
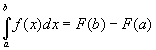
- Las numerosas notas históricas y trabajos publicados en el Jahrbuch über die Fortschritte der Mathematik (Sección de Historia de la Matemática).
- El mismo tipo de trabajos en Bibliotheca Mathematica.
Sería excesivo pretender que todas las fechas o la forma de escribir los nombres propios han sido correctas. Las fechas han sido mencionadas principalmente con el fin de orientar al lector acerca de la edad del individuo cuando hizo sus inventos más originales. En cuanto a la forma de escribir los nombres propios confieso mi falta de competencia para resolver, por ejemplo, si debe escribirse Utzendorff, Uitzisdorf o de otra manera, pues cada una de estas formas es admitida por autoridades indiscutibles. Cuando ha habido que elegir entre James y Johann, o entre Wolfgang y Farkas, he seguido el camino más fácil para identificar a la persona de que se trata.
La mayor parte de los retratos son reproducciones de los que se encuentran en la colección David Eugene Smith de la Columbia University. El retrato de Newton es una media tinta original que nos ha sido facilitada por el profesor E. C. Watson. Los dibujos han sido correctamente hechos por Mr. Eugene Edwards.
En una ocasión anterior (La busca de la verdad), he tenido el gusto de agradecer al doctor Edwin Hubble y a su mujer Grace su auxilio impagable. Asumo toda la responsabilidad de los juicios expuestos en el libro, aunque de todos modos me ha sido de gran ayuda la crítica docta (aunque no siempre haya sabido hacer buen uso de ella) de dos especialistas en campos en que no puedo pretender tener autoridad, y confío en que sus críticas constructivas habrán salvado mis deficiencias. El doctor Morgan Ward también ha hecho la crítica de algunos de los capítulos, y a él debo sugestiones muy útiles sobre cuestiones que él conoce. Toby, como en otras ocasiones, ha contribuido en alto grado en esta obra; en deuda de gratitud le he dedicado el libro, que es tanto de ella como mío.
Finalmente, deseo agradecer su colaboración a las autoridades directivas de diversas bibliotecas, que generosamente me han prestado libros raros y material biográfico. En particular debo dar las gracias a los bibliotecarios de la Stanford University, de la Universidad de California, de la Universidad de Chicago, de la Harvard University, de la Brown University, de la Princeton University, de la Yale University, de The John Crerar Library (Chicago), y del Instituto de Tecnología de California.
E. T. Bell
Hemos titulado esta sección Introducción y no prefacio (como realmente es) con la esperanza de que lo lean quienes habitualmente pasan por alto los prefacios, pues, al menos, en los siguientes párrafos, se encontrará el lector con la primera fila de estrellas antes de entrar a conocer algunos de los grandes matemáticos. Debemos hacer notar en primer término que este libro no es en modo alguno una historia de la Matemática, ni siquiera una parte de esa historia.Las vidas de los matemáticos aquí presentados están dirigidas al lector común y a aquellos otros que quieren saber qué tipo de seres humanos son los hombres que han creado la Matemática moderna. Nuestro objeto es dar a conocer algunas de las ideas dominantes que gobiernan amplios campos de las Matemáticas y hacerlo a través de las vidas de los hombres autores de estas ideas.
Para seleccionar los nombres se han seguido dos criterios: la importancia para la Matemática moderna de la obra de un hombre y el sentido humano de la vida y carácter del hombre. Algunos matemáticos pueden ser estudiados siguiendo esos dos criterios, por ejemplo: Pascal, Abel y Galois; otros, como Gauss y Cayley, principalmente atendiendo al primero, aunque ambos tienen vidas interesantes. Cuando estos criterios chocan o se superponen, como es el caso cuando hay varios pretendientes al recuerdo de un progreso particular, se ha dado preferencia al segundo criterio, pues aquí nos interesan los matemáticos, en primer término, como seres humanos.
En los últimos años se ha despertado un enorme interés general por la ciencia, particularmente por la ciencia física y su influencia sobre nuestro esquema filosófico del Universo rápidamente cambiante.
Numerosos y excelentes resúmenes de las conquistas de la ciencia, escritos en el lenguaje menos técnico posible, han servido para salvar la laguna entre el científico profesional y quienes dedican sus vidas a otras tareas. En muchas de estas exposiciones, especialmente las que se refieren a la relatividad y a la teoría moderna de los cuantos, surgen nombres que no puede esperarse sean familiares al lector común, Gauss, Cayley, Riemann y Hermite, por ejemplo. Conociendo quiénes eran estos hombres, el papel que han desempeñado para preparar el crecimiento explosivo de la ciencia física desde el año 1900, y apreciando sus ricas personalidades, las magníficas conquistas de la ciencia caen en la perspectiva del lector común y adquieren una nueva significación.
Los grandes matemáticos han desempeñado un papel en la evolución del pensamiento científico y filosófico comparable al de los filósofos y hombres de ciencia. Retratar los rasgos esenciales de esa evolución a través de las vidas de los grandes matemáticos, mencionando: al mismo tiempo algunos de los problemas dominantes en su época, constituyen el propósito de los capítulos siguientes. Haremos resaltar la importancia de la Matemática moderna, es decir, esas grandes y simples ideas directrices del pensamiento matemático, que son aún de tal importancia en la vida, en la ciencia creadora y en la Matemática.
No debemos creer que la única función de la Matemática, “la sirvienta de las ciencias", es servir a la ciencia. La Matemática también ha sido denominada "la reina de las ciencias". Si alguna vez la reina ha parecido mendigar de las ciencias, ha mendigado en forma muy orgullosa, ni ha pedido ni ha aceptado favores de ninguna de sus ciencias, hermanas más influyentes. Lo que ella adquiere ella lo paga. Los matemáticos tienen una visión y una sabiduría particular, por encima de cualquier aplicación posible a la ciencia, y suficientemente premiada cuando cualquier ser humano inteligente llega a vislumbrar lo que la Matemática significa por sí misma. No se trata de la vieja doctrina del arte por el bien del arte, sino del arte para el bien de la humanidad. En realidad, el propósito de la ciencia no es la tecnología y Dios sabe que ya hemos divagado bastante. La ciencia explora también profundidades de un Universo que ni siquiera con la imaginación será visitado por los seres humanos, ni afectará nuestra existencia material. Así, nos ocuparemos también de algunas cosas que los grandes matemáticos han considerado dignas de una cordial comprensión, por su belleza intrínseca.
Se dice que Platón hizo escribir en la entrada de su academia las Siguientes palabras: "Que ningún ignorante de la Geometría entre aquí". En este lugar no necesitamos hacer una advertencia semejante y bastará una palabra de aviso para salvar de innecesarias angustias a algunos lectores excesivamente concienzudos... Lo principal de esta historia es la vida y personalidad de los creadores de la Matemática moderna y no la serie de formas y diagramas esparcidos en el texto. Las ideas básicas de la Matemática moderna, con las cuales se ha tejido por millares de investigadores la vasta e intrincada complejidad, son simples, de ilimitados alcances y pueden ser comprendidas por cualquier ser humano de inteligencia normal.
Lagrange (del que nos ocuparemos más tarde) creía que un matemático no llegaba a comprender totalmente su obra hasta que quedaba tan clara que podía ser explicada fácilmente al primer hombre que encontrara en la calle.
Como es natural, esto es un ideal que no siempre se alcanza. Pero haremos notar que pocos años antes que Lagrange pronunciara esas palabras, la "ley" newtoniana de gravitación era un incomprensible misterio hasta para las personas instruidas. En la actualidad la "ley" newtoniana es un lugar común que todas las personas educadas aceptan como sencilla y verdadera. Hoy la teoría relativista de la gravitación de Einstein se halla donde estaba la "ley" de Newton en las primeras décadas del siglo XVIII. Mañana la teoría de Einstein parecerá "tan natural", como la "ley" de Newton parece hoy. Con la ayuda del tiempo el ideal de Lagrange no es inalcanzable.
Otro gran matemático francés, consciente de sus dificultades no menos que sus lectores, aconsejaba a los hombres concienzudos no prestar demasiado tiempo a las cuestiones difíciles sino "seguir adelante y ya acudirá la fe". En breve, si alguna vez una fórmula, diagrama o un párrafo parece demasiado técnico, pasarlo por alto. Los estudiantes de la Matemática están familiarizados con el fenómeno del "desarrollo lento" o asimilación subconsciente. Cuando algo nuevo se estudia por primera vez, los detalles parecen numerosos y confusos, y no queda fijada en la mente una impresión lógica del conjunto. Después de un tiempo insistamos en el estudio y encontraremos que todo ha ido ocupando un lugar según su importancia, igual que cuando se revela una placa fotográfica. La mayoría de los que abordan seriamente por Primera vez la Geometría analítica experimentan dificultades de ese tipo. En cambio, el Cálculo, con sus fines claramente establecidos desde el comienzo, es de ordinario rápidamente comprendido. Hasta los matemáticos profesionales muchas veces pasan rozando sobre la obra de otros, para obtener un concepto amplio y comprensivo, antes de concentrarse sobre los detalles de interés para ellos. Pasar por alto no es un vicio como algunos de nosotros han creído, debido a nuestros profesores puritanos, sino una virtud del sentido común.
Yo creo que puede decirse honradamente que basta un curso de Matemática en una Escuela superior para tener los conocimientos matemáticos necesarios que permiten comprender muchas cosas que algunos cautamente pasan por alto. Con frecuencia son mencionadas cuestiones que están más allá de ese curso, pero siempre se acompañan de una descripción que capacita para comprenderlas a quienes lo han seguido. Para algunas de las ideas más importantes expuestas en relación con sus creadores grupos, espacio de muchas dimensiones, Geometrías no euclidianas y lógica simbólica, por ejemplo, basta menos que un curso de Escuela superior para comprender los conceptos básicos. Todo lo que se necesita es interés y capacidad de concentrarse. La asimilación de algunas de estas ideas de la Matemática moderna es tan refrescante como beber agua fría en una cálida jornada e inspira como inspira cualquier arte.
Para facilitar la lectura se han repetido donde era necesario las definiciones más importantes, y de tiempo en tiempo se hacen referencias a los primeros capítulos.
No es necesario leer los capítulos consecutivamente. En efecto, quienes estén dotados de una estructura mental especulativa o filosófica pueden preferir leer finalmente el primer capítulo.
Con algunos ligeros desplazamientos para satisfacer las condiciones sociales, los capítulos seguirán el orden cronológico.
Sería imposible describir toda la obra de incluso los menos prolíficos de los hombres que vamos a estudiar, aunque sería provechoso intentar hacerlo en un libro para el lector común. De todos modos, gran parte de la obra de los más grandes matemáticos del pasado ahora tiene únicamente interés histórico y queda englobada en los puntos de vista más generales. En consecuencia, sólo se describirán los hechos más notables de cada uno de los matemáticos, haciendo una selección según su originalidad e importancia en el pensamiento moderno.
De los temas seleccionados para la descripción podemos mencionar, entre otros, los siguientes por tener interés para el lector general:
- la doctrina moderna del infinito (capítulos 2, 29);
- el origen de la probabilidad matemática (capítulo 5);
- el concepto e importancia de un grupo (capítulo 15);
- la significación de la invariancia (capítulo 21);
- las Geometrías no euclidianas (capítulo 16 y parte del 14);
- el origen de la Matemática de la relatividad general (última parte del capítulo 26);
- las propiedades de los números enteros comunes (capítulo 4) y su moderna generalización (capítulo 25);
- la significación y utilidad de los llamados números imaginarios, como
(capítulos 14, 19); - el razonamiento simbólico (capítulo 23).
Los matemáticos modernos comenzaron con dos grandes progresos, la Geometría analítica y el Cálculo. La primera tomó una forma definida en 1637 y el último hacia el año 1666, aunque no llega a ser de propiedad pública hasta una década más tarde. Aunque la idea que hay tras él es infantilmente simple, el método de la Geometría analítica, tiene tanta importancia que cualquier muchacho de 17 años puede utilizarlo para obtener resultados que escaparían a los más grandes geómetras griegos, Euclides, Arquímedes y Apolonio. El hombre, Descartes, que finalmente hizo cristalizar este gran método tiene una vida particularmente interesante.
Al decir que Descartes fue quien creó la Geometría analítica no queremos decir que el nuevo método saliera tan sólo de su cabeza armado de todas las armas. Muchos antes que él, hicieron progresos significativos hacia el nuevo método, pero Descartes fue quien dio el paso final e hizo del método un motor en función para la prueba, descubrimientos e invenciones geométricos. Pero Descartes debe compartir este honor con Fermat.
Análogas observaciones pueden hacerse a la mayor parte de los otros progresos realizados por la Matemática moderna. Un nuevo concepto puede estar "en el aire" durante generaciones hasta que algún hombre algunas veces dos o tres al mismo tiempo, ve claramente el detalle esencial que no habían apreciado sus predecesores y el nuevo invento llega a ser una realidad. Dícese, por ejemplo, que la relatividad ha sido la gran invención reservada por el tiempo para el genio de Minkowski. Sin embargo, la realidad es que Minkowski no creó la teoría de la relatividad y que Einstein lo hizo. Carece de sentido decir que tal o cual cosa pudieron haber sido hecha si las circunstancias no hubieran sido las que fueron. Cualquiera de nosotros podría sin duda saltar hasta la Luna si nosotros y el universo físico fuéramos diferentes de lo que somos, y la verdad es que no podemos dar ese salto.
En otros ejemplos, sin embargo, el mérito de algún gran progreso no es siempre justamente atribuido y el hombre que utilizó por primera vez el nuevo método de un modo más fructífero que su inventor obtiene algunas veces un galardón mayor del que merece. Tal parece ser el caso, por ejemplo, en una cuestión tan importante como es el Cálculo. Arquímedes tuvo el concepto fundamental de las sumas límites de las cuales surge el Cálculo integral y no sólo tuvo ese concepto sino que también demostró que podía aplicarse. Arquímedes también utilizó el método del Cálculo diferencial en uno de sus problemas. Cuando nos acercamos a Newton y Leibniz, en el siglo XVII, la historia del Cálculo se desenvuelve extraordinariamente. El nuevo método estaba ya más que "en el aire" antes de que Newton y Leibniz le hicieran descender a la tierra; Fermat, en realidad, ya lo hizo. También inventó el método de la geometría cartesiana independientemente de Descartes. A pesar de estos hechos indudables seguiremos la tradición y atribuiremos a cada gran matemático lo que la mayoría dice que a él se debe, arriesgando darle algo más de lo que es justo. La prioridad, al fin y al cabo, pierde gradualmente su importancia a medida que nos alejamos en el tiempo de los hombres causantes de las batallas verbales mientras ellos y sus partidarios vivieron.
Quienes jamás conocieron a un matemático profesional podrán quedar sorprendidos al tropezar con alguno, pues los matemáticos, como clase, son probablemente menos familiares para el lector en general que cualquier otro grupo de intelectuales. En la ficción el matemático aparece con un carácter mucho más raro que su primo el hombre de ciencia, y cuando se le encuentra en las páginas de la novela o en la pantalla sólo se ve en él un soñador andrajoso totalmente desprovisto de sentido común, cómica representación. ¿Qué tipo de mortal es el matemático en la vida real? Tan sólo investigando detalladamente qué clase de hombres fueron algunos de los grandes matemáticos y cómo vivieron, podemos reconocer la ridícula falsedad del retrato tradicional de un matemático.
Por muy extraño que parezca, no todos los grandes matemáticos han sido profesores en colegios o universidades. Algunos fueron militares de profesión; otros llegaron a la Matemática desde la Teología, el Derecho y la Medicina, y uno de los más grandes fue un astuto diplomático que llegó a mentir para el bien de su país. Algunos no han tenido profesión conocida. Todavía más extraño es que no todos los profesores de Matemática hayan sido matemáticos. Esto no debe sorprendernos cuando pensamos en la sima que existe entre el profesor de poesía que recibe un buen sueldo y el poeta que muere de hambre en un desván.
Las vidas que vamos a, estudiar demuestran, al menos, que un matemático es un ser humano como cualquier otro y algunas veces más afectivo. En el trato social ordinario la mayoría de ellos ha sido normal. Como es natural, se encuentran excéntricos entre los matemáticos, pero la proporción no es más elevada que en el comercio o entre las diversas profesiones. Como grupo, los grandes matemáticos son hombres de inteligencia integral, vigorosos, vigilantes, vivamente interesados por muchos problemas ajenos a la Matemática, y en sus luchas, hombres como cualquier otro. De ordinario los matemáticos tienen la particularidad de ser capaces de devolver lo que han recibido con interés compuesto. Por lo demás son individuos de extraordinaria inteligencia, que se diferencian de los restantes hombres de talento en su irresistible impulso hacia la Matemática. En ocasiones los matemáticos han sido (y algunos son aún en Francia) administradores extraordinariamente capaces.
Desde el punto de vista político los matemáticos presentan todo el espectro, desde el conservadurismo reaccionario hasta el liberalismo radical. Probablemente puede decirse que como clase han tendido ligeramente hacia la izquierda en sus opiniones políticas. En sus creencias religiosas se encuentran todos los matices, desde la más estrecha ortodoxia, que algunas veces, es el más negro fanatismo, hasta el completo escepticismo. Algunos eran dogmáticos y positivos en sus afirmaciones referentes a cosas de que nada sabían, pero de ordinario han sido el eco de las palabras del gran Lagrange: "yo no sé".
Otra característica merece ser mencionada en este lugar, pues diversos escritores y artistas (algunos desde Hollywood) se han interesado por la vida sexual de los grandes matemáticos. Particularmente, estos curiosos desean saber si algunos de los grandes matemáticos han sido pervertidos, una cuestión algo delicada, pero legítima en estos tiempos de preocupación por tales temas. La respuesta es negativa. Algunos fueron célibes, de ordinario debido a incapacidad económica, pero la mayoría fueron esposos felices que trajeron al mundo sus hijos en una forma inteligente y civilizada. De pasada haremos notar que los niños tenían una inteligencia superior al tipo medio. Algunos de los grandes matemáticos de los siglos pasados mantenían amantes cuando era la costumbre y moda de sus épocas. El único matemático cuya vida puede ofrecer cierto interés a los freudianos es Pascal.
Volviendo por un momento a la idea que se tiene de los matemáticos, recordaremos que los vestidos andrajosos no han constituido la invariable preferencia de los grandes matemáticos. Siguiendo la larga historia de la Matemática, y siempre que se tienen conocimientos detallados, se observa que los matemáticos han prestado la misma atención a su cuidado personal que cualquier otro grupo igualmente numeroso de hombres. Algunos han sido petimetres, otros desaliñados; la mayoría decentemente vestidos. Si en la actualidad algún grave caballero con trajes espectaculares, largo cabello, sombrero negro y cualquier otro signo de exhibicionismo nos asegura que es un matemático, podemos apostar que se trata de un psicópata transformado en numerólogo.
Las peculiaridades psicológicas de los grandes matemáticos son otro tema que ha despertado considerable interés. Poincaré nos narrará en un capítulo posterior algunas cosas acerca de la sicología de la creación matemática. En su conjunto los grandes matemáticos han tenido una vida más rica y más viril que la mayor parte de los mortales ordinarios. Su riqueza no se refiere exclusivamente a la aventura intelectual. Algunos de los grandes matemáticos han participado de peligros y conmociones y algunos de ellos han sido implacables enemigos, o como se dice ahora, expertos polemistas. Muchos han gustado de las satisfacciones de la batalla en su juventud, cosa sin duda censurable pero también humana, lo que indica que no han tenido sangre de pato; han podido hacer suyas las palabras: "Maldecir fortifica, bendecir relaja", que el devoto Christian William Blake escribe en sus Proverbios del infierno.
Esto nos lleva a lo que a primera vista (teniendo en cuenta la conducta de varios de los hombres aquí estudiados) parece ser un rasgo significativo de los matemáticos el de ser pendencieros. Sin embargo, estudiando las vidas de algunos de esos hombres se tiene la impresión de que un gran matemático no parece preocuparse de que otros le roben su obra, le desprecien o no le consideren suficientemente, e inicie una lucha para recobrar sus imaginarios derechos. Los hombres que se hallan por encima de estas luchas no parece que estén expuestos a lidiar batallas sobre la prioridad, y a acusar a sus competidores de plagiarios. No estaríamos en lo cierto si negásemos la superstición de que la persecución de la verdad hace necesariamente, veraces a los hombres, y en realidad no encontramos pruebas indudables de que la Matemática haga a los hombres malhumorados y pendencieros.
Otro detalle "psicológico" de tipo análogo es causa de mayores trastornos. La envidia es llevada al más alto nivel. El estrecho nacionalismo y los celos internacionales, aun en la Matemática pura impersonal, han modificado la historia de los descubrimientos y las invenciones hasta un grado tal que es casi imposible, en algunos casos importantes, estimar, de modo justo, la significación de la obra de un determinado individuo en el pensamiento moderno. El fanatismo racial, especialmente en los últimos tiempos, ha complicado también la tarea de quien intente hacer una exposición sin prejuicios de la vida y obra de los hombres de ciencia que no pertenezcan a su propia raza o nación.
Una exposición imparcial de la Matemática occidental, incluyendo la importancia que cada hombre y cada nación han tenido en el intrincado desarrollo de esta ciencia, sólo podría hacerla un historiador chino. Tan sólo él tendría la paciencia y serenidad necesarias para desentrañar la estructura curiosamente alterada y descubrir dónde se halla la verdad en nuestra polimorfa jactancia occidental.
Aunque limitáramos nuestra atención a la fase moderna de la Matemática nos enfrentaríamos con un problema de selección que debe ser resuelto de algún modo. Antes de llegar a esta solución tiene interés determinar la cuantía de la labor necesaria para escribir una historia, detallada de la Matemática, en una escala similar a la de una historia política para cualquier acontecimiento importante, por ejemplo la Revolución Francesa o la Guerra Civil Americana.
Cuando comenzamos a desenredar un hilo particular en la historia, de la Matemática, pronto tenemos la desalentadora sensación de que la Matemática es comparable a una vasta necrópolis a la que constantemente se van haciendo adiciones para la conservación eterna de los nuevos muertos. Los recién llegados, igual que algunos pocos que allí arribaron para el perpetuo recuerdo hace 5.000 años, deben estar de tal modo exhibidos que parezcan conservar el completo vigor de las horas en que ellos vivieron; en efecto, debe crearse la ilusión de que no han cesado de vivir. Y la ilusión debe ser tan natural que hasta los arqueólogos más escépticos que visiten los mausoleos tengan que exclamar, como los matemáticos que hoy viven, que las verdades matemáticas son inmortales, imperecederas; lo mismo ayer que hoy y que mañana. La esencia de esas verdades eternas tiene que ser adaptable, pero puede vislumbrarse el destello de invariabilidad detrás de todos los ciclos repetidos del nacimiento, de la muerte y de la declinación de nuestra raza.
Mas el simple espectador de la historia de la Matemática queda pronto agobiado por el asombroso cúmulo de invenciones matemáticas que aun mantienen su vitalidad e importancia para la obra moderna, en un grado superior que en cualquier otro campo del trabajo científico, después de centurias y decenas de centurias.
Un lapso de menos de 100 años abarca todos los acontecimientos de significación en la Revolución Francesa o en la Guerra Civil Americana, y menos de 500 hombres superiores han desempeñado un papel suficientemente memorable que exija el recuerdo. Pero el ejército de quienes han hecho alguna contribución a la Matemática, constituye una muchedumbre a medida que nos remontamos en la historia; 6.000 u 8.000 hombres nos piden algunas palabras que les salve de ser olvidados, y una vez que los más audaces han sido reconocidos sería un problema de selección arbitraria e ilógica juzgar, entre aquella multitud clamorosa, quiénes deben sobrevivir y quiénes han de ser condenados al olvido.
Este problema apenas se presenta cuando se describe el desarrollo de las ciencias físicas. También hay que remontarse a la antigüedad, pero para la mayor parte de ellas bastan 350 años para abarcar todos los hechos de importancia para el pensamiento humano. Pero quien intente hacer justicia humana a la Matemática y a los matemáticos tendrá que tener en cuenta 6.000 años, plazo en el que han actuado tales talentos, y enfrentarse con una multitud de 6.000 a 8.000 reclamantes que esperan les sea hecha justicia.
El problema se hace aún más difícil cuando nos aproximamos a nuestros tiempos. Esto no se debe a la más íntima proximidad con los hombres que nos han precedido en los dos últimos siglos, sino al hecho universalmente reconocido entre los matemáticos profesionales que el siglo XIX, prolongándose en el XX, fue y es la edad más grande de la Matemática que el mundo ha conocido. Comparado con lo que hizo la gloriosa Grecia en Matemática, el siglo XIX es una hoguera al lado de una modesta bujía.
¿Qué hilos seguiremos para guiarnos a través de este laberinto de invenciones matemáticas? Ya ha sido indicado cuál es el camino principal: el que conduce desde el pasado semiolvidado a algunos de los conceptos dominantes que ahora gobiernan imperios ilimitados de la Matemática, pero que pueden a su vez ser destronados mañana para dejar espacio a generalizaciones aún más vastas. Siguiendo este camino principal concederemos lugar secundario a los perfeccionadores en favor de los inventores.
Tanto los inventores como los perfeccionadores son necesarios para el progreso de cualquier ciencia. Toda exploración debe tener, además de sus primeros exploradores, sus continuadores para que informen al mundo de lo que ha sido descubierto. Pero para la mayoría de los seres humanos el explorador que muestra por primera vez la nueva senda es la personalidad más atractiva, aunque haya tropezado a la mitad del camino. Estudiaremos, pues, los inventores con preferencia a los perfeccionadores. Por fortuna para la justicia histórica muchos de los grandes inventores en la Matemática han sido también perfeccionadores sin par.
Hasta con esta restricción la senda desde el pasado hasta el presente no siempre será clara para quienes no la han seguido. Podemos resumir aquí brevemente lo que ha sido la clave principal que nos conduce a través de toda la historia de la Matemática.
Desde los primeros tiempos dos opuestas tendencias, que algunas veces se han ayudado una a otra, han gobernado el desarrollo de la Matemática. Tales tendencias son las hacia lo discontinuo y hacia lo continuo.
El concepto de discontinuo describe toda la naturaleza y toda la Matemática atomísticamente en función de elementos de individuos reconocibles como elementos individuales diferentes, como los ladrillos en una pared, o los números, 1, 2, 3,...; El concepto de continuo busca comprender los fenómenos naturales, el curso de un planeta en su órbita, el paso de una corriente de electricidad, el ascenso y descenso de las mareas y una multitud de fenómenos que nos hacen creer que conocemos la naturaleza, en la forma mística de Heráclito: "Todas las cosas fluyen". En la actualidad (como veremos en el último capítulo), "fluir" o su equivalente ser continuo es una cosa tan incierta que casi está desprovista de significación. Sin embargo, dejémoslo por el momento.
Intuitivamente nosotros sentimos que conocemos lo que quiere decir movimiento continuo", el de un pájaro o una bala a través del aire o la caída de una gota de lluvia. El movimiento es uniforme y no procede por saltos, es ininterrumpido. En el movimiento continuo, o más generalmente en el concepto de continuidad misma, los números individualizados 1, 2, 3,... no son la imagen matemática apropiada. Todos los puntos de un segmento de una línea recta, por ejemplo, no tienen individualidades separadas como la tienen los números de la sucesión 1, 2, 3,..., donde el paso de un término de la sucesión al siguiente es el mismo (especialmente 1; 1 + 2 = 3; 1 + 3 = 4, y así sucesivamente). Pero entre dos puntos de la línea, sin importar que los puntos puedan estar muy juntos, podemos siempre encontrar o al menos imaginar otro punto: no existe el paso "más corto" desde un punto al "siguiente". En efecto, no existe en modo alguno punto siguiente.
La última: la concepción de continuidad, cuando se desarrolla en la forma de Newton, Leibniz y sus sucesores, conduce al ilimitado dominio del Cálculo infinitesimal y sus innumerables aplicaciones a la ciencia y a la tecnología y a todo lo que actualmente se llama Análisis matemático. La otra, la concepción discontinua basada sobre 1, 2, 3,... es el dominio del Álgebra, la teoría de números y la Lógica simbólica. La Geometría participa de ambos conceptos, el continuo y el discontinuo.
En la actualidad es una tarea esencial de la Matemática armonizar esos dos conceptos englobándolos en una Matemática comprensiva, eliminando la oscuridad que existe tanto en uno como en otro.
Es una injusticia de nuestros predecesores hacer resaltar el pensamiento matemático moderno haciendo tan sólo ligeras referencias a los precursores que dieron el primero y, posiblemente, el paso más difícil. Pero casi todas las cosas útiles debidas a la Matemática anterior al siglo XVII han tenido uno de estos dos destinos: se han simplificado grandemente, de modo que ahora constituyen una parte de cualquier curso escolar regular, o han sido absorbidas como un detalle en la obra de mayor generalización.
Las cosas que ahora parecen tan simples como el sentido común, nuestra forma de escribir los números con su "sistema de posición" de los valores y la introducción de un símbolo para el cero que dio el toque final a dicho sistema, costó increíble trabajo inventarlas. Incluso las cosas más sencillas que contienen la verdadera esencia del pensamiento matemático, la abstracción y la generalización, deben haber costado siglos de lucha hasta que fueron descubiertas, y sus inventores se han desvanecido sin dejar un indicio de sus vidas y personalidades. Como Bertrand Russell observa, "debe de haber pasado largo tiempo hasta descubrir que una pareja de faisanes y un par de días son ejemplos del número dos". En efecto, han pasado 25 siglos de civilización hasta desarrollar la definición lógica de Russell referente al "dos" o a cualquier otro número cardinal (véase el último capítulo). Por otra parte, la concepción de un punto, que nosotros creemos (erróneamente) comprenderla totalmente cuando comenzamos la Geometría escolar, debe haber aparecido muy tardíamente en el desarrollo del hombre. Horace Lamb, un físico matemático inglés, quería "erigir" un monumento al inventor matemático desconocido del punto matemático como el tipo supremo de esa abstracción que ha sido una condición necesaria del trabajo científico desde el comienzo.
¿Quién, de qué modo fue inventado el punto matemático? En un sentido, el hombre olvidado de Lamb; en otro, Euclides con su definición: "un punto es aquello que no tiene partes y que no tiene magnitud"; en un tercer sentido, Descartes con su invención de las "coordenadas de un punto"; hasta que finalmente en Geometría, como el técnico la practica hoy, el "punto" misterioso une al hombre desconocido y a todos sus dioses en un eterno olvido, siendo reemplazado por algo más útil: una sucesión de números escritos en un cierto orden.
Esto último es un ejemplo moderno de la abstracción y precisión hacia las cuales la Matemática tiende constantemente, y tan sólo cuando se alcanza la abstracción y la precisión nos damos cuenta de que para una clara comprensión se necesita un mayor grado de abstracción y una precisión mayor. Nuestra concepción de "punto" no hay duda que evolucionará hacia algo más abstracto. En efecto, los "números", en función de los cuales se describen hoy los puntos, se han disuelto a comienzos de este siglo en la vaga luz de la lógica pura, que a su vez se desvanecerá en algo más difuso y hasta menos sustancial.
No es una verdad necesaria la de que seguir paso a paso a nuestros predecesores sea la forma más segura de comprender tanto su concepción de la Matemática como la nuestra. Esta vuelta por el camino que nos ha conducido a nuestro concepto actual tiene, sin duda, gran interés por sí misma. Pero es más rápido lanzar una ojeada hacia atrás desde la cima en la cual estamos ahora. Los pasos falsos, las sendas complicadas y los caminos que a nada han conducido se difuminan a la distancia; únicamente vemos las amplias rutas que conducen directamente hacia el pasado, donde las perdemos en las nieblas de la inseguridad y de la conjetura. Ni el espacio, ni el número, ni siquiera el tiempo, tienen la misma significación para nosotros que la que tuvieron para los hombres cuyas grandes figuras aparecen confusamente a través de la niebla. Un pitagórico del siglo VI antes de Cristo puede entonar: "Bendícenos, divino Número, tú que engendraste dioses, y hombres"; un kantiano del siglo XIX podría referirse confiadamente al "espacio" como una forma de "intuición pura"; un astrónomo matemático podría anunciar hace unas décadas que el Gran Arquitecto del Universo es un matemático puro. Lo más notable de todas estas profundas expresiones es que seres humanos no más insensatos que nosotros pensaron una vez, que tenían sentido.
Para un matemático moderno estas generalidades que todo lo abarcan significan menos que nada. De todos modos, dada su pretensión de ser la engendradora universal de dioses y hombres, la Matemática ha obtenido algo más sustancial, una fe en sí misma y en su capacidad para crear valores humanos.
Nuestro punto de vista ha cambiado y aún está cambiando. A las palabras de Descartes: "dadme espacio y movimiento y yo os daré un mundo", Einstein podría contestar que esa demanda carece de significación: "Sin un "mundo", materia, no hay "espacio" ni "movimiento". Y para moderar el turbulento misticismo de Leibniz en el siglo XVII acerca de la misteriosa
¿Significa esto una pérdida? Debe un matemático moderno perder algo de valor cuando, a través del método de los postulados, intenta seguir la pista de ese ilusorio "sentimiento" descrito por Heinrich Hertz, el descubridor de las ondas que llevan su nombre ¿Podemos escapar del sentimiento de que esas fórmulas matemáticas tienen una existencia independiente y una inteligencia por sí mismas más sabias que nosotros, más sabias aún que sus descubridores, y que nosotros obtenemos de ellas más de lo que originariamente se expuso en ellas? Cualquier matemático competente comprenderá el sentimiento de Hertz, pero también se inclinará a la creencia de que mientras se descubren continentes y ondas hertzianas, se inventan dínamos y matemáticas, que hacen lo que nosotros queremos que hagan. Podemos aún soñar, pero no necesitamos deliberadamente provocar las pesadillas. Si es cierto, como Charles Darwin afirmó, que "la Matemática parece dotar al individuo de algo semejante a un nuevo sentido", ese sentido es el sentido común sublimado que el físico e ingeniero Lord Kelvin declaró que era la Matemática.
¿No está más cercano a nuestros hábitos de pensar aceptar temporalmente, con Galileo, que "el gran libro de la naturaleza está escrito en símbolos matemáticos" y que como afirma Platón: "Hasta Dios geometriza", o como dice Jacobi: "Hasta Dios aritmetiza"? Si inspeccionamos los símbolos en el gran libro de la naturaleza con los ejes críticos de la ciencia moderna pronto percibiremos que somos nosotros los que los hemos escrito y que hemos usado esa escritura particular porque la hemos inventado para facilitar nuestra comprensión. Algún día encontraremos una abreviatura más expresiva que la Matemática para relacionar nuestras experiencias del Universo físico, a no ser que aceptemos el credo de la mística científica de que todo es Matemática y que no se trata de una descripción, para nuestra conveniencia, en el lenguaje matemático. Si "el Número gobierna el Universo" como Pitágoras afirmó, el Número es simplemente nuestro delegado en el trono, pues nosotros gobernamos el Número.
Cuando un matemático moderno abandona por un momento sus símbolos para comunicar a otros el sentimiento que la Matemática e inspira, no es un eco de Pitágoras y Jeans, pero puede citar las palabras que Bertrand Russell dijo hace un cuarto de siglo aproximadamente: "la Matemática estrictamente considerada posee no sólo verdad sino también suprema belleza, una belleza fría y sobria como la escultura, que no recurre a alguna parte de nuestra naturaleza más débil, sin la magnificencia engañosa de la pintura o de la música, sino sublimemente pura y capaz de una perfección austera, como sólo el más grande arte puede hacer".
Otros, familiarizados con lo que ha sucedido a nuestra concepción de la "verdad matemática" desde los aires en que Russell alababa la belleza de la Matemática, pueden referirse a la "resistencia del hierro" que algunos adquieren en sus intentos por comprender lo que la Matemática significa y pueden citar las líneas de James Thomson (con que finaliza este libro) en la descripción de la Melancolía de Durero (el frontispicio). Y si se reprocha a algunos devotos haber gastado su vida en lo que a muchos puede parecer la egoísta persecución de una belleza que no se refleja de modo inmediato en la vida del prójimo, aquéllos pueden repetir las palabras de Poincaré: "La Matemática por la Matemática. Las gentes han quedado sorprendidas por esta fórmula, que, sin embargo, es tan buena como la de la vida por la vida, aunque la vida sea una desventura".
Para calcular lo que se debe a la moderna Matemática en comparación con la antigua debemos en primer término contemplar la obra total en el período posterior a 1800 comparada con la llevada a cabo antes de 1800. La historia más extensa de la Matemática es la de Moritz Cantor, Geschichte der Mathematik. En tres grandes volúmenes (un cuarto debido a colaboradores complementan los tres primeros). Los cuatro volúmenes tienen en total 3.600 páginas. Cantor tan sólo expone el esquema del desarrollo no intentando entrar en detalles referentes a las contribuciones descritas, ni explica los términos técnicos para que un lego pueda comprender lo que significa toda la historia, y las biografías son lo más sucintas posible; su historia va dirigida a quien tiene ya alguna instrucción técnica. Esta historia termina con el año 1799, justamente cuando los modernos matemáticos comenzaron a sentir su libertad. ¿Qué sería si se intentara hacer en una escala similar el esquema de la historia de la Matemática en el siglo XIX? Se ha calculado que se necesitarían 19 ó 20 volúmenes del tamaño de los de la historia de Cantor, con un total de 17.000 páginas. El siglo XIX, en esta escala, ha contribuido al conocimiento matemático en cinco veces lo debido a todos los años precedentes.
El período, sin comienzo, anterior a 1800 se descompone bruscamente en dos. Esta ramificación tiene lugar el año 1700, y es debida principalmente a Isaac Newton (1642-1727). El rival más grande de Newton en Matemática fue Leibniz (1646-1716). Según Leibniz, de toda la Matemática hasta el tiempo de Newton inclusive, la mitad más importante es debida a éste. Este cálculo se refiere a la importancia de los métodos generales de Newton más que a la totalidad de su obra; los Principia son considerados como la contribución más importante al pensamiento científico que ha podido hacer un hombre.
Retrogradando en el tiempo más allá del año 1700 no encontramos alto de nada comparable hasta alcanzar la edad de oro de Grecia: un salto de casi 2000 años. Remontándonos más allá del año 600 a. de J. C. tenernos que pasar por la sombra antes de que nuevamente se haga la luz por un momento en el antiguo Egipto. Finalmente, llegamos a la primera gran edad de la Matemática alrededor del año 2000 a. de J. C. en el valle del Éufrates. Los descendientes de los sumerios, en Babilonia, parecen haber sido los primeros "modernos" en Matemática. Ciertamente, su forma de plantear ecuaciones algebraicas está más en el espíritu del Álgebra que conocemos que cualquier otra cosa hecha por griegos en su Edad de Oro. Más importante que el Álgebra técnica: de estos antiguos babilonios es su reconocimiento, como lo muestra su obra, de la necesidad de la prueba en Matemática. Hasta hace poco se suponía que fueron los griegos los primeros en reconocer la necesidad de la prueba en una proposición matemática. Éste es uno de los pasos más importantes dado por los seres humanos. Desgraciadamente ha transcurrido tan largo tiempo que somos llevados tan lejos como lejos remonta nuestra civilización.
La Matemática ha tenido cuatro grandes edades: la babilónica, la griega, la newtoniana (para dar un nombre al período alrededor del año 1700) y la reciente que comienza hacia el año 1800 y continúa hasta los días actuales. Jueces competentes han llamado a esta última la Edad de Oro de la Matemática.
En la actualidad la invención (descubrimiento, si el lector prefiere) matemática marcha hacia adelante más vigorosamente que nunca. Lo único que al parecer podría detener su progreso es un colapso general de lo que llamamos civilización. Si se produce, la Matemática quedará olvidada durante siglos, como ocurrió después de la declinación de Babilonia; pero si la historia se repite, como se dice, podemos creer que brotará nuevamente más fresca y más clara que nunca, después de que, nosotros y nuestra insensatez hayan pasado al olvido.
Capítulo 2
Mentes Modernas en Cuerpos Antiguos
ZENÓN, EUDOXIO, ARQUÍMEDES
La gloria que fue Grecia
y el fausto que fue Roma.
E. A. Poe
Para apreciar nuestra propia Edad de Oro de la Matemática debemos tener en cuenta algunas de las grandes y sencillas directrices de aquellos cuyo genio preparó hace largo tiempo el camino para nosotros, -y debemos lanzar una ojeada a las vidas y obras de tres griegos: Zenón (495-435 a. de J. C.), Eudoxio (408-355 a. de J. C.) y Arquímedes (287-212 a. de J. C.) Euclides será mencionado más tarde, donde encuadra mejor su obra.
Zenón y Eudoxio son representantes de dos vigorosas y opuestas escuelas de pensamiento matemático que florecen en la actualidad, la crítica destructiva y la crítica constructiva. La mente de ambos poseía un espíritu crítico tan penetrante como la de sus sucesores de los siglos XIX y XX. Este juicio puede, como es natural, invertirse: Kronecker (1823-1891) y Brouwer (1881- ), los críticos modernos del Análisis matemático, las teorías del infinito y del continuo, son tan antiguas como Zenón; los creadores de las teorías modernas de la continuidad y el infinito, Weierstrass (1815-1897), Dedekind (1831-1916) y Cantor (1845-1918) son contemporáneos intelectuales de Eudoxio.
Arquímedes, la inteligencia más grande de la antigüedad, es moderno hasta el tuétano. Él y Newton podían haberse comprendido perfectamente, y es muy posible que Arquímedes, si hubiera podido vivir hasta seguir un curso de posgraduado en Matemática y física, hubiera comprendido a Einstein, Bohr, Heisenberg y Dirac mejor que éstos se han comprendido entre sí. De todos los antiguos, Arquímedes es el único cuyo pensamiento gozó de la libertad que los matemáticos más grandes se permiten actualmente después de que 25 siglos han alisado su camino. Arquímedes es el único entre los griegos que tuvo suficiente altura y vigor para ver claro a través de los obstáculos colocados en la, senda del progreso matemático por los aterrorizados geómetras que habían escuchado a los filósofos.
Cualquier enumeración de los tres matemáticos más grandes de la historia, incluiría el nombre de Arquímedes. Los otros dos que de ordinario se asocian a él son Newton (1642-1727) y Gauss (1777-1855) Quienes consideran la relativa pobreza de la ciencia matemática y física en las respectivas edades en que estos gigantes vivieron y comparen sus conquistas con el carácter de sus tiempos colocarían a Arquímedes en él primer lugar. Si los matemáticos y hombres de ciencia griegos hubieran seguido a Arquímedes en vez de a Euclides, Platón y Aristóteles, seguramente habrían anticipado en dos millares de años la edad de la Matemática moderna, que comenzó con Descartes (1596-1650) y Newton en el siglo XVII, y la edad de la ciencia física moderna, inaugurada por Galileo (1564-1642) en el mismo siglo.
Tras estos tres precursores de la época moderna se alza la figura semimística de Pitágoras (569?-500? a. de J. C.), matemático místico, investigador de la naturaleza, "una décima de genio y nueve décimas de aguda mentira". Su vida tiene algo de fábula, rica con el increíble aumento de sus prodigios, siendo el hecho más importante para el desarrollo de la Matemática el haberla distinguido del extraño misticismo de los números con que revistió sus especulaciones cósmicas. Viajó por Egipto, aprendió mucho de sus sacerdotes, visitó Babilonia y repitió sus experiencias de Egipto; fundó una secreta hermandad para el alto pensamiento matemático y las especulaciones físicas, mentales, morales y éticas, en Cretona, en el sur de Italia, y además realizó dos de las más grandes contribuciones a la Matemática. Según la leyenda, murió en las llamas de su propia escuela quemada por los fanáticos políticos y religiosos que azuzaron a las masas para protestar contra la instrucción que Pitágoras pensaba darles. Sic transit gloria mundi.
Antes de Pitágoras, nadie, se había dado clara cuenta de que la prueba debe proceder de las suposiciones. De acuerdo con la tradición, Pitágoras fue el primer europeo que insistió en que los axiomas, los postulados, deben establecerse al principio, en el desarrollo de la Geometría, y que todo el desarrollo descansa en las aplicaciones del razonamiento deductivo partiendo de los axiomas. Siguiendo la práctica corriente emplearemos la palabra "postulado" en lugar de "axioma", pues el axioma tiene una perniciosa asociación histórica de "verdad evidente por sí misma", que no tiene el postulado. El postulado es una arbitraria suposición establecida por el matemático mismo y no por Dios Todopoderoso.
Pitágoras estableció, pues, la prueba en la Matemática. Ésta es una conquista. Antes de él, la Geometría había sido una colección de reglas a las que se había llegado empíricamente, sin una clara indicación de que estuvieran relacionadas entre sí y sin la más leve sospecha que pudieran deducirse de un número relativamente pequeño de postulados. La prueba constituye hoy el verdadero espíritu de la Matemática y nos parece difícil imaginar cómo pudo prescindir de ella el razonamiento matemático.
La segunda contribución matemática sobresaliente de Pitágoras es el descubrimiento, que le humilló y desoló, de que los números naturales comunes 1, 2, 3,...1 son insuficientes para la construcción de la Matemática, hasta en la forma rudimentaria en que él la conocía. Ante este capital descubrimiento predicó, como un profeta, que toda la naturaleza, el Universo entero, físico-metafísico, mental, moral, matemático, todas las cosas están construidas según la norma discontinua de los números naturales 1, 2, 3,...[1] y sólo es interpretable en función de estos ladrillos proporcionados por Dios. Dios, declaraba Pitágoras, es en efecto " número", y por número quería referirse al número natural común. Sin duda se trata de una sublime concesión, bella y simple, pero tan inabordable como su eco en Platón - "Hasta Dios geometriza", o en Jacobi: "Hasta Dios aritmetiza", o en Jeans: "El gran Arquitecto del Universo comienza ahora a aparecer como un matemático". Una obstinada discrepancia matemática demolió la filosofía, la, matemática y la metafísica de Pitágoras. Pero, a diferencia de algunos de sus sucesores, aceptó finalmente la derrota después de haber luchado en vano para anular el descubrimiento que había abolido su credo.
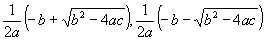
He aquí lo que había derrumbado su teoría: es imposible encontrar dos números enteros tales que el cuadrado de uno de ellos sea igual al doble del cuadrado del otro. Esto puede ser probado por un simple razonamiento[2] que está al alcance de cualquiera que haya estudiado unas pocas semanas de Álgebra, o hasta por cualquiera que comprenda la Aritmética elemental. En realidad Pitágoras encontró su tropiezo en Geometría: la razón entre el lado de un cuadrado y una de sus diagonales no puede ser expresada como razón de dos números enteros cualesquiera. Este juicio es equivalente al anterior referente a los cuadrados de los números enteros. En otra forma podemos decir que la raíz cuadrada de 2 es irracional, o sea, no es igual a un número entero o fracción decimal exacta o suma de los dos, obtenida dividiendo un número entero por otro; un concepto geométrico tan simple como el de la diagonal de un cuadrado desafía a los números naturales 1, 2, 3,... y niega la primitiva filosofía pitagórica. Podemos construir fácilmente la diagonal geométrica, pero no podemos medirla con un número finito de pasos. Esta imposibilidad da lugar claramente a los números irracionales y a los procesos infinitos que atraen la atención de los matemáticos. Así, la raíz cuadrada de 2 puede ser calculada con cualquier número finito dado de cifras decimales por el proceso enseñado en la escuela o por métodos más importantes, pero las cifras decimales jamás "se repiten periódicamente" (como por ejemplo ocurre para 1/7) En este descubrimiento Pitágoras encontró el fundamento del moderno Análisis matemático.
Los resultados obtenidos por este simple problema no fueron admitidos de un modo satisfactorio por todos los matemáticos. Nos referimos a los conceptos matemáticos del infinito (lo incontable), límites y continuidad, conceptos que están en la raíz del Análisis moderno. Tiempo tras tiempo las paradojas y sofismas que se deslizan en la Matemática con estos conceptos al parecer indispensables han sido considerados y finalmente eliminados, y sólo reaparecen una generación o dos más tarde, cambiados aunque siempre los mismos. Los encontramos más vivos que nunca en la Matemática de nuestro tiempo. Los razonamientos siguientes constituyen una descripción extraordinariamente simple e intuitiva de la situación.
![]()
Consideremos una línea recta de diez centímetros de largo y supongamos que ha sido trazada por el "movimiento" "continuo" de un -"punto". Las palabras entre comillas son las que ocultan las dificultades. Sin analizarlas podemos fácilmente persuadirnos de que describimos lo que ellas significan. Ahora escribamos en el extremo izquierdo de la línea la cifra 0 y en el extremo derecho el número 2. A mitad del camino entre 0 y 2 escribiremos 1; a la mitad entre 0 y 1 escribiremos 1/2; a la mitad entre 0 y 1/2 escribiremos 1/4, y así sucesivamente. De modo análogo entre 1 y 2 escribiremos 1 1/2 y entre 1 1/2 y 2, 1 1/4, y así sucesivamente. Una vez hecho esto procederemos del mismo modo y escribiremos 1/3, 2/3, 1 1/3, 1 2/3, y entonces descompondremos cada uno de los segmentos resultantes en segmentos iguales más pequeños. Finalmente "en la imaginación" podemos concebir que este proceso se realice para todas las fracciones comunes y números mixtos comunes que son mayores que 0 y menores que 2; los puntos de división conceptual nos dan todos los números racionales entre 0 y 2. Tratase de un número infinito de puntos. ¿Llegarán a "cubrir" completamente la línea? No. ¿A qué punto corresponde la raíz cuadrada de 2? A ningún punto, pues esta raíz cuadrada no se obtiene dividiendo un número cualquiera entero por otro. Pero la raíz cuadrada de 2 es sin duda un "número" de algún tipo[3]; su punto representativo se encuentra entre 1,41 y 1,42 y nosotros podemos colocarlo tan aproximado como nos plazca. Para cubrir la línea completamente con puntos nos veremos forzados a imaginar o a inventar infinitamente más "números" que los racionales. Es decir, aceptamos que la línea es continua, y postulamos que cada punto de ella corresponde a un uno y solamente a un "número real". El mismo tipo de suposición puede ser llevado a todo un plano y aun más allá, pero esto basta por el momento.
Problemas tan sencillos como éstos pueden conducir a serias dificultades. Con respecto a estas dificultades, los griegos estaban divididos, como nosotros lo estamos, en dos grupos irreconciliables. Uno se detenía en su ruta matemática y rechazaba marchar hacia el Análisis: el Cálculo integral en el cual nosotros nos detendremos cuando lleguemos a él; el otro intentaba vencer las dificultades y conseguía convencerse a sí mismo de que así lo hacía. Aquellos que se detenían, aunque cometían pocos fracasos, eran comparativamente estériles para la verdad no menos que para el error; aquellos que necesitaban descubrir muchas cosas del más alto interés para la Matemática y el pensamiento racional en general, dejaban algunas veces abierta la crítica destructiva, precisamente como ha sucedido en nuestra propia generación. Desde los primitivos tiempos nos encontramos con estos dos tipos mentales diferentes y antagónicos: los cautelosos que justifican quedarse atrás debido a que la tierra tiembla bajo sus pies, y los más audaces precursores que saltan el abismo para encontrar tesoros y seguridad relativa en el otro lado. Estudiaremos primeramente algunos de aquellos que se negaban a saltar. Para hallar un pensamiento tan penetrante y sutil que lo iguale tenemos que llegar hasta el siglo XX y encontrar a Brouwer.
Zenón de Elea (495-135 a. de J. C.), amigo del filósofo Parménides, cuando visitó Atenas con su protector dejó sorprendidos a los filósofos inventando cuatro inocentes paradojas que no podían resolver con palabras. Se dice que Zenón fue un campesino autodidacto. Sin intentar resolver cuál fue su propósito al inventar sus paradojas se han mantenido opiniones diferentes nos limitaremos a mencionarlas. Teniéndolas presentes resulta evidente que Zenón, hubiera podido objetar nuestra división "infinitamente continuada" de la línea de diez centímetros, descrita antes. Así se deduce de las dos primeras de sus paradojas. La Dicotomía y el argumento Aquiles. Las dos últimas, sin embargo, muestran que hubiera podido objetar con la misma vehemencia la hipótesis opuesta, la de que la línea no es "divisible infinitamente" y que se compone dé una serie separada de puntos que pueden ser numerados 1, 2, 3,... Las cuatro en su conjunto constituyen un círculo de hierro más allá del cual el progreso parece imposible.
Primero, la Dicotomía. El movimiento es imposible, debido a que siempre que se mueve debe alcanzar la mitad de su curso antes de que alcance el final; pero antes de haber alcanzado la mitad debe haber alcanzado la cuarta parte y así sucesivamente de modo indefinido. De aquí que el movimiento nunca pueda iniciarse.
Segundo, el argumento Aquiles. Aquiles corriendo tras una tortuga que se halla delante de él jamás puede alcanzarla, pues primero debe llegar al lugar desde el cual la tortuga ha partido; cuando Aquiles llega a ese sitio la tortuga ya no está allí y siempre marcha adelante. Repitiendo el argumento podemos fácilmente ver que la tortuga siempre estará delante.
Ahora examinemos las opuestas.
Tercera, la flecha. Una flecha que se mueve en un instante dado está en reposo o no está en reposo, es decir, se mueve. Si el instante es indivisible, la flecha no puede moverse, pues si lo hace el instante quedaría dividido inmediatamente. Pero el tiempo está constituido de instantes. Como la flecha no puede moverse en ningún instante, no podrá en ningún momento. De aquí que siempre permanecerá en reposo.
Cuarta, el Stadium. "Para demostrar que la mitad del tiempo puede ser igual al doble del tiempo consideraremos tres filas de cuerpos una de las cuales, (A) está en reposo, mientras que las otras dos, (B) y (C), se mueven con igual velocidad en sentidos opuestos.
Primera posición | Segunda posición |
En el momento en que todas están en la misma parte del curso (B), habrá sobrepasado doble números de cuerpos en (C) que en (A) Por lo tanto el tiempo que ha empleado para pasar (A) es doble que el tiempo que ha empleado para pasar (C) Pero el tiempo que (B) y (C) han empleado para alcanzar la posición (A) es el mismo. Por tanto el doble del tiempo es igual a la mitad del tiempo" (traducción de Burnet) Es útil imaginar (A) como una valla de estacas.
Estas son, en lenguaje no matemático, la serie de dificultades que encontraron los primeros que se ocuparon de la continuidad y el infinito. En los libros escritos hace 20 años se dice que "la teoría positiva del infinito" creada por Cantor, y la teoría de los números "irracionales", como la raíz cuadrada de 2, inventada por Eudoxio, Weierstrass y Dedekind, han disipado todas estas dificultades para siempre. Esa afirmación no podía ser aceptada por todas las escuelas del pensamiento matemático. Así, al detenernos en Zenón nos hemos, en efecto, discutido a nosotros mismos. Quienes deseen saber algo más respecto a esos problemas pueden consultar el Parménides de Platón. Necesitamos tan sólo hacer notar que Zenón finalmente perdió su cabeza por traición o algún acto semejante. Poco es lo que relativamente hicieron para el progreso de la Matemática los sucesores de Zenón, aunque al menos intentaron hacer temblar sus fundamentos.
Eudoxio (408-355 a. de J. C.), de Cnido, heredó el legado que hizo Zenón al inundo y no mucho más. Como muchos de los hombres que se han dedicado a la Matemática, Eudoxio sufrió de extrema pobreza en su juventud. Platón estaba en sus años mozos cuando vivía Eudoxio y Aristóteles tenía alrededor de los 30 años cuándo Eudoxio murió. Tanto Platón como Aristóteles, los filósofos principales de la antigüedad, estaban influidos por las dudas que Zenón había inyectado en el razonamiento matemático y que Eudoxio, en su teoría de las proporciones - "la corona de la Matemática griega"-, suavizó hasta la última cuarta parte del siglo XIX.
Siendo joven, Eudoxio se trasladó a Atenas desde Tarento, donde había estudiado con Archytas (428-347 a. de J. C.), un excelente matemático, administrador y soldado. Llegado a Atenas, Eudoxio pronto encontró a Platón. Como era demasiado pobre para vivir cerca de la academia, Eudoxio venía desde el Pireo, donde el pescado, el aceite de oliva y el alojamiento eran baratos. Aunque Platón no era un matemático en el sentido técnico, fue llamado "el hacedor de la Matemática" y no puede negarse que cuando estaba irritado hacía Matemáticas infinitamente mejores que cuando quería crear verdaderas Matemáticas. Como veremos, su notable influencia para el desarrollo de la Matemática fue probablemente perniciosa. Pero rápidamente reconoció lo que era Eudoxio y fue su amigo devoto hasta que comenzó a sentir celos por su brillante protegido. Se dice que Platón y Eudoxio hicieron juntos un viaje a Egipto. De ser así, parece que Eudoxio fue menos crédulo que su predecesor Pitágoras. Platón, sin embargo, muestra los efectos de haberse incorporado buena parte del misticismo de los números, propio del Oriente. Encontrándose poco popular en Atenas, Eudoxio se estableció y enseñó en Cycico, donde transcurrieron sus últimos años. Estudió medicina y se dice que fue un médico práctico y un legislador por encima de su Matemática. Como si todo esto no fuera suficiente, realizó un serio estudio de Astronomía, a la cual enriqueció con notables contribuciones. En su construcción científica se encontraba varios siglos adelante de sus verbalizantes y filosofantes contemporáneos. Como Galileo y Newton, tenía un gran desprecio por las especulaciones acerca del Universo físico que no podían ser comprobadas por la observación y la experiencia. Si marchando hasta el Sol, decía, pudiera decirse cuál es su forma, tamaño y naturaleza, podría correrse gustosamente el destino de Faetón, pero mientras tanto no hay necesidad de establecer conjeturas.
Alguna idea de lo que Eudoxio hizo puede obtenerse partiendo de un sencillo problema. Para encontrar el área de un rectángulo multiplicamos el largo por el ancho. Aunque esto nos parece fácil presenta graves dificultades, a no ser que ambos lados sean medibles por números racionales. Pasando por esta particular dificultad, la vemos en una forma más evidente en el siguiente tipo más sencillo de problema, el de hallar la longitud de una línea curva, o el área de una superficie curva, 0 el volumen encerrado por superficies curvas.
Quien desee comprobar su capacidad matemática, debe intentar descubrir un método para demostrar estas cosas. Supuesto que jamás lo haya visto hacer en la escuela, ¿cómo procederá para dar una prueba rigurosa de la fórmula de la longitud de una circunferencia que tenga un determinado radio? Siempre que por su propia iniciativa lo haga, puede pretender ser considerado como un matemático de primera categoría. En el momento en que se pasa de las figuras limitadas por líneas rectas o superficies planas caemos en los problemas de la continuidad, los enigmas del infinito y los laberintos de los números irracionales. Eudoxio ideó el primer método lógicamente satisfactorio que Euclides reprodujo en el Libro V de sus Elementos. En su método de exhaución aplicado al cálculo de áreas y volúmenes, Eudoxio demostró que no necesitamos aceptar la "existencia" de "cantidades infinitamente pequeñas". Para los fines de un matemático es suficiente poder llegar a una cantidad tan pequeña como queramos por la división continuada de una cierta cantidad.
Para terminar cuanto se refiere a Eudoxio mencionaremos su definición, que marca una época, de las razones iguales que capacitan a los matemáticos para tratar los números irracionales tan rigurosamente tomó los racionales. Este fue esencialmente el punto de partida de la moderna teoría de los irracionales.
"Se dice que la primera de cuatro cantidades tiene la misma razón respecto de la segunda como tiene la tercera respecto de la cuarta, cuando, siempre que consideremos equimúltiples (iguales múltiplos) de la primera y la tercera, y cualquier otro equimúltiplo de la segunda y cuarta, el múltiplo de la primera es mayor, igual a, o menor que el múltiplo de la segunda, cuando el múltiplo de la tercera es mayor, igual, o menor que el múltiplo de la cuarta".
Después del año 1600 sólo Apolonio merece ser citado entre los griegos cuya obra haya influido sobre la Matemática. Apolonio (260?-200? a. de J.C.) se dedicó a la Geometría en la forma de Euclides, esa forma que es aún enseñada a los pobres principiantes, llevándola más allá del estado en que Euclides (330? - 275? a. de J.C.) la dejó. Como geómetra de este tipo, geómetra "puro", sintético, Apolonio no tiene par hasta que se llega a Steiner en el siglo XIX.
Si un cono de base circular y que se extiende indefinidamente en ambas direcciones más allá de su vértice se corta por un plano, la curva que el plano determina en la superficie del cono se denomina sección cónica.
Existen cinco tipos posibles de secciones cónicas: la elipse; la hipérbola, que tiene dos ramas; la parábola, el camino de un proyectil en el vacío; la circunferencia; y un par de líneas curvas que se cortan. La elipse, la parábola y la hipérbola son "curvas mecánicas", según la fórmula platónica; es decir, estas curvas no pueden ser construidas por el solo uso de la regla y el compás, aunque sea fácil, con estos instrumentos, construir cualquier número de puntos sobre cualquiera de estas curvas. La geometría de las secciones cónicas fue llevada a un alto grado de perfección por Apolonio y sus sucesores, y pudo verse, en los siglos XVII y siguientes, que tenían máxima importancia en la mecánica celeste.

En efecto, si no hubiera sido por los geómetras griegos es poco probable que Newton hubiera llegado a su ley de la gravitación universal, para la cual Kepler preparó el camino con sus laboriosos e ingeniosos cálculos de las órbitas de los planetas.
Entre los últimos griegos y árabes de la Edad Media, Arquímedes parece haber inspirado la misma devoción y reverencia que Gauss despertó entre sus contemporáneos y continuadores en el siglo XIX y Newton en los siglos XVII y XVIII. Arquímedes fue el indiscutido jefe de todos ellos, "el anciano", "el más sabio", "el maestro", "el gran geómetra". Arquímedes vivió entre los años 287-212 a. de J. C. Gracias a Plutarco se sabe más de su muerte que de su vida y quizá no sea erróneo decir que para Plutarco, el biógrafo histórico típico, el rey de la Matemática es un personaje histórico menos importante que el soldado romano Marcelo. Sin embargo, Marcelo debe su recuerdo a Arquímedes, y al par que su recuerdo su execración. En la muerte de Arquímedes encontramos el primer golpe de una civilización groseramente práctica sobre lo más sublime que pudo destruir Roma, habiendo casi demolido Cartago, orgullosa de sus victorias, cayó con su púrpura imperial sobre Grecia para derribar su delicada fragilidad.
Arquímedes, aristócrata en cuerpo y alma, hijo del astrónomo Feidias, había nacido en Siracusa, Sicilia, y se dice que era pariente de Hierón II, tirano (o rey) de Siracusa. De todos modos se hallaba en excelentes relaciones con Hierón y su hijo Gelón, quienes tenían por el rey de la Matemática gran admiración. Su temperamento esencialmente aristocrático se manifiesta en su posición por lo que actualmente se denomina ciencia aplicada. Aunque fue uno de los más grandes genios de la mecánica, si no el más grande, el aristócrata Arquímedes tenía una sincera repugnancia por sus invenciones prácticas. Desde cierto punto de vista estaba justificado. Muchos libros podrían escribirse acerca de lo que Arquímedes hizo en la mecánica aplicada, pero, por grande que fuera esta obra, queda ensombrecida por su contribución a la Matemática pura. Estudiaremos en primer término los pocos hechos conocidos acerca de él y la leyenda de su personalidad.
Según la tradición, Arquímedes es el tipo perfecto del gran matemático que el pueblo concibe. Igual que Newton y Hamilton, se olvidaba de comer cuando estaba ensimismado en la Matemática. En su falta de atención por el vestido ha sobrepasado a Newton, pues cuando hizo su descubrimiento fundamental de que un cuerpo que flota pierde de peso una cantidad igual a la del líquido que desaloja, salió del baño, en el cual había hecho el descubrimiento al observar su propio cuerpo flotante, y corrió por las calles de Siracusa, completamente desnudo, gritando: "Eureka, eureka" (lo encontré, lo encontré) Lo que había encontrado era la primera ley de la hidrostática. Refiere la historia que un orfebre había adulterado el oro de una corona para Hierón mezclándolo con plata, y el tirano, al sospechar el engaño, había planteado a Arquímedes el problema. Cualquier estudiante sabe cómo se resuelve, mediante un simple experimento, y algunas fáciles cuentas aritméticas, basadas en el peso específico. El principio de Arquímedes y sus numerosas aplicaciones prácticas son muy conocidos actualmente, pero el hombre que primeramente pudo formularlo tenía bastante más que sentido común. En realidad no se sabe si el orfebre fue culpable, pero de ordinario se supone que lo era.
Otra exclamación de Arquímedes que se ha conservado a través de los siglos es "dadme un punto de apoyo y moveré el mundo". La frase podía ser un perfecto lema para un Instituto científico moderno y parece extraño que no haya sido utilizada. Existe otra versión en mejor griego pero su significación es la misma.
En una de sus excentricidades Arquímedes se parecía a otro gran matemático, Weierstrass. Según una hermana de este último, no se podía confiar en él cuando tenía un lápiz en la mano y ante su vista se hallaba un trozo de pared blanco o un puño de la camisa limpio. Arquímedes batió este record en sus días, pues el suelo arenoso o la tierra lisa endurecida servían de "pizarra". Arquímedes, cuando se sentaba ante el fuego, sacaba las cenizas y dibujaba en ellas. Al salir del baño, cuando se untaba con aceite de olivas, según la costumbre de la época, en lugar de vestirse se perdía en sus dibujos que trazaba con una uña sobre su propia piel afeitada.
Arquímedes fue una especie de águila solitaria. Siendo joven había estudiado breve tiempo en Alejandría, Egipto, donde contrajo dos amistades íntimas, Conon, un matemático de talento por quien Arquímedes tenía un alto concepto personal e intelectual, y Eratóstenes, también buen matemático, aunque un completo petimetre. Estos dos, particularmente Conon, parece que fueron los únicos hombres a quienes Arquímedes participó sus pensamientos, seguro de ser comprendido. Algunos de sus trabajos más complicados fueron comunicados por cartas a Conon. Más tarde, cuando Conon murió, Arquímedes mantuvo correspondencia con Dositeo, un discípulo de Conon.
Haciendo abstracción de sus grandes contribuciones a la Astronomía y a las invenciones mecánicas, expondremos un simple e incompleto resumen de las principales contribuciones que Arquímedes hizo a la Matemática pura y aplicada.
Inventó métodos generales para encontrar las áreas de figuras planas curvilíneas y los volúmenes limitados por superficies curvas, y aplicó estos métodos a muchos casos especiales, incluyendo el círculo, la esfera, segmentos de una parábola, el área limitada entre dos radios y dos pasos sucesivos de una espiral, segmentos de esfera y segmentos de superficies engendradas por la revolución de rectángulos (cilindros), triángulos (conos), parábolas (paraboloides), hipérbolas (hiperboloides) y elipses (esferoides), alrededor de sus ejes principales. Ideó un método para calcular (la razón de la circunferencia de un círculo a su diámetro), y fijó el valor de entre 3 1/7 y 3 10/71; también encontró métodos para hallar las raíces cuadradas aproximadas, lo que muestra que se anticipó a la invención hecha por los hindúes, respecto a las fracciones continuas periódicas. En Aritmética sobrepasó extraordinariamente la incapacidad del método no científico griego de simbolizar los números al escribir o incluso escribir grandes números, e inventó un sistema de numeración capaz de tratar números tan grandes como se deseara. En mecánica estableció algunos de los postulados fundamentales, descubrió las leyes de la palanca, y aplicó sus principios mecánicos para calcular las áreas y centros de gravedad de diversas superficies planas y sólidos de diversas formas. Creó toda la ciencia de la hidrostática, y la aplicó para encontrar las posiciones de reposo y de equilibrio de cuerpos flotantes de diversos tipos.
A Arquímedes se debe, no sólo una obra maestra, sino muchas. ¿Cómo pudo hacerlo? Sus exposiciones lógicas no permiten intuir el método de que se valió para llegar a sus maravillosos resultados. Pero en 1906, J. L. Heiberg, el historiador y estudioso de la Matemática griega, hizo en Constantinopla el notable descubrimiento de un tratado hasta entonces "perdido" de Arquímedes, dirigido a su amigo Eratóstenes: Sobre teoremas mecanices, método. En él Arquímedes explica cómo pesando, en la imaginación, una figura o sólido cuya área o volumen sea desconocida frente a una conocida se llega al conocimiento del hecho buscado; conocido el hecho, era relativamente fácil para él demostrarlo matemáticamente. Brevemente, utilizó su mecánica para hacer avanzar la Matemática. Este es uno de sus títulos para ser considerado como una mente moderna: lo utilizó todo, y todas las cosas que sugirió fueron un arma para abordar sus problemas.
Para un hombre moderno todo es sencillo en la guerra, en el amor y en la Matemática; para muchos de los antiguos la Matemática era un juego embrutecedor que había que jugar según las reglas impuestas por Platón, cuya estructura mental era filosófica. Según Platón únicamente debían ser permitidas las reglas y un par de compases como instrumentos de construcción en Geometría. No hay que admirarse de que los geómetras clásicos se golpearan las cabezas durante siglos frente a los "tres problemas de la antigüedad": la trisección de un ángulo; construir un cubo de doble volumen que otro dado; construir un cuadrado igual a un círculo. Ninguno de esos problemas es posible hacerlo utilizando únicamente regla y compás; aunque es difícil demostrar que el tercero no lo es, y su imposibilidad fue finalmente demostrada en 1882. Todas las construcciones efectuadas con otros instrumentos eran denominadas mecánicas, y como tal, por alguna razón mística conocida únicamente por Platón y su Dios geometrizante, eran consideradas vulgares, y tabú para una Geometría respetable[4]. Tan sólo cuando Descartes, 1985 años después de la muerte de Platón, publicó su Geometría analítica, pudo escapar la Geometría de su rigidez platónica. Platón murió 60 años o más antes de que Arquímedes naciera, de modo que no puede ser censurado, por no apreciar la potencia y libertad de los métodos de Arquímedes. Por otra parte, Arquímedes merece sólo alabanzas al no respetar esa concepción rígidamente encorsetada que Platón tenía de la musa de la Geometría.
El segundo requisito de Arquímedes para ser considerado moderno se basa también sobre sus métodos. Anticipándose a Newton y Leibniz en más de 2000 años inventó el Cálculo integral, y en uno de sus problemas anticipó la creación del Cálculo diferencial. Estos dos cálculos juntos constituyen lo que se denomina el "cálculo infinitesimal considerado como el instrumento más poderoso que se ha inventado para la exploración matemática del universo físico. Para citar un solo ejemplo, supongamos que queremos encontrar el área de un círculo. Entre otras formas de hacer esto podemos dividir el círculo en cierto número de bandas paralelas de igual anchura, reducir los extremos curvados de las bandas, de modo que los fragmentos desechados sean lo menor posible, y luego sumar las áreas de todos los rectángulos resultantes. Esto nos da una aproximación del área buscada. Aumentando el número de bandas indefinidamente y tomando el límite de la suma, encontraremos el área del círculo. Este proceso (toscamente descrito) de tomar el límite de la suma se llama integración; el método de realizar tales sumas se denomina Cálculo integral. Este cálculo fue el que Arquímedes utilizó para encontrar el área de un segmento de parábola y para otras cuestiones.
El problema en que utilizó el Cálculo diferencial fue el de la construcción de una tangente en un punto dado de la espiral creada por él.

Si el ángulo que forma la tangente con cualquier línea dada es conocido, puede trazarse fácilmente, pues es una simple construcción trazar una línea recta por un punto dado paralela a una determinada línea recta. El problema de encontrar dicho ángulo (para cualquier curva, no simplemente para la espiral) es, en lenguaje geométrico, el problema principal del Cálculo diferencial. Arquímedes resolvió este problema para su espiral. Espiral es la curva descrita por un punto que se mueve con velocidad uniforme a lo largo de una línea recta que gira con velocidad angular uniforme alrededor de un punto fijo de, la línea.
La vida de Arquímedes era tan tranquila como debe ser la de un matemático que ha hecho lo que él hizo. Toda la acción y tragedia de vida quedan coronadas en su muerte. En el año 212 a. de J. C. estalló la segunda guerra púnica. Roma y Cartago estaban en guerra, y Siracusa, la ciudad de Arquímedes, tentadoramente situada cerca del camino de la flota romana. ¿Porqué no ponerle sitio? Y los romanos así lo hicieron. Orgulloso de sí mismo ("descansando sobre su propia gran fama", como dijo Plutarco), y confiando en el esplendor de su "preparación" más que en los cerebros, el jefe romano, Marcelo, estaba seguro de una rápida conquista. El orgullo de su confiado corazón era .una primitiva pieza de artillería colocada sobre una elevada plataforma mantenida por ocho galeras reunidas. Considerando su fama, esperaba 'que los tímidos ciudadanos pusieran en sus manos la llave de la ciudad. Hierón no lo hizo así. Estaba bien preparado para la guerra y de una manera que el práctico Marcelo no podía soñar.
Parece que Arquímedes, aunque despreciaba la Matemática aplicada, tuvo que ceder, en tiempo de paz, a las inoportunidades de Hierón, y pudo demostrarle, con satisfacción del tirano, que la Matemática puede ser, si es necesario, prácticamente devastadora. Para convencer a su amigo de que la Matemática es capaz de algo más que de deducciones abstractas, Arquímedes aplicó sus leyes de las palancas y poleas para mover un barco totalmente cargado que él mismo pudo botar con una sola mano. Recordando esta hazaña, Hierón, al ver acercarse las nubes de la guerra, solicitó a Arquímedes que preparara una adecuada bien venida a Marcelo. Abandonando una vez más sus investigaciones para complacer a su amigo, Arquímedes preparó por sí solo un Comité de recepción que pudiera dar una sorpresa a los precipitados romanos. Cuando llegaron, sus ingeniosas diabluras estaban dispuestas para darles un buen saludo.
El aparato en forma de arpa apoyado sobre las ocho galeras no duró más que la fama del orgulloso Marcelo. Piedras, cada una de las cuales pesaba más de un cuarto de tonelada, salían de las supercatapultas de Arquímedes demoliéndolo todo. Picos y garras de hierro se alzaban sobre los muros para asir a los barcos que se acercaban, y volcándolos los arrastraban hacia la arena o los arrojaban contra las escolleras. Las fuerzas terrestres, movidas también por los aparatos de Arquímedes, no les dieron mejor acogida. Ocultando su derrota en los boletines oficiales, y considerándola como una retirada hacia una nueva posición anteriormente preparada, Marcelo conferenció con sus ayudantes. Incapaz de preparar a sus amotinadas tropas para un asalto a las terribles murallas, el famoso romano se retiró.
Bastaba cierto sentido militar para que Marcelo no incluyera en las órdenes del día "ataques contra la muralla"; abandonando todos los pensamientos de un ataque central capturó Megara en la retaguardia y finamente se dirigió hacia Siracusa. Esta vez la suerte le acompañó. Los necios habitantes de Siracusa se entregaban a una fiesta religiosa en honor de Artemisa. La guerra y la religión siempre han dado lugar a un bilioso cocktail; sorprendidos en la fiesta, Marcelo hizo una carnicería.
La primera noticia que tuvo Arquímedes de que la ciudad había sido tomada fue la sombra de un soldado romano que se proyectaba sobre sus dibujos en la arena. Un relato dice que el soldado, al pisar los dibujos, dio lugar a que Arquímedes exclamara excitadamente: "No borres mis círculos". Otros afirman que Arquímedes se negó a obedece la orden de un soldado, para que le acompañara a presencia de Marcelo, hasta que hubiera resuelto su problema. De todos modos lo cierto es que el irritado soldado desenvainó su glorioso sable y dio muerte al inerme geómetra que a la sazón tenía 70 años. Así murió Arquímedes.
Con razón, dice Whitehead: "Ningún romano ha perdido su vida por estar absorbido en la contemplación de una figura matemática".
Capítulo 3
Gentilhombre, Soldado y Matemático
DESCARTES
La Geometría analítica, mucho más
que cualquiera de sus especulaciones
metafísicas, inmortaliza el nombre de
Descartes y constituye el máximo paso
hecho en el progreso de las ciencias exactas.
John Stuart Mill
"DESEO ÚNICAMENTE TRANQUILIDAD Y REPOSO". Éstas son las palabras del hombre que desvió la Matemática hacia nuevos caminos y cambió el curso de la historia científica.
Muchas veces, en su activa vida, René Descartes intentó encontrar la tranquilidad que buscaba en los campos militares, y con objeto de obtener un reposo necesario para la meditación buscó retiros solitarios lejos de los amigos curiosos y exigentes. Deseando únicamente tranquilidad y reposo, nació el 31 de marzo de 1596, en La Haye, cerca de Tours, Francia, en una Europa entregada a la guerra, en las aflicciones de la reconstrucción religiosa y política.
Su época no era muy diferente de la nuestra. Un viejo orden pasaba rápidamente y el nuevo no había sido aún establecido. Barones, reyes y nobles rapaces de la Edad Media, habían criado un enjambre de gobernadores con la ética política de asaltantes y en su mayor parte con la inteligencia de cargadores. La justicia común entendía que lo tuyo era mío, con tal que mi brazo fuera suficientemente fuerte para mantenerlo lejos de sí. Esto es una descripción poco halagadora de ese glorioso período de la historia, europea, denominado finales del Renacimiento, pero está de perfecto acuerdo con nuestra cambiante opinión, hija de experiencias íntimas, de, lo que sería, aquella sociedad civilizada.
Por encima de las guerras, en los días de Descartes, se superponían un enorme fanatismo religioso y una grave intolerancia que incubaban nuevas guerras y hacían del desapasionado cultivo de la ciencia una empresa azarosa. Había que añadir además una total ignorancia de las reglas más elementales de la limpieza. Desde el punto de vista de las condiciones sanitarias, la mansión de los ricos era tan inmunda como la de los pobres, sumergidos en la hediondez y la ignorancia, y las plagas que se repetían ayudaban a las guerras epidémicas a mantener a la población por debajo de los límites del hambre. Así eran los inolvidables viejos días.
En la inmaterial parte durable del andamiaje, el relato es más brillante. La edad en que Descartes vivió fue, en efecto, uno de los grandes períodos intelectuales en la historia de la civilización.

René Descartes
Para mencionar tan sólo algunos de los hombres sobresalientes cuyas vidas coincidieron en parte con la de Descartes, recordaremos que Fermat y Pascal fueron sus contemporáneos en Matemática; Shakespeare murió cuando Descartes tenía 20 años; Descartes sobrevivió a Galileo ocho años, y Newton tenía ocho años cuando Descartes murió; Descartes tenía 12 años cuando Milton nació, y Harvey, el descubridor de la circulación de la sangre, sobrevivió a Descartes 7 años, mientras Gilbert, el fundador de la ciencia del electromagnetismo, murió cuando Descartes tenía 7 años,
René Descartes procedía de una antigua y noble familia. Aunque el padre de René no era poderoso, sus medios de fortuna le permitían vivir fácilmente, y su hijo fue destinado a la carrera de gentilhombre, noblesse oblige, al servicio de Francia. René fue el tercero y último hijo de la primera mujer del padre, Jeanne Brochard, quien murió pocos días después del nacimiento de René. El padre parece haber sido un hombre de raro sentido que hizo todo lo posible para educar a sus hijos sin que sintieran la pérdida de su madre. Una excelente aya tomó el lugar de la madre, y el padre, que luego volvió a casarse, mantuvo una constante e inteligente vigilancia sobre su "joven filósofo" que siempre quería conocer la causa de todas las cosas que hay bajo el sol, y por cuya razón su aya siempre le narraba cosas acerca del cielo. Descartes no fue realmente un niño precoz, pero su frágil salud le forzó a gastar la vitalidad que tenía en empresas intelectuales.
Debido a la delicada salud de René su padre demoró su enseñanza. El muchacho, sin embargo, era guiado por su propia iniciativa y su padre le dejó hacer lo que le placía. Cuando Descartes tenía ocho años, el padre resolvió que no podía retrasar más su educación formal. Después de una inteligente busca eligió el colegio de jesuitas en La Fléche como la escuela ideal para su hijo. El Rector, el Padre Charlet, tomó rápidamente cariño al pálido y confiado muchacho y estudió especialmente el caso. Puesto que se corría el peligro de destruir su cuerpo si educaba su mente, y dándose cuenta de que Descartes parecía necesitar más reposo que los niños normales de su edad, el Rector le permitió permanecer en cama cuanto quisiera durante las mañanas y que no abandonara su habitación hasta que quisiera reunirse con sus compañeros en el aula. En realidad toda su vida, excepto un desgraciado episodio, fue tranquila, y Descartes permanecía las mañanas en el lecho cuando deseaba pensar. Recordando más tarde sus días escolares en La Fléche, confiesa que aquellas largas y tranquilas mañanas de silenciosa meditación fueron el verdadero origen de su filosofía y de su matemática.
Sus estudios marcharon bien y logró ser un buen clasicista. Según la tradición de la época, se prestaba mucha atención al latín, al griego y a la oratoria. Pero esto fue sólo una parte de lo que Descartes aprendió. Sus maestros eran hombres de mundo y su deseo era educar a los muchachos a su cargo para que fueran "Gentlemen", en el mejor sentido de esa degradada palabra, para su desempeño en la vida. Cuando abandonó la escuela, en agosto de 1612, teniendo 17 años, Descartes había hecho una buena amistad con el padre Charlet. Éste no fue el único de los amigos que Descartes hizo en La Fléche; otro, Mersenne (más tarde sacerdote), el famoso aficionado a la ciencia y a la Matemática, fue su más antiguo compañero y llegó a ser su agente científico y protector en jefe.
El talento especial de Descartes ya se manifestó mucho antes de abandonar la escuela. A la edad de 14 años, meditando en el lecho, comenzó a sospechar que las "humanidades" que estaba aprendiendo eran relativamente desprovistas de significación humana, y ciertamente no constituían el tipo de aprendizaje que capacitara a los seres humanos para gobernar su medio y directamente su propio destino. Los dogmas autoritarios de filosofía ética y moral, que debían ser aceptados ciegamente, comenzaron a adquirir el aspecto de supersticiones sin base. Persistiendo en su costumbre infantil de no aceptar nada que dimanara de la simple autoridad, Descartes comenzó sin jactancia a discutir las demostraciones alegadas y la lógica casuística en virtud de la cual los buenos jesuitas pensaban obtener el asentimiento de sus facultades razonadoras. Más tarde pasó a la duda fundamental que inspira la obra de su vida: ¿Sabemos algo? Y además, quizá de mayor importancia, si nosotros no podemos decir definidamente que sabemos algo, ¿cómo descubriremos aquellas cosas que podemos ser capaces de conocer?
Al abandonar la escuela, el pensamiento de Descartes se hizo más profundo e intenso. Como primer fruto de sus meditaciones aprendió la verdad herética de que la Lógica por sí misma -el gran método de los escolásticos de la Edad Media que aún permanece tenazmente en la educación humanística- es tan estéril como una mula para cualquier propósito humano creador. Su segunda conclusión está, íntimamente relacionada a la primera: comparadas con las demostraciones de la Matemática -a las cuales se asió como un pájaro pende en el aire tan pronto como encuentra sus alas- las de la filosofía ética y moral son fraudes chillones. ¿Cómo entonces, se preguntaba, podremos descubrir alguna cosa? Por el método científico, aunque Descartes no lo llamaba así: por el experimento controlado y la aplicación del rígido razonamiento matemático a los resultados de tal experimento.
Puede preguntarse qué, es lo que adquirió de su racional escepticismo. Un hecho y sólo uno: "Yo existo". Descartes dijo: "Cógito, ergo sum" (pienso, luego existo).
A la edad de 18 años Descartes, totalmente disgustado por la aridez de los estudios a los que había dedicado tan dura labor, resolvió ver el mundo y aprender alguna cosa de la vida que se encontrara en la carne y en la sangre y no en el papel y en la tinta de imprenta. Dando gracias a Dios de ser capaz de hacer lo que le pluguiera, procedió a hacerlo. Por una comprensible revancha por su infancia y juventud físicamente inhibidas se entregó a los placeres propios de los muchachos de su edad. Con otros varios jóvenes calaveras, hambrientos de vida, abandonó la sobriedad de las propiedades paternales y se estableció en París. Uno de los entretenimientos de un gentleman de aquellos días era jugar, y Descartes jugó con entusiasmo y cierto buen resultado. Siempre que lo hizo puso en ello toda su alma.
Esta fase no duró largo tiempo. Avergonzado de sus indecorosos compañeros, Descartes huyó de ellos y tomó su decisión alquilando un alojamiento confortable en el ahora barrio de Saint Germain, donde por dos años se encerró en una incesante investigación matemática. Al fin sus torpes amigos le encontraron y cayeron sobre él con gran algarabía. El estudioso joven los contempló, y al reconocerlos vio que eran los mismos intolerables ganapanes. Buscando una pequeña paz, Descartes se decidió a ir a la guerra.
Así comenzó su primer período como soldado. Marchó primeramente a Breda, Holanda, para aprender su oficio bajo las órdenes del brillante Príncipe Maurice d'Orange. Al ver fracasadas sus esperanzas bajo los colores del príncipe, Descartes volvió disgustado a la vida pacífica del campo, que amenazaba ser tan odiosa como la del bullicioso París, y entonces se dirigió a Alemania. En este punto de su carrera mostró los primeros síntomas de una suave languidez que nunca fue a más. Como un muchachuelo que siguiera a un circo de pueblo en pueblo, Descartes tuvo la favorable oportunidad de contemplar un brillante espectáculo. Por entonces llegó a Francfort, donde Fernando II iba a ser coronado. Descartes llegó a tiempo para contemplar aquellas ceremonias rococó. Animado por aquel brillo, volvió a su profesión y se alistó bajo las banderas del Elector de Baviera, que entonces emprendía la guerra contra Bohemia.
El ejército permaneció inactivo en sus cuarteles de invierno cerca del pequeño pueblo de Neuburg en las orillas del Danubio. Allí Descartes encontró plenamente lo que había buscado; tranquilidad y reposo. Se abandonó a sí mismo y se encontró a sí mismo.
La historia de la "conversión" de Descartes, si puede ser llamada así, es, extraordinariamente curiosa. El 10 de noviembre de 1619, en Eve de St. Martín, Descartes tuvo tres sueños que, según él dice, cambiaron todo el curso de su vida. Su biógrafo (Baillet) refiere el hecho de que Descartes había estado bebiendo abundantemente en la celebración de la fiesta del Santo, y dice que quizá no se había recobrado de los vapores del vino cuando marchó a su casa. Pero Descartes atribuye sus sueños a otra causa y afirma que no había bebido vino durante los tres meses anteriores. No hay razón para dudar de sus palabras. Los sueños son singularmente lógicos y no es probable (según los especialistas) que fuera inspirado por una orgía, especialmente teniendo lleno el estómago de vino. Son fácilmente explicables como la solución subconsciente de un conflicto entre el deseo del soñador de llevar una vida intelectual y su conocimiento de la futilidad de la vida hasta entonces llevada. Sin duda, los freudianos han analizado estos sueños, pero no parece probable que cualquier análisis en la forma clásica vienesa arroje una luz sobre la invención de la Geometría analítica, que en este lugar nos interesa. Tampoco las diversas interpretaciones místicas o religiosas podrían prestarnos gran ayuda a este respecto.
En el primer sueño, Descartes era lanzado por malignos vientos desde la seguridad de su iglesia-colegio hacia un tercer lugar donde el viento carecía de poder para sacudirle o arrastrarle; en el segundo, se encontraba observando una terrible tormenta con los ojos no supersticiosos de la ciencia, y notaba que la tormenta, una vez que veía lo que era, no podía atemorizarle; en el tercero soñó que estaba recitando el poema de Ausonio que comienza: "Quod vitae secatabor iter?" (¿Qué vía seguiré en la vida?).
Aparte de esto, Descartes decía que estaba lleno de "entusiasmo" (probablemente quiere dar a esta palabra su sentido místico), y que le había sido revelada, como en el segundo sueño, la llave mágica con que podría penetrar en el tesoro de la naturaleza y encontrarse en posesión del verdadero fundamento, al menos, de todas las ciencias.
¿Qué era esta maravillosa llave? Descartes mismo no parece ser muy explícito, pero de ordinario se cree que era nada menos que la aplicación del Algebra a la Geometría, la Geometría analítica, y, de un modo más general, a la exploración de los fenómenos naturales por la Matemática, de la cual la Física matemática actual es el ejemplo en que se ha desarrollado más.
El 10 de noviembre de 1619 es, pues, el día oficial en que nació la Geometría analítica, y, por tanto, también la Matemática moderna. Dieciocho años pasaron hasta que el método fue publicado. Mientras tanto Descartes continuó su vida de soldado. Desde el punto de vista de la Matemática puede darse las gracias a Marte por evitar que alguna bala perforara su cabeza en la batalla de Praga.
Los jóvenes matemáticos de los tres siglos siguientes fueron menos felices, debido a los progresos de esa ciencia que el sueño de Descartes inspiró.
El joven soldado, que entonces tenía 22 años, jamás se había dado cuenta hasta entonces de que si debía encontrar la verdad tendría que rechazar absolutamente todas las ideas adquiridas de otros, y confiar en que su propia mente mortal le mostrara el camino. Todos los conocimientos que había recibido debían ser olvidados; todas las ideas morales e intelectuales heredadas tendrían que ser modificadas haciéndose más sólidas, gracias únicamente a la poderosa fuerza de la razón humana. Para aplacar su conciencia pidió a la Santa Virgen que le ayudara en su proyecto herético. Dada por concedida esa ayuda, prometió hacer un peregrinaje a la capilla de Nuestra Señora de Loreto y procedió inmediatamente a someter las verdades aceptadas de la religión a una crítica ardiente y devastadora.
Mientras tanto continuó su vida de soldado y en la primavera de 1620 asistió a los combates en la batalla de Praga. Con el resto de las tropas victoriosas penetró en la ciudad cantando leas a Dios. Entre los aterrorizados refugiados se hallaba la princesa Isabel[5], de cuatro años de edad, que más tarde había de ser la discípula favorita de Descartes.
Al fin, en la primavera de 1621, Descartes se dio un hartazgo de guerra. Con varios otros gentileshombres-soldados acompañó a los austriacos a Transilvana, buscando gloria y encontrándola. Pero aunque fuera ducho en la guerra todavía no estaba maduro para la filosofía. La peste en París y la guerra contra los hugonotes hizo de Francia un lugar menos atractivo que Austria. En Europa del Norte todo era paz y tranquilidad, y Descartes decidió ir allí. Las cosas iban bastante bien hasta que Descartes se despidió de todos sus guardias de corps antes de embarcarse para Frisia. Era una gran oportunidad para las bandas de asesinos, que decidieron dar muerte al rico pasajero, robarle, y arrojar su cadáver a los peces. Desgraciadamente para sus planes, Descartes comprendió su lenguaje, y sacando su espada les obligó a dejarle otra vez en la costa. La Geometría analítica había escapado nuevamente de los accidentes de la batalla, de los asesinos y de la muerte precoz.
El año siguiente Descartes lo empleó en visitas a Holanda y Rennes, donde vivía su padre. Al finalizar el año volvió a París, y allí sus modos reservados y su algo misterioso aspecto dio lugar a que se le acusara de ser Rosa Cruz. Dejando a un lado las habladurías, Descartes filosofaba e incitaba a los políticos a enviarle en una misión al ejército. No quedó desalentado cuando fracasó en su intento, pues pudo visitar libremente Roma, donde gozó del más brillante espectáculo que sus ojos vieran: la ceremonia celebrada cada cuarto de siglo por la Iglesia católica. Este interludio italiano tiene importancia en el desarrollo intelectual de Descartes por dos razones. Su filosofía, que nunca llegó a tocar al hombre de pueblo, estaba permanentemente predispuesta en contra de los individuos de baja estofa, pues el filósofo había quedado asombrado y asqueado de la sucia humanidad que desde todos los rincones del mundo se reunía para recibir la bendición papal. Igualmente importante fue el fracaso de Descartes para encontrarse con Galileo. Si el matemático hubiera tenido la filosofía suficiente para postrarse una semana o dos ante los pies del padre de la ciencia moderna, sus especulaciones sobre el Universo físico hubieran sido menos fantásticas. Todo lo que Descartes obtuvo de su viaje por Italia fue un celoso resentimiento para su incomparable contemporáneo.
Inmediatamente después de sus vacaciones en Roma, Descartes gozó de otra orgía de sangre con las tropas del Duque de Saboya, distinguiéndose tanto que le fue ofrecido el cargo de lugarteniente. Descartes tuvo el suficiente sentido para rechazarlo. De vuelta al París, del Cardenal Richelieu y del fanfarrón D'Artagnan, el último casi una ficción, y el primero menos creíble que un melodrama, Descartes dedicó allí tres años a la meditación. A pesar de sus extraordinarios pensamientos no era un sabio de barba gris con un sucio vestido, sino un hombre elegante, ataviado con un tafetán de moda y un sable propio de su calidad de gentilhombre. Para completar sus elegancias, se cubría con un sombrero de anchas alas y una pluma de avestruz. Así equipado, estaba dispuesto a luchar contra los bandidos que infestaban la Iglesia, el Estado y las calles. En una ocasión en que un borracho insultó a una dama ante Descartes, el irritado filósofo montó en cólera como un D'Artagnan, y habiendo despojado de su espada al borracho le perdonó la vida, no porque fuera un espadachín, sino por tratarse de un sujeto demasiado inmundo para ser muerto ante una mujer bella.
Hemos mencionado a una de las amigas de Descartes, pero no ahondaremos en esta cuestión. Descartes gustaba de las mujeres suficientemente hasta el punto de tener una hija con una. La muerte precoz de la niña le afectó profundamente. Posiblemente su razón para no casarse pudo haber sido, como respondió a una dama, que prefería la verdad a la belleza; pero parece más probable que no estaba dispuesto a sacrificar su tranquilidad y reposo por alguna viuda holandesa rica y gorda. Los recursos económicos de Descartes no eran muy brillantes, pero le eran suficientes. Por esto ha sido llamado frío y egoísta. Parece más exacto decir que sabía a dónde se dirigía y que se daba cuenta de la importancia de su meta. Sobrio y abstemio en sus costumbres, no imponía en su casa el régimen espartano que algunas veces prescribía para sí mismo. Sus sirvientes le adoraban y él se interesaba por su bienestar largo tiempo después que habían prestado sus servicios. El muchacho que se hallaba con él cuando murió, no podía consolarse de la muerte de su patrón. Quien obra así no puede ser llamado egoísta.
Descartes ha sido también acusado de ateísmo. Nada más lejos de la verdad. Sus creencias religiosas no habían sido afectadas por su escepticismo racional. Comparaba su religión con el aya de la cual había recibido su enseñanza, y declaraba que encontraba tan cómodo descansar en una como en la otra. Una mente racional es, en ocasiones, la mezcla más extraordinaria de racionalidad e irracionalidad.
Otra particularidad influyó sobre todos los actos de Descartes, hasta que gradualmente desapareció bajo la rígida disciplina del soldado. Su delicada infancia puso en él un profundo matiz de hipocondría y durante años sufrió de un angustioso temor a la muerte. Éste fue, sin duda, el origen de sus investigaciones biológicas. Durante su juventud, decía sinceramente que la naturaleza es el mejor médico, y que el secreto de mantenerse bien es perder el temor a la muerte. Más tarde no intentó ya descubrir los medios de prolongar la existencia.
Sus tres años de meditación pacífica en París fueron los más felices años de la vida de Descartes. Los brillantes descubrimientos de Galileo, con su telescopio toscamente construido, dieron lugar a que la mitad de los filósofos naturales de Europa se proveyeran de lentes. Descartes se divirtió de igual forma, pero no hizo el menor descubrimiento. Su genio era esencialmente matemático y abstracto. Un descubrimiento que hizo en esta época, el del principio de las velocidades virtuales en mecánica, es aún de importancia científica. Se trata realmente de una obra de primer orden. Al darse cuenta de que era poco comprendido o apreciado, abandonó los problemas abstractos y se dirigió a lo que consideraba lo más excelso de todos los estudios, el del hombre. Pero, como hizo notar pronto, descubrió que el número de quienes comprenden al hombre es despreciable en comparación con el número de quienes creen comprender la Geometría.
Hasta entonces Descartes no había publicado nada. Su reputación, que rápidamente ascendía, volvió a atraer gran número de aficionados a esos estudios, y una vez más, Descartes buscó tranquilidad y reposo en el campo de batalla, ahora con el rey de Francia en el sitio de La Rochelle. Allí pudo conocer al astuto y atractivo Cardenal Richelieu, que más tarde habría de prestarle un buen servicio, y quedó impresionado, no por la sagacidad del Cardenal, sino por su santidad. Terminada victoriosamente la guerra, Descartes volvió con la piel entera a París; entonces experimentó su segunda conversión, que le llevó a abandonar para siempre las vanidades.
Tenía entonces (1628) 32 años y sólo una milagrosa suerte había salvado a su cuerpo de la destrucción y a su mente del olvido. Una bala extraviada en La Rochelle pudo fácilmente haber privado a Descartes del recuerdo de la posteridad, y al fin se dio cuenta de que había llegado el momento de no seguir por ese camino. Dos Cardenales, De Bérulle y De Bagné, le sacaron de su estado estéril de pasiva indiferencia, y al primero, en particular, el mundo científico le debe imperecedera gratitud por haber inducido a Descartes a publicar sus pensamientos.
La Iglesia católica de la época cultivaba y amaba apasionadamente las ciencias, en contraste con los fanáticos protestantes, cuyo fanatismo había extinguido las ciencias en Alemania. Al conocer a De Bérulle y De Bagné, Descartes pudo florecer como una rosa bajo su aliento genial. En particular, durante las veladas en la casa del Cardenal De Bagné, Descartes hablaba libremente de su nueva filosofía a un tal Mr. de Chandoux, que más tarde fue colgado por falsificador, aunque esperamos que esto no haya sido un resultado de las lecciones de Descartes. Para hacer resaltar la dificultad de distinguir lo verdadero de lo falso, Descartes presentaba 12 argumentos irrefutables que demostraban la falsedad de cualquier verdad indudable; inversamente, hacían pasar por verdadera cualquier falsedad admitida. ¿Cómo, entonces, preguntaban los asombrados oyentes, los simples seres humanos distinguirían la verdad de la falsedad? Descartes creía disponer de un método infalible, deducido de la Matemática, para hacer la distinción requerida. Esperaba y planeaba, según él decía, demostrar que su método sería aplicable a la ciencia y al bienestar humano a través de la invención mecánica.
De Bérulle estaba profundamente agitado por la visión de todos los reinos de la tierra con que Descartes le había tentado desde el pináculo de la especulación filosófica. En términos convincentes le mostraba a Descartes que su deber para con Dios era hacer conocer sus descubrimientos al mundo, y le amenazaba con el fuego del infierno o al menos con la pérdida de la posibilidad de entrar en el cielo si no lo hacía. Siendo Descartes un católico practicante, no podía resistir ese argumento, y decidió publicar sus ideas. Ésta fue su segunda conversión, a la edad de 32 años. Rápidamente se retiró a Holanda, donde el clima más frío y apropiado para él le permitiría llevar su decisión a la realidad.
En los 20 años siguientes viajó por toda Holanda sin jamás detenerse largo tiempo en un lugar. Prefirió las aldeas oscuras y las posadas silenciosas fuera de las grandes ciudades, transportando metódicamente una voluminosa correspondencia científica y filosófica con los mayores intelectos de Europa, para la que servía de intermediario el fiel amigo de sus días escolares en La Fléche, el Padre Mersenne, quien era el único que conocía en todo momento el secreto de la dirección de Descartes. El locutorio del convento de los Mínimos, no lejos de París, llegó a ser el lugar del intercambio (a través de Mersenne) de los problemas matemáticos, de las teorías científicas y filosóficas y de las objeciones y réplicas.
Durante su largo vagar por Holanda, Descartes se ocupó de otra serie de estudios aparte de la filosofía y matemática. La óptica, la química, la física, la anatomía, la embriología, la medicina, las observaciones astronómicas y la meteorología, hasta un estudio del arco iris, reclamaron una participación, de su inquieta actividad. Cualquier hombre que actualmente extendiese su esfuerzo a tan diferentes temas se consideraría a sí mismo como un simple aficionado. Pero en los tiempos de Descartes no era lo mismo; un hombre de talento podía aún encontrar algo de interés en casi todas las ciencias. Todo lo que llegaba hasta Descartes era molido en su molino. Una breve visita a Inglaterra le permitió conocer el comportamiento engañoso de la aguja magnética; desde entonces el magnetismo fue incluido en su filosofía comprensiva. También las especulaciones de la teología llamaron su atención.
Todo lo que Descartes recogió fue incorporado a un enorme tratado, Le Monde. En 1634, Descartes, que entonces tenía 38 años, sometió su tratado a la última revisión. Iba a ser un regalo de nuevo año para el padre Mersenne. Todo el París docto estaba ansioso por ver la obra maestra. Mersenne ya conocía algunas partes seleccionadas de libro, pero aún no había visto la obra completa. Sin irreverencia, Le Monde puede ser descrito como lo que el autor del libro del Génesis hubiera escrito de conocer tantas ciencias y filosofía como Descartes conocía. Descartes relata la creación del Universo por Dios, subsanando la falta de un elemento de racionalidad, en la creación de los 6 días, que algunos lectores han sentido en la historia de la Biblia, A la distancia de 300 años no hay gran diferencia entre el Génesis y Descartes, y es bastante difícil para nosotros darnos cuenta de que un libro como Le Monde pudiera provocar en un Obispo o en un Papa una fría y sanguinaria rabia.
Descartes era muy cauto de los juicios de la justicia eclesiástica. Conocía también las investigaciones astronómicas de Galileo y de los arriesgados defensores del sistema de Copérnico. En efecto, estaba impaciente, esperando ver la última obra de Galileo antes de dar los toques finales a su obra, y en vez de recibir la copia que un amigo había prometido enviarle, recibió las asombrosas nuevas de que Galileo, a los 70 años de edad y a pesar de la sincera amistad que el poderoso Duque de Toscana tenía por él, había sido conducido a la Inquisición y forzado (22 de junio de 1633) a abjurar de rodillas, como una herejía, de la doctrina de Copérnico de que la Tierra se mueve alrededor del Sol. Descartes tan sólo podía hacer conjeturas acerca de lo que hubiera sucedido a Galileo de negarse a abjurar de sus conocimientos científicos, pero los nombres de Bruno, Vanini y Campanella vinieron a su memoria.
Descartes estaba abrumado. En su misma obra exponía el sistema de Copérnico como una cuestión ya admitida. De su propia cuenta había ido mucho más lejos que Copérnico o Galileo, debido a que estaba interesado en la teología de las ciencias, que a Copérnico y Galileo poco les importaba. Había demostrado, a su propia satisfacción, la necesidad del Cosmos tal como existe y le parecía que si Dios, hubiera creado cierto número de Universos diferentes, todos ellos, bajo la acción de la "ley natural", hubieran caído más pronto o más tarde en la línea de la necesidad y habrían evolucionado hasta constituir el Universo como, realmente es. Brevemente, Descartes, con su conocimiento científico, parecía conocer mucho más acerca de la naturaleza y caminos que Dios sigue, que el autor del Génesis o los teólogos. Si Galileo había sido forzado a abjurar de rodillas de su moderada y conservadora herejía, ¿qué podría esperar Descartes?
Decir que tan sólo el temor detuvo la publicación de Le Monde es no conocer la parte más importante de la verdad. No sólo estaba amedrentado, como cualquier individuo lo hubiera estado en su lugar; también estaba profundamente confundido. Se hallaba tan convencido de la verdad del sistema de Copérnico como de la infalibilidad del Papa. Ahora el Papa se le aparecía un necio al contradecir a Copérnico. Éste fue su primer pensamiento. Su enseñanza casuística, venía en su ayuda. De alguna forma, mediante alguna síntesis sobrehumana incomprensiblemente mística, el Papa y Copérnico podrían demostrar que ambos tenían razón. En consecuencia, Descartes esperaba confiadamente que llegaría el día en que podría contemplar con la serenidad filosófica el desvanecimiento de la aparente contradicción en una gloria de reconciliación. Era imposible para él dar la razón al Papa o a Copérnico. Suspendió, pues, la publicación de su libro, manteniendo su creencia en la infalibilidad del Papa y en la verdad del sistema de Copérnico. Como una satisfacción para sus opiniones subconscientes decidió que Le Monde fuese publicado después de su muerte. Para entonces quizá habría muerto el Papa y la contradicción habría quedado resuelta por sí misma.
La determinación de Descartes referíase a toda su obra. Pero en el año 1637, cuando Descartes tenía 41 años, sus amigos consiguieron que venciera su repugnancia y le indujeron a que permitiera la impresión de su obra maestra con el siguiente título: Discurso sobre el método de conducir rectamente la razón y buscar la verdad en las ciencias. Además, la dióptrica, meteoros y geometría, ensayos en este método. Su obra se conoce con el nombre abreviado El Método. Fue publicada el 8 de junio de 1637. Este es pues, el día en que la Geometría analítica surgió al mundo. Antes de señalar por qué esa Geometría es superior a la Geometría sintética de los griegos, terminaremos la biografía de su autor.
Después de haber dado las razones de la demora en la publicación, sólo nos queda contemplar el otro y más brillante lado de la historia. La Iglesia, a la que Descartes había temido, pero que jamás había estado contra él, le prestó más generosamente su ayuda. El Cardenal Richelieu concedió a Descartes el privilegio de publicar tanto en Francia como en el extranjero lo que quisiera escribir (de pasada podemos preguntarnos, sin embargo, qué derecho divino o humano puede tener el Cardenal Richelieu o cualquier otro mortal para dictar a un filósofo y hombre de ciencia lo que él debe o no debe publicar). Pero en Utrecht, Holanda, los teólogos protestantes condenaron salvajemente la obra de Descartes como atea y peligrosa para esa mística entidad conocida como "el Estado". El liberal Príncipe de Orange intervino con su gran influencia en favor de Descartes y el obstáculo fue vencido.
Desde el otoño de 1641, Descartes había estado viviendo en una pequeña aldea cerca de Hague, en Holanda, donde la exilada princesa Isabel, ahora ya una muchacha con una gran inclinación por aprender, se hallaba en el campo con su madre. La princesa parece haber sido un prodigio de inteligencia. Después de dominar seis lenguas y digerir abundante literatura, se encaminó hacia la Matemática y la ciencia en general, esperando encontrar alimento más nutritivo. El desusado apetito por aprender de esta muchacha se atribuye a un desengaño amoroso. Ni la Matemática ni las otras ciencias le satisfacían. Entonces el libro de Descartes cayó en sus manos y se dio cuenta de que había encontrado lo que necesitaba para llenar su doloroso vacío: Descartes. Fue arreglada una entrevista con el algo más predispuesto filósofo.
Es muy difícil comprender exactamente lo que le ocurrió después. Descartes era un gentleman, con toda la devoción y reverencia de un gentleman de aquellos tiempos galantes, aun para el último príncipe o la última princesa. Sus cartas son modelo de cortesana discreción, pero algo se encuentra en ellas que no siempre es totalmente exacto. Un malicioso párrafo, citado en determinado momento, probablemente nos dice más de lo que Descartes realmente pensaba de la capacidad intelectual de la princesa Isabel que lo que puedan decirnos todos los pliegos de sutil alabanza que Descartes escribiera acerca de su vehemente discípula, con un ojo en su estilo y el otro en la publicación después de su muerte.
Isabel insistía en que Descartes le diera lecciones. Oficialmente el filósofo declara que "de todos mis discípulos ella es la única que ha comprendido mis obras completamente". No hay duda que Descartes estaba encariñado con su discípula de un modo paternal, pero creer que lo que él dice es un juicio científico significa llevar la credulidad hasta el límite, a no ser que pretenda hacer un torcido comentario de su propia filosofía. Isabel puede haber comprendido mucho, pero paree que en realidad sólo un filósofo comprende completamente su propia filosofía, aunque cualquier necio crea comprenderla.
Entre otras partes de su filosofía Descartes expuso a su discípula el método de la Geometría analítica. Existe cierto problema en la Geometría elemental que puede ser fácilmente resuelto por la Geometría Pura y de un modo bastante fácil, pero que es un perfecto jeroglífico para ser tratado por la Geometría analítica en la estricta forma cartesiana. Se trata de construir un círculo que toque (sea tangente a tres círculos tomados al azar cuyos centros no se encuentran alineados. Hay ocho soluciones posibles. El problema es una muestra perfecta de una cuestión que no es apropiada a la fuerza bruta de la Geometría cartesiana elemental. Isabel lo resolvió por los métodos de Descartes. Fue una crueldad de él permitir que su discípula lo hiciera. La pobre muchacha estaba muy orgullosa de su hazaña. Descartes dijo que sería muy difícil encontrar la solución, pero realmente construyó el círculo tangente requerido en un mes. Esto demuestra mejor que otra cosa sus aptitudes para la Matemática.
Cuando Isabel abandonó Holanda mantuvo correspondencia con Descartes hasta casi el día de su muerte. Sus cartas son delicadas y sinceras, pero desearíamos realmente que no haya sido deslumbrado por el aura de la realeza.
En 1646 Descartes vivía en un feliz retiro en Egmond, Holanda, meditando, cuidando su pequeño jardín, y manteniendo una correspondencia de increíble abundancia con los intelectuales de Europa. Su máxima obra matemática ya había sido realizada, pero aún continuaba pensando en la Matemática, siempre con penetración y originalidad. Un problema al cual prestó gran atención fue el de Aquiles y la tortuga planteado por Zenón. La solución de la paradoja no puede ser universalmente aceptada en la actualidad, pero era ingeniosa para su época. A la sazón tenía 50 año, y era famoso en el mundo, mucho más famoso, en efecto, de lo que él hubiera pensado ser. El reposo y la tranquilidad, que ya creía gozar para toda su vida, volvieron a huir. Descartes continuaba realizando su gran obra, pero no, fue dejado en paz para que llevara a cabo todo lo que aún había dentro de él. La reina Cristina de Suecia había oído hablar de Descartes.
Esta mujer algo masculina, que entonces tenía 19 años, ya era una gobernante capaz que conocía los clásicos (aunque los conoció mejor más tarde), una atleta delgada y fuerte con la resistencia física del mismo Satán, una hábil cazadora, una experta amazona que permanecía 10 horas en la silla sin fatigarse, en fin, aunque era un ejemplo de feminidad, se había endurecido para el frío como un leñador sueco. A todo esto se asociaba cierta antipatía para las debilidades de la gente de piel menos curtida. Sus comidas eran frugales, y también las de sus cortesanos. Como una rana invernante, permanecía durante largas horas en una biblioteca sin fuego, en el corazón del invierno sueco, con los dientes apretados contemplaba las ventanas abiertas de par en par que dejaban penetrar la alegre nieve. Conocía todo lo que podía conocerse; así decían sus ministros y tutores. Como le eran suficientes cinco horas de sueño, mantenía a sus aduladores en pie durante las restantes. Cuando con sacro terror conoció la filosofía de Descartes decidió que debía incorporar a su corte al pobre dormilón, como instructor privado. Todos los estudios hasta entonces hechos le habían dejado hambrienta por conocer nuevas cosas. Como la erudita Isabel, la reina Cristina sabía que sólo las copiosas duchas de filosofía proporcionadas por el filósofo podrían aliviar su sed de conocimiento y sabiduría.
Descartes pudo haber resistido los halagos de la reina Cristina hasta que tuviera 90 años, y estuviera sin dientes, sin cabello, sin filosofía y sin nada, y Descartes se mantuvo firme hasta que ella envió al almirante Fleming, en la primavera de 1649, mandando un barco para él fletado. Toda la nave fue generosamente puesta a disposición del filósofo. Descartes pudo ir contemporizando hasta octubre, pero entonces, lanzando una última y triste mirada a su pequeño jardín, abandonó Egmond para siempre.
Su recepción en Estocolmo fue ruidosa aunque no se puede decir que real. Descartes no quiso vivir en palacio, aunque se le habían preparado habitaciones. Inoportunamente, amigos cariñosos, los Chanutes, le arrebataron la última esperanza que le quedaba de conservar un pequeño aislamiento, insistiendo en que viviera con ellos. Chanutes era un compatriota, pues se trataba del embajador francés. Todo pudo haber marchado bien, pues los Chanutes eran realmente muy cordiales, pero la tenaz Cristina seguía pensando que las cinco de la mañana era la hora más adecuada para que una mujer atareada pudiera dedicarse al estudio de la filosofía. Descartes hubiera cambiado todas las tozudas reinas de la cristiandad por un tranquilo sueño matinal en La Fléche, donde el culto padre Charlet vigilaba para que Descartes no se levantara demasiado pronto. Sin embargo, debía arrojarse del lecho cuando todavía era de noche, saltar sobre el carruaje que le enviaban para recogerle y atravesar la más despoblada y ventosa zona de Estocolmo, para llegar al palacio donde Cristina, sentada en la glacial biblioteca esperaba impacientemente su lección de filosofía, que debía comenzar a las cinco en punto.
Los más viejos habitantes de Estocolmo decían que jamás recordaban haber sufrido un invierno tan frío. Cristina parecía estar privada de piel y de nervios. No se daba cuenta de nada y esperaba inflexiblemente a Descartes en su terrible rendez-vous. Descartes intentaba reposar acostándose durante las tardes, pero pronto la reina también le privó de ello. Una Real Academia Sueca de Ciencias se estaba gestando en su prolífica actividad y Descartes debía ayudar al alumbramiento.
Bien pronto se dijo entre los cortesanos que Descartes y su reina hablaban mucho más que de filosofía en estas interminables conferencias. El filósofo se daba ahora cuenta de que se había metido con ambos pies en un nido de avispas. Los cortesanos le punzaban siempre y siempre que podían. Entre tanto la reina o era tan sorda que no se daba cuenta de lo que se decía de su nuevo favorito o se daba demasiada cuenta y punzaba a sus cortesanos a través de su filósofo.
De todos modos, para silenciar los maliciosos chistes de "influencia extranjera", resolvió hacer un sueco de Descartes, y así lo hizo por real decreto. Cuanto mayor era su desesperación, más profundamente se hundía en aquel avispero. A primero de enero de 1650 estaba ya hasta la punta de los pelos, y sólo de un milagro de grosería podía esperar el recobro de su libertad. Pero con su ingénito respeto por la realeza no podía pronunciar las mágicas palabras que le hubieran devuelto rápidamente a Holanda, y así lo confesaba con la mayor cortesía, en una carta a su devota Isabel. Intentó interrumpir una de las lecciones de griego. Con gran asombro Descartes observó que la elogiada experta en los clásicos se detenía en puerilidades gramaticales que, según él decía, había aprendido por sí mismo cuando era un muchachuelo. Por tanto, la opinión que tenía de su talento, aunque respetuosa, era mala. Ante su insistencia de que preparara un ballet para deleite de sus huéspedes en una corta función, se negó absolutamente a convertirse en un payaso, aprendiendo a su edad las cabriolas de los lanceros suecos.
Por entonces, Chanutes cayó gravemente enfermo de pulmonía. Descartes le cuidó. Chanutes se restableció, pero Descartes cayó enfermo de la misma enfermedad. La reina se alarmó y envió sus médicos, pero Descartes ordenó que abandonaran la habitación. Cada vez se sentía peor. Incapaz en su debilidad de distinguir amigos de enemigos, consintió al fin ser sangrado por el más tenaz de los doctores, un amigo personal que estuvo esperando todo el tiempo a que se le concediera entrar. El doctor casi acabó con él, pero no completamente.
Sus buenos amigos, los Chanutes, observando que estaba muy grave, sugirieron que lo mejor sería administrarle el último Sacramento. Descartes expresó el deseo de ver a su consejero espiritual. Encomendando su alma a la merced de Dios, Descartes enfrentó tranquilamente su muerte, pidiendo que el sacrificio de su vida le redimiera de sus pecados. La Fléche le atendió hasta última hora, y el consejero, le preguntó si deseaba la última bendición. Descartes abrió los ojos y los cerró. Le fue dada la bendición. Así murió el 11 de febrero de 1650, a los 54 años de edad, sacrificado por la impetuosa vanidad de una tozuda muchacha.
Cristina lamentó su muerte. Diecisiete años más tarde, cuando ella ya había renunciado al trono, los huesos de Descartes fueron devueltos a Francia (todos, excepto los de la mano derecha, que fueron conservados por el tesorero general francés como pago de la habilidad desplegada para conseguir el cadáver), y últimamente enterrados en París donde ahora es el Panteón. Por orden de la Corona fueron severamente prohibidas las doctrinas de Descartes que todavía estaban demasiado candentes para que el pueblo las descubriera. Comentando la vuelta de los restos de Descartes a su nativa Francia, Jacobi hizo notar que "muchas veces es más conveniente poseer las cenizas de los grandes hombres que albergar a esos hombres durante su vida".
Poco después de su muerte, los libros de Descartes fueron incluidos; en el Index de la Iglesia, aunque, obedeciendo la sugestión del Cardenal Richelieu, había permitido su publicación durante la vida del autor. "No hay mucha consecuencia en estos actos." Pero a los fieles poco les importa la consecuencia, el coco de las mentes estrechas y el veneno de los inconsecuentes fanáticos.
No nos ocuparemos aquí de la contribución monumental que Descartes hizo a la filosofía, ni tampoco podemos detenernos en su brillante intervención en la aurora del método experimental. Todo esto cae fuera del campo de la Matemática pura, en la que quizá se encuentra su obra máxima. A pocos hombres les es dado renovar todo un campo del pensamiento humano; Descartes fue uno de ellos. Describiremos brevemente la más brillante de sus grandes contribuciones, omitiendo todas las muchas y bellas cosas que realizó en Álgebra y particularmente en la notación algebraica y la teoría de ecuaciones. Se trata de algo de orden más elevado, que se caracteriza por la amable simplicidad que tienen esa media docena de las más grandes contribuciones que se han hecho a la Matemática. Descartes rehízo la Geometría e hizo posible la Geometría moderna.
La idea básica; como la de todas las grandes cosas en Matemática, es muy simple y obvia. Si se trazan sobre un plano dos rectas que se cortan, podremos aceptar que las líneas forman ángulos rectos u otro tipo cualquiera de ángulos. Imaginemos ahora una ciudad construida siguiendo el plan americano, cuyas avenidas marchan de Norte a Sur y las calles de Este a Oeste. Todo el plan queda trazado con respecto a una avenida y a una calle llamadas ejes, que se cortan en lo que se denomina el origen, desde el cual se numeran consecutivamente calles y avenidas. Así se aprecia claramente, sin necesidad de un esquema, dónde se halla la calle 126: 1002 al Oeste teniendo en cuenta que 10 avenidas suman el número 1002, y luego hay que dirigirse hacia el Oeste, es decir, sobre el mapa a la izquierda del origen. Esto nos es tan familiar que nos es fácil fijar instantáneamente la posición de cualquier dirección. El número de las avenidas y el número de las calles con los necesarios suplementos de números más pequeños (como el "2" el "1002") nos capacita para establecer definitiva e inequívocamente la posición de cualquier punto con respecto a los ejes, pues se conoce el par de números que miden su Este-Oeste y su Norte-Sur desde los ejes.

Este par de números se llama las coordenadas del punto (con respecto a los ejes).
Supongamos ahora un punto que se mueve sobre el mapa. Las coordenadas (x, y) de todos los puntos en la curva sobre la cual se mueve estarán ligadas por una ecuación (esto debe ser aceptado por el lector que jamás ha trazado un gráfico), que se llama la ecuación de la curva. Supongamos ahora para simplicidad que nuestra curva es una circunferencia. Tenemos su ecuación. ¿Qué podemos hacer con ella? En lugar de esta particular ecuación, podemos escribir una más general del mismo tipo (por ejemplo, la de segundo grado cuyos coeficientes de las variables multiplicados entre sí den el término independiente y luego proceder a tratar esta ecuación algebraicamente. Finalmente referiremos los resultados de todas nuestras manipulaciones algebraicas en sus equivalentes en función de las coordenadas de puntos en el diagrama, que todo este tiempo habíamos olvidado deliberadamente. El Álgebra es más fácil de ver así que una tela de araña de líneas en la forma griega de la Geometría elemental. Lo que hemos hecho es utilizar nuestra Álgebra para el descubrimiento e investigación de teoremas geométricos referentes a circunferencias.

Para líneas rectas y circunferencias esto parece no ser muy necesario, pues ya sabemos cómo resolverlo de otra forma, según el método griego. Pero, ahora, llegamos al verdadero poder del método. Partimos de ecuaciones de cualquier grado deseado o sugerido de complejidad e interpretamos sus propiedades algebraicas y analíticas geométricamente. Por tanto, hemos renunciado a que la Geometría sea nuestro piloto; le hemos atado un saco de ladrillos a su cuello antes de lanzarla por la borda. El Álgebra y el Análisis serán nuestros pilotos en los mares desconocidos "espacio" y su "geometría". Todo lo que hemos dicho puede extenderse a un espacio de cualquier número de dimensiones; para el plano necesitamos dos coordenadas, para el espacio "sólido" ordinario tres; para la Geometría de la mecánica y la relatividad, cuatro; y, finalmente, para el espacio, como los matemáticos lo imaginan, n coordenadas, o tantas coordenadas como son todos los números 1, 2, 3,... o tantas como existen en todos los puntos de una línea. Esto es batir a Aquiles y a la tortuga en su carrera.
Descartes no revisó la Geometría; la creó. Parece lógico que sea un eminente compatriota de Descartes el que diga la última palabra, y por ello citaremos las de Jacques Hadamard. Dicho autor hace notar primeramente que la simple invención de las coordenadas no es el mayor mérito de Descartes, debido a que ya había sido hecha "por los antiguos": un juicio que únicamente es exacto si nosotros consideramos la intención no expresada como un hecho no cumplido. El infierno está empedrado con las ideas semicocidas de los "antiguos", que jamás las podrían haber cocido en su propio horno.
"Es una cosa completamente diferente considerar (como en el uso de las coordenadas) un método general y seguir hasta el fin la idea que representa. Es exactamente este mérito, cuya importancia todos los matemáticos conocen, el que hay que atribuir a la Geometría de Descartes. Es así como llegó a lo que... es un verdadero gran descubrimiento en la materia: la aplicación del método de las coordenadas, no sólo para hacer la transformación de ecuaciones de las curvas ya definidas geométricamente, sino contemplando la cuestión desde un punto de vista exactamente opuesto, para una definición a priori de curvas cada vez más complicadas y, por tanto, más y más general.
"Directamente, con Descartes mismo, más tarde indirectamente, al volver en el siguiente siglo en dirección opuesta, se ha revolucionado, todo el concepto del objeto de la ciencia matemática. Descartes comprendió la significación de lo que había hecho y con razón decía, cuando quería alardear, que había superado la Geometría anterior a él en el mismo grado que la retórica de Cicerón superó el ABC."
Capítulo 4
El Príncipe de los Aficionados
FERMAT
He encontrado gran número de teoremas
extraordinariamente bellos.
P. Fermat

Newton parece haber considerado su Matemática como un instrumento para la exploración científica, y puso su mayor esfuerzo en esta última. Fermat, en cambio, era más atraído por la Matemática pura, aunque también hizo notables trabajos en las aplicaciones de la Matemática a la ciencia, particularmente a la óptica. La Matemática entró en su fase moderna con la publicación de Descartes de la Geometría analítica en 1637 y fue aún durante muchos años de tan modesto desarrollo que un hombre de talento podía esperar hacer grandes cosas tanto en la forma pura como en la forma aplicada.
Como matemático puro, Newton alcanzó su culminación con la invención del Cálculo infinitesimal, que también se debe, independientemente, a Leibniz. Más adelante nos detendremos sobre estas cuestiones, pero ahora haremos notar que Fermat concibió y aplicó la idea directriz del Cálculo diferencial trece años antes de que naciera Newton y diecisiete antes de que naciera Leibniz, aunque no llegó a reducir, como hizo Leibniz, su método a una serie de reglas comunes, que hasta un bobo puede aplicar a fáciles problemas.
Del mismo modo, Descartes y Fermat inventaron la Geometría analítica independientemente uno de otro. La mayor parte del esfuerzo de Descartes corresponde a la investigación científica del tipo más variado, a la elaboración de su filosofía y a su disparatada "teoría de los torbellinos" del sistema solar, que aun en Inglaterra fue durante largo tiempo una seria rival de la más bella, más sencilla y no metafísica teoría newtoniana de la gravitación universal. Parece que Fermat jamás fue tentado, como Descartes y Pascal, a filosofar, por una engañosa seducción acerca de Dios, del hombre y del Universo como un todo; así, después de haber realizado su labor en el Cálculo y la Geometría analítica y de haber vivido una vida serena, de arduo trabajo, con el que ganó lo necesario para su vida, tuvo tiempo para dedicar el resto de sus energías a su distracción favorita, la Matemática pura, y cumplir su más grande obra, la fundación de la teoría de números, sobre la cual reposa indiscutido y única su inmortalidad.
Recordaremos también que Fermat participó con Pascal en la creación de la teoría matemática de la probabilidad. Si todas estas adquisiciones de primera categoría no son suficiente para ponerle a la cabeza de sus contemporáneos en la Matemática pura, podemos preguntarnos: ¿quién hizo más? Fermat era creador ingénitamente. Era también, en el estricto sentido de la palabra, en lo que se refiere a su ciencia de la matemática, un aficionado. Sin duda es uno de los más grandes aficionados en la historia de la ciencia, y quizá "Sea el primero". La vida de Fermat fue tranquila y laboriosa, pues tuvo una extraordinaria suerte. Los hechos esenciales de su pacífica carrera pueden ser rápidamente referidos. Hijo del comerciante en pieles Dominique Fermat, segundo cónsul de Beaumont, y Claire de Long, hija de una familia de juristas parlamentarios, el matemático Pierre Fermat nació en Beaumont de Lomagne, Francia, en el mes de agosto de 1601 (la fecha exacta es desconocida, el día del bautismo fue el 20 de agosto). Su primera educación la recibió en el hogar, en su ciudad nativa; sus estudios posteriores para la preparación a la magistratura fueron continuados en Toulouse. Como Fermat vivió tranquilo y reposadamente, evitando las disputas sin provecho, y como no tuvo una cariñosa hermana como Gilberte, la hermana de Pascal, que recordara sus prodigios de adolescente para la posteridad, poco es lo que se sabe de sus años de estudio. Deben haber sido brillantes, pues los descubrimientos de su madurez dan prueba de ello. Ningún hombre sin un sólido fundamento en sus estudios previos pudo haber sido el conocedor de los clásicos y el notable literato que Fermat fue. Su maravillosa obra en la teoría de números y en la Matemática en general no puede ser referida a la Instrucción que recibió, pues los campos donde hizo su máximo descubrimiento no estaban abiertos cuando era estudiante.
Los únicos acontecimientos dignos de mención en su vida privada son su instalación en Toulouse, a la edad de 30 años (14 de mayo de 1631, como magistrado); su matrimonio el 1° de junio del mismo año, con Louise de Long, prima de su madre, que le dio tres hijos, uno de ellos, Clément Samuel, que llegó a ser el albacea científico de su padre, y dos hermanas que fueron monjas; su ascenso en 1648 a la Conserjería Real en el Parlamento local de Toulouse, cargo que desempeñó con dignidad y gran talento durante 17 años; toda la obra de su vida, durante 34 años, dedicada al fiel servicio del Estado, y, finalmente, su muerte en Castres, el 12 de enero de 1665, a los 65 años. ¿"Historia"? Fermat podía haber dicho: "Os bendigo señor, no tengo ninguna". Y con esta tranquila, honesta y escrupulosa vida, a este hombre corresponde una de las más preclaras historias en la historia de la Matemática.
Su historia es su obra, su recreo más bien, dado el gran amor que tuvo por ella, y lo mejor es su simplicidad, que permite a cualquier escolar de una inteligencia normal comprender su naturaleza y apreciar su belleza. La obra de este príncipe de los aficionados matemáticos ha ejercido una irresistible atracción para los aficionados a la Matemática en todos los países civilizados, durante los últimos tres siglos. Esta obra, la teoría de números, como se llama, es probablemente un campo de la Matemática donde cualquier aficionado de talento puede aún esperar el hallazgo de algo interesante. Echaremos una ojeada sobre sus otras contribuciones, después de mencionar de pasada su "erudición singular" en lo que muchos llaman humanidades. Sus conocimientos de las principales lenguas europeas y de la literatura de la Europa continental eran muy grandes y completos, y la filología griega y latina le son deudoras de diversas e importantes correcciones. En la composición de versos latinos, franceses y españoles, una de las tareas galantes de su época, mostró gran habilidad y fino gusto. Podemos comprender su vida tranquila pensando que se trataba de un hombre afable sin crítica aguda ni violenta (como Newton en sus últimos días) y sin orgullo aunque con cierta vanidad, que Descartes, su opuesto en todos los respectos, caracterizaba diciendo: "Mr. de Fermat es un gascón; yo no lo soy". La alusión a los gascones puede, posiblemente, referirse a cierto tipo amable de fanfarronería que algunos escritores franceses. (Por ejemplo, Rostand, en Cyrano de Bergerac, acto II, escena 7), atribuyen a los hombres de Gascuña. Puede ser que se encuentre este tipo de fanfarronería en las cartas de Fermat, pero siempre sencillas, e inofensivas. En cuanto a Descartes, hay que reconocer que no era exactamente un juez imparcial. En efecto, recordaremos que su tozudez, propia del soldado, fue la causa de que ocupara un mal segundo puesto en su prolongada lucha con el "gascón" acerca de un problema de extraordinaria importancia, el problema de las tangentes.
Considerando la naturaleza de, los deberes oficiales de Fermat y la importancia de los hallazgos de Matemática que realizó, algunos se asombran de cómo pudo encontrar tiempo para todo. Un crítico francés sugiere una probable solución: que el trabajo de Fermat como consejero del Rey fue una ayuda más que un obstáculo a sus actividades intelectuales. A diferencia de otros empleados públicos, los consejeros parlamentarios debían mantenerse apartados de sus conciudadanos y abstenerse de actividades sociales innecesarias que podían dar lugar a corrupciones y soborno en las actividades de su oficio. Así Fermat dispuso de gran cantidad de horas para dedicarse a sus trabajos.
Nos ocuparemos ahora brevemente, del papel desempeñado por Fermat en la evolución del Cálculo. Como hemos hecho notar en el capítulo sobre Arquímedes, un equivalente geométrico del problema fundamental del Cálculo diferencial es trazar la tangente a un arco continuo de una curva en un punto dado cualquiera.
Brevemente puede definirse el "continuo" como "uniforme, sin, rotura o repentinos saltos", y dar una definición matemática exacta requeriría numerosas páginas de definiciones y sutiles distinciones que seguramente dejarían asombrados a los inventores del Cálculo, incluyendo a Newton y Leibniz. Y también puede sospecharse que si todas esas sutilezas, que los modernos estudiosos exigen, se hubieran presentado a los inventores, el Cálculo jamás habría sido inventado.

El siguiente paso fue trasladar esto al lenguaje algebraico o analítico. Conociendo las coordenadas x, y del punto P en la gráfica, y las x + a, y + b , de Q antes de que Q se haya movido hasta coincidir con P, basta examinar la gráfica para ver que la inclinación de la cuerda PQ es igual a b/a : evidentemente una medida de la "pendiente" de la curva con relación al eje de las x (la línea a lo largo de la cual se miden las distancias x ); esta "pendiente" es, precisamente, lo que se entiende por inclinación.

Este no es exactamente el proceso de Fermat para trazar tangentes, pero su método es muy semejante al que acabamos de explicar.
¿Por qué es digno todo esto de que cualquier hombre racional o práctico le preste seria atención? Se trata de una larga historia, y sólo haremos aquí una ligera mención, reservándonos ampliarla al hablar de Newton. Una de las ideas fundamentales en dinámica es la de velocidad de una partícula en movimiento. Si establecemos en una gráfica el número de unidades de longitud que recorre la partícula en una unidad de tiempo frente al número de unidad de tiempo, trazaremos una línea, recta o curva, que describa simplemente el movimiento, de la partícula y la pendiente de esta línea en un punto dado de ella, tendremos la velocidad de la partícula en el instante correspondiente al punto; mientras más rápidamente se mueva la partícula, tanto más escarpada será la inclinación de la línea tangente. Esta inclinación debe, en efecto, medir la velocidad de la partícula en cualquier punto de su camino. El problema del movimiento, cuando se lleva a la Geometría, es el de hallar la inclinación de la línea tangente en un punto determinado de una curva. Existen problemas similares que están en relación con los planos tangentes a las superficies (que también tiene importantes interpretaciones en la mecánica y en la física matemática) y todos ellos deben ser tratados por el Cálculo diferencial, cuyo problema fundamental hemos intentado describir, tal como se presentó a Fermat y sus sucesores.
De lo ya dicho puede deducirse otro uso de este Cálculo. Suponga que cierta cantidad y es una "función" de otra, t , y se expresa y = f (t), lo que significa que cuando cualquier número dado, por ejemplo 10, sustituye a t , es f (10) "función f de 10" podemos deducir, de la expresión algebraica de f dada, el valor correspondiente de y , o sea y = f (10). Para ser explícitos supongamos que f(t) es esa particular "función" de t que se expresa en Álgebra por t 2 , o t*t . Entonces, cuando t = 10, tendremos y = f (10), y, por tanto, y = 10 2 = 100, para este valor de t ; cuando t = 1/2, y = 1/4 así sucesivamente, para cualquier valor de t .
Todo esto es familiar para quien haya recibido su educación media en una época que no se remonte a más de 30 ó 40 años, pero algunos pueden haber olvidado lo que estudiaron en Aritmética siendo niños, lo mismo que otros no pueden declinar el latín "mensa" para salvar sus almas. Pero incluso el más olvidadizo verá que podemos hacer una gráfica de y = f (t) para cualquier forma particular de f (cuando f (t) es t 2 , la gráfica es una parábola parecida a un arco invertido. Imaginemos la gráfica trazada. Si se hallan en ésta el punto máximo o el mínimo , el punto más superior o el más inferior que los que se hallan en sus inmediatas proximidades, observaremos que la tangente en cada uno de estos máximos o mínimos es paralela al eje t . Es decir, la inclinación de la tangente en tal extremo (máximo o mínimo) de f (t) es cero.
Así, si estamos buscando el extremo de una función determinada f ( t ), debemos resolver también nuestro problema de inclinación para la curva particular y = f (t), y habiendo encontrando la inclinación para el punto general t, y , igualar a cero la expresión algebraica de esta inclinación para encontrar los valores de t correspondientes al extremo . Esto es, sustancialmente, lo que Fermat hizo con su método de máximos y mínimos inventado en 1628 - 29, aunque no fue hecho semipúblico hasta 10 años más tarde, cuando Fermat envió su exposición a Descartes a través de Mersenne.

Según este principio, si un rayo de luz pasa desde un punto A a otro punto B reflejándose y refractándose (refracción significa el cambio de dirección al pasar desde el aire al agua o a través de una gelatina de densidad variable) durante su paso, el camino que sigue puede ser calculado (todos los quiebros y desviaciones debidos a la refracción y todas sus vueltas debidas a la reflexión) gracias a la simple exigencia de que el tiempo empleado para pasar desde A a B será un "extremo". [6]
De este principio Fermat dedujo las conocidas leyes de la reflexión y de la refracción: el ángulo de incidencia (en la reflexión) es igual al ángulo de reflexión; el seno del ángulo de incidencia (en la refracción) es una constante igual al número de veces el seno del ángulo de refracción al pasar desde un medio a otro.
La cuestión de la Geometría analítica ya ha sido mencionada; Fermat fue el primero que la aplicó al espacio de tres dimensiones. Descartes se contentó con dos dimensiones. La extensión, familiar a todos los estudiantes actuales, ya no aparece evidente por sí misma, incluso para un hombre de talento, desde los desarrollos de Descartes. Puede decirse que existe de ordinario mayor dificultad para encontrar una extensión significativa de un tipo particular de Geometría desde el espacio de dos dimensiones al de tres, que las que existen al pasar desde tres a cuatro o cinco... o n dimensiones. Fermat corrigió a Descartes en un punto esencial (el de la clasificación de las curvas por sus grados). Parece, pues, natural que el agrio Descartes luchara contra el imperturbable "gascón" Fermat. El soldado era muchas veces irritable y áspero en sus controversias sobre el método de las tangentes de Fermat, yel equilibrado jurista siempre se manifestaba serenamente cortés. Como ocurre de ordinario, el hombre que mantiene la calma encuentra mejores argumentos. Pero Fermat obtuvo la victoria no porque fuera un polemista más hábil, sino porque tenía razón.
De pasada diremos que Newton tuvo que haber oído hablar del empleo del Cálculo hecho por Fermat. Hasta el año 1934 no había sido publicada ninguna prueba de que así haya ocurrido, pero en ese año el profesor L. T. More recuerda en su bibliografía de Newton una carta, hasta entonces desconocida, en la que Newton dice explícitamente que el método de Fermat de trazar tangentes le sugirió el método del Cálculo diferencial.
Volvamos ahora a la máxima obra de Fermat, inteligible a todos los matemáticos y aficionados, la llamada "teoría de números", o "Aritmética superior", o finalmente, para usar el nombre sencillo que era suficiente para Gauss, Aritmética.
Los griegos separaron todo lo que hoy reunimos en los textos elementales bajo el nombre de Aritmética en dos diferentes secciones, Logística y Aritmética ; la primera se refiere a las aplicaciones prácticas para el comercio y la vida diaria general; la segunda, la Aritmética, en el sentido de Fermat y de Gauss, intenta descubrir las propiedades de los números como tales.
La Aritmética en sus esenciales y, probablemente, más difíciles problemas, investiga las relaciones mutuas de los números naturales 1, 2, 3, 4, 5,... que nosotros enumeramos casi tan pronto como aprendemos a hablar. Al esforzarse por dilucidar estas razones, los matemáticos han sido llevados a la invención de sus sutiles y abstrusas teorías, cuyas selvas de problemas técnicos oscurece los problemas iniciales, los que se refieren a 1, 2, 3, 4, 5,... con la real justificación de que así se encuentra la solución de estos problemas. Mientras tanto los resultados secundarios de esas investigaciones al parecer inútiles recompensan ampliamente a quienes emprendieron la tarea de encontrar numerosos métodos útiles aplicables a otros campos de la Matemática que tiene contacto directo con el universo físico. Para mencionar un ejemplo, la última fase del Álgebra, que en la actualidad es cultivada por los algebristas y que lanza una luz completamente nueva sobre la teoría de ecuaciones algebraicas, encuentra origen directo en los ensayos de Fermat para establecer el simple último teorema (que será, expuesto cuando hayamos preparado el camino).
Comenzamos con un famoso juicio que Fermat hizo acerca de los números primos. Un número natural primo o, brevemente, un número primo es cualquier número mayor que 1 que tiene como divisores exactos (sin dejar resto) únicamente 1 y al mismo número. Por ejemplo, 2, 3, 5, 7, 13, 17 son primos, y también los son 257, 65, 537. Pero, 4294967297 no es primo, porque admite el divisor 641, ni tampoco lo es el número 18446744073709551617, que es exactamente divisible por 274177; ambos números 641 y 274177 son primos. Cuando en Aritmética decimos que un número tiene como divisor otro número, o es divisible por otro, queremos decir que es exactamente divisible (el resto es cero). Así 14 es divisible por 7; 15 no lo es. Los dos números grandes que hemos mencionado antes premeditadamente deben esa mención a una razón que rápidamente encontraremos. Recordaremos además otra definición: la potencia n -ésima de un número, por ejemplo N , es el resultado de multiplicar n veces N y se escribe N n ; así 5 2 = 5 * 5 = 25; 8 4 = 8 * 8 * 8 * 8 = 4.096. Por razones de uniformidad N se puede escribir N 1 [potencia primera].
Por otra parte, una "pagoda" como ((2) 3 ) 5 significa que primero debemos calcular 35 = 243, y entonces "elevar" 2 a esta potencia, 2 243 ; el número resultante tiene 74 cifras.
El siguiente punto es de gran importancia en la vida de Fermat y también en la historia de la Matemática. Consideremos los números 3, 5, 17, 257, 65537. Todos ellos pertenecen a una "sucesión" de un tipo especial debido a que todos están engendrados (con 1 y 2), por el mismo simple proceso que aquí puede verse:
3 = 2 + 1; 5 = 2 2 + 1; 17 = 2 4 + 1; 257 = 2 8 + 1; 65537 = 2 16 + 1;
y si tenemos el cuidado de comprobar el cálculo podemos fácilmente ver que los dos grandes números mencionados antes son 2 32 + 1 y 2 64 + 1, también números de la sucesión. Tenemos así siete números pertenecientes a esta sucesión; y los cinco primeros de estos números son primos, mientras los dos últimos no lo son.Observando cómo se compone la sucesión, notaremos que los "exponentes" (los números escritos superiormente que indican a qué potencia se eleva 2) son 1, 2, 4, 8, 16, 32, 64, y veremos que son 1 (que se puede escribir 2 0 , como en Álgebra, si queremos hacerlo por uniformidad), 2 1 , 2 2 , 2 3 , 2 4 , 2 5 , 2 6 . Efectivamente, nuestra sucesión es ((2) 2 ) n + 1 donde n toma los valores 0, 1, 2, 3, 4, 5, 6. No es preciso detenerse en n = 6; cuando n = 7, 8, 9..., podemos continuar indefinidamente la sucesión obteniendo números cada vez más enormes.
Supongamos ahora que deseamos descubrir si un determinado número de esa sucesión es primo. Aunque existan muchos cálculos abreviados, y numerosos divisores de ensayo puedan ser rechazados por inspección, y aunque la moderna Aritmética limita los tipos de divisores de ensayo que es necesario someter a prueba, nuestro problema requiere la misma laboriosidad que requeriría dividir el número dado por los primos 2, 3, 5, 7.... que son menores que la raíz cuadrada entera del número. Si ninguno de ellos divide exactamente al número, éste será primo. No es necesario decir que el trabajo que significa ese ensayo, aunque se utilicen las formas abreviadas conocidas, es prohibitivo, incluso para valores de n tan pequeños como 100. (El lector puede asegurarse por sí mismo de esto intentando estudiar el caso n = 8).
Fermat afirmó que estaba convencido de que todos los números de la sucesión son primos . Los números mencionados (correspondientes a n = 5, 6) le contradicen, según hemos visto. Éste es el punto de interés histórico que nosotros deseamos mostrar: Fermat hizo erróneas conjeturas, pero jamás pretendió haber probado su conjetura. Algunos años más tarde emitió un confuso juicio, referente a lo que él había hecho, del que algunos críticos infieren que se había engañado. La importancia de este hecho se verá más adelante.
Como una curiosidad psicológica podemos mencionar que Zerah Colburn, el muchacho calculador americano a quien se preguntó si el sexto número de Fermat (4294967297) era o no primo, replicó, después de un breve cálculo mental, que no lo era, y que tenía por divisor 641. Fue incapaz de explicar el proceso en virtud del cual había llegado a esta conclusión correcta. Más tarde volveremos a ocuparnos de Colburn (en relación con Hamilton).
Antes de terminar con los "números de Fermat" ((2) 2 ) n + 1, volveremos la mirada hacia el siglo XVIII, época en que estos misteriosos números fueron en parte responsables de uno de los dos o tres acontecimientos más importantes en toda la larga historia de la Matemática. Por algún tiempo, un muchacho de 18 años había dudado, según la tradición, si dedicaría su soberbio talento a la Matemática 0 a la Filología. Tenía igual aptitud para ambas. Lo que le decidió fue un bello descubrimiento en relación con un simple problema de Geometría elemental, que es familiar a todos los escolares.
Un polígono regular de n lados, tiene todos sus n lados iguales y todos sus n ángulos también iguales. Los antiguos griegos encontraron pronto la manera de construir polígonos regulares de 3, 4, 5, 6, 8, 10, y 15 lados, por el uso, tan sólo, de la regla y el compás, y es fácil, con los mismos instrumentos, construir partiendo de un polígono regular que tenga un número determinado de lados otro polígono regular que tenga doble número de lados. El paso siguiente fue construir con eso mismos instrumentos polígonos regulares de 7, 9, 11, 13,... lados. Muchos buscaron el método, pero no llegaron a encontrarlo, debido a que tales construcciones son imposibles, aunque no lo sabían. Después de un intervalo de más de 2200 años, el muchacho que dudaba entre las Matemática y la Filología dio el siguiente paso hacia adelante.
Como ya se ha indicado, es suficiente considerar tan sólo polígonos que tengan un número impar de lados. El muchacho demostró que la construcción con regla y compás de un polígono regular que tenga un número impar de lados tan sólo es posible cuando el número es o bien un número primo de Fermat (es decir, un primo de la forma ((2) 2 ) n + 1, o se obtiene multiplicando entre sí diferentes primos de Fermat. Por tanto, la construcción es posible para 3, 5, ó 15 lados como los griegos sabían, pero no para 7, 9, 11, ó 13 lados, y es también posible para 17, ó 257 ó 65537 o para el primo siguiente en la sucesión de Fermat 3, 5, 17, 257, 65537, ... si existe , si bien nadie lo conoce todavía (1936), y la construcción es también posible para 3* 17 ó 5 *257 * 65537 lados, y así sucesivamente. Este descubrimiento, anunciado el 1° de junio de 1796, aunque hecho el 30 de marzo, fue el que indujo al muchacho a elegir la Matemática en lugar de la Filología como la obra de su vida. Su nombre era Gauss.
Un descubrimiento de otro tipo que Fermat hizo respecto a los números es el llamado "Teorema de Fermat" ( no su "último teorema"). Si n es cualquier número entero y p cualquier primo, entonces, n p - n es divisible por p . Por ejemplo, tomando p = 3 y n = 5, tendremos 5 3 - 5, ó 125-5, que es 120, o también 3 * 40; para n = 2, p = 11, tendremos 2 11 - 2, o sea 2048 - 2, que es 2046 = 11*186.
Es difícil o quizá imposible saber por qué algunos teoremas en Aritmética se consideran "importantes", mientras otros igualmente difíciles de probar son considerados triviales. Un criterio, aunque no necesariamente concluyente, es que el teorema pueda usarse en otros campos de la Matemática. Otro criterio es el de que sugiera investigaciones en Aritmética o en Matemática en general, y un tercer criterio es que en algún respecto sea universal. El teorema de Fermat justamente satisface todas esas algo arbitrarias exigencias: es de uso indispensable en muchas partes de la Matemática, incluyendo la teoría de grupos (véase capítulo XV) que, a su vez, es la raíz de la teoría de ecuaciones algebraicas; ha sugerido muchas investigaciones, entre las cuales puede mencionarse como un ejemplo importante todo el estudio de las raíces primitivas; finalmente, es universal, en el sentido, de que juzga una propiedad de todos los números primos, esas propiedades generales son extremadamente difíciles de encontrar y se conocen muy pocos casos.
Como de ordinario en él, Fermat expuso su teorema np - n sin prueba. La primera fue dada por Leibniz en un manuscrito sin fecha, pero parece que descubrió la demostración antes de 1683. El lector puede igualmente ensayar su capacidad intentando obtener una prueba. Todo lo necesario se reduce a los siguientes datos, que pueden ser probados o supuestos para ese fin: Un número entero determinado puede ser construido tan sólo de un modo, aparte de las alteraciones de los factores, multiplicando números primos; si un primo divide al producto (resultante de la multiplicación) de dos números enteros, dividirá al menos uno de ellos. Por ejemplo: 24 = 2 * 2 * 2 * 3, y 24 no puede ser obtenido por la multiplicación de primos en ninguna, forma esencialmente diferente: por ejemplo,
2 * 2 * 2 * 3
2 * 2 *3 * 2
2 * 3 * 2 * 2
3 * 2 * 2 * 2
7 divide a 42, y 42 igual 2 * 21 = 3 * 14 = 6 * 7
en cuyas operaciones 7 divide al menos uno de los números que se multiplican para obtener 42; del mismo modo, 98 es divisible por 7, y 98 = 7 * 14, en cuyo caso 7 divide tanto a 7 como a 14, y, por tanto, al menos uno de ellos. Partiendo de estos dos hechos puede obtenerse la prueba en menos de media página. Se halla dentro de la comprensión de cualquier muchacho normal de 14 años, pero se puede apostar que de un millón de seres humanos de inteligencia normal de cualquier edad, menos de 10, entre los que no han aprendido más Matemática que la Aritmética escolar, conseguirán encontrar una prueba dentro de un tiempo razonable es decir, un año.Éste parece ser el lugar adecuado para citar algunas famosas observaciones de Gauss, que se refieren al campo favorito de los estudios de Fermat. La traducción al inglés se debe al aritmético irlandés H. J. S. Smith (1826 - 1863) correspondiente a la introducción de Gauss a los trabajos matemáticos de Eisenstein publicado en 1847.
"La Aritmética superior nos presenta una inagotable serie de verdades interesantes, de verdades que no están aisladas, sino que se encuentran en una íntima conexión interna, y entre las cuales, a medida que nuestro conocimiento aumenta, vamos descubriendo continuamente nuevos e inesperados vínculos. Una gran parte de estas teorías presenta, además, la peculiaridad de que proposiciones importantes que tienen el sello de la simplicidad son muchas veces fácilmente descubribles por inducción, y sin embargo, tienen un carácter tan profundo que no podemos encontrar su demostración hasta después de muchos ensayos, y aun entonces, cuando conseguimos triunfar, ha sido muchas veces mediante procesos penosos y artificiales, mientras los métodos más simples pueden permanecer gran tiempo ocultos."
Una de estas interesantes verdades que Gauss menciona es considerada por algunos como la más bella (pero no lo más importante) que Fermat ha descubierto acerca de los números: todo número primo de la forma 4 n + 1 es suma de dos cuadrados. Es fácil demostrar que ningún número de la forma 4 n + 1 es suma de dos cuadrados. Como todos los primos mayores que 2 corresponden a una u otra de estas formas, no hay nada que añadir. Por ejemplo, cuando 37 es dividido por 4 deja el resto 1, de modo que 37 debe ser la suma de dos cuadrados de números enteros. Por tanteos (existen otros caminos mejores) encontramos, en efecto, que 37 = 1 + 36 = 1 2 + 6 2 , y que no hay otros cuadrados x 2 e y 2 tales que 37 = x 2 + y 2 . Para el primo 101 nosotros tenemos 1 2 + 10 2 ; para 41 tenemos 4 2 + 5 2 . En cambio 19 = 4 * 5 - 1, no es la suma de dos cuadrados.
Como en casi todos sus trabajos aritméticos, Fermat no dio la prueba de este teorema, que fue encontrada por el gran Euler en 1749 después de haber trabajado siete años. Pero Fermat describe el ingenioso método que inventó mediante el cual demuestra éste y algunos otros de sus maravillosos resultados. Se trata del llamado "descenso infinito", que es infinitamente más difícil de cumplir que la ascensión de Elías al cielo. Su exposición es concisa y clara, como veremos en una traducción libre al inglés de su carta del mes de agosto de 1659 a Carcavi.
"Durante largo tiempo he sido incapaz de aplicar mi método a las proposiciones afirmativas, debido a que las tretas que hay que emplear en ellas son mucho más difíciles que las que uso para las proposiciones negativas. Así, cuando debo probar que todo número primo que supere a un múltiplo de 4 en 1 se compone de dos cuadrados, me encontraba ante un tormento. Pero, al fin, una larga y repetida meditación me ha dado la luz que me faltaba, y ahora someto proposiciones afirmativas a mi método, con la ayuda de ciertos nuevos principios que necesariamente deben ser añadidos. El curso de mi razonamiento en las proposiciones afirmativas es éste: Si un primo arbitrariamente elegido de la forma 4 n + 1 no es suma de dos cuadrados, (pruebo que) existirá otro de la misma naturaleza, menor que el elegido, y (por tanto) un tercero aún menor, y así sucesivamente. Haciendo un "infinito descenso" de esta forma, llegamos finalmente al número 5, el menor de todos los números de este tipo (4 n + l). Por la prueba mencionada y el precedente argumento de ella, se deduce que 5 no es una suma de dos cuadrados. Pero como lo es, debemos inferir por reductio ad absurdum que todo los números de la forma 4 n + 1 son sumas de dos cuadrados».
Toda la dificultad para aplicar el "descenso" a nuevos problemas está en el primer paso, el de probar que si la proposición aceptada o supuesta es verdadera para cualquier número elegido al azar, será también verdadera para un número más pequeño del mismo tipo. No existe un método general aplicable a todos los problemas para dar ese paso.
Algo más raro que la paciencia del pordiosero o que la muy encarecida "infinita capacidad para sufrir dolores" es necesario para encontrar un camino a través del desierto. A quienes se imaginan genios, aunque no sean otra cosa que hábiles tenedores de libros, se les puede recomendar que desarrollen su infinita paciencia en el último teorema de Fermat.. Antes de exponer el teorema mencionaremos otro ejemplo de los problemas sagazmente simples que Fermat trató y resolvió. Llegamos ahora al tema del Análisis diofántico en que Fermat sobresalió.
Cualquiera que sepa algo de números puede detenerse sobre el curioso hecho de que 27 = 25 + 2; la cuestión de interés aquí es que tanto 27 como 25 son potencias exactas, 27 = 3 3 y 25 = 5 2 . Así observamos que y 3 = x 2 + 2 tiene una solución en números enteros x, y ; la solución es y = 3, x = 5. Como una especie de prueba de superinteligencia el lector puede ahora demostrar que y = 3, x = 5, son los únicos números enteros que satisfacen la ecuación. No es fácil. En efecto, este juego aparentemente infantil requiere mayor innata capacidad intelectual que para comprender la teoría de la relatividad.
La ecuación y 3 = x 2 + 2 con la limitación de qué la solución y, x debe ser en números enteros, es indeterminada (debido a que hay dos incógnitas x, y , y una ecuación que las relaciona) o diofántica , porque fue el griego Diofanto uno de los primeros en insistir sobre las soluciones de ecuaciones en números enteros, o, con menos inflexibilidad, soluciones racionales (fraccionarias). No es difícil describir un infinito número de soluciones sin la restricción de los números enteros: así, podemos dar a x el valor que nos plazca, y entonces determinar y , añadiendo 2 a esta x 2 y extrayendo la raíz cúbica del resultado. Pero el problema diofántico de encontrar todas las soluciones con números enteros es otra cuestión diferente. La solución y = 3, x = 5, se aprecia "por inspección"; la dificultad del problema es probar que no existen otros números enteros y, x que satisfagan la ecuación. Fermat probó que no existe ninguno, pero, como de ordinario, suprimió su demostración, y todavía, después de muchos años de su muerte, no se ha encontrado.
Cuando Fermat afirmó tener una prueba, esa prueba fue más tarde encontrada. Y así ocurrió para todas sus afirmaciones positivas con la única excepción de la al parecer simple solución de su último teorema, que, los matemáticos se han esforzado por encontrar durante casi 300 años. Siempre que Fermat afirmó que había probado algo, luego se ha confirmado la exactitud, excepto para ese caso en que no ha sido encontrada la prueba. Su honradez escrupulosa y su penetración sin rival justifican que muchos, aunque no todos, acepten su afirmación de que poseía la demostración de su teorema.
Era costumbre de Fermat, al leer el Diophantus de Bachet, apuntar los resultados de sus meditaciones en breves notas marginales hechas en su ejemplar. El margen no era suficiente para escribir las demostraciones. Así, al comentar el octavo problema del segundo libro de la Aritmética de Diofanto, referente a la solución en números racionales (fracciones o números enteros) de la ecuación
x 2 + y 2 = a 2 ,
Fermat hace el siguiente comentario:"Por el contrario, es imposible descomponer un cubo en dos cubos, una cuarta potencia en dos cuartas potencias, o, de un modo general, cualquier potencia superior a la segunda en dos potencias del mismo grado. Yo he descubierto una demostración maravillosamente exacta (de este teorema general), pero este margen es demasiado estrecho para desarrollarlo" (Fermat, Oeuvres, III , pág. 241). Éste es su famoso último teorema, que descubrió hacia el año 1637.
Traduciendo todo esto al lenguaje moderno, el problema de Diofanto es encontrar números enteros o fraccionarlos x, y, a , tales que x 2 + y 2 = a 2 ; Fermat asegura que no existen números enteros o fracciones tales que x 3 + y 3 = a 3 o x 4 + y 4 = a 4 o, de un modo general, que
x n + y n = a n
si n es un número entero mayor que 2.
En el problema de Diofanto tiene una infinidad de soluciones; por ejemplo, x = 3, y = 4, a = 5; x = 5, y = 12, a = 13. Fermat mismo dio una prueba, mediante su método del "descenso infinito", de la imposibilidad de x 4 + y 4 = a 4 . Desde entonces se ha demostrado que es imposible en números enteros (o fracciones) x n + y n = 0 para muchos números n (sobre todo para todos los primos [7] menores que n = 14000, si ninguno de los números x, y, a es divisible por n ), pero esto no es lo que se pedía. Lo que se pide es que abarque todos los n mayores que 2. Fermat dijo que poseía una "maravillosa prueba".
Después de todo lo que se ha dicho, ¿es posible que se haya engañado? Un gran aritmético, Gauss, vota en contra de Fermat. Sin embargo, la zorra que no podía alcanzar las uvas afirmó que estaban verdes. Otros votaron a su favor. Fermat era un matemático de primera fila, un hombre de impecable honradez y un aritmético que no reconoce superior en la historia [8] .
"b>Capítulo 5
“Grandeza y Miseria del Hombre”
PASCAL
Vemos... que la teoría de la probabilidad
es en realidad únicamente el sentido común
reducido a cálculo; nos hace apreciar con
exactitud lo que las mentes razonadoras
sienten por una especie de instinto, sin ser
muchas veces capaces de explicarlo...
Es notable que [esta] ciencia, que nació
al estudiar los juegos de azar, haya venido
a constituir el objeto más importante del
conocimiento humano.
Pierde Simon Laplace
Veintisiete años tenía Descartes cuando Blaise Pascal nació en Clermont, Auvernia, Francia, el 19 de junio de 1623, y éste sobrevivió a Descartes 12 años. Su padre Étienne Pascal, presidente de la Corte de Auvernia, en Clermont, era un hombre de cultura, considerado en su tiempo como un intelectual; su madre Antoinette Bégone murió cuando su hijo tenía cuatro años. Pascal tenía dos bellas e inteligentes hermanas, Gilberte, más tarde Madame Périer, y Jacqueline; ambas, especialmente la última, habían de desempeñar papeles importantes en su vida.
Blaise Pascal es más conocido para el lector general por sus dos obras literarias, los Pensées y las Lettres écrites par Louis de Montalle àun provincial de ses amis, y es habitual condensar su carrera matemática en algunos párrafos dentro del relato de sus prodigios religiosos. En este lugar, nuestro punto de vista debe necesariamente diferir, y consideraremos primeramente a Pascal como un matemático de gran talento, que por sus tendencias masoquistas de autotortura y especulaciones sin provecho sobre las controversias sectarias de su tiempo, cayó en lo que podemos llamar neurosis religiosa.
La faceta matemática de Pascal es quizá una de las más importantes de la historia. Tuvo la desgracia de preceder a Newton por sólo muy pocos años, y de ser contemporáneo de Descartes y Fermat, hombres más equilibrados que él. Su obra más original, la creación de la teoría matemática de probabilidades, se debe también a Fermat, quien pudo fácilmente haberla formulado solo. En Geometría, en la cual es famoso como una especie de niño prodigio, la idea creadora fue proporcionada por un hombre, Desargues, de mucha menos celebridad.

En su esquema sobre la ciencia experimental, Pascal tuvo una visión mucho más clara que Descartes, desde el punto de vista moderno del método científico, pero le faltaba la exclusividad de objeto de Descartes, y aunque a él se deben estudios de primera categoría, se desvió de lo que pudiera haber hecho a causa de su morbosa pasión por las disquisiciones religiosas.
Es inútil especular sobre lo que Pascal podría haber hecho. Narraremos su vida tal como fue, y al considerarle como matemático diremos que hizo lo que estaba en él y que ningún hombre podría haber hecho más. Su vida es un constante comentario de dos de las historias, o símiles del Nuevo Testamento, que era su constante compañero y su infalible amparo: la parábola de los talentos y la observación acerca de que el vino nuevo rompe los odres viejos. Si hubo un hombre maravillosamente dotado que sepultara su talento, fue Pascal, y si hubo una mente medieval que se quebrara en su intento de mantener el nuevo vino de la ciencia del siglo XVII fue la de Pascal. Sus grandes dotes habrían sido concedidas por equivocación a la persona que Pascal fue.
A la edad de 7 años Pascal se trasladó con su padre y hermanas, desde Clermont a París. Por este tiempo el padre comenzó a enseñar a su hijo. Pascal era un niño extraordinariamente precoz. Tanto él como sus hermanas parece que han tenido un talento natural notable. Pero el pobre Blaise heredó (o adquirió) un miserable físico con una mente brillante, y Jacqueline, la más inteligente de sus hermanas, parece haber sido semejante a su hermano, pues cayó víctima de una morbosa religiosidad.
Al principio todas las cosas marchaban bien. El padre, asombrado de la facilidad con que su hijo absorbía la educación clásica de la época intentó mantener al muchacho en una relativa tranquilidad para que su salud no se quebrantara. La Matemática era tabú, basándose en la teoría de que los genios jóvenes pueden malgastarse al emplear excesivamente su cerebro. Su padre en realidad era un mal psicólogo. Este temor por la Matemática excitó, como es natural, la curiosidad del muchacho. Un día, teniendo 12 años, quiso saber lo que era la Geometría. Su padre le hizo una clara descripción, y Pascal creyó adivinar repentinamente su verdadera vocación. En contradicción con sus opiniones posteriores, Pascal había sido llamado por Dios no para atormentar a los jesuitas, sino para ser un gran matemático. Pero sus oídos eran sordos y percibió las órdenes confusamente.
Lo que sucedió cuando Pascal comenzó a estudiar Geometría ha sido una de las leyendas de la precocidad matemática. De pasada podemos recordar que los niños prodigios en Matemática no aparecen repentinamente, como algunas veces se ha dicho de ellos. La precocidad en Matemática ha sido muchas veces el primer destello de una gloriosa madurez, a pesar de la persistente superstición de lo contrario. En el caso de Pascal la genialidad matemática precoz no se extinguió con el desarrollo, pero fue ahogada por otros problemas. La capacidad para la Matemática persistió, como puede observarse en el caso de la cicloide, en una época posterior de su breve vida, y si hay que buscar un culpable de que pronto renunciara a la Matemática, se encontraría probablemente en su estómago. Su primera hazaña espectacular fue demostrar por su iniciativa y sin la sugestión de ningún libro que la suma de los ángulos de un triángulo es igual a dos ángulos rectos. Esto le alentó a continuar en sus estudios.
Dándose cuenta de que tenía en su casa a un gran matemático, el padre lloró de gozo y entregó a su hijo un ejemplar de los Elementos de Euclides. Fue rápidamente devorado, no como un trabajo, sino como un placer. El muchacho dejó sus juegos en favor de la Geometría. En relación con el conocimiento rapidísimo que Pascal tuvo de Euclides, su hermana Gilberte se permite un embuste. Cierto es que Pascal planteó y demostró por sí mismo diversas proposiciones de Euclides antes de haber visto el libro. Pero lo que Gilberte narra acerca de su brillante hermano es más improbable que colocar en fila un billón de partículas. Gilberte declara que su hermano había redescubierto por sí mismo las Primeras 32 proposiciones de Euclides, y que las encontró en el mismo orden en que Euclides las había establecido. La proposición 32 es, en efecto, la famosa de la suma de los ángulos de un triángulo que Pascal redescubrió. Ahora bien, existe una sola forma de hacer bien una cosa, pero parece más probable que existe una infinidad de formas de hacerla mal. En la actualidad sabemos que las supuestas rigurosas demostraciones de Euclides, incluso las cuatro primeras de sus proposiciones, no prueban nada. El hecho de que Pascal cayera en los mismos errores que Euclides por su propia cuenta es una historia fácil de contar pero difícil de creer. Podemos, sin embargo, perdonar esta fanfarronada de Gilberte. Su hermano era digno de ella. Tenía 14 años cuando fue admitido en las discusiones científicas semanales dirigidas por Mersenne, de las cuales nació la Academia Francesa de Ciencias.
Mientras el joven Pascal se hacía casi un geómetra por su propio esfuerzo, el viejo Pascal se colocó en pugna con las autoridades debido a, su honradez y rectitud general. En particular, el desacuerdo había sido con el Cardenal Richelieu acerca de una pequeña cuestión de los impuestos.

El Cardenal estaba irritado y la familia de Pascal se ocultó hasta que la tormenta pasara. Se dice que la bella e ingeniosa Jacqueline salvó a la familia y restableció las relaciones de su padre con el cardenal, gracias a su brillante actuación en una fiesta celebrada para la diversión de Richelieu, donde actuó de incógnito. Al preguntar el nombre de la encantadora joven artista que le había cautivado, y al decirle que era la hija de su pequeño enemigo, Richelieu perdonó generosamente a toda la familia y colocó al padre en un cargo político en Rouen. Teniendo en cuenta lo que se sabe de esa vieja serpiente que fue el Cardenal Richelieu, esta agradable historia es probablemente un mito. De todos modos, la familia Pascal encontró un cargo y tranquilidad en Rouen. Allí el joven Pascal conoció al dramaturgo Corneille, que quedó muy impresionado por el talento del muchacho. A la sazón Pascal era esencialmente matemático y Corneille seguramente no pudo sospechar que su joven amigo llegara a ser uno de los grandes creadores de la prosa francesa.

En este tiempo Pascal estudiaba incesantemente. Antes de cumplir los 16 años (alrededor del año 1639)[9] demostró uno de los más bellos teoremas de toda la Geometría. Por fortuna se puede explicar en términos comprensibles para cualquiera. Sylvester, un matemático del siglo XIX del que nos ocuparemos más tarde, lo llamó "el gran teorema de Pascal". En primer término expondremos una forma especial del teorema general que puede ser construido con sólo el uso de una regla.
Consideremos dos líneas rectas que se cortan, l y l'. En 1 marcar 3 puntos diferentes A, B, C, y en 1' otros tres puntos diferentes A’, B’, C’. Unir estos puntos por rectas del siguiente modo: A y B', A' y B, B y C', B' y C, C y A', C' y A. Las dos rectas de cada uno de estos pares se cortan en un punto.
Tenemos así tres puntos. El caso especial del teorema de Pascal que nosotros ahora describimos expresa que estos tres puntos están en línea recta.
Antes de dar forma general al teorema mencionaremos otro resultado igual al precedente. Es el obtenido por Desargues (1593-1662). Si las tres líneas rectas que se obtienen uniendo los vértices de dos triángulos XYZ y xyz coinciden en un punto, las tres intersecciones de los pares de lados correspondientes están en línea recta. Así, si las líneas rectas que unen, X y x, Y e y, Z y z coinciden en un punto, entonces las intersecciones de X Y y x y, Y Z e y z, ZX y zx están en línea recta.
En el capítulo 11 hemos expuesto lo que es una sección cónica. Imaginemos cualquier sección cónica, por ejemplo una elipse. Sobre ella se marcan seis puntos cualesquiera, A, B, C, D, E, F, y se unen en este orden por líneas rectas. Tenemos así una figura de 6 lados, inscrita en la sección cónica, en la cual AB y DE, BC y EF, CD y FA, son pares de lados opuestos. Las tres rectas que determinan los seis vértices se cortan en un punto. Los tres puntos de intersección están en línea recta.

Este es el teorema de Pascal; la figura que proporciona es lo que él llama "hexagrama místico". Probablemente demostró primero su exactitud para un círculo, y luego lo amplió por proyección a cualquier sección cónica. Sólo se requiere una regla y un par de compases si el lector desea ver que la figura es igual para un círculo.
Pueden mencionarse diversas cosas asombrosas acerca de esta maravillosa proposición, y no es la menos importante la de que fue descubierta y probada por un muchacho de 16 años. Por otra parte, en su Essaipour les coniques, dedicado a este gran teorema por este muchacho extraordinariamente inteligente se deducen sistemáticamente, como corolarios no n-ieaos de 400 proposiciones sobre las secciones cónicas, incluyendo la obra de Apolonio y de otros autores, permitiendo que los pares de puntos coincidan, de modo que una cuerda se transforme en una tangente, y apelando a otros recursos. Jamás fue publicado todo el Essai, y parece que se ha perdido irremisiblemente, pero Leibniz vio y estudió un ejemplar. Además, el tipo de Geometría de Pascal difiere fundamentalmente de la de los griegos; no es métrica, sino descriptiva o proyectiva. Magnitudes de líneas o de ángulos no figuran en la exposición ni en la prueba del teorema. Este teorema basta por sí mismo para abolir la estúpida definición de la Matemática, heredada de Aristóteles y reproducida algunas veces en los diccionarios, como la ciencia de la “cantidad". No existen "cantidades" en la Geometría de Pascal.
Para ver lo que significa la proyección del teorema imaginemos un cono (circular) de luz que surja de un punto y atraviese una lámina plana de vidrio estando el cono en diversas posiciones. La curva que limita la figura en que la lámina corta al cono, es una sección cónica. Si se traza el "hexagrama místico" de Pascal sobre el cristal para cualquier posición determinada y se coloca otra lámina de cristal a través del cono, de modo que caiga sobre ella la sombra del hexagrama, tal sombra será otro "hexagrama místico" con sus tres puntos de intersección de pares opuestos de lados que están en línea recta, la sombra de la recta de los tres puntos" en el hexagrama original. Es decir, el teorema de Pascal es invariante (no cambiado) en proyección cónica. Las propiedades métricas de las figuras estudiadas en la Geometría elemental no son invariantes en proyección; por ejemplo, la sombra de un ángulo recto no es un ángulo recto en todas las posiciones de la segunda lámina. Es natural que este tipo de Geometría proyectiva o descriptiva sea una de las Geometrías naturalmente adaptadas a algunos de los problemas de perspectiva. El método de proyección fue usado por Pascal para probar su teorema, pero había sido ya aplicado por Desargues para deducir el resultado antes expuesto referente a dos triángulos "en perspectiva". Pascal reconoció a Desargues el mérito de su gran invención.
Desde la edad de 17 años hasta el final de su vida, a los 39, Pascal pasó pocos días sin dolor. Una dispepsia hizo de sus días un tormento, y un insomnio crónico hizo de sus noches una constante pesadilla. Sin embargo, trabajó incesantemente. A los 18 años inventó y construyó la primera máquina calculadora de la historia, el antepasado de todas las máquinas calculadoras que han desplazado verdaderos ejércitos de empleados en nuestra generación. Más tarde volveremos a ocuparnos de esta ingeniosa invención. Cinco años más tarde, en 1646, Pascal sufrió su primera "conversión". No fue profunda, posiblemente debido a que Pascal tenía sólo 23 años y estaba aún absorbido en su Matemática. Desde ese tiempo, la familia, que había sido devota, cayó en una apacible locura.
Es difícil para un hombre moderno imaginar las intensas pasiones religiosas que inflamaron el siglo XVII, que separaron familias y que dieron lugar a que países y sectas que profesaban el cristianismo se lanzaran unos contra otros. Entre los aspirantes a ser reformadores religiosos de la época se hallaba Cornelius Jansen (1585-1638), un ardiente holandés que llegó a ser obispo de Yprés. Un punto cardinal en su dogma era la necesidad de la "conversión" como un medio para la "gracia", en una forma algo semejante a la de ciertas sectas que hoy florecen. Sin embargo, la salvación parecía ser una de las ambiciones menores de Jansen. Estaba convencido de que Dios le había elegido especialmente para atormentar a los jesuitas en esta vida y prepararles para la condena eterna en la otra. Ésta era lo que él llamaba su misión. Su credo no era ni el catolicismo ni el protestantismo, aunque se acercaba más bien a este último. Su idea directriz era, en primer término, en último término y siempre, un terrible odio para aquellos que discutieran su fanatismo dogmático. La familia de Pascal abrazó entonces (1646), aunque no demasiado ardientemente al principio, el desagradable credo del jansenismo. Así, Pascal, a la precoz edad de 23 años, comenzó ya a. marchitarse. En el mismo año todo su aparato digestivo funcionaba mal y además sufrió parálisis temporales. Pero no estaba muerto intelectualmente.
Su grandeza científica dio nuevos destellos en el año 1648, aunque en una dirección completamente nueva. Estudiando las obras de Torricelli (1608-1647) sobre la presión atmosférica, Pascal le superó, demostrando que comprendía el método científico que Galileo, el maestro de Torricelli, había dado al mundo. Mediante experimentos con el barómetro, que él sugirió, Pascal demostró los hechos ahora familiares para todos los estudiantes de Física, referentes a la presión de la atmósfera. Gilberte, la hermana de Pascal, había contraído matrimonio con Mr. Périer. Por sugestión de Pascal, Périer realizó el experimento de transportar un barómetro hasta el Puy de Dóme, en Auvernia y observó el descenso de la columna de mercurio cuando la presión atmosférica decrecía. Más tarde, Pascal, al volver a París con su hermana Jacqueline, repitió el experimento por sí mismo.
Poco después de que Pascal y Jacqueline volvieran a París se unieron a su padre, a la sazón nombrado consejero de Estado. Por entonces la familia recibió la visita un tanto formal de Descartes. El y Pascal charlaron acerca de muchas cosas, incluso del barómetro. Poca cordialidad existía entre los dos. Por una parte, Descartes se oponía abiertamente a creer que el famoso Essai pour les coniques hubiera sido escrito por un muchacho de 16 años. Por otra parte, Descartes sospechaba que Pascal le había usurpado la idea y los experimentos barométricos cuando discutía sus posibilidades en cartas dirigidas a Mersenne. Como ya hemos dicho, Pascal había asistido a las sesiones semanales del Padre Mersenne desde que tenía 14 años. Una tercera causa de enemistad era proporcionada por sus antipatías religiosas. Descartes, que sólo había recibido atenciones de los jesuitas, tenía por ellos gran aprecio; Pascal, que seguía al devoto Jansen, odiaba a los jesuitas más que el demonio odia el agua bendita. Y finalmente, según la cándida Jacqueline, tanto su hermano como Descartes sentían celos recíprocos. La visita fue más bien un frío acontecimiento.
El buen Descartes, sin embargo, dio a su joven amigo algunos excelentes consejos con un espíritu verdaderamente cristiano. Aconsejó a Pascal que siguiera su propio ejemplo y que permaneciera en cama todos los días hasta las once de la mañana. Para el arruinado estómago de Pascal describió una dieta que se componía tan sólo de caldo. Pero Pascal no hizo el menor caso de estos consejos, posiblemente debido a que procedían de Descartes. Una de las cosas de que Pascal más carecía era del sentido del humor.
Por entonces comenzó a decaer el interés que Jacqueline sentía por el genio de su hermano, y en el año 1648, a la impresionante edad de 23 años, Jacqueline declaró su intención de trasladarse a Port-Royal, cerca de París, el principal asiento de los jansenistas de Francia para ingresar en un convento. Su padre se opuso tenazmente al proyecto, y la devota Jacqueline concentró sus frustrados esfuerzos en su pobre hermano. Jacqueline sospechaba que Blaise no estaba tan completamente convencido como ella desearía, y parece que estaba en lo cierto. Por entonces la familia volvió a Clermont durante dos años.
En estos dos rápidos años, Pascal parece haber sido casi un ser medio humano, a pesar de las admoniciones de su hermana Jacqueline de que se entregara totalmente al Señor. Hasta el recalcitrante estómago, sometido a una disciplina racional, dejó de atormentarle durante largos meses.
Se dice por algunos y se niega violentamente por otros que Pascal, durante este sano intermedio y durante algunos años más tarde, descubrió los usos predestinados del vino y de las mujeres. El nada confiesa, pero estos bajos rumores pueden haber sido nada más que rumores Después de su muerte, Pascal pasó rápidamente a la hagiocracia cristiana, y todos los ensayos para descubrir los hechos de su vida como ser humano fueron rápidamente anulados por facciones rivales, una de las cuales se esforzaba por demostrar que era un fanático devoto y la otra un ateo escéptico, aunque ambas declarasen que Pascal era un santo que no pertenecía a esta tierra.
Durante estos venturosos años la morbosa santidad de Jacqueline continuó actuando sobre su frágil hermano. Por un capricho de la ironía, Pascal, que al presente se había convertido, dio lugar a que se cambiasen los papeles, y empujó a su muy piadosa hermana a que ingresara en el convento, que ahora quizá parecía menos deseable. Como es natural, esto no es la interpretación ortodoxa de lo que habría sucedido, pero quien no sea un ciego partidario de una secta o de otra, cristianismo o ateísmo, encontrará más racional la explicación de que existían malsanas relaciones entre Pascal y su hermana soltera y no las sancionadas por la tradición.
Cualquier lector moderno de los Pensées debe quedar sorprendido, por ciertas cosas que, o bien escapan completamente a nuestros más reticentes antepasados o eran ignoradas por ellos en su más discreta benevolencia. Las cartas revelan muchas cosas que sería mejor hubieran quedado enterradas. Los desatinos de Pascal en los Pensées acerca de la "lujuria" le descubren de un modo completo, y también lo atestiguan los hechos bien probados de su furor completamente antinatural cuando veía a su hermana casada Gilberte acariciar a sus hijos.
Los modernos psicólogos, no menos que los antiguos con sentido común, han hecho notar frecuentemente la notable relación entre la represión sexual y el morboso fervor religioso. Pascal sufría de ambos y sus inmortales Pensées son un brillante, aunque algunas veces incoherente testimonio de sus excentricidades puramente fisiológicas. Si el hombre hubiera sido suficientemente humano para no contrariar a su naturaleza hubiera podido vivir, desarrollar todo lo que en él había, en lugar de ahogar su mejor mitad bajo un cúmulo de misticismo sin significación y absurdas observaciones sobre la "grandeza y miseria del hombre".
Siempre sin reposo, la familia volvió a París en 1650. Al año siguiente el padre murió. Pascal aprovechó la ocasión para escribir a Gilberte y su marido un largo sermón acerca de la muerte en general. Esta carta ha sido muy admirada. No necesitamos reproducirla aquí, pues el lector que desee formar su opinión, puede fácilmente encontrarla. Es un misterio difícil de comprender por qué esa pedante efusión de confusa y cruel moralidad, aprovechando la muerte de un pariente posiblemente muy querido, haya podido despertar la admiración en lugar de desprecio para su autor, igual que el amor de Dios que la carta rezuma ad nauseam. Nada puede decirse acerca de los gustos, y aquellos a quienes es grato la clase de cuestiones que Pascal expone en su carta pueden gozar de ella, que al fin y al cabo es una obra maestra de autorrevelación en la literatura francesa.
Un resultado más práctico de la muerte del padre fue la oportunidad que se le ofreció a Pascal para administrar las propiedades y reanudar sus relaciones con sus parientes. Alentado por su hermana Jacqueline marchó a Port-Royal, pues su padre ya no podía oponerse. Sus dulces relaciones con el alma de su hermano se hallaban ahora salpicadas por una discordia muy humana acerca de la división de las propiedades.
Una carta del año anterior (1650) revela otra faceta del carácter reverente de Pascal o posiblemente su envidia por Descartes. Deslumbrado por la brillantez de Cristina de Suecia, Pascal humildemente puso su máquina calculadora a los pies de la "más grande Princesa del mundo", declarando en frases cálidas que era tan eminente desde el punto de vista intelectual como social. No se sabe lo que Cristina hizo con la máquina, pero lo cierto es que no invitó a Pascal para reemplazar a Descartes.
Al fin, el 23 de noviembre de 1654, Pascal se convirtió realmente. De acuerdo con algunos relatos vivió durante tres años una vida que casi no lo era. Otros autores parecen en cambio aceptar que no hay nada de cierto en esta tradición y que su vida no fue tan dura como se cuenta y que, aparte de que haya sido un enfermo, hubo en ella algo más que Matemática y santidad. El día de su conversión guiaba un coche de cuatro caballos y éstos se espantaron. Los caballos saltaron el parapeto del puente de Neuilly, pero los tirantes se rompieron y Pascal quedó en la carretera.
Para un hombre del temperamento místico de Pascal está feliz salvación de una muerte violenta fue considerada como una advertencia del cielo que le impulsó a salvarse del precipicio moral en el que, víctima de su morboso autoanálisis, se imaginaba hallarse. En un pequeño fragmento de pergamino escribió algunos oscuros sentimientos de mística devoción, y desde entonces lo colocó cerca de su corazón como un amuleto para que le protegiera de las tentaciones y le recordara la bondad de Dios que le había salvado a él, miserable pecador, de la boca del infierno. Desde entonces creyó estar en gracia, y durante el resto de su vida sufrió alucinaciones en las que veía un precipicio ante sus pies.
Jacqueline, ahora novicia del convento de Port-Royal, vino en ayuda de su hermano. En parte por su propia cuenta, en parte debido a los ruegos persuasivos de su hermana, Pascal volvió la espalda al mundo y fijó su residencia en Port-Royal para dedicar su talento a la contemplación de "la grandeza y miseria del hombre". Esto ocurría en 1654, cuando Pascal tenía 31 años. Antes, habiendo desechado para siempre las torturas de la carne y de la mente, había completado su más importante contribución a la Matemática, el Cálculo de probabilidades creado en unión con Fermat. Para no interrumpir la historia de su vida demoraremos por el momento la exposición de este suceso.
Su vida en Port-Royal era al menos sana, aunque no tan sana como podría haber deseado, y la rutina llena de orden benefició considerablemente su precaria salud. Se hallaba en Port-Royal cuando escribió las famosas Cartas Provinciales inspiradas por el deseo de ayudar a salvar a Arnauld, la luminosa guía de la institución, de la acusación de herejía. Estas famosas cartas (la primera de las 18, fue impresa el 23 de enero de 1656), son obras maestras de habilidad para la controversia y se dice que infringieron a los jesuitas un golpe del que su Sociedad jamás ha vuelto a reponerse totalmente. Sin embargo, cualquiera puede observar con sus propios ojos que la Sociedad de Jesús aun florece. Puede, pues, dudarse de que tales Cartas tengan la potencia mortífera atribuidas a ellas por críticos simpatizantes de su intensa preocupación por las cuestiones relativas a su a la miseria del hombre, Pascal fue aún capaz de hacer excelente matemática, aunque considerase el cultivo de toda ciencia como una vanidad que debía ser expulsada por sus malos efectos sobre el alma. De todos modos, volvió a huir una vez más, pero sólo una, de la gracia de Dios, en ocasión del famoso caso de la cicloide.

Curva bellamente proporcionada (descrita por el movimiento de un punto fijo sobre la circunferencia de una rueda que gira apoyándose sobre una línea recta, sobre el pavimento liso) se dice que apareció en la literatura matemática en 1501, cuando Charles Bouvelles la describió en relación con la cuadratura del círculo. Galileo y su discípulo Viviani la estudiaron y resolvieron el problema de construir una tangente a la curva en cualquier punto (un problema que Fermat resolvió inmediatamente que quedó planteado) y Galileo aconsejó su empleo como arco para los puentes. Desde que es común el uso del hormigón armado para los arcos de cicloide, se ven con frecuencia en los altos viaductos. Por razones mecánicas (desconocidas por Galileo), el arco de cicloide es superior a cualquier otro en construcción. Entre los hombres famosos que han estudiado la cicloide se encuentra Sir Christopher Wren, el arquitecto de la catedral de San Pablo, quien determina la longitud de cualquier arco de esta curva y su centro de gravedad, mientras Huygens, por razones mecánicas, la introdujo en la construcción de los relojes de péndulo. Uno de los más bellos descubrimientos de Huygens (1629-1695) está en relación a la cicloide. Dicho autor demostró que es la tautócrona, es decir la curva que cuando está colocada hacia arriba semeja un cuenco, en la que los puntos colocados en cualquier parte de ella se deslizan hacia el punto más bajo por la influencia de la gravedad en el mismo tiempo. Para explicar sus elegantes y singulares propiedades se han producido infinitas disputas entre los pendencieros matemáticos que se desafiaban recíprocamente para resolver este o aquel problema en relación con ella. La cicloide, por tanto, ha sido llamada "la Helena de la Geometría", en recuerdo de la mujer de Menelao, de quien se dice que por ella "se lanzaron al mar un millar de barcos".
Entre otras angustias que afligieron al endeble Pascal recordaremos el insomnio persistente y los padecimientos dentales, en una época en que la dentistería era ejercida por el barbero con un par de tenazas y la fuerza bruta. Estando una noche en vela (1658) por las torturas del dolor de muelas, Pascal comenzó a pensar furiosamente en la cicloide, intentando eliminar de su mente el terrible dolor. Con sorpresa se dio cuenta de que el dolor había desaparecido. Interpretando este hecho como una señal del cielo de que no era pecado para su alma pensar en la cicloide, Pascal siguió sus trabajos. Durante ocho días se entregó a la geometría de la cicloide y consiguió resolver muchos de los principales problemas en relación con ella. Algunos de los hechos por él descubiertos fueron publicados con el seudónimo de Amos Dettonville, desafiando a los matemáticos franceses e ingleses. En su trato con sus rivales, Pascal no era siempre tan escrupuloso corno podía haber sido. Éste fue su último vuelo por la Matemática y su única contribución a la ciencia después de vivir en Port-Royal.
El mismo año (1658) se sintió más gravemente enfermo de lo que había estado en toda su atormentada vida. Incesantes dolores de cabeza le impedían conciliar el sueño. Sufrió durante cuatro años, viviendo cada vez más ascéticamente. En junio de 1662 cedió su propia casa a una familia pobre que padecía viruela, como un acto de abnegación y fue a vivir con su hermana casada. El 19 de agosto de 1662 su infortunada existencia terminó entre terribles convulsiones. Pascal murió a la edad de 39 años.
El post mortem reveló lo que ya se esperaba, respecto al estómago y órganos vitales, descubriéndose también una grave lesión en el cerebro. A pesar de todo esto Pascal pudo llevar a cabo una gran obra en Matemática y en la ciencia y ha dejado un nombre en la literatura que es aún respetado después de haber transcurrido tres siglos.
Las bellas cosas que la Geometría debe a Pascal, con la posible excepción del "hexagrama místico", pudieron haber sido realizadas por otros hombres. Tal puede decirse especialmente de la investigación de la cicloide. Después de la invención del Cálculo, estos estudios han venido a ser incomparablemente más fáciles de lo que habían sido antes y se incluyen en los manuales como simples ejercicios para los jóvenes estudiantes. Pero en la creación que hizo, junto con Fermat, de la teoría matemática de la probabilidad, Pascal descubrió un nuevo mundo. Parece muy probable que Pascal será recordado cada vez más por esta importante invención, cuando su fama de escritor haya sido olvidada. Los Pensées y las Cartas Provinciales, aparte de sus excelencias literarias, se dirigen principalmente a un tipo mental que rápidamente se está extinguiendo. Los argumentos en pro o en contra de un punto particular son considerados por una mente moderna como trivialidades no convincentes, y las cuestiones a las que Pascal se entregó con tan ferviente celo ahora aparecen extraordinariamente ridículas. Si los problemas que discutió sobre la grandeza y miseria del hombre fueran problemas tan profundamente importantes como los entusiastas han pretendido, y no simples pseudoproblemas planteados místicamente e incapaces de solución, no parece probable que pudieran ser resueltos por moralizaciones absurdas. Pero en su teoría de las probabilidades, Pascal plantea y resuelve un problema importante. El de llevar al puro azar, que superficialmente parece no obedecer a leyes, al dominio y la ley del orden, de la regularidad, y actualmente esta sutil teoría parece hallarse en las raíces del conocimiento humano no menos que en la fundación de la ciencia física. Sus ramificaciones se hallan por todas partes, desde la teoría de los quanta a la epistemología.
Los verdaderos fundadores de la teoría matemática de la probabilidad fueron Pascal y Fermat, quienes desarrollaron los principios fundamentales de los problemas en una interesante y abundante correspondencia durante el año 1654. Esta correspondencia se encuentra en las Oeuvres de Fermat (editadas por P. Tannery y C. Henry, volumen II, 1904). Las cartas muestran que Pascal y Fermat participaron igualmente en la creación de la teoría. Sus soluciones correctas de los problemas difieren en detalles, pero no en principios fundamentales. Debido a la tediosa enumeración de los casos posibles en un cierto problema, de "puntos", Pascal intentó seguir un atajo y cayó en el error. Fermat señaló la equivocación que Pascal reconoció. La primera carta de la serie se ha perdido, pero la causa de la correspondencia es bien conocida.
El problema inicial de que partió toda la vasta teoría fue propuesto a Pascal por el caballero De Méré, un jugador profesional o poco más. El problema era el de los "puntos": cada uno de los dos jugadores (juego de los dados) necesita cierto número de puntos para ganar el juego. Si suspenden el juego antes de que termine, ¿cómo pueden ser divididas las apuestas entre ellos? El resultado (números de puntos) obtenido por cada jugador corresponde al momento de la suspensión, y el problema consiste en determinar la probabilidad que cada jugador tiene, en una determinada fase del juego, de ganarlo. Se acepta que los jugadores tienen igual probabilidad de ganar un punto. La solución tan sólo exige un sólido sentido común; la matemática de la probabilidad interviene cuando buscamos un método para enumerar los casos posibles sin que realmente hayan ocurrido. Por ejemplo ¿cuántas "manos" diferentes, consistentes cada una en tres doses y otras tres cartas, ninguna dos, existen en una baraja común de 52 naipes? O ¿cuántas veces al arrojar 10 dados se obtienen 3 ases 5 doses y 2 seises? Un tercer juego del mismo tipo es resolver ¿cuántos brazaletes diferentes pueden hacerse engarzando 10 perlas, 7 rubíes, 5 esmeraldas y 8 zafiros, si las piedras de cada tipo no pueden distinguirse?
Este detalle de encontrar el número de veces que puede hacerse una determinada cosa o cuántas veces puede suceder, pertenece a lo que se llama análisis combinatorio. Su aplicación a la probabilidad es manifiesta. Supongamos, por ejemplo, que deseamos conocer las probabilidades de obtener dos "ases" y un "dos" en una sola tirada con tres dados. Si nosotros conocemos el número total de formas (6 * 6 * 6 = 216) en que los tres dados pueden caer, y también el número de formas (digamos n para que el lector pueda encontrarlo por sí mismo) en que pueden obtenerse 2 "ases" y 1 "dos", la probabilidad es n/216. (Aquí n es 3, de modo que la probabilidad es 3/216). Antoine Gombaud, caballero De Méré, inspirador de estos estadios, es descrito por Pascal como un hombre que tenía una buena inteligencia sin ser matemático, mientras Leibniz, que parece tener pocas simpatías por el alegre caballero, le considera como un hombre de mente penetrante, un filósofo y un jugador, en una combinación desusada.
En relación con los problemas de análisis combinatorio y de probabilidad, Pascal hizo abundante uso del triángulo aritmético:

en el cual los números de cada fila, después de las dos primeras, se obtienen de los que se encuentran en la fila precedente copiando debajo los terminales 1 y sumando los pares sucesivos de números de izquierda a derecha; así, en la fila quinta 5 = 1 + 4, 10 = 4 + 6, 10 = 6 + 4, 5 = 4 + 1. Los números en la fila n, después de l, son el número de las diferentes combinaciones[10] que pueden hacerse con n cosas distintas tomadas, de una en una, de dos en dos, de tres en tres... Por ejemplo, 10 es el número de pares diferentes de cosas que pueden ser combinadas con cinco cosas distintas. Los números de la fila n son también los coeficientes del desarrollo de (1 + x)n por el teorema del binomio (llamado de Newton), de modo que para n = 4,
(1 + x) 4 = 1 + 4x + 6x2+ 4x3 + x4
El triángulo tiene otras numerosas e interesantes propiedades. Aunque era conocido antes de los tiempos de Pascal se le suele dar su nombre para recordar el ingenioso uso que Pascal hizo de él en las probabilidades.
La teoría que se originó en una disputa de jugadores es ahora la base de muchas empresas que consideramos más importantes que el juego, incluso todos los tipos de seguros, estadística matemática y su aplicación a la biología. Y mediciones en la educación así como en la física teórica moderna. Ya no pensamos que un electrón se encuentra en un determinado lugar en un determinado instante, sino que calculamos su probabilidad de estar en una región determinada. Una ligera reflexión mostrará que hasta las más simples mediciones que hacemos (cuando intentamos medir alguna cosa exactamente) son de carácter estadístico.
El humilde origen de esta teoría matemática extraordinariamente útil es típico de otras muchas cosas. Algunos problemas al parecer triviales, que fueron resueltos al principio por una vana curiosidad, conducen a generalizaciones profundas que, como en el caso de la nueva teoría estadística del átomo en la teoría de los cuantos, pueden ser la causa de que se revise toda nuestra concepción del universo físico, o, como ha sucedido con la aplicación de los métodos estadísticos a los tests de la inteligencia y a la investigación de la herencia, pueden inducirnos a modificar nuestras primitivas creencias referentes a la "grandeza y miseria del hombre". Como es natural, ni Pascal ni Fermat pudieron prever cuáles serían las consecuencias de sus descubrimientos. Toda la trama de la Matemática está tan íntimamente entrelazada que no podemos desenredarla y eliminar algún hilo determinado que no sea de nuestro gusto, sin peligro de destruir todo el tejido.
Pascal, sin embargo, hizo una aplicación de las probabilidades (en los Pensées) que para su época era rigurosamente práctica. Se trata de su famosa "apuesta". La "esperanza matemática" en un juego es el valor de las apuestas multiplicado por la probabilidad de ganar el juego. Según Pascal el valor de la felicidad eterna es infinito. Razonaba de este modo: Aun cuando sea muy pequeña la probabilidad de obtener la felicidad eterna siguiendo una vida religiosa, ya que la esperanza es infinita (cualquier fracción finita del infinito es también infinita), recomendaremos a todos que sigan tal tipo de vida. Siguió su propio consejo, pero como si quisiera demostrar que no lo había seguido completamente se plantea en otro lugar de los Pensées esta pregunta totalmente escéptica. ¿Es probable la probabilidad? Es aburrido como él, dice en otro lugar, dedicarse a tales bagatelas, aunque haya tiempo para ellas. La dificultad de Pascal es que no siempre veía cuando se trataba de bagatelas, como en su apuesta contra Dios, y cuando profundizaba en su trabajo, como en el caso del azar en el juego que el caballero De Méré le planteó.
El método de fluxiones (el Cálculo infinitesimal)
es la clave general en cuya virtud la Matemática
moderna revela el secreto de la Geometría y,
Obispo de Berkeley
Yo no fraguo hipótesis.
Isaac Newton
"No sé lo que el mundo pensará de mí, pero a mí me parece ser tan solo un muchacho que juega en la playa y que se divierte al encontrar canto rodado o una concha más hermosa que de ordinario, mientras el gran océano de la verdad yace ante mis ojos sin descubrir".
Esta era la idea que tenía de sí Isaac Newton al final de su larga vida. Sin embargo, sus sucesores, capaces de apreciar su obra, han afirmado, casi sin excepción, que Newton es la inteligencia suprema que la raza humana ha producido "cuyo genio superó el tipo humano".
Isaac Newton nació el día de Navidad ("antiguo estilo" de fechar) de 1642, el año de la muerte de Galileo. Procedía de una familia de pequeños pero independientes granjeros que vivían en la casa señorial la aldea de Woolsthorpe, 13 kilómetros al sur de Grantham en el condado de Lincoln, Inglaterra. Su padre, también llamado Isaac, murió a la edad de 37 años, antes de que naciera su hijo. Newton fue un prematuro. Cuando nació era tan frágil y desmedrado que dos mujeres que habían ido a buscar un "tónico" a la casa de un vecino, creían que a su regreso el niño habría muerto. Su madre decía que era tan pequeño al nacer que cabía fácilmente en un cubo de un litro.
No se conoce suficientemente la genealogía de Newton, que podría ser interesante para los estudiosos de la herencia. Su padre era considerado por los vecinos como un "hombre débil, violento y extravagante". Su madre, Hannah Ayscough, era económica, diligente y buena ama de casa. Después de la muerte de su marido Mrs. Newton fue recomendada como una viuda previsora a un viejo bachiller diciéndole que era "extraordinariamente una buena mujer". El cauteloso bachiller, el reverendo Barnabas Smith, de la parroquia vecina de North Witham, contrajo matrimonio con la viuda. Mrs. Smith dejó a su hijo de tres años al cuidado de su abuela. En su segundo matrimonio tuvo tres hijos, ninguno de los cuales mostró una capacidad especial. De las propiedades del segundo matrimonio de la madre y de las propiedades del padre Newton tenía un ingreso 80 libras al año, que, como es natural, era mucho más en el siglo XVII de lo que podían serlo ahora.

Siendo niño, Newton, como no era robusto, se veía forzado a prescindir de los toscos juegos de los niños de su edad. En lugar de divertirse del modo usual, Newton inventaba otras diversiones, que ya revelan su genio. Se ha dicho por algunos que Newton no fue precoz. Podrá ser cierto por lo que a la Matemática se refiere, pero si sedice lo mismo en otros aspectos, será necesario hacer una nueva definición de la precocidad. El genio experimental insuperable que Newton mostró como observador de los misterios de la luz se revela ya en la ingeniosidad de sus diversiones infantiles. Linternas para aterrorizar a los crédulos aldeanos durante la noche, juguetes mecánicos perfectamente construidos que él fabricaba por sí mismo y que se movían, ruedas hidráulicas, un molino que molía trigo, proporcionando una nívea harina, con un gran ratón (que devoraba la mayor parte de ella), relojes de sol y un reloj de madera que marchaba automáticamente. Tales eran algunas de las cosas con que este muchacho "no precoz" intentaba divertir a sus compañeros de juego, encauzándoles por vías "más filosóficas". Aparte de estas evidentes muestras de talento, Newton leía mucho y apuntaba en su cuaderno todas las recetas misteriosas y todos los fenómenos extraños que se producían ante sus ojos.
La primera parte de la educación de Newton tuvo lugar en la escuela vecina. Un tío materno, el reverendo William Ayscough parece haber sido el primero en reconocer que Newton era algo diferente de muchacho. Graduado en Cambridge, Ayscough persuadió a la madre de Newton de que enviara a su hijo a Cambridge mantenerlo en su hogar, como ella pensaba, para ayudar a de la granja, a su vuelta a Woolsthorpe, después de la muerte o, cuando Newton tenía 15 años.
Antes de esto, sin embargo, Newton había cruzado su Rubicón por propia iniciativa. Por consejo de su tío había sido enviado a la Grammar School de Grantham, donde era atormentado por el camorrista la escuela, que un día golpeó a Newton en el estómago, causándole dolor físico y una intensa angustia mental. Alentado por uno de los profesores, Newton desafió al camorrista a una pelea limpia; se arrojó sobre él y como un final signo de humillación frotó las cobardes narices de su enemigo contra la pared de la iglesia. Hasta entonces Newton no había demostrado gran interés en las lecciones, pero ahora quiso probar que su cabeza era tan buena como sus puños y rápidamente llegó a ser el primero de la escuela. El Director y el tío Ayscough estuvieron de acuerdo en que Newton debía ser enviado a Cambridge; pero el día decisivo fue fijado cuando Ayscough sorprendió a su sobrino leyendo bajo un seto, cuando lo suponía ayudando a los mozos de la granja.
Mientras estuvo en la Grammar School de Grantham y luego, mientras se preparaba para ir a Cambridge, Newton se alojó en la casa de Mr. Clarke el boticario de la aldea. En la trastienda de la botica Newton encontró algunos libros viejos que rápidamente devoró. Durante su permanencia en la botica se enamoró de la hijastra de Clarke, Miss Storey, con la que se prometió antes de dejar Woolsthorpe para ir a Cambridge en junio de 1661, a la edad de 19 años. Pero aunque Newton conservó un cálido afecto para su primera y única Dulcinea de toda su vida, la ausencia y su creciente ensimismamiento en su obra, dieron lugar a que la novela fuera borrándose y Newton jamás contrajo matrimonio. Miss Storey fue más tarde Mrs. Vincent.
Antes de seguir la carrera de Newton en el Trinity College será bueno recordar brevemente la Inglaterra de su época y algunos de los conocimientos científicos de los cuales el joven se sentía heredero. Los fanáticos escoceses Estuardos , gobernaban Inglaterra en virtud de los derechos divinos de que se suponían investidos, con el raro resultado de que los simples seres humanos se sintieron ofendidos por la suposición de la autoridad celestial y se rebelaron contra la sublime arrogancia, la estupidez y la incompetencia de sus gobernantes. Newton creció en una atmósfera de guerra civil política y religiosa en la que puritanos y realistas por igual, se dedicaban al saqueo siempre que necesitaban mantener sus ejércitos preparados para la lucha. Carlos I (nacido en 1600, decapitado en 1649), hizo todo lo que estaba en su poder para suprimir el Parlamento; pero a pesar de sus crueles extorsiones y de la villana capacidad de su Star Chamber (tribunal criminal) para pervertir la ley y la justicia común, no era comparable a los hoscos puritanos de Oliver Cromwell, quien, a su vez, quería llevar sus trapacerías hasta el Parlamento con una apelación a la divina Justicia de su sagrada causa.
Toda esta brutalidad e hipocresía tuvieron un efecto saludable sobre el carácter del joven Newton, que creció con un fiero odio a la tiranía, el subterfugio y la opresión, y cuando el rey Jacobo quiso inmiscuirse en los asuntos de la Universidad, el matemático y filósofo natural no necesitó aprender que una posición resuelta y un frente unido por parte de aquellos cuyas libertades estaban en peligro, son la defensa más eficaz contra una coalición de políticos no escrupulosos; él ya lo sabía por observación y por instinto.
Se atribuyen a Newton las siguientes palabras: "Si he ido algo más lejos que los otros, ello es debido a que me coloqué sobre los hombros de gigantes". Entre los más grandes de estos gigantes se hallaban Descartes, Kepler y Galileo. De Descartes, Newton heredó la Geometría analítica, en la que al principio encontró dificultades; de Kepler, las tres leyes fundamentales del movimiento planetario descubiertas empíricamente después de 22 años de cálculos sobrehumanos, mientras que de Galileo heredó las dos primeras de las tres leyes del movimiento que iban a ser la piedra angular de su propia dinámica. Pero únicamente con ladrillos no se hace una casa; Newton fue el arquitecto de la dinámica y de la mecánica celeste.
Como las leyes de Kepler han de desempeñar un papel importantísimo en el desarrollo de la ley de la gravitación universal debida a Newton, las mencionaremos a continuación:
- Planetas se mueven alrededor del Sol según elipses en que éste es uno de los focos. Si S y S ' son los focos y P cualquier posición del planeta en su órbita, SP + S’P es siempre igual a AA ', que es el eje mayor de la elipse.

- La línea que une el Sol y un planeta, describe iguales áreas en tiempos iguales.
- El cuadrado del tiempo de una revolución completa de cada planeta, es proporcional al cubo de su distancia media al Sol.
Estas leyes pueden ser demostradas en una o dos páginas por medio del cálculo aplicado a la ley de la gravitación universal de Newton.
Dos partículas cualesquiera de materia en el Universo, se atraen recíprocamente con una fuerza que es directamente proporcional al producto de sus masas e inversamente proporcional al cuadrado de su distancia. Por lo tanto, si m, M son las masas de las dos partículas y d la distancia entre ellas (medidas en unidades apropiadas), la fuerza de atracción entre ellas donde k es un número constante:
![]()
![]()
- Todo cuerpo continuará en su estado de reposo o de movimiento uniforme (no acelerado), en línea recta en tanto que no sea obligado a cambiar ese estado por una fuerza exterior.
- La razón del cambio del momentum ("masa - tiempo - velocidad", siendo medidas en unidades apropiadas la masa y la velocidad) es proporcional a la fuerza impresa y tiene lugar en la dirección en que la fuerza actúa.
- Acción y reacción (como en la colisión sobre una mesa sin fricción de bolas de billar perfectamente elásticas) son iguales y opuestas (el momentum que una bola pierde es ganado por la otra).
Lo más importante para la matemática de cuanto estamos diciendo es la palabra razón con que comienza la exposición de la segunda ley del movimiento, la razón del cambio. ¿Qué es una razón y cómo se mide? El momentum como se ha hecho notar, es "masa - tiempo - velocidad". Las masas a que Newton se refería se presume que permanecen constantes durante su movimiento, a diferencia de los electrones y otras partículas físicas, cuyas masas aumentan apreciablemente cuando su velocidad se aproxima a una fracción apreciable de la luz. Así, para investigar la razón del cambio del "momentum" le bastó a Newton aclarar lo que se entiende por velocidad, que es la razón del cambio de posición. Su solución de este problema que le dio un método matemático para investigar la velocidad de cualquier partícula que se mueve en cualquier forma continua le proporcionó la llave maestra de todo el misterio de las razones y su medida, el Cálculo diferencial.
Un problema similar que deriva de las razones, puso en sus manos el Cálculo integral. ¿Cómo se puede calcular la distancia total recorrida en un determinado tiempo por una partícula en movimiento cuya velocidad varía continuamente de un instante a otro? Respondiendo a este u otros problemas similares, algunos planteados geométricamente, Newton ha llegado al Cálculo integral. Finalmente, examinando conjuntamente los dos tipos de problemas, Newton hizo un descubrimiento capital: vio que el Cálculo diferencial y el Cálculo integral están íntima y recíprocamente relacionados por lo que actualmente se llama "el teorema fundamental del Cálculo", que será explicado cuando tratemos del Cálculo infinitesimal.
Aparte de lo que Newton heredó de sus predecesores en ciencia y recibió del espíritu de su edad otros dos dones, una pasión teología y una insaciable sed por los misterios de la alquimia.
Censurarle por dedicar su inteligencia, no superada a estas cosas que podrían ser ahora consideradas indignas de su esfuerzo, sería censurarse a sí mismo. En los días de Newton la alquimia era la química, y de ella más tarde se desarrolló la química moderna. Newton, como hombre de espíritu científico ingénito, se dedicó a descubrir por el experimento lo quelos alquimistas pretendían saber.
En lo que se refiere a la teología, Newton era un creyente en el Creador todopoderoso del Universo y en su propia incapacidad, como muchacho que se encuentra en la playa, para sondear todo el océano de verdades en todas sus profundidades. Por tanto, creyó que no solo habría muchas cosas en el Cielo más allá de su filosofía, sino otra multitud sobre la Tierra, y se prometió comprender por sí mismo lo que la mayoría de los hombres inteligentes de su tiempo aceptaban sin discusión (para ellos era tan natural como el sentido común): la narración tradicional de la Creación.
Se propuso, pues, realizar serios esfuerzos para intentar demostrar que las profecías de Daniel y la poesía del Apocalipsis tienen un sentido y realizar investigaciones cronológicas con objeto de armonizar las fechas del Antiguo Testamento con las de la Historia. En los días de Newton la teología era aún la reina de las ciencias y algunas veces presentaba sus turbulentos temas con un báculo de bronce y una cabeza de hierro fundido. Newton, sin embargo, permitió que su ciencia racional fluyera sobre sus creencias hasta el grado de hacer de él lo que ahora llamaríamos un unitario.
En junio de 1661, Newton ingresó en el Trinity College, de Cambridge un subsizar , un estudiante que (en aquellos días) pagaba sus gastos mediante servicios domésticos. La guerra civil, la restauración de la monarquía en 1661 y las adulaciones mal inspiradas a la Corona por parte de la Universidad, colocó a Cambridge a la altura más inferior que ha tenido en su historia como institución educativa cuando Newton ingresó en ella. De todos modos, el joven Newton, solitario al principio rápidamente se encontró a sí mismo, quedando absorbido en su labor.
El maestro de Newton en Matemática fue el doctor Isaac Barrow (1630-1677), un teólogo y matemático de quien se dice que, a pesar de su indiscutida originalidad y brillantez en la Matemática, tuvo la, desgracia de ser la estrella de la mañana, heraldo del sol de Newton. Barrow reconoció que alguien más grande que él había llegado y en el momento estratégico (1669) renunció su cátedra de Matemática en favor de su incomparable discípulo. Las conferencias sobre Geometría de Barrow se ocupan entre otras cosas de sus propios métodos para calcular áreas y trazar tangentes a curvas, que son esencialmente los problemas claves de los Cálculos integral y diferencial, respectivamente, y no puede haber duda alguna de que esas conferencias inspiraron a Newton sus trabajos.
La vida de Newton antes de graduarse es poco conocida. Parece que no hizo muy buena impresión a sus compañeros, y sus breves cartas, a su hogar no cuentan nada que interese. Los dos primeros años fueron empleados en el aprendizaje de la Matemática elemental. Si existe algún relato veraz de la repentina maduración de Newton como descubridor, ninguno de sus modernos biógrafos parecen haberlo encontrado. Aparte del hecho de que en los tres años 1664-66 (teniendo 21 a 22 años) estableció los fundamentos de su obra posterior en ciencias y Matemática, y que el incesante trabajo le produjo una enfermedad, nada seguro sabemos de él. La tendencia de Newton al secreto acerca de sus descubrimientos desempeñó también un papel para hacer mayor el misterio.
En su faceta puramente humana, Newton era suficientemente normal como para cometer algunos pecadillos antes de graduarse, y en su libro de apuntes se hace una alusión a diversas asistencias a la taberna y a la pérdida en dos partidas de naipes. Se graduó de B. A. (Bachiller en Artes) en enero de 1664.
La gran plaga (peste bubónica) de 1664-65 con su más moderada repetición en el siguiente año, dio a Newton la oportunidad de madurar su genio. La Universidad estaba cerrada y la mayor parte de estos dos años Newton se retiró a meditar en Woolsthorpe. Hasta entonces no había hecho nada notable, excepto haber estado enfermo por su demasiado asidua observación de un cometa y de los halos lunares, o si hizo algo fue en secreto. En estos dos años inventó el método de las fluxiones (el Cálculo), descubrió la ley de la gravitación universal y demostró experimentalmente que la luz blanca está compuesta de luz de todos los colores. Por entonces tenía 25 años.
Un manuscrito fechado el 20 de mayo de 1665 muestra que Newton, a la edad de 23 años, había desarrollado suficientemente los principios del Cálculo para poder encontrar la tangente y curvatura en cualquier punto de cualquier curva continua. Llamó a su método "fluxiones", de la idea de "fluir" o cantidades variables y sus razones de "flujo" o “crecimiento”. Su descubrimiento del teorema del binomio, un paso esencial hacia un cálculo completamente desarrollado, fue realizado de este modo.
El teorema general amplía los resultados particulares del siguiente modo:
( a + b ) 2 = a 2 + 2 ab + b 2 ;
( a + b) 3 = a 3 + 3 a 2 b + 3 ab 2 + b 3 ,
y así sucesivamente, los cuales son encontrados utilizando el cálculo directo; de la siguiente forma:![]()
![]()
Pero si n no es un número entero positivo la serie no termina, y esta demostración es inaplicable. Como una prueba del teorema del binomio para los valores fraccionarlos y negativos de n (como también para valores más generales), con una exposición de las restricciones necesarias para a, b , tan sólo se obtuvo en el siglo XIX, en este lugar nos limitaremos a decir que al ampliar el teorema a estos valores de n , Newton pensó que el teorema era correcto para todos los valores de a, b , como tuvo ocasión de considerar en su obra.
Si procediendo como si fuera el siglo XVII, hacemos caso omiso de los refinamientos modernos, será fácil ver cómo el Cálculo fue finalmente inventado. Las nociones fundamentales son las de variable, función y límite . Para aclarar esta última se empleó largo tiempo.
Una letra, por ejemplo s, que puede tornar diferentes valores durante el curso de una investigación matemática se denomina una variable ; por ejemplo, s es una variable si denota la altura de un cuerpo que cae hacia la tierra.
La palabra función (o su equivalente latino) parece que fue introducida en la Matemática por Leibniz en 1694; el concepto domina ahora gran parte de la Matemática y es indispensable en la ciencia. Desde el tiempo de Leibniz el concepto ha sido precisado. Si y y x, son dos variables tan relacionadas que siempre que se asigne un valor numérico a x, se determina un valor numérico de y , entonces y se llama función uniforme de x, y esto se simboliza escribiendo y = f(x).
En lugar de intentar dar una definición moderna de límite , nos concentraremos con uno de los más simples ejemplos de ese tipo que condujo a los continuadores de Newton y Leibniz (del primero especialmente) al uso de los límites al discutir la razón del cambio. Para los primeros que desarrollaron el Cálculo, las nociones de variable y límite fueron intuitivas; para nosotros son conceptos extraordinariamente sutiles protegidos por la etiqueta de misterios semimetafísicos, referentes a la naturaleza de los números, racionales e irracionales.
Supongamos que y es una función de x, o sea, y = f(x). La razón del cambio de y con respecto a x, o, como se dice, la derivada de y con respecto a x, se define del siguiente modo. Se da a x cualquier incremento, es decir Δ x (léase "incremento de x "), de modo que x sea x + Δ x; y f(x) o y, sea f(x + Δ x ). El incremento correspondiente, Δ y de y es su nuevo valor menos su valor inicial; o sea, Δ y = f (x + Δ y) - f(x).
Como una relativa aproximación a la razón del cambio de y con respecto a x podemos considerar, por nuestro concepto intuitivo de una razón como un "promedio", el resultado de dividir el incremento de y por el incremento de x o sea:
![]()
Para ver cómo se resuelve el problema supongamos que f(x) sea la función particular x 2 , de modo que y = x 2 . Siguiendo el procedimiento anterior tendremos:
![]()
![]()
Tal razonamiento no satisfará a un estudioso de hoy día, pero no podían hacer nada mejor los inventores del Cálculo, y ahora tendremos que conformarnos, si y = f(x), el valor límite de
Los ejemplos más sencillos de razón en Física son la velocidad y la aceleración, dos de los conceptos fundamentales de la dinámica. La velocidad es la razón del cambio de distancia (o "posición" o "espacio"), con respecto al tiempo. La aceleración es la razón del cambio de veloci dad con respecto al tiempo. Si s designa la distancia recorrida en el tiempo t por una partícula en movimiento (aceptando que la distancia es función del tiempo), la velocidad en el tiempo t , es
Esto introduce la idea de una razón de razón o de una derivada segunda . En el movimiento acelerado, la velocidad no es constante, sino variable, y de aquí que tenga una razón de cambio: la aceleración es la razón de cambio de la razón, de cambio de la distancia (ambas razones con respecto al tiempo); y para indicar esta segunda razón o "razón de razón", escribimos
Si ahora volvemos a ocuparnos de lo que dijo Newton respecto de la segunda ley del movimiento, y lo comparamos con lo dicho para la aceleración, vemos que las "fuerzas" son proporcionales a las aceleraciones que producen. De este modo podemos establecer la ecuación diferencial en un problema que no es en modo alguno sencillo: el de las "fuerzas centrales"; una partícula es atraída hacia un punto fijo por una fuerza cuya dirección pasa siempre a través del punto fijo. Puesto que la fuerza varía como una función de la distancia s, o sea como F(s), donde s es la distancia de la partícula en el tiempo t , desde el punto fijo O,

![]()
Habiendo reducido el problema a una ecuación diferencial, tenemos que resolver ahora esta ecuación, es decir, encontrar la relación entre s y t , o, en lenguaje matemático, resolver la ecuación diferencial expresando s en función de t . Aquí comienza la dificultad. Puede ser muy fácil traducir una situación física determinada a una serie de ecuaciones diferenciales que ningún matemático puede resolver. En general, todo problema esencialmente nuevo en Física conduce a tipos de ecuaciones diferenciales que exigen la creación de nuevas ramas de la Matemática para su solución. La ecuación particular anterior puede, sin embargo, resolverse muy simplemente por medio de funciones elementales si
![]()
![]()
Por simple inspección vemos que la primera de las ecuaciones mencionadas tiene la solución
Hasta este simple ejemplo puede indicar que el problema de calcular
Con los dos conceptos básicos
Consideremos una curva continua no cerrada cuya ecuación es y = f(x) en coordenadas cartesianas. Hay que encontrar el área comprendida entre la curva, el eje x y las dos perpendiculares AA', BB’, trazadas al eje de las x desde dos puntos A, B, de la curva. Las distancias OA', OB' son a , b , respectivamente, llamadas coordenadas de A', B', que son (a, o), (b, o).

La respuesta es seguramente una de las cosas más asombrosas que un matemático puede descubrir.
Primero se encuentra
Obsérvesela relación entre y = f(x), la ecuación de la curva dada;
Poniendo todo esto en símbolos, escribimos para el área en cuestión
; a es el límite inferior de la suma, b el límite superior; y 
Dos sencillas pero importantes cuestiones pondrán punto final a este resumen de los conceptos principales del Cálculo formulado por los precursores. Hasta ahora sólo hemos considerado funciones de una sola variable, pero la naturaleza nos presenta funciones de varias variables y hasta de infinitas variables.
Para citar un ejemplo muy sencillo, el volumen V de un gas es una función de su temperatura T y la presión P sobre él; o sea V = F(T, P): la forma real de la función F no es necesario que sea especificada. Cuando T, P, varían, V varía. Pero supongamos que sólo una, T o P, varía, mientras la otra permanece constante. Nos encontramos ahora con una función de una variable, y la derivada de F(T, P) puede ser calculada con respecto a esa variable. Si T varía mientras P permanece constante, la derivada de F(T, P) con respecto a T se llama la derivada parcial (con respecto a T ), y para mostrar que la variable P permanece constante, se usa un símbolo diferente,, para esta derivada parcial. De igual modo, si P varía mientras T permanece constante, tendremos
La gran mayoría de las ecuaciones importantes de la Física matemática son ecuaciones diferenciales parciales. Un ejemplo famoso es el de la ecuación de Laplace o la "ecuación de continuidad", que aparece en la teoría newtoniana de la gravitación, en la de la electricidad, magnetismo, movimiento de los fluidos etc.
![]()
![]()
Lo realmente asombroso de esta ecuación y de algunas otras de la Física matemática es que una perogrullada física, cuando es sometida a razonamientos matemáticos, proporciona datos imprevistos que no son perogrulladas. Las "anticipaciones" de los fenómenos físicos mencionadas en capítulos anteriores surgen de estos lugares comunes tratados matemáticamente.
Sin embargo, aparecen dos verdaderas y grandes dificultades en problemas. El primero se refiere al físico, que debe tener en cuenta las complicaciones que pueden ser excluidas de su problema sin mutilarlo en forma que impida todo reconocimiento, para que pueda ser tratado matemáticamente. La segunda se refiere al matemático, y ésta nos lleva a una cuestión de gran importancia, la última que mencionaremos en este resumen del Cálculo, la de los llamados problemas del valor límite.
La ciencia no plantea a los matemáticos ecuaciones como la de Laplace exigiéndoles que encuentren la solución general. Lo que desea es algo que suele ser mucho más difícil de obtener y es una solución particular que no sólo satisfaga la ecuación, sino que además satisfaga ciertas condiciones auxiliares dependientes del problema particular de que se trate.
La cuestión puede ser ilustrada por un problema sobre la conducción del calor. Existe una ecuación general (la de Fourier) para el "movimiento" del calor en un conductor, análoga a la de Laplace para el movimiento de los fluidos. Supongamos que se necesita encontrar la distribución final de la temperatura en una barra cilíndrica cuyos extremos se mantienen a una temperatura constante y cuya superficie curvada se mantiene a otra temperatura; la "final" significa que existe un "estado continuo" sin cambio ulterior de temperatura en todos los puntos de la barra. La solución no sólo debe satisfacer la ecuación general, sino que también debe explicar las temperaturas de superficie o las condiciones límites iniciales.
Lo segundo es lo más difícil. Para una barra cilíndrica, el problema es muy diferente del que corresponde a una barra de sección rectangular. La teoría de los problemas de valor-límite tiene por objeto ajustar las soluciones de las ecuaciones diferenciales a condiciones iniciales prescritas. Esto ha sido creación de los últimos ochenta años. En cierto sentido la Física matemática es contemporánea de la teoría de los problemas de valor-límite .
La segunda de las grandes inspiraciones de Newton cuando tenía 22 ó 23 años (año 1666), estando en Woolsthorpe, fue su ley de la gravitación universal (ya expuesta). A este respecto no repetiremos la conocida historia de la manzana, y para variar la monotonía del relato clásico, expondremos la versión de Gauss cuando nos ocupemos de él.
La mayor parte de los autores aceptan que Newton hizo algunos cálculos aproximados en 1666 (teniendo 23 años), para ver si su ley de la gravitación universal podía explicar las leyes de Kepler. Algunos años más tarde (en 1684), cuando Halley le preguntó qué ley de la atracción explicaría las órbitas elípticas de los planetas, Newton replicó inmediatamente que la razón inversa de los cuadrados.
“¿Cómo lo sabéis?", preguntó Halley, quien había sido incitado por Sir Christofer Wren y otros autores a plantear la cuestión, como un gran argumento acerca del problema debatido durante algún tiempo en Londres.
“Porque lo he lo he calculado", replicó Newton. Al intentar repetir su cálculo, Newton cometió un error y creyó que estaba equivocado. Pero luego encontró el error y comprobó su conclusión original.
Se ha dicho que el retraso de 20 años en la publicación de la ley de gravitación universal fue una inmerecida contrariedad debida a datos inexactos. En este lugar preferiremos la menos romántica, pero la más matemática de las tres explicaciones que se han dado.
La demora de Newton se relaciona con su incapacidad para resolver cierto problema del Cálculo integral que era crucial para toda la teoría de la gravitación universal expresada en la ley newtoniana.
Antes de que pudiera explicar tanto el movimiento de la manzana como el de la Luna, Newton tenía que encontrar la atracción total de una esfera homogénea sólida sobre cualquier partícula fuera de la esfera. "Todas las partículas de la esfera atraen la partícula fuera de ella con una fuerza que está en razón directa del producto de las masas de las dos partículas, e inversa del cuadrado de la distancia entre ellas. ¿Cómo se componen o se suman en la atracción resultante todas estas diferencias y atracciones infinitas en número?
Esto es sin duda un problema de Cálculo integral. Actualmente se cita a los manuales como un ejemplo que los estudiantes deben resolver en 20 minutos o menos y, sin embargo, Newton empleó veinte años. Finalmente lo resolvió: la atracción es la misma, como si toda la masa de la esfera estuviera reunida en un solo punto: en su centro. El Problema se reduce, pues, a encontrar la atracción entre dos partículas separadas a cierta distancia, y la solución inmediata de esto es la enunciada en la ley de Newton. Si esta es la correcta explicación de la demora de 20 años, podrá darnos cierta idea de la enorme labor que generaciones de matemáticos desde los días de Newton han realizado para desarrollar y simplificar el Cálculo, hasta el punto de que hoy pueda usarlo sin dificultad un muchacho de 16 años.
Aunque nuestro interés principal por Newton se centra en su talento como matemático, no podemos abandonarle con su obra maestra no desarrollada del año 1666. Hacer esto no daría idea de su grandeza, y debemos trazar un breve esquema de sus restantes actividades, sin entrar en detalles por falta de espacio.
Después de su regreso a Cambridge, Newton fue elegido miembro del Trinity en 1667, y en 1669 teniendo 26 años, sucedió a Barrow como profesor lucasiano de Matemática. Sus primeras lecciones se refirieron a la óptica. En ellas expuso sus descubrimientos y bosquejó su teoría corpuscular de la luz, según la cual la luz consiste en una emisión de corpúsculos y no es un fenómeno ondulatorio, como Huygens y Hooke suponían. Aunque las dos teorías parecen ser contradictorias, ambas son útiles actualmente para explicar los fenómenos de la luz, y se reconcilian en un sentido puramente matemático en la moderna teoría de los cuantos. Por tanto, no es correcto decir, como se decía hace años, que Newton estuviera completamente equivocado con su teoría corpuscular.
El año siguiente 1668, Newton construyó un telescopio de reflexión con sus propias manos, y lo utilizó para observar los satélites de Júpiter. Se proponía comprobar si la gravitación universal era realmente universal observando los satélites de Júpiter. Este año es también memorable en la historia del Cálculo. Los cálculos de Mercator por medio de series infinitas del área de la hipérbola atrajeron la atención de Newton. El método era prácticamente idéntico al suyo, que no había todavía publicado, pero que comunicó al Dr. Barrow y que circuló entre algunos de los mejores matemáticos.
Al ser elegido miembro de la Royal Society en 1672, Newton comunicó sus trabajos sobre los telescopios y su teoría corpuscular de la luz. Una comisión de tres miembros, que incluía al pendenciero Hooke, fue reunida para que informara acerca de los trabajos sobre óptica. Abusando de su autoridad como juez, Hooke se aprovechó de la oportunidad para hacer propaganda de la teoría ondulatoria y de sí mismo a expensas de Newton. Al principio Newton permaneció frío y en actitud científica ante la crítica, pero cuando el matemático Lukas y el médico Linus, ambos de Lieja, se unieron a Hooke y añadieran nuevas sugestiones y objeciones, que cambiaron la crítica legítima por otra capciosa y simplemente estúpida, Newton comenzó a perder la paciencia.
Una lectura de su correspondencia en la primera de sus violentas controversias podrá convencer de que Newton era celoso de sus descubrimientos. El tono de sus cartas cambia gradualmente desde su deseo de aclarar las dificultades que otros encuentran, hasta el asombro provocado por el hecho que los científicos puedan considerar a la ciencia cono un campo de batalla de sus querellas personales. De este asombro pasa rápidamente a una ira fría y a una resolución algo infantil de actuar por sí mismo en el futuro. No puede sufrir tranquilamente las necedades maliciosas.
Finalmente, en una carta fechada el 18 de noviembre de 1676, dice: “Veo que he hecho de mí un esclavo de la filosofía, pero si me veo libre del asunto de Mr. Lukas, me despediré para siempre de ella, salvo que me dedique en esa actividad para mi satisfacción privada. Veo que un hombre o no debe plantear nada nuevo, o tendrá que ser un esclavo para defenderlo". Sentimientos casi idénticos fueron expresados por Gauss en relación con la Geometría no-euclidiana.
La petulancia de Newton ante la crítica y su exasperación por las vanas controversias estalló después de la publicación de los Principia . Escribiendo a Halley el 20 de junio de 1688, dice: "La filosofía [la ciencia] es una dama impertinente y litigiosa, y un hombre, para estar en relaciones con ella, tiene que verse envuelto en pleitos. Lo vi desde un principio, y ahora no estoy muy dispuesto a acercarme, pues ella, me lo advierte". La Matemática, la dinámica y la mecánica celeste, fueron en efecto, podemos admitirlo, intereses secundarios para Newton. Su corazón estaba en la alquimia, en sus investigaciones en cronología y en sus estudios teológicos.
Fue tan solo impulso interno el que le lanzó, como una diversión, a la Matemática, y en el año 1679, teniendo 37 años (cuando también tenía planteadas seguramente en su cabeza o sobre su mesa sus descubrimientos e invenciones esenciales), escribió al pestilente Hooke. "Durante los últimos años me he esforzado por pasar de la filosofía a otros estudios, y no volveré a ellos a no ser que lo haga por diversión en algunas horas de descanso". Estas "diversiones" le sumieron, algunas veces en una meditación más profunda que sus labores confesadas, como cuando cayó gravemente enfermo por pensar día y noche en el movimiento de la Tierra, el único problema, que según dicen, le provocó dolor de cabeza.
Otra faceta de la susceptibilidad de Newton se muestra en la primavera de 1673, cuando escribió a Oldenburg renunciando a ser miembro en la Royal Society. Esta petulante acción ha sido diversamente interpretada. Newton daba como razones las dificultades financieras y la distancia que le separaba de Londres. Oldenburg, tomando al pie de la letra las palabras del matemático, le respondió que podía conservar su categoría de miembro sin pagar. Mientras tanto Newton recobró su serenidad y retiró su renuncia. Cierto es que pasó épocas de dificultades económicas, pero sus finanzas mejoraron. Haremos notar aquí que Newton no era un soñador de pensamiento ausente cuando se trataba de dinero. Era extraordinariamente astuto y llegó a enriquecerse. Pero aunque astuto y económico fue también muy liberal con su dinero, y estuvo siempre dispuesto a ayudar a los amigos en caso de necesidad tan generosamente corno le era posible. Para los jóvenes era particularmente generoso.
Los años 1684-86 marcan una de las grandes épocas en la historia del pensamiento humano. Incitado hábilmente por Halley, Newton consintió al fin redactar para su publicación sus descubrimientos astronómicos y dinámicos. Probablemente ningún mortal ha pensado tan profundamente y con tanta intensidad como Newton lo hizo para escribir sus Philosophiae Naturalís Principia Mathematica (Principios matemáticos de filosofía natural). Sin cuidarse de su salud física, Newton pareció olvidarse de que tenía un cuerpo que necesitaba alimentarse y dormir, cuando se entregó a la composición de su obra maestra. Renunciaba a comer, y, después de dormir el menor tiempo posible, se sentaba semivestido durante horas, en el borde del lecho, para sumergirse en los laberintos de su matemática. En 1686, los Principia fueron presentados en la Royal Society, y en 1687 fueron impresos a expensas de Halley.
No podemos hacer aquí una descripción del contenido de los Principia, pero podemos resumir brevemente los inagotables tesoros que esta obra contiene. El espíritu que anima toda la obra es la dinámica de Newton, su ley de la gravitación universal y la aplicación de ambas al sistema solar, "el sistema del mundo". Aunque el Cálculo deja paso a la demostración geométrica sintética, Newton afirma (en una carta) que lo utilizó para obtener sus resultados, y luego procedió a revisar en la forma geométrica las pruebas proporcionadas por el cálculo, de modo que sus contemporáneos pudieran comprender más fácilmente el tema principal: la armonía dinámica de los cielos.
En primer término, Newton dedujo las leyes empíricas de Kepler basándose en su propia ley de la gravitación, y demostró cómo puede ser calculada la masa del Sol, y también cómo puede ser determinada la masa de un planeta que tenga un satélite. En segundo lugar inició la teoría extraordinariamente importante de las perturbaciones: la Luna, por ejemplo, no es sólo atraída por la Tierra, sino también por el Sol; de aquí que la órbita de la Luna será perturbada por la atracción del Sol. En esta forma Newton explicó dos antiguas observaciones, debidas a Hiparco y Ptolomeo. Nuestra propia generación ha visto ahora completamente desarrollada la teoría de las perturbaciones aplicada a las órbitas electrónicas, particularmente para el átomo del helio. Aparte de estas antiguas observaciones, otras siete irregularidades del movimiento de la Luna observadas por Tycho Brahe (1546-1601), Flamsteed (1646-1719) y otros autores, fueron deducidas de la ley de la gravitación.
Esto por lo que se refiere a las perturbaciones lunares. Lo mismo puede decirse también de los planetas. Newton comenzó la teoría de las perturbaciones planetarias que en el siglo XIX iba a conducir al descubrimiento del planeta Neptuno, y en el siglo XX al de Plutón.
Los "sin ley", que aun son considerados como advertencias del cielo por los ojos supersticiosos, fueron colocados bajo la ley universal como miembros inocuos de la familia del Sol, con tal precisión que ahora calcularnos su retorno para darles la bienvenida (a no ser que Júpiter o algún otro planeta lo impida) tal como hicimos en 1910 cuando el bello cometa de Halley volvió a presentarse después de una ausencia de 74 años.
Newton comenzó el vasto y aun incompleto estudio de la evolución planetario, calculando (basándose en su dinámica y en la ley universal) el aplastamiento de la Tierra en sus polos debido a la rotación, y demostró que la forma de un planeta determina la longitud de su día, de modo que si conocemos exactamente cómo se aplasta Venus en los polos podremos decir cuánto tarda en completar su giro alrededor del eje que los une. Calculó la variación del peso según la latitud. Demostró que una cáscara hueca, limitada por superficies esféricas concéntricas, y homogénea no ejerce ninguna fuerza sobre un pequeño cuerpo colocado en el interior de ella. Esto tiene consecuencias importantes en electrostática, y también en el reino de la ficción como base de experimentos físicos que sirven de entretenimiento.
La precesión de los equinoccios fue bellamente explicada por la atracción de la Luna y el Sol sobre la curvatura ecuatorial de la Tierra, que da lugar a que nuestro planeta oscile como una peonza. Las misteriosas mareas cayeron también dentro del gran esquema; fueron calculadas tanto las mareas lunares como las solares, y pudo deducirse la masa de la Luna, observando las alturas de las mareas vivas y muertas. El primer libro establece los principios de la dinámica. El segundo, el movimiento de los cuerpos en los medios resistentes, y el movimiento de los fluidos; el tercero es el famoso "Sistema del Mundo".
Probablemente ninguna ley de la naturaleza ha sido tan sencillamente unificada como lo fue la ley de Newton de la gravitación universal en sus Principia. Es mérito de los contemporáneos de Newton haber reconocido, al menos vagamente, la magnitud de su obra, aunque pocos podrían seguir el razonamiento en cuya virtud fue logrado el estupendo milagro de la unificación, que transformó al autor de los Principia en un semidiós. Antes de que pasaran muchos años, el sistema newtoniano fue enseñado en Cambridge (1699) y en Oxford, (1704). Francia quedó aletargada durante medio siglo por los angélicos "torbellinos" de Descartes, pero una vez repuesta, el misticismo dio paso a la razón y Newton encontró su máximo sucesor no en Inglaterra, sino en Francia, donde Laplace se dedicó a la tarea de continuar y completar los Principia.
Después de los Principia el resto es el anticlímax. Aunque la teoría lunar continuó incitándole y "recreándole", Newton cayó temporalmente enfermo de "Filosofía" y aprovechó la oportunidad para dirigirse a asuntos menos celestiales. Jacobo II, obstinado escocés y fanático católico, pretendió obligar a la Universidad a conceder el grado de maestro a un benedictino, a pesar de las protestas de las autoridades académicas. Newton era uno de los delegados que en 1687 fue a Londres para presentar el caso de la Universidad ante el Tribunal presidido por un tunante jurisconsulto: el Grand Lord Canciller George Jeffreys: “el infame Jeffreys" como es conocido en la historia. Después de haber insultado al presidente de la delegación orgullosamente, Jeffreys despidió a los restantes con la orden de proceder sin tardanza. Newton se mantuvo al parecer tranquilo. Nada se ganaba con responder a una liebre como Jeffreys en su propio tono. Pero cuando los demás iban a firmar un deshonroso compromiso, Newton se interpuso y evitó que firmasen. Nada de valor se había perdido ni menos el honor. "Un valor honrado en estas cuestiones, escribía más tarde Newton, asegurará todo, estando la razón de nuestra parte".
Cambridge apreció, sin duda, el valor de Newton, pues en enero de 1689 le eligió para representar a la Universidad en la Convención Parlamentaria, después de que Jacobo II huyó del país, para dejar paso Guillermo de Orange y su esposa Mary, y de que el fiel Jeffreys tuvo que ocultarse para escapar a la rápida justicia del populacho. Newton se sentó en el Parlamento hasta su disolución en febrero de 1690. En honor suyo diremos que no pronunció ningún discurso, pero fue fiel a su cargo y no se mostró buen político. Su diplomacia tuvo mucho que hacer para mantener leal al Rey y a la Reina la turbulenta Universidad.
El gusto por la "vida real" en Londres pudo arruinar la labor científica de Newton. Los amigos influyentes y oficiosos, incluyendo el filósofo John Locke (1632-1704), autor del famoso Human Understanding, convenció a Newton de que no debía negarse a participar en los honores. La imbecilidad máxima de la raza anglosajona es su estúpida creencia de que los cargos públicos o las posiciones administrativas, constituyen el honor supremo para un hombre inteligente. Los ingleses, finalmente (1699), nombraron a Newton director de la Casa de la Moneda para reformar y dirigir el sistema monetario del reino. Este paso de lo sublime a lo ridículo, alcanza su máximo en el comentario de Sir David Brewster (1860) acerca del "bien merecido reconocimiento" que obtuvo del pueblo inglés el genio de Newton. Como es natural, si Newton realmente deseaba algún nombramiento de este tipo, tenía derecho a conseguir lo que quisiera, pero sus amigos intrigantes no debían incitarle a ello.
Veamos cómo sucedió. Charles Montagu, más tarde conde de Halifax, miembro del Trinity College y amigo íntimo de Newton, ayudado e incitado por el charlatán e intrigante Samuel Pepys (1633-1703) de pública notoriedad, movidos a su vez por Locke y por Newton mismo, comenzaron a tender los puentes para que Newton obtuviera un reconocimiento "digno" de él.
Es evidente que las negociaciones no se realizaron siempre con facilidad, y el temperamento algo suspicaz de Newton le llevó a creer que algunos de sus amigos estaban jugando con él, como probablemente ocurría. El insomnio y la indiferencia por el alimento, que le capacitaron para escribir los Principia en diez y ocho meses, se vengaron de él. En el otoño de 1692 (cuando tenía casi cincuenta años y podía estar en lo mejor de su vida), Newton cayó gravemente enfermo. La repugnancia por el alimento y su insomnio casi total, agravados por una temporal manía persecutoria, le llevaron a un estado peligroso cercano al colapso mental total. Una patética carta de 16 de septiembre de 1693, que escribió a Locke, después de su restablecimiento, muestra que había estado muy enfermo.
Señor:
Pensando que queríais embrollarme con mujeres y por otros medios [11] me sentí tan afligido que cuando me dijeron que estabais enfermo y que no viviríais, respondí: sería mejor que muriera. Deseo que me perdonéis por esta falta de caridad. Ahora estoy convencido de que lo que habéis hecho es justo, y os pido perdón por haber abrigado malos pensamientos, por haber dicho que atacabais la raíz de la moralidad en un principio establecido en vuestro libro de moral, que pensabais continuar en otro libro, y por haber afirmado que erais partidario de Hobbes. También os pido Perdón por haber dicho o pensado que había existido el propósito de comprarme por un cargo o embrollarme.
Vuestro más humilde y desgraciado servidor.
Isaac Newton
La década después de la publicación de los Principia fue dividida entre la alquimia, la teología y los pesares, con incursiones más o menos involuntarias a la teoría lunar. Newton y Leibniz se hallaban aún en términos cordiales. Sus "amigos" respectivos, completamente ignorantes de las Matemáticas en general y del Cálculo en particular, no habían aún empujado a uno contra el otro para que se acusaran de plagiarios en la invención del Cálculo, y hasta de otras cosas peores, en la querella más vergonzosa acerca de la prioridad que registra la historia de la Matemática. Newton reconocía los méritos de Leibniz, Leibniz reconocía los de Newton, y en esta fase pacífica de su amistad ninguno pensó, ni por un momento, que el otro le hubiera robado la más mínima idea acerca del Cálculo infinitesimal.
Más tarde, en 1712, cuando el hombre de la calle, el celoso patriota que no sabe nada de los hechos, se dio vaga cuenta de que Newton había hecho algo extraordinario en el campo de la Matemática, (más que lo que había sido, hecho en todo el tiempo anterior a él, según decía Leibniz), la cuestión respecto a quién inventó el Cálculo, constituyó una cuestión de celos nacionales, y todo inglés culto tuvo que alistarse tras de su campeón, afirmando que su rival era un estafador y un embustero.
Al principio Newton no tuvo culpa alguna, ni tampoco la tuvo Leibniz. Pero a medida que se afirmaba el instinto deportivo británico, Newton se dispuso al ataque, y él mismo sugirió o consintió que se proyectasen sombras acerca de la falta de honradez con que se procedía para obtener el título de campeón internacional a cualquier costa. Leibniz y sus partidarios hicieron lo mismo. La consecuencia de todo esto fue que la obstinada Inglaterra vio marchitarse la Matemática durante todo un siglo después de la muerte de Newton, mientras que Suiza y Francia, más progresivas, siguieron la dirección de Leibniz y desarrollaron su incomparablemente mejor y más sencilla forma de escribir el Cálculo, perfeccionaron la cuestión y la hicieron sencilla, aplicándola fácilmente a diversas investigaciones, cosa que los inmediatos sucesores de Newton debían haber tenido el honor de hacer.
En 1696, teniendo 54 años, Newton fue nombrado administrador de la Casa de la Moneda. Su tarea era reformar el sistema monetario. Habiéndolo hecho así, fue ascendido en 1699 al cargo de Director. La única satisfacción que pueden tener los matemáticos en esta degradación de la suprema inteligencia de Newton es la refutación que proporciona a la necia superstición de que los matemáticos no tienen sentido práctico. Newton fue uno de los mejores Directores de la Casa de la Moneda que ha habido, pues se entregó seriamente a su tarea.
En 1701-1702 Newton volvió a representar a la Universidad de Cambridge en el Parlamento, y en 1703 fue elegido Presidente de la Royal Society, cargo honroso para el que fue reelegido repetidas veces, hasta su muerte en 1727. En 1705 fue nombrado caballero por la reina Ana. Probablemente este honor se debió a sus servicios corno Director de la Casa de la Moneda más que al reconocimiento de su posición en el templo de la sabiduría. Podríamos plantearnos la siguiente cuestión: si una cinta colgada al cuello es el premio para un político intrigante, ¿por qué un hombre inteligente e íntegro puede sentirse adulado si su nombre aparece en la lista de los honores concedidos por el Rey? César puede recibir de buen agrado las cosas que le pertenecen, pero cuando un hombre de ciencia, corno tal hombre de ciencia, solicita las migajas de la mesa de la realeza, se compara a los sarnosos y hambrientos perros que lamen las úlceras de los pordioseros. Es de creer que Newton fuera honrado caballero por sus servicios en la Casa de la Moneda, no por su ciencia.
¿Se anuló el genio matemático de Newton? En su mayor parte no. Continuó siendo el compañero de Arquímedes. Pero el sabio griego, aristócrata por nacimiento, no se cuidó jamás de los honores de una posición de que siempre había gozado; hasta el último minuto de su larga vida se dedicó a la Matemática con la misma intensidad con que lo había hecho en su juventud. Pero a pesar de las enfermedades y de la pobreza, los matemáticos pertenecen intelectualmente a una raza de larga vida; su capacidad de creación sobrevive en algunas décadas a la de los poetas y artistas y hasta a la de los científicos. Newton tenía aun una inteligencia tan vigorosa como la que había poseído siempre. Si sus intrigantes amigos le hubieran dejado tranquilo, Newton podría haber creado fácilmente el Cálculo de variaciones, un instrumento para los descubrimientos físicos y matemáticos en lugar de dejar que lo iniciaran los Bernoulli, Euler y Lagrange. Ya lo había barruntado en los Principia cuando determinó la forma de la superficie de revolución que puede engendrarse en un fluido con la mínima resistencia. Estableció así en grandes líneas todo el método. Igual que Pascal cuando abandonó este mundo por el reino más satisfactorio de los cielos, Newton era aún un matemático cuando volviendo su espalda a sus estudios de Cambridge se paseó por el más impresionante santuario de la Casa de la Moneda.
En 1696, Johann Bernoulli y Leibniz lanzaron dos endiablados desafíos a los matemáticos de Europa. El primero tiene aún importancia; el segundo no es de la misma clase. Supongamos dos puntos fijados al azar en un plano vertical. ¿Cuál es la forma de la curva que una partícula debe seguir (sin fricción) bajo la influencia de la gravedad, para pasar del punto superior al inferior en el menor tiempo? Este es el problema la braquistócrona, (tiempo mínimo). Después de que el problema tuvo en jaque a los matemáticos de Europa durante seis meses, Newton oyó hablar de él por primera vez el 29 de enero de 1696, cuando un amigo se lo comunicó. Acababa de llegar a su casa, fatigado, después de una larga jornada en la Casa de la Moneda. Después de cenar resolvió el problema (y también el segundo), y al día siguiente comunicó sus soluciones anónimamente a la Royal Society. A pesar de todas sus precauciones, no pudo ocultar su identidad. Mientras estuvo en la Casa de la Moneda, Newton se opuso a los esfuerzos de los matemáticos y hombres de ciencia que querían arrastrarle a discusiones de interés científico. Al ver la solución, Bernoulli exclamó inmediatamente: "Ah, reconozco al león por su garra". (No es esta una traducción exacta del latín de Bernoulli). Todos reconocieron a Newton, y lo habrían hecho aunque tuviera un saco de monedas sobre su cabeza y no dijera su nombre.
Una segunda prueba de la vitalidad de Newton fue dada en 1716, cuando tenía 74 años. Leibniz propuso un problema, que a él le pareció particularmente difícil, a los matemáticos de Europa, dirigiéndose a Newton en particular [12] . Newton lo recibió a las cinco de la tarde, cuando volvía fatigado de la terrible Casa de la Moneda. Lo resolvió aquella misma tarde. Leibniz pensaba con demasiado optimismo que esta vez había atrapado al león. En toda la historia de la Matemática Newton no ha tenido superior, ni quizá igual, en la capacidad para concentrar todas las fuerzas de su inteligencia sobre un problema difícil.
La historia de los honores que pueden recaer en un hombre, es una cuestión sin importancia. Newton tuvo todo lo que puede tener un hombre durante su vida. En general, Newton llevó una existencia más afortunada que la que han tenido otros grandes hombres. Su salud física fue excelente hasta sus últimos años. Jamás gastó anteojos y sólo perdió un diente. Sus cabellos encanecieron cuando tenía treinta años, pero permanecieron espesos y suaves hasta su muerte.
El recuerdo de sus últimos días es más humano y más conmovedor. Tampoco Newton podía escapar al sufrimiento. Su valor y resistencia, bajo el casi constante dolor que sufrió durante los últimos dos o tres años de su vida, añade otro laurel a su corona como ser humano. Sufrió las torturas de "los cálculos" sin quejarse, aunque el sudor brotaba de su frente, y siempre tuvo una palabra de simpatía para los que le rodeaban. Por último, "una persistente tos" le debilitó mucho y después de haber cedido el dolor durante algunos días, murió pacíficamente, entre la una y las dos de la mañana, el 20 de marzo de 1727, a los 85 años. Fue enterrado en la Abadía de Westminster.
Capítulo 7
Maestro de Todos los Oficios
LEIBNIZ
He tenido muchas ideas que quizá puedan
ser útiles con el tiempo, si otros con más
penetración que yo, calan profundamente
en ellas algún día, y unen la belleza de sus
mentes con el trabajo de la mía.
G. Leibniz
El refrán "Aprendiz de todos los oficios, maestro de ninguno" tiene sus excepciones particulares, como cualquier otro proverbio, y Gottfried Wilhelm Leibniz (1646-1716) es una de ellas.
La Matemática fue uno de los muchos campos en que Leibniz demostró su extraordinario genio. Las leyes, la religión, la política, la historia, la literatura, la lógica, la metafísica y la filosofía especulativa le deben también contribuciones, y cualquiera de ellas le habría asegurado fama y perpetuado su memoria. La frase "genio universal" puede aplicarse a Leibniz, cosa que no puede hacerse con Newton, su rival en Matemática, e infinitamente superior en filosofía natural.
Hasta en la Matemática la universalidad de Leibniz contrasta con la dirección no desviada de Newton hacia un único fin, el de aplicar el razonamiento matemático a los fenómenos del universo físico. Newton imaginó una cosa de absoluta primera magnitud en Matemática; Leibniz, dos. La primera de ellas fue el Cálculo; la segunda, el Análisis combinatorio. El Cálculo es el lenguaje natural de lo continuo; el Análisis combinatorio es para lo discontinuo (véase capítulo I), lo que el Cálculo es para lo continuo. En el análisis combinatorio nos enfrentamos con un conjunto de cosas diferentes, cada una de las cuales tiene una individualidad por sí misma, y en la situación más general nos preguntamos cuáles son las relaciones, si las hay, que subsisten entre esos individuos completamente heterogéneos. Aquí no observamos sencillas semejanzas de nuestra población matemática, sino aquello que los individuos, como individuos, tienen de común, sin duda no mucho. En efecto, parece, que, en último término, todo lo que podemos decir combinatoriamente se reduce a una cuestión de enumerar los individuos en diferentes formas y comparar los resultados. Parece un milagro que este procedimiento, al parecer, abstracto y sencillo, conduzca a alguna cosa de importancia, pero así es en efecto. Leibniz fue un precursor en este campo, y uno de los primeros en percibir que la anatomía de la lógica, "las leyes del pensamiento", es una cuestión de Análisis combinatorio. En nuestros días todo el tema está siendo aritmetizado.

En Newton el espíritu matemático de su época tomó forma y sustancia definidas. Era inevitable después de los trabajos de Cavalieri (1598-1647), Fermat (1601-1665), Wallis (1616-1703), Barrow (16301677), y otros autores que el Cálculo infinitesimal surgiera por sí mismo, como una disciplina autónoma. De igual modo que un cristal al caer en una solución saturada en el instante crítico, Newton solidificó las ideas suspendidas en el ambiente de su época, y el Cálculo tomó forma definida. Cualquier mente de primera categoría podría servir de cristal. Leibniz era también una mente de primera categoría, y también cristalizó el Cálculo. Pero Leibniz fue más que un factor para la expresión del espíritu de su época, que Newton, en la Matemática, no fue. En su sueño de una "característica universal", Leibniz se anticipó en dos siglos a su época en lo que se refiere a la Matemática y la Lógica. Pero, según se desprende de la investigación, Leibniz estuvo sólo en su segundo gran sueño matemático.
La unión en una mente de la más elevada capacidad en los dos amplios dominios antitéticos del pensamiento matemático, el analítico y el combinatorio, o lo continuo y lo discontinuo, carece de precedentes antes de Leibniz y tampoco tiene sucesores. Es el único hombre en la historia de la Matemática que ha tenido ambas cualidades de pensamiento en un grado superlativo. Su faceta combinatorial se refleja ya en la obra de sus sucesores alemanes, rica en cuestiones superficiales, pero sólo en el siglo XX, cuando la obra de Whitehead y Russell, continuación de la de Boole en el siglo XIX, realizó en parte el sueño de Leibniz de un razonamiento simbólico universal, adquirió la faceta combinatorial de la Matemática la suprema importancia para el pensamiento matemático y científico que Leibniz había predicho. En la actualidad el método combinatorio de Leibniz, desarrollado en la Lógica simbólica y en sus derivaciones, es tan importante para el Análisis que él y Newton iniciaron hacia su actual complejidad como lo es el Análisis mismo. El método simbólico ofrece la única posibilidad de desligar al Análisis matemático de las paradojas y antinomias que habían infestado sus fundamentos desde Zenón.
El análisis combinatorio ya ha sido mencionado al ocupamos de la obra de Fermat y de Pascal, respecto a la teoría matemática de la probabilidad. Esto, sin embargo, es sólo un detalle en la "característica universal" que Leibniz abrigaba en su mente, y hacia la cual, como veremos, dio un considerable paso. Pero el desarrollo y aplicaciones del Cálculo ofrecía una atracción irresistible para los matemáticos del siglo XVIII, y el programa de Leibniz no fue considerado seriamente hasta 1840. Después fue nuevamente olvidado, salvo por algunos disidentes de la moda matemática, hasta llegar el año 1910, cuando el movimiento moderno en el razonamiento simbólico dio lugar a otros Principia, los Principia Mathematica de Whitehead y Russell.[13]
Desde 1910 el programa de Leibniz despertó gran interés entre los matemáticos modernos. Por un curioso tipo de "repetición eterna", la teoría de probabilidades, donde aparece por primera vez el análisis combinatorio en sentido restringido (aplicado por Pascal, Fermat y sus sucesores), se presenta luego en el programa de Leibniz de la revisión fundamental de los conceptos básicos de la probabilidad, que la experiencia, en parte en la nueva mecánica de los cuantos, ha demostrado que son aceptables. En la actualidad, la teoría de probabilidades está en vías de llegar a ser una comarca en el reino de la lógica simbólica "combinatoria" en el amplio sentido de Leibniz.
El papel que Leibniz desempeñó en la creación del Cálculo fue ya expuesto en el capítulo anterior, donde también se relata la desastrosa controversia a que dio lugar. Largo tiempo después Newton y Leibniz murieron y fueron enterrados. (Newton en la Abadía de Westminster, donde es reverenciado por todos los pueblos de habla inglesa; Leibniz, indiferentemente olvidado por su propio pueblo, en una olvidada sepultura donde sólo los sepultureros y su propio secretario oyeron el ruido de la tierra al caer sobre el ataúd).
Leibniz no completó su gran proyecto de reducir todo razonamiento exacto a una técnica simbólica, cosa que todavía no se ha logrado; pero lo imaginó y dio un paso significativo. La servidumbre a las costumbres de su época de obtener honores inútiles y más dinero del necesario, la universalidad de su mente y las agotadoras controversias, mantenidas durante sus últimos años, militaron contra la creación de una obra maestra, como la que Newton realizó en sus Principia. En el breve resumen acerca de lo que Leibniz realizó de sus múltiples actividades y de su inquieta curiosidad vemos la tragedia de la frustración, que ha marchitado prematuramente más de un talento matemático de primer orden: Newton, persiguiendo una estimación popular de la que no tenía necesidad, y Gauss, separado de su gran obra por la necesidad de llamar la atención de hombres que eran intelectualmente inferiores. De todos los grandes matemáticos, solamente Arquímedes no fue arrastrado a otras actividades. Él fue el único que nació dentro de una clase social a la que otros se esforzaron por elevarse; Newton, cruda y directamente, Gauss indirectamente, y sin duda inconscientemente, buscando la aprobación de hombres de reputación establecida y socialmente reconocidos, aunque él era el hombre más sencillo entre los sencillos. La aristocracia nos muestra una cosa: su posesión por derechos de nacimiento o por un acontecimiento social enseña su inutilidad a su afortunado poseedor.
En el caso de Leibniz el ansia de dinero, que obtenía de sus aristocráticos protectores, contribuyó a su declinación intelectual. Se hallaba siempre desentrañando las genealogías de los bastardos semireales, cuyos descendientes le pagaban generosamente para que aprobase con su insuperable conocimiento de la ley, sus legítimas pretensiones a ducados. Pero aun más desastrosamente que esta ansia por el dinero actuó su inteligencia universal capaz de todo; en efecto, al examinar su obra se diría que Leibniz vivió no setenta años, sino un siglo. Como Gauss dice, Leibniz malgastó su espléndido talento para la Matemática en una diversidad de temas en los que ningún ser humano puede aspirar a distinguirse. Más ¿por qué censurarle? Fue lo que fue, y tenía que seguir su destino. La gran difusión de su genio le hizo capaz del sueño que no tuvieron Arquímedes, Newton, ni Gauss, la característica universal. Otros pudieron realizarla; Leibniz desempeñó su papel al soñar que era posible.
Puede decirse que Leibniz no vivió una vida, sino varias. Como diplomático, historiador, filósofo y matemático, hizo lo suficiente, en cada campo, para llenar una vida ordinaria de trabajo.
Cuatro años era menor que Newton, nació en Leipzig el 1 de julio de 1646; vivió sólo 70 años, mientras Newton vivió 85, y murió en Hanover el 14 de noviembre de 1716. Su padre, profesor de filosofía moral, procedía de una buena familia, que había servido al gobierno de Sajonia durante tres generaciones. Así, los primeros años de Leibniz pasaron en una atmósfera de estudio pesadamente cargada de política.
A la edad de seis años perdió a su padre, pero ya antes había adquirido de él la pasión por la historia. Aunque asistió a la escuela de Leipzig, Leibniz fue un autodidacto por la incesante lectura en la biblioteca del padre. A los 8 años comenzó a estudiar latín y a los 12, lo dominaba suficientemente para componer versos latinos. Del latín pasó al griego, que también aprendió por su propio esfuerzo.
En esta fase su desarrollo mental es paralelo al de Descartes: los estudios clásicos ya no le satisficieron y volvió a la lógica. Desde estos ensayos, cuando tenía menos de 15 años, para reformar la lógica de los clásicos, de los escolásticos y de los padres cristianos, desarrolló los primeros gérmenes de su Characteristica Universalis, o Matemática Universal, que, como ha sido demostrado por Couturat, Russell y otros autores, la clave para su metafísica. La lógica simbólica inventada por Boole en 1847-54, (que será discutida en un capítulo posterior) es sólo la parte de la Characteristica que Leibniz llamó calculus raticinator.), Ahora mencionaremos su propia descripción de la característica universal.
Teniendo 15 años, Leibniz ingresó en la Universidad de Leipzig como estudiante de leyes; sin embargo, las leyes no ocuparon todo su tiempo. En los dos primeros años leyó mucha filosofía, y por primera vez se dio cuenta del nuevo mundo que habían descubierto los filósofos “naturales" o modernos, Kepler, Galileo y Descartes. Viendo que esta nueva filosofía sólo podía comprenderse estando familiarizado con la Matemática, Leibniz pasó el verano en 1663 en la Universidad de Jena, donde asistió a los cursos de Matemática de Erhard Weigel, un hombre de considerable reputación local pero que apenas puede llamarse matemático.
Cuando volvió a Leipzig se concentró en el estudio de las leyes. En 1666, teniendo veinte años, estaba totalmente preparado para obtener el título de doctor en leyes. Recordaremos que este es el año en que Newton, estando descansando en Woolsthorpe, realizó el descubrimiento del Cálculo y de su ley de la gravitación universal. La facultad de Leipzig, biliosa y celosa, negó a Leibniz el grado de doctor, tomando como pretexto su juventud, aunque la realidad era que Leibniz conocía más profundamente las leyes que todo aquel conjunto de necios.
Antes había obtenido el grado de bachiller, en 1663, a la edad de 17 años, con un brillante ensayo que anunciaba una de las doctrinas cardinales de su filosofía madura. No disponemos de espacio para entrar en detalles, pero puede mencionarse que una posible interpretación del ensayo de Leibniz es la doctrina de "el organismo como un todo", que una escuela progresista de biólogos y otra de psicólogos han encontrado aceptable en nuestra época.
Disgustado por la ruindad de la facultad de Leipzig, Leibniz abandonó su ciudad natal y se dirigió a Nuremberg, donde, el 5 de noviembre de 1666, en la Universidad afiliada de Altdorf, no sólo recibió su grado de doctor por su ensayo sobre un nuevo método (el histórico) de enseñar la ley, sino que también fue solicitado para que aceptara el cargo de profesor en dicha Universidad. Pero igual que Descartes, rechazó el ofrecimiento de ser teniente general debido a que aspiraba a otra vida, Leibniz renunció diciendo que tenía ambiciones muy diferentes. No divulgó cuáles eran esas ambiciones. No parece probable que se tratara de hacer de picapleitos en defensa de príncipes, labor que el destino le reservaba por entonces. La tragedia de Leibniz fue haber conocido a los abogados antes que a los hombres de ciencia.
Su ensayo sobre la enseñanza de la ley y su proposición para una nueva codificación fueron compuestos en un viaje desde Leipzig a Nuremberg. Esto muestra una de las notables características de Leibniz, su capacidad para trabajar en cualquier parte, en cualquier momento, bajo todas las condiciones. Leía, escribía y pensaba incesantemente. Gran parte de sus obras matemáticas, sin hablar de cualquiera de sus otros trabajos, fue escrita en las carreteras polvorientas de la Europa del siglo XVII, que recorrió de una parte a otra en su vida errabunda. La cosecha de toda esta incesante actividad fue un montón de papeles de todos los tamaños y de todas las calidades, grande como una montaña de heno, que jamás fue totalmente clasificado y mucho menos publicado. En la actualidad gran parte de su obra se encuentra empaquetada en la Biblioteca Real de Hanover, esperando la paciente labor de un ejército de estudiosos que separen el trigo de la paja.
Parece increíble que una sola cabeza pueda ser la responsable de todos los pensamientos publicados y no publicados que Leibniz trasladó al papel. Como un detalle de interés para los frenólogos y anatómicos, se ha dicho que el cráneo de Leibniz fue vaciado y medido, encontrándose que su tamaño era marcadamente inferior al del volumen adulto normal. También se sabe que existen perfectos idiotas con nobles frentes que se proyectan hacia adelante como enormes pucheros.
El año milagroso de Newton, el año 1666, fue también el gran año para Leibniz. En lo que él llamó un "ensayo escolar", De arte combinatoria, el joven de veinte años se propone crear "un método general en el que todas las verdades de la razón sean reducidas a un tipo de cálculo. Al mismo tiempo esto sería una especie de lenguaje o escritura universal, pero absolutamente diferente de todos los proyectados hasta ahora; los símbolos y hasta las palabras de él se dirigirán a la razón, y los errores, salvo los de hecho, serán simples errores de cálculo. Será muy difícil formar o inventar este lenguaje o característica, pero muy fácil comprenderlo sin diccionario".
En una descripción posterior calcula confiadamente y con optimismo el tiempo que se tardará en llevar a cabo este proyecto: “¡Creo que algunos hombres elegidos realizarán la hazaña dentro de cinco años!". Hacia el fin de su vida Leibniz se lamentaba que otras cosas le hubieran impedido completar su idea. Si hubiera sido más joven o hubiera tenido ayudantes jóvenes y competentes, cree que aun podría hacerlo: una excusa muy común de los talentos que se han gastado en intrigas y ambiciones.
Puede decirse que ese sueño de Leibniz fue considerado por sus contemporáneos matemáticos y científicos como un sueño, y nada más que como un sueño, y fue cortésmente dado al olvido, calificado como la idea fija de un hombre de genio universal.
En una carta del 8 de septiembre de 1679, Leibniz (tratando de Geometría en particular, pero del razonamiento en general) comunica la Huygens una "nueva característica completamente diferente del Álgebra que tendrá grandes ventajas para representar de un modo exacto y natural ante la mente, y sin necesidad de números, todas las cosas que dependen de la imaginación".
Esta forma simbólica, directa, de tratar la Geometría, fue inventada en el siglo XIX por Hermann Grassmann (cuya obra en Álgebra generaliza la de Hamilton). Leibniz discute luego las dificultades inherentes al proyecto y subraya su superioridad sobre la Geometría analítica cartesiano.
"Pero su principal utilidad consiste en las consecuencias y razonamientos que pueden ser realizados por las operaciones de caracteres, [símbolos] que no se pueden expresar por diagramas (ni siquiera por modelos), sin una excesiva complicación, o sin hacerlos confusos por un excesivo número de puntos y líneas, de modo que estemos obligados a hacer una infinidad de inútiles ensayos. En cambio, este método conduciría segura y simplemente [al fin deseado]. Creo que la mecánica puede ser tratada por este método casi como la Geometría"
Entre las importantes cosas que Leibniz realizó en esa parte de su característica universal que ahora se llama Lógica simbólica, podemos citar sus fórmulas de las propiedades principales de la adición lógica y de la multiplicación lógica, la negación, la identidad, la clase nula y la inclusión de clase. Para la explicación de lo que algunos de estos términos significan y de los postulados del Álgebra de la Lógica se debe consultar el capítulo sobre Boole. Todo esto quedó al lado del camino. Si hubiera sido recogido por hombres capaces cuando Leibniz malgastaba su talento, en lugar de esperar hasta el año 1840, la historia de la Matemática podría haber sido muy diferente de lo que es. Pero más vale tarde que nunca.
Después de haber tenido su sueño universal a los veinte años, Leibniz se prestó a hacer otras cosas más prácticas al ser una especie viajante comercial del Elector de Maguncia. En un último o de los sueños, antes de sumergirse en una política más o menos sucia, Leibniz dedicó algunos meses a la alquimia, en compañía de los Rosacruces que infestaban Nuremberg,
Su ensayo sobre un nuevo método de enseñar la ley fue el que más le perjudicó. El ensayo llamó la atención del hombre que era la mano derecho del Elector, el cual incitó a Leibniz para que lo publicase con objeto de poder presentar un, ejemplar al augusto Elector. Así ocurrió, y Leibniz después de una entrevista personal, fue encargado de la revisión del código. Mucho antes ya había tenido que, desempeñar importantes comisiones delicadas y secretas. Fue un diplomático de primera categoría, siempre agradable, siempre franco y abierto, pero jamás escrupuloso, ni siquiera cuando dormía. Se debe a su genio, a menos en parte, la fórmula inestable conocida como "equilibrio de Poder". Como un caso de cinismo brillante difícil de sobrepasar recordaremos el gran sueño de Leibniz de una guerra santa para la conquista y civilización de Egipto. Napoleón quedó altamente disgustado al descubrir que Leibniz se le había anticipado en esta sublime visión.
Hasta el año 1672 poco sabía Leibniz de lo que era la Matemática moderna. Tenía 26 años cuando comenzó su verdadera educación matemática, en las manos de Huygens, a quien conoció en París en los Intervalos entre una misión diplomática y otra.
Christian Huygens (1629-1695), aunque era principalmente un físico (sus obras mejores se refieren a la horología y a la teoría ondulatoria de la luz), era también un perfecto matemático. Huygens mostró a Leibniz un ejemplar de sus trabajos matemáticos sobre el péndulo. Fascinado por el poder del método matemático en manos competentes, Leibniz pidió a Huygens le diera lecciones, a lo que Huygens, viendo que Leibniz era una mente de primera categoría, accedió gustoso. Leibniz ya había realizado una impresionante serie de descubrimientos, hechos por medio de sus propios métodos, fases de la característica universal. Entre ellos se hallaba una máquina de calcular, muy superior a la de Pascal, pues ésta sólo servía para la suma y la resta. La máquina de Leibniz practicaba también multiplicaciones, divisiones y extracciones de raíces. Bajo la experta guía de Huygens, Leibniz se encontró a sí mismo. Era un matemático ingénito.
Las lecciones fueron interrumpidas desde enero a marzo de 1673, durante la ausencia de Leibniz en Londres, como agregado diplomático del Elector. Estando en Londres, Leibniz conoció a los matemáticos ingleses, mostrándoles parte de su labor, que según supo, era ya conocida. Sus amigos los ingleses le informaron de la cuadratura de la hipérbola por Mercator, una de las claves que Newton siguió para su invención del Cálculo. Esto llevó a Leibniz al estudio de las series infinitas, que luego desarrolló. Uno de sus descubrimientos (algunas veces atribuido al matemático escocés James Gregory, 1638-1675) es el siguiente: si p es la razón de la longitud de la circunferencia a su diámetro, se tiene:
![]()
continuando la serie en la misma forma indefinidamente. Ésta no es una forma práctica de calcular el valor numérico de p (3,1415926...); pero es sorprendente la simple relación entre p y todos los números impares.
Durante su permanencia en Londres, Leibniz asistió a las reuniones de la Royal Society,donde mostró su máquina calculadora. Por este y por sus otros trabajos fue elegido miembro extranjero de la Sociedad antes de que volviera a París, en marzo de 1673. El y Newton (1700) fueron los primeros miembros extranjeros de la Academia Francesa de Ciencias.
Muy satisfecho de la labor de Leibniz en el extranjero Huygens le incitó a que la continuara. Leibniz dedicó todos los momentos de que disponía a la Matemática. Y antes de dejar París, para trasladarse a Hanover, en 1676, donde se puso al servicio del Duque de Brunswick-Luneburg, elaboró algunas de las fórmulas elementales del Cálculo y descubrió "el teorema fundamental del Cálculo" (véase capítulo anterior), labor realizada, si aceptamos sus propios datos, en el año 1675. No fue publicado hasta el 11 de julio de 1677, once años después del descubrimiento de Newton, que no fue hecho público por éste hasta después de haber aparecido el trabajo de Leibniz. La controversia comenzó en términos graves cuando Leibniz, ocultándose diplomáticamente en un artículo anónimo, escribió un severo resumen crítico del trabajo de Newton en las Acta Eruditorum, que Leibniz había fundado en 1682, y de la que era el principal editor. En el intervalo entre 1677 y 1704 el cálculo de Leibniz constituyó en el Continente un instrumento de utilidad real y fácilmente aplicable, gracias a los esfuerzos de los suizos Bernoulli, Jacob y su hermano Johann, mientras en Inglaterra, debido a la repugnancia de Newton para participar sus descubrimientos matemáticos, el Cálculo era aún una curiosidad de una utilidad muy relativa.
El hecho de que cosas que ahora son fáciles para los que se inician en el Cálculo costaran a Leibniz (y seguramente también a Newton) meditaciones y muchos ensayos antes de encontrar el camino exacto, indicará la transformación que ha tenido la Matemática, desde el año 1675. En lugar de los infinitésimos de Leibniz utilizamos las razones, expuestas en el capítulo anterior. Si u, v, son funciones de x ¿cómo será expresada la razón del cambio de uv con respecto a x en función de las respectivas razones del cambio de u y v con respecto a x?
En símbolos, ¿qué es
en función de
y
? Leibniz pensó que sería
![]()
aunque lo correcto es
![]()
El Elector murió en 1673, y Leibniz se encontró más o menos libre durante la última parte de su permanencia en París. Dejó París en 1676 para entrar al servicio del Duque John Frederick de Brunswick-Luneburg y se dirigió a Hanover, por vía Londres y Amsterdam. Fue en esta última ciudad donde llevó a cabo una de las más sombrías negociaciones de su larga carrera de diplomático filósofo. La historia de la relación de Leibniz, con el "judío intoxicado por Dios" Benito Spinoza (1632-1677) puede ser incompleta, pero se dice que Leibniz fue esta vez poco ético en una cuestión ética. Leibniz parece que pensó en aplicar su ética a los fines prácticos. Conoció numerosos párrafos de la obra maestra no publicada de Spinoza, Ethica (Ordina Geometrica Demonstrata), un tratado de ética desarrollado a la manera de la Geometría euclidiana y cuando Spinoza murió el año siguiente, Leibniz creyó conveniente no recordar su visita a Amsterdam. Los estudiosos en este campo parece que aceptan que la filosofía de Leibniz, siempre que toca la ética, se apropia sin reconocerlo los conceptos de Spinoza.
Sería temerario para los no especializados en ética afirmar que Leibniz era culpable, o por el contrario, sugerir que sus propios pensamientos sobre ética eran independientes de los de Spinoza. De todos modos existen al menos dos ejemplos similares en cuestiones matemáticas (funciones elípticas, Geometría no euclidiana), donde todas las pruebas parecían suficientes para llevar al convencimiento de que se había cometido un desafuero mayor que el atribuido a Leibniz. Cuando fueron descubiertos diarios y cartas no sospechadas, años después de la muerte de todos los acusados, parece que éstos eran completamente inocentes.
Los restantes cuarenta años de la vida de Leibniz fueron dedicados al servicio de la familia Brunswick. Sirvió a tres de sus miembros, como bibliotecario, historiador y cerebro general de la familia. Era una cuestión de gran importancia para los Brunswick tener una exacta historia de todas sus relaciones con otras familias tan altamente favorecidas por los cielos como ella misma. Leibniz no era un simple catalogador de libros, en su función como bibliotecario, sino un notable especialista en genealogía y buceador de los archivos cuya función era apoyar las pretensiones de sus príncipes a la mitad de los tronos de Europa. Sus investigaciones históricas le llevaron a recorrer toda Alemania y luego Austria e Italia, entre los años 1687 y 1690.
Durante su permanencia en Italia Leibniz visitó Roma y el Papa le pidió aceptara el cargo de bibliotecario en el Vaticano. Pero como el prerrequisito para el nombramiento era que Leibniz se hiciera católico, éste renunció, sintiéndose por una vez escrupuloso. Su repugnancia para rechazar este excelente puesto puede haberle incitado a una inmediata aplicación de su “característica universal", la ambición más fantástica de todos sus sueños universales. De haberla realizado hubiera podido vivir en el Vaticano sin inconveniente alguno.
Su gran proyecto era nada menos que reunir las Iglesias Protestante y Católica. Como la primera se había separado de la segunda, el proyecto no era tan absurdo como parece a primera vista. En su gran optimismo, Leibniz desconoció una ley que es tan fundamental para la naturaleza humana como la segunda ley de la termodinámica es para el Universo físico: todos los credos tienden a descomponerse en dos; cada uno de los cuales se desdobla a su vez en otros dos, y así sucesivamente, hasta que después de un número finito de generaciones (que se puede fácilmente calcular por logaritmos) hay menos seres humanos en una determinada región, cualesquiera sea su extensión, que credos existentes, y el dogma original del primer credo se diluye en un gas transparente demasiado sutil para sostener la fe de cualquier ser humano, por mezquino que sea.
Una conferencia realizada en Hanover el año 1683 para lograr la reconciliación, fracasó, pues ninguno se decidía a ser invadido por el otro, y ambos partidos se aprovecharon de la cruenta reyerta de 1688, en Inglaterra, entre católicos y protestantes, considerándola como un motivo legítimo para suspender la conferencia sine die.
No habiendo obtenido nada de esta farsa, Leibniz organizó inmediatamente otra. Su intento para unir las dos sectas protestantes de su tiempo tan sólo consiguió hacer más obstinados y tenaces de lo que habían sido a muchos hombres excelentes. La conferencia protestante se disolvió en medio de recíprocas recriminaciones.
Por esta época Leibniz se dirigió a la filosofía para obtener un consuelo. En un esfuerzo por ayudar a Arnauld, el viejo jansenista amigo de Pascal, Leibniz compuso un tratado semicasuístico sobre metafísica, destinado a ser utilizado por los jansenistas y por todos los que sintieran la necesidad de algo más sutil que la extraordinariamente sutil lógica de los jesuitas. Su filosofía ocupó el resto de la vida de Leibniz (mientras no se dedicaba a la interminable historia de la familia Brunswick) en todo un cuarto de siglo. No es difícil imaginar cuál es la vasta nube de filosofía desarrollada durante 25 años por una mente como la de Leibniz. Sin duda, todos los lectores habrán oído hablar de la ingeniosa teoría de las mónadas, repetición en miniatura del Universo de las cuales están compuestas todas las cosas, como una especie de uno en todo, todo en uno, y mediante la cual Leibniz explicaba todas las cosas (salvo las mónadas) en este mundo y en el siguiente.
La importancia del método de Leibniz aplicado a la filosofía no puede ser negada. Como una muestra de los teoremas demostrados por Leibniz en su filosofía, podemos mencionar el referente a la existencia de Dios. En su intento para probar el teorema fundamental del optimismo, toda cosa es para lo mejor en este mejor de todos los mundos posibles, Leibniz tuvo menos éxito, y tan sólo en 1759, 43 años después de que Leibniz muriera olvidado, fue publicada la demostración concluyente por Voltaire en su libro Candide, que marca una época. Puede mencionarse también otro hecho aislado. Los que están familiarizados con la relatividad general recordarán que ya no se acepta el “espacio vacío", espacio totalmente desprovisto de materia. Leibniz lo rechazó como carente de sentido.
La enumeración de los problemas que interesaron a Leibniz dista mucho de ser completa. La economía, la filología, las leyes internacionales (en las que fue un precursor), el establecimiento de la minería como una industria provechosa en ciertas partes de Alemania, la teología, la fundación de academias y la educación de la joven electora Sophie de Brandenburg (comparable a la Elisabeth de Descartes), atrajeron su atención, y en cada uno de estos campos hizo algo notable. Posiblemente sus aventuras menos logradas tuvieron lugar en la mecánica y en la ciencia física, donde algunos de sus disparates resaltan; frente a la labor tranquila y continua de hombres como Galileo, Newton, Huygens, o hasta Descartes.
Una cuestión más en esta lista exige nuestra atención aquí. Al ser llamado a Berlín en 1700, corno tutor de la joven Electora, Leibniz tuvo tiempo de organizar la Academia de Ciencias de Berlín, siendo su primer presidente. La Academia era aún una de las tres o cuatro instituciones doctas de esencial importancia en el mundo, hasta que los nazis la "purgaron". Análogas fundaciones en Dresde, Viena y San Petersburgo, no llegaron a cuajarse durante la vida de Leibniz, pero después de su muerte fueron llevados a cabo los planes para la Academia de Ciencias de San Petersburgo, que Leibniz sometió al juicio de Pedro el Grande. El intento de fundar la Academia Vienesa fue frustrado por los jesuitas, cuando Leibniz visitó Austria por última vez en 1714. Esta oposición era de esperar después de los trabajos de Leibniz en favor de Arnauld. El hecho de que un maestro diplomático fuera derrotado en una cuestión de nimia política académica muestra hasta qué punto había declinado ya Leibniz a la edad de 60 años. Ya no era e mismo; sus últimos años, fueron tan sólo una sombra de su primitiva gloria.
Habiendo servido a los príncipes durante toda su vida recibió el pago usual por tales servicios. Enfermo, anciano y gastado por la controversia, fue alejado con un puntapié.
Leibniz volvió a Brunswick en septiembre de 1714, donde supo que el Elector George Louis, "el honrado necio", como se le conoce en la historia inglesa, había hecho su equipaje y se había trasladado a Londres, para ser el primer rey alemán de Inglaterra. Nada podía haber satisfecho tanto a Leibniz como seguir a George a Londres, aunque enemigos de la Royal Society y de otras partes de Inglaterra eran sus ahora numerosos y enconados, debido a la controversia con Newton. Pero el rudo George, transformado ahora en caballero, ya no necesitaba de la diplomacia de Leibniz, y ordenó bruscamente que el cerebro que le había ayudado a penetrar en la sociedad civilizada permaneciera en la biblioteca de Hanover, para continuar la interminable historia de la ilustre familia Brunswick.
Cuando Leibniz murió dos años más tarde (1716), la historia diplomáticamente modificada estaba aún incompleta.
A pesar de su tenaz labor, Leibniz, había sido incapaz de llevar su historia más allá del año 1005, lo que significaba 300 años de indagación. La familia estaba tan embrollada en sus aventuras matrimoniales que hasta el universal Leibniz fue incapaz de proporcionar a todos sus miembros escudos intachables. La familia Brunswick demostró su aprecio por esta inmensa labor olvidándola hasta el año 1843, época en que fue publicada. Será imposible decir si esta historia es completa o ha sido expurgada hasta que se haya estudiado el resto de los manuscritos de Leibniz.
En la actualidad, transcurridos trescientos años desde su muerte, la reputación de Leibniz como matemático es mayor de la que fue cuando su secretario le siguió hasta la tumba, y todavía sigue aumentando.
Capítulo 8
¿Naturaleza o Educación?
LOS BERNOULLI
Estos hombres desarrollaron ciertamente
una gran labor y alcanzaron admirablemente
la meta que se habían fijado.
Johannes Bernoulli
Probablemente el caso más notable es el de la familia Bernoulli, que en tres generaciones produjo ocho matemáticos, varios de ellos sobresalientes, que a su vez dieron lugar a numerosos descendientes, de los cuales la mitad eran hombres de talento superior al tipo medio, y casi todos ellos, hasta el presente, han sido individuos superiores. No menos de 120 miembros entre los descendientes de los matemáticos Bernoulli han sido seguidos genealógicamente, y de esta considerable descendencia la mayoría alcanzó posición distinguida, algunas veces eminente, en las leyes, profesorado, ciencia, literatura, administración y artes. Ninguno fracasó. El hecho más significativo observado en numerosos miembros matemáticos de esta familia de la segunda y tercera generación es que no eligieron deliberadamente la Matemática como una profesión, sino que se vieron atraídos hacia ella a pesar de sí mismos, como un dipsómano vuelve al alcohol.
Como la familia Bernoulli desempeñó un papel esencial en el desarrollo del Cálculo y de sus aplicaciones en los siglos XVII y XVIII, merece algo más que una rápida mención, aunque este libro sea simplemente una breve exposición de la evolución de la Matemática moderna. Los Bernoulli y Euler fueron, en efecto, los matemáticos que perfeccionaron el Cálculo hasta el punto de que un hombre común puede utilizarlo para obtener resultados a que no podrían llegar los más famosossabios griegos. Pero el volumen de la labor de la familia Bernoulli es demasiado grande para que pueda hacerse una descripción detallada, en una obra como esta, y por ello nos ocuparemos de estos matemáticos conjuntamente.
Familia Bernoulli
Refiriéndonos ahora al árbol genealógico haremos un breve resumen de las principales actividades científicas de los ocho matemáticos descendientes de Nicolaus senior, antes de continuar con la herencia.
Jacob I estudió por sí mismo la forma del Cálculo ideada por Leibniz. Desde 1687 hasta su muerte fue profesor de Matemáticas en Basilea. Jacob I fue uno de los primeros en desarrollar el Cálculo más allá del estado en que lo dejaron Newton y Leibniz y en aplicarlo a nuevos problemas difíciles e importantes. Sus contribuciones a la Geometría analítica a la teoría de probabilidades y al cálculo de variaciones, fueron de extraordinaria importancia. Como hemos de mencionar repetidamente este último (en la obra de Euler, Lagrange, y Hamilton) será útil describir la naturaleza de algunos de los problemas abordados por Jacobo I en esta cuestión. Tenemos ya una muestra del tipo del problema tratado por el cálculo de variaciones en el teorema de Fermat sobre el tiempo mínimo.
El cálculo de variaciones es de origen muy antiguo. Según la leyenda[14], cuando Cartago fue fundada, la ciudad estaba asentada en un terreno tan pequeño que un hombre podía arar un surco que la rodeara en un solo día. ¿Qué forma debería tener este surco, o, en forma matemática, cuál es la forma que tiene el área máxima entre todas las figuras que poseen perímetros iguales? Este es un problema de isoperímetros, y su respuesta, en este caso, es un círculo. Parece natural que así sea, pero no es fácil de probar. (Las pruebas dadas algunas veces en las Geometrías elementales son falsas). La matemática del problema se reduce a hacer que una cierta integral tome un valor máximo sometido a una condición restrictiva. Jacob I resolvió este problema y lo generalizó[15].
El descubrimiento del que la braquistócrona es una cicloide ha sido ya mencionado en los capítulos precedentes. Este hecho de que la cicloide es la curva de más rápido descenso fue descubierto por los hermanos Jacob I y Johannes I, en 1697, y casi simultáneamente por varios autores. Pero la cicloide es también tautócrona. Esto le pareció a Johannes I algo maravilloso y admirable: "Con justicia podemos admirar a Huygens, por haber descubierto que una partícula pesada, describe una cicloide siempre en el mismo tiempo, cualquiera que sea el punto de partida. Pero quedaréis petrificados de asombro cuando diga que exactamente esta misma cicloide, la tautócrona de Huygens, es la braquistócrona que estamos buscando" (Bliss, loc. cit., p. 54). Jacob también quedó entusiasmado. Estos son ejemplos del tipo de problema abordado por el cálculo de variaciones. Aunque parezca trivial, repetiremos una vez más que toda una parte de la física matemática es frecuentemente tratada con un simple principio de variación, igual que ocurre con el teorema de Fermat sobre el tiempo mínimo en óptica, o con el de Hamilton en dinámica.
Después de la muerte de Jacob fue publicado, en 1713, su gran tratado sobre la teoría de probabilidades, el Ars Conjectandi. Esta obra tiene muchos datos que son aún de máxima utilidad en la teoría de probabilidades y en sus aplicaciones para los seguros y las estadísticas, y para el estudio matemático de la herencia.
Otra investigación de Jacob muestra hasta qué punto desarrolló el Cálculo diferencial e integral. Continuando la obra de Leibniz, Jacob hizo un estudio muy completo de la catenaria, la curva que forma una cadena uniforme suspendida por dos puntos. Esto no es una simple curiosidad. Actualmente, la Matemática desarrollada por Jacob I a este respecto, encuentra su uso en las aplicaciones a los puentes colgantes y a las líneas de transmisión de alto voltaje. Cuando Jacob realizó estos estudios todo era nuevo y difícil; en la actualidad, es un ejercicio del primer curso de Cálculo infinitesimal o de mecánica tradicional.
Jacob I y su hermano Johannes I no siempre se llevaron bien.
Johannes parece haber sido el más pendenciero de los dos, y seguramente no trató a su hermano con excesiva probidad en el problema de los isoperímetros. Los Bernoulli tomaban en una forma muy seria sus matemáticas. Algunas de sus cartas acerca de los problemas matemáticos utilizan un lenguaje tan fuerte que parece más propio de los cuatreros. En efecto, Johannes I, no sólo intentó robar las ideas de su hermano, sino que también lanzó a su propio hijo de la casa por haber obtenido un premio en la Academia francesa de Ciencias, para el cual Johannes mismo se había presentado. Al fin y al cabo, si los seres humanos racionales se excitan en un juego de naipes, ¿por qué no ha de ocurrir lo mismo con la Matemática que es infinitamente más interesante?
Jacob I tenía una predisposición mística, cosa que posee cierta significación para el estudio de la herencia de los Bernoulli, y que afloró en una forma interesante hacia el fin de su vida. Existe, cierta espiral (la logarítmica o equiángula) que se reproduce en una espiral análoga después de cada una de sus muchas transformaciones geométricas. Jacob estaba fascinado por esta repetición de la espiral, varias de cuyas propiedades descubrió, y dispuso que una espiral fuera grabada sobre su lápida con la inscripción Eadem mutata resurjo (Aunque cambiada, surjo la misma).
El lema de Jacob fue Invito patre sidera verso (contra la voluntad de mi padre estudio las estrellas), un recuerdo irónico a la vana oposición de su padre a que Jacob dedicara sus talentos a la Matemática y a la Astronomía. Estas particularidades están en favor del concepto de la herencia del genio, y no de la educación. Si su padre hubiera vencido, Jacob hubiese sido un teólogo.
Johannes I, hermano de Jacob I, no se inició como matemático, sino como doctor en medicina. Su disputa con el hermano, que generosamente le enseñó Matemática, ha sido ya mencionada. Johannes era un hombre de violentas simpatías y antipatías. Leibniz y Euler eran sus dioses; Newton era odiado y estimado en menos. El obstinado padre intentó llevar a su hijo menor hacia los negocios familiares, pero Johannes I, siguiendo las lecciones de su hermano Jacob I, se reveló, dedicándose a la medicina y a los estudios humanistas, sin darse cuenta de que estaba luchando contra su herencia. Teniendo 18 años recibió el grado de Magister artium. Mucho antes se dio cuenta de su error al haber elegido la medicina, y se dedicó a la Matemática. Su primer cargo académico lo obtuvo en Groninga, en 1695, como profesor de Matemática, y a la muerte de Jacob I, en 1705, Johannes le sucedió en la, cátedra de Basilea.
Johannes I fue todavía más prolífico que su hermano en el campo de la Matemática, y difundió el Cálculo en Europa. Sus estudios abarcan la Física, la Química, y la Astronomía, aparte de la Matemática. En las ciencias aplicadas Johannes I contribuyó notablemente a los estudios de la óptica, escribió sobre la teoría de las mareas, y sobre la teoría matemática de las velas de los barcos, y enunció el principio de los desplazamientos virtuales en la mecánica. Johannes I fue un hombre de extraordinario vigor físico e intelectual, permaneciendo activo hasta pocos días antes de su muerte a la edad de 80 años.
Nicolaus I, el hermano de Jacob I y Johannes I, también tenía talento matemático. Igual que sus hermanos, se inició falsamente. Teniendo 16 años recibió su título de doctor en filosofía en la Universidad de Basilea, y a los 20 años obtuvo el grado superior en Leyes. Fue primero, profesor de Leyes en Berna antes de ser miembro de la Facultad de Matemática en la Academia de San Petersburgo. Al morir, su fama era tanta que la Emperatriz Catalina hizo celebrar un funeral a expensas del Estado.
La herencia aparece curiosamente en la segunda generación. Johannes I intentó dedicar a los negocios a su hijo segundo, Daniel, pero Daniel pensó que prefería la medicina y fue médico antes dedicarse, a pesar suyo, a la Matemática. Teniendo 11 años Daniel comenzó a recibir lecciones de Matemática de su hermano Nicolaus III, que tenía cinco años más que él. Daniel y el gran Euler fueron íntimos amigos y a veces rivales cordiales. Igual que Euler, Daniel Bernoulli obtuvo el premio de la Academia Francesa 10 veces (en pocas ocasiones este premio ha sido compartido con otros aspirantes). Algunos de los trabajos mejores de Daniel se refieren a la hidrodinámica, que desarrolló partiendo del principio único que más tarde vino a ser llamada la conservación de la energía. Todos los que hoy se dedican al movimiento de los fluidos, en su estudio puro o aplicado, conocen el nombre de Daniel Bernoulli.
En 1725 (teniendo 25 años) Daniel fue nombrado profesor de Matemática en San Petersburgo, donde la relativa dureza de la vida le cansó tanto que volvió a la primera oportunidad, ocho años más tarde, a Basilea, donde fue profesor de anatomía y botánica, y finalmente de física. Sus trabajos matemáticos abarcan el Cálculo, las ecuaciones diferenciales, las probabilidades, la teoría de las cuerdas vibrantes, un ensayo de una teoría cinética de los gases y muchos otros problemas de Matemática aplicada. Daniel Bernoulli ha sido llamado el fundador de la Física matemática.
Desde el punto de vista de la herencia es interesante observar que Daniel tenía, en su naturaleza, una marcada vena de filosofía especulativa, posiblemente una sublimación refinada de la religión hugonote de sus antepasados. Esa naturaleza aflora en numerosos descendientes posteriores de los ilustres refugiados víctimas de la intolerancia religiosa.
El tercer matemático de la segunda generación, Johannes II, hermano de Nicolaus III y de Daniel, también tuvo una iniciación equivocada, siendo conducido hacia su verdadera vocación por su herencia, o posiblemente por sus hermanos. Comenzó estudiando leyes, y llegó a ser profesor de elocuencia en Basilea antes de ser el continuador de su padre en la cátedra de Matemática. Sus trabajos se refieren principalmente a la física, y se distinguió hasta el punto de obtener el premio París en tres ocasiones (una vez basta para satisfacer a cualquier buen matemático).
Johannes, III, un hijo de Johannes II, repitió la tradición de la familia, al errar en su iniciación, y al igual que su padre comenzó estudiando leyes. A la edad de 13 años se doctoró en filosofía. Teniendo 19 años, Johannes III encontró su verdadera vocación, y fue nombrado astrónomo real en Berlín. Sus estudios abarcan la astronomía, la geografía y la Matemática.
Jacob II, otro hijo de Johannes II, cometió el mismo error familiar al estudiar leyes, que subsanó cuando tenía 21 años al dedicarse a la física experimental. Se dedicó también a la Matemática, siendo miembro de la Sección de Matemática y Física en la Academia de San Petersburgo. Su muerte prematura (a la edad de 30 años) puso fin a su promisoria carrera, y en realidad no se sabe lo que Jacob II hubiera producido. Se casó con una nieta de Euler.
La lista de los Bernoulli dotados de talento matemático no queda agotada con esto, pero los otros miembros se distinguieron menos. Se suele afirmar que las cepas se agotan, pero en este caso parece lo contrario. Cuando la Matemática era el campo que más prometía a los talentos superiores, como ocurrió inmediatamente después de la invención del Cálculo, los Bernoulli de talento cultivaron la Matemática. Pero la Matemática y la ciencia son tan sólo dos de los innumerables campos de la actividad humana, y para un hombre de talento constituiría una falta de sentido práctico querer cultivar campos superhabitados. El talento de los Bernoulli no se gastó; simplemente se empleó en cosas de igual o hasta de más importancia social que la Matemática cuando el campo matemático era comparable al hipódromo de Epsom el día del Derby.
Quienes se interesen en los problemas de la herencia encontrarán abundante material en la historia de las familias Darwin y Dalton. El caso de Francis Dalton (un primo de Charles Darwin) es particularmente interesante, ya que el estudio matemático de la herencia fue fundado por él. Sería totalmente necio no valorar a los descendientes de Charles Dalton por el hecho de que hayan llegado a ocupar puestos eminentes en la Matemática o en la física-matemática y no en la biología. El genio palpitaba en ellos, y una expresión no es necesariamente mejor" o "superior" a las otras, a no ser que seamos unos fanáticos, y afirmemos que la única ocupación digna es la Matemática, la biología, la sociología, el bridge o el golf. Puede ser que el abandono de la Matemática por la familia Bernoulli sea justamente un ejemplo más de su genio.
Muchas leyendas y anécdotas se cuentan respecto a los famosos Bernoulli, cosa natural tratándose de una familia de miembros tan inteligentes y tan violentos en su lenguaje como ellos eran algunas veces. Una de las frases más conocidas, cuyos auténticos ejemplos deben ser tan antiguos, al menos, como el antiguo Egipto, y que con variantes se ha puesto en boca de toda clase de individuos eminentes, se ha atribuido también a uno de los Bernoulli. En cierta ocasión, viajando Daniel en compañía de un muchacho joven, se presentó él mismo a su simpático compañero de viaje. "Soy Daniel Bernoulli", a lo que el joven contestó sarcásticamente "Y yo soy Isaac Newton". Daniel, hacia el fin de sus días, encontró en estas palabras el más sincero tributo que hasta entonces había recibido.
"b>Capítulo 9
La Encarnación del Análisis
EULER
La historia muestra que los jefes de naciones
que han favorecido el cultivo de la Matemática,
la fuente común de todas las ciencias exactas,
son también aquellos cuyos reinos han sido los más
brillantes y cuyas glorias son las más durables.
Michel Chasles
La extensión de los trabajos de Euler no ha sido exactamente conocida hasta 1936, pero se calcula que serían necesarios sesenta a ochenta grandes volúmenes en cuarto para la publicación de todos sus trabajos. En 1909, la Asociación Suiza de Ciencias Naturales emprendió la publicación de los diversos trabajos de Euler, con la colaboración económica de muchas personas y de sociedades matemáticas de todo el mundo, ya que Euler pertenece a todo el mundo civilizado y no solo a Suiza. El cálculo de los probables gastos (alrededor de 80.000 dólares en la moneda de 1909), tuvo que modificarse por el descubrimiento de numerosos e insospechados manuscritos de Euler, realizado en San Petersburgo (Leningrado).
La carrera matemática de Euler comienza el año de la muerte de Newton
No podía elegirse una época más propicia para un genio como el de Euler. La Geometría analítica (que se hizo pública en el año 1637) llevaba en uso 90 años, el Cálculo alrededor de 50, y la ley de la gravitación universal de Newton, la clave de la astronomía física, había sido presentada al público matemático hacía 40 años. En cada uno de estos campos había sido resuelto un vasto número de problemas aislados, habiéndose hecho ciertos ensayos de unificación, pero no existía ningún estudio sistemático que abarcara todo el complejo de las Matemáticas puras y aplicadas. En particular, los poderosos métodos analíticos de Descartes, Newton y Leibniz no habían sido aun explotados hasta el límite de lo posible, especialmente en mecánica y Geometría.

Como algorista, Euler jamás ha sido sobrepasado y probablemente no hay quien se le aproxime, como no sea Jacobi. Un algorista es un matemático que idea "algoritmos" (o "algorismos") para la solución de problemas de tipos especiales. Como un ejemplo muy sencillo aceptamos (o probamos) que todo número real positivo tiene una raíz cuadrada real. ¿Cómo será calculada la raíz? Se conocen varios métodos; un algorista idea métodos practicables. Además, en el análisis diofántico, y también en el Cálculo integral, la solución de un problema puede no ser hallada hasta que haya sido hecha alguna ingeniosa (muchas veces simple) sustitución de una o más de las variables por funciones de otras variables; un algorista es un matemático al que se le ocurren de un modo natural esos ingeniosos trucos. No existe un modo uniforme de proceder; los algoristas, como los versificadores fáciles, nacen, no se hacen.
Actualmente es moda despreciar a los "simples algoristas"; sin embargo, cuando un verdadero gran algorista, como el hindú Ramanuan, surge inesperadamente, hasta los analistas expertos le consideran como un don del cielo: su visión sobrenatural respecto a fórmulas al parecer no relacionadas, revela sendas ocultas que conducen desde un territorio a otro y los analistas encuentran nuevas tareas al ser abiertos nuevos campos. Una algorista es "un formalista" que ama las fórmulas bellas por sí mismas.
Antes de continuar con la pacífica pero interesante vida de Euler, debemos mencionar dos circunstancias de su época que fomentaron su prodigiosa actividad y le ayudaron a darle una dirección.
En el siglo XVIII las Universidades no eran los centros principales de investigación en Europa. Pudieron hacer mucho más de lo que hicieron de no haber sido por su tradición clásica y su incomprensible hostilidad hacia la ciencia. La Matemática, por no ser suficientemente antigua, era considerada respetable, pero la física, más reciente, era sospechosa. Además, un matemático en una Universidad de la época tenía que emplear gran parte de su esfuerzo en la enseñanza elemental; sus investigaciones, si las hacía, constituían un lujo no aprovechable, precisamente como en el tipo medio de las actuales instituciones americanas de enseñanza superior. Los miembros de las Universidades británicas podían hacer lo que quisieran. Pocos, sin embargo, querían hacer algo, y lo que hacían o dejaban de hacer no afectaba a su forma de vivir. En ese estado de laxitud o de abierta hostilidad, no había razón para que las Universidades condujeran a la ciencia, y realmente no la conducían.
Este papel era desempeñado por las diversas Academias reales mantenidas por gobernantes generosos y de gran visión. Los matemáticos deben una extraordinaria gratitud a Federico el Grande de Prusia y a Catalina la Grande de Rusia por su gran liberalidad. Hicieron posible todo un siglo de progresos matemáticos en uno de los períodos más activos de la historia científica. En el caso de Euler, Berlín y San Petersburgo constituyen el nervio de la creación matemática. Estos dos focos creadores fueron inspirados por la inquieta ambición de Leibniz. Las Academias trazadas siguiendo los planes de Leibniz dieron a Euler la ocasión de ser el matemático más prolífico de todos los tiempos; así, en cierto sentido, Euler fue el nieto de Leibniz
La Academia en Berlín se había ido marchitando durante cuarenta años cuando Euler, inspirado por Federico el Grande, le dio nueva vida; y la Academia de San Petersburgo, que Pedro el Grande no llegó a organizar de acuerdo con el programa de Leibniz, quedó firmemente fundada por su sucesor.
Estas Academias no eran comparables a las actuales, cuya principal función es premiar con el nombramiento de académico a aquellos individuos que se distinguen por la obra realizada. Eran organizaciones que pagaban a sus miembros principales para que se dedicaran a la investigación científica. Los sueldos y otros gajes eran lo suficientemente elevados para permitir que vivieran con cierta comodidad el académico y su familia. La familia de Euler se componía en cierta época de a lo menos 18 personas, y, sin embargo, le fue posible sostenerla decentemente. Por si esto fuera poco, los hijos de los académicos del siglo XVII, si eran dignos de ello, sabían que gozaban de una fácil iniciación en el mundo.
Esto nos lleva a una segunda influencia dominante sobre la vasta producción matemática de Euler. Los gobernantes que pagaban generosamente los sueldos, deseaban ver retribuidos sus afanes y su dinero con alguna cosa, aparte de la cultura abstracta, pero debe hacerse notar que cuando tales gobernantes se creían suficientemente pagados, no insistían en que sus académicos gastaran el resto de sus vidas dedicados a la labor "productiva". Euler, Lagrange y los otros académicos gozaban de libertad para hacer lo que quisieran. Tampoco, se ejercía ninguna presión por el hecho de que los resultados obtenidos no pudieran ser usados inmediatamente para fines prácticos. Más sabios que muchos directores de institutos científicos actuales, los gobernantes del siglo XVIII tan sólo insinuaban algunas veces lo que necesitaban, pero dejaban que la ciencia siguiera su curso. Parece que se dieron cuenta instintivamente de que la llamada investigación "pura" puede dar lugar también a cosas que más pronto o más tarde tienen aplicación práctica.
A este juicio general hay que hacer una importante excepción que no conforma ni desecha la regla. Sucedió que en los tiempos de Euler el problema más sobresaliente de la investigación matemática, coincidía por casualidad, con el que probablemente era el problema práctico esencial de la época, el dominio de los mares. La nación cuya técnica en la navegación superara a la de todos sus competidores, sería inevitablemente la reina de los mares. La navegación es, en último análisis, un problema de determinar exactamente la posición en el mar a cientos de millas de la tierra, y aquellos marinos que mejor lo consiguieran, podrían elegir el lugar más favorable para una batalla naval. Gran Bretaña, como todos saben, gobierna los mares y los gobierna debido, en no pequeño grado, a la aplicación práctica que sus navegantes supieron hacer de las investigaciones matemáticas puras referente a la mecánica celeste, durante el siglo XVIII.
El fundador de la navegación moderna es Newton, aunque jamás este tema le diera un dolor de cabeza, y aunque a juzgar por lo que sabemos, nunca puso sus plantas sobre la cubierta de un barco. La posición en el mar se determina por la observación de los cuerpos celestes, (algunas veces se incluyen los satélites de Júpiter), y conocida la ley universal de Newton pueden determinarse, con suficiente paciencia, con un siglo de anterioridad, las posiciones de los planetas y las fases de la Luna, con cuyos datos quienes deseen gobernar los mares pueden dejar establecidos sus cálculos en los almanaques náuticos, lo que les permitirá componer los cuadros de las futuras posiciones.
En tal empresa práctica la Luna ofrece un problema particularmente difícil, el de los tres cuerpos que se atraen de acuerdo con la ley de Newton. Este problema se repetirá muchas veces al llegar el siglo XX. Euler fue el primero en dar una solución calculable para el problema de la luna ("la teoría lunar"). Los tres cuerpos a que nos referimos son la Luna, la Tierra y el Sol. Aunque demoremos, lo poco que puede decirse aquí sobre este problema hasta capítulos posteriores, haremos notar que se trata de uno de los problemas más difíciles de toda la Matemática. Euler no lo resolvió, pero su método de cálculo aproximado (sustituido actualmente por mejores métodos), fue suficientemente práctico para permitir a un calculador inglés redactar las tablas de la Luna que habría de utilizar el Almirantazgo Británico. El calculador recibió £5.000 (una bonita suma para aquel tiempo), y se votó para Euler un sueldo de £300 como retribución por su método.
Leonard (o Leonhard) Euler, hijo de Paul Euler y de Marguerite Brucker, es probablemente el hombre de ciencia más grande que Suiza ha producido. Nació en Basilea el 15 de abril de 1707, pero al año siguiente sus padres se trasladaron a la cercana aldea de Riechen, donde su padre era el pastor calvinista. Paul Euler, un excelente matemático, discípulo de Jacob Bernoulli, quiso que Leonard siguiera sus pasos y le sucediera en la iglesia de la aldea, pero por fortuna cometió el error de enseñarle al muchacho la Matemática.
El joven Euler conoció pronto lo que quería hacer. De todos modos obedeció a su padre e ingresó en la Universidad de Basilea para estudiar teología y hebreo. En Matemática se hallaba suficientemente avanzado para atraer la atención de Johannes Bernoulli, que generosamente daba al joven una lección semanal. Euler empleaba el resto de la semana preparando la siguiente lección, con el objeto de que el número de problemas que tuviera que plantear a su profesor fuera el menor posible. Pronto, su inteligencia y marcada capacidad fueron observadas por Daniel y Nicolaus Bernoulli, quienes se hicieron buenos amigos de Euler.
Leonard pudo seguir estos estudios hasta obtener su título de maestro en 1724, teniendo 17 años. En ese momento, su padre insistió en que debía abandonar la Matemática y dedicarse totalmente a la teología. Mas el padre cedió cuando los Bernoulli le dijeron que su hijo estaba destinado a ser un gran matemático, y no el pastor de Riechen. Aunque la profecía se cumplió, la precoz educación religiosa de Euler influyó sobre toda su vida, y nunca pudo deshacerse de una partícula de su fe calvinista. En efecto, a medida que los años pasaban viró en redondo hacia donde su padre intentó dirigirle; dirigía los rezos familiares y de ordinario los terminaba con un sermón.
El primer trabajo independiente de Euler fue realizado cuando tenía 19 años. Se dice que este primer esfuerzo revela tanto el punto fuerte como el débil de la obra subsiguiente de Euler. La Academia de París propuso el tema de las arboladuras de los barcos como problema correspondiente al año 1727. Euler no ganó el premio, pero recibió una mención honorífica. Más tarde se resarció de esta pérdida ganando el premio doce veces. Su punto fuerte era el Análisis, la Matemática técnica; su punto débil, la falta de relación de su obra con las aplicaciones prácticas. Esto no puede sorprender cuando recordamos las bromas tradicionales referentes a la no existente Marina suiza. Euler pudo haber visto una o dos barcas en los lagos suizos, pero no había visto aún un barco. Ha sido criticado, algunas veces justamente, por dejar que su Matemática se alejara del sentido de la realidad. El universo físico era una ocasión que se daba a Euler para aplicar la Matemática, y si el universo no estaba de acuerdo con su análisis era el universo el que estaba errado.
Dándose cuenta de que había nacido para la Matemática, Euler se preparó para ser profesor en Basilea. No habiendo logrado su propósito, continuó sus estudios movido por la esperanza de unirse a Daniel y Nicolaus Bernoulli en San Petersburgo. Sus amigos le habían ofrecido generosamente que le encontrarían un cargo bien rentado en la Academia
En esta fase de su carrera, parece que le era indiferente a Euler la elección del tema, siempre que se tratara de algo científico. Cuando los Bernoulli le hablaron de la posibilidad de que tuviera un puesto sección médica de la Academia de San Petersburgo, Euler se dedicó a estudiar fisiología en Basilea y asistió a cursos de medicina. Pero hasta en este campo, no podía alejarse de la Matemática. La fisiología del oído le sugirió la investigación matemática del sonido, que, a su vez le llevó al estudio de la propagación de las ondas, y así sucesivamente. Los Bernoulli eran hombres que cumplían su palabra. Euler fue llamado a San Petersburgo en 1727, incorporado a la Sección Médica de la Academia. Por una sabia disposición todos los miembros extranjeros estaban obligados a admitir los discípulos que siguieran las enseñanzas. El gozo del pobre Euler pronto se desvaneció. El día que puso el pie en suelo ruso moría la liberal Catalina I.
Catalina, amante del Pedro el Grande, antes de ser su esposa, parece haber sido una mujer de mente amplia por más de un concepto, y fue ella la que en su reinado, de sólo dos años, llevó a la práctica el deseo de Pedro de establecer la Academia. A la muerte de Catalina, el poder pasó a manos de una facción brutal, durante la minoría del joven Zar (que quizá para su bien murió antes de que pudiera comenzar a reinar). Los nuevos gobernantes de Rusia consideraron la Academia como un lujo costoso y durante algunos meses contemplaron la posibilidad de suprimirla, repatriando a los miembros extranjeros. Este era el momento en que Euler llegó a San Petersburgo. En la confusión del momento nada se dijo respecto al cargo para el cual Euler había sido llamado, y entonces ingresó en la sección matemática, después de haber aceptado en su desesperación, el nombramiento de teniente naval.
Más tarde las cosas marcharon mejor y Euler comenzó a trabajar. Durante seis años, no se separó de sus trabajos, no sólo por la pasión absorbente que sentía para la Matemática, sino también porque no se atrevía a dedicarse a una vida social normal por temor a los espías que por todas partes.
En 1733 Daniel Bernoulli volvió a la libre Suiza, cansado de la santa Rusia, y Euler, teniendo 26 años, ocupó su puesto en la sección matemática en la Academia. Suponiendo que permanecería en San Petersburgo durante el resto de su vida, Euler decidió casarse y hacer las cosas lo mejor que pudiera. Su esposa era hija del pintor Gsell a quien Pedro el Grande había llevado a Rusia. Las condiciones políticas empeoraron, y Euler sintió la desesperada ansia de escapar. Pero con la rápida llegada de los hijos en rápida sucesión, Euler se sintió más atado que antes, refugiándose en una incesante labor. Algunos biógrafos atribuyen la fecundidad incomparable de Euler a esta primera permanencia en Rusia; la prudencia le forzó a este hábito de trabajo incesante.
Euler fue uno de los grandes matemáticos que podía trabajar en cualquier condición. Amaba los niños (tuvo trece, aunque cinco de ellos murieron siendo pequeños), y podía dedicarse a sus trabajos teniendo a alguno de sus hijos sentado sobre sus rodillas y a los restantes jugando en torno de él. La facilidad con que resolvía los problemas más difíciles es increíble.
Muchas son las anécdotas que se cuentan de su constante flujo de ideas. No hay duda de que algunas son exageraciones, pero se dice que Euler podía terminar un trabajo matemático en la media hora que transcurría desde que era llamado a la mesa hasta que comenzaba a comer. En cuanto terminaba un trabajo era colocado sobre el montón de hojas que esperaba la impresión. Cuando se necesitaba material para los trabajos de la Academia, el impresor elegía una hoja del montón de papeles. En consecuencia, se observa que la fecha de publicación no suele corresponder a la de la redacción. Este desorden todavía se hacía mayor debido a la costumbre de Euler de volver muchas veces sobre el mismo tema para aclararlo o ampliar lo que ya había escrito. Por tanto, una serie de trabajos sobre un determinado tema suele ser interrumpida por otras investigaciones sobre temas diferentes.
Cuando el joven Zar murió, Anna Ivanovna (sobrina de Pedro), fue Emperatriz en el año 1730, y por lo que se refiere a la Academia las cosas se aclararon considerablemente. Pero bajo el gobierno indirecto del amante de Anna, Ernest John de Biron, Rusia sufrió una de las épocas de terror más tremendo de su historia, y Euler se dedicó durante diez años a una labor silenciosa. Por entonces sufrió su primera gran desventura. Deseoso de obtener el premio París, para el cual se había propuesto un problema astronómico que exigió a los matemáticos más conspicuos varios meses de labor (un problema similar relacionado con Gauss se explicará en el lugar correspondiente), Euler trabajó tanto que lo resolvió en tres días. Pero el prolongado esfuerzo le produjo una enfermedad de cuyas consecuencias perdió la visión del ojo derecho.
Haremos notar que la crítica moderna, que se ha dedicado a desacreditar todas las anécdotas interesantes de la historia de los matemáticos, demostró que el problema astronómico no tuvo la menor responsabilidad en la pérdida del ojo de Euler. Pero como la crítica erudita (o cualquiera otra) debe saber mucho acerca de la llamada ley dio causa y efecto, el misterio debería ser resuelto por el espíritu de David Humo (un contemporáneo de Euler). Con esta precaución narraremos una vez más la famosa historia de Euler y el ateo (o quizá sólo panteísta) filósofo francés Denis Diderot (1713-1784), si bien nos apartamos algo del orden cronológico, pues el suceso tuvo lugar durante la segunda permanencia de Euler en Rusia.
Invitado por Catalina la Grande para visitar su corte, Diderot se ganaba el sustento intentado convertir al ateísmo a los cortesanos, pero Catalina encargó a Euler de que tapara la boca al infatuado filósofo. Esto era fácil, pues la Matemática era chino para Diderot. De Morgan cuenta lo sucedido en su clásico Budgel of Paradoxes, 1872: "Diderot fue informado de que un docto matemático estaba en posesión de una demostración algebraica de la existencia de Dios, y que la expondría ante toda la corte si él deseaba oírla. Diderot consintió amablemente... Euler avanzó hacia Diderot y dijo gravemente en un tono de perfecta convicción:
“Señor,
, por tanto Dios existe. Replique”.
No contento con esta obra maestra, Euler añadió gravemente las pruebas solemnes de que Dios existe, y de que el alma no es una sustancia material. Se dice que ambas pruebas fueron incorporadas a los tratados de teología de la época. Se trata probablemente de flores escogidas de la faceta matemática no práctica de su genio.
La Matemática no es lo único que absorbió las energías de Euler durante su permanencia en Rusia. Siempre que fue solicitado para ejercer sus talentos matemáticos en terrenos alejados de la Matemática pura, accedió a la solicitación. Euler escribió los manuales matemáticos elementales para las escuelas rusas, el departamento oficial de geografía, ayudó a reformar el sistema de pesas y medidas, etc. Estas fueron algunas de sus actividades. Aparte de esta obra ajena a la Matemática, Euler continuó sus investigaciones favoritas.
Una de las obras más importantes de este período fue el tratado de 1736 sobre mecánica. Obsérvese que a la fecha de publicación le falta un año para coincidir con el centenario de la publicación de la Geometría analítica de Descartes. El tratado de Euler hizo para la mecánica lo que el de Descartes hizo para la Geometría, libertarla de las cadenas de la demostración sintética, haciéndola analítica. Los Principia de Newton pudieron haber sido escritos por Arquímedes; la mecánica de Euler no pudo ser escrita por un griego. Por primera vez el gran poder del Cálculo infinitesimal fue dirigido hacia la mecánica, y entonces comienza la era moderna para esa ciencia básica. Euler fue superado en esta dirección por su amigo Lagrange, pero el mérito de haber dado el paso decisivo corresponde a Euler.
A la muerte de Anna, en 1740, el gobierno ruso se hizo más liberal, pero Euler ya estaba fatigado, y aceptó con satisfacción la invitación de Federico el Grande para que se incorporara a la Academia de Berlín. La reina viuda tomó cariño a Euler e intentó sonsacarle. Todo lo que pudo obtener, fueron monosílabos.
- "¿Por qué no queréis hablarme?" le preguntó.
- "Señora - replicó Euler- vengo de un país donde al que habla se le ahorca". Los 24 años siguientes de su vida transcurrieron en Berlín, y no fueron muy felices, pues Federico hubiera preferido a un pulido cortesano en lugar del sencillo Euler. Aunque Federico creía que su deber era fomentar la Matemática, se desvió de ese deseo. Pero demostró que apreciaba en muchos los talentos de Euler al proponerle problemas prácticos, el sistema monetario, la conducción de aguas, los canales de navegación, sistemas y cálculos de pensiones, entre otros.
Rusia jamás olvidó a Euler completamente y mientras estuvo en Berlín le pagó parte de su sueldo. A pesar de que su familia era numerosa Euler vivió prósperamente y poseía una casa de campo cerca de Charlottenburg además de su casa de Berlín. Durante la invasión rusa en 1760, la casa de campo de Euler fue saqueada. El general ruso declaró que "no hacía la guerra a la ciencia", e indemnizó a Euler con una cantidad superior a la que representaba el verdadero daño. Cuando la Emperatriz Isabel oyó hablar de la pérdida de Euler, le envió una cuantiosa suma, aparte de la más que suficiente indemnización.
Una causa de la falta de popularidad de Euler en la corte de Federico fue su incapacidad para oponer argumentos a las cuestiones filosóficas, que le eran totalmente desconocidas. Voltaire, que empleó gran parte de su tiempo adulando a Federico, se divertía, con los otros brillantes verbalistas que rodeaban al Emperador, en hacer caer al infeliz Euler en los enredos metafísicos. Euler lo admitía sin resistencia, y se unía a los demás en sus risas por sus ridículos disparates. Pero Federico se irritaba cada vez más, Y pensó en un filósofo más agudo para encabezar su Academia y entretener a su corte.
D'Alembert (de quien hablaremos más tarde) fue invitado a Berlín para examinar la situación. Él y Euler tenían ligeras diferencias respecto a la Matemática; pero D'Alembert no era el hombre a quien un entredicho personal enturbiaba el juicio, y contestó a Federico diciéndole que sería un ultraje colocar a cualquier otro matemático por encima de Euler. Esta respuesta tan sólo dio lugar a que Federico se irritara más que antes, y las condiciones se hicieron intolerables para Euler. Pocas probabilidades de triunfo esperaban a sus hijos en Prusia, y a la edad de 50 años (en 1776), volvió a hacer su equipaje y se dirigió nuevamente a San Petersburgo, invitado cordialmente por Catalina la Grande.
Catalina recibió al matemático como si fuera un noble y le hizo preparar una espléndida casa y para él y los 18 miembros de su familia, cediéndole uno de sus propios cocineros.
Por esta época Euler comenzó a perder (por una catarata), la visión del ojo que le quedaba. La progresión de su ceguera fue seguida con alarma y consternación por Lagrange, D’Alembert y otros eminentes matemáticos de la época. Euler mismo sentía aproximarse su ceguera con serenidad. No hay duda de que su profunda fe religiosa le ayudaba a enfrentarse con lo que era superior a él. Pero no se resignaba al silencio y a la oscuridad, e inmediatamente se dedicó a reparar lo irreparable.
Antes de que se apagara el último rayo de luz, se habituó a escribir sus fórmulas con yeso en una gran pizarra. Luego, sus hijos, (particularmente Alberto) actuaban de amanuenses, y el padre dictaba las palabras y explicaba las fórmulas. En lugar de disminuir, su producción matemática aumentó.
Toda su vida, Euler gozó de una memoria fenomenal. Sabía de memoria la Eneida de Virgilio, y aunque desde su juventud rara vez había vuelto a releer la obra, podía siempre decir cuál era la primera y la última línea de cada página de su ejemplar. Su memoria era visual y auditiva. También tenía una capacidad prodigiosa para el cálculo mental, no sólo del tipo aritmético, sino también del tipo más difícil exigido en el álgebra superior y en el Cálculo infinitesimal. Las fórmulas principales de toda la Matemática existente en su época, estaban cuidadosamente grabadas en su memoria.
Como un ejemplo de esta capacidad, Condorcet cuenta que dos de los discípulos de Euler habían sumado una complicada serie convergente (para un valor particular de la variable) con 17 términos, y sólo estaban en desacuerdo en una cifra del lugar decimoquinto del resultado. Para decidir cuál era la suma exacta Euler realizó todo el cálculo mentalmente, y su respuesta fue la exacta. Esta memoria venía en su ayuda para consolarle de su ceguera. La teoría lunar - el movimiento de la Luna, el único problema que habla producido dolores de cabeza a Newton, recibió por entonces una completa solución al ser tratada por Euler. Todo el complicado análisis fue hecho de memoria.
A los cinco años de haber vuelto a San Petersburgo le aconteció otro desastre. En el gran fuego de 1771 su casa y todos sus muebles quedaron destruidos, y gracias al heroísmo de su sirviente suizo (Peter Grimm, o Grimmon), Euler logró salvarse con el riesgo de su propia vida, Grimm pudo arrastrar a su amo, ciego y enfermo, fuera de las llamas. La biblioteca se quemó pero gracias a la energía del Conde Orloff fueron salvados todos los manuscritos de Euler. La Emperatriz Catalina prontamente reparó todos los daños, y Euler volvió a sus trabajos.
En 1776 (cuando tenía 69 años) Euler sufrió una gran pérdida con la muerte de su mujer. Al año siguiente volvió a casarse. La segunda mujer, Salomé Abigail Gsell, era media hermana de la primera. Su gran tragedia fue el fracaso de una operación para restablecer la visión de su ojo izquierdo, el único del que podían abrigarse esperanzas. La operación había sido eficaz, y la alegría de Euler fue inenarrable. Pero se presentó una infección, y después de un prolongado sufrimiento, Euler volvió a sumirse en la obscuridad.
Al examinar retrospectivamente la enorme producción de Euler podemos sentirnos inclinados a creer que cualquier hombre de talento podría haber hecho una gran parte de ese trabajo casi tan fácilmente como Euler. Pero un examen de la Matemática actual pronto nos mostrará nuestro error. En el estado presente, la Matemática, con sus bosques de teorías, no es más complicada que antes, si consideramos el poder los métodos que ahora tenemos a nuestra disposición, y de que Euler no disponía, y ahora está ya madura para un segundo Euler. En su época, Euler sistematizó y unificó los resultados parciales y los teoremas aislados, desbrozando el terreno y asociando todas las cosas de valor con la fácil capacidad de su genio analítico. Mucho de lo que hoy se enseña en los cursos elementales de Matemática se debe prácticamente a Euler, por ejemplo, la teoría de secciones cónicas y cuadráticas en el espacio tridimensional desde el punto de vista unificado proporcionado por la ecuación general de segundo grado. Además, la cuestión de las anualidades, y todos los problemas que en ella se deducen (seguros, pensiones a la vejez, etc.), fueron planteados en la forma que hoy los estudiosos conocen con el nombre de "teoría matemática de las inversiones" de Euler.
Como Arago señala, una causa del gran e inmediato triunfo de Euler como maestro se debe a su falta total de falso orgullo. Cuando ciertos trabajos de mérito intrínseco relativamente escaso eran necesarios para aclarar otras investigaciones anteriores y más importantes, Euler no dudaba en realizarlos, sin temor de que disminuyera su reputación.
Hasta en la faceta creadora Euler combinó la enseñanza con el descubrimiento. Sus grandes tratados de 1748, 1755, y 1768 -70, sobre el cálculo (Introductio in analysin infinitorum; Institutiones calculi differentialis; Institutiones calculí integralis) se hicieron rápidamente clásicos, y continuaron, durante tres cuartos de siglo, inspirando a los jóvenes que iban a ser grandes matemáticos. Pero fue en su obra sobre el cálculo de variaciones (Methodus inveniendi lineas curvas maximi minimive propietate gaudentes, 1744), donde Euler se reveló, por primera vez, como un matemático de primera categoría. La importancia de esta cuestión ha sido señalada en capítulos anteriores.
Ya hemos hablado del gran paso de Euler cuando hizo analítica a la mecánica; cualquier estudioso de la dinámica rígida está familiarizado con el análisis de las rotaciones de Euler, por sólo citar un detalle de sus progresos. La mecánica analítica es una rama de la Matemática pura, de modo que Euler no estuvo tentado en este caso, como en alguna de sus fugas hacia el terreno práctico, de escapar por la tangente para volver al infinito campo del Cálculo puro. Las más grandes críticas que los contemporáneos de Euler hicieron de su obra, se referían a su ingobernable impulso de calcular simplemente por el objeto de realizar un bello análisis. Alguna vez es posible que haya carecido de la suficiente comprensión de la situación real, y haya intentado reducirla al cálculo sin ver lo que existía de verdad en ella. De todos modos, las ecuaciones fundamentales del movimiento de los fluidos, que se usan actualmente en hidrodinámica, son de Euler. Supo ser práctico cuando la situación práctica era digna de su meditación.
Una peculiaridad del análisis de Euler debe ser mencionada en este lugar, pues fue la causa de una de las principales direcciones de la Matemática del siglo XIX. Era su reconocimiento de que a no ser que una serie infinita sea convergente, su uso no es seguro. Por ejemplo, por una larga división encontramos:
![]()
y la serie se continúa indefinidamente. Para x= 1/2, se tiene:
-2 = 2 + 22 + 23 + 24 +... = 2 + 4 + 8 + 16 +...
El estudio de la convergencia (que será expuesto en el capítulo sobre Gauss) nos enseña a evitar absurdos como éste. (Véase también el capítulo sobre Cauchy). Lo curioso es que aunque Euler reconoció la necesidad de ser cauteloso al tratar con procesos infinitos, fue incapaz de tener esa cautela en gran parte de su obra. Su fe en el Análisis era tan grande que podía algunas veces buscar una "explicación absurda" para hacer aceptable un absurdo evidente.Debemos añadir aún que pocos han igualado o se han aproximado a Euler en la cantidad de sólidos y nuevos trabajos de importancia esencial. Los que gustan de la Aritmética, reconocerán a Euler, en el análisis diofántico, méritos análogos a los que pueden atribuirse a Fermat y al mismo Diofanto. Euler fue el primero, y posiblemente el más grande de los universalistas matemáticos.
Euler no fue solamente un matemático; en literatura y en todas las otras ciencias, incluyendo la biología, era también muy ducho. Pero hasta cuando gozaba recitando su Eneida, Euler no podía menos de buscar en ella un problema merecedor de ser abordado por su genio matemático. El verso "El ancla desciende, la quilla que avanzaba se detiene", le estimula a trabajar sobre el movimiento del barco en tales circunstancias. Su curiosidad omnívora le llevó a estudiar durante cierto tiempo astrología, pero demostró que no la había digerido cuando cortésmente se negó a establecer el horóscopo del príncipe Iván al ordenársele hacerlo así en 1740, advirtiendo que los horóscopos correspondían al astrónomo de la corte; y el pobre astrónomo tuvo que hacerlo.
Una obra del período en que estuvo en Berlín revela a Euler como un escritor lleno de gracia, aunque también demasiado piadoso: las conocidas Cartas a una Princesa Alemana, escritas para dar lecciones de mecánica, óptica, física, astronomía, sonido, etc., a la sobrina de Federico la Princesa de Anhalt-Dessau. Las famosas cartas se hicieron muy populares, circulando en forma de libro en siete idiomas. El interés del público por la ciencia no es de tan reciente desarrollo como algunas veces estamos inclinados a imaginarnos.
Euler mantuvo una mente viril y poderosa, hasta el momento de su muerte, que tuvo lugar cuando tenía 77 años, el 18 de septiembre de 1783. Después de haberse divertido una tarde calculando las leyes del ascenso de los globos, sobre su pizarra, como de ordinario, cenó con Lexell y su familia. "El planeta de Herschel" (Urano) era un descubrimiento reciente; Euler bosquejó el cálculo de su órbita. Poco después pidió a su nieto que se acercara. Mientras jugaba con el niño y bebía una taza de té, sufrió un ataque. La pipa cayó de su mano, y con las palabras “Me muero”, “Euler cesó de vivir y de calcular”[16].
Capítulo 10
Una Inmensa Pirámide
LAGRANGE
Yo no sé.
J. L. Lagrange

Lagrange tenía sangre mixta de francés e italiano, predominando la sangre francesa. Su abuelo, un capitán de caballería francés, entró al servicio de Carlos Manuel II, Rey de Cerdeña, y establecido en Turín emparentó, por matrimonio, con la ilustre familia Conti. El padre de Lagrange, Tesorero de guerra en Cerdeña, casó con María Teresa Gros, la única hija de un rico médico de Cambiano, con quien tuvo once hijos. De su numerosa prole, tan sólo el menor, Joseph Louis, que nació el 25 de enero de 1736, llegó a sobrevivir. El padre era rico, tanto por él como por su mujer. Era también un incorregible especulador, y en la época en que su hijo podría haber heredado la fortuna, no quedaba ya nada digno de ser heredado. En su vida ulterior Lagrange consideraba este desastre como el suceso más feliz de su vida: "Si hubiera heredado una fortuna, probablemente no me habría dedicado a la Matemática".
Lo primero que interesó a Lagrange en sus estudios escolares fueron las lenguas clásicas, y constituyó una casualidad que se desarrollara en él una pasión por la Matemática. Siguiendo sus estudios del griego y del latín pudo familiarizarse con los trabajos geométricos de Euclides y Arquímedes, que no parece le impresionaron grandemente. Más tarde, un ensayo de Halley (amigo de Newton), ensalzando la superioridad del Cálculo sobre los métodos geométricos sintéticos de los griegos cayó en las manos del joven Lagrange. Quedó cautivado y convencido. En muy poco tiempo llegó a dominar, sin necesidad de maestro, lo que entonces constituía el Análisis moderno. A los 16 años (según Delambre puede haber aquí una ligera inexactitud), Lagrange fue nombrado profesor de Matemática en la Real Escuela de Artillería de Turín. Entonces comenzó una de las más brillantes carreras en la historia de la Matemática.
Desde el principio Lagrange fue un analista, jamás un geómetra. En él vemos el primer ejemplo notable de esa especialización que viene a constituir casi una necesidad en la investigación matemática. Las preferencias analíticas de Lagrange se manifiestan notablemente en su obra maestra, la Mécanique analytique , que proyectó en Turín cuando tenía 19 años, pero que fue publicada en París en el año 1788, cuando Lagrange tenía 52. "En esta obra no se encontrará ninguna figura", dice en el prefacio. Pero con un semihumorístico sacrificio a los dioses de la Geometría hace notar que la ciencia de la mecánica puede ser considerada como la Geometría de un espacio de cuatro dimensiones, tres coordenadas cartesianas con una coordenada del tiempo son suficientes para localizar una partícula en movimiento en el espacio y en el tiempo, una forma de considerar la mecánica que se ha hecho popular desde 1915, cuando Einstein la explotó en su relatividad general.
El estudio analítico de la mecánica hecho por Lagrange marca la primera ruptura completa con la tradición griega. Newton, sus contemporáneos y sus inmediatos sucesores consideraron útiles las figuras en sus estudios de los problemas mecánicos; Lagrange mostró que mayor flexibilidad y una fuerza incomparablemente mayor se alcanzan cuando se emplean desde el principio métodos analíticos generales.
En Turín, el joven profesor explicaba a estudiantes de mayor edad que él. Por entonces organizó una sociedad de investigaciones de la cual habría de nacer la Academia de Ciencias de Turín. El primer volumen de las memorias de la Academia fue publicado en 1759, cuando Lagrange tenía 23 años. Suele decirse que el modesto Lagrange fue en realidad el autor de muchos trabajos matemáticos que otros autores se apropiaron. Un trabajo publicado por Foncenex era tan bueno que el Rey de Cerdeña encargó al supuesto autor del Ministerio de Marina. Los historiadores de la Matemática se han sorprendido algunas veces de que Foncenex jamás estuvo a la altura de su primer triunfo matemático.
Lagrange publicó una memoria sobre máximos y mínimos (el cálculo de variaciones explicado en los capítulos IV y VII) en la que promete tratar el tema en una forma de la cual deducirá toda la mecánica, tanto de sólidos como de fluidos. Así, a los 23 años, realmente antes, Lagrange imaginó su obra maestra, la Mécanique analytique , que es para la mecánica en general lo que la ley de la gravitación universal es para la mecánica celeste. Escribiendo, diez años más tarde, al matemático francés D'Alembert (1717-1783), Lagrange dice que considera esa primera obra, el cálculo de variaciones, elaborada cuando tenía 19 años, como su obra maestra. Por medio de este cálculo Lagrange unificó la mecánica, y como Hamilton dice, hizo de ella "una especie de poema científico".
Cuando se comprende, el método de Lagrange es casi una perogrullada. Como algunos han notado, las ecuaciones de Lagrange que dominan la mecánica son el mejor ejemplo del arte de hacer alguna cosa de la nada. Pero si reflexionamos un momento, veremos que cualquier principio científico capaz de unir todo un vasto universo de fenómenos debe ser sencillo: sólo un principio de máxima simplicidad puede dominar una multitud de diversos problemas que hasta después de una inspección detenida parecen ser individuales y diferentes.
En el mismo volumen de las memorias de Turín, Lagrange da otro gran paso hacia delante: aplica el Cálculo diferencial al de probabilidades. Como si esto no fuera bastante, el joven gigante de 23 años va más allá de Newton con una teoría matemática del sonido completamente diferente, que coloca esa teoría bajo el imperio de la mecánica de los sistemas de partículas elásticas (más bien que de la mecánica de los fluidos), al considerar el comportamiento de todas las partículas del aire en línea recta bajo la acción de un choque transmitido siguiendo la línea de partícula a partícula. Continuando la misma dirección, plantea también una aguda controversia que tuvo lugar durante años entre los matemáticos eminentes acerca de la fórmula matemática correcta del problema de una cuerda vibrante, un problema de fundamental importancia en la teoría de las vibraciones. A los 23 años Lagrange era considerado a un nivel igual que los grandes matemáticos de la época, Euler y los Bernoulli.
Euler supo siempre apreciar generosamente la obra de los demás. La forma como trató a su joven rival Lagrange es uno de los casos más delicados de desinterés en la historia de la ciencia. Teniendo 19 años Lagrange envió a Euler algunos de sus trabajos, y el famoso matemático reconoció sus méritos y alentó al brillante joven para que continuara. Cuando cuatro años más tarde Lagrange comunicó a Euler el método exacto para tratar el problema de los isoperímetros (el cálculo de variaciones aludido al referirnos a los Bernoulli), que desconcertó a Euler con sus métodos semigeométricos durante muchos años, éste escribió al joven diciendo que el nuevo método le había permitido vencer sus dificultades. Y en lugar de apresurarse a publicar la solución tan largo tiempo buscada, Euler esperó hasta que Lagrange lo hiciera, “para no privaros de una parte de la gloria que os corresponde”
Por halagadoras que fueran las cartas privadas, poco podían ayudar a Lagrange. Dándose cuenta de ello, Euler, cuando publicó su obra (después de hacerlo Lagrange), decía que las dificultades fueron insuperables hasta que Lagrange mostró la forma de vencerlas. Finalmente, para terminar su obra, Euler hizo elegir a Lagrange miembro extranjero de la Academia de Berlín el 2 de octubre de 1759, a la edad extraordinariamente precoz 23 años. Este reconocimiento oficial en el extranjero fue una gran ayuda para Lagrange en su patria. Euler y D'Alembert pensaron llevar a Lagrange a Berlín. En parte por razones personales, estaban deseosos de ver a su brillante y joven amigo instalado corno matemático de la corte en Berlín. Después de largas negociaciones lograron su objeto, y el Gran Federico, que había permanecido al margen de la discusión, tuvo una alegría infantil y justificable.
De pasada debemos decir algo acerca de D'Alembert, el devoto amigo y generoso admirador de Lagrange, aunque sólo sea por el contraste que ofrece un aspecto de su carácter con el del presumido Laplace de quien hablaremos más tarde.
Jean le Ronde D’Alembert, tomó su nombre de la pequeña capilla de St. Jean le Rond, cercana a Notre Dame en París. Hijo ilegítimo del caballero Destouches, D'Alembert había sido abandonado por su madre en las gradas de St. Jean le Rond. Las autoridades parisienses entregaron al niño sin padres a la mujer de un pobre vidriero, que lo crió como si fuera propio. La ley obligó al caballero a que pagara la educación de su bastardo. La madre real de D'Alembert sabía dónde se hallaba éste, y cuando el muchacho mostró los primeros signos de ser un genio, quiso recobrarlo.
"Tan sólo sois mi madrastra", respondió el muchacho, "la mujer del vidriero es mi verdadera madre", y con estas palabras rechazó a su propia carneo y a su propia sangre, del mismo modo como la madre le había abanado a él.
Cuando se hizo famoso y llegó a ser una gran figura en la ciencia francesa D’Alembert quiso pagar de alguna forma al vidriero y a su mujer, aunque no lo necesitaban, pues preferían seguir viviendo en su humilde barrio, y siempre se sintió orgulloso de considerarlos como padres. Aunque no disponemos de espacio para estudiar su figura aparte de la de Lagrange, debemos mencionar que D'Alembert fue el primero en dar una solución completa al importante problema de la precesión de los equinoccios. Su obra puramente matemática más importante se refiere a las ecuaciones en derivadas parciales, particularmente en relación con las cuerdas vibrantes, D'Alembert alentó al modesto joven para; que abordara difíciles e importantes problemas. Tomó también a su cargo hacer algunas observaciones razonables a Lagrange, acerca de su salud que no era buena.
Lagrange, en efecto, había perturbado su digestión por una conducta irracional entre los 16 y 26 años, y en toda su vida posterior se vio forzado a disciplinarse severamente, sobre todo en lo que se refería al excesivo trabajo. En una de sus cartas D'Alembert advierte al joven por el abuso que hacía del té y del café para mantenerse despierto; en otra llama la atención de Lagrange hacia un reciente libro de medicina sobre las enfermedades de los estudiosos. A todo ello Lagrange replica alegremente que se siente bien y trabaja corno un loco. Pero al fin paga su tributo.
En cierto aspecto la carrera, de Lagrange tiene un curioso paralelo con la de Newton. Hacia la mitad de su vida, la prolongada concentración sobre problemas de primera magnitud embotó el entusiasmo de Lagrange, y aunque su mente permaneció tan poderosa como siempre, llegó a considerar a la Matemática con indiferencia. Cuando sólo tenía, 45 años escribe a D'Alembert. “Comienzo a sentir que la presión de mi inercia aumenta poco a poco, y no puedo decir lo que haré en la Matemática dentro de 10 años. Me parece también que la mina es ya demasiado profunda, y a no ser que se descubran nuevas venas tendrá que ser abandonada”
Cuando escribía esto Lagrange estaba enfermo y melancólico. De todos modos expresa la verdad en lo que a él mismo se refiere. En la última de D'Alembert (septiembre 1783) a Lagrange, escrita un mes antes de su muerte, aquél repite sus primeros consejos, y le aconseja trabajar como único remedio para sus males psíquicos: "En nombre de Dios, no renunciéis al trabajo, la más fuerte de todas las distracciones. Adiós, quizá por última vez. Recordad al hombre que mas os ha estimado y honrado en el mundo.
Felizmente para la Matemática, la negra depresión de Lagrange, con su ineludible corolario de que ningún conocimiento humano es digno de esfuerzo, iba a ser seguida de 20 años gloriosos cuando D’Alembert y Euler pensaban llevar a Lagrange a Berlín. Entre los grandes problemas que Lagrange abordó y resolvió antes de ir a Berlín se halla el del movimiento de libración de la Luna. ¿Por qué la Luna presenta siempre la misma “cara” a la Tierra dentro de ciertas ligeras irregularidades que pueden ser explicadas? Era necesario deducir este hecho de la ley de la gravitación de Newton. El problema es un ejemplo del famoso de los tres cuerpos, en este caso la Tierra, el Sol y la Luna, que recíprocamente se atraen entre sí siguiendo la ley de la razón inversa al cuadrado de la distancia entre sus centros de gravedad. (Este problema será tratado con más extensión al ocuparnos de Poincaré.
Por su solución del problema de la libración, Lagrange obtuvo el Gran Premio de la Academia Francesa de Ciencias, en 1764, cuando sólo tenía 28 años.
Alentado por este brillante triunfo de la Academia propuso un problema aún más difícil, por cuya resolución Lagrange volvió a obtener el premio en 1766. En los días de Lagrange tan sólo habían sido descubiertos cuatro satélites de Júpiter. El sistema de Júpiter (Júpiter, el Sol y sus satélites) era, pues, un problema de seis cuerpos. La completa solución matemática todavía hoy es imposible en una forma adaptada al cómputo exacto; pero usando los métodos de aproximación, Lagrange realizó un notable progreso, explicando las desigualdades observadas.
Tales aplicaciones de la teoría de Newton fueron una de las cosas que despertaron mayor interés en la vida activa de Lagrange. En 1772 volvió a obtener el premio París por su memoria sobre el problema de los tres cuerpos, y en 1774 y en 1778, tuvo análogos triunfos con el movimiento de la Luna y las perturbaciones de los cometas.
El primero de estos triunfos espectaculares indujo al Rey de Cerdeña a pagar los gastos de Lagrange para que realizara un viaje a París y Londres en 1776. Lagrange tenía 30 años. Se pensó que fuera acompañado por Caraccioli, el Ministro sardo en Inglaterra, pero, al llegar a París, Lagrange cayó peligrosamente enfermo como resultado de un abundante banquete de ricos platos italianos dado en su honor, y se vio forzado a permanecer en la capital francesa, donde conoció a los intelectuales más eminentes, incluyendo al abad Marie, que más tarde había de ser su invariable amigo. El banquete curó a Lagrange de su deseo de vivir en París, y en cuanto se repuso volvió a Turín.
Al fin, el 6 de noviembre de 1776, Lagrange, teniendo treinta años, fue recibido en Berlín por Federico, "el más grande Rey de Europa", como él modestamente se titulaba, quien se iba a honrar al tener en su Corte "al más grande de los matemáticos". Esto último al menos era verdad. Lagrange fue nombrado director de la Sección Físico-Matemática de la Academia de Berlín, y durante 20 años llenó las memorias de la Academia con una serie de trabajos, no estando obligado a pronunciar conferencias.
Al principio, el joven director se encontró en una posición algo delicada. Como es natural, los alemanes se hallaban resentidos al verse pospuestos por los extranjeros, y tenían cierta tendencia a tratarlos con algo menos que una fría cortesía. En efecto, muchas veces se expresaban de un modo insultante. Pero además de ser un matemático de primera categoría, Lagrange era un alma amable y suave, con el raro don de saber cuándo tenía que mantener su boca cerrada. En las cartas a los amigos íntimos se expresa francamente al hablar de los jesuitas, por los cuales tanto él como D'Alembert no sentían simpatía, y en sus informes oficiales a la Academia sobre los trabajos científicos de otros autores suele expresarse con brusquedad. Pero en su trato social piensa en su posición y evita todas las ofensas.
La antipatía innata de Lagrange por todas las disputas se pone de relieve en Berlín. Euler pasaba de una controversia religiosa o filosófica a otra; Lagrange, cuando era acorralado y presionado, siempre anteponía a su réplica su sincera fórmula " Yo no sé ". Sin embargo, cuando eran atacadas sus propias convicciones sabía oponer una razonada y vigorosa defensa.
En general Lagrange se sentía inclinado a simpatizar con Federico, quien algunas veces se irritaba ante la tendencia de Euler hacia los problemas filosóficos de los cuales nada sabía. "Nuestro amigo Euler, escribe Lagrange a D'Alembert, es un gran matemático, pero un filósofo bastante malo"; y en otra ocasión, al referirse a las efusiones moralizadoras de Euler en las celebradas Cartas a una Princesa Alemana , las clasifica como "el comentario de Euler sobre el Apocalipsis", irónica alusión incidental a la indiscreción que Newton se permitió, cuando había perdido su amor por la filosofía natural. "Es increíble -dice Lagrange de Euler- que se pueda ser tan mentecato e infantil en metafísica". Y refiriéndose a sí mismo dice - "Tengo una gran repugnancia por las disputas". Cuando se dedica a filosofar en sus cartas se encuentra un matiz inesperado de cinismo, que falta completamente en las obras por él publicadas, como cuando dice: "He observado siempre que las pretensiones de las gentes están exactamente en razón inversa a sus méritos; éste es uno de los axiomas morales". En materia religiosa, Lagrange fue, si es que era algo, agnóstico.
Federico estaba muy contento con su adquisición y departía amistosamente con Lagrange, exponiendo las ventajas de una vida regular. El contraste ofrecido por Lagrange frente a Euler era particularmente agradable para Federico. El rey se sentía irritado por la excesiva religiosidad y falta de finura cortesana de Euler, a quien llegó a llamar «viejo cíclope de la Matemática", debido a que Euler, en aquella época, había perdido la visión de uno de sus ojos. Con respecto a D'Alembert, el agradecido Federico se desbordaba en prosa y verso: "Gracias a sus, desvelos y a su recomendación -escribía Federico- he podido reemplazar en mi Academia a un matemático tuerto por un matemático con dos ojos, que será especialmente bien recibido en la sección anatómica". A pesar de estas ironías, Federico no era un mal sujeto.
Poco después de haberse establecido en Berlín, Lagrange trajo de Turín a una de sus parientas jóvenes y se casó con ella. Existen dos explicaciones acerca de lo sucedido. Una dice que Lagrange vivía en la misma casa con la muchacha y sus padres, y como tenía una faceta económica en su prudente naturaleza, el matemático se sentía escandalizado por lo que él consideraba extravagancias de la muchacha cuando compraba trajes y adornos. Y empezando por las críticas, acabó por casarse con ella.
La otra versión puede deducirse de una de las cartas de Lagrange, que ciertamente constituye la más extraña confesión de indiferencia que haya sido escrita por un marido joven, al que se supone enamorado. D'Alembert bromeaba con su amigo: "Comprendo que habéis dado lo que nosotros los filósofos llamamos el fatal tropiezo... Un gran matemático debe conocer todas las cosas para calcular su felicidad. No hay duda de que después de haber realizado estos cálculos, encontrareis la solución en el matrimonio".
Lagrange debió tomar muy en serio estas palabras, o quiso contestar a D'Alembert en su propio tono, y lo consiguió. En efecto cuando D’Alembert manifiesta su sorpresa de que Lagrange no haya hecho mención de su matrimonio en sus cartas, Lagrange replicó:
"No sé si he calculado bien o mal, más bien creo que no he hecho ningún cálculo; si como Leibniz me hubiera visto obligado a reflexionar, nunca hubiera podido acomodar mi mente a esa idea. Confieso que jamás he tenido inclinación por el matrimonio... pero las circunstancias me han decidido a elegir una de mis jóvenes parientas para que cuide de mí y de mis asuntos. Si me he olvidado de informaros ha sido porque todo ello me parecía tan falto de importancia que no era digno de que me tomara la molestia de hacerlo".
El matrimonio constituyó una felicidad para ambos, pero la mujer fue atacada de una enfermedad fatal. Lagrange se privaba del sueño para cuidarla, y quedó con el corazón destrozado cuando ella murió.
Se consoló en su obra. "Mis ocupaciones se reducen a cultivar la Matemática, tranquilamente y en silencio". Entonces cuenta a D'Alembert el secreto de la perfección de toda su obra, que ha sido la desesperación de sus sucesores menos reposados. "Como no he trabajado apresuradamente y lo he hecho más por el placer que por el deber, soy como los grandes señores que construyen: hago, deshago y rehago, hasta que quedo suficientemente satisfecho con mis resultados, lo que sucede rara vez". En otra ocasión, después de quejarse de las enfermedades provocadas por el exceso de estudio, dice que es imposible para él reposar: "No he podido modificar mi mal hábito de escribir mis trabajos varias veces, hasta que quedo relativamente satisfecho".
No todos los esfuerzos principales de Lagrange, durante los 20 años de permanencia en Berlín, fueron empleados en la mecánica celeste y en pulir su obra maestra. Una digresión -en los dominios de Fermat- es de particular interés, pues muestra la dificultad inherente que tienen todos los problemas, aun aquellos que parecen simples, en Aritmética. Hasta el gran Lagrange se asombra de los esfuerzos que le cuestan sus investigaciones aritméticas.
"He estado ocupado estos últimos días -escribía a D'Alembert el 15 de agosto de 1768- variando un poco mis estudios con ciertos problemas de Aritmética, y os aseguro que he encontrado muchas más dificultades que las que había supuesto. Existe una, por ejemplo, a cuya solución he llegado tan sólo después de un gran trabajo. Dado un número entero positivo n, que no es un cuadrado perfecto, encontrar un cuadrado entero, x 2 , tal que n x 2 + 1 sea un cuadrado. Este problema de gran importancia es la teoría de los cuadrados (actualmente formas cuadráticas, que explicaremos al ocuparnos de Gauss) los cuales (los cuadrados) son el objeto principal en el análisis Diofántico. De todos modos he encontrado en esta ocasión algunos teoremas muy bellos de Aritmética, que os comunicaré en otro momento si así gustáis".
El problema que Lagrange describe tiene una larga historia que se remonta a Arquímedes y a los hindúes. El clásico trabajo de Lagrange para que n x 2 + 1 sea cuadrado, constituye un jalón en la teoría de números. Lagrange fue también el primero que demostró algunos de los teoremas de Fermat y el de John Wilson (1741-1793), el cual afirma que si p es un número primo, y si todos los números 1, 2,... hasta p - 1 se multiplican entre sí y se añade 1 al resultado, la suma es divisible por p . Esto no es exacto si p no es primo. Por ejemplo, si
p = 5, 1 * 2 * 3 * 4 + 1 = 25
Esto puede ser demostrado por razonamiento elemental, y constituye una de esas pruebas de superinteligencia aritmética [17] .En su réplica D'Alembert afirma su creencia de que el análisis diofántico puede ser útil en el Cálculo integral, pero no entra en detalles. Es curioso que la profecía fue cumplida en el, año 1870 por el matemático ruso G. Zolotareff.
Laplace se dedicó también a la Aritmética durante cierto tiempo, y comunicó a Lagrange que la existencia de los teoremas no probados, de Fermat, aunque fuera una de las grandes glorias de la Matemática francesa, era también su falta más notable, siendo deber de los matemáticos franceses enmendar esa falta. Pero profetizó tremendas dificultades. La causa de esas dificultades era, en su opinión, que los problemas sobre lo discontinuo no son abordables con un arma general, como la que el Cálculo infinitesimal proporciona para lo continuo. D'Alembert afirma también que la Aritmética es "más difícil de lo que parece al principio". Estas opiniones de, matemáticos como Lagrange y sus amigos muestran que la Aritmética es realmente difícil.
Otra carta de Lagrange, (28 de febrero de 1769) se refiere a esta cuestión. "El problema de que hablo me ha ocupado mucho más de lo que supuse al principio; pero, finalmente, lo he terminado con felicidad, y creo que no he dejado prácticamente nada sin resolver en la cuestión de las ecuaciones indeterminadas de segundo grado con dos incógnitas". Lagrange era demasiado optimista respecto a esto. Gauss no se había hecho oír aún; todavía tenían que transcurrir siete años, antes de que sus padres se unieran. Dos años antes del nacimiento de Gauss (1777) Lagrange se expresa respecto de su obra de un modo pesimista.
"Las investigaciones aritméticas son las que me han costado mayor trabajo y son quizá las de menor valor".
Cuando se sentía bien, Lagrange rara vez incurrió en el error de subestimar la "importancia de su obra". "Siempre he considerado la Matemática -escribía a Laplace en 1777- como un objeto de diversión más que de ambición, y puedo aseguramos que gozo con “Las investigaciones aritméticas son las que me han costado mayor trabajo y son quizá las de menor valor".
Cuando se sentía bien, Lagrange rara vez incurrió en el error de subestimar la "importancia de su obra". "Siempre he considerado la Matemática -escribía a Laplace en 1777- como un objeto de diversión más que de ambición, y puedo aseguramos que gozo con las obras de los demás mucho más que con la mía propia de la que nunca estoy satisfecho". Estas palabras constituyen una réplica a la declaración algo pomposa hecha por Laplace de que trabajaba en Matemática tan sólo para calmar su sublime curiosidad, y no para dar una ocasión a los aplausos de la "multitud".
Una carta de 15 de septiembre de 1782 dirigida a Laplace, tiene gran interés histórico, pues habla de la terminación de la Mécanique analytique : "He completado casi totalmente un tratado sobre mecánica analítica, fundado tan solo sobre el principio o fórmula de la primera sección de la memoria adjunta; pero no sé cuándo y dónde podré imprimirlo, y no me apresuro para dar los toques finales".
Legendre emprendió la impresión de la obra, y un viejo amigo de Lagrange, el abad Marie persuadió finalmente a un editor de París a que corriera el riesgo de la publicación. Este prudente sujeto consintió en comenzar la impresión tan sólo cuando el abad prometió comprarle los ejemplares que no fueran vendidos después de cierta fecha. El libro no apareció hasta 1788, después de que Lagrange había dejado Berlín. Un ejemplar cayó en sus manos cuando su indiferencia para la ciencia y para la Matemática era tan grande que ni siquiera se dignó abrir el libro. Poco le importaba.
Una investigación realizada durante el período en que Lagrange estuvo en Berlín tiene suma importancia para el desarrollo del Álgebra moderna; nos referimos a la memoria, de 1767, Sobre la resolución de las ecuaciones numéricas, y a las subsiguientes adiciones que se ocupan del problema general de la resolución algebraica de las ecuaciones. Es posible que la mayor importancia de las investigaciones de Lagrange sobre la teoría y resolución de las ecuaciones resida en que inspiró a los algebristas más eminentes de los primeros años del siglo XIX. Repetidamente vemos que cuando se trata de problemas que han ocupado a los algebristas durante tres siglos o más, los algebristas modernos se dirigen a Lagrange para encontrar ideas e inspiración. Lagrange no llegó a resolver la dificultad central, la de las condiciones necesarias y suficientes para que una ecuación dada se pueda resolver algebraicamente, pero el germen de la solución se encuentra en su obra.
Como este problema es una de las cosas esenciales del Álgebra que se pueden explicar sencillamente, podremos examinarlo rápidamente. Además, se repite muchas veces como motivo esencial en la obra de algunos de los más grandes matemáticos del siglo XIX, Cauchy, Abel, Galois, Hermite y Kronecker, entre otros.
El primer término puede subrayarse que no existe dificultad para resolver una ecuación algebraica de coeficientes enteros. El trabajo puede ser muy grande si la ecuación es de grado elevado. Por ejemplo:
3 x 101 - 17.3 x 70 + x - 11 = 0
pero existen muchos métodos sencillos, siempre que pueda encontrarse una raíz de tal ecuación numérica con el grado prescripto de aproximación. Algunos de esos métodos se enseñan en los cursos ordinarios de Álgebra. Pero en los días de Lagrange los métodos uniformes para resolver ecuaciones numéricas con un cierto grado de aproximación no eran comunes, si es que en realidad existían. Lagrange proporcionó ese método. Teóricamente encontró lo que se requería, pero el método no era práctico. Ningún ingeniero que se enfrente actualmente con una ecuación numérica, piensa en utilizar el método de Lagrange.El problema realmente significativo surge cuando buscamos una solución algebraica de una ecuación de coeficientes literales, o sea ax 2 + bx + c = 0, o ax 3 + bx 2 + cx + d = 0, y así sucesivamente para grados superiores al tercero. Lo que se requiere es una serie de fórmulas que expresen la incógnita x en función de los coeficientes a, b, c, ... tales que si se coloca una de esas expresiones en lugar de x en el primer miembro de la ecuación, lo reduzca a 0. En una ecuación de grado n la incógnita x tiene precisamente n valores. Así, para la ecuación de segundo grado son dos los valores
![]()
Como un primer paso hacia una teoría comprensiva, Lagrange hizo un estudio completo de todas las soluciones dadas por sus predecesores para las ecuaciones generales de los cuatro primeros grados, y consiguió demostrar que todas las estratagemas en cuya virtud pueden ser obtenidas las soluciones son sustituibles por un procedimiento uniforme. Un detalle en este método general contiene la clave mencionada. Supongamos una expresión algebraica que contenga las letras a, b, c ... ¿cuántas expresiones diferentes pueden derivarse de la expresión dada si sus letras se permutan de todas las formas posibles? Por ejemplo, de ab + cd pasamos a ad + cb permutando b y d, problema que sugiere otro íntimamente relacionado con la clave que Lagrange estaba buscando. ¿Qué permutación de letras hará que la expresión dada resulte invariante? Así ab + cd se transforma en ba + cd por la permutación de a y b, que es lo mismo que ab + cd puesto que ab = ba . De estas cuestiones se origina la teoría de grupos finitos. Esta ha sido la clave de la cuestión de la resolución algebraica, que será repetida cuando hablemos de Cauchy y Galois.
Otro hecho significativo aparece en la investigación de Lagrange. Para los grados 2, 3, y 4, la ecuación algebraica general se resuelve haciendo depender la solución de la de una ecuación de grado inferior que la que está en discusión. Esto sirve perfectamente para ecuaciones de grados 2, 3, 4, pero cuando se intenta un proceso similar en la ecuación general de grado 5,
ax 5 + bx 4 + ex 3 + dx 2 + ex + f = 0
la ecuación resolvente en lugar de ser de grado menor que 5, resulta de grado 6, con lo que la ecuación dada se reemplaza por otra más difícil. El método que es útil para los grados 2, 3, 4, fracasa para el 5, y a no ser que exista un medio de evitar el confuso 6, el camino queda bloqueado.Como veremos no hay forma de obviar la dificultad. Podríamos también intentar cuadrar el círculo o trisecar un ángulo con los métodos euclidianos.
Después de la muerte de Federico el Grande (17 agosto de 1786) el resentimiento contra los no prusianos y la indiferencia para la ciencia hizo de Berlín un lugar poco cómodo para Lagrange y los miembros extranjeros de la Academia, por lo cual intentó ausentarse. Le fue concedido el permiso, con la condición de que continuara enviando memorias a la Academia durante cierto número de años, a lo que Lagrange accedió. Con satisfacción aceptó la invitación de Luis XVI, para que continuara, sus trabajos matemáticos en París, como miembro de la Academia francesa. A su llegada a París, en 1787, fue recibido con el mayor respeto por la familia real y por la Academia. Le habían sido preparadas habitaciones cómo das en el Louvre, y allí vivió hasta la Revolución, llegando a ser favorito de María Antonieta seis años antes de que ésta terminara en la guillotina. La reina tenía 19 años menos que Lagrange, pero parecía comprenderle e hizo todo cuanto pudo para aliviar su invencible depresión.
A la edad de 51 años Lagrange, sintió que todo había terminado. Era un caso claro de agotamiento nervioso por el trabajo excesivo y continuado. Los parisienses encontraron en él un, conversador amable y suave, pero jamás ocupaba el primer plano. Hablaba poco y parecía distraído y profundamente melancólico. En las reuniones de los hombres de ciencia convocadas por Lavoisier, Lagrange parecía estar ausente, y, aproximándose a la ventana volvía la espalda a los invitados, que habían venido a honrarla, con un gesto de triste indiferencia. Se decía a sí mismo que su entusiasmo se había extinguido y que había perdido el amor a la Matemática. Cuando alguien aludía al hecho de que algún matemático estaba dedicado a alguna importante investigación, respondía: "Mucho mejor; yo la comencé, no tendré que terminarla". La Mécanique Analytique permaneció sin abrir sobre su mesa durante dos años.
Sintiendo antipatía por todo lo que oliera a Matemática, Lagrange dirigió ahora su atención a lo que consideraba verdaderamente interesante, lo mismo que Newton hizo después de los Principia , la metafísica , la evolución del pensamiento humano, la historia de las religiones, la teoría de las lenguas, la medicina y la botánica. En esta extraña miscelánea sorprendía a sus amigos con sus extensos conocimientos y la profundidad de su talento en materias ajenas a la Matemática. En aquella época la química había venido a ser casi una ciencia, a diferencia de la alquimia que la había precedido, gracias a los esfuerzos de Lavoisier (1743-1794), íntimo amigo de Lagrange. En el sentido que cualquier estudiante de química elemental podrá apreciar, Lagrange declaró que Lavoisier había hecho la química "tan fácil como el Álgebra".
Lagrange consideraba que la Matemática había terminado, o al menos se hallaba en un período de decadencia. Preveía que la química, la física y la ciencia en general, serían las actividades futuras que despertarían mayor interés entre los hombres de talento, y hasta predijo que las cátedras de Matemática en las Academias y Universidades llegarían a descender hasta el nivel impreciso en que se hallaban entre los árabes. En cierto sentido tenía razón. Si Gauss, Abel, Galois, Cauchy, y otros sabios no hubieran forjado nuevas ideas en la Matemática, el impulso dado por Newton se habría agotado hacia el año 1850. Felizmente Lagrange vivió lo suficiente para ver cómo Gauss iniciaba su gran carrera, y para darse cuenta de que sus temores habían sido infundados. Actualmente podemos sonreírnos del pesimismo de Lagrange, al pensar que la era anterior a 1800 fue sólo la aurora de la moderna Matemática en cuya mañana estamos viviendo, quizá no lejos de la hora del mediodía. De todos modos, esto es un buen ejemplo que nos enseña la inutilidad de hacer profecías.
La Revolución puso término a la apatía de Lagrange, y galvanizó una vez más su interés por la Matemática. Como punto de referencia podemos recordar el 14 de julio de 1789, día en que la Bastilla cayó.
Cuando los aristócratas franceses y los hombres de ciencia se dieron al fin cuenta de lo que ocurría, aconsejaron a Lagrange que volviera a Berlín donde le esperaba una buena acogida. No se hubiera hecho ninguna objeción a su partida; pero Lagrange se negó a abandonar París, diciendo que prefería continuar allí y ver en qué paraba el experimento". Ni él ni sus amigos previeron el Terror, y cuando se inició Lagrange lamentaba amargamente no haberse ausentado cuando ya era demasiado tarde para escapar. No temía por su propia vida.
En primer lugar, porque siendo semiextranjero se hallaba más o menos a salvo, y en segundo lugar porque no daba gran valor a su vida. Pero las crueldades revolucionarias le enfermaban y acabaron por destruir la poca fe que aun tenía en la naturaleza humana y en el sentido común. " Tu l'as voulu " (“Tú lo has querido), se repetía al ver cómo se producía una atrocidad tras otra y darse cuenta de su error de querer ser testigo de los inevitables horrores de una revolución.
Los grandiosos planes de los revolucionarios para la regeneración de la humanidad y para reformar la naturaleza humana le dejaban frío. Cuando Lavoisier subió a la, guillotina, Lagrange expresó su indignación por la estupidez de la ejecución. "Bastará sólo un momento para que su cabeza caiga, y quizá sea necesario un centenar de años, para que se produzca otra igual". Pero los ciudadanos ultrajados y oprimidos condenaron al fermiér Lavoisier diciendo que "el pueblo no tenía necesidad de ciencia", cuando precisamente las contribuciones del gran químico a la ciencia eran una buena razón para dejar su cabeza sobre sus hombros.
Aunque prácticamente toda la obra de Lagrange tuvo lugar bajo el patronato de la realeza, sus simpatías no estaban con los realistas. Tampoco estaban con los revolucionarios. Se mantenía ecuánimemente en un punto medio cuando la crueldad había invadido ambos campos. Podía simpatizar con el pueblo, que había sido ultrajado más allá de la tolerancia humana, y deseaba que triunfase en su lucha para obtener mejores condiciones de vida. Pero su mente era demasiado realista para quedar impresionada por cualquiera de los planes quiméricos, forjados por los conductores del pueblo para mejorar la miseria humana, y se negaba a creer que la preparación de tales planes era prueba indudable de la grandeza de la mente humana, como proclamaban los entusiastas guillotinadores. "Si deseáis ver una mente verdaderamente grande, decía, examinad el estudio de Newton cuando descompuso la luz blanca o levantó el velo del sistema del mundo".
Los revolucionarios le trataron con notable tolerancia. Mediante un decreto especial le concedieron una pensión y cuando la inflación del papel moneda redujo esta pensión a la nada, le nombraron miembro del Comité de Invenciones para aumentar su sueldo, y también del Comité del sistema de la moneda. Cuando fue establecida la Êcole Normale en 1795, cuya existencia fue efímera), Lagrange fue nombrado profesor de Matemática. Cuando se cerró la Normal y se fundó en 1797 la gran Êcole Polytechnique, Lagrange organizó el curso de Matemática y fue el primer profesor. Jamás se había dedicado a la enseñanza de ese tipo de estudiantes mal preparados. Adaptándose a ellos, Lagrange llevó a sus discípulos a través de la Aritmética y el Álgebra hasta el Análisis, pareciendo más bien un compañero que un maestro. El gran matemático de la época vino a ser un gran profesor, que preparó a los jóvenes ingenieros militares de Napoleón para que tomaran parte en la conquista de Europa. La sagrada superstición de que un hombre que sabe alguna cosa es incapaz de enseñarla, había quedado destruida. Lagrange desarrollaba la nueva Matemática ante los ojos de sus discípulos, y ellos mismos tomaban parte en ese desarrollo.
Dos obras realizadas en esta época iban a ejercer gran influencia sobre el Análisis de las primeras tres décadas del siglo XIX. Los discípulos de Lagrange tropezaban con dificultades ante los conceptos de lo infinitamente pequeño y lo infinitamente grande que impregnaban la forma tradicional del cálculo. Para eliminar estas dificultades Lagrange emprendió el desarrollo del Cálculo sin el uso de los infinitésimos de Leibniz y sin la concepción peculiar de Newton de límite. Su propia teoría fue publicada en dos obras, la Teoría de las funciones analíticas (1797) y las Lecciones sobre el cálculo defunciones (1801). La importancia de estas obras no reside en su Matemática, sino en el impulso que dieron a Cauchy y otros autores para construir un cálculo satisfactorio. Lagrange fracasó completamente. Pero al decir esto debemos recordar que inclusive en nuestros días las dificultades con que Lagrange luchó infructuosamente no han sido completamente vencidas. Se trataba de un ensayo notable y para su época, satisfactorio.
La obra más importante de Lagrange durante el período revolucionario fue su intervención para perfeccionar el sistema métrico decimal de pesos y medidas. Se debe a la ironía y al sentido común de Lagrange que no fuera elegido el número 12 como base, en lugar del 10. Las “ventajas" del 12 son manifiestas, y continúan presentándose actualmente en los razonamientos de algunos graves propagandistas, que sólo por un pelo, han escapado de pertenecer a la confraternidad de la cuadratura del círculo. La base 12 impuesta sobre la base decimal de nuestro sistema numérico sería una llave hexagonal en una cerradura pentagonal. Para hacer recobrar la cordura a los caprichosos que preferían la base 12, Lagrange propuso como mejor la de 11. Cualquier número primo tendría la ventaja de dar el mismo denominador a todas las fracciones del sistema. Las desventajas son numerosas y suficientemente evidentes para cualquiera que comprenda lo que es una pequeña división. El Comité estuvo de acuerdo y eligió el 10.
Laplace y Lavoisier fueron miembros del Comité primeramente constituido, pero tres meses más tarde se les sustituyó en sus cargos por otros hombres. Lagrange continuó siendo presidente. "No sé por qué me mantienen", hacía notar, sin darse cuenta en su modestia de que su don para comprender el valor del silencio le había salvado, no sólo para permanecer en su cargo, sino también para salvar la vida.
A pesar de todos estos interesantes trabajos, Lagrange continuaba solitario e inclinado al desaliento. En este crepúsculo entre la vida y la muerte fue salvado, cuando tenía 56 años, por una muchacha que tenía aproximadamente cuarenta años menos, la hija de su amigo el astrónomo Lemonnier. La muchacha estaba conmovida por la infelicidad de Lagrange, e insistió en casarse con él. Lagrange accedió, y en oposición a todas las leyes que pueden gobernar las relaciones entre un hombre y una mujer joven, el matrimonio resultó ideal. La joven no sólo se dedicó devotamente a su marido, sino que además era inteligente, pues volvió a despertar en él su deseo de vivir. Por su parte, Lagrange hizo con gusto muchas concesiones, y acompañó a su mujer a bailes a que jamás hubiera asistido de haber permanecido viudo. Se acostumbró tanto a ella, que no podía permanecer solo, y durante sus breves ausencias, cuando salía a realizar algunas compras, quedaba entristecido.
Hasta en esta nueva felicidad, Lagrange conservó su posición curiosamente desinteresada frente a la vida, y una perfecta honradez en lo que se refiere a sus propios deseos. "No tengo hijos de mi primer matrimonio decía, no sé si los tendré en mi segundo. Apenas lo deseo". De todos sus triunfos, el que valoraba más, según decía con sencillez y sinceramente era haber encontrado una compañera tan cariñosa y tierna como su joven esposa.
Francia derramó honores sobre él. El hombre que había sido favorito de María Antonieta iba a ser ahora un ídolo del pueblo que pensó en darle muerte. En 1796 cuando Francia se anexionó el Piamonte, Talleyrand recibió la orden de visitar al padre de Lagrange, que aun vivía en Turín, para decirle: "Vuestro hijo, de quien el Piamonte tiene el orgullo de ser la cuna y Francia de poseer, ha hecho honor a toda la humanidad por su genio". Cuando Napoleón se dedicaba a los problemas civiles entre sus campanas, habló muchas veces con Lagrange sobre cuestiones filosóficas y sobre la función de la Matemática en un estado moderno, y respetó extraordinariamente a este hombre de palabra suave, que siempre pensaba antes de hablar y que jamás era dogmático.
Bajo su reservada calma Lagrange ocultaba una ironía que inesperadamente afloraba en ocasiones. Algunas veces esa ironía era tan sutil que hombres más vulgares, Laplace por ejemplo, no se daba cuenta de adónde iba dirigida. Una vez, en defensa del experimento v la observación frente a la simple teorización vaga y confusa, Lagrange hizo rotar: "Estos astrónomos son muy curiosos, no creen en una teoría a no ser que esté de acuerdo con sus observaciones". Al observar su éxtasis durante un concierto musical, alguien le preguntó por qué amaba la música. "Amo la música debido a que me aísla -replicó- oigo los tres primeros compases, y al cuarto ya no oigo nada. Me entrego a mis pensamientos, nada me interrumpe y así es como he resuelto más de un problema difícil". Hasta su sincero respeto por Newton tenía un débil matiz de la misma suave ironía. "Newton -declaraba- fue seguramente el hombre de genio por excelencia, pero debemos reconocer que fue también el más feliz: sólo una vez puede quedar establecido el sistema del mundo". Y en otra ocasión afirmó: "Cuán feliz fue Newton, ya que en su época el sistema del mundo no había sido aun descubierto".
El último esfuerzo científico de Lagrange fue la revisión y ampliación de la Mécanique analytique para una segunda edición. Aunque había cumplido los setenta años, gozó de su antigua capacidad. Volviendo a sus primeros hábitos, trabajó incesantemente hasta que pudo descubrir que su cuerpo ya no era capaz de obedecer a su mente. Por entonces comenzó a sentir desmayos, especialmente al levantarse de la cama. Un día su mujer lo encontró inconsciente sobre el suelo, con la cabeza herida por haber tropezado con el borde de una mesa. Desde entonces moderó su actividad, pero se mantuvo trabajando. Sabía que su enfermedad era grave, pero esto no alteró su serenidad. Lagrange vivió siempre como un filósofo, indiferente a su destino.
Dos días antes de su muerte, Monge y otros amigos le visitaron sabiendo que estaba moribundo y que deseaba decirles algo acerca de su vida. Le encontraron temporalmente mejor, salvo algunas pérdidas de memoria que le impedían recordar lo que deseaba decirles.
"Ayer estuve muy enfermo -dijo Lagrange-, creí que iba a morir; mi cuerpo se debilita poco a poco y mis facultades intelectuales y físicas se extinguen insensiblemente. Observo la gradual disminución de mi vigor y llego al fin sin pena, sin lamentos, y por una lenta declinación. No temo a la muerte, y cuando viene sin dolor es una última f unción que no es desagradable".
Creía que el asiento de la vida se halla en todos los órganos, en el conjunto de la máquina corporal, que, en su caso, se debilitaba igualmente en todas sus partes.
"En pocos momentos todas las funciones se suspenden, la muerte tiene lugar en todas las regiones; la muerte es tan sólo el reposo absoluto del cuerpo.
"Deseo morir; sí, deseo morir, y encuentro un placer en ello. Pero mi mujer no quiere. En estos momentos preferiría una mujer menos buena, menos ávida de revivir mi vigor, que me dejara terminar suavemente. Ha terminado mi carrera. He obtenido alguna celebridad en Matemática. No he odiado a nadie. No he hecho ningún mal y es hora de terminar, pero mi mujer no quiere".
Pronto se cumplió su deseo. Poco después de que sus amigos le abandonaran se produjo un desmayo del que no despertó. Murió en las primeras horas de la mañana del 10 de abril de 1813, teniendo 76 años.
Capítulo 11
De Campesino a Presumido
LAPLACE
Todos los efectos de la naturaleza son tan sólo
las consecuencias matemáticas de un pequeño
número de leyes inmutables.
S. Laplace
Sin embargo, salvo pequeños detalles de segundo orden, su ilustre carrera queda comprendida dentro de los límites indicados, y desde este punto de vista posee su máximo interés como un ejemplar de la humanidad.
Como astrónomo matemático Laplace ha sido justamente llamado el Newton de Francia; como matemático puede ser considerado como, el fundador de la fase moderna del Cálculo de probabilidades. Por lo que se refiere al lado humano, es quizá la más notable refutación de la superstición pedagógica de que las nobles empresas ennoblecen necesariamente el carácter de un hombre. Sin embargo, a pesar de todos sus puntos flacos, su ansia por los títulos, su flexibilidad política y su deseo de brillar en el foco constantemente cambiante de la estimación pública, Laplace tiene en su carácter elementos de verdadera grandeza. No podemos creer todo lo que dijo acerca de su abnegada devoción por la verdad en bien de la verdad, y podemos sonreír ante la afectación con que pronunció sus sentenciosas y últimas palabras. "Lo que sabemos no es mucho; lo que ignoramos es inmenso", en un esfuerzo por recoger en un bello epigrama las palabras de Newton referentes al niño que juega en la playa, pero no podemos negar que Laplace, en su generosidad con los desconocidos principiantes, no era otra cosa que un político tornadizo e ingrato. Por echar una mano a un joven, Laplace una vez se traicionó a sí mismo.
Poco es lo que sabemos de los primeros años de Laplace. Sus padres eran campesinos que vivían en Beaumont-en-Auge, Departamento de Calvados, Francia, donde Pierre-Simon nació el 23 de marzo de 1749. La oscuridad que envuelve la infancia y juventud de Laplace es debida a su propio esnobismo: estaba avergonzado de sus humildes padres e hizo todo lo posible para ocultar su origen campesino.
Laplace tuvo la posibilidad de triunfar gracias al interés de vecinos poderosos, que posiblemente oyeron hablar de su notable talento que le destacaba en la aldea. Se dice que sus primeros triunfos tuvieron lugar en las discusiones teológicas.

Llegado a París, Laplace quiso visitar a D'Alembert para presentarle las recomendaciones de que era portador. No fue recibido. D'Alembert no se interesaba por los jóvenes que sólo llegaban recomendados por gentes eminentes. Con una notable visión, extraordinaria para un joven, Laplace se dio cuenta de la causa. Volvió a su hospedaje y escribió a D'Alembert una maravillosa carta sobre los principios generales de la Mecánica. Había puesto el dedo en la llaga. En su contestación invitando a Laplace a que le visitara, D'Alembert escribía: "Señor, veréis que he prestado poca atención a vuestras recomendaciones; no las necesitáis, vuestra propia presentación ha sido lo mejor. Es suficiente para mí. Mi apoyo es debido a ella". Pocos días más tarde, gracias a D'Alembert, Laplace fue nombrado profesor de matemática en la Escuela Militar de París.
Laplace pudo ahora entregarse a la obra de su vida, la aplicación detallada de las leyes de la gravitación de Newton a todo el sistema solar. Si no se hubiera dedicado a otra cosa podría haber sido más grande de lo que fue. Laplace describe cómo le gastaría ser, en una carta dirigida a D'Alembert en 1777, cuando tenía 27 años. La descripción que Laplace hace de sí mismo es una de las más extrañas mezclas de verdad y fantasía que un hombre puede haber realizado siguiendo el auto análisis.
"Siempre he cultivado la Matemática por gusto, más que por deseo de vana reputación, declara. Mi mayor diversión ha sido estudiar la vida de los inventores para comprender su genio y ver los obstáculos con que han tropezado y cómo los han vencido. Entonces me coloco en su lugar y me pregunto cómo hubiera procedido yo para vencer esos mismos obstáculos, y aunque esta sustitución, en la gran mayoría de los casos ha sido humillante para mi amor propio, el placer de regocijarme en sus triunfos ha sido una, amplia reparación de esta pequeña humillación. Si soy suficientemente afortunado para añadir algo a sus obras, atribuyo todo el mérito a sus primeros esfuerzos, persuadido de que en mi posición ellos habrían ido mucho más lejos que yo...”
Puede admitirse la primera parte, pero por lo que se refiere al resto, este presumido y pequeño ensayo, es digno de un muchachito de 10 años para dirigirse a un sencillo maestro de la escuela dominical. Nótese particularmente la generosa atribución de sus propios "modestos triunfos" a la obra anterior de sus predecesores. Nada más lejos de la verdad que esta supuesta confesión. En realidad, Laplace robó de una manera escandalosa, a la derecha y a la izquierda, y siempre que podía metía sus manos en la obra de sus contemporáneos y predecesores. Por ejemplo, de Lagrange tomó el concepto fundamental de potencias (que luego explicaremos); de Legendre, todo lo que necesitaba en el camino del Análisis; y, finalmente, en su obra maestra, la Mécanique Céleste, omitió deliberadamente las referencias a los trabajos de los otros autores, incorporándolos a los suyos, con la intención de que la posteridad pudiera creer que él fue quien creó la teoría matemática de los cielos. Newton, como es natural, tenía que ser mencionado repetidamente. Pero Laplace podría haber sido algo más generoso, pues sus propias contribuciones colosales a la dinámica del sistema, solar, fácilmente oscurecen la obra de aquellos a quienes él ignora.
Las complicaciones y dificultades del problema, abordado por Laplace no pueden ser comprendidas por quien no se haya planteado algún problema similar. Al hablar de Lagrange hemos mencionado el problema de los tres cuerpos. La obra que Laplace emprendió era semejante, pero en mayor escala. Tenía que estudiar partiendo de la ley newtoniana, los efectos combinados de las perturbaciones de todos los miembros de la familia de los planetas solares sobre sí mismos y sobre el Sol. ¿Podrá Saturno, debido a la disminución aparentemente continua de su movimiento medio, perderse en el espacio, o continuará siendo miembro de la familia solar? ¿Las aceleraciones de Júpiter y de la Luna causarán en definitiva que el primero se precipite en el Sol y que la segunda se destruya sobre la Tierra? ¿Los efectos de estas perturbaciones serán acumulativos o serán periódicos y conservadores? Estos y otros enigmas semejantes constituyen detalles del gran problema: ¿Es estable o inestable el sistema solar? Se acepta que la ley de Newton de la gravitación es en realidad universal, y la única que gobierna los movimientos de los planetas.
El primer paso importante dado Por Laplace hacia el problema general fue dado en 1773, teniendo 24 años, al demostrar que las distancias medias de los planetas desde el Sol son invariables dentro de ciertas ligeras variaciones periódicas.
Cuando Laplace abordó el problema de la estabilidad, la opinión de los técnicos era neutral. El mismo Newton creía que la intervención divina podría ser necesaria, de cuando en cuando, para restablecer el orden del sistema solar y evitar su destrucción, o disolución. Otros, como Euler, impresionados por las dificultades de la teoría lunar (movimientos de la Luna), más bien dudan que los movimientos de los planetas y sus satélites puedan ser explicados por la hipótesis de Newton. Las fuerzas involucradas serían excesivamente numerosas, y sus reciprocas interacciones demasiado complicadas para poder establecer una conjetura razonable. Hasta que Laplace demostró la estabilidad del sistema, cualquier hipótesis podría ser buena.
Para eliminar aquí a objeción, que el lector sin duda se habrá ya planteado, puede decirse que la solución de Laplace al problema de la estabilidad es únicamente aceptable para el sistema solar altamente idealizado que Newton y él imaginaron. La fricción de las mareas (que actúan como un freno sobre la rotación diurna), entre otras cosas, era totalmente ignorada. Desde que la Mécanique Céleste fue publicada, hemos sabido muchas cosas acerca del sistema solar que Laplace no conocía. Probablemente no será exagerado afirmar que aún está sin resolver el problema de la estabilidad para el verdadero sistema solar tan opuesto al ideal de Laplace. De todos modos, aunque los especializados en la mecánica celeste estén en desacuerdo, la opinión razonada tan sólo puede ser emitida por ellos.
Como una cuestión de temperamento, algunos creen que la concepción de Laplace de un sistema solar eternamente estable, repitiéndose los ciclos complicados de sus movimientos de un modo eterno y sin variaciones, es una pesadilla tan deprimente como interminable. Estos disconformes podrán encontrar un consuelo al saber que el Sol probablemente explotará algún día como una nova. Entonces, la estabilidad cesará de perturbarnos, y todo se transformará repentinamente en gases perfectos.
Por su brillante iniciación Laplace obtuvo el primer honor importante de su carrera, cuando la Academia de Ciencias le nombró, teniendo 24 años, miembro asociado. Su ulterior vida científica es resumida por Fourier: "Laplace dio a todas sus obras una dirección fija de la cual jamás se desvió; la imperturbable constancia de sus conceptos fue siempre el rasgo principal de su genio. Se hallaba ya [cuando comenzó a estudiar el sistema solar] en el extremo del Análisis matemático, conociendo todo lo que hay más ingenioso en él, y no había nadie más competente que Laplace para extender su dominio. Resolvió un capital problema de la astronomía [que comunicó a la Academia en 1773], y decidió dedicar todo su talento a la astronomía matemática, que él estaba destinado a perfeccionar. Meditó profundamente, sobre su gran proyecto y pasó toda su vida perfeccionándolo con una perseverancia única en la historia de la ciencia. La amplitud del tema es paralela a la magnitud de su genio. Se dedicó a componer el Almagesto de su época: la Mécanique Céleste; y su obra inmortal supera a la de Ptolomeo en el mismo grado en que la ciencia analítica [Análisis matemático] de los modernos supera los Elementos de Euclides.
Todo lo que Laplace hizo en el reino de la Matemática, estaba dedicado a auxiliar a la solución del gran problema. Laplace es el gran ejemplo de la sabiduría, para un hombre de genio, de dirigir todos los esfuerzos a un único objetivo digno de lo mejor que hay en un hombre. Algunas veces Laplace estuvo tentado de desviarse, pero no por largo tiempo. En una ocasión se sintió atraído por la teoría de números, pero rápidamente la abandonó, al darse cuenta de que sus enigmas probablemente le costarían más tiempo del que podría sustraer a sus estudios del sistema solar. Hasta su obra, que marca en una época, en la teoría de probabilidades, que a primera vista parece desviarse de sus principales devociones, se inspira en su necesidad de estudiar la astronomía matemática. Se dio cuenta de que la teoría era indispensable en todas las ciencias exactas, y creyó justificado desarrollarla hasta el límite de su capacidad.
La Mécanique Céleste, que une todos los trabajos matemáticos de Laplace en una síntesis razonada, fue publicada en partes durante un periodo de 26 años. En 1799 aparecieron dos volúmenes dedicados a los movimientos de los planetas, a sus formas (como cuerpos en rotación) y a las mareas; en otros dos volúmenes, en 1802 Y 1805 continúa la investigación que finalmente fue completada en el quinto volumen (1823-25). La exposición matemática es extraordinariamente concisa y algunas veces confusa. Laplace estaba interesado en los resultados, no en la forma de obtenerlos. Evitando resumir complicados cálculos matemáticos en forma breve e inteligible, frecuentemente omite todo razonamiento matemático, Pero al deducir la conclusión añade la observación optimista "Il est aisé a voir". (Es fácil de ver). Laplace mismo muchas veces es incapaz de repetir el razonamiento por el cual ha "visto" estas fáciles cosas, si no vuelve a dedicar algunos días a esa ardua labor. Hasta los lectores de más talento pronto se ven en la necesidad de lamentarse siempre que aparece la famosa frase, pues saben que es probable que se hallen ante una obra de muchas semanas.
Un resumen más comprensible de los resultados principales de la Mécanique Céleste apareció en 1796. Nos referimos a la clásica Exposition du systeme du monde (Exposición del sistema del mundo), que ha sido considerada como la obra maestra de Laplace, donde todas las fórmulas matemáticas son dadas de lado. En esta obra, como en la larga introducción no matemática (153 páginas en cuarto), al tratado sobre las probabilidades (tercera edición, 1820), Laplace reveló ser tan gran escritor como matemático. Quien desee tener una visión del objeto e importancia del Cálculo de probabilidades sin necesidad de argumentos técnicos, únicamente inteligibles para los matemáticos, no puede hacer cosa mejor que leer la introducción de Laplace. Mucho se ha añadido desde que Laplace escribió su obra, especialmente en los últimos años, y sobre todo en los fundamentos de la teoría de probabilidades; pero su exposición es aún clásica y constituye una expresión perfecta de al menos la parte filosófica del tema. La teoría no hay ni que decir que todavía no se ha completado, y parece que las nuevas generaciones tendrán aún mucho que hacer.
De pasada puede mencionarse un detalle interesante de los trabajos astronómicos de Laplace: la famosa hipótesis nebular del origen del sistema solar. Sin saber que Kant se había anticipado, Laplace (medio en broma, medio en serio) propuso la hipótesis en una nota. Su Matemática no era adecuada para un estudio sistemático, que no fue realizado hasta que Jeans, en el presente siglo, dio a la exposición una base científica.
Lagrange y Laplace, los dos hombres de ciencia franceses más eminentes del siglo XVIII, ofrecen un contraste interesante y una típica diferencia, que se ha dado cada vez más marcada al ampliarse la Matemática: Laplace pertenece a la clase de los físicos matemáticos, Lagrange a la de los matemáticos puros.
Poisson, por ser físico matemático, parece que considera a Laplace como el tipo más deseable: "Existe una diferencia profunda entre Lagrange y Laplace en toda su obra, trátese de un estudio de los números o de la libración de la Luna. Parece que Lagrange, en las cuestiones que trata, sólo ve la Matemática, de aquí el gran valor que da a la elegancia y a la generalidad. Laplace, consideró la Matemática como una herramienta, que modificó ingeniosamente para tratar con ella los problemas especiales que se presentasen. El primero era un gran matemático; el segundo un gran filósofo, que quería conocer la naturaleza sirviéndose de la Matemática superior".
Fourier (del que hablaremos más tarde) observa también la diferencia radical entre Lagrange y Laplace. Dentro de los más bien estrechos cauces "prácticos" de su esquema matemático, Fourier fue capaz, en su época, de estimar a Lagrange en su verdadero valor. - "Lagrange no fue sólo un gran matemático, fue también un gran filósofo. Durante toda su vida mostró, en la moderación de sus deseos, su inconmovible unión a los intereses generales de la humanidad, con la noble simplicidad de sus maneras y la elevación de su carácter, y finalmente con la exactitud y la profundidad de sus obras científicas".
Por venir de Fourier, este juicio es muy notable. Puede tener el sabor de la suave retórica que estamos habituados a escuchar en la oratoria francesa de las honras fúnebres, pero es cierto, al menos en la actualidad. La gran influencia de Lagrange sobre la Matemática moderna es debida a "la profundidad y exactitud de sus obras científicas", cualidades que algunas veces están ausentes en las obras maestras de Laplace.
Para la mayoría de, sus contemporáneos e inmediatos continuadores, Laplace ocupa un lugar más elevado que Lagrange. Esto era en gran parte debido a la magnitud del problema que Laplace abordó, el grandioso proyecto de demostrar que el sistema solar es una gigantesca máquina en perpetuo movimiento. Sin duda, un sublime proyecto, pero esencialmente ilusorio. No se sabía lo bastante acerca del verdadero universo físico en la época de Laplace -y ni siquiera se sabe en estos días- para dar al problema una significación real, y probablemente pasarán muchos años antes de que la Matemática esté suficientemente avanzada para interpretar la complicada masa de datos que ahora tenemos. Los astrónomos matemáticos continuarán, sin duda, trabajando con modelos idealizados de "el Universo" o con modelos infinitamente menos impresionantes del Sistema Solar, y continuarán inundándonos con informes alentadores o deprimentes referentes al destino de la humanidad; pero, finalmente, los resultados secundarios de sus investigaciones, la perfección de las herramientas puramente matemáticas por ellos ideadas, constituirán la contribución permanente para el avance de la ciencia (lo opuesto a la emisión de conjeturas), precisamente como sucedió en el caso de Laplace. 1 Si las palabras precedentes parecen muy radicales, consideremos lo que ha sucedido con la Mécanique Céleste. ¿Puede realmente un matemático académico creer hoy que las conclusiones de Laplace acerca de la estabilidad del sistema solar son un exacto veredicto de la situación infinitamente complicada que Laplace reemplazó por un sueño idealizado? Posiblemente muchos no lo creen, pero ningún investigador de la física matemática duda de la importancia y utilidad de los métodos matemáticos desarrollados por Laplace para abordar su ideal.
Para citar un ejemplo, diremos que la teoría del potencial tiene más importancia hoy que lo que Laplace pudo soñar que tendría. Sin la Matemática de esta teoría tendríamos que detenernos, casi en los comienzos, en nuestro intento de comprender el electromagnetismo. De dicha teoría se desarrolla una vigorosa rama de la Matemática de los problemas de valor-límite, que en la actualidad tiene mayor significación para la ciencia física que toda la teoría de Newton de la gravitación. El concepto de potencial constituía una explicación matemática de primer orden, e hizo posible abordar problemas físicos que de otro modo hubieran sido inabordables.
El potencial es simplemente la función u en relación del movimiento de los fluidos y la ecuación de Laplace en el capítulo sobre Newton. La función u es aquí un "potencial velocidad"; si se trata de una cuestión de la fuerza de atracción universal de Newton, u es un "potencial gravitatorio". La introducción del potencial en las teorías del movimiento de los fluidos de la gravitación, del electromagnetismo, etc., constituyó uno de los más amplios pasos dados en la física matemática. Tiene el efecto de sustituir las ecuaciones en derivadas parciales con dos o tres incógnitas por ecuaciones con una incógnita.
En 1785, teniendo 36 años, Laplace fue nombrado miembro ordinario de la Academia. Por muy importante que este honor fuera en la carrera de un hombre de ciencia, el año 1785 marca un jalón de todavía mayor importancia en la carrera de Laplace como hombre público. En dicho año, Laplace obtuvo el privilegio de someter a examen en la Escuela Militar, a un singular candidato de 16 años. Este joven estaba destinado a modificar los planes de Laplace, y a desviarlos de su confesada devoción por la Matemática hacia las aguas barrosas de la política. El nombre de este joven era Napoleón Bonaparte (1769-1821).
Laplace puede decirse que fue un espectador de la Revolución, que presenció gozando de relativa seguridad. Pero ningún hombre de su importancia y de su inquieta ambición podía escapar de los peligros. Si De Pastoret no está equivocado, tanto Lagrange como Laplace pudieron escapar de la guillotina tan sólo por el hecho de que fueron aprovechados para calcular las trayectorias en la artillería y para dirigir la preparación del nitro necesario para la fabricación de la pólvora, Ninguno de los dos se vio forzado a comer hierba, como les sucedió a otros sabios menos necesarios, ni tampoco incurrieron en el error de traicionarse a sí mismos, como ocurrió con su infortunado amigo Condorcet al pedir que le prepararan una aristocrática tortilla. No sabiendo cuántos huevos son necesarios para una tortilla normal, Condorcet pidió una docena. El cocinero preguntó a Condorcet cuál era su oficio: "¿Carpintero? Muéstrame las manos. No eres carpintero". Ese fue el fin del íntimo amigo de Laplace, Condorcet. Fue envenenado en la prisión u obligado a suicidarse.
Después de la Revolución Laplace se entregó cada vez más a la política, posiblemente con la esperanza de "batir el récord" de Newton. Los franceses se refieren cortésmente a la "versatilidad" de Laplace como político. Este juicio es excesivamente modesto. Los defectos atribuidos a Laplace como político constituyen su verdadera grandeza en el astuto juego. Ha sido criticado por su incapacidad para mantener un cargo público en regímenes sucesivos sin cambiar su política. Un hombre que es suficientemente hábil para convencer a partidos opuestos de que es un leal defensor de quien en aquel momento se encuentra en el Poder, debe ser un político de una categoría más que mediana. Fueron los gobernantes los que en el juego demostraron su falta de capacidad. ¿Qué podemos pensar de un Director General de Correos republicano que concede los cargos más suculentos a los despreciables demócratas? Laplace obtuvo un cargo cada vez mejor cuando los gobiernos cambiaban. Tan sólo le costó transformar, de la noche a la mañana, su furioso republicanismo en ardiente realismo.,
Napoleón concedió a Laplace todas las distinciones y honores, incluyendo la cartera del Interior. Todas las órdenes napoleónicas adornaron el versátil pecho del matemático, entre ellas la Gran Cruz de la Legión de Honor y la Orden de la Reunión, siendo nombrado Conde del Imperio. ¿Y qué hizo Laplace cuando cayó Napoleón? Firmó el decreto que marcaba el derrumbe de su bienhechor.
Después de la restauración Laplace no tuvo dificultades en transferir su lealtad a Luis XVIII, especialmente cuando se sentó en la Cámara de los Pares como Marqués de Laplace. Luis reconoció los méritos de Laplace y en 1816 le nombró Presidente del comité para reorganizar la Escuela Politécnica.
Quizá las expresiones más perfectas del genio político de Laplace sean las que se encuentran en sus trabajos científicos. Es necesario ser un verdadero genio para acomodar la ciencia de acuerdo a la opinión política fluctuante. La primera edición de la Exposition du systeme du monde dedicada al Consejo de los Quinientos, termina con estas nobles palabras: "El mayor beneficio de las ciencias astronómicas es haber disipado errores nacidos de la ignorancia respecto de nuestras verdaderas relaciones con la naturaleza, errores todos los más fatales, dado que el orden social debe reposar únicamente sobre estas relaciones. La verdad yla justicia son sus bases inmutables. Lejos de nosotros la máxima peligrosa que puede ser algunas veces útil para engañar o esclavizar a los hombres más que para asegurar su felicidad. Experiencias fatales han demostrado en todas las épocas que estas sagradas leyes jamás han sido infringidas impunemente". En 1824, estas palabras son suprimidas, siendo sustituidas, por el Marqués de Laplace, con estas otras: "Conservemos con cuidado y aumentemos el número de estos conocimientos, deleite de los seres pensantes. Han producido importantes servicios para la navegación y la geografía, pero su mayor beneficio es haber disipado los temores producidos por los fenómenos celestes y haber destruido los errores nacidos de la ignorancia de nuestras verdaderas relaciones con la naturaleza, errores que pronto reaparecerán si la antorcha de las ciencias se extingue". En elevación de sentimientos hay poco que elegir en estas dos sublimes máximas. Esto es lo que puede anotarse en la columna del debe del libro de su vida, pero también en la columna del haber hay que citar un rasgo en el que Laplace superó a todos los cortesanos: su valor moral cuando sus verdaderas convicciones eran discutidas. La historia del diálogo de Laplace con Napoleón respecto de la Mécanique Céleste muestra al matemático tal cual era. Laplace presentó a Napoleón un ejemplar de la obra. Pensando confundir a Laplace, Napoleón llamó su atención hacia un aparente olvido. "Habéis escrito este enorme libro sobre el sistema del mundo, sin mencionar una sola vez al autor del Universo". "Señor, contestó Laplace, no he tenido necesidad de esa hipótesis". Cuando Napoleón refirió esto a Lagrange, el último contestó: "¡Ah, pero es una bella hipótesis, explica muchas cosas!".
Supo erguirse ante Napoleón para decirle las verdades. Así ocurrió en una sesión del Instituto cuando Napoleón, en uno de sus momentos de mal humor, hizo estallar en lágrimas con su deliberada brutalidad al pobre anciano Lamarck.
También en la columna de los méritos de Laplace citaremos su sincera generosidad con los principiantes. Biot dice que cuando era joven leyó un trabajo ante la Academia, y que Laplace, que estaba presente, se acercó a él para comunicarle que había hecho idéntico descubrimiento, como podía comprobarlo en un manuscrito ya amarillo por el tiempo, aunque no lo había publicado. Recomendó a Biot mantener el secreto, incitándole a que se anticipara y publicase su trabajo. Este fue uno de los muchos actos semejantes que realizó. Los principiantes en la investigación matemática eran sus hijastros, como Laplace solía decir, pero los trataba como si fueran sus propios hijos.
Como un ejemplo de la falta de eficacia práctica de los matemáticos suele citarse la opinión de Napoleón acerca de Laplace, que, según se dice, fue expresada cuando Napoleón estaba prisionero en Santa Elena.
"Un matemático de primera fila -como era Laplace- se reveló rápidamente como un mediocre administrador; desde sus primeros actos vimos que nos habíamos engañado. Laplace no enfocaba las cuestiones desde su verdadero punto de vista; encontraba sutilezas por todas partes, tenía tan sólo ideas dudosas, y finalmente llevó a la administración el espíritu de lo infinitamente pequeño”
Este sarcástico testimonio fue inspirado por el breve desempeño -tan sólo seis meses- del cargo de Ministro del Interior. Recordemos, sin embargo, que Luciano Bonaparte necesitaba un cargo en este momento y fue quien sucedió a Laplace; es pues, posible que Napoleón haya racionalizado su inclinación bien conocida al nepotismo. El juicio de Laplace acerca de Napoleón no se conoce, pero quizá pudiera ser expresado en estos términos:
"Un soldado de primera categoría, Napoleón se reveló rápidamente tan sólo como un político mediocre; desde sus primeros actos vimos que estaba equivocado. Napoleón planteaba todas las cuestiones desde un punto de vista particular, sospechaba la traición en todas partes, pero, al mismo tiempo tenía una fe infantil en sus partidarios, y, finalmente, llevó el espíritu de la infinita generosidad a una cueva de bandidos".
¿Quién fue, al fin y al cabo, el administrador más práctico? ¿El hombre que no puede soportar el peso de sus victorias y que muere prisionero de sus enemigos, o el que continúa recogiendo riquezas y honores hasta el día de su muerte?
Laplace vivió sus últimos días en el cómodo retiro de sus propiedades en Arcueil, no lejos de París. Después de una breve enfermedad, murió el 5 de marzo de 1827 a los 78 años. Sus últimas palabras ya han sido mencionadas.
Capítulo 12
Amigos de un Emperador
MONGE Y FOURIER

MONGE.
No puedo deciros los esfuerzos a los que me he visto obligado para comprender algo de las figuras de Geometría descriptiva, que yo detesto. (Charles Hermite)
Sin la Geometría de Monge, inventada al principio para ser usada en la ingeniería militar- todo el desarrollo de la maquinaria en el siglo XIX, quizá hubiera sido imposible. La Geometría descriptiva es la base de todos los dibujos de la mecánica y procedimientos gráficos que ayudan para llevar a la práctica la Ingeniería.
Los métodos iniciados por Fourier en su trabajo sobre la conducción del calor son de análoga importancia en los problemas del valor-límite, tronco de la física matemática.
Monge y Fourier, son pues, los responsables de una parte considerable de nuestra civilización. Monge desde el punto de vista práctico e industrial; Fourier desde el punto de vista científico. Pero hasta en la faceta práctica, los métodos de Fourier son actualmente indispensables, pues se emplean corrientemente en toda la ingeniería eléctrica y acústica (incluyendo la radiotelefonía) Por ser superiores a las reglas empíricas y métodos similares.
Debe ser recordado un tercer hombre, aunque no tengamos espacio para referir su vida: el químico Count Claude-Louis Berthollet (1748-1822), íntimo amigo de Monge, Laplace, Lavoisier y Napoleón.
Con Lavoisier, Berthollet es considerado como uno de los fundadores de la química moderna. Él y Monge estaban tan unidos, que sus admiradores, cuando no se trataba de los trabajos científicos, no se molestaban en distinguirlos, y les llamaban simplemente Monge-Berthollet.
Gaspard Monge nació el 10 de mayo de 1746, en Beaune, Francia, siendo hijo de Jacques Monge, un afilador ambulante, que tenía un enorme respeto por la educación, y que envió a sus tres hijos a un colegio local. Los tres hijos fueron estudiantes distinguidos, pero Gaspard fue el genio de la familia. En el colegio (regido por una orden religiosa) Gaspard obtuvo regularmente el primer premio en todas las materias logrando la máxima distinción de ver inscrita después de su nombre, la calificación puer aureus.
A la edad de 14 años, la peculiar combinación de los talentos de Monge le permitió construir una máquina de bomberos. "¿Cómo puedes haber emprendido esta obra, sin una guía o un modelo para realizarlo?" le preguntaron algunos asombrados admiradores. La contestación de Monge permite comprender la faceta matemática de su carrera y gran parte de sus otras facetas. "Tengo dos métodos infalibles de triunfar. Una invencible tenacidad y dedos para trasladar mi pensamiento con fidelidad geométrica". Era en efecto un geómetra y un ingeniero innato con un don insuperable para representar mentalmente las complicadas relaciones del espacio.
Teniendo 16 años preparó por su propia iniciativa un maravilloso plano de Beaune, construyendo por sí mismo los instrumentos necesarios para este fin. Este plano fue el que abrió su camino.

FOURIER.
El teorema de Fourier no sólo es uno de los más bellos resultados del Análisis moderno, sino que puede decirse que proporciona un instrumento indispensable para el tratamiento de casi todas las cuestiones oscuras de la física moderna. (William Thomson y P. G. Tait)
Algunos días más tarde, al volver a su hogar, Monge conoció a un oficial de Ingenieros que había visto el famoso plano. El oficial solicitó de Jacques que enviara a su hijo a la Escuela militar de Mézières. Por fortuna para la futura carrera de Monge el oficial no llegó a decir que, dado su humilde origen, jamás podría desempeñar un cargo. No sabiendo esto, Monge aceptó con gusto y marchó a Mézières.
Monge supo pronto que es lo que le esperaba en Mézières. Había únicamente veinte alumnos en la escuela, de los cuales se graduaban diez cada año como oficiales de ingenieros. El resto estaba destinado a los trabajos "prácticos", a las tareas secundarias. Monge no se quejó. Más bien estaba contento de que el trabajo rutinario de dibujar y trazar los planos le dejara tiempo para su Matemática. Una parte importante del curso se refería a la teoría de las fortificaciones, y los problemas planteados eran preparar las obras para que ninguna porción de ellas estuviera expuesta al fuego directo del enemigo. Los cálculos usuales exigían operaciones aritméticas interminables. Un día Monge trabajaba en la solución de un problema de este tipo, e inmediatamente lo entregó al oficial superior para que lo comprobase.
No pudiendo comprender que alguien fuera capaz de resolver el problema en ese tiempo, el oficial se negó a comprobar la solución. "No me voy a tomar la molestia de someter esa pretendida solución a fatigosas comprobaciones. El autor no ha tenido tiempo para agrupar las cifras. Puedo creer que haya quien tenga facilidad para el cálculo, pero no creo en milagros". Monge insistió, diciendo que no había utilizado la Aritmética. Su tenacidad venció, la solución fue comprobada y se vio que era correcta.
Este fue el comienzo de la Geometría descriptiva. Monge ocupó inmediatamente un cargo docente secundario para instruir a los futuros militares en el nuevo método. Problemas que habían sido antes verdaderas pesadillas, eran ahora tan simples como el A, B, C. Monge tuvo que jurar que no divulgaría su método, que durante quince años fue celosamente considerado como secreto militar. Tan sólo en 1794 le fue permitido enseñarlo públicamente en la Escuela Normal de París, donde Lagrange se hallaba entre los oyentes. La reacción de Lagrange ante la Geometría descriptiva fue igual a la de M. Jourdain, cuando descubrió que había estado hablando en prosa toda su vida. "Antes de oír a Monge, dijo Lagrange después de una conferencia, no sabía que yo sabía Geometría descriptiva".
La idea que hay tras de los conceptos de Monge aparece tan ridículamente simple para nosotros como le pareció a Lagrange. La Geometría descriptiva es un método de representar los sólidos y otras figuras del espacio tridimensional sobre un plano. Imaginemos primeramente dos planos en ángulo recto, por ejemplo, dos páginas de un libro abierto en un ángulo de 90 grados. Un plano es horizontal, el otro vertical. La figura que ha de ser representada se proyecta, en cada uno de estos planos, por líneas perpendiculares al plano. Existen así dos proyecciones de la figura; la que se halla sobre el plano horizontal se denomina plano de plantas, y la que se halla en el plano vertical, plano de alzados. El plano vertical se abate hasta que él y el plano horizontal estén en un plano (en el plano horizontal), como si se abriese el libro colocándolo sobre una mesa,
Las figuras del espacio se representan ahora por dos proyecciones sobre un plano: (el de la pizarra). Un plano, por ejemplo, se representa por sus trazas: las líneas rectas en que se cortan los planos vertical y horizontal antes de que el primero sea abatido; un sólido, por ejemplo un cubo, se representa por las proyecciones de sus lados y vértices. Las superficies curvas cortan los planos vertical y horizontal en curvas; estas curvas, o trazas de la superficie, representan la superficie sobre un plano.
Cuando estas figuras y otras igualmente sencillas se desarrollan, nos encontramos ante un método descriptivo que representa sobre una hoja de papel lo que ordinariamente vemos en el espacio de tres dimensiones. Un breve aprendizaje capacita al dibujante para leer tales representaciones tan fácilmente como cualquier individuo interpreta buenas fotografías. Esta fue la simple invención que revolucionó la ingeniería militar y el dibujo mecánico. Como en muchas de las otras cosas de la Matemática aplicada, su rasgo más notable es su sencillez". Existen muchas formas para desarrollar o modificar la Geometría descriptiva, pero todas ellas se remontan a Monge. El problema ha sido tan perfectamente estudiado que no tiene gran interés para los matemáticos profesionales.
Para acabar de referir las contribuciones de Monge a la Matemática antes de ocuparnos de su vida, recodaremos que su nombre es familiar a todos los estudiantes del segundo curso de Cálculo, en relación con la Geometría de las superficies. El gran paso dado por Monge fue la aplicación sistemática y brillante del Análisis a la investigación de la curvatura de superficies. En su teoría general de la curvatura, Monge preparó el camino a Gauss, quien a su vez inspiró a Riemann, que así pudo desarrollar la Geometría conocida con su nombre en la teoría de la relatividad.
Su obra sobre las ecuaciones diferenciales íntimamente relacionada con la llevada a cabo en Geometría, muestra también quién era este hombre. Años más tarde abandonó Mézières, donde había hecho esta gran labor. Monge dio cuenta de sus descubrimientos a sus colegas de la Escuela Politécnica. Lagrange también estaba entre el público. "Querido colega, dijo a Monge después de la conferencia, habéis explicado algunas cosas tan interesantes que me hubiera gustado haber sido yo quien lo hiciera". En otra ocasión exclamó: "Con su aplicación del Análisis a la Geometría este demonio de hombre se hará inmortal y así fue, y es interesante observar que aunque otras cosas más urgentes desviaron su genio de la Matemática, jamás perdió su talento. Como todos los grandes matemáticos, Monge fue matemático hasta última hora.
En 1768, teniendo 22 años, Monge fue nombrado profesor de Matemática en Mézières, y tres años más tarde, a la muerte del profesor de física, ocupó su lugar. Este doble trabajo poco representó para él. Poderosamente constituido y tan fuerte de cuerpo como de mente, Monge fue siempre capaz de realizar la labor de tres o cuatro hombres.
Su matrimonio parece una novela del siglo XVIII. En una recepción Monge oyó a un noble verter calumnias respecto a una joven viuda, por haberle rechazado. Abriéndose camino entre los invitados, Monge quiso aclarar si había oído bien. A la insolente pregunta "¿Qué le importa esto?", Monge respondió con un golpe en la mandíbula. No hubo duelo. Meses más tarde, en otra recepción, Monge admiraba a una joven encantadora. Al serle presentada reconoció su nombre, Madame Horbon, como el de la dama desconocida a la que había defendido La viuda, que tenía tan sólo 20 años, se negaba a casarse antes de que los asuntos de su marido muerto hubieran quedado arreglados. "No se preocupe por eso, aseguró Monge, he resuelto muchos problemas más difíciles en mi vida". Se casaron en el año 1777. Ella le sobrevivió, e hizo cuanto pudo para perpetuar su memoria, sin darse cuenta de que su marido había ya levantado su propio monumento mucho antes de conocerla. La mujer de Monge fue el único ser humano que le acompañó toda la vida. Hasta Napoleón, durante la última época, le abandonó debido a su edad.
Por esa época Monge comenzó a mantener correspondencia con D'Alembert y Condorcet. En 1770 estos dos hombres habían sugerido al gobierno que fundara un Instituto en el Louvre para el estudio de la Hidráulica. Monge fue llamado a París para desempeñar el cargo, con la condición de que dedicara la mitad de su tiempo a sus trabajos de Mézières. Tenía entonces 34 años. Tres años más tarde pudo abandonar sus deberes en Mézières, siendo nombrado juez de los candidatos para los nombramientos en la armada, cargo que desempeñó hasta el estallido de la Revolución en 1789.
Examinando retrospectivamente las carreras de todos estos matemáticos del período revolucionario no podemos menos de observar cuán ciegos estaban ellos y los demás para lo que ahora nos parece tan fácil. Nadie sospechaba que estaban sentados sobre una mina en la que la mecha se hallaba ya encendida. Posiblemente nuestros sucesores del año 2045, dirán lo mismo acerca de nosotros.
Durante seis años desempeñó el cargo en la armada y Monge demostró ser un juez incorruptible. Se atrajo el odio de los aristócratas, que le amenazaban con duras penas cuando reprobaba sin compasión a sus incompetentes hijos, pero a Monge poco le importaba. "Nombrad a cualquier otra persona para este cargo, si no os gusta la forma como lo desempeño". El resultado fue que la armada estaba ya dispuesta para desempeñar su papel en 1789.
Su origen y su conocimiento de las gentes de las clases elevadas que buscan favores inmerecidos hizo de Monge un revolucionario natural. Por experiencia directa conocía las corrupciones del viejo orden y la incapacidad económica de las masas, y creía que con el tiempo todo tendría que tomar un nuevo rumbo. Pero como la mayoría de los primeros liberales, Monge ignoraba que el populacho, cuando gusta de la sangre, tarda en quedar satisfecho. Los primeros revolucionarios tenían más fe en Monge que la que él mismo tenía. Contra su deseo se vio forzado a admitir el cargo de Ministro de Marina y de las Colonias el 10 de agosto de 1792. Era el hombre para el cargo, pero no era muy apetecible ser empleado público en el París de 1792.
El populacho estaba ya fuera de sí; Monge fue llevado al Consejo Ejecutivo Provisional para intentar imponer algunas medidas de gobierno. Por ser hijo del pueblo, Monge lo comprendía mejor que algunos de sus amigos; Condorcet, por ejemplo, que cautamente renunció a su cargo para salvar su cabeza.
Pero existe pueblo y pueblo, y todos juntos forman "el pueblo". En febrero de 1793 Monge se hizo sospechoso de no ser suficientemente radical, y el 13 de ese mes dimitió para ser elegido el día 18 para un cargo. Cualquier día, durante aquellos tiempos difíciles, Monge hubiera podido subir al patíbulo. Pero jamás aduló a la ignorancia y a la incompetencia, y lanzó al rostro de sus críticos la réplica de que sabía lo que debía hacer, mientras que ellos no sabían nada. Su única angustia era que las disensiones en la patria dejaran a Francia inerme ante los ataques que podrían anular todos los beneficios de la Revolución.
Finalmente, el 10 de abril de 1793, Monge pudo dimitir para dedicarse a trabajos más urgentes. El previsto ataque era ya claramente visible.
Con los arsenales casi vacíos, la Convención comenzó a formar un ejército de 900.000 hombres para la defensa. Sólo existía una décima parte de las municiones necesarias y no había esperanza de importar los materiales requeridos, cobre y estaño para la preparación del bronce de los cajones, nitro para la pólvora y acero para las armas de fuego. "Dadnos nitro de la tierra, y en tres días cargaremos nuestros cañones, pidió Monge a la Convención. Perfectamente, respondió la Convención, pero ¿dónde iban a encontrar el nitro? Monge y Berthollet mostraron la forma de conseguirlo.
Toda la nación estaba movilizada. Bajo la dirección de Monge se enviaron instrucciones a todas las ciudades, granjas y aldeas de Francia diciendo al pueblo lo que debía hacer. Dirigidos por Berthollet, los químicos inventaron nuevos y mejores métodos para refinar la materia prima y simplificar la preparación de la pólvora. Toda Francia llegó a ser una vasta fábrica de pólvora. Los químicos mostraron también al pueblo donde encontrar estaño y cobre: en el metal de los relojes y en las campanas de las iglesias. Monge era el alma de todo esto. Con su prodigiosa capacidad para el trabajo, dedicaba sus días a examinar las fábricas y arsenales, y sus noches a redactar instrucciones para la dirección de los trabajos. Su memoria sobre el Arte de fabricar cañones ha venido a ser el manual de todas las fábricas.
Monge no carecía de enemigos a medida que la Revolución continuaba su obra. Un día la mujer de Monje oyó decir que Berthollet y su marido iban a ser denunciados. Con gran temor marchó a las Tullerías para saber la verdad. Encontró a Berthollet tranquilamente sentado bajo los castaños. Si, había oído ese rumor, pero creía que nada sucedería durante una semana. "Luego, añadió con su habitual tranquilidad, seguramente seremos detenidos, condenados y ejecutados".
Cuando Monge volvió al hogar aquella tarde su mujer le informó de la predicción de Berthollet. "¡Mi palabra! exclamó Monge, nada sé de todo esto. Lo que yo sé es que mi fábrica de cañones marcha maravillosamente".
Poco después, el ciudadano Monge fue denunciado por el portero de su alojamiento. Esto era demasiado también para Monge. Prudentemente abandonó París hasta que la tormenta pasara.
La tercera fase de la carrera de Monge se abrió en 1796, con una carta de Napoleón. Los dos se habían conocido en 1792, pero Monge no lo recordaba. Ahora Monge tenía 50 años, Napoleón 23 menos.
"Permitidme, escribía Napoleón, que os dé las gracias por el cordial acogimiento que un joven oficial de artillería recibió del Ministro de Marina en 1792. Él ha conservado preciosamente su recuerdo.
Este oficial es al presente general del Ejército [de Invasión de Italia], y se siente feliz al tenderle su mano reconocida y amistosa".
Así comenzó la larga intimidad entre Monge y Napoleón Comentando esta singular alianza, Arago[18] recuerda las palabras de Napoleón: "Monge me amaba como se ama a una amante"'. Por lo demás, Monge parece haber sido el único hombre para quien Napoleón fue siempre un amigo leal y abnegado. Napoleón sabía que Monge había hecho posible su carrera, pero no era ésa la raíz de su afecto para él.
El "reconocimiento" mencionado en la carta de Napoleón fue el nombramiento de Monge y Berthollet, hecho por el Directorio, como comisionados en Italia para elegir las pinturas, esculturas, y, otras obras de arte "donadas" por los italianos (después de haber sido sangrados en blanco del dinero de que disponían) como parte de su contribución a los gastos de la campaña napoleónica. Haciendo la selección del saqueo Monge logró adquirir un conocimiento muy agudo del arte, llegando a ser un perito excelente.
Las consecuencias prácticas del saqueo no hay duda que le disgustaron, y cuando envió a París material suficiente para llenar seis veces la capacidad del Louvre, Monge aconsejó, moderación. "No es conveniente -dijo- al gobernar a un pueblo para su propio bien y para el de sus conquistadores, esquilmarlo completamente" Su consejo fue desoído, y la gallina continuó poniendo sus huevos de oro.
Después de la aventura italiana, Monge se unió a Napoleón en su castillo de Udine. Los dos se hicieron muy amigos, Napoleón al encontrar en la conversación de Monge una fuente inagotable de información, y Monge, gozando del genial carácter, del Comandante en jefe.
En los banquetes públicos, Napoleón ordenaba siempre a la banda que tocase la Marsellesa, "Monge es un entusiasta". En efecto, se desgañitaba cantando
“Allons enfants de la patrié |
Será privilegio especial nuestro ver llegar el día de gloria en compañía de otro gran matemático napoleónico, Poncelet.
En diciembre de 1797 Monge hizo un segundo viaje a Italia, esta vez como miembro de la comisión para investigar el "gran crimen" del asesinato del General Duphot. El general había sido muerto a balazos en Roma, mientras se hallaba cerca de Luciano Bonaparte. La comisión (como ya anticipó uno de los compañeros de armas del general muerto) recomendó una república modelada sobre la francesa para los levantiscos italianos. "Todo debe tener un fin, hasta los derechos de la conquista", como dijo uno de los negociadores al plantearse la cuestión de nuevas extorsiones.
Ocho meses más tarde pudo comprobarse la razón que tenía este astuto diplomático cuando los italianos se desembarazaron de su república ante el gran desconcierto de Napoleón, entonces en El Cairo, y en el mayor desconcierto de Monge y Fourier, que estaban con él.
Monge fue uno de los pocos a quien Napoleón, en 1798, confió su plan para la invasión, conquista y civilización de Egipto. Como Fourier interviene en estos sucesos, debemos hacer un alto para dedicarnos a él.
Jean-Baptiste-Joseph Fourier, nacido el 21 de marzo de 1768, en, Auxerre, Francia, era hijo de un sastre. Huérfano a los 8 años, fue recomendado al obispo de Auxerre por una caritativa dama que habla quedado cautivada por las buenas maneras y el grave comportamiento del muchacho, sin que pudiera soñar lo que su recomendado llegaría a ser. El obispo envió a Fourier al Colegio militar local regido por los benedictinos, donde el muchacho pronto demostró su talento. A la edad de 12 años escribía los magníficos sermones que pronunciaban, como si fueran propios, los altos signatarios eclesiásticos de París. A los 13 años era un niño-problema, voluntarioso, petulante y endemoniado. Por entonces, al tropezar con la Matemática, cambió como por arte de magia. Para procurarse luz que le permitiera dedicarse a sus estudios matemáticos mientras los demás dormían, recogía los cabos de velas existentes en la cocina y en otros lugares del colegio. De este modo sus estudios se desenvolvieron secretamente.
Los buenos benedictinos pretendieron que el joven eligiera como profesión la carrera del sacerdocio, y entonces ingresó en la Abadía de San Benito para hacer el noviciado. Pero antes de que Fourier tomase sus votos llegó el año 1789. Siempre había deseado ser soldado, y si había elegido el sacerdocio ello era debido a que no desconocía el hecho de que los buenos cargos no eran concedidos a los hijos de los sastres. La Revolución le liberó. Sus viejos amigos de Auxerre eran suficientemente liberales para comprender que Fourier jamás sería sacerdote y le hicieron desistir de la carrera eclesiástica para nombrarle profesor de Matemática. Este fue el primer paso y no pequeño hacia su ambición. Fourier demostraba la vastedad de sus conocimientos reemplazando a sus colegas cuando estaban enfermos, y explicando, quizá mejor que ellos, toda clase de materias, desde la física hasta el griego y el latín.
En diciembre de 1789 Fourier (teniendo 21 años) marchó a París para presentar sus investigaciones sobre la solución de las ecuaciones numéricas, ante la Academia. Este trabajo, que va más allá de los estudios de Lagrange, tiene aún valor, pero como fue eclipsado por los métodos de Fourier en la física matemática, no nos detendremos en esa obra que, por otra parte, puede encontrarse en los textos elementales: sobre la teoría de ecuaciones.
Al volver a Auxerre, Fourier se unió al partido del pueblo y usó su elocuencia natural, que le había permitido, cuando era muchachuelo, componer magníficos sermones, para incitar al pueblo a poner fin a los simples sermoneadores.
Desde el principio Fourier fue un entusiasta de la Revolución, hasta que la Revolución le desbordó. Durante el Terror, ignorando el peligro que corría, protestó contra la brutalidad innecesaria. De haber vivido actualmente, es muy posible que Fourier perteneciera a esas clases cultas que no se dan cuenta de que serán las primeras en ser barridas cuando la verdadera revolución comience. En lugar del generoso aliento a las ciencias que él había previsto, Fourier vio a los hombres de ciencia subir a las carretas o huir del país, y a la ciencia misma combatiendo por su vida ante la rápida marea ascendente de la barbarie.
Es mérito de Napoleón haber visto, desde el principio, con notable claridad, que la ignorancia no puede hacer otra cosa que destruir. Su propio remedio quizá no haya sido en definitiva, mucho mejor, pero no hay duda que reconoció que es posible algo semejante a una civilización' Para frenar el derramamiento de sangre, Napoleón ordenó o alentó la creación de escuelas, pero no había maestros. Todas las cabezas preparadas para una acción inmediata, hacía ya tiempo que habían sido segadas por la guillotina. Era imperativo preparar un nuevo cuerpo docente, y con este fin fue creada, en 1794, la Escuela Normal. Como premio a sus trabajos en Auxerre, Fourier fue nombrado profesor de matemática.
Con este nombramiento comienza una nueva era en la enseñanza de la Matemática en Francia. Recordando las aburridas conferencias de los antiguos profesores, que se entregaban a recitar palabra por palabra la misma lección todos los años, la Convención llamó a los creadores de la Matemática para que realizaran la enseñanza, y prohibió que las conferencias se encerraran dentro de una norma rígida. Las lecciones eran pronunciadas estando, el, profesor en pie (no sentado, semidormido, detrás de una mesa), y se establecía un libre intercambio entre el profesor y, sus discípulos en una serie de pregunta y explicaciones. Era deber del profesor evitar que la lección degenerara en un debate sin provecho.
Los resultados de este plan superaron todas las esperanzas y dieron lugar a uno de los períodos más brillantes en la historia de la Matemática y de la ciencia francesa. Tanto en la Normal, de breve vida, como en la Politécnica, más duradera, Fourier demostró su genio para la enseñanza. En la Politécnica amenizaba, sus conferencias matemáticas, haciendo alusiones históricas (muchas de las cuales podía referir a sus fuentes), y hábilmente matizaba las abstracciones con aplicaciones interesantes.
Fourier preparaba ingenieros y matemáticos en la Politécnica cuando Napoleón, en 1798, decidió que formara parte de la Legión de la Cultura para civilizar Egipto.”Para ofrecer una mano amiga a los pueblos infelices, para libertarlos del yugo brutal, bajo el cual han gemido durante siglos, y finalmente dotarlos sin demora de todos los beneficios de la civilización europea". Por increíble que parezca estas palabras no son del Signor Mussolini, en 1935, para justificar la, invasión de Etiopía, sino de Arago, en 1833, para facilitar el asalto de Napoleón a Egipto. Será interesante recordar la forma como los incultos habitantes de Egipto recibieron "todos los beneficios de la civilización europea” que los señores Monge, Berthollet y Fourier se esforzaban en hacerles tragar, y cuál fue el resultado que, obtuvieron estos tres mosqueteros de la cultura europea en su abnegada obra de misioneros.
La flota francesa compuesta de 500 barcos llegó, a Malta el 9 de junio de 1798 y tres días más tarde, capturó la plaza. Como un primer paso para civilizar el Oriente, Monge fundó 15 escuelas elementales y una escuela superior trazada siguiendo las líneas de la Politécnica. Una semana más tarde la flota seguía su camino, con Monge a bordo de la nave capitana de Napoleón, la Orient. Todas las mañanas Napoleón trazaba un programa de discusión, que se desenvolvía después de la cena. No hay necesidad de decir que Monge era el astro de estas discusiones. Entre los temas solemnemente debatidos figuraban la edad de la Tierra, la posibilidad del fin del mundo, por la acción del fuego o del agua y la cuestión no menos interesante de si están habitados los planetas. Este último tema hace pensar que hasta en un momento relativamente precoz de su carrera, las ambiciones de Napoleón superaban a las de Alejandro.
La flota llegó a Alejandría el 1 de julio de 1798. Monge fue uno de los primeros en bajar a tierra, y fue necesaria la autoridad de Napoleón como Comandante en jefe para evitar que el entusiasta geómetra participara en el asalto de la ciudad. La Legión de la Cultura no debía ser aniquilada al primer choque antes de comenzar la obra de civilización. Por tanto, Napoleón envió a Monge y al resto de la comisión al Cairo, remontando el Nilo.
Mientras Monge y sus compañeros se mecían en su barco como Cleopatra y su corte, bajo los rayos del sol, Napoleón, marchaba resueltamente siguiendo la orilla, civilizando a los habitantes incultos y escasamente armados. En ese momento el intrépido general oyó el ruido de un terrible cañoneo que partía del río. Pensando en lo peor abandonó la batalla a la que estaba entregado en aquel momento, y corrió a salvar a la Comisión. El bendito barco había quedado varado en un banco de arena, y allí estaba Monge al pie del cañón como un veterano. Napoleón llegó a tiempo para, rechazar a los atacantes y concedió a Monge una condecoración bien merecida por su notable bravura. Monge pudo, pues sentir el olor de la pólvora. Napoleón estaba tan gozoso por haber salvado a su amigo, que no se lamentaba que esa salvación le hubiera costado demorar la victoria decisiva.
Después de la victoria del 20 de julio de 1798, en la batalla de las Pirámides, el ejército triunfante penetró en el Cairo. Todo se desarrolló del modo preciso, como lo había soñado el gran idealista Napoleón, pero entonces ocurrió algo que parecía increíble. Los obtusos egipcios poco se cuidaban de los científicos manjares que en el banquete cultural les ofrecían los señores Monge, Fourier y Berthollet, en el Instituto Egipcio (fundado el 27 de agosto de 1798, como parodia del Institut de France), sino que se sentaban como momias, indiferentes a las prestidigitaciones científicas del gran químico, a las palabras entusiastas de Monge y a las disquisiciones históricas de Fourier sobre las glorias de su propia civilización momificada. Los sudorosos sabios tenían que hacer gala de sangre fría ante estas gentes, que parecían incapaces de saborear los ricos manjares que la erudición francesa les servía en vano para su alimentación espiritual. Una vez más los astutos nativos tan sólo aspiraban a recobrar su paz, esperando que la plaga de langosta fuera expulsada por los tormentosos vientos. Para mantener su orgullo hasta que se desencadenara el vendaval, los salvajes egipcios criticaban la civilización superior de sus conquistadores en el único lenguaje que podrían comprender. Trescientos de los más bravos soldados de Napoleón encontraron la muerte en las reyertas callejeras. Monge mismo salvó su propia vida y las de sus compañeros sitiados gracias a una exhibición de heroísmo que hubiera valido una medalla a cualquier Boy Scout actual, en un país de habla inglesa.
Esta ingratitud por parte de los descarriados egipcios sorprendió a Napoleón. Empezó a sospechar que su deber moral era abandonar a sus compañeros de armas y su sospecha se vio fortalecida por las noticias alarmantes llegadas desde París. Durante su ausencia, los sucesos en el continente se habían agravado y ahora era preciso volver apresuradamente para conservar el honor de Francia y la propia piel. Monge gozaba de la confianza del general, pero Fourier, menos apreciado, nada sabía. A Fourier, sin embargo, le cupo la satisfacción de suponer que debía valer mucho ante los ojos de su comandante, pues se le dejó en El Cairo para educar a los egipcios cuando Napoleón, acompañado por el complaciente Monge, se embarcó secretamente para Francia sin despedirse de las tropas, de esas tropas que por él habían sufrido en el desierto los tormentos del infierno. Como no era Comandante en jefe, Fourier no tenía el derecho a poner los pies en polvorosa frente al peligro. Permaneció en Egipto forzadamente, y cuando los franceses reconocieron que debían ser los británicos y no ellos los que regeneraran a los egipcios, el devoto pero desilusionado Fourier volvió a Francia.
El regreso de Monge y Napoleón fue menos agradable para ambos que el viaje de ida. En lugar de especular acerca del fin del mundo, Napoleón dirigía sus pensamientos más ansiosos sobre su probable fin si encontraba algún navío británico. La pena por desertar del campo de batalla según podía recordar, era encontrarse ante el pelotón de fusilamiento. ¿Le tratarían los británicos como desertor por haber abandonado su ejército? Si debía morir, moriría de modo teatral.
"Monge, dijo un día, si somos atacados por los británicos, nuestro barco debe ser volado en el instante en que nos aborden. Le encargo realizar esa labor".
Al día siguiente un barco apareció en el horizonte y todos los hombres se dirigieron a sus puestos para repeler el esperado ataque. Por fortuna resultó ser un barco francés.
"¿Dónde está Monge?" preguntó alguno cuando la excitación había pasado.
Le encontraron en la Santa Bárbara con una lámpara encendida en la mano.
Berthollet y Monge llegaron a Francia tan andrajosos que parecían dos vagabundos. No habían podido cambiar su vestimenta desde que habían iniciado el viaje, y sólo con dificultad Monge fue reconocido por su mujer.
La amistad con Napoleón continuó invariable. Probablemente Monge fue el único hombre en Francia que osó decir a Napoleón las verdades en los días de su máxima arrogancia. Cuando Napoleón se coronó Emperador, los jóvenes de la Politécnica protestaron. Constituían el orgullo de Monge.
“Bien, Monge, Napoleón hizo notar un día, sus discípulos se han levantado contra mí, declarándose decididamente enemigos míos".
“Señor, replicó Monge, nos: hemos esforzado mucho para hacerles republicanos. Dadles algún tiempo para que se hagan imperialistas. De todos modos permitidme decir que habéis hecho un cambio demasiado rápido".
Poco importó esto para la amistad de los dos hombres. En 1804, Napoleón demostró su aprecio por los méritos de Monge nombrándole, conde de Péluse. Por su parte, Monge aceptó satisfecho el honor y vistió su título a la usanza de la nobleza, olvidando que una vez votó por la abolición de todos los títulos.
Y en pleno esplendor llegamos al año 1812, en el que se esperaba alcanzar el día de la gloria, en su lugar ese año trajo la retirada de Moscú. Demasiado viejo (tenía 66 años) para acompañar a Napoleón a Rusia, Monge permaneció en Francia, siguiendo ansioso los progresos del Gran Ejército a través de los boletines oficiales. Cuando leyó el fatal "Boletín 29" anunciando el desastre de los ejércitos franceses, Monge sufrió un ataque de apoplejía. Al recobrar el conocimiento dijo: "Hace un momento no sabía algo que ahora sé; sé como moriré".
Monge gozó de los favores hasta el momento final, Fourier fue mantenido en un plano inferior. A su vuelta de Egipto, Fourier fue nombrado, (2 de enero de 1802) prefecto del Departamento de Isère, con el cuartel general en Grenoble. El distrito se hallaba políticamente alterado, la primera tarea de Fourier debía, ser restablecer el orden. Encontró una furiosa oposición que venció de una manera muy notable. Mientras estuvo en Egipto, Fourier había tomado parte activa en la dirección de las investigaciones arqueológicas del Instituto. Los buenos ciudadanos de Grenoble quedaron conmovidos por la importancia que para la religión tenían algunos de los descubrimientos del Instituto; en efecto, la gran antigüedad atribuida a los más antiguos monumentos estaba en conflicto con la cronología de la Biblia. Sin embargo, quedaron muy satisfechos y se encariñaron con Fourier cuando, como consecuencia de nuevas investigaciones arqueológicas en las regiones vecinas, desenterró un santo de su propia familia, el bendito Pierre Fourier, su tío abuelo, que fue santificado por haber fundado una orden religiosa. Al haber restablecido su autoridad, Fourier pudo cumplir una obra amplia y útil: drenó las marismas, extirpó el paludismo y puede decirse que sacó a su distrito de las tinieblas medievales en que se encontraba.
Estando en Grenoble, Fourier compuso la inmortal Theoria analytique de la chaleur (Teoría analítica del calor) que constituye un jalón en la física matemática. Su primera memoria sobre la conducción del calor fue redactada en 1807. Ofrecía tantas perspectivas que la Academia alentó a Fourier para que la continuase, acordando que la teoría matemática del calor fuese el problema para el Gran Premio en 1812. Fourier ganó el premio, no sin que fuera objeto de críticas que le molestaron profundamente, pero que fueron bien toleradas.
Laplace, Lagrange y Legendre fueron los árbitros. Aunque admitían la novedad e importancia de la obra de Fourier, señalaron que el tratamiento matemático era falso y que dejaba mucho que desear en cuanto a su rigor. Lagrange mismo descubrió casos especiales del teorema principal de Fourier, pero desistió de continuar ante las dificultades que preveía. Estas dificultades eran de tal naturaleza que probablemente hubiera sido imposible su eliminación en aquella época. Ha tenido que transcurrir más de un siglo antes de que pudieran ser resueltas satisfactoriamente.
Es interesante observar, de pasada, que esta disputa es un ejemplo típico de la diferencia radical entre los matemáticos puros y los físicos matemáticos. La única arma de que disponen los matemáticos puros es la demostración neta y rígida, y a no ser que el teorema aceptado pueda responder a las más grandes críticas de que su época es capaz, los matemáticos puros poco uso harán de él.
El matemático "aplicado" y el físico matemático, por otra parte, rara vez son tan optimistas que se imaginen que la complejidad infinita del Universo físico puede explicarse completamente por una teoría matemática suficientemente sencilla para ser comprendida por los seres humanos. Tampoco lamentan mucho que la concepción bella (o absurda) de Airy del Universo, cómo una especie de sistema de ecuaciones diferenciales interminable que se resuelve por sí mismo, haya resultado una ilusión originada por el fanatismo matemático y el determinismo newtoniano; tienen alguna cosa más real a que recurrir, el Universo físico por sí mismo. Pueden experimentar y comprobar las deducciones de su matemática imperfecta frente al veredicto de la experiencia, lo cual, por la naturaleza de la Matemática, es imposible para un matemático puro. Si sus predicciones matemáticas no son confirmadas por la experimentación, no vuelve la espalda, como un matemático hace, a las pruebas físicas, sino que arroja su herramienta matemática y busca otra mejor.
Esta indiferencia de los hombres de ciencia por la Matemática por sí misma es tan irritante para un tipo de matemático puro como la omisión de una dudosa tilde es para otro tipo de pedantes. La consecuencia es que pocos son los matemáticos puros que han hecho alguna contribución significativa para la ciencia, aparte, como es natural, de inventar muchas de las herramientas que los hombres de ciencia encuentran útiles, (quizá indispensables). Y lo curioso es que los verdaderos puristas que objetan las proezas imaginativas audaces de los hombres de ciencia son los que más insisten en que su matemática, contrariamente a la difundida creencia, no es en modo alguno una cuestión de exactitud meticulosa, sino tan imaginativa y creadora, y algunas veces tan libre de cadenas, como puede serlo la poesía o la música. En ocasiones, los físicos combaten a los matemáticos con sus propias armas. Así, ignorando la evidente falta de rigor de la teoría analítica del calor de Fourier, Lord Kelvin la calificó como "un gran poema matemático".
Como ya ha sido dicho, los principales progresos de Fourier tuvieron lugar en la dirección de los problemas de valor-límite (explicado en el capítulo sobre Newton), el ajuste de las soluciones de ecuaciones diferenciales para prescribir las condiciones iniciales, probablemente el problema central de la física matemática. Desde que Fourier aplicó este método a la teoría matemática de la conducción del calor, numerosos hombres de talento han ido, durante un siglo, más allá de lo que el propio autor podría haber soñado, pero el paso dado por él fue decisivo. Una o dos de las cosas que resolvió son suficientemente sencillas para poderlas explicar en este lugar.
En Álgebra aprendemos a trazar las gráficas de ecuaciones algebraicas sencillas, y pronto observamos que las curvas trazadas, si se continúan suficientemente, no se interrumpen repentinamente y terminan. ¿Qué clase de ecuación resultaría de una gráfica formada por un segmento de recta (longitud finita, terminada en ambos extremos) repetida infinitamente como en la figura?

Habiendo mencionado las funciones de los senos y los cosenos, recordaremos su propiedad más importante, la periodicidad. Supongamos que el radio de la circunferencia en la figura sea la unidad de longitud. Trazamos desde el centro O ejes rectangulares como en la Geometría cartesiana, haciendo que AB sea igual a 2p unidades de longitud. Así, AB es igual en longitud a la circunferencia (puesto que el radio es l). Supongamos que el punto P parte de A y describe la circunferencia en el sentido de la flecha: Trazamos PN perpendicular a OA.
Entonces, para cualquier posición de P, la longitud de NP se llama el seno del ángulo AOP, y ON el coseno del mismo ángulo. NP y ON tienen sus signos como en la Geometría cartesiano (NP es positivo por encima de OA, negativo por debajo; ON es positivo a la derecha de OC, negativo a su izquierda).

Para cualquier posición de P, el ángulo AOP será la misma fracción de cuatro ángulos rectos (360°) como el arco AP es de toda la circunferencia. Por tanto podemos medir estos ángulos AOP marcando a lo largo de AB las fracciones de 2n que corresponden a los arcos AP. Así cuando P está en C, ha sido recorrido 3/4 de la circunferencia completa; de aquí que al ángulo AOC corresponda el punto K a 1/4 de AB desde A.
En cada uno de los puntos de AB trazamos una perpendicular igual en longitud al seno del ángulo correspondiente, por encima o por debajo de AB según qué el seno sea positivo o negativo. Los extremos de estos segmentos perpendiculares que no estén sobre AB determinan una curva continua, la curva del seno. Cuando P vuelve, a A y comienza a recorrer de nuevo la circunferencia, la curva se repite más allá de B y así indefinidamente. Si P se mueve en, sentido opuesto, la curva queda a la izquierda. Después de un intervalo de 3p la curva se repite; el seno de un ángulo (aquí AOP) es una función periódica, siendo el período 2p. Para la palabra "seno" se emplea la abreviatura sen; y si x es un cierto ángulo, la ecuación
sen(x + 2p) = sen x
expresa el hecho de que sen x es una función de x, que tiene el período 2p.
Se ve fácilmente que si toda la curva de la figura se desplaza a la izquierda una distancia igual a AK, representará gráficamente el coseno de AOP y, como antes, es
cos(x + 2p) = cos x
El examen de la figura muestra que sen 2x cumple el periodo completo con "doble rapidez" que sen x, y de aquí que la gráfica para un período completo tendrá la mitad de la longitud que cuando se trata de seno x. Análogamente, sen 3x requerirá sólo 2p/3 para su período completo, y así sucesivamente. Lo mismo puede decirse para cos x, cos 2x, cos 3x...El principal resultado matemático de Fourier se puede explicar ahora en breves líneas. Dentro de las limitaciones ya mencionadas en relación con las gráficas "interrumpidas", cualquier función que tenga una gráfica bien terminada puede ser representada por una ecuación del tipo
![]()
El concepto de periodicidad (periodicidad simple) descrito antes es de evidente importancia para los fenómenos naturales: las mareas, las fases de la Luna, las estaciones, y otros muchos fenómenos familiares, son de carácter periódico. Algunas veces un fenómeno periódico, por ejemplo la periodicidad de las manchas del Sol, puede ser estudiado por la superposición de cierto número de gráficas de periodicidad simple. El estudio de esas situaciones puede entonces ser simplificarte, analizando los fenómenos periódicos individuales, de los cuales el original es el resultante.
El proceso es matemáticamente el mismo que el análisis de un sonido musical en sus armónicas fundamental y sucesivas. Para una primera grosera aproximación a la "cualidad del sonido" sólo se considera, la fundamental; la superposición de sólo algunas armónicas bastan de ordinario para producir un sonido que no se distingue del ideal (en el cual hay una infinidad de armónicas). Lo mismo puede decirse para el fenómeno abordado por el análisis "armónico" o de "Fourier". Se han hecho algunos ensayos para descubrir largos períodos (los fundamentales) en la repetición de los terremotos y de las precipitaciones de lluvias anuales. El concepto de periodicidad simple es tan importante en la Matemática pura como en la aplicada, y veremos que es generalizable a la periodicidad múltiple (en relación con las funciones elípticas y otras, etc.), que a su vez actúan sobre la Matemática aplicada.
Perfectamente consciente de que había realizado algo de una gran importancia, Fourier no prestó atención a las críticas. Ellos tendrían razón, él estaría equivocado, pero había hecho lo suficiente para tener derecho a independizarse.
Cuando la obra comenzada en 1807 fue completada y reunida en el tratado sobre la conducción de calor en 1822, pudo verse que el obstinado Fourier no había cambiado una sola palabra de su exposición original, obedeciendo a la segunda parte del consejo que da Francis Galton a todos los autores: "No ofenderse jamás por la crítica, y nunca contestarla". El resentimiento de Fourier fue racionalizado en ataques a la Matemática pura, atendiendo a lo que le interesaba y sin incurrir en confusiones en la física matemática.
Todo marchaba bien en Francia y la obra de Fourier iba desenvolviéndose cuando Napoleón, habiendo escapado de la isla de Elba, desembarcó en la costa francesa el 10 de marzo de 1815. Nuevos dolores de cabeza esperaban a los veteranos. Fourier estaba en Grenoble en aquella época, y temiendo que el populacho volviera a caer en la borrachera al dar la bienvenida a Napoleón, se apresuró a marchar a Lyon para informar a los Borbones de lo que sucedía. Estos, con su normal estupidez, se negaron a creerle. Al regresar Fourier supo que Grenoble había capitulado. El matemático fue tomado prisionero y llevado ante Napoleón en Bourgoin. Se enfrentó con su antiguo comandante, que había conocido muy bien en Egipto y del cual había aprendido a desconfiar con su cabeza aunque no con su corazón. Napoleón se inclinaba sobre el mapa, con un compás en la mano. Le miró.
- "Bien, Señor Prefecto ¿me habéis declarado la guerra?"
- "Señor - balbuceó Fourier, mis juramentos constituyen un deber".
- "¿Un deber decís? ¿No veis que nadie en el país participa de vuestra opinión? No os imaginaréis que vuestro plan de campaña me atemoriza. Tan sólo sufro al ver entre mis adversarios a un egipcio, que ha comido a mi lado el pan del vivac, un viejo amigo. ¿Cómo, señor Fourier, habéis podido olvidar que me debéis lo que sois?"
Lo que Fourier recordaba era que Napoleón le había abandonado en Egipto, aunque no se atreviera a expresarle en bien de la seguridad de su cabeza.
Algunos días más tarde Napoleón preguntó a Fourier, que nuevamente le era leal:
- "¿Qué pensáis de mi plan?"
- "Señor, creo que fracasaréis. Encontraréis un fanático en vuestro camino, y todo marchará mal".
- "¡Bah! Nadie está en favor de los Borbones, ni siquiera los fanáticos. Habréis leído que me han colocado fuera de la ley. Yo seré más indulgente, me contentaré con expulsarles de las Tullerías".
La segunda restauración encontró a Fourier en París haciendo toda clase de esfuerzo para poder vivir. Pero antes de que muriera de hambre, los antiguos amigos se apiadaron de él y lo nombraron director de la Oficina de Estadística en el Sena. La Academia intentó elegirle miembro en 1816, pero los Borbones ordenaron que ningún amigo de su antiguo perseguido pudiera recibir honores. Sin embargo, la Academia eligió a Fourier al año siguiente. Esta acción de los Borbones contra Fourier podrá parecer mezquina, pero al lado de lo que hicieron con el pobre anciano Monge fue principesca. ¡Noblesse obliga!
Los últimos años de Fourier se evaporaron en nubes de charla. Como secretario permanente de la Academia siempre le era posible encontrar oyentes y se transformó en un sujeto insufrible. En lugar de continuar su obra científica entretenía a su auditorio con promesas jactanciosas acerca de lo que iba a hacer. Sin embargo, ya había hecho mucho por el progreso de la ciencia, y si algún ser humano merece la inmortalidad, Fourier es uno de ellos. No tenía necesidad de sus jactancias finales.
La permanencia de Fourier en Egipto fue causa de una curiosa costumbre que aceleró su muerte. Creía que el calor del desierto era la condición ideal para la salud. Además de fajarse como si fuera una momia, vivía en habitaciones que, según decían sus amigos eran más cálidas que el infierno y el desierto del Sahara combinados. Murió de una enfermedad al corazón (algunos dicen que un aneurisma) el 16 de mayo de 1830, a los 63 años. Fourier pertenecen esa selecta serie de matemáticos cuya obra es tan fundamental que sus nombres van siempre acompañados de adjetivos en todas las lenguas civilizadas.
La declinación de Monge fue más lenta y más cruel. Después de la primera restauración, Napoleón se sentía amargado y rencoroso al contemplar cómo su poder se desvanecía. Al volver al trono, Napoleón sintió el deseo de descargar su fusta sobre las cabezas de los ingratos, pero Monge, plebeyo bueno y anciano, como era, le aconsejó clemencia y sentido común: Napoleón podía encontrarse algún día con la espalda contra la pared, y quizá se vería obligado a recurrir al apoyo de los ingratos. Prudentemente, Napoleón atemperó la injusticia con la paciencia, y ello se debió sin duda a Monge.
Después que Napoleón huyó de Waterloo, dejando que sus tropas se las arreglaran como mejor pudieran, volvió a París. La devoción de Fourier se enfrió y la de Monge persistió.
Se cuenta como último sueño de Napoleón su pretensión de conquistar América. Según Monge sus móviles serían, más elevados, increíblemente más elevados. Rodeado de enemigos y ante el triste pensamiento de verse forzado a abandonar sus empresas en Europa, Napoleón dirigió sus ojos de águila hacia Occidente, y con su mirada recorrió América, desde Alaska al cabo de Hornos. El demonio harto de carne se vuelve fraile, y Napoleón pensó en recurrir a las ciencias, en su nuevo camino. Sería un segundo Alejandro Humboldt pero infinitamente más grande, declaraba ambiciosamente.
- "Deseo, confesaba a Monge, hacer en esta nueva carrera obras y descubrimientos dignos de mí".
¿Cuáles serían las obras dignas de un Napoleón?
El águila caída completaba su sueño.
"Necesito un compañero, admitía, para hacer progresar el estado presente de las ciencias. Atravesaremos todo el Continente desde Canadá a cabo de Hornos, y en este inmenso viaje estudiaremos todos esos prodigiosos fenómenos de la física terrestre sobre los cuales el mundo científico no ha pronunciado su veredicto". ¿Paranoia?
- "Señor, exclamó Monge, quien por entonces tenía 67 años, ya he encontrado a vuestro colaborador. Os acompañaré".
Napoleón descartó cortésmente el pensamiento del voluntario veterano, que dificultaría su luminosa marcha desde la bahía Baffin hasta la Patagonia.
- "Sois demasiado viejo, Monge. Necesito un hombre más joven".
Monge se dedicó a encontrar "un hombre más joven". Pensó en el vehemente Arago como compañero ideal para los viajes de su enérgico señor. Pero Arago, a pesar de toda su elocuente retórica sobre lo gloriosa que es la gloria, aprendió su lección. Un general que abandona sus tropas, como Napoleón había hecho en Waterloo, no era el conductor que pudiera ser seguido, ni siquiera en la rica América.
Nuevas negociaciones fueron bruscamente detenidas por los británicos. A mediados de octubre Napoleón exploraba Santa Elena. El tesoro que había reunido para la conquista de América encontró bolsillos algo más profundos que los de los hombres de ciencia, y no surgió un Instituto Americano en las orillas del Mississippi o del Amazonas que recordara su fantástica excursión al Nilo.
Habiendo gozado del pan del imperialismo, Monge ahora gustaba la sal. Sus antecedentes como revolucionario y favorito del presuntuoso corso, dieron lugar a que su cabeza fuera apetecida por los Borbones, y Monge hubo de marchar de un rincón a otro para poder conservar la vida. La ruindad humana se manifiesta en el tratamiento acordado a Monge por los santificados Borbones, que despojaron al anciano de su último honor, que en modo alguno se debía a la generosidad de Napoleón. En 1816 los Borbones ordenaron que Monge fuera expulsado de la Academia. Los académicos, temerosos como conejos, obedecieron.
La ruindad de los Borbones llegó hasta un increíble extremo el día de la muerte de Monge. Como era de prever, su muerte tuvo lugar en un prolongado estupor después de un ataque. Los jóvenes de la Politécnica, a quienes Monge protegió de la interferencia dominante de Napoleón, eran el orgullo del anciano, que, a su vez, constituía el ídolo de los jóvenes. Cuando Monge murió el 28 de julio de 1818, los alumnos de la Politécnica pidieron el permiso para asistir al sepelio. El rey lo negó.
Bien disciplinados, los jóvenes estudiantes obedecieron la orden, pero tenían más recursos o más valor que los tímidos académicos. La orden del rey se refería sólo al entierro. Al día siguiente, reunido el claustro de la Politécnica, acudió al cementerio para depositar una corona sobre la tumba de su maestro y amigo Gaspard Monge.
Capítulo 13
El Día de Gloria
PONCELET
La Geometría proyectiva nos ha abierto fácilmente
nuevos territorios en nuestra ciencia, y ha sido justamente
considerada como una carretera real para su campo
particular de conocimiento
En 1812, el día de gloria estaba aún por venir. Las grandes artistas no acompañaban al medio millón de soldados de Napoleón Bonaparte en su marcha triunfal por el corazón de Rusia. Eran los hombres los que cantaban a medida que los rusos se retiraban ante el invencible ejército, y en las infinitas llanuras resonaba el vigoroso canto que había derrumbado a los tiranos de sus tronos y elevado a Napoleón al lugar que ocupaba.
Todo marchaba a pedir de boca y lo mejor que podía imaginar el más entusiasta de aquellos hombres: seis días antes de que Napoleón cruzara el Niemen, su brillante estrategia diplomática exasperó indirectamente al presidente Madison, lanzando a los Estados Unidos, a una guerra contra Inglaterra. Los rusos se retiraban hacia Moscú con la mayor rapidez, y el Gran Ejército tenía que acelerar su marcha para acercarse al enemigo que huía. En Borodino los rusos se detuvieron, combatieron y se retiraron. Napoleón continuó sin oposición, salvo la del terrible clima, hasta Moscú, donde notificó al Zar su voluntad de que las fuerzas rusas debían rendirse incondicionalmente. Los habitantes de Moscú, dirigidos por su gobierno, prendieron fuego a la ciudad, quemaron hasta la tierra, y Napoleón no encontró otra cosa que vacío y humo. Rencoroso, pero aun dueño de la situación, Napoleón no se cuidó del antiguo proverbio, que por segunda o tercera vez se le atravesó en su carrera militar, "Quien a hierro mata a hierro muere". Ordenó el retorno por las ahora heladas planicies, para preparar su encuentro con Blücher en Leipzig, dejando al Gran Ejército en la disyuntiva de retirarse o de morir de frío.

En el prefacio de su clásica obra Applications d'analyse el de géomé trie (segunda edición, 1862, de la obra primeramente publicada en 1822), Poncelet refiere sus recuerdos de la desastrosa retirada de Moscú. El 18 de noviembre de 1812, el agotado resto del ejército francés, dirigido por el mariscal Ney, era vencido en Krasnoï. Entre los supuestos muertos abandonados en los helados campos de batalla se hallaba el joven Poncelet. Su uniforme de oficial de ingenieros le salvó la vida. Un destacamento de soldados, al descubrir que aún respiraba, le condujo ante el Estado Mayor ruso para interrogarlo.
Como prisionero de guerra, el joven oficial tuvo que marchar durante casi cinco meses a través de las llanuras heladas, destrozado su uniforme, y alimentándose con una escasa ración de pan negro. Víctima de un frío tan intenso que con frecuencia congelaba el mercurio del termómetro, muchos de los compañeros de Poncelet murieron en el camino, pero su extraordinario vigor le permitió llegar, en marzo de 1813, a la prisión de Saratoff, en las orillas del Volga. Al principio estaba demasiado agotado para pensar. Pero cuando "el espléndido sol de abril", restableció su vitalidad, recordó que había recibido una buena educación matemática, y para suavizar los rigores de su exilio resolvió reproducir lo que pudiera de lo que había aprendido. Fue así como creó la Geometría proyectiva.
Sin libros y con escasos materiales para escribir, pudo ir recordando sus conocimientos y llevando lo que sabía de Matemática, desde la Aritmética a la Geometría superior y al Cálculo. Estos primeros trabajos, eran alentados por la actividad docente de Poncelet quien deseaba preparar a sus compañeros para los exámenes a que deberían someterse cuando volvieran a París. Se dice que al principio Poncelet tan sólo disponía de trozos de carbón recogidos en la pequeña estufa para trazar sus figuras en la pared de su celda. Poncelet hace la interesante observación de que prácticamente todos los detalles y complicados desarrollos de la Matemática se le habían borrado de la memoria, mientras los principios fundamentales y generales continuaban indelebles en su recuerdo. Lo mismo podía decirse de la física y de la mecánica.
En septiembre de 1814, Poncelet volvió a Francia acompañado del : "material de siete libros de apuntaciones escritos en Saratoff en las prisiones de Rusia (1813 a 1814), en unión de otros diferentes escritos antiguos y nuevos", en los que el joven de 24 años había dado a la Geometría proyectiva su más fuerte impulso desde que Desargues y Pascal iniciaron la cuestión en el siglo XVII. La primera edición de su obra clásica fue publicada, como hemos dicho, en 1822. No comprendía la íntima "apología de su vida", utilizada después; pero iniciaba la tremenda oleada del siglo XIX hacia la Geometría proyectiva, la Geometría sintética moderna, y la interpretación geométrica, de los números "imaginarios" que se presentan en las manipulaciones algebraicas, dando a tales "imaginarios" interpretaciones geométricas como elementos "ideales" del espacio. Propone también el poderoso y (por un tiempo), discutido "principio de continuidad", que simplifica grandemente el estudio de las configuraciones geométricas, unificando propiedades al parecer inconexas de figuras para formar conjuntos uniformes y completos. Excepciones y, casos raros especiales aparecen en el amplio, punta de vista de Poncelet como aspectos simplemente diferentes de cosas ya familiares. El clásico tratado hace también uso del creador «principio de la dualidad" e introduce el método de “reciprocidad", ideado por el mismo Poncelet. Brevemente, todo un arsenal de nuevas armas fue añadido a la Geometría por el joven ingeniero militar que había sido abandonado, considerándolo muerto, en los campos de Krasnoï, y que seguramente hubiera muerto antes de llegar la mañana si su uniforme de oficial no hubiera despertado el deseo a quienes le recogieron de llevarle ante el Estado Mayor ruso para someterle a un interrogatorio.
Durante la siguiente década (1815-25) los deberes de Poncelet como ingeniero militar tan sólo le dejaron escasos momentos para su verdadera ambición, la aplicación de sus nuevos métodos en Geometría. El descanso tardó en venir muchos años. Su alto sentido del deber y su gran eficacia hicieron de Poncelet una fácil víctima de sus miopes superiores. Algunas de las tareas que realizó sólo pudieron ser hechas por un hombre de su calibre, por ejemplo la creación de la Escuela de mecánica práctica en Metz y la reforma de la educación matemática en la Politécnica. Pero los informes sobre fortificaciones, sus trabajos en el Comité de Defensa y la Presidencia de las secciones mecánicas en las exposiciones internacionales de Londres y París (1851-58), por sólo mencionar algunos de los trabajos de rutina, podrían haber sido realizados y desempeñados por otros hombres. Sus grandes méritos científicos no fueron, sin embargo, menospreciados. La Academia de Ciencia le eligió (1831) como sucesor de Laplace. Por razones políticas Poncelet declinó el honor hasta transcurridos tres años.
Toda la vida madura de Poncelet fue un largo conflicto interno entre una mitad de su personalidad nacida para los trabajos perdurables, y la otra mitad que aceptaba todos los cargos vulgares que los políticos de corta visión y los obtusos militaristas le encomendaban. Poncelet hubiera deseado escapar, pero un falso sentido del deber le obligó a seguir a los ejércitos napoleónicos. El hecho de que no sufriera un precoz y permanente derrumbe nervioso es un testimonio de su vigor físico. Y el hecho de que conservara su capacidad creadora hasta casi los días de su muerte, ocurrida a los 79 años, es una brillante prueba de su indiscutible genio. Este hombre, dotado de un talento excepcional tuvo que recorrer toda Francia para inspeccionar las hilanderías de algodón, de seda y de lino. No se necesitaba a Poncelet para hacer esta clase de trabajos, y él lo sabía. Pero hubiera sido el último hombre en Francia que objetase poner su talento único al servicio de tales cuestiones, pues no pertenecía ese tipo de sabios que piensan que la ciencia pierde su perenne virginidad cada vez que pone sus manos en la industria. Pero no era el hombre indispensable para esa labor, como posiblemente lo era Pasteur para cuestiones igualmente importantes de las enfermedades de la cerveza, de los gusanos, de la seda y de los seres humanos.

Figura 1
Imaginemos dos circunferencias secantes, y supongamos que se cortan en los puntos A y B . Únase A y B por una recta. La Figura 1 muestra la prueba ocular de dos puntos reales A, B y la cuerda común AB de las dos circunferencias. Ahora imaginemos que las dos circunferencias se apartan gradualmente. La cuerda común se convierte en una tangente común a las dos circunferencias en su punto de contacto. En cualquier posición el siguiente teorema (que de ordinario constituye un ejercicio de Geometría escolar) es cierto, si se toma un punto cualquiera P en la cuerda común, pueden dibujarse cuatro rectas tangentes desde él a las dos circunferencias, y si los puntos en que estas rectas tangentes tocan las circunferencias son T 1 , T 2 , T 3 , T 4 , los segmentos PT 1 , PT 2 , PT 3 , PT 4 serán de igual longitud. Inversamente, si se pregunta dónde se encuentran todos los puntos P en que sean iguales los cuatro segmentos tangentes a los dos círculos, la respuesta será: sobre la cuerda común. Trasladando todo esto al lenguaje usual, diremos que el lugar geométrico de un punto P que se mueve de modo que las longitudes de los segmentos tangentes desde él a dos círculos que se cortan en iguales, es la cuerda común de los dos círculos [19] . Todo esto es familiar y comprensible; no hay un elemento de misterio ni de incomprensión, como algunos pueden decir que existe en el paso siguiente, donde interviene, el principio de continuidad".
Los círculos se han separado completamente. Los dos puntos en que se cortaban (o en el último momento su único punto de contacto) ya no son- visibles sobre el papel, y la "cuerda común" queda suspendida entre los dos círculos sin cortar visiblemente a ninguno de ellos. Pero es sabido que existe aún un lugar geométrico de segmentos tangentes iguales, y se demuestra fácilmente que este "lugar" es una recta perpendicular a la línea que une los centros de las dos circunferencias, lo mismo que era el “lugar” original (la cuerda común). Por decirlo de algún modo, si objetamos las "imaginarias", continuaremos diciendo que los dos círculos se cortan en dos puntos en la parte infinita del plano, hasta cuando se encuentran separados y decimos también que la, nueva línea recta, lugar geométrico, es aun la cuerda común de los círculos, los puntos en que se cortan son "imaginarios" o "ideales", pero la línea recta que los une (la nueva "cuerda común") es "real", realmente la podemos trazar sobre el papel.
Si escribimos, las ecuaciones de las circunferencias y rectas algebraicamente a la manera de Descartes, todo lo que hacemos en el Álgebra para resolver las ecuaciones de los círculos que se cortan, tiene su correlación unívoca en la Geometría ampliada, mientras que si antes no extendemos nuestra Geometría o al menos aumentamos su vocabulario, para tomar en cuenta los elementos "ideales" gran parte del pensamiento algebraico carece de significación geométrica.
Como es natural, todo esto requiere justificación lógica. Tal justificación ha sido dada hasta donde es necesaria, es decir hasta la fase que engloba las aplicaciones del "principio de continuidad" útiles en Geometría.
Un ejemplo más importante del principio lo proporcionan las rectas paralelas. Antes de explicar este ejemplo, podemos repetir la observación de un venerable y distinguido juez, mientras hablaba de estas cuestiones. Un matemático aficionado, pensando agradar al anciano compañero charlaba de algunas cosas referentes al concepto geométrico de infinito. En aquel momento paseaban por el jardín del juez. Al afirmar que "las rectas paralelas se encuentran en el infinito", el juez se detuvo. "Mr. Blank dijo con gran solemnidad. El hombre que diga que las rectas paralelas se encuentran en el infinito o en cualquier otra parte, no hay duda de que no posee sentido común". Para obviar el argumento podemos decir como antes, que se trata de una forma de hablar que deja a salvo excepciones irritantes, casos notablemente diferentes. Pero una vez que el lenguaje ha sido aceptado, la coherencia lógica exige que sea seguido hasta el fin, sin discutir las reglas de la gramática lógica, de la sintaxis, y esto es lo que se hace.
Para apreciar lo razonable que es este lenguaje imaginemos una línea referencia y un punto P que, no esté en l . Trácese, por P una recta l’ que corte a l en P' , e imaginemos que l’ gira en torno a P, de modo que P' se aleja a lo largo de l . ¿Hasta cuándo puede alejarse P' ?, Decimos que se detiene cuando l , y l’ llegan a ser paralelas, o si se prefiere cuando el punto en que se cortan P' está en el infinito. Por las razones ya indicadas, este lenguaje es conveniente y sugestivo no en un manicomio, como el juez parecería pensar, y tiene especial valor para cuestiones interesantes y algunas veces muy prácticas propias de la Geometría.
En una forma análoga, las partes finitas de líneas, planos y espacio tridimensional (también del espacio superior), visualizables se enriquecen por la adición de puntos, rectas, planos o "regiones ideales" en el infinito .

Figura 2
En el capítulo sobre Pascal hemos dicho lo que significan en Geometría las propiedades proyectivas, frente a las propiedades métricas. En este lugar podernos recordar las observaciones de Hadamard sobre la Geometría analítica de Descartes. Hadamard observó, entre otras cosas, que la Geometría sintética moderna ha pagado la deuda de la Geometría en general al Álgebra sugiriendo importantes investigaciones en Álgebra y Análisis. Esta moderna Geometría sintética fue objeto de las investigaciones de Poncelet. Aunque todo esto quizá puede parecer embrollado, podemos seguir la cadena comenzando por el eslabón del año 1840, pues el problema es realmente importante no sólo para la historia de la Matemática pura, sino también para la de la reciente física matemática.
El eslabón del año 1840 es la creación debida a Boole, Cayley, Sylvester y otros autores de la teoría algebraica de invariantes, que (como explicaremos en un capítulo posterior), tiene importancia fundamental en la física teórica ordinaria. La Geometría proyectiva de Poncelet y su escuela desempeñó un papel importante en el desarrollo de la teoría de invariantes: los geómetras descubrieron todo un continente de propiedades de figuras invariantes en proyección; los algebristas del año 1840, especialmente Cayley, trasladaron las operaciones de pro yección geométricas al lenguaje analítico, aplicaron este traslado al modo cartesiano algebraico de expresar las relaciones geométricas, y pudieron así hacer progresos extraordinariamente rápidos en la elaboración de la teoría de invariantes algebraicos. Si Desargues, el osado precursor del siglo XVII, hubiera previsto adónde conducía su ingenioso método de proyección, habría quedado asombrado. Sabía que había hecho algo muy importante, pero probablemente no tenía el concepto de cuán grande era su importancia.
Isaac Newton tenía 20 años cuando Desargues murió. No se sabe si Newton oyó pronunciar el nombre de Desargues. Aunque lo oyera, seguramente no pudo darse cuenta de que el humilde eslabón forjado por su anciano contemporáneo formaría parte de la fuerte cadena que en el siglo XX iba a arrastrar su ley de la gravitación universal desde su pedestal, que se suponía inmortal. Sin la maquinaria matemática del cálculo tensorial, que naturalmente se desarrolló (como veremos) de la obra algebraica de Cayley y Sylvester, es poco probable que Einstein o cualquier otro hubieran sido capaces de conmover la teoría newtoniana de la gravitación.
Una de las ideas útiles de la geometría proyectiva es la de la razón doble o razón armónica . Trácense por un punto O cuatro líneas rectas l, m, n, p . Cortando estas cuatro líneas, trazar una línea recta x , y señalar los puntos en que corta a las otras rectas con las letras L, M, N, P respectivamente. Tendremos así sobre x los segmentos lineales LM , MN , LP, PN. Con ellos fórmense ahora las razones LM : MN y LP : PN . Finalmente formemos la razón de estas dos razones o sea la razón doble
LM * PN : MN * LP
Lo más notable de esta razón doble es que tiene el mismo valor numérico para todas las posiciones de la línea x .

Figura 3
Para terminar la descripción completa de las armas que Poncelet utilizó, mencionaremos el "principio de dualidad", extraordinariamente fructífero. Para mayor simplicidad, tan sólo consideraremos como actúa el principio en Geometría plana.
Obsérvese desde el primer momento que cualquier curva continua, puede ser considerada en estas dos formas: engendrada por el movimiento de un punto o de una recta. Para darse cuenta de esto último imaginemos la recta tangente trazada en cada punto de la curva. Así puntos y rectas están íntima y recíprocamente asociados con respecto a la curva: por cualquier, punto de la curva pasa una recta de la curva; sobre cualquier recta de la curva hay un punto de la curva. En lugar de pasar por de la frase precedente, escríbase estar en. Entonces las dos afirmaciones son idénticas, salvo que las palabras "punto" y recta se intercambian.

Figura 4
En el lenguaje euclidiano diríamos que las dos líneas paralelas tienen la misma dirección; en fraseología proyectiva esto se expresaría diciendo que "dos líneas paralelas tienen el mismo punto ideal". Además, en la antigua terminología si dos o más rectas tienen la misma dirección, son paralelas; en la nueva, si dos o más rectas tienen el mismo punto ideal, son paralelas. Toda línea recta en el plano proyectivo se concibe como teniendo sobre él un punto ideal ("en el infinito"); todos los puntos ideales se consideran como constituyendo una recta ideal, "la recta del infinito".
El propósito de estas concepciones es evitar los enunciados de excepción en la Geometría euclidiana necesarios para la postulada existencia de paralelas. Esto ya ha sido comentado en relación con el principio de la continuidad formulado por Poncelet.
Con estos juicios preliminares, puede ser ahora establecido el principio de dualidad en Geometría plana. Todas las proposiciones de la Geometría proyectiva plana se corresponden doblemente de tal modo que de una propiedad particular se puede deducir inmediatamente otra intercambiando los papeles desempeñados por las palabras punto y línea.
En su Geometría proyectiva, Poncelet exploró este principio hasta el límite. Abriendo al azar cualquier libro de Geometría proyectiva encontraremos casi seguramente páginas de proposiciones impresas a dos columnas: un recurso introducido por Poncelet. Las proposiciones de ambas columnas se corresponden entre sí; probada una, la prueba de la otra es superflua, según afirma el principio de la dualidad. Así, la Geometría se duplica en extensión de un solo golpe sin necesidad de nueva labor. Como un ejemplo de proposiciones dobles mencionaremos el siguiente par:

Figura 5. Dos puntos distintos determinan una recta y sólo una.

Figura 6. Dos rectas distintas determinan un punto y sólo uno
La proposición de la figura 7 corresponde al Hexagrammum Mysticum de Pascal, ya mencionado; la figura 8 es el teorema de Brianchon, que fue descubierto por medio del principio de la dualidad. Brianchon (1785-1864) descubrió su teorema siendo estudiante en la Escuela Politécnica, y fue publicado en el Journal de esa escuela en 1806. Las figuras de las dos proposiciones realmente no se parecen en nada, y esto indica el poder de los métodos usados por Poncelet.
El descubrimiento de Brianchon fue el que colocó el principio de la dualidad en el terreno de la Geometría. Ejemplos muchos más espectaculares del poder del principio se encuentran en cualquier manual de Geometría proyectiva, particularmente en la ampliación del principio al espacio ordinario tridimensional. En esta extensión los papeles desempeñados por las palabras punto y plano son intercambiables: la línea recta permanece como tal.

Figura 7. Si A, B, C, D, E, F son puntos de una cónica, los puntos de intersección de los pares de lados opuestos AB y PE, BC y EF, CD y FA del hexágono inscrito en la cónica, están en línea recta.
La notable belleza de la Geometría proyectiva y la flexible elegancia de sus demostraciones la hicieron el estudio favorito de los geómetras del siglo XIX.

Figura 8. Si A, B, C, D, E, F son tangentes a una cónica, las rectas que unen los pares de vértices opuestos del hexágono circunscrito a la cónica, se cortan en un punto.
A diferencia de algunos otros campos de la Matemática, la Geometría proyectiva ha dado lugar a excelentes manuales y tratados, de los que son autores excelentes geómetras, incluyendo el mismo Poncelet.
Capítulo 14
El Príncipe de la Matemática
GAUSS
La nueva elaboración y desarrollo de la Aritmética
sistemática, así como casi todas las otras cosas
que ha producido, aparte de la Matemática,
nuestro siglo (XIX) en la forma de ideas científicas
originales, están ligadas a Gauss.
Leopold Kronecker
El origen de Gauss, Príncipe de la Matemática, no era en verdad real. Hijo de padres pobres; había nacido en una miserable casucha en Brunswick, Alemania, el 30 de abril de 1777. Su abuelo paterno era un pobre campesino. En 1740 su abuelo se estableció en Brunswick, donde arrastró una precaria existencia dedicado a la jardinería. El segundo de sus tres hijos, Gerhard Diederich, nacido en 1744, fue el padre de Gauss. Aparte de este gran honor, la Vida de Gerhard, dedicada los trabajos pesados de jardinero, constructor de canales y albañil, no se distingue por ningún motivo.
Se dice que el padre de Gauss era un hombre brusco, escrupulosamente honrado, y cuya rudeza para con su hijo algunas veces lindaba en la brutalidad. Su lenguaje era grosero y su mano pesada. Su honradez y su tenacidad le permitieron cierto grado de comodidades, pero su vida jamás fue fácil. No es sorprendente que tal hombre hiciera todo lo que estaba en su mano para que su hijo se frustrase, impidiéndole adquirir una educación adecuada a su capacidad. Si la opinión del padre hubiera prevalecido, el inteligente muchacho habría seguido una de las profesiones familiares, y fue tan sólo una serie de felices incidentes la que salvó a Gauss de ser jardinero o albañil. Siendo niño era respetuoso y obediente, y aunque jamás criticó a su padre en su vida ulterior, se comprende que jamás sintió por él verdadero cariño. Gerhard murió el año 1806.
Por el lado materno Gauss fue en realidad más afortunado. El padre de Dorothea Benz era picapedrero, y murió teniendo 30 años, de tuberculosis, consecuencia de las condiciones poco higiénicas de su oficio; dejó dos hijos, Dorothea y un hermano menor, Friederich.

Friederich sabía lo que hacía; Gauss en aquella época probablemente no. Pero Gauss tenía una memoria fotográfica y conservó las impresiones de su infancia de un modo perfecto hasta el día de su muerte. Siendo ya adulto recordaba lo que Friederich había hecho por él, y pensaba que con la muerte prematura de aquel hombre "se había perdido un genio innato".
Dorothea se trasladó a Brunswick en 1769. Teniendo 34 años (1776) contrajo matrimonio. El año siguiente nació su hijo, cuyo nombre bautismal era Johann Friederich Carl Gauss. En su vida posterior firmó sus obras maestras con el nombre Carl Friederich Gauss. Si un gran genio se perdió en Friederich Benz, su nombre sobrevivió en su sobrino.
La madre de Gauss era una mujer recta, de gran carácter, de inteligencia aguda y humor alegre. Su hijo constituyó su orgullo desde el día de su nacimiento hasta que ella murió, teniendo 97 años. Cuando el "niño prodigio" tenía dos años asombraba por su extraordinaria inteligencia, que no parecía terrenal, y esa inteligencia mantuvo y hasta superó, al llegar a la pubertad, las promesas de su infancia. Dándose cuenta de ello, Dorothea Gauss defendió al muchacho frente a la obstinación de su marido, que quería mantener a su hijo tan ignorante como él era.
Dorothea esperaba grandes cosas de su hijo. Quizá dudó en alguna ocasión de que su sueño se realizara, como lo demuestran sus preguntas a quien estaba en posición de juzgar el talento de su vástago. Así, cuando Gauss tenía 19 años, la madre preguntó a su amigo el matemático Wolfgang Bolyai, si Gauss llegaría a ser algo. Cuando Bolyai exclamó "¡Será el más grande matemático de Europa!", ella rompió en lágrimas.
Los últimos 22 años de su vida transcurrieron en la casa de su hijo y durante los últimos cuatro, estaba totalmente ciega. A Gauss poco le importaba la fama, pero sus triunfos constituían la vida de la madre [21] . Entre ellos existió siempre la más completa comprensión, y Gauss pagó su valerosa protección de sus primeros años procurándoles una vejez tranquila.
Cuando quedó ciega, su hijo no permitió que la cuidara otra persona que no fuera él, y sus cuidados se prolongaron hasta su última y larga enfermedad. Murió el 19 de abril de 1839.
De los muchos accidentes que pudieron haber privado a la Matemática de hombres como Arquímedes y Newton, también Gauss recuerda uno ocurrido en su primera infancia. Una crecida primaveral llenó el canal que rodeaba la casucha de la familia, inundando el terreno. Gauss que jugaba cerca del agua casi se ahogó. Pero por feliz casualidad un labrador pudo impedir que su vida terminara allí.
En toda la historia de la Matemática no hay nada que se acerque a la precocidad demostrada por Gauss. Se ignora el momento en que Arquímedes comenzó a dar muestras de su genio, y las precoces manifestaciones del talento matemático de Newton pasaron inadvertidas. Aunque parezca increíble, Gauss demostró lo que era antes de cumplir los tres años.
Un sábado, Gerhard Gauss estaba echando sus cuentas para pagar a los trabajadores que se hallaban a su cargo, sin darse cuenta de que su hijito seguía esas cuentas con notable atención. Terminados sus largos cálculos, Gerhard quedó asombrado al oír que el niño le decía: "La cuenta está mal, debe ser..." Al comprobar las operaciones se pudo ver que las cifras encontradas por el pequeño Gauss eran exactas.
Antes de esto el niño pudo conocer de sus padres y de los amigos de éstos la pronunciación de las letras del alfabeto y aprendió por sí solo a leer. Nadie le había hablado de la Aritmética, aunque probablemente comprendió la significación de los dígitos 1, 2… al enumerar el alfabeto. En su vida posterior le divertía decir que supocontar antes que hablar. Este prodigioso poder para los cálculos mentales, persistió durante toda su vida.
Poco después de cumplir siete años Gauss ingresó en la escuela primaria, una verdadera reliquia de la Edad Media, regida por un bárbaro, un tal Büttner, quien para enseñar a un centenar de muchachos que se hallaban a su cargo, les sumergía en un estado de estupidez aterrorizada, en la que hasta olvidaban sus nombres. En este infierno Gauss encontró su fortuna.
Nada extraordinario sucedió durante los dos primeros años. Al cumplir los 10, Gauss ingresó en la clase de Aritmética. Como se trataba de las primeras clases, ninguno de los muchachos había oído hablar de una progresión aritmética. Fácil era al heroico Büttner plantear un largo problema de sumas cuya respuesta podía encontrar en pocos segundos valiéndose de una fórmula. El problema era del siguiente tipo: 81297 + 81495 + 81693...+ 100899, donde el paso de un número a otro es siempre el mismo (198), debiendo sumarse un cierto número de términos (100).
La costumbre de la escuela era que el muchacho que primero hallaba la respuesta, colocase su pizarra sobre la mesa, el siguiente colocaba la suya sobre la primera y así sucesivamente. Büttner acababa de plantear el problema cuando Gauss colocó su pizarra sobre la mesa: "Ya está" , dijo "Ligget se", en su dialecto campesino. Durante toda una hora, mientras los compañeros trabajaban afanosamente, continuó sentado con los brazos cruzados, favorecido de cuando encuando por una sarcástica mirada de Büttner, quien se imaginaba que el muchachito era un perfecto necio. Al terminar la clase, Büttner examinó las pizarras. En la pizarra de Gauss aparecía un solo número. Cuándo era viejo, a Gauss le gustaba decir que el número que había escrito, constituía la respuesta exacta y que los demás se habían equivocado. Gauss no conocía la estratagema para realizar esos problemas rápidamente. Es muy sencillo una vez conocido el ardid; pero es extraordinario que un muchacho de 10 años, pudiera descubrirlo instantáneamente.
En ese momento se abrió la puerta a través de la cual Gauss pasó a la inmortalidad. Büttner estaba tan asombrado de que un muchacho de 10 años sin instrucción hubiera realizado tal proeza, que desde aquel momento fue, al menos para uno de susdiscípulos, un maestro humano. De su propio peculio compró el mejor manual de Aritmética que pudo encontrar y se lo entregó a Gauss. El muchacho hojeó rápidamente el libro. " Es superior a mí , dijo Büttner, nada puedo enseñarle ".
Büttner probablemente no pudo hacer mucho más en favor del joven genio. Pero por una feliz casualidad el maestro tenía un ayudante, Johann Martín Bartels (1769-1836) un joven que tenía gran pasión por la Matemática, y cuyo deber consistía en ayudar a los principiantes en la escritura, cortándoles las plumas de ave. Entre el ayudante de 17 añosy el discípulo de 10 se estableció una cálida amistad que duró toda la vida de Bartels. Estudiaron juntos ayudándose recíprocamente en las dificultades, yanalizaban las pruebas en el manual de Álgebra y de rudimentos de Análisis que poseían.
Desde los primeros momentos pudo verse uno de los intereses dominantes de la carrera de Gauss. Rápidamente comprendió el teorema del binomio
![]()
Antes de que el joven Gauss se preguntara a sí mismo si la serie infinita converge y realmente nos capacita para calcular las expresiones matemáticas (funciones), que deben representar, los más viejos analistas no se habían tomado la molestia de explicar los misterios (y falta de sentido común) que surgen del empleo falto de crítica de los procesos infinitos. El primer encuentro de Gauss con el teorema del binomio le inspiró la realización de alguna de sus más grandes obras, y fue el primero de los "rigoristas". Una demostración del teorema del binomio cuando n no es un número entero positivo, todavía hoy está más allá de los límites de un manual elemental. No satisfecho con lo que él y Bartels encontraban en los libros, Gauss inventó una nueva demostración, iniciándose así en el Análisis matemático. La verdadera esencia del Análisis es el uso correcto de los procesos infinitos.
La obra comenzada con tan buenos auspicios iba a cambiar todo el aspecto de la Matemática. Newton, Leibniz, Euler, Lagrange, Laplace, todos los grandes analistas de su tiempo, no tenían prácticamente un concepto claro de lo que se acepta ahora como una prueba que abarca los procesos infinitos. Fue Gauss el primero en ver claramente que una "demostración" que puede llevar a absurdos como el de que "menos 1 igual a infinito", no prueba nada. Aún en algunos casos en que una fórmula da resultados consecuentes, no debe ocupar un lugar en la Matemática hasta que se determinan las condiciones precisas en que continúa siendo coherente.
El rigor que Gauss impuso al Análisis se proyectó sobre toda la Matemática, tanto en sus propias costumbres como en la de sus contemporáneos, Abel, Cauchy y sus sucesores, Weierstrass, Dedekind, y toda la Matemática después de Gauss fue algo diferente de lo que había sido la Matemática de Newton, Euler y Lagrange.
En el sentido constructivo Gauss fue un revolucionario. Antes de que terminara su enseñanza secundaria, el mismo espíritu crítico que le impidió quedar satisfecho con el teorema del binomio le llevó a discutir las demostraciones de la Geometría elemental. A la edad de 12 años ya miraba con recelo los fundamentos de la Geometría euclidiana, y teniendo dieciséis, ya tuvo la primera intuición de una geometría diferente de la de Euclides. Un año más tarde comenzó a someter a la crítica las demostraciones de la teoría de números que habían dejado satisfechos a sus predecesores, y se entregó a la tarea extraordinariamente difícil de llenar las lagunas y completar lo que había sido hecho a medias. La Aritmética, el campo de sus primeros triunfos, constituyó su estudio favorito, donde realizó sus obras maestras. A sus propias ideas respecto a lo que constituye la prueba, Gauss añadió una capacidad inventiva matemática tan prolífica que jamás ha sido superada. Esta combinación resultaba invencible.
Bartels hizo algo más que guiar a Gauss en los misterios del Álgebra. El joven profesor conocía a algunos de los hombres más influyentes de Brunswick, quienes favorablemente impresionados por el genio de Gauss, llamaron la atención de Carl Wilhelm Ferdinand, duque de Brunswick.
El duque recibió a Gauss por primera vez en 1791. Gauss tenía 14 años. La modestia y la timidez del muchacho ganaron la simpatía del generoso duque. Gauss obtuvo la seguridad de que su educación podría continuar. El siguiente año (febrero, 1792), Gauss se matriculó en el Collegium Carolinum de Brunswick. El duque pagó los gastos y continuó pagándolos hasta que la educación de Gauss terminó.
Antes de ingresar en el Colegio Carolino, a la edad de 15 años, Gauss había hecho grandes progresos en los idiomas clásicos, cuyo estudio realizó privadamente ayudado por antiguos amigos, precipitando así una crisis en su carrera. A su tosco y práctico padre el estudio de las lenguas muertas le llevaron casi a la locura; Dorothea Gauss luchó por su hijo, ganó la batalla, y el duque pagó un curso de dos años en el Instituto. La facilidad con que Gauss dominaba el griego y el latín , asombró por igual a los maestros y a los compañeros.
Gauss se sentía atraído por los estudios filológicos, pero, por fortuna, para la ciencia, iba a encontrar mayor atracción en la Matemática. Al ingresar en el Colegio Carolino conocía ya el latín de tal forma que pudo escribir en ese idioma sus obras más importantes. Fue una calamidad, nunca suficientemente lamentada, que hasta el ejemplo de Gauss fuera impotente frente a las oleadas del nacionalismo fanático que invadió Europa después de la Revolución francesa y la caída de Napoleón. En lugar del fácil latín que fue suficiente para Euler yGauss, ahora hay que lograr un rápido conocimiento de dos o tres idiomas aparte del propio. Gauss se resistió cuanto pudo, pero tuvo que someterse cuando sus amigos de Alemania le presionaron para que escribiera en alemánalgunas de sus obras astronómicas.
Gauss estudió en el Colegio Carolino durante tres años, comprendiendo a la perfección las obras más importantes de Euler,Lagrange y sobre todo los Principia de Newton. El más alto orgullo de un granhombre es recibir la estimación de los que son como él. Gauss nunca disminuyó la alta estima que, cuando tenía 17 años, tuvo por Newton. Los demás, Euler, Laplace, Lagrange, Legendre, aparecen en el fluido latín de Gauss con la cortés calificación clarissimus ; Newton es summus .
Estando aún en el Colegio, Gauss comenzó las investigaciones de Aritmética superior quele harían inmortal. Entonces puso en juego su prodigiosa capacidad para el cálculo. Dirigiéndose directamente a los números, experimentó conellos, descubriendo por inducción teoremas generales difíciles, cuyas demostraciones le costaron gran esfuerzo. En esta forma redescubrió "la joya de la Aritmética", el "theorema aureum ", al cual Euler llegó también por inducción, o sea la ley de reciprocidad cuadrática, que Gauss iba a ser el primero en demostrar (la prueba intentada por Legendre fracasó).
Toda la investigación se originó en una sencilla cuestión que muchos principiantes en Aritmética se plantean. ¿Cuántas cifras tiene el período de una decimal periódica? Para arrojar alguna luz sobre el problema Gauss calculó los desarrollos decimales de todas las fracciones 1/ n para n = 1 hasta 1000. No encontró el tesoro que buscaba, sino algo infinitamente superior, la ley de reciprocidad cuadrática. Como puede exponerse con sencillez la explicaremos, mencionando al mismo tiempo una de las conquistas revolucionarias de la nomenclatura y notación aritmética que Gauss inventó, la de la congruencia . En lo que sigue todos los números son enteros (números enteros comunes).
Si la diferencia (a - b ó b - a) de dos números a, b es exactamente divisible por el número m , decimos que a, b son congruentes con respecto al módulo m , y simbolizamos esto escribiendo
a º b (mód m ). Así, 100 ≡2 (mód 7), 35 ≡2(mód 11).
La ventaja de esta notación es que recuerda la forma en que escribimos las ecuaciones algebraicas, recoge el concepto algo ilusorio de la divisibilidad aritmética en una breve notación ysugiere que intentamos llevar a la Aritmética, (que es mucho más difícil que el Álgebra), algunas de las manipulaciones que conducen a interesantes resultados. Por ejemplo, podemos “sumar" ecuaciones y encontramos que las congruencias pueden también ser "sumadas", con tal de que el módulo sea el mismo en todas, para obtener otras congruencias.Llamemos x a unnúmero desconocido y r y m a determinados números de los cuales r no es divisible por m . ¿Existe un número x tal que x 2 ≡ r (mód m )?
Si existe , r se llama un resto cuadrático de m ; si no, un no-resto cua drático de m .
Si r es un resto cuadrático de m , debe ser posible encontrar al menos un x cuyo cuadrado, cuando se divida por m , deje de resto r; si r es un no-resto cuadrático de m , no hay ningún x cuyo cuadrado, dividido por m , dé r de resto. Estas son consecuencias inmediatas de las definiciones precedentes.
Ilustremos el caso: ¿es 13 un resto cuadrático de 17? Si lo es, debe ser posible la congruencia .
x 2 ≡ 13 (mód 17)
Ensayando 1, 2, 3… encontraremos que x= 8, 25, 42, 59,... son soluciones (81 = 64 = 3 * 17 + 13; 25 2 = 625 = 36 * 17 + 13; etc.), de modo que 13 es un resto cuadrático de 17. Pero la congruencia x 2 ≡5 (mód 17) no tiene solución, de modo que 5 es un no-resto cuadrático de 17.Es ahora natural preguntarse ¿cuáles son los restos y no-restos cuadráticos de un número dado m ? Suponiendo x 2 ≡r (mód m), ¿qué números r pueden aparecer y qué números r no pueden aparecer cuando x toma todos los valores 1, 2, 3... ?
Sin gran dificultad puede demostrarse que esto es suficiente para responder a la cuestión cuando ry m son primos. Veamos el problema: si p es un primo dado ¿qué primo q hará la congruencia x 2 ≡ q (mód p ) soluble? Esto es preguntar mucho en el estado actual de la Aritmética. Sin embargo, la situación no es totalmente desesperada.
Existe una bella "reciprocidad" entre el par de congruencias
x 2 ≡ q (mód p ), x 2 ≡ p (mód q )
en la que tanto p como q son primos; ambas congruencias son posibles o ambas son imposibles, a no ser que tanto p como q den el resto 3 cuando se dividen por cuatro, en cuyo caso una de las congruencias es posible y la otra no. Esta es la ley de reciprocidad cuadrática.No era fácil de probar. En efecto, esto desconcertó a Euler y Legendre. Gauss dio la primera prueba teniendo 19 años. Como esta reciprocidad es de importancia fundamental en la Aritmética superior y en muchas partes del Álgebra, Gauss meditó durante muchos años tratando de encontrar la solución, hasta que encontró seis pruebas diferentes, una de las cuales depende de la construcción con regla y compás de los polígonos regulares.
Un ejemplo numérico aclarará el enunciado de la ley. Primero consideremos p = 5, q = 13. Puesto que 5 y 13 dan 1 de resto al ser divididos por 4, tanto x 2 ≡13 (mód 5) como x 2 ≡5 (mód 13) deben tener solución o no la tiene ninguna de estas dos congruencias. Lo último es lo que ocurre para este par. Tanto p = 13 como q = 17, dejan el resto 1 al ser divididos por 4, y tendremos x 2 ≡17 (mód 13), x 2 ≡13 (mód 17) y ambas o ninguna deben ser solubles. En este caso ocurre lo primero: la primera congruencia tiene las soluciones x = 2, 15, 28 ... - la segunda tiene las soluciones x= 8, 25, 42... Queda por ver ahora el caso en que tanto p como q den el resto 3 al dividirlos por 4. Consideremos p = 11, q = 19. De acuerdo con la ley, precisamenteuna de las congruencias x 2 ≡19 (mód 11), x 2 ≡11 (mód 19) debe tener solución. La primera congruencia no tiene solución; la segunda tiene las soluciones 7, 26, 45...
El simple descubrimiento de tal ley fue una notable adquisición. Quien intente demostrar lo que Gauss demostró teniendo 19 años, comprenderá que era algo más que un simple aficionado a la Matemática.
Cuando Gauss abandonó el Colegio Carolino, en octubre de 1795, teniendo 18 años, para ingresar en la Universidad de Göttingen, aun no había decidido si como objetivo de su vida elegiría la Matemática o la Filología. Había ya inventado (cuando tenía 18 años), el método de los "mínimos cuadrados", que en la actualidad es indispensable en las mediciones geodésicas, en la reducción de las observaciones y en todos los estudios donde el valor "más probable" de alguna cosa que se está midiendo debe ser inferida de gran número de mediciones. Gauss participó de este honor con Legendre, quien publicó el método independientemente de Gauss en el año 1806. Este trabajo marca el comienzo del interés de Gauss por la teoría de los errores de observación. La ley de Gauss de la distribución normal de los errores y su curva en forma de campana es familiar actualmente a todos los que se ocupan de estadística, desde las mentes más altas, hasta los inescrupulosos manipuladores de los mercados.
El 30 de marzo de 1796 marca el punto decisivo en la carrera de Gauss. Ese día, exactamente un mes antes de que cumpliera 20 años, Gauss se decidió resueltamente en favor de la Matemática. El estudio de las lenguas siguió siendo una de sus diversiones, pero la filología perdió a Gauss para siempre en aquel día memorable de marzo.
Como ya hemos dicho en el capítulo sobre Fermat, el polígono regular de 17 lados fue el que indujo a Gauss a cruzar su Rubicón. El mismo día Gauss comenzó a escribir su diario científico (Notizenjournal). Éste es uno de los documentos más preciosos de la historia de la Matemática. La primera anotación recoge su gran descubrimiento.
El diario no tuvo circulacióncientífica hasta 1898, cuarenta y tres años después de la muerte de Gauss, cuando la Sociedad Real de Göttingen pidió al nieto de Gauss prestase el libro para su estudio crítico. Se compone de diecinueve páginas enoctavo pequeño y contiene 146 exposiciones extraordinariamente breves de descubrimientos o resultados de cálculos, la última de las cuales está fechada el 9 de julio de 1814. Un facsímil fue publicado en 1917, en el décimo volumen (parte I) de las obras completas de Gauss, en unión de un detenido análisis de su contenido hecho por diversos especialistas. En este libro no fueron recogidos todos los descubrimientos de Gauss en el período prolífico de 1796 a 1814. Pero muchos de los anotados bastarían para establecer la prioridad de Gauss en campos, funciones elípticas, por ejemplo, donde algunos de sus contemporáneos se niegan a creer que Gauss les precediera. (Recuérdese que Gauss había nacido en 1777).
Muchos hallazgos que quedaron enterrados durante años o décadas en este diario habrían labrado media docena de grandes reputaciones de haber sido publicados rápidamente. Algunos jamás se hicieron públicos durante la vida de Gauss, y nunca pretendió la prioridad cuando otros autores se le anticiparon. Estas anticipaciones no se referían a cosas triviales. Algunas de ellas constituían descubrimientos esenciales de la Matemática del siglo XIX .
Algunas de las anotaciones indican que el diario era cosa estrictamente privada de su autor. Así, el 10 de julio de 1796, la anotación dice
EUREKA ! núm = D + D + D
Después del exultante "Eureka!" de Arquímedes, afirma que todo número entero positivo es la suma de tres números triangulares, tal número es unode la sucesión 0, 1, 3, 6, 10, 15,... donde cada uno (después del 0) es de la forma 1/2 n ( n + 1), siendo n un número entero positivo. Otra forma de decir lo mismo es que todo número de la forma 8 n + 3 es una suma de tres cuadrados impares: 3 = 1 2 + 1 2 + 1 2 ; 11 = 1 + 1 + 3 2 ; 19 = 1 2 + 3 2 + 3 2 , etc. No es fácil demostrar esto de un modo casual.Menos inteligible es la misteriosa anotación del 11 de octubre de 1796,
Vicimus GEGAN
¿A qué dragón venció Gauss esa vez? ¿A qué gigante sometió el 8 de abril de 1799 cuando encierra las palabras REV. GALEN en un rectángulo aislado? Aunque la significación de esas palabras se haya perdido para siempre, las restantes 144 anotaciones son en su mayor parte bastante claras. Una en particular tiene extraordinaria importancia, como veremos al ocuparnos de Abel y Jacobi. La anotación del 19 de marzo de 1797 muestra que Gauss había ya descubierto la doble periodicidad de ciertas funciones elípticas. Tenía entonces veinte años. Además, otra anotación muestra que Gauss reconoció la doble periodicidad en el caso general. Este descubrimiento, por sí solo, de haber sido publicado, podría haberle hecho famoso inmediatamente, pero jamás lo publicó.¿Por qué Gauss reservaba las grandes cosas que descubría? Esto es más fácil de explicar que su genio, si aceptamos sus sencillos juicios, que ahora mencionaremos. Una versión más romántica es la recogida por W. W. R. Ball, en su conocida historia de la Matemática. Según este autor, Gauss sometió su primera obra maestra, las Disquisitiones Arithmeticae a la Academia Francesa de Ciencias, que la rechazó despectivamente. Esta humillación inmerecida hirió a Gauss tan profundamente que desde entonces resolvió publicar tan sólo aquello que podía ser admitido sin crítica, tanto en su fondo como en su forma. Pero ésta versión fue desechada para siempre en 1935, cuando la Academia Francesa, después de un detenido estudio de los informes, demostró que las Disquisitiones nunca fueron presentadas a la Academia, y menos rechazadas.
Hablando de sí mismo, Gauss dice que emprendía sus estudios científicos tan sólo como una respuesta a los impulsos más profundos de la naturaleza, y para él era algo completamente secundario publicarlos para el conocimiento de los demás. Otro juicio de Gauss, comunicado en una ocasión a un amigo, explica tanto su diario como la lentitud en la publicación. Gauss afirmaba que cuando tenía veinte años era tal la cantidad de nuevas ideas que pasaban por su mente, que difícilmente podía recogerlas, y sólo disponía para ello de brevísimo tiempo. El diario contiene tan sólo los juicios breves finales de los resultados de complicadas investigaciones, algunas de las cuales le ocuparon durante semanas. Cuando siendo joven contemplaba la serie de pruebas sintéticas que habían encadenado las inspiraciones de Arquímedes y Newton, Gauss resolvió seguir su gran ejemplo, y tan sólo dejar obras de arte perfectas y completas a las que nada pudiera ser añadido ya la que nada pudiera ser restado, sin desfigurar el conjunto. La obra por sí debe ser completa, sencilla y convincente, sin que pueda encontrarse signo alguno que indique el trabajo que ha costado lograrla. Una catedral, decía, no es una catedral hasta que ha desaparecido de la vista el último andamio. Trabajando con este ideal, Gauss prefería pulir una obra maestra varias veces, en vez de publicar los amplios esquemas de muchas de ellas, como pudo fácilmente hacer. Su sello, un árbol con pocos frutos, lleva el lema Pauca sed matura . (Pocos, pero maduros).
Los frutos de este esfuerzo hacia la perfección eran en efectos maduros, pero no siempre digeribles. Todas las huellas de los pasos para llegar a la meta habían sido borradas, y no fue fácil para los continuadores de Gauss descubrir el camino que siguió. En consecuencia, algunas de sus obras han tenido que esperar a que intérpretes de gran talento las hicieron comprensibles, para que los matemáticos pudieran incorporarlas a su obra y aplicar su significación a problemas no resueltos. Sus propios contemporáneos le pidieron que abandonara su frígida perfección con objeto de que la Matemática pudiera avanzar más rápidamente, pero Gauss no hizo caso. Hasta mucho tiempo después de su muerte no se ha sabido hasta qué grado previó y se anticipó, antes del año 1800, a la Matemática del siglo XIX. De haber divulgado lo que sabía es muy posible que la Matemática se hallara medio siglo más allá de donde está. Abel y Jacobi podrían haber comenzado donde Gauss terminó, en lugar de emplear gran parte de su esfuerzo para volver a descubrir cosas que Gauss conocía antes de que ellos nacieran, y los creadores de las Geometrías no euclidianas podrían haber dirigido su genio hacia otras cosas.
Gauss decía de sí mismo que era " todo matemático ". Este juicio sería injusto si no se tuviera en cuenta que un "matemático" de aquellos días era lo que hoy sería denominado un físico matemático. En efecto, su segundo lema [22]
Thou, nature, art my goddes; to thy laws
My services are bound...,
Los tres años (octubre 1795 a septiembre 1798) en la Universidad de Göttingen fueron los más prolíficos de la vida de Gauss. Gracias a la generosidad del Duque Ferdinand, el joven no se vio abrumado por dificultades económicas. Se entregó a su obra, teniendo pocos amigos. Uno de ellos, Wolfgang Bolyai, "el espíritu más raro que he conocido", según le califica Gauss, fue su amigo durante toda la vida. El curso de esta amistad y su importancia en la historia de las Geometrías no euclidianas es demasiado largo para que pueda ser referido en este lugar. Johann, hijo de Wolfgang, tuvo que seguir prácticamente la misma senda que Gauss siguió para la creación de una Geometría no euclidiana, ignorando completamente que amigos de su padre le había precedido. Las ideas que inundaron a Gauss desde que tenía 17 años fueron ahora recogidas en parte y puestas en orden. Desde 1795 había estado meditando en una gran obra acerca de la teoría de números, que tomó forma definida y prácticamente fue terminada en 1798, constituyendo las Disquisitiones Arithmeticae.
Para familiarizarse con lo que había sido hecho en Aritmética superior, y para estar seguro de que prestaba debida atención a sus predecesores, Gauss acudió a la Universidad de Helmstedt, donde existía una excelente biblioteca matemática, en septiembre de 1798. Fue cordialmente recibido por el bibliotecario y profesor de Matemática Johann Friedrich Pfaff (1765-1825) en cuya casa se alojó. Gauss y Pfaff fueron excelentes amigos, aunque la familia Pfaff pocas veces vio a su huésped. Pfaff pensaba que era su deber cuidarse de que su joven amigo hiciera algún ejercicio y él y Gauss paseaban juntos durante la tarde hablando de Matemática. Como Gauss no sólo era modesto, sino también reservado acerca de su propia obra, Pfaff probablemente no aprendió tanto como hubiera podido de ser diferente el carácter de Gauss. Este admiraba mucho al profesor, que era entonces el mejor matemático de Alemania, no sólo por su excelente labor, sino por su carácter sencillo y abierto. Había un tipo de hombres por quien Gauss sentía aversión y desprecio. Los que no reconocen sus fracasos cuando saben que se han equivocado.
Gauss permaneció en Brunswick durante el otoño de 1798 (entonces tenía 21 años) realizando tan sólo algunos viajes a Helmstedt para dar los toques finales a sus Disquisitiones . Esperaba su rápida publicación, pero el libro no fue impreso hasta septiembre de 1801 debido a las dificultades puestas por un editor de Leipzig. En gratitud por el apoyo que el duque Ferdinando le había prestado, dedicó su libro al Serenissimo Principi ac Domino Carolo Guilielmo Ferdinando.
Si un protector generoso merece el homenaje de su protegido, Ferdinando merecía el de Gauss. Cuando el joven genio se hallaba preocupado por su futuro, después de dejar Göttingen, intentó infructuosamentetener discípulos, el duque acudió a salvarle. Pagó la impresión de su disertación doctoral (Universidad de Helmstedt, 1799), y le concedió una modesta pensión, que le permitió continuar sus trabajos científicos sin verse perseguido por la pobreza. " Vuestra bondad , dice Gauss ensu dedicatoria, me han libertado de cualquier otra responsabilidad, permitiéndome aceptar ésta exclusivamente ".
Antes de comentar las Disquisitiones examinaremos la disertación que valió a Gauss su grado de doctor in absentia por la Universidad de Helmstedt, en 1799 : Demonstratio nova theorematis omnem functionem algebraicam rationalem integram unius variabilis in factores reales primi vel secundi gradus revolvi posse. (Una nueva prueba de que toda función algebraica racional entera de una variable puede ser descompuesta en factores reales de primero o segundo grado).
Existe sólo un error en esta obra esencial de Álgebra. Las primeras palabras del título implican que Gauss ha añadido simplemente una nueva prueba a las ya conocidas. Debía haber omitido la palabra "nova". La suya era la primera prueba, como veremos más tarde. Alguien antes que él publicó lo que se suponía eran demostraciones de este teorema, de ordinario llamado el teorema fundamental del Álgebra, pero ninguno lo consiguió. Con su rigor lógico y matemático, Gauss se esforzó en obtener una prueba, y obtuvo la primera. Otro enunciado equivalente del teorema dice que toda ecuación algebraica con una incógnita tiene una raíz, afirmación que los principiantes consideran como verdadera, sin tener la más remota idea de lo que significa.
Si un loco garrapateara una serie de símbolos matemáticos, no podría decirse que los signos escritos, significaran algo, debido a que el ojo inexperto no pudiera distinguirlos de los de las Matemáticas superiores. Esta suposición sería tan caprichosa como creer que tiene alguna significación afirmar que toda ecuación algebraica tiene una raíz, si no, decimos qué clase de raíz tiene la ecuación. Vagamente sentimos que un número satisfará la ecuación, pero no sabemos más.
Gauss precisó este sentimiento, demostrando que todas las raíces de cualquier ecuación algebraica son "números" de la forma a + bi , donde a, b son números reales (los números que corresponden a las distancias, positiva, cero o negativa, medidas desde un punto fijo 0 sobre una línea recta determinada, como el eje de las x en la Geometría de Descartes) e i la raíz cuadrada de -1. El nuevo tipo de "número" a + bi se llama número complejo.
Incidentalmente Gauss fue uno de los primeros en dar una explicación coherente de los números complejos y en interpretarlos como designando los puntos de un plano, tal como se hace hoy en los manuales elementales de Álgebra.

La palabra "imaginario" es la gran calamidad algebraica, pero está demasiado arraigada para que pueda eliminarse. Jamás debería haber sido usada. Los libros de Álgebra elemental dan una sencilla interpretación de los números imaginarios considerándolos como rotaciones. Si interpretamos la multiplicación i * c , donde c es real, como una rotación alrededor de 0 del segmento Oc siguiendo un ángulo recto, Oc gira hasta OY; otra multiplicación por i , o sea i * i * c, hace girar Oc otro ángulo recto, yde aquí que el efecto total es girar Oc dos ángulos rectos, de modo que + Oc se convierte en - Oc. Así como una operación, la multiplicación por i * i , tiene el mismo efecto que la multiplicación por - 1; la multiplicación por i tiene el mismo efecto que una rotación de un ángulo recto, yestas interpretaciones (como justamente hemos visto) son consecuentes. Si queremos podemos ahora escribir i * i = - 1 en las operaciones, o i 2 = - 1; de modo que la operación de la rotación en un ángulo recto es simbolizada por Ö -1.
Como es natural, todo esto no prueba nada. No significa demostración alguna. No hay nada que deba ser probado. Asignamos a los símbolos yoperaciones del Álgebra una situación siempre que no sea contradictoria. Aunque la interpretación por medio de las rotaciones nada prueba , sugiere que nadie debe caer en un estado de mística admiración acerca de los más llamados números "imaginarios". Para otros detalles puede consultarse cualquier manual de Álgebra elemental.
Para Gauss, el teorema referente a que toda ecuación algebraica tiene una raíz, explicado en el justo sentido, tenía tanta importancia, que dio cuatro pruebas diferentes, la última teniendo 70 años. Actualmente, algunos transfieren el teorema desde el Álgebra (que se limita a procesos que pueden ser llevados a través de un número finito de pasos) al Análisis. El mismo Gauss aceptó que la gráfica de un polinomio es una curva continua, yque si el polinomio es de grado impar, la gráficadebe cortar el eje al menos una vez. Para cualquier principianteen Álgebra esto es evidente. Pero en la actualidad no hay evidencia sin pruebas, y los intentos para probarlo han tropezado con las dificultades relacionadas con la continuidad y el infinito. Las raíces de una ecuación tan sencilla como x 2 + 2 = 0 no pueden ser computadas exactamente en un número finito de pasos. Mencionaremos más detalles al ocuparnos de Kronecker, y seguiremos ahora con las Disquisitiones Arith meticae.
Las Disquisitiones fueron la primera obra maestra de Gauss, siendo considerada por algunos como la más importante. Constituyeron sudespedida de la Matemática pura. Después de su publicación en 1801 (Gauss tenía 24 años), su actividad abarcó la astronomía, la geodesia y el electromagnetismo, tanto en sus aspectos teóricos como en los prácticos. Pero la Aritmética fue su gran amor, y siempre se lamentó de no haber tenido tiempo para escribir el segundo volumen que planeó siendo joven. El libro tiene siete secciones. Debía haber tenido ocho, pero la octava fue omitida para disminuir el costo de la impresión.
La frase que inicia el prefacio describe el objeto general del libro “Las investigaciones contenidas en esta obra pertenecen a aquella parte de la Matemática que se refiere a los números enteros, siendo siempre excluidos los fraccionarios y los irracionales".
Las tres primeras secciones tratan de la teoría de congruencias, y en ellas se hace especialmente una completa exposición de la congruencia
binomia x n ≡ A (mód p ),
donde los números enteros n , A son arbitrarios y p es primo; el número enteró desconocido es x. Esta bella teoría aritmética tiene muchas semejanzas con la teoría algebraica correspondiente de la ecuación binomia x n =A, pero en sus partes propiamente aritméticas es incomparablemente más rica y más difícil que el Álgebra que no ofrece analogías con la Aritmética.En la cuarta sección Gauss desarrolló la teoría de restos cuadráticos. Aquí se encuentra la primera demostración publicada de la ley de reciprocidad cuadrática. La prueba es una asombrosa aplicación de la inducción matemática, y una muestra de esa ingeniosa lógica que se encontrará en otros lugares de su obra.
En la quinta sección se presenta desde el punto de vista aritmético la teoría de las formas cuadráticas binarias, acompañada de una discusión de las formas cuadráticas ternarias, necesaria para completar la teoría binaria. La ley de reciprocidad cuadrática desempeña un papel fundamental en estas difíciles cuestiones. Para las primeras formas citadas el problema general es encontrar la solución en números enteros x , y de la ecuación indeterminada
a x 2 + 2bxy + cy 2 = m ,
donde a, b, c, m son números enteros cualesquiera; para la segunda, las soluciones en números enteros x, y , deax 2 + 2bxy + cy 2 + dxz + 2eyz + fz 2 =m,
donde a, b, c, d, e, f, m son números enteros cualesquiera, constituyen el tema de la investigación. Una cuestión al parecer sencilla, pero en realidad difícil, es imponer las limitaciones necesarias y suficientes sobre a, c, f, m que aseguren la existencia de una solución en números enteros x, y, z de la ecuación indeterminadaax 2 + cy 2 + fz 2 = m.
La sexta sección aplica la teoría precedente a varios casos especiales, por ejemplo, las soluciones, en números enteros x,y de mx 2 + ny 2 = A , donde m, n, A son números enteros cualesquiera.En la séptima y última sección, que puede considerarse como la coronación de la obra, Gauss aplica los desarrollos precedentes,particularmente la teoría de las congruencias binómicas, a una maravillosa discusión de la ecuación algebraica
x n = 1,
donde n es número entero cualquiera, tejiendo en una perfecta trama la Aritmética, el Álgebra y la Geometría. La ecuación x n = 1es la fórmula algebraica del problema geométrico para construir un polígono regular de n lados, o de dividir una circunferencia en n partes iguales (consúltese cualquier texto elemental de Álgebra o Trigonometría); la congruencia aritméticax m ≡1 (mód p ),
donde m, p son números enteros, y p es primo, es el hilo que une el Álgebra y la Geometría y da a la trama su sencilla significación. Esta obra de arte es accesible a cualquier estudiante que tenga los conocimientos del Álgebra corriente, pero las Disquisitiones no son recomendables a los principiantes. (La exposición concisa de Gauss ha sido modificada por autores posteriores, haciéndola así más fácilmente comprensible).Algunas partes de esta obra habían sido ya resueltas por otros autores (Fermat, Euler, Lagrange, Legendre, etc.), pero Gauss trató todo el problema desde su punto de vista individual, añadiendo mucho de su cosecha, y dedujo los resultados aislados de sus predecesores partiendo de las fórmulas y soluciones generales de los problemas más importantes. Por ejemplo, el bello resultado de Fermat de que todo número primo de la forma 4n + 1 es una suma de dos cuadrados, y que tal suma tiene una sola forma, que Fermat demostró por su difícil método del "descenso infinito", se deduce naturalmente de la exposición general de las formas cuadráticas binarias, hecha por Gauss.
"Las Disquisitiones Arithmeticae han pasado a la historia", solía decir Gauss en sus últimos años, y tenía razón. Con la publicación de las Disquisiciones fue dada una nueva dirección a la Aritmética superior, y la teoría de números, que en los siglos XVIIy XVIII había sido una variada agrupación de resultados especiales inconexos, adquirió consistencia, y ascendió a la dignidad de una ciencia matemática semejante al Algebra, al Análisis y a la Geometría.
La obra ha sido llamada un "libro de siete sellos". Su lectura es difícil hasta para los especialistas, pero los tesoros que contiene, y en parte oculta en sus concisas demostraciones sintéticas, son ahora accesibles a todo el que desee participar de ellos, gracias especialmente a los trabajos del amigo y discípulo de Gauss, Peter Gustav Lejeune Dirichlet (1805-1859), quien fue el primero que rompió los siete sellos.
Jueces competentes reconocieron la obra maestra inmediatamente. Parece que Legendre [23]hizo al principio escasa justicia a Gauss. Pero en el prefacio a la segunda edición de su tratado sobre la teoría de números (1808), que en gran parte fue desplazado por las Disquisitiones, se muestra entusiasta. Lagrange también lo alabó sin reservas. Escribiendo a Gauss el 31 de mayo de 1804, dice: "Vuestras Disquisitiones os han elevado rápidamente a la categoría de los primeros matemáticos, y considero que la última sección contiene el más bello descubrimiento analítico que ha sido hecho desde hace largo tiempo..., Creo, señor, que nadie aplaude más sinceramente vuestros triunfos que yo".
Debido a la clásica perfección de su estilo, las Disquisitiones eran de asimilación algo lenta, y cuando, al fin, algunos jóvenes de talento comenzaron a estudiar la obra profundamente, no pudieron adquirir ejemplares a consecuencia de la quiebra del editor. El mismo Eisenstein, discípulo favorito de Gauss, jamás tuvo un ejemplar. Dirichlet fue más afortunado. Su ejemplar le acompañó en todos sus viajes, y dormía colocándolo bajo su almohada. Antes de acostarse luchaba con algún párrafo difícil, abrigando la esperanza, frecuentemente cumplida, de que al despertarse durante la noche y volver a leerlo, podría interpretarlo. Se debe a Dirichlet el maravilloso teorema mencionado al ocuparnos de Fermat de que toda progresión aritmética
a, a + b, a + 2b, a + 3b, a + 4b,...,
en la cual a, b son números enteros que no tienen ningún divisor común mayor que 1, contiene infinitos números primos. Esto fue probado por el Análisis, cosa milagrosa, pues el teorema se refiere a números enteros, mientras que el Análisis se ocupa de lo continuo, lo no-entero .Dirichlet hizo en Matemática algo más que amplificar las Disqui sitiones, pero no tenemos espacio para exponer su vida. Por desgracia, tampoco disponemos de espacio para Eisenstein, uno de los jóvenes más brillantes de los primeros años del siglo XIX, de quien se dice queGauss afirmó: "Ha habido tres matemáticos que marcan épocas. Arquímedes, Newton y Eisenstein". Si Gauss dijo esto alguna vez (es imposible comprobarlo), seguramente merece que se le tenga en cuenta, pues Gauss era hombre que no hablaba con ligereza.
Antes de dar por terminado este campo de actividades de Gauss, podemos preguntarnos por qué jamás se dedicó al último teorema de Fermat. El mismo nos da la respuesta. La Academia de París propuso, en 1816, como premio para el período 1816-18, la prueba (o la negación) del teorema. El 7 de marzo de 1816 Olbers, desde Bremen, incitó a Gauss a presentarse: "Me parece justo, querido Gauss, que os ocupéis, de ello"; pero el "querido Gauss" resistió a la tentación. Al contestar, dos meses más tarde, expuso su opinión acerca del último teorema de Fermat. "Os estoy muy obligado por vuestras noticias respecto al premio en París pero confieso que el teorema de Fermat como proposición aislada tiene muy escaso interés para mí, pues fácilmente puedo encontrar una multitud de proposiciones semejantes que no es posible probar ni desechar".
Gauss sigue diciendo que la cuestión le ha llevado a recordar algunas de sus viejas ideas que tienen aplicación en la Aritmética superior. Sin duda se refiere a la teoría de los números algebraicos (aludida en capítulos anteriores), que Kummer, Dedekind y Kronecker desarrollaron independientemente. Pero la teoría en que Gauss pensaba es una de esas cosas, según declara, donde es imposible prever qué progresos se harán hacia una meta distante, que sólo se aprecia confusamente a través de la oscuridad. Para triunfar en una tarea tan difícil era necesario ser guiado por una buena estrella, y las circunstancias en que entonces se hallaba Gauss, con sus numerosas ocupaciones, no eran tan adecuadas para meditaciones de ese estilo, como lo habían sido "en los afortunados años 1796-1798, cuando estableció los puntos principales de las Disquisitiones Arithmeticae . Aun estoy convencido de que si soy tan feliz como espero, y consigo dar algunos de los pasos principales en esa teoría, el teorema de Fermat aparecerá tan sólo como uno de los corolarios menos interesantes".
Probablemente, todos los matemáticos lamentarán actualmente que Gauss se desviara de su camino a través de la oscuridad, por "un par de masas de polvo que llamamos planetas", según sus propias palabras, que brillaron inesperadamente en el firmamento de la noche y le extraviaron. Matemáticos de menos categoría que Gauss, por ejemplo Laplace- pudieron haber hecho todo lo que Gauss hizo en el cálculo de las órbitas de Ceres y Pallas, no obstante tratarse de Newton, pertenecía a los más difíciles de la astronomía matemática. Pero el brillante triunfo de Gauss en estas cuestiones, le llevaron a ser considerado inmediatamente como el primer matemático de Europa, proporcionándole una posición cómoda, donde pudo trabajar en relativa paz. Esas masas arrugadas de polvo fueron, por tanto, sus estrellas felices.
La segunda gran fase de la carrera de Gauss comienza el primer día del siglo XIX, día que debe recordarse con letra roja en la historia de la filosofía y de la astronomía. Desde que en 1781 Sir William Herschel (1738-1822), descubrió el planeta Urano, elevando el número de planetas conocidos hasta siete, número satisfactorio filosóficamente, los astrónomos habían estado buscando activamente otros miembros de la familia solar, cuya existencia era esperable según la ley de Bode, entre las órbitas de Marte y Júpiter. La busca no fue fructífera hasta que Giuseppe Piazzi (1746-1826), de Palermo en el primer día del siglo XIX, observó lo que al principio consideró erróneamente como un pequeño cometa que se acercaba al Sol, pero que luego fue reconocido como un nuevo planeta, más tarde llamado Ceres, el primero del enjambre de planetas menores en la actualidad conocidos.
Por una de las más irónicas sentencias pronunciadas por el destino cuando litiga el hecho frente a la especulación, el descubrimiento de Ceres coincidió con la publicación, por parte del famoso filósofo Georg Wilhelm Friedrich Hegel (1770-1831), de un sarcástico ataque a los astrónomos por dedicarse a buscar un octavo planeta. Si prestaran alguna atención a la filosofía, afirmaba Hegel, podrían darse cuenta inmediatamente de que debe haber precisamente siete planetas, ni más ni menos. Su búsqueda, por tanto, era una estúpida pérdida de tiempo. Sin duda, este ligero error de Hegel ha sido satisfactoriamente explicado por sus discípulos, pero nada han dicho de los centenares de planetas menores que se burlaron de su edicto joviano.
Tiene interés mencionar en este lugar el pensamiento de Gauss respecto a los filósofos que se mezclan en los problemas científicos sin comprenderlos. Se refería en particular a los filósofos que invaden los fundamentos de la Matemática sin haberse dedicado a ningún problema matemático. En cambio, Bertrand A. W. Russell (1872-1872), Alfred North Whitehead (1861-1861) y David Hilbert (1862-1942), en nuestra propia época, han hecho notables contribuciones a la filosofía de la Matemática, pero estos hombres son matemáticos.
Escribiendo a su amigo Schumacher el 1°de noviembre de 1844 Gauss dice: "Veréis las mismas cosas [incompetencia matemática] en los filósofos contemporáneos Schelling, Hegel, Nees Essenbeck y sus continuadores. ¿No os ponen los pelos de punta con sus definiciones? Leed en la historia de la filosofía antigua lo que los hombres cumbres de aquella época, Platón y otros (exceptúo a Aristóteles), dan, en forma de explicaciones. Pero hasta en el caso de Kant no ocurre lomismo. En mi opinión, su distinción entre proposiciones analíticas ysintéticas es una de esas cosas que o son una trivialidad o son falsas". Cuando escribía estas palabras (1844), hacía ya tiempo que Gauss estaba en completa posesión de una Geometría no euclidiana, suficiente refutación a algunas de las cosas que Kant decía acerca del espacio yde la Geometría, y podía haber sido más despectivo.
No debe deducirse de este ejemplo aislado referente a la técnica matemática pura que Gauss no apreciara la filosofía. Todos los progresos filosóficos le llenaban de entusiasmo, aunque muchas veces desaprobara los medios en cuya virtud habían sido logrados. "Son problemas, decía una vez, cuya solución me parece de mucho mayor importancia que la de los problemas matemáticos; por ejemplo, los que se refieren a la ética, a nuestra relación con Dios, o a nuestro destino ynuestro futuro; pero su solución se halla más allá de nosotros, ycompletamente fuera de los límites de la ciencia.
Ceres constituyó un desastre para la Matemática. Para comprender por qué este problema fue considerado tan seriamente por Gauss, debemos recordar que la colosal figura de Newton, muerto hacía 70años, aun proyectaba su sombra sobre la Matemática en 1801. Los "grandes" matemáticos de la época estaban dedicados, como ocurría con Laplace, a completar el edificio newtoniano de la mecánica celeste. La Matemática se hallaba aún confundida con la física matemática y la astronomía matemática. La visión de la Matemática como una ciencia autónoma, que Arquímedes tuvo en el siglo III antes de Jesucristo, se había desvanecido en el esplendor de Newton, ysólo el joven Gauss pudo recobrarla. Pero esa insignificante masa de polvo, el pequeño planeta Ceres, sedujo su talento sin paralelo cuando tenía 24 años y atravesaba aceleradamente por aquel desierto, que había de ser luego el imperio de la Matemática moderna.
Ceres no es el único culpable. Las magníficas dotes para la Aritmética mental puestas de manifiesto en las Disquisitiones Arithmeticae, desempeñaron también un papel fatal en la tragedia. Sus amigos y su padre estaban demasiado impacientes con el joven Gauss, al no encontrar éste una posición lucrativa. El Duque había hecho posible su educación, y ni siquiera conocía la naturaleza de la obra que había hecho de este hombre un solitario silencioso. Ahora, en el alborear del nuevo siglo, se presentaba la oportunidad para Gauss.
Había sido descubierto un nuevo planeta en una posición que hacía extraordinariamente difícil observarlo. Calcular su órbita partiendo de los escasos datos disponibles, era una tarea a la que podía haberse dedicado el propio Laplace. Newton declaró que tales problemas se contaban entre los más difíciles de la astronomía matemática. La simple Aritmética necesaria para establecer con seguridad suficiente una órbita que permitiera hallar a Ceres en su recorrido alrededor del Sol, no hay duda de que habría destrozado las máquinas de calcular actualmente empleadas; pero para aquel joven cuya memoria sobrehumana le permitía pasarse sin la tabla de logaritmos cuando tenía prisa o cuando su pereza no le dejaba buscarla, toda esta interminable Aritmética, logística, no aritmética, era un juego de niños.
¿Por qué no entregarse a su vicio favorito? Calcular como jamás se había calculado antes, encontrar la difícil órbita para deleite y admiración de los dictadores de la moda matemática, y hacer posible en cualquier momento, a los pacientes astrónomos, el descubrimiento de Ceres en el lugar donde la ley newtoniana de la gravitación decretaba que debía encontrarse, si la ley era, en efecto, una ley natural. ¿Por qué no dedicarse a esta tarea, volviendo la espalda a la visión insustancial de Arquímedes, y olvidando sus descubrimientos jamás superados, que esperaban su desarrollo en las páginas de su diario? ¿Por qué no ser popular? La generosidad del Duque había herido el orgullo del joven en su lugar más secreto; el honor, el reconocimiento, el ser considerado como un "gran" matemático a la manera de la época con su probable secuela de independencia económica. Todoesto se encontraba ahora a su alcance. Gauss, el dios matemático de todas las épocas, podía alargar su mano para recoger los frutos de una fama fácil en su propia generación.
Los sublimes sueños, cuyos fugitivos destellos había recogido durante 20 años el joven Gauss en su diario, iban siendo olvidados. Ceres se iba encontrando precisamente donde el maravilloso ingenio y los detallados cálculos del joven Gauss habían predicho. Pallas, Vesta y Juno, insignificantes planetas hermanos del diminuto Ceres, eran rápidamente observados por los telescopios desafiando a Hegel, y sus órbitas correspondían a los cálculos correctos de Gauss. Los cálculos que Euler habría tardado tres días en realizar -se ha dicho queuno de ellos fue la causa de su ceguera- eran ahora simples ejercicios de escasas horas. Gauss prescribió el método , la rutina. La mayor parte de su tiempo, durante casi 20años, fue dedicada a los cálculos astronómicos.
Pero esta labor sin brillo no esterilizó el genio creador de Gauss. En 1809 publicó su segunda obra maestra Theoria motus corporum coelestium in sectionibus conicis solem ambientium . (Teoría del movimiento de los cuerpos celestes que giran alrededor del Sol siguiendo secciones cónicas) donde hace una exposición detenida de la determinación de las órbitas planetarias y cometarias basándose en los datos de observación, abarcando el difícil análisis de las perturbaciones yestableciendo la ley que durante muchos años habría de dominar en los cálculos astronómicos yen la astronomía práctica. Era una gran obra, pero no tan grande como la que Gauss hubiera sido capaz de realizar siguiendo las anotaciones olvidadas en su diario. La Theoria motus no añadió ningún descubrimiento esencial a la Matemática.
El reconocimiento del valor de Gauss tuvo lugar con rapidez espectacular después del redescubrimiento de Ceres, yLaplace consideró al joven matemático a la par de él oquizá superior. Algún tiempo más tarde, cuando el Barón Alexander von Humboldt (1769-1859), famoso viajero y amante de las ciencias, preguntó a Laplace quién era el matemático más grande de Alemania, Laplace replicó: "Pfaff ". “¿Y Gauss?", preguntó asombrado von Humboldt, quien apoyaba a éste para el cargo de Director del Observatorio de Göttingen. "Oh, dijo Laplace, Gauss es el matemático más grande del mundo".
La década siguiente al episodio de Ceres fue rica en venturas ydesventuras para Gauss. No careció de detractores, ni siquiera en la primera fase de su carrera. Hombres eminentes ridiculizaron al joven de veinticuatro años por emplear su tiempo en una labor tan inútil como el cálculo de la órbita de un planeta menor. Ceres podía ser la diosade los campos, pero era indudable que ni un solo grano del cereal que creciera en el nuevo planeta podría venderse en el mercado de Brunswick en la tarde de un sábado. Sin duda tenían razón, pero también le ridiculizaron en la misma forma, treinta años después, cuando estableció los fundamentos de la teoría matemática del electromagnetismo, e inventó el telégrafo eléctrico. Gauss les dejó que se divirtieran con sus burlas, jamás les replicó públicamente, pero en privado se lamentaba que hombres honrados y sacerdotes de la ciencia pudieran ser tan mezquinos. Mientras tanto, continuaba su labor, agradecido a los honores que las sociedades doctas de Europa le dispensaban, pero sin desviarse de su camino.
El Duque de Brunswick aumentó la pensión concedida al joven, haciendo posible su matrimonio (9 de octubre de 1805), cuando tenía veintiocho años, con Juana Osthof, de Brunswick. Escribiendo a su antiguo amigo universitario Wolfgang Bolyai, tres días después de su compromiso, Gauss expresaba su increíble felicidad. "La vida se alza aún ante mí como una eterna primavera, con nuevos y brillantes colores".
De este matrimonio nacieron tres hijos: José, Minna y Luis, el primero de los cuales parece que heredó el talento de su padre para los cálculos mentales. Juana murió el 11 de octubre de 1809, después del nacimiento de Luis, dejando desolado a su joven marido. Su eterna primavera se transformaba en invierno. Aunque volvió a casarse al año siguiente (4 de agosto de 1810), para el bien de sus hijos pequeños, tuvo que pasar mucho tiempo, antes de que Gauss pudiera hablar sin emoción de su primera esposa. Con la segunda mujer, Minna Waldeck, que había sido íntima amiga de la primera, tuvo dos hijos y una hija.
Se cuenta que Gauss no estuvo en buenas relaciones con sus hijos, salvo posiblemente con el inteligente José, que jamás dio a su padre motivo de disgusto. Se afirma que dos de ellos abandonaron el hogar y marcharona los Estados Unidos. De uno de estos hijos se dice que dejó numerosos descendientes que aún viven en América, pero es imposible añadir algún dato más, salvo que uno de los hijos americanos fue un próspero comerciante en San Luis y que los dos primeros fueron granjeros en Missouri. Con sus hijas, Gauss fue siempre feliz. También se cuenta la leyenda opuesta (garantizada por ancianos cuyo recuerdo de la familia Gauss puede ser considerado como digna de creerse). Dícese que Gauss siempre fue cariñoso con sus hijos, aunque algunos de ellos fueron más bien bruscos y le causaron infinitas angustias. Se puede pensar que el recuerdo de su propio padre tuvo que hacer benévolo a Gauss en el trato con sus hijos.
En 1808 Gauss perdió a su padre, ydos años antes había sufrido una pérdida aúnmayor, al morir su protector en circunstancias trágicas.
El Duque Ferdinando no sólo fue un inteligente protector de los jóvenes de talento, yun cordial gobernante, sino también un soldado a quien Federico el Grande estimó mucho por su bravura y genio militar durante la guerra de los 7 años (1756-1763).
Teniendo 70 años, Ferdinando fue nombrado jefe de las fuerzas prusianas, en un desesperado intento para detener a los franceses mandados por Napoleón, después de fracasar la misión del Duque en San Petersburgo, al no poder conseguir la ayuda de Rusia para Alemania. La batalla de Austerlitz (2 de diciembre de 1805) había pasado a la historia, yPrusia se encontraba frente a las fuerzas invasoras. Ferdinando enfrentó a los franceses en su marcha hacia el Saale, en Auerstedt y Jena, siendo desastrosamente derrotado y mortalmente herido. Entonces volvió a su hogar. Napoleón el Grande subía a la escena con su panzuda grandeza. En la época de la derrota de Ferdinando, Napoleón tenía su cuartel general en Halle. Una delegación de Brunswick esperaba al victorioso emperador de todos los franceses para implorar su generosidad en favor del valiente anciano a quien había derrotado. ¿Dejaría a un lado el poderoso emperador la etiqueta militar y permitiría morir en paz a su enemigo caído? El duque, según aseguraban, ya no era peligroso. Estaba moribundo.
Napoleón se hallaba en una mala época, víctima de uno de sus berrinches femeninos. No sólo se negó a la gracia, sino que hizo gala de una brutalidad vulgar e innecesaria. Revelando lo querealmente era, Napoleón subrayó su negativa con una estúpida difamación de su honroso enemigo, cuya capacidad como soldado ridiculizó de un modo histérico. La humillada delegación nada podía hacer para salvar al anciano de la muerte en prisión. No es, pues, sorprendente que estos mismos alemanes, nueve años mástarde, acudieran a iguales métodos en Waterloo, y ayudaran a cavar la fosa del emperador de los franceses.
Gauss vivía, en Brunswick, en aquella época, ysu casa se alzaba en la calle principal. Una mañana de los últimos meses de otoño vio pasar ante sus balcones una ambulancia que se alejaba. En ella yacía el duque moribundo para huir a Altona. Con una emoción demasiado profunda para ser expresada en palabras, Gauss contempló la huida de aquel hombre, que había hecho por él más que su padre, para morir oculto como si fuera un criminal perseguido. Nada dijo entonces, ni tampoco más tarde, pero sus amigos se dieron cuenta de que su reserva se hizo mayor, y su continente siempre serio adquirió mayor gravedad. Como Descartes en sus primeros años, Gauss sentía horror a la muerte, y toda su vida se vio atormentada por este angustioso temor. Gauss tenía demasiada vitalidad para morir, o para ser testigo de la muerte. El duque murió en la casa de sus mayores en Altona, el 10 de noviembre de 1806.
Muerto su generoso protector, Gauss necesitó encontrar algún medio para mantener a su familia. No era difícil, pues, la fama del joven matemático había llegado hasta los más lejanos rincones de Europa. San Petersburgo deseaba que fuera el sucesor lógico de Euler, que jamás había sido dignamente reemplazado desde que murió en 1783. En 1807 Gauss recibió un ofrecimiento halagador. Alexander von Humboldt y otros amigos influyentes, deseosos de que Alemania no perdiera al más grande matemático del mundo, consiguieron que Gauss fuera nombrado director del Observatorio de Göttingen, con el privilegio -y deber cuando era necesario- de explicar Matemática a los estudiantes universitarios.
No hay duda de que Gauss hubiera podido obtener una cátedra de Matemática, pero prefirió el Observatorio, que le ofrecía mejores perspectivas para la investigación ininterrumpida. Aunque sería demasiado fuerte decir que Gauss odiaba la enseñanza, la instrucción de los estudiantes comunes no le producía placer alguno, y tan sólo cuando algún gran matemático buscaba sus enseñanzas, Gauss, sentado alrededor de una mesa con sus discípulos revelaba los secretos de sus métodos en sus lecciones perfectamente preparadas. Pero tales incentivos eran por desgracia raros, y la mayor parte de los jóvenes que consumían el tiempo impagable de Gauss, hubieran podido dedicarse mejor a cualquier otra cosa que no fuera la Matemática. Escribiendo en 1810 a su íntimo amigo el astrónomo y matemático Friedrich Wilhelm Bessel (1784-1846), Gauss dice, "Este invierno estoy dando dos cursos de conferencias a tres estudiantes, de los cuales uno está regularmente preparado, el otro menos que regularmente, y el tercero carece de preparación y capacidad. Tales son las cargas de una cátedra de Matemática".
El sueldo que Göttingen podía pagar a Gauss en aquella época, los franceses se dedicaban al saqueo de Alemania para poder proporcionar un buen gobierno a los germanos, era modesto, aunque suficiente dadas las pocas necesidades de Gauss y su familia. Los lujos jamás atrajeron al Príncipe de los matemáticos, cuya vida había sido siempre dedicada a la cienciadesde antes de cumplir los veinte años. Como decía su amigo Sartorius von Waltershausen, "Gauss fue sencillo y sin afectación desde su juventud hasta el día de su muerte. Un pequeño estudio, una mesita de trabajo con un tapete verde, un pupitre pintado de blanco, un estrecho sofá, y, después de cumplir los 70 años, un sillón, una lámpara con pantalla, una alcoba fresca, alimentos sencillos, un batón y un gorro de terciopelo eran todas sus necesidades".
Si Gauss era sencillo y económico, los franceses invasores de Alemania en 1807 eran más sencillos y económicos. Para gobernar a Alemania de acuerdo con sus ideas, los vencedores de Auerstedt y Jena multaron a los vencidos con cantidades mayores de las que podían tolerar. Como profesor yastrónomo de Göttingen, Gauss fue obligado a pagar una contribución involuntaria de 2.000 francos para sostener los gastos de las guerras napoleónicas. Esta exorbitante suma era superior a la capacidad económica de Gauss.
Gauss recibió una carta de su amigo el astrónomo Olbers enviándole el importe de la multa, y expresando su indignación por el hecho de que un estudioso se viera sometido a una extorsión tan mezquina. Pero Gauss, agradeciendo a su generoso amigo el rasgo, devolvió el dinero al amable dador.
No todos los franceses eran tan económicos como Napoleón. Poco después de que Gauss devolviese a Olbers el dinero, recibió una breve yamistosa nota de Laplace comunicándole que el famoso matemático francés había pagado la multa de los 2.000francos impuesto al matemático más grande del mundo, yque consideraba como un honor haber podido eliminar esa inmerecida carga de los hombros de su amigo. Como Laplace había pagado la multa en París, Gauss no pudo devolverle el dinero. De todos modos, se negó a aceptar la ayuda de Laplace. Un suceso inesperado y no buscado le capacitó para devolver a Laplace su dinero con intereses, en un plazo muy rápido. Aunque era sabido que Gauss se había negado a ser ayudado económicamente el siguiente ensayo no fracasó. Un admirador de Francfort le envió anónimamente 1000 florines. Como Gauss ignoraba quien era el donante, se vio forzado a aceptar el regalo.
La muerte de su amigo Ferdinando, el precario estado de Alemania bajo el gobierno de los franceses, las aflicciones económicas y la pérdida de su primera mujer alteraron la salud de Gauss, haciendo desgraciada su vida cuando apenas había cumplido treinta años. Una predisposición constitucional a la hipocondría agravada por el incesante exceso de trabajo intervino de un modo esencial. Pero jamás participó sus desventuras a sus amigos, con quien siempre estuvo en una tranquila correspondencia, y sólo confesó desdichas en uno de sus manuscritos matemáticos íntimos. Después de su nombramiento como director del Observatorio de Göttingen, en 1807, Gauss recurrió algunas veces, durante los 3 años siguientes, a su diario, para hacer geniales anotaciones. En un manuscrito sobre las funciones elípticas, las cuestiones puramente científicas son repentinamente interrumpidas por estas palabras: "La muerte me sería más querida que esta vida". El trabajo constituyó su medicina.
Los años 1811-12 (Gauss tenía 34 años en 1811) fueron mejores. Con una mujer que podía cuidar a sus hijos pequeños, Gauss comenzó a disfrutar de cierta paz. Por entonces, casi exactamente un año después de su segundo matrimonio, el gran cometa de 1811 fue observado por Gauss en el crepúsculo del día 22 de agosto. Era una tarea digna de él esgrimir las armas que había inventado para sojuzgar a los planetas menores.
Tales armas resultaron adecuadas. Mientras las gentes supersticiosas de Europa seguían el imponente espectáculo con ojos de avestruz, contemplando al cometa flamear su cimitarra al aproximarse al Sol y viendo en la ígnea hoja la advertencia de los cielos de que el rey de los reyes estaba enojado con Napoleón y harto de la cruel tiranía, Gauss tuvo la satisfacción de comprobar que el cometa seguía el camino que había calculado rigurosamente hasta el último decimal. El siguiente año, los incrédulos vieron también comprobada otra de sus predicciones con el incendio de Moscú y la destrucción del ejército de Napoleón en las llanuras heladas de Rusia.
Este es uno de los raros ejemplos donde la explicación popular está de acuerdo con los hechos, y conduce a consecuencias más importantes que las científicas. El mismo Napoleón era una persona altamente crédula que reconciliaba sus carnicerías con una fe infantil en una Providencia inescrutable, creyendo ser un Hombre del Destino. Es probable que el espectáculo celeste de un innocuo cometa, que paseaba su cola por el cielo, dejara su impresión en el subconsciente de un hombre como Napoleón, alterando su juicio. La reverencia casi supersticiosa de ese hombre para la Matemática y los matemáticos no beneficia a nadie, aunque ha sido frecuentemente citada como una de las principales justificaciones para ambos.
Aparte de la tosca apreciación del valor de la Matemática en las cuestiones militares, donde su utilidad puede ser apreciada hasta por un idiota ciego, Napoleón no tenía el menor concepto de lo que era la Matemática a que se dedicaban sus grandes contemporáneos Lagrange, Laplace y Gauss. Después de haber estudiado en el colegio la Matemática elemental, Napoleón se dirigió demasiado pronto hacia otras cosas, y sus conocimientos matemáticos nunca fueron profundos. Aunque parece increíble que un hombre de la capacidad demostrada por Napoleón pudiera subestimar tan groseramente las dificultades inherentes a cuestiones que estaban más allá de su comprensión, basta recordar el hecho de que tuvo la risible audacia de asegurar al autor de la Mécaniquecéleste que leería su libro el primer mes que tuviera libre. Newton y Gauss podían haber realizado esa proeza, pero Napoleón sólo hubiera sido capaz de hojear la obra sin fatigarse demasiado.
Constituye una satisfacción recordar que Gauss era demasiado orgulloso para prostituir la ciencia ante Napoleón el Grande, halagando la vanidad del Emperador al solicitarle, en nombre de su notorio respeto para la Matemática, le perdonara la multa de 2.000 francos, según le habían aconsejado algunos de sus amigos. Seguramente, Napoleón se hubiera sentido clemente. Pero Gauss no podía olvidar la muerte de Ferdinando, y creía que tanto él como la Matemática podrían arreglárselas sin la condescendencia de Napoleón.
Ningún contraste más notable entre el genio matemático y el genio militar que el proporcionado por sus actitudes respectivas ante el enemigo caído. Ya hemos visto cómo Napoleón trató a Ferdinando. Cuando Napoleón cayó, Gauss no exteriorizó su alegría. Tranquilamente, y con el mayor desinterés, leyó cuanto pudo encontrar acerca de la vida de Napoleón, e hizo cuanto pudo para comprender las acciones de un hombre como el Emperador francés. Este esfuerzo le sirvió de diversión. Gauss tenía un agudo sentido del humor, y el notable realismo que heredó de sus antepasados campesinos habrán incitado su sonrisa ante los hechos heroicos.
El año 1811 pudo haber sido un jalón en la Matemática comparable a 1801 -el año en que aparecieron las Disquisitiones Arithmeticae- si Gauss hubiera hecho público un descubrimiento que confió a Bessel. Habiendo definido los números complejos y su representación geométrica como puntos del plano de la Geometría analítica, Gauss se propuso investigar lo que actualmente se llaman funcionesanalíticas de variable compleja.
El número complejo x+ iy , donde i designa Ö -1, representa el punto ( x,y). Para abreviar x+ iy será denotado por la letra z . Cuando x, y tornan independientemente valores reales de cualquier manera, el punto z se mueve sobre el plano, pero no al azar, sino en una forma determinada por aquella en que x, y asumen sus valores. Cualquier expresión que contenga z , como z 2 o 1/ z, etc., que toma un valor definido único cuando se asigna un valor a z, se llama función uniforme de z . Denotaremos tal función por f(z). Por tanto, si f(z) es la función particular z 2 , de modo que aquí
f(z) =(x + iy ) 2 = x 2 + 2ixy + ( iy ) 2 = x 2 - y 2 + 2ixy
(porque i 2 = 1) es evidente que cuando se asigna un valor a z o sea x + iy , por ejemplo x= 2, y = 3, de manera que z = 2 + 3 i , queda determinado precisamente un valor de f(z); y entonces, para z = 2 + 3 i , tendremos z 2 = - 5 + 12 i .No todas las funciones uniformes f(z ) son estudiadas en la teoría de funciones de una variable compleja; las funciones monógenas quedan para un examen detenido. La razón de ello será expuesta después de que hayamos dicho lo que significa la palabra monógeno.
Supongamos que z toma otra posición, es decir z '. La función f(z ) toma otro valor f(z' ), obtenido al sustituir z por z' . La diferencia f(z') - f (z) entre el nuevo y el antiguo valor de la función se divide ahora porla diferencia entre el nuevo y el antiguo valor de la variable, o sea [ f(z' ) - f(z) ] /(z' - z) y, precisamente como se ha hecho para calcular la inclinación de una gráfica al encontrar la derivada de la función que la gráfica representa, veremos que z' se aproxima a z indefinidamente, de modo que f(z' ) se aproxima a f(z) simultáneamente. Pero aquí aparece un nuevo y notable fenómeno.

Es posible formarse cierta idea de la importancia de las funciones analíticas teniendo en cuenta el hecho de que amplios campos de las teorías del movimiento de los fluidos (también de la electricidadmatemática yde la representación de mapas que no deforman ángulos) son tratados naturalmente por la teoría de las funciones analíticas de una variable compleja. Supongamos que tal función f(z) se descompone en su parte "real" (aquella que no contiene la "unidad imaginaria" i) y en su parte "imaginaria", o sea f(z) =U + i V. Para la función analítica especial z 2 tenemos U = x 2 - y 2 , V =2 xy . Imaginemos una película de un líquido que se extiende sobre un plano. Si el movimiento del líquido se realiza sin remolinos, se obtiene una línea del movimiento basada en alguna función analítica f(z ), trazando la curva U = a, en la cual a es un número real, e igualmente se pueden obtener las líneas equipotenciales partiendo de V = b (siendo b un número real). Haciendo variar a y b , tendremos una imagen completa del movimiento para un área tan grande como deseemos. Para una situación dada, la de un líquido que fluye alrededor de un obstáculo, la parte difícil del problema es encontrar qué función analítica hay que elegir, ytoda la cuestión ha experimentado grandes retrocesos: han sido investigadas las funciones analíticas simples yse han buscado los problemas físicos a que se ajustan. Es curioso que muchos de estos problemas artificialmente preparados hayan prestado grandes servicios en la aerodinámica, yen otras aplicaciones prácticas de la teoría del movimiento de los fluidos.
La teoría de las funciones analíticas de una variable compleja ha sido uno de los campos de los grandes triunfos matemáticos del siglo XIX. Gauss en su carta a Bessel expone el interés de su vasta teoría para el teorema fundamental, pero sus hallazgos fueron olvidados hasta que Cauchy y más tarde Weierstrass hicieron el redescubrimiento. Como esto constituye un jalón en la historia del Análisis matemático haremos una breve descripción, omitiendo todos los detalles que serían necesarios para establecer una fórmula exacta.
Si imaginamos la variable compleja z describiendo una curva cerrada de longitud finita sin ondas o rizos, tenemos un concepto intuitivo de lo que queremos decir al hablar de "longitud" de un trozo de esta curva.
Marquemos n puntos P 1 , P 2 …, P n sobre la curva, de modo que cada uno de los segmentos P 1 P 2 , P 2 P 3 , P 3 P 4 ,…, P n P 1 nosea mayor que una longitud finita l fijada de antemano. Sobre cada uno de estos segmentos elegir un punto, que nosea uno de sus extremos; hallar el valor de f(z) para el valor de z que corresponde al punto, y multiplicar este valor por la longitud del segmento en que está el punto; hacer lo mismo para todos los segmentos, y sumar los resultados. Finalmente, tomar el valor límite de esta suma a medida que el número de segmentos aumenta indefinidamente. Esto da la " líneaintegral" de f(z) para la curva.

Este es el gran teorema que Gauss comunicó a Bessel en 1811, y que, con otro teorema de tipo similar, en las manos de Cauchy que lo redescubrió independientemente, iba a tener como corolarios muchos de los importantes resultados del Análisis.
La astronomía no absorbió todas las prodigiosas energías de Gauss en esta época. El año 1812, cuando el gran ejército de Napoleón libraba una desesperada acción defensiva en las llanuras heladas, fue testigo de la publicación de otra gran obra de Gauss, la de las series hipergeométricas
![]()
![]()
La elección de estas investigaciones para realizar un serio esfuerzo es característica de Gauss. Jamás publicó cosas triviales. Cuando planteaba alguna cuestión, no sólo la dejaba terminada sino también repleta de nuevas ideas, de tal modo que sus sucesores podían aplicar lo que Gauss inventó a nuevos problemas. Aunque las limitaciones del espacio nos impiden la exposición de los muchos ejemplos de este carácter fundamental de las contribuciones de Gauss a la Matemática pura, no podemos, aunque se trate de un breve resumen, pasar en silencio su obra sobre la ley de reciprocidad bicuadrática. Su importancia radica en que dio una nueva y totalmente imprevista dirección a la Aritmética superior.
Valiéndose de la reciprocidad cuadrática (segundo grado) era natural que Gauss considerara la cuestión general de las congruencias binómicas de cualquier grado. Si m es un número entero no divisible por el primo p , y si n es un número entero positivo, y si además puede encontrarse un número x tal que x n ≡ m (mód p ), m se denomina un resto n - ic de p ; cuando n = 4, m es un resto bicuadrático de p .
El caso de las congruencias binomias cuadráticas ( n = 2) poco sugiere cuando n es superior a 2. Una de las cuestiones que Gauss debía haber incluido en la eliminada sección octava (o posiblemente, como dice Sophie Germain, en el proyectado pero inacabado segundo volumen) de las Disquisitiones Arithmeticae era una exposición de estas congruencias superiores, y una búsqueda de las leyes correspondientes de reciprocidad, o sea las interconexiones para la resolución o no resolución del par x n ≡ p (mód q ), x n ≡ q (mód p ), donde p, q son primos. En particular, los casos n = 3, n = 4 tenían que haber sido investigados.
La memoria de 1825 abre nuevos caminos con toda la audacia propia de los grandes precursores. Después de muchos falsos comienzos, que llevaron el problema a una complejidad intolerable, Gauss descubrió el camino "natural". Los números racionales enteros 1, 2, 3,... no son apropiados para el establecimiento de la ley de reciprocidad bicuadrática , como lo son para la cuadrática. Debía ser inventado una especie totalmente nueva de números enteros. Son los llamados en teros complejos gaussianos, y corresponden a todos los números complejos de la forma a + bi , en la que a, b son enteros racionales e i es el símbolo de
Para enunciar la ley de reciprocidad bicuadrática, es necesaria una detenida discusión preliminar de las leyes de la divisibilidad aritmética de tales complejos enteros. Gauss lo hizo, y con ello inauguró la teoría de los números algebraicos, que probablemente tenía muy presente cuando emitió su opinión acerca del último teorema de Fermat. Para la reciprocidad cúbica ( n = 3,) encontró también el camino exacto de unaforma similar. Su trabajo sobre esta cuestión se encuentra en sus documentos póstumos.
La significación de este gran progreso se apreciará más claramente cuando estudiamos las obras de Kummer y Dedekind. Por el momento bastará decir que el discípulo favorito de Gauss, Eisenstein, se valió de la reciprocidad cúbica. Además, descubrió una asombrosa relación entre la ley de reciprocidad bicuadrática y ciertas partes de la teoría de funciones elípticas, en las que Gauss trabajó aunque no comunicó sus hallazgos.
Los enteros complejos gaussianos son, como es natural, una subclase de todos los números complejos, y podría suponerse que la teoría algebraica de todos los números daría lugar, como un detalle trivial, a la teoría aritmética de los enteros abarcados. Pero no es este el caso. Comparada con la teoría aritmética, la algebraica es infantilmente fácil. Los números racionales (números de la forma a/b , donde a, b son números naturales) quizá proporcionan una razón de por qué esto es así. Podemos siempre dividir un número racional por otro, y obtener otro número racional: a/b dividido por c/d proporciona el número racional ad / bc .
Pero un entero natural dividido por otro entero natural, no siempre es otro entero natural: 7 dividido por 8 da 7/8. Por tanto, si debemos limitarnos a los enteros, en caso de interés para la teoría de los números, tendríamos que ligar nuestras manos y nuestros pies antes de iniciar la partida. Esta es una de las razones por las cuales la Aritmética superior sea más difícil que el Álgebra, superior o elemental.
Gauss hizo también progresos igualmente significativos en Geometría, en las aplicaciones de la Matemática a la geodesia, en la teoría newtoniana de la atracción y en el electromagnetismo. ¿Cómo es posible que un hombre cumpliera esta colosal tarea de tan alto valor? Con característica modestia Gauss declara que "si otros reflexionaran sobre las verdades matemáticas tan profunda y continuamente como yo lo he hecho, realizarían mis descubrimientos". La explicación de Gauss recuerda la de Newton, quien al ser preguntado acerca de cómo había hecho descubrimientos astronómicos superiores a los de todos sus predecesores, replicó: "Pensando siempre en ellos". Esto sería sencillo para Newton, pero no lo es para cualquier otro mortal.
Parte del enigma de Gauss encuentra su respuesta en su involuntaria preocupación por las ideas matemáticas, lo que a su vez exige, como es natural, una explicación. ¿Cómo un hombre joven, como era Gauss, pudo ser "secuestrado" por la Matemática? Al conversar con los amigos quedaba repentinamente silencioso e indiferente a todo, invadido por pensamientos que era incapaz de gobernar. Más tarde recobraba el control sobre sus pensamientos -o perdía su gobierno sobre ellos- y conscientemente dirigía todas sus energías a la solución de las dificultades hasta que quedaban vencidas. Planteado un problema, jamás lo abandonaba hasta haberle resuelto, aunque no era raro que varias cuestiones atrajeran su atención simultáneamente.
En uno de esos casos (Gauss lo refiere en las Disquisitiones, pág. 636) el gran matemático nos cuenta que durante cuatro años apenas pasó una semana en que no empleara algún tiempo intentando establecer si cierto signo debía ser más o menos. La solución apareció finalmente como un relámpago. Pero sería absurdo suponer que la hubiera podido encontrar sin haber empleado muchas horas intentando hallarla. Con frecuencia, después de haber trabajado infructuosamente durante semanas en algún problema, Gauss encontraba la solución clara después de haber pasado una noche de insomnio. La capacidad para concentrarse de un modo intenso y prolongado constituía parte de su secreto.
En esta capacidad para entregarse al mundo de sus propios pensamientos Gauss recuerda a Arquímedes y a Newton. En otros dos aspectos se halla también al par de ellos: sus dotes para la observación precisa y su capacidad para la invención científica que le permitió idear los instrumentos necesarios para sus investigaciones. La geodesia debe a Gauss la invención del heliotropo, un mecanismo ingenioso gracias al cual pueden ser transmitidas instantáneamente señales por medio de la luz reflejada. Para su época, el heliotropo constituía un gran progreso. Los instrumentos astronómicos que utilizó también fueron perfeccionados por Gauss. Para su empleo en las investigaciones fundamentales sobre el electromagnetismo, Gauss inventó el magnetómetro bifilar. Como un ejemplo final de su habilidad mecánica, puede recordarse que Gauss, en 1833, inventó el telégrafo eléctrico, y que él y su colaborador Wilhelm Weber (1804-1891), lo usaron para enviar mensajes. La combinación del genio matemático con la habilidad experimental es extraordinariamente rara en todas las ciencias.
Gauss se cuidó poco de la posible utilización práctica de sus invenciones. Como Arquímedes, prefería la Matemática a todas las otras cosas; otros podrían recoger los frutos tangibles de su labor. Pero Weber, su colaborador en las investigaciones electromagnéticas, vio claramente lo que el pequeño telégrafo de Göttingen significaba para la civilización. Recordaremos que el ferrocarril comenzó a usarse en los primeros meses del año 1830. "Cuando el globo terráqueo esté cubierto con una red de ferrocarriles y de alambres telegráficos, profetizaba Weber en 1835, esta red prestará servicios comparables a los del sistema nervioso en el cuerpo humano, en parte como un medio de transporte, en parte como un medio para la propagación de las ideas y sensaciones, con la rapidez de la luz".
Ya hemos hecho notar la admiración que Gauss tuvo por Newton. Conociendo los enormes esfuerzos que le costaron algunas de sus obras maestras, Gauss estaba en condiciones de apreciar el mérito de la meditación incesante en que tuvo que sumirse Newton para realizar su enorme obra. La historia de Newton y de la manzana provocaba la indignación de Gauss. "Necios, exclamaba, creed en esa historia si os place, pero la verdad es ésta. Un hombre oficioso y estúpido preguntó a Newton cómo había descubierto la ley de la gravitación. Viendo que era difícil tratar con un sujeto de mentalidad infantil, y deseando salir del paso, Newton respondió que una manzana al caer había chocado en su nariz. El hombre quedó completamente satisfecho y perfectamente convencido".
La historia de la manzana ha encontrado un eco en nuestros propios tiempos. Al ser importunado Einstein por la pregunta de cómo había llegado a su teoría del campo gravitatorio, el interrogado respondió que en una ocasión había preguntado a un obrero, que desde un andamio había caído en un montón de paja, acerca de si se había dado cuenta del tirón de la "fuerza" de la gravedad cuando caída. Al saber que no había percibido ninguna fuerza, Einstein vio inmediatamente que la "gravitación" en una región suficientemente pequeña del espacio-tiempo, puede ser reemplazada por una aceleración del sistema de referencia del observador (el obrero que cayó). Probablemente, esta historia es también completamente falsa. Einstein forjó su idea después de una pesada labor, que consumió varios años de su existencia, para dominar el cálculo sensorial de los matemáticos italianos, Ricci y Levi-Civita, discípulos de Riemann y Christoffel, los cuales a su vez, se habían inspirado en la obra geométrica de Gauss.
Al hablar de Arquímedes, para quien tenía una admiración sin límites, Gauss observaba que no podía comprender cómo Arquímedes no llegó a inventar el sistema decimal de numeración o su equivalente (con alguna base diferente de 10). La obra de Arquímedes, no propia de un griego, al idear un esquema de escritura y de cálculo numérico más allá de la capacidad del simbolismo griego, puso, según Gauss, en las manos de Arquímedes la notación decimal, con su principio importantísimo de posición (325 = 3 * 10 2 + 2* 10 + 5). Gauss consideraba este fracaso de Arquímedes como la mayor calamidad para la historia de la ciencia. "¡A qué altura estaría la ciencia ahora si Arquímedes hubiera hecho ese descubrimiento!", exclamaba pensando en sus cálculos aritméticos y astronómicos que habrían sido imposibles sin la notación decimal. Apreciando con claridad la significación que para todas las ciencias tendría el perfeccionamiento de los métodos de cálculo, Gauss trabajó como un esclavo hasta que largas páginas de números eran reducidas a escasas líneas, que podían ser examinadas rápidamente. Gauss hizo gran parte de sus cálculos mentalmente, pero los perfeccionamientos eran necesarios para los individuos de menos capacidad mental.
A diferencia de Newton en sus últimos años, Gauss jamás se sintió atraído por los cargos públicos, aunque su agudo interés ysagacidad en todas las cuestiones correspondientes a la ciencia de la estadística, seguros y "aritmética política" habrían hecho de él un excelente Ministro de Hacienda. Hasta su última enfermedad, se sintió completamente satisfecho dedicándose a su ciencia y a sus sencillas diversiones. La lectura de los literatos europeos y de los clásicos de la antigüedad, el interés por la política mundial y el estudio de las lenguas extranjeras yde las nuevas ciencias (incluyendo la botánica y la mineralogía) constituían sus diversiones.
Le atraía especialmente la literatura inglesa, aunque los aspectos tétricos de las tragedias de Shakespeare no eran adecuados para la aguda sensibilidad del gran matemático a todas las formas de sufrimientos, yprefería otras obras menos trágicas. Las novelas de Sir Walter Scott (contemporáneo de Gauss), eran leídas ávidamente en cuanto aparecían, pero el lamentable final de Kenilworth apesadumbró a Gauss durante algunos días, y lamentó mucho haber leído la triste historia. Un desliz de Sir Walter hizo reír al astrónomo matemático, y empleó muchos días para corregir en todos los ejemplares que encontró la errónea frase "la luna se pone por el noroeste". Las obras históricas en inglés, particularmente la Declinación y caída del Imperio Romano de Gibbon y la Historia de Inglaterra de Macaulay, le proporcionaron un placer especial.
Para su joven y meteórico contemporáneo Lord Byron, Gauss sentía marcada antipatía. La postura de Byron, su hastío del mundo reiteradamente expresado, su afectada misantropía, y sus perfiles románticos habían cautivado a los sentimentales alemanes todavía más de lo que habían impresionado a los impasibles británicos, quienes, por lo menos los varones, pensaban que Byron era un asno estúpido. A Gauss le disgustaba el histerismo de Byron. Ningún hombre que hubiera gustado tantos y tan excelentes licores y, hubiera conocido tan hermosas damas como Byron, podía estar tan hastiado del mundo como pretendía estar este perverso poeta, de ojos centelleantes y manos temblorosas.
Los gustos de Gauss por la literatura de su propio país no eran los corrientes de un alemán intelectual. Jean Paul constituía su poeta germano favorito; Goethe y Schiller, cuya vida se superpone en parte a lasuya, no gozaban de su más alta estima. Goethe no le satisfacía, y en cuanto a Schiller, por tener una base filosófica diferente de la suya, le disgustaba como poeta. Calificó la Resignación como un poema corrompido y blasfemo y en el margen de su ejemplar escribió la palabra "Mefistófeles".
La facilidad con que dominó los idiomas durante su juventud la conservó durante toda su vida. Las lenguas eran para él una verdadera diversión. Cuando ya era anciano quiso comprobar la flexibilidad de su cerebro aprendiendo un nuevo idioma. Creía que este ejercicio le ayudaría a mantener joven su mente. En efecto, teniendo 68 años comenzó a estudiar intensamente el ruso, sin ayuda de nadie. A los dos años leía las obras rusas en prosa y en verso con facilidad, y escribía en ruso sus cartas a los amigos científicos de San Petersburgo. En opinión de los rusos que le visitaron en Göttingen, también hablaba este idioma perfectamente. La literatura rusa era colocada por él al nivel de la inglesa por el placer que le proporcionaba. También intentó aprender sánscrito pero no le gustó.
Su tercera diversión, la política mundial, le absorbía una hora más omenos al día. Visitando las bibliotecas con regularidad, se mantenía al corriente de los acontecimientos, leyendo todos los diarios recibidos desde el Times de Londres a las revistas locales de Göttingen.
En política, el aristócrata intelectual Gauss era completamente conservador, pero no en sentido reaccionario. Su época era turbulenta, tanto en supaís come en el extranjero. El gobierno del populacho y los actos de violencia política producían en él, como refiere su amigo von Waltershausen, un "indescriptible horror". La revuelta de París en 1848, le llenó de pesadumbre.
Hijo de padres pobres, familiarizado desde la infancia con la inteligencia y moralidad de "las masas", Gauss recordaba lo que había observado, y su opinión acerca de la inteligencia, moralidad, y talento político del "pueblo" tomado en masa como hacen los demagogos, era extraordinariamente despectiva. " Mundus vult decepi" era un dicho que encerraba una gran verdad.
Esta desconfianza en la moralidad, integridad e inteligencia innatas del "hombre natural" de Rousseau cuando constituye el populacho o cuando delibera en salones, parlamentos, congresos y senados, fue, sin duda, inspirada, en parte, por el íntimo conocimiento de Gauss, como hombre de ciencia, de lo que "el hombre natural" hizo a los científicos franceses en los primeros días de la Revolución Francesa. Puede ser cierto, como los revolucionarios declaraban, que "el pueblo no tiene necesidad de ciencia", pero esa declaración, para un hombre del temperamento de Gauss, constituía un desafío. Aceptando el desafío, Gauss, a su vez, expresó su desprecio para todos los "conductores del pueblo" que llevan a las gentes a la revolución para su propio provecho. Cuando era anciano, creía que la paz y el simple bienestar constituían lo único bueno para cualquier país. Si la guerra civil hubiera estallado en Alemania, decía, pronto habría muerto. Las conquistas en la forma napoleónica le parecían una incomprensible locura.
Estos sentimientos conservadores no eran la nostalgia de un reaccionario, que piensa en las delicias de un pasado muerto e invariable. Gauss creía en las reformas, cuando eran inteligentes, y si el cerebro no sirve para juzgar qué reformas son inteligentes y cuáles no, ¿qué órgano del cuerpo humano es el apropiado? Gauss tenía un cerebro suficientemente potente para ver dónde llevaban a Europa algunos de los grandes hombres de Estado de su propia generación. El espectáculo no le inspiraba confianza.
Sus amigos más progresistas atribuían el conservatismo de Gauss al aislamiento a que le obligaba su obra. Puede que en parte sea verdad. En los últimos veintisiete años de su vida, Gauss sólo una vez durmió fuera de su observatorio, cuando asistió a una reunión científica en Berlín, para satisfacer a Alexander von Humboldt. Pero un hombre no siempre tiene que recorrer todo el mapa terrestre para ver lo que sucede. El cerebro y la capacidad para leer los diarios (hasta cuando mienten) y los informes de los gobiernos (especialmente cuando mienten) son algunas veces mejores que las visitas a países lejanos y los chismes de las antesalas de los hoteles. Gauss permaneció en su hogar leyendo, desconfiando de la mayor parte de lo que leía, pensando y llegando así a la verdad.
Otra causa del vigor de Gauss se encuentra en su serenidad científica y en la ausencia de ambiciones personales. Toda su ambición era el progreso de la Matemática. Cuando algún rival dudaba de sus afirmaciones referentes a alguna cuestión de prioridad, Gauss no exhibía su diario para demostrar la verdad de su aserto, sino que dejaba al tiempo enjuiciar los propios méritos.
Legendre fue uno de los que más dudaron, y un suceso hizo de él el más enconado enemigo de Gauss. En la Theoria motus , Gauss se refería a su descubrimiento del método de los mínimos cuadrados. Legendre había publicado el método en 1806, antes que Gauss. Con gran indignación Legendre escribió a Gauss, acusándole de falta de honradez, y quejándose de que un hombre que había hecho tantos descubrimientos tuviera la falta de decoro de apropiarse el método de los mínimos cuadrados, que Legendre consideraba como propio, Laplace intervino en la querella. No dijo si creía en las seguridades de Gauss respecto a que se había anticipado a Legendre en 10 o más años, pues conservó su suavidad habitual. Gauss no quiso presentar argumento alguno. Pero en una carta a un amigo da la prueba que podía haber puesto fin a la disputa para siempre. "Comuniqué todo este asunto a Olbers en 1802 -dice Gauss- y si Legendre lo duda podía haber interrogado a Olbers, quien conserva el manuscrito".
La disputa redundó en perjuicio del desarrollo de la Matemática, pues Legendre contagió sus injustificadas sospechas a Jacobi, e impidió que este joven, que más tarde iba a desarrollar las funciones elípticas, se pusiera en relación cordial con Gauss. Esta falta de comprensión es muy lamentable, pues Legendre era un hombre de un carácter superior y muy escrupuloso. Fue su destino verse superado por matemáticos de más imaginación que él en los campos donde la mayor parte de su larga y laboriosa vida fue gastada, y hombres más jóvenes, Gauss, Abel y Jacobi, demostraron que muchos de sus detalles eran superfluos. En todos los momentos Gauss marchó a la cabeza de Legendre. Sin embargo, cuando Legendre le acusó de haber procedido mal, Gauss acusó el golpe. Escribiendo a Schumacher (30 de julio de 1806), se queja de que "parece que es mi destino coincidir en casi todos mis trabajos teóricos con Legendre. Así ha ocurrido en Aritmética superior, en las investigaciones sobre las funciones transcendentes relacionadas con la rectificación [el proceso de encontrar la longitud del arco de una curva] de la elipse, en los fundamentos de la geometría, y ahora otra vez aquí [el método de los cuadrados mínimos]... también usado en la obra de Legendre...
Con la publicación detallada de los trabajos póstumos de Gauss y de gran parte de su correspondencia de los últimos años, todas estas antiguas disputas han sido falladas en favor de Gauss. Queda otro punto que ha merecido críticas: su falta de cordialidad para recibir las grandes obras de los demás, particularmente de los jóvenes. Cuando Cauchy comenzó a publicar sus brillantes descubrimientos de la teoría de funciones de una variable compleja, Gauss lo ignoró. El príncipe de los matemáticos no pronunció una palabra deelogio o de aliento para el joven francés. ¿Por qué ocurrió esto? Gauss mismo (como hemos visto) llegó a la médula de la cuestión años antes de que Cauchy comenzara sus trabajos. Una memoria sobre la teoría había sido una de las obras maestras de Gauss. Además, cuando el trabajo de Hamilton sobre los cuaternios (que será considerado en un capítulo posterior) tuvo que llamar su atención en 1852, tres años antes de su muerte, Gauss nada dijo. ¿Por qué procedió así? El nudo de la cuestión yacía enterrado entre sus notas de más de treinta años antes. Gauss mantenía su calma y no hacía reclamaciones respecto a la prioridad. Como con el caso de sus anticipaciones en la teoría de funciones de una variable compleja, de las funciones elípticas y de la geometría no euclidiana, Gauss se sentía contento de haber realizado la obra y con ello le bastaba.
El nudo del problema de los cuaternios se halla en el Álgebra, que es para las rotaciones en el espacio de tres dimensiones lo que el Álgebra de los números complejos es para las rotaciones en un plano. Pero en loscuaternios (Gauss los llamó mutaciones), una de las reglas fundamentales del Álgebra se derrumba. Ya no es verdad que
a * b = b * a
yes imposible establecer un Álgebra de rotaciones en tres dimensiones en que esta regla se conserve. Hamilton, uno de los grandes genios matemáticos del siglo XIX, refiere con exuberancia irlandesa cómo luchó durante quince años con la invención de un Álgebra consecuente para hacer lo que se exigía, hasta que unafeliz inspiración le dio la clave de que a * b no era igual a b * a en el Álgebra que buscaba. Gauss nada dice acerca del tiempo que consumió para alcanzar la meta; simplemente refiere sus resultados en algunas escasas páginas de Álgebra.Si Gauss era algo frío en sus expresiones impresas era suficientemente cordial en su correspondencia y en sus relaciones científicas con quienes le buscaban con un espíritu de desinteresada curiosidad. Unade sus amistades científicas no sólo tiene interés matemático, también muestra la liberalidad de las opiniones de Gauss referente a las mujeres dedicadas a la ciencia. La amplitud de su mente aeste respecto es muy notable para cualquier hombre de su generación, pero para un alemán carecía casi de precedentes.
La dama en cuestión era Mademoiselle Sophie Germain (1776-1831), que tenía un año más que Gauss. Ella y Gauss jamás se encontraron, y Sophie murió (en París) antes de que la Universidad de Göttingen la concediera el grado de Doctor Honorario queGauss solicitaba de la Facultad, para ella. Por una curiosa coincidencia veremos que la mujer matemática más célebre del siglo XIX, otra Sophie, obtuvo su grado en la misma liberal Universidad muchos años después de que Berlín la rechazara, teniendo en cuenta su sexo. Sofía parece ser un nombre feliz en la Matemática para las mujeres, siempre que se afilien a maestros de amplia mente. La mujer matemática que ha rayado a mayor altura en nuestros tiempos Emmy Noether (1882-1935) procedía también de Göttingen [24].
El interés científico de Sophie Germain abarcó la acústica, la teoría matemática de la elasticidad y la aritmética superior, en cuyos campos realizó notables trabajos. Una contribución al estudio del último teorema de Fermat dio lugar, en 1908, a un considerable progreso en esta dirección por parte del matemático americano Leonard Eugene Dickson (1874).
Después de haber leído las Disquisitiones Arithmeticae , Sophie escribió a Gauss comunicándole algunas de sus observaciones aritméticas. Temiendo que Gauss pudiera abrigar prejuicios contra una mujer matemática le escribió con nombre de hombre. Gauss formó una alta opinión del autor de las cartas, redactadas en excelente francés, y firmadas por "Mr. Leblanc".
Leblanc abandonó su disfraz cuando Sophie Germain se vio forzada a revelar su verdadero nombre a Gauss con motivo del sitio de Hanover por las tropas francesas. En una carta fechada el 30 de abril de 1807, Gauss da las gracias a Sophie por su intervención, acerca del general francés Penerty, y deplora la guerra. A continuación, Gauss, hace grandes elogios de su amiga, y añade algunos comentarios acerca de su gran amor por la teoría de números. Como esto último tiene particular interés, citaremos un párrafo de dicha carta, que muestra a Gauss en uno de sus aspectos humanos más cordiales.
"No sé describiros mi admiración y asombro al ver a mi estimado Mr. Leblanc metamorfoseándose en este ilustre personaje [SophieGermain ] , que constituye un brillante ejemplo de lo que me parecía difícil creer. El gusto por las ciencias abstractas en general, y especialmente por todos los misterios de los números, es excesivamente raro; no hay que asombrarse de ello; los encantos de esta ciencia sublime tan sólo serevelan a aquellos que tienen el valor de penetrar profundamente en el problema. Pero cuando una mujer, que de acuerdo con las costumbres y prejuicios debe encontrar muchas más dificultades que los hombres para familiarizarse con estas espinosas investigaciones, consigue vencer estos obstáculos y penetrar en los rincones más oscuros de ellos, no hay duda de que una mujer debe tener el más noble valor, los más extraordinarios talentos y un genio superior. En efecto, nada puede probarme de una forma tan halagadora e inequívoca que las atracciones de esta ciencia, que me ha proporcionado en mi vida tantos goces, no son quiméricos, como la predilección con que la habéis honrado". Luego se entrega a discusiones matemáticas. Un rasgo delicado es la fecha con que termina la carta: "Bronsvic ce 30 Avril 1807 jour de ma naissance." (Brunswick este 30 de abril 1807, día de mi cumpleaños).
Una carta escrita el 21 de julio de 1807 a su amigo Olbers demuestra que su admiración por esa mujer no era simplemente una cortesía. " ... Lagrange se halla altamente interesado por la astronomía y la aritmética superior; los dos teoremas por qué el número primo 2 es un resto cúbico o bicuadrático, que yo también le comuniqué hace algún tiempo, son considerados por él entre las cosas más bellas y más difíciles de probar. PeroSophie Germain me ha enviado sus demostraciones; yo todavía no he podido comprobarlas, pero me parecen correctas. Al menos ha planteado la cuestión en la forma adecuada, aunque algo más difusamente de lo necesario..." Los teoremas a que Gauss se refiere, son los que afirman que las congruencias x 3 ≡2 (mód p ), x 4 ≡2 (mód p ), tienen solución.
Sería necesario un libro muy voluminoso (quizá más voluminoso que el que requeriría la obra de Newton) para describir todas las notables contribuciones de Gauss a la Matemática pura y aplicada. Aquí tan sólo podemos referirnos a algunos de los más importantes trabajos que todavía no han sido mencionados, y elegiremos aquellos que han añadido nuevas técnicas a la Matemática o que han resuelto notables problemas. Para ordenar convenientemente las fechas resumiremos los principales campos de las preocupaciones de Gauss después de 1800 del siguiente modo: 1800-1820, astronomía; 1820-1830, geodesia, las teorías de superficies y el trazado de mapas; 1830-1840 física matemática, particularmente electromagnetismo, magnetismo terrestre y la teoría de la atracción, de acuerdo a la ley de Newton; 1840-1855 Análisis situs y la Geometría asociada con funciones de una variable compleja.
Durante el período 1821-1848 Gauss fue consejero científico de los gobiernos de Hanover (Göttingen estaba bajo el gobierno de Hanover) y danés para un extenso estudio geodésico. Gauss se entregó a la labor. Su método de los mínimos cuadrados y su habilidad para idear el modo de tratar masas de datos numéricos han sido de gran interés, pero todavía tiene más importancia el hecho de que los problemas planteados por el estudio preciso de una porción de la superficie terrestre sugieren, sin duda, problemas más profundos y más generales relacionados con todas las superficies curvas. Estas investigaciones son las que han engendrado la Matemática de la relatividad. El tema no era nuevo: algunos de los predecesores de Gauss, especialmente Euler, Lagrange y Monge, investigaron la Geometría de ciertos tipos de superficies curvas, pero quedaba reservado a Gauss abordar el problema en toda su generalidad, y partiendo de sus investigaciones se desarrolló el primer gran período de la Geometría diferencial.
La Geometría diferencial se puede definir en términos generales como el estudio de propiedades de las curvas, superficies, etc., en el entorno de un punto, de modo que pueden ser despreciadas en las distancias las potencias de grado superior al segundo. Inspirado por este trabajo, Riemann, en1854, escribió su clásica exposición sobre las hipótesis que constituyen los fundamentos de la Geometría, la cual, a su vez, inició el segundo gran período de la Geometría diferencial, que en la actualidad tiene empleo en la física matemática, particularmente en la teoría de la relatividad general.
Tres de los problemas que Gauss consideró en su trabajo sobre las superficies sugieren teorías generales de importancia matemática y científica, la medición de la curvatura , la teoría de la representación conforme (o trazado de mapas), y la aplicabilidad de las superficies.
El innecesario concepto místico de un espacio-tiempo "curvado", que es una complicación puramente matemática de la conocida curvatura visualizable en un "espacio" definido por cuatro coordenadas, en lugar de dos, era un desarrollo natural de la obra de Gauss sobre las superficies curvas. Una de sus definiciones ilustrará la racionalidad de sus conceptos. El problema es idear algún medio preciso para describir cómo la “curvatura" de una superficie varía desde un punto a otro de la superficie; la descripción debe satisfacer nuestro sentimiento intuitivo de lo que significa "más curvado" y “menos curvado".

Otra idea fundamental explotada por Gauss en su estudio de lassuperficies fue la de la representación paramétrica .
Requiere dos coordenadas para determinar un punto particular sobre un plano. Lo mismo ocurre cuando se trata de la superficie de una esfera o de un esferoide como la Tierra: las coordenadas, en este caso, pueden ser consideradas como latitud y longitud. Esto ilustra lo que quiere decirse con las palabras variedadbidimensional . En general, son necesarios y suficientes precisamente n números para determinar (individualizar) cada término particular de una clase de cosas (puntos, sonidos, colores, líneas, etc.), siendo la clase una multiplicidad n-dimensional . En tales determinaciones se acepta que sólo se asignan números a ciertas características de los términos de la clase. Por tanto, si consideramos únicamente el tono de los sonidos, tendremos una variedad unidimensional, pues un número, la frecuencia de la vibración correspondiente del sonido, basta para determinar el tono; si añadimos la sonoridad, medida en una escala conveniente, los sonidos son ahora una variedad bidimensional , y así sucesivamente. Si ahora consideramos una superficie como constituida por puntos, veremos que es una variedad bidimensional (de puntos). Usando el lenguaje de la Geometría, encontramos conveniente considerar cualquier variedad bidimensional como una "superficie", y aplicar a la variedad el razonamiento geométrico con la esperanza de hallar algo interesante.
Las consideraciones precedentes conducen a la representación paramétrica de las superficies. En la geometría de Descartes, una ecuación entre tres coordenadas representa una superficie. Supongamos que las coordenadas (cartesianas) son x, y, z . En lugar de usar una sola ecuación que ligue x, y, z, para representar la superficie, buscaremos tres
x = f(u,v),
y = g(u,v),
z = h(u,v),
donde f(u,v ), g(u,v), h(u,v) son las funciones (expresiones) de las nuevas variables u,v , de modo que cuando se eliminan estas variables ("se pasa el umbral") resulta entre x, y, z la ecuación de la superficie. La eliminación es posible, pues dos de las ecuaciones pueden ser utilizadas para despejar las dos incógnitas u, v; los resultados pueden entonces ser sustituidos en la tercera. Por ejemplo, six = u + v; y = u - v; z = uv,
tendremos u = 1/2(x + y), v = 1/2(x - y ) de las dos primeras, y de aquí 4z = x 2 – y 2 de la tercera. Ahora, como las variables u, v se hallan independientemente en cualquier serie dada de números, las funciones f, g, h serán tomadas en los valores numéricos, y x, y, z, se trasladarán sobre la superficie, cuyas ecuaciones son las tres antes mencionadas. Las variables u, v son llamadas los parámetros de las superficies, ylas tres ecuaciones x = f(u,v), y = g(u,v) z = h(u,v) sus ecuaciones paramétricas. Este modo de representar las superficies tiene grandes ventajas sobre el cartesiano cuando se aplica al estudio de la curvatura yotras propiedades de las superficies, que varían rápidamente de un punto a otro.Obsérvese que la representación paramétrica, es intrínseca ; se refiere a la superficie misma por sus coordenadas, y no a una extrínseca, o extraña, serie de ejes, no relacionada con la superficie, como es el caso en el método de Descartes. Obsérvese también que los dos parámetros u,v muestran inmediatamente la bidimensionalidad de la superficie. La latitud yla longitud de la Tierra son ejemplos de estas coordenadas “naturales" intrínsecas; sería más difícil tener que realizar toda nuestra navegación con referencia a tres ejes recíprocamente perpendiculares trazados por el centro de la Tierra, como se requeriría para la navegación cartesiana.
Otra ventaja del método es su fácil generalización a un espacio de cualquier número de dimensiones. Basta aumentar el número de parámetros, yproceder como antes. Cuando nos ocupemos de Riemann veremos cómo estas sencillas ideas condujeron, naturalmente, a una generalización de la Geometría métrica de Pitágoras y Euclides. Los fundamentos de esta generalización fueron establecidos por Gauss, pero su importancia para la Matemática y la ciencia física no fue apreciada hasta nuestra época.
Las investigaciones geodésicas sugirieron también a Gauss el desarrollo de otro importante método en Geometría, la representación conforme de mapas. Antes de trazar un mapa, por ejemplo de Groenlandia, es necesario determinar qué es lo que ha de ser conservado. ¿Deben deformarse las distancias, como se hace en la proyección de Mercator, hasta que Groenlandia adquiera una exagerada importancia en comparación con Norte América? ¿O deben conservarse las distancias, de manera que una pulgada sobre el mapa, medida en cualquier parte en las líneas de referencia (o sea las de latitud y longitud), corresponda siempre a la misma distancia medida sobre la superficie de la Tierra? En este caso se exige un tipo de trazado de mapas, y este tipo no conservará ningún otro rasgo que deseemos conservar; por ejemplo, si dos caminos sobre la Tierra se cortan en un ángulo determinado, las líneas que representan estos caminos sobre el mapa se cortarán en un ángulo diferente. El trazado de mapas que conserva los ángulos se llama representación conforme. En tal trazado la teoría de funciones analíticas de una variable compleja, antes explicada, es la más útil.
Toda la cuestión del trazado conforme de mapas es de uso constante en la física matemática y en sus aplicaciones, por ejemplo en electrostática, la hidrodinámica, y su derivada la aerodinámica, en la última de las cuales desempeña un papel la teoría de la base de sustentación.
Otro campo de la Geometría que Gauss cultivó con su conocida exactitud y genio, fue el de la aplicabilidad de superficies, cuando se requiere determinar qué superficies pueden ser adaptadas a una determinada superficie sin que se estiren o rompan. También en este caso los métodos que Gauss inventó eran de tipo general y de amplia utilidad.
En otros campos de la ciencia Gauss realizó investigaciones fundamentales, por ejemplo en las teorías matemáticas del electromagnetismo, incluyendo el magnetismo terrestre, la capilaridad, la atracción de los elipsoides (los planetas son tipos especiales de elipsoides) donde la ley de atracción es la newtoniana, y la dióptrica, especialmente en lo que se refiere a los sistemas de lentes. Esto último le dio una oportunidad para aplicar a algunas de las técnicas puramente abstractas (fracciones continuas) que desarrolló siendo joven para satisfacer su curiosidad por la teoría de números.
Gauss no sólo investigó sublimemente el aspecto matemático de todas estas cosas. Usó sus manos y sus ojos, y fue un observador extraordinariamente exacto. Muchos de los teoremas específicos que descubrió, particularmente en sus investigaciones sobre electromagnetismo y la teoría de la atracción, han venido a constituir parte de los elementos indispensablespara todos los que se dedican seriamente a la ciencia física. Durante muchos años, Gauss, ayudado por su amigo Weber, buscó una teoría satisfactoria para todos los fenómenos electromagnéticos. No pudiendo hallarla, abandonó su intento. Si hubiera encontrado las ecuaciones de Clerk Maxwell (1831-1879) del campo electromagnético habría quedado satisfecho.
Para concluir esta larga pero incompleta enumeración de los muchos hallazgos que valieron a Gauss el indiscutido título de Príncipe de los matemáticos, podemos recordar un tema sobre el cual tan sólo hizo una mención de pasada en su disertación de 1799, pero que, según sus predicciones, constituiría una de las cosas principales de la Matemática, el A nálisis situs. Es imposible establecer en este lugar una definición técnica de lo que esto significa (se requiere el concepto de un grupo continuo ), pero un simple ejemplo puede indicarnos algo acerca del tipo de problema de que se trata. Hagamos cualquier tipo de nudo en una cuerda, y unamos los extremos de esta cuerda. Un nudo "simple" se distingue con facilidad por la vista de un nudo "complicado", pero ¿cómo daríamos una explicación matemática exacta de la diferencia entre los dos? ¿Y cómo clasificaríamos matemáticamente los nudos? Aunque Gauss no publicara nada acerca de esto, inició su estudio, según pudo verse en sus trabajos póstumos. Otro tipo de problema referente a esta cuestión es determinar el número mínimo de cortes en una superficie determinada que nos permita desarrollar la superficie sobre un plano. Para una superficie cónica basta un corte, para una esfera no basta un número finito de cortes, si no se permite una deformación.
Estos ejemplos hacen pensar que el tema es trivial. Mas si fuera así, Gauss no le hubiera concedido la extraordinaria importancia que le otorgó. Su predicción acerca de su carácter fundamental se ha cumplido en nuestra generación. En la actualidad, una vigorosa escuela (incluyendo muchos americanos; J. W. Alexander, S. Lefschetz, 0. Veblen, entre otros) ha observado que el Análisis situs o la "Geometría de posición", como algunas veces se llama, tiene ramificaciones de mucha importancia para la Geometría y para el Análisis. Es de lamentar que Gauss no hubiera robado un año o dos al tiempo dedicado a Ceres para organizar los pensamientos sobre esta vasta teoría, que habiendo sido el sueño de su época, constituye una realidad en la nuestra.
Sus últimos años están colmados de honores, pero no fue tan feliz como tenía el derecho a ser. Un hombre de una mente tan poderosa y de una inventiva tan prolífica no se resignaba con el reposo cuando aparecieron los primeros síntomas de su última enfermedad, algunos meses antes de su muerte.
Enuna ocasión pudo escapar felizmente de una muerte violenta, y esto le hizo aún más reservado de lo que antes había sido. Por primera vez en más de veinte años abandonó Göttingen el 16 de junio de 1854, para ver el ferrocarril que se estaba construyendo entre su ciudad y Cassel. Gauss siempre había tenido gran interés por la construcción de los ferrocarriles, y ahora podía satisfacer su curiosidad. Los caballos de su coche se desbocaron, y al ser despedido del carruaje sufrió una fuerte conmoción. Se restableció, y tuvo el placer de ser testigo de las ceremonias de la inauguración, cuando el ferrocarril llegó a Göttingen el 31 de julio de 1854. Este fue su último día de tranquilidad.
Al iniciarse el nuevo año comenzó a sufrir de dilatación cardíaca ydisnea, apareciendo síntomas de hidropesía. A pesar de ello continuó trabajando cuanto pudo, aunque sus manos se acalambraban ysu bella y clara escritura se deformaba. Su última carta fue dirigida a Sir David Brewster, comentando el descubrimiento del telégrafo eléctrico.
Completamente consciente de su fin murió pacíficamente, después de una grave lucha para vivir, en la madrugada del 23 de febrero de 1855, teniendo 78 años. Su nombre perdurará en la Matemática.
"b>Capítulo 15
Matemáticas y Molinos de Viento
CAUCHY
A Dios rogando y con el mazo dando.
Proverbio español
Al comienzo del siglo XIX sólo Gauss tuvo el barrunto de lo que pronto iba a suceder, pero su reserva newtoniana le impidió complicar a Lagrange, Laplace y Legendre lo que él preveía. Aunque los grandes matemáticos franceses vivieron en el primer tercio del siglo XIX, gran parte de su obra parece ahora haber sido preparatoria. Lagrange, en la teoría de ecuaciones, preparó el camino a Abel y Galois, Laplace, con sus trabajos sobre las ecuaciones diferenciales de la astronomía newtoniana, incluyendo la teoría de la gravitación, adivinó el desarrollo fenomenal de la física matemática en el siglo XIX, mientras las investigaciones de Legendre en el Cálculo integral abrieron a Abel y Jacobi, uno de los más fecundos campos de la investigación en Análisis. La mecánica analítica de Lagrange es aun moderna, pero también iba a experimentar magníficas ampliaciones con la obra de Hamilton y Jacobi y más tarde con los trabajos de Poincaré. La obra de Lagrange en el cálculo de variaciones seguirá siendo también clásica y útil, pero los trabajos de Weierstrass le dieron una nueva dirección bajo el espíritu riguroso e inventiva de la última mitad del siglo XIX, y esa dirección se ha ampliado y renovado en nuestra época. (Los matemáticos americanos e italianos han tenido una parte esencial en este desarrollo).
Augustin-Louis Cauchy, el primero de los grandes matemáticos franceses cuyo pensamiento pertenece claramente a la edad moderna, nació en París el 21 de agosto de 1789: poco menos de seis semanas después de la caída de la Bastilla. Hijo de la Revolución, pagó su precio a la libertad y a la igualdad, creciendo en malas condiciones con un cuerpo desnutrido. Gracias a la diplomacia y buen sentido de su padre Cauchy pudo sobrevivir en medio del hambre. Habiendo escapado al Terror, pasó desde la Politécnica al servicio de Napoleón. Después del derrumbe del orden napoleónico, Cauchy sufrió todas las privaciones de las revoluciones y contrarrevoluciones, y su obra fue afectada en cierto modo por la intranquilidad social de su tiempo. Si las revoluciones y otros acontecimientos semejantes son capaces de influir sobre la obra científica de un hombre, Cauchy sería un caso que demostrara el hecho. Tuvo una extraordinaria fecundidad para la invención matemática, fecundidad que sólo ha sido superada en dos casos: Euler y Cayley. Su obra, como sus tiempos, fue revolucionaria.

La segunda contribución de importancia fundamental se refiere a la faceta opuesta, a la combinatoria. Seducido por el método de Lagrange de la teoría de las ecuaciones, Cauchy comenzó la creación sistemática de la teoría de grupos. La naturaleza de esta teoría será explicada más tarde, y por el momento tan sólo haremos notar el carácter moderno del sistema de Cauchy.
Sin preguntarse si lo que él inventaba tenía o no aplicaciones para las otras ramas de la Matemática, Cauchy desarrolló sus conceptos como sistema abstracto. Sus predecesores, con excepción del universal Euler, que lo mismo escribía una memoria sobre el enigma de los números que sobre la hidráulica o el "sistema del mundo", hallaron su inspiración partiendo de las aplicaciones de la Matemática. Esta afirmación tiene, como es natural, numerosas excepciones, especialmente en Aritmética; pero antes de Cauchy pocos, si hubo algunos, buscaron descubrimientos provechosos en las simples operaciones del Álgebra. Cauchy penetró más profundamente, vio las operaciones y sus leyes combinatorias que palpitaban bajo las simetrías de las fórmulas algebraicas, las aisló, y llegó así a la teoría de grupos. En la actualidad, esta teoría elemental, aunque intrincada, es de fundamental importancia en muchos campos de la Matemática pura y aplicada, desde la teoría de ecuaciones algebraicas, hasta la Geometría y la teoría de la estructura atómica. Constituye la ciencia de la Geometría de los cristales, para sólo mencionar una de sus aplicaciones. Sus ulteriores desarrollos (en la parte analítica) se extienden hasta alcanzar la mecánica superior y la moderna teoría de ecuaciones diferenciales.
La vida y carácter de Cauchy nos recuerdan los de Don Quijote: no sabemos si reír o llorar, y nos contentamos con renegar. Su padre, Louis-François, era un ejemplo de virtud y religiosidad, cosas ambas excelentes, pero en las que es fácil excederse. Los cielos saben cómo Cauchy padre pudo escapar de la guillotina, pues era un jurista parlamentario, un caballero culto, un estudioso de los clásicos, un católico fanático y, por si fuera poco, oficial de policía en París cuando cayó la Bastilla. Dos años antes de que estallara la Revolución contrajo matrimonio con Marie-Madeleine Desestre, una excelente mujer, no muy inteligente, que, como él, también era una católica fanática.
Agustín era el mayor de seis hijos (dos hijos y cuatro hijas). Agustín heredó y adquirió de sus padres todas las estimables cualidades que hacen de la lectura de su vida, una de esas historias amorosas, encantadoras, insípidas como huevos sin sal, propias para muchachas de 16 años, en las que el héroe y la heroína son puros como ángeles santos de Dios. Con tales padres, era natural que Cauchy llegara a ser el obstinado Quijote del catolicismo francés, cuando la Iglesia se hallaba a la defensiva entre los años 1830 y 1840. Sufrió por su religión, y por ello merece respeto, posiblemente hasta en el caso de que fuera el relamido hipócrita que suponen sus colegas. Sus persistentes prédicas acerca de la belleza de la santidad hizo que mucha gente le volviera la espalda, y engendró una posición a sus piadosos sistemas que no siempre merecían. Abel, aunque hijo de un ministro del Señor y buen cristiano, expresa el disgusto que le inspiraban algunas de las prácticas de Cauchy, cuando escribe: "Cauchy es un católico fanático, cosa extraña en un hombre de ciencia". La palabra que subraya es "fanático", y no el sustantivo que califica. Dos de los más grandes matemáticos de que luego trataremos, Weierstrass y Hermite, eran católicos. Pero eran religiosos, no fanáticos.
La infancia de Cauchy coincidió con el período más cruento de la Revolución. Las escuelas estaban cerradas. No necesitándose por el momento ciencia ni cultura, la Comuna había dejado morir de hambre a los hombres cultos y a los científicos, o los había enviado a la guillotina. Para escapar del peligro, Cauchy padre se trasladó con su familia al lugar de su nacimiento, a la aldea de Arcueil. Allí escapó al Terror, semihambriento, alimentando a su mujer y a su hijo con los escasos frutos y vegetales que podía lograr. En consecuencia, Agustín creció delicado, con escaso desarrollo físico. Pasaron casi veinte años, antes de que pudiera restablecerse de la mala nutrición de su infancia, y durante toda su vida su salud fue precaria.
Este retiro, cada vez menos estricto, duró casi once años, durante los cuales Cauchy padre emprendió la educación de sus hijos. Escribía sus propios textos, algunos de ellos en verso fluido, que dominaba a la perfección. El verso, creía Cauchy, hacen la gramática, la historia y sobre todo la moral, menos repulsivas para la mente juvenil. El joven Cauchy adquirió de este modo su extraordinaria fluidez para el verso francés y latino que le distinguió toda su vida. Sus versos abundan en nobles sentimientos, ampulosamente expresados, y reflejan admirablemente el carácter piadoso de su vida intachable. Gran parte de las lecciones fueron dedicadas a una estrecha instrucción religiosa, a la que la madre asistía.
Cerca de Arcueil se hallaban las propiedades del marqués de Laplace y del conde Claude Louis Berthollet (1748-1822), el distinguido y excéntrico químico que salvó su cabeza en la época del Terror por conocer a la perfección todos los secretos de la pólvora. Los dos eran grandes amigos. Sus jardines estaban separados por un muro común, de cuya puerta ambos poseían la llave. A pesar de que tanto el matemático como el químico no eran muy religiosos, Cauchy padre gozaba de la amistad de sus distinguidos y opulentos vecinos.
Berthollet jamás salía de su casa. Laplace, más sociable, comenzó a visitar la casucha de su amigo, donde quedó sorprendido por el espectáculo del pequeño Cauchy, demasiado débil físicamente para gozar de la libertad de un niño bien nutrido, inclinado sobre sus libros y papeles como un monje penitente. No tardó mucho Laplace en descubrir que el muchacho tenía enorme talento matemático, y le aconsejó cuidar de su salud. Pocos años después, Laplace pudo escuchar, con cierto resquemor, las conferencias de Cauchy sobre las series infinitas, temiendo que los descubrimientos del audaz joven acerca de la convergencia pudieran destruir todo el vasto edificio de su mecánica celeste. "El sistema del mundo" estuvo a punto de derrumbarse en aquella época; si la órbita de la Tierra, casi circular, hubiera sido un poco más elíptica, las series infinitas sobre las cuales Laplace basó sus cálculos, habrían sido divergentes. Felizmente, su intuición astronómica le salvó del desastre, y experimentó una sensación de infinito alivio después de una cuidadosa comprobación de la convergencia de todas sus series por los métodos de Cauchy.
El día 1° de enero de 1800, Cauchy padre, que se había mantenido discretamente en contacto con París, fue elegido secretario del Senado. Sus oficinas se hallaban en el Palacio de Luxemburgo. El joven Cauchy se aprovechaba de estas oficinas, utilizando un rincón para dedicarse al estudio. Así tuvo ocasión de ver con frecuencia a Lagrange, entonces profesor en la Politécnica, que muchas veces venía a discutir diversos asuntos con el secretario Cauchy. Lagrange se interesó pronto por el muchacho, y, lo mismo que Laplace, quedó sorprendido por su talento matemático. En una ocasión, cuando Laplace y otras notabilidades estaban presentes, Lagrange señaló al joven Cauchy, que se encontraba en su rincón, y dijo: "¿Veis ese jovencito?, pues bien, nos suplantará por lo que a la Matemática se refiere".
Lagrange dio algunos consejos a Cauchy padre, temiendo que el delicado muchacho pudiera quemarse en su propio fuego: "No le dejéis abrir un libro de Matemática hasta que tenga 17 años". Lagrange se refería a las Matemáticas superiores. En otra ocasión exclamó: "Si no os apresuráis a dar a Agustín una sólida educación literaria, sus gustos le alejarán de ella, y será un gran matemático, pero no sabrá cómo escribir su propio idioma". El padre siguió el consejo del gran matemático de la época, y dio a su hijo una sólida educación literaria antes de permitirle dedicarse a las Matemáticas superiores.
Después de que el padre había hecho por el muchacho todo lo que estaba en su mano, Cauchy ingresó en la Escuela Central del Panteón a la edad de 13 años. Napoleón había instituido diversos premios en la Escuela, y una especie de premio general para todas las escuelas de Francia de la misma clase. Desde el principio, Cauchy fue el astro de la Escuela, obteniendo los primeros premios en griego, composición latina y verso latino. Al dejar la escuela, en 1804, ganó el premio general a que nos hemos referido, y un premio especial en humanidades. El mismo año Cauchy recibió su primera comunión, una ocasión solemne en la vida de cualquier católico, y todavía más solemne para él.
En los 10 meses siguientes estudió Matemática intensamente con un gran profesor, y en 1805, teniendo 16 años pasó a segundo año en la Politécnica. Su vida no fue muy feliz entre aquellos jóvenes excéntricos, que se burlaban de él sin piedad cuando hacía exhibición pública de sus creencias religiosas. Pero Cauchy mantenía sus opiniones, y hasta intentó convertir a alguno de sus burladores.
Desde la Politécnica, Cauchy pasó a la Escuela de Ingenieros Civiles (Ponts et Chaussés) en 1807. Aunque sólo tenía 18 años, superó fácilmente a muchachos de 20, que ya habían pasado dos años en la Escuela. Para completar su enseñanza, Cauchy fue nombrado, en marzo de 1810, para una importante misión. Su talento y audaz originalidad le señalaban como un hombre para quien no existían obstáculos ni peligros.
En marzo de 1810, cuando Cauchy abandonó París, con escaso equipaje pero lleno de esperanzas, y se dirigió a Cherburgo para desempeñar su primera misión, la batalla de Waterloo (18 de junio de 1815), todavía tardaría cinco años en producirse, y Napoleón confiaba aún en asir Inglaterra por el cuello y hacerla morder el polvo. Antes de que pudiera ser intentada la invasión, era necesario construir una enorme flota. Puertos y fortificaciones, para defender los astilleros de los ataques de los marinos ingleses, constituían el primer requisito para llevar a la práctica lo deseado. Cherburgo era, por muchas razones, el punto lógico para comenzar todas las grandiosas operaciones necesarias para apresurar el "día de gloria", que los franceses anunciaban desde la caída de la Bastilla. De aquí que el joven e inteligente Cauchy fuera enviado a Cherburgo, para que llegara a ser un gran ingeniero militar.
En su escaso equipaje, Cauchy llevaba únicamente cuatro libros, la Mécanique celeste de Laplace, el Traité des fonctions analytiques de Lagrange, la Imitación de Cristo, de Thomas Kempis y un ejemplar de las obras de Virgilio, rara biblioteca para un joven y ambicioso ingeniero militar. El tratado de Lagrange iba a ser el libro que transformarla en realidad la profecía de su autor, cuando dijo: "Este joven nos suplantará a todos", pues incitó a Cauchy a buscar alguna teoría de las funciones exenta de los evidentes defectos de la teoría de Lagrange.
El tercer libro mencionado, produjo algunos disgustos a Cauchy, pues con él, y su agresiva religiosidad, excitó los nervios de sus prácticos colaboradores, que estaban ansiosos de ver cómo podían conciliar sus opiniones con una tarea que significaba destrucción. Pero Cauchy pronto les demostró, al ofrecerles la otra mejilla, que al menos había leído el libro. Pronto olvidarás todo eso, le aseguraron. Pero Cauchy replicó preguntándoles suavemente en qué punto era errónea su conducta para poder corregirla. No se conoce la respuesta que recibió esta pregunta.
Los rumores de que su querido hijo se estaba transformando en un infiel o algo peor, llegó a los oídos de su angustiada madre. En una carta suficientemente larga y suficientemente llena de sentimientos piadosos para calmar a todas las madres que tienen a sus hijos al frente o en cualquier lugar semejante, Cauchy la tranquilizó, y la madre se sintió nuevamente feliz. La conclusión de la carta muestra que el santo Cauchy era capaz de mantener sus propias ideas contra sus atormentadores, aunque sus bromas le tuvieran casi enloquecido.
"Es ridículo suponer que la revolución pueda trastornar a alguien la cabeza, y si todos los locos fueran enviados a los manicomios, allí se encontrarían más filósofos que cristianos". ¿Incurre Cauchy en un desliz o quiere decir realmente que ningún cristiano es filósofo? Más tarde añade: "Pero ya es bastante: es más provechoso para mí trabajar en ciertas memorias sobre Matemática". Precisamente, cada vez que veía un molino agitando sus gigantescos brazos bajo el cielo.
Cauchy permaneció alrededor de tres años en Cherburgo. Aparte de sus deberes con el cielo, su tiempo fue muy bien empleado. En una carta fechada el 3 de julio de 1811, describe así su atareada vida:
"Me levanto a las cuatro y trabajo desde la mañana hasta la noche. Mi labor diaria ha aumentado este mes por la llegada de los prisioneros españoles. Fuimos avisados con sólo ocho días de anticipación y durante esos ocho días, hemos tenido que construir barracas y preparar camas de campaña para 1.200 hombres... Finalmente, nuestros prisioneros han quedado alojados bajo techado desde hace dos días. Tienen camas, alimento y se consideran muy afortunados... El trabajo no me fatiga; por el contrario me fortalece, y me encuentro en perfecta salud".
A pesar de este intenso trabajo pour la gloire de la belle France, Cauchy todavía tenía tiempo para sus investigaciones. A primeros de diciembre de 1810 se dedicó a "repasar todas las ramas de la Matemática, comenzando por la Aritmética y terminando con la astronomía, aclarando puntos oscuros y aplicando [mis propios métodos] para la simplificación de las demostraciones y el descubrimiento de nuevas proposiciones". En fin, este sorprendente muchacho encontró tiempo para instruir a quienes solicitaban sus lecciones para ascender en su profesión, y también ayudó al alcalde de Cherburgo en los exámenes escolares. En esta forma aprendió a enseñar. Aun le restaron algunos momentos para dedicarse a sus distracciones.
El fracaso de Moscú en 1812, la guerra contra Prusia y Austria, la batalla de Leipzig, en octubre de 1813, desviaron la atención de Napoleón de su sueño de invadir Inglaterra, y las obras de Cherburgo languidecieron. Cauchy volvió a París en 1813, fatigado por el exceso de trabajo. Tenía entonces 24 años; pero atrajo la atención de los principales matemáticos de Francia por sus brillantes investigaciones, particularmente por su memoria sobre los poliedros y por otra sobre las funciones simétricas. Como ambos temas pueden comprenderse fácilmente, y ambos ofrecen sugestiones de suma importancia para la Matemática actual, los explicaremos brevemente.
La primera memoria es de escaso interés en sí misma. Lo que tiene importancia, al ser considerada actualmente, es la extraordinaria agudeza de la crítica que Malus hizo de ella. Por una curiosa coincidencia histórica, Malus estuvo exactamente un siglo a la cabeza de su época al objetar el razonamiento de Cauchy en la forma precisa en que lo hizo. La Academia había propuesto como problema para el premio el siguiente tema : "Perfeccionar en algún punto esencial la teoría de poliedros", y Lagrange consideró que esta investigación era muy adecuada para que fuera emprendida por el joven Cauchy. En febrero de 1811, Cauchy escribió su primera memoria sobre la teoría de poliedros. En ella se responde negativamente a la cuestión planteada por Poinsot (1777-1859): ¿Es posible que haya más poliedros regulares que los que tienen 4, 6, 8, 12, 16 y 20 caras? En la segunda parte de su memoria Cauchy amplía la fórmula de Euler que se encuentra en los manuales de Geometría, relacionando el número de aristas ( A ), caras ( C ) y vértices ( V ) de un poliedro,
A + 2 = C + V
Esta obra fue impresa. Legendre la consideró como muy importante y alentó a Cauchy a que la continuara. Así lo hizo éste en una segunda memoria (enero, 1812). Legendre y Malus (1775-1812) eran los jueces. Legendre estaba muy entusiasmado y predijo grandes triunfos para el joven autor, pero Malus se mostró más reservado.Étienne-Louis Malus no era un matemático profesional, sino un ex-oficial de ingenieros en las campañas de Napoleón en Alemania y Egipto, que se hizo famoso por su casual descubrimiento de la polarización de la luz por reflexión. Posiblemente sus objeciones fueron consideradas por el joven Cauchy como una crítica capciosa, que era de esperar en un obstinado físico. Para demostrar sus teoremas más importantes, Cauchy usó el método de reducción al absurdo, familiar a todos los principiantes en Geometría. Las objeciones de Malus se referían este método de prueba.
Para probar una proposición por el absurdo se deduce una contradicción con la falsedad aceptada de la proposición; y entonces, según la lógica aristotélica, se concluye que la proposición es falsa. Cauchy no pudo responder a la objeción dando demostraciones directas, y Malus lo hizo, aunque no estaba convencido de que Cauchy hubiera probado algo. Cuando lleguemos a la conclusión de toda esta historia (en el último capítulo), veremos que la misma objeción ha sido hecha en otras cuestiones por los intuicionistas. Si Malus no pudo convencer a Cauchy en 1812, fue vengado por Brouwer en 1912 cuando éste consiguió que los sucesores de Cauchy comprendieran que en el Análisis matemático existe un punto que debe ser examinado cuidadosamente. La lógica aristotélica, como Malus dijo a Cauchy, no siempre es un método seguro de razonamiento matemático.
Ocupándonos ahora de la teoría de sustituciones, iniciada sistemáticamente por Cauchy y elaborada por él en una larga serie de trabajos a partir de 1840, que llega a su completo desarrollo en la teoría de grupos finitos, podemos presentar los conceptos fundamentales con un simple ejemplo. De todos modos, describiremos en primer término, a grandes rasgos, las propiedades principales de un grupo de operaciones.
Las operaciones pueden ser indicadas con letras mayúsculas A, B, C, D,..., y el resultado de dos operaciones sucesivas, es decir, A en primer término, B en segundo, serán indicadas por una posición adecuada, es decir AB . Obsérvese también que BA , según lo que hemos dicho, significa que B se realiza en primer término y A en segundo; de modo que AB y BA no son necesariamente la misma operación. Por ejemplo si A es la operación de "añadir 10 a un número dado" y B es la operación de "dividir un número dado por 10, AB aplicado a x da
![]()
![]()
Si el resultado de dos operaciones X, Y son los mismos, se dice que X e Y son iguales (o equivalentes), y esto se expresa escribiendo X = Y.
El siguiente concepto fundamental es el de la asociación. Si en cualquier sistema de tres operaciones, U, V, W se verifica (UV) W = U(VW), se dice que el conjunto de esas operaciones satisface la ley asociativa. (UV)W expresa que UV se realiza primero, y luego, conociendo el resultado, se realiza W; U(VW) significa que U se realiza primero, y luego, conociendo el resultado, se realiza VW .
El último concepto fundamental es el de operación idéntica o identidad; una operación I que no produce cambios cuando actúa se llama la identidad.
Con estos conceptos podemos enunciar los simples postulados que definen un grupo de operaciones.
Un conjunto de operaciones I, A, B, C, ... X, Y, ... se dice que forma un grupo si quedan satisfechos los postulados (1) - (4).
- Existe una regla combinatoria aplicable a cualquier par X, Y de operaciones [25] del conjunto dado, tal que el resultado, representado por X Y, de combinar X con Y en este orden, de acuerdo con la regla es una operación unívocamente determinada del conjunto.
- Para cualquier sistema de operaciones X, Y, Z, del conjunto, la regla (1) es asociativo; o sea (XY)Z = X(YZ).
- Existe una operación única I en el conjunto, de tal modo que para toda operación X perteneciente a él, es IX = XI = X.
- Si X es cualquier operación del conjunto, existe en él, una operación única X ', tal que XX ' = I (puede ser fácilmente probado que también X'X = I).
Existen precisamente seis maneras de escribirlas tres letras a, b, c , o sea
abc, acb, bca, bac, cab, cba.
Tomemos cualquiera de estas permutaciones, por ejemplo la primera abc , como el orden inicial. ¿Mediante qué permutaciones de las letras podemos pasar desde ésta a las otras cinco disposiciones? Para pasar de abc a acb es suficiente intercambiar o permutar b y c . Para indicar la operación de permutar b y c , escribimos ( bc ), que se lee " b en lugar de c y c en lugar de b ". De abc pasamos a bca , poniendo a en lugar de b , b en lugar de c , y c en lugar de a , lo que se escribe ( abc ). El mismo orden abc se obtiene a partir de abc sin ningún cambio, o sea a en lugar de a , b en lugar de b, c en lugar de c , que es la sustitución idéntica, y se denota por I . Procediendo de modo análogo con las seis permutacionesabc, acb, bca, bac, cab, cba,
tendremos las sustituciones correspondientes,I, (bc), (abc), (ab), (acb), (ac)
La "regla combinatoria" en los postulados es aquí la siguiente. Tómense dos cualquiera de las sustituciones, por ejemplo ( bc ) y ( acb ), y consideremos el efecto de éstas aplicado sucesivamente en el orden enunciado, o sea ( bc ) primero y ( acb ) segundo: ( bc ) coloca b en lugar de c , entonces ( acb ) coloca c en lugar de b . Por tanto b se deja como estaba. Tomemos la siguiente letra, c , en ( bc ): por (be), c se coloca en lugar de b , la que por ( aeb ) se coloca en lugar de a ; por tanto, c se coloca en lugar de a . Continuando, veremos como a es ahora colocada: ( be ) deja a como estaba; pero ( a,b ) coloca a en lugar de c . Finalmente, el efecto total de ( be ) seguido por ( acb ) será ( ca ), lo que se indica escribiendo ( bc ) ( acb ) ( ca ) ( ac ). En la misma forma se comprueba fácilmente que(acb) (abc) (abc) (acb) = I ;
(abc) (ac) (ab); (be) (ac) = (acb),
y así sucesivamente para todos los pares posibles. Así, el postulado (1) se satisface para estas seis sustituciones, y puede comprobarse que también (2), (3), (4) quedan satisfechos.
Todo esto se resume en la "tabla de multiplicación del grupo", que puede componerse representando las sustituciones por las letras escritas bajo ellas (para ganar espacio),
![]()

El número total de operaciones diferentes de un grupo se llama su orden. Aquí 6 es el orden del grupo. Examinando el cuadro elegiremos varios subgrupos, por ejemplo,
;
; 
El lector puede entretenerse intentando la construcción de grupos de órdenes que no sean 6. Para un orden dado, el número de grupos diferentes (que tienen tablas de multiplicación diferentes) es finito, pero no se sabe cuál podrá ser este número para cualquier orden dado (el orden general n), ni probablemente podrá conocerse en nuestra época. De modo que desde el comienzo de una teoría, que examinada superficialmente es tan sencilla como el dominó, llegamos a problemas no resueltos.
Después de haber construido la "tabla de multiplicación" de un grupo, olvidaremos su derivación de las sustituciones, y consideraremos la tabla como definidora de un grupo abstracto. Es decir, los símbolos I, A, B, ... no dan una interpretación más allá de la indicada por la regla combinatoria, como en CD = A, DC = E , etc. Este punto de vista abstracto es ahora corriente. No era el de Cauchy, pues fue propuesto por Cayley en 1854. Tampoco fue enunciado un conjunto completamente satisfactorio de postulados hasta la primera década del siglo XX.
Cuando las operaciones de un grupo son interpretadas como sustituciones, o como las rotaciones de un cuerpo rígido, o en cualquier otra sección de las Matemáticas, a la cual sean aplicables los grupos, la interpretación se denomina, una aplicación del grupo abstracto definido por la tabla de multiplicación. Un grupo abstracto determinado puede tener muy diferentes aplicaciones. Esta es una de las razones para que los grupos sean de fundamental importancia en la Matemática moderna: una estructura básica abstracta (la resumida en la tabla de multiplicación) de uno y el mismo grupo es la esencia de diversas teorías al parecer inconexas, y por un intenso estudio de las propiedades del grupo abstracto, se obtiene, mediante una investigación en lugar de varias, un conocimiento de las teorías en cuestión y de sus relaciones recíprocas.
Para citar un ejemplo diremos que el conjunto de todas las rotaciones de un icosaedro regular (sólido regular de 20 caras) alrededor de sus ejes de simetría, de modo que después de cada rotación del conjunto el volumen del sólido ocupe el mismo espacio que antes, forma un grupo, y este grupo de rotaciones, cuando se expresa abstractamente, es el mismo grupo que el que aparece en las permutaciones de las raíces cuando intentamos resolver la ecuación general de quinto grado. Además, este mismo grupo (anticipándonos algo) aparece en la teoría de funciones elípticas. Esto permite pensar que aunque es imposible resolver algebraicamente la quíntica general, la ecuación puede ser, y en efecto es, resoluble mediante las funciones mencionadas. Finalmente, todo este proceso puede ser expuesto geométricamente describiendo las rotaciones de un icosaedro ya mencionadas. Esta bella unificación fue la obra de Félix Klein (1849-1925) en su memoria sobre el icosaedro (1884).
Cauchy fue uno de los grandes precursores de la teoría de grupos de sustituciones. Desde ese día se han realizado numerosos trabajos sobre la cuestión, y la teoría misma se ha extendido notablemente por la consideración de grupos infinitos: grupos que tienen una infinidad de operaciones que pueden ser numeradas 1, 2, 3,... y además, de grupos de movimientos continuos. En los últimos una operación del grupo traslada un cuerpo hacia otra posición por desplazamientos infinitesimales (arbitrariamente pequeños), a diferencia del grupo icosaedro antes aludido donde las rotaciones desplazan todo el cuerpo en una cantidad finita. Esta es una categoría de grupos infinitos (la terminología aquí no es exacta, pero es suficiente para demostrar una cuestión de importancia, la distinción entre grupos discontinuos y continuos). Lo mismo que la teoría de grupos discontinuos finitos es la estructura básica de la teoría de ecuaciones algebraicas, así también la teoría de grupos continuos infinitos es de gran utilidad en la teoría de ecuaciones diferenciales, que son de máxima importancia en física matemática. Al estudiar los grupos, Cauchy no hizo una obra inútil.
Para terminar esta explicación de los grupos podemos indicar que los grupos de sustituciones estudiados por Cauchy intervienen en la moderna teoría de la estructura atómica. Una sustitución, por ejemplo ( xy ), que contenga precisamente dos letras en su símbolo, se llama una transposición. Se demuestra fácilmente que cualquier sustitución es una combinación de transposiciones. Por ejemplo,
(abcdef) = (ab) (ac) (ad) (ae) (af)
de donde se deduce claramente la regla de escribir cualquier sustitución por medio de transposiciones.Es una hipótesis razonable suponer que los electrones en un átomo son idénticos, es decir, un electrón no puede distinguirse de otro. Por tanto, si en un átomo dos electrones se intercambian, el átomo permanecerá invariable. Supongamos, para mayor sencillez, que el átomo contiene precisamente tres electrones a, b, c . Al grupo de sustituciones a, b, c (para el cual hemos dado la tabla de multiplicación) corresponderán todos los intercambios de electrones que dejan el átomo invariable, como era. De esto hasta las líneas espectrales de la luz emitida por un gas excitado compuesto de átomos parece que existe una gran distancia, pero el paso ha sido dado, y una escuela de especialistas en mecánica cuántica ha encontrado una base satisfactoria para la interpretación de los espectros (y de otros fenómenos asociados con la estructura atómica) en la teoría de grupos de sustitución. Como es natural, Cauchy no pudo prever tales aplicaciones de la teoría que estaba creando, ni tampoco previó su aplicación a los notables enigmas de las ecuaciones algebraicas. Este triunfo estaba reservado para un muchacho de menos de veinte años, como más tarde veremos.
Teniendo veintisiete años (1816), Cauchy se colocó en la primera fila de los matemáticos de su época. Su único rival serio era el reticente Gauss, doce años mayor que él. La memoria de Cauchy, de 1814, sobre la integral definida con un número complejo como límite, inició su gran carrera como creador independiente y como inigualado reformador de la teoría de funciones de variable compleja. Para los términos técnicos remitimos al lector al capítulo sobre Gauss, quien llegó al teorema fundamental en 1811, tres años antes que Cauchy. La detallada memoria de Cauchy sobre la cuestión fue publicada en 1827. El retraso fue debido posiblemente a la extensión de la obra, aproximadamente 180 páginas. Cauchy no podía pensar en obras muy extensas, pues la Academia o la Politécnica disponían de muy escasos fondos para imprimirlas.
El año siguiente (1815) Cauchy produjo una gran conmoción al demostrar uno de los grandes teoremas que Fermat había legado a la posteridad: Todo número entero positivo es una suma de tres "triángulos", cuatro "cuadrados", cinco "pentágonos", seis "hexágonos", y así sucesivamente; el cero en cada caso es contado como un número del tipo correspondiente. Un "triángulo" es uno de los números 0, 1, 3, 6, 10, 15, 21, ...obtenidos construyendo triángulos regulares (equiláteros) mediante puntos,
|
|
|
etc.; los "cuadrados" se construyen de un modo análogo, donde se aprecia evidentemente la manera de obtener cada cuadrado del anterior.
|
|
|
|
De modo análogo, los "pentágonos" son pentágonos regulares construidos por puntos; y lo mismo para los "hexágonos" y para el resto. Esto no era fácil de demostrar. En efecto, no había sido posible para Euler, Lagrange y Legendre. Gauss lo pudo probar para el caso de los "triángulos".
Como si se propusiera demostrar que no se limitaba a los trabajos de Matemática pura, Cauchy obtuvo el Gran Premio ofrecido por la Academia, en 1816, para una "teoría de la propagación de las ondas sobre la superficie de un fluido pesado de profundidad indefinida"; las ondas del océano están cercanas a este tipo para el tratamiento matemático. Este trabajo, cuando fue impreso, llenaba más de 300 páginas. Teniendo 37 años Cauchy fue considerado como candidato a la Academia de Ciencias. Un honor desusado para un hombre tan joven. Le correspondería, según le aseguraban, la primera vacante de la sección Matemática. Por lo que se refiere a su popularidad, la carrera de Cauchy estaba en su punto máximo.
En 1816, Cauchy estaba, pues, maduro para ser elegido académico, pero no había vacantes. De todos modos era de esperar que dos de los sillones quedaran pronto vacíos, dada la edad de sus ocupantes. Monge tenía 70 y L. M. N. Carnot 63 años. De Monge ya hemos hablado; Carnot fue un precursor de Poncelet, y debía su sillón de la Academia a sus investigaciones que restablecieron y ampliaron la Geometría sintética de Pascal y Desargues, y a su heroico intento de colocar el Cálculo sobre un firme fundamento lógico. Aparte de la Matemática, Carnot se había hecho un nombre envidiable en Francia por ser quien, en 1793, organizó 14 cuerpos de ejército para derrotar al medio millón de tropas lanzadas contra Francia por los reaccionarios antidemocráticos unidos de Europa. Cuando Napoleón se apoderó del Poder en 1796, Carnot se opuso al tirano: "Soy un enemigo irreconciliable de todos los reyes", dijo Carnot. Después de la campaña rusa de 1812, Carnot ofreció sus servicios como soldado, pero con una condición: combatiría por Francia, no por el Imperio francés de Napoleón.
En la reorganización de la Academia de Ciencias durante el movimiento político de los Cien Días gloriosos de Napoleón, después de que éste escapó de la isla de Elba, Carnot y Monge fueron expulsados. El sucesor de Carnot ocupó su sillón sin que nada se dijera, pero cuando el joven Cauchy se sentó tranquilamente en el sillón de Monge, la tormenta estalló. La expulsión de Monge fue una indecencia política, y quien se aprovechara de ello demostraba, al menos, no poseer una fina sensibilidad. Cauchy, sin embargo, creía firmemente en sus derechos y obedecía a su conciencia.
Se dice que el hipopótamo tiene un tierno corazón, y así lo afirman los que han probado ese delicado manjar, de modo que una gruesa piel no es necesariamente un índice en el que pueda confiarse para juzgar el interior de un hombre. Rindiendo culto a los Borbones y creyendo que la dinastía significaba la directa representación que los cielos enviaban para gobernar a Francia, hasta cuando el enviado del cielo era un payaso como Carlos X, Cauchy creía ser leal a los cielos y a Francia cuando ocupó el sillón de Monge. Su conducta posterior con el santificado Charles demuestra que era sincero cuando procedió así.
Posiciones honrosas e importantes le fueron ofrecidas al más grande matemático de Francia antes de que cumpliera los 30 años. Desde 1815 (cuando tenía 26 años), Cauchy explicaba Análisis en la Politécnica. Ahora era ya profesor, y no pasó mucho tiempo sin que fuera también nombrado miembro del Colegio de Francia y de la Sorbona. Todas las cosas seguían su rumbo. Su actividad matemática era increíble, y algunas veces presentó ante la Academia, en la misma semana, dos largos y documentados trabajos. Aparte de sus propias investigaciones, escribió numerosos informes sobre los trabajos que otros autores presentaban a la Academia, y encontró tiempo para mantener una corriente constante de pequeños estudios referentes a todas las ramas de la Matemática pura y aplicada. Llegó a ser más conocido que Gauss por los matemáticos de Europa. Tanto los sabios como los estudiantes acudían a oír sus bellas y claras exposiciones de las nuevas teorías que habían creado, particularmente en el análisis y en la física matemática. Entre sus oyentes, se encontraban matemáticos bien conocidos de Berlín, Madrid y San Petersburgo.
En medio de este trabajo, Cauchy encontró tiempo para el amor. Su prometida, Aloise de Bure, con quien se casó en 1818 y con la que vivió casi 40 años, era la hija de una antigua y culta familia, y también una ardiente católica. Tuvo dos hijas que fueron educadas como Cauchy lo había sido.
En este período debe hacerse notar una gran obra. Alentado por Laplace y otros sabios, Cauchy, en 1821, redactó para su publicación el curso de conferencias sobre Análisis que había pronunciado en la Politécnica. Esta es la obra donde se establece el rigor matemático. También en nuestros días las definiciones de Cauchy de límite y de continuidad, y mucho de lo que escribió acerca de la convergencia de series infinitas en este curso de conferencias, se encuentran reproducidas en cualquier libro que trate de Cálculo infinitesimal. Algunos párrafos del prólogo muestran lo que Cauchy pensaba y lo que realizó. "He intentado dar a los métodos [del Análisis] todo el rigor que se exige en Geometría, de tal forma que jamás haya que referirse a las razones deducidas de la generalidad del Álgebra (actualmente diríamos el formalismo del Álgebra). Razones de este tipo, aunque de ordinario admitidas, sobre todo en el paso de las series convergentes a las divergentes y de las cantidades reales a las imaginarias, tan sólo pueden ser consideradas, en mi opinión, como inducciones, que algunas veces sugieren la verdad, pero que no están siempre de acuerdo con la pretendida exactitud de la Matemática. Debemos también observar que tienden a atribuir una validez indefinida a las fórmulas algebraicas [26] , aunque, en realidad, la mayoría de estas fórmulas sólo subsisten bajo ciertas condiciones, y para ciertos valores de las cantidades que contienen. Determinando estas condiciones y valores, y fijando precisamente la significación de las notaciones de que hago uso, eliminaré toda inseguridad".
La fecundidad de Cauchy era tan prodigiosa que tuvo necesidad de redactar una especie de diario, que denominó Exercises de Mathéma tiques (1826-1830) y que continuó en una segunda serie denominada Exercises d'Analyse Mathématique et de Physique, para la publicación de sus obras originales de Matemática pura y aplicada. Estos trabajos han sido ardientemente buscados y estudiados, y contribuyeron en mucho a reformar los gustos matemáticos antes de 1860.
Un aspecto de la terrible actividad de Cauchy es bastante divertido. En 1835 la Academia de Ciencias comenzó a publicar su boletín semanal. (Los Comptes rendus ). Aquí Cauchy encontró un terreno virgen, y comenzó a inundar la nueva publicación con notas y largas memorias, algunas veces más de una cada semana. Asombrados por el alto precio de la impresión, la Academia dictó una medida, que subsiste actualmente, prohibiendo la publicación de artículos de más de cuatro páginas. Esta medida mutiló el estilo brillante de Cauchy, y sus largas memorias, incluyendo una muy extensa de 300 páginas sobre la teoría de números, fueron publicadas en otra parte.
Feliz en su matrimonio y tan prolífico en sus investigaciones como salmón en la época del desove, Cauchy se sentía satisfecho cuando la revolución de 1830 destronó a su amado Carlos. El destino jamás lanzó una carcajada más sincera que cuando Cauchy abandonó el sillón de Monge en la Academia para seguir a su amado rey en el exilio. Cauchy no podía desobedecer al destino: había hecho un solemne juramento de fidelidad a Carlos, y para Cauchy un juramento era un juramento, aun cuando el juramento fuera una estupidez. Cauchy, a la edad de 40 años, renunció a todos sus cargos y se sometió a un exilio voluntario.
No estaba en realidad apesadumbrado, pues las calles ensangrentadas de París alteraban su sensible estómago. Creía firmemente que el buen rey Carlos no tenía responsabilidad alguna de estos sangrientos acontecimientos.
Dejó su familia en París, pero no renunció a su sillón en la Academia, y Cauchy marchó primeramente a Suiza, buscando distracción en conferencias e investigaciones científicas. Jamás pidió el más leve favor a Carlos, y no se sabe si el exilado rey se dio cuenta de su capacidad de sacrificio por una cuestión de principios. Carlos Alberto, Rey de Cerdeña, algo más inteligente que Carlos, oyó decir que el renombrado Cauchy había abandonado sus cargos y le nombró profesor de Física Matemática en Turín. Cauchy se sintió feliz; aprendió rápidamente el italiano y pronunció sus conferencias en ese idioma.
Debido al exceso de trabajo y a las desazones sufridas cayó enfermo, y con gran disgusto (según escribía a su mujer) se vio forzado a abandonar todos los trabajos durante cierto tiempo. Unas vacaciones en Italia y una visita al Papa le restablecieron completamente y volvió a Turín, pensando en una larga vida dedicada a la enseñanza y a la investigación. Pero entonces, el obtuso Carlos X tuvo noticia de la vida retirada del matemático, e intentando premiar a su leal partidario le hizo un singular disfavor. En 1833 Cauchy fue encargado de la educación del heredero de Carlos, el duque de Burdeos, que por entonces tenía 13 años. Ese cargo, mezcla de institutriz y de tutor elemental, era el que menos podía ambicionar Cauchy. De todos modos, por su fidelidad a Carlos, le siguió a Praga cargando sobre sus hombres la cruz de la lealtad. Al año siguiente se unió con su familia.
La educación del heredero de los Borbones no era una sinecura. Desde la mañana hasta la noche, con escaso tiempo para las comidas, Cauchy tenía que cuidarse de este mocoso real. No sólo debía repetir las lecciones elementales propias de una escuela ordinaria, sino que Cauchy tenía que cuidar de que el mimado jovenzuelo no se cayera y no se hiriera las rodillas en sus piruetas por el parque. No hay ni que decir que la mayor parte de la instrucción dada por Cauchy consistía en charlas íntimas sobre la rama particular de filosofía moral tan amada por Cauchy. Afortunadamente Francia decidió desprenderse de los Borbones, y dejar que sus innumerables descendientes constituyeran el premio de la rifa de maridos para las hijas de millonarios.
A pesar de la constante atención prestada a su discípulo, Cauchy se las arregló para continuar trabajando en sus Matemáticas, retirándose a sus habitaciones privadas durante algunos momentos para establecer alguna fórmula o garrapatear algún párrafo. La obra más importante de este período fue su larga memoria sobre la dispersión de la luz, en la que Cauchy intentó explicar el fenómeno de la dispersión (la separación de la luz blanca en luces de colores, debido a la diferente refrangibilidad de las luces coloreadas que componen la blanca), sobre la hipótesis de que la luz es causada por las vibraciones de un medio elástico. Esta obra, de gran interés en la historia de la física, nos muestra la tendencia del siglo XIX a explicar los fenómenos físicos siguiendo normas mecánicas, en lugar de construir simplemente una teoría matemática abstracta que relacione las observaciones. Esta era una desviación de la práctica dominante desde los tiempos de Newton y sus sucesores, y se habían hecho ya ensayos para "explicar" mecánicamente la gravitación.
En la actualidad la tendencia sigue la dirección opuesta hacia una correlación matemática pura y un completo abandono del éter, de los medios elásticos, o de otras "explicaciones" mecánicas más difíciles de comprender que lo que se intenta explicar. Los físicos actualmente parecen haber oído la pregunta de Byron". ¿Quién, pues, explicará la explicación?". La teoría del medio elástico tuvo un largo y brillante triunfo, y también en nuestros días se usan algunas de las fórmulas deducidas por Cauchy de su falsa hipótesis. Pero la teoría misma fue abandonada cuando, como no es raro que ocurra, la técnica experimental refinada y los fenómenos no sospechados (la dispersión anómala en este caso) no estaban de acuerdo con las predicciones de la teoría.
Cauchy abandonó a su discípulo en 1838, cuando Cauchy tenía casi 50 años). Hacía tiempo que los amigos de París le pedían que volviera, y Cauchy se valió de la excusa de las bodas de oro de sus padres para despedirse de Carlos y de su séquito. Por una dispensa especial, los miembros del Instituto (del cual la Academia de Ciencias era y es parte) no estaban obligados a hacer un juramento de fidelidad al gobierno, y por ello Cauchy recuperó su sillón. Por entonces su actividad fue mayor que nunca. Durante los últimos 19 años de su vida escribió más de 500 trabajos de todas las ramas de la Matemática, incluyendo la mecánica, la física y la astronomía. Muchos de esos trabajos eran largos tratados.
De todos modos sus desazones todavía se prolongaron. Cuando se produjo una vacante en el Colegio de Francia, Cauchy fue unánimemente elegido para ocupar la plaza. Pero en este caso no estaba establecida la dispensa, y antes de obtener el cargo Cauchy tenía que pronunciar el juramento de fidelidad. Creyendo que el gobierno había usurpado los derechos divinos de su señor, Cauchy se negó a prestar el juramento. Una vez más tuvo que abandonar sus tareas. Pero el Bureau des Longitudes necesitaba de un matemático de su calibre, y fue elegido por unanimidad.
Entonces comenzó una divertida guerra entre el barón Cauchy y el Bureau por una parte, y el gobierno por otra. Consciente de que estaba cometiendo una necedad, el Gobierno hizo la vista gorda y Cauchy penetró por la puerta falsa en el Bureau sin prestar al juramento. El desafío al gobierno era indudablemente ilegal, pero no puede decirse que fuera una traición, y Cauchy mantuvo su cargo. Sus colegas del Bureau pusieron en mala situación al gobierno desconociendo su pretensión de que eligiera legalmente sus miembros. Durante cuatro años Cauchy volvió obstinadamente su espalda al Gobierno, y continuó sus trabajos. A este período pertenecen algunas de las contribuciones más importantes de Cauchy a la astronomía matemática. Leverrier, involuntariamente, fue el punto de partida de la labor de Cauchy con su trabajo escrito en 1840 acerca de Pallas. Se trataba de una obra larga repleta de cálculos numéricos que exigiría para su comprobación un tiempo no menor que el autor había empleado para realizarlo. Cuando la memoria fue presentada a la Academia hubo que buscar a alguien que voluntariamente se prestase a emprender la tarea sobrehumana de comprobar la exactitud de las conclusiones. Cauchy se prestó, pero en lugar de seguir los pasos de Leverrier, encontró caminos abreviados e inventó nuevos métodos que le permitieron comprobar y ampliar el trabajo en un tiempo extraordinariamente corto.
La pelea con el gobierno hizo crisis en 1843, teniendo Cauchy 54 años. El ministro se negó a seguir siendo objeto de la burla pública y exigió que el Bureau realizara una elección para llenar el cargo que Cauchy se negaba a abandonar. Por consejo de sus amigos Cauchy presentó su caso ante el pueblo en una carta abierta. Esta carta es uno de los escritos más finos que Cauchy redactó durante su vida.
Cualquiera sea nuestro pensamiento acerca de su conducta quijotesca por una causa que hasta los reaccionarios sabían perdida para siempre, no podemos menos de respetar la audacia de Cauchy por mantener su pensamiento con dignidad y sin pasión, luchando por la libertad de su conciencia. Se trataba de la antigua lucha por la libertad del pensamiento en un aspecto que no era familiar entonces, pero que es bastante común ahora.
En la época de Galileo, Cauchy no hubiera dudado en arriesgarse a todos los peligros por mantener la libertad de sus creencias; bajo el reinado de Luis Felipe negó el derecho de cualquier gobierno para exigir un juramento de fidelidad que estaba en contra de su conciencia, y tuvo que sufrir todo género de desazones por su audacia. Su posición le ganó el respeto de todos, incluyendo a sus enemigos, y puso al gobierno en una mala posición hasta para los ojos de quienes le sostenían. Por entonces la estupidez de la represión colocó al gobierno en una situación insostenible, al estallar luchas callejeras, asonadas, tumultos, y en fin la guerra civil. Luis Felipe y toda su pandilla fueron expulsados en 1848. Uno de los primeros actos del gobierno provisional fue abolir el juramento de fidelidad. Con rara perspicacia, los políticos se dieron cuenta de que tales juramentos son innecesarios o indignos. En 1852, cuando Napoleón III subió al trono, el juramento fue restablecido, pero por esta época Cauchy había ganado la batalla, y pudo dedicarse a sus lecciones sin prestar juramento. Por ambas partes se comprendió que era inútil el alboroto. El gobierno no le agradeció su liberalidad y Cauchy nada exigió, pero continuó sus conferencias como si nada hubiera sucedido. Desde entonces hasta el fin de su vida fue la gloria principal de la Sorbona.
Entre la inestabilidad oficial y la estabilidad no oficial Cauchy tuvo tiempo para romper lanzas en defensa de los jesuitas. La cuestión era ya vieja, las autoridades que dirigían la educación del Estado insistían en que la enseñanza de los jesuitas desviaba la fidelidad, mientras los jesuitas defendían que la instrucción religiosa constituía la única base sólida para cualquier educación. Cauchy combatió con gran satisfacción en favor de sus aliados. La defensa de sus amigos era conmovedora y sincera, pero no convincente. Siempre que Cauchy se desviaba de las Matemáticas, sustituía la razón por la emoción.
La guerra de Crimea proporcionó a Cauchy su última oportunidad para ponerse a mal con sus colegas, pues fue un propagandista entusiasta en la singular empresa denominada Obra de las Escuelas del Oriente. "Obra" se entiende aquí en el sentido de una determinada "buena Obra".
"Era necesario, según los promotores de la Obra en 1855, remediar los desórdenes del pasado, y al mismo tiempo imponer un doble freno a la ambición moscovita y al fanatismo mahometano: por encima de todo preparar la regeneración de los pueblos brutalizados por el Corán..." En una palabra, la guerra de Crimea era una forma de que las bayonetas preparasen el camino para la Cruz. Profundamente impresionado por la indudable necesidad de reemplazar el brutalizador Corán por algo más humano, Cauchy se dedicó al proyecto "completando y consolidando... la obra de emancipación tan admirablemente comenzada por las armas de Francia".
Los jesuitas, agradecidos por la experta ayuda de Cauchy, le dieron carta blanca para muchos detalles (incluyendo la obtención de subscripciones), necesarios para cumplir "la regeneración moral de los pueblos esclavizados por las leyes del Corán, y el triunfo del Evangelio en torno a la cuna y al sepulcro de Jesucristo sería la única aceptable compensación de los ríos de sangre que se habían derramado" por los franceses, ingleses, rusos, sardos cristianos y los turcos mahometanos en la guerra de Crimea.
Las buenas obras de este carácter son las que dieron lugar a que algunos de los compañeros de Cauchy, que no sentían simpatía con el espíritu piadoso de la religión ortodoxa de la época, le llamaran relamido e hipócrita. El epíteto era completamente inmerecido, pues Cauchy fue uno de los fanáticos más sinceros que han existido.
El resultado de la Obra fue la matanza de mayo de 1860. Cauchy no llegó a vivir el tiempo necesario para ver coronada su labor.
Las reputaciones de los grandes matemáticos están sometidas a las mismas vicisitudes que la de cualquier otro grande hombre. Durante largo tiempo después de su muerte, y también hoy, Cauchy ha sido gravemente criticado por su excesiva y apresurada labor. Su total producción se remonta a 789 trabajos (muchos de ellos muy extensos) que constituyen 24 grandes volúmenes en cuarto. Las críticas de este tipo se ceban más en los hombres que han realizado una extensa labor de poca importancia al lado de obras de primera categoría, que en aquellos individuos que han hecho relativamente poco y ese poco con una originalidad muy relativa. El papel desempeñado por Cauchy en la moderna Matemática puede decirse que fue esencial, y así fue admitido casi unánimemente, aunque a regañadientes, por casi todos. Después de su muerte, especialmente en las últimas décadas, la reputación de Cauchy como matemático ha aumentado incesantemente. Los métodos que propuso, todo su programa, que inaugura el primer período del moderno rigor, y su casi inigualada capacidad de invención han marcado un jalón para la Matemática, que, como ahora podemos ver, será visible durante muchos años del futuro.
Un detalle, al parecer sin importancia, entre las muchas nuevas cosas debidas a Cauchy puede ser mencionado como un ejemplo de su profética originalidad. En lugar de usar la unidad "imaginario"
En el trato social, Cauchy era extraordinariamente cortés, por no decir excesivamente untuoso, por ejemplo, cuando se trataba de solicitar suscripciones para algunas de sus obras preferidas. Sus hábitos eran sobrios, y en todas las cosas, salvo la Matemática y la religión, era hombre moderado. Con respecto a la religión carecía del sentido común ordinario. Todo el que se acercaba a él era un candidato para la conversión. Cuando William Thomson (Lord Kelvin), teniendo 20 años, visitó a Cauchy para discutir problemas matemáticos, éste, gastó algún tiempo intentando convertir al catolicismo a su visitante que entonces era un decidido partidario de la iglesia libre escocesa.
Cauchy se vio envuelto en discusiones acerca de la prioridad, pues sus enemigos le acusaban de no jugar limpio. Sus últimos años se vieron amargados por una seria disputa de la que Cauchy parecía no hacer caso. Pero con su usual obstinación siempre que se trataba de una cuestión de principios, puso las cosas en su lugar con su invencible dulzura y tenacidad.
Otra peculiaridad aumentó la impopularidad de Cauchy entre sus colegas científicos. En las academias y sociedades científicas se supone que un hombre vota por un candidato teniendo en cuenta sus méritos científicos; cualquier otra cosa es considerada como inmoral. Con justicia o injustamente Cauchy fue acusado de votar de acuerdo con sus credos religiosos y políticos. Sus últimos años fueron amargados lo que Cauchy consideraba una falta de comprensión de sus colegas acerca de ésta y de otras flaquezas semejantes. Ninguna de las partes pudo llegar a comprender los puntos de vista de la otra.
Cauchy murió casi inesperadamente, teniendo 68 años, el 23 de mayo de 1857. Creyendo que la vida en el campo mejoraría un catarro bronquial, dejó la ciudad, pero la fiebre que le afectaba resultó fatal. Pocas horas antes de su muerte habló animadamente con el arzobispo de París de las obras de caridad que proyectaba, la caridad era de las cosas que más interesaban a Cauchy. Sus últimas palabras fueron dirigidas al arzobispo: "Los hombres pasan; pero sus obras quedan”
"b>Capítulo 16
El Copérnico de la Geometría
LOBATCHEWSKY
La teoría de Lobatchewsky era incomprensible
para sus contemporáneos, pues parecía contradecir
un axioma cuya necesidad está basada tan sólo
sobre un prejuicio santificado por millares de años.
Los editores de las obras de Lobatchewsky
Nikolas Ivanovitch Lobatchewsky, segundo hijo de un modesto funcionario del gobierno, nació el 2 de noviembre de 1793 en el distrito de Makarief, gobernación de Nijni Novgorod, Rusia. El padre murió cuando Nikolas tenía siete años, dejando a su mujer, Praskovia Ivanovna, el cuidado de sus tres hijos pequeños. Como el sueldo del padre mientras vivió apenas bastaba para mantener a su familia, la viuda quedó en extrema pobreza. Se trasladó a Kazán, donde preparó lo mejor que pudo a sus hijos para ingresar en la escuela, y tuvo la satisfacción de ver cómo uno tras otro ingresaron en el Instituto. Nikolas fue admitido en 1802, teniendo 8 años. Sus progresos fueron enormemente rápidos tanto en la matemática como en los clásicos. A los 14 años estaba preparado para ingresar en la Universidad. En 1807 ingresó en la Universidad de Kazán, fundada en 1805, en donde transcurrieron los siguientes 40 años de su vida como estudiante, profesor ayudante, profesor y finalmente Rector. Deseando elevar la Universidad de Kazán al nivel de las de Europa, las autoridades universitarias habían traído de Alemania distinguidos profesores. Entre éstos se hallaba el astrónomo Littrow, que más tarde fue director del observatorio de Viena. Los profesores alemanes rápidamente reconocieron el genio de Lobatchewsky y le alentaron.

El nombramiento de Lobatchewsky como profesor ordinario tuvo lugar en 1816, a la precoz edad de 23 años. Sus deberes eran pesados. Además del curso de Matemática fue encargado de los cursos de astronomía y de física, el primero para sustituir a un colega que disfrutaba de licencia. El extraordinario equilibrio con que realizó su pesada labor hizo de él un candidato para que se le encargaran nuevos trabajos, basándose en la teoría de que un hombre capaz de hacer muchas cosas es capaz de hacer todavía más, y por entonces Lobatchewsky fue nombrado bibliotecario de la Universidad y conservador del Museo de la Universidad donde reinaba un desorden caótico.
Los estudiantes suelen ser una masa ingobernable antes de que la vida les enseñe que no se trata simplemente de ganar lo necesario para vivir. Entre los innumerables deberes de Lobatchewsky, desde 1819 hasta la muerte del zar Alejandro en 1825, se contaba el de ser Inspector de todos los estudiantes de Kazán, desde los asistentes de las escuelas elementales hasta los hombres ya hechos que seguían cursos para posgraduados en la Universidad. Esta inspección se refería especialmente a las opiniones políticas de los estudiantes. Podemos imaginar lo ingrato de tal tarea. La habilidad con que Lobatchewsky supo desenvolver para enviar sus informes día tras día y año tras año a sus suspicaces superiores sin ser tachado de benevolencia para el espionaje, y sin perder el sincero respeto y el cariño de los estudiantes, dice más de su capacidad administrativa que todos los honores y medallas que pudiera conferirle el gobierno, y con las que él gustaba adornarse en las ocasiones oportunas.
Las colecciones del Museo de la Universidad constituían un increíble revoltijo. Un desorden análogo hacía prácticamente inutilizable la abundante biblioteca. Lobatchewsky fue encargado de poner orden. Como reconocimiento a sus señalados servicios las autoridades le elevaron al cargo de Decano de la Facultad de Matemática y Física, pero como se olvidaron de votar los fondos necesarios para ordenar la biblioteca y el museo, Lobatchewsky hizo este trabajo con sus propias manos, catalogando, limpiando el polvo, cuidando de las vitrinas, y hasta si era necesario barriendo.
Con la muerte de Alejandro, en 1825, las cosas parecieron mejorar. El funcionario responsable de la maliciosa persecución de la Universidad de Kazán fue eliminado al ser considerado como demasiado corrompido para desempeñar un cargo del gobierno, y su sucesor nombró un conservador profesional para aliviar a Lobatchewsky de sus infinitas tareas de catalogar libros, limpiar el polvo a las muestras de numerales y atacar la polilla de los pájaros disecados. Necesitando apoyo moral y político para su obra en la Universidad, el nuevo conservador influyó para que fuera nombrado Rector Lobatchewsky, cosa que se logró el año 1827. El matemático se hallaba ahora a la cabeza de la Universidad, pero la nueva posición no era una sinecura. Bajo su capaz dirección todo el cuerpo docente fue reorganizado, siendo nombrados nuevos y mejores hombres. La instrucción fue liberalizada, a pesar de la función oficial, la biblioteca adquirió un nivel superior de suficiencia científica, se adquirieron los instrumentos científicos requeridos para la investigación y la enseñanza, se fundó y equipó un observatorio, proyecto acariciado por el enérgico Rector, y la amplia colección mineralógica donde estaban representados todos los minerales de Rusia, fue puesta en orden y constantemente enriquecida.
La nueva dignidad de su rectorado no impidió que Lobatchewsky ayudara manualmente en los trabajos de la biblioteca y del museo cuando era necesario. La Universidad era su vida y la amaba sobre todas las cosas. Poco bastaba para que despojándose del cuello y de la levita se entregara a cualquier labor manual. Se cuenta que un distinguido visitante extranjero, al encontrar al Rector en mangas de camisa, le confundió con un conserje y le pidió le mostrara la biblioteca y las colecciones del museo. Lobatchewsky le mostró los más preciados tesoros añadiendo detenidas explicaciones. El visitante quedó encantado muy impresionado de la gran inteligencia y cortesía de los empleados subalternos rusos. Al despedirse quiso entregarle una pequeña propina pero Lobatchewsky, ante la admiración del extranjero, rechazó indignado las monedas ofrecidas. Pensando que se trataba de alguna excentricidad del inteligente conserje, el visitante se guardó su dinero. Aquella noche, él y Lobatchewsky volvieron a encontrarse en la cena ofrecida por el gobernador, y en ese momento se presentaron y aceptaron recíprocamente todo género de excusas.
Lobatchewsky creía firmemente en que para hacer bien una cosa hay que saber ejecutarla o comprender como se ejecuta, pues es la única manera de poder criticar el trabajo de los demás de un modo inteligente y constructivo. Como hemos dicho, la Universidad era su vida. Cuando el gobierno decidió modernizar los edificios y añadir un nuevo, Lobatchewsky tomó a su cuidado que la obra fuera realizada del modo más perfecto sin que se derrochasen los fondos votados. Para cumplir esta tarea aprendió arquitectura. Tan grande fue su dominio de la cuestión que los edificios no sólo fueron adecuados para el propósito a que se destinaban, sino que se dio el caso, casi único en la historia, de que fueron construidos con menos dinero que el calculado. Algunos años más tarde (en 1842), un terrible fuego destruyó la mitad de la ciudad de Kazán, incluyendo los mejores edificios de la Universidad con su observatorio totalmente equipado, que constituía el orgullo de Lobatchewsky. Pero gracias a la enérgica sangre fría del Rector se salvaron los instrumentos y la biblioteca. Apagado el fuego, Lobatchewsky se entregó a la labor de la reconstrucción, y dos años más tarde no quedaba signo alguno del desastre.
Recordaremos que el año 1842, el año del fuego, fue también el año en que, merced a los buenos oficios de Gauss, fue elegido Lobatchewsky miembro extranjero correspondiente de la Real Sociedad de Göttingen por su creación de la Geometría no-euclidiana. Aunque parezca increíble que un hombre tan excesivamente atareado por la enseñanza y la administración como Lobatchewsky lo estaba, pudiera encontrar tiempo para realizar una obra científica, Lobatchewsky encontró la oportunidad para crear una de las grandes obras maestras de la Matemática y para establecer un jalón en el pensamiento humano. En esa obra trabajó durante 20 o más años. Su primera comunicación pública acerca de ese tema ante la Sociedad Físico-matemática de Kazán, tuvo lugar en 1826. Fue igual que si hubiera hablado en pleno desierto de Sahara. Gauss no oyó hablar de la obra basta el año 1840.
Otro episodio de la atareada vida de Lobatchewsky muestra que no sólo la Matemática consumió su tiempo. La Rusia de 1830 se hallaba en unas condiciones sanitarias tan deplorables como un siglo después, cuando los soldados alemanes, durante la gran guerra, quedaban asombrados al contemplar los infortunados prisioneros rusos. Como era natural, al extenderse la epidemia colérica entre los infelices habitantes de Kazán, en los días de Lobatchewsky, prometía reinar allí durante largo tiempo. La teoría infecciosa de los gérmenes era aún desconocida en 1830, aunque los individuos más inteligentes sospechaban ya que la suciedad tenía mucha más intervención en el brote de las pestes que lo que pudiera tener la ira del Señor.
Cuando el cólera invadió Kazán, los sacerdotes hicieron lo que pudieron en favor de aquellas humildes gentes, reuniéndolas en la iglesias para pedirles que unieran sus súplicas, absolviendo a los moribundos y enterrando a los muertos, pero no pensaron que una pala puede también ser útil para más propósitos que el de cavar sepulturas. Dándose cuenta de que la situación de la ciudad era desesperada, Lobatchewsky pidió a sus compañeros que trajeran a sus familias a la Universidad, y luego solicitó, o por mejor decir ordenó, a algunos de sus estudiantes que se unieran a él en una lucha humana y racional contra el cólera. Las ventanas se cerraron herméticamente, se impusieron estrictas medidas sanitarias, y tan sólo se concedieron las salidas necesarias para obtener los alimentos. De los 660 hombres, mujeres y niños así protegidos sólo murieron 16, una mortalidad inferior a 2,5 %. Comparando esta mortalidad con la que tenía lugar en el resto de las gentes que recibían los remedios tradicionales, esa cifra era despreciable.
Podría suponerse que después de todos sus distinguidos servicios en beneficio del Estado y de su reconocimiento como un gran matemático por los profesores europeos, Lobatchewsky recibiría los mayores honores por parte de su gobierno. Imaginar esto no sólo sería pecar de ingenuo, sino que se desobedecería el mandato bíblico "No confiéis en príncipes". Como premio de sus sacrificios y de su lealtad Lobatchewsky fue bruscamente relevado, en 1846, de su cátedra y de su Rectorado. No se dio ninguna explicación de este singular e inmerecido doble insulto. Lobatchewsky tenía 54 años, y su cuerpo y su mente eran más vigorosos que nunca para continuar sus investigaciones matemáticas. Sus colegas protestaron unánimemente contra el ultraje, poniendo en peligro su propia seguridad, pero fueron brevemente informados de que por ser simples profesores, eran constitucionalmente incapaces de comprender los grandes misterios de la ciencia del gobierno.
Esta excusa mal disfrazada abatió a Lobatchewsky. Todavía le fue permitido conservar su estudio en la Universidad. Pero cuando su sucesor, elegido por el gobierno para disciplinar la desafecta facultad, llegó en 1847 para hacerse cargo de su ingrata tarea, Lobatchewsky abandonó toda esperanza de verse repuesto en la Universidad, que debía su importancia casi exclusivamente a sus esfuerzos, y desde entonces sólo apareció contadas veces para asistir a los exámenes. Aunque su vista decayó rápidamente, aun fue capaz de un intenso pensamiento matemático.
Amaba siempre a la Universidad. Su salud se quebrantó al morir su hijo, pero continuó activo con la esperanza de que aun pudiera ser útil. En 1855 la Universidad celebró el cincuentenario de su creación. Para conmemorar este acontecimiento, Lobatchewsky acudió en persona a presentar un ejemplar de su Pangeometría , la obra de su vida científica. Este trabajo (en francés y en ruso) no fue escrito por él, sino dictado, pues Lobatchewsky estaba ciego. Pocos meses más tarde murió, el 24 de febrero de 1856, teniendo 62 años.
Para comprender lo que Lobatchewsky hizo debemos examinar en primer término las notables conquistas de Euclides. Hasta hace poco tiempo el nombre de Euclides era prácticamente sinónimo de Geometría elemental. Del hombre poco se sabía, aparte de las dudosas fechas de su nacimiento y muerte. (330-275 a. J. C,). Además de una explicación sistemática de la Geometría elemental, sus Elementos encierran todo lo que se sabía en su época de la teoría de números. La enseñanza de la geometría ha estado inspirada por Euclides durante más de 2200 años. La labor desarrollada en los Elementos parece haber sido sobre todo la de reunir y exponer lógicamente los resultados de sus predecesores y contemporáneos, y su objeto fue hacer una exposición razonada de la Geometría elemental, de tal modo que cualquiera de las proposiciones contenidas pudiera ser referida a los postulados. Euclides no alcanzó su ideal y ni siquiera nada aproximado, aunque durante siglos se creyó que lo había logrado.
El título de Euclides a la inmortalidad está basado en otra cosa que no es la supuesta perfección lógica que todavía suele atribuírsela erróneamente. Es su reconocimiento de que el quinto de sus postulados (su axioma XI) es una pura suposición. El quinto postulado puede anunciarse de muchas maneras equivalentes, cada una de las cuales puede deducirse de las otras por medio de los restantes postulados de la Geometría de Euclides. Posiblemente, el más sencillo de estos enunciados equivalentes es el siguiente: Dada cualquier línea recta l y un punto P , que no está en l , es posible trazar, en el plano determinado por l y P , tan sólo una línea recta l’ pasando por P , de tal modo que l’ jamás corte a l por más que se prolonguen ambas líneas l y l en ambos sentidos.

Existen una o dos simples cuestiones de que debemos tratar antes de ocuparnos de la intervención revolucionaria de Lobatchewsky en el campo de la Geometría. Nos referimos a las proposiciones "equivalentes" al postulado de las paralelas. Una de éstas, "la hipótesis del ángulo recto", según se denomina, sugiere otras dos posibilidades, ninguna de las cuales equivale a la suposición de Euclides: una de ellas lleva a la Geometría de Lobatchewsky, la otra a la de Riemann.

Se sabe que la hipótesis del ángulo recto conduce a una Geometría consecuente y prácticamente útil, es decir a la Geometría de Euclides remozada para satisfacer las exigencias modernas del rigor lógico. Pero la figura sugiere otras dos posibilidades: cada uno de los ángulos igua les AXY, BYX es menor que un ángulo recto , hipótesis del ángulo agudo ; cada uno de los ángulos iguales, AXY, BYB es mayor que un ángulo recto , hipótesis del ángulo obtuso . Dado que un ángulo puede satisfacer a una y sólo a una de las exigencias, que es ser igual a, menor que, o mayor que un ángulo recto, las tres hipótesis, del ángulo recto, del ángulo agudo y del ángulo obtuso, respectivamente, agotan las posibilidades.
La experiencia vulgar nos predispone en favor de la primera hipótesis. Para comprender que las dos restantes no son tan irracionales como parecen a primera vista, consideraremos alguna cosa que está más cerca de la experiencia humana real que el "plano" idealizado en el que Euclides imaginaba trazadas sus figuras. Pero primero observemos que ni la hipótesis del ángulo agudo ni la del ángulo obtuso nos permiten demostrar el postulado de las paralelas de Euclides debido a que, como antes hemos dicho, el postulado de Euclides es equivalente a la hipótesis del ángulo recto (en el sentido de que puede deducirse uno de otra; la hipótesis del ángulo recto es necesaria y suficiente para la deducción del postulado de las paralelas). Por tanto, si conseguimos construir geometrías basándonos en cualquiera de las dos nuevas hipótesis, no encontraremos en ellas paralelas en el sentido de Euclides.
Para hacer a las otras hipótesis menos irracionales de lo que parecen a primera vista, supongamos que la Tierra fuera una esfera perfecta (sin las irregularidades debidas a las montañas, etc.). Un plano trazado a través del centro de esta Tierra ideal corta la superficie según una circunferencia máxima. Supongamos que deseamos ir desde un punto A a otro B sobre la superficie de la Tierra, manteniéndonos siempre sobre la superficie al pasar desde A a B, y supongamos además que deseamos hacer el recorrido por el camino más corto posible. Este es el problema de la "navegación según una circunferencia máxima". Imaginemos un plano que pase por A, B y el centro de la Tierra (sólo existe un plano que reúne estas condiciones).

Ahora bien, en navegación al menos, la superficie de un océano no se considera como una superficie plana (plano euclidiano), aunque las distancias sean cortas; se la considera como lo que es muy aproximadamente, como una parte de la superficie de una esfera, y la Geometría de la navegación según una circunferencia máxima, no es la de Euclides. La de Euclides no es, pues, la única Geometría de utilidad para el hombre. Sobre el plano dos geodésicas se cortan precisamente en un punto, a no ser que sean paralelas, pues entonces no se cortan (en Geometría euclidiana); pero sobre la esfera dos geodésicas cualesquiera siempre se cortan precisamente en dos puntos. Además, sobre un plano dos geodésicas no pueden encerrar un espacio, tal como acepta Euclides en uno de los postulados de su Geometría; sobre una esfera, dos geodésicas cualesquiera siempre encierran un espacio.
Imaginemos ahora el ecuador sobre la esfera y dos geodésicas trazadas por el polo norte perpendiculares al ecuador. En el hemisferio norte esto da lugar a un triángulo con lados curvos, dos de los cuales son iguales. Cada lado de este triángulo es un arco de geodésico. Tracemos cualquiera otra geodésica que corte los dos lados iguales, de modo que las partes interceptadas entre el ecuador y la línea secante sean iguales. Tenemos ahora, sobre la esfera, la figura de cuatro lados correspondiente a la figura AXYB que hace pocos momentos teníamos en el plano. Los dos ángulos en la base de esta figura son ángulos rectos y los lados correspondientes son iguales, como antes, pero cada uno de los ángulos iguales, en X, Y son ahora mayores que un ángulo recto. Así, en la Geometría extraordinariamente práctica de la navegación según una circunferencia máxima que está más cerca de la experiencia humana real que los esquemas idealizados de la Geometría elemental, no es verdadero el postulado de Euclides, o su equivalente en la hipótesis del ángulo recto, sino la Geometría que se deduce de la hipótesis del ángulo obtuso.
De igual modo, inspeccionando una superficie menos familiar, podemos hacer razonable la hipótesis del ángulo agudo. La superficie semeja dos trompetas infinitamente alargadas, soldadas en sus extremos más anchos.


Así, las hipótesis del ángulo recto, del ángulo obtuso y del ángulo agudo respectivamente, son verdaderas sobre un plano euclidiano, sobre una esfera y sobre una pseudoesfera y en todos los casos las "líneas rectas" son geodésicas. La Geometría euclidiana es un caso límite o degenerado de la Geometría sobre una esfera, que se alcanza cuando el radio de la esfera se hace infinito.
En lugar de construir una Geometría adaptada a la Tierra que los seres humanos conocemos ahora, Euclides aparentemente partió de la suposición de que la Tierra es plana. Si Euclides no lo hizo, sus predecesores lo hicieron, y por aquella época la teoría del "espacio" o Geometría le llevó a las escuetas suposiciones que enuncia en sus postulados considerados como verdades necesarias e inmutables, reveladas a la humanidad por una inteligencia superior como la verdadera esencia de todas las cosas materiales. Fueron necesarios más de 2000 años para derribar la eterna verdad de la Geometría, y Lobatchewsky lo consiguió.
Para usar la frase de Einstein, Lobatchewsky contradijo un axioma. Quien contradice una "verdad aceptada" que ha parecido necesaria o razonable a la gran mayoría de los hombres durante dos mil años o más, pone en peligro su reputación científica, y quizá su vida. Einstein mismo contradijo el axioma de que dos acontecimientos pueden ocurrir en diferentes lugares al mismo tiempo, y analizando esta suposición llegó a inventar la teoría especial de la relatividad. Lobatchewsky contradijo la hipótesis del postulado de las paralelas de Euclides o, lo que es equivalente, la hipótesis del ángulo recto, afirmando que no es necesaria para una Geometría consecuente, y fundó su contradicción estableciendo un sistema de Geometría basada sobre la hipótesis del ángulo agudo en la que por un punto dado no sólo puede trazarse una paralela a una recta dada, sino dos. Ninguna de las paralelas de Lobatchewsky corta la línea a la que ambas son paralelas, ni tampoco cualquier línea recta trazada por el punto dado y que está dentro del ángulo formado por las dos paralelas. Esta al parecer extraña situación se "realiza" para las geodésicas de una pseudoesfera.

Durante 2200 años se creyó, en cierto sentido, que Euclides había descubierto una verdad absoluta o una forma necesaria de percepción humana en su sistema de Geometría. La creación de Lobatchewsky fue una pragmática demostración del error de esta creencia. La audacia de su oposición y su triunfo han conducido a los matemáticos y a los científicos en general a contradecir otros axiomas o verdades aceptadas, por ejemplo la ley de causalidad que durante siglos pareció tan necesaria para el pensamiento como el postulado de Euclides parecía hasta que fue eliminado por Lobatchewsky.
Es probable que todavía no se haya hecho sentir totalmente la conmoción producida por el método de Lobatchewsky de negar los axiomas. No hay exageración en llamar a Lobatchewsky el Copérnico de la Geometría, pero la Geometría es sólo una parte del más amplio campo que renovó. Por ello sería más justo denominarle el Copérnico de todo el pensamiento.
"b>Capítulo 17
Genio y Pobreza
ABEL
He terminado un monumento más duradero que el bronce,
y más altivo que las pirámides erigidas por los reyes,
que no corroerá la lluvia, ni será destruido por los vientos
ingobernados del norte, ni por la infinita sucesión
de los años en el correr del tiempo.
No moriré completamente; una gran parte de mí
escapará a la Muerte y creceré aun lozano entre
las alabanzas de la posteridad.
Horacio (Odas 3, XXX).
El padre de Abel era pastor de la pequeña aldea de Findó, en la diócesis de Kristiansand, Noruega, donde su segundo hijo, Niels Henrik, nació el 5 de agosto de 1802. En la familia paterna varios antepasados se habían distinguido en las actividades eclesiásticas, y todos, incluyendo el padre de Abel, eran hombres cultos. Anne Marie Simonsen, la madre de Abel, se distinguió principalmente por su gran 'hermosura, el amor a los placeres y por su carácter caprichoso, una combinación muy notable para ser la compañera de un pastor. Abel heredó de ella su hermosa presencia y el deseo muy humano de gozar de algo que no fueran los duros trabajos cotidianos, deseo que rara vez pudo satisfacer.
El pastor fue bendecido con siete hijos en una época en que Noruega estaba extraordinariamente empobrecida, como consecuencia de las guerras con Inglaterra y Suecia. De todos modos la familia era muy feliz. A pesar de la pobreza, que no siempre les permitía llenar el estómago, se mantenían alegres. Existe un cuadro notable de Abel, siendo ya genio matemático, sentado ante el fuego; el resto de la familia habla y ríe en la habitación, mientras él sigue con un ojo su Matemática, y con el otro a sus hermanos y hermanas. El ruido jamás le distrajo y podía intervenir en la charla mientras escribía.

Abel tenía a la sazón 15 años. Hasta entonces no había mostrado ningún talento particular para nada, salvo el hecho de que tolerara sus disgustos con cierto sentido humorístico. Bajo la cariñosa y clara enseñanza de Holmboë, Abel repentinamente descubrió lo que era. Teniendo 16 años comenzó a leer y a digerir perfectamente las grandes obras de sus predecesores, incluyendo algunas de Newton, Euler y Lagrange. La lectura de estos grandes matemáticos no sólo constituía su ocupación fundamental, sino su mayor deleite. Preguntado algunos años más tarde acerca de cómo pudo colocarse tan rápidamente en primera fila, replicó: "Estudiando a los maestros, no a sus discípulos", una prescripción que algunos autores de libros debían mencionar en sus prefacios como un antídoto de la venenosa mediocridad de su pedagogía mal inspirada.
Holmboë y Abel pronto fueron íntimos amigos. Aunque el maestro no era un matemático creador, conocía y apreciaba las obras maestras de la Matemática, y gracias a sus sugestiones Abel pronto dominó las obras más difíciles de los clásicos, incluyendo las Disquisitiones Arithmeticae de Gauss.
En la actualidad es un lugar común decir que muchas de las cosas que los antiguos maestros creyeron haber demostrado no fueron realmente probadas. Esto es cierto particularmente en lo que se refiere a algunos de los trabajos de Euler sobre las series infinitas y a algunos de los de Lagrange, sobre el Análisis. La mente aguda de Abel fue una de las primeras en descubrir las lagunas del razonamiento de sus predecesores, y resolvió dedicar buena parte de su vida a calafatear grietas haciendo riguroso el razonamiento. Uno de sus trabajos en esta dirección es la primera demostración del teorema general del binomio. Aunque ya habían ido tratados por Newton y Euler algunos casos especiales, no es fácil dar una sólida demostración del caso general, de modo que quizá no sea asombroso encontrar supuestas pruebas en algunos manuales, como si Abel no hubiera existido. Dicha demostración, sin embargo, fue sólo un detalle en el programa más vasto de Abel de aclarar la teoría y aplicación de las series infinitas.
El padre de Abel murió en 1820, a la temprana edad de 48 años. Abel tenía entonces 18. El cuidado de su madre y de los seis hermanos cayó sobre sus hombros. Confiando en sí mismo, Abel aceptó tranquilo esta responsabilidad. Abel era un alma genial y optimista. Con estricta justicia preveía que llegaría a ser un matemático respetado y que gozaría de ciertas comodidades en una cátedra universitaria. Entonces podría atender a su familia con holgura. Mientras tanto tuvo discípulos privados, y trabajó en lo que pudo. De pasada haremos notar que Abel era un maestro excepcional. Podría haber ganado lo suficiente para sus modestas necesidades, en cualquier cosa y en cualquier momento, pero teniendo a siete personas a su cargo pocas probabilidades tenía de triunfar. Jamás se lamentó de su suerte, se entregó afanosamente a la enseñanza particular, pero dedicó a las investigaciones matemáticas todos los momentos disponibles.
Convencido de que tenía en sus manos a uno de los más grandes matemáticos de todos los tiempos, Holmboë hizo cuanto pudo para lograr un subsidio para el joven, y contribuyó tan generosamente como le fue posible con su peculio particular, no muy abundante. Pero el país era pobre hasta el punto de pasar hambre, y casi nada podía hacerse. En aquellos años de privación y de incesante trabajo, Abel se inmortalizó, pero sembró las semillas de la enfermedad que habría de matarle antes de que realizara la mitad de su obra.
La primera aspiración ambiciosa de Abel fue estudiar la ecuación general de quinto grado ("quíntica"). Todos sus grandes predecesores en álgebra habían agotado sus esfuerzos para obtener una solución sin conseguirlo. Podremos imaginar fácilmente la alegría de Abel cuando creyó erróneamente que había triunfado. A través de Holmboë la supuesta solución fue enviada al más docto matemático danés de la época, quien por fortuna para Abel pidió algunos detalles sin comprometer una opinión acerca de la exactitud de la solución. Mientras tanto Abel había encontrado la falla en su razonamiento. La supuesta solución no era de modo alguno la solución. Este fracaso produjo en él una saludable conmoción, poniéndole en el camino exacto al hacerle dudar de si siempre era posible una solución algebraica. Demostró la imposibilidad. Por entonces tenía 19 años.
Como esta cuestión de la "quíntica" general desempeña en álgebra un papel análogo al del experimento crucial para decidir el destino de toda una teoría científica, merece un momento de atención. Citaremos ahora algunas de las cosas que el mismo Abel dice.
La naturaleza del problema se explica fácilmente. En los primeros cursos de Álgebra aprendemos a resolver las ecuaciones generales de primero y segundo grado con una incógnita x, o sea
![]()
y algo más tarde las de tercero y cuarto grado o sea
![]()
esto es, establecemos fórmulas finitas (cerradas) para cada una de estas ecuaciones generales de los primeros cuatros grados, expresando la incógnita x en función de los coeficientes dados a, b, c, d, e. La solución de una de esas cuatro ecuaciones que se pueden obtener por medio de un número finito de sumas, multiplicaciones, sustracciones, divisiones y extracción de raíces, de los coeficientes dados, se llama algebraica. La importante calificación en esta definición de una solución algebraica es “finita"; no hay dificultad para encontrar soluciones de cualquier ecuación algebraica que no contenga extracción de raíces, aunque implique una infinidad de las otras operaciones racionales.
Después de este triunfo con las ecuaciones algebraicas de los cuatro primeros grados, los algebristas lucharon durante casi tres siglos para obtener solución algebraica de la ecuación general de quinto grado.
![]()
Fracasaron: entonces intervino Abel.
Vamos a reproducir los siguientes párrafos en parte porque muestran su gran inventiva en el pensamiento matemático y en parte por su interés intrínseco. Corresponden a la memoria de Abel Sobre la resolución algebraica de ecuaciones.
«Uno de los problemas más interesantes del Álgebra es el de la solución algebraica de las ecuaciones, y observamos que casi todos los matemáticos distinguidos se han ocupado de este tema. Llegamos sin dificultad a la expresión de las raíces de las ecuaciones de los cuatro primeros grados en función de sus coeficientes. Fue descubierto un método uniforme para resolver estas ecuaciones, y se creyó sería aplicable a las ecuaciones de cualquier grado, pero, a pesar de todos los esfuerzos de Lagrange y de otros distinguidos matemáticos, el fin propuesto no fue alcanzado. Esto llevó a la creencia de que la solución de las ecuaciones generales era algebraicamente imposible; pero esta creencia no podía ser comprobada, dado que el método seguido sólo llevaba a conclusiones decisivas en los casos en que las ecuaciones eran solubles. En efecto, los matemáticos se proponían resolver ecuaciones sin saber si era posible. Así se podía llegar a una solución, pero si por desgracia la solución era imposible, podríamos buscarla durante una eternidad sin encontrarla. Para llegar infaliblemente a una conclusión debemos por tanto seguir otro camino. Podemos dar al problema tal forma que siempre sea posible resolverlo, cosa que podemos hacer con cualquier problema[27]. En lugar de preguntarnos si existe o no una solución de relación que no nos es conocida, debemos preguntarnos si tal relación es en efecto posible... Cuando se plantea un problema de esta forma, el enunciado contiene el germen de la solución e indica el camino que debe seguirse, y yo creo que habrá pocos ejemplos donde seamos incapaces de llegar a proposiciones de más o menos importancia, hasta cuando la complicación de los cálculos impide una respuesta completa al problema".
Abel sigue diciendo que debe seguirse el método científico, pero ha sido poco usado debido a la extraordinaria complicación de los cálculos algebraicos que supone. "Pero, añade Abel, en muchos ejemplos esta complicación es sólo aparente y se desvanece en cuanto se, aborda", y Abel añade: "He tratado de esta forma diversas ramas del Análisis, y aunque muchas veces me he encontrado ante problemas más allá de mi capacidad, he llegado de todos modos a gran número de resultados generales que aclaran la naturaleza de esas cantidades cuya dilucidación es el objeto de las Matemáticas. En otra ocasión mencionaré los resultados a que he llegado en esas investigaciones y el procedimiento que me ha conducido a ellos. En la presente memoria trataré el problema de la solución algebraica de las ecuaciones en toda su generalidad."
Luego presenta dos problemas generales relacionados entre sí que se propone discutir:
- Encontrar todas las ecuaciones de cualquier grado que sean resolubles algebraicamente.
- Determinar si una ecuación es o no resoluble algebraicamente.
La capacidad inventiva de Abel se aplicó a problemas más vastos antes de que tuviera tiempo de volver sobre éste, y su solución completa, el enunciado explícito de las condiciones necesarias y suficientes para que una ecuación algebraica se pueda resolver algebraicamente, es reservada a Galois. Cuando esta memoria de Abel fue publicada en 1818, Galois tenía 16 años y había iniciado su carrera de descubrimientos fundamentales. Galois conoció y admiró más tarde la obra de Abel, pero es probable que Abel jamás llegase a oír el nombre de Galois aunque cuando Abel visitó París, él y su brillante sucesor tan sólo estaban separados escasos kilómetros.
Aunque la labor de Abel en álgebra marca una época, pasa a un segundo plano por su creación de una nueva rama del Análisis. Esta obra es, como dijo Legendre, el "monumento que resistirá al tiempo". Si la historia de su vida nada añade al esplendor de sus hazañas, al menos nos muestra lo que el mundo perdió cuando Abel murió. Es un relato algo desalentador. Sólo su jovialidad perenne y su valor indomable en la lucha contra la pobreza, así como la falta de aliento por parte de los príncipes de las Matemáticas de su época amenizan la historia. Abel, sin embargo, encontró un generoso amigo, además de Holmboë.
En junio de 1822, cuando Abel tenía 19 años, completó sus estudios en la Universidad de Cristianía. Holmboë hizo todo lo posible por aliviar la pobreza del joven, convenciendo a sus colegas que debían contribuir para hacer posible que Abel continuara sus investigaciones matemáticas. Estos colegas hubieran deseado hacerlo, pero también eran muy pobres. Abel quería salir pronto de Escandinavia, deseaba visitar Francia, la reina matemática del mundo de aquellos días, donde esperaba conocer a las más grandes figuras (Abel se encontraba en realidad por encima de algunas de ellas, pero no lo sabía). Soñaba también con viajar por Alemania y hablar con Gauss, el príncipe indiscutido de todos ellos.
Los matemáticos y astrónomos amigos de Abel persuadieron a la Universidad para que pidiera al gobierno noruego un subsidio con objeto de que el joven pudiera estudiar Matemáticas en Europa. Para impresionar a las autoridades, Abel presentó una extensa memoria, que, a juzgar por su título, estaba probablemente relacionada con las actividades que le dieron más fama. El autor tenía un alto concepto de su obra, y creía que su publicación por la Universidad sería un honor para Noruega. Por desgracia la Universidad luchaba con dificultades económicas y la memoria se perdió. Después de una larga deliberación, el gobierno llegó a un acuerdo, pero en lugar de hacer lo que era sensato, es decir, enviar a Abel inmediatamente a Francia y Alemania, le concedió una pensión para que continuara sus estudios universitarios en Cristianía, con objeto de que perfeccionara su francés y su alemán. Esta era la solución que podía esperarse del sentido común de aquellos importantes funcionarios, pero el sentido común no siempre se aviene con el genio.
Abel trabajó año y medio en Cristianía sin perder el tiempo, pues, durante esos meses, se dedicó a luchar, no siempre triunfalmente, con el alemán y se inició más favorablemente en el francés, pero al mismo tiempo trabajó incesantemente en su matemática. Con su incurable optimismo también se comprometió con una joven, Crelly Kemp. Al fin, el 27 de agosto de 1825, cuando Abel tenía 23 años, sus amigos vencieron la última objeción del gobierno y un real decreto le concedió los fondos suficientes para viajar y estudiar durante un año en Francia y Alemania. No le concedieron mucho, pero el hecho de que le dieran algo, a pesar de las malas condiciones financieras del país, dice más en favor del estado de civilización de Noruega en 1825 que toda una enciclopedia de artes e industrias. Abel estaba muy agradecido. Tardó cerca de un mes en arreglar sus asuntos antes de partir, pero trece meses antes, creyendo inocentemente que todos los matemáticos eran tan generosos como él, ganó un escalón antes de haber puesto los pies en él.
De su propio bolsillo, sólo Dios sabe cómo, Abel pagó la impresión de la memoria en que demostraba la imposibilidad de resolver algebraicamente la ecuación general de quinto grado. Era una impresión muy defectuosa, pero la mejor que podía obtenerse en Noruega en aquella época. Abel creyó ingenuamente que esta memoria sería su pasaporte científico para los grandes matemáticos del continente. Esperaba que particularmente Gauss reconociera los grandes méritos de la obra, concediéndole una larga entrevista. No podía sospechar que “el príncipe de los matemáticos" no siempre mostraba una generosidad principesca para los jóvenes matemáticos que luchaban para que sus méritos fueran reconocidos.
Gauss recibió el trabajo, y Abel supo cuál había sido el recibimiento que le dispensó. Sin dignarse leerlo lo arrojó a un lado exclamando: "He aquí otra de esas monstruosidades". Abel resolvió no visitar a Gauss. Después de este suceso sintió gran antipatía por él, antipatía que manifestaba siempre que encontraba ocasión. Abel afirma que Gauss escribía confusamente e insinúa que los alemanes le consideraban en más de lo que valía. No es posible decir quién de los dos, Gauss o Abel, perdió más por esta antipatía perfectamente comprensible.
Gauss ha sido muchas veces censurado por su "orgulloso desprecio"; en esta ocasión, pero quizás sean palabras demasiado fuertes para calificar su conducta. El problema de la ecuación general de quinto grado era muy conocido. Y tanto los matemáticos reputados como los aficionados a la Matemática se habían ocupado de él. Si en la actualidad cualquier matemático recibiera una supuesta prueba de la cuadratura del círculo, podría o no escribir una cortés carta para acusar recibo, pero es casi seguro que el manuscrito sería arrojado al cesto de los papeles, pues todos los matemáticos saben que Lindemann, en 1882, demostró que es imposible cuadrar el círculo valiéndose tan sólo de la regla y el compás, los únicos instrumentos que manejan los aficionados y de los que también se valió Euclides. Se sabe también que la demostración de Lindemann es accesible a cualquiera. En 1824, el problema de la quíntica general estaba casi a la par del problema de la cuadratura del círculo. Esto explica la impaciencia de Gauss. Recordaremos, sin embargo, que la imposibilidad no había sido aún probada, y el trabajo de Abel proporcionaba la demostración. Si Gauss hubiera leído algunos párrafos seguramente que la memoria le habría interesado y habría sido capaz de refrenar su temperamento. Es una lástima que no lo hiciera. Una palabra de Gauss y los méritos de Abel habrían sido reconocidos. También es posible que su vida se hubiera prolongado, como veremos cuando hayamos expuesto toda su historia.
Después de dejar su hogar, en septiembre de 1825, Abel visitó primeramente a los más notables matemáticos y astrónomos de Noruega y Dinamarca, y luego, en lugar de apresurarse a ir a Göttingen para conocer a Gauss, como era su propósito, marchó a Berlín.
Allí tuvo la inmensa fortuna de encontrarse con un hombre, August Leopold Crelle (1780-1856) que iba a ser para él un segundo Holmboë y que tenía mucho más peso en el mundo matemático de lo que tenía el generoso noruego. Pero si Crelle ayudó a que Abel lograra una reputación, éste le pagó ayudándole para que aumentara Crelle la suya. Para los que actualmente cultivan la Matemática, el nombre de Crelle es familiar, pues esa palabra, más que el nombre de un individuo, significa el gran periódico que fundó, y cuyos tres primeros volúmenes contienen 22 trabajos de Abel. El periódico permitió que Abel fuera conocido, o al menos más ampliamente conocido por los matemáticos del continente que hubiera podido serlo sin él. La gran obra de Abel inició el periódico tan estrepitosamente, que este estrépito fue oído por todo el mundo matemático, y finalmente el periódico labró la reputación de Crelle. Este aficionado a las Matemáticas merece algo más que una simple mención. Su capacidad para los negocios y su seguro instinto para elegir colaboradores que fueran verdaderos matemáticos, hicieron más por el progreso de las Matemáticas en el siglo XIX que media docena de doctas academias.
Crelle era un autodidacto amante de la Matemática más que un matemático creador. Su profesión era ingeniero civil. Llevó a la cima su obra al construir el primer ferrocarril en Alemania, lo que le proporcionó abundantes ingresos. En sus horas de ocio se dedicaba a la Matemática, que fue para él más que una simple diversión. Contribuyó a la investigación matemática antes y después de haber fundado, en 1826, su Journal für die reine und angewandte Mathematik (Periódico para la Matemática pura y aplicada), que fue un gran estímulo para los matemáticos alemanes. Esta es la gran contribución de Crelle al progreso de la Matemática.
Esta revista fue el primer periódico del mundo dedicado exclusivamente a la investigación matemática. Las exposiciones de las obras antiguas no eran bien recibidas. Los trabajos eran aceptados cualquiera fuera su autor, siempre que la cuestión fuera nueva, verdadera y de "importancia" suficiente, una exigencia intangible, para merecer la publicación. Desde 1823 esta revista apareció regularmente cada tres meses, y la palabra "Crelle" sigue siendo familiar para todos los matemáticos. En el caos después de la primera guerra mundial el "Crelle" estuvo a punto de derrumbarse, pero fue sostenido por suscriptores de todo el mundo que no se resignaban a que se perdiera este gran monumento de una civilización más tranquila que la nuestra. Actualmente existen centenares de periódicos dedicados, totalmente o en considerable parte, al progreso de las Matemáticas puras y aplicadas.
Cuando Abel llegó a Berlín en 1825, Crelle estaba pensando en lanzarse a esta gran aventura con sus propios medios económicos y Abel tuvo una parte en que tomara la decisión. Existen dos relatos acerca de la primera visita de Abel a Crelle, ambos interesantes. Por aquella época Crelle desempeñaba un cargo del gobierno para el que tenía poca aptitud y menos gusto: el de examinador del Instituto de Industria (Gewerbe-Institut) en Berlín. El relato de Crelle, de tercera mano (Crelle a Weierstrass y éste a Mittag-Leffler), de esta visita histórica es el siguiente:
"Un buen día, un joven muy desconcertado, con un rostro juvenil e inteligente, penetró en mi habitación. Creyendo que se trataba de un candidato para ingresar en el Instituto le expliqué que eran necesarios diversos exámenes. Al fin, el joven abrió su boca y dijo en muy mal alemán: "No exámenes, sólo Matemáticas".
Crelle vio que Abel era extranjero e intentó hablarle en francés, que Abel comprendía con alguna dificultad. Crelle le preguntó entonces qué labor había hecho en la Matemática. Con diplomacia Abel replicó que había leído, entre otras cosas, el trabajo de Crelle de 1823, recientemente publicado, sobre ' 'facultades analíticas" (ahora llamadas "factoriales"). Dijo que la obra le había parecido muy interesante, pero, ya no tan diplomáticamente, señaló aquellas partes de la obra que estaban equivocadas. Fue aquí donde Crelle mostró su grandeza. En lugar de enfurecerse por la osada presunción de aquel joven, aguzó su oído, y le preguntó nuevos detalles que siguió con la mayor atención. Durante largo rato hablaron de Matemática, aunque tan sólo algunas partes de ella eran inteligibles para Crelle. Pero entendiera o no todo lo que el visitante le dijo, Crelle vio claramente lo que Abel era. Crelle jamás pudo comprender una décima parte de lo que Abel sabía, pero su seguro instinto le afirmaba que Abel era un matemático de primera categoría e hizo todo lo que estaba en su mano para que su joven protegido fuera conocido. Antes de que terminara la entrevista, Crelle había pensado que Abel sería uno de los primeros colaboradores del proyectado Journal.
El relato de Abel difiere, aunque no esencialmente. Leyendo entre líneas podemos ver que las diferencias se deben a la modestia de Abel. Al principio Abel temió que su proyecto de interesar a Crelle estaba destinado a caer en el vacío. Crelle no comprendía lo que el joven deseaba, ni sabía quién era, pero en cuanto Crelle le preguntó qué había leído en cuestiones matemáticas, la situación se aclaró considerablemente. Cuando Abel mencionó las obras de los maestros que había estudiado, Crelle prestó inmediatamente atención. Tuvieron una larga charla sobre diversos problemas importantes, y Abel se aventuró a hablar de su demostración de la imposibilidad de resolver algebraicamente la quíntica general. Crelle no había oído hablar de tal demostración y debía haber en ella algo equivocado. Pero aceptó un ejemplar del trabajo, lo hojeó, y, admitiendo que los razonamientos estaban más allá de su capacidad, publicó la prueba ampliada de Abel en su Journal. Aunque era un matemático limitado, sin pretensiones de grandeza científica, Crelle era un hombre de mente amplia, un verdadero gran hombre.
Crelle llevó a Abel a todas partes, considerándolo como el mayor descubrimiento matemático que había hecho. El autodidacto suizo Steiner, "el más grande geómetra después de Apolonio", acompañaba algunas veces a Crelle y Abel en sus paseos. Cuando los amigos de Crelle le veían llegar con estos dos genios, exclamaban: "Ahí viene el padre, Adán con Caín y Abel".
La generosa sociabilidad de Berlín comenzó a distraer a Abel de su trabajo, y entonces marchó a Friburgo donde pudo concentrarse. Fue allí donde tomó cuerpo su obra máxima, la creación de lo que ahora se llama el teorema de Abel, pero tenía que marchar a París para conocer a los más grandes matemáticos franceses de la época: Legendre, Cauchy, etc.
Puede decirse que la recepción dispensada a Abel por los matemáticos franceses fue tan cortés como podía esperarse de distinguidos representantes de un pueblo muy cortés, en una época extraordinariamente cortés. Todos ellos fueron muy corteses con él, y esto es todo lo que obtuvo Abel de la visita en que había puesto tan ardientes esperanzas. Como es natural no llegaron a conocerle, ni supieron quién era, pues tampoco hicieron verdaderos esfuerzos para descubrir su personalidad. Si Abel abría la boca acerca de su propia obra, ellos, manteniéndose a cierta distancia, comenzaban inmediatamente a platicar acerca de su propia; grandeza. Si no hubiera sido por su indiferencia, el venerable Legendre hubiera sabido ciertas cosas acerca de la pasión de su vida (las integrales elípticas) que le hubieran interesado extraordinariamente. Pero fue en el preciso momento en que subía a su carruaje cuando Abel le encontró, y sólo tuvo tiempo para saludarle cortésmente. Más tarde le presentó rendidas excusas.
En julio de 1826, Abel se alojó en París con una pobre pero codiciosa familia que le proporcionaba dos malas comidas por día y un inmundo aposento a cambio de un alquiler bastante elevado. Transcurridos cuatro meses de permanencia en París, Abel escribía sus impresiones a Holmboë:
París, 24 de octubre de 1826.
"Te diré que esta ruidosa capital del continente me ha producido por el momento el efecto de un desierto. Prácticamente no conozco a nadie, a pesar de hallarnos en la más agradable estación cuando todos se hallan en la ciudad... Hasta ahora he conocido a Mr. Legendre, a Mr. Cauchy y a Mr. Hachette y a algunos matemáticos menos célebres, pero muy capaces: Mr. Saigey, editor del Bulletin des Sciences y Mr. Lejeune-Dirichlet, un prusiano que vino a verme el otro día creyéndome compatriota suyo. Es un matemático de gran penetración. Con Mr. Legendre ha probado la imposibilidad de resolver la ecuación
![]()
en enteros, y otras cosas importantes. Legendre es extraordinariamente cortés, pero desgraciadamente muy viejo. Cauchy está loco... lo que escribe es excelente, pero muy confuso. Al principio no comprendía prácticamente nada, pero ahora veo algunas cosas con mayor claridad... Cauchy es el único que se preocupa de Matemáticas puras. Poisson, Fourier, Ampère, etc., trabajan exclusivamente en problemas de magnetismo y en otras cuestiones físicas. Mr. Laplace creo que ahora no escribe nada. Su último trabajo fue un complemento a su teoría de las probabilidades. Muchas veces le veo en el Instituto. Es un buen sujeto. Poisson, es un agradable camarada; sabe cómo comportarse con gran dignidad; Mr. Fourier, lo mismo, Lacroix es muy viejo. Mr. Hachette va a presentarme a algunos de estos hombres.
"Los franceses son mucho más reservados con los extranjeros que los alemanes. Es extraordinariamente difícil obtener su intimidad, y no me aventuro a presentar mis pretensiones. En fin, todo principiante tiene aquí grandes dificultades para hacerse notar. Acaba de terminar un extenso tratado sobre cierta clase de funciones transcendentes [su obra maestra] para presentarlo al Instituto [Academia de Ciencias], en la sesión del próximo lunes. Lo he mostrado a Mr. Cauchy pero apenas se ha dignado mirarlo. Me aventuro a decir sin jactancia que es una obra de importancia. Tengo curiosidad por oír la opinión del Instituto y no dejaré de comunicártela..."
Luego cuenta lo que está haciendo, y añade un resumen de sus proyectos no muy optimistas. "Lamento haber pedido dos años para mis viajes, pues año y medio habrían sido suficientes."
Abel deseaba abandonar Europa Continental, pues quería dedicar su tiempo a trabajar en lo que había ideado.
"Muchas cosas me quedan por hacer, pero en tanto me halle en el extranjero todo lo que haga será bastante malo. ¡Si yo tuviera mi cátedra como el Sr. Kielhau tiene la suya! Mi posición no está asegurada, pero no me inquieto acerca de esto; si la fortuna no me acompaña en una ocasión, quizá me sonría en otra."
De una carta de fecha anterior dirigida al astrónomo Hansteen, tomamos dos párrafos, el primero relacionado con el gran proyecto de Abel de colocar el Análisis matemático, tal como existía en su época, sobre un fundamento firme, y el segundo mostrando algo de su aspecto humano.
"En el análisis superior pocas proposiciones han sido demostradas con un rigor suficiente. En todas partes encontramos el desgraciado procedimiento de razonar desde lo especial a lo general, y es un milagro que esta forma de razonar sólo rara vez nos haya llevado a la paradoja. Es en efecto extraordinariamente interesante buscar la razón de esto. Esta razón, en mi opinión, reside en el hecho de que las funciones que hasta ahora se presentan en el Análisis pueden ser expresadas en su mayor parte por potencias... Cuando seguimos un método general ello no es muy difícil [para evitar trampas]; pero tengo que ser muy circunspecto, pues las proposiciones sin prueba rigurosa (es decir sin prueba alguna) se han apoderado de mí en tal grado que constantemente corro el riesgo de usarlas sin nuevo examen. Estas bagatelas aparecerán en el Journal publicado por el Sr. Crelle."
Expresa luego su gratitud por la forma de ser tratado en Berlín.
"Cierto es que pocas personas se interesaron por mí. Pero estas pocas han sido infinitamente cariñosas y amables. Quizá pueda responder en alguna forma a las esperanzas que han puesto en mí, pues es desagradable para un bienhechor ver perderse todos sus esfuerzos."
Abel cuenta entonces cómo Crelle le pidió que fijara su residencia en Berlín. Crelle estaba utilizando toda su habilidad para colocar al noruego Abel en una cátedra de la Universidad de Berlín. Esta era la Alemania de 1826. Abel era ya tina segura promesa, y se veía en él el sucesor matemático más legítimo de Gauss. Poco importaba que se tratase de un extranjero. Berlín en 1826 deseaba lo mejor que hubiera en matemática. Un siglo más tarde la figura más descollante en la física matemática, Einstein, fue forzada a abandonar Berlín. He aquí el progreso. Pero continuemos con el confiado Abel.
"Pensé al principio marchar directamente desde Berlín a París, satisfecho con la promesa de que el Sr. Crelle me acompañaría. Pero el Sr. Crelle tuvo dificultades, y tendré que viajar solo. Estoy constituido de tal modo que no puedo tolerar la soledad. Cuando estoy solo me hallo deprimido, me siento pendenciero, y tengo poca inclinación para el trabajo. Por tanto me he dicho a mí mismo que sería mucho mejor ir con el Sr. Boeck a Viena, y este viaje me parece injustificado por el hecho de que en Viena hay hombres como Litrow, Burg, y otros, todos ellos excelentes matemáticos; añádase también que será la única ocasión en mi vida de hacer este viaje. ¿Hay algo que no sea razonable en este deseo mío de ver algo de la vida del Sur? Puedo trabajar activamente mientras viajo. Una vez en Viena, existe para ir a París, una vía directa por Suiza. ¿Por qué no ver un poco todas estas cosas? ¡Dios mío! también a mí me gusta las bellezas de la naturaleza como a cualquier otro. Este viaje me hará llegar a París dos meses más tarde, esto es todo. Podré rápidamente recuperar el tiempo perdido. ¿No le parece que este viaje me hará mucho bien?"
Abel marchó al Sur, dejando su obra maestra al cuidado de Cauchy para que la presentara al Instituto. El prolífico Cauchy estaba entonces muy atareado recogiendo sus propios frutos, y no tenía tiempo para examinar los mejores frutos que el modesto Abel había depositado en su cesta. Hachette, un simple ayudante de matemático, presentó la obra de Abel Memoria sobre una propiedad general de una clase muy extensa de funciones trascendentes, a la Academia de Ciencias de París, el 10 de octubre de 1826. Esta es la obra que Legendre calificó más tarde, empleando palabras de Horacio, de "monumentum aere perennius", y la labor de quinientos años que, según Hermite, había dejado Abel, a las futuras generaciones de matemáticos. Era una de las más grandes conquistas de la Matemática.¿Qué sucedió? Legendre y Cauchy fueron nombrados jueces; Legendre tenía 74 años, Cauchy 39. Legendre se quejó, en carta dirigida a Jacobi (5 de abril de 1829), de que "percibimos que la memoria era apenas legible; estaba escrita con una tinta casi blanca y las letras defectuosamente formadas; estuvimos de acuerdo en que el autor debió proporcionarnos una copia más limpia para ser leída". Cauchy se llevó la memoria a su casa, la extravió y todo quedó olvidado.
Para encontrar un parangón con este fenomenal olvido tendríamos que imaginarnos a un egiptólogo que perdiera la Piedra Roseta. Tan sólo por un verdadero milagro pudo ser desenterrada la memoria después de la muerte de Abel. Jacobi oyó hablar de ella a Legendre, con quien Abel mantuvo correspondencia después de volver a Noruega, y en una carta fechada el 14 de marzo de 1829, Jacobi exclama: "¡Qué descubrimiento es este de Abel!... ¿Cómo es posible que este descubrimiento, quizá el más importante descubrimiento matemático que ha sido hecho en nuestro siglo, se haya comunicado a su Academia hace dos años y haya escapado de la atención de sus colegas?" Esta pregunta llegó hasta Noruega. Resumiendo esta larga historia diremos que el cónsul noruego en París hizo una reclamación diplomática acerca del perdido manuscrito y Cauchy lo encontró en 1830. Pero hasta el año 1841 no fue impreso en las Mémoires présentés par divers savants de l'Académie royale des sciences de l'Institut de France, vol. 7, pp. 176-264. Para coronar esta epopeya in parvo de crasa incompetencia, el editor o el impresor o ambos perdieron el manuscrito antes de que fueran leídas las pruebas de imprenta[28]. La Academia en 1830, quiso sincerarse con Abel concediéndole el gran premio de Matemática en unión con Jacobi, pero Abel había muerto.
Los siguientes párrafos de la memoria muestran su objeto:
"Las funciones transcendentes hasta ahora consideradas por los matemáticos son escasas en número. Prácticamente toda la teoría, de funciones transcendentes se reduce a la de funciones logarítmicas, circulares y exponenciales, funciones que en el fondo forman una sola especie. Tan sólo recientemente se ha comenzado a considerar algunas otras funciones. Entre las últimas, las transcendentes elípticas, algunas de cuyas notables y elegantes propiedades han sido desarrolladas por Mr. Legendre, ocupan el primer lugar. El autor [Abel] considera, en la memoria que tiene el honor de representar a la Academia, una clase muy extensa de funciones, todas aquellas cuyas derivadas pueden expresarse por medio de ecuaciones algebraicas cuyos coeficientes sean funciones racionales de una variable, y ha demostrado para estas funciones propiedades análogas a la de las funciones logarítmicas y elípticas... y ha llegado al siguiente teorema:
"Si tenemos varias funciones cuyas derivadas pueden ser raíces de una Y la misma ecuación algebraica, cuyos coeficientes son funciones racionales de una variable, podemos siempre expresar la suma de cualquier número de tales funciones por una función algebraica y logarítmica, siempre que establezcamos cierto número de relaciones algebraicas entre las variables de las funciones en cuestión.
"El número de estas relaciones no depende en modo alguno del número de funciones, sino sólo de la naturaleza de las funciones particulares consideradas…
Este teorema se conoce hoy con el nombre de Teorema de Abel, cuya demostración no es otra cosa que "un maravilloso ejercicio de Cálculo integrar". Lo mismo que en Álgebra, en Análisis Abel alcanzó su prueba con una soberbia parsimonia. La prueba puede decirse, sin exageración, que está dentro de los alcances de un muchacho de 17 años que haya seguido el primer curso de Cálculo. No hay nada ampuloso en la simplicidad clásica de la prueba de Abel, pero no puede decirse lo mismo de algunas de las ampliaciones y retoques geométricos de la demostración original realizados en el siglo XIX. La prueba de Abel es como una estatua de Fidias; algunas de las otras semejan una catedral gótica y hasta una construcción barroca.
Existen motivos para una posible confusión en el párrafo citado de Abel. Abel sin duda quiso ser amablemente cortés para un anciano que le había protegido, en el mal sentido, cuando le conoció, pero que de todos modos había empleado gran parte de su larga vida de trabajo en un importante problema sin ver lo que había dentro de él. No es cierto que Legendre haya estudiado las funciones elípticas, como las palabras de Abel parecen indicar; lo que ocupó a Legendre gran parte de su vida fueron las integrales elípticas, que son tan diferentes de las funciones elípticas, como lo es un caballo del carro del cual tira, y ahí se encuentra precisamente el germen de una de las más grandes contribuciones de Abel a la Matemática. La cuestión es muy sencilla para quien haya seguido un curso elemental de Trigonometría, y para evitar fatigosas explicaciones de cuestiones elementales, las omitiremos en nuestra exposición.
Para quienes han olvidado todo lo que supieron de Trigonometría podemos presentar la esencia, la metodología de los progresos de Abel, recurriendo a una analogía. Nos referimos al carro y al caballo. El conocido proverbio acerca de colocar el carro delante del caballo, explica lo que Legendre hizo. Abel vio que si el carro tiene que moverse hacia adelante, el caballo tendrá que precederle. Mencionaremos otro ejemplo. Francis Galton, en sus estudios estadísticos de la relación entre la pobreza y la embriaguez crónica, fue llevado por su mente imparcial a reconsiderar la forma en que los indignados moralistas valoraban tales fenómenos sociales. En lugar de aceptar que las gentes son depravadas porque beben en exceso, Galton invirtió su hipótesis y aceptó provisionalmente que las gentes beben en exceso porque han heredado malas condiciones morales de sus antepasados, en una palabra: beben porque son depravados. Dando de lado todos los consejos moralizadores de los reformadores, Galton se aferraba a una hipótesis científica, no sentimental, a la cual pudo aplicar el razonamiento imparcial de la Matemática. Su trabajo no ha sido aún registrado socialmente. Por el momento nos bastará hacer notar que Galton, como Abel, invirtió su problema, colocando lo de arriba abajo, lo de dentro afuera, lo de atrás adelante, y lo de adelante atrás. Como Hiawatha y sus fabulosos mitones, Galton colocó dentro el lado de la piel y lo de dentro afuera.
Todo esto dista mucho de ser una trivialidad. Era uno de los métodos más poderosos para el descubrimiento (o invención) matemático hasta entonces ideado, y Abel fue el primer ser humano que lo usó conscientemente en sus investigaciones. "Siempre debéis invertir", como Jacobi dijo cuando le preguntaban el secreto de su descubrimiento matemático. Jacobi recordaba lo que Abel y él habían hecho. Si la solución del problema se hace imposible, intentemos invertir el problema. Por tanto, si encontramos incomprensible el carácter de Cardano cuando lo examinamos considerándolo como un hijo de su padre, desplacemos la cuestión, invirtámosla, y veamos lo que resulta cuando analicemos al padre de Cardano como el progenitor y creador de su hijo. En lugar de estudiar la "herencia" concentrémonos en la "dotación". Dirijámonos ahora a quienes recuerdan las lecciones de Trigonometría.
Supongamos que los matemáticos han sido tan ciegos que no hayan visto que seno x, coseno x, y las otras funciones trigonométricas directas son más sencillas de usar, en las fórmulas de sumas y en otros casos, que las funciones inversas sen-1x; cos-1x. Recordemos la fórmula sen (x+ y) en función del seno y coseno de x e y y comparémosla con la fórmula sen-1(x + y) en función de x e y. ¿No es la primera mucho más sencilla, más elegante, más "natural" que la última? Ahora, en el cálculo integral, las funciones trigonométricas inversas se presentan naturalmente como integrales definidas de irracionales algebraicas simples (segundo grado); tales integrales aparecen cuando se trata de encontrar la longitud de un arco de círculo por medio del Cálculo integral. Supongamos que las funciones trigonométricas inversas se han presentado al principio de esta forma. ¿No habría sido "más natural" considerar las inversas de estas funciones, es decir las funciones trigonométricas familiares como las funciones dadas que han de ser estudiadas y analizadas? Indudablemente, pero en muchos de los problemas más complicados, el más sencillo de los cuales es el de hallar la longitud del arco de una elipse por una integración, las difíciles funciones "elípticas" inversas (no "circulares" como para el arco de un círculo) se presentan primeramente. Abel vio que estas funciones debían ser "invertidas" y estudiadas, precisamente como en el caso de sen x; cos x en lugar de sen-1x; cos-1x. ¿No es esto sencillo? Sin embargo, Legendre, que era un gran matemático, trabajó durante más de cuarentaaños en sus "integrales elípticas" (las difíciles "funciones inversas" de su problema) sin siquiera sospechar que podría invertir los términos[29]. Esta forma extraordinariamente sencilla de enfocar un problema al parecer sencillo pero profundamente complicado, fue uno de los grandes progresos matemáticos del siglo XIX.
Sin embargo, todo esto no fue más que el comienzo, un tremendo comienzo, como la aurora de Kipling, aparece como un trueno, de lo que Abel hizo con su magnífico teorema y con su obra sobre las funciones elípticas. Las funciones trigonométricas o circulares tienen un solo período real, así sen (x + 2p) = sen x, etc., Abel descubrió que las nuevas funciones que resultaban por la inversión de una integral elíptica tienen precisamente dos períodos, cuya razón es imaginaria. Más tarde, los continuadores de Abel en esta dirección, Jacobi, Rosenhaim, Weierstrass, Riemann, y muchos más, penetraron profundamente en el gran teorema de Abel, y extendieron sus ideas descubriendo funciones de n variables que tienen 2n períodos. Abel mismo también explotó sus descubrimientos. Sus sucesores aplicaron toda su obra a la Geometría, a la mecánica, a ciertas partes de la física matemática y a otros campos de la Matemática, resolviendo importantes problemas que sin la obra iniciada por Abel habrían sido insolubles.
Estando aún en París, Abel consultó algunos médicos acerca de lo que él pensaba era un simple catarro persistente. Fue informado de que padecía tuberculosis de los pulmones. Se negó a creerlo y volvió a Berlín para una breve visita. Sus recursos eran muy escasos. Una carta, urgente le trajo, después de algún retraso, un préstamo de Holmboë. No ha de pensarse que Abel fuera un pedigüeño sin intención de devolver lo prestado. Tenía buenas razones para creer que tendría un buen puesto cuando volviera a su patria. Además, todavía le debían dinero. Con el préstamo de Holmboë, Abel pudo seguir viviendo e investigando desde marzo hasta mayo de 1827. Entonces, agotados todos sus recursos, volvió a Cristianía.
Esperaba que todo fuera ya de color de rosa. Seguramente le concederían un cargo universitario. Su genio había comenzado a ser reconocido. Existía una vacante. Abel no había vuelto aún, y Holmboë, aunque con repugnancia, aceptó la cátedra vacante, que él creía debía ser destinada a Abel. Tan sólo después de que el gobierno le amenazó con traer un extranjero si Holmboë no la ocupaba. Holmboë no tuvo, pues, culpa alguna. Se supuso que Holmboë sería mejor maestro que Abel, aunque Abel había demostrado ampliamente su capacidad para enseñar. Los que están familiarizados con la corriente teoría pedagógica americana, alentada por las escuelas de educación profesionales, de que cuanto menos sabe un hombre de lo que tiene que enseñar, mejor lo enseñará, comprenderán la situación perfectamente.
De todos modos las cosas se aclararon. La Universidad pagó a Abel lo que aun le debía por su viaje, yHolmboë le envió discípulos. El profesor de Astronomía, que había obtenido una licencia, sugirió que Abel fuera empleado para realizar parte de obra. Un matrimonio acomodado, los Schjeldrups, le dio alojamiento, tratándole como si fuera su propio hijo. Sin embargo no podía libertarse de la carga de sus familiares. Hasta última hora dependieron de él, no dejándole prácticamente nada para sus necesidades, sin que, a pesar de ello, Abel pronunciara una palabra de queja.
A mediados de enero de 1829 Abel supo que no viviría mucho tiempo. Tuvo una hemorragia que no fue posible ocultarla. "Lucharé por mi vida", gritaba en su delirio. Pero en los momentos más tranquilos, agotado e intentando trabajar, decía: "Igual que un águila enferma que contempla el sol", sabiendo que sus días estaban contados.
Abel pasé sus últimos días en Froland, en el hogar de una familia inglesadonde su prometida (Crelly Kemp) era institutriz. Sus últimos pensamientos fueron para su futura, yrefiriéndose a ella, escribía así a su amigoKielhau. "No es bella; tiene el cabello rojo y es pecosa, pero se trata de una mujer admirable". Era deseo de Abel que Crelly yKielhau se casaran después de su muerte, y aunque los dos no se habían conocido lo hicieron, según había propuesto Abel semijocosamente. En los últimos días Crelly insistió en cuidar a Abel "para poseer, por lo menos, estos últimos momentos". En la madrugada del 6 de abril de 1829 murió, teniendo 26 años y 8 meses.
Dos días después de la muerte de Abel, Crelle le escribió diciendo quesus negociaciones habían llegado finalmente a buen fin yque sería nombrado para la Cátedra de Matemática de la Universidad de Berlín.
Capítulo 18
El Gran Algorista
JACOBI
Hay una tendencia cada vez más pronunciada
en el Análisis moderno a sustituir el cálculo
por las ideas; de todos modos existen ciertas
ramas de las matemáticas donde el cálculo
conserva sus derechos.
P. G. Lejeune Dirichlet
Carl Gustav Jacob Jacobi nació en Postdam, Prusia, Alemania, el 10 de diciembre de 1804, siendo el segundo hijo de un próspero banquero, Simón Jacobi, y de su mujer (cuyo apellido era Lehmann). Fueron cuatro hermanos, tres varones, Moritz, Carl y Eduard, y una mujer Therese. El primer maestro de Carlos fue uno de sus tíos maternos, quien enseñó al muchacho las lenguas clásicas y Matemáticas, preparándolo para que ingresara en el Instituto de Postdam, en 1816, cuando tenía 12 años. Desde el principio Jacobi dio pruebas de poseer una "mente universal", según declaró el Rector del Instituto cuando el muchacho salió de él en 1821 para ingresar en la Universidad de Berlín. Como Gauss, Jacobi pudo haber logrado una gran reputación en filología, si no le hubiera atraído más fuertemente la Matemática. Habiendo observado que el muchacho tenía genio matemático, el maestro (Heinrich Bauer) dejó que Jacobi trabajara como quisiera, después de una prolongada reyerta en la que Jacobi se reveló, negándose a aprender la Matemática de memoria y siguiendo reglas.
El desarrollo matemático de Jacobi ofrece en ciertos respectos un curioso paralelo con el de su gran rival Abel. Jacobi también leía a los maestros; las obras de Euler y Lagrange le enseñaron Álgebra y Cálculo y le hicieron conocer la teoría de números.

Abel tenía dos años más que Jacobi. Sin saber que Abel había abordado el estudio de la ecuación general de quinto grado, en 1820, Jacobi, en el mismo año, intentó una solución, reduciendo la ecuación general de quinto grado a la forma
![]()
Los estudios de Jacobi en Berlín duraron desde abril de 1821 hasta mayo de 1825. Durante los primeros dos años dedicó su tiempo igualmente a la filosofía, a la filología y a la Matemática. En el seminario filológico Jacobi atrajo la atención de P. A. Boeckh, un renombrado humanista que había publicado, entre otras obras, una excelente edición de Pindaro. Boeckh, felizmente para las Matemáticas, fue incapaz de atraer a su notable discípulo a los estudios clásicos para que constituyeran la disciplina de toda su vida. En Matemática poco era lo que se ofrecía para un estudiante ambicioso, y Jacobi continuó su estudio privado de maestros. Las conferencias universitarias de temas matemáticos eran consideradas por Jacobi como pura charlatanería. En este punto Jacobi era hasta grosero, aunque sabía ser cortés como un buen palaciego cuando quería lograr que algún amigo matemático consiguiera una posición digna de sus méritos.
Mientras Jacobi estaba dedicado a la labor de hacer de sí mismo un matemático, Abel ya había iniciado el camino que habría de conducir a Jacobi a la fama. Abel había escrito a Holmboë el 4 de agosto de 1823, comunicándole que estaba trabajando en las funciones elípticas: "Esta pequeña obra, como recordarás, se ocupa de las inversas de las trascendentes elípticas, y he demostrado alguna cosa [que parece] imposible. He solicitado a Degen que lea tan pronto como pueda desde el principio al fin esta obra, pero no puede encontrar la falsa conclusión ni comprender donde está el error; Dios sabe cómo voy a salir de esto". Por una curiosa coincidencia Jacobi dirigía su actividad a la Matemática casi precisamente en la época en que Abel escribía esto. La diferencia de dos años en la edad de estos jóvenes (Abel tenía 21 y Jacobi 19) tiene más importancia que dos décadas cuando se llega a la madurez. Abel había partido veloz, pero Jacobi, sin saber que tenía un competidor en la carrera, pronto le alcanzó. La primera gran obra de Jacobi tuvo lugar en el campo cultivado por Abel de las funciones elípticas. Antes de continuar esta descripción haremos un resumen de su atareada vida.
Habiendo decidido dedicarse a la Matemática, Jacobi escribió a su tío Lehmann, refiriéndose a la labor que había emprendido: "El enorme monumento que las obras de Euler, Lagrange y Laplace han levantado exige la fuerza más prodigiosa y el pensamiento más profundo si se desea penetrar en su naturaleza interna, y no simplemente examinarlo superficialmente. Para dominar este monumento colosal y no ser vencido por él se precisa un esfuerzo que no permite reposo ni paz hasta llegar a la cima y contemplar la obra en su integridad. Sólo entonces, cuando se ha comprendido su espíritu, es posible trabajar en paz para completar sus detalles".
Con esta declaración de consciente esclavitud Jacobi llega a ser uno de los más extraordinarios trabajadores en la historia de la Matemática. A un amigo tímido, que se queja de que la obra científica es agotadora y que pone en peligro la salud del cuerpo, Jacobi contesta:
"Es natural. Seguramente que he puesto algunas veces en peligro mi salud por exceso de trabajo, pero ¿qué importa? únicamente las coles carecen de nervios y de pesadumbres. ¿Y qué beneficio sacan de su perfecto bienestar?"
En agosto de 1825 Jacobi recibió su título de doctor en filosofía por una disertación sobre las fracciones simples y problemas afines. No necesitamos explicar la naturaleza de esta cuestión, que no tiene gran interés y puede encontrarse expuesta en el segundo curso de Álgebra o de Cálculo integral. Aunque Jacobi trató el caso general de su problema y mostró un ingenio considerable para resolver fórmulas, no puede decirse que la disertación tuviera gran originalidad, o permitiera suponer el soberbio talento del autor. Al mismo tiempo que obtenía su título de doctor en filosofía, Jacobi terminó su aprendizaje para la función docente.
Después de obtener su título Jacobi pronunció conferencias en la Universidad de Berlín sobre las aplicaciones del Cálculo a las superficies curvas y a las curvas alabeadas, (curvas determinadas por las intersecciones de superficies). Ya de estas primeras conferencias puede deducirse que Jacobi era un maestro innato. Más tarde, cuando comenzó a desarrollar sus propias ideas con una velocidad sorprendente, llegó a ser el maestro matemático más inspirado de su época.
Jacobi parece haber sido el primer matemático que en una Universidad condujo a los estudiantes a la investigación, haciéndoles conocer los últimos descubrimientos y dejando a los jóvenes que vislumbraran la elaboración de los nuevos temas que se presentaban ante ellos. Creía que si un individuo se sumerge en agua helada, aprende a nadar o se ahoga. Muchos estudiosos no intentan resolver nada por su propia cuenta hasta que no han dominado todas las cuestiones relativas al problema y conocen la labor realizada por los otros autores. El resultado es que pocos adquieren la capacidad de trabajar con independencia. Jacobi combatió esta erudición dilatoria, desconfiando de los jóvenes que no se lanzan a hacer algo hasta que creen conocer todo lo hecho, y al referirse a esto solía decir: "Vuestro padre no se habría casado ni vosotros estaríais aquí ahora si él hubiera insistido en conocer a todas las mujeres del mundo antes de casarse con una".
Toda la vida de Jacobi estuvo dedicada a la enseñanza y a la investigación, salvo un desagradable paréntesis a que luego nos referiremos, aparte también de los viajes que emprendió para asistir a reuniones científicas en Inglaterra y en el continente o las forzadas vacaciones para recuperar la salud perdida después de un exceso de trabajo.
El talento de Jacobi como maestro le aseguró una posición en la Universidad de Königsberg, en 1826, después de haber permanecido durante seis meses en un cargo semejante en la de Berlín. Un año más tarde, algunos resultados que Jacobi publicó sobre la teoría de números (la reciprocidad cúbica; véase el capítulo sobre Gauss) provocó la admiración de Gauss. Como éste no era un hombre que se emocionara fácilmente, el Ministro de Educación pronto tuvo conocimiento de la obra de Jacobi, y lo colocó a la cabeza de sus colegas para el cargo de profesor asistente, cuando el joven tenía 23 años. Como es natural, los hombres que habían sido pretendientes protestaron contra el ascenso, pero dos años más tarde (1829), cuando Jacobi publicó su primera obra maestra, Fundamenta Nova Theoriae Functionum Ellipticarum (Nuevos fundamentos de la teoría de las funciones elípticas), fueron los primeros en decir que se había hecho justicia y felicitaron a su brillante y joven colega.
En 1832 murió el padre de Jacobi. Hasta entonces no tuvo necesidad de trabajar para vivir. Su prosperidad continuó durante cerca de ocho años, pero entonces la fortuna de la familia se derrumbó. Jacobi se vio privado de su capital cuando tenía 36 años, debiendo además atender al cuidado de su madre que había quedado arruinada.
En esta época Gauss seguía observando la actividad fenomenal de Jacobi con un interés mayor que el meramente científico, pues mucho de los descubrimientos de Jacobi coincidían con algunos de los hechos por Gauss durante su juventud, que nunca habían sido publicados. Se dice que también llegaron a conocerse personalmente. Jacobi acudió a visitar a Gauss, aunque no se conservan detalles de la visita, en septiembre de 1839, al volver a Königsberg después de unas vacaciones en Marienbad para recuperar su salud quebrantada por el exceso de trabajo, Gauss parece que temió que el colapso financiero de Jacobi repercutiera desastrosamente sobre sus estudios matemáticos, pero Bessel le tranquilizó: "Por fortuna ese talento no puede ser destruido, pero me hubiera alegrado que conservara la sensación de libertad que asegura el dinero".
La pérdida de su fortuna no tuvo consecuencias sobre los estudios de Jacobi. Jamás se refirió a sus reveses y se mantuvo trabajando como antes. En 1842 Jacobi y Bessel acudieron a la reunión de la British Association en Manchester, donde el alemán Jacobi y el irlandés Hamilton se encontraron. Fue una de las grandes glorias de Jacobi continuar la obra de Hamilton sobre dinámica, y en cierto sentido completar lo que el irlandés había abandonado en favor de un fuego fatuo. (Véase más adelante).
En este momento de su carrera Jacobi sintió la repentina tentación de dedicarse a algo más brillante que la simple Matemática. Para no interrumpir la historia de su vida científica, cuando hagamos su exposición, nos ocuparemos en este momento de las singulares desventuras políticas del ilustre matemático.
El año siguiente de volver de su viaje de 1842, Jacobi sufrió un completo derrumbe de su salud por exceso de trabajo. En el año 1840, el progreso de la ciencia en Alemania, estaba en las manos de los príncipes y reyes de los pequeños Estados que al fundirse habrían de dar lugar al Imperio alemán. El buen ángel de Jacobi fue el rey de Prusia, quien parece que comprendió el honor que reportaban al reino las investigaciones de Jacobi. En consecuencia, cuando Jacobi cayó enfermo, el buen rey le concedió las vacaciones necesarias para que pudiera reponerse en el suave clima de Italia. Después de cinco meses en Roma y Nápoles con Borchardt (a quien más tarde conoceremos en compañía de Weierstrass) y Dirichlet, Jacobi volvió a Berlín, en junio de 1844. Podía permanecer en Berlín hasta que su salud se restableciera completamente, pero, debido a los celos, no le fue concedida una cátedra en la Universidad, aunque como miembro de la Academia le era permitido pronunciar conferencias sobre los temas que eligiera. Por otra parte, el rey concedió a Jacobi, de su propio peculio, una pensión de cierta importancia.
Después de esta generosidad por parte del Rey podría pensarse que Jacobi se dedicaría en cuerpo y alma a sus Matemáticas. Pero por el imbécil consejo de su médico, comenzó a mezclarse en política "para beneficiar su sistema nervioso". Nunca fue hecha una prescripción más idiota a un paciente, cuyo padecimiento no se ha podido diagnosticar. Jacobi ingirió la dosis. Cuando el movimiento democrático de 1848 se inició, Jacobi estaba ya maduro para dedicarse a las nuevas tareas. Por el consejo de un amigo, precisamente uno de aquellos que se vieron perjudicados hacía 20 años por el ascenso de Jacobi, el ingenuo matemático salió a la arena de la política, con la misma inocencia con que un virtuoso misionero pone pie en una isla de caníbales.
El partido liberal moderado al que su amigo le condujo pensó en Jacobi como candidato para la elección de mayo de 1848. Pero Jacobi jamás pudo ver el interior del Parlamento. Su elocuencia ante el partido convenció a los prudentes miembros de que Jacobi no era el candidato apropiado. Pensaron que Jacobi, el protegido del rey, podría ser tan liberal como él suponía, pero era más probable que fuera un contemporizador, un renegado y un embaucador para los realistas. Jacobi refutó estas insinuaciones en un discurso magnífico lleno de lógica irrefutable, olvidando el axioma de que la lógica es la cosa menos importante para un político práctico. Le abandonaron dejándole con un palmo de narices. No fue elegido y su sistema nervioso poco se benefició porque su candidatura rodara por las cervecerías y bodegas de Berlín.
Pero las cosas no pararon ahí. ¿Quién puede culpar al Ministro de Educación por querer saber, en el mes de mayo, si la salud de Jacobi se había restablecido suficientemente para que pudiera regresar a Königsberg? ¿A quién puede sorprender que la protección del rey fuera suspendida pocos días más tarde? Un rey puede muy bien permitirse esa petulancia cuando la boca que intenta alimentar pretende morderle. De todos modos, la situación de Jacobi era lo suficientemente desesperada para atraer la simpatía de todos. Casado, y prácticamente sin el menor ahorro, tenía siete hijos pequeños que mantener, además de su mujer. Un amigo de Gotha tomó a su cargo a la mujer y a los hijos, y Jacobi permaneció en la sucia habitación de un modesto hotel para continuar sus investigaciones.
Tenía entonces (1849) 45 años y, exceptuando a Gauss, era el matemático más famoso de Europa. Al conocer sus cuitas, la Universidad de Viena pensó en llevarle a su seno y Littrow, el amigo vienés de Abel, tomó una parte esencial en las negociaciones. Cuando al fin le fue hecha una definida y generosa oferta, Alexander von Humboldt habló con el malhumorado rey, y la pensión fue restablecida. Jacobi pudo continuar en Alemania, que así no se vio privada de su segundo gran hombre. Permaneció en Berlín, gozando nuevamente del favor real, pero completamente apartado de la política.
Ya hemos indicado, a propósito de las funciones elípticas, en donde Jacobi realizó su primera gran obra, el puesto que parece corresponderle; después de todo, actualmente tan sólo es un detalle de la teoría más amplia de las funciones de una variable compleja, que a su vez va borrándose de la cambiante escena, al difuminarse su interés. Como la teoría de las funciones elípticas será mencionada varias veces en los capítulos sucesivos, intentaremos hacer una breve justificación de su al parecer inmerecida importancia.
Ningún matemático puede discutir la pretensión de que la teoría de las funciones de una variable compleja ha sido uno de los campos esenciales de la Matemática del siglo XIX. En este lugar puede hacerse mención de una de las razones de que esta teoría haya tenido tal importancia. Gauss ha demostrado que los números complejos son necesarios y suficientes para demostrar que una ecuación algebraica cualquiera tiene una raíz. ¿Son posibles otros tipos más generales de números"? ¿Cómo pueden surgir tales "números"?
En vez de considerar los números complejos como presentándose por sí mismos en el intento de resolver ciertas ecuaciones sencillas, por ejemplo
x 2 + 1 = 0,
podemos ver también su origen en otro problema de Álgebra elemental. El de la factorización. Para descomponerx 2 - y 2
en factores de primer grado no se necesita otra cosa que los números enteros positivos y negativos:( x 2 - y 2 ) = (x + y) (x - y).
Pero el mismo problema si es x 2 + y 2 exige "imaginarios":![]()
Dando un paso en alguno de los muchos posibles caminos que se abren podemos intentar descomponer x 2 + y 2 + z 2 en dos factores de primer grado. ¿Son suficientes los números positivos, negativos e imaginarios? ¿Debemos inventar algún nuevo tipo de número para resolver el problema? Este último es el caso. Se encontró que para los nuevos números necesarios, las reglas del Álgebra común no son válidas en un aspecto importante; ya no es cierto que el orden en que los números se multiplican entre sí es indiferente, o sea que para los nuevos números, no es verdad que
a ´ b sea igual a b ´ a .
Seremos más explícitos cuando nos ocupemos de Hamilton, pero por el momento haremos notar que el problema algebraico elemental de descomponer en factores nos conduce rápidamente a regiones donde son inadecuados los números complejos.
¿Hasta dónde podremos ir, cuáles son los números posibles más generales, siinsistimos en que para esos números haya que mantener las leyes familiares del Álgebra común? A finales del siglo XIX se demostró que en los números complejos x + ¡y , donde x, y son números reales e
son los más generales en que el Álgebra común es aplicable. Los números reales, recordaremos, corresponden a las distancias medidas siguiendo una línea recta fija en ambos sentidos (positivo, negativo) desde un punto fijo, y la gráfica de una función, f (x) trazada como y = f(x), en Geometría cartesiana, nos da una descripción de una función y de una variable real x. Los matemáticos de los siglos XVIII y XIX imaginaban las funciones como pertenecientes a este tipo. Pero si el Álgebra común y sus extensiones al Cálculo que ellos aplicaban a sus funciones son igualmente aplicables a los números complejos, que incluyen a los números reales como un caso particular, era natural que muchas de las cosas que los primeros analistas encontraron sean en una mitad discutibles. En particular, el Cálculo integral presentó muchas anomalías inexplicables que sólo fueron aclaradas cuando el campo de operaciones se amplió en el mayor grado posible y las funciones de variable compleja fueron introducidas por Gauss y Cauchy.
La importancia de las funciones elípticas en todo este vasto y fundamental desarrollo no puede ser desconocida. Gauss, Abel y Jacobi, por su detenida y detallada elaboración de la teoría de funciones elípticas, donde los números complejos aparecen inevitablemente, proporcionan un terreno apropiado para el descubrimiento y mejoramiento de los teoremas generales en la teoría de funciones de una variable compleja. Las dos teorías parecen haber sido designadas por el destino para complementarse recíprocamente, existe una razón para esto en la profunda conexión de las funciones elípticas con la teoría gaussiana de las formas cuadráticas, que las limitaciones del espacio nos obligan a omitir. Sin las innumerables claves para una teoría general, proporcionadas por los ejemplos especiales de teoremas de mayor alcance que se presentan en las funciones elípticas, la teoría de funciones de una variable compleja se habría desarrollado mucho más lentamente de lo que lo hizo el teorema de Liouville, toda la cuestión de la periodicidad múltiple con su influencia sobre la teoría de las funciones algebraicas y sus integrales serán recordadas por los lectores matemáticos. Si algunos de estos grandes monumentos de la Matemática del siglo XIX se han perdido ya en la niebla del ayer, sólo necesitamos recordar que el teorema de Picard sobre valores excepcionales en el entorno de un punto singular esencial, uno de los más sugestivos en el Análisis corriente, fue demostrado por primera vez mediante recursos que se originaron en la teoría de las funciones elípticas. Con este breve resumen que nos muestra el porqué las funciones elípticas fueron importantes en las Matemáticas del siglo XIX, podemos pasar a la obra cardinal de Jacobi en el desarrollo de la teoría.
La historia de las funciones elípticas es muy complicada, y aunque de considerable interés para los especialistas, no es probable que atraiga al lector general. En consecuencia, omitiremos los datos (cartas de Gauss, Abel, Jacobi, Legendre y otros) sobre las cuales está basado el siguiente resumen.
En primer lugar se ha establecido que Gauss se anticipó a Abel y Jacobi en 27 años en algunos de sus más notables trabajos. En efecto, Gauss dice que "Abel ha seguido exactamente el mismo camino que yo seguí en 1798". Esta afirmación es exacta y así lo demuestran las pruebas que fueron publicadas después de la muerte de Gauss. Segundo, parece que puede aceptarse que Abel se anticipó a Jacobi en ciertos detalles, pero que Jacobi consiguió grandes progresos ignorando completamente la obra de su rival.
Una propiedad capital de las funciones elípticas es su doble periodicidad (descubierta en 1825 por Abel). Si E (x) es una función elíptica, habrá dos números distintos, es decir p1, p2, tales que
E(x + p1) = E(x)
E(x + P2) = E(x)
para todos los valores de la variable x .
Finalmente, por lo que se refiere a la faceta histórica, mencionaremos el papel algo trágico desempeñado por Legendre. Durante cuarenta años estuvo esclavo de las integrales elípticas, (no de las funciones elípticas), sin darse cuenta de que Abel y Jacobi vieron casi al mismo tiempo, que invirtiendo su punto de vista todo el problema se simplificaba infinitamente. Las integrales elípticas se presentan primeramente en el problema de hallar la longitud de un arco de elipse. A lo que hemos dicho acerca de la inversión al ocuparnos de Abel, puede añadirse lo siguiente enunciado en símbolos, que nos mostrará claramente el punto en que Legendre se equivocó.
Si R(t) es un polinomio en t , una integral del tipo

se llama una integral elíptica si R(t) es de tercer o de cuarto grado; si R(t) es de tercer grado la integral se llama abeliana (porque gran parte de la obra de Abel se refiere a tales integrales). Si R(t) es de sólo segundo grado, la integral se puede calcular por medio de funciones elementales. En particular

(sen-1 x se lee "un ángulo cuyo seno es x"). Es decir, si

consideraremos el límite superior, x, de la integral, como una función de la integral misma, o sea de y . Esta inversión del problema elimina la mayor parte de las dificultades con que Legendre tropezó durante cuarenta años. La exacta teoría de estas importantes integrales pudo progresar una vez eliminada esta obstrucción, como los trozos de leño siguen la corriente del río eliminado el remanso.
Cuando Legendre supo lo que Abel y Jacobi habían hecho les alentó con suma cordialidad, aunque pudo darse cuenta que esta forma más simple de abordar el problema [de la inversión], anulaba lo que había sido su obra maestra de 40 años de trabajo. Para Abel el elogio de Legendre llegó demasiado tarde desgraciadamente, pero para Jacobi fue un estímulo para seguir trabajando. En una de las correspondencias más interesantes de toda la literatura científica, el joven de 20 años y el veterano, cumplido los 70, se expresan recíprocamente sus elogios y gratitud. La única nota discordante es el menosprecio manifiesto de Legendre por Gauss, a quien Jacobi defiende vigorosamente. Pero como Gauss jamás consistió en publicar sus investigaciones, había planeado una obra importante sobre las funciones elípticas cuando Abel y Jacobi se le anticiparon en la publicación, difícilmente puede culparse a Legendre por tener una opinión totalmente equivocada. Por falta de espacio debemos omitir párrafos de esta hermosa correspondencia. (Las cartas están publicadas en el volumen 1 de la Werke de Jacobi).
La creación, en unión con Abel, de la teoría de funciones elípticas fue sólo una pequeña, aunque importante, parte de la enorme producción de Jacobi. Para sólo enumerar todos los campos que enriqueció en su breve vida de trabajo de menos de un cuarto de siglo, sería necesario más espacio de lo que podemos dedicar a un hombre en un libro como éste. Por tanto, mencionaremos tan sólo algunas de las cosas más importantes que hizo.
Jacobi fue el primero en aplicar las funciones elípticas a la teoría de los números. Esta iba a ser la diversión favorita para algunos de los grandes matemáticos que sucedieron a Jacobi. Es un tema curioso, donde los arabescos de la ingeniosa Álgebra revelan inesperadamente relaciones, hasta entonces insospechadas, entre todos los números comunes. Por este medio Jacobi demostró la famosa afirmación de Fermat de que cualquier número entero, 1, 2, 3, ... es una suma de cuatro cuadrados de números enteros (siendo considerado el cero como un entero), y además su bello análisis le permitió ver las diversas ma neras en que cualquier entero puede ser expresado como tal suma [30] .
Para quienes gustan de aspectos más prácticos, podemos citar la obra de Jacobi en dinámica. En este tema de fundamental importancia para la ciencia aplicada y para la física matemática, Jacobi hizo el primer significativo progreso más allá del logrado por Lagrange y Hamilton. Los lectores familiarizados con la mecánica de los cuantos recordarán el importante papel desempeñado en algunos de los aspectos de esa revolucionaria teoría por la ecuación Hamilton-Jacobi. Su obra sobre ecuaciones diferenciales inicia una nueva era.
En Álgebra para mencionar una sola cosa entre muchas, Jacobi ideó la teoría de determinantes en la simple forma ahora familiar a todo el que estudie segundo curso de Álgebra.
Para la teoría de la atracción de Newton-Laplace-Lagrange, Jacobi hizo contribuciones especiales mediante sus bellas investigaciones sobre las funciones que se repiten varias veces en esa teoría y mediante aplicaciones de las funciones elípticas y abelianas a la atracción de los elipsoides.
De una originalidad aun mayor es su descubrimiento de las funciones abelianas. Tales funciones surgen al invertir una integral abeliana, en la misma forma que las funciones elípticas surgen de la inversión de una integral elíptica. (Los términos técnicos fueron mencionados a principio de este capítulo). Aquí no tenía nada que le guiara y durante largo tiempo tuvo que caminar en un laberinto sin claves. Las funciones inversas apropiadas en el caso más sencillo son funciones de dos variables, que tienen cuatro períodos; en el caso general, las funciones tienen n variables y 2 n períodos; las funciones elípticas corresponden a n = 1. Este descubrimiento fue para el Análisis del siglo XIX lo que el descubrimiento de Colón fue para la geografía del siglo XV.
Jacobi no murió tempranamente por exceso de trabajo, como sus amigos predecían, sino de viruela (18 de febrero de 1851), teniendo 47 años. Antes de terminar citaremos su respuesta al gran físico matemático francés que reprochaba a Abel y Jacobi de "gastar" su tiempo en las funciones elípticas, mientras aun debían ser resueltos problemas sobre conducción del calor.
"Cierto es dice Jacobi, que M. Fourier opina que el principal objeto de la Matemática es la utilidad pública y la explicación de los fenómenos naturales; pero un filósofo como él debía saber que el único objeto de la ciencia es honrar la mente humana, y que bajo este título un problema referente a los números es tan digno de estima como una cuestión acerca del sistema del mundo".
Si Fourier reviviera quedaría asombrado de lo que le ha ocurrido al Análisis que él inventó para "utilidad pública y para la explicación de los fenómenos naturales". Por lo que se refiere a la física matemática, el Análisis de Fourier hoy tan sólo constituye un detalle en la infinitamente más vasta teoría de los problemas del valor-límite, y es en la más pura de la Matemática pura donde el Análisis que Fourier inventó encuentra su interés y su justificación.
Capítulo 19
Una Tragedia Irlandesa
HAMILTON
En matemática fue más grande
Que Tycho Brahe o Erra Pater;
Pues por escala geométrica
Pudo hallar el tamaño
de los vasos de cerveza
Samuel Butler
El padre de Hamilton fue procurador en Dublín, Irlanda, donde el día 3 de agosto de 1805 [31] nació el más pequeño de los tres hermanos y una hermana.
El padre era un hombre de negocios con una elocuencia, "exuberante", un religioso fanático y, finalmente, y por desgracia no en pequeño grado, demasiado jovial, rasgos todos que fueron trasmitidos a su inteligente hijo. La brillantez intelectual extraordinaria de Hamilton fue heredada probablemente de su madre, Sarah Hutton, quien procedía de una familia bien conocida por su talento. Sin embargo, por la parte del padre, las nubes de elocuencia tanto verbal como escrita que hacían de este alegre sujeto el animador de todas las fiestas, se condensó en una forma menos gaseosa en un tío de William, el Reverendo James Hamilton, cura de la aldea de Trim (distante 20 millas de Dublín). El tío James era en realidad un lingüista sobrehumano, el griego, el latín, el hebreo, el sánscrito, el caldeo, el pali, y el cielo sabe qué otros paganos dialectos, venían a la punta de su lengua tan fácilmente como las lenguas más civilizadas de la Europa continental y de Irlanda. Esta facilidad poliglota desempeñó una parte importante en la precoz y extraordinariamente defectuosa educación del infeliz y diligente William, que a la edad de 3 años, habiendo dado ya muestra de su genio, fue separado del afecto de su madre y obligado por su estúpido padre a aprender toda clase de idiomas bajo el experto tutelaje del tío James.

El relato de los triunfos infantiles de Hamilton podrá parecer una mala novela, pero es cierto: A los tres años leía perfectamente el inglés y tenía grandes conocimientos de Aritmética; a los cuatro fue un buen geógrafo; a los cinco leía y traducía el latín, el griego y el hebreo, y le gustaba recitar versos de Dryden, Collins, Milton y Homero, de este último en griego; a los ocho añadió el dominio del italiano y el francés a su colección, y su dominio del latín le permitía expresar su emoción ante la belleza del paisaje irlandés en hexámetros latinos citando la corriente prosa inglesa le parecía demasiado plebeya para poner de manifiesto sus nobles y exaltados sentimientos; finalmente, antes de cumplir los 10 años estableció los fundamentos firmes para profundizar el estudio de las lenguas orientales, comenzando por el árabe y el sánscrito.
La enumeración de las lenguas conocidas por Hamilton no es aún completa. Cuando William no había cumplido aún 10 años su tío afirmaba: "Su sed por las lenguas orientales es inapagable. Ahora domina la mayor parte de ellas, salvo algunas de menor importancia y relativamente locales. El conocimiento del hebreo, del persa y del árabe, ha sido facilitado por su conocimiento profundo e íntimo del sánscrito. El caldeo y el sirio también le son conocidos, así como el indostánico, el malayo, el mahratta, el bengalí y otros. Va a comenzar el estudio del chino, pero la dificultad de procurarse libros es muy grande. Me cuesta grandes sumas obtenerlos en Londres, pero espero que el dinero no sea mal gastado". A estas palabras sólo nos queda alzar los ojos hacia el cielo y exclamar: ¡Dios mío! ¿Qué se proponían con todo esto?
Teniendo 13 años William podía jactarse de que había aprendido una lengua por cada año de vida. A los 14 compuso una florida bienvenida en persa para el embajador persa que visitaba Dublín, y que le fue comunicada al asombrado personaje. Deseando demostrar sus conocimientos el joven Hamilton quiso ver al embajador, pero el astuto oriental, prevenido por su fiel secretario, lamentó mucho que debido a un molesto dolor de cabeza no "pudiera recibirme (dice Hamilton) personalmente". Quizá el embajador, no se hubiera repuesto aún del banquete oficial. La traducción de la bienvenida es al menos algo terrible, y el saludo tenía que ser lo que podía esperarse de un muchacho de 14 años que toma con devastadora seriedad los pasajes más pegajosos y ampulosos de los poetas persas, imaginándose lo que podría gustarle a un buen oriental que desea echar una cana al aire en Irlanda. Si el joven Hamilton deseaba realmente visitar al embajador debía haberle enviado un arenque salado y no un poema persa.
Salvo por su asombrosa capacidad, por la madurez de su conversación y por su amor poético a la naturaleza en todas sus manifestaciones, Hamilton era como cualquier muchacho normal. Le gustaba nadar y no tenía la palidez interesante, aunque algo repulsiva, del estudioso. Su carácter más que el de un vigoroso muchacho irlandés se caracterizaba por su invariable amabilidad. En la vida ulterior mostró una vez su estirpe irlandesa desafiando a un detractor, que le había llamado embustero, a mortal combate. Pero el asunto fue amigablemente resuelto, y Sir William no tuvo que ser legítimamente contado como uno de los grandes duelistas matemáticos. En otros respectos el joven Hamilton no era un muchacho normal. No podía tolerar el dolor o el sufrimiento de los animales ni de los hombres. Toda su vida Hamilton amó a los animales, y, lo que es más raro, los respetó como iguales.
La redención de Hamilton de su disparatada devoción por las lenguas inútiles comenzó cuando tenía 12 años y se completó antes de que cumpliera los 14. El humilde instrumento elegido por la Providencia para desviar a Hamilton del camino del error, fue el joven calculador americano Zerah Colburn (1804-1839), que a la sazón asistía al Westminster School en Londres. Colburn y Hamilton fueron reunidos, esperando que el joven genio irlandés fuera capaz de penetrar en el secreto de los métodos del americano, que el mismo Colburn no comprendía totalmente, (como vimos en el capítulo sobre Fermat). Colburn fue absolutamente franco al exponer sus trucos a Hamilton, quien a su vez mejoró lo que había aprendido. Poco hay de abstruso o de notable en los métodos de Colburn. Sus proezas se basaban en su memoria. Hamilton reconoce la influencia que sobre él ejerció Colburn en una carta escrita cuando tenía 17 años (agosto 1822) a su primo Arthur.
Teniendo 17 años Hamilton había dominado la Matemática, siguiendo el Cálculo integral, y pudo conocer la astronomía matemática, necesaria para ser capaz de calcular los eclipses. Leyó a Newton y a Lagrange. Todo esto constituía una diversión, pues los estudios humanistas eran aún para él los principales. Lo más importante es que había hecho ya "algunos descubrimientos curiosos", que comunicó en carta a su hermana Eliza.
Los descubrimientos a que Hamilton se refiere son probablemente los gérmenes de su primera gran obra. La de los sistemas de rayos en óptica. Es decir cuando cumplió 17 años Hamilton inició su carrera de descubrimientos fundamentales. Ya antes había atraído la atención del doctor Brinkley, profesor de astronomía de Dublín, por el descubrimiento de un error en la demostración propuesta por Laplace del paralelogramo de las fuerzas.
Hamilton jamás asistió a una escuela antes de entrar en la Universidad, pues toda la enseñanza preliminar se debió a su tío y al estudio privado. Su forzada devoción a los estudios humanistas como preparación para los exámenes en el Trinity College de Dublín no absorbieron todo su tiempo, pues el 31 de mayo de 1823 escribía a su primo Arthur: "En óptica he hecho un descubrimiento muy curioso, al menos así me lo parece..."
Si, como se ha supuesto, este descubrimiento se refiere a la "función característica" que Hamilton nos describe, muestra que su autor, como algunos otros matemáticos, se caracterizó por su particular precocidad. El 7 de julio de 1823, el joven Hamilton ocupó el primer puesto entre 100 candidatos en los exámenes del Trinity College. Su fama le precedía, y como se esperaba fue pronto una celebridad. En efecto, sus conocimientos humanistas y matemáticos cuando todavía no había obtenido su título excitaron la curiosidad de los círculos académicos en Inglaterra y Escocia, así como de Irlanda, y algunos pensaron que había aparecido un segundo Newton. Fácil es imaginar todos los triunfos cosechados antes de terminar su carrera. Obtuvo prácticamente todos los premios y logró los más altos honores, tanto en los estudios humanistas como en la Matemática. Pero, lo que es más importante que todos esos triunfos, completó la parte primera de su memoria, que marca una época, sobre el sistema de rayos. "Este joven, hizo notar el Dr. Brinkley cuando Hamilton presentó su memoria a la Academia Real Irlandesa, no será, sino que es el primer matemático de su época".
Sus intensos trabajos para mantener su brillante expediente académico y las horas empleadas más provechosamente en la investigación no absorbieron todas las superabundantes energías del joven Hamilton. A los 19 años tuvo la primera de sus tres grandes aventuras amorosas. Consciente de su propia "indignidad" especialmente en lo que se refiere a sus perspectivas materiales, William se contentaba con escribir poemas a la dama de sus pensamientos, con el natural resultado de que un hombre más prosaico se casara con la muchacha. En los primeros días de mayo de 1825, Hamilton supo por boca de la madre de su amada que ésta se había casado con su rival. Podemos formarnos una idea de la conmoción que experimentó el joven teniendo en cuenta el hecho de que Hamilton, un hombre profundamente religioso para quien el suicidio era un pecado mortal, intentó poner fin a sus días. Por fortuna para la ciencia encontró su alivio en otro poema. Toda su vida Hamilton fue un prolífico versificador, pero su verdadera poesía, como dijo a su amigo y ardiente admirador William Wordsworth, era la Matemática. En esto todos los matemáticos están conformes.
Hablaremos ahora de algunas de las grandes amistades de Hamilton con algunos de los literatos más brillantes de su día, los poetas Wordsworth, Southe y Coleridge, y la llamada escuela lakista, Aubrey de Vere y la novelista didáctica María Edgeworth. Wordsworth y Hamilton se encontraron por primera vez con ocasión de un viaje de este último en septiembre de 1827 al distrito inglés de los lagos. Habiendo visitado a Wordsworth para "tomar el té", Hamilton y el poeta ambularon de una parte a otra toda la noche, intentando cada uno de ellos dejar en su casa al otro. Al día siguiente Hamilton envió a Wordsworth un poema de noventa líneas que el poeta podría muy bien haber gorjeado en uno de sus vuelos menos inspirados. Como es natural, a Wordsworth no le agradó el inconsciente plagio del joven matemático, y después de un tibio elogio comunicó al esperanzado autor que "la técnica (¿qué otra cosa podía esperarse de un escritor tan joven?) no era la que debía ser". Dos años más tarde, cuando Hamilton estaba ya instalado en el observatorio de Dunsink, Wordsworth le devolvió la visita. Eliza, la hermana de Hamilton, al ser presentada al poeta, se sintió "parodiando involuntariamente las primeras líneas de su propio poema Yarrow Visited,
| ¡Y éste es Wordsworth! éste es el hombre de quien mi fantasía acarició tan fielmente un sueño en la vigilia, ¡una imagen que ha perecido!" |
Uno de los grandes beneficios obtenidos por la visita de Wordsworth fue que Hamilton se diera cuenta al fin de que "su camino debía ser el camino de la ciencia y no el de la poesía; que debía renunciar a la esperanza de cultivar ambas, y que por tanto debía resignarse a despedirse dolorosamente de la poesía". En una palabra, Hamilton comprendió la manifiesta verdad de que no había en él una chispa de poesía, en el sentido literario. De todos modos continuó versificando durante toda su vida. La opinión de Wordsworth respecto a la inteligencia de Hamilton era muy elevada. En efecto, dijo en una ocasión que sólo dos hombres habían producido en él un sentimiento de inferioridad, Coleridge y Hamilton.
Hamilton no conoció a Coleridge hasta 1832, cuando el poeta había quedado reducido a una imagen espuria de un mediocre metafísico alemán. De todos modos cada uno de ellos estimaba en mucho la capacidad del otro, pues Hamilton, había sido durante largo tiempo un devoto estudioso de Kant. En efecto, la especulación filosófica fascinó siempre a Hamilton, y en una ocasión declaró ser un sincero creyente, intelectual, pero no internamente, del idealismo desvitalizado de Berkeley. Otro lazo entre ambos fue su preocupación por la faceta teológica de la filosofía (si existe tal faceta), y Coleridge favoreció a Hamilton con sus rumias semidigeridas sobre la Santísima Trinidad, que enriquecieron los conocimientos del devoto matemático.
La terminación de los estudios de Hamilton en el Trinity College fue aún más espectacular que en su comienzo; en realidad es única en los anales universitarios. El Dr. Brinkley renunció a su cátedra de astronomía al ser nombrado Obispo de Cloyne. Siguiendo la costumbre británica, la vacante fue anunciada, y se presentaron varios distinguidos astrónomos, entre ellos George Biddell Airy (1801-1892), más tarde astrónomo real de Inglaterra. Después de alguna discusión, la Junta Directiva eligió unánimemente a Hamilton para la cátedra, aunque tan sólo tenía entonces 22 años (1827). "Recto se abría ante él el camino dorado", y Hamilton resolvió no defraudar las esperanzas de sus entusiastas electores. Desde los 14 años tenía pasión por la astronomía, y en una ocasión, siendo muchacho, señaló el observatorio situado en la colina de Dunsink afirmando que si le dieran a elegir ése sería el lugar donde más le gustaría vivir. Ahora, teniendo 22 años, se había realizado su ambición. Todo lo que tenía que hacer era seguir adelante.
Se inició brillantemente. Aunque Hamilton no era un astrónomo práctico, y aunque su ayudante era incompetente, estas dificultades no eran graves. En su cargo del Observatorio de Dunsink jamás podría aspirar a ser una figura importante en la astronomía moderna, y Hamilton decidió sabiamente dedicar sus principales esfuerzos a la Matemática. A los 23 años publicó el complemento "a los curiosos descubrimientos" que había hecho cuando tenía 17, la parte I de Una teoría de los sistemas de rayos, la gran obra que es para la óptica lo que la Mécanique analytique de Lagrange es para la mecánica, y que en manos de Hamilton se iba a extender hasta la dinámica, dando a la ciencia fundamental lo que es quizá su forma decisiva y perfecta.
Las técnicas que Hamilton introdujo en la Matemática aplicada en esta su primera obra maestra, son hoy indispensables en la física matemática, y el objeto de muchas investigaciones en diferentes ramas de la física teórica ha sido reunir el conjunto de la teoría en un principio hamiltoniano. Esta magnífica obra es la que dio lugar a que Jacobi 14 años más tarde, en la reunión celebrada en Manchester, en 1842, por la British Association, afirmara que "Hamilton es el Lagrange de vuestro país", refiriéndose a los pueblos de habla inglesa. Como Hamilton mismo se tomó el trabajo de describir la esencia de sus nuevos métodos en términos comprensibles para los no especialistas, citaremos algunos de los párrafos de su obra presentada a la Royal Irish Academy, el 23 de abril de 1827.
"Un rayo, en óptica, debe ser considerado como una línea recta o flexionada o curvada a lo largo de la cual se propaga la luz; y un sistema de rayos como una colección o agregado de tales líneas, relacionado por algún lazo común, alguna semejanza de origen o producción, brevemente alguna unidad óptica. Así, los rayos que divergen desde un punto luminoso componen un sistema óptico, y, después que se han reflejado en un espejo, componen otro. Investigar las relaciones geométricas de los rayos de un sistema del cual conocemos (como en estos casos simples) el origen óptico y la historia, inquirir cómo se disponen entre sí, cómo divergen o convergen o son paralelos, qué superficies o curvas tocan o cortan y bajo qué ángulo, cómo pueden combinarse en haces parciales, y cómo cada rayo en particular puede ser determinado y distinguido de los restantes, significa estudiar ese sistema de rayos. Generalizar este estudio del sistema, de modo que podamos pasar, sin cambiar de plan, al estudio de otros sistemas, asignar reglas generales y un método general para que estas disposiciones ópticas separadas puedan relacionarse y armonizarse entre sí, es formar una Teoría de los sistemas de rayos. Finalmente, hacer esto en tal forma que pueda recurrirse a la Matemática moderna, reemplazando figuras por funciones y diagramas por fórmulas, es construir una teoría algebraica de tales sistemas o una Aplicación del Álgebra a la óptica.
"Para llegar a tal aplicación es natural y hasta necesario emplear el método introducido por Descartes para la aplicación del Álgebra a la Geometría. El gran matemático filósofo concibió la posibilidad y empleó el plan de representar algebraicamente la posición de cualquier punto en el espacio por tres coordenadas, que responden respectivamente a la distancia a que el punto se halla, en las tres direcciones rectangulares (Norte y Sur, Este y Oeste), de algún punto a origen fijo elegido o aceptado para ese fin; las tres dimensiones del espacio reciben así sus tres equivalentes algebraicos, sus concepciones y símbolos apropiados en la ciencia, general de la progresión [orden]. Un plano o superficie curva se define así algebraicamente considerando como su ecuación la relación que enlaza las tres coordenadas de cualquier punto sobre él, y común a todos esos puntos; y una línea, recta o curva, se expresa siguiendo el mismo método, asignando esas dos relaciones, correspondiente a dos superficies de las cuales la línea puede ser considerada corno la intersección. De esta forma es posible realizar investigaciones generales respecto a las superficies y curvas, y descubrir propiedades comunes a todas mediante investigaciones generales que se refieren a ecuaciones entre tres números variables. Todo problema geométrico puede ser, al menos, algebraicamente expresado, si es que no resuelto, y todo perfeccionamiento o descubrimiento en Álgebra se hace susceptible de aplicación o interpretación en Geometría. Las ciencias del espacio y del tiempo (adoptando aquí un concepto de Álgebra que yo me he aventurado a proponer en otro lugar) se entretejen íntimamente y se relacionan indisolublemente entre sí. De aquí que sea casi imposible perfeccionar una de esas ciencias sin perfeccionar también la otra. El problema de trazar tangentes a las curvas conduce al descubrimiento de las fluxiones o diferenciales; el de la rectificación y cuadratura a la inversión de fluentes o integrales; la investigación de la curvatura de superficies requiere el cálculo de diferenciales parciales; los problemas de isoperímetros dan lugar a la formación del cálculo de variaciones. Y, recíprocamente, todos esos grandes pasos en la ciencia algebraica tienen inmediatamente sus aplicaciones a la Geometría y conducen al descubrimiento de nuevas relaciones entre puntos o líneas o superficies. Pero aun cuando las aplicaciones del método no hubieran sido tan variadas e importantes, se obtendría un gran placer intelectual en su contemplación como tal método.
"La primera aplicación importante del método algebraico de las coordenada, al estudio de los sistemas ópticos fue hecho por Malus, un oficial de ingenieros francés del ejército de Napoleón en Egipto, y que adquirió celebridad en la historia de la óptica física como descubridor de la polarización de la luz por reflexión. Malus presentó al Instituto de Francia, en 1807, un profundo trabajo matemático del tipo antes aludido, titulado Traité d'Optique. El método empleado en ese tratado puede ser descrito así: La dirección de un rayo recto de cualquier sistema óptico final se considera dependiente de la posición de algún punto asignado sobre el rayo, de acuerdo con alguna ley que caracteriza el sistema particular y le distingue de los demás; esta ley puede ser algebraicamente expresada asignando tres expresiones para las tres coordenadas de algún otro punto del rayo, como funciones de las tres coordenadas del punto propuesto. En consecuencia, Malus introduce símbolos generales que denotan esas tres funciones (o al menos tres funciones equivalentes a éstas) y procede a deducir varias conclusiones generales importantes por cálculos muy complicados; muchas de estas conclusiones, así como algunas otras, fueron también obtenidas más tarde por mí cuando por un método casi similar, sin saber lo que Malus había hecho, comencé mi ensayo de aplicar el Álgebra a la óptica. Pero mis investigaciones pronto me condujeron a sustituir este método de Malus por otro muy diferente y mucho más apropiado para el estudio de los sistemas ópticos. En él, en lugar de emplear las tres funciones antes mencionadas, o al menos sus dos razones, es suficiente emplear una función, que llamo característica o principal y así, mientras Malus hace sus deducciones trabajando con las dos ecuaciones de un rayo, yo establezco y empleo, en cambio, una ecuación de un sistema.
"La función que he introducido para este fin, y que constituye la base de mi método de deducción en óptica matemática, se ha presentado, en otros respectos, a los anteriores autores como expresión del resultado de una inducción muy elevada y general en esa ciencia. Este conocido resultado suele llamarse la ley de mínima acción y también el principio del tiempo mínimo, [véase el capítulo sobre Fermat], y abarca todo lo que hasta ahora se ha descubierto respecto a las reglas que determinan las formas y posiciones de las líneas a lo largo de las cuales se propaga la luz, y los cambios de dirección de esas líneas producidos por reflexión o refracción ordinaria o extraordinaria (la última al pasar por un cristal de doble refracción como el espato de Islandia, en el cual cada rayo se desdobla en dos, ambos refractados, al penetrar en el cristal). Cierta cantidad, que en una teoría física es la acción y en otra el tiempo, empleada por la luz al pasar desde un punto a otro segundo punto, resulta menor que si la luz pasara por cualquiera otra ruta que no fuera su camino real, o al menos tiene lo que técnicamente se llama su variación nula, manteniéndose invariables los extremos del camino. La novedad matemática del método consiste en considerar esta cantidad como una función de las coordenadas de estos extremos, la cual varía cuando ellas varían, de acuerdo con la ley que he llamado la ley de la acción variable; reduciendo todas las investigaciones respecto a los sistemas ópticos del rayo al estudio de esta única función; una reducción que presenta a la óptica matemática bajo un concepto completamente nuevo, y análogo, (en mi opinión) al aspecto bajo el cual Descartes presentó la aplicación del Álgebra a la Geometría".
Nada necesitamos añadir a estos párrafos de Hamilton, salvo la posible observación de que ninguna ciencia, por claramente que se exponga, se comprende tan fácilmente como cualquier novela, por mal escrita que esté. Los párrafos exigen una segunda lectura.
En esta gran obra sobre el sistema de los rayos Hamilton hizo una construcción superior a las anteriores. Casi exactamente un siglo después de haber sido escrito el párrafo mencionado pudo verse que los métodos que Hamilton introdujo en la óptica eran justamente los requeridos en la mecánica ondulatorio asociada con la teoría moderna de los cuantos y con la teoría de la estructura atómica. Puede recordarse que Newton defendía una teoría de la luz corpuscular o por emisión, mientras que Huygens y sus sucesores, hasta casi nuestros días, buscaron explicar los fenómenos de la luz valiéndose de una teoría de las ondas. Ambos puntos de vista fueron unidos y, en un sentido puramente matemático, reconciliados en la moderna teoría de los cuantos: emitida en los años 1925 1926. En 1834, cuando tenía 28 años, Hamilton realizó su ambición de extender los principios que había formulado para la óptica a toda la dinámica.
La teoría de los rayos de Hamilton, poco después de su publicación, cuando su autor tenía 27 años, tuvo uno de los más rápidos y más espectaculares triunfos obtenidos por la Matemática. La teoría tiene por objeto explicar fenómenos del Universo físico real, como se observan en la vida diaria en los laboratorios científicos. A no ser que una teoría matemática sea capaz de predicciones que los experimentos comprueban más tarde, no es superior a un diccionario conciso de los problemas que sistematiza, y es casi seguro que pronto será sustituida por una descripción más imaginativa que no revela su completa significación a un primer examen. Entre las famosas predicciones que han comprobado el valor de las teorías matemáticas verdaderas en la ciencia física, podemos recordar tres: el descubrimiento matemático hecho por John Couch Adams (1819-1892) y Urbain-Jean-Joseph Le Verrier (1811-1877) del planeta Neptuno, independientemente y casi al mismo tiempo en 1845, basándose en un análisis de las perturbaciones del planeta Urano de acuerdo con la teoría newtoniana de la gravitación; la predicción matemática de las ondas inalámbricas por James Clerk Maxwell (1831-1879) en 1864 como una consecuencia de su propia teoría electromagnética de la luz; y, finalmente, la predicción de Einstein, en 1915-16, de su teoría de la relatividad general, basándose en la desviación de un rayo de luz en un campo gravitatorio, confirmada primeramente por las observaciones del eclipse solar en el histórico 29 de mayo de 1919, y su predicción, basada también en esa teoría, de que las líneas espectrales en la luz procedente de un cuerpo, serían desviadas hacia el extremo rojo del espectro, en una cantidad que Einstein estableció. Los dos últimos ejemplos, el de Maxwell y el de Einstein, son de un tipo diferente del primero. Ambos fenómenos totalmente desconocidos e imprevistos, fueron predichos matemáticamente; es decir, estas predicciones fueron cualitativas. Tanto Maxwell como Einstein ampliaron sus predicciones cualitativas con precisas predicciones cuantitativas que excluyeron el valor de simple conjetura a sus profecías cuando fueron finalmente comprobadas experimentalmente.
La predicción de Hamilton de lo que se llama refracción cónica en óptica fue de ese mismo tipo cualitativo y al mismo tiempo cuantitativo. De su teoría de los sistemas de rayos predijo matemáticamente que se encontraría un conjunto de fenómenos inesperados en relación con la refracción de la luz en los cristales biaxiales. Mientras terminaba el tercer suplemento a su memoria sobre los rayos, quedó sorprendido por un descubrimiento que describe del siguiente modo:
"La ley de la reflexión de la luz en los espejos ordinarios parece haber sido conocida por Euclides; la de la refracción ordinaria en una superficie de agua, vidrio u otro medio no cristalizado fue descubierta en una fecha muy posterior por Snellius; Huygens descubrió y Malus, confirmó la ley de la refracción extraordinaria producida por cristales uniaxiales, como el espato de Islandia, y, finalmente, la ley de la doble refracción extraordinaria en las caras de cristales biaxiales, como el topacio o la aragonita fue observada en nuestros días por Fresnel. Pero, hasta en estos casos de refracción extraordinaria o cristalina se observa o se sospecha que no existen más de dos rayos refractados, salvo la teoría de Cauchy, en la que puede ser posible un tercer rayo, aunque probablemente imperceptible para nuestros sentidos. Sin embargo, el profesor Hamilton, investigando por su método general las consecuencias de la ley de Fresnel, fue llevado a concluir que en ciertos casos, que él determina, debe haber no ya dos o tres, y ni siquiera un número finito, sino un número infinito o un cono de rayos refractados dentro de un cristal biaxial, que corresponde a y resulta de un sólo rayo incidente; y que en otros casos un único rayo dentro de tal cristal daría lugar a un infinito número de rayos emergentes, dispuestos en otro cono. Por tanto, basándose en la teoría pudo anticipar nuevas leyes de la luz, a las cuales dio los nombres de refracción cónica interna y ex terna".
La predicción y su comprobación experimental por Humphrey Lloyd despertaron la ilimitada admiración para el joven Hamilton por parte de quienes podían apreciar lo que había hecho. Airy, su anterior rival para la cátedra de astronomía, considera así el descubrimiento de Hamilton: "Es posible que la predicción más notable que haya sido hecha, sea la realizada últimamente por el profesor Hamilton". Hamilton mismo consideró esta predicción y otras similares como "un resultado subordinado y secundario" comparado con el gran objeto que se hallaba ante su vista para introducir la armonía y unidad en las contemplaciones y razonamientos de la óptica, considerada como una rama de la ciencia pura".
Según algunos este triunfo espectacular puede considerarse como la pleamar de la carrera de Hamilton, y después de su gran obra sobre óptica y dinámica la marea va bajando. Otros, particularmente los que pertenecen a la llamada la encumbrada iglesia de los cuaternios, mantienen que la máxima obra de Hamilton no se había producido aún, la creación de lo que Hamilton mismo considera su obra maestra, merecedora de inmortalidad, su teoría de los cuaternios. Dejando los cuaternios por el momento, podemos simplemente afirmar que desde sus 27 años hasta su muerte, ocurrida a los 60, dos desastres hacen estragos en la carrera científica de Hamilton. Su matrimonio y el alcohol. El segundo fue, aunque no totalmente, una consecuencia de su desventurado matrimonio.
Después de una segunda desgraciada aventura amorosa que tuvo un desenlace vulgar pero que el protagonista tomó muy a pecho, Hamilton se casó con su tercera novia, Helen María Bayley, en la primavera de 1833. Tenía entonces 28 años. La novia era la hija de la viuda de un pastor de la ciudad. Helen tenía "un aspecto agradable y distinguido y produjo sobre Hamilton una favorable impresión por su naturaleza sincera y por los principios religiosos que Hamilton sabía que su novia atesoraba, aunque a estas recomendaciones no se añadía una particular belleza del rostro ni una particular inteligencia". Ahora bien, cualquier necio puede decir la verdad, y si la verdad es todo lo que pueda distinguir a un necio, quien contraiga matrimonio con una mujer de este tipo pagará cara su indiscreción. En el verano de 1832, Miss Bayley "sufrió una peligrosa enfermedad..., y este acontecimiento produjo sin duda en el enamorado Hamilton pensamientos especiales hacia ella en forma de un deseo de que se restableciera; al pasar el tiempo (justamente al romper sus relaciones con la muchacha a la que realmente amaba), cuando se vio obligado a renunciar a su anterior pasión, el camino quedó preparado para tener sentimientos más tiernos y cálidos". Brevemente, Hamilton quedó unido a aquella mujer enferma que iba a ser una seminválida para el resto de su vida, y que por su incompetencia o mala salud dejó a su marido en manos de los sucios sirvientes que hacían en la casa lo que querían. Algunas habitaciones, especialmente el estudio de Hamilton, quedaron convertidos en una pocilga. Hamilton necesitaba una mujer enérgica, que supiera poner en orden su casa en lugar de unirse a una mujer débil.
Diez años después de su matrimonio Hamilton, siguiendo este resbaladizo camino, se dio cuenta, con una brutal conmoción, de que se había equivocado. Cuando era joven comía y bebía abundantemente en los banquetes y hacía gala de sus grandes dotes para la elocuencia y la jovialidad. Después de su matrimonio sus comidas eran irregulares, y adquirió el hábito de trabajar 12 a 14 horas de un tirón, tomando simplemente alimentos líquidos.
Se discute si la inventiva matemática se acelera o se retarda por el moderado uso del alcohol, y hasta que se realice una completa serie de experimentos bien comprobados esta duda continuará, como en cualquier otra investigación biológica. Si, como algunos mantienen, la vena poética y matemática son afines, es dudoso que el razonable uso alcohólico sea perjudicial para la Matemática; en efecto, existen numerosos ejemplos bien comprobados que atestiguan lo contrario. Es sabido que en el caso de los poetas el "vino y el canto" marchan juntos, y en al menos un caso, el de Sivinburne, sin el primero el segundo se marchitaba casi completamente. Los matemáticos hacen frecuentemente mención del terrible esfuerzo que exige la prolongada concentración sobre una dificultad, y algunos han encontrado que el alcohol puede producir una marcada mejoría. Pero el pobre Hamilton rápidamente superó esa fase, y no sólo en el retiro de su estudio, sino también en la publicidad de los banquetes. En efecto, se embriagó en un banquete de hombres de ciencia. Dándose cuenta de que se había excedido, resolvió no volver a probar el alcohol, y durante dos años mantuvo su resolución. Más tarde, durante una reunión científica en las propiedades de Lord Rosse (dueño del telescopio más grande y más inútil que ha existido), su antiguo rival Airy se burló porque Hamilton sólo bebía agua. Hamilton entonces bebió todo lo que quiso, que fue más que suficiente. A pesar de este obstáculo, su carrera fue brillante, aunque es probable que hubiera podido ir más lejos y haber llegado a una altura mayor que a la que llegó. No obstante alcanzó una altura envidiable, y dejamos a los moralistas deducir la moraleja.
Antes de considerar lo que Hamilton estima como su obra maestra, resumiremos brevemente los honores principales que recibió. A los 30 años desempeñó un cargo importante en la Asociación británica para el progreso de la ciencia, previa la ceremonia de ritual: en su reunión de Dublín y por entonces el Gobernador de Irlanda le armó caballero, tocándole en ambos hombros con la espada del Estado le dijo, "Arrodillaos, profesor Hamilton", y luego, añadió: "Alzaos, Sir William Rowan Hamilton". Esta fue una de las pocas ocasiones en la que Hamilton no supo qué decir. A los 30 años fue nombrado presidente de la Real Academia Irlandesa, y a los 38 le fue asignada una pensión vitalicia de 200 libras por año, concedida por el gobierno británico, siendo entonces Premier Sir Robert Peel, quien sentía poco afecto por Irlanda. Poco después de esto Hamilton realizó su descubrimiento capital, los cuaternios.
Un honor que le produjo mayor satisfacción que todos los hasta entonces recibidos fue el último, cuando ya se hallaba en su lecho de muerte: su elección como primer miembro extranjero de la Academia Nacional de Ciencias de los Estados Unidos, fundada durante la guerra civil. Este honor fue concedido en reconocimiento de su obra sobre los cuaternios, que por alguna razón desconocida produjo entre los matemáticos americanos de aquel tiempo (sólo había uno o dos, siendo el principal Benjamín Peirce de Harvard) una conmoción más profunda que las restantes matemáticas británicas desde los Principia de Newton. La precoz popularidad de los cuaternios en los Estados Unidos tiene algo de misterioso. Posiblemente la pomposa elocuencia de las Lectures on Quaternions cautivó el gusto de una joven y vigorosa nación, que tenía aún que curarse de su morbosa afición a la oratoria senatorial y a los fuegos artificiales del 4 de julio.
Los cuaternios tienen una historia demasiado larga para poder ser expuesta aquí. El mismo Gauss, con su anticipación en 1817 no fue el primero; Euler le precedió con un resultado aislado, que es interpretado más fácilmente acudiendo a los cuaternios. El origen de los cuaternios puede remontarse mucho más lejos, y Augustus de Morgan, aunque jocosamente, ofreció trazar su historia para Hamilton desde los antiguos hindúes hasta la reina Victoria.
Sin embargo, en este lugar tan sólo nos interesa la parte debida a Hamilton.
La escuela inglesa de algebristas, como veremos en el capítulo sobre Boole, colocó el Álgebra común sobre su correcta base durante la primera mitad del siglo XIX. Anticipándose al procedimiento corrientemente aceptado para desarrollar cualquier rama de las matemáticas fundó cuidadosa y rigurosamente el Álgebra por postulados. Antes de esto, las diversas clases de "números", fraccionarlos, negativos, irracionales que intervienen en la Matemática cuando se acepta que todas las ecuaciones algebraicas tienen raíces, tenían que funcionar precisamente en el mismo plano que los enteros positivos comunes, que por costumbre eran considerados por todos los matemáticos como "naturales", al par que se experimentaba la vaga sensación de que podían ser completamente comprendidos, aunque ni siquiera hoy lo son, como veremos al ocuparnos de la obra de Georg Cantor. Esta ingenua fe en la coherencia de un sistema fundado sobre el formal y ciego juego de los símbolos matemáticos puede haber sido sublime, pero también es ligeramente idiota. El punto culminante de esta credulidad fue el conocido principio de permanencia de las leyes formales que establece, en efecto, que un sistema de reglas que producen resultados consecuentes para un tipo de números, es decir los enteros positivos, continuarán siendo válidos cuando se aplican a cualquier otra clase, o sea a los imaginarios, hasta en el caso en que no puede darse una interpretación a los resultados. No es, pues, sorprendente que esta fe en la integridad de los símbolos sin significación conduzca con frecuencia al absurdo.
La escuela inglesa modificó todo esto, aunque fue incapaz de dar el paso final, y demostrar que sus postulados para el Álgebra común jamás conducen a una contradicción. Ese paso fue dado únicamente en nuestra propia generación por los investigadores alemanes sobre los fundamentos de la Matemática. A este respecto debemos recordar que el Álgebra sólo se ocupa de procesos finitos ; cuando intervienen procesos infinitos, por ejemplo al sumar una serie infinita, lanzamos al Álgebra hacia otro terreno. Por tanto, el Álgebra titulada elemental contiene muchas cosas, las progresiones geométricas infinitas, por ejemplo, que no son Álgebra en la moderna significación de la palabra.
La naturaleza de lo que Hamilton hizo en su creación de los cuaternios se apreciará más claramente acudiendo a un sistema de postulados (tomados de L. E. Dickson: Algebras and Their Arithmetics, Chicago 1923), del Álgebra común, o, como técnicamente se llama, a un campo (los autores ingleses usan algunas veces la palabra corpus como el equivalente del alemán Körper o el francés corps).
"Un campo F es un sistema compuesto de un conjunto S de elementos a, b, c, ... y dos operaciones, llamadas adición y multiplicación, que pueden ser realizadas sobre dos elementos cualesquiera (iguales o distintos) a y b de S , tomados en ese orden, para producir únicamente elementos determinados a Å b y a Ä b de S tales que satisfagan los postulados I - V. Para simplificar escribiremos a + b en vez de a Å b y ab en vez de a Ä b , y los llamaremos la suma y el producto, respectivamente, de a y b . De todos modos, los elementos de S serán llamados elementos de F.
Si a y b son dos elementos cualesquiera de F, a + b y ab son elementos determinados de F , y
b + a = a + b
ba = ab.
Si a, b, c, son tres elementos de F, (a + b) + c = a + (b + c),
(ab)c = a(bc),
a(b + c) = ab + ac.
- Existen en F dos elementos distintos, que se representan por 0 y 1, tales que si a es un elemento de F, a + 0 = a , a1 = a (de aquí 0+ a = a , 1 a = a , en virtud de I).
- Cualquiera que sea el elemento a de F , existe en F un elemento x tal que a + x = 0 (de aquí x + a = 0 en virtud de l).
- Cualquiera que sea el elemento a (distinto de 0) de F, existe ,en F un elemento y tal que ay = 1 (de aquí ya = 1, en virtud de I).
(a + b) + c = a + (b + c),
se llama la ley asociativa de la adición, o sea que si se suma a y b y a esta suma se añade el resultado es el mismo que si se suma a a , a suma de b y c. Lo mismo ocurre respecto de la multiplicación para el segundo postulado enunciado en II. El tercer enunciado en II se llama la ley distributiva. En III, se postula la existencia del "cero" y de la "unidad"; en IV, se admite la existencia de los números negativos, y la primera observación entre paréntesis en V, impide la "división por cero". Las exigencias del postulado I se llaman las leyes conmutativas de adición y multiplicación respectivamente.Tal sistema de postulados puede ser considerado como una destilación de la experiencia. Siglos de trabajo con los números y la obtención de resultados útiles siguiendo las reglas de la Aritmética, a las que se llegó empíricamente, sugieren la mayor parte de las reglas sintetizadas en esos postulados precisos, pero una vez comprendidas las sugestiones de la experiencia, la interpretación (Aritmética común) proporcionada por la experiencia es deliberadamente suprimida u olvidada, y el sistema definido por los postulados se desarrolla abstractamente por sus propios medios, por la vía lógica común más matemática.
Obsérvese en particular el postulado IV que admite la existencia de los números negativos. No intentaremos deducir la existencia de negativos con el mismo comportamiento que los positivos. Cuando los números negativos aparecieron por primera vez en la experiencia, como en el "debe" en lugar del "haber", provocaron el mismo horror que las monstruosidades "no naturales" que más tarde serían los números "imaginarios" Ö -1, Ö -2, etc., que surgen de la solución formal de ecuaciones como x 2 + 1 = 0 , o x 2 + 2 = 0, etc.
Si el lector se remonta a lo que Gauss hizo para los números complejos, apreciará mejor la mayor simplicidad del camino seguido por Hamilton para despojar a los "imaginarios" de su misterio inocente, puramente imaginario. Esta cosa tan sencilla fue uno de los pasos que condujo a Hamilton a sus cuaternios, aunque estrictamente nada tenga que ver con ellos. Es el método y el punto de vista que existe tras esta ingeniosa refundición del Álgebra de los números complejos los que tienen importancia para las consecuencias.
Si como es usual i denota Ö -1, un "número complejo" es un número del tipo a + bi , donde a, b son "números reales", o si se prefiere, y de modo más general, elementos del campo F definido por los postulados mencionados. En lugar de considerar a + bi como un "número", Hamilton lo concibe como una pareja ordenada de "números", y designa esta pareja escribiendo (a, b). Luego define la suma y el producto de estas parejas, como sugieren las reglas formales de combinación sublimadas por la experiencia de los algebristas al tratar números complejos, como si las leyes de la Álgebra ordinaria tuvieran aplicación para ellos. Una ventaja de esta nueva forma de considerar los números complejos era ésta: las definiciones de suma y producto de las parejas serían ejemplos de las definiciones abstractas generales de suma y producto como en un campo. De aquí que si se demuestra la coherencia del sistema definido por los postulados para un campo, igual se deduce, sin nueva prueba, para los números complejos y las reglas usuales en virtud de las cuales se combinan. Será suficiente exponer las definiciones de suma y producto en la teoría de los números complejos de Hamilton considerados como parejas ( a, b ), ( c, d), etc.
La suma de ( a, b ) y (c, d) es ( a + c; b + d ); su producto es( ac - bd, ad + bc ). En el último, el signo menos es como en un campo; o sea el elemento x postulado en IV se denota por - a . Para los 0, 1 de un campo corresponden aquí las parejas (0,0), (1,0). Con estas definiciones se comprueba fácilmente que las parejas de Hamilton satisfacen todos los postulados enunciados para un campo. Pero también están de acuerdo con las reglas formales para tratar los números complejos. Así, para ( a, b ), ( c, d ) corresponden respectivamente a + bi, c + di, y la ”suma" formal de estos dos es ( a + c) + (b + d)i , a la cual corresponde la pareja ( a + c; b + d ). Además, la multiplicación formal de a + bi , c + di da ( ac - bd ) + ( ad + bc ) i , a la cual corresponde la pareja ( ac - bd; ad + bc ). Si todo ello resulta nuevo al lector tendrá que repetir la lectura, y esto constituye un ejemplo de la forma en que la Matemática moderna elimina el misterio. Siempre que quede alguna traza de misterio unida a cualquier concepto, ese concepto no es matemático.
Habiendo considerado los números complejos como parejas o pares, Hamilton intentó extender este recurso a los números de tres y cuatro componentes reales. Sin una idea de lo que se trata de lograr, tal empresa parece vaga y carente de significación. El objeto de Hamilton fue inventar un Álgebra que fuera para las rotaciones en el espacio de tres dimensiones lo que los números complejos son para las rotaciones en el espacio de dos dimensiones, siendo los espacios, en ambos casos, euclidianos, como en la Geometría elemental. Ahora, un número complejo a + bi puede ser considerado como representando un vector, es decir, un segmento lineal que tiene longitud y dirección, como se aprecia en la figura en el que el segmento indicado por la flecha representa el vector OP .

Objetando la fórmula puramente abstracta postulacional del Álgebra defendida por los ingleses contemporáneos suyos, Hamilton intentó fundar el Álgebra sobre algo "más real", y para esta empresa, en realidad sin significación, partió de sus conocimientos de los conceptos erróneos de Kant, explotados por la creación de la Geometría no-euclidiana del espacio como una "forma pura de intuición sensorial". En efecto, Hamilton, que parece desconocer la Geometría no-euclidiana, siguió a Kant al creer que "tiempo y espacio son dos fuentes de conocimiento de las cuales pueden derivarse diversos conocimientos sintéticos a priori. De esto, la matemática pura da un espléndido ejemplo en el caso de nuestro conocimiento del espacio y sus variadas relaciones. Como en ambos casos se trata de formas puras de intuición sensorial, hacen posible las proposiciones sintéticas a priori". Como es natural, cualquier matemático no excesivamente ignorante de hoy sabe que Kant estaba equivocado en su concepción de la Matemática, pero en el año 1840, cuando Hamilton abría camino a los cuaternios, la filosofía kantiana de la Matemática aun tenía un sentido para aquéllos, y eran casi todos los que no habían oído hablar de Lobatchewsky. Hamilton aplicó la doctrina kantiana al Álgebra, y dedujo la notable conclusión de que dado que la Geometría es la ciencia del espacio y dado que el tiempo y el espacio son "formas de intuición puramente sensoriales", el resto de la Matemática debe pertenecer al tiempo, y empleó gran parte de su tiempo elaborando la extraña doctrina de que el Álgebra es la ciencia del tiempo puro.
Esta excentricidad ha atraído a muchos filósofos, y recientemente ha sido exhumada y solemnemente analizada por los metafísicos, que buscan la piedra filosofal en la vesícula biliar de los matemáticos. Precisamente debido a que "el Álgebra como la ciencia del tiempo puro" carece de significación matemática, la teoría continuará siendo discutida animadamente hasta el fin de los tiempos. La opinión de un gran matemático sobre el aspecto "tiempo puro" del Álgebra puede ser de interés. "No puedo descubrir la relación del Álgebra con el concepto del tiempo", confesaba Cayley; "admitiendo que el concepto de la progresión continua se presente y tenga importancia, no veo que de algún modo pueda ser el concepto fundamental de la ciencia".
Las dificultades de Hamilton al intentar construir un Álgebra de vectores y rotaciones para el espacio tridimensional estaban enraizadas en su convicción inconsciente de que las más importantes leyes del Álgebra ordinaria debían persistir en el Álgebra que buscaba. ¿Cómo se multiplicarían entre sí los vectores en el espacio tridimensional?
Para comprender la dificultad del problema es esencial recordar (véase capítulo sobre Gauss) que los números complejos ordinarios a + bi , (i = Ö -1) han recibido una sencilla interpretación como rotaciones en un plano, y además que los números complejos obedecen a todas las reglas del Álgebra ordinaria, en particular a la ley conmutativa de la multiplicación: s i A, B son números complejos A X B = B X A , siempre que sean interpretados algebraicamente, o como rotaciones en un plano. Era humano entonces anticipar que la misma ley conmutativa serviría para las generalizaciones de números complejos que representan rotaciones en el espacio de tres dimensiones.
El gran descubrimiento o invención de Hamilton fue un Álgebra, una de las Álgebras "naturales" de rotaciones en el espacio de tres dimensiones, en las que la ley conmutativa de multiplicación no es aplicable. En esta Álgebra hamiltoniana de cuaternios (como llama a su invención) aparece una multiplicación en la que A X B no es igual a B X A , sino a menos B X A, es decir, A X B = - B X A.
Era un descubrimiento de primer orden el que pudiera construirse un Álgebra consecuente, prácticamente útil, en la que no se verifica la ley conmutativa de la multiplicación, y la importancia de este descubrimiento es comparable quizá a la concepción de la Geometría no-euclidiana. Hamilton mismo quedó muy impresionado por la magnitud del hallazgo que repentinamente apareció en su mente (después de 15 años de meditaciones estériles) cuando un día (16 de octubre de 1843), paseando con su mujer, grabó las fórmulas fundamentales de la nueva Álgebra en la piedra del puente sobre el que se encontraba en aquel momento. Su gran invención mostró a los algebristas el camino hacia otras Álgebras, hasta el punto que hoy, siguiendo la ruta de Hamilton, los matemáticos construyen Álgebras prácticamente cuando quieren, negando uno o más de los postulados para un campo y desarrollando las consecuencias. Algunas de estas "Álgebras" son extraordinariamente útiles; las teorías generales abarcan multitud de ellas, incluyendo la gran invención de Hamilton como un mero detalle, aunque muy importante.
Paralelamente a los cuaternios de Hamilton surgieron las numerosas formas de análisis vectoriales propuestos por los físicos de los dos últimos siglos. En la actualidad, todas ellas, incluyendo los cuaternios, en lo que se refiere a las aplicaciones físicas, han sido dadas de lado por el incomparablemente más simple y más general análisis sensorial, que adquirió su boga con la relatividad general en 1915. Más tarde volveremos a ocuparnos de este punto.
Mientras tanto será suficiente hacer notar que la tragedia más profunda de Hamilton no fue el alcohol ni el matrimonio, sino su obstinada creencia de que los cuaternios daban la clave a la Matemática del universo físico. La historia ha demostrado que Hamilton estaba trágicamente equivocado cuando decía: " ... aun debo afirmar que este descubrimiento me parece tan importante para estos años del siglo XIX, como el descubrimiento de las fluxiones (el Cálculo) lo fue para los últimos años del siglo XVII". Jamás estuvo tan absolutamente equivocado un gran matemático.
Los últimos 22 años de la vida de Hamilton fueron dedicados casi exclusivamente a la elaboración de los cuaternios (incluyendo sus aplicaciones a la dinámica, a la astronomía, y la teoría ondulatoria de la luz) y a su voluminosa correspondencia. El estilo de su obra excesivamente desarrollada Elements of Quaternions, publicada un año después de la muerte de Hamilton, muestra claramente los efectos de la manera como vivía su autor. Después de su muerte, el 2 de septiembre de 1865, cuando tenía 61 años, se vio que Hamilton había dejado una enorme montaña de trabajos en indescriptible confusión, y sesenta enormes libros manuscritos de fórmulas matemáticas. Se está preparando ahora una edición de sus obras. El estado en que se hallaban todos estos manuscritos atestiguan las dificultades domésticas con que tropezó en el último tercio de su vida. Entre las montañas de papeles fueron desenterrados platos, con restos de comidas, en una cantidad suficiente para poder hacer la felicidad de cualquier ama de casa. Durante este último período Hamilton vivió como un recluso, sin darse cuenta de los alimentos que le servían mientras trabajaba, obsesionado por la idea de que el último tremendo esfuerzo de su genio magnífico inmortalizaría a él y a su amada Irlanda, y dejaría para siempre inconmovible una contribución matemática a la ciencia como no había tenido lugar desde los Principia de Newton.
Sus primeros trabajos, sobre los cuales reposa su gloria imperecedera, eran considerados por su autor como cosa de poca importancia frente a lo que él creía su obra maestra. Al final de sus días Hamilton fue un hombre humilde y devoto que no sentía ansiedad por su reputación científica. "Desde hace mucho tiempo he admirado la descripción que hace Ptolomeo de su gran maestro astronómico Hiparco, como un hombre que amó el trabajo y que amó la verdad. Será mi epitafio".
"b>Capítulo 20
Genio y Estupidez
GALOIS
Contra la estupidez los mismos
dioses luchan inútilmente.
Schiller
Los primeros once años de la vida de Galois fueron felices. Sus padres vivían en la pequeña aldea de Bourg-la-Reine, en las cercanías de París, donde Evariste nació el 25 de octubre de 1811. Nicolás Gabriel Galois, el padre de Evariste, era una verdadera reliquia del siglo XVIII, hombre cultivado, intelectual, saturado de filosofía, apasionado enemigo de la realeza y ardiente defensor de la libertad. Durante los Cien Días, después de la huida de Napoleón de la isla de Elba, Galois fue elegido alcalde de la aldea, y después de Waterloo conservó su cargo sirviendo fielmente al Rey. Servía de sostén a los aldeanos frente al sacerdote y amenizaba las reuniones sociales recitando poesías a la moda antigua, que él mismo componía. Estas actividades innocuas serían más tarde la ruina de este hombre. De su padre, Evariste heredó la facilidad para versificar y el odio a la tiranía y a la bajeza.
Hasta la edad de 12 años, Galois no tuvo más maestro que su madre, Adélaide-Marie Demante. Algunos de los rasgos del carácter de Galois fueron heredados de su madre, que procedía de una familia de distinguidos juristas. Su padre parece que descendía de los tártaros. Dio a su hija una educación humanista y religiosa, que ella, a su vez, trasmitió a su hijo mayor, no en la forma en que la había recibido, sino unida a un estoicismo viril característico de su mentalidad. Adélaide no rechazó el cristianismo ni lo aceptó sin discusión; simplemente comparó sus doctrinas con las de Séneca y Cicerón, formando así su moralidad básica. Sus amigos la recuerdan como una mujer de carácter fuerte, con una mentalidad generosa y cierta vena de originalidad bromista, que a veces la inclinaba a la paradoja. Murió en 1872, teniendo 84 años. Hasta sus últimos días conservó el completo vigor de su inteligencia. Ella, como su marido, odiaba la tiranía.

Fue un niño cariñoso y más bien serio, aunque solía intervenir en las alegres fiestas en honor de su padre, en las que también componía poesías y diálogos para entretener a los asistentes. Todo esto cambió en cuanto fue objeto de una mezquina persecución y de una estúpida incomprensión, no por parte de sus padres, sino de sus maestros.
En 1823, teniendo 12 años, Galois ingresó en el liceo de Louis le Grand en París. Aquel liceo era algo terrible. Dominado por un director que más que un maestro era un carcelero, aquel lugar semejaba una prisión, y en realidad lo era. La Francia de 1823, aun recordaba la Revolución. Era una época de conspiraciones y contraconspiraciones, de tumultos y rumores de revolución. Todo esto encontraba eco en el liceo. Sospechando que el director planeaba volver a traer a los jesuitas, los estudiantes protestaron, negándose a cantar en la capilla. Sin notificarlo a sus padres, el director expulsó a los muchachos que según él eran más culpables. Se encontraron en la calle. Galois no estaba entre ellos, pero quizá hubiera sido mejor que así hubiera sido.
Hasta entonces la tiranía constituía una simple palabra para este muchacho de 12 años, pero ahora la veía en acción, y esta visión deformó una parte de su carácter durante toda su vida. Sintió una rabia incontenible. Sus estudios, debido a la excelente instrucción humanista de su madre marcharon perfectamente, y Galois obtuvo premios. Pero también ganó algo más duradero que un premio, la tenaz convicción, exacta o equivocada, que ni el temor ni la más severa disciplina pueden extinguir la idea de justicia en las mentes jóvenes que desde el principio hacen un culto de ella con devoción abnegada. Esto es lo que le enseñaron sus compañeros con su valor. Galois jamás olvidó su ejemplo, pero era demasiado joven para no quedar amargado.
El año siguiente marca otra crisis en la vida del muchacho. Su interés por la literatura y por los clásicos terminó por el aburrimiento; su genio matemático ya despuntaba. Sus maestros advirtieron el cambio, el padre de Evariste fue informado, y el muchacho continuó sus interminables ejercicios de retórica, latín y griego. Su trabajo fue considerado mediocre, su conducta poco satisfactoria, y los maestros tenían cierta razón. Galois tuvo que seguir ocupándose de aquellas materias que su genio rechazaba. Fatigado y disgustado prestaba una atención superficial, y seguía sus estudios sin esfuerzo ni interés. La Matemática era ensenada como una ayuda para la grave tarea de digerir los clásicos, y los discípulos de los diversos grados y de distintas edades consideraban el curso de Matemática elemental de escasa importancia en comparación con sus restantes estudios.
Durante este año de agudo aburrimiento Galois comenzó a asistir al curso regular de Matemática. La espléndida Geometría de Legendre abrió su camino. Se dice que dos años era el tiempo usual empleado por los muchachos más devotos de la Matemática para comprender a Legendre. Galois leyó la Geometría desde el principio al fin tan fácilmente como otros muchachos leen una aventura de piratas. El libro despertó su entusiasmo. No era un manual escrito por un cualquiera, sino una obra maestra compuesta por un matemático creador. Una sola lectura fue suficiente para revelar la estructura global de la Geometría elemental con una claridad cristalina al fascinado muchacho. Pronto la dominó.
Su reacción ante el Álgebra es interesante. No le plació al principio, por una razón que comprenderemos al examinar el tipo mental de Galois. No disponía de un maestro corno Legendre que le inspirara. El texto de Álgebra era un manual sencillo y simple, y Galois le dio de lado. Carecía, según Galois decía, de ese chispazo de creación que sólo puede dar un matemático genial. Habiéndose familiarizado con el gran matemático a través de su obra, Galois comenzó a trabajar por su cuenta. Sin importarle los pesados deberes impuestos por sus maestros, Galois se dirigió directamente para aprender Álgebra al gran maestro de la época, a Lagrange. Más tarde leyó las obras de Abel. El muchacho de 14 6 15 años, absorbía las obras maestras del análisis algebraico dirigidas a matemáticos profesionales maduros; las memorias sobre la resolución numérica de las ecuaciones, la teoría de funciones analíticas y el cálculo de funciones. Sus ejercicios en la clase eran mediocres; el curso era demasiado trivial para un genio matemático, e innecesario para dominar la verdadera Matemática.
El peculiar talento de Galois le permitía realizar casi completamente de memoria las más difíciles operaciones matemáticas. La insistencia de los maestros sobre detalles que le parecían obvios o superficiales le exasperaban, haciéndole perder los estribos. De todos modos, obtuvo el premio en los exámenes generales. Para asombro de maestros y compañeros entró en su propio reino por asalto, dándoles luego la espalda.
Con esta primera demostración de su enorme capacidad, el carácter de Galois sufrió un profundo cambio. Sabiendo que estaba muy cerca de los grandes maestros del Análisis algebraico, sentía un inmenso orgullo, y deseaba colocarse en primera fila para compararse con ellos. Su familia, hasta su extraordinaria madre, le encontró un extraño. En el colegio parece que inspiró una curiosa mezcla de temor y de angustia a sus maestros y compañeros. Sus maestros eran gentes buenas y pacientes, pero estúpidas, y para Galois la estupidez era un pecado imperdonable. Al comenzar el año se referían a él diciendo que era "muy amable, lleno de inocencia y buenas cualidades, pero... “, continuaban diciendo, “existe algo extraño en él". No hay duda que así era. El muchacho tenía un talento desusado. Algo más tarde los maestros afirmaban que no era "perverso", sino simplemente original y extravagante, y se quejaban de que le divirtiera atormentar a sus compañeros. Hay en todo esto mucho de crítica, pero hay que reconocer que no sabían apreciar lo que Galois era. El muchacho había descubierto la Matemática, y ya se sentía guiado por su demonio. Al terminar el curso los maestros decían que sus extravagancias le habían enemistado con todos sus compañeros", y observan además que "algo misterioso existe en su carácter". Y lo que es peor, le acusaban de "ser ambicioso y de tener el deseo de parecer original". Pero algunos de sus profesores admiten que Galois se distinguía en la Matemática. Por lo que a la retórica se refiere, los maestros cometen un sarcasmo al decir “su talento es una leyenda a la que no damos crédito". Tan sólo ven extravagancia y excentricidad en las tareas realizadas cuando Galois se digna prestar atención, y además fatiga a sus maestros por su incesante "disipación". Al hablar de disipación no se refieren a un vicio, pues Galois no albergaba ninguno; tan sólo se trata de una palabra demasiado fuerte para referirse a la incapacidad de un genio matemático de primera categoría para disipar su inteligencia en las futilidades de la retórica explicada por pedantes.
Un hombre, que demuestra así su visión pedagógica, declaró que Galois era tan capaz para los estudios literarios como lo era para la Matemática. Galois quedó conmovido por la amabilidad de este maestro, y prometió dedicarse a la retórica. Pero su demonio matemático surgió ahora en todo su esplendor, y el pobre Galois cayó en desgracia. Al poco tiempo, el profesor que había expresado esa opinión contraria, se unió a la mayoría, y el voto desfavorable fue unánime, Galois fue considerado como incapaz para salvarse, "engreído por un insufrible deseo de originalidad". Pero el pedagogo se redimió con un excelente y exasperado consejo. Si lo hubiera seguido Galois podría haber vivido hasta los 60 años. "La locura matemática domina a este muchacho. Pienso que sus padres deberían dedicarle tan sólo a la Matemática. Aquí está perdiendo el tiempo, y todo lo que hace es atormentar a sus maestros y perturbarse".
Teniendo 16 años, Galois cometió un curioso error. Sin saber que Abel estuvo convencido, al comienzo de su carrera, de haber hecho lo que era imposible, resolver la ecuación general de quinto grado, Galois repitió el error. Durante cierto tiempo, aunque breve, creyó haber logrado lo que no puede lograrse. Esta es una de las grandes analogías en las carreras de Abel y Galois.
Mientras Galois, a la edad de 16 años, había iniciado su carrera de descubrimientos fundamentales, su maestro matemático Vernier, gravitaba sobre él como una gallina que ha empollado un aguilucho y no sabe cómo lograr que la inquieta criatura se contente con el fango del corral. Vernier pedía a su discípulo que trabajara sistemáticamente. El consejo no fue seguido, y Galois, sin preparación, se presentó a los exámenes de ingreso en la Escuela Politécnica. Esta gran escuela, madre de los matemáticos franceses, fundada durante la Revolución francesa (algunos dicen que por Monge), para dar a los ingenieros civiles y militares la mejor educación científica en Matemática que podía darse en el mundo, atrajo al ambicioso Galois. En la Politécnica su talento matemático sería reconocido y alentado. Y su deseo de libertad quedaría satisfecho. ¿No era en los viriles y audaces jóvenes de la Politécnica, donde estaban los futuros jefes del ejército, una espina siempre clavada en los planes reaccionarios que pretendían anular la gloriosa obra de la Revolución, al intentar atraer a los corrompidos sacerdotes y defender el derecho divino de los reyes? Los indómitos politécnicos, al menos a los ojos juveniles de Galois, no eran pulidos retóricos, como las ceñudas nulidades de Louis le Grand, sino una liga de buenos patriotas. Los acontecimientos iban a demostrarle, al menos en parte, que tenía razón en sus apreciaciones.
Galois fracasó en los exámenes. No estaba sólo en su creencia de que el fracaso era debido a una injusticia estúpida; los mismos compañeros a quienes él había atormentado estaban asombrados. Creían que Galois tenía un genio matemático extraordinario, y culpaban a la incompetencia de los jueces. Casi un cuarto de siglo más tarde, Terquem, editor de los Nouvelles Annales de Mathématiques, la revista matemática dedicada a los candidatos a las escuelas Politécnica y Normal, recordó a sus lectores que la controversia no había aún terminado. Comentando el fracaso de Galois y los inescrutables designios de los jueces en otro caso, Terquem observa: "Un candidato de inteligencia superior se pierde ante un juez de inteligencia inferior. Hic ego barbarus sum quia non intelligor illis ( Debido a que ellos no me comprenden, soy un bárbaro). Los exámenes son misterios ante los cuales me inclino. Como los misterios de la teología, la razón debe admitirlos con humildad, sin intentar comprenderlos". Para Galois el fracaso fue casi el retoque final. Le concentró sobre sí mismo y le amargó toda su vida.
En 1828 Galois tenía 17 años. Este fue su gran año. Encontró un hombre que tuvo la capacidad de comprender su genio, Louis-Paul-Êmile Richard (1795-1849), maestro de Matemáticas especiales en Louis le Grand. Richard no era un pedagogo convencional, sino un hombre de talento, que seguía las conferencias superiores de Geometría en la Sorbona durante el tiempo que tenía libre, manteniéndose al tanto de los progresos de los matemáticos de su época para transmitirlos a sus discípulos. Tímido y sin ambiciones para sí mismo proyectaba su talento sobre sus alumnos. El hombre que no había dado un paso para favorecer sus intereses, no escatimaba sacrificios, por grandes que fueran, cuando el futuro de uno de sus discípulos estaba en peligro. En su celo para hacer progresar la Matemática por la obra de hombres más capaces, se olvidó completamente de sí mismo, aunque sus amigos le recomendaron publicara sus investigaciones, y a su inspirada enseñanza han rendido tributo más de uno de los grandes matemáticos franceses del siglo XIX: Leverrier, descubridor con Adams, por puro análisis matemático, del planeta Neptuno; Serret, un geómetra de reputación, autor de una obra clásica sobre Álgebra superior en la que hace la primera exposición sistemática de la teoría de Galois de las ecuaciones; Hermite, maestro algebrista y aritmético de primera categoría, y por último Galois.
Richard reconoció inmediatamente quién era el joven que había caído en sus manos, "el Abel de Francia". Las soluciones originales a los problemas difíciles que Galois propuso, eran orgullosamente explicadas en la clase con justo elogio para el joven autor, y Richard propuso, desde el sillón del maestro, que el extraordinario discípulo fuera admitido en la Politécnica sin examen. Concedió a Galois el primer premio, y en su informe escribió las siguientes palabras: "Este discípulo tiene una marcada superioridad sobre todos sus compañeros; se ocupa únicamente de las partes más complicadas de la Matemática". Este juicio encierra una gran verdad. Galois, a los 17 años, hacía descubrimientos de extraordinaria significación en la teoría de ecuaciones, descubrimientos cuyas consecuencias no han terminado aún, transcurrido un siglo. El primero de marzo de 1829, Galois publicó su primer trabajo sobre fracciones continuas. En él no hay indicio alguno de las grandes proezas que iba a realizar, pero anunciaba a sus compañeros que no se trataba de un escolar más, sino de un matemático creador.
El principal matemático francés de la época era Cauchy. En la fecundidad de la invención, Cauchy ha sido igualado por muy pocos, y como hemos visto, el volumen de sus obras completas sólo es superado por las producciones de Euler y Cayley [32] , los matemáticos más prolíficos de la historia. Siempre que la Academia de Ciencias deseaba una autorizada opinión de los méritos de una obra matemática sometida a su consideración, recurría a Cauchy. De ordinario era un juez rápido y justo, pero algunas veces cometió errores. Por desgracia, estos errores fueron muy importantes. A la indiferencia de Cauchy la Matemática debe dos de los más grandes desastres de su historia: el desprecio por Galois y el ruin tratamiento concedido a Abel. De lo último Cauchy tan sólo es culpable en parte, pero su responsabilidad es única en el caso de Galois.
Galois resumió los descubrimientos fundamentales que había hecho a la edad de 17 años en una memoria, que sometió a la consideración de la Academia. Cauchy prometió presentarla, pero se olvidó hacerlo. Para remachar el clavo de su ineptitud, perdió el manuscrito del autor. Este fue sólo el primero de una serie de desastres análogos, que provocaron el torvo desprecio del muchacho por las academias y académicos, y su fiero odio contra toda la estúpida sociedad en que se veía condenado a vivir.
A pesar de su genio bien demostrado, el perseguido muchacho no encontró paz en el colegio. Las autoridades no le permitían cultivar el rico campo de sus descubrimientos, distrayéndole con mezquinas tareas, e incitándole a la manifiesta revuelta con sus continuos consejos y castigos. Los maestros sólo pudieron encontrar en Galois un absoluto desprecio y una férrea determinación a ser matemático. Ya lo era, pero los maestros no lo sabían.
Otros dos desastres, ocurridos cuando tenía 18 años, modelaron el carácter de Galois. Por segunda vez se presentó a los exámenes de ingreso en la Politécnica, y hombres que no eran dignos de afilar sus lápices iban a ser sus jueces. El resultado fue el que podía sospecharse. Galois fracasó. Esta era su última tentativa; las puertas de la Politécnica se cerraron para siempre para él.
Su examen ha llegado a constituir una leyenda bien conocida. La costumbre de Galois de trabajar casi completamente de memoria constituía una grave desventaja cuando se hallaba ante la pizarra. La tiza y la esponja le desconcertaron, hasta que encontró la forma de hacer un adecuado uso de la última. Durante la parte oral de los exámenes, uno de los inquisidores se aventuró a discutir con Galois una dificultad matemática. El hombre estaba tenazmente equivocado. Dando por perdidas sus esperanzas, fracasada toda su vida como matemático y como campeón de la libertad democrática en la Politécnica, Galois perdió la paciencia. Se dio cuenta de que oficialmente fracasaba, y en un acceso de rabia y desesperación arrojó la esponja al rostro de su atormentador.
El desastre final fue la muerte trágica del padre de Galois. Como alcalde de Bourg-la-Reine, el anciano Galois era el blanco de las intrigas clericales de la época, especialmente por haber apoyado siempre a los aldeanos contra el sacerdote. Después de las tempestuosas elecciones de 1827, un joven sacerdote lleno de recursos organizó una campaña contra el alcalde. Aprovechándose del bien conocido talento del viejo Galois para versificar, el ingenioso sacerdote compuso una serie de estúpidos versos contra un miembro de la familia del alcalde, firmándolos con el nombre de éste y los hizo circular entre los habitantes. El pobre alcalde sufrió de manía persecutoria. Durante la ausencia de su mujer huyó a París, y en una habitación cercana a la escuela donde su hijo realizaba sus estudios, se suicidó. Mientras se realizaban los funerales estallaron serios disturbios. Los habitantes irritados lanzaron piedras, y el sacerdote fue herido en la frente. Galois vio descender el ataúd de su padre a la sepultura en medio de un terrible tumulto. Más tarde, sospechando que la injusticia que tanto odiaba estaba esparcida por doquier, no encontraba a nadie bueno.
Después de su segundo fracaso en la Politécnica, Galois volvió a la escuela para seguir la carrera de maestro. La escuela tenía ahora un nuevo director, algo cobarde, contemporizador con los realistas y clericales. La tímida contemporización de este hombre para los movimientos políticos que entonces conmovían a Francia tuvo una influencia trágica sobre los últimos años de Galois.
Perseguido y maliciosamente incomprendido por sus preceptores, Galois se preparó por sí mismo para los exámenes finales. Los comentarios de los examinadores son interesantes. En Matemática y física el juez escribe: "Muy bien" El examen oral final despierta los siguientes comentarios: "Este discípulo es algunas veces oscuro para expresar sus ideas, pero es inteligente y muestra un notable espíritu de investigador. Me ha comunicado algunos resultados nuevos en el Análisis aplicado". En literatura: "Este es el único estudiante que me ha respondido mal, no sabe absolutamente nada. Me han dicho que tiene una extraordinaria capacidad para la Matemática. Me asombra mucho, pues basándome en el examen creo que tiene escasa inteligencia. Si este discípulo es realmente lo que me ha parecido, dudo mucho que pueda ser un buen maestro". A lo cual Galois, recordando algunos de sus buenos maestros, podría haber replicado: "No lo permita Dios".
En febrero de 1830, teniendo 19 años, Galois fue al fin admitido en la Universidad. El profundo y seguro conocimiento que tenía de su propia capacidad se refleja en un gran desprecio por sus maestros y desde entonces continuó elaborando sus ideas en la mayor soledad. Durante este año compuso tres trabajos que abren nuevos campos. Estos trabajos contienen parte de su gran obra sobre la teoría de ecuaciones algebraicas. En ellos iba más allá de donde habían llegado otros matemáticos, y Galois lleno de esperanzas resumió sus resultados, añadiendo otros nuevos, en una memoria, presentada a la Academia de Ciencias para aspirar al gran premio en Matemática. Este premio era aún la cinta azul para la investigación matemática y tan sólo los más distinguidos matemáticos de la época podían concurrir a él. Los jueces aceptaron que la memoria de Galois era digna del premio por su originalidad. El joven dice con absoluta justicia: "He realizado investigaciones que detendrán en las suyas a muchos sabios".
El manuscrito fue entregado en la secretaría. El secretario lo llevó a su casa para examinarlo, pero murió antes de que tuviera tiempo de hacerlo. Cuando después de su muerte fueron revisados sus papeles, no se encontraron ni indicios del manuscrito, y esto fue lo último que Galois supo. Nadie puede culparle de que atribuyera sus infortunios al algo más que a la ciega casualidad. Después de la indiferencia de Cauchy una repetición del mismo tipo parece demasiado providencial para ser una mera casualidad. "El genio es condenado, por una organización social maliciosa, a una eterna negativa de justicia, en favor de la aduladora mediocridad". Su odio creció, y se entregó a la política, militando en el republicanismo, que era entonces un radicalismo perseguido.
Los primeros brotes de la Revolución de 1830 llenaron a Galois de júbilo. Intentó llevar a sus compañeros a la lucha, pero estos dudaron, y el director, que no veía las cosas claras, les pidió prometieran por su honor no abandonar la Escuela. Galois se negó a dar su palabra, y el director le aconsejó permaneciera allí hasta el día siguiente. En su plática, el director mostró una singular falta de tacto y una ausencia total de sentido común. Enfurecido, Galois intentó escapar durante la noche, pero los muros eran demasiado altos para él. Mientras en los "tres días gloriosos" los heroicos jóvenes de la Politécnica se lanzaban a las calles para escribir la historia, el director de la Escuela mantuvo prudentemente encerrados a sus discípulos. De este modo se preparaba para asociarse a los vencedores. La revuelta triunfó, y el astuto director fue generosamente conducido por sus discípulos a la disposición del gobierno provisional. Estos episodios dieron el último toque al credo político de Galois. Durante las vacaciones, asombró a su familia y a sus amigos con su violenta defensa de los derechos de las masas.
Los últimos meses de 1830 fueron tan turbulentos como los que suelen tener lugar después de un alzamiento político. Los posos caen al fondo, la espuma sube a la superficie, y el elemento moderado de la población queda suspendido indeciso entre los dos. Galois, encerrado en el colegio, comparó las vacilaciones contemporizadoras del director y la débil lealtad de los estudiantes con la audacia de los jóvenes de la Politécnica. Incapaz de tolerar la humillación de su inactividad, escribió una punzante carta a la Gazette des Écoles, donde manifestaba dirigiéndose a los estudiantes como al director, su opinión de lo que era su deber. Los estudiantes pudieron haberle ayudado, pero les faltó valor y Galois fue expulsado. Lleno de ira, Galois escribió una segunda carta a la Gazette, dirigida a los estudiantes. "Nada os pido para mí, escribía, pero apelo a vuestro honor y a vuestra conciencia". La carta no recibió contestación alguna, pues aquellos a quien Galois se dirigía no tenían honor ni conciencia.
Nuevamente en la calle y sin recursos Galois anunció una clase privada de Álgebra superior, que tendría lugar una vez por semana. Tenía entonces 19 años, y este matemático creador de primera categoría anunciaba lecciones que no encontrarían oyentes. El curso iba a abarcar "una nueva teoría de las imaginarias" (la que ahora se conoce como la teoría de las "imaginarias de Galois", de gran importancia en Álgebra y en la teoría de números), la resolución de las ecuaciones por radicales y la teoría de números y funciones elípticas tratadas por Álgebra pura". Toda su obra.
Al no encontrar discípulos, Galois abandonó temporalmente la Matemática, e ingresó en la artillería de la Guardia Nacional, dos de cuyos cuatro batallones estaban compuestos casi totalmente de grupos liberales que se llamaban a sí mismos "Amigos del pueblo". No había aún renunciado totalmente a la Matemática. Alentado por Poisson, y en un último y desesperado esfuerzo para triunfar envió una memoria sobre la resolución general de ecuaciones, ahora llamada la teoría de Galois, a la Academia de Ciencias. Poisson, cuyo nombre es recordado siempre que son estudiadas las teorías matemáticas de la gravitación, de la electricidad y del magnetismo, fue el juez. Redactó un informe para salir del paso. La memoria, afirmaba Poisson, es "incomprensible", pero no nos dice cuánto tiempo había empleado para llegar a esta notable conclusión. Fue la última gota en el vaso lleno. Galois dedicó todas sus energías a la política revolucionaria: "Si se necesita un cadáver para poner en movimiento al pueblo, escribía, yo daré el mío".
El 9 de mayo de 1831 marcó el comienzo del fin. Doscientos jóvenes republicanos asistieron a un banquete para protestar contra la orden real que disolvía la artillería a la que Galois se había incorporado. Fueron pronunciados brindis en honor de las revoluciones de 1789 y 1793, de Robespierre y de la Revolución de 1830. La atmósfera era revolucionaria y desafiante. Galois se levantó para pronunciar un brindis, con su vaso en una mano y su cortaplumas abierto en la otra. "Para Luis Felipe" (el rey). Sus compañeros no comprendieron el propósito del brindis, y protestaron violentamente. Pero vieron el cortaplumas abierto, y al interpretar el ademán como una amenaza contra la vida del rey, manifestaron ruidosamente su aprobación. Un amigo de Galois, viendo al gran Alejandro Dumas y a otras notables personalidades pasar a través de las ventanas abiertas, pidió a Galois que se sentara, pero el tumulto continuó. Galois fue el héroe del momento, y los artilleros se lanzaron a la calle para celebrar su exuberancia, alborotando toda la noche. Al día siguiente Galois fue detenido en la casa de su madre, siendo llevado a la prisión de Santa Pelagia.
Un astuto abogado, con la ayuda de los amigos leales de Galois, ideó una defensa ingeniosa, afirmando que su defendido había dicho. "Para Luis Felipe, si llega a ser traidor". El cortaplumas abierto tenía una fácil explicación; Galois lo usaba para cortar el pollo que estaba comiendo. Esto era todo lo que había ocurrido. Las palabras de su brindis, según los amigos que juraban haberlas oído, no fueron, escuchadas debido al tumulto, y tan sólo los que estaban muy cerca del orador supieron lo que había dicho. Galois no quiso acogerse a ese recurso.
Durante el juicio, la condena de Galois fue de un marcado desprecio para el tribunal de sus acusadores. Sin importarle la sentencia, se entregó a una apasionada diatriba contra todas las fuerzas de la injusticia política. El juez era un hombre humano, que tenía hijos. Advirtió al acusado que su conducta poco le favorecía, y le ordenó callar. La defensa discutió la cuestión acerca de si el restaurante donde ocurrió el incidente era o no un lugar público al ser usado para un banquete semiprivado. Sobre este delicado punto de la ley dependía la libertad de Galois, pero era evidente que tanto el tribunal como el jurado estaban conmovidos por la juventud del acusado. Después de una deliberación de diez minutos, el jurado pronunció un veredicto donde negaba la culpabilidad. Galois recogió su cortaplumas de la mesa, lo cerró, lo introdujo en su bolsillo y abandonó la sala sin pronunciar una palabra.
Su libertad no duró largo tiempo. Antes de transcurrir un mes, el 14 de julio de 1831, fue detenido nuevamente, esta vez como una medida de precaución. Los republicanos iban a celebrar una conmemoración y Galois, por ser un "radical peligroso" a los ojos de las autoridades, debía ser encerrado, aun cuando no pesara sobre él cargo alguno. Ahora, el “peligroso republicano Evariste Galois" se hallaba donde no le era posible iniciar una revolución. Pero se tropezaba con dificultades para hallar una acusación legal que permitiera llevarle a los tribunales. En realidad estaba armado hasta los dientes cuando fue detenido, pero no ofreció resistencia alguna. Galois no era necio. ¿Podrían acusarle de conspirar contra el gobierno? Esto era demasiado fuerte, y no sería posible convencer al jurado. Después de dos meses de pensar en el problema, consiguieron encontrar un cargo. Cuando Galois fue detenido llevaba su uniforme de artillero. La artillería había sido disuelta. Por tanto, Galois era culpable de uso ilegal de uniforme. Esta vez no escaparía. Un amigo, detenido como él, estuvo tres meses en la prisión, Galois seis. Fue encarcelado en Santa Pelagia hasta el 29 de abril de 1832. Su hermana dice que pensaba no volver a ver el sol hasta que tuviera cincuenta años. ¿Por qué no? "La justicia debe predominar, aun cuando los ciclos se derrumben".
La disciplina en la cárcel para los detenidos políticos no era severa, siendo tratados con una humanidad razonable. La mayoría empleaba sus horas paseando por el patio o emborrachándose en la cantina, un negocio privado del director de la prisión. Galois, con su rostro sombrío, sus hábitos virtuosos, y su perpetuo aspecto de intensa concentración, era objeto de burla de los alegres borrachines. Se dedicó a sus estudios matemáticos, pero no podía soportar los insultos que le dirigían.
“¿No bebes más que agua? Sepárate del partido republicano y dedícate a tu Matemática. Sin vino y sin mujeres jamás serás un hombre". No pudiendo tolerar más bromas, Galois se apoderó de una botella de coñac, y, sin saber lo que era, apuró su contenido. Un cariñoso compañero de prisión, le cuidó hasta que logró restablecerse. Su humillación, al darse cuenta de lo que había hecho, fue muy grande.
Finalmente pudo salir de aquel lugar, que un escritor francés de la época llamaba la cloaca más pestilente de París. La epidemia de cólera de 1832 fue causa de que las solicitas autoridades trasladaran a Galois a un hospital, el 16 de marzo. El "importante prisionero político", que había amenazado la vida de Luis Felipe, era demasiado precioso para ser expuesto a la epidemia.
Como Galois había dado su palabra de no huir, tuvo muchas ocasiones de recibir visitas. Y en esa época se desarrolló su única aventura amorosa. En ella, como en todas las otras cosas, fue desafortunado. Alguna coqueta de baja estofa (" quelque coquette de bas étage ") le inició. Galois estaba disgustado con su amor, consigo mismo y con su amante. A su buen amigo Auguste Chevalier dirigió las siguientes palabras. "Tu carta llena de apostólica unción me ha traído algo de paz. Pero ¿cómo borrar emociones tan violentas como las que he experimentado?... al volver al leer tu carta observo una frase en la que me acusas de haberme embriagado por el fango de un mundo podrido, que ha deshecho mi corazón, mi cabeza y mis manos... embriagado. Estoy desilusionado de todo, hasta del amor y de la fama. ¿Cómo puede corromperme un mundo al que detesto?". Esta carta está fechada el 25 de mayo de 1832. Cuatro días más tarde recobraba la libertad. Pensaba ir al campo para reposar y meditar.
No se sabe claramente lo que ocurrió el 29 de mayo. Los párrafos de dos cartas permiten suponer lo que se acepta corrientemente como la verdad. Galois fue perseguido por numerosos enemigos políticos inmediatamente después de su libertad. Estos "patriotas" querían impulsarle a la lucha, y se las arreglaron para hacer caer al infortunado Galois en una cuestión de "honor". En una "carta a todos los republicanos", fechada, el 29 de mayo de 1832, Galois escribe:
"Pido a los patriotas y a mis amigos no me reprochen que muera por otra causa que no es mi país. Muero víctima de una infame mujerzuela. Mi vida se extingue en una querella miserable. ¡Oh! ¿Por qué morir por una cosa tan trivial, morir por algo tan despreciable?... Perdón para aquellos que me han matado, han obrado de buena fe".
En otra carta a dos amigos desconocidos dice:
"He sido desafiado por dos patriotas, me era imposible negarme. Os pido perdón por no haberos avisado a ninguno de los dos. Pero mis contrincantes me han pedido por mi honor que no avise a ningún patriota. Vuestra tarea es muy sencilla. Probar que combatí a pesar de mí mismo, es decir, después de haber agotado todos los medios de llegar a un arreglo... Conservad mi recuerdo ya que el destino no me ha dado la- suficiente vida para que mi país conozca mi nombre. Vuestro amigo
E. GALOIS"
Estas fueron las últimas palabras que escribió. Aquella noche, antes de redactar estas cartas, empleó las horas que pasaban rápidamente en escribir febrilmente su última voluntad científica y su testamento, añadiendo, en su lucha contra el tiempo, algunas de las grandes ideas que su cerebro albergaba, antes de que la muerte, que preveía, las borrara. De cuando en cuando, suspendía la lectura para garrapatear en el margen del papel "No tengo tiempo, no tengo tiempo"; y luego seguía planteando nuevos problemas. Lo que escribió en estas últimas y desesperadas horas antes de alumbrar la aurora, ha mantenido atareados durante siglos a varias generaciones de matemáticos. Halló, de una vez para todas, la verdadera solución de un enigma que atormentó a los matemáticos durante centurias: ¿en qué condiciones se puede resolver una ecuación? Pero este hallazgo es tan sólo una cosa entre otras muchas. En su gran obra, Galois usó la teoría de grupos (véase capítulo sobre Cauchy) con excelente resultado. Galois era, en efecto, uno de los grandes precursores de esta abstracta teoría, que en la actualidad tiene fundamental importancia en toda la Matemática.
Aparte de las cartas mencionadas, Galois confió a su albacea científico algunos de los manuscritos que debían ser entregados a la Academia de Ciencias. Catorce años más tarde, en 1846, Joseph Liouville publicó algunos de los manuscritos en el Journal des Mathémaliques pures et appliqués. Liouville, distinguido y original matemático, editor del gran Journal, escribió como introducción los siguientes párrafos:
"La obra principal de Evariste Galois tiene como objeto las condiciones para resolver ecuaciones por radicales. El autor establece los fundamentos de una teoría general que aplica en detalle a las ecuaciones cuyo grado es un número primo. A la edad de 16 años, y siendo estudiante del liceo Louis le Grand... Galois se ocupó de este difícil tema". Liouville afirma luego que los jueces de la Academia rechazaron las memorias de Galois debido a su oscuridad. Continúa diciendo: "Un exagerado deseo de concisión fue la causa de este defecto, que debe ser evitado sobre todas las cosas, cuando se trata de los problemas abstractos y misteriosos del Álgebra pura. La claridad es, en efecto, lo que más se necesita cuando se intenta llevar al lector más allá de los caminos trillados hasta un territorio virgen. Como Descartes dice cuando las cuestiones transcendentales están en discusión habrá que ser trascendentalmente claro. Galois no hizo caso de este precepto, y podemos comprender por qué matemáticos ilustres deben haber intentado, con la severidad de su sabio juicio, llevar por el buen camino a un principiante lleno de genio, pero sin experiencia. El autor que censuraban estaba ante ellos, ardiente, activo, y él podía haberse aprovechado de su consejo.
"Pero ahora todo ha cambiado. Galois ya no vive. No nos entreguemos a inútiles críticas. Pasemos por alto los defectos y contemplemos los méritos". A continuación Liouville nos dice que estudió los manuscritos y encontró una perfecta joya que merece especial mención [33]
"Mi celo se vio premiado y experimenté un placer intenso cuando, después de haber llenado unas pequeñas lagunas, aprecié la completa exactitud del método mediante el cual Galois prueba especialmente este bello teorema: Para que una ecuación irreductible de primer grado se pueda resolver por radicales es necesario y suficiente que todas sus raíces sean funciones racionales de dos cualesquiera de ellas”.
Galois comunicó su voluntad a su fiel amigo Auguste Chevalier, a quien el mundo debe que se haya conservado. "Mi querido amigo, comienza diciendo, he hecho algunos nuevos descubrimientos en Análisis". Luego procede a describirlos, tratándose en realidad de descubrimientos que marcan una época. Concluye diciendo: "Pide a Jacobi o a Gauss que den públicamente su opinión. No respecto de la verdad, sino respecto de la importancia de estos teoremas. Más tarde habrá, algunas gentes, así lo espero, que encuentren provechoso descifrar toda esta confusión. Je t'embrasse avec effusion. E. Galois".
¡Confiado Galois! Jacobi era generoso; ¿qué podría decir Gauss? ¿Qué dijo de Abel? ¿Qué dejó de decir de Cauchy o de Lobatchewsky? Pese a su amarga experiencia Galois era aún un muchacho lleno de esperanzas.
En las primeras horas del 30 de mayo de 1832, Galois se enfrentó a su adversario en el "campo del honor". El duelo era a pistola, a 25 pasos. Galois cayó, atravesados los intestinos. Ningún cirujano estaba presente, y fue abandonado para que muriera donde había caído. A las 9 de la mañana un campesino que pasaba le condujo al hospital Cochin. Galois sabía que iba a morir. Ante la inevitable peritonitis, y conservando aún la completa posesión de sus facultades, rechazó los auxilios de un sacerdote. Quizá se acordó de su padre. Su hermano menor, el único de la familia que había sido advertido, llegó llorando. Galois intentó consolarle mostrando su estoicismo. "No llores, dijo, necesito todo mi valor para morir a los veinte años".
En las primeras horas de la mañana del 31 de mayo de 1832, Galois murió, teniendo 21 años. Fue enterrado en la fosa común del Cementerio del Sur, de modo que nada se sabe de los restos de Evariste Galois. Su monumento permanente consiste en sus obras, que llenan sesenta páginas.
Capítulo 21
Gemelos Invariantes
CAYLEY Y SYLVESTER
La teoría de invariantes surgió a la vida
llevada por la fuerte mano de Cayley,
pero constituyó finalmente una obra
completa de arte, para admiración
de las futuras generaciones de matemáticos,
debido particularmente a los destellos de la
inspiración con que la iluminó la inteligencia de Sylvester
P. A. MacMahon
Estas palabras pronunciadas en el discurso presidencial de Cayley, en 1883, ante la Asociación Británica para el Progreso de la Ciencia, podrían muy bien ser aplicadas a su colosal producción. En su prolífica capacidad inventiva Euler, Cauchy y Cayley se hallan en una categoría, con Poincaré (que murió mucho más joven que cualquiera de los otros) tras ellos a bastante distancia. Esto se refiere únicamente al volumen de la obra de estos hombres; su calidad es otra cuestión, que debe ser juzgada, en parte por la frecuencia con que las ideas engendradas por estos gigantes se repiten en la investigación matemática, y en parte por la simple opinión personal y por los prejuicios nacionales.
La observación de Cayley acerca de la vasta extensión de la Matemática moderna sugiere que limitemos nuestra atención a algunos de los rasgos de su propia obra que introducen nuevas ideas de gran alcance. La obra sobre la que reposa su máxima fama es la teoría de invariantes, que se desarrolló de un modo natural de aquella vasta teoría de la que él, brillantemente apoyado por su amigo Sylvester, fue el creador y el elaborador nunca superado.

Arthur Cayley
Otra de las ideas debidas a Cayley, la de la Geometría del "hiperespacio" (espacio de n dimensiones), tiene una significación científica semejante, pero posee incomparablemente mayor importancia como Matemática pura. La teoría de matrices es también invención de Cayley. En la Geometría no euclidiana Cayley preparó el camino para el espléndido descubrimiento de Klein, de que la Geometría de Euclides y las Geometrías no euclidianas de Lobatchewsky y Riemann son simplemente aspectos diferentes de un tipo de Geometría más general, que las abarca como casos especiales. La naturaleza de esas contribuciones de Cayley serán brevemente resumidas después de haber bosquejado su vida y la de su amigo Sylvester.
Las vidas de Cayley y de Sylvester deberían escribirse simultáneamente, si esto fuera posible. Cada una de ellas es el reverso perfecto de la otra, y la vida de cada uno de estos matemáticos, suple en gran medida, lo que falta en la del otro. La vida de Cayley fue serena; Sylvester, como él mismo hace notar con amargura, gastó gran parte de su espíritu y energía "combatiendo contra el mundo". El pensamiento de Sylvester era a veces turbulento; el de Cayley era siempre fuerte, tenaz, y reposado.
Cayley rara vez se permitía expresiones que no fueran las de una enunciación matemática precisa. El símil citado al comenzar este capítulo es una de las raras excepciones. Sylvester difícilmente podía hablar de Matemática sin hacer gala de su naturaleza poética, casi oriental, y de su inextinguible entusiasmo que frecuentemente le llevaban a estados de arrebato. Sin embargo, fueron íntimos amigos y se inspiraron recíprocamente algunas de las mejores obras que estos hombres realizaron, por ejemplo en las teorías de invariantes y matrices. (Véase más adelante.).
Tratándose de dos temperamentos tan distintos no puede sorprender que su amistad no siempre se deslizara llanamente. Sylvester estaba con frecuencia a punto de explotar. Cayley dejaba obrar serenamente la válvula de la serenidad, confiando en que su excitable amigo recobrarla el juicio cuando pudiera pensar tranquilamente en lo que estaban discutiendo. En cambio Sylvester no se daba cuenta de su fogosa indiscreción. En muchos respectos, la extraña pareja semejaba a dos recién casados, salvo el hecho de que en esta amistad uno de los compañeros jamás perdía la paciencia. Aunque Sylvester tenía siete años más que Cayley, comenzaremos con éste. La vida de Sylvester choca en la tranquila corriente de la vida de Cayley, como contra una roca que se elevase en la mitad de un profundo río.

James Joseph Sylvester
En 1829, cuando Arthur tenía ocho años, el comerciante se retiró a vivir en Inglaterra. Arthur fue enviado a una escuela privada en Blaekheath, y más tarde, teniendo 14 años, al King's College School de Londres. Su genio matemático se reveló muy precozmente. Las primeras manifestaciones de su talento superior fueron semejantes a las de Gauss. El joven Cayley demostró una asombrosa habilidad para los largos cálculos numéricos, que emprendía para divertirse. Al comenzar el estudio formal de la Matemática rápidamente superó al resto de sus compañeros. Puede decirse que constituyó entre ellos una categoría especial, lo mismo que ocurrió más tarde cuando llegó a la Universidad, estando de acuerdo sus maestros en que el muchacho era un matemático ingénito que debería elegir la Matemática como carrera. En contraste afortunado con los maestros de Galois, los de Cayley reconocieron su capacidad desde el principio y le alentaron. El comerciante retirado puso primeramente obstáculos a que su hijo fuera matemático, pero finalmente, convencido por el director de la Escuela, dio su consentimiento, su bendición y su dinero. Decidió enviar a su hijo a Cambridge.
Cayley comenzó su carrera universitaria, teniendo 17 años, en el Trinity College de Cambridge. Entre sus compañeros fue considerado como "un simple matemático" con una aguda pasión para la lectura de las novelas. Cayley fue, en efecto, durante toda su vida, un devoto del género novelesco algo altisonante, ahora considerado clásico, que entusiasmaba a los lectores de los años 1840 a 1850. Scott parece haber sido su favorito con Jane Austen en segundo término; más tarde leyó a Thackeray, pero no le gustó. Difícilmente podía leer a Dickens. Los versos de Byron excitaban su admiración, aunque su gusto victoriano, algo puritano, se revelaba algunas veces, y no encontraba simpática la picaresca figura de Don Juan. Las representaciones de Shakespeare, especialmente las comedias, le deleitaban. Como obras más sólidas y de más difícil digestión leyó la interminable Historia de Grecia de Grote y la retórica Historia de Inglaterra, de Macaulay. El griego, aprendido en la escuela, fue siempre para él un lenguaje de fácil lectura. Leía y escribía el francés tan fácilmente como el inglés, y su conocimiento del alemán y del italiano, le dieron la oportunidad de nuevas lecturas cuando agotó a los clásicos victorianos (o éstos le habían agotado a él). El género novelesco fue una de sus diversiones, las otras serán mencionadas más adelante.
Al terminar su tercer año en Cambridge, Cayley se había alejado ya tanto del resto de los compañeros en los estudios matemáticos que el profesor trazó una línea bajo su nombre, colocándolo al muchacho en una categoría especial "por encima del primero". En 1842, teniendo 21 años, Cayley fue senior wrangler, el primero de la escuela, en los concursos matemáticos, y al mismo tiempo fue colocado en primer término en la prueba aún más difícil para el premio Smith.
Cayley se hallaba, pues, en condiciones de que se le permitiera hacer lo que quería durante algunos años. Fue elegido compañero del Trinity College y tutor ayudante por un período de tres años. Su nombramiento podía haber sido renovado de haber tomado las órdenes sagradas, pero Cayley, aunque era un ortodoxo de la iglesia anglicana, no podía resistir la idea de ser pastor para obtener un cargo o lograr otro mejor, como muchos hacían, sin que se perturbara su fe o su conciencia.
Sus deberes puede decirse que casi eran nulos. Tuvo algunos discípulos, pero no tan numerosos que le dificultaran su labor. Haciendo el mejor uso posible de su libertad, continuó las investigaciones matemáticas que había comenzado antes de poseer el título. Lo mismo que Abel, Galois y muchos otros, que alcanzaron gran altura en la Matemática, Cayley se dirigió a los maestros por su propia inspiración. Su primera obra, publicada en 1841, cuando tenía 20 años, surgió de su estudio de Lagrange y Laplace.
Sin otro quehacer que lo que deseaba realizar, Cayley publicó, después de obtener su título, ocho trabajos el primer año, cuatro el segundo y tres el tercero. Estos primeros trabajos fueron hechos cuando aun no tenía 25 años, y en el último se planea gran parte de la obra que iba a ocuparle durante los siguientes 50 años. Ya había comenzado el estudio de la Geometría de n dimensiones (que él creó), la teoría de invariantes, la Geometría enumerativa de curvas planas y su contribución esencial a la teoría de funciones elípticas.
Durante este período extraordinariamente fructífero no sintió la menor fatiga. En 1843, cuando tenía 22 años, y luego en otras ocasiones, mientras estuvo en Cambridge, se trasladó al continente, y dedicó sus vacaciones a escalar montañas, a hacer largas excursiones, y a pintar acuarelas. Aunque de apariencia débil y delicada, era vigoroso y recio, y muchas veces, después de toda una noche empleada en escalar alguna montaña, volvía al refugio a tomar su desayuno, dispuesto a dedicar algunas horas a sus Matemáticas. Durante su primer viaje visitó Suiza, haciendo excursiones por las montañas. Por entonces se desarrolló en él otra pasión, que duró toda su vida. Su descripción de la "extensión de las Matemáticas modernas", no es un simple ejercicio académico compuesto por un profesor que jamás ha ascendido a una montaña o contemplado amorosamente un bello paisaje, sino el símil exacto de un hombre que conoce la naturaleza íntimamente y de un modo directo.
Durante los últimos cuatro meses de sus primeras vacaciones en el extranjero visitó el norte de Italia. Entonces se iniciaron otras dos nuevas aficiones que habrían de solazarse para el resto de su vida: una comprensiva apreciación de la arquitectura, y un amor por la buena pintura. El mismo gustaba de pintar acuarelas, demostrando marcado talento. Con su amor a la buena literatura, a los viajes, a la pintura y a la arquitectura, y con su profunda comprensión de la belleza natural, se separa totalmente de ese sencillo matemático de la literatura convencional, descrito en su mayor parte por gentes que quizá conocieron algún pedante profesor de Matemática en un colegio, pero nunca vieron un verdadero matemático de carne y hueso.
En 1846, teniendo 25 años, Cayley abandonó Cambridge. No podía obtener ningún cargo como matemático a no ser que llegase a cuadrar su conciencia en la formalidad de las "órdenes sagradas". No hay duda de que para Cayley, como matemático, le hubiera sido más fácil "cuadrar el círculo". En consecuencia, abandonó Cambridge. La ley que, con el Servicio Civil de la India, ha absorbido en un tiempo u otro el capital intelectual más prometedor de Inglaterra, atraía ahora a Cayley. Es muy notable que muchos de los abogados y jueces que ocuparon los primeros puestos en Inglaterra durante el siglo XIX, fueran alumnos distinguidos en los concursos matemáticos de Cambridge, pero no hay que deducir, como algunos pretenden, que el aprendizaje matemático sea una buena preparación para las leyes. Pero en lo que no puede haber duda es que constituye una imbecilidad social colocar a un hombre joven de la talla matemática demostrada por Cayley, en la obligación de resolver pleitos y dedicarse a extender testamentos, transferencias y contratos.
Siguiendo la costumbre habitual de quienes en Inglaterra querían obtener, en la carrera de leyes, un grado distinguido (es decir, superior al cargo de procurador), Cayley ingresó en el Colegio de Lincoln, preparándose para la abogacía. Después de tres años de ser discípulo de un tal Mr. Christie, Cayley ingresó en la abogacía en 1849. Tenía 28 años. Al dedicarse a esa profesión, Cayley resolvió sabiamente que su cerebro no fuera invadido por las leyes, y en consecuencia rechazó más asuntos que los que aceptó. Durante 14 años mortales llevó una vida cómoda, aprovechándose de la oportunidad para obtener renombre y para ganar lo suficiente, pero no más que lo suficiente, para continuar su obra.
Su paciencia en los trabajos rutinarios y aburridos fue ejemplar, casi santa, y su reputación en la profesión aumentó continuamente. Se recuerda que su nombre se conserva en una de las obras de leyes relacionadas con un estudio importante que realizó. Pero es extraordinariamente satisfactorio recordar también que Cayley no era un santo, sino un ser humano normal, y en una ocasión llegó a perder la paciencia. Él y su amigo Sylvester discutían animadamente algún punto de la teoría de invariantes, en la oficina de Cayley, cuando penetró un ayudante, y puso en manos de Cayley un legajo de documentos para su examen. Repentinamente ese legajo le hizo descender a tierra desde las alturas donde se hallaba. La perspectiva de emplear varios días para encontrar algún mezquino recurso que beneficiara en algunas libras a algún opulento cliente, pletórico de dinero era ya demasiado para cualquier hombre que tuviera un buen cerebro en su cabeza. Con una exclamación de disgusto y un gesto de desprecio para aquella “vil suciedad” que tenía entre sus manos, arrojó el legajo al suelo y siguió hablando de Matemática. Este es el único caso que se recuerda en que Cayley perdió su paciencia. Cayley abandonó las leyes en la primera oportunidad, transcurridos 14 años. Pero durante su período de servidumbre publicó entre 200 y 300 trabajos matemáticos, muchos de los cuales se han hecho clásicos.
Como Sylvester apareció en la vida de Cayley durante la fase legal de éste, nos ocuparemos de él en este momento.
James Joseph, para darle el nombre impuesto al nacer, fue el más pequeño de varios hermanos y hermanas. Sus padres eran judíos y surgió a la vida en Londres el 3 de septiembre de 1814. Poco es lo que se sabe de su infancia, pues Sylvester fue poco comunicativo respecto a sus primeros años. Su hermano mayor emigró a los Estados Unidos, donde tomó el nombre de Sylvester, ejemplo seguido por toda la familia. Es un misterio el hecho de que un judío ortodoxo pudiera adornarse con un nombre favorito de los papas cristianos hostiles a los judíos. Posiblemente, el hermano mayor tenía cierto sentido humorístico. Desde entonces James Joseph, hijo de Abraham Joseph, fue para siempre James Joseph Sylvester.
Lo mismo que en el caso de Cayley, el genio matemático de Sylvester se demostró precozmente. Entre los seis y los catorce años asistió a escuelas privadas. En los últimos cinco meses, cuando tenía catorce años, estudió en la Universidad de Londres, dirigido por De Morgan. En un trabajo escrito, en 1840, con el título algo místico Sobre la derivación de la coexistencia, Sylvester dice: "Soy deudor de este término (recurrentes) al profesor De Morgan, de quien me jacto ser discípulo".
En 1829, teniendo 15 años, Sylvester ingresó en la Royal Institution de Liverpool, donde permaneció menos de dos años. Al final de su primer año obtuvo el premio en Matemática. Por esta época se hallaba a la cabeza de sus compañeros, siendo colocado en una categoría especial. Estando en la Royal Institution también obtuvo otro premio. Esto tiene particular interés, pues establece el primer contacto de Sylvester con los Estados Unidos de América, donde transcurrieron los más felices, y también algunos de los más tristes, días de su vida. El hermano americano, escribano de profesión, sugirió a los directores de las Lotieries Contractors de los Estados Unidos que sometieran un difícil problema, que les interesaba, al joven Sylvester. La solución matemática fue tan completa y prácticamente tan satisfactoria para los directores, que concedieron a Sylvester un premio de 500 dólares por su labor.
Los años en Liverpool no fueron en realidad felices. Siempre alegre y franco, Sylvester no estaba muy convencido de su fe judía, pero la proclamaba orgullosamente frente a la mezquina persecución de aquellos jóvenes bárbaros de la Institution que humorísticamente se llamaban a sí mismos cristianos. Pero existe un límite, y finalmente Sylvester huyó a Dublín con sólo algunas monedas en su bolsillo. Felizmente fue reconocido en la calle por un pariente lejano, que le aconsejó y pagó su viaje de vuelta a Liverpool.
Anotaremos aquí otra curiosa coincidencia: Dublín, o al menos uno de sus habitantes, prestó un tratamiento humano en su primera visita al refugiado de Liverpool; once años más tarde el Trinity College de Dublín le concedió los grados académicos de Bachiller y Magister artium , que su alma mater, la Universidad de Cambridge, le había negado. Por ser judío no podía suscribir aquella mezcla notable de argumentos sin sentido común conocida con el nombre de los Treinta y Nueve Artículos prescritos por la Iglesia Anglicana como el mínimum de creencias religiosas que podía permitirse a una mente racional. Sin embargo, cuando la educación superior inglesa pudo desprenderse, en 1871, de la mano muerta de la iglesia, Sylvester recibió inmediatamente su título honoris causa. Haremos notar que en esta como en otras dificultades de su vida, Sylvester no fue un humilde mártir que prolongara sus sufrimientos. Estaba lleno de vigor y coraje, tanto física como moralmente, sabía luchar para que se le otorgara justicia, y frecuentemente lo hizo. Fue, en efecto, un luchador innato con el valor indomable de un león.
En 1831, teniendo 17 años, Sylvester ingresó en el St. John Collego de Cambridge. Debido a varias enfermedades su carrera universitaria fue interrumpida, y no intervino en los concursos matemáticos hasta 1837, ocupando el segundo lugar. Jamás volvió a hablarse del compañero que le venció. Por no ser cristiano, Sylvester no pudo aspirar a los premios Smith.
En la amplitud de sus inquietudes intelectuales Sylvester se parece a Cayley. Físicamente, los dos hombres no tenían parecido alguno. Cayley, aunque fuerte y con gran resistencia física, como hemos visto, era en apariencia débil, y sus maneras eran tímidas y discretas. Sylvester, bajo y macizo con una magnífica cabeza que se alzaba sobre sus hombros, daba la impresión de un tremendo vigor y vitalidad, y en efecto los tenía. Uno de sus discípulos decía que podía haber posado para el retrato de Hereward el Wake, en la novela de Charles Kingsley del mismo nombre. En sus inquietudes fuera de la Matemática, Sylvester era mucho menos limitado y mucho más liberal que Cayley. Su conocimiento de los clásicos griegos y latinos en el idioma original era amplio y exacto, y durante largo tiempo constituyeron sus lecturas. Muchos de sus trabajos están ilustrados por citas de estos clásicos. Las citas son siempre perfectamente apropiadas y realmente aclaran la cuestión.
Lo mismo puede decirse de sus alusiones de otras literaturas. Puede ser de interés para cualquier literato examinar los cuatro volúmenes de sus Mathematical Papers y reconstruir así el amplio campo de las lecturas de Sylvester basándose en las citas mencionadas y en otras fases curiosas, de las que no se hacen referencias explícitas. Además del inglés y de la literatura griega y latina, conocía la literatura francesa, alemana e italiana en los idiomas originales. Su interés por los idiomas y por la forma literaria era agudo y penetrante. A él se le debe la mayor parte de la terminología gráfica de la teoría de invariantes. Comentando los numerosos nuevos términos matemáticos que inventó basándose en el griego y el latín, Sylvester se refiere a sí mismo con el nombre del "Adán matemático".
Es muy posible que de no haber sido un gran matemático podría haber logrado ser un poeta más que pasable. El verso y las "leyes" de su construcción le fascinaron toda su vida. Compuso muchas poesías (algunas de las cuales se han publicado), algunas de ellas en forma de soneto. El tema de sus composiciones quizá puede despertar en algunos casos una sonrisa, pero Sylvester demuestra con frecuencia su comprensión de lo que es la poesía. Otro, aspecto de su faz artística es la música, de la que era un bien aficionado. Se dice que Gounod le dio lecciones de canto, y con frecuencia pudo lucir su voz en las reuniones. Estaba más orgulloso de su "do de pecho" que de sus invariantes.
Una de las más notables diferencias entre Cayley y Sylvester puede ser mencionada en este lugar: Cayley era un lector omnívoro de la obra de otros matemáticos; Sylvester encontraba un intolerable fastidio en el intento de comprender lo que otros habían hecho. Una vez, en su vida ulterior, encargó a un joven matemático que le enseñara algo acerca de las funciones elípticas, pues deseaba aplicarlas a la teoría de números (en particular a la teoría de las particiones, que se ocupa del número de formas en que puede ser construido un número dado sumando números de un determinado tipo, todos impares o algunos impares y algunos pares). Después de la tercera lección, Sylvester abandonó su intento, y se dedicó a comunicar al joven sus últimos descubrimientos en Álgebra. Pero Cayley parecía conocer todas las cosas, hasta los temas en que rara vez había trabajado, y su consejo como juez fue buscado por autores y editores de toda Europa. Cayley jamás olvidó lo que había visto alguna vez; Sylvester tenía dificultades para recordar sus propias invenciones, y una vez discutió acerca de si era posible que fuera cierto un teorema por él planteado. Cosas relativamente poco importantes, que todo matemático conoce, eran para Sylvester fuentes de perpetua admiración. Como una consecuencia de esto, cualquier campo de la Matemática ofrecía un mundo encantador de descubrimientos para Sylvester, mientras Cayley contemplaba serenamente lo que ante él se hallaba, veía lo que deseaba, lo incorporaba a sus conocimientos y seguía trabajando.
En 1838, teniendo 24 años, Sylvester obtuvo su primer cargo, el de profesor de filosofía natural (ciencia en general, física en particular), en la University College, de Londres, donde su antiguo maestro De Morgan era uno de sus colegas. Aunque estudió química en Cambridge, y durante toda su vida conservó su interés por estos estudios, poco le placía a Sylvester la enseñanza de la ciencia, y después de dos años abandonó el cargo. Mientras tanto fue elegido miembro de la Royal Society, a la desusada edad de 25 años. Los méritos matemáticos de Sylvester eran tan notables que tenían que ser reconocidos, pero no le ayudaban para obtener una posición satisfactoria.
En este punto de su carrera Sylvester vivió una de las desventuras más singulares de su vida. Puede considerarse inocente, cómica o trágica, según como se mire. Lleno de entusiasmo y pletórico de optimismo Sylvester cruzó el Atlántico para ser profesor de Matemática en la Universidad de Virginia, en 1841, el año en que Boole publicó su descubrimiento de los invariantes.
Sylvester permaneció tan sólo tres meses en la Universidad. La negativa de las autoridades universitarias para castigar a un joven que le había insultado, fue la causa de que el profesor dimitiera. Pasado un año de esta desastrosa experiencia, Sylvester intentó vanamente obtener un cargo satisfactorio, solicitando sin resultado un puesto en las Universidades de Harvard y de Columbia. Al fracasar volvió a Inglaterra.
Sus experiencias en América le hicieron abandonar la enseñanza durante los siguientes diez años. Al volver a Londres fue activo actuario de una compañía de seguros de vida. Tal obra para un matemático creador es una droga venenosa, y Sylvester casi dejó de ser matemático. Sin embargo, tuvo algunos discípulos privados, y el nombre de uno de ellos ha sido conocido y reverenciado en todos los países del mundo actual. Era a principios del año 1850, la época en que las mujeres tan sólo se ocupaban de sus afeites y de las obras de beneficencia. Es, pues, sorprendente encontrar que el discípulo más distinguido de Sylvester fuera una joven, Florence Nightingale, el primer ser humano que impuso decencia y limpieza en los hospitales militares, a pesar de las vivas protestas de la tozuda oficialidad. En aquella época Sylvester tenía cerca de 40 años, y la señorita Nightingale seis años menos que su maestro. Sylvester pudo escapar de su provisional forma de ganarse la vida en el mismo año (1854) en que miss Nightingale marchó a la guerra de Crimea.
Pero antes Sylvester había dado otro paso en falso, que no le llevó a parte alguna. En 1846, a la edad de 32 años, ingresó en el Temple (donde modestamente se refiere a sí mismo considerándose como "una paloma anidando entre gavilanes"), para preparar su carrera de leyes, y en 1850 ingresó en la abogacía. Así llegaron a encontrarse él y Cayley. Cayley tenía 29 años, Sylvester 36, y ambos se hallaban apartados de las tareas a que la naturaleza les había llamado. Pronunciando conferencias en Oxford 35 años más tarde, Sylvester rindió tributo a su amigo: "Cayley, aunque más joven que yo, es mi progenitor espiritual, que por primera vez abrió mis ojos para que pudiera ver y admirar los elevados misterios de nuestra común fe matemática". En 1852, poco después de que su amistad se iniciara, Sylvester se refiere a "Mr. Cayley, en cuyos discursos abundan las perlas y rubíes". Mr. Cayley, por su parte, menciona frecuentemente a Mr. Sylvester, pero siempre fríamente. La primera explosión de gratitud de Sylvester en letra impresa tiene lugar en un trabajo de 1851, donde dice: "El teorema antes enunciado (la relación entre los determinantes menores de las formas cuadráticas equivalentes linealmente fue en parte sugerido en el curso de una conversación con Mr. Cayley (a quien le soy deudor de haber vuelto a gozar de la vida matemática)..."
Sylvester quizá exageró, pero hay cierta verdad en lo que dijo. Si no es exacto que resucitara a un muerto, le concedió, al menos, un nuevo par de pulmones. Desde el momento en que conoció a Cayley respiró y vivió la Matemática hasta el fin de sus días. Los dos amigos solían pasear por las salas del colegio de Lincoln discutiendo la teoría de invariantes, que ambos estaban creando, y más tarde, cuando Sylvester se alejó, continuaron a distancia sus conversaciones matemáticas. Ambos eran solteros en aquella época.
La teoría de invariantes algebraicos de la cual se han desarrollado, naturalmente, las diversas ampliaciones del concepto de invariancia, se originó en una observación extraordinariamente sencilla. Como haremos notar en el capítulo sobre Boole, el primer destello de la idea aparece en Lagrange, y desde allí pasó a las obras aritméticas de Gauss. Pero ninguno de estos hombres se dio cuenta de que el sencillo, pero notable fenómeno algebraico que tenían ante ellos, era el germen de una vasta teoría. Tampoco Boole parece haberse dado cuenta completa de lo que encontró al estudiar y extender notablemente la obra de Lagrange. Salvo en una ocasión, Sylvester fue siempre justo y generoso para Boole en las cuestiones de prioridad, y Cayley, como es natural, fue siempre noble.
La simple observación antes mencionada puede ser comprendida por quien alguna vez haya resuelto una ecuación cuadrática, y es sencillamente ésta. La condición necesaria y suficiente de que la ecuación
ax 2 + 2 bx + c = 0
tenga dos raíces iguales es queb 2 - ac = 0.
Reemplacemos ahora la variable x por su valor en función de y obtenido por la transformacióny = (px + q) / (rx + s).
Así x queda sustituida por el resultado de despejar esta x, o seax = (q - sy)I(ry - p)
con lo cual la ecuación dada se transforma en otra en y; es decir, la nueva ecuación esAy 2 + 2By + C = 0.
Realizando las operaciones encontramos que los nuevos coeficientes A, B, C se expresan en función de los coeficientes primitivos a, b, c, como sigue:A = as 2 - 2bsr + cr 2
B = - aqs + b(qr + sp) - cpr,
C = aq 2 - 2bpq + cp 2 ,
y ya es fácil demostrar (por simples reducciones si es necesario, aunque hay una forma más sencilla de razonar el resultado sin realmente calcular A, B, C) queB 2 - AC = (ps - qr) 2 ´ (b 2 - ac).
Ahora, b 2 -ac se llama el discriminante de la ecuación cuadrática en x; de aquí, el discriminante de la cuadrática en y es B 2 - AC y se ha demostrado que el discriminante de la ecuación transformada es igual al discriminante de la ecuación original, multiplicado por el factor (ps - qr) 2 que depende sólo de los coeficientes p, q, r, s en la transformación y = (px + q) / (rx + s) por medio de la cual x venía expresada en función de y.Boole fue el primero (en 1841) que observó algo digno de nota en esta al parecer insignificante particularidad. Toda ecuación algebraica tiene un discriminante, es decir, cierta expresión (como b 2 - ac para la cuadrática) que es igual a cero si dos o más raíces de la ecuación son iguales y sólo en este caso. Boole se preguntó en primer término: ¿permanece invariable el discriminante de cualquier ecuación cuando su x es reemplazada por su afín y (como se hizo para la cuadrática) salvo un factor que depende únicamente de los coeficientes de la transformada? Encontró que esto era exacto. Luego se preguntó si no habría otras expresiones, aparte de los discriminantes construidos basándose en los coeficientes, que tuvieran esta misma propiedad de invariabilidad después de la transformación. Encontró dos para la ecuación general de cuarto grado. Luego, otro hombre, el brillante matemático alemán F. M. G. Eisenstein (1823-1852), siguiendo el método de Boole, en 1844, descubrió que ciertas expresiones que abarcan tanto los coeficientes como la x de las ecuaciones originales muestran el mismo tipo de invariabilidad: los coeficientes originales y la x original se transfieren en los coeficientes transformados y en y (como para la cuadrática), y las expresiones en cuestión construidas basándose en las originales difieren de las construidas basándose en las transformadas tan sólo por un factor, que depende únicamente de los coeficientes de la transformada.
Ni Boole ni Eisenstein tenían un método general para encontrar tales expresiones invariantes. En este momento intervino Cayley (1845), con su memoria que abre nuevas rutas Sobre la teoría de las transformaciones lineales . A la sazón tenía 24 años. Se plantea el problema de encontrar métodos uniformes que proporcionen todas las expresiones invariantes del tipo descrito. Para evitar largas explicaciones el problema ha sido planteado en términos de ecuaciones; en realidad fue abordado de otro modo, pero éste no tiene importancia aquí.
Como la cuestión de la invariancia es fundamental en el pensamiento científico moderno, mencionaremos tres nuevos ejemplos para expresar lo que significa, ninguno de los cuales implica símbolos u operaciones algebraicas. Imaginemos una figura compuesta de líneas rectas y curvas que se cortan, trazadas sobre una hoja de papel. Arrugar el papel de cualquier modo, sin que se rasgue, e intentar pensar cuál es la propiedad más manifiesta de la figura, que es la misma antes y después de arrugar el papel. Hacer lo mismo para cualquier figura dibujada en una lámina de caucho, estirando, pero no desgarrando el caucho, en la forma en que se nos antoje. En este caso es indudable que los tamaños de las áreas y de los ángulos y las longitudes de las líneas no permanecen "invariantes". Estirando adecuadamente el caucho, las líneas rectas pueden haberse deformado constituyendo curvas o líneas tan tortuosas como queramos, y al mismo tiempo las curvas originales, o al menos algunas de ellas, pueden haberse convertido en líneas rectas. Sin embargo, algo en toda la figura ha permanecido invariable, y cuya simplicidad puede ser causa de que pase inadvertido el orden de los puntos sobre cualquiera de las líneas de la figura que marcan los lugares donde otras líneas cortan determinada línea. Por tanto, si movemos el lápiz a lo largo de una línea determinada desde A a C, y tenemos que pasar por el punto B de la línea antes de que la figura sea deformada, tendremos que pasar por B al pasar de A a C después de la deformación. El orden (como se ha dicho) es un invariante respecto de las transformaciones particulares originadas al arrugar el papel para formar una bolita o al estirar la lámina de caucho.
Este ejemplo podrá parecer superficial, pero quien haya leído una descripción no matemática de las intersecciones de las "líneas del mundo" en la relatividad general, y quien recuerde que una intersección de esas dos líneas marca un punto-suceso comprenderá que lo que estamos discutiendo es de la misma categoría que cualquiera de nuestras descripciones del universo físico. La maquinaria matemática suficientemente poderosa para tratar tales "transformaciones" complicadas y realmente producir los invariantes fue la creación de muchos investigadores incluyendo a Riemann, Christoffel, Ricci, Levi-Civita, Lie y Einstein, nombres todos bien conocidos de los lectores de las descripciones vulgarizadoras de la relatividad. Todo el vasto programa se originó por los primeros trabajos en la teoría de invariantes algebraicos, de la cual Cayley y Sylvester fueron los verdaderos fundadores.
Como segundo ejemplo imaginemos que se hace una lazada en una cuerda cuyos extremos están unidos entre sí. Desplazando la lazada a lo largo de la cuerda podemos deformarlas en cierto número de formas. ¿Qué permanece "invariante", qué se "conserva", después de todas estas deformaciones, que en este caso son nuestras transformaciones? Sin duda, el tamaño de la lazada ni la forma son invariantes. Pero el tipo de la lazada es invariante; en un sentido que no necesita ser explicado es el único tipo de lazada siempre que no desatemos los extremos de la cuerda. Además, en la física más antigua, la energía era "conservada"; la cantidad total de energía del Universo era considerada como un invariante, la misma bajo todas las transformaciones desde una forma, tal como la energía eléctrica, en otras, como el calor y la luz.
Nuestro tercer ejemplo de invariabilidad apenas es otra cosa que una alusión a la ciencia física. Un observador fija su "posición" en el espacio y tiempo con referencia a tres ejes perpendiculares entre sí y a un reloj que está andando. Otro observador, que se mueve relativamente al primero, desea describir el mismo suceso físico que el primero describe. También tiene su sistema de referencia espacio-tiempo; su movimiento relativamente al primer observador puede ser expresado como una transformación de sus propias coordenadas (o de las del otro observador). Las descripciones hechas por los dos pueden o no diferir en la forma matemática, según cuál sea el tipo particular de transformación. Si sus descripciones difieren, la diferencia no es, como se comprende, inherente al suceso físico que ambos observan, sino a su sistema de referencia y a la transformación. Se plantea entonces el problema de formular sólo aquellas expresiones matemáticas de fenómenos naturales que sean independientes, matemáticamente, de cualquier sistema de referencia particular, y por tanto, son expresados por todos los observadores en la misma forma. Esto equivale a encontrar los invariantes de la transformación que expresan el desplazamiento más general en el "espacio-tiempo" de un sistema de referencia con respecto a cualquier otro. Así, el problema de hallar las expresiones matemáticas para las leyes intrínsecas de la naturaleza es reemplazado por otro abordable en la teoría de invariantes. Nuevos detalles serán añadidos cuando nos ocupemos de Riemann.
En 1863 la Universidad de Cambridge fundó una nueva cátedra de Matemática y le ofreció el puesto a Cayley, quien aceptó inmediatamente. El mismo año, teniendo 42, se casó con Susan Moline. Aunque ganó menos dinero como profesor de Matemática que había ganado en las leyes, Cayley no lamentó el cambio. Algunos años más tarde la Universidad fue reorganizada, y el sueldo de Cayley fue aumentado. Sus deberes también aumentaron desde explicar un curso de lecciones a explicar dos. Su vida estaba ahora dedicada casi completamente a la investigación matemática y a la administración de la Universidad. En esta última tarea, su sólido conocimiento de los negocios, su juicio desinteresado y su experiencia de las leyes fueron insustituibles. Jamás habló en demasía, pero lo que dijo fue ordinariamente aceptado como juicio definitivo, y jamás daba una opinión sin haber meditado detenidamente. Su matrimonio y su vida de hogar fueron felices; tuvo dos hijos, un hijo y una hija. Al pasar los años, su mente permaneció tan vigorosa como cuando era joven, y su carácter se hizo más amable, si esto era posible. En su presencia jamás podía emitirse un juicio excesivamente duro sin provocar su protesta. Para los hombres jóvenes y para los que se iniciaban en la carrera matemática, tuvo siempre una ayuda generosa y un sólido consejo.
Durante la época en que desempeñó la cátedra, la educación superior de las mujeres era una cuestión cálidamente debatida. Cayley puso en juego toda su tranquila y persuasiva influencia en su favor, y gracias a sus esfuerzos las mujeres fueron finalmente admitidas a los estudios en el aislamiento monacal de la medieval ciudad de Cambridge.
Mientras Cayley continuaba sus trabajos matemáticos en Cambridge, su amigo Sylvester continuaba combatiendo contra su mundo. Sylvester jamás se casó. En 1854, teniendo 40 años, se presentó a la cátedra de Matemática en la Real Academia Militar de Woolwich. No la obtuvo. Tampoco logró otro cargo al que aspiró en el Gresbam College de Londres. Su breve conferencia como candidato fue demasiado buena para la junta de gobierno. Sin embargo, el candidato triunfante en Woolwich murió al año siguiente, y Sylvester fue nombrado. Entre sus no demasiados generosos emolumentos se contaba el derecho de pastoreo. Como Sylvester no tenía caballos, ni vacas ni ovejas, y él, por su parte, no comía hierba, es difícil apreciar que beneficios particulares podría obtener de esta inestimable generosidad.
Sylvester mantuvo su cargo en Woolwich durante 16 años, hasta que fue forzosamente "jubilado" en 1870, teniendo 56 años. Se hallaba aún lleno de vigor, pero nada pudo hacer contra los funcionarios oficiales que conspiraban contra él. Gran parte de su labor quedaba aún para el futuro, pero sus superiores consideraron que un hombre de su edad debía ser jubilado.
Otro aspecto de su forzado retiro despertó todos sus instintos combativos. Para completar el plan, las autoridades intentaron hurtar a Sylvester parte de la pensión que le pertenecía legítimamente. Sylvester no lo consintió. Muy a pesar suyo, los estafadores comprendieron que no se trataba de un viejo y dócil profesor, sino de un hombre que podía darles su merecido. Al fin le fue concedida la pensión que le correspondía.
Aunque en las cuestiones materiales abundaron los sucesos desagradables, Sylvester no podía quejarse de los reconocimientos que mereció su obra científica. Numerosos fueron los honores recibidos; entre ellos uno de los más preciados por los hombres de ciencia: el título de miembro extranjero correspondiente de la Academia Francesa de Ciencias, Sylvester fue elegido en 1863 para la vacante de la sección de Geometría causada por la muerte de Steiner.
Después de su jubilación, Sylvester vivió en Londres, versificando, leyendo los clásicos, jugando al ajedrez y trabajando, aunque no mucho, en los problemas matemáticos. En 1870 publicó su folleto Las leyes del verso. Poco después teniendo 62 años, volvió repentinamente a la vida matemática. El anciano era inagotable.
La Johns Hopkins University había sido fundada en Baltimore en 1875, bajo la brillante dirección del presidente Gilman. Alguien aconsejó a Gilman que comenzara a formar el núcleo de su facultad con un notable erudito de las lenguas clásicas y con el mejor matemático que se pudiera encontrar. Todo lo demás vendría luego, y así ocurrió. Sylvester tuvo al fin un cargo donde prácticamente pudo hacer lo que quiso, empezando por hacerse justicia. En 1876, cruzó nuevamente el Atlántico, y tomó posesión de su cátedra en la Johns Hopkins University. Su sueldo era generoso para aquellos días, cinco mil dólares al año. Al aceptar el cargo Sylvester hizo una curiosa estipulación: Su sueldo debía ser "pagado en oro". Quizá pensara en Woolwich, donde le pagaban el equivalente de 2750 dólares más el pastoreo.
Los años desde 1876 a 1883, transcurridos en dicha Universidad, fueron probablemente los más felices y los más tranquilos que Sylvester tuvo. Aunque ya no tenía que "combatir contra el mundo", no se durmió sobre sus laureles. Parecía que se había despojado de cuarenta años, y se hallaba más vigoroso que nunca, lleno de entusiasmo y repleto de nuevas ideas. Estaba profundamente agradecido por la oportunidad que le había dado la Johns Hopkins University para iniciar su segunda carrera matemática cuando tenía 63 años, y no fue remiso para expresar su gratitud públicamente en el discurso pronunciado en la fiesta del Día de la Conmemoración del año 1877.
En este discurso bosqueja lo que pensaba hacer (y lo hizo) en sus lecciones e investigaciones.
"Existen las llamadas formas algebraicas. El profesor Cayley las llama cuánticas [ejemplos: ax 2 + 2bxy + Cy 2 , ax 3 + 3bx 2 y + 3cxy + dy 3 ; los coeficientes numéricos 1, 2, 1 en la primera, 1, 3, 3, 1 en la segunda, son coeficientes binómicos, como en la tercera y cuartas líneas del triángulo de Pascal (capítulo 5). La siguiente en orden será x 4 + 4x 3 y + 6x 2 y 2 + 4xy 3 + y 4 . No son propiamente hablando formas geométricas, aunque se pueda, en cierto grado, incluirlas en ellas. Son más bien bosquejos de procesos o de operaciones para formar, para traer a la existencia, podríamos decir, cantidades algebraicas.
“A toda cuántica se asocia una infinita variedad de otras formas que pueden considerarse como engendradas por ella, y flotando como una atmósfera alrededor de ella; pero por infinitas que sean esas existencias derivadas, esas emanaciones de la forma progenitora, se observa que pueden ser obtenidas por composición, por mezcla, de cierto número limitado de formas fundamentales, rayos estándar como podrían ser denominados en el espectro algebraico de la cuántica a la que pertenecen. Y de igual modo que es labor de los físicos actuales [1877 e inclusive hoy] determinar las líneas fijas en el espectro de cualquier sustancia química, así también la meta y objetivo de una gran escuela de matemáticos es establecer las formas derivadas fundamentales, los covariantes [ese tipo de expresión "invariante" ya descrita que abarca tanto las variables como los coeficientes de la forma o cuántica], y los invariantes, como se denominan, de esas cuánticas".
Los lectores matemáticos comprenderán fácilmente que Sylvester hace aquí una analogía muy bella para el sistema fundamental y las sicigias para una forma dada; el lector no matemático debe volver a leer el párrafo para captar el espíritu del Álgebra de que habla Sylvester, pues la analogía es realmente obscura.
En un pie de página Sylvester hace notar: "Tengo al presente una clase de ocho a diez estudiantes que escuchan mis conferencias sobre el Álgebra superior moderna. Uno de ellos, un joven ingeniero entregado a los deberes de su cargo desde las ocho de la mañana hasta las seis de la tarde con un intervalo de una hora y media para comer o hacer visitas, me ha proporcionado la mejor prueba, y la mejor expresada que yo he visto hasta ahora, de lo que llamo [un cierto teorema]... El entusiasmo de Sylvester, había ya cumplido los sesenta años, era el de un profeta que inspira a los demás a ver la tierra prometida que ha descubierto o que está por descubrir. Enseñaba allí lo mejor que podía, y en la única forma en que puede cumplirse la enseñanza superior.
Tenía siempre algo amable que decir (en los pies de página) acerca del país de adopción: "...Creo que no hay nación en el mundo donde la capacidad cuente tanto, y la simple posesión de la riqueza (a pesar de todo lo que se dice del dólar todopoderoso) cuente tan poco como en América...”
También hace referencia a cómo sus dormidos instintos matemáticos recuperaron la completa capacidad creadora. "Sin la insistencia de un estudiante de esta Universidad [Johns Hopkins] expresándome su deseo de estudiar conmigo el álgebra moderna, jamás se hubiera llevado a cabo esta investigación... Con absoluto respeto, pero con una invencible tenacidad insistía sobre este punto. Quería conocer la nueva Álgebra (los cielos sabrán dónde oyó hablar de ella, pues era casi desconocida en este continente). Me vi obligado a actuar ¿y cuál fue la consecuencia? Intentando aclarar una explicación oscura de nuestros libros, mi cerebro se iluminó; me entregué con renovado celo a un tema que había abandonado durante años y encontré ocasión para que surgieran pensamientos que habían atraído mi atención durante épocas pasadas y que probablemente ocuparán durante varios meses futuros mi capacidad de observación".
Todos los discursos o trabajos de Sylvester contienen muchas cosas que merecen mención en la Matemática, aparte de los tecnicismos. Podría reunirse, hojeando las páginas de sus obras completas, una excelente antología para principiantes, y quizá también para matemáticos maduros. Probablemente ningún otro matemático ha revelado de un modo tan transparente su personalidad a través de sus escritos como lo hizo Sylvester. Le gustaba reunir muchas personas para transmitirles su entusiasmo contagioso por la Matemática. Decía con razón que “en tanto que el hombre continúa siendo un ser gregario y sociable no puede abstenerse de satisfacer el instinto de compartir lo que ha aprendido, de comunicar a los demás las ideas e impresiones que bullen en su cerebro, y si no lo hace, su naturaleza moral se embotará y se atrofiará, y se secarán las fuentes más seguras de su futura provisión intelectual".
Al lado de la descripción de Cayley acerca de la extensión de la moderna Matemática podemos colocar la de Sylvester. "Me apesadumbra pensar que he estado alejado largo tiempo de un campo tan vasto como el ocupado por la matemática moderna. La Matemática no es un libro limitado por unas tapas entre broches de bronce, cuyo contenido sólo exige paciencia para ser descubierto, no es una mina cuyos tesoros pueden exigir largo tiempo para lograrlos, pero que tan sólo constituyen un número limitado de venas y filones; no es un terreno cuya fecundidad pueda agotarse por la obtención de sucesivas cosechas; no es un continente o un océano del que se puedan trazar mapas y limitar sus contornos; es ilimitada, y todo espacio es demasiado estrecho para sus aspiraciones; sus posibilidades son tan infinitas como los mundos que se multiplican cada vez más ante la mirada del astrónomo; es algo incapaz de ser encerrado dentro de determinados límites o reducido a definiciones de validez permanente, como la conciencia, la vida, que parece dormitar en cada mónada, en cada átomo de materia, en cada hoja, en cada célula, siempre dispuesta a engendrar nuevas formas de existencia vegetal y animal".
En 1878 fue fundado por Sylvester el American Journal of Mathematics , publicado bajo su dirección por la Johns Hopkins University.
El Journal dio a la Matemática de los Estados Unidos un tremendo impulso en la dirección adecuada, la investigación. En la actualidad aun da sus frutos matemáticos, pero con dificultades económicas.
Dos años más tarde tuvo lugar uno de los clásicos incidentes en la carrera de Sylvester. Lo narraremos con las palabras del Dr. Fabián Franklin, sucesor de Sylvester en la cátedra de Matemática en la Johns Hopkins University algunos años después, y más tarde editor de la American de Baltimore, quien fue testigo ocular (y auditivo).
"Sylvester hizo algunas excelentes traducciones de Horacio y de los poetas alemanes, aparte de escribir cierto número de poesías originales. Los tours de force de la rima que realizó estando en Baltimore le sirvieron para ilustrar las teorías sobre la versificación, de las que proporciona ejemplos en su pequeño libro titulado "Las leyes del verso". La lectura del poema Rosalinda en el Peabody Institute dio lugar a una muestra muy cómica de su capacidad para abstraerse. El poema consistía en no menos de cuatrocientos versos que rimaban todos con el nombre Rosalinda. El público llenaba la sala esperando divertirse siendo testigo de este experimento poético único en su clase. Pero el profesor Sylvester había creído necesario escribir gran número de notas explicativas, y anunció, que, para no interrumpir el poema, leería todas las notas al principio. Su lectura le sugirió algunas nuevas observaciones improvisadas, y Sylvester estaba tan interesado en su discurso que no se dio cuenta de que el tiempo pasaba y que el público se fatigaba, Cuando terminó la última de las notas miró el reloj y quedó horrorizado al observar que habla empleado hora y media, y aun no había comenzado a leer el poema que el auditorio deseaba escuchar. El asombro que se pintó en su rostro encontró eco en la explosión de una carcajada por parte del público, y entonces, después de comunicar a sus oyentes que se hallaban en perfecta libertad de salir de la sala si tenían otras ocupaciones, leyó el poema Rosalinda".
Las palabras del Doctor Franklin acerca de su maestro lo retratan admirablemente. "Sylvester era un hombre violento e impaciente, pero generoso, caritativo y de corazón tierno. Apreciaba siempre en grado extraordinario la obra de los demás, y tenía la acogida más cálida para todas las muestras de capacidad o de talento de sus discípulos. Era capaz de responder con violencia a la más leve provocación, pero no albergaba resentimiento alguno y estaba siempre dispuesto a olvidar la causa de la querella a la primera oportunidad".
Antes de seguir el hilo de la vida de Cayley donde se cruza nuevamente con la de Sylvester, dejaremos al autor de Rosalinda describir como hizo uno de sus más bellos descubrimientos, lo que ahora se llama "formas canónicas", esto significa simplemente la reducción de un "cuántico determinado" a una forma "estándar". Por ejemplo ax 2 + 2bxy + cy 2 puede ser expresado como la suma de dos cuadrados, o sea X 2 + Y 2 ; ax 5 + 5bx 4 y + 10cx 3 y 2 + 10dx 2 y 3 + 5 exy 4 + fy 5 puede ser expresada como una suma de tres quintas potencias, X 5 + Y 5 + Z 5 .)
"He descubierto y desarrollado toda la teoría de las formas binarias canónicas para grados impares, y, por lo que parece, para los grados pares [34] , en una sesión, bebiendo vino de Oporto para sostener las energías debilitadas, llevada a cabo a costa de torturar el pensamiento, de congestionar el cerebro y de tener la sensación de haber introducido los pies en un cubo de hielo. Esa noche no dormimos más". Los especialistas aceptan que los síntomas son inconfundibles. Pero debe haber sido un excelente oporto, a juzgar por lo que Sylvester obtuvo de su trasiego.
Cayley y Sylvester volvieron a encontrarse cuando aquél aceptó una invitación para dar conferencias en la Johns Hopkins University, durante un curso de seis meses en 1881 -1882. Eligió como tema las funciones abelianas, en las que estaba trabajando a la sazón, y Sylvester, que tenía 67 años, asistió fielmente a todas las lecciones de su famoso amigo. Sylvester realizó aún una fecunda labor durante varios años, y Cayley durante un plazo menor.
Describiremos ahora brevemente tres de las más notables contribuciones de Cayley a la Matemática, aparte de su labor sobre la teoría de invariantes algebraicos. Ya hemos dicho que inventó la teoría de matrices, la Geometría del espacio de n dimensiones, y que una de sus ideas geométricas arrojó nueva luz (en manos de Klein) sobre la Geometría no euclidiana. Comenzaremos con lo último por ser lo más difícil de comprender.
Desargues, Pascal, Poncelet y otros autores han creado la Geometría proyectiva (véase capítulos 5, 13) cuyo objeto es descubrir las propiedades de las figuras que son invariantes en proyección. Mediciones, tamaños de ángulos, longitudes de líneas y los teoremas que dependen de las mediciones, por ejemplo la proposición pitagórica de que el cuadrado de la hipotenusa de un triángulo rectángulo es igual a la suma de los cuadrados de los catetos, no son proyectivas sino métricas, y no deben ser tratadas por la Geometría proyectiva ordinaria. Uno de los grandes descubrimientos de Cayley en Geometría fue pasar la barrera que se alzaba ante él, y que separaba las propiedades proyectivas de las propiedades métricas de las figuras. Desde su punto de vista, la Geometría métrica también resalta proyectiva, y el gran poder y flexibilidad de los métodos proyectivos fueron aplicables por la introducción de elementos imaginarios (por ejemplo, puntos cuyas coordenadas implican Ö -1 ) a las propiedades métricas. Quien haya estudiado Geometría analítica recordará que dos círculos se cortan en cuatro puntos, dos de los cuales son siempre imaginarios (existen casos de aparente excepción, por ejemplo los círculos concéntricos, pero esto poco importa para nuestro propósito). Los conceptos fundamentales en Geometría métrica son la distancia entre dos puntos y el ángulo de dos líneas. Reemplazando el concepto de distancia por otro, que también implica elementos "imaginarios", Cayley proporcionó los medios para unificar la Geometría euclidiana y las Geometrías no euclidianas comunes en una teoría comprensiva. Sin el uso de algún tipo de Álgebra no es posible hacer una exposición inteligible de cómo puede lograrse esto. Para nuestro propósito es suficiente recordar el principal descubrimiento de Cayley de unir la Geometría proyectiva y métrica, y conseguir la unificación de las otras Geometrías mencionadas.
La cuestión de la Geometría de n dimensiones cuando Cayley la planteó era mucho más misteriosa de lo que nos parece actualmente, habituados como estamos al caso especial de cuatro dimensiones (espacio-tiempo) en la relatividad. Aun suele decirse que una Geometría de cuatro dimensiones es inconcebible para los seres humanos. Esto es una superstición explotada hace largo tiempo por Plücker; es fácil trazar figuras de cuatro dimensiones sobre una hoja de papel, y por lo que se refiere a la Geometría, el conjunto de un "espacio" de cuatro dimensiones puede ser fácilmente imaginado. Consideremos, en primer término, en un espacio tridimensional que no esté sujeto a reglas, todos los círculos que pueden ser trazados en un plano. Este "todo" es un "espacio" de tres dimensiones, por la simple razón de que emplea precisamente tres núme ros o tres coordenadas para individualizar uno cualquiera del enjambre de círculos, o sea dos para fijar la posición del centro con referencia a cualquier par de ejes arbitrariamente dados y uno para dar la longitud del radio.
Si ahora el lector desea visualizar un espacio de cuatro dimensiones puede pensar que son líneas rectas, en lugar de puntos, los elementos de que está construido nuestro común espacio "sólido". En lugar de nuestro conocido espacio sólido constituido por una aglomeración de puntos infinitamente diminutos, ahora semeja un almiar cósmico de pajas infinitamente delgadas e infinitamente largas y rectas. Pueden apreciarse en efecto, las cuatro dimensiones en las líneas rectas, si nos convencemos (como podemos hacerlo) de que precisamente son necesarios y suficientes cuatro números para individualizar una determinada paja en nuestro almiar. La "dimensionalidad" de un "espacio" puede ser cualquiera que elijamos, siempre que seleccionemos adecuadamente los elementos (puntos, líneas, círculos, etc.) con los cuales lo construimos. Como es natural, si para construir nuestro espacio nos valemos de puntos, nadie que no sea un loco puede conseguir visualizar un espacio de más de tres dimensiones.
La física moderna está enseñando a rechazar la creencia en un misterioso "espacio absoluto" sobre y por encima de los "espacios matemáticos", por ejemplo el de Euclides, que han sido construidos por los geómetras para relacionar sus experiencias físicas. La Geometría actual es en gran parte una cuestión de Análisis, pero la antigua terminología de "puntos", "líneas", "distancias", etc., es útil para sugerirnos algunas cosas interesantes que pueden hacerse con nuestros conjuntos de coordenadas. Pero no hay que deducir que estas cosas son las más útiles que pueden hacerse en Análisis; llegará algún día en que todas ellas resulten relativamente sin importancia frente a cosas más significativas, y si nosotros, fanáticos por nuestras tradiciones anticuadas, las continuamos haciendo, es porque carecemos de imaginación.
Aun queda por descubrir si existe alguna misteriosa virtud en hablar de las situaciones que surgen en el Análisis como si nos remontáramos a las figuras trazadas por Arquímedes en el polvo. Las figuras al fin y al cabo únicamente son adecuadas para los niños pequeños, y Lagrange se abstuvo completamente de esos auxilios infantiles cuando compuso su Mecánica Analítica.
Nuestra tendencia a "geometrizar" el Análisis puede ser una prueba de que todavía no hemos crecido suficientemente. Newton mismo, como es sabido, llegó primeramente a sus maravillosos resultados por la vía analítica, y luego los revistió con las demostraciones de Apolonio, en parte debido a que sabía que la multitud, los matemáticos de menos talento que él, sólo creían que un teorema era cierto al verlo acompañado de una excelente figura y una perfecta demostración euclidiana, en parte debido a que él mismo aun daba la preferencia a la oscuridad precartesiana de la Geometría.
La última de las grandes invenciones de Cayley que hemos elegido para hacer mención de ella es la de las matrices y su Álgebra en sus más amplias líneas. El tema se originó en una memoria escrita el año 1858 y se desarrolló partiendo de las simples observaciones sobre la forma en que se combinan las transformaciones (lineales) de la teoría de invariantes algebraicos. Remontándonos a lo que hemos dicho acerca de los discriminantes y su invariabilidad, señalemos la transformación (la flecha [ ® ] debe leerse aquí "es reemplazado por")
![]()

![]()
![]()
![]()
![]()
![]()
![]()
![]()
![]()
![]()
![]()
Todos estos detalles, particularmente el último, han sido mencionados para ilustrar un fenómeno que se repite frecuentemente en la historia de la Matemática: las herramientas matemáticas necesarias para las aplicaciones científicas muchas veces han sido inventadas algunas décadas antes de que se haya imaginado la ciencia para la cual la Matemática constituye la clave. La extraña regla de "multiplicación" de matrices, mediante la cual tenemos diferentes resultados según el orden en que practiquemos la multiplicación (a diferencia del Álgebra común, donde x ´ y es siempre igual a y ´ x ), parecía que no podría tener ningún uso científico o práctico. Sin embargo, sesenta y siete años después de que Cayley la inventara, Heisenberg, en 1925, reconoció que el Álgebra de matrices era justamente la herramienta que necesitaba para sus trabajos revolucionarios en la mecánica cuántica.
Cayley continuó su actividad creadora hasta la misma semana de su muerte, que tuvo lugar el 26 de enero de 1895, después de una larga y dolorosa enfermedad, tolerada con resignación e inflexible valor. Recordaremos las últimas frases de la biografía de Forsyth. "Fue más que un matemático. Siguiendo un único objetivo, que Wordsworth podría haber elegido para su "Guerrero Feliz", perseveró hasta última hora en el noble ideal de su vida. Su vida tuvo una influencia significativa sobre quienes le conocieron [Forsyth era discípulo de Cayley y fue su sucesor en Cambridge]; ellos admiraron su carácter tanto como respetaron su genio, y se dieron cuenta de que con su muerte el mundo había perdido un gran hombre".
Gran parte de la obra de Cayley ha pasado a la Matemática ordinaria, y es probable que muchas de las investigaciones expuestas en sus Collected Mathematical Papers (trece grandes volúmenes en cuarto de cerca de 600 páginas cada uno, comprendiendo 966 trabajos), sugerirán labores provechosas a los matemáticos de las generaciones futuras. En la actualidad, la moda se ha alejado de los campos que mayor interés despertaron a Cayley, y lo mismo puede decirse de Sylvester, pero la Matemática tiene la costumbre de volver a sus antiguos problemas para reunirlos en una síntesis de mayor alcance.
En 1883 Henry John Stephen Smith, el brillante especialista irlandés en la teoría de números y profesor saviliano de Geometría en la Universidad de Oxford, murió en lo mejor de su labor científica, a los 57 años de edad. Oxford invitó al anciano Sylvester, que entonces tenía 70 años, para ocupar la cátedra vacante. Sylvester aceptó la proposición con gran dolor de sus innumerables amigos de América. Pero sentía la nostalgia de su tierra nativa, aunque no le había tratado con demasiada generosidad. Es posible que también le produjera cierta satisfacción darse cuenta de que "la piedra que los constructores habían rechazado iba a ser la piedra fundamental".
El anciano llegó a Oxford para ocupar su cargo con una nueva teoría matemática ("Reciprocantes", invariantes diferenciales) que comunicar a sus discípulos mejor preparados. Cualquier elogio o justo reconocimiento incitaba siempre a Sylvester a superarse. Aunque en la investigación citada se le había adelantado el matemático francés Georges Halphen, estampó en ella su peculiar genio, dándole vida con su imborrable individualidad.
La conferencia inaugural, pronunciada el 12 de diciembre de 1885, en Oxford, cuando Sylvester tenía 71 años, reveló el fuego y entusiasmo de sus primeros años, y quizá más, pues ahora se sentía seguro y no ignoraba que al fin había sido reconocido por aquel mundo al cual había combatido. Dos de sus párrafos proporcionarán cierta idea del estilo de la conferencia.
"La teoría que voy a exponer, o cuyo nacimiento voy a anunciar, se halla con respecto a ésta ["la gran teoría de los invariantes"] en una relación que no es la de una hermana menor, sino la de un hermano, el cual, basado sobre el principio de que lo masculino es más digno que lo femenino, o, en todo caso, de acuerdo con las disposiciones de la ley sálica, tiene derecho de precedencia sobre su hermana mayor, y ejercerá el mando supremo sobre sus reinos unidos".
Comentando la inexplicable ausencia de un término en cierta expresión algebraica, se entrega a la lírica.
"En el caso que tenemos ante nosotros, esta inesperada ausencia de un miembro de la familia, cuya presencia podía esperarse produce una impresión tal sobre mi mente que llega a actuar sobre mis emociones, Es como una especie de Pléyade perdida en una constelación algebraica, y, finalmente, meditando sobre el tema, mis sentimientos encuentran o buscan alivio en una efusión poética, un jeu de sottise, que, no sin temor de parecer extravagante, me aventuro a escribir. Al menos servirá como un interludio y proporcionará cierto alivio al esfuerzo de vuestra atención antes de que prosiga haciendo mis observaciones finales sobre la teoría general.
A UN MIEMBRO QUE FALTA
En Una Familia de Términos en una Fórmula Algebraica
Aislado, mantenido al margen, separado por el destino
de tus camaradas que te esperan ¿a dónde has huido?
¿Dónde languideces después del estado que te ha maravillado
como una estrella perdida en un meteoro fugaz?
Me haces pensar en ese presuntuoso,
que quería, aunque inferior al mayor, ser grande,
y cayó, con la cabeza inclinada, desde lo alto de la inmensidad celeste
para vivir aislado, replegado sobre sí mismo, desolado,
o el que, nuevo Heraclio, sufrió duro exilio,
sostenido unas veces por la esperanza, y otras torturado de espanto
hasta que la soberana Astrea, murmurándole al oído
palabras de vago presagio a través del rumor del Atlántico
le abrió el santuario de la Musa venerada
y sembró de llamas el polvo de las orillas de Isis
Las ideas de Sylvester respecto al parentesco de la Matemática con las bellas artes encuentran su expresión en sus escritos. Así, en un trabajo sobre las reglas de Newton para el descubrimiento de las raíces imaginarias de las ecuaciones algebraicas, se pregunta en un pie de página: "¿No puede definirse la música como la Matemática de los sentidos, y la Matemática como la música de la razón? El músico siente la Matemática, el matemático piensa la música, la música es el sueño, la Matemática la vida laboriosa, cada una de ellas recibirá el apoyo de la otra cuando la inteligencia humana, elevada a su tipo perfecto, brille llena de gloria en algún futuro Mozart-Dirichlet, o Beethoven-Gauss, ¡una unión ya claramente anunciada en el genio y en los trabajos de Helmholtz!".
Sylvester amó la vida aun cuando se viera forzado a luchar contra ella. Se jactaba de que los grandes matemáticos, salvo aquellos casos en que se trató de muertes accidentales o evitables, han vivido largo tiempo, conservando una mente vigorosa hasta el día de su muerte. En su discurso a la British Association, en 1869, decía, en apoyo de su tesis, al enumerar algunos de los grandes matemáticos del pasado y recordar la época de su muerte, que " ... no hay ningún estudio en el mundo que dé lugar a una acción más armónica de todas las facultades de la mente que la Matemática... o, como ésta, parezca elevarlas por sucesivos pasos hasta estados cada vez más altos de existencia intelectual consciente... El matemático vive mucho y vive joven; las alas del alma no se abaten precozmente ni se ocluyen sus poros con las partículas levantadas en los caminos polvorientos de la vida vulgar".
Sylvester era un ejemplo vivo de su propia filosofía, pero al fin tuvo que inclinarse ante los años. En 1893, teniendo 79 años, su vista comenzó a declinar y se sintió cada vez más triste y desalentado al no poder pronunciar sus lecciones con su antiguo entusiasmo. El año siguiente pidió ser relevado de sus más honrosos deberes de la cátedra, y se retiró a vivir solo en Londres o en Tunbridge Wells. Hacía tiempo que sus hermanos y hermanas habían muerto, y también había sobrevivido a sus más queridos amigos.
Su mente se conservaba aún vigorosa, aunque él mismo sentía que la agudeza de su capacidad inventiva se había embotado para siempre. Más tarde, en 1896, cuando tenía 82 años, sintió renovado entusiasmo por una cuestión que siempre le había fascinado, y volvió a trabajar sobre la teoría de las particiones compuestas y la conjetura de Goldbach de que todo número par es la suma de dos primos.
Su trabajo no se prolongó mucho tiempo. Mientras estaba dedicado a sus estudios matemáticos en su alojamiento de Londres, siendo los primeros días de marzo de 1897, sufrió un ataque de parálisis que le privó del habla. Murió el 15 de marzo de 1897, a la edad de 83 años. Su vida puede resumirse con sus propias palabras: "Amo realmente mis estudios".
Capítulo 22
Maestro y Discípula
KARL WEIERSTRASS Y SONJA KOWALEWSKI
La teoría que ha tenido el máximo desarrollo
en los tiempos recientes es, sin duda alguna,
la teoría de funciones.
Vito Volterra
Los jóvenes doctores en Matemática que buscan ansiosamente cargos donde su disciplina y talentos puedan desempeñar algún papel, muchas veces se preguntan si es posible para un hombre realizar largo tiempo la enseñanza elemental y mantener viva la llama matemática. La vida de Boole es una respuesta parcial; la carrera de Weierstrass, el príncipe de los analistas, "el padre del Análisis moderno", es concluyente.
Antes de considerar detalladamente la obra de Weierstrass, le situaremos cronológicamente con respecto a aquellos de sus contemporáneos alemanes que, como él, dieron, al menos, un nuevo aspecto al vasto imperio de la Matemática, durante la segunda mitad del siglo XIX y las tres primeras décadas del XX. El año 1855, el año de la muerte de Gauss y de la ruptura del último eslabón con los matemáticos principales del siglo anterior, puede ser tomado como punto de referencia. En 1855 Weierstrass (1815-1897) tenía 40 años; Kronecker (1823-1891) 32; Riemann (1826-1866) 29; Dedekind (1831-1916) 24, mientras Cantor (1845-1918) era un muchachuelo de 10. La Matemática alemana no carecía, pues, de gentes que siguieran la gran tradición de Gauss.
Los méritos de Weierstrass estaban siendo reconocidos; Kronecker se había iniciado con fortuna; cierta parte de la gran obra de Riemann había sido ya realizada y Dedekind había penetrado en el campo de la teoría de números, donde había de obtener su máxima fama. Como es natural, Cantor todavía continuaba en la penumbra.
Hemos reunido estos nombres y fechas debido a que cuatro de los hombres mencionados, aunque muy separados en una gran parte de la obra que realizaron, se asocian en uno de los problemas centrales de toda la matemática, el de los números irracionales. Weierstrass y Dedekind recogieron la discusión de los irracionales y de la continuidad prácticamente donde había sido dejada por Eudoxio en el siglo IV a. J. C; Kronecker, un eco moderno de Zenón, amargó los últimos años de Weierstrass con la escéptica crítica de la revisión de las obras de Eudoxio hecha por aquél; mientras Cantor, siguiendo un nuevo camino, intentaba descubrir el verdadero infinito que está implícito, de acuerdo con algunos, en el concepto de continuidad.

Sonja Kowalewski

Karl Weierstrass
En toda acción se observa una reacción igual y opuesta, y era natural que el excesivo rigor engendrara la correspondiente oposición. Kronecker lo atacó vigorosamente, aunque en forma equivocada y de modo violento. Negó que significase algo. Aunque consiguió ofender al venerable y cordial Weierstrass, causó poca impresión sobre sus conservadores contemporáneos y prácticamente ninguna sobre el Análisis matemático.
Kronecker se hallaba una generación a la cabeza de su tiempo. Fue necesario llegar a la segunda década del siglo XX para que su crítica severa a las doctrinas corrientemente aceptadas de la continuidad y de los números irracionales fueran objeto de una seria consideración. En la actualidad, no todos los matemáticos creen que el ataque de Kronecker fuera hijo de una explosión de envidia despertado por Weierstrass, que algunos de sus contemporáneos consideraban más famoso, y se admite que existe algo de verdad, quizá no mucho, en estas objeciones violentas. De todos modos el ataque de Kronecker fue en parte responsable del tercer período de rigor en el moderno razonamiento matemático, que ahora nosotros conservamos. Weierstrass no fue el único matemático a quien Kronecker criticó; Cantor sufrió también profundamente por lo que él consideraba la persecución maliciosa de su influyente colega. De todos esos hombres nos ocuparemos en el lugar correspondiente; aquí tan sólo intentamos mostrar que sus vidas y obras están ampliamente entrelazadas, al menos en algunas cuestiones fundamentales.
Para completar la descripción, debemos recordar otros puntos de contacto entre Weierstrass, Kronecker y Riemann por una parte, y Kronecker y Dedekind por otra. Abel, recordaremos, murió en 1829, Galois en 1832 y Jacobi en 1851. En la época de que nos estamos ocupando uno de los problemas sobresalientes del Análisis matemático era completar la obra de Abel y Jacobi sobre las funciones periódicas múltiples, funciones elípticas, funciones abelianas (véase capítulos XVII, XVIII). Desde puntos de vista totalmente diferentes, Weierstrass y Riemann cumplieron lo que debía hacerse. Weierstrass, en efecto, se consideró a sí mismo, en cierto grado, como un sucesor de Abel. Kronecker abrió nuevas perspectivas en las funciones elípticas, pero no compitió con los otros dos en el campo de las funciones abelianas. Kronecker fue, en primer término, un aritmético y un algebrista; algunas de sus mejores obras constituyen una elaboración y ampliación de los trabajos de Galois en la teoría de ecuaciones. Por tanto, Galois encontró un digno sucesor no mucho tiempo después de su muerte.
Aparte de sus incursiones en el dominio de la continuidad v de los números irracionales, la obra más original de Dedekind se refiere a la Aritmética superior, que revolucionó y renovó. En esto Kronecker fue su más capaz y sagaz rival, pero, por lo demás, la forma de enfocar los problemas fue completamente diferente y característica de los dos hombres. Dedekind venció sus dificultades en la teoría de números algebraicos refugiándose en el infinito (en su teoría de "ideales" según se dirá en el lugar adecuado); Kronecker intentó resolver sus problemas en el infinito.
Karl Wilhelm Theodor Weierstrass, el hijo mayor de Wilhelm Weierstrass (1790-1869) y de su mujer Theodora Forst, nació el 31 de octubre de 1815, en Ostenfelde, en el distrito de Münster, Alemania. El padre era entonces oficial de aduanas al servicio de Francia. Recordaremos que era el año 1815, el año de Waterloo, y los franceses dominaban aún en Europa. Ese año también fue el del nacimiento de Bismarck, y es interesante observar que mientras la obra de los hombres de Estado más famosos se derrumbó en la primera guerra mundial, si es que no se había derrumbado antes, las contribuciones de sus contemporáneos, relativamente oscuros, a la ciencia y al progreso de la civilización en general, son hoy todavía más estimadas que lo fueron durante su vida.
La familia Weierstrass estaba formada por devotos católicos liberales. El padre se había convertido desde el protestantismo, probablemente en la época de su matrimonio. Karl tuvo un hermano, Peter (que murió en 1904), y dos hermanas (Klara (1823-1896) y Elise (1826 - 1898). La madre murió en 1826, poco después del nacimiento de Elise y el padre volvió a casarse al año siguiente. Poco se sabe acerca de la madre de Karl, aunque se dice que tuvo por su marido cierta antipatía y que nunca vio su matrimonio con buenos ojos. La madrastra era una típica ama de casa alemana; su influencia sobre el desarrollo intelectual de su hijastro, probablemente fue nula. El padre, en cambio, era un idealista práctico, y un hombre de cultura que en cierta época había sido maestro. Los últimos diez años de su vida transcurrieron pacíficamente en Berlín, en la paz de la casa de su famoso hijo, donde vivían también las dos hijas. Ninguno de los hijos se casó, y aunque el pobre Peter mostró una vez inclinación hacia el matrimonio, prontamente fue desviado de ese camino por su padre y hermanas.
Una posible causa de discordia en la sociabilidad natural de los hijos debió ser el rigor, la dominante autoridad y la testarudez prusiana del padre. Había casi arruinado la vida de Peter con sus constantes prédicas, y estuvo a punto de hacer lo mismo con Karl a quien deseaba dirigir hacia una carrera para la que no tenía aptitudes, sin darse cuenta de cuál era la capacidad de su brillante hijo. El viejo Weierstrass tuvo la audacia de sermonear a su hijo y de mezclarse en sus asuntos hasta cuando "el muchacho" iba a cumplir los 40 años. Por fortuna, Karl estaba constituido de un material resistente. Como veremos, su lucha contra el padre, aunque él mismo probablemente no se daba cuenta de que combatía al tirano, tomó la forma no desusada de poner obstáculos a la forma de vida que su padre había elegido para él. Era la mejor defensa que podía idear, y lo más notable es que ni el hijo ni el padre llegaron a comprender lo que ocurría, aunque una carta de Karl, cuando tenía 60 años, muestra que al fin se dio cuenta de la causa de sus primeras dificultades. Karl recorrió su camino, pero fue un camino largo y tortuoso, sembrado de ensayos y errores. Sólo un hombre como él, de cuerpo y mente poderosa, podía alcanzar el objetivo soñado.
Poco después del nacimiento de Karl, la familia se trasladó a Westernkotten, Westfalia, donde el padre desempeñaba un cargo en las salinas. Westernkotten, como otros tristes rincones donde transcurrieron los mejores años de la vida de Weierstrass, sólo se conoce hoy en Alemania por el hecho de que Weierstrass había sido condenado a enmohecerse allí, aunque no llegó a enmohecerse. Su primer trabajo está fechado el año 1841, (a la edad de 26 años) en Westernkotten. No habiendo escuela en la aldea, Karl fue enviado a la cercana ciudad de Münster, y luego, a los 14 años, ingresó en el Instituto Católico de Paderborn. Como Descartes en condiciones algo similares, Weierstrass sacó jugo de su escuela, y contrajo amistad con los buenos maestros. Cumplió sus tareas en un tiempo mucho menor que el normal, y todos sus estudios registran un comportamiento uniformemente brillante. Abandonó el Instituto en 1834, teniendo 19 años. Obtuvo premios con inquebrantable regularidad, y un año consiguió siete. De ordinario ocupó el primer puesto en alemán y en dos de las tres materias latín, griego y Matemática. Por una ironía del destino jamás obtuvo un premio en caligrafía, aunque estaba dedicado a enseñar escritura a los muchachuelos que se habían emancipado recientemente de los lazos maternos.
Como los matemáticos suelen gozar de la música, es interesante observar que Weierstrass, tosco como era, no podía tolerar la música en ninguna forma. Nada significaba para él, y tampoco pretendía que tuviera alguna significación. Cuando sus solícitas hermanas intentaban que tomara lecciones de música para hacerle más sociable, solía abandonar el proyecto después de una o dos lecciones mal aprendidas de memoria. Los conciertos le aburrían, y las óperas le provocaban el sueño cuando era arrastrado a alguno de esos espectáculos.
Como su buen padre, Karl no sólo era un idealista, sino también extraordinariamente práctico. Además de obtener la mayor parte de los premios en los estudios que no tenían aplicaciones prácticas, se aseguró una ocupación retribuida cuando tenía 15 años, sirviendo de tenedor de libros en un próspero comercio de jamón y manteca.
Todos estos triunfos iban a tener un efecto desastroso sobre el futuro de Karl. El viejo Weierstrass, como muchos padres, dedujo una errónea conclusión de los triunfos de su hijo. Razonaba, si es que se puede llamar razonar, del siguiente modo. El muchacho había logrado una carretada de premios, por tanto, debía tener talento; lograba ganar dinero desempeñando un cargo en el negocio de un honorable comerciante en manteca y jamón, por tanto debería ser un brillante tenedor de libros. Ahora bien ¿cuál es el ideal de todo tenedor de libros? Sin duda alguna un alto puesto del gobierno en el servicio civil prusiano. Pero para lograr esta elevada posición era deseable un conocimiento de las leyes, así le sería posible triunfar y no caería derrotado.
Como una consecuencia de toda su lógica el pater-familias Weierstrass metió de cabeza a su inteligente hijo, cuando tenía 19 años, en la Universidad de Bonn, para que dominara todas las trapacerías del comercio y todas las sutilezas de las leyes.
Karl no tenía inclinación alguna para esas dos actividades. Dedicó la fortaleza de su cuerpo, su extraordinaria destreza y su aguda inteligencia casi exclusivamente a la esgrima y a la dulce sociabilidad que proporciona el nocturno y liberal consumo de la excelente cerveza alemana.
Para hacer lo que Weierstrass hizo y seguir adelante, hay que tener al menos una décima parte de su fortaleza y no menos de una milésima parte de su talento.
Weierstrass fue invencible en Bonn. Su ojo rápido, su largo brazo, una exactitud demoníaca y su terrible velocidad en la esgrima hicieron de él un contrincante admirable, y se afirma que jamás fue tocado. Ninguna cicatriz adornaba su mejilla y en ninguno de sus duelos llegó a verter una gota de sangre. No está definitivamente establecido si después de algunas de las celebraciones de sus numerosas victorias quedó o no debajo de la mesa. Sus discretos biógrafos son algo reservados acerca de este importante punto, pero quien haya contemplado alguna vez alguna de las obras maestras matemáticas de Weierstrass le parecerá inconcebible que una cabeza tan fuerte como la suya haya podido inclinarse ante un jarro de medio litro. Al fin y al cabo, sus cuatro años de Universidad quizá fueron bien empleados.
Sus experiencias en Bonn tuvieron tres consecuencias de gran interés para Weierstrass: le curaron de la fijación al padre, sin que en modo alguno quedara dañado su afecto por su desilusionado progenitor; le hicieron un ser humano capaz de sentir las esperanzas y aspiraciones de los seres humanos menos dotados que él, sus discípulos, y así contribuyó directamente a su triunfo, que le señala como el maestro matemático probablemente más grande de todas las épocas, y, finalmente, la genialidad humorística de su pubertad constituyó ya para él un hábito de vida. Por tanto, los "años de estudiante" no fueron tan perdidos como su frustrado padre y sus inquietas hermanas suponían, por no decir nada del pobre Peter, cuando Karl volvió al seno de su familia después de cuatro años en Bonn sin conseguir un título.
Se produjo una terrible pelea. Le increparon. Seguramente estaría "enfermo de cuerpo y alma" como resultado natural de no saber suficientes leyes, de conocer poca Matemática y de haber bebido mucha cerveza. Sentados en torno a él le contemplaban iracundos, y, lo peor de todo, comenzaron a discutir acerca de él como si hubiera muerto y estuvieran decidiendo lo que debía hacerse con el cadáver. Con respecto a las leyes, Weierstrass tan sólo había tenido un breve encuentro con ellas en Bonn, pero bastaba, y asombró al Decano y a sus amigos por su aguda "oposición" a ser candidato para el grado de Doctor en Leyes. Por lo que se refiere a la Matemática aprendida en Bonn poco era lo que podía decirse. El único hombre de talento, Julius Plücker, que podía haber ejercido una buena influencia sobre Weierstrass estaba tan ocupado con sus múltiples deberes que no tenía tiempo para gastarlo con los discípulos, y Weierstrass nada pudo obtener de él.
Pero como Abel y muchos otros matemáticos de primera categoría, Weierstrass se dirigió a los maestros en los interludios entre su esgrima, y sus libaciones. Así pudo absorber la Mecánica celeste de Laplace, que había de despertar en el joven el interés, que persistió durante toda, su vida, por la dinámica y por los sistemas de ecuaciones diferenciales simultáneas. Como es natural su tozudo padre no podía entender estas cosas y su obediente hermano y sus desalentadas hermanas tan sólo sabían que el demonio hablaba por su boca. El hecho era que Karl, el genio de esta pequeña y timorata familia, sobre el que se habían forjado las mayores esperanzas de respetabilidad burguesa, volvía a su hogar, después de cuatro años de rígida economía por parte de su padre, sin un título universitario.
Al fin, transcurridas algunas semanas, un buen amigo de la familia que había simpatizado con Karl desde su infancia, y que tenía afición por la Matemática, sugirió un camino: que Karl se preparara en la vecina Academia de Münster para ser maestro. El joven Weierstrass no sería doctor en filosofía, pero su cargo como maestro le dejaría ratos de ocio que podría dedicar a la Matemática si en realidad tenía verdaderas inclinaciones hacia ella: Weierstrass confesó "sus pecados" a las autoridades de la Academia, y solicitó una oportunidad para realizar un nuevo intento. Su petición fue concedida, y Weierstrass se matriculó, el 22 de mayo de 1839 en Münster para seguir la carrera de maestro, secundario. Este fue un paso importante para lograr más tarde su elevada posición entre los matemáticos, aunque por aquella época pudo pensarse que ser maestro constituiría su única ambición.
La causa de la diferencia en la conducta de Weierstrass hay que buscarla en la presencia en Münster de Christof Gudermann (1798 - 1852), como profesor de Matemática. En aquella época (1839) Gudermann era un entusiasta de las funciones elípticas. Recordaremos que Jacobi había publicado sus Fundamenta nova en 1829. Aunque son pocos los que ahora recuerdan las complicadas investigaciones de Gudermann (publicadas por incitación de Crelle en una serie de artículos en su Journal), no deben ser olvidadas con tanto menosprecio como suele hacerse por el simple hecho de que hayan pasado de moda. Para su época, Gudermann tuvo lo que parece haber sido una idea original. La teoría de funciones elípticas se puede desarrollar en formas muy diferentes. En una época, cierta forma parece la mejor, mientras en otro momento otra manera algo distinta de abordar la cuestión suele ser considerada como más elegante.
La idea de Gudermann era basar todas las cosas en el desarrollo en serie de potencias de las funciones. (Por el momento nos bastará con estas palabras, cuya significación aparecerá más claramente cuando describamos una de las motivaciones principales de la obra de Weierstrass). Era en realidad una nueva y buena idea, y Gudermann trabajó en ella con la enorme tenacidad alemana durante muchos años, sin quizá darse cuenta de lo que había tras de su inspiración, y que él mismo jamás realizó. Lo más importante en este caso es que Weierstrass hizo de la teoría de series de potencias, inspiración de Gudermann, el nervio de toda su obra en el Análisis. Tomó la idea de Gudermann a cuyas lecciones asistía. En su vida ulterior, contemplando el alcance de los métodos que había desarrollado en el Análisis, Weierstrass solía exclamar: "No hay otra cosa que las series de potencias".
En la conferencia inaugural del curso de Gudermann sobre las funciones analíticas (dicho autor daba diferente nombre, cosa que no tiene importancia) asistieron trece oyentes. Enamorado del tema, el conferenciante abandonaba la tierra, elevándose en el éter del pensamiento puro. En la segunda lección sólo se presentó un oyente, y Gudermann se sintió feliz. El discípulo solitario era Weierstrass. Más tarde ninguna otra persona se aventuró a profanar la santa comunión entre el conferenciante y su único discípulo. Tanto Gudermann como Weierstrass eran católicos y se entendían espléndidamente.
Weierstrass estaba muy agradecido a Gudermann por todo lo que había hecho en su favor, y cuando llegó a ser famoso buscaba todas las oportunidades, cuanto más numeroso público escuchaba, mejor para proclamar su agradecimiento. La deuda no era exigua. Pocos profesores podían ofrecer a sus discípulos algo semejante, la serie de potencias representación de las funciones como un punto de ataque. Además de las lecciones sobre funciones elípticas, Gudermann dio lecciones privadas a Weierstrass sobre "esféricas analíticas".
En 1841, teniendo 26 años, Weierstrass se presentó a los exámenes para obtener el certificado de maestro. El examen se componía de dos partes; escrita y oral. Para la primera se le concedieron seis meses, durante los cuales tenía que escribir tres ensayos sobre tres temas propuestos por los examinadores. El tercer tema dio lugar a una aguda disertación sobre el método socrático en la enseñanza secundaria, método que Weierstrass siguió brillantemente cuando llegó a ser el principal maestro de estudios matemáticos superiores.
Un maestro, al menos en la Matemática superior, puede ser juzgado por los discípulos que forma. Si los discípulos están entusiasmados con sus "claras y bellas lecciones", de las cuales obtienen abundantes apuntes, pero jamás realizan por sí mismos estudios originales al llegar a grados superiores, el maestro debe ser considerado como un completo fracaso cuando se trata de un profesor universitario, y su verdadera esfera de acción debe hallarse en una escuela secundaria o en un colegio particular, cuyo objeto sea producir pulidos petimetres, pero no pensadores independientes. Las lecciones de Weierstrass eran modelos de perfección, pero si tan sólo hubieran sido acabadas exposiciones de diferentes temas, habrían resultado pedagógicamente inútiles. A la perfección de la forma, Weierstrass añadía ese algo intangible que se llama inspiración. Jamás fue un verdadero orador, pero hizo algo más, formó matemáticos creadores en una proporción extraordinariamente elevada de sus discípulos.
El examen que valió a Weierstrass, después de un año de pruebas, el título de profesor de escuela secundaria es una de las cosas más notables que se recuerdan a este respecto. Uno de los trabajos cuya solución se requería constituye el tema más abstruso que puede proponerse para un examen de maestro. En efecto, Gudermann planteó a Weierstrass un verdadero problema matemático: encontrar los desarrollos de series de potencias de las funciones elípticas. Se proponían también otros temas, pero el mencionado era probablemente el más interesante.
El informe de Gudermann acerca del trabajo del aspirante pudo haber cambiado el curso de la vida de Weierstrass de haber sido escuchado, pero no causó ninguna impresión donde debía haberla producido.
En un apéndice al informe oficial Gudermann dice: "Este problema, que en general sería demasiado difícil para un joven analista, fue incluido en el programa con el consentimiento de la comisión". Después de la aprobación de sus ejercicios escritos y de haberse sometido con excelente resultado al examen oral, Weierstrass obtuvo un certificado especial por su contribución a la matemática. Después de mencionar la labor del candidato y de señalar la originalidad en la forma de abordar el tema y la novedad de algunos de los resultados obtenidos, Gudermann declara que el trabajo pone de manifiesto un exquisito talento matemático "que siempre que no se malogre, contribuirá inevitablemente al progreso de la ciencia. Para bien del autor y para bien de la ciencia sería deseable que no fuera maestro secundario y que se buscaran los medios para permitir que intervenga en la instrucción académica... el candidato entra por derecho propio en el rango de los famosos descubridores".
Estas observaciones en parte subrayadas por Gudermann, fueron borradas del informe oficial. Weierstrass obtuvo su certificado, y esto fue todo. Teniendo 26 años comenzó sus tareas de maestro secundario, que iban a absorberle casi 15 años de su vida, incluyendo la década de los 30 a los 40, que de ordinario se considera como la más fecunda en la carrera de un hombre de ciencia.
Su trabajo era excesivo. Sólo un hombre con una férrea determinación y con un enorme vigor físico pudo hacer lo que Weierstrass hizo. Las noches las reservaba para sí, y vivía una doble vida. No fue un bicho raro ni un sabio aldeano absorbido en misteriosas meditaciones más allá de la comprensión de los vulgares mortales. Halló la forma de divertirse, y los jóvenes funcionarios del gobierno y los jóvenes oficiales encontraron en el amable maestro un excelente compañero de libaciones en la cervecería.
Pero aparte de estos joviales compañeros de algunas noches, Weierstrass reverenciaba a otro, desconocido de sus alegres camaradas, Abel, a quien dedicaba largas vigilias. Weierstrass mínimo decía que las obras de Abel jamás se hallaban lejos de su mano. Cuando llegó a ser el mejor analista del mundo y el mejor maestro matemático de Europa, su primero y último consejo a sus numerosos discípulos fue "leed a Abel". Siempre tuvo una ilimitada admiración por el gran noruego, sin que se proyectara en ella la menor sombra de envidia. "¡Qué feliz es Abel!, solía exclamar, ha hecho algo duradero. Sus ideas siempre ejercerán una fecunda influencia sobre nuestra ciencia".
Lo mismo puede decirse de Weierstrass, y las ideas creadoras con que fecundó a la Matemática fueron en su mayor parte elaboradas cuando era un obscuro maestro de escuela, en apartadas aldeas donde era imposible obtener libros, y en una época de penurias económicas en las que el franqueo de una carta absorbía una parte prohibitiva de la exigua paga semanal del maestro. Al no poder pagar los gastos de franqueo, Weierstrass vio limitada su correspondencia científica. Quizá esto fuera un bien, pues su originalidad se desarrolló sin verse limitada por las ideas de moda de la época. La independencia de juicio caracteriza su obra de los últimos años. En sus lecciones solía presentar todos los problemas en forma personal, sin hacer apenas referencia a la obra de los demás. Esta forma de exponer sus lecciones se prestaba a equívocos, pues sus oyentes no sabían lo que pertenecía al maestro y lo que correspondía a otros autores.
Será de interés para los lectores matemáticos recordar uno o dos períodos de la carrera científica de Weierstrass. Después del año de prueba para lograr el certificado de maestro en el Instituto de Münster, Weierstrass escribió una memoria sobre las funciones analíticas, donde, entre otras cosas, llega al teorema de Cauchy, el llamado teorema fundamental del Análisis. En 1842 tuvo conocimiento de la obra de Cauchy, pero no reclamó la prioridad (realmente Gauss se había anticipado a ambos, pues sus trabajos datan de 1811, pero como era habitual en él, había dejado inédita su labor para que madurara). En 1842, teniendo 27 años, Weierstrass aplicó los métodos que había desarrollado a sistemas de ecuaciones diferenciales, como, por ejemplo, las que plantea el problema newtoniano de los tres cuerpos. El tratamiento estaba ya maduro y era riguroso. Estos trabajos fueron emprendidos sin que pensara publicarlos, simplemente para preparar el terreno sobre el cual debía ser construida la obra esencial de su vida (sobre las funciones abelianas).
En 1842 Weierstrass fue maestro ayudante de matemática y física en el Pro-Gymnasium de Deutsch-Krone, Prusia Occidental. Por entonces fue ascendido al cargo de maestro ordinario. Además de las materias mencionadas, este extraordinario analista enseñaba alemán, geografía, y escritura a los niños que estaban a su cargo. En 1845 fue añadida la gimnasia.
En 1848, teniendo 33 años, Weierstrass fue trasladado como maestro ordinario al Instituto de Braunsberg. Se trataba de un ascenso, pero no era mucho. La dirección del Instituto era desempeñada por un hombre excelente, que hizo cuanto pudo en favor de Weierstrass aunque sólo tenía una remota idea de la capacidad intelectual en su colega. El Instituto se jactaba de poseer una pequeña biblioteca de libros cuidadosamente elegidos sobre Matemática y otras ciencias.
Fue este año cuando Weierstrass se apartó algunas semanas de su absorbente matemática para realizar una deliciosa travesura. Aquellos días se veían perturbados políticamente. El virus de la libertad había infectado al paciente pueblo alemán, y al menos algunas de las almas más audaces se encaminaban por la senda de la democracia. El partido realista que estaba en el poder reclamaba una estricta censura sobre todas las manifestaciones habladas o escritas que no fueran suficientemente laudatorias para su régimen. Por entonces los himnos fugitivos a la libertad comenzaron a aparecer en los diarios. Las autoridades no podían tolerar estas subversiones y cuando en Braunsberg florecieron, repentinamente numerosos poetas democráticos, que cantaban loas a la libertad en los diarios locales no sometidos aún a la censura, el gobierno se apresuró a nombrar un censor, creyendo que así todo que daría arreglado.
Por desgracia, el nuevo censor tenía una violenta antipatía para todas las formas de literatura, especialmente la poesía. En consecuencia, se limitó su supervisión a la aburrida prosa política, y pidió al maestro Weierstrass que se dedicara a la censura de las efusiones literarias. Weierstrass estaba contentísimo. Sabiendo que el censor oficial jamás pasaría la mirada por un poema, Weierstrass encontró la forma de que fueran impresas las más encendidas frases bajo las propias narices del censor. Esto regocijó al pueblo hasta que un funcionario superior puso fin a la farsa. Como el censor era oficialmente el único responsable, Weierstrass escapó libre de culpa.
El oscuro rincón de Deutsch-Krone tiene el honor de ser el lugar donde Weierstrass (en 1842 - 1843) dio por primera vez sus trabajos a la imprenta. Las escuelas alemanas publicaban algunas veces "programas" que contenían trabajos debidos a los miembros del cuerpo. Weierstrass contribuyó con un trabajo: "Observaciones sobre factoriales analíticas". No es necesario explicar lo que son; pero conviene señalar aquí que el tema de las factoriales era uno de los que causaban muchos inútiles dolores de cabeza a los más viejos analistas. Hasta que Weierstrass abordó los problemas relacionados con las factoriales, el nudo de la cuestión había pasado inadvertido.
Recordaremos que Crelle había escrito mucho acerca de las factoriales, y hemos visto que se hallaba muy interesado en el problema cuando Abel, algo rudamente, le informó que su trabajo contenía graves descuidos. Crelle entra otra vez en escena, y con el mismo fino espíritu que mostró en el caso de Abel.
El trabajo de Weierstrass no fue conocido hasta 1856, catorce años después de haber sido escrito, cuando Crelle lo publicó en su Journal. Weierstrass era entonces famoso. Admitiendo que el riguroso tratamiento empleado por Weierstrass pone al descubierto los errores de su propia obra, Crelle escribe lo siguiente: "Jamás me he aferrado al punto de vista personal de mi obra, ni he aspirado a la fama ni a los elogios, sino sólo a que la verdad progrese, en cuya labor he puesto lo mejor de mi capacidad; y para mi es lo mismo que la verdad la alcance yo cualquier otro".
Aunque la pequeña aldea de Deutsch-Krone carezca de importancia en la política y el comercio, constituye algo así como la capital de un imperio en la historia de la Matemática, pues fue allí donde Weierstrass, sin el apoyo de una biblioteca y sin ninguna relación con hombres de ciencia, estableció los fundamentos de la obra de su vida, "completar la obra esencial de Abel y Jacobi partiendo del teorema de Abel y del descubrimiento de Jacobi de las funciones periódicas múltiples de varias variables".
Abel, observa Weierstrass, murió en la flor de su juventud, no teniendo la oportunidad de deducir las consecuencias de su extraordinario descubrimiento, y Jacobi no llegó a ver claramente que la verdadera significación de su propia obra debía ser buscada en el teorema de Abel. "La consolidación y ampliación de estas conquistas, la tarea de mostrar las funciones y descubrir sus propiedades, es uno de los problemas principales de la Matemática". Weierstrass declara así su intención de dedicar sus energías a este problema tan pronto como lo haya comprendido totalmente y disponga de los elementos necesarios. Más tarde se queja de la lentitud con que progresan sus estudios: "La elaboración de métodos y otros problemas difíciles ocupan mi tiempo. Los años pasan antes de que pueda llegar al problema principal obstaculizado como me encuentro por un medio desfavorable".
Toda la obra de Weierstrass en el Análisis puede ser considerada como un gran ataque a su problema principal. Resultados aislados, desarrollos especiales y hasta teorías de gran alcance, por ejemplo, la de los números irracionales, como él la desarrolló, se originaron en una fase u otra del problema central. Pronto quedó convencido de que para una clara comprensión de lo que él intentaba hacer era necesario una revisión radical de los conceptos fundamentales del Análisis matemático, y de esta convicción pasó a otra, quizá de mayor significación actual que el problema central: el Análisis debe ser fundado sobre los números enteros comunes 1, 2, 3,... Los irracionales que nos dan los conceptos de límite y continuidad, de los cuales el Análisis surge, deben ser referidos por un razonamiento irrefutable a los números enteros; las falsas pruebas deben ser eliminadas o reformadas, las lagunas deben ser llenadas, y los "axiomas" oscuros deben ser llevados a la luz del estudio crítico, hasta que todos sean comprendidos y expuestos en el lenguaje comprensible de los números enteros. Este es en cierto sentido el sueño pitagórico de basar toda la Matemática sobre los números enteros, pero Weierstrass dio al programa un carácter constructivo definido y realizó la labor.
Se originó así el movimiento del siglo XIX llamado la aritmetización del Análisis, algo muy diferente del programa aritmético de Kronecker, del cual nos ocuparemos en un capítulo posterior; en efecto, las dos formas de abordar la cuestión son recíprocamente antagonistas.
De pasada puede señalarse que el plan de Weierstrass para su investigación más importante y el magnífico cumplimiento de la mayor parte de las cosas que se había propuesto cuando era joven, constituye un buen ejemplo del valor del consejo que Félix Klein dio una vez a un discípulo que deseaba conocer el secreto del descubrimiento matemático. "Debéis tener un problema, replicó Klein, elegir un objetivo definido y marchar directamente hacia él. Jamás alcanzaréis la meta, pero encontraréis algunas cosas de interés en el camino".
Desde Deutsch-Krone, Weierstrass fue trasladado a Braunsberg, donde enseñó en el Real Instituto Católico durante seis años, a partir de 1848. El "programa" escolar de 1848-49, contiene un trabajo de Weierstrass que debe haber asombrado a los maestros locales: Contribuciones a la teoría de las integrales abelianas. Si este trabajo hubiera caído en las manos de alguno de los matemáticos profesionales de Alemania, la suerte de Weierstrass habría cambiado. Pero, como hace notar su biógrafo sueco Mittag-Leffier, no hay que buscar trabajos que marquen una época en la Matemática pura en los programas de los institutos secundarios. Weierstrass hubiera podido emplear las hojas de su trabajo para encender la pipa.
Su siguiente esfuerzo tuvo mejor suerte. Las vacaciones del verano de 1853, (Weierstrass tenía entonces 38 años) transcurrieron en la casa de su padre, en Westernkotten. Weierstrass aprovechó las vacaciones para escribir una memoria sobre las funciones abelianas. Terminada la obra la envió al gran Journal de Crelle, donde fue aceptada, apareciendo en el volumen 47 (1854).
Quizá sea éste el trabajo cuya elaboración fue la causa de un gracioso incidente en las primeras horas de una mañana en que el Director del Instituto quedó sorprendido por un terrible alboroto que procedía de una clase donde en aquel momento debería hallarse Weierstrass. Pero pronto descubrió que éste no se encontraba allí. Se apresuró a visitar al maestro, y rápidamente le fue franqueada la entrada. Allí estaba sentado Weierstrass, meditando a la luz de la lámpara, corridas aún las cortinas de la habitación. Había trabajado toda la noche y no se había dado cuenta de que había amanecido. El director llamó su atención al hecho de que ya era pleno día, y le informó del tumulto que tenía lugar en su clase. Weierstrass replicó que estaba siguiendo la huella de un importante descubrimiento, que despertaría gran interés en el mundo científico, y que no le era posible interrumpir su labor.
La memoria sobre las funciones abelianas, publicadas en el Journal de Crelle (1854) produjo gran sensación. Era una obra maestra salida de la pluma del desconocido profesor de un oscuro pueblo, y del que nadie en Berlín había oído hablar. ¡Era asombroso! Pero por muy sorprendente que fuera la magnitud de la obra, todavía más sorprendente era el hecho de que el trabajador solitario no hubiera publicado trabajos previos que anunciaran sus progresos parciales, y que con una admirable modestia hubiera sabido callar hasta que la obra quedase terminada.
Escribiendo a un amigo, diez años más tarde, Weierstrass hace una prudente explicación de su reserva científica: “... la infinita vacuidad y aburrimiento de aquellos años [como maestro secundario] hubieran sido intolerables sin el arduo trabajo que me hizo un recluso, hasta cuando era considerado como un alegre compañero por el círculo de amigos entre los junkers, abogados, y oficiales jóvenes de la comunidad... El presente no ofrecía nada digno de mencionar, y no era mi costumbre hablar del futuro".
El reconocimiento de su personalidad fue inmediato. En la Universidad de Königsberg, donde Jacobi había hecho sus grandes descubrimientos en el campo en que ahora penetraba Weierstrass con una obra maestra insuperable, Richelot, un digno sucesor de Jacobi en la teoría de funciones periódicas múltiples, era profesor de Matemática. Sus ojos expertos vieron inmediatamente lo que Weierstrass había realizado. Inmediatamente consiguió que su Universidad le concediera el grado de Doctor honoris causa, y él mismo se trasladó a Braunsberg para entregar el diploma.
En el banquete organizado por el Director del Instituto en honor de Weierstrass, Richelot afirmó que "todos hemos encontrado nuestro maestro en Weierstrass". El Ministro de Educación le ascendió inmediatamente, concediéndole un permiso de un año para proseguir sus trabajos científicos. Borchardt, el editor del Journal de Crelle en aquella época, se apresuró a marchar a Braunsberg para felicitar al más famoso analista del mundo, iniciándose así una cálida amistad que duró hasta la muerte de Borchardt, ocurrida 25 años más tarde.
Weierstrass no perdió la cabeza. Aunque profundamente emocionado y hondamente agradecido al generoso reconocimiento que rápidamente le habían acordado, no podía prescindir de lanzar una ojeada retrospectiva sobre su carrera. Años más tarde, pensando en la felicidad de la ocasión y en que esa ocasión se había producido para él cuando tenía cuarenta años, decía tristemente: "¡todas las cosas en la vida llegan demasiado tarde!".
Weierstrass no volvió a Braunsberg. No existiendo en aquel momento ningún cargo adecuado para él, los matemáticos alemanes, haciendo frente al caso, consiguieron que Weierstrass fuera nombrado profesor de Matemática en la Real Escuela Politécnica de Berlín.
La excitación producida por las nuevas condiciones de trabajo y el esfuerzo que suponía el desenvolvimiento de los numerosos cursos dieron lugar a un derrumbamiento nervioso. Weierstrass también había trabajado excesivamente en sus investigaciones. En el verano de 1859 se vio forzado a abandonar sus lecciones y a someterse a una cura de reposo. Mejorado, continuó su trabajo, pero en el mes de marzo siguiente fue repentinamente atacado por accesos de vértigo, y sufrió un colapso mientras pronunciaba una conferencia.
Durante el resto de su vida padeció esos mismos trastornos, y al reanudar su labor como profesor ordinario, con un trabajo mucho menor, jamás confió en sí mismo para escribir las fórmulas en la pizarra. Tenía la costumbre de sentarse donde podía ver al mismo tiempo a los oyentes y la pizarra, y dictaba a algún discípulo lo que debía escribir. Uno de estos intérpretes del maestro tenía una marcada propensión a modificar lo que el profesor dictaba. Weierstrass se levantaba, y borraba las fórmulas, haciéndole escribir lo que él quería. Algunas veces la batalla entre el profesor y el obstinado alumno se prolongaba varios rounds, pero finalmente Weierstrass ganaba. En todas las ocasiones el maestro creía hallarse ante sus antiguos y traviesos alumnos.
Como la fama de su obra se extendió por Europa (y más tarde por América), las clases de Weierstrass comenzaron a poblarse en tal grado que el profesor se lamentaba algunas veces de que la calidad de sus oyentes se hallaba muy por debajo de la cantidad. De todos modos, reunió alrededor de él cierto número de jóvenes matemáticos muy capaces, dedicados absolutamente a difundir sus ideas, pues Weierstrass, seguía siempre con su costumbre de ser lento en la publicación. Si no hubiera sido por la difusión de sus conferencias que sus discípulos recogían, su influencia sobre el pensamiento matemático del siglo XIX se habría demorado considerablemente.
Weierstrass fue siempre accesible a sus discípulos, y se interesaba sinceramente en sus problemas, matemáticos o humanos. En él no había nada del complejo del "gran hombre", y prefería volver a su hogar en compañía de sus discípulos, que eran muchos, a ser acompañado por los más famosos de sus colegas, especialmente si el colega era Kronecker. Se sentía feliz sentado ante la mesa con un vaso de cerveza, en amable sociedad con algunos de sus devotos discípulos, insistiendo en pagar el importe de las libaciones como un jovial estudiante.
Una anécdota (de Mittag-Leffler), muestra que la Europa actual ha perdido en parte algo que la caracterizaba en el año 1870. La guerra. francoprusiana (1870 - 1871) dejó en Francia un sentimiento de rencor hacia Alemania, pero este rencor no llegaba al espíritu de los matemáticos, que reconocían los méritos de sus compañeros cualquiera fuera u nacionalidad. Lo mismo puede decirse de las guerras napoleónicas y de la mutua estimación de los matemáticos franceses e ingleses. En 1873 Mittag-Leffler llegó a París, desde Estocolmo, lleno de entusiasma, para estudiar análisis con Hermite. "Estáis equivocado, señor, le dijo Hermite, debéis seguir el curso de Weierstrass en Berlín. Es el maestro e todos nosotros".
Mittag-Leffler siguió el consejo del magnánimo francés, y no tardó mucho en hacer un capital descubrimiento, que puede leerse actualmente en todos los libros sobre la teoría de funciones. "Hermite era francés y un patriota, observa Mittag-Leffler; aprendí al mismo tiempo en qué grado era también un matemático".
Los años (1864 - 1897) de la carrera de Weierstrass en Berlín, como profesor de Matemática, tiene gran interés científico y humano por lo que se refiere al hombre que era reconocido como el mejor analista del mundo. Una parte de estos sucesos exige una referencia más detenida la que podría corresponder a una biografía puramente científica de Weierstrass: su amistad con su discípula favorita Sonja (o Sofía) Kowalewski, cuyo nombre de soltera era Sonja Corvin-Kroukowsky. Había nacido en Moscú, Rusia, el 15 de febrero de 1850 y murió en Estocolmo, Suecia, el 10 de febrero de 1890, seis años antes de la muerte de Weierstrass.
Teniendo 15 años, Sonja comenzó el estudio de la matemática, y al llegar a los 18 había hecho tan rápidos progresos que ya estaba preparada con gran entusiasmo para estudios superiores. Como procedía de una familia aristocrática y rica pudo satisfacer su ambición de estudiar en el extranjero; y se matriculó en la Universidad de Heidelberg.
Esta joven, de extraordinario talento, no sólo fue la mujer matemática más conocida de los tiempos modernos, sino que también consiguió una reputación como directora del movimiento para la emancipación de las mujeres, particularmente por lo que se refiere a su supuesta incapacidad en el campo de la educación superior.
Además fue una brillante escritora. Siendo muchacha dudó largo tiempo entre la matemática y la literatura. Después de haber compuesto su trabajo matemático más importante (la memoria premiada a que luego nos referiremos), se dirigió a la literatura como un descanso, y escribió los recuerdos de su infancia en Rusia en forma de novela (publicada primeramente en sueco y en danés). De esta obra se dice que "la crítica literaria de Rusia y de los países escandinavos fue unánime al declarar que Sonja Kowalewski estaba a igual altura, en estilo y pensamiento, que los mejores escritores de la literatura rusa". Por desgracia, esta triunfal iniciación fue truncada por su muerte prematura, y tan sólo han sido recogidos fragmentos de otras obras literarias. Su única novela fue traducida a muchos idiomas.
Aunque Weierstrass nunca se casó, no era un empedernido solterón que ponía pies en polvorosa cuando veía acercarse a una bella mujer. Sonja, a juzgar por lo que se dice de ella, era extraordinariamente hermosa. Debemos narrar, en primer término, cómo llegaron a encontrarse Sonja y Weierstrass.
Weierstrass solía aprovechar las vacaciones de verano en una forma muy humana. La guerra francoprusiana fue causa de que tuviera que prescindir de su viaje de verano en 1870, y permaneció en Berlín pronunciando conferencias sobre las funciones elípticas. Debido a la guerra, su clase estaba constituida por 20 discípulos, en lugar de los 50 que solían asistir a sus lecciones dos años antes. Desde el otoño de 1869, Sonja Kowalewski, entonces una muchacha deslumbrante de 19 años, estaba estudiando funciones elípticas con Leo Königsberger en la Universidad de Heidelberg. Allí seguía además las conferencias sobre física de Kirchhoff y Helmholtz y conoció también a Bunsen, el famoso químico, en las graciosas circunstancias que más tarde recordaremos. Königsberger, uno de los primeros discípulos de Weierstrass, era un ferviente devoto de su maestro. Sonja se contagió de su entusiasmo, y resolvió dirigirse directamente a Weierstrass para seguir sus inspiraciones.
La situación de las estudiantes solteras en el año 1870 era algo anómala, y empezaremos por recordar que Sonja, cuando tenía 18 años, había contraído un verdadero matrimonio nominal, habiendo dejado a su marido en Rusia, mientras ella se dirigió a Alemania. Por parecerle una cuestión sin importancia, no se había cuidado de informar a Weierstrass, al principio, de que estaba casada.
Decidida a seguir las lecciones del maestro, Sonja reunió valor y visitó a Weierstrass en Berlín. Ella tenía 20 años y era muy trabajadora, muy seria y muy resuelta; él tenía 55, y no olvidaba a Gudermann, a quien debía lo que era, que le había enseñado con el ejemplo a sentir una simpática comprensión para las ambiciones de la gente joven. Para disimular su azoramiento, Sonja llevaba un gran sombrero, que casi le tapaba el rostro, "por tanto, Weierstrass no llegó a ver aquellos maravillosos ojos, a cuya elocuencia, cuando ella lo deseaba, nadie podía resistir".
Dos o tres años más tarde, visitando Heidelberg, Weierstrass supo de labios de Bunsen, un terrible solterón, que Sonja era "una mujer peligrosa". Weierstrass se divirtió mucho del terrible terror de su amigo, pues Bunsen no sabía que Sonja había recibido frecuentes lecciones privadas de Weierstrass durante dos años.
El pobre Bunsen basaba su opinión respecto a Sonja en una amarga experiencia personal. Durante años había proclamado que a ninguna mujer, y especialmente a ninguna mujer rusa, le sería permitido profanar la santidad masculina de su laboratorio. Una de las amigas rusas de Sonja deseaba ardientemente estudiar química en el laboratorio de Bunsen, y al no haber sido admitida se dirigió a Sonja, para que ensayara su capacidad de persuasión sobre el áspero químico. Dejando el sombrero en su casa, Sonja visitó a Bunsen. El químico no pudo resistir los encantos de Sonja y aceptó a su amiga para que trabajara en su laboratorio. Después de terminar la entrevista se dio cuenta de lo que había hecho, y Bunsen se lamentaba diciendo: "Ahora esa mujer me ha hecho comer mis propias palabras".
La evidente seriedad de Sonja en su primera visita impresionó favorablemente a Weierstrass, quien inmediatamente escribió a Königsberger preguntándole acerca de sus aptitudes matemáticas. El maestro indagaba también si "la personalidad de la dama ofrecía las necesarias garantías". Habiendo recibido una contestación llena de entusiasmo, Weierstrass intentó obtener de la Comisión Directiva de la Universidad que admitiese a Sonja a sus conferencias matemáticas. Al ser bruscamente rechazada la petición decidió dedicar a la joven sus horas libres. Todos los domingos por la tarde Sonja visitaba al maestro, y una vez por semana Weierstrass devolvía su visita. Después de algunas lecciones, Sonja abandonó su sombrero. Las lecciones comenzaron en el otoño de, 1870 y continuaron, con ligeras interrupciones debidas a vacaciones y enfermedades, hasta el otoño de 1874. Cuando por alguna razón los amigos no podían reunirse, mantenían correspondencia. Después de la muerte de Sonja en 1891, Weierstrass quemó todas las cartas de ella, junto con otra correspondencia, y probablemente con algún trabajo matemático.
La correspondencia entre Weierstrass y su encantadora amiga es cálidamente humana, hasta cuando las cartas se refieren especialmente a la Matemática. Gran parte de esa correspondencia tenía, sin duda, considerable importancia científica, pero desgraciadamente Sonja era una mujer poco ordenada, y muchos de los documentos encontrados después de su muerte eran trabajos fragmentarios en terrible confusión.
El mismo Weierstrass no admitía parangón a este respecto. Sin conservar copias, prestaba sus manuscritos inéditos a los discípulos, que no siempre los devolvían. Algunos llegaron a apropiarse indebidamente investigaciones del maestro, publicando los resultados como propios. Aunque Weierstrass se queja de esta condenable práctica en las cartas a Sonja, su lamentación se refiere más al hecho de que sus trabajos cayeran en manos incompetentes, con el consecuente daño para la Matemática, que al hecho de que le fueran arrebatadas sus ideas. Sonja, como es natural, jamás hizo nada parecido, pero en otro respecto tampoco está libre de culpa. Weierstrass le envió uno de sus trabajos inéditos, entre los muchos que tenía, y no volvió a verlo. Parece que la joven lo perdió, pues discretamente trata de eludir la cuestión siempre que el maestro se refiere a ella.
Para compensar esta falta, Sonja hizo cuanto pudo para que Weierstrass tomara razonables precauciones respecto al resto de su obra no publicada. Weierstrass tenía la costumbre de transportar en sus frecuentes viajes una gran caja de madera blanca donde encerraba todas sus anotaciones, y los diversos apuntes referentes a trabajos que aun no había terminado. Era su hábito modificar las teorías muchas veces hasta que encontraba la forma mejor, la forma natural de desenvolverlas. En consecuencia publicaba con lentitud, y tan sólo ponía su firma bajo el trabajo cuando había agotado el tema desde todos los puntos de vista. Varios de sus proyectos en embrión estaban guardados, en la misteriosa caja. En 1880, mientras Weierstrass realizaba un viaje de vacaciones, perdió la caja, y jamás volvió a oír hablar de ella.
Después de obtenido su título in absentia, Sonja volvió a Rusia, desde Göttingen en 1874, para descansar del exceso de trabajo. Su fama la precedió y su reposo consistió en entregarse a las vanidades de una vida social en San Petersburgo, mientras Weierstrass, que permanecía en Berlín, intentaba por toda Europa buscar a su discípula favorita una posición digna de su talento. Sus esfuerzos inútiles le enemistaron con muchos de los estrechos talentos académicos ortodoxos.
En octubre de 1875, Weierstrass recibió de Sonja la noticia de que su padre había muerto; pero parece que ella jamás contestó a su conmovida condolencia, y durante casi tres años no tuvo la menor noticia de su vida. En agosto de 1878, Weierstrass volvió a escribir a su antigua discípula preguntándole si había recibido una carta escrita hacía tanto tiempo que había olvidado la fecha. "¿No recibisteis mi carta? ¿Qué puede impediros confiar libremente en mí, vuestro mejor amigo, como solíais llamarme, y según acostumbrabais a hacer? Es un enigma cuya solución ninguna otra persona puede darme...
En la misma carta Weierstrass le pide patéticamente que niegue el rumor de que ha abandonado la Matemática. Chebycheff, un matemático ruso, visitó a Weierstrass cuando éste se hallaba ausente, pero le comunicó a Borchardt que Sonja se "había entregado a la vida social", y así había ocurrido en efecto. "Dirija su carta a Berlín, a la, antigua dirección, concluye Weierstrass, será un regalo para mí".
La ingratitud del hombre para el hombre es un tema bastante conocido; Sonja demostró ahora que una mujer puede hacer lo mismo cuando quiere. No respondió a la carta de su viejo amigo, aunque sabía que ello le disgustaba y que su salud era precaria.
La respuesta, cuando llegó, fue todavía peor. Sonja se acordó que era mujer, y consideró como la mejor de sus ambiciones vivir felizmente con su marido. Desgraciadamente para ella fue el foco de una admiración aduladora y torpe de una serie de artistas, periodistas y supuestos literatos superficialmente brillantes, que ensalzaban sin cesar su insuperable genio. Si hubiera frecuentado la sociedad de intelectuales que le correspondía, habría continuado una vida normal y mantenido su entusiasmo. Además, no habría tratado al hombre que moldeó su talento del modo indigno en que lo hizo.
En octubre de 1878 nació "Foufie", la hija de Sonja.
El forzado reposo después de la llegada de Foufie hizo revivir el interés matemático de la madre, y entonces escribió a Weierstrass para, lograr sus consejos. Weierstrass contestó que debía repasar la bibliografía más importante antes de aventurar una opinión. Aunque ella le había despreciado, seguía dispuesto a alentaría en lo que pudiera. Su única lamentación (en una carta de octubre de 1880) es que su largo, silencio le había privado de la oportunidad de ayudarla. "No me gusta, hablar demasiado del pasado cuando tenemos el futuro ante nuestros ojos".
Tribulaciones materiales llevaron a Sonja al camino de la verdad. Habiendo nacido matemática no podía alejarse de la Matemática, lo mismo que los patos no pueden alejarse del agua. Por tanto, en octubre de 1880 (cuando tenía 30 años) volvió a escribir a Weierstrass solicitando nuevamente consejo. No tuvo paciencia para esperar la contestación, y se trasladó inmediatamente desde Moscú a Berlín. De haber recibido la respuesta quizá hubiera permanecido donde estaba. De todos modos, cuando la aturdida Sonja llegó inesperadamente, Weierstrass, le dedicó todo un día para resolver sus dificultades. La charla debió ser larga y provechosa, pues cuando volvió a Moscú, tres meses más tarde, se dedicó a la Matemática con tal furia que sus alegres amigos y necios parásitos no la reconocían. Por consejo de Weierstrass abordó el problema de la propagación de la luz en un medio cristalino.
En 1882 la correspondencia sigue dos nuevos rumbos, uno de los cuales tiene interés matemático. El otro es la franca opinión de Weierstrass de que Sonja y su marido no han nacido el uno para el otro, especialmente debido a que el marido no aprecia los méritos intelectuales de ella. El punto matemático se refiere a Poincaré, que se hallaba al comienzo de su carrera. Con su instinto seguro para reconocer los talentos jóvenes, Weierstrass considera a Poincaré como un hombre del futuro, y espera que llegue a curarse de su propensión a publicar con demasiada rapidez y que sepa aguardar a que sus investigaciones maduren sin que se difundan en un campo demasiado amplio. "Publicar un artículo de verdadero mérito todas las semanas es imposible", decía Weierstrass refiriéndose al diluvio de trabajos de Poincaré.
Las dificultades domésticas de Sonja se resolvieron con la muerte repentina de su marido, en marzo de 1883. En aquella época Sonja estaba en París y él en Moscú. La conmoción la dejó postrada. Durante cuatro días permaneció sola, rechazando el alimento, pero al sexto día pidió papel y lápiz, y comenzó a escribir fórmulas matemáticas. Hacia el otoño ya se hallaba repuesta, y asistió a un congreso científico en Odesa.
Gracias a Mittag-Leffler, Sonja Kowalewski obtuvo al fin la posición ambicionada. En otoño de 1884 pronunció conferencias en la Universidad de Estocolmo, donde fue nombrada más tarde (1889) profesora. Poco después tuvo una contrariedad desconcertante cuando el matemático italiano Vito Volterra señaló un grave error en su obra sobre la refracción de la luz en un medio cristalino. Este error había escapado a Weierstrass, quien por entonces estaba tan sobrecargado de trabajo con sus deberes oficiales, que, aparte de ellos, "tan sólo tenía tiempo para comer, beber y dormir". Weierstrass decía: "Padezco lo que los doctores llaman agotamiento del cerebro". Tenía por entonces cerca de 70 años, pero aunque sus males físicos aumentaban, su capacidad intelectual permanecía tan poderosa como siempre.
Al cumplir el maestro los setenta años, le fueron rendidos honores públicos, acudiendo sus discípulos nuevos y viejos de todas las partes de Europa. Más tarde, sus conferencias fueron cada vez más escasas, pero durante 10 años recibió a algunos de sus discípulos en su propia casa. Cuando veían que estaba fatigado, daban de lado la Matemática y hablaban de otras cosas, o escuchaban las palabras del sociable anciano recordando sus travesuras de estudiante y los tristes años de su aislamiento. Sus ochenta años fueron celebrados con una ceremonia aun más impresionante, pues Weierstrass llegó a ser, en cierto grado, un héroe nacional del pueblo alemán.
Una de las mayores alegrías que tuvo Weierstrass en sus últimos años fue al saber que su discípula favorita había recibido el premio que merecía. En las Navidades de 1888 le fue entregado a Sonja personalmente el premio Bordin de la Academia Francesa de Ciencias, por su memoria: Sobre la rotación de un cuerpo sólido alrededor de un punto fijo.
Como es costumbre en tales premios la memoria debía ser presentada anónimamente (el nombre del autor era enviado en sobre cerrado, llevando fuera el mismo lema inscripto en la memoria, y el sobre únicamente se abría cuando se trataba de la obra que había obtenido el premio), de modo que los celosos rivales no tenían la oportunidad de insinuar que el premio se había logrado por influencias. En opinión de los jueces el trabajo tenía un mérito tan excepcional que se aumentó la cuantía del premio desde 3.000 francos a 5.000. El valor monetario era, sin embargo, lo menos importante del premio.
Weierstrass no cabía de gozo. "No necesito deciros, escribía, hasta qué punto sus triunfos han alegrado mi corazón y los de mis hermanas, así como el de sus amigos. Yo particularmente he experimentado una verdadera satisfacción. Jueces competentes han dictado su veredicto de que mi fiel discípula, mi “punto débil”, no es una “frívola tramposa”.
Dejemos a los amigos en su momento de triunfo. Dos años más tarde (10 de febrero de 1891) murió Sonja en Estocolmo, teniendo 41 años, después de un breve ataque de gripe, que en aquella época era epidémica. Weierstrass la sobrevivió seis años, muriendo pacíficamente, cuando tenía 82 años, el 19 de febrero de 1897, en su casa de Berlín después de una larga enfermedad complicada con gripe. Su último deseo fue que el sacerdote no pronunciara alabanza alguna durante los funerales, y que se limitara a los rezos habituales.
Sonja está enterrada en Estocolmo; Weierstrass, con sus dos hermanas, en un cementerio católico de Berlín. Sonja pertenecía también a la fe católica, a la Iglesia cristiana.
Haremos una alusión a dos de las ideas básicas sobre las que Weierstrass fundó su obra en Análisis. Los detalles o una explicación exacta estarían fuera de lugar aquí, y pueden encontrarse en los primeros capítulos de cualquier libro que trate de la teoría de funciones. Una serie de potencias es una expresión de la forma
a 0 + a 1 z + a 2 z 2 +... + a n z n
en la cual los coeficientes a 0 , a 1 , a 2 ,..., a n ... son números y z una variable; los números correspondientes pueden ser reales o complejos.Las sumas de 1, 2, 3,... términos de la serie, o sea a 0 , a 0 + a 1 z , a 0 + a 1 z + a 2 z,... se llaman sumas parciales. Si para algún valor particular de z esas sumas parciales dan una sucesión de números que convergen hacia un límite definido, se dice que la serie de potencias convergen hacia el mismo límite para ese valor de z .
Todos los valores de z para los cuales las series de potencias convergen hacia un límite constituyen el campo de convergencia de las series; para cualquier valor de la variable z en este campo las series convergen; para otros valores de z divergen.
Si las series convergen para algún valor de z , su valor se puede calcular con la aproximación que se quiera tomando un número suficientemente grande de términos.
Ahora bien, en la mayoría de los problemas matemáticos que tienen aplicaciones a la ciencia, la "respuesta" es indicada como la solución de una ecuación diferencial (o sistema de tales ecuaciones), y esta solución sólo rara vez se obtiene como una expresión finita de funciones matemáticas reunidas en tablas (por ejemplo logaritmos, funciones trigonométricas, funciones elípticas, etc.). En tales problemas es necesario hacer dos cosas: demostrar que la serie converge; si así ocurre, calcular su valor numérico con la aproximación requerido.
Si la serie no converge es de ordinario un signo de que el problema ha sido incorrectamente planteado o erróneamente resuelto. Las numerosas funciones que se presentan en Matemática pura son tratadas en la misma forma, lo mismo que tengan o no aplicaciones científicas, y, finalmente se ha elaborado una teoría general de la convergencia para explicar vastos campos de estas cuestiones, de modo que el examen individual de la serie particular muchas veces se refiere a investigaciones de mayor alcance ya realizadas.
Finalmente, todo ello (trátese de Matemática pura o aplicada) se extiende a series de potencias de 2, 3, 4... variables en lugar de la única variable z, como en el caso citado; por ejemplo
a + b 0 + b 1 w + c 0 z 2 + c 1 zw + c 2 w 2
Puede decirse que sin la teoría de las series de potencias la mayor parte de la física matemática (incluyendo gran parte de la astronomía y de la astrofísica), tal como la conocemos hoy, no existiría.Las dificultades que surgen con los conceptos de límite, continuidad y convergencia impulsaron a Weierstrass a la creación de su teoría de números irracionales.
Supongamos que extraemos la raíz cuadrada de 2, como se hace corrientemente, llevando el cálculo hasta un gran número de cifras decimales. Tendremos como aproximaciones sucesivas de la raíz cuadrada pedida la sucesión de números
1, 1.4, 1.41, 1.412,...
Con suficiente paciencia, procediendo mediante pasos bien definidos según la regla usual, podemos, si es necesario, mostrar el primer millar, o el primer millón, de los números racionales 1, 1.4,... que constituyen esta sucesión de aproximaciones. Examinando esta sucesión vemos que, cuando llegamos suficientemente lejos, tenemos un número racional perfectamente definido que contiene tantas cifras decimales como nos plazca (por ejemplo 1000, y que éste número racional difiere de cualquiera de los números racionales sucesivos de la sucesión en un número (decimal), tal como .000... 000..., en el cual se presenta un número correspondientemente grande de ceros antes de que aparezca otro dígito (1, 2,... 6 ó 9).Esto ilustra lo que se quiere significar por una sucesión convergente de números: los racionales 1, 1.4,... que constituyen la sucesión nos dan aproximaciones más exactas al "número irracional" que llamamos la raíz cuadrada de 2, y que concebimos como definido por la sucesión convergente de números racionales, admitiéndose esta definición en el sentido de que se ha indicado un método (el usual) de calcular cualquier término particular de la sucesión en un número finito de etapas.
Aunque es imposible, en realidad, mostrar la sucesión total, no deteniéndose en cualquier número finito de términos, consideramos, de todos modos, el proceso para construir cualquier número de la sucesión como una concepción suficientemente clara de la sucesión total con un objeto único definido, acerca del cual podemos razonar. Al hacer esto disponemos de un método para usar la raíz cuadrada de 2, y de modo análogo para cualquier número irracional, en el Análisis matemático.
Según se ha dicho, es imposible hacer esto de un modo preciso en un libro como el presente, pero, hasta en este caso, un cuidadoso examen permite descubrir alguna de las objeciones lógicas que pueden hacerse a la explicación precedente, objeciones que inspiraron a Kronecker y a otros autores para atacar la definición de los irracionales de Weierstrass por medio de sucesiones convergentes.
Estuvieran o no en lo cierto, Weierstrass y su escuela consiguieron resultados de la teoría. Los resultados más útiles logrados no han sido discutidos, al menos sobre la base de su gran utilidad en el Análisis matemático y sus aplicaciones, por ningún juez competente. Esto no significa que no puedan hacerse objeciones, y simplemente llamar la atención sobre el hecho de que en Matemática, como cualquier otra cosa, no debe confundirse esta tierra con el Reino de los Cielos, que la perfección es una quimera, y que, según las palabras de Crelle, sólo podemos esperar acercarnos cada vez más a la verdad matemática siempre que esto pueda ser, precisamente como en la teoría de Weierstrass de las sucesiones convergentes de números racionales que definen los irracionales.
Después de todo ¿por qué los matemáticos, que son seres humanos como el resto de los mortales, siempre serán tan pedantemente exactos y tan inhumanamente perfectos? Weierstrass dijo: "Cierto es que un matemático que no tiene también algo de poeta, jamás será un perfecto matemático". He aquí la respuesta: un matemático perfecto, por el mismo hecho de su perfección poética, será una imposibilidad matemática.
Capítulo 23
Independencia Completa
BOOLE
La Matemática pura fue descubierta por Boole
en una obra que tituló "Las Leyes del Pensamiento”.
Bertrand Russell
Esta no es la clase de anécdotas que los matemáticos gustan de contar de sí mismos, pero como ilustra admirablemente esa característica de los matemáticos ingleses, la originalidad insular, que ha sido la principal distinción de la escuela británica, constituye la introducción ideal a la vida y obra de uno de los matemáticos ingleses de más originalidad insular que Inglaterra ha producido, George Boole. El hecho es que los matemáticos británicos muchas veces han seguido serenamente su camino, haciendo lo que les interesaba personalmente, como si estuvieran entregados a una diversión, con un perfecto desprecia para lo que los demás consideran como de suprema importancia, afirmándolo así al mundo. Algunas veces, como en la prolongada idolatría, por los métodos de Newton, la indiferencia por las cuestiones del momento ha costado mucho a la escuela inglesa, pero a la larga, esa actitud de dicha escuela ha añadido más nuevos campos a la Matemática que si hubiera sido una servil imitación de los maestros continentales. La teoría de invariantes es un caso; la teoría del campo electrodinámico de Maxwell es otro.
Aunque la escuela inglesa haya participado en la ulterior elaboración de trabajos iniciados en otros países, su mayor contribución al progreso de la Matemática se ha basado en la originalidad. La obra de Boole es un notable ejemplo de esto. Al ser expuesta pasó inadvertida, salvo para algunos pocos de los compatriotas no ortodoxos de Boole, quienes reconocieron en ella el germen de algo de supremo interés para toda la Matemática.

George Boole
George Boole, como algunos de los otros precursores de la Matemática, procedía de los estratos económicos más bajos de la sociedad. Su destino aún era más duro. Nació el 2 de noviembre de 1815 en Lincoln, Inglaterra, siendo hijo de un modesto tendero. Si damos crédito a la explicación dada por los autores ingleses de aquellos días, el año 1815, el año de Waterloo, ser hijo de un comerciante modesto significaba en aquel tiempo quedar condenado al ostracismo.
Toda la clase social a la que el padre de Boole pertenecía era tratada con un desprecio aún mayor que el reservado para las fregonas y para los lacayos. Las "clases inferiores" en cuyo nivel Boole había nacido, simplemente no existían a los ojos de "las clases superiores", incluyendo entre éstas a los comerciantes más prósperos y a los prestamistas. Se consideraba como indiscutible que un niño del nivel social de Boole apenas podía aprender otra cosa que el catecismo, para evitar así que transgrediera los límites estrictos de la obediencia impuesta por la vanidad humana.
Decir que los primeros esfuerzos de Boole para educarse en un nivel superior a aquel en que "Dios había gustado colocarle", eran una sencilla imitación del Purgatorio no revela toda la verdad. Por un acto de la Divina Providencia, el gran espíritu de Boole había sido designado a la clase más modesta, y debía quedar en ella sin atender a sus propios juicios ambiciosos. Los americanos podrían recordar que Abraham Lincoln, tan sólo seis años mayor que Boole, luchó aproximadamente en la misma época. Pero Lincoln no fue despreciado, sino alentado.
Las escuelas donde recibían la enseñanza los que habían de ser grandes caballeros, donde realizaban su aprendizaje para desempeñar los papeles directivos en los sistemas del trabajo a destajo o en las minas de carbón que comenzaban a ser explotadas, no eran apropiadas para criaturas como George Boole. No; su National School estaba dirigido principalmente hacia el fin de mantener a los pobres en el lugar que les correspondía.
Un aprendizaje superficial de latín, y todavía más superficial de griego, era uno de los místicos signos de nobleza en aquellos incomprensibles días de la revolución industrial. Aunque pocos eran los muchachos que aprendían el latín necesario para poder traducir, su supuesto conocimiento de su gramática constituía una de las características de la nobleza, y su sintaxis, aprendida de memoria, era considerada como la disciplina mental de mayor utilidad para preparar a los propietarios, y para que éstos conservaran la propiedad.
Como es natural, no se enseñaba latín en la escuela a la que Boole podía asistir. Incurriendo en el error señalado acerca de en qué consistía la superioridad de las clases acomodadas para gobernar a la que estaba por debajo en la escala de la riqueza, Boole decidió aprender latín y griego para poder escalar una posición social. Esta fue una equivocación de Boole. El latín, y el griego nada tenían que ver con la causa de sus dificultades. Aprendió latín por sí mismo, con el aliento que su pobre padre le prestaba. Aunque el modesto comerciante sabía que él ya no podría escapar, quería abrir el camino para su hijo. El padre de Boole no sabía latín. El muchacho recurrió a otro comerciante, un librero amigo de su padre. Este buen hombre sólo pudo dar al muchacho un breve curso de gramática elemental. Después de ello, Boole tuvo que seguir sus estudios por sí solo. Quien haya visto a un buen maestro luchando por enseñar latín a un niño normal de ocho años, se dará, cuenta de lo que Boole sin tutela alguna quería realizar. Teniendo doce años aprendió el latín suficiente para traducir en versos ingleses una oda de Horacio. Su padre lleno de orgullo, aunque no comprendiera los méritos técnicos de la traducción, consiguió que se imprimiera en un diario local. Esto dio lugar a una reyerta entre los eruditos, de los cuales unos elogiaban a Boole y otros le humillaban.
Un maestro de lenguas clásicas negó que un muchacho de 12 años pudiera haber realizado la traducción. Sin embargo, los muchachos de 12 años saben muchas más cosas que lo que sus olvidadizos padres suponen. Por lo que se refiere a la parte técnica se señaló que presentaba grandes defectos. Boole estaba humillado, y resolvió corregir las deficiencias de su autoinstrucción. También aprendió por sí mismo el griego. Decidido a ser algo, o a no ser nada, empleó los dos años siguientes en estudiar el latín y el griego sin ayuda alguna. El efecto de este esfuerzo se aprecia fácilmente en la altisonancia y en los marcados latinismos que se observan en la prosa de Boole.
Boole recibió su primera instrucción matemática de su padre, quien gracias a sus esfuerzos privados había aprendido mucho más de lo que le enseñaron en la escuela. El padre intentó también interesarle en otra de sus habilidades, la de construir instrumentos ópticos, pero Boole, inclinándose ante sus ambiciones, seguía creyendo que los clásicos eran la clave para lograr puestos dominantes. Después de terminar sus estudios escolares comunes siguió un curso comercial. Esta vez su diagnóstico era más exacto, pero poca ayuda habría de prestarle esos desvelos. Teniendo 16 años se vio ante la necesidad de contribuir inmediatamente al mantenimiento de sus padres enfermos. La enseñanza escolar le ofrecía la oportunidad más directa de obtener un jornal, en los días de Boole los "conserjes", según se llamaba a los maestros ayudantes, no recibían salarios, sino jornales. Entre salarios y jornales existe algo más que una diferencia monetaria. Podía haber sido en esta época cuando el inmortal Squeers, en el Nicholas Nickleby de Dickens, realizase su importante pero inapreciada contribución a la pedagogía moderna en Dotheboys Hall con su brillante anticipación del método “proyecto". El joven Boole podía haber sido uno de los conserjes de Squeers; enseñó en dos escuelas.
Boole pasó cuatro años, más o menos felices, enseñando en estas escuelas elementales. Las frías noches, al menos, cuando los discípulos se retiraban a descansar, podrían ser dedicadas a su labor. Seguía aún un camino equivocado. Su tercer diagnóstico acerca de la incapacidad social fue similar al segundo, pero suponía un considerable progreso con respecto a los dos primeros. Careciendo de dinero prácticamente todo lo que el joven ganaba apenas servía para subvenir a las necesidades más sencillas de sus padres, Boole pasó revista a las diferentes profesiones. En aquel tiempo el ejército se hallaba fuera de sus medios. La abogacía suponía requisitos financieros y de educación que no tenía probabilidad de satisfacer. La enseñanza en la esfera donde él se movía no era una profesión de reputación. ¿Qué quedaba? Tan sólo la iglesia, y Boole resolvió ser sacerdote.
A pesar de todo lo que se haya dicho en favor y en contra de Dios, debe admitirse, hasta por sus más severos críticos, que tiene cierto sentido del humor. Dándose cuenta de que era ridículo que Boole fuera sacerdote, torció hábilmente las ambiciones del joven hacia direcciones menos absurdas. La máxima pobreza de los padres de Boole dio lugar a que éstos solicitaran de su hijo que abandonara todos sus pensamientos de ser una eminencia eclesiástica. Pero sus cuatro años de preparación privada (y rígida privación) para la carrera que planeaba, no se perdieron totalmente; aprendió el francés, el alemán y el italiano, que le iban a ser indispensables en su verdadero camino.
Al fin se encontró a sí mismo. La primera instrucción que le diera su padre, produjo ahora fruto. Teniendo 20 años, Boole abrió una escuela para preparar alumnos y enseñarles Matemática como debía ser enseñada. Su interés despertó. Pronto los ordinarios y execrables manuales que le producían admiración, provocarían su desprecio. ¿Sería esto, por ventura, la Matemática? Increíble. ¿Qué dirían los grandes maestros de la Matemática? Igual que Abel y Galois, Boole se dirigió directamente a las grandes figuras. Debemos recordar que su conocimiento matemático no iba más allá de los rudimentos. Para formarnos una idea de su capacidad mental, podemos imaginar a este estudiante solitario de veinte años leyendo, sin necesidad de ayuda, la Mécanique celeste de Laplace, una de las obras maestras más difíciles de asimilar para un estudioso consciente, pues el razonamiento matemático está lleno de lagunas y de declaraciones enigmáticas, como la de "es fácil ver". Recordaremos, además, que Boole hizo un completo y comprensivo estudio de la obra excesivamente abstracta Mécanique analytique de Lagrange, donde no hay una sola figura desde el principio al fin para aclarar el análisis. Sin embargo, Boole, por sí mismo, siguió su camino y vio lo que debía hacer. También en su primera contribución a la Matemática sus esfuerzos carecieron de guía. Se trataba de un trabajo sobre el cálculo de variaciones.
Otra conquista que Boole realizó en todo este solitario estudio merece párrafo aparte. Descubrió los invariantes. La significación de este gran descubrimiento, que Cayley y Sylvester habrían de desarrollar en gran escala, ha sido suficientemente explicado; aquí repetiremos que sin la teoría matemática de la invariabilidad (que se deriva de los primer trabajos algebraicos), la teoría de la relatividad hubiera sido imposible Así, en el umbral de su carrera científica, Boole se dio cuenta del terreno que pisaba, cosa que Lagrange no pudo ver, y encontró lo que iba a ser una gema de primera agua, Boole vio lo que para otros había pasado inadvertido gracias a su fuerte sensibilidad para la simetría y la belleza de las relaciones algebraicas, cuando, como es natural, son simétricas y bellas, cosa que no siempre ocurre. Otros podían haber creído que se trataba de una cosa sin importancia, pero Boole reconoció que era algo de un orden superior.
Las oportunidades para las publicaciones matemáticas en los días de Boole no eran fáciles, a no ser que el autor fuera miembro de alguna sociedad docta, con una revista a su disposición. Por fortuna para Boole The Cambridge Mathematical Journal , bajo la capaz dirección del matemático escocés D.F. Gregory, había sido fundado en 1837. Boole envió su obra. Su originalidad y estilo impresionaron favorablemente a Gregory, y una correspondencia matemática cordial inició la amistad que iba a durar toda la vida de Boole.
Nos llevaría demasiado lejos exponer aquí la gran contribución que la escuela inglesa estaba haciendo en aquella época para la comprensión del Álgebra como Álgebra, es decir como el desarrollo abstracto de las consecuencias de una serie de postulados, sin una interpretación o aplicación obligada a “números" o a cualquier otra cosa, pero puede mencionarse que la concepción moderna del Álgebra comenzó con los “reformadores" británicos Peacock, Herschell, De Morgan, Babbage, Gregory y Boole. Lo que era una novedad algo herética cuando Peacock publicó su tratado de Álgebra en 1830, es actualmente un lugar común en cualquier manual seriamente escrito. De una vez para todas Peacock destruyó la superstición de que x, y,... en relaciones como
x + y = y + x,
xy = yx
x(y + z) = xy + xz
y así sucesivamente, tal como las encontramos en Álgebra elemental, "representan necesariamente números". No es así, y esto es una de las cosas más esenciales del Álgebra, y la fuente de su importancia en las aplicaciones. Las letras x, y, z, ... son simplemente símbolos arbitrarios que se combinan de acuerdo con ciertas operaciones, una de las cuales se simboliza por + y otra por ´ (o simplemente como xy en lugar de x ´ y), de acuerdo con postulados establecidos al comienzo, como en los casos x + y = y + x
Sin este conocimiento de que el Álgebra no es por sí misma otra cosa, que un sistema abstracto, esta ciencia todavía estaría en el fango aritmético del siglo XVIII, incapaz de haber asumido las variantes modernas y extraordinariamente útiles bajo la dirección de Hamilton. Aquí tan sólo haremos notar que esta renovación del Álgebra dio a Boole su primera oportunidad para hacer una obra sobresaliente, apreciada por sus contemporáneos. Por propia iniciativa separó los símbolos de las operaciones matemáticas de aquéllas cosas sobre las cuales actúan, y procedió a investigar esas operaciones por su propia cuenta. ¿Cómo se combinan? ¿Se sujetan a algún tipo de Álgebra simbólica? Encontró que así era. Su obra en esta dirección es extraordinariamente interesante, pero pasa a un segundo plano ante otra que es más propia de él: la creación de un sistema sencillo de lógica simbólica o matemática.
Como introducción a esta espléndida invención de Boole debemos hacer una ligera digresión y recordar una famosa reyerta de la primera mitad del siglo XIX, muy ruidosa en su día pero que ahora ha sido casi olvidada, salvo por los historiadores de filosofía patológica. Hace poco hemos mencionado a Hamilton. En esta época existieron dos Hamilton de pública fama, uno el matemático irlandés Sir William Rowan Hamilton (1805-1865), el otro el filósofo escocés Sir William Hamilton (1788-1856). Los matemáticos suelen referirse al filósofo como el otro Hamilton. Después de una carrera no llena de triunfos como abogado y candidato a cargos universitarios oficiales, el elocuente filósofo escocés fue finalmente profesor de Lógica y Metafísica en la Universidad de Edimburgo. El matemático Hamilton, como hemos dicho, fue uno de los matemáticos más originales del siglo XIX. Quizá fuera esto una desgracia para el otro Hamilton, que poco sabía de Matemática, pero algunos lectores confunden muchas veces a los dos famosos Sir William.
Ahora bien, si existe algo más obtuso desde el punto de vista matemático que un tozudo metafísico escocés, habrá que buscarlo probablemente en un matemáticamente estúpido metafísico alemán. Para superar el perfecto absurdo de alguna de las cosas que el escocés Hamilton dijo acerca de la Matemática, habría que recordar lo que Hegel dijo acerca de la Astronomía o Lotze acerca de la Geometría no euclidiana. Cualquier lector desocupado puede convencerse por su cuenta. Fue una desgracia para el metafísico Hamilton que su pereza no le permitiera ir más allá de los conocimientos superficiales de la Matemática elemental que recibiera en la escuela, pero la "omnisciencia era su punto débil", y cuando comenzaba a pronunciar conferencias y a escribir sobre filosofía, se creía obligado a decir al mundo cuán inútil era la Matemática.
El ataque de Hamilton a la Matemática es probablemente el más famoso de los muchos salvajes ataques que la Matemática ha sufrido. Hace menos de 10 años, profusos párrafos de la diatriba de Hamilton fueron vigorosamente aplaudidos cuando un entusiasta pedagogo se refirió a ellos en una reunión largamente esperada de nuestra National Educational Association. En lugar de aplaudir, los oyentes hubieran obtenido mejor provecho de la exhibición si se hubieran negado a tragar buena parte de la filosofía de Hamilton que aderezaba, como salsa obligatoria, el jugoso plato de la sardina matemática. Recordaremos algunas de sus más violentas perdigonadas, y dejaremos al lector en libertad de que haga de ellas el uso que le plazca.
"Las Matemáticas (Hamilton siempre decía "Matemáticas" en plural no en singular como es costumbre actualmente) congelan y agostan la mente". "Un estudio excesivo de las Matemáticas incapacita absolutamente a la mente para aquellos esfuerzos intelectuales que la filosofía y la vida requieren". "Las Matemáticas no puede conducir, de modo alguno, a hábitos lógicos". "En Matemáticas la estupidez se considera como talento, y el talento se degrada hasta la incapacidad". "Las Matemáticas pueden deformar, pero jamás rectificar la mente".
Esto es únicamente una muestra de sus perdigonadas, pero carecemos de espacio para sus balas de cañón. Todo el ataque es muy impresionante para un hombre que conozca menos Matemática que la que sabe un niño inteligente de diez años. Una de sus balas merece especial mención, pues alude a una figura de gran importancia matemática, De Morgan (1806-1871), uno de los más expertos polimistas que han vivido, un matemático de vigorosa independencia, un gran lógico que preparó el camino a Boole, enemigo implacable de todos los charlatanes y farsantes, y, finalmente, padre del famoso novelista ( Alice for Short, etc.). Hamilton dice: "Esto [una razón absolutamente falta de sentido que no necesitamos repetir] es lo que Mr. De Morgan entre otros matemáticos afirma con frecuencia que es cierto. Si Mr. De Morgan tuviera menos de matemático, hubiera podido ser más filósofo; y puede recordarse, que las Matemáticas y los tragos de aguardiente dañan especialmente, a largo plazo". Aunque la esotérica puntuación es oscura, la significación es bastante clara. Pero el caso es que De Morgan no era dado a la bebida.
De Morgan, que había obtenido fama por algunos de sus estudios de lógica, se permitió en un momento de distracción, ser atrapado en una controversia con Hamilton acerca del famoso principio de éste, referente a "la cuantificación del predicado". No necesitamos explicar lo que es este misterio, mejor dicho lo que era, pues hoy está bien muerto. De Morgan había hecho una excelente contribución al silogismo; Hamilton pensó ver las brillantes ideas de De Morgan en su propio cerebro, y el iracundo filósofo-jurista escocés acusó públicamente a De Morgan de plagio. La lucha comenzó, pero por parte de De Morgan, al menos, fue tomada en broma. De Morgan nunca perdía su equilibrio, pero Hamilton jamás supo mantenerlo.
Si esta reyerta hubiera sido tan sólo una de las innumerables querellas acerca de la prioridad que altera la historia científica, no merecerla siquiera ser mencionada. Su importancia histórica estriba en que Boole era por entonces (1848) un buen amigo y admirador de De Morgan. Boole enseñaba en una escuela, pero conocía personalmente o por correspondencia a muchos de los principales matemáticos ingleses. En aquélla ocasión corrió en ayuda de su amigo, no porque el astuto de De Morgan necesitara auxilio, sino porque sabía que De Morgan tenía razón y que Hamilton estaba equivocado. Boole publicó un pequeño volumen, El análisis matemático de la lógica, su primera contribución pública al vasto tema que su obra inaugura, y que iba a proporcionarles fama perdurable por la audacia y agudeza de su visión. El folleto, apenas es otra cosa que esto, excitó la admiración de De Morgan. Aquí había un maestro, y De Morgan se apresuró a reconocerlo así. El librito era tan sólo la promesa de mayores hazañas, que tendrían lugar seis años más tarde, pero Boole había abierto el camino.
Mientras tanto no estaba muy decidido a seguir el consejo de los amigos matemáticos, quienes le proponían marchara a Cambridge para estudiar la Matemática ortodoxa, pues Boole continuaba con sus penosos trabajos de la docencia elemental sin una queja, debido a que sus padres dependían ahora completamente de sus ingresos. Al fin tuvo una oportunidad para manifestar su notable capacidad como investigador y maestro. Fue nombrado profesor de Matemática en el Queen's College, recientemente fundado en la ciudad de Cork, Irlanda. Esto ocurría en el año 1849.
No hay ni qué decir que el hombre brillante, que sólo había conocido la pobreza y el duro trabajo durante toda su vida, hizo un excelente uso de su relativa libertad de pesadumbres financieras. Sus deberes, aunque pesados, le parecían ligeros en comparación con la penosa enseñanza elemental a la que estaba acostumbrado. Su obra matemática es extraordinariamente variada, pero su principal esfuerzo se dirigió a dar forma a su obra maestra. En 1854, la publicó bajo el título de Una investigación de las leyes del pensamiento, sobre las cuales se fundan las teorías matemáticas de la lógica y de las probabilidades. Boole tenía 39 años cuando esta obra apareció. Es algo desusado para un matemático tan joven realizar un trabajo de tan profunda originalidad, pero el fenómeno se explica cuando se recuerda el largo y tortuoso camino que Boole se vio obligado a seguir antes de poder contemplar su meta (compárense las carreras de Boole y de Weierstrass).
Algunos párrafos darán cierta idea del estilo de Boole y del objeto de su obra.
"El objeto del siguiente tratado es investigar las leyes fundamentales de esas operaciones de la mente en cuya virtud se realiza el razonamiento; expresarías en el lenguaje de un Cálculo, y sobre ese fundamento establecer la ciencia de la lógica y construir su método; hacer de ese método la base de un método general para la aplicación de la teoría matemática de las probabilidades, y, finalmente, recoger de los diversos elementos de verdad que surgen en el curso de estas pesquisas algunas probables informaciones referentes a la naturaleza y constitución de la mente humana..."
"¿Estaremos errados al considerar esto como la verdadera ciencia de la lógica, la cual, estableciendo ciertas leyes elementales, confirmadas con el testimonio de la mente, nos permite deducir, por un proceso uniforme, toda la cadena de sus consecuencias secundarias, y proporciona, para sus aplicaciones prácticas, métodos de generalidad perfecta?..."
"Existen, en efecto, ciertos principios generales fundados en la naturaleza del lenguaje en virtud de los cuales se establece el uso de símbolos, que no son otra cosa que elementos de lenguaje científico. Estos elementos son, en cierto grado, arbitrarios. Su interpretación es puramente convencional, y estará permitido emplearlos en el sentido que nos plazca. Pero este permiso está limitado por dos condiciones indispensables, primero, que no nos separemos del sentido convencionalmente establecido en el mismo proceso del razonamiento; segundo, que las leyes que rijan la conducción el proceso se funden exclusivamente sobre el sentido o significación anteriormente fijado de los símbolos empleados. Según estos principios, cualquier acuerdo que pueda ser establecido entre las leyes de los símbolos de la lógica y los del Álgebra puede manifestarse en un acuerdo de los procesos. Los dos campos de la interpretación permanecen aparte e independientes, cada uno de ellos a sus propias leyes y condiciones”.
"Ahora bien, las investigaciones descritas en las siguientes páginas muestran la lógica, en su aspecto práctico, como un sistema de procesos realizados con la ayuda de símbolos que tienen una interpretación definida, y que están sometidos a leyes fundadas tan sólo sobre esa interpretación. Pero al mismo tiempo muestran que esas leyes son idénticas en forma a las leyes de los símbolos generales del Álgebra, con esta única adición, la de que los símbolos de la lógica están además sometidos a una ley especial [x 2 - x en Álgebra de lógica, que puede ser interpretada, entre otras formas, como "la clase de todas aquellas cosas comunes a una clase x, y que en sí misma es simplemente la clase x "] a la cual los símbolos de cantidad, como tal, no están sujetos". (Es decir, en Álgebra común no es cierto que toda x sea igual a su cuadrado mientras en el Álgebra de lógica de Boole, esto es cierto).
Este programa es desenvuelto detalladamente en el libro, Boole reduce la lógica a un tipo extraordinariamente fácil y simple de Álgebra. El "razonamiento" sobre el material apropiado es en esta Álgebra una cuestión de manipulaciones elementales de fórmulas mucho más sencillas que aquellas que son tratadas en el segundo año del Álgebra escolar. Así, la lógica misma fue llevada bajo el imperio de la Matemática.
Desde los primitivos trabajos de Boole su gran invención ha sido modificada, mejorada, generalizada y extendida en muchas direcciones. En la actualidad la lógica simbólica o matemática es indispensable en cualquier intento serio para comprender la naturaleza de la Matemática y el estado de los fundamentos sobre los que reposa la total y colosal superestructura. La complicación y delicadeza de las dificultades, exploradas por el razonamiento simbólico serían, por así decir, un desafío a la razón humana si tan sólo se dispusiera de los métodos anteriores a Boole de la argumentación lógica verbal. La audaz originalidad de toda la obra de Boole no necesita ser señalada.
Desde 1899, cuando Hilbert publicó su obra clásica sobre los fundamentos de la Geometría, se ha prestado mucha atención a la axiomatización de las diversas ramas de la Matemática. Este movimiento se remonta a Euclides, pero por alguna extraña razón, posiblemente debido a que las técnicas inventadas por Descartes, Newton, Leibniz, Euler, Gauss, etc. dan a la Matemática facilidades para desarrollar sus temas libremente y sin estar sometidos a la crítica, el método euclidiano fue durante mucho tiempo descuidado, salvo en la Geometría. Ya hemos visto que la escuela inglesa aplicó el método al Álgebra en la primera mitad del siglo XIX. Sus buenos resultados parece que no hicieron gran impresión sobre la obra de su s contemporáneos e inmediatos sucesores, y únicamente después de los trabajos de Hilbert el método por postulados fue aceptado como la forma más clara y más rigurosa, de abordar cualquier disciplina Matemática.
Actualmente esta tendencia a la abstracción, en la que los símbolos y reglas para tratar cualquier tema particular son desprovistos de toda significación, y discutidos desde un punto de vista puramente formal, constituye la moda, descuidándose las aplicaciones (prácticas o matemáticas), que según algunos dicen constituyen la verdadera justificación humana de cualquier actividad científica. De todos modos, el método abstracto nos da una visión que no nos proporcionan los métodos menos rigurosos, y así puede verse más fácilmente la gran sencillez del Álgebra de la lógica sugerida por Boole.
En consecuencia, enunciaremos los postulados del Álgebra de Boole (el Álgebra de lógica), y, al hacerlo así veremos que puede darse, en efecto, una interpretación consecuente con la lógica clásica. La siguiente serie de postulados ha sido tomada de un trabajo de E. V. Huntington, publicado en Transactions of the American Mathematical Society (vol. 35, 1933, págs. 274-304). Todo el trabajo es fácilmente comprensible para quien haya estudiado Álgebra durante una semana, y la revista se encuentra en muchas bibliotecas importantes. Como Huntington señala, esta primera serie de postulados que transcribimos no es tan elegante como algunos de sus otros postulados. Pero como su interpretación en función de la inclusión de clase y en la lógica formal es más fácil que en los otros casos, preferiremos dicha serie.
La serie de postulados se expresa en función de K, + , ´ , donde K es una clase de elementos no definidos a, b, c ,... (completamente arbitrarios, sin tener asignadas una significación o propiedades más allá de las admitidas en los postulados), y a + b y a ´ b (que también se escribe ab ) son los resultados de dos operaciones binarias indefinidas, +, ´ ("binarias", debido a que tanto + como ´ actúan sobre dos elementos de K ). Existen diez postulados, Ia-VI:
I a . Si a y b están en la clase K, entonces a + b están en la clase K .
I b . Si a y b están en la clase K, entonces ab está en la clase K.
II a . Existe un elemento Z tal que a + Z = a para todo elemento a.
II b . Existe un elemento U tal que aU = a para todo elemento a.
III a . a + b = b + a .
III b . ab = ba.
IV a . a + bc = (a + b) (a + c).
IV b . a(b + e) = ab + ac.
V . Para todo elemento a existe un elemento a' tal que a + a' = U y aa' = Z.
VI . Existen al menos dos elementos diferentes en la clase K. Fácilmente se apreciará que estos postulados se satisfacen por la siguiente interpretación: a, b, c, ... son clases; a + b es la clase de todas aquellas cosas que están al menos en una de las clases a , b ; ab es la clase de todas aquellas cosas que están en ambas clases a , b; Z es la "clase nula", la clase que no tiene números; U es la "clase universal", la clase que contiene todas las cosas en todas las clases sin discusión. El postulado V afirma, pues, que dada cualquier clase a , existe una clase a , compuesta de todas aquellas cosas que no están en a . Obsérvese que VI implica que U, Z no son la misma clase.
En esta sencilla y clara serie de enunciados se observa que la totalidad de la lógica clásica puede ser construida simbólicamente por medio de la fácil álgebra engendrada por los postulados. De estos postulados se desarrolla una teoría de lo que puede ser llamada "ecuaciones lógicas"; los problemas de lógica son trasladados a tales ecuaciones, que entonces son "resueltas", por los recursos del Álgebra. La solución es entonces reinterpretada en los términos de los datos lógicos, obteniéndose la solución del problema original. Terminaremos esta descripción con el equivalente simbólico de "inclusión", interpretable también cuando las proposiciones más que las clases son los elementos de K como "implicación".
"La relación a < b (léase, a está incluida en b ), se define por cualquiera de las siguientes ecuaciones
a + b = b, ab = a, a' + b = U, ab' = Z."
Para ver que estas ecuaciones son razonables, consideremos por ejemplo la segunda ab = a. Esta ecuación afirma que si a está incluida en b , entonces todo lo que esté en a y b es la totalidad de a .De los postulados enunciados pueden ser demostrados los siguientes teoremas sobre inclusión (con millares de otros más complicados si se desea). Los casos seleccionados están de acuerdo con nuestra concepción intuitiva de lo que significa "inclusión".
- a < a.
- Si a < b y b < c, entonces a < c.
- Si a < b y b < a, entonces a = b.
- Z < a (donde Z es el elemento en IIa , demuestra ser el único elemento que satisface IIa ).
- a < U (donde U es el elemento en IIb , igualmente único).
- a < a + b; y si a < y y b < y, entonces a + b < y.
- ab < a; y si x < a y x < b, entonces x < ab.
- Si x < a y x < a, entonces x = Z; y si a < y y a' < y, entonces y = U.
- Si a < b' es falso, entonces existe al menos un elemento x, diferente de Z, tal que x < a y x < b.
El enorme poder y la extraordinaria facilidad del método se aprecian fácilmente al aplicarlo a cualquier investigación sobre lógica simbólica. Pero, como fue subrayado, la importancia de este "razonamiento simbólico" está en su aplicabilidad a las sutiles cuestiones que se refieren al fundamento de toda la Matemática, las cuales, si no fuera por este método preciso de fijar la significación de las "palabras" de otros "símbolos" de una vez para todas, serían probablemente inabordables para los, mortales vulgares.
Como ocurre con casi todas las novedades, la lógica simbólica fue despreciada durante muchos años después de su invención. Todavía en 1910 encontramos eminentes matemáticos que la consideran despectivamente como una curiosidad "filosófica" sin significación matemática. El trabajo de Whitehead y Russell en sus Principia Mathematica (1910-1913) fue el primero que convenció a numerosos matemáticas profesionales de que la lógica simbólica era digna de su atención. Podemos recordar a un firme enemigo de la lógica simbólica, a Cantor, cuya obra sobre el infinito será mencionada en el último capítulo. Por una de esas ironías de la historia de la Matemática que la hacen tan divertida para los lectores, la lógica simbólica iba a desempeñar un importante papel en la crítica drástica de la obra de Cantor, causante de que su autor perdiera la fe en sí mismo y en su teoría.
Boole no sobrevivió mucho a su obra maestra. El año después de su publicación, manteniendo aún subconscientemente que la respetabilidad social podría ser lograda, por el conocimiento del griego, se casó con Mary Everest, sobrina del profesor de griego en el Queen's College. Su mujer fue su devota discípula. Después de la muerte de su marido, Mary Boole aplicó algunas de las ideas aprendidas de él para racionalizar y humanizar la educación de sus hijos. En un folleto, la Psicología de Boole, Mary Boole recuerda una interesante especulación de dicho matemático, que los lectores de las leyes del pensamiento reconocerán que se halla implícita, aunque no expresada, en algunas parte de su obra. Boole contó a su mujer que en el año 1832, cuando tenía diecisiete, surgió como un relámpago, mientras paseaba por un campo, la idea de que, aparte de los datos que se obtienen por observación directa, el hombre logra sus conocimientos de alguna fuente indefinida e invisible que Mary Boole llama "el inconsciente". Será interesante recordar (véase más delante) que Poincaré expresa una opinión análoga refiriéndose a la génesis de las "inspiraciones" matemáticas en la "mente subconsciente". De todos modos, Boole estuvo altamente inspirado cuando escribió Las leyes del pensamiento .
Boole murió rodeado de honores, y con una fama cada vez mayor, el 8 de diciembre de 1864 a los 50 años. Su muerte prematura fue debida a una neumonía contraída al seguir pronunciando una conferencia cuando estaba empapado hasta la piel. Boole se dio perfecta cuenta de que había hecho una gran obra.
Capítulo 24
El Hombre, no el Método
HERMITE
Hablad con M. Hermite: jamás evoca una imagen concreta:
sin embargo, se percibe inmediatamente que las
entidades más abstractas son para él como criaturas vivientes.
Henri Poincaré
De los antiguos problemas causantes de nuevos métodos en Matemática, el del movimiento, y todo lo que esto implica para la mecánica, terrestre y celeste, puede ser recordado como uno de los principales instigadores del Cálculo, y al presente intenta establecer el razonamiento acerca del infinito sobre una base firme. Un ejemplo de nuevos problemas sugeridos por los nuevos métodos es el enjambre que el cálculo sensorial, popularizado entre los geómetras por sus resultados en la relatividad, planteó en la Geometría. Y, finalmente, con una confirmación de la observación de Poincaré, recordaremos que fue Einstein y no el método de los tensores quien resolvió el problema de dar una explicación matemática consecuente de la gravitación. Las tres tesis se encuentran reunidas en la vida de Charles Hermite, el principal matemático francés de la segunda mitad del siglo XIX, haciendo excepción de Poincaré, discípulo de Hermite, que pertenece en parte a nuestro propio siglo.
Charles Hermite, nacido en Dieuze, Lorena, Francia, el 24 de diciembre de 1822, difícilmente pudo haber elegido un momento más propicio para su nacimiento que la tercera década del siglo XIX. En ese momento se precisaba la rara combinación del genio creador y la capacidad para comprender la obra de los otros investigadores con objeto de coordinar las creaciones aritméticas de Gauss con los descubrimientos de Abel y Jacobi en las funciones elípticas, los notables progresos de Jacobi en las funciones abelianas y la vasta teoría de invariantes algebraicos que los matemáticos ingleses Boole, Cayley y Sylvester estaban desarrollando rápidamente.

Charles Hermite
Si la capacidad matemática de Hermite fue heredada y probablemente procede del padre, quien estudió ingeniería. No encontrando placer por los estudios de ingeniería, Hermite padre renunció a ellos, y después de una iniciación igualmente errónea en la industria de la sal, terminó como comerciante en tejidos.
Esta profesión fue, sin duda, elegida por el hecho de haberse casado con la hija de su patrón, Madeleine Lallemand, una mujer dominante que llevaba las riendas de su familia, y que mandaba en todo, desde el negocio hasta su marido. Consiguió establecer una posición de sólida prosperidad burguesa. Charles fue el sexto de siete hijos, cinco de sexo masculino y dos de sexo femenino. Nació con una deformidad de la pierna derecha, que le hizo cojear durante toda la vida, posiblemente una suerte para él pues fue un obstáculo para cualquier carrera relacionada con el ejército, y siempre tuvo que usar bastón. Su deformidad nunca afectó la uniforme dulzura de su carácter.
La primera educación de Hermite corrió a cargo de sus padres. Como el negocio seguía prosperando, la familia se traslado desde Dieuze a Nancy, cuando Hermite tenía 6 años. Luego, las exigencias cada vez mayores del negocio absorbieron todo el tiempo de los padres, y Hermite fue enviado al Liceo de Nancy. Como esta escuela no les pareciera adecuada a los padres, cada vez más enriquecidos, decidieron enviar a Charles a París. Allí estudió durante breve tiempo en el Liceo Henry IV, y de allí pasó, cuando tenía 18 años, al más famoso (o más infame) Louis-le-Grand, el "Alma Mater" del pobre Galois, para ingresar en la Politécnica.
Durante cierto tiempo pareció que Hermite iba a repetir el desastre de su indómito predecesor en Louis-le-Grand. Sentía la misma repugnancia por la retórica y la misma indiferencia para la Matemática elemental. Pero las buenas conferencias sobre Física le fascinaban, y pronto prestó su cordial cooperación en el proceso bilateral de adquirir una educación. Más tarde, cuando ya no era molestado por los pedantes, Hermite llegó a conocer el griego y el latín, y escribía una prosa bella y clara.
Quienes están en contra de los exámenes podrán encontrar un argumento en Hermite. En las carreras de estos dos famosos alumnos de Louis-le-Grand, Galois y Hermite, se encuentra algo que debe hacer meditar a quienes creen que los exámenes son una excelente medida para ordenar a los seres humanos según sus métodos intelectuales. Habrá que preguntarse si esos defensores han empleado sus cabezas o sus pies para llegar a tal conclusión.
Tan sólo por la gracia de Dios y por la diplomática persistencia del inteligente profesor Richard, que había hecho cuanto pudo, 15 años antes, para salvar a Galois, Hermite no fue rechazado por los estúpidos jueces. Siendo aún estudiante en el Liceo, Hermite, siguiendo los pasos de Galois, sustituía las lecciones elementales por la lectura privada en la biblioteca de Sainte-Gene-Yiéve, donde leyó la memoria de Lagrange sobre la resolución de las ecuaciones numéricas. Con sus ahorros compró la traducción francesa de las Disquisiliones Arithmeticae de Gauss, y, lo que es más, las comprendió como pocos las han comprendido antes y las comprenderán en el futuro. Por esa época, conociendo lo que Gauss había hecho, Hermite estaba preparado para seguir adelante. "Fue en estos dos libros, solía decir en su vida ulterior, donde aprendí Álgebra". Euler y Laplace también le instruyeron a través de sus obras. Sin embargo, el comportamiento de Hermite en los exámenes fue mediocre, por emplear la calificación más halagadora posible.
Recordando el trágico fin de Galois, Richard intentó apartar a Hermite de las investigaciones originales, y conducirle a través de las aguas más fangosas de los exámenes para que ingresara en la Escuela Politécnica, la sucia zanja en la que Galois se ahogó. De todos modos, el buen Richard no pudo menos de decir al padre de Hermite que Charles era “un joven Lagrange".
Los Nouvelles Annales de Mathématiques, una revista dedicada a los estudiantes de las escuelas superiores, fueron fundados en 1842. El primer volumen contiene dos trabajos compuestos por Hermite cuando todavía estudiaba en Louis-le-Grand. El primero es un simple ejercicio de Geometría analítica sobre secciones cónicas, y no muestra gran originalidad. El segundo, que ocupa tan sólo seis páginas y media en las obras completas de Hermite, es algo muy diferente. Su título era: Consideraciones sobre la solución algebraica de la ecuación de quinto grado.
"Es sabido, comienza diciendo el modesto matemático de 20 años, que Lagrange hizo depender la solución algebraica de la ecuación general de quinto grado de la determinación de una raíz y de una ecuación particular de sexto grado, que llamó una ecuación reducida [en la actualidad una resolvente]... De modo que si la resolvente se descompone en factores racionales de segundo o tercer grado, tendremos la solución de la ecuación de quinto grado. Intentaré probar que tal descomposición es imposible".
Hermite no sólo consiguió esta demostración con un bello y simple argumento, sino también mostró al hacer esto que era un algebrista. Con pocos y ligeros cambios este breve trabajo muestra lo que se requiere para tal operación.Puede parecer extraño que un joven capaz de seguir el razonamiento matemático, según demostró Hermite en su trabajo sobre la quíntica general, pueda encontrar dificultades en la Matemática elemental. Pero no es necesario comprender, ni siquiera oír hablar, de gran parte de la Matemática clásica desarrollada en el curso de su larga historia, para ser capaz de seguir o hacer obra creadora en la Matemática que se ha desarrollado desde el año 1800, y es aun de vivo interés para los matemáticos. El tratamiento geométrico (sintético) de las secciones cónicas de los griegos, por ejemplo, no necesita ser comprendido por quienes actualmente desee estudiar la Geometría moderna; ni se necesita Geometría alguna para quien guste de los estudios algebraicos o aritméticos. En menor grado puede decirse lo mismo para el Análisis, donde el lenguaje geométrico usado es el más sencillo, no siendo necesario ni deseable cuando se trata de las demostraciones modernas. Como último ejemplo recordaremos que la Geometría descriptiva, de gran utilidad para los ingenieros, no tiene prácticamente utilidad para los que se dedican a la Matemática. Algunos de los temas más difíciles de la Matemática, que aun se plantean, exigen tan sólo un ligero conocimiento del Álgebra y una clara inteligencia para su comprensión. Tales son la teoría de grupos finitos, la teoría matemática del infinito y parte del Cálculo de probabilidades y de la Aritmética superior. No es, pues, asombroso que los amplios conocimientos que se exigen a un candidato para el ingreso en una escuela técnica científica o hasta para obtener un título en tales escuelas, sean poco menos que inútiles para la carrera matemática. Esto explica los triunfos espectaculares de Hermite como matemático creador, y su dificultad para escapar del completo desastre ante el tribunal de exámenes.
Más tarde, en 1842, teniendo 20 años, Hermite se presentó a los exámenes de ingreso de la Escuela Politécnica. Pasó, pero ocupando el lugar 68 en orden de mérito. Por entonces ya era mejor matemático que algunos de sus jueces. El resultado humillante de sus exámenes causó una impresión sobre el joven maestro que jamás pudo ser borrada por todos los triunfos obtenidos más tarde.
Hermite permaneció sólo un año en la Politécnica. No fue eliminado por falta de conocimientos, sino por su pie anormal, que, de acuerdo con las disposiciones, le hacían incapaz para ocupar los cargos a que tenían derecho los estudiantes brillantes de la Politécnica. Quizá haya sido un bien para Hermite la expulsión de la Escuela; su ardiente patriotismo quizá le hubiera hecho mezclarse en una u otra de las reyertas políticas o militares tan queridas al efervescente temperamento francés. Sin embargo, el año no había sido perdido. En lugar de dedicarse a la Geometría descriptiva, por la que sentía profundo odio, Hermite empleó su tiempo en el estudio de las funciones abelianas, que en aquella época (1842) quizá era el tema de mayor interés e importancia para los grandes matemáticos de Europa. También pudo conocer a Joseph Liouville (1809-1882) un matemático de primera categoría y editor del Journal des Mathématiques.
Liouville reconoció el genio de Hermite en cuanto lo vio. De pasada recordaremos que Liouville inspiró a William Thomson, Lord Kelvin, el famoso físico escocés, una de las más notables definiciones de lo que es un matemático. "¿Sabéis qué es un matemático?", preguntó una vez Kelvin en la clase. Se levantó, se acercó al pizarrón, y escribió:
![]()
La primera de las cartas de Hermite a Jacobi está fechada en París, en el mes de enero de 1843. "Vuestra memoria sobre las funciones periódicas cuádruples surgida en la teoría de funciones abelianas, me ha llevado a un teorema, para la división de los argumentos [variables] de estas funciones, análogo al que habéis establecido... para obtener la expresión más simple de las raíces de las ecuaciones tratadas por Abel. M. Liouville me ha incitado a escribiros para someter este trabajo a vuestra consideración. Al hacerlo, Señor, espero seáis tan amable que lo recibáis con toda la indulgencia que necesita". Así comienza su labor en la Matemática.
Recordaremos brevemente la simple naturaleza del problema en cuestión: las funciones trigonométricas son funciones de una variable con un período; por tanto sen ( x + 2 p ) = sen x , donde x es la variable y 2 n es el período. Abel y Jacobi, "invirtiendo" las integrales elípticas, describieron funciones de una variable y dos períodos, o sea f(x + p + q ) = f(x), donde p, q son los períodos (véase capítulos 12, 18). Jacobi descubrió funciones de dos variables y cuatro períodos, o sea
F(x + a + b , y + c + d) = F(x,y)
donde a, b, c, d son los períodos. Un problema que pronto se encuentra en Trigonometría es expresarEliminado de la Politécnica por su cojera, Hermite puso sus ojos en la profesión docente como un medio donde poder ganar su sustento, mientras continuaba trabajando en su amada Matemática. La carrera docente se abría ante él, tuviera o no título, pero las reglas y disposiciones eran inexorables, y no hacían excepciones. La rutina oficinesca en forma de balduque siempre amenaza al hombre que sigue una senda equivocada, y casi estranguló a Hermite.
Incapaz de curarse de su "perniciosa originalidad", Hermite continuó sus investigaciones hasta el momento en que, teniendo 24 años, tuvo que abandonar los descubrimientos fundamentales para llegar a comprender las trivialidades requeridas para la enseñanza elemental (bachilleres de artes y ciencias). Dos pruebas más difíciles debían completar la primera antes de que el joven genio matemático obtuviera el certificado para dedicarse a la enseñanza, pero, por fortuna, Hermite escapó de la última y peor cuando algunos amigos influyentes le nombraron para un cargo donde podía burlarse de los examinadores. Pasó sus exámenes (en 1847-48) muy difícilmente. Pero sin la cordialidad de dos de los inquisidores, Sturm y Bertrand, buenos matemáticos que reconocieron en él a un excelente investigador en cuanto lo vieron es probable que Hermite no hubiera sido aprobado. (Hermite se casó con Louise, hermana de Bertrand, en 1848).
Por un irónico capricho del destino el primer triunfo académico de Hermite fue su nombramiento, en 1848, como juez para los exámenes de admisión en la Politécnica, en la que casi había sido rechazado. Pocos meses más tarde fue nombrado repetidor en la misma institución. Se encontraba ahora seguro, en un lugar donde ningún juez podía hacer liada contra él. Pero para llegar a esta "triste eminencia", y adaptarse a las estupideces del sistema oficial, había tenido que sacrificar casi cinco años de lo que seguramente fue el período de su mayor capacidad inventiva.
Finalmente, habiendo satisfecho a sus crueles examinadores, o habiéndose evadido de ellos, Hermite se encontraba en condiciones para llegar a ser un gran matemático. Su vida era pacífica. Desde 1848 hasta 1850 sustituyó a Libri en el Collège de France. Seis años más tarde, teniendo 34 años, fue elegido miembro de la Academia de Ciencias. A pesar de su reputación mundial como matemático creador fue necesario que pasaran 47 años, antes de que obtuvieran un cargo adecuado. Fue nombrado profesor en la Escuela Normal tan sólo en 1869 y, finalmente, en 1870 fue profesor en la Sorbona, cargo que mantuvo hasta su retiro, 27 años más tarde. Durante el tiempo que ocupó este influyente cargo enseñó a toda una generación de distinguidos matemáticos franceses, entre los que mencionaremos a Émile Picard, Gaston Darboux, Paul Appell, Émile Borel, Paul Painlevé y Henri Poincaré. Pero su influencia se extendió mas allá de Francia, y sus trabajos clásicos ayudaron a educar a sus contemporáneos en todos los países.
Un rasgo especial de la bella obra de Hermite está íntimamente relacionado con su repugnancia a aprovecharse de su influyente posición para formar a todos sus discípulos siguiendo su propia imagen. Esta es la inextinguible generosidad que invariablemente derrochó entre sus colegas los matemáticos. Probablemente, ningún otro matemático de los tiempos modernos ha mantenido una correspondencia científica tan voluminosa con todos los investigadores de Europa como Hermite, y en todas sus cartas es siempre cordial y alentador. Muchos de los matemáticos de la segunda mitad del siglo XIX le deben mucho a la publicidad que Hermite dio a sus primeros estudios. En este, como en otros respectos, no hay un carácter más delicado en toda la historia de la Matemática. Jacobi fue tan generoso como él, con la sola excepción de la primera acogida que dispensó a Eisenstein, pero tenía una tendencia al sarcasmo (muchas veces extraordinariamente divertido, salvo para la infeliz víctima), que estaba totalmente ausente en el genial francés. Hermite fue digno de la generosa observación de Jacobi cuando el desconocido joven matemático se aventuró a acercarse a él con su primera gran obra sobre las funciones abelianas. "No se desconcierte señor, escribía Jacobi, si algunos de sus descubrimientos coinciden con otros que yo he hecho hace tiempo. Como debéis comenzar donde yo terminé, debe existir necesariamente una pequeña esfera de contacto. En el futuro, si me honráis con vuestras comunicaciones, sólo tendré ocasión de aprender".
Alentado por Jacobi, Hermite no sólo le hizo conocer su trabajo, sobre las funciones abelianas, sino que le envió cuatro enormes cartas sobre la teoría de números, la primera en 1847. Estas cartas, la primera de las cuales fue escrita cuando Hermite tenía 24 años, abre nuevos caminos (como luego veremos), y bastaría para que Hermite fuera considerado como un matemático creador de primera categoría. La genialidad de los problemas que abordó y la audaz originalidad de los métodos ideados para su solución, aseguran que Hermite sea recordado como uno de los matemáticos innatos de la historia.
La primera carta se inicia con una excusa. "Han transcurrido casi dos años sin haber dado respuesta a la carta que me hicisteis el honor de escribirme. Hoy le pido perdón por mi negligencia y quiero expresarle toda la alegría que siento al verme ocupar un lugar en el repertorio de vuestras obras. [Jacobi publicó parte de la carta de Hermite, dándole la importancia que merecía, en algunas de sus obras]. Habiendo estado alejado durante largo tiempo del trabajo, he quedado profundamente conmovido por esa prueba de vuestra cordialidad; permitidme, señor, creer que no me abandonaréis". Hermite añade luego que otra investigación de Jacobi le inspiró los trabajos que estaba realizando.
Si el lector examina lo que hemos dicho acerca de las funciones uniformes de una sola variable en el capítulo sobre Gauss (una función uniforme toma sólo un valor para cada valor de la variable), podrá comprender la siguiente exposición acerca de lo que Jacobi demostró: una función uniforme de solo una variable con tres periodos diferentes es imposible. El hecho de que existan funciones uniformes de una variable que tienen un período o dos períodos queda demostrado recurriendo a las funciones trigonométricas y a las funciones elípticas. Este teorema de Jacobi, declara Hermite le sugirió su idea para los nuevos métodos que introdujo en Aritmética superior. Aunque estos métodos son demasiado técnicos para explicarlos en este lugar, se puede resumir brevemente el espíritu de uno de ellos.
La Aritmética, en el sentido de Gauss, se ocupa de las propiedades de los números enteros racionales 1, 2, 3...; los irracionales (como la raíz cuadrada de 2)son excluidos. Gauss investigó, en particular, las soluciones en números enteros de amplias clases de ecuaciones indeterminadas con dos o tres incógnitas, por ejemplo, ax 2 + 2 bxy + cy 2 = m donde a, b, c, m son números enteros, y es necesario tratar todas las soluciones x, y , de la ecuación en números enteros. El punto que hay que señalar aquí es que el problema se plantea y se resuelve completamente en el campo de los enteros racionales, es decir en el reino del número discontinuo. Utilizar el Análisis, que está adaptado a la investigación de números continuos, a tal problema discontinuo parecería una imposibilidad, pero esto es lo que Hermite logró. Partiendo de una fórmula discontinua, aplicó el Análisis al problema, y finalmente obtuvo resultados en el terreno discontinuo del cual había partido. Como el Análisis está mucho más desarrollado que cualquiera de las técnicas discontinuas inventadas para el Álgebra y la Aritmética, el progreso de Hermite fue comparable a la introducción de la maquinaria en las industrias medievales.
Hermite tenía a su disposición una maquinaria mucho más poderosa, tanto algebraica como analítica, que la que estaba a la disposición de Gauss cuando escribió las Disquisitiones Arithmeticae. Con la gran invención de Hermite, estos instrumentos más modernos le capacitaron para abordar problemas que habían desconcertado a Gauss en 1800. En un solo paso Hermite recogió los problemas generales del tipo que Gauss y Eisenstein habían planteado, y al fin comenzó el estudio aritmético de las formas cuadráticas con cualquier número de incógnitas. La naturaleza general de la "teoría de formas" aritmética puede apreciarse en el enunciado de un problema especial. En lugar de la ecuación gaussiana ax 2 + 2bxy + ey 2 = m de segundo grado con dos incógnitas ( x, y ), se requiere tratarlas soluciones en números enteros de ecuaciones similares de grado n, con s incógnitas donde n, s son números enteros, y el grado de cada término en la primera parte de la ecuación es n (no 2como en la ecuación de Gauss). Después de meditar atentamente sobre el hecho de que las investigaciones de Jacobi acerca de la periodicidad de las funciones uniformes dependen de cuestiones más profundas referentes a la teoría de las formas cuadráticas, Hermite bosquejó su programa.
"Pero una vez llegado a este punto de vista, los problemas, suficientemente amplios, que pensé proponer me parecieron sin importancia al lado de las grandes cuestiones de la teoría general de formas. En este ilimitado campo de investigaciones que Monsieur Gauss [Gauss vivía aún cuando Hermite escribía estas palabras y de aquí el cortés "Monsieur"] nos ha abierto, el Álgebra y la teoría de números parecen necesariamente fundirse en el mismo orden de los conceptos analíticos de los cuales nuestro presente conocimiento no nos permite aún formarnos una idea exacta".
Hace entonces una observación que, aunque no muy clara, puede interpretarse suponiendo que la clave para las sutiles relaciones entre el Álgebra, la Aritmética superior y ciertas partes de la teoría de funciones, se encontrará en una completa comprensión de ese tipo de "números" que son necesarios y suficientes para la solución explícita de todos los tipos de ecuaciones algebraicas. Así para x 3 ‑ 1 = 0, es necesario y suficiente comprender
En su actitud ante los números, Hermite respetaba místicamente la tradición de Pitágoras y Descartes, el credo matemático de este último, como veremos en seguida, era esencialmente pitagórico. En otras cuestiones, el suave Hermite mostró una marcada inclinación hacia el misticismo. A los 43 años era una agnóstico tolerante, como muchos hombres de ciencia franceses de su época. Luego, en 1856, cayó repentinamente enfermo, y, aprovechando su estado, el ardiente Cauchy, que siempre había deplorado que su brillante y joven amigo tuviera un criterio liberal sobre las materias religiosas, cayó sobre el postrado Hermite, y le convirtió al catolicismo romano. Desde entonces Hermite fue un católico devoto, y la práctica de su religión le proporcionó grandes satisfacciones.
El misticismo por los números de Hermite es bastante innocuo, y es una de las características personales sobre las que todo argumento seria vano. Brevemente, Hermite creía que los números tienen una existencia por sí mismos, por encima de todo control humano. Las Matemáticas, pensaba, pueden tener en ciertas ocasiones algún destello de las armonías sobrehumanas que regulan este reino etéreo de la existencia lo mismo que los grandes genios de la ética y de la moral tienen algunas veces la visión de las perfecciones del reino de los cielos.
Puede afirmarse, probablemente, que ningún notable matemático actual que haya prestado cierta atención a lo realizado en los últimos 50 años (especialmente en los últimos 25), para intentar comprender la naturaleza de la Matemática y el proceso del razonamiento matemático estará de acuerdo con el místico Hermite. Dejamos a juicio del lector resolver si este moderno escepticismo es una ventaja o una desventaja, en comparación con el credo de Hermite. "La existencia matemática", que se considera ahora casi universalmente por los jueces competentes como un concepto erróneo, fue tan admirablemente expresado por Descartes en su teoría del triángulo eterno, que sus palabras pueden ser citadas aquí como un epítome de las creencias místicas de Hermite.
"Imagino un triángulo, aunque quizá tal figura no existe ni ha existido jamás en ninguna parte del mundo fuera de mi pensamiento. De todos modos, esta figura tiene cierta naturaleza o forma o determinada esencia que es inmutable o eterna que yo no he inventado y que no depende de mi mente. Así se aprecie el hecho de que puedo demostrar diversas propiedades de este triángulo, por ejemplo que la suma de sus tres ángulos interiores es igual a dos ángulos rectos, que el ángulo mayor es el que se opone al lado mayor, y así sucesivamente.
Lo desee o no, reconozco de un modo muy claro y convincente que estas propiedades se hallan en el triángulo, aunque jamás haya pensado antes acerca de ellas, y aunque esta sea la primera vez que he imaginado un triángulo. De todos modos, nadie puede decir que yo las he inventado o imaginado". Trasladar "verdades eternas" tan simples como 1 + 2 = 3, 2 + 2 = 4, a la Geometría perdurable de Descartes, constituyó la Aritmética sobrehumana de Hermite.
Una investigación aritmética de Hermite, aunque más bien de tipo técnico, puede ser mencionada aquí como un ejemplo del aspecto profético de la Matemática pura. Recordaremos que Gauss introdujo los enteros complejos (números de la forma, a + bi, donde a, b son enteros racionales e i denota
![]()
( i,j ) = (1,1), (1,2), (2,1), (2,2),
de modo que a 12 y a 21 son conjugados, y cada uno de a ll , a 22 es su propio conjugado (por tanto a 11 , a 22 son números reales). Se aprecia fácilmente que toda la forma es real (libre de i ) si todos los productos se multiplican, pero ésta se expresa más "naturalmente" en la forma dada.Cuando Hermite inventó tales formas estaba interesado en encontrar qué números están representados por las formas. Setenta años más tarde se encontró que el Álgebra de las formas de Hermite es indispensable en la física matemática, particularmente en la moderna teoría de los cuantos. Hermite no tenía la menor idea de que su matemática pura tendría valor para la ciencia mucho tiempo después de su muerte.
En efecto, al igual que Arquímedes, jamás le importaron nada las aplicaciones científicas de la Matemática. Pero el hecho de que la obra de Hermite haya dado a la Física un instrumento útil, es quizá otro argumento en favor de quienes creen que los matemáticos justifican del mejor modo su existencia abstracta cuando se abandonan a sus propios e inescrutables recursos.
Dejando aparte los espléndidos descubrimientos de Hermite en la teoría de invariantes algebraicos, por ser demasiado técnica para ser expuesta en este lugar, nos ocuparemos de dos de sus más espectaculares conquistas en otros campos. La alta estima que la obra de Hermite de invariantes mereció de sus contemporáneos se aprecia, claramente en las palabras de Sylvester: "Cayley, Hermite y yo constituimos una Trinidad Invariante". Sylvester no llega a decir qué papel desempeñó cada uno de ellos en esta asombrosa Trinidad, pero poco importa, pues es posible que cada uno de los miembros de este trébol fuera capaz de transformarse en sí mismo o en cualquiera de los otros dos seres coinvariantes.
Los dos campos donde Hermite encontró lo que quizá sean los resultados individuales más notables de toda su bella obra, corresponden a la ecuación general de quinto grado y a los números trascendentes. Sus hallazgos referentes al primer problema resaltan claramente en la introducción a su breve nota Sur la resolution de l'équation du cinquéme degré. (Sobre la solución de la ecuación [general] de quinto grado), publicada en las Comptes rendus de l'Académie des Sciences en 1858 cuando Hermite tenía 36 años.
"Es sabido que la ecuación general de quinto grado puede ser reducida por una sustitución (de la incógnita x ) de coeficientes dados sin el uso de otro radical que las raíces cuadradas o raíces cúbicas, a la forma:
x 5 – x – a = 0
[Esto es, si podemos resolver esta ecuación, podremos resolver la ecuación general de quinto grado]."Este notable resultado, debido al matemático inglés Jerrard, es el paso más importante que se ha dado en la teoría algebraica de las ecuaciones de quinto grado desde que Abel demostró que es imposible una solución por radicales. Esta imposibilidad muestra, en efecto, la necesidad de introducir algún nuevo elemento analítico [algún nuevo tipo de función] para buscar la solución, y en este sentido parece natural considerar como un auxiliar las raíces de la ecuación muy simple que hemos mencionado. De todos modos, para justificar rigurosamente su uso como un elemento esencial en la solución de la ecuación general, queda por ver siesta simplicidad deformas realmente nos permiten llegar a alguna idea de la naturaleza de sus raíces, captar lo que es peculiar y esencial en la forma de existencia de estas cantidades, de las cuales nada se sabe más allá del hecho de que no son expresables por radicales.
"Ahora bien, es muy notable que la ecuación de Jerrard se preste con la mayor facilidad a esta investigación, y es, en el sentido que explicaremos, susceptible de una solución analítica real. Podemos, en efecto, concebir la cuestión de la solución algebraica de las ecuaciones desde un punto de vista diferente del que durante largo tiempo se ha seguido para la solución de ecuaciones de los cuatro primeros grados, y que nosotros hemos utilizado especialmente. En lugar de expresar el sistema íntimamente relacionado de raíces, considerado como funciones de los coeficientes, por una fórmula que englobe radicales de múltiples valores [35] , podemos intentar obtener las raíces expresadas separadamente por tantas funciones uniformes diferentes [de un solo valor] de variables auxiliares, como en el caso del tercer grado. En este caso, cuando la ecuación <
x 3 ‑ 3 x + 2 a = 0
está en discusión, basta, como sabemos, representar el coeficiente a por el seno de un ángulo, o sea A, para que las raíces sean aisladas como las siguientes funciones bien determinadas
"Ahora bien, hay un hecho muy semejante que tenemos que mencionar referente a la ecuación
x 5 – x – a = 0
Sólo que en lugar de senos y cosenos es necesario recurrir a las funciones elípticas...”Hermite procedió luego a resolver la ecuación general de quinto grado, usando para este fin las funciones elípticas (estrictamente, funciones modulares elípticas, pero la distinción no tiene importancia aquí). Es casi imposible comprender por quien no sea matemático la brillantez espectacular de tal hazaña. Para citar un símil que en realidad no es adecuado, Hermite encontró la famosa "armonía perdida" cuando ningún mortal tenía la más breve sospecha de que existiera en alguna parte en el tiempo y en el espacio. No hay ni que decir que este triunfo totalmente imprevisto produjo sensación en el mundo matemático. Por mejor decir, inauguró un nuevo rumbo del Álgebra y del Análisis en el que el gran problema era descubrir e investigar aquellas funciones en cuyos términos pudiera ser resuelta explícitamente en forma finita. la ecuación general de n grado. El mejor resultado hasta ahora obtenido es el del discípulo de Hermite, Poincaré, en el año 1880, quien creó las funciones que dan la solución requerida. Resultó ser una generalización "natural" de las funciones elípticas. La característica de las funciones era que generalizadas tenían periodicidad. Otros detalles nos llevarían demasiado lejos, pero volveremos a ocuparnos de estas cuestiones al hablar de Poincaré.
Otro de los resultados aislados sensacionales de Hermite fue el que estableció la transcendencia del número que en el Análisis matemático se representa por la letra e, o sea
![]()
El concepto de "transcendencia" es extraordinariamente simple y también extraordinariamente importante. Cualquier raíz de una ecuación algebraica cuyos coeficientes son enteros racionales (0, ±1, ±2, ...) se llama un número algebraico. Así Ö ` -1, 2.78 son números algebraicos, debido a que son raíces de las respectivas ecuaciones algebraicas x 2 + 1 = 0, 50 x ‑ 139 = 0, en las cuales los coeficientes (1, 1, para el primero, 50, ‑ 139 para el segundo) son enteros racionales. Un "número" que no es algebraico se llama transcendente. Diciéndolo con otras palabras, un número transcendente es aquel que no satisface una ecuación algebraica de coeficientes enteros racionales.
Ahora bien, dado un "número" constituido de acuerdo con alguna ley definida, es una cuestión muy importante preguntarse si es algebraico o transcendente. Consideremos, por ejemplo, el siguiente número simplemente definido
![]()
![]()
El primero que demostró que ciertos números son transcendentes fue Joseph Liouville (el mismo que alentó a Hermite a escribir a Jacobi) quien, en 1844, descubrió una clase muy extensa de números transcendentes, de los cuales todos aquellos de la forma
![]()
Desde los tiempos de Hermite se ha demostrado que muchos números (y clases de números) son transcendentes. Observaremos de pasada que probablemente se han de producir nuevas pleamares en las costas de este oscuro mar. En 1934, el joven matemático ruso Alexis Gelfond demostró que todos los números del tipo a b , donde a no es 0 ni 1 , y b es cualquier número algebraico irracional son transcendentes. Esto resuelve el séptimo de los 23 problemas matemáticos sobresalientes sobre los que David Hilbert llamó la atención de los matemáticos en el Congreso internacional de París en 1900. Obsérvese que "irracional" es necesario en el enunciado del teorema de Gelfond (si b = n/m, donde n, m son enteros racionales, entonces a b , donde a es cualquier número algebraico, es una raíz de x m ‑ a n = 0 ), y puede demostrarse que esta ecuación es equivalente a una cuyos coeficientes son todos enteros racionales.
La victoria inesperada de Hermite sobre la obstinada e hizo suponer a los matemáticos que m podría ser sometida siguiendo un procedimiento similar. Sin embargo, por lo que se refiere a Hermite ya había hecho bastante. "No arriesgaré nada, escribía a Borchardt, para intentar demostrarla transcendencia del número p . Si otros emprenden esta empresa, nadie más feliz que yo si triunfan en ella, pero creo, mi querido amigo, que será a costa de muchos esfuerzos". Nueve arios más tarde (en 1882), Ferdinand Lindemann, de la Universidad de Munich, usando métodos muy semejantes a los seguidos por Hermite para la solución de e , demostró que p es transcendente, resolviendo así para siempre el problema de la "cuadratura del círculo". De lo que Lindemann demostró se deduce que es imposible construir con regla y compás un cuadrado cuya área sea igual a la de un círculo dado, problema que ha atormentado a generaciones de matemáticos, ya antes de la época de Euclides.
Todos los charlatanes que aun se sienten atormentados por el problema deben plantearse concisamente la forma como resolvió la cuestión Lindemann. Este autor demostró que p no es un número algebraico. Pero cualquier problema geométrico que es resoluble con la ayuda de la regla y el compás, cuando se lleva a su forma algebraica equivalente, conduce a una o más ecuaciones algebraicas con coeficientes enteros racionales, que pueden ser resueltas por sucesivas extracciones de raíces cuadradas. Como p no satisface tal ecuación, el círculo no se puede "cuadrar" con dichos instrumentos.
Si se emplean otros aparatos será fácil cuadrar el círculo. Para todos los que no sean locos de atar el problema quedó completamente muerto desde hace medio siglo. Tampoco tiene mérito en el momento actual calcular a con gran número de cifras decimales. En lugar de intentar hacer lo imposible, los místicos pueden dedicarse a con templar la siguiente útil relación entre e , p , ‑ 1 y Ö -1, hasta que aparezca tan familiar para ellos como lo es el ombligo de Buda a un swami hindu.
![]()
Después que Lindemann demostró que p es un número transcendente, el único problema importante no resuelto que atrae a los aficionados es el "último teorema de Fermat". Aquí, un hombre con verdadero genio puede tener probabilidades de triunfar. Esto no significa una invitación a todos los aficionados a inundar las redacciones de revistas matemáticas con supuestas pruebas; y a este respecto recordaremos lo que sucedió a Lindemann cuando audazmente se planteó el famoso teorema. En 1901, Lindemann publicó una memoria de 17 páginas que parecía contener la prueba tan largo tiempo buscada. Señalado el error, Lindemann, impasible, empleó la mayor parte de los siguientes siete años intentando remendar lo irremendable, y en 1907 publicó sesenta y tres páginas con la prueba alegada, pero desde el principio podía verse que existía una falta en el razonamiento. Si esto no demuestra que es preciso un talento singular para resolver la cuestión nada podrá demostrarlo.
Por grandes que sean las contribuciones de Hermite a la parte técnica de la Matemática, tiene probablemente más importancia para la cultura su tenaz argumentación de que la ciencia está más allá de las naciones, y por encima de los credos que dominan o embrutecen a la perseguida humanidad. Nos basta examinar la serena belleza de su espíritu para que lamentemos no encontrar ahora en el mundo de la ciencia algo semejante. Hasta cuando los arrogantes prusianos humillaron París en la guerra francoprusiana, Hermite, aunque era patriota, levantó su cabeza, y vio claramente que la Matemática del "enemigo" era Matemática y nada más que Matemática. Actualmente, cuando un hombre de ciencia se plantea una cuestión, no es impersonal, en su supuesta amplitud de miras, sino agresivo, como corresponde a un hombre que está a la defensiva. Para Hermite era tan obvio que el conocimiento y la sabiduría no son prerrogativas de una secta, de un credo o de una nación, que jamás se esforzó en traducir sus pensamientos en palabras. Lo que Hermite sabía por instinto lo coloca dos siglos por delante de nuestra generación. Murió, amando al mundo sobre todas las cosas, el 14 de enero de 1901.
Capítulo 25
El Hombre que Duda
KRONECKER
Todos los resultados de la más profunda investigación
matemática deben en definitiva ser expresables
en la forma simple de propiedades de los números enteros.
Leopold Kronecker.
El anverso de la carrera de Kronecker se encuentra, según una tradición familiar a los matemáticos americanos, en las empresas de John Pierpont Morgan, fundador de la banca Morgan and Company. Si es cierta esta tradición, Morgan, siendo estudiante en Alemania, mostró una capacidad matemática tan extraordinaria que sus profesores trataron de convencerle de que se dedicara para siempre a la Matemática, ofreciéndole un cargo universitario en Alemania que le facilitaría la labor. Morgan se negó, y dedicó todo su talento a las finanzas con los resultados que todos conocen. Los especuladores (en estudios académicos, no en Wall Street) pueden entretenerse reconstruyendo la historia del mundo sobre la hipótesis de que Morgan se hubiera dedicado a la Matemática.
Lo que habría sucedido en Alemania si Kronecker no hubiese abandonado las finanzas por la Matemática, ofrece también un amplio campo para la especulación. Su capacidad para los negocios era de primer orden; además era un ardiente patriota con una notable visión de la diplomacia europea, y un astuto cinismo que sus admiradores llamaron realismo.
Al principio fue liberal, como muchos jóvenes intelectuales judíos, pero Kronecker pronto se hizo conservador cuando no sólo tuvo el pan asegurado, sino también la manteca. Después de sus empresas financieras se proclamó leal defensor del implacable Bismark.

La vida de Leopold Kronecker fue fácil desde el día de su nacimiento. Hijo de judíos ricos, nació el 7 de diciembre de 1823 en Liegnitz, Prusia. Por un inexplicable descuido de los biógrafos oficiales de Kronecker (Heinrich Weber y Adolf Kneser) nada se sabe acerca de la madre de Leopold, aunque probablemente tuvo una, pues se limitaron al padre, quien tenía un negocio mercantil floreciente. El padre era un hombre bien educado, con una sed insaciable para la filosofía que transmitió a Leopold. Tuvo otro hijo, Hugo, de 17 años menos que Leopold, quien fue distinguido fisiólogo y profesor en Berna. La primera educación de Leopold con un profesor particular fue vigilada por el padre; la educación de Hugo vino a ser más tarde un agradable deber de Leopold.
La segunda fase de su educación en la escuela preparatoria para el Instituto Leopold fue notablemente influido por el co-rector Werner, un hombre con tendencias filosóficas y teológicas, quien más tarde instruyó a Kronecker cuando ingresó en el Instituto. Entre otras cosas, Kronecker se contagió de Werner de un liberalismo de teología cristiana; para el cual tuvo un entusiasmo que duró toda su vida. Con su cautela habitual Kronecker no abrazó la fe cristiana hasta prácticamente hallarse en el lecho de muerte, y entonces se permitió convertirse desde el judaísmo al cristianismo evangélico, teniendo 68 años.
Otro de los maestros de Kronecker en el Instituto, que también influyó profundamente sobre él, llegando a ser un amigo de toda la vida, fue Ernst Eduard Kummer (1810‑1893), quien luego fue profesor en la Universidad de Berlín. Se trataba de uno de los matemáticos más originales que ha producido Alemania y de él volveremos a ocuparnos al hablar de Dedekind. Estos tres hombres, Kronecker padre, Werner y Kummer, administraron la inmensa capacidad innata de Leopold, modelaron su mente y encauzaron el futuro curso de su vida, de modo tan perfecto que aunque lo hubiera deseado le habría sido imposible separarse del camino marcado.
Ya en esta primera fase de su educación observaremos un rasgo notable del carácter general de Kronecker; su capacidad para tratar a las gentes y su instinto para contraer amistades duraderas con hombres de elevada posición o que ocuparían altos cargos, los cuales podrían serle útiles en los negocios o en la Matemática. Esta capacidad para lograr amistades convenientes, que es uno de los rasgos que distinguen a los hombres de negocios, fue una de las más características de Kronecker, y jamás le falló. No era un hombre conscientemente interesado ni presumido, sino tan sólo uno de esos felices mortales que triunfan con más facilidad que fracasan.
El comportamiento de Kronecker en el Instituto fue brillante y multifacético. Además de los clásicos idiomas griego y latino, que dominó con facilidad, y a los que toda su vida se sintió inclinado, estudió hebreo, filosofía y Matemática. Su talento matemático apareció precozmente bajo la experta guía de Kummer, del cual recibió atención especial. Sin embargo, el joven Kronecker no se concentró especialmente sobre la Matemática, aunque era evidente que su máximo talento se manifestaba en ese campo, sino que se dedicó a adquirir una amplia educación liberal, apropiada a sus múltiples capacidades. Aparte de estos estudios tomó lecciones de música, y fue un excelente pianista y cantante. La música, declaraba cuando ya era anciano, es la más bella de todas las bellas artes, con la posible excepción de la Matemática, que él comparaba a la poesía. Durante toda su vida conservó todas estas inclinaciones que siempre cultivó con entusiasmo. Su amor hacia los estudios clásicos dio fruto tangible cuando se afilió a la Graeca, una sociedad dedicada a la traducción y popularización de los clásicos griegos. Su aguda apreciación del arte hizo de él un excelente crítico de pintura y escultura, y su bella casa de Berlín fue el lugar de cita de los músicos, entre ellos Félix Mendelssohn.
Después de ingresar en la Universidad en la primavera de 1841, Kronecker continuó su amplia educación, pero comenzó a concentrarse sobre la Matemática. Berlín se jactaba en aquella época de tener en su Facultad de matemática a Dirichlet (1805‑1859), Jacobi (1804-1851) y Steiner (1796‑1863). Eisenstein (1823‑1852), que tenía la misma edad de Kronecker, también se estudiaba allí, y los dos llegaron a ser amigos.
La influencia de Dirichlet sobre los gustos matemáticos de Kronecker (particularmente en la aplicación del Análisis a la teoría de números) se aprecia claramente en sus escritos de madurez. Steiner parece que no causó gran impresión sobre él; Kronecker no sentía inclinación por la Geometría. Jacobi despertó su entusiasmo por las funciones elípticas, que iba a cultivar con gran originalidad y brillante resultado, principalmente en las nuevas aplicaciones de mágica belleza a la teoría de números.
La carrera universitaria de Kronecker fue una repetición en gran escala de sus años del Instituto: asistió a conferencias sobre los clásicos y las ciencias y satisfizo sus inclinaciones hacia la filosofía mediante estudios más profundos de los que hasta entonces se habían hecho, particularmente en el sistema de Hegel. Hacemos notar esto último debido a que algún curioso y competente lector puede intentar buscar el origen de las herejías matemáticas de Kronecker en la confusa dialéctica de Hegel, cuestión que está más allá de la capacidad de quien esto escribe. De todos modos, existe una extraña semejanza entre la heterodoxia de las dudas recientes respecto a la existencia de la Matemática por sí misma, de cuyas dudas la "revolución" de Kronecker fue en parte responsable, y las sutilezas del sistema de Hegel. El candidato ideal para esta empresa podría ser un comunista marxista con un sólido conocimiento de la lógica polivalente polaca, aunque sólo Dios sabe dónde puede hallarse este raro personaje.
Siguiendo la costumbre de los estudiantes alemanes, Kronecker no permaneció todo el tiempo en Berlín. Parte de su carrera fue realizada en la Universidad de Bonn, donde su viejo maestro y amigo Kummer ocupaba la cátedra de Matemática. Durante la permanencia de Kronecker en la Universidad de Bonn, las autoridades universitarias habían emprendido una guerra para suprimir las sociedades estudiantiles, cuyo principal objeto era fomentar la embriaguez, los duelos, y las querellas en general. Con su habitual habilidad, Kronecker se alió secretamente con los estudiantes, e hizo muchos amigos que más tarde le fueron útiles.
La disertación de Kronecker, aceptada por la Universidad de Berlín para concederle el título de Doctor en filosofía, en el año 1845, fue inspirada por la obra de Kummer sobre la teoría de números, y se ocupa de las unidades en ciertos campos de números algebraicos. Aunque el problema tiene extraordinaria dificultad, su naturaleza puede ser comprendida teniendo en cuenta la siguiente explicación, en grandes líneas, del problema general de unidades (para cualquier campo numérico algebraico, no simplemente para los campos especiales que interesaron a Kummer y Kronecker). Este resumen puede también servir para hacer más inteligible algunas de las alusiones del presente capítulo y de los capítulos siguientes a la obra de Kummer, Kronecker y Dedekind en la Aritmética superior. La cuestión es muy sencilla, pero, requiere algunas definiciones preliminares.
Los números enteros comunes 1, 2, 3... son llamados los números enteros racionales (positivos). Si m es cualquier entero racional, será la raíz de una ecuación algebraica de primer grado, cuyos coeficientes son enteros racionales, o sea
x - m = 0.
Esta entre otras propiedades, de los enteros racionales sugiere la generalización del concepto de enteros a los "números" definidos como raíces de ecuaciones algebraicas. Así, si r es una raíz de la ecuación![]()
Si en la anterior definición de un entero algebraico de grado n suprimidos la condición de que el primer coeficiente sea 1, y decimos que puede ser cualquier entero racional (diferente de cero, que es considerado como un entero), una raíz de la ecuación se llama entonces un número algebraico de grado n . Así ½ (
2 x 2 - 2 x + 3 = 0.
Se introduce ahora otro concepto, el de campo numérico algebraico de grado n : si r es un número algebraico de grado n, la totalidad de todas las expresiones que pueden ser construidas partiendo de r por adiciones, sustracciones, multiplicaciones y divisiones repetidas (la división por 0 no se define, y por tanto no se ensaya ni permite) se llama el campo numérico algebraico engendrado por r, y puede ser denotado por F(r) . Por ejemplo, de r tendremos r + r , o 2 r ; de esto y r tendremos 2 r / r ó 2, 2r - 2 ó r , 2 r ´ 2 ó 2 r 2 , etc. El grado de este F [r] es n . Puede demostrarse que cualquier número de F [r] es de la forma![]()
El problema central de la teoría de números algebraicos es investigar las leyes de la divisibilidad aritmética de los enteros algebraicos en un campo numérico algebraico de grado n . Para que este problema quede definido es necesario establecer exactamente lo que quiere decirse por "divisibilidad aritmética", y para ello debemos comprender el mismo concepto para los enteros racionales.
Decimos que un entero racional, m, es divisible por otro, d, si podemos encontrar un entero racional, q, tal que m = q ´ d; d (también q) es llamado un divisor de m. Por ejemplo, 6 es un divisor de 12, pues 12 = 2 ´ 6; 5 no es un divisor de 12, debido a que no existe un entero racional q tal que 12 = q ´ 5.
Un primo racional (positivo) es un entero racional mayor que 1 cuyos únicos divisores positivos son 1 y el entero mismo. Cuando intentamos extender esta definición a los enteros algebraicos pronto vemos que no encontramos la raíz de la cuestión, y debemos buscar alguna propiedad de los primeros racionales que pueda ser llevada a los enteros algebraicos. Esta propiedad es la siguiente: Si un primo racional p divide el producto a ´ b de dos enteros racionales, entonces (es posible demostrarlo) p divide al menos a uno de los factores a, b, del producto.
Considerando la unidad 1 de la Aritmética racional, nos damos cuenta de que 1 tiene la propiedad peculiar de que divide todo entero racional; ‑1 tiene también la misma propiedad, y 1,‑ 1 son los únicos enteros racionales que tiene esta propiedad.
Estas y otras claves sugieren algunas cosas muy sencillas que intervienen para establecer las siguientes definiciones como la base para una teoría de la divisibilidad aritmética de los enteros algebraicos. Supongamos que todos los enteros considerados pertenecen a un campo numérico algebraico de grado n .
Si r, s, t , son enteros algebraicos tales que r = s ´ t , tanto s como t se denominan un divisor de r .
Si j es un entero algebraico que divide todo entero algebraico en el campo, j se llama una unidad (en ese campo). Un campo dado puede contener una infinidad de unidades a diferencia del par 1, -1 para el campo racional, y esta es una de las cosas que siembran dificultades.
Lo siguiente introduce una distinción radical y perturbadora entre enteros racionales y enteros algebraicos de grado mayor que 1.
Un entero algebraico, que no sea una unidad, cuyos solos divisores son unidades y el entero mismo, se llama irreducible. Un entero algebraico irreducible que tiene la propiedad de que si divide el producto de dos enteros algebraicos dividirá al menos uno de los factores, se llama un entero algebraico primo. Todos los primos son irreducibles, pero no todos los irreducibles son primos en algunos campos numéricos algebraicos, por ejemplo en F[
En el capítulo sobre Fermat hemos mencionado el teorema fundamental de la Aritmética (racional): un entero racional es el producto de primos (racionales) en una sola forma. De este teorema brota toda la intrincada teoría de la divisibilidad para los enteros racionales. Por desgracia, el teorema fundamental no puede mantenerse en todos los campos numéricos algebraicos de grado mayor que uno, y el resultado es el caos.
Para citar un ejemplo (es el ejemplo corrientemente citado en los manuales sobre la cuestión), en el campo F(
6 = 2 x 3 = (1+
) x (1 -
);
Podemos decir aquí que Kronecker venció esta dificultad por un método muy bello que es demasiado complicado para poderlo explicar sin tecnicismo, y que Dedekind consiguió lo mismo por un método totalmente diferente, que es mucho más fácil de comprender, y al que hemos de referirnos cuando consideremos la vida de este investigador. El método de Dedekind es el más empleado actualmente, pero esto no significa que el de Kronecker sea menos importante ni que goce de menor favor cuando la Matemática se familiarice con él.
En su disertación de 1845 Kronecker abordó la teoría de la divisibilidad en ciertos campos especiales, los definidos por las ecuaciones que surgen de la fórmula algebraica del problema de Gauss para dividir la circunferencia en n partes iguales, o, lo que es lo mismo, construir un polígono regular de n lados.
Podemos ahora terminar una parte de la exposición iniciada por Fermat. Luchando para demostrar el último teorema de Fermat, quien enunció que
x n + y n = z n
es imposible en enteros racionales x, y, z (no cero) si n es un entero mayor que 2, los matemáticos dieron lo que parece un paso perfectamente natural, descomponiendo la primera parte de la ecuación x n + y n , en sus factores de primer grado (como se explica en el segundo curso del Álgebra elemental). Esto condujo a una agotadora investigación del campo numérico algebraico antes mencionado en relación con el problema de Gauss, después de haberse cometido errores graves, pero fácilmente comprensibles.El problema estaba al principio rodeado de trampas, en las cuales cayeron muchos competentes matemáticos, incluso uno de los grandes, Cauchy. Este autor aceptó como natural que en el campo numérico algebraico correspondiente debe mantenerse el teorema fundamental de la Aritmética. Después de algunas interesantes, pero prematuras comunicaciones a la Academia Francesa de Ciencias comprendió su error. Como era un hombre inquieto, a quien le interesaba gran número de estos problemas al mismo tiempo, Cauchy abandonó la cuestión, sin realizar el gran descubrimiento que estaba dentro de la capacidad de su prolífico genio, y abandonó el campo a Kummer. La dificultad central era grave: había una especie de "enteros", los referentes al campo que desafiaban al teorema fundamental de la Aritmética. ¿Cómo conseguir que obedecieran a la ley?
La solución de este problema por la invención de un tipo totalmente nuevo de "números" adecuado a la situación, que restablecen automáticamente el teorema fundamental de la Aritmética, constituye, junto con la creación de la Geometría no euclidiana, una de las conquistas científicas sobresalientes del siglo XIX, y quizá sea uno de los descubrimientos matemáticos más importantes de toda la historia. La creación de los nuevos "números", llamados "números ideales", fue obra de Kummer en 1845. Estos nuevos números no estarían construidos para todos los campos numéricos algebraicos, sino sólo para aquellos campos que se originan en la división del círculo.
Kummer se enredó en la red donde cayó Cauchy, y durante cierto tiempo creyó que había demostrado el último teorema de Fermat. Luego, Dirichlet, a cuya crítica fue sometida la supuesta prueba, señaló, por medio de un ejemplo, que el teorema fundamental de la Aritmética, en oposición a la afirmación tácita de Kummer, no se cumple en el campo correspondiente. Este fracaso de Kummer constituyó una de las cosas más afortunadas que han sucedido en la Matemática. Lo mismo que en el error inicial de Abel en la cuestión de la quíntica general, Kummer volvió al buen camino e inventó sus "números ideales".
Kummer, Kronecker y Dedekind con su invención de la teoría moderna de los números algebraicos, ampliando el alcance de la Aritmética ad infinitum, y llevandolas ecuaciones algebraicas dentro de los límites del número, hicieron por la Aritmética superior y la teoría de ecuaciones algebraicas lo que Gauss, Lobatchewsky, Johann Bolyai, y Riemann hicieron por la Geometría al emanciparla de la. estrecha esclavitud de Euclides. Y lo mismo que los inventores de la Geométrica no euclidiana revelaron vastos y hasta entonces insospechados horizontes a la Geometría y a la ciencia física, así también los creadores de la teoría de números algebraicos arrojaron una luz completamente nueva que iluminó toda la Aritmética y aclaró las teorías de ecuaciones, de los sistemas de curvas y superficies algebraicas y la verdadera naturaleza del número mismo sobre la firme base de claros y simples postulados.
La creación de "ideales", la inspiración de Dedekind basada en la visión de Kummer de los "números ideales", renovó no sólo la Aritmética, sino toda el Álgebra que surge de la teoría de ecuaciones y de los sistemas algebraicos de tales ecuaciones, y pudo verse que era también una clave, en la que podía confiarse, para la significación interna de la "Geometría enumerativa" [37] de Plücker, Cayley y otros, que absorbió una buena cantidad de las energías de los geómetras del siglo XIX ocupados con las intersecciones de las redes de curvas y superficies. Y finalmente, si la herejía de Kronecker contra el análisis de Weierstrass (como más tarde observaremos) llega a ser algún día una anticuada ortodoxia, como ocurre más pronto o más tarde con todas las herejías que no son totalmente absurdas, estas renovaciones de nuestros enteros familiares, 1, 2, 3..., sobre los que todo Análisis se esfuerza en basarse, darán en definitiva nuevos alcances al Análisis, y la especulación pitagórica podrá contemplar propiedades generadoras del "número" que Pitágoras jamás pudo soñar en toda su indómita filosofía.
Kronecker inició este difícil y bello campo de los números algebraicos el año 1845, cuando tenía veintidós, con su famosa disertación De Unitatibus Complexis. Las unidades particulares de que trataba eran aquellas que en los campos numéricos algebraicos surgen del problema gaussiano de la división de la circunferencia en n arcos iguales. Por este estudio obtuvo su título de doctor en filosofía. Las Universidades alemanas tenían la laudable costumbre de que el candidato triunfante, al obtener su título de doctor, invitara a una reunión, casi siempre consistente en una fiesta en la cervecería, a sus jueces. En tales fiestas era habitual burlarse de los exámenes haciendo una serie de ridículas preguntas seguidas de respuestas aún más ridículas. Kronecker invitó prácticamente a toda la Facultad, incluyendo al decano, y el recuerdo de aquella fiesta para celebrar la obtención de su título fue, según decía posteriormente, el más feliz de su vida.
En un aspecto, al menos, Kronecker y su enemigo científico Weierstrass eran muy semejantes. Ambos eran excelentes caballeros. Pero en todas las otras cosas su diferencia era casi cómica. El clímax de la carrera de Kronecker fue su prolongada guerra matemática contra Weierstrass, en la que no se daba ni pedía cuartel. Uno era un algebrista innato, el otro había hecho casi una revolución del Análisis. Weierstrass era alto, Kronecker diminuto pero recio, y aunque su altura no llegaba a metro y medio sus proporciones eran perfectas. Después de sus días de estudiante, Weierstrass abandonó la esgrima; Kronecker fue siempre excelente gimnasta y nadador, y más tarde buen alpinista.
Los testigos de las batallas entre esta incomparable pareja cuentan cómo el voluminoso enemigo era aturdido por la tenacidad de su pequeño contrincante, de quien quería deshacerse como un buen perro de San Bernardo quiere ahuyentar una molesta mosca. Kronecker excitaba a Weierstrass con sus ingeniosos ataques, hasta que Weierstrass huía a grandes zancadas, llevando sobre sus talones a Kronecker, quien continuaba hablando como un loco. Pero, pese a sus diferencias científicas, los dos eran buenos amigos, y ambos eran grandes matemáticos, sin un ápice del complejo de "gran hombre" que muchas veces infla a los supuestos poderosos.
Kronecker tuvo la suerte de tener un tío rico influyente en los bancos, que también se ocupaba de grandes empresas agrícolas. Todos estos negocios cayeron en las manos del joven Kronecker a la muerte de su tío, poco después de que el matemático en embrión había obtenido su título a la edad de 22 años. Los ocho años siguientes (1845 a 1853) fueron empleados en la administración de las propiedades y en poner en orden los negocios, cosa que Kronecker hizo con gran tenacidad y excelente resultado. Para poder administrar eficazmente sus propiedades rurales tuvo que estudiar los principios de la agricultura.
En 1848, cuando tenía 25 años, el joven y enérgico hombre de negocios se enamoró de su prima Fanny Prausnitzer, hija de su difunto y poderoso tío, y se casó con ella. Tuvo seis hijos, cuatro de los cuales sobrevivieron a sus padres. El matrimonio Kronecker fue muy feliz, y él y su mujer, bella y con talento, educaron a sus hijos con la mayor devoción. La muerte de la mujer de Kronecker, pocos meses antes de su última enfermedad, fue el golpe que le derrumbó.
Durante los ocho años dedicados a los negocios Kronecker no publicó nada respecto a cuestiones matemáticas. Pero no quedó estancado matemáticamente, según lo demuestra la publicación, en 1853, de un trabajo fundamental sobre la solución algebraica de las ecuaciones. A pesar de su actividad como hombre de negocios, Kronecker mantuvo una viva correspondencia científica con su antiguo maestro Kummer, y, en cuanto pudo escapar de ese género de vida, visitó París, (1853), donde conoció a Hermite y a otros importantes matemáticos franceses. Jamás interrumpió su comunicación con el mundo científico cuando las circunstancias le obligaron a cuidar sus intereses, y pudo mantener vivos sus conocimientos, haciendo de la Matemática su diversión favorita.
En 1853, cuando se publicó la memoria de Kronecker sobre la resolución algebraica de las ecuaciones (la naturaleza del problema fue discutida en los capítulos sobre Abel y Galois), la teoría de ecuaciones de Galois era comprendida por muy pocos. La manera cómo abordó Kronecker el tema es característica de su inteligente labor. Kronecker había comprendido la teoría de Galois, y posiblemente fue el único matemático de la época que logró penetrar profundamente en las ideas de dicho autor. Liouville se contentó con una visión de la teoría que le capacitó para completar inteligentemente algunos de los trabajos de Galois.
Una característica de la forma cómo Kronecker abordaba las cuestiones fue su minuciosidad comprensiva. En ésta, como en otras investigaciones en Álgebra y en la teoría de números, Kronecker tomó el oro refinado de sus predecesores, lo pulió como un elegante joyero, añadió gemas propias, e hizo con todo el precioso material una obra de arte que llevaba el inconfundible sello de su individualidad artística. Le gustaban las cosas perfectas; algunas de sus páginas muestran muchas veces el completo desarrollo de un resultado aislado con todas sus implicaciones, pero no sobrecargan el tema principal con excesivos detalles. En consecuencia, hasta el más breve de sus trabajos ha dado lugar a descubrimientos importantes de sus sucesores, y sus investigaciones más largas constituyen inagotables minas de bellos problemas.
Kronecker fue lo que se llama un "algorista" en la mayor parte de sus obras. Le gustaba exponerla cuestión mediante fórmulas concisas donde automáticamente iban apareciendo las fases sucesivas, y cuando se llegaba a la cuestión más importante era posible volver atrás en todo el razonamiento, y ver la aparente inevitabilidad de la conclusión surgida de las premisas. Los detalles auxiliares eran crudamente podados hasta que aparecía el nudo principal de la cuestión, con todo su vigor y simplicidad. Brevemente, Kronecker era un artista que utilizaba las fórmulas matemáticas como su medio de expresión.
Después que los trabajos de Kronecker sobre la teoría de Galois, el tema pasó de ser la propiedad privada de unos pocos a constituir la propiedad común de todos los algebristas, y Kronecker procedió tan artísticamente que la siguiente fase de la teoría de ecuaciones se puede atribuir a él. Su objetivo en Álgebra, como el de Weierstrass en Análisis, era buscar el camino natural, una cuestión de intuición y de gusto más que de definición científica, para llegar al corazón de sus problemas.
El mismo espíritu artístico y la misma tendencia a la unificación aparecen en otro de sus más celebrados trabajos que tan sólo ocupa un par de páginas en sus obras completas, Sobre la resolución de la ecuación general de quinto grado, que fue publicado primeramente en 1858. Hermite, recordaremos, dio la primera solución, por medio de las funciones elípticas (modulares), en el mismo año. Kronecker alcanzó la solución de Hermite, o lo que es prácticamente lo mismo, aplicando las ideas de Galois al problema, dando lugar a que el milagro pareciera "más natural". En otro trabajo (1861), también breve, en el cual gastó la mayor parte de sus horas durante cinco años, volvió al tema, y buscó las razones de por qué la ecuación general de quinto grado se puede resolver en la forma conocida, dando así un paso más allá de Abel, quien estableció la cuestión de la resolución "por radicales".
Gran parte de la obra de Kronecker tiene marcado matiz aritmético, tanto de Aritmética racional como de las más amplia Aritmética de los números algebraicos. En efecto, si su actividad matemática ha tenido una clave directriz, puede decirse que su deseo, quizá subconsciente, fue aritmetizar toda la Matemática, desde el Álgebra al Análisis. Dios hizo los números enteros, dijo, el resto es obra del hombre. La pretensión de Kronecker de que el Análisis debía ser reemplazado por la Aritmética finita fue la raíz de su desacuerdo con Weierstrass. La aritmetización universal puede ser un ideal demasiado estrecho para la frondosidad de la Matemática moderna, pero al menos tiene el mérito de la mayor claridad.
La Geometría jamás fue seriamente abordada por Kronecker. El período de la especialización ya había progresado lo bastante cuando Kronecker realizó su labor, y probablemente sería imposible para cualquier hombre haber producido una obra de tipo tan perfecto como la realizada por Kronecker como algebrista y en su tipo peculiar de Análisis, y al mismo tiempo descubrir otras cosas de importancia en otros campos. La especialización ha sido frecuentemente condenada, pero tiene sus virtudes.
Un rasgo característico de muchos de los descubrimientos técnicos de Kronecker es la perfección con que teje los tres hilos de sus disciplinas favoritas, la teoría de números, la teoría de ecuaciones y las funciones elípticas, para formar una bella trama en la que se revelan simetrías imprevistas y muchos detalles que pasaron inadvertidos para otros. Cada uno de los instrumentos que empleó parecía que había sido designado por el destino para la más eficaz función de los demás. No contento con aceptar esta misteriosa unidad como un simple misterio, Kronecker buscó y encontró la estructura esencial en la teoría de Gauss de las formas cuadráticas binarias, donde lo primero y principal es investigar las soluciones en números enteros de ecuaciones indeterminadas de segundo grado con dos incógnitas.
La gran obra de Kronecker en la teoría de números algebraicos no forma parte de esta urdimbre. También se separó algunas veces de sus aficiones principales cuando, siguiendo la moda de su época, se ocupó de los aspectos matemáticos puros de ciertos problemas (en la teoría de la atracción así como en la gravitación newtoniana) de la física matemática. Sus contribuciones en este campo fueron de interés matemático más que de interés físico.
Hasta la última década de su vida, Kronecker fue un hombre libre, sin obligaciones. Sin embargo, aceptó voluntariamente deberes científicos, por los que no recibió remuneración alguna, cuando hizo uso de su privilegio como miembro de la Academia de Berlín para pronunciar conferencias en la Universidad berlinesa. Desde 1861 a 1883 organizó cursos regulares en la Universidad, principalmente sobre sus investigaciones personales, después de las explicaciones necesarias. En 1883, Kummer, entonces en Berlín, se retiró, y Kronecker ocupó el puesto de su antiguo maestro como profesor ordinario. En este período de su vida viajó mucho y participó con frecuencia en las reuniones científicas celebradas en Gran Bretaña, Francia y Escandinavia.
Durante toda su carrera como profesor de Matemática, Kronecker rivalizó con Weierstrass y otras celebridades, cuyos temas eran más populares que los suyos. El Álgebra y la teoría de números jamás han atraído tanto al público como la Geometría y el Análisis, posiblemente debido a que se aprecian mejor las relaciones de estos últimos con la ciencia física.
Kronecker toleró este aristocrático aislamiento sin repugnancia y hasta con cierta satisfacción. Sus bellas y claras introducciones a sus cursos hacían creer erróneamente a sus oyentes que las subsiguientes lecciones serían fáciles de comprender. Esta creencia se evaporaba rápidamente a medida que el curso progresaba, y después de tres o cuatro sesiones tan solo quedaban algunos fieles y obstinados oyentes, mientras la mayor parte desertaba para ir a escuchar a Weierstrass. Kronecker se regocijaba y decía en broma que debía colocarse una cortina
después de las dos primeras filas de sillas, pues así el conferenciante y los oyentes gozarían de mayor intimidad. Los pocos discípulos que conservaba le seguían devotamente, paseando con él para continuar las discusiones comenzadas en el aula, y con frecuencia era posible asistir en las pobladas aceras de las calles de Berlín al divertido espectáculo de ver a un hombrecillo muy excitado, que hablaba con todo su cuerpo, especialmente con las manos, a un grupo de estudiantes que obstaculizaba el tránsito. Su casa estaba siempre abierta a sus discípulos, cosa que producía gran alegría al maestro, y su generosa hospitalidad constituyó una de las más grandes satisfacciones de su vida. Varios de sus discípulos llegaron a ser eminentes matemáticos, pero su "escuela" era el mundo entero, y no hacía esfuerzo alguno por ampliar y formar una escuela artificial.
Esta fue la característica de la obra independiente de Kronecker. En una atmósfera de confiada creencia en la solidez del Análisis, Kronecker asumió el antipático papel del filósofo que duda. No son muchos los grandes matemáticos que han tomado en serio la filosofía; en efecto, la mayoría parece haber considerado con repugnancia las especulaciones filosóficas, y cualquier duda epistemológica que afectara la solidez de su obra ha sido casi siempre ignorada o impacientemente descartada.
Con Kronecker la cuestión era diferente. La parte más original de su obra, donde fue un verdadero precursor, es el desarrollo natural de sus inclinaciones filosóficas. Su padre, Werner, Kummer, y sus amplias lecturas filosóficas, influyeron sobre él para que tuviera una perfecta visión crítica de todos los conocimientos humanos, y cuando contemplaba la Matemática desde este discutido punto de vista, no la excluía porque se tratase de un campo de su particular predilección, sino que la infundía un acre pero beneficioso escepticismo. El hombre que duda, no se dirige a sí mismo ni a los que viven, sino, como Kronecker decía, "a quienes vendrán después de mí". En la actualidad esos sucesores han llegado, y debido a sus esfuerzos unidos, aunque con frecuencia se hayan producido contradicciones, comenzamos a apreciar claramente la naturaleza y significación de la Matemática.
Weierstrass (Capítulo XXII) había construido el Análisis matemático sobre su concepto de número irracional definido por infinitas sucesiones de números racionales. Kronecker no sólo discutió con Weierstrass;, hubiera atraído a Eudoxio. Para él, como para Pitágoras, únicamente "existen" los números enteros creados por Dios 1, 2, 3,... El resto es un vano ensayo de la humanidad para corregir al Creador. Weierstrass, en cambio, creía que al menos había hecho la raíz cuadrada de 2 tan comprensible y tan fácil de tratar como el 2 mismo; Kronecker negaba que la raíz cuadrada de 2 "existía", y afirmaba que es imposible razonar consecuentemente acerca de la construcción de Weierstrass respecto a esta raíz o a cualquier otro irracional. Ni sus colegas más ancianos ni el joven a quien Kronecker se dirigía dieron a sus revolucionarias; ideas una entusiasta bienvenida.
Weierstrass mismo parece que se sentía incómodo; ciertamente se creía ofendido. Su gran emoción se manifiesta en una tremenda sentencia alemana [38] semejante a una fuga, cuya traducción es muy difícil. "Pero lo peor de ello es, afirma Weierstrass, que Kronecker usa su autoridad para proclamar que todos los que han intervenido ahora para establecer la teoría de funciones son pecadores ante el Señor. Cuando un individuo curioso y excéntrico como Christoffel [el hombre cuya obra algo olvidada iba a ser, años después de su muerte, un importante instrumento en la Geometría diferencial que en la actualidad se emplea en la matemática de la relatividad], dice que en 20 ó 30 años la actual teoría de funciones quedará enterrada, y que la totalidad del Análisis será referido a la teoría de las: formas, replicamos encogiéndonos de hombros. Pero cuando Kronecker pronuncia el siguiente veredicto, que repito palabra por palabra: "Si el tiempo y la salud me lo permiten yo mismo mostraré al mundo matemático que no sólo la Geometría sino también la Aritmética puede señalar el camino al Análisis, y seguramente un camino más riguroso. Si no puedo hacerlo por mí mismo, lo harán los que vengan después de mí, y se reconocerá la inexactitud de todas las conclusiones en que el llamado Análisis se basa al presente", tal veredicto, pronunciado por un hombre cuyo gran talento y cuya obra matemática admiro tan sinceramente y con tanto placer como todos sus colegas, no sólo es humillante para quienes él pretende que abjuren de su conocimientos y que renuncien a la esencia de lo que ha constituido el objeto de sus pensamientos y de su incansable labor, sino que también es una invitación directa a la generación más joven para que deserte de sus actuales conductores y se afilien como discípulos de un nuevo sistema que debe ser fundado. Ciertamente esto es triste, y me llena de gran amargura ver a un hombre cuya gloria no tiene manchas, dejarse impulsar por sentimientos indignos de su grandeza a manifestaciones cuyo efecto injurioso sobre los demás parece no percibir.”
"Pero bastantes de estas cosas a las que aludo tan sólo las expongo para explicaros porqué no experimento el mismo goce que antes en mis enseñanzas aunque mi salud me permita continuar mi labor algunos años más. Pero no debéis hablar de ello; no les gustaría a otras personas que no me conocen como me conocéis, para ver en lo que digo la expresión de un sentimiento que es de hecho extraño a mí".
Weierstrass tenía 70 años, y cuando escribía estas palabras su salud era precaria. De haber vivido ahora, hubiera visto su gran sistema floreciendo aun, como el proverbial laurel siempre verde. Las dudas de Kronecker han estimulado el examen crítico de los fundamentos de toda la Matemática, pero no han podido destruir el Análisis. Si alguna cosa de singular significación ha de ser reemplazada por algo más firme pero aun desconocido, parece probable que sea una buena parte de la obra de Kronecker pues la crítica que él preveía ha dejado al descubierto puntos débiles que él no sospechó. El tiempo nos hace necios a todos. Nuestro solo consuelo es que más lo serán los que vengan detrás de nosotros.
La "revolución" de Kronecker como sus contemporáneos llamaron a su subversivo ataque al Análisis hacía desaparecer todo de la Matemática, salvo los números enteros positivos. La Geometría desde Descartes ha sido principalmente una cuestión de Análisis aplicada a ordenar pares, ternas. de números reales (los "números" que corresponden a las distancias medidas sobre una determinada línea recta desde un punto fijo sobre la línea). De aquí podría caer bajo el imperio del programa de Kronecker. Un concepto tan familiar como el de un entero negativo, por ejemplo - 2, no aparecería en la Matemática que Kronecker profetizó, ni tampoco las fracciones comunes.
Las irracionales, como Weierstrass señala, producían una especial repugnancia a Kronecker. Hablar de que x 2 - 2 = 0 tiene una raíz carecía de significación. Todas esas repugnancias y objeciones no tienen, como es natural, significación a no ser que pudieran ser reemplazadas por un programa definido que sustituyera al rechazado.
Kronecker realmente hizo esto, al menos en grandes líneas, y mostró que todo el Álgebra y la teoría de números, incluyendo los números algebraicos, pueden ser reconstruidas de acuerdo con dicha exigencia. Para eliminar
Quienes no sienten simpatía por la "revolución" de Kronecker, la llaman un putsch, que es algo más parecido a una reyerta entre, borrachos que a una verdadera revolución. De todos modos, ha llevado en los últimos años a dos movimientos de crítica constructiva en toda la Matemática: la necesidad de que sea dada o demostrada posible una construcción en un número finito de etapas para cualquier "número" u otra "entidad" matemática cuya "existencia" se indica, y la desaparición en la Matemática de todas las definiciones que no puedan ser expuestas explícitamente en un número finito de palabras. La insistencia sobre estas exigencias ha hecho mucho para aclarar nuestro concepto de la naturaleza de la Matemática, pero aún queda mucho por hacer. Como esta obra está aun en marcha demoraremos su ulterior consideración hasta ocuparnos de Cantor, pues entonces será posible citar ejemplos.
El desacuerdo de Kronecker con Weierstrass no deja la desagradable impresión que produciría si ignoramos el resto de la vida generosa de Kronecker. Kronecker no tuvo la intención de herir a su amable compañero; dejaba correr su lengua en el calor de una discusión puramente matemática, y Weierstrass, cuando estaba de buen humor, se reía de los ataques, sabiendo bien que del mismo modo como él había perfeccionado la obra de Eudoxio, sus sucesores probablemente perfeccionarían la suya. Es posible que si Kronecker hubiera tenido treinta centímetros más de estatura no se hubiera visto obligado a vociferar cuando hacía sus objeciones al Análisis. Gran parte de la disputa puede interpretarse suspicazmente como debida a una manifestación de un injustificado complejo de inferioridad.
La reacción de muchos matemáticos a la "revolución" de Kronecker fue resumida por Poincaré cuando dijo que Kronecker fue capaz de realizar una excelente obra matemática debido a que, frecuentemente olvidó su propia filosofía matemática. Como no pocos epigramas, este es lo suficientemente falso para ser ingenioso.
Kronecker murió de una afección bronquial, en Berlín, el 29 de diciembre de 1891, teniendo 69 años.
Capítulo 26
Anima Cándida
RIEMANN
Un geómetra como Riemann pudo casi haber
previsto las características
más importantes del mundo actual.
A. S. Eddington
Georg Friedrich Bernhard Riemann, hijo de un pastor luterano, el segundo de seis hermanos (dos hermanos y cuatro hermanas), nació en la pequeña aldea de Breselenz, en Hanover, Alemania, el 17 de septiembre de 1826. Su padre combatió en las guerras napoleónicas, y cuando abandonó este modo de vivir por otro menos bárbaro, se casó con Charlotte Ebell hija de un modesto abogado. En el año 1826, Hanover no gozaba de una vida próspera, y las condiciones de un oscuro pastor con una mujer y seis hijos que alimentar y vestir no eran en realidad envidiables. Algunos biógrafos pretenden, quizá con justicia, que la delicada salud y las muertes prematuras de muchos de los hijos de Riemann fueron el resultado de la desnutrición de su juventud y no a circunstancias realmente ingentes. La madre murió también antes de que sus hijos llegaran a la edad adulta.
A pesar de la pobreza, la vida de su hogar era feliz, y Riemann siempre mantuvo el más cálido afecto, y una intensa nostalgia cuando estaba ausente, para toda su cariñosa familia.

Bernhard Riemann
Siendo todavía niño, el padre pasó al curato de Quickborn. Allí, el joven Riemann recibió de su padre, que parecía ser un excelente maestro, su primera instrucción. Desde las primeras lecciones Bernhard mostró un deseo insaciable de aprender. Las primeras cosas que le interesaron fueron las históricas, particularmente la trágica y romántica historia de Polonia. Cuando tenía cinco años Bernhard no dejaba en paz a su padre, pidiéndole que le narrara una y otra vez la leyenda de las luchas heroicas, y algunas veces ligeramente fatuas, de la infeliz Polonia, por la libertad y por la "autodeterminación", empleando la significativa frase de Woodrow Wilson.
La Aritmética, cuyo estudio comenzó a los 6 años, dio lugar a que se revelara pronto su ingénito genio matemático. Bernhard no sólo resolvía todos los problemas que se le presentaban, sino que inventaba casos más difíciles para exasperar a sus hermanos y hermanas. Ya el impulso creador en la Matemática dominaba la mente del muchacho. Teniendo 10 años comenzó a recibir lecciones de Aritmética y Geometría superior de un maestro profesional, un tal Schulz, que parecía buen pedagogo. Schulz pronto se encontró por debajo de su discípulo, que con frecuencia obtenía mejores soluciones que él.
A los 14 años Riemann fue a vivir con su abuela a Hanover, donde ingresó en la escuela secundaria, en el tercer grado superior. Aquí comenzó a sentir por primera vez su soledad. Su timidez hacía de él el blanco de las bromas de sus compañeros, y ello le impulsó a concentrarse sobre sí mismo. Después de un retroceso temporal, su comportamiento en el Instituto fue excelente, pero él no se permitía lujo alguno, y su único solaz era la compra de algunos pequeños regalos, adquiridos con sus ahorros, para enviarlos a sus padres, hermanos y hermanas en los días de sus cumpleaños. En una ocasión inventó y preparó como regalo para sus padres un calendario perpetuo muy original, que produjo el asombro de sus incrédulos compañeros. A la muerte de su abuela, dos años más tarde, Riemann fue llevado al Instituto de Lüneburg, donde estudió hasta que logró la preparación necesaria para ingresar en la Universidad de Göttingen, teniendo 19 años. Lüneburg estaba cerca del hogar de Riemann, quien aprovechaba así todas las oportunidades para poder gozar del calor de su casa. Estos años de educación secundaria, cuando su salud era aún buena, fueron los más felices de su vida. Los viajes de ida y vuelta entre el Instituto y Quickborn exigían un esfuerzo a su salud, pero, a pesar de las angustias de la madre, Riemann continuó realizando estos excesos para poder estar con su familia el mayor tiempo posible.
Cuando todavía estaba en el Instituto, Riemann tenía ya el prurito por la perfección, que más tarde habría de demorar sus publicaciones científicas. Este defecto, si lo es, le causó grandes dificultades en sus ejercicios escritos, y al principio hasta pareció dudoso que pudiera triunfar en sus exámenes. Pero este mismo rasgo fue más tarde, la causa de la forma acabada de dos de sus obras maestras, una de las cuales fue considerada por Gauss como perfecta. Más tarde las cosas mejoraron, cuando Seyffer, el maestro de hebreo, recibió a Riemann en su propia casa como pupilo.
Los dos estudiaron juntos hebreo. Riemann hacía más de lo que podía, pues el futuro matemático deseaba en aquellos días satisfacer los deseos de su padre y ser un gran predicador, como si el pobre Riemann, con su timidez, pudiera haber subido al púlpito para desafiar al infierno y hablar de la condenación, o de la redención en el Paraíso. El mismo Riemann estaba satisfecho con sus piadosos planes, y aunque jamás preparó un sermón, empleó sus talentos matemáticos para intentar la demostración, a la manera de Spinoza, de la verdad del Génesis. Sin importarle su fracaso, el joven Riemann conservó su fe, y continuó siendo toda su vida un sincero cristiano. Como su biógrafo (Dedekind) afirma: "Evitó reverentemente alterar la fe de los demás; para él lo principal en la religión era el autoexamen diario". Al terminar el curso de la Escuela secundaria todos estaban conformes, hasta el propio Riemann, de que el Todopoderoso no podría utilizarlo para derrotar al demonio, pero podría emplearle provechosamente para la conquista de la naturaleza. Así, una vez más, como en los casos de Boole y Kummer, ad majoram Dei gloriam.
Habiendo observado el director del Instituto, Schmalfuss, el talento de Riemann para la Matemática, le permitió entrar en su biblioteca privada, librándole de asistir a la clase de Matemática. De esta forma Riemann descubrió sus aptitudes ingénitas para esta ciencia, pero su incapacidad para darse cuenta inmediatamente de la magnitud de su talento es tan característica de su casi patológica modestia que resulta ridículo.
Schmalfuss sugirió a Riemann la idea de que retirara algún libro matemático de la biblioteca, para que lo estudiara en su casa, y a Riemann le pareció excelente la idea con tal de que el libro no fuera demasiado fácil. Por indicación de Schmalfuss eligió la Théorie des Nombres (Teorías de números), de Legendre. Se trata, nada menos, que de una obra de 850 páginas, en cuarto mayor, y llena de razonamientos complicados. Seis días más tarde Riemann devolvió el libro. "¿Cómo ha podido leerlo tan pronto?" preguntó Schmalfuss. Sin contestar directamente, Riemann expresó su aprecio por la obra clásica de Legendre. "Es ciertamente un libro maravilloso. Lo he comprendido", y en efecto era verdad. Algún tiempo más tarde, al someterse al examen, respondió perfectamente, aunque hacía ya meses que no había vuelto a ver el libro.
No hay duda de que este es el origen de la afición de Riemann por el enigma de los números primos. Legendre tiene una fórmula empírica para calcular el número aproximado de primos menor que cualquier número dado. Una de las obras más profundas y más sugestivas de Riemann (aunque sólo tiene ocho páginas) se refiere al mismo tema general. En efecto, "la hipótesis de Riemann", que se origina en su ensayo para mejorar la obra de Legendre, es actualmente uno de los desafíos notables, si no el más notable, a los matemáticos puros.
Anticipándonos ligeramente a lo que luego diremos, podemos exponer aquí lo que es esta hipótesis. Se plantea en la famosa memoria de Ueber die Anzahl der Primzahlen unter einer gegebenen Grosse. (Sobre el número de números primos inferiores a uno dado) impresa en la publicación mensual de la Academia de Berlín, noviembre 1859, cuando Riemann tenía 33 años. El problema se refiere a encontrar una fórmula que dé los primos que existen menores que un número dado n. Al intentar resolver esta cuestión, Riemann fue llevado a una investigación de la serie infinita
![]()
½ + iv
o sea que todos tienen su parte real igual a ½.Esta es la famosa hipótesis. Pruebe o no pruebe algo, se cubrió de gloria, e incidentalmente resolvió muchas cuestiones extraordinariamente difíciles en la teoría de números primos, en otras partes de la Aritmética superior y en algunos campos del análisis. La opinión de los especialistas está en favor de la verdad de la hipótesis. En 1914, el matemático inglés G. H. Hardy demostró que una infinidad de valores de s satisface la hipótesis, pero una infinidad no es necesariamente todo. Una decisión de algún tipo que resuelva la conjetura de Riemann sería probablemente de mayor interés para los matemáticos que una prueba o un rechazo del último teorema de Fermat. La hipótesis de Riemann no es un tipo de problema que pueda ser abordado por métodos elementales. Ya ha dado lugar a una extensa y complicada bibliografía.
Legendre no fue el único gran matemático cuyas obras fueron comprendidas por Riemann, siempre con asombrosa rapidez cuando estaba en el Instituto. Se familiarizó con el Cálculo y sus ramificaciones a través del estudio de Euler. Es sorprendente que aunque su iniciación en el análisis fuera anticuada (los métodos de Euler estaban ya anticuados el año 1840 después de los trabajos de Gauss, Abel y Cauchy), llegara Riemann a ser un analista tan agudo. Pero de Euler tomó algo que también tiene su importancia en la obra matemática creadora. La apreciación de las formas simétricas y la inventiva para el tratamiento de las fórmulas. Aunque Riemann dependió principalmente en sus grandes inspiraciones de lo que pueden ser llamadas profundas ideas filosóficas, las que van al corazón de la teoría, su obra no carece, de todos modos, de esa "sencilla ingeniosidad" en la que Euler fue el maestro perfecto. La persecución de bellas fórmulas y de pulidos teoremas pueden, sin duda, degenerar rápidamente en un vicio estúpido, pero también pueden ir hacia la austera generalización, en un grado tal que las conclusiones sean tan generales que no puedan ser aplicadas a cualquier caso particular. El tacto matemático característico de Riemann impidió que cayera en los dos perniciosos extremos.
En 1846, teniendo 19 años, Riemann se matriculó como estudiante de filología y teología en la Universidad de Göttingen. Le animaba el deseo de agradar a su padre, y posiblemente ayudarle financieramente, obteniendo algún cargo retribuido tan pronto como le fuera posible. Pero no podía abstenerse de asistir a las conferencias matemáticas de Stern sobre la teoría de ecuaciones y sobre integrales definidas, a las de Gauss sobre el método de los mínimos cuadrados y a la de Goldschmidt sobre el magnetismo terrestre. Confesando todo a su indulgente padre, Riemann le pidió el permiso para desviar sus estudios. El padre consintió que Bernhard siguiera la carrera matemática, lo que produjo en el joven un sentimiento de profunda felicidad y agradecimiento.
Después de pasar un año en Göttingen,, donde la enseñanza era, sin duda, anticuada, Riemann marchó a Berlín para ser iniciado por Jacobi, Dirichlet, Steiner y Eisenstein, en nuevas y vitales Matemáticas. De todos estos maestros aprendió mucho, mecánica y álgebra superior de Jacobi, la teoría de números y análisis de Dirichlet, Geometría moderna de Steiner, mientras Eisenstein, que tenía tres años más que el discípulo le enseñó no sólo funciones elípticas, sino también confianza en sí mismo, pues él y el joven maestro tenían radicales diferencias de opinión acerca de cómo debían desenvolverse la teoría. Eisenstein insistía en establecer fórmulas bellas, a la manera de un modernizado Euler; Riemann deseaba introducir la variable compleja, y derivar toda la teoría, con un mínimo de cálculo, desde algunos simples principios generales. No hay duda de que así se originaron, al menos, los gérmenes de una de las más grandes contribuciones de Riemann a la Matemática pura. Como el origen de la obra de Riemann en la teoría de funciones de variable compleja es de considerable importancia para su propia historia y para la de las modernas Matemáticas examinaremos lo que se sabe acerca de esta cuestión.
La definición de una función analítica de una variable compleja, expuesta en relación con la anticipación de Gauss al teorema fundamental de Cauchy, fue esencialmente la de Riemann. Cuando se expresa analíticamente en lugar de geométricamente, esa definición se pone a la par de las ecuaciones en derivadas parciales[39], que Riemann tomó como punto de partida para una teoría de funciones de una variable compleja. Según Dedekind, "Riemann reconoció en esas ecuaciones diferenciales parciales la definición esencial de una función (analítica) de una variable compleja. Probablemente estas ideas, de suma importancia para su futura carrera, fueron elaboradas por Riemann en las vacaciones del otoño de 1847 (tenía 21 años)".
Otra versión del origen de la inspiración de Riemann es debida, a Sylvester, quien narra la siguiente historia, muy interesante, aunque posiblemente no sea cierta. En 1896, el año antes de su muerte, Sylvester recuerda que estaba en "un hotel sobre el río en Nuremberg, donde, conversaba con un librero de Berlín, que iba a trasladarse, como yo, a Praga... Me dijo que había sido condiscípulo de Riemann en la Universidad, y que un día, después de haber recibido de París algunos números de las Comptes rendus, había permanecido aislado durante algunas semanas, y cuando volvió a la sociedad de sus amigos dijo (refiriéndose a los trabajos recientemente publicados por Cauchy): Esta es una nueva Matemática".
Riemann permaneció dos años en la ciudad de Berlín. Durante los movimientos políticos de 1848 permaneció con el cuerpo de estudiantes leales, y tuvo que hacer guardia durante 16 horas para proteger, en el palacio real, a la nerviosa y sagrada persona del rey. En 1849 volvió a Göttingen para completar sus conocimientos matemáticos y doctorarse. Los problemas que le interesaban eran de ordinario más amplios que lo que suelen interesar al matemático puro, y, en efecto, dedicó gran parte de su tiempo a la ciencia física, aparte de la Matemática.
Aunque el real interés de Riemann fuera la física matemática, parece muy posible que de haber vivido 20 6 30 años más hubiera llegado a ser el Newton o el Einstein del siglo XIX. Sus ideas en la física eran muy audaces para su época. Hasta que Einstein se dio cuenta del sueño de Riemann de una física geometrizada (macroscópica), la física que Riemann previó, quizá algo oscuramente, no pareció razonable a los físicos. En esta dirección su único continuador comprensivo hasta antes de nuestro siglo, fue el matemático inglés William Kingdon Clifford (1845-1879).
Durante sus últimos tres semestres en Göttingen asistió a conferencias sobre filosofía y siguió con el mayor interés, el curso de Wilhelm Weber de física experimental. Los escritos fragmentarios filosóficos y psicológicos, encontrados después de la muerte de Riemann, muestran que como pensador y filósofo era tan original como en Matemática y ciencia. Weber reconoció el genio científico de Riemann, y fue su íntimo amigo y útil consejero. En un grado mucho mayor que la mayoría de los grandes matemáticos que han escrito sobre ciencia física, Riemann tenía una inclinación para lo que es importante o probablemente, lo será en física, y esa inclinación no hay duda de que era debida a su trabajo en el laboratorio y a su contacto con hombres que eran esencialmente físicos y no matemáticos. Las contribuciones de los más grandes matemáticos puros a la ciencia física han solido caracterizarse por una singular indiferencia para el universo observado por los hombres de ciencia. Riemann, como matemático físico, estaba en la misma categoría de Newton, Gauss y Einstein en su instinto para aquello que probablemente tendrá uso científico en Matemática.
Como una secuela a sus estudios filosóficos con Johann Friedrich Herbart (1776‑1841), Riemann llegó a la conclusión, en 1850 (tenía 24 años), de que "puede ser establecida una teoría matemática completa que vaya desde las leyes elementales para los puntos individuales hasta los procesos que aparecen ante nosotros en el plenum ('espacio continuamente lleno') de la realidad, sin distinción entre gravitación, electricidad, magnetismo o termostática". Estas palabras probablemente pueden ser interpretadas como la repulsa de Riemann a toda teoría de la "acción a distancia" en la ciencia física, en favor de la teoría del campo. En las últimas las propiedades físicas del "espacio" que rodea una "partícula cargada" son el objeto de la investigación matemática. Riemann, en esta fase de su carrera, parece haber creído en un "éter" que llena el espacio, concepción ahora abandonada, pero, como se aprecia en su obra excepcional sobre los fundamentos de la Geometría, más tarde buscó la descripción y correlación de los fenómenos físicos en la Geometría del "espacio" de la experiencia humana. Es decir, rechaza, como en la moda actual, el éter inobservable, como algo superfluo que no hace más que embrollar.
Fascinado por sus trabajos en el campo de la física, Riemann abandonó el lado matemático puro durante cierto tiempo, y en el otoño de 1850 asistió al seminario de física matemática fundado por Weber, Ulrich, Stern, y Listing. Los experimentos físicos en este seminario consumieron el tiempo que podría haber reservado para la disertación doctoral en Matemática, que Riemann no emprendió hasta que tuvo 25 años.
Podemos recordar de pasada a uno de los directores del seminario Johann Benedict Listing (1808 - 1882), pues probablemente influyó sobre los pensamientos de Riemann para lo que había de ser (1857) una de sus grandes conquistas, la introducción de los métodos topológicos en la teoría de funciones de variable compleja.
Se recordará que Gauss profetizó que el análisis situs constituiría uno de los campos más importantes de la matemática, y Riemann, con sus invenciones en la teoría de funciones, iba a cumplir en parte esta profecía. Aunque la topología (antes llamada Análisis situs) que se desarrolló al principio poca semejanza tiene con la complicada teoría que actualmente absorbe todas las energías de una fecunda escuela puede ser de interés recordar el trivial enigma que, al parecer inició la vasta e intrincada teoría. En los tiempos de Euler existían siete puentes sobre el río Pregel, en Königsberg, como muestra la figura.

Podríamos exponer en este lugar la forma de usar los métodos topológicos de Riemann en la teoría de funciones, pero no hay manera de hacer una adecuada explicación en lenguaje no técnico. Para la significación de "uniformidad" con respecto a una función de una variable compleja debemos referirnos a lo dicho en el capítulo sobre Gauss. Ahora, en la teoría de funciones abelianas, se presentan inevitablemente funciones multiformes; una función de n valores de z es una función que, salvo para ciertos valores de z, toma precisamente n valores distintos para cada valor asignado a z. Ilustrando la multiformidad, o la polivalencia, para funciones de una variable real, notemos que y, considerada como una función de x, definida por la ecuación y2 = x, tiene doble valor. Por tanto si x = 4, tenemos y2 = 4, y por esto y = 2 ó - 2; si x es cualquier número real, salvo cero o "infinito", y tiene los dos distintos valores de
![]()
Todo esto se extiende ahora a funciones de variables complejas, y la función w (también su integral) definida por
![]()
Las ventajas de considerar funciones uniformes (de un valor) en lugar de funciones de n valores (n mayor que 1) aparecen de modo manifiesto, aun para quien no sea matemático. Lo que Riemann hizo fue esto: en lugar de los n planos w diferentes, introdujo una superficie de n hojas, del tipo que brevemente describiremos después, sobre la cual la función multiforme es uniforme, es decir, sobre la cual, a cada "lugar" sobre la superficie corresponde un valor, y sólo uno de las funciones representadas.
Riemann unió, por así decir, todos los planos n en un plano único y logró esto mediante un procedimiento que al principio puede parecer como una inversión de la representación de las n ramas de la función de n valores sobre n planos diferentes; pero una detenida consideración mostrará que, en efecto, restableció la uniformidad. Colocó n planos, uno sobre otro; cada uno de estos planos, u hojas, se asocia con una rama particular de la función, de modo que, en tanto que z se mueve, en una hoja particular, la correspondiente rama de la función es recorrida por w (la función de n valores de z en discusión), y como z pasa de una hoja a otra, las ramas se cambian, una en otra, hasta que, habiendo recorrido la variable z todas las hojas y habiendo vuelto a su posición inicial, la rama original se restablece. El paso de la variable z desde una hoja a otra es efectuado por medio de atajos (que pueden ser considerados como puentes rectos), que unen puntos de ramificación a lo largo de un determinado atajo que proporciona el paso de una hoja a otra se imagina un "labio" de la hoja superior pegado o unido al labio opuesto de la hoja inferior, y similarmente para el otro labio de la hoja, superior. Esquemáticamente, en sección transversal:

Existen muchas formas en que la variable puede trasladarse a la, superficie de Riemann de n hojas, pasando desde una hoja a otra. Para cada una de éstas corresponde un intercambio particular de las ramas, de la función, que puede ser simbolizado escribiendo, una tras otra, letras que denotan las diversas ramas intercambiadas. En esta forma, tenemos los símbolos de ciertas sustituciones (como en el capítulo XV) de n letras; todas estas sustituciones engendran un grupo que, en algunos aspectos, explica la naturaleza de la función considerada.
Las superficies de Riemann no son fáciles de representar gráficamente, y quienes las usan se contentan con representaciones sistemáticas de la conexión de las hojas, de una forma semejante a como los químicos escriben una fórmula "gráfica" de un complicado compuesto de carbono para representar en una forma esquemática el comportamiento químico del compuesto, pero sin que en modo alguno supongan que representa la verdadera disposición espacial de los átomos en el compuesto. Riemann hizo considerables progresos, particularmente en la teoría de funciones abelianas, por medio de sus superficies y su topología, siendo una cuestión de este tipo conseguir que los atajos sean imaginados en forma tal que hagan equivalente a un plano la superficie de n hojas. Pero los matemáticos no tienen mayor capacidad que cualquier otro mortal para imaginar complicadas relaciones espaciales, siendo excesivamente raro que posean un alto grado de "intuición" espacial.
A principios de noviembre de 1851 Riemann presentó su disertación doctoral, Grundlagen für eine allegemeine Theorie der Functionen ciner veränderlichen complexen Grösse (Fundamentos para una teoría general de las funciones de una variable compleja) a la consideración de Gauss. Esta obra del joven maestro de 25 años fue una de las pocas contribuciones modernas a la Matemática que despertó el entusiasmo de Gauss, quien cercano ya a la muerte constituía una figura casi legendaria. Cuando Riemann visitó a Gauss después de que éste había leído la disertación, el viejo maestro le comunicó que hacía años que había planeado un tratado sobre el mismo tema. El informe oficial de Gauss a la Universidad de Göttingen merece citarse como uno de los pocos casos en los que Gauss se expresó claramente.
"La disertación presentada por Herr Riemann ofrece pruebas convincentes de que ha realizado detenidas y penetrantes investigaciones en aquellas partes del tema tratadas en la disertación, de que posee una mente creadora activa, verdaderamente matemática y de que es dueño de una gloriosa y fecunda originalidad. La presentación es notable y concisa y en algunos puntos bella. La mayoría de los lectores podría preferir mayor claridad en el orden. En conjunto es una obra de valor substancial, que no sólo satisface las exigencias de las disertaciones doctorales sino que las supera".
Un mes más tarde Riemann dio su examen final, incluyendo la formalidad de una "defensa" pública de su disertación. Todo marchaba perfectamente, y Riemann comenzó a tener la esperanza de lograr una posición digna de su talento. "Creo que he mejorado mis perspectivas con mi disertación, escribía a su padre, espero también aprender a escribir más rápidamente y con mayor fluidez, especialmente si frecuento la sociedad y si tengo probabilidades de pronunciar conferencias; por tanto tengo un buen ánimo". Se excusa también ante su padre de no haber aspirado a una ayudantía vacante en el observatorio de Göttingen, pero como supone va a ser "habilitado" como Privatdozent, el porvenir no le parece demasiado negro.
Para su Habilitationsschrift Riemann pensó presentar una memoria sobre series trigonométricas (series de Fourier), pero transcurrieron dos años y medio antes de que pudiera pasar desde instructor universitario no retribuido hasta recibir las matrículas de los estudiantes por asistir a sus conferencias. Durante el otoño de 1852 Riemann aprovechó la presencia de Dirichlet en Göttingen, durante unas vacaciones, y buscó su consejo para la memoria que tenía en embrión.
Dirichlet quedó cautivo por la modestia y el talento de Riemann. "A la mañana siguiente [después de una fiesta] Dirichlet estuvo conmigo durante dos horas, escribía Riemann a su padre. Me facilitó las notas que necesitaba para mi trabajo de habilitación, que de otro modo me hubieran consumido muchas horas de estudio laborioso en la biblioteca. Leyó también mi disertación y se mostró muy amistoso, mucho más de lo que yo pudiera esperar si considero la gran distancia que existe entre nosotros. Espero que me recordará más adelante". Durante esta visita de Dirichlet realizó también excursiones con Weber y otros hombres de ciencia, y Riemann dice a su padre que estas pequeñas escapadas le hicieron científicamente mayor beneficio que si hubiera pasado las horas inclinado sobre sus libros.
Desde 1853 (Riemann tenía entonces 27 años) en adelante se dedicó intensamente a la física matemática. A finales del año había terminado su trabajo, después de muchas demoras debidas a su pasión, cada vez mayor, por la ciencia física.
Tenía aún que pasar por otro ejercicio antes de ser nombrado para el ansiado cargo. Con este objeto presentó tres temas para que la Facultad escogiese, esperando que la elección recayera sobre uno de los dos primeros, en los que estaba perfectamente preparado. Pero incautamente había incluido, como tercer tema, una cuestión en la que Gauss había trabajado sesenta años o más, los fundamentos de la Geometría, y este tema no lo había preparado. No hay duda de que Gauss sintió la curiosidad de ver como Riemann, con su gloriosamente fecunda originalidad, atacaría el difícil tema. Con gran consternación de Riemann, Gauss designó el tercer tema para que demostrara ante la Facultad su habilidad como conferenciante. "Estoy nuevamente sumido en la perplejidad, decía secretamente el imprudente joven a su padre, porque tengo que ocuparme de este tema. He reanudado mis investigaciones acerca de la relación entre electricidad, magnetismo, luz y gravitación, y he progresado tanto que puedo publicar este estudio sin temor. Estoy cada vez más convencido de que Gauss ha trabajado en este tema durante años, y ha hablado acerca de él con algunos amigos,(Weber entre otros). Secretamente os escribo, pues no quiero parecer arrogante, pero espero que aun no sea demasiado tarde para mí y que obtendré el reconocimiento como investigador".
El esfuerzo de realizar dos investigaciones extraordinariamente difíciles simultáneamente, mientras actuaba como ayudante de Weber en el seminario de física matemática, unido a los obstáculos de la pobreza produjeron en él un derrumbe temporal. "He estado tan absorbido en mi investigación sobre la unidad de todas las leyes físicas, que cuando me fue entregado el tema para mi conferencia, no pude abandonar la investigación. Luego, en parte como resultado de las meditaciones, en parte debido a mi permanencia constante en lugares cerrados durante esta mala estación, caí enfermo; mis viejos males se repitieron con gran frecuencia, y no pude continuar mi labor. Varias semanas más tarde, al mejorar el tiempo, comencé a sentirme mejor. Para el verano alquilé una casa con un jardín, y desde entonces mi salud no se ha alterado. Habiendo terminado dos semanas después de Pascua una parte de mi trabajo, comencé a dedicarme a mi conferencia y la terminé alrededor de Pentecostés [es decir en siete semanas]. Tuve alguna dificultad para fijar la fecha de mi conferencia, y hasta creí que tendría que volver a Quickborn sin haber logrado mi objeto. Gauss está gravemente enfermo, y los médicos creen que su muerte es inminente. Estando demasiado débil para asistir a mis pruebas, me pidió que esperase hasta agosto, creyendo que mejoraría su salud. Luego, el viernes después de Pentecostés, decidió que la conferencia tuviera lugar al día siguiente a las 11,30. El sábado me sentía feliz con estos acontecimientos".
Este es el relato de Riemann respecto a su conferencia histórica, que habría de revolucionar la Geometría diferencial, y preparar el camino para la física geometrizada de nuestra generación. En la misma carta narra cómo realizó su labor durante la Pascua. Weber y algunos de sus colaboradores "han hecho mediciones muy exactas de un fenómeno que hasta entonces no había sido investigado, la carga residual en una botella de Leyden [después de la descarga se observa que la botella no ha quedado completamente descargada]. Le comuniqué [a uno de los colaboradores de Weber, Kohlrauch] mi teoría de este fenómeno, que he elaborado especialmente para este fin. He encontrado su explicación mediante mis investigaciones acerca de la relación entre electricidad, luz y magnetismo. Esta cuestión era muy importante para mí, pues es la primera vez que he podido aplicar mi trabajo a un fenómeno aun desconocido, y espero que la publicación contribuirá a que mi obra más amplia sea recibida favorablemente".
La conferencia de prueba de Riemann (10 de junio de 1854) fue acogida tan cordial como podía desear su carácter modesto. La preparación de su conferencia le hizo sudar sangre, pues estaba decidido a hacerla inteligible hasta para aquellos miembros de la Facultad que tuvieran escaso conocimiento de Matemática. Aparte de constituir una de las grandes obras maestras de la Matemática, el ensayo de Riemann Ueber die Hypothesen welche der Geometrie zu Grunde liegen. (Sobre las hipótesis que sirven de fundamento a la geometría) es también perfecta en su presentación. Gauss estaba entusiasmado. "Contra la tradición eligió el tercero de los tres temas presentados por el candidato deseando ver como esa difícil cuestión era tratada por un hombre tan joven. Su sorpresa fue más allá de todas sus esperanzas, y al volver de la reunión de la Facultad manifestó a Wilhelm Weber su más alta estima por las ideas presentadas por Riemann, hablando con un entusiasmo que era raro en Gauss". Lo poco que puede decirse en este lugar acerca de esta obra maestra será reservado para la conclusión de este capítulo.
Después de una temporada de reposo en Quickborn, en compañía de su familia, Riemann volvió en septiembre a Göttingen, donde preparó apresuradamente una conferencia (dedicando a este trabajo las noches para poder tenerla terminada), que debía ser pronunciada en una reunión de hombres de ciencia. Su tema era la propagación de la electricidad en los no conductores. Durante el año continuó sus investigaciones en la teoría matemática de la electricidad, y preparó un trabajo sobre los anillos coloreados de Nobili. Refiriéndose a este estudio escribía a su hermana Ida: "Este tema es importante, porque se pueden hacer mediciones muy exactas en relación con él, y comprobar las leyes de acuerdo a las cuales la electricidad se mueve".
En la misma carta (9 de octubre de 1854) expresa su ilimitado goce por el triunfo de su primera conferencia académica, y su gran satisfacción por el inesperado gran número de oyentes. ¡Habían venido a oírle ocho estudiantes! Riemann suponía que no llegarían a dos o tres. Alentado por esta inesperada popularidad Riemann escribía a su padre: "He sido capaz de mantener regularmente mis clases. Mi primera desconfianza ha ido disminuyendo cada vez más, y me he habituado a pensar más en los oyentes que en mí mismo y a leer en sus expresiones si debo pasar a otros puntos o explicar más detenidamente la cuestión".
Cuando Dirichlet sucedió a Gauss en 1855, los amigos de Riemann solicitaron de las autoridades universitarias el nombramiento de éste como profesor ayudante, pero las finanzas de la Universidad no eran muy abundantes. De todos modos, le fue concedido un sueldo equivalente a doscientos dólares por año, preferible a la inseguridad de las matrículas de media docena de estudiantes voluntarios. Su futuro le apesadumbraba, y cuando perdió a su padre y a su hermana Clara, no siéndole ya posible trasladarse a Quickborn durante las vacaciones Riemann se entristeció profundamente. Sus tres restantes hermanas fueron a vivir con el otro hermano, que era empleado de correos de Bremen, cuyo sueldo era principesco al lado de la posición económica del matemático.
Al siguiente año (1856; Riemann tenía entonces 30 años), las perspectivas se aclararon un poco. Era imposible el desaliento para un genio creador como Riemann, en tanto pudiera disponer de los exiguos medios para seguir viviendo. A este período pertenece parte de su obra característicamente original sobre las funciones abelianas, sus trabajos clásicos sobre las series hipergeométricas (véase el capítulo sobre Gauss) y las ecuaciones diferenciales, de gran importancia en la física matemática, sugeridas por estas series. En esas obras Riemann señala nuevas direcciones. Su capacidad de generalización, su notable intuición en la forma de abordar los problemas, constituían características de este autor. Sus trabajos absorbieron todas sus energías e hicieron felices sus horas, a pesar de las tristezas materiales; posiblemente este fatal optimismo era propio de la tuberculosis que ya se indicaba.
Las investigaciones de Riemann en la teoría de funciones abelianas difiere tanto de los estudios de Weierstrass como la luz de la Luna difiere de la luz del Sol. La manera como abordaba los problemas Weierstrass era metódica, exacta en todos sus detalles, como el avance de un ejército perfectamente disciplinado bajo el mando de un general que prevé todas las contingencias. Riemann, en cambio, abarcaba todo el campo, sin cuidarse de los detalles, contentándose con reconocer las posiciones clave en la topografía general. El método de Weierstrass era aritmético, el de Riemann geométrico e intuitivo. Decir que uno es mejor que otro carece de sentido, pues ambos no pueden ser examinados desde un punto de vista común.
El exceso de trabajo y la falta de comodidades provocó en Riemann un derrumbe nervioso cuando tenía 30 años, y el joven se vio forzado a trasladarse durante algunas semanas, con un amigo, a la región montañosa de Hartz, donde fue visitado por Dedekind. Los tres realizaron largos viajes por las montañas, y Riemann se restableció pronto. Librado del esfuerzo de los deberes académicos, Riemann entretenía a sus compañeros con su excelente humor. Entre ellos hablaban de sus problemas, como acostumbran a hacerlo, cuando se reúnen, los juristas, los médicos o los hombres de negocios. Una tarde, después de una fatigosa caminata, Riemann aludió a la vida de Newton, de Brewster, hablando de la carta de Bentley, en la cual Newton mismo afirma la imposibilidad de la acción a distancia sin la intervención de un medio. Esta afirmación produjo el entusiasmo de Riemann, inspirándole una espontánea conferencia. En la actualidad, el "medio" que Riemann defendía no es el éter luminífero, sino su propio "espacio curvado", o su reflexión en el espacio-tiempo de la relatividad.
Al fin, en 1857, teniendo 31 años, Riemann obtuvo el cargo de profesor ayudante. Su sueldo era el equivalente a 300 dólares por año, pero como no estaba habituado a la riqueza, le bastaba. Pero entonces se produjo un verdadero desastre: su hermano murió, y desde entonces tuvo que cuidar de sus tres hermanas. Tocaban exactamente a 75 dólares al año por cabeza. No hay, pues, que sorprenderse de que contrajera una tuberculosis. Sin embargo, el Señor que tan generosamente se mostró, pronto alivió a Riemann de la carga de su hermana menor, Marie, de modo que el ingreso individual podía calcularse en 100 dólares por año y persona. Si las raciones tenían que ser escasas, el cariño era abundante, y Riemann se veía más que pagado de sus sacrificios por la devoción de sus hermanas, que le alentaban en su trabajo. El Señor parece haber sabido que si algún mortal necesita aliento, el pobre Riemann no era el que menos lo necesitaba.
En 1858 Riemann escribió su trabajo sobre electrodinámica, del cual comunica a su hermana Ida el siguiente comentario: "Mi descubrimiento relacionado con la íntima conexión entre electricidad y luz lo he dedicado a la Real Sociedad [de Göttingen]. Por lo que he oído, Gauss ideó otra teoría, respecto a esta íntima relación, diferente de la mía, y la comunicó a sus íntimos amigos. Sin embargo, estoy plenamente convencido de que mi teoría es la exacta, y que en pocos años será reconocida como tal." Como es sabido Gauss pronto retiró su memoria y no la publicó; probablemente no estaba satisfecho de ella. Parece que Riemann fue demasiado optimista; pues es la teoría electromagnética de Clerk Maxwell la que hoy se admite, en los fenómenos macroscópicos. El presente estado de las teorías de la luz y del campo electromagnético es demasiado complicado para ser descripto en este lugar; bastará añadir que la teoría de Riemann fue desechada.
Dirichlet murió el 5 de mayo de 1859. Siempre apreció a Riemann e hizo cuanto pudo para ayudar al joven en sus luchas. El interés de Dirichlet, que había aumentado rápidamente la reputación de Riemann fue la causa de que el gobierno nombrase a éste como sucesor. En consecuencia, a los 33 años Riemann fue el segundo sucesor de Gauss. Para aliviar sus dificultades económicas, las autoridades universitarias le permitieron residir en el Observatorio, como Gauss había hecho. El reconocimiento sincero, el elogio de los matemáticos, que aunque más viejos que él eran en cierto grado sus rivales, no se hizo esperar. En una visita a Berlín fue felicitado por Borchardt, Kummer, Kronecker, y Weierstrass. Las Sociedades doctas, incluyendo la Sociedad Real de Londres y la Academia Francesa de Ciencias, le honraron nombrándole miembro, y en poco tiempo obtuvo todas las distinciones que puede recibir un hombre de ciencia. Una visita a París, en 1860 le permitió conocer a los principales matemáticos franceses, particularmente a Hermite, cuya admiración por Riemann era ilimitada. Dicho año es memorable en la historia de la física matemática, por ser aquel el que Riemann comenzó a trabajar intensamente sobre su memoria Uber eine Frage der Wärmeleitung. (Sobre una cuestión de la conducción del calor), en la que desarrolla toda la cuestión de las formas diferenciales cuadráticas (que será mencionada en relación con la ,obra de Riemann sobre los fundamentos de la Geometría), que es básica en la teoría de la relatividad.
Sus problemas materiales habían mejorado considerablemente con su nombramiento de profesor titular, y Riemann pudo casarse cuando tenía 36 años. Su mujer, Elise Koch, era amiga de sus hermanas. Un mes después de su matrimonio Riemann cayó enfermo (julio de 1862), con pleuresía. Una curación incompleta dio lugar a la tuberculosis. Amigos influyentes pidieron al gobierno que concediera a Riemann los fondos necesarios para que convaleciera en el suave clima de Italia, donde permaneció aquel invierno. La primavera siguiente, en su viaje de regreso a Alemania, pudo visitar los tesoros de arte de muchas ciudades italianas. Este fue el breve verano de su vida.
Lleno de esperanza dejó su amada Italia, pero volvió a caer gravemente enfermo al llegar a Göttingen. En el viaje de regreso se había cuidado muy poco, y durante un paseo por la nieve sufrió un grave enfriamiento. El siguiente agosto (1863) volvió a Italia, deteniéndose primero en Pisa donde nació su hija Ida, (llamada así en recuerdo de su hermana mayor). El invierno fue excepcionalmente crudo y el río Arno se congeló. En mayo se trasladó a una pequeña villa en los suburbios de Pisa. Allí murió su hermana menor Helene, y su enfermedad, complicada con ictericia, se hizo cada vez más grave. Con gran pesar se vio obligado a rechazar la cátedra que le ofreció la Universidad de Pisa. La Universidad de Göttingen le concedió generosamente permiso para permitirle pasar el invierno en Pisa rodeado por sus amigos, los matemáticos italianos. Pero nuevas complicaciones le hicieron volver al hogar, y después de haber buscado vagamente la salud en Liorna y Génova, regresó en octubre a Göttingen, donde pasó un invierno tolerable.
Durante toda esta época trabajó cuanto pudo. En Göttingen expresó muchas veces el deseo de hablar con Dedekind de las obras que no había completado, pero jamás se sintió lo suficientemente fuerte para realizar la visita. Uno de sus últimos proyectos fue trabajar sobre la mecánica del oído, estudio que dejó incompleto. Esperaba terminar este trabajo, así como algunos otros, que consideraba de gran importancia, y en un final intento de recobrar su vigor volvió a Italia.
Sus últimos días pasaron en una villa, en Selasca, a orillas del Lago Mayor.
Dedekind cuenta cómo murió su amigo: "Sus fuerzas declinaban rápidamente, y sentía que su fin estaba próximo. El día antes de su muerte trabajaba bajo una higuera, el alma henchida de gozo en el glorioso paisaje que se extendía alrededor de él... Su vida se deslizaba suavemente sin lucha ni agonía. El enfermo parecía seguir con interés la separación del alma y del cuerpo; su mujer le daba pan y vino... él le decía. Besa a nuestra hija. Ella repetía el Padrenuestro, que el moribundo era incapaz de repetir; en las palabras “Perdónanos nuestras deudas”, él la miró cariñosamente; la mujer sintió su mano cada vez más fría entre las de ella, y después de algunos suspiros, su puro y noble corazón dejó de latir. La suave mente forjada en la casa de su padre, permaneció durante toda su vida, y sirvió a su Dios con tanta fidelidad como su padre había hecho, pero de modo diferente".
Riemann murió en plena gloria de su genio maduro, el 20 de julio de 1866, teniendo 39 años. La inscripción sobre su lápida costeada por sus amigos italianos, termina con las palabras "Denen die Gott lieben müssen alle Dinge zum Besten dienen" (Aquellos que aman a Dios deben servirse de todas las cosas del mejor modo).
La grandeza de Riemann como matemático reside en su poderosa capacidad de generalización y en el alcance ilimitado de los métodos y nuevos puntos de vista que descubrió tanto en la Matemática pura como en la Matemática aplicada. Los detalles jamás le importaron, y apreciaba el conjunto de un vasto problema en la forma de una unidad coherente. Hasta en las notas fragmentarias; en los proyectos incompletos, muestra la novedad, y nos permite pensar que Riemann murió mucho antes de haber realizado toda su labor. En este lugar tan sólo podemos hablar de una de sus grandes obras maestras, la memoria de 1854 sobre los fundamentos de la Geometría, y aunque no pudo ser fácil a Clifford utilizarla simplemente para proponer otra Geometría, citaremos su audaz trabajo de 1870 (On the space - theorie of matter) sobre la teoría-espacio de la materia como una introducción singularmente profética al cuerpo y al espíritu de la Geometría de Riemann.
Clifford no era un plagiario servil, sino un hombre con un talento brillantemente original, del cual podía decirse, como Newton dijo de Cotes: "De haber vivido, podríamos haber conocido alguna cosa". El lector que esté familiarizado con algunas de las mejores vulgarizaciones de la física relativista y de la teoría ondulatoria de los electrones reconocerá varias curiosas anticipaciones de las teorías corrientes en la breve profecía de Clifford.
"Riemann ha demostrado que existen diferentes tipos de líneas y superficies, de modo que existen tipos diferentes de espacio de tres dimensiones; y sólo por la experiencia podemos descubrir a cuál de estos tipos pertenece el espacio en que vivimos. En particular, los axiomas de la geometría plana son exactos dentro de los límites del experimento sobre la superficie de una hoja de papel, y sin embargo, sabemos que la hoja está realmente cubierta de cierto número de pequeñas arrugas y surcos, sobre los cuales (no siendo cero la curvatura total) estos axiomas no son verdaderos. Análogamente, dice dicho autor, aunque los axiomas de la Geometría del espacio son verdaderos dentro de los límites del experimento para porciones finitas de nuestro espacio, no hay razón para concluir que son ciertos para porciones muy pequeñas, y si una ayuda puede ser obtenida de este modo para la explicación de los fenómenos físicos, podemos tener razones para concluir que no son ciertos para porciones muy pequeñas del espacio.
"Deseo aquí indicar una forma en que estas especulaciones pueden ser aplicadas a la investigación de los fenómenos físicos. Mantengo, en efecto:
- Que pequeñas porciones del espacio son de hecho de una naturaleza análoga a pequeñas colinas en una superficie que está sobre la llanura, o sea que las leyes ordinarias de geometría no son válidas en ellas.
- Que esta propiedad de estar curvada o deformada pasa continuamente desde una porción del espacio a otra a la manera de una onda.
- Que esta variación de la curvatura del espacio es lo que realmente tiene lugar en ese fenómeno que llamamos el movimiento de la materia, sea ponderable o etérea.
- Que en el mundo físico no tiene lugar otra cosa que esta variación, sujeta (posiblemente) a la ley de continuidad.
Riemann creyó también que su nueva Geometría sería de importancia científica, según lo muestra la conclusión de su memoria.
"Por tanto la realidad que yace bajo el espacio debe formar una variedad discontinua, o debemos buscar el fundamento de sus relaciones métricas fuera de él, en fuerzas de unión que sobre él actúan.
"La respuesta a estas cuestiones tan sólo pueden ser logradas partiendo de la concepción de fenómenos que hasta ahora han sido comprobados por la experiencia, y que Newton acepta como un fundamento, y haciendo en esta concepción los cambios sucesivos requeridos por los hechos que no puede explicar". Luego sigue diciendo que investigaciones como las suyas, que parten de nociones generales, "pueden ser útiles para impedir que este trabajo se vea obstaculizado por conceptos demasiado estrechos, y que el progreso del conocimiento de la interdependencia de las cosas sea frenado por prejuicios tradicionales.
"Esto nos lleva al dominio de otra ciencia, el de la física, en la que el objeto de este trabajo no nos permite penetrar hoy".
La obra de Riemann de 1854 iluminó la Geometría con una nueva luz. La Geometría que él imagina es no euclidiana, no en el sentido de Lobatchewsky y Johann Bolyai, ni tampoco en el de la elaboración de Riemann de la hipótesis del ángulo obtuso (explicada en el capítulo XVI), sino en un sentido más comprensivo, dependiente del concepto de medida. Considerar las relaciones de medida como el nervio de la teoría de Riemann es cometer una injusticia. La teoría contiene mucho más que una aprovechable filosofía de la medida; pero ésta es una de sus principales características. Ningún párrafo de la concisa memoria de Riemann sintetiza lo que hay en ella; de todos modos intentaremos describir algunas de sus ideas básicas, y elegiremos tres: el concepto de multiplicidad, la definición de distancia y lanoción de curvatura de una multiplicidad.
Una multiplicidad es una clase de objetos (al menos en la Matemática común) tal que cualquier miembro de la clase puede ser completamente especificado asignándole ciertos números, en un orden definido, que corresponden a propiedades "numerables" de los elementos, correspondiendo la asignación en el orden dado a un orden preasignado de las propiedades "numerables". Aunque se conceda que esto pueda ser hasta menos comprensible que la definición de Riemann, es, de todos modos, una base de trabajo desde la cual partir, y a todo lo que se llega en la Matemática es a esto: una multiplicidad es una serie de n-ples" ordenada de números (x1, x2, …, xn) donde los paréntesis, indican que los números x1, x2, …, xn se han de escribir en el orden dado. Dos de tales n-ples, (x1, x2, …, xn) y (y1, y2, …, yn) son iguales cuando, y sólo cuando los números correspondientes en ellos son respectivamente iguales, o sea cuando, y sólo cuando, x1 = y1, x2 = y2, … ,xn = yn.
Si precisamente n números se presentan en cada uno de estos n-ples en la multiplicidad, se dice que la multiplicidad será de n dimensiones. Así tenemos que volver a las coordenadas de Descartes. Si cada uno de los números (x1, x2, …, xn) es un entero positivo, cero o negativo, o si es un elemento de cualquier serie numerable (una serie cuyos elementos pueden ser contados 1, 2, 3 ... ), y si lo mismo ocurre para cualquier n-ple en la serie, se dice que la multiplicidad es discontinua. Si los números x1, x2, …, xn, pueden tomar valores continuamente (como en el movimiento de un punto a lo largo de una línea) la multiplicidad es continua.
Esta definición ha pasado por alto deliberadamente, la cuestión de si la serie de n-ples ordenada es "la multiplicidad", o si alguna cosa "representada por" esta es "la multiplicidad". Así, cuando decimos que (x,y) son las coordenadas de un punto en un plano, no preguntamos lo que es "un punto en un plano", sino que procedemos a actuar con estas parejas ordenadas de números x,y), donde x,y toman todos los valores reales independientemente. En cambio, puede algunas veces ser ventajoso fijar nuestra atención sobre lo que representa un símbolo como (x,y). Por ejemplo, si x es la edad en segundos de un hombre e y su altura en centímetros, podemos estar interesados en el hombre (o la clase de todos los hombres), más bien que en sus coordenadas, con las cuales está relacionada tan sólo la Matemática de nuestra pesquisa. En este mismo orden de ideas, la Geometría ya no se refiere a lo que el "espacio" “es”, si "es" significa o no algo en relación al "espacio". El espacio, para un matemático moderno, es simplemente una multiplicidad, número del tipo antes descripto, y esta concepción del espacio se deriva de las "multiplicidades" de Riemann.
Pasando a la medida, Riemann afirma que "la medida consiste en una superposición de las magnitudes que han de ser comparadas. Si esto falta, las magnitudes pueden ser comparadas tan sólo cuando una es parte de otra, y entonces sólo se puede decidir acerca del más o el menos, pero no del cuánto". Puede decirse de pasada que una teoría consecuente y útil de la medida es actualmente un deseo urgente en la física teórica, particularmente en todas las cuestiones donde son de importancia los cuantos y la relatividad.
Descendiendo una vez más desde las generalidades filosóficas a la, Matemática menos mística, Riemann procedió a establecer una definición de distancia, basada en su concepto de medida, que ha sido extraordinariamente fructífera en física y en matemática.
El teorema pitagórico
a2 = b2 + c2o
![]()

Supongamos que
(x1, x2, …, xn), (x1 + x’1, x2 + x’2, …, xn + x’n)
son las coordenadas de dos "puntos" de la multiplicidad que están "infinitamente próximos" uno de otro. Para nuestro propósito la significación de "infinitamente próximo" es que las potencias superiores a la segunda de x’1, x’2, …, x’n, que miden la separación de los dos puntos en la multiplicidad, se pueden despreciar. Por sencillez estableceremos la definición cuando n = 4que da la distancia entre dos puntos próximos en un espacio de cuatro dimensiones: la distancia es la raíz cuadrada de
g11 = 1,
g22 = 1,
g33 = 1,
g44 = 1,
y todas las restantes g cero; o podemos considerar un espacio en el cual todas las g, salvo 944 Y 934 fueran cero, y así sucesivamente. Un espacio considerado en relatividad es de este tipo general, en el que todas las g salvo g44 y g34 son cero, y existen ciertas expresiones simples que abarcan x1, x2, x3, xn.En el caso de un espacio n‑dimensional la distancia entre puntos próximos se define en una forma similar; la expresión general contiene
½ n(n + 1) términos.
Una vez dada la fórmula pitagórica generalizada para la distancia entre puntos próximos es un problema de Cálcalo integral encontrar la distancia entre dos puntos cualesquiera del espacio. Un espacio cuya métrica (sistema de medida) se define por una fórmula del tipo descripto se llama riemanniano.La curvatura, según la concibe Riemann (y antes de él Gauss; véase capítulo sobre este último), es otra generalización de la experiencia común. Una línea recta tiene curvatura cero; la "medida" de la cantidad en que una línea curva se separa de la recta puede ser la misma para cualquier punto de la curva, como ocurre para un círculo), o puede variar de un punto a otro de la curva, cuando se hace necesario además expresar la "cantidad de curvatura" empleando infinitésimos. Para las superficies curvas, la curvatura se mide similarmente por la desviación de un plano que tiene curvatura cero. Esto puede ser generalizado y precisado algo más del siguiente modo. Por simplicidad planteamos primero la situación para un espacio bidimensional, o sea para una superficie como nosotros imaginamos ordinariamente las superficies. Es posible partiendo de la fórmula
![]()
¿Por qué realizó Riemann toda esta labor y qué beneficios ha reportado? No intentaremos responder a lo primero, salvo decir que Riemann hizo lo que hizo porque su demonio le impulsó. Y brevemente enumeraremos algunas de las ventajas que se han obtenido de la revolución llevada a cabo por Riemann en el pensamiento geométrico. En primer término llevó la creación de "espacios" y "geometrías" en número ilimitado para fines específicos, uso en la dinámica o en la geometría pura, o en la ciencia física, dentro de las capacidades de los geómetras profesionales, y reunió enorme número de teoremas geométricamente importantes formando grupos compactos, que pueden ser tratados más fácilmente en su conjunto. En segundo término aclaró nuestro concepto del espacio, al menos en tanto que los matemáticos se ocupen del "espacio", y despojó a esa nulidad mística llamada espacio de su última sombra de misterio. Las enseñanzas de Riemann han mostrado a los matemáticos a desconfiar de cualquier Geometría o de cualquier espacio como una forma necesaria de percepción humana. Fue el último clavo en el ataúd del espacio absoluto y el primero en el de los "absolutos" de la física del siglo XIX.
Finalmente, la curvatura que Riemann definió, los procesos que ideó para la investigación de las formas diferenciales cuadráticas (las que dan la fórmula para el cuadrado de la distancia entre puntos próximos de un espacio de cualquier número de dimensiones), y su reconocimiento de que la curvatura es un invariante (en el sentido técnico explicado en los capítulos anteriores), encuentran sus interpretaciones físicas en la teoría de la relatividad. Si ésta ha llenado o no su fórmula final es otra cuestión; desde la relatividad, nuestro concepto de la ciencia física no es el que era antes. Sin la obra de Riemann esta revolución en el pensamiento científico hubiera sido imposible, a no ser que algún hombre hubiera creado posteriormente los conceptos y los métodos matemáticos que Riemann creó.
Capítulo 27
La Aritmética, lo Segundo
KUMMER Y DEDEKIND
Vemos, por tanto, que los factores primos
ideales revelan la esencia de los números
complejos, los hacen, por así decir, transparentes,
y descubren su estructura cristalina interna.
E. E. Kummer.
Muchos de mis lectores quedarán grandemente
disgustados al saber que por esta vulgar
observación se revela el secreto de la continuidad.
R. Dedekind
Muchas causas han determinado este extraño desprecio de lo que al fin y al cabo es la Matemática por excelencia. Entre éstas, tan sólo haremos notar las siguientes: la Aritmética actual está sobre un plano superior de dificultades intrínsecas respecto a los otros grandes campos de la Matemática; las aplicaciones inmediatas de la teoría de números a la ciencia son escasas y no fácilmente perceptibles en el razonamiento ordinario de los matemáticos creadores, aunque alguno de los más grandes se han dado cuenta de que la Matemática de la naturaleza será encontrada en definitiva en el comportamiento de los números enteros comunes; y, finalmente, es humano entre los matemáticos, al menos en algunos, incluyendo los más grandes, buscar la reputación y la popularidad dentro de su propia generación al cosechar los frutos más fáciles de un triunfo espectacular en el Análisis, la Geometría o la Matemática aplicada. Hasta Gauss sucumbió en la edad media de su vida.

Ernst Eduard Kummer

Julius Levin Ulrich Dedekind
Los restos del gran ejército de Napoleón, al pasar a través de Alemania en su retirada, dejaron en ella el característico azote ruso del tifus, que se extendió fácilmente entre los higiénicos alemanes. El médico, sobrecargado de trabajo, contrajo la enfermedad, murió de ella y dejó a Ernst y a un hermano mayor al cuidado de su viuda. El joven Kummer creció en una terrible pobreza, pero su madre pudo lograr que su hijo ingresara en el Instituto local. La arrogancia y los abusos de la Francia napoleónica, no menos que el recuerdo de su padre, que la madre mantuvo vivo, hizo del joven Kummer un patriota extraordinariamente práctico, y con extraordinario placer dedicó gran parte de su soberbio talento científico a enseñar balística a los oficiales del ejército alemán en la Escuela de Guerra de Berlín. Muchos de sus discípulos dieron muestra de los conocimientos adquiridos en la guerra franco-prusiana.
Teniendo 18 años (1828), Kummer fue enviado por su madre a la Universidad de Halle para estudiar teología. Debido a su pobreza, Kummer no residía en la Universidad, sino que tenía que trasladarse a pie todos los días desde Sorau a Halle, llevando sus libros en una mochila. Respecto a sus estudios teológicos Kummer hace la interesante observación de que es más o menos una cuestión de casualidad o del ambiente que una mente con dotes para la especulación abstracta se dirija a la filosofía o a la Matemática. La casualidad en este caso fue la presencia en Halle de Heinrich Ferdinand Scherk (1798‑1885) como profesor de Matemática. Scherk era más bien un hombre montado a la antigua, pero tenía entusiasmo por el Álgebra y por la teoría de números, que contagió al joven Kummer. Guiado por Scherk, Kummer pronto abandonó sus estudios morales y teológicos en favor de la Matemática. Repitiendo las palabras de Descartes, Kummer dijo que prefería la Matemática a la filosofía debido a que "los simples errores y los falsos conceptos no pueden intervenir en la Matemática". Si Kummer hubiera vivido actualmente quizá habría modificado su juicio, pues era un hombre de mente amplia, y las presentes tendencias filosóficas en la Matemática son algunas veces residuos curiosos de la teología medieval. En su tercer año de la Universidad Kummer resolvió un problema de Matemática para el que se había concedido un premio, y obtuvo su título de doctor (10 de septiembre de 1831) a la edad de 21 años. Como a la sazón no había cargos universitarios vacantes, Kummer comenzó su carrera como profesor en su antiguo Instituto.
En 1832 se trasladó a Liegnitz, donde enseñó durante diez años en el Instituto. Fue aquí donde inició a Kronecker en su revolucionaria carrera. Por fortuna Kummer no estaba en condiciones tan difíciles como aquéllas en que se encontró Weierstrass en circunstancias similares, y pudo ser capaz de pagar el franqueo para su correspondencia científica. Los matemáticos eminentes (incluyendo Jacobi), a quienes Kummer participó sus descubrimientos matemáticos, vieron que el joven genio profesor de Instituto, debería ser llevado a un cargo más elevado en la primera oportunidad, y en 1842 Kummer fue nombrado profesor de Matemática en la Universidad de Breslau. Allí enseñó hasta 1855, cuando la muerte de Gauss ocasionó una extensa modificación en el mapa matemático de Europa.
Se ha dicho que Dirichlet se hallaba contento en Berlín, entonces la capital matemática del mundo. Pero cuando Gauss murió, Dirichlet no pudo resistir la tentación de suceder al príncipe de los matemáticos, su primer maestro, como profesor en Göttingen. Hasta hoy la gloria de ser "un sucesor de Gauss" ha ejercido una atracción casi irresistible para los matemáticos, que podían ganar más en otros cargos, y hasta hace muy poco tiempo Göttingen era elegido por los mejores. La estimación de que gozaba Kummer entre sus compañeros puede juzgarse por el hecho de que fue propuesto unánimemente para suceder a Dirichlet en Berlín. Desde que tenía 29 años había sido miembro correspondiente de la Real Academia de Berlín. Ahora (1855), sucedió a Dirichlet en la Universidad y en la Academia, y fue también nombrado profesor en la Escuela de Guerra de Berlín.
Kummer fue uno de esos raros genios científicos que muestran su capacidad para la Matemática más abstracta, para sus aplicaciones de los problemas prácticos, incluyendo la guerra, que es la menos práctica de todas las tonterías humanas y, finalmente, para la física experimental. Su obra más importante pertenece a la teoría de números, donde su profunda originalidad le llevó a invenciones de una importancia de primer orden, pero en otros campos, el Análisis, la Geometría y la física aplicada, su labor fue también sobresaliente.
Aunque las conquistas de Kummer en la Aritmética superior fueron de un tipo que justifica compararle con los creadores de la Geometría no euclidiana, tenemos la impresión, al examinar su larga vida de 83 años, que aunque sus investigaciones fueran espléndidas, no llegó a realizar todo lo que podía haber hecho. Posiblemente, su falta de ambición personal (un ejemplo será mencionado ahora), su genialidad tranquila y su amplio sentido del humor evitó que intentara batir su propio récord.
Mucho de lo que Kummer hizo en la teoría de números lo hemos dicho en el capítulo sobre Kronecker: restituyó el teorema fundamental de Aritmética a aquellos campos numéricos algebraicos que surgen era el intento de probar el último teorema de Fermat y en la teoría gaussiana de la ciclotomía, y efectuó esta restitución mediante la creación de una especie de números completamente nueva, los llamados "números ideales". Continuó también la obra de Gauss sobre la ley de reciprocidad bicuadrática, y buscó las leyes de reciprocidad para grados superiores al cuarto.
Como se ha mencionado en capítulos precedentes, los "números ideales" de Kimznier han sido ahora ampliamente desplazados por los "ideales" de Dedekind, que explicaremos cuando lleguemos a ellos, de modo que no es necesario intentar aquí la casi imposible proeza de explicar en lenguaje no técnico lo que son los "números" de Kummer. Pero lo que consiguió gracias a ellos puede ser expuesto con suficiente exactitud en un libro como el presente. Kummer demostró que
x p + y p = z p
donde p es un primo, es imposible en enteros x, y, z diferentes de cero, para toda una clase muy extensa de primos p . No consiguió demostrar el teorema de Fermat para todos los primos; ciertos primos excepcionales escapaban de las redes de Kummer, y siguen escapando. De todos modos, el paso que dio superó en mucho a todos los dados por los predecesores de Kummer, y éste se hizo famoso casi a pesar suyo. Recibió un premio al cual no se había presentado.El informe de la Academia Francesa de Ciencias para el concurso al "Gran Premio" en 1857 es el siguiente. "Informe sobre el concurso para el Gran Premio en Ciencia Matemática. El concurso fue abierto para el año 1853 y prorrogado para 1856. No habiendo encontrado la comisión una obra que sea digna del premio entre los que lo solicitaron propone a la Academia premiar a M. Kummer por sus bellas investigaciones sobre los números complejos compuestos de raíces de la unidad [40] y números enteros." La Academia aceptó esta proposición.
La primera obra de Kummer sobre el último teorema de Fermat está fechada en octubre de 1835. Esta obra fue seguida por nuevos trabajos en 1844 a 1847, el último de los cuales se tituló Demostración del teorema sobre la imposibilidad de x p + y p = z p para un número infinito [41] , de primos p. Continuó añadiendo perfeccionamientos a su teoría, incluyendo su aplicación a las leyes de reciprocidad superior, hasta 1874, cuando ya tenía 64 años.
Aunque estas investigaciones notablemente abstractas fueron el campo de su máximo interés, y aunque Kummer decía de sí mismo "para describir más exactamente mi actitud científica personal más exactamente, puedo considerarla como teorética...; me he dedicado particularmente a ese conocimiento matemático que encuentra su propia esfera en la Matemática, sin referencia a las aplicaciones". Kummer no era un estrecho especialista. Lo mismo que Gauss, parecía obtener igual placer en la ciencia pura que en la ciencia aplicada. Gauss, en efecto, fue, a través de sus obras, el maestro real de Kummer y el distinguido discípulo demostró su capacidad extendiendo la obra del maestro a las series hipergeométricas, añadiendo a lo que Gauss había hecho mejorías sustanciales que hoy son de gran utilidad en la teoría de las ecuaciones diferenciales que se presentan más frecuentemente en la física matemática.
Además, la magnífica obra de Hamilton sobre los sistemas de rayos (en óptica) inspiró a Kummer una de sus invenciones más bellas, la de la superficie de cuarto grado, que es conocida con su nombre, y que desempeña un papel fundamental en la Geometría del espacio euclidiano, cuando ese espacio es de cuatro dimensiones (en lugar de tres, como ordinariamente lo imaginamos), tal como sucede cuando se admite que los elementos irreductibles de que está constituido el espacio son líneas rectas en lugar de puntos. Esta superficie (y sus generalizaciones a espacios superiores) ocupó el centro del escenario en la Geometría del siglo XIX; encontrándose (por Cayley) que era representable (paramétricamente, véase capítulo sobre Gauss) por medio de las funciones periódicas cuádruples, a las cuales Jacobi y Hermite dedicaron sus mejores esfuerzos.
Muy recientemente (1934) Sir Arthur Eddington observó que la superficie de Kummer es una especie de pariente de la ecuación ondulatoria de Dirac en la mecánica cuántica (ambas tienen el mismo grupo finito; la superficie de Kummer es la superficie ondulatoria en el espacio de cuatro dimensiones).
Para completar el círculo, Kummer fue llevado, por su estudio de la sistemática de los rayos, a la física, e hizo importantes contribuciones a la teoría de la refracción atmosférica. En la Escuela de Guerra asombró al mundo científico al aparecer como un experimentador de primera categoría en su obra sobre balística. Coa su característico humor, Kummer se excusó por esta desviación a sus aficiones matemáticas. "Cuando abordo un problema experimentalmente, dijo a un joven amigo, es una prueba de que el problema es matemáticamente inexpugnable".
Recordando sus propias luchas de los primeros años, así como los sacrificios de su madre, Kummer no sólo fue un padre para sus discípulos, sino un hermano para los padres de sus alumnos. Millares de jóvenes agradecidos que habían recibido la ayuda de Kummer en la Universidad de Berlín y en la Escuela de Guerra, le recordaron siempre como un gran maestro y un gran amigo. En una ocasión, un joven matemático que se trasladaba a Berlín para obtener su título de doctor, se vio atacado de viruela, y tuvo que volver a su hogar, en Posen, cerca de la frontera rusa. Nada se sabía de él, pero era evidente que estaba sumido en la mayor pobreza. Cuando Kummer oyó decir que el pobre joven probablemente no podría lograr asistencia buscó a un amigo del estudiante, le dio el dinero necesario, y le envió a Posen para que hiciera lo que le fuera posible. En la enseñanza Kummer era famoso por recurrir a símiles vulgares y graciosos. Así, para dar importancia a un factor particular en una cierta frase dijo: "si descuidáis este factor sería como si un hombre que está comiendo una ciruela se tragase el hueso y escupiera la pulpa".
Los últimos nueve años de la vida de Kummer transcurrieron en completo aislamiento. "Nada se encontrará en mis trabajos póstumos", dijo, pensando en las numerosas obras que Gauss dejó para que fueran publicadas después de su muerte. Rodeado por su familia (nueve hijos le sobrevivieron), Kummer abandonó la Matemática en su retiro, y, salvo algunos viajes a los lugares donde transcurrió su adolescencia, vivió en el más estricto aislamiento. Murió después de un breve ataque de gripe el 14 de mayo de 1893, cuando tenía 83 años.
El sucesor de Kummer en Aritmética fue Julius Wilhelm Richard Dedekind (más tarde prescindió de los dos primeros nombres), uno de los más grandes matemáticos y uno de los más originales que Alemania o cualquier otro país ha producido. Igual que Kummer, Dedekind tuvo una larga vida (6 de octubre de 1831 a 12 de febrero de 1916), y permaneció matemáticamente activo hasta poco antes de su muerte. Cuando murió, en 1916, Dedekind había sido una autoridad en Matemática durante toda una generación. Como Edmund Landau (un amigo y continuador de Dedekind en una parte de su obra) dijo en su discurso conmemorativo ante la Real Sociedad de Göttingen en 1917, "Richard Dedekind no sólo fue un gran matemático, sino uno de los más grandes en la historia de la Matemática, ahora y en el pasado, el último héroe de una gran época, el último discípulo de Gauss, que durante cuatro décadas fue el ejemplo no sólo de los que ahora trabajamos sino también de nuestros maestros y de los maestros de nuestros maestros".
Richard Dedekind, el menor de los cuatro hijos de Julius Levin Ulrich Dedekind, profesor de leyes, nació en Brunswick, el lugar del nacimiento de Gauss [42] . Desde la edad de siete años hasta los dieciséis, Richard estudió en la escuela secundaria de su ciudad natal. No dio pruebas precoces de su extraordinario genio matemático, pues sus primeros amores fueron la física y la química, y consideró la Matemática como la sirvienta o la fregona de las ciencias. Pero realmente no caminó en la oscuridad. Cuando tenía diecisiete años, al encontrar errores en los razonamientos de la física, se dirigió a la Matemática para hallar una lógica menos objetable. En 1848 ingresó en el Colegio Carolino, la misma institución que dio al joven Gauss una oportunidad para instruirse por sí mismo en Matemática. En el colegio, Dedekind aprendió los elementos de Geometría analítica, del Álgebra, del Cálculo y de la mecánica "superior". Estaba, pues, bien preparado para comenzar un estudio serio cuando ingresó en la Universidad de Göttingen en 1850, teniendo 19 años. Sus maestros principales fueron Moritz Abraham Stern (1807‑1894), quien escribió ampliamente sobre la teoría de números, Gauss y Wilhelm Weber, el físico. De estos tres hombres Dedekind aprendió la base para el estudio del Cálculo infinitesimal, la Aritmética superior, los mínimos cuadrados, la geodesia superior y la física experimental.
En su vida posterior, Dedekind se lamentó que la instrucción matemática que se daba durante sus años de estudiante en Göttingen, aunque adecuada a las escasas exigencias necesarias para lograr el certificado de maestro, era pobre como preparación para una carrera matemática. Temas de vital interés no eran tocados, y Dedekind tuvo que emplear dos años de ardua labor después de obtener su título para instruirse por sí mismo en las funciones elípticas, la Geometría moderna, el Álgebra superior y la física matemática, materias todas que en aquel tiempo eran brillantemente explicadas en Berlín por Jacobi, Steiner y Dirichlet. En 1852 Dedekind obtuvo su título de doctor (a los 21 años) de manos de Gauss, por una breve disertación sobre integrales eulerianas. No hay necesidad de explicar qué son estas integrales; la disertación fue un trabajo útil e independiente, pero no delataba el genio como lo delata cualquier otra página de los muchos trabajos posteriores de Dedekind. La opinión de Gauss sobre la disertación tiene cierto interés: "La memoria preparada por Herr Dedekind se refiere a una investigación en el Cálculo integral, y no es en modo alguno una cosa vulgar. El autor muestra no sólo un buen conocimiento de estas importantes cuestiones, sino también una independencia de juicio que es un anuncio favorable de sus seguros triunfos. Como ensayo para ser admitido al examen encuentro esta memoria completamente satisfactoria". Evidentemente Gauss vio más en esta disertación que lo que descubrieron algunos de los críticos posteriores; posiblemente, su íntimo contacto con el joven autor le capacitó para leer entre líneas. De todos modos, el informe es más o menos el habitual y cortés documento para aceptar una disertación pasable, y no sabemos si Gauss realmente previó la penetrante originalidad de Dedekind.
En 1854 Dedekind fue nombrado Privatdozent en Göttingen, cargo que mantuvo durante cuatro años. A la muerte de Gauss, en 1855, Dirichlet se trasladó desde Berlín a Göttingen. Durante los tres años restantes de su permanencia en Göttingen, Dedekind asistió a las más importantes conferencias de Dirichlet. Más tarde, colaboró en el famoso tratado de Dirichlet sobre la teoría de números añadiendo a él el importantísimo "Suplemento undécimo", que contiene un esquema de su propia teoría de los números algebraicos. Fue también amigo del gran Riemann, que entonces comenzaba su carrera. Las conferencias universitarias de Dedekind fueron en su mayor parte elementales, pero en 1857‑1858, dio un curso (a dos estudiantes, Selling y Auwers) sobre la teoría de Galois de las ecuaciones. Esta fue probablemente la primera vez que la teoría de Galois apareció formalmente en un curso universitario. Dedekind fue uno de los primeros en apreciar la importancia fundamental del concepto de grupo en Álgebra y Aritmética. En su primera obra Dedekind ya mostró dos de las principales características de su pensamiento, la abstracción y la generalización. En lugar de considerar un grupo finito desde el punto de vista de su representación mediante sustituciones (véase capítulo sobre Galois y Cauchy) Dedekind definió los grupos por medio de sus postulados (sustancialmente descritos en el capítulo XV), y buscó derivar sus propiedades de esta destilación de su esencia. A la manera moderna esto es abstracción, y por tanto, generalización. La segunda característica, la generalización, es justamente una consecuencia de la primera.
A la edad de 26 años Dedekind fue nombrado (en 1857) profesor ordinario en el Politécnica de Zurich, donde permaneció cinco años, volviendo en 1862 a Brunswick como profesor de la Escuela Técnica Superior. Allí estuvo durante medio siglo. La tarea más importante para el biógrafo oficial de Dedekind, si es que llega tener alguno, será explicar el hecho singular de que Dedekind haya ocupado un cargo relativamente oscuro durante cincuenta años, mientras hombres muy inferiores a él desempeñaron cátedras importantes en la Universidad. Decir que Dedekind prefirió la oscuridad es una explicación como cualquier otra.
Hasta su muerte (1916), cuando tenía 85 años, Dedekind permaneció con la mente fresca y robusta de cuerpo. Jamás se casó, y vivió con su hermana Julie, conocida novelista, hasta su muerte en 1914. Su otra hermana Mathilde murió en 1860; su hermano fue un distinguido jurista.
Tales son los hechos de mayor importancia en la carrera material de Dedekind. Vivió tanto tiempo que aunque algunas de sus obras (su teoría del número irracional, que ahora explicaremos) ha sido familiar a todos los estudiosos del análisis durante una generación antes de su muerte, el propio Dedekind constituyó casi una figura legendaria, que muchos consideraron como una sombra. Doce años antes de su muerte, en el Calendario para Matemáticos de Teubner se dijo que Dedekind había muerto el 4 de septiembre de 1899, provocando el regocijo del supuesto muerto. "Quizá resulte exacto el día 4 de septiembre, escribía Dedekind, pero seguramente está equivocado el año. Me parece recordar que he pasado ese día en perfecta salud, gozando de una agradable conversación sobre "sistema y teoría" con mi huésped y excelente amigo George Cantor de Halle".
La actividad matemática de Dedekind se desarrolló casi completamente en el dominio de los números en su más amplio sentido. Sólo tenemos espacio para dos de sus grandes contribuciones, y describiremos primeramente su trabajo fundamental, el de la "cortadura de Dedekind", la teoría del número irracional, y por tanto los fundamentos del Análisis. Por ser de esencial importancia recordaremos brevemente la naturaleza de la cuestión. Si a, b son números enteros comunes, la fracción a/b se llama un número racional; si no existen números ente ros m, n tales que cierto "número" N sea expresable como m/n, entonces N se llama un número irracional. Así Ö 2, √3, √6 son números, irracionales. Si se expresa un número irracional en forma decimal, los dígitos que siguen al punto decimal no presentan regularidades: no hay período que se repita, como en las representaciones decimales de un número racional, o sea 13/11 = 1.181818... donde el "18" se repite indefinidamente. Como entonces, si la representación carece completamente de ley ¿tenemos acaso una clara concepción de lo que es un número irracional? Eudoxio pensaba que la tenía y la definición de Dedekind de la igualdad de dos números, racionales o irracionales, es idéntica a la de Eudoxio (véase Capítulo II).
Si dos números racionales son iguales, no hay duda de que sus raíces cuadradas son iguales. Así, 2 x 3 y 6 son iguales, así, también, lo son
√2 x √3 = ![]()
El núcleo de la teoría de Dedekind de los números irracionales es su concepto de "cortadura". Una cortadura es una separación de todos los números racionales en dos clases, de modo que cada número de la primera clase sea menor que cada número de la segunda clase. Cada cortadura que no "corresponde" a un número racional "define" un número irracional. Este escueto enunciado necesita una elaboración, particularmente por el hecho de que incluso una exposición exacta, encierra ciertas dificultades sutiles enraizadas en la teoría del infinito matemático, que reaparecerán cuando consideremos la vida de Cantor, amigo de Dedekind.
Acéptese que se ha dado alguna regla tal que todos los números racionales se puedan agrupar en dos clases, o sea una clase "superior" y una clase "inferior", tales que todo número en la clase inferior es menor que todo número de la clase superior. (Tal suposición no pasaría actualmente sin ser discutida por las escuelas de filosofía matemática. Sin embargo, por el momento puede ser considerada como inobjetable).Sobre esta suposición es posible una de las tres situaciones que se excluyen recíprocamente:
- Puede haber un número en la clase inferior que sea mayor que cualquier otro número en esa clase.
- Puede haber un número en la clase superior que sea menor que cualquier otro número en esa clase.
- (C) Ninguno de los números (mayor en A, menor en B) descritos en (A), (B) puede existir.
Aquí recurriremos a la intuición. Todas las distancias y medidas desde cualquier punto fijo a lo largo de una línea recta dada "corresponden" a "números" que "miden" las distancias. Si la cortadura se deja sin llenar, debemos describir la línea recta, que podemos concebir trazada por el movimiento continuo de un punto, como teniendo en ella una sima infranqueable. Esto viola nuestros conceptos intuitivos, de modo que decimos, por definición, que cada cortadura define un número. El número así definido no es racional; es irracional. Para proporcionar un esquema utilizable para actuar con los irracionales así definidos por cortaduras del tipo (C) consideraremos ahora la clase inferior de los racionales en (C) como equivalentes al irracional que define la cortadura.
Un ejemplo bastará. La raíz cuadrada irracional de 2 se define por la cortadura cuya clase superior contiene todos los números racionales positivos cuyos cuadrados son mayores que 2, y cuya clase inferior contiene todos los restantes números racionales.
Si el concepto algo ilusorio de la cortadura no agrada pueden ser sugeridos dos remedios: idear una definición de irracionales que sea menos mística que la de Dedekind y perfectamente utilizable; seguir a Kronecker y negar que exista números irracionales, reconstruyendo la Matemática sin ellos. En el presente estado de la Matemática es conveniente alguna teoría de irracionales. Pero dada la naturaleza de un número irracional, parecería necesario comprender totalmente el infinito matemático antes de que sea posible una adecuada teoría de irracionales. El recurso de apelar a las clases infinitas es evidente en la definición de la cortadura de Dedekind. Tales clases conducen a graves dificultades lógicas.
Depende del nivel del refinamiento del matemático como individuo que considere estas dificultades como importantes o como triviales para el desarrollo consecuente de la Matemática. El valeroso análisis marcha audazmente a la cabeza, acumulando una Babel sobre otra, y confiando en que ningún Dios de la razón ultrajado le confundirá a él y a sus obras, mientras el lógico crítico, examinando cínicamente los cimientos del imponente rascacielos de su hermano, hace un rápido cálculo mental para predecir la fecha del derrumbe. Mientras tanto todos están atareados y gozosos. Pero una conclusión parece ser inevitable: Sin una teoría coherente del infinito matemático no hay teoría de irracionales; sin una teoría de irracionales no hay Análisis matemático en una forma que se parezca en algo al que ahora tenemos; y, finalmente, sin Análisis la mayor parte de la Matemática, incluyendo la Geometría y la mayor parte de la Matemática aplicada, tal como ahora existe cesaría de existir.
La tarea más importante con que se enfrentan los matemáticos parece ser, por tanto, la construcción de una teoría satisfactoria del infinito. Cantor intentó esto con el resultado que más tarde veremos. Por lo que se refiere a la teoría de Dedekind de los irracionales, su autor parece haber tenido algunos escrúpulos, pues dudó durante más de dos años antes de aventurarse a publicarla. Si el lector examina la definición de Eudoxio de "igual razón" (Capítulo II) verá que se presentan "dificultades infinitas", particularmente en la frase "equimúltiplos cualesquiera". De todos modos, se han hecho algunos progresos desde Eudoxio; estamos, al fin, comenzando a comprender la naturaleza de nuestras dificultades.
La otra contribución sobresaliente que Dedekind hizo al concepto del "número" fue en la dirección de los números algebraicos. Por lo que se refiere a la naturaleza del problema fundamental debemos recordar lo dicho en el capítulo sobre Kronecker respecto de los campos numéricos algebraicos y a la descomposición de enteros algebraicos en sus factores primos. La esencia del problema es que en alguno de tales campos la descomposición en factores primos no es única, como en Aritmética elemental. Dedekind restableció esta unicidad tan deseable por la invención de los que llamó ideales. Un ideal no es un número, sino una clase infinita de números, de modo que Dedekind venció también sus dificultades buscando refugio en el infinito.
El concepto de un ideal no es difícil de comprender, aun cuando exista una dificultad, la clase más inclusiva divide a la menos inclusiva, como ahora veremos que está en contra del sentido común. Sin embargo, el sentido común ha sido hecho para sufrir conmociones. Un ideal debe cumplir al menos dos cosas: debe dejar la Aritmética (racional) común substancialmente como es, y debe obligar a los recalcitrantes enteros algebraicos a obedecer esa ley fundamental de Aritmética, la descomposición única en primos, que esos números desafían.
El punto acerca de que una clase más inclusiva divida a una menos inclusiva se refiere al siguiente fenómeno (y a su generalización como veremos ahora). Consideremos el hecho de que 2 divide a 4, aritméticamente, es decir, sin resto. En lugar de este hecho evidente que no conduce a nada si es seguido en campos numéricos algebraicos, reemplazaremos 2 por la clase de todos sus múltiplos enteros..., ‑ 8, ‑ 6, ‑ 4, ‑ 2, 0, 2, 4, 6, 8... Por conveniencia denotaremos esta clase por (2). En la misma forma (4) denota la clase de todos los múltiplos enteros de 4. Algunos de los números en (4) son... ‑ 16, ‑ 12, ‑ 8, ‑ 4, 0, 8, 12, 16... Ahora es evidente que (2) es la clase más inclusiva; en efecto (2) contiene todos los números de (4), y además (para mencionar sólo dos) -6 y 6. El hecho que (2) contiene (4) se simboliza escribiendo (2)/(4). Puede apreciarse muy fácilmente que si m, n son números enteros comunes cualesquiera, tendremos que (m)/(n) cuando m, divide a n y sólo en este caso.
Lo dicho puede sugerir que el concepto de divisibilidad aritmética común queda sustituido por el de inclusión de clase, tal como lo hemos explicado. Pero esta sustitución sería vana si no llegara a conservar las propiedades características de la divisibilidad aritmética. Podríamos observar detalladamente que las conserva, pero un ejemplo bastará. Si m divide n y n divide l , entonces m divide l ; por ejemplo, 12 divide 24 y 24 divide 72, y 12 divide, en efecto, 72. Transferido a clases como antes, resulta: si (m)/(n) y (n)/(l), entonces (m)/(l), o sea, si la clase (m) contiene la clase (n), y si la clase (n) contiene la clase ( l ), entonces la clase (m) contiene la clase ( l ), lo que evidentemente es cierto. El resultado es que la sustitución de números por sus clases correspondientes responde a lo requerido cuando ampliamos la definición de "multiplicación": (m) ´ (n) se define como la clase (mn); (2) ´ (6) = (12). Obsérvese que lo último es una definición.
Los ideales de Dedekind para los números algebraicos son una generalización de lo que precede. Siguiendo su costumbre habitual, Dedekind dio una definición abstracta, es decir, una definición basada sobre propiedades esenciales más que sobre un modo contingente o particular de representar, o describir, la cosa definida.
Consideremos la serie (o clase) de todos los enteros algebraicos en un determinado campo numérico algebraico. En esta serie que todo lo incluye habrá subseries. Una subserie se llama un ideal si tiene las dos propiedades siguientes:
- La suma y diferencia de dos enteros cualesquiera en la subserie están también en la subserie.
- Si cualquier entero de la subserie se multiplica por cualquier entero de la serie que todo lo incluye, el entero resultante está en la subserie.
Puede demostrarse que todo ideal es una clase de enteros todos los cuales son de la forma
![]()
Debemos ahora definir la "multiplicación" de ideales: el producto de los dos ideales: (a 1 , a 2 ,.. a n ), (b 1 , b 2 ,.. b n ), es el ideal cuyo símbolo es (a 1 b 1 , ..., a 1 b n , ..., a n b n ), en el cual se obtienen todos los productos posibles a 1 b 1 , etc., multiplicando un entero del primer símbolo por un entero del segundo. Por ejemplo, el producto de (a 1 , a 2 ) y b 1 , b 2 ) es (a 1 b 1 , a 1 b 2 , a 2 b 1 , a 2 b 2 ). Siempre es posible reducir tal símbolo‑producto (para un campo de grado n) a un símbolo que contenga a lo sumo n enteros.
Una breve observación final completará el resumen de la historia. Un ideal cuyo símbolo sólo contenga un entero, tal como (a 1 ), se llama un ideal principal. Usando como antes la notación (a 1 )/(b 1 ) para significar que (a 1 ) contiene (b 1 ), podemos ver sin dificultad que (a 1 )/(b 1 ) cuando, y sólo cuando, el entero al divide el entero b 1 . Como antes, pues, el concepto de divisibilidad aritmética es aquí, para los enteros algebraicos, completamente equivalente al de la inclusión de clase. Un ideal primo es aquel que no es "divisible por", incluido en cualquier ideal, salvo el ideal que todo lo incluye compuesto de todos los enteros algebraicos en el campo dado. Los enteros algebraicos son reemplazados ahora por sus ideales principales correspondientes, lo que demuestra que un ideal dado es un producto de ideales primos tan solo en una forma, precisamente como en el "teorema fundamental de la Aritmética" un entero racional es el producto de primos tan solo en una forma. Por la equivalencia antes mencionada de la divisibilidad aritmética para enteros algebraicos e inclusión de clase, el teorema fundamental de la Aritmética ha sido restablecido para los números enteros en campos numéricos algebraicos.
Quien se detenga a meditar sobre las líneas generales de la creación de Dedekind podrá ver lo que este autor hizo, exige una visión penetrante y un talento superior por lo que se refiere a la capacidad de abstracción. Dedekind fue un matemático según la expresión de Gauss: " At nostro quidem judicio hujusmodi veritates ex notionibus potius quam ex notationibus hauriri debeant ". (Pero en nuestra opinión tales verdades [aritméticas] deben ser derivadas de conceptos más que de notaciones). Dedekind confió más en su cabeza que en un ingenioso simbolismo y en las expertas manipulaciones de fórmulas para seguir adelante. Si hubo alguien que introdujera nuevos conceptos a la Matemática ese alguien fue Dedekind, y sus sabias preferencias para las ideas creadoras sobre los símbolos estériles se aprecian ahora mejor de lo que se apreció durante su vida. Cuando más tiempo viva la Matemática, más abstracta y, posiblemente también, más práctica se hará.
Capítulo 28
El Último Universalista
POINCARÉ
Un científico digno de este nombre, especialmente
si es un matemático, experimenta en su labor
la misma impresión que un artista; su placer
es tan grande y de la misma naturaleza.
Henri Poincaré
Recordando esta leyenda, Sylvester cuenta que él estuvo a punto de batir el récord mundial de Briggs de ilimitada admiración cuando en 1885 visitó al autor de numerosos trabajos asombrosamente maduros y maravillosamente originales de una nueva rama del Análisis, que habían estado inundando las revistas matemáticas desde el año 1880.
Sylvester confiesa que "pude darme cuenta de los sentimientos de Briggs en su entrevista con Napier cuando recientemente visité a Poincaré [1854-1912] en su gallinero aéreo de la calle Gay-Lussac... En presencia de ese poderoso depósito de fuerza intelectual, mi lengua se negó a cumplir su oficio, y hubo de pasar cierto tiempo (quizá fueron dos o tres minutos) antes de que me formara una idea de sus juveniles rasgos externos y me encontrara en condiciones de hablar".

Henri Poincaré
Una segunda anécdota puede dar cierta idea del respeto que ha merecido la obra de Poincaré a aquellos que estuvieron en condiciones de apreciar sus alcances.
Interrogado por un inglés patriota de los tiempos de la primera gran guerra de aquellos que creían que era obligación de todos los patriotas académicos exaltar a sus aliados y rebajar a sus enemigos: quién era el hombre más grande que Francia había producido en los tiempos modernos, Bertrand Russell contestó instantáneamente, "Poincaré". "¿Cómo?, ¡ese hombre!", exclamó su mal informado interlocutor creyendo que Russell se refería a Raymond Poincaré, Presidente de la República Francesa. "Oh, exclamó Russell cuando comprendió el error, yo pensaba en el primo de Raymond, Henri Poincaré".
Poincaré fue el último hombre que consideró como su reino toda la Matemática, tanto pura como aplicada. Se cree, de ordinario, quesería imposible para un ser humano actual comprender ampliamente y mucho menos hacer obra creadora en más de dos de las cuatro principales divisiones de la Matemática, la Aritmética, el Álgebra, la Geometría y el Análisis, por no decir nada de la astronomía y de la física matemática. Sin embargo, cuando en el año 1880 se iniciaba la gran carrera de Poincaré se creía, en general, que Gauss había sido el último de los universalistas matemáticos, y parecía imposible que el ambicioso joven pudiera dominar todo el campo de la Matemática.
A medida que la Matemática evoluciona se dilata y se contrae como los modelos del Universo de Lemaitre. Actualmente nos encontramos en una dilatación explosiva, y es absolutamente imposible para cualquier hombre llegar a familiarizarse con la enorme masa de trabajos matemáticos que han aparecido en el mundo desde el año 1900. Pero en ciertos sectores importantes se observa ya una saludable tendencia a la contracción. Así ocurre, por ejemplo, en Álgebra, donde la introducción de los métodos por postulados ha hecho el tema cada vez más abstracto, más general, y menos desconectado. Similitudes inesperadas, que en algunos casos llegan a la identidad enmascarada, están siendo descubiertas gracias a la nueva forma de abordar los temas, y es concebible que la próxima generación de algebristas no necesitará saber mucho de lo que ahora se considera de valor, cuando gran parte de las cuestiones particularmente difíciles se reúnan bajo un principio general más sencillo de amplio alcance. Algo de esto sucedió en la física matemática clásica cuando la relatividad dio de lado la complicada matemática del éter.
Otro ejemplo de esta contracción en la época de la dilatación es el uso, que rápidamente va aumentando, del cálculo tensorial, en desmedro de las numerosas ramas especiales del análisis vectorial. Tales generalizaciones y condensaciones son muchas veces difíciles de comprender por los hombres de más edad, pero al final suelen darse cuenta de que los métodos generales son esencialmente más sencillos y más fáciles de tratar que los múltiples e ingeniosos ardides ideados para los problemas especiales. Cuando los matemáticos dicen que una cosa como el cálculo tensorial es fácil, al menos en comparación con algunos de los algoritmos que le precedieron, no intentan parecer superiores ni misteriosos, sino que afirman una verdad que cualquier estudiante puede comprobar por sí mismo. Esta cualidad de generalización fue un rasgo instintivo en la vasta obra de Poincaré.
Si la abstracción y la generalización tienen manifiestas ventajas del tipo indicado, también es cierto que algunas veces presentan graves desventajas para quienes se interesan por los detalles. ¿Qué uso inmediato tiene para el físico saber que una ecuación diferencial particular que se plantea en sus trabajos es resoluble, pues así lo ha probado algún matemático puro, cuando ni él ni el matemático pueden realizar la labor hercúlea exigida por una solución numérica capaz de aplicación a problemas específicos?
Para citar un ejemplo, correspondiente a un campo en el que Poincaré hizo algunos de sus trabajos más originales, consideremos un fluido incompresible homogéneo, que se mantiene unido por la gravitación de sus partículas, y que gira alrededor de un eje. ¿En qué condiciones será el movimiento estable, y cuáles serán las posibles formas de ese fluido en rotación estable? Mac Laurin, Jacobi y otros autores han demostrado que ciertas elipsoides serán estables; Poincaré, usando métodos más intuitivos, "menos aritméticos", que sus predecesores, pensó que había determinado los criterios para la estabilidad de un cuerpo piriforme. Pero cometió un error. Sus métodos no estaban adaptados al cálculo numérico, y los investigadores posteriores, incluyendo G. H. Darwin, hijo del famoso Charles, sin atemorizarse por las terribles selvas de Álgebra y de Aritmética que debían ser exploradas antes de que pudiera alcanzarse una conclusión definida, buscaron una solución decisiva [43] .
El hombre interesado en la evolución de las estrellas dobles se encuentra más cómodo si los hallazgos de los matemáticos se le presentan en una forma a la que pueda aplicar una máquina calculadora. Y desde el fiat de Kronecker de la "no construcción, no existencia", algunos matemáticos puros han sido menos entusiastas de lo que eran en los días de Poincaré por la existencia de teoremas que no son constructivos. El desprecio de Poincaré por la serie de detalles que exige la Matemática, y que deben resolverse antes de seguir adelante, fue una de las causas que más contribuyó a su universalidad. Otra fue su extraordinaria capacidad de comprensión para todo lo que se refiere a la teoría de funciones de variable compleja. En esto no tuvo igual.
Puede advertirse que Poincaré mostró su universalidad al descubrir conexiones hasta entonces no sospechadas entre distintas ramas de las Matemáticas, por ejemplo entre los grupos (continuos) y Álgebra lineal.
Antes de continuar con el relato de su vida, recordaremos uno de los rasgos más característicos de Poincaré. Pocos matemáticos han tenido una visión filosófica tan amplia como Poincaré y ninguno le ha superado en el don de exponer con claridad. Probablemente siempre estuvo profundamente interesado en las implicaciones filosóficas de la ciencia y de la Matemática, pero tan sólo en 1902, cuando su grandeza como matemático estaba más allá de toda duda, se sintió atraído por lo que pudiera llamarse la vulgarización de la Matemática, y se dejó llevar con un sincero entusiasmo por la idea de compartir con los no profesionales la significación e importancia humana del tema. Su preferencia por lo general frente a lo particular le ayudó para exponer ante los inteligentes profanos aquellos temas cuyos alcances matemáticos van más allá de la importancia técnica. Hace 20 ó 30 años podía verse en los jardines y en los cafés de París a obreros y vendedores leyendo ávidamente algunas de las obras maestras populares de Poincaré, en su edición barata. Las mismas obras, en ediciones más cuidadas, se encontraban sobre la mesa de trabajo de cualquier hombre culto. Estos libros fueron traducidos al inglés, al alemán, al español, al húngaro, al sueco y al japonés. Poincaré hablaba en lenguaje universal, fácilmente comprensible, de la Matemática y de la ciencia, y su estilo, muy peculiar, pierde mucho en la traducción.
Por el mérito literario de sus obras de vulgarización Poincaré recibió el máximo honor a que un escritor francés puede aspirar: ser miembro de la Sección literaria del Instituto. Algunos envidiosos novelistas han dicho rencorosamente que Poincaré obtuvo esta distinción, única para un hombre de ciencia, debido a que una de las funciones de la Academia literaria es la constante redacción de un diccionario de la lengua francesa, y el universal Poincaré era, sin duda, el hombre que podría ayudar a los poetas y a los autores dramáticos en su lucha para decir al mundo lo que son funciones automorfas. La opinión imparcial, basada en un estudio de los trabajos de Poincaré, está de acuerdo en que el matemático merecía esa distinción. Muy afín a su interés por la filosofía de la Matemática es su preocupación por la psicología de la creación matemática. ¿Cómo realizan los matemáticos sus descubrimientos? Poincaré nos narra más tarde sus propias observaciones sobre este misterio en una de las más interesantes descripciones de los descubrimientos personales que haya podido ser escrita. Según Poincaré los descubrimientos matemáticos suelen tener lugar después de un largo tiempo de ardua labor. Igual que en la literatura, según dice Dante Gabriel Rosetti, se necesita "cierta cantidad de trabajo cerebral fundamental" antes de que pueda madurar un poema, en la Matemática no se producen descubrimientos sin un profundo trabajo preliminar, pero esto no es, en modo alguno, todo lo necesario. Todas las "explicaciones" para proporcionar una receta en cuya virtud un ser humano pueda llegar a crear resultan sospechosas. La excursión de Poincaré a la psicología práctica, como algunas otras en la misma dirección, no llegó a proporcionar el vellocino de oro, pero al menor sugiere que tal cosa no es completamente mítica, y podrá algún día encontrarse el medio para que los seres humanos sean aún más inteligentes y capaces de comprenderse a sí mismos.
La herencia intelectual de Poincaré por ambos lado era satisfactoria. Tan sólo nos remontaremos a su abuelo paterno. Durante la campaña napoleónica de 1814, su abuelo, que tenía 20 años, fue agregado al hospital militar en Saint-Quentin. Establecido en Rouen, en el año 1817, se casó, y tuvo dos hijos: León Poincaré, nacido en 1828, que fue médico distinguido y miembro de una Facultad de medicina, y Antoine, que llegó a ser inspector general del Departamento de caminos y puentes. Henri, hijo de León, nació el 29 de abril de 1854, en Nancy, Lorena, y llegó a ser el mejor matemático de los primeros años del siglo XX; uno de los dos hijos de Antoine, Raymond, estudió leyes, y desempeñó la presidencia de la República Francesa durante la primera guerra mundial. El otro hijo de Antoine fue director de educación secundaria. Un tío abuelo, que siguió a Napoleón en la campaña de Prusia, desapareció y jamás se oyó hablar de él después de la derrota de Moscú.
De este árbol genealógico podría deducirse que Henri tendría que heredar cierta capacidad administrativa y política; pero no ocurrió así, salvo en su primera infancia, época en que inventaba los juegos para sus hermanas y amigos. En estos juegos su desempeño era limpio y escrupuloso, y cuidaba de que cada uno de los compañeros fuera fiel al papel que le correspondía. Esta es quizá la prueba más concluyente de que Poincaré era constitucionalmente incapaz de comprender los más sencillos principios de administración que su primo Raymond aplicó intuitivamente.
La biografía de Poincaré fue escrita detalladamente por su compatriota Gaston Darboux (1842-1917), uno de los principales geómetras de los tiempos modernos, en 1913 (el año siguiente a la muerte de Poincaré). Alguna cosa puede haber escapado al autor de este libro, pero parece que Darboux, después de referirse a la madre de Poincaré, diciendo que "procedía de una familia del distrito del Meuse cuyos padres vivieron en Arrancy, y era una persona muy buena, muy activa y muy inteligente", no llega a mencionar su nombre de soltera. Es posible que los franceses hayan hecho suya la doctrina de las tres K, recordada al ocuparnos de Dedekind, debido a la influencia que pudiera dejarAlemania en Francia desde 1870 a 1914. Sin embargo, de una anécdota narrada por Darboux, sería posible deducir que su nombre de familia puede haber sido Lannois. Sabemos que la madre dedicó toda atención a la educación de sus dos hijos pequeños, Henri y su hermana menor (cuyo nombre no se menciona). La hermana contrajo matrimonio con Emile Boutroux, y fue madre de un matemático que murió joven.
En parte debido a los constantes desvelos de la madre, el desarrollo mental dePoincaré fue extraordinariamente rápido. Aprendió a hablar muy precozmente, pero también de modo defectuoso, debido a que pensaba con tanta rapidez que no podía trasladar el pensamiento a la palabra. Desde su infancia su coordinación motora fue precaria. Cuando aprendió a escribir, se descubrió que era ambidextro, y que podía escribir o dibujar tan defectuosamente con su mano izquierda como con su mano derecha. Poincaré jamás se cuidó de esta torpeza física. A este respecto será también interesante recordar que cuando Poincaré fue reconocido como el más grande matemático y vulgarizador de la ciencia de su tiempo, se sometió a los tests Binet, haciendo el desagradable descubrimiento de que si se hubiera tratado de un niño, en lugar de ser el famoso matemático que era, los tests habrían demostrado que se trataba de un imbécil. Cuando tenía cinco años Henri sufrió un fuerte ataque de difteria complicado con parálisis laríngea, que persistió durante nueve meses. Este accidente dio lugar a que durante largo tiempo fuera delicado y tímido, pero después sacó fuerzas de flaqueza para dedicarse a los bruscos juegos propios de los niños de su edad.
Su diversión principal era la lectura, donde por primera vez se mostró su desusado talento. Una vez leído un libro, cosa que hacía con increíble velocidad, quedaba para siempre en su memoria, y podía citar la página y la línea donde se narrara un determinado acontecimiento. Conservó esta poderosa memoria toda su vida. Esta rara facultad, que Poincaré comparte con Euler, quien también la poseyó en menor grado puede ser llamada memoria visual o del espacio. En la memoria temporal, la capacidad para recordar con extraordinaria precisión una serie de sucesos acaecidos largo tiempo antes, era también extraordinariamente potente. Sin embargo, Poincaré suele calificar su memoria como "mala". Su defectuosa visión física contribuyó quizá a una tercera peculiaridad de su memoria. La mayoría de los matemáticos parece que recuerdan los problemas y fórmulas en su mayor parte de un modo visual, pero Poincaré los recordaba casi totalmente de un modo auditivo. Incapaz de ver distintamente la pizarra cuando era estudiante, se sentaba lejos y retenía lo que oía de un modo perfecto sin tomar notas: una hazaña fácil para él, pero incomprensible para la mayor parte de los matemáticos. Sin embargo, también debió tener una poderosa memoria de la "visión interna", pues gran parte de su obra, como una buena parte de la de Riemann, fue del tipo que supone una fácil intuición del espacio y una aguda representación psíquica. Su incapacidad para usar hábilmente sus dedos constituyó un obstáculo para los trabajos de laboratorio, y es de lamentar que cierta parte de sus estudios de física matemática no hayan estado tan cercanos a la realidad como hubiera ocurrido de haber dominado el arte de la experimentación. Si Poincaré hubiera sido en ciencia práctica lo que fue en la ciencia teórica, hubiera añadido un cuarto miembro al incomparable trío Arquímedes, Newton y Gauss.
No todos los grandes matemáticos han sido soñadores tan "distraídos" como la fantasía popular gusta de suponer. Poincaré fue una de las excepciones, pero sólo en cosas de poca importancia. A muchas personas, que en modo alguno pertenecen a la categoría de sabios abstraídos, les ocurre lo mismo, y no son pocos los mortales que después de haber comido en el restaurante guardan en su bolsillo el dinero con que debían pagar su cuenta.
Algunas de las "distracciones" de Poincaré quizá tienen una interpretación diferente. En una ocasión (Darboux no narra la historia, pero debería haberlo hecho, pues ilustra el carácter algo brusco de Poincaré en los últimos años), un distinguido matemático, se trasladó desde Finlandia a París para conversar con Poincaré de problemas científicos. Éste no abandonó su estudio para saludar al visitante cuando la sirvienta le notificó su llegada, sino que continuó paseando de un lado a otro, como era su costumbre cuando se dedicaba a la Matemática, durante tres largas horas. Durante este tiempo, el desconfiado visitante permaneció sentado en la sala próxima, separado del maestro tan sólo por unas delgadas cortinas. Finalmente, las cortinas se separaron durante un momento y apareció en la habitación la cabeza de búfalo de Poincaré. " Vous me dérangez beaucoup " (me molestáis extraordinariamente) explotó aquella cabeza, y desapareció. El visitante tuvo que renunciar a la entrevista, que era exactamente lo que deseaba el "abstraído" profesor.
Los estudios primarios de Poincaré fueron brillantes, aunque la Matemática no fuera la disciplina que atrajera al principio su interés. Su primera pasión fue la historia natural, y toda su vida continuó siendo amante de los animales. La primera vez que tomó un rifle en sus manos se disparó accidentalmente y mató a un ave sin que él se lo propusiera. Este accidente le afectó tanto que en su vida ulterior (salvo la época del servicio militar) se negó a tocar un arma de fuego. A la edad de nueve años dio la primera demostración de lo que iba a ser uno de sus mayores triunfos. El maestro de composición declaró que un breve ejercicio, original en su forma y en su fondo, que el joven Poincaré había compuesto constituía "una pequeña obra maestra", y lo conservó como uno de sus tesoros. Pero también aconsejó a su discípulo que fuera más convencional, más estúpido, si deseaba causar una buena impresión en los profesores de la escuela. Apartándose de los juegos bruscos propios de sus compañeros, Poincaré inventó los suyos. También fue un infatigable bailarín. Como aprendía sus lecciones con tanta facilidad como respiraba, empleó la mayor parte de su tiempo en diversiones y en ayudar a su madre en las tareas de la casa. En esa fase precoz de su carrera Poincaré ya mostró algunas de las más notables características de su facilidad para abstraerse del mundo. Frecuentemente se olvidaba de comer, y casi nunca recordaba si había o no desayunado.
La pasión por la Matemática se bosquejó en la adolescencia o poco antes (cuando tenía 15 años). Desde el principio mostró una particularidad que duró toda su vida: hacía sus operaciones matemáticas mentalmente, mientras paseaba inquieto, y sólo acudía al papel después de una madura meditación. La charla, ni los ruidos le perturbaban cuando estaba trabajando. En su vida ulterior escribió sus trabajos de un tirón, sin volver a leer lo que había escrito, o limitándose a tachar algunos párrafos. Cayley componía también sus trabajos de esta forma, y probablemente Euler hacía lo mismo. Algunos de los trabajos de Poincaré muestran signos de una composición apresurada, y él mismo decía que jamás había terminado un trabajo sin lamentarse de los errores de forma o de fondo. Muchos hombres que se han distinguido intelectualmente han tenido la misma sensación. La afición de Poincaré por los estudios clásicos, donde sobresalió, le enseñó la importancia que para un trabajo tiene la forma y la sustancia.
La guerra franco-prusiana estalló en Francia en 1870, cuando Poincaré tenía 16 años. Aunque era demasiado joven y demasiado débil para un servicio activo, Poincaré participó de todos los horrores, pues Nancy, donde vivía, sufrió la ola de la invasión, y el joven acompañó a su padre en sus visitas al hospital. Más tarde, pasando terribles dificultades, volvió con su madre y hermana a Arrancy para ver lo que había sucedido a sus abuelos paternos, en cuyos espaciosos jardines habían transcurrido, durante las vacaciones escolares, los días más felices de su infancia. Arrancy estaba cerca del campo de batalla de Saint-Privat. Para llegar a la ciudad hubieron que pasar a través de campos desiertos y quemados, sufriendo un "frío glacial". Al fin llegaron a su destino, encontrando que la casa había sido saqueada, "no sólo de las cosas de valor sino también de las cosas sinvalor", siendo además profanada en la forma bestial bien conocida por los franceses durante la guerra de 1914. Los abuelos carecían de todo, y el alimento les era proporcionado por una pobre mujer que se había negado a abandonar las ruinas de su casucha y que insistía en compartir con ellos su modesta pitanza.
Poincaré jamás olvidó esto, ni tampoco olvidó la larga ocupación de Nancy por el enemigo. Fue durante la guerra cuando aprendió alemán. Ávido de saber lo que los alemanes decían de Francia y de sí mismo, Poincaré aprendió su lengua. Lo que vio y lo que aprendió de los relatos oficiales de los propios invasores le hicieron un ardiente patriota, pero, lo mismo que Hermite, jamás confundió la Matemática de los enemigos de su país con sus actividades más prácticas. Su primo Raymond, en cambio, jamás podía decir algo acerca de les Allemands sin reprimir un grito de odio. En el gran libro del infierno donde constan los balances de los odios de un patriota frente a los de un patriota alemán, Poincaré puede ser colocado frente a Kummer, Hermite frente a Gauss, para obtener así el perfecto cero implicado en la famosa ley "ojo por ojo, diente por diente".
Siguiendo la habitual costumbre francesa, Poincaré aprobó sus primeros grados (bachiller en letras y en ciencias) antes de especializarse. Esos exámenes tuvieron lugar en 1871, cuando tenía 17 años, y estuvo a punto de ser reprobado en Matemática. Llegó tarde y azorado fracasó en una prueba tan extraordinariamente sencilla como es obtener la suma de una progresión geométrica convergente. Pero su fama le había precedido. "Cualquier estudiante que no fuera Poincaré hubiera sido reprobado", declaró el presidente del Tribunal.
Luego se preparó para los exámenes de ingreso en la Escuela de ingenieros de Montes, donde asombró a sus compañeros al obtener el primer premio en Matemática sin haberse molestado en tomar apuntes. Sus compañeros, creyéndole un farsante, le quisieron someter a una prueba, encargando a un estudiante de cuarto año que le presentara un problema matemático que les parecía particularmente difícil. Sin una aparente meditación Poincaré encontró la solución con rapidez, y siguió paseando, dejando cariacontecidos a sus burlones compañeros que se preguntaban: "¿Cómo ha hallado la solución?" No son pocos los que se han hecho la misma pregunta en otras condiciones similares de la carrera Poincaré. Jamás parecía meditar cuando sus colegas le presentaban una dificultad matemática: "la réplica venía como una flecha".
Al terminar este año pasó, ocupando el primer lugar, a la Escuela Politécnica. Varios son los relatos que se conservan de su examen. Unos dicen que cierto miembro del Tribunal, prevenido de que el joven Poincaré era un genio matemático, suspendió el examen durante tres cuartos de hora, para idear alguna difícil cuestión, una refinada tortura. Pero Poincaré la resolvió sin dificultad, y el inquisidor "felicitó cariñosamente al alumno, comunicándole que había obtenido la máxima calificación". Los resultados obtenidos por Poincaré frente a sus atormentadores parecen indicar que los profesores franceses de Matemática habían aprendido algo desde que arruinaren la vida de Galois y estuvieron a punto de hacer lo mismo con la de Hermite.
En la Politécnica, Poincaré se distinguió por su brillantez en la Matemática, por su extraordinaria incompetencia en todos los ejercicios físicos, incluyendo la gimnasia y las artes militares, y por su manifiesta incapacidad para dibujar algo que se pareciera a algún objeto terrenal o celestial. Esto era muy grave: Un cero en el examen de ingreso, aun que se tratara del dibujo, significaba ser expulsado de la Escuela. Los jueces estaban desconcertados: "...un cero es eliminatorio. En las restantes cosas (salvo el dibujo), Poincaré carece de rival. Si es admitido, será el primero: pero, ¿puede ser admitido?". Para que Poincaré fuera admitido los buenos jueces posiblemente colocaron un punto decimal antes del cero y un 1 después de él.
A pesar de esta ineptitud para los ejercicios físicos, Poincaré era extraordinariamente popular entre sus compañeros. Al final del año organizaron una exhibición pública de sus obras artísticas, cuidadosamente rotuladas en griego: "esto es un caballo..." y así sucesivamente. Pero la incapacidad de Poincaré para el dibujo también tuvo su lado serio cuando estudió Geometría; entonces perdió el primer lugar, ocupando el segundo puesto.
Al dejar la Politécnica en 1875, teniendo 21 años, Poincaré ingresó en la Escuela de Minas, con la intención de ser ingeniero. Sus estudios técnicos, aunque fielmente realizados, le dejaban ciertas horas de ocio que dedicaba a la Matemática, y mostró lo que había dentro de él abordando un problema general de ecuaciones diferenciales. Tres años después presentó una tesis sobre el mismo tema, pero refiriéndose a una cuestión más difícil y más general, a la Facultad de Ciencias de París, para aspirar al grado de doctor en ciencias matemáticas. "Vi clara, e inmediatamente, dice Darboux que fue llamado a examinar la obra, que la tesis era superior al tipo ordinario y merecía ampliamente ser aceptada. Seguramente contenía resultados suficientes para proporcionar material a algunas buenas tesis. Pero debo declarar, para que se tenga una idea exacta de cómo Poincaré trabajaba, que muchos puntos necesitaban correcciones o explicaciones. Poincaré era un hombre dominado por la intuición. Una vez que llegaba a la cima, jamás volvía sobre sus pasos. Quedaba satisfecho pasando a través de todas las dificultades, y dejaba a los demás el trabajo de pavimentar las carreteras destinadas a conducir más fácilmente hasta la meta. Voluntariamente se sometió a hacer las correcciones que parecían necesarias, pero me explicó que tenía entonces otras muchas ideas en su cabeza, y que ya estaba ocupado con algunos de los grandes problemas cuyas soluciones nos pensaba dar".
Así, el joven Poincaré, como Gauss, se veía invadido, por un enjambre de ideas que llenaban su mente, pero, a diferencia de Gauss, su lema no era "Poco, pero maduro". Es una cuestión que queda porresolver si un hombre de ciencia creador que guarda los frutos de su labor tanto que algunos de ellos se estropean es más útil para el progreso de la ciencia, que los hombres impetuosos, que esparcen todo lo que cosechan, verde o maduro, para que la semilla pueda madurar si el terreno es apropiado o deshacerse cuando se trata de frutos endebles. Algunos piensan que es mejor lo primero, otros lo segundo. Como cualquier decisión está más allá de los criterios objetivos, dejamos a cada uno con su propia opinión [44] .
Poincaré no estaba destinado a ser ingeniero de Minas, aunque durante su aprendizaje demostró que tenía al menos el valor para serlo. Después de la explosión de una mina, que produjo 17 víctimas, formó parte de la cuadrilla de salvamento. Pero la profesión no le resultaba agradable, y aprovechó la oportunidad de dedicarse a la Matemática cuando su tesis y sus primeros trabajos así lo permitieron. Su primer cargo académico lo obtuvo en Caen, el 1 de diciembre de 1879, como profesor de Análisis matemático. Dos años más tarde (teniendo 27 años) pasó a la Universidad de París, donde en 1886 fue ascendido al ser encargado del curso de mecánica y física experimental (esto último parece extraño dada la dificultad de Poincaré para los trabajos de laboratorio). Salvo con ocasión de sus viajes a los congresos científicos europeos y de su visita a los Estados Unidos, en 1904, para pronunciar conferencias en la exposición de St. Louis, Poincaré permaneció en París, como cabeza de la Matemática francesa.
El período creador de Poincaré se abre con su tesis de 1878 y termina con su muerte en 1912, cuando estaba en la cumbre de su capacidad. En este lapso relativamente breve de 34 años acumuló tal cantidad de trabajos que parece increíble si consideramos las dificultades que entrañan la mayor parte de ellos. Suman casi 500 trabajos sobre nuevas Matemáticas, tratándose en muchos casos de extensas memorias, y más de 30 libros, que se refieren prácticamente a todas las ramas de la física matemática, de la física teórica y de la astronomía teórica que existían en su época. No contamos aquí sus trabajos clásicos sobre la filosofía, de la ciencia y sus ensayos de vulgarización. Para dar una adecuada idea de esta inmensa labor sería necesario ser un segundo Poincaré, y, por tanto, elegiremos dos o tres de sus obras más célebres para hacer de ellas una breve descripción.
El primer triunfo de Poincaré tuvo lugar en la teoría de ecuaciones diferenciales, a las cuales aplicó todos los recursos del Análisis, que dominaba de un modo absoluto. Esta primera elección indica las inclinaciones de Poincaré hacia las aplicaciones de la Matemática, pues las ecuaciones diferenciales han atraído a enjambres de investigadores desde los tiempos de Newton, debido, principalmente, a que tienen gran importancia para la exploración del Universo físico. Los matemáticos "puros" algunas veces gustan imaginar que todas sus actividades son dictadas por sus propios gustos, y que las aplicaciones de la ciencia no tienen interés para ellos. De todos modos, algunos de los más puros entre los puros han dedicado sus vidas a las ecuaciones diferenciales, que aparecieron primeramente al trasladar las situaciones físicas al simbolismo matemático; y son precisamente estas ecuaciones, sugeridas en el terreno práctico, las que constituyen el núcleo de la teoría. Una ecuación particular sugerida por la ciencia puede ser generalizada por los matemáticos, y entonces ser devuelta a los científicos (con frecuencia sin una solución que ellos puedan usar) para ser aplicada a nuevos problemas físicos, pero en primero y último término el motivo es científico. Fourier resume esta tesis en un párrafo famoso que irrita a ciertos tipos de matemáticos, pero que Poincaré hizo suyo y siguió en gran parte de su obra.
"El estudio profundo de la naturaleza, declara Fourier, es la fuente más fecunda del descubrimiento de los matemáticos. Este estudio no sólo tiene la ventaja de excluir cuestiones vagas y cálculos vanos al ofrecer una meta definida a la investigación, sino que es también un medio seguro de moldear el Análisis y de descubrir aquellos elementos de él que es esencial conocer y que la ciencia debe siempre conservar. Estos elementos fundamentales son los que se repiten en todos los fenómenos naturales". A lo cual alguien puede replicar: No hay duda, pero ¿qué hacemos con la Aritmética considerada en el sentido de Gauss? Sin embargo, Poincaré siguió el consejo de Fourier, lo creyera o no -y hasta sus investigaciones en la teoría de números fueron más o menos remotamente inspiradas por otras más o menos cercanas a la Matemática de la ciencia física.
Las investigaciones sobre ecuaciones diferenciales le llevaron, en 1880, cuando Poincaré tenía 26 años, a uno de sus más brillantes descubrimientos, una generalización de las funciones elípticas (y de algunas otras). La naturaleza de una función periódica (uniforme) de una sola variable ha sido explicada repetidamente en capítulos anteriores, pero al referirnos a lo que hizo Poincaré podemos repetir lo esencial. La función trigonométrica sen z tiene el período 2 p , o sea, sen ( z + 2 p ) = sen z ; es decir, cuando la variable z aumenta en 2 p , la función seno de z toma su valor inicial. Para una función elíptica, E(z), existen dos períodos distintos, o sea p 1 y p 2 , tal que E(z + p 1 ) = E(z), E(z + p 2 ) = E(z) y Poincaré encontró que la periodicidad es simplemente un caso especial de una propiedad más general: el valor de las funciones se restablece cuando la variable es reemplazada por una cualquiera de una infinidad numerable de transformaciones lineales de sí misma, y todas estas transformaciones forman un grupo. Algunos símbolos aclararán este juicio.
Supongamos que z se sustituye por
Entonces, para una infinidad numerable de series de valores de a, b, c, d, existen funciones de z , es decir F(z) es una de ellas tal que
![]()

![]()
![]()

Sólo necesitamos hacer aquí dos observaciones para indicar lo que Poincaré consiguió con esta maravillosa creación. Primero, su teoría comprende la de las funciones elípticas como un caso particular. Segundo, como dijo el distinguido matemático francés George Humbert, Poincaré encontró dos memorables proposiciones que "le dieron las claves del cosmos algebraico".
Dos funciones automorfas [45] invariantes en el mismo grupo están relacionadas por una ecuación algebraica.
Inversamente, las coordenadas de un punto sobre cualquier curva algebraica se pueden expresar por medio de funciones automorfas y, por tanto, por funciones uniformes de un parámetro.
Una curva algebraica es aquella cuya ecuación es del tipo P(x, y) = 0, donde P(x,y) es un polinomio en x e y . Como un simple ejemplo, la ecuación del círculo cuyo centro está en el origen, (0, 0), y cuyo radio es a, es x 2 + y 2 = a 2 . De acuerdo con la segunda "clave" de Poincaré debe ser posible para expresar x, y como funciones automorfas de un solo parámetro, t. Esto es; si x = a cos(t) e y = a sen(t) , entonces, elevando al cuadrado y sumando eliminaremos t (puesto que cos 2 t + sen 2 t = 1), y encontramos x 2 + y 2 = a 2 . Pero las funciones trigonométricas cos t, sen t son casos especiales de funciones elípticas, que, a su vez, son casos especiales de funciones automorfas.
La creación de esta vasta teoría de funciones automorfas fue una ele las muchas cosas asombrosas que Poincaré hizo en el Análisis antes de cumplir los 30 años. Tampoco dedicó todo su tiempo al Análisis, pues también atrajeron su atención la teoría de números, algunas partes del Álgebra y la astronomía matemática. Al principio dio a la teoría gaussiana de las formas cuadráticas binarias (véase capítulo sobre Gauss) una forma geométrica, particularmente atractiva para aquellos que como Poincaré prefieren el método intuitivo. Esto, como es natural, no fue todo lo que hizo en Aritmética superior, pero las limitaciones del espacio impiden nuevos detalles.
Una labor de este calibre no podía pasar inadvertida. A la desusada edad de 32 años (en 1887), Poincaré fue elegido miembro de la Academia. Su proponente dijo algunas cosas muy atinadas acerca de él, pero la mayor parte de los matemáticos suscribieron principalmente esta verdad: "la obra de Poincaré está por encima de todo elogio, y nos recuerda inevitablemente lo que Jacobi escribía de Abel: que había planteado cuestiones que antes de él no había sido imaginadas. Debe, en efecto, reconocerse que hemos sido testigos de una revolución en Matemática comparable en cualquier respecto a la que tuvo lugar hace medio siglo con la aparición de las funciones elípticas".
Dejar la obra de Poincaré en la Matemática pura en este momento, es como levantarse de un banquete inmediatamente después de haberse sentado ante la mesa, pero debemos ocuparnos ahora de otra faceta de su universalidad.
Desde el tiempo de Newton y sus sucesores inmediatos la astronomía ha proporcionado generosamente a los matemáticos más problemas que los que podía resolver. Hasta finales del siglo XIX las armas usadas por los matemáticos en su estudio de la astronomía fueron prácticamente simples perfeccionamientos de las inventadas por Newton mismo, Euler, Lagrange y Laplace. Pero a través del siglo XIX, particularmente después de que Cauchy desarrollara la teoría de funciones de una variable compleja y de las investigaciones de dicho autor y de otros sobre la convergencia de las series infinitas, la labor de los matemáticos puros ha ido acumulando un enorme arsenal de armas todavía no ensayadas. Para Poincaré, a quien el Análisis le resultaba tan fácil como el pensar, este vasto cúmulo de Matemática todavía no utilizado, le parecía muy adecuado para emplearlo en una nueva ofensiva contra los problemas sobresalientes de la mecánica celeste y de la evolución planetaria. Eligió las armas que le parecieron mejores, las perfeccionó, inventó otras nuevas y atacó la astronomía teórica en una forma tan amplia como no había sido atacada durante un siglo. Modernizó el ataque; en efecto su campaña fue tan extraordinariamente moderna para la mayoría de los especialistas en mecánica celeste que hasta en nuestros días, cuarenta años o más después de que Poincaré inició su ofensiva, pocos han dominado sus métodos, y algunos, incapaces de tender su arco, insinúan que son inútiles para un ataque práctico. De todos modos, a Poincaré no le faltaron continuadores, cuyas conquistas hubieran sido imposibles para los hombres de la era anterior a él.
El primer gran triunfo de Poincaré (1889) en astronomía matemática se debió a un fracasado ataque al problema de n cuerpos. Para n = 2el problema había sido completamente resuelto por Newton; el famoso problema de tres cuerpos (n = 3 ) será mencionado más tarde; cuando n supera a tres, algunas de las reducciones aplicables al caso n = 3 pueden ser realizadas.
Según la ley newtoniana de la gravitación, dos partículas de masas m, M a la distancia D , se atraen entre sí con una fuerza proporcional
![]()
Este era sustancialmente el problema propuesto para el premio ofrecido por el rey Oscar II de Suecia, en 1887. Poincaré no resolvió el problema, pero en 1889 le fue otorgado el premio por un tribunal compuesto por Weierstrass, Hermite y Mittag-Leffler, como recompensa a su discusión general de las ecuaciones diferenciales de la dinámica y a su estudio sobre el problema de los tres cuerpos. Este último es de ordinario interés considerado como el caso más importante del problema de n cuerpos, pues la Tierra, la Luna y el Sol proporcionan un ejemplo del caso n = 3. A este respecto, Weierstrass escribía a Mittag-Leffler: "Podréis decir a vuestro soberano que esta obra no da la solución completa de la cuestión propuesta, pero, de todos modos, tiene tal importancia que su publicación inaugurará una nueva era en la historia de la mecánica celeste. El objeto que Su Majestad se proponía al plantear la cuestión puede, por tanto, considerarse que ha sido alcanzado". Para no ser menos que el rey de Suecia, el gobierno Francés hizo a Poincaré caballero de la Legión de Honor, una distinción menos generosa que las 2.500 coronas y la medalla de oro del rey sueco.
Ahora podemos referir algunas particularidades de la reciente historia del problema de los tres cuerpos. Desde los tiempos de Euler ha sido considerado como uno de los problemas más difíciles en todo el campo de la Matemática. Enunciado matemáticamente, el problema se reduce a resolver un sistema de nueve ecuaciones diferenciales simultáneas (todas lineales y de segundo orden). Lagrange consiguió reducir este sistema a uno más sencillo. Como la mayoría de los problemas físicos, la solución no hay que esperarla en términos finitos; si existe una solución será dada por series infinitas. La solución existirá si esas series satisfacen las ecuaciones (formalmente) y además convergen para ciertos valores de las variables. La dificultad central es demostrar la convergencia. Hasta 1905 se habían encontrado diversas soluciones especiales, pero no se pudo demostrar la existencia de alguna que pudiera ser llamada general.
En 1906 y 1909 se produjo un considerable avance en el lugar donde menos se esperaba: un país que los refinados europeos todavía consideran hoy como relativamente civilizado, especialmente por su terca costumbre de pagar sus deudas, y que muchos americanos despreciaban, creyendo que se hallaba en las mismas condiciones que en la Edad de Piedra, hasta que Paavo Nurmi corrió en los Estados Unidos. Exceptuando tan solo el caso raro en que los tres cuerpos chocan simultáneamente, Karl Frithiof Sundman, de Helsingfors, utilizando métodos analíticos debidos al italiano Levi-Civita y al francés Painlevé, con una ingeniosa modificación original, demostró la existencia de una solución en el sentido antes descrito. La solución de Sundman no se adapta al cálculo numérico ni tampoco proporciona muchas informaciones referentes al verdadero movimiento, pero este no es el punto que aquí interesa: un problema que no se creía fuera soluble, resultaba que lo es. Muchos se han esforzado desesperadamente en demostrar esto. Cuando la prueba fue dada, no faltó quien se apresuró a señalar que Sundman no había hecho nada de particular, pues no había resuelto más problema que el planteado. Este tipo de crítica es tan común en Matemática como en literatura y en arte, y muestra, una vez más, que los matemáticos son seres humanos como cualesquiera otros.
La obra más original de Poincaré en astronomía matemática queda resumida en su gran tratado Les méthodes nouvelles de la mécanique céleste (tres volúmenes, 1892, 1893, 1899). Este tratado fue seguido por otra obra en tres volúmenes (1905, 1910) de una naturaleza de más inmediata utilidad, Leçons de mécanique céleste, y un poco más tarde por la publicación de su curso de conferencias Sur les figures d'équilibre d'une masse fluide, y de un libro de crítica histórica Sur les hypothéses cosmogoniques.
De la primera de estas obras, Darboux (secundado por muchos otros) declara queinicia, en efecto, una nueva era en la mecánica celeste, y que es comparable a la Mécanique céleste de Laplace, y a la primera obra de D'Alembert sobre la precesión de los equinoccios. Darboux dice: "Siguiendo el camino de la mecánica analítica abierto por Lagrange... Jacobi estableció la teoría que parecía ser una de las más completas en la dinámica. Durante cincuenta años vivimos de los teoremas del ilustre matemático alemán, que los aplicó y estudió desde todos los puntos de vista, pero sin añadir nada esencial. Fue Poincaré quien conmovió por primera vez estas rígidas estructuras donde la teoría parecía estar encastillada; abriendo nuevas perspectivas y nuevas ventanas al mundo externo. Introdujo o utilizó, en el estudio de los problemas dinámicos, diferentes conceptos: El primero, que ha sido mencionado antes, y que, de todos modos, no es aplicable únicamente a la mecánica, consiste en las ecuaciones de variación, o sea ecuaciones diferenciales lineales que determinan soluciones de un problema muy cercano a una solución dada; el segundo, el de los invariantes integrales, que pertenecen enteramente a él y desempeñan un papel capital en estas investigaciones. Nuevos conceptos fundamentales pueden añadirse a estos, especialmente los referentes a las soluciones llamadas periódicas, según las cuales los cuerpos cuyo movimiento es estudiado vuelven después de cierto tiempo a sus posiciones iniciales y a sus velocidades relativas originales".
Esto último inició un nuevo y completo campo de la Matemática, la investigación de las órbitas periódicas: dado un sistema de planetas o de estrellas, con una completa determinación de las posiciones iniciales y de las velocidades relativas de todos los miembros del sistema en una cierta época, se quiere determinar en qué condiciones el sistema volverá a su estado inicial en una época posterior, y cómo continuará repitiendo indefinidamente el ciclo de sus movimientos. Por ejemplo, ¿es el sistema solar de este tipo recurrente?, o si no lo es, ¿estará aislado y no sometido a perturbaciones por la acción de los cuerpos externos? No hay ni que decir que el problema general no ha sido aun completamente resuelto.
Gran parte de las investigaciones astronómicas de Poincaré fue más bien cualitativa que cuantitativa, como corresponde a un hombre guiado por la intuición, y esta característica le condujo, como a Riemann, al estudio del Análisis situs. Sobre este tema publicó seis famosas memorias que revolucionaron la cuestión, talcomo se planteaba en su época. El trabajo sobre el Análisis situs, a su vez, fue fácilmente aplicado a la Matemática de la astronomía.
Ya hemos aludido a la obra de Poincaré sobre el problema de los cuerpos fluidos en rotación de manifiesta importancia en cosmogonía, donde se acepta que si los planetas fueran suficientemente iguales, tales cuerpos podrían ser considerados como si realmente lo fueran sin incurrir en absurdos. Tenga o no importancia esta cuestión para la matemática del problema, es indudable que tiene interés por sí misma. Algunos párrafos de los trabajos de Poincaré indicarán más claramente que cualquier otra aclaración la naturaleza de la Matemática que él introdujo en esta difícil cuestión.
"Imaginemos un cuerpo fluido (en rotación) que se contrae por enfriamiento, pero con suficiente lentitud para permanecer homogéneo y para que la rotación sea la misma en todas sus partes.
"Al principio la forma será aproximadamente la de una esfera, y la figura de esta masa se hará un elipsoide de revolución que se aplastará cada vez más hasta que en un cierto momento se transformará en un elipsoide con tres ejes desiguales. Más tarde la figura cesará de ser un elipsoide y tomará forma de pera, hasta que al fin la masa, estrangulándose cada vez más, se separará en dos cuerpos diferentes y desiguales.
"La hipótesis precedente seguramente no puede ser aplicada al sistema solar. Algunos astrónomos han pensado que puede ser verdadera para ciertas estrellas dobles, y que las estrellas dobles del tipo de la Beta de la Lira pueden presentar formas de transición análogas a aquellas de que hemos hablado".
Luego sugiere hacer una aplicación a los anillos de Saturno, y pretende haber demostrado que los anillos sólo pueden ser estables si su densidad supera 1/16 de la de Saturno. Podemos recordar que estas cuestiones no quedaron completamente establecidas hasta el año 1935. En particular, un ataque matemático más drástico sobre el pobre y anciano Saturno pareció demostrar que no había sido vencido por los grandes matemáticos, incluyendo a Clerk Maxwell, que le habían sometido a estudio en los últimos setenta años. Una vez más debemos dejar el banquete apenas gustados algunos platos, y pasar a la voluminosa obra de Poincaré en física matemática. Aquí su estrella no fue tan buena. Hubiera podido aprovechar su magnífico talento de haber nacido treinta años más tarde, o si hubiera vivido 20 años más. Tuvo la desgracia de actuar cuando la física había llegado a uno de sus repetidos remansos y Poincaré se hallaba totalmente saturado con las teorías del siglo XIX cuando la física comenzó a recobrar su juventud después de que Planck, en 1900, y Einstein, en 1905, realizaron la difícil y delicada operación de injertar al cuerpo decrépito su primer par de nuevas glándulas, y por ello Poincaré apenas pudo hacer otra cosa que digerir el milagro antes de su muerte en 1912. Durante toda su vida Poincaré parecía absorber los conocimientos a través de sus poros sin un esfuerzo consciente. Como Cayley, no sólo fue un creador fecundo, sino también un profundo erudito. Su campo de acción era probablemente más amplio que el de Cayley, pues Cayley jamás pretendió comprender todo lo que se estaba haciendo en su época en Matemática aplicada. Esta erudición única puede haber sido una desventaja al tratarse de una cuestión de ciencia viva opuesta a la clásica.
Todo lo que se cocía en el puchero de la física era comprendido instantáneamente por Poincaré, que hacía de tales resultados el tema de sus investigaciones puramente matemáticas. Cuando fue inventada la telegrafía sin hilos, estudió el problema y planteó su matemática. Mientras otros ignoraban la obra de Einstein sobre la teoría (especial) de la relatividad o la consideraban como una simple curiosidad, Poincaré ya estaba atareado con su matemática, y fue el primer hombre de ciencia de prestigio que comprendió lo que era Einstein y la significación de la nueva era que él preveía aunque ya no pudiera intervenir Lo mismo ocurrió cuando Planck formuló su teoría de los cuantos. Las opiniones, como es natural, difieren, pero a la distancia se comienza a comprender que la física matemática fue para Poincaré lo que Ceres para Gauss, y aunque Poincaré cumplió en el campo de la física matemática una labor, suficiente para labrar la reputación de media docena de hombres, no era una cuestión para la que hubiera nacido, y la ciencia habría logrado aún más de él de haberse dedicado simplemente a la Matemática pura. En efecto, sus trabajos astronómicos no son nada extraordinarios. Pero la ciencia ya había sido bien servida, y un hombre del genio de Poincaré puede tener sus diversiones.
Pasemos ahora a la última fase de la universalidad de Poincaré, para la que tenemos espacio: su interés por la racionalización de la creación matemática. En 1902 y 1904, el periódico matemático suizo L'Enseignement Mathématique abrió una encuesta para conocer los hábitos de trabajo de los matemáticos. Se enviaron cuestionarios a buen número de matemáticos, de los cuales respondió un centenar. Las respuestas a las preguntas y un análisis de las opiniones generales fueron publicadas, finalmente, en 1912 [46] . (quien desee penetrar en la "psicología de los matemáticos" encontrará muchas cosas interesantes en esta obra única, y numerosas confirmaciones de los conceptos a que Poincaré había llegado independientemente antes de conocer los resultados del cuestionario. Algunos puntos de interés general pueden ser referidos antes de citar las opiniones de Poincaré.
El interés precoz por la Matemática de quienes más tarde llegaron a ser grandes matemáticos ya ha sido frecuentemente mencionado en los capítulos anteriores. A la pregunta "¿en qué período... y en qué circunstancias empezó usted a ocuparse de la Matemática?" 93 replicaron a la primera parte. De ellos 35 dijeron que antes de los 10 años; 43 entre los 11 y los 15; 11 entre los 16 y los 18; 3 entre los 19 y 20, existiendo un rezagado que comenzó a los 26.
Además, quien tenga amigos matemáticos se habrá dado cuenta de que algunos de ellos gustan trabajar en las horas de la mañana(conozco un matemático muy distinguido que comenzaba su labor a la inhumana hora de las cinco de la madrugada), mientras otros no hacen nada hasta después del crepúsculo. Las contestaciones a este punto indican una curiosa tendencia, posiblemente significativa, aunque existen numerosas excepciones: los matemáticos de las razas del norte prefieren trabajar por la noche; en cambio los latinos prefieren la mañana. Entre los trabajadores nocturnos la prolongada concentración provoca muchas veces insomnio, y por ello, al pasar los años, se ven obligados, aunque con repugnancia, a trabajar por las mañanas. Félix Klein, que trabajaba día y noche cuando era joven, indicó una vez una forma posible de resolver esta dificultad. Uno de sus discípulos americanos se quejaba de no poder dormir pensando en la Matemática: "¿No podéis dormir?, replicó Klein: ¿para qué está el cloral?" Sin embargo, este remedio no puede ser recomendado, y probablemente no habrá sido ajeno al trágico derrumbe de Klein.
Probablemente, la parte más importante de las respuestas se refería a si debe darse la preferencia a la inspiración o al trabajo tenaz como fuente de los descubrimientos matemáticos. La conclusión es que "los descubrimientos matemáticos, pequeños o grandes... jamás han nacido por generación espontánea. Siempre presuponen un terreno sembrado de conocimientos preliminares y bien preparado por el trabajo, consciente y subconsciente".
Quienes, como Thomas Alva Edison, declaran que el genio es 99 de transpiración y 1 % de inspiración no son contradichos por quienes inviertan las cifras; ambos, tienen razón. Hay quienes insisten sobre el trabajo tenaz, otros lo olvidan completamente con la emoción del descubrimiento aparentemente repentino, pero ambos, cuando analizan sus impresiones admiten que sin el intenso trabajo y sin un destello de "inspiración", no se habría hecho el descubrimiento. Si bastase el trabajo, ¿cómo es que muchos glotones de la áspera labor, que parecen conocer todo lo que se ha escrito acerca de alguna rama de la ciencia y son excelentes críticos y comentadores, ,jamás llegan a hacer un descubrimiento? En cambio, quienes creen en la "inspiración" como el único factor en el descubrimiento o la invención, científica o literaria, pueden encontrar muy instructivo el examen de algunas de las primeras redacciones de los poemas "completamente espontáneos" de Shelley, que han sido conservadas y reproducidas, o leer las versiones sucesivas de cualquiera de las grandes novelas con que Balzac amargaba a su enloquecido editor.
Poincaré expone sus conceptos sobre el descubrimiento matemático en un ensayo publicado en 1908 y reproducido en su Science et Méthode. La génesis del descubrimiento matemático, dice, es un problema que podría interesar profundamente a los psicólogos, pues es la actividad en la que la mente humana parece deber menos al mundo externo, y comprendiendo el proceso del pensamiento matemático podemos llegar a lo que hay más esencial en la mente del hombre.
¿Cómo es posible, se pregunta Poincaré, que existan personas que no comprenden la Matemática? "Esto nos sorprendería, o más bien podría sorprendernos si no estuviéramos habituados a ello". Si la Matemática está basada únicamente sobre las reglas de la lógica, como todas las mentes normales aceptan y sólo algún loco niega (según Poincaré), ¿cómo es posible que haya muchas personas impermeables a la Matemática? A esto podría responderse que no se han emprendido experimentos demostrativos de que la incompetencia matemática sea lo normal en el ser humano. "Y además, pregunta Poincaré, ¿cómo es posible el error en Matemática?" Alexander Pope responde: "Errar es humano", lo cual es una solución tan poco satisfactoria como cualquier otra. La química del sistema digestivo puede tener alguna relación con todo esto, pero Poincaré prefiere una explicación más sutil, que no puede ser comprobada alimentando el "cuerpo vil" con haxix y alcohol.
"La respuesta me parece evidente" declara Poincaré. La lógica tiene muy poco que ver con el descubrimiento o la invención, y la memoria interviene con sus ardides. La memoria, sin embargo, no es tan importante como parecería. Su propia memoria, confiesa Poincaré, era mala: ¿"Por qué entonces no me ha abandonado en un difícil razonamiento matemático en que la mayor parte de los jugadores de ajedrez (cuya memoria se supone excelente) se perderían? Evidentemente debido a que era guiado por el curso general del razonamiento. Una demostración matemática no es una simple yuxtaposición de silogismos; trátase de silogismos dispuestos en cierto orden, y el orden es más importante que los elementos mismos". Si se tiene la "intuición" de este orden la memoria no hace falta, pues cada silogismo va tomando automáticamente su lugar en la sucesión.
La creación matemática, sin embargo, no consiste simplemente en hacer combinaciones de cosas ya conocidas: "Cualquiera puede hacer esto, pero las combinaciones así practicadas serían infinitas en número, y la mayor parte de ellas completamente desprovistas de interés: Crear consiste precisamente en evitar las combinaciones inútiles y realizar aquellas que son útiles y que constituyen tan sólo una pequeña minoría. Invención es discernimiento, selección". Pero, ¿no se ha repetido esto mismo millares de veces? ¿Qué artista no sabe que la selección, un algo intangible, es uno de los secretos del triunfo? Estamos exactamente donde nos hallábamos antes de que la investigación comenzara.
Para concluir esta parte de las observaciones de Poincaré podemos señalar que mucho de lo que dijo está basado sobre una suposición que podrá ser cierta, pero para la cual no existe una partícula de prueba científica. Simplemente acepta que muchos de los seres humanos son matemáticamente imbéciles. Aunque se aceptara esto, no necesitamos admitir sus teorías puramente románticas. Pertenecen a la literatura inspirada y no a la ciencia. Pasando a otras cosas menos discutidas, citaremos los famosos párrafos en que Poincaré describe cómo se produjo en él una de sus más grandes "inspiraciones". Nos referimos a su teoría de la creación matemática. Dejaremos al lector que juzgue por sí mismo.
Poincaré señala que no es necesario que sean comprendidos los términos técnicos para seguir su narración. Lo que tiene interés para el psicólogo no es el teorema, sino las circunstancias.
"Durante 15 días luché para demostrar que no pueden existir funciones análogas a aquellas que yo llamé desde entonces funciones fuchsianas; entonces era muy ignorante. Todos los días me sentaba ante la mesa de trabajo, donde permanecía una hora o dos. Intentaba gran número de combinaciones y no llegaba a ningún resultado. Una noche, contra de mi costumbre, tomé café negro. No pude dormir, y las ideas invadían mi mente, pareciendo que chocaban, hasta que, por así decir, un par de ellas se reunieron para formar una combinación estable. Por la mañana establecí la existencia de una clase de funciones fuchsianas, derivadas de las series hipergeométricas. Tan sólo tuve que escribir los resultados, lo que me llevó algunas horas.
"Luego deseé representar esas funciones por el cociente de dos series; esta idea era perfectamente consciente y elaborada; la analogía con las funciones elípticas me guiaba. Me pregunté cuáles debían ser las propiedades de estas series si es que existían, y sin dificultad construí las series que llamé thetafuchsianas.
"Más tarde dejé Caen, donde estaba viviendo a la sazón, para participar en un viaje geológico organizado por la Escuela de Minas. La preparación del viaje me hizo olvidar mis trabajos matemáticos. Llegado a Coutances tomamos un ómnibus para realizar una excursión. En el instante de poner el pie en el estribo surgió una idea al parecer desligada de mis pensamientos anteriores que me habían preparado para ella, la de que las transformaciones que había usado para definir las funciones fuchsianas eran idénticas a las de la Geometría no euclidiana. No realicé la comprobación, pues no tenía el tiempo necesario, y en el ómnibus reanudé una conversación interrumpida; pero, a pesar de ello, tuve la sensación de su certeza. Al volver a Caen comprobé los resultados para satisfacer mi conciencia.
"Entonces emprendí el estudio de ciertas cuestiones aritméticas sin progresar aparentemente, y sin sospechar que tales cuestiones podrían tener alguna relación con mis estudios anteriores. Disgustado con los resultados obtenidos deseé pasar algunos días a orillas del mar, pensando en alguna otra cosa. Un día, mientras paseaba por la costa, surgió la idea con las mismas características de espontaneidad, brevedad y seguridad absoluta, la de que las transformaciones de las formas cuadráticas ternarias indefinidas eran idénticas a las de la Geometría no euclidiana.
"Al volver a Caen reflexioné sobre este resultado y deduje sus consecuencias; el ejemplo de las formas cuadráticas me mostraba que existían otros grupos fuchsianos aparte de los correspondientes a las series hipergeométricas. Vi que podía aplicarlos a la teoría de las funciones thetafuchsianas, y que por tanto existían funciones thetafuchsianas diferentes de las derivadas de las series hipergeométricas, las únicas que yo conocía hasta entonces. Como es natural, me entregué a la tarea de construir todas estas funciones. Llevé a cabo una serie sistemática y, una después de otra, fueron cayendo vencidas. Existía, sin embargo, una que aun se mantenía, y cuya caída irse llevaría a la conquista de toda la posición. Pero todos mis esfuerzos tan sólo sirvieron para familiarizarme con la dificultad que era sin duda importante. Toda esta obra fue perfectamente consciente.
"En este momento me dirigí a Mont-Valérien, donde tenía que prestar mi servicio militar. Me veía, pues, sometido a diferentes preocupaciones. Un día, mientras cruzaba el bulevar, se me apareció repentinamente la solución de la dificultad que me había detenido. No comencé a trabajar inmediatamente, y sólo después de terminado mi servicio militar me dediqué a la cuestión. Tenía todos los elementos, y sólo necesitaba reunirlos y ordenarlos. Así pude escribir mi memoria definitiva de un tirón y sin dificultad".
Otros muchos ejemplos de este tipo podían encontrarse en su obra, así como en la obra de otros matemáticos, como puede verse en L'Enseignenaent Mathématique. De sus experiencias deduce que esta "iluminación repentina es un signo manifiesto de un largo trabajo subconsciente anterior". Y Poincaré procede a elaborar su teoría de la mente subconsciente y de su intervención en la creación matemática. La obra consciente es necesaria, como una especie de disparador que hace explotar la dinamita acumulada que el subconsciente ha estado acumulando. No emplea estas palabras, pero lo que dice significa lo mismo. Mas, ¿qué se gana para la explicación racional si siguiendo a Poincaré encomendamos a la mente subconsciente las actividades que deseamos emprender? Dotar a este misterioso agente con un tacto hipotético que le capacite para discriminar entre las "extraordinariamente numerosas" combinaciones posibles presentadas para su examen, y tranquilamente decir que el "subconsciente" rechaza todas excepto las combinaciones "útiles" debido a que tiene un sentimiento de simetría v de belleza, resulta tan sospechoso como resolver el problema inicial dándole un nombre más expresivo. Quizá sea esto lo que Poincaré supone, pues él definió una vez la Matemática como el arte de dar el mismo nombre a diferentes cosas; de modo que aquí podría haber redondeado la misma cosa. Parece extraño que un hombre que podía quedar satisfecha con tal "psicología" de la invención matemática fuese completamente escéptico en cuestiones religiosas. Después del brillante desliz de Poincaré en la psicología, se puede permitir a los escépticos que no crean en nada.
Durante la primera década del siglo XX la fama de Poincaré aumentó con rapidez, y fue considerado, especialmente en Francia, como un oráculo en todas las cuestiones matemáticas. Sus opiniones sobre toda clase de cuestiones, desde la política a la ética, eran ordinariamente rectas y breves, siendo aceptadas por la mayoría. Como sucede casi invariablemente después de la muerte de un gran hombre, la asombrosa reputación de Poincaré durante su vida pasó por un período de eclipse parcial en la década siguiente. Pero su intuición para lo que probablemente iba a ser de interés para la generación venidera ha quedado justificada. Para citar un ejemplo, entre muchos, diremos que Poincaré fue un vigoroso opositor a la teoría de que toda la Matemática se podía escribir con los conceptos más elementales de la lógica clásica; algo más que la lógica se necesita para producir la Matemática. Aunque no fue tan lejos como va la escuela intuicionista, parece haber creído que, al menos, algunos conceptos matemáticos preceden a la lógica; y si una ciencia se deriva de la otra, es la lógica la que procede de la Matemática, y no al contrario.
Salvo la enfermedad que le atormentó durante sus últimos cuatro años, la atareada vida de Poincaré fue tranquila y feliz. Todas las sociedades doctas del mundo le colmaron de honores, y en 1906, teniendo 52 años, alcanzó la más alta distinción posible a un hombre de ciencia francés, la presidencia de la Academia de Ciencias. Ninguno de estos honores modificó su carácter, y Poincaré siguió siendo humilde y sencillo. Sabía que no tenía rival en los años de su madurez, pero también podía decir, sin una sombra de afectación, que no sabía nada comparado con lo que podía saber. Tuvo un matrimonio feliz del que nacieron un hijo y tres hijas que le proporcionaron una gran dicha, especialmente durante su infancia. Su mujer era biznieta de Étienne Geoffroy Saint-Hilaire, el enemigo del belicoso anatómico Cuvier. Una de las pasiones de Poincaré era la música sinfónica.
Durante el Congreso Matemático Internacional de 1908, celebrado en Roma, Poincaré no pudo leer, debido a una enfermedad, su interesante (aunque prematuro) discurso sobre El futuro de la física matemática. Padecía hipertrofia de la próstata, de la que fue tratado por los cirujanos italianos, y pensó que había quedado completamente curado. Al volver a París reanudó su labor tan enérgicamente como antes. Pero en 1911 comenzó a tener el presentimiento de que no viviría mucho, y el 9 de diciembre escribió al editor de una revista matemática preguntándole si aceptaría un trabajo no terminado, contrariamente a la costumbre corriente, sobre un problema que Poincaré consideraba de la mayor importancia: "...a mi edad quizá no me sea posible resolverlo, pero los resultados obtenidos, capaces de llevar a muchos investigadores por nuevos e inesperados caminos, me parecen llenos de promesas,a pesar de las desilusiones que me han causado, y no me puedo resignar a sacrificarlos..." Empleó la mayor parte de dos estériles años intentando vencer sus dificultades.
Una prueba del teorema que se planteaba le había capacitado para hacer un notable progreso en el problema de los tres cuerpos, en particular le había permitido demostrar la existencia de una infinidad de soluciones periódicas en casos más generales que los hasta entonces considerados. La prueba deseada fue obtenida poco después de la publicación de la "Sinfonía Inconclusa" de Poincaré por un joven matemático americano, George David Birkhoff (1884).
En la primavera de 1912 Poincaré recayó en su enfermedad, siendo sometido a una segunda operación el 9 de julio. La operación dio buen resultado, pero el 17 de julio, Poincaré murió repentinamente de una embolia, mientras le estaban curando. Tenía 59 años y se hallaba en la cima de su capacidad, "el cerebro viviente de las ciencias racionales", según las palabras de Painlevé.
Capítulo 29
¿Paraíso Perdido?
CANTOR
La Matemática, como todos los restantes temas,
debe ser ahora sometida al microscopio,
y revelar al mundo cualquier
debilidad que pueda existir en sus fundamentos.
F. W. Westaway
Si "colapso" es quizá una palabra demasiado fuerte para describir la transformación del mundo que está teniendo lugar, de todos modos es cierto que la evolución de las ideas científicas se está produciendo ahora tan vertiginosamente que no puede distinguirse la evolución de la revolución.
Sin los errores del pasado, como un foco de perturbación profundo, la presente revolución en la ciencia física quizá no hubiera sucedido; pero atribuir a nuestros predecesores toda la inspiración que mueve a nuestra propia generación es concederles más de lo debido. Este punto es digno de consideración, pues algunos han estado tentados de decir que la "revolución" correspondiente en el pensamiento matemático, cuya iniciación ahora se aprecia claramente, es simplemente un eco de Zenón y de otros hombres presos de la duda en la antigua Grecia.
Las dificultades de Pitágoras acerca de la raíz cuadrada de 2 y las paradojas de Zenón sobre la continuidad (o "divisibilidad infinita") son, por lo que sabemos, los orígenes de nuestro actual cisma matemático. Los matemáticos actuales que prestan cierta atención a la filosofía (o fundamentos) de su disciplina se descomponen al menos en dos bandos, que al parecer no podrán reconciliarse, sobre la validez del razonamiento utilizado en el Análisis matemático, y este desacuerdo se remonta a través de los siglos hasta la Edad Media, y de aquí a la Antigua Grecia.

Georg Ferdinand Ludwig Philipp Cantor
Algunos datos concernientes a esta disputa suelen servir como estimulante, o sedante, según los gustos, para nuestro entusiasmo acerca de la singular carrera intelectual de Georg Cantor, cuya "teoría positiva del infinito" dio lugar en nuestra propia generación, a la más fiera batalla de ranas y ratones (como Einstein la llamó una vez) en la historia acerca de la validez del razonamiento matemático tradicional.
En 1831 Gauss expresó su "horror al infinito real" del siguiente modo: "Protesto contra el uso de la magnitud infinita como una cosa completa, que jamás puede permitirse en Matemática. Infinito es simplemente una forma de hablar, y la verdadera significación es un límite al que ciertas razones se aproximan indefinidamente, mientras otras aumentan sin restricción".
Por tanto, si x es un número real, la fracción 1/ x disminuye a medida que x aumenta, y podremos encontrar un valor de x tal que 1/ x difiera de cero en menos de una cantidad dada (que no es cero) que puede ser tan pequeña como nos plazca, y cuando x continúa aumentando, la diferencia permanece menor que esta cantidad dada; el límite de 1/ x "cuando x tiende a infinito" es cero. El símbolo del infinito es ¥ ; la afirmación 1/ ¥ = cero carece de sentido por dos razones: "la división por infinito" es una operación indefinida , y, por tanto, no tiene significación; la segunda razón fue enunciada por Gauss. De modo análogo 1/0 = ¥ carece de significación.
Cantor está de acuerdo y en desacuerdo con Gauss. Escribiendo en 1886 sobre el problema del infinito actual, (lo que Gauss llamó completo), Cantor dice que "a pesar de la diferencia esencial entre los conceptos del "infinito" potencial y actual, el primero significa una magnitud finita variable, que aumenta más allá de todos los límites finitos (como x en 1/ x antes mencionado), mientras el último es una magnitud constante, fija., más allá de todas las magnitudes finitas, y ambos son con frecuencia confundidos".
Cantor sigue diciendo que el abuso del infinito en Matemática ha inspirado con razón un horror al infinito entre los matemáticos concienzudos de su época, precisamente como ocurría con Gauss. De todos modos, Cantor mantiene que la "repulsa falta de crítica del legítimo infinito actual es una violación de la naturaleza de las cosas (cualquiera pueda ser, no parece que ha sido revelada a la, humanidad como un todo), que deben ser tomadas como son. Cantor, se alinea así definitivamente con los grandes teólogos de la Edad Media, de los cuales era un ardiente admirador y un profundo conocedor.
Las certidumbres absolutas y las soluciones completas de los viejos problemas siempre pasan mejor si se sazonan bien antes de tragarlos. He aquí lo que Bertrand Russell dijo en 1901 acerca del estudio del infinito, propio de Prometeo, realizado por Cantor:
"Zenón se refería a tres problemas... Tratábase del problema de lo infinitesimal, de lo infinito y de la continuidad... Desde su época a la nuestra, los mejores talentos de cada generación han atacado a su vez estos problemas, pero, hablando en términos generales, no han logrado nada ... Weierstrass, Dedekind y Cantor... los han resuelto completamente. Sus soluciones... son tan claras que no dejan lugar a la menor duda. Esta conquista es probablemente la más importante de que la época puede jactarse... El problema de lo infinitesimal fue resuelto por Weierstrass, la solución de los otros dos fue comenzada por Dedekind y definitivamente acabada por Cantor" [47] .
El entusiasmo de sus párrafos nos contagia actualmente, aunque sabemos que Russell en la segunda edición (1924) de su obra, y A. N. Whitehead en sus Principia Matemática, admiten que no todo va bien con la cortadura de Dedekind (véase Capítulo XXVII), que es la columna vertebral del Análisis. Tampoco marcha bien actualmente. Más se ha dicho en pro o en contra de un credo particular en la ciencia de la Matemática durante una década que lo que fue realizado en un siglo durante la Antigüedad, en la Edad Media o el Renacimiento. Muchos más hombres de talento abordan actualmente los problemas científicos matemáticos sobresalientes que los que lo hicieron anteriormente, y la finalidad ha venido a ser la propiedad privada de los fundamentalistas. Ninguna de las finalidades de las observaciones de Russell de 1901 han sobrevivido. Hace un cuarto de siglo, aquellos que eran incapaces de ver la gran luz que los profetas aseguraban estaba iluminado como el sol del medio día en un firmamento de la media noche eran llamados simplemente estúpidos. En la actualidad para cada partidario competente del bando de los profetas existe un partidario igualmente competente frente a él. Si la estupidez existe en alguna parte está tan uniformemente distribuida que ha cesado de ser un carácter distintivo. Hemos entrado en una nueva era, tina era de humildad, llena de dudas.
En el lado de los dudosos encontramos por esa misma época (1905) a Poincaré. "He hablado... de nuestra necesidad a volver continuamente a los primeros albores de nuestra ciencia, y de las ventajas de esto para el estudio de la mente humana. Esta necesidad ha inspirado dos empresas que han adquirido un lugar muy importante en el desarrollo más reciente de la Matemática. La primera es el cantorismo... Cantor introdujo en la ciencia una nueva forma de considerar el infinito matemático... pero ha ocurrido que hemos encontrado ciertas paradojas, ciertas aparentes contradicciones, que hubieran hecho las delicias de Zenón de Elea y de la Escuela de Megara. Así, cada uno debe buscar el remedio. Por mi parte, y no estoy solo, pienso que lo importante es no introducir jamás entidades no completamente definibles por un número finito de palabras. Siempre que se adopte el cuidado necesario, podemos prometernos el goce que siente el médico llamado a tratar un interesante caso patológico".
Pocos años más tarde el interés de Poincaré por la patología disminuyó algo. En el Congreso Matemático Internacional de 1908, celebrado el Roma, el saciado médico pronunció su pronóstico: "las generaciones posteriores considerarán la Mengenlehre como una enfermedad de la cual nos hemos restablecido".
Corresponde a Cantor el gran mérito de haber descubierto, a pesar de sí mismo y contra sus propios deseos, que el "cuerpo matemático" está profundamente enfermo y que la enfermedad con que Zenón la infectó no ha encontrado aún alivio. Su perturbador hallazgo es un hecho curioso dé su propia vida intelectual. Examinaremos primeramente los acontecimientos de su existencia material, no de mucho interés por sí mismos, pero que quizá sean singularmente aclaratorios para los aspectos ulteriores de su teoría.
Descendiente de judíos puros por ambas ramas, Georg Ferdinand Ludwig Philipp Cantor fue el hijo mayor del próspero comerciante Georg Waldemar Cantor y de su mujer María Bohm. El padre había nacido en Copenhague, Dinamarca, pero emigró siendo joven a San Petersburgo, Rusia, donde nació el matemático Georg Cantor el 3 de marzo de 1845. Una enfermedad pulmonar fue causa de que el padre se trasladara en 1856 a Francfort, Alemania, donde vivió en un cómodo retiro hasta su muerte en 1863. Debido a esta curiosa mezcla de nacionalidades es posible que diversas patrias reclamen a Cantor como hijo. Cantor se inclinó hacia Alemania, pero no puede decirse que Alemania le favoreciera muy cordialmente.
Georg tuvo un hermano, Constantin, que llegó a ser oficial del ejército alemán (excelente carrera para un judío), y una hermana, Sophie Nobiling. El hermano fue un buen pianista, la hermana dibujaba de un modo perfecto, y la naturaleza artística reprimida de Georg encuentra una turbulenta salida en la Matemática y la filosofía, tanto clásica como escolástica. El marcado temperamento artístico de los hijos fue herencia de su madre, cuyo abuelo era un conocido músico. Uno de sus hermanos que vivía en Viena, fue maestro del celebrado violinista Joachim. Un hermano de María Cantor fue músico, y uno de sus sobrinos pintor. Si es cierto, como reclaman los defensores psicológicos de la parda mediocridad, que la normalidad y la estabilidad flemática son equivalentes, toda la brillantez artística de su familia puede haber sido la raíz de la inestabilidad de Cantor.
La familia era cristiana. El padre se había convertido al protestantismo, y la madre, desde su nacimiento, fue católica romana. Como su archienemigo Kronecker, Cantor prefirió el lado protestante, y adquirió un gusto singular por la infinita suspicacia de la teología medieval. De no haber sido matemático, es muy posible que hubiera dejado su huella en la filosofía o en la teología. Como una cuestión de interés puede decirse a este respecto que la teoría de Cantor del infinito fue ansiosamente captada por los jesuitas, cuyas agudas mentes lógicas descubrieron en su fantasía matemática más allá de su teológica comprensión, pruebas indudables de la existencia de Dios y de la afinidad de la Santísima Trinidad con su tres-uno, uno-tres, co-igual y co-eterno. Añadiremos que Cantor, que tenía una aguda visión y una lengua todavía más aguda cuando estaba irritado, ridiculizó el pretencioso absurdo de tales pruebas, aunque fuera un devoto cristiano y un conocedor de la teología.
Los primeros estudios de Cantor fueron semejantes a los de la mayor parte de los matemáticos eminentes. Su gran talento y su interés absorbente por los estudios matemáticos fueron reconocidos precozmente (antes de cumplir los 15 años). Su primera educación fue confiada a un preceptor particular, y después siguió un curso en una escuela elemental en San Petersburgo. Cuando la familia se trasladó a Alemania, Cantor asistió primero a algunas escuelas privadas de Francfort y de Darmstadt, ingresando luego en el Instituto de «Tiesbaden» en 1860, cuando tenía 15 años.
Georg estaba decidido a ser matemático, pero su práctico padre, reconociendo la capacidad matemática del muchacho, intentó obstinadamente forzarle a que siguiera los estudios de ingeniería, por ser una profesión más lucrativa. Con motivo de la confirmación de Cantor en 1860, su padre le escribe expresando las esperanzas que han puesto en él todos sus numerosos tíos, tías y primos en Alemania, Dinamarca y Rusia: "Esperan de ti que llegues a ser nada menos que un Theodor Schaeffer, y más tarde, si Dios lo permite, un astro luminoso en el firmamento de la ingeniería". ¿Cuándo reconocerán los padres la presuntuosa estupidez de intentar enganchar a un carro un caballo de carreras?
La piadosa apelación a Dios con la que se pretendía someter al sensible y religioso joven de 15 años hubiera sido rechazada, en nuestra generación, como se rechaza una pelota de fútbol. Pero a Cantor le produjo una grave impresión. Queriendo mucho a su padre, y siendo profundamente religioso, el joven Cantor no podía ver que el anciano estaba justificando simplemente su propia ambición de dinero. Así comenzó la primera desviación de la sensible y aguda mente de Georg Cantor. En lugar de rebelarse, como seguramente lo haría un muchacho de talento de nuestros días, Georg se sometió, hasta que su obstinado padre comprendió que estaba arruinando la vocación de su hijo. Pero en el intento de agradar a su padre en contra de sus propios instintos, Georg Cantor sembró la simiente de la autodesconfianza, que harían de él una fácil víctima del pernicioso ataque de Kronecker llevándolo a dudar del valor de su propia obra. Si Cantor hubiese sido educado como un ser humano independiente jamás habría tenido el humilde respeto a los hombres de reputación establecida que tanto le perjudicó en toda su vida.
El padre cedió cuando el error había sido ya cometido. Para completar la instrucción de Georg, cuando tenía 17 años, el "querido papá" le permitió seguir la carrera matemática universitaria, "Mi querido papá, escribía Georg lleno de gratitud juvenil, podréis daros cuenta del gran placer que me ha producido su carta. Ella establece mi futuro... Ahora soy feliz cuando veo que no se disgustará si sigo mis sentimientos preferidos. Espero que usted, querido padre, ha de vivir para encontrar un placer en mi conducta, dado que mi alma, todo mi ser, vive en mi vocación; lo que un hombre desea hacer y a lo que su compulsión interna le empuja, lo cumplirá". El "papá" no dudó que merecía este agradecimiento, aunque la gratitud de Georg pueda parecer demasiado servil para esta época.
Cantor comenzó sus estudios universitarios en Zurich, en 1862, pero pasó a la Universidad de Berlín al siguiente año, después de la muerte de su padre. En Berlín se especializó en Matemática, filosofía y física. Dividió su interés entre las dos primeras, y jamás tuvo por la física una verdadera afición. En Matemática los profesores fueron Kummer, Weierstrass y su futuro enemigo Kronecker. Siguiendo la costumbre alemana, Cantor pasó breve tiempo en otra Universidad, y cursó el semestre de 1866 en Göttingen.
Con Kummer y Kronecker en Berlín, la atmósfera matemática estaba altamente cargada de Aritmética. Cantor hizo un profundo estudio de las Disquisitiones Arithmeticae de Gauss, y escribió, en el año 1867, su disertación, aceptada para aspirar al título de doctor sobre un punto difícil que Gauss había dejado a un lado respecto a la solución en números enteros x, y, z de la ecuación indeterminada
ax 2 +by 2 + c z 2 = 0,
donde a, b, c son números enteros. Era un excelente trabajo, pero puede afirmarse que ningún matemático que lo leyera podría vaticinar que el autor, de 22 años, llegaría a ser uno de los más originales creadores de la historia de la Matemática. No hay duda de que el talento se refleja en este primer ensayo, pero no se ve el genio. No hay un solo indicio de gran creador en esta disertación rigurosamente clásica.Lo mismo puede decirse de todas las obras publicadas por Cantor antes de los 29 años. Eran excelentes, pero podrían haber sido hechas por cualquier hombre brillante que hubiera comprendido totalmente, como Cantor lo hizo, el concepto de las demostraciones rigurosas de Gauss y Weierstrass. El primer amor de Cantor fue la teoría gaussiana de números, hacia la cual se sintió atraído por la dificultad, nitidez y clara perfección de las pruebas. A partir de estos estudios, bajo la influencia de la escuela de Weierstrass, pasó al Análisis riguroso, particularmente a la teoría de las series trigonométricas (series de Fourier).
Las sutiles dificultades de esta teoría (donde las cuestiones de la convergencia de las series infinitas son menos fácilmente accesibles que en la teoría de las series de potencias) parecen haber incitado a Cantor a penetrar más profundamente en los fundamentos del Análisis que cualquiera de sus contemporáneos, y así se vio llevado al estudio de la Matemática y de la filosofía del infinito mismo, que está en el fondo de todas las cuestiones referentes a la continuidad, los límites y la convergencia. Justamente antes de cumplir los treinta años Cantor publicó su primer trabajo revolucionario (en el Journal de Crelle) sobre la teoría de conjuntos, que luego describiremos. El inesperado y paradójico resultado referente al conjunto de todos los números algebraicos, que Cantor estableció en este trabajo, y la completa novedad de los métodos empleados señalaron inmediatamente al joven autor como un matemático creador de originalidad extraordinaria. El hecho de que no todos aceptaran los nuevos métodos es cuestión aparte; lo que universalmente se admitió era que había aparecido un hombre que había hecho algo fundamentalmente nuevo en Matemática. Debería, por tanto, ser nombrado para un cargo de importancia.
La carrera material de Cantor fue la de cualquiera de los profesores alemanes de Matemática menos eminentes. Jamás logró su ambición de, una cátedra en Berlín, posiblemente la más alta distinción alemana durante el período de la grandeza y de la mayor fecundidad creadora de Cantor (1874-1884, desde los 29 a los 39 años). Toda su carrera profesional activa transcurrió en la Universidad de Halle, una institución de tercer orden, donde fue nombrado Privatdozent (profesor que vive de las matrículas pagadas por sus alumnos), en 1869, a la edad de 24 años. En 1872 fue nombrado profesor ayudante, y en 1879, antes de que la crítica de su obra comenzara a adquirir el carácter de un malicioso ataque personal, fue nombrado profesor ordinario. Sus primeras tareas docentes tuvieron lugar en una escuela femenina de Berlín. Fue habilitado para esta inadecuada tarea después de haber asistido a las áridas conferencias sobre pedagogía pronunciadas por una mediocridad matemática.
Justamente o injustamente Cantor culpó a Kronecker de su fracaso para lograr el ansiado cargo en Berlín. Algunas veces se ha aludido al agresivo sentido gregario de los judíos como un argumento en contra de su nombramiento para actividades académicas; sin embargo no existen odios académicos más violentos que los que pueden separar a un judío de otro cuando está en desacuerdo en materias puramente científicas, o cuando uno de ellos siente celos o temores del otro. Los gentiles se ríen de estos odios que muchas veces les capacitan para cumplir sus rencorosos fines, bajo el disfraz de sincera amistad. Cuando dos intelectuales judíos riñen están en desacuerdo en todo, se acometen como perros, y hacen todo lo que está en su mano para cortar el cuello a su contrincante. Al fin y al cabo quizás sea una forma más decente de combatir, si es que los hombres deben combatir, que la refinada hipocresía de los demás. El objeto de cualquier guerra es destruir al enemigo, y ser sentimental o caballero en un asunto de este tipo es signo de ser mal luchador. Kronecker fue uno de los luchadores mejores en la historia de la controversia científica; Cantor uno de los menos competentes. Kronecker ganó. Pero, como se verá más tarde, la amarga animosidad de Kronecker hacia Cantor no fue totalmente personal, sino, al menos en parte, científica y desinteresada.
El año 1874, cuando apareció el primer trabajo revolucionario de Cantor sobre la teoría de conjuntos fue también el de su matrimonio (tenía 29 años) con Vally Guttmann. Dos hijos y cuatro hijas nacieron de este matrimonio. Ninguno de los hijos heredó la capacidad matemática del padre.
Pasando la luna de miel en Interlaken, conoció un trabajo de Dedekind, quizá el mejor matemático de su época que hizo un serio y simpático intento para comprender la subversiva teoría de Cantor.
Por ser persona non grata para los máximos matemáticos de la Alemania del último cuarto del siglo XIX, el profundamente original Dedekind estaba en una posición adecuada para simpatizar con el científicamente menospreciado Cantor. Los profanos suelen imaginar que la originalidad recibe siempre una bienvenida cordial en la ciencia. La historia de la Matemática contradice esta feliz fantasía: el camino de transgresor en una. ciencia bien establecida es probablemente tan áspero como en cualquier otro campo del conservatismo humano, hasta cuando el transgresor ha encontrado algo de valor que supere los estrechos límites de la fanática ortodoxia.
También Dedekind realizó todos sus trabajos ocupando mediocres posiciones; la hipótesis -ahora que la obra de Dedekind es reconocida como una de las más importantes contribuciones a la Matemática que Alemania ha hecho de que Dedekind prefería permanecer en lugares secundarios, mientras que los hombres que en ningún sentido eran superiores a él gozaban de la gloria y de la estima pública y académica, chocará a los observadores "arios"
El ideal de los eruditos germanos del siglo XIX era la "seguridad en primer término", y quizá se mostraba esta tendencia en la prudencia gaussiana contra todos los trabajos demasiados radicales. El nuevo hallazgo podría ser concebible, pero no absolutamente exacto. Al fin y al cabo, una enciclopedia bien editada es en general una fuente de información más útil acerca de la manera de volar las alondras que un poema de Shelley sobre la misma cuestión.
En esta atmósfera almibarada, la teoría de Cantor del infinito, una de las contribuciones más revolucionarias a la Matemática de los últimos 2.500 años, gozaba de la misma libertad que una alondra que intenta volar en una atmósfera de engrudo. Hasta en el caso de que la teoría fuera totalmente errónea, y existen algunos que creen que no puede ser mantenida en ninguna forma que se parezca al pensamiento emitido por Cantor, merece algo más que los ataques que recibió, principalmente debido a que era nueva y no tenía nombre en el sagrado calendario de la Matemática ortodoxia.
El trabajo que abrió la senda, publicado en 1884, está dedicado a establecer una propiedad totalmente inesperada y notablemente paradójica del conjunto de todos los números algebraicos. Aunque ya hemos hablado de tales números en los capítulos precedentes, volveremos a recordar lo que son, para que se aprecie claramente la naturaleza del hecho asombroso que Cantor demostró, y al decir "demostró" pasamos por alto deliberadamente, por el momento, todas las dudas acerca de la solidez del razonamiento utilizado por Cantor.
Si r satisface una ecuación algebraica de grado n de coeficientes enteros racionales (números enteros comunes) pero no satisface ecuaciones de grado menor que n, entonces r es un número algebraico de grado n.
Esto puede ser generalizado. Es fácil demostrar que cualquier raíz de una ecuación del tipo
c 0 x n + c 1 x n-1 + … + c n-1 x + c n = 0
en la cual las c son números algebraicos cualquiera (según se han definido antes), es un número algebraico. Por ejemplo, de acuerdo con este teorema, todas las raíces de![]()
Imagine el lector, si puede, el conjunto de todos los números algebrai cos. Entre éstos estarán todos los números enteros racionales positivos, 1, 2, 3..., puesto que cualquiera de ellos, por ejemplo n, satisface una ecuación algebraica en la cual los coeficientes (1, y - n ) son enteros racionales. Pero además de éstos, el conjunto de todos los números algebraicos contiene todas las raíces de todas las ecuaciones cuadráticas de coeficientes enteros racionales, y todas las raíces de todas las ecuaciones cúbicas de coeficientes enteros racionales, y así indefinidamente. ¿No es intuitivamente evidente que el conjunto de todos los números algebraicos contendrá infinitamente más números que su subconjunto de los enteros racionales 1, 2, 3, ...? Podrá, en efecto, ser así, pero ello es falso.
Cantor demostró que el conjunto de todos los enteros racionales 1, 2, 3... contiene precisamente tantos números como el "infinitamente más numeroso" conjunto de todos los números algebraicos.
Una prueba de esta afirmación paradójica no se puede dar en este lugar, pero puede hacerse fácilmente inteligible el tipo de recurso, el de "correspondencia uno a uno", sobre el cual se basa la demostración. Esto llevará a las mentes de tipo filosófico una comprensión de lo que es un número cardinal. Antes de explicar este simple pero algo ilusorio concepto, será útil examinar una opinión sobre ésta y otras definiciones de la teoría de Cantor que subraya una distinción entre las actitudes de algunos matemáticos y muchos filósofos respecto a todas las cuestiones que se refieren a "número" o "magnitud".
"Un matemático jamás define las magnitudes en sí mismas, como un filósofo está tentado a hacer; define su igualdad, su suma y su producto, y estas definiciones determinan, o más bien constituyen, todas las propiedades matemáticas de las magnitudes. De una manera aun más abstracta y más formal el matemático establece símbolos, y al mismo tiempo prescribe las reglas de acuerdo con las cuales deben ser combinados; estas reglas bastan para caracterizar estos símbolos y para darles un valor matemático. Brevemente, crea entidades matemáticas por medio de convenciones arbitrarias, en la misma forma como las diversas piezas del ajedrez se definen por los convenio que gobiernan sus movimientos y las relaciones entre ellas" [48] . No todas las escuelas del pensamiento matemático suscribirían estas opiniones, pero sugieren al menos, una "filosofía" responsable de la siguiente definición de números cardinales.
Obsérvese que la fase inicial en la definición es el concepto de "mismo número cardinal" en el espíritu de las observaciones iniciales de Couturat; el "número cardinal" surge, pues, como el ave fénix de las cenizas de su "igualdad". Trátase de una cuestión de relaciones entre conceptos no definidos explícitamente.
Se dice que dos conjuntos tienen el mismo número cardinal cuando todas las cosas de los dos conjuntos pueden ser apareadas una a una. Después del apareamiento no existen cosas sueltas en ninguno de los dos conjuntos.
Algunos ejemplos aclararán esta esotérica definición. Trátase de una de esas nimiedades obvias y fecundas que son tan profundas que pasan inadvertidas durante millares de años. Los conjuntos (x, y, z), . (a, b, c) tienen el mismo número cardinal (no cometeremos la tontería de decir: "¡Es natural! Cada uno contiene tres letras"), debido a que podemos aparear las cosas x, y, z del primer conjunto con las cosas a, b, c del segundo, del siguiente modo: x con a , y con b, z conc, y después de hacer esto se observará que ninguna cosa queda suelta en ambos conjuntos. Como es natural, existen otras formas de efectuar el apareamiento. Además, en una comunidad cristiana que practique la monogamia si 20 matrimonios se sientan a cenar, el conjunto de maridos tendrá el mismo número cardinal que el de mujeres.
Como otro ejemplo de esta "manifiesta" igualdad recordaremos el ejemplo de Galileo de la sucesión de todos los cuadrados enteros positivos y la de todos los enteros positivos
1 2 , 2 2 , 3 2 , 4 2 , …, n 2 , …
1, 2, 3, 4, …, n, …
La diferencia "paradójica" entre éste y el ejemplo anterior se aprecia claramente: Si todas las mujeres se retiran a otro salón dejando a sus esposos bebiendo y charlando existirán precisamente 20 seres humanos sentados ante la mesa, justamente la mitad de los qué había antes. Pero si todos los cuadrados abandonan los números naturales, existirán tantos como existían antes: Nos plazca o no (no debería disgustarnos si fuéramos animales racionales) aparece ante nosotros el milagro de que una parte de un todo puede tener el mismo número cardinal que el todo. Si a alguien le disgusta la definición del "mismo número cardinal" por apareamiento puede pedírsele que invente otra mejor. La intuición (masculina, femenina o matemática) ha sido excesivamente valorada. La intuición es la raíz de toda superstición.Obsérvese en este momento que ha sido glosada una dificultad de primera magnitud. ¿Qué es un conjunto, o una clase? "That is the question", repitiendo las palabras de Hamlet. Volveremos sobre esa cuestión, pero no daremos la respuesta. Quien consiga responder a la inocente pregunta satisfaciendo la crítica de Cantor quizá podrá hacer las más graves objeciones contra su ingeniosa teoría del infinito y al mismo tiempo establecer el Análisis matemático sobre una base no sentimental. Para apreciar que la dificultad no es trivial, intentemos imaginar el conjunto de todos los enteros racionales positivos 1, 2; 3... preguntándonos si, como hace Cantor, es posible retener esta totalidad que es una "clase", en nuestra mente como un objeto definido del pensamiento, tan fácilmente como la clase x, y, z de tres letras. Cantor nos obliga justamente a hacer esto para llegar a los números transfinitos que creó.
Procediendo ahora a la definición del "número cardinal", introducimos un término técnico conveniente: dos conjuntos o clases cuyos miembros pueden ser apareados uno con otros (como los ejemplos antes citados) se dice que son semejantes. ¿Cuántas cosas existen en el conjunto (o clase) x, y, z ? Sin duda tres. Pero, ¿qué es "tres"? Una respuesta está contenida en la siguiente definición: "El número de cosas de una clase dada es la clase de todas las clases que son semejantes a la clase dada".
Esta definición no da en realidad explicación alguna; debe ser admitida como es. Fue propuesta en 1879 por Gottlob Frege, y además (independientemente) por Bertrand Russell en 1901. Una ventaja que tiene sobre otras definiciones de "número cardinal de una clase" es la de ser aplicable tanta a las clases finitas como a las infinitas. Quienes juzguen esta definición demasiado mística para la Matemática pueden evitarla, siguiendo el consejo de Couturat, y no intentar definir el "número cardinal". Sin embargo, en este camino también se tropieza con dificultades.
El resultado espectacular de Cantor de que el conjunto de todos los números algebraicos es semejante (en el sentido técnico antes definido) al subconjunto de todos los enteros racionales positivos, fue la primera de muchas propiedades completamente inesperadas de las clases infinitas. Concediendo por el momento que su razonamiento al descubrir estas propiedades es sólido, o al menos inobjetable en la forma en que Cantor lo estableció, lo que puede considerarse riguroso debemos admitir su fuerza.
Consideremos por ejemplo la "existencia" de números trascendentes. En un capítulo anterior vimos el tremendo esfuerzo que le costó a Hermite demostrar la trascendencia de un número particular de este tipo. Hasta nuestros días no se conoce un método general que pruebe la trascendencia de cualquier número que sospechamos es trascendente; cada nuevo tipo requiere la invención de especiales e ingeniosos métodos. Se sospecha, por ejemplo, que el número (es una constante aunque su definición se considera que puede ser una variable) que se define como el límite de
![]()
Todo esto plantea la cuestión: "¿Cuántos números trascendentes existen?" ¿Son más numerosos que los enteros o los racionales, o los números algebraicos como un todo, o son menos numerosos? Dado que (por el teorema de Cantor) los números enteros, los racionales y todos los números algebraicos son igualmente numerosos, la cuestión que se plantea es ésta: ¿Pueden los números trascendentales ser contados como 1, 2, 3...? ¿Es la clase de todos los números trascendentes semejantes a la clase de todos los enteros racionales positivos? La respuesta es no; los trascendentes son infinitamente más numerosos que los enteros.
Aquí comenzamos a entrar en los aspectos discutidos de la teoría de conjuntos. La conclusión enunciada era como un desafío para un hombre del temperamento de Kronecker. Discutiendo la demostración de Lindemann, de que n es trascendente (véase Capítulo XXIV), Kronecker preguntaba: "¿Qué uso tiene su bella investigación referente a n? ¿Por qué estudia tales problemas, dado que los números irracionales (y por tanto los trascendentes) no existen?" Podemos imaginar el efecto del escepticismo de la prueba de Cantor de que los transcendentes son infinitamente más numerosos que los enteros 1, 2, 3... los cuales, según Kronecker, son la obra más noble de Dios y los únicos números que "existen".
No sería posible en este lugar pretender hacer ni siquiera un resumen de la demostración de Cantor, pero de las siguientes consideraciones podrá deducirse cierta idea respecto al tipo de razonamiento que empleó. Si una clase es semejante (en el sentido técnico antes mencionado) a la clase de todos los enteros racionales positivos, la clase se dice que es numerable. Las cosas en una clase numerable pueden ser contadas, como 1, 2, 3...; las cosas en una clase no numerable no pueden ser contadas como 1, 2, 3...; existirán más cosas en una clase no numerable que en una clase numerable. ¿Existen las clases no numerables? Cantor así lo demostró. En efecto, las clases de todos los puntos sobre cualquier segmento lineal, sin importar que el segmento sea pequeño (siempre que sea más que un solo punto), es no numerable.
Tenemos así un indicio del porqué los números trascendentes son no numerables. En el capítulo sobre Gauss vimos que cualquier raíz de cualquier ecuación algebraica es representable por un punto del plano de la Geometría cartesiana. Todas estas raíces forman el conjunto de todos los números algebraicos que Cantor demostró eran numerables. Pero si los puntos sobre un simple segmento lineal son no numerables, se deduce que todos lospuntos del plano cartesiano son igualmente no numerables. Los números algebraicos están distribuidos en el plano como las estrellas sobre un cielo oscuro; la densa oscuridad es el firmamento de los trascendentes.
Lo más notable de la demostración de Cantor es que no proporciona ningún medio para construir un solo número trascendente. Para Kronecker tal prueba carece totalmente de sentido. Muchos ejemplos menos decisivos de "pruebas de la existencia" despertaban su ira. Uno de ellos, en particular, tiene interés, pues profetizó la objeción de Brouwer al uso de la lógica clásica (aristotélica) en los razonamientos sobre conjuntos infinitos.
Un polinomio
ax n + bx n-1 + o+ l
en que los coeficientes a, b ... l son números racionales, se dice que será irreducible si no se puede descomponer en un producto de dos polinomios que tengan coeficientes racionales. Ahora bien, es un juicio lleno de significación para la mayor parte de los seres humanos afirmar, como Aristóteles afirma, que un determinado polinomio es o no es irreducible.No así para Kronecker. Hasta que se obtenga algún proceso definido capaz de ser llevado a cabo en un número finito de etapas mediante el cual podamos establecer la reducibilidad de un polinomio dado, no tendremos derecho, dentro de la lógica, de acuerdo a Kronecker, a usar el concepto de irreducibilidad en nuestras pruebas matemáticas. Hacer otra cosa, según él, es incurrir en incongruencias en nuestras conclusiones y, a lo sumo, el uso de la "irreducibilidad" sin el proceso descripto, sólo puede darnos un veredicto de "no demostrado". Todo este razonamiento no constructivo es, según Kronecker, ilegítimo.
Como el razonamiento de Cantor en su teoría de las clases infinitas es de tipo no constructivo, Kronecker lo consideró como una forma peligrosa de locura matemática. Creyendo que la Matemática sería llevada al manicomio bajo la dirección de Cantor, y siendo un devoto apasionado de lo que él consideraba la verdad de esa ciencia, Kronecker atacó vigorosamente "la teoría positiva del infinito" y a su hipersensible autor con todas las armas que tuvo en su mano, con el trágico resultado de que no fue la teoría de conjuntos la que cayó en el manicomio, sino el propio Cantor. El ataque de Kronecker derrumbó al creador de la teoría.
En la primavera de 1884, cuando tenía cuarenta años, Cantor sufrió el primero de aquellos completos derrumbes que se repitieron con variable intensidad en el resto de su larga vida, y que lo llevaron con frecuencia a las clínicas mentales. Su temperamento explosivo agravó su mal. Los profundos ataques de depresión le humillaban ante sus propios ojos y comenzó a dudar de la solidez de su obra. Durante un intervalo lúcido solicitó de las autoridades universitarias de Halle que le trasladaran desde su cátedra de Matemática a una cátedra de filosofía. Buena parte de la teoría positiva del infinito fue realizada en el intervalo entre dos accesos. Al restablecerse de ellos se daba cuenta de que su mente se hacía extraordinariamente clara.
Kronecker ha sido quizá excesivamente culpado por la tragedia de Cantor; su ataque fue una de las muchas causas que contribuyeron a ella. La falta de reconocimiento amargó al hombre que creía había dado el primer y decisivo paso hacia una teoría racional del infinito, y esto le hizo caer en la melancolía y en la locura. Kronecker, sin embargo, parece que fue, en gran parte, responsable del fracaso de Cantor para lograr el cargo que deseaba en Berlín. De ordinario no se consideraba moral para un hombre de ciencia realizar un salvaje ataque a la obra de un contemporáneo ante sus discípulos. El desacuerdo puede ser tratado objetivamente en las revistas científicas. Kronecker comenzó en 1891 a criticar la obra de Cantor ante sus discípulos de Berlín, y era indudable que no existía espacio para ambos bajo el mismo techo. Como Kronecker ya estaba en posesión del cargo, Cantor tuvo que resignarse y renunciar a sus aspiraciones.
No carecía, sin embargo, de comodidades. El amable Mittag-Leffler no sólo publicó algunos de los trabajos de Cantor en su revista (Acta Mathematica), también consoló a Cantor en su lucha contra Kronecker. En un solo año, Mittag-Leffler recibió nada menos que 52 cartas del pobre Cantor. Entre los que creyeron en las teorías de Cantor, el genial Hermite fue uno de los más entusiastas. Su cordial aceptación de la nueva doctrina sirvió de gran alivio a Cantor: "Los elogios que Hermite me hace en su carta... respecto a la cuestión de la teoría de conjuntos son tan importantes en mi opinión, tan inmerecidos, que no me atrevo a publicarlos para no incurrir en el reproche de haber sido deslumbrado por ellos".
Al iniciarse el nuevo siglo la obra de Cantor sólo fue aceptada como una contribución fundamental a la Matemática, y particularmente a los fundamentos del Análisis. Pero, por desgracia para la teoría, las paradojas y antinomias que aun la infectan comenzaron a hacerse notar. Esta será, al fin, la máxima contribución que la teoría de Cantor está destinada a hacer a la Matemática, pues su existencia insospechada en los rudimentos del razonamiento lógico y matemático acerca del infinito fue la inspiración directa del actual movimiento crítico de todo razonamiento deductivo. Podemos, pues, esperar que así se alcance una Matemática más rica y "más verdadera", libre de incongruencias que la Matemática de la era precantoriana.
Los resultados más notables de Cantor fueron obtenidos en la teoría de los conjuntos no numerables, el ejemplo más sencillo de los cuales es el de todos los puntos en un segmento lineal. En este lugar sólo puede ser mencionada una de las más sencillas de sus conclusiones. Contrariamente a lo que la intuición pueda predecir, dos segmentos lineales desiguales contienen el mismo número de puntos. Recordando que dos conjuntos contienen el mismo número de cosas si éstas se pueden aparear una a una, y sólo en este caso, fácilmente veremos lo razonable de la conclusión de Cantor. Colocar los segmentos desiguales AB, CD co mo en la figura. La línea OPQ corta CD en el punto P, y AB en Q; P
y Q son así apareados. Cuando OPQ gira alrededor de 0, el punto P corta a CD, mientras Q corta simultáneamente AB, y cada punto de CD tiene uno y solo un punto "apareado" con AB.

A todo esto todavía no hemos intentado definir una clase o un conjunto. Posiblemente (como Russell mantuvo en 1912) no es necesario hacer esto para tener una clara concepción de la teoría de Cantor, o para que la teoría sea congruente consigo misma, que ya es bastante exigencia para cualquier teoría matemática. De todos modos, la actual discusión parece requerir que se dé alguna definición clara y consecuente. La siguiente se ha considerado satisfactoria.
Un conjunto se caracteriza por tres cualidades: contiene todas las cosas a las cuales pertenece una cierta propiedad definida (por ejemplo el color, el volumen, el gusto); ninguna cosa que no tenga esa propiedad pertenece al conjunto; cada cosa del conjunto es reconocible como esa cosa, y como diferente de cualquier otra de las cosas del conjunto, brevemente, cada cosa del conjunto tiene una individualidad reconocible permanente. El mismo conjunto se debe considerar como un todo. Esta definición podrá ser demasiado drástica para su uso. Consideremos, por ejemplo, lo que sucede al conjunto de Cantor de todos los números trascendentes al obedecer a la tercera exigencia.
En este momento podemos contemplar retrospectivamente toda la historia de la Matemática, o la parte de ella revelada por los tratados de los maestros matemáticos en sus trabajos puramente técnicos, y observar dos formas de expresión que se repiten constantemente en casi todas las exposiciones matemáticas. El lector quizá se haya irritado por el uso repetido de frases, como "podemos encontrar un número entero mayor que 2", o "podemos elegir un número menor que n y mayor que n - 2 ". La elección de tal fraseología no es simplemente pedantería estereotipada. Existe una razón para su uso, y los escritores cuidadosos saben exactamente lo que dicen cuando afirman que "podemos encontrar, etc.". Dichos autores quieren decir que pueden hacer lo que dicen.
Frente a esta frase se halla otra que se repite una y otra vez en los trabajos matemáticos, "existe". Por ejemplo, algunos dicen "existe un número mayor que 2" o "existe un número menor que y mayor que n - 2". El uso de tal fraseología tiene lugar, sin duda, en el credo que Kronecker consideró insostenible, a no ser, como es natural, que la "existencia" sea demostrada por una construcción. La existencia no está probada para los conjuntos (como han sido definidas antes), que aparecen en la teoría de Cantor.
Estas dos formas de hablar divide a los matemáticos en dos tipos: los que dicen "nosotros podemos" creen (posiblemente de un modo subconsciente) que la Matemática es una invención puramente humana; los hombres que dicen "existe" creen que la Matemática tiene una "existencia" extrahumana por sí misma, y que "nosotros" simplemente actuamos sobre las "verdades eternas" de la Matemática en nuestro viaje por la vida, en la misma forma como un hombre, que pasa por tina ciudad, atraviesa cierto número de calles con cuya construcción no tiene nada que ver.
Los teólogos son hombres que dicen "existe"; los escépticos prudentes son en su mayor parte hombres que dicen "nosotros". "Existe una infinidad de números pares, o de primos", dicen los abogados de la "existencia" extrahumana; "los construimos" dice Kronecker y los hombres que afirman "nosotros".
En un famoso ejemplo del Nuevo Testamento puede verse que la distinción no es en modo alguno superficial. Cristo afirma que el Padre "existe"; Felipe pregunta: "Muéstranos al Padre y ello nos bastará". La teoría de Cantor está cercana a los partidarios de la "existencia". Es posible que la pasión de Cantor por la teología haya determinado su fidelidad. De ser así, tendríamos también que explicarnos por qué Kronecker, conocedor también de la teología cristiana, fue rabiosamente un hombre del tipo "nosotros".
Un ejemplo muy notable e importante del modo "existencia" de considerar la teoría de conjuntos proporciona el postulado de Zermelo (enunciado 1904). "Para todo conjunto M cuyos elementos son conjuntos P (es decir, M es un conjunto de conjuntos o una clase de clases), no estando vacías y no superponiéndose los conjuntos (ninguno de los dos contiene elementos comunes), existe al menos un conjunto N que contiene precisamente un elemento de cada uno de los conjuntos P que constituyen M ". Comparando este concepto con la definición antes dada de un conjunto (o clase), se observará que los hombres "nosotros" no consideran el postulado evidente por sí mismo, si el conjunto M consiste, por así decir, en una infinidad de segmentos lineales que no se superponen. Aunque el postulado parece bastante razonable, los intentos para probarlo han fracasado. Es de considerable importancia en todas las cuestiones relacionadas con la continuidad.
Unas palabras acerca de cómo este postulado llegó a ser introducido en la Matemática plantearán otros problemas no resueltos de la teoría de Cantor. Una serie de cosas contables diferentes, como todos los ladrillos de una pared, se puede ordenar fácilmente; necesitamos sólo contarlas como 1, 2, 3..., en cualquiera de las múltiples y diferentes formas que ellas mismas sugieren. Pero, ¿cómo ordenar todos los puntos de una línea recta? No pueden ser contados como 1, 2, 3... La tarea parece infructuosa cuando consideramos que entre dos puntos cualesquiera de la línea "podemos encontrar" o "existen" otros puntos de la línea. Si cada vez que contamos dos ladrillos adyacentes surge otro entre ellos, en la pared, nuestra cuenta se hará confusa. De todos modos; los puntos de una línea recta parecen tener cierto tipo de orden, podemos decir si un punto está a la derecha o a la izquierda de otro, y así sucesivamente. Los intentos para ordenar los puntos de una línea no han dado buen resultado. Zermelo propuso su postulado como un medio para hacer el ensayo más fácil, pero no ha sido aceptado de un modo general como una suposición razonable o como un procedimiento de uso seguro.
La teoría de Cantor contiene aún más cuestiones acerca del infinito actual y de la "Aritmética" de los números transfinitos (infinitos) que las que aquí hemos indicado. Pero como la teoría está aún en la fase de discusión podemos seguir adelante considerándola como un enigma. ¿"Existe" o "podemos construir" un conjunto infinito que no es semejante (en el sentido técnico del apareo uno a uno) al conjunto de todos los enteros racionales positivos ni de todos los puntos de una línea? La respuesta no se conoce.
Cantor murió en un hospital de enfermedades mentales en Halle, el 6 de enero de 1918, teniendo 73 años. Ya le habían sido concedidos múltiples honores y su obra había logrado ser reconocida; hasta la antigua amargura contra Kronecker había sido olvidada. Fue, sin duda, una satisfacción para Cantor recordar que él y Kronecker se habían reconciliado, al menos superficialmente, algunos años antes de la muerte de Kronecker, ocurrida en 1891. Si Cantor viviera hoy podría estar orgulloso del movimiento que se ha producido hacia un pensamiento más riguroso en toda la Matemática, del cual es ampliamente responsable por sus esfuerzos para colocar el Análisis (y el infinito) sobre una base sólida.
Contemplando retrospectivamente la larga lucha para precisar y hacer utilizable en Matemática los conceptos de número real, continuidad, límite e infinito, vemos que Zenón y Eudoxio no están tan lejos de Weierstrass, Dedekind y Cantor, como podía suponerse pensando en los 24 ó 25 siglos que separan la Alemania moderna de la antigua Grecia. No hay duda de que poseemos un concepto más claro de la naturaleza de las dificultades que nuestros predecesores tuvieron, debido a que vemos los mismos problemas no resueltos surgiendo con nuevos aspectos y en campos en que los antiguos jamás soñaron. Pero decir que hemos eliminado las antiguas dificultades, es un error evidente. De todos modos, los resultados obtenidos significan un progreso mayor que el que nuestros predecesores pueden con justicia pretender haber logrado. Hemos calado más hondo, y hemos descubierto que algunas de las "leyes", por ejemplo las de la lógica aristotélica, que aceptaban en su razonamiento pueden ser reemplazadas con ventaja por otras, puras convenciones, en nuestros ensayos para relacionar nuestras experiencias. Como ya hemos dicho, la obra revolucionaria de Cantor dio el impulso inicial a nuestra actividad actual. Pero pronto se descubrió, 21 años antes de la muerte de Cantor, que esta revolución era demasiado revolucionaria o no suficientemente revolucionaria. Esto último parece ser lo cierto.
El primer brote de la contrarrevolución fue iniciado en 1897 por el matemático italiano Burali-Forti, quien presentó una flagrante contradicción mediante el razonamiento del tipo usado por Cantor en su teoría de conjuntos infinito. Esta paradoja fue tan sólo la primera de otras muchas, y como requeriría una larga explicación para hacerla inteligible la sustituiremos por la de Russell (año 1908).
Ya hemos mencionado a Frege, quien dio la definición de "la clase de todas las clases semejante a una clase dada" del número cardinal de la clase dada. Frege empleó muchos años intentando colocar la Matemática de los números sobre una base lógicamente sólida. La obra de su vida es un Grundgesetze der Arithmetick ( Las leyes fundamentales de la Aritmética ), de la cual el primer volumen fue publicado en 1893, y el segundo en 1903. En esta obra se usa el concepto de conjunto. También se hace un abundante empleo de invectivas más o menos sarcásticas contra los manifiestos dislates y múltiples estupideces en que incurrieron los que antes se habían ocupado de los fundamentos de la Aritmética. El segundo volumen termina con el siguiente párrafo:
"Un hombre de ciencia es difícil que encuentre algo más indeseable que ver cómo se derrumban los cimientos cuando la obra está terminada. Me he visto en esta situación por una carta de Mr. Bertrand Russell cuando la obra estaba casi en prensa".
Russell comunicó a Frege su ingeniosa paradoja de "el conjunto de todos los conjuntos que no son elementos de ellos mismos". ¿Es este conjunto un miembro de sí mismo? Ambas cuestiones pueden ser consideradas como falsas meditando ligeramente sobre ellas. Sin embargo, Frege utilizó libremente el "conjunto de todos los conjuntos".
Se han propuesto muchas maneras para evadir o eliminar las contradicciones que comenzaron a explotar como una cortina de fuego sobre la teoría de Frege, Dedekind, Cantor de los números reales, continuidad y el infinito. Frege, Cantor y Dedekind abandonaron el campo batidos y descorazonados. Russell propuso su "principio del círculo vicioso" como un remedio: "Todo lo que englobe una colección no debe ser un miembro de la colección". Más tarde llevó adelante su "axioma de reducibilidad", el cual, como ha sido prácticamente abandonado, no merece ser descubierto. Durante un tiempo, estos métodos para restaurar la teoría fueron brillantemente eficaces (salvo para los matemáticos alemanes que jamás tragaron la píldora). Poco a poco, a medida que se abría camino el examen crítico de todo razonamiento matemático, la física fue lanzada a los perros, y se inició un esfuerzo concertado para descubrir cuál era realmente el mal del enfermo en su sistema de números irracionales y reales antes de administrar nuevos medicamentos.
El actual esfuerzo para comprender nuestras dificultades se origina en la obra de David Hilbert (1862-1942), de Göttingen, en 1899, y en la de L. E. J. Brouwer (1881) de Amsterdam, en 1912. Estos dos hombres y sus numerosos continuadores tienen la finalidad común de colocar el razonamiento matemático sobre una base sólida, aunque en diversos respectos sus métodos y filosofías estén en abierta oposición. Parece improbable que ambos puedan estar en. posesión de la verdad, como cada uno de ellos parece creer.
Hilbert se remontó a Grecia para la iniciación de su filosofía de la Matemática. Resumiendo el drama pitagórico de una serie de postulados rígida y completamente enunciados, de los cuales debería proceder por estricto razonamiento deductivo el argumento matemático, Hilbert hizo más preciso, de que había sido entre los griegos, el programa del desarrollo de la Matemática, por postulados y en 1899 apareció la primera edición de su obra sobre los fundamentos de la Geometría. Una cosa exigía Hilbert en la cual los griegos no parece que habían pensado,
la de que los postulados propuestos para la Geometría deberán ser congruentes entre sí (libres de contradicciones ocultas, internas). Obtener tal prueba para la Geometría es mostrar que cualquier contradicción en la Geometría desarrollada por medio de postulados implicaría una contradicción en la Aritmética. El problema queda así desplazado para demostrar la coherencia de la Aritmética y así permanece actualmente.
Una vez más interrogamos a la esfinge para que nos diga lo que es un número. Tanto Dedekind como Frege huyeron al infinito, Dedekind con sus clases infinitas que definen los irracionales, Frege con su clase de todas las clases semejante a una clase dada que define un número cardinal, para interpretar los números que deslumbraron a Pitágoras. Hilbert busca la respuesta en el infinito, que, según cree, es necesario para una comprensión de lo finito. Subraya su creencia de que el cantorismo será definitivamente redimido del purgatorio en el cual se agita ahora. "La teoría de Cantor me parece el fruto más admirable de la mente matemática, y una de las conquistas más preciosas de los procesos intelectuales del hombre". Pero admite que las paradojas de Burali-Forti, Russell y otros no han sido aun resueltas: Sin embargo, su fe está por encima de todas las dudas: "Nadie nos expulsará del paraíso que Cantor ha creado para nosotros".
Pero en este momento de exaltación aparece Brouwe esgrimiendo en su mano derecha algo que parece una espada flameante. La persecución comienza: Dedekind, en el papel de Adán, y Cantor, disfrazado de Eva, miran temerosamente la salida bajo la hosca mirada del inflexible holandés. El método de los postulados para asegurar la libertad propuesto por Hilbert cumplirá, dice Brouwer, su fin, no producir contradicciones, pero "no podrá lograrse de este modo nada que tenga valor matemático; una teoría falsa que no se detiene por una contradicción no es por ello menos falsa, lo mismo que un plan criminal que no esté frenado por un tribunal no es menos criminal".
Las raíces de la objeción de Brouwer al "placer criminal" de sus opositores son algo nuevo, al menos en Matemática. Brouwer objeta el uso ilimitado de la lógica aristotélica, particularmente al ocuparse de los conjuntos infinitos, y mantiene que tal lógica está llamada a producir contradicciones cuando se aplica a conjuntos que no pueden ser definitivamente construidos en el sentido de Kronecker (debe darse una regla por la cual se puedan construir las cosas). El principio de exclusión del tercer término (una cosa debe tener cierta propiedad o no debe tener esa propiedad, por ejemplo, en la afirmación de que un número es primo o no es primo) sólo puede usarse legítimamente cuando se aplica a conjuntos finitos.
Aristóteles ideó su lógica como un conjunto de reglas para conjuntos finitos, basando su método sobre la experiencia humana y no hay razón para suponer que una lógica que es adecuada para lo finito continuará produciendo resultados congruentes (no contradictorios) cuando se aplica al infinito. Tal modo de pensar parece suficientemente razonable cuando recordamos que la definición de un conjunto infinito subraya que una parte de un conjunto infinito puede contener precisamente tantas cosas como todo el conjunto (según hemos mencionado muchas veces). Una situación que jamás se produce para un conjunto finito, donde "parte" significa algo, pero no todo (como ocurre en la definición de un conjunto infinito).
Aquí tenemos lo que algunos consideran la raíz de la dificultad en la teoría del infinito actual de Cantor. La definición de un conjunto (según se ha enunciado tiempo atrás) según la cual todas las cosas que tienen cierta cualidad están "unidas" para formar un "conjunto" (o "clase"), no es adecuada como base para la teoría cantoriana en la que la definición no es constructiva (en el sentido de Kronecker) o supone una construcción que ningún mortal puede realizar. Brouwer pretende que el uso del principio de exclusión del tercer término en tal situación es, a lo sumo, una simple guía heurística para proposiciones que pueden ser verdaderas, pero que no es necesario que así ocurra, hasta cuando han sido deducidas por una rígida aplicación de la lógica aristotélica y dice que numerosas falsas teorías (incluyendo la de Cantor) han sido erigidas sobre este gastado fundamento durante el pasada medio siglo.
Tal revolución en los rudimentos del pensamiento matemático no podía dejar de ser combatida. El movimiento radical de Brouwer hacia la izquierda fue acelerado por un bramido de la derecha reaccionaria "Lo que Weyl y Brouwer están haciendo (Brouwer es él jefe, Weyl su acompañante en la revuelta) es seguir los pasos de Kronecker", decía Hilbert, el campeón del status quo . "Están intentando restablecer la Matemática lanzando por la borda todo lo que no les agrada y dificulta su acción. El efecto es desmembrar nuestra ciencia y correr el riesgo de perder una gran parte de nuestro capital más valioso. Weyl y Brouwer condenan los conceptos generales de números irracionales, de funciones (hasta de las funciones que se presentan en la teoría de números), los números transfinitos de Cantor, etc., el teorema de que una serie infinita de enteros positivos tiene un mínimo y hasta la ley de exclusión del tercer término, como por ejemplo la afirmación: existe sólo un número finito de números primos o existen infinitos. Trátase de teoremas y formas de raciocinio prohibidos (para ellos). Creo que lo mismo que Kronecker fue impotente para abolir los números irracionales, no menos impotentes resultarán los esfuerzos actuales. ¡No! El programa de Brouwer no es una revolución, sino simplemente la repetición de un vano golpe de mano con antiguos métodos, pero que ha sido emprendido con mayor inteligencia y fracasará de modo manifiesto. En la actualidad el Estado (la Matemática) está perfectamente armado y fortalecido merced a los trabajos de Frege, Dedekind y Cantor. Los esfuerzos de Brouwer y Weyl serán vanos".
A esto, el bando contrario replica encogiéndose de hombros, y continuando su gran y fundamentalmente nueva tarea de colocar la Matemática (particularmente los fundamentos del Análisis) sobre una base más firme que la que sirvió a los hombres de los últimos 2.500 años, desde Pitágoras a Weierstrass.
¿Cómo será la Matemática dentro de una generación, cuando, según esperamos, estas dificultades hayan desaparecido? Sólo un profeta o el séptimo hijo de un profeta puede introducir su cabeza en el peligroso lazo corredizo de la predicción. Pero si existe una continuidad en la evolución de la Matemática, y la mayoría de los observadores desapasionados creen que así es, la Matemática del futuro será más amplia, más firme y con un contenido más rico que la que nuestros predecesores conocieron.
A las controversias del pasado terció de siglo se han añadido ya nuevos campos -incluyendo lógicas totalmente nuevas, al vasto dominio de la Matemática, y lo nuevo está siendo rápidamente consolidado y coordinado con lo antiguo. Si podemos aventurar una predicción, diremos que lo que está por venir será más fresco, más joven en todos los respectos y más cercano al pensamiento humano y a las necesidades humanas, más libre de apelar para su justificación a "existencias" extrahumanas. El espíritu de la Matemática es eternamente joven. Como Cantor dijo: "La esencia de la Matemática reside en su libertad". La "revolución" presente es tan sólo otra afirmación de esa libertad.
Ofuscada y batida continúa trabajando,
fatigada y enferma del alma trabaja aún más,
sostenida por su voluntad indomable:
Las manos modelando y el cerebro profundizando,
y todo su dolor se convertido en trabajo,
hasta que la muerte, la enemiga amiga,
atravesando con su sable
ese poderoso corazón de corazones,
termine la amarga guerra.
James Thomson
ELLOS DICEN LO QUE DICEN, DEJADLOS DECIR.
(Lema del "Marischal College", Aberdeen)
- La ciencia de la Matemática pura en su desarrollo moderno puede pretender ser la creación más original del espíritu humano. - A. N. WHITEHEAD. (Science and the Modern World, 1925.)
- Una verdad matemática no es ni simple ni complicada por sí misma, es una verdad. - ÉMILE LEMOINE.
- Un matemático que no tenga también algo de poeta jamás será un completo matemático. - KARL WEIERSTRASS.
- He sido acusado de ser un opositor, un enemigo de la Matemática, que nadie puede valorar más que yo, pues realiza aquellas cosas cuyo logro me ha sido negado. - GOETHE.
- Las Matemáticas son como los amantes. Conceded a un matemático el menor principio y obtendrá de él una consecuencia, que también habrá que concederle, y de esta consecuencia pasará a otra. - FONTENELLE.
- Es más fácil cuadrar el círculo que refutar a un matemático. – AUGUSTUS DE MORGAN.
- Lamento que haya sido necesario para mí en esta conferencia administrar una dosis tan grande de Geometría de cuatro dimensiones... No me excuso, pues realmente no soy responsable por el hecho de que la naturaleza tenga cuatro dimensiones en su aspecto más fundamental. Las cosas son como son. - A. N. WHITEHEAD (The Concept of Nature, 1920).
- El número gobierna el Universo. - Los PITAGÓRICOS.
- La Matemática es la reina de las ciencias, la Aritmética la reina de la Matemática. - C. F. GAUSS.
- El número puede decirse que gobierna el mundo de la cantidad, y las cuatro reglas de la Aritmética pueden ser consideradas como el equipo completo del matemático. - JAMES CLERK MAXWELL.
- Las diferentes ramas de la Aritmética: la ambición, la distracción, la insolencia, el escarnio. - LA BURLONA TORTUGA (Alicia en el País de las Maravillas).
- Dios hizo los números enteros, el resto es obra del hombre. - LEOPOLD KRONECKER.
- [La Aritmética] es una de las más viejas ramas, quizá la más vieja de todo el conocimiento humano; y, sin embargo, algunos de sus secretos más abstrusos están cerca de las verdades más simples. - H. J. S. SMITH.
- Los escritos de Platón no convencen al matemático de que su autor haya sido un vigoroso partidario de la Geometría... Sabemos que fomentó la Matemática... Pero si, lo que nadie cree, (que no entre ningún hombre ignorante a la Geometría) de Tzetzes ha sido escrito sobre su puerta.- AUGUSTUS DE MORGAN.
- No existe una carretera real para la Geometría. - MENECMO (a ALEJANDRO EL GRANDE.
- Estudió y casi dominó los seis libros de Euclides, dado que fue miembro de Congreso. Inició un curso de rígida disciplina mental con el deseo de mejorar sus facultades, especialmente su capacidad para la lógica y su lenguaje. De aquí su inclinación hacia Euclides que no le abandonó hasta que pudo demostrar con facilidad todas las proposiciones de los seis libros; muchas veces estudiaba, hasta bien entrada la noche, con una bujía cerca de su almohada, mientras sus compañeros, media docena en una habitación, llenaban el aire con interminables ronquidos. ABRAHAM LINCOLN (Breve autobiografía, 1860).
- Por extraño que parezca, la fuerza de la Matemática reside en pasar por alto todos los pensamientos innecesarios y en la maravillosa frugalidad de las operaciones mentales. - ERNST MACH.
- Una simple curva, trazada a la manera de la curva de los precios del algodón, describe todo lo que el oído puede escuchar como resultado de las más complicadas composiciones musicales... En mi opinión esto es una maravillosa prueba de la potencia de la Matemática. - LORD KELVIN.
- El matemático, que se encuentra bajo su diluvio de símbolos, y trabaja, al parecer, con verdades puramente formales, puede aún alcanzar resultados de infinita importancia para nuestra descripción del universo físico. - KARL PEARSON.
- Los ejemplos... que pueden ser multiplicados ad libitum, muestran cuán difícil es muchas veces para un experimentador interpretar sus resultados sin la ayuda de la Matemática. LORD RAYLEICH.
- Pero existe otra razón para la gran reputación de la Matemática: la de que la Matemática ofrece a las ciencias naturales exactas un cierto grado de seguridad que sin ella no podrían alcanzar. - ALBERT EINSTEIN.
- La Matemática es el instrumento especialmente adecuado para trabajar con conceptos abstractos de cualquier tipo, y no existe un límite a su poder en este campo. Por esta razón un libro sobre la nueva Física, si no es puramente descriptiva de trabajos experimentales, debe ser esencialmente matemática. - P. A. M. DIRAC (Quantum Mechanics, 1930).
- Al realizar el estudio de Faraday, percibo que este método de concebir fenómenos [de electromagnetismo era también matemático, aunque no aparezca en la forma convencional de los símbolos matemáticos. También encuentro que estos métodos podían ser expresados en las formas matemáticas ordinarias, y comparados así con los de los matemáticos verdaderos. - JAMES CLERK MAXWELL (A Treatise on Electricity and Magnetism, 1873).
- Pregunta 64... ¿Qué matemáticos... no tienen sus misterios y, lo que es más, sus repugnancias y contradicciones? - OBISPO BERKELEY.
- Para crear una filosofía sana hay que renunciar a la metafísica, pero ser un buen matemático. - BERTRAND RUSSELL (De una conferencia, 1935).
- La Matemática es la única buena metafísica. - LORD KELVIN.
- ¿Cómo puede ser que la Matemática, siendo al fin y al cabo un producto del pensamiento humano independiente de la experiencia, esté tan admirablemente adaptada a los objetos de la realidad? - ALBERT EINSTEIN (1920).
- Cualquier nueva serie de descubrimientos es Matemática en forma, debido a que no podemos tener otra guía. - C. G. DARWIN (1931).
- ¡El infinito! Ninguna cuestión ha conmovido tan profundamente el espíritu del hombre. - DAVID HILBERT (1921).
- El concepto de infinito es nuestro mejor amigo; es también el mayor enemigo de nuestra paz mental... Weierstrass nos enseñó a creer que hemos al fin domado y domesticado completamente este elemento ingobernable. Sin embargo, no fue así; volvió a recobrar la libertad. Hilbert y Brouwer han venido a domarlo una vez más. ¿Por cuánto tiempo? Deseamos saberlo. - JAMES PIERPONT (Bulletin of the American Mathematical Society, 1928).
- En mi opinión un matemático, en tanto que es un matemático, no necesita preocuparse de filosofía: una opinión que de todos modos ha sido expresada por muchos filósofos. - HENRI LEBESGUE (1936).
- Dios algunas veces geometriza. - PLATÓN.
- Dios algunas veces aritmetiza. - C. G. J. JACOBI.
- El gran arquitecto del Universo comienza ahora a aparecer como un matemático puro. - J. H. JEANS (The Mysierios Universe, 1930).
- La Matemática es la ciencia más exacta, y sus conclusiones pueden obtener la prueba absoluta. Pero esto es tan sólo debido a que la Aritmética no intenta deducir conclusiones absolutas. Todas las verdades matemáticas son relativas, condicionales. - CHARLES PROTEUS STEINMETZ (1923).
- Es una buena regla afirmar que cuando un matemático o un filósofo escribe con una brumosa profundidad está diciendo algo carente de sentido. - A. N WHITEHEAD (1911).
Notas:

x p = (z - y) (z - ry) (z – r 2 y) . . . (z - r p - 1 y)
en la que r es una raíz p- sima de unidad (diferente de l), o sea t p - 1 = 0, con r no igual a 1. Los enteros algebraicos en el campo del grado p engendrado por r son los que Kummer introdujo en el estudio de la ecuación de Fermat, y que le llevó a la invención de sus "números ideales" para restablecer la factorización única en el campo; un entero en tal campo no es únicamente el producto de primos en el campo para todos los primos p .Una explicación de los elementos del cantorismo por un notable especialista polaco, que está dentro de la comprensión de cualquiera que tenga una mediana educación y cierto gusto por el razonamiento abstracto, se encuentra en las Leqons sur les nombres transfinis, por Waclaw Sierpinski, París, 1928. El prefacio de Borel proporciona las advertencias necesarias. El resumen mencionado de Couturat tiene cierto interés histórico en relación con el programa de Hilbert. Se anticipa treinta años a la enunciación de Hilbert de su credo formalista.



