
Fútbol y matemáticas
David Sumpter
Las matemáticas no pueden competir con el fútbol. El fútbol encarna las esperanzas y los sueños de las naciones. Nos une en la admiración por la habilidad y el compromiso. Tiene superestrellas y tácticas, entretenimiento y emoción. El fútbol cubre secciones enteras de los periódicos y llena de mensajes nuestro Twitter. Decenas de miles de aficionados abarrotan los estadios y miles de millones de personas ven por televisión la Copa del Mundo. Comparen todo esto con las matemáticas. Las eruditas revistas académicas yacen sin ser leídas en bibliotecas vacías. La asistencia a los seminarios se reduce a dos profesores adormilados y a un pequeño grupo de aburridos estudiantes de doctorado. ¿Fútbol y matemáticas? No hay competencia posible.
Si las matemáticas pudieran competir con el fútbol, entonces estaríamos dispuestos a pagar 40 libras al mes por una suscripción a Sky Mathematics. En lugar de pasarnos la noche del miércoles viendo la Liga de Campeones, entraríamos en Khan Academy y repasaríamos las desigualdades lineales. Si las matemáticas pudieran competir con el fútbol, pasaríamos las tardes de noviembre sentados en sillas de plástico heladas contemplando como Marcus du Sautoy refuta en la pizarra a ese engreído físico de Manchester que aparece en televisión. Arsenal uno, Oldham Athletic cero. En lugar de decir «es un partido en dos tiempos», diríamos que «se trata de una división simple de la unidad intervalo en dos partes de igual medida». En lugar de «dio el 110 %», el comentarista diría... bueno, diría que «dio el 100 %».
No se trata de que las matemáticas no hayan tenido su oportunidad. Todos hemos estado sentados en la escuela aprendiendo las tablas de multiplicar y pulsando números en una calculadora. Todas esas horas pasadas intentando recordar si 7 veces 8 son 56 o 54, o si pi es cuadrado o circular. Teniendo en cuenta todo ese tiempo, y todo el entrenamiento, se podría pensar que todo el mundo se habría dado cuenta si las matemáticas fueran tan excitantes como el fútbol. Pero parece que la mayoría de las personas no se deja engañar tan fácilmente. Es posible que existan algunas personas que disfruten con las matemáticas, pero hay muchas, muchas más que están locamente enamoradas del fútbol.
Yo soy una de esas personas que disfrutan de las matemáticas casi tanto como disfrutan del fútbol. Soy profesor de matemáticas y me paso el día creando y comprendiendo modelos matemáticos. Pero ni siquiera yo me atrevo a llegar al punto de pretender que las matemáticas puedan competir con el fútbol. No pueden. Todas las probabilidades están en contra.
A veces, cuando miro el fútbol y después bajo la vista a mis libros de matemáticas, me empiezo a peguntar qué estoy haciendo exactamente con mi vida. Aquí estoy yo, un profesor de matemáticas aplicadas. Trabajo en una amplia variedad de problemas diversos e interesantes con investigadores de todo el mundo. Tengo la oportunidad de viajar por todo el mundo para presentar mi trabajo en conferencias en lugares exóticos y para visitar las universidades más importantes del mundo. Esto debería equivaler a jugar por Inglaterra. Pero no lo es, y yo sé que no lo es. Ser un matemático es respetable, pero no se parece en nada a tener éxito en el fútbol.
Los grandes futbolistas no solo son maestros en técnicas y habilidades, sino que también alcanzan un nivel increíble de forma física. Desde luego, los futbolistas no están gordos. Al contrario, lo primero que los ojeadores de fútbol buscan en un joven es «inteligencia», la capacidad de ver con rapidez lo que ocurre a su alrededor y planificar para cualquier circunstancia: algo que los académicos podríamos llamar razonamiento espacial. Los futbolistas tampoco son perezosos. Son individuos muy motivados, centrados y resueltos, que desde una edad muy temprana decidieron que querían triunfar. Se adora a los futbolistas porque realmente han alcanzado la grandeza. Todos los demás solo la podemos soñar.
Yo soy del tipo de personas que no pueden dejar de soñar. A pesar de que ahora tengo 42 años, y con dos pies izquierdos y solo un interés moderado en ponerme en forma, no puedo dejar de creer que puedo contribuir al fútbol. Al fin y al cabo, planear y razonar también se encuentran en la lista de prerrequisitos para el éxito futbolístico, ¿o no? En eso soy bueno. Quizá las matemáticas tengan algo que ofrecer al fútbol. Y quizás el fútbol tenga algo que ofrecer a las matemáticas.
Tengo buenas razones para creer que mi habilidad para crear modelos, aprendida con gran esfuerzo, al final puede resultar útil. Los números juegan un papel cada vez más importante en el fútbol. Clasificaciones de jugadores y equipos, asistencias y goles, porcentaje de posesión y de pases, frecuencia de entradas e intercepciones son solo unas pocas de las estadísticas que aparecen en los informes sobre los partidos. «Pizarras» detalladas del ángulo de los saques de esquina, de las líneas de pase y mapas de calor posicionales se muestran en las pantallas de los ordenadores de los entrenadores en las reuniones después del partido. Pero esos números son solo el punto de partida. Las matemáticas agrupan las estadísticas de una manera que nos permite ver lo que está pasando. En cuanto tenemos los números, las matemáticas nos ofrecen su interpretación.
Existen toda una serie de cuestiones futbolísticas que se pueden responder utilizando las matemáticas. ¿Cuál es la probabilidad de marcar un gol en los últimos dos minutos de una final de la Liga de Campeones? Por mucho que digan los seguidores del Real Madrid, se trata de una cuestión relacionada con la naturaleza del azar puro. ¿Por qué es tan efectivo el tiquitaca del Barcelona? Se trata de una cuestión de geometría y dinámica. ¿Por qué se dan tres puntos por una victoria en los partidos de liga? En este caso es un tema de la teoría de juego y de incentivos. ¿Quién es mejor, Messi o Ronaldo? Se trata de una cuestión de grandes desviaciones estadísticas. ¿Qué es lo que los mapas de calor y las estadísticas de pases nos explican realmente sobre el juego? Esta es una cuestión de big data y de sistemas en red. ¿Cómo es posible que los corredores de apuestas puedan presentar unas ofertas tan atractivas? Esta es una cuestión de probabilidades combinatorias y psicología. ¿Y por qué es tan difícil ganar en estos casos? Se trata de una cuestión de inteligencia colectiva y promedios.
En este libro voy a contestar a todas estas preguntas y muchas más, pero mi ambición va mucho más allá. Con Fútbol y matemáticas no pretendo simplemente proporcionarte algunos hechos matemáticos relacionados con el fútbol que puedas explicar a los amigos en el bar, sino que se trata de cambiar tu forma de mirar tanto las matemáticas como el fútbol. Creo que ambos tienen mucho que ofrecerse el uno al otro y, aunque las matemáticas no pueden competir con el fútbol, pueden aprender mucho mutuamente. Las mates se pueden utilizar para explicar el fútbol, y el fútbol ayuda a explicar matemáticas.
El fútbol y las mates parten desde el mismo punto. El fútbol parte de las «leyes del juego», las reglas establecidas por la Federación Internacional de Fútbol Asociación. Lo que los entrenadores de fútbol deben resolver es el problema de cómo conseguir que su equipo gane dentro de los límites establecidos por las reglas. Las matemáticas tienen su propio conjunto de reglas, que los matemáticos deben aplicar para conseguir las respuestas correctas a las preguntas que se plantean. Al seguir dichas reglas, y con un poco de inspiración, tanto los futbolistas como los matemáticos intentan conseguir su objetivo. El entrenamiento y las matemáticas empiezan con la teoría.
Pero las reglas del juego no lo son todo. El entrenador debe explicar la importancia de que cada jugador mantenga su posición, pero si el defensa central roba el balón en su propio campo, corre con confianza hacia la portería contraria y lo mete por la escuadra, ni siquiera Louis Van Gaal podrá quejarse. La mayoría de nosotros no tenemos problemas para aceptar que lo que ocurre en la práctica es muy diferente de lo que la teoría dice que debería ocurrir. Si todo el mundo se atuviera a la teoría, entonces los partidos de fútbol —y la vida en general— serían muy aburridos.
Lo mismo sirve para las matemáticas. Por supuesto, cuando se demuestra una teoría matemática, su verdad no cambia con el tiempo. El teorema de Pitágoras nos explica la relación entre la longitud de los lados de un triángulo rectángulo, y esta relación es estable. Pero el mundo real no está hecho de triángulos perfectos, y cuando las matemáticas se encuentran con el mundo real puede ocurrir cualquier cosa. A veces nuestro modelo matemático del mundo real es correcto, pero en otras ocasiones es erróneo. A veces, como los entrenadores de fútbol, elaboramos una idea teórica muy hermosa, solo para ver cómo nuestras observaciones salen volando en una dirección completamente diferente. La puesta en práctica de las matemáticas es tan importante como el conocimiento de los detalles precisos de la teoría.
Esta combinación de teoría y práctica es lo que hace que el fútbol sea el deporte que amamos. Puedes regatear como Messi o tocarla como Beckham, pero si el equipo carece de estructura, nunca tendrás la oportunidad de demostrar tus habilidades. Puedes cantar con orgullo y sentimiento el himno nacional, pero 30 minutos después descubrir que pierdes por 5-0 ante una Alemania bien organizada. Y puedes conocer todas las formaciones del manual, pero sin las horas de práctica en el patio del colegio y en el campo de entrenamiento, no conseguirás dominar el toque que necesitas para triunfar. El fútbol es más que la táctica, es más que el dominio del balón y es más que la sensación de ganar.
Mientras que cualquier aficionado al fútbol sabe que la teoría y la táctica son solo una pequeña parte del fútbol, esta misma idea es mucho menos conocida en su aplicación a las matemáticas. Oímos hablar de personajes como Andrew Wiles, que se encerró en su oficina de Princeton para salir siete años después con una prueba del último teorema de Fermat. Las películas muestran a los matemáticos como niños prodigio, profesores cubiertos de tiza o genios difíciles sin amigos. Se nos dice que las matemáticas son una partida de ajedrez compleja, que no deja de evolucionar y que debes estudiar durante años para aprender las reglas. Se trata de casi todo lo opuesto al mundo fanático del fútbol. Con demasiada frecuencia se admira a las matemáticas por su pureza y a los matemáticos por su dedicación, pero no por su carácter impulsivo y su imaginación.
Por muy hermosas que puedan ser las matemáticas puras, ese no es el tipo de matemáticas que me entusiasma. Siempre he tenido por objetivo el uso de las mates en lugares inusuales. He utilizados redes para cartografiar extensiones urbanas, redes ferroviarias y vecindarios segregados. Veo ecuaciones al seguir la mirada de los viajeros del transporte urbano, en cómo los estudiantes aplauden después de asistir a una presentación y en cómo los aficionados al heavy-metal saltan en la pista. He creado modelos sobre el movimiento de los peces entre el coral en el arrecife de la Gran Barrera, el cambio democrático en Oriente Medio, el desplazamiento de las hormigas cortadoras de hojas cubanas, nubes de langostas atravesando el Sahara, enfermedades que se extienden en remotas aldeas ugandesas, la toma de decisiones políticas por parte de los políticos europeos, el baile de las abejas melíferas en Sídney, inversores bursátiles americanos y las estructuras tubulares construidas por un moho del cieno japonés. Para mí no existen límites para los modelos matemáticos. Todo se puede y se debe fijar en un modelo.
Muy al principio de mi carrera me di cuenta de que era diferente de muchos de mis colegas matemáticos, que se especializaban en ecuaciones específicas y en áreas de aplicación delimitadas. Yo quería ocuparme de los datos y trabajar con biólogos y sociólogos. Me gusta la belleza abstracta de las ecuaciones, pero las fórmulas no tienen significado hasta que no dicen algo sobre la realidad. Así que, mientras que la mayor parte del día la paso sentado delante del ordenador o esbozando ideas en una pizarra, a veces se me puede encontrar construyendo una pista de carreras para langostas, hablando con ministros sobre cómo afrontar problemas sociales, vagando por el bosque contando hormigas, o entregando tabletas en una clase de primaria para poder estudiar cómo juegan a juegos matemáticos interactivos. No dejo que sea solo la lógica la que me indique qué problemas estudiar, sino que permito que me influyan mis emociones, mis sentimientos y mi sentido del humor. Juego con las matemáticas lo mismo que juego a fútbol, solo que muchísimo mejor.
Siempre ha existido un razonamiento unificador detrás de todos mis proyectos, aparentemente desconectados. Considero que diferentes partes del mundo están relacionadas entre sí y utilizo las matemáticas para crear vínculos entre ellas. Utilizo unas matemáticas que no tienen miedo de ensuciarse, de cambiar de táctica en el descanso o de implicar a jugadores de todas las procedencias y de todo el mundo en un partido gigantesco. Se trata de unas matemáticas que pretenden entretener al mismo tiempo que impresionar, y nos alegramos por el equipo tanto como por el individuo. Este es el enfoque que ofrece Fútbol y matemáticas.
En este libro utilizo las futbolmáticas para abordar toda una serie de problemas muy diferentes. El fútbol es siempre el punto de partida, pero no me quedo ahí. Cada capítulo es una historia sobre cómo el fútbol y las mates pueden trabajar juntos para crear analogías poderosas. Muestro que los entrenadores utilizan las mismas tácticas para ocupar un espacio que los pájaros para pelearse por un gusano y que las células cancerígenas utilizan para luchar por nuestro cuerpo. Descompongo la estructura en red de los equipos de la Liga de Campeones y muestro cómo la extensión de un cántico futbolístico puede explicarlo todo, desde el aplauso educado de una audiencia y la transmisión de rumores hasta enfermedades en las partes más pobres de África. Muestro que, mientras la ola puede ser divertida para los aficionados, se trata de vida o muerte para los peces. Estas historias unen los mundos físico, biológico, social y futbolístico.
Bajo estas historias individuales yace un mensaje más profundo. La filosofía futbolmática se centra en un estilo más accesible y creativo de las matemáticas. Se trata de unas matemáticas que traspasan los límites y crean relaciones y analogías. Son matemáticas que se pueden aplicar a todo. Utilizo analogías futbolísticas para explicar otras partes del mundo, y uso otras partes del mundo para explicar el fútbol. Estas analogías son posibles porque los modelos matemáticos proporcionan una herramienta muy poderosa para ver las conexiones. Cuando trabajas con modelos matemáticos, ves relaciones que han pasado desapercibidas para otras personas.
Como en el fútbol, cualquiera puede jugar con los modelos. Si eres del tipo de personas que ven las cosas con más claridad a través de analogías futbolísticas, a través de analogías deportivas, mediante cualquier tipo de analogías, analogías en el cine y en la música, analogías en la naturaleza o en cualquier otro tipo de analogías, entonces ya te encuentras un paso más cerca de convertirte en un experto en modelos matemáticos. Si eres capaz de establecer buenas analogías, entonces podrás crear buenos modelos matemáticos. Para realizar estos modelos, lo primero que debes hacer es utilizar la imaginación y después aplicarte al problema. Se trata de una actividad creativa, pero que está sometida a reglas y procedimientos. Quiero mostrarte cómo se puede pensar de esta manera y tengo la esperanza de que te ayude a comprender mejor tu propia vida y el mundo que te rodea. Las matemáticas son una vía para ver los problemas y encontrar las soluciones.
Al pensar futbolmáticamente, verás jugadores, equipos, entrenadores y aficionados bajo una luz nueva. Verás por qué Bastian Schweinsteiger es un torbellino, por qué los defensas del Bayern de Múnich son leonas y por qué el equipo del Barcelona en 2015 es un avión de caza. Aprenderás cómo se puede motivar a un equipo haciéndolo trabajar como hormigas y cómo desanimar a los holgazanes cambiando los incentivos. Verás por qué apostar es como intentar construir un cable de comunicación hacia el futuro, comprenderás por qué los apostadores que no saben casi nada del juego pueden realizar juntos predicciones muy inteligentes, y te darás cuenta de por qué nunca debes confiar en los expertos. Es posible que incluso descubras cómo ganar algo de dinero en las apuestas.
Este libro explica los modelos importantes a través de palabras, simulaciones de ordenador e imágenes. En lugar de llenar páginas con símbolos ininteligibles, presentaré cálculos claros que revelan el trabajo interno de un equipo de fútbol. No será necesario que desentierres tu calculadora científica, porque utilizaré mi portátil para procesar enormes cantidades de datos de los partidos. Y aunque seguiremos necesitando nuestra querida pizarra, la utilizaré para esbozar diagramas y crear imágenes intuitivas. Asumo que no tienes un conocimiento profundo de las matemáticas, pero para los que quieran aprender más, he incluido detalles en las notas finales. Mostraré que al crear modelos matemáticos se trata de ver patrones y establecer analogías. Al terminar el libro, serás capaz de encontrar las matemáticas por todas partes.
Tampoco asumo que tengas un gran conocimiento del fútbol. Y también quiero ser honesto con el lector desde el principio. Mientras que garantizo que este libro le ofrecerá una perspectiva única del fútbol, soy consciente de mis limitaciones: por supuesto, no soy un entrenador de fama mundial, sino solo un académico con un éxito razonable. Antes de empezar a investigar para este libro, era como otros muchos británicos. Veía fútbol, leía sobre él, jugaba con mis amigos y me dedicaba en el tiempo libre a entrenar a un equipo (con mucho talento) de niños de 10 años. Los amigos que me han visto jugar se van a reír a carcajadas cuando descubran que he escrito un libro sobre este tema.
En lugar de pretender que soy un experto, ofrezco una perspectiva diferente. Matemáticos y economistas se han ocupado con anterioridad de escribir sobre fútbol. Han argumentado que si los equipos fueran capaces de cambiar la manera en que sacan de esquina o tiran las faltas, serían capaces de marcar más goles. Aconsejan a los mejores jugadores del mundo sobre cómo lanzar un penalti. Ofrecen argumentos estadísticos sólidos de por qué Inglaterra ganará la próxima Copa del Mundo... o por qué no la volverá a ganar nunca más. Algunas de estas sugerencias de inspiración matemática tienen sentido, pero otras no. Analizaré cómo podemos evaluar estas opiniones y crear nuestros propios argumentos a partir de los modelos.
Lo mismo sirve para cuando vemos el fútbol que se presenta por televisión. Los estudios están equipados en la actualidad con tecnología avanzada para mostrar y analizar las tácticas y los momentos más importantes. La cuestión para los telespectadores es: ¿qué información útil ofrece este despliegue? Una animación de la posición de los jugadores puede tener un buen aspecto si delante encontramos a Jamie Carragher, pero es Jamie Carragher quien entiende de fútbol, no el programador que generó el gráfico. Cuando vemos una manera nueva de mostrar los datos, debemos tener mucho cuidado en no confundir la presentación con la sustancia. Para ello debemos comprender las mates que se encuentran detrás de estas grandes pantallas sofisticadas.
La sobrecarga de datos y estadísticas no es exclusiva del fútbol. Las matemáticas se utilizan en la actualidad para enfrentarse a problemas en todas las ciencias y sociedades. Precios inmobiliarios, calendarios de proyectos, redes de amigos en Facebook, marketing viral, inteligencia artificial, póker online, crecimiento económico, ingeniería genética, biología informática, planificación de concentraciones y desastres, y casi toda la vida moderna está condicionada por las matemáticas. Así que aunque no estés especialmente interesado en ver cómo 22 personas le dan patadas a un balón en un terreno de juego, no puedes situarte fuera del mundo matemático. Necesitas comprender cómo funcionan las matemáticas aplicadas y cómo pensamos los matemáticos.
El fútbol ofrece una manera genuina de comprender las conexiones entre las mates y el mundo moderno. Fútbol y matemáticas se centra en cómo se utilizan las analogías para comprender la ciencia, la sociedad y el fútbol. Así que olvida las aburridas reglas sobre senos y cosenos: yo te voy a enseñar cómo los modelos matemáticos se centran en pensar con libertad y amplitud. Empezaremos en el campo, después nos desplazaremos al banquillo y finalmente nos encontraremos en medio de la multitud e intentaremos ser más listos que los corredores de apuestas online. Estamos a punto de iniciar una aventura matemática a través del juego más hermoso.
Parte I
En el campo
Capítulo 1
Nunca he predicho nada y nunca lo haré
Hay patrones en lo que tardamos en llegar al trabajo por la mañana en hora punta. Hay patrones en nuestras redes de amigos y en la frecuencia con la que nos reunimos con ellos. Hay patrones en lo que comemos cada noche para cenar y en lo que compramos en el supermercado. Y también, por supuesto, hay patrones en el fútbol. El reto radica en encontrar dichos patrones y comprenderlos. En cuanto identificamos un patrón, podemos realizar una predicción.
Subbuteo al azar
Puedo remontar mi fascinación por los patrones a un gran libro naranja en tapa dura lleno de estadísticas de fútbol que me regalaron por Navidad cuando tenía ocho años. Me pasaba las horas mirando páginas llenas de números. Me gustaban las tablas que tenían los nombres de los equipos en la parte de arriba y al lado izquierdo, y las entradas eran los resultados de los partidos que habían jugado entre ellos durante la temporada. Revisaba la tabla de arriba abajo, sumando los goles marcados y buscando partidos con resultados raros; 4-3 era mi favorito, y 5-2 también me sonaba bien.
En la actualidad no tengo demasiado tiempo para leer anuarios de fútbol, pero afortunadamente solo se tardan unos pocos segundos en encontrar en internet todos los resultados y las tablas. Si lo haces, puedes tener la sensación de impredecibilidad de la que hablaba Gascoigne. La temporada 2012/2013 de la Premier League es un buen ejemplo: hubo partidos bastante emocionantes y resultados inesperados. El Liverpool ganó dos veces por 5-0 y una vez por 6-0, pero no pudo clasificarse para Europa. La temporada terminó con la retirada de sir Alex Ferguson, el rey de los cambios de fortuna inesperados en el último minuto. Su último partido como entrenador del Manchester United no fue una excepción: un empate 5-5 en el que el West Bromwich Albion marcó tres goles en los últimos diez minutos. «¡Fútbol, maldita sea!», como lo resumió una vez Fergie.
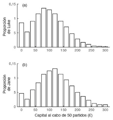
Estos resultados fueron las excepciones excitantes de los partidos más memorables de la temporada. También hubo un buen número de aburridos empates 0-0, quizás olvidados por los aficionados, pero no por las estadísticas de la temporada. Pero si queremos comprender el patrón subyacente, también los tenemos que incluir en nuestro análisis. La figura 1.1 es un histograma del número de goles marcados en todos los partidos de la Premier League de la temporada 2012/2013. La media del número de goles marcados era ligeramente inferior a tres por partido: 2,79 para ser exactos.
Este histograma muestra la frecuencia con la que se dieron los resultados. En conjunto hubo 35 empates 0-0, que es la primera barra del histograma. El último partido de Ferguson fue uno de los dos de dicha temporada que terminó con 10 goles marcados, como se puede ver a la derecha. En el centro, el resultado más habitual fueron tres goles, y en la mayor parte de dichos partidos el resultado final fue 2-1. Ya empieza a aparecer un patrón. El siguiente paso es ver si podemos comprender de dónde surge este patrón, y para ello necesitamos un modelo matemático.

Figura 1.1. Histograma del número de goles marcados durante la temporada 2012/2013 de la Premier League inglesa.
Obligados por unos padres que parecían creer que teníamos que hacer cosas como comer y dormir, Patzi y yo teníamos que encontrar una manera diferente de completar la liga. La respuesta estaba en los dados. Patzi lanzaba un dado por un equipo y yo lo lanzaba por el otro. Entonces tomábamos el número en cada uno de los dados para obtener el resultado. Así, si el Arsenal jugaba contra el Manchester City, él tiraba un dado rojo y yo tiraba uno azul. Si el dado rojo mostraba un cinco y el azul un 3, entonces el Arsenal ganaba 4-2. Este modelo puede generar partidos de 0 a 10 goles, como en el histograma de la Premier League.
Después de un montón de tiradas de dados, y algunos pequeños ajustes para favorecer a nuestros clubes favoritos, completábamos los resultados basándonos en los números que aparecían en los dados. Compilamos las ligas y las estadísticas y las apuntamos limpiamente en papel pautado. Creo que siempre estuve destinado a convertirme en matemático (y el otro David es en la actualidad un contable de éxito).
El lanzamiento de dados es un ejemplo muy sencillo de un modelo matemático, pero presenta algunos problemas. El Chelsea batió al Aston Villa por 8-0 poco antes de las Navidades de 2012, lo que no podía ocurrir en nuestro modelo de tirada de dados. Otro problema es que el empate 0-0 ocurre con mucha frecuencia en el fútbol real. Para los dados, un resultado de 0-0 es como un 5-5, pero en el histograma 0 goles es casi 20 veces más probable que 10 goles. El modelo no funciona. Los partidos de fútbol no tienen resultados al azar, como ocurre con la tirada de dados.
Pero los partidos de fútbol son aleatorios de otra manera. Lo que hace que el fútbol y otros deportes de equipo sean apasionantes es su impredecibilidad. Si estás mirando un partido y apartas la vista durante unos pocos segundos, te puedes perder una jugada importante y un gol inesperado. Como creador de modelos, esto me dice algo importante. Un gol se puede marcar en cualquier momento durante el partido. Mientras que existe toda una serie de factores que determinan la cadencia con la que marcan los equipos, el momento de los goles es más o menos aleatorio.
Esta suposición la podemos convertir en una simulación. Imagina que un partido de fútbol está formado por 90 períodos individuales de un minuto, en cada uno de los cuales existe la misma probabilidad de que se marque un gol. Con una media de 2,79 goles por partido, la probabilidad de que se marque un gol en cualquiera de estos períodos es de 2,79/90 = 0,031. Esto significa que las posibilidades de ver un gol en un minuto escogido al azar es de aproximadamente 1 de 32. No es muy probable, pero sí suficiente para estar seguros de que sigues mirando.
Utilizando este modelo podemos poner en marcha una simulación informática de 90 minutos, en la que en cada minuto simulado existe un 0,031 de probabilidad de que se marque un gol. Si mantenemos en marcha la simulación para un gran número de partidos, podemos descubrir cuál es el aspecto de una temporada típica. Esta temporada simulada se representa en la figura 1.2 como una línea, superpuesta sobre el histograma de la temporada real 2012/2013 de la Premier League.
La correspondencia entre el modelo y la realidad es muy buena. Recuerda toda la complejidad que entra en juego. Todos los gritos del entrenador desde la banda. Los aficionados intentando animar a su equipo o, con mayor frecuencia de la deseada, gritándoles lo inútiles que son. Los pensamientos en la cabeza de los jugadores mientras se dicen que ahora ha llegado la oportunidad de marcar. Ninguno de estos factores parece afectar la distribución de los goles marcados. Al contrario, son todos estos factores actuando juntos los que generan el tipo de aleatoriedad asumida en el modelo. A más factores implicados, mayor es la aleatoriedad de los goles, y mayor la igualdad de nuestro histograma simulado con la realidad.

Figura 1.2 El histograma del número de goles marcados durante la temporada 2012/2013 de la Premier League inglesa (barras del histograma) comparado con la distribución de Poisson (línea).
No tomé la decisión de centrarme en la Premier League de fútbol porque supiera de antemano que seguiría el modelo de Poisson. Simplemente me gusta el fútbol. Podría haber escogido cualquier deporte en el que se pueden marcar goles en cualquier momento. Para asegurarme, comprobé todos los resultados de los partidos de hockey sobre hielo de la temporada 2012/2013 de la NHL. Hubo una media de 5,2 goles durante los 60 minutos de partido. La figura 1.3 muestra un histograma del número de goles en los 720 partidos que forman la temporada. La línea es la distribución de Poisson correspondiente.

Figura 1.3. Histograma del número de goles marcados durante la temporada 2012/2013 de hockey sobre hielo de la NHL (barras) comparado con la distribución de Poisson (línea).
En el hockey sobre hielo se marcan más goles, pero no son más o menos aleatorios que en el fútbol.
Recibir la coz de un caballo
Si empiezas a pensar en términos de simulaciones aleatorias y distribuciones de Poisson, entonces las verás por todas partes. En la asignatura de estadística de la licenciatura, la mejor (y la única) broma del profesor es que las llegadas del autobús están sometidas a la distribución de Poisson. La empresa de autobuses empieza con un horario, pero aparecen toda una serie de factores aleatorios: un anciano se toma su tiempo para subir al vehículo, o un ciclista ocupa el centro del carril bus. Otro ejemplo clásico es el número de bombillas que tienes que cambiar en casa cada año. Cada vez que enciendes la luz hay una pequeña posibilidad de que la bombilla se funda. Suma todos los fundidos y obtienes una distribución de Poisson.
La distribución de Poisson recibe su nombre de Siméon Denis Poisson, un francés que fue el primero en describirla a principios del siglo XIX. No obstante, su descripción se centra en las ecuaciones matemáticas que subyacen a la distribución y no en cómo se puede utilizar para crear un modelo del mundo real. La primera aplicación en este sentido fue obra de un polaco, Ladislaus Bortkiewicz, que trabajaba en Alemania en 1898,[4] analizando dos series de datos. La primera era una macabra serie estadística que encontró en el número de niños menores de 10 años que se suicidaron a lo largo de un período de 24 años. La segunda serie de datos, solo un poco menos inquietante, se refería a los soldados que habían muerto accidentalmente después de recibir una coz u otro tipo de golpe por parte de un caballo. Bortkiewicz analizó 14 regimientos diferentes a lo largo de 20 años, registrando cuántos soldados habían muerto de esta manera. Obviamente, no era consciente que solo unos pocos años antes se fundó la Liga Inglesa de Fútbol. Esta le podría haber proporcionado todos los datos que necesitaba, sin necesidad de sumergirse en las cifras de mortalidad alemanas.
En ambas series de datos, Bortkiewicz descubrió una correspondencia bastante buena con la distribución de Poisson. Las muertes causadas por las coces de los caballos eran poco habituales. De los 280 regimientos estudiados, en 144 no se produjo ningún fallecimiento. Pero en dos regimientos desafortunados hubo cuatro muertes en un solo año. Al comparar con la distribución de Poisson, Bortkiewicz pudo demostrar que estos regimientos no trataban a sus caballos necesariamente peor que cualquier otro regimiento: solo habían tenido mala suerte ese año. El fútbol puede o no ser más importante que la vida y la muerte, pero los tres se rigen por las mismas reglas.
La comparación con la distribución de Poisson es lo primero que hago cuando se me presenta una nueva serie de datos. A veces un colega entra en mi despacho con resultados experimentales que acaba de reunir. «Resulta extraño», dice. «La mayor parte de los peces nunca nadan cerca de un depredador, pero hay un pez que ha pasado cuatro veces a su lado. Debe de ser un tipo de personalidad atrevida o algo por el estilo.» Tres minutos después estoy calculando la distribución de Poisson y superponiéndola a los datos de mi colega. «No, tu pez no es especialmente atrevido», le explico. «Solo era una necesidad estadística.» Que un depredador te persiga una y otra vez es como recibir una paliza de 5-0. Resulta terrible cuando ocurre, pero le puede pasar a cualquiera.
La distribución de Poisson es nuestro primer ejemplo de una analogía matemática. Funciona en muchos contextos. Funciona para los partidos de fútbol, funciona para las bombillas y funciona para las muertes por culpa de los caballos. Siempre que sea razonable asumir que los acontecimientos pueden ocurrir de manera inesperada, en cualquier momento, independientemente de cuántos eventos hayan tenido lugar antes del siguiente, entonces es razonable esperar una distribución de Poisson.
Muy lejos del fútbol, la mayoría de las aplicaciones modernas de la distribución de Poisson siguen la tradición iniciada por Bortkiewicz. Parece que los estadísticos sienten una fascinación perversa por la muerte, las heridas y los accidentes. O posiblemente solo sea que les pagamos para que analicen las cosas malas que nos pueden ocurrir, para que no tengamos que pensar en ellas. Sea cual sea la razón de su interés por las desgracias, los estadísticos han encontrado distribuciones de Poisson en los accidentes de coche, colisiones de camiones, heridas en la cabeza, averías en los motores de los aviones, bancarrotas, suicidios, asesinatos, accidentes laborales y los numerosos peligros de una obra de construcción.[5] Incluso la han encontrado en el número de guerras iniciadas entre 1480 y 1940. Y cuando han acabado con la muerte y las heridas, encuentran la distribución de Poisson en los errores de imprenta, los defectos de fabricación, los fallos de la red, los ataques de virus informáticos y los divorcios. Ya sea que se trate de muerte o destrucción, de mala suerte o errores, siempre se puede encontrar el mismo patrón de aleatoriedad.
En 2015, Cristian Tomasetti, un matemático aplicado, y Bert Vogelstein, un médico, utilizaron un argumento estadístico para demostrar que las dos terceras partes de los casos de cáncer se deben a la «mala suerte».[6] Aunque ciertos cánceres se pueden relacionar con el estilo de vida, por ejemplo el cáncer de pulmón y fumar, solo son una parte de la historia. La parte más importante tiene que ver con la inevitable división celular que tiene lugar en nuestro cuerpo. Cada vez que se divide una célula, existe una posibilidad muy pequeña de una mutación genética que puede provocar un cáncer. Lo que descubrieron Cristian y Bert fue que en las partes del cuerpo en las que las células se dividen con más rapidez es más probable que se desarrolle un cáncer, y llegaron a la conclusión de que el cáncer se explica principalmente por estas mutaciones aleatorias.
Este estudio provocó algunas controversias. Si el cáncer solo aparece al azar, entonces ¿por qué debemos gastar tanto dinero para investigar sus causas? Para justificar el uso del término «mala suerte» y con el objetivo de explicar mejor sus conclusiones, Cristian y Bert usaron una analogía con los accidentes de tráfico. Cuanto más tiempo pasas en el coche conduciendo, afirmaron, más probable es que te veas envuelto en un accidente. Cómo conduces el coche es un factor, pero también es importante el tiempo que pasas al volante.
Una analogía futbolística también viene al caso e incluso lo explica un poco mejor. Puedes pensar en cada división celular en tu cuerpo como el equivalente a un minuto concreto de un partido de fútbol. Cuando una célula se divide, existe una probabilidad (muy) escasa de una mutación cancerígena aleatoria, de la misma manera que existe la probabilidad (mucho mayor) de que te marquen un gol en un partido de fútbol. En este sentido se puede pensar en el cáncer como mala suerte. A veces nuestro equipo acaba el partido sin que le hayan marcado un gol y con suerte pasamos por la vida sin padecer un cáncer. Y como a veces perdemos porque el contrincante era bueno, nadie puede negar que la suerte juega u papel importante en cualquier partido. Nuestra salud es como un sábado por la tarde mirando desde las gradas, y no todos los goles son evitables.
No todo lo que nos ocurre se debe al azar. Muchas enfermedades son prevenibles si tenemos un estilo de vida sano, y que te marquen goles con frecuencia se debe a una mala defensa. Pero ser conscientes de que mucho de lo que nos ocurre es aleatorio, a veces nos puede ayudar a aceptar los retos que nos plantea la vida. No todo en la vida es predecible.
Explicado por el azar
La impredecibilidad de un partido de fútbol de un minuto al siguiente genera la distribución de Poisson después de 90 minutos. Conocemos el número medio de goles marcados en un partido, pero el momento en que se marcan es impredecible. Como consecuencia, algunos resultados se vuelven mucho más probables que otros. La paradoja es que los resultados se explican mediante el azar. El hecho de que los goles sean muy aleatorios en el tiempo hace que el patrón de los resultados sea predecible. Resulta una idea difícil de aceptar, pero es cierta. A menudo, el propio hecho de que algo sea extremadamente aleatorio nos ayuda a explicarlo y a predecir la frecuencia con la que ocurrirá. El azar nos permite realizar todo tipo de predicciones sobre el futuro.
Los matemáticos utilizan continuamente este truco. Al principio de una nueva temporada de fútbol, o en los prolegómenos de una Copa del Mundo o de los Oscars, los periódicos publican con frecuencia historias sobre un «genio» matemático que ha predicho la probabilidad de victoria de unos equipos o de unas películas en particular. Con frecuencia estas predicciones parecen aleatorias y a veces son correctas. Pero ¿de dónde salen?
Os voy a explicar un secreto. Normalmente estos genios están haciendo algo muy sencillo con la distribución de Poisson y con un poco de información sobre los equipos o películas que compiten. Un truco para crear modelos de los resultados de fútbol es calcular la tasa de goles marcados y la tasa de goles encajados por cada equipo y después simular partidos entre ellos. Por ejemplo, durante la temporada 2012/2013 de la Premier League, el Arsenal marcó una media de 2,47 goles cuando jugaba en casa y 1,32 cuando jugaba fuera. Le marcaban una media de 1,21 goles en casa y 0,74 fuera. Al reunir estadísticas similares para cada equipo y después simular los partidos entre cada pareja, podemos generar predicciones para la temporada siguiente. Un ejemplo de dichas predicciones se presenta en la tabla 1.1, en la que he utilizado los datos de la temporada 2012/2013 y un modelo para predecir los cuatro primeros de la temporada 2013/2014.[7]
Esta predicción no se aleja demasiado de lo que ocurrió en realidad. En el mundo real, el Manchester City fue el campeón, dos puntos por delante del Liverpool y el Chelsea quedó tercero. Pero este solo es uno de los muchos posibles cuatro primeros simulados que se obtienen como resultado cuando aprieto «enter» en mi ordenador. Cada vez que activo la simulación, los equipos se encuentran tanto en casa como fuera y los resultados se generan al azar, con una media basada en sus tasas de marcar y encajar goles, y compilo una tabla de la liga basada en los resultados. Cada activación da resultados diferentes, algunos muy diferentes. La tabla 1.2 es otro ejemplo.
TABLA 1.1. Los cuatro primeros equipos después de la primera simulación de la temporada 2013/2014, basada en las tasas de goles de los clubes durante 2012/2013.
TABLA 1.2. Los cuatro primeros equipos después de la segunda simulación de la temporada 2013/2014, basada en las tasas de goles de los clubes durante 2012/2013.
Desgraciadamente, el científico objetivo que hay en mí siente que debe informar de los resultados completos de todas las simulaciones. Mi portátil tarda un par de minutos en jugar 10.000 veces la Premier League, y cada vez el resultado es algo diferente. Por muy interesantes que puedan ser estas realidades alternativas, individualmente no tienen importancia. Lo importante es resumir lo que ocurre en las 10.000 veces. ¿Con qué frecuencia ganan la liga los diferentes equipos? Cuando hacemos esto, vemos que el Liverpool solo la ganó en el 11,5 % de las simulaciones. El Manchester United, que había ganado el título en la temporada anterior, ganó el 26,2 % de las veces. El Chelsea ganó el 19,2 %, el Arsenal el 17,6 %, el Manchester City el 12,8 % y el Tottenham Hotspur el 6,0 %.
En retrospectiva, podemos ver que estas predicciones estaban un poco desajustadas. El Manchester United cambió de entrenador y realizó una temporada terrible. El Manchester City y el Liverpool dominaron, y los dos equipos marcaron más de 100 goles. Pero esto no es lo importante. Desde luego, no voy a pretender que ya he creado el mejor modelo para el fútbol. Solo estamos al principio de nuestra historia y no les voy a explicar de buenas a primeras todos mis trucos para crear modelos.
Lo importante es que, aunque no es totalmente cierto, el modelo basado en el azar tampoco es completamente erróneo. Los equipos que se predicen como los ganadores probables de la liga son los que habitualmente lo hacen bien, y las tablas de la liga que he mostrado parecen resultados potencialmente probables de una temporada, o al menos no son demasiado diferentes de lo que podríamos esperar. Y lo hemos conseguido sin un razonamiento real. Solo hemos simulados goles que se marcan aleatoriamente, con cada equipo con una tasa de marcaje diferente, y el resultado fueron unos cuatro primeros que parecían razonables. Esto es casi lo contrario de la imagen que daba Paul Gascoigne de un fútbol impredecible. El fútbol es muy predecible. Cada fin de semana durante la temporada de la Premier League, más de 400 jugadores pasan 90 minutos corriendo y dando patadas a un balón, y al final de la temporada gana un club grande de Londres o Manchester.
La predicción basada en el azar es una parte importante de cómo se utilizan actualmente las matemáticas en la sociedad. Cuando está esperando al teléfono, un analista ya ha estudiado el ritmo con el que las llamadas entran en la centralita y ha deducido cuanto tiempo está dispuesta la gente a esperar en línea. Cuando el banco presta dinero a un pequeño negocio o concede una hipoteca a un particular, ya ha estudiado la probabilidad de impago y ha aplicado la distribución de Poisson para descubrir a cuántos impagos tendrán que hacer frente en los próximos años.
La predicción no consiste en decir exactamente qué club ganará la liga, exactamente cuánto tiempo tendrá que esperar al teléfono o qué empresa va a quebrar. Se trata de utilizar la frecuencia de los acontecimientos del pasado para calcular las probabilidades de los acontecimientos en el futuro. Todas estas predicciones surgen de un modelo matemático basado originalmente en los soldados alemanes coceados por caballos. Si prefiere una analogía verbal, se podría decir que esperar que el Liverpool marque es lo mismo que esperar que llegue el autobús número 19 en un lunes festivo: no ves nada durante una eternidad y después llegan dos o tres al mismo tiempo. A través del modelo he conseguido que esta analogía sea útil. Las matemáticas nos permiten descubrir los rasgos que tienen en común las llegadas de los autobuses, los partidos de fútbol, las quiebras, los casos de cáncer y las llamadas telefónicas. Y nos permiten predecir con qué frecuencia tendrán lugar.
La historia real
Aunque los goles se marquen al azar, las matemáticas pueden encontrar un camino para realizar predicciones. Pero Gascoigne tiene algo de razón. Las historias reales en el fútbol no tienen nada que ver con el azar, sino que se refieren a situaciones por encima de la aleatoriedad. Se trata de los fracasos y las recuperaciones. Cuando sir Alex Ferguson se retiró en 2012, David Moyes dirigió al Manchester United en su peor temporada en más de 20 años, y esto no puede explicarse por una racha de mala suerte. Cuando Alemania destrozó a Brasil con cinco goles en 18 minutos en la semifinal de la Copa del Mundo de 2014, no se trató simplemente de una secuencia aleatoria de goles. Brasil desapareció bajo la presión y Alemania se aprovechó de ello.
El éxito de Fergie o de la selección alemana de fútbol no se puede explicar en términos aleatorios: hay que pensar en su trabajo interno. La ironía es que los acontecimientos que no son aleatorios son los más difíciles de comprender y más difíciles de predecir, pero también son mucho más interesantes.
En mi trabajo de investigación es la falta de aleatoriedad lo que plantea los retos más importantes. Mi colega biólogo vino a verme unas semanas después y me dijo: «Cuando no hay ningún depredador cerca, los peces se distribuyen al azar, pero cuando ven un depredador forman un grupo compacto que gira sobre sí mismo». Ahí hay un verdadero misterio. ¿Un solo pez inicia la rotación? ¿A qué velocidad giran, y algunos peces prefieren posiciones concretas? ¿Por qué es el grupo compacto y en rotación la mejor formación para evadir a un depredador? Las preguntas adquieren interés cuando falla el modelo aleatorio.
A medida que profundice en la creación de modelos en los capítulos siguientes, los problemas que analizaré serán menos aleatorios. Los movimientos de los jugadores están muy sincronizados, su red de pases está estructurada, el balón se mueve según las leyes de la física y los entrenadores piensan estratégicamente en la táctica. Los modelos que veremos serán muy diferentes, pero el enfoque básico que adoptaré será siempre el mismo. Realizo observaciones, y estas me permiten formular una serie de supuestos. Convierto estos supuestos en ecuaciones y las investigo utilizando simulaciones informáticas y soluciones matemáticas. Después comparo las propiedades del modelo con los datos del mundo real.
El reto para un matemático aplicado es la elección del modelo correcto para la cuestión que le interesa. Si estamos interesados en predecir el número de goles a lo largo de una temporada, entonces el azar con frecuencia resulta suficiente. Pero si queremos comprender las formaciones, los movimientos y las habilidades, entonces necesitamos comprender la estructura. Personalmente no estoy satisfecho con la explicación aleatoria: quiero descubrir qué ocurre en realidad. Para ello necesito acercarme a los jugadores y observar con atención lo que hacen. Y eso es exactamente lo que haremos a continuación.
Capítulo 2
Cómo el moho del cieno construyó Barcelona
Lo admito, la teoría de mi padre deriva de asistir a los partidos del Dunfermline Athletic de la tercera división escocesa. Durante las horas pasadas sentado en el East End Park viendo jugar a los Pars, vio que pasaban incontables alineaciones y entrenadores, y cómo se movieron arriba y abajo de las divisiones, pero descubrió pocas diferencias en su estilo. En su opinión, el fútbol de reduce a destellos ocasionales de habilidad por parte del equipo atacante o de mala comunicación por parte de los defensores. El resto es un caos.
Gary Lineker, Alan Hansen y otros comentaristas profesionales de televisión probablemente no estarán de acuerdo con el análisis de mi padre, aunque estuvieran obligados a asistir a un derby local entre el Dunfermline y el Cowdenbeath. Pero cuando visito a mis padres en Escocia y vemos el Match of the Day el sábado por la tarde, puedo estar de acuerdo con lo que dice mi padre. El análisis televisivo se centra en los actos de «brillantez» y de «genio» de los delanteros, o la «diabólica» y «sorprendente» defensa por parte de los defensores. Toda la discusión gira alrededor de los goles y de los fallos, y uno o dos jugadores son identificados como los héroes o los villanos. La táctica se menciona brevemente en forma de la alineación que se muestra al principio del partido, pero se olvida con rapidez, y la atención se centra en las individualidades.
Si hay algo que he aprendido de John Sumpter es la honestidad intelectual. Suele decir en voz alta las cosas que otras personas piensan pero que se sentirán demasiado avergonzadas admitiéndolas. En cierto sentido, tiene razón. Resulta difícil discernir lo que ocurre en un campo de fútbol, aunque asistas a los partidos semana tras semana. Ya hemos visto que el azar juega un papel importante en los goles, pero mi padre lo lleva un paso más allá. Su razonamiento es que la naturaleza sorprendente e inesperada del fútbol se puede explicar por la falta de una estructura genuina del juego. Para él, deciden un partido los destellos de decisión y habilidad individual, o la falta de concentración y atención. La táctica está ahí, pero la tarea más importante del entrenador es inspirar a los jugadores para que actúen de la manera correcta en el momento adecuado. ¿Es posible que Gary Lineker, que se pasó gran parte de su carrera como jugador esperando a que el balón apareciera delante de él para poder castigar una defensa descuidada, pudiera pensar algunas veces en los mismo términos que mi padre? ¿Hasta qué punto es importante la estructura y la formación del equipo, ya que no es la habilidad individual la que decide un partido de fútbol?
Una manera de comprender la estructura es verla desde lejos. Cuando estudio bancos de peces, bandadas de pájaros o manadas de mamíferos, no empiezo centrándome en un solo individuo. Adopto una perspectiva más amplia y examino al grupo en su conjunto, mirando desde la distancia los giros y cambios de las enormes bandadas de estorninos, los bancos apelotonados de caballas y los rápidos antílopes huyendo de un león. Desde cierta distancia podemos ver cómo es el grupo en su conjunto. Esta perspectiva más amplia resulta difícil de adquirir viendo el fútbol por televisión. Las cámaras siguen el balón y se centran en los jugadores estrella. Se pierde el cuadro más amplio y se amplifican los detalles individuales.
Si voy a persuadir a mi padre de que existe una estructura genuina en el fútbol, tendré que empezar por mirar el juego a vista de pájaro.
La secuencia de uno-dos-siete
La visión más amplia que podemos adoptar en el fútbol es la de las formaciones. Las formaciones vienen indicadas por, por ejemplo, 4-4-2, 3-5-2 y 3-4-3, en las que las cifras representan el número de defensores, centrocampistas y atacantes cuando se establece la alineación de los equipos. Sistemas más complicados, como el 4-2-3-1 de posesión intensiva o el 4-1-2-1-2 con su «diamante», reflejan cómo les gustaría jugar a los equipos en el centro del campo. Estas formaciones ofrecen una primera idea de conjunto de la estrategia que se quiere aplicar y de los papeles de los jugadores.
Las formaciones son la primera prueba de que la estructura es importante en el fútbol. Algunas disposiciones funcionan mejor que otras. En el primer partido internacional de la historia entre Inglaterra y Escocia en 1872, los dos equipos adoptaron formaciones muy atacantes: Inglaterra con un 1-2-7 y Escocia con un 2-2-6. A pesar del énfasis en el ataque, los dos equipos se anularon y el partido terminó sin goles.
El fútbol ha cambiado mucho desde entonces. Los cambios se centran en parte en las reglas. En la época del primer encuentro internacional, los atacantes debían tener al menos tres defensores entre ellos y la portería para que no se los considerase fuera de juego. Esto explica por qué Inglaterra tenía siete delanteros: formaban una trampa de fuera de juego a lo largo de todo el campo. Pero las formaciones también han cambiado durante los períodos en los que las reglas seguían siendo las mismas. La figura 2.1 muestra las alineaciones dispuestas por cuatro de los equipos más grandes de todos los tiempos: la selección nacional húngara de la década de 1950, el equipo del Inter de Milán en la década de 1960, el Liverpool a finales de la década de 1970 y el Barcelona de la temporada 2010/2011.

Figura 2.1. Cuatro formaciones de la historia del fútbol. En la formación de Hungría de 1953, Hidegkuti es el jugador central directamente delante de los cuatro delanteros. En el Barcelona de 2010/2011, Lionel Messi jugaba como el más centrado de los tres delanteros, Iniesta y Xavi eran los interiores izquierdo y derecho respectivamente, y Busquets jugaba en el centro por delante de los cuatro defensas.
Mirando las redes de los equipos podemos ver cómo ha evolucionado la táctica en los últimos 60 años. La primera formación es de la gran selección húngara de la década de 1950, adoptada cuando visitaron Londres en 1953 para jugar un partido amistoso contra Inglaterra.[9] El jugador en el centro de la red húngara, ligeramente por detrás de los cuatro delanteros, es Nándor Hidegkuti. Su posición, con enlaces múltiples con otros jugadores, y su libertad de movimientos le permitían conectar de una manera que Inglaterra sencillamente no fue capaz de contrarrestar. El resultado fue un humillante 6-3 para el anfitrión. El último gol de Hungría, una volea que le permitió a Hidegkuti cerrar un hat-trick, fue la culminación de una secuencia de seis pases sin que el balón tocase el suelo por encima de las cabezas de los desconcertados jugadores ingleses.
La formación del Inter de Milán de la década de 1960 recibe con frecuencia el nombre de «la red» y la imagen nos da una idea de su origen. El centro del campo y la defensa es un laberinto de conexiones que dificulta que los atacantes lo puedan atravesar. Mantener una defensa muy férrea permitía al Inter golpear a sus oponentes al contraataque. El equipo del Liverpool de las décadas de 1970 y 1980 cubría el campo con triángulos rectángulos, lo que les permitía ejecutar su estilo de pasar y mover. Era una estructura sencilla pero efectiva, en la que los jugadores se convertían en partes intercambiables de un sistema. Es posible que fuera efectiva, ganando tanto en Europa como en Inglaterra, pero la rigidez de la red del Liverpool no la hacía particularmente hermosa. En contraste con esto encontramos al equipo del Barcelona de la temporada 2010/2011. Aquí, Xavi y Andrés Iniesta son vínculos en una secuencia de triángulos de ángulos grandes, y Lionel Messi se encuentra en la punta del diamante.
Hay triángulos en todas las formaciones, pero los de la formación del Barcelona son especialmente atrayentes para el ojo matemático. Si se toma a cualquier jugador en el equipo y se lo gira a lo largo de 360° se puede ver que tiene opciones de pase casi en todas las direcciones. Estas opciones se disponen de manera uniforme. Así, por ejemplo, el centrocampista defensivo central, un papel que desempeñaban sobre todo Sergio Busquets o Javier Mascherano en 2010/2011, tiene cinco opciones, cada una de las cuales es un lado de un triángulo. Puede pasar directamente hacia atrás, así como en diagonal hacia delante o hacia atrás a ambos lados. Cada jugador actúa como un cruce, al que el balón puede llegar desde un ángulo y se puede desplazar rápidamente en otra dirección. Esto le permite hacer con facilidad lo que el Barcelona hace mejor: controlar el balón y moverlo con rapidez por todo el campo.
Triángulos ferroviarios
Es posible que el Barcelona haya dibujado los mejores triángulos en el fútbol, pero los triángulos resolvían problemas mucho antes de aparecer el fútbol. Consideremos el problema siguiente. Eres el alcalde de una ciudad formada por una serie de barrios periféricos y quieres construir una vía férrea para conectarlos a todos entre sí. Pero tienes poco dinero y quieres utilizar la mínima cantidad posible de rieles. ¿Cómo conectas todos los barrios con la menor cantidad posible de rieles?
La figura 2.2 muestra las tres soluciones posibles para cuatro barrios. Míralos bien y piensa cuál de ellos utiliza menos rieles. Si utilizamos un poco de la trigonometría del instituto, podemos calcular cuál es la más corta. La de la izquierda utiliza tres unidades. Cada lado tiene una unidad de longitud y necesitamos tres de ellas para conectarlo todo.

Figura 2.2. Tres soluciones posibles del enlace de cuatro barrios periféricos (círculos grises) con la mínima cantidad posible de rieles (líneas).
Si un punto de conexión extra es bueno, entonces usar dos es aún mejor. La estructura a la derecha de la figura 2.2 tiene una longitud total de 1 + √3 = 2,73 unidades,[10] menos que las otras dos soluciones. De nuevo se trata de triángulos. Las tres ramas parten del punto de conexión en ángulos de 120°. Como ocurre con frecuencia en matemáticas, la forma que tiene un aspecto más bello y está mejor equilibrada es la mejor solución.
La resolución del problema de la conexión eficiente de cuatro puntos en un cuadrado no era evidente a primera vista (y no estoy seguro de cuántos alcaldes serían capaces de calcularlo). Pero esto es solo para principiantes. Pero si se quiere plantear un reto de verdad, entonces inténtalo con los cinco puntos en las esquinas de un pentágono. La respuesta depende de nuevo de triángulos, pero la cuestión es cómo se disponen. Cuando hayas resuelto los cinco, inténtalo con las seis esquinas de un hexágono. En este último caso se trata de un tipo de solución completamente nuevo, pero sigue dependiendo de los triángulos.[11]
Hagamos que el problema de la conexión de los barrios periféricos sea realmente difícil. Pensemos en cómo resolveríamos el problema si no supiéramos dónde están situados todos los barrios, o ni siquiera cuántos hay que conectar. Este es el problema al que se enfrenta un moho del cieno llamado Physarum polycephalum. Este tipo de moho no tiene cerebro y está formado por una sola célula. Su «cuerpo» es una red de tubos interconectados que bombean nutrientes de un lado a otro. Normalmente cubren un área menor al de una moneda, pero se pueden extender con rapidez, encogiéndose cuando las condiciones son malas o expandiéndose cuando tienen un montón de alimentos a su alrededor.
Cuando el moho está buscando comida es el momento en que necesita resolver el problema de la conexión de los barrios periféricos. Inspirado por esta idea, mi colega japonés Toshi Nakagaki decidió probar si el moho podía reproducir la red de trenes de cercanías y de metro de Tokio. Sus colegas y él extendieron el alimento del moho en un modelo a escala del área metropolitana del gran Tokio. Pusieron copos de avena en una placa de Petri: uno grande en el centro que representaba el centro de la ciudad y otros copos de avena más pequeños en las posiciones correspondientes a Shibuya, Yokohama, el aeropuerto en Chiba y otras zonas cercanas. Para resolver el problema de conectar los copos, el moho debía solucionar el mismo problema que habían tenido que resolver los planificadores urbanos japoneses cuando empezaron a diseñar el sistema de transporte de Tokio. ¿Sería posible que el moho estableciera conexiones eficientes entre sus fuentes de alimentación?
El experimento funcionó perfectamente bien.[12] El moho no tuvo ninguna dificultad para construir una red de triángulos que conectasen los copos de avena. Toshi comparó la solución del moho con la red de transporte real de Tokio y descubrió que, aunque no eran exactamente iguales, tenían una estructura similar. La solución del moho era tan eficiente como la de los planificadores urbanos, y se utilizaba un número similar de conexiones para relacionar todos los copos de avena suburbanos. Una comparación entre moho y humanos se muestra en la figura 2.3.
Las uniones triangulares son el rasgo esencial de la red tubular del moho. Algunos copos de avena se convierten en cruces que conectan otros puntos, de manera que la longitud total de los tubos siga siendo reducida. Fíjense en que, como en las formaciones futbolísticas, los ángulos de estas conexiones son grandes y la red se extiende de manera regular en todas las direcciones.

Figura 2.3. Comparación de la red formada por el moho para conectar los copos de avena (círculos) colocados en la ubicación de los barrios periféricos de Tokio (izquierda) y la red ferroviaria real construida (derecha). Reproducido con permiso de The American Association for the Advancement of Science.
Teselado tiquitaca
Las redes del moho y de los servicios ferroviarios son físicamente muy diferentes de las formaciones futbolísticas. Los equipos de fútbol no marcan sus líneas de pase con tubos de moho o rieles de acero: se pasan el balón de unos a otros. Pero existen numerosas similitudes recurrentes. La primera es cubrir el mundo con triángulos. El moho cubre un área pequeña del suelo del bosque, el equipo del Barcelona cubre el campo con pases potenciales y un buen servicio ferroviario cubre el país con líneas férreas. Otra similitud importante es que existen ángulos grandes entre las diferentes opciones disponibles en los cruces de conexión. Si giramos a lo largo de 360° alrededor de un punto central en las redes del moho y ferroviaria, descubrimos que existen opciones distribuidas a intervalos similares en todas las direcciones, como vimos antes en el Barcelona.
Existe una conexión matemática entre las redes con triángulos de ángulos grandes y el uso eficiente del espacio. Las redes triangulares para equipos de fútbol famosos también se pueden utilizar para mostrar cómo el equipo divide el campo en zonas.[13] Para el Barcelona, las zonas resultantes se muestran en la figura 2.4. A la izquierda se encuentra la red de jugadores (líneas continuas) junto con las zonas que crea (líneas de puntos). A la derecha se ha eliminado la red, dejando solo las zonas, y he añadido el nombre del jugador que ocupó cada una de las zonas en 2010/2011.

Figura 2.4. La red y las zonas del Barcelona 2010/2011. La red de la formación (líneas continuas) junto con las zonas (líneas de puntos) de cada jugador (izquierda). La posición habitual de cada jugador durante esa temporada (derecha).
La simetría es la clave de este estilo de juego, que con frecuencia se llama tiquitaca, adoptado por el Barcelona. El fútbol tiquitaca consiste en pasar el balón con rapidez entre los jugadores con el objetivo de crear un desequilibrio en la defensa contraria. Para ver el tiquitaca desde el punto de vista matemático debemos comprender un poco más cómo se definen las zonas. Decimos que un jugador contrario está en la zona de Iniesta si Iniesta es el jugador del Barcelona que está más cerca de él. Cada línea de puntos en la figura 2.4 marca el límite entre dos zonas. Cuando se encuentra sobre una de estas líneas, un jugador contrario se encuentra a la misma distancia de dos jugadores del Barcelona.
Imagina que me encuentro en el límite entre la zona de Iniesta y la zona de Messi, de manera que estoy a la misma distancia de ambos. Estar en esta línea es probablemente el peor lugar donde estar en un campo de fútbol, en especial si Messi tiene el balón. Si me acerco a él, el balón pasa rápidamente a Iniesta. Si me voy hacia Iniesta, Messi queda libre para avanzar. Las líneas en el diagrama muestran dónde no deben estar los jugadores contrarios cuando defienden contra el Barcelona. Eviten las líneas a toda costa. Quedarse en ellas es como quedar atrapados en una tierra de nadie futbolística.
Flexi-zonas
Las redes ferroviarias tienen muy poca flexibilidad. En cuanto has decidido construir una línea entre York y Londres, o cruzando Siberia, no la puedes modificar. El moho es un poco más adaptable. Cuando la comida escasea, o una parte de la red está expuesta a un peligro, los enlaces se contraen y se forman enlaces nuevos en otras partes. Pero aun así, estos cambios tardan muchos minutos u horas en completarse.
Las redes futbolísticas tienen que ser muy flexibles. Las vías de avance quedan bloqueadas; surgen nuevas oportunidades en un parpadeo. Los jugadores que insisten en esperar que su compañero de equipo más cercano quede desmarcado para pasar, no conservarán el balón durante mucho tiempo. La estructura del equipo deber responder con rapidez a las condiciones cambiantes. Aunque un equipo puede empezar con una formación determinada, debe ser capaz de adaptar su forma a las condiciones, y su adaptación debe ser rápida. Si tu oponente vislumbra una oportunidad antes que tú, entonces muy pronto irás detrás del balón en lugar de pasarlo.
Todos los movimientos y contramovimientos en el campo hacen que sea tan difícil descubrir un patrón. Creo que eso explica de dónde procede la teoría de mi padre sobre el fútbol: las cosas cambian con demasiada rapidez para que pueda seguirlas. Los mejores futbolistas han pasado decenas de miles de horas entrenando para perfeccionar sus reacciones. Parece que responden de manera casi instintiva al juego, moviéndose inmediatamente para encontrar las mejores posiciones de ataque y defensa. Para muchos de los que los vemos resulta difícil saber a dónde van o que están haciendo, pero para ellos es una segunda naturaleza.
Para tener una idea de la estructura, mi padre solo tiene que entrar en YouTube y ver algunos de los grandes éxitos del Barça de 2008 a 2012. Estos videos muestran normalmente a Lionel Messi superando a la carrera a defensores confusos, y desde luego llama la atención. Pero no nos tenemos que fijar en Messi. En lugar de ello, descarga el video y pásalo a cámara lenta, y mira cómo sus compañeros de equipo se mueven a su alrededor. Habitualmente, pasará el balón directamente a Iniesta o Xavi y correrá hacia delante, y un segundo después vuelve a tener el balón delante. En la preparación de sus mejores goles, el Barcelona realiza cuatro o cinco de estos pases directos. Ahora para el video en el momento exacto en que Messi pasa el balón y mira cómo están dispuestos sus compañeros de equipo.
La parte superior de la figura 2.5 es un ejemplo de un partido de Liga de Campeones entre el Barcelona y el Panathinaikos, campeón de Grecia, en 2010. Messi tiene el balón y se está moviendo hacia la portería, y dos jugadores del Panathinaikos se están acercando para cerrarle el paso. Los triángulos de pase muestran las opciones de Messi. Xavi está directamente delante de Messi, con Iniesta a su izquierda. Podemos ver que su posición es buena porque pueden recibir un pase directo. Pero si miramos las zonas de las jugadores, al pie de la figura 2.5, empezaremos a comprender lo realmente buenas que son estas posiciones.
Los dos defensores entre Xavi y Messi se encuentran en su «línea tierra de nadie». Corren hacia Messi, pero es demasiado tarde: a Messi le resulta muy fácil correr hacia delante entre los dos. Xavi devuelve el pase y dos segundos después Messi vuelve a tener el balón. En sí misma, esta «pared» entre los jugadores es fútbol de patio de colegio. Pero este pase es posible por la manera en que Xavi, Iniesta y Messi han repartido en zonas el terreno delante del área del Panathinaikos. Sus contrincantes han quedado perdidos en los límites de estas zonas, incapaces de decidir si deben impedir el avance o marcar al receptor.
Todo ocurre en menos de dos segundos. Cuando Messi vuelve a recibir el balón se produce una nueva distribución de los jugadores, que se muestra en la figura 2.6. Dos defensores se lanzan contra Messi, pero ya es demasiado tarde. Pedro, que estaba marcado por un defensor en una esquina del área, se mueve para crear una zona nueva. Solo hay unos pocos metros entre los jugadores, pero Pedro se ha alejado de su marcador y ahora se encuentra perfectamente colocado en el punto central de los cuatro defensores restantes. Uno de los defensas se encuentra en la línea de tierra de nadie entre Messi y Pedro, otro está a medio camino entre Pedro y Xavi, y un tercero está atrapado en la esquina entre los tres. Pedro ha creado la zona más grande posible en el espacio más pequeño posible. Messi pasa el balón a Pedro, que se lo devuelve, y Messi se queda mano a mano con el portero. Toda la secuencia de pases transcurre en solo cuatro segundos, y un segundo después el balón está en la red. Barcelona 3, Panathinaikos 1. El Barcelona acabó marcando cinco.

Figura 2.5. Posición del Barcelona fuera del área del Panathinaikos cinco segundos antes del gol de Messi.
Las zonas de los jugadores se señalan con líneas de puntos (dibujo inferior).

Figura 2.6. Posición del Barcelona fuera del área del Panathinaikos tres segundos antes del gol de Messi. Véase la figura 2.5 para la explicación de los símbolos.
Reglas de movimiento
Desde luego, en 2010 el Barcelona le enseñó a los griegos una lección de geometría, pero ¿los jugadores realizan los cálculos matemáticos? ¿Pep Guardiola se sentó con el equipo antes del partido y repasó con ellos algunos algoritmos de triangulación y teselación? Por muy genial que sea Guardiola, dudo que le dijese a Xavi, Iniesta, Pedro y Messi que creasen una triangulación de Delaunay de manera que los jugadores contrarios quedaran en los bordes de un diagrama de Voronoi dual. Estos cuatro jugadores se graduaron en la academia de fútbol del Barcelona, La Masia. La academia es famosa en todo el mundo por su educación futbolística, pero no incluye estudios de licenciatura en geometría computacional. Aun así, estas son las formas y las estructuras que creó el equipo. El Barcelona utiliza la geometría avanzada.
No se necesita una comprensión matemática completa de la geometría para utilizarla. Los bancos de peces también «usan» una amplia gama de figuras geométricas. Cuando viajan a grandes distancias, los salmonetes adoptan una formación oblonga, con los individuos más apelotonados en la parte delantera. Cuando sufren un ataque, las sardinas forman esferas rotatorias que se expanden para alejarse del pico de los hambrientos peces vela o de cualquier otro depredador. Pero la creación de patrones colectivos efectivos y bellos no implica que los peces hayan comprendido las mates que se encuentran detrás de las formas. Ni siquiera es demasiado probable que entiendan qué formación han creado en cada momento concreto. Un pez en medio de un banco en rotación solo ve un montón de peces nadando hacia delante. No puede decir qué tamaño tiene el banco en el que se encuentra, y es posible que ni siquiera se dé cuenta de que no hace más que ir en círculos.
El pez solo está siguiendo a algunos de sus vecinos y sigue la corriente. En lugar de decir «vamos a dar vueltas en círculo» o «vamos a crear una figura oblonga», el pez sigue un conjunto sencillo de reglas de natación. El pez suele responder a los movimientos del pequeño número de peces que tiene más cerca, principalmente de los que se encuentran en su campo de visión. Ajustan su velocidad para permanecer juntos en el grupo, frenan para evitar colisiones y aceleran para evitar que los dejen atrás. Cuando un pez cambia repentinamente de dirección, los que están cerca lo siguen. Cuando los investigadores estudiamos estas interacciones, con frecuencia descubrimos que son más sencillas de lo que habíamos pensado al principio.[15] Cambios de velocidad y reaccionar ante posiciones son soluciones simples que funcionan mucho mejor que soluciones complejas que implican calcular la posición de todos los vecinos.
Las reglas sencillas adoptadas por los peces nos proporcionan un punto de partida para reflexionar sobre la organización en el fútbol. El cerebro humano no es necesariamente mejor que el cerebro de un pez cuando se trata de seguir cómo se mueven otros objetos a nuestro alrededor. Solo podemos seguir en detalle un puñado de objetos, y cuanto más rápido se muevan los objetos, menor es el número de los que podemos controlar.[16] Por eso, mientras que los futbolistas son capaces de reaccionar con rapidez ante los cambios en el campo, no pueden planificar la disposición exacta del equipo. Cuando quieren provocar un fuera de juego, los defensas tienen que controlarse entre ellos y la posición de los delanteros. Pero les resulta imposible saber la posición de los 22 jugadores y del balón.
En su lugar, los jugadores tienen que adoptar reglas sencillas para interactuar con sus compañeros de equipo. Deben saber cuándo acelerar y cuándo frenar, además de cómo utilizar el espacio y responder a sus compañeros de equipo. Del mismo modo que la selección natural ha forjado la manera en que interactúan los peces, los miles de horas que los jugadores profesionales han pasado en el campo de entrenamiento condicionan cómo se mueven en el campo. El exentrenador de Ajax y Barcelona, Rinus Michels, solía destacar que la sola práctica de «hacer una pared» y de pasar no desarrolla el tipo de habilidades que muestra Messi cuando pasa a Xavi y Pedro. En su lugar, los entrenadores tendrían que planificar ejercicios que enseñaran a los jugadores «a reconocer, en un instante, cuando la situación pide que se juegue una combinación [“la pared”]».[17] Estos ejercicios implican desarrollar un sentido del juego, de manera que el siguiente paso llegue de manera natural.
Cuando Messi inició su carrera hacia la portería del Panathinaikos, Xavi, Iniesta y Pedro no empezaron a calcular teselaciones y triangulaciones de la defensa. Probablemente no pensaron en absoluto lo que estaban haciendo. Utilizaron la regla sencilla de que se debían mover hacia el espacio y pasar el balón directamente al pie. Ahora, en el análisis después del partido, puedo admirar las regularidades matemáticas de la red de pases que crearon, pero esto surgió del estilo de juego que adoptaron. De la misma forma que una expansión repentina de un banco de peces para alejarse de un depredador es el resultado de los movimientos de los peces individuales, un gol es el resultado de un conjunto simple de movimientos aplicados por los jugadores.
El gol que marcó Messi, y otros muchos similares, son el resultado de un conjunto de reglas establecidas muchos años antes. Cuando el Barcelona copió la academia del Ajax y estableció La Masia, aplicaron un sistema que ya había sido probado y comprobado no solo en Ámsterdam, sino por millones de años de evolución. El moho domina los triángulos y los peces los cambios de velocidad y el uso del espacio. El Barcelona quería entrenar jugadores que pudieran dominar todas estas habilidades. La Masia no necesitaba enseñarles geometría avanzada, solo tenía que asegurarse que los jóvenes disponían de las reglas de movimiento correctas. Dichas reglas se establecieron en el campo de entrenamiento: aprendiendo a pasar y a moverse, a quebrar y girar. Cuando Messi se encontró frente al área con nueve jugadores del Panathinaikos entre él y la portería, no necesitó pensar. Solo puso en práctica lo que, para él, era el movimiento más sencillo y natural del mundo.Cuando mi hijo y mi hija tenían unos seis o siete años, y empezaban a jugar a fútbol, lo primero de lo que me di cuenta fue de La Masa. La mayor parte de los jugadores, incluidos los porteros, cargaban hacia el balón mientras rebotaba al azar en pies, cabezas y manos. Unos pocos jugadores solitarios se apartaban de La Masa, quizá para lanzarle una patada a un perro que pasaba por allí, recoger flores o simplemente tenderse bocabajo en el suelo, pero la mayoría se unía a la caza. De vez en cuando, el niño tendido bocabajo se convertía en el jugador mejor colocado en el campo cuando el balón inexplicablemente salía volando de La Masa y rebotaba en su cabeza. Pero en conjunto, los jugadores de más éxito eran los más decididos a conseguir el balón y que podían apartar a los demás de su camino con mayor eficacia.
Parece que algunos adultos creen que La Masa es un estado inevitable del fútbol infantil, y que no es hasta que los niños crecen cuando pueden comprender las posiciones y las tácticas. Peor aún, algunos padres ven La Masa como un método para separar el trigo de la paja. Los niños y las niñas que tienen la voluntad de incorporarse a ella a edad temprana son los que están hechos para el fútbol, mientras que los que corren alrededor de los bordes como si fuesen un avión deberían probar otro deporte, como el bádminton o el tenis de mesa. Con demasiada frecuencia, los que se encuentran dentro de La Masa siguen con el fútbol y los que quedan en el exterior se orientan hacia otra actividad.
Como ha demostrado La Masia del Barcelona, La Masa no tiene nada que ver con el buen fútbol. El fútbol trata de crear estructuras y la creación de estructuras no requiere que los jugadores sigan reglas complicadas. La cuestión en todos los niveles del fútbol, desde los seis años hasta los profesionales, es cómo meter las reglas en la mente de los jugadores: cómo conseguir que jueguen de una manera que cree oportunidades y que convierta al fútbol en un verdadero deporte de equipo. La respuesta está en conseguir que los jugadores piensen sobre movimiento y posición.
El movimiento y la posición son cruciales en mis investigaciones. Las langostas, los espinosos,[*] las gallinas y las suricatas que he estudiado en mi vida profesional posiblemente no sean tan caóticos como el fútbol infantil, pero los desafíos que se plantean para realizar modelos matemáticos son similares, al igual que los retos para comprender el deporte profesional. Quiero saber las reglas dinámicas que utilizan los individuos. Las langostas caníbales que cazan a sus vecinas para arrancarles un mordisco; los espinosos que siguen a sus vecinos alejándose de un depredador; las gallinas picoteando el suelo cerca de sus vecinas para encontrar comida; las suricatas llamando a sus compañeras antes de volver a casa, son todos ejemplos de estas dinámicas. Niños o profesionales persiguiendo o pasando un balón constituyen otro.
Por eso, cuando, junto con un grupo de padres ansiosos, acepté la labor de entrenar el equipo de mi hijo Henry, sabía que encontraría dinámicas interesantes. Y quería saber cómo funcionaban.
Por qué gana siempre el cerdito
El ejercicio de pase más sencillo es la versión futbolística del juego del rondo.[†] Dos «atacantes» se colocan en lados opuestos de un cuadrado y se pasan el balón entre ellos, mientras que un «defensor» en el medio intenta interceptar el balón. En la figura 3.1, el atacante de la izquierda tiene el balón y el defensor intenta bloquear el pase.
Cuando el defensor está en el centro, resulta sencillo para los atacantes: el jugador que tiene el balón pasa y el receptor corre a lo largo de la línea y lo recoge. El defensa se encuentra en una mala posición y es fácil realizar el pase. Una vez hecho el pase, el defensor debe decidir hacia dónde es mejor moverse para evitar el pase siguiente. Tiene dos opciones: o se acerca al jugador con el balón o marca al receptor. Depende de quién esté más cerca. Si cree que puede llegar delante del jugador con el balón antes de que lo pase, debería ir hacia el balón. En caso contrario se debería mover delante del receptor.
Una buena manera de resumir cómo se debería mover el defensor es con un diagrama llamado campo de flujo (véase figura 3.2). Las flechas indican cómo se debería mover el defensor, dependiendo de su posición actual. Si está cerca del jugador con el balón, debería intentar bloquearlo. En caso contrario, debería correr hacia el receptor e intentar interceptarlo. El campo de flujo nos ofrece una imagen de conjunto que explica lo que debería hacer el defensor en todas las situaciones posibles. Por supuesto, el atacante se puede mover, pero esto solo cambiará las direcciones de las flechas. El campo de flujo resume toda la dinámica del rondo.

Figura 3.1. Juego del rondo. Los dos jugadores atacantes en el borde del cuadrado intentan pasarse el balón. El jugador defensor en el medio intenta interceptar el pase.
Teorías del campo de flujo como ésta están bien, pero es necesario comprobarlas. Así que realicé este ejercicio con Henry y dos de sus amigos, Frank y Edvin, que en aquel momento tenían 10 años. Habían aprendido mucho desde que se formó el equipo cuatro años antes y tenían ganas de probar mi nuevo ejercicio de entrenamiento. Pusimos conos para marcar las cuatro esquinas del cuadrado y le pedí a Henry y Edvin que se colocaran en lados opuestos y se pasaran el balón.[18] Frank era el defensor. Colocamos sensores GPS deportivos en los hombros de los tres chicos para monitorizar sus movimientos, a cinco lecturas por segundo. Desgraciadamente, el Ekeby Astroturf donde entrenamos aún no está equipado con múltiples cámaras y tecnología de seguimiento del balón, como se utiliza en los partidos de la Liga de Campeones, pero estas medidas posicionales son suficientes para saber cómo se mueven los chicos.
Los resultados confirmaron mi predicción. Henry tenía el balón así que Frank corrió hacia Edvin y se colocó delante de él. Edvin intentó moverse a lo largo de la línea, pero Frank lo siguió. Henry se desplazó hacia delante y hacia atrás, pero no pudo encontrar una manera de ejecutar el pase. Entonces se detuvo, me miró y empezó a gritarme que era un asco de ejercicio de entrenamiento. Finalmente, cuando Henry intentó realizar el pase, a Frank le resultó fácil interceptar el balón. Repetimos el ejercicio unas cuantas veces, y las quejas de Henry fueron empeorando. Al final, después de intentar un pase, el balón rebotó en el pie de Frank y se estrelló contra la cara de Edvin. Tenía a un niño gritándome, uno tendido en el suelo llorando y agarrándose la cabeza y Frank se quedó en el medio sintiéndose culpable por todo lo ocurrido. No, el rondo no es un buen ejercicio de entrenamiento.

Figura 3.2. Cómo se debería mover el defensor en el rondo dependiendo de su posición actual. Las flechas muestran, para cada posición en el cuadrado, la dirección del movimiento del defensa.
Para que los chicos tuvieran una oportunidad de entrenar de una forma adecuada, le pedimos a su amigo Elias que participara. Se colocó en la parte baja del cuadrado. Ahora, la única opción para el defensor es correr hacia el balón e intentar bloquearlo antes de que se haga un pase, porque no puede marcar a la vez a los dos jugadores libres. Los jugadores atacantes deben pasar el balón lo más rápido posible tras recibirlo, evitando que se les acerque el defensa. El seguimiento del GPS de Frank en esta disposición con cuatro jugadores se muestra en la figura 3.3, junto con una ilustración de los pases realizados.
La línea serpenteante del GPS muestra cómo Frank corrió durante una secuencia de 63 segundos. El punto con la etiqueta «Frank» es su posición cuando finalmente interceptó el balón y la línea muestra su recorrido hasta dicho punto. La línea es como un rastro de vapor, de manera que la intensidad va del gris claro, a través del gris oscuro, hasta el negro a medida que avanzamos en el tiempo. Al principio de la secuencia, donde la línea es más clara, Frank se acerca a Henry, que pasa a Elias. El pase se muestra como la flecha a la izquierda de la figura 3.3. Cuando Frank corre hacia Elias, el balón vuelve a Henry. Frank lo sigue, pero antes de llegar, Henry se lo pasa a Edvin. Entonces, Henry y él se pueden pasar varias veces el balón, mientras que Frank corre de un lado a otro. Frank defiende muy bien en esta situación, regresando al centro cuando no lo tiene claro, para maximizar sus posibilidades de intercepción. Al final, tiene su recompensa cuando Henry y Edvin efectúan un pase de más en la misma dirección, y Frank intercepta el balón.
Los futbolistas profesionales utilizan algunas variaciones de este ejercicio en casi todas las sesiones de entrenamiento. Lo típico es que trabajen en los cuatro lados del cuadrado, a veces usando cuadrados técnicos más pequeños con un defensor en el centro, otras veces con cuadrados de pase más grandes y dos defensores. Pero el paso crucial para que este ejercicio sea efectivo es la creación de triángulos dinámicos. Para solo dos jugadores y un defensor, como en su versión tradicional, el defensa solo tiene que marcar a uno de los jugadores y controla el juego.

Figura 3.3. Ejercicio de entrenamiento con niños de 10 años. La posición de Frank (dibujo superior) y los pases efectuados por Henry, Elias y Edvin (flechas en el dibujo inferior). Los tonos más oscuros van indicando acontecimientos más recientes en el tiempo.
Estos ejercicios en el cuadrado de entrenamiento son sencillos en comparación con la rapidez de la actividad de un partido de fútbol profesional. No obstante, mi análisis con el campo de flujo del rondo, el rastro de vapor de Frank y las flechas de los pases del balón son los puntos de partida para toda una serie de métodos para estudiar el movimiento en situaciones de partido. Estos métodos son tan importantes para la Liga de Campeones como para el fútbol infantil. La clave está en identificar el flujo de los jugadores: tenemos que encontrar hacia dónde apunta la flecha de cada individuo y después considerar lo que ocurre cuando interactúan muchos individuos que siguen las flechas. El principio es el mismo para dos equipos de 11 jugadores profesionales, una multitud de aficionados abandonando el campo después de una derrota 0-3 en casa, o incluso una formación en V de aves migratorias. La tarea de un creador de modelos es encontrar hacia dónde apuntan las flechas y qué ocurre cuando los miembros del grupo siguen el flujo.
La convención social correcta
Es posible que no te hayas dado cuenta, pero los campos de flujo gobiernan muchos de tus movimientos cotidianos. Por ejemplo, estás caminando por un pasillo estrecho y un extraño viene en dirección contraria. Tienes que dejarlo pasar, pero ¿se mueve a la izquierda o a la derecha? Esto nos ocurre todos los días, pero siempre nos sentimos un poco raros. Existe una convención en el Reino Unido, impuesta por las señales en el Metro de Londres indicando a los viajeros que se mantengan a la izquierda. Pero no resulta inusual que se encuentre dudando e intentando adivinar lo que hará la otra persona. Cuando vivía en Oxford, a veces acababa atropellando con la bicicleta a grupos de turistas extranjeros porque no era capaz de adivinar hacia dónde se iban a mover. Ahora que vivo en Suecia soy el extranjero desafortunado que no sabe si debería estar a la izquierda o a la derecha.
Podría parecer que unas convenciones obligatorias de «mantenerse a la izquierda» y «mantenerse a la derecha» son la clave para evitar colisiones. Quizás habría que echarles la culpa a estas convenciones de que los autóctonos y los turistas choquen entre sí. No obstante, si analizamos con mayor detenimiento las dinámicas, descubrimos que las cosas no son tan sencillas. Esto es exactamente los que hizo Mehdi Moussaïd como estudiante de doctorado en Toulouse (Francia). Delimitó un pasillo estrecho y reunió a un puñado de estudiantes de licenciatura para observar cómo se cruzaban al andar.[19] En su primer experimento, Mehdi le pidió a un estudiante que se quedase quieto en el centro del pasillo. Entonces le pidió a otro estudiante que pasase al lado del estudiante parado.[20]
Al filmar a los estudiantes desde arriba, Mehdi pudo construir un campo de flujo, lo mismo que hice yo para mi juego del rondo, pero ahora utilizando la observación de transeúntes adultos. La figura 3.4 muestra el campo de flujo de cómo los estudiantes en movimiento se desplazaban para evitar la colisión con el estudiante parado. Cada flecha es la reacción media de los estudiantes ante la presencia de una persona parada delante de ellos. La tendencia más evidente es que el estudiante en movimiento intente pasar alrededor del estudiante parado. Todas las flechas se alejan de él, lo que no resulta nada sorprendente. Cuando el estudiante en movimiento se encuentra a unos 2 metros del estudiante parado, existe una tendencia muy fuerte en el estudiante en movimiento a virar hacia un lado. Al fin y al cabo, nadie camina directamente contra otra persona.
Lo que resulta sorprendente es que solo había una muy ligera preferencia para pasar por la izquierda o por la derecha. Si analizas con atención las flechas en la figura 3.4, puedes ver que las flechas que señalan a la derecha del estudiante parado solo son ligeramente más prevalentes que las que señalan a la izquierda. Para estos estudiantes franceses existe una ligera tendencia a pasar por el lado derecho, pero es tan ligera que solo por muy poco es estadísticamente significativa.[21]

Figura 3.4. El efecto que un estudiante parado (situado a la derecha de la figura) tiene sobre un estudiante en movimiento que se acerca a él en un pasillo. Cada flecha es la reacción media del estudiante en movimiento ante la presencia del estudiante parado. Una flecha que apunta hacia arriba indica la tendencia a rebasar al estudiante parado por la izquierda, mientras que una flecha que señala hacia abajo indica la tendencia a superarlo por la derecha. Adaptado de la figura original de Mehdi Moussaïd.
Mehdi también se dio cuenta de algo más en sus simulaciones. Los estudiantes simulados pasaban por la derecha del otro en un 77 % de las simulaciones y por la izquierda solo en el 23 %. Esto representaba una tendencia mucho más grande a pasar por la derecha que en su experimento con un estudiante parado. Ahora, Mehdi podía probar el modelo. Realizó un experimento en el que dos estudiantes caminaban el uno hacia el otro y se cruzaban en el pasillo. Los resultados del experimento fueron esencialmente los mismos que los del modelo: el 80 % de los cruces se realizaron por la derecha y un 20 % por la izquierda. Los estudiantes franceses en movimiento muestran una clara tendencia hacia el lado derecho.
El modelo y los experimentos de Mehdi contradicen la idea de que tenemos una fuerte tendencia de carácter nacional a cruzarnos con las personas por la izquierda o por la derecha. Los estudiantes franceses individuales tienen una ligera preferencia a pasar por la derecha. La convención fuerte de cruzarse por la derecha o por la izquierda aparece cuando las personas interactúan. Cuando los individuos se mueven el uno hacia el otro, corrigen constantemente su dirección y se reafirma la pequeña tendencia. Así es como aparece la tendencia hacia la derecha.
Las convenciones sociales de este tipo aparecen con mucha fuerza cuando contemplamos las culturas en su conjunto, pero cuando analizamos a los individuos son difíciles de detectar. Los resultados de Mehdi explican por qué nos resulta tan difícil no chocar con los turistas. El problema no es que los turistas se aferren obstinadamente a sus convenciones, incluso cuando están en el extranjero, sino que las preferencias son tan débiles que ni los autóctonos ni los turistas saben por dónde deben ir. Las convenciones solo aparecen tras interacciones repetidas.
La defensa imbatible
En el fútbol, el campo de flujo de un atacante se parecería mucho al descubierto por Mehdi para los transeúntes en movimiento. El delantero quiere pasar de largo del defensa y escogerá la ruta más corta posible. Las convenciones son muy diferentes para la defensa. Los defensores no intentan evitar el choque con el rival. Su primer objetivo es interponerse en el camino de los delanteros y, desde luego, no dejarlos pasar de manera educada. El campo de flujo del defensa señala hacia el jugador con el balón, no alejándose de él. En las situaciones uno a uno, si el atacante se mueve a la izquierda, el defensa se moverá a su derecha, y viceversa. Entonces el atacante tiene que engañar al defensor de que va a ir hacia un lado y desplazarse hacia el otro.
En este juego del gato y el ratón entre el defensa y el delantero entran en juego la mayor parte de las habilidades individuales en el fútbol. Amagar, pasar por encima del balón, cambiar entre la parte interior y la exterior del pie, y dejar caer un hombro son trucos que un delantero puede utilizar para confundir a los defensas. Cada maestro del regate tiene su especialidad: el recorte Cruyff, el doble giro Maradona, la caída de hombros Messi, la bicicleta de Ronaldo... y todos ellos están pensados para confundir al defensa.
Engañar a un defensor es mucho más difícil de lo que parece en televisión. En las situaciones reales de uno a uno, en las que el defensa se encuentra entre la portería y el atacante, las probabilidades están del lado del defensor. Mientras que los errores defensivos resultan tremendamente caros, la responsabilidad de realizar el primer movimiento es del atacante. El atacante debe recorrer más terreno para rodear al defensor mientras mantiene el control del balón. Para el defensa lo importante es no dejarse engañar por el fantástico juego de pies y no perder de vista el balón.
El defensa Holger Badstuber del Bayern de Múnich describe la defensa uno a uno como «el gran arte».[22] En su opinión, lo importante es situar al oponente inmediatamente bajo presión, acercándose mucho y no dándole espacio. Al mismo tiempo, un defensa no debe actuar demasiado pronto, porque eso ofrece a un atacante experimentado la oportunidad de cobrar ventaja. En su lugar, el defensa debería «mostrar» al atacante una ruta que se aleje de la portería. Los mejores defensores reducen las opciones, y cuando el atacante se ve obligado a realizar un movimiento, recuperan el balón.
Selina Pan y sus colegas en la Universidad de California en Berkeley desarrollaron un modelo matemático de una estrategia defensiva similar a la descrita por Badstuber. El planteamiento de su artículo, titulado «Pursuit, evasion and defense in the plane» [«Persecución, evasión y defensa sobre el plano»],[23] era ligeramente diferente del futbolístico, pero los principios son los mismos. Selina creó defensores y atacantes simulados y programó sus interacciones. Los defensores intentaban atrapar a un atacante antes de que este cruzara una línea de meta. En su modelo no hay balón y los defensas se tienen que acercar lo suficiente al delantero para detenerlo, lo que se parece más al rugby o al fútbol americano que al fútbol. Otra diferencia con respecto al uno a uno puro es que incluyó dos defensores: uno defendía entre la línea de meta y el atacante y el otro perseguía al delantero. Esto es más difícil para el atacante, pero también es más realista. En una situación de partido, los delanteros solo tienen una cantidad limitada de tiempo para superar al último defensa antes de que otros defensores lleguen tras el balón.
El algoritmo defensivo propuesto por Selina y sus colegas se centra en reducir el espacio disponible para el atacante. De la misma manera que el secreto del ataque del Barcelona es la creación de zonas espaciales, el secreto de una buena defensa es disminuir el tamaño de dichas zonas. En el algoritmo de Selina, el defensa delante de la línea de meta se mueve al principio directamente contra el atacante. En cuanto el defensa simulado se encuentra a la misma distancia de la línea de meta que el atacante, el defensor se desplaza hacia el extremo de la línea de meta, bloqueando el avance del atacante. El algoritmo sigue el consejo de Badstuber de mostrar al delantero contrario el camino que debe seguir: el defensor tiene que acercarse lo máximo posible a la vez que evita cualquier avance. El algoritmo del segundo defensa es muy claro: atrapa al atacante y reduce el espacio por el que se pueda mover.
Para ilustrar cómo funciona el algoritmo, Selina y sus colegas programaron un juego de ordenador en el que el jugador humano controla al delantero y los defensores informáticos siguen su algoritmo de minimizar la zona. Yo adapté su juego para una situación futbolística, de manera que el objetivo es llevar al jugador atacante hasta el borde del área del oponente, superando a los dos defensores informáticos. La figura 3.5 muestra cuatro de mis muchos intentos para lograr que el delantero llegara al área.
Resultó que ganar este juego era imposible. Aunque podía superar a uno de los defensas simulados, el defensor más cercano a la línea de meta siempre se interponía en mi camino. Cuando intenté ir hacia el medio, el defensa me empujó hacia la izquierda. Cuando intenté dirigirme a la esquina izquierda, el defensor llegó antes. Cuando intenté regatear por el centro o por un lado, entonces los dos defensores me cercaron. Los defensas ganaban siempre.
No se trataba de mí. Vencer a los defensores informáticos es imposible tanto en la teoría como en la práctica. Selina y sus colegas siguieron adelante ofreciendo una prueba matemática de que su algoritmo de minimización de zona siempre gana. A menos que el atacante esté cerca de un punto en la línea que está intentando alcanzar (en este caso, el borde del campo), los defensores siempre atrapan a atacante. Esto explica por qué delanteros como Cristiano Ronaldo, Neymar y Luis Suárez son mucho más famosos que defensas como Badstuber. Aunque los defensores puedan ser grandes artistas, cuando los delanteros los superan, estos consiguen lo imposible.

Figura 3.5. Mis intentos de superar a los defensas utilizando el algoritmo de minimización de zona de Selina Pan. Mi jugador atacante (círculo negro) intenta superar a los defensores (círculos sin color). Las líneas muestran la senda por la que me movía durante el juego y los círculos son los puntos finales.
Flip contempló y grabó cómo las leonas (son las hembras las que cazan habitualmente) acechaban a gacelas, cebras, ñus e incluso jirafas.[24] La manada trabaja en colaboración y cada leona adopta su papel preferido a medida que se acercan a la presa. Algunas son «extremos», acercándose por los lados, mientras que otras son «centrales», aproximándose lentamente o esperando delante de la presa. Los extremos inician un ataque, mientras que los centrales esperan y tienden una emboscada cuando la presa intenta escapar. Flip descubrió que cuando la mayor parte de la manada —que habitualmente está formada por cinco a siete leonas— caza unida, capturan presas el doble de veces que cuando solo caza la mitad de ellas. La caza en el desierto es un deporte de equipo.
La posición de una leona en su equipo se repite de una cacería a la siguiente. En uno de los grupos de caza estudiados por Flip, procedente de la manada de Okondeka, identificó tres centrales, una extremo izquierdo, una extremo derecho y dos leonas que podían ocupar cualquiera de las alas. Las leonas coordinan su posición para mantener a la presa entre ellas. Por ejemplo, cuando la extremo izquierda de Okondeka no estaba presente en una cacería concreta, entonces una de las extremos más flexibles ocupaba su posición a la izquierda. Con las cazadoras avanzando hacia la presa desde todos los lados, las opciones de huida de la presa se reducen con rapidez.
Cuando empieza la cacería, las leonas no necesitan comunicarse o planear. Como descubrí cuando jugaba al juego de ordenador de Selina, el algoritmo de minimización de zona produce la misma reducción de opciones que durante la caza de las leonas: siempre acababa emparedado entre los dos defensores informáticos. Estos defensas no se comunicaban activamente entre ellos, sino que cada uno utilizaba su posición relativa respecto a mi delantero para moverse. De manera similar, cada leona ocupa una buena posición de salida, reduce rápidamente el espacio disponible para la presa y entonces atacan a matar.
Como en los grupos de caza de los depredadores, el uso de papeles complementarios es esencial en la defensa futbolística. Al igual que las leonas, los defensas cazan por parejas o en manada. El primer defensor presiona al atacante, intentando forzar un error. Otro defensa le cubre la espalda y se pone en una posición desde la que puede interceptar el balón si el delantero intenta superarlo. Un equipo que practique un estilo de fútbol centrado en el pressing, empieza a reducir los espacios del oponente en cuanto un jugador contrario tiene el balón, evitando que gane espacio.
En 2013, el Bayern de Múnich exhibió una demostración futbolística de los principios descubiertos por Flip en los leones y demostrado matemáticamente por Selina y sus colegas. El Bayern adoptó un estilo presionante cuando se enfrentó al Barcelona durante los dos partidos de la semifinal de la Liga de Campeones. En lugar de permitir que el Barcelona pudiera construir, los delanteros del Bayern se cerraban sobre la defensa del Barça en todo momento. En el centro del campo, los jugadores del Bayern, más grandes y físicamente intimidatorios, le negaron cualquier espacio a Iniesta.
Badstuber se perdió esa semifinal por lesión, pero estoy seguro de que disfrutó viendo como su «gran arte» de la defensa derrotaba al juego de pases creadores de espacio del Barcelona. Existe más de una manera de jugar a un fútbol matemáticamente elegante. Mientras que el equipo del Barcelona de 2011 maximizaba efectivamente el espacio disponible, el equipo del Bayern de 2013 lo minimizaba efectivamente. El Bayern ganó la semifinal por un 7-0 acumulado.
Retratando a Pirlo
Los buenos defensas estudian por anticipado si los delanteros contrarios son más hábiles con el pie izquierdo o con el derecho. Pero el análisis del movimiento puede revelar aspectos mucho más detallados de un jugador. Utilizando los datos de seguimiento de las posiciones del jugador que en la actualidad reúnen las múltiples cámaras en los partidos de máximo nivel, muy pronto será posible crear campos de flujo de regate para los delanteros rivales. Usando los métodos que Mehdi aplicó a los transeúntes, los ojeadores serán capaces de afirmar si unos jugadores en concreto tienen tendencia a superar al defensor por la izquierda o por la derecha, y cómo dicha elección depende de la distancia al defensa. En lugar de pedirle a los ojeadores que pasen horas estudiando retransmisiones televisivas, los entrenadores podrán apretar un botón del móvil en el descanso y obtener una imagen gráfica completa de cómo cada jugador rival se mueve en diferentes situaciones.
Será necesario mucho más trabajo antes de que el análisis gráfico pueda sustituir completamente a los ojeadores, pero ya es posible utilizar campos de flujo para caracterizar a jugadores individuales. El centrocampista italiano Andrea Pirlo es famoso por combinar movimientos relajados y un pase del balón con una precisión perfecta. Parece que vagabundea por el centro del campo a ritmo de paseo, pero aun así consigue estar perfectamente colocado para dar un pase adelante incisivo y que permita ganar el partido.
Una de las mejores actuaciones de Pirlo fue durante la semifinal de Italia contra Alemania en la Eurocopa 2012. Controló el balón en el centro del campo, dando pases cortos en el círculo central, antes de lanzar pases largos hacia el campo contrario. Con uno de esos pases se gestó el primer gol de Italia. La figura 3.6 ilustra la secuencia de pases que ejecutó Italia en los 30 segundos que condujeron a este pase crucial.
La secuencia de pases se inicia con un saque de banda y el balón llega rápidamente a Pirlo. En ese momento, Pirlo no tiene una oportunidad clara de dar un pase de ataque. Mesut Özil, que se ha levantado después de reclamar una falta no pitada, está cerca de Giorgio Chiellini, cerrando cualquier posibilidad de un pase hacia la izquierda. Así que Pirlo mueve el balón entre sus compañeros de equipo y después de cuatro pases vuelve a él. Con el balón moviéndose rápidamente entre los jugadores italianos, Özil presiona, intentando recuperarlo. Pero para Italia se trata de fútbol de entrenamiento. Están cerca los unos de los otros, jugando el balón como si estuvieran dentro de un cuadrado de entrenamiento. Obligan a Özil a dar vueltas en círculo, como Frank en mi experimento con GPS.
No obstante, a diferencia de Frank, Özil no consiguió recuperar el balón. En su lugar, cuando Pirlo recibe por segunda vez el balón, retrocede unos pasos detrás de la línea de centro del campo, levanta la vista y ve que ahora queda un espacio a la izquierda donde antes estaba Özil. Envía un balón largo directamente al pecho de Chiellini, que está en la banda. Chiellini pasa el balón al espacio delante de Antonio Cassano. Cassano regatea a un defensa y cruza el balón hacia un Mario Balotelli que lo estaba esperando. Super-Mario coloca el balón fuera del alcance del portero. 1-0.
Se trata de un gol digno de admiración, pero mi intención es ofrecer una imagen completa de lo que está haciendo Pirlo, similar a la imagen que Mehdi Moussaïd creó para los transeúntes franceses. Para capturar el estilo de Pirlo, hice un mapa de sus pases durante todo el partido contra Alemania en la Eurocopa 2012. Pirlo realizó 66 pases durante el partido, de los cuales 61 fueron acertados. La figura 3.7 es un mapa de calor y un campo de flujo de sus pases durante el partido. El sombreado indica los puntos del campo desde los que Pirlo lanzó los pases. Podemos ver que Pirlo ejecutó un montón de pases desde cerca o justo por detrás de la línea de centro del campo, normalmente desde el centro del campo. Las flechas indican la dirección general de los pases que dio Pirlo desde varias posiciones.

Figura 3.6. Pases que condujeron al primer gol de Italia contra Alemania en la Eurocopa 2012, mostrando los pases ejecutados por Italia (flechas en el dibujo superior) y los movimientos de Mesut Özil mientras perseguía el balón (dibujo inferior). Los tonos más oscuros indican acontecimientos más recientes en el tiempo. Las letras indican acontecimientos: (A) primer pase de Pirlo; (B) segundo pase de Pirlo; (C) Chiellini recibe el balón; (D) Balotelli marca.
El modelo estadístico que he utilizada fue creado mediante un conjunto de herramientas desarrollado por mi grupo de investigación.[25] Los métodos son similares a los usados para las previsiones del tiempo, cuando los meteorólogos intentan predecir el movimiento de los frentes climáticos. En la previsión del tiempo, los meteorólogos han observado con anterioridad cómo los frentes se movían bajo condiciones muy variables a través de las diferentes partes del país. Su previsión es, por tanto, una predicción estadística sobre el desarrollo estadístico más probable en cada zona. De manera similar, cuando observamos los pases ejecutados por un jugador, vemos que se realizan desde varias posiciones en el campo y en diferentes direcciones. Pero si asumimos que zonas cercanas del terreno tienen las mismas posibilidades de generar tipos similares de pases, entonces podemos deducir las diferencias. Esta diferenciación revela el patrón general para Pirlo, permitiendo que los complejos datos de los pases queden resumidos en una imagen compacta pero significativa del flujo general.
A partir de las flechas de pase en la figura 3.7, podemos ver que Pirlo suele cambiar la orientación del juego cuando pasa el balón. La longitud de las flechas es proporcional a la distancia típica de un pase, pero es más corta que el pase real ejecutado. Los pases de Pirlo normalmente cambian el ataque hacia el extremo contrario. Si se encuentra en el lado izquierdo del campo, pasa hacia la derecha, y viceversa. En este partido contra Alemania, Pirlo tuvo una ligera tendencia a pasar hacia la izquierda. Esta es exactamente la zona donde gestó el gol.
Toni Kroos tenía el encargo de controlar a Pirlo. Unos días antes, en el partido contra Inglaterra, Pirlo exhibió casi el mismo estilo de juego que contra Alemania, completando con éxito la increíble cifra de 115 pases. No sé los deberes que hizo Kroos antes del partido, ni sé la imagen que debía tener en la cabeza de la forma de jugar de Pirlo, pero Kroos fracasó en su tarea de tenerlo bajo control. Italia ganó 2-1, y Alemania se fue a casa tras la Eurocopa 2012 para poder reflexionar antes de la Copa del Mundo.
En el futuro, cuando Kroos y otros jugares reciban el encargo de controlar a un jugador contrario clave, el entrenador les podrá enviar algunos mapas de campos de flujo para su análisis. Estas imágenes no les van a decir todo lo que necesitan saber, pero podrán captar aspectos importantes de la personalidad como jugador de su oponente.
Estudiar estas imágenes es como contemplar una previsión del tiempo: no debería determinar por completo cómo vas a planificar el día, pero te permitirá estar preparado para lo peor.

Figura 3.7. Los pases de Pirlo durante la semifinal de Italia contra Alemania en la Eurocopa 2012. La intensidad del sombreado de cada posición en el campo indica la frecuencia con la que Pirlo ejecutó un pase desde dicha posición. Las flechas son un indicador estadístico de los 66 pases que ejecutó durante el partido. La dirección media de los pases está indicada por la dirección de la flecha. La longitud media de la flecha es proporcional a la distancia media del pase.

Figura 3.8. Los pases de Schweinsteiger durante la semifinal de Alemania contra Italia en la Eurocopa 2012. Véase la figura 3.7 para los detalles de cómo se creó el gráfico.
Capítulo 4
Brillantez estadística
Cuestiones similares se plantean cuando pensamos en muchos de los problemas a los que se enfrenta la sociedad actual. ¿Con qué frecuencia esperamos que ocurran las subidas y bajadas financieras de las crisis económicas mundiales? ¿Cómo nos preparamos para el aumento de los acontecimientos meteorológicos extremos, como huracanes y olas de calor? Para las finanzas globales y el cambio climático, se trata de preguntas esenciales y muy importantes, quizá mucho más importantes que los méritos relativos de Ronaldo y Messi. Para responderlas, necesitamos estadísticas de situaciones extremas.
El juego de las adivinanzas
En el mundo existen miles de millones de personas pero solo un número muy pequeño llega a la cima. Las estadísticas oficiales de la FIFA estiman que alrededor de 265 millones de personas juegan activamente al fútbol.[26] Ronaldo y Messi son solo dos de todos estos millones de jugadores: «acontecimientos» extremos que solo aparecen en 1 de cada 132 millones y medio de personas.
No resulta demasiado justo comparar a Messi y Ronaldo con el resto de nosotros, que tropezamos con nuestros propios pies cuando paseamos por el parque un domingo por la mañana. A Messi se le describe, normalmente al lado de Diego Maradona y Pelé, como el mejor futbolista de todos los tiempos. La pregunta que nos debemos plantear es cómo se pueden comparar los jugadores actuales con los que hemos visto en el pasado. ¿Con qué frecuencia podemos esperar que aparezca un acontecimiento como Messi? ¿Una vez cada diez años? ¿Una vez cada generación? ¿O incluso una vez cada siglo?
Para medir los extremos necesitamos observaciones. Debemos saber el número de goles marcados por los principales arietes en una liga concreta en una temporada, o el día más cálido del año en Londres. El análisis de estas observaciones sobre las décadas pasadas nos puede dar algunas ideas sobre qué ocurrirá el próximo año. Si nadie ha marcado más de 40 goles en las temporadas anteriores, entonces no es demasiado probable que nadie lo consiga tampoco en este año. Si la temperatura no ha subido más de 36°C en un día de verano en Londres, no deberíamos esperar que el año que viene haga mucho más calor.
En España se entrega cada año el Trofeo Pichichi al jugador que ha marcado más goles en la Liga. El trofeo se entrega desde 1929, pero en 1986, la Liga estableció el formato actual de 20 equipos, proporcionando a cada equipo 38 partidos por temporada.[27] La figura 4.1 muestra un histograma del número de goles marcados por los ganadores del trofeo entre las temporadas 1986/1987 y 2009/2010. Este histograma es similar al de los goles por partido del capítulo 1, excepto que ahora se trata de los goles totales marcados durante una temporada completa por los delanteros de más éxito.
Como hasta el verano de 2010 ningún jugador de la Liga había marcado 39 o más goles en una sola temporada, no parecía especialmente probable que nadie rompiera ese récord en la temporada siguiente. Messi había conseguido 32 goles en la temporada 2009/2010, y Ronaldo fue segundo con 26. Si alguno de ellos iba a romper este récord, tendría que hacer algo superespecial. Tendrían que batir un récord que no se había superado en 23 años.
¿Cómo asignamos un porcentaje de probabilidad a que uno de ellos bata el récord durante la temporada 2010/2011? Una manera de hacerlo es pensar en ello como un juego de adivinanzas. Mira el histograma en la figura 4.1. ¿Puedes adivinar en qué temporada anterior se marcaron más goles? ¿Quizá pienses en el brasileño Ronaldo (pero ¿en qué año y para qué equipo?) o Raúl, o incluso Ruud Van Nistelrooy? Si eres aficionado, recordarás al gran Hugo Sánchez, que dominó el Trofeo Pichichi a finales de la década de 1980. En la temporada 1989/1990 marcó 38 goles en 35 partidos para el Real Madrid, más de un gol por partido. Pero lo más probable es que la mayoría de nosotros nos hubiéramos equivocado. Sin un buen conocimiento del fútbol español, la posibilidad de que la mayoría de las personas hubieran adivinado el año correcto estaba en alrededor de 1 de 23, o un 4,35 %. Lo único que podemos hacer es elegir un año al azar.

Figura 4.1. Histograma del número de goles marcados por los ganadores del Trofeo Pichichi (por el máximo de goles marcados en la Liga, España) entre las temporadas 1986/1987 y 2009/2010.
El juego de las adivinanzas nos proporciona una buena regla general para determinar la posibilidad de que ocurra un acontecimiento extremo. Solo porque algo no haya ocurrido antes no implica que no pueda ocurrir jamás. En cambio, una buena estimación de la probabilidad de que ocurra un acontecimiento es 1 dividido por el número de veces que no ha ocurrido, añadiendo uno por la temporada en la que estamos actualmente interesados. En nuestro caso es 1/(23+1) = 1/24. En 2010 parecía que se necesitaba algo superespecial para batir el récord de Hugo Sánchez.[28]
Una vez en la vida
Así pues, ¿Messi marcó más de 38 goles y batió el récord del Trofeo Pichichi durante la maravillosa temporada 2010/ 2011 del Barcelona? Si no lo ha comprobado ya en la Wikipedia, le puedo decir que la respuesta es «No». Messi marcó 31 goles, uno menos que la temporada anterior. Ronaldo, por el otro lado, realizó su mejor actuación en la Liga, marcando 41 goles, que batían el récord, y se llevó a casa el trofeo.[29] A toro pasado, siempre resulta difícil decir si 23/1 era una buena probabilidad o no, pero desde luego fue un logro superar todos los récords de goles anteriores. El logro de Ronaldo podría parecer un hito que solo se consigue una vez en cada generación.
Lo que ocurrió a continuación casi destrozó por completo nuestro modelo del juego de las adivinanzas. En la temporada 2011/2012, Ronaldo marcó 46 goles, batiendo con facilidad todos los récords anteriores. Pero Messi echó el resto con 50 goles en 37 partidos. No uno sino dos jugadores superaron todos los récords anteriores. En 2012/2013 siguieron fluyendo los goles, con Messi en 46 y Ronaldo en 34. Hubo un pequeño bache en 2013/2014, con Messi fuera de la carrera y Ronaldo con 21, pero en 2014/2015 Ronaldo estaba de vuelta marcando 48 durante la temporada.
El total de 50 goles en Liga de Messi en una temporada es realmente excepcional, pero exactamente ¿hasta qué punto es excepcional? Las mates que hemos planteado hasta ahora solo nos permiten decir la probabilidad que existe de que se bata un récord, pero no por cuánto. ¿Con qué frecuencia esperamos que se marquen 50 goles en una temporada de la Liga? Podemos responder a esta pregunta utilizando unas matemáticas ligeramente más avanzadas que mi juego de las adivinanzas, empleando un modelo matemático llamado la distribución del valor extremo.
La distribución del valor extremo es un modelo matemático para todo tipo de extremos, ya sean los días más cálidos o lluviosos, la velocidad del viento o los goles en España. Para que se pueda aplicar, se deben aceptar dos supuestos. El primer supuesto es que el número de goles marcados en una temporada no debería afectar el número de goles marcados en la siguiente. Esto es bastante razonable: como vimos en el capítulo uno, el instante en que se marca un gol tiene poco o ningún efecto en el instante del siguiente. El segundo supuesto es que no debe existir ninguna tendencia año a año en la marca de goles. Esto es más difícil de sostener porque el equilibrio entre el ataque y la defensa puede variar de temporada a temporada. Más tarde volveremos sobre este segundo supuesto, pero por ahora asumiremos que es válido y veremos lo que nos dice la teoría del valor extremo.
La figura 4.2 muestra el histograma de los máximos goleadores desde la temporada 1986/1987 a la temporada 2013/2014. La línea continua es la curva para la distribución del valor extremo.[30] Utilizando el modelo del valor extremo, ahora puedo deducir hasta qué punto fueron excepcionales los 50 goles de Messi. A nivel general existe una identificación razonable con los datos reales observados hasta el momento que nos asegura que la teoría del valor extremo puede ser útil. Si miras con atención la esquina inferior derecha de la figura 4.2, verás que los 50 goles de Messi están por encima de la curva deducida de la teoría. El área bajo la curva, que corresponde a 50 o más goles, es la pequeña zona sombreada. Aquí la curva de la teoría es un poco más baja que el histograma de datos. De hecho, la zona bajo la parte 50+ de la curva es solo del 1,36 %, o 1/73, de su área total.[31] Así, el modelo nos dice que deberíamos esperar una actuación como la de Messi una vez cada 73 años. La esperanza media de vida en Argentina es de 75 años. Visto desde esa perspectiva, Messi es realmente un acontecimiento que ocurre una vez en la vida.

Figura 4.2. Histograma del número de goles marcados por los ganadores del Trofeo Pichichi entre las temporadas 1986/1987 y 2013/2014 (histograma de barras) comparado con la distribución de valor extremo (línea continua).
¿Nuevos extremos?
En enero de 2015, Messi ganó por quinta vez el Balón de Oro, adelantando a Ronaldo, que lo ha ganado tres veces. No obstante, Messi no era el primer jugador que lo ganaba por quinta vez. Yo tuve el placer de ver al brasileño cinco veces ganador del trofeo en una final de la Liga de Campeones en 2007, en un campo de fútbol que se encuentra a menos de un kilómetro de donde vivía en aquel momento. El lugar era Gammliavallen en Umeå (Suecia) y la jugadora era la delantera Marta, que es una jugadora realmente excepcional. Cuando juega con la selección brasileña, juega como una delantero centro al estilo Ronaldo. En Umeå jugó más como Messi: regateando a los defensas, creando oportunidades para sus compañeras de equipo y de vez en cuando soltando un zurdazo imparable.
Marta fue la máxima goleadora de la liga femenina sueca en 2004 y 2005, con 21 y 22 goles, respectivamente. Fue segunda en 2006 y 2007, con 20 y 26 goles. Se trata de unos totales relativamente modestos para los goles que se marcan cada temporada en la liga femenina sueca. El récord de goles de todos los tiempos en el fútbol femenino sueco lo estableció en 2001 otra estrella de Umeå, Hanna Ljungberg, que marcó 39 veces. La figura 4.3 muestra la distribución de los goles marcados desde 1982. Como en el fútbol masculino español, la distribución del valor extremo muestra con precisión los goles marcados por las jugadoras de más éxito. La línea continua de la distribución teórica se encuentra una vez más cerca de los números de goles reales. Cuando calculamos la probabilidad de que se igualen o superen los 39 goles, resulta que es del 3,16 %. Esto convierte a Ljungberg, que creció a un corto paseo a través del bosque a las afueras de Gammliavallen, en una goleadora de una por generación en Suecia.
Como Messi, a Marta hay que valorarla por algo más que la suma de sus goles. Lo que la hace realmente especial es su habilidad para contribuir al equipo. En la temporada 2005, cuatro de las cinco máximas goleadoras jugaban en el Umeå, entre ellas Marta y Ljungberg. Entre ellas marcaron 79 goles en 22 partidos.

Figura 4.3. Histograma del número de goles marcados por las ganadoras del Damallsvenskan Skyttedrottning sueco, la jugadora que más goles marcó durante la temporada (histograma de barras) comparada con la distribución del valor extremo (línea continua), entre 1982 y 2014.
El fútbol femenino sueco tiene a Ljungberg, el fútbol masculino español tiene a Ronaldo. El fútbol femenino tiene a Marta, el fútbol masculino tiene a Messi. Los retos son diferentes en países diferentes, y en el deporte masculino y femenino. Pero podemos ver las mismas regularidades estadísticas en las diferentes ligas. La teoría del valor extremo permite predecir con qué frecuencia veremos a jugadores que batan los récords anteriores y, para los grandes acontecimientos, medir lo realmente especiales que son.
La tormenta de 10.000 años
Un campo fuera del fútbol en el que realmente necesitamos comprender los extremos es en la toma de decisiones políticas sobre el futuro. Las decisiones políticas se deberían basar en el pensamiento a largo plazo sobre los resultados en lugar de respuestas a corto plazo ante acontecimientos concretos. Y a veces, los políticos actuales piensan a largo plazo. La legislación holandesa afirma que «la mayor parte del sistema de defensa costera [debería] ser capaz de resistir un nivel de agua que de media se alcanza solo una vez cada 10.000 años».[32] Una exigencia como esta planteada por los políticos presenta un reto considerable para los científicos, que tienen acceso a datos de los últimos 150 años y a los que se pregunta qué podría ocurrir en los próximos 10.000 años.
La teoría del valor extremo nos permite responder dichas preguntas. Las borrascas más grandes que han aparecido cada año en el mar del Norte durante los últimos 150 años se han ajustado al mismo tipo de curva de valor extremo que hemos utilizado para los goleadores.[33] Al fijarnos en el área bajo la curva podemos predecir la frecuencia de los acontecimientos extremos. Por ejemplo, el desbordamiento del mar del Norte en 1953 provocó olas de casi 4 metros, que corresponden a un acontecimiento que ocurre solo una vez cada 455 años. Esto no significa que el mar del Norte no vuelva a las andadas hasta el año 2408. Más bien sugiere que la posibilidad de que el próximo año se produzca un fenómeno semejante o mayor al de 1953 es de 1 entre 455.
Las defensas marítimas actuales en los Países Bajos y la barrera del Támesis aguas abajo del centro de Londres, están diseñadas teniendo en mente el desbordamiento de 1953. Al plantear al revés la pregunta de cuál podría ser la máxima subida anual con una probabilidad de 1 en 10.000 años o menos, los científicos pueden cumplir los requerimientos impuestos por la ley holandesa. Este es exactamente el cálculo que ha realizado el Real Instituto Meteorológico de Holanda. Han demostrado que la subida máxima esperada será probablemente de 5 metros, un 25 % más de la ocurrida en 1953. No podemos estar seguros de que los meteorólogos matemáticos estén en lo cierto, pero hasta que se produzca el desbordamiento sus estimaciones son lo mejor que tenemos.
Bolt de la nada[‡]
Hasta aquí he supuesto que el mundo no cambia demasiado. Observamos el desbordamiento más grande, el día más cálido o el máximo goleador de cada año, pero asumimos que no existe una tendencia de año a año. En los modelos que he analizado hasta ahora he supuesto que marcar goles en la Liga es cada año igual de difícil, y que el clima no está cambiando constantemente. Estas son grandes suposiciones, y en el caso del clima existen bastante pruebas de que dicho supuesto es completamente erróneo. En la actualidad, los científicos están de acuerdo en que el clima está cambiando y en que tenemos que ser capaces de realizar predicciones que tengan en cuenta dichos cambios. ¿Podemos seguir prediciendo el futuro cuando el mundo está cambiando?
Para conseguir una idea más certera de cómo estudiamos el cambio, vamos a centrarnos en un deporte en el que no existe duda de quién es el mejor. Antes de Usain Bolt, el récord mundial de los 100 metros fue bajando constantemente, desde los 10,6 segundos a principios del siglo XX hasta el tiempo de 9,74 segundos de Asafa Powell en 2007. Esta progresión se refleja en la figura 4.4. El tiempo de 9,79 segundos de Ben Johnson en los Juegos Olímpicos de Seúl en 1988 habría revolucionado esta tendencia, pero su registro fue borrado del libro de los récords cuando se descubrió que se había estado dopando. Al igual que en el caso de Johnson, algunos otros tiempos incluidos en la figura 4.4 se han eliminado retrospectivamente como consecuencia de positivos en los controles antidoping. Pero los tiempos libres de dopaje de Maurice Greene y Asafa Powell forman parte de la tendencia general.
Hasta 2007 existía una tendencia clara de mejora gradual del récord mundial de los 100 metros. La media de la mejora año a año se muestra con la línea de puntos en la figura 4.4: una media constantemente decreciente de 74 milisegundos por década durante los 100 años previos. En 2007, los mejores velocistas iban cada vez más rápido, pero solo de una manera muy gradual.
En los prolegómenos de los Juegos Olímpicos de Pekín en 2008 no creo que ni yo ni nadie podría haber predicho la llegada espectacular de Usain Bolt. En la figura 4.5 he extendido en línea recta los tiempos de los futuros récords previstos hasta 2032. El tiempo preolímpico de 9,72 segundos de Bolt en mayo de 2008 era excelente pero no inesperado, y se encuentra ligeramente por debajo de la línea prevista. Sus 9,69 segundos en la final olímpica de ese mismo año fue brillante y sorprendente. Podemos ver lo sorprendente que fue si seguimos la línea de puntos hasta que pasa el círculo de los 9,69 segundos. Esto debía ocurrir en algún momento en 2015 o 2016. Tendríamos que haber esperado hasta Río de Janeiro para ver que alguien conseguía este tiempo. En aquel momento, Bolt estaba ocho años por delante de su tiempo.
Cuando llegamos a los Campeonatos del Mundo en Berlín en 2009, vemos todo lo adelantado que está Bolt realmente a su tiempo. Según nuestra previsión, no esperábamos ver un tiempo de 9,58 segundos hasta 2030, poco más o menos, más de 20 años después de que Bolt estableciera su récord. Bolt no solo es brillante, sino que es inesperadamente brillante.

Figura 4.4. Tiempos del récord mundial de los 100 m masculinos hasta 2009. Las cruces son los tiempos de récord mundial. La línea de puntos marca la tendencia. El tiempo de Ben Johnson (círculo) fue descalificado después de correrlos en 9,79 segundos.

Figura 4.5. Tiempos del récord mundial de los 100 m masculinos de 1982 a 2015. Las cruces son los tiempos de récord mundial. La línea de puntos marca la tendencia.
Cambios de juego
Puedo imaginar uno de dos posibles futuros para los velocistas post-Bolt. Una posibilidad es que Bolt sea realmente único. Su combinación de actitud, figura, tamaño y conducta lo convierten en único y tendremos que esperar mucho tiempo para ver a otro Bolt. Una segunda posibilidad es que ha cambiado las reglas de este deporte. Bolt es más alto que otros velocistas, da menos zancadas y parece más relajado en su preparación. Al emular su actitud, es posible que otros jóvenes con una constitución similar sean capaces de adoptar el mismo estilo. Aún no hemos visto a ninguno, pero un niño de 10 años que presenciase los Juegos Olímpicos de Pekín tendrá 22 años en 2020. E imaginemos que en los siguientes Juegos Olímpicos en Tokio vemos una serie de «clones» de Bolt corriendo por el oro.
Una cuestión similar se puede plantear sobre Messi y Ronaldo. No es ninguna coincidencia que ambos batieran el récord de goles marcados en la misma temporada. No hay duda de que se estuvieron empujando durante la temporada e incluso es posible que sean la punta de lanza de un resurgimiento del fútbol de ataque, similar al que se vio en la década de 1960. La figura 4.6 muestra los goles por partido de los delanteros más goleadores desde el establecimiento del Trofeo Pichichi en 1929. Algunos de los jugadores del pasado de la Liga, como Telmo Zarra a finales de la década de 1940 y principios de la década de 1950, conseguían regularmente más de un gol por partido. Está claro que jugaban en una época diferente, con un número menor de partidos y formaciones muy diferentes. Pero eso es precisamente lo que vamos a considerar ahora. ¿Es posible que Ronaldo y Messi nos estén llevando a una nueva era del fútbol?
Las reglas del juego no cambian solo en el deporte. Siempre que se produce un huracán, una sequía, una ola de calor o una inundación, nos preguntamos si estamos presenciando una consecuencia del cambio climático. El Grupo Intergubernamental sobre el Cambio Climático es precavido al atribuir un acontecimiento extremo concreto a las emisiones de gases invernadero o a otras actividades humanas.[34] No obstante, en las últimas décadas se ha producido un aumento constante de la duración de las oleadas de calor, así como del número de los días extremadamente cálidos. También ha habido un aumento en el número de días muy lluviosos, en especial en América del norte y Europa.[35]
Estos cambios de juego deportivos y medioambientales nos muestran la limitación de las estadísticas como las distribuciones de valor extremo.

Figura 4.6. Media de goles marcados por partido por los ganadores del Trofeo Pichichi.
Clasificaciones objetivas
El fútbol es un deporte de equipo, de manera que no resulta justo juzgar a los jugadores solo por el número de goles que marcan. Cristiano Ronaldo chuta mucho más que casi cualquier otro jugador en el fútbol profesional. Y si chutas mucho, lo más normal es que lleguen los goles. El número de disparos que realiza no es solo una medida de sus habilidades, sino también del equipo que está a su alrededor. Ya he demostrado cómo Messi depende de los pases de sus compañeros de equipo. Quizá sean defensas y centrocampistas como Marcelo, James Rodríguez e Isco los que se merezcan la mayor parte del crédito de Ronaldo por sus últimos registros en la Liga.
A los centrocampistas y a los defensas no se los puede valorar simplemente en término de goles. Afortunadamente, existe una gran variedad de estadísticas que se pueden utilizar para evaluarlos: no solo los goles sino las asistencias, el número de disparos que llegan o no a su destino, la distancia recorrida, el número de regates, las intercepciones, la tasa de robos y despejes, para nombrar solo unas pocas. Estas estadísticas están disponibles para cada jugador después de cada partido. La dificultad se encuentra en convertir estos números en una medida real de su actuación.
Reducir las habilidades a una única medida es el objetivo del Performance Index [Índice de Actuación], que se publica cada semana en la página web de la Premier League. Ahí se puede encontrar el Equipo de la Semana, formado por los jugadores que han realizado las mejores actuaciones de la semana anterior en cada una de las posiciones. También se puede consultar la clasificación acumulativa y descubrir quién es el más regular a lo largo de toda la temporada. Según estas estadísticas, el director de juego del Chelsea, Eden Hazard, fue el mejor jugador en la temporada 2014/2015. Los otros jugadores estuvieron de acuerdo y Hazard fue elegido el Mejor Jugador del Año de los Jugadores.
Mientras que los jugadores deciden a quién votan como su Jugador del Año en función de haber jugado contra él durante la temporada, el Performance Index de la Premier League es un modelo puramente estadístico. Su patrocinador, EA Sports, afirma que se trata de un índice objetivo diseñado para «acabar con las discusiones mediante el uso de una variedad completa de estadísticas».[36] Con frecuencia, los jugadores y el índice están de acuerdo. Normalmente, la mayoría de los jugadores nominados para el premio del Jugador del Año también se encuentran entre los diez primeros del Performance Index. No obstante, aunque funciona bien, el Performance Index no es tan «objetivo» como pretenden sus patrocinadores.
Todo índice, y no importa lo objetivo que queramos que sea, está diseñado por seres humanos. La tarea de diseñar el Performance Index de la Premier League fue encargada a dos estadísticos de Manchester, Ian McHale y Philip Scarf, que se tomaron en serio el encargo. En primer lugar, tenemos la dificultad de comparar porteros, defensas, centrocampistas y delanteros. Incluso dentro de estos papeles existen subcategorías, como extremo o centrocampista defensivo, y diferentes tareas asignadas a los jugadores, como marcar o sacar de esquina. Cada jugador tiene un papel diferente en el equipo, y su éxito se juzga según criterios diferentes. La segunda dificultad deriva del trabajo en equipo. Es posible que un defensa haga muy poco durante un partido porque el equipo consigue concentrar todos sus esfuerzos en ataque, mientras que el portero del bando más débil es posible que realice un montón de buenas paradas, pero solo porque se ve obligado a ello.
Ian y Phil empezaron analizando en detalle qué jugadores participaban en un partido. Empezaron estableciendo un modelo estadístico de cómo las diferentes contribuciones generaban los goles. En cada partido contaron con qué frecuencia los jugadores realizaban ciertas acciones, incluidos pases, robos, cruces, regates, bloqueos y despejes, y también con qué frecuencia les mostraban una tarjeta amarilla o una roja. Después utilizaron una herramienta estadística para ver hasta qué punto el número de estas acciones predecía el número de disparos a puerta del propio equipo o del contrario. Lo que ofrece esta herramienta estadística es una medida del efecto, positivo o negativo, en la creación de oportunidades. Descubrieron que cuanto más pasa el balón un equipo, más oportunidades genera, y los cruces culminados con éxito demuestran que son una de las rutas más probables hacia el gol. Al combinar su modelo con los datos de la Premier League de 2003 a 2006, estimaron que cada cruce con éxito equivalía a 10 pases normales en términos de creación de un disparo. Una expulsión equivalía a perderse 41 intercepciones.
Su modelo estadístico permite cuantificar el efecto de la construcción de un ataque que proviene de la defensa y del centro del campo. Entonces Ian y Philip incorporaron la probabilidad de éxito de los disparos y de las paradas, lo que les permitía tener en cuenta la influencia de los delanteros y de los porteros en la creación y supresión de los goles. El método es todo lo «objetivo» que puede ser, en el sentido de que se basa totalmente en los números de varias acciones realizadas en el campo. Toma las acciones de cada jugador, las relaciones con las oportunidades de gol y descubre cuáles son los jugadores que más han contribuido.
Una vez que Ian y Phil crearon el modelo con datos históricos, lo probaron en la temporada 2008/2009 para determinar quiénes eran los mejores jugadores. Analizaron cuántos de los diferentes tipos de acciones realizaba cada jugador durante la temporada y calcularon el índice para cada una de ellos. Esa fue la última temporada de Cristiano Ronaldo en el Manchester United, donde fue el máximo goleador, con grandes contribuciones a su lado de Rio Ferdinand, Nemanja Vidić y Ryan Giggs. Liverpool fue un serio aspirante al título, con Jamie Carragher, Steven Gerrard y Dirk Kuyt como los más regulares. Gareth Barry y Gabby Agbonlahor contribuyeron a que el Aston Villa se clasificase para Europa.
Así las cosas, ¿quién crees que fue el mejor jugador según el modelo? Bueno, fue el portero del Fulham, Mark Schwarzer. Consiguió un 7,29 en el Índice de Resultados de Partidos de Ian y Phil, por delante de Barry, que ocupó el segundo lugar con 7,06, y de Sol Campbell del Portsmouth, en tercera posición con 6,86. Ronaldo ni siquiera consiguió entrar entre los veinte primeros, ni ningún otro jugador del Manchester United. De hecho, en la lista solo figuraba un delantero, Nicolas Anelka, del Chelsea, y un centrocampista, Gareth Barry. Todos los demás eran porteros y defensas.
Sin desmerecer a Schwarzer, que realizó una temporada excelente y fue votado como Jugador del Año del Fulham, pero un portero australiano de 37 años en lo alto de la clasificación no era exactamente lo que estaban buscando los patrocinadores de la Premier League. Aunque las actuaciones eran importantes, para ellos tenía sentido que la posición final de cada equipo en la liga también formase parte de la clasificación.
En su artículo científico sobre el sistema, Ian y Phil defendían su modelo de contribución a cada partido.[37] Cuando analizaban por qué los delanteros y los centrocampistas ofensivos no ocupaban una posición más alta en la clasificación, descubrieron que se debía a que se desaprovechaban oportunidades delante de la portería: se reveló que en especial Frank Lampard era «altamente variable» en sus disparos. Los defensores aparecían como más valiosos porque sus intercepciones y sus bloqueos evitaban que entrasen los goles. Los defensores paran muchos más goles potenciales de los que marcan los delanteros, haciendo que su contribución al partido sea más significativa.
Ian y Phil presentaron sus descubrimientos científicos, pero también eran pragmáticos. Después de hablar con la Premier League, elaboraron un índice revisado, añadiendo puntos por ganar partidos y por el número total de goles, así como por la tasa de éxito, asistencias y dejar el contrincante a cero. Estas enmiendas decantaron el índice de nuevo a favor de los atacantes, y Anelka, que se encontraba en una posición elevada tanto en el viejo índice como en el nuevo, encabezó la clasificación. La Premier League sigue utilizando este índice combinado.[38] En la actualidad está dominado por centrocampistas ofensivos y delanteros, y suelen ser los jugadores a los que nos gusta ver. Pero debemos recordar que, en términos puramente estadísticos de las acciones realizadas que crean oportunidades para su propio equipo o evitan las oportunidades del contrincante, esos no son necesariamente los mejores jugadores. Existen héroes defensivos y porteros sin gloria que trabajan para Crystal Palace, West Bromwich Albion y Stoke City que nunca han llegado a estar entre los 10 primeros de la Premier League, pero que siguen siendo los primeros de la lista de Ian y Phil. Estos jugadores son las verdaderas estrellas estadísticas de la Premier League.
Análisis FC
A los entrenadores les resulta imposible ver todos los partidos y evaluar todos los jugadores de todo el mundo. Idealmente, les gustaría tener acceso a algunos números que les permitieran descubrir estrellas emergentes en un estadio inicial. Los datos están disponibles. Los equipos pueden revisar bases de datos masivas en línea con las estadísticas vitales de los jugadores. Un buen punto de partida es la base de datos en el juego de ordenador Football Manager. Las estadísticas de los jugadores reales están recogidas por los jugadores del juego de ordenador, que asisten a partidos de las ligas inferiores o de categorías juveniles y proporcionan las clasificaciones. Recientemente, la ha comprado la empresa de datos deportivos Prozone, que ahora se la proporciona a los clubes.
La cuestión es cómo utilizar estos datos de la mejor manera posible. En el béisbol, el uso de estadísticas está muy bien establecido. El béisbol americano tiene una larga historia de utilización de medias de bateo y de lanzamientos, tiempos de carrera e índices de despliegue para evaluar la actuación de los jugadores. El éxito en el uso de estas estadísticas en el traspaso de jugadores está bien documentado en el libro (y en la película) Moneyball, por ejemplo, y en la actualidad el enfoque estadístico se ha extendido por todo el deporte.[39]
En el fútbol, el equipo complica las estadísticas en un grado mucho más elevado que en el béisbol. Es posible que un defensa encabece la estadística de recuperación de balones debido a un papel específico que le ha asignado el entrenador, o porque sus compañeros de equipo siguen perdiendo balones, o porque está mal colocado para interceptar inicialmente el balón. Es posible que un delantero chute muchas veces, pero para el equipo podría ser mejor que pasase más. El reto está en separar al individuo del equipo. Los defensas que juegan en clubes de la mitad inferior de la liga se enfrentan a situaciones más complicadas que sus homólogos de la mitad superior. Y a los delanteros de los grandes equipos se les presentan más oportunidades que a los que juegan en equipos más limitados.
Los jugadores individuales no se pueden valorar de manera adecuada sin tener en cuenta el equipo en el que juegan. En su libro The Numbers Game, Chris Anderson y David Sally explican el fracaso o el éxito potenciales de un equipo de fútbol en función de su eslabón más débil.[40] Plantean la analogía entre el papel esencial de cada uno de los componentes de una nave espacial y el papel esencial de cada jugador que forma parte de un equipo. Aconsejan a los clubes de fútbol que se concentren menos en las pequeñas mejoras que pueden conseguir, por ejemplo, comprando un delantero con una tasa de aciertos ligeramente superior, y más en encontrar jugadores que se ajusten mejor a la estructura del equipo y refuercen la plantilla en lo que es más débil.
Las compañías de análisis son conscientes de las limitaciones de las estadísticas de un jugador y trabajan muy duro para mejorar la situación. La empresa de Dan Altman, North Yard Analytics, utiliza los detallados datos de pases de la empresa de análisis de actuación Opta para valorar el impacto general que un jugador tiene en el campo. Dan evalúa al jugador en función de cómo hace avanzar el balón en diferentes zonas del campo y cómo contribuye a los disparos a puerta. Por ejemplo, Dan estudió la actuación del defensa del Everton Leighton Baines durante la temporada 2013/2014 y demostró que su contribución en los partidos estaba fuertemente centrada en el campo contrario.[41] Comparado con el lateral medio en la Premier League, Baines contribuía sustancialmente más cuando el balón estaba en el campo de ataque, pero sustancialmente menos cuando el balón se encontraba en su propio campo. Cualquier equipo interesado en contratar a Baines necesitará un fuerte central zurdo que lo pueda cubrir mientras Baines crea oportunidades de ataque. Construir un equipo consiste en unir todas las piezas.
El ojeo estadístico es probablemente menos importante en los clubes más grandes y ricos, que ya disponen de un ejército de ojeadores que buscan nuevos talentos y los jugadores jóvenes compiten para entrar en sus academias. Pero los clubes más pequeños tienen su oportunidad si analizan los números. En 2014, el club danés FC Midtjylland fue adquirido por Matthew Benham, propietario de la página de apuestas Matchbook y del servicio de análisis deportivo Smartodds. Benham está especializado en utilizar modelos matemáticos para predecir los resultados, y ha creado una gran base de datos de actuaciones de jugadores y equipos. Al apostar, sus métodos estadísticos le han proporcionado una fortuna. En Midtjylland, así como en el club inglés Brentford, que también es de su propiedad, Benham pretende integrar el enfoque de los modelos matemáticos en clubes de fútbol en funcionamiento.
El director deportivo del Midtjylland, Claus Steinlein, vio inmediatamente los beneficios de que el propietario fuera un creador de modelos matemáticos. «Antes teníamos un ojeador y se pasaba la mitad del tiempo entrenando», le explicó Steinlein al periodista del Guardian Sean Ingle. «Ahora tenemos un equipo en Londres que analiza los números y nos sugiere posibles candidatos.»[42] El Midtjylland usa las bases de datos para encontrar jugadores que potencialmente encajen en el equipo antes de ver al jugador y hablar con él cara a cara. Las estadísticas son el punto de partida para el ojeo, no lo sustituyen.
El Midtjylland ha aplicado en toda su amplitud el enfoque científico del fútbol, no solo para el ojeo. Tiene un entrenador de disparos que analiza en detalle el giro que los jugadores dan al balón cuando chutan. Utilizando un análisis exhaustivo de un conjunto de elementos, han mejorado en gran medida su tasa de acierto para marcar de falta directa y saques de esquina. En el descanso el entrenador recibe un informe de las ocasiones creadas por su equipo y por el equipo contrario, y puede ajustar la táctica en consecuencia. En el verano de 2015, el enfoque científico dio sus frutos: el Midtjylland ganó la liga danesa por primera vez en su historia.
Es posible que el Midtjylland represente el futuro del fútbol, en el que la ciencia esté correctamente integrada en el trabajo del club. Pero este enfoque analítico no se basará en la simple medida estadística de las habilidades del jugador, sino que se centrará en la construcción del equipo. Por otro lado, la analítica tampoco niega que de vez en cuando los jugadores consiguen logros que son realmente inesperados y excepcionales: ningún equipo se quiere perder al próximo Messi porque estén mirando la pantalla de un ordenador llena de números. La integración de las matemáticas y de la ciencia en el fútbol implica un equilibro que ahora estamos empezando a ajustar.
Capítulo 5
La cohetería de Zlatan Ibrah
Estas fueron las palabras del comentarista Stan Collymore tras presenciar cómo el gigante sueco rotaba su cuerpo verticalmente 180°, chutaba el balón haciendo una chilena y lo elevaba por encima de la cabeza de Joe Hart desde más de 25 metros. Unos segundos antes, Collymore había descrito tranquilamente el partido como un «ejercicio meritorio» entre Inglaterra y Suecia que buscaban la clasificación para la Copa del Mundo. De repente exclamó: «¡Oh, Dios mío, un gol loco! ¡Acabo de ver el gol más loco que he visto nunca en un campo de fútbol!». La voz de Collymore casi se llegó a romper cuando declaraba su deseo de abrazar a Zlatan.
Fue un gol espectacular.[43] La chilena es una de las formas más espectaculares de marcar en el fútbol porque implica un muy alto grado de coordinación, anticipación, precisión y elección del instante oportuno. El jugador se tiene que girar cabeza abajo a gran velocidad, seguir el balón y golpearlo a la perfección. Para la chilena «estándar» que se ejecuta dentro del área, como el sorprendente gol de Wayne Rooney contra el Manchester City, el jugador tiene que golpear el balón con el empeine de la bota. Esto asegura que el balón volará hacia abajo en dirección a la portería. Zlatan estaba fuera del área de penalti, de manera que tuvo que utilizar la punta de la bota para arquear el balón por encima del portero Joe Hart y la defensa. Su «volea de chilena» fue un tipo de disparo completamente nuevo.
La explicación de Newton
La ejecución es muy difícil, pero la física de la volea de chilena de Zlatan es relativamente sencilla. La fuerza principal implicada es la gravedad, y la trayectoria del balón se puede deducir con la ayuda de las ecuaciones de movimiento de Newton. Suponiendo que no haya resistencia del aire, el balón seguirá una trayectoria similar a la que se muestra en la figura 5.1. Como todas estas trayectorias, dibuja una parábola si suponemos que la velocidad del balón hacia la portería es constante. La velocidad descendente del balón aumenta con el tiempo porque la gravedad provoca que el balón se acelere hacia el suelo.[44] La gravedad proporciona una aceleración constante, de manera que la velocidad inicial del balón hacia arriba es positiva, pero disminuye en una cantidad igual en cada intervalo de tiempo. Es cero cuando el balón se encuentra a su altura máxima y entonces se vuelve negativa a medida que el balón cae. Como resultado, la trayectoria del balón es simétrica alrededor del punto máximo, y sigue el mismo camino hacia abajo que ha seguido hacia arriba.
Si seguimos la trayectoria de esta parábola, la cosa parece bastante sencilla. Solo se trata de lanzar el balón en el ángulo y a la velocidad correctos, la gravedad se hará cargo y el balón aterrizará en el fondo de la red. Pero el problema es que la relación entre el ángulo de lanzamiento y dónde acaba el balón no es tan directa. La figura 5.2 muestra el conjunto de seis disparos diferentes realizados con ángulos diversos, dos de los cuales acaban en el fondo de la red y cuatro salen fuera.

Figura 5.1. La trayectoria de la volea de chilena de Zlatan Ibrahimović según la física newtoniana.

Figura 5.2. La trayectoria de la volea de chilena de Zlatan está determinada por el ángulo de lanzamiento.

Figura 5.3. Cómo la velocidad inicial y el ángulo de lanzamiento determinan si el balón entra o no en la portería. El área gris indica la combinación de ángulo y velocidad con la que marcó Zlatan. Las combinaciones a la derecha de la zona gris envían el balón por encima del larguero, mientras que las combinaciones a la izquierda consiguen que el balón bote antes de llegar a la portería.
Envíalo al espacio
La chilena tiene una aerodinámica relativamente sencilla. La fuerza principal es la gravedad y las ecuaciones son las mismas que aprendimos en las clases de física en la escuela. Zlatan aplica una fuerza inicial ascendente, y la gravedad proporciona la aceleración descendente. No obstante, no es tan sencillo como parece. En los cálculos anteriores simplifiqué las cosas al ignorar otras fuerzas que entran en juego. Cuando el balón vuela por el aire, el rozamiento resultante lo va frenando, y además Zlatan también le aplica un giro de manera que el balón va rotando cuando llega a la red. Hay que reflexionar sobre muchos elementos cuando se trata de elaborar un modelo del movimiento de un balón en vuelo.
Afortunadamente, un montón de especialistas en cohetes están trabajando en el caso. La NASA gestiona todo un programa de investigación dedicado a la aerodinámica del balón. Han creado un simulador de disparos en línea, donde puedes introducir la posición, la dirección, las fuerzas y la rotación de un balón y calcular si dará o no en la diana.[46] Yo no dispongo de los recursos que tiene la NASA, pero añadí el frenado provocado por la resistencia del aire a mi propio simulador de la volea de chilena de Zlatan. Un gol simulado se muestra en la figura 5.4.
La resistencia del aire es significativa: provoca que el balón caiga con un ángulo más pronunciado que el ángulo de lanzamiento. La figura 5.4 muestra que balón fue lanzado a 27°, pero cuando llega a la red, el ángulo respecto al suelo se acerca a los 80°. El hecho de que la caída del balón sea más abrupta significa que la franja de velocidades y ángulos que acaban en gol se reduce. Una fuerza ligeramente superior lo impulsará por encima del larguero y una ligeramente inferior lo hará rebotar delante de la portería. Cuando Zlatan chutó el balón le otorgó una rotación con retroceso para compensar la resistencia del aire y para conseguir que su vuelo se pareciera más a la parábola gravitatoria. Cuando el balón salió rodando de su pie, debió saber de inmediato que había hecho algo especial. El balón adoptó exactamente la curva que quería y cayó a la perfección en la portería de Inglaterra.
La trayectoria de todo balón chutado durante un partido de fútbol está determinada por detalles como la rotación y la resistencia del aire.[47] A velocidades altas, el material que forma el balón y sus características físicas también son importantes. Los fabricantes intentan eliminar las diferencias entre superficies, aunque en todos los balones la cubierta exterior consiste en paneles cosidos entre sí. Las variaciones en la configuración de estos paneles y el cosido entre ellos significa que balones diferentes generarán patrones de turbulencia ligeramente diferentes a su alrededor cuando están en vuelo. Balones diferentes chutados exactamente de la misma manera pueden tener trayectorias ligeramente diferentes.
En los prolegómenos de la Copa del Mundo de 2014 en Brasil, los ingenieros de la NASA decidieron probar varios balones de fútbol. En la Copa del Mundo de Sudáfrica hubo quejas de que el balón Jabulani utilizado en los partidos mostraba movimientos «sobrenaturales». Esas acusaciones son difíciles de verificar y se podían deber al resentimiento de los equipos eliminados de la competición, así que la NASA decidió colocar el Jabulani en un túnel de viento y someterlo a pruebas. El Jabulani era un balón mucho más liso que los utilizados con anterioridad, porque solo tenía ocho paneles frente a los 32 tradicionales. El cosido que conecta los paneles provoca irregularidades en la superficie, así que con menos paneles se consigue un balón más liso.

Figura 5.4. Aerodinámica de la volea de chilena de Zlatan Ibrahimović incluyendo el frenado a causa de la resistencia del aire.
La NASA pasó a continuación a probar el nuevo Brazuca, que se iba a usar en la Copa del Mundo de 2014 en Brasil. Aunque el Brazuca tiene aún menos paneles, solo seis, las costuras del balón son más largas y los paneles están cubiertos de pequeños hoyuelos. La rugosidad de la superficie significa que el Brazuca solo tiene esta trayectoria errática a baja velocidad y que presenta un patrón de vuelo más fiable que si se lo chuta con fuerza.
Unos investigadores en Japón fueron aún más allá que los científicos de la NASA.[48] Construyeron un robot para chutar repetidamente el Brazuca, el Jabulani y otros balones exactamente de la misma manera. En cada prueba con el mismo tipo de balón, lo colocaban con diferentes orientaciones iniciales para que el pie del robot impactase contra partes diferentes del panelado. Cuando se chutaba a 30 metros por segundo, un disparo muy duro en el fútbol profesional, el vuelo del Jabulani dependía mucho de la parte del panelado que había golpeado el pie del robot. Los investigadores colocaron la diana a 25 metros de distancia, hicieron que el robot chutara directamente hacia delante sin rotación y comprobaron dónde había golpeado el balón. Dependiendo de la orientación, el punto de impacto en la diana podía variar hasta dos metros en el Jabulani, lo que es una variación bastante grande si intentas golpear un blanco de 2,44 metros de altura. El Brazuca era mucho más fiable y los cambios en la orientación inicial provocaban solo diferencias muy pequeñas en el punto de impacto. No obstante, era la misma fiabilidad que el balón de fútbol tradicional de 32 paneles, que los investigadores también probaron. En consecuencia, en lo que respecta a un robot futbolista, el viejo y buen balón estándar de la FIFA es tan fiable como el moderno Brazuca de seis paneles.
Suerte, estructura y magia
Tengo una razón para terminar la parte «En el campo» de este libro con un abrazo a Zlatan. Aunque su gol de chilena se puede analizar desde el punto de vista matemático, no he intentado reducir totalmente a ecuaciones la brillantez de Zlatan. Su disparo maravilloso y la reacción de Collymore nos recuerdan que es inútil intentar reducir a matemáticas y ciencia toda la belleza del juego.
En los cinco capítulos que acabamos de pasar en el campo, he analizado varios aspectos del fútbol utilizando una combinación de azar y estructura. El azar nos ha permitido en gran medida explicar los goles y medir la excelencia; la estructura nos permite controlar el espacio tanto en ataque como en defensa, y medir la dinámica de pases del centro del campo. Lejos del fútbol, enfoques similares sirven para los peces y los leones; predicciones meteorológicas y cambio climático; corredores de 100 metros lisos; enviar balones por el aire y cohetes al espacio; y también para coces de caballo, accidentes y cáncer. Estos son solo unos pocos de los miles y miles de ejemplos. A través de la biología, la sociología y la meteorología, las analogías matemáticas nos permiten ver con claridad cómo surgen el azar y las estructuras. Las matemáticas y la ciencia son poderosas, pero ¿pueden explicarlo todo?
Vi el gol de Zlatan por televisión en mi casa con mi familia. Mi esposa sueca pegó un salto gritando de alegría y dando una patada de kung fu. Mi hija miraba a su mamá con alegría, sonriendo y tapándose las orejas con las manos para amortiguar el ruido. Y mi hijo se derrumbó en una nueva ronda de lágrimas, maldiciendo a Zlatan y sollozando que la sustitución de su amado Steven Gerrard había provocado el gol. Esta escena —en mi sala de estar, en el campo, en el Friend’s Arena donde aplaudieron incluso los seguidores de Inglaterra, y repetida por toda Suecia— refleja una pasión por un juego que no es aleatorio ni estructurado. Es, sencillamente, mágico.
El gol de Zlatan debe quedar parcialmente sin explicación, como la chilena de Rooney contra el Man City, la carrera de Giggs contra el Arsenal y el gol de medio campo de Beckham en Wimbledon. Es posible que nunca podamos llegar a una conclusión sobre el (segundo) gol de Maradona contra Inglaterra en la Copa del Mundo de 1986 o el «gol de placa» de Pelé, cuando recorrió toda la largura del campo para marcar para el Santos en Maracaná. Las regularidades estadísticas en el marcaje de goles de Messi y Ronaldo no ocultan la sorprendente variedad de maneras que han descubierto para marcar un gol. La capitulación de 20 minutos de Brasil ante Alemania en la semifinal de la Copa del Mundo de 2014; los dos minutos en los que Edin Džeko y Sergio Agüero llevaron el título al lado azul de Manchester por primera vez en 44 años; el canto durante el descanso de You’ll Never Walk Alone, seguido de los tres goles del Liverpool en Estambul; todo esto se puede explicar en parte por lógica y razón, pero siempre conservará un elemento de leyenda.
Las mates y las ciencias nos dan una perspectiva. Podemos utilizar las herramientas científicas para revelar patrones y para domar la aleatoriedad. Cada vez que aplicamos un modelo matemático, obtenemos una idea más clara de cómo funciona el mundo. Pero los matemáticos y los científicos deben reconocer sus límites: siempre habrá algo en el fútbol, y en el resto de la vida, que no podamos explicar del todo. Esto no nos debería preocupar. Se trata de algo que celebrar. La acción en un campo de fútbol siempre seguirá siendo una combinación única de suerte, estructura y magia. Estos tres elementos juntos son los que hacen que el fútbol sea lo que es.
Parte II
En el banquillo
Capítulo 6
Tres puntos para el entrenador con pájaros en la cabeza
Hill era el ejemplo perfecto del «sabelotodo». Sus análisis en pantalla nunca tenían en cuenta las pasiones o los sentimientos de los hinchas, sino que se centraban en lo que veía como si fueran hechos indiscutibles. Era lógico y racional y, al menos en televisión, parecía que tenía una fe inquebrantable en sus razonamientos. Mi educación me dejó con una opinión dividida sobre Hill. Amaba las matemáticas, así que creía en el poder de la racionalidad y del pensamiento cuidadosamente ordenado. Pero en la vida hay algo más que lógica. Está la sensación que adquiere un niño de nueve años cuando ve que el país pequeño e insignificante en el que vive se pone por delante de la nación futbolística más grande de todos los tiempos. En eso debe haber algo que valga la pena.
Así que será con estos sentimientos encontrados que voy a defender a continuación a Jimmy Hill. No por su personaje en pantalla, sino por su trabajo detrás del escenario al aportar cambios estratégicos al fútbol. A finales de la década de 1970, planteó la idea de otorgar tres puntos en lugar de dos por las victorias en los partidos de liga. Su propuesta fue adoptada en Inglaterra en 1981 y a lo largo de la década siguiente el cambio al sistema de tres puntos se extendió a Turquía, Grecia, los países escandinavos, Italia e Irlanda. En 1994, Escocia siguió finalmente el mismo camino, y en 1995 la FIFA adoptó el sistema de tres puntos como el estándar.
Si incluso Escocia ha seguido el consejo de Hill, ciertamente valdrá la pena analizar con más detenimiento los cambios que propuso. Tenemos que estudiar de manera estratégica cómo el número de puntos por una victoria cambia los incentivos de un equipo para atacar y defender.
Ampliando el pastel de los puntos
A primera vista, dos puntos por una victoria parece tener sentido. Se ponen dos puntos en juego: si ganas, te los quedas, y si empatas te los repartes. El partido es un pastel con dos mitades de tamaño similar. Si ganas, te llevas todo el pastel, y si empatas te lo repartes por la mitad. Un sistema de tres puntos no se ajusta a las matemáticas del patio del colegio: implica que el pastel crece cuando alguien gana, o se encoje cuando se empata. Esto no tiene ningún sentido por lo que conocemos sobre los pasteles.
No obstante, aunque un sistema de dos puntos tiene sentido, no ofrece ningún incentivo por ganar. Imagina que estás jugando un partido contra un oponente que tiene tu mismo potencial. Puedes tomar la decisión de atacar e ir a por la victoria, o defender y jugar al empate. Pero sabes que atacando quedas expuesto y aumentas tanto las posibilidades de encajar un gol como de marcarlo. Por ejemplo, imagina una estrategia muy ofensiva que te da el 50 % de posibilidades de ganar y un 50 % de posibilidades de perder, pero ninguna posibilidad de empatar. Con esta estrategia, en la mitad de los partidos conseguirás los dos puntos y en la otra mitad no obtendrás nada. El número de puntos previstos es
(2 × 0,5) + (0 × 0,5) = 1
No es mejor que si utilizas una estrategia extremadamente defensiva que te garantice un empate: 1 × 1 = 1. Como el empate es más seguro que jugárselo todo a ganar, aumenta el factor psicológico contra un fútbol ofensivo. Es mejor estar seguro que lamentarse.Jimmy Hill comprendía los incentivos y estos son muy diferentes en un sistema de tres puntos. Si una estrategia ofensiva tiene el 50 % de posibilidades de ganar, entonces el número medio de puntos que se pueden esperar por partido es
(3 × 0,5) + (0 × 0,5) = 1,5
Una estrategia defensiva que siempre acaba en empate solo garantiza 1 punto, así que es mejor jugar un fútbol de ataque. Para el oponente también es mejor atacar, sin tener en cuenta lo que tú decidas hacer. Un equipo siempre acabará perdiendo, pero cuando dos equipos de potencial similar juegan entre ellos, de media conseguirán más puntos si los dos van a por la victoria.Estos cálculos suponen que los dos equipos tienen un potencial similar. Esta suposición no refleja la realidad de la Premier League, donde los equipos más importantes tienen propietarios multimillonarios y pueden aportar fondos y comprar los mejores jugadores. Un ejemplo más realista es imaginarte como el entrenador de un equipo del medio de la tabla que lucha por la permanencia en la Premier League. El próximo sábado vas a enfrentarte al Arsenal de Arsène Wenger fuera de casa. Tu ojeador te explica que si juegas un fútbol ofensivo tienes un 32 % de posibilidades de ganar: un poco menos de 1 a 3. También predice que el Arsenal tiene un 48 % de posibilidades de ganar, un poco menos de la mitad. Un empate no es previsible, con una probabilidad del 20 %. Estos porcentajes tienen la función de ejemplo hipotético, o, en mi lenguaje, un modelo matemático. En realidad, los ojeadores no proporcionan una información numérica tan precisa. Pero sigue conmigo y más tarde veremos que las cifras concretas no son importantes. Lo que es importante es cómo las fuerzas relativas de tu equipo y del Arsenal determinan tu estrategia y la de Wenger.
La estimación del ojeador se basa en el supuesto de que tanto el Arsenal como tú juegan un fútbol ofensivo. Imaginemos que defendiendo puedes dejar en la mitad las posibilidades de ganar del Arsenal, pero al hacerlo también dejas en la mitad tus posibilidades de ganar. Lo mismo ocurre con el Arsenal: si Wenger decide defender, entonces reduce a la mitad las posibilidades de ganar tanto del Arsenal como de tu equipo. Podemos resumir las predicciones del ojeador en la tabla 6.1, que muestra la probabilidad de ganar, empatar y perder por cada una de las estrategias que puedan adoptar Wenger y tú.
TABLA 6.1. Las probabilidades de ganar (G), empatar E y perder (P) en el juego ataque/defensa.
Analicemos primeros los dos puntos por la victoria. Vamos a empezar con la situación en la que los dos equipos atacan y vamos a calcular cuántos puntos puedes esperar conseguir. Consigues dos puntos por ganar, con una probabilidad del 0,32 (es decir, 32 %) y un punto por empatar, con una probabilidad del 0,20 (es decir, 20 %). Esto da un resultado esperado de
(0,32 × 2) + (0,20 × 1) = 0,84
Esta es la cifra que aparece en la entrada «Tú atacas/Arsenal ataca» en la tabla 6.2. Calculando los puntos esperados en las diferentes combinaciones estratégicas, dependiendo de lo que hagan Wenger y tú, conseguimos el resto de las cifras de la tabla.TABLA 6.2. Puntos esperados en el juego ataque/defensa bajo el sistema de dos puntos por victoria.
Con el sistema de tres puntos, la situación cambia. La tabla 6.3 muestra los puntos esperados para todas las combinaciones estratégicas, esta vez multiplicando por tres puntos en caso de victoria.
TABLA 6.3. Puntos esperados en el juego ataque/defensa bajo el sistema de tres puntos por victoria.
Rompiendo el orden jerárquico
Al igual que los resultados de los partidos de fútbol dependen del potencial, las consecuencias de las interacciones animales dependen del tamaño y la fuerza. Una de mis competiciones animales favoritas es la que libran los cangrejos nativos del norte de Europa. Estos cangrejos disponen como arma de pinzas de diferentes tamaños, que utilizan para luchas por los alimentos y para aparearse. Los cangrejos más grandes suelen tener las armas más grandes, y los cangrejos más pequeños tienen armas más pequeñas. La bióloga Isabel Smallegange, que trabaja en la hermosa isla de Texel, al norte de Ámsterdam, estableció una serie de arenas cada una de las cuales contenía parejas de cangrejos de tamaños diferentes y un pequeño número de mejillones por los que se debían pelear.[49] Descubrió que el cangrejo pequeño evitaba al cangrejo grande, dejando que fuera el primero en comer. El cangrejo grande se comía los mejores mejillones, mientras que el cangrejo pequeño debía pasar más tiempo buscando comida en otro sitio. Los mejillones son como un pastel de tamaño invariable, y el resultado es una estrategia agresiva «de ataque» por parte del cangrejo más fuerte y una estrategia «defensiva» de retirada por parte del cangrejo más pequeño.
La competición es mucho más interesante cuando los dos cangrejos son más o menos del mismo tamaño. En la primera fase de estos encuentros, la pareja pasa mucho tiempo observándose y poniendo mucho cuidado en evitarse. Cuando empieza, la pelea dura mucho más que la que implica a oponentes de tamaños muy diferentes. Estos adversarios de tamaño similar pasan mucho tiempo empujándose para evaluar cuál es el mejor luchador, mientras que con dos cangrejos de tamaños muy diferentes, siempre hay uno que se retira con rapidez. Esto es exactamente lo que podríamos esperar de mi modelo ataque/defensa para jugar contra el Arsenal. Cuando la probabilidad de ganar es más o menos similar para ambos bandos, no existe ningún incentivo para luchar, en especial si el cangrejo no está seguro de la fuerza de su oponente.
Las competiciones animales no son simplemente encuentros eliminatorios con ganadores y perdedores. En realidad, la vida y las jerarquías sociales de muchos animales, incluidos los humanos, son muy parecidas a la estructura de las ligas de fútbol. Las jerarquías son algo que mi amiga y colega, la bióloga Dora Biro, conoce muy bien. Es profesora en el Departamento de Zoología de la Universidad de Oxford, que está lleno de sires y lores. Con semejantes dignatarios como colegas y con celebridades como Richard Dawkins que aparecen para asistir a los seminarios, no resulta demasiado sorprendente que Dora haya desarrollado un interés por las interacciones sociales.
Por muy fascinantes que sean sus pares, las jerarquías que más interesan a Dora son las que se encuentran en las bandadas de palomas mensajeras. Sus colegas y ella han establecido un sistema automatizado de seguimiento y medida de estas palomas, tanto cuando se alimentan en el palomar como cuando vuelan en el exterior.[50] Los investigadores miden cómo las palomas hacen cola para comer y cómo se acercan y se evitan entre ellas. Al utilizar el ordenador para seguir los movimientos de las aves, pueden identificar automáticamente la forma en que interactúan las palomas. El algoritmo puede identificar qué palomas son dominantes. Cuando una paloma empuja y la otra se aparta a un lado, entonces la paloma que empuja es la jefa.
También existe una jerarquía en el cielo. Al fijar un GPS en los pájaros y observar como giran en grupo, Dora y sus colegas pueden deducir qué pájaro decide a dónde deben volar las otras aves. Los pájaros que dirigen en el cielo no son los mismos que dominan los alimentos en el suelo, pero en ambos casos existe una jerarquía estricta. Si el pájaro A dirige al pájaro B cuando vuelan, y el pájaro B dirige al C, entonces el pájaro A dirigirá cuando vuele con el pájaro C. La misma regla también se puede aplicar a todas las aves en el palomar cuando se trata de decidir cuál se va a apartar en una interacción. En matemáticas llamamos esta relación transitiva, y resulta que la transitividad es un 97 % efectiva en la predicción de qué paloma dominará. Esto es casi tan estricto como el orden jerárquico de los profesores de Oxford a la hora del almuerzo. Cuanto mayor la antigüedad, mejor será el asiento que conseguirá para almorzar en el restaurante del personal.
Tanto para las palomas como para los profesores, la transitividad hace que la vida sea más sencilla. Como joven investigador en Oxford, no intenté robarle a los dignatarios del departamento ninguno de los mejores asientos en el restaurante. Las palomas también se ahorran un montón de problemas si saben cuál es su lugar en la jerarquía. Si una paloma ve como otra paloma más fuerte pierde un combate, no va a buscar pelea con el nuevo campeón. Las jerarquías transitivas están muy extendidas en la naturaleza. Se encuentran en todas partes, desde las hormigas, pasando por las aves y las ratas, hasta los chimpancés y, por supuesto, los humanos.
Estas jerarquías son una consecuencia de la competencia por los recursos limitados. En el palomar, como en muchos aspectos de la vida, la estrategia agresiva no es siempre la mejor, a no ser que estés seguro de que siempre vas a ganar. Entonces debes asegurarte de que eres la paloma de mayor rango.
Es posible que la jerarquía reduzca las luchas en el palomar, pero no genera una liga de fútbol emocionante. Si el Newcastle United pierde en casa con el Crystal Palace durante el fin de semana, y el Palace pierde en casa a mitad de semana con el Aston Villa, entonces es posible que el Newcastle no tenga muchas ganas de jugar a ganar cuando visite el Villa Park el fin de semana siguiente. Si todos los equipos empezasen a pensar de esa manera, entonces dominaría el fútbol defensivo. Es posible que existieran algunas variaciones debido a la ventaja de jugar en casa, pero si se siguiera esta línea de razonamiento, los equipos débiles defenderían y los equipos fuertes atacarían.
Ahora podemos ver la lógica poderosa que subyace al sistema de tres puntos de Jimmy Hill. El sistema de dos puntos proporciona un pastel de tamaño fijo para que los equipos luchen por él. Si eres débil, lo mejor es siempre llegar a un compromiso. Como consecuencia, se formará una jerarquía transitiva aburrida con los equipos fuertes intentando imponer sus ventajas y los equipos débiles defendiéndose con lo que tienen. El sistema de tres puntos proporciona más incentivos al lado débil y el resultado es —en teoría— una forma más ofensiva de fútbol.
¿Pero se ha confirmado la teoría? ¿Los «tres puntos por una victoria» han roto el dominio jerárquico en el fútbol inglés? La teoría es una cosa, pero el fútbol es otra. Si los entrenadores actuasen de manera racional, y sus jugadores les escuchasen, podríamos prever un descenso en el número de empates cuando se introdujo el cambio de dos a tres puntos en el fútbol inglés en la temporada 1981/1982. Se produjeron 118 empates en 1980/1981 en comparación con los 121 en 1981/1982: aumentaron en tres, lo que no es precisamente un gran respaldo para la teoría. ¿Es posible que al final Jimmy estuviera equivocado?
Pero dos temporadas no son suficientes para establecer una comparación estadística válida. En la figura 6.1 se muestra el número de empates de las seis temporadas de la primera división antes del cambio y de las seis temporadas posteriores. Ahora vemos que en 1980/1981 hubo un número excepcionalmente bajo de empates en comparación con las temporadas anteriores al cambio. Las cinco temporadas con más empates fueron todas ellas anteriores al cambio al sistema de tres puntos; las cuatro temporadas con menor número de empates se produjeron después del mismo. Estos ya son datos suficientes para que se pueda aplicar un buen test estadístico y ofrece un buen apoyo a la conclusión de que el sistema refuerza el fútbol ofensivo.[51] Si mostramos los goles por partido durante las mismas temporadas, descubriremos un ligero incremento después de la introducción de los tres puntos por victoria. Debemos reconocerlo: Jimmy Hill tenía razón. Rompió el orden jerárquico del fútbol.

Figura 6.1. Número de empates en la Primera División inglesa antes y después del cambio a los tres puntos. La línea de puntos vertical indica el año (1980) en que se implantó el cambio de dos a tres puntos.
En mi partido mental hipotético entre tu modesto equipo y el Arsenal de Wenger, realicé una serie de suposiciones. Las probabilidades de ganar, perder y empatar eran muy específicas, fijadas en 32 %, 48 % y 29 % respectivamente. En realidad, tendríamos que prever que estas probabilidades cambien dependiendo del rival, de si juega en casa o fuera, las formaciones adoptadas, si su delantero estrella está lesionado, etc.
Esta variedad de resultados posibles no es un problema para las matemáticas de la estrategia. De hecho, la belleza de las matemáticas radica en su poder para realizar generalizaciones. Los matemáticos no trabajamos habitualmente con probabilidades específicas, como las posibilidades de ganar y perder: intentamos afrontar los problemas desde una perspectiva más general. Para hacerlo sustituimos las cifras por símbolos que pueden adquirir un rango de valores y probamos resultados sobre las relaciones entre los símbolos. Por ejemplo, antes he supuesto que si cambias de ataque a defensa, tus probabilidades de ganar quedan en la mitad, del 32 % al 16 %, y que las posibilidades de ganar del Arsenal también caen a la mitad, del 48 % al 24 %. Para generalizar el modelo, podemos asumir que defender reduce las probabilidades de ganar o perder en una proporción que podemos llamar p. El símbolo p se puede considerar que representa la efectividad de la defensa: p = 1 es una defensa inútil, mientras que p = 0 es un telón de acero. En mi ejemplo anterior establecí p = 0,5, a medio camino entre los dos extremos.
También puedo sustituir los porcentajes de victorias, derrotas y empates con símbolos: v, d y e. Esto me permite establecer una representación muy general de un partido de fútbol, en el que es posible cualquier resultado. La cuestión radica ahora en cómo la probabilidad de los diferentes resultados junto con la efectividad de la defensa del equipo, afectan las decisiones tácticas del entrenador.
Estableciendo el problema en términos de v, d, e y p, y aplicando el álgebra, descubro que por debajo de dos puntos por victoria, el equipo más débil siempre debe defender.[52] Si es más probable que gane tu oponente que tú (es decir, cuando d > v), entonces siempre es mejor defender. De nuevo podemos ver una jerarquía estricta en la que los equipos más fuertes atacan y los equipos más débiles defienden.
El resultado es diferente con un sistema de tres puntos. Aquí debes atacar, porque la probabilidad que tiene el contrincante de perder no es mayor que dos veces tu probabilidad de ganar (es decir, cuando d < 2v). Por otro lado, si el contrincante tiene el doble de posibilidades de ganar que tú, entonces deberás defender. Bajo el sistema de tres puntos por victoria, existe una amplia variedad de situaciones en las que el lado más débil debería practicar un fútbol ofensivo.
En términos de sofisticación matemática, aplicar símbolos es un paso que supera los números. Y al dar este paso, ahora puedo ofrecer un elemento muy general de consejo estratégico a los entrenadores cuyos equipos están jugando por tres puntos: el ataque del contrincante no tiene más del doble de probabilidades de ganar que tú. Este consejo se puede aplicar sin importar si te enfrentas al Arsenal o al Accrington Stanley. Deberás evaluar la fortaleza de tu equipo y la del contrincante. Mientras las posibilidades de ganar del contrario no sean el doble de las propias, entonces ve a por el partido y no juegues nunca a empatar. Si tienes la mitad de posibilidades, debes ir a por el partido.
Este consejo estratégico aún deja un montón de trabajo al entrenador. Debe estar seguro de que conoce la fortaleza relativa de su propio equipo y del contrincante. Una medida de ello se puede encontrar en lo que ofrecen los corredores de apuestas. Otra se puede encontrar consultando la tabla de la liga y comparando el número de victorias. En la temporada 2013/2014 de la Premier League, los equipos del medio de la tabla, como Crystal Palace, Newcastle United y Stoke City, ganaron la mitad de partidos que Liverpool, Chelsea y Manchester City, que estaban en lo más alto. Por eso los equipos del medio de la tabla no deberían recurrir a tácticas defensivas contra los equipos más importantes, sino afrontar estos partidos buscando una victoria. Por otro lado, los equipos que luchan por evitar el descenso deberían atacar a los contrincantes del medio de la tabla, pero cuando llegan Wenger o Jürgen Klopp con sus superestrellas deberían concentrarse en achicar balones del área y esperar un empate.
Diseño intuitivo
Sabemos por las estadísticas que se jugó más fútbol de ataque después del cambio de los tres puntos en 1981. Pero ¿los entrenadores recurrieron realmente a las mates? ¿Hicieron los cálculos y dedujeron que debían atacar siempre que tuvieran al menos la mitad de posibilidades de ganar? No parece demasiado probable. Los entrenadores de fútbol son, por supuesto, individuos con talento. Deben ser capaces de tratar con jugadores, aficionados y presidentes de clubes, y tener intuición y comprensión del juego, así como capacidad de organización. Un poco de razonamiento lógico sobre táctica también es útil, pero la manipulación de símbolos matemáticos no es algo que podamos esperar que se encuentre en el conjunto de habilidades de un entrenador de fútbol. No obstante, parece que respondieron a los cambios en los incentivos exactamente de la manera en que predijeron los matemáticos. Entonces, ¿cómo resolvieron los entrenadores el problema ataque/defensa?
Para responder a esta preguntar debemos volver con los pájaros y también observar unas entidades biológicas aún más pequeñas, como las células cancerígenas. No solo las palomas practican el juego ataque/defensa. Una especie de gorrión, llamado junco ojinegro, observa la misma ventaja de jugar en casa que vemos en el fútbol.[53] Cuando un grupo de aves reside en un aviario y se introduce otro grupo, se producen menos luchas directas que cuando los dos grupos se colocan en un aviario completamente nuevo. Los pájaros «caseros» amenazan y los pájaros «visitantes» se echan atrás. Como las aves compiten habitualmente por recursos de tamaño fijo, se puede hacer una analogía con el fútbol de dos puntos por victoria, y los pájaros ajustan sus estrategias para reflejar esta situación. Está claro que las aves no utilizan las tablas de la liga ni las matemáticas. En su lugar siguen patrones de comportamiento que les permiten responder apropiadamente a las diferentes situaciones.
La selección natural otorga a los pájaros su intuición. Imagina un pájaro que siempre es tímido, sin importar si se encuentra en su propio territorio o en otro sitio. Cuando se encuentra con un pájaro agresivo, está en apuros. El ave tímida siempre se retira y cede su territorio. Muy pronto no tendrá ningún sitio a donde ir ni alimentos que comer y morirá antes de reproducirse. Los pájaros que son siempre agresivos también tienen una desventaja evolutiva. Participar continuamente en peleas, aunque es muy probable que pierdan, acabará provocando que encuentren un oponente más grande y más fuerte que ellos. La selección natural hace su trabajo y los pájaros agresivos se extinguen. La mejor regla, que ha evolucionado en los juncos ojinegros, es respetar la ventaja de campo. Las aves se comportan con más agresividad defendiendo su territorio y con menos agresividad lejos de su territorio. Los pájaros nunca han deducido explícitamente por qué funciona esta estrategia, sino que sencillamente los individuos que adoptan esta estrategia son los únicos que quedan en la población.
Un ejemplo extremo de este tipo de «diseño intuitivo» se ve en la estrategia de las células cancerígenas. El cáncer no «planea» apoderarse del cuerpo, sino que las células dentro del cuerpo mutan durante la vida de la persona. Los investigadores de la Universidad Johns Hopkins han propuesto un modelo para las células tumorales que se parece bastante a mi modelo ataque/defensa.[54] Los investigadores analizaron dos tipos de células tumorales, una rica en oxígeno y la otra falta de oxígeno. Ambos tipos de células pueden producir energía utilizando la glucosa, un azúcar, pero las células ricas en oxígeno también pueden producir energía al combinar el oxígeno de la sangre con un azúcar diferente, la lactosa. La competición entre las células tiene lugar cuando ambas intentar usar la glucosa para generar energía. Si ambas utilizan la misma fuente, su producción de energía se reduce a la mitad y se ven obligadas a compartir la glucosa disponible.
Es en este punto cuando las células ricas en oxígeno cambian de estrategia. En lugar de compartir glucosa, cambian a una producción basada en la lactosa. El uso de la lactosa no es tan eficiente como cuando las células tenían toda la glucosa a su disposición, pero es mejor que compartirla con las células pobres en oxígeno. En lugar de competir por los recursos, las células empiezan a explotar el oxígeno de la sangre. Esto es muy bueno para las células pobres en oxígeno, pero no para la persona cuyo cuerpo es huésped de esta competición celular. Las células empiezan a trabajar juntas y el tumor que han creado crece con más rapidez. Ninguna parte del crecimiento del tumor requiere una planificación inteligente. Las células que adoptan la mejor estrategia se extienden con mayor rapidez y la evolución las empuja a aumentar su número.
Si la evolución puede ayudar a las células cancerígenas, entonces también puede ayudar a los entrenadores de fútbol. Lo podemos ver simulando la gestión de un entrenador de fútbol mediante un juego de ordenador como Football Manager. A diferencia de los juegos de ordenador modernos, los modelos simulados solo deben capturar la esencia de dicha gestión en lugar de todos los detalles realistas. Así, mi simulación de gestión se parece más a la que solía usar para jugar en mi ordenador Dragon 32 en 1982, que la última versión de un juego de ordenador especializado. En mi simulación, en lugar de tener un montón de gráficos complicados e informaciones, para cada temporada cada equipo tiene asignada una puntuación de «fortaleza» entre 1 y 100. Cuando se encuentran dos equipos en un partido simulado, sus probabilidades de ganar, perder y empatar vienen determinadas por sus puntos de fortaleza relativa. La cuestión es qué estrategia debe adoptar cada equipo para sobrevivir a la temporada. Para determinar esto último, asignamos a cada equipo una de las cuatro reglas que reflejan la intuición del entrenador sobre el estilo de juego del equipo. Estas reglas intuitivas son:
- Ataque: este equipo practica un fútbol ofensivo contra todos los oponentes.
- Defensa: este equipo practica un fútbol defensivo contra todos los oponentes.
- Fuerza: este equipo practica un fútbol defensivo si el contrincante tiene más posibilidades de ganar que él, pero un fútbol ofensivo si es más probable que ganen ellos. En otras palabras, el equipo ataca solo cuando son los más fuertes.
- Doble: este equipo practica un fútbol ofensivo porque el contrincante no tiene más del doble de posibilidades de ganar que ellos; en caso contrario, juegan a la defensiva. El equipo defiende solo cuando el contrincante es el doble de fuerte.
La primera temporada la gana un equipo que adopta «fuerza», con otro equipo «fuerza» en segundo lugar.
TABLA 6.4. Ejemplo de posiciones en la liga para cuatro reglas diferentes (ataque, defensa, fuerza, doble) en una simulación informática del modelo de liga ataque/defensa. Los seis primeros están en negritas y los seis últimos en cursiva.
Seguimos el mismo proceso temporada tras temporada. Al final de la temporada tres, «defensa» queda completamente eliminada. Sencillamente no vale la pena jugar a empatar en todos los partidos. En la temporada cuatro tampoco le va demasiado bien a «fuerza»: aunque al inicio el número de equipos «fuerza» llegó a siete, ahora han vuelto a ser cinco y en la temporada 10 ya no quedan equipos «fuerza» en la liga; dominan «doble» y «ataque». La temporada 20 es un buen año para «ataque», pero en este momento «doble» es la estrategia más habitual. La figura 6.2 muestra cómo evolucionan las cifras de cada estrategia en la liga a lo largo de 50 temporadas.
«Defensa» desaparece después de cuatro temporadas, «fuerza» resiste 10 y «ataque» permanece 43 temporadas. «Ataque» es una buena estrategia si tienes la suerte de disponer de un equipo lo suficientemente fuerte, pero fracasa cuando el equipo es débil. Como la simulación cambia el valor de la fortaleza del equipo cada temporada, «ataque» acaba derrotada por «doble», que funciona bien sin tener en cuenta la fuerza del equipo.
Antes, en este mismo capítulo, demostré matemáticamente que «doble» es la mejor estrategia. Resulta importante señalar que aquí la regla «doble» evoluciona sin que los entrenadores simulados de los clubes simulados tengan que realizar los cálculos. Es posible que los entrenadores no apliquen más lógica que la de una bandada de pájaros, pero como los entrenadores con éxito conservan el trabajo y los otros copian sus estrategias ganadoras, la regla «doble» acaba dominando.
Son las reglas intuitivas adoptadas por los entrenadores las que evolucionan más que los propios entrenadores. Los entrenadores aprenden a través de un proceso de entrenamiento, a través del éxito de los demás y de sus propios errores. A lo largo del tiempo, solo las mejores reglas estratégicas sobreviven en el fútbol, y los entrenadores que las aprenden alcanzan el éxito. La adopción de una estrategia surge de una presión constante para obtener resultados.

Figura 6.2. Cambios en el número de equipos que adoptan las cuatro reglas diferentes en una simulación informática del modelo de liga ataque/defensa.
Es fútbol, ¡disfrútalo!
Jimmy Hill comprendió la estrategia cuando propuso el cambio a los tres puntos por victoria. Identificó claramente un problema práctico: el fútbol inglés se estaba volviendo aburrido, y los equipos defendían demasiado. El cambio que sugirió era una herramienta estratégica para resolver ese problema, y funcionó. Los equipos que terminaron la temporada 2014/2015 de la Premier League en la mitad superior de la tabla, pero fuera de las posiciones de Liga de Campeones, jugaron un fútbol tremendamente emocionante y digno de verse. Southampton, Swansea City y Stoke City practicaron un estilo positivo contra oponentes más fuertes.
El Southampton, entrenado por Ronald Koeman, es un buen ejemplo. Tienen uno de los mejores registros defensivos de la liga, pero también pueden convertir la defensa rápidamente en ataque. En la temporada 2014/2015, el Southampton ganó fuera contra el Manchester United, pero perdió en casa. Vencieron al Arsenal 2-0 en casa, pero perdieron en su visita. Contra el Manchester City, la apuesta salió mal y perdieron por 5-0 en la suma de los dos partidos. Pero en estos seis partidos contra contrincantes más ricos y fuertes, consiguieron seis puntos. Esta es la cifra máxima de puntos que hubieran podido obtener si hubieran intentado jugar cada partido a un empate aburrido.
El incentivo para ganar, incluso a riesgo de perder, hace que el fútbol sea mejor. A todos los seguidores de los equipos de la Premier League como el Southampton les gusta ver un sábado por la tarde cómo su equipo lo da todo contra los grandes clubes. Quieren ver que sus jugadores llevan la iniciativa contra el rival. En parte, se trata de una cuestión de honor para los seguidores de los equipos del medio de la tabla que sus jugadores no tengan miedo de jugar al fútbol contra los chicos grandes. Pero cuando Koeman dice: «¿Por qué vamos a tener miedo? Es fútbol, ¡disfrútalo!», como hizo antes del encuentro del Southampton en casa del líder de la liga, el Chelsea, en 2015, no solo intentaba levantar la moral. También estaba pensando con lógica. Ningún equipo que se precie de estar en la Premier League debería tener miedo de atacar y los que no atacan no van a seguir aquí durante mucho tiempo. El fútbol defensivo no solo es feo: también es irracional.¿Las matemáticas pueden conseguir realmente que los entrenadores tengan más éxito? Si alguno de los entrenadores de altísimo nivel leyera este libro, me imagino que tendría una o dos preguntas que plantearme. En el último capítulo he reducido la función del entrenador de fútbol a decidir entre la defensa y el ataque. Aunque esta simplificación es útil para reflexionar sobre estrategia e incentivos, no es toda la historia. Hay mucho más en el trabajo del entrenador que animar a tu equipo con un grito de «todos adelante» o infundirle ánimo con un «todos atrás». Una cosa es explicar por qué el Arsenal juega en general un fútbol de ataque y otra muy diferente que empiece a darle consejos a Wenger sobre cómo debe llevar su equipo. ¿Realmente Wenger, Carlo Ancelotti o Pep Guardiola deberían aceptar consejos tácticos de un matemático?
Para plantear la pregunta de una manera aún más directa: ¿le puedo explicar a estos entrenadores algo que no saben? Al fin y al cabo, ellos son los expertos. Viven y respiran el juego, y han visto innumerables partidos y trabajado con un gran número de jugadores estrella. Tienen la intuición y la comprensión que solo dan los años de experiencia. ¿Qué puede ofrecer a los profesionales un matemático que solo se interesa por el fútbol como aficionado?
El reto de encontrar cosas que nadie sabe es la razón de que investigue. Este reto se vuelve aún más interesante cuando trabajo con los principales expertos en un campo. ¿Puedo mostrar a los expertos cómo adoptar un enfoque nuevo en su terreno especializado? Por eso he intentado trabajar en biología y sociología a lo largo de toda mi carrera investigadora. Yo no dispongo de una formación extensa en ninguno de estos campos. De hecho, ni siquiera los estudié en la escuela, pero tengo una visión diferente de las cosas. Siempre me he obligado a decirles a biólogos y sociólogos cosas que no sabían, y de vez en cuando he tenido éxito.
Pero conozco mis limitaciones. No creo que los matemáticos puedan aportar grandes teorías nuevas a la biología, la sociología, la economía o el fútbol. Lo que proporcionan es una manera de ver las cosas con más claridad, como descubrimos en los capítulos dos y tres al estudiar el movimiento, el pase y el espacio. Al adoptar un punto de vista matemático pudimos revelar la geometría detrás del Barcelona, pudimos ver cómo los defensas del Bayern reducen el espacio y pudimos caracterizar las diferencias entre Andrea Pirlo y Bastian Schweinsteiger. Estos análisis no cambian completamente cómo los entrenadores ven el juego, pero son importantes porque afinan nuestra reflexión. Nos aportan un camino para profundizar.
Algo que he aprendido de mi trabajo en biología y sociología es que para que se pueda comprender el mensaje que intento transmitir, debe ser directo y claro. El trabajo del matemático es tomar un montón de datos complejos y reducirlos a una idea sencilla pero poderosa. En fútbol, el mensaje tiene que ser aún más directo. En el vestuario durante el descanso, con el equipo perdiendo por dos goles e incapaz de conseguir el control del balón, el entrenador debe formular rápidamente un plan. Yo intento imaginarme lo que haría en esa situación. El entrenador se ha quedado sin ideas y en un acto final de desesperación se vuelve hacia mí, el matemático, y me pregunta: ¿Ves el problema?
En esta situación, debo tener dispuesta una explicación rápida y clara de lo que está pasando, para que él pueda actuar. No tiene sentido que tartamudee algo sobre los diagramas de Voronoi, las redes de pases o los vectores de los campos de flujo. El entrenador quiere ver exactamente cuál es el problema y cómo solucionarlo. Para ello debo mostrarle algo que pueda comprender con rapidez y que resuma las razones de por qué su equipo está perdiendo. Debo encontrar el mapa táctico.
Pelotazos largos al área de Inglaterra
Una de las mejores maneras que tiene un matemático para comunicar unos resultados es a través de imágenes. La figura 7.1 muestra algunos de los rasgos más importantes de los cuartos de final de la Eurocopa 2012 entre Inglaterra e Italia. Muestra las redes de pases de los equipos durante los 120 minutos jugados, incluido el tiempo añadido. Cada punto representa a un jugador. Un enlace entre una pareja de jugadores indica que realizaron entre ellos 13 o más pases buenos durante el partido. Las líneas más gruesas indican un número mayor de pases.
Resulta muy evidente que Italia realizó muchos más pases buenos que Inglaterra. El centro fue Andrea Pirlo. En el capítulo tres mostré que en 2012 Italia siempre intentaba que el balón llegara a Pirlo, y este partido no fue una excepción.
Envió el balón con éxito 115 veces, orquestando la mayoría de los ataques italianos. Inglaterra intentó llevar el balón a Wayne Rooney, enviando balones largos hacia él en el centro, o cruzándolos hacia él desde las bandas.

Figura 7.1. Redes de pases de Italia (arriba) e Inglaterra (abajo) en los cuartos de final de la Eurocopa 2012, mostrando los enlaces entre parejas de jugadores que completaron 13 o más pases entre ellos. Las líneas más gruesas indican un número mayor de pases. Los dos equipos atacan de izquierda a derecha.
Resulta impresionante que Carroll consiguiera controlar tantas veces el balón enviado por el chut de Hart. A pesar de estar en el campo la mitad del tiempo que los otros jugadores, fue al final el mejor receptor de pases de Inglaterra. Pero el éxito de Hart y Carroll revela fallos en otros puntos. Inglaterra no disponía de una red de pases consistente en el centro del campo. Por eso los italianos dominaron el partido, con el 68 % de posesión y 36 disparos a puerta. Italia pasaba el balón hacia delante e Inglaterra intentaba enviarlo por encima de sus cabezas. Como aficionado inglés, era penoso ver cómo un disparo tras otro llegaban a la portería de Inglaterra, que debía despejar una y otra vez.
Así luchó Inglaterra a lo largo de 120 minutos y llegó a los penaltis. No habría sido necesario un mapa de su red de pases para predecir que ese sería el resultado más probable. La mayor parte de los grandes torneos en los que ha participado Inglaterra en los últimos 20 años han terminado exactamente de esa forma. No obstante, mientras que los problemas de Inglaterra se ven a simple vista, el análisis de Italia es más sutil. Mire de nuevo las conexiones en la red y fíjese en que parece una rueda. Casi toda la acción transcurre alrededor y a través de Pirlo. Todos los demás jugadores que completaron más de 13 pases con el mismo compañero de equipo también están conectados con él. Hay seis jugadores conectados con Pirlo, y cuatro conectados con Federico Balzaretti en el extremo izquierdo, mientras que los otros jugadores italianos tienen como máximo dos o tres conexiones. La red de Italia está demasiado centralizada.
¿Cómo sé que Italia estaba demasiado centralizada? La respuesta a esta pregunta requiere una investigación adecuada y el sociólogo matemático Thomas Grund ya ha resuelto la parte más complicada. Thomas analizó la estructura de red de los equipos de la Premier League durante las temporadas 2006/ 2007 y 2007/2008, reuniendo un total de 76 observaciones de red procedentes de partidos para cada uno de los equipos (excepto de aquellos equipos que descendieron o ascendieron en 2007, que solo disponían de 38 redes).[55] Estas redes agrupaban un total de 283.259 pases realizados durante dos temporadas, que son datos suficientes para que pudiera llegar a algunas conclusiones generales interesantes.
Thomas se centró en dos aspectos de las redes. La primera fue la medida de la tasa de pases: cuántos pases buenos se realizan por minuto de posesión. Para calcularlo, simplemente sumó el número de pases realizados en cada partido y lo dividió por el tiempo que el equipo había tenido el balón. La segunda medida fue la de la centralidad de la red. Esto es más difícil de medir que la tasa de pases, porque existe más de una manera de medir el nivel de centralización de una red.
Thomas estableció el siguiente enfoque. Sumó todos los pases que cada jugador había recibido y hecho, y comparó estos totales con el número de pases realizados por el jugador que participó en el mayor número de pases. Por ejemplo, en la red de Italia que hemos visto antes, Pirlo recibió el balón 78 veces de los otros siete jugadores conectados en la red. El «segundo jugador que recibió más pases», Riccardo Montolivo, lo recibió 39 veces. Así que Montolivo recibió el balón en 78 – 39 = 39 ocasiones menos que Pirlo. La media de estas diferencias entre todos los jugadores dividida por el número total de pases realizados da un número entre 0 y 1. Si todos los pases tienen a Pirlo como destino, este número será 1, mientras que si todos los jugadores han recibido el balón exactamente el mismo número de veces, será 0.
Armado con estas dos medidas, tasa de pases y centralidad de la red, Thomas analizó hasta qué punto predecían el resultado de los partidos en las dos temporadas de la Premier League. Descubrió que los equipos que pasaban más cuando estaban en posesión del balón marcaban más goles. Un equipo que pasase una media de cinco veces por minuto marcaba alrededor de un 20 % más goles por temporada que un equipo que pasaba tres veces por minuto.[56] Esta diferencia es bastante pequeña, pero es significativa, y puede provocar una gran diferencia en las posiciones finales de la liga. Thomas también analizó la centralidad. Los equipos que centralizaban sus pases en solo un par de jugadores marcaban menos goles que los equipos que se pasaban el balón de una manera más equilibrada entre todos los miembros del equipo. Aquí resulta mucho más difícil cuantificar exactamente la diferencia, pero en términos generales, la descentralización otorga al equipo un 8 % de ventaja en la tasa de marca de goles.
Por supuesto, son los goles los que cuentan. En términos de goles, un empate 0-0 hace que el centro del campo centralizado de Italia no ofrezca mejor aspecto que la estrategia de Inglaterra de enviarle balones a Carroll, y el análisis de Thomas Grund puede explicar la razón. En una fase anterior del torneo, España jugó contra Croacia. Como Italia, España tuvo la mayor parte de la posesión, controlando el balón el 71 % del partido. También tuvieron una tasa de pase similar, 9,65 pases por minuto cuanto tenían la posesión, en comparación con los 9,15 por minuto de Italia contra Inglaterra. Pero la diferencia radica en la red de pases de España, que se muestra en la figura 7.2.
En lugar de una figura central en el centro del campo, España tiene cuatro: Busquets, Alonso, Iniesta y Xavi. Los pases se distribuyen de una manera más o menos equilibrada. La medida de centralidad calculada para España es del 14,6 %, comparado con el 19,7 % de Italia. La diferencia es pequeña, pero a partir del estudio de Thomas podríamos esperar que el equipo con la medida más baja tuviera más éxito... y lo tiene. En el partido contra España, Croacia aguantó hasta el minuto 88, mientras que Inglaterra contuvo a Pirlo y compañía hasta los inevitables penaltis. Es posible que las diferencias sean mínimas, pero son decisivas: cuando Italia y España se encontraron en la final, España ganó 4-0. Triunfó el pase descentralizado.

Figura 7.2. Red de pases de España contra Croacia en la Eurocopa 2012, que muestra los enlaces entre parejas de jugadores que completaron 11 o más pases entre ellos. Las líneas más gruesas indican un número mayor de pases.
Muchos equipos tienen un jugador central y un líder. Durante la última década, en el equipo femenino de los EE.UU., esta jugadora ha sido la delantera Abby Wambach. Cuando se retiró en diciembre de 2015, había marcado 184 veces para su país, es decir, más goles internacionales que ningún otro jugador de la historia. Ganó el premio Atleta del Año de Associated Press y el Balón de Oro de la FIFA. Tiene dos medallas olímpicas de oro, en 2004 y 2012. Fue la figura clave del equipo que quedó tercero en la Copa del Mundo femenina de 2003 y 2007, y quedó finalista en 2011.
Wambach dirigía los EE.UU. desde la delantera. Era conocida por sus intensos discursos ante el equipo en los que gritaba una serie de improperios antes de decir a sus compañeras de equipo que todas se debían calmar.[57] Era la jugadores que cargaba con la responsabilidad de todo el equipo y dirigía mediante el ejemplo. En 2011, fue su gol de plancha en el minuto 122 lo que llevó a los EE.UU. a los penaltis contra Brasil en las semifinales. En la final contra Japón, marcó de nuevo de cabeza en el tiempo añadido que colocó a los EE.UU. por delante (pero Japón empató y ganó a los penaltis). En el verano de 2015, Wambach tenía 35 años y había anunciado públicamente que esa iba a ser su última Copa del Mundo. Nunca había conseguido ganar el trofeo, y Canadá era su última oportunidad para completar su medallero.[58]
El liderazgo de Wambach se puede ver a través de la red de pases del primer partido de los EE.UU. en la fase de grupos en 2015 contra Australia. La figura 7.3 muestra las principales combinaciones de pase de los EE.UU. durante el partido. Normalmente, los delanteros reciben menos pases que los centrocampistas, porque resulta más difícil llevar el balón al otro lado de la defensa rival y al último tercio del campo. Pero en la figura 7.3 podemos ver que Wambach está muy bien conectada con su equipo a lo largo de todo el campo.
La red muestra la importancia de Wambach en la táctica del equipo, pero también revela un problema para el equipo en su conjunto. Devin Pleuler, el analista de fútbol que creó la red después del partido, señaló que Wambach recibía el balón directamente de la portera, Hope Solo, el mismo número de veces que de la otra gran estrella del equipo, la centrocampista Carli Lloyd. De la misma forma, las laterales, Meghan Klingenberg y Ali Krieger, pasaban a Wambach el mismo número de veces que las extremos Megan Rapinoe y Christen Press. Las conexiones que llegan a Wambach revelan una estrategia de balones largos con la capitana como el punto central del equipo. Desgraciadamente, Wambach no consiguió que estos balones tuviesen efecto contra Australia. En el descanso, el resultado era 1-1, con los EE.UU. adelantándose gracias a un despeje desafortunado y Australia igualando con una hermosa combinación de pases rápidos a través de la confusa defensa americana. No era el inicio que Wambach había soñado para empezar la Copa del Mundo.
Oculta tras los enlaces con Wambach se encuentra otra estructura en red. Tanto Rapinoe, a la izquierda, como Press, a la derecha, conectaban con las centrocampistas centrales y con las laterales respectivas. Proporcionaban anchura al ataque y en lugar de confiar solo en los balones largos hacia un único objetivo, la red de los EE.UU. también estaba descentralizada.
En la segunda parte, fueron estos dos factores los que marcaron la diferencia. Press marcó primero, colocándose perfectamente en el área para un pase atrás de Sydney Leroux, y Rapinoe sentenció a Australia con una internada por el extremo izquierdo.

Figura 7.3. Red de pases de la selección de los EE.UU. en el partido contra Australia en la Copa del Mundo femenina de 2015, que muestra los enlaces entre parejas de jugadoras que completaron 5 o más pases entre ellas. Las líneas más gruesas indican un número mayor de pases. Análisis de datos original de Devin Pleuler.
Wambach siguió jugando un papel importante en el equipo. Marcó el gol decisivo contra Nigeria que aseguró que los EE.UU. acabasen primeros de grupo. Incluso en el banquillo, seguía empujando al equipo. En el corrillo antes del encuentro contra China, una cámara la pescó instruyendo a sus compañeras de equipo: «¡En los primeros 10 minutos vamos a meter un jodido gol!». Su empuje llevó al equipo a la final, de nuevo contra Japón.

Figura 7.4. Red de pases de la selección femenina de los EE.UU. jugando contra China en la Copa del Mundo femenina de 2015. Para los detalles véase la figura 7.3. Análisis de datos original de Devin Pleuler.
Relaciones especiales
Esta visión del pase del balón como una red proviene de la sociología matemática. Cuando los matemáticos analizan el mundo social, intentan identificar patrones que muestren cómo funcionan las cosas. El resultado final se presenta con frecuencia en forma de una red. Uno de mis ejemplos preferidos es la red sentimental y sexual en los institutos americanos. Para crear esta red, los investigadores fueron a un instituto en el Medio Oeste de los EE.UU. y realizaron entrevistas en los hogares a los estudiantes para identificar con quién habían tenido una «relación romántica especial» o «una relación sexual no romántica» en los 18 meses previos.[59] La red de las relaciones que descubrieron se muestra en la figura 7.5.
Toda la historia romántica y sexual de un año y medio en un instituto americano está resumida en esta única imagen. Hay 63 parejas aisladas, diez triángulos amorosos y unas pocas cadenas de tamaño y formas variadas. También existe una gran estructura con forma de anillo de la que salen ramas. Esta figura conecta alrededor de la mitad de los estudiantes, aunque sorprendentemente no son conscientes de ello. Todos los estudiantes agrupados en el círculo están conectados por algún tipo de relación romántica.
Un patrón menos obvio pero interesante es que los círculos son raros. Si Alice ha estado con Bob, y Bob ha tenido una relación romántica o sexual con Chloe, que había tenido una relación con Doug, entonces es muy poco probable que Alice y Doug acaben juntos. En el instituto resulta inaceptable que dos ex se conviertan en pareja. Cuando pienso en mis amigos, puedo ver que esto también es probablemente un rasgo de las redes sexuales de los adultos.

Figura 7.5. Red de relaciones románticas y/o sexuales entre estudiantes de un instituto del Medio Oeste de los EE.UU. Cada alumno es un punto y un enlace entre los estudiantes indica una relación. Datos del National Longitudinal Study of Adolescent Health (Add Health), un proyecto diseñado por J. Richard Udry y Peter Bearman.
Otra propiedad de esta red es que tiene un número reducido de puntos centrales. Hay pocos jugadores bien conectados, que dominen grupos locales, mientras que la mayoría de los individuos tienen solo una o dos conexiones. Estos detalles estructurales son importantes para comprender y controlar las enfermedades de transmisión sexual. Una enfermedad no se extenderá tan rápidamente a través de esta red en particular, porque está desconectada y es relativamente dispersa, pero muchas redes sexuales adultas tienen conexiones más fuertes. Los modelos matemáticos utilizan la estructura de estas redes para predecir dónde puede aparecer una enfermedad y cuál puede ser su extensión.
En los últimos 15 o 20 años, los sociólogos han creado mapas de muchos aspectos de nuestra vida social. Algunos de estos mapas son redes de amistades, algunos de relaciones laborales y otros de encuentros sexuales. Otros mapas son geográficos, mostrando la segregación racial en las ciudades, conexiones ferroviarias y aéreas, y urbanización. Estos mapas son más útiles cuando se abstraen de detalles sin importancia y revelan la estructura real de las relaciones. Los mapas nos deberían ofrecer, en primer lugar, una visión clara del mundo en que vivimos, y después nos deberían permitir mirarlos más de cerca y centrarnos en los detalles. Los mapas bien construidos nos permiten explicar por qué la sociedad es como es, y hacerlo de una manera en la que las cifras solas —como el porcentaje de posesión en el fútbol o la media de novias en el instituto— no pueden.
Las cincuenta sombras del Bayern de Múnich
Los mapas que realizamos del fútbol dependen el estilo de juego. Tras el éxito del Barcelona en 2011, más y más clubes adoptaron su enfoque. En la Premier League, el Arsenal, el Liverpool, el Southampton y el Swansea City empezaron a jugar un estilo descentralizado con pases rápidos. No obstante, durante este tiempo, el entrenador del Chelsea José Mourinho encontró una manera de neutralizar y derrotar a los equipos del tiquitaca, llenando el área de defensas. Y en el capítulo tres vimos que incluso el Barcelona cayó estrepitosamente del pedestal en 2013 cuando el Bayern lo derrotó con presión. El reto para mí es crear un mapa con las ventajas y los inconvenientes de las diferentes tácticas.
Gran parte de la rica diversidad de estrategias se puede encontrar en las semifinales de la Liga de Campeones de 2015. El equipo actual de Pep Guardiola, el Bayern de Múnich, tenía delante a su antiguo club, el Barcelona, mientras que el campeón vigente, el Real Madrid, se enfrentaba a una Juventus rejuvenecida. Cada uno de estos clubes tiene su forma única de jugar al fútbol. Si quería ver cómo habían evolucionado estas estrategias futbolísticas, y qué ocurre cuando compiten entre ellas, debía diseccionarlas. Debía descubrir cómo están estructuradas y cómo se aplican. Y para esto necesito datos.
Para clasificar el estilo de cada uno de estos equipos, me puse en contacto con Colm McMullan, que desarrolló la app online Statszone para la revista FourFourTwo.[60] La app muestra datos de Opta Sports, que recoge y presenta amplísimos datos «sobre el balón» de la mayor parte de los campeonatos más importantes. Los datos de Opta proporcionan una lista completa de quién pasa a quién, dónde se realizaron los pases y en qué momento. También tienen un registro completo de disparos, regates, intercepciones, etc. No se omite nada que le pueda ocurrir al balón, y se puede utilizar Statszone para mostrar esos datos.
A lo largo de todos los partidos jugados por esos cuatro equipos en la Liga de Campeones, existen decenas de miles de pases para analizar. El Bayern de Múnich de Guardiola realizó más pases por partido que ningún otro equipo en la Liga de Campeones 2014/2015. Tras las semifinales habían realizado un total de 8.593 pases en 12 partidos, de los cuales 7.548 fueron buenos. Si mostraba todos estos pases en el mismo diagrama, el resultado sería un caos total. Se reduciría a miles de flechas apuntando hacia ningún lado, y sería imposible discernir ningún patrón en el juego del Bayern.
Si quería comunicar algo directamente sobre un equipo, entonces mi objetivo debía ser la creación de mapas que revelaran el verdadero patrón subyacente. Existe más de una manera de construir un mapa, así que vamos a empezar intentando obtener una visión general centrada en desde dónde se hacen los pases y a dónde van, para cada uno de los clubes. La figura 7.6 es un mapa de distribución basado en los datos del Bayern. El mapa divide el campo en 25 áreas, con el Bayern atacando de izquierda a derecha. Las líneas que se originan en el centro de cada área muestran la dirección de los pases realizados desde dicha área. La longitud de cada línea es proporcional a la longitud media de un pase realizado en esa dirección particular. El tono de la línea muestra la frecuencia con la que se realizó ese pase en especial: las líneas más oscuras son direcciones en las que los pases se hacen con más frecuencia, mientras que las líneas más claras indican una frecuencia menor. Por ejemplo, el portero del Bayern, Manuel Neuer, empieza habitualmente con un pase corto al lateral izquierdo. Pasa con menos frecuencia directamente hacia el círculo central, pero cuando lo hace, estos pases son tres veces más largos que sus pases hacia los laterales.
El mapa de distribución en la figura 7.6 muestra cómo el Bayern controla la zona del centro del campo delante de la portería contraria. Las líneas oscuras que se generan desde la línea de medio campo muestran que el balón no se juega directamente hacia delante, sino que se pasa a los extremos. Desde los extremos, el balón se envía hacia zonas a la izquierda y a la derecha delante del área de penalti, desde donde se construye el ataque. Los balones que se dirigen hacia los banderines de esquina se suelen devolver a la parte frontal del área contraria para volver a empezar el ataque. Este mapa de distribución resume el juego del Bayern a lo largo de toda la temporada.

Figura 7.6. Distribución de los pases del Bayern de Múnich durante la Liga de Campeones de la temporada 2014-2015. El campo se ha dividido en 25 zonas diferentes. Las líneas que surgen del centro de cada zona indican la dirección de los pases en esa zona en particular. La longitud de la línea es proporcional a la distancia media de un pase en esa dirección. Cuanto más oscuro el tono de la línea, con más frecuencia se ha realizado ese pase. El Bayern de Múnich ataca de izquierda a derecha.

Figura 7.7. Distribución de los pases de la Juventus durante la Liga de Campeones de la temporada 2014-2015. Para los detalles véase la figura 7.6.
La figura 7.8 compara los mapas de distribución del Bayern y la Juventus cuando juegan en el campo de ataque. Vemos que la Juventus realiza menos pases en el campo atacante que los alemanes. La intensidad del tono es menor delante del área del contrincante. En cambio, la mayor parte de sus ataques se originan por la derecha. Pirlo alimenta de balones esa zona del campo, después se incorporan el lateral derecho Stephan Lichtsteiner y el centrocampista Claudio Marchisio, que recorren la banda y cruzan hacia el área para Carlos Tévez y Álvaro Morata. La intensidad del club italiano procede del lado derecho del campo, mientras que en el Bayern viene del centro.

Figura 7.8. Comparación de la distribución de pases en el campo de ataque del Bayern de Múnich (a) y la Juventus (b). Véanse las figuras 7.6 y 7.7 para los detalles.
Estos mapas de distribución contienen un montón de información sobre la temporada de cada uno de estos equipos, pero en ningún caso son toda la historia. En las semifinales de la Liga de Campeones, el Bayern se encontró con el Barcelona. Visto en términos de mapa de distribución, el Bayern y el Barcelona no son muy diferentes. El Barcelona realizó casi el mismo número de pases que el Bayern, solo ocho menos por partido que los alemanes, y los pases procedieron aproximadamente de las mismas posiciones en el campo. La similitud de estilos no es sorprendente. Guardiola inventó el estilo del Barcelona, y ha implantado una versión nueva en Múnich. En los prolegómenos de la primera semifinal, que se celebró en el Nou Camp, el partido se anunció como un cara a cara entre el genio de Guardiola como entrenador y el genio de Messi como jugador.
El resultado era 0-0 hasta 13 minutos antes del final, cuando Messi marcó dos goles sorprendentes en tres minutos. En el segundo burló a Jérôme Boateng, provocando que perdiera el equilibrio y se cayera, y después colocó el balón en la portería por encima de la cabeza del portero Manuel Neuer. Neymar cerró el partido con un gol superando a todos los defensas en el tiempo añadido. Estos goles fueron sorprendentes y el genio de Messi fue ampliamente celebrado, pero no surgieron de la nada: fueron la consecuencia de una estructura de pases muy bien implantada.
La figura 7.9 muestra una red zonal de pases del Barcelona. Este tipo de red combina información sobre quién pasó a quién con información sobre dónde dos jugadores se pasan entre ellos. He creado una zona para cada jugador que muestra el conjunto de puntos desde los que recibió y envió un pase. Por ejemplo, la flecha de la zona de Busquets a la zona de Iniesta muestra que la posición media de Busquets cuando le pasaba a Iniesta estaba ligeramente a la izquierda del centro, y la posición media de Iniesta cuando recibió el balón de Busquets estaba ligeramente fuera del círculo central. Los pases de Busquets a Jordi Alba se realizan más hacia la izquierda.
En esta red zonal he incorporado solo aquellas parejas de jugadores que se han pasado el balón al menos siete veces entre ellos durante el partido. Por ejemplo, Alba le pasa con más frecuencia a Neymar que a Luis Suárez.

Figura 7.9. Red zonal de pases del Barcelona contra el Bayern de Múnich en el partido de ida de la semifinal de la Liga de Campeones de la temporada 2014-2015. El jugador en el origen de cada flecha pasa siete o más veces al jugador en la punta de la flecha. El origen de la flecha es la posición media cuando el primer jugador realiza el pase, y la posición de la punta es la posición media del jugador que recibe el pase. El grosor de las flechas es proporcional al número de pases realizados. Las formas asociadas con los jugadores contienen todas las flechas de entrada y salida del jugador.
Entonces Suárez recibe balones desde ambos lados. Fíjese en especial en los enlaces entre Messi y Suárez. Cuando Suárez tiene el balón cerca del círculo central, lo pasa hacia la zona de Messi, recibiéndolo de vuelta cuando se acerca al área.
En este partido, el Barcelona entregó el control del centro del campo. Al realizar el mismo tipo de red zonal para el Bayern, que se muestra en la figura 7.10, podemos ver que sus jugadores están centrados en el centro del campo. Como en la red correspondiente del Barcelona, el Bayern ataca de izquierda a derecha, pero está atascado. Aunque el Bayern pasó más que el Barcelona, sus pases tienen un movimiento circular. Xabi Alonso pasaba a Bastian Schweinsteiger, que se la pasaba a Thiago, que se la devolvía a Alonso, que se la pasaba a Philip Lahm, y así continuamente. Las flechas no señalan hacia la zona de peligro, como lo hacían en el Barcelona. El Barcelona voló a través del partido como un caza a reacción, con alas bien equilibradas y Suárez en el morro. El Bayern se construyó un tiovivo en el que no dejaban de dar vueltas en círculo.

Figura 7.10. Red zonal de pases del Bayern de Múnich contra el Barcelona en el partido de ida de la semifinal de la Liga de Campeones de la temporada 2014/2015.
Antes de seguir adelante de nuevo con Messi, el Barcelona y su última gran actuación en la Liga de Campeones, quiero echarle una mirada a la otra semifinal de la temporada 2014/ 2015. En Turín y Madrid se jugó un tipo de fútbol muy diferente, pero no fue menos emocionante o impresionante. El Real Madrid estaba construido alrededor de un centro del campo con talento que entregaba balones a tres delanteros explosivos: Cristiano Ronaldo, Karim Benzema y Gareth Bale. La figura 7.11 es un mapa de sus disparos durante los 12 partidos de la Liga de Campeones.
Ronaldo chuta mucho durante un partido y lo hace desde cualquier posición alrededor y dentro del área. Benzema dispara menos pero tiene una tasa de conversión mucho más alta que Ronaldo, marcando casi con la mitad de los disparos que realiza desde dentro del área. En comparación, Ronaldo parece un poco desaprovechado: ¡chutó 35 veces desde fuera del área y no marcó ni una sola vez! Bale, que fue criticado por algunos seguidores del Madrid y por los medios españoles durante la campaña por ser tan poco efectivo de cara a gol, fue razonablemente prudente. Bale tiene un conjunto más reducido de puntos desde los que le gusta chutar: fuera del área a la derecha, a la izquierda del punto de penalti y cerca del poste derecho. Desgraciadamente para él, solo consiguió marcar desde esta última posición.

Figura 7.11. Disparos realizados por Cristiano Ronaldo, Karim Benzema y Gareth Bale durante la temporada 2014/2015 de la Liga de Campeones. Los puntos representan las posiciones de los jugadores al chutar y los círculos son las posiciones desde las que marcaron un gol.
Ronaldo destaca por poner el balón en esta zona de peligro. Podemos ver el éxito que tiene si estudiamos las jugadas de ataque del Madrid. En el período que conduce al disparo, lo típico es que el balón se mueva un montón mientras el equipo atacante intenta encontrar una vía a través de la defensa. Al marcar cada uno de los lugares desde los que se jugó el balón justo antes de cada uno de los disparos del Real Madrid durante la temporada de la Liga de Campeones, podemos obtener una visión de conjunto de cómo crean con éxito un ataque. La figura 7.12 es un mapa de riesgos que muestra dónde se jugó el balón en los 15 segundos previos a un disparo desde la zona de 20 m por 20 m delante de la portería.
Las zonas más oscuras muestran los lugares en los que existe un riesgo alto de que en los siguientes 15 segundos el Real Madrid chute desde la zona de peligro; las zonas más claras muestran los lugares en los que el riesgo es bajo. Las esquinas son una clara zona de riesgo y no resulta sorprendente que, si el balón ya está en el área, el riesgo de disparo sea alto. Pero la zona de riesgo más interesante es la zona caliente fuera del área a la izquierda del Real Madrid. Esta zona del campo está ocupada principalmente por Marcelo, que sube por la banda izquierda, y Ronaldo, que bascula más hacia el centro. Desde allí se crean las oportunidades más peligrosas.
Siempre existe el riesgo de encajar un gol cuando Ronaldo está atacando. O entra corriendo en el área, o se la pasa a Benzema, James Rodríguez o Bale, o chuta desde fuera del área. Es posible que esta última estrategia no haya funcionado demasiado bien en la Liga de Campeones 2014/2015, pero las otras sí. Ronaldo marcó siete goles de jugada, además de tres penaltis y de dar cuatro asistencias. Como equipo, el Real Madrid tuvo un total de 224 disparos, dirigidos a portería o no, durante la campaña de la Liga de Campeones.

Figura 7.12. Zonas de peligro del Real Madrid durante la temporada 2014/2015 de la Liga de Campeones. El tono es proporcionalmente más oscuro en las zonas donde el balón estuvo localizado durante los 15 segundos previos a un disparo desde la zona de 20 m por 20 m delante de la portería contraria.
El casco de la Juventus
La Juventus era muy consciente de este peligro por la izquierda antes de encontrarse con el Real Madrid en las semifinales. Los equipos italianos son conocidos por sus defensas bien organizadas y los contraataques letales, y la Juventus no era una excepción. Solo habían chutado 151 veces a puerta en el mismo número de partidos que el Madrid había realizado 224 disparos, pero siguieron adelante en la fase de grupos y en las eliminatorias. A diferencia de la selección italiana de 2012, esta Juventus no se había construido únicamente alrededor de Andrea Pirlo.
La figura 7.13 muestra la red de pases de la Juventus en el primer partido de la semifinal contra el Real Madrid. Los enlaces en esta red están en función del número de pases. Esta vez no he fijado un umbral para incluir los pases, de manera que se muestran todos los pases, incluso el único pase que Leonardo Bonucci envió a Patrice Evra. El grosor de las líneas muestra lo habitual que eran los diferentes pases. Aunque Pirlo sigue siendo la clave, comparte el papel con Arturo Vidal, y el balón se abría con frecuencia hacia Evra a la izquierda o Lichtsteiner a la derecha.

Figura 7.13. Red de pases de la Juventus contra el Real Madrid en el primer partido de la semifinal entre los dos equipos en 2014/2015. El grosor de las líneas indica un mayor número de pases entre parejas de jugadores.
Para captar mejor cómo estructuró la Juventus su defensa en la primera semifinal, he creado un mapa defensivo para cada jugador. Para ello, lo primero que analicé fueron los puntos en el partido donde cambió la posesión del Real Madrid a la Juventus. El cambio de posesión se produjo por un robo, una intercepción, una parada del portero o cualquier otro método mediante el cual se puede recuperar el balón. La figura 7.14 muestra los 17 puntos en los que Lichtsteiner interceptó el balón distribuidos a lo largo de todo el lado derecho del campo. La zona gris que contiene estos puntos de intercepción se conoce matemáticamente como el casco convexo. Se trata de la figura más pequeña posible que, solo con líneas rectas, contiene todos los puntos.[61]
Aunque Lichtsteiner interceptó el balón en una zona muy amplia, queremos tener una idea más clara de dónde actuó de manera habitual. La posición media de sus puntos de intercepción está marcada con una cruz. Con el objetivo de descubrir cuál es la contribución defensiva más importante de Lichtsteiner, busqué todos los puntos que se encuentran razonablemente cerca de su posición media de intercepción.[62]

Figura 7.14. Acciones defensivas de Stephan Lichtsteiner contra el Real Madrid. Los círculos señalan todas las posiciones en las que Lichtsteiner interceptó el balón. La zona de sombreado más clara contiene todos estos puntos. La línea más oscura es el casco convexo de los puntos «más cercanos» a la posición media de todas las acciones defensivas de Lichtsteiner.
Los cascos defensivos de la Juventus en la primera semifinal se muestran en la figura 7.15. Probablemente los cascos defensivos más importantes son los de Lichtsteiner y Marchisio, a la derecha, porque cubren la banda izquierda del oponente. Benzema estaba lesionado para este partido, por eso Ronaldo se colocó en el centro e Isco jugó a la izquierda. Pero el centro del ataque del Real Madrid siguió a la izquierda. Lichtsteiner y Marchisio recuperaron la posesión 32 veces entre los dos, mientras que Evra y Sturaro solo interceptaron el balón en 19 ocasiones. Cuando la Juventus iba ganando 2-1 después de una hora de partido, el interior izquierdo Sturaro fue sustituido por el defensa Andrea Barzagli, para crear una defensa de cinco. El Real Madrid atacaba a la Juventus por la izquierda, y la Juventus supo aguantar la presión. El marcador siguió con el 2-1 hasta el final.
La defensa de la Juventus contrasta con el fútbol de ataque practicado por el Real Madrid. La figura 7.16 muestra los cascos defensivos de los jugadores del Madrid durante el partido.
Los cambios de posesión a favor del Madrid tuvieron lugar mucho más adelante, normalmente en el campo de la Juventus. Esto es lo típico cuando se presiona al balón en defensa y se juega un fútbol de ataque.
No obstante, no todo el mundo presionaba. Compare el número de veces que Ronaldo recuperó la posesión con las recuperaciones de Tévez en la figura 7.15: dos veces frente a 18. Parece que el delantero centro de la Juventus tuvo que trabajar duro en defensa para crear oportunidades. Parece que no fue lo mismo para el líder de los Galácticos.

Figura 7.15. Cascos convexos defensivos de cinco jugadores de la Juventus contra el Real Madrid. Véase la figura 7.14 para los detalles sobre cómo se delimita el casco.

Figura 7.16. Cascos convexos defensivos de cinco jugadores del Real Madrid contra la Juventus.
Realicé mi análisis táctico de las semifinales en las semanas previas a la final de la Liga de Campeones. La mayoría de los comentaristas predecían un paseo para el Barcelona, pero yo no estaba tan seguro. Al colocar el casco defensivo de la Juventus frente al caza a reacción del ataque del Barcelona, me parecía que bien podía ser que el uno contuviera al otro. Esperaba un buen partido.
A los tres minutos de partido, mi confianza en mi análisis defensivo de la Juventus se vio ligeramente perturbada. El Barcelona marcó un gol con una jugada en la que participaron todos los jugadores del equipo, excepto Suárez. Y la única razón por la que Suárez no remató fue que Ivan Rakitić corrió hasta el punto de penalti y convirtió el pase de Iniesta. Parecía que el Barcelona había abierto más opciones de pase, y que la Juventus era totalmente incapaz de frenar el ataque.
Pero el partido se calmó y la Juventus empezó a frustrar al Barcelona. A los diez minutos de la segunda parte, Lichtsteiner realizó una intercepción en la parte frontal de su casco defensivo habitual. Marchisio recibió el balón y lo devolvió de tacón a Lichtsteiner, que corrió hasta el borde del área del Barcelona. Lichtsteiner pasó a Tévez, cuyo disparo fue rechazado por el portero, pero Morata no falló el rebote. Era el 1-1. El gol estaba totalmente de acuerdo con lo que había visto en la semifinal. La Juventus era peligrosa por la derecha, y desde allí habían conseguido el gol. El partido continuó aún más equilibrado, pero cuando se acercaba el final, el caza a reacción del Barcelona resultó imposible de parar. Suárez marcó el segundo y Neymar sentenció con el tercero en el tiempo añadido.
Ningún partido de fútbol es predecible, pero los mapas tácticos que hemos presentado en este capítulo pueden ayudar a preparar a los equipos. No sé hasta qué punto los clubes más importantes utilizan herramientas de visualización como estas. Cada entrenador tiene su propio método para estudiar a los contrincantes y planificar. Así que aunque empleen analistas que elaboran los datos, no está claro cómo llega a los entrenadores o a los jugadores el mensaje contenido en ellos.
Pero el mensaje es claro. Para presentar la información sobre algo, desde un partido de fútbol a una red social, los analistas deben ser capaces de presentar datos completos en forma de mensajes visuales precisos. Al contemplar el casco defensivo de la Juventus, el entrenador del Barcelona Luis Enrique habría visto lo efectivos que fueron Lichtsteiner y Marchisio al contener los ataques del Real Madrid por la izquierda e iniciar los contraataques. Al estudiar su red zonal de pases, el jefe de la Juventus Massimiliano Allegri habría visto que el Barcelona de ataques rápidos y contraataques de 2015 difería del modelo intensivo en pases del de Pep Guardiola. Estas son las imágenes que se deberían comunicar a los entrenadores y los mapas tácticos a los que deberían prestar atención. Y al hacerlo, es posible que incluso el entrenador más experimentado descubra cosas que no sabía sobre el fútbol.Tras una semana de discusiones y peleas mezquinas, no hay nada mejor que pasar la mañana del sábado entrenando a un equipo de fútbol infantil. Menos estallidos de temperamento, egos más pequeños y más animación hacen que el fútbol infantil sea el antídoto perfecto para mi semana laboral en el mundo de la investigación matemática.
Entrenar a niños también proporciona una visión profunda y valiosa sobre la cooperación. Los niños que entreno no tienen ningún problema para entregarse al 100 % para el Appsala IF. Pero hay maneras diferentes de darlo todo. Está salir corriendo tras el balón y también está levantar la cabeza y pasar. Estoy de pie al borde del campo gritándoles a los chicos que se extiendan por el campo. Si solo dos o tres de nuestros chicos se movieran hacia el espacio vacío, el juego cambiaría completamente. De repente, uno de nuestros defensas controla el balón y ve que uno de sus compañeros de equipo está libre de marcaje. Desgraciadamente, antes de que los demás jugadores tengan la oportunidad de colocarse en una formación efectiva, los seis jugadores de campo del otro equipo se abalanzan sobre el balón y quitan del medio a mi pobre defensa. 1-0 para el contrincante.
Hasta que cada uno de los chicos conoce su parte e interpreta su papel, les resulta difícil ver que la estructura general funciona. Sé que si juegan como un equipo, serán capaces de superar al contrario, pero hasta que empiecen a jugar de esta manera, el rival parece más fuerte. Se instalan en la frustración y vuelve a empezar una caza del balón.
Este dilema lo comparten los entrenadores de todos los niveles. Por supuesto, los jugadores profesionales comprenden un poco más la cuestión de las posiciones que un chico de diez años, pero los problemas estratégicos de los entrenadores de los clubes más importantes son similares. Se tienen que preocupar mucho más por su propio equipo que por el rival. Si no consiguen que su equipo juegue como una unidad, su análisis del contrincante será más o menos irrelevante. Lo mismo sirve para todos nosotros. En la escuela, en el trabajo y en casa, lo más importante son las interacciones con los que tenemos más cerca. Tener una buena relación con los amigos, los colegas y la familia es la clave para una vida feliz.
¿Los entrenadores de fútbol tienen la respuesta para que grupos de personas puedan estar juntas? Creo que sí. Creo que un buen entrenador creará una estructura para que los jugadores quieran jugar para el equipo. No es una tarea fácil para el entrenador ni para los jugadores. Para todos está siempre presente la tentación de actuar de manera egoísta y dejar de lado al equipo. Pero creo que los entrenadores de fútbol han resuelto este problema, al menos en parte. Conocen el secreto de un buen trabajo en equipo y este secreto es algo que todos podemos usar en la vida cotidiana. Incluso es posible que sea el secreto de por qué la cooperación ha evolucionado en los animales y en los humanos. Pero para descubrir este secreto debemos reflexionar más sobre las matemáticas que subyacen bajo los equipos. Debemos pensar estratégicamente sobre cuándo es útil la cooperación y cuándo la cooperación fracasa.
Fomentando trabajadores vagos
En nuestras relaciones diarias con los demás, normalmente es la cooperación lo que nos provoca más dolores de cabeza. ¿Quién debe fregar los platos o pasar el aspirador en la sala de estar? ¿Quién debe quedarse hasta tarde en el trabajo y terminar un informe importante? ¿Cómo conseguimos que todos trabajen juntos, en lugar de que cada uno se centre en lucirse?
Las matemáticas que necesitamos para enfrentarnos a estos problemas cooperativos empiezan con las ventajas y los inconvenientes. Una lista de «pros y contras» es algo que elaboran las personas cuando se enfrentan a las grandes decisiones de la vida: «¿Debo cambiar de trabajo?», «¿Me caso?» o «¿Debería ir de vacaciones con la familia o a la Copa del Mundo con mis amigos?». La idea es apuntar todas las cosas buenas y malas asociadas con cada opción posible. Pero, en un mundo social, las listas no funcionan. Las listas no contemplan cómo los demás pueden ajustar su comportamiento anticipando su decisión. Para esto necesitamos una tabla de ventajas e inconvenientes.
En una tabla de ventajas e inconvenientes apuntamos las consecuencias buenas y malas de cada opción, pero también consideramos lo que los demás pueden hacer. Tomemos un problema social de la vida cotidiana. Es martes por la tarde y prometiste acabar un informe del trabajo para antes del miércoles por la mañana. La parte positiva de redactar el informe es que tu jefe estará contento y tú te sentirás como si hubieras conseguido algo. La parte negativa es que tienes entradas para el partido de liga entre tu amado Derby County contra el Nottingham Forest, de la segunda división. Este es el dilema constante de la vida: el trabajo frente al fútbol.
Añadamos un colega de trabajo a la ecuación. Es posible que esté dispuesto a trabajar en el informe durante toda la tarde. En este caso, lo primero que debes hacer por la mañana es añadir algunas ideas propias y entregarlo todo a tu jefe como un trabajo conjunto. Esta es la solución perfecta: tu colega hace la mayor parte del trabajo y tú puedes ir a ver cómo pierde el Forest. A este resultado le vamos a dar tres puntos por la victoria.
Pero, un momento. ¿Qué ocurre si tu colega tiene la misma idea? Él supone que tú escribirás el informe y él irá al pub con sus amigos. El Manchester United juega la Liga de Campeones y lo van a televisar en una pantalla gigante. Ambos llegan al trabajo el miércoles por la mañana y no tienen nada que mostrar a su jefe. Se desencadena una gran bronca y tú pierdes un contrato importante. Daremos a esto cero puntos por una derrota.
Existen otras posibilidades. ¿Y si tú escribes el informe y tu colega se va al pub? Bueno, se pierde el fútbol, pero las cosas serán más fáciles por la mañana. Y al menos tu colega te estará agradecido. No se trata exactamente de un empate, pero probablemente valga medio punto. La última posibilidad es que ambos trabajen en el informe. Esto es una obra maestra. Tu jefe está entusiasmado y quiere que lo sepan. La próxima semana el United visita Pride Park en la copa y les regala entradas para que puedan ir juntos. Es un resultado que mejora el empate, pero nada puede compensar que te hayas perdido el partido en casa contra el rival local. Daremos dos puntos a este resultado.
Resumo este dilema en una tabla de «ventajas e inconvenientes»: tabla 8.1. Esta tabla te dice lo que debes hacer si sabes lo que va a hacer la otra persona. Si crees que tu colega se va a ir al pub, entonces lo mejor es que reduzcas tus pérdidas y redactes el informe.
TABLA 8.1. Tabla de ventajas e inconvenientes para el modelo «escaqueo o trabajo». Las entradas son los resultados que obtienes, teniendo en cuenta tu estrategia y la de tu colega.
Las grandes empresas o las organizaciones estatales se enfrentan continuamente al dilema «escaqueo o trabajo». Los empleados de la empresa trabajan juntos en diferentes proyectos por parejas o grupos reducidos, y aparecen oportunidades para que los individuos se impliquen activamente o en realidad no le dediquen todo su esfuerzo. Como aparecen continuamente grupos y proyectos nuevos, puede resultar difícil evaluar quién está contribuyendo y quién no.
Supongamos que la empresa empieza con todo el mundo muy motivado y con deseos de impresionar. Muy pronto, una de las empleadas más listas se da cuenta de que puede trabajar un poco menos en un proyecto. Al principio nadie se da cuenta, y en la mayoría de los proyectos todo el mundo en el grupo sigue trabajando duro. No obstante, al cabo de un tiempo, otro empleado tiene la misma idea y también empieza a aprovecharse del trabajo duro de los demás. Esto se sigue extendiendo a medida que más personas se dan cuenta de las ventajas de dejar que los demás hagan el trabajo por ellas.
Podemos utilizar un modelo evolutivo para descubrir cómo la proporción de vagos y trabajadores cambia con el tiempo.[63] Empezamos con todos los individuos como trabajadores, excepto un vago. Estos individuos se dividen por parejas y reciben puntos según la tabla 8.1. La mayor parte de los trabajadores recibirán dos puntos, porque se encuentran con otro trabajador. Pero el trabajador que se empareja con el vago recibe un cero, y el vago recibe tres. Esto aumenta las posibilidades de que el escaqueo se extienda entre la población cuando los demás copien la estrategia y, lento pero seguro, aumenta.
El escaqueo no aumenta indefinidamente. En cuanto los dos tercios de los empleados de la empresa son unos vagos, entonces el resultado medio para un vago es


No importa si se escaquea o trabaja, el resultado medio es el mismo. Por eso el escaqueo no se generalizará por completo. En el caso extremo de que todo el mundo intente evitar el trabajo, lo mejor que puede hacer un individuo inteligente es redactar el informe y recibir medio punto.
La situación de esta empresa es bastante mala. Dos de cada tres empleados intenta no contribuir adecuadamente. Así que la probabilidad de que los dos empleados que trabajan en un proyecto intenten escaquearse de su responsabilidad es 2/3 × 2/3 = 4/9. Solo un proyecto de cada nueve (1/3 × 1/3 = 1/9) implicará a dos trabajadores que cumplan con su responsabilidad. Todo el mundo sigue su propio interés y al final nadie es feliz.
Caza tribal
Ver el mundo en función de juegos como «escaqueo o trabajo» es un gran problema para la cooperación. Los modelos predicen que si seguimos nuestros intereses egoístas, las estrategias de colaboración disminuirán en la población. Los biólogos reflexionan sobre estos problemas en función del gen egoísta. Si la estrategia del trabajador es un gen que codifica el comportamiento cooperativo, entonces no lo va a hacer demasiado bien cuando deba competir con los genes del escaqueo. Cuando un vago se encuentra con un trabajador, el vago obtendrá todos los beneficios y pasará sus genes a la generación siguiente. Como consecuencia, el modelo predice que la evolución no favorece la cooperación desinteresada, aunque sea lo mejor para todos los individuos a largo plazo.
No obstante, estas predicciones teóricas no se ajustan a las observaciones. En la naturaleza vemos cooperación por todas partes. Ya he hablado de cómo los leones cazan en equipo y cómo los peces coordinan sus movimientos para alejarse de un depredador. Estos son solo un par de ejemplos. Los pájaros avisan cuando se acerca un peligro; los chimpancés se asean entre ellos; las hormigas emiten feromonas y las abejas bailan para mostrar al resto del enjambre el camino hacia los alimentos; y las suricatas hacen turnos para vigilar a los depredadores peligrosos. La lista sigue y sigue. En algunos casos, como en las abejas y las hormigas, las obreras individuales no se reproducen jamás, y solo trabajan para permitir que la abeja reina o la hormiga reina produzca todos los huevos. Si la teoría evolutiva es una receta para el egoísmo, entonces ¿por qué los animales son tan amables entre ellos?
Afortunadamente, la cooperación es tan habitual entre humanos como entre animales. Somos amables con los demás durante todo el tiempo. Los lugares de trabajo funcionan bien y las personas hacen lo que se espera de ellas. También nos ayudamos con el cuidado de los niños, nos implicamos en la comunidad y vamos a visitar a nuestra abuela. Incluso tenemos bomberos, policías y soldados que arriesgan sus vidas por nosotros. De vez en cuando siempre aparecen problemas, pero en general las personas son generosas, serviciales y con frecuencia desinteresadas.
Una respuesta a la cuestión de por qué cooperan animales y humanos está relacionada con la genética. Si ayudas a tus sobrinas y sobrinos, les irá mejor en la vida. Comparten contigo muchos de sus genes, de manera que al ayudarles estás ayudando indirectamente a tus genes. Esta fue la idea planteada por el biólogo William Hamilton, que se resume en esta sencilla regla:
rb > c
Lo que dice es que r, la probabilidad de que compartas cualquier gen en particular con otro individuo, multiplicado por b, el beneficio que otorgas a dicha persona al ayudarla, debería ser mayor que el coste, c, en el que incurres al ayudarla. Si aplicas la regla de Hamilton en tu propia vida, la puedes utilizar para descubrir cuánto tiempo deberías pasar chutando un balón con tu sobrina o leyéndole un libro al nieto del hermanastro de tu madre. Tu sobrina comparte ¼ de tus genes, mientras que tu hija comparte ½ de tus genes, así que la regla sugiere que deberías invertir el doble de tiempo ayudando a tu hija que a tu sobrina. El nieto del hermanastro de tu madre comparte 1/32 de tus genes, así que 3,75 minutos deberían ser suficientes para ese cuento a la hora de ir a dormir.[64]Antes de que empieces a darle al cronómetro, debo aclarar cómo se debe interpretar la regla de Hamilton. No se debería tomar como una guía para la vida moderna. Los humanos son amables entre ellos, con frecuencia sin tener en cuenta si son miembros de la misma familia o no. En la actualidad vivimos en un planeta de siete mil millones de personas y contribuimos a comunidades que están muy alejadas de nuestra familia original. En lugar de ser una regla para las relaciones cotidianas, la regla de Hamilton forma parte de una explicación de cómo empezó a evolucionar nuestro comportamiento cooperativo.
Nuestros ancestros cazadores-recolectores vivían en pequeños grupos familiares que competían con otros grupos por los alimentos. Al ayudar a los miembros de su propio grupo y expulsando a los miembros de los grupos rivales, monopolizaban los recursos. Una teoría es que la cooperación humana prosperó dentro de estas tribus familiares.[65] Juntos podían realizar cacerías peligrosas y cuidar de los más jóvenes. Ayudar podía tener un coste: un miembro del grupo podía acabar aplastado por un mamut furioso mientras intentaba proteger a su sobrina, pero esta tendencia genética a ayudar al grupo se fue transmitiendo a medida que prosperaba la tribu. Cuando la agricultura y después la industria sustituyeron rápidamente a la caza y la recolección, los grupos familiares se volvieron menos fuertes. No obstante, en el siglo XXI la tendencia a colaborar con los que sentimos más cercanos sigue codificada en nuestros genes.
Una evolución similar partiendo del tribalismo se puede observar en el fútbol. Cuando el Celtic ganó la Copa de Europa en 1967, todos los miembros del equipo, excepto uno, habían nacido en un radio de 15 km del Celtic Park. La excepción era Bobby Lennox, que había nacido en Saltcoats, a 50 km de Glasgow. Había algo especial en un grupo de jugadores que compartían la misma religión, los mismos valores de la clase obrera y un agudo sentido del humor, conquistando toda Europa. No es que los mejores jugadores de fútbol hubieran nacido en Glasgow en la década de 1940, sino que su espíritu tribal de equipo los llevó a la victoria. Se trata de un logro del que los seguidores del Celtic siguen orgullosos en la actualidad.
Probablemente, el logro del Celtic no se repita nunca más. La promoción de 1992 del Manchester United y el equipo criado en casa del Barcelona en la década de 2000 pueden servir como ejemplos modernos. No obstante, aunque estos grupos de jugadores empezaron a jugar juntos cuando eran niños, fueron incorporados a sus clubes de todo el Reino Unido y España, y en algunos casos del extranjero. El Manchester City y el París Saint-Germain, que gastan mucho dinero, alinean en la actualidad muy pocos jugadores que hayan crecido en su sistema académico.
Estos cambios no consiguen que nos volvamos menos apasionados por nuestro equipo. El fútbol pudo empezar con un grupo de chicos locales que representaban a una ciudad, pero en la época moderna los clubes tienen jugadores de todo el mundo en sus equipos. El equipo del Newcastle United de 2014/2015 tenía más jugadores nacidos en Francia que en Inglaterra, y contaba con jugadores de Argentina, Holanda, Gales, Suiza, Jamaica, Costa de Marfil, Senegal, España y Martinica. Solo uno de los jugadores, Sammy Ameobi, había nacido en Newcastle. Pero al escuchar el canto «Demba Ba, Demba Ba, Demba Demba Ba, NaNa NaNa NaNa NaNa NaNa Na» del Toon Army[§] con la música de Give It Up de KC y la Sunshine Band se puede sentir más la pasión que en el «Shearer Shearer» de una década antes. Esto fue así hasta que Demba Ba fue transferido al Chelsea, por supuesto.
Resulta sorprendente la rapidez con la que los seguidores apoyan a sus jugadores. Los humanos no podemos evitar establecer relaciones entre nosotros, sin tener en cuenta la raza o la religión. En algún momento a lo largo de nuestra historia evolutiva, cuando vivíamos en grupos familiares, estos lazos se establecían entre linajes. Pero al ampliarse nuestras interacciones, también lo han hecho los lazos sociales. Aún existe el racismo en el fútbol —y, por supuesto, no lo debemos ignorar—, pero tampoco deberíamos obviar nuestra sorprendente capacidad para establecer vínculos entre nosotros. Esto es una parte importante de lo que nos hace humanos.
Dinamo supralineal
Un grupo de jugadores estrechamente unidos que se enfrentan y vencen a un equipo de superestrellas individuales es la esencia de muchas de las historias futbolísticas más duraderas. Esto es lo que hizo tan especial la victoria del Celtic de los Lisbon Lions[**] contra el Inter de Milán en 1967. Otra historia igualmente destacable es la que gira alrededor de los tres equipos diferentes del Dinamo de Kiev en las décadas de 1970, 1980 y 1990 que triunfaron en Europa. En tres ocasiones diferentes, Valeri Lobanovski fue entrenador del Dinamo y los condujo orgullosamente a participar en las competiciones europeas. Ganaron la Recopa en 1975 y de nuevo en 1986. Después, por última vez, en 1999, después de que los mejores jugadores hubieran abandonado Ucrania por otras ligas mejor pagadas, Lobanovski se hizo cargo del Dinamo y lo llevó hasta las semifinales de la Liga de Campeones. Esta vez no fue posible y el Dinamo cayó ante el visitante Bayern de Múnich que remontó un 3-1 en contra, pero los dos regresos de Lobanovski siguen siendo un ejemplo de la historia de los «perdedores» comprometidos que trabajan duro los unos por los otros y de su entrenador para alcanzar la grandeza.
En el éxito del Dinamo había algo más que una férrea determinación y el orgullo local. También había matemáticas. El joven Lobanovski no era solo un futbolista brillante sino un estudiante con talento. Había recibido una medalla de oro en matemáticas al graduarse en secundaria y fue a estudiar ingeniería en la Universidad Técnica Nacional en Kiev. Allí aprendió sobre la nueva ciencia de la cibernética, un campo científico que estaba atrayendo cada vez más interés en la URSS de aquella época.
La cibernética es el estudio de cómo las partes de un sistema interactúan para crear estructuras. En las décadas de 1960 y 1970 era una nueva manera de pensar que iba a tener una profunda influencia tanto en la ciencia occidental como en la soviética. En la actualidad, el término está un poco pasado de moda y ha sido adoptado por la ciencia ficción, pero en aquel momento era el nombre genérico para una forma nueva de ver matemáticamente los sistemas complejos. Se trata de una manera de pensar que ha sentado las bases de cómo los investigadores como yo utilizamos en la actualidad los modelos matemáticos. Ya no la llamamos cibernética, pero las herramientas de esa época fueron los antecedentes de las que aplicamos en los capítulos anteriores de este libro, en especial cuando analicé la dinámica y la estructura del fútbol.
Cuando era entrenador, Lobanovski no tenía acceso al tipo de herramientas de análisis automatizadas que tenemos en la actualidad con solo abrir el portátil. Pero ya pensaba matemáticamente sobre el fútbol en la década de 1970. Tácticamente, Lobanovski destacaba la importancia de la presión: cuando el contrario tenía el balón, todo su equipo debía presionar, sin importar dónde estuvieran en el campo. Después, en cuanto recuperaban la posesión, todo el equipo debía salir al ataque. Para reforzar su punto de vista, establecía objetivos estadísticos para sus jugadores y después colgaba su actuación en un tablón de anuncios tras el partido.
Aún más rompedor que el uso que hacía Lobanovski de las estadísticas era la manera en que incorporó la filosofía cibernética a su forma de entrenar. Fue el primer entrenador que consideró el equipo de fútbol como un sistema matemático. Jonathan Wilson, autor de Inverting The Pyramid: The History of Football Tactics, afirma que Lobanovski veía el fútbol como «dos subsistemas de 11 elementos, moviéndose en una zona definida y sujetos a una serie de restricciones». Para Lobanovski, la propiedad más destacada del fútbol era que «la eficiencia del subsistema era mayor que la suma de las eficiencias de los elementos que lo formaban».[66] Fue el primero en darse cuenta de que la actuación del equipo puede ser algo más que la suma de sus partes.
La figura 8.1 muestra las tres curvas plausibles de cómo la actuación de un equipo se puede aumentar con la suma de los esfuerzos de los jugadores. En la curva de la izquierda, la actuación crece linealmente, como una línea recta, con esfuerzo. Aquí, la actuación del equipo es exactamente proporcional a la suma de los esfuerzos de los jugadores. En la curva central, la actuación crece de manera sublineal, y es proporcional a la raíz cuadrada del esfuerzo. Ahora la actuación es menor a la suma de los esfuerzos de los jugadores. A la derecha, la actuación crece de forma supralineal y es proporcional al esfuerzo al cuadrado: la actuación del equipo es ahora mayor que la suma de los esfuerzos individuales.[67]
La curva de actuación de un equipo depende de cómo juegan todos. Una curva sublineal implica que el equipo es menos que la suma de sus partes, que existe algún tipo de redundancia. Imagina un delantero que está marcado por un defensa competente. Si otro defensa empieza a marcar al mismo delantero, es posible que al delantero le resulte un poco más difícil marcar, pero la mejora en la eficiencia de la defensa —y del equipo en su conjunto— será marginal. El beneficio será cada vez menor si pedimos a más defensores que marquen al mismo jugador.

Figura 8.1 Tres curvas de actuación del equipo: sublineal (izquierda), lineal (centro) y supralineal (derecha).
Alinear las hormigas
Los equipos supralineales se desarrollaron millones de años antes del nacimiento de Lobanovski y para encontrarlos no es necesario mirar mucho más allá del patio trasero. Las colonias de hormigas consisten en miles de partes intercambiables. Cada hormiga contribuye a la recolección de alimentos y a la cría de nuevas hormigas, pero si desaparece una hormiga hay muchas más que pueden ejercer su papel. Esto convierte las colonias de hormigas en el sistema ideal para estudiar el trabajo en equipo. La cuestión que mi colega, la bióloga holandesa Madeleine Beekman, y yo intentamos responder es si el número de hormigas en un hormiguero afecta a su actuación como equipo. ¿Las hormigas se convierten en algo más que la suma de sus partes cuando la colonia crece en tamaño?
Para responder a esta pregunta, Madeleine sacó su aspiradora de hormigas. La utilizó para aspirar hormigas de un hormiguero y depositarlas en otro, lo que le permitía crear colonias de hormigas cuyo tamaño variaba entre unos cientos a varios miles. Las hormigas se comunican dejando un rastro de feromonas, una señal química, cuando encuentran alimentos. Si una hormiga deja feromonas y otra hormiga las encuentra antes de que se hayan evaporado, entonces la segunda hormiga también encontrará la comida y dejará más feromonas. La cuestión es qué ocurrirá primero: ¿se evaporarán las feromonas u otra hormiga reforzará el rastro? La probabilidad de estos acontecimientos depende tanto del tamaño de la colonia como de cuántas hormigas se encuentren ya en la senda. En las colonias pequeñas es menos probable que otra hormiga encuentre el rastro, pero en los hormigueros grandes es mucho más probable.
Al convertir esta descripción verbal en un modelo matemático, podremos predecir la curva de actuación de equipo para las hormigas.[68] Ya hemos visto las tres curvas de actuación teóricas, en la figura 8.1, mostrando como la actuación puede aumentar sublineal, lineal y supralinealmente con el esfuerzo. Para las hormigas predecimos un cuarto tipo de curva de actuación, que se muestra en la figura 8.2. Ahora ya no se produce un aumento constante de la actuación con el esfuerzo: en su lugar, existen dos líneas separadas para la actuación con un salto entre ellas. La línea inferior en la figura 8.2 representa una actuación plana, mientras que la línea superior representación una actuación exitosa. La flecha apuntando hacia abajo para 300 hormigas señala que los hormigueros pequeños siempre tendrán una actuación pobre en la recolección de alimentos, tendiendo hacia una línea plana. La flecha que apunta hacia arriba para 1.100 hormigas muestra que las colonias grandes siempre tendrán una buena actuación. Madeleine confirmó las dos predicciones en sus experimentos. Las colonias pequeñas no conseguían establecer un rastro de feromonas hacia los alimentos, mientras que los hormigueros grandes lo hacían con facilidad.
Mientras que las colonias pequeñas fracasan siempre y las colonias grandes siempre tienen éxito, la actuación de los hormigueros de tamaño medio puede adoptar dos niveles diferentes. Las flechas en la figura 8.2 muestran que para 700 hormigas el nivel de actuación alcanzado depende de cuántas hormigas formaban inicialmente la senda. Una colonia de hormigas que empieza con una actuación pobre, con pocas hormigas en la senda, permanecerá en la línea inferior. Pero si las hormigas actúan bien desde el principio, con una senda establecida, entonces su actuación aumenta y la senda se establece en la línea superior.

Figura 8.2 Curva de actuación en equipo para las hormigas. Las dos líneas muestran que el número de hormigas que encuentran alimentos aumenta con el número total de hormigas. La línea inferior es el caso que se presenta cuando solo un número pequeño de hormigas encuentran la comida. La línea superior es el caso en que suficientes hormigas forman el sendero. Cuando muchas hormigas encuentran inicialmente el alimento, alcanzan la línea superior (indicada por la flecha hacia arriba); cuando son pocas las que lo encuentran, caen hacia la línea inferior (flecha que apunta hacia abajo).
Mi modelo y los experimentos de Madeleine muestran que el mismo equipo con el mismo número de miembros aplicando el mismo esfuerzo no tienen siempre el mismo nivel de actuación. Esto tiene implicaciones importantes para los equipos de fútbol. Piense en la rapidez con que se vuelven las tornas. En un minuto dado, un equipo está empujando hacia delante, presionando al contrincante; al minuto siguiente están encerrados atrás cuando el rival ataca. No es nada raro que el mismo equipo tenga éxito o fracase cuando está aplicando la misma estrategia.
Una parte de la explicación de estas grandes variaciones en la actuación se encuentra en la figura 8.2. He vuelto a dibujar esta curva de actuación en la figura 8.3, marcando diferentes puntos que pueden surgir durante un partido. Imagina que el equipo se encuentra en el estado A. Están aplicando una cantidad razonable de esfuerzo, pero su actuación es una línea plana. Entonces un carácter de el de Steven Gerrard o el de Roy Keane llama a la lucha. Aumenta su nivel de esfuerzo, aunque solo sea de manera temporal, empujando el esfuerzo del equipo hasta el punto B. Como consecuencia, la actuación sube hasta el punto C, y entonces el equipo vuela. Pero semejante esfuerzo es insostenible. Incluso el movimiento de los brazos de Gerrard o la descarga de palabras malsonantes de Keane no pueden sostener un esfuerzo tan grande. Pero no importa: cuando el nivel de esfuerzo vuelve a bajar, la actuación permanece en la parte superior. Incluso cuando el esfuerzo cae de nuevo hasta el punto D, exactamente el mismo nivel con el que empezó el equipo, la actuación sigue siendo mucho mejor que antes.
Estas transiciones explican por qué un líder carismático es tan importante para un equipo. Él o ella solo pueden elevar el esfuerzo general en una cantidad muy pequeña, pero eso puede ser suficiente para lograr una actuación excelente. En cuanto el nivel de actuación está arriba, el esfuerzo puede caer un poco, pero el nivel de actuación se mantiene.

Figura 8.3 Curva de actuación de un equipo en el fútbol. El equipo empieza en el punto A. Al aumentar el esfuerzo, se mueve hasta el punto B, momento en que la actuación salta hasta el punto C. Ahora el esfuerzo puede disminuir de nuevo, pero la actuación permanece relativamente alta en el punto D.
Imagina que un equipo se encuentra en el punto D en la figura 8.3, y su esfuerzo disminuye un poco. Ahora existe el riesgo de que su actuación caiga hasta el otro extremo de la curva. Cuando está abajo es mucho más difícil elevarla de nuevo. El equipo tiene que regresar hasta el punto A y después subir al punto B antes del salto en la actuación. Esto requiere que todo el mundo en el equipo esté desarrollando su mejor juego. Y como cada jugador tiene factores de motivación diferentes, es posible que esto no se consiga con facilidad.
El compromiso de la estrella
Empecé este capítulo con la cuestión de la cooperación. ¿Cómo evitan el escaqueo los equipos de fútbol, las empresas y los grupos de animales? Una respuesta a esta pregunta estaba relacionada con la genética, pero la idea de la supralinealidad de Lobanovski nos ofrece una respuesta alternativa. Los biólogos y los directores de empresas pueden aprender en la actualidad de los entrenadores de fútbol. Los entrenadores no castigan a los jugadores por no hacer su trabajo, sino que crean una estructura de equipo que asegura que siempre valga la pena colaborar.
Para comprender por qué la supralinealidad propicia la cooperación, consideremos el problema al que se enfrentan los entrenadores para conseguir que todos los jugadores contribuyan al plan del equipo. Con los traspasos muy lucrativos y los agentes ansiosos por conseguir un aumento del salario de los jugadores logrando su traspaso a cualquier otro sitio, ganar partidos no es lo único que hay en la cabeza del futbolista. El ejemplo clásico es la estrella insatisfecha, que posiblemente esté buscando su traspaso a un club mejor. No voy a citar nombres, pero hay un montón de jugadores que siempre tienen un ojo en el próximo paso de su carrera. Al cumplir con el papel que le asigna el entrenador, es posible que una estrella como esa no brille tanto como con las individualidades. La cuestión para nuestra estrella es si es mejor jugar como parte del equipo o intentar destacar todo lo posible como individualidad. El reto para el entrenador es convencer a cada uno de los jugadores de que vale la pena seguir el plan del equipo.
Consideremos un equipo con una curva de actuación supralineal, en el que la actuación es proporcional al cuadrado del esfuerzo, como se muestra en la curva a la derecha en la figura 8.1. El esfuerzo de cada jugador se puede situar en una escala de 0 a 1. Si todos los jugadores contribuyen al 100 %, entonces la suma de sus esfuerzos es 11. Para la curva de actuación supralineal, la efectividad del equipo es 11 × 11 = 121. Si un jugador contribuye el 0 % y los demás dan el 100 %, entonces la suma se convierte en (10 × 10) + (0 × 1) = 100. Si solo contribuye un jugador, entonces la efectividad es solo (1 × 1) + (0 × 10) = 1. Si asumimos que los jugadores comparten por igual la gloria de su actuación, entonces su recompensa es 121 / 11 = 11 cuando todo el mundo aporta el 100 % de su esfuerzo. Será de 100 / 11 = 9,09 si todos dan el 100 % excepto uno, y de 1 / 11 = 0,09 si solo un jugador pone todo su esfuerzo.
Ahora podemos analizar cómo puede evaluar las ventajas y los inconvenientes una estrella descontenta. El dilema no se encuentra tanto en si trabajará o no duro en el campo, sino en si debe realizar un esfuerzo para conseguir que se cumpla el plan del equipo. En lugar de trabajar para el equipo, puede intentar brillar por sí mismo, corriendo hacia la portería cuando debería haber pasado o desentendiéndose de su trabajo defensivo. Supongamos que todo el esfuerzo que no pone en el equipo puede aplicarlo a destacar personalmente. La tabla 8.2 resume los beneficios para un jugador estrella que aporta el 100 % o el 0 % al esfuerzo del equipo.
Empecemos por analizar lo que ocurre cuando el resto del equipo da el 100 %. Si el jugador estrella aporta el 100 % del esfuerzo, entonces recibe un gran beneficio de la actuación del equipo: 11 puntos. Por el otro lado, si da el 0 % del esfuerzo, entonces consigue su gloria personal (+1), pero el equipo en su conjunto ha perdido y ahora solo consigue un 9,09. Nuestra estrella que no rinde al máximo consigue un total de 10,09 puntos, menos que los 11 que habría logrado si se hubiera ajustado al plan del entrenador. Si el resto del equipo está comprometido con el plan del partido, entonces está en el interés egoísta de la estrella seguir también el plan.
Todos los jugadores, incluso una estrella deslumbrante, tienen un incentivo para jugar para el equipo, porque la efectividad del equipo aumenta supralinealmente.
TABLA 8.2. Tabla de beneficios para el modelo de «estrella comprometida». Las entradas son los beneficios que obtiene la estrella, teniendo en cuenta el esfuerzo propio y el del resto del equipo.
A partir de este análisis podría parecer que la cooperación no debería ser un problema. Si los jugadores trabajan en un equipo eficiente, y dicho equipo es más que la suma de sus partes, entonces hay incentivos para que cada uno cumpla con su papel. Lo único que debe hacer el entrenador es lograr que el equipo trabaje unido y todo el mundo será feliz. Desgraciadamente para el entrenador, las cosas son un poco más complicadas. Si miramos la segunda columna en la tabla 8.2, vemos una situación muy diferente. Cuando el resto del equipo no aporta todo su esfuerzo, ¿qué debe hacer la estrella? Si da el 100 %, entonces, cuando su pequeña contribución se haya dividido entre él mismo y sus compañeros de equipo, obtiene un resultado peor que los demás. Si aporta el 0 %, el equipo sigue sin funcionar, pero al menos parece el mejor de un mal grupo. Ahora el incentivo se encuentra en dejar mal al resto del equipo.
Este es el escenario de pesadilla para los entrenadores cuando la confianza de los jugadores en él y entre ellos ha dejado de existir. El equipo no funciona y no existe ningún incentivo para ningún jugador para que se comprometa con un plan que se desmorona. La misma lógica que se aplica al jugador estrella se aplica a todos los miembros del equipo. Ninguno de ellos tiene interés en dar el 100 % desde el principio cuando nadie está comprometido. Lo más desconcertante para el entrenador es que aquí no ha cambiado realmente nada, excepto la actitud de los jugadores. El equipo tiene el mismo potencial de actuación que cuando era más que la suma de sus partes, pero ya no existe ningún interés para que ninguno de sus componentes aporte un esfuerzo adicional.
Los equipos que son más que la suma de sus partes son desproporcionadamente más fuertes cuando todo el mundo está comprometido, pero también son desproporcionadamente más débiles cuando sus partes empiezan a fallar. Un equipo que se fortalece cuando se suman contribuciones se convierte en todo lo contrario cuando las cosas no van como estaban planeadas. Al entrenador le resulta fácil motivar a los jugadores cuando hacer las cosas a su manera va en su propio interés, pero no es tan fácil motivarlos cuando no va en su propio interés.
La paradoja es que al convertir el equipo en más que la suma de sus partes, el entrenador también lo vuelve más vulnerable a un fracaso espectacular. En el modelo desarrollado en esta sección, si el esfuerzo combinado de los jugadores cae por debajo del 50 %, entonces ya no va en interés de ninguno de los jugadores contribuir al equipo. Por eso el éxito o el fracaso de un entrenador depende de lo bien que funcionen desde el principio. Para evitar el colapso, el entrenador debe transmitir confianza y conseguir que los jugadores se vuelvan a comprometer. Tiene que hacerlo simultáneamente para todos los jugadores, reconstruyendo la fe dentro del equipo antes de que el presidente y la directiva pierdan la fe en él.
Individualismo colectivo
Madeleine Beekman no es la única holandesa que comprende la supralinealidad y sus posibles paradojas. Durante los últimos 50 años, los entrenadores de fútbol de los Países Bajos han sido expertos en este concepto, y en él radica la base de su éxito a largo plazo. Louis Van Gaal ha afirmado que entrenar consiste en aplicar «disciplina de equipo y autodisciplina, responsabilidad individual y responsabilidad colectiva. Solo entonces el conjunto se convierte en más que la suma de sus partes».[70] Cuando dijo esto estaba hablando sobre la marca de «fútbol total» que se desarrolló en el Ajax y en los Países Bajos en las décadas de 1970 y 1980. En el fútbol total siempre ha habido sitio para superestrellas como Johan Cruyff y Arjen Robben, pero para Van Gaal el reto era conseguir que se integraran en el equipo.
En 1988, Lobanovski llevó a la selección de la Unión Soviética, formada principalmente por los jugadores que tenía en el Dinamo, a la Copa de Europa. Jugaron excelentemente y consiguieron llegar a la final. Allí se enfrentaron a la selección holandesa entrenada por el padre del fútbol total, Rinus Michels. En el campo, el estilo de Michels exigía la misma intensidad de trabajo en equipo y presión que aplicaba Lobanovski. No obstante, mientras Lobanovski ejercía un fuerte control sobre sus jugadores, Michels aceptaba que estaba trabajando con estrellas «que da la casualidad que son millonarios».[71] Los delanteros del AC Milan Marco Van Basten y Ruud Gullit debían estar motivados para jugar como parte del equipo. Para crear la atmósfera correcta, Michels se llevaba a los jugadores a dar paseos de una hora por el campo, permitiendo que se conocieran y establecieran una química personal. Como en mi modelo de «estrella comprometida», Michels creó una estructura de equipo en la que Van Basten y Gullit se beneficiaban más si contribuían al plan del equipo que si sencillamente jugaban su propio partido. La combinación supralineal de estos jugadores individualmente brillantes fue entonces la clave del éxito.
La final del campeonato fue el encuentro entre estos dos equipos: la selección soviética de Lobanovski, donde se había suprimido el individualismo para que brillara el colectivismo, frente a las individualidades holandesas de Michels, unidas por un objetivo común. Los equipos habían jugado entre ellos durante la fase de grupos y en esa ocasión ganaron los soviéticos, copando el centro del campo y obligando a los holandeses a jugar balones largos. Pero en la final fue el turno para que brillasen las estrellas holandesas. El primer gol fue un cabezazo de Ruud Gullit, pero el segundo fue realmente especial. La volea de Marco Van Basten por encima del portero con un ángulo muy estrecho sigue siendo uno de los goles internacionales más importantes de todos los tiempos. Pero todo empezó con un plan de equipo. Con el partido equilibrado, el lateral izquierdo Adri Van Tiggelen presionó hacia delante y recuperó el balón cuando la URSS entró en el campo holandés. Inmediatamente convirtió la defensa en ataque y siguió adelante, pasando el balón al centrocampista Arnold Mühren justo al borde del área. Después del partido, Mühren admitió que estaba cansado y que el cruce que hizo no fue su mejor esfuerzo. Pero ahí es donde se necesita la calidad de una superestrella y calidad de superestrella es lo que tenía Van Basten. Chutó el balón a la primera, y el partido y el torneo quedaron decididos.
La cooperación se puede simplificar pensando en función de modelos. Empecé este capítulo con el dilema de «escaqueo o trabajo». Después me centré en las familias y acabé con las superestrellas supralineales. Estos tres modelos se pueden usar para explicar muchos de los ejemplos de cooperación que vemos en la naturaleza. Cuando los biólogos matemáticos discuten sobre por qué tantas especies de animales cooperan, o los economistas intentan explicar por qué la gente es irracionalmente generosa, normalmente están intentando identificar cuál de estos modelos es el más apropiado para explicar sus observaciones. Estas cuestiones siguen fascinando a los científicos y generan un montón de debates y controversias tanto en las ciencias naturales como en las ciencias sociales.[72]
Los entrenadores de éxito son muy conscientes de estos modelos de cooperación y son muy hábiles en su uso. Probablemente no los formulan de esta manera, pero saben de qué estoy hablando. Deben conseguir que sus jugadores formen lazos parecidos a los familiares, tienen que descubrir a los vagos y deben conseguir que su equipo juegue como algo más que la suma de sus partes. También deben aceptar las subidas y bajadas de la colaboración, cuando la moral se colapsa o regresa sin motivo aparente. Crear cooperación no es un trabajo fácil. Yo estoy contento porque solo tengo que conseguirla los fines de semana en el campo de fútbol, y puedo pasar el resto de la semana estudiándola en la paz y la tranquilidad de mi oficina. Pero por muy difícil que sea, la creación de la cooperación es uno de los retos más importantes a los que nos enfrentamos.
Capítulo 9
El mundo en movimiento
Debo admitir que a veces soy culpable de perderme en los pequeños microcosmos académicos. Ahora mismo es el fútbol, pero antes fue el movimiento de los peces y antes de eso las sendas de las hormigas. Hay algo cautivador en el trabajo intenso sobre un tema hasta en sus más mínimos detalles. Pero esta concentración en los detalles puede provocar que los científicos estemos demasiado implicados en nuestro propio mundo, hablando entre nosotros con nuestro propio lenguaje, y olvidando que existen otros mundos igualmente interesantes en otros lugares.
Por eso me entusiasmé al descubrir que los investigadores del fútbol ya habían descubierto mis estudios sobre los peces y las hormigas, incluso antes de que yo empezase a interesarme por el fútbol. Poco después de empezar a escribir este libro, acudí a Google Scholar para ver a qué se dedicaban los verdaderos científicos deportivos y descubrir cómo eran sus campos de investigación. Me llevé una sorpresa. Uno de los primeros artículos que revisé era una reseña titulada «Sports teams as superorganisms» [«Equipos deportivos como superorganismos»] de Ricardo Duarte y sus colegas en Lisboa.[73] Habían utilizado la misma analogía que usé en el capítulo anterior entre equipos y hormigas, afirmando que «el análisis de la actuación de un equipo se podría beneficiar de la adopción de modelos biológicos que se utilizan para explicar cómo las interacciones repetidas entre grupos de individuos se acaban convirtiendo en emergentes comportamientos sociales colectivos». Y no solo eso, sino que una de sus fuentes primarias era un artículo que yo había escrito en 2005: «The principles of collective animal behaviour»[74] [«Los principios del comportamiento colectivo animal»]. Los científicos deportivos ya estaban utilizando mis investigaciones para inspirar su propia reflexión sobre los equipos.
Escribo artículos científicos porque tengo la esperanza de que mis descubrimientos serán leídos por una gran variedad de personas, no solo por los que trabajan en mi propio terreno. En 2005, mi interés en el fútbol estaba limitado a algún partidillo ocasional de cinco por equipo en el centro deportivo universitario y a seguir por televisión los progresos del Liverpool en la Liga de Campeones. En mi artículo no había, desde luego, nada sobre este deporte. Por eso me sentí especialmente complacido de que unos pocos años después unos investigadores que trabajaban en Lisboa se hubieran inspirado en mi escrito.
Ricardo Duarte y los investigadores de Lisboa no son los únicos que han encontrado su inspiración en la biología. Natalia Balagué, profesora de la Universidad de Barcelona, afirma que los ejercicios de entrenamiento para los deportes de equipo no deberían «informar al atleta sobre una idea teórica del resultado motor, sino crear tareas en las que las habilidades pueden resolver constantemente situaciones cambiantes». Cita a un importante entrenador español que dice de su equipo: «Cuando los veo moverse como una bandada de pájaros sé que están jugando bien».[75] Paul Power, científico principal de datos técnicos y tácticos en la empresa de análisis deportivo Prozone, empieza sus presentaciones ante los equipos de fútbol con videos de bancos de peces. Su discurso pasa entonces del océano al campo, destacando la dinámica similar entre los jugadores que persiguen el balón y las sardinas que esquivan un tiburón.
Muchos de los modelos matemáticos que he desarrollado en este libro han planteado analogías con el movimiento animal: la creación de espacios del Barcelona y la formación del banco de peces, la caza de los leones y la disminución del espacio por parte de Holger Badstuber, y los equipos supralineales de hormigas. Y parece que los investigadores deportivos están empezando a pensar de la misma forma que yo. Los modelos del comportamiento animal se están adoptando como modelos de la actuación de los equipos: podemos usar la forma de estudiar la coordinación y el movimiento de los animales para así mejorar la coordinación y el movimiento de los futbolistas.
Exceso de datos
La figura 9.1 muestra las posiciones y las direcciones de 16 jugadores en un momento concreto durante un partidillo de entrenamiento de ocho contra ocho de los reservas del FC Núremberg. El extremo izquierdo del equipo claro tiene el balón e intenta dar un pase hacia delante. En el centro del campo, dos defensas oscuros están marcando a dos atacantes claros, mientras se aseguran de que mantienen una línea de fuera de juego.
Este partido de entrenamiento fue especial porque fue una de las primeras veces en que los datos de seguimiento en tiempo real de un partido de fútbol estuvieron disponibles públicamente.[76] Todos los jugadores llevaban sensores colocados en las dos botas, midiendo la posición de sus pies. El balón también contenía un sensor, al igual que los guantes de los porteros. Las posiciones de pies y manos se medían 200 veces por segundo, y la posición del balón, 2.000 veces por segundo. Esto proporcionó 8.400 acontecimientos posicionales tridimensionales por segundo. El resultado fue un conjunto de datos de 6 GB que cubrían 60 minutos de juego... y casi 120 millones de números que analizar.

Figura 9.1. Posiciones y direcciones de los jugadores durante un partido de entrenamiento de los reservas del FC Núremberg. Los círculos son las posiciones de los equipos claro y oscuro, mientras que las flechas muestran la dirección y la velocidad del movimiento de los jugadores. Cuanto más larga es la flecha, mayor la velocidad de movimiento del jugador. El balón es el pequeño círculo negro.
[(200 × 22 × 2) + (200 × 2 × 4) + 2.000] × 3 × 60 × 95
= 212.040.000 de números
Hace unos años, el entrenador de un equipo de la Premier League veía el partido de su equipo el sábado. El domingo ponía un video del último partido del próximo rival, además de ver las jugadas más importantes de los otros equipos de la liga. Ahora tiene acceso a millones de datos de sus propios jugadores y de los rivales. Además, tiene datos de la actuación durante los entrenamientos así como mediciones del estado de forma de todos sus jugadores. Su trabajo consiste en recoger estos miles de millones de números y reducirlos a unas pocas frases sencillas que les expliquen a sus jugadores la estrategia para el próximo partido.
Por eso no resulta sorprendente que en la actualidad los equipos de fútbol den trabajo a expertos para extraer lo máximo posible de los datos que recogen. El Manchester City tiene un amplio equipo de analistas que recopilan los datos sobre la actuación del equipo después de cada partido. Esto les permite identificar zonas del campo en las que actúan bien y zonas en las que no lo hacen. El jefe de análisis deportivo del Liverpool, Ian Graham, tiene un doctorado en física teórica por Cambridge. Proporciona a los porteros y a los delanteros un análisis de cómo su posición cambia las probabilidades de marcar o recibir un gol. El Bayern de Múnich tiene una base de datos enorme de los movimientos de todos sus jugadores durante cada partido y también durante muchas de las sesiones de entrenamiento. Después de cada partido, el jefe de análisis de partidos del Bayern, Michael Niemeyer, ofrece una presentación de datos high-tech en el «auditorio» para el resto del equipo técnico. Los jugadores del Bayern pueden intercambiar comentarios e ideas sobre los datos y el partido en un foro parecido a Facebook. Cada club de primera línea tiene su propio experto en números.
El reto al que se enfrentan estos expertos es cómo convertir millones de números en una imagen informativa. La imagen debe resumir la esencia de un partido, de la misma forma que mis mapas tácticos del capítulo 7, pero esta vez formada por todos esos millones de mediciones. Alina Bialkowski es miembro de un equipo de investigadores de Disney Research en los EE.UU. que están dando respuesta a este reto. No está demasiado claro por qué Disney está intentando comprender el «soccer»,[††] pero desde luego han enfocado muy bien el problema.
En uno de sus primeros estudios, Alina y sus colegas se centraron en el uso de datos para identificar sutilezas en las formaciones. En su artículo científico no revelan cuál de las principales ligas analizan, pero se trata de la liga de un país en el que el 4-4-2 es la formación dominante. En la figura 9.2 se muestran cuatro ejemplos de las formaciones de equipo adoptadas. Cada uno de los símbolos pequeños corresponde a la posición media de los diferentes jugadores durante una mitad de cada partido jugado durante toda una temporada.[77] Por ejemplo, para el equipo A en la imagen superior izquierda, el lateral izquierdo es un conjunto de triángulos y los dos delanteros son las manchas en forma de círculos y diamantes de la parte superior.
Equipos diferentes juegan el 4-4-2 de maneras distintas. Algunas de estas variaciones son tácticas bien establecidas. Por ejemplo, el equipo A tiene una pareja de delanteros que juegan en paralelo entre ellos, mientras que el equipo B tiene un delantero muy adelantado y otro más atrasado. Pero otras diferencias entre estas formaciones son más sutiles. El equipo C es más flexible en ataque que los equipos A y B, con un delantero que a veces se adelanta y otras juega en pareja. El equipo C también tiene una variedad de posiciones diferentes en el centro del campo, y en general ocupa más el campo. El equipo D juega tanto un 3-4-3 como un 4-4-2 y se mueve alrededor de sus formaciones de ataque.
La identificación de las formaciones es solo un primer paso. En el artículo siguiente, los investigadores de Disney analizaron cómo situaciones de ataque aparentemente diferentes acaban en gol.[78] Cada décima de segundo se calcularon diferentes disposiciones de las posiciones, incluido lo lejos que se encontraban los defensas de sus posiciones habituales, la velocidad de los movimientos del jugador y cuántos defensas había entre el delantero con el balón y la portería. A partir de estos datos, los investigadores pudieron demostrar que el contraataque proporciona con frecuencia las mejores oportunidades para marcar. El ataque del rival es el momento ideal para empezar a planificar el ataque de tu propio equipo. El modelo aún no está terminado, pero el objetivo último es proporcionar la probabilidad de que cada situación diferente durante un partido acabe en gol. A partir de aquí, los entrenadores pueden diseñar sus estrategias e identificar las zonas en las que el rival es especialmente peligroso.

Figura 9.2. Formaciones de los equipos estudiadas a lo largo de una temporada. Los símbolos indican la posición media del jugador durante una parte de cada partido durante la temporada. Figura adaptada del original de Alina Bialkowski y colaboradores.
El reto siguiente en el análisis futbolístico es pasar de la descripción estática de las formaciones y las posiciones al análisis dinámico de las interacciones de los jugadores. Volvamos al partidillo de entrenamiento ocho contra ocho del FC Núremberg. La figura 9.3 muestra las posiciones de los jugadores y las direcciones casi un segundo después de las mostradas en la figura 9.1, después de que el extremo izquierdo hubiera pasado el balón hacia la derecha. Ahora casi todos los jugadores están corriendo en la misma dirección, aunque a velocidades diferentes. Los jugadores cercanos al centro son los que se mueven más rápido, porque son los que están más descolocados.

Figura 9.3. Posiciones y direcciones de los jugadores durante un partido de entrenamiento de los reservas del FC Núremberg. Instantánea tomada casi un segundo después de lo que se muestra en la figura 9.1.
El movimiento coordinado es la clave de una buena defensa. Esto empieza con los cuatro defensas moviéndose al unísono, pero es importante para todo el equipo. Al situarse en espacios uniformes a lo largo del campo, el equipo defensor crea una red que evita cualquier avance. Parte de esta coordinación se consigue siguiendo el balón, pero también se basa en que los jugadores se alineen entre ellos para que la red siga siendo tupida.
A primera vista parece que mantener una red defensiva férrea requiere que los jugadores estén alineados con todos sus compañeros de equipo. Pero en 1995, Tamás Vicsek y sus colegas desarrollaron un modelo que muestra que se puede conseguir un alineamiento de grupo sin necesidad de seguir un balón, e incluso con un conocimiento muy limitado de la posición y dirección del resto del equipo.[79] Imagina que estás corriendo por un campo de unos 100 m por 100 m (un poco más del doble de un campo de fútbol) con otras 43 personas (exactamente el doble del número de personas de un partido de fútbol normal). Cada persona tiene una velocidad de 12 km/h: una carrera ligera. El campo tiene la extraña propiedad de que si sales corriendo por un lado, entras por el contrario. Así que si sales corriendo por arriba, reapareces por abajo, y si corres demasiado hacia la izquierda, apareces por la derecha. Por supuesto, en la realidad no existe ningún campo así, pero se está imaginando dentro de un modelo matemático. Estas suposiciones ligeramente extrañas están bien por ahora.

Figura 9.4. Medición del alineamiento de los jugadores en ambos equipos al añadir las flechas de dirección.
Al principio, a la izquierda en la figura 9.5, todas las direcciones son aleatorias. El círculo gris en el centro marca tu ubicación y muestra a tus vecinos dentro de un radio de 10 m. Tú empiezas dirigiéndote en la dirección de tu vecino más cercano. Al cabo de 20 segundos, en el centro de la figura, se ha formado un grupo pequeño. Tú te encuentras en uno de los grupos que se dirigen hacia arriba y a la izquierda, pero otros grupos se mueven en direcciones diferentes. Después de dos minutos, como se muestra a la derecha de la figura, tú ya le has dado un par de vueltas al campo.

Figura 9.5. Posición y dirección de las 44 personas simuladas que corren por un campo con bordes teletransportadores. Resultados de la simulación al cabo de un segundo (izquierda), 20 segundos (centro) y 2 minutos (derecha).
Las 44 personas tardan menos de dos minutos en alinearse, e incluso al cabo de 20 segundos la mayoría se está moviendo en la misma dirección. Tú y los demás se han coordinado sin un líder, sin hablar o comunicarse, y sin planificarlo. Lo único necesario es que corran más o menos en la misma dirección que el vecino, y el grupo se coordina.
Tú mismo puedes realizar este experimento. Solo necesitas algunas personas, un espacio despejado y decirles que se muevan más o menos en la misma dirección que los vecinos. Como seguramente no tendrás un teletransportador que los lleve de abajo arriba, tendrás que decirles que no salgan de los límites del terreno. Pero el resultado será similar: muy pronto se formará un movimiento circular, ya sea en el sentido de las agujas del reloj o en sentido contrario, siguiéndose los unos a los otros por un espacio abierto.[80]
En el modelo de Tamás, el teletransporte de un lado del campo al otro significa que no hay restricciones en la dirección del movimiento. Esto recrea la sensación de encontrarse en el centro de una bandada gigantesca de estorninos o en un enjambre de langostas. Por ejemplo, la bandada de estorninos al anochecer puede estar formada por varios miles de aves, pero cada una de ellas solo responde a unos pocos vecinos. Igualmente, un enjambre de langostas en vuelo puede cubrir decenas o incluso centenares de kilómetros cuadrados, pero las langostas individuales responden primariamente a otras que se encuentran a solo unos pocos centímetros. El modelo de Tamás ayuda a explicar cómo se pueden formar estos enjambres sin que exista una señal externa que les indique a las langostas hacia dónde deben ir. Las langostas no necesitan seguir el viento o el sol porque sus interacciones locales son suficientes para que todas vayan en la misma dirección.
El modelo de Tamás ha sido probado extensamente en langostas, peces, pájaros y otros animales.[81] Los detalles de cómo interactúan las especies son diferentes, pero los principios son los mismos. Las interacciones locales entre individuos cercanos permiten que el grupo en su conjunto se coordine y alinee. Esta es una buena noticia para los futbolistas. Si insectos con un cerebro muy pequeño se pueden mover juntos en grupos enormes atravesando grandes distancias durante muchos meses, entonces no debería ser difícil conseguir que 11 jugadores se muevan al unísono arriba y abajo por un campo de fútbol durante 90 minutos. El modelo de Tamás implica que los jugadores no tienen que controlar la posición y la dirección de todos sus compañeros de equipo y de los rivales para coordinarse. Solo deben seguir a los que tienen cerca. La coordinación global será un resultado automático.
En un estudio de un equipo portugués de la Primeira Liga, Hugo Folgado y sus colegas descubrieron que la sincronización varía para posiciones diferentes.[82] Los defensas y los centrocampistas muestran la coordinación más grande. Se mueven juntos, ya sea marcando a los rivales cuando el balón se encuentra en el lado contrario del campo, o presionando cuando el balón está en su lado. Los delanteros tienen el nivel más bajo de coordinación, intentando confundir a los jugadores contrarios con carreras impredecibles. Esto es parecido al patrón que vimos en el partido a ocho del FC Núremberg, con el equipo defensor más alineado que el equipo atacante.
La sincronización puede proporcionar una buena medida general del nivel de trabajo de un equipo como una unidad. En los partidos de pretemporada jugados por el equipo portugués, los jugadores estaban más sincronizados cuando jugaban contra rivales de la Primeira Liga, y menos sincronizados cuando jugaban con equipos de un nivel inferior. Medidas similares de un equipo inglés de la Premier League mostraban que estaban más sincronizados cuando jugaban con un calendario menos cargado.[83] Cuando solo había tres días entre partidos, los jugadores corrían tan rápido y tan lejos como cuando tenían seis o más días entre partidos, pero había una menor sincronización de conjunto del equipo. Es posible que demasiado fútbol afecte a la concentración más que la condición física. Y cuando se trata de actuar a altísimo nivel, la manera en que un jugador interactúa con los demás es tan importante como la condición física. El trabajo en equipo consiste en seguir a los que tienes más cerca.
El líder sutil
Imagina que estás paseando por un parque con un colega, camino del almuerzo. Están profundamente concentrados en los chismorreos de la oficina. Cuando van de regreso al trabajo, te das cuenta de que tu colega se dirige hacia la izquierda, en dirección al estanque de los patos. Normalmente vas por la derecha, pasando junto al campanario. Ninguno de los dos quiere interrumpir la conversación para decidir por qué lado cruzar el parque. Hablar de la dirección parece un poco trivial cuando están a punto de llegar al fondo de la política del departamento. Pero a medida que avanzas, sientes cómo dos fuerzas opuestas tiran de ti. Una fuerza te empuja hacia la ruta que tomas habitualmente y la otra te mantiene al lado de tu colega.
Cuando vuelan juntas, las palomas se enfrentan al mismo tipo de problemas sociales de navegación que tenemos cuando andamos juntos, pero a una escala mucho más grande. La primera vez que se suelta a una paloma mensajera en un lugar nuevo, utiliza una combinación de olfato, pistas magnéticas y una brújula mental que se basa en la posición del sol, para elegir su ruta. Si la sueltan muchas veces desde el mismo sitio, entonces empieza a memorizar la ruta, identificando hitos específicos del paisaje a lo largo del camino. Cerca de Oxford, las palomas usan con frecuencia los campanarios y la línea de ferrocarril como ayudas reconocibles para la navegación. Las palomas son idiosincráticas. Después de soltarlas cinco o seis veces establecen su propia ruta a casa y suelen ceñirse a ella en sueltas futuras.
Esto no difiere mucho de cómo navegamos nosotros. Al atravesar el parque con tu colega, ambos tienen establecidas rutas diferentes, la que siguen habitualmente cuando están solos. Pero cuando van juntos, prefieren ir juntos. Exactamente el mismo fenómeno ocurre con las palomas mensajeras. Cuando se suelta a dos palomas juntas se ven obligadas a decidir entre tomar su propia ruta de vuelta a casa o quedarse con la compañera. Las palomas no pueden discutir por qué camino van a ir, y tienen que confiar en el movimiento de la vecina para decidir. Las fuerzas sociales las mantienen unidas.
Yo he trabajado en modelos de estas fuerzas sociales, junto con Dora Biro, mi colega en Oxford del capítulo 6, que también ha estudiado el orden de picoteo. Vamos a llamar Liverpool a nuestro palomo modelo, que es el apodo otorgado a una de las palomas de Dora después de perderse y realizar un largo vuelo hacia el norte. Cuando está en pareja, sobre Liverpool actúan dos fuerzas: una hacia la paloma vecina y la otra hacia un hito del terreno como un campanario. Cuando la vecina está cerca y delante o al lado de Liverpool, suele adoptar la misma dirección que la vecina. Cuando la vecina está más lejos o directamente detrás, la fuerza de la vecina se debilita y Liverpool se siente atraído hacia el campanario.
Al incorporar estas fuerzas en un modelo, Dora y yo podíamos predecir lo que ocurriría cuando dos palomas siguieran fuerzas similares, pero en direcciones opuestas. Supongamos que la compañera de vuelo de Liverpool se siente atraída hacia un estanque con patos, y Liverpool hacia el campanario. En el modelo, cuando la torre y el estanque están muy cerca, la pareja llegaba a un compromiso, volando por en medio. Esto es como si tu colega y tú atravesarais el parque en línea recta, a medio camino entre el estanque y el campanario. Pero si los dos hitos están muy separados, una de las palomas se ve obligada a alejarse de su hito para quedarse con la otra paloma. Al hacerlo, la atracción hacia el hito se debilita y la atracción hacia la otra paloma se fortalece. Una de las palomas se convierte en líder y la otra en seguidora.
Esto es exactamente lo que descubrió Dora en sus experimentos.[84] Cuando la distancia entre los hitos del terreno de las palomas era pequeña, llegaban a un compromiso, pero cuando la distancia era grande, una paloma lideraba y la otra seguía. Resultó que el liderazgo tenía muy poco que ver con la habilidad para navegar. Liverpool no era el pájaro más preciso. Al fin y al cabo, recibió su nombre porque erró el blanco en 250 km. Aun así, Liverpool es un líder. Siempre que otra ave se empareja con Liverpool, volará más cerca de la ruta preferida por Liverpool.
En la actualidad, Liverpool tiene casi 20 años, ha tenido una serie de novias más jóvenes y es padre de muchos pichones. Pero no todos los líderes son los pájaros dominantes en el palomar: el liderazgo es algo más sutil. Resulta que los pájaros que se convierten en líderes son los que vuelan más rápido cuando están solos.[85] Cuando van en pareja suelen moverse solo un poco por delante de su compañera. Cuando el pájaro más rápido vira, el más lento sigue. Estos pájaros más rápidos pueden volar o no en la dirección correcta, pero afirman su autoridad desplazándose ligeramente por delante.
Tu colega y tú también emiten señales sutiles mientras atraviesan el parque. A lo largo del día tomamos pequeñas decisiones de navegación sin discutirlas. En caso contrario, la vida sería una sucesión de «¿Vamos por aquí?» o «¿Debería ir por la izquierda o por la derecha?». A través de estas sutilezas, algunos nos convertimos en líderes y otros en seguidores.
En el fútbol todo ocurre con tanta rapidez que son imposibles las discusiones en profundidad. Los jugadores que comprenden con más rapidez las sutilezas de los movimientos de sus compañeros de equipo son los más capaces de leer el partido. Algunos jugadores ejercen instintivamente su autoridad y los demás siguen. Mate Nagy, un joven físico estadístico que ha trabajado con Dora y con Tamás Vicsek, ha creado un método para detectar estas sutilezas del liderazgo. Originalmente desarrolló este método para las palomas, pero se dio cuenta de que funcionaba igual de bien en un campo de fútbol.
La idea de Mate fue observar pequeños errores en los cambios de dirección de los jugadores. Trabajando con datos de uno de los principales clubes europeos, calculó en primer lugar la medida de alineamiento que vimos en el apartado Exceso de datos, en el capítulo 9, emparejando a todos los jugadores. Después se desplazó adelante y atrás en el tiempo para encontrar el punto en el que se había maximizado el alineamiento entre jugadores.
Para dar una idea de cómo funciona el método de Mate, la figura 9.6 es un ejemplo estilizado de los giros de dos jugadores. El jugador de arriba está detrás del jugador de abajo, adoptando la misma dirección que el jugador de abajo 0,3 segundos más tarde. Este es un ejemplo estilizado y durante un partido real no queda tan claro quién se mueve antes, pero Mate desarrolló un método para detectar retrasos sutiles de liderazgo. Podía usarlo tanto para destacar a las palomas líderes como a los jugadores líderes.[86]
Trabajando junto al científico deportivo Rui Oliviera, Mate usó su método para identificar una red de líderes y seguidores en un partido de alto nivel. No puedo revelar el club o el partido, porque los clubes son sensibles ante el filtraje de información táctica. Pero el equipo en cuestión acabó perdiendo por 1-0 en la primera parte en casa contra un gran rival. Era el momento de que alguien asumiera el liderazgo y, según el análisis de Mate y Rui, había un líder muy claro. Este centrocampista en particular era seguido por los defensas y por uno de los delanteros estrella. Dirigió los movimientos en las dos partes siempre que su equipo tenía el balón.
Aunque este centrocampista dirigía el ataque, no dominó la posesión ni fue el que dio más pases. No se trataba simplemente de que utilizara el balón para dirigir el juego, sino de que los otros jugadores respondían a sus movimientos. Lo que destaca a este jugador es que es el capitán del equipo. Su equipo perdía y se hizo cargo, y en la segunda mitad su liderazgo tuvo su recompensa. El delantero que había seguido más de cerca a su capitán empató. Unos minutos más tarde, otro jugador fue derribado en el área y el equipo se puso por delante de penalti. Resultado final, 2-1. El capitán no fue el jugador más alabado en los periódicos después del partido, pero en términos de movimiento, la victoria fue el resultado de su liderazgo sutil.

Figura 9.6. Retrasos entre los cambios de dirección de dos jugadores. Los círculos grises y las flechas muestran la dirección de dos jugadores en diez momentos dentro de un mismo segundo. Las flechas negras marcan los retrasos entre momentos en que los jugadores van en la misma dirección. El jugador superior se gira 0,3 segundos después del jugador inferior.
Como he mencionado antes, los grandes clubes son muy cautelosos al compartir datos que describan los movimientos detallados de sus jugadores. Esto hace que investigadores como yo lo tengamos difícil para progresar, y el análisis del movimiento colectivo de los equipos sigue estando en pañales. Hasta el momento he descrito un conjunto de herramientas para analizar la posición y el alineamiento, pero se puede hacer mucho más. Durante los últimos diez años, muchos grupos de investigación, incluido el grupo de Iain Couzin en Constanza, Charlotte Hemelrijk en Groningen, Jens Krause en Berlín, Audrey Dussutoir y Guy Théraulaz en Toulouse, Irene Giardina y Andrea Cavagna en Roma, así como el grupo de Dora en Oxford, el de Tamás en Budapest y mi propio grupo en Uppsala, hemos estado decodificando las reglas de movimiento de los animales. Esto es una Europa League de talento investigador, todos concentrados en decodificar el movimiento animal. Los resultados han sido destacables y ahora tenemos una idea bastante buena de cómo se mueven juntos los «equipos» animales. Pero estos resultados solo han sido posibles porque hemos reunido grandes cantidades de datos y los hemos compartido entre nosotros. Debería ser posible revolucionar el fútbol de la misma manera que hemos revolucionado el movimiento animal, pero para ello necesitamos datos.
En comparación con el amplio abanico de investigadores internacionales que trabajan en el movimiento animal, el análisis detallado del movimiento de los jugadores sigue siendo una especie de espectáculo unipersonal. Paul Power es el principal científico de datos de Prozone, y es responsable de la inteligencia del juego. Paul tiene experiencia como entrenador y trabajó en el Sunderland, donde también completó un máster en ciencia deportiva. Durante sus estudios, leyó el artículo de Ricardo Duarte «Sports teams as superorganisms» [«Equipos deportivos como superorganismos»] y se sintió inspirado. Quería utilizar la idea de superorganismo para estudiar el fútbol y consiguió un empleo en Prozone.
La experiencia de Paul como entrenador significa que pretende que el análisis matemático conduzca a sólidos resultados prácticos. Mientras que yo he destacado la idea de crear un mapa táctico para comunicar información sobre un partido o un jugador, Paul se propone llevar el análisis hasta el campo de entrenamiento. Quiere utilizar los datos del partido para diseñar ejercicios de entrenamiento. Su enfoque vuelve a la filosofía del entrenador holandés Rinus Michels, que veía el papel del entrenador principalmente como creador de rutinas que facilitaran un estilo de juego concreto. El entrenador no debería decirles a los jugadores lo que deben hacer durante un partido si les ha obligado a practicar las acciones más efectivas antes de empezar el partido. El objetivo de Paul es usar los datos sobre los movimientos de los jugadores para descubrir qué funciona en el campo y después utilizar esta información para decidir lo que ocurre en el campo de entrenamiento.
Uno de los aspectos tácticos más importantes del fútbol moderno es cuándo y hasta qué punto se debe presionar al rival. La presión es cuando el equipo que no tiene el balón acosa todo lo posible al equipo que lo tiene. Al menos un jugador debe molestar al jugador rival que tiene el balón, y los otros jugadores deben procurar bloquear los pases potenciales. Se trata de una acción realmente colectiva, y en la que el todo es mucho más que la suma de las partes. Como dice el entrenador del Barcelona Luis Enrique: «Si un jugador no ejecuta la presión, incluido el portero, tienes un gran problema».[87]
Existen diferentes formas de presión. Luis Enrique, y su predecesor en el Barcelona, Pep Guardiola, defienden la presión en el campo contrario para recuperar el balón lo antes posible. El Borussia de Dortmund de Jürgen Klopp también se especializó en esta forma de «contra-presión». El impresionante Bayern de Múnich de 2012/2013, que destrozó al Barcelona en la semifinal de la Liga de Campeones, también presionaba casi por todo el campo. Esta es una estrategia muy efectiva si el equipo está muy en forma, pero puede cansar al equipo presionante casi tanto como al rival. Durante 2014/2015, el Chelsea de José Mourinho aplicó un enfoque diferente, conocido como «presión en profundidad», que permitía que el otro equipo viniera a ellos. Como el Liverpool y el Arsenal han descubierto en las últimas temporadas, defienden intensamente en su propio tercio del terreno. Cada uno de estos estilos de presión tiene sus ventajas y sus inconvenientes. La cuestión es cuándo adoptar un estilo en particular y cómo ponerlo en práctica.
La clave para presionar es reducir las opciones. El diagrama a la izquierda en la figura 9.7 ilustra la situación en la que el defensor casi ha eliminado las opciones de pase del jugador con el balón. El jugador con el balón intenta dar un pase a su compañero de equipo que está abajo. El jugador rival está intentando bloquear el pase. En esta figura el jugador con el balón puede pasar en cualquier dirección y el defensa puede interceptar cualquier balón que pase dentro de un radio de 1 m. El otro atacante puede recibir el balón si llega dentro de un radio de 1 m, así que es necesario un pase extremadamente preciso para que el balón llegue a su destino. Esta situación es muy parecida al juego del rondo en el capítulo 3, en el que la posición correcta del defensa casi siempre evita el pase. En el diagrama de la derecha en la figura 9.7, la situación ha cambiado: ahora hay un tercer atacante, al que no presiona el segundo defensor, y se puede dar un pase.
Lo que hicieron Paul y sus colegas fue aplicar este modelo de opciones de pase viables a datos de seguimiento detallados de los partidos. Para cada décima de segundo del partido utilizaron el criterio de intercepción/recepción de 1 m como un medio para clasificar si el pase potencial era o no viable. A partir de aquí elaboraron una red para mostrar qué jugadores estaban disponibles para un pase del jugador con el balón. La figura 9.8 muestra esta red para el Lyon durante los primeros 15 minutos de un partido de la Ligue 1 contra el Marsella. En esta fase del juego, los jugadores del Lyon tienen algunas opciones. La flecha gruesa que apunta de Yoann Gourcuff a Alexandre Lacazette muestra que Lacazette está habitualmente disponible para un pase cuando Gourcuff tiene el balón. Nabil Fekir, el otro delantero, está disponible con mucha menos frecuencia, pero en conjunto existe una variedad de opciones de pase hacia delante para mover el balón desde la defensa.

Figura 9.7. Situaciones en las que una oportunidad de pase entre dos jugadores queda bloqueada (izquierda) y en la que un jugador adicional abre una nueva oportunidad de pase (derecha). El círculo negro en la punta de los triángulos es el jugador con el balón. Los triángulos oscuros indican la zona de pase potencial al compañero de equipo (que también está representado por un círculo negro). Los triángulos claros indican la zona de pase que quedaría bloqueada por un jugador rival (representado como un círculo claro). Adaptado de un dibujo original de Paul Power de Prozone.

Figura 9.8. Red de pases potenciales para un partido del Lyon contra el Marsella durante los primeros 15 minutos del partido. El grosor de la flecha entre dos jugadores indica la frecuencia con la que un jugador está disponible para un pase. Adaptado del dibujo original de Paul Power de Prozone.
Pero algo le fue mal al Marsella al principio de la segunda parte. Durante un corto período la presión cayó. En el minuto 64 el Lyon enlazó 10 pases para llevar el balón desde su área hasta Gourcuff delante de la portería del Marsella. El Marsella estaba desequilibrado y, al presentarse la ocasión, Gourcuff no falló. Al dibujar las opciones de pase y la presión a lo largo del tiempo, Paul mostró que con cada pase que lograba el Lyon, caía la presión y aumentaban las opciones de pase de sus jugadores.
Paul quería obtener sus observaciones de partidos concretos como el del Lyon contra el Marsella para descubrir principios generales que se pudieran aplicar a la presión. Así que él y sus colegas tomaron todo el conjunto de datos de Prozone —260 millones— para una temporada de la Premier League inglesa y analizaron una serie de factores que en general se cree que conducen a la recuperación del balón. Estudió dos formas de presión, la «contra-presión», que se aplica directamente después de perder el balón durante una ataque en campo contrario, y la «presión en profundidad», que se aplica cuando se defiende el último tercio del campo propio. Los principios para estos dos modelos eran muy diferentes. Para la contra-presión, Paul descubrió que un jugador debe aplicar la presión dentro de los 2,3 segundos siguientes a que el rival recupere la posesión del balón.

Figura 9.9. Red de pases potenciales para el partido del Lyon contra el Marsella durante los segundos 15 minutos del partido.
Pep Guardiola llamó a este principio la regla de los seis segundos. El análisis de datos de Paul lo respalda y refina. Según consta, Guardiola cronometraba a los jugadores del Barcelona durante los entrenamientos para ver si podían recuperar la posesión dentro de esos seis segundos. El trabajo de Paul sugiere que los entrenadores deberían fijar el cronómetro en dos momentos temporales. Un jugador debería presionar antes de 2,5 segundos y un segundo jugador debería participar dentro de los 5,5 segundos. Tras completar su análisis, Paul lo resumió como «260 millones de datos, dos puntos de entrenamiento. Se trata solo de eso».[88] Esta idea sencilla de establecer una presión de dos hombres dentro de 5,5 segundos se puede repetir una y otra vez en los ejercicios de entrenamiento con los delanteros.
Las conclusiones sobre la presión en profundidad fueron muy diferentes de las de la contra-presión. Cuando el rival tiene el balón y se acercan a la defensa contraria, el factor más importante es reducir la velocidad con la que pueden mover el balón hacia la portería. Solo un defensa se debe acercar al jugador con el balón y los otros deben bloquear todas las líneas de pase. Si más de un defensa se acerca para bloquear el balón, entonces se abre una red de pases viables para el equipo atacante, y se presentan rutas hasta la portería. Paul trabajó estrechamente con un entrenador que, probablemente inspirado por los estilos de Guardiola y Klopp, intentó conseguir que sus defensas ejercieran papeles flexibles. No funcionó, y su equipo siguió encajando goles tontos. Paul le pudo mostrar por qué la defensa tradicional de cuatro hombres, con zonas bien definidas, funciona. La defensa en profundidad se centra en la estabilidad; la contra-defensa, en el dinamismo.
Resumiendo
No creo que los jugadores se arremolinen alrededor de su capitán como palomas, o que el Barcelona juegue como un banco de peces, o que la defensa del Bayern consista en una manada de leonas. Eso sería estúpido. No podemos entrenar a los peces para que pasen el balón y los leones se comerían al rival después de interceptarlo. Tampoco creo que los futbolistas puedan aprender habilidades nuevas viendo un documental de David Attenborough. No creo que te conviertas en mejor jugador de fútbol por contemplar una bandada de palomas frente al supermercado o vigilando a las hormigas en tu jardín. No se mejora en el campo observando a los pájaros.
La conexión entre biología y fútbol radica en la manera en que calculamos las mates. Las imágenes de bandadas y enjambres nos pueden inspirar, pero son las matemáticas y las estadísticas las que nos dan explicaciones para la acción. Los modelos de un aspecto del mundo se pueden transferir y aplicar en cualquier otro. Y ahora, cuando los científicos deportivos comprenden cada vez más la organización de los equipos de fútbol, debemos ser especialmente claros en este punto. El reto está en tomar las técnicas que hemos aprendido del comportamiento colectivo animal y aplicarlas al fútbol colectivo.
El trabajo de Paul, Mate, Alina y sus colegas es solo el principio. Existen muchos más métodos matemáticos que se pueden transferir de los animales a los jugadores. Por ejemplo, estudios recientes sobre los peces han llevado un poco más allá las redes visuales, utilizando datos de movimiento para reconstruir cómo reacciona un pez ante otro dentro de un banco. Estas redes se pueden usar para identificar qué pez es la clave en el inicio de un cambio de dirección.[89] En el campo de fútbol, métodos similares se pueden utilizar para evaluar las direcciones de pase, identificando las oportunidades perdidas y descubriendo qué jugadores iniciaron jugadas en situaciones diferentes.
Teniendo en cuenta los incentivos económicos, me sorprendió descubrir que el estudio del movimiento animal sigue teniendo interés para el estudio del movimiento futbolístico. Pero esto cambiará cuando los clubes empiecen a publicar sus datos de alta resolución sobre el movimiento de los jugadores. Cuando empezaron a estar disponibles estadísticas sobre saques de esquina, pases y disparos a puerta, académicos, blogueros y aficionados los recogieron con rapidez y generaron una gran variedad de análisis nuevos y valiosos.[90] Poco después, los clubes empezaron a hacerles caso y a adoptar sus métodos. Lo mismo acabará pasando con el análisis detallado del movimiento de los jugadores. Es posible que descubramos nuevas formaciones impensables en las que los pases rápidos puedan romper todo tipo de presión, o podemos acabar demostrando que los balones largos a un delantero solitario son la única manera de avanzar. Sean cuales sean los descubrimientos, el análisis del fútbol colectivo tiene un futuro brillante, y será divertido ver a dónde nos lleva.
Parte III
Desde la grada
Capítulo 10
You’ll Never Walk Alone
En un campo de fútbol, el medio principal que tienen los aficionados para transmitir su mensaje a los jugadores es a través de los cánticos. Ese día, el You’ll Never Walk Alone sonó más fuerte de lo habitual, pero se quedó detrás de los dos cánticos de Gerrard más populares: Stevie Gerrard Is Our Captain e Impossible Forty Yards. La multitud unida homenajeando a la estrella criada en casa.
Mi momento preferido fue cuando Gerrard, en un intento de devolver al Liverpool al partido con un 1-2 en contra, soltó uno de sus disparos de cuarenta yardas marca de la casa que fue volando hasta la grada Kop, muy lejos de la portería. La Kop respondió con un «¿Qué demonios...? ¿Qué demonios...? ¿Qué demonios ha sido eso?». Fue una reacción espontánea, cantando una canción que normalmente se reserva para los disparos desviados de los rivales, para demostrar de manera humorística su solidaridad con la frustración que estaba sintiendo su capitán. La broma de la multitud fue aguda, pero la realizaron casi en sincronía miles de aficionados. Gerrard, que seguía enfadado consigo mismo, levantó lentamente las manos y aplaudió irónicamente a la Kop.
1, 2, 4, 8, 16...
Los cánticos futbolísticos funcionan mejor cuando todos los aficionados se unen en ellos. En algunos casos, como en You’ll Never Walk Alone y El Cant del Barça, el himno se inicia al principio del partido a través de la melodía que suena a través de la megafonía. Pero en la gran mayoría de los casos, los cánticos futbolísticos se inician espontáneamente. Este fue desde luego el caso cuando la Kop respondió al disparo excesivamente optimista de Gerrard. Un aficionado empieza, el amigo que tiene al lado se une a él, eso es 1 + 1 = 2. Si cada uno de ellos inspira a un aficionado más, entonces tenemos 2 + 2 = 4, después 8 y después 16. El crecimiento es lento al principio, pero en cada instante doblamos el número de cantantes. La decimotercera vez que doblamos, 4.096 inspiran a 4.096 y tenemos 8.192 personas cantando. Esto es lo que significa exactamente un crecimiento exponencial: seguimos multiplicando la población actual por sí misma, y con mucha rapidez la población se vuelve extremadamente grande.
Los aficionados que cantan se multiplican como las bacterias en un jugoso trozo de carne. Bajo condiciones adecuadas, la bacteria E. coli puede doblar su población cada 20 minutos. Si deja la carne fuera de la nevera durante la noche, entonces una bacteria puede llegar a convertirse en muchos millones.[91] En su manual clásico, la bióloga matemática Leah Edelstein-Keshet lleva este crecimiento bacteriano a su (anti)natural conclusión.[92] Duplicándose cada 20 minutos, una bacteria de 10-12 gramos tardaría poco menos de dos días en crecer hasta tener el mismo peso que el planeta Tierra. En consecuencia, no puede resultar demasiado sorprendente que un cántico tarde solo unos pocos segundos en llenar un estadio de fútbol.
Aunque el modelo bacteriano de Leah es divertido, resulta obvio que no es correcto. Para que pudiera hacerse realidad, todo el globo debería ser un gigantesco trozo de carne. Y no lo es. Una descripción más correcta del crecimiento debería tener en cuenta sus limitaciones. Si fuéramos 20.000 seguidores del West Ham cantando I’m Forever Blowing Bubbles en Upton Park, que tiene una capacidad de 35.016 espectadores, no quedaría espacio para que se unieran 20.000 más. El traslado del West Ham al Olympic Stadium aumentó su capacidad en un día de partido en alrededor de los 60.000, pero no se tarda mucho más en llenar el campo con un cántico. Doblar 40.000 da 80.000 y se alcanza la capacidad total de canto.
La respuesta a este problema del modelo son las curvas en forma de S, los modelos matemáticos de crecimiento más útiles y universales. Solo necesitamos asumir dos suposiciones para conseguir una forma en S. La primera es la misma que para el crecimiento exponencial: cada aficionado cantante es seguido por otro aficionado, que aún no está cantando. Entonces señalamos que el número de aficionados es limitado, así que cada aficionado solo puede empezar a cantar una vez. Al unir estas dos suposiciones, el resultado es un crecimiento en forma de curva en S que se muestra en la figura 10.1.[93] Al principio, el crecimiento es lento pero exponencial. La población cantante se dobla con cada «ronda». Cuando la mitad de la multitud está cantando, el crecimiento se vuelve a ralentizar, y finalmente el número se estabiliza cuando todo el mundo está cantando. Aun así, se tardan 16 rondas en llegar a los 10.000 cantantes.

Figura 10.1. El aumento del canto a lo largo del tiempo a través de contagio social.
La difusión de las ideas, la extensión de una enfermedad y la extensión de un cántico son todas ellas formas de contagio. Al cantar, el contagio es social: se transmite mediante personas que se escuchan y se imitan entre ellas. Algunas enfermedades infecciosas, como el VIH, el ébola, la gripe y el SARS se transmiten cuando las personas entran en contacto o se encuentran muy cerca las unas de las otras. Otras enfermedades, como el cólera y algunas variantes de la hepatitis, se extienden a través del agua y de alimentos contaminados. Sin importar cómo se difundan, el aumento de las infecciones normalmente adopta la forma de una curva en S. Al principio existe un número pequeño de casos, pero después se dispara con un crecimiento exponencial y la enfermedad se extiende. En este punto, solo podemos tener la esperanza de controlar el peligro, intentando que el número de individuos infectados se estabilice más pronto que tarde.
La analogía entre la enfermedad y el cántico no es especialmente fácil de comprobar. Resulta un poco difícil intentar realizar un experimento controlado en un partido de fútbol. Puedo empezar a tararear la melodía de Seven Nation Army y ver si alguien se une a mí, pero tengo la sensación de que nadie iba a prestar mucha atención a un matemático solitario. Un escenario mucho más adecuado para medir el aplauso es el ambiente controlado de un aula, y esto es exactamente lo que hicieron mis colegas Jens Krause y Jolyon Faria.[94] Le pidieron a un grupo de alumnos de primer curso que asistieran a un seminario impartido por un estudiante de último curso. Jens y Jolyon indicaron a los estudiantes más jóvenes que reflexionaran sobre la presentación y tomaran notas, pero que se acordasen de mostrar su aprobación al terminar. Los alumnos sabían que los estaban filmando, pero no sabían que el propósito real del estudio era analizar su comportamiento al aplaudir. Si les hubieran dicho por adelantado que iban a estudiar su aplauso, probablemente lo tendrían muy presente y eso habría afectado a su comportamiento.
Al anotar el momento temporal en el que las manos de cada estudiante se unen por primera vez, podemos ver como se extiende el aplauso. Este aplauso de un grupo de estudiantes se representa en la figura 10.2. Cada fila es una persona y cada punto es una palmada. Los estudiantes están ordenados según el momento en que empezaron a aplaudir. La segunda fila desde abajo es el alumno que primero dejó de aplaudir, que también fue el segundo en empezar el aplauso. Existe una variación entre los estudiantes, algunos empiezan pronto, otros más tarde. Algunos aplauden vigorosamente y otros con más lentitud. Al reflejar los datos de esta manera podemos visibilizar la secuencia completa del aplauso de todo un grupo en una imagen.

Figura 10.2. Palmadas a lo largo del tiempo. Cada punto representa a un alumno individual que da palmadas durante una ronda de aplausos. Adaptado de la figura creada por Richard Mann.
Las curvas de crecimiento de los aplausos a lo largo de todos los experimentos revelaron este contagio social. La curva continua en la figura 10.3 es la curva de crecimiento con su distintiva forma de S del número de personas que han empezado a aplaudir. Uno o dos individuos la desencadenan con lentitud. El crecimiento más rápido se produce cuando la mitad de la audiencia ha empezado a aplaudir y el crecimiento se nivela cuando casi todo el mundo está aplaudiendo. La curva a puntos en la figura 10.3 indica el número de personas que han dejado de aplaudir, y apreciamos la misma curva en forma de S. Descubrimos que el momento en que un individuo deja de aplaudir es 10 veces más probable que venga determinado por el número de personas que han dejado de aplaudir que por el número de palmadas que ha dado. En otras palabras, no se trata del tiempo que lleva aplaudiendo, sino de si los que están a su alrededor han dejado de aplaudir, lo que provoca que usted también se pare. Al igual que ocurre con la extinción de los cánticos futbolísticos, que siempre dejan gritando a uno o dos recalcitrantes, así se extingue el aplauso de los alumnos.
La manera en que se detiene el aplauso es una forma de recuperación social, una tendencia a recuperarse de una actividad o a dejar de realizarla porque los demás se han parado. La recuperación social funciona en la dirección opuesta al contagio social, y es muy diferente del tipo de recuperación de la mayoría de las enfermedades. Las enfermedades siguen su curso y mejoramos. Excepto por un débil efecto psicológico, por lo general no nos recuperamos más rápido de la gripe porque nuestros amigos se sientan mejor. Pero los estudiantes que aplauden se «recuperan» más rápido del aplauso si sus amigos se han «recuperado». El número de personas aplaudiendo aumenta rápidamente si la gente empieza a aplaudir, y después desciende rápidamente cuando el aplauso se empieza a extinguir. La razón de esta caída tan rápida se debe exclusivamente a la recuperación social.
Cuando determinamos los factores implicados en el aplauso, pudimos utilizar el modelo para simular un aplauso. Producimos una serie simulada de aplausos y llegamos a una conclusión sorprendente. Realizamos 10.000 simulaciones y descubrimos que en la mayoría de las veces los alumnos simulados daban unas 10 palmadas cada uno, pero en algunas simulaciones podían ser más de 20 o 25 palmadas por persona. ¡Algunos grupos de estudiantes simulados estaban mostrando realmente su entusiasmo! ¿Qué estaba pasando? Siempre esperamos algunas variaciones en las simulaciones, pero estos aplausos extendidos eran más del doble de largos que la media.
Los aplausos muy largos se pueden explicar por un fallo en la recuperación social. Si muy pocos individuos han dejado de aplaudir, entonces la posibilidad de que otras personas dejen de aplaudir es demasiado pequeña. Hasta que unas pocas personas inician el final del aplauso, el grupo continúa. El aplauso sigue, no porque lo que estaban aplaudiendo fuera especialmente bueno, sino porque nadie quiere ser el primero en dejar de aplaudir. Ahora, cuando recibo una buena salva de aplausos después de impartir un seminario, no dejo que se me suba a la cabeza. No significa que la audiencia esté entusiasmada, solo que no está muy bien coordinada.

Figura 10.3. Contagio social y recuperación social en un aplauso. La línea continua es el número medio de alumnos que han empezado a aplaudir. La línea de puntos es el número medio de los que han dejado de aplaudir. Adaptada de la figura creada por Richard Mann.
Luis Suárez al Arsenal
No tenemos que visitar un campo de fútbol o un aula para formar parte de un contagio social. Los psicólogos lo han descubierto en fumar, atracarse a comer y el consumo de alcohol. Cuantos más amigos fumen, coman y beban, más fumarás, comerás y beberás. Los sociólogos han encontrado curvas en forma de S en las innovaciones médicas, las donaciones para paliar desastres, la extensión de nuevos géneros musicales y la adopción de nuevos tipos de cultivo. Incluso se ha sugerido que la posibilidad de encontrar trabajo o cometer suicido es socialmente contagiosa. Académicos de todos los campos han reinventado repetidamente la curva en forma de S para describir estos descubrimientos experimentales. Todo, desde la moda hasta la cultura y la civilización, se ha modelado como una «S».
La difusión de las noticias en los medios está dominada por el contagio social. Esto lo descubrimos cuando publicamos nuestros resultados sobre el aplauso. El lunes por la mañana después de publicar nuestros artículos, Richard Mann recibió la llamada de un periodista que quería escribir una noticia sobre nuestro estudio. Richard respondió a las preguntas y siguió con su trabajo, y todo estuvo tranquilo durante tres días. ¿Quizá la prensa no estaba tan interesada en los aplausos? De repente su teléfono empezó a sonar como un loco. La BBC, la National Public Radio en los EE.UU., Scientific American, el Times, el Guardian y la revista Slate, así como medios nacionales franceses y alemanes, todos querían saber más de nuestro trabajo sobre los aplausos. Las redes sociales se llenaron de enlaces y debates sobre nuestro estudio.
Nuestra ciencia había generado el contagio social sobre el que habíamos escrito y, como habíamos predicho, el interés de los medios se desvaneció con tanta rapidez como había aparecido. El viernes por la noche de esa misma semana, 130 horas después de nuestro primer contacto con los medios, nuestro grupo de investigación celebró su fiesta de verano. Cuando el World Service de la BBC llamó esa noche, ninguno de nosotros estaba disponible para hacer declaraciones. Devolví la llamada el sábado por la mañana, pero ya no estaban interesados. Los aplausos eran una noticia antigua.
El contagio es aún más importante en los medios sociales online que en la transmisión tradicional de noticias. Internet está construido de una manera que exagera el contagio. El algoritmo de búsqueda PageRank de Google funciona contando el número de enlaces hacia una página para ofrecer una estimación de lo importante que es esa página web. Así que si otras personas han enlazado con una página web, es más probable que la encuentres y también te enlaces con ella. Las páginas más populares son las más contagiosas. Facebook y Twitter tienen los mismos principios, con «me gusta» y «favoritos» desplazan las entradas más populares por su lista de noticias. Seguimos ciertas tendencias no porque sean las más interesantes, sino porque fueron las primeras en destacar.
Los ejemplos más claros se pueden ver en la difusión de los rumores. La figura 10.4 muestra el volumen de búsquedas en Google de «Luis Suárez Arsenal» durante el verano de 2013.[95] Suárez era jugador del Liverpool al final de la temporada 2012/2013, pero había especulaciones de que era posible que se fuera al Arsenal. Los datos de la búsqueda presentan el mismo tipo de curva que vimos para la participación en el aplauso. El interés por emparejar Suárez y Arsenal empezó a finales de junio y creció rápidamente en la primera mitad de julio. Alcanzó su cima a mediados de julio y cayó durante agosto, casi de la misma manera como empezó. Este patrón se ajusta al contagio social y a la recuperación social.
Aquí debemos tener cuidado. Considerar que la difusión de rumores es un contagio social solo sobre la base de las búsquedas en Google resulta problemático, porque también están implicados acontecimientos externos reales. En algunos casos existen razones para creer que un rumor es realmente cierto, aunque se trate de un traspaso. Normalmente resulta imposible separar totalmente el rumor de la realidad, pero se pueden realizar algunas observaciones interesantes sobre cómo busca la gente y cómo los periódicos informaron sobre un posible traspaso. En primer lugar, las búsquedas empezaron un poco antes de que se informase ampliamente en los diarios sobre la relación entre Suárez y el Arsenal. Cuando el Guardian publicó en la sección Rumour Mill una noticia sobre «Luis Suárez del Liverpool al Arsenal» el 4 de julio, los aficionados ya estaban buscando noticias sobre el tema. En el momento en que se difundieron «oficialmente» las primeras ofertas, el número de búsquedas había subido hasta la mitad de la cima que acabaría alcanzando. Esta cima se alcanzó cuando el Arsenal realizó su oferta más elevada.

Figura 10.4. Búsquedas en la web según Google Analytics y noticias destacadas sobre el posible traspaso de Luis Suárez al Arsenal.
El tipo de recuperación social que vimos en el aplauso de una audiencia tiene perfecto sentido en el contexto de los rumores. Si escucho un rumor y te lo explico, pero me dices que ya lo habías oído, entonces es menos probable que se lo vayas a explicar a alguien más. A las personas no les gusta quedar mal extendiendo rumores desfasados.
Levántate, siéntate y da la vuelta
A pesar de la popularidad en todo el mundo, la ola no ha llegado a arraigar en los terrenos de juego de los clubes británicos. Los aficionados al fútbol británicos suelen pensar que están un poco pasados de moda. Ponerte en pie y hacer la ola porque la persona a tu lado se ha puesto en pie no tiene nada que ver con la tarea muy seria de ser un seguidor. Disfrutar del fútbol es demasiado tribal para la ola. Dos conjuntos de seguidores atareados en un levantarse y sentarse coordinados son una distracción innecesaria. Los verdaderos aficionados cantan sobre su equipo, ofrecen consejos tácticos muy bien pensados a los jugadores y al entrenador, y denigran a los rivales con los términos más claros posibles.
El estado de ánimo de la multitud puede ser diferente, pero los principios de la ola son muy parecidos a los de los cánticos. El físico húngaro Illés Farkas se sintió fascinado por las olas que había visto en la multitud en la Copa del Mundo de México en 1986. Junto con Tamás Vicsek y Dirk Helbing creó un modelo basado en la misma analogía entre la extensión de una enfermedad y el contagio social que descubrimos para el aplauso.[96] Los aficionados sentados se clasificaron como susceptibles de contagiarse con la enfermedad, los aficionados de pie como infectados con la enfermedad y los que se acaban de sentar como los que se habían recuperado. Illés y sus colegas colocaron a estos aficionados simulados en un estadio simulado de 64.000 asientos con 80 filas y 800 columnas, con la mayor parte de la gente sentada, excepto un pequeño grupo de aficionados excitados en una zona particular del estadio.
Descubrieron que se necesitaba muy poco para desencadenar una ola. Cuando los aficionados infectados se ponían en pie, la ola tomaba al principio la forma de una gota, que crecía hacia fuera hasta convertirse en una medialuna y finalmente se estabilizaba en una línea recta que daba la vuelta al estadio. Los investigadores húngaros descubrieron que la ola viaja a unos 22 asientos por segundo, así que tarda poco más de medio minuto en dar toda la vuelta al estadio. Las olas se mueven con rapidez.
Las olas son divertidas para los aficionados, pero cuestión de vida o muerte para los peces. Una propagación rápida a través del grupo es exactamente lo que necesita un pez si quiere sobrevivir al ataque de un depredador. Al colocar unos peces en un anillo parecido a un estadio y asustar a un número pequeño de ellos al frente del grupo, mi colega Teddy Herbert-Read fue capaz de ver como una ola de terror recorría el banco. Un ejemplo de una ola de peces similar se muestra en la figura 10.5. Las cuatro imágenes muestran la secuencia de giro. En la de arriba, la «vara del miedo» aún no ha aparecido. En la segunda imagen, la vara acaba de aparecer y los peces que están delante salen huyendo. En la tercera imagen, solo 0,7 segundos después de la anterior, la ola de giro se ha extendido a través de las dos terceras partes de los peces. Y después de 1,4 segundos, como muestra la imagen final, todos los peces se han dado la vuelta y han formado un banco muy denso que se aleja de la vara del miedo.
Utilizando los datos de Teddy y una variación del modelo de Tamás Vicsek del capítulo anterior, creamos un modelo de cómo se propaga la ola en los peces.[97] Este modelo muestra que lo típico es que los peces formen bancos que permitan la propagación de olas. En las simulaciones del modelo, las olas de huida podían pasar a través de grupos de cualquier tamaño, desde pequeños bancos de laboratorio de 100 peces hasta decenas de miles de individuos. Una buena propagación de olas es importante para los peces que viven en grandes bancos. Si un depredador ataca en un lado de un grupo grande, al cabo de muy pocos segundos, los del otro se estarán alejando de él. Las olas propagan información sobre los ataques.

Figura 10.5. Ola de huida de los peces. Al principio los peces nadan en el sentido de las agujas del reloj en un tanque circular (a). Aparece la vara del miedo y los peces delante de ella se alejan (b). Después de 0,7 segundos la mayoría de los peces se han dado la vuelta y ahora van en sentido contrario a las agujas del reloj (c). Tras 1,4 segundos casi todos los peces han adoptado una dirección antihoraria y se mueven en un banco muy denso (d).
La rivalidad es tan encarnizada, aunque la acción no sea tan intensa, en el críquet como en el fútbol. Y después de unas pocas horas (y unas pocas cervezas), las olas entre la multitud son inevitables. Además de proporcionar un terreno de investigación de 48.000 personas, el SCG ofrece una manipulación experimental muy útil, llamada el Members’ Stand. Los espectadores en esta parte del terreno se niegan a participar en la ola. Alrededor de 47.000 personas se ponen en pie, animan y crean una ola que se mueve rápidamente alrededor del terreno hasta que alcanza el Members’ Stand, punto en el que la ola se detiene, solo para reemprender la marcha al otro lado de esta zona. Así que la ola no es local, en otras palabras, no solo pasa entre individuos sentados uno junto al otro, sino que puede saltar por encima de obstáculos planteados por otros espectadores. Mientras la ola debería haber estado pasando a través del Members’ Stand, todos los demás presentes en el estadio les abuchearon. El período de abucheo fue igual al tiempo que la ola hubiera tardado en pasar a través de los espectadores de esa zona. El hecho de que la ola continuase con la misma velocidad al otro lado del Members’ Stand demuestra que la multitud estaba anticipando la llegada de la ola mucho antes de que les llegase. Se necesita algo más que unos pocos puristas del críquet para detener la ola.
El fracaso de los entendidos en críquet al parar la ola debería servir de advertencia a los tradicionalistas aficionados británicos al fútbol que no se quieren unir a ella. Como las olas son cada vez más frecuentes en los partidos internacionales de Inglaterra, no falta mucho para que las veamos extendiéndose por los campos de los clubes ingleses. Muy pocas personas son inmunes al contagio social.
La pista de baile
Durante el día, Jesse Silverberg trabaja en la frontera entre la física y la biología, escribiendo artículos científicos sobre nanocables y raíces de plantas. Por la noche, se le puede descubrir saltando en conciertos de heavy metal. Fue en uno de estos conciertos donde me di cuenta de que existía una conexión entre su vida diurna y su vida nocturna. Al igual que las plantas y las fibras, los aficionados al heavy metal también son una materia biológica blanda. Y también se les puede modelar.
Chocar saltando deliberadamente con otro aficionado al heavy metal en un concierto se conoce como moshing. El nombre colectivo para estos saltadores es un mosh pit, que normalmente se puede encontrar cerca del escenario donde actúa la banda. Una maraña de cuerpos se mueve por esa zona, gente que colisiona, ocasionalmente abandonan la arena antes de volver a por más choques. Estos saltadores no son criaturas demasiado complicadas. La gente va a los conciertos a divertirse y no a reflexionar sobre lo que están haciendo y las razones para ello. Por eso al construir un modelo de saltador, Jesse y sus colegas en la Cornell University establecieron unas suposiciones muy sencillas sobre su comportamiento.[100] Supusieron que todos los asistentes a un concierto se clasifican en dos categorías: a los que les gusta saltar y a los que no. Los saltadores activos estaban sometidos a tres fuerzas diferentes. La primera fuerza era la tendencia a seguir la misma dirección de los que estaban a su alrededor, la segunda era la tendencia a saltar al azar para chocar y la tercera era la fuerza inevitable causada al chocar contra los demás. Los asistentes pasivos solo estaban sometidos a esta última fuerza. Cuando los saltadores activos chocaban con un asistente pasivo, rebotaban en ellos. Un mosh pit es en general una zona «amigable», en ese aspecto los asistentes pasivos toleran unos cuantos choques y, si alguien cae, rápidamente lo ayudan a levantarse.
Con las reglas establecidas, Jesse y sus colegas se dispusieron a crear un simulador de choques.[101] Inicialmente los saltadores se colocan al azar y se mueven de acuerdo con las reglas de sigue, salta y choca. Con bastante rapidez aparece uno de los tres patrones principales de esta actividad, como se muestra en la figura 10.6. El primero es el mosh pit clásico con choques aleatorios en el centro. Este patrón se forma aunque los saltadores simulados estén inicialmente diseminados entre la multitud. Los saltadores no tienen necesidad de decidir en qué lugar formarán su zona, sino que empiezan a saltar y al final la arena se forma con todos los saltadores activos juntos. El segundo patrón es una arena circular, en la que los individuos se mueven en círculo. Esto ocurre si los saltadores son un poco menos aleatorios y tienen tendencia a moverse en la dirección de los demás. Si los saltadores reducen aún más su aleatoriedad, ya no forman una arena, sino que se mueven como un tren a través de la multitud.
Jesse y sus colegas descubrieron videos de moshing en YouTube que tenían calidad suficiente para que pudieran identificar tanto el patrón arena como el patrón circular. Midieron las rotaciones y el número de individuos implicados, y estaban de acuerdo con el modelo. No presentaron ninguna prueba de un tren de saltadores en su artículo, pero recordando mis días de estudiante, eran relativamente frecuentes. No puedo decir que haya sigo nunca un seguidor del heavy metal, pero me recuerdo saltando al son de la música y encontrándome de repente en un grupo que se desplazaba como un río entre la multitud. Sobre la base de mis recuerdos de estudiante, combinados con el estudio mucho más preciso de Jesse, creo que podemos llegar a la conclusión de que los tres patrones han sido ampliamente observados.

Figura 10.6. Los tres patrones de movimiento del simulador de saltos: saltando al azar en el patrón clásico (izquierda), la arena circular (centro) y los «trenes» (derecha). Los círculos blancos son espectadores pasivos y los círculos negros son saltadores activos. Las flechas grises señalan la dirección del movimiento. Reproducido con permiso de la American Physical Society.
Pero ¿qué sentido tiene crear un modelo de un mosh pit? Existen dos razones y la primera es simplemente explicar por sí mismos los patrones de salto. Los tres supuestos del modelo, de seguir, saltar y chocar, no requieren que los aficionados al heavy metal desplieguen ningún tipo de inteligencia. Nadie tiene que gritar «¡Vamos a crear la arena circular!» o «¡Vamos a movernos entre la multitud!». Ni siquiera tienen que gritar «¡Venid a saltar aquí!». El que quiere empieza a saltar y se forma el patrón. El modelo nos dice que no se necesita ninguna organización para formar los patrones. Surgen realmente de saltar de manera aleatoria.[102]
La segunda razón para crear este modelo es que ayuda a predecir lo que puede ocurrir cuando reunimos a muchos individuos en un espacio cerrado en otras situaciones, no solo los sábados por la tarde en el campo de fútbol. La construcción de un estadio nuevo implica una planificación correcta desde el principio, y los modelos informáticos se utilizan en todos los aspectos del diseño moderno. Simulaciones de la aerodinámica aseguran que haya menos viento sobre el campo, mientras que el aire fresco sigue circulando por las gradas. La acústica se modela para que se puedan escuchar los altavoces y las burlas de los aficionados visitantes. De manera similar, al utilizar simulaciones de multitudes los diseñadores se pueden asegurar de que puedas llegar rápidamente a tu asiento, de que no tengas que hacer más de cinco minutos de cola para ir al lavabo durante el descanso, y de que no te tengas que ir durante el tiempo de descuento para no quedar atrapado en el tráfico.
En las simulaciones de multitudes es donde entran en juego los modelos de moshing, en especial cuando pensamos en la evacuación de un estadio. Desde los desastres en la década de 1980 en Bradford y Hillsborough, las gradas con todo el mundo sentado han mejorado mucho la situación. A pesar de estas mejoras, la seguridad sigue siendo un tema importante. Si 90.000 aficionados tienen que evacuar rápidamente el estadio de Wembley, entonces se debe formar una corriente rápida y constante de personas para que salgan del campo. Si los ingenieros pueden construir modelos de cómo se mueven las personas en situaciones de huida, entonces pueden diseñar estadios fáciles de evacuar.
Construir buenos modelos significa comprender cómo se comportarán las personas en una evacuación. Resulta una idea errónea que los desastres en las multitudes sean el resultado del pánico o las agresiones, con individuos pisoteando a los demás por las prisas en salir.[103] Sencillamente este no es el caso. Incluso en los desastres más terribles con multitudes, como en Hillsborough, los individuos muestran un gran valor ayudándose entre ellos. Las muertes y las heridas son provocadas por aplastamiento, cuando la gente queda muy apelotonada y no se puede mover con libertad.
Por eso en lugar de centrarnos en el pánico, nos deberíamos concentrar en la dificultad de predecir el resultado de nuestras acciones en situaciones con multitudes. En el estudio del moshing, las arenas circulares y los trenes de saltadores surgen no porque los participantes lo hayan planeado, sino como una consecuencia inesperada de saltar aleatoriamente de una manera particular. La manera en que se comportará una multitud no se puede predecir con facilidad a partir de las acciones de los individuos implicados.
En una situación de huida, los patrones que surgen son diferentes de los del moshing y son necesarios experimentos para comprender los detalles del flujo peatonal. En el capítulo 3, vimos como Mehdi Moussaïd estudió parejas de transeúntes que pasaban uno al lado del otro. Después Mehdi y sus colegas aumentaron la escala del experimento reuniendo a 60 personas en un laboratorio en forma de anillo. Le pidió a la mitad que se moviera en la dirección de las agujas del reloj, y a la otra mitad, en dirección contraria para ver cómo se cruzaban. A través de estos experimentos, Mehdi estableció las «reglas de giro» que utiliza la gente para navegar cuando se encuentran en una multitud muy densa. La gente se suele mover en la dirección general de su destino siempre que se pueda asegurar que se mueven hacia un espacio libre. No avanzamos directamente hacia dónde queremos ir, sino que intentamos predecir hacia dónde se moverán los demás y nos desplazamos hacia los espacios que dejan libres.[104]
Por razones éticas obvias, Mehdi no podía realizar experimentos en situaciones peligrosas con grandes multitudes. Por eso construyó un modelo de situaciones en las que los individuos siguen una regla del tipo «muévete al espacio» dentro de calles o pasillos estrechos. Para multitudes de nivel medio y bajo, Mehdi pudo comparar el modelo con sus datos y comprobar si capturaba los patrones de movimiento. Coincidían. Entonces aumentó la densidad de la multitud en la simulación hasta alcanzar niveles peligrosos y en ese momento aparecieron las olas. Cuando dos individuos intentaban ocupar el mismo espacio, uno se detenía y dejaba que el otro lo ocupase primero. Cuando este individuo se detenía iniciaba una oleada de detenciones que atravesaba hacia atrás a todo el grupo. Las olas eran muy parecidas a las olas observadas en los bancos de peces, pero ahora estaban causadas por una detención y no por un giro. Un individuo que se para cerca de una salida provocará que también se paren los que están detrás de él, y la ola de detenciones se puede mover a lo largo de todo el pasillo. Al detenerse los individuos, provocan una ola de presión que atraviesa el grupo hacia atrás, mientras que los que atraviesan la puerta producen una ola de presión en una dirección de avance.
Oleadas de parada/arranque como estas se filmaron en las horas previas a uno de los peores desastres de masas en la historia reciente, cuando murieron al menos 345 peregrinos durante una aglomeración en la peregrinación a La Meca en 2006.[105] No está claro si estas oleadas de parada/arranque provocaron realmente la aglomeración o fueron un aviso de que el desastre era inminente. Pero lo que muestra el modelo de Mehdi es que las oleadas de parada/arranque es menos probable que las provoquen personas que empujan deliberadamente y más probable que estén causadas por algunos individuos que se detienen para dejar que otros ocupen un espacio.
El aspecto más aterrador de las oleadas de parada/arranque es que en cuanto la multitud alcanza una densidad muy alta, son inevitables. Cuando me encuentro en medio de una zona abarrotada, a la salida de un campo de fútbol o en la estación del tren después de un partido, oigo como la gente grita «¡No empujen!» o «¡Espere un momento!». Se sienten frustrados porque mientras una parte de la multitud está pasando a través de los torniquetes, al otro lado la gente está atascada o se mueve hacia atrás. Siempre intento recordar que las demás personas no están obligatoriamente empujando o no lo hacen más que yo: están atrapadas en una ola que se mueve hacia delante, mientras que yo estoy atrapado en una que va hacia atrás. Solo somos materia blanda que la masa mueve de un lado al otro.
Para encontrar la respuesta a los problemas de seguridad con las multitudes, debemos mirar mucho más atrás, al momento en que la gente está apelotonada en una estación de ferrocarriles. Tenemos que ir directamente al diseño de nuestras áreas públicas y de los grandes acontecimientos. La seguridad se toma muy en serio en el diseño de los estadios modernos y una parte de dicho proceso son las simulaciones de evacuación. Por ejemplo, el PSV Eindhoven ha realizado todo un abanico de simulaciones «y si» para comprobar lo que podría ocurrir en diferentes situaciones de evacuación.[106] Los modelos que han utilizado son menos detallados que los que he descrito antes, pero son un paso en la buena dirección.
Los análisis también se pueden realizar después de ocurrido el hecho. Después de la muerte de 21 personas y que otras 500 resultasen heridas en el Love Parade de Duisburgo en 2010, Dirk Helbing y Pratik Mukerji diseccionaron los acontecimientos del día en el contexto de diferentes modelos disponibles. Llegaron a la conclusión de que el pánico o los empujones intencionados difícilmente pudieron ser los causantes y concluyeron que, de acuerdo con el modelo de Mehdi, «las cosas pueden ir terriblemente mal aunque nadie tenga malas intenciones».[107] Siguen existiendo muchos retos en la creación de modelos de multitudes en situaciones peligrosas, y los modelos son una parte importante de la solución. Los desastres como los de la Love Parade, La Meca o Hillsborough no deberían haber ocurrido y afortunadamente podemos utilizar lo que hemos aprendido de los modelos para que no vuelvan a ocurrir.[108]
Capítulo 11
Apostar contra las masas
Cuando tengo todas las respuestas dibujo un histograma con los resultados. La figura 11.1 es uno de estos histogramas de una de las clases más pequeñas, basada en las suposiciones de 19 alumnos de física computacional. El histograma muestra el número de suposiciones que se encontraban en cada uno de los intervalos. Estos son algunos de los estudiantes más inteligentes y más trabajadores de nuestra universidad, así que resulta interesante ver cómo lo hacen cuando se enfrentan a un problema práctico. Presentan una amplia variedad de resultados desde 37 hasta 300, con bastantes entre 40 y 60, y un número pequeño que creían que era tan generoso como para regalar varios centenares de caramelos. Su suposición media era 102 y la suposición mediana era 90.[109]
Pero ¿cuántos caramelos había? En mi tarro había exactamente 104 caramelos, a solo dos de la suposición media. Ningún estudiante acertó el número, así que los dos alumnos que respondieron 100 compartieron los caramelos entre ellos. Pero para ser justos, deberían haber compartido el premio entre todos, porque la media de las suposiciones del grupo se acercaba más que ninguna suposición individual. El grupo era colectivamente más sabio que ningún individuo.

Figura 11.1. Histograma de las suposiciones de mis alumnos del número de caramelos en un tarro.
La multitud sabiaMi experimento en el aula es un ejemplo de un fenómeno conocido como Sabiduría de la Multitud. La idea de la Sabiduría de la Multitud despegó en 2005 cuando James Surowiecki publicó un libro con ese título.[110] Su tesis era que, en muchas tareas, los grupos grandes de no especialistas pueden ser más listos que un grupo más pequeño de especialistas. Mi adivinanza con los caramelos apoya su tesis: juntos, los alumnos eran mejores que cualquiera de los individuos del grupo cuando se trataba de contar caramelos.[111]
Cada año utilizo un recipiente diferente y una selección también diferente de caramelos, pero en los resultados se puede descubrir un patrón general. Unos cuantos estudiantes subestiman el número de caramelos, suponiendo que son 40 o 50, menos de los que hay realmente en el tarro. Pero un grupo pequeño de alumnos lo sobrestiman drásticamente, suponiendo que son dos o tres veces más que la respuesta correcta. Al hacerlo, estos dos tipos de adivinadores, los subestimadores y los sobreestimadores, se anulan entre ellos, y la suposición media se acerca al valor real.
Desde la publicación del libro de Surowiecki, dos grupos de investigación han desarrollado este experimento a mayor escala que yo. En una exposición en Berlín, Jens Krause y su hermano Stefan recogieron 2.057 suposiciones del número de canicas que había en un gran jarrón de vidrio. La respuesta verdadera era 562. Las respuestas fueron de 40 a 1.500,[112] pero la media solo se desviaba en 8,4 canicas, siendo de 553,6. De nuevo, la multitud estuvo bastante más cerca de la respuesta correcta. Andrew King y sus colegas desarrollaron un experimento similar con dulces en un tarro durante un día de puertas abiertas en el Royal Veterinary College.[113] Esta vez la media no estaba demasiado cerca después de 82 respuestas: 1.396, comparada con la respuesta real de 751. Pero la mediana dio en el blanco con exactamente 751.[114]
Si te gusta apostar de vez en cuando, entonces no puedes ignorar este experimento sobre la Sabiduría de la Multitud. Es posible que creas que sabes más del juego que la mayoría de los apostadores, y es posible que tengas razón, pero esa no es la cuestión. En estos experimentos, la mayor parte de los participantes no eran especialmente buenos adivinando el número de caramelos y canicas. En los experimentos de Andrew algunos de los participantes respondieron por encima de 10.000 y otros supusieron que eran menos de 50. Pero como grupo acertaron. Es esta entidad individual, la multitud sabia, a la que debes vencer para ganar en las apuestas, no los conocimientos de ninguno de los individuos que forman la multitud.
Vencer a la multitud
Para ver por qué las multitudes son un problema para ti como apostador individual, considera el mercado de las apuestas por encima y por debajo de un número determinado de saques de esquina. Muchos corredores de apuestas señalan una marca, por ejemplo 10-11, para el número de saques de esquina en un partido. Los apostadores pueden apostar sobre si el número real estará por encima o por debajo de dicha marca. Así, si crees que habrá más de 11 saques de esquina en un partido concreto, entonces puedes apostar 10 libras por punto a que estará por encima. Si se producen 16 saques de esquina, entonces tendrás un beneficio de (16 – 11) × 10 libras = 50 libras, pero si solo hay 8 saques de esquina entonces deberás pagarle (11 – 8) × 10 libras = 30 libras al corredor de apuestas.
La misma regla se aplica si apuestas a la baja: pagarás (16 – 10) × 10 libras = 60 libras si hay 16 saques de esquina, y ganarás (10 – 8) × 10 libras = 20 libras si hay 8. El truco para el corredor de apuestas consiste en establecer una marca de manera que la mitad de sus clientes apueste a la baja y la otra mitad al alza. Si una persona apuesta a la baja y al alza, entonces el beneficio del corredor está garantizado en 10 libras, sin importar los saques de esquina que se produzcan. En cuanto el corredor tenga su equilibrio mitad y mitad, entonces sea cual sea el resultado obtendrá un beneficio.
Quiero que te imagines un mundo en el que eres un genio, rodeado por personas que no saben nada de fútbol. Los otros apostadores lo hacen casi al azar y los corredores de apuestas no tienen ni idea de cuántos saques de esquina se pueden producir en un partido de fútbol. Pero resulta que tú sabes que el número medio de saques de esquina es de 10,5 en un partido profesional de 90 minutos. A veces algunos más, a veces algunos menos, pero en su conjunto, entre 9 y 12 saques de esquina son lo típico.
Ahora imagina que nuestro corredor de apuestas no demasiado bien informado establece una marca de 4-5 saques de esquina al inicio de la apuesta. Entonces llegan los apostadores al azar. Supongamos que todos estos apostadores tienen sus propias ideas sobre los saques de esquina. Algunos creen que será un partido al ataque, con quizá 20 saques de esquina; otros creen que serán menos de los predichos por el corredor de apuestas: solo dos o tres. Incluso hay apostadores que creen que no se va a producir ni un solo saque de esquina. En su conjunto, supongamos que cada apostador puede predecir por un igual cualquier número de saques de esquina entre 0 y 22. Así 1/23 = 4,35 % cree que no habrá saques de esquina, el 4,35 % cree que habrá 19 saques de esquina, el 4,35 % cree que habrá 11 saques de esquina, etc. No debería ser difícil obtener un beneficio contra este corredor de apuestas y estos apostadores, ¿o no?
El problema es que hay un montón de apostadores. Imagina que el primer apostador que llega supone que habrá ocho saques de esquina. Mira la marca de 4-5 y decide que puede obtener un beneficio y apuesta 10 libras al alza. Teniendo en cuenta el número probable de saques de esquina, es una buena decisión. Entonces llega la siguiente apostadora. Ella es aún más optimista, supone 14 y también apuesta al alza. Muy pronto el corredor de apuestas se da cuenta de que está aceptando un montón de apuestas al alza. Unos pocos individuos conservadores apuestan a la baja, pero la mayoría lo hacen al alza. Es posible que el corredor no esté muy bien informado, pero no es estúpido. Sabe que necesita un equilibrio 50/50 de apuestas al alza y a la baja. Así que después de unas cuantas apuestas, aumenta la marca en un punto hasta un 5-6. Pero ni siquiera esto es lo suficientemente alto y siguen llegando apuestas al alza, obligando al corredor a un nuevo ajuste hacia arriba, hasta situarlo en 7-8.
Para ver lo que ocurre en esta situación, construí un modelo. Supuse una regla sencilla que pudiera aplicar el corredor de apuestas para equilibrar su balance. El corredor establece un contador que recoge el número de apuestas al alza y otro contador que recoge el número de apuestas a la baja. Cuando llegan las apuestas, el corredor aumenta el contador adecuado «por encima» o «por debajo». Si en algún momento el contador «por encima» sobrepasa al contador «por debajo» en tres, el corredor aumenta la marca en un punto. Entonces pone los dos contadores a cero y empieza a contar de nuevo. De manera similar, si la cuenta de tres es de las apuestas a la baja por encima de las apuestas al alza, baja en un punto la marca y vuelve a poner a cero los contadores. La figura 11.2 ofrece un ejemplo de cómo el corredor de apuestas cambia la marca con el número de apuestas aceptadas. El corredor no tarda demasiado en ofrecer la marca correcta. Después de 30 apuestas, la marca es 7-8 y a las 70 apuestas es 10-11. Esta corrección no requiere que el corredor de apuestas sepa nada sobre la frecuencia de los saques de esquina durante un partido: simplemente está ajustando la marca para equilibrar las apuestas aceptadas. Llegaron demasiadas apuestas al alza, así que movió la marca hacia arriba. Todo el proceso ocurre con rapidez, porque las apuestas proceden de un gran número de apostadores, y las marcas se ajustan automáticamente.
Aunque tú comprendas el juego de los saques de esquina, para conseguir un beneficio necesitas apostar antes de que el corredor de apuestas pueda corregir su error. Aunque sigue valiendo la pena apostar con una marca 7-8, en cuanto esta llega a 10-11 ya está fuera de juego. Cuando se juega contra un gran número de apostadores sin conocimientos, la probabilidad de que puedas apostar antes de que lo hagan ellos es muy pequeña. Otra oportunidad para conseguir un beneficio es que entre en uno de los pocos momentos en que la marca se aleja de 10-11. Por ejemplo, al cabo de 130 apuestas la marca es 12-13 durante un corto período de tiempo, proporcionándote la posibilidad de una apuesta a la baja. Pero de nuevo tienes que ser rápido: cinco apuestas después, la marca vuelve a estar en 11-12, y después, 10-11. En el mundo real, conseguir un beneficio es aún más difícil que en mi modelo. Es muy raro que los corredores de apuestas cometan errores tan flagrantes en sus estimaciones iniciales y los apostadores no tienen opiniones tan amplias sobre los saques de esquina. Incluso con los niveles extremos de ignorancia que he supuesto, resulta difícil vencer a los corredores.

Figura 11.2. Cambio de la marca en mi modelo de corredor de apuestas. El área sombreada indica la marca establecida por el corredor simulado.
No tan listo
Los que nos dedicamos a crear modelos matemáticos siempre debemos cuestionar las suposiciones que aceptamos.
Mi modelo sobre las apuestas demuestra que si la apuesta media de la multitud se acerca a la respuesta verdadera, los corredores de apuestas situarán su marca cerca de la media, y con ello se acercarán al resultado verdadero. Pero se trata de un «si» muy grande. ¿Por qué deberíamos asumir que la apuesta media de un montón de personas desinformadas sobre el número de saques de esquina en un partido es correcta?
Esta pregunta es un verdadero reto para todo el concepto de la Sabiduría de la Multitud. Hasta el momento he presentado algunas pruebas experimentales limitadas: solo tres experimentos de contar lo que hay en un tarro, cada uno de ellos realizado de manera diferente. Los economistas han desarrollado pruebas experimentales más concienzudas. Una de las primeras fue el Iowa Electronic Market, que es un mercado de apuestas sin ánimo de lucro para las elecciones presidenciales y a la Cámara de Representantes en los EE.UU. Un ejemplo más reciente es la página web de predicciones PredictIt, donde se puede apostar sobre la salida del Reino Unido de la Unión Europea, sobre si Corea del Norte probará un arma nuclear, y sobre si Hillary Clinton se convertirá en presidenta de los Estados Unidos.
Existen algunas pruebas de que estos mercados funcionan. El Iowa Electronic Market ofreció una predicción muy clara de la victoria de Obama en 2012. En las semanas anteriores a esta y a otras elecciones recientes en los EE.UU., el mercado de Iowa ofreció una predicción más precisa del resultado que las encuestas de opinión.[116] No obstante, tanto los apostadores como las encuestas quedaron totalmente desmentidos cuando se trató de predecir los resultados de las elecciones generales de 2015 en el Reino Unido. Al principio de la jornada electoral, las probabilidades de que David Cameron y Ed Miliband se convirtieran en el próximo primer ministro eran más o menos las mismas, pero Cameron y los conservadores ganaron una mayoría que no había predicho nadie. No se puede contar siempre con la multitud para predecir el futuro.
En su experimento en la exposición en Berlín, Jens y Stefan le plantearon una pregunta adicional al público. Le preguntaron a las mismas personas que habían participado en el experimento de las canicas en el jarrón que «estimasen cuántas veces habría que lanzar una moneda al aire para que la probabilidad de que la moneda cayese cada vez de cara fuera aproximadamente tan pequeña como la de ganar la lotería primitiva alemana». Para ser honesto, me parece que la pregunta es un poco confusa, incluso para un matemático. Pero vamos a por ella. En la lotería primitiva alemana hay 49 bolas, numeradas del 1 al 49. Para ganar, las 6 bolas que salen de la máquina deben coincidir con los números en tu recibo. La probabilidad de que la primera bola sea un acierto es de 6/49, porque tú tienes 6 números y hay 49 bolas. Si la primera bola es uno de tus números, la probabilidad de que la segunda bola también sea correcta es de 5/48, porque te quedan 5 números y ahora quedan 48 bolas en la máquina. El proceso continúa, con una probabilidad de 4/47 con la tercera bola y así hasta 1/44 para la última bola. Así que la probabilidad de ganar es:


En Berlín, solo el 6 % de las personas que participaron en el juego dieron la respuesta correcta. El 10 % creía que la respuesta era 1.000, más de un 15 % fueron por la respuesta máxima permitida de 1.500, y un 4,5 % pensó que la respuesta eran solo seis. La probabilidad de conseguir seis caras es de 1/64, mientras que la probabilidad de conseguir 1.000 caras seguidas es tan pequeña que escribir todos los dígitos ocuparía media página. La mayoría de las personas no es especialmente buena respondiendo preguntas sobre probabilidades, y la actuación de este grupo no fue precisamente impresionante. La suposición media fue de 498, 20 veces más que la respuesta correcta.
El experimento de Jens y Stefan muestra que para tareas matemáticas, los individuos preparados actúan mejor que la masa. Si prestas atención en la escuela y estudias mucho, puedes aprender a resolver problemas que otras personas no pueden. Existen pasos matemáticos para responder a problemas de probabilidades que se deben aprender. Este conocimiento no se puede compensar preguntando a un montón de personas diferentes para que den una respuesta. Excepto que las personas a las que preguntes conozcan el procedimiento correcto que se debe seguir, es muy poco probable que su respuesta media esté cerca del valor real. Extraer la media de suposiciones aleatorias no puede resolver un problema para el que se necesita un razonamiento especializado. La multitud puede suponer cuántos caramelos hay en un tarro, pero no puede hacer mates.
A la vuelta de la esquina
La única manera de saber si la multitud es sabia es preguntándole. Durante la Copa del Mundo femenina en junio de 2015, decidí poner a prueba a una multitud muy concreta. Me había unido a algunos miembros del departamento de Zoología de la Universidad de Estocolmo para tomar una copa por la tarde. Les planteé la siguiente pregunta a los 25 investigadores: «En el partido del Mundial de esta noche entre Suecia y los EE.UU., ¿cuántos saques de esquina habrá en total?». El equilibrio entre hombres y mujeres en el grupo estaba bastante igualado y procedían de todas las partes del mundo, pero principalmente de los EE.UU. y Europa. Planteé la pregunta al principio de la velada, de manera que solo habíamos tomado una cerveza. Pero sus conocimientos sobre fútbol eran algo limitados. La mayoría no sabía que se estaba disputando la Copa del Mundo femenina y un investigador chino me preguntó: «¿Qué es un saque de esquina?». Así que a todas luces no eran unos expertos.
Debían apuntar su respuesta de inmediato, sin hablar entre ellos y, desde luego, sin mirar sus teléfonos. A partir del histograma de sus respuestas, que se muestra en la figura 11.3, puedes ver que, al igual que en el juego de las adivinanzas de caramelos y canicas, la multitud tiene una gran variedad de opiniones, que van desde cero a 34. Aunque el abanico de suposiciones era amplio, la respuesta media era 11,26, que está muy cerca del número habitual de saques de esquina en un partido. La respuesta mediana era 9. La mediana es el punto en el que los corredores deben fijar su marca porque les garantiza un beneficio. Y, cuando comprobé la marca para apostar sobre los saques de esquinas en el EE.UU. contra Suecia en los corredores de apuestas, era 9-10. Diana. Los zoólogos de Estocolmo, que no tenían un conocimiento experto, habían llegado a la misma suposición que los jugadores y corredores de apuestas que determinaban la marca.
Este es un experimento poco habitual y un pub es un escenario aún menos controlado que una clase de estadística, pero los resultados son consistentes con los experimentos anteriores con caramelos y canicas.

Figura 11.3. Histograma de las suposiciones del número de saques de esquina en el partido Suecia contra los EE.UU. en la Copa del Mundo femenina, por parte de miembros del departamento de Zoología de la Universidad de Estocolmo.
Aunque la estimación pueda ser razonable, por supuesto no existe ningún método para predecir realmente cuántos saques de esquina habrá en un partido. Las selecciones de los EE.UU. y Suecia no se pueden sobornar y ninguna jugadora va a enviar el balón fuera al menos que no tenga más opciones. ¿Qué ocurrió en algunos de los partidos anteriores en la Copa del Mundo femenina? Hubo 12 saques de esquina en el partido entre Nigeria y Suecia unas noches antes, pero solo tres en el partido entre los EE.UU. y Australia. Aquí no se puede encontrar ninguna información útil. Aunque podemos especular, resulta difícil ver cómo podemos mejorar una estimación que esté alrededor de 9 a 11. Al final resultó que se lanzaron 18 saques de esquina en el partido de los EE.UU. contra Suecia. Algunos jugadores afortunados se llevarían a casa ocho veces el dinero invertido en una apuesta al alza sobre los saques de esquina, pero ninguno de ellos era miembro del departamento de Zoología de Estocolmo. La suposición más cercana en este grupo vino de dos personas que eligieron 17. Fue un número de saques de esquina excepcionalmente alto.
Lo que demuestra mi experimento de los saques de esquina es que si tomamos la suposición media de los miembros de un grupo sin conocimientos especializados, podemos obtener una estimación que sea razonable y refleje la realidad. Pero las multitudes no son capaces de ver el futuro. Utilizar las suposiciones desinformadas para predecir el número exacto de saques de esquina en un partido, o incluso si habrá más o menos que la media, no es posible. La Sabiduría de la Multitud es remarcable, pero no es mágica.
Predicciones de la Premier
Antes de la temporada 2014/2015, el periodista y exfutbolista Joe Prince-Wright anotó su predicción de la posición final de los 20 equipos de la Premier League, que después publicó en la página web de la NBC para que la pudiera ver todo el mundo.[117] Fue un gesto valiente, porque resulta casi imposible predecir correctamente todas las posiciones. Pero es una buena prueba de verdadera sabiduría futbolística. Resulta muy fácil parecer inteligente después de los hechos, pero predecir el futuro puede revelar en su momento si el periodista domina o no la materia.
Los seis primeros de Prince-Wright eran: (1) Chelsea, (2) Man City, (3) Arsenal, (4) Man United, (5) Spurs y (6) Liverpool. Y estas fueron exactamente las posiciones al final de la temporada. Existen miles de comentaristas de fútbol que escriben para diferentes periódicos de todo el mundo. Simon Gleave ha recogido predicciones y blogueado sobre éstas durante las últimas temporadas. En 2014/2015 descubrió solo 17 periodistas que fueron lo suficientemente valientes para publicar una predicción de la clasificación final de la Premier League.[118] De estos 17, Prince-Wright fue el único que predijo con acierto los seis primeros. El error más habitual era colocar al Liverpool por delante de los Spurs o sobreestimar al Arsenal.
No obstante, cuando se baja por la tabla, las predicciones de Prince-Wright empiezan a flaquear. Creía que Everton y Newcastle acabarían entre los diez primeros, pero terminaron en la parte baja. Situaba al Leicester en el descenso, y parecía que iba a tener razón hasta que consiguieron la remontada con un renacimiento milagroso hacia final de temporada y acabaron 14. Y subestimó a Swansea y Southampton, que realizaron una buena temporada y acabaron en la parte superior de la tabla.
Para medir la habilidad de Prince-Wright como profeta futbolístico, tomé las posiciones que había predicho y calculé la diferencia entre sus predicciones y el resultado real: véase tabla 11.1. No hay ninguna diferencia en los clubes que acabaron en los seis primeros puestos, pero existen diferencias (ya sean positivas o negativas) cuando bajamos por la tabla. La diferencia media entre la predicción y la realidad es de 2,3, así que lo normal es que Prince-Wright se equivocase por dos posiciones.[119] Esta predicción es razonable, en especial cuando recordamos que incluso en el último día de la temporada los equipos se pueden mover arriba o abajo un par de puestos.
En consecuencia, ¿Prince-Wright puede predecir realmente la Premier League? Para responder a esta pregunta debemos volver de nuevo al capítulo 1 y a mis simulaciones de realidad alternativa. Allí utilicé los goles marcados en casa y fuera por cada equipo en la temporada 2012/2013 para predecir el resultado de la temporada 2013/2014. En algunas de las simulaciones, mi modelo predecía con precisión la parte alta de la tabla, mientras que en otros obtenía posiciones ligeramente diferentes.

TABLA 11.1. Comparación de las predicciones de Joe Prince-Wright con los resultados de la temporada 2014/2015.
Lo que quedaba claro con estas simulaciones era que la cantidad de goles en una temporada era una muy buena medida para predecir la temporada siguiente.En realidad, se trata de una regla general muy sencilla: la posición en la que un equipo acaba la temporada es un muy buen indicador de su posición en la temporada siguiente. La tabla 11.2 compara las temporadas 2013/2014 y 2014/2015.[120] La predicción de Prince-Wright de los seis primeros era ciertamente mejor que la predicción basada en los resultados de 2013/2014. Pero al bajar por la tabla, las predicciones en función de la temporada anterior empiezan a ganar puntos. Stoke, West Ham y Southampton acabaron más o menos en la misma posición en las dos temporadas. Burnley y QPR[‡‡] se fueron para abajo, de la misma manera que habían ascendido la temporada anterior. En líneas generales, la predicción en función de la temporada anterior era marginalmente mejor que la de Prince-Wright, con una diferencia media entre las temporadas de solo 2,2. Si Prince-Wright o cualquier otro hubiera presentado sencillamente la tabla final de la liga de la temporada anterior como su predicción para la siguiente temporada, habría sido una predicción bastante buena.
De los 17 comentaristas identificados por Simon Gleave que habían predicho la clasificación final de la Premier League para 2014/2015, solo uno lo hizo mejor que la predicción basada exclusivamente en 2013/2014. Mark Langdon del Racing Post se equivocó en las posiciones de Liverpool y Spurs como quinto y sexto, pero acertó con los cuatro primeros. También lo hizo mejor que Prince-Wright con los clubes que acabaron más abajo en la clasificación, prediciendo correctamente el éxito de Stoke, Swansea y Southampton. La diferencia media entre su predicción y el resultado fue de solo 1,8. Pero mientras Langdon presentaba los mejores resultados y Prince-Wright era el segundo, todos los demás se habían equivocado por mucho. La figura 11.4 compara sus predicciones con las posiciones de los equipos en la temporada anterior. Langdon fue el único experto por encima de la línea y el resto de los expertos se equivocaron en tres posiciones como media.
El uso la temporada anterior como referencia para comparar las predicciones de los comentaristas no es totalmente justo, porque la clasificación final de 2014/2015 fue muy similar a la de 2013/2014. Resulta raro que solo haya pequeños cambios de posición de una temporada a la siguiente. Por ejemplo, hay diferencias mucho más grandes entre la clasificación final de 2012/2013 y 2013/2014. En 2013/2014 el Manchester United terminó seis puestos por debajo de la temporada anterior, y el Liverpool cinco plazas por encima. Esa temporada también vio como el West Bromwich Albion, el Fulham y el Norwich caían de siete a ocho puestos, pasando de la seguridad de media tabla a la lucha por la permanencia.
La línea de puntos horizontal en la figura 11.4 señala el cambio medio de posición, de 2,92 puestos, de los clubes de la Premier League a lo largo de cinco temporadas hasta 2014/ 2015. Nos muestra el nivel de fiabilidad de las predicciones si los expertos basasen sus propuestas en la temporada anterior.
TABLA 11.2. Comparación de las posiciones durante la temporada 2013/2014 con el resultado de la temporada 2014/2015. Al calcular la diferencia para los equipos que subieron la temporada anterior, las posiciones se han asignado en el orden en que ascendieron. El Leicester City, que ganó el campeonato, recibe la posición 18, Burnley la posición 19 y Queens Park Rangers, la posición 20.

Figura 11.4. Comparación de las predicciones de los expertos para la temporada 2014/2015 (puntos negros), las posiciones de los equipos de la temporada anterior (línea continua) y un punto de referencia basado en el cambio medio de posición a lo largo de múltiples temporadas (línea de puntos).
No dispongo de las predicciones de Langdon para la temporada 2013/2014, pero Prince-Wright fue el que realizó la mejor predicción de las recogidas. Sobre esta base, podría parecer que realmente puede predecir el futuro. No obstante, antes de iniciarse la temporada 2015/2016, Prince-Wright realizó una nueva predicción. Predijo un segundo título seguido para el Chelsea, con el Manchester United segundo a muy poca distancia. Liverpool y Spurs no conseguirían clasificarse para la Liga de Campeones, y Leicester, Norwich y Watford perderían la categoría. A media temporada, cuando acabo de escribir este libro, el Chelsea tiene serios problemas y el Leicester es el líder de la liga. Así que parece que los poderes de Prince-Wright le han fallado al final. Este libro se publica en mayo de 2016, así que ahora puedes comprobar sus predicciones por ti mismo. Pero creo que puedo llegar a la conclusión, sin equivocarme, de que no hay ningún experto que, a lo largo de una serie de temporadas, sea fiable para predecir el resultado de la Premier League.

Figura 11.5. Comparación de las predicciones de los expertos para la temporada 2013/2014 (puntos negros), las posiciones de los equipos de la temporada anterior (línea continua) y un punto de referencia basado en el cambio medio de posición a lo largo de múltiples temporadas (línea de puntos).
Simon Gleave, que reunió estas predicciones de los expertos de los medios, me dijo que «en gran parte de las predicciones se trata más de tener suerte que de tener capacidad». Aunque consideremos la posible excepción de Joe Prince-Wright, resulta difícil discutir esta conclusión. Simon es jefe de analistas en Infostrada Sports, una empresa especializada en datos e inteligencia deportiva. En un proyecto,[121] Infostrada ha codesarrollado el Euro Club Index, una herramienta para clasificar la actuación de los equipos. El objetivo de este índice es ofrecer una medida estadística de la actuación de los equipos basándose en los encuentros entre los mismos.
Cada club de la primera división de cada liga europea recibe un número de puntos. Al principio de la temporada 2015/2016, el Barcelona tenía 4.539 puntos; el Real Madrid, 4.342; el Bayern, 3.953, y la Juventus, 3.712. El primer club inglés era el Chelsea, en séptimo lugar con 3.635 puntos, mientras que el recién ascendido Bournemouth estaba en el puesto 165 con 2.052 puntos. El primer equipo escocés era el Celtic, con 2.480 puntos y en el puesto 75. El Kilmarnock, que acaba de evitar por los pelos descender de la Premier League escocesa, se encontraba en la posición 481 con solo 1.093 puntos.
Cuando un equipo gana a otro, el ganador toma puntos del índice del perdedor y se los añade al propio. Así cuando la Juventus venció al Real Madrid en la semifinal de la Liga de Campeones en mayo de 2014, la Juventus ganó 28 puntos y el Real Madrid perdió 28. Cuando la Juventus perdió contra el Barcelona en la final, le transfirieron 18 puntos al Barcelona. Una victoria contra un equipo de nivel superior da más puntos que batir a un equipo inferior. Por eso la Juventus le tomó más puntos al Madrid de los que perdió más tarde contra el Barcelona. Si el poderoso Killie venciera al Barça en un partido de competición, le tomaría cientos de puntos, pero si ganase el Barcelona, el Kilmarnock solo perdería 1 o 2.
Como el Premier League Performance Index que vimos en el capítulo 4 para los jugadores, no llamaría al Euro Club Index para equipos una medida «objetiva». Las reglas exactas para repartir los puntos están fijadas de antemano por las personas, y el índice ofrece una clasificación estadística basándose puramente en los resultados. Aun así, para la Premier League de 2014/2015, el Euro Club Index fue tan bueno como el mejor previsor humano. La diferencia media entre la predicción del Euro Club Index y el resultado real fue de 1,8, exactamente la misma que la de Mark Langdon.
Simon Gleave también reunió datos de otros modelos de predicción. De las 28 predicciones que reunió para 2014/2015, el Euro Club Index fue una de las que lo hizo mejor. No obstante, el hecho de que las posiciones generales en 2014/2015 no cambiaran demasiado respecto a la temporada anterior era una ventaja para los métodos de clasificación basados en actuaciones anteriores. Para la temporada mucho menos predecible de 2013/2014, el Euro Club Index fue el peor de todos los modelos analizados por Simon. El único experto humano vencido por el índice fue el antiguo portero del Liverpool, David James, que se equivocó en 11 puestos al predecir que el Everton acabaría en el 16.
En definitiva, puedes consultar a las multitudes, a los modelos o a los expertos, pero sigue sin haber una prueba fiable de que ninguno de ellos pueda realizar predicciones a largo plazo que superen el punto de referencia de la temporada anterior.
El día de los rumores de la final de Copa
Algunas veces la gente puede estar un poco equivocada, pero otras veces puede estar muy equivocada. La historia humana está llena de ejemplos de que durante un tiempo hemos creído cosas que más tarde han resultado ser una idiotez total. Los lemmings cometen suicidios colectivos, la Gran Muralla China es el único objeto creado por el hombre que resulta visible desde la Luna, Napoleón Bonaparte era bajito y Barack Obama es musulmán son solo algunos de los falsos rumores o ideas que muchas personas siguen creyendo y se explican entre ellas en la actualidad. Los rumores sobre el traspaso de jugadores y el embarazo de las famosas son aún más habituales. Como mostré en el capítulo 10, estos rumores se extienden rápidamente porque las personas los comparten entre ellas. Con frecuencia se presta muy poca atención a si son ciertos o no.
Si empezamos a difundir rumores sin comprobarlos personalmente, entonces desaparece la Sabiduría de la Multitud.
Cuando realicé mis experimentos de caramelos en el tarro y número de saques de esquina, tuve mucho cuidado en no dejar que mis sujetos hablasen entre ellos. Todas las respuestas eran independientes y se basaban en la capacidad personal de los participantes. No quería que ninguno de ellos que creyese que sabía más influyese en los demás.
Cuando Andrew King y sus colegas realizaron su experimento de caramelos en el tarro en el Royal Veterinary College, también analizaron lo que ocurría cuando la gente sabía lo que habían respondido los demás. En una variación del experimento original, a visitantes posteriores les explicaron la media de todas las respuestas anteriores. Estos visitantes tuvieron acceso a más información que en el experimento original: no solo podían ver el tarro en persona, sino que también sabían lo que habían supuesto los demás.
Pero saber más no ayuda siempre a llegar a una conclusión mejor. Por azar, los primeros visitantes solían sobreestimar el número de caramelos, haciendo por lo general suposiciones por encima de los 1.300, cuando en realidad eran 751. Los visitantes siguientes vieron el tarro y estas suposiciones tan grandes. Pensaron que las respuestas debían ser demasiado altas, así que situaron las suyas un poco más bajas. Al entregarse más respuestas, la suposición media descendió ligeramente, pero siguió por encima de 1.000. Los visitantes no confiaban plenamente en su juicio y sobreestimaron el número de caramelos.
Una incapacidad de confiar en nuestro propio juicio y una tendencia a seguir a la multitud se encuentran detrás de gran parte de nuestras decisiones. Cuando no estamos seguros, solemos seguir las sugerencias de otros. Piense en la situación siguiente. Es el día de la final de Copa, Newcastle United contra Aston Villa, y hay una cola de amigos ante el corredor de apuestas, esperando a apostar. Deben decidir si apostar por el Newcastle o el Villa como ganadores de la Copa. El primer apostador no tiene ninguna información y se ve obligado a decidirse por sí mismo. Vamos a suponer que el Newcastle es el equipo más fuerte y que tiene un 70 % de posibilidades de acertar y apostar por él, pero que tiene un 30 % de probabilidades de elegir al Villa.[122] El siguiente apostador, que tampoco tiene más información, se enfrenta a la misma elección, de manera que de nuevo hay un 70 % de posibilidades de que elija al Newcastle. Pero el tercer apostador puede decidir por sí mismo o puede ahorrarse mucho esfuerzo y preguntarle a los dos primeros cómo lo ven. Suponiendo que sean honestos, y que estén de acuerdo entre ellos, solo existe un 15,5 % de posibilidades de que los dos que ya han apostado se hayan equivocado.[123]15 Por eso para el tercer apostador es mucho más seguro seguir la opinión de sus amigos que confiar en su propio juicio. Si no están de acuerdo, entonces deberá ignorarlos y llegar personalmente a una decisión. La lógica que se aplica al tercer apostador también vale para todos los que tiene detrás en la cola. Si eligen a otros dos que ya han apostado, le preguntan su opinión y apuestan en consecuencia, entonces tienen más posibilidades de hacerlo bien que si intentan reunir las pruebas por sí mismos.
Eso es lo que hacen, y la figura 11.6 muestra tres resultados simulados de este modelo. En la primera simulación, los dos apostadores eligieron al Newcastle, así que cuando le tocó el turno al tercero, al preguntar a los otros dos, llegó a la conclusión de que era más probable que ganara el Newcastle. El cuarto, el quinto y todos los demás apostadores llegaron a la misma conclusión. En la segunda simulación, los dos primeros apostadores eligieron aleatoriamente al Villa. Esto solo ocurrió en un 9 % de las simulaciones, pero las consecuencias son sorprendentes. Como los dos primeros eligieron al Villa, el tercer apostador también lo hizo y todos los demás lo siguieron. Todo el mundo estaba escogiendo al Villa, así que no había ninguna razón para creer lo contrario. En la tercera simulación, el primer apostador se inclinó por el Newcastle y el segundo por el Villa. El tercero tuvo que decidir por sí mismo y se decantó por el Newcastle. A partir de ahí, cuando los otros apostadores de la fila le pedían consejo a los que les habían precedido, a veces siguieron a los dos que se decantaron por el Newcastle, a veces fueron con los dos que se decidieron por el Villa, y a veces tomaron una decisión personal cuando los dos amigos no se ponían de acuerdo. No fue hasta que unos cuantos apostadores hicieron sus apuestas que surgió un consenso por el Newcastle. Teniendo en cuenta que todos habían escuchado cosas sobre el partido, todos los apostadores en el modelo se comportaron racionalmente. Se dieron cuenta de que podían mejorar sus posibilidades de tener razón si seguían el consejo de los demás. Con mucha frecuencia esta estrategia funciona.

Figura 11.6. Simulación del modelo en el que los individuos usan las decisiones de los demás para tomar su propia decisión sobre qué equipo creen que ganará la copa. Las tres simulaciones se han activado con los mismos valores de parámetro. En la primera simulación los dos primeros apostadores eligen al Newcastle (a, esto ocurre en el 49 % de las simulaciones). En la segunda simulación, los dos primeros apostadores escogen al Aston Villa (b, esto ocurre en el 15,5 % de las simulaciones). En la tercera simulación un apostador elige al Villa y el otro al Newcastle (c, esto ocurre en el 35,5 % de las simulaciones).
El modelo revela una paradoja. Por un lado, colectivamente somos sabios y copiar a los demás nos proporciona información con la que tomar decisiones. Pero por el otro lado, cuando copiamos perdemos esa sabiduría. Todos queremos saber lo que piensan los demás para tener una idea más clara. Pero en cuanto hemos descubierto las opiniones de los otros, desaparece nuestro criterio independiente.
Al principio de este capítulo parecía que los apostadores individuales se enfrentan a una multitud imposiblemente sabia. Los corredores de apuestas simplemente hacían la media de las opiniones y las probabilidades reflejan la sabiduría colectiva. Cuando hemos analizado con mayor detenimiento otros modelos y experimentos, hemos visto sutilezas en el concepto de Sabiduría de la Multitud. Los experimentos de Jens y Stefan Krause muestran que la multitud no es buena cuando se trata de tareas especializadas que necesitan de razonamiento matemático. La colección de predicciones de la Premier League de Simon Gleave demuestra que incluso los llamados expertos probablemente no saben mucho más que cualquier otra persona. Y, paradójicamente, vemos que cuando los individuos en una multitud empiezan a hablar entre ellos, la multitud pierde su juicio colectivo.
En conjunto, estas observaciones sugieren que existe una oportunidad para cualquiera que quiera forzar la mano para vencer al corredor de apuestas. Es posible que un individuo matemáticamente competente y que no se deje influir con facilidad por las opiniones de otras personas pueda conseguir un beneficio con las apuestas futbolísticas. No estoy del todo seguro de que se pueda hacer, pero desde luego será divertido descubrirlo.
Capítulo 12
Pongo mi dinero donde tengo la boca
¿Qué mejor manera de utilizar un dinero inesperado que invertirlo en algo que conocía muy bien? Si Bloomsbury tenía fe en mí, entonces yo debía recompensar esta fe aceptando el anticipo e invirtiéndolo en lo que había aprendido mientras escribía este libro. Ha llegado el momento de dejar de teorizar sobre el juego y poner mi dinero donde tengo la boca. Vamos a predecir un poco sobre fútbol y ganar algo de dinero.
Extrañas probabilidades
Antes de ir tirando el dinero por ahí, es importante que tenga claro los conceptos básicos. Debo comprender unos cuantos hechos sobre apuestas, probabilidades y cómo hacen dinero los corredores de apuestas. El juego moderno no es nada directo. Existe una amplia variedad de casas de apuestas online, que ofrecen apuestas en diferentes formatos. Las páginas de comparación de apuestas te permiten comparar los diferentes corredores e incluso existen páginas en que puedes intercambiar tus apuestas con otros apostadores. El juego ya no consiste simplemente en entrar en una casa de apuestas y poner cinco libras a tu equipo favorito.
En el Reino Unido, las apuestas se presentan como fracciones, del tipo 3/7. Esto significa que por cada 7 libras que apuestas, ganas 3 libras si ganas. Incluso para un matemático esto no está del todo claro. Cuando hago una apuesta, no pienso que 7 libras es la cantidad de dinero obvia para apostar que el City va a ganar. Lo normal es que quiera apostar 1, 2, 5, 10 o 20 libras. Estos son números sólidos y cotidianos, no extraños números primos. Una apuesta de 3/7 significa que si entro en una casa de apuestas y apuesto cinco libras, para conocer mi beneficio potencial debo calcular 3 × 5/7. Tres números primos en una ecuación. De acuerdo, en realidad no es tan difícil, la respuesta es 2,14 libras, pero necesitas un segundo para pensar en ello.
La cuestión resulta aún más complicada cuando comparamos apuestas. ¿Qué apuesta es mejor: 3/7 o 5/11? Para responder a esta pregunta, multiplica por 11 la parte de arriba y la de debajo de la fracción 3/7, que da (3 × 11) / (7 × 11) = 33/77. Después multiplica por 7 la parte de arriba y la de debajo de 5/11: (5 × 7) / (11 × 7) = 35/77. Ahora podemos comparar directamente las apuestas: 35/77 > 33/77, así que 5/11 > 3/7, 5/11 es mejor apuesta. Pero no todas las personas, y yo me incluyo en este grupo, pueden realizar con rapidez este tipo de aritmética mental. En el Reino Unido las apuestas utilizan los números de una manera con la que no estamos familiarizados en nuestras experiencias cotidianas.
Mientras que en el Reino Unido las apuestas son un poco raras, en los EE.UU. están directamente locas. El inicio está bien. Si en el Reino Unido las apuestas son 2/1, entonces en los EE.UU. las apuestas son de +200: si apuestas 100 dólares y ganas, el beneficio es de 200 dólares. Este salto a magnitudes de dos cifras quizá sea algo previsible. Los jugadores de Las Vegas tienen cientos de dólares, mientras que los apostadores británicos cuidan mucho sus billetes de 5 libras. Pero para los favoritos, las apuestas pasan de repente de positivo a negativo. Así, si las apuestas británicas son 3/7, entonces las apuestas americanas se presentan como –233. Esto no significa que se paguen 233 dólares si el favorito gana, como podría pensar un matemático ingenuo, sino que para conseguir un beneficio de 100 dólares, tienes que apostar 233 dólares. En consecuencia, todas las apuestas americanas son un número mayor o igual a 100, precedido por un + o un – para indicar si el número es el beneficio o la cantidad que se debe apostar para ganar 100 dólares.
En la mayor parte de este capítulo voy a utilizar la convención europea para las apuestas y la moneda del Reino Unido, la combinación más sencilla para un matemático británico. Las apuestas europeas son fáciles de entender. Me dicen lo que voy a recibir si gano una apuesta de 1 libra. Si las apuestas son 1,5, quiere decir que al ganar una apuesta de 1 libra tendré 1,50 libras. Si pierdo, habré perdido la libra. Sencillo. Para las apuestas británicas de 3/7, las apuestas europeas se presentarían como 1 + 3/7 = 1,43. Así si apuesto 1 libra, tendré 1,43 libras si gano la apuesta. Las apuestas europeas son como las tasas de interés: para calcular nuestro beneficio potencial lo único que tenemos que hacer es multiplicar por la apuesta.
¿Cuándo debo apostar?
En realidad nunca he apostado sobre fútbol. Al observar cómo lo hacen mis amigos, mi impresión general es que en realidad no tienen las matemáticas en la cabeza cuando apuestan. Por ejemplo: estoy viendo un partido de la Liga de Campeones con mi amigo John. El Atlético de Madrid está jugando contra Olympiacos, y el Atlético va perdiendo por dos goles a los 31 minutos. Las apuestas europeas para una victoria del Atlético suben hasta 7,00 y esta cifra aparece en la pantalla. «Los partidos de la Liga de Campeones pueden ser bastante impredecibles —comenta mi amigo—. Uno de diez por el Atlético desde luego va a animar esta velada del martes.» Saca el teléfono y coloca la apuesta. Una hora y media después, el resultado final es 3-2 para el Olympiacos. John es 10 libras más pobre, pero los dos hemos saltado y nos hemos deprimido mucho más que si no hubiera hecho su apuesta. Jugar de vez en cuando puede ser divertido, sin pensar demasiado en los detalles.
Este es un comportamiento totalmente irracional por parte de John. No tiene ni idea de las posibilidades de ganar que tenía el Atlético, ni ha intentado deducir las posibilidades que le da el corredor de apuestas a una victoria del Atlético. ¿Y por qué 10 libras? ¿Por qué no solo 1 libra o 100, 10 peniques o el 10 % de su salario anual? Sabe que con su apuesta de 10 libras será 60 libras más rico si gana el Atlético y 10 libras más pobre si pierde, pero ¿qué papel juegan en su apuesta las expectativas de beneficio o de pérdida? ¿Y cuánto le está sacando el corredor de apuestas a él y a todos los demás jugadores aficionados sentados delante de la tele un martes por la noche? Ninguna de estas preguntas le ha pasado por la cabeza, pero si se tomase en serio el juego, esas serian precisamente las cuestiones que se debería plantear.
Si te vas a quedar con una sola idea de este capítulo, debería ser esta: antes de mirar a cómo están las apuestas y apostar, calcula siempre la probabilidad de tu predicción. Las posibilidades que ofrecen los corredores no son lo mismo que las probabilidades. Las posibilidades del corredor te indican el potencial de beneficio, pero una probabilidad te da una estimación de hasta qué punto puede ocurrir un acontecimiento o un resultado. Cuando hablamos del futuro, con frecuencia utilizamos las probabilidades: «Estoy seguro al 99 % de que esos dos son pareja» o «Hay un 30 % de probabilidades de que mañana llueva». Y cuando estás tomando la decisión de apostar o no a una victoria, también deberías pensar en términos de probabilidades: «Hay un 50 % de probabilidades de que el Chelsea vuelva a ganar la liga, y solo un 1 % de probabilidades de que lo hagan los Spurs». Antes de desprenderte de tu dinero e incluso antes de mirar las apuestas, plantéate la siguiente pregunta: «¿Cuál es la probabilidad de que gane mi equipo?».
Estamos a tres semanas del Community Shield[§§] entre el Chelsea y el Arsenal en 2015. El Chelsea era el campeón de la Premier League de la temporada anterior, pero el ganador de la Copa, el Arsenal, tenía algo que demostrar. Por eso sería razonable considerar que los dos equipos son iguales, quizá con una ligera ventaja del Chelsea. Por eso mi predicción es que el Chelsea tiene un 55 % de probabilidades de ganar, y el Arsenal un 45 %. Pero también existe la posibilidad de un empate tras los 90 minutos. Entre el 20 % y el 30 % de los partidos acaban en empate, dependiendo de la competición. No sé mucho sobre el Community Shield, así que sitúo mis probabilidades de empate en el 25 %. En consecuencia, la probabilidad de que el partido esté decidido al final del tiempo de juego es del 75 %. Así, mi estimación de la probabilidad de una victoria del Chelsea tras 90 minutos es de 0,55 × 0,75 = 41,25 % y de 0,45 × 0,75 = 33,75 % para el Arsenal.
Solo ahora me permito mirar las apuestas. Visito la página web de uno de los corredores de apuestas más importantes del Reino Unido y veo que las apuestas están 13/10 para una victoria del Chelsea, 12/5 para un empate y 21/10 para una victoria del Arsenal. En el sistema europeo sería un 2,3 para el Chelsea, un 3,4 para un empate y un 3,1 para el Arsenal. Así que este corredor de apuestas está bastante de acuerdo conmigo. Cree que es más probable que gane el Chelsea que el Arsenal, y como el empate es lo que se pagará más, cree que es el resultado menos probable. Pero lo que realmente necesito saber es si debo hacer una apuesta con este planteamiento, y sobre qué resultado.
Para responder esta pregunta, tengo que calcular cuánto dinero espero tener después del partido si apuesto 1 libra. Para el Chelsea, he estimado una probabilidad de victoria del 41,25 %. Ahora lo que necesito saber es cuánto espero tener, de media, si hago esta apuesta. Este es el resultado esperado que es la clave para decidir por qué equipo apostar. Quiero saber cuánto espero tener después de realizar la apuesta, suponiendo que las probabilidades que he asignado a la victoria de cada equipo sean correctas.
Vamos a calcular el resultado esperado para una apuesta por el Chelsea. Si apuesto 1 libra al Chelsea, entonces hay un 41,25 % de probabilidades de que tenga 2,30 libras después del partido. La probabilidad de este resultado multiplicado por esta apuesta es 0,4125 × 2.3 = 0,9487. Igualmente, estimo que la probabilidad de que el Chelsea no gane es del 58,75 %, un resultado que me dejaría sin nada. Por eso mi resultado esperado general para una apuesta de 1 libra al Chelsea es
(0,4125 × 2,3) + (0,5875 × 0) = 0,9487
Esto es un poco menos de 95 peniques, menos que la libra con la que empecé. Así que el Chelsea no es una buena apuesta. Apostar por un empate tiene aún peor aspecto: un cálculo similar muestra que tendría que esperar que mi libra, de media, se convirtiera en 85 peniques. Sin embargo, el Arsenal empieza a parecer una buena opción: descubro que puedo esperar que mi libra crezca hasta 1,046 libras, una tasa de interés pequeña pero respetable del 4,6 %.[125]Lo que puede resultar difícil de entender es que al apostar por el Arsenal no estoy prediciendo que ganará el partido. Ya he dicho que creo que las posibilidades de que gane al cabo de 90 minutos de juego son de un poco más del 33 %, mientras que el Chelsea tiene más del 40 % de posibilidades de ganar. Así que si apuesto por el Arsenal lo más probable es que pierda, incluso basándome en mi propio razonamiento. Esto puede ser difícil de comprender. A todos nos gusta explicar a los amigos cómo siempre escogemos a los ganadores. Pero si juegas de manera adecuada, deberías respaldar a tantos ganadores como perdedores. El truco del juego no es «escoger a los ganadores», sino maximizar el beneficio esperado. Este resultado esperado se calcula, como en el ejemplo anterior, multiplicando la probabilidad de cada resultado por la cantidad que paga el resultado.
Existe una regla matemática general y sencilla para decidir si apostamos o no. Si estimas que la probabilidad de victoria de un equipo es p, y el sistema de apuestas europeo es o, entonces deberías apostar cuando
p > 1/o
Resolver este cálculo te lleva solo un segundo en la calculadora del móvil y deberías hacerlo siempre antes de realizar una apuesta. Calcula tus propias probabilidades de un resultado. Ahora visita la página web de un corredor de apuestas y comprueba las apuestas. En la calculadora, presiona «1», «÷», teclea la apuesta y presiona «=». Si el número resultante es menor que tu probabilidad, entonces haz la apuesta. Si no, vuélvelo a pensar. Esta comprobación te puede salvar de cometer errores muy tontos.Para el Arsenal: p = 0,338 y 1/o = 0,323. 1/o es menor que p, así que se cumple la condición. Tanto para el empate como para la victoria del Chelsea, la condición no se cumple. Así, de vuelta en julio de 2015, aposté una libra al Arsenal y entré en el mundo del juego. Tres semanas más tarde era 2,10 libras más rico.
¿Hasta qué punto tengo que ser bueno?
Una victoria te anima, pero me tuve que recordar que había tenido suerte. Yo creía que el Chelsea iba a ganar, al igual que el corredor de apuestas. Solo aposté por el Arsenal porque las probabilidades eran mejores para ese equipo. Ahora tengo que pensar exactamente con qué me enfrento. Los corredores de apuestas sitúan sus probabilidades basándose en las decisiones de apuesta de todos los apostadores. Si la teoría de la Sabiduría de las Multitudes se puede aplicar a todos estos jugadores, entonces deberemos esperar que las posibilidades ofrecidas por los corredores de apuestas reflejen las verdaderas probabilidades que tienen los equipos de ganar, perder y empatar. En el último capítulo, mostré la rapidez con la que los corredores pueden ajustar sus marcas para reflejar las predicciones de la multitud. No solo eso, sino que tienen mucha más experiencia que yo prediciendo resultados futbolísticos. Aunque la multitud vaya un poco desencaminada, los corredores de apuestas habrán fijado sus probabilidades iniciales basándose en años de experiencia. Para ganar, tengo que ser mejor que los corredores de apuestas y el conocimiento agregado de decenas de miles de jugadores.
Imaginemos, entonces, que las marcas de los corredores de apuestas son el reflejo perfecto de la probabilidad que tienen los diversos equipos de ganar, empatar o perder. Supongamos también que los corredores han establecido las marcas para reflejar el número de personas que apuestan por cada uno de estos resultados. Así, para el partido del Community Shield, si las posibilidades de victoria del Chelsea son de 2,3, entonces la probabilidad de que ganen es sencillamente 1/2,3 = 43,5 %. Igualmente, la probabilidad de victoria del Arsenal es 1/3,1 = 32,2 %, y la probabilidad de un empate es 1/3,4 = 29,4 %. Pero hay un problema. ¡43,5 % + 32,2 % + 29,4 % = 105,1 %! No podemos tener una probabilidad que sea mayor del 100 %. Simplemente no suma.
La razón por la que las probabilidades no suman un 100 % es que las marcas no son justas. El 5,1 % extra es la ventaja del corredor de apuestas. Para conseguir las probabilidades reales, tenemos que corregir el beneficio dividiéndolo por 105,1. Así que la verdadera probabilidad del corredor de apuestas para una victoria del Chelsea es 43,5/105,1 = 41,3 %, la probabilidad de una victoria del Arsenal es 32,2/105,1 = 30,7 % y para un empate es 29,4/105,1 = 28,0 %. Si sumamos ahora estas probabilidades ajustadas, obtenemos un 100 %. Para una multitud perfectamente sabia y unos corredores de apuestas perfectamente eficientes, estas son las probabilidades de cada resultado.
Si las posibilidades reflejan perfectamente la realidad, entonces no importa por qué resultado apueste porque mi expectativa de beneficio es siempre la misma. Si apuesto 1 libra al Arsenal en el Community Shield, espero recibir 0,307 × 3,1 ≈ 0,95, unos 95 peniques. El beneficio esperado es el mismo para el Chelsea, 0,413 × 2,3 ≈ 0,95, y de nuevo espero obtener 95 peniques. Y —lo has adivinado— si apuesto por un empate, espero obtener 95 peniques. De media, el corredor de apuestas se quedará con unos 5 peniques por cada libra que apueste.
La mayor parte de los corredores de apuestas online han incorporado de un 5 % a un 6 % de ventaja en sus posibilidades. Tú mismo puedes calcular su ventaja siguiendo los pasos anteriores, sustituyendo mi apuesta en el Community Shield por cualquier otra apuesta de las que ofrecen. Toma, por ejemplo, la apuesta europea de victoria, empate y derrota ofrecida por cualquier corredor de apuestas, conviértela en probabilidades dividiendo uno por las posibilidades, y después suma estas probabilidades. La diferencia entre esta suma y el 100 % te indica el grado de «injusticia» en las marcas del corredor de apuestas, lo que te indicará lo bueno que debes ser para ganar.
Es posible que puedas mejorar tus posibilidades. Corredores de apuestas diferentes ofrecerán posibilidades diferentes para el mismo partido. Las posibilidades de cada corredor de apuestas se presentan con una ventaja incorporada, pero algunos ofrecen mejores posibilidades para el favorito mientras que otros favorecen al más débil. Por ejemplo, en el tercer fin de semana de la temporada 2015/2016, uno de los principales corredores de apuestas ofrecía 10,00 por una victoria del Newcastle United en casa del Manchester United, mientras que su gran rival ofrecía 9,00. Así, apostar por el Newcastle con el primer corredor en lugar de con el segundo añadiría un 11 % a tu expectativa de beneficio. Pero el rival ofrecía 1,33 por una victoria del Manchester, mientras que el primer corredor de apuestas solo 1,28, así que apostar con el rival te iba a dar un margen del 4 %.
Tener cuenta con un solo corredor de apuestas es, para decirlo claramente, una tontería. Aunque solo utilices cuatro corredores de apuestas diferentes, podrás encontrar grandes diferencias en las posibilidades que ofrecen. Yo abrí cuenta en los cuatro corredores de apuestas más importantes y comparé las posibilidades que ofrecían utilizando una página web de comparaciones. Al seleccionar los corredores de apuestas con las mejores posibilidades, su ventaja en las apuestas que me interesaban cayeron del 5 % o 6 % a alrededor de 1 % o 2 %. A veces el margen era tan bajo como el 0,01 %. Los corredores de apuestas compiten entre ellos, y lo hacen ofreciendo posibilidades más bajas sobre resultados diferentes. Al comparar es posible encontrar mejores oportunidades de apostar.
Una desventaja del 1 % o 2 % puede parecer pequeña, pero se aplica a cada apuesta. Por eso si apuesto 10 libras en un corredor de apuestas cuya ventaja es del 2 %, entonces el resultado que puedo esperar es tener 9,80 libras después de la apuesta. Después de la segunda apuesta espero tener 9,60 libras. Tras diez apuestas tendré 8,17 libras y después de un año de hacer una apuesta a la semana, tendré un capital de 3,50 libras.[126] Esto es malo, pero usar un único corredor de apuestas es mucho peor. Si tienes una cuenta para apostar en un único corredor de apuestas que tiene una ventaja del 6 %, entonces tras un año de jugar una vez a la semana tus 10 libras se habrán convertido en 40 peniques. Las otras 9,60 libras se las ha quedado él. No resulta sorprendente que los corredores de apuesta intenten generar negocio con «pruebas gratis» y 100 libras para empezar. Estas desaparecen con rapidez en cuanto empieces a jugar.
El reto
La temporada 2015/2016 de la Premier League está a punto de empezar y mi objetivo es ganar dinero apostando en partidos de las cinco primeras semanas. Mi presupuesto es de 500 libras, además de las 2,10 libras que ya he ganado gracias a la victoria del Arsenal en el Community Shield. Eso hace un total de 502,10 libras. Me he puesto unas cuantas reglas. La primera, voy a utilizar estrategias matemáticas para apostar. Cuando miro el fútbol por placer, obviamente me formo una opinión sobre qué equipos juegan mejor, pero voy a dejar de lado esas opiniones durante la duración de mi experimento con las apuestas. Establecí modelos por adelantado, basándome en los datos de los partidos y las posibilidades ofrecidas por los corredores de apuestas, y después usé estos modelos para hacer predicciones. Los modelos ya están establecidos antes de que comience el período de apuestas, y aunque los iré afinando ligeramente, me ajustaré a ellos durante todo el tiempo.
La segunda regla es que elaboré todos los modelos desde el principio, utilizando el tipo de matemáticas y estadísticas que se estudian en los cursos de licenciatura de Económicas, Física e Ingeniería. Tuve ayuda para comprender las marcas y las probabilidades de los partidos por parte de Robin Jakobsson, que trabaja para una empresa profesional de establecimiento de posibilidades, OddsCraft. Pero programé personalmente todos los modelos en Matlab, lo que me llevó unas tres o cuatro semanas.
La tercera regla es que todos los datos utilizados en los modelos son fácilmente accesibles online. Está disponible una cantidad sorprendente de datos sobre los partidos, desde estadísticas de disparos hasta índices clasificatorios de los equipos, y existe un gran número de páginas webs de comparación de posibilidades que incluyen registros históricos. Solo utilicé estas fuentes para alimentar los modelos, sin ninguna colección de datos privados pertenecientes a los clubes o a empresas.
La última regla es básicamente para mí mismo: divertirme. Fui increíblemente afortunado de que me pagaran para escribir este libro y, gane o pierda, voy a disfrutar empleando el dinero de esta manera.
Estrategia 1: apoya a favoritos fuertes y empates bien fundamentados
¿Hasta qué punto las posibilidades de los corredores de apuestas predicen el resultado de los partidos? Como vimos en el capítulo 11, si la multitud es sabia, entonces deberíamos esperar que las posibilidades ofrecidas en los partidos reflejaran con precisión los resultados. Pero también hemos visto que la multitud puede cometer errores, tanto porque calcula mal como porque los rumores que se extienden por ella la pueden descarriar. Para comprobar hasta qué punto la multitud apostadora es buena y hasta qué punto las posibilidades de los corredores de apuestas reflejan la realidad, descargué las posibilidades finales de los partidos de la Premier durante la temporada 2014/2015[127] para compararlos directamente con los resultados reales.
Empecemos analizando los partidos en los que las posibilidades finales europeas para una victoria en casa eran casi del 2,00, de manera que una apuesta ganadora por el equipo de casa casi te doblaba el dinero. Cuando un corredor de apuestas coloca una posibilidad del 2,00, implica que predice una victoria en casi la mitad de los casos. Hubo 35 partidos en la temporada 2014/2015 de la Premier inglesa con posibilidades caseras entre 1,90 y 2,10. El Liverpool frente al Everton era un ejemplo (resultado final 1-1); West Bromwich Albion-Burnley (4-0), Manchester City-Manchester United (1-0) y Sunderland-Hull City (1-3) son otros. Estos partidos enfrentaban habitualmente a un equipo de casa que estaba ligeramente mejor clasificado en la tabla que el visitante, y las posibilidades favorecían una victoria local.
Para una posibilidad del 2,0, el porcentaje de victoria previsto por el corredor de apuestas es del 50 %. Así que de los 35 partidos espera 17,5 victorias locales. En realidad hubo 19 victorias locales, muy cerca de lo esperado y desde luego dentro de los límites de la incertidumbre estadística. Las posibilidades de los corredores de apuestas eran una buena predicción de las victorias locales para estos partidos.
Pero las posibilidades de los corredores de apuestas no son siempre tan precisas. Tomemos los partidos en los que las posibilidades de una victoria local están entre 1,33 y 1,43. Estas posibilidades son típicas para participantes en la Liga de Campeones que juegan contra rivales de la parte baja de la tabla. En 2014/2015, las posibilidades en este ámbito eran frecuentes en los partidos en casa del Manchester United, incluidas sus victorias contra el Sunderland, el Crystal Palace y el Newcastle, así como en la derrota ante el West Bromwich Albion. Las posibilidades entre 1,33 y 1,32 implican que el corredor de apuestas predice una victoria entre el 70 % y el 75 % de los casos.[128] De hecho, 25 de estos 28 partidos acabaron con una victoria local, siendo un porcentaje del 89 %, de manera que en este caso las posibilidades de los corredores subestimaban a los favoritos.[129] No se trata solo de que lo más probable es que ganen los favoritos, sino de que incluso es más probable que ganen de lo que predicen las posibilidades.
Para ver si estos resultados forman parte de una tendencia general, debemos encontrar la relación estadística entre la probabilidad ofrecida por la apuesta y la probabilidad real de una victoria. Esto se muestra en la figura 12.1 para los 380 partidos de la temporada 2014/2015, agrupando los partidos con posibilidades muy similares de una victoria local. Las apuestas de entre 1,9 y 2,1 están muy cerca de las predicciones de los corredores de apuestas porque, como he mostrado antes, estas posibilidades son una buena predicción del resultado de un partido. Para apuestas de entre 1,33 y 1,43, los puntos se encuentran por encima de la línea punteada porque los corredores de apuestas subestimaron la proporción de victorias locales.
Al contemplar la figura 12.1, resulta difícil ver si existe una tendencia general en la subestimación de favoritos fuertes. Algunos puntos caen por encima de la línea diagonal, mientras que otros quedan por debajo. Pero al utilizar un método estadístico llamado regresión logística, puedo descubrir el mejor ajuste entre predicción y resultado.[130] Este recurso revela una pequeña desviación en las apuestas ofrecidas por los corredores: la proporción de victorias locales aumenta con mayor rapidez que las probabilidades de victoria de los corredores de apuestas.

Figura 12.1. Comparación de probabilidades basadas en las apuestas ofrecidas por los corredores de apuestas y el resultado de los partidos de la temporada 2014/2015 de la Premier League. Los resultados (puntos negros) por encima de la línea de puntos corresponden a victorias locales que tuvieron lugar con mayor frecuencia de la predicha por las apuestas. Los resultados por debajo de la línea de puntos corresponden a victorias locales que tuvieron lugar con menor frecuencia de la predicha por las apuestas. Los círculos indican las combinaciones de apuestas, que se analizan con mayor detalle en el texto.
Existe otro patrón en las posibilidades de los corredores de apuestas que puede explotar una estrategia de juego. En los encuentros entre dos equipos similares, el empate es mucho más habitual que cuando un equipo es el gran favorito. Manchester City contra Chelsea, Sunderland contra Stoke, Liverpool contra Arsenal y QPR contra Swansea terminaron en empate en 2014/2015. En estos partidos, la diferencia entre la probabilidad de los corredores de apuestas de una victoria por parte de alguno de los contendientes era de menos de cinco puntos porcentuales. Por ejemplo, en el partido en casa del Liverpool contra el Arsenal, los corredores de apuestas otorgaban al Liverpool un 34,5 % de posibilidades y al Arsenal un 37,7 %, lo que implica una diferencia de 37,7 – 34,5 = 3,2 puntos porcentuales. La probabilidad de un empate era, por consiguiente, 1 – 0,345 – 0,377 = 27,8 %. El partido terminó 2-2.
Analicé los 72 partidos de la temporada 2014/2015 en los que la diferencia entre las probabilidades de victoria de los dos equipos eran menores de 10 puntos porcentuales. De estos partidos, 25 acabaron en empate, dando un 34,7 % de probabilidades de un empate. En contraste, las apuestas de los corredores de apuestas daban una probabilidad media para el empate en estos partidos del 29,5 %.[132] Las apuestas se alejaban del empate favoreciendo la victoria de uno de los dos equipos. Nuevamente, no existe una gran diferencia estadística significativa entre las apuestas y los resultados, pero se trata de una tendencia que vale la pena considerar. Podría ser que a los apostadores no les gusta apostar por un empate entre dos equipos igualados, de la misma manera que no les divierte apostar por los favoritos.
Aunque no sean estadísticamente significativas, estas desviaciones contra el empate entre equipos igualados y grandes favoritos son los patrones más claros que descubrí en las apuestas del año anterior y forman la base de la estrategia que voy a probar: la llamo mi estrategia de desviación de apuestas. Por cada partido calculé en primer lugar la diferencia en las probabilidades de victoria de los corredores de apuestas para los dos equipos. Si esta diferencia era mayor de 0,4, entonces apostaba por el favorito. Si la diferencia era menor de 0,15, entonces apostaba por un empate.[133]
Estrategia 2: índice de resultados
El Euro Club Index utiliza un sistema, presentado con más detalle en el capítulo anterior, de transferencia de puntos entre clubes. El índice se calcula únicamente sobre la base del resultado de los partidos. Cuando un equipo gana, su índice aumenta; cuando un equipo pierde, su índice disminuye. Esta característica es la mayor fortaleza del Euro Club Index. De la misma manera que los jugadores suelen favorecer la apuesta a la contra y se alejan de las apuestas por los empates entre equipos igualados, solemos ver tendencias a corto plazo que en realidad no existen. Muchos estudios sobre baloncesto y fútbol americano han identificado un efecto de la «mano caliente», cuando los jugadores favorecen a los equipos que han ganado sus últimos partidos. Los apostadores creen que un equipo está en racha y que seguirá así durante los partidos siguientes. La fuerza del efecto de la «mano caliente» es discutible y, como se ha discutido tan ampliamente durante los últimos 30 años, probablemente existe un gran número de jugadores que apuesta deliberadamente en su contra. Pero está en nuestra naturaleza reaccionar en extremo ante los cambios a corto plazo de manera que, si el Euro Club Index refleja realmente tendencias a largo plazo, debería batir las posibilidades.
Las posibilidades del Euro Club cambian, pero lentamente. La figura 12.2 muestra la clasificación del Euro Club para los cinco primeros equipos durante las primeras cuatro semanas de la temporada 2015/2016 de la Premier League. El Chelsea iba hacia abajo, después de cosechar tres derrotas, un empate y solo una victoria. Incluso después de este mal inicio de temporada, el Euro Club Index seguía teniendo al Chelsea como el primer equipo en Inglaterra en la tercera semana. Esa semana jugaron fuera contra el West Brom, y las posibilidades del Euro Club otorgaban al Chelsea el 63 % de probabilidades de ganar, mientras que las mejores apuestas de los corredores de apuestas daban a la victoria una probabilidad del 60 %. El Manchester City, que empezó la temporada sumando victorias, obtenía del Euro Club un 46 % de posibilidades de ganar en casa del Everton, mientras que los corredores de apuestas les daban un 56 % de posibilidades de victoria. El público apostador y los corredores de apuestas fueron más rápidos en responder a los resultados en las primeras cuatro semanas de la temporada que el Index.
Tanto el Chelsea como el Manchester City ganaron sus partidos en la tercera semana, pero cuando el Chelsea fue humillado en casa por el Crystal Palace en la cuarta semana, cambiaron sus posiciones en la clasificación. Estas observaciones aisladas no son suficientes para que podamos llegar a ninguna conclusión sobre los méritos relativos del Euro Club Index y del mercado de las apuestas. Pero podemos ver que el Euro Club es más «cauto» que los mercados de apuestas en cómo evalúa los cambios de forma. Si el Euro Club Index trabaja de la manera adecuada y los mercados de apuestas reaccionan en demasía ante los resultados, entonces se puede conseguir un beneficio siguiendo al Index. Yo adopté el Euro Club Index como mi segunda estrategia para apostar.

Figura 12.2. Euro Club Index para los cinco primeros clasificados al principio de la temporada 2015/2016. El Chelsea (a) cayó en la clasificación, mientras que el Manchester City (b) subió. El Arsenal (c), el Manchester United (d) y el Liverpool (e) sufrieron pequeños cambios.
Normalmente los jugadores profesionales intentan encontrar indicadores de la actuación de los equipos que otras personas no conocen. Todos podemos ver la cantidad de goles que ha marcado un equipo y cuántos partidos ha ganado, pero si un jugador puede encontrar un indicador que prediga actuaciones futuras, y los demás no lo hemos encontrado, tiene una ventaja. Los jugadores suelen ser bastante reservados sobre cuáles son estos indicadores y cuáles predicen el resultado de los partidos, así que intentaré encontrar algunos personalmente.
El indicador de actuación que vemos con mayor frecuencia en las pantallas de televisión es la posesión: el porcentaje de tiempo de partido en que cada equipo tiene el balón. Cuando nuestro equipo favorito va perdiendo por 1-0 pero tiene más posesión, resulta tentador pensar que están a punto de igualar. Las páginas de apuestas en vivo muestran las estadísticas de posesión y ofrecen buenas apuestas para una remontada. Quieren que creas que más posesión equivale a una mejor actuación y que deberías apoyar al equipo con el balón. No te dejes engañar. La posesión no garantiza que el equipo esté jugando bien. Cuando se encuentran dos equipos igualados, el nivel de posesión no es proporcional a su capacidad para marcar goles.[134] Al contrario, las estadísticas de las últimas temporadas de la Premier League demuestran que el equipo que disfruta de la posesión es más probable que pierda. Esto es así porque el equipo que va perdiendo quiere atacar.[135] El rival deja que tenga el balón y espera que cometa un error. Ir perdiendo conduce a tener más la posesión y más posesión no conduce necesariamente a más goles.
Uno de los indicadores de actuación que proporcionan las páginas de apuesta y se muestra en televisión es el número de disparos, tanto a portería como desviados. Los disparos son mejores para predecir el resultado que la posesión, pero aun así explican solo una pequeña parte de la historia del partido. Un disparo para probar desde lejos del área es menos probable que entre que un disparo bien controlado justo delante de la portería, aunque los dos disparos vayan a puerta. Para saber realmente lo bueno que es un equipo generando goles, debemos saber de dónde salen los disparos.
Resulta sencillo crear un modelo sobre el origen de los disparos si troceamos el campo en un pequeño número de zonas y calculamos la probabilidad de un gol a partir de un disparo lanzado desde cada una de estas zonas. Por ejemplo, podemos definir el área pequeña, el área grande (sin el área pequeña) y la zona fuera del área como tres zonas diferentes. Después contar cuántos disparos a portería se realizan desde cada una de estas zonas y cuántos de ellos acaban en gol. Tomando una muestra de disparos y goles de las temporadas anteriores, las probabilidades de que un disparo desde estas tres zonas acabe en gol eran del 32,2 %, el 12,4 % y el 3,4 %, respectivamente.
Esta última estadística me sorprendió. Antes de ver las cifras, cuando veía un partido me ponía en pie y gritaba «¡Tira!» cuando un delantero se acercaba al área. Ahora ya no. Un porcentaje de éxito del 3,4 % te pone los pies en el suelo: de media se necesitan casi 30 disparos desde fuera del área para conseguir un solo gol. Si el delantero puede abrirse paso solo unos pocos metros más, sus posibilidades de marcar se triplican.
Encontrar las posiciones de disparo de los partidos anteriores es sencillo en la versión online de Statzone de FourFourTwo.[136] Yo conté el número de disparos desde las diferentes zonas y las clasifiqué según las probabilidades de marcar. Por ejemplo, en el partido en casa contra el Arsenal en agosto de 2015, el Crystal Palace chutó cinco veces desde fuera del área grande, cinco veces dentro del área pero fuera del área pequeña, y solo una vez dentro del área pequeña. El número de goles que puedes esperar que marquen con estos disparos es
(0,034 × 5) + (0,124 × 5) + (0,322 × 1) = 1,019
que se acerca mucho al gol, un pelotazo desde fuera del área, que marcó el Crystal Palace en el partido. El número de goles que se podían esperar del Arsenal, calculado sobre la misma base, también se acercó a los dos que marcó. Realizaron cuatro disparos desde fuera del área, 13 desde dentro del área grande pero fuera del área pequeña y, de nuevo, solo uno desde dentro del área pequeña, lo que da(0,034 × 4) + (0,124 × 13) + (0,322 × 1) = 2,066
goles esperados. El Arsenal es especialmente interesante, porque parece que Arsène Wenger ha visto la estadística de éxito de disparos que he presentado aquí. En lugar de perder oportunidades, el Arsenal casi siempre intenta llevar el balón dentro del área antes de chutar.En su partido en casa de la semana anterior, el Arsenal perdió 0-2 ante el West Ham. Las expectativas de goles del Arsenal en ese partido habían sido
(0,034 × 6) + (0,124 × 15) + (0,322 × 0) = 2,058
casi exactamente las mismas que contra el Palace. Las expectativas de gol del West Ham solo llegaban a(0,034 × 2) + (0,124 × 5) + (0,322 × 0) = 0,686
Pero ocurrió que dos de los siete disparos del West Ham entraron. Este partido muestra exactamente por qué los goles esperados pueden ser útiles en las apuestas. El Arsenal tuvo mala suerte contra el West Ham, pero a la semana siguiente, contra el Crystal Palace, sus goles reflejaron exactamente las posibilidades que tenían. El West Ham había tenido suerte y a la semana siguiente perdió en casa contra el Leicester City. La expectativa de goles ofrece un indicador de actuación mucho más útil para partidos futuros que los goles realmente marcados.Otro indicador de actuación importante es la tasa de pases: la cantidad de pases realizados con éxito por minuto de posesión. Cuantos más pases realiza un equipo por minuto, más posibilidades tiene de marcar goles.[137] Más aún, los equipos que realizaron un montón de pases con éxito en los partidos anteriores, vencieran o no en esos partidos, es más probable que ganen su siguiente partido. Lo que cuenta no es tanto cuánto tiempo tienes el balón, sino cómo lo mueves.
El siguiente paso para mí es triturar números. Para crear un modelo de indicador de actuación, tomé la expectativa de goles de cada equipo y la tasa de pases de partidos anteriores y los utilicé para predecir la tasa de marcaje de goles en los partidos siguientes. Utilizando una técnica llamada regresión de Poisson, descubrí que tanto la expectativa de goles como la tasa de pases eran mejores indicadores sobre las posibilidades de que un equipo marque goles que solo usando los resultados previos. Este es exactamente el requisito de un buen modelo de indicador de actuación. La información que consultan la mayoría de los apostadores, los resultados previos, no es tan útil para predecir resultados como estos indicadores de actuación.
La tabla 12.1 muestra la tasa de pases y la media de goles esperados, a favor y en contra, de todos los equipos antes de la cuarta semana de la temporada 2015/2016 de la Premier League. La clasificación de cada equipo se ha calculado a partir de estas estadísticas, cuanto mayor es la tasa de pases y mayor la expectativa de goles se obtiene una mejor clasificación.[138]
TABLA 12.1. Clasificación de los equipos participantes en la cuarta semana de la Premier League 2015/2016 sobre la base de la tasa de pases y la expectativa de goles.[139]
Dos equipos de mucho nombre, Chelsea y Manchester United, tenían partidos contra rivales inferiores pero con un mejor ranking. Los chicos grandes perdieron.
El Chelsea, en el puesto 12, perdió en casa con el Crystal Palace, en el puesto 9, y el Manchester United, que estaba quinto, fue vencido por el Swansea City, que era tercero. Las apuestas, siguiendo esta clasificación en la cuarta semana de la temporada, habrían proporcionado beneficios de cuatro veces la inversión. El viernes antes del partido, la victoria del Palace estaba disponible a 11,00 y la del Swansea a 3,60. Repito de nuevo que no podemos sacar demasiadas conclusiones de uno o dos resultados, pero tenemos lo suficiente para sugerir que los indicadores de actuación pueden ser útiles, y que la tasa de pases y la expectativa de goles sirven como mi tercera estrategia.
Estrategia 4: el experto
Con las tres estrategias que he esbozado hasta el momento, intentaba explotar las desviaciones en la manera en que los apostadores analizan el fútbol con el objetivo de vencer las probabilidades. He identificado tendencias estadísticas —apostando en función de las probabilidades, en resultados a largo plazo y en indicadores de actuación— de las que probablemente no son conscientes la mayoría de las personas. Pero las estadísticas no lo explican todo. Muchas de las cosas que ocurren en el campo no se pueden capturar con tasas de pases, expectativas de goles y clasificaciones de equipos, y esperamos que los expertos en fútbol sean capaces de captar estos aspectos.
El experto por el que decidí arriesgar mi dinero es Joe Prince-Wright, principal articulista y editor del ProSoccerTalk de la NBC. Vive y respira la Premier League, enviando noticias y reportajes a los EE.UU. desde Londres. En Twitter comenta todos los detalles importantes de cada partido y aparentemente no se pierde ni una sola jugada. Escribe hasta 20 artículos al día para la NBC, cubriéndolo todo desde la cima hasta el fondo de la Liga de Fútbol, explicando rumores de traspasos y noticias sobre lesiones. Como trabaja para un medio relativamente pequeño (en términos de cobertura futbolística), Prince-Wright tiene que comprobar personalmente los datos y asegurarse de que lo que escribe es correcto. Esto podría explicar por qué, como vimos en el capítulo anterior, acertó tanto en la predicción de las temporadas 2013/2014 y 2014/2015 de la Premier League. Cuando se trata de la Premier League, este hombre conoce su oficio.
Y Prince-Wright no teme hacer predicciones. Además de destacar con una predicción sobre toda la temporada, cada semana publica sus «Premier League picks». Da un resultado exacto para todos los partidos de la semana, del tipo Aston Villa 0, Manchester United 2, o Swansea City 3, Newcastle United 0. No espera que tomemos estas predicciones al pie de la letra y califica cada predicción con un «Básicamente, dinero caído del cielo», un «Así que me dices que hay una posibilidad...» o un «Esto ni tocarlo...» para mostrar su nivel de confianza. Pero el resultado da una idea de quién cree que va a ganar y por cuánta diferencia.
Para convertir los marcadores de Prince-Wright en las predicciones probabilísticas que necesitaba para comparar con las posibilidades que presentan los corredores de apuesta, debía crear tasas de marcaje de goles. Creo que Prince-Wright a veces exagera un poco el número de goles para subrayar la fuerza relativa de los dos equipos, así que los ajusté teniéndolo en cuenta. Tomemos la predicción que el Aston Villa perderá 0-2 con el Manchester United. En realidad, el Villa tiene algunas posibilidades de marcar, así que situé la expectativa de goles en 0,5. Igualmente, los 2 goles del United son una tasa muy alta de goles esperados, así que rebajé la tasa a 1,5. En general, la ecuación para convertir los goles P de Prince-Wright en la tasa de marcaje S es

Estrategia 5: preguntar a mi esposa
Para resolver los problemas de mi vida existe una persona cuya opinión valoro más que la de todos los demás. Desde pequeñas dificultades, como dónde he dejado las llaves, hasta la planificación de proyectos a gran escala, como la manera en que deberíamos formar nuestra familia, confío en el juicio de Lovisa Sumpter. No solo es una esposa fantástica, sino que también es profesora asociada de didáctica de las matemáticas e instructora de yoga cualificada. Así que cuando se trata de tomar decisiones y tener un punto de vista equilibrado sobre la vida, Lovisa sabe lo que hace.
Lovisa tiene otro talento. Es la única persona que conozco que ha ganado a las quinielas. Mucho antes de conocernos, cuando aún era una estudiante, predijo correctamente el resultado de los 13 partidos de la quiniela sueca, el Stryktipset. Las posibilidades de acertar todos los resultados fijándolos al azar es 1 entre 313 = 1/1.594.323. Desgraciadamente, debió ser una semana ligeramente más predecible de lo habitual y hubo unos cuantos apostantes más que acertaron los 13. Lovisa compartió el premio y recibió unas 600 libras. No está mal para una estudiante, pero no era la cantidad para una vuelta al mundo o para comprarse una casa como habría conseguido si hubiera sido la única ganadora. Lovisa ha dejado de seguir el fútbol y de jugar a las quinielas, pero sigue estando muy orgullosa de ser una de las pocas personas en Suecia que ha «acertado los 13».
Sobre esta base, propongo mi quinta y última estrategia: «preguntar a mi esposa». Ella representa al apostador típico.
Unirlo todo
Ahora tengo cinco estrategias y existen tres resultados posibles para cada partido. Esto es un problema. Si las estrategias no se ponen de acuerdo, me voy a encontrar apostando por una victoria local, una victoria visitante y un empate en el mismo partido. Teniendo en cuenta la ventaja que añaden los corredores de apuestas, esa no es una acción inteligente. La respuesta está en convertir cada estrategia en probabilidades de resultados y después combinarlas para tener una probabilidad general de victoria, derrota y empate de cada partido. La estrategia de desviación de apuestas ya funciona como probabilidades de partido, de manera que se puede convertir directamente.140] Igualmente, el Euro Club Index ya ofrece una probabilidad para cada resultado.[141] Mi indicador de actuación y la estrategia de experto me ofrecen tasas de marcaje de goles para los dos equipos. Por ejemplo, utilizando las predicciones de Prince-Wright, fijé la tasa de marcaje del Aston Villa en 0,5 goles por partido y la del Manchester United en 1,5. Después las utilicé para realizar una simulación Poisson, lo mismo que hice en el capítulo 1, con estas tasas de marcaje. Para el partido Villa-United esto da probabilidades del 12,5 % para una victoria local, 23,0 % para un empate y 64,5 % para una victoria visitante.[142] La estrategia 3 de indicadores de actuación también ofrece una tasa de marcaje que se puede comprobar de la misma manera con una simulación Poisson.[143]20
Mis cuatro estrategias para apostar ofrecen con frecuencia predicciones muy diferentes. Para el Chelsea contra el West Bromwich Albion en la cuarta jornada de la temporada, la estrategia de desviación de apuestas sugería que ganaría el Chelsea, mientras que la estrategia del indicador de actuación favorecía al WBA. Para reconciliar estos consejos contradictorios, tomé la predicción media de cada una de las cuatro estrategias y la comparé con las posibilidades de los corredores de apuestas, aplicando el test p > 1/o. Solo apuesto por un resultado si bate las posibilidades. Para el Chelsea-West Brom, la probabilidad de una victoria visitante de los indicadores de actuación superaba la estrategia de desviación de apuestas, y mi modelo general favorecía una apuesta por el West Brom.
Por último, pero no por ello menos importante, está el «preguntar a mi esposa». Como sabe muy bien Lovisa, mi estima por su opinión está muy lejos de que haga realmente lo que dice: soy demasiado tozudo para eso. Así que no va a tener ninguna influencia en mis apuestas. En su lugar, sacaré 100 libras de nuestra cuenta corriente conjunta, donde deposité el anticipo de Bloomsbury, y se lo daré a Lovisa para que lo invierta como quiera en su propia estrategia de juego. Después sacaré las 402,10 libras restantes y las invertiré en mis otras cuatro estrategias. Y veremos quién lo hace mejor. ¡Estoy realmente interesado en ver cómo nos va!
Capítulo 13
Llegan los resultados
Lucky Luke y Calamity Jane
Imagina a un apostador de viernes por la tarde —al que llamaré Luke— que, empezando con un capital de 100 libras, realiza apuestas de 5 libras en cada uno de los 10 partidos de la Premier League durante cinco fines de semana. El gráfico de la izquierda en la figura 13.1 muestra el progreso de sus apuestas. Parece que sabe lo que está haciendo porque al cabo de cinco semanas y 50 partidos ha convertido sus 100 libras en casi 250. No solo eso, sino que también tiene un histórico consistente con un crecimiento fiable. Luke no gana cada apuesta, pero su capital aumenta constantemente.
Tomemos ahora a otra jugadora, Jane, que tiene la misma cantidad de dinero que Luke. Ella también realiza apuestas de 5 libras, pero no le van tan bien las cosas: véase el gráfico de la derecha en la figura 13.1. Lo hace bien en los primeros partidos, pero a partir de ahí todo va cuesta abajo. Cuando Jane gana, gana poco, y cuando empieza a perder, sigue perdiendo, sin conseguir ganar seis o siete apuestas seguidas. Al cabo de 50 partidos solo le quedan 20 libras, la quinta parte del capital inicial.
Luke y Jane son simulaciones informáticas de dos modelos diferentes. En la primera simulación, Luke coloca las apuestas totalmente al azar. Escoge victorias locales, empates y victorias visitantes con las mismas probabilidades y después apuesta. El modelo asume que las posibilidades que le ofrecen son el reflejo real de las probabilidades del resultado del partido, pero los corredores de apuestas han incorporado una pequeña ventaja del 1,5 %. Pero Luke tiene suerte: sigue ganando aunque no tiene ni idea de lo que está haciendo. Está apostando al azar.
El modelo Jane es diferente. He supuesto que sabe más que los corredores de apuestas. Aun teniendo en cuenta el 1,5 % de ventaja que tienen los corredores, le he dado a Jane un 1 % por encima de ellos. Pero eso no es suficiente para librarse del azar: ocurre una calamidad y sigue perdiendo. Jane hace lo correcto, pero no consigue que redunde en su beneficio antes de perder su dinero.

Figura 13.1. Cambios en el capital de Luke (a) y Jane (a) en la simulación de las apuestas.
En la vida real, por supuesto, Luke y Jane no disponen de 10.000 oportunidades para comprobar sus estrategias de juego: cada uno tiene una sola oportunidad. Las simulaciones de Luke y Jane que se muestran en la figura 13.1 pueden ser extremas, pero existe una posibilidad razonable de que ocurran. Las dos distribuciones en la figura 13.2 son ligeramente diferentes, pero no muy diferentes. Tras 50 apuestas, Jane tiene más dinero que Luke en el 62,6 % de las simulaciones; en el otro 37,4 % era Luke quien tenía más dinero al final.
El problema de los Luke y las Jane de la vida real es que nadie sabe realmente qué estrategia es la mejor. Lo único que se puede hacer es mirar los resultados. Tras unas semanas muy provechosas, es posible que Luke empiece a alardear ante sus amigos sobre su sorprendente estrategia nueva. Se imagina un patrón en sus elecciones y entra en foros digitales en los que explica a los demás su sorprendente «sistema» nuevo. Jane, en cambio, se desalienta. Cree que dispone de un análisis sólido y bueno para fundamentar su estrategia, pero los resultados no la acompañan. Abandona y lo intenta con cualquier otra cosa. El mundo de las apuestas está lleno de Lukes y Janes burlados por la aleatoriedad del corto plazo.

Figura 13.2. Histograma del capital tras 50 partidos para Luke (a) y Jane (b) en 10.000 simulaciones diferentes.
Fue con Luke y Jane en mente como analicé cómo se habían comportado mis modelos de las cuatro estrategias principales durante las primeras cuatro jornadas de la temporada 2015/2016 de la Premier League. Antes de empezar a apostar, analicé cómo habría cambiado un capital inicial de 100 libras si hubiera apostado según cada una de las estrategias cada semana: véase figura 13.3. La variación entre las estrategias es grande. En la primera semana de la temporada, Prince-Wright tuvo razón. Mi estrategia experta basada en sus predicciones sugería una gran victoria fuera de casa por parte del Crystal Palace, una victoria ajustada del Liverpool y un empate entre Newcastle y Southampton, y todo eso ocurrió. La estrategia del indicador de actuación y el Euro Club Index perdieron dinero. La estrategia de desviación de apuestas, consistente en apoyar a favoritos fuertes o incluso empates, consiguió ganar pequeñas cantidades en algunas apuestas. No obstante, al cabo de unas pocas semanas, a Prince-Wright se le acabó la suerte, pero la estrategia del indicador de actuación, que predijo el declive del Chelsea, empezó a conseguir beneficios. La estrategia de desviación de apuestas siguió con pequeñas ganancias constantes, mientras que el Euro Club Index sufrió una erosión continuada de su capital.
Para elaborar la figura 13.3 utilicé una regla llamada el criterio de Kelly para decidir qué dimensiones debía tener cada apuesta. El criterio de Kelly tuvo su origen en una rama de las matemáticas llamada teoría de la información. En las décadas de 1940 y 1950, los ingenieros intentaban encontrar maneras para que los primeros canales de comunicación digital fueran más eficientes. Dos canales se pueden comparar en términos de la probabilidad de que transmitan una información fiable. Los canales más precisos proporcionan la información con más rapidez que los canales menos precisos. John Kelly Jr. estableció una analogía matemática entre predecir acontecimientos deportivos y tener un canal de comunicación que transmita el resultado del partido antes de que se haya jugado.[144] Es posible que este canal cometa errores, pero si es más preciso que el canal del corredor de apuestas, entonces vale la pena apostar por él. Cuanto más preciso el canal y cuanto más dinero tengas, mayores serán las apuestas que debas realizar.

Figura 13.3 Qué resultados habrían obtenido mis cuatro estrategias de juego —indicador de actuación (a), desviación de apuestas (b), Euro Club Index (c) y experto (d)— con un capital inicial de 100 libras durante los primeros 40 partidos de la Premier League 2015/2016.


Las estrategias experta e indicador de actuación conducen a enormes fluctuaciones en los resultados porque realizan predicciones que son muy diferentes de las posibilidades de los corredores de apuestas. Cuando estas estrategias tienen razón, las ganancias son grandes, pero cuando están equivocadas las pérdidas también son grandes. El Euro Club Index y la estrategia de desviación de apuestas ofrecen predicciones que son bastante similares a las posibilidades de los corredores de apuestas, con la primera generando una pérdida pequeña pero constante y la última un beneficio pequeño pero constante. Los resultados hasta el momento son útiles, pero debemos recordar la historia de Luke y Jane. No existe ninguna garantía de que estas tendencias seguirán cuando empiece a apostar en el mundo real.
Semana 1: empates aburridos
La tarde del viernes antes de la primera semana de apuestas, estaba nervioso. Ahora iba en serio. Introduje las posibilidades de los corredores de apuestas, las estadísticas de disparo de la última semana, las predicciones de Prince-Wright y las posibilidades de Euro Match. Para decidir qué apuestas realizar, sopesé cada modelo basándome en las actuaciones anteriores. Otorgué a la estrategia experta y al Euro Club Index, que habían perdido dinero las semanas previas, menos influencia en mi modelo combinado que el indicador de actuación y la estrategia de desviación de apuestas. Todo estaba dispuesto. Apreté la tecla.
Mi pantalla se llenó de un galimatías de texto y números mientras realizaba los cálculos. Al cabo de medio minuto apareció la tabla de resultados: una lista de partidos, probabilidades, corredores de apuestas con las mejores posibilidades y la cantidad de la apuesta sugerida por el criterio de Kelly. Lo leí y quedé muy decepcionado: 8 de las 10 sugerencias eran por un empate. ¡Empates! Esperaba apoyar a diferentes equipos, animándolos mientras luchaban por la victoria y justificaban mi estrategia. Pero ¿empates? ¿Cómo puedo ver un partido de fútbol y animar para un empate?
Repasé todo el código, pero el resultado era correcto. No era que las estrategias predijeran que los empates eran especialmente posibles esta semana, sino que sencillamente las apuestas por los empates eran particularmente buenas. Para empezar a apostar había elegido un momento tras un parón de dos semanas en las jornadas de la Premier League a causa del fútbol internacional, y los apostadores creían que los equipos regresarían buscando resultados.
Los apostadores tenían razón y mis estrategias se equivocaron. Solo hubo un empate en 10 partidos. Una de mis victorias predichas, los Spurs fuera de casa contra el Sunderland, también acertó, pero en conjunto perdí 18,06 libras de las 48,75 apostadas. Las cosas habrían sido muy diferentes si Kelechi Iheanacho no hubiera entrado como una sustitución tardía para el Manchester City en su partido contra el Crystal Palace, y no hubiera marcado el único gol del encuentro en el minuto 90. Pero esta es la naturaleza del azar.
Lovisa también obtuvo una pequeña pérdida en su primera semana de apuestas. Pero ganó con las 10 libras apostadas a que el Manchester United ganaría o empataría contra el Liverpool. Probablemente esa apuesta solo la hizo para molestarme, pero al final no importa. Ver como la defensa del Liverpool cometía un penalti y permitía que el United marcase en las dos únicas ocasiones que tuvo dentro del área fue mucho más deprimente que pensar que Lovisa se había puesto ligeramente en cabeza.
En la primera semana, la estrategia experta funcionó tan mal como en el período de prueba. Los consejos de Prince-Wright eran divertidos, pero no eran correctos. Pero contemplándolo en el contexto de investigaciones anteriores, este resultado no era sorprendente. Muchos estudios de investigación han comprobado la capacidad de los asesores para proporcionar consejos para apostar en partidos de fútbol individuales, y los asesores no han salido bien parados. Lo normal es que las posibilidades de los corredores de apuestas venzan a los expertos.[145] En un estudio sobre la Copa del Mundo de 2002, las predicciones de los expertos no fueron mucho mejores que las realizadas por personas sin ningún conocimiento sobre el juego.[146] Así que Prince-Wright no se tiene que sentir avergonzado, pero para la siguiente semana lo saqué de mi modelo general.
Semana 2: declive del índice
Eliminado el experto, las apuestas mejoraron. El modelo preveía seis empates, tres victorias visitantes y una victoria local. Me decía que debía apostar 27,88 libras en los diez partidos y gané 1,93 libras. En términos futbolísticos, fue una semana habitual. Empates en las Midlands entre Villa y West Brom, y Stoke y Leicester, combinados con una victoria fuera del Watford en Newscatle fueron suficientes para darme un pequeño beneficio.
Ahora decidí echarle un vistazo más a fondo al Euro Club Index. Si hubiera utilizado solo esta estrategia desde el principio de la temporada, después de los 60 partidos que se habían jugado hasta el momento, mis 100 libras se habrían convertido en 33,21. Mi gran preocupación sobre el Euro Club era que su declive era muy continuado. Aun cuando usaba cuatro corredores de apuestas diferentes y elegía los que ofrecían las mejores posibilidades, los corredores seguían teniendo una ventaja de alrededor del 1,9 % por apuesta. La figura 13.4 compara el declive del Euro Club Index con una referencia en descenso basada en la ventaja de los corredores de apuestas con cada apuesta. La tendencia en ambos casos es muy similar. El Euro Club Index hace un buen trabajo prediciendo partidos de fútbol. El problema es que los corredores de apuestas también hacen un buen trabajo. Con lentitud pero con seguridad, la ventaja de los corredores de apuestas se estaba comiendo el capital del Euro Club.
El Euro Club Index es una variación de un sistema conocido como Elo por su creador, el profesor de Física Arpad Elo. Se desarrolló originalmente para las clasificaciones en ajedrez, pero desde entonces se ha utilizado para clasificaciones de todo tipo, desde el béisbol y el fútbol americano a Pokémon y World of Warcraft. Lo han popularizado y aplicado ampliamente Nate Silver y su equipo en FiveThirtyEight, que elaboran las clasificaciones Elo para la NFL.[147] En este caso, como en el Euro Club Index, los equipos ganadores obtienen puntos de los equipos a los que derrotan, y su índice mejora a lo largo de la temporada. Cada semana, FiveThirtyEight publica las predicciones de los partidos y proyecta a lo largo de la temporada para calcular las posibilidades que tiene cada equipo de llegar a los play-off y a la Superbowl.
El sistema Elo es fiable. Los grandes maestros, quarterbacks y directores de juego de rol con alta puntuación se encuentran invariablemente en la cúspide de su juego. Pero cuando se trata de apostar, la fiabilidad no es suficiente. Al Elo le falta ese aspecto tan importante. Los investigadores noruegos Lars Magnus Hvattum y Halvard Arntzen implantaron un sistema Elo y lo comprobaron durante ocho temporadas completas de resultados de fútbol de las cuatro divisiones inglesas.[148] La comprobación de su modelo a través de 16.288 partidos fue mucho más concienzuda que mi evaluación del Euro Club Index con 60 partidos, pero los resultados eran similares. Su sistema Elo perdió valor a un ritmo que reflejaba la ventaja de los corredores de apuestas. El Elo podía seguir los cambios en la actuación de los equipos, pero no podía hacer dinero.

Figura 13.4. Actuación de la estrategia Euro Club (línea de puntos) en comparación con una selección aleatoria de apuestas (línea continua) con 100 libras de capital inicial a lo largo de los 60 primeros partidos de la Premier League 2015/2016.
Para comprobar hasta qué punto funciona el Soccer Power Index, descargué las predicciones de FiveThirtyEight para la fase de grupos de la Copa del Mundo de 2014 y las comparé con las posibilidades de los corredores de apuestas para estos partidos. Apostar en los 48 partidos de la fase de grupos utilizando el criterio de Kelly con el Soccer Power Index, con un capital inicial de 100 dólares, habría producido 400 dólares de beneficio. Seguir las predicciones de FiveThirtyEight para la Copa del Mundo femenina de 2015 también habría dado beneficios. Tomar los 500 dólares del campeonato masculino e invertirlo en el femenino habría producido un beneficio total de unos 1.400 dólares entre los dos campeonatos. No es un mal resultado.
A pesar de este éxito con las Copas del Mundo, Nate advierte a los apostadores que no apuesten sobre la base de su Elo semanal de fútbol americano. Comprobaciones históricas han demostrado que no genera beneficios en el mercado de apuestas de Las Vegas.[150] Nate describe el Elo de la NFL como que hace un «buen trabajo contable sobre el tema básico». Es fiable, pero no excepcional. Me he dado cuenta de que la gente se vuelve un poco emocional cuando se trata de la Copa del Mundo, con un apoyo patriótico a su país a pesar de todas las pruebas en contra. Aquí se presenta una oportunidad para que índices fiables y desapasionados hagan dinero. Cuando volvemos al negocio cotidiano del juego en los partidos de fútbol doméstico, interviene el sentido común y las posibilidades de los corredores de apuestas son tan buenos predictores como los índices.
No creo que apostar basándose en los índices pueda producir beneficios a largo plazo en la Premier League. Con tantas variaciones del Elo, incluyendo Glicko-2, TrueSkill y Power Ratings, no puedo descartar la posibilidad de que alguna variación del tema principal se pueda usar como herramienta para hacer dinero. Pero por cada libro o página web sobre apuestas que afirma que ha desarrollado un sistema de indexación o clasificación que funciona, casi siempre existe una entrada en un blog que demuestra todo lo contrario.
La razón fundamental de mi escepticismo sobre el uso de índices en las apuestas es mucho más profunda que las comprobaciones estadísticas. El hecho es que muchos apostadores y corredores de apuestas se comportan de una manera muy parecida a como se elaboran estos índices. Miran los resultados previos, intentan descubrir la «forma» del equipo, y predicen la posibilidad de los resultados basándose en esta forma. Eso es lo que pude ver que hacía Lovisa los viernes por la noche. Estudiaba la clasificación de la liga, la serie de resultados y las posibilidades, y después intentaba encontrar una buena apuesta. Con decenas de miles de apostadores haciendo lo mismo, las posibilidades reflejan un enorme índice de actuación de elaboración humana.
Me gustaría ver como Nate Silver, Euro Club o cualquiera demostrasen que estoy equivocado sobre la Premier League y elaborasen un índice que tuviera mejores resultados que las posibilidades de los corredores de apuestas. Pero hasta que lo hagan, he eliminado los índices de mi modelo de apuestas. El Euro Club no puede competir con la multitud sabia y con los corredores de apuestas que ya comprenden por completo el método. «Fiable» no es suficiente cuando está en juego mi dinero.
Semana 3: goles inesperados
Era la tercera semana de mis apuestas y la séptima semana de la temporada de la Premier League, y fue una locura. Los Spurs vencieron al líder de la liga, el Manchester City, por 4-1. El Arsenal ganó al Leicester 5-2 en un partido en el que ninguno de los dos equipos parecía interesado en defender. Unos goles tardíos del Chelsea permitieron que se recuperase después de ir dos abajo con el Newcastle para empatar 2-2, el Everton remontó con tres goles contra el West Brom para ganar 3-2, y el West Ham empató con el Norwich en el minuto 92 para firmar un empate 2-2. Estos cambios tardíos en los marcadores fueron todos ellos reveses en mis apuestas, y tuvieron un coste. Pero gracias a una gran apuesta a favor de los Spurs pude recuperarme, ganando un total de 33 peniques con una inversión de 31,25 libras.
Durante esta semana se marcaron 41 goles en 10 partidos, en comparación con la media habitual de 2,7 por partido. Las oportunidades creadas fueron más o menos las habituales, y las expectativas de goles para esta jornada no eran diferentes de las semanas anteriores. Pero entraron más disparos a portería.
Este tipo de aleatoriedad disparos-goles es una característica del fútbol. En la semifinal de la Copa del Mundo femenina de 2015 contra Japón, Inglaterra controló el juego defensivamente y Japón no se pudo acercar a la portería inglesa. El experto en expectativa de goles Michael Caley calculó que Japón solo tenía un 0,1 de expectativa de goles en jugada. Pero Japón marcó de penalti, pitado por un derribo fuera del área y de nuevo con un gol en propia puerta en el último minuto cuando Laura Bassett engañó espectacularmente a su propia portera desde el borde del área. El único gol de Inglaterra también llegó de penalti, de manera que el partido no tuvo «goles» propiamente dichos. El resultado de 2-1 no tenía casi ninguna relación con la expectativa de goles de 0,1 frente a 0,7 que se generó durante el partido.
Desgraciadamente para Inglaterra y para todos los otros equipos que han experimentado una eliminación cruel en un torneo, la expectativa de goles no gana partidos. A algunos equipos les puede llevar tiempo transformar las oportunidades de marcar en goles, y otros equipos pueden tener suerte con el número reducido de oportunidades que crean. Michael ilustró perfectamente este punto con un estudio sobre el Arsenal. En noviembre de 2014, los resultados del Arsenal eran bastante malos. Perdieron 1-2 en casa del Swansea, 1-2 en casa contra el Manchester United y consiguieron una escuálida victoria 1-0 en casa del West Bromwich. Pero su mapa de expectativa de goles, que se muestra en la figura 13.5, explica una historia muy diferente. Cada cuadrado a la izquierda representa una de las oportunidades del Arsenal durante el mes de noviembre, mientras que los de la derecha son las oportunidades creadas por sus rivales. A cuadro más grande, mejor la oportunidad. El Arsenal tuvo más oportunidades que los equipos que jugaron contra ellos, y las expectativas de goles de Michael eran de 5,0 frente a 2,2 a su favor. Pero los rivales convirtieron sus oportunidades, dejando al Arsenal con 3 goles a favor y 4 en contra.
Con este mapa de expectativa de goles, Michael confiaba en que el Arsenal se recuperaría. Tenía razón: la figura 13.6 es un mapa de expectativa de goles para las tres victorias seguidas del Arsenal contra Leicester, Crystal Palace y Everton en febrero y marzo. La expectativa de goles para estos partidos era bastante similar a las de noviembre, pero ahora el Arsenal estaba convirtiendo sus oportunidades: marcaron seis goles y encajaron dos en los tres partidos. Esta expectativa de goles empezó a reflejar cómo el equipo estaba atacando y defendiendo.

Figura 13.5. Expectativa de goles del Arsenal en los tres partidos del mes de noviembre de 2014 en la Premier League. El tamaño del cuadrado es la probabilidad de que un disparo desde esa posición acabe habitualmente en gol. El Arsenal ataca de izquierda a derecha, así que sus oportunidades de gol se muestran en el lado derecho del campo como cuadrados negros; sus rivales (Swansea, Manchester United y West Bromwich Albion) aparecen a la izquierda como cuadrados grises. Cálculos realizados y figura creada por Michael Caley. Reproducido con permiso.

Figura 13.6. Expectativa de goles del Arsenal (cuadrados negros) en tres partidos durante febrero y marzo de 2015 contra Leicester, Crystal Palace y Everton. Para más detalles véase la figura 13.5.
Tras ver las amplias fluctuaciones en los resultados de las apuestas basadas en las predicciones de goles esperados, estoy de acuerdo con Michael. Tanto la expectativa de goles como los mapas tácticos que presenté en el capítulo 7 son una manera de resumir un partido o una serie de partidos en una sola imagen. Pero era cada vez menos convincente que se pudieran usar para ganar dinero. A partir de la cuarta semana, eliminé la estrategia de indicador de actuación de mi modelo combinado.
Semanas 4 y 5: satisfecho con un empate
De mis cuatro estrategias matemáticas para apostar, solo quedó una ganadora, y era la más sencilla. A lo largo de nueve semanas, la estrategia de desviación de apuestas consistente en respaldar los empates entre equipos igualados y victorias de los favoritos más fuertes superó a las otras tres. La figura 13.7 compara la actuación de los cuatro modelos a lo largo de 90 partidos. Si hubiera usado únicamente el Euro Club Index o la estrategia experta, habría perdido la mayor parte de mi dinero: habrían convertido mi capital inicial de 100 libras en 14 y 3 libras, respectivamente. La estrategia de indicador de actuación generaba muchas más variaciones. Por sí misma habría conseguido más de 300 libras hasta el partido 40, pero después habría perdido durante los 50 partidos siguientes. A lo largo de los 90 partidos habría quedado en tablas. En contraste, la estrategia de desviación de apuestas por sí misma habría producido beneficios constantes durante los 90 partidos, convirtiendo al final las 100 libras en 240 libras.
A partir de la cuarta semana, aposté solo sobre la base de la estrategia de desviación de apuestas. En la semana 4 gané 17,65 libras de partidos muy equilibrados entre Everton y Liverpool, Bournemouth y Warford, y Swansea y Spurs que acabaron con el empate predicho. En la semana 5 conseguí otras 14,49 libras. Las victorias de los grandes favoritos Chelsea, Manchester City y Arsenal, así como un empate entre el Liverpool y los Spurs, tuvieron su recompensa. La estrategia de desviación de apuestas estaba consiguiendo un beneficio fiable.
Después de 90 partidos podía llegar a la conclusión con un grado razonable de certidumbre estadística de que el modelo de desviación de apuestas generaba beneficios.[151] Superó de manera continuada las posibilidades de los corredores de apuestas. No obstante, todos los consejos para apostar deben ir acompañados de una advertencia. Aunque la estrategia de desviación de apuestas me está generando un beneficio en el momento de escribir, no se puede considerar que esté a prueba de fallos. Si los empates están devaluados en el mercado de las apuestas, otros apostadores también lo pueden descubrir. Si, por ejemplo, un matemático muy respetado escribe un libro afirmando que apostar por empates entre equipos muy igualados es una buena estrategia, entonces pueden cambiar las posibilidades que ofrecen los corredores de apuestas. Esta desviación desaparecerá y la estrategia dejará de funcionar. De la misma manera, también es posible que los empates hayan sido inusualmente habituales en los últimos tiempos. Como nos enseñó Jimmy Hill en el capítulo 6, bajo un sistema de tres puntos, los equipos igualados lo deben arriesgar todo por ganar. Con un poco de pensamiento racional por parte de los entrenadores, es posible que disminuyan los empates.

Figura 13.7. Actuación de mis cuatro estrategias de juego —indicador de actuación (a), desviación de apuestas (b), Euro Club Index (c) y experto (d)— para un capital inicial de 100 libras durante los 90 primeros partidos de la Premier League 2015/2016. Aposté sobre la base de una combinación de estos cuatro modelos en los partidos 41-70, colocando más dinero en las estrategias que generaban más beneficio. A partir del partido 71 aposté solo utilizando el modelo de desviación de apuestas.
Me sentí bastante contento conmigo mismo al final de las cinco semanas de apuestas. A pesar de la ventaja de los corredores de apuesta, había conseguido un beneficio y había identificado una estrategia estadísticamente fiable para jugar en el futuro. No había prestado demasiada atención a las apuestas de Lovisa durante las últimas semanas. Sabía que había perdido durante las primeras semanas y suponía que por ahora estaba a la par con el Euro Club Index o con Prince-Wright. Sin querer que sonase demasiado condescendiente, le pregunté si me podía enviar su lista de apuestas para sumar el total y documentar sus pérdidas. Me regaló una sonrisita, abrió la página web del corredor de apuestas y me mostró su balance. ¡Lovisa había ganado! Empezó con 100 libras y 18 apuestas después tenía ahora 116,97 libras. Había vencido a los corredores de apuestas.
Lovisa hizo un número más pequeño de apuestas que yo, así que hablando desde el punto de vista estadístico es posible que solo tuviera suerte. Pero lo había hecho mucho mejor de lo que esperaba. Podría ser que fuera el caso de que estoy viviendo con una persona que tiene realmente el talento de ver a los ganadores. Nunca lo sabré, porque Lovisa estaba satisfecha. Cerró la cuenta y recuperó las ganancias. No me quejé. Había sido divertido pasar la noche de los viernes discutiendo sobre la forma de los equipos, pero también resultaba agradable regresar a nuestra rutina habitual. Al final de la siguiente semana invertimos sus ganancias en una buena botella de vino y en una película, y tuve un viernes libre de fútbol.
Advertencia profesional
Trabajé durante un mes para desarrollar mi modelo. Después, en preparación para el fin de semana de apuestas, pasé buena parte de los viernes recogiendo los datos para alimentarlo. Construir un modelo para apostar lleva tiempo y energía, y después está el estrés de esperar la llegada de los resultados. Seguí apostando con mi modelo hasta la primera semana de diciembre de 2015. De las 400 libras que dispuse inicialmente para jugar, había arriesgado 388,76 libras y gané un total de 108,30 libras: un retorno del 27 % en ocho semanas. Si hubiera seguido apostando y hubiera conseguido el mismo porcentaje de beneficio, habría ganado 325 libras al final de la temporada. Eso es un 81 % potencial de retorno sobre mi inversión.
Antes de que hipoteques tu casa para conseguir capital para una nueva carrera como jugador matemático, debo dejar claro que no existen atajos para conseguir una fortuna en el juego. Y no hay garantías. Necesitas un gran capital inicial, un montón de paciencia, profundos conocimientos matemáticos y una cabeza fría. Si empiezas a obtener beneficios regularmente, descubrirás muy pronto que los corredores de apuestas utilizan algoritmos para analizar los registros que conservan de la actividad de sus clientes y detectan a los ganadores habituales. Si creen que lo estás haciendo demasiado bien, te darán las gracias por el negocio, te pagarán sus ganancias y te cancelarán la cuenta. Así que también necesitas un buen suministro de tarjetas de crédito con nombres diferentes. Y no existen demasiadas formas legales de conseguirlas.
Mi amigo en la industria de las apuestas que me ayudó a ajustar mi modelo, Robin Jakobsson, entró en el negocio por ese camino. Empezó su vida laboral en el mundo académico, como alumno de doctorado en un departamento de estadística. Después tuvo la idea de aplicar su enfoque estadístico para analizar las posibilidades en las carreras de caballos, y descubrió desviaciones consistentes en el hecho de apoyar a los favoritos. Publicó un artículo identificando las desviaciones y empezó a ganar dinero respaldando sus predicciones.[152] Cuando los corredores de apuestas acabaron por cerrarle la cuenta, Robin se dio cuenta de que estaba en el lado equivocado del negocio. Nunca terminó su doctorado y en su lugar empezó a trabajar para sus antiguos adversarios.
La historia de Robin no es nada extraña para los matemáticos con talento. Probablemente el estadístico de más alto nivel y aficionado al fútbol convertido en apostador profesional es Matthew Benham. Empezó su vida laboral en los mercados financieros, pero se dio cuenta de que podía aplicar aquello en lo que era bueno al fútbol. En 2004 creó la compañía Smartodds, que proporciona información estadística para apostadores. De ahí, pasó a crear Matchbook, una página web para hacer apuestas en tiempo real. Hecha su fortuna, Benham invirtió el dinero en el club de su infancia, el Brentford, y el club danés FC Midtjylland. Como describí en el capítulo 4, aplicó su enfoque analítico a sus clubes. Funcionó. El Brentford consiguió regresar a la segunda división por primera vez en 20 años, y el Midtjylland ganó la Superliga danesa.
Así que mi consejo para cualquiera que tenga la capacidad matemática requerida y que quiera ganar dinero trabajando con el fútbol es este: únete al juego en lugar de intentar batir las probabilidades. Encuentra un trabajo con un corredor de apuestas, calculando probabilidades de victoria o creando nuevos mercados de apuestas. O mejor aún, lleva tus habilidades matemáticas a un club de fútbol, una academia de futbolistas, una empresa de análisis deportivos o los medios de comunicación. Las mates son una parte central del fútbol y existen muchas oportunidades para estadísticos futboleros. Elaborar mapas tácticos, calcular expectativas de goles, diseñar programas de entrenamiento, simular la física de los disparos, desarrollar métodos para seguir el movimiento de los jugadores en el campo, preparar gráficos de redes de pases para televisión, ayudar a los entrenadores a establecer tablas del juego ataque/defensa para sorprender al rival, y optimizar la geometría del equipo: todos estos son trabajos potenciales para locos de las futbolmáticas como nosotros. Piensa en ello: resolver problemas matemáticos, disfrutar del fútbol y que te paguen por ello. Y después de hacer exactamente eso durante el último año, puedo decir con el 110 % de certeza que no hay mejor manera de ganarse la vida.Fue Bill Shankly, el antiguo entrenador del Liverpool, quien pronunció las palabras inmortales: «El fútbol no es cuestión de vida o muerte... Es más importante que eso». Estas palabras se interpretan con frecuencia como una muestra de los sentimientos tan fuertes que tienen los aficionados respecto a su equipo, o para explicar la obsesión de jugadores y entrenadores. Pero se pueden entender de otra manera. Cuando Shankly las pronunció en una entrevista televisiva en 1981, estaba expresando en parte su lamento por ser incapaz de disfrutar realmente de la vida más allá del fútbol. Estaba describiendo una adicción al fútbol que había ensombrecido otras partes de su vida.
Otra cosa a la que se refería Shankly como «más importante que la vida y la muerte» era la rivalidad entre el Liverpool y el Everton. Estaba hablando de cómo, en algunas familias de Merseyside, la mitad de los miembros seguían al Liverpool, y la otra mitad, al Everton. Los seguidores rivales de la misma familia se chinchaban entre ellos, incluso cuando iban juntos al campo para presenciar el derby. Para Shankly, los aficionados veían en el fútbol algo que trascendía sus preocupaciones cotidianas, algo que les permitía, durante 90 minutos, dejar de lado los problemas mundanos que les planteaban la vida y la muerte.
Recientemente, repasando algunos papeles antiguos, encontré una carta de mi abuelo, escrita mientras yo me encontraba en el hospital en Kirkcaldy cuando tenía ocho años. Terminaba así: «¿Crees que la erupción se puede deber a que llevaste esa camiseta ROJA con L______L en ella? Quizá sea mejor que la tires y consigas una que ponga EVERTON». Si me podía centrar en la batalla entre Everton y Liverpool, entonces podía usar eso para mantener el ánimo en mi propia batalla para recuperarme. Así es como probablemente lo veía él. Por mi parte, simplemente no podía comprender cómo alguien en su sano juicio podía apoyar al Everton.
Mi abuelo murió de cáncer al año siguiente. Mi familia fue a Liverpool durante sus últimas semanas de vida. Estaba confinado en la habitación principal y los adultos formaban un cordón para evitar que los niños lo molestasen. Pero yo sabía que se equivocaban. Sabía que por muy mal que estuviera, le habría gustado reírse con un chiste sobre los Reds y los Blues. Me había escrito al hospital y ahora era él quien necesitaba un poco de ánimo. Cuando la mayoría de los adultos se fueron, me colé en la habitación y conseguí decirle algo sobre que el Liverpool era el mejor. Sonrió y replicó que nunca podrían ser mejores que los Blues. La conversación no duró mucho, porque me descubrió mi tía May y me echó antes de que le pudiera decir nada más, pero pude ver cómo sonreía mientras me sacaban de la habitación.
Hay algo conmovedor en esta anécdota de un niño y su abuelo moribundo, pero para mí fue mucho más que eso. Mi abuelo, y el resto de mi familia, siempre han estado dispuestos a hablar y discutir sobre todo y sobre todos. Nuestras discusiones de Liverpool contra Everton es posible que nunca hayan llegado a ser grandes debates intelectuales, pero tenían un propósito importante. El fútbol ofrece a las personas un tema para conversar y discutir, un marco de referencia común para desarrollar su pensamiento. Viendo ahora a mi padre, que sigue siendo un verdadero blue (estrictamente en términos futbolísticos)[***] a la edad de 94 años y que sigue teniendo charlas similares con mi hijo Henry, que tiene 10 y un retrato firmado de Stevie G en la pared de su dormitorio, me recuerda que el fútbol nos ayuda a comunicarnos de maneras muy diversas.
Fue este amor por la conversación, la charla y la discusión lo que me empujó a convertirme en matemático. Una fascinación con los números formó parte de mi interés en las mates, pero más importante que eso fue el deseo de comunicar sobre el mundo. El fútbol me ha ayudado a comunicarme sobre las matemáticas. Y las matemáticas nos pueden ayudar a todos a comunicarnos sobre el fútbol. Desde las apuestas a la estrategia, desde el ataque sincronizado a la presión de seis segundos, desde la geometría del equipo a las estadísticas de los jugadores, las matemáticas se pueden encontrar en todos los aspectos del fútbol, de la misma manera que se pueden encontrar en todas las facetas de la vida.
Es esta visión de las matemáticas la que me gustaría que permaneciera en ti. Con frecuencia escuchamos que el fútbol y la vida no se pueden reducir a números, que «triturar números» no puede sustituir el sentido común y el conocimiento. Estoy totalmente de acuerdo. La vida no son matemáticas, pero las mates nos ofrecen esas pequeñas percepciones de la vida que sin ellas no tendríamos jamás. En el fútbol, las mates nos permiten apreciar de verdad cómo los jugadores crean y estrechan los espacios, la física de los goles, los cambios de táctica, la cooperación en el equipo y la distribución de pases. También nos permiten ganar unas pocas libras en las apuestas y comprender por qué a veces tenemos suerte y otras veces no.
Las matemáticas deberían estar inmersas en la vida cotidiana, como ya lo está el fútbol. Si las matemáticas se sitúan en un nivel superior a la cotidianeidad, entonces se convierten en un blanco fácil cuando la teoría empieza a fallar. Pero si las mates están integradas en el fútbol, en la sociedad y en la ciencia, ya no tiene sentido decir que los matemáticos son unos trituradores de números que han perdido el sentido de la realidad. Si aceptamos que debemos ver el fútbol utilizando la cabeza al igual que el corazón, entonces resulta obvio que el pensamiento matemático forma parte del juego.
Creo que las matemáticas, como el fútbol, son más que un juego. Son una manera de razonar que seguirá viviendo cuando tú y yo hayamos desaparecido. Pero las mates no son solo una abstracción, se trata de poner en práctica el razonamiento. Las mates tienen teoría, tienen su aplicación y tienen su pasión. Solo cuando combinamos las tres obtenemos resultados.
Así que la próxima vez que veas una triangulación bien ejecutada, tómate unos segundos para reflexionar sobre cómo funciona. Admira tanto la habilidad técnica como la forma abstracta que genera. Ve cómo surge la emoción en los aficionados. Todas estas son maneras de ver el fútbol, y todas ellas forman parte de las mates. Cuando las juntamos es cuando comprendemos realmente el juego más hermoso.Este libro no se habría escrito sin Chris Wellbelove. Muchas gracias, Chris, por las ideas, por los comentarios durante todo el proceso y por tu fe en mí. Muchas gracias también a los miembros de mi «grupo de lectura» —Dora Biro, Teddy Herbert-Read, Simon Gleave, Philip Maini, Shyam Ranganathan, Eileen y John Sumpter e Ingemar Törnblom— por todos vuestros comentarios honestos. Muchas gracias también a los miembros del grupo de comportamiento colectivo en Uppsala, que siempre han tenido tiempo para hablar conmigo sobre fútbol y cualquier otro tema.
Durante la redacción del libro descubrí una comunidad de locos por el fútbol que piensan lo mismo que yo. Las conversaciones por Twitter y por otros medios han sido de gran valor para mí. En particular, querría darle las gracias a Ryan Bahia, Andrew Beasley, Michael Caley, Michael Cox, Emma Faldt, Thomas Grund, Johannes Harkins, Sean Ingle, Robin Jakobsson y Oddscraft, Thom Lawrence, Ian McHale, Colm McMullan, Rui Marcelino, Mehdi Moussaïd, Mate Nagy, Selina Pan, Devin Pleuler, Paul Power, los chicos de Analytics FC, Gregor McGregor y el equipo de FourFourTwo por sus útiles comentarios.
Quiero dar las gracias a Frank, Elias y Edvin por su tiempo durante los experimentos de entrenamiento, y también al resto de chicos y entrenadores en el Upsala IF P05 por recordarme cada semana de qué va realmente el fútbol. Tack så mycket!
En Bloomsbury querría dar las gracias muy especialmente a Jim Martin por captar enseguida la idea que está detrás de este libro, y a Anna MacDiarmid por todo su trabajo durante las últimas fases.
Muchas gracias a Emil Rosen, primero por escribir conmigo este proyecto de máster bastante inusual sobre el fútbol y además por ayudarme con los números. Muchas gracias a John Woodruff por una revisión detallada y completa del manuscrito.
En este libro hay algunos detalles de mi familia, que espero que reflejen lo mucho que os valoro. Muchas gracias, Lovisa, Elise y Henry por el equilibrio que otorgáis a mi vida. Muchas gracias también a mi madre y a mi padre, a mis abuelos, Ruth y Colin, y a vuestras familias, por estar ahí.
Notas a a pie de página


Aplicando el teorema de Pitágoras, la longitud media será entonces



Solución óptima al problema de conectar cinco suburbios en un pentágono (izquierda) y seis suburbios en un hexágono (derecha) utilizando el menor número de vías posibles.






pv, e + (1 – p)v + (1 – p)d, pd
Bajo un sistema de puntos x, el equipo más débil debe defender siempre quexpv + e + (1 – p)v + (1 - p)d > xv + e
Reformulando, obtenemos(1 – p)v + (1 - p)d > xv (1 – p)
Los términos (1 – p) se anulan y nos quedamos con la condiciónd > (x – 1) v
Para un sistema de dos puntos, x = 2, y la condición para defender es l > v. Así que el equipo más débil siempre deberá defender. Para un sistema de tres puntos x = 3, y la condición para defender es d > 2w. Así que el equipo más débil deberá defender solo si la probabilidad de perder realizando un fútbol de ataque es el doble que si defiende.Un argumento similar se puede plantear para el caso cuando los dos equipos defienden. El álgebra es más complicada, pero la conclusión es la misma.


Tasa de aumento del canto como una función de los que ya están cantando por un crecimiento logístico.
Cuando X es pequeña, el canto se extiende lentamente porque hay pocos cantantes a imitar. Además, cuando X se acerca a N el canto se extiende lentamente, porque existen pocas personas disponibles para unirse a él. También podemos ver en la curva que el aumento máximo tiene lugar en el punto N/2, cuando la mitad de los aficionados están cantando y la otra mitad aún no ha empezado.





0,13 × (tasa de pases) + 0,76 log (expectativas de goles para)
que se ha demostrado mediante regresión logística que ofrece la mejor predicción del resultado del partido.
0,355 – 0,25 |p – q|
Las probabilidades de cualquier otro resultado se toman entonces de las posibilidades de los corredores de apuestas y se ajustan adecuadamente para reflejar la nueva probabilidad de empate. Para
0,15 ≤ |p – q| ≤ 0,4
las probabilidades de victoria serán las mismas para la estrategia que las posibilidades originales y no se realiza ninguna apuesta.exp (–0,7574 + 0,13r + 0,76h)
donde r es la tasa media de pase y h es el número medio de goles que se espera que el equipo local haya marcado en los partidos anteriores. El número medio de goles por partido para el equipo visitante se estima enexp (–0,0784 + 0,5057g + 0,5527b)
donde g es el número medio de goles que se espera que el equipo local haya encajado en los partidos previos, y b =1 si el equipo visitante es el Chelsea, el Manchester City, el Manchester United, el Arsenal, el Liverpool o los Spurs, y b = 0 para todos los demás visitantes. La variable b representa una especie de magia estadística para los equipos que han marcado más goles fuera de casa de los que se podrían haber esperado. No tengo una explicación para esto, pero es como mejor encajan los datos.Notas al fin del libro