
El objetivo de este libro es dar a conocer al lector los fundamentos principales de la geometría no euclidiana de Lobachevski.
El célebre científico ruso Nikolai Ivanovich Lobachevski era un pensador notable. A él le pertenece uno de los inventos matemáticos más importantes, la creación de un sistema geométrico original distinto de la geometría de Euclides. Los datos biográficos breves de Lobachevski el lector los hallará en el Capítulo 1 de nuestro libro.
Las geometrías de Euclides y Lobachevski tienen mucho de común; en ellas sólo son diferentes las definiciones, los teoremas y las fórmulas ligadas al axioma del paralelismo. Para comprender qué es lo que suscitó esta diferencia se debe examinar cómo surgieron y desarrollaron las nociones geométricas fundamentales. El Capítulo 2 está dedicado a esta cuestión.
Para la comprensión del libro, además del conocimiento de geometría (planimetría) y de trigonometría en el grado del curso de segunda enseñanza, se requiere el conocimiento de la transformación denominada inversión. En el Capítulo 3 damos un resumen de sus propiedades más importantes.
Esperamos que el lector, sin gran trabajo y con provecho para sí, asimile el contenido de este párrafo que, igual que el Capítulo 10, juega en nuestro libro un papel que aunque es auxiliar, es de suma importancia.
Bosquejo resumido de la vida y actividad de N. I. Lobachevski
Nikolai Ivanovich Lobachevski nació el 20 de noviembre (1 de diciembre según el estilo nuevo) de 1792 en la familia de un funcionario pobre. Nikolai Lobachevski y sus dos hermanos quedaron prematuramente a cargo de su madre, mujer enérgica y sensata que, a pesar de la excesiva escasez de medios, envió a todos sus hijos a estudiar en el gimnasio de Kazán.
N. I. Lobachevski estudió en el gimnasio de Kazán desde 1802 hasta 1807, y en la Universidad de Kazán, desde 1807 basta 1811. Disponiendo de brillantes aptitudes matemáticas, Lobachevski cursó exitosamente los estudios y, una vez acabados éstos en la Universidad, fue retenido en ella para prepararse a ser catedrático, título que le fue concedido en el año 1816.
La actividad pedagógica de Lobachevski dejó una viva impresión en la memoria de sus discípulos. Sus conferencias se caracterizaban por la claridad y plenitud de exposición. Los conocimientos de Lobachevski en las diversas ramas de la ciencia eran vastos y multifacéticos, hecho que le permitía asumir sobre sí, ciclos de conferencias no sólo de asignaturas de la serie matemática, sino también de mecánica, física, astronomía, geodesia, topografía.
Habiendo sido elegido en el año 1827 rector de la Universidad de Kazán, Lobachevski desempeñó esta función cerca de veinte años. Siendo un administrador talentoso y enérgico que comprendía bien los problemas de la enseñanza superior; pudo convertir la Universidad de Kazán en un centro modelo de enseñanza superior de aquel tiempo. Por iniciativa de Lobachevski, la Universidad comenzó a editar las " Memorias científicas ", se fomentó la construcción de edificios universitarios y se inauguró el observatorio de astronomía de la Universidad.
Su actividad científica dio a Lobachevski fama mundial. El inmortalizó su nombre con la creación de la geometría no euclidiana que en la actualidad, de acuerdo al nombre de su fundador, la denominan geometría de Lobachevski.
El 11 (23) de febrero de 1826, en la sesión de la Sección de ciencias físico-matemáticas de la Universidad de Kazán. Lobachevski intervino con una conferencia en la que, por primera vez, informó respecto a su invento de la geometría no euclidiana. La primera exposición de los principios de ésta, aparecida en la prensa, fue la memoria de Lobachevski " Sobre los fundamentos de la Geometría ", publicada en los años 1829 - 1830 en la revista " Boletín de Kazán ".
El invento de Lobachevski no fue concebido por la mayoría de sus contemporáneos; sus trabajos respecto a la geometría obtuvieron juicios negativos tanto en Rusia como en el extranjero. Las ideas del gran sabio ruso eran demasiado audaces y diferían ostensiblemente con los puntos de vista que entonces predominaban en la ciencia; precisamente por esto transcurrió mucho tiempo antes que dichas ideas se ganaran el reconocimiento común que vino solamente después de la muerte de Lobachevski.

Nikolai Ivanovich Lobachevski
Lobachevski no fue disuadido de la justeza de sus deducciones por los ataques de la crítica y, con la energía e insistencia que le caracterizaban, prosiguió el estudio del sistema geométrico creado por él. Publica una serie de trabajos dedicados a la geometría no euclidiana. El último de éstos, terminado por Lobachevski algo antes de su muerte, fue dictado por él cuando ya no podía escribir por la ceguedad que le afectó en su vejez.
La actividad científica de Lobachevski no quedaba reducida a las investigaciones geométricas, perteneciéndole también varios trabajos fundamentales en la rama del álgebra y del análisis matemático. El método de solución aproximada de ecuaciones algebraicas, inventado por Lobachevski, es muy fino y práctico.
Los criterios filosóficos de Lobachevski tenían tendencia materialista bien destacada, y éste consideraba que el medio más seguro de comprobación de las deducciones teóricas era la experiencia, la práctica. Lobachevski exigía una enseñanza de las matemáticas que avezara a ver tras las operaciones matemáticas los fenómenos reales de la vida.
En el año 1846 Lobachevski fue destituido de su trabajo en la Universidad y nombrado ayudante del curador del distrito de enseñanza de Kazán. Aunque formalmente esto era ascenso en el cargo, prácticamente, de esta manera, los jefes superiores se esforzaron por deshacerse del rector que, por ser de orientación progresista, les era indeseable. En su nuevo cargo, subordinado al curador del distrito de enseñanza de Kazán, Lobachevski se veía mucho más restringido en sus actividades que durante su permanencia en el cargo de rector de la Universidad y sufría por su retiro de ésta, a la que estaba unida toda su vida.
Lobachevski falleció el 12 (24) de febrero de 1856. En 1896, frente al edificio de la Universidad de Kazán, fue erigido un monumento al eminente sabio.
Respecto al origen de los axiomas y su papel en la geometria
Para aclarar el papel de los axiomas examinaremos en rasgos generales las etapas más importantes del desarrollo de la geometría desde los tiempos remotos.
La patria de la geometría son los países del Antiguo Oriente donde, hace varios milenios y debido a las necesidades de la agrimensura, arquitectura y astronomía, fueron elaborados importantes principios de aspecto práctico para la medición de ángulos, áreas de algunas figuras y volúmenes de los cuerpos más simples. Estos principios se elaboraron empíricamente (por vías prácticas) y. por lo visto, se transmitían oralmente; en los textos matemáticos que llegaron hasta nosotros hallamos frecuentemente aplicaciones de los principios geométricos, pero no encontramos tentativas de formularlos.
Con el tiempo, cuando se amplió el círculo de objetos a los que se aplicaban los conocimientos geométricos adquiridos, se puso en claro la necesidad de formular los principios geométricos en su forma más general, hecho que determinó el paso en la geometría de conceptos concretos a conceptos abstractos. Así, por ejemplo, el principio elaborado para medir el área de una parcela rectangular de tierra resultó ser apto para medir el área de una alfombra, la superficie de una pared, etc., y, como resultado, surgió la noción abstracta de rectángulo.
De este modo se constituyó el sistema de conocimientos que obtuvo el nombre de geometría. En la primera fase de su desarrollo, la geometría era una ciencia empírica, es decir, una ciencia en la que todos los resultados se deducen directamente en la práctica.
El desarrollo de la geometría marchó por un nuevo camino cuando se reparó en que algunas de sus proposiciones no requieren argumentación empírica, ya que éstas pueden ser derivadas de otras proposiciones mediante deducciones basadas en las leyes de la lógica. Se comenzó a diferenciar en la geometría proposiciones de dos géneros: las establecidas por vía práctica (más tarde denominadas axiomas) y las demostrables lógicamente basándose en los axiomas (teoremas).
Puesto que, por no requerir dispositivos especiales, ni numerosas mediciones fastidiosas, la argumentación lógica en el aspecto técnico es considerablemente más simple que la empírica, ante los sabios de la antigüedad, como es natural, se planteó el problema de reducir al mínimo el número de proposiciones del primer género (axiomas) para facilitar de este modo el trabajo del geómetra trasladando el peso fundamental a la esfera del raciocinio lógico. Este objetivo resultó ser realizable, ya que la geometría se abstrae de todas las propiedades de los cuerpos excepto su extensión, propiedad muy esencial pero tan simple, que toda clase de relaciones geométricas pueden ser deducidas de un número reducido de proposiciones, axiomas según las leyes de la lógica.
De esta manera la geometría se transformó de ciencia empírica en ciencia deductiva de exposición axiomática, que caracteriza su estado actual.
La primera exposición sistemática de las tesis fundamentales de la geometría llegada hasta nosotros fueron los " Elementos " de Euclides, escritos cerca de 300 años antes de nuestra era. Esta obra está construida según el esquema siguiente: después de las definiciones y de los axiomas se exponen las demostraciones de los teoremas y las soluciones de los problemas, y, con eso, todo teorema nuevo se demuestra basándose en los axiomas y en los teoremas demostrados anteriormente. Los axiomas no se demuestran, solamente se enuncian.
Durante el transcurso de dos milenios los " Elementos " de Euclides gozaron de autoridad innegable en el mundo científico. Sin embargo, un pasaje de este trabajo parecía no estar suficientemente justificado. Se sobreentiende el axioma del paralelismo, que Euclides formuló así:
Si dos líneas rectas, al intersecarse con una tercera, forman ángulos internosunilaterales cuya suma es inferior a dos ángulos rectos, resulta ser que estasdos rectas, al prolongarlas ilimitadamente, se encontrarán por aquél lado en elque esta suma es inferior a dos ángulos rectos.
La justeza del axioma del paralelismo de Euclides no suscitaba dudas. La duda respecto a este axioma radicaba en otra cosa: ¿era justo el haberlo relacionado a la categoría de los axiomas?, ¿no sería posible demostrar este axioma con ayuda de otros axiomas de los " Elementos " euclidianos y, de esta manera, pasarlo a la categoría de los teoremas?
Al principio, los intentos de demostrar el axioma del paralelismo reflejaban la tendencia señalada anteriormente de disminuir el número de proposiciones geométricas, que exigían fundamentación empírica. Con el transcurso del tiempo la situación varió: se olvidó el origen experimental de los axiomas y éstos se comenzaron a interpretar como verdades evidentes de por si, independientemente de cualquiera que fuera el experimento. Semejante punto de vista engendró la seguridad que el axioma del paralelismo, que por su complejidad es difícil admitirlo como axiomático, en realidad no es un axioma y por consiguiente, se puede hallar la demostración de la afirmación contenida en él. Sin embargo, los numerosos esfuerzos en este sentido no dieron resultados positivos y el axioma del paralelismo, cual tesoro hechizado, no descubría sus secretos a los investigadores. Los intentos de demostrar este axioma, condenados al fracaso, exigieron un consumo enorme de trabajo intelectual de numerosas generaciones de sabios y fueron la expiación por la interpretación idealista de la esencia de los axiomas.
El tipo de demostración errónea del axioma del paralelismo de Euclides más difundido era el de su sustitución por otra proposición equivalente como, por ejemplo: la perpendicular y la oblicua respecto a una misma recta se cortan ; o: existe un triángulo semejante al triángulo dado pero no igual a éste ; o: el lugar geométrico de puntos equidistantes de una recta dada, si se encuentrana un mismo lado de ésta, es una recta ; o: a través de cualesquiera tres puntos se puede trazar o bien una recta, o bienuna circunferencia . Más adelante demostraremos que, si el axioma del paralelismo de Euclides no tiene lugar, todas estas proposiciones son erróneas. Por consiguiente, admitiendo cualquiera de las proposiciones enumeradas como un axioma, consideramos que el axioma euclidiano del paralelismo es justo, es decir, partimos de la justeza de aquello que queríamos demostrar
En sus investigaciones de la teoría de las líneas paralelas, Lobachevski fue por otro camino. Habiendo comenzado por intentos de demostrar el axioma del paralelismo pronto advirtió que uno de ellos conduce a resultados absolutamente inesperados. Este intento consistía en la utilización del método de demostración por oposición y se basaba en la consideración siguiente: si el axioma del paralelismo de Euclides es resultado de otros axiomas de los " Elementos " y si, no obstante, se admite que a través de un punto fuera de una recta, en el plano determinado por éstos, sepueden trazar por lo menos dos rectas que no cortan a la recta dada , resultará ser que esta suposición tarde o temprano, en sus resultados más inmediatos o más lejanos, conducirá a una contradicción.
Entre tanto, analizando los nuevos resultados de la admisión hecha por él, paradójicos desde el punto de vista de la geometría euclidiana, Lobachevski se persuadía que éstos formaban un sistema lógico no contradictorio de teoremas capaces de constituir la base de una nueva teoría científica.
Así fue fundamentada la geometría no euclidiana; su axioma del paralelismo se diferencia del euclidiano y coincide con la suposición citada anteriormente, que en lo sucesivo denominaremos axioma del paralelismo de Lobachevski.
No obstante, no quedaba claro si se podía afirmar con seguridad que ninguno de los numerosos posibles resultados del axioma del paralelismo de Lobachevski conduciría a una contradicción. Lobachevski fijó la solución de esta cuestión: señaló que la no contrariedad de la geometría descubierta por él debe deducirse de la posibilidad de aritmetizarla, es decir, de la posibilidad de reducir la solución de cualquier problema geométrico a cálculos aritméticos y transformaciones analíticas, utilizando para ello las fórmulas de la trigonometría hiperbólica deducidas por él mismo. Ulteriormente fueron halladas por otros sabios demostraciones rigurosas de la no contrariedad de la geometría de Lobachevski.
Las investigaciones de Lobachevski en la rama de la geometría hiperbólica son muy vastas: abarcan su parte elemental, la trigonometría, la geometría analítica y la geometría diferencial. Utilizando los métodos de la geometría creada por él, Lobachevski halló más de 200 fórmulas nuevas para el cálculo de las integrales definidas.
El descubrimiento de Lobachevski se calificaba por sus contemporáneos, e incluso por sus discípulos, como un disparate monstruoso, como un desafío audaz a las leyes de la lógica y del sentido común. No nos asombra tal actitud respecto a la idea genial que demolía las nociones de aquella época. Con la mina hostilidad también había sido acogida la teoría heliocéntrica de Copérnico, que negaba aquello que parecía ser absolutamente evidente y afirmaba aquello que parecía ser inconcebible. Se requerían consideraciones muy profundas para comprender la admisibilidad de dos geometrías diferentes. A continuación pasamos precisamente a exponer algunas de estas consideraciones, las más comprensibles.
En los manuales escolares de geometría, en la parte "Planimetría", se estudia el plano independientemente del espacio que lo rodea; con otras palabras; la planimetría es la geometría del plano euclidiano. También han sido bien estudiadas las geometrías de ciertas superficies curvilíneas; puede servir de ejemplo la geometría esférica, que encuentra amplio uso en la astronomía y en otras ramas de la ciencia.
En toda ciencia los conceptos simplísimos tienen mucha importancia. En la geometría euclidiana semejantes conceptos son el punto, la recta, el plano. Estas denominaciones se conservan también en las geometrías no euclidianas, llamándose "recta" a la línea por la que se mide la distancia más corta entre dos puntos y "plano" a la superficie que tiene la siguiente propiedad: si dos puntos de la "recta" pertenecen a esta superficie, resultara ser que todos los puntos restantes de la misma "recta" también pertenecen a dicha superficie. Por ejemplo, en la geometría esférica, se denominan "plano" y "rectas", respectivamente, a la esfera y a las circunferencias de sus círculos mayores. Esta terminología es completamente oportuna ya que en cualquiera de las geometrías la "recta" es la línea más simple y el "plano" es también la superficie más simple y, además, la primera tiene la propiedad más importante de la recta euclidiana y el segundo, la propiedad más importante del plano euclidiano.
Señalaremos algunas singularidades de la geometría esférica. Para mayor evidencia la examinaremos como la geometría de la superficie del globo. No es difícil comprender que dos "rectas" de esta geometría (por ejemplo, dos meridianos) siempre se cortan en dos puntos del globo diametralmente opuestos. Después, la suma de los ángulos del triángulo esférico es mayor que 2 d por ejemplo, en el triángulo limitado por un cuarto del ecuador y por los arcos de dos meridianos (Figura 1) todos los tres ángulos son rectos.

Figura 1
Es sabido que en la geografía, a la par con el globo, se utilizan mapas de la superficie terrestre. Esto equivale al estudio de la geometría esférica mediante el examen de los mapas de la esfera, hecho posible si se indica de qué manera se hallan por medio de las efigies de las líneas en el mapa sus longitudes reales y las magnitudes reales de los ángulos entre ellas. La cosa consiste en que en el mapa se obtienen efigies desfiguradas y el carácter de esta desfiguración no es el mismo en todas partes. Por ejemplo, en el mapa de la superficie terrestre ejecutado en la proyección de Mercator (figura 2) a los meridianos les corresponden líneas rectas paralelas a las que son perpendiculares otras líneas rectas, equivalentes a los paralelos geográficos y, al mismo tiempo, el segmento que representa 1° del paralelo tiene, independientemente de su latitud, una misma longitud, mientras que en la realidad la longitud del grado de un paralelo es tanto menor cuanto más elevada es su latitud.

Figura 2
En vista de que la superficie tiene dos dimensiones se ha aceptado denominar bidimensional a la geometría que estudia las figuras que se encuentran sobre una superficie determinada, y denominar espacio bidimensional a la propia superficie. Desde hace mucho tiempo se conocen dos variedades de la geometría bidimensional: la euclidiana (para el plano) y la esférica. Al hecho de existir una geometría bidimensional no euclidiana los matemáticos no le daban gran importancia por la simple razón que la esfera se estudiaba en el espacio euclidiano tridimensional, y esto obligaba a olvidar las propiedades no euclidianas de la esfera como tal
Como resultado de las investigaciones de Lobachevski se puso en claro que no sólo son concebibles las superficies con propiedades no euclidianas, sino que también lo son los espacios no euclidianos tridimensionales.
La introducción del concepto de las geometrías tridimensionales no euclidianas puede provocar dudas si no se hacen las aclaraciones siguientes.
A veces es cómodo representar en forma geométrica los resultados del estudio de una clase determinada de fenómenos. Por ejemplo, los datos concernientes al incremento de la productividad del trabajo frecuentemente se exponen en forma de gráficas y diagramas. Esto demuestra que mediante imágenes geométricas se pueden describir diversos procesos y estados reales que no tienen relación directa con la geometría.
Si se considera la gráfica como una línea del plano euclidiano, es evidente que en el ejemplo expuesto anteriormente se han empleado imágenes de la geometría euclidiana bidimensional. En otros casos más complicados se tiene que recurrir a las geometrías euclidianas y no euclidianas tridimensionales e, incluso, polidimensionales. De esto no se debe deducir que todas ellas describen relaciones de extensión; éstas son teorías que, en sus formulaciones, utilizan términos geométricos a los que, hablando en general, se les atribuye un contenido no ligado a las nociones espaciales. Así, por ejemplo, al agregar el tiempo a las tres dimensiones del espacio real en calidad de una cuarta dimensión, introducimos el concepto de espacio cuatridimensional en el que el intervalo determinado de tiempo se considera como un "segmento de la recta". En la mayoría de los casos semejante enfoque crea solamente la apariencia de claridad, cosa que, hasta cierto grado, facilita el análisis del fenómeno que se estudia por este método.
De tal modo, la construcción de las geometrías no euclidianas se justifica por la posibilidad de utilizar sus deducciones para objetos que en la realidad existen. La circunstancia de que estas deducciones se formulan con términos de la geometría no tiene importancia esencial: las formulaciones geométricas se pueden modificar fácilmente de tal manera que correspondan a las propiedades de los objetos y fenómenos que se estudian.
Advertiremos que en las aplicaciones de la matemática, en aquellos casos en los que la teoría presta servicio a objetos que se someten a unas mismas leyes matemáticas aunque cualitativamente son diferentes, se practica con frecuencia la sustitución de unos conceptos por otros.
Se debe hablar especialmente de las geometrías tridimensionales. Estas pueden considerarse, independientemente de otras aplicaciones que tengan, como hipótesis que pretenden a describir las propiedades del espacio real. La cuestión respecto a cuál de estas hipótesis esté más cerca de la realidad, solamente puede ser resuella mediante la comprobación experimental de sus tesis.
Señalaremos el hecho siguiente, muy importante para la exposición ulterior; en el plano euclidiano se puede construir (así como se hace para la esfera y, además, no por un solo procedimiento) la carta del plano de Lobachevski. El estudio de una de semejantes cartas se admitirá en nuestro libro como base para el estudio de la geometría hiperbólica.
Es característico que la geometría de Lobachevski obtuvo reconocimiento general en las circunstancias siguientes. En el año 1868 el matemático italiano Eugenio Beltrami descubrió que en el espacio euclidiano existe una superficie que tiene las propiedades del plano de Lobachevski, mejor dicho, de cierto pedazo de este plano (si se consideran como "rectas" en esta superficie las líneas más cortas). Este descubrimiento, que al poco tiempo condujo a la construcción de diferentes cartas del plano de Lobachevski, convenció a los sabios de la justeza de las ideas del gran geómetra ruso, sirvió de impulso para el estudio profundo de sus obras y dio comienzo a numerosas investigaciones en la rama de las geometrías no euclidianas.
El descubrimiento de las geometrías no euclidianas planteó ante la física un problema extraordinariamente complejo: aclarar si el espacio físico real es euclidiano, como antes pensaban, y si no lo es, a qué tipo de espacios no euclidianos pertenece". Para la solución de este problema se requiere una comprobación experimental de la justeza de los axiomas, estando claro que con el perfeccionamiento de los instrumentos de medición aumenta la seguridad de los datos experimentales obtenidos y aparece la posibilidad de penetrar en detalles que antes se escapaban de la atención de los investigadores.
Así pues Lobachevski retornó la geometría a la interpretación materialista de los axiomas como proposiciones que constatan las propiedades geométricas fundamentales del espacio y que fueron concebidos por el hombre como resultado del experimento.
Actualmente es imposible considerar resuelta hasta el fin la cuestión respecto a la estructura geométrica del espacio físico real. No obstante, señalaremos que la teoría contemporánea de la relatividad, basándose en numerosos datos, considera que el espacio real no es euclidiano y que además, por sus propiedades geométricas, es mucho más complejo que el espacio de Lobachevski. Uno de los golpes más fuertes a la convicción que la estructura del espacio real era euclidiana le asestó el descubrimiento de la ley física de acuerdo a la cual no existe velocidad alguna que supere la velocidad de la luz.
Ahora podemos responder a una pregunta que con frecuencia oímos: ¿cuál de las dos geometrías es la verdadera, la de Euclides o la de Lobachevski?
Semejante pregunta no surge respecto a las geometrías bidimensionales euclidiana y esférica, es absolutamente obvio que ambas son verdaderas, pero cada una de ellas tiene su campo de aplicación: no pueden ser usadas las fórmulas de la geometría esférica para las figuras planas, así como no pueden ser usadas las fórmulas de la geometría bidimensional euclidiana para las figuras en la esfera. Esto mismo es también justo respecto a las diversas geometrías tridimensionales cada una de ellas, siendo lógicamente no contradictoria, encuentra empleo en una rama determinada, no siendo obligatorio que ésta sea geométrica; no obstante, cada una de ellas se negará a servir si a sus principios se les atribuye un carácter universal.
La cuestión referente a la estructura del espacio real, como ya señalábamos, pertenece a la competencia de la física y no puede ser resuelta con las fuerzas de la geometría pura. Su particularidad consiste, entre otras cosas, en que ninguna geometría refleja las relaciones de extensión con exactitud absoluta; así, por ejemplo, debido a la estructura molecular de la materia, no existen cuerpos accesibles a la apreciación de sus dimensiones que posean las propiedades geométricas de la esfera ideal. Precisamente por esto, la aplicación de reglas geométricas a la solución de problemas concretos conduce inevitablemente a resultados aproximados. De tal modo, nuestra noción respecto a la estructura geométrica del espacio real se reduce de hecho a la convicción científicamente basada de que una geometría determinada describe mejor que otras las relaciones reales de la extensión.
Por el hecho que en la teoría de la relatividad se utilizan fórmulas de la geometría no euclidiana no se deduce todavía la necesidad de entregar la geometría de Euclides al archivo, tal y como ocurrió con la astrología, la alquimia y otras seudo ciencias semejantes. Tanto una como otra geometría representan un instrumento para el estudio de las formas espaciales, pero la primera permite efectuar investigaciones mas detalladas, mientras que la segunda es suficiente para la solución de la inmensa mayoría de problemas prácticamente importantes de muy elevado grado de exactitud y como, además, se distingue por ser muy simple, siempre le estará asegurada una amplia aplicación.
Al terminar nuestro breve esbozo señalaremos aquello nuevo que aportó Lobachevski en el desarrollo de las ideas geométricas.
Los méritos científicos de este notable pensador no se agotan con el hecho de que haya arrancado el velo del misterio milenario del axioma del paralelismo; la importancia de sus investigaciones es inmensurablemente más amplia.
Habiendo sometido a un análisis critico uno de los axiomas euclidianos, Lobachevski dio comienzo a la revisión de algunas posiciones iniciales del sistema de Euclides, hecho que posteriormente condujo a la elaboración de principios rigurosamente científicos de construcción axiomática de la geometría y de otras ciencias matemáticas.
El descubrimiento por Lobachevski de la geometría hiperbólica sacó a la ciencia concerniente a las formas espaciales de los estrechos limites del sistema euclidiana La geometría de Lobachevski encontró aplicación directa en la teoría de integrales definidas y en otras ramas de la matemática.
Lobachevski suscitó la elaboración de cuestiones que no podían surgir con el estado precedente de la matemática y, entre ellas, la cuestión respecto a la estructura geométrica del espacio real. Sin su descubrimiento no hubiera podido desarrollarse la teoría de la relatividad, uno de los mayores alcances de la física contemporánea. Partiendo de las investigaciones de Lobachevski los sabios construyeron una teoría que permite efectuar el cálculo de los procesos que transcurren en el interior del núcleo atómico.
Para concluir señalaremos la importancia gnoseológica de las ideas del gran matemático ruso. Antes de Lobachevski, durante el transcurso de muchos siglos, reinaba en la geometría el punto de vista idealista que remontaba a Platón, el filósofo de la Grecia antigua atribuyendo a los axiomas del sistema euclidiano un carácter absoluto éste negaba su procedencia experimental. Lobachevski rompió categóricamente con este punto de vista y retornó la geometría a las posiciones del materialismo.
Inversión
Supongamos que se enseñó una regla que permite pasar de cualquier figura dada a otra, de tal manera que la segunda figura queda absolutamente determinada si se ha dado la primera y viceversa. Dicho paso se denomina transformación geométrica. La inversión, a la par con la traslación paralela, la transformación de similitud, el giro de la figura y la proyección, pertenece también al número de transformaciones geométricas más usuales. Por ejemplo, esta transformación se utiliza ampliamente en la matemática como método para la resolución de problemas de construcción, en la teoría de las funciones de variable compleja, en el estudio de las cartas de la superficie de Lobachevski.
En el capítulo presente damos la determinación de la inversión y de las nociones relacionadas con ella y examinamos una serie de sus propiedades fundamentales.
Supongamos que en el plano á se da la circunferencia k con el radio r y el centro O y el punto A diferente de O. Elijamos en la semirrecta OA el punto A ', de tal manera que el producto de los segmentos OA y OA ' sea igual al cuadrado del radio de la circunferencia k :
Convengamos decir que los puntos A y A ' son simétricos respecto a la circunferencia k .
Si uno de los puntos A , A ' se encuentra fuera de la circunferencia k , el otro se hallará en el interior de ésta, y viceversa; por ejemplo, de la desigualdad OA > r deducimos, tomando en consideración la condición (1), que OA ' < r . Si el punto A o A ' se encuentra en la circunferencia k , resultará que A y A ' coinciden.

Figura 3
Examinemos la figura 3 donde AB es la tangente a la circunferencia k y BA ' es la perpendicular a OA . Puesto que OA ' es la proyección del cateto OB del triángulo rectángulo OAB sobre la hipotenusa OA
y, por consiguiente, los puntos A y A ' son simétricos respecto a k . De aquí que sea evidente la construcción del punto A ', si se ha dado el punto A , y la del punto A si se ha dado el punto A '.
Teorema 1. Si la circunferencia q pasa por dos puntos diferentes A y A', simétricosrespecto a la circunferencia k, resulta ser que las circunferencias k y q sonortogonales entre sí.
Se denominan ortogonales dos circunferencias si éstas se cortan en ángulo recto, es decir, si las tangentes a ellas en el punto de intersección (o, lo que es lo mismo, sus radios trazados a este punto) son perpendiculares entre si.

Figura 4
Sea P uno de los puntos de intersección de las circunferencias k y q (figura 4). Como OP es el radio de la circunferencia k , la igualdad (1) adquiere el aspecto: OA · OA ' = r 2 . Por otro lado, el producto de los segmentos OA y OA ' es igual al cuadrado de la tangente trazada desde el punto O a la circunferencia q ; entonces OP es la tangente a q . Por consiguiente, los radios OP y QP de las circunferencias dadas son perpendiculares entre si y estas circunferencias son ortogonales entre sí.
Advertiremos que cualquier circunferencia que pasa por dos puntos diferentes, simétricos respecto a una recta, corta a ésta en ángulo recto. La analogía de esta propiedad con el caso expuesto en el teorema 1 condicionó el traslado del término "simetría" para el caso de dos puntos situados de tal manera respecto a la circunferencia dada que cualquier circunferencia que pasa por ellos es ortogonal respecto a la circunferencia dada.
Teorema 2. Si las circunferencias k y q son ortogonales entre si, resulta ser que lacircunferencia que pasa por el centro O de la circunferencia k, y que corta ala circunferencia q, corta a ésta en puntos simétricos respecto lacircunferencia k.
Designemos por A y A ' los puntos de intersección de esta recta con q y por P uno de los puntos comunes de las circunferencias k y q (figura 4). Puesto que las circunferencias dadas son ortogonales entre si, la recta OP es tangente a la circunferencia k y, por esto,
De aquí deducimos que los puntos A y A ' son simétricos respecto a la circunferencia k .
Teorema 3. Sea dado el triángulo 0AB, donde O es el centro de la circunferencia k, y' lospuntos A' y B', simétricos con A y B respecto a k. Entonces
∠OBA = ∠OA' B'
Examinemos la figura 5. De la igualdad
que se deduce de la condición (1) obtenemos: OA : OB' = OB : OA' . Por consiguiente, los triángulos OAB y OB'A', que tienen común el ángulo AOB , son semejantes. De aquí deducimos que el teorema es justo.
Señalaremos que alrededor del cuadrilítero ABB'A' puede ser circunscrita una circunferencia de tal manera que ∠ A'AB + ∠ A'B'B = 2 d . Del teorema 1 se deduce que esta circunferencia es ortogonal a la circunferencia k .
Examinemos ahora la transformación del plano, que consiste en lo siguiente: cada dos puntos de este plano, simétricos respecto a la circunferencia k intercambian de sitio. Semejante transformación se denomina inversión , la circunferencia k se denomina circunferencia de inversión y su centro es el polo de la inversión . Si la inversión respecto a k transforma la figura F en la figura F', se dice que F es simétrica con F' , y que F es simétrica con F' respecto a la circunferencia k .

Figura 5
Advertiremos que no existe punto alguno simétrico al polo de la inversión respecto a la circunferencia de inversión.
No es difícil ver que los puntos que se encuentran fuera del círculo limitado por la circunferencia de inversión se transforman en puntos de este circulo, a excepción del polo de inversión, y viceversa, los puntos de la circunferencia de inversión se pasan a si mismos; la recta que pasa por el polo de inversión O se pasa a si misma, pero pierde con ello el punto O .
Teorema 4. La inversión transforma la recta que no pasa por el polo de inversión en unacircunferencia que pasa por el polo de inversión.
Supongamos que A es la base de la perpendicular bajada desde el polo de inversión O sobre la recia l , B es un punto cualquiera de la recia l y A' y B' son los puntos simétricos, respectivamente, con A y B en relación a la circunferencia de inversión k (figura 6). Construyamos en el segmento OX , como en el diámetro, la circunferencia q . En virtud del teorema 3, ∠ OB'A ' = ∠ OAB y, por esto, OB'A' = d por consiguiente, el punto B ' se encuentra en la circunferencia q . Por otro lado, sea C' cualquier otro punto diferente de O en la circunferencia q ; entonces la recta OC cortará l en cierto punto C que, como es fácil ver, durante la inversión dada se convertirá en el punto C '.

Figura 6
Así pues, el teorema ha sido demostrado, pero es menester tener en cuenta que la recta l se transforma en una figura compuesta por la circunferencia q , sin el punto O.
Advertiremos que el centro de la circunferencia q pertenece a la perpendicular bajada desde O sobre l .
Si la recta l no tiene puntos comunes con la circunferencia de inversión k , entonces la circunferencia q se encuentra en el interior de k .
Si l hace contacto con k en cierto punto, entonces q hará contacto con k en el mismo punto.
Si l y k se cortan, entonces q pasará por el punto de su intersección.
Teorema 5. La inversión transforma la circunferencia que pasa por el polo de inversión enuna recta que no pasa por el polo de inversión.
Supongamos que O (el polo de inversión), A y B son tres puntos diversos de la circunferencia q , y. A ' y B ' son puntos simétricos con A y B respecto a la circunferencia de inversión. En virtud del teorema 4 la recta A'B ' se transforma en una circunferencia que pasa por O , A y B , es decir, en la circunferencia q , y de aquí se deduce que q se transforma en la recta A'B' .
Teorema 6. La inversión transforma la circunferencia que no pasa a través del polo deinversión en una circunferencia que tampoco pasa por el polo de inversión.
Sean k la circunferencia de inversión con el radio r y el centro O , y q , la circunferencia dada que no pasa por O (figura 7).

Figura 7
Tomemos en q un punto cualquiera A y designemos por B el segundo punto de intersección de la recta OA con q , y designemos por A' y B' los puntos respectivamente simétricos con A y B respecto a k . Entonces
De aquí
y
en virtud de los conocidos teoremas de la geometría elemental, no varía al desplazar el punto A por q . Por consiguiente, y es una magnitud constante que es positiva si O se encuentra fuera de q , y que es negativa si O se encuentra en el interior de q (ya que en este último caso las direcciones de los segmentos OA y OB son opuestas).
De las dos igualdades últimas hallamos: OA' · OB' = r 4 / g y por lo tanto
o. teniendo en cuenta la relación (2),
(el signo está bien elegido pues los segmentos OB y OB ' tienen una misma dirección). De la última igualdad se deduce que las figuras descritas por los puntos A y B ' son semejantes; por consiguiente, el teorema está demostrado: el punto B' describe una circunferencia (que designaremos por q' .
El polo de inversión O será el centro de similitud de las circunferencias q y q ', y resultará ser exterior si g > 0 e interior si g < 0. En el primer caso Q se encuentra fuera y en el segundo, dentro de las circunferencias q y q '.
Si la circunferencia q hace contacto con la circunferencia k en cierto punto, entonces q ' hará contacto con k en ese mismo punto.
Si las circunferencias k y q se cortan, entonces q ' pasará por el punto de su intersección.
La circunferencia q es ortogonal a k y, durante la inversión, se transforma en sí respecto a k ( q ' coincide con q ), hecho que se deduce del teorema 2.
Si la línea de los centros de las circunferencias k y q corta q en los puntos M y N (donde M ' y N ' son los puntos simétricos a M y N respecto a k ), entonces el segmento M'N' será el diámetro de la circunferencia q' (figura 7). Al construir la circunferencia q ' se puede hacer uso de esta observación.
Señalaremos que los centros de las circunferencias q y q ' no son simétricos respecto a la circunferencia de inversión k .
Teorema 7. Los puntos de intersección de dos circunferencias p y q, ortogonales a lacircunferencia k, son simétricos respecto a k.
El teorema es obvio, ya que cada una de las circunferencias p y q . durante la inversión respecto a k , se transforma en si y, por consiguiente, los puntos de su intersección A y A ' permutarán de lugar (figura 8).

Figura 8
Teorema 8. Si M y M' son puntos simétricos respecto a la circunferencia k de dos líneas my m', que también son simétricas respecto a k, resulta ser que las tangentes am y m' en los puntos M y M' o bien son perpendiculares a la recta MM', o bienforman con ésta un triángulo isósceles con base MM'.
Tomemos en m el punto N , diferente de M y construyamos el punto N ', simétrico a N respecto a k (figura 9). Es evidente que N ' pertenece a m '. Las rectas MM ' y NN ' pasan por el centro O de la circunferencia k .

Figura 9
Construyamos las rectas MN y M'N ': sea así que éstas se cortan en el punto P . Si
en virtud del teorema 3. ∠ 0N'M' = θ . Por esto, en el triángulo MM'P
Supongamos que el ángulo O tiende a cero en la condición de que el punto M es inmóvil. Entonces, en el límite, las secantes MN y M'N' pasarán a ser tangentes a m y m' en los puntos M y M ', y el triángulo MM'P se convertirá en isósceles. Efectivamente

De tal manera, el teorema queda demostrado.
Teorema 9. La inversión no varía la magnitud del ángulo.
Examinemos las líneas m y n , que se cortan en el punto A . Supongamos que m , n y A se transforman en m' , n' y A' durante la inversión respecto a la circunferencia k . Del teorema 8 se deduce que el ángulo entre las tangentes a m y n en el punto A es igual al ángulo entre las tangentes a m' y n' en el punto A' , que es lo que se quería demostrar.
A la transformación que no varía la magnitud de los ángulos se la denomina transformación conforme . De lo precedente se deduce que la inversión es una transformación conforme.
Carta del plano de Lobachevski
Examinemos el plano ω y, en él, la recta u , que divide a ω en los semiplanos τ y τ'. Supongamos que el semiplano τ representa la carta de cierto espacio bidimensional H . Vamos a diferenciar la longitud s de la línea del espacio H y la longitud σ de la imagen de esta línea en la carta dada; a las magnitudes s y σ las denominaremos, respectivamente, longitudes hiperbólica y euclidiana.

Figura 10
Para la medición de longitudes en la carta que examinamos pondremos como base los principios siguientes.
- La longitud hiperbólica del segmento MN , que es paralelo a la recta u y que se encuentra de ésta a la distancia y , es igual a MN/y , es decir, es igual al cociente de la división de la longitud euclidiana deeste segmento por su distancia euclidiana de u .
- Si σ es euclidiana, s es la longitud hiperbólica del arco de la curva (o del segmento de la recta noparalela a u ), y e y' son, respectivamente, las distancias euclidianas mínima y máxima de sus puntosa u y, al mismo tiempo, y ≠ 0 (figura 10), resulta ser que se cumple ladesigualdad σ/ y' < s < σ/ y
Más tarde nos convenceremos que el espacio H , cuya carta posee las propiedades citadas más arriba, es el plano de Lobachevski.
Partiendo de los principios 1 y 2 no es difícil indicar el procedimiento general de medición de las longitudes hiperbólicas.
Hallaremos al principio la longitud hiperbólica s del arco AB , que posee las propiedades siguientes: si el punto se desplaza por este arco desde A hacia B , su distancia de la recta u crece; la distancia del punto A a u no es igual a cero; el arco AB es suave, es decir, no tiene inflexiones (figura 11).

Figura 11
Marquemos en el arco AB, siguiendo de A hacia B, los puntos
Supongamos que las magnitudes
σ 1 , σ 2 ,...., σ n
ζ 1 , ζ 2 ,...., ζ n
designan, respectivamente, la distancia euclidiana de los puntos (*) respecto a la recta u ; las longitudes euclidianas de los arcos AP 1 , P 1 P 2 ...., P n-1 B , que son partes del arco AB ; las longitudes euclidianas de las cuerdas que comprenden estos arcos.
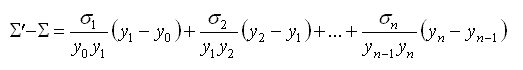
Formemos las sumas:

En virtud del 2° principio tendremos:
ya que, de acuerdo a la condición, 0 < y 0 < y 1 <... < y n . Examinemos la diferencia

El segundo miembro de esta igualdad aumentará si se sustituyen cada una de las magnitudes σ 1 , σ 2 ,...., σ n por la mayor de ellas (que designaremos por σ') y cada denominador se sustituye por y 0 2 . Por consiguiente:

Si σ' tiende a cero, de esta desigualdad se deduce que la diferencia Σ - Σ' también se aproxima a cero.
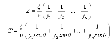
Transformemos ahora la suma Z hasta que adquiera el aspecto de

De aquí, designando por α la menor y por β la mayor de las relaciones

obtenemos
Supongamos que el número α aumenta ilimitadamente y supongamos que al mismo tiempo cada una de las magnitudes σ 1 , σ 2 ,...., σ n , y, por consiguiente, la magnitud σ' tienden a cero. Entonces la diferencia σ - Σ' se aproximará, como demostramos anteriormente, a cero, mientras que las magnitudes α y â tienden a la unidad. Debido a esto, de las desigualdades (3) y (4) se deduce que cada una de las sumas σ, Σ' y Z se aproximará a un mismo límite y que éste será igual a la longitud hiperbólica s del arco AB .
Lo más cómodo es utilizar la suma Z, puesto que en ella figuran las longitudes de los segmentos euclidianos y no las de los arcos, Así pues

donde la transición al límite se efectúa en las condiciones indicadas anteriormente.
Advertiremos que en la igualdad (5) por y 1 se puede admitir la distancia entre cualquier punto del segmento AP 1 y la recta u , por y 2 se puede admitir la distancia entre cualquier punto del segmento P 1 P 2 y u , etc. Con esto la suma Z puede cambiar su magnitud, pero su límite no variará.

Figura 12
Si el arco de cierta línea se puede dividir en un número finito de partes que satisfagan las condiciones expuestas más arriba para el arco AB , resulta ser que la longitud hiperbólica de este arco representa la suma de las longitudes hiperbólicas de dichas partes. Por ejemplo, el arco AD , expuesto en la figura 12, lo dividimos en las partes AB , BC y CD , pero los puntos de división los marcamos en el arco CD partiendo desde D hacía C .
Supongamos que los puntos del semiplano τ se desplazan de tal manera que la longitud hiperbólica de cualquier arco perteneciente a este semiplano es igual a la longitud hiperbólica de este mismo arco en su nueva posición. Semejante desplazamiento de les puntos lo denominaremos movimiento hiperbólico . Este concepto es análogo al concepto del movimiento del plano euclidiano, por ejemplo, al giro del plano euclidiano en cierto ángulo alrededor de cualquier punto de dicho plano.

Figuras 13 y 14
Si el movimiento hiperbólico transforma la figura F en F 1 entonces las figuras F y F 1 se denominan figuras hiperbólicamente iguales.
Examinemos los tipos más simples de movimientos hiperbólicos:
- Si se traspasa cada punto del semiplano τ en una misma distancia y en unamisma dirección paralelamente a la recta u resulta que cada figura se transforma en otra hiperbólicamente igual a ella,pues no varia ni su magnitud euclidiana, ni la distancia de sus puntos a u . De aquí deducimos que el desplazamiento euclidiano del semiplano τ a lo largo de la recta es un movimiento hiperbólico .
- Supongamos que la transformación de similitud con centro en el punto arbitrario O de la recta u y con coeficiente positivo de similitud transforma el segmento MN en el segmento M 1 N 1 (figura 13). Designemos por y e y 1 , respectivamente, las distancias de los puntos N y N 1 a la recta u . En virtud de la semejanza de los triángulos OMN y OM 1 N 1 tendremos: MN/y = M 1 N 1 /y 1 . De aquí y de la igualdad (5) se deduce que durante dicha transformación novaría la longitud hiperbólica de un arco determinado de cualquier línea. Porconsiguiente, la transformación de similitud con centro de similitud en lo recta u y con coeficiente positivo de similitud es un movimiento hiperbólico . El coeficiente de similitud se elige positivo con el fin que el segmento M 1 N 1 resulte estar en el semiplano τ y no en τ'.
- Examinemos la inversión respecto a la circunferencia k del radio arbitrario R con el centro O en la recta u (figura 14). Supongamos que M y N son puntos suficientemente cercanos entre sí, M ' y N ' son los puntos simétricos a los dos primeros respecto a la circunferencia k . Designemos por y e y ' las distancias entre los puntos de intersección de la bisectriz del ángulo MON con los segmentos MN y M ' N ' y la recta u . Puesto que los triángulos OMN y ON'M' son semejantes, entonces MN/y = M'N'/y'. De aquí y de la igualdad (5) deducimos que durante la transformación dada novaría la longitud hiperbólica de un arco determinado de cualquier línea. Porconsiguiente, la inversión respecto a una circunferencia de cualquier radio con centro en la recta u es precisamente un movimiento hiperbólico.
- Y, por fin, no es difícil convencerse de que la transformación de simetría respecto a un eje perpendicular a la recta u es precisamente un movimiento hiperbólico.
Señalaremos que cada uno de los movimientos hiperbólicos examinados es una transformación conforme. Esto es evidente respecto a los desplazamientos del semiplano τ a lo largo de la recta u , y también en lo que se refiere a las transformaciones de similitud y de simetría en cuanto a la inversión, su conformidad quedó demostrada en el Capítulo 3.
Puesto que el movimiento hiperbólico tiene la propiedad de pasar cualquier figura a otra hiperbólicamente igual, la transformación que representa la secuencia de varios movimientos hiperbólicos, posee esa misma propiedad y, en virtud de ello, semejante transformación es también un movimiento hiperbólico.
Anotaremos sin demostración alguna que cualquier movimiento hiperbólico puede ser presentado en forma de secuencia de un número finito de movimientos hiperbólicos simplísimos que anteriormente examinamos.
Mostraremos ahora que en el semiplano τ con las regias de medición de longitudes establecidas para él, se cumplen las tesis de la geometría de Lobachevski.
Para ello tendremos que examinar en el semiplano τ ciertas figuras que se caracterizan por las mismas propiedades que las respectivas figuras de la geometría de Euclides pero que, posiblemente se diferencien de estas últimas por su forma; para ellas conservaremos los términos de la geometría euclidiana con el prefijo "hiperbólico": por ejemplo, denominaremos recta hiperbólica a la línea por la cual se mide la distancia hiperbólica más corta entre cualesquiera dos puntos de ella; denominaremos circunferencia hiperbólica al lugar geométrico de puntos que se encuentran a una misma distancia hiperbólica del punto dado,
Aclaremos cuáles líneas del semiplano τ son rectas hiperbólicas.

Figuras 15 y 16
Ante todo serán rectas hiperbólicas las semirrectas euclídeas perpendiculares a la recta u , hecho que se deduce de las consideraciones siguientes.
Supongamos que los puntos A y B se encuentran en la perpendicular a la recta u (figura 15). Unamos estos puntos con el segmento de la recta AmB y con cualquiera otra curva o línea quebrada AnB . Supongamos que dos recias arbitrarias a y b , bastante próximas entre sí y paralelas a u , cortan el segmento AmB en los puntos C y D y la línea AnB , en los puntos E y F . Puesto que la longitud euclidiana del segmento CD , hablando en general, es menor que la longitud euclidiana del arco EF y sus longitudes hiperbólicas pueden considerarse iguales a CD/y y EF/y, donde y es la distancia entre el punto D (o F ) y la recta u , la longitud hiperbólica del segmento CD , hablando también en general, es menor que la longitud hiperbólica del arco EF (estas longitudes hiperbólicas serán iguales entre si solamente en la condición que el arco EF sea un segmento de la recta euclidiana perpendicular a u ; es evidente que esta condición no se cumple siempre, ya que, de lo contrario, el arco AnB coincidiría con el segmento AmB ). De aquí se deduce que la longitud hiperbólica del segmento AmB es menor que la longitud hiperbólica del arco AnB , que es lo que se quería demostrar.
Demostraremos ahora que la semicircunferencia de la circunferencia euclidiana k con el centro en la recta u es también una recta hiperbólica.
Supongamos que k corta la recta u en los puntos A y B (figura 16). Describamos la circunferencia q con el centro en el punto A y admitamos a ésta como circunferencia de inversión. Supongamos que k y q se cortan en los puntos M y N . Durante la inversión respecto a q la circunferencia k , que pasa por el polo de inversión, se transforma en la recta MN (véase el Capítulo 3). Ya que la inversión es un movimiento hiperbólico y la recta MN es perpendicular a u , se ve que la semicircunferencia k . mediante el movimiento hiperbólico, se transforma en una recta hiperbólica. Por consiguiente, esta semicircunferencia es también una recta hiperbólica.
De esta manera las semirrectas euclídeas perpendiculares a la recta u y las semicircunferencias euclidianas con el centro en la recta u serán las recias hiperbólicas del semiplano τ. A continuación, examinando el axioma 1, nos convenceremos que no existen otras rectas hiperbólicas.

Figura 17
Levantemos en el semiplano τ una perpendicular a la recta u por cualquier punto arbitrario M de ésta (figura 17), elijamos en dicha perpendicular un punto A y construyamos los puntos A 1 , A 2 , A 3 ,... de tal manera que se cumplan las igualdades:
Con otras palabras, A 1 es el centro del segmento AM , A 2 es el centro del segmento A 1 M ... A 3 es el centro del segmento A 2 M , etc.
Examinemos la transformación de similitud con centro de similitud M y coeficiente de similitud 1/2. Esta transformación es un movimiento hiperbólico que traspasa los puntos A , A 1 , A 2 ..., respectivamente, a los puntos A 1 , A 2 , A 3 ,... De aquí se deduce que las longitudes hiperbólicas de los segmentos AA 1 , A 1 A 2 ,... son iguales entre si. De este mudo, la construcción efectuada por nosotros se reduce a trazar en la recta hiperbólica AM desde el punto A . los segmentos AA 1 , A 1 A 2 , A 2 A 3 hiperbólicamente iguales entre sí, y como se ve en la construcción, por muchos segmentos semejantes que construyamos, nunca alcanzaremos el punto M . Por consiguiente, M es un punto de la recta hiperbólica AM infinitamente alejado. Como M es un punto arbitrario de la recta u de lo anterior se deduce que todo punto de la recta u es un punto del semiplano infinitamente alejado.
El proceso del trazado de segmentos iguales entre sí AB 1 , B 1 B 2 , B 2 B 3 ..., en la recta hiperbólica AM (figura 17) puede ser efectuado también en la dirección opuesta a la examinada más arriba, y este proceso también será infinito. De aquí se deduce que el punto de la recta AM , alejado infinitamente en el sentido de la geometría euclidiana, será al mismo tiempo un punto de la recta hiperbólica AM infinitamente alejado.
Cualquier punto de la recta hiperbólica AM , a excepción de los dos puntos indicados anteriormente, se encontrará a una distancia finita hiperbólica de A ya que, para un valor finito suficientemente grande del número entero positivo n se encontrará o bien en el segmento AA n , o bien en el segmento AB n .
Así pues, la recta hiperbólica AM , y por lo tanto toda recta hiperbólica, tiene dos, y solamente dos puntos infinitamente alejados.

Figura 18
Si la recta hiperbólica se expone como una semicircunferencia euclidiana con centro en la recta u , los puntos de intersección con u serán sus puntos infinitamente alejados.
Señalaremos que la recta euclidiana tiene sólo un punto infinitamente alejado: éste es el punto común de la recia dada y de todas las rectas paralelas a ella.
Ahora no es difícil convencerse que en el semiplano τ se cumplen todos los axiomas del plano de la geometría de Lobachevski. Nos limitaremos a examinar dos axiomas.
Axioma 1. Por dos puntos diferentes puede ser trazada una, y solamente una rectahiperbólica.
Si los puntos dados A y B se encuentran en la perpendicular euclidiana a la recta u , esta perpendicular será la recta hiperbólica que se busca. En caso contrario hallamos en la recta u el punto N , equidistante de A y B , y describimos desde el centro N con radio NA una semicircunferencia (figura 18); ésta será la recta hiperbólica que buscamos.
Demostraremos que a través de dos puntos diferentes A y B no pueden pasar dos rectas hiperbólicas diferentes l y l '. Es suficiente suponer que A y B pertenecen a la perpendicular euclidiana l a la recta u (figura 19), ya que cualquier otro caso se reduce a éste mediante el correspondiente movimiento hiperbólico. Para semejante disposición de los puntos A y B la distancia hiperbólica más corta entre ellos se mide, como se demostró anteriormente, solamente por la recta euclidiana l , por lo que en el segmento AB coinciden l y l '. Admitamos ahora que el punto C , que se encuentra en l ', no pertenece a l , y que además B se encuentra en l ' entre A y C .

Figura 19
Entonces el arco AC ' de la semicircunferencia euclidiana k con el centro en u pertenecerá a la recta hiperbólica, que en el segmento AC no coincide con l ', cosa que como acabamos de ver, es imposible. Así pues, l y l ' coinciden por completo.
De aquí se deduce que no existen otras rectas hiperbólicas que no sean las semirrectas euclidianas perpendiculares a u y las semicircunferencias euclidianas con centros en u : por cualesquiera dos puntos dados pasa una sola recta hiperbólica que, además, es de uno de estos dos tipos.
Axioma 2. Por el punto P, que no pertenece a la recta hiperbólica p, pueden ser trazadasdos rectas hiperbólicas paralelas a p
.
Dos rectas hiperbólicas se llaman paralelas si tienen un punto común alejado infinitamente. En particular, las rectas hiperbólicas expuestas en forma de perpendiculares euclidianas a u , son paralelas; su punto común, alejado infinitamente, es el mismo en el semiplano y que en el plano euclidiano ω.

Figura 20
Designemos por A y B (figura 20) los puntos de la recia hiperbólica p infinitamente alejados. Tracemos a través P y A la semicircunferencia euclidiana m con centro M en la recta u , y a través de P y B la semicircunferencia euclidiana n con centro N en u. Las semicircunferencias euclidianas m y n serán las rectas hiperbólicas que buscamos; éstas serán paralelas a la recta hiperbólica p en sus diferentes direcciones: m , en la dirección de B hacia A y a , en la dirección de A hacia B .
Por el punto P pasan rectas hiperbólicas de tres géneros:
1) que cortan la recta p .
2) paralelas a p, y
3) que no cortan la recta p y no son paralelas a ésta.
Existe una multitud infinita de rectas hiperbólicas del primer género, multitud infinita de rectas hiperbólicas del tercer género, y sólo dos del segundo género.
Para la construcción de una recta hiperbólica del primer género es menester desde cualquier punto arbitrario K del segmento MN , como desde el centro describir una semicircunferencia k de radio KP (figura 21).

Figura 21
Si efectuamos esta misma construcción tomando por el centro de la semicircunferencia un punto arbitrario L de la recta u , que se encuentre fuera del segmento MN , obtendremos la recta hiperbólica l del tercer género (la misma figura).
Ahora es obvio que el Axioma 2 es equivalente al axioma del paralelismo de Lobachevski formulado en el Capítulo 2.
Si dos rectas hiperbólicas no se cortan y no son paralelas, se denominan divergentes. Por ejemplo, las rectas p y l (Fig. 21) son divergentes.
De este modo, en el semiplano τ se cumplen los axiomas, y quiere decir que también los teoremas, de la geometría de Lobachevski. Por esto el semiplano τ con las reglas de medición de longitudes que anteriormente se establecieron para él, representa el plano de Lobachevski, o, hablando más exactamente, la carta del plano de Lobachevski en el plano euclidiano.
Es aleccionador el comparar esta carta con la carta de la superficie terrestre ejecutada en la proyección de Mercator; en esta última los meridianos se exponen en forma de rectas paralelas a las que son perpendiculares las rectas que representan los paralelos (véase figura 2). Se deben considerar "rectas" en la esfera las circunferencias de los círculos mayores y en particular, los meridianos. Los paralelos, a excepción del ecuador, no son "rectas", pero en la carta se exponen en forma de rectas euclidianas. De manera análoga, en el semiplano τ, de todas las rectas euclidianas perpendiculares a la recta u y paralelas a ella, las primeras son rectas hiperbólicas y las segundas no (en el Capítulo 7 se hablará más detalladamente de éstas).
Después, la longitud del grado del paralelo es tanto menor cuanto mayor es su latitud, pero en la carta de Mercator el segmento igual 1° del paralelo, independientemente de la latitud del paralelo, tiene una misma longitud. Un cuadro análogo se observa también en el semiplano τ (véase principio L.
Es importante señalar que la carta τ es conforme, es decir, la magnitud euclidiana del ángulo en esta carta es igual a su magnitud real en el plano de Lobachevski.
Primero demostraremos esto para el caso de un ángulo recto. Describamos la semicircunferencia k con el centro en el punto M de la recta u y tracemos en M la perpendicular p a la recta u (figura 22).

Figuras 22 y 23
Examinemos los ángulos 1, 2, 3, 4, formados por las rectas hiperbólicas k y p . Existe un movimiento hiperbólico que transforma los ángulos 1 en 2 y 3 en 4 (simetría respecto a p ), y un movimiento hiperbólico que transforma los ángulos 1 en 3 y 2 en 4 (inversión respecto a k ). De aquí se deduce que en el plano de Lobachevski (igual que en la carta τ) ∠ 1 = ∠ 2 = ∠ 3 = ∠ 4 y, por consiguiente, cada uno de estos ángulos es recto. Aprovechando la configuración de la figura 22 designemos por A el punto de intersección de las líneas k y p , y por N , uno de los puntos de intersección de las líneas k y u (figura 23). Describamos desde el centro N la semicircunferencia euclidiana n del radio NA . Esta dividirá el ángulo 1 , expuesto en la figura 22, en dos ángulos, 5 y 6 , cuyas magnitudes euclidianas, como es fácil convencerse, son iguales entre sí. La inversión respecto a n transformará k en p y p en k y, por consiguiente, los ángulos 5 y 6 cambiarán de sitio. De aquí se deduce que no sólo son iguales entre sí las magnitudes reales (hiperbólicas) de éstos, es decir, en el plano de Lobachevski (igual que en la carta τ) cada uno de ellos es igual a la mitad de un ángulo recto.
Designemos por L punto de intersección de las líneas u y n , que se encuentra al mismo lado del punto M que el punto N , y que es encuentra al mismo lado del punto M que el punto N , y describamos desde el centro L la circunferencia l del radio LA (figura 23). Esta dividirá el ángulo 6 en los ángulos 7 y 8 . No es difícil convencerse de que
y como ∠ 6 = 1/2 d , ∠ 7 = 1/4 d y. por consiguiente, las magnitudes euclidianas de los ángulos 7 y 8 son iguales entre sí. Al mismo tiempo también son iguales entre si sus magnitudes hiperbólicas, pues durante la inversión respecto a la circunferencia l estos ángulos permutan de sitio.
De manera análoga demostramos que los ángulos que en la carta τ tienen la magnitud euclidiana de 1/8 d , 1/16 d ,.... tienen también esta misma magnitud en el plano de Lobachevski.
Puesto que todo ángulo puede ser figurado en forma de una suma de un número finito o también en forma del límite de la suma de un número ilimitadamente creciente de sumandos tipo
la conformidad de la carta τ queda demostrada.
La circunferencia en el plano de Lobachevski
Aclaremos cómo se expresa en la carta τ la circunferencia del plano de Lobachevski.
Tracemos a través del punto M de la recta u la recta euclidiana p perpendicular a u , y elijamos en ella en el semiplano τ dos puntos arbitrarios B y C (figura 24: MB > MC ). Construyamos en p el punto A de tal manera que se cumpla la igualdad
De esta igualdad deducimos que las longitudes hiperbólicas de los segmentos CA y AB son iguales. Efectivamente, la transformación de similitud con centro de similitud M y coeficiente
CM pasa el segmento AB a CA .
Designemos por O el centro euclidiano del segmento BC , describamos desde el centro O con radio OB la circunferencia euclidiana q y construyamos el punto simétrico a A respecto a la recta u .

Figura 24
Como
= 1/4 ( BM 2 + 2 BM·CM + CM 2 - 4 BM · CM )
de la igualdad (8) obtenemos
De aquí vemos que los puntos A y A 1 son simétricos respecto a la circunferencia q .
Demostraremos que las distancias hiperbólicas de todos los puntos de la línea q respecto al punto A son iguales entre sí.
Tracemos a través de A y A 1 una circunferencia euclidiana arbitraria n (figura 25). Su centro N se encuentra en la recta u y, por consiguiente, su parte situada en el semiplano τ representa en si una recta hiperbólica.
Supongamos que a y q se cortan en los puntos D y E , y que n y u se cortan en los puntos F y G . Describamos con el radio FA desde el centro F la circunferencia euclidiana f . Las circunferencias q y f son mutuamente ortogonales, ya que f pasa por los puntos A y A 1 , que son simétricos respecto a q (véase el Capítulo 3); por esto la inversión respecto a f transforma la circunferencia q en sí misma.
Luego, esta misma inversión transforma la recta p , que no pasa por el polo de inversión F , en una circunferencia que pasa por F y también por los puntos A y A 1 , que durante la inversión dada permanecen inmóviles, es decir, la transforma en la circunferencia n . Por otro lado, la circunferencia n que pasa por el polo de inversión, se transforma en una recta que, precisamente, es p ya que esta recta debe pasar por los puntos A y A 1 .

Figura 25
De aquí se deduce que los arcos AD y AE de la circunferencia u se transforman, respectivamente, en los segmentos AB y AC de la recta p . Por consiguiente, las longitudes hiperbólicas de los segmentos AD y AE de la recta hiperbólica n son iguales a las longitudes hiperbólicas de los segmentos AB y AC de la recta hiperbólica p o, dicho con otras palabras, las distancias hiperbólicas entre los puntos B , C , D , E y el punto A son iguales. Esto demuestra que la circunferencia hiperbólica se expone en la carta τ en forma de una circunferencia euclidiana que no tiene puntos comunes con la recta u ; no obstante, la imagen de su centro ( A ) no coincide con el centro ( O ) de la correspondiente circunferencia euclidiana.
Para concluir señalaremos que toda recta hiperbólica que pasa por A corta la circunferencia q en un ángulo recto, hecho análogo a la conocida propiedad de los diámetros de la circunferencia euclidiana.
La equidistante
Supongamos que p y q son la perpendicular y la inclinada a la recta u en cierto punto de ésta M y que P 1 Q y P 2 Q 2 son los arcos de las circunferencias euclidianas con un centro común M o, dicho de otra manera, son segmentos de dos rectas hiperbólicas m y m 2 (figura 26). Puesto que m y m 2 cortan p en un ángulo recto, las longitudes hiperbólicas de los arcos P Q y P 2 Q 2 representan en si las distancias hiperbólicas de los puntos Q y Q 2 a la recta hiperbólica p . Estas distancias hiperbólicas son iguales entre si, pues el arco P Q puede ser convertido en el arco P 2 Q 2 mediante la transformación de similitud con centro en M .

Figura 26
De aquí deducimos que la línea q es el lugar geométrico de los puntos las distancias hiperbólicas entre los cuales y la recta hiperbólica p son iguales. Semejante línea se denomina equidistante y la recta hiperbólica p es su base. La equidistante, como se ve de los resultados del Capítulo 4, no es una recta hiperbólica.
La suposición que el lugar geométrico de los puntos que se encuentran a una misma distancia de la recta dada y que se hallan a un mismo lado de ésta contradice a la propiedad señalada de la equidistante y, quiere decir, que contradice también al axioma del paralelismo de Lobachevski; ésta es equivalente al axioma del paralelismo de Euclides.
Advertiremos que las rectas hiperbólicas perpendiculares a la base de la equidistante cortan ésta en un ángulo recto, lo que es evidente de la figura 26.
La inversión respecto a la circunferencia con centro en la recta u , distinto de M , transforma q en una circunferencia euclidiana; ésta, igual que la recta hiperbólica, corta la recta u , pero su centro no pertenece a u .
Así pues, en la carta τ la equidistante se expresa o bien como una semirrecta euclidiana, que corta la recta u en un ángulo agudo u obtuso, o bien como un arco de una circunferencia euclidiana, que corta la recta u pero que tiene su centro fuera de u . Es fácil convencerse de que no existe una equidistante de otro género.
La línea límite
Tracemos el diámetro p de la circunferencia q , perpendicular a la recta u , y designemos por C el punto de su intersección con q , más cercano a u (figura 27). Si se fija el punto C y se aumenta ilimitadamente el radio de la circunferencia q de tal manera que su centro se desplace por la recta p en la dirección indicada por la flecha resultará ser que, en el límite, q se convertirá en la recta euclidiana h , paralela a u .

Figura 27
La línea h no es una recta hiperbólica y se denomina línea límite. De este modo, la forma límite de la circunferencia, uno de los puntos de la cual y la tangente en este punto están fijados y el radio de la cual crece ilimitadamente, es una línea recta en la geometría de Euclides y una línea límite en la geometría de Lobachevski. Su nombre se explica por esta propiedad de la línea límite.
Examinemos el movimiento hiperbólico que representa en sí la inversión respecto a la circunferencia n con el centro N en la recta u (figura 27). Este movimiento transforma la línea h en la circunferencia euclidiana h 1 , que pasa por N , con el centro en la perpendicular común NN 1 de las recias euclidianas u y h , de donde se deduce que h 1 hace contacto con la recta u .
Así pues, la línea límite se expone en la carta τ o en forma de una recta euclidiana, paralela a u , o en forma de una circunferencia euclidiana que se toca con u .
Tracemos por N la circunferencia euclidiana l con el centro L en la recta u (figura. 27). Puesto que los radios de las circunferencias euclidianas h 1 y l son perpendiculares entre sí, la recta hiperbólica l corta la recta límite h 1 en un ángulo recto. De aquí deducimos que todas las rectas hiperbólicas que pasan por un punto de recta límite infinitamente alejado, y que se denominan ejes de ésta, cortan dicha línea en un ángulo recto.

Figuras 28 y 29
Cualquier límite h hiperbólicamente es igual a cualquier línea límite h 1 , es decir, existe un movimiento hiperbólico que transforma h en h 1 . Semejante movimiento hiperbólico será: la transformación de similitud con el centro de similitud en la recia u , si h y h 1 son rectas euclidianas paralelas a u o son circunferencias euclidianas de diferentes radios tangentes a u (figuras 28 y 29); el desplazamiento del semiplano τ a lo largo de la recta u , si h y h 1 son circunferencias euclidianas de un mismo radio tangentes a u ; la inversión con el polo en u , si una de las líneas h y h 1 es una recta euclidiana, paralela a u , y la otra es una circunferencia euclidiana, tangente a u.
Algunos teoremas de la geometría de Lobachevski
Teorema 1. La suma de los ángulos de cualquier triángulo e menor de 2d.
Examinemos primeramente eL triángulo rectángulo ABC (figura 30). Sus lados a , b , c se exponen, respectivamente, en forma de un segmento de la perpendicular euclidiana a la recta u , de un arco de la circunferencia euclidiana con el centro M y de un arco de la circunferencia euclidiana con el centro N . El ángulo C es recto. El ángulo A es igual al ángulo entre las tangentes de las circunferencias b y c en el punto A o, lo que es lo mismo, al ángulo entre los radios NA y MA de estas circunferencias. Por último, ∠ B = ∠ BNM.

Figura 30
Construyamos en el segmento BM , como en el diámetro, la circunferencia euclidiana q ; ésta tiene sólo un punto común B con la circunferencia c , pues su diámetro es el radio de dicha circunferencia. Por esto el punto A se encuentra fuera del círculo limitado por la circunferencia q y, por consiguiente,
De aquí, en virtud de la igualdad ∠ MBN + ∠ B = d , tenemos:
por eso ∠ A + ∠ B + ∠ C < 2 d , que es lo que se quería demostrar. Señalaremos que, con ayuda del correspondiente movimiento hiperbólico, cualquier triángulo rectángulo se puede situar de tal manera que uno de sus catetos pertenezca a la perpendicular euclidiana a la recta u ; de esta manera, el método de deducción de la desigualdad (9) que utilizamos es aplicable a cualquier triángulo rectángulo.
Si se trata de un triángulo oblicuángulo, se divide éste mediante una de sus alturas en dos triángulos rectángulos. La suma de los ángulos agudos de estos triángulos rectángulos es igual a la suma de los ángulos del triángulo oblicuángulo dado. De aquí, tomando en consideración la desigualdad (9), se deduce que el teorema es válido para cualquier triángulo.
Teorema 2 . La suma de los ángulos del cuadrilátero es menor de 4d.
Para la demostración es suficiente dividir diagonalmente el cuadrilátero en dos triángulos.
Teorema 3 . Dos rectas divergentes tienen una, y solamente una, perpendicular común
Supongamos que una de las rectas divergentes dadas se expone en la carta τ en forma de la perpendicular euclidiana p a la recta u en el punto M , la otra se expone en forma de la semicircunferencia euclidiana q con el centro en u y, además, p y q no tienen puntos comunes (figura 31).

Figura 31
Semejante disposición de dos rectas hiperbólicas divergentes en la carta τ siempre puede ser alcanzada mediante el correspondiente movimiento hiperbólico.
Tracemos desde M la tangente euclidiana MM a q y, con el radio MN , describamos desde el centro M la semicircunferencia m . Es obvio que m es una recta hiperbólica que corta tanto p como q en un ángulo recto. Por consiguiente, m representa en la carta la perpendicular común a las rectas divergentes dadas, que es la que buscamos. Dos rectas divergentes no pueden tener dos perpendiculares comunes pues, de lo contrario, existiría un cuadrilátero con cuatro ángulos rectos, cosa que contradice al teorema 2.
Teorema 4. La proyección rectangular del lado de un ángulo agudo sobre el otro lado es unsegmento (y no una semirrecta como lo es en la geometría de Euclides).

Figura 32
La justeza del teorema es evidente de la figura 32, donde el segmento AB es la proyección rectangular del lado AB del ángulo agudo BAC sobre su lado AC .
En esta misma figura, el arco DE de la circunferencia euclidiana con el centro en M es la perpendicular a la recta hiperbólica AC . Esta perpendicular no se corta con la oblicua AB . Por lo tanto, la suposición que la perpendicular y la oblicua a una misma recta siempre se cortan contradice al axioma del paralelismo de Lobachevski, y es equivalente al axioma del paralelismo de Euclides.
Teorema 5 . Si los tres ángulos del triángulo ABC son iguales, respectivamente, a los tresángulos del triángulo A'B'C', dichos triángulos son iguales.
Admitamos lo contrario y tracemos respectivamente en los rayos AB y AC los segmentos AB 1 = A'B ', AC 1 = A'C' . Es evidente que los triángulos AB 1 C 1 y A'B'C' son iguales por dos lados y el ángulo comprendido entre ellos. El punto B 1 no coincide con B , el punto C 1 no coincide con C , ya que en cualquier de estos casos tendría lugar la igualdad de los triángulos dados, cosa que contradice a lo admitido.

Figuras 33 y 34
Examinemos las posibilidades siguientes.
- El punto B 1 se encuentra entre A y B , y C 1 se encuentra entre A y C (figura 33; en esta figura, y también en la siguiente, las recias hiperbólicasse exponen convencionalmente en forma de rectas euclidianas). No es difícilconvencerse que la suma de los ángulos del cuadrilátero BCC 1 B 1 es igual a 4 d , cosa imposible en virtud del teorema 2.
- El punto B 1 se encuentra entre A y B , y C se encuentra entre A y C 1 (figura 34). Designemos por D el punto de intersección de los segmentos BC y B 1 C 1 . Puesto que ∠ C = ∠ C ' y ∠ C '= ∠ C 1 , resulta que ∠ C = lo que es imposible, ya que el ángulo C es externo respecto al triángulo CC 1 D
El teorema ha sido demostrado pues la admisión que hicimos nos condujo a una contradicción.
Del teorema 5 se deduce que en la geometría de Lobachevski no existe un triángulo semejante al triángulo dado que no sea igual a éste.
Observaciones complementarias
Al examinar la carta τ puede hacerse una serie de deducciones importantes.
En primer lugar, todo teorema de la geometría de Lobachevski se lleva en la carta τ a cierto teorema de la geometría de Euclides. Por eso, la existencia de una contradicción en la geometría de Lobachevski llevaría tras de sí otra contradicción en la geometría euclidiana. Por consiguiente, la geometría de Lobachevski no es contradictoria.
En segundo lugar, el conocimiento de la geometría de Lobachevski facilita extraordinariamente la revelación de errores en los intentos de demostrar el axioma del paralelismo de Euclides que, en la mayoría de los casos, se reduce a la admisión de una suposición equivalente a este axioma. Para convencerse de lo infundada que es dicha suposición es suficiente demostrar que ésta contradice al axioma del paralelismo de Lobachevski. Así fue cómo procedimos en los tres ejemplos que examinamos anteriormente (respecto del lugar geométrico de los puntos equidistantes de una recta, así como de la intersección de la perpendicular y la oblicua a una recta dada, y también de la existencia de triángulos semejantes pero no iguales).
Pondremos un ejemplo más. El matemático del siglo pasado Farkas Bolyai (el padre del mencionado más arriba Juan Bolyai) propuso una demostración del axioma del paralelismo de Euclides que se basaba en la suposición que a través de tres puntos que no pertenecen a una recta siempre puede ser trazada una circunferencia, F. Bolyai consideraba este hecho evidente, pero en la geometría de Lobachevski no tiene lugar, ya que a través de tres puntos del plano de Lobachevski que no se encuentran en una recta pasa o bien una circunferencia, o bien la línea limite, o bien la equidistante y. por consiguiente, a través de tales tres puntos no siempre puede ser trazada una circunferencia. De aquí vemos que la suposición de F. Bolyai es equivalente al axioma euclidiano del paralelismo, cosa que atestigua cuán infundada es su demostración.
Lobachevski en sus investigaciones no hacía uso del método de construcción de cartas en el plano hiperbólico; este método fue propuesto por primera vez por el matemático italiano Eugenio Beltrami (1835-1900) en una de sus obras editada en 1868, pasados 12 años desde la muerte del gran geómetra ruso.
La carta del plano de Lobachevski, que examinamos en nuestro libro y que se diferencia considerablemente de la carta construida por Beltrami, fue introducida en la ciencia por el científico francés Henri Poincaré (1854-1912). (Ver detalles de Henri Poincaré en http://www.librosmaravillosos.com/grandesmatematicos/capitulo28.html, en Grandes Matemáticos contenido en Libros Maravillosos
Acerca de los logaritmos naturales y funciones hiperbólicas
El material que a continuación se expone se utilizará en los párrafos siguientes.
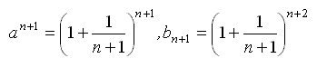
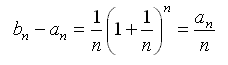
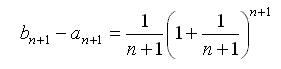
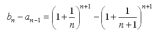
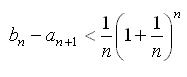
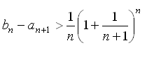
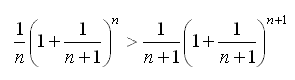
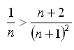
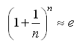
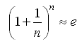
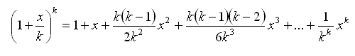
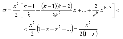
Establezcamos previamente algunas correlaciones importantes. Introducimos las designaciones:

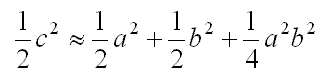
donde n es un número entero positivo. Es evidente que

De las igualdades (10) y (11) obtenemos:


y

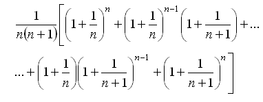
Al descomponer el segundo miembro de la última igualdad en factores obtenemos

Sustituyendo en los corchetes cada uno de los factores

De aquí, en virtud de la igualdad (12) tendremos
Por consiguiente, la magnitud a n , crece con el incremento del número n .
Sustituyamos ahora en los corchetes de la expresión (14) cada uno de los factores (formula10-8) por (formula10-7). Como resultado, la expresión (14) disminuirá lo que, después de las simplificaciones, conducirá a la desigualdad

Es fácil convencerse que

efectivamente, después de las simplificaciones, de aquí obtenemos:

o
La justeza de la última desigualdad es evidente.
De (15), (16) y (13) obtenemos
Así pues, la magnitud b n disminuye con el incremento del número n .
Puesto que a 1 = 2, b 1 = 4, de lo anterior deducimos que
De aquí y de (12) se deduce la desigualdad
Como al crecer el número n crece también a n , disminuye b n , y la diferencia b n - a n , tiende a cero, lo que se deduce de (17), las magnitudes a n y b n , tienden a un mismo límite que se ha admitido designar con la letra e , y además, la primera siempre es inferior y la segunda superior que este límite. Así

y

En particular, cuando n = 1 tenemos
El número e es irracional y su valor aproximado es igual a 2,71828. De las desigualdades (19) se deduce la igualdad aproximada

el error de esta es menor que la diferencia b n — a n y, por lo tanto, es menor que 4/n.
Supongamos que x es una fracción propia positiva racional, Demos al número entero positivo n tales valores que el número nx = k sea entero. En virtud de las desigualdades (19) obtenemos

Por consiguiente, tendrá lugar la igualdad aproximada

El error de ésta es menor que

Luego, por la fórmula del binomio de Newton, tenemos

De aquí se deduce la igualdad aproximada

Designemos σ por el error de ésta. Es obvio que

De (22), (25) y (26) deducimos que
y que el error de esta relación no excede x 2 / 2(1 - x ), ya que el límite de la expresión xe x /k [véase (23)] es igual a cero cuando k crece ilimitadamente. Este error puede hacerse tan pequeño como se quiera dando a la magnitud x valores suficientemente pequeños.
La fórmula (27) es válida en el caso cuando x < 1 es un número positivo irracional, de lo que uno puede convencerse examinando sus valores racionales aproximados.
Señalaremos que la fórmula (27) es válida también para valores negativos de x que, por su magnitud absoluta, son menores de la unidad; en este caso su error no excede x 2 / 2(1 + x )
De (22) y (24) puede ser obtenida otra igualdad aproximada más exacta que (27). Como k →∞ , el limite del tercer término del segundo miembro de la igualdad (24) es igual a 1/2 x 2 . Por consiguiente, se puede suponer que
Utilizan esta fórmula cuando x es tan pequeña que se puede desatender de la magnitud x 3 . No vamos a efectuar la valorización del error de la fórmula (28).
Examinemos el sistema de logaritmos con base e . Semejantes logaritmos se llaman naturales y juegan un papel muy importante en la matemática superior.
El logaritmo natural del número x se designa así: ln ( x) . En virtud de las propiedades de los logaritmos ya conocidas ln (1) = 0, ln ( e ) = 1.
Mediante la logaritmación de ambos miembros de la relación (27) obtenemos la igualdad aproximada siguiente:
puede hacerse uso de esta igualdad cuando x es suficientemente pequeña.
Con ayuda del número e se calculan las funciones hiperbólicas: el seno hiperbólico y el coseno hiperbólico (sus designaciones son, respectivamente, senh y cosh), siendo

Las dos otras funciones hiperbólicas, la tangente hiperbólica y la cotangente hiperbólica (sus designaciones son, respectivamente, tanh y ctanh), pueden calcularse así:
Las funciones hiperbólicas tienen una serie de propiedades análogas a las propiedades de las funciones trigonométricas homónimas. Por más detalles remitimos al lector al libro de V. G. Shervatov que anteriormente mencionamos.
Para valores de la magnitud x suficientemente pequeños obtenemos de (27), (30) y (31) las igualdades aproximadas siguientes:
y de (28), (30) y (31) se obtienen las igualdades aproximadas:
senh( x ) ≈ x, cosh( x )≈ 1 + 1/2 x 2 , tanh( x ) ≈ 2 x/ (2 + x 2 ) (33)
Medición de segmentos de las rectas hiperbólicas
En este párrafo se demostrará cómo se calculan las longitudes hiperbólicas de los segmentos de rectas hiperbólicas.

Examinemos primeramente la semirrecta euclidiana del semiplano τ, perpendicular a la recta u en su punto M (figura 35), y en ella los puntos A , B , C , D , dispuestos de tal manera que
o, lo que es igual,
Designando por μ cada una de las dos últimas relaciones advertimos que la transformación de similitud con el centro M y coeficiente p traslada el segmento CD al segmento AB y por consiguiente, las longitudes hiperbólicas de estos segmentos son iguales entre si.
De lo dicho se deduce que la longitud hiperbólica del segmento AB (que designaremos por AB h ) se caracteriza por la relación MB / MA o, dicho de otro modo, es cierta función de esta relación. Demostraremos que por esta función puede ser admitido el logaritmo, es decir, se puede poner
Supongamos que F es un punto del segmento AB . Entonces
Mediante la logaritmación de esta igualdad y en virtud de la fórmula (34) obtenemos
lo que concuerda con la regla de la suma de segmentos.
Hablando en general. en la fórmula (34) se puede coger el logaritmo con cualquier base positiva (pero que sea la misma para todos los segmentos y diferente de 1); sin embargo, para la concordancia de la regla deducida por nosotros con los dictámenes del Capítulo 4, es necesario optar por el logaritmo natural y. por lo tanto, escribir la fórmula (34) en forma de
Efectivamente, si el segmento AB es suficientemente pequeño en comparación con el segmento MA , de las relaciones
obtenemos en virtud de las fórmulas (29) y (35)
lo que concuerda con el principio admitido en el Capítulo 4. Señalaremos que las longitudes hiperbólicas de los segmentos AB y BA , calculados por la fórmula (35), son iguales por su magnitud absoluta, pero se diferencian por el signo. Esto demuestra que cuando cambia la dirección del segmento por la opuesta, su longitud hiperbólica cambia de signo. Si la dirección del segmento nos es indiferente, en el segundo miembro de la fórmula (35) se debe coger la magnitud absoluta del logaritmo.
Examinemos ahora la semicircunferencia euclidiana q con centro M en la recta q , que corta u en los puntos N' y N , y la perpendicular euclidiana a u en el punto M , que corta q en el punto A (figura 36).

Figura 36
Supongamos que B es un punto del arco AM . Tracemos la recta euclidiana NB y designemos por B ' su intersección con MA . No es difícil convencerse de la igualdad de los segmentos AB y AB ' de las rectas hiperbólicas q y MA . Efectivamente, la inversión respecto a la circunferencia q' de radio NA con el centro N transforma q en la recta euclidiana MA ; con esto el punto A se transforma en sí mismo, y el punto B se transforma en B ', ya que B y B ' se encuentran en la recta euclidiana que pasa por el polo de inversión N . Por consiguiente,
Designemos el ángulo NMB por θ entonces ∠ MNB = 90 - θ/2
y
De aquí
Si C es un punto del arco BN (figura 36) y∠ NMC = φ, entonces, como se deduce de (36),
De aquí
De tal modo, hemos obtenido fórmulas tanto para el caso cuando la recta hiperbólica, que contiene el segmento dado, se expone en forma de una semirrecta euclidiana, como también para el caso cuando ésta se expone como una circunferencia euclidiana.
Fórmulas fundamentales de la trigonometría hiperbólica
Examinemos en el semiplano τ el triángulo rectángulo ABC (figura 37). Su lado BC es un segmento de la recta euclidiana OB ( OB ⊥ u ), el lado CA es un arco de la circunferencia euclidiana con el radio 1 y el centro O , el lado AB es un arco de la circunferencia euclidiana con el radio 1 y el centro M , el ∠ C es recto, el ∠ A = α y el ∠ B =β.

Figura 37
Bajemos desde el punto A la perpendicular AN sobre la recta u e introduzcamos las designaciones
Designemos las longitudes hiperbólicas de los lados BC , CA y AB del triángulo dado, respectivamente, por a , b y c . (Por el contrario, l , m , n , p y q son las longitudes euclidianas.)
Advertiremos que
Estableceremos ahora una serie de dependencias entre las magnitudes que examinamos.
De los triángulos OBM y OAM tenemos;
1 = l 2 + m 2 - 2 mn (=OA 2 )
De aquí
A continuación, en virtud de la fórmula (35)

De aquí, utilizando las igualdades (38). obtenemos:

Del triángulo OAN tenemos:

Puesto que en virtud de (36)

De aquí
A continuación, de los triángulos OBM y OAN hallamos:
sen θ = q/l | cos θ = n/l | (42) |
sen β = p/l | cos β = m/l | (43) |
tan θ/2 = (1 - cos θ)/sen θ = ( l + n ) / q
tan β/2 = (1 - cos β)/sen β = ( l - m ) / p
ctan β /2 = (1 + cos β)/sen β = ( l + m ) / p
Puesto que en virtud de (37)

Por consiguiente,
Y, por último, del triángulo OAM obtenemos
De aquí. tomando en consideración (40) y (42), tendremos:
sen α = sen φ cos θ - cos φ sen θ = ( qn - q(n - m)) / l
cos α = sen φ cos θ - cos φ sen θ = ( n(n-m)+q 2 ) / l = ( n(n - m) + l 2 - n 2 ) / l 2
De (39), (41). (43), (44) y (45) obtenemos:
tan α = (m(n- m)) / (l 2 -mn) | tanh b = n - m | tanh c = (l(n-m))/ (l 2 -mn) | (46) |
tan α = qm / (l 2 -mn) | ctan α = (l 2 -mn) / qm | (47) | |
tan β = p/m | ctan β = m/p | (48) |
Con ayuda de las igualdades (39), (41). (43) - (48) no es difícil comprobar la justeza de las fórmulas siguientes, que son fundamentales en la trigonometría hiperbólica:
cosh c = cosh a · cosh b | (49) |
senh a = senh c · sen α | (50) |
senh b = senh c · sen β | (51) |
tanh a = senh b · tan α | (52) |
tanh b = senh c · cos α | (53) |
tanh a = tanh c · cos β | (54) |
tanh b = tanh c · cos α | (55) |
cos α = cosh a · sen β | (56) |
cos β = cosh b · sen α | (57) |
cosh c = ctan α · ctan β | (58) |
A las fórmulas (49) - (58) se les puede dar un aspecto más general si sustituimos en ellas las magnitudes a , b y c , respectivamente, por a/r , b/r y c/r, que es equivalente a la variación de la escala de las longitudes hiperbólicas. Aquí r es una constante, común para todos los segmentos.
Es característico que, para valores de las magnitudes a , b y c suficientemente pequeños, de las dependencias que obtuvimos entre los elementos del triángulo rectángulo se deducen igualdades aproximadas, análogas a las fórmulas de la trigonometría euclidiana. Así, por ejemplo, utilizando las relaciones (32) y (33) obtendremos de (50), (52) y (54):
a = c sen α
a = b tan β
a = c cos β


después de la simplificación, desatendiendo del último sumando del segundo miembro por motivo de su insignificancia, obtendremos
De este modo, la fórmula (49) concuerda con el teorema de Pitágoras de la geometría euclidiana.
Longitudes de algunas curvas planas de la geometría de Lobachevski
Longitud del arco de la línea límite. En la figura 38 el arco ADB de la circunferencia euclidiana con centro O en la recta u representa un segmento de la recta hiperbólica, y el segmento euclidiano AB , que es paralelo a u , representa un arco de la línea límite.

Figura 38
Designemos, respectivamente, sus longitudes hiperbólicas por 2 a y 2 s .
Utilizando la fórmula (36) obtendremos a = ln ctan θ/2, de aquí ctan θ/2 = e a . Luego la utilización del principio 1° del Capítulo 4, da:

De aquí, en virtud de la determinación del seno hiperbólico, obtendremos
Puesto que a < s resulta ser que de (59) tendremos
Longitud de la circunferencia. Previamente demostraremos dos proposiciones auxiliares.
a) Si a es una magnitud positiva suficientemente pequeña resulta que tanh a < a. Efectivamente, de (33) tenemos

Hallemos ahora la longitud s de la circunferencia hiperbólica de radio R. (Aquí y en lo sucesivo todas las designaciones se refieren a las longitudes hiperbólicas). Supongamos que AB y CD son los lados de los polígonos regulares de n lados uno de los cuales está inscrito y el otro circunscrito en esta circunferencia; designemos sus perímetros por p y P y las longitudes de los segmentos AC y EF por p y p ' (véase figura 39; en ella las figuras hiperbólicas se exponen convencionalmente en forma de figuras euclidianas).

Figura 39
De los triángulos rectángulos OAE y OCF , donde O es el centro de la circunferencia dada, obtendremos en virtud de las fórmulas (52) y (50):
tanh AE = senh OE · tg 2 d / n | |
senh CF = senh OC · sen 2 d / n | ó |
tanh p /2 n = senh ( R - p ) · tg 2 d / n | (62) |
senh p /2 n = senh ( R + p ) · sen 2 d / n | (63) |
Sea el número n tan grande que tanh p /2 n < p /2 n : puesto que en virtud de la desigualdad (60) p /2 n < senh p /2 n , de las fórmulas (62) y (63), multiplicando cada uno de sus términos por 2 n , tendremos:
Tomando en consideración la igualdad (61) y teniendo en cuenta que p y p' tienden a cero cuando n crece ilimitadamente, llegamos a la conclusión que el primero y el último de los términos de la sucesión de desigualdades (64) se aproxima a un mismo límite 2π·senh R , que coincide con la magnitud s:
Así pues, en la geometría de Lobachevski la longitud de la circunferencia es igual al seno hiperbólico de su radio multiplicado por 2 a .
Longitud del arco de la equidistante. Supongamos que los puntos P 1 , P 2 ,..., P n-1 , que se encuentran a las distancias euclidianas y 1 , y 2 ,..., y n-1 , de la recta u , dividen el segmento AB en n partes euclídicamente iguales, y supongamos que las longitudes euclidianas de los segmentos OB y AB son iguales, respectivamente, a y ω y ζ (figura 40; OB ⊥ u ). Examinemos los arcos AA' , P 1 P 1 ',..., BB ' de las circunferencias euclidianas con el centro común O , que representan perpendiculares trazadas desde las puntos de la equidistante OB ' sobre su base OB . La longitud hiperbólica h de cada una de estas perpendiculares se determina según la fórmula (36) por la igualdad h =ln ctan θ/2
Designemos las longitudes hiperbólicas del arco A'B' de la equidistante dada y el segmento AB de su base por s y a . Como las distancias euclidianas entre los puntos P 1 , P 2 ,..., B' y la recta u son, respectivamente, iguales a y 1 sen θ, y 2 sen θ y,..., y n sen θ, y la longitud euclidiana de cada una de las partes en las que están divididos los segmentos AB y A'B' es igual a ζ/ n, en virtud de las deducciones del Capítulo 4, tendremos:

Figura 40

donde

De aquí:
Puesto que la relación de las magnitudes Z' y Z conserva un mismo valor, este mismo valor tendrá también la relación de sus límites:

Por consiguiente, s = cosh h .
De tal manera, la longitud de la equidistante es igual a la proyección rectangular de este arco sobre la base de la equidistante. multiplicada por el coseno hiperbólico de la distancia entre sus puntos y la base.
En los últimos renglones de nuestro libro, sin aducir demostraciones, informaremos a nuestro lector sobre algunas proposiciones de la geometría de Lobachevski que acentúan su originalidad.
Ante todo nos referiremos a una superficie del espacio euclidiano que mencionamos de paso en el Capítulo 2.

Figuras 41 y 42
En la figura 41 se expone un plano euclidiano y en él la recta a y la curva t (tractriz) enlazada con a y que tiene la propiedad siguiente: el segmento de la tangente a t en cualquier punto de ésta, comprendido entre el punto de contacto y el punto de intersección de la tangente con la recta a , tiene una longitud constante que no depende de la elección del punto de contacto.
Si hacemos girar la tractriz t alrededor de la recta a , la primera describirá una superficie denominada seudoesfera (figura 42).
La seudoesfera es precisamente aquella superficie que investigó Beltrami demostrando que ésta se caracteriza por sus propiedades propias del pedazo del plano de Lobachevski (si se consideran "rectas" las líneas más cortas en él).
De manera semejante en el espacio de Lobachevski existe una superficie en la que se cumplen (para la misma interpretación de la noción "recta") las tesis superficiales de la geometría euclidiana; ésta es la llamada superficie límite, que la describe la línea límite girando alrededor de unos de sus ejes.
Alegaremos ahora las formulaciones de algunas de las tesis más simples que son características para la geometría de Lobachevski.

Figura 43
- Dos rectas paralelas se aproximan asintóticamente en la dirección de suparalelismo (es decir, la distancia entre un punto de una de estas rectas y laotra recta puede hacerse tan pequeña como se quiera) y divergen ilimitadamenteen la dirección opuesta.
- Supongamos que la recta c corta las rectas divergentes a y b en los puntos A y B . La longitud del segmento AB será la mínima si c coincide con la perpendicular común a ambas rectas divergentes. A ambos ladosde su perpendicular común las rectas a y b divergen ilimitadamente.
- El área del triángulo ABC , el área es igual a r 2 (π - ∠ A - ∠ B - ∠ C ) donde las magnitudes de los ángulos se cogen en medida de radianes y r es la constante común para todos los triángulos, que ya mencionamos en elCapítulo 12, El área máxima π r 2 pertenecerá al triángulo en el que todos los ángulos son iguales a cero (en lafigura 43 semejante triángulo está sombreado).
- El ángulo inscrito en una circunferencia no siempre se mide por la mitad delarco en el que se apoya. En particular, en el diámetro siempre se apoya unángulo agudo (y no recto, como en la geometría euclidiana).
- Si está dado un número entero arbitrario n > 6 puede ser construida tal circunferencia que el lado del polígonoregular de n lados, inscrito en dicha circunferencia, sea igual al radio de ésta. El ladodel hexágono regular inscrito en una circunferencia siempre es mayor que elradio de ésta.
- En la geometría de Lobachevski, en ciertos casos, se puede efectuar lacuadratura del círculo, es decir, utilizando la regla y el compás se puedeconstruir un circulo y un "cuadrado" equidimensionales (más exactamente, unrombo equiángulo, pues en el plano hiperbólico no existe un cuadrilátero concuatro ángulos rectos). En la geometría euclidiana, como es sabido, no puedeser realizada la cuadratura del círculo.
Los ejemplos examinados demuestran cuán grande es a veces la divergencia entre las deducciones de las geometrías de Euclides y de Lobachevski.
En nuestro libro se han marcado solamente los primeros jalones del camino que conduce a la penetración en el fondo de la geometría hiperbólica. Nos alegraremos si el lector, que por nuestra narración ha conocido los principios de esta ciencia maravillosa, se interese por ella y desee estudiar los trabajos especiales dedicados a ésta y, entre ellos, las obras de su fundador N. I. Lobachevski.