pues los excesos fueron luego corregidos, agregó Euler una capacidad de calculista pocas veces igualada y una fecundidad prodigiosa.
La publicación de la enorme mole de sus escritos en una Opera Omnia, iniciada hace más de medio siglo, no ha completado aún la edición de sus 69 volúmenes proyectados.
Formado en el ambiente de los Bernoulli, Euler -que nunca fue profesor- desarrolló una intensa actividad científica, en gran parte gracias a la protección de las cortes de San Petersburgo y de Berlín, a cuyas publicaciones académicas dio vida durante muchos años y casi por sí solo. Esa actividad no decayó un solo instante; al contrario, la mitad de sus escritos es fruto de los últimos años de su vida cuando, totalmente ciego, dictaba sus trabajos. Tal actividad se manifestó en todos los campos de la ciencia matemática y ciencias afines. Sus memorias, más de un millar, tratan de aritmética y teoría de números, de álgebra y cálculo de probabilidades, de cálculo infinitesimal y de geometría, de mecánica racional y aplicada, de astronomía, de física, de geografía matemática, sin olvidar sus Lettres á une princesse d’Allemagne en tres volúmenes (1768-1772) en las que trata cuestiones científicas.
En teoría de números Euler resolvió y generalizó numerosos problemas de Diofanto y de Fermat y abrió nuevos campos de investigación. Dio la solución del "gran teorema” de Fermat para n = 3 y n = 4 y generalizó la congruencia de Fermat, introduciendo la expresión de Gauss denomino más tarde "indicador”.
Se ocupó de análisis indeterminado, de números perfectos y amigos, de la teoría de los restos potenciales y se adelantó a Legendre en el descubrimiento de la ley de reciprocidad de los restos cuadráticos.
También se ocupó de combinatoria y de cuadrados mágicos, a los que agrego el llamado "cuadro latino” mediante el problema: disponer en cuadrado 36 oficiales de seis grados diferentes y pertenecientes a seis regimientos distintos, de tal manera que cada fila y cada columna tenga una oficial de cada grado y de cada regimiento.
Quizás en este campo su máxima contribución pertenece a la teoría de los números primos. Ya en una carta a Christian Goldbach reconoció, sin demostrarla, la verdad de la llamada "conjetura de Goldbach” anunciada en 1742: Todo número par es suma de dos números primos, y si bien en este siglo se realizaron, respecto de esta propiedad, numerosas investigaciones importantes es el hecho de que, al establecer Euler su famosa identidad que vincula la sucesión de números primos con la función analítica que luego Riemann bautizó ζ(S), inició la actual "teoría analítica de los números”, que lograría importantes desarrollos por la obra de Dirichlet y de Riemann, al establecer una íntima conexión entre la aritmética y la teoría de las funciones analíticas.
Nota complementaria
El procedimiento mediante el cual Euler llega a esa identidad puede dar idea de los métodos eulerianos. Parle de series de la forma
La identidad de Euler para los números primosy multiplica miembro a miembro estas series para α = α1, α2, α3,...
Si se supone ahora que los α son números primos, en los paréntesis del segundo miembro aparecerá, una y sólo una vez, cada número entero n en virtud de la descomposición única de todo número en producto de factores primos. Lo mismo ocurrirá si en lugar de tomar los números primos se toman sus recíprocos o una potencia cualquiera de esos recíprocos. En definitiva para z = 1:
donde el producto se extiende a la sucesión indefinida de los números primos p. El segundo miembro para S complejo, constituye la llamada función ζ de Riemann, con la cual puede demostrarse rigurosamente la identidad anterior debida a Euler.
En álgebra Euler dio métodos originales de eliminación y de descomposición en fracciones parciales simples. Se ocupó, en general, de la teoría de las ecuaciones en la esperanza de dar con un método general para resolver ecuaciones de grado cualquiera. En este sentido halló un nuevo procedimiento, distinto del de Ferrari, para resolver la ecuación de cuarto grado, procedimiento incluido en un método válido para las ecuaciones de segundo, tercero y cuarto grado, pero nada más. Expuso métodos para desarrollar en serie el valor de las raíces, e inició el estudio de las funciones simétricas de las raíces, que tanta importancia adquiriría más tarde en la teoría general de las ecuaciones algebraicas.
Pero es en el cálculo infinitesimal donde aparecen las contribuciones más originales de Euler. Por lo pronto, se le deben los primeros tratados sistemáticos de esa disciplina: Methodus inveniendi lineas curvas maximi minimive propicíate gaudentes (1744); Introductio in analysis infinitorum (1748, dos volúmenes); Institutiones calculi differenlialis (1755); Institutiones calculi integralis (1768-1770, tres volúmenes).
En su Introductio Euler utiliza el concepto de función, cuyo símbolo f(x) también le pertenece: en la forma que conservó mucho tiempo: función de x es toda expresión analítica de esta variable obtenida mediante una combinación finita o infinita de símbolos algebraicos o trascendentes (esta distinción también es de Euler). A veces dio también otra acepción de función, al referirse a toda relación entre x e y tal que se represente en el plano mediante una curva trazada a "mano libre", es decir una curva continua dentro de la acepción vulgar de la continuidad.
En conexión con las funciones trascendentes aparece una de las más notables contribuciones de Euler: los logaritmos como exponentes y su vinculación con los números imaginarios y las funciones circulares. En verdad, el resultado que hoy denominarnos fórmulas de Euler, que se escriben, por ejemplo, en la forma

es la conclusión de un largo pleito iniciado con Leibniz acerca de los logaritmos de los números negativos e imaginarios, al cual Euler pone fin, aunque en verdad las explicaciones de Euler acerca de la multiplicidad de los valores de la función logarítmica no fueron entonces entendidas y las discusiones continuaron durante todo el siglo.
Nota complementaria
Para Leibniz, que no tenía una idea muy clara de los números imaginarios, no existían logaritmos de números negativos pues de existir, dada, la mitad del logaritmo de (-1) sería log√-l; es decir de algo inexistente. En cambio, para Johann Bernoulli log (-l) = 0, pues, según él, log x = log (-x) en vista de que la diferencial del logaritmo dx/x mantenía su valor cambiando de signo a la variable. Además, agregaba, que si log (-1) = h de la igualdad (-l)x = x/-1 se deducía h = 0. En su discusión con Bernoulli, Euler mostró que h no podía ser 0 pues la integral
Las fórmulas de Eulerque entre 0 y b tenía por valor el cuadrante de círculo de diámetro 1/b, mediante la transformación
daba por resultado b/2√-1. Por otro lado, Euler observa que las expresiones
tenían igual desarrollo en serie y que ambas satisfacían la ecuación diferencial y" + y = 0.
Por último, logró la demostración de la multiplicidad de la función logarítmica considerando que si l ∙ x = y, para n infinito será (l + y/n)n = x; por tanto si y = nh se tendrá, para n infinito y hcero, x = (1 + h)n ; h = n√(x - 1); l ∙ x = n(√x - l), como toda raíz tiene tantos valores como indica el índice, el logaritmo tendrá infinitos valores.
Para determinarlos, llama k al logaritmo de -1, de manera que para x = -1 puede escribir (1 + k/n)n.
En su Introductio Euler había demostrado que una suma de potencias de la forma pn + qn tenía como factor el trinomioComo pn + qn = 0, la anulación del trinomio anterior daba
que aplicada al caso particular en el cual p = 1 + k/n; q = 1, se obtiene
y, finalmente, para n infinito, k = ±√(-l) (2m - l)π y la multiplicidad del logaritmo queda probada. Mediante su expresión del logaritmo de -1 Euler dio más tarde valores como el siguiente:
li = e-π/2 = 0,207879576.
Aunque sin aludir a los demás valores de la misma expresión.
Las letras π, e, i, con los significados actuales, así como la definición de las potencias de base e como límites infinitos, se deben también a Euler.
Asimismo aparecen, en el primer tomo de la Introductio, las sumas de las potencias de exponente par de los recíprocos de los números naturales, que deduce del desarrollo en producto infinito de la función sen x. así como el estudio sistemático de las "fracciones continuas" (el nombre le pertenece) dando el desarrollo de algunas funciones en fracción continua infinita.
El segundo tomo de la Introductio es un tratado de geometría analítica plana y del espacio en la forma actual. Aparecen las coordenadas polares, las fórmulas de transformación de coordenadas y las propiedades generales de las curvas algebraicas, en especial las de segundo, tercero y cuarto grado. Las consideraciones infinitesimales se soslayan considerando, como ecuación de la curva, su desarrollo en serie en las proximidades de uno de sus puntos. Se ocupa también de la intersección de curvas y superficies, así como de curvas trascendentes y evita a veces su dificultad mediante oportunas ecuaciones en forma paramétrica.
Nota complementaria
He aquí un ejemplo de curva trascendente que Euler expresa en forma paramétrica. Parte de la ecuación xy = yx, ecuación que transforma, en primer lugar mediante la sustitución y = tx, que da t = xz, y luego con la nueva transformación
Una curva trascendente de Eulert = 1 + 1/u
que permite escribir su ecuación en la forma paramétrica
![]()
En Institutionis calculi differentialis considera el cociente de diferenciales como cocientes de ceros que toman valores finitos. El libro se inicia con el estudio de las diferencias finitas y abarca las diferencias y las sumas de las potencias como operaciones inversas, así como estudia la suma de factoriales de exponentes positivos y negativos. Se ocupa luego de las diferencias de diversos órdenes de funciones algebraicas y trascendentes, de una o varias variables. Con Euler asoma la distinción entre derivadas ordinarias y derivadas parciales, de las que da también un simbolismo especial. Al tratar las funciones de varias variables expone el teorema sobre las funciones homogéneas que lleva su nombre, así como la condición de integrabilidad de una expresión diferencial.
En el estudio de las series da un método de cálculo utilizando la diferencia de los coeficientes, método con el cual calcula numerosas series divergentes, que da resultados inadmisibles desde el punto de vista de la convergencia que prevaleció durante casi todo el siglo pasado, pero no desde un punto de vista funcional que comenzó a admitirse a fines de ese siglo, rehabilitando así al clarividente Euler. La desenvoltura con la que maneja las series, tanto convergentes como divergentes, lo lleva a resultados absurdos dentro del concepto usual de convergencia, como por ejemplo cuando no vacila en escribir


y sumando ambos resultados.
En este tratado aparece su fórmula de sumatoria, que había encontrado independientemente Maclaurin, en la que aparecen los "números de Bernoulli" (la designación es de Euler). Estudia luego las formas indeterminadas, la interpolación, etcétera. Sus aplicaciones son todas algebraicas, pues se jacta de qué no necesita recurrir a figuras.
Sus Institutiones calculi integralis, libro escrito cuando ya estaba ciego, comprende tres volúmenes (el cuarto póstumo contiene una selección de memorias), que tratan los temas comunes del cálculo integral actual, desde las cuadraturas hasta la integración de ecuaciones diferenciales ordinarias y con derivadas parciales, y nociones de cálculo de variaciones, nombre que Euler acuñó para referirse a problemas de los cuales ya se había ocupado en su tratado de 1744.
Agreguemos que, entre muchas otras contribuciones de Euler figuran los primeros problemas concretos de la rama matemática vislumbrada por Leibniz con el nombre de "Analysis Situs", hoy denominada Topología.
Nota complementaria
Es materialmente imposible reseñar las innovaciones introducidas por Euler en los campos del cálculo infinitesimal, de la geometría, de la trigonometría y de la topología. Citemos las más importantes de ellas en ese orden.
Las contribuciones de Euler
a)Las dos integrales definidas, que más tarde Legendre llamó eulerianas de primera y de segunda especie o funciones B (beta) y Γ (gamma), las dedujo Euler: la primera, tratando de generalizar la fórmula de Wallis y llegando en estas investigaciones hasta definir derivaciones de orden fraccionario; la segunda, al estudiar ciertas integrales definidas que se le presentaron en un problema geométrico.
b) La llamada constante de Euler o de Mascheroni, apareció en sus estudios de la serie logarítmica, en conexión con las series que llamó armónicas.
Para llegar a esa constante, Euler parte de la serie logarítmicaSumando sus resultados para n = 1, 2, 3,... m se llega a la expresión
Cuando m tiende a infinito, cada uno de los paréntesis del segundo miembro tiende a un valor finito, que por lo demás Euler sabía calcular, de ahí que la diferencia 1 + 1/2 + 1/3 + …+1/m tiende para m → ∞ a una constante, la "constante de Euler o de Mascheroni, que se designa generalmente con G y que se conoce con numerosos decimales, los primeros de los cuales son 0,57721566... Euler dio también una expresión de esta constante en la que intervienen los "números de Bernoulli".
c) La serie de los recíprocos de los números primos es un infinito equivalente a log ∙ log n.
d) Desarrollo en serie de 1/cos x en cuyos coeficientes aparecen los llamados "números de Euler”.
e) La serie hipergeométrica, más tarde estudiada por Gauss.
f) Estudio de una nueva trascendente, hoy denominada logaritmo integral, ∫dx/l ∙ x
g) Desarrollo en serie, mediante un método ingenioso, de las infinitas soluciones de la ecuación trascendente tan x = x.
h) Demostración de la alineación de los puntos intersecciones de las tres alturas, las tres medianas y las tres mediatrices de un triángulo (recta de Euler).
i) Introducción de las coordenadas intrínsecas para el estudio de las curvas planas y fórmula de la curvatura de las secciones normales que pasan por un punto de una superficie.
j) Jobo Machín había dado en 1706 la expresiónque, desarrollada en serie, le permite calcular n con 100 decimales. (Con esta fórmula William Shanks dio en 1874 el valor de π con 707 cifras. Actualmente con las computadoras ese número alcanzó al par de millares). Euler generalizó la fórmula de Machín y dio numerosos desarrollos en serie del número π mediante la serie del arco tangente.
k) Enunciado y posterior demostración de la relación fundamental entre las caras, vértices y aristas de un poliedro (simplemente conexo).
l) Solución del "problema de los puentes de Königsberg" cuyo enunciado es: El rio Pregel atraviesa la ciudad de Königsberg formando dos islas que se unen entre sí y con tierra firme mediante siete puentes. ¿Es posible pasar sucesivamente por todos esos puentes cruzándolos una sola vez? (Euler probó que no es posible).
El gran favor que los métodos analíticos gozaron durante el siglo XVIII se puso también de manifiesto en el hecho de que casi todos los matemáticos contemporáneos de Euler se ocuparon preferentemente de análisis y no de geometría. En este sentido es una excepción el francés Alexis-Claude Clairaut, que aún adolescente se ocupó de las "líneas de doble curvatura”, es decir nuestras curvas alabeadas. El nombre de doble curvaturas provenía del hecho de que esas curvas se estudiaban mediante sus proyecciones, con sendas curvaturas distintas. La obra más importante de Clairaut esThéorie de la Figure de la Terre, tirée des Príncipes de L'Hysgrostatique (1743), en la que se establecen las condiciones matemáticas para el equilibrio de los fluidos y se sientan los fundamentos de la futura teoría del potencial. Esa obra se fundaba en una de Maclaurin sobre la atracción de los elipsoides de revolución, y los métodos exclusivamente geométricos de Maclaurin indujeron a Clairaut figuran entre los últimos matemáticos que resuelven los problemas mecánicos y astronómicos more geométrico. Con D’Alembert, Euler, Lagrange y otros matemáticos de la época, Clairaut se ocupó del "problema de los tres cuerpos”, vinculando además su nombre con una ecuación diferencial cuya integración dio como la solución singular que comporta.
La "ecuación de Clairaut” es un caso particular de la ecuación llamada hoy de D’Alembert, contemporáneo y en cierto modo rival de su compatriota Clairaut. Jean-Le Rond D’Alembert fue el autor del Discurso preliminar y de numerosos artículos matemáticos de la gran Enciclopedia, en los que se ocupó también de cuestiones metodológicas y de los fundamentos del cálculo infinitesimal. Su contribución más importante fue en el campo de las ecuaciones con derivadas parciales, en el que dio la solución del "problema de las curvas vibrantes”, problema que adquirirá importancia en la futura revisión de los principios del análisis.
Nota complementaria
En el "problema de la cuerda vibrante" se presenta una ecuación con derivadas parciales de segundo orden de la forma
La ecuación de D'Alembert.que mediante la trasformación at = y se convierte en
D’Alembert dio con la integración de la ecuación en 1747. Si
.
se tendrá, por un lado, du = p dx + q dy y, por el otro, en virtud de la ecuaciónserá una diferencial exacta. En definitiva
d ( u + v) = (p + q) d (x + y); d(u - v) = (p - q) d(x - y.
o, lo que es lo mismo,u + v = 2Φ(x + y) u - v = 2Ψ(x - y)
con Φ y Ψ funciones arbitrarias, de donde se deduce finalmenteu = Φ (x + at) + Φ (x - at)
Se ocuparon, en cambio, especialmente de algebra los franceses Etienne Bézout y Alexandre-Théophile Vandermonde. Al primero se deben métodos de eliminación y el teorema respecto del grado de la ecuación resultante de un número cualquiera de ecuaciones. Vandermonde se ocupó de temas análogos; se lo considera un precursor de la teoría de las sustituciones y fundador de la teoría de los determinantes.
Más originales en sus investigaciones aritméticas y algebraicas es el inglés Edward Waring quien, independientemente de Goldbach, afirmó que todo número par es suma de dos primos y todo impar no primo suma de tres números primos. También en forma de conjetura expresó el teorema relativo a la descomposición de todo número en suma de potencias de igual exponente, que no se resolvió hasta principios de este siglo. En sus escritos aparece un teorema de congruencias debido a su amigo John Wilson. Waring se ocupó de las transformaciones de ecuaciones y llevan su nombre las relaciones entre los coeficientes de una ecuación y las sumas de las potencias de igual exponente de sus raíces, y las relaciones inversas. En sus transformaciones aparece, como nueva incógnita, la diferencia de las raíces que más tarde utilizará Lagrange. Un hermoso teorema de Waring establece que el producto de los cuadrados de las raíces de una ecuación es proporcional al producto de los valores de la función para los ceros de la derivada. Se ocupó de la separación de las raíces, de la aproximación de raíces complejas, etcétera; se encuentra entre sus escritos, poco leídos por sus contemporáneos dada su oscuridad, el criterio del cociente para la convergencia de las series y la fórmula de interpolación que luego dará Lagrange.
También se ocupó de álgebra, aunque en vista en especial de su utilización en el estudio de las curvas planas, Gabriel Crámer quien estudia sistemáticamente las curvas referidas en cada caso a un sistema adecuado de ejes de referencia. En la determinación de los coeficientes de la ecuación de una curva algebraica, conociendo un número suficiente de sus puntos, da la regla conocida por su nombre en la resolución general de sistemas lineales. En el estudio de las curvas utiliza las series para la investigación de los puntos singulares.
Por último, mencionemos al alsaciano Johann Heinrich Lambert, científico que se ocupó de diversas ramas del saber. En matemática se le deben investigaciones, desde la perspectiva hasta el simbolismo lógico, tema este último en el cual siguió las huellas de Leibniz. Se ocupó de funciones hiperbólicas en conexión con estudios vinculados con la teoría de las paralelas, demostró la irracionalidad de n partiendo del desarrollo en fracción continua de tan x y se ocupó de cartografía y de cálculo actuarial. Se destaca entre sus trabajos puramente analíticos el desarrollo en serie de las raíces de una ecuación binomia y la "serie de Lambert", en la cual cada coeficiente da el número de divisores del exponente, de manera que todas las potencias de exponente primo tienen por coeficiente el número 2.
Todos estos matemáticos nacieron y murieron en el siglo XVIII, que fue el siglo de Euler; la generación siguiente es la de Lagrange y es la generación que asiste a la Revolución francesa.
El siglo de oro de los matemáticos franceses
La preferencia por los métodos analíticos, característica del siglo XVIII, se acentúa en Lagrange, creador de la "mecánica analítica" concebida como una rama de la matemática.
Joseph-Louis Lagrange, de origen francés pero nacido en Italia, residió desde los 30 años en Berlín y en París. Con sus escritos contribuyó a dotar a las ramas analíticas de la matemática de esa generalidad que las caracteriza, mientras las aplica a los más variados problemas de mecánica, de astronomía, de probabilidades. Los primeros trabajos de Lagrange aparecieron en la Miscellanea Turínensia, publicación periódica de una sociedad científica de Turín, que Lagrange contribuyó a fundar en 1757 y que luego se convirtió en la Academia Real de esa ciudad. En esos trabajos Lagrange reorganiza el "cálculo de las variaciones", independizándolo de las consideraciones geométricas que le habían dado nacimiento (el problema de los isoperímetros), y confiriéndole mayor generalidad.
En teoría de números Lagrange se ocupó de numerosos problemas: análisis indeterminado de primero y segundo grado, demostración del teorema de Wilson y de que todo número es siempre suma de cuatro cuadrados, etcétera.
Los estudios de Lagrange sobre la teoría de las ecuaciones algebraicas son precursores de la futura teoría de grupos. Utilizó tanto en álgebra como en análisis el algoritmo de las fracciones continuas infinitas. Mediante la hoy llamada "fórmula de Lagrange" dio un método para desarrollar en serie la raíz de una ecuación algebraica o trascendente.
Nota complementaria
El procedimiento mediante el cual Euler llega a esa identidad puede dar idea de los métodos eulerianos. Parte de series de la forma
La identidad de Euler para los números primos.
y multiplica miembro a miembro estas series para α = α1, α2, α3 ...α n
Si se supone ahora que los α son números primos, en los paréntesis del segundo miembro aparecerá, una y sólo una vez, cada número entero n en virtud de la descomposición única de todo número en producto de factores primos. Lo mismo ocurrirá si en lugar de tomar los números primos se toman sus recíprocos o una potencia cualquiera de esos recíprocos. En definitiva para z = 1:
donde el producto se extiende a la sucesión indefinida de los números primos p. El segundo miembro para S complejo, constituye la llamada función ζ de Riemann, con la cual puede demostrarse rigurosamente la identidad anterior debida a Euler.
En cuanto a la conocida "fórmula de interpolación de Lagrange" apareció en una memoria de astronomía de 1792, pero volvió a publicarse en trabajos posteriores.
En análisis se ocupó en especial de funciones de varias variables y de ecuaciones con derivadas parciales; le pertenece el método de integración de ecuaciones diferenciales lineales llamado de la "variación de las constantes".
La aplicación de las fracciones continuas a la integración de ecuaciones diferenciales le permitió expresar, mediante una fracción continua infinita, gran parte de las funciones elementales. Lagrange introdujo el cálculo simbólico en el cálculo infinitesimal, llegando de manera puramente simbólica a la fórmula sumatoria de Euler.
En 1797, estando Lagrange en París, se fundó en esa ciudad la École Polytechnique, de la cual fue profesor durante algunos años. Como resultado de sus cursos publicó la Théoríe des fonctions analytique, de 1797, aunque la idea fundamental que la informa pertenece a una memoria de 1772, y Leçons sur le calcul des fonctions (1801), tratados en los que expone los principios del cálculo infinitesimal de manera original, aunque no rigurosa.
Con el propósito de evitar los infinitamente pequeños o los incrementos evanescentes, y, al mismo tiempo, independizarlo de toda consideración geométrica o mecánica, funda ese cálculo de manera algebraica tomando como fórmula fundamental la serie de Taylor. Fundado sobre tal desarrollo algebraico denomina "derivadas" (este nombre proviene de Lagrange, así como la notación mediante ápices) a los coeficientes de aquél y con esas "derivadas" desarrolla el cálculo en forma finita. En cuanto al cálculo integral, lo considera inverso del cálculo de derivadas.
Nota complementaria
Puede tenerse una idea del "método de las derivadas" de Lagrange, reseñando algunas de sus demostraciones de ese método.
Las "derivadas" de Lagrange
- Derivada de función de función. Si y = f(F(x)), se tendrá, llamando como Lagrange i al incremento de la variable,
Como por otra parte
por tanto, comparando el primero y último miembro, se obtiene el resultado y' = f'F'.
- Regla de L'Hôpital. Para calcular el valor de la función y = f(x)/F(x) para x = a cuando f( a) = F(a) = 0, Lagrange deriva el producto yF(x) = f(x ) y de y'F(x) +yF'(x) = f' obtiene, para x = a, y = f'/F'
Problema inverso de la tangente. Si y = f (x) representa una curva que encierra el área F(x), el valor de F(x + i) - F(x) estará comprendido entre if (x) e if(x + i) = if( x) + i2f'(x + j ), utilizando el teorema del valor medio que vuelve a utilizar en F(x + i) = iF'( x) + - i2/2 F"(x + k) por tanto, dividiendo por i, F'(x) +-F"(x + k) debe estar comprendido entre f(x) y f(x) + if'(x + j), lo que exige que F'( x) = f(x).
Aunque tal "método de derivadas" no es riguroso (el fundamento está sin fundamentar) fue mérito de Lagrange haber asignado al teorema de Taylor la importancia que tiene en el análisis. Por lo demás, se le deben dos formas del resto de la fórmula de Taylor, mediante las derivadas y mediante las integrales.
Un intento semejante al de Lagrange, de eliminar los infinitésimos y los límites, se debe al inglés John Landen quien, mediante un "análisis de restos", trató de definir las derivadas dividiendo los incrementos y anulando en el cociente el incremento variable. Este método, tan poco riguroso como el de Lagrange, era en cambio más engorroso. Más importantes son algunas investigaciones de Landen sobre las integrales elípticas.
El "método de derivadas" de Lagrange no dejo de encontrar objeciones entre sus contemporáneos, aunque pasaran inadvertidas hasta la época de Cauchy. Entre los opositores cabe citar al polaco Hoëné Wronski, que se ocupó de numerosas cuestiones de análisis. Hoy se designan con el nombre de "wronskianos" ciertos determinantes funcionales. Pero en verdad la matemática técnica no tenía para Wronski mayor importancia frente a las ideas y el sistema filosófico subyacente, que expuso en numerosas obras, una de las cuales es una refutación a la teoría de las funciones analíticas de Lagrange. Del mismo modo, criticará más tarde las funciones generatrices de Laplace. Es menos en nombre del rigor que en nombre de ese sistema general y metafísico que Wronski, que no deja de ser un buen algorítmico, refuta las pretensiones de Lagrange, quien en su Théoríe había sostenido que ella "contiene los principios del cálculo diferencial desprovista de consideración de infinitamente pequeños, de evanescentes, de límites y de fluxiones, y reducida al análisis algebraico de cantidades finitas".
La Mécanique Analytique de Lagrange, de 1788, es una obra que hizo época. En ella la mecánica se considera, más que una ciencia natural, una geometría de cuatro dimensiones (la cuarta dimensión es el tiempo). Partiendo del principio de las velocidades virtuales y utilizando el cálculo de variaciones, se erige el sistema íntegro de la mecánica, donde aparecen el concepto de potencial y el principio de acción mínima, se introducen las coordenadas generalizadas, etcétera. En 1810 Lagrange inició una prolija revisión de su Mécanique, pero la muerte impidió completarla.
Obra semejante a la cumplida por Lagrange en mecánica, desarrolló Pierre Simón Laplace en astronomía. Su Mécanique celeste (cinco volúmenes aparecidos entre 1799 y 1825) comprenden todos los descubrimientos realizados por Newton.
Clairaut, D'Alembert, Euler y Laplace mismo, sobre la mecánica del sistema solar expuestos en forma totalmente analítica, sin más datos de observación que los indispensables. Aún antes de la publicación de la Mécanique, Laplace había abordado el problema del origen del sistema solar, que expuso en un tratado de divulgación con un apéndice sobre la historia de la astronomía: Exposition du systéme du monde, de 1796, donde aparece la concepción conocida con el nombre de "hipótesis de la nebulosa” o "hipótesis de Kant y Laplace", para aludir a una hipótesis cosmogónica, semejante a la de Laplace, que Kant habla expuesto en 1755.
Una contribución importante de Laplace a la matemática es el conjunto de investigaciones sobre el cálculo de probabilidades. En 1812 reunió todos sus estudios sobre el tema en su Théorie analytique des probabilités, cuya tercera edición de 1820 fue precedida por una introducción (que también se publicó separadamente) con el título Essai philosophique sur des probabilités, en el que se expone la teoría sin fórmulas matemáticas escritas. En Théorie Laplace expone la teoría de las funciones generatrices: son las funciones que desarrolladas en serie de potencias tienen por coeficientes las familias de números o defunciones, de los que es generatriz la función desarrollada. En el tratado teórico se utilizan los recursos del cálculo infinitesimal, se introduce el principio de los cuadrados mínimos y se analizan todos los problemas y las contribuciones de los autores anteriores. Así se estudia, entre otros, el teorema de Bayes sobre la "probabilidad de las causas”, enunciado en una memoria póstuma de Thomas Bayes, y el problema "de la aguja", propuesto y resuelto por Buffon en 1777.
Laplace es un matemático profundo, difícil de leer, pues da los resultados sin exponer las etapas para llegar a ellos, acompañadas a veces con un atormentador "il est facile de voir". Entre sus contribuciones originales pueden citarse la generalización de las funciones esféricas, introducidas por Legendre, y la generalización de la integral euleriana de segunda especie. En sus estudios astronómicos utilizó el potencial (el nombre es de Green) introducido por Lagrange, dando la ecuación de segundo orden con derivadas parciales, hoy llamada de Laplace o Laplaciana, a que satisface la función potencial, y que para dos variables ya era conocida por D'Alembert. Se le deben además métodos de resolución de ecuaciones, de desarrollo de determinantes, de aproximación de integrales definidas, etcétera.
De méritos ponderables, aunque inferiores a los de Lagrange y Laplace, es el contemporáneo de ambos Aldrien Marie Legendre, último de los grandes analistas del tipo de Euler o Lagrange, que alcanzó a conocer y reconocer los méritos del nuevo grupo de analistas del siglo XIX del tipo de Abel y Jacobi.
Las contribuciones más importantes de Legendre se refieren a la teoría de números y al cálculo integral. Sus investigaciones en el primer campo aparecen, en su forma más desarrollada, en Théoríe des nombres de 1830, donde estudia la teoría de los números primos, las ecuaciones indeterminadas, los restos potenciales. En ella aparece demostrada, por primera vez (Euler la había enunciado sin demostración), la ley de reciprocidad de los restos cuadráticos, esa "joya de la aritmética", como la calificó Gauss. En los Exercices de Calcul Integral, cuya primera edición es de 1812, Legendre se ocupa de las integrales eulerianas y de las integrales elípticas, expresiones que hacen así su aparición en matemática y que, por inversión, dieron lugar a las llamadas funciones elípticas, de manera que Legendre publicó una nueva edición de su obra, con el título de Traité des Fonctions eüiptiques et des intégrales eulériennes (1827-1832), dando cabida en ella a las investigaciones de Abel y Jacobi.
Nota complementaria
Después de haber conocido los trabajos de Fagnano, Euler y Landen, Legendre demuestra que toda integral en la que aparece un irracional cuadrático de un polinomio de cuarto grado, se puede llevar a la forma
Las integrales elípticas de Legendre
Que a su vez puede reducirse a una combinación de una o más de estas formas típicas, las formas canónicas de Legendre.
Integral elíptica de primera especie∫dφ/Δ(φ.
Integral elíptica de segunda especie∫Δ(φ) d.
Integral elíptica de tercera especie
Integrando entre 0 u θ, y haciendo c = sin α, Legendre calculó, para α y θ de grado en grado, los valores de las integrales de primera y segunda especie con 9 y 10 decimales. Entre las propiedades estudiadas por Legendre figuran las relativas a la suma de las integrales elípticas para dos valores distintos de la amplitud θ.
En sus estudios sobre la atracción de un elipsoide de rotación aparecen los polinomios Pn, hoy llamados de Legendre, que Laplace generalizó (son las llamadas funciones esféricas) y de los que Legendre dio algunas propiedades, por ejemplo que constituyen una familia de funciones ortogonales.
Mucho éxito tuvieron sus Éléments de géométrie de 1794, que se editaron repetidas veces y fueron adoptados como texto en el continente y en los Estados Unidos. Con Legendre aparece en la geometría el tratamiento de los teoremas previo al de los problemas, mientras que en Euclides ocurre lo contrario, así como la geometría adquiere esa fisonomía entre algebraica y geométrica que caracterizó a la geometría elemental desde entonces. En un Apéndice trae notas con algunas novedades: la trigonometría, la distancia mínima entre dos rectas no coplanares, la demostración de la irracionalidad de ny de e, con la observación profética de que "es probable que el número πno esté comprendido entre los irracionales algebraicos, es decir que no sea raíz de una ecuación algebraica de un número finito de términos y de coeficiente racionales". Agreguemos que en conexión con las cuestiones de geometría elemental, Legendre se ocupó también del postulado de las paralelas.
Otro matemático de este período que, además de ocuparse de análisis (ya mencionamos la constante que lleva su nombre unido al de Euler) se ocupó también de geometría elemental es Lorenzo Mascheroni, quien en 1797 publicó una Geometría del Compasso, donde prueba que todas las construcciones con regla y compás pueden realizarse con compás únicamente (sin radio fijo). En general supone dado el centro, aunque expone una construcción con compás únicamente para determinar el centro de una circunferencia dada. Las construcciones de Mascheroni son ingeniosas y el autor sostiene que esas construcciones son más exactas que las hechas con regla y compás. En realidad no fue Mascheroni el primero que se ocupó de este tema en forma detallada, pues el danés Georg Mohr (=Mohrendal) había publicado en 1672 un Euclides danicus, donde figuran los mismos resultados, pero este escrito no se difundió hasta 1928.
Nota complementaria
Sea bisecar, con compás únicamente, el arco AB de la circunferencia de centro O. Con centros enA y en B se trazan los arcos OC yOD, tomando sobre ellos puntos C yD tales que OC = OD = AB. Con centros en C y en D y radio AC = DB se trazan los arcos AE y BE, que determinan el punto E. Nuevamente con centros en C y en D, pero ahora con radio OE, se trazan dos arcos que determinan sobre la circunferencia el punto M que será el punto medio del arco AB.
Una construcción de Mascheroni.En efecto, sean 2c y f la cuerda de AB y su distancia al centro. El segmento AC será hipotenusa de un triángulo de catetos f y 3c (OC + 1/2 OD), por tanto
AC2 = 9c2 + f2 = CE2 = 4 c2 + OE2;
OE2 = 5c2 +f2= CM 2 = 4c2 + OM2;
OM2 = c2 + f 2 = r 2,
siendo r el radio, por tanto el punto M está sobre la circunferencia y por la simetría de la figura será el punto medio de AB.
El estado del cálculo infinitesimal a fines del siglo XVIII se pone de manifiesto en el gran tratado de otro francés, Sylvestre François Lacroix, el Traité de Calcul Différentiel et Intégral en tres gruesos volúmenes aparecidos entre 1797 y 1800. El primer volumen se refiere al cálculo diferencial y a sus aplicaciones geométricas. Aunque utiliza el método de Lagrange no excluye el uso de límites. En las aplicaciones geométricas hace su aparición la expresión "geometría analítica".
... He deseado mostrar a los lectores que existe una manera de enseñar la geometría analítica, que consiste en deducir las propiedades de la extensión del menor número de principios y por procedimientos puramente analíticos como lo hizo Lagrange... ".
También aparece el estudio de las curvas mediante las coordenadas intrínsecas, "... cantidades absolutamente inherentes a la curva propuesta".
El segundo volumen, dedicado al cálculo Integral con cálculo de variaciones, trae la distinción entre integral definida e indefinida y las definiciones respectivas. El tercer volumen se ocupa exclusivamente de diferencias y de series.
Se debe también a Lacroix una colección de obras didácticas de matemática que incluye todas las ramas de esta ciencia y hasta un tratado de didáctica matemática. Entre estos tratados didácticos figura un Traité élémentaire de Calcul différentiel et intégral, que se tradujo al inglés en 1816, agregándosele en 1820 dos volúmenes de ejercicios.
Esta traducción significó el fin del ostracismo de los analistas ingleses y el abandono de la notación fluxional, adoptándose la notación y los métodos de los matemáticos continentales. Los traductores del Lacroix y promotores del movimiento fueron los tres jóvenes ya mencionados que en 1813 fundaron en Cambridge la "Analytical Society": John F. W. Herschel, hijo del célebre astrónomo y astrónomo él mismo, aunque se ocupó también de matemática; Charles Babbage, conocido por sus inventos de máquinas analíticas, y George Peacock, probablemente el más matemático del grupo.
Nota complementaria
El " Álgebra" de PeacockAtreatiseonÁlgebra (1830, segunda edición en dos volúmenes, 1841-1842) es una obra importante, en la que se estudian los fundamentos del álgebra y se acentúa su carácter simbólico. Con el nombre de "principio de permanencia de las formas equivalentes" enuncia un principio que anticipa el futuro "principio de permanencia de las leyes formales" de Hankel, de 1867, que constituyó el principio director del análisis algebraico. El tratado de Peacock incluye, además, todos los progresos realizados hasta entonces en el campo del álgebra, agregando "aplicaciones a la geometría de posición", es decir, la trigonometría. Comprende aritmética, combinatoria, teoría de números, algoritmo algebraico, expresiones imaginarias, teorema del binomio, raíces de la unidad, aplicaciones de la fórmula de De Moivre, series exponencial y logarítmica y de las funciones circulares, logaritmos, descomposición en fracciones parciales, eliminación, ecuaciones de tercero y de cuarto grado. En el apéndice menciona el trabajo de Abel sobre la imposibilidad de resolver las ecuaciones algebraicas de grado superior al cuarto, y lo comenta con algún escepticismo.
El renacimiento de la geometría y el nacimiento de la física matemática.
" ...Hoy la geometría no está de moda, y para pasar por científico hay que hacer ostentación del análisis ", se expresa con cierta melancolía Amédée François Frézier, uno de los pocos autores que se ocuparon de geometría en la primera mitad del siglo XVIII. Su Traité de Stérétomie a l'usage de l’Architecture de 1737, no obstante su finalidad práctica, estudia en forma científica las curvas situadas sobre las superficies y los métodos para representar los sólidos y sus curvas sobre un plano.
Pero a fines de siglo la geometría pura vuelve por sus fueros y mientras continúa siendo estudiada con los recursos del análisis, nacen nuevas ramas de la geometría en las que el análisis no tiene ya cabida. Tal es el caso de la geometría descriptiva, que nace ya con este nombre en 1795, gracias a los esfuerzos de Gaspard Monge y en la que se da unidad y jerarquía científica a aquella serie de procedimientos nacidos hacia fines del siglo XV para otorgar a los artistas y arquitectos normas para la mejor realización de sus obras. En su Géométrie Descríptive, Monge utiliza el método que lleva su nombre con el cual pueden representarse en un plano las curvas, las superficies y sus relaciones mutuas, mediante dos proyecciones ortogonales de aquellas sobre dos planos perpendiculares entre sí, método que, como dijimos, tiene un lejano precursor en Dürer.
Con su método, Monge estudia en su tratado los principales problemas gráficos concernientes a los puntos, rectas, planos, superficies cónicas, cilíndricas, de rotación y regladas. Pero no se limitó a representar las curvas y superficies mediante su método de proyección, sino que utilizó los recursos del análisis para estudiar nuevas propiedades de las figuras geométricas, invirtiendo en cierto modo el proceso de la época que consistía en tomar figuras como pretextos para estudios analíticos.
Tales estudios de Monge, que inauguran la llamada "geometría diferencial", y los que dedicó en especial a las curvas alabeadas y a las superficies desarrolladles, aparecieron en sus Feuilles d'Analyse appliquée a la Géornétrie de 1809, título que cambió en ediciones posteriores.
Monge fue un gran maestro, de manera que un numeroso grupo de discípulos continuó su obra. Así, Jean-Baptiste Meusnier, a quien se debe el teorema que hoy lleva su nombre acerca de la relación entre la curvatura de una sección oblicua y la sección normal en un punto de una superficie. Así, Charles Dupin que al seguir las huellas de su maestro estableció una nueva teoría de la curvatura de las superficies. Así, Charles J. Brianchon que, solo o en colaboración con Poncelet, se ocupó de las cónicas en cuyo estudio dejó un teorema que lleva su nombre correlativo del de Pascal.
Discípulo de Monge fue también Lazare-Nicolas-Marguerite Carnot, que además de sus actividades civiles y militares, se ocupó de matemática. En 1797 hizo conocer su obra Réfléxions sur la Métaphysique du Calcul Infinitésimal, donde entre otras reflexiones aparece la inconsistente tesis, ya esgrimida por Berkeley, de que si, no obstante sus imperfecciones, los conceptos infinitesimales no conducen a resultados erróneos, se debe a que los errores que se cometen se compensan y se anulan. Luego Carnot se dedicó a la geometría y publicó De la correlation des figures de Géométrie (1801) y Géornétrie de position (1803), aunque en estos títulos los términos "correlación" y "geometría de posición" no tienen el significado geométrico que luego se les asignó. En estos dos trabajos Carnot intenta, sin lograrlo, introducir un algoritmo capaz de representar al mismo tiempo la posición y la magnitud de las figuras, mediante interpretaciones de signos. Más feliz es con su Essai sur la théorie des transversales (1806) donde aparece el concepto de "cuadrilátero completo" y el importante resultado: un conjunto de n rectas en un plano o una poligonal alabeada de n lados o una poligonal esférica de n arcos de círculo máximo puede considerarse como una curva de orden n. Cabe decir que con Carnot se inicia el estudio de las propiedades generales de las figuras que iba a constituir muy pronto el nuevo cuerpo de doctrina geométrica denominado "geometría proyectiva".
En tal sentido, y por su vinculación con la escuela de Monge, debe citarse a Jean Víctor Poncelet que, al regresar a Francia después de varios años de cautiverio en Rusia, hizo conocer en 1820 su Essai sur les propriétés projectives des sections coniques, que dos años después reprodujo ampliado como Traité des propríétés projectives des figures.
La definición de Poncelet de las propiedades proyectivas como aquellas propiedades que se conservan cuando la figura se somete a proyecciones y secciones, ya encierra los conceptos de invariancia de las propiedades gráficas que había creado Desargues, y que son fundamentales en la actual geometría proyectiva.
En su tratado Poncelet expone la teoría de la polaridad respecto de una cónica o de una cuádrica, la homología plana y su extensión al espacio con el nombre de "perspective relief”, y utiliza proyecciones centrales, ya no como hacia Monge según una dirección fija.
Como consecuencia de la teoría de la polaridad, de las "polares recíprocas”, como las llama Poncelet, aparece el "principio de dualidad" según el cual a cada propiedad geométrica entre ciertos elementos, corresponde otra propiedad, la llamada correlativa o dual, entre otros elementos. Así, en el plano a propiedades (gráficas) de los puntos corresponden propiedades de rectas y recíprocamente.
Poncelet utilizó en sus trabajos el "principio de permanencia o continuidad indefinida de las leyes matemáticas de las magnitudes variables por sucesiones insensibles", principio que, con el nombre de "principio de las relaciones contingentes", provenía de Monge y adoptó con Gergonne y Poncelet el poco adecuado de "principio de continuidad". Con este principio, ya aplicado parcialmente por Kepler y Desargues, se introducían en la geometría los elementos impropios y los imaginarios y se extendían las propiedades demostradas para elementos reales o propios a los casos en que esos elementos se convertían en imaginarios e impropios. Por ejemplo, las propiedades de los puntos de la secante común a dos circunferencias, el llamado "eje radical", se extendían sin más al caso en que la recta fuera tangente común o exterior a ambas circunferencias.
El "'Principio de dualidad", como el de "continuidad", motivaron polémicas y discusiones. El "principio de dualidad" motivó una controversia entre Poncelet y Joseph Díaz Gergonne respecto de su prioridad. En realidad Poncelet lo habla señalado en la polaridad; Gergonne, que le dio el nombre, advirtió su alcance general, y es con Gergonne que se inicia la costumbre de disponer los teoremas correlativos en dos columnas. Un progreso resultante de la controversia fue la distinción entre orden y clase de una curva.
En cuanto al "principio de continuidad", Gergonne no le concedía sino un valor heurístico. Por lo demás, la Comisión relatora del Essai de Poncelet, que había presentado el trabajo al "Instituí", formada por Cauchy, Poisson y Arago había manifestado sus dudas acerca de la aplicabilidad general del principio.
Además de su labor como geómetra, fue mérito indiscutible de Gergonne el de haber fundado y dirigido (aunque no fue un director ejemplar) la primera publicación periódica dedicada exclusivamente a la matemática: los " Anuales des Mathématiques”, más conocidos como los "Anuales de Gergonne", aparecidos en Nimes desde 1810 basta 1832 y que durante casi 15 años fue la única revista matemática que se publicaba en el mundo. Cuando dejó de aparecer, ya el intento había dado sus frutos pues en la primera mitad del siglo XIX aparecieron las siguientes publicaciones periódicas consagradas parcial o totalmente a la matemática: “ Correspondence mathématique et physique’’, aparecida en Bruselas entre 1824 y 1839, cuyo principal director fue Adolphe Quételet, matemático, astrónomo y estadígrafo; el célebre y más que centenario "Journal fur reine und angewandte Mathematik", más conocido como el " Journal de Crelle", fundado en Berlín en 1826 por el geómetra A. L. Crelle; el "Journal de Mathématiques purés et appliquées" que reemplazó en Francia a los "Anuales de Gergonne", fundado por Joseph Liouville en 1836 ... Es imposible continuar la lista, a mediados de este siglo el número de periódicos que contienen artículos de matemática debe superar el millar, mientras que las sociedades matemáticas, que también comienzan a aparecer en la segunda mitad del siglo XIX, llegan al medio centenar.
Así como en los últimos años del siglo XVIII, por obra de Monge, la geometría adquiere nueva vida, en esa misma época y por obra de otro científico francés, Joseph Fourier, nace una nueva rama de la ciencia natural íntimamente vinculada con la matemática: la llamada física matemática, en la que siguiendo las huellas de Lagrange y de Laplace se estudian los problemas físicos mediante los recursos del análisis infinitesimal con el mínimo indispensable de hipótesis físicas.
En este sentido la obra más importante de Fourier es su memoria de 1822, La Théoríe Analytique de la Chaleur, algunos de cuyos resultados ya habían sido presentados en 1807. Con esa memoria entran en el análisis las series trigonométricas, hoy llamadas "series de Fourier” con la importante extensión del concepto euleriano de función, al admitir que mediante tales series pueden representarse funciones arbitrarias, y con la introducción de los primeros problemas en que la integral de una ecuación con derivadas parciales se fija mediante condiciones de contorno.
Nota complementaria
Prescindiendo de la parte física, uno de los problemas del calor que trata Fourier consiste en determinar una integral de la ecuación diferencial de segundo orden
Un problema de Fourier
Que cumpla las siguientes condiciones.
Para cualquier y, t = 1 para x = 0.
Para cualquier x, t = 0 para y = ± π/2 = 0 también para x →∞.
Fourier comienza considerando t de la forma F(x)f(y), de dondeque exige, por ser x e y independientes, y constantes, de ahí que una integral de la ecuación esté representado por una serie de términos de la formaamemx cos my, de donde m y am son constantes a determinarse, de acuerdo con las condiciones de contorno.
La condición c) exige que m sea negativo y la b) que sea impar, de ahí que la solución sea de la format = a1e-x cos y + a3e-3x cos 3y + a5e-5x cos 5y +...
debiendo los coeficientes satisfacer la condición a), de manera quet = a1 cos y + a3 cos 3y + a5 cos 5y +… = .
Que es una serie de Fourier.
Aunque Fourier ha dado también la fórmula para calcular los coeficientes mediante integrales definidas, en este ejemplo procede de manera más inductiva.
En la serie anterior y en las que logra mediante derivaciones sucesivas, hace y = 0 y obtiene un sistema de ecuaciones lineales cuyas incógnitas son los coeficientes. Tomando un número finito de ecuaciones da con la ley de formación de los coeficientes, pasando al límite y aplicando el teorema de Wilson, llega finalmente a encontrar sus valoresY de ahí la integral buscada:
Más tarde, con la teoría de las funciones analíticas, se encontró como solución de la ecuación de Fourier
El punto débil del estudio de Fourier, que en esa época en verdad afectaba a todo el estudio de las series, es el que se refiere a su convergencia.
A otro capítulo de la matemática dedicó Fourier gran parte de su actividad científica: el estudio de las ecuaciones, cuyos resultados aparecieron en un tratado póstumo: Analyse des equations determinées de 1831. En este libro, entre otras cuestiones de aritmética y de álgebra exacta y aproximada, figura el ya mencionado perfeccionamiento del método de Newton para aproximar las raíces reales, en el que en verdad Fourier había sido adelantado por el académico marsellés J. Raymond Mourraille, quien lo había anunciado en 1768, y un método de separación de las raíces reales, aproximado; fundado en el teorema a veces llamado de Budan-Fourier, pues el médico francés F. D. Budan lo había enunciado sin demostración en 1807, época en la cual Fourier ya lo enseñaba a sus alumnos de la Politécnica.
Más cuando apareció el libro de Fourier el problema de la separación de las raíces reales estaba resuelto en virtud del teorema de Sturm, publicado en 1829 pero demostrado en 1835, por Jacques Charles F. Sturm, quien manifiesta que su descubrimiento es el resultado de las investigaciones de Fourier sobre el tema, que había conocido en manuscrito.
Se ocuparon de física matemática Jean-Baptiste Biot, autor de uno de los primeros textos de geometría analítica; Thomas Young y Augustin Fresnel, que aplicaron, en especial el segundo, el análisis matemático a la teoría ondulatoria de la luz, logrando imponerla frente a la corpuscular (mencionemos que con los estudios ópticos de Fresnel se vinculan integrales que hoy llevan su nombre); André-Marie Ampère, célebre por sus investigaciones en el campo del electromagnetismo, aunque también se le deben contribuciones exclusivamente matemáticas; Simeon Denis Poisson, que se ocupó de numerosas cuestiones de física matemática, así como de cálculo de variaciones, de diferencias finitas y de cálculo de probabilidades. Poisson extendió la ecuación de Laplace de la función potencial al caso en que el punto extraído por la masa sea un punto cualquiera y no un punto exterior, que fue el caso tratado por Laplace. El primero que aplicó la función potencial fuera de la gravitación, dándole este nombre y extendiéndola a problemas de electricidad y de magnetismo, fue George Green, a quien se debe la importante transformación de integrales, hoy denominada "teorema de Green", que hizo conocer en 1828, pero que por la escasa tirada del trabajo se difundió tan poco que el teorema fue redescubierto por otros, entre ellos Gauss, de ahí que a veces es con este nombre que se une el teorema. De los últimos físicos matemáticos nacidos en el siglo XVIII citemos a Gabriel Lamé que realizó contribuciones matemáticas en conexión con sus trabajos sobre la teoría del calor y de la elasticidad. Se le debe la introducción de las coordenadas curvilíneas, el estudio de una familia de curvas y de superficies que llevan hoy su nombre y se ocupó de teoría de números, demostrando el teorema de Fermat para n = 5, 7. Contenido:
La matemática y el siglo XIXLa matemática y el siglo XIX
Las geometrías no euclidianas
La aritmetización del análisis
Teoría de números y geometría sintética
Las aplicaciones de /a matemática
En líneas muy generales, tres rasgos caracterizan la matemática del siglo XIX. En primer lugar, al compás del gran desarrollo científico y tecnológico del siglo, preludio de la explosión del siglo actual, la matemática, como las demás ciencias, muestra una fecundidad asombrosa que se revela en el gran incremento del número de científicos y de trabajos, en la creación de sociedades y revistas especializadas, en la celebración de reuniones nacionales e internacionales. La segunda mitad del siglo asiste a la iniciación de las reuniones internacionales en casi todos los campos del saber científico: los matemáticos no fueron de los primeros en reunirse; con todo el primer congreso internacional de los matemáticos pertenece al siglo: Zurich, 1897.
El siguiente dato puede dar idea de la fecundidad científica, en materia de matemática, del siglo XIX: la historia de la matemática más detallada y extensa es aún la de M. Cantor, cuyos cuatro gruesos volúmenes abarcan la historia de esta ciencia desde sus comienzos hasta todo el siglo XVIII; sobre la base de ese tratado se ha calculado que el desarrollo de la matemática del siglo XIX, con igual detalle y extensión, insumiría catorce volúmenes del grosor de los de Cantor, lo que equivale a decir que los progresos realizados durante el siglo XIX triplican con exceso los progresos realizados durante, digamos, los 40 siglos anteriores.
Estos progresos explican e implican el notable cambio que desde el primer tercio del siglo experimenta la matemática en su estructura íntima al conferirle, como segundo rasgo característico, una unidad y una autonomía que en cierto sentido había perdido desde los tiempos helénicos. En efecto, a comienzos del siglo XIX la matemática se presenta como un vasto conjunto de conocimientos distribuido en varias ramas aparentemente distintas: aritmética y teoría de números; geometría elemental, geometría analítica y geometría descriptiva, álgebra y cálculo infinitesimal, circunstancia que justifica que se siga empleando el término, hoy anticuado, de "matemáticas". Esas diferentes ramas mostraban a su vez distintas modalidades. La aritmética ofrecía un conjunto de reglas supuestas intangibles: en el habla popular la expresión: "el orden de los factores no altera el producto" y otras semejantes, eran los paradigmas de las verdades absolutas. Por su parte la teoría de números que desde el siglo XVII había encontrado excelentes cultores, no consistía sino en problemas particulares, cuya generalización conducía con frecuencia a complicaciones; piénsese en el "teorema de Fermat". En cuanto al álgebra, fuera de algunas cuestiones de índole algorítmica, a comienzos del siglo XIX su problema central, la solución de las ecuaciones algebraicas, se encontraba frente al escollo aparentemente infranqueable de las ecuaciones de quinto grado o superior.
Modalidades distintas presentaban las propiedades geométricas. Aunque algo contaminadas por los procesos y recursos algebraicos, seguían impregnadas de la atmósfera de la geometría griega. Pero esa atmósfera ya no tenía vigencia en el siglo XIX, de ahí que esas propiedades adquirieran un aire de seres anfibios; por un lado se estudiaban a la manera griega "con la inteligencia pura", como entes abstractos habitantes de un mundo platónico de ideas, pero por el otro, a los ojos de los hombres habituados al método experimental, esas figuras geométricas y esas propiedades eran como seres naturales, vinculados con el mundo exterior, no meras imágenes de entes ideales, sino seres reales, visibles y palpables, encadenados a los fenómenos naturales.
Puede llamar la atención esta permanencia, en el campo de la geometría, de la atmósfera griega y el estancamiento durante siglos, de las notas que esa atmósfera implicaba, sobre todo si se compara este hecho con los avances experimentados por las otras ramas de la matemática. Más hay que tener en cuenta, por una parte, que la obra de los geómetras griegos se presentaba con una perfección difícil de superar y, por la otra, que a partir del Renacimiento los gustos y las tendencias de los matemáticos se orientaron casi exclusivamente hacia los métodos analíticos que, mediante las coordenadas o los recursos infinitesimales, ofrecían reglas más cómodas, casi mecánicas, que permitían resolver no sólo los problemas de la geometría tradicional sino otros que trascendían las posibilidades de los griegos. Si se agrega que el Euclides seguía siendo el texto fundamental en la enseñanza de la matemática elemental, cabe concluir que a comienzos del siglo XIX las propiedades de las figuras geométricas, que enseñaba la geometría griega, y la vinculación de esas figuras con el mundo exterior se habían convertido en un hábito mental.
En cambio seguían rozagantes, a comienzos del siglo XIX los métodos infinitesimales sistematizados por Euler y aplicados con éxito por Lagrange y Laplace en el siglo XVIII.
Sin embargo, desde el punto de vista estrictamente matemático, esos métodos continuaban "en el aire", sin fundamentos sólidos, no obstante los esfuerzos que se habían hecho para sustituir por conceptos más precisos aquellos vagos infinitamente pequeños que eran cero y no eran cero, aquellos incrementos evanescentes que actuaban ya como cantidades finitas, ya como valores nulos.
Nuevamente podría llamar la atención que en la ciencia deductiva por antonomasia se aceptara durante casi dos siglos que una rama tan importante como el cálculo infinitesimal descansara sobre bases tan débiles y discutibles. La explicación de esta aparente paradoja ha de verse en la atmósfera científica que predominaba al organizarse los métodos infinitesimales en el siglo XVII. Tales métodos no habían surgido entonces en virtud de exigencias internas, como había ocurrido en la antigüedad cuando Arquímedes aplica esos métodos en forma rigurosa al proseguir el estudio de las cuadraturas y cubaturas de las figuras geométricas, sino que habían nacido apremiados por circunstancias externas: el dinamismo general de la época y, en particular, la conciencia de la utilidad y el poder que confería el conocimiento de las leyes naturales y la comprobación de que los métodos infinitesimales, por endebles que fueran sus fundamentos, facilitaban aquel conocimiento logrando resonantes triunfos, de ahí que ante el éxito de sus aplicaciones se descuidara el análisis de aquellos fundamentos y se cerrara un ojo ante su endeblez.
Ese éxito no sólo dejaba en la penumbra el valor del cálculo infinitesimal por sí mismo, sino que traía a primer plano un lazo más que ataba la matemática con el mundo exterior. El siglo de las luces con su "naturalismo" consolidará esos lazos, que la filosofía kantiana remachará al relacionar las verdades matemáticas con los conceptos metafísicos de tiempo y de espacio.
De ahí la configuración de este rasgo de la matemática de comienzos del siglo XIX: su sometimiento a las formas del mundo exterior y su carácter de "doncella de la ciencia natural".
Un tercer rasgo que puede señalarse en la matemática del siglo XIX es el cambio que experimentará en sus fundamentos durante la centuria. Acentuada su autonomía, hacia el último cuarto del siglo comienzan a prevalecer conceptos, en parte nacidos durante su transcurso, que prefiguran una nueva matemática que ha de estructurarse en este siglo, pudiendo señalarse la década del 80 como fecha fronteriza, según expresión de Rey Pastor, entre una matemática clásica y una matemática moderna o, más simplemente, entre dos maneras de fundamentar la matemática, típicas del siglo XIX y del siglo XX.
Las geometrías no euclidianas
El advenimiento de las llamadas geometrías no euclidianas, ocurrido en la primera mitad del siglo, representa el grito inicial de independencia de la matemática y de la proclamación de su autonomía frente al mundo exterior. Con estas nuevas geometrías se vincula la figura de uno de los grandes científicos de la primera mitad del siglo: el alemán Gauss, astrónomo, físico, geodesta, pero sobre todo matemático, con quien se inicia también la pléyade de matemáticos alemanes que ha de llenar todo el siglo.
De los matemáticos alemanes anteriores a Gauss, cabe citar a Johann Friedrich Pfaff, que se ocupó de ecuaciones con derivadas parciales y de determinantes, y la llamada escuela combinatoria cuyo adalid fue Cari Friedrich Hindenburg, que hacía de los polinomios finitos e infinitos la piedra angular del análisis matemático, tomándolos empero formalmente, sin preocuparse en absoluto de su convergencia o divergencia.
De manera distinta actuará Gauss que introduce, o reintroduce, en la matemática lo que desde entonces se ha dado en llamar el rigor, vale decir, la estricta obediencia a las reglas de la deducción.
La labor matemática de Gauss se extendió a casi todas las ramas, en especial se dedicó a la teoría de números y a la geometría diferencial.
Muchos de los descubrimientos de Gauss fueron realizados por él mucho antes de su publicación, y quedaron registrados y fechados en una "libreta de apuntes" que llevó desde 1796 hasta 1814, y que se encontró entre sus papeles póstumos. El primer descubrimiento que anota es la construcción del eptadecágono con regla y compás.
Ya en su tesis de doctorado de 1799 Gauss aporta una contribución básica a la matemática, con una primera demostración del "teorema fundamental del álgebra"; todo polinomio algebraico de una variable se anula por lo menos una vez para un valor real o imaginario de la variable. En esa memoria, afirma sin demostración que no es posible resolver algebraicamente la ecuación de quinto grado.
Dos años después Gauss publica sus Disquisitiones Aríthmeticae que hace época en la teoría de números, rama a la que Gauss se dedicó desde muy joven. En las Disquisitiones, Gauss estructura sistemáticamente el estudio de las "congruencias" y de la teoría de los restos cuadráticos; estudia asimismo la resolución algebraica de las ecuaciones, binomias y llega al notable resultado anexo de la posibilidad de construir con regla y compás los polígonos regulares cuyo número de lados es primo y de la forma 22 + 1.
Entre otras cuestiones aritméticas tratadas por Gauss figuran las hoy llamadas "sumas de Gauss" y la extensión de la teoría de los restos a los bicuadráticos, en conexión con la cual introduce los "números complejos enteros". Se inicia así la introducción sistemática de los números complejos en matemática y su representación gráfica, hoy en uso, que Gauss publica en 1831, aunque parece que estaba en posesión de ella desde 1799. Esa representación fue encontrada independientemente por el danés Cari Wessel, quien la publicó en 1797, y por el suizo Jean Robert Argand que la hizo conocer en 1806.
Gauss fue un calculista extremadamente hábil y rápido; realizaba divisiones para descubrir periodos de centenar de cifras y se le debe la primera tabla, en 1812, de "logaritmos de adición", cuya idea inicial fue sugerida en 1803 por el, físico italiano Giuseppe Zecchini Leonelli.
En 1827 aparecen las Disquisitiones generales circa superficie curvas, en las que se funda el estudio de la geometría diferencial de las superficies, encaradas éstas “no como el límite de un sólido, sino como un sólido flexible e inextensible, una de cuyas dimensiones está obligada a desvanecer”. En sus estas Disquisitiones, Gauss introduce los conceptos de representación esférica, de coordenadas curvilíneas sobre una superficie, de elemento lineal de aquélla mediante una forma cuadrática de sus diferenciales, de líneas geodésicas, de curvatura total, etcétera.
Con Gauss se inicia el estudio estrictamente riguroso de las series, en conexión con la serie "hipergeométrica", que lleva su nombre, y proporciona, como casos particulares, el desarrollo en serie de numerosas funciones. En el estudio de esta serie, aparecido en 1811, Gauss introduce sistemáticamente el concepto de convergencia y generaliza al campo complejo la función n(z) = z!, ya extendida al campo real por Euler. El concepto de límite infinito potencial, como único admisible en matemática, lo formula claramente Gauss al decir: "Me opongo, al uso de las magnitudes infinitas como de algo completo que en matemática jamás se permite. El infinito no es sino una façon de parler,...".
Entre otras contribuciones analísticas de Gauss, pueden mencionarse el descubrimiento, independientemente de Abel y Jacobi, de la doble periodicidad de las funciones elípticas, el método de los cuadrados mínimos y la ley de distribución de los errores de observación, un método de integración aproximada que logra la máxima aproximación con el mismo número de coeficientes, etcétera.
Por último, Gauss fue uno de los descubridores, de las geometrías no euclidianas, nombre que le pertenece.
En realidad, los primeros intentos en este sentido provenían del siglo anterior. Gerolamo Saccheri en 1733, año de su muerte, hace conocer un Euclides... vindicatus, cuyo objeto era demostrar la verdad del Quinto postulado de los Elementos, y sus consideraciones lo hubieran llevado al descubrimiento de las nuevas geometrías si aquel objeto preconcebido no se lo hubiera impedido. En esas consideraciones Saccheri parte de un cuadrilátero "birrectángulo isósceles", es decir un cuadrilátero ABCD tal que AB y DC son iguales y perpendiculares a BC. Demuestra, sin recurrir al postulado de las paralelas, que los ángulos en A y en D son iguales, y encara la triple posibilidad de ser esos ángulos, ambos rectos, obtusos o agudos. Pero como Saccheri se propone "reivindicar" a Euclides, se esfuerza en demostrar, y según él lo logra, que las hipótesis de los ángulos obtuso y agudo conducen a absurdos con lo que, resultando que el cuadrilátero ABCD ha de ser un rectángulo, queda demostrado el quintó postulado. Mientras que la demostración de ser absurda la hipótesis del ángulo obtuso la logra Saccheri con relativa facilidad, la cuestión se complica al tratar la hipótesis del ángulo agudo, aunque en sus últimas proposiciones llega a la conclusión de que esa hipótesis "es absolutamente falsa porque repugna a la naturaleza de la línea recta" pues en tal caso "una oblicua... y una perpendicular a AB tendrían una perpendicular común en un punto común en el infinito...". Sólo el preconcepto de demostrar que el postulado de Euclides era verdadero pudo hacerle aceptar teorema tan poco geométrico. "He comenzado a escribir algunos resultados de mis meditaciones sobre este asunto que se remontan en parte a cuarenta años...", aunque el año siguiente, enterado del trabajo de Bolyai, abandona ese propósito. Los apuntes encontrados entre sus papeles comprueban que proyectaba escribir una Geometría no euclidiana, convencido de que la prescindencia del postulado de las paralelas no conducía a ninguna contradicción, "aunque a primera vista muchos de sus resultados ofrecían un aspecto paradójico". Entre esos resultados figura la existencia en esa geometría de una unidad absoluta para los segmentos, razón por la cual tanto Lambert como Legendre habían rechazado tal geometría. Con esa unidad estaba vinculada una constante indeterminada que al crecer infinitamente convertía al sistema geométrico en el sistema euclídeo.
Semejantes conclusiones, pero independientes de las de Gauss, fueron algunas noticias que en 1818 el jurista Ferdinad Karl Schweikart remitió a Gauss, así como las de un sobrino de éste, Franz Adolf Taurinus, que en 1824 se había ocupado de la cuestión, inspirado en las observaciones de Schweikart y de Gauss, y había desarrollado las fórmulas que correspondían a la geometría fundada en la hipótesis del ángulo agudo de Lambert, que obtenía con sólo sustituir, en las fórmulas de la trigonometría esférica, el valor del radio por un número imaginario puro. En esa geometría, que Taurinus llamó "geometría logaritmo-esférica" (al pasar del radio real al imaginario las funciones circulares se transforman en hiperbólicas que, a su vez, son combinaciones de exponenciales, inversas de la logarítmica), aparecía la constante de Gauss que, al variar de valores reales a imaginarios pasando por el infinito, permitía pasar de la geometría esférica a la nueva geometría pasando por la euclidiana. Pero Taurinus, aun reconociendo la compatibilidad lógica de las proposiciones de esta geometría logaritmo-esférica, no admitía su validez en el plano pues, impregnado de la verdad absoluta de la geometría de Euclides y de las ideas entonces dominantes de la filosofía de Kant, que hacía del espacio euclidiano una intuición pura a priori, veía precisamente en la indeterminación de esa constante un argumento en contra de una geometría que reputaba única y absoluta.
En cambio llegaron, como Gauss pero independientemente de él, a la conclusión de que podía erigirse un sistema geométrico, prescindente del postulado de las paralelas, dos matemáticos de países que hasta entonces no hablan contribuido al progreso de la matemática: Janos Bolyai, húngaro, y Nicolaus Ivanovich Lobachevski, ruso.
J. Bolyai fue hijo de Wolfgang Bolyai, también matemático y condiscípulo de Gauss, y es precisamente como apéndice del primer volumen de una obra didáctica del padre que aparece en 1832 la Ciencia absoluta del espacio de J. Bolyai, quien en apenas 16 páginas expone "un universo creado de la nada", como él mismo se expresa. Bolyai da el nombre de "geometría absoluta" a sus consideraciones porque se refieren a propiedades geométricas independientes del postulado de las paralelas que son entonces teoremas o verdades absolutas, válidas tanto para la geometría ordinaria como para la geometría más general que él ha construido. Así, por ejemplo, las fórmulas de la trigonometría esférica son fórmulas absolutas, pues pueden deducirse independientemente del postulado de las paralelas.
La exposición de Lobachevski es muy semejante, aunque más constructiva. Su primer trabajo es de 1829, pero se ha perdido, mientras que en 1836 aparecen en ruso sus Nuevos elementos de geometría con una teoría completa sobre las paralelas, obra que pasa inadvertida y de la cual da en 1840 un resumen en alemán, mientras que en 1855, año anterior a su muerte y casi ciego, dicta la exposiciones, completa de su teoría en ruso y en francés: Pangéométrie des Précis de Géamétrie fondée sur une théorie générale et rigoureuse des paralléles. En esa Pangéométrie Lobachevski parte del punto, de la circunferencia y de la esfera como entes fundamentales, de los cuales deduce la recta y el plano; define luego como "paralela a una recta dada por un punto dado a la recta límite que entre las situadas en el mismo plano que pasan por el punto y del mismo lado de la perpendicular bajada del punto a la recta, separa las rectas que cortan a la dada de las que no la cortan". Luego, en forma puramente analítica (en la Pangéométrie no hay figuras) desarrolla toda la trigonometría de esta geometría imaginaria.
La identidad de los resultados logrados por Schweikart, Taurinus, Gauss, Lobachevski y Bolyai puede comprobarse si se considera que en todos ellos el núcleo central de los desarrollos analíticos es la expresión
![]()
donde α es un segmento cualquiera y π(α) es el llamado "ángulo de paralelismo" correspondiente al segmento α, es decir, si AB = α y Bc una perpendicular, el ángulo π(α) es el ángulo que forma la paralela a BC por A y k es la constante de Gauss, que en sus desarrollos Lobachevski toma igual a la unidad. Para π(α) = 45°, α es la constante de Schweikart, que Taurinus calculó; para k →∞ y π(α) = 90° estamos en el caso de la geometría euclidiana de paralela única y de ángulo de paralelismo independiente de α. Si k pasa de real a imaginario, las fórmulas de la geometría no euclidiana que vinculan los ángulos de paralelismo con los lados, se convierten en las fórmulas de la trigonometría esférica.
Es importante agregar que en todos estos intentos de nuevas geometrías seguía aún subyacente la concepción de la geometría como, rama de la ciencia natural, como ciencia del espacio físico, concepción que si bien no acepta la tesis kantiana del espacio como forma de nuestra subjetividad cuyo molde es la geometría euclidiana, continúa concediéndole un significado real y haciendo de la geometría una ciencia deductiva racional fundada sobre postulados empíricos, de manera que sólo la experiencia decidiría cuál es la geometría válida.
Gauss mismo, en quien la idea de una matemática abstracta ante entes matemáticos fruto de la libre creación de la mente no podía dejar de serle simpática, no pudo sustraerse al prestigio geométrico del mundo exterior y trató de comprobar, mediante experiencias geodésicas, la posibilidad de detectar triángulos cuyos ángulos no sumaran dos rectos.
Hacia mediados de siglo se cierra la primera etapa en el advenimiento de las geometrías no euclidianas, que había visto el nacimiento, de un primer grupo de ellas: las llamadas, por Klein, geometrías hiperbólicas, que corresponden a la hipótesis del ángulo agudo de Saccheri y Lambert y a la existencia de dos paralelas desde un punto a una recta situada a la distancia a, que forman a ambos lados de la perpendicular, bajada desde ese punto, el ángulo de paralelismo π(α).
Nota complementaria
Las nuevas ideas tuvieron una difusión muy lenta, en parte por ser nuevas y no concordar con las concepciones filosóficas vigentes y en parte por la escasa difusión (y la difícil lectura, en el caso de Lobachevski) de las obras de ambos fundadores, matemáticos hasta entonces desconocidos. Felizmente un grupo selecto de matemáticos de distintos países se esforzaron en hacer conocer esas nuevas ideas, que fueron aceptadas hacia 1870, cuando ya se habían iniciado las investigaciones de las geometrías no euclidianas en las direcciones métrico-diferencial y métrico-proyectiva.
La difusión de las nuevas geometrías
Entre esos matemáticos, propulsores de la geometría no euclidiana en su primera etapa, cabe citar: en Alemania, Heinrich Richard Baltzer, que se ocupó también de curvatura de las superficies; en Francia, Guillaume Jules Hoüel, que tradujo el Apéndice de Bolyai, se ocupó de sus manuscritos y escribió sobre temas vinculados con las nuevas geometrías; en Italia, Giuseppe Battaglini, que en 1861 convierte el "Giornale di Matematiche", que dirigía y había fundado en 1863, en una especie de órgano oficial de las nuevas geometrías; en Inglaterra, William Kingdow Clifford, uno de los iniciadores de la geometría algebraica, y en España, Zoel García de Galdeano, que contribuyó a divulgar éste y otros temas en "El Progreso matemático", primera revista matemática española, que fundó en 1891.
En la segunda etapa en el desarrollo de las geometrías no euclidianas, se completa el cuadro de esas geometrías y se las estudia según las nuevas direcciones, métrico-diferencial y métrico-proyectiva.
Esa etapa se desarrolla en la segunda mitad del siglo.
La dirección métrico-diferencial se inicia con Georg Friedrich Bernhard Riemann, discípulo y continuador de Gauss, cuyas ideas fundamentales, que permitieron encarar el problema de las nuevas geometrías desde un punto de vista muy superior, figuran en la disertación, hoy célebre, pronunciada en 1854 (aunque publicada en 1867). Sobre las hipótesis en que se funda la geometría, donde se analiza, en la forma más general posible, el comportamiento infinitesimal de una multiplicidad de un número cualquiera de dimensiones. En esa disertación aparece la importante distinción entre, "infinito” e "ilimitado”, que debía desempeñar en el presente siglo singular papel en la teoría (física de la relatividad, teoría por lo demás en que es visible la influencia de las ideas de Riemann.
Dice éste en su disertación: "Cuando se extienden las construcciones del espacio a lo infinitamente grande ha de distinguirse lo ilimitado de lo infinito. Lo primero pertenece a las relaciones de la extensión, lo segundo a las relaciones métricas. Que el espacio es una variedad ilimitada de tres dimensiones es una hipótesis que se aplica en todas las concepciones relativas del mundo exterior, que nos sirve para completar en todo momento el campo de nuestras percepciones y que constantemente se encuentra verificada en todas sus aplicaciones. De ahí que la propiedad del espacio de ser ilimitado posea una certeza empírica que ningún otro dato empírico posee. Pero de ella no sigue de ningún modo la infinitud del espacio, al contrario si se suponen los cuerpos independientes de sus posiciones y se atribuye al espacio una curvatura constante, el espacio sería necesariamente finito, en cuanto la medida de la curvatura fuera positiva, por pequeña que fuera.
Una consecuencia de las consideraciones de Riemann fue la ampliación del cuadro de las geometrías no euclidianas y la introducción de la geometría elíptica (y esférica), que corresponde a la hipótesis del ángulo obtuso de Saccheri y Lambert, en la que desde un punto exterior a la recta no existen paralelas a ella. Queda así, para completar el cuadro, la geometría parabólica, nuestra geometría euclidiana, en la que la paralela desde un punto exterior a una recta es única.
Con el estudio de las geometrías generales reimannianas en la dirección métrico-diferencial, que hoy se llaman "espacios de Riemann", tienen importancia las superficies de curvatura constante, cuyos ejemplos más simples son el plano (curvatura nula) y la esfera (curvatura positiva). Una superficie de curvatura constante negativa fue dada en 1868 por Eugenio Beltrami: es la superficie engendrada por rotación de la tractriz, curva plana cuya propiedad característica es la de ser constante la longitud de la tangente. Así como nuestra geometría plana es un tipo de geometría parabólica y la geometría sobre la esfera (con alguna variante) es un tipo de geometría elíptica, la geometría sobre esa superficie de Beltrarni (de la cual éste construyó también un modelo, la seudoesfera) es un tipo de geometría hiperbólica.
La existencia de esta superficie, así como otras interpretaciones de geometrías no euclidianas sobre el plano euclídeo que se dieron posteriormente, puso fin a toda discusión acerca de la validez lógica de las nuevas geometrías, pues la supuesta contradicción que se había querido ver en ellas llevaría consigo igual contradicción en el seno de la geometría euclidiana, jamás puesta en duda hasta entonces.
Para terminar con las geometrías no euclidianas recordemos que la dirección métrico-proyectiva aparece en 1859 cuando Cayley logra la subordinación de las propiedades métricas (distancia entre dos puntos, ángulo entre dos rectas, etcétera) a las propiedades gráficas, mediante la demostración de que tales propiedades métricas se traducen en propiedades proyectivas de sus elementos, si se relacionan éstos con los elementos de una cónica (o de una cuádrica si se trata del espacio), que denominó la cónica, o la cuádrica, absoluta o simplemente lo absoluto del plano o del espacio. Una consecuencia notable de esta demostración es que, según se elija este absoluto (real o imaginario, propio o impropio), se obtienen distintas geometrías y se vuelven a encontrar por este camino las geometrías no euclidianas, que pueden estudiarse siguiendo esta dirección métrico- proyectiva. De ahí también la frase de Cayley: "La geometría proyectiva es toda la geometría".
La aritmetización del análisis
Como vimos, el cálculo infinitesimal en sus tres ramas: cálculo diferencial, cálculo integral y cálculo de variaciones, había adquirido en el siglo XVIII, en manos de Euler y Lagrange, un desarrollo extraordinario. Pero ese desarrollo, puramente formal y algorítmico, no estaba fundado sobre sistema conceptual riguroso alguno. Cuando se aludía a los fundamentos se hablaba de la metafísica del cálculo infinitesimal; cuando se hablaba de series, el uso de las series divergentes estaba rodeado de misterios y oscuridades.
Tal estado de cosas cambia en el siglo XIX cuando el estudio de los métodos infinitesimales, que ahora se convierten cabalmente en un análisis infinitesimal, sin dejar de progresar en su desarrollo y hasta en forma más rica y variada, ahonda en sus propios principios y encuentra una base firme en la aritmética, eliminando de su seno toda vaga e inútil "metafísica". Tal es el proceso que se denominó "aritmetización del análisis", cuyo precursor fue Bernard Bolzano y sus constructores Cauchy, Abel, Jacobi,...
En numerosas cuestiones se adelantó Bolzano a los analistas rigurosos del siglo XIX: en el concepto de función continua, en el criterio de convergencia de series, en la existencia de funciones continuas sin derivada, pero por haber publicado sus escritos de análisis en Praga, ciudad entonces alejada de los centros científicos, o por permanecer inéditos, como su Teoría de funciones, que se publicó en 1930, la influencia de sus ideas fue escasa.
Por su parte, Augustin-Louis Cauchy, en su Analyse algébrique de 1822, escribe: "He tratado de dar a los métodos todo el rigor que se exige en geometría, sin acudir jamás a los argumentos tomados de la generalidad del álgebra. Tales argumentos, aunque bastante admitidos comúnmente, sobre todo en el pasaje de las series convergentes a las divergentes y en el de las cantidades reales a las imaginarias, se me ocurre que no deben ser considerados sino como inducciones, adecuadas a veces para hacer presentir la exactitud y la verdad pero que no están de acuerdo con la exactitud tan reputada de las ciencias matemáticas. Además debe observarse que ellas tienden a atribuir a las fórmulas algebraicas una extensión ilimitada, mientras que en la realidad la mayor parte de esas fórmulas subsisten únicamente bajo ciertas condiciones y para determinados valores de las cantidades que ellas encierran. Determinando esas condiciones y esos valores, fijando de manera precisa el sentido, de las notaciones que utilizo, toda vaguedad desaparece".
Es decir, vuelta al clásico rigor geométrico, precisión en las definiciones, delimitación del campo de validez de las fórmulas, eliminación de toda extensión ilegitima, he ahí el programa trazado por Cauchy y cumplido en sus numerosos libros y memorias.
Con estas condiciones rigurosas y mediantes adecuadas definiciones de función, de continuidad, de límite, Cauchy funda el análisis sobre bases más firmes que sus antecesores. Retoma el concepto de integral como suma y no solamente como operación inversa de la diferencial y aunque no va mucho más lejos en el concepto de integral y de función, es más riguroso que Euler. En las series fija claramente su convergencia y elimina, algo a pesar suyo, las series divergentes del análisis. " Me he visto obligado -dice- a admitir diversas proposiciones que parecerán algo duras; por ejemplo, que una serie divergente carece de suma. " Hay en este escrúpulo un atisbo del devenir de la "teoría de las series divergentes" que se organiza en el siglo XX retomando, ahora con rigor, la idea euleriana.
La contribución más importante de Cauchy es sin duda la que se refiere a la teoría de las funciones analíticas, que elabora utilizando los resultados de Euler, Clairaut, D'Alembert, Poisson, Lagrange... En sus estudios extiende la serie de Taylor a las funciones de variable compleja, apareciendo así la llamada "integral de Cauchy", que permite obtener el valor de una función en cada punto interior de un recinto, conociendo el valor de la función en su contorno. En conexión con estos resultados Cauchy desarrolló su teoría de los polos, de los residuos, de la serie de Taylor, cuya generalización, hoy conocida como "serie de Laurent", realizó un discípulo de Cauchy, Pierre-Alphonse Laurent.
Se deben además a Cauchy estudios e investigaciones acerca de los determinantes, de teoría de números y teoría de grupos de sustituciones, acerca de investigaciones de índole algebraica sobre eliminación y separación de raíces complejas, así como de temas de física matemática (teoría de la elasticidad).
Con la expulsión de las series divergentes del análisis, Cauchy completó la obra iniciada por Niels Henrik Abel, para quien "las series divergentes son en general una invención diabólica y es vergonzoso que se pretenda fundar sobre ellas demostración alguna; la parte más esencial de la matemática carece de base. Es cierto que la mayor parte de los resultados son exactos pero esto es algo verdaderamente extraño... En el análisis superior sólo pocas proposiciones están demostradas de manera indiscutiblemente rigurosa. Constantemente se encuentra la deplorable costumbre de deducir lo general de lo particular y es sin duda muy notable que con tal manera de proceder no se llegue con más frecuencia a lo que se denominan paradojas".
En el campo del análisis Abel se ocupó de series y de teoría de funciones, Con Jacobi forma la pareja de creadores de las funciones elípticas, obtenidas como funciones inversas de las integrales elípticas. Esta idea clave de la inversión de las dos variables había escapado a Legendre en su estudio de las integrales elípticas, a las que consagró muchos años. Realizada la inversión y consideradas las funciones elípticas como funciones de variable compleja, apareció su doble periodicidad. Abel además, generalizó las funciones elípticas, incluyéndolas en una "clase trés-étendue de fonctions trascendantes”, hoy denominadas funciones abelianas, cuyas propiedades estudia en una memoria que presentó a la Academia de Ciencias de París en 1826, pero que no se publicó sino después de la muerte de su autor.
Por último, con su solución del problema de la tautócrona Abel inaugura una nueva rama del análisis infinitesimal: las ecuaciones integrales.
Sistematizador del estudio de las funciones elípticas mediante el algoritmo de las series es Cari Gustav Jacob Jacobi, que expuso en su Fundamento Nova Theoria Functíonum Ellipticarum de 1829. Con la labor de Abel y Jacobi acerca de las funciones elípticas, se vincula un significativo incidente que muestra la evolución que estaba experimentando el concepto de la matemática frente a la ciencia natural.
En el mismo año de su muerte (1829) Abel, en un trabajo publicado en el Journal de Crelle, había hecho mención de la memoria enviada a la Academia de París. A este respecto Jacobi interrogó a Legendre, quien manifestó que la memoria de Abel era ilegible y que se había solicitado inútilmente al autor un manuscrito mejor.
Sin embargo se sospechó que lo ocurrido se debía a que los matemáticos franceses, muy ocupados en cuestiones de física matemática -calor, elasticidad, electricidad- descuidaban las cuestiones de matemática pura. Lo cierto es que, al comentar la obra de Jacobi sobre las funciones elípticas, Poisson recordó un reproche de Fourier a Abel y Jacobi por no ocuparse de cuestiones de física matemática. La contestación de Jacobi (en carta dirigida a Legendre) expresa.
" Poisson no debía haber reproducido una desgraciada frase de Fourier que nos reprocha, a Abel y mi, por no ocuparnos del movimiento del calor. Es cierto que Fourier estima que la finalidad principal de la matemática es la utilidad pública y la explicación de los fenómenos naturales, pero un filósofo como él debería saber que la única finalidad de la ciencia es el honor del espíritu humano y que, en consecuencia, una cuestión de la teoría de los números tiene un valor tan grande como una cuestión de los sistemas de los mundos ".
Dejemos de lado el tono de esta frase, que por lo demás concuerda perfectamente con la época en que fue lanzada: 1830 es la fecha oficial del nacimiento del movimiento romántico. Para nuestro objeto es más interesante señalar cómo esta valoración y esta proclamación de independencia del análisis y de la matemática con respecto a la ciencia natural son contemporáneas con el advenimiento de las geometrías no euclidianas, que proclamaban igual independencia de la geometría y de la matemática frente al yugo del mundo exterior; de ahí que pueda fecharse hacia 1830 el grito inicial de la autonomía de la matemática.
Jacobi, que además fue un maestro inspirado, se ocupó de casi todas las ramas de la matemática. En teoría de números continuó las investigaciones de Gauss especialmente en restos cúbicos; se le deben estudios sobre determinantes funcionales, a uno de los cuales Sylvester denominó jacobiano; se ocupó de cálculo de las variaciones y de integración de ecuaciones diferenciales. Uno de sus métodos, llamado del último multiplicador, fue aplicado por él en la integración de las ecuaciones de la dinámica.
Se ocupó también de análisis el sucesor de Gauss en la cátedra de Göttingen: Peter Gustav Lejeune Dirichlet, quien expuso, con Riemann, la formulación más general de función como correspondencia entre dos conjuntos de números, cualquiera sea el modo de establecer esa correspondencia. Se le debe también la formulación precisa de las condiciones para que una función pueda desarrollarse en serie de Fourier; introdujo el concepto de series absolutamente convergentes (cuando converge la serie de los valores absolutos de sus términos), etcétera. En teoría de funciones existe un llamado "problema de Dirichlet' que consiste en determinar en un recinto una función finita y continua de dos variables reales que satisfaga la ecuación de Laplace, conocidos los valores que toma la función en el contorno. La existencia de esta función, problema importante en física, está vinculada con el llamado (por Riemann) "principio de Dirichlet”, que éste estableció a modo de postulado en sus estudios sobre la teoría del potencial.
Además de su contribución a los fundamentos de la geometría, se deben a Riemann notables aportes, distintas ramas del análisis matemático. Así se le debe un concepto de integral definida más general que el de Cauchy, pues incluye el caso en que la función admita infinitas discontinuidades, siempre que se mantenga acotada. Inversamente, en su estudio acerca de las series trigonométricas, alude a la existencia de funciones continuas sin derivadas.
También se deben a Riemann los fundamentos del Analysis situs o Topología y el estudio de las funciones de variable compleja mediante la ecuación de Laplace, que concede jerarquía matemática a este recurso, importante para la física. Con las funciones de variable compleja se vincula la llamada "superficie de Riemann", que éste ideó para hacer uniformes las correspondencias multiformes entre las variables complejas.
Riemann se ocupó con éxito de las funciones elípticas, de las series trigonométricas y de la integración de ecuaciones diferenciales. Se le debe, por último, la función ^ que lleva su nombre, importante en la teoría de los números primos y de la cual dio seis propiedades sin demostración (de esas propiedades queda aún por demostrar que los ceros de la función tienen por parte real 1/2).
El continuador de la obra de Abel y de Jacobi sobre las funciones elípticas, es otro de los notables analistas del siglo: Karl Weierstrass, creador de una nueva dirección en el estudio de las funciones analíticas de variable compleja. Mientras que Cauchy y Riemann estudian, como tales, aquellas funciones que tienen derivada única en cada punto, es decir, cuyas componentes real e imaginaria satisfacen la ecuación diferencial de Laplace, Weierstrass llama función analítica a toda función definida mediante una serie de potencias convergente en cierto recinto que, mediante determinadas condiciones, es posible "prolongar" por círculos sucesivos. Cuando el recinto es todo el plano, la función es una "trascendente entera", En conexión con esa teoría Weierstrass utilizó sistemáticamente el concepto de convergencia uniforme que Cauchy no poseyó y fue investigado por primera vez por Stokes en 1847, y dio, entre muchos otros resultados, la expresión de las trascendentes enteras mediante productos infinitos de "factores primarios", como los llamó Weierstrass.
Se debe también a Weierstrass la introducción del rigor aritmético en el cálculo de variaciones y un ejemplo, que impresionó a los matemáticos de su tiempo, de función continua sin derivada en ninguno de sus puntos (un ejemplo de Bolzano permaneció en general desconocido).
En 1863 Weierstrass expuso la demostración del "teorema final de la aritmética", según la cual no existe ningún sistema de números complejos de más de dos unidades, es decir distintos de los números complejos ordinarios, que satisfaga todas las propiedades formales de las operaciones aritméticas fundamentales. En 1872 retomó el problema de la fundamentación de los números reales, que en verdad no había experimentado modificación esencial desde Eudoxo, quien como vimos dio tal fundamentación pero fundada sobre magnitudes geométricas.
Continuador de Cauchy y destacado matemático francés fue el ya mencionado Liouville, a quien se debe un teorema fundamental para las funciones analíticas; en 1844 creó un método para la construcción de números trascendentes. Expuso con Sturm un capítulo importante de las ecuaciones diferenciales de segundo orden con dos valores iniciales dados (en vez de las condiciones de Cauchy en un solo punto) e inició en 1837 la teoría de las ecuaciones integrales con su método de aproximaciones sucesivas.
El último, cronológicamente, de los analistas franceses que actuó en el siglo XIX, es Charles Hermite (fallecido el primer año del presente siglo), que se ocupó de funciones elípticas, de álgebra, de teoría de números y, en general, de análisis. Con su nombre se vincula la resolución del problema de la cuadratura del círculo.
Nota complementaria
En 1844 Liouville había demostrado que los números e y e2 no podían ser raíces de ninguna ecuación cuadrática de coeficientes racionales, mientras introducía el concepto de "números trascendentes", por oposición a "números algebraicos", como aquellos números, cuya existencia demostró ulteriormente, que no podían ser raíces de ninguna ecuación algebraica de coeficientes racionales. Fundado en los trabajos de Liouville, Hermite demostró en 1873 que el número e es trascendente y algo más tarde, en 1884, Ferdinand Lindemann demostró que también el número n es trascendente. Esta demostración implicaba la solución, en sentido negativo, del problema de la cuadratura del círculo, es decir de la construcción con regla y compás de un segmento lado de un cuadrado equivalente a un círculo de radio dado. En efecto, pueden construirse con aquellos instrumentos los segmentos cuya medida se expresa algebraicamente mediante un número finito de operaciones racionales y de raíces cuadradas, a partir de la medida de segmentos dados o, lo que es lo mismo, pueden construirse los segmentos cuyas medidas son raíces de ecuaciones algebraicas cuadráticas o reducibles a cuadráticas, de coeficientes racionales o irracionales cuadráticos es decir de determinado tipo de números "algebraicos". Ahora bien, la ecuación que traduce el problema de la cuadratura del círculo es x2 = π, ecuación cuadrática uno de cuyos coeficientes no es algebraico.
El problema de la cuadratura del círculo
No deja de tener cierto interés el hecho de que la cuadratura del círculo, imposible con regla y compás en la geometría euclidiana es posible en la geometría no euclidiana de tipo hiperbólico.
En cuanto a la introducción del nuevo análisis en Italia cabe mencionar unos párrafos de una conferencia de Volterra de 1900: "En el otoño de 1858 tres jóvenes matemáticos italianos emprendían juntos un viaje científico con el objeto de visitar las universidades extranjeras y ponerse en contacto con los más célebres científicos de los demás países, a fin de conocer sus ideas y al mismo tiempo hacer conocer los propios trabajos científicos... En gran parte se debe al esfuerzo de estos tres matemáticos, a sus enseñanzas y al celo incansable que ejercieron para impulsar a los jóvenes matemáticos italianos hacia las investigaciones científicas... que en Italia naciera una escuela moderna de cultores del análisis". Esos tres jóvenes eran Brioschi, Betti y Casorati. Francesco Brioschi se ocupó de numerosas cuestiones de análisis y de geometría diferencial. Enrico Betti, el más importante de los tres, además de ocuparse de cuestiones de álgebra, creó en 1871 la rama combinatoria del Analysis situs o Topolagia, según el nombre que acuñó Johann Benedict Listing en 1847 para esa rama matemática; y en esta topología combinatoria es donde aparecen los llamados "números de Betti". Además uno de sus discípulos; Ulisse Dini, publicó en 1878 una obra importante sobre los fundamentos de las funciones de variable real. Por su parte, Felice Casorati se ocupó de funciones analíticas y de geometría diferencial.
La aritmetización del análisis fue un proceso que se realizó de arriba abajo, comenzando con el cálculo infinitesimal, mientras el número irracional, también personaje infinitesimal, seguía llamándose "inconmensurable", dentro de la concepción geométrica de Eudoxo de 23 siglos de edad. Este contrasentido fue salvado en los cursos universitarios de Weierstrass, Méray, Cantor... mediante sucesiones monótonas de números racionales o mediante series convergentes. No deja de ser sintomático que en el mismo año 1872 aparezcan impresas las teorías de los tres profesores mencionados (aunque Charles Méray había iniciado esas publicaciones ya tres años antes). Es también en 1872 cuando aparece otra fundamentación rigurosa del número irracional, pero de índole diversa de las anteriores, por obra de Richard Dedekind, matemático que se ocupó también con éxito de teoría de números, que en ese año de rara coincidencia publica su Stetigkeit und lrrationale Zaenhlen, donde expone sus conocidas "cortaduras", que en realidad venia enseñando desde el año 1858.
Hacia estos años de la década de 1870, la aritmetización del análisis se ha completado. Ese proceso no sólo asentó sobre bases aritméticas, claras y firmes, los fundamentos del análisis y aventó con ello las brumas metafísicas que durante todo el siglo XVIII habían oscurecido aquellos fundamentos, sino que mostró también que, en su esencia, todo había consistido en añadir a las operaciones aritméticas una nueva operación, el paso al límite, operación de índole peculiar, ya que estaba oculta en los umbrales de la matemática -sucesión de los números, magnitudes irracionales- pero que mediante una definición adecuada se convirtió en el instrumento que consolidó y otorgó rigor al conjunto de conceptos y métodos infinitesimales, iniciado por Newton y Leibniz y continuado por los Bernoulli, Euler y Lagrange. Por otra parte, aquella aritmetización aclaro y desbrozó el camino que debía conducir a nuevos desarrollos, al aplicar el paso al límite a las funciones de variable real o compleja. En efecto, tal aplicación sistemática de la nueva operación, ya mediante el infinito numerable, ya mediante el infinito continuo, a las operaciones aritméticas había dado lugar en el análisis clásico a nuevos algoritmos: las series y las integrales son combinaciones del paso al límite con la suma, el producto infinito lo es con la multiplicación, la derivada con la división; de ahí que su aplicación a todo proceso algebraico o funcional podía dar lugar a nuevos algoritmos.
Profundizar la investigación de los algoritmos clásicos y crear estos nuevos algoritmos, será la tarea del análisis durante la segunda mitad del siglo en un proceso que reseñaremos en líneas generales.
La obra de Weierstrass fue continuada por su discípulo Hermann Amandus Schwarz, que se ocupó de cálculo de variaciones, en especial de superficies de área mínima. Se le deben investigaciones en teoría de grupos y en teorías de funciones se conoce una "desigualdad de Schwarz", generalización de la elemental propiedad del cálculo vectorial, que el producto escalar de dos vectores no puede superar el producto de sus módulos.
También siguió las huellas de Weierstrass, Gósta Magnus Mittag-Leffler, promotor de los estudios matemáticos en los países escandinavos mediante la fundación en 1882 del periódico “Acta Mathematica’’, que dirigió hasta su muerte, y del Instituto Matemático de Estocolmo en 1916.
De series, en especial de divergentes y condicionalmente divergentes, se ocupó el holandés Thomas-Jean Stieltjes, que en 1894 dio una extensión de la integral definida en la dirección que más tarde (1902) seguirá Lebesgue.
En el campo de las ecuaciones diferenciales fueron sus propulsores a fines de siglo Immanuel Lazarus Fuchs, que crea la teoría de las ecuaciones lineales fundada en las funciones analíticas, y el noruego Sophus Lie, quien abre una nueva vía en ese campo al introducir, desde 1872, la teoría de grupos continuos de transformaciones, en especial las transformaciones de contacto, uno de cuyos ejemplos de 1870 es la llamada "transformación de Lie", que transforma rectas del espacio ordinario en esferas.
En el estudio de las ecuaciones con derivadas parciales debe mencionarse a otro analista francés, Jacques Hadamard, quien en su larga vida (murió casi centenario) se ocupó de numerosas cuestiones de matemática: distribución de los números primos, análisis funcional (este nombre le pertenece), etcétera, amén de temas conexos como su conocida Psicología de la invención en el campo matemático (existe traducción en español) de 1944.
El cálculo de variaciones, del cual aparece un esbozo histórico en la obra de Leonida Tonelli Fondamenti di calcólo delle voríazioni (dos volúmenes) de 1922-1923, fue en verdad absorbido por una nueva rama del análisis que nace a fines de siglo: el análisis funcional, que introduce nuevos algoritmos. Ya desde 1887 el italiano Vito Volterra organiza la "teoría de funciones de línea" que sistematiza en 1913, mientras que en 1896 introduce las llamadas "ecuaciones integrales”, nuevo algoritmo que, con las ecuaciones integro-diferenciales, encuentran una amplia exposición en la obra del sueco Eric Ivar Fredholm en 1903.
A esta altura de los tiempos, a la vuelta del siglo, es notable en el campo del análisis, como en toda la matemática, la influencia de las dos grandes figuras de la época: Henri Poincaré y David Hilbert.
Se deben a Poincaré numerosos libros y un millar y medio de memorias acerca de todas las ramas de la matemática, así como de física matemática, astronomía y epistemología. En el campo del análisis destaquemos sus investigaciones de las funciones llamadas "automorfas" (1881), sus estudios acerca de la uniformación de funciones, de la topología combinatoria, de teorías integrales de ecuaciones diferenciales, de determinantes infinitos,... Acerca de Poincaré ha escrito Gastón Julia en 1954: "Dentro de una actividad incesante y siempre renovadora, ha recorrido todos los dominios de la matemática y de la física de su tiempo, extrae de ellos los principios filosóficos y descubre tantos campos nuevos de investigación que es posible que no exista dominio matemático actual que no haya fecundado o no haya dejado en él su sello".
Lo mismo puede decirse de Hilbert, cuya influencia en la matemática se ejerció durante casi toda la primera mitad de este siglo. Ha impreso su sello y dejado huella en todas las cuestiones vitales de la matemática, desde el análisis de sus fundamentos y los capítulos más elevados hasta el tratamiento de problemas particulares.
Es famoso el discurso pronunciado por Hilbert en el Congreso de París de 1900, sobre los "problemas de la matemática", en el que enumeró 23 problemas matemáticos que entonces esperaban solución.
Nota complementaria
Ésta es la nómina de los 23 problemas que enunció Hilbert en París en 1900:
Los problemas del Congreso de París
- El problema de Cantor del número cardinal del continuo.
- La compatibilidad de los axiomas aritméticos.
- La igualdad del volumen de dos tetraedros de iguales base y altura (este problema fue resuelto en sentido negativo el mismo año 1900 por un discípulo de Hilbert: Max W. Dehn).
- Problema de la línea recta como la mínima distancia entre dos puntos.
- Concepto de Lie de un grupo continúo de transformaciones sin el supuesto de la diferenciabilidad de las funciones que definen el grupo.
- Tratamiento matemático de los axiomas de la física.
- Irracionalidad y trascendencia de ciertos números.
- Problemas acerca de números primos (conjetura de Riemann, de Goldbach).
- Demostración general de la ley de reciprocidad en cualquier campo de números.
- Determinación de las condiciones de resolubilidad de una ecuación diofántica.
- Formas cuadráticas con coeficientes numéricos algebraicos cualesquiera.
- Extensión del teorema de Kronecker sobre los espacios abelianos para cualquier cuerpo de racionalidad.
- Imposibilidad de la solución de la ecuación general de 7º grado mediante las funciones de sólo dos argumentos.
- Demostración de la finitud de ciertos sistemas completos de funciones.
- Fundamento riguroso del cálculo enumerativo de Schubert.
- Problema de la topología de curvas y superficies algebraicas.
- Expresión de formas definidas por cuadrados.
- Construcción del espacio mediante poliedros congruentes.
- ¿Son las soluciones de los problemas regulares del cálculo de variaciones siempre necesariamente analíticas?
- Problema general de los valores de contorno.
- Demostración de la existencia de ecuaciones diferenciales lineales que poseen un grupo monodrómico prefijado.
- Uniformación de las ecuaciones analíticas mediante funciones automorfas.
- Desarrollo ulterior de los métodos del cálculo de variaciones.
En gran medida la matemática del siglo actual ha surgido del estudio de esos problemas en su mayor parte resueltos pero, lo que es más importante, dejando tras de sí nuevos problemas.
Al referirse a la producción matemática de Hilbert dice Jean Dieudonné: "Lo que asombra a primera vista en los trabajos de Hilbert es la belleza pura de su grandiosa arquitectura. No se trata de una impresión de elegancia superficial que resulta de cálculos hábilmente conducidos, sino de una satisfacción estética mucho más profunda, que se desprende de la perfecta armonía entre el fin perseguido y los medios puestos en juego para alcanzarlos. Estos últimos son a menudo de desconcertante simplicidad. Por lo general no fue un perfeccionamiento más o menos ingenioso de los métodos de sus antecesores lo que permitió a Hilbert hacer sus grandes descubrimientos sino, por el contrario, un retorno voluntario al origen del problema tratado; de este modo separaba de la ganga, donde nadie había sabido verlos, los principios que permitían trazar, hacia la solución, el camino real en vano buscado hasta entonces".
Fueron ideas cardinales del pensamiento de Hilbert la unidad de la matemática y la importancia de los problemas en la investigación matemática. Entresacamos así entre sus frases: "En mi opinión la matemática es un todo indivisible, un organismo cuya vitalidad está condicionada por la conexión de sus partes... Con la extensión de la matemática su carácter orgánico no se pierde, sino que se manifiesta con mayor claridad... Los símbolos matemáticos son diagramas escritos, las figuras geométricas son fórmulas gráficas... En la medida en que una rama de la ciencia ofrece abundancia de problemas está viva; la carencia de problemas presagia la extinción o el cese de un desarrollo independiente... Quien persigue métodos sin tener en mente un problema definido, investiga en vano... La convicción de la resolubilidad de un problema matemático cualquiera es un poderoso incentivo para el investigador. Resuena en nosotros un llamado constante: Hay un problema, busca la solución, la encontrarás razonando, pues en matemática no hay ignorabimus".
Con Hilbert ya se penetra en la matemática de este siglo, cuyo espíritu se refleja en las frases anteriores. Su nombre ha de figurar en el desarrollo de todas las ramas de la matemática del siglo actual. En el campo del análisis mencionemos sólo la introducción, entre 1900 y 1910, de los llamados "espacios de Hilbert", que permiten geometrizar el análisis y abren el camino al análisis funcional moderno.
En teoría de funciones, en especial en conexión con la teoría de conjuntos, se destacan a comienzos de este siglo los matemáticos franceses Émile Borel, que ya desde 1898 había introducido una definición de la "medida" que se conoce como "medida B” a la que Henri Lebesgue agregó otra de igual validez: la "medida L", a partir de la cual define en 1902 la integral que lleva su nombre. Por su parte René Baire en 1904 se ocupó con éxito de las funciones discontinuas mientras que Maurice Fréchet introduce, con su tesis de 1906, la importante noción de "espacio abstracto" que en unión con la obra de Hilbert y del estadounidense Eliakim Hastings Moore inicia la marcha del llamado "análisis general" (el nombre es de Moore). Dejando de lado muchas otras innovaciones en el campo del análisis, mencionemos que en 1945 aparece, por obra de Laurent Schwartz, un estudio detallado de nuevos entes, las funciones generalizadas o distribuciones.
Teoría de números y geometría sintética
La teoría de números, iniciada brillantemente por Gauss, encontró un continuador en Dirichlet, a quien se debe en 1825 la demostración del "teorema de Fermat" para n = 5, y la aplicación de los métodos infinitesimales a la teoría de números; estudia en especial las propiedades de la sucesión de los números primos. Con Dirichlet se inicia la investigación de la ley de distribución asintótica de los números primos, tema en el cual se ocuparo.
muchos analistas, entre ellos el ruso Pafnuti Libovich Chebichev en 1851; mientras que Hadamard y Charles-Jean de la Vallée-Poussin demostraban, independientemente en 1896, que si π(x) es el número de números primos menores que x, su cociente x/l × x por tiende a la unidad para x → ∞.
Además de análisis y de geometría, se ocupó en especial de teoría de números Ernst Eduard Kummer, que hizo progresar el estudio del "teorema de Fermat" logrando su demostración para todos los exponentes primos n que no figuren entre los factores del numerador de los 1/2(n - 3) primeros "números de Bernoulli"; de ahí que en la primera centena sólo queden excluidos los números 37, 59, 67. Estos estudios condujeron a Kummer a introducir el importante concepto de "ideal", que en el siglo actual se ha generalizado en distintas direcciones y ha provocado nuevos desarrollos teóricos, tanto en el campo del análisis como en el del álgebra.
Se ocupó de "ideales" un discípulo de Kummer, Leopold Kronecker, que desarrolló además la teoría de los "cuerpos de números" (clase cerrada respecto de la adición, sustracción, multiplicación y división). Kronecker se ocupó, además, de funciones elípticas, mediante las cuales y contemporáneamente con Hermite dio una solución de la ecuación de quinto grado. Más precursor que actor, Kronecker se vincula con los fundamentos de la aritmética al ubicarse dentro de la tendencia que en el siglo actual adoptó el nombre de intuicionista. Según Kronecker toda la matemática debía fundarse sobre el concepto de número natural, únicos entes que tenían existencia asegurada.
Pero mientras los intuicionistas sostenían que esos números eran el resultado de una "intuición básica", para Kronecker lo eran de un acto de fe. "El buen Dios creó el número natural -decía-, el resto es obra de los hombres." Al final llegó hasta a negar la existencia de los irracionales. "¿A qué vienen sus hermosas investigaciones sobre el número π? -Observaba a Lindemann- ¿Por qué elige tales problemas si en verdad no existen números irracionales de ninguna clase?" Fuera de Alemania se ocuparon de teoría de números: en Francia, Liouville y Hermite, y en Gran Bretaña el irlandés Henry John Stephen Smith, quien en 1882 participó en el gran premio de ciencias de la Academia de París que habla propuesto, como tema, la descomposición de un número en suma de cinco cuadrados. Smith presentó una memoria con resultados logrados unos quince años antes, y mereció compartir el premio (póstumo) con el alemán Hermann Minkowsi, matemático muy conocido en este siglo por su contribución a la teoría física de la relatividad, que en 1896 hizo conocer una "geometría de los números" que inició una nueva dirección en los estudios de teoría de números.
Ya en este siglo cabe mencionar progresos en el tratamiento de las ecuaciones diofánticas y que Hilbert, en 1910, resuelve el problema planteado por Waring un siglo y medio antes, tema que fue posteriormente perfeccionado por los ingleses Godofrey Harold Hardy y John E. Littlewood y el ruso Ivan M. Vinogradov. Estos tres matemáticos, con otros, se ocuparon también de la hipótesis de Goldbach, logrando importantes resultados aunque sin llegar a demostrar aquella hipótesis.
Otro problema de teoría de números, el de las "particiones" (número de maneras en que un número natural n se descompone en suma de números naturales) iniciado por Euler, logró progresos en 1917 por obra del mencionado Hardy y el hindú Srinivasa Ramanujan. Se conoce la anécdota de este matemático hindú, muerto a los 33 años. Muy enfermo en un hospital inglés, es visitado por Hardy quien comienza su conversación con la frase: "El número de mi taxi era el 1729. Me pareció un número bastante soso", a lo cual replicó Ramanujan: "¡No, Hardy, no! Es un número muy interesante. Es el menor número que expresa la suma de dos cubos de dos maneras diferentes".
Volviendo a la geometría del siglo XIX, cabe advertir que además del advenimiento de las geometrías no euclidianas, importante por más de un concepto, pueden señalarse distintos progresos en las diferentes ramas de la geometría de comienzos de siglo.
Dejando de lado el interés puesto de manifiesto en temas especiales de geometría elemental, que dio lugar a una geometría del triángulo, a una geometría del círculo, a una geometrografía (medida de la simplicidad y de la exactitud de las construcciones), destaquemos el desarrollo y generalidad que logró la geometría analítica, en medida sin duda insospechada por su ilustre fundador de un par de siglos antes.
El proceso se inicia con la obra de Julius Plücker, en cuyo primer tratado de geometría analítica en dos tomos de 1828-1831, el concepto de coordenada adquiere la categoría de una correspondencia cualquiera entre números y elementos geométricos, y hacen su aparición las coordenadas homogéneas, las trilineales, las coordenadas de recta, de plano, etcétera. En otro de sus escritos se ocupa de la clasificación de las curvas algebraicas e introduce las fórmulas, que llevan su nombre, que vinculan el orden, la clase y el número de las diferentes singularidades de una curva de género dado. En 1865 Plücker introdujo el sistema, más tarde clásico, de definir las rectas del espacio mediante seis coordenadas homogéneas vinculadas por una relación, estudiando así una "geometría reglada" o geometría del "espacio reglado", al suponerlo engendrado por las rectas y no por los puntos como entes fundamentales. Vinculados con estos estudios van surgiendo las geometrías pluridimensionales, ya por influencia del concepto generalizado de coordenada, ya por las ideas de Riemann que, en su memoria sobre las hipótesis en que se funda la geometría había introducido el concepto de variedades n-dimensionales. Así, el espacio reglado seria un espacio de 4 dimensiones.
Contribuyeron, entre otros, a perfeccionar los métodos de la geometría analítica el alemán Ludwig O. Hesse, quien introdujo el empleo sistemático de los determinantes (un determinante funcional se flama "hessiano'); el inglés George Salmón, autor de tratados sobre curvas y superficies de gran difusión, y el francés Jean Gastón Darboux que, además de temas de análisis, se ocupó de superficies, geometría reglada,...
Mientras tanto se estaba organizando en forma sistemática el estudio de las propiedades proyectivas de las figuras, iniciado por Desargues y Pascal en el siglo XVII y retomado por Poncelet en el XIX. Pero ni la definición de proyectividad de Poncelet contempla todas las transformaciones gráficas de las figuras, ni sus métodos de demostración poseían ese rigor lógico que se iba imponiendo en la matemática. Construir y organizar una rama científica completa y rigurosa será la obra de un grupo de geómetras del siglo pasado, en su mayor parte alemanes.
Contemporáneo de Poncelet fue August Ferdinand Móbius, que no obstante estudiar la geometría vinculada con la mecánica y con las coordenadas, introdujo una serie de conceptos vitales para la geometría proyectiva. Su obra más importante, Der Barycentrische Calcul de 1827 introduce las coordenadas baricéntricas, precursoras de las coordenadas homogéneas. En esa obra introdujo los signos para los segmentos, triángulos y tetraedros, y mostró mediante sus coordenadas como se podían establecer correspondencias biunívocas entre los puntos de dos planos o de dos espacios homónimos, correspondencia que denominó colineación, por el hecho que en esa correspondencia a puntos alineados correspondían también puntos alineados, mientras que denominó correlaciones a otras correspondencias de carácter recíproco, en las cuales a puntos correspondían rectas y recíprocamente. Tales colineaciones y correlaciones integraron más tarde las transformaciones proyectivas.
Nota complementaria
Se deben a Möbius la demostración de la invariancia de la "'razón doble" en las transformaciones proyectivas, el estudio de las actuales trasformaciones por radios recíprocos, que denominó afinidades circular, y la red de Möbius, más tarde extendida al plano y al espacio, la cual, sobre la recta y a partir de tres puntos, construía ordenadamente otros puntos mediante sucesivas determinaciones de cuartos armónicos, obteniendo no todos los puntos de la recta como creyó Möbius, pero sí un conjunto denso numerable.
Otras contribuciones de Möbius
Por último, el nombre de Möbius está vinculado a dos cuestiones de índole topológica. Fue el primero que mencionó, en 1840, el problema de los cuatro colores, aún hoy no resuelto, que consiste en demostrar que cualquier mapa plano, compuesto de un número finito de regiones de forma cualquiera, se puede colorear con sólo cuatro colores distintos de tal manera que no existan dos regiones con frontera común pintadas con el mismo color. Además, en 1858, Möbius hizo conocer su superficie "unilátera" o "anillo de Möbius", construido de la siguiente manera: sea un rectángulo de vértices opuestos A y C, B y D, y de lado AD suficientemente largo respecto de AB. Si se hacen coincidir los lados opuestos AB y CD de manera que cada vértice coincida con el opuesto, se obtiene una superficie "de una sola cara" en la cual mediante una línea, se puede pasar sobre esta nueva superficie y sin atravesar el contorno, de un punto M a un punto N situados primitivamente en caras opuestas del rectángulo.
Contemporáneos de Möbius, fueron Chasles y Steiner, los geómetras más importantes de este período. Michel Chasles publica en 1837 su obra más importante, Aperçu historíque sur l'origine et le developpernent des rnéthordes en géométrie... suivi d'une Memoire de Géométrie sur... La Dualité et l'Omographie, en la cual estudia las correlaciones y las homografías del espacio y pone, como fundamentos de la geometría, los principios generales que denomina Deformaciones y transformaciones de las figuras, que no son sino casos particulares de las actuales homografías o colineaciones.
Chasles introdujo los elementos imaginarios en geometría, aunque no en forma rigurosa, y dio el concepto de razón doble que denominó "razón anarmónica". En este orden de ideas uno de los resultados importantes de la teoría fue logrado por uno de sus discípulos, Edmond Laguerre, quien además de contribuciones al álgebra y a la teoría de funciones, logró en 1853 dar carácter proyectivo a la medida del ángulo de dos rectas.
Con algunos de sus discípulos Chasles estudió la proyección estereográfica, que extendió a todas las superficies de segundo orden adoptando un plano cualquiera como plano de proyección. Además, en conexión con un método llamado de las características, Chasles sentó las bases de una rama de la geometría que estudia la determinación de puntos, rectas y planos que cumplen ciertas condiciones, rama que más tarde fue desarrollada por Hermann Schubert en su Kalkul der abzahlenden Geometrie de 1879, mediante un complicado simbolismo. Esta "geometría numerativa" fue rigorizada este siglo, en especial por obra de Van der Waerden.
Progresos importantes se deben a Jakob Steiner que en 1832 publica un tratado sobre el "desarrollo sistemático de la dependencia mutua de las estructuras geométricas", en el que descubre los órganos mediante los cuales las más diferentes formas del mundo espacial se conectan entre sí. Con Steiner aparecen las formas geométricas fundamentales. -Puntual, haz de rayos, haz de planos, radiación, etcétera-; la generación por haces proyectivos y el empleo sistemático del principio de dualidad. Partiendo de la generación proyectiva estudia en especial las cónicas y cuádricas, aunque se ocupa también de curvas y superficies de orden superior.
Nota complementaria
Entre otras investigaciones, Steiner estudia en su Tratado una figura a la que dedicaron su atención numerosos geómetras: el "exagrama místico” formado por los 60 exágonos de Pascal, que se obtienen tomando 6 puntos de una cónica y por todas las rectas y puntos vinculados con ellos. Se debe también a Steiner la resolución, en forma geométrica aunque no rigurosa, de problemas de máximo y mínimo que exigen analíticamente los recursos del cálculo de variaciones.
El tratado de Steiner
En 1833 demostró que todas las construcciones con regla y compás pueden realizarse con regla y un círculo fijo. Mencionemos por último que entre los numerosos ejercicios que figuran en un Tratado de 1832 figura una de las primeras trasformaciones generales cuadráticas: si se tienen dos rectas a y b no coplanares, dos planos a y b que no las contienen y una recta c que se apoya constantemente sobre ellas, cuando c describe en un plano una recta, en el otro describe una cónica.
Preocupó a Steiner “el fantasma del imaginarismo”, como decía; esto es, las cuestiones que planteaba la introducción de los elementos imaginarios en geometría pero, al igual que los geómetras que lo precedieron, los utilizaba sin dar una definición precisa de ellos. El fundador de la teoría moderna del imaginarismo geométrico debe verse en Ch. Paulus, geómetra alemán que, en sus trabajos de 1853 y 1854, considera sinónimos las expresiones "par de elementos imaginarios e involución elíptica", define algunas operaciones que pueden efectuarse con esos elementos.
Eliminadas las coordenadas, introducido en forma precisa el imaginarismo, la geometría proyectiva pudo organizarse como rama autónoma; su organizador fue Karl Georg Christian von Staudt con su Geometrie der Lage de 1847 y, en especial, con los Beítrage de 1856, 1857 y 1860, donde expone los elementos fundamentales de la nueva rama geométrica: definición de la proyectividad como correspondencia que conserva las formas armónicas, definidas éstas gráficamente mediante el cuadrilátero completo sin el fundamento métrico de la razón doble; introducción del sentido de la involución elíptica para distinguir los dos elementos imaginarios conjugados; extensión de los elementos imaginarios a los espacios de más de una dimensión y las definiciones de las coordenadas proyectivas.
Entre los progresos realizados por la geometría proyectiva, inmediatamente después de Staudt, mencionemos solamente, además de las contribuciones ya citadas de Cayley con motivo de las geometrías no euclidianas, la extensión de las transformaciones proyectivas mediante funciones irracionales, no bilineales, que introdujo para el plano Luigi Cremona en 1863, transformaciones que hoy llevan su nombre y comprenden, como caso particular, las transformaciones cuadráticas, la más antigua e importante de las cuales es la inversión o transformación por radios recíprocos que, al igual que la proyección estereográfica, tiene la propiedad de conservar los ángulos y, por tanto, pertenece a las transformaciones que se denominan conformes.
Al principio la geometría analítica y la geometría sintética se enfrentaron como enemigos -en cierta ocasión Steiner declaró que no escribiría más para el "Journal de Crelle" si Plücker continuaba colaborando en él - pero más tarde el método de las coordenadas y el de las proyecciones se combinaron armoniosamente y dieron lugar a una "geometría algebraica" o una "teoría geométrica de las ecuaciones" en la que encontraron cabida las teorías de las formas algebraicas y los métodos infinitesimales. En esta nueva rama, al igual que en el álgebra, donde no hay limitación entre el número de ecuaciones y el número de variables independientes, tampoco hay limitación entre el número m de dimensiones de una "variedad algebraica" y el número n de dimensiones de su espacio o hiperespacio.
En el desarrollo de la geometría algebraica se destacaron, en especial, los geómetras italianos, iniciando la marcha Giuseppe Veronese con una memoria de 1882 y un tratado de 1891, mientras que dos años después Federigo Enriques hace conocer, en el primer tratado de síntesis consagrado a la teoría de las superficies algebraicas, las investigaciones de la escuela, italiana en ese campo.
El desarrollo ulterior de la geometría en sus nuevas ramas, dependió en parte de la dirección que le imprimió el "Programa de Erlangen” de 1872, al sistematizar la geometría mediante la teoría de grupos, y en parte de las tendencias imperantes en la matemática de este siglo.
Las aplicaciones de la matemática
Mientras la matemática como ciencia autónoma exploraba nuevos campos de abstracción creciente, su aplicación a las demás ciencias, se tornó cada vez más indispensable y eficaz. Esa aplicación se extendió de la mecánica y la astronomía a las restantes ramas de la física, más tarde a toda la ciencia natural y, en este siglo, a todos los sectores del saber.
En ocasiones puede hablarse de simbiosis: los nombres del astrónomo Friedrich William Bessel o del físico teórico George Gabriel Stokes se recuerdan en funciones o fórmulas del análisis en cambio, las "ecuaciones de Maxwell" trajeron consigo la predicción de las ondas hertzianas y, a comienzos de este siglo, no dejó, de tener cierta resonancia la aplicación de las geometrías no euclidianas a la teoría física de la relatividad.
Pasando a cuestiones más concretas, digamos que dos ramas de la geometría aplicada logran autonomía en la segunda mitad del siglo: en 1858 Wilhelm Fiedler publica su tratado de geometría descriptiva proyectiva, que sistematiza los métodos de proyección para la representación en el plano de las figuras y cuerpos del espacio; dos años después Karl Culmann inicia sus cursos en el Politécnico de Zurich de una nueva disciplina, la "estática gráfica”, cuyos métodos se revelaron más eficaces que los de la estática analítica.
En este orden de ideas es interesante señalar la creación, hacia fines del siglo pasado, por influencia de las ideas de Klein y por obra especial de Cari Runge, de una rama de la matemática con métodos y caracteres propios, que tomó los nombres de "matemática aplicada" de "cálculo numérico" (con este nombre la gran Enciclopedia de las ciencias matemáticas de Leipzig le dedica en su primer tomo de 1898-1904 un artículo de casi ciento cincuenta páginas), de "matemática de aproximación", el nombre sin duda más adecuado, pues de eso se trata. Partiendo del supuesto que en toda aplicación práctica de la matemática el objetivo final es un resultado numérico y que éste por esencia ha de ser aproximado, tiene sentido un cuerpo de doctrina y un campo propio de investigaciones que tiende a crear y estudiar los métodos numéricos) gráficos o mecánicos que permiten obtener esos resultados numéricos con la aproximación deseada.
Los métodos numéricos incluyen todo lo referente a las aproximaciones numéricas, a la construcción y manejo de tablas numéricas, a la determinación de funciones empíricas periódicas o no que satisfacen ciertos datos experimentales. Incluyen también los variados métodos aproximados que se han ideado para la resolución numérica, ya de las ecuaciones o sistemas de ecuaciones algebraicas y trascendentes, ya de los distintos problemas que se presentan en el análisis: cálculo práctico de series, aplicación de fórmulas de interpolación y cuadraturas e integración de ecuaciones diferenciales sobre este último tema y llegando a la integración numérica de ecuaciones diferenciales con derivadas parciales, Runge y Fr. A. Willers produjeron en 1915 un artículo de más de un centenar de páginas en la Enciclopedia.
Por supuesto que tales métodos no son todos del siglo XIX. En verdad puede decirse que las aproximaciones numéricas nacen con los primeros cálculos aritméticos y que los métodos numéricos de aproximación son coetáneos con el álgebra y con el cálculo infinitesimal. Por eso es frecuente unir algunos de esos métodos con nombres de matemáticos famosos, Newton, Fourier, Gauss, que los idearon y practicaron. El siglo XIX los ha agrupado y perfeccionado, mientras aportaba nuevos métodos y nuevas ideas. Como único ejemplo mencionemos el método, que expuso en 1837 el suizo Cari Heinrich Graeffe, para la obtención aproximada de todas las raíces, reales o imaginarias, simples o dobles, de una ecuación algebraica mediante un proceso en el cual, haciendo cada vez mayor el módulo de las raíces, cada una de ellas puede calcularse despreciando las de módulo inferior.
Los métodos gráficos se proponen resolver en forma aproximada los mismos o gran parte de los problemas que resuelven los métodos numéricos, ya mediante el llamado "cálculo gráfico”, es decir mediante trazados gráficos en los cuales, para cada problema particular, las construcciones geométricas realizadas con los datos permiten determinar gráficamente el resultado ya mediante los "nomogramas", o tablas gráficas con los cuales, construidas de una vez por todas esa tabla o nomograma para determinada fórmula, una simple lectura permite obtener los valores numéricos que la satisfacen. Citemos, dentro del primer tipo, los distintos métodos de integración gráfica, con frecuencia traducción de métodos numéricos, y dentro del segundo tipo de nomogramas de puntos alineados que desde 1891 hizo conocer Maurice D'Ocagne, quien mediante una feliz aplicación del principio de dualidad logró desterrar los complicados y enmarañados ábacos cuadriculados, sustituyéndolos por los más cómodos y claros nomogramas de puntos alineados.
Nota complementaria
Aunque al comienzo D'Ocagne expuso sus nomogramas utilizando coordenadas de recta, pueden estudiarse utilizando coordenadas comunes. Veamos un ejemplo para dar cuenta de la innovación que aportaron. Sea una función de tres variables z1, z2, z3 que indicamos mediante subíndices F123 = 0 y supongamos que pueda escribirse en la siguiente determinante:
Los nomogramas de D'OcagneComo es posible, eventualmente mediante operaciones lograr que los elementos de una columna sean todos distintos de 0, es el determinante anterior, dividiendo por los términos de esa columna, podrá escribirse la forma:
que es la condición, en coordenadas cartesianas, de alineación de tres puntos de coordenadas (x1, y1)(x2, y2)(x3, y3). Como cada una de estas parejas no es sino la ecuación paramétrica de curvas de parámetros z1, z 2, z3, respectivamente, resultará que si se dibujan las tres curvas y se acotan, es decir, si se marca un número suficiente de puntos y en algunos de ellos el valor correspondiente del parámetro, se tiene el monograma de puntos alineados de la función F123 = 0, por cuanto las cotas de tres puntos alineados satisfacen la función, de ahí su manejo y uso.
Un caso relativamente frecuente es el de la función de la forma f1g3 +f2h3 + f3 = 0 cuyo nomograma está constituido por dos escalas rectilíneas de soportes paralelos y una escala curvilínea, representadas respectivamente por:
donde m1 m2 y d son valores que se eligen adecuadamente para dar a las escalas la extensión y precisión necesarias.
Los métodos mecánicos, por su parte, incluyen la variada gama de máquinas de calcular y máquinas analíticas, los numerosos tipos de reglas y círculos calculadores, y los aparatos e instrumentos de integración: planímetros, intégrafos, analizadores armónicos,... “Una idea de su número y variedad, hasta fines del siglo pasado, puede darla el Catálogo de modelos, aparatos e instrumentos de matemática y físico-matemática de Walther Dyck, editado por la Sociedad de Matemáticos Alemanes en 1892, con un Apéndice de 1893, que comprende cerca de 500 ítems.
La historia del cálculo mecánico viene de lejos; ya mencionamos las máquinas de Pascal y de Leibniz, aunque es en el siglo pasado que ese cálculo toma auge. Desde 1820 y durante medio siglo Charles Babbage se ocupó de la construcción de sus "máquinas analíticas", precursoras de las actuales computadoras, tarea que retomó en 1893 el español Leonardo Torres Quevedo con sus máquinas algebraicas, aunque ninguno de los dos pudo superar las posibilidades teóricas de la construcción. En 1818 el polaco Bruno Abdank-Abakanowicz comercializa su intégrafo, es decir un aparato que dibuja la curva integral re- corriendo una punta la gráfica de la función integrando; durante el siglo las máquinas de sumar se perfeccionan, se comercializan y se difunden. En 1881 aparecen las máquinas que multiplican directamente, es decir que con un solo golpe de manija la máquina da el resultado producto de un número por un dígito, ventaja que resultó aparente al aplicarse electricidad a la máquina; de ellas es conocida la "Millonada" patentada en 1892 por Otto Steiger. Con todo, estas máquinas resultaban insuficientes en la compilación de datos estadísticos cada vez más numerosos y complicados, de ahí la importancia del invento de la máquina para tabular datos mediante tarjetas perforadas que en 1889 patenta el estadounidense Hermann Hollerith. Sucesivos perfeccionamientos convirtieron esa máquina en una cabal computadora mecánica hasta el decenio de 1940, cuando la electrónica provocará una verdadera revolución en el cálculo mecánico, revolución que aún está en marcha. La primera máquina automática de calcular electromecánica fue la Mark I de Harvard, que entró en funcionamiento en 1944, aunque se trabaja en ella desde 1938. Dos años más tarde se completó en la Universidad de Pensilvania la primera computadora electrónica, la ENIAC (Electronic Numerical Integrator and Calculation Computer) capaz de hacer 5000 sumas por segundo, que abrió el camino de una tecnología destinada a producir carmbios profundos en muchos dominios más que la matemática aplicada.
Capítulo 11
Hacia la matemática del siglo XX
La teoría de grupasLa teoría de grupos
El álgebra y las álgebras
La lógica matemática
Axiomática
La teoría de conjuntos
Probabilidades y estadística
Las geometrías no euclidianas y la aritmetización del análisis, que figuran entre las primeras manifestaciones de la matemática del siglo XIX, fueron en parte el resultado de una vuelta al rigor geométrico y a la obediencia a las exigencias de la lógica, que la pasión por el algoritmo y las urgencias de las aplicaciones habían eclipsado.
Tales manifestaciones introdujeron sin duda innovaciones, aunque éstas en general se mantuvieron dentro del canon de la matemática clásica. Será por otros caminos que aparecerán en el siglo XIX las semillas que han de fecundar la matemática del siglo XX. Una de esas semillas es la teoría de grupos, que nace en conexión con el problema, candente a comienzos del siglo XIX, de la resolución de las ecuaciones algebraicas de grado superior al cuarto.
En este sentido el primer progreso importante fue la demostración de la imposibilidad de resolver la ecuación de quinto grado (y de grado superior) mediante radicales.
El primero en demostrar esa imposibilidad, aun en forma restringida, fue el italiano Paolo Ruffini, conocido por lo demás por su método de resolución numérica de ecuaciones algebraicas.
La demostración de Ruffini apareció en su tratado general acerca de las ecuaciones de 1799 que, ante las críticas que suscitó, mejoró y amplió en 1813. La primera demostración rigurosa del teorema es de Abel de 1826.
Nota complementaria
Este método fue publicado en 1804 y en su esencia coincide con el método de William C. Horner, aparecido en 1819 y conocido como "esquema de Horner”, reservando para Ruffini el método práctico que permite determinar los coeficientes del cociente de la ecuación por sus factores lineales, procedimiento que ideó Ruffini para facilitar los cálculos. Matemáticos chinos del siglo XIII fueron lejanos precursores del método de Ruffini-Horner.
El método de Ruffini
Con Ruffini aparece la nueva idea de "grupo", que llamaba "permutaciones", y que Cauchy desarrolló bajo el nombre de "sistemas conjugados de sustituciones", pero el cabal fundador de la teoría de grupos es Evariste Galois, uno de los matemáticos precoces de mayor genio, cuya vida breve y agitada fue fiel reflejo de la época romántica en que le tocó actuar.
Sus primeros trabajos sobre fracciones continuas, cuestiones de análisis y teoría de las ecuaciones, y teoría de números son de 1829 y 1830, mientras que en 1831, expulsado de la Escuela Normal donde estudiaba, anuncia un curso privado de álgebra superior que abarcaría "una nueva teoría de los números imaginarios, la teoría de las ecuaciones resolubles por radicales, la teoría de números y la teoría de las funciones elípticas tratadas por álgebra pura", curso que no tuvo oyentes. Más tarde redacta una memoria donde aparece la hoy llamada "teoría de Galois", mientras que la noche anterior al duelo, en el que muere, lega a un amigo, en notas apresuradas, su testamento científico, donde le pide que, si su adversario vence, haga conocer sus descubrimientos a Gauss o a Jacobi para que expresen su opinión "no respecto de la verdad, sino de la importancia de los teoremas. Espero que más tarde alguien encuentre provechoso descifrar todo este lío". Este "lío" (cegáchis) es hoy la teoría de grupos.
Los escritos de Galois, y sólo parcialmente, no se conocieron hasta 1846 por obra de Liouville; Jules Tanneiy los completó en 1910. En esos escritos asoman la idea de "cuerpo" desarrolladas luego por Riemann y Dedekind, que Galois introduce con motivo de los hoy llamados "imaginarios de Galois", y las propiedades más importantes de la teoría de grupos, nombre que él acuña, en el sentido actual de clase cerrada respecto de la adición y sustracción. Sin duda que esta noción, en especial referida al grupo de sustituciones, estaba esbozada en los trabajos de Lagrange y Vandermonde del siglo XVIII y en los de Gauss, Abel, Ruffini y Cauchy del XIX, e implícita en problemas de teoría de las ecuaciones, teoría de números y de transformaciones geométricas, pero será Galois quien muestre una idea clara de la teoría general, con las nociones de subgrupo y de isomorfismo.
En la segunda mitad del siglo la teoría de grupos encuentra nuevas aplicaciones. En 1854 Cayley la aplica a los cuaternios y en 1856 Hamilton a los poliedros regulares, mientras que Camille Jordán, con su clásico Traité des Substitutions de 1870, pone de relieve la teoría como factor de unificación de sectores diversos de la matemática. A Jordán se debe también una noción de curva muy general, la llamada "curva de Jordán", como conjunto de puntos en correspondencia biunívoca y continúa con los puntos de un segmento.
Fueron dos matemáticos que asistieron a las clases de Jordán, Klein y Lie, quienes explotaron el poder unificador y sistematizador de la teoría de grupos.
Combinando el desarrollo alcanzado por las geometrías no euclidianas y la geometría proyectiva con la teoría de los invariantes y la teoría de grupos, Klein, en su ya clásico Programa de Erlangen de 1872, expuso una sistematización y jerarquización de todas las geometrías, viejas y nuevas, mediante grupos y subgrupos, concibiendo como objeto de cada geometría el estudio de propiedades invariantes respecto de un determinado grupo de transformaciones y considerando cada geometría como subgeometría de otra, a la que se agrega cierta figura básica que ha de permanecer invariante. Más tarde, en 1884, ofreció un ejemplo de dos grupos isomorfos: el de las rotaciones del icosaedro regular y el de la ecuación de quinto grado.
Mientras Klein estudia grupos discontinuos, Sophus Lie aborda, también a partir de 1872 el estudio que ya mencionamos de los grupos continuos de transformaciones y. su clasificación y aplicación a la integración de ecuaciones-diferencias con derivadas, parciales. Sus trabajos y los de sus discípulos aparecieron hacia fines de siglo. Por lo demás, los llamados "grupos de Líe" han merecido en este siglo numerosos estudios.
La teoría de grupos culmina hacia 1880, al asomar los grupos abstractos, y entra en su faz moderna con la memoria de Ernst Steinitz de 1910 (impresa en libro en 1930); la teoría iniciada por Galois adquiere así caracteres de estructura algebraica.
En su evolución, la teoría de grupos ofrece un ejemplo que muestra la distinción entre la matemática clásica y la matemática de hoy. En ambas priva la abstracción como proceso básico, pero mientras en la matemática clásica ese proceso parte de entes concretos -objetos del mundo exterior, sensibles o no, operaciones, etcétera- en la matemática de hoy el proceso de abstracción elimina toda referencia a entes concretos y prescinde por completo de la "naturaleza" de lo que en él interviene, para dejar sólo el esquema formal de los entes y relaciones abstractos que definen la estructura y convertir la matemática, según Bourbaki, en "el estudio de las relaciones entre objetos que, en forma deliberada, no se conocen, y sólo se describen por algunas de sus propiedades, precisamente aquellas que se adoptan como axiomas básicos de su teoría". En el caso de los grupos el proceso de abstracción descarnó el grupo de sustituciones de Galois, punto de partida de la teoría, para convertirlo en un grupo abstracto de máxima generalidad, ya que aquel grupo de sustituciones, o cualquier grupo isomorfo con él, es sólo un modelo o interpretación del grupo abstracto.
El álgebra y las álgebras
Hacia mediados del siglo pasado el álgebra se enriquece con un nuevo campo de investigaciones: el estudio de las formas algebraicas y la teoría de los invariantes respecto de cierto grupo de transformaciones. El fundador de estos estudios debe verse en George Boole que en 1841 expone explícitamente el concepto de invariancia, aunque el estudio, sistemático de las formas algebraicas y de los invariantes fue realizado a partir de 1845 por la pareja de matemáticos ingleses ya citados, Cayley y Sylvester, que colaboraron científicamente y fueron alguna vez socios (Cayley como abogado y Sylvester como actuario). En Francia la teoría fue continuada por Hermite que, según se expresó en alguna ocasión, constituyó con los dos ingleses la "trinidad invariantiva"; en Italia por Brioschi y en Alemania por Rudolf Friedrich A. Clebsch, Klein y, en especial, por Paul Gordan, "el príncipe de los invariantes", que hacia 1868 enunció un importante teorema que lleva su nombre, y sobre todo por Hilbert, quien en 1890 extendió el teorema de Cardan y expuso los fundamentos de la teoría de forma tan breve, casi sin cálculo, que hizo exclamar a Gordan: "¡Esto no es matemática, es teología!.
Con Hilbert se abre uno de los caminos que condujo al álgebra moderna; otro será resultado de la creación de nuevos entes algebraicos, que pondrán de manifiesto el carácter básico de las hoy llamadas "leyes de composición", noción abstracta, implícita en la matemática desde sus comienzos, que amplió considerablemente el campo del álgebra.
El primero y más antiguo de estos entes es el vector, que si bien era utilizado en mecánica en la composición de fuerzas y velocidades ya desde fines del siglo XVII, entre los matemáticos no tuvo repercusión hasta el siglo pasado, cuando Gauss utiliza implícitamente la suma vectorial en su representación geométrica de los números complejos en el plano, cuando Möbius expone en su ya mencionado "cálculo barícéntríco" de 1827 aplicaciones geométricas donde las coordenadas tienen un sentido aritmético, no geométrico, y cuando Giusto Bellavitis desarrolla, entre 1832 y 1837, con sus "equipolencias", un conjunto de operaciones con cantidades dirigidas que equivale al cálculo vectorial de hoy.
El paso siguiente lo dará Hamilton, científico múltiple que se ocupó de astronomía, de física y de matemática. Se le debe el nombre de vector y la creación de un sistema de números complejos de cuatro unidades, que denominó "Quaternions" (cuaternios), que satisface todas las propiedades de las operaciones de la aritmética ordinaria con excepción de la propiedad conmutativa de la multiplicación, resultando por tanto el primer ejemplo de cuerpo no conmutativo en el campo real. En verdad, no sólo el primero sino el único, como demostró Georg Frobenius en 1879. Los cuaternios aparecieron en 1843, aunque Hamilton dio sus Lectures on Quaternions, con el estudio completo del tema, en 1853. En este tratado Hamilton introduce las matrices, como extensión del concepto de determinante, aunque el cálculo de matrices será desarrollado algo más tarde, en 1858, por Cayley, a quien se le debe el nombre y su extensión al espacio pluridimensional.
Mientras la obra de Hamilton se difundió con relativa rapidez no ocurrió lo mismo con la de Hermann G. Grassmann, hombre de ciencia original, teólogo y lingüista que, a los 53 años, desengañado por el escaso éxito de sus trabajos matemáticos, se dedicó al estudio del sánscrito. Su obra matemática importante es de 1844 y se la conoce con el titulo abreviado: Ausdehnungslehre es decir "teoría de la extensión" (existe versión española con este título, B. Aires, 1947) aunque su título completo alude a "una nueva disciplina matemática expuesta y aclarada mediante aplicaciones". El tratado de 1844 trata la "parte lineal" de la teoría y la amplió en publicaciones de años posteriores (1862,1878), pero su manera algo inusitada y en exceso filosófica para los matemáticos de la época, hizo que esta obra pasara inadvertida. Sólo más tarde, y muerto su autor, se reconoció amplia generalidad y, total abstracción de este cálculo algebraico-geométrico en un espacio de n dimensiones con importantes aplicaciones, en el que aparecen conceptos básicos del cálculo vectorial como "producto interno, producto externo”, etcétera.
Mientras el análisis vectorial prosigue su marcha -el físico Maxwell en su célebre Treatise de 1873, lo utiliza con una concepción propia e introduce los conceptos de "rotor” y "divergencia”; el estadounidense Willard Gibbs, conocido por sus estudios de química física sobre el equilibrio de los sistemas químicos, lo aplica a la mecánica celeste- y se discute o se polemiza acerca de la mejor notación, entre las múltiples propuestas surgía una disciplina vecina, prolongación del análisis vectorial; el análisis tensorial. Implícito en la obra de Grassman, en su creación tuvieron influencia las ideas de Riemann expuestas en su célebre memoria de 1854.
Nota complementaria
Aun a título de mera, curiosidad mencionemos un "fenómeno" vinculado con el nombre de Gibbs, que se presentó en la determinación mecánica de los coeficientes de la serie de Fourier. Tal determinación, así como la operación inversa de calcular la suma de los términos de una serie trigonométrica, se realizaba el siglo pasado mediante instrumentos denominados analizadores armónicos; la Universidad de Chicago disponía de uno de ellos, que permitía sumar hasta 160 términos de la serie. Al utilizarse el instrumento en un caso especial, aparecieron dos prolongaciones rectilíneas inexplicables, que al principio se atribuyeron a una imperfección del aparato, pero Gibbs pudo demostrar en 1899 la necesidad de la presencia de esos dos segmentos rectilíneos.
El "fenómeno" de Gibbs
La palabra "tensor", introducida en 1898 por el físico alemán Woldemar Voigt, procede del campo de la teoría de la elasticidad, y designa el sistema de seis números que caracteriza el estado de tensión de un punto en un sólido deformado. El cálculo tensorial fue organizado sistemáticamente por Elwin B. Christoffel en 1869, introduciendo las derivadas que más tarde se llamaron invariante y covariante, mientras que le dieron forma definitiva los italiano.
Gregorio Ricci y su discípulo Tullio Levi Civita en una memoria de 1901, Méthodes du calcul differentiel absolu et leurs applications, que se tornó célebre cuando Einstein acudió a ese instrumento para desarrollar su teoría general de la relatividad (1916).
También se ocupó de análisis vectorial el inglés Oliver Heaviside, quien expuso en 1892 un "cálculo operacional" que permitía trasformar las ecuaciones diferenciales en algebraicas, que utilizó en sus investigaciones acerca de las líneas y redes eléctricas. Expuesto de modo recetario, sin fundamentos rigurosos, fue discutido y rechazado por los matemáticos. Sin embargo, el cálculo operacional fue justificado en 1929 y constituye un método, aplicable no sólo a la electricidad, sino también a la óptica y la acústica. Mencionemos que en el siglo actual ocurrió algo semejante con los deltas de Dirac.
Después de 1870 puede suponerse un nuevo progreso hacia una concepción cada vez más abstracta de las construcciones algebraicas, en la obra del estadounidense Benjamín Peirce sobre las álgebras lineales asociativas. Se establecen allí los conceptos de elementos nilpotentes e idempotentes, cuyo estudio inició al autor en 1864 aunque no se publicó hasta después de su muerte en 1881. Esas investigaciones fueron continuadas por su hijo Charles S. Peirce, que se ocupó además de lógica matemática.
En este siglo, en cuya tercera década sobresalen los nombres de Emmy Noether, Emil Artin y Van der Waerden, las investigaciones algebraicas revelan la gran variedad de estructuras algebraicas o álgebras, así como la fecundidad de la noción abstracta de ley de composición, culminando así un proceso que de un álgebra como teoría de las ecuaciones, de comienzos del siglo pasado, llega al álgebra de hoy como estudio de las estructuras algebraicas.
Con las investigaciones algebraicas se vincula el desarrollo de una rama de la matemática que, nacida hace un par de siglos, se ha renovado totalmente y se ha enrolado en la tendencia abstracta de la matemática de hoy, la topología algebraica.
La lógica matemática
A mediados del siglo XIX el álgebra invade un campo virgen o casi virgen: la lógica. Sin duda, hacia esa época los desarrollos de la lógica y de la matemática mostraban una diferencia profunda. Mientras que en lógica las leyes del silogismo aristotélico se mantenían sin mayores adiciones o perfeccionamientos, el rozamiento matemático, independizándose cada vez más de aquellas leyes, seguía progresando y produciendo nuevos brotes.
Hacia el siglo XVII comenzó a advertirse cierta analogía entre la reducción algebraica y las reglas silogísticas, en vista de que tanto en un caso como en el otro las letras "vacías" del álgebra podían llenarse con entes cualesquiera y por tanto, también con proposiciones.
Estas ideas encuentran una primera expresión en Leibniz, quien desde su juventud, en pos de "un alfabeto de los pensamientos humanos" y de "un idioma universal", se propone construir una "característica universal", especie de lenguaje simbólico capaz de expresar sin ambigüedad todos los pensamientos humanos. De manera que "al surgir una controversia entre dos filósofos, éstos la zanjarían a la manera de los calculistas. Bastaría, en efecto, sentarse ante los ábacos, pluma en mano, y como buenos amigos decirse: calculemos".
Estas ideas, precursoras de muchos conceptos actuales, no tuvieron entonces mayor influencia, de ahí el estancamiento que se advierte en este sentido en el siglo XVIII y comienzos del XIX, sin dejar de señalarse las ideas prevalecientes de Kant, para quien no era necesaria "ninguna nueva invención en la lógica".
Las cosas cambian en la primera mitad del siglo pasado por obra especial de matemáticos ingleses, ya sea el grupo de los fundadores de la " Analytical Society": Peacock, Babbage y Herschel que acentuaron el carácter lógico de los fundamentos de la matemática, ya sea en Augustus de Morgan, matemático original, según el cual los dos ojos de las ciencias exactas son la lógica y la matemática, que introdujo en 1838 la expresión "inducción matemática", con el sentido corriente de hoy y publicó además una ingeniosa y ya clásica Colección de paradojas (póstuma, 1872).
Es posible que esos autores influyeran en George Boole, quien se ocupó del tema desde 1847 y publicó en 1854 su obra The laws of Thught que lo convirtió en el cabal fundador de la lógica simbólica. Según Boole el objeto del libro era
"investigar las leyes fundamentales de las operaciones de la mente, en virtud de las cuales se razona; expresarlas en el lenguaje de un cálculo y sobre tal fundamento establecer la ciencia de la lógica y construir su método; hacer de ese método la base de un método general para la aplicación de la teoría matemática de las probabilidades y, finalmente, recoger de los diversos elementos de verdad que surgen en el curso de esta investigación algunas informaciones probables referentes a la naturaleza y constitución de la mente humana..."Si bien se advierte en estos párrafos cierta heterogeneidad en la finalidad y contenido del libro de Boole, su contribución al desarrollo de la lógica matemática fue permanente y de tal importancia que hizo decir a Bertrand Russell que "la matemática pura fue descubierta por Boole". Aunque en esta frase pueda verse el matiz partidario del logicista Russell, es indudable que el libro de Boole abrió nuevos horizontes a la investigación lógica, que a partir de él prosiguió en dos direcciones: por un lado hacia una estructura más rigurosa de la lógica misma, dirección que culmina en la monumental obra de Ernst D. Schröder sobre "álgebra de la lógica", en cuatro volúmenes aparecidos entre 1890 y 1905 y, por el otro, hacia una vinculación cada, vez más estrecha entre la matemática y la lógica, para confundirse ambas y culminar en las actuales "álgebras de Boole".
La construcción de formalismos lógicos, en vista de su aplicación a los fundamentos de la matemática, se inicia en forma independiente por Ch. S. Peirce en Estados Unidos y por Friedrich Gottlob Frege en Alemania.
Peirce fue un filósofo, que se cuenta entre los fundadores del pragmatismo norteamericano y un matemático que se ocupó de lógica matemática, perfeccionando la lógica de Boole e introduciendo nuevos conceptos, como los de "valores y tablas de verdad". Por su parte Frege, en los trabajos que publicó desde 1879 hasta comienzos de este siglo, expuso en forma precisa y minuciosa conceptos cuya importancia se pondrá de manifiesto más tarde, tanto en lógica como en matemática, pero que en su tiempo, en parte por el complicado e inusitado simbolismo empleado, no ejercieron mayor influencia y sólo se difundieron en el siglo actual, en especial por obra de Russell.
Mientras tanto aparecía la contribución de los "logísticos" italianos encabezados por Giuseppe Peano, que cristalizó en los "formularios matemáticos", aparecidos a fines de siglo, en los que se propuso exponer, en un lenguaje puramente simbólico, no sólo la lógica matemática sino también los resultados más importantes de diversas ramas matemáticas. Si bien la labor de Peano y de sus colaboradores fue criticada en sus comienzos, más por el exceso de ciertas pretensiones de la doctrina que por el empleo exclusivo de símbolos que daban a los escritos un aspecto desusado, el saldo definitivo fue favorable, pues buena parte de los símbolos de Peano, los de pertenencia, unión, intersección, etcétera, se conservan actualmente.
Por otra parte, esa labor contribuyó a robustecer la corriente que puso cada vez más en evidencia las conexiones de la lógica con la matemática. Esa corriente desembocó, ya en el presente siglo, en los Principia mathematica que Russell publicó, en colaboración con Alfred North Whitehead, matemático de mentalidad filosófica, entre 1910 y 1913, obra de síntesis en la que se combinan armoniosamente los resultados de Frege y de Peano o, como dice Bourbaki, "la precisión de Frege con la comodidad de Peano", y que representa, a comienzos de este siglo, la expresión más acabada de la lógica matemática o mejor, de acuerdo con su orientación, de la matemática como lógica.
Los progresos de la lógica matemática en el siglo XX se vinculan en parte con la cuestión que se suscitó respecto de los fundamentos de la matemática. Mencionemos en este sentido la aparición de las lógicas plurivalentes, que se inicia con las lógicas trivalentes, que introduce Luitzen E. J. Brouwer en conexión con su concepción intuicionista, y culmina con el concepto de valor continuo de la verdad, valor intermedio entre el 1 que expresa la verdad y el 0 que expresa falsedad que recibe el nombre de probabilidad, concepto introducido en 1932 por Hans Reichenbach como base para una teoría matemática de las probabilidades.
Axiomática
Una consecuencia del análisis lógico de los fundamentos de la matemática fue la crítica y consiguiente actualización del método axiomático, instaurado, como vimos, por Euclides con sus clásicos Elementos y aplicado posteriormente por matemáticos antiguos y modernos. Pero el sistema euclidiano, al ser puesto en tela de juicio con la aparición de las geometrías no euclidianas, fue obligado a una revisión de sus fundamentos, que puso en evidencia sus debilidades lógicas, las que, a fines de siglo, mostraron su presencia no sólo en la geometría sino en la matemática toda, con la consecuencia de una revisión del método axiomático en sí.
En este sentido puede decirse que tal revisión se inicia con las Lecciones de geometría moderna de Moritz Pasch, profesadas en 1873 y publicadas en 1882, donde por primera vez se presenta un sistema completo de postulados suficiente para exponer rigurosamente la geometría proyectiva. Aunque Pasch confiere aún ciertos rasgos físicos a los entes geométricos, insiste en que la construcción así fundada es independiente de ellos y no tiene por qué apelar a la intuición; no deja de ser sintomática su advertencia, hoy trivial pero sin duda útil en su época, de no omitir en sus "razonamientos ni aun los argumentos más insignificantes".
En la dirección axiomática siguen los trabajos de Dedekind, que en 1888 expuso un sistema completo de axiomas sobre los cuales fundar la aritmética, y los de Peano quien en 1889 hizo conocer un ensayo, Los principios de la geometría expuestos lógicamente, en el cual todas las proposiciones se expresan en forma puramente simbólica y solo las notas están en italiano. Mayor difusión tuvo otro ensayo del mismo año, en este caso con las notas en latín, sobre Los principios de la aritmética expuestos según un nuevo método, que se reproduce algo modificado en el Formulario de 1891.
Nota complementaria
Los axiomas de Peano, expresados con símbolos lógicos son nueve, pero cuatro de ellos no son sino la definición por abstracción de la igualdad, mientras que los cinco restantes, expresados en lenguaje común, son:
La axiomática de PeanoEl último axioma no es sino el principio de inducción completa que vimos aplicado por Maurolyco, que deja ahora de ser un principio extra matemático o un método de demostración para convertirse en lo que verdaderamente es: la esencia de la definición del número natural o, mejor, de la sucesión natural, como una cadena que posee un primer eslabón y en la que a cada eslabón sigue otro. Esa cadena, por lo demás, es la más simple y la sucesión, por su parte, es el conjunto infinito mínimo entre todas las cadenas y los variados conjuntos que satisfacen los cuatro primeros axiomas.
- 1 es un número;
- si n es un número su sucesivo (n + 1) es un número;
- si dos números son iguales, sus sucesivos también lo son;
- 1 no es sucesivo de ningún número;
- toda propiedad que pertenece al número l, si al pertenecer al número x pertenece también al sucesivo, es una propiedad de todos los números.
En el lenguaje axiomático el sistema de Peano contiene tres ideas primarias: uno (o cero), número y sucesivo, es decir que los axiomas de la aritmética ordinaria, expresados con el simbolismo lógico, contienen, además de los signos de las constantes lógicas, sólo tres signos nuevos: el de número, el de uno (o cero) y el de sucesivo.
Después de Peano cabe mencionar a uno de sus discípulos, Mario Pieri, que introdujo en 1897 el movimiento como concepto primitivo de la geometría euclidiana y, ya en este siglo, al estadounidense Edward Vermilye Huntington que formuló sistemas de postulados para distintas disciplinas matemáticas. Pero el verdadero sistematizador del pensamiento axiomático en general fue Hilbert con sus famosos Grundlagen der Geometrie de 1899, que confieren sello riguroso al tradicional método euclídeo y lo convierte en un proceso de alcance mayor y fecundo en problemas de toda índole.
Nota complementaria
Una reseña de los Grundlagen de 1899 puede dar idea del método axiomático instaurado por Hilbert. Comienzan con la siguiente "Aclaración. Pensemos tres diferentes clases de objetos. Llamemos a los objetos de la primera clase puntos... a los objetos de la segunda, rectas... y los objetos de la tercera, planos... ". Según una anécdota muy difundida Hilbert aclaraba su "aclaración" diciendo que podían sustituirse las palabras: punto, recta y plano por mesa, silla y vaso de cerveza, sin que esto alterara en lo más mínimo la geometría resultante, lo que equivale a subrayar el carácter arbitrario del nombre de los objetos, que se convierten en entes abstractos definidos implícitamente por los axiomas, de ahí la expresión "definiciones disfrazadas" con que Poincaré designada los axiomas. En efecto según Hilbert: "Supongamos que puntos, rectas y planos estén en ciertas relaciones mutuas, Que designaremos con las palabras "estar en”, "entre", "paralelo", "congruente", "continuo", cuya exacta y completa descripción se logrará mediante los axiomas de la geometría".
La axiomática de Hilbert
Los axiomas sobre los cuales Hilbert funda la geometría euclidiana son veinte, distribuidos en cinco grupos: de enlace, de orden, de paralelismo, de congruencia y de continuidad. Los axiomas de enlace definen las relaciones entre puntos, rectas y planos, que dan sentido a las expresiones "estar sobre", "pasar por", etcétera. Los axiomas de orden cumplen igual finalidad respecto de expresiones como '"entre" u "ordenamiento", y permiten definir el segmento. Cabe agregar que entre los postulados de Euclides figuran algunos de los axiomas de enlace de Hilbert; en cambio Euclides no menciona para nada la idea de orden y adopta el segmento como noción primitiva y el ordenamiento como algo dado empíricamente, lo que le permite soslayar sofismas en que podría incurrir en un tratamiento riguroso que no tomara en cuenta los axiomas del orden. Estos axiomas, ya utilizados por Pasch, y su exigencia en la construcción geométrica, constituyen uno de los progresos que la crítica moderna puso en evidencia en el análisis de los principios de la geometría. Por su parte, el axioma de paralelismo, que admite la existencia de una y una sola recta paralela a otra dada por un punto exterior a aquélla, equivale al Quinto postulado de Euclides, mientras que los axiomas de congruencia, cuyos equivalentes son las "nociones comunes" de Euclides, definen el concepto de congruencia o de movimiento de segmentos, ángulos (que se definen en forma correlativa a los segmentos) y triángulos. Por último, Hilbert admite como axioma de continuidad una expresión que equivale a la definición de Euclides, y que Hilbert denomina con razón "axioma de Arquímedes".
Después de exponer y aclarar sus axiomas, Hilbert recurre en sus Grudlagen a una novedad importante, al abordar el análisis lógico del conjunto de axiomas y exigir, por una parte, su compatibilidad, es decir que no exista en ellos contradicción interna y, por otra, que sean independientes, o, lo que es lo mismo, que un grupo de axiomas no sea consecuencia de los grupos anteriores.
Para ello, Hilbert construyó geometrías artificiales, cuyos cimientos son números o funciones, de tal modo que a las relaciones geométricas definidas por los axiomas corresponden relaciones homologas entre esos números o funciones. Para demostrar que los axiomas de un grupo son compatibles, basta demostrar que en la geometría artificial correspondiente no hay contradicción, lo que se comprueba por cuanto, si hubiera contradicción, ella aparecería en la aritmética del sistema de números o funciones así construida. Para demostrar la independencia de un axioma determinado respecto de los demás, basta construir también una geometría artificial, que admita éstos y niegue aquél. Si esta geometría es compatible queda demostrada la independencia del axioma en cuestión. Con este análisis Hilbert comprueba la validez de las geometrías no euclidianas, al demostrar la independencia del axioma de paralelismo, y de las geometrías no arquimedianas, de las cuales Veronese había dado un ejemplo en 1891, al comprobar la independencia del axioma de Arquímedes.
Claro es que las consideraciones de Hilbert desplazaron la cuestión de la compatibilidad e independencia de los axiomas de la geometría al problema semejante, aunque de raíz más profunda, de la compatibilidad de los axiomas de la aritmética que, como vimos, fue precisamente uno (el segundo) de los 23 problemas señalados por Hilbert en el Congreso de 1900.
Los Grundlogen terminan con un interesante "Epílogo" en el que Hilbert, después de insistir en la importancia de los problemas y recordar la "exigencia de pureza de los métodos demostrativos, elevada a principio por muchos de los matemáticos de nuestro tiempo", termina diciendo: “La investigación geométrica precedente pretende dilucidar en toda su generalidad qué axiomas, presupuestos o medios auxiliares son necesarios para establecer una verdad de geometría elemental, dejando a las circunstancias la elección de los métodos demostrativos adaptados al punto de vista que se haya adoptado".
La teoría de conjuntos
Los Grundlagen de Hilbert plantearon la cuestión de la compatibilidad de los axiomas de la aritmética, cuestión que se debatió en los primeros decenios de este siglo en la llamada "crisis" de los fundamentos de la matemática; crisis que surgió, a su vez, de una de las concepciones del siglo pasado que se convirtió en tema cardinal de la matemática del siglo XX: la teoría de conjuntos, cuyo creador, en el sentido actual, es el ya mencionado Cantor.
La idea de conjunto, que Cantor definió como “agrupamiento en un todo de objetos bien definidos, de nuestra intuición o de nuestro pensamiento", no era nueva en matemática, como no lo eran las anomalías y aparentes paradojas que proporcionaban los conjuntos infinitos. Ya Galileo, en sus célebres Discorsi de 1638, había traído a colación cuestiones matemáticas vinculadas con los conjuntos infinitos: al comparar la serie natural con la de sus cuadrados había comprobado la coordinabilidad de un conjunto con una de sus partes y en una comparación de sólidos, a la manera de Arquímedes en el Método, había llegado a la paradójica equivalencia entre un punto y una circunferencia. Por otra parte Bolzano, ya mencionado como precursor de la aritmetización del análisis, se había ocupado de las "paradojas del infinito", en un libro de este título que apareció póstumo en 1851, donde asomaban, en una atmósfera más filosófica que matemática, algunas de las nuevas concepciones, pero será Cantor quien dará vida estable y rigurosa a la "teoría de conjuntos". De origen ruso pero formado en Alemania, Cantor inicia su carrera científica con la mencionada exposición de los números irracionales de 1872, estudios que, en unión con investigaciones acerca de las series trigonométricas inspiradas en Riemann, lo condujeron a desarrollar la teoría de conjuntos una serie de memorias de 1874 a 1884. Esta teoría original, pero audaz y revolucionaria para la época, encontró oposición en especial entre matemáticos influyentes de Alemania; esta circunstancia, unida a las dificultades que presentaba la teoría y los nuevos problemas que planteaba, llevó tal vez a su autor a una enfermedad nerviosa que lo mantuvo alejado de la ciencia durante unos años, volviendo a ocuparse de la teoría de conjuntos en el decenio 1887-1897.
Además del progreso técnico que significó, por la importancia de sus conceptos y aplicaciones a la teoría de conjuntos trajo a primer plano la cuestión del infinito en matemática. Esta cuestión venía de lejos; baste pensar que la distinción, aún vigente en matemática, entre infinito potencial e infinito actual procede de Aristóteles. En los tiempos medievales el infinito vuelve a asomar, ya sea con la introducción del cero como símbolo operatorio, ya sea en el tratamiento de series convergentes, pero es en los siglos del auge de los métodos infinitesimales cuando el infinito recobra actividad, aunque en forma siempre imprecisa, ya sea envuelto en las brumas "metafísicas" que rodeaban a los conceptos básicos del cálculo infinitesimal, ya sea amparado por el éxito de las aplicaciones de ese cálculo.
La aritmetización del análisis disipa aquellas brumas y elimina toda consideración acerca del infinito actual, para dejar incólume sólo el infinito potencial aunque sin advertirse entonces que expresiones tan inocentes como "los puntos de un segmento" o "la ecuación de una recta", ocultaban el infinito actual, que Cantor sacará a plena luz. A la frase de Gauss, para quien el infinito actual era "una manera de hablar", Cantor responde: "No obstante la diferencia esencial entre los conceptos de infinito potencial y de infinito actual (siendo el primero una magnitud finita variable que crece más allá de todo límite finito, y el segundo una magnitud fija, constante, que se mantiene más allá de todas las magnitudes finitas) ocurre con frecuencia tomar el uno por el otro... En vista de la justificada aversión a tales infinitos actuales ilegítimos y a la influencia de la tendencia moderna epicúreo-materialista, se ha extendido en amplios círculos científicos cierto horror infiniti, que encuentra su expresión clásica y su apoyo en la carta de Gauss; sin embargo me parece que el consiguiente rechazo, sin critica alguna, del legítimo infinito actual no deja de ser una violación de la naturaleza de las cosas, que han de tomarse como son".
La teoría cantoriana legitima este infinito actual, este infinito como ser, que está "en la naturaleza de las cosas" que hasta entonces había estado reprimido de modo que sólo pudiera emerger a la conciencia matemática el infinito potencial, el infinito como devenir. Y así como el siglo XIX legisló sobre el infinito actual, Cantor con su teoría de conjuntos legislará, jerarquizara, y clasificará el infinito actual.
Hilbert contribuyó, con su gran autoridad, a difundir las ideas de Cantor, en especial en Alemania, y puede decirse que la teoría de conjuntos recibió consagración oficial en el Congreso de Zurich de 1897.
Esa teoría trajo aparejado el hallazgo de algunos "conjuntos paradójicos", que dieron base a una polémica acerca de los fundamentos de la matemática que se mantuvo durante los primeros decenios de este siglo y cuya reseña tiene ya cabida en una historia de la matemática.
Algunas de esas paradojas, que se deben al uso indebido del concepto "todos", venían de lejos. Recuérdese la del cretense mentiroso que puede sintetizarse en la expresión "yo miento", que implica contradicción pues si digo verdad miento y si miento digo verdad. Ese tipo de sofisma, con ropaje variado, está muy difundido; una versión, por ejemplo, se enuncia en el Quijote.
Complemento 163
La paradoja del QuijoteAparece entre las cuestiones sometidas al juicio de Sancho Panza como gobernador de la ínsula de Barataría (Parte II, Cap. II). En resumen es la siguiente: El dueño de un río había impuesto como condición a quien quisiera pasar un puente que lo cruzaba, que debía "jurar primero a dónde y a qué va; y si jurase verdad, déjenle pasar, y si dijere mentira, muera por ello ahorcado en la horca que allí se muestra", Ocurrió entonces que un hombre, que sin duda había leído a Russell, dijo que no iba a otra cosa que "a morir en aquella horca", con lo cual los encargados del cruce del puente quedaron desconcertados, pues si lo dejaban pasar libremente el hombre había mentido y debía morir en la horca, pero si era ahorcado había dicho verdad y se debía dejar pasar libremente. Lo que sigue ya no es cuestión de lógica, pero vale la pena terminar el cuento. Consultado el buen Sancho, que no entiende de sutilezas lógicas, propone al principio una imposible solución salomónica: "que de este hombre aquella parte que juró verdad la dejen pasar y la que dijo mentira la ahorquen", mas luego, cediendo a razones no lógicas pero sí humanitarias, resuelve que lo dejen pasar libremente "pues siempre es alabado más el hacer bien, que mal".
En estas paradojas los conceptos lógicos o matemáticos están encubiertos por palabras. No ocurre lo mismo con las que dieron origen a la "crisis" de los fundamentos de la matemática: la de Cesare Burali Forti, que en 1897 observó que el conjunto bien ordenado formado por todos los números ordinales era contradictorio, así como resultaba contradictorio el "conjunto de todos los conjuntos que no se contienen a sí mismos como elementos" (paradoja de Russell de 1905).
Las cuestiones que suscitaron estas paradojas desataron la polémica, que culminó hacia 1930; en ella se perfilaron tres tendencias: logicista, formalista e intuícionista.
Con su concepción de la matemática como parte de la lógica o como formando una única y misma disciplina con la lógica, el logicismo encabezado por Russell vio la solución, para eliminar las paradojas, en un llamado "principio del círculo vicioso": Un elemento, cuya definición implica la totalidad de los elementas de un conjunto, no puede pertenecer a este conjunto, lo que llevó a desarrollar una "teoría de tipos”, que escalona las proposiciones en una serie jerárquica, y a recurrir a un discutido "axioma de reducibilidad".
Cabe agregar que el logicismo o un aliado durante la polémica al ganar la adhesión del "Círculo de Viena", entonces vigorosa agrupación de científicos y filósofos que, en su primer Congreso (Praga, 1929), se interesó por la cuestión de los fundamentos de la matemática, escuchó a los voceros de las tres tendencias en pugna y se inclinó por la tendencia logicista. Pero debe advertirse que la doctrina del Círculo de Viena, el empirismo lógico o positivismo lógico, provenían, en lo referente a la lógica, principalmente de la obra de Ludwig Wittgenstein, Tractatus logico-philosophicus de 1922 (existe versión española, Madrid, 1957) que, al vincular la lógica con la matemática, convertía a ambas en vastas tautologías.
La tendencia formalista, cuyo adalid fue Hilbert, constituyó la corriente tradicional y más afín a los matemáticos profesionales. Según ella la matemática no es sino un variado juego de signos y símbolos de carácter formal, sin contenido empírico alguno. Estas "formas vacías" obedecen a una serie de reglas de estructura y de deducción que, en último análisis, descansan en un sistema de axiomas. Un sistema formal así concebido depende única y exclusivamente de su validez lógica, de manera que el problema central del formalismo es el de la demostración de la no contradicción del grupo básico de axiomas de cada sistema formal. Tal es la tarea que se propusieron Hilbert y su escuela al crear una disciplina, la "metamatemática", que comprende una "teoría de la demostración", y que entendida de cierto modo como disciplina autónoma, ya ha producido resultados notables, como el ya clásico teorema de Kurt Gödel de 1931 según el cual no todo es demostrable en un sistema formal y, como consecuencia, el teorema no menos notable de Paul J. Cohen que en 1963 demuestra la independencia de la "hipótesis del continuo", uno de los problemas centrales de la teoría de conjuntos.
Muy distintos son los fundamentos de la tercera tendencia, la del intuicionismo, cuyo representante máximo fue Brouwer, que asigna al conocimiento matemático un carácter intuitivo inmediato y concibe la matemática como "una actividad constructiva del espíritu" o "el ingrediente exacto de nuestro pensamiento". Esta concepción, que a muchos científicos suena a mecánica y que sin duda contiene buena dosis de psicología, trajo a primer plano la exigencia de la constructividad de las proposiciones sistemáticas, que obligó a una revisión de las proposiciones no constructivas y a la búsqueda de nuevos recursos de demostración, lo que no dejó de ser saludable. Asimismo, como recordamos, otra contribución del intuicionismo, consecuencia de su concepción de la lógica y de sus relaciones con la matemática, fue el advenimiento de lógicas no bivalentes.
Para terminar con la teoría de conjuntos, quizá convenga agregar que al convertir la noción de conjunto en una noción básica de la matemática, se hizo indispensable su introducción en la enseñanza general y se creó, en forma elemental, un "álgebra de conjuntos", en la que desempeñan eficaz papel didáctico los llamados "diagramas de Venn", que el lógico inglés John Venn propuso en 1880, modificando diagramas semejantes que en 1770 había utilizado Euler para representar los silogismos.
Probabilidades y estadística
Después de Laplace el estudio teórico de las probabilidades no logró, durante el siglo pasado, mayores progresos, o por lo menos esos progresos fueron menores que los que realizará en este siglo; en cambio, encontró numerosas e importantes aplicaciones.
La aplicación a la teoría de los errores de observación dio nacimiento a la ley de distribución de los errores que lleva el nombre de Gauss, quien la hizo conocer en 1809, admitiendo, entre otras hipótesis, el postulado: el valor más probable de una magnitud, de la cual se conocen n medidas de igual precisión, es la media aritmética de dichas medidas. De esta cuestión y con resultados semejantes también se ocupó Laplace.
La aplicación de las probabilidades a la sociología y a la antropología, con el nacimiento de la estadística moderna, es obra del belga Adolphe Quételet, que en 1835 publica Sur I'homme... “donde introduce el concepto de "hombre medio". Su interés en la organización de la estadística, en el orden nacional e internacional, lo llevó a promover el primer congreso científico internacional de Estadística (Bruselas, 1853).
En la segunda mitad del siglo aparecen las aplicaciones a los fenómenos físicos y biológicos. En 1859 Maxwell, al aplicar el cálculo de probabilidades a la teoría cinética de los gases, da la ley de distribución de las velocidades moleculares y en 1877 Ludwig Boltzmann llega al resultado, sorprendente para su tiempo, de ser la entropía proporcional al logaritmo de la probabilidad del estado del gas. Ya en este siglo, Gibbs generaliza la cuestión con sus Principios elementales de mecánica estadística, desarrollada con especial referencia a los fundamentos racionales de la termodinámica, de 1902.
Mientras tanto el inglés Francis Galton, en sus investigaciones acerca de la herencia de 1887-1889, inaugura la aplicación de los métodos estadísticos a la biología. Sus estudios, en los que introduce el concepto de "correlación", fueron desarrollados más tarde por Karl Pearson, quien en 1901 funda la revista "Biometrika", órgano de esas investigaciones.
El siglo XX verá una renovación total del cálculo de probabilidades y de todos sus problemas, con la intervención de la teoría de conjuntos y el análisis general que convierten ese cálculo en una rama más de la matemática abstracta del siglo. El cálculo de probabilidades se axiomatiza, sus nociones se generalizan, se extienden sus aplicaciones y surgen nuevas teorías, como la "teoría de la decisión", que encaran los viejos problemas con nuevos métodos.
En conexión con el cálculo de probabilidades nace en el presente siglo una nueva disciplina, típica de la atmósfera científica de la época, con el tratado de 1947 que la bautiza: Cibernética o control y comunicación en el animal y en la máquina, del estadounidense Norbert Wiener. Imposible de encasillar en las habituales clasificaciones de las ciencias, en la cibernética se injertan, fuera de los temas implicados en el amplio contexto de su título, cuestiones de toda índole: teoría de la información y de la comunicación; deducción e inducción automáticas Y, en general, la automatización, la teoría de la decisión,...
Una consecuencia notable de esta conexión entre disciplinas distintas es la vinculación que se establece entre la información y la energía, demostrándose que, desde el punto de vista de su medida, la información no es sino entropía negativa, o que la información restablece la entropía perdida.
| Milenio III a. C. | Están en vigencia dos sistemas de numeración escrita: el sistema sexagesimal (posicional) de los sumerios y el sistema decimal (aditivo) de los egipcios. Probable época de la fijación del calendario solar egipcio de 365 días. |
| Milenio II a. C. | Época de las tablillas matemáticas con textos cuneiformes descifradas en este siglo (ecuaciones de segundo grado, método de falsa posición, teorema de Pitágoras, tripletes pitagóricos,...). |
| S. XVII a. C. | Época del más importante documento matemático egipcio: el papiro Rhind. |
| c. 1000 a. C. | Los babilonios extienden a los círculos celestes la división del día en 360 partes. |
| S. VI a. C. | Época del legendario PITÁGORAS y de la fundación en Crotona de la escuela o secta de los pitagóricos, a quienes se atribuye el nacimiento de la matemática como ciencia deductiva. Se les debe: propiedades de los números (números figurados, amigos, perfectos); el teorema de Pitágoras y los tripletes pitagóricos; los problemas de aplicación de áreas y el descubrimiento de los "irracionales", aunque la primera noticia de tal descubrimiento aparece en un Escolio de ARISTÓTELES. |
| 529 a. C. | Se produce un eclipse de Sol que habría predicho TALES de Mileto, a quien por lo demás se le atribuyen conocimientos geométricos. |
| S. V a. C. | "Siglo de Pericles", en el que nacen y se estudian los "problemas clásicos" de la geometría griega: la trisección del ángulo, la duplicación del cubo y la cuadratura del círculo. Florecen en él HIPÓCRATES de Quio, que se ocupó de la duplicación del cubo e inventó, en conexión con el problema de la cuadratura, las "lúnulas" que llevan su nombre: FILOLAO de Crotona, pitagórico que habría divulgado los conocimientos secretos de la secta; TEODORO de Cirene que demostró la irracionalidad de varios números; ZENON de Elea, autor de argumentos, algunos de índole matemática, contrarios a las concepciones de los pitagóricos; HIPIAS de Elis que, al ocuparse de la trisección, inventó una curva llamada más tarde "cuadratriz" por su aplicación al problema de la cuadratura; y ARQUITAS de Tarento que se ocupó de la duplicación. - En este siglo el sistema de numeración griego con letras comienza a desplazar un sistema más antiguo llamado más tarde “herodiánico". |
| S. IV a. C. | Siglo de la Academia de PLATÓN y del Liceo de ARISTÓTELES. Con la Academia se vinculan EUDOXO de Cnido, a quien se debe el método más tarde llamado de "exhaución" y una teoría general de la proporcionalidad; TEETETO de Atenas que se ocupó de irracionales; MENECMO a quien se le atribuye el invento de las cónicas; y su hermano DINOSTRATO que se ocupó del problema de la cuadratura. - Con ARISTÓTELES, que se ocupó de los principios de la matemática, se vincula EUDEMO de Rosas a quien ARISTÓTELES encomendó una compilación de los conocimientos geométricos de la época. - También pertenece a este siglo DEMÓCRITO de Abdera, el fundador del atomismo griego, a quien ARQUÍMEDES menciona con motivo del volumen de la pirámide. |
| c. 300 a.C. | Florece EUCLIDES de Alejandría, autor de Elementos de geometría, sistematización de gran parte de la geometría griega.- Probable fecha del sistema vigesimal (posicional) de numeración de los mayas. |
| S. III a. C. | Pertenecen a este siglo ARQUÍMEDES de Siracusa que dejó vinculado su nombre con la hidrostática, con la teoría de la palanca y con una espiral. Se ocupó además de la medida de la circunferencia y de diversas cuestiones de aritmética y de geometría plana y sólida, llegando mediante un original método de su invención a resultados que luego demostraba rigurosamente por exhaución; y APOLONIO de Perga a quien se debe el tratado griego más completo acerca de las cónicas. - También florecen en el siglo ERATÓSTENES de Cirene que, además de realizar la primera medición científica de la Tierra, se ocupó del problema de la duplicación; NICOMEDES que se ocupó de la trisección; y ARISTARCO de Samos, autor de un sistema planetario heliocéntrico que aplicó la matemática a la astronomía. |
| S. II a. C. | Florecen en este siglo HÍPSICLES de Alejandría, autor de un supuesto "libro XIV" de los Elementos de EUCLIDES, que se ocupó de poliedros regulares; TÉODOSIO de Bitinia que publicó el primer tratado de Esférica, HIPARCO de Nicea, astrónomo que sentó los fundamentos del sistema geocéntrico que luego desarrollaría PTOLOMEO; y DIOCLES, que se ocupó del problema de la duplicación.-Edad de oro de la astronomía caldea. - Probable época del tratado clásico chino: Las regias de cálculo en nueve parte de CHANG TS’ANG. |
| 46 a. C. | Julio Cesar introduce el año bisiesto en el calendario (reforma juliano) |
| S. I a. C. | Florecen en este siglo NICÓMACO de Geresa, autor de un tratado elemental de aritmética; MENELAO de Alejandría que se ocupó de geometría plana y esférica; y HERÓN de Alejandría, autor de filiación discutida que se ocupó de matemática y de técnica, a quien se atribuye un teorema de geometría plana que lleva su nombre. |
| S. II | Pertenece a este siglo el astrónomo PTOLOMEO de Alejandría a quien se debe una "Tabla de cuerdas”, en cuya construcción utilizó teoremas que llevan su nombre. |
| S. III | Aparece la Colección matemática de PAPPUS de Alejandría, sistematización de la matemática griega con mucho de original. Probablemente de este siglo DIOFANTO de Alejandría, cuya obra se conecta hoy con la matemática de los babilonios y que se ocupó d teoría de números, pero en especial de análisis indeterminado en su Aritmética. |
| S. IV | Pertenece a este siglo: TEÓN de Alejandría, cuya revisión de los elementos de EUCLIDES sirvió de base para las ediciones modernas de la obra; y su hija HIPATÍA, también matemática que comentó autores antiguos, recordándosela por su muerte en los tumultos entre paganos y cristianos. |
| S. V | Primeras manifestaciones de la matemática hindú. En los siddhanta, obras de índole astronómicas, ya no se miden los arcos mediantes las cuerdas, como en PTOLOMEO, sino mediante la semicuerda y la flecha (nuestro seno y la diferencia entre el radio y el coseno). La construcción de una "tabla de senos” se señala en la obra del hindú ARYABHATA de este siglo, que se ocupó también de análisis indeterminado (con números enteros). También pertenecen a este siglo EUTOCIO de Ascalena, comentarista de autores griegos; y el filósofo PROCLO de Bizancio, autor de un importante comentario al "Libro I” de los elementos de EUCLIDES. |
| S. VI | Desde comienzo de este siglo está establecido el actual sistema de numeración decimal de origen hindú. El romano BOECIO compone tratados elementales de aritmética y geometría, que constituyen textos durante los tiempos medievales. |
| S. VII | BRAHMAGUPTA se ocupa de análisis indeterminado. |
| S. VIII | En las escuelas del reino franco se imparte la enseñanza del quadrivium; aritmética, geometría, música y astronomía, de acuerdo con el plan fijado por ALCUINO de York. |
| S. IX | Comienza el aporte árabe a la matemática, en materia de traducciones y obras originales: AL-KHUWARIZMI compone una Aritmética que contribuyó a difundir el sistema decimal de numeración y un tratado, que dio nacimiento al álgebra, que con la resolución numérica de la ecuación de segundo grado y su comprobación geométrica; TABIT b.QURRA traduce obras griegas al árabe y de las más antigua regla para obtener "números amigos”; AL- MAHANI traduce algebraicamente problemas geométricos, no reducibles a ecuaciones cuadráticas. |
| S. X | El árabe ABU AL-WAFFA se ocupa de las funciones circulares. GEBERTO de Aurillac divulga en Occidente el uso de las cifras hindúes (sin el cero). |
| S. XI | Apogeo de la matemática árabe en Oriente: ALHAZEN se ocupa de matemática y de óptica; AL-KARHI da una demostración geométrica de la suma de los cubos; OMAR KHAYYAM clasifica y resuelve las ecuaciones hasta las cuárticas, en forma aritmética o geométrica. |
| S. XII | En la Iberia musulmana GEBER (Jabir b.Aflah) se ocupa de trigonometría esférica. El hindú BASKHARA se ocupa de álgebra. Comienza el periodo de la trasmisión a Occidente del saber árabe (en gran parte de origen griego); ADELARDO de Bath y ROBERTO de Chester traducen a AL-KHUWARIZMI; en España JUSN de Sevilla y Domingo GUNDISALVO traducen en colaboración pasando por el castellano: igualmente traducen en colaboración del hebreo al latín ABRAHAM Bar Hiyya y Platón de Tivoli; culminando la era de los traductores con la escuela de Toledo y GERARDO de Cremoa; a quien se debe la traducción de una quincena de autores griegos y árabes. |
| S. XIII | En Oriente florece al árabe NASIR AL-DIN, mientras en Sicilia GUILLERMO de Moerbecke traduce directamente del griego al latín. Comienza el despertar matemático de Occidente; FIBONACCI propugna el sistema de numeración decimal en su Líber Abad de 12 02 y se ocupa de teoría de números, álgebra y geometría; un JORDANUS Nemorarius se ocupa de álgebra; CAMPANO traduce a Euclides; y el astrónomo SACROBOSCO se ocupa de aritmética. Fuera del campo estrictamente matemático el escolástico Ramón LULL trata cuestiones lógicas. |
| S. XIV | Florece el chino CHU SHI-CHIEN, en cuya obra aparece el "triángulo aritmético”; y el inglés BRADWARDONE, autor de una geometría especulativa. La trigonometría se desarrolla por obra del judío LEVI b.Gerson y el inglés WALLINGGROAD. Se estudia el movimiento uniformemente variado en forma gráfica por el francés ORESME y en forma retorica por los ingleses HEYTESBURY y "Calculator” (regla de Mertón). |
| c. 1340 | Se menciona el método de contabilidad por partida doble. |
| S. XV | El filósofo Nicolás de CUSA se ocupa de distintas cuestiones matemáticas. En la segunda mitad del siglo los astrónomos PEURBACH y REGIOMONTANO compilan tablas de funciones circulares. Aparecen los primeros tratados de aritmética impresos: Treviso (1478); de Pietro Borghi (1484) y de Widmann (1489); en este último, se introducen los signos + y -, a fines de este siglo, Piedro della Francesca compone un tratado de perspectiva que circula manuscrito. |
| 1484 | Se imprime el Euclides de CAMPANO. LEONARDO da Vinci inicia su carrera de ingeniero, durante la cual se ocupó de variadas cuestiones matemáticas. |
| 1484 | Le triparty en la sciencie de nombres de CHUQUET que trata de aritmética, álgebra, simbolismo, racionalización de denominadores. .. |
| 1494 | PACIOLI summa de arithmetica, geometría, proportiono et proportionalita, resumen de la matemática medieval. |
| c. 1509 | Época en la que DEL FERRO habría resuelto una ecuación cubica trinomía. |
| 1509 | PACIOLI, la divina proporción que trae como apéndice un tratado de los cuerpos regulares (sin nombre de autor) de PIERO della Francesca, compuesto en 1487. En libri de triplicimotu, Alvaro TOMÁS suma series convergentes. |
| 1525 | DÜRER se ocupa de cuestiones geométricas y de perspectiva, introduciendo las proyecciones horizontales y verticales. En Die coss RUDOLFF introduce el signo de raíz. |
| 1533 | Aparece póstuma De trianguiis de REGIOMONTANO, obra compuesta hacia 1464, que constituye el primer tratado de trigonometría de importancia en latín. |
| 1534 | Fecha en la cual TARTAGLIA habría resuelto los tres casos, según él, de las ecuaciones cúbicas trinomias. |
| 1537 | TARTAGLIA. Nova scientia inventa, donde aparecen nociones de balística. |
| 1542 | Narratio primo de RHETICUS, donde aparecen dos capítulos sobre funciones circulares de la famosa obra de COPÉRNICO, que aparecerá el año siguiente: Las revoluciones de la esfera celestes. NUÑEZ describe el dispositivo llamado "nonius", que VERNIER modificará en 1631, de ahí también su nombre de "vernier". |
| 1544 | En su Arithmetica Integra STIFEL se ocupa de teoría de números y de álgebra, asomando la primera noción de los logaritmos. |
| 1545 | Aparece Ars magna de CARDANO, primer tratado de álgebra digno de este nombre, donde aparecen la solución de las cúbicas de TARTAGLIA y el método de solución de la cuártica de FERRARI. |
| 1546 | Quesiti et inventioni diverse de TARTAGLIA, con distintas cuestiones técnicas y matemáticas, así como notas autobiográficas relativas a su disputa con CARDANO. |
| 1548 | Desafío FERRARI-TARTAGLIA, espectacular pero sin mayor importancia científica. |
| 1556 | Aparece en el Nuevo Mundo [México] la primera obra matemática impresa. |
| 1557 | The Whetstone ofwitte de RECORDE, primer álgebra inglesa, donde aparece el signo =. |
| 1564 | NUÑEZ publica en castellano su Álgebra, mejorando la edición portuguesa de 1532. |
| 1569 | El cartógrafo MERCATOR aplica la proyección que hoy lleva su nombre, y que por su índole lo convierte en un precursor del cálculo infinitesimal. |
| 1572 | Álgebra de BOMBELLI, donde aparece la resolución aritmética del caso irreducible de las cúbicas. |
| 1573 | En su Aritmética, aparecida este año, aunque compuesta en 1557, MAUROLYCO expone en forma aún rudimentaria el "principio de inducción completa". |
| 1576 | Al morir, CARDANO deja entre sus escritos una obra sobre probabilidades que aparecerá en 1663. |
| 1582 | Reforma gregoriana del calendario: en ella intervino CLAVIUs. |
| 1583 | IL VIGNOLA, apodo de BAROZZI, publica Las dos regias de la perspectiva práctica... para uso de los artistas. |
| 1585 | STEVIN, Thiende (en flamenco), folleto de aritmética decimal que introduce los números decimales, cuyo empleo aconseja así como propugna un sistema métrico decimal. |
| 1591 | En su Introducción al análisis VIÉTE introduce el uso de las letras en álgebra; se ocupó además de álgebra, de trigonometría y de cálculo infinitesimal. |
| 1600 | DEL MONTE, Perspectiva libri sex, primer tratado orgánico de perspectiva. |
| 1610 | En Artis Analiticae Praxis, HARRIOT introduce modificaciones en el simbolismo algebraico; se le deben los signos de desigualdad. |
| 1612 | BACHET de MEZIRIAC publica el primer tratado de matemática recreativa. |
| 1613 | CATALDI aplica las fracciones continuas en el cálculo aproximado de raíces cuadradas. |
| 1614 | NAPIER escribe sus "logaritmos” |
| 1615 | KEPLER, Nova Xstereometria doliorum vinariorum (comienzo del cálculo integral moderno) |
| 1617 | Tabla de logaritmos decimales de BRIGGS. |
| 1619 | NAPIER publica su tabla de logaritmos, construidos en 1614. |
| 1620 | Tabla de logaritmos de BURGI. |
| 1629 | GIRARD se ocupa de ecuaciones algebraicas y expone, sin demostración, el teorema fundamental del álgebra. |
| 1632 | Círculo calculador de OUGHTRED. Se le debe también la regla de cálculo, así como innovación en el simbolismo- |
| 1634 | MERSENNE se ocupa de teoría de números. |
| 1635 | CAVALIERI expone y aplica el método de los "indivisibles”. |
| 1636 | Aparece el Discurso dei método de DESCARTES, cuyo último apéndice: la geometrie trata también de álgebra y sienta las bases de la futura geometría analítica. |
| 1637 | Primeros trabajos de DESCARTES acerca de geometría descriptiva y proyectiva. Su Brouillon Project es de 1639. |
| 1640 | Primer escrito de PASCAL sobre cónicas. |
| 1641 | PASCAL inventa una maquina de calcular. |
| 1642 | TORRICELLI se ocupa de geometría en escritos, que aparecerán póstumos. |
| 1647 | SAINT VINCENT se ocupa de series. |
| 1650 | MENGOLI demuestra la divergencia de la serie armónica. |
| 1654 | PASCAL se ocupa del triángulo aritmético en un escrito póstumo. PASCAL y FERMAT estudian problemas originados en las mesas de juego, que darán lugar al cálculo de probabilidades. |
| 1656 | WALLIS, arithmetica Infinitorum (prolegómenos del cálculo infinitesimal) |
| 1657 | VAN SCHOOTEN se ocupa de la geometría cartesiana. Primer tratado de cálculo de probabilidades debido a HUYGENS. |
| 1660 | Investigaciones de FERMAT acerca de teoría de números, más se ocupará de cálculo infinitesimal. |
| 1662 | Se funda en Londres la sociedad Real, cuyo primer presidente: BROUNCKER se ocupo de cuestiones matemáticas. |
| 1666 | LEIBNIZ, Ars combinatoria (lógica). |
| 1667 | James GREGORY se ocupa de series. |
| 1668 | BARROW expone el método de las tangentes en susLecciones geométricas. N. MERCATOR en su Logarithmotechnia demuestra la relación entre el sector de hipérbola y los logaritmos. |
| 1669 | NEWTON compone Analysis per aequationes numero terminorum infinitorum que se publica en 1711. |
| 1670 | La publicación póstuma de las anotaciones de FERMAT en los márgenes de una edición de Diofanto, da lugar al llamado "Gran teorema de Fermat”. |
| 1671 | Tratado sobre las fluxiones de NEWTON. |
| 1673 | HUYGENS, Horoiogium osciliatorium (aplicación de las curvas cicloides a la regulación del péndulo). |
| 1676 | NEWTON se ocupa de la cuadratura de las curvas, trabajo que se publicará como uno de los Apéndices de la Optica de 1704. |
| 1682 | LEIBNIZ promueve la fundación de Acta Eruditorum. |
| 1684 | Primer escrito de LEIBNIZ sobre cálculo diferencial. |
| 1686 | Primer escrito de LEIBNIZ sobre cálculo integral. |
| 1687 | En su famosa Principia, NEWTON antepone nociones de cálculo infinitesimal. |
| 1690 | Teoría ondulatoria de la luz, de HUYGENS. |
| 1691 | Lecciones de cálculo diferencial de Joh. BERNOULLI. |
| 1692 | VIVIANI propone el problema que lleva su nombre. |
| 1695 | NEWTON se ocupa de la generación y clasificación de las cúbicas, en un trabajo que aparecerá como apéndice de la Óptica. |
| 1696 | L'HÔPITAL, Analyse des infinimentpetits, primer tratado de cálculo diferencial. |
| 1669 | Se hace patente la polémica latente entre NEWTON y LEIBNIZ, con motivo de la prioridad en la invención del cálculo infinitesimal. |
| 1701 | Los hermanos BERNOULLI se ocupan del problema de los isoperímetros. |
| 1707 | NEWTON, Arithmetic universalis, lecciones dictadas entre 1673 y 1683- |
| 1712 | En Methodus differentialis NEWTON se ocupa de diferencias finitas y de interpolaciones. |
| 1713 | Joh. BERNOULLI, Ars conjectandi, tratado de probabilidades con los números que llevan su nombre. |
| 1714 | TAYLOR expone la serie que lleva su nombre. |
| 1720 | MACLAURIN, Geometría orgánica, con la fórmula que lleva su nombre. |
| 1730 | DE MOIVRE expone, sin demostración, la expresión de las potencias de números complejos. |
| 1731 | CLAIRAUT se ocupa de las curvas de doble curvatura. |
| 1733 | SACCHIERI, Euclides. ..vindicatus, primer paso hacia las geometrías no euclidianas. |
| 1734 | BERKELEY, en The Analysis, critica los conceptos infinitesimales de la época. |
| 1737 | Se deben a FRÉZIER uno de los pocos tratados geométricos del siglo. |
| 1738 | EULLER, Introducción a la aritmética. |
| 1742 | GOLDBACH comunica a EULLER la conjetura que lleva su nombre. |
| 1744 | D’ALEMBERT se ocupa del problema de las cuerdas vibrantes. EULLER, Methodis inveniendi (cálculo de las variaciones). |
| 1748 | EULLER, Introducción ai análisis del infinito. |
| 1750 | FAGNANO se ocupa de rectificaciones y CRAMER de curvas planas. |
| 1751 | Aparece la Enciclopedia dirigida por DIDEROT y D’ALEMBERT. A este último se debe el Discurso preliminar, con consideraciones generales acerca de la ciencia. |
| 1755 | EULER, Instituciones de cálculo diferencial. |
| 1758 | Aparece Historia de las matemáticas de MONTUCLA. |
| 1760 | BUFFON propone un problema que vincula las probabilidades con el número p. |
| 1761 | Muere BAYES dejando un escrito sobre las probabilidades de las causas. |
| 1764 | BEZOUT se ocupa de álgebra y de curvas planas. |
| 1766 | LAMBERT se ocupa de los fundamentos de la geometría |
| 1768 | EULLER, instituciones de cálculo integral. |
| 1771 | VANDERMONDE se ocupa de teoría de determinantes. |
| 1776 | WARING se ocupa de teoría de números. |
| 1788 | LAGRANGE, Mecánica analítica. |
| 1790 | ROLLE expone el teorema que lleva su nombre. |
| 1794 | MONGE, Geometría descriptiva. El año siguiente publica Feuilles d’Analysis. |
| 1795 | Aparece el Cours de mathématiques de LACROIX. |
| 1796 | Fecha más antigua que se menciona en la libreta de GAUSS, en la que anota, hasta 1814, sus descubrimientos. |
| 1797 | LAGRANGE expone su teoría de las "funciones analíticas”. LEGENDRE se ocupa de teoría de números. MASCHERONI, Geometría del compasso. Reflexiones sobre la metafísica del cálculo infinitesimal de L. CARNOT. |
| 1799 | RUFFINI anuncia haber demostrado la imposibilidad de resolver la ecuación de quinto grado mediante radicales. En su tesis doctoral GAUSS expone una demostración del teorema fundamental del álgebra. LAPLACE, mecánica celeste. |
| 1801 | GAUSS, Disquisiciones aritméticas. |
| 1802 | BEZOUT se ocupa de álgebra. |
| 1806 | BRIANCHON enuncia el teorema que lleva su nombre. |
| 1810 | Aparece, hasta 1832, los Anuales de GERGONNE, del nombre de su editor. |
| 1811 | Representación de complejos por puntos del plano de GAUSS. |
| 1812 | Serie hipergeométrica de GAUSS, con un primer modelo de una discusión de convergencia. LAPLACE, Teoría analítica de las probabilidades. |
| 1813 | Con la fundación de la "Analytical Society” por BABBAGE, HERSCHEL y PEACOCK, termina la polémica Newton-Leibniz. |
| 1819 | HORNER expone el método numérico aproximado para resolver ecuaciones, ya conocido por los chinos. |
| 1821 | CAUCHY publica el cours d’Analysis; el año siguiente Analysis Algebra. |
| 1822 | En Théoríe analytique du chaleur FOURIER hace conocer las series que llevan su nombre. PONCELET estudia las propiedades proyectivas de las figuras. |
| 1824 | ABEL, Memoria sobre las ecuaciones algebraicas. QUETELET edita "Correspondance mathématique...” |
| 1826 | "Funciones abelianas” de ABEL, CRELLE edita el "Journal” que lleva su nombre. |
| 1827 | GAUSS, Disquisiciones generales acerca de las superficies curvas. Cálculo baricentro de MÖBIUS. |
| 1828 | Tratado de geometría analítica de PLÜCKER. |
| 1829 | Por obra de ABEL y JACOBI aparecen las funciones elípticas. DIRICHLET, Teoría de funciones. Primer escrito, en ruso, de LOBACHEVSKI sobre geometrías no euclidianas. (La Pangéométrie es de 1855) |
| 1830 | Algebra de PEACOCK. |
| 1831 | GAUSS comienza a redactar sus resultados acerca de las geometrías no euclidianas. |
| 1832 | GALOIS expone los fundamentos de la teoría que lleva su nombre. BOLYA se ocupa de las geometrías no euclidianas. Tratado de STEINER de geometría sintética. "Equipolencia” de BELLAVITIS (cálculo vectorial). |
| 1833 | La “máquina analítica" de BABBAGE. |
| 1836 | LIOUVILLE edita el "Journal de Mathématique”. |
| 1837 | CHASLES se ocupa de geometría sintética. GRAFFE expone su método de resolución aproximada de las ecuaciones algebraicas. |
| 1845 | Época del desarrollo de la "teoría de los invariantes” por CAYLEY y SYLVESTER, pareja a la que se agregará más tarde HERMITE. |
| 1846 | CAYLEY se ocupa de geometría proyectiva. |
| 1847 | "Números ideales” de KUMMER. STAUDT se ocupa de geometría de posición. BOLZANO estudia las "paradojas del infinito” (el tratado es de 1851). |
| 1851 | CHEBICHEV se ocupa de la distribución de los números primos. |
| 1853 | HAMILTON, Teoría de los cuarternios. LAGUERRE de carácter proyectivo a la medida del ángulo de dos rectas. |
| 1854 | Disertación inaugural de RIEMANN acerca de los fundamentos de la geometría (apareció impresa en 1867). BOOLE, Las leyes del pensamiento. |
| 1858 | CAYLEY desarrolla el cálculo de matrices. |
| 1861 | Primer ejemplo de función continúa sin derivadas de WEIERSTRASS que se hace conocer en 1874. |
| 1862 | Teoría de la extensión de GRASSMANN, ampliación de un trabajo de 1844. |
| 1863 | WEIERSTRASS expone el teorema final de la aritmética, "Trasformaciones” de CREMONA. |
| 1864 | Trabajos (que se publica en 1881) de B, PEIRCE sobre las álgebras lineales no asociativas. Teoría de funciones de RIEMANN. |
| 1867 | Principio de permanencia de HANKEL. |
| 1868 | BELTRAMI expone una interpretación "euclidiana” de las geometrías no euclidianas. |
| 1870 | JORDAN, Tratado de las sustituciones (teoría de grupos). |
| 1872 | KLEIN, Programa de Erlangen. LIE, Teoría de los grupos continuos de trasformaciones. WEIERSTRASS, CANTOR, MÉRAY y DEDEKIND (de las cortaduras) que enseñaba desde 1858 se publicó en l888. Aparece (póstumo) el Inventario de paradojas de DE MORGAN (en él aparece la expresión "inducción matemática”. |
| 1873 | HERMITE demuestra la trascendencia de e. |
| 1874 | Primeros escritos de G. CANTOR sobre teoría de conjuntos. |
| 1878 | CLIFFORD se ocupa de espacios «-dimensionales con dirección proyectiva. Intégrato de ABDANK-ABAKANOWICZ. |
| 1879 | Geometría numerativa de SCHUBERT. |
| 1880 | M, CANTOR inicia la publicación de sus Lecciones de historia de la matemática. Diagrama de VENN. |
| 1881 | POINCARÉ estudia las funciones automorfas. |
| 1882 | PASCH, Lecciones de geometría. Con la contribución de LINDEMANN quedo resuelto el problema de la cuadratura del círculo. |
| 1887 | Funciones de líneas de VOLTERRA. |
| 1889 | PEANO funda axiomáticamente la aritmética. |
| 1890 | KRONECKER se ocupa de ecuaciones algebraicas. SCHRÖDER, Álgebra de la lógica. |
| 1891 | Geometría no Arquimedianas de VERONESE. |
| 1893 | FREGE, Fundamentos de la aritmética. |
| 1894 | Integral de STIELTJES. |
| 1897 | BURALI-FORTI anuncia una de las primeras paradojas suscitadas por la teoría de conjuntos. |
| 1898 | BOREL, teoría de funciones. |
| 1899 | HILBERT, Fundamentos de la geometría. Nomografía de D’OCAGNE. |
| 1900 | Congreso de París, donde HILBERT enumera 20 problemas de la matemática entonces no resueltos. RICCI y LEVI-CIVITA introducen el cálculo diferencial absoluto (cálculo tensorial). |
| 1902 | Comienzan a aparecer los trabajos epistemológicos de POINCARÉ. |
| 1903 | Ecuación de FREDHOLM. |
| 1905 | Espacios abstractos de FRÉCHET. |
| 1908 | ZERMELLO axiomatiza la teoría de conjuntos. |
| 1910 | STEINTZ, Teoría algebraica de los cuerpos. RUSSELL y WHITEHEAD, Principia Mathematica (fundamentos del logicismo). |
| 1915 | Teoría geométrica de las ecuaciones de ENRIQUEZ. |
| 1918 | Integral de LEBESGUE. |
| 1920 | Teoría de la demostración (matemática) de HILBERT. |
| 1922 | Espacios de BANACH. |
| 1925 | BROUWER, Sobre los fundamentos de la matemática intuicionista. |
| 1929 | En el Congreso de Praga organizado por el "Círculo de Viena” se discute las distintas tendencias que protagonizan las llamadas "crisis de los fundamentos”, entonces vigentes. |
| 1930 | VAN DER WAERDEN, Álgebra moderna. |
| 1931 | Teoría de GÖDEL. ARTI, Introducción a la geometría y álgebra analítica. |
| 1935 | Comienzan a aparecer los Elementos de matemática de BOURBAKI. |
| 1944 | Teoría de juegos de VON NEUMANN y MORGENSTERN. |
| 1948 | WIERNER, Cibernética. |
| 1950 | SCHWARTZ, Teoría de las distribuciones. |
| 1963 | COHEN demuestra la independencia de la "hipótesis del continuo”. |
| 1971 | Se funda la "Comisión internacional de la historia de la matemática”, que en 1974 inicia la publicación de "Historia Mathematica”. |



















































































































.














