
En efecto, es algo imposible. Y no obstante, ¡qué irresistible afán de hacerlo nos devora! ¿No fue, precisamente, ese afán de «abarcar lo inabarcable» el que sirvió de aliciente para el nacimiento y el rápido fomento —que continúa en la actualidad— de nuevas ciencias dispuestas en la linde de dos o varias ciencias tradicionales? Deviene claro que el ulterior progreso en cualquier ciencia es imposible sin la utilización de los logros de otras ramas del conocimiento. La matemática y la física. La física y la química. La matemática y la electrónica. La simbiosis de estas ciencias exactas, actualmente, parece natural, y la física matemática, la química física y la matemática de computación surgidas como resultado de esta simbiosis ya hace mucho que se han convertido en nombres acostumbrados.
Quiso la suerte que la biología y la medicina no fueran a parar a la categoría de ciencias exactas. El objeto de estudio de estas ciencias, el organismo vivo, es hasta tal grado complejo y multiforme que ni siquiera hoy en día existe la posibilidad de describir con precisión todas sus características y regularidades. En el curso de muchos siglos la biología intervenía tan sólo como ciencia descriptiva y, prácticamente, no explicaba las causas de la mayoría de los fenómenos que transcurren en el organismo vivo. Y he aquí que ahora todos nosotros somos testigos de cambios cualitativos operados en las ciencias biológicas. La utilización de los logros de la física y de la química ofreció la posibilidad de investigar los fundamentos de la vida a nivel molecular. Como resultado de la interpenetración de la química y la biología, así como de la física y la biología se originaron la bioquímica y la biofísica.
El libro que presentamos al lector es una introducción —al alcance de todos— a la biofísica, y da a conocer las diversas aplicaciones de la física a la biología.
...transformar la fuerza eléctrica en nerviosa.
M. Faraday
- En los tiempos remotos
- Membrana
- Potencial de reposo
- Potencial de acción
- Propagación del impulso nervioso
- Nódulos de Ranvier
- Zombi y canales de sodio
- ¿Y qué viene por fuera?
- Relámpagos vivos
- Electricidad en las plantas
- ¿Poseen o no los animales una brújula magnética?
Se conoce, por ejemplo, que la narcosis general (la pérdida del conocimiento y de la sensación de dolor) puede provocarse al dejar pasar a través del cerebro del hombre los impulsos de la corriente alterna. Este método de anestesia durante las operaciones se aplica en la actualidad ampliamente tanto en la Unión Soviética, como en otros países. La dirección de las líneas de fuerza del campo eléctrico de la Tierra sirve de «brújula» durante las migraciones lejanas de la anguila atlántica. Las capacidades de navegación de las palomas se basan en la percepción del campo magnético de la Tierra. El crecimiento de los huesos de nuestro esqueleto varía en el campo eléctrico y hoy en día esta circunstancia se utiliza para curar las fracturas. Si hubiéramos querido, podríamos continuar todavía más esta enumeración de los efectos biológicos del campo electromagnético, sin embargo, ésta no es nuestra tarea.
1. En los tiempos remotos
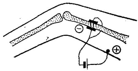
El pionero en la investigación del papel que desempeña el campo eléctrico en el organismo vivo fue el profesor de anatomía de la Universidad de Bolonia Luis Galvani. Desde el año 1775 comenzó a interesarse por la relación entre la «electricidad y la vida». En 1786 uno de los asistentes del profesor, al separar con el escalpelo el músculo de la pata de la rana, tocó casualmente con el instrumento el nervio conducente a este músculo. Simultáneamente, en la misma mesa en el laboratorio estaba trabajando una máquina electrostática, el generador de electricidad estática, y cada vez que la máquina producía una descarga el músculo de la rana se contraía. Galvani llegó a la conclusión de que, de cierto modo, la electricidad «entraba» en el nervio, lo que conducía a la contracción del músculo. El siguiente lustro Galvani lo dedicó al estudio del papel de diferentes metales en concepto de su capacidad de provocar las contracciones musculares. La deducción a que llegó Galvani consistía en que si el nervio y el músculo se encontraban en placas metálicas iguales, el cierre de éstas con el alambre no surtía ningún efecto (fig. 1). En cambio, si las placas resultaban preparadas de diferentes metales su cierre se acompañaba de contracción muscular.
Galvani comunicó sobre su descubrimiento en 1791. El científico consideraba que la causa de convulsiones de la pata de la rana era la «electricidad animal» engendrada en el propio cuerpo del animal, mientras que el alambre servía tan sólo para cerrar el circuito eléctrico. Una copia de su trabajo Galvani envió a Alejandro Volta, profesor de física en la ciudad de Pavía (Italia del Norte).

Figura 1. Esquema del experimento de L. Galvani; el análisis de este experimento llevó a A. Volta al descubrimiento de la fuente de corriente continua
La suposición de Volta resultó justa, y en 1793 el científico publicó su trabajo dando la descripción de la primera fuente de corriente continua. Aunque Galvani, poco tiempo después, demostró que la «electricidad animal» existía también en los circuitos que no comprendían contactos biometálicos, él se vio privado de la posibilidad de continuar su disputa con Volta. En 1796 la ciudad de Bolonia pasó bajo el control de Francia y Galvani que se negó a reconocer el nuevo Gobierno fue expulsado de la Universidad. Se vio obligado a buscar refugio en casa de su hermano donde ya no se podía dedicar a la actividad científica hasta su muerte que ocurrió en 1798. En 1800 Volta presentó su descubrimiento ante Napoleón, recibiendo una alta remuneración. De este modo, la discusión entre dos compatriotas diferentes por sus convicciones políticas, el temperamento y los puntos de vista científicos dio un impulso al desarrollo de la física y la biología modernas.

Figura 2. Esquema del experimento de L. Galvani que demuestra la existencia de la «electricidad animal»
¿Qué sirve, entonces, de fuente de «electricidad animal»? Para contestar a esta pregunta se necesitó medio siglo más.
2. Membrana
Todo lo vivo se muestra sumamente escrupuloso tratándose de los componentes del medio ambiente. A ello contribuye la penetrabilidad selectiva de las membranas de las células del organismo vivo. La membrana de la célula representa una especie de su «piel» cuyo espesor es de 0,01 pm. La membrana celular, selectivamente, disminuye la velocidad de migración de las moléculas a la célula y fuera de ésta. Dicha membrana determina a qué moléculas se permite penetrar en la célula y qué deben permanecer fuera de sus límites. Esta actividad de la membrana requiere gran consumo de energía y conduce a quo la concentración de algunos iones dentro de la célula y fuera de ésta pueden diferenciarse decenas y, en algunas ocasiones, incluso miles de veces (véase la tabla 1).
| Tabla 1 Concentración de algunos iones dentro de la fibra nerviosa del calamar y fuera de esta fibra | ||
| Ión | Concentración, mmol/l | |
| dentro | fuera | |
| Na+ | 50 | 460 |
| K+ | 340 | 10,4 |
| Cl- | 114 | 590 |
| Ca2+ | 0,4 | 10 |
| Mg2+ | 10 | 54 |
| Aniones orgánicos | ~300 | - |
Por ejemplo, la concentración de los iones potasio dentro de la célula es casi 30 veces mayor que en el líquido extracelular. Por el contrario, la concentración de los iones sodio dentro de la célula es, aproximadamente, 10 veces menor que en el exterior. Como veremos más tarde, las diferencias en las concentraciones de los iones potasio y sodio por ambos lados de la membrana son indispensables para la existencia de campos eléctricos en los organismos vivos.
Resultó que en estado de reposo la membrana celular es permeable, prácticamente, sólo para los iones potasio. Durante la excitación [2] para un lapso muy breve (cerca de 10-3 s para las células nerviosas) la membrana se convierte en permeable asimismo para algunos otros iones (las células nerviosas y las de los músculos del esqueleto comienzan a dejar pasar a su interior los iones sodio; las células del corazón, los iones sodio y calcio; algunos tipos de células musculares, solamente los iones calcio). Semejante comportamiento de la membrana se explica por la existencia en ésta de un número enorme (desde 10 a 500 unidades por 10-6 mm2) de «poros» o «canales» de varios tipos destinados para dejar pasar distintos iones.
Los que resultan mejor estudiados son los canales para los iones sodio y potasio. La diferente permeabilidad de la membrana para dichos iones está relacionada con su capacidad de solicitar de distinto modo a las moléculas de agua: un ion sodio atrae cinco moléculas de agua, mientras que el ion potasio, tan sólo tres. Por esta razón, el diámetro del ion potasio en conjunto con el «abrigo» de moléculas de agua resulta menor que el diámetro correspondiente del ion sodio. El área de la sección transversal del canal iónico en la membrana es próxima a 1,5 x 10-13 mm2.
3. Potencial de reposo
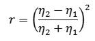
Tratemos de figurarnos a qué puede conducir la diferencia en las concentraciones de los iones potasio por ambos lados de la membrana celular, teniendo en cuenta su alta permeabilidad para estos iones. (Precisamente este problema lo planteó y resolvió en 1902 el fisiólogo alemán Julius Bernstein, fundador de la teoría membránica de excitación.) Supongamos que hemos sumergido una célula con membrana permeable solamente para los iones potasio en un electrólito en el cual la concentración de dichos iones es menor que en el interior de la célula. Inmediatamente después del contacto de la membrana con la disolución los iones potasio comenzarán a salir de la célula al exterior, al igual como sale el gas de un globo inflado. Pero cada ion lleva consigo su carga eléctrica positiva, y cuantos más iones potasio abandonan la célula, tanto más electronegativo llegará a ser su contenido. Por esta razón, sobre cada ion potasio que sale de la célula actuará una fuerza eléctrica que se opone a su migración hacia el exterior. Finalmente, se establecerá el equilibrio en el cual la fuerza eléctrica que actúa sobre el ion potasio en el canal de la membrana será igual a la fuerza condicionada por la diferencia dichas concentraciones de los iones potasio dentro y fuera de la célula. Es evidente que, como resultado de semejante equilibrio entre las disoluciones interior y exterior aparecerá la diferencia de potencial. En este caso, si como potencial cero se considera el de la disolución exterior, el potencial dentro de la célula será negativo.
Esta diferencia de potencial —el más elemental entre los fenómenos bioeléctricos observados— lleva el nombre de potencial de reposo de la célula. Se puede demostrar que la expresión para el valor del potencial de reposo de la célula tiene la siguiente forma:
(1)
e es la carga del electrón
A es la constante de Avogadro;
R es la constante de los gases;
T es la temperatura por la escala Kelvin, y
[K+]i y [K+]0 son las concentraciones de los iones potasio dentro y fuera de la célula, respectivamente.
Cabe señalar que la caída de tensión en la membrana celular que constituye menos de 0,1 V corresponde a un segmento de cerca de 10-6 cm de longitud. Por esta causa la intensidad del campo eléctrico en el seno de la membrana puede alcanzar valores enormes de cerca de 105 V/cm los cuales son próximos a la intensidad de perforación eléctrica de esta membrana: (2 … 4) · 105 V/cm.
La medición de la diferencia de potencial eléctrico en las células vivas es una tarea lejos de ser simple, pues las células son muy pequeñas. Por cuanto aquí no sirven las sondas ordinarias adjuntadas a cada voltímetro, se hace uso de pipetas de vidrio (microelectrodos) en las cuales el diámetro de la parte fina (punta) constituye menos de un micrómetro. La pipeta se llena de disolución de electrólito fuerte (por ejemplo, de cloruro de potasio trimolar), y su contenido, con la ayuda de un conductor metálico, se conecta a la entrada del voltímetro que posee alta (mayor de 109Ω) resistencia, puesto que la resistencia de la pipeta puede, a veces, aproximarse a 108Ω. Para introducir el microelectrodo en la célula sin lesionarla es necesario tener gran destreza (fig. 3).

Figura 3. Medición de la diferencia de potencial en la membrana de una célula viva
Es evidente que la membrana biológica rodeada por ambos lados por las disoluciones de electrólitos puede servir de fuente de fuerza electromotriz (f.e.m.). Sin embargo, a diferencia de elementos de corriente continua producidos por la industria, la fuente biológica de f.e.m. puede tener dimensiones muy pequeñas, debido a que el espesor de la membrana constituye tan sólo de 0,01 a 0,02 μm. Esta es la razón por la cual, en la actualidad, se realizan trabajos para crear fuentes de f.e.m. análogas a la membrana biológica que pueden encontrar aplicación en los futuros miniordenadores.
4. Potencial de acción
¿Qué es, entonces, la excitación de la membrana? Es el aumento brusco de la permeabilidad de los canales sódicos y/o potásicos de la membrana, aumento que viene acompañado de variación igualmente brusca de diferencia de potencial entre sus superficies interior y exterior. Los procesos de excitación en diversas células se diferencian unos de otros solamente por su velocidad y el tipo de iones utilizados. De forma mejor se ha estudiado la excitación de la célula nerviosa en la cual el papel primordial pertenece a los iones sodio.

Figura 4. Variación de la capacidad de transición del canal de sodio en función de la tensión en la membrana
Supongamos ahora que, de algún modo, logremos aumentar U en 20 ó 30 mV (por ejemplo, al dejar pasar la corriente eléctrica a través de la célula). Apenas este hecho tenga lugar, la «capacidad de tráfico» o transición del canal sódico crecerá y en la célula penetrará cierto número de iones sodio debido a que por fuera su concentración es más alta que por dentro. Pero cada ion sodio lleva una carga positiva lo que implicará el aumento todavía mayor de U y, por consiguiente, también el crecimiento aún mayor de la capacidad de transición del canal sódico, etc. Se advierte que el pequeño aumento inicial debe conducir a un proceso rápido a guisa de explosión, debido al cual la permeabilidad de la membrana para los iones sodio se acrecienta hasta valores máximamente posibles llegando a ser decenas de veces mayor que su permeabilidad para los iones potasio. Esta circunstancia se debe a que el número de canales sódicos en la membrana supera, aproximadamente, 10 veces el número de canales potásicos. A raíz de ello, al despreciar la permeabilidad de la membrana para el potasio, es posible calcular el potencial U al final de este proceso rápido, valiéndose de la expresión (1) y sustituyendo en ésta [K+] por [Na+], con la particularidad de que [Na+]i/[Na+]0 se toma igual a 0,1. Después de la sustitución obtenemos que el salto del potencial durante el tiempo de este proceso de transición constituirá cerca de 0,14 V de sodio en función del intervalo de tiempo transcurrido después de su apertura.

Figura 5.

Figura 6. Variación de la tensión en la membrana durante el impulso nervioso
5. Propagación del impulsó nervioso
¿De qué modo nuestros órganos de los sentidos comunican al cerebro qué se opera en nuestro derredor? Y, en general, ¿cómo intercambian la información las diferentes partes de nuestro organismo? La naturaleza inventó con este fin dos sistemas especiales de comunicación. El primer sistema, el humoral (del latín humor, fluido, líquido) se base en la difusión o transporte con la corriente de líquido de sustancias biológicamente activas desde el lugar en que éstas se sintetizan por todo el organismo. Este sistema es el único en los protozoos, así como en los vegetales.
Y en lo que atañe a los animales multicelulares (como asimismo a nosotros), éstos, además del primer sistema, tienen también el segundo sistema llamado nervioso (del latín nervus, cordón) que consta de un número enorme de células nerviosas con «vástagos», o sea, fibras nerviosas que atraviesan todo el organismo (fig. 7).

Figura 7. Esquema de los enlaces entre las células nerviosas, los órganos de los sentidos y los músculos
En el pasado, muchos científicos conocidos trataron de explicar el mecanismo de propagación de la excitación por el nervio. Isaac Newton en las páginas de su famosa «Óptica» editada en 1704 sugirió que el nervio poseía las propiedades de guía de luz (fibra óptica). Debido a ello, «las vibraciones del éter que se engendran en el cerebro por el esfuerzo de la voluntad podrían propagarse desde éste por los tubos capilares —sólidos, transparentes y homogéneos— de los nervios hacia los músculos haciendo que éstos se contraigan o se aflojen». El fundador de la ciencia rusa, el primer académico ruso M. V. Lomonósov opinaba que la propagación de la excitación por el nervio ocurría debido al desplazamiento dentro del mismo de un «líquido nervioso sumamente fino» especial. Reviste interés el hecho de que la velocidad de propagación de la excitación por el nervio fue medida por primera vez por el conocido físico, matemático y fisiólogo alemán Hermann Helmholtz en 1850, un año después de que Fizeau midiera la velocidad de la luz.

Figura 8. Variación de la tensión en la membrana de la fibra nerviosa en función de la distancia hasta la fuente de corriente cuyo polo positivo se encuentra dentro de la fibra, y el negativo, en el exterior, cerca del punto l = 0
Para contestar a estas preguntas es necesario analizar las propiedades eléctricas de la fibra nerviosa.
Esta representa un cilindro cuya superficie lateral la forma la membrana que separa la disolución interior de electrólito de la disolución exterior. Esta circunstancia confiere a la fibra las propiedades de cable coaxial de cuyo aislamiento sirve la membrana celular. Pero la fibra nerviosa es un cable muy malo. La resistencia del aislamiento de este cable vivo es 105 veces menor, aproximadamente, que el del cable ordinario puesto que en el primer caso su espesor constituye 10-6 cm, y en el segundo, cerca de 10-1 cm. Además el «alma» interior del cable vivo es la disolución de electrólito cuya resistencia específica es millones de veces mayor que la del metal. Por esta razón la fibra nerviosa no excitada está mal adaptada para la transmisión de señales eléctricas a grandes distancias.
Se puede demostrar que la tensión en la membrana de tal fibra disminuirá exponencialmente a medida de alejarse desde la fuente de tensión (fig. 8). La magnitud l que entra en el exponente y determina el grado de amortiguamiento de la señal eléctrica en la fibra nerviosa se denomina constante de longitud de la fibra. El valor de la constante de longitud depende del diámetro de la fibra d, de la resistencia de la unidad de área de su membrana rm y de la resistividad del líquido dentro de la fibra ri.
Esta relación tiene la siguiente forma:

Valiéndose de la ecuación (2) es posible hallar los valores de λ para las fibras nerviosas bien estudiadas de la centolla o del calamar que tienen d » 0,1 mm, rm»1000 Ω·cm2 y ri» 100 Ω·cm. La sustitución de estos valores da λ» 0,2 cm. Esto significa que a la distancia de 0,2 cm desde el cuerpo de la célula la amplitud del impulso nervioso debe disminuir casi tres veces, aunque la longitud de las fibras nerviosas de estos animales puede alcanzar varios centímetros.
Pero, en la realidad, semejante cosa no tiene lugar y el impulso nervioso se propaga por toda la fibra sin disminuir la amplitud, lo que se debe al siguiente hecho. Anteriormente, hemos demostrado que el aumento en 20... 30 mV del potencial de la disolución intracelular con respecto al potencial exterior conduce al sucesivo incremento de este último y a la creación del impulso nervioso en la zona dada de la célula. De nuestros cálculos se desprende que si en la parte inicial de la fibra se engendra el impulso nervioso con una amplitud de 0,1 V, entonces, a la distancia λ, la tensión en la membrana constituirá todavía más de 30 mV, de modo que también aquí aparecerá el impulso nervioso; sucesivamente, lo mismo sucede en la siguiente porción de la fibra, etc. Esta es la razón por la cual la propagación del impulso por la fibra nerviosa puede compararse con la de la llama por la mecha de Bickford, pero aquí es preciso indicar que en el primer caso la energía necesaria la suministra la diferencia de las concentraciones de los iones potasio y sodio por ambos lados de la membrana, mientras que en el segundo caso se trata de la combustión del aislamiento fácilmente inflamable de la mecha.
Es evidente que cuanto mayor sea el valor de la constante de longitud lambda con tanta mayor rapidez podrá propagarse el impulso nervioso. Por cuanto los valores de rm y ri son casi los mismos para diferentes células y animales, resulta que lambda y, por consiguiente, también la velocidad de propagación del impulso deben depender, principalmente, del diámetro de la fibra, aumentando proporcionalmente a la raíz cuadrada de su valor. Esta conclusión nuestra está en plena concordancia con los resultados de los experimentos. La fibra nerviosa gigantesca (su diámetro es cerca de 0,5 mm) del calamar puede servir de ejemplo cuando se trata de señalar cómo la Naturaleza se aprovechó de la dependencia entre la velocidad de propagación del impulso nervioso y el diámetro de la fibra. Es conocido que el calamar, cuando huye del peligro, se vale de su «motor a reacción», expulsando de su cavidad de manto gran masa de agua. La contracción de la musculatura que pone en movimiento este mecanismo se inicia por los impulsos nerviosos que se propagan por varias fibras gigantescas de esta índole, y como resultado se alcanza una gran velocidad de reacción y el simultáneo funcionamiento de toda esta musculatura.
Sin embargo, es imposible utilizar semejantes fibras gigantescas en todas las regiones del sistema nervioso en las cuales se requiere la rapidez de la reacción y del análisis de la información entrante, a raíz de que dichas fibras ocuparían demasiado espacio. Por esta razón, para los animales más desarrollados la Naturaleza eligió un camino completamente distinto para elevar la velocidad de propagación de la excitación.
6. Nódulos de Ranvier
En la fig. 9 se da la representación esquemática de una fibra nerviosa (corte a lo largo del eje) más típica para nuestro sistema nervioso.

Figura 9. Fibra nerviosa mielinizada. Se representa el corte de la fibra a lo largo del eje. Los puntos representan el contenido interno de la fibra limitado por la membrana a excitar
¿Qué implicará semejante estructura de la fibra nerviosa? Como se infiere de la fórmula (2) para la constante de longitud λ, si crece la resistencia de una unidad de área de la membrana (rm) también debe crecer el valor de λ. y, junto con éste, asimismo, la velocidad de propagación del impulso. Esta circunstancia permite aumentar la última casi 25 veces en comparación con la fibra no mielinizada del mismo diámetro. Además, los gastos de energía para la propagación de la excitación por la fibra mielinizada son mucho menores que los para la fibra ordinaria, puesto que el número total de iones que atraviesan la membrana es, en el primer caso, despreciablemente pequeño. De este modo, la fibra mielinizada representa un canal de comunicación rápido y económico en el sistema nervioso.
7. Zombi y canales de sodio
De potente inhibidor por bloqueo de los canales (poros) de sodio de las células nerviosas sirve el veneno cuyo nombre es tetrodotoxina (C11H17O8N3) y que, evidentemente, es la toxina con la masa molecular más baja entre las toxinas conocidas proteínicas. Por primera vez dicho veneno fue separado del pez fugu, habitante del Mar del Japón y de otros mares cálidos de Asia del Sudeste. El nombre de este veneno tiene su origen en el de la familia de los peces tetraodóntidos (o, simplemente, tetrodóntidos) a la cual pertenece el fugu.
Hasta la fecha, en el Japón, el comer los intestinos del fugu no se considera como el modo más refinado de cometer el suicidio. Desde el año 1927 hasta 1949 debido al envenenamiento con fugu perecieron cerca de 2700 personas. En algunas regiones del Japón la venta de este pez está prohibida, en otras se permite venderlo, pero solamente a condición de que lo preparen cocineros diplomados.
Por muy extraño que parezca, el plato preparado del fugu y conocido con este mismo nombre se considera como manjar exquisito de la cocina japonesa, a pesar de que algunos aficionados malhadados a este plato al cabo de poco tiempo perdían la vida. Y aunque hacía miles de años la mala fama del fugu estaba en boga, hasta ahora son más que suficientes las personas ansiosas de saborear este delicioso plato. Según parece, uno de los primeros europeos que tuvo la suerte de probar fugu fue el navegante inglés James Cook a quien los aborígenes comunicaron que este plato era venenoso, pero... después de que lo hubo comido.
Uno de aquellos quienes probaron fugu relata: «Cuando se come fugu, no son solamente las sensaciones gustatorias las que se experimentan. Por lo visto, la presencia en este plato de vestigios de tetrodotoxina provoca un agradable hormigueo y la sensación de calor en las extremidades, así como el estado de euforia». El uso imprudente de este exquisito manjar puede causar la muerte que llega debido al paro de la respiración.
El fugu utiliza su veneno para ahuyentar otros peces voraces. En la piel del fugu existen glándulas que segregan la tetrodotoxina cuando algo irrita el pez. También el hígado del fugu contiene la tetrodotoxina, y los científicos, hasta la fecha, no pueden contestar a la pregunta de por qué el sistema nervioso de este pez queda imperceptible a un veneno tan fuerte.
La tetrodotoxina fue descubierta no sólo en el fugu. Este veneno se sintetiza también en el organismo de algunas especies de salamandras, ranas, moluscos gasterópodos, cangrejos y estrellas de mar. En algunas especies de pulpos la tetrodotoxina se segrega por las glándulas que se encuentran en las ventosas y, por esta razón, el «apretón de manos» de este octópodo representa un peligro real incluso para el hombre. Lo único que es común para los animales venenosos tan distintos como fugo, salamandras, ranas y pulpos es el hecho de que todos éstos contienen la tetrodotoxina en la hueva. De este modo queda evidente que la función principal de este veneno es proteger la descendencia.
Los hombres hace mucho han aprendido a utilizar la tetrodotoxina con sus fines egoístas. La mención sobre este veneno mortífero (es casi mil veces más fuerte que el cianuro de potasio) se puede encontrar incluso en las novelas. Así, por ejemplo, el conocido protagonista del escritor inglés Ian Fleming, «agente 007» James Bond por poco cae víctima de este veneno.
Lamentablemente, en la actualidad, la utilización de la tetrodotoxina en los actos terroristas no es, ni mucho menos, una fantasía. Este veneno posee una particularidad interesante que atrae las personas con conciencia cargada. Se trata de que si la dosis de la tetrodotoxina es un poco menor que la mortal, la misma reduce al hombre al estado que por todos los indicios externos no se distingue de la muerte (falta la respiración y la palpitación cardíaca). Sin embargo, a diferencia de la verdadera muerte, este estado es reversible y al cabo de varias horas el hombre vuelve a la vida.
Hace poco se ha conocido que una organización secreta en Haití se aprovecha de esta peculiaridad de la tetrodotoxina para resolver sus tareas políticas. Al infortunado lo emponzoñan con un polvo que contiene el veneno y, después de haber desaparecido todos los indicios de vida, lo entierran. Ya a la siguiente noche abren la tumba y transportan la víctima reanimada a algún lugar a las plantaciones de caña de azúcar donde el hombre vuelto a nacer se utiliza como esclavo. Las tradiciones en Haití son tales que incluso después de que la víctima haya regresado a sus lugares natales a este hombre se le considera como cadáver vivo —zombi— dejándolo en completo aislamiento.
8. ¿Y qué viene por fuera?
Hemos establecido las causas de aparición de la diferencia de potencial en la membrana de las células vivas y analizado el proceso de propagación del impulso por la fibra nerviosa. Todos los fenómenos eléctricos que tratarnos se desarrollan tan sólo en la membrana de las células. Pero, ¿qué representaba, entonces, el fenómeno que registró E. Du Bois-Reymond en 1843, valiéndose de un rudimentario galvanómetro que conectó al nervio? Por cuanto los microelectrodos comenzaron a utilizarse tan sólo al cabo de 100 años, esto significaba que su galvanómetro registraba el campo eléctrico en la disolución circundante al nervio.
Al examinar las propiedades de cable de la fibra, considerarnos para mayor sencillez que la disolución exterior de electrólito es equipotencial. En efecto, la caída de tensión en la disolución exterior debe ser centenares de veces menor que la misma dentro de la fibra como consecuencia de las dimensiones mucho mayores del conductor exterior (disolución). Pero, en todo caso, con una intensificación suficiente, el campo eléctrico siempre se puede descubrir alrededor de la célula o el órgano excitados, en particular, cuando todas las células del órgano dado se excitan simultáneamente. Y este órgano en el cual todas las células se excitan casi simultáneamente es nuestro corazón. Al igual que todos los demás órganos internos el corazón está rodeado por todos los lados de medio electroconductor (la resistividad de la sangre es igual a 100 Ω·cm, aproximadamente). Debido a ello, durante cada excitación el corazón se rodea de campo eléctrico. Nos encontramos con la manifestación de este campo eléctrico que pulsa en el tiempo cuando nos dirigimos a la policlínica al gabinete de electrocardiografía donde se mide la diferencia de potencial entre distintos puntos de la superficie de nuestro cuerpo que aparece durante las contracciones del corazón (electrocardiograma).
9. Relámpagos vivos
Las primeras manifestaciones de «electricidad animal» conocidas por el hombre fueron las descargas de los peces eléctricos. El siluro eléctrico se representaba ya en los sepulcros del Antiguo Egipto, y Galeno (130-200 de n.e.) que ejercía su práctica de médico en las luchas de gladiadores en la Antigua Roma recomendaba «electroterapia» con la ayuda de estos peces.
Una receta interesante de tratamiento eléctrico valiéndose del pez torpedo la prescribió el médico del imperador romano Claudio -en el siglo I de n.e. Esta receta decía, textualmente:
«El dolor de cabeza, incluso si es crónico e insoportable, desaparece si el pez torpedo negro vivo se coloca sobre el punto doloroso, manteniéndolo en este punto hasta que el dolor cese».
Una receta análoga existía también para el tratamiento de la gota:«Para cualquier tipo de la gota, cuando comienzan los dolores, conviene colocar bajo los pies el pez torpedo negro vivo, con la particularidad de que en este caso el paciente debe estar de pie sobre arena húmeda bañada por el agua de mar, permaneciendo en este estado hasta que toda su pierna por debajo de la rodilla se entumezca».
Por la misma época se fijaron también en que el golpe del pez torpedo podía pasar por lanzas y palos de hierro mojados en agua de mar, alcanzando de este modo a personas que no se encontraban en contacto directo con este pez.Como se conoce algunos peces son capaces de engendrar descargas eléctricas muy fuertes entorpeciendo los movimientos (paralizando) de otros peces y hasta animales de tamaño de hombre. Los antiguos griegos que creían que el pez torpedo podía «fascinar» tanto a los peces, como a los pescadores le dieron el nombre de «narke» que significa «letargo», o sea, «pez que causa letargo». La palabra «narcótico» es del mismo origen.
Antes de aparecer la teoría eléctrica gozó de mayor éxito la teoría que explicaba el golpe del pez torpedo como acción mecánica. Entre los partidarios de esta teoría fue el naturalista francés R. Réaumur cuyo nombre lleva una de las escalas de temperatura. Réaumur suponía que el órgano del pez torpedo con cuya ayuda éste asesta el golpe no es sino un músculo capaz de contraerse con gran frecuencia. Esta es la razón por la cual el roce de este músculo puede provocar un entumecimiento temporal de la extremidad, como sucede, por ejemplo, después de un golpe brusco por el codo.
Solamente a finales del siglo XVIII se realizaron experimentos que demostraron la naturaleza eléctrica del golpe asestado por el pez torpedo. En estos experimentos un papel importante pertenecía también a la botella de Leyden, la capacidad eléctrica principal de aquella época. Aquellos quienes experimentaron en su persona las descargas de la botella de Leyden y las del pez torpedo afirmaban que dichas descargas, en cuanto a su acción sobre el hombre, eran muy similares entre sí. Al igual que la descarga de la botella de Leyden, el golpe del pez torpedo puede alcanzar, simultáneamente, a varias personas cogidas de la mano, si una de estas personas toca al pez torpedo.
Las últimas dudas con respecto a la naturaleza del golpe del pez torpedo desaparecieron en 1776, cuando se logró demostrar que, en determinadas condiciones, este golpe podía producir una chispa eléctrica. Con este fin en el recipiente donde nadaba el pez se sumergían parcialmente dos alambres metálicos de modo que el huelgo aéreo entre los mismos fuese mínimo. El cierre de los alambres por un breve plazo atraía la atención del pez y éste, al acercarse a los alambres, les asestaba un golpe eléctrico; de vez en cuando, simultáneamente con este golpe, entre los alambres saltaban chispas eléctricas. Para ver mejor la chispa los experimentos se realizaban por las noches. Poco tiempo después de estos experimentos en algunos periódicos londinenses aparecieron anuncios en los cuales, tan sólo por 2 chelines y 6 peniques se proponía organizar una «sacudida» a aquellos que lo desearan, dejando pasar por estas personas la descarga del pez eléctrico. Benjamín Franklin, uno de los fundadores de la teoría de la electricidad, fue un adepto ferviente de aplicación de la curación eléctrica. Por este motivo, en la medicina, hasta la fecha la utilización de la electricidad estática lleva el nombre de franklinización.
Para el comienzo del siglo XIX se conocía ya que la descarga de los peces eléctricos pasaba a través de los metales, pero no pasaba a través del vidrio y el aire. Cabe señalar que en los siglos XVIII y XIX los peces eléctricos se utilizaron con frecuencia por los físicos como fuentes de corriente eléctrica. Por ejemplo, M. Faraday, al estudiar las descargas del pez torpedo, demostró que, en esencia, la «electricidad animal» no se diferenciaba, en ningún aspecto, de otras «clases» de electricidad, y éstas, en aquella época, se consideraba que eran cinco: estática (obtenida por frotamiento), térmica, magnética, química y animal. Faraday consideraba que en el caso de lograr comprender la naturaleza de la «electricidad animal» se podría «transformar la fuerza eléctrica en nerviosa».
Las descargas más fuertes las produce la anguila eléctrica sudamericana. Estas llegan a 500...600 V. Los impulsos del pez torpedo pueden tener la tensión de hasta de 50 V y la corriente de descarga mayor de 10 A, de modo que su potencia, frecuentemente, supera 0,5 kW. Todos los peces que engendran descargas eléctricas utilizan con este fin órganos eléctricos especiales. En los peces eléctricos de «alto voltaje» tales como el pez torpedo marítimo y la anguila y siluro de aguas dulces, estos órganos pueden ocupar una parte considerable del volumen del cuerpo del animal. En la anguila eléctrica, por ejemplo, estos órganos se extienden casi a lo largo de toda la longitud del cuerpo, constituyendo cerca del 40% del volumen total del pez.
En la fig. 10 se representa el esquema del órgano eléctrico. Dicho órgano consta de electrocitos, o sea, células muy aplanadas y empaquetadas en pequeñas columnas. A la membrana de uno de los lados planos del electrocito llegan los extremos de las fibras nerviosas (membrana inervada), y por el otro lado éstas faltan (membrana no inervada). Los electrocitos se reúnen en una pequeña columna, con la particularidad de que están vueltos unos a otros con membranas de distinto signo. En estado de reposo la diferencia de potencial en ambas membranas del electrocito es la misma y próxima a —80 mV (el medio interior de la célula está cargado negativamente respecto al exterior). Por esta causa entre las superficies exteriores de ambas membranas del electrocito no hay diferencia de potencial.

Figura 10. Esquema del órgano eléctrico del pez
En el órgano eléctrico de la anguila eléctrica el número de electrocitos en una columna puede alcanzar de 5 a 10 mil, hecho que explica, precisamente, la gran tensión de la descarga de estos peces. El valor de la corriente de descarga viene determinado por el número de tales columnas en el órgano eléctrico. El pez torpedo lleva en cada aleta 45 columnas semejantes, y la anguila eléctrica tiene cerca de 70 por cada lado del cuerpo. Para evitar que la corriente eléctrica engendrada por el órgano eléctrico pase a través del propio pez dicho órgano está rodeado por el tejido aislante con alta resistividad y mantiene contacto solamente con el medio ambiente.
Sin embargo, entre los peces eléctricos existen unos que utilizan su órgano eléctrico no para el ataque o la defensa, sino para la búsqueda de la víctima. A éstos pertenecen los tiburones, las lampreas y algunos silúridos que poseen una sensibilidad muy alta respecto al campo eléctrico externo.

Figura 11. Distribución de las líneas equipotenciales del campo eléctrico en torno al pez que posee órgano eléctrico. El objeto rayado tiene la conductibilidad eléctrica menor que el medio circundante. Se advierte que la intensidad del campo eléctrico en la proximidad de la superficie lateral del pez por el lado del objeto se diferencia de la misma por el lado opuesto
El órgano eléctrico de los peces que acusan alta sensibilidad frente al campo eléctrico externo funciona con una frecuencia de varios centenares de hertzios y puede crear en la superficie del cuerpo del animal las oscilaciones de diferencia de potencial iguales a varios voltios. Esta circunstancia conduce a la aparición del campo eléctrico que se capta por los órganos especiales de la llamada línea lateral: los receptores eléctricos (fig. 11). Los receptores eléctricos de estos peces acusan una sensibilidad asombrosa a la intensidad del campo eléctrico, y envían impulsos nerviosos al cerebro del animal cuando el valor de la intensidad supera 10 μV/m. Por cuanto los objetos que se encuentran en el agua alrededor del pez se diferencian del agua por su conductibilidad eléctrica, dichos objetos provocan la distorsión del campo eléctrico. Guiándose por estas distorsiones del campo los peces pueden orientarse en el agua turbia y descubrir la presa.
Es de interés señalar que casi en todos los peces que utilizan para la orientación sus órganos eléctricos, la cola durante la natación queda, prácticamente, inmóvil. A diferencia de los demás peces, los peces en cuestión se desplazan en el agua exclusivamente a costa de movimientos ondulantes de las aletas laterales desarrolladas (pez torpedo) o de la aleta dorsal (lucio del Nilo). Puesto que el órgano eléctrico de estos peces está dispuesto en la parte caudal del cuerpo, mientras que los receptores eléctricos se encuentran en la parte media, resulta que con este modo de nadar la intensidad del campo eléctrico en la zona de los receptores eléctricos depende tan sólo de la conductibilidad eléctrica del medio ambiente.
Los investigadores japoneses han descubierto que el siluro, inmediatamente antes de un fuerte sismo, acusa una sensibilidad inusitada respecto a débiles perturbaciones mecánicas, si el acuario en que éste se encuentra está unido mediante una derivación con el depósito natural de agua. Esto se explica por el hecho de que entre los puntos de la corteza terrestre, en el período precedente al terremoto, se engendran diferencias de potencial percibidas por el siluro. La intensidad de los campos eléctricos los cuales, con frecuencia, se engendran 8 horas antes de iniciarse el sismo puede alcanzar 300 μV/m, lo que más que 10 veces supera el umbral de sensibilidad de este pez.
Es interesante que cerca de dos mil años atrás en el Japón apareciera una leyenda de acuerdo con la cual el siluro podía penetrar debajo de la tierra y, desplazándose allí, provocar terremotos. Desde aquellos tiempos el siluro se asocia en el Japón con los fenómenos sísmicos. Sin embargo, tan sólo en el siglo XX la conducta de los animales anteriormente a los terremotos llamó la atención de los sismólogos japoneses. En la actualidad, los métodos biológicos de pronosticación de los sismos han cobrado gran desarrollo.
Es conocido que los peces que se encuentran en el acuario a través del cual se deja pasar la corriente continua migran en dirección al ánodo, pero, de súbito, sin llegar a éste, se detienen, paralizados. En este caso, la caída de tensión por el largo del pez debe constituir cerca de 0,4 V. Después de desconectar la corriente los peces pueden «volver a la vida» y de nuevo empezar a nadar. Ahora bien, si la caída de tensión aumenta hasta 2 V el pez se entumece y muere. La fuerza fascinante del ánodo se utiliza con éxito durante la pesca con ayuda de electricidad. Al mismo tiempo la corriente eléctrica espanta a los peces que poseen respecto a la misma una sensibilidad elevada (por ejemplo, los tiburones). Los científicos realizaron una serie de experimentos con llamada «protección eléctrica» comprobando su impacto sobre los escualos. Queda establecido que la corriente que pasa entre dos electrodos sirve de barrera para los tiburones, siendo prácticamente imperceptible para el hombre que está al lado.
10. Electricidad en las plantas
Las plantas quedan arraigadas firmemente en la tierra con sus raíces y por esta causa, con frecuencia, sirven de patrón de inmovilidad. Se dice, por ejemplo: «Inmóvil como un roble». Estas ideas no son del todo certeras, puesto que todas las plantas son susceptibles de lentas «flexiones de crecimiento» indispensables para adaptarse a la iluminación y a la dirección de la fuerza de la gravedad. Estos movimientos vienen condicionados por la desigual velocidad de crecimiento de los diferentes lados de un órgano cualquiera. Además, algunas plantas realizan movimientos periódicos correspondientes al día y a la noche, plegando y abriendo sus hojas y los pétalos de las flores. Otras plantas revelan una actividad locomotora todavía más notable y con movimientos rápidos reaccionan a los diversos factores externos: la luz, las sustancias químicas, el toque, la vibración. Esta «sensibilidad» contribuyó a que el nombre de mimosa púdica se hiciera proverbial, pues con apenas rozarla, sus hojas diminutas se contraen y baja el pedúnculo principal. Son capaces también de reacciones rápidas diversas plantas insectívoras y los zarcillos del bejuco.
¿De qué modo se producen en las plantas los movimientos tan rápidos? Aquí el papel decisivo pertenece a los procesos eléctricos operados en las células. Resulta que en una célula vegetal, al igual que en una célula nerviosa o muscular de los animales, entre las superficies interior y exterior de la membrana existe una diferencia de potencial de cerca de —100 mV debida a la diferente composición iónica de los medios intra y extracelular, así como a la disímil permeabilidad de la membrana frente a estos iones.

Figura 12. Potencial de acción de la célula vegetal
El restablecimiento de la tensión inicial en la membrana de la célula vegetal después de su excitación tiene lugar debido a que en la membrana se abren canales complementarios de potasio cerrados en estado de reposo.
El aumento de la permeabilidad potásica de la membrana conduce a la salida desde la célula de cierta cantidad de iones potasio (dentro la cantidad de potasio es mayor que fuera) y a la restitución de la diferencia normal de potencial. Se supone que la salida de los iones potasio desde la célula vegetal durante su excitación se debe no solamente al aumento de la permeabilidad potásica de su membrana, sino también a otras causas poco estudiadas. De este modo, cada excitación de la célula vegetal viene acompañada, para cierto tiempo, de disminución de la concentración de iones potasio en el interior de la célula y de su aumento en el exterior, lo cual, precisamente, es la causa de la reacción locomotora.
Para comprender a qué lleva la cambiante concentración de los iones en el seno de la célula vegetal se puede realizar el siguiente experimento. Hay que tomar un poco de sal común y echarla a un saquito impermeable para la sal, mas sí permeable para el agua (por ejemplo, de celofán).
Después el saquito con sal se debe sumergir en una cacerola llena de agua. Pronto se advertirá, que el saquito se ha hinchado. Este fenómeno ocurre porque el agua penetrará al interior del saquito procurando igualar las presiones osmóticas dentro del saquito y fuera de éste, o sea, presiones proporcionales a las concentraciones de los iones disueltos. Como resultado, la presión hidrostática creciente en el seno del saquito puede romperlo.
Las células vegetales vivas no son sino disoluciones concentradas de sales rodeadas de membrana magníficamente permeable para el agua.
Al entrar en contacto con el agua común y corriente, estas células se hinchan de tal modo que la presión dentro de las mismas puede llegar a 5·106 Pa. El valor de la presión intracelular y el grado de hinchamiento de la célula vegetal dependen de la concentración de los iones disueltos en ésta.

Figura 13. Mecanismo de la actividad locomotora de las plantas
Figurémonos ahora que uno de los pedúnculos de las hojas consta de dos grupos de células dispuestas longitudinalmente (fig. 13), mientras que la excitación abarca tan sólo el grupo inferior de células. Durante la excitación la parte inferior del pedúnculo parcialmente se reduce y la parte superior hinchada provoca su flexión. Según este mismo mecanismo puede desarrollarse también el movimiento de otras partes de la planta. Y siempre en este caso las señales eléctricas que se propagan por la misma, al igual que en los animales, sirven de un medio importante de comunicación entre las distintas células coordinando su actividad.
11. ¿Poseen o no los animales una brújula magnética?
Si, la poseen. Aunque nosotros los hombres no percibimos el campo magnético que nos rodea, muchos animales son capaces de reaccionar incluso a sus pequeñas variaciones. Así, por ejemplo, los ratones forestales pueden orientarse en el bosque por la dirección del campo magnético. Los científicos lograron demostrarlo del modo siguiente. Al ratón captado en el parque lo encerraban inmediatamente en un contenedor hermético especial provisto de dos bobinas de electroimán. Estas bobinas se disponían de tal modo que al dejar pasar a través de las mismas la corriente eléctrica era posible invertir la dirección del campo del contenedor. Al cabo de 2 minutos después de la captura del ratón éste, siguiendo en el contenedor, se trasladaba a 40 metros hacia el norte respecto al lugar de captura donde lo ponían en libertad y observaban en qué dirección se trasladaría en el curso de los próximos cuatro minutos. El experimento demostró que en el caso de que durante la traslación del ratón las bobinas del electroimán se encontraban sin corriente, la dirección resultante del movimiento del ratón después de su puesta en libertad coincidía con la dirección hacia el lugar de su captura. En cambio, si la dirección del vector de inducción del campo magnético en el contenedor se invertía, entonces, después de la liberación el ratón se movía en el sentido opuesto.
La intuición nos sugiere que son los pájaros los que sacan mayor provecho de su sentido magnético. En efecto, durante sus largos vuelos migratorios los pájaros tienen que afrontar importantes problemas de navegación, ya que estos vuelos, como regla, se realizan por las noches a raíz del peligro que representan los ataques de las aves de rapiña, además, el cielo encapotado nunca representa un estorbo para las aves de paso. Sin embargo, no es muy conveniente investigar el sentido magnético de las aves migratorias, por cuanto éstas hacen uso del mismo únicamente dos veces al año. Un objeto más cómodo para estudiar el sentido magnético es la paloma mensajera la cual, alejada de su palomar a decenas y, a veces, a centenares de kilómetros, halla inequívocamente su camino a casa.
Al sujetar en el cuerpo del pájaro un diminuto radiotransmisor, es posible vigilar toda la ruta de la paloma desde el lugar en que la soltaron hasta el palomar. Resultó que la mayor parte del tiempo las palomas mensajeras vuelan en línea recta, de tal modo como si vieran su palomar del que las separan centenares de kilómetros. Solamente en los primeros tres minutos, al decidir en qué dirección volar, las palomas cambian con frecuencia el rumbo. Lo mismo sucede cuando hasta el palomar faltan nada más que de 2 a 5 km.
El hecho de que la búsqueda de la dirección necesaria del vuelo no está relacionada —tratándose de las palomas mensajeras— con la vista, queda demostrado por los resultados de los experimentos en los cuales los ojos de las aves se cerraban con vidrios mate especiales. Incluso con estos vidrios las palomas elegían, como antes, la dirección certera aunque lo único que eran capaces de hacer consistía en distinguir el día de la noche. Semejantes palomas «ciegas», como es natural, no podían entrar en su palomar, sino que, al acercarse a éste a una distancia de varios kilómetros, ya sea que, en general, interrumpían su vuelo, o bien comenzaban a pasar, volando confusamente, de un lugar a otro. Al igual que las aves migratorias, las palomas mensajeras pueden encontrar infaliblemente el camino a casa tanto por las noches, como con el tiempo nuboso.
Bueno, ¿qué experimentos, precisamente, convencieron definitivamente a los científicos de que los pájaros, orientándose en sus vuelos prolongados, se valen de su sentido magnético? En 1971, el biólogo norteamericano Keaten sujetó un pequeño imán en la cabeza de una paloma mensajera después de lo cual ésta ya perdió su capacidad de encontrar el camino a casa. Cabe señalar que un objeto absolutamente idéntico por su masa y tamaño pero carente de propiedades ferromagnéticas no impedía al pájaro hallar su palomar.
En los experimentos posteriores en la cabeza de la paloma se sujetaba ya una bobina a través de la cual se podía dejar pasar la corriente, cambiando de este modo el signo de la componente vertical del campo magnético de la Tierra la cual, como se sabe, está orientada hacia abajo en el hemisferio norte, y hacia arriba, en el hemisferio sur. Estos experimentos demostraron que semejante variación del campo magnético lleva a la variación de la dirección del vuelo de la paloma en 180°.
Pero también se conoce que el campo magnético de la Tierra está sujeto a fuertes oscilaciones por cuanto éste tiene dos fuentes. La primera es la propia Tierra que no es sino un enorme imán, y la otra fuente —relativamente más débil— la constituyen los flujos de partículas cargadas (iones) en las capas superiores de la atmósfera. Las oscilaciones diarias de la temperatura de la atmósfera implican la aparición de las alteraciones correspondientes de los flujos iónicos en la atmósfera. Como resultado, esta componente del campo magnético de la Tierra, en el curso de 24 horas, experimenta oscilaciones con una amplitud de (3 a 6)·10-8 T [3] lo que constituye cerca de 0,1% del valor medio de la inducción del campo magnético (5·10-5 T). Sin embargo, a veces nos convertimos en testigos de variaciones más considerables del campo magnético relacionadas con el aumento de la actividad solar. El paroxismo de la actividad solar conduce al crecimiento de la concentración de los iones en la atmósfera, y esto, a su vez, provoca el incremento de la componente correspondiente del campo magnético. La amplitud de estos cambios bruscos e improvisos del campo magnético de la Tierra que llevan el nombre de tempestades magnéticas puede constituir más de 10-6 T.
Las investigaciones evidencian que durante las tempestades magnéticas las capacidades de navegación de las palomas mensajeras se empeoran considerablemente. Dificultades análogas experimentan las aves si en su camino de regreso se encuentran con las anomalías magnéticas, es decir, con las localidades en las cuales varía ostensiblemente la inducción del campo magnético de la Tierra (a veces, más que en 10-6 T), sucediendo esto a lo largo de varios kilómetros. Y si la amplitud de tal anomalía que se interpone en el camino de la paloma constituye más de 5·10-6 T, el pájaro pierde por completo la capacidad de orientarse.
Una sensibilidad todavía mayor a la acción del campo magnético la poseen las abejas. Los apicultores conocen que las abejas silvestres orientan los panales absolutamente de la misma manera (respecto a la dirección norte—sur) como éstos estaban orientados en la colmena materna. En cambio, si la nueva colmena se emplaza en un campo magnético intenso la orientación de los panales se altera. Por esta razón se considera que la aptitud de las abejas de sentir el campo magnético de la Tierra les ayuda a coordinar las «obras de construcción» en la nueva colmena.
Otro resultado de la capacidad de las abejas de captar las variaciones de la inducción del campo magnético es la precisa organización en el tiempo de los trabajos en la colmena. En efecto ¿cómo pueden estos insectos, con una exactitud de hasta de 15 minutos, observar el período de 24 horas, el intervalo con el cual las abejas abandonan la colmena para volar a recoger el jugo de las flores? Incluso en los días de intemperie cuando las abejas se ven obligadas a permanecer de día y de noche en la colmena, este ritmo no se perturba. Sin embargo, basta con modificar bruscamente el campo magnético en la colmena, y la periodicidad de las salidas de las abejas desde las colmenas se altera. Los científicos llegaron a la conclusión de que el factor que hace concordar la actividad de todas las abejas obreras en la colmena es el campo magnético de la Tierra que varía con un período de 24 horas (véase antes). La velocidad máxima de variación del campo magnético corresponde al mediodía, constituyendo más de 3·10-10 T por minuto. Por lo visto, precisamente estas bruscas variaciones del campo magnético sirven para todas las abejas obreras de señal convenida para salir volando.
¿De qué modo, entonces, las palomas y las abejas pueden medir la inducción del campo magnético? En la técnica, la inducción del campo magnético se mide, principalmente, con la ayuda de dos métodos. En el primer método se recurre a la medición de la f.e.m. que se engendra entre los extremos del conductor que se mueve en este campo, y en el segundo método se mide el momento mecánico con el cual el campo tiende a girar el imán paralelamente a sus líneas de fuerza. El primero de estos métodos lo utilizan los tiburones y los peces torpedo, con la particularidad de que hace las veces de instrumento eléctrico de medida los receptores eléctricos dispuestos en la línea lateral de estos peces. Durante el movimiento en el campo magnético entre los extremos opuestos del cuerpo de dichos peces se genera la f.e.m. que da lugar a la aparición de la corriente eléctrica en el agua de mar circundante. Estos peces, con la ayuda de los receptores eléctricos son capaces, de este modo, de captar la dirección del campo magnético de la Tierra, desplazándose tan sólo a la velocidad de 1 cm/s. Sin embargo, hasta la fecha no se conoce si los mismos utilizan su capacidad de sentir el campo magnético con fines de navegación.
Como se ha mencionado con anterioridad, el imán permanente fijado en la cabeza de la paloma mensajera reducía bruscamente su capacidad de orientarse en el tiempo nuboso. Es evidente que el campo magnético permanente que se desplaza junto con la paloma no debe (de acuerdo con la ley de Faraday) cambiar la f.e.m. de la inducción que se engendra durante el movimiento del ave a través de las líneas del campo magnético de la Tierra. Esta es la razón por la cual es poco probable que durante la orientación las palomas mensajeras utilicen la misma metodología que los tiburones y los peces torpedo. El hecho de que los pájaros y las abejas carecen de receptores eléctricos también asimismo hace imposible la medición del campo magnético valiéndose de la metodología en cuestión. Además, su empleo está dificultado debido a la resistencia eléctrica específica muy grande del aire (en comparación con el agua de mar).
Para utilizar la segunda metodología de medición del campo eléctrico en el cuerpo del animal deben encontrarse imanes permanentes. En efecto, en los últimos 20 años diminutos imanes permanentes se han descubierto en muchas especies de animales (desde bacterias hasta el hombre). Antes que en todos los demás animales los ferroimanes se han hallado en el cuerpo de los quitones, pequeños moluscos del mar que se procuran los alimentos raspando las algas desde las rocas. Resultó que la mayor parte de los dientes de estos moluscos consta de cristales de magnetita (FeO·Fe2O3) que es una de las sustancias más duras entre aquellas que se forman en los organismos vivos. A propósito, este molusco, al igual que las palomas, es capaz de hallar certeramente el camino a casa. Se considera que dicho molusco logra hacerlo con la ayuda de sus dientes magnéticos.
Al cabo de poco tiempo después de haber descubierto los dientes magnéticos en los moluscos marinos, se averiguó que algunos tipos de bacterias se orientaban y nadaban preferentemente a lo largo de las líneas del campo magnético, incluso en el caso de que. el valor de éste constituyera no más de 10-5 T. Dentro de estas bacterias fue hallado hierro, de modo que las bacterias recibieron el nombre de ferrobacterias. Las ferrobacterias cuyas dimensiones son de varios micrómetros contienen hierro en forma de cristales de cerca de 0,1 μm de tamaño. La investigación demostró que por su comportamiento en el campo magnético estas bacterias recuerdan los materiales ferromagnéticos de un dominio.
En determinadas condiciones es posible cultivar toda una colonia de ferrobacterias. Estas bacterias comienzan a acumular en su seno el hierro cuando disminuye la concentración del oxígeno en el medio ambiente. Si la concentración del hierro en el medio corresponde a su concentración en el agua de los pantanos (1,6 mg/l), las bacterias acumulan una cantidad de hierro tan grande que éste constituye cerca de 1,5% de su masa seca. En este caso cada ferrobacteria contiene cerca de 20 cristales de magnetita dispuestos en forma de una cadenita. Los cálculos evidencian que el momento magnético M de tal bacteria que constituye 1,3·10-8 erg/T es suficiente para orientarse en el campo magnético de la Tierra (B = 5·10-5 T) a la temperatura ambiente (300 K), por cuanto su energía BM = 6,5·10-15 erg es mayor que la energía térmica correspondiente kT = 4,1·10-14 erg. Está claro que la orientación de semejantes organismos unicelulares rudimentarios en el campo magnético representa un proceso puramente pasivo y no depende del «deseo» de las bacterias. Por esta causa las bacterias muertas, al igual que las vivas, se orientan a lo largo de las líneas del campo magnético de la Tierra.
Las ferrobacterias están ampliamente difundidas en la Naturaleza. En muchos depósitos éstas constituyen más de la mitad de todo el plancton bacteriano, y en los suelos, hasta de 20% de la microflora. Durante largo tiempo no hubo claridad en el problema de para qué las ferrobacterias necesitan el hierro. En las condiciones naturales, como resultado de la actividad vital de estas bacterias, a veces tiene lugar el atascamiento de las tuberías de agua debido a que en los tubos se deposita y se acumula el hidróxido de hierro insoluble en agua: éste se produce por las ferrobacterias. ¿Qué papel pertenece a los iones hierro en la vida de estas bacterias? En el proceso de actividad vital en las bacterias se acumula el peróxido de hidrógeno. El peróxido es un intensísimo oxidante y actúa sobre las bacterias como veneno. En presencia del hierro la acción oxidante del peróxido se dirige al metal y no a la bacteria. De este modo, el papel del hierro se reduce a la neutralización del peróxido de hidrógeno tóxico para las bacterias.
Debido a la enorme cantidad de células es imposible buscar en los animales grandes los materiales ferromagnético valiéndose tan sólo de técnica microscópica. Con este fin se utiliza el magnetómetro que de ordinario, se emplea por los geólogos para evaluar el contenido de menas magnéticas en las rocas. La variante moderna de este aparato consta de una bobina de alambre sumergida en helio líquido y de un amperímetro que mide la corriente circulante por sus espiras. A la temperatura tan baja el metal del que están hechas las espiras de la bobina pasa a estado de superconductividad, y la resistencia eléctrica de la bobina se reduce prácticamente a cero. Si en el interior de esta bobina se introduce un imán permanente, entonces, de acuerdo con la ley de Faraday, en ésta se engendra la corriente eléctrica cuyo valor, en igualdad de las demás condiciones, será proporcional a la imantación remanente e inversamente proporcional a la resistencia eléctrica de la bobina. La resistencia eléctrica —próxima a cero— de la bobina permite descubrir con este aparato impurezas magnéticas en las muestras, impurezas que constan tan sólo de 104 dominios del material ferromagnético.
Con la ayuda del magnetómetro se logró medir la cantidad de magnetita contenida en una abeja, y este contenido resultó ser próximo a 106 dominios. Todos estos cristales de magnetita están dispuestos en la parte delantera del abdomen del insecto. Mediciones análogas de las muestras de distintos sectores del cuerpo de la paloma mensajera dieron la posibilidad de descubrir partículas magnéticas grandes de hasta de 0,1 mm de tamaño dispuestas en los músculos del cuello. Se notó que alrededor de estas partículas magnéticas, por regla general, se concentra una cantidad considerable de terminaciones nerviosas sensibles. Se considera que el cambio de la dirección del vuelo del pájaro con respecto a las líneas de fuerza del campo magnético debe llevar a la deformación de los tejidos que rodean la partícula magnética. Esta deformación se capta por las terminaciones nerviosas y se transmite al cerebro del ave, donde, precisamente, se realiza el análisis de la dirección del vuelo.
En la prensa periódica, bastante frecuentemente, aparecen comunicaciones acerca de la pereción en masa de ballenas o de delfines que se arrojan a las costas en tal o cual punto del océano mundial. Se conoce que los cetáceos, a semejanza de las aves, se guían en las migraciones por la dirección de las líneas de fuerza del campo magnético, valiéndose con este fin de las partículas magnéticas descubiertas en la parte delantera de su cabeza. En este caso, en las latitudes tropicales en las cuales la inducción del campo magnético de la Tierra es relativamente pequeña la migración, por regla general, tiene lugar en la dirección norte — sur. El estudio de las características geomagnéticas de las zonas de pereción en masa de los cetáceos ha demostrado que la mayoría de estas zonas coincide con los puntos en los cuales la línea costera del océano está orientada casi perpendicularmente respecto a las líneas del campo magnético. Por este motivo se supone que la causa que impulsa a los cetáceos migradores a arrojarse a la costa radica en su incapacidad (en algunos casos) de renunciar a tiempo a la orientación por su «brújula magnética» y de recurrir a la ayuda de los demás órganos de los sentidos.
Se considera que las ballenas se desplazan guiadas por su memoria a lo largo de las líneas de fuerza del campo magnético, pasando dentro de intervalos determinados de tiempo desde una línea hacia otra. De este modo, para navegar felizmente necesitan una brújula y un reloj. Se ha establecido que las ballenas tienen magnéticos no sólo la brújula, sino también el reloj. El papel de reloj lo desempeñan las oscilaciones regulares de campo geomagnético que tienen lugar por la mañana y por la noche (como recordará, un reloj análogo lo utilizan las abejas en la colmena; véase páginas anteriores).
Sin embargo, además de las oscilaciones geomagnéticas regulares se producen también las irregulares debidas a la actividad solar éstas, las más de las veces, ocurren en las altas horas de la noche y, al superponerse sobre la señal vespertina regular, pueden camuflar esta última. No obstante, en el caso de que después de semejante «embrollo» geomagnético nocturno, la señal matutina resulta lo suficientemente precisa, la ballena «ajusta» su reloj para «mañana» y prosigue su navegación en dirección correcta.
La investigadora inglesa M. Klinowska, para determinar las causas de la pereción en masa de las ballenas. recurrió al archivo del Museo Británico donde se encuentran reunidas las descripciones de más de 3000 casos semejantes desde 1913 hasta la fecha. La investigadora estableció que la pereción en masa de las ballenas corresponde a las ocasiones en que las oscilaciones irregulares del campo geomagnético se producen por la mañana eclipsando para la ballena la señal matutina regular. En estos casos, para las ballenas que se fían plenamente de sus sistemas de navegación magnéticos parece como al la mañana no hubiera llegado, el período de 24 horas se alarga y se retarda el paso a la siguiente (de acuerdo con su mapa) línea geomagnética. Como resultado, si este error se comete cerca de la costa, las ballenas, por inercia, «encallan» en ésta.
El estudio de la capacidad de las aves a orientarse llevó a los científicos a la conclusión de que dichas aves migratorias pueden determinar el rumbo de su vuelo no solamente valiéndose de su brújula magnética, sino también analizando la posición del Sol o de las estrellas en el firmamento. A todas luces, las aves utilizan la brújula solar y la estelar durante los vuelos bajo el cielo despejado, mientras que en los casos en que es difícil determinar la disposición de los astros celestes las aves pasan al método magnético de orientación. Entonces, ¿en qué brújula confían más las aves? ¿Cuál de estas tres brújulas es congénita?
La idea de que las aves migratorias poseen una brújula congénita ha surgido no hace mucho tiempo. Antes los científicos consideraban que para las aves no existe la necesidad de tener una brújula congénita que fija el rumbo del vuelo migratorio, por cuanto los polluelos realizan su primer vuelo junto con las aves adultas. Y en los años posteriores ya podían volar guiándose por la memoria y haciendo uso del sentido magnético desarrollado para este momento, así como de las brújulas solar y estelar. Mas, ¿cómo, entonces, se podría explicar la capacidad de los pequeños cuclillos del primer año de vida, empollados en nidos ajenos y que, por esta causa, emprenden solos su vuelo migratorio, cómo repetimos, se podría explicar su capacidad de determinar la dirección hacia los lugares de invernada? Por lo visto, cada polluelo de cualquier ave migratoria tiene arraigado genéticamente el rumbo del futuro vuelo.
Para cerciorarse de ello los científicos suecos realizaron experimentos interesantes con una de las especies de moscaretas, aves migratorias que pasan el invierno en la costa occidental de África. A los polluelos de estas aves, apenas salidos del cascarón, se les trasladaba a un local donde éstos permanecían dos meses y medio hasta que comenzaran a volar, Los científicos determinaban las direcciones de los primeros vuelos cortos de los polluelos y resultó que la dirección resultante de estos vuelos coincidía con la dirección hacia los lugares de su primera invernada futura (hacia el occidente).
El mismo grupo de científicos se planteó la finalidad de hallar el algoritmo congénito que indica al polluelo la dirección del vuelo migratorio. En la opinión de estos científicos, la Naturaleza, al implantar genéticamente el nimbo del vuelo migratorio, lo indica tan sólo para uno de los sistemas de orientación (magnético o solar). A raíz de ello, para la moscareta es posible uno de los siguientes algoritmos.
Si la brújula congénita es la solar, el algoritmo puede tener la siguiente forma: «Al mediodía determina la proyección del Sol sobre la línea del horizonte, orienta el pecho hacia este punto y, después, gira 90° más en sentido horario. Vuela precisamente en esta dirección. Para no extraviarse en el camino por la noche o cuando el cielo es encapotado, gradúa inmediatamente su brújula magnética de acuerdo con la solar y determina bajo qué ángulo respecto a la dirección de las líneas de fuerza del campo magnético debes volar».
Si la brújula congénita es la magnética, el programa puede ser como sigue: «Recuerda, hay que volar bajo el ángulo de 90° que se cuenta en sentido antihorario desde la dirección del vector de la inducción magnética en el lugar de la salida del cascarón. Para no extraviarse en el camino durante las tormentas magnéticas y por encima de las anomalías geomagnéticas gradúa inmediatamente su brújula solar por la magnética y aclara en qué dirección respecto al Sol es necesario volar».
Con el fin de determinar qué algoritmo, precisamente, ha elegido la Naturaleza y qué brújula es congénita los investigadores, para 12 días, han colocado polluelos apenas salidos del cascarón en un campo magnético artificial cuyo vector de inducción tenía el mismo valor que el del punto geomagnético dado, mientras que su dirección ha resultado desplazada hacia el este a 90°. Al pasar dos meses después de este experimento, ya en el campo magnético normal, los polluelos han comenzado a realizar los primeros vuelos cortos en dirección al lugar de las futuras invernadas; entonces se ha aclarado que todos en vez de volar hacia el oeste lo hacen rumbo al norte. No es difícil darse cuenta que precisamente de este modo deben comportarse los polluelos que utilizan el algoritmo 2 con la brújula magnética congénita. Es evidente que la aplicación del algoritmo 1 hubiera debido obligar a las aves a volar al sur. Así, pues, la capacidad de las aves migratorias de orientarse por el campo magnético es congénita.
En el más reciente período se han obtenido datos basándose en los cuales se puede suponer que los hombres también poseen la capacidad de sentir el campo magnético. La investigación de los tejidos del hombre ha dado la posibilidad de descubrir en la zona de su nariz partículas magnéticas que por su forma y composición son análogas a las de otros animales poseedores del sentido magnético.
El hecho de que algunos individuos poseen una sensibilidad inusitadamente alta frente a las variaciones del campo magnético de la Tierra sirve de base para explicar su capacidad de descubrir aguas freáticas y cuerpos minerales valiéndose de una «maravillosa varilla de mimbre». La mención sobre semejantes personas llega hacia nosotros a través de los siglos. Para descubrir aguas subterráneas y cuerpos minerales estas personas utilizan una varilla de madera recién cortada con ramificaciones en forma de la letra Y. Durante la búsqueda dichas personas orientan esta varilla horizontalmente sujetándola con ambas manos por los dos extremos simétricos. En el instante en que el explorador pasa sobre el cuerpo mineral, un trozo macizo de hierro, etc., la varilla en sus manos comienza a girar (probablemente, no sin su propia ayuda), desviándose a veces de 90 a 120°.
Como han demostrado los experimentos realizados ya en nuestra época tan sólo cerca de 20% de los hombres poseen la capacidad de hallar las irregularidades ocultas bajo la tierra. En estos mismos experimentos se ha mostrado que el rasgo distintivo de los «exploradores con varilla» es su alta sensibilidad a las variaciones del campo magnético. Análogamente a cómo el imán permanente impedía que la paloma mensajera se orientase, el acercamiento de un imán fuerte a la cabeza del explorador con varilla inhibía su capacidad de hallar cuerpos minerales.
Hasta la fecha no se ha aclarado definitivamente la naturaleza de las fuerzas que hacen que la varilla de mimbre gire en las manos del explorador con varilla. Sin embargo, se ha establecido que varillas metálicas de forma análoga giran en las manos del explorador con varilla a un ángulo mucho mayor que las de madera y, a veces, realizan incluso varias revoluciones.
Tengo una correa
Que alcanza al cielo.
Y a su alrededor, no.
Acertijo popular ruso
(Ojos)
- En las cercanías del límite físico
- Espejos vivos
- Ojo-termómetro
- Omatidio: manual de óptica
- Brújula solar para cualquier tiempo
- Plantas-guías de luz

Figura 14. Estructura del ojo del hombre
Juan Kepler fue el primero en enunciar la idea de que ver significa percibir la irritación de la retina provocada por la imagen invertida y disminuida del objeto. El sabio consideraba que cada punto del objeto no emite un rayo único, sino un cono entero de luz. Estos conos luminosos que parten de todos los puntos del objeto entran en el ojo y, después de la refracción de los rayos por el cristalino, se transforman en conos de luz convergentes cuyos vértices se encuentran en la retina, creando en ésta las imágenes de los puntos correspondientes. Kepler supuso también que en la retina existe una sustancia muy «fina» la cual, en los lugares donde sobre ésta actúa la luz, se descompone, a semejanza de cómo bajo la influencia de la luz que se deja pasar a través de una lente convergente varían las sustancias combustibles. Kepler dio a esta sustancia el nombre de «espíritu visual». La hipótesis de Kepler acerca de la existencia en la retina de una sustancia que se descompone bajo el impacto de la luz encontró confirmación tan sólo a finales del siglo XIX.
Una aportación considerable a la comprensión del trabajo del ojo como un instrumento óptico la hizo también otro físico famoso. Se trata de E. Mariotte, uno de los fundadores y primeros miembros de la Academia de Ciencias de París, conocido por sus trabajos dedicados a la física de los gases y de los líquidos. En 1666, en la conferencia de la Academia, el científico presentó su informe consagrado al descubrimiento del «punto ciego» o «punto de Mariotte» en la retina del ojo; es el punto de entrada del nervio óptico.

Figura 15. Corte de un bastoncillo visual de los animales vertebrados (a) y la imagen aumentada de sus discos fotosensibles (b). Las flechas (↔) en la membrana de los discos indican las direcciones de los ejes eléctricos de las moléculas de rodopsina del pigmento visual a la luz es tan grande que es suficiente un fotón para desintegrar una molécula de rodopsina. En la oscuridad el retinol y la opsina pueden volver a transformarse en rodopsina.
1. En las cercanías del límite físico
En la fig. 15 se representa esquemáticamente el bastón o bastoncillo óptico, es decir, la célula fotorreceptora del ojo. Semejantes células existen en la retina de los vertebrados.
La luz, al penetrar en el bastón óptico a través de su superficie de frente, incide sobre una «pila» de discos de membrana de dos capas que contienen el pigmento visual rodopsina (esta última se conoce también como púrpura visual). La sensibilidad de los fotorreceptores a la luz se explica por el hecho de que la rodopsina, por acción de la luz, se descompone en dos integrantes: el retinol y la opsina. Como resultado de esta reacción química tiene lugar la excitación de los fotorreceptores, después de lo cual, por el nervio óptico hacia el cerebro se propagan impulsos nerviosos.
La sensibilidad del pigmento visual a la luz es tan grande que es suficiente un fotón para desintegrar una molécula de rodopsina. En la oscuridad el retinol y la opsina pueden volver a transformarse en rodopsina.
La tarea fundamental del pigmento visual es la absorción de la luz. Cuanto más denso sea el empaquetamiento de las moléculas de rodopsina, tanta mayor cantidad de luz absorberá el fotorreceptor y tanto mejor verá el ojo con una iluminación débil. ¿Cuál es la densidad del empaquetamiento de las moléculas de rodopsina en la membrana de los discos fotosensibles? Sin profundizar en los detalles del mecanismo de absorción del cuanto de luz por la molécula de rodopsina, se puede considerar simplemente que cierta parte de esta molécula no es transparente para la luz y, por lo tanto, la retiene. Es evidente que el área de esta parte —no transparente para la luz— de la molécula constituye tan sólo una porción insignificante del área total de la molécula, puesto que el fotón es absorbido solamente en el caso de que entra en interacción con un átomo suyo completamente determinado. Esta es la razón por la cual se puede suponer que las dimensiones de la parte no transparente de la molécula no deben superar las dimensiones del átomo (~10-8 cm), y su área σ» 10-16 cm2. Es posible demostrar que si I es la intensidad de la luz que incide sobre la capa de sustancia cuyo espesor es d, entonces, la intensidad de la luz que ha pasado a través de dicha capa (I) constituirá:
It = Ie-σcd (3)
donde c es la concentración de las moléculas absorbedoras de luz. La expresión (3) que define el proceso de absorción de la luz por la sustancia lleva el nombre de fórmula de Beer—Lambert y se utiliza para evaluar la densidad de la sustancia. Evidentemente, cuanto mayores son los valores de a y c para la sustancia dada, tanto más densa desde el punto de vista óptico dicha sustancia resulta ser.Vamos a evaluar el valor máximo de la densidad óptica que se puede obtener utilizando la sustancia constituida por moléculas análogas a la de rodopsina que tienen la masa molecular de cerca de 50 000 u.m.a. El diámetro de tales moléculas constituye, aproximadamente, 5·10-7 cm y su volumen es de ~0,75·10-19 cm3. Si se considera que el empaquetamiento de las moléculas en la sustancia es máximamente denso, apretándose éstas unas a otras como bolas en un cajón, indistintamente, cerca del 1/4 de todo el volumen sigue siendo no utilizado. A raíz de ello, la concentración máxima posible cmáx de moléculas análogas a la rodopsina es próxima a 1019 cm-3. Al suponer que σmax = 10-16 cm2 y sustituir cmax y σmáx en (3), obtenemos que para el empaquetamiento máximamente denso de las moléculas de rodopsina It(d) = e-0,001d.
La densidad óptica de este empaquetamiento de las moléculas es tal que, en términos aproximados, el 99% de la luz incidente se absorbe por una capa de sustancia cuyo espesor es tan sólo de 40 μm.
Los experimentos con la retina han demostrado que σ = 1,6·10-16 cm2. Debido a ello, existen todos los motivos para considerar la molécula de rodopsina como un compuesto muy intensamente coloreado. en la cual el área de la parte no transparente es próxima al límite físico.
En cuanto a la concentración de las moléculas de rodopsina en la membrana de los discos fotorreceptores, resulta que esta magnitud. igualmente, sólo en un valor muy pequeño es inferior a su límite físico cmax, asegurando de este modo la absorción prácticamente completa de la luz incidente por la capa de pigmento visual de varios micrómetros de espesor.
La fórmula (3) se puede utilizar si se admite que la única condición de la absorción del fotón es su incidencia sobre la parte no transparente de la molécula de rodopsina. Hablando con propiedad, semejante suposición no es cierta. Como se conoce, la luz es una onda electromagnética cuyo vector de velocidad de propagación (k), junto con los vectores de intensidad del campo magnético (E) y de inducción del campo magnético (B), constituye una triada de vectores mutuamente perpendiculares (fig. 16).

Figura 16. Relación entre los vectores eléctrico (E), magnético (B) y el de velocidad (k) en la onda luminosa del fotón
Retornemos otra vez a la fig. 15. Las moléculas de rodopsina en el bastoncillo visual forman capas finísimas ( ~0,005 μm) en las membranas fotosensibles, y lo hacen de tal modo que los ejes eléctricos de estas moléculas siempre se encuentran en el plano perpendicular a la dirección de la luz, por consiguiente, en el plano que comprende el vector E. Es evidente que esta disposición de las moléculas de rodopsina aumenta considerablemente la probabilidad de que las mismas absorban los fotones, en comparación con el caso de que la rodopsina se contenga en una disolución donde la orientación de sus moléculas sea arbitraria. Se puede demostrar que en el último caso cerca de un tercio de moléculas no participarían en la absorción de la luz debido a que sus ejes eléctricos serían perpendiculares a la dirección y sentido del vector E.
2. Espejos vivos
Hay pocos quienes no experimentaran la sensación de miedo al advertir de súbito, en la oscuridad, dos ojos ardientes de un gato. Y cada uno quien alguna vez se dedicara a la pesca o interviniera como testigo de esta ocupación, recuerda, sin duda, la sensación de admiración que le embarga al ver las brillantes escamas del pez con sus reflejos iridiscentes. Ambos fenómenos: los ojos ardientes del gato y el brillo de las escamas del pez, surgen gracias a la capacidad de algunos tejidos biológicos de reflejar la luz. Muchos animales poseen superficies que reflejan bien la luz. Estas superficies, sin ser metálicas, reflejan la luz de modo no peor que las de metal pulido. En todos estos casos la reflexión es el resultado de la interferencia de las ondas luminosas en películas finas.
El fenómeno de. interferencia en las películas finas se puede comprender si se recuerda la coloración de las pompas de jabón, la cual aparece durante la interferencia de las ondas luminosas reflejadas de las dos superficies de la película (fig. 17).

Figura 17. Reflexión de la luz desde una placa (película) plano-paralela
h · d = k · λ/4 (4)
donde k es el número natural, y λ, la longitud de la onda de luz.El espesor mínimo de esta película es igual a λ/4 y la relación entre la intensidad de la luz reflejada y la de la incidente constituye varios tantos por ciento (8% para la película fina de agua en el aire). Al aplicar consecutivamente a una superficie lisa de cierto material varias películas finas, de modo que los valores de las densidades ópticas de las películas vecinas se diferencien y su espesor óptico sea igual a λ/4, es posible hacer próximo a la unidad el coeficiente de reflexión del sistema, si el número de semejantes películas está cerca de diez (fig. 18).

Figura 18. Estructura de un espejo de capas múltiples

Los espejos de películas finas que constan de capas múltiples poseen una propiedad de la cual carecen los espejos metálicos comunes y corrientes, a saber, dichos espejos colorean la luz reflejada. Este fenómeno se explica por el hecho de que el coeficiente de reflexión máximo se consigue solamente para la luz de aquella parte del espectro para la cual el espesor óptico de las películas es igual a λ/4. Esta es la razón por la cual si bien la luz que incidía sobre el espejo de capas múltiples fue coloreada uniformemente y se percibía por nosotros como luz blanca, en la luz reflejada prevalecerían los rayos de aquella parte del espectro para la cual es válida la igualdad (4). Además, el color del espejo de capas múltiples depende del ángulo de incidencia de la luz y se desplaza en el sentido de la región azul del espectro al disminuir este ángulo.

Figura 19. Estructura del ojo del peine marino. Las líneas de trazos indican la marcha de los rayos luminosos
agua (η = 1,34) — cristales de guanina (η = 1,83)
aire (η=1,0) — cristales de quitina (η = 1,56)
agua — cristales de quitina.
[4]
¿Para qué se necesitan estos espejos en los ojos de los animales? Ya en la Edad Media se conocía que la vista del hombre está ligada con el enfoque utilizando con este fin una lente. A aquel mismo período se remonta la utilización de las lentes artificiales para las gafas. Pronto. también los espejos se convirtieron en una parte inalienable de los dispositivos ópticos (telescopios, etc.). Sin embargo, antes de que los espejos de capas múltiples encontraran la aplicación en la técnica, se consideraba que los animales no utilizaban para el enfoque el principio especular por cuanto para hacerlo deberían disponer de superficies metálicas pulidas. Y he aquí que muy recientemente se ha demostrado que en algunos organismos el trabajo del ojo se basa en la óptica especular.
Es suficiente observar el esquema insertado del ojo del peine marino (fig. 19): el molusco que vive en una concha bivalva en el fondo del mar, para comprender que sin espejo este ojo no vería nada. En efecto, es digno de asombro el hecho de que la lente de este ojo esté en contacto con la retina. Semejante estructura significa que la lente crea la imagen enfocada detrás de la retina. Si no fuera por el espejo que hace retornar los rayos de luz a la retina y consume su enfoque, en la retina no se obtendría una imagen nítida. De este modo, la aplicación de dos sistemas de enfoque —de una lente y de espejo esférico— da la posibilidad de obtener una imagen nítida del objeto con una disminución considerable del volumen del ojo. Además, teniendo este sistema de enfoque, la luz pasa dos veces a través de la retina, lo que aumenta sustancialmente la sensibilidad del ojo. La última propiedad del ojo es, por lo visto, la más útil para los animales de aguas profundas que se ven obligados a orientarse en las condiciones de iluminación extraordinariamente baja.
Una estructura importante del ojo que mejora la visión nocturna de muchos animales terrestres que mantienen el modo de vida nocturno es el tapetum, un espejo plano sui géneris debido al cual, precisamente, emiten luz en la oscuridad los ojos del gato. El tapetum, al igual que el espejo esférico en el ojo del peine marino, contribuye a que aquella porción de la luz que pasó a través de la retina sin incidir en los fotorreceptores tenga la posibilidad de caer en la retina una vez más. En parte, debido a esta causa, el ojo del gato puede ver los objetos circundantes a una iluminación 6 veces inferior a la que necesitamos nosotros. Un espejo análogo se ha descubierto también en algunos peces.
3. Ojo-termómetro
La mayoría de los animales ven en el diapasón de longitudes de onda desde 350 hasta 750 μm. Estas cifras corresponden a una franja muy estrecha en el espectro de la radiación electromagnética del Sol. Es posible que semejante «estrechez» esté condicionada por el hecho de que para las ondas más cortas llega a ser perceptible la aberración cromática (dependencia del coeficiente de refracción del cristalino respecto a la frecuencia). Además, las altas frecuencias de radiación se absorben más intensamente por los elementos del ojo que se encuentran delante de la retina. Ahora bien, si se utilizan ondas más largas la energía de la radiación electromagnética resulta insuficiente para la reacción fotoquímica. Sin embargo, los animales homotermos (es decir, de sangre caliente) tienen un obstáculo más que les impide aprovechar la radiación de ondas largas: se trata de la radiación térmica que emite el propio cuerpo y que penetra desde el interior en el ojo abarcándolo por completo. Si la retina de los animales homotermos fuese igualmente sensible a todo el espectro de la radiación electromagnética éstos no verían nada, puesto que su propia radiación térmica (infrarroja) eclipsaría los rayos de luz incidentes en el ojo. Un cuadro completamente distinto se observa en los animales de sangre fría. En este caso es posible la existencia de infrarrojo, si resulta inhibida su sensibilidad a la luz.
El sentido de la temperatura se diferencia de todos los demás por el hecho de que para la mayoría de los animales, incluyendo también al hombre, dicho sentido sirve para asegurar el bienestar y el confort, y no para orientarse, encontrar alimentos o descubrir enemigos. Sin embargo, aquí también hay excepciones: se trata de chinches, abejas, mosquitos, garrapatas, así como de víboras, boas, serpientes de cascabel y otros reptiles. Estos animales utilizan sus termorreceptores para obtener información sobre los objetos alejados de ellos a una distancia considerable. Precisamente de este modo hallan a sus futuros «amos» algunos animales chupadores de sangre. Resultó que los chinches son capaces de descubrir objetos con la temperatura de animales de sangre caliente a una distancia de 15 cm.
En los insectos los termorreceptores sensibles para percibir las señales térmicas que llegan desde lejos están dispuestos —en la mayoría de los casos— en las antenas (cuernecillos flexibles especiales en la cabeza), y para determinar la temperatura del suelo, en las patitas. Debido a la existencia de dos antenas los insectos pueden determinar con gran precisión la dirección hacia la fuente de calor. Al obtener la señal acerca de la presencia de su presa de sangre caliente, el mosquito, por ejemplo va a cambiar la posición de su cuerpecito hasta el momento en que sus dos diminutas antenas de tres milímetros comiencen a registrar igual intensidad de la irradiación infrarroja. Y, por ahora, las estructuras de los cohetes interceptadores autodirigidos a los objetos calientes: cohetes o motores de los aviones en funcionamiento, no pueden competir con los insectos en la sensibilidad de sus instrumentos.

Figura 20. Corte del «hoyo facial» de la serpiente: 1, membrana termosensible; 2, cavidad aérea; 3, irradiación térmica)
Por regla general, las fosas faciales están dispuestas en la parte delantera y un poco más abajo de ambos ojos de la serpiente, su número depende de la especie del ofidio y puede llegar a 26 (en el pitón).
Las más estudiadas son las fosas faciales de la serpiente de cascabel. La exactitud con que esta serpiente —citando sus ojos están pegados— ataca la fuente de calor (una lámpara conectada) constituye 5°. Y en cuanto a la sensibilidad de la fosa facial ésta es tan grande que permite descubrir la mano del hombre o un ratón vivo a la distancia de 0,5 m, lo que corresponde a la intensidad de radiación infrarroja de cerca de 0,1 mW/cm2, Para comparar señalemos que la intensidad de la radiación infrarroja del Sol en un día de invierno en la latitud de Moscú es próxima a 50 mW/cm2. Valiéndose de mediciones finísimas se ha demostrado que la serpiente ataca cuando la temperatura de su membrana sensible de la fosa facial aumenta tan sólo en 0,003 °C.
¿Cómo, entonces, se puede explicar la sensibilidad tan alta del «ojo» térmico de la serpiente? Es interesante señalar que la serpiente no dispone de células receptoras algunas especialmente sensibles a la radiación térmica. Cada uno de nosotros tiene en la capa superior de la piel terminaciones nerviosas casi análogas por su termosensibilidad. Pero aquí, precisamente, se encierra la solución. Los mamíferos (incluyendo al hombre) tienen dispuestas estas terminaciones en la piel, a una profundidad de 0,3 mm, mientras que en la serpiente las mismas se encuentran inmediatamente bajo la superficie de la membrana sensible de la fosa facial, a una profundidad de 0,005 mm. Y es por esta razón que a pesar de que la capa superior de la piel desnuda del mamífero se calienta por la radiación infrarroja a la misma magnitud que la membrana de la serpiente, la sensibilidad de la piel a esta radiación infrarroja es 20 veces menor. Además, en los mamíferos, la mayor parte de la energía térmica se disipa en los tejidos que no contienen termorreceptores, en tanto que en la fosa facial de la serpiente de cascabel por ambos lados de la membrana termosensible se halla aire que, como se sabe, es un buen aislante térmico. De este modo, tan alta sensibilidad de la fosa facial a la radiación infrarroja viene condicionada no por la existencia en ésta de ciertos termorreceptores especiales, sino por la estructura anatómica inusitada de este órgano.
Procuremos evaluar el tiempo de reacción de la serpiente a la aparición de una fuente de radiación infrarroja. Supongamos que la membrana termosensible de la serpiente representa un cuerpo negro que absorbe toda radiación que sobre éste incide, mas emite solamente aquella con la cual se encuentra en equilibrio térmico. Como se conoce [5], la potencia W de radiación de una unidad de superficie del cuerpo negro está sujeta a la ley de Stefan — Boltzmann:
W = σT04
donde σ = 5,7·10-8 W/(m2·K4), y T0 es la temperatura en grados kelvin.Supongamos que en el momento de tiempo t = 0 cerca de la serpiente se ha conectado una fuente nueva de radiación y la potencia de la radiación incidente en la unidad de superficie de la membrana ha aumentado en S0.

Figura 21. Variación de la temperatura de la membrana termo-sensible después de la conexión de una nueva fuente de irradiación térmica. Solución de la ecuación (6)
ΔW = σ (T0 + ΔT )4 — σT04≈ 4σT 03·ΔT 0 (5)
De la ley de la conservación de la energía se infiere que la potencia S, absorbida por la membrana debe ser igual a la suma de la potencia cd(ΔT )/dt (c es la capacidad calorífica de una unidad de superficie de la membrana) invertida en el calentamiento de la membrana y de la potencia 2ΔW irradiada por una unidad de superficie de esta membrana, por cuanto la membrana irradia con sus ambas superficies.Basándonos en lo expuesto y haciendo uso de la expresión (5), tenemos:
S0 = c(d(ΔT)/dt + 8σT 03·ΔT (6)
La ecuación diferencial (6) relaciona entre sí la velocidad de variación de la temperatura de la membrana d(ΔT)/dt y su incremento absoluto ΔT . Es evidente que la velocidad de variación de la temperatura será tanto mayor cuanto menor será la relación c/8σT 03. La solución de la ecuación (6) es:![]()

Al mismo tiempo, la utilización simultánea por la serpiente de varios de estos hoyos con diferentes zonas de reconocimiento que se solapan, permite localizar mucho mejor la dirección al blanco después de que el cerebro haya elaborado la información llegada de todos los termorreceptores.
4. Omatidio: manual de óptica
La historia de los insectos cuenta con más de 300 millones de años. La mayoría de aquéllos en las últimas decenas de millones de años no ha experimentado cambios sustanciales algunos. A raíz de ello, con toda razón, los insectos se pueden considerar como «dinosaurios vivos». Existe un número inmenso de especies de insectos. Unos de éstos son activos tan sólo a la luz solar; otros lo son tanto a la luz del Sol, como en la sombra, y otros más, únicamente en el crepúsculo. Unos insectos como, por ejemplo, las moscas que habitan nuestras viviendas, vuelan con gran velocidad y, sin reducirla, son capaces de hacer virajes bruscos. Otros, por ejemplo, la libélula, vuelan solamente siguiendo líneas rectas y pueden durante largo rato planear en el aire, girando en un lugar. Todos estos insectos, al salvarse de sus enemigos, se fían principalmente, de su vista. A pesar del distinto modo de vida, la estructura del ojo casi para todos los insectos es igual: es ojo compuesto (fig. 22). ¿Cómo funciona este ojo? El ojo compuesto consta de omatidios, o sea, ojos simples u ocelos que «miran» en distintas direcciones. Cada omatidio posee su propia lente que enfoca la luz en varias células fotorreceptoras agrupadas en un bastoncillo visual. La luz, al actuar sobre estas células, provoca una secuencia de impulsos nerviosos transmitidos al cerebro del insecto por el nervio óptico.
Es evidente que la ventaja principal del ojo compuesto radica en el hecho de que semejante ojo, simultáneamente, «mira» en todas las direcciones, mientras que muchos mamíferos, incluyendo también al hombre, para mirar alrededor necesitan volver la cabeza. Sin embargo, para obtener esta ventaja el ojo del insecto tuvo que sacrificar la nitidez de la imagen. En efecto, se conoce que la nitidez de la imagen creada por cualquier sistema óptico depende del diámetro del orificio a través del cual la luz entra en este sistema.

Figura 22. a, corte esquemático del ojo compuesto del insecto: 2, lente del omatidio; 2, bastoncillo visual de un omatidio unitario. Las líneas de trazos indican las direcciones de los ejes ópticos de los omatidios vecinos; b, disposición de los ojos en la cabeza del insecto

Figura 23. Mancha de difracción, imagen de la fuente puntual de Ye obtenida con la ayuda de una lente
De qué modo, entonces, debe estar estructurado el ojo del insecto para que éste, con la mayor exactitud, pueda encontrar la dirección hacia el objeto luminoso? Es lógico suponer que el ojo del insecto cumplirá bien con la tarea planteada ante el mismo si a cada fuente puntual de luz le corresponde la excitación de uno o dos omatidios vecinos del ojo. Con el fin de reducir el campo visual de cada omatidio es suficiente disminuir el diámetro d de su bastoncillo óptico, haciéndolo conmensurable con las dimensiones de la mancha de difracción (fig. 24).

Figura 24. Esquema explicativo para el análisis de las dimensiones del omatidio unitario y de las relaciones entre los elementos vecinos del ojo compuesto. Con los puntos se ensombrece el bastoncillo visual

Figura 25. Esquema explicativo para el cálculo de la relación (8)
Δφ ≈ Δ α ≈ 1,2 λ/D (7)
El análisis de las relaciones geométricas en los ojos de diferentes insectos ha demostrado que la expresión (7), efectivamente, tiene lugar para las especies que son activas a brillante luz diurna. Es fácil demostrar que para el ojo que tiene la forma de semiesfera de radio R (fig. 25) existe una relación sencilla entre Δφ, D y R:Δφ = D/R (8)
Al sustituir (8) en (7), obtenemos:D 2≈ 1,2 λR. (9)
La relación (9) demuestra que las dimensiones de la lente de cada omatidio y, por consiguiente, también el número de omatidios, se determinan unívocamente por el tamaño de todo el ojo.
Figura 26. Esquema explicativo para el cálculo del volumen del sistema enfocador del ojo del mamífero
El ojo del insecto tiene una importante ventaja más en comparación con el ojo —de igual diámetro— de un mamífero. Calculemos el volumen del sistema enfocador del ojo del insecto, comparándolo con el volumen correspondiente del ojo del mamífero. El volumen Vins del sistema enfocador del ojo del insecto es igual al volumen de la capa esférica de espesor f
Vins = 2πR2f
donde f es la distancia focal de la lente del omatidio. Se puede demostrar que la distancia focal F de una lente semiesférica de radio R es igual aF = Rη / η-1
donde η es el coeficiente de refracción. Debido a ello, el volumen Vmam del sistema enfocador del ojo del mamífero (véase la fig. 26) es igual al volumen de la lente2/3·πR3
más el volumen del espacio entre la lente y la retina que se encuentra en su plano focal, πR2·(F — R), es decir,

5. Brújula solar para cualquier tiempo
A todo el mundo, ya en la escuela, se enseña a orientarse por el Sol y por el reloj. Pero figúrese que uno se encuentra en el bosque y el Sol se ha ocultado tras los árboles. Resulta que también en este caso es posible determinar la posición del Sol en el cielo.
Mas, por desgracia, al hombre no posee esta capacidad y, por lo tanto, con facilidad, podemos extraviarnos en el bosque apenas dejamos de ver el Sol. Sin embargo, existe una clase amplia de animales a los cuales no cuesta mucho trabajo hallar le dirección hacia el Sol incluso si ven solamente una porción diminuta del cielo. Esta clase la constituyen los insectos.
Fijémonos en la hormiga que busca el camino hacia el hormiguero. Si trasladamos a 50 metros a la derecha a la hormiga que se apresura por llegar a casa, ésta seguirá su rumbo anterior, terminando el camino a 50 m a la derecha del hormiguero. Es que la hormiga registra en la memoria la situación del hormiguero no en el espacio, sino tan sólo con respecto al Sol. Si al alejarse del hormiguero su habitante ha visto el Sol a la izquierda, formando el ángulo recto con la dirección de su movimiento, entonces, en el camino de regreso, la hormiga debe ver el Sol bajo el mismo ángulo a la derecha. La hormiga, ciegamente, sigue las indicaciones de su «brújula». Experimentos análogos se pueden realizar también con las abejas; no es difícil enseñarles a volar hacia una escudilla con almíbar. Al desplazar la escudilla con almíbar desde un lugar hacia otro, es posible cerciorarse de que las abejas, al igual que las hormigas, se orientan solamente con respecto al Sol.
En este caso no es obligatorio que vean el propio Sol; para orientarse les es suficiente una pequeña «ventanilla» de cielo azul. Las abejas no solamente retienen en la memoria su itinerario respecto al Sol, sino también pueden transmitir la información sobre el mismo a sus vecinas por la colmena. Cuando la abeja colectora regresa a su colmena después de un vuelo provechoso, ésta interpreta una especie de danza.

Figura 27. «Danza» de la abeja en los planos horizontal (a) y vertical (b) de la colmena que encierra la información acerca de la dirección hacia la parcela rica en néctar.
El elemento más informativo de esta danza es la línea recta que divide el ocho por la mitad («línea de recorrido recto»). Durante el movimiento por esta línea la abeja sacude su cuerpo como si subrayase la importancia de este elemento del ocho, precisamente. La frecuencia de las vibraciones del cuerpo durante el movimiento por la recta es cerca de 15 Hz. Al mismo tiempo, la abeja zumba ligeramente con las alas. Esta línea recta, de inmediato, indica la dirección hacia el lugar de rica recolección del néctar, en el caso de que la abeja interpreta su danza en el plano horizontal. En cambio, si la abeja danza en el plano vertical dentro de la colmena, entonces ella identifica la dirección hacia el Sol con la línea vertical; por esta causa, la desviación de la línea de recorrido libre respecto a la vertical señalará la desviación del camino hacia el néctar con respecto a la dirección al Sol.
La duración del movimiento de la abeja por la recta es proporcional a la distancia desde la colmena hasta esta parcela, por ejemplo, 1 s corresponde a 500 m, y 2 s corresponden a 2 km. Al cabo de varios minutos las abejas que estaban presentes durante la danza de su amiga ya se dirigen al lugar indicado. La precisión con que alcanzan su objetivo constituye cerca del 20% de la distancia verdadera hasta el mismo.
Los experimentos han demostrado que en los casos en que los insectos no pueden ver el Sol sus extraordinarias capacidades de navegación se explican por la sensibilidad de sus ojos a la posición del plano de polarización de la luz incidente. Cabe recordar que los ojos de los mamíferos no poseen tanta sensibilidad por cuanto los ejes eléctricos de las moléculas de rodopsina en el plano de la membrana fotorreceptora están orientados caóticamente (véase la fig. 15).Anteriormente (véase el apartado «En las cercanías del límite físico») ya se ha mencionado que la luz irradiada por el Sol no tiene ningún plano de polarización determinado. Sin embargo, al pasar por la atmósfera terrestre la luz solar experimenta dispersión en sus moléculas y partículas cuyas dimensiones son menores que la longitud de onda de luz.
Como resultado, cada punto del firmamento que está por encima de nosotros se transforma en fuente de luz secundaria, y ésta resulta ya parcialmente polarizada. La polarización de la luz dispersada por la atmósfera fue descrita por primera vez en 1871 por Rayleigh. La fig. 28 ayuda a hallar la posición del plano de polarización prevaleciente de la luz dispersada por la atmósfera, ilustrando la regla general: el eje de polarización (la dirección prevaleciente es E) es siempre perpendicular al plano del triángulo en cuyos vértices se hallan el observador, el Sol y el punto del firmamento observado.

Figura 28. Dirección del plano de polarización prevaleciente de la luz solar disipada por la atmósfera. Las flechas (↔) designan las direcciones predominantes al examinar dos puntos del firmamento
¿Qué es, entonces, lo que hace la célula visual del insecto sensible a la luz polarizada? En la fig. 29 se representa la célula fotorreceptora de un insecto. Lo primero que salta a la vista al comparar las figs. 15 y 29 es la interesante forma de las membranas fotorreceptoras. Si bien en el bastoncillo óptico de los vertebrados las membranas fotorreceptoras forman discos planos, en los insectos dichas membranas están arrolladas formando tubitos largos (microvellos).

Figura 29. Célula fotorreceptora del ojo del insecto (a) e imagen aumentada de sus microvellos (b). Las flechas (↔) indican la disposición de los ejes eléctricos de las moléculas de rodopsina
6. Plantas-guías de luz
Para las plantas verdes la luz sirve de fuente única de energía. Con la ayuda de la luz en la planta se forman moléculas de sustancias orgánicas indispensables para la creación de nuevas células. Sin embargo, la luz es para las plantas no solamente una fuente de energía, sino también una señal reguladora, captando la cual las plantas pueden cambiar su actividad. El elemento de la célula vegetal, sensible a la luz, es el pigmento (o sea, una sustancia muy coloreada) llamado fitocromo. Las propiedades del fitocromo varían según las condiciones en que se encuentra la planta: expuesta a la luz o se encuentra en la oscuridad. La luz cuya longitud de onda es cerca de 660 nm (roja) hace pasar la molécula de fitocromo a estado «activo», y esta forma activa del fitocromo «pone en movimiento» todo un complejo de reacciones bioquímicas que impulsan el crecimiento de la planta, su orientación respecto a la dirección de la fuerza de la gravedad, respecto al Sol, etc.
La misión primordial del fitocromo consiste en absorber los rayos de luz. Por esta razón, es lógico suponer que todo el fitocromo debe encontrarse en la parte superior de la planta, en su parte aérea. Pero esta suposición no corresponde a la realidad. Se ha establecido, por ejemplo, que en el caso de la avena una porción considerable del fitocromo está concentrada en la parte subterránea de dicha planta, es decir, en el lugar donde, al parecer, su presencia absolutamente carece de sentido. Una cantidad de fitocromo especialmente grande la contiene un pequeño abultamiento (el llamado «nudo») dispuesto a una distancia muy pequeña bajo la superficie del suelo sobre las raíces de la planta (fig. 30). En este punto su concentración es 10 veces mayor, aproximadamente, que en las partes vecinas de la planta.
Cabe señalar que en las hierbas como avena, el nudo que se encuentra bajo la superficie del suelo es el lugar principal en que tiene lugar la división intensa de las células que implica el crecimiento de la planta. Esta circunstancia hace comprensible el hecho de que el crecimiento de la hierba y de tales plantas como avena prosigue incluso después de haber segado la parte aérea de las mismas. La gran concentración del fitocromo en el nudo es necesaria para mantener la alta velocidad de las reacciones bioquímicas que llevan a la formación de nuevas células. Mas el fitocromo no puede iniciar las reacciones bioquímicas en ausencia de luz.
Pues ¿de qué modo la luz va a parar a la parte subterránea de la planta? planta? Resultó que como esta «guía de luz» que conduce la luz a la parte subterránea de la planta interviene el tallo de ésta. Las células del tallo forman columnas paralelas con lo cual recuerdan la estructura de las guías de luz industriales (fig. 30).

Figura 30. Partes integrantes de la planta herbácea (a la izquierda) y disposición de las células en su tallo (a la derecha). Las líneas de trazos señalan la marcha de los rayos luminosos
Con el fin de cerciorarse de la capacidad del rallo de conducir la luz, cortémosle un trozo doblándolo ligeramente. Si, hecho esto, iluminamos un extremo del tallo con un fino haz de luz intensa (por ejemplo, con el rayo de láser), el otro extremo también comienza a emitir luz. Las distintas plantas se diferencian entre sí por la capacidad de conducir de esta manera la luz hacia sus raíces. Se debe tener en cuenta que la profundidad máxima a la que éstas pueden conducir la luz no supera 4,5 cm. No obstante, incluso esta corta guía de luz resulta totalmente suficiente para proveer de luz la parte subterránea de la planta herbácea.
Las guías de luz producidas por la industria constan de un número enorme de finos hilos de vidrio que van paralelamente. Semejantes guías de luz acusan una propiedad muy importante: su capacidad de conducir la luz se conserva incluso en el caso de henderlas por toda su longitud. La misma propiedad la poseen las guías de luz «vivas».
Capítulo 3
Más resistente que el granito
No son las tablillas las que crujen.
Lo son los huesillos.
De S. Ya. Marshák
- Mira, ¡el interior es hueco!
- Reserva de resistencia
- El hueso sometido a la acción de la corriente eléctrica
- La física del karate
- ¿Y para qué sirven los tendones?
De armazón del cuerpo sirve el esqueleto que consta, aproximadamente, de 200 huesos, y la mayoría de éstos (constituyen una excepción los huesos del cráneo y de la pelvis) están unidos entre sí de modo que, durante el movimiento, su disposición relativa puede cambiar. Los huesos se ponen en movimiento por medio de músculos del esqueleto cada uno de los cuales se fija a dos huesos distintos. Durante la excitación del músculo su longitud disminuye, y el ángulo entre los huesos correspondientes del esqueleto disminuye. En la fig. 31 se representan las condiciones de uno de los más simples problemas de la biomecánica, problema que atañe a la retención de carga por medio de la mano. Por las longitudes conocidas de los huesos del hombro y del antebrazo y por la magnitud de la carga es necesario hallar el esfuerzo desarrollado por el músculo. Un problema análogo fue planteado por primera vez y resuelto por el hombre genial de la época de Renacimiento Leonardo de Vinci. Leonardo de Vinci, artista, ingeniero y hombre de ciencia al mismo tiempo, siempre se interesaba por la constitución del cuerpo humano y por los mecanismos pie forman la base de los movimientos del hombre.

Figura 31. Solución del problema sobre el modo de sostener con la mano la carga P (M es la fuerza desarrollada por el bíceps)
Si a un ingeniero-mecánico se le plantease el problema de diseñar el esqueleto del hombre, éste, seguramente, de inmediato exigiría que le explicasen para qué se necesita cada huesillo. En efecto, la forma, las dimensiones y la estructura interna de cada hueso deben estar determinadas por su función en el esqueleto. Bueno, ¿cómo trabajan, pues, nuestros huesos? Al igual que cualesquiera elementos de construcción, los huesos de nuestro esqueleto trabajan, fundamentalmente, para compresión y tracción, así como para flexión. Estos dos regímenes de trabajo plantean ante los huesos en tanto elementos del esqueleto requisitos muy distintos. A cada uno está claro que es bastante difícil desgarrar un fósforo o un tallo de paja, estirándolos a lo largo de su eje, mientras que casi no cuesta trabajo quebrarlos una vez doblados. En muchas ocasiones, tanto en las estructuras ingenieriles, como en los esqueletos de los animales, es deseable tener una combinación de resistencia mecánica con la ligereza. ¿Cómo se puede alcanzar la máxima resistencia mecánica de la estructura, siendo prefijada su masa y conocida la resistencia mecánica del material? Este problema no presenta grandes dificultades si el elemento de la estructura debe trabajar ya sea para tracción longitudinal, o bien, tan sólo para compresión.
Supongamos, por ejemplo, que es necesario colgar una carga en un cable de longitud determinada. La resistencia mecánica del cable será igual a la de su parte más fina y, por lo tanto, su peso será mínimo para el área igual de la sección por toda la longitud. La forma de esta sección no tiene importancia por cuanto la resistencia a la rotura es proporcional al área de la sección transversal de cable.
1. Mira, ¡el interior es hueco!
Si el elemento de la estructura trabaja también para flexión (véase, por ejemplo, el cúbito en la fig. 31), el problema de la búsqueda de la resistencia mecánica máxima, siendo prefijada la masa, se convierte en más complicado.
Supongamos que una viga horizontal de longitud prefijada debe soportar una carga determinada (fig. 32). En este caso, la resistencia de la viga a la flexión depende en sumo grado de la forma de su sección transversal. Examinemos varios perfiles simples de esta sección, tratando de esclarecer para cuál de éstos la viga capaz de soportar la carga prefijada puede tener el peso mínimo. Como se muestra en la fig. 32, a, la viga, por acción de la fuerza, se comba de modo que sus capas superiores se comprimen, mientras que las inferiores se estiran. En este caso, en el centro de la viga existe una capa (o, más exactamente, una superficie) cuya longitud no varía durante la flexión de la viga. En la fig. 32, a esta capa neutra viene marcada por la línea de trazos. El material que se encuentra en esta capa no trabaja (es decir, no se deforma) y tan sólo hace más pesada la viga. Por esta razón, una parte del material cerca de esta capa neutra puede eliminarse sin perjudicar mucho la resistencia mecánica de la viga que trabaja en semejantes condiciones.

Figura 32. Búsqueda de estructura óptima de una viga que contrarresta la fuerza F
Es lógico que también la Naturaleza, en el proceso de la evolución, haya recurrido a este método de disminuir la masa del hombre y de los animales, conservando la resistencia de su esqueleto. De modo más claro este fenómeno se ha manifestado en las aves las cuales, más que otros animales, están interesadas en disminuir su masa. El primero quien se fijó en esta circunstancia fue el físico italiano G. Borelli señalando en 1679 que
«... el cuerpo del pájaro es más ligero —de un modo no proporcional— que el del hombre o de cualquier cuadrúpedo... a raíz de que los huesos de los pájaros son porosos, huecos y con paredes finas hasta el límite.»
Por ejemplo, el rabihorcado (o fragata), ave con la envergadura de las alas de cerca de 2 m, el esqueleto tiene la masa tan sólo de 110 g. Sin embargo, los huesos de los animales sin alas también son huecos. Las mediciones demuestran, por ejemplo, que para el hueso tubular más grande del esqueleto, o sea, para el fémur, la relación del diámetro interior de la sección transversal al diámetro exterior, tratándose del zorro, del hombre, del león y de la jirafa, es igual a 0,5...0,6, lo que da la posibilidad a todos los animales (y, por supuesto, al hombre) de disminuir en un 25%, aproximadamente, la masa del esqueleto, conservando la misma resistencia mecánica de éste.2. Reserva de resistencia
Antes de elogiar la Naturaleza por su competencia en los problemas de la resistencia de los materiales, vamos a calcular si nuestros huesos son lo suficientemente resistentes. En la tabla 2 se dan los valores de las tensiones críticas para las cuales se rompe la integridad de los diferentes materiales ensayados a compresión y tracción, así como sus módulos de Young.
Por muy sorprendente que parezca, el hueso por su resistencia mecánica es inferior tan sólo a las marcas duras de acero, y resulta mucho más resistente que el granito y el hormigón pregonados como patrones de solidez. ¿Qué es, entonces, lo que explica esta resistencia mecánica tan alta del material óseo?
El hueso no es sino un material de composición y consta de dos componentes completamente distintos: colágeno y sustancia mineral. De ejemplo conocido de material de composición sirve el plástico de fibra de vidrio que representa una mezcla de fibras de vidrio y de resina.
Tabla 2
Características mecánicas de diferentes materiales (N/mm2)
| Material | Resistencia a la | Módulo de Young | |
| compresión | tracción | x102 | |
| Acero | 552 | 827 | 2070 |
| Hueso | 170 | 120 | 179 |
| Granito | 145 | 4,8 | 517 |
| Porcelana | 552 | 55 | — |
| Roble | 59 | 117 | 110 |
| Hormigón | 21 | 2,1 | 165 |
El colágeno que entra en la composición del hueso es uno de los componentes principales del tejido conjuntivo (de éste constan, principalmente, todos nuestros tendones). La mayor parte del segundo componente del hueso, del componente mineral, la constituyen las sales de calcio. A los átomos de calcio corresponde el 22% de la cantidad total de átomos en el hueso. Cabe señalar que en los demás tejidos del cuerpo (músculos, cerebro, sangre, etc.) el número de átomos de calcio está cerca de 2 a 3%. Como quiera que el calcio es el más pesado entre los elementos químicos contenidos en nuestro organismo en cantidades grandes, resulta que su localización preferente en los huesos los hace claramente visibles durante la investigación con la ayuda de los rayos X.
Cualquiera de los componentes principales del hueso puede eliminarse con facilidad de éste, sin cambiar, en la práctica, su forma. Si, por ejemplo, el hueso se deja permanecer para un plazo lo suficientemente largo en una disolución al 5% de ácido acético, todo el componente inorgánico (incluyendo también las sales de calcio) se disolverá en dicho ácido. El hueso que queda y que consta, principalmente, de colágeno se convertirá en elástico, a semejanza de un cordón de goma, y podrá arrollarse en un anillo. Por el contrario, si el hueso se quema, todo el colágeno se consumirá, quedando solamente el componente inorgánico.
La causa de la alta resistencia mecánica del hueso reside en su naturaleza de composición. Muchos materiales comunes y corrientes (no de composición) a la par que poseen gran dureza son muy frágiles. Cada uno habrá visto cómo se rompe el vidrio. Desde el punto en que al vidrio cayó el golpe parten grietas, las cuales, precisamente, resquebrajan la hoja. Si falta tiempo para que las grietas se formen, como sucede durante el impacto de una bala, la hoja de vidrio queda sin romperse, a excepción de la zona del impacto. De este modo resulta que la resistencia mecánica de muchos materiales sería en alto grado mayor, si la estructura de estos materiales impidiese el surgimiento y la propagación de las grietas. La existencia de colágeno en el hueso, o sea, de un material poseedor de alta elasticidad, sirve de obstáculo para la propagación de grietas en el hueso al mismo tiempo, la dureza del hueso viene asegurada por los cristales de una sustancia mineral depositados en la superficie de las fibras colágenas. La naturaleza de composición del hueso viene indicada también por el bajo valor de su módulo de Young en comparación con los materiales homogéneos que poseen la misma dureza (véase la tabla 2).
¿Cuál es, en fin de cuentas, la reserva de resistencia de nuestros huesos? La parte central del húmero del hombre tiene el área de la sección transversal igual a 3,3 cm2, aproximadamente. Valiéndose de los datos insertados en la tabla 2, es fácil demostrar que el peso máximo de la carga que puede soportar este hueso encontrándose en posición vertical y trabajando para compresión es próximo a 60.000 N. Simultáneamente, se puede demostrar que la fuerza máxima que puede soportar el mismo hueso, si esta fuerza es aplicada a su extremo libre perpendicularmente al eje, estará cerca de 5.500 N, al considerar que el diámetro exterior del hueso es igual a 28 mm, el diámetro interior es de 17 mm y la longitud es de 200 mm.
3. El hueso sometido a la acción de la corriente eléctrica
Desde tiempos muy remotos el hueso se utilizó para la fabricación de las más distintas herramientas. La causa de tan amplia aplicación del hueso reside en su estabilidad hacia las acciones exteriores. Sin embargo, en el organismo vivo el hueso es asombrosamente cambiable, ya que el mismo constituye el tejido vivo de nuestro organismo. En el curso de toda nuestra vida las células óseas viejas mueren y las relevan células nuevas. Este hecho es especialmente patente en los primeros treinta años de la vida cuando tiene lugar el crecimiento de los huesos de nuestro esqueleto.

Figura 33. Cargas eléctricas que surgen en la superficie del hueso durante su deformación
¿De qué modo el hueso puede cambiar su forma y su masa en dependencia de la magnitud de la carga que actúa? Un papel importante en esta cadena de autorregulación pertenece a las variaciones del campo eléctrico en el tejido óseo. Como se ha demostrado, el hueso acusa propiedades piezoeléctricas, y, por lo tanto, su deformación viene acompañada de aparición del campo eléctrico. En este caso, la superficie estirada del hueso siempre se carga positivamente en relación con la comprimida. Si el hueso trabaja para flexión —como se representa en la fig. 33— su superficie cóncava se carga negativamente, mientras que la superficie convexa obtiene carga positiva. La intensidad del campo eléctrico para las cargas ordinarias por regla general no supera 0,5 Volt. Por otra parte, los datos de las observaciones clínicas señalan que durante las deformaciones prolongadas, análogas a aquella que se representa en la fig. 33, el hueso es capaz de cambiar su forma «construyendo complementariamente» el tejido óseo en los segmentos cóncavos y destruyéndolo en los convexos. Como resultado, el hueso se endereza.
La comparación de estos datos con los resultados de las mediciones eléctricas mencionadas con anterioridad dio lugar a la hipótesis acerca de la influencia del campo eléctrico sobre el proceso de nueva formación del tejido óseo. Al principio, esta hipótesis fue comprobada en los experimentos con los animales. Resultó que al dejar pasar prolongadamente (durante varios meses) la corriente eléctrica a través de un hueso, la masa de la sustancia ósea aumenta cerca del electrodo negativo. La intensidad del campo necesaria para estos fines es próxima a aquella que se engendra durante las deformaciones naturales del hueso.
La acción del campo eléctrico sobre el crecimiento del tejido óseo puede explicarse de la siguiente manera. Se conoce que en el proceso de formación del hueso primeramente aparecen nuevas fibras colágenas las cuales, más tarde, se cubren de cristales de sustancia mineral. Se ha demostrado que la orientación de las fibras colágenas y su aglutinación puede acelerarse en el campo eléctrico; en este caso, las fibras aglutinadas bajo la acción del campo externo se orientan perpendicularmente a sus líneas de fuerza en las cercanías del electrodo negativo. El proceso de aglutinación y de orientación de las fibras colágenas llega a ser notable ya al cabo de cinco minutos después de conectar el campo eléctrico, para las corrientes comparables con las descubiertas en el hueso deformado. Por esta razón, queda evidente que el campo eléctrico que se engendra durante la deformación del hueso como consecuencia del efecto piezoeléctrico es capaz de orientar las fibras colágenas que se forman y provocar el crecimiento del tejido óseo.

Figura 34. Tratamiento eléctrico de las fracturas de los huesos
4. La física del karate
Como ilustración magnífica de la resistencia de los huesos del hombre puede tomarse la lucha karate, una especie de ejercicios deportivos que gozan actualmente de gran popularidad. El retrato de karateca que rompe trozos sólidos de madera o de hormigón recorrió las páginas de muchas revistas. Sin embargo, a aquel que ve este cuadro por primera vez le parece que se trata de una mistificación. Mas incluso un novato en karate, después de un entrenamiento muy prolongado, será capaz de romper fácilmente, con mano desnuda, al principio un trozo de madera y, después, toda una pila de éstos.
La técnica del estilo japonés de karate que se practica en la actualidad fue elaborada en la isla de Okinawa. Los japoneses, al conquistar esta isla en el siglo XVII, quitaron a los aborígenes todos los tipos de armas y prohibieron su fabricación e importación. Para su defensa los habitantes de la isla elaboraron un sistema de técnicas de lucha con la ayuda de mano (te) vacía (kara). Los métodos de karate se diferencian considerablemente de la técnica de los tipos occidentales de autodefensa sin armas. Un boxeador del Occidente transmite un impulso grande a toda la masa de su adversario, derribándolo por tierra, en tanto que el karateca concentra su golpe sobre una porción muy pequeña del cuerpo, procurando consumarlo a una profundidad no mayor de 1 cm y sin que la amplitud del golpe sea grande. A raíz de ello, el golpe del karateca, con facilidad, puede destruir los tejidos y los huesos del adversario contra el cual está dirigido. Un karateca bien entrenado es capaz de transmitir en su golpe, durante varios milisegundos, una potencia igual a varios kilovatios.
Surge la pregunta: ¿cómo puede una mano desnuda romper objetos tan sólidos como son trozos de roble o de hormigón, sin fracturarse ella misma? Al principio tratemos de evaluar la energía Wrot necesaria para la rotura del trozo. Utilizando la ley de Hooke para la deformación del madero y la fórmula para la energía potencial reservada en un muelle comprimido es posible obtener la expresión para Wrot:
Wrot = (V/2)·(T2/E) ( 10)
El hecho de que la mano del karateca no se fractura durante el golpe contra el ladrillo de hormigón se explica, parcialmente, por la resistencia mecánica mucho más alta del hueso en comparación con el hormigón. La filmación rápida del puño del karateca en el momento del golpe demostró que su retardación durante el contacto con el ladrillo constituye, aproximadamente, 4000 m/s2. Esta es la causa por la cual la fuerza que actúa desde el ladrillo sobre el puño cuya masa es de 0,7 kg debe ser igual a 2800 N. Si todo el puño en el instante del golpe se sustituye por un hueso de 6 cm de largo y de 2 cm de diámetro, fijado en dos puntos extremos, y simular el golpe contra el ladrillo por una fuerza que actúa sobre el centro de dicho hueso, resulta que en tales condiciones el hueso puede soportar 25.000 N. Esta fuerza es, aproximadamente, ocho veces mayor que aquella que actúa sobre el puño del karateca durante la rotura de los ladrillos de hormigón. Sin embargo, la mano del karateca tiene aún mayores posibilidades de resistir semejantes golpes, puesto que, a diferencia del ladrillo de hormigón, la mano no se retiene por los extremos y el golpe no cae exactamente sobre su centro. Además, entre el hueso y el ladrillo de hormigón siempre está presente el tejido elástico que amortigua el golpe.
De este modo, no tenemos derecho de alegar la fragilidad de nuestros huesos para justificar nuestra irresolución. Los huesos no fallarán.
5. ¿Y para qué sirven los tendones?
Muchos de los movimientos que realizamos suelen ser periódicos. A estos movimientos pertenece el andar, el correr, el esquiar, el patinar, la flexión, etc. Durante estos movimientos las distintas partes del cuerpo se mueven de modo irregular. Por ejemplo, al andar o correr, cada uno de los pies, alternativamente, reduce su velocidad a cero cuando entra en contacto con el suelo y frena, además, el desplazamiento del cuerpo (fig. 35, a). Sucesivamente, el mismo pie, al separarse, con empujón, del suelo acelera este desplazamiento (fig. 35, c). Si se quisiera hacer moverse un coche de esta forma, sería necesario oprimir ora el acelerador, ora el freno, con una frecuencia de cerca de 1 Hz.

Figura 35. Dirección de la fuerza (se designa con la flecha) que actúa por el lado del corredor sobre la tierra durante distintas fases de la carrera: a, fase de frenado; b, movimiento uniforme; c, fase de aceleración
Claro que no. Se han realizado experimentos en los cuales el participante en el ensayo corría por una plataforma tensométrica especial que permitía registrar todas las componentes de las fuerzas que actuaban sobre el mismo. Basándose en los datos obtenidos y en la filmación simultánea de la carrera se podía evaluar los gastos energéticos del corredor, suponiendo que las pérdidas de energía cinética correspondientes a la fase de frenado se transforman totalmente en calor.
Por otra parte, los verdaderos gastos energéticos se podían calcular midiendo la velocidad de consumo de oxígeno por el corredor, por cuanto se conoce qué cantidad de energía se desprende en el organismo al consumir 1 g de oxígeno. Citando se obtuvieron estas dos evaluaciones, resultó que los verdaderos gastos energéticos durante la carrera son dos o tres veces menores que los calculados a base de las mediciones tensométricas. De este modo, la suposición de que toda la energía cinética en la fase de frenado se transforma totalmente en calor no es válida. Una parte de esta energía, durante el lapso a — b (véase la fig. 35), se conserva en los tejidos elásticos de los pies en forma de energía potencial de su deformación, y en la fase e se transforma de nuevo en energía cinética, a semejanza de cómo esto sucede cuando una pelota de goma rebota en la pared.
Como tejidos que hacen las veces de muelles sui géneris y pueden reservar energía mecánica intervienen los músculos de las extremidades y los tendones que los ligan con los huesos. Los tendones, en un grado mayor que los músculos, sirven para conservar la energía potencial, puesto que en ellos son muy pequeñas las fuerzas de rozamiento interno, y cerca del 90% de esta energía puede volver a transformarse en energía cinética.

Figura 36. A la izquierda, tipos diferentes de músculos adaptados para la contracción y acopio de energía mecánica. A la derecha, las flechas indican la disposición de los músculos que sirven de «almacenes» de energía mecánica durante la carrera del camello
Las propiedades de los tendones son más o menos iguales para todos los animales, sin embargo, las extremidades de los ungulados, por ejemplo, de las ovejas o de los caballos son máximamente adaptadas para conservar la energía mecánica. Algunos músculos en las partes inferiores de las patas de estos animales constan prácticamente por completo nada más que de tendones. De ejemplo más expresivo de esta utilización de los tendones pueden servir las partes inferiores de las extremidades del camello casi exentas de fibras musculares (fig. 36). En el pie del hombre el más potente es el tendón de Aquiles sobre el cual, durante la carrera, puede actuar la fuerza de tracción hasta de 4000 N.
Cada uno, con facilidad, puede cerciorarse de que, en efecto, la energía mecánica se reserva en nuestros pies como en los muelles. Con este fin procure ponerse cuclillas doblando fuertemente las rodillas. Se puede notar, inmediatamente, que es mucho más fácil volver a la posición vertical enderezando las piernas de una vez que después de permanecer en cuclillas un segundo o más. Este fenómeno se puede explicar por el hecho de que al doblar las rodillas una parte de los músculos queda tensada controlando el movimiento hacia abajo, y sus tendones están estirados. Si antes de enderezarse a los tendones no se da la posibilidad de acortarse, la energía potencial reservada en éstos se transformará en cinética. En cambio, si a los tendones se les permite acortarse antes de que uno vuelva a la posición vertical, entonces esta energía se transformará en calor. Los mismos experimentos se han realizado con personas en quienes se medía el consumo de oxígeno. A estas personas, en un caso, se pedía ponerse en cuclillas y enderezarse inmediatamente después de doblar por completo las rodillas, y otro caso, hacerlo con retardo de un segundo y confirmado la impresión subjetiva: en el primer caso la persona sometida a prueba consumía, un 22% menos oxígeno.
Capítulo 4
Mecánica del pulso cardíaco
El corazón... al comprimirse y ensancharse
alternativamente para expulsar y
admitir la sangre, engendra et pulso o
el latido que repercute en todas
las venas palpitantes del cuerpo.
V. I. Dal. Diccionario de la lengua
- Las arterias y el pulso
- Velocidad de la onda pulsátil
- Reflexión de las ondas pulsátiles
- Aneurisma
- Circulación de la sangre en el organismo de la jirafa y la medicina cósmica
- Cómo se mide la presión de la sangre y la velocidad del flujo sanguíneo
- El color de la sangre y la ley de conservación de la energía
El trabajo del corazón lo comenzaron a estudiar mucho más tarde, y solamente en 1628 el médico inglés William Harvey estableció que el corazón servía de bomba que impele la sangre por los vasos. W. Harvey calculó la cantidad de sangre que el corazón envía durante cada contracción. Resultó que la masa de la sangre que el corazón expulsa a las arterias durante dos horas superaba considerablemente la masa del cuerpo humano. Partiendo de este hecho Harvey llegó a la conclusión de que al corazón que hace las veces de bomba hidráulica retorna múltiplemente la misma sangre. Como modelo del corazón Harvey empleó no una bomba con válvula ordinaria, sino una bomba especial que, en su época, se utilizaba para evacuar agua de las minas.
El descubrimiento de Harvey provocó una discusión larga y acalorada, puesto que, con anterioridad desde los tiempos de Aristóteles, se consideraba que el movimiento de la sangre en el organismo se realizaba a costa de su continua formación (afluencia) y desaparición (reflujo). Ni siquiera René Descartes, relevante físico y matemático francés, a pesar de estar conforme con la teoría de la circulación de la sangre de Harvey, ni siquiera este ilustre sabio compartía su opinión acerca del papel del corazón en este proceso. Descartes consideraba el corazón como algo que ahora se podría comparar con una máquina de vapor o incluso con un motor de combustión interna. Estimaba que el corazón era una fuente de calor que calentaba la sangre durante su paso a través del mismo y que mantenía este calor en todo el cuerpo. Según su opinión, este calor, desde el principio mismo de la vida, se concentraba en las paredes del corazón. Siendo así, la sangre, al entrar apenas en la cavidad cardíaca, comenzaba de inmediato a hervir y, en lo sucesivo, ya en forma de vapor pasaba al pulmón que continuamente se enfriaba por el aire. En el pulmón, los vapores se «condensaban y volvían a transformarse en sangre».
1. Las arterias y el pulso
Actualmente, todo el mundo conoce que nuestro corazón es una bomba que trabaja en régimen de impulso con una frecuencia de cerca de 1 Hz. Durante cada impulso que dura, aproximadamente, 0,25 s, el corazón del hombre adulto tiene tiempo para expulsar a la aorta cerca de 0,1 dm3 (0,1 l) de sangre (fig. 37). Desde la aorta la sangre va a parar a vasos más estrechos que se denominan arterias; éstas transportan la sangre a la periferia. Es interesante el origen de la palabra «arteria». Esta palabra llegó del griego donde significaba... conducto aéreo. Se conoce que en los animales muertos la mayor parte de la sangre se encuentra en las venas, o sea, en los vasos por los cuales la sangre retorna al corazón.

Figura 37. Rendimiento del corazón considerado como bomba
La sangre es una suspensión de diferentes células en disolución acuosa. La mayor parte de las células de la sangre (sus elementos de forma) la constituyen los eritrocitos. Estos ocupan cerca del 45% de su volumen, y cada milímetro cúbico de la sangre contiene, aproximadamente, 5 millones de eritrocitos. El volumen ocupado por los demás elementos de forma (o sea, por los leucocitos y los trombocitos) no supera 1%. Dentro de los eritrocitos se halla la hemoglobina: un complejo de la proteína globina con el grupo orgánico (hema) que contiene el átomo de hierro. Precisamente la hemoglobina confiere a los eritrocitos (y a toda la sangre) su color rojo, y la aptitud de la hemoglobina de combinarse reversiblemente con el oxígeno asegura la gran capacidad de oxígeno de la sangre [7]. Un litro de sangre privada de elementos de forma puede combinar tan sólo 3 ml de oxígeno (a presión atmosférica), en tanto que un litro de sangre normal es capaz de combinar 200 ml. Justamente esta aptitud permite que la sangre cumpla su función principal: la de abastecimiento de las células del organismo con oxígeno.
Los eritrocitos representan discos bicóncavos altamente flexibles (fig. 38) y constan de una membrana muy fina (de 7,5 nm) y el contenido líquido: disolución casi saturada de hemoglobina. A pesar de que el diámetro de los eritrocitos es de cerca de 8 pm, éstos pueden pasar, sin destruirse, a través de los capilares con el diámetro igual a 3 pm. Al hacerlo, se deforman fuertemente y llegan a ser parecidos al casquete del paracaídas o se arrollan en un tubo. Como resultado, la superficie de contacto del eritrocito con la pared del capilar aumenta (en comparación con el movimiento del eritrocito no deformado), como asimismo la velocidad de intercambio de los gases.

Figura 38. Eritrocito: a), vista de arriba; b) vista lateral
Se ha descrito una enfermedad de la sangre que lleva el nombre de esferocitosis hereditaria en la cual los eritrocitos tienen forma esférica, siendo su diámetro de 6 pm, aproximadamente. La membrana de estos eritrocitos, durante su movimiento por los capilares finos, siempre se encuentra en estado tenso, rompiéndose con frecuencia. Como resultado, el número de eritrocitos en la sangre de tales enfermos es más bajo y éstos padecen de anemia.
El movimiento de, la sangre por los vasos es un proceso bastante complicado. La pared de la aorta, análogamente a todas las arterias, posee alta elasticidad: su módulo de Young es 105 veces menor que el módulo de Young de los metales. Por esta causa, cuando la sangre entra en la aorta, la misma comienza a ensancharse y sigue ensanchándose hasta el momento en que la afluencia de la sangre cese. Acto seguido, las fuerzas elásticas de la pared ensanchada de la aorta, tendiendo a hacerla regresar a las dimensiones iniciales, expulsan la sangre a la porción de la arteria más alejada del corazón (la corriente inversa está prevenida por una válvula). Esta porción de la arteria se ensancha y todo se repite de nuevo. Si la deformación de la pared de la arteria se registra simultáneamente en dos puntos diferentemente alejados del corazón, resultará que esta deformación consigue los valores máximos en distintos momentos de tiempo. Y cuanto más lejos del corazón está dispuesto el punto de registro, tanto más tarde la deformación del vaso en el punto dado llegará a su máximo. Por esta causa, después de cada contracción del corazón a lo largo de la arteria, en la dirección desde el corazón hacia la periferia, se propaga una onda de deformación, a semejanza de como las ondas se propagan por una cuerda tensada o por la superficie del agua cuando a ésta se arroja una piedra. Si sobre la arteria que se encuentra cerca de la superficie del cuerpo (por ejemplo, en la muñeca) se pone un dedo, éste percibirá dichas ondas en forma de latidos, de pulso al cual con tanta elocuencia se refiere el epígrafe a este capítulo.
Aquí cabe señalar que la velocidad de propagación de la onda de deformación de un vaso sanguíneo puede diferenciarse considerablemente de la velocidad de propagación de la onda de compresión en la sangre. La última, evidentemente, es igual a la velocidad de propagación del sonido y constituye varios centenares de metros por segundo, en tanto que las ondas de deformación recorren por un segundo no más que varios metros.
Los hombres aprendieron a medir la frecuencia, el ritmo y el llenado (amplitud) del pulso mucho antes de que se conociera su origen. Las primeras menciones acerca de la medición del pulso del hombre se remontan al III milenio a.n.e. cuando el imperador chino Hoam-Tou junto con el médico de la corte Li-Pe se valían del registro del pulso para realizar el diagnóstico. La sencillez de la medición del pulso (no hay necesidad de instrumentos cualesquiera, excepto el cronómetro) lo convierte en uno de los principales indicios del estado de la salud incluso en la actualidad.
2. Velocidad de la onda pulsátil
La onda de deformación de las paredes de la arteria que se propaga a lo largo de ésta recibió el nombre de onda pulsátil. Se logró medir la velocidad de propagación de la onda pulsátil tan sólo a principios del siglo XX, cuando aparecieron los primeros instrumentos registradores de respuesta rápida (carentes de inercia).

Figura 39. Representación esquemática de una arteria
Supongamos que la arteria con el diámetro exterior d representa un cilindro lo suficientemente largo (para poder despreciar los efectos de límites) cuyas paredes tienen el espesor h y están fabricadas del material cuyo módulo de Young es E (fig. 39). Supongamos también que la presión P de la sangre en el punto alejado a la distancia x0 desde el corazón varía en el tiempo de tal modo como se representa en la fig. 40 y que Q es la velocidad de propagación de la onda pulsátil.

Figura 40. Variación —postulada en el modelo— de la presión de la sangre en el punto de la arteria alejado del corazón a la distancia x0
De esta figura se desprende que la sangre, en el punto dado de la arteria, se moverá solamente en el caso de que a través de este punto pase la onda pulsátil. En efecto, semejante movimiento de impulso de la sangre tiene lugar en las arterias grandes que parten del corazón, donde se puede prescindir de la extinción de la onda pulsátil. Analicemos, precisamente, la propagación de la onda pulsátil en estos vasos.
En el momento de tiempo x0/ Θ calculado desde el comienzo de la contracción del corazón, sobre la masa de la sangre que se encuentra entre las secciones transversales x0 — Θ τ1 y x0, a lo largo del eje de la arteria, actuará la fuerza igual a la diferencia de las fuerzas de presión aplicadas a estas secciones transversales:
(P1 — P0)·π d2/4 .
Puesto que la masa de la sangre entre las secciones esρΘτ1 ·π d2/4
resulta que de la segunda ley de Newton es posible obtener el valor de la aceleración de esta masa de la sangrea + = (P1 — P0)/ ρΘτ1
donde ρ es la densidad de la sangre.
Figura 41. Arriba, distribución de la presión y de la velocidad de la sangre a lo largo de la arteria al cabo del intervalo x0/Θ después del comienzo de la expulsión de la sangre desde el corazón hacia la aorta. Abajo, representación esquemática de la dilatación de la arteria al propagarse la onda pulsátil
a - = (P1 — P0)/ ρΘτ2
Como resultado, durante el intervalo de tiempo t 1 en que la presión en el punto x0 iba en aumento, la sangre que se encontraba en esta zona elevó su velocidad desde cero hasta a+ τ 1. En el siguiente lapso τ2 la velocidad de la sangre en el punto dado disminuirá en(P1 — P0)/ ρΘ
y retornará a cero. Debido a ello, la distribución de la velocidad a lo largo del vaso en el momento de tiempo x0/ Θ tendrá el aspecto representado en la fig. 41.¿Cuál es la razón de que el volumen de la sangre entre las secciones
x 0 — Θ ( τ2 + τ1)
y x0 en el intervalo de tiempo entre x0/ Θ — τ1 – τ2 y x0/ Θ aumenta?Por lo visto, esto se debe a que la cantidad de la sangre que afluye a esta porción de la arteria de la izquierda supera la cantidad de la sangre que refluye. En nuestro caso, la velocidad de la sangre que abandona la porción de la arteria, durante este lapso fue igual a cero. Al mismo tiempo, la velocidad de la sangre afluente siempre se diferenciaba de cero, y su valor medio por este intervalo de tiempo constituía
(P1 — P0)/2 ρθ
De este modo, durante el intervalo de tiempo τ1 + τ2 , la velocidad de afluencia de la sangre a la porción de la arteria mencionada con anterioridad supera la velocidad de reflujo en (P1 — P0)/2 ρΘ, en promedio.Puesto que la sangre es prácticamente incompresible, aumento del volumen Δ V puede obtenerse al multiplicar la superación de la velocidad de afluencia sobre la velocidad de reflujo por el área de la sección transversal del vaso y por el intervalo de tiempo:

(11)
(12)
(13)
(14)
Las investigaciones anatómicas demuestran que la magnitud h/d varía poco al pasar de un hombre al otro y, prácticamente, no depende del tipo de la arteria. Por esta causa, teniendo en cuenta el carácter constante de h/d, se puede considerar que la velocidad de la onda pulsátil varía tan sólo al cambiar la elasticidad de la pared de la arteria, o sea, su módulo de Young. Con la edad, así como durante las enfermedades acompañadas de aumento de la pared de las arterias (hipertensión, aterosclerosis), Θ puede aumentar casi de 2 a 4 veces en comparación con la norma (véase la tabla 3). Esta circunstancia permite utilizar la medición de Q durante el diagnóstico.
| Tabla 3 Variación de la velocidad de propagación de la onda pulsátil (en m/s) por la parte torácica de la aorta del hombre en función de la edad y la presión sanguínea | ||||
| Presión sanguínea media, kPa | ||||
| Edad, años | 6,5 | 13 | 19,5 | 26 |
| 20 - 24 | 3,3 | 3,6 | 4,5 | 5,7 |
| 36 - 42 | 3,5 | 4,9 | 6,7 | 8,9 |
| 71 - 78 | 4,6 | 7,6 | 11,1 | 14,7 |
Reviste interés el hecho de que la fórmula (14) para la velocidad de propagación de las ondas pulsátiles en las arterias fue deducida por primera vez por el famoso científico inglés Tomás Young en 1809. Tomás Young a quien ahora recuerdan principalmente como al creador de la teoría ondulatoria de la luz y, además, debido a que su nombre lo lleva el módulo de elasticidad de los materiales, fue también autor de trabajos clásicos en el campo de la teoría de la circulación de la sangre, incluyendo trabajos referentes a la propagación de las ondas pulsátiles en las arterias. Young, verdaderamente, representaba una personalidad extraordinaria. Se conoce que ya a la edad de dos años sabía leer y para los 14 dominaba a perfección diez idiomas, tocaba casi todos los instrumentos musicales y revelaba habilidades propias de un artista de circo. Durante toda su vida combinaba dos profesiones: la del médico práctico y la del físico.
3. Reflexión de las ondas pulsátiles
Al igual que todas las ondas, las ondas pulsátiles en las arterias poseen la capacidad de reflejarse de los lugares en los cuales varían las condiciones de su propagación.

Figura. 42. Surgimiento de la onda pulsátil reflejada en el lugar de la ramificación de la arteria: a, corte de la arteria ramificada; b, variación de la presión arterial cuando existe la onda reflejada
La onda pulsátil reflejada, análogamente a la primaria, viene acompañada de deformación de la pared de la arteria. Pero, en tanto que la energía de deformación elástica de las paredes creada por la propagación de la onda primaria se transforma, ulteriormente, en energía cinética de movimiento de la sangre desde el corazón hacia la periferia, la onda reflejada impide el flujo normal de la sangre. Por esta causa, la reflexión de las ondas arteriales dificulta el trabajo normal de nuestro sistema de circulación sanguínea.
¿De qué depende la amplitud de la onda pulsátil reflejada? Supongamos que la onda pulsátil encuentra en su camino una ramificación similar a la representada en la fig. 42. En este caso, la variación de la presión Δ P en el lugar de bifurcación debe ser igual a la suma de las presiones creadas por las ondas incidente (Δ Pinc ) y reflejada (Δ Pref ), es decir,
Δ Pinc + Δ Pref = Δ P (15)
Es evidente que la masa de la sangre que afluye al lugar de bifurcación junto con la onda pulsátil debe ser igual a la suma de sus masas que refluyen con las ondas pulsátiles por las arterias B y C [8], lo que se puede escribir de la siguiente forma:Minc — Mref = MB + MC , (16)
donde Mincy Mrefson las masas de la sangre transportadas en una unidad de tiempo a través de la sección OO de la arteria A por las ondas incidente y reflejada, respectivamente, y MBy MC, las velocidades de transferencia de masa de la sangre por la onda pulsátil al principio de las arterias B y C, respectivamente. Como se ha demostrado antes (véase también la fig. 41) la variación de la velocidad de la sangre al pasar la onda pulsátil es igual aΔ v = Δ P/ ρθ (17)
donde D P es la variación de la presión durante la propagación de la onda pulsátil. Por consiguiente, la masa de la sangre transportada por la onda pulsátil en una unidad de tiempo a través de la sección transversal del vaso S es igual aM = Δ vS ρ (18)
Teniendo en cuenta (17) y (18), la expresión (16) puede escribirse en la siguiente forma:
(19)
(20)
SA = SB + SC (21)
Cabe señalar que la mayor parte de las ramificaciones de las arterias grandes satisface en uno u otro grado la igualdad (21), la cual requiere que la sección transversal del cauce sanguíneo antes y después de la ramificación sea constante. Sin embargo, en algunos casos esta igualdad falta, y, a continuación, veremos qué implica tal circunstancia.4. Aneurisma
Después de cada contracción del corazón en la aorta aumenta la presión sanguínea [9], sus paredes se dilatan y por éstas se propaga la onda pulsátil. Esta dilatación rítmica de la pared se repite cerca de 100.000 veces al día y 2.500 millones de veces, aproximadamente, durante toda la vida. De principio, la estructura de la pared de la aorta es capaz de resistir estos golpes hidráulicos rítmicos. Sin embargo, en algunas ocasiones, la pared de la aorta no soporta ya y comienza a dilatarse formando el aneurisma.

Figura 43. El lugar de la aparición del aneurisma de la aorta (se designa con trazos)
El lugar habitual donde se forma el aneurisma es la parte abdominal de la aorta un poco por encima de su ramificación (fig. 43). Se considera que el aneurisma surge en la zona de reflexión de la onda pulsátil desde el lugar de la ramificación de la aorta. Como se ha demostrado anteriormente (véase la expresión (20)), la amplitud de la onda reflejada es proporcional a la diferencia entre las áreas de la sección transversal del vaso antes de la ramificación y de la sección total después de la ramificación. Con la edad esta diferencia aumenta debido al estrechamiento de las arterias periféricas. Como resultado, la amplitud de la onda pulsátil reflejada incrementa lo que lleva a la mayor dilatación de las paredes de la aorta en este lugar.
El crecimiento del aneurisma es una manifestación de la ley de Laplace, astrónomo y matemático francés quien descubrió la relación entre la tensión T que dilata la pared del vaso sanguíneo (relación de la fuerza al área de la sección longitudinal de la pared del vaso), su radio R, la presión dentro del vaso P y el espesor de su pared h:
T = P·R/h (22)
Con mayor frecuencia se utiliza otra anotación de la ley de Laplace en cuyo primer miembro se encuentra el producto T·h, numéricamente igual a la fuerza que dilata la pared del vaso y es aplicada a la unidad de su longitud. En estos casos, al suponer que T·h = T, tenemos la siguiente forma de anotación de la ley de Laplace:T = P·R (22)
De la ley de Laplace se infiere que al aumentar P debe también aumentar T, lo que lleva a la dilatación de la pared del vaso y al incremento de su radio R. Pero, como quiera que el volumen de la pared de la aorta se puede considerar constante, el aumento del radio de la aorta debe ir acompañado de adelgazamiento de su pared. A raíz de ello, al aumentar P también debe aumentar la relación R/h, circunstancia que implica el crecimiento todavía mayor de T, y así sucesivamente. De este modo, cualquier aumento de la presión arterial, al parecer, debería provocar el crecimiento en avalancha de R y la disminución de h que conduciría a la ruptura del aneurisma. ¿Por qué, entonces, en la realidad, semejante fenómeno se produce en muy pocas ocasiones y, por regla general, tan sólo en la edad avanzada?La causa de la aparición del aneurisma reside no solamente en la amplitud incrementada de la presión arterial, sino también en el cambio de las propiedades mecánicas de la pared arterial. La aorta del hombre tiene el diámetro interior igual a 2.5 cm, aproximadamente, y el espesor de su pared es de 2 mm. Esta pared consta de células que contienen dos tipos principales de materiales elásticos: elastina y colágeno. En la pared no dilatada del vaso las fibras colágenas no están enderezadas hasta el final. Por esta razón, para las deformaciones pequeñas, la elastina —que es de fácil dilatación— determina la elasticidad de la pared de la aorta. En cambio, para las deformaciones grandes las propiedades mecánicas de la pared de la aorta vienen determinadas por el colágeno que posee una rigidez mucho mayor que la elastina.

Figura 44. Dependencia entre el radio R de la aorta y la tensión que estira sus paredes
Una vez conocidas las características elásticas de la pared de la aorta y la ley de Laplace, podemos hallar ahora las variaciones del radio del vaso al cambiar la presión sanguínea en éste. Por cuanto el valor de R debe corresponder a la ecuación de Laplace (22) y a la elasticidad de la pared de la aorta, resulta que para cada P el valor correspondiente de R, se puede obtener al hallar la ordenada del punto de intersección (le la curva continua (o de trazos, y puntos) en la fig. 44 con la recta de trazos. Al aumentar P, la inclinación de la línea de trazos disminuye, aproximándose a la de la porción «colágena» de la curva continua. Cuando éstas llegan a ser iguales, falta el punto de intersección de las rectas lo que corresponde al crecimiento en avalancha y a la ruptura del aneurisma. Para las personas jóvenes semejante inclinación de la recta de trazos puede manifestarse si la presión es de cerca do 130 kPa (1000 mm de Hg) que de 6 a 8 veces supera la presión arterial verdadera. En las personas de edad avanzada la rigidez de la pared de la aorta puede disminuir casi 5 veces, y la presión arterial puede elevarse hasta de 25 kPa (200 mm de Hg), lo que hace más real el surgimiento y la ruptura del aneurisma.
5. Circulación de la sangre en el organismo de la jirafa y la medicina cósmica
¿Hay alguien quien no haya soñado en volar al cosmos y observar la Tierra desde sus vastos espacios? Lamentablemente, este sueño puede convertirse en realidad tan sólo para muy pocas personas. Es que la profesión del cosmonauta es muy complicada y, hasta la fecha, sigue siendo peligrosa. Miles y decenas de miles de personas preparan el vuelo cósmico y resuelven problemas vinculados con el mismo. Una parte considerable de estos problemas se refiere al nuevo campo de la biología, a saber, a la biología cósmica.
Lo primero que debe afrontar el cosmonauta durante el despegue es la aceleración, cuando la nave cósmica, con rapidez, toma velocidad. Durante la puesta de la nave en la órbita de satélite artificial de la Tierra, sobre el cosmonauta casi en el curso de 5 minutos, actúa la aceleración cuyo valor puede variar desde 1 g hasta 7 g. En otras palabras, el peso del cosmonauta durante el despegue de la nave puede alcanzar un valor séptuplo. Las aceleraciones ejercen su influencia sobre el cosmonauta también durante su retorno a la Tierra, al entrar en las capas densas de la atmósfera. Es natural que el aumento del peso del cosmonauta dificulte sus movimientos. Traten de figurar cuán difícil será levantar la mano cuyo peso ha aumentado siete veces para conectar uno de los conmutadores en el tablero de mando. Esta es la razón por la cual en los períodos en que actúan las sobrecargas, o sea, durante el despegue de la nave y su frenado, la mayoría de las operaciones relacionadas con su mando debe ser automatizada.
Sin embargo, la dificultad en el cumplimiento de diferentes movimientos al aumentar el peso del cosmonauta es tan sólo uno de los aspectos —que se soporta con relativa facilidad— de la acción de las aceleraciones en el vuelo cósmico. Son mucho más peligrosos los desplazamientos de muchos tejidos y de algunos órganos internos —que ocurren en este caso— en la dirección de las fuerzas de inercia. De ejemplo patente de acción de las fuerzas de esta índole puede servir la caída de los pasajeros en un autobús durante un frenado muy brusco. Las fuerzas de inercia siempre están dirigidas hacia el lado opuesto a la aceleración del cuerpo. En dependencia de la densidad de los órganos internos, de su posición y de la elasticidad de los ligamentos con los tejidos circundantes, las fuerzas de inercia pueden llevar a los más diversos trastornos de las funciones del organismo.
Es evidente que la parte más móvil del organismo es la sangre. A raíz de ello, los trastornos más considerables durante la acción de las aceleraciones se producen en el sistema de circulación de la sangre. Si la aceleración está dirigida desde la pelvis hacia la cabeza, la acción de las fuerzas de inercia conduce al reflujo de la sangre desde los vasos de la cabeza y a su afluencia a los órganos de la parte inferior del cuerpo. Como resultado, son posibles los trastornos de la vista y hasta desmayos. Si la aceleración orientada de esta forma actúa durante un minuto, su valor máximo no debe superar 3 g.
Si las paredes de los vasos sanguíneos poseyesen rigidez absoluta, la acción de las fuerzas de inercia no conduciría a la redistribución de la sangre en el organismo. Todos los efectos de las aceleraciones en el sistema de circulación de la sangre están relacionados con la alta extensibilidad de las paredes de los vasos sanguíneos: debido a esta extensibilidad la variación de la presión de la sangre puede cambiar el volumen de los vasos sanguíneos, así como de la sangre contenida en éstos.
Se conoce que la presión del agua en un recipiente que se encuentra en el campo gravitacional de la Tierra aumenta con la profundidad, de modo que al internarse en 10 cm la presión incrementará en 1 kPa. Si el recipiente se mueve con una aceleración igual a n·g, en la dirección del vector de esta aceleración la presión del agua disminuirá en n kPa al pasar cada 10 cm (fig. 45).

Figura 45. Variación de la diferencia de presión hidrostática entre dos puntos durante la aceleración del líquido
Por las mismas causas, la presión en los vasos de las extremidades inferiores durante las aceleraciones orientadas hacia arriba crece y puede alcanzar 75 kPa para 3·g. El aumento mayor que cuádruple de la presión arterial provoca su desmesurada dilatación. Como resultado, el volumen de la sangre en las partes inferiores del cuerpo aumenta, y en las superiores, disminuye. Además, a partir de los vasos de la parte inferior del cuerpo, bajo el impacto de la enorme presión, a través de las paredes de estos vasos comienza a colarse agua penetrando en los tejidos circundantes. Este proceso conduce al hinchamiento de los pies, a su edema.
¿Cómo es posible asegurar la circulación normal de la sangre tratándose de un cosmonauta y de un piloto de avión de propulsión a chorro, durante la acción de las aceleraciones? La solución más sencilla consiste en disponer al hombre de modo que sus dimensiones en la dirección del vector de aceleración sean mínimas. En este caso, la presión arterial en las distintas partes del cuerpo se diferenciará insignificantemente y no tendrá lugar la redistribución de la sangre. He aquí la causa de que los cosmonautas despegan y aterrizan encontrándose en posición medio sentada.
Es interesante recordar que los protagonistas de la novela de Jules Verne «De la Tierra a la Luna» escrita en 1870 llegan a la misma conclusión (volar «yaciendo de costado»). A todas luces, se puede considerar que en esta novela del gran escritor francés de ciencia ficción por primera vez se tocaron los problemas principales de la medicina cósmica.
Pero, ¿qué pueden hacer los pilotos de aviones de propulsión a chorro? Al realizar maniobras bruscas, éstos no pueden encontrarse en posición yaciente, ya que, en este instante, deben controlar el aparato.
¿Y si se logra que el piloto ponga un traje muy ajustado entre cuyas capas interior y exterior se encuentre agua? En este caso, durante las aceleraciones, la presión del agua en cualquier porción de este traje variará en la misma magnitud que la presión en los vasos sanguíneos próximos. Por esta razón, a pesar de que dentro del vaso la presión, como antes, seguirá creciendo, el vaso ya no podrá dilatarse. No tendrá lugar la redistribución de la sangre. Este traje recibió el nombre de traje anti-g y se emplea con éxito en la cosmonáutica y en la aviación supersónica.
La mayoría de los animales que habitan la Tierra son «horizontales». En éstos, el cerebro y el corazón, o sea, dos órganos más importantes, se encuentran a un mismo nivel. Esta disposición es en sumo grado racional. El corazón no necesita esfuerzos adicionales para proveer de sangre el cerebro. Pero el hombre no pertenece a animales «horizontales». Debido a ello, su presión arterial es relativamente alta. A los mismos «hipertónicos» pertenecen también algunas aves (por ejemplo, el gallo) y, por supuesto, la jirafa.
El corazón de los animales típicamente «horizontales» es incapaz de asegurar el abastecimiento de sangre al cerebro si su postura se desvía de la natural. Por ejemplo, si un conejo o una serpiente se ponen en posición vertical, éstos, muy pronto perderán el sentido debido a la anemia del cerebro.
Resultó que en el organismo de la jirafa se puede encontrar una analogía con el traje anti-g. Se sobreentiende que de lo dicho no se infiere que la jirafa es un foráneo cósmico. La necesidad de llevar en la Tierra un traje de esta índole se explica por la estatura insólitamente alta de este animal que puede llegar a 5,5 m. El corazón de la jirafa se encuentra a la altura de cerca de 2,5 m, por esta causa los vasos sanguíneos de sus pies deben soportar la enorme presión de toda esta columna de líquido. ¿Qué es, entonces, lo que salva los pies de la jirafa del surgimiento de un edema? Entre los vasos de los pies de la jirafa y su sólida piel hay gran cantidad de líquido intercelular el cual, de la misma manera que el agua en el traje anti-g, previene los vasos contra la excesiva dilatación. Pero, ¿de qué modo en el cuerpo de la jirafa la sangre puede subir al nivel del cerebro, es decir, a 3 m por encima del nivel del corazón? Si la jirafa, al nivel del corazón tuviera la misma presión arterial que el hombre, entonces, al nivel de la cabeza la presión sería ya menor que la atmosférica y la sangre no podría circular a través del cerebro. Por esta causa no es de extrañar que la jirafa es «hipertónica». Su presión arterial al nivel del corazón puede alcanzar 50 kPa. Este es el precio que paga la jirafa por su alta estatura.
La moda hace que los jóvenes se pongan algo análogo al traje anti-g, o sea, pantalones vaqueros estrechos. Los médicos afirman que el pantalón muy ajustado puede ayudar a las víctimas de accidentes, con traumas graves debajo de la cintura, a evitar la caída brusca de la presión arterial lo que, habitualmente, tiene lugar durante pérdidas de sangre. Se ha descrito un caso en que un joven de 22 años en un accidente automovilístico ha sufrido un trauma de la pelvis y de la parte inferior del abdomen. El joven no se encontraba en estado de choque y, solamente, sentía dolor en el lugar del trauma. Su estado permaneció estable durante 25 minutos, hasta el momento en que el médico, con el fin de descubrir el trauma, decidiera quitarle el pantalón vaquero tan ajustado que resultó necesario cortarlo. Inmediatamente después de haber hecho esto, las piernas y el abdomen del lesionado comenzaron a hincharse por el aflujo de la sangre, la presión arterial en las extremidades superiores disminuyó hasta cero y el joven perdió el conocimiento.
6. Como se mide la presión de la sangre y la velocidad del flujo sanguíneo
Uno de los índices principales del trabajo del corazón es la presión con la cual éste impele la sangre a los vasos. Por primera vez esta presión fue medida por el clérigo inglés S. Halles en 1733.
Revisten interés las circunstancias que llevaron a S. Halles al descubrimiento de la presión arterial. Antes de proceder al estudio de las fuerzas que impulsan a moverse la sangre en los animales S. Halles dedicó varios años a la investigación de las plantas. En particular, le interesó el móvil que hacía subir la savia desde las raíces hacia el follaje del árbol. Los resultados de estas investigaciones se pueden hallar en su libro «Estática de las plantas».
Debido a que consideraba que la savia de las plantas desempeña en el árbol el mismo papel que la sangre en el animal, Halles comienza a estudiar la circulación sanguínea .
Con este fin, valiéndose de un tubo flexible, conectó la arteria femoral de un caballo a un largo tubo de latón colocado en posición vertical y con el extremo superior dejado abierto. Al quitar el sujetador del tubo de conexión, la sangre, desde la arteria, se lanzó al tubo de latón, comenzando a llenarlo hasta subir al nivel de cerca de 2 m. La presión de la columna de sangre que se encontraba en el tubo de latón se equilibraba por la presión arterial, constituyendo cerca de 20 kPa. El nivel de la sangre en el tubo de latón no era constante, oscilando con la frecuencia de las contracciones del corazón entre los valores máximo (sistólico) y mínimo (diastólico). La presión sistólica correspondía a la contracción del corazón, y la diastólica, a su estado relajado. Halles expone todo lo relatado arriba en el segundo tomo de su tratado «Hemostática».
Sin embargo, a Halles le interesó no solamente el movimiento de los líquidos, sino también el del aire. También en este ámbito sus ideas encontraron realización práctica. Para luchar contra el calor sofocante en los locales cerrados propuso por primera vez instalar ventiladores parecidos a molinas de viento.
El método propuesto por Halles estaba relacionado con una considerable pérdida de sangre, sin hablar ya del riesgo para el paciente. Por esta causa, con la ayuda de este método se puede medir la presión arterial solamente, digamos, en los experimentos con los animales. El deseo de crear un método de medición de la presión arterial idóneo para el hombre indujo al médico italiano S. Riva-Rocci a inventar en 1896 un aparato que está en uso hasta la fecha (fig. 46).

Figura 46. Método de Riva-Rocci—Korotkov para medir la presión arterial del hombre: 1, manguito lleno de aire comprimido; 2, pera con válvula para insuflar el aire al manguito; 3, manómetro para medir la presión del aire; 4, fonendoscopio para auscultar los tonos de Korotkov
El método de Riva-Rocci se basa en la medición de la presión exterior necesaria para sujetar la arteria. Con este fin sobre el brazo del paciente se pone un manguito hueco de goma y; valiéndose de cualquier bomba, aumentan en éste la presión del aire hasta que desaparezca el pulso en la arteria del antebrazo (en la arteria radial). La presión del aire en el manguito para el momento de desaparición de las ondas pulsátiles en la arteria radial (cuando en ésta cesa el flujo de sangre) debe ser igual a la presión sistólica de la sangre.
En 1905, el médico ruso N. S. Korotkov modificó el método de Riva-Rocci de tal forma que se ofreciera la posibilidad de medir también la presión diastólica de la sangre. Korotkov propuso auscultar las ondas pulsátiles de la arteria radial con la ayuda de fonendoscopio (este aparato consta de una membrana sensible y dos tubitos flexibles que conducen las vibraciones acústicas hacia las membranas del tímpano del oído). Si la presión del aire en el manguito se eleva por encima de la presión sistólica para bajarla luego, lentamente, con la ayuda de una válvula especial, entonces, a la presión igual a la sistólica aparecen sonidos característicos. El origen de estos sonidos que se denominan tonos de Korotkov está relacionado con el carácter complejo de propagación de la onda pulsátil por la arteria parcialmente comprimida. Cuando la presión en el manguito llega a ser menor que la diastólica, la arteria comienza a dejar pasar sin obstáculos la sangre, y los tonos de Korotkov desaparecen. Esta es la razón de que la presión en el manguito correspondiente a la desaparición de los tonos de Korotkov se toma por presión diastólica.
A menudo, para formar una idea acerca del trabajo del sistema cardiovascular, resulta insuficiente medir las frecuencias del pulso y la presión arterial. El estado enfermizo de tal o cual órgano puede estar relacionado con la disminución del flujo de sangre a través de la arteria que provee de sangre dicho órgano. En estos casos. para establecer el diagnóstico correcto, es necesario medir la velocidad del flujo de sangre a través de esta arteria (es decir, el volumen de la sangre que pasa por la misma en una unidad de tiempo). Uno de los primeros en investigar la velocidad de movimiento de la sangre por los vasos fue el médico y físico francés Jean Poiseuille. Reviste interés el hecho de que la ley que lleva su nombre y que relaciona la velocidad de movimiento del líquido a través de un tubo capilar con su radio, longitud y gradiente de presión representó una generalización de los trabajos experimentales realizados por Poiseuille en los vasos sanguíneos de los animales. Sin embargo, la aplicación de la ley de Poiseuille para la medición del flujo sanguíneo en las arterias del hombre es prácticamente imposible, por cuanto en este caso es necesario conocer el diámetro interior de la arteria, los valores de la presión de la sangre en dos puntos de ésta, así como la viscosidad de la sangre. Es evidente que la obtención de semejantes datos convierte dicho método en «cruento» y, con frecuencia, meramente no real.
En la actualidad, la velocidad del flujo sanguíneo a través de los vasos se determina, en la mayoría de los casos, valiéndose de dos métodos: el método electromagnético y el método de dilución del indicador. El principio del método electromagnético tiene por base la ley de la inducción electromagnética y consiste en lo siguiente. Si el vaso sanguíneo se dispone en el campo magnético de modo que el vector de la inducción magnética sea perpendicular al eje del vaso, la sangre (o sea, el medio conductor), al moverse a lo largo del vaso, atravesará las líneas de fuerza de este campo lo que conducirá al engendramiento del campo eléctrico. El vector de intensidad del campo eléctrico engendrado será perpendicular al vector de inducción magnética y a la velocidad de movimiento de la sangre, en tanto que el valor máximo de la diferencia de potencial entre los puntos diametralmente opuestos del vaso será proporcional al producto de la velocidad del flujo sanguíneo y de la inducción del campo magnético. Por esta razón, si los parámetros del campo magnético no varían en el proceso de investigación, el valor de la f.e.m. que se registra debe considerarse proporcional a la velocidad del flujo sanguíneo a través del vaso.
Merece atención el hecho de que ya en 1832, M. Faraday, uno de los creadores de la teoría electromagnética, en su intento de comprobar la validez de la ley de la inducción electromagnética para los líquidos conductores, quería medir la diferencia de potencial entre las orillas opuestas del río Támesis, la diferencia que se engendra al fluir sus aguas en el campo magnético de la Tierra. En aquella época no logró realizar su propósito, pero al cabo de 20 años, su compatriota Wollaston, utilizando instrumentos análogos, descubrió la diferencia de potencial entre las costas opuestas del Canal de la Mancha que variaba en correspondencia con las corrientes de marea.

Figura 47. Catéter provisto de captador electromagnético de la velocidad del flujo sanguíneo
El método de dilución del indicador permite hallar la velocidad del flujo sanguíneo a través del vaso si se conoce la cantidad de indicador (de colorante o de otra sustancia) introducido en la sangre y su concentración en un punto cualquiera del vaso. En la mayoría de los casos, como indicadores, se utilizan diversos colorantes inofensivos para el organismo cuyo color se diferencia sustancialmente del color de la sangre. En estos casos, la concentración del indicador la determinan de modo fotométrico, midiendo al trasluz la coloración del vaso. A veces, el papel de indicador lo desempeña la solución fisiológica enfriada de cloruro sódico. La concentración de este indicador puede evaluarse al medir la temperatura de la sangre en el vaso.
Figurémonos un segmento lo suficientemente largo de un vaso sanguíneo la velocidad del flujo de sangre a través del cual es igual a F. Supongamos que junto con la sangre a este segmento se suministrará el indicador con una velocidad I. En este caso, admitiendo que c es la concentración establecida del indicador en el segmento dado del vaso, resultará válida la siguiente relación:
I = c·F (23)
La relación (23) permite calcular F si se conocen I y c.
Figura 48. Variación de la concentración del indicador en la sangre después de una sola inyección. El área bajo la curva correspondiente al primer paso del indicador al lado del captador está rayada. La cresta más tardía en la curva refleja la segunda aparición do la misma porción del indicador que realizó la circulación total
De lo contrario, la concentración del indicador en la sangre incrementará paulatinamente, y el cálculo de F por la fórmula (23) conducirá a resultados exagerados.
En la modificación más difundida del método, una cantidad conocida de indicador se introduce en el vaso sanguíneo durante un lapso breve (cerca de 1 s). En este caso, la concentración c (t) del indicador en el vaso ya no será constante: ésta variará análogamente a cómo esto se muestra en la fig. 48. Si la velocidad del flujo sanguíneo a través del vaso F se considera constante, entonces, por el tiempo D t , junto al captador pasará una cantidad de indicador igual a c(t)·F· D t. La cantidad total de indicador que pasa por el vaso junto al captador será igual a



El método más viejo de estudio de la velocidad del flujo sanguíneo el cual se utiliza también actualmente es el método propuesto por el fisiólogo alemán A. Fick en 1870. Para determinar la cantidad de sangre F lanzada por el corazón en una unidad de tiempo (es decir, la velocidad del flujo de sangre en todo el organismo) Fick midió la concentración del oxígeno en la sangre arterial (cA) y venosa (cV), así como la cantidad de oxígeno Q consumida por el organismo en una unidad de tiempo.

Figura 49. Método ultrasónico de medición de la velocidad de movimiento de la sangre por el vaso: 1, emisor del ultrasonido; 2, receptor del ultrasonido. Las líneas onduladas muestran esquemáticamente la propagación de la onda sonora desde el emisor y desde las ondas disipadas por la sangre en movimiento
F = Q/(cA — cV)·
Sin embargo, conviene recalcar otra vez que el método de Fick es aplicable para investigar la velocidad del flujo sanguíneo solamente a través del corazón.En la actualidad ha obtenido gran difusión el método ultrasónico de medición de la velocidad lineal del movimiento de la sangre. En este método se hace uso del conocido principio de Doppler de acuerdo con el cual la frecuencia de las vibraciones acústicas percibidas depende de la velocidad del movimiento de la fuente de sonido respecto al receptor acústico (véase la fórmula (31)). En la fig. 49 se ilustra la instalación correspondiente para la medición de la velocidad de la sangre. Esta instalación consta de dos cristales piezoeléctricos uno de los cuales sirve para generar las vibraciones ultrasónicas, y el segundo, para medir el ultrasonido disipado por la sangre. Por regla general, la frecuencia del ultrasonido utilizado se encuentra en el diapasón desde 1 hasta 10 MHz. Las partículas de la sangre que disipan el ultrasonido y, por lo tanto, sirven de fuentes secundarias, móviles, del mismo, son los eritrocitos cuyas dimensiones son de cerca de 5 m m. Al medir la diferencia entre las frecuencias del ultrasonido estudiado y del disipado por la sangre, es posible calcular la velocidad del movimiento de la sangre, en el caso de que se conocen la disposición del vaso con respecto al captador y la velocidad del ultrasonido en el medio. A pesar de la aparente sencillez de la medición de la velocidad del movimiento de la sangre valiéndose del principio de Doppler, su utilización requiere la aplicación de aparatos electrónicos especiales que permiten registrar la variación de la frecuencia que constituye cerca de 0,001% de la irradiada.
Cabe indicar que el método ultrasónico da la posibilidad de determinar tan sólo la velocidad lineal del movimiento de la sangre y no la velocidad del flujo sanguíneo (véase antes). Evidentemente, esta última se puede calcular multiplicando la velocidad del movimiento de la sangre por el área de la sección transversal del vaso. Lamentablemente, en la mayoría de los casos, evaluar el área de la sección transversal de un vaso sanguíneo con suficiente exactitud resulta difícil. En estas ocasiones, el método ultrasónico puede proporcionar información tan sólo acerca de las variaciones relativas de la velocidad del flujo sanguíneo, si se considera que el área de la sección transversal del vaso queda invariable.
7. El color de la sangre y la ley de conservación de la energía
La ley de conservación de la energía, en su forma más precisa, fue formulada por primera vez en 1842 por el médico y naturalista alemán J. Mayer. Las circunstancias en las cuales fue descubierta esta ley física eran muy insólitas. En 1840, Mayer, como médico de barco, emprendió la larga navegación hacia la isla de Java en un buque holandés. El método de curación más difundido en aquella época fue la sangría, y el médico, con bastante frecuencia, podía observar la sangre venosa de los enfermos. Y he aquí que, a medida que el barco iba acercándose a las cálidas latitudes tropicales, Mayer se fijó que el color de la sangre venosa de los marineros comenzaba a tornarse más rojo que en Europa. Este hecho evidenciaba que en la sangre venosa del hombre en las latitudes meridionales quedaba más oxígeno que en las latitudes del Norte. Evidentemente, la concentración del oxígeno en la sangre arterial era la misma para distintas latitudes, dependiendo tan sólo de su concentración en la atmósfera. Basándose en esta circunstancia, Mayer llegó a la conclusión de que el hombre, en las condiciones del clima frío, consumía más oxígeno. Por consiguiente, para mantener la misma temperatura del cuerpo cuando hacía frío se necesitaba una oxidación mayor de productos alimenticios
Sin embargo, Mayer comprendía que la energía desprendida durante la oxidación de los productos alimenticios se consumía no sólo para mantener la temperatura constante del cuerpo del hombre, sino también cuando el hombre realizaba un trabajo mecánico. Este hecho significaba que debían existir relaciones determinadas entre la cantidad de calor formada en el organismo y el trabajo mecánico que el hombre realizaba durante el intervalo dado de tiempo. Y Mayer dedujo que a una cantidad determinada de calor debía corresponder un valor determinado de trabajo mecánico realizado.
La idea acerca de la equivalencia del calor y del trabajo cautivó inmediatamente a Mayer. He aquí lo que dice al respecto en la carta a su amigo el siquiatra W. Griesinger:
«Esta teoría no puede considerarse, en modo alguno, como obtenida como resultado de una investigación sistemática. Después de que yo, con ahínco y perseverancia, me pusiera a estudiar la fisiología de la sangre durante mi viaje a las indias Orientales, las observaciones sobre los cambios del estado fisiológico de nuestra tripulación en las zonas tropicales y sobre el proceso de aclimatación me dieron mucho material complementario para discurrir... Si en nuestra época uno quiere lograr una comprensión clara en los problemas fisiológicos, no puede pasarse sin el conocimiento de la física... Por esta razón me he dedicado aquí a la física, y he manifestado un interés tan vivo al problema en cuestión que poco me interesa ya este apartado rinconcito de la Tierra. Hay quienes, con este motivo, puedan reírse de mí, pero yo prefería quedarme todo el tiempo a bordo del barco donde podía trabajar sin interrupciones y donde varias veces me sobrevino la inspiración... Estos tiempos han pasado, pero las comprobaciones mentales posteriores de esta idea... me decían que ésta es la verdad que no solamente se intuye subjetivamente, sino también puede demostrarse de modo objetivo».
En lo sucesivo, la vida de Mayer tomó un rumbo infeliz. Hubo muchas discusiones acerca de su prioridad en el descubrimiento de la ley de conservación de la energía. Esta circunstancia, así como las contrariedades domésticas afectaron la mente del científico. En 1851 fue internado en un asilo para locos y aunque al cabo de cierto tiempo le dejaron salir de éste, la razón de Mayer, como evidenciaban sus contemporáneos, quedó anormal hasta su muerte.
Capítulo 5
Aspira más profundo: ¡está emocionado!
Dam Spiro, spero
[10].
Locución latina
- Respiración y pompas de jabón
- La cosa no es tan simple
- Excepciones de las reglas
- Contracorriente, método barato y cómodo
- ¡A bucear!
En la fig. 50 se da una representación esquemática del pulmón del hombre y de las vías transportadoras de aire (o sea, vías respiratorias) por medio de las cuales el espacio interior del pulmón mantiene la comunicación con la atmósfera.

Figura 50. Representación esquemática de los pulmones y de las vías respiratorias del hombre
Los alvéolos cuya cantidad en una persona adulta llega a 900 millones, aproximadamente, representan unas «bolsitas» llenas de aire (fig. 51). El diámetro medio de los alvéolos constituye 0,1 mm, aproximadamente, y el espesor de sus paredes es de 0,4 μ m.

Figura 51. Ramificaciones en los extremos del pulmón, los alvéolos
Cabe señalar que en el organismo del hombre toman parte en la respiración no solamente los pulmones, sino también toda la superficie del cuerpo: la piel desde los talones hasta la cabeza. Con especial intensidad respira la piel en el pecho, en la espalda y en el abdomen. Es interesante saber que por la intensidad de la respiración estas porciones de la piel superan, considerablemente, los pulmones. Así, por ejemplo, desde una unidad de la superficie de esta piel puede absorberse en un 28% más 02 y desprenderse en un 54% más CO2 que en los pulmones. Esta superioridad de la piel respecto a los pulmones está condicionada por el hecho de que la piel «respira» con aire puro, mientras que el pulmón lo ventilamos mal (véase más abajo el apartado «Excepciones de las reglas»). No obstante, la parte correspondiente a la piel en la respiración del hombre es ínfima en comparación con los pulmones, ya que la superficie total del cuerpo del hombre constituye menos de 2 m2 y no supera un 3% de la superficie total de los alvéolos pulmonares.
Cuando aspiramos, el volumen de los pulmones aumenta y en éstos entra el aire a partir de la atmósfera. Por cuanto los alvéolos son la parte más elástica del pulmón, en la práctica, todos los cambios del volumen de los pulmones durante la aspiración y la espiración se operan a costa de los cambios correspondientes del volumen de los alvéolos. Durante la aspiración los alvéolos se ensanchan y durante la espiración se contraen. Cada día, 15 000 veces, aproximadamente, hacemos ensancharse los alvéolos de nuestros pulmones, realizando en este caso un trabajo mecánico que constituye de 2 a 25% de todos nuestros gastos energéticos. ¿Qué es lo que determina la magnitud de este trabajo?
El trabajo que realizamos durante la respiración se consume para superar varios tipos de fuerzas de resistencia. La primera parte, la más considerable, se invierte para el ensanchamiento de los pulmones. La segunda parte representa el trabajo consumido para el desplazamiento del aire por las vías conductoras de aire hacia los alvéolos. El flujo de aire puede tener carácter laminar o turbulento y los gastos energéticos dependen del carácter del flujo. La estructura de las fosas nasales es tal que aquí se engendran flujos turbulentos de aire aspirado. Esto es necesario para calentar con mayor eficacia el aire y separar las partículas ajenas presentes en éste, a semejanza de cómo esto sucede en una centrifugadora. La turbulencia en el flujo aspirado de aire surge también en los numerosos puntos de ramificación del árbol bronquial. Puesto que la corriente laminar de gas se transforma en turbulenta al aumentar su velocidad, es evidente que la aportación relativa de las fuerzas de resistencia durante la respiración dependerá de la frecuencia de ésta. Se ha demostrado que la frecuencia con que respiramos habitualmente (cerca de 15 aspiraciones por minuto) corresponde a gastos energéticos mínimos para la respiración.
1. Respiración y pompas de jabón
En 1929, el científico suizo Karl von Nihirgard demostró que la presión necesaria para inflar los pulmones puede reducirse considerablemente llenando los pulmones de disolución fisiológica, o sea, de disolución salina próxima por su composición al líquido intercelular. Este fenómeno lo exhibió en la instalación representada en la fig. 52.

Figura 52. Instalación para determinar la dilatabilidad del pulmón (a la izquierda) y las características «presión—volumen» obtenidas en esta instalación (a la derecha)
Examinemos la capa de líquido que se encuentra en el límite con el aire (fig. 53). Sobre la molécula M1 que se halla dentro del líquido actúan las fuerzas de atracción por parte de las moléculas vecinas dispuestas simétricamente alrededor de la primera. Por consiguiente, la resultante de todas estas fuerzas que actúan sobre M1 es igual a cero. En cambio, la resultante aplicada a la molécula M2 no es igual a cero y está dirigida hacia el interior del líquido perpendicularmente a su superficie, puesto que las fuerzas de atracción por parte de las moléculas que se encuentran debajo de M2 quedan no compensadas.

Figura 53. Las explicaciones véanselas en el texto
Upot = α·S
donde α es el coeficiente de proporcionalidad cuya dimensión es N/m o J/m2 y que lleva el nombre de coeficiente de tensión superficial. El coeficiente de tensión superficial viene determinado, simultáneamente, por las propiedades del propio líquido y del gas que se encuentra sobre ésta, así como por la temperatura del medio ambiente.El término «tensión superficial» debe su origen al método más fácil y viejo de determinación del valor de α (véase la fig. 54). Sumerjamos en el líquido investigado un alambre en forma de π por el cual se desliza un tabique fino y, luego, saquemos dicho alambre. En el espacio limitado por todos los lados por los alambres se forma una película la cual, al esforzarse a disminuir su energía potencial (y, por consiguiente, también su superficie) comenzará a desplazar el tabique móvil. Con el fin de equilibrar la tensión de la película y fijar la posición del tabique se necesita la fuerza F la cual, como es posible demostrar, es igual a 2 α l, donde l es la longitud del tabique.

Figura 54. Dispositivo para la determinación del coeficiente de tensión superficial: 1, alambre en forma de P ; 2, tabique deslizante
Para apreciar el papel de la tensión superficial en la mecánica del alvéolo analicemos la película de líquido que tiene la forma de esfera. Al igual que en la película plana, las fuerzas de tensión superficial, en este caso, tienden a disminuir la superficie de la esfera comprimiendo el aire que se encuentra dentro de ésta. Como consecuencia, la presión del aire dentro de la esfera formada por una película líquida siempre resulta algo mayor que la presión atmosférica. El valor de este exceso puede determinarse utilizando la fórmula de Laplace:
Δ P = 4 α
/R,donde R es el radio de la esfera.
A partir de la fórmula de Laplace hallemos el valor de la presión excesiva necesaria para inflar el alvéolo durante la aspiración. Supongamos que el valor de α para el líquido que cubre la superficie interior del alvéolo es igual a 5·10-2 N/m, lo que corresponde al coeficiente de tensión superficial del líquido intercelular. Suponiendo que R = 5·10-5 m, obtenemos que Δ P = 4·103 Pa.
En la realidad, el valor de Δ P que nos da la fórmula de Laplace es dos veces mayor que el verdadero, ya que la película de líquido alveolar está en contacto con el aire tan sólo por un lado, el interior. A raíz de ello, el verdadero valor de Δ P será próximo a 2·103 Pa. Al comparar este valor con el de la presión necesaria para inflar el pulmón (véase la fig. 52) resulta claro que si no toda, por lo menos una parte considerable de esta presión se gasta en superar las fuerzas de tensión superficial. Por consiguiente, precisamente la diferencia entre las dos curvas en la fig. 52 representa el aporte de las fuerzas de tensión superficial a la elasticidad del pulmón. Para una aspiración ordinaria el volumen de los pulmones del hombre aumenta, aproximadamente, hasta de 40 a 50% respecto a su volumen máximo. Como se infiere de la fig. 52, en este diapasón de la variación del volumen de los pulmones, la aportación de las fuerzas de tensión superficial constituye más de 30%.
2. La cosa no es tan simple
Así, pues, la elasticidad del pulmón depende, en una medida considerable, de las fuerzas de tensión superficial. Sin embargo, sigue siendo incomprensible por qué el aporte de la tensión superficial aumenta con el incremento del volumen del pulmón (véase la fig. 52), aunque, como se desprende de la fórmula de Laplace, el valor de Δ P debe disminuir con el crecimiento de R. Además, la utilización de las fuerzas de tensión superficial para explicar las propiedades mecánicas del pulmón crea ciertas dificultades en la interpretación de la interacción entre los alvéolos vecinos.
En la fig. 55 se da una representación esquemática de dos alvéolos vecinos de distinto tamaño.

Figura 55. Representación esquemática de dos alvéolos vecinos que tienen diferentes radios: a) cavidades aéreas de los alvéolos están aisladas unas de otras; b) están unidas
Al analizar la interacción entre los alvéolos vecinos considerábamos a priori que el coeficiente de tensión superficial de distintos alvéolos es idéntico y no depende del hecho de en qué estado: inflado o reducido, éstos se encuentran. En efecto, para los líquidos comunes y corrientes el coeficiente de tensión superficial no depende de las dimensiones de la superficie. Sin embargo, para un líquido que contiene unas impurezas determinadas, α ya comienza a depender del área de la superficie por la cual pasa su divisoria con el gas.
En la fig. 56 se ilustra la instalación que da la posibilidad de medir la dependencia de α respecto al área de la superficie del líquido. Dicha instalación consta de una cubeta dividida en dos compartimientos mediante un tabique móvil y de un dispositivo que permite medir ininterrumpidamente el coeficiente α del líquido que llena el compartimiento derecho de la cubeta. En este caso, la medición del coeficiente de tensión superficial se realiza de la siguiente manera. Tomemos una fina placa metálica y sumerjamos uno de sus bordes, verticalmente, en el líquido (véase la fig. 56).

Figura 56. Dispositivo para la medición continua del coeficiente de tensión superficial del liquido y de su dependencia respecto al área de su superficie

Figura 57. El coeficiente de tensión superficial en función del área de contacto del liquido con el aire (las mediciones se han realizado en la instalación representada en la fig. 56): 1, liquido alveolar de una persona sana; 2, líquido alveolar obtenido de los recién nacidos incapaces de respirar por sí mismos; 3, agua pura. Las flechas indican la variación en el tiempo de las magnitudes obtenidas durante la aspiración y la espiración
¿Cuál es la razón de que las impurezas que disminuyen el coeficiente de tensión superficial del líquido lo convierten en una función del área de la superficie? Por regla general, estas impurezas por su estructura química son muy próximas al jabón ordinario y forman en la superficie del agua una película fina. Si la concentración de la impureza es alta, y ésta puede cubrir toda la superficie del agua con una capa continua, entonces, el coeficiente α de este líquido es igual al coeficiente a de la impureza. Y en el caso de que la concentración de la impureza es insuficiente para cubrir toda la superficie, el coeficiente de tensión superficial del líquido se hallará en algún punto entre los valores correspondientes para el agua y la impureza. En semejantes ocasiones el crecimiento de la superficie del líquido conducirá a la disminución de la concentración superficial de la impureza y al aumento de α , aproximando el coeficiente de tensión superficial αH2O . Es evidente que con la disminución de la superficie del líquido su α cambiará en sentido opuesto.
El análisis de las variaciones de α con el área durante la «aspiración» y la «espiración» (véase la fig. 57) demuestra que éstas, coincidiendo en los puntos finales, tienen diferentes valores en los puntos intermedios. En la dependencia del coeficiente de tensión superficial respecto al área tiene lugar la llamada histéresis. Y cuanto más alta es la frecuencia de las variaciones cíclicas de la superficie del líquido, tanto más expresa es esta histéresis.
¿Cuál es la causa de que para la misma superficie del líquido el valor de α durante la «aspiración» siempre es mayor que durante la «espiración»? Este fenómeno está relacionado con el hecho de que una parte de la impureza que disminuye la tensión superficial se encuentra disuelta en las capas más profundas de líquido. Esta cantidad de impureza disuelta en el seno del líquido se halla en equilibrio dinámico con las moléculas de impureza en la superficie, de modo que, al aumentar la concentración de la impureza en la superficie una parte de ésta se «va» a la profundidad del líquido, y viceversa. Sin embargo, este equilibrio no se establece instantáneamente. A raíz de ello, al principio de la «aspiración», por ejemplo, un aumento rápido de la superficie, viene acompañado de un brusco incremento de α , por cuanto las impurezas disueltas en el volumen no tienen tiempo para salir a la superficie. El equilibrio entre las moléculas de impureza se establece tan sólo al final de la «aspiración» («espiración») lo que explica la existencia de la histéresis en la dependencia de α respecto al área de la superficie.
¿De dónde aparecen en el pulmón las sustancias que disminuyen la tensión superficial, haciendo con ello más fácil la respiración? Resulta que estas sustancias las sintetizan células especiales que se ubican en las paredes de los alvéolos. La síntesis de estas sustancias llamadas tensoactivas se produce durante toda la vida del hombre, desde su nacimiento hasta la muerte.
En aquellas ocasiones poco frecuentes en que los pulmones del recién nacido están privados de células producentes de sustancias tensoactivas el niño es incapaz de hacer por sí mismo la primera aspiración, y muere. Por desgracia, en la actualidad, cerca de medio millón de recién nacidos en todo el mundo mueren cada año sin poder hacer su primera aspiración, debido a la insuficiencia o la falta de sustancias tensoactivas en sus alvéolos. En la fig. 57 se expone la dependencia entre el coeficiente de tensión superficial del líquido separado de los pulmones de estos recién nacidos y el área de la superficie. Se advierte que el valor mínimo de α para la síntesis deficiente de sustancias tensoactivas está aumentado casi 8 veces en comparación con la norma, lo que hace imposible la respiración propia.
3. Excepciones de las reglas
Sea como fuere, muchos animales que respiran con el pulmón no se ven afectados, en modo alguno, por el hecho de que sus alvéolos no contienen sustancias tensoactivas. En primer término esto se refiere a los animales de sangre fría: las ranas, los lagartos, las serpientes y los cocodrilos. Por cuanto estos animales no deben gastar su energía para el calentamiento, su demanda de oxígeno se reduce en un orden, aproximadamente, en comparación con los animales de sangre caliente. Por esta causa también el área de los pulmones a través de la cual se realiza el intercambio de los gases entre la sangre y el aire, tratándose de animales de sangre fría, es menor que la de los animales de sangre caliente. Así, por ejemplo, en los pulmones de la rana, 1 cm3 de aire tiene la superficie de contacto con los vasos sanguíneos igual tan sólo a 20 cm2, mientras que cuando se trata del hombre el mismo volumen de aire intercambia los gases con la sangre a través de una superficie de cerca de 300 cm2.
La disminución relativa del área del pulmón que corresponde a una unidad de su volumen en los animales de sangre fría está relacionada con el hecho de que el diámetro de sus alvéolos es, aproximadamente, 10 veces mayor que en los animales de sangre caliente. Mientras tanto, de la ley de Laplace se desprende que la aportación de las fuerzas de tensión superficial es inversamente proporcional al radio del alvéolo. Debido a ello, el gran radio de los alvéolos de los animales de sangre fría da la posibilidad de inflarlos fácilmente incluso en el caso de que en sus superficies interiores no están presentes las sustancias tensoactivas.
El segundo grupo de animales cuyos pulmones carecen de sustancias tensoactivas son los pájaros. Los pájaros pertenecen a animales de sangre caliente y su modo de vida es lo suficientemente animado. Los gastos energéticos de los pájaros y de los mamíferos de igual masa son próximos entre sí. También es grande la cantidad de oxígeno requerida por los pájaros. Los pulmones de éstos poseen la capacidad única en su género de saturar la sangre con oxígeno durante el vuelo a una altura grande (de cerca de 6.000 m) donde la concentración de este gas es 2 veces menor que al nivel del mar. Cualesquier mamífero (incluyendo al hombre), al ir a parar a tal altura, comienza a experimentar la escasez de oxígeno, limitándose bruscamente su actividad de movimiento, y a veces, incluso se sumen en estado de profundo sopor (comatoso). ¿Cómo, entonces, logran los pulmones de los pájaros, sin utilizar las sustancias tensoactivas, respirar y saturar la sangre con oxígeno mejor que lo pueden hacer nosotros, los mamíferos?
Ahora llega el momento de autocrítica. ¿Qué hay de malo en nuestros pulmones? En primer lugar, no todo el aire aspirado toma parte en el intercambio de los gases con la sangre. A saber, el aire que al final de la aspiración se encuentra en la tráquea y en los bronquios no podrá entregar el oxigeno a la sangre y tomar de ésta el dióxido de carbono, debido a que estos órganos casi están exentos de vasos sanguíneos. Por esta causa, la parte del volumen de los pulmones ocupada por la tráquea y los bronquios (junto con el volumen de las vías respiratorias superiores) se suele denominar «zona muerta».
Habitualmente, la zona muerta en los pulmones del hombre tiene el volumen de cerca de 150 cm3. Cabe señalar que la existencia de esta zona no solamente impide que la cantidad correspondiente de aire fresco alcance la superficie interior de los alvéolos rica en vasos sanguíneos, sino que disminuye también la concentración media del oxígeno en aquella porción de aire que ha llegado a los alvéolos. Semejante cosa sucede debido a que al principio de cada aspiración en los alvéolos entra el aire procedente de la zona muerta, con la particularidad de que dicha porción no es sino la última porción de aire que se acaba de espirar. Por esta causa, la concentración del oxígeno en el aire que entra en los alvéolos al principio de la aspiración es baja y no se diferencia de la en el aire espirado.
El volumen de la zona muerta se puede aumentar artificialmente a condición de respirar a través de un tubo largo. Cada uno que lo trataba de hacer se habrá fijado, seguramente, en que en tal caso es necesario aumentar la profundidad (el volumen) de la respiración. Es obvio que en el caso de hacer el volumen de la zona muerta igual a la aspiración máximamente posible (es decir, de cerca de 4,5 dm3), resulta que después de varias aspiraciones el hombre comenzará a asfixiarse, por cuanto el aire fresco, en general, dejará de entrar en los alvéolos. De este modo, la existencia de zona muerta en el sistema respiratorio de los mamíferos es un evidente «descuido» por parte de la Naturaleza.
Muy a pesar nuestro, la Naturaleza, al crear los pulmones de los mamíferos cometió también un segundo error.
Este defecto está relacionado con el hecho de que el movimiento del aire en los pulmones cambia de dirección al pasar de la aspiración a la espiración. Por esta razón, casi la mitad del tiempo los pulmones, prácticamente, no actúan, ya que el aire fresco no entra en los alvéolos durante la fase de espiración. Como resultado, para el final de la espiración la concentración del oxígeno en el aire alveolar disminuye una vez y media en comparación con su concentración en la atmósfera. Como quiera que durante la aspiración el aire aspirado rico en oxígeno se mezcla en los alvéolos con el aire que se encontraba en éstos anteriormente, la mezcla obtenida —la cual, precisamente, es la que intercambia los gases con la sangre—contiene oxígeno en concentración menor que la atmósfera. A raíz de ello, para los mamíferos, la saturación de la sangre con oxígeno siempre será menor que en aquel caso hipotético en que el aire, todo el tiempo, hubiera pasado a través de los pulmones en una sola dirección, independientemente de la fase de respiración.
Por supuesto, en los pulmones de los mamíferos cuya tráquea sirve simultáneamente tanto para la entrada, como para la salida del aire es imposible realizar ese movimiento unidireccional de la mezcla respiratoria. En cambio, en los pájaros la Naturaleza otra vez logró la perfección. Además de los pulmones ordinarios, los pájaros son poseedores de un sistema complementario que consta de cinco o más pares de bolsas aéreas comunicadas con los pulmones. Las cavidades de estas bolsas se ramifican profusamente en el cuerpo y penetran en algunos huesos, a veces, incluso en los pequeños huesecillos de las falanges de los dedos. Como resultado, el sistema respiratorio del pato ocupa cerca del 20% del volumen del cuerpo (2% corresponde a los pulmones y 18%, a las bolsas aéreas), mientras que en el hombre tan sólo un 5%. Las bolsas aéreas no solamente disminuyen la densidad del cuerpo, sino también contribuyen a insuflar el aire a través de los pulmones en una sola dirección.
En la fig. 58 se representa el sistema respiratorio de los pájaros que consta de los pulmones 1 y de varias bolsas aéreas 2...6 comunicadas con los primeros.
El pulmón del pájaro, a diferencia del de un mamífero, está estructurado de finos tubos abiertos por dos lados y conectados paralelamente; estos tubos están rodeados de vasos sanguíneos.
Queda establecido que durante la aspiración los volúmenes de las bolsas aéreas delanteras y posteriores aumentan.

Figura 58. Sistema respiratorio del pájaro: 1, pulmones; 2... 6, bolsas aéreas

Figura 59. Movimiento del aire en el sistema respiratorio del pájaro; a, aspiración; b, espiración (V1 y V2 son las válvulas que cambian el movimiento del aire)
En los pájaros durante la respiración varían tan sólo los volúmenes de las bolsas aéreas. Y en cuanto al volumen del pulmón, éste, prácticamente, queda constante. Y por cuanto no hay necesidad de inflar el pulmón, inmediatamente deviene comprensible la razón por la cual los pulmones de los pájaros carecen de sustancias tensoactivas. Allí éstas no sirven para nada.
4. Contracorriente, método barato y cómodo
En su intento de aumentar al máximo la concentración del oxígeno en la sangre de los pájaros durante sus vuelos a grandes alturas, la Naturaleza recurrió a una artimaña más: la dirección del movimiento de la sangre en los vasos del pulmón es opuesta a la del flujo de aire a través del pulmón. Este método de contracorriente para saturar la sangre con oxígeno es mucho más eficaz en comparación con el caso en que la sangre y el aire se mueven a través de los pulmones en una sola dirección. Considerémonos el siguiente ejemplo. Supongamos que dos tubitos que imitan el vaso sanguíneo y el tubo conductor de aire del pulmón del pájaro —dispuestos uno al lado del otro— en cierto trecho, entren en contacto (fig. 60).

Figura 60. Representación esquemática del sistema a contracorriente de saturación de la sangre con oxigeno en los pulmones del pájaro
Es interesante saber que la Naturaleza aplicó el sistema a contracorriente no sólo en los pájaros que se ven obligados a afrontar la escasez de oxígeno durante los vuelos a grandes alturas, sino también en las agallas de los peces que utilizan el oxígeno disuelto en agua, donde su concentración es 30 veces menor, aproximadamente, que en la atmósfera.
5. ¡A bucear!
Pera el hombre y otros animales superiores la respiración y el latido del corazón son sinónimos de la vida. El corazón y los pulmones proveen al animal de cantidad necesaria de energía, suministrando oxígeno a los tejidos y evacuando desde éstos el dióxido de carbono. Por esta causa, el paro de la respiración o de la circulación sanguínea representa un gran peligro para la vida del animal. Sin embargo, no todos los tejidos requieren en igual medida la alimentación ininterrumpida de oxígeno. Si con la ayuda de un torniquete se interrumpe por una hora e, incluso, más la circulación de la sangre en un brazo o en una pierna, este hecho no provocará lesiones en los tejidos de estos órganos. Los riñones también pueden soportar interrupciones en el abastecimiento de sangre. Desafortunadamente, tanto el corazón, como el cerebro son sumamente sensibles a la escasez de oxígeno. Esta es la razón por la cual la asfixia o el paro del corazón durante varios minutos conducen a cambios irreversibles en sus tejidos.
Se conoce que el gato, el perro, la liebre y otros mamíferos que viven en la superficie de la Tierra expiran varios minutos después de haberlos sumergido por completo en el agua. Sin embargo, el pato puede soportar una zambullida por debajo del agua de 10 a 20 min de duración; la foca, de 20 min y más, y algunas especies de las ballenas se van a la profundidad más que para una hora. ¿De qué modo pueden hacer semejante cosa?
Los experimentos realizados con las focas han demostrado que cuando estos animales «bucean» se les retarda bruscamente el ritmo cardíaco (hasta 1/10 de su frecuencia habitual). Esto tiene lugar inmediatamente después de sumergirse por debajo del agua sus fosas nasales. El mismo fenómeno tiene lugar tratándose de pingüinos, cocodrilos, tortugas, patos y todos los demás animales que respiran aire pero pasan cierto tiempo bajo el agua. Es interesante que en los peces voladores cuyas agallas dejan de funcionar cuando estos peces saltan del agua o se les saca de ésta por fuerza, las contracciones del corazón también se retarden considerablemente. Este retardo brusco del ritmo cardíaco en las condiciones de anoxia (o sea, falta de oxígeno) permite a todos estos animales reducir considerablemente el consumo de oxígeno por el corazón que es el consumidor principal de este gas en el organismo.
Para evitar que durante el buceo el abastecimiento de sangre en el corazón y en el cerebro caiga por debajo del nivel admisible, el diámetro de los vasos de los demás órganos (excepto el corazón y el cerebro) disminuye considerablemente. Por esta causa, incluso para la pequeña frecuencia de las contracciones del corazón, el abastecimiento de sangre del corazón y del cerebro de los animales «buceadores» sigue siendo suficiente. El mismo mecanismo de regulación de la circulación de la sangre durante el buceo se engendra, como resultado de entrenamiento, en el organismo de los pescadores de perlas quienes, como es sabido, pueden encontrarse bajo el agua durante varios minutos, sumergiéndose a la profundidad de hasta 30 m.
¿Y qué podemos hacer nosotros los que no poseemos las aptitudes de los pescadores de perlas? ¿Cómo un hombre común puede penetrar en los enigmas que encierran las profundidades de los mares? Por lo visto, de primer artefacto para prolongada permanencia del hombre bajo el agua sirvió un largo tubo que unía la boca del hombre con la atmósfera.
El tubo respiratorio lo utilizaban ya los antiguos griegos y romanos. Leonardo de Vinci perfeccionó el tubo respiratorio proveyéndolo de un disco de corcho que situó de tal modo que el extremo superior del tubo siempre sobresaliera del agua para asegurar la respiración libre del hombre. La longitud del tubo alcanzaba un metro. El tubo de Leonardo de Vinci estaba destinado no para la natación subacuática, sino para «andar bajo el agua». El gran sabio consideraba que este aparato se podía utilizar en el Mar de las Indias para «pescar perlas». Cabe mencionar que las larvas de algunos insectos que habitan en el fondo de charcos o de pequeños depósitos de agua poseen una especie de tubo respiratorio. Haciendo salir este tubito suyo a flor de agua, tienen la posibilidad de respirar sin abandonar el cieno.
Al juzgar por las novelas de James Fenimore Cooper [12], los indios, con frecuencia, recurrían al tubo respiratorio escondiéndose de los enemigos bajo la superficie del agua y respirando a través de un tallo ahuecado de junco. Sin embargo, respirar de este modo, al encontrarse bajo el agua, es posible solamente en los casos en que la profundidad de inmersión no supera 1,5 m. Si la profundidad de inmersión es mayor, la diferencia entre la presión del agua que comprime el tórax y la del aire dentro de éste incrementa hasta tal punto que ya no podemos aumentar el volumen del tórax durante la aspiración, llenar los pulmones de aire fresco. Esta es la razón por la que al hallarse a una profundidad mayor que 1,5 m, solo es posible respirar el aire comprimido hasta la presión igual a la presión del agua a la profundidad dada. Precisamente con este fin los submarinistas llevan consigo botellas con aire comprimido. Sin embargo, la inmersión a diferentes profundidades requiere que sea distinta la presión del aire aspirado. Así, por ejemplo, a la profundidad de 10 m la presión debe ser igual a 200 kPa, y a la profundidad de 40 m, igual a 500 kPa. Por esta causa el submarinista siempre debe vigilar la profundidad de inmersión, cambiando, en correspondencia, la presión del aire aspirado. Desafortunadamente, la experiencia en el empleo de las escafandras autónomas demostró que con su ayuda es posible sumergirse a una profundidad no mayor que 40 m. A mayor profundidad el submarinista se ve obligado a respirar aire comprimido hasta una presión superior a 5 atm, en el cual la concentración del oxígeno supera más que cinco veces su concentración en la atmósfera, lo que provoca la intoxicación con el oxígeno.
A presión atmosférica el hombre puede respirar oxígeno puro tan sólo durante 24 horas, aproximadamente. Si la inhalación del oxígeno es más prolongada se produce la pulmonía que termina con la muerte. Y en cuanto al oxígeno puro comprimido hasta 2 ó 3 atm, el hombre lo puede respirar no más que durante 1,5 a 2 horas. Después, se producen trastornos de la coordinación de los movimientos, de la atención y de la memoria.
Con el fin de evitar la acción tóxica de O2 para los submarinistas que se sumergen a grandes profundidades se preparan mezclas respiratorias especiales con un porcentaje de oxígeno menor que en el aire atmosférico. Pero a las presiones tan altas el nitrógeno que entra en la composición de la mezcla respiratoria puede causar una acción narcótica. Además, es muy difícil respirar las mezclas que contienen nitrógeno a la profundidad de cerca de 100 m, debido a que la densidad del gas aspirado, comprimido hasta la presión de 10 atm, supera 10 veces la densidad del aire atmosférico. Esta densidad tan alta del gas aspirado transforma el acto de respiración, habitualmente imperceptible y de fácil realización, en un proceso penoso de «introducción forzada» del aire en los pulmones. A raíz de ello, a las profundidades que superan 40 m los buzos suelen respirar una mezcla de oxígeno y helio. El helio, a presiones tan altas, no acusa propiedades narcóticas y su densidad es aproximadamente 7 veces menor que la del nitrógeno.
Y los buzos se sumergen cada vez a mayor profundidad. Con frecuencia, se les encarga instalar y sustituir torres petroleras en el mar, donde el petróleo es más barato ya que sus yacimientos se encuentran a poca profundidad. Los buzos que instalan las torres en el mar del Norte tienen que trabajar, a veces, a una profundidad de cerca de 300 m, respirando mezclas gaseosas comprimidas hasta la presión de 3000 kPa.
Sin embargo, las dificultades (e incluso peligros) acechan al submarinista que se sumergió a una gran profundidad no sólo debajo del agua, sino también inmediatamente después de subir a su superficie. Ya hace mucho se ha establecido que los buzos que suben rápidamente de una gran profundidad comienzan a experimentar pronto un fuerte dolor en las articulaciones. Esta enfermedad de ocupación de los buzos recibió el nombre de enfermedad de las «cámaras de sumersión» o, simplemente, mal de los buzos. Resulta que las sensaciones desagradables en las articulaciones de los buzos que acaban de subir de la profundidad se deben a la formación de burbujas de gas en los tejidos. Estas burbujas de gas pueden también servir de causa de oclusión de pequeños vasos sanguíneos.
¿De dónde provienen estas burbujas de gas? Surgen análogamente a cómo se forman las burbujas en una botella con soda cuando ésta se abre. En ambos casos las burbujas aparecen al disminuir la presión sobre el líquido saturado de gas a una presión grande. La enfermedad de las cámaras de sumersión es posible también durante una subida rápida a la altura en una cámara no hermetizada.
En este caso el peligro de la enfermedad de las cámaras de sumersión surge durante una disminución brusca de la presión igual a 50 kPa, aproximadamente (lo que corresponde a una altitud mayor que 6.000 m). Se han registrado varios casos de esta enfermedad entre los pilotos que volaban en una cabina no hermetizada a la altura de cerca de 2.500 m. Sin embargo, todas estas personas, el día precedente al del vuelo, se dedicaban al submarinismo utilizando escafandra autónoma. Es evidente que el organismo de cada uno de estos pilotos, todavía antes del vuelo, contenía pequeñas burbujas de aire que comenzaban a expandirse, revelando su presencia después de una disminución insignificante de la presión atmosférica. Esta es la razón por la cual a los pilotos se les recomienda comenzar a manejar el volante del avión tan sólo pasadas 24 horas después de ocuparse con la natación subacuática.
Para lograr que la burbuja se forme en un lugar en que no existía anteriormente, su desarrollo, por lo visto, debe pasar a través de dos fases distintas:
- formación de una burbuja diminutísima en un punto en que «no había nada», y
- crecimiento de la burbuja.
La enfermedad de las cámaras de sumersión se puede prevenir, si la subida del buzo desde grandes profundidades se realiza a ritmo lo suficientemente lento y observando pausas necesarias. Estas pausas durante la subida permiten al gas disuelto difundir a través del tejido a los vasos sanguíneos, por los cuales dicho gas, junto con la sangre, entra en los pulmones, y desde éstos sale a la atmósfera sin llegar a formar burbujas. Se considera que la enfermedad de las cámaras de sumersión no se produce durante la subida brusca desde la profundidad menor que 9 m. La permanencia a la profundidad de 30 m durante una hora requiere detenerse por dos minutos a la profundidad de 6 m y por 24 minutos a la profundidad de 3 m. En los casos en que los buzos trabajan diariamente a una profundidad mayor que 100 m en el curso de toda la jornada de trabajo, se ha reconocido como racional no disminuir la presión del aire que éstos aspiran ni siquiera en las horas de descanso después de su subida desde la profundidad, por cuanto este proceso requeriría varias horas. Debido a ello, en los intervalos entre las inmersiones los buzos descansan en cámaras de presión especiales instaladas en los barcos.
La mayor parte de las burbujas de gas las forma el nitrógeno, ya que el oxígeno se consume enérgicamente por las células del organismo. El peligro del desarrollo de la enfermedad de las cámaras de sumersión se puede disminuir, utilizando en lugar de nitrógeno el helio que es menos soluble en el agua y en las grasas y cuya velocidad de difusión es varias veces mayor que la del nitrógeno. La mayor velocidad de difusión del helio da la posibilidad de reducir el tiempo de subida del buzo a la superficie.
Sin embargo, resultó que las mezclas de helio y oxígeno aseguran el trabajo normal de los buzos solamente hasta las profundidades de 400 a 450 m. Con el sucesivo aumento de la presión la densidad de la mezcla llega a ser muy alta lo que hace imposible la respiración.
Promete mucho la inclusión del hidrógeno, el gas más ligero, en las mezclas gaseosas para los buzos. La firma francesa Comex ya en 1983 comenzó los experimentos con las mezclas respiratorias que contenían hidrógeno. La mezcla óptima propuesta por esta firma contiene 49% de H2, 49% de He2 y 2% de O2. Se debe tener presente que se recomienda respirar esta mezcla solamente a profundidades mayores que 250 m. Esta es la razón por la cual, al alcanzar dicha profundidad, la mezcla gaseosa se somete a un cambio paulatino, sustituyéndose en la misma el helio por el hidrógeno. Es natural que la mezcla gaseosa que incluye simultáneamente hidrógeno y oxígeno encierre peligro de explosión. No obstante, la probabilidad de que la mezcla explote es muy pequeña, por cuanto la relación entre los volúmenes del oxígeno y del hidrógeno está lejos de aquella que representa el peligro de explosión (1:2, respectivamente). Al mismo tiempo, en la superficie —donde estos gases están almacenados y se produce su mezclado— la probabilidad de explosión es mucho mayor, hecho que obliga a tomar medidas prole imprescindibles de precaución.
Con la formación de las burbujas de gas en el líquido durante la disminución brusca de la presión exterior está ocasionado también otro fenómeno en el organismo. En nuestra «época de nervios» se ha difundido bastante ampliamente el hábito de «crujir con los dedos» en los momentos de emoción. Durante mucho tiempo no se podía averiguar a qué se debe ese sonido crujiente al estirar las articulaciones. Mucha gente creía que este sonido lo producen los huesos. Sin embargo, después de una detallada investigación se ha establecido que la causa de estos sonidos crujientes son las burbujas de gas que se forman y se rompen en el líquido que llena la bolsa articular. Al estirar la articulación aumenta el volumen de la bolsa articular, en correspondencia, disminuye la presión en la misma, y el «lubricante» líquido en la articulación comienza a hervir. Las burbujas de gas que se forman confluyen con otras mayores y se rompen con el sonido crujiente. Cuando los huesos retornan a la posición normal, el gas, paulatinamente, se absorbe por el líquido. Este proceso transcurre durante quince minutos, aproximadamente. Al cabo de este intervalo es posible volver a «crujir» con la articulación.
Todas las dificultades enumeradas anteriormente y relacionadas con la permanencia del hombre debajo del agua surgen porque el hombre respira en este caso aire comprimido. ¿Y qué ocurrirá si hacemos que el hombre «respire» utilizando agua, análogamente a los peces? Claro está que la concentración del oxígeno en el agua que se encuentra en equilibrio con la atmósfera es mucho menor que en el aire (es más que 20 veces menor). Sin embargo, también esta concentración suya será suficiente para saturar de oxígeno la sangre —durante el contacto con esta última— hasta el nivel normal. Además, si se quiere, es posible aumentar la concentración del oxígeno en el agua «aspirada», dejando pasar a través de ésta oxígeno puro, y no aire.

Figura 61. Instalación para «respirar» con agua saturada de oxigeno: disolución acuosa salina próxima por su composición a la sangre; válvula que cierra el tubo inferior durante la aspiración, y el superior, durante la espiración
En la fig. 61 se ilustra esquemáticamente la instalación que permite «respirar» agua saturada con oxígeno. Con la ayuda de esta instalación perros y ratones podían vivir durante varias horas «respirando» agua. Estos animales perecían finalmente debido a que en su sangre aumentaba por encima del límite admisible la concentración del dióxido de carbono. De este modo, la instalación representada en la fig. 61, a la par que satisface por completo la necesidad de oxígeno del animal, no asegura en grado suficiente la eliminación de su organismo del dióxido de carbono formado en éste. En las condiciones normales (en estado de reposo), cada litro de aire espirado por los mamíferos contiene cerca de 50 ml de CO2, y la solubilidad de dicho gas en agua es tal que cada litro de ésta, en las mismas condiciones, puede contener no más de 30 ml de CO2. Por esta causa, para evacuar todo el dióxido de carbono que se forma en el organismo es preciso «bombear» a través de los pulmones unos volúmenes de agua real dos voces mayores en comparación con los volúmenes necesarios de aire. De acuerdo con la ley de Bernoulli, la diferencia de presión requerida para el movimiento a velocidad determinada de un medio líquido (o gaseoso) a través de un tubo de longitud y diámetro conocidos debe ser proporcional a la viscosidad de este medio. Y por cuanto la viscosidad del agua es unas 30 veces mayor que la del aire, resulta que la «respiración» independiente con agua requerirá un consumo de energía aproximadamente 60 veces mayor. Así, pues, la Naturaleza nos ha dotado de pulmones que es imposible utilizar en las profundidades marítimas, y para la investigación de estas profundidades a nosotros nos son indispensables los batiscafos y los submarinos.
Por esta causa, el Océano Mundial cuya profundidad, en promedio, constituye cerca de 3 km y cuya área ocupa un 70% de la superficie del planeta hasta la fecha sigue siendo, prácticamente, no estudiado. Y a pesar de que en enero de 1960 J. Piccard y Walsh, en el batiscafo «Trieste», alcanzaron el fondo de la fosa de las Filipinas (cuya profundidad supera 11 km), incluso en el presente, a la profundidad de 1 km, el hombre ha dejado menos huellas suyas que en la superficie de la Luna.
Una plaquita planita
Con un agujerito
Y de borde redondito.
¿Qué es?
Adivinanza popular rusa
(Oreja)
- Conceptos básicos de la acústica.
- Cómo oímos
- ¡Eh! ¿Dónde estás?
- Localizadores animados
Por esta causa, no es de extrañar que el sonido desempeñe un papel clave en la vida de todos los vertebrados y de los invertebrados más activos, a saber, de muchos insectos.
1. Conceptos básicos de la acústica
Antes de pasar al análisis de los mecanismos que constituyen la base de nuestra capacidad de oír, es necesario ponernos al tanto de los conceptos fundamentales de la ciencia acerca del sonido, o sea, de la acústica. ¿Qué es, en fin de cuentas, el sonido? De fuente más simple de sonido puede servir un diapasón oscilante la vibración de cuyas ramas engendra ondas de presión que se propagan por todos los lados y se perciben por nuestro órgano del oído, de este modo, el sonido puede definirse como una suculencia de ondas de compresión y rarefacción que se propagan en el medio que nos circunda. Cabe señalar que la presión en la onda sonora oscila respecto a la magnitud de la presión atmosférica media, y la amplitud relativa de estas oscilaciones no supera, habitualmente, 0,5%. Téngase en cuenta que en este caso, al propagarse la onda sonora, no se produce un flujo unidireccional alguno de moléculas de aire.
Los parámetros principales de la onda sonora son su frecuencia, su amplitud (o intensidad) y la velocidad de propagación. La frecuencia de la onda sonora viene determinada totalmente por las características de la fuente de sonido y por la velocidad de su movimiento respecto al receptor acústico (efecto Doppler). La amplitud del sonido en el punto dado depende no solamente de la potencia de la fuente y de la distancia hasta la misma, sino también de las propiedades del medio ambiente. La velocidad de propagación de la onda sonora es un parámetro que depende tan sólo de las características del medio en que esta se propaga.
¿De qué características del medio depende la propagación de la onda sonora? Se puede demostrar que en una onda sonora que se propaga a velocidad c tiene lugar la siguiente relación entre los valores instantáneos de la presión P [13] y de la velocidad v de desplazamiento del aire:
v = P/ ρ c (24)
donde ρ es la densidad del aire. Como se puede advertir, esta expresión es análoga a la obtenida durante el análisis de la propagación de la onda pulsátil por la arteria.El producto ρ c lleva el nombre de impedancia acústica del medio. Cuanto mayor es la impedancia acústica del medio tanto menores deben ser los valores de las velocidades de desplazamiento del aire para producir en aquél la misma presión acústica. En la tabla 4 se insertan los valores de ρ c para el aire, el agua y para algunos tejidos biológicos. Es necesario tomar en consideración la impedancia acústica durante el análisis de la transferencia de la onda sonora de un medio al otro.
Tabla 4
Impedancia acústica del aire, del agua y de algunos tejidos biológicos
| Característica | |||
| Material | Densidad x 103 kg/m3 | Velocidad del sonido x 102 m/s | Impedancia acústica N·s/m3 |
| Aire | 1,29·10-3 | 3,31 | 430 |
| Agua | 1,00 | 14,8 | 1,48·106 |
| Músculo | 1,04 | 15,8 | 1,64·108 |
| Grasa | 0,92 | 14,5 | 1,33·106 |
| Hueso | 1,90 | 40,4 | 7,68·106 |
Es conocido que cuando el sonido encuentra en su camino la superficie de separación de dos medios, una parte de la onda sonora se refleja de ésta, mientras que el resto pasa al medio nuevo. La onda sonora reflejada la percibimos como eco. ¿Qué es lo que determina la amplitud de la onda sonora reflejada? Analicemos la propagación del sonido desde un medio con impedancia acústica pequeña (aire) hacia el medio con impedancia grande (agua). Para simplificar, supongamos que la dirección de propagación de la onda sonora es perpendicular al plano de separación de los dos medios (fig. 62). Es evidente que la presión acústica en los puntos A y A’ que se encuentran inmediatamente sobre la superficie de separación y por debajo de ésta será prácticamente igual. Sin embargo, la presión en el punto A representa la suma de las presiones en las ondas sonoras incidente (Pi) y reflejada (Pr). En virtud de ello, al designar con P1 la presión de la onda sonora que pasó al medio 2, tenemos la igualdad:
Pj = Pi + Pr (25)
Las velocidades de las partículas del medio en los puntos A y A’ también deben ser iguales, puesto que en el caso contrario habría tenido lugar la penetración de un medio en el otro lo que hubiera hecho indefinido el límite.
Figura 62. Reflexión de la onda sonora desde el límite de separación de dos medios: i, onda incidente; r, onda reflejada; j, onda pasada

Θ A’ = Pj / ρ2 c 2
Al igualar Θ A y Θ A’ . obtenemos:
26)
(27)
Cada onda sonora representa un flujo direccional de energía mecánica. Para los casos en que la presión de la onda sonora varía en función del tiempo de modo sinusoidal, es decir, P(x,t) = P0(x)·sen (2π ft), se puede demostrar que la cantidad de energía transferida por la onda sonora en una unidad de tiempo a través de una unidad de superficie perpendicular a c, constituye
I = P02/2 ρ c. (28)
Recurriendo a (27) y (28) es posible obtener las expresiones para la energía de las ondas sonoras reflejada y pasada:
(29)
Finalmente, el último de los conceptos de la acústica que necesitaremos para evaluar el sistema auditivo de los animales es la amplitud media A de las desviaciones de las moléculas del medio al propagarse la onda sonora. Utilizando la expresión (24) para las ondas sonoras de forma sinusoidal, obtenemos que
(30)
2. Cómo oímos
En la fig. 63 se representa el corte del oído del hombre. Este órgano consta de tres partes: oído externo, oído medio y oído interno. El oído externo comprende la concha de la oreja y el conducto auditivo externo que desemboca en ésta. Los elementos del oído externo sirven para conducir la energía de las ondas sonoras al tímpano, a la membrana que obtura totalmente el conducto auditivo externo en su extremo mismo. La membrana del tímpano y la cadena de tres huesecillos del oído (yunque, martillo y estribo) —que son elementos del oído medio— transmiten las vibraciones acústicas más lejos, o sea, al elemento del oído interno llamado caracol, donde éstas se transforman en una secuencia de impulsos nerviosos que van al cerebro por el nervio auditivo.

Figura 63. Representación esquemática del oído del hombre: 1, Concha de la oreja; 2, conducto auditivo; 3, membrana del tímpano; 4, martillo; 5, yunque; 6, estribo; 7, membrana de la ventana; 8, caracol; 9, membrana de la ventana redonda; 10, trompa de Eustaquio
Para comprender el principio de trabajo del oído medio figurémonos, primeramente, que, en general, carecemos de éste. ¿Cómo en este caso se modificará nuestro oído? Si las ondas sonoras provenientes del aire van a incidir directamente sobre la ventana oval del oído interno, la energía de la onda pasada a través de la membrana constituirá tan sólo 0,1 % de su energía inicial por cuanto las impedancias acústicas del aire y del líquido que llena el oído interno se diferencian más que 1000 veces. Los elementos del oído medio sirven para hacer mínimas las pérdidas de energía durante la transmisión del sonido desde el oído externo hacia el interno. La membrana del tímpano del hombre tiene el área de cerca de 0,7 cm2. Esta membrana por medio de los huesecillos del oído está ligada a la membrana de la ventana oval cuya área es igual tan sólo a 0,03 cm2 ( [14]). De este modo, el oído medio trabaja como transformador de la presión, aumentando la presión acústica sobre la membrana de la ventana oval unas 40 veces, aproximadamente, en comparación con su presión sobre la membrana del tímpano.

Figura. 64. Equivalente mecánico del oído medio
Con anterioridad (véase la ecuación (24)), hemos definido la impedancia acústica como relación entre la amplitud de la presión y la del desplazamiento de las partículas del medio en su punto dado durante la propagación de la onda sonora. De todo lo expuesto antes sobre el trabajo del oído medio deriva que la impedancia acústica del oído al nivel de la membrana del tímpano es 80 veces menor que la impedancia al nivel de la ventana oval, constituyendo ya una magnitud próxima a la impedancia acústica del aire. La proximidad entre las magnitudes de las impedancias acústicas del aire y del oído medio disminuye considerablemente la amplitud de la onda sonora reflejada de la membrana del tímpano. Así, pues, el oído medio hace concordar las impedancias acústicas del oído interno y del aire.
El oído de los mamíferos terrestres adaptado para la recepción de las ondas sonoras propagadas en el medio aéreo funciona mal bajo el agua. Esta circunstancia se debe a que la impedancia acústica del agua es 1000 veces mayor, aproximadamente, que la del oído medio, razón por la cual el sonido, prácticamente por completo, se refleja de la membrana del tímpano. La falta de acomodación del oído humano para percibir los sonidos subacuáticos motivó la opinión de nuestros antepasados que consideraban que el mundo subacuático es el mundo del silencio. De aquí proviene también la expresión «mudo como el pez». Incluso la propia idea de que los peces pueden comunicarse con la ayuda de los sonidos obtuvo el amplio reconocimiento de los científicos tan sólo en la década del cuarenta de siglo XX, cuando el desarrollo de la flota submarina dio lugar a la creación de sistemas hidroacústicos especiales.
Sin embargo, ya Leonardo de Vinci propuso escuchar los sonidos subacuáticos apretando el oído contra el remo sumergido en el agua. La impedancia acústica de la madera húmeda es próxima a la del agua, y el estrechamiento del remo en la dirección desde la pala hacia el puño lo convierte en «transductor» de la presión análogo al oído medio (véase la fig. 64). Todos estos hechos conducen a que las ondas sonoras subacuáticas, experimentando una reflexión insignificante, se propagan por el remo y llegan al hueso del cráneo cerca del oído; las vibraciones de este hueso provocan las vibraciones correspondientes del líquido en el oído interno y las sensaciones acústicas. Los pescadores que recurren a este método para escuchar los sonidos subacuáticos conocen que los peces son tremendos charlatanes.
El oído de las ballenas y de los delfines está adaptado perfectamente para escuchar los sonidos del mar. La unión de los huesecillos del oído entre sí y las dimensiones de dichos huesecillos en el organismo de estos mamíferos marinos (a diferencia de los mamíferos terrestres) son tales que la amplitud de las vibraciones de la membrana de la ventana oval supera considerablemente la amplitud de las vibraciones de la membrana del tímpano. Como resultado, la impedancia acústica del oído al nivel de la membrana del tímpano aumenta, aproximándose a la impedancia del agua. De este modo, el oído medio de las ballenas y de los delfines, al igual que el de los animales terrestres, tiene el valor de la impedancia acústica próximo a la impedancia del medio que se escucha, lo que permite transmitir al oído medio energía acústica mayor.
La estructura óptima del oído medio y la alta sensibilidad de las células pilosas del oído interno dan la posibilidad, a muchos animales, de percibir tales vibraciones acústicas de baja amplitud que se hallan fuera de los límites de sensibilidad de los sistemas acústicos modernos. Así, por ejemplo, la intensidad mínima del sonido que es capaz de captar el oído humano constituye cerca de 10-12 W/m2 para la frecuencia de 3 kHz, y la intensidad máxima del sonido que el oído aún es capaz de soportar se encuentra cerca de 1 W/m2.
Con el fin de formar la idea acerca de la sensibilidad de nuestro oído hallemos, valiéndonos de las fórmulas (28) y (30), la amplitud media correspondiente (Amin) de los desplazamientos sinusoidales de las moléculas de aire en la onda sonora que se propaga. La sustitución I =10-12 W/m2, ρ = 1,3 kg/m3, c = 330 m/s y f = 3·103 s-1 da para Amin un valor próximo a 10-11 m. Para comparar señalemos que el diámetro del átomo de hidrógeno es igual a 10-10 m, aproximadamente. De este modo, la amplitud media mínima de los desplazamientos sinusoidales de las moléculas de aire en la onda sonora que percibimos todavía como sonido, constituye tan sólo una décima del diámetro del átomo de hidrógeno. A todas luces, no habríamos ganado nada si nuestro oído hubiera llegado a convertirse en varias veces más sensible, puesto que con una sensibilidad tan grande este órgano habría comenzado a percibir los movimientos térmicos fortuitos de las moléculas de aire. En este caso habríamos oído los sonidos que nos interesaban sobre el fondo de un zumbido constante, el llamado «ruido blanco», que no incluía ninguna información útil. Para evaluar la fuerza (la intensidad) del sonido L, además de la expresión (28), se utiliza con frecuencia la magnitud igual a
L = 20 log P/Pmin
donde P es la amplitud de la presión acústica de la onda dada, y Pmin, la amplitud de la presión acústica correspondiente al umbral de audibilidad medio del hombre. La magnitud L es adimensional, pero con el fin de distinguirla de otras magnitudes adimensionales a ésta se le ha conferido la dimensión de decibel (dB). En la tabla 5 se dan los valores de L correspondientes a los diferentes valores de P| Tabla 5 Intensidad del sonido y amplitud de la presión acústica | ||
| Amplitud de la presión acústica N/m2 | Intensidad el sonido dB | A qué corresponde en la vida |
| 2·103 | 160 | Lesiones mecánicas de la membrana del tímpano |
| 2·102 | 140 | Umbral de dolor del oído |
| 2 | 100 | Taller de una planta en funcionamiento, automóvil |
| 2·10-2 | 60 | Ruido en una oficina, conversación |
| 2·10-3 | 20 | Una habitación muy silenciosa |
| 2·10-5 | 0 | Umbral de audibilidad |
Se descubrió que cuando la intensidad del sonido constituye cerca de 60 dB o más, el hombre puede distinguir dos sonidos de diferente fuerza solamente en el caso de que su intensidad se diferencia más que en 0,5 dB. Siendo la intensidad del sonido igual a 30 dB, aproximadamente, el hombre distingue los sonidos cuando su intensidad se diferencia más que en 1 dB. Y, finalmente, cerca del umbral de audibilidad podemos distinguir dos tonos acústicos de igual frecuencia tan sólo si la diferencia en su intensidad es no menor que 6 dB.
3. ¡Eh! ¿Dónde estás?
Para muchos animales es importante no solamente oír el sonido, sino también determinar de dónde éste proviene. Existen dos métodos principales para determinar la dirección hacia la fuente de sonido, y ambos requieren que se utilicen dos receptores acústicos (oídos).

Figura 65. Uno de los métodos de determinación de la dirección hacia la fuente de sonido: Δ t = Δ L/c = (b/c) sen Θ
Δ tmax = 0,17/330 = = 5·10-4 s.
Es en verdad sorprendente la capacidad de nuestros oídos y del cerebro que trabajan mancomunadamente de captar los retardos del sonido que constituyen menos de 10-4 s. Las personas entrenadas pueden, por ejemplo, determinar la desviación de la fuente de sonido respecto al plano medio, siendo el ángulo menor que 1 ó 2°, o sea, pueden captar el retardo temporal de cerca de 10 μ s. Es evidente que semejante método de determinación de la dirección hacia la fuente de sonido resulta ser más útil para los animales grandes cuyos oídos están bastante apartados uno del otro.El segundo método consiste en la medición de la diferencia en la intensidad del sonido que llega a uno y otro oído. Para las vibraciones acústicas con la longitud de onda menor que 15 cm (la frecuencia es mayor que 2 kHz) la cabeza del hombre representa un obstáculo considerable. Debido a ello detrás de la cabeza se forma la sombra acústica en que la intensidad del sonido será menor que en el lado opuesto. Si la fuente de sonido está desplazada con respecto al plano medio de la cabeza, entonces uno de nuestros oídos se encontrará en la zona de la sombra acústica, y el otro, fuera de esta zona. Como resultado, las intensidades de las ondas sonoras que inciden sobro los dos oídos serán desiguales.
La experiencia de nuestra vida nos enseñó a utilizar esta diferencia en la intensidad del sonido para determinar la dirección hacia la fuente de sonido con una precisión de 1 a 2°. El hombre, subconscientemente, usa, de una vez, ambos métodos de localización de la fuente de sonido. En este caso, a la diferencia en la intensidad del sonido de cerca de 10% corresponde la demora temporal en la llegada de la onda sonora al oído más alejado igual a 18 μ s. Por esta causa, si, artificialmente, la sensibilidad del oído que se encuentra al margen de la sombra acústica se hace disminuir en 10%, entonces, al determinar la dirección hacia la fuente de sonido, la persona sometida a experimento se equivocará sistemáticamente en 3...4°.
Cabe señalar que para los animales pequeños (por ejemplo, para los ratones) es accesible tan sólo el segundo método de localización de la fuente de sonido, puesto que el primero habría requerido poseer la capacidad de medir los intervalos de tiempo con una exactitud de 1 μ s, inconcebible para el sistema nervioso. La extraordinaria sensibilidad de los mamíferos pequeños a los sonidos de alta frecuencia crea las condiciones necesarias para el empleo de este segundo método.

Figura 66. Elementos de la cabeza que permiten localizar la fuente de sonido en el aire, en el caso de una zorra, y en el agua, cuando se trata de un delfín. Los huesos del cráneo y la concha de la oreja crean la sombra acústica en el aire. En el agua esta sombra acústica la crean las fosas aéreas nasales
El sistema auditivo de las ballenas y de los delfines está bien adaptado para la orientación subacuática con la ayuda del sonido. Las cavidades aéreas existentes en su cráneo engendran sombras acústicas (debido a la enorme diferencia entre las impedancias acústicas del agua y del aire) que separan espacialmente ambos oídos (fig. 66). Esta circunstancia les permite determinar bajo el agua la dirección hacia la fuente de sonido, empleando los métodos que acabamos de describir.
Aparentemente, dificultades insuperables en la determinación de la dirección hacia la fuente de sonido deben surgir entre los insectos.
El espesor del cuerpo del saltamontes constituye menos de 1 cm, y la longitud de onda del sonido que produce es de cerca de 8 cm (frecuencia de 4 a 5 kHz). Por esta causa el propio saltamontes no creará sombra acústica para el chirrido de su vecino, y, además, incluso la posesión de dos órganos auditivos dispuestos en los distintos lados de su cuerpo tampoco le dará la posibilidad de determinar dónde está chirriando el vecino. Y no obstante, los saltamontes a las mil maravillas encuentran unos a otros, guiándose tan sólo por las señales sonoras. En este asunto le ayuda la estructura especial de sus órganos auditivos.
Los saltamontes, así como algunos otros insectos, tienen estos órganos dispuestos en las extremidades delanteras, un poco más debajo de las «rodillas». De elemento sensitivo sirve una membrana especial: «membrana del tímpano». Sin embargo, a diferencia de los mamíferos (véase la fig. 63), en el saltamontes la onda sonora puede actuar sobre la membrana del tímpano por ambos lados, debido a que su superficie interior también comunica con la atmósfera a través de un estrecho orificio llamado estigma (fig. 67). En este caso, la desviación de la membrana del tímpano será proporcional a la diferencia de las presiones por ambos lados de ésta, es decir, a la diferencia de las presiones entre los puntos A y B. Por cuanto las dimensiones del órgano auditivo del saltamontes (así como la distancia AB) siempre son pequeñas en comparación con la longitud de onda del sonido, la fuerza resultante que actúa sobre su membrana del tímpano será proporcional al gradiente de presión en la onda sonora que se propaga.

Figura 67. Corte esquemático del órgano auditivo del saltamontes
Un principio análogo de localización de la fuente de sonido se puede encontrar también en el organismo de algunos otros animales pequeños. Por ejemplo, en la rana la onda sonora, al penetrar a través de la membrana del tímpano de un oído, pasa por la trompa de Eustaquio (véase la fig. 63) y actúa sobre la superficie interior de la membrana del tímpano del otro oído. Así, pues, el órgano auditivo de la rana también posee sensibilidad al gradiente de presión. La trompa de Eustaquio del hombre es muy estrecha y, por regla general, está llena de líquido. A raíz de ello somos incapaces de utilizar este mecanismo para determinar la fuente de sonido.
4. Localizadores animados
Los ejemplos más brillantes de utilización del sonido en la naturaleza viva son el habla humana y la ecolocalización. La ecolocalización está máximamente desarrollada entre los murciélagos, animales con el modo de vida nocturno. La ecolocalización les sustituye la vista. Es interesante saber que los principios de ecolocalización (o detección por eco se emplearon en los radares y en los sonares antes de haberlos descubierto en los animales. Sin embargo, la habilidad con que los murciélagos separan la información a partir del eco de las señales emitidas es verdaderamente fantástica. Al analizar las señales reflejadas los murciélagos no sólo son capaces de detectar los objetos que los rodean, sino también pueden determinar la distancia hasta éstos, así como el azimut, las dimensiones y el carácter de su superficie. La mayoría de los murciélagos son insectívoros. La ecolocalización les permite cazar mosquitos captándolos en el vuelo a razón de dos por segundo.
Las señales emitidas por los murciélagos se encuentran totalmente en el diapasón ultrasónico (desde 20 hasta 100 kHz), lo que explica, precisamente, la considerable tardanza en el descubrimiento de este fenómeno. La pequeña longitud de onda del sonido producido ofrece la posibilidad de recibir señales de eco provenientes de objetos diminutísimos. Por ejemplo, el murciélago, en completa oscuridad, puede descubrir un alambre de 0,1 mm de diámetro.
Valiéndose de su localizador ultrasónico algunos murciélagos pueden cazar no solamente insectos, sino también peces que se encuentran cerca de la superficie del agua. Durante largo tiempo parecía incomprensible cómo lograban hacerlo, pues la impedancia acústica del cuerpo de los peces casi no se diferencia de la impedancia del agua. Por esta causa, aparentemente, los peces no debían reflejar las señales acústicas. Sin embargo, no es del todo así, por cuanto en el cuerpo del pez existe la vejiga natatoria llena de aire. Precisamente esta vejiga convierte al pez en «visible» para el localizador ultrasónico del murciélago.
Los murciélagos pueden emitir impulsos ultrasónicos de diferente forma. Son los más difundidos y estudiados dos tipos de murciélagos.

Figura 68. Variación de la frecuencia de las oscilaciones en dos tipos de impulsos ultrasónicos emitidos por los murciélagos
Como nos enseña la experiencia cotidiana, la Naturaleza, por regla general, nunca hace en vano cosa alguna. Examinemos primeramente los principios de ecolocalización utilizados por los murciélagos de primer tipo. Supongamos que c es la velocidad del sonido, y L1 y L2, las distancias desde el murciélago hasta dos objetos cualesquiera que se encuentran en el camino de propagación de la onda sonora. Es obvio que el. impulso reflejado del primer objeto regresará al murciélago dentro de un intervalo de tiempo igual a 2L1/c, mientras que el mismo impulso reflejado del segundo objeto, más alejado, retornará dentro de 2L2/c. Si la frecuencia de las vibraciones en el impulso emitido por el murciélago fuese constante y su duración superara 2·(L2 — L1)/c, los impulsos reflejados de ambos objetos, al sumarse, darían como resultado un impulso ultrasónico de la misma frecuencia, pero de duración algo mayor.
De este modo, al utilizar impulsos consistentes en vibraciones ultrasónicas de frecuencia invariable, el impulso reflejado portará la información solamente acerca de la distancia hasta el más próximo entre los dos objetos, si dichos objetos están separados no más que en c τ /2, donde τ es la duración del impulso. Puesto que los ligamentos vocales [15] del murciélago no le permiten emitir impulsos acústicos más cortos que 0,5 ms, resulta que dos objetos separados uno del otro por una distancia menor de 10 cm se percibirán por estos animales como un solo. ¿Es posible, acaso, que en el cerebro del murciélago se produzca una imagen tan borrosa del mundo circundante? No, semejante cosa no ocurre. La nitidez de la imagen aumenta considerablemente debido a que en el curso de cada impulso la frecuencia de las vibraciones emitidas por los murciélagos de este tipo tiene tiempo para disminuir varias veces (fig. 68, a). Semejante impulso modulado en frecuencia, al reflejarse de dos objetos diferentemente alejados, retorna al murciélago en forma de impulso cuya estructura interna so representa en la fig. 69. Un aumento brusco de las vibraciones ultrasónicas dentro del intervalo de tiempo 2·|L1 — L2| después de la llegada del impulso da la posibilidad al murciélago de sacar la conclusión acerca de la existencia de dos objetos en el camino de propagación de la onda sonora. Es evidente que en este caso la duración del impulso emitido ya no determina la nitidez de la imagen dada por el eco, como ocurre al utilizar los impulsos que constan de vibraciones ultrasónicas de constante frecuencia.
Después de justificar la aplicación por la Naturaleza de los impulsos similares al mostrado en la fig. 68, a, procedamos a analizar la posibilidad de utilización con los mismos fines de los impulsos de segundo tipo (véase la fig. 68, b). Hablando con propiedad, este segundo tipo de impulsos es difícil incluso llamar impulsos, debido a que su duración, a veces, puede ser mayor que el intervalo entre los mismos. Estos impulsos largos, evidentemente, no pueden utilizarse para la ecolocalización, ya que la señal reflejada retornará al murciélago antes de que haya finalizado la señal emitida, circunstancia que dificultará el análisis de la señal reflejada.

Figura 69. Variación de la frecuencia de las oscilaciones ultrasónicas en el impulso reflejado de dos objetos alejados del murciélago a las distancias L1 y L2, respectivamente
Cada persona que alguna vez se encontrara en el andén de una estación ferroviaria oyendo el pito de la locomotora Diesel que pasaba a gran velocidad, sin detenerse, cada persona, repito, seguramente prestó atención a que el tono del pito de la locomotora que se acercaba fue mucho más alto que el tono del mismo al alejarse la locomotora. La dependencia de la frecuencia de las vibraciones percibidas por nosotros respecto a la velocidad del movimiento relativo de la fuente de estas vibraciones lleva el nombre de efecto Doppler y se explica de la siguiente forma. Al acercarse el tren, la longitud de onda de las vibraciones acústicas que se propagan en el aire a lo largo del andén debe ser menor que la magnitud correspondiente medida en la cabina del maquinista. Esto ocurre debido a que el movimiento del tren al acercarse «acorta» en Tv la longitud de onda del sonido oído en el andén, siendo T el período de las vibraciones acústicas, y v, la velocidad del tren. Y viceversa, el movimiento de la locomotora Diesel al alejarse «alarga» en la misma magnitud la longitud de onda del sonido escuchado. Precisamente por esta razón a aquellos que se encuentran en el andén les parece que el tono del pito de la locomotora se hace, de súbito, más bajo cuando el tren pasa a gran velocidad junto a ellos. Se puede demostrar que la variación de la frecuencia Δ f de las vibraciones acústicas que tiene lugar debido al efecto Doppler viene determinada por la expresión
(31)
Supongamos que el murciélago que se mueve respecto a los objetos que la rodean con la velocidad v emite vibraciones ultrasónicas con la frecuencia f0. En este caso, debido al efecto Doppler, la frecuencia de las vibraciones ultrasónicas incidentes sobre los objetos inmóviles y reflejadas de éstos será igual a f0 + Δ f , donde Δ f se determina por la expresión (31). En virtud del mismo efecto Doppler, el ultrasonido reflejado es percibido por el murciélago que vuela ya como vibraciones con la frecuencia f0 + 2Δ f . Si se considera que la velocidad del vuelo del murciélago constituye, en promedio, cerca de 5 m/s y la frecuencia del ultrasonido que emite es de 80 kHz, resulta que la diferencia 2 Δ f entre las frecuencias del ultrasonido emitido y el reflejado no debe superar un 3% y que ésta encierra información acerca de la posición de los objetos circundantes respecto al vector de velocidad del murciélago en vuelo.
Para poder valerse de este método de ecolocalización, el murciélago no sólo debe emitir el ultrasonido de frecuencia constante (con una precisión de hasta centésimas de tanto por ciento), sino también debe poseer la capacidad de distinguir frecuencias que se diferencian unas de otras en 0,1%. En efecto, los experimentos han demostrado que el aparato auditivo del murciélago presenta la mayor sensibilidad en la región de frecuencias emitidas por el mismo y puede reaccionar ante la variación de la frecuencia que no supera 0,1%. De este modo, la utilización del principio de Doppler por unos tipos de murciélagos y de la ecolocalización de impulsos por otros tipos, permite a los murciélagos orientarse sin recurrir a la ayuda de la vista.
Sin embargo, la Naturaleza no sólo se preocupó por los murciélagos, proveyéndolos de localizadores ultrasónicos, sino también pensó en sus víctimas. Así, por ejemplo, algunas mariposas nocturnas (las noctuas) —presa frecuente de los murciélagos— tienen el órgano auditivo especialmente sensible a aquellas frecuencias, precisamente, que utilizan los murciélagos para la ecolocalización. Otras mariposas emplean corno protección las señales ultrasónicas: interferencias que dificultan el trabajo del localizador de los murciélagos y los espantan.
Se conoce que los vampiros que atacan a los hombres, así como a los caballos y otros animales de granja raras veces consiguen complacerse saboreando la sangre del perro. Esto se explica por el hecho de que los perros poseen la capacidad de oír el ultrasonido (en esta capacidad suya se basan muchas intervenciones de los perros en el circo) y, al descubrir al vampiro que se acerca, saben protegerse.
La ecolocalización utilizada por los murciélagos puede ayudar a las personas que padecen ceguera. Los biofísicos ya ensayan dispositivos diminutos hechos en forma de auriculares que emiten permanentemente impulsos ultrasónicos y reciben las ecoseñales reflejadas de los objetos circundantes. Un elemento especial de tal dispositivo transfiere las ecoseñales recibidas al diapasón de frecuencia audible y, después, las transmite a los auriculares. Entrenándose cierto tiempo, el hombre, con la ayuda de este localizador ultrasónico, puede aprender, hasta cierto grado, a «ver» con los ojos cerrados.
Capitulo 7
Del perrito enano al elefante
[16]
...Hay un enorme trecho
A. S. Griboiédov.
"La desgracia de tener demasiado ingenio"
- Masa del cuerpo y modo de vida
- Quién salta más alto y nada más rápido
- Los adultos y los niños en el paseo
- Masa y energía
- Cómo el modo de respirar determina la masa del animal
Es evidente que las dimensiones y la masa del cuerpo guardan una estrecha relación con el modo de vida del animal. ¿Qué leyes físicas generales determinan esta relación mutua?
1. Masa del cuerpo y modo de vida
Cuando uno observa en el parque zoológico la conducta del elefante parece como si todos los movimientos de este gigante estuvieran retardadas artificialmente, a semejanza de como sucede durante la proyección de una película con el aparato proyector estropeado. Una impresión diametralmente opuesta se forma al observar un ratón vivo: tan rápidos y ágiles son sus movimientos. Estos ejemplos sugieren la idea de que el ritmo de la vida y de su reloj biológico depende de la masa del cuerpo del animal. Y la realidad lo confirma. La duración de la vida del elefante es de 70 años y más, mientras que el ratón vive de 2 a 3 años. El tiempo que dura la preñez de la hembra del elefante es de 18 a 22 meses, mientras que para los ratones este período dura no más de 23 días.
La velocidad de marcha del reloj biológico se diferencia no solamente para las distintas especies de animales, sino que también puede variar en un mismo organismo durante su crecimiento. El ejemplo no debe buscarse muy lejos. Cada uno conoce que los niños de pecho duermen varias veces al día; los niños de 2 a 5 años de edad lo hacen dos veces diariamente, y nosotros, los adultos, dormimos una sola vez. Así, paulatinamente, a medida que el niño crece, el período de la marcha de su reloj biológico aumenta hasta 24 horas. ¿De qué modo, pues, se puede explicar la dependencia existente entre el desarrollo de diferentes procesos biológicos y la masa del animal?
Procuremos deducir la relación que enlace el tiempo de reacción del animal a los estímulos externos y la masa del animal. Es evidente que el tiempo de reacción del animal depende de las dimensiones de su cuerpo y de la velocidad de propagación de la excitación por sus nervios (véase el capítulo 1). La velocidad de propagación del impulso nervioso para los diferentes mamíferos es aproximadamente la misma, por esta razón el tiempo de reacción del animal debe ser directamente proporcional a sus dimensiones lineales. Las investigaciones realizadas con un grupo grande de animales han demostrado que las longitudes de sus cuerpos aumentan con la masa M de cuerpo directamente proporcional a M0,25. Esta es la causa por la cual en el caso de considerar que, a la velocidad constante de propagación del impulso nervioso, el tiempo requerido para la reacción a los estímulos fuera del cuerpo del animal y dentro de éste es proporcional a su longitud, es posible esperar que la misma sea proporcional a M0,25. Se ha descubierto que las frecuencias de las contracciones cardíacas y de la respiración para los diferentes mamíferos también varían proporcionalmente a M0,25. Sin embargo, hasta la fecha no se ha logrado explicar esta relación de un modo tan simple como la anterior.
¿Por qué el ratón que corre hace un número mucho mayor de pasos por minuto que el elefante? Estas diferencias en los ritmos de animales grandes y pequeños son características no solamente para los mamíferos. En la tabla 6 se representa cómo varía la frecuencia de aletadas para los pájaros de diferente masa.
| Tabla 6 Relación entre la masa del cuerpo y la frecuencia de aletadas para diferentes pájaros | ||
| Pájaro | Masa del cuerpo kg | Frecuencia de aletadas/s |
| Grifo | 8 | 2 |
| Corneja | 0,6 | 4 |
| Gorrión | 0,03 | 10 |
| Colibrí | 0,003 | 50 |
Se ve que las aletadas de los pájaros grandes son mucho menos frecuentes que las de los pequeños. Investigaciones más minuciosas han demostrado que al disminuir la masa del cuerpo del pájaro esta frecuencia aumenta en razón de M-0,26
La regla general enunciando que los animales grandes requieren más tiempo que los pequeños para realizar un movimiento del mismo tipo se puede explicar si analizamos el trabajo realizado por el músculo durante su contracción.

Figura 70. Estructura de un músculo del esqueleto
La fuerza desarrollada por el músculo está en dependencia directa respecto al área de su sección transversal, por cuanto la fuerza máxima depende del número de fibrillas que caben en el área dada. La relación de la fuerza máxima desarrollada por el músculo al área de su sección transversal varía dentro de unos límites muy pequeños y, por regla general, constituye de 40 a 60 N/cm2. Como quiera que la longitud de cada sarcómero durante la contracción del músculo no puede disminuir más que en 1 μ m, resulta que el valor máximo de acortamiento de todo el músculo debe ser proporcional a su longitud. Esta es la razón por la cual el trabajo realizado por el músculo, trabajo que es igual al producto de la fuerza por el valor del acortamiento, debe ser proporcional a su volumen (o masa).
Supongamos ahora que disponemos de un grupo de animales semejantes en todos los aspectos que se diferencian unos de otros tan sólo por su masa (véase la fig. 71). Sea que la masa de uno de estos animales es M y la masa del músculo cuya contracción hace moverse el cuerpo es CM, siendo C constante para todo este grupo de animales. Si una unidad de masa del músculo es capaz de realizar el trabajo a, resulta que el trabajo realizado por todo el músculo es igual a aCM. Supongamos quo este trabajo se invierte para conferir la velocidad v a la parte del cuerpo con la masa C1M, donde C, es otra constante para el mismo grupo de animales.

Figura 71. Animales semejantes

(32)
2. Quien salta más alto y nada más rápido
El saltamontes cuya longitud es un poco mayor que un centímetro salta a la misma altura que la langosta cuyas dimensiones son cinco veces mayores. El canguro rata (bipsiprimno), animal cuyo tamaño es, aproximadamente, el de un conejo, puede saltar a la misma altura que el canguro verdadero. ¿Por qué los animales análogos por su forma saltan a una misma altura sin importar cuáles sean sus tamaños? La respuesta a esta pregunta puede obtenerse si recurrimos otra vez a la expresión (32). Se conoce que la altura máxima a la cual sube un cuerpo lanzado verticalmente es igual a v2/2g. Al sustituir en la fórmula (32) C1 = 1, obtenemos que los animales análogos son capaces de acelerar sus cuerpos hasta velocidades iguales y, por lo tanto, saltar a la misma altura.
El refrán ruso dice: «Está el lucio en el río para que el carasio nunca quede dormido». A cada uno le está claro que el lucio siempre alcanzará al carasio, a menos que éste logre esconderse a tiempo en algún lugar recóndito. Y no solamente al carasio, sino también a cualquier otro pez pequeño. Mas ¿cuál es la razón de que la velocidad máxima de un pez grande es mayor que la de uno pequeño?
La fuerza de resistencia que vencen los peces al moverse en el agua, siendo la misma la forma de sus cuerpos, es proporcional al área de la sección transversal del pez S y al cuadrado de velocidad de su movimiento v2. En virtud de ello, la expresión para la potencia N que invierte el pez durante su movimiento tiene la siguiente forma:
N = K1Sv2v (33)
donde K1 es un coeficiente constante.Por otra parte, como se ha demostrado con anterioridad, la potencia máxima desarrollada por cada músculo del animal debe ser proporcional a su volumen. Es obvio que una conclusión semejante es válida para todo el organismo lo que da como resultado
N = K 2 Q (34)
donde Q es el volumen del cuerpo del pez, y K2, una constante. Al igualar las expresiones (33) y (34), obtenemos:
(35)
(36)


3. Los adultos y los niños en el paseo
Cuando no tenemos prisa, andamos a pie. Pero, de pronto, vemos que podemos llegar tarde y nos echamos a correr. Al andar, en cualquier instante de tiempo un pie, por lo menos, obligatoriamente está en contacto con la tierra. A diferencia del proceso de andar, durante la carrera existen intervalos breves de tiempo en los cuales el hombre no está en contacto con la tierra. Por esta causa, semejante modo de desplazarse representa una sucesión de saltos. La velocidad máxima con la cual puede andar un hombre adulto es de cerca de 2,5 m/s.

Figura 72. Cambio de la posición del centro de gravedad al andar (se muestra con línea de trazos)
Un cuadro muy común y corriente: los padres, al apresurarse, tiran al niño de la mano, y éste, ya que le es imposible seguirlas al mismo ritmo, se ve obligado a correr. ¿Cuál es la razón de que para alcanzar la misma velocidad los adultos y los niños recurren a modos diferentes de principio para desplazarse?
Examinemos cómo varía la posición del centro de gravedad al andar. En la fig. 72 se da una representación esquemática de las posiciones del hombre y de su centro de gravedad durante dos fases consecutivas del andar. Si se considera que al entrar en contacto con la tierra las piernas están en posición recta, es evidente que el centro de gravedad ocupará la posición más baja cuando ambos pies se encuentren en contacto con la tierra. A la posición más alta del centro de gravedad corresponderá el momento en que la pierna que está en contacto con la tierra se encuentra en posición vertical. De este modo, el centro de gravedad dispuesto en la parte inferior del cuerpo, un poco por debajo del ombligo, al andar se mueve por un arco de la circunferencia cuyo radio puede considerarse igual a la longitud de la pierna.
Se conoce que el cuerpo que se mueve con la velocidad v por la circunferencia de radio l tiene la aceleración dirigida al centro de esta circunferencia e igual a v2/2l. Cuando el hombre anda, sobre él actúan dos fuerzas: la de la gravedad y la de la reacción del apoyo. La resultante de estas dos fuerzas es, precisamente, la fuerza centrípeta buscada. Es obvio que su valor no puede superar al de la fuerza de la gravedad. En virtud de ello, al andar, debe observarse la desigualdad
mv 2 / l < mg
donde m es la masa del hombre andando. De esta desigualdad se desprendo quev = √gl (37)
La longitud de la pierna del hombre adulto constituyo cerca de 0,9 m. Al sustituir este valor para l en la expresión (37), obtenemos para la velocidad máxima del andar del hombre la cifra de 3 m/s, aproximadamente, lo que concuerda con su valor real. Los niños tienen las piernas más cortas que los adultos, y la velocidad máxima de su andar es menor. Por esta causa, para no retrasarse al pasear con los adultos, los niños, con frecuencia deben pasar a correr. Reviste interés el hecho de que relaciones idénticas entre la velocidad máxima del andar y la longitud de las extremidades se presentan también entre los animales cuadrúpedos.Ahora ya estamos bien enterados de que en la Naturaleza podemos hallar muchas cosas de aquellas que ha inventado el hombre (vuelo en el aire, natación subacuática, empuje del chorro, paracaídas). ¿Por qué, entonces, no podemos encontrar en la Naturaleza la rueda? ¿Por qué los caballos galopan y no se deslizan en patines de ruedas? ¿Por qué no existen peces provistos de hélice en lugar de la aleta caudal?
Cualesquiera sistemas rotatorios presentan dos méritos principales:
- permiten sustituir el rozamiento de deslizamiento por el rozamiento de rodadura que, por regla general, tiene menor magnitud, y
- su energía cinética no fluctúa durante el movimiento, sino queda constante.
| Tabla 7 Eficacia del movimiento de distintos animales y medios de transporte, evaluada como la razón de su masa a la energía que se gasta para la unidad de camino | |
| Especie del animal o tipo del medio de transporte | Eficacia del movimiento10-2 kg·m/J |
| Hombre sobre bicicleta | 160 |
| Salmón | 60 |
| Hombre en un sillón de ruedas | 42 |
| Caballo | 40 |
| Hombre paseando a pie | 32 |
| Automóvil | 30 |
| Paloma | 25 |
| Oveja | 24 |
| Perro | 16 |
| Avión con propulsión a chorro | 16 |
| Helicóptero | 7 |
| Colibrí | 6 |
| Conejo | 5 |
| Abeja | 2 |
| Ratón | 0,6 |
Además, para la natación esta eficacia es más alta que para el vuelo. ¿Cuál es entonces la razón de que los animales no utilizan ruedas?
Seguramente, la causa de ello reside en que es imposible tener una rueda viva que necesita una constante afluencia de sangre desde fuera. Sin embargo, existen excepciones. Se trata de los flagelos giratorios de las bacterias que representan filamentos proteínicos (de cerca de 0,2 μ m de diámetro) que no necesitan abastecimiento de O2 y de sustancias nutritivas.
¿Y por qué los animales no utilizan para su desplazamiento ruedas o hélices hechos de materiales biológicos que no requieren para sí la constante afluencia de sustancias nutritivas, por ejemplo, como el hueso? Pero, ¿acaso el lobo podrá moverse por el bosque con mayor rapidez en patines de ruedas? Es obvio que no podrá hacerlo. Todas las ventajas relacionadas con el desplazamiento sobre ruedas desaparecen inmediatamente apenas abandonamos el asfalto para pasar al terreno sin caminos hollados. La causa de ello reside en que, primero, el rozamiento de rodadura comienza a crecer (por ejemplo, para la arena este rozamiento es 10 veces mayor que para el hormigón), y, segundo, los salientes encontrados imponen limitaciones a las dimensiones mínimas de la rueda, por cuanto la altura máxima del obstáculo que se salva no debe superar la mitad del radio de la rueda. Lo expuesto permite comprender cuál es la razón de que los animales no llenen ruedas. Simplemente, no las necesitan.
4. Masa y energía
Cada uno que alguna vez tenía en su casa a un hámster o veía a este animal en casa de sus amigos, de seguro quedaba sorprendido por su voracidad que se hizo proverbial, mencionándose en muchas ocasiones en los cuentos y refranes. Durante un día el hámster, al igual que cualquier otro roedor pequeño, puede comer una cantidad de alimentos igual a su peso. Mientras que la masa de la ración diaria del elefante constituye tan sólo 1/10 de su masa, aunque por la caloricidad los alimentos del elefante casi no se diferencian de los del roedor, puesto que los dos comen exclusivamente vegetales. ¿De qué, entonces, depende la cantidad de alimentos necesaria para el animal con el fin de mantener su actividad vital normal?
Las reservas de energía que obtenemos junto con los productos alimenticios representan la energía de los enlaces químicos de las moléculas. Los procesos con cuya ayuda liberamos esta energía llevan el nombre de metabolismo, y la velocidad con que liberamos la energía se denomina intensidad del metabolismo. El metabolismo puede ser aeróbico, es decir, desarrollarse tan sólo a condición de suministro ininterrumpido del oxígeno al organismo, y anaeróbico que no exige la afluencia de O2. El metabolismo aeróbico, en comparación con el anaeróbico, proporciona al organismo mayor cantidad de energía a partir de la misma cantidad de alimentos y, por lo tanto, provee la mayor parte de nuestros gastos energéticos. La demanda de oxígeno en el organismo aumenta al pasar el animal del estado de reposo a la actividad de movimiento. Los animales de sangre caliente consumen más oxígeno que los de sangre fría, debido a que los primeros, encontrándose en el medio ambiente relativamente frío, pierden sin cesar el calor por la vía de convección e irradiación. Las investigaciones realizadas con los animales de sangre caliente (mamíferos y pájaros) han demostrado que existe una relación proporcional entre la masa M de estos animales y su consumo Q de oxígeno en una unidad de tiempo:
Q ∼ M0,75
Los datos expuestos significan que el consumo de oxígeno por una unidad de masa del cuerpo g en una unidad de tiempo depende de M:q ∼M-0,25 (38)
Para el hombre q0 = 0,06...0,6 mm3 O2/(g·s).Tratemos de explicar la dependencia (38) existente entre el consumo de oxígeno y la masa del animal. Se conoce que la temperatura constante del cuerpo en los animales de sangre caliente se mantiene a costa de liberación del calor en los procesos de metabolismo. Los cálculos verificados evidencian que el consumo por el organismo del cm3 de oxígeno viene acompañado de desprendimiento de 20 J de energía térmica, con la particularidad de que la cantidad de calor liberado no depende del tipo de los alimentos. Supongamos que el animal tiene la forma de esfera de radio R, y la unidad de masa de este animal requiere cada segundo q cm3 de oxígeno. En este caso, la cantidad de calor liberado en el organismo como resultado de los procesos metabólicos constituirá por un segundo

J = Sx (Δ T /Δ x)
Se puede considerar que al cambiar el tamaño de nuestro «animal» esférico las magnitudes x y Δ T /Δ x quedan constantes. En esto caso J = 4π R 2 ·k, donde k = x·( Δ T /Δ x)Al igualar la cantidad de calor que se libera en el organismo durante los procesos metabólicos al calor que el cuerpo pierde a través de su superficie, obtenemos:

q = (3k/20)·(1/Rρ) (39)
Puesto que
(40)
Después de dar la interpretación de la relación (38), la voracidad del hámster y de otros animales pequeños puede explicarse de la siguiente manera. Una unidad de masa del hámster requiere mucho más oxígeno que la misma unidad de masa del elefante. Por cuanto todo el oxígeno se consume por el animal para la oxidación de las sustancias nutritivas, la cantidad de alimentos necesaria para el hámster, contando respecto a la unidad de masa del cuerpo, debe ser mucho mayor que la magnitud correspondiente para el elefante.
Cada uno conoce que las pastillas recomendadas por el médico para la curación deben tomarse varias veces a día, de otro modo éstas no tendrán efecto. La necesidad de tomar la medicina repetidas veces para mantener su concentración constante en la sangre se debe a que en el organismo la medicina se destruye.

Figura 73. Variación de la concentración del medicamento en la sangre después de administrarlo
Se conoce un caso trágico ocurrido a causa de desconocer la dependencia que relaciona τdestr y M. Desde el punto de vista científico resulta muy interesante para los siquiatras y neurofisiólogos el preparado alucinógeno LSD (dietilamida del ácido lisérgico) que provoca en personas normales alucinaciones peculiares. Ciertos investigadores decidieron estudiar la reacción del elefante a este preparado. Con este fin tomaron la cantidad de LSD que suscita rabia en los gatos y multiplicaron esta cantidad tantas veces cuantas la masa del elefante es mayor que la del gato, considerando que la dosis del preparado administrado debe ser directamente proporcional a la masa del animal. La administración de esta dosis de LSD al elefante causó su muerte al cabo de 5 minutos. De este hecho los autores de la investigación sacaron la conclusión de que los elefantes poseen una sensibilidad elevada al preparado en cuestión. La reseña a este trabajo que apareció más tarde en la prensa lo calificó de «error elefantoideo» de los autores del experimento.
5. Como el modo de respirar determina la masa del animal
Hasta el momento hemos examinado la masa del cuerpo como una variable independiente, considerando que ésta determina la frecuencia de los ritmos biológicos, el modo de vida, la velocidad de la reacción del animal y la intensidad de su metabolismo. ¿Es cierto este planteamiento? Sí, es cierto si la cantidad de oxígeno que entra en el organismo es suficiente para satisfacer todas sus necesidades. Todos los mamíferos poseen un «dispositivo» único en su género que succiona el aire desde el medio ambiente: se trata de los pulmones. En el organismo del hombre la superficie de los pulmones en la cual tiene lugar el intercambio de los gases entre la sangre y el aire (a partir del aire a la sangre pasa el oxígeno, y a partir de la sangre al aire pasa el dióxido de carbono) es igual a 80...90 m2. Esta magnitud supera casi 100 veces el área de la superficie del cuerpo. Por esta causa la difusión del oxígeno a través de la superficie de los pulmones hacia la sangre resulta ser más que suficiente para cubrir las necesidades del organismo. Sin embargo, no todos los animales, ni mucho menos, tienen órganos respiratorios especiales. Así, por ejemplo, las lombrices, por falta de órganos de respiración, utilizan el oxígeno que difunde del aire al organismo del animal a través de toda la superficie de su cuerpo. Examinemos qué restricciones sobre el tamaño del animal, impone este modo de entrada del oxígeno en el organismo.
Las lombrices poseen el sistema sanguíneo. La sangre circula por todo el cuerpo y se utiliza para recolectar el oxígeno de la superficie de la lombriz a la cual éste penetra desde la atmósfera y para hacerlo llegar a los demás tejidos. Supongamos que la lombriz tiene la forma de cilindro de radio r. Evaluemos la cantidad de oxígeno que entra en el segmento de la lombriz de longitud l y que se consume en el mismo. Si q es la cantidad de oxígeno consumida por una unidad de masa de la lombriz, entonces la necesidad Z de oxígeno de este segmento de la lombriz constituirá:
Z = π r2l ρ ·q (41)
El proceso de difusión del oxígeno está sujeto a la ley de acuerdo con la cual la cantidad de gas Y que difunde de un medio al otro en la unidad de tiempo a través de la superficie A es proporcional al área de esta superficie, al coeficiente de permeabilidad B para este gas, así como a Δ P /Δ h , donde Δ P es la diferencia de presiones parciales del gas en estos medios, y Δ h, el espesor del límite de separación entre dichos medios:Y=AB ·Δ P /Δ h (42)
Si el volumen del oxígeno que difunde Y se mide en mm3/s, el área A en mm2, Δ P en Pa y Δ h en mm, entonces la dimensión de B en la expresión (42) será mm2/(Pa·s). Puesto que A = 2π rl, al igualar (41) y (42), obtenemos:r = 2B Δ P /(Δ h ρ q)
Evaluemos el radio máximo del cuerpo de la lombriz considerando que q = 0,017 mm3/(g·s). Si despreciamos el hecho de que la lombriz viene cubierta de una capa fina de cutícula, entonces B se puede tomar igual al coeficiente de permeabilidad para oxígeno del tejido vivo, cuyo valor constituye, en promedio, cerca de 2,2·10-12 mm2/(Pa·s). Es evidente que el valor máximo de Δ P para la lombriz que se encuentra en la atmósfera no puede ser mayor que 2·104 Pa, y el valor mínimo de Δ h debe ser próximo al espesor de una célula unitaria, o sea, ≈ 0,05 mm. En este caso, suponiendo que p = 10-3 g/mm3, tenemos la siguiente evaluación para el radio máximo del cuerpo de la lombriz:
Sin embargo, en la Naturaleza existen seres más primitivos aún que las lombrices. Estos organismos carecen no solamente de órganos respiratorios, sino también de sistema sanguíneo. A dichos seres pertenece la mayoría de los organismos que habitan el medio acuoso. Es evidente que en este caso el organismo puede alcanzar tamaños considerables solamente si tiene una forma filiforme aplanada. Analicemos cómo en tales ocasiones el espesor de estos seres debe depender de g. Procuremos resolver este problema valiéndonos de los métodos de la teoría de las dimensiones. Con este fin vamos a aclarar de qué puede depender el espesor de semejantes seres. No es difícil adivinar que cuanto mayor será la presión parcial del oxígeno P0 en el medio ambiente y la permeabilidad B para el oxígeno del tejido vivo, tanto mayor espesor puede tener la especie analizada de organismos rudimentarios. El segundo factor del que depende d lo representa, por lo visto, la magnitud ρ q , que determina cuánto oxígeno necesita un centímetro cúbico de tejido del animal. Cuanto mayor es ρ q , tanto más delgado debe ser el cuerpo del organismo. Considerando que la dependencia de d respecto a P0, B y ρ q tiene forma de potencias, obtenemos:
(43)
d = b√(BP 0/ ρ q) (44)
donde b es una constante que depende de la forma de la sección transversal del animal. Se puede demostrar que para los organismos filiformes b = 4, y para los aplanados b = 2·√2. La sustitución en la expresión (44) q = 0,03 mm3/(g·s)
B = 2,2·10-10 mm2/(Pa·s)
P0 = 2·104 Pa
ρ = 10-3 g/mm3
* * *
He aquí que hemos terminado nuestra excursión corta a la biofísica. A medida que esta ciencia se desarrolla, resulta que a un especialista, por separado, cada vez le cuesta más trabajo mantenerse al tanto de todos sus problemas. En cada ámbito de biofísica ha aparecido un número grande de direcciones estrechas que hacen su aporte a la suma total de conocimientos del hombre acerca de la Naturaleza viva. Por cuanto hasta la fecha no existe una lista comúnmente admitida de problemas estudiados por la biofísica, la introducción de unos de éstos en el presente libro refleja tan sólo los intereses personales de autor. Sin embargo, según parece, en el libro viene representada la mayor parte de los problemas los cuales, de ordinario, se incluyen en la biofísica. El autor abriga la esperanza de que el lector, después de conocer el libro, haya formado cierta idea acerca de la aplicación de los modelos físicos a las investigaciones biológicas.Notas:
Notas: