
Prólogo a la cuarta edición rusa
Tras muchos años me decidí a volver a la «Física para todos», libro no terminado que había escrito junto con Dau, así llamaban lo llamaban los amigos al académico L. D. Landau, admirable científico y hombre de gran atractivo.Este libro es sumamente «conjunto», Y durante un largo período me resultó difícil ponerse a escribir su continuación. Muchos lectores me lo reprocharon.
Y he aquí que ahora someto al juicio de los lectores la nueva edición de la «Física para todos» dividida en cuatro libros pequeños. Los he intitulado como sigue: «Cuerpos físicos», «Moléculas», «Electrones», «Fotones y núcleos». La división se ha hecho, por decirlo así, conforme a la profundidad de penetración en la estructura de la materia. Los mencionados cuatro libros abarcan todas las leyes fundamentales de la física. Tal vez tiene sentido continuar la «Física para todos» dedicando los fascículos posteriores al fundamento de las distintas ramas de las ciencias naturales y de la técnica.
Los dos primeros libros no son sino el libro anterior hasta cierto punto revisado y en algunas partes sustancialmente aumentado. Los dos últimos libros los he escrito yo.
Comprendo perfectamente que un lector atento percibirá la diferencia existente entre ellos. Sin embargo, se han observarlo los principios generales de exposición del material que adoptamos con Dau. Se trata del carácter deductivo de la exposición, ateniéndose a la lógica del objeto de estudio y no a la historia de su desarrollo. Estimarnos útil conversar con el lector empleando el lenguaje sencillo, cotidiano sin que nos infundiese miedo recurrir al humor. Cabe advertir también que no tuvimos lástima del lector.
En lo concerniente a la diferencia entre los nuevos libros y el viejo, esta consiste en lo siguiente. Cuando se escribía el libro anterior los autores lo consideraban como el «primer» libro de física suponiendo incluso que le podía hacer competencia al manual escolar. Sin embargo, las opiniones de los lectores y la experiencia de los maestros de física demostraron que no es así. El auditorio de este libro lo formaron los maestros, los ingenieros y los escolares que querían elegir la física como su profesión. Resultó que nadie consideró la «Física para Todos» como libro de texto. Se aprecia corno un libro de divulgación científica que amplia los conocimientos escolares y, con frecuencia, centra la atención en los problemas que debido a una u otra razón no figuran en los programas.
A resultas de ello y suponiendo que el lector del libro está más o menos iniciado un la física, y, como es lógico, me sentí más libre en la elección de los temas.
Por cuanto la conversación sobre la física comienza hablando de los fenómenos que no exigen conocer la estructura de la materia es natural dar al primer libro el nombre de «Cuerpos físicos». Desde luego, se hubiera podido intitular estas páginas —tal como está admitido generalmente— con la palabra «mecánica», es decir, ciencia sobre el movimiento. Pero, no olvide que la teoría del calor que se expone en el segundo libro también es la ciencia sobre el movimiento..., sólo que se trata del movimiento de los cuerpos invisibles para el ojo: de las moléculas y los átomos. En consecuencia, el nombre escogido se me representa más acertado.
El primer libro está dedicado principalmente, al estudio de las leyes del movimiento y de la gravitación universal las cuales, para siempre, serán el fundamento de la física y, por consiguiente, también de las ciencias naturales.
Septiembre de 1977
A. I. Kitaigorodski
Capítulo 1
Conceptos fundamentales
- Sobre el centímetro y el segundo
- Peso y masa
- El sistema SI y sus patrones
- Ley de conservación de la masa
- Acción y reacción
- Cómo sumar las velocidades
- La fuerza como vector
- Plano inclinado
Todos tenemos la necesidad de medir longitudes, contar el tiempo y pesar diversos cuerpos. Por eso, todos sabemos bien qué es el centímetro, el segundo y el gramo. Pero, para la física, estas medidas tienen una importancia extraordinaria, puesto que son necesarias para la apreciación de la mayoría de los fenómenos físicos. Los hombres procuran medir con la mayor precisión posible las distancias, los intervalos de tiempo y el peso, llamados en la física conceptos fundamentales.
Los instrumentos modernos de la física ofrecen la posibilidad de determinar la diferencia de las longitudes de dos varillas de un metro, incluso cuando esta diferencia sea menor de una mil millonésima parte de metro. Se pueden distinguir intervalos de tiempo que se diferencian en una millonésima parte de segundo. Una buena balanza puede pesar con gran precisión un grano de amapola.
No hace más que unos cuantos cientos de años atrás, empezó a desarrollarse la técnica de las mediciones, y no hace mucho, relativamente, que se ha convenido sobre qué segmento de longitud y qué intervalo del tiempo se deben tomar como unidades.
¿Por qué el centímetro y el segundo se han elegido tal como los conocemos? Pues está claro que no tiene importancia alguna que el centímetro o el segundo sean más largos o más cortos.
Lo único que se pide, es que la unidad de medida sea cómoda. Estaría bien, si ésta estuviese a mano. Lo más sencillo sería tomar por unidad de medida la misma mano. Precisamente así lo hirieron en los tiempos antiguos; esto lo testimonian los mismos nombres de las unidades, por ejemplo, «codo», que es la distancia desde el codo hasta los extremos de los dedos de la mano estirada; pulgada, que es el grosor del dedo pulgar en su base. También se utilizaba el pie como medida; de aquí la denominación de longitud «pie», que es la longitud de la planta del pie.
Aunque estas unidades son de gran comodidad, puesto que siempre las tenemos consigo, sus inconveniencias son evidentes: mucho se diferencian unas personas de otras, para que la mano o el pie puedan servir de unidades de medida y no dé lugar a discusiones.
Con el desarrollo del comercio surgió la necesidad de llegar a un acuerdo sobre las unidades de medidas. Los patrones de longitud y de peso se establecieron, primero, para un mercado, después, para una ciudad, más tarde, para todo un país y por fin, para todo el mundo. El patrón es una medida que sirve de modelo, como la regla, la pesa, etc. El Estado guarda con mucho cuidado los patrones y otras reglas y pesas que tienen que ser construidas exactamente de acuerdo con el patrón.
En la Rusia zarista, las medidas principales de peso y de longitud —llamadas «funt» y «arshín»— fueron fabricadas en el año 1747. En el siglo XIX aumentaron las necesidades de precisión de las medidas y estos patrones resultaron ser imperfectos. D. Mendeleiev dirigió en los años 1893-1898 los trabajos, muy complicados y de gran responsabilidad, de la elaboración de patrones exactos. El gran químico consideraba de suma importancia el establecimiento de medidas exactas. Por iniciativa de él, a fines del siglo XIX se fundó la Cámara principal de medidas y pesas, en donde se guardaban los patrones y se elaboraban sus copias.
Unas distancias se expresan en unidades mayores, otras, en menores. En efecto, a nadie se le ocurrirá expresar la distancia de Moscú a Leningrado en centímetros y el peso de un tren del ferrocarril en gramos. Por eso, los hombres acordaron establecer una determinada relación entre las medidas grandes y pequeñas. Como todos saben, en el sistema de unidades que utilizamos, las unidades grandes se diferencian de las pequeñas en 10, 100. 1000. etc., veces. Tal conveniencia resulta muy cómoda y facilita los cálculos. Sin embargo, este sistema tan cómodo no está establecido en todos los países. En Inglaterra y en los EE.UU., hasta ahora utilizan muy poco el metro, el centímetro y el kilómetro, y también el gramo y el kilogramo[1] a pesar de que es indudable la comodidad del sistema métrico.
En el siglo XVII surgió la idea de elegir un patrón que existiese en la naturaleza y que no variase con los años y con los siglos. En el año 1664, Cristián Huygens propuso tomar por unidad de longitud la de un péndulo que efectuara una oscilación en un segundo. Después de cien años, aproximadamente en el año 1771, se propuso tomar por patrón la longitud del espacio recorrido por un cuerpo en su caída libre durante un segundo. Sin embargo, las dos variantes resultaron ser incómodas y no fueron aprobadas. Para que surgieran las medidas modernas hizo falta una revolución: el kilogramo y el metro aparecieron durante la Gran Revolución Francesa.
En el año 1700, la Asamblea Constituyente creó una comisión especial para elaborar medidas únicas; en ella tomaban parte los mejores físicos y matemáticos. De todas las variantes propuestas para unidad de longitud, la comisión eligió una diezmillonésima parte del cuadrante del meridiano terrestre y dio a esta unidad el nombre de «metro». En el año 1799 fue fabricado el patrón del metro y entregado al depósito del archivo de la República.
Sin embargo, muy pronto quedó claro que la idea, abstractamente justa, sobre la conveniencia de la elección de las unidades ejemplares, escogiéndolas de la naturaleza, no se puede realizar por completo. Unas mediciones más exactas, realizadas en el siglo XIX, demostraron que el patrón del metro es 0.08 milímetros más corto que la cuarenta millonésima parte del meridiano terrestre. Quedó claro que con el desarrollo de la técnica de las mediciones se irán haciendo nuevas correcciones. Conservando la definición de metro como una parte del meridiano terrestre habría que preparar nuevos patrones y calcular de nuevo todas las longitudes, siempre que hiciésemos nuevas mediciones del meridiano. Por eso, después de los debates en los congresos internacionales, en los años 1870, 1872 y 1875, se decidió no tomar por unidad de longitud la cuarenta millonésima parte del meridiano, sino el patrón de metro fabricado en el año 1799, que se conserva ahora en la oficina Internacional de pesas y medidas de París.
Aquí no acaba la historia del metro. Actualmente, la definición de esta magnitud fundamental se basa en nuevas ideas físicas. La medida de longitud se reproduce otra vez de la naturaleza, pero de una manera más sutil. Con el metro, aparecieron sus divisiones: una milésima, llamada milímetro, una millonésima, llamada micrón, y la que más frecuentemente se usa, una centésima, el centímetro.
Digamos ahora unas cuantas palabras sobre el segundo. Esta es una medida más vieja que el centímetro. Al establecer la unidad de medida del tiempo no hubo ninguna discrepancia. Esto es comprensible: la alternación del día y la noche, la rotación eterna del Sol, señalan un método natural de elección de la unidad de tiempo. Para todos es bien conocida la expresión: «determinar el tiempo por el Sol». Si el Sol está alto en el cielo, quiere decir que es mediodía y, midiendo la longitud de la sombra que proyecta un jalón, resulta fácil determinar el instante en que el Sol se encuentra en el punto más alto. De este mismo modo, al día siguiente se puede señalar el mismo instante. El intervalo transcurrido de tiempo forma un día. Y luego, no queda más que dividir el día en horas, minutos y segundos.
Las unidades grandes de medición, el año y el día, las proporciona la misma naturaleza. Pero la hora, el minuto y el segundo, son inventadas por el hombre.
La división actual del día proviene desde tiempos muy remotos. En Babilonia no estaba difundido el sistema decimal, sino el sexagesimal. Sesenta se divide por 12; da aquí que en Babilonia dividieran el día en doce partes iguales.
En el Egipto antiguo se introdujo la división del día en 24 horas. Más tarde aparecieron los minutos y los segundos. El hecho de que la hora tenga 60 minutos y el minuto 60 segundos, también se debe al sistema sexagesimal de Babilonia.
En los tiempos antiguos y en la Edad Media, el tiempo se medía con relojes de sol, de agua (por el tiempo que tardaba en caer el agua de recipientes grandes) y con otros ingeniosos dispositivos de poca exactitud.
Sirviéndose de los relojes modernos es fácil comprobar que, en diferentes épocas del año, los días no son exactamente iguales. Por consiguiente, se ha convenido tomar por unidad de medida del tiempo, el día solar medio durante un año. Una veinticuatroava parte de este día medio se llama hora.
Sin embargo, cuando se estableció la unidad de tiempo, la hora, el minuto y el segundo, dividiendo el día en partes iguales, se supuso que la rotación de la Tierra era uniforme. Sin embargo, las mareas lunares-solares de los océanos retrasan la rotación de la Tierra aunque no sea más que en una pequeñísima parte. Por lo tanto, nuestra unidad de tiempo, el día, incesantemente se alarga.
Este retraso de la rotación de la Tierra es tan ínfimo, que fue posible registrarlo directamente tan sólo hace poco tiempo, cuando se inventaron los relojes atómicos, los cuales pueden medir con gran exactitud los intervalos de tiempo de hasta millonésimas partes de segundo. La variación del día alcanzada 1-2 milésimas de segundo durante 100 años.
Pero, a ser posible, el patrón tiene que carecer, incluso, de un error tan insignificante. Más adelante contaremos como ahora se ha aceptado producirlo.
2. Peso y masa
Se llama peso, la fuerza con que un cuerpo es atraído por la Tierra. Esta fuerza se puede medir con balanzas de resorte.

Figura 1.1
Para medir los pesos, no sólo se utilizan los resortes de expansión, sino también los de compresión (fig. 1.1b). Empleando resortes de diferentes tipos se pueden preparar balanzas para la medición de pesos muy grandes y muy pequeños; se basa en este principio, no sólo la balanza de tendero, de poca exactitud, sino también la construcción de muchos instrumentos exactos que se emplean en las mediciones físicas.
Un resorte graduado, no sólo sirve para medir la fuerza de la atracción terrestre, o sea, el peso, sino también para la medición de otras fuerzas. Este instrumento se llama dinamómetro, que quiere decir medidor de fuerzas. Muchos habrán visto cómo se emplea el dinamómetro para medir la fuerza muscular del hombre. También se puede medir la fuerza de arrastre de un motor con un resorte de alargamiento (fig. 1.2).

Fig. 1.2.
A pesar de su variabilidad, el peso posea una propiedad particular admirable: como comprueban los experimentos, la razón de los pesos de dos cuerpos, en condiciones cualesquiera, permanece constante. Si dos cuerpos diversos alargan igual el resorte, en el polo, esta igualdad se conservará con la misma exactitud en el ecuador.
Al medir el peso, comparándolo con el peso patrón, se halla una nueva propiedad del cuerpo, llamada masa.
El sentido físico de este nuevo concepto, de la masa, está estrechamente ligado a la igualdad que acabamos de señalar al comparar los pesos.
A diferencia del peso, la masa es una propiedad intrínseca del cuerpo, que no depende de nada más que del mismo cuerpo.

Figura 1.3
Podemos ir a la Luna a comprobar esta afirmación. Como tampoco varía allí la razón de los pesos de los cuerpos, el cuerpo colocado en una balanza de palanca queda equilibrado con las mismas pesas. En donde quiera que se encuentre el cuerpo, su masa es la misma.
Las unidades de masa y de peso están ligadas con la elección de la pesa patrón. Del mismo modo que en la historia del metro y del segundo, los hombres procuraron hallar un patrón de masa natural. La misma comisión preparó una pesa de una aleación determinada que se mantuvo en equilibrio, en una balanza de palanca, con un decímetro cúbico de agua, a cuatro grados centígrados[2]. Este patrón tomó el nombre de kilogramo.
Sin embargo, más tarde, quedó claro que no es tan fácil «tomar» un decímetro cúbico de agua. En primer lugar, el decímetro, como parte del metro, se alteraría junto con cada precisión que se hiciese del metro patrón. En segundo lugar, ¿qué agua tiene que ser? ¿Químicamente pura? ¿Dos veces destilada? ¿Sin partículas de aire? Y, ¿qué hacer con las mezclas de «agua pesada»? El colmo de todas las desgracias es que la exactitud en las mediciones de los volúmenes es considerablemente menor que la exactitud en el peso.
Hubo que desistir otra vez de la unidad natural y tomar por medida de masa la de una pesa preparada especialmente. Esta pesa también se conserva en París junto con el patrón del metro.
Para la medida de masas también se emplean las milésimas y millonésimas partes del kilogramo: el gramo y el miligramo. La Décima y Onceava Asamblea General (año 1960) de pesas y medidas elaboraron un nuevo sistema internacional de unidades (SI), que más tarde fue aprobado por la mayoría de los países. En el nuevo sistema la denominación kilogramo (kg) se conserva para la masa. Toda fuerza, incluyendo, naturalmente, el peso, se mide en el sistema nuevo en newtones. Más adelante veremos por qué se llama así esta unidad y cuál es su definición.
Sin duda, el nuevo sistema no hallará aplicación inmediatamente en todos los sitios y, por eso, es conveniente recordar, mientras tanto, que el kilogramo masa (kg) y el kilogramo fuerza (kgf) son unidades diferentes y que las operaciones aritméticas entre ellas se deben efectuar igual que con números de diferente denominación.
Escribir 5 kg + 2 kgf es tan absurdo como sumar metros y segundos.
3. El sistema SI y sus patrones
Si el presente libro es su primer libro de física, entonces, por favor, deje para más tarde la lectura de este párrafo. Hemos comenzado de una manera tradicional, desde lo más simple. En efecto, ¿puede haber algo más sencillo que las mediciones de las distancias, de los intervalos de tiempo y de la masa? ¿Sencillo? Sí, en la época anterior fue sencillo, pero hoy en día no lo es. En la actualidad, la técnica de medición de la longitud, del tiempo y de la masa requiere conocimientos de toda la física, y los fenómenos sobre los cuales hablaremos a continuación se analizarán más o menos detalladamente sólo en el libro 4.
El sistema SI (Sistema Internacional) fue adoptado en el año 1960. Lenta, muy lentamente, pero con paso inexorable este sistema va conquistando el reconocimiento. Mientras tanto, por ahora, en los años ochenta del siglo veinte, a pesar de todo siguen utilizándose muy frecuentemente las viejas y «comprobadas» unidades. Si usted pregunta a un chófer cuál es la potencia del motor de su automóvil, le contestará como antes: 100 caballos de vapor, en lugar de decir: 74 kilovatios.
Al parecer, deberán relevarse un par de generaciones y desaparecer de la venta libros, cuyos autores no querían reconocer el sistema SI para que —y solamente entonces—dicho sistema sustituya decididamente todos los demás sistemas.
El sistema SI se basa en siete unidades:
- el metro
- el kilogramo
- el segundo
- el mol
- el amperio
- el kelvin y la
- candela.
Comencemos con la definición del metro. En el espectro del criptón (isótopo 86) se da una intensa línea espectral. Valiéndose de los métodos que se exponen más tarde, cada línea espectral se caracteriza por niveles de energía inicial y final; se trata de la transición del nivel 5d5 al nivel 2p10. El metro es igual a la longitud en el vacío, de 1 650 763,73 ondas de la radiación correspondiente a la transición entre los niveles 2p10 y 5d5, del átomo del criptón-86. Esta longitud de la onda luminosa puede medirse con una precisión no mayor que ±4 x 10-9. Esta es la razón de que no tiene sentido añadir al número de nueve guarismos insertado anteriormente una cifra significativa más.
Vemos que la definición dada no nos liga, en modo alguno, con un patrón material. Tampoco existe fundamento para esperar que la longitud de onda de la radiación característica luminosa experimente variaciones con los siglos. De este modo, el objetivo resulta alcanzado.
Todo lo expuesto suena muy bien, dirá el lector. Más, ¿cómo, valiéndose de semejante patrón no material, calibrar una regla material común y corriente? La física sabe hacerlo recurriendo a la técnica de mediciones interferenciales de la cual se habla en el libro 4.
Hay todos los motivos para suponer que en el tiempo más próximo la definición del metro experimentará un cambio. El asunto radica en que con ayuda de un láser (por ejemplo, el láser de helio y neón estabilizado con vapor de yodo) se puede conseguir que la longitud de onda se mida con una precisión de 10-11… 10-12. No se descarta que resulte racional elegir como patrón no material otra línea espectral.
De una forma completamente análoga se define el segundo. En esto caso la elección recae en la transición entre dos niveles de energía próximos del átomo de cesio.
La magnitud inversa a la frecuencia de esta transición da el tiempo invertido para la realización de una oscilación. Un segundo se toma igual a 9 192 631 770 períodos de estas oscilaciones. Por cuanto las oscilaciones se encuentran en la región de microondas, resulta que, empleando el método de división de la frecuencia es posible calibrar cualquier reloj por medio de dispositivos radiotécnicos. Dicho procedimiento de medición da el error de un segundo en el transcurso de 300 000 años.
Los metrólogos se plantean el siguiente objetivo: hacer que una misma transición de energía se pueda utilizar tanto para definir la unidad de longitud (expresada por el número de longitudes de onda), como asimismo para definir la unidad de tiempo (expresada por el número de períodos de oscilación).
En 1973 se demostró que esta tarea puede resolverse. Las mediciones exactas se realizaron con la ayuda de un láser de helio y neón estabilizado con metano. La longitud de onda fue igual a 3,39 nm, y la frecuencia, 88 x 1012 s-1. Las mediciones se efectuaron con tanta precisión que, al multiplicar estos dos números, para la velocidad de la luz en el vacío se obtuvo el valor de 299 792 458 m/s, con una precisión de 4 milmillonésimas partes.
Sobre el fondo de estos brillantes logros y las perspectivas todavía más prometedoras la exactitud con que se mide la masa dista mucho de satisfacernos. Lamentablemente, el kilogramo material sigue manteniéndose variable. Es cierto que la balanza se perfecciona, mas, no obstante, sólo en raras ocasiones se consigue la exactitud de la medición igual a una millonésima.
El sistema de mediciones de las magnitudes físicas, además de la elección de las unidades de medida, incluye indicaciones detalladas referentes al método de medición.
Por mucho que los metrólogos (así se denominan los especialistas en el campo de medición de todas las magnitudes) lo lamenten, hay que avenirse al hecho de que en numerosos casos las mediciones directas son imposibles. En efecto, no se puede determinar con una regla la distancia desde la Tierra hasta la Luna, o bien, medir con el reloj el tiempo que necesita un electrón para llegar de la central eléctrica al filamento de la bombilla en su habitación.
De la misma forma, es imposible medir las masas de un átomo, un protón o un electrón colocándolos en el platillo de la balanza y equilibrándolos con una pesa.
Sin embargo, a pesar de todo, podemos determinar con una precisión muy satisfactoria a qué es igual la masa del átomo o de otra partícula cualquiera expresada en gramos.
Expliquemos en algunas palabras cómo se mide la masa del átomo. En primer lugar es necesario obtener un cristal perfecto y lo suficientemente grande del elemento correspondiente. Se sobreentiende que se debe tratar de una sustancia purísima que no contenga impurezas y se constituya de átomos de una sola variedad isotópica. Cuesta mucho trabajo obtener semejante muestra. Bueno, ¡la hemos obtenido! Ahora se requiere medir —con una precisión límite— la masa (pida la mejor balanza) y el volumen de dicha muestra, para que (véase el siguiente párrafo) se conozca la densidad de la sustancia.
Procedamos a la segunda serie de mediciones que se lleva a cabo por el método de análisis roentgenoestructural (la esencia de este método se expondrá en el libro 4). Medimos el volumen de la célula elemental del cristal que corresponde a un átomo. Al multiplicar este volumen por la densidad de la sustancia obtenemos el valor de la masa del átomo en gramos.
La exactitud de estas mediciones no supera 10-5. La exactitud de las mediciones relativas (cuantas veces un átomo es más pesado que el otro) es sustancialmente superior.
Se pueden proponer métodos para medir las masas de cualesquiera ladrillitos de la materia. En el libro 4 contaremos cómo se determinan las masas de los electrones y de las partículas nucleares.
Después de que hemos aprendido a expresar la masa de la micropartícula en gramos, podemos decir, como es lógico, cuántos átomos contiene tal o cual pedazo de la sustancia o cuántas partículas inciden sobre una u otra superficie por unidad de tiempo.
Seguramente, el lector se acuerda de una de las sorprendentes deducciones de la teoría de la relatividad: la masa del cuerpo depende de la velocidad de su movimiento. La masa del cuerpo que emprende un viaje cósmico varía. Sin embargo, el número de partículas de las cuales este cuerpo está estructurado permanece invariable.
Existe cierto apego psicológico (que yo no entiendo del todo) a las palabras «cantidad de sustancia». Antes de haber aparecido la teoría de la relatividad entre los términos «masa» y «cantidad de sustancias» se ponía el signo de igualdad. Más tarde, para dos o tres decenios, el término «cantidad de sustancias» fue expulsado de las tablas del escenario científico. En 1971, solemnemente, este término fue devuelto. Se nos ofreció entender por cantidad de sustancia la cantidad de partículas (átomos, electrones, protones, mesones...). Por si esto fuese poco, la XIV Conferencia General de Pesas y Medidas introdujo en el sistema SI una nueva unidad, la de cantidad de sustancia, aunque, sin proponer para ésta una nueva denominación. La unidad se llama mol. Esta unidad hace mucho subsistía en la ciencia, pero se consideraba como derivada. Mol era la abreviatura del nombre molécula-gramo. Y el nombre de molécula-gramo lo llevaba la masa de sustancia igual a la masa relativa de una molécula determinada por métodos químicos.
Y resulta que hoy se nos han propuesto «divorciar» el mol y la química, dándole una definición arbitraria e independiente. Se puede llamar mol 100 partículas. 100 millones de éstas o 1040 de partículas, indistintamente. Sin embargo, para observar la sucesión histórica, los metrólogos han propuesto denominar mol el número de átomos del isótopo de carbono-12 en 12 gramos de este elemento.
No quiero ocultar al lector que la introducción de esta nueva unidad se me figura una formalidad innecesaria.
Densidad
Cuando dicen: es pesado como el plomo o es ligero como una pluma, ¿qué es lo que se tiene en cuenta? Claro que una pizca de plomo es ligera y, a su vez, una montaña de plumas posee una masa apreciable. Quienes hacen comparaciones semejantes no tienen en cuenta la masa, sino la densidad de una substancia, de la que se compone el cuerpo.
Se llama densidad de un cuerpo, la masa de una unidad de volumen. Naturalmente, la densidad del plomo es la misma en una pizca que en un bloque inmenso.
Generalmente, al indicar la densidad, señalamos los gramos (g) que pesa un centímetro cúbico (cm3) del cuerpo: después del número ponemos la notación g/cm3. Para determinar la densidad hay que dividir el número de gramos por el número de centímetros cúbicos; la raya del quebrado en la notación nos lo recuerda.
Entre los materiales más pesados se hallan algunos metales, como el osmio, cuya densidad os igual a 22,5 g/cm3, el iridio (22,4), el platino (21,5), el volframio y el oro (19,3). La densidad del hierro es 7,88, la del cobre, 8,93.
Los metales más ligeros son: el magnesio (1,74), el berilio (1,83) y el aluminio (2,70). Entre las substancias orgánicas se pueden encontrar cuerpos todavía más ligeros: diversas variedades de maderas y de masas plásticas pueden tener densidades hasta de 0,4.
Hay que advertir que se trata de cuerpos continuos. No hay duda que, si el cuerpo tiene poros, es más ligero. En la técnica se emplean a menudo cuerpos porosos como el corcho, el cristal espuma, etc. La densidad del cristal espuma puede ser menor de 0,5, a pesar de que la substancia sólida de que está hecho tiene una densidad mayor que la unidad. El cristal espuma, igual que todos los cuerpos cuyas densidades son menores que la unidad, flota perfectamente en el agua.
El líquido más ligero es el hidrógeno líquido; éste se puede obtener sólo a temperaturas muy bajas. La masa de un centímetro cúbico de hidrógeno líquido es 0,07 g. Las densidades de los líquidos orgánicos, como el alcohol, la gasolina, el keroseno se diferencian muy poco de la del agua. El mercurio es muy pesado, su densidad es 13,6 g/cm3
Y, ¿cómo caracterizar la densidad de los gases? Ya se sabe que los gases ocupan el volumen que se desee. Si una misma masa de gas se expulsa de un balón de gas a recipientes de diverso volumen, éstos se llenan uniformemente. ¿Cómo se puede hablar entonces de densidad?
La densidad de los gases se define en condiciones llamadas normales: la temperatura tiene que ser 0 °C y la presión de una atmósfera. La densidad del aire en condiciones normales es igual a 0,00129 g/cm3; la del cloro, a 0,00322 g/cm3.
Así como el hidrógeno líquido, también bate el récord el hidrógeno gaseoso: la densidad de este ligerísimo gas es igual a 0,00009 g/cm3.
El gas que le sigue por ligereza es el helio; éste es dos veces más pesado que el hidrógeno. El gas carbónico es 1,5 veces más pesado que el aire. En Italia, cerca de Nápoles, se encuentra la célebre «cueva de perros»; de su parte inferior constantemente se despide gas carbónico, que se extiende por debajo y sale lentamente de ella. El hombre puede entrar en esta cueva sin dificultades, pero tal paseo acaba mal para el perro. A esto se debe el nombre de la cueva.

Mijail Lomonósov (1711-1765), célebre sabio ruso, iniciador de la ciencia en Rusia, gran enciclopedista. En la ciencia de la física, Lomonósov luchó resueltamente contra las ideas difundidas en el siglo XVIII, sobre los “líquidos" eléctricos y calóricos, defendiendo la teoría cinética-molecular de la materia. Por primera vez, demostró experimentalmente la ley de conservación de la masa de las substancias que participan en las transformaciones químicas. Lomonósov realizó amplias investigaciones en la rama de la electricidad atmosférica y en la meteorología. Construyó una serie de admirables instrumentos de óptica, descubrió la atmósfera de Venus. Lomonósov creó los fundamentos de la lengua rusa científica: consiguió, con un acierto extraordinario, traducir del latín los términos físicos y químicos principales.
4. Ley de conservación de la masa
Si se disuelve azúcar en agua, la masa de la disolución será exactamente igual a la suma de las masas del azúcar y del agua.
Este y una infinidad de experimentos semejantes, muestran que la masa de un cuerpo es una propiedad inmutable del mismo. En cualquier división del cuerpo, y en las disoluciones, la masa queda la misma.
Esto mismo tiene lugar también, cualquiera que sea la transformación química. Supongamos, que hemos quemado carbón. Pesando escrupulosamente, podemos determinar que la masa de carbón y de oxigeno del aire que se gastó en la combustión es exactamente igual a la masa de los productos de la misma.
La ley de conservación de la masa se comprobó por última vez a fines del siglo XIX, cuando ya estaba muy desarrollada la técnica de pesos exactos. Resultó que, cualquiera que sea la combinación química, la masa no se altera ni siquiera en una cien mil millonésima parte de su magnitud.
Ya los hombres antiguos suponían que la masa era invariable. El primer experimento efectivo para la comprobación de esta ley se llevó a cabo en el año 1756. Lo hizo Mijaíl Lomonósov, quien señaló la importancia científica de la ley indicada, demostrando en sus experimentos (calentamiento de metales) la conservación de la masa.
La masa es la característica más importante de un cuerpo. La mayoría de las propiedades del cuerpo se halla, como suele decirse, en manos del hombre. Templando el hierro blando, que previamente se puede doblar con las manos, se convierte en duro y frágil. Mediante el ultrasonido, se puede hacer transparente una solución turbia. Las propiedades mecánicas, eléctricas, térmicas, pueden alterarse a causa de efectos exteriores. Sin embargo, si no se agrega materia al cuerpo y no se separa de él ninguna partícula, es imposible[3] alterar su masa, sean las que fueren las acciones exteriores que se efectúen.
5. Acción y reacción
Ordinariamente, no nos damos cuenta de que cualquier acción de una fuerza va acompañada de una reacción. Si se pone una maleta en una cama de muelles, ésta se encorva. Para todos resulta claro que el peso de la maleta actúa sobre la cama. Sin embargo, a veces, se olvidan que por parte de la cama también actúa una fuerza sobre la maleta. En efecto, la maleta situada en la cama no cae; esto significa que sobre ella, por parte de la cama, actúa una fuerza igual al peso de la maleta y dirigida hacia arriba.
Las fuerzas que llevan la dirección contraria a la fuerza de gravedad se llaman, frecuentemente, reacciones del apoyo. La palabra «reacción» significa «acción contraría». La acción de una mesa sobre un libro colocado en ella, la acción de la cama sobre la maleta, son reacciones del apoyo.
Como vimos anteriormente, el peso de un cuerpo se determina mediante una balanza de resorte. La presión de un cuerpo sobre un resorte colocado debajo de él, o la fuerza con que se expande el resorte en el que está suspendido un cuerpo, son iguales al peso de éste. Es evidente, sin embargo, que la compresión o expansión del resorte muestra en igual grado la magnitud de la reacción del apoyo.
Así, pues, midiendo con un resorte la magnitud de alguna fuerza, no sólo se mide la magnitud de una, sino de dos fuerzas que llevan direcciones opuestas. Las balanzas de resorte miden la presión del cuerpo sobre los platillos y la reacción del apoyo, o sea, la acción de los platillos de la balanza sobre el cuerpo. Apoyando un resorte en la pared y estirándolo con la mano, se puede medir la fuerza con que la mano tira del resorte y, a la vez, la fuerza con que el resorte tira de la mano.
Por lo tanto, las fuerzas poseen una propiedad admirable: siempre se encuentran a pares, siendo, además, iguales y de direcciones contrarias. Generalmente, estas dos fuerzas se llaman acción y reacción.
En la naturaleza no existen fuerzas «solitarias»; realmente sólo existe la acción mutua entro los cuerpos; además, las fuerzas de acción y de reacción son constantemente iguales, se relacionan entre sí como un objeto a su imagen en el espejo.
No hay que confundir las fuerzas que se equilibran con las de acción y reacción.
Cuando se habla de fuerzas que están en equilibrio, se supone que están aplicadas a un mismo cuerpo; así, el peso de un libro situado sobre la mesa (la acción de la Tierra sobre el libro), se equilibra con la reacción de la mesa (la acción de la mesa sobre el libro).
En contraposición con las fuerzas que aparecen en el equilibrio de dos acciones mutuas, las fuerzas de acción y reacción caracterizan una acción mutua, por ejemplo, la mesa con el libro. La acción es, «la mesa—el libro»; la reacción es, «el libro—la mesa». Claro que estas fuerzas están aplicadas a cuerpos distintos.
Vamos a explicar la confusión tradicional: «un caballo tira de un carro, pero también el carro tira del caballo.
¿Por qué, sin embargo, se mueven?». Ante todo, hay que recordar, que el caballo no arrastraría al carro, si el camino estuviese resbaladizo. Esto significa que para la explicación del movimiento, no hay que tener en cuenta sólo una sino dos acciones mutuas: no sólo «el carro—el caballo», sino también «el caballo—el camino». El movimiento comienza cuando la fuerza de acción mutua del caballo sobre el camino (la fuerza con la que el caballo empuja al camino) se hace mayor que la fuerza de acción mutua, «el caballo—el carro» (la fuerza con la que el carro tira del caballo). En cuanto a las fuerzas «el carro tira del caballo» y «el caballo tira del carro», éstas caracterizan una misma acción mutua y, por consiguiente, serán iguales, lo mismo en reposo que en cualquier instante del movimiento.
6. Cómo sumar las velocidades
Si yo he estado esperando media hora y una hora más, en total habré perdido hora y media. Si me han dado un rublo y después otros dos más, en total habré recibido tres rublos. Si yo he comprado 200 g de uva y después otros 400 g más, tendrá 600 g de uva. Sobre el tiempo, la masa y otras magnitudes semejantes, se dice que se suman aritméticamente.
Sin embargo, no todas las magnitudes se pueden sumar y restar tan sencillamente. Si yo digo que desde Moscú hasta Kolomna hay 100 km, y desde Kolomna hasta Kashira hay 40 km, de aquí no se deduce que Kashira está a la distancia de 140 km de Moscú. Las distancias no se suman aritméticamente.
¿Cómo se pueden sumar de otra manera las magnitudes? En nuestro ejemplo, la regla necesaria se halla fácilmente. Señalemos tres puntos en un papel, que indicarán las posiciones relativas de los tres puntos que nos interesan (fig. 1.4).

Figura 1.4
La distancia desconocida se halla del modo siguiente: marcamos el primer segmento y, desde su extremo, colocamos el segundo en la dirección dada. Unimos ahora el origen del primer segmento con el extremo del segundo. El camino buscado está representado por el segmento que cierra el triángulo.
La suma, efectuada del modo indicado, se llama geométrica y las magnitudes que se suman se llaman vectores.
Para distinguir el origen del extremo del segmento, en este último se coloca una flecha. Tal segmento, llamado vector, indica longitud y dirección.
Para sumar más vectores también se emplea esta regla. Pasando del primer punto al segundo, del segundo al tercero, etc., etc., trazaremos el camino que se puede representar mediante una línea quebrada. Pero se puede llegar directamente al mismo punto desde el punto inicial. Esto segmento, que cierra el polígono, se llama suma vectorial.
Naturalmente, el triángulo vectorial indica cómo se puede restar un vector de otro. Para esto, los vectores se trazan desde un mismo punto. El vector trazado desde el extremo del segundo hasta el extremo del primero será la diferencia de los vectores.
Además de la regla del triángulo se puede utilizar la regla del paralelogramo que es equivalente (fig. 1.4). Para emplear esta regla hay que construir un paralelogramo sobre los vectores que se suman y trazar una diagonal desde la intersección de éstos. En la figura se ve que la diagonal del paralelogramo cierra el triángulo. Por consiguiente, las dos reglas tienen la misma utilidad.
Los vectores no sólo se utilizan para describir un desplazamiento. Las magnitudes vectoriales aparecen frecuentemente en la física.
Veamos, por ejemplo, la velocidad del movimiento. La velocidad es el espacio recorrido en una unidad de tiempo. Como el espacio es un vector, la velocidad es también un vector de la misma dirección. Si el movimiento es en línea curva, la dirección de la traslación se altera todo el tiempo. ¿Cómo contestar a la pregunta sobre la dirección de la velocidad? Un segmento pequeño de la curva lleva la dirección de la tangente. Por eso, el trayecto y la velocidad del cuerpo tienen, en cada instante, la dirección de la tangente a la línea del movimiento.
En muchos casos, se suman y restan las velocidades de acuerdo con la regla de los vectores. Cuando el cuerpo participa simultáneamente en dos movimientos, surge la necesidad de la suma de vectores. Tales casos se presentan con frecuencia: un hombre anda por el tren y, además, se mueve junto con él; una gota de agua que va deslizándose por el cristal de la ventana de un vagón se mueve hacia abajo gracias a su peso y viaja junto con el tren; el globo terrestre se mueve alrededor del Sol y junto con el Sol participa en un movimiento con respecto a otras estrellas. En todos estos casos y en casos semejantes, las velocidades se suman según la regla de la suma de vectores.
Supongamos que dos movimientos se efectúan a lo largo de una línea: si ambos movimientos tienen una misma dirección, la suma vectorial se convierte en una suma ordinaria, y en una resta, si los movimientos son contrarios.
¿Y, si los movimientos forman un ángulo entre sí? Entonces recurrirnos a la suma geométrica.

Figura 1.5 y 1.6
Un ejemplo más. ¿Qué aspecto tiene el movimiento del agua de la lluvia visto desde la ventana del tren? Seguramente, Uds. han observado la lluvia desde las ventanas de un vagón, incluso en un día sin viento, cae con una inclinación, como si la desviase el viento que sopla de frente del tren (fig. 1.6).
Si el viento está tranquilo, la gota de la lluvia cae verticalmente. Pero durante el tiempo de caída a lo largo de la ventana el tren hace un trayecto considerable, se escapa de la línea vertical de caída, por eso, parece que la lluvia cae con inclinación.
Si la velocidad del tren es v1 y la velocidad de calda de la gota es vg, entonces la velocidad de caída de la gota con relación al pasajero del tren se obtiene restando vectorialmente v1 y vg[4]. El triangulo de las velocidades está representado en la fig. 1.6. La dirección del vector oblicuo señala la dirección de la lluvia; ahora queda claro por qué vemos la lluvia inclinada. La longitud de la huella oblicua representa la magnitud de esta velocidad en la escala elegida. Tanto más rápido vaya el tren y cuanto más despacio caiga la gota, tanto más oblicua nos parecerá la lluvia.
7. La fuerza como vector
La fuerza, igual que la velocidad, es una magnitud vectorial. Ella siempre actúa en una dirección determinada. Por consiguiente, las fuerzas también tienen que sumarse de acuerdo con las mismas reglas que acabamos de exponer.
Frecuentemente observamos en la vida ejemplos que ilustran la suma vectorial no las fuerzas.

Figura 1.7
Por la regla de la suma vectorial de las fuerzas se puede determinar la dirección del cable y la fuerza de tensión. Si el bulto está en reposo, la suma de las fuerzas que actúan sobre él es igual a cero. En el caso general, se puede decir que la tensión del cable es igual a la suma de la fuerza de gravedad del bulto y de la fuerza de arrastre que lleva la dirección de la cuerda. Esta suma coincide con la diagonal del paralelogramo y lleva la dirección del cable (en caso contrario, no podría sumarse con la tensión de éste). La longitud de este vector representa la tensión del cable. Esta fuerza puede sustituir las dos fuerzas que actúan sobre el bulto. Por eso, la suma vectorial de las fuerzas se llama resultante.

Figura 1.8
Tracemos desde el extremo del vector resultante (fig. 1.8) líneas paralelas a los cables hasta la intersección con ellos. El paralelogramo de las fuerzas ya está construido. Midiendo las longitudes de los lados del paralelogramo, hallamos las magnitudes de las tensiones de los cables (en la misma escala en que está representado el peso).
Esta construcción se llama descomposición de fuerzas. Todo número se puede representar en forma de una suma de dos o más números de una infinidad de modos; esto mismo se puede hacer con un vector de fuerza: cualquier fuerza se puede descomponer en dos fuerzas (que serán los lados del paralelogramo), eligiendo una de ellas como se quiera. También está claro que sobre cada vector se puedo construir cualquier polígono.
Frecuentemente, se necesita descomponer la fuerza en perpendiculares entre sí, una a lo largo de la dirección que nos interesa y otra, perpendicular a esta dirección. Estas se llaman fuerzas componentes, longitudinal y normal (perpendicular).
La componente de una fuerza en alguna dirección, construida mediante la descomposición de la fuerza, sobre los lados del rectángulo, se llama también proyección de la fuerza sobre esta dirección.

Figura 1.9
F2 = F2longi + F2normal
donde Flongi y Fnormal son las proyecciones de la fuerza sobre la dirección elegida y sobre la normal a ella.Por medio de la trigonometría, establecemos sin dificultad que
Flongi = F cos α
donde α as el ángulo formado por la fuerza vector y la dirección en que ella se proyecta.Un ejemplo muy curioso de descomposición de fuerzas es el movimiento de un barco de vela. ¿De qué modo consigue ir con las velas en contra del viento? Si han tenido la ocasión de observar el movimiento de un yate en estas condiciones, habrán notado que es en zigzag. Los marineros llaman tal movimiento bordeo.
Claro que es imposible ir con las velas en contra del viento. Pero, ¿cómo se puede ir en contra del viento, aunque sea formando un ángulo?
La posibilidad de bordear en contra del viento se basa en dos circunstancias. En primer lugar, el viento siempre empuja la vela formando un ángulo recto con su plano. Véase la fig. 1.10a: la fuerza del viento se ha descompuesto en dos componentes: una de ellas obliga al aire a deslizarse a lo largo de la vela, la otra, la componente normal, efectúa una presión sobre la vela. En segundo lugar, el yate no se mueve hacia donde le empuja la fuerza del viento, sino hacia donde mira la proa.
La explicación está en que el movimiento transversal del yate con respecto a la línea de la quilla encuentra una resistencia muy fuerte del agua.

Figura 1.10
Ahora tiene que quedar clara la fig. 1.10, en la que está representado un yate que va en contra el viento. La vela se coloca de modo que su plano divida por la mitad el ángulo formado por la dirección del movimiento del yate y la dirección del viento.
Para hallar la fuerza que hace avanzar al yate, habrá que descomponer segunda vez la fuerza del viento. Primero, a lo largo y perpendicularmente a la vela (sólo tiene importancia la componente normal), después, hay que descomponer esta componente normal a lo largo y transversalmente a la línea de la quilla. La componente longitudinal, es la que hace avanzar al yate formando un ángulo con el viento.
8. Plano inclinado
Todos sabemos que es más difícil vencer una cuesta empinada que una pendiente de pequeño declive. Es más fácil hacer rodar un cuerpo por un plano inclinado hasta cierta altura que levantarle verticalmente.

Figura 11
En la fig. 1.11 está representada una carretilla con ruedas, que se mantiene quieta en un plano inclinado gracias a la tensión de una cuerda. Además de la tracción, sobre la carretilla actúan dos fuerzas más: el peso y la fuerza de reacción del apoyo, que siempre actúa en dirección de la normal a la superficie, independientemente de que la superficie de apoyo sea horizontal o inclinada.
Como ya se dijo, si un cuerpo presiona sobre un apoyo, el apoyo reacciona sobre la presión, o como suele decirse, crea una fuerza de reacción.
Nos interesa saber cuánto más fácil es levantar la carretilla por el plano inclinado que verticalmente.
Descompongamos la fuerza de gravedad de modo, que una vaya a lo largo y la otra sea perpendicular a la superficie por la que se mueve el cuerpo. Para que el cuerpo quede en reposo en el plano inclinado, la fuerza de tensión de la cuerda tiene que equilibrarse solamente con la componente longitudinal. La segunda componente se equilibra con la reacción del apoyo.
La fuerza que nos interesa de la tensión T de la cuerda, se puede hallar por construcción geométrica o mediante la trigonometría. La construcción geométrica consiste en trazar una perpendicular al plano desde el extremo del vector peso P.
En la figura se pueden hallar dos triángulos semejantes. La razón de la longitud l del plano inclinado a la altura h es igual a la razón de los lados correspondientes del triángulo de las fuerzas. Así pues,
T / P = h / l
Es natural que cuanto menos inclinación tenga el plano (h/l no es grande), tanto más fácil será llevar el cuerpo hacia arriba.Y ahora, por trigonometría: como el ángulo entre la componente transversal del peso y el vector del peso es igual al ángulo α del plano inclinado (estos ángulos tienen lados perpendiculares entre sí), se tiene
T / P = sen α
T = P sen α
Resumiendo, es sen α veces más fácil hacer rodar la carretilla por un plano de inclinación a que levantarla verticalmente.Conviene recordar los valores de las funciones trigonométricas para los ángulos de 30°, 45° y 60°. Conociendo estos valores para el seno (sen 30° = ½, sen 45°= √2/2 y sen 60° = √3/2) podremos hacernos una idea sobre lo que se gana en trabajo en el movimiento por un plano inclinado.
Por las fórmulas se ve que, cuando el ángulo de inclinación del plano es de 30°, nuestros esfuerzos equivalen a la mitad del peso: T = P/2. Si el ángulo es de 45° o de 60°, habrá que tirar de la cuerda con fuerzas, aproximadamente, iguales a 0,7 y 0,9 del peso de la carretilla. Como se ve, los planos de gran inclinación proporcionan pocas facilidades.
Capítulo 2
Las leyes del movimiento
- Diversos puntos de vista sobre el movimiento
- Ley de inercia
- El movimiento es relativo
- El punto de vista de un observador estelar
- La aceleración y la fuerza
- Movimiento rectilíneo con aceleración constante
- La trayectoria de una bala
- Movimiento circular
- Vida sin peso
- Movimiento desde el punto de vista irracional
- Fuerzas centrífugas
- La fuerza de Coriolis
Una maleta está situada sobre la cama de un vagón, mas, a la vez, aquella se mueve con el tren. Una casa está situada en la Tierra, pero, a la vez, se mueve con ella. Sobre un mismo cuerpo se puede decir: se mueve en línea recta, está en reposo, está girando. Todas estas opiniones son ciertas, pero desde diferentes puntos de vista.
No sólo el cuadro del movimiento, sino que hasta las propiedades del movimiento pueden ser completamente diferentes si se las examina desde diversos puntos de vista.
Recuerden lo que ocurre con los objetos en un barco que sufre un balanceo. ¡Hasta qué punto son desobedientes! Cae el cenicero que estaba sobre la mesa y rueda precipitadamente bajo la cama. El agua de la jarra salpica y la bombilla se balancea como si fuese un péndulo. Unos objetos se ponen en movimiento y otros se detienen sin causas aparentes. Un observador situado en este barco podría decir que la ley del movimiento consiste en que, un objeto que no está sujeto, en cualquier instante puedo desplazarse en cualquier dirección y con velocidad diversa.
Esto ejemplo muestra que entre los diversos puntos de vista que existen sobre el movimiento, hay algunos que son evidentemente incómodos.
¿Qué punto de vista es el más «racional»?
Si, de repente, sin más ni más, se inclinase la lámpara de la mesa, o si pegase un salto el pisapapeles, se podría creer que fue un milagro lo sucedido. Si se repitiesen estos milagros, empezaríamos a buscar con ahínco le causa que altera el estado de reposo de estos cuerpos.
Es natural, por lo tanto, suponer racional el punto de vista sobre el movimiento, según el cual, sin actuación de fuerzas no se mueven los cuerpos que están en reposo.
Tal punto de vista parece muy natural: si un cuerpo está en reposo, la suma de las fuerzas que actúan sobre él es igual a cero. Si se ha movido de su sitio, la causa se debe a la acción de las fuerzas.
El punto de vista supone que hay un observador. Sin embargo, a nosotros no nos interesa el observador, sino el lugar donde éste se encuentra. Por eso, en vez de decir «punto de vista sobre el movimiento», se dirá: «sistema de referencia, con respecto al cual se estudia el movimiento», o abreviadamente, «sistema de referencia».
Para nosotros, habitantes de la Tierra, ésta representa un sistema de referencia importante. Sin embargo, frecuentemente, pueden servir de sistemas de referencia los cuerpos que se mueven en la Tierra, como un barco o un tren.
Volvamos ahora al «punto de vista» sobre el movimiento que llamábamos racional. Esto sistema de referencia tiene un nombre: se llama inercial.
Más adelante se verá el origen de este término.
Por consiguiente, las propiedades del sistema inercial de referencia son: los cuerpos que están en reposo, con respecto a este sistema, no sufren ninguna acción de fuerzas. Por lo tanto, en este sistema no empieza ningún movimiento sin participación de fuerzas; la sencillez y comodidad de este sistema resulta evidente. Claro que merece la pena tomarlo como base.
Es de suma importancia el hecho de que el sistema de referencia ligado con la Tierra no difiere mucho del sistema inercial. Por eso, podemos comenzar el estudio de las leyes fundamentales del movimiento considerándolo desde el punto de vista de la Tierra. Sin embargo, hay que recordar que, hablando con rigurosidad, todo lo que se diga en el párrafo siguiente se relaciona a un sistema inercial de referencia.
2. Ley de inercia
Es indudable que el sistema inercial de referencia es cómodo y tiene ventajas inapreciables.Pero, ¿es único este sistema, o puede ser que existan muchos sistemas inerciales? Los griegos antiguos mantenían el primer punto de vista. En sus obras hallamos muchas ideas inocentes sobre las causas del movimiento. En las obras de Aristóteles encontrarnos un resumen de estas ideas. Según opina este filósofo, la situación natural de un cuerpo es el estado de reposo; por supuesto con relación a la Tierra. Cualquier desplazamiento del cuerpo con relación a la Tierra debe tener una causa: la fuerza. Si no hay causas para el movimiento, el cuerpo tiene que detenerse y pasar a su situación natural. Y tal situación es el estado de reposo con relación a la Tierra. Desde este punto de vista, la Tierra es el único sistema inercial.Al gran sabio italiano Galileo Galilei (1564-1642) debemos el descubrimiento de la verdad; él rebatió esta idea errónea que estaba muy cerca de la psicología ingenua.
Reflexionemos sobre la explicación del movimiento dada por Aristóteles y busquemos en los fenómenos conocidos la afirmación o refutación de la idea sobre el reposo natural de los cuerpos situados en la Tierra.
Figurémonos que estamos en un avión que ha salido del aeropuerto por la madrugada. El sol todavía no ha calentado el aire, no hay «baches» tan desagradables para los pasajeros. El avión vuela suavemente, casi ni lo sentimos. Si no se mira por la ventanilla, no se da uno cuenta de que está volando. Sobre un asiento libre está situado un libro; sobre una mesa, fija en el piso del avión, está inmóvil una manzana. Dentro del avión todos los objetos están quietos. ¿Será, pues, verdad, que tiene la razón Aristóteles? Claro que no, ya que según Aristóteles, la posición natural de un cuerpo es el reposo respecto a la Tierra.
¿Por qué, entonces, no se han agrupado todos los objetos en la pared de atrás del avión, tendiendo a retrasarse de su movimiento, «queriendo» pasar a su posición de reposo «verdadero»? ¿Qué es lo que obliga a la manzana situada sobre la mesa, que casi no se toca con la superficie de ella, a moverse con la gran velocidad de cientos de kilómetros por hora?
¿Cuál es la verdadera solución del problema de averiguación de la causa del movimiento? Veamos primero por qué se paran los cuerpos en movimiento. Por ejemplo, ¿por qué se para una bola que rueda por la tierra? Para dar una respuesta correcta hay que pensar en qué casos se para ligeramente y en qué casos lentamente. Para esto no hacen falta experimentos especiales. Por la experiencia de la vida se sabe perfectamente que, cuanto más lisa sea la superficie por la que se mueve la bola, tanto más lejos rodará ésta. De estos y otros experimentos semejantes se crea la idea natural sobre la fuerza de rozamiento como obstáculo al movimiento, como la causa del freno del objeto que rueda o resbala por la Tierra. El rozamiento se puede disminuir de muchas maneras. Cuanto más nos ocupemos de eliminar todas las resistencias al movimiento (con un buen engrasamiento, empleando cojinetes perfectos, moviéndose por un camino liso), tanto mayor será el espacio recorrido libremente por el cuerpo en movimiento, sin actuación de fuerzas.
Surge la pregunta: ¿qué ocurriría si no hubiese resistencia, si estuviesen ausentes las fuerzas de rozamiento? Es evidente que, en este caso, el movimiento se prolongaría indefinidamente con una velocidad constante y a lo largo de una misma línea recta.
Hemos enunciado la ley de inercia, aproximadamente igual que lo hizo por vez primera Galileo. La inercia es la indicación abreviada de esta facultad del cuerpo de moverse uniformemente en línea recta, sin ninguna causa, a pesar de Aristóteles. La inercia es una propiedad intrínseca de todas las partículas del Universo.
¿De qué modo se puede comprobar la justeza de esta ley admirable? Hay que tener presente que no se pueden crear condiciones para que no actúe sobre el cuerpo ninguna fuerza. Esto es cierto, pero, sin embargo, se puede observar lo recíproco. En cualquier caso, cuando el cuerpo cambia la velocidad o la dirección del movimiento, siempre se puede hallar la causa, es decir, la fuerza a que se debe esta alteración.
Un cuerpo, cayendo a la Tierra, adquiere velocidad; la causa es la fuerza de atracción de la Tierra.

Galileo Galilei (1564-1642), gran físico y astrónomo italiano que por vez primera empleó el método experimental de investigación en la ciencia. Galileo introdujo el concepto de inercia; estableció la relatividad del movimiento; estudió las leyes de la caída de los cuerpos y del movimiento de éstos por un plano inclinado; las leyes del movimiento, al lanzar un objeto formando cierto ángulo con el horizonte; aplicó el péndulo para la medida del tiempo. Fue el primero en la historia de la humanidad, en dirigir al cielo el telescopio, descubriendo todo un conjunto de nuevas estrellas; demostró que la Vía Láctea se compone de un gran número de estrellas; descubrió los satélites de Júpiter, las manchas solares, la rotación del Sol; estudio la estructura de la superficie lunar. Galileo era partidario activo del sistema heliocéntrico de Copérnico, prohibido en aquellos tiempos por la iglesia católica. Las persecuciones por parte de la inquisición amargaron los últimos años de la vida de este célebre sabio.
Si se rompe la cuerda, la piedra vuela en la misma dirección que se movía en el instante del rompimiento de la cuerda. Un automóvil que va con el motor parado retarda su movimiento; la causa es la resistencia del aire, el rozamiento de los neumáticos con el camino y las deficiencias de los cojinetes.
La ley de la inercia es el fundamento sobre el cual se basa la ciencia del movimiento de los cuerpos.
3. El movimiento es relativo
La ley de la inercia nos lleva a la conclusión de la pluralidad de los sistemas inerciales.
No uno, sino un conjunto de sistemas de referencia excluyen los movimientos «sin causa».
Si se ha hallado uno de estos sistemas, inmediatamente se hallará otro que participa en un movimiento de traslación (sin rotación), uniforme y rectilíneo con respecto al primero. Además, ninguno de los sistemas inerciales es preferente a los demás, en nada se diferencia de los otros. En el conjunto de los sistemas inerciales no se puede hallar uno que sea el mejor. Las leyes del movimiento de los cuerpos son iguales en todos los sistemas inerciales: los cuerpos se ponen en movimiento a causa de la acción de fuerzas, se frenan debido a fuerzas, y, si están libres de la acción de las fuerzas, se mantienen en reposo o en movimiento uniforme y rectilíneo.
La imposibilidad de poder elegir un sistema inercial con preferencia ante los demás mediante algún experimento, representa la esencia del principio de relatividad de Galileo, que es una de las principales leyes de la física.
Aún más, aunque sean completamente equivalentes los puntos de vista de los observadores que estudian los fenómenos en dos sistemas inerciales, sus opiniones sobre un mismo suceso son diferentes. Por ejemplo, si uno de los observadores afirma que la silla, en la que él está sentado en un tren en movimiento, está constantemente en un lugar del espacio, el otro observador, que se encuentra fuera del tren, afirmará que es la silla la que se desplaza de un lugar a otro. O, por ejemplo, si uno de los observadores, al disparar con un fusil, afirma que la bala lleva la velocidad de 500 m/s, otro observador, estando en un sistema que se mueve en la misma dirección con la velocidad de 200 m/s, afirmará que la bala lleva una velocidad mucho menor: igual a 300 m/s.
¿Quién de los dos tiene razón? Los dos. Es que el principio de relatividad del movimiento no permite dar preferencia a alguno de los sistemas inerciales.
Resulta, pues, que sobre el lugar en el espacio y sobre la velocidad del movimiento no se pueden hacer deducciones generales, indiscutiblemente justas, o como suele decirse, absolutas. Los conceptos de lugar en el espacio y de velocidad del movimiento son relativos. Refiriéndose a tales conceptos relativos, es necesario indicar de qué sistema inercial se trata.
Por lo tanto, la ausencia de un punto de vista unívocamente «justo» sobre el movimiento, nos lleva al reconocimiento de la relatividad del espacio. El espacio se podría llamar absoluto, solamente en el caso de que se pudiese hallar en él un cuerpo que estuviese en reposo desde el punto de vista de todos los observadores. Pero, precisamente esto es imposible.
Lo relatividad del espacio significa que a éste no se lo puede imaginar como algo en el que están incrustados los cuerpos.
La relatividad del espacio no fue reconocida inmediatamente por la ciencia. Incluso un sabio tan genial como lo fue Newton, suponía que el espacio era absoluto, aunque comprendía que no se podía demostrar esto de ningún modo. Este falso punto de vista estaba muy difundido entre una gran parte de los físicos hasta fines del siglo XIX. Seguramente las causas de esto eran de carácter psicológico: estamos muy acostumbrados a ver inmutables, alrededor de sí, «los mismos lugares del espacio».
Veamos ahora qué deducciones absolutas se pueden proponer sobre el carácter del movimiento.
Si los cuerpos se mueven con las velocidades v1 y v2, con respecto a un sistema de referencia, la diferencia (naturalmente, vectorial) será igual para cualquier observador inercial, puesto que, al variar el sistema de referencia, las dos velocidades, v1 y v2, se alteran en igual magnitud.
Así pues, la diferencia vectorial de las velocidades de dos cuerpos es absoluta. Siendo esto así, es absoluto también el vector del incremento de la velocidad de un mismo cuerpo durante un intervalo dado de tiempo, o sea su magnitud es igual para todos los observadores inerciales.
La rotación de un cuerpo, igual que la variación de la velocidad, es de carácter absoluto. La dirección de la rotación y el número de revoluciones por minuto son iguales desde el punto de vista de todos los sistemas inerciales.
4. El punto de vista de un observador estelar
Hemos decidido estudiar el movimiento desde el punto de vista de los sistemas inerciales. ¿No tendremos, entonces, que negarnos de los servicios de un observador terrestre? Como demostró Copérnico, la Tierra gira alrededor de su eje y alrededor del Sol. Es probable que le sea difícil al lector percibir el carácter revolucionario del descubrimiento de Copérnico y creer que, por defender sus ideas científicas, Giordano Bruno fue a parar a la hoguera y Galileo fue humillado y desterrado. ¿En qué consiste la hazaña del ingenio de Copérnico? ¿Por qué se puede poner en un mismo plano el descubrimiento de la rotación de la Tierra junto con las ideas de justicia humana, por las que los hombres avanzados estaban dispuestos a dar su vida?
Galileo, en su «Diálogo sobro dos sistemas importantes del mundo, el de Ptolomeo y el de Copérnico» —por cuya obra fue perseguido por la iglesia— dio el nombre de Simplicio, que quiere decir simplón, al enemigo del sistema de Copérnico.
En efecto, desde el punto de vista de la apreciación espontánea y simple del mundo —no con gran acierto, llamado «sentido común» —el sistema de Copérnico parece absurdo. ¿Cómo que la Tierra da vueltas? ¡Si yo la veo y está inmóvil! Sin embargo, el Sol y las estrellas, verdaderamente, se mueven.
La reacción de los teólogos ante el descubrimiento de Copérnico lo muestra la siguiente conclusión de su consejo (año 1616):
«La doctrina de que el Sol está situado en el centro del mundo y no se mueve es falsa y absurda, formalmente herética y adversa a las Sagradas Escrituras, y la doctrina de que la Tierra no está situada en el centro del mundo y además se mueve, experimentando una rotación diaria, es falsa y absurda, desde el punto de vista filosófico y, por lo menos, errónea, desde el punto de vista de la teología».
Esta conclusión, en la que la incomprensión de las leyes de la naturaleza y la fe en los dogmas de la religión se enlazaban con el falso «sentido común», es el mejor testimonio de la fuerza del espíritu y del talento de Copérnico y de sus discípulos, que tan resueltamente rompieron con «las verdades» del siglo XVII.Pero, volvamos a la cuestión planteada más arriba. Si la velocidad del movimiento del observador varía si el observador participa en un movimiento giratorio, éste tiene que ser excluido del grupo de los observadores «verdaderos». Precisamente en esas condiciones se halla el observador situado en la Tierra. Sin embargo, si mientras se estudia el movimiento, la variación de la velocidad de la rotación del observador es pequeña, se puede suponer condicionalmente que tal observador es «verdadero». ¿Puede referirse esto a un observador situado en la Tierra?
Durante un segundo la Tierra gira en 1/240 de un grado, sea, aproximadamente, en 0,00007 radianes. Esto no es mucho. Por eso, la Tierra, respecto a muchos fenómenos, representa un sistema inercial perfecto.
Sin embargo, para fenómenos de gran duración, no hay que olvidarse de la rotación de la Tierra.
En cierto tiempo, bajo la cúpula de la catedral de Isaac de Leningrado, estaba colgado un péndulo colosal. Poniéndolo en movimiento oscilatorio se podía observar, después de un tiempo breve, que su plano de oscilación giraba lentamente. Después de unas horas el plano de oscilación giraba en un ángulo considerable, este experimento con el péndulo lo realizó por primera vez el sabio francés Foucault y desde entonces lleva su nombre.

Figura 2.1
Sin embargo, en realidad, el sistema de Copérnico no es completamente inercial.
El Universo se compone de numerosas conglomeraciones de estrellas, esas islas del Universo llamadas galaxias. En la galaxia a la que pertenece nuestro sistema solar, hay aproximadamente cien mil millones de estrellas. El Sol gira alrededor del centro de esta galaxia con un período de 180 millones de años y con la velocidad de 250 km/s.
¿Cuál es el error cometido al suponer que el observador solar es inercial?
Para comparar los méritos de los observadores terrestre y solar, calculemos el ángulo da rotación del sistema solar de referencia durante un segundo. Si para dar una vuelta completa se tarda 180 x 106 años (6 x 1015 s), el sistema solar de referencia girará en un segundo 6 x 10-14 de grado o sea, un ángulo de 10-15 radián. Se puede decir que el observador solar es 100 mil millones de veces «mejor» que el terrestre.
Queriendo aproximarse más a un sistema inercial, los astrónomos toman como base un sistema de referencia relacionado con varias galaxias. Tal sistema de referencia es el más inercial de todos los posibles. Es imposible hallar un sistema mejor.
A los astrónomos se les puede llamar observadores estelares en dos sentidos: ellos examinan las estrellas y describen los movimientos de los astros celestes desde el punto de vista de las estrellas.
5. La aceleración y la fuerza
Para caracterizar la inconstancia de la velocidad, la física utiliza el concepto de aceleración.
Se llama aceleración la variación de la velocidad por unidad de tiempo. En lugar de decir «la velocidad de cuerpo ha variado en la magnitud “a” durante 1 segundo», se dirá, abreviadamente: «la aceleración del cuerpo es igual a “a”».
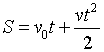
Si se indica con v1 la velocidad del movimiento rectilíneo en el primer intervalo de tiempo, y con v2 la velocidad en el siguiente intervalo, la regla del cálculo de la aceleración a se expresa por la fórmula
a = (v2 – v1)/t
donde t es el tiempo durante el cual aumenta la velocidad.La velocidad se mide en cm/s (o m/s, etc.), el tiempo, en segundos. Por lo tanto, la aceleración se mide en cm/s durante un segundo El número de centímetros por segundo se divide por los segundos. De este modo, la unidad de aceleración será cm/s2 (o m/s2, etc.).
Es evidente que la aceleración puede variar durante el movimiento. Sin embargo, no vamos a complicar nuestra exposición a causa de esta circunstancia, que no es de principio. Simplemente se supondrá que durante el movimiento, la velocidad aumenta de manera uniforme. Tal movimiento se llama uniformemente acelerado.
¿Qué representa la aceleración en un movimiento curvilíneo?
La velocidad es un vector, la variación (la diferencia) de la velocidad es un vector, por consiguiente, la aceleración también es un vector. Para hallar el vector de la aceleración hay que dividir por el tiempo la diferencia vectorial de las velocidades. Ya se explicó anteriormente cómo se puede construir el vector de la variación de la velocidad.

Figura 2.2
Refiriéndonos a la velocidad del movimiento de un cuerpo, manteníamos un punto de vista sobre el movimiento. La velocidad de un cuerpo es relativa. Puedo ser considerable, desde el punto de vista de un sistema inercial y, pequeña, desde el punto de vista de otro sistema inercial. ¿Hay que hacer tales referencias cuando se habla de la aceleración? Claro que no. En contraposición a la velocidad, la aceleración es absoluta. La aceleración es la misma desde el punto de vista de todos los sistemas inerciales que se puedan imaginar. En efecto, la aceleración depende de la diferencia de las velocidades del cuerpo durante el primero y segundo intervalos de tiempo y, como ya sabemos, esta diferencia es igual desde todos los puntos de vista, o sea, es absoluta.
Un cuerpo que está libre de la acción de fuerzas, sólo puede moverse sin aceleración. Por el contrario, la acción de una fuerza sobre un cuerpo da lugar a la aceleración y además, ésta es tanto mayor, cuanto mayor sea la fuerza. Cuanto más rápidamente deseemos poner en movimiento una carretilla con una carga, tanto mayor esfuerzo tendremos que hacer. Por regla general, sobre un cuerpo en movimiento actúan dos fuerzas: la aceleradora, que es la fuerza de arrastre, y la que frena, que es la fuerza de rozamiento o de resistencia del aire.
La diferencia de estas dos fuerzas, llamada resultante, puede estar dirigida en la misma dirección o en dirección contraria al movimiento. En el primer caso, el cuerpo acelera el movimiento, en el segundo, lo retarda. Si estas dos fuerzas, que actúan recíprocamente, son iguales entre sí (están en equilibrio), el cuerpo se mantiene en movimiento uniforme, como si sobre él no actuase ninguna fuerza.
¿Qué relación hay entre la fuerza y la aceleración originada por ella? Resulta que la respuesta es muy simple. La aceleración es proporcional a la fuerza:
a ~ F
(El signo ~) significa «es proporcional».)Pero, queda por resolver una cuestión más: ¿Cómo influyen las propiedades del cuerpo en su capacidad de acelerar el movimiento bajo la acción de una u otra fuerza? Ya se sabe que una misma fuerza, actuando sobre diferentes cuerpos, produce diferentes aceleraciones.
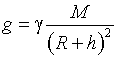
La respuesta a la cuestión planteada la da la admirable circunstancia de que todos los cuerpos caen a la Tierra con igual aceleración. Esta aceleración se indica con la letra g. En las cercanías de Moscú, la aceleración es g = 981 cm/s2.
A primera vista, la observación directa no confirma la igualdad de la aceleración para todos los cuerpos. Es que, al caer los cuerpos en las condiciones normales, actúa sobre ellos, además de la fuerza de gravedad, una fuerza que «obstaculiza», ésta es la resistencia del aire. La diferencia en el carácter de la caída de los cuerpos ligeros y pesados desconcertaba a los filósofos de la antigüedad. Un trozo de hierro cae rápidamente pero una pluma planea en el aire. Una hoja de papel abierta desciende lentamente a la Tierra, no obstante, esta misma hoja, hecha una bola, cae con mayor rapidez. Los griegos de la antigüedad comprendían ya que el aire deformaba el movimiento «verdadero» de los cuerpos, a causa de la acción de la Tierra. Sin embargo, Demócrito creía que, incluso quitando el aire, los cuerpos pesados siempre caerían con mayor rapidez que los ligeros, En realidad, la resistencia del aire puede dar lugar a lo contrario; por ejemplo, una lámina de aluminio (desarrollada ampliamente) cae con más lentitud que una bola enrollada de un trozo de papel.
A propósito, ahora se fabrica un alambre metálico tan fino (de unos cuantos micrones) que planea en el aire como una pluma.
Aristóteles creía que todos los cuerpos tenían que caer del mismo modo en el vacío. Sin embargo, de este silogismo hacía la conclusión paradójica siguiente: «La caída de diversos cuerpos con igual velocidad es tan absurda, que queda clara la imposibilidad de la existencia del vacío».
A ningún sabio de la antigüedad y de la edad media se lo ocurrió hacer un experimento para comprobar si los cuerpos caían a la Tierra con aceleraciones iguales o diferentes. Solamente Galileo, con sus maravillosos experimentos (estudiaba el movimiento de las bolas en un plano inclinado y la caída de los cuerpos arrojados desde lo alto de la torre inclinada de Pisa), comprobó que todos los cuerpos, independientemente de su masa, en un mismo lugar del globo terrestre, caen con igual aceleración. Estos experimentos se puedan hacer actualmente con gran facilidad empleando un tubo largo del que se ha extraído el aire. Una pluma y una piedra caen en este tubo con la misma aceleración: los cuerpos solamente sufren la acción de una fuerza, del peso; la resistencia del aire se ha reducido a cero. No existiendo la resistencia del aire, la caída de cualquier cuerpo representa un movimiento uniformemente acelerado.
Volvamos a estudiar la cuestión planteada anteriormente. ¿Cómo depende de sus propiedades la capacidad de un cuerpo de acelerar su movimiento a causa de la acción de una fuerza dada?
La ley de Galileo señala que todos los cuerpos, independientemente de sus masas, caen con la misma aceleración; o sea, una masa de m kg, impulsada por una fuerza de F kgf, se mueve con la aceleración g.
Supongamos ahora que no se trata de la caída de los cuerpos, y que una masa de m kg sufre la acción de una fuerza de 1 kgf. Como la aceleración es proporcional a la fuerza, aquélla será m veces menor que F.
Llegamos a la conclusión que, estando dada la fuerza (en el caso considerado es de 1 kgf), la aceleración a de un cuerpo es inversamente proporcional a la masa.
Resumiendo, se puede escribir;
a ~ F/m
o sea, siendo constante la masa, la aceleración es proporcional a la fuerza y, siendo constante la fuerza, la aceleración es inversamente proporcional a la masa.La ley que relaciona la aceleración con la masa de un cuerpo y con la fuerza que actúa sobre él, fue descubierta por el gran sabio inglés Isaac Newton (1643-1727) y lleva su nombre[5].
La aceleración es proporcional a la fuerza de acción e inversamente proporcional a la masa del cuerpo y no depende de otras propiedades del cuerpo. De la ley de Newton se deduce que la masa es, precisamente, la medida de "la inercia" del cuerpo. Con fuerzas iguales, es difícil acelerar un cuerpo de mayor masa. Vemos, pues, que el concepto de masa que conocíamos como una magnitud "sencilla" y que se determinaba pesando en una balanza de palanca, toma un nuevo sentido profundo: la masa caracteriza las propiedades dinámicas del cuerpo. La ley de Newton se puede escribir así
kF = ma
donde k es un coeficiente constante. Este coeficiente depende de las unidades elegidas.En vez de utilizar la unidad de fuerza (kgf) que teníamos, procederemos de otro modo. Elegiremos esta unidad, como frecuentemente suelen hacer lo físicos, de modo que el coeficiente de proporcionalidad en la ley de Newton sea igual a la unidad. Entonces, la ley de Newton toma la forma siguiente:
F = ma
Como ya se dijo, en la física se ha convenido medir la masa en gramos, el espacio en centímetros y el tiempo en segundos. El sistema de unidades basado en estas tres magnitudes principales se llama sistema CGS.Elijamos ahora la unidad de fuerza, empleando el principio enunciado anteriormente. Es evidente que la fuerza es igual a la unidad, en el caso en que ella comunique a 1 g de masa una aceleración igual a 1 cm/s2. Tal fuerza lleva, en este sistema, el nombre de dina.
Según la ley de Newton, F = ma, la fuerza se expresa en dinas si m gramos se multiplica por a m/s2. Por eso, suele escribirse:
1 dina = 1 [g x cm/s2]
Generalmente, el peso del cuerpo se indica con la letra P. La fuerza P comunica al cuerpo la aceleración g. y, resulta evidente, que en dinas,P = mg
Pero ya teníamos la unidad de fuerza, el kilogramo (kgf). Inmediatamente se halla la relación entre las unidades antigua y nueva, mediante la última fórmula:1 kilogramo fuerza = 981 000 dinas
La dina es una fuerza muy pequeñita. Aproximadamente, es igual a un miligramo de peso.Ya se mencionó el sistema de unidades (SI), propuesto recientemente. La denominación de newton para la nueva unidad de fuerza es merecida por completo. Con tal elección de la unidad la ley de Newton se escribe de un modo más simple; esta unidad se define así:
1 newton = 1[kg x m/s2]
o sea, 1 newton es la fuerza que comunica a una masa de 1 kg una aceleración de 1 m/s2.Es fácil ligar esta nueva unidad con la dina y el kilogramo:
1 newton = 100 000 dinas = 0,102 kgf.
6. Movimiento rectilíneo con aceleración constanteSegún la ley de Newton, tal movimiento se produce cuando sobre el cuerpo actúa, en su conjunto, una fuerza constante que acelera o frena el cuerpo.
Tales condiciones, aunque no justamente iguales, se crean con bastante frecuencia; un coche que va con el motor parado, frena gracias a la acción de la fuerza de rozamiento, que es casi constante; un cuerpo pesado cae desde una altura a consecuencia de la acción de la fuerza de gravedad, que es constante.
Conociendo la magnitud de la fuerza resultante y la masa del cuerpo, hallamos la magnitud de la aceleración mediante la fórmula,
a = F/m
Comoa = (v – v0)/t
donde t es el tiempo del movimiento; v, la velocidad final y v0 la velocidad inicial, podemos, mediante esta fórmula, responder a una serie de preguntas del carácter siguiente, por ejemplo: ¿cuánto tiempo tarda el tren en pararse, si se conoce la fuerza de frenado, la masa del tren y la velocidad inicial? ¿Qué velocidad alcanzará el automóvil, si se conoce la fuerza del motor, la fuma de resistencia, la masa del coche y el tiempo de la carrera?Con frecuencia, suele ser interesante conocer la longitud del trayecto recorrido por un cuerpo en un movimiento uniformemente acelerado. Si el movimiento es uniforme, el espacio recorrido se halla multiplicando la velocidad por el tiempo del movimiento. Si el movimiento es uniformemente acelerado, el cálculo de la magnitud del espacio recorrido se efectúa como si el cuerpo se moviese uniformemente durante el mismo tiempo t con una velocidad igual a la semisuma de las velocidades final e inicial:

(v0 + v)/2
En este sentido, se puede decir que (v0 + v)/2 es la velocidad media del movimiento uniformemente acelerado.Sería conveniente hallar una fórmula que mostrase la dependencia del espacio recorrido de la aceleración. Sustituyendo en la última fórmula, el valor de v por v = v0 +at hallamos:

S = at2
Si el cuerpo recorre 5 m en un segundo, en dos segundos recorrerá (4 x 5) m, en tres segundos (9 x 5) m, etc. El espacio recorrido crece proporcionalmente al cuadrado del tiempo.Un cuerpo pesado cae desde una altura de acuerdo con esta ley. La aceleración en la caída libre es igual a g y la fórmula toma la forma siguiente:
S = gt2/2
Si t se da en segundos y g, en centímetros por el cuadrado de segundo.Si el cuerpo pudiese caer sin obstáculos durante 100 segundos, recorrería, desde el comienzo de la caída, un espacio grandísimo, alrededor de 50 km. Además, en los primeros 10 segundos recorre solamente 1/2 km. He aquí lo que significa el movimiento acelerado.
Pero, ¿qué velocidad desarrollará el cuerpo al caer de una altura dada? Para contestar a esta pregunta necesitamos saber la fórmula que relaciona el espacio recorrido con la aceleración y la velocidad. Sustituyendo en la fórmula

t = (v – v0)/a
obtenemos:![]()
o ![]()
v =√ (2 x 9,8 x 10) = 14 m/s ≈ 50km/h[6]
que es la velocidad de un automóvil en la ciudad.La resistencia del aire no disminuye mucho esta velocidad.
Las fórmulas deducidas anteriormente se emplean en diversos cálculos. Veamos, con su ayuda, cómo se efectúa el movimiento en la Luna.
En la novela de Wells «Los primeros hombres en la Luna», se describen las sorpresas que experimentan los viajeros en sus paseos fantásticos. La aceleración de la gravedad en la Luna es, aproximadamente, 6 veces menor que la terrestre. Si en la Tierra, un cuerpo que cae, recorre durante el primer segundo 5 m, en la Luna, «navegará» hacia abajo solamente 80 cm (la aceleración es aproximadamente igual a 1,6 m/s2).
Las fórmulas escritas dan la posibilidad de calcular rápidamente los «milagros» lunares.
Un salto desde la altura h dura el tiempo
t = √(2g/h)
Como la aceleración lunar es 6 veces menos que la terrestre, para este salto, en la Luna se necesitará √6 ≈ 2,45 veces más de tiempo.¡En tantas veces disminuirá la velocidad final del salto! (v = √(2gh))
En la Luna se puede saltar con seguridad desde el tejado de una casa de tres pisos. La altura del salto aumenta 6 veces, si se ha hecho con la misma velocidad inicial (la fórmula es h = v2/2g). Un niño puede sallar a una altura superior a la del récord terrestre.
7. La trayectoria de una bala
Desde los tiempos remotos el hombre está resolviendo el problema de lanzar un cuerpo cuanto más lejos posible.

Figura 2.3
El cuerpo lanzado recorre una línea curva llamada parábola. Es fácil construir esta línea si se considera el movimiento del cuerpo lanzado como una suma de dos movimientos, horizontal y vertical, que son simultáneos e independientes. La aceleración de la fuerza de gravedad es vertical, por eso la bala que vuela se mueve por inercia con velocidad constante en dirección horizontal y, simultáneamente, cae verticalmente a la Tierra con aceleración constante ¿Cómo sumar estos dos movimientos?
Comencemos por un caso simple, cuando la velocidad inicial es horizontal (por ejemplo, se trata de un disparo de un fusil, el cañón del cual es horizontal).
Tomemos una hoja de papel milimétrico y tracemos una línea horizontal y otra vertical (fig. 2.3). Como los dos movimientos son independientes, después de t segundos el cuerpo, se desplazará en el segmento v0t hacia la derecha y en el segmento gt2/2hacia abajo. Marquemos en la horizontal el segmento v0t y desde su extremo, en la vertical, el segmento gt2/2.
El extremo del segmento vertical indicará el punto donde se encontrará el cuerpo después de t segundos.
Esta construcción hay que realizarla para unos cuantos puntos, o sea, para unos cuantos instantes de tiempo. Por estos puntos pasará una línea continua, la parábola que describe la trayectoria del cuerpo. Cuanto más frecuentemente estén marcados los puntos, tanto mayor será la precisión con que se construirá la trayectoria del vuelo de la bala.
En la fig. 2.4 está trazada la trayectoria para el caso cuando la velocidad inicial v0 forma cierto ángulo.
Ante todo, se debe descomponer el vector v0 en las componentes vertical y horizontal. En la línea horizontal se marca vhorizt que es el desplazamiento horizontal de la bala durante t segundos.
Pero, simultáneamente, la bala hace un movimiento hacia arriba. En t segundos se eleva a la altura
h = vvertt – gt2/2
Sustituyendo aquí t por los instantes de tiempo que nos interesen, se hallan los desplazamientos verticales y se marcan en el eje vertical. Al principio, la magnitud h aumentará (elevación), después, disminuirá.Ahora, no queda más que señalar los puntos de la trayectoria en el diagrama como lo hicimos en el ejemplo anterior y trazar por ellos una curva continua.

Figura 2.4
Empleemos de nuevo el mismo procedimiento; descompongamos el vector de la velocidad inicial en dos componentes: sea v1 la velocidad en la vertical y v2, en la horizontal. El tiempo, desde el momento del disparo hasta el momento en que la bala alcance el punto superior de la trayectoria, es igual a v1/g. Tengamos en cuenta que la bala tarda el mismo tiempo en caer, o sea, que el tiempo del vuelo de la bala hasta que cae a la tierra es 2v1/g.
Como en la horizontal el movimiento es uniforme, el alcance del vuelo es
S = 2v1v2/g
(se ha despreciado la altura del cañón del fusil sobre el nivel del mar).Hemos obtenido una fórmula que muestra que el alcance del vuelo es proporcional al producto de las componentes de la velocidad. ¿En qué dirección hay que disparar para que esto producto sea máximo? Esta pregunta se puede expresar geométricamente. Las velocidades v1 y v2 forman un rectángulo de velocidades; su diagonal es la velocidad total v. El producto v1v2 es igual al área de este rectángulo.
La pregunta se reduce a lo siguiente: siendo conocida la longitud de la diagonal, ¿qué lados hay que tomar para que el área del rectángulo sea máxima? En la geometría se demuestra que a esta condición la satisface el cuadrado. Por lo tanto, el alcance de la bala será máximo cuando v1 = v2, o sea, cuando el rectángulo de las velocidades sea un cuadrado. La diagonal del cuadrado de las velocidades forma un ángulo de 45° con la horizontal; bajo este ángulo hay que colocar el fusil para que la bala vaya lo más lejos posible.
Si v es la velocidad total de la bala, en el caso del cuadrado, se tiene: v1 = v2 = v/√2.
En este caso, la fórmula para el alcance del vuelo tiene esta forma:
S = v2/g
o sea, el alcance es dos veces mayor que al disparar para arriba con la misma velocidad inicial. La altura alcanzada al disparar bajo un ángulo de 45°, es igual ah = v12/2g = v22/2g
o sea, es cuatro veces menor que el alcance del vuelo.Hay que reconocer que las fórmulas con que operamos proporcionan resultados exactos solamente en un caso muy lejano de la realidad: cuando falta el aire. En muchos casos, la resistencia del aire juega un papel decisivo y cambia por completo todo el cuadro
8. Movimiento circular
El movimiento circular de un punto siempre es acelerado, aunque sólo sea por el hecho de que en cada instante la velocidad cambia su dirección. Sin embargo, la magnitud de la velocidad puede mantenerse constante. Precisamente, vamos a examinar ahora un caso semejante.

Figura 2.5
a = 2πv/T
Pero, el tiempo de una vuelta completa en el movimiento sobre una circunferencia de radio R, puede escribirse en la formaT = 2πR/v
Sustituyendo esta expresión en la fórmula anterior, para la aceleración, se obtiene:a = v2/R
Siendo constante el radio de la rotación, la aceleración es proporcional al cuadrado de la velocidad. Siendo dada la velocidad, la aceleración es inversamente proporcional al radio.Este mismo razonamiento nos muestra cómo está dirigida en cada instante la aceleración del movimiento circular. Cuanto menor sea el ángulo de los vértices de los triángulos isósceles que empleamos para la demostración, tanto más se aproximará a 90° el ángulo entre el incremento de la velocidad y la velocidad misma.
Por lo tanto, la dirección de la aceleración en el movimiento uniforme circular es perpendicular a la velocidad. Y, ¿qué direcciones tienen la velocidad y la aceleración con relación a la trayectoria? Como la velocidad es tangente al trayecto, la aceleración tiene la dirección del radio y, además, va hacia el centro de la circunferencia. Todo esto se ve bien en la figura 2.6. Hagamos la prueba de dar vueltas a una piedra con una cuerda. Con gran claridad sentiremos la necesidad de hacer un esfuerzo muscular. ¿Para qué hace falta la fuerza, si el movimiento del cuerpo es uniforme? En realidad no resulta así. El cuerpo se mueve con una velocidad de magnitud invariable, pero la variación continua de la dirección de la velocidad hace que este movimiento sea acelerado. La fuerza se necesita para desviar el cuerpo de su camino inercial rectilíneo, para crear la aceleración v2/R que acabamos de calcular.

Figura 2.6
La cuerda tira de la piedra y la piedra tira de la cuerda. En estas dos fuerzas reconocemos «el objeto y su imagen» en el espejo, o sea, las fuerzas de acción y reacción. Frecuentemente, la fuerza con la que la piedra actúa sobre la cuerda la llaman centrífuga. No hay duda que la fuerza centrífuga es igual a mv2/R y que lleva la dirección del radio, desde el centro de la rotación. La fuerza centrífuga está aplicada al cuerpo que reacciona a la tendencia que tiene el mismo a moverse por inercia en línea recta.
Todo lo expuesto se refiere también al caso en que la fuerza de gravedad juega el papel de «la cuerda». La Luna gira alrededor de la Tierra. ¿Qué es lo que sujeta a nuestro satélite? ¿Por qué no se marcha, siguiendo la ley de la inercia, a un viaje interplanetario? La Tierra sujeta a la Luna con «una cuerda invisible», con la fuerza de gravedad. Esta fuerza es igual a mv2/R, donde v es la velocidad del movimiento en la órbita lunar, y R, la distancia hasta la Luna. En este caso, la fuerza centrífuga está aplicada a la Tierra, pero, gracias a la gran masa de la Tierra, ella influye muy poco en el carácter del movimiento de nuestro planeta.
Supongamos que se quiere poner un satélite artificial de la Tierra en una órbita circular a la distancia de 300 km de la superficie terrestre. ¿Qué velocidad tiene que tener ese satélite? A la distancia de 300 km, la fuerza de gravedad es un poco menor que en la superficie de la Tierra y es igual a 8,9 m/s2. La aceleración del satélite que se mueve sobre una circunferencia es igual a v2/R, donde R es la distancia hasta el centro de rotación (o sea, hasta el centro de la Tierra), que, aproximadamente, es igual a 6000 km = 6,6 x 106 m. Por otra parte, esta aceleración es igual a la aceleración g de la fuerza de gravedad. Por consiguiente, g = v2/R, de donde hallamos la velocidad del movimiento del satélite en la órbita:
v = √(gR) = √(8,9 x 6,6 x 108) = 7700 m/s = 7,7 km/s
La velocidad mínima que se necesita para que un cuerpo lanzado horizontalmente se convierta en satélite de la Tierra, se llama velocidad cósmica primera. En el ejemplo expuesto se ve que esta velocidad es aproximadamente igual a 8 km/s.9. Vida sin peso
En el capitulo anterior hallamos «un punto de vista racional» sobre el movimiento. La verdad es que, puntos de vista «racionales», que llamamos sistemas inerciales, existen infinidad de ellos.
Armados ahora de los conocimientos de las leyes del movimiento, nos puede interesar el aspecto de éste desde un punto de vista «irracional». El interés en saber cómo viven los habitantes de sistemas no inerciales no es, en general, vano, aunque sólo sea por el hecho de que nosotros mismos somos habitantes de tal sistema.
Figurémonos que, tomando con nosotros unos instrumentos de medición, nos embarcarnos en una nave interplanetaria y nos marchamos de viaje por el mundo de las estrellas.
El tiempo corre ligero. El Sol ya se parece a una estrellita. El motor está parado, la nave está lejos de los cuerpos que gravitan.
Veamos qué es lo que ocurre en nuestro laboratorio en vuelo. ¿Por qué está suspendido en el aire y no se cae al suelo el termómetro que se ha soltado de su sostén? ¡En qué posición tan rara, desviado de la «vertical», está suspenso el péndulo que cuelga de la pared! Inmediatamente hallamos la explicación: tengamos en cuenta que la nave no está en la Tierra, sino en el espacio interplanetario. Los objetos han perdido el peso.
Después de contemplar con admiración este panorama extraordinario decidimos cambiar la dirección. Apretando un botón se pone en marcha el motor—cohete (a reacción) y, de repente... todos los objetos que nos rodean parecen revivir. Todos los cuerpos que no estaban bien sujetos se ponen en movimiento. El termómetro se cae, el péndulo comienza a oscilar y, lentamente, se pone vertical. Veamos los instrumentos que indican hacia qué lado comenzó nuestra nave el movimiento acelerado. Claro que hacia arriba. Los instrumentos muestran que hemos elegido un movimiento con una aceleración muy pequeña con relación a las posibilidades de la nave de 9,8 m/s2. Nuestras impresiones son habituales, nos sentimos igual que en la Tierra. Pero, ¿por qué esto es así? Igual que antes, la nave se encuentra lejísimo de las masas gravitantes; no hay fuerzas de atracción; sin embargo, los objetos han obtenido peso.
Dejemos caer de la mano una bolita y midamos la aceleración con que cae al suelo de la nave. Resulta que esta aceleración es igual a 9,8 m/s2. Este mismo número acabamos de leer en los instrumentos que miden la aceleración del cohete. La nave se mueve hacia arriba con la misma aceleración con que caen al suelo los cuerpos en nuestro laboratorio.
Pero, ¿qué quiere decir en nuestra nave el vuelo hacia «arriba» o hacia «abajo»? ¡Qué sencillo era todo citando vivíamos en la Tierra! Allí el cielo estaba arriba, la Tierra, abajo. ¿Y aquí? Nuestro arriba tiene un síntoma indiscutible: es la dirección de la aceleración del cohete.
No es difícil entender el sentido de nuestros experimentos: sobre la bolita soltada de la mano no actúa ninguna fuerza. La bolita se mueve por inercia. Es el cohete el que se mueve con aceleración respecto a la bolita y respecto a nosotros, que estamos dentro del cohete, y nos parece que es la bolita la que «cae» hacia un lado, en dirección opuesta a la aceleración del cohete. Claro que la aceleración de esta «caída» tiene una magnitud igual ala de la aceleración verdadera del cohete. También es evidente que todos los cuerpos en el cohete tienen que «caer» con una misma aceleración.
De todo lo expuesto se puede hacer una conclusión interesante. En un cohete que se mueve con aceleración, todos los cuerpos comienzan a «pesar». Además, la dirección de «la fuerza de gravedad» es opuesta a la dirección de la aceleración del cohete y la aceleración de la «caída» libre es igual a la aceleración de la misma nave. Y lo más maravilloso es que, prácticamente, no podemos distinguir el movimiento acelerado del sistema de la fuerza de gravedad correspondiente[7]. Estando dentro de la nave cósmica con las ventanas cerradas no podríamos saber si está quieta en la Tierra o si se mueve con una aceleración de 9,8 m/s2 La igualdad de la «fuerza de atracción» y «la fuerza de gravedad» se llama en física principio de equivalencia.
Como ahora veremos en una multitud de ejemplos, este principio da la posibilidad de resolver rápidamente muchos problemas, agregando a las fuerzas reales una fuerza aparente de gravedad que existe en los sistemas que se mueven con aceleración.
El ascensor puede servir de primer ejemplo. Tomemos una balanza de resorte con las pesas y vayamos hacia arriba en el ascensor. Veamos cómo se comporta el fiel de la balanza en la que se ha colocado una pesa de un kilogramo (fig. 2.7). La ascensión ha comenzado; vemos que las indicaciones de los pesos crecen, como si la pesa pesase más de un kilogramo. Este hecho se explica con facilidad con el principio de equivalencia. Durante el movimiento del ascensor hacia arriba con la aceleración a aparece una fuerza complementaria de gravedad dirigida hacia abajo. Como la aceleración de esta fuerza es igual a “a”, el peso complementario es igual a ma.

Figura 2.7
Las sensaciones desagradables que se notan cuando son rápidas las aceleraciones y los retardamientos del movimiento del ascensor, están ligadas con la variación examinada del peso
Si el ascensor baja con aceleración, los cuerpos que están en él se hacen más ligeros. Cuanto mayor sea esta aceleración, tanto más peso se perderá. ¿Qué ocurrirá en la caída libre del sistema? La respuesta es clara: en este caso, los objetos dejan de presionar sobre el soporte, dejan de pesar; la fuerza de atracción de la Tierra se equilibra con la fuerza de gravedad complementaria que existe en tal sistema que cae libremente. Estando en tal «ascensor», se puede colocar tranquilamente sobre los hombros una tonelada de peso.
Al comienzo de este párrafo describíamos la vida «sin peso» en una nave interplanetaria que había salido fuera de los límites de la esfera de gravedad. Cuando el movimiento era uniforme y rectilíneo, en esta nave no había peso; pero lo mismo ocurre también en la caída libre del sistema. Esto significa que no hay necesidad de salir fuera de los límites de la esfera de gravedad: no hay peso en ninguna de las naves interplanetarias que se mueve sin motor. La caída libre nos conduce a la pérdida del peso en sistemas semejantes. El principio de equivalencia nos lleva a la conclusión sobre la casi (véase la nota anterior) equivalencia total del sistema de referencia que se mueve uniformemente en línea recta, lejos de la acción de las fuerzas de atracción, y el sistema de referencia que cae libremente gracias a la acción de la gravedad. En el primer sistema no hay peso, en el segundo, «el peso hacia abajo» se equilibra con «el peso hacia arriba». No hallamos ninguna diferencia entre los sistemas.
En un satélite artificial de la Tierra, la vida «sin peso» comienza desde el instante en que la nave se establece en la órbita y empieza su movimiento sin actuación del cohete.
El primer viajero interplanetario fue una perra llamada Layka, un poco después, el hombre se acostumbró a la vida «sin peso» en la cabina de una nave cósmica. El primero que ha ido por este camino es el piloto cosmonauta soviético Yuri Gagarin.
No se puede decir que sea ordinaria la vida en la cabina de la nave. Hizo falta mucho ingenio e inventiva para hacer que fuesen dóciles las cosas que con tanta facilidad se acomodan a la fuerza de gravedad. ¿Se puede, por ejemplo, vaciar agua de una botella a un vaso? Hay que tener en cuenta que el agua cae «hacia abajo» gracias a la acción de la gravedad. ¿Se puede preparar la comida, si no se puede calentar el agua en la cocina? (El agua templada no se disolverá con la fría). ¿Cómo escribir con el lápiz sobre el papel si un pequeño golpe del lapicero sobre la mesa es suficiente para echar a un lado al escribiente? Ni la cerilla, ni la vela, ni el mechero de gas arderán, porque los gases de la combustión no se elevarán (ya que no hay «arriba») y no darán acceso al oxígeno. Hubo incluso que pensar el modo de garantizar el curso normal de las evacuaciones naturales que se efectúan en el organismo del hombre, ya que estos procesos están «acostumbrados» a la fuerza de la atracción terrestre.
10. Movimiento desde el punto de vista irracional
Ocupémonos ahora de las observaciones físicas en un autobús o en un tranvía que se mueven con aceleración. Una particularidad de este ejemplo, que le distingue del anterior, consiste en lo siguiente: en el ejemplo del ascensor, el peso complementario y la atracción de la Tierra estaban dirigidos a lo largo de una línea. En un tranvía que va frenando o que va tomando velocidad, la fuerza complementaria de gravedad forma un ángulo recto con la fuerza de atracción terrestre. Esto provoca unas sensaciones en los pasajeros que, a pesar de la costumbre, son originales. Si el tranvía toma velocidad, aparece una fuerza complementaria que tiene la dirección inversa a la del movimiento. Sumemos esta fuerza con la fuerza de atracción. En resumen, sobre el hombre situado en el vagón actúa otra fuerza que forma un ángulo obtuso con la dirección del movimiento. Estando en el vagón como de ordinario, de cara al movimiento, sentiremos que nuestro «arriba» se ha desplazado. Para no caernos, hacemos lo posible por ocupar la posición «vertical», tal como se muestra en la Fig. 2.8 a.
Nuestra «vertical» está oblicua; forma un ángulo agudo con la dirección del movimiento. Un hombre que está de pie, sin sujetarse en nada, inevitablemente se cae hacia atrás.
Por fin, el movimiento del tranvía se hace uniforme y ya podemos estar tranquilos. Sin embargo, se aproxima una nueva parada. El conductor frena y… nuestra «vertical» se inclina. Esta, como se ve en la fig. 2.8b, forma un ángulo obtuso con el movimiento. El pasajero, para no caerse, se inclina hacia atrás. Sin embargo, no se queda mucho tiempo en esta posición.

Figura 2.8
Durante el movimiento del tranvía sobre una curva ocurren fenómenos parecidos. Ya sabemos que el movimiento sobre una circunferencia es acelerado, incluso cuando la magnitud de la velocidad es constante. La aceleración v2/R será tanto mayor, cuanto menor sea el radio R de la curvatura. La aceleración de este movimiento va por el radio, en dirección del centro. Pero esto es equivalente a la aparición de una gravedad complementaria dirigida desde el centro. Por consiguiente, durante la curva, sobre el pasajero actúa una fuerza complementaria mv2/R que le empuja hacia el lado exterior de la curvatura. La fuerza radial mv2/R, se llama centrífuga. Con esta fuerza nos encontramos anteriormente que fue examinada desde otro punto de vista.
La actuación de la fuerza centrífuga en un tranvía o en un autobús, sólo puede dar lugar a pequeñas molestias. En esto caso, la fuerza mv2/R es pequeña. Sin embargo, si el movimiento sobre la curva es ligero, las fuerzas centrífugas pueden alcanzar grandes magnitudes y pueden hacerse peligrosas para la vida. Los pilotos suelen verse con grandes valores de mv2/R, cuando el avión efectúa un «rizo». Cuando el avión describe una circunferencia, sobre el piloto actúa la fuerza centrífuga que le aprisiona sobre el asiento. Cuanto menor sea la circunferencia del rizo, tanto mayor será la fuerza complementaria que aprisiona al piloto. Si esta gravedad es muy grande, el hombre se puede «destrozar» ya que los tejidos del organismo en vida poseen una resistencia limitada y no pueden aguantar cualquier pesantez.
¿En cuánto puede «aumentar el peso» de un hombre sin peligro notable para la vida? Eso depende de la duración de la carga. Si ésta es de una parte de segundo, el hombre es capaz de aguantar cargas que sean ocho y diez veces mayores que su peso, o sea, sobrecargas de 7 a 9 g. El piloto, durante diez segundos, puede aguantar sobrecargas de 3 a 5 g. A los cosmonautas los interesa saber, qué sobrecargas es capaz de aguantar un hombre durante decenas de minutos, o incluso durante horas. Es probable que, en estos casos, la sobrecarga tenga que ser muchísimo menor.
Calculemos el radio del rizo que puede describir el avión a diversas velocidades, sin peligro para el piloto.
Efectuemos cálculos para la aceleración igual v2/R = 4g y R= v2/4g. Siendo la velocidad de 360 km/h = 100 m/s, el radio del rizo es de 250 m; si la velocidad es 4 veces mayor, o sea, si es de 1440 km/h (estas velocidades ya han sido superadas por los aviones modernos de propulsión a chorro), el radio del rizo tiene que ser aumentado 16 veces. El radio menor del rizo resulta igual a 4 km.
No dejemos de prestar atención a una forma de transporte más sencilla, a la bicicleta. Todos han visto cómo se inclina el ciclista en la vuelta. Propongamos al ciclista describir una circunferencia de radio R con la velocidad v, o sea, moverse con una aceleración de v2/R, dirigida hacia el centro. Entonces, sobre el ciclista, además de la fuerza de gravedad, va a actuar una fuerza complementaria, la centrífuga, que lleva la dirección horizontal y que va dirigida hacia el centro de la circunferencia.

Figura 2.9
Hemos aclarado que la vertical del ciclista no coincide con la vertical terrestre. ¿Qué es lo que va a sentir él? habrá que dar vuelta a la fig. 2.9. El camino se parece ahora al declive de un monte (fig. 2.10a), y queda claro para nosotros que al no haber una fuerza suficiente de rozamiento entre los neumáticos y la cubierta del camino (el asfalto está mojado), el ciclista se puede resbalar y la vuelta muy cerrada puede terminarse con la caída en la cuneta.

Figura 2.10
11. Fuerzas centrífugas
Ocupémonos ahora de los sistemas en rotación. El movimiento de este sistema se determina por el número de vueltas que efectúa por un segundo al girar alrededor del eje. Claro que hay que saber también la dirección del eje de rotación.
Para comprender mejor las particularidades de la vida en dichos sistemas, consideremos «la rueda de la risa», atracción bien conocida. Su construcción es muy sencilla. Un disco plano de unos cuantos metros de diámetro gira con rapidez. Quien lo desea, se sube sobre él y prueba mantenerse. Muy pronto se dan cuenta del secreto del éxito, incluso aquellos que no saben la física: hay que colocarse en el centro del disco, puesto que cuanto más lejos del centro se esté, tanto más difícil será mantenerse.
Tal disco representa un sistema no inercial con unas propiedades singulares, cada objeto sujeto al disco se mueve sobre una circunferencia de radio R a una velocidad v, o sea, con la aceleración v2/R. Como ya sabemos, desde el punto de vista de un observador no inercial, esto significa la presencia de una fuerza complementaria de gravedad mv2/R, dirigida por el radio desde el centro. En cualquier punto de esta «rueda del diablo» va a actuar esta fuerza radial de gravedad, en cualquier punto va a crear ésta una aceleración radial igual a v2/R. La magnitud de esta aceleración será igual para los puntos situados en una circunferencia. Y, ¿en diferentes circunferencias? No debemos apresurarnos en afirmar, que según la fórmula v2/R, la aceleración es tanto mayor, cuanto menor sea la distancia al centro. Esto no es cierto, pues la velocidad de los puntos de la rueda más lejanos del centro es mayor. En efecto, si se indica con la letra n el número de vueltas que efectúa la rueda por segundo, el espacio recorrido durante un segundo por un punto de la rueda, situado a la distancia R del centro, o sea, la velocidad de este punto, se puede expresar así:
2πRn.
La velocidad de un punto es directamente proporcional a su distancia del centro. La fórmula de la aceleración se puede escribir ahora así:a = 4π2n2R
Y, como el número de vueltas efectuadas por segundo es igual para todos los puntos de la rueda, llegamos a la siguiente conclusión: la aceleración de la fuerza «radial de gravedad» que actúa en una rueda en rotación, crece proporcionalmente a la distancia del punto del centro de la rueda.En este interesante sistema no inercial, la fuerza de gravedad es diferente en circunferencias diversas. Por consiguiente, son diferentes las direcciones de las «verticales» de los cuerpos situados a diversas distancias del centro. Claro está, que la atracción de la Tierra es la misma para todos los puntos de la rueda. Pero, el vector que caracteriza la gravedad radial complementaria, se hace más largo a medida que se aleja del centro. Por lo tanto, las diagonales de los rectángulos se desvían más y más de la vertical terrestre.

Figura 2.11
Sin embargo, ¿se podría discurrir para este sistema inercial una construcción parecida a la carretera inclinada? Claro que se podría, pero habría que sustituir el disco por una superficie, en cada uno de los puntos de la cual la fuerza total de gravedad fuese perpendicular a ella. La forma de tal superficie se puede calcular. Esta superficie se llama paraboloide. Esta denominación no es casual: cada una de las secciones del paraboloide representa una parábola, que es la curva que describen los cuerpos al caer. El paraboloide se forma al hacer girar una parábola alrededor de su eje.
Es fácil crear esta superficie haciendo girar rápidamente un vaso con agua. La superficie del líquido en rotación representa un paraboloide. Las partículas de agua acabarán de desplazarse precisamente cuando la fuerza que empuja a cada partícula hacia la superficie sea perpendicular a ésta. A cada velocidad de rotación corresponde su paraboloide (fig. 2.12).

Figura 2.12
Los efectos centrífugos se emplean a menudo en la técnica. Por ejemplo, la construcción de una centrífuga se basa en la aplicación de estos efectos.
La centrífuga consta de un tambor que gira rápidamente alrededor de su eje. ¿Qué ocurriría si sobre este tambor, lleno de agua hasta los bordes, se lanzasen diversos objetos?
Echemos en el agua una bolita metálica: ésta irá al fondo, pero no por nuestra vertical, sino que, alejándose todo el tiempo del eje de rotación, se parará al lado de la pared. Echemos ahora en el tambor una bolita de corcho: ésta, por el contrario, se pondrá inmediatamente en movimiento, en dirección del eje de rotación y se situará en éste.
Si el tambor de este modelo de centrífuga es de gran diámetro, se puede observar que la aceleración aumenta rápidamente a medida que se aleja del centro.
Los fenómenos que ocurren son comprensibles. Dentro de la centrifuga, existe una gravedad radial complementaria. Si la centrífuga gira con bastante rapidez, su «abajo» estará en la pared del tambor. La bolita metálica «se sumerge» en el agua, mientras que la de corcho «flota». Cuanto más lejos esté del eje de rotación, tanto más «pesado» se hará el cuerpo que «cae» al agua.
En las centrífugas suficientemente perfectas, la velocidad de rotación alcanza hasta 60 000 vueltas por minuto, o sea, 103 vueltas por segundo. A la distancia de 10 cm del eje de rotación, la aceleración de la fuerza de gravedad radial es, aproximadamente, igual a
40 x 106 x 0,1 = 4 x 106 m/s2
o sea, es 400 000 veces mayor que la aceleración terrestre.Claro que, para tales máquinas, se puede despreciar la gravedad terrestre; verdaderamente, tenemos derecho de suponer que el «abajo» de la centrífuga está en las paredes del tambor.
De lo expuesto, queda claro cuáles son los campos de aplicación de las centrífugas. Si, en una mezcla, quisiéramos separar las partículas pesadas de las ligeras, sería conveniente utilizar la centrífuga. Todos conocen la expresión: «el líquido turbio se ha aclarado». Si el agua sucia se mantiene quieta durante mucho tiempo, la suciedad (que, generalmente, suele ser más pesada que el agua) se depositará en el fondo. Sin embargo, este proceso de sedimentación puede durar meses enteros, pero, con ayuda de una buena centrífuga, se puede limpiar el agua inmediatamente.
Las centrífugas que giran con velocidades de decenas de miles de vueltas por minuto son capaces de separar la suciedad más fina, no sólo del agua, sino también de los líquidos viscosos.
Las centrífugas se emplean en la industria química para separar los cristales de la disolución en que crecieron para la deshidratación de las sales, para limpiar los barnices; en la industria de productos alimenticios, para separar la melaza del azúcar molida.
Se llaman separadores las centrífugas que se emplean para la separación de sólidos o líquidos mezclados con grandes cantidades de líquido. Su principal aplicación es la elaboración de la leche. Los separadores de leche giran con una velocidad de 2 a 6 mil vueltas por minuto; el diámetro del tambor llega a ser hasta de 5 m.

Figura 2.13
Así se funden los tubos metálicos que, además, resultan más compactos, más homogéneos, sin oquedades y sin grietas.
He aquí otro empleo de la fuerza centrífuga. En la fig. 2.13 está representado un mecanismo simple que sirve para regular el número de vueltas de las piezas en revolución de una máquina. Este mecanismo se llama regulador centrífugo.
Al aumentar la velocidad de rotación, crece la fuerza centrífuga, las bolitas del regulador se van alejando del eje. Las varillas unidas con las bolitas se desvían y, cuando llegan a tomar una desviación determinada, calculada por el ingeniero, pueden desconectar algunos contactos eléctricos; en la máquina de vapor, por ejemplo, pueden abrir las válvulas que sueltan el vapor sobrante. Con esto, disminuye la velocidad de rotación y las varillas vuelven a su posición normal.
Es interesante el experimento siguiente. Coloquemos un disco de cartón en el eje de un motor eléctrico. Una vez puesto en marcha el motor, acerquemos un trozo de madera al disco rotatorio. Un taco de madera, de un espesor considerable, se puede serrar por la mitad tan fácilmente como con una sierra de acero.
La prueba de serrar la madera con un cartón, actuando como con una sierra de mano, puede producir asombro.
¿Por qué corta la madera el cartón en rotación? Sobre las partículas del cartón, situadas sobre una circunferencia, actúa una fuerza centrífuga grandísima. Las fuerzas laterales que podrían deformar el plano del cartón son insignificantes con relación a la fuerza centrífuga. El disco de cartón, conservando inalterable su plano, obtiene la posibilidad de introducirse en la madera.
La fuerza centrífuga que se crea gracias a la rotación de la Tierra, conduce, como ya se dijo anteriormente, a la diferencia en el peso de los cuerpos en latitudes diversas.
Un cuerpo pesa menos en el ecuador que en el polo por dos causas. Los cuerpos situados en la superficie de la Tierra están a diversas distancias del eje terrestre en dependencia de la latitud del lugar. Claro está que esta distancia crece al pasar del polo al ecuador.
Además, en el polo, el cuerpo está en el eje de rotación, y la aceleración centrífuga a = 4π2n2R, es igual a cero (la distancia hasta el eje de rotación es R = 0). En el ecuador, por el contrario, esta aceleración es máxima. La fuerza centrífuga disminuye la fuerza de atracción. Por eso, en el ecuador, la presión de un cuerpo sobre un soporte (el peso del cuerpo) es mínima.
Si la Tierra tuviese la forma exacta de una esfera, la pesa de un kilogramo, al ser trasladada del polo al ecuador, perdería en su peso 3,5 gramos. Este número se halla fácilmente sustituyendo en la fórmula
a = 4π2n2R
n = 1 vuelta por día, R = 6300 km y m = 1000 g. No hay que olvidarse de reducir las unidades de medidas a segundos y centímetros.Sin embargo, en la realidad, la pesa de un kilogramo pierde en peso 5,3 gramos, en vez de 3.5 gramos. Esto es debido a que la Tierra representa una esfera achatada, que en geometría se llama elipsoide. La distancia desde el polo hasta el centro de la Tierra es menor que el radio terrestre que va dirigido hacia el ecuador, aproximadamente, en 1/300 del radio.
La causa de este aplastamiento de la esfera terrestre es la misma fuerza centrifuga, pues ésta actúa sobre todas las partículas de la Tierra. En tiempos muy remotos, la fuerza centrífuga «formó», nuestro planeta, le dio la forma achatada.
12. La fuerza de Coriolis
La particularidad del mundo de los sistemas rotatorios no acaba con la existencia de las fuerzas de gravedad radiales. Estudiemos otro efecto interesante, cuya teoría se expuso en el año 1835 por el francés Coriolis.
Hagámonos la pregunta siguiente: ¿qué aspecto tiene el movimiento rectilíneo desde el punto de vista de un laboratorio en rotación? Un plano de tal laboratorio está representado en la fig. 2.14.
La trayectoria rectilínea de un cuerpo está marcada con una raya que pasa por el centro. Examinemos el caso, cuando el trayecto del cuerpo pasa por el centro de rotación de nuestro laboratorio.
El disco, sobre el que está situado el laboratorio, gira uniformemente; en la figura están representadas cinco posiciones del laboratorio respecto a la trayectoria rectilínea.
Este es el aspecto de la posición relativa del laboratorio y de la trayectoria después de uno, dos, tres, etc., segundos. Como vemos, si se mira desde arriba, el laboratorio gira en dirección contraria a las agujas de un reloj.
En la línea del trayecto se han marcado flechas, correspondientes a los segmentos que recorre el cuerpo por uno, dos, tres y etc. segundos. En cada segundo, el cuerpo recorre un trayecto igual, puesto que se trata de un movimiento uniforme y rectilíneo (desde el punto de vista de un observador inmóvil).
Figúrense que el cuerpo móvil es una bola recién pintada y que rueda sobre un disco. ¿Qué huellas se marcarán en el disco? Nuestra construcción da la respuesta a esta pregunta. Los puntos que marcan los extremos de las flechas, se han trasladado de los cinco dibujos a una figura.

Figura 2.14
Ya sabernos que en los sistemas giratorios aparece una fuerza centrífuga. Sin embargo, no puede ser su actuación la causa de la torsión del trayecto, puesto que su dirección es a lo largo del radio. Por consiguiente, en los sistemas de revolución, además de la fuerza centrífuga, aparece también una fuerza complementaria. Esta se llama fuerza de Coriolis.
¿Por qué no nos encontrábamos en los ejemplos anteriores con la fuerza de Coriolis y nos arreglábamos perfectamente con la centrífuga sola? La razón consiste en que, hasta ahora, analizábamos el movimiento desde el punto de vista del observador rotatorio, pues, la fuerza de Coriolis sólo aparece en este caso. Sobre los cuerpos que se encuentran en un sistema de revolución, actúa solamente la fuerza centrífuga. Si la mesa de un laboratorio en rotación está clavada al suelo sobre ella sólo actúa la fuerza centrífuga. Mientras que sobre la pelotita que ha caído de la mesa y que rueda por el suelo del laboratorio en rotación, además de la fuerza centrífuga, actúa también la fuerza de Coriolis.
¿De qué magnitudes depende el valor de la fuerza de Coriolis? Esto se puede calcular, pero los cálculos son demasiado complicados para exponerlos aquí. Por eso, describiremos solamente el resultado de los cálculos.
A diferencia de la fuerza centrífuga, cuyo valor depende de la distancia hasta el eje de rotación, la fuerza de Coriolis no depende de la posición del cuerpo. Su magnitud se determina por la velocidad del movimiento del cuerpo, y, además, no sólo por la magnitud de la velocidad, sino también por su dirección con relación al eje de rotación. Si el cuerpo se mueve a lo largo del eje de rotación, la fuerza de Coriolis es igual a cero. Cuanto mayor sea el ángulo formado por el vector de la velocidad y el eje de rotación, tanto mayor será la fuerza de Coriolis; ésta alcanza el valor máximo cuando el movimiento del cuerpo forma un ángulo recto con el eje.
Como ya sabemos, siempre se puede descomponer el vector de la velocidad en dos componentes y estudiar por separado los dos movimientos en que participa simultáneamente el cuerpo.
Si se descompone la velocidad del cuerpo en las componentes vll y vL., la primera de las cuales es paralela al eje de rotación, y la segunda, perpendicular a él, el primer movimiento no estará animado por la acción de la fuerza de Coriolis. El valor de la fuerza de Coriolis Fc se determina por la componente vL de la velocidad. Los cálculos proporcionen la fórmula:
Fc = 4πnvLm.
Aquí, m es la masa del cuerpo y n es el número de vueltas que efectúa el sistema giratorio durante una unidad de tiempo. Como se ve en la fórmula, la fuerza de Coriolis será tanto mayor, cuanto más ligera sea la rotación del sistema y cuanto más rápido sea el movimiento del cuerpo.Los cálculos determinan también la dirección de la fuerza de Coriolis. Esta fuerza siempre es perpendicular al eje de rotación y a la dirección del movimiento. Además, como ya se advirtió anteriormente, la fuerza está orientada hacia la derecha del movimiento en el sistema que gira en sentido contrario de las agujas de un reloj.
Muchos fenómenos que ocurren en la Tierra tienen su explicación en la acción de la fuerza de Coriolis. La Tierra es una esfera y no un disco; por eso, las manifestaciones de las fuerzas de Coriolis son más complicadas. Estas fuerzas se revelan en el movimiento a lo largo de la superficie terrestre, así como en la caída de los cuerpos a la Tierra.
¿Es exactamente vertical la caída de un cuerpo? No del todo. Solamente en el polo es exactamente vertical la caída de un cuerpo. La dirección del movimiento coincide, en este caso, con el eje de rotación de la Tierra, por eso no aparece la fuerza de Coriolis. Otra cosa es en el ecuador; aquí la dirección del movimiento forma un ángulo recto con el eje terrestre. Mirando desde el polo norte, vemos la rotación de la Tierra en dirección contraria a la de las agujas de un reloj. Por lo tanto, un cuerpo que cae libremente tiene que desviarse hacia la derecha del movimiento, o sea, hacia el este. La magnitud de la desviación oriental es máxima en el ecuador y, al aproximarse hacia los polos, va disminuyendo hasta cero.
Calculemos la magnitud de la desviación en el ecuador. Como el movimiento del cuerpo que cae libremente es uniformemente acelerado, la fuerza de Coriolis crece a medida que se acerca a la Tierra. Por eso, nos limitaremos a hacer un cálculo aproximado. Si, por ejemplo, el cuerpo cae de una altura de 80 m, la caída se prolongará cerca de 4 s (según la fórmula l = √(2h/g)) . La velocidad media de la caída será igual a 20 m/s.
En la fórmula de la aceleración de Coriolis, 4πnv, ponemos este valor de la velocidad. Después, reducimos a las revoluciones por segundo rps el valor de n = 1 vuelta en 24 horas. Como 24 horas equivale a 24.3600 segundos, se tiene que n es igual a 1/86.400, reducimos a las revoluciones rps y, por consiguiente, la aceleración creada por la fuerza de Coriolis es igual a π/1080 m/s2. El camino recorrido con esta aceleración durante 4 s es igual
(1/2) x (π/1080) x 42 = 2,3 cm
Esta es la magnitud de la desviación oriental en nuestro ejemplo. Si se tiene en cuenta que la caída no es uniforme, el cálculo exacto proporciona otro resultado: una cifra próxima, pero otra.Si en la caída libre, la desviación del cuerpo es máxima en el ecuador y es igual a cero en los polos, para el caso del movimiento sobre un plano horizontal, se observa un cuadro inverso en la desviación del cuerpo, debido a la acción de la fuerza de Coriolis.
Una pista horizontal en el polo norte o en el polo sur, no se diferencia nada del disco en rotación que consideramos al comenzar el estudio de la fuerza de Coriolis. Un cuerpo que se mueve por tal pista, se desviará hacia la derecha del movimiento en el polo norte, y hacia la izquierda en el polo sur, a causa de la fuerza de Coriolis. El lector puede calcular sin dificultad, valiéndose de la misma fórmula de la aceleración de Coriolis, que una bala que se ha disparado de un fusil con una velocidad inicial de 500 m/s, se desvía en el plano horizontal, durante un segundo (o sea, en el trayecto de 500 m), en un segmento de: 3,5 cm.
Pero ¿por qué la desviación en el plano horizontal, en el ecuador, tiene que ser igual a cero? Claro que, sin demostraciones rigurosas se comprende que así tiene que ser. El cuerpo se desvía en el polo norte hacia la derecha del movimiento, en el polo sur, hacia la izquierda; por consiguiente, en el medio entre los polos, es decir, en el ecuador, la desviación será igual a cero.
Recordemos el experimento con el péndulo de Foucault. Oscilando en el polo, el péndulo conserva el plano de sus ondulaciones. La Tierra, girando, se escapa del péndulo. Tal es lo explicación de un observador estelar sobre el experimento de Foucault. Pero, el observador que gira junto con el globo terrestre explicará este experimento atribuyéndolo a la fuerza de Coriolis. En efecto, la fuerza de Coriolis es perpendicular al eje terrestre y a la dirección del movimiento del péndulo; mejor dicho, la fuerza es perpendicular al plano de oscilación del péndulo y hace girar continuamente este plano. Se puede hacer de manera que el extremo del péndulo trace la trayectoria del movimiento. La trayectoria representa una «rosa», indicada en la fig. 2.15.

Figura 2.15
En las latitudes de Europa central, el efecto de Coriolis es un poco menor que en el ecuador. En el ejemplo que acabamos de examinar, una bala se desvía, no en 3,5 cm. sino en 2,5 cm. El péndulo de Foucault, durante un minuto, gira, aproximadamente 1/6 de grado.
¿Tienen que tener en cuenta los artilleros la fuerza de Coriolis? El cañón Berta, con el que los alemanes disparaban a París durante la primera guerra mundial, estaba situado a 110 km del objetivo. La desviación de Coriolis alcanzaba hasta 1600 m. Esta ya no es una magnitud pequeña.
Si un proyectil se lanza a gran distancia sin tener en cuenta la fuerza de Coriolis, éste se desviará considerablemente de su curso. Este efecto es grande, no porque la fuerza sea grande, (para un proyectil de 10 t, que lleva la velocidad de 1000 km/s, la fuerza de Coriolis es de cerca de 25 kgf), sino porque la fuerza actúa constantemente durante largo tiempo.

Figuras 2.16 y 2.17
¿Qué especialistas tienen que tener en cuenta el efecto de Coriolis, además de los aviadores y de los artilleros? Entre ellos forman parte los ferroviarios, aunque esto parezca extraño. En la vía férrea, a causa de la acción de la fuerza de Coriolis, un raíl se gasta por la parte interior bastante más que otro. Para nosotros está claro cuál de los dos: el raíl derecho (respecto al movimiento), en el hemisferio norte: el raíl izquierdo, en el hemisferio sur. Los ferroviarios de los países ecuatoriales no tienen preocupación alguna de esto.
El derrubio de la orilla derecha de los ríos en el hemisferio norte se explica del mismo modo que el desgaste de los raíles. En gran parte, la desviación del cauce se debe a la acción de la fuerza de Coriolis. Resulta que los ríos del hemisferio norte rehúyen los obstáculos por la parte derecha.
Es sabido que las corrientes de aire se dirigen a la zona de baja presión. Pero. ¿por qué tal viento se llama ciclón? La raíz de esta palabra indica un movimiento circular (cíclico). Precisamente, así es: en la zona de baja presión se crea un movimiento circular de las masas de aire (fig. 2.16). La causa estriba en la acción de la fuerza de Coriolis. En el hemisferio norte, todas las corrientes de aire que tienden a las zonas de baja presión se desvían hacia la derecha de su movimiento. Véase la fig. 2.17; en ella se ve que esto conduce a la desviación hacia el oeste de los vientos (alisios) que soplan en los dos hemisferios, de los trópicos hacia el ecuador. ¿Por qué una fuerza tan pequeña juega un papel tan grande en el movimiento de las masas de aire?
La explicación está en que las fuerzas de rozamiento son insignificantes. El aire se mueve con facilidad, y una fuerza, aunque sea pequeña, actuando constantemente, conduce a serios efectos.
Capítulo 3
Leyes de conservación
- Retroceso
- Ley de conservación del impulso
- Movimiento de propulsión a chorro
- Movimiento propulsado por la fuerza de gravedad
- Ley de conservación de la energía
- Trabajo
- ¿En qué unidades se miden el trabajo y la energía?
- Potencia y rendimiento de las máquinas
- Disminución de la energía
- Perpetuum mobile
- Choques
Incluso quien no estuvo en la guerra sabe que, al disparar, el cañón bruscamente desplaza hacia atrás. Al disparar con un fusil, éste retrocede sobre el hombro. Pero, sin recurrir a las armas de fuego, también se puede observar el efecto del retroceso. Echen agua en una probeta, ciérrenla con un corcho y cuélguenla sobre dos hilos en posición horizontal (fig. 3.1).
Acerquen ahora un mechero al cristal: el agua comenzará a hervir y dentro de unos dos minutos el corcho volará con estrépito hacia un lado, la probeta se desplazará en dirección contraria.
La fuerza que expulsó el corcho de la probeta, es la presión del vapor. La fuerza que desplazó la probeta, también es la presión del vapor. Ambos movimientos se crearon gracias a la acción de una misma fuerza. Lo mismo ocurre con el disparo, sólo que aquí actúa no el vapor, sino los gases de la pólvora.
El fenómeno del retroceso necesariamente se deduce de la regla de igualdad de la acción y reacción. Si el vapor actúa sobre el corcho, el corcho actúa sobre el vapor en dirección contraria y el vapor transmite esta reacción a la probeta.

Figura 3.1
a1 / a2 = m2/m1
La aceleración de la bala, y también del fusil, durante el retroceso, continúa mientras la bala se mueve por el cañón del fusil. Indiquemos este tiempo con la letra t. Dentro de este intervalo de tiempo, el movimiento acelerado se transforma en uniforme. Para mayor facilidad supondremos que la aceleración no se varía. Entonces, la velocidad con que sale la bala del cañón del fusil es: v1 = a1t, y la velocidad de retroceso, v2 = a2t. Como el tiempo de la acción de aceleración es el mismo, se tiene:
v1 / v2 = a1/a2
por consiguiente,v1 / v2 = m2/m1
Si recordamos el carácter vectorial de la velocidad, podemos escribir la última relación así: m1v1 = —m2v2; el signo menos señala que las velocidades v1 y v2 tienen direcciones opuestas.
Finalmente, escribamos de nuevo la igualdad; traslademos a un miembro de la igualdad los productos de las masas por las velocidades:
m1v1 + m2v2 = 0
2. Ley de conservación del impulsoEl producto de la masa de un cuerpo por su velocidad se llama impulso (otra denominación es, cantidad de movimiento). Como la velocidad es un vector, el impulso es una cantidad vectorial. Sin duda, la dirección del impulso coincide con la dirección de la velocidad del cuerpo.
Mediante esto nuevo concepto, la ley de Newton F = ma, se puede expresar de otro modo. Como
a = (v2 – v1)/t
se tiene,F = (mv2 —mv1)/t
O sea,Ft = mv2 —mv1
El producto de la fuerza por el tiempo de su acción es igual a la variación del impulso del cuerpo. Volvamos al fenómeno de retroceso.El resultado de la consideración del retroceso del cañón, se puede ahora formular más abreviadamente: la suma de los impulsos del cañón y del proyectil después del disparo, se mantiene igual a cero. Es evidente que igual a cero era también antes del disparo, cuando el cañón y el proyectil estaban en estado de reposo.
Las velocidades que toman parte en la ecuación
m1v1 + m2v2 = 0
son las velocidades inmediatas después del disparo. Durante el movimiento ulterior del proyectil y del cañón, comienzan a actuar sobre éstos la fuerza de gravedad, la resistencia del aire, y sobre el cañón, además, la fuerza de rozamiento sobre la tierra. Si el disparo se produjese en el vacío, con un cañón suspenso en el espacio, entonces, el movimiento con las velocidades v1 y v2 se prolongaría tanto cuanto se desease. El cañón se movería hacía un lado y el proyectil hacia el lado opuesto.Actualmente, en la artillería se utilizan, en gran escala, cañones situados en plataformas, que disparan en marcha. ¿Cómo hay que cambiar la ecuación deducida, para que se pueda emplear para el disparo de uno de estos cañones? Podemos escribir:
m1u1 + m2u2 = 0,
en donde u1 y u2 son las velocidades del proyectil y del cañón con respecto a la plataforma en movimiento. Si la velocidad de la plataforma es V, las velocidades del cañón y del proyectil, con respecto al observador en reposo, serán:v1 = u1 + V, y v2 = u2 + V
Sustituyendo los valores u1 y u2 en la última ecuación, obtenemos:(m1 + m2) V = m1v1 + m2v2
En el segundo miembro de esta igualdad figura la suma de los impulsos del proyectil y del cañón después del disparo. ¿Y, en el primer miembro? El cañón y el proyectil, que tienen una masa total de m1 + m2, se movían antes de disparar con una velocidad igual a V. Por consiguiente, en el primer miembro de la igualdad figura el impulso total del proyectil y del cañón, pero, antes del disparo.Hemos demostrado una ley muy importante de la naturaleza, llamada ley de conservación del impulso. Hemos demostrado esta ley para dos cuerpos, pero es fácil demostrar que este resultado subsiste también para un número cualquiera de cuerpos. ¿Cuál es el contenido de esta ley? Según ésta, la suma de los impulsos de unos cuantos cuerpos que se encuentran en acción mutua, no se altera como resultado de esta acción.
Está claro, que la ley de conservación del impulso será válida solamente cuando sobre el grupo de cuerpos considerados no actúan fuerzas exteriores. En física, tal grupo de cuerpos se llama cerrado.
Durante el disparo, el fusil y la bala se comportan como un grupo cerrado de dos cuerpos, a pesar de que sufren la acción de la fuerza de atracción terrestre. El peso de la bala es pequeño con respecto a la fuerza de los gases de la pólvora, y el efecto de repercusión ocurrirá según las mismas leyes, independientemente de donde se efectúe el disparo, en la Tierra o en un cohete que vuele por el espacio interplanetario.
La ley de conservación del impulso permite resolver con facilidad diversos problemas relacionados con el choque de los cuerpos. Probemos golpear con una bolita de barro a otra; éstas se pegan y continúan el movimiento juntas. Si se dispara con un fusil sobre una bola de madera, ésta echa a rodar junto con la bala que se quedó introducida en ella Una vagoneta quieta se pone en movimiento si un hombre salta corriendo sobre ella. Desde el punto de vista de la física, todos los ejemplos expuestos son muy parecidos. La regla que liga las velocidades de los cuerpos en los choques de este tipo, se obtiene inmediatamente de la ley de conservación del impulso.

Figura 3.2
Designando con V la velocidad de los cuerpos unidos, se tiene
m1v1 + m2v2 = (m1 + m2) V
de dondeV = (m1v1 + m2v2) / (m1 + m2)
Recordemos el carácter vectorial de la ley de conservación del impulso. Los impulsos mv que figuran en el numerador de la fórmula, se deben sumar como vectores.El choque «conjunto» al encontrarse los cuerpos que se mueven formando un ángulo entre sí, se muestra en la fig. 3.2. Para hallar la magnitud de la velocidad, hay que dividir la longitud de la diagonal del paralelogramo construido sobre los vectores de los impulsos de los cuerpos que chocan, por la suma de sus masas.
3. Movimiento de propulsión a chorro
El hombre se mueve empujándose de en tierra; la lancha navega porque los remeros se empujan del agua con los remos; la motonave también se empuja del agua, pero no con los remos, sino con la hélice. También se empuja de la tierra el tren que va por los raíles y el automóvil; recuerden lo difícil que lo es arrancar a un automóvil sobre el hielo.
Así pues, parece como si el empuje sobre el apoyo fuese la condición necesaria para el movimiento; hasta el avión se mueve empujándose del aire con la hélice.
Sin embargo, ¿es esto así? ¿Es que no existe algún artificio para poder moverse sin empujarse de nada? Si andamos en patines podemos convencernos nosotros mismos que tal movimiento es posible. Cojamos un palo pesado y parémonos sobre el hielo. Tiremos el palo hacia adelante: ¿qué ocurrirá? Pues, que patinaremos hacia atrás, a pesar de que no pensábamos empujarse del hielo con el pie.
El efecto de retroceso que acabamos de estudiar nos proporciona una llave para la realización del movimiento sin apoyo, del movimiento sin empuje. El retroceso ofrece la posibilidad de acelerar el movimiento en el vacío, en donde no hay absolutamente nada del que puede empujarse.
El retroceso producido por un chorro de vapor expulsado de un recipiente (reacción del churro), se utilizaba ya en la antigüedad para confeccionar juguetes curiosos. En la fig. 3.3 está representada una turbina de vapor antigua, inventada en el segundo siglo, antes de nuestra era. La caldera esférica se apoyaba en un eje vertical. El vapor, saliendo de la caldera por los tubos acodados, empujaba a estos tubos en dirección contraria y la esfera giraba.
En nuestros tiempos, la utilización del movimiento de reacción no se limita ya a crear juguetes o a recopilar observaciones interesantes, ha ido ya mucho más lejos A veces, llaman el siglo veinte, siglo de la energía atómica, pero, no con menos razón, se le puede llamar siglo del movimiento de propulsión a chorro (o de reacción), puesto que es difícil sobreestimar los grandes alcances a que conducirá el empleo de potentes motores a reacción. Esto, no sólo es una revolución en la construcción de aviones, es el comienzo de la vinculación del hombre con el Universo.

Figura 3.3<
El motor a reacción es una máquina de la que, con gran fuerza, se despiden los gases que se originan al quemarse el combustible. El cohete se mueve en dirección contraria a la del flujo del gas.
¿A qué es igual el empuje del chorro que lleva el cohete al espacio? Sabemos que la fuerza es igual a la variación del impulso en una unidad de tiempo. Según la ley de conservación, el impulso del cohete varía en la magnitud del impulso mv del gas despedido.
Esta ley de la naturaleza da la posibilidad de calcular, por ejemplo, la relación entre el empuje a reacción y el gasto necesario de combustible. Además, hay que determinar la magnitud de la velocidad de salida de los productos de combustión. Si, por ejemplo, cada segundo se despiden 10 toneladas de gas a la velocidad de 2000 m/s, el empuje a reacción será igual, aproximadamente, a 2 x 1012 dinas, o sea, en cifras redondas, a 2000 toneladas.
Determinemos la variación de la velocidad en un cohete que se mueve por el espacio interplanetario.
El impulso de la masa de gas ΔM, despedida con la velocidad u. es igual a u x ΔM. Con esto, el impulso del cohete de masa M crece en la magnitud M x ΔV. Según la ley de conservación, estas dos magnitudes son iguales entre sí:
u x ΔM – M x ΔV
o sea,ΔV = u (ΔM/M)
Sin embargo, si quisiéramos calcular la velocidad del cohete al despedir masas comparables con la masa del cohete, la fórmula deducida resultaría errónea. Es que, en ella, se supone que la masa del cohete es constante. No obstante, se mantiene inalterable el siguiente resultado importante: siendo iguales las variaciones relativas de la masa, la velocidad aumenta en una misma magnitud. El lector que conoce el cálculo integral, obtiene inmediatamente una fórmula exacta de siguiente forma:V = u ln (Mini/M) = 2,4 u lg (Mini/M)
Aplicando la regla de cálculo podemos determinar que, al disminuir la masa del cohete en dos veces, la velocidad alcanza 0,7u.Para que la velocidad del cohete llegue a 3u, hay que quemar una masa de substancia igual a m = (19/20) M.
Esto significa que, si queremos que la velocidad llegue a 3u, o sea, a 6 a 8 km/s, tenernos que conservar solamente 1/20 parte de la masa del cohete.
Para alcanzar la velocidad de 7u, la masa del cohete, durante el aceleramiento, tiene que disminuir en 1000 veces.
Estos cálculos muestran que no hay que apresurarse en aumentar la masa de combustible que se pueda llevar en el cohete. Cuanto más combustible se lleve, tanto más habrá que quemar. Con la velocidad dada de expulsión de los gases, es muy difícil conseguir un aumento de la velocidad del cohete.
Lo principal, para conseguir velocidades grandes de los cohetes, es el aumento de la velocidad de expulsión de los gases. En lo que a esto se refiere, en los cohetes tiene que jugar un papel decisivo el empleo de los motores que trabajan con un combustible nuevo, llamado nuclear. Empleando cohetes de etapas múltiples se obtienen ventajas en la velocidad, sin tener necesidad de aumentar la velocidad de despedida de los gases y consumiendo la misma masa de combustible. En el cohete de una etapa, la masa de combustible disminuye y los depósitos vacíos continúan en movimiento con el cohete. Para el aceleramiento de la masa de los depósitos inútiles de combustible se necesita una energía complementaria. Una vez consumido el combustible, es conveniente desprenderse de los depósitos. En los cohetes múltiples modernos, no sólo se abandonan los depósitos y las tuberías, sino también los motores de los cohetes usados.
Naturalmente que mejor sería despedir continuamente la masa innecesaria del cohete. Por ahora, no existe tal construcción. El peso inicial de un cohete de tres etapas, de una «altitud» igual a la de un cohete de una etapa, se puede hacer 6 veces menor. En este sentido el cohete «continuo» es más ventajoso en un 15%.
4. Movimiento propulsado por la fuerza de gravedad
Hagamos rodar una carretilla no muy grande por dos planos inclinados bien pulidos. Tomando una tabla mucho más corta que la otra, las colocamos sobre un mismo apoyo. Entonces, uno de los planos inclinados estará más empinado, el otro tendrá un pequeño declive. Las partes superiores de ambas tablas, que son los puntos de partida de la carretilla, estarán a la misma altura. ¿Qué les parece Vds., por qué plano obtendrá la carretilla mayor velocidad al rodar? Muchos creerán que por el plano más inclinado.
El experimento mostrará que éstos se equivocan, pues la carretilla alcanzará una velocidad igual. Mientras el cuerpo se mueve por el plano inclinado, sobre él actúa una fuerza constante, precisamente, la componente de la fuerza de gravedad que está dirigida a lo largo del movimiento (fig. 3.4.). La velocidad v que alcanza un cuerpo en el trayecto S, al moverse con la aceleración a, es, como sabemos, igual a
v = √(2aS).
¿De dónde se ve que esta magnitud no depende del ángulo de inclinación del plano?
Figura 3.4
h/ma = S/mg<
o seaaS = gh
Hemos demostrado que el producto aS y, por lo tanto, la velocidad final del cuerpo que ha rodado por el plano inclinado, no depende del ángulo de inclinación, sino que depende solamente de la altura de la que comenzó el movimiento hacia abajo. La velocidad v = √(2gh) es la misma para todos los planos inclinados, con la única condición de que el movimiento comience desde una misma altura h. Esta velocidad resulta sor igual a la velocidad de la calda libre desde la altura h.Midamos la velocidad del cuerpo en dos lugares del plano inclinado, en las alturas h1 y h2. Indiquemos con v1 la velocidad del cuerpo en el instante en que pasa por el primer punto y, con v2, la velocidad en el instante en que pasa por el segundo punto.
Si h es la altura desde la que comienza el movimiento, el cuadrado de la velocidad del cuerpo en el primer punto es v12 = 2g (h – h1) y, en el segundo punto, v22 = 2g (h – h1)
Restando la primera de la segunda, hallamos cómo están relacionadas las velocidades del cuerpo al comienzo y al fin de cualquier trozo del plano inclinado con las alturas de estos puntos:
v22 – v12 = 2g(h1 – h2)
La diferencia de cuadrados de las velocidades depende solamente de la diferencia de las alturas. Obsérvase que la igualdad obtenida vale lo mismo para los movimientos hacia arriba que para los movimientos hacia abajo. Si la primera altura es menor que la segunda (ascenso), la segunda velocidad es menor que la primera.Esta .fórmula puede ser escrita de siguiente manera:
v12/2 + gh1 = v22/2
lo que muestra que la suma de la mitad del cuadrado de la velocidad y de la altura multiplicada por g, es igual para cualquier punto del plano inclinado. Se puede decir, que la cantidad v2/2 + gh se conserva durante el movimiento.Lo más admirable es que la ley hallada se verifica para un movimiento sin rozamiento por cualquier montículo y, en general, por cualquier camino compuesto de ascensos y descensos, que se alternan con diversos declives. Esto es debido a que, cualquier camino se puede dividir en segmentos rectos. Cuanto menores se tomen los segmentos, tanto más cerca se aproximará la línea quebrada a la curva. Cada segmento de éstos se puede considerar como una parte de un plano inclinado y se le puede aplicar la regla obtenida.
Por lo tanto, la suma v2/2 + gh es igual en cualquier punto de la trayectoria y, por consiguiente, la variación del cuadrado de la velocidad rin depende de la forma y de la longitud del camino por el que se mueve el cuerpo, y se determina solamente por la diferencia de las alturas del punto inicial y del punto final del movimiento.
Al lector le puede parecer que nuestra conclusión no coincide con la experiencia cotidiana: en un camino largo y de poco declive, el cuerpo no aumenta su velocidad y, al fin y al cabo, se para. Esto es cierto, pero, es que en nuestros razonamientos no contábamos con la fuerza de rozamiento. La igualdad escrita anteriormente tiene valor para un movimiento en el campo de gravedad de la Tierra, propulsado sólo por la fuerza de gravedad. Si las fuerzas de rozamiento son pequeñas, la ley deducida se cumplirá bastante bien. Los trineos con patines metálicos se deslizan por los montes resbaladizos de hielo con muy poco rozamiento. Se pueden hacer caminos largos de hielo, que comiencen con un descenso muy empinado, en los que se alcanza una velocidad muy grande y que, después, extravagantemente serpenteen hacia arriba y hacia abajo. Si no hubiese roce en absoluto, en tales montes se efectuaría el fin del viaje (cuando el trineo se para por sí mismo) a una altura igual a la inicial. Pero, como no se puede evitar el rozamiento, el punto del comienzo del movimiento del trineo estará más alto que el lugar donde se para.
La ley, según la cual, en el movimiento propulsado por la fuerza de gravedad, la velocidad final no depende de la forma del camino, se puede emplear para la resolución de diversos problemas interesantes.
Muchas veces muestran en el circo como un número emocionante, «el rizo» vertical. Un ciclista o una carretilla con un acróbata se establecen en un andamio alto. Después de realizar una descensión acelerada viene una ascensión. Ya tenemos al acróbata con la cabeza hacia abajo, otro descenso más y ya está descrito el rizo. Veamos el problema que tiene que resolver el ingeniero del circo. ¿A qué altura hay que hacer el andamio, del que .se comienza el descenso, para que no se caiga el acróbata desde el punto superior del rizo? La condición es conocida: la fuerza centrífuga que aprisiona al acróbata hacia el andamio tiene que equilibrar a la fuerza de gravedad, que está dirigida en dirección contraria.

Figura 3.5
He aquí otro problema. Consideremos una cúpula, bien pulimentada, para que el rozamiento sea mínimo. Coloquemos sobre el vértice un objeto no muy grande y, dándole un pequeño golpe, hagámosle resbalar sobre la cúpula. Pronto o tarde, el objeto que resbala se desprenderá de la cúpula y comenzará a caer. Fácilmente podemos calcular cuándo se desprenderá el objeto de la superficie de la cúpula; en el instante del desprendimiento, la fuerza centrifuga tiene que ser igual a la componente del peso sobre la dirección del radio en esto instante, el cuerpo acabará de presionar sobre la cúpula: éste es, precisamente, el instante del desprendimiento). En la fig. 3.5 se observan dos triángulos semejantes; está representado el instante del desprendimiento. En el triángulo de las fuerzas, hallamos la razón del cateto a la hipotenusa y la igualamos a la razón correspondiente de los lados del otro triángulo:

5. Ley de conservación de la energía mecánica
En los ejemplos que acabamos de examinar, nos hemos convencido de que es conveniente conocer la cantidad que no varía (que conserva) su valor numérico durante el movimiento.
Por ahora, conocemos tal cantidad sólo para un cuerpo. ¿Y si en el campo de gravedad se mueven unos cuantos cuerpos ligados entre sí? Claro que no se debe creer que para cada uno de ellos se mantiene constante la expresión v2/2 + gh, puesto que cada uno de los cuerpos no sólo está propulsado por la fuerza de gravedad, sino también por los cuerpos contiguos. ¿Puedo ser que se conserve la suma de tales expresiones, tomada para todo el grupo de cuerpos a examinar?
Ahora demostraremos que no es válida esta suposición. Existe una cantidad que se conserva durante el movimiento de varios cuerpos, pero no es igual a la suma


De una polea están suspendidas dos cargas, una masa grande M y una masa pequeña m. La carga grande tira de la pequeña y este grupo de dos cuerpos se mueve con velocidad creciente.
La fuerza motriz es la diferencia en peso de estos cuerpos, Mg - mg. Como en el movimiento acelerado participa la masa de ambos cuerpos, la ley de Newton se escribirá, para esto caso, así:
(M — m)g = (M + m)a
Examinemos dos instantes del movimiento y demostremos que la suma de las expresiones v2/2+ gh, multiplicadas por las masas correspondientes, se mantiene, verdaderamente, constante. Así pues, se necesita demostrar la igualdad:
Como las cargas están ligadas mediante la cuerda, se tiene v1 = V1 y v2 = V2,
Aprovechando estas simplificaciones y trasladando al segundo miembro todos los términos que contienen alturas y, al primer miembro, los que contienen velocidades, obtenemos:

![]()
En páginas anteriores se vio que la diferencia de cuadrados de las velocidades v22 – v12, al comienzo y al fin del segmento S del trayecto recorrido con la aceleración a, es igual a
v22 – v12 = 2aS
Sustituyendo esta expresión en la última igualdad, hallamos:(m + M) a = (m – M) g.
Pero ésta es la fórmula de Newton, escrita anteriormente para nuestro ejemplo. De este modo, queda demostrado lo que se pedía: para dos cuerpos, la suma de expresiones v2/2 + gh, multiplicadas por las masas correspondientes[8], se mantiene constante durante el movimiento, o como suele decirse, se conserva, es decir,
v2/2 + gh = const.
La mitad del producto de la masa por el cuadrado de la velocidad se llama energía cinética K:2/2
El producto del peso del cuerpo por la altura se llama energía potencial U de gravitación del cuerpo respecto a la Tierra:U = mgh
Hemos demostrado, que durante el movimiento de un sistema de dos cuerpos (lo mismo se puede demostrar para un sistema que se compone de muchos cuerpos), la suma de las energías cinética y potencial de los cuerpos se mantiene constante.En otras palabras, un aumento de la energía cinética de un grupo de cuerpos se puede efectuar solamente a causa de una disminución de la energía potencial de este sistema, y recíprocamente.
La ley demostrada se llama ley de conservación de la energía mecánica.
La ley de conservación de la energía mecánica es una ley muy importante de la naturaleza. Todavía no hemos apreciado por completo su valor. Más adelante, cuando estudiemos el movimiento de las moléculas, se verá su universalidad, su aplicación a todos los fenómenos de la naturaleza.
6. Trabajo
Como resultado de empujar o de tirar de un cuerpo, sin encontrar ningún obstáculo, se obtiene la aceleración del mismo. El incremento producido de energía cinética se llama trabajo A de la fuerza:

Para mayor sencillez, nos limitaremos al caso cuando el movimiento es posible sólo en una dirección, es decir cuando empujamos o arrastramos una carretilla de masa m situada sobre raíles (fig. 3.6).

Figura 3.6
v22 – v12 = 2aS
Por eso, el trabajo de todas las fuerzas en el camino S, es:
A = flong S
El trabajo de la fuerza se mide por el producto del camino recorrido por la componente de la fuerza que va a lo largo de la dirección del camino.La fórmula del trabajo es justa para fuerzas de cualquier procedencia y para movimientos de cualesquiera trayectorias.
Señalemos que el trabajo puede ser igual a cero, a pesar de que sobre el cuerpo actúen fuerzas.
Por ejemplo, el trabajo de la fuerza de Coriolis es igual a cero. Es que esta fuerza es perpendicular a la dirección del movimiento. Como no tiene componente longitudinal, el trabajo es igual a cero.
No se necesita efectuar un trabajo para cualquier curvatura de la trayectoria que no vaya acompañada de una alteración de la velocidad, pues la energía cinética no varía.
¿Puede ser negativo el trabajo? Claro que sí, pues, si la fuerza forma un ángulo obtuso con la dirección del movimiento, ésta no ayuda, sino que obstaculiza el movimiento. La componente longitudinal de la fuerza sobre la dirección será negativa. En este caso, se dirá que la fuerza efectúa un trabajo negativo. La fuerza de rozamiento siempre retarda el movimiento, o sea, efectúa un trabajo negativo.
Por el incremento de la energía cinética se puede juzgar sobre el trabajo de la fuerza resultante.
El trabajo de cada una de las fuerzas se tiene que calcular como el producto
A = flong S
En el caso del movimiento uniforme de un automóvil por la carretera, no hay aumento de energía cinética y, por consiguiente, el trabajo de la fuerza resultante es igual a cero. Pero, sin duda, el trabajo del motor no es igual a cero, pues es igual al producto del empuje por el camino recorrido, y se compensa por completo con el trabajo negativo de las fuerzas de resistencia y de rozamiento.Valiéndose del concepto de «trabajo», se pueden describir más abreviadamente y con mayor claridad las propiedades tan interesantes de la fuerza de gravedad que acabamos de conocer. Si un cuerpo, propulsado por la fuerza de gravedad, se traslada de un sitio a otro, la energía cinética se cambia. Esta variación de la energía cinética es igual al trabajo A. Pero, por la ley de la conservación de la energía, ya sabemos que el aumento de la energía cinética se efectúa a cuenta de la disminución de la energía potencial.
De esta manera, el trabajo de la fuerza de gravedad es igual a la disminución de la energía potencial:
A = U1 –U2
Es evidente, que la disminución (o el aumento) de la energía potencial y. por consiguiente, el aumento (o la disminución) de la energía cinética, son los mismos, independientemente del camino por el que se mueva el cuerpo. Esto significa que el trabajo de la fuerza de gravedad no depende de la forma del camino. Si el cuerpo se ha trasladado del primer punto al segundo aumentando la energía cinética, éste se trasladará del segundo punto al primero disminuyendo la energía cinética en una misma cantidad, exactamente. Y, además, es indiferente si la forma del camino «de ida» coincide con la forma del camino «de regreso». Por lo tanto, los trabajos «de ida» y «de regreso», son iguales. Pero si el cuerpo hace un recorrido grande y si el fin del camino coincide con el comienzo, el trabajo será igual a cero.Figúrense que por un canal, de la forma más extravagante que se quiera, resbala sin rozamiento un cuerpo. Pongámoslo en camino desde el punto más alto. El cuerpo se deslizará hacia abajo tomando velocidad. A cuenta de la energía cinética obtenida, el cuerpo vencerá el ascenso y, por fin, volverá a la estación de partida. ¿Con qué velocidad? Es natural que con la misma que tenía al partir de la estación. La energía potencial volverá a tomar su valor anterior. Siendo esto así, la energía cinética no puede disminuir ni aumentar. Por eso, el trabajo es igual a cero.
El trabajo en un camino en forma de anillo (los físicos suelen decir, en un camino cerrado) no es igual a cero para todas las fuerzas. No hay necesidad de demostrar que el trabajo de las fuerzas de rozamiento siempre será tanto mayor, cuanto más largo sea el camino.
7. ¿En qué unidades se miden el trabajo y la energía?
Como el trabajo es igual a la variación de la energía, el trabajo y la energía (claro que tanto la potencial como la cinética) se miden en las mismas unidades. El trabajo es igual al producto de la fuerza por el camino. El trabajo de la fuerza de una dina en el camino de un centímetro se llama ergio:
1 ergio = 1 dina x cm
Este trabajo es muy pequeño. Tal trabajo lo puede realizar un mosquito venciendo la fuerza de gravedad al volar del dedo pulgar de la mano al dedo índice. El julio (joule es una unidad más grande de trabajo y energía. Este es 10 millones de veces mayor que el ergio:1 julio = 10 millones de ergios = 10.000.000 ergios
Con bastante frecuencia se emplea la unidad de trabajo de 1 kilográmetro (1 kgm es igual al trabajo realizado por una fuerza de 1 kgf en el camino de 1 m). Este trabajo realiza, aproximadamente, una pesa de un kilogramo al caer de la mesa al suelo.Como ya se sabe, la fuerza de 1 kgf es igual a 981 000 dinas, 1 m es igual a 100 cm. Por lo tanto, 1 kgm de trabajo es igual a 98 100 000 ergios, o sea, a 9,81 julios: Por el contrario, 1 julio es igual a 0,102 kgm.
El nuevo sistema de unidades (SI), del que ya se habló y del que todavía seguiremos hablando, utiliza el julio como unidad de trabajo y de energía, y determina a éste como el trabajo de la fuerza de 1 newton en el camino de 1 metro. Viendo la simplicidad con que se determina en este caso la fuerza, es fácil darse cuenta en qué consisten las ventajas del nuevo sistema de unidades.
8. Potencia y rendimiento de las máquinas
Para formar la idea sobre la capacidad de una máquina de realizar el trabajo, así como sobre el consumo de energía se utiliza el concepto de potencia. La potencia es el trabajo realizado por unidad de tiempo.
Existe gran cantidad de diferentes unidades de potencia. Al sistema C.G.S. le corresponde la unidad de potencia ergio por segundo (ergio/s). Pero 1 ergio/s es una potencia infinitamente pequeña, por cuya razón dicha unidad no es conveniente para la práctica. Incomparablemente más está difundida otra unidad de potencia que se obtiene dividiendo el julio por segundo. Esta unidad se denomina vatio (W):
1 W = 1 J/s = 107 ergios/s.
Cuando incluso esta unidad resulta ser pequeña se la multiplica por mil con lo que aparece el kilovatio (kW).La época anterior nos dejó en herencia la unidad de potencia llamada caballo de vapor. En otros tiempos, en los albores del desarrollo de la técnica esta denominación encerraba un profundo sentido. Una máquina cuya potencia es de 10 caballos de vapor sustituye diez caballos; así razonaba el comprador incluso en el caso de que no tenía noción sobre las unidades de potencia.
Por supuesto, hay caballos y caballos. El autor de la primera unidad de potencia suponía, a todas luces, que un caballo «medio» es capaz de realizar en un segundo 75 kgf x m de trabajo. Precisamente tal unidad está adoptada: 1 CV = 75 kgf x m/s.
Los caballos de tiro pesado son capaces de realizar mayor trabajo, especialmente en el momento de arranque. Sin embargo, la potencia de un caballo medio es más bien próxima a la mitad de caballo de vapor.
Al convertir los caballos de vapor a kilovatios, obtenemos: 1 CV = 0,735 kW[9].
En la vida cotidiana y en la técnica tenemos que ver con los motores de las más variadas potencias. La potencia del motor de un tocadiscos es de 10 W, la del automóvil «Volga» es de 100 CV, o sea, de 73 kW y la de los motores del avión de línea IL-18 es igual a 10 000 CV.
Una pequeña central eléctrica de un koljoz tiene la potencia de 100 kW. Y la Central Hidroeléctrica de Krasnoyarsk que, en este sentido, estableció un récord es de 5000000 kW de potencia.
Las unidades de potencia que hemos conocido nos sugieren otra unidad de energía de común conocimiento en todos los lugares donde se tienen instaladas los contadores de energía eléctrica: se trata, precisamente, del kilovatio-hora (kWh). 1 kWh es el trabajo realizado por la potencia de 1 kilovatio durante 1 hora. Es fácil convertir esta nueva unidad en otras ya conocidas:
1 kWh = 3,6 x 106 J = 367 000 kgf x m.
El lector puede preguntar: ¿acaso resultó necesaria una unidad de energía más? ¡Por si antes las teníamos pocas! Sin embargo, hay que tener presente que el concepto de energía penetra los distintos campos de la física, y los físicos, pensando en la conveniencia para una rama concreta, introducían cada vez nuevas unidades de energía. Una cosa análoga tenía lugar en lo que concernía a otras magnitudes físicas. Todo ello, al fin y al cabo, lleva a la conclusión de que es necesario introducir el sistema de unidades SI único para todos los apartados de la física (véase al inicio de este libro). Sin embargo, transcurrirá un buen lapso antes de que las unidades «viejas» cedan su puesto al elegido afortunado y ésta es la razón de que, por ahora, el kilovatio-hora no es todavía la última unidad de energía con la cual debemos trabar conocimiento en el curso del estudio de la física.Empleando diferentes máquinas se puede obligar a las fuentes de energía a realizar distintos trabajos: elevar cargas, poner en funcionamiento las máquinas-herramientas y transportar cargas y personas. Se puede calcular la cantidad de energía aportada a la máquina y el valor del trabajo obtenido de ésta. En todos los casos la cifra a la salida resultará menor que a la entrada, porque una parte de energía se pierde en la máquina.
La parte de energía utilizada en la máquina totalmente para los fines que necesitamos se denomina rendimiento de la máquina. Los valores del rendimiento se suelen expresar en tantos por ciento.
Si el rendimiento es igual a 90%, esto significa que la máquina pierde tan sólo un 10% de energía. El rendimiento igual a 10% señala que la máquina aprovecha únicamente un 10% de la energía suministrada a ésta.
Si la máquina transforma en trabajo la energía mecánica, su rendimiento, de principio, puede llevarse a valores muy grandes. En este caso el aumento del rendimiento se logra luchando contra la inevitable fricción. Mejorar el engrase, introducir cojinetes más perfectos, disminuir la resistencia por parte del medio en que transcurre el movimiento. Éstas son las medidas para hacer aproximarse el rendimiento a la unidad (o sea, al 100%).
Habitualmente, en el proceso de transformación de la energía mecánica en trabajo en calidad de etapa intermedia (como en las centrales hidroeléctricas) se utiliza la transmisión eléctrica.
Se sobreentiende que este procedimiento también está relacionado con pérdidas complementarias. Sin embargo, no son grandes, de modo que las pérdidas durante la transformación de la energía mecánica en trabajo, en el caso de hacer uso de la transmisión eléctrica, pueden reducirse a un pequeño porcentaje.
9. Disminución de la energía
Probablemente, el lector se habrá dado cuenta de que en las ilustraciones de la ley de conservación de la energía mecánica, repetíamos constantemente: «no habiendo rozamiento, si no hubiese rozamiento...». Sin embargo, el rozamiento inevitablemente acompaña a cualquier movimiento. ¿Qué valor tiene una ley que no tiene en cuenta una circunstancia práctica tan importante? La respuesta a esta pregunta la aplazamos; veamos ahora a qué conduce el rozamiento.
Las fuerzas de rozamiento tienen dirección contraria al movimiento y, por lo tanto, efectúan un trabajo negativo. Esto da lugar a una pérdida forzosa de energía mecánica.
¿Conducirá esta pérdida inevitable de energía mecánica a la interrupción del movimiento? Es fácil convencerse de que el rozamiento no puede detener cualquier movimiento.
Figuremos un sistema cerrado, compuesto de unos cuantos cuerpos en acción mutua. Como ya sabemos, respecto a tal sistema cerrado se verifica la ley de conservación del impulso. Un sistema cerrado no puede variar su impulso, por eso, su movimiento es rectilíneo y uniforme. El rozamiento dentro de tal sistema puede detener el movimiento relativo de las partes del sistema, pero, no influye en la velocidad y en la dirección de todo el sistema, entero.
Existe también una ley de la naturaleza, llamada ley de conservación del momento de rotación (que veremos más adelante), que no permite al rozamiento acabar con la rotación uniforme de todo el sistema cerrado.
Por lo tanto, en un sistema cerrado de cuerpos, la existencia de rozamiento conduce al cese de todos los movimientos y no representa un obstáculo solamente para el movimiento uniforme rectilíneo y para el movimiento uniforme de revolución de todo este sistema en su conjunto.
Y, la causa de que el globo terrestre altere un poco la velocidad de su rotación, no estriba en el rozamiento mutuo de los cuerpos terrestres, sino en que la Tierra no es un sistema aislado.
En lo que se refiere a los movimientos de los cuerpos en la Tierra, todos ellos están sometidos al rozamiento y pierden su energía mecánica. Por eso, el movimiento siempre cesa, si no se mantiene desde fuera.
Esta es una ley de la naturaleza. ¿Y si se consiguiese engañar a la naturaleza? Entonces... entonces, se podría realizar el perpetuum mobile, que significa «movimiento perpetuo».
10. Perpetuum mobile
Bertold, el héroe de la obra de Pushkin, «Escenas de los tiempos caballerescos», soñaba con la realización del perpetuum mobile. «¿Qué es el perpetuum mobile?», le preguntaban en una conversación. «Es el movimiento perpetuo, contestaba Bertold. Si yo hallase el movimiento perpetuo, no vería confín a la creación del hombre. Hacer oro, es un problema seductor, el descubrimiento puede ser curioso, lucrativo, pero, hallar la solución del perpetuum mobile...»
El perpetuum mobile ó móvil perpetuo es una máquina que trabaja, no sólo a pesar de la ley de la disminución de la energía mecánica, sino infringiendo la ley de la conservación de la energía mecánica, que, como ya sabernos, se verifica solamente en condiciones ideales, inexistentes, libres de rozamiento. El móvil perpetuo, una vez construido, tendría que comenzar a trabajar «por sí solo», por ejemplo, girar una rueda o levantar pesos de abajo a arriba. El trabajo tendría que realizarse eterna y continuamente, y el motor no tendría que necesitar ni combustible, ni la mano del hombre, ni la energía del salto del agua, es decir, nada tomado del exterior.
El primer documento fidedigno conocido hasta ahora sobre la «realización» de la idea del móvil perpetuo pertenece al siglo XIII. Es curioso que, después de seis siglos, en el año 1910, en una de las instituciones científicas de Moscú, fue sometido a «examen» un «proyecto» exactamente igual.

Figura 3.7

Figura 3.8
Ya antes de haberse establecido la ley de la conservación de la energía, la afirmación de la imposibilidad del perpetuum mobile la encontrarnos en la disposición oficial hecha por la Academia francesa en el año 1775, cuando ésta decidió no someter más, a examen y a prueba, ningún proyecto de móvil perpetuo.

Figuras 3.9 y 3.10
Actualmente, está claro que los inventores que procuran crear el móvil perpetuo, no sólo entran en contradicción con el experimento, sino que también cometen un error de lógica elemental. En efecto, la imposibilidad del perpetuum mobile, es una consecuencia de las leyes de la mecánica, de las que ellos mismos parten citando argumentaban su «invento».
Es posible que, a pesar de su esterilidad, la búsqueda del móvil perpetuo haya jugado algún papel útil, puesto que, al fin y al cabo, condujo al descubrimiento de la ley de conservación de la energía.
11. Choques
Cualquiera que sea el choque de dos cuerpos, siempre se conserva el impulso. En cuanto a la energía, ésta, como acabamos de ver, forzosamente disminuye, a causa de diversas clases de rozamientos.
Sin embargo, si los cuerpos que chocan son de un material elástico, por ejemplo, de marfil o de acero, la pérdida de energía es insignificante.
Tales choques, en los que las sumas de las energías cinéticas antes y después del choque son iguales, se llaman perfectamente elásticos.
Incluso cuando chocan los materiales más elásticos, se efectúa una pequeña pérdida de energía cinética; por ejemplo, en el caso de las bolas de marfil de un billar, ésta alcanza de 3 a 4%.
La conservación de la energía cinética en el choque elástico da la posibilidad de resolver una serie de problemas.
Examinemos, por ejemplo, el choque frontal de bolas de distinta masa. La ecuación del impulso tiene la forma (suponemos que la bola N° 2 estaba en reposo antes del choque)
m1v1 = m1u1 + m2u2
y la de la energía esm1v12/2 = m1u12/2 + m1u12/2
donde v1 es la velocidad de la primera bola antes del choque, y u1 y u2, las velocidades de las bolas después del choque.Como el movimiento se efectúa a lo largo de una línea recta (que pasa por los centros de las bolas; precisamente, esto significa que el choque es frontal), se han suprimido las flechas vectoriales sobre las letras.
De la primera ecuación, se tiene:
u2 = (m1/m2)(v1 – u1)
Sustituyendo esta expresión para u, en la ecuación de la energía, obtenemos:

m2v1 + m2u1 = m1v1 – m1u1
o sea(m1 – m2)v1 = (m1 + m2)u1
que da el siguiente valor para la velocidad de la primera bola después del choque:
Al jugar al billar, en el caso de un choque frontal exacto, frecuentemente se observa el cuadro siguiente: la bola chocante se para bruscamente, mientras que la bola chocada se dirige a la tronera. Esto se explica por la ecuación que acabamos de hallar. Las masas de las bolas son iguales, y la ecuación da u1 = 0, y, por consiguiente, u2 = v1. La bola chocante se para, mientras que la segunda bola comienza el movimiento con la velocidad de la chocante. Parece como si las bolas intercambiaran sus velocidades.

Figura 3.11
mv1 = mu1 + mu2
mv12/2 = mu12/2 + mu12/2
Simplificando por la masa, obtenemos:v1 = u1 + u2
v12/2 = u12/2 + u12/2
El vector v1 es la suma vectorial de u1 y u2. Pero esto significa que las longitudes de los vectores velocidades forman un triángulo.¿Qué triángulo es éste? Recordemos el teorema de Pitágoras. Nuestra segunda ecuación lo expresa. Esto significa, que el triángulo de las velocidades tiene que ser rectángulo con la hipotenusa v1 y con los catetos u1 y u2. Por consiguiente, u1 y u2 forman entre sí un ángulo recto. Este interesante resultado muestra que cualquiera que sea al choque elástico oblicuo, los cuerpos de igual masa rebotan formando un ángulo recto.Contenido:
- Equilibrio
- Oscilaciones simples
- Desarrollo de las oscilaciones
- Fuerza y la energía potencial en las oscilaciones
- Oscilaciones de resortes
- Oscilaciones más complicadas
- Resonancia
En algunos casos es muy difícil mantener el equilibrio: hagan la prueba de pasar por una cuerda tirante. Al mismo tiempo, nadie premiará con aplausos al que esté sentado en una mecedora. Pero, en realidad, éste también mantiene su equilibrio.
¿Qué diferencia hay entre estos dos ejemplos? ¿En qué caso el equilibrio se establece «por sí solo»?
Parece evidente la condición de equilibrio. Para que el cuerpo no se mueva de su sitio, las fuerzas que actúan sobre él tienen que estar en equilibrio; mejor dicho, la suma de estas fuerzas tiene que ser igual a cero. En realidad, esta condición es necesaria para el equilibrio del cuerpo; pero ¿será ésta suficiente?
En la fig. 4.1 está representado el perfil de una montaña, que fácilmente se puede construir con cartón. El comportamiento de la bolita es distinto, según el sitio en que la coloquemos en la montaña. En cualquier punto de la pendiente de la montaña, sobre la bolita actúa una fuerza que la obliga a rodar hacia abajo. Esta fuerza propulsora es la de gravedad, o mejor dicho, su proyección sobre la dirección de la tangente a la línea del perfil de la montaña, trazada en el punto que nos interesa. Por esto, se comprende, que cuanto más suave sea la pendiente, tanto menor será la fuerza que actúa sobre la bolita.
Ante todo, nos interesan aquellos puntos, en los que la fuerza de gravedad se equilibra por completo con la reacción del apoyo y, por consiguiente, la fuerza resultante que actúa sobre la bolita es igual a cero. Esta condición se verifica en los vértices de la montaña y en los puntos inferiores, en las depresiones. Las tangentes en estos puntos son horizontales, y las fuerzas resultantes que actúan sobre la bolita son iguales a cero.

Figura 4.1
Para una bolita lisa, colocada sobre una montaña resbaladiza, las únicas posiciones de equilibrio son los puntos inferiores de las depresiones. Si con un golpe o con una corriente de aire se expulsase a la bolita de esto lugar, ésta volvería por sí sola a esto sitio.
No hay duda que en una depresión, en un hoyo, en una hondura, el cuerpo está en equilibrio. Al desviarse de esta posición, el cuerpo es propulsado por una fuerza que le hace retornar. En las cumbres de la montaña, el cuadro es otro; si el cuerpo se ha apartado de esta posición, sobre él actúa la fuerza eque le aleja» y no la que le retorna. Por lo tanto, la igualdad a cero de la fuerza resultante es la condición necesaria, pero no suficiente, para el equilibrio estable.
El equilibrio de la bolita en la montaña se puede examinar también desde otro punto de vista. Los lugares de depresión corresponden a los mínimos de la energía potencial, y las cumbres, a los máximos. La ley de conservación de la energía impide la alteración de las posiciones, en las cuales la energía potencial es mínima. Tal alteración convertiría en negativa la energía cinética, lo cual es imposible. Otra cosa ocurre en los puntos vértices. La salida de estos puntos está ligada con la disminución de la energía potencial y, por lo tanto, con el aumento de la energía cinética y no con su disminución.
Así pues, en la posición de equilibrio, la energía potencial tiene que tener valor mínimo, en comparación con sus valores en los puntos vecinos.
Cuanto más hondo sea el hoyo, tanto más estabilidad habrá. Como ya conocemos la ley de conservación de la energía, inmediatamente podemos decir en qué condiciones saldrá rodando el cuerpo del hoyo. Para eso, hay que comunicar al cuerpo una energía cinética que sen suficiente para levantarlo hasta al borde del hoyo. Cuanto más profundo sea el hoyo, tanto más energía cinética se necesitará para infringir el equilibrio estable.2. Oscilaciones simples
Si se empuja una bolita situada en un hoyo, ésta comenzará a moverse por el montículo, perdiendo poco a poco su energía cinética. Cuando se pierda toda por completo, habrá una parada instantánea y comenzará el movimiento hacia abajo. Ahora, la energía potencial pasará a energía cinética. La bolita tomará velocidad, superará por inercia la posición de equilibrio y comenzará de nuevo el ascenso, pero, por el lado opuesto. Si el rozamiento es insignificante, este movimiento «de arriba, abajo» puede continuar mucho tiempo y, en el caso ideal, no habiendo rozamiento, es de eterna duración.
Por lo tanto, el movimiento alrededor de la posición de equilibrio estable, siempre es de carácter oscilante.
Para el estudio de las oscilaciones, quizás sea más útil el péndulo que la bolita que pasa rodando por el hoyo. Aunque sólo sea porque en el péndulo es más fácil reducir al mínimo el rozamiento.
Cuando, al desviarse el péndulo, el cuerpo del mismo ocupa la posición superior, su velocidad y su energía cinética son iguales a cero. En este instante, la energía potencial es máxima. Cuando el cuerpo va hacia abajo, la energía potencial disminuye y se transforma en cinética. Por consiguiente, la velocidad del movimiento crece. Cuando el cuerpo pasa por la posición inferior, su energía potencial es mínima y, respectivamente, su energía cinética y su velocidad son máximas. Durante el movimiento ulterior, el cuerpo de nuevo asciende. Ahora, la velocidad disminuye y la energía potencial aumenta.
Menospreciando las pérdidas en el rozamiento, el cuerpo se desvía hacia la derecha, a una distancia equivalente a su desviación inicial hacia la izquierda. La energía potencial se ha transformado en cinética y después se ha creado, en la misma cantidad, una «nueva» energía potencial. Hemos descrito la primera mitad de una oscilación. La segunda mitad se efectúa del mismo modo, pero el cuerpo se mueve hacia el lado opuesto.
El movimiento de oscilación es un movimiento de repetición o, como suele decirse, periódico. Volviendo al punto inicial, el cuerpo repite cada vez su movimiento (si no se tienen en cuenta las alteraciones que son debidas al rozamiento), tanto en lo que respecta al camino, como en lo que respecta a la velocidad y a la aceleración. El tiempo invertido en una oscilación, o sea, el que se necesita para volver al punto inicial, es el mismo para la primera, segunda y todas las oscilaciones ulteriores. Este tiempo, que representa una de las características más importantes de la oscilación, se llama período y se señala con la letra T. Después del tiempo T, el movimiento se repite, es decir, que después del tiempo T siempre hallaremos al cuerpo oscilando en el mismo lugar del espacio, moviéndose hacia el mismo lado. Después de medio período, el desplazamiento del cuerpo, así como la dirección del movimiento, cambia de signo. Como el período T es el tiempo de una oscilación, el número n de oscilaciones en una unidad de tiempo es igual a 1/T.
¿De qué depende el período de oscilación de un cuerpo que se mueve en las proximidades de la posición de equilibrio estable? Y, en particular, ¿de qué depende el período de oscilación del péndulo? El primero que planteó y resolvió este problema fue Galileo. Ahora deduciremos la fórmula de Galileo.

Figura 4.2
En la fig. 4.2 está representado este «péndulo circular». El cuerpo de masa m se mueve sobre una circunferencia. Por consiguiente, además de la fuerza de gravedad mg, sobre éste actúa la fuerza centrífuga mv2/r, que se puede representar en la forma 4π2n2rm. Aquí, n es el número de vueltas por segundo. Por eso, la expresión de la fuerza centrífuga se puede escribir también así:
m x 4π2r/T2
La resultante de estas dos fuerzas estira al hilo del péndulo.En la figura están rayados dos triángulos semejantes: el de las fuerzas y el de las distancias. Las razones de los catetos correspondientes son iguales, por lo tanto,

Resulta interesante la siguiente circunstancia. Estamos estudiando el movimiento en las proximidades de la posición de equilibrio estable. Para pequeñas oscilaciones, la diferencia h de alturas se puede sustituir por la longitud l del péndulo. Es fácil comprobar esto. Si la longitud del péndulo es 1 m, y el radio de desviación es 1 cm, se tiene:
h =√(10000 – 1) = 99,995 cm.
La diferencia entre h y l alcanza 1% sólo para elongaciones de 14 cm. Por lo tanto, el período de las oscilaciones libres del péndulo, para elongaciones no muy grandes de la posición de equilibrio, es igual a
La fórmula

La aplicación de las oscilaciones pequeñas alrededor de la posición de equilibrio, da la posibilidad de realizar la medida del tiempo con gran exactitud.
Según la leyenda, Galileo estableció la independencia del período de oscilación del péndulo, de la amplitud y de la masa, observando durante la misa en la catedral el balanceo de dos grandísimas arañas. Así pues, el período de oscilación del péndulo es proporcional a la raíz cuadrada de su longitud. De este modo, el período de oscilación de un péndulo de un metro, es dos veces mayor que el período de oscilación de un péndulo de 25 cm de longitud. Luego, de la fórmula para el período de oscilación del péndulo, se deduce que un mismo péndulo oscila con distinta ligereza en diversas latitudes terrestres. A medida que nos acercamos al ecuador, la aceleración de la fuerza de gravedad disminuye y el periodo de oscilación aumenta.
El período de oscilación se puede medir con gran exactitud. Por eso, los experimentos con péndulos dan la posibilidad de medir la aceleración de la fuerza de gravedad con mucha precisión.3. Desarrollo de las oscilaciones
Unamos la mina de un lápiz suave a la parte inferior del grave de un péndulo y colguemos el péndulo encima de una hoja de papel, de modo que la mina del lápiz esté en contacto con el papel (fig. 4.3).

Figura 4.3
Do esto modo, resulta, como si hubiéramos «desarrollado» las oscilaciones.
El desarrollo se necesita para señalar, dónde estaba y hacia adónde se movía el grave del péndulo en tal o cual instante. Figúrense que el papel se mueve con una velocidad de 1 cm/s desde el instante en que el péndulo se encontraba en una posición extrema, por ejemplo, a la izquierda del punto medio. En nuestra figura, esta posición inicial corresponde al punto marcado con la cifra 1. Después de 1/4 de período, el péndulo pasará por el punto medio. En este tiempo, el papel avanzará en un número de centímetros, igual a (1/4)T, hasta el punto 2 de la figura. Ahora, el péndulo se moverá hacia la derecha; a la vez, irá corriéndose el papel. Cuando el péndulo ocupe la posición extrema derecha, el papel habrá avanzado en un número de centímetros igual a (1/2)T, hasta el punto 3 de la figura. De nuevo irá ol péndulo hacia el punto medio y después de (¾)T llegará a la posición de equilibrio, al punto 4 de la figura. El punto 5 da fin a una oscilación completa y, después, el proceso se repetirá cada T segundos o, en el dibujo, cada T centímetros.
Por consiguiente, la línea vertical de la gráfica es la escala de las elongaciones del punto de la posición de equilibrio; la línea media horizontal es la escala del tiempo.
En esta gráfica se hallan fácilmente dos magnitudes que caracterizan por completo la oscilación. El período se determina como la distancia entre dos puntos equivalentes, por ejemplo, entre dos vértices próximos. También se mide inmediatamente la elongación máxima del punto de la posición de equilibrio. Esta elongación se llama amplitud de la oscilación.
Además, el desarrollo de la oscilación nos da la posibilidad de contestar a la pregunta que anteriormente se hizo: ¿dónde está el punto oscilante, en tal o cual instante? Por ejemplo, ¿dónde estará el punto oscilante después de 11 s, si el período de oscilación es igual a 3 s y el movimiento comenzó en la posición extrema de la izquierda? Cada 3 s, la oscilación comienza desde el mismo punto. Esto significa que cada 9 s, el cuerpo también estará en la posición extrema de la izquierda.
Por lo tanto no hay necesidad de la gráfica, en la que la curva esté extendida en unos cuantos períodos: es suficiente un dibujo en el que esté representada la curva correspondiente a una oscilación. La situación del punto oscilante cada 11 s, siendo el período de 3 s, será igual que cada 2 s. Marcando 2 cm en el dibujo (pues, habíamos acordado que la velocidad con la que tirábamos del papel era igual a 1 cm/s, o mejor dicho, que la unidad en el dibujo, que es igual a 1 cm, equivale a 1 s), vemos que después de 11 s, el punto está en el camino que va de la posición extrema derecha a la posición de equilibrio. La magnitud de la elongación en este instante se halla por el dibujo.
Para hallar la magnitud de la elongación del punto que efectúa oscilaciones pequeñas alrededor de la posición de equilibrio, no es necesario recurrir a la gráfica. La teoría enseña que, en este caso, la curva de la dependencia de la elongación del tiempo, representa una sinusoide. Si la elongación del punto la señalamos con y, la amplitud con a, el período de oscilación con T, entonces, el valor de la elongación durante el tiempo t, después del comienzo de la oscilación, se halla por la fórmula:
y = a sen 2π t/T
La oscilación que se efectúa según esta ley se llama armónica. El argumento del seno es igual al producto de 2π por t/T. La magnitud 2πt/T; se llama fase.Teniendo a mano unas tablas trigonométricas y conociendo el período y la amplitud, es fácil calcular la magnitud de la elongación del punto y, según sea el valor de la fase, se puede averiguar hacia qué lado se mueve el mismo.
No es difícil deducir la fórmula del movimiento oscilatorio, examinando el movimiento de la sombra arrojada sobre la pared por un grave que se mueve sobre una circunferencia (fig. 4.4).

Figura 4.4
Si el cuerpo, desde la posición media, ha recorrido sobre la circunferencia un ángulo φ, su sombra se habrá alejado del punto medio ori la magnitud a sen φ.
Supongamos que el período del movimiento del cuerpo (que naturalmente, es también el período de oscilación de la sombra) es igual a T; esto significa que durante el tiempo T, el cuerpo recorre 2π radianes. Se puede escribir la proporción
φ/t = 2π/T
en donde t es el tiempo de rotación en el ángulo φ.Por consiguiente,
φ = 2πT/t
y, por lo tanto, y = a sen 2πT/t. Esto es lo que queríamos demostrar.La velocidad del punto oscilante también varía según la ley del seno. A esta conclusión nos lleva el mismo razonamiento sobro el movimiento de la sombra del cuerpo que describe una circunferencia. La velocidad de este cuerpo es un vector de longitud constante v0. El vector de la velocidad gira junto con el cuerpo. Figurémonos el vector de la velocidad como una flecha material que es capaz de dar sombra. En las posiciones extremas del cuerpo, el vector se sitúa a lo largo del rayo de luz y no da sombra. Cuando el grave, desde la posición extrema, recorre por la circunferencia un ángulo Θ, el vector de la velocidad gira en el mismo ángulo y su proyección se hace igual a v0 sen Θ. Pero, por las mismas razones anteriores
Θ/t =2π/T
y, por lo tanto, el valor de la velocidad instantánea del cuerpo oscilante es:![]()
Entre la amplitud de la velocidad de oscilación v0 (a veces dicen, valor de amplitud de la velocidad) y la amplitud de la elongación existe una relación simple: el cuerpo describe una circunferencia de longitud 2πa durante, un tiempo igual al período T de oscilación. Por lo tanto

En cualquier oscilación en torno de la posición de equilibrio, sobre el cuerpo obra una fuerza (llamada fuerza recuperadora) que «intenta» volver el cuerpo a la posición de equilibrio. Cuando el punto se aleja de la posición de equilibrio, la fuerza retarda el movimiento; cuando el punto se acerca a esta posición, la fuerza acelera el movimiento.
Examinemos esta fuerza en el ejemplo del péndulo (fig. 4.5). Sobre el cuerpo del péndulo actúa la fuerza de gravedad y la tensión del hilo.

Figura 4.5
Designemos con x la magnitud de la elongación del grave. El desplazamiento se efectúa según el arco, pero hemos convenido estudiar las oscilaciones en las proximidades de la posición de equilibrio. Por eso, no hacemos distinción entre la magnitud de elongación según el arco y la desviación del cuerpo de la vertical. Examinemos dos triángulos semejantes. La razón de los catetos correspondientes es igual a la razón de las hipotenusas, es decir,
F/x = mg/l
oF = mg x /l

Isaac Newton (1643-1727), genial físico y matemático inglés, uno de los más célebres sabios en la historia de la humanidad. Newton formuló los principales conceptos y leyes de la mecánica, descubrió la ley de la gravitación universal, creando por lo tanto el cuadro físico del mundo que se mantuvo intacto basta comienzos del siglo XX. Creó la teoría del movimiento de los cuerpos celestes; explicó las principales particularidades del movimiento de la Luna; dio explicación a las mareas. En la óptica, a Newton se deben los admirables descubrimientos que facilitaron el desarrollo impetuoso de esta rama de la física. Estableció un auténtico método matemático de investigación de la naturaleza; a él le pertenece el honor de la creación del cálculo diferencial e integral. Esto influenció enormemente en todo el desarrollo ulterior de la física, facilitando la aplicación de los métodos matemáticos en ella.
El péndulo es el ejemplo más simple de oscilación de un cuerpo. Sin embargo, estamos interesados en que las fórmulas y leyes que hallamos se puedan aplicar a cualesquiera oscilaciones.
El periodo de oscilación del péndulo se expresó mediante su longitud. Tal fórmula es válida sólo para el péndulo. Pero podemos expresar el periodo de las oscilaciones libres mediante la constante k de la fuerza recuperadora. Como k = mg/l, se tiene que l/g = m/k y por consiguiente,

Expresemos ahora la energía potencial del péndulo mediante la elongación de la posición de equilibrio x. Cuando el grave pasa por el punto inferior, se puede considerar que la energía potencial es igual a cero, y la medida de la altura se debe efectuar desde este punto. Designando con la letra h la diferencia de alturas del punto de suspensión y de la posición del grave desviado, la expresión de la energía potencial toma la forma: U = mg (l - h), o bien, aplicando la fórmula de la diferencia de cuadrados,

U = (mg/2l)x2
oU= kx2/2
La energía potencial del cuerpo oscilante es proporcional al cuadrado de la elongación del cuerpo de la posición de equilibrio.Comprobemos la validez de la fórmula deducida. La pérdida de la energía potencial tiene que ser igual al trabajo de la fuerza recuperadora. Veamos dos posiciones del cuerpo, x2 y x1. La diferencia de las energías potenciales será

![]()
Nuestra fórmula nos ha conducido a un resultado justo: la pérdida de la energía potencial es igual al trabajo realizado.
5. Oscilaciones de resortes
Es fácil hacer oscilar a una bolita suspendiéndola de un resorte. Sujetemos un extremo del resorte y estiremos de la bolita (fig. 4.6). Mientras tiramos de la bolita con la mano, el resorte se mantiene estirado. Si soltamos la mano, el resorte se encoge y la bolita comienza su movimiento hacia la posición de equilibrio. Lo mismo que el péndulo, el resorte no vuelve inmediatamente al estado de reposo. En virtud de la inercia, pasará por la posición de equilibrio y empezará a encogerse.

Figura 4.6
Si no hubiese rozamiento, las oscilaciones no tendrían fin. Habiendo rozamiento, las oscilaciones se amortiguan y, además, tanto más rápidamente, cuanto mayor sea el rozamiento.
Frecuentemente, los papeles del resorte y del péndulo son análogos. Tanto uno como otro sirven para mantener constante el período en los relojes. La exactitud de los relojes de muelle contemporáneos queda garantizada por el movimiento oscilatorio de una pequeña rueda (el volante).
Las oscilaciones son debidas a un muelle que se enrolla y se desenrolla decenas de miles de veces al día.
En el caso de la bolita en el hilo, la componente tangencial de la fuerza de gravedad desempeñaba el papel de fuerza recuperadora. En el caso de la bolita en el resorte, la fuerza recuperadora es la fuerza elástica del resorte encogido o estirado. Por lo tanto, la magnitud de la fuerza elástica es directamente proporcional al alargamiento:
F=kx.
En este caso, el coeficiente k tiene otro significado. Ahora es la rigidez del resorte. Resorte rígido es aquel que es difícil estirar o encoger. Precisamente este significado tiene el coeficiente k. De la fórmula, queda claro, que k es igual a la fuerza que se necesita para alargar o encoger el resorte en una unidad de longitud.Conociendo la rigidez del resorte y la masa de la carga suspendida en él, hallamos el período de las oscilaciones libres mediante la fórmula

Cuanto más débil sea el resorte tanto más lentamente se efectuarán las oscilaciones. El aumento de la masa de la carga influye en el mismo sentido.
Apliquemos la ley de conservación de la energía a la bolita en el resorte.
Sabemos que, para el péndulo, la suma de la energía cinética y potencial K + U no varía: K + U se conserva.
Ya conocemos los valores de K y de U para el péndulo. La ley de conservación de la energía nos enseña que,

Pero esto mismo es cierto también para la bolita en el resorte.
La conclusión que forzosamente tenemos que hacer es sumamente interesante.
Además de la energía potencial que conocimos anteriormente, existe también una energía potencial de otro género. La primera, se llama energía potencial de gravitación. Si el resorte estuviese colocado horizontalmente, la energía potencial de gravitación no variaría durante las oscilaciones. La nueva energía potencial con que nos hemos encontrado, se llama energía potencial elástica. En nuestro caso, ésta es igual a kx2/2, es decir, depende de la rigidez del resorte y es directamente proporcional al cuadrado de la magnitud de compresión o alargamiento.
La energía total que se conserva inalterable se puedo escribir en la forma: E = ka2/2, o bien, E = mv02/2
Las magnitudes a y v0 que figuran en las últimas fórmulas, representan los valores máximos del desplazamiento y de la velocidad durante las oscilaciones; éstas son las amplitudes del desplazamiento y de la velocidad. El origen de estas fórmulas es completamente claro. En la posición extrema, cuando x = a, la energía cinética de la oscilación es igual a cero y la energía total es igual al valor de la energía potencial. En la posición media, el desplazamiento del punto de la posición de equilibrio y, por consiguiente, la energía potencial, son iguales a cero; en este instante, la velocidad es máxima, v = v0, y la energía total es igual a la cinética.
La ciencia de las oscilaciones es una sección muy amplia de la física. Con bastante frecuencia nos encontramos con péndulos y resortes. Pero, por supuesto, con esto no acaba la lista de los cuerpos en los que se deben estudiar las oscilaciones. Vibran los cimientos en los que están colocadas las máquinas, pueden vibrar los puentes, partes de los edificios, vigas, cables de alta tensión. El sonido en una oscilación del aire.
Hemos expuesto unos ejemplos de oscilaciones mecánicas. Sin embargo, el concepto de oscilación, no sólo se puede referir a los desplazamientos mecánicos de los cuerpos o de las partículas de la posición de equilibrio. En muchos fenómenos eléctricos, también nos encontramos con oscilaciones y, además, estas oscilaciones se efectúan según unas leyes muy parecidas a las que estudiamos anteriormente. La ciencia de las oscilaciones penetra en todas las ramas de la física.
6. Oscilaciones más complicadas
Todo lo que se dijo hasta ahora se refería a las oscilaciones en las proximidades de la posición de equilibrio, que tienen lugar a causa de la acción de la fuerza recuperadora, cuya magnitud es directamente proporcional a la elongación del punto de la posición de equilibrio. Tales oscilaciones se efectúan según la ley del seno. Estas se llaman armónicas. El período de las oscilaciones armónicas no depende de la amplitud.
Más complicadas son las oscilaciones de gran elongación. Estas oscilaciones ya no tienen lugar según la ley del seno y su desarrollo proporciona curvas más complicadas, diferentes para diversos sistemas de oscilación. El período deja de ser una propiedad característica de la oscilación y comienza a depender de la amplitud.
El rozamiento altera substancialmente cualesquiera oscilaciones. Habiendo rozamiento, las oscilaciones se amortiguan lentamente. Cuanto mayor sea el rozamiento tanto más rápido será el amortiguamiento. Hagan la prueba de hacer oscilar un péndulo sumergido en el agua. Es casi inútil conseguir que este péndulo efectúe más de una o dos oscilaciones. Si sumergimos el péndulo en un medio más viscoso, puede ocurrir que no baya oscilación alguna. El péndulo desviado volverá, simplemente, a la posición de equilibrio.

Figura 4.7
En la fig. 4.7 se muestra la gráfica típica de las oscilaciones amortiguadas. En la vertical se ha marcado la elongación de la posición de equilibrio y, en, la horizontal, el tiempo. La amplitud (elongación máxima) de la oscilación amortiguada disminuye en cada oscilación.
7. ResonanciaA un niño le han sentado en un columpio. El niño no llega con los pies al suelo. Claro que para columpiarle, se puedo levantar más alto el columpio y, después, soltarlo. Pero esto es bastante pesado y, además, no hay necesidad de ello: es suficiente empujar suavemente el columpio al compás de las oscilaciones para que después de poco tiempo el balanceo sea muy intenso.
Para hacer balancear un cuerpo hay que obrar al compás de las oscilaciones. Mejor dicho, hay que hacer de tal manera, que los empujes se produzcan con el mismo período que las oscilaciones libres del cuerpo. En casos semejantes se dice que hay resonancia.
El fenómeno de la resonancia está muy difundido en la naturaleza y en la técnica y merece especial atención.
Para observar un fenómeno de resonancia muy original y entretenido, se tiende un hilo horizontal y se suspenden de él tres péndulos (fig. 4.8): dos cortos, de igual longitud, y uno más largo. Desviando ahora uno de los péndulos cortos y soltándolo, después de unos segundos se observa cómo empieza lentamente a oscilar también el otro péndulo de igual longitud. Unos segundos más, y el segundo péndulo corto se balancea de tal modo, que ya no se puede saber cuál de los dos comenzó primero el movimiento.
¿A qué es debido esto? Los péndulos de igual longitud tienen iguales períodos de oscilación libro. El primer péndulo origina oscilaciones del segundo. Las oscilaciones se transmiten de uno a otro mediante el hilo que les une. Sí, pero en el hilo está suspendido otro péndulo de diferente longitud. Y, ¿qué ocurrirá con él? Con éste no ocurrirá nada. El período de este péndulo es otro y el péndulo pequeño no conseguirá hacerle oscilar. El tercer péndulo presencia un fenómeno interesante de «transmisión» de energía de uno de los péndulos al otro sin tomar parte él mismo.
A menudo, cada uno de nosotros nos encontramos con el fenómeno de resonancia mecánica. Aunque es probable que no nos hayamos dado cuenta, sin embargo, a veces, le resonancia suele ser muy enojosa.

Figura 4.8
El tranvía ha pasado cerca de nuestras ventanas, y en el aparador suena la vajilla. ¿Qué ha ocurrido? Las vibraciones del terreno se han transmitido al edificio y, junto con él al suelo de nuestra habitación, llegando a vibrar el aparador y con él la vajilla. ¡Tan lejos, y a través de cuántos objetos se han difundido las oscilaciones! Esto ocurrió gracias a la resonancia. Las oscilaciones exteriores se pusieron en resonancia con las oscilaciones libres de los cuerpos. Casi cada rechinamiento que oímos en la habitación, en la fábrica, en el automóvil, se produce a causa de la resonancia.
El fenómeno de la resonancia, como otros muchos fenómenos, puede ser útil y perjudicial.
Las partes móviles de una máquina situada sobre los cimientos están en marcha rítmica con un período determinado. Supóngase que este período coincide con el período propio de los cimientos.
¿Qué resultará? Pues que éstos empezarán a vibrar con rapidez, lo que puede conducir a un fin lamentable.
Es conocido el caso siguiente: por un puente de Petersburgo iba marcando el paso una compañía de soldados. El puente se derrumbó. Se empezaron a hacer investigaciones sobre la causa; parecía que no había razones para preocuparse por la suerte del puente y de la gente. ¡Cuántas veces se reunía en el puente una multitud de gente y pasaban lentamente pesados furgones que sobrepasaban unas cuantas veces el peso de dicha compañía.
La combadura del puente debida a la acción de la gravedad es insignificante. Sin embargo, se puede conseguir una combadura incomparablemente mayor haciendo vibrar el puente. La amplitud de la resonancia de las oscilaciones puede ser mil veces mayor que la magnitud de la elongación bajo la acción de la misma carga inmóvil.
Precisamente esto demostró la investigación: el período propio de las vibraciones del puente coincidió con el período de los pasos ordinarios de la marcha.
Por esto, cuando una unidad militar pasa por un puente, se da la orden de romper filas. Si no hay concordancia en el movimiento de la gente, el fenómeno de resonancia no aparecerá y el puente no vibrará. De todos modos, los ingenieros recuerdan bien este caso lamentable. Y, ahora, al proyectar puentes, procuran hacerlo de modo que el período de las vibraciones libres del puente sea muy distinto del período del paso militar de parada.
Los constructores de los cimientos de las máquinas obran del mismo modo: procuran hacer los cimientos de modo que su período de vibración se diferencie lo más posible del de vibración de las partes móviles de la máquina.
Capítulo 5
Movimiento de sólidos
- Momento de la fuerza
- La palanca
- Pérdida en el camino
- Otras máquinas simples
- Cómo sumar fuerzas paralelas que actúan sobre un sólido<
- Centro de inercia
- Momento de impulso
- Ley de conservación del momento de impulso
- Momento de impulso como vector
- Peonza
- Árbol flexible
Hagamos la prueba de hacer girar con la mano un volante pesado. Tiremos de uno de los radios. Si lo cogemos con la mano muy cerca del eje, nos será muy pesado. Traslademos la mano hacia la llanta y nos será más fácil. ¿Qué es lo que ha cambiado? La fuerza en ambos casos es la misma. Lo que ha cambiado es el punto de aplicación de la fuerza.
En todo lo que hemos visto anteriormente no se ha planteado la cuestión sobre el lugar del punto de aplicación de la fuerza, puesto que en los problemas considerados no jugaban ningún papel, ni la forma, ni las dimensiones del cuerpo. En realidad, sustituíamos mentalmente el cuerpo por un punto.
El ejemplo de la rotación del volante muestra que, cuando se trata de la rotación o del giro de un cuerpo, el problema sobro el punto de aplicación de la fuerza está muy lejos de ser vano.
Para comprender el papel del punto de aplicación de la fuerza, calculemos el trabajo que hay que realizar para hacer girar el cuerpo en un ángulo determinado. Claro que, en este cálculo, se supone que las partículas de un sólido están rígidamente unidas entre sí (dejamos a un lado, por ahora, la capacidad del cuerpo de torcerse, de comprimirse, y, en general, de cambiar su forma). Por lo tanto, la fuerza aplicada a un punto del cuerpo, comunica una energía cinética a todas sus partes.
Al calcular este trabajo, se ve con claridad el papel que desempeña el punto de aplicación de la fuerza.

Figuras 5.1 y 5.2
Proyectando la fuerza sobre la dirección del movimiento, o sea, sobre la tangente a la circunferencia, por la que se mueve el punto de aplicación, escribimos la expresión conocida del trabajo A:
A =Flong S
Pero, el arco S, se puede representar así:S = r φ
en donde r es la distancia del eje de rotación hasta el punto de aplicación de la fuerza. Así,A =Flong r φ
Girando el cuerpo de diversos modos en un mismo ángulo, podemos realizar diferente trabajo en función de donde esté aplicada la fuerza.Si se ha dado el ángulo, el trabajo se determina por el producto Flong r. Tal producto se llama momento de la fuerza:
M = Flong r
A la fórmula del momento de la fuerza se le puede dar otra forma. Sea O el eje de rotación y B el punto de aplicación de la fuerza (fig. 5.2). Con la letra d se designa la longitud de la perpendicular bajada desde el punto O a la dirección de la fuerza. Los dos triángulos construidos en el dibujo, son semejantes. Por eso,F / Flong = r/d
oFlong r = F d
La magnitud d se llama brazo de la fuerza.La nueva fórmula M = Fd se lee así: el momento de una fuerza es igual al producto de la fuerza por su brazo.
Si el punto de aplicación de la fuerza se desplaza a lo largo de la dirección de la fuerza, el brazo d, y junto con éste, el momento de la fuerza M, no se altera. Por tanto, es indiferente en qué sitio de la línea de la fuerza esté el punto de aplicación.
Mediante este nuevo concepto se escribe más abreviadamente la fórmula del trabajo:
A = M φ,
o sea, el trabajo es igual al producto del momento de la fuerza por el ángulo de giro.Supongamos que sobre el cuerpo actúan dos fuerzas cuyos momentos son M1 y M2. Al girar el cuerpo un ángulo φ, se realizará el trabajo M1φ + M2φ = (M1 + M2) φ. Esta fórmula muestra que dos fuerzas, que tienen los momentos M1 y M2, hacen girar el cuerpo tal como lo haría una sola fuerza que tuviese un momento M igual a la suma M1 + M2. Los momentos de las fuerzas pueden ayudarse o estorbarse unos a otros. Si los momentos M1 y M2 tienden a girar el cuerpo hacia un mismo lado, tendremos que considerar que son cantidades de un mismo signo algebraico. Por el contrario, los momentos de las fuerzas que hacen girar el cuerpo hacia diversos lados, tienen signos diferentes.
Como ya sabemos, el trabajo de todas las fuerzas que actúan sobre el cuerpo, se invierte en la variación de la energía cinética.
La desaceleración o la aceleración de la rotación del cuerpo se debe a la alteración de su energía cinética. Esto puede ocurrir solamente en el caso, cuando el momento total de las fuerzas no es igual a cero.
¿Y si el momento total es igual a cero? La respuesta es clara: como no hay variación de energía cinética, el cuerpo, o gira uniformemente por inercia o está en reposo.
Así pues, el equilibrio de un cuerpo que es capaz de girar, presupone un equilibrio de los momentos de las fuerzas que sobre él actúan. Si obran dos fuerzas, el equilibrio presupone la igualdad
M1 + M2 = 0
Mientras nos interesaban los problemas en los que el cuerpo se podía considerar como un punto, las condiciones de equilibrio eran simples: para que un cuerpo esté en reposo o en movimiento uniforme, decía la ley de Newton para estos problemas, hace falta que la fuerza resultante sea igual a cero; las fuerzas que actúan hacia arriba, tienen que equilibrarse con las fuerzas que obran hacia abajo; las fuerzas que actúan hacia la derecha, tienen que compensarse con las que obran hacia la izquierda.Esta ley también tiene valor para nuestro caso. Si el volante está en reposo, las fuerzas que sobro él actúan se equilibran con la reacción del eje sobre el que está colocado.
Pero, estas condiciones necesarias, resultan ser insuficientes. Además del equilibrio de las fuerzas, se requiere también el equilibrio de sus momentos. El equilibrio de los momentos es la segunda condición necesaria para el reposo o la rotación uniforme del sólido.
Los momentos de las fuerzas, si es que hay muchos, se dividen sin dificultad en dos grupos: unos tienden girar el cuerpo hacia la derecha, otros, hacia la izquierda. Estos momentos son los que tienen que compensarse.
2. La palanca
¿Puede levantar un hombre un peso de 100 toneladas? ¿Se puede aplastar un trozo de hierro con la mano? ¿Puede oponerse un niño contra un hombre forzudo? Si, se puede.
Propongamos a un hombre muy fuerte hacer girar un volante hacia la izquierda, cogiendo el radio con la mano cerca del mismo eje. En este caso, el momento de la fuerza no es muy grande: la fuerza es grande, pero el brazo es pequeño. Si un niño tira de la rueda en sentido contrario, cogiendo el radio en la llanta, el momento de la fuerza puede resultar muy grande: la fuerza es pequeña, sin embargo, el brazo es grande. La condición de equilibrio es:
M1 = M2
oF1d1 =F1d2
Aplicando la ley de los momentos, se le puede dar al hombre una fuerza fantástica.El ejemplo más brillante es la acción de la palanca.
¿Desea Ud. levantar una piedra enorme con una barra? Resulta que Ud. puede resolver este problema, a pasar que el peso de la piedra sea de unas cuantas toneladas. La barra colocada sobre un apoyo representa el cuerpo sólido de nuestro problema. El punto de apoyo es el centro de rotación. Sobre el cuerpo actúan dos momentos de fuerzas: uno que obstaculiza, originado por el peso de la piedra, y otro que empuja, originado por la mano. Si el índice 1 se refiere a la fuerza de los músculos y el índice 2, al peso de la piedra, la posibilidad de levantar la piedra se expresará abreviadamente así: M1 tiene que ser mayor que M2.
Se puede mantener la piedra levantada, si M1 = M2, o sea, F1d1 = F2d2 el brazo pequeño, desde el apoyo hasta la piedra, es 15 veces menor que el brazo grande, desde el apoyo hasta la mano, el hombre puede mantener levantada una piedra de 1 tonelada de peso actuando con todo su peso sobre el extremo largo de la palanca.
La barra colocada sobre el apoyo es el ejemplo más simple y difundido de palanca. La ganancia en fuerza con la ayuda de una barra, suele ser, ordinariamente, de 10 a 20 veces. La longitud de la barra es alrededor de 1,5 m, y, generalmente, es difícil establecer el punto de apoyo más cerca de 10 cm del extremo. Por eso, un brazo será mayor que otro de 15 a 20 veces y, por consiguiente, igual será la ganancia en fuerza.
El chófer con un gato levanta con facilidad el camión con una carga de unas cuantas toneladas. El gato es una palanca del mismo tipo que la barra colocada sobre un apoyo. Los puntos de aplicación de las fuerzas (la mano, el peso del camión) están a ambos lados del punto de apoyo de la palanca del gato. Aquí, la ganancia en fuerza es aproximadamente en 40 a 50 veces, lo que da la posibilidad de levantar fácilmente un peso enorme.
Las tijeras, el cascanueces, los alicates, las tenazas, y otras muchas herramientas, son ejemplos de palancas. En la fig. 5.3 pueden hallar Ud. fácilmente el centro de rotación del cuerpo sólido (punto de apoyo) y los puntos de aplicación de las dos fuerzas, la que actúa y la que estorba.

Figura 5.3

Figura 5.4
3. Pérdida en el camino
Las herramientas hacen más fuerte al hombre; sin embargo, de esto no se puede hacer la conclusión de que las herramientas dan la posibilidad de realizar poco trabajo y conseguir mucho. La ley de conservación de la energía demuestra, que la ganancia en el trabajo, o sea, la creación de trabajo «de la nada», es una cosa imposible.
El trabajo obtenido no puede ser mayor que el gastado. Al contrario, la desconocida pérdida de energía en el roce conduce a que el trabajo que se obtiene con las herramientas sea siempre menor que el trabajo gastado. En el caso ideal, estos trabajos pueden ser iguales.
En realidad, es perder el tiempo en vano dedicarse a explicar esta verdad patente; pues, la regla de los momentos fue deducida de la condición de igualdad de los trabajos de la fuerza que actúa y de la que se supera.
Si los puntos de aplicación de las fuerzas han recorrido los caminos S1 y S2, la condición de igualdad de los trabajos se escribirá así:
F1long S1 = F2long S2
Para vencer una fuerza F2, en el camino S2, mediante un instrumento de palanca, se necesita una fuerza F1 mucho menor que F2. Pero, el desplazamiento S1 de la mano tiene que ser tantas veces mayor que S2, cuantas veces es menor la fuerza muscular F1 que F2.Frecuentemente, se expresa esta ley con la breve frase: lo que se gana en fuerza es igual a lo que se pierde en el camino.
La ley de la palanca fue descubierta por el gran sabio de la antigüedad Arquímedes. Entusiasmado por la fuerza de la demostración, este admirable sabio de la antigüedad escribía al rey Herón de Siracusa: «Si hubiese otra Tierra, yo pasaría a ella y movería nuestra Tierra». Es posible que una palanca muy larga, cuyo punto de apoyo estuviese muy cerca del globo terrestre, diera la posibilidad de resolver este problema.
Nosotros no vamos a acongojarnos con Arquímedes sobre la falta del punto de apoyo que, como él pensaba, es lo único que se necesita para desplazar el globo terrestre.
Dediquémonos a fantasías: tomemos una palanca grandísima, coloquémosla sobre un apoyo, y sobre el extremo corto «colguemos una pequeña bolita» que pese... 6 x 1024 kgf. Esta cifra módica muestra el peso del globo terrestre, «comprimido en una pequeña bolita». Apliquemos ahora una fuerza muscular al extremo largo de la palanca.
Si consideramos que la fuerza de la mano de Arquímedes es de 60 kgf, para desplazar en 1 cm a la «nuez terrestre», la mano de Arquímedes tendría que recorrer un camino que es 1023/60 veces mayor. ¡1023 cm son 1018 km, que son tres mil millones de veces más que el diámetro de la órbita terrestre!
Este ejemplo anecdótico muestra con claridad las medidas de «la pérdida en el camino» en el trabajo con la palanca.
Cualquiera de los ejemplos examinados anteriormente se puede emplear como ilustración, no sólo de la ganancia en la fuerza, sino de la pérdida en el camino. La mano del chófer, al trabajar con el gato, recorre un camino que será tantas veces mayor que la magnitud del alzamiento del camión, cuantas veces la fuerza muscular sea menor que el peso del mismo. Acercando los aros de las tijeras para cortar una hoja de lata, efectuamos un trabajo en el camino, que es tantas veces mayor que la profundidad del corte, cuantas veces la fuerza muscular es menor que la resistencia de la hoja de lata. Una piedra levantada con la barra alcanza una altura que es tantas veces menor que la altura en que desciende la mano, cuantas veces la fuerza de los músculos es menor que el peso de la piedra. Esta regla aclara el principio de acción del tornillo. Figurémonos que se ajusta un tornillo, cuyo paso de rosca es de 1 mm, con una llave inglesa de 30 cm, de longitud. En una vuelta, el tornillo avanza a lo largo del eje 1 mm, y nuestra mano, durante el mismo tiempo, recorrió el camino de 2 m.

Arquímedes (alrededor de los años 287-212 antes de nuestra era) fue gran matemático, físico e ingeniero de la antigüedad. Arquímedes calculó el volumen y la superficie de la esfera y de sus partes, del cilindro y de los cuerpos formados por la rotación de la elipse, hipérbola y parábola. Calculó por primera vez, con bastante exactitud la razón de la longitud de la circunferencia a su diámetro, demostrando que esta razón está comprendida entro los límites 3 10/71 < π < 3 1/7.
En la mecánica, estableció las leyes de la palanca, las condiciones de flotación de los cuerpos ("principio de Arquímedes"), las leyes de la suma de las fuerzas paralelas. Arquímedes inventó una máquina para elevar el agua ("la rosca de "Arquímedes"), que incluso actualmente se emplea para transportar cargas movedizas y viscosas; un sistema de palancas y bloques para levantar grandes pesos y máquinas militares arrojadizas, que actuaron con éxito durante el cerco de su ciudad natal, Siracusa, por los romanos.
4. Otras máquinas simples
La pérdida en el camino, como pago de la ganancia en la fuerza, es una ley general, no sólo para los instrumentos de palanca, sino también para otros dispositivos y mecanismos empleados por el hombro.

Figura 5.5
Para levantar cargas se emplean mucho los polipastos. Así se llama un sistema de unas cuantas poleas móviles, unidas con una o varias poleas fijas. En la fig. 5.5, la carga está suspendida de seis cuerdas. Claro que el peso se distribuye y la tensión de la cuerda es seis veces menor que el peso. Para levantar una carga de una tonelada se necesita aplicar una fuerza de 1000/61 = 167 kgf. Sin embargo, no es difícil comprender, que para levantar la carga a 1 m hacen falta 6 m de cuerda. Para levantar la carga a 1 m hacen falta 1000 kgm de trabajo. Esto trabajo tenemos que realizarlo «en cualquier forma»: una fuerza de 1000/6 kgf tiene que actuar en el camino de 6 m; una fuerza de 10 kgf, en el camino de 100 m; una fuerza de 1 kgf, en el camino de 1 km.
El plano inclinado mencionado en páginas anteriores, también representa un dispositivo que permite ganar en la fuerza, perdiendo en el camino.
El choque es un método particular de multiplicación de la fuerza. Un martillazo, un hachazo, un espolonazo y el simple puñetazo pueden crear una fuerza enorme. El secreto del golpe fuerte no es complicado. Clavando un clavo con un martillo sobre una pared muy dura, hay que levantar mucho el brazo. La gran amplitud, o sea, el gran espacio en el que actúa la fuerza, crea una energía cinética considerable del martillo. Esta energía rinde en un camino pequeño. Si la amplitud es de 1/2 m, y el clavo se introdujo en la pared 1/2 cm, la fuerza se multiplicó en 100 veces. Pero, si la pared es más dura y el clavo se ha introducido en la pared 1/2 mm, siendo la misma la amplitud del brazo, el golpe será 10 veces más fuerte que en el primer caso. En una pared dura, el clavo no se introducirá muy profundamente y el mismo trabajo se realizará en un camino menor. Resulta, pues, que el martillo trabaja como un autómata: golpea más fuerte allí donde es más difícil.
Si al martillo se le comunica una fuerza de un kilogramo, éste golpeará el clavo con una fuerza de 100 kgf. Y, partiendo leña con un hacha pesada, partimos la madera con una fuerza de unas cuantas toneladas. Los martillos pilones de los herreros caen desde una pequeña altura, alrededor de un metro. Aplastando la forjadura en 1 a 2 mm, el martillo pilón de una tonelada de peso se desploma sobre ella con una fuerza inmensa de miles de toneladas.
5. Cómo sumar fuerzas paralelas que actúan sobre un sólido
Cuando en las páginas anteriores resolvíamos problemas de mecánica en los que sustituíamos el cuerpo por un punto, el problema de la suma de las fuerzas se resolvía fácilmente. La regla del paralelogramo proporcionaba la respuesta, y, si las fuerzas eran paralelas, sumábamos sus magnitudes como números.
Ahora, el asunto es más complicado, pues la acción de la fuerza sobre el cuerpo no sólo se caracteriza por su magnitud y su dirección sino también por su punto de aplicación, o por la línea de acción de la fuerza que, como explicábamos anteriormente, es lo mismo.
Sumar fuerzas, significa sustituirlas por una. Esto no siempre se puede hacer.
La sustitución de fuerzas paralelas por una resultante es un problema que siempre tiene solución (menos en un caso particular, que se mencionará al final de este apartado.)
Examinemos la suma de fuerzas paralelas. Claro, la suma de fuerzas de 3 kgf y 5 kgf es igual a 8 kgf, si las fuerzas tienen un mismo sentido. El problema consiste en hallar el punto de aplicación (la línea de acción) de la resultante.

Figura 5.6
Busquemos la línea de acción de la fuerza resultante F. Claro que ésta es paralela a las fuerzas F1 y F2, pero, ¿a qué distancia pasa esta línea de las fuerzas F1 y F2?
En el dibujo, como punto de aplicación de la fuerza F, se ha representado un punto que está situado en el segmento que une los puntos de aplicación de las fuerzas F1 y F2. Sin duda, el momento de la fuerza F con respecto al punto elegido, es igual a cero. Pero entonces la suma de los momentos de F1 y F2, con respecto a este punto, también tiene que ser igual a cero; o sea, los momentos de las fuerzas F1 y F2, que son diferentes de signo, tienen que ser iguales en magnitud.
Designando con las letras d1 y d2 los brazos de las fuerzas F1 y F2 podemos escribir esta condición así:
F1d1 = F2d2,
o sea,F1 / F2 = d2 / d1
De la semejanza de los triángulos rayados se deduce qued2 / d1 = l2 / l1
o sea que el punto de aplicación de la fuerza resultante divide la distancia entre las fuerzas que se suman en partes l1 y l2, inversamente proporcionales a las fuerzas.Designemos con la letra l la distancia entre los puntos de aplicación de las fuerzas F1 y F2. Es evidente que l = l1 + l2
Resolviendo el sistema de dos ecuaciones con dos incógnitas:


F1 / F2 = l2 / l1
En este caso, F no sólo traslada el cuerpo, sino también lo da vuelta. No conviene preocuparse por el hecho de que el punto de aplicación de F se encuentra fuera del cuerpo: siempre son reales solamente las fuerzas F1 y F2.
Figura 5.7
Cuando las fuerzas son iguales y diametralmente opuestas, se obtiene un resultado interesante. En este caso, F1 + F2 = 0. Las fórmulas muestran que l1 y l2, se hacen infinitamente grandes. ¿Qué significado físico tiene esta afirmación? Como de tiene sentido relacionar la resultante al infinito, llegamos a la conclusión de que las fuerzas iguales y diametralmente opuestas no se pueden sustituir por una sola fuerza. Tal combinación de fuerzas se llama par de fuerzas.
La acción de un par de fuerzas no se puede reducir a la acción de una sola fuerza. Dos fuerzas cualesquiera, paralelas o diametralmente opuestas, pero de diferentes magnitudes, siempre se pueden equilibrar con una (en el segundo caso conviene recurrir a un dispositivo no complicado; fijar al cuerpo con vástago, véase l en la fig. 5.7). Equilibrar un par de fuerzas es imposible.
Naturalmente, no sería cierto decir que las fuerzas que forman un par se anulan entre sí. El par de fuerzas ejecuta una acción muy esencial, hace girar un cuerpo; la particularidad de la acción del par de fuerzas consiste en que este no ocasiona movimiento de traslación.
En algunos casos puede darse el problema, no de la suma de fuerzas paralelas sino de la descomposición de una fuerza dada en dos paralelas.

Figura 5.8
En la fig. 5.8 están representados dos hombres que conjuntamente llevan sobre un palo una maleta pesada. El peso de la maleta se divide entre los dos. Si la carga presiona sobre el medio del palo, ambos experimentan un paso igual. Si las distancias desde el punto de aplicación de la carga hasta los hombros son d1 y d2, la fuerza F se descompondrá en dos fuerzas F1 y F2, según la regla:
F1 / F2 = d2 / d1
El más fuerte tiene que agarrar el palo más cerca de la carga.6. Centro de gravedad
Todas las partículas de un cuerpo tienen peso. Por eso, sobre el cuerpo sólido actúan una infinidad de fuerzas de gravedad. Además, todas las fuerzas son paralelas. Ya que esto es así, éstas se pueden sumar de acuerdo con las reglas que acabamos de considerar y sustituirlas por una fuerza. El punto de aplicación de la fuerza resultante se llama centro de gravedad. Es como si todo el peso del cuerpo estuviera concentrado en un punto.
Suspendamos el cuerpo de uno de sus puntos. ¿Cómo se sitúa? Está claro que, como podemos mentalmente sustituir el cuerpo por un peso concentrado en el centro de gravedad, en condiciones de equilibrio este peso se situará en la vertical que pasa por el punto de apoyo. Mejor dicho, en condiciones de equilibrio el centro de gravedad estará situado en la vertical que pasa por el punto de apoyo y ocupará la posición más inferior.
También se puede colocar el centro de gravedad por encima del punto de apoyo, en la vertical que pasa por el eje. Esto se consigue hacer con gran trabajo y sólo gracias a la existencia de rozamiento. El equilibrio es inestable.
Ya se dijo que para la condición de equilibrio estable, la energía potencial tiene que ser mínima. Esto ocurre en el caso en que el centro de gravedad está situado por debajo del punto de apoyo. Cualquier desviación eleva el centro de gravedad y, por consiguiente, aumenta la energía potencial. Por el contrario, cuando el centro de gravedad está situado por encima del punto de apoyo, cualquier acción que retire el cuerpo de esta posición conduce a la disminución de la energía potencial. Esta posición es inestable.
Recortemos una figura de cartón. Para hallar su centro de gravedad, la colgamos dos veces, fijando el hilo de suspensión, primero en uno y luego en otro punto del cuerpo.
Fijemos la figura en un eje que pase por el centro de gravedad. Giremos la figura en una posición, en la segunda, en la tercera... Se observa una indiferencia total del cuerpo respecto a nuestras operaciones. En cualquier posición se registra un caso especial de equilibrio. A este le llaman indiferente.
La causa es clara, en cualquier posición de la figura, el punto material que la sustituye está situado en un mismo sitio.
En una serie de casos, el centro de gravedad se puede hallar sin hacer experimentos y sin cálculos. Está claro, por ejemplo, que, en virtud de su simetría, los centros de gravedad de la esfera, del círculo, del cuadrado y del rectángulo, están situados en sus centros respectivos. Si dividimos mentalmente un cuerpo simétrico en partículas, a cada una de éstas corresponderá otra simétrica situada al otro lado del centro. Y para cada par de tales partículas, el centro de la figura será el centro de gravedad.
En el triángulo, el centro de gravedad está situado en la intersección de las medianas. En efecto, dividamos el triángulo en fajas estrechas, paralelas a uno de los lados. La mediana dividirá por la mitad a cada una de estas fajas. Pero el centro de gravedad de una faja está, sin duda, en el medio de ella, o sea, en la mediana. Los centros de gravedad de todas las fajas se sitúan en la mediana y, cuando sumemos las fuerzas de sus pesos, llegaremos a la conclusión de que el centro de gravedad del triángulo estará situado en algún lugar de la mediana. Estos razonamientos se pueden aplicar a cualquier mediana. Por consiguiente, el centro de gravedad tiene que estar situado en la intersección de ellas.
Pero, ¿puede ser que no estemos seguros de que las tres medianas se corten en un punto? Esto se demuestra en la geometría; nuestro razonamiento también demuestra este interesante teorema. En efecto, un cuerpo no puede tener varios centros de gravedad y, siendo único el centro de gravedad, como éste está situado en la mediana, sea cual fuera el ángulo desde el que la tracemos, resulta que las tres medianas se cortan en un punto. El planteamiento de un problema físico nos ha ayudado a demostrar un teorema geométrico.
Es más difícil hallar el centro de gravedad de un cono homogéneo. Por razones de simetría, queda solamente claro que el centro de gravedad está situado en la línea axial. Los cálculos muestran que éste está situado de la base a 1/4 de la altura.
El centro de gravedad no siempre está dentro del cuerpo.
Por ejemplo, el centro de gravedad de un anillo está en su centro, o sea, fuera del anillo.
¿Se puede poner un alfiler en equilibrio, en posición vertical, sobre un soporte de cristal?
En la fig. 5.9 se muestra cómo se hace esto. Hay que sujetar bien al alfiler una armadura de alambre no muy grande, en forma de una balanza doble con cuatro pesos pequeños. Como los pesos están suspendidos más abajo del apoyo y el peso del alfiler es pequeño, el centro de gravedad estará situado por debajo del punto de apoyo. La posición es estable.

Figura 5.9
Hasta ahora tratábamos de cuerpos que tenían un punto de apoyo. ¿Qué ocurriría si el cuerpo se apoyase sobro una superficie entera?
Está claro que, en este caso, la disposición del centro de gravedad por encima del apoyo no significa que el equilibrio sea inestable. ¿Cómo podrían estar, de otro modo, los vasos sobro la mesa? Para el equilibrio es necesario que la línea de acción de la fuerza de gravedad, trazada desde el centro de gravedad, pase por la superficie de apoyo. Por el contrario, si la línea de acción de la fuerza pasa por fuera de la superficie de apoyo, el cuerpo se cae.
El grado de amabilidad puede ser muy diverso, según la altura en que esté situado el centro de gravedad sobre el apoyo. Solamente una persona muy torpe llega a volcar un vaso de té, sin embargo, una jarra de flores con una base pequeña, se puede volcar tocándola un poco descuidadamente. ¿A qué es debido esto?
Vean la fig. 5.10. A los centros de gravedad se aplican las fuerzas horizontales iguales. La jarra expuesta a la derecha caerá, ya que la fuerza resultante no pasa por la superficie de apoyo.
Ya se advirtió que para la estabilidad de un cuerpo, la fuerza que se le aplica tiene que pasar por la superficie de apoyo.

Figura 5.10
Pero la superficie de apoyo, que se necesita para el equilibrio, no siempre corresponde a la superficie da apoyo real. En la fig. 5.11 está representado un cuerpo cuyo plano de apoyo tiene la forma de media luna. Es fácil comprender que, completando la media luna basta un semicírculo entero, la estabilidad del cuerpo no se altera. Por lo tanto, la superficie de apoyo determinada por la condición de equilibrio puede ser realmente mayor.

Figuras 5.11 y 5.12
Para hallar la superficie de apoyo del trípode representado en la fig. 5.12, hay que unir sus extremos mediante rectas. ¿Por qué es tan difícil andar por una cuerda? Porque la superficie de apoyo disminuye demasiado. No es fácil andar por una cuerda, pues, no en vano se recompensa con aplausos el arte de un funámbulo. Sin embargo, a veces, el público yerra y aclama algunos trucos ingeniosos que facilitan el problema, como si fuera la culminación del arte. El artista toma una barra muy encorvada con dos baldes de agua en sus extremos; los baldes quedan a la altura de la cuerda. Con una cara muy seria, la orquesta deja de tocar, el artista empieza a caminar por la cuerda. ¡Qué complicado es el truco! —piensa el espectador ignorante. En realidad, el artista ha facilitado su tarea rebajando el centro de gravedad.
6. Centro de inercia
Es lógico preguntar: ¿Dónde está situado el centro de gravedad de un grupo de cuerpos? Si en una balsa hay mucha gente, el equilibrio de ésta depende de la posición del centro de gravedad común (junto con la balsa).
El significado de este concepto es el mismo. El centro de gravedad es el punto de aplicación de la suma de las fuerzas de gravedad de todos los cuerpos del grupo considerado.
Ya sabemos el resultado del cálculo para dos cuerpos. Si dos cuerpos, que tienen los pesos F1 y F2, están a la distancia x, el centro de gravedad estará situado a la distancia x1 del primero y a la distancia x2 del segundo, además,
x1 + x2 = x y P1/P2 = x2/x1
Como el peso se puede representar como el producto mg, el centro de gravedad de un par de cuerpos satisface a la condición:m1 x1 = m2 x2,
o sea, está situado en el punto que divide la distancia entre las masas en segmentos inversamente proporcionales a las masas.Recordemos ahora los disparos del cañón situado en una plataforma. Los impulsos del cañón y del proyectil son iguales y tienen dirección contraria, se verifican las igualdades:
m1 v1 = m2 v2 o v2/v1 = m1/m2
la razón de velocidades conserva este valor todo el tiempo de acción mutua. Durante el movimiento creado por el retroceso, el cañón y el proyectil se desplazan hacia diversos lados con respecto a la posición inicial, a las distancias x1 y x2. Las distancias x1 y x2, que son los espacios recorridos por ambos cuerpos, van creciendo, pero, manteniéndose constante la razón de velocidades; las distancias x1 y x2 también estarán en la misma razónx2/x1 = m1/m2
x1 m1 = m2 x2
Aquí, x1 y x2, son las distancias del cañón y del proyectil desde los puntos iniciales en que ellos se encontraban. Comparando esta fórmula con la que determina la posición del centro de gravedad, vemos que son absolutamente idénticas. De aquí se deduce directamente, que el centro de gravedad del proyectil y del cañón permanece en el punto inicial todo el tiempo después del disparo.En otras palabras, hemos obtenido un resultado muy interesante: el centro de gravedad del cañón y del proyectil continúa en reposo después del disparo.
Esta conclusión siempre es cierta; si al principio, el centro de gravedad de los cuerpos estaba en reposo, su acción mutua, sea cual fuera el carácter de ella, no puede alterar la posición del centro de gravedad. Precisamente por esto, no se puede levantar uno a sí mismo por los pelos, o alcanzar la Luna por el método del escritor francés Cyrano de Bergerac, que para este fin propuso (claro que en broma) coger con las manos un trozo de hierro y echar a lo alto un imán para que atrajese a aquél.
El centro de gravedad en reposo, desde el punto de vista de otro sistema inercial, se mueve uniformemente. Por consiguiente, el centro de gravedad, o está en reposo, o bien mueve uniforme y rectilíneamente.
Lo dicho sobre el centro de gravedad de dos cuerpos es justo también para un grupo de muchos cuerpos. Claro que cuando se aplica la ley de la cantidad de movimiento, siempre se supone que se trata de un grupo aislado de cuerpos.
Por lo tanto, para cada grupo de cuerpos que están en acción mutua, existe un punto que está en reposo o se mueve uniformemente; este punto es su centro de gravedad.
Queriendo subrayar la propiedad nueva de esto punto, a éste le dan otra denominación más, llamándole centro de inercia. En efecto, sobre la gravedad del sistema solar (y, por consiguiente, sobre el centro de gravedad) sólo se puede hablar condicionalmente.
Como quiera que se muevan los cuerpos que forman un sistema cerrado, el centro de inercia (de gravedad) estará en reposo o, en otro sistema de referencia, se moverá por inercia.
7. Momento de impulso
Ahora estudiaremos otro concepto mecánico, cuyo conocimiento da la posibilidad de enunciar otra nueva o importante ley del movimiento.
Este concepto se llama momento de impulso, o momento de la cantidad de movimiento. Ya las denominaciones dan a entender que se trata de una magnitud parecida al momento de una fuerza.
El momento de impulso, igual que el momento de fuerza, demanda la indicación de un punto con respecto al cual se determina el momento. Para determinar el momento de impulso con respecto a algún punto, hay que trazar el vector de impulso y bajar a éste una perpendicular desde el punto. El producto del impulso mv por el brazo d es el momento de impulso, que lo designemos con la letra N:
N = m v d
Si el cuerpo se mueve libremente, su velocidad no varía; también se mantiene inalterable el brazo con respecto a cualquier punto, pues el movimiento se efectúa en línea recta.Por consiguiente, en este movimiento también se mantiene inalterable el momento de impulso.
Igual que para el momento de la fuerza, para el momento de impulso se puede escribir también otra fórmula.

Figura 5.13
Unamos mediante un radio el lugar en que está situado el cuerpo con el punto, con respecto al cual se busca el momento (fig. 5.13). Hallemos también la proyección de la velocidad sobre la dirección perpendicular al radio. De la semejanza de los triángulos construidos en el dibujo, se deduce:
v/vL = r/d
Por lo tanto, v d = vL r y la fórmula para el momento de impulso se puede escribir también en la forma siguiente:N = m vL y
Como acabamos de decir, en el movimiento libre se mantiene inalterable el momento de impulso. Pero. ¿y si sobre el cuerpo actúa una fuerza? Los cálculos muestran que la variación del momento de impulso en un segundo es igual al momento de la fuerza.La ley obtenida se aplica sin dificultad también para un sistema de cuerpos. Si se suman las variaciones de los momentos de impulso de todos los cuerpos que forman el sistema, esta suma resultará igual e la suma de los momentos de las fuerzas que actúan sobre el cuerpo. Por lo tanto, para un grupo de cuerpos se verifica la regla siguiente: la variación total del momento de impulse en una unidad de tiempo es igual a la suma de los momentos de todas las fuerzas.
8. Ley de conservación del momento de impulso
Si se unen dos piedras con una cuerda y se lanza una de ellas con fuerza, la segunda irá detrás de la primera con la cuerda estirada. Una piedra alcanzará a la otra y la traslación hacia adelante irá acompañada de una rotación. Olvidémonos del campo de gravitación; supongamos que el lanzamiento se ha efectuado en el espacio cósmico.
Las fuerzas que actúan sobre las piedras son iguales entre sí y están dirigidas a lo largo de la cuerda, una al encuentro de la otra (pues, éstas son las fuerzas de acción y reacción). Pero, entonces, los brazos de ambas fuerzas, con respecto a cualquier punto, serán iguales. Brazos iguales y fuerzas iguales, pero en direcciones contrarias, proporcionan momentos iguales de las fuerzas y de signo contrario.
El momento total de las fuerzas será igual a cero. De aquí se deduce, que la variación del momento de impulso es igual a cero, es decir, que el momento de impulso de tal sistema se mantiene constante.
La cuerda que unía las piedras nos servía para mayor claridad. La ley de conservación del momento de impulso es válida para cualquier par de cuerpos que están en acción mutua, independientemente de la naturaleza de esta acción.
Y, no sólo para un par. Si se estudia un sistema cerrado de cuerpos, las fuerzas que actúan entre ellos siempre se pueden dividir en cantidades iguales de fuerzas de acción y reacción, cuyos momentos se anulan por pares.
La ley de conservación del momento total de impulso es universal, se verifica para cualquier sistema cerrado de cuerpos.
Si un cuerpo gira alrededor de un eje, su momento de impulso es igual a
N = m v r
en donde m es la masa, v, la velocidad y r, la distancia al eje. Expresando la velocidad mediante el número de vueltas n en un segundo, se tiene:v = 2πnr y N = 2πmnr2
es decir, el momento de impulso es proporcional al cuadrado de la distancia hasta el eje.Siéntese en un banco cuyo asiento es giratorio. Tome en las manos unas pesas pesadas, abra ampliamente los brazos y pida a alguien que le haga girar lentamente. Encoja ahora, rápidamente, los brazos sobre el pecho e inesperadamente comenzará a girar con mayor rapidez. Abra los brazos y el movimiento se retardará; acerque las manos al pecho y el movimiento se acelerará. Mientras el banco, por el roce, no pare de girar, tendrá Ud. tiempo de variar unas cuantas veces la velocidad de su rotación.
¿Por qué ocurre esto?
Cuando se aproximan las pesas al eje, siendo constante la cantidad de vueltas, el momento de impulso disminuye. Para «compensar» esta disminución, se aumenta la velocidad de rotación.
Los acróbatas aprovechan con éxito la ley de conservación del momento de impulso. ¿Cómo efectúan el salto, o sea, las vueltas en el aire? Primero, reciben un empujón de la tarima de muelle o de las manos de un compañero. Durante el empuje, el cuerpo se inclina hacia adelante y el peso, junto con la fuerza del empuje, crea un momento instantáneo de la fuerza. La fuerza del empuje desarrolla un movimiento hacia adelante y el momento de la fuerza engendra la rotación. Sin embargo, esta rotación es lenta, no causa impresión al público. El acróbata encoge las rodillas. «Recogiendo su cuerpo» lo más cerca posible del eje de rotación, el acróbata aumenta considerablemente la velocidad de rotación, y rápidamente, da la voltereta. Tal es la mecánica del «salto».
Los movimientos de una bailarina que realiza vueltas rápidas, una tras otras, se basan en este mismo principio. Por lo general, el compañero de la bailarina, es el que origina el momento inicial de impulso. En este instante, el cuerpo de la bailarina está inclinado luego, empieza a girar lentamente, después, el movimiento es ligero y gracioso y la bailarina se pone derecha. Ahora, todos los puntos del cuerpo están cerca del eje de rotación y la conservación del momento de impulso conduce a un aumento repentino de la velocidad.
9. Momento de impulso como vector
Hasta ahora hemos hablado de la magnitud de momento de impulso. Pero el momento de impulso posee las propiedades de un vector.

Figura 5.14
Examinemos el movimiento de un punto con relación a algún «centro». En la fig. 5.14 están representadas dos posiciones cercanas del punto. El movimiento que nos interesa se caracteriza por la magnitud del momento de impulso y el plano en que se efectúa. El plano del movimiento está rayado en el dibujo: es la superficie recorrida por el radio, trazado desde el «centro» hasta el punto móvil.
Se pueden unir los conocimientos sobre la dirección del plano del movimiento y sobre el momento de impulso. Para esto sirve el vector del momento de impulso que tiene la dirección de la normal al plano del movimiento y es igual, en magnitud, al valor absoluto de dicho momento. Sin embargo, esto todavía no es todo: hay que tener en cuenta la dirección del movimiento en el plano, pues el cuerpo puede girar alrededor del centro, tanto en dirección de las agujas del reloj, como en dirección contraria.
Se ha convenido representar el vector del momento de impulso de tal modo que, mirando de frente al vector, se vea la rotación en dirección contraria a las agujas del reloj. Se puede explicar de otro modo: la dirección del vector del momento de impulso está relacionada con la dirección de la rotación, igual que la dirección del sacacorchos está relacionada con la dirección del movimiento de su mango.
Por consiguiente, si conocemos el vector del momento de impulso, podemos juzgar sobre la magnitud del momento, sobre la posición del plano del movimiento en el espacio y sobre la dirección de la rotación respecto al «centro».
Si el movimiento se efectúa en un mismo plano, pero el brazo y la velocidad varían, el vector del momento de impulso conserva su dirección en el espacio, pero varía su longitud. Y, en caso de un movimiento arbitrario, el vector de impulso varía, tanto en magnitud, como en dirección.
Se puede sospechar que la unión en un concepto de la dirección del plano del movimiento y de la magnitud del momento de impulso, sirve sólo para economizar palabras. En realidad, sin embargo, cuando tenemos que vernos con un sistema de cuerpos que no se mueven en un plano, obtenemos la ley de conservación del momento solamente cuando sumamos los momentos de impulso como vectores.
Este hecho muestra que la atribución de un carácter vectorial al momento de impulso tiene un contenido profundo.
El momento de impulso siempre se determina respecto a un «centro» cualquiera, apropiadamente elegido. Es natural que, por lo general, su magnitud dependa de la elección de este punto. Sin embargo, se puede demostrar que, si el sistema examinado de cuerpos está en reposo como un todo (su impulso total es igual a cero), el vector del momento de impulso no depende de la elección del «centro». Este momento de impulso se puede llamar momento interior de impulso del sistema de cuerpos.
La ley de conservación del vector del momento de impulso es la tercera y última ley de conservación en la mecánica. A pesar de todo, cuando hablamos de tres leyes de conservación, no somos muy exactos. Pues, el impulso y el momento de impulso son magnitudes vectoriales, y la ley de conservación de una magnitud vectorial significa que se mantiene invariable, no sólo el valor numérico de la magnitud, sino también su dirección, o de otra manera, se mantienen invariables las tres componentes del vector en tres direcciones del espacio, perpendiculares entre sí. La energía es una magnitud escalar, el impulso es una magnitud vectorial, el momento de impulso también es una magnitud vectorial. Por eso, sería más exacto decir que en la mecánica existen siete leyes de conservación.
10. Peonzas
Hagan la prueba de colocar un plato, por su parte inferior, sobre un bastón fino y mantenerlo en equilibrio. No os saldrá nada. Sin embargo, este truco es el preferido de los malabaristas chinos. Estos consignen realizarlo actuando con muchos bastones a la vez. El malabarista no intenta mantener los finos palos en posición vertical. Parece un milagro que los platos no se caigan y estén casi colgando en el aire, apoyándose ligeramente sobre los extremos de los palos, horizontalmente inclinados.
Si se tiene la posibilidad de observar de cerca cómo trabajan los malabaristas, debemos fijarnos en un detalle importante: él da vueltas a los platos de tal modo que éstos giren con rapidez en su plano.
Manipulando con las mazas, con los aros, con los sombreros, en todos los casos, el artista les hace girar. Solamente en estas condiciones los objetos vuelven a sus manos en la misma posición que se les había dado al comienzo.
¿En qué consiste la causa de esta estabilidad de la rotación? Esta está ligada a la ley de conservación del momento. Pues, al cambiar la dirección del eje de rotación, varía también la dirección del vector del momento de rotación. Del mismo modo que se necesita una fuerza para cambiar la dirección de la velocidad, se necesita un momento de fuerza para cambiar la dirección de la rotación y, además, tanto mayor cuanto más rápido gire el cuerpo.
La tendencia de un cuerpo, que gira rápidamente, a mantener constante la dirección del eje de rotación, se puede observar en muchos casos semejantes a los citados. Así, pues, una peonza en rotación no se cae, incluso en el caso de que su eje esté inclinado.
Hagamos la prueba de volcar una peonza en rotación: resulta que no es tan fácil hacerlo.
La estabilidad del cuerpo en rotación se emplea en la artillería. Probablemente hayan oído que en el tubo del cañón se hace un rayado de hélice. El proyectil disparado gira alrededor de su eje y, gracias a esto, no da «volteretas» en el aire. El cañón rayado proporciona una puntería incomparablemente mejor y es de mayor alcance que el no rayado.
El piloto y el navegante marítimo tienen que saber siempre donde está la verdadera vertical terrestre en el instante dado, con respecto a la posición del avión o de la nave marítima. El empleo de la plomada no sirve para esto, puesto que en el movimiento acelerado aquélla se desvía. Por eso, se emplea una peonza de una construcción especial que gira con mucha rapidez, llamado girohorizonte. Si su eje de rotación se establece en la vertical terrestre, éste se mantiene en esta posición, a pesar de que el avión cambie su posición en el espacio.
Pero, ¿en qué está situada la peonza? Si está sobre un soporte que gira junto con el avión, ¿cómo puede mantener su dirección el eje de rotación?

Figura 5.15
Con ayuda de peonzas en rotación se puede mantener automáticamente una dirección dada de un torpedo o de un avión. Esto se hace con ayuda de unos mecanismos que «vigilan» la inclinación de la dirección del eje del torpedo de la dirección del eje de la peonza.
La construcción de un aparato tan importante como la brújula giroscópica está basada en la aplicación de la peonza en rotación. Se puede demostrar, que con la acción de la fuerza de Coriolis y de las fuerzas de rozamiento, el eje de la peonza, al fin y al cabo, se coloca paralelo al eje terrestre y, por consiguiente, indica al norte.
Las brújulas giroscópicas se emplean con amplitud en la flota marítima. Su parte principal consiste en un motor con un pesado volante que hace hasta 25 000 vueltas/minuto.
A pesar de una serie de dificultades para eliminar diversos obstáculos, debidos, en balanceo del barco, las brújulas giroscópicas tienen ciertas ventajas sobre las brújulas magnéticas. El defecto de estas últimas es el error cometido en las indicaciones a causa de la influencia du los objetos de hierro y de las instalaciones eléctricas del barco.
11. Árbol flexible
Los árboles de las modernas turbinas de vapor son piezas importantes de estas máquinas grandiosas. La fabricación de tales árboles, que alcanzan 10 m de longitud y 0,5 de espesor, es un problema complicado de la tecnología. Un árbol de una turbina potente puede llevar una carga de cerca de 200 t y girar con una velocidad de 3000 vueltas/minuto.
A primera vista, se puede creer que este árbol tiene que ser exclusivamente duro y resistente. Sin embargo, esto no es así. Al hacer decenas de miles de vueltas por minuto, un árbol, rígidamente fijo y no propenso a torcerse, inevitablemente se rompe, sea cual fuera su resistencia.
No es difícil comprender por qué no sirven los árboles rígidos. Por mucha que sea la exactitud con la que trabajen los constructores de máquinas, éstos no pueden evitar aunque sea una pequeña asimetría de la rueda de la turbina. Al girar esta rueda, se crean fuerzas centrífugas colosales; recordemos que sus valores son proporcionales al cuadrado de la velocidad de rotación. Si éstas no están exactamente equilibradas, el árbol comienza a «golpear» a los cojinetes (pues, las fuerzas centrífugas no equilibradas «giran» junto con la máquina), los rompe y destruye toda la turbina.
Esto fenómeno creaba en su tiempo unas dificultades insuperables en el aumento de la velocidad de rotación de la turbina. La salida de la situación se encontró a finales del siglo pasado y a comienzos de éste. En la técnica de la construcción de turbinas se introdujeron los árboles flexibles.
Para comprender en qué consiste la idea de esto invento admirable, tenemos que calcular la acción total de las fuerzas centrífugas. ¿Cómo sumar estas fuerzas? Resulta, que la resultante de todas las fuerzas centrífugas está aplicada al centro de gravedad del árbol y tiene una magnitud tal, que parece que toda la masa de la rueda de la turbina estuviese concentrada en el centro de gravedad.
Designemos con a la distancia del centro de gravedad de la rueda de la turbina al eje, que es diferente de cero, en virtud de una pequeña asimetría de la rueda. Al girar, sobre el árbol actúan las fuerzas centrífugas y éste se tuerce. Designemos con l el desplazamiento del árbol. Calculemos esta magnitud. La fórmula para la fuerza centrífuga es conocida, esta fuerza es proporcional a la distancia del centro de gravedad hasta el eje, que ahora es a + l, y es igual a 4π2n2M (a + l), donde n es el número de vueltas por minuto y M es la masa de las piezas que giran. La fuerza centrifuga se equilibra con la fuerza elástica, que es proporcional a la magnitud del desplazamiento del árbol e igual k/l, donde el coeficiente k depende de la rigidez del árbol. Así, pues,
kl = 4π2n2M(a + l)
donde

Este resultado del cálculo significa que, para muchas vueltas, la rueda asimétrica en vez de destruir el árbol, lo encorva de tal manera que se elimina la influencia de la asimetría. El árbol flexible centra las piezas que están en revolución y con su flexión traslada el centro de gravedad al eje de rotación, de modo que reduce a cero la acción de la fuerza centrífuga.
La flexibilidad del árbol, no sólo no es un defecto sino que, por el contrario, es la condición necesaria para el equilibrio. Pues, para el equilibrio, el árbol tiene que encorvarse en la magnitud a y no romperse.
El lector atento puede observar un error en los razonamientos expuestos. Si un árbol que se «centra» a grandes vueltas se traslada de la posición hallada de equilibrio, y se consideran solamente las fuerzas centrífuga y elástica, es fácil de observar que este equilibrio es inestable. Resulta, sin embargo, que las fuerzas de Coriolis salvan la situación y hacen que este equilibrio sea completamente estable.
La turbina comienza a girar lentamente. Al principio, cuando n es muy pequeño, el quebrado k/4π2n2M tiene un valor grande. Mientras este quebrado, al ir aumentando el número de vueltas, sea mayor que la unidad, la magnitud de flexión del árbol tendrá el mismo signo que la magnitud del desplazamiento inicial del centro de gravedad del volante. Por lo tanto, en esos instantes iniciales del movimiento, el árbol flexionado no centra la rueda; por el contrario, con su flexión aumenta el desplazamiento general del centro de gravedad y, por consiguiente, la fuerza centrífuga. A medida que aumenta el número de vueltas n (pero con la condición de que k/4π2n2M > 1), el desplazamiento crece y, por fin, llega el momento crítico. Para k/4π2n2M = 1, el denominador de la fórmula del desplazamiento l se anula y, por consiguiente, la flexión del árbol se hace, formalmente, infinitamente grande. A tal velocidad de rotación, el árbol se rompe. Al poner en marcha una turbina, este instante hay que pasarlo rápidamente, hay que sobrepasar el número crítico de vueltas y establecer un movimiento considerablemente más rápido de la turbina para que comience el fenómeno de autocentración que describíamos anteriormente.
Pero, ¿qué instante crítico es éste? La condición se puede escribir de la forma siguiente:
4π2M/k = 1/n2
o, sustituyendo el número de vueltas por el período de rotación mediante la relación n 0 1/T y extrayendo la raíz, en tal forma:

Así pues, el instante peligroso es cuando coincide el período de rotación de la rueda de la turbina con el periodo de de oscilación propia del sistema turbina—árbol. El fenómeno de la resonancia tiene la culpa de que exista el número crítico de vueltas. Contenido:
- ¿En qué se sostiene la Tierra
- La ley de gravitación es universal
- El peso de la Tierra
- Mediciones de g al servicio de prospección
- Gravedad bajo tierra
- Energía gravitatoria
- Cómo se mueven los planetas
- Viajes interplanetarios
- Si no hubiese Luna…
En tiempos remotos, a esta pregunta daban una respuesta simple: en tres ballenas. Naturalmente, no quedaba claro en qué se sostenían las ballenas. Sin embargo, a nuestros inocentes tatarabuelos esto no les desconcertaba.
Los conceptos fidedignos sobre el carácter del movimiento de la Tierra, sobre la forma de la Tierra, sobre muchas de las leyes del movimiento de los planetas alrededor del Sol, aparecieron mucho antes de que se diese la respuesta a la pregunta sobre las causas del movimiento de los planetas.
Y, en efecto, ¿en qué se «sostienen» la Tierra y los planetas? ¿Por qué éstos se mueven alrededor del Sol por unas trayectorias determinadas y no se escapan de ellas?
Durante largo tiempo no había respuesta a estas preguntas, y la iglesia, que luchaba contra el sistema de Copérnico del mundo, se aprovechaba de esto para negar el hecho del movimiento de la Tierra.
El descubrimiento de la verdad lo debemos al gran sabio inglés Isaac Newton.
Una anécdota histórica dice que, estando sentado en el jardín debajo de un manzano observando cómo caían a la tierra las manzanas, una tras otra, a causa del viento, a Newton le vino la idea de la existencia de las fuerzas de gravitación entre todos los cuerpos del universo.
Como resultado del descubrimiento de Newton, quedó claro que todo el consunto de fenómenos, que podríamos decir que son de carácter diverso, como por ejemplo, la caída de cuerpos libres a la tierra, los movimientos visibles de la Luna y del Sol, las mareas oceánicas, etc., representan la manifestación de una misma ley de la naturaleza: de la ley de gravitación universal.
Según esta ley, entre todos los cuerpos del Universo, ya sean granos de arena, guisantes, piedras o planetas, actúan fuerzas de atracción mutua.
A primera vista, parece que la ley no es cierta, pues, nunca nos hemos dado cuenta de que los objetos que nos rodean se atrajesen entre sí. La Tierra atrae hacia sí cualquier cuerpo, de esto nadie tiene duda. Pero, ¿puede ser que esto sea una propiedad particular de la Tierra?
No, esto no es así. La atracción de dos objetos cualesquiera es pequeña y no salta a la vista. Sin embargo, se puede revelar con experimentos especiales. Pero, esto lo trataremos más adelante.
La existencia de la gravitación universal, y sólo ésta, explica el equilibrio del sistema solar, el movimiento de los planetas y de otros cuerpos celestes.
La Luna se mantiene en la órbita por las fuerzas de la gravitación terrestre; la Tierra se mantiene en su trayectoria por las fuerzas de gravitación del Sol.
El movimiento circular de los cuerpos celestes se efectúa del mismo modo que el movimiento circular de la piedra atada a la cuerda.
Las fuerzas de gravitación universal son «cuerdas» invisibles que obligan a los cuerpos celestes a moverse por unas trayectorias determinadas.
La afirmación de la existencia de las fuerzas de gravitación universal de por sí significaba poco. Newton halló la ley de gravitación y mostró de qué dependen estas fuerzas.
2. La ley de gravitación es universal
La primera pregunta que se hacía Newton era: ¿en qué se diferencia la aceleración de la Luna de la aceleración de la manzana? Mejor dicho, ¿qué diferencia hay entre, la aceleración g que crea el globo terrestre en su superficie, o sea, a la distancia r del centro, y la aceleración creada por la Tierra a la distancia R, en que está la Luna de la Tierra?
Para calcular esta aceleración, hay que saber la velocidad del movimiento de la Luna y su distancia a la Tierra. Newton conocía estas dos magnitudes. La aceleración de la Luna resultó ser igual a 0,27 cm/s2, aproximadamente. Esto es unas 3600 veces menos que el valor de g, 980 m/s2.
Por lo tanto, la aceleración creada por la Tierra disminuye a medida que nos alejarnos del centro de ella.
Pero, ¿con qué rapidez? La distancia es de sesenta radios terrestres. Pero, 3600 es el cuadrado de 60. Aumentando esta distancia en 60 veces, disminuimos la aceleración en 602 veces.
Newton llegó a la conclusión de que la aceleración y, por consiguiente, la fuerza de gravitación, varía en proporción inversa al cuadrado de la distancia. Además, ya sabemos que la fuerza que actúa sobre un cuerpo en un campo gravitatorio es proporcional a su masa. Por eso, el primer cuerpo atrae el segundo con una fuerza que es proporcional a la masa del segundo cuerpo: el segundo cuerpo atrae el primero con una fuerza que es proporcional a la masa del primero.
Se trata de fuerzas idénticamente iguales, de las fuerzas de acción y reacción. Por lo tanto, la fuerza de gravitación mutua, tiene que ser proporcional tanto a la masa del primero como a la masa del segundo y, por lo tanto, al producto de las masas.
En resumen
![]()
Ahora, esta audaz hipótesis expuesta por él está ya demostrada. De tal manera, la fuerza de atracción de dos cuerpos es directamente proporcional al producto de sus masas e inversamente proporcional al cuadrado de la distancia entre ellos.
Y, ¿qué es la letra γ que se introdujo en la fórmula? Esta es el coeficiente de proporcionalidad. Pero ¿no se puede suponer que es igual a la unidad, del mismo modo que hemos hecho con frecuencia? No, no se puede, pues hemos convenido en medir la distancia en centímetros, la masa en gramos y la fuerza en dinas. El valor de γ es igual a la fuerza de atracción entre dos masas de 1 g que están a la distancia de 1 cm. Si se quiere calcular una fuerza que sea igual a algo, por ejemplo, a la fuerza de una dina, el coeficiente γ tiene que ser medido.
No hay duda que para hallar γ no es obligatorio medir la fuerza de atracción de sus pesos de unos cuantos gramos. Estamos interesados en realizar las mediciones con cuerpos muy macizos, pues, entonces, le fuerza será mayor.
Determinando las masas de dos cuerpos, conociendo la distancia entro ellos y midiendo la fuerza de atracción, el valor de γ se halla mediante un simple cálculo.
Tales experimentos so hicieron muchas veces. Estos demostraron que el valor de γ siempre es el mismo, independientemente del material de los cuerpos que se atraen y de las propiedades del medio en que se encuentren. Este valor se llama constante de gravitación y es igual a γ = 6,67 x 10-8 cm3 (g s)2.
El esquema de uno de los experimentos para medir el valor de γ se muestra en la fig. 6.1.

Figura 6.1
Una de ellas está situada sobre una losa de plomo, la otra, por debajo de la losa. El plomo (para los experimentos se tomaron 100 t de plomo), con su atracción aumenta el peso de la bolita de la derecha y disminuye el de la izquierda. La bolita de la derecha se hace más pesada que la de la izquierda. El valor de γ se calcula por la magnitud de la inclinación de la balanza.
Al valor tan pequeño de γ se debe la dificultad que hay para observar las fuerzas de gravitación entre dos objetos.
Dos cargas colosales, de 1000 kilogramos, se atraen entre sí con una fuerza insignificante, que es solamente igual a 6,7 dinas, o sea, a 0,007 g, estando estos objetos uno de otro a la distancia de 1 m.
Pero, ¡qué enormes son las fuerzas de atracción entre los cuerpos celestes! La fuerza con que se atraen la Luna y la Tierra es


Antes de comenzar a aplicar la ley de gravitación universal, analicemos un detalle importante.
Acabamos de calcular la fuerza de atracción de dos cargas, situadas una de otra a la distancia de 1 m. ¿Y, si estos cuerpos estuviesen a la distancia de 1 cm? ¿Qué es lo que habría que poner en la fórmula, la distancia entre las superficies de estos cuerpos o la distancia entre los centros de gravedad, o alguna tercera cosa?
La ley de gravitación universal,
![]()
En principio, esto es fácil, pero en la práctica es bastante complicado.
Sin embargo, la naturaleza nos ha ayudado. Los cálculos muestran que si las partículas de los cuerpos están en acción mutua con una fuerza que es proporcional a 1/r2, los cuerpos de forma esférica poseen la propiedad de atraerse como puntos situados en los centros de las esferas. Para dos esferas próximas, la fórmula
![]()
Tenemos ahora el derecho de aplicar la fórmula de la gravitación para calcular la fuerza de atracción de los cuerpos por la Tierra. Por r se debe de entender la distancia del centro de la Tierra hasta el cuerpo.
Sea M la masa y R el radio de la Tierra. Entonces, en la superficie terrestre la fuerza de atracción de un cuerpo de masa m es:
![]()

Pero, ¿es que se puede llamar tal cálculo pesar? Claro que se puede; en la física, las mediciones indirectas juegan un papel tan grande como las directas.
Resolvamos ahora un problema curioso.
En los planes de creación de una televisión mundial, juega un papel importante la creación de un satélite «suspendido», es decir, de un satélite que estuviese todo el tiempo sobre un mismo punto de lo superficie terrestre. ¿Sufrirá el satélite un rozamiento esencial? Eso depende de lo lejos de la Tierra que tenga que efectuar sus rotaciones.
El satélite «suspendido» tiene que girar con un período T, igual a 24 horas. Si r es la distancia del satélite hasta el centro de la Tierra, su velocidad v = 2πr/T y su aceleración v2/r = 4π2r/T2. Por otra parte, esta aceleración originada por la atracción terrestre es igual a
γM/r2 = gR2/r2
Igualando los valores de las aceleraciones, tenernos:

No se trata de un reconocimiento militar. En este caso, el conocimiento de la aceleración de la fuerza de gravedad no haría falta para nada. Se trata de la prospección geológica cuyo objeto es descubrir yacimientos de minerales útiles bajo la tierra, sin cavar hoyos, sin abrir minas.
Existen unos cuantos métodos de determinación muy exacta de la aceleración de la fuerza de gravedad. Se puede hallar g simplemente, pesando una carga determinada en una balanza de resorte. Las balanzas geológicas tienen que ser extremadamente sensibles, el resorte registra una alteración debido a una carga menor de una millonésima de gramo. Las balanzas de torsión de cuarzo ofrecen un resultado excelente. En principio, su construcción no es complicada. A un hilo horizontal de cuarzo en tensión se ha soldado una palanca, con cuyo peso el hilo se tuerce ligeramente (fig. 6.2).

Figura 6.2
Solamente en los últimos años, éstos fueron sustituidos por otros de balanza, más cómodos y más exactos. De todos modos, midiendo el período de oscilación del péndulo, se puede hallar con bastante exactitud el valor de g valiéndose de la fórmula

Al medir el valor de g en algún lugar de la superficie terrestre, el observador hace la conclusión: aquí el valor es anormal, es menor que lo debido en un tanto, o es mayor que lo debido en cierta cantidad.
Poro, ¿cuál es la norma para la magnitud de g?
El valor de la aceleración de la fuerza de gravedad tiene dos variaciones auténticas en la superficie terrestre, que ya hace mucho que se han observado y que son bien conocidas por los investigadores.
Ante todo, g disminuye regularmente al trasladarse del polo al ecuador, de esto ya se habló anteriormente. Recordemos, solamente, que esta variación es debida a dos causas: en primer lugar, la Tierra no es una esfera, y un cuerpo, estando en el polo, se hallará más cerca del centro de la Tierra; en segundo lugar, a medida que nos acercamos al ecuador, la fuerza de gravedad se va debilitando más y más por la fuerza centrífuga.
La otra variación auténtica de g es su disminución con la altura. Según la fórmula

Por lo tanto, en una misma latitud y a una misma altura sobre el nivel del mar, la aceleración de la fuerza de gravedad tiene que ser la misma.
Las mediciones exactas muestran que muy a menudo se encuentran desviaciones de esta norma: anomalías de gravitación. La causa de la anomalía consiste en la distribución heterogénea de la masa en las proximidades del lugar de medición.
Como ya se explicó, la fuerza gravitatoria de un cuerpo grande se puede representar, mentalmente, como la suma de fuerzas que actúan por parte de sus partículas. La atracción del péndulo por la Tierra es el resultado de la acción de todas las partículas de ésta. Pero, está, claro, que las partículas cercanas toman una participación mayor en la fuerza total, pues la atracción es inversamente proporcional al cuadrado de la distancia.
Si cerca del lugar de medición están concentradas masas pesadas, g será mayor de la norma, en caso contrario, g será menor.
Si, por ejemplo, se mide g en una montaña o en un avión que vuela sobre el mar a la altura de la montaña, en el primer caso resultará un número mayor. Por ejemplo, el valor de g en el monte Etna, en Italia, es 0,292 cm/s2 mayor que la norma. También es mayor que la norma el valor de g en las islas solitarias del océano. Naturalmente, en ambos casos, el aumento de g se explica por la concentración de masas complementarias en el lugar de medición.
No sólo la magnitud de g, sino también la dirección de la fuerza de gravedad se puedo desviar de la norma. Si se suspende un peso de un hilo, éste, estando estirado, indicará la vertical de este lugar. La vertical «normal» se determina según las estrellas, ya que para todo punto geográfico está calculado en qué lugar del cielo se apoya la vertical de la figura «ideal» de la Tierra en el momento dado del día y del año.
Figúrense que se realizan experimentos con la plomada al pie de una montaña grande. El grave de la plomada es atraído por la Tierra hacia su centro y, por la montaña, hacia un lado.
En estas condiciones, la plomada tiene que desviarse de la dirección de la vertical normal (fig. 6.3). Como la masa de la Tierra es mucho mayor que la masa de la montaña, estas desviaciones no son mayores de unos cuantos segundos angulares.
La vertical «normal» se determina por las estrellas, puesto que para cualquier punto geográfico está calculado en qué lugar del cielo en cada instante dado del día y del año se «apoya» la vertical de la figura «ideal» de la Tierra.
La desviación de la plomada conduce a veces a resultados extraños. Por ejemplo, en Florencia, la influencia de los Apeninos no contribuye a la atracción, sino a la repulsión de la plomada. La explicación sólo puede ser una: en los montes hay vacíos inmensos.

Figura 6.3
Otra vez más, la explicación es única: los continentes reposan sobre roas más ligeras y los océanos sobre rocas más firmes. En efecto, allí donde las exploraciones inmediatas son posibles, los geólogos comprueban que los océanos descansan sobre rocas pesadas de basalto y los continentes sobre granito ligero.
Puro, inmediatamente, surge la pregunta: ¿por qué las rocas pesadas y ligeras compensan tan exactamente la diferencia de pesos de los continentes y océanos? Esta compensación no puedo ser casual, la causa tiene su raíz en el origen de la constitución de la corteza de la Tierra.
Los geólogos suponen que las capas superiores de la corteza terrestre están como nadando sobre una masa plástica extendida (o sea, fácilmente deformable, como la arcilla húmeda). En las profundidades de cerca de 100 km, la presión tiene qua ser en todos los sitios igual, del mismo modo que es igual la presión en el fondo de un recipiente de agua sobre el que flotan trozos de madera de diferente peso. Por eso, una columna de substancia de 1 m2, desde la superficie hasta la profundidad de 100 km, tiene que pesar igual bajo el océano que bajo el continente.
Esta nivelación de la presión (llamada isostasia) da lugar a que los valores de la aceleración de la fuerza de gravedad g, a lo largo de un paralelo, sobre el océano y sobre el continente, no se diferencian esencialmente.
Las anomalías locales de la fuerza de gravedad nos sirven igual que le servía al pequeño Muk del cuento de Hauff el palo encantado con el que pegaba en el suelo allí donde había oro o plata.
Los minerales pesados hay que buscarlos en los lugares donde g es mayor. Por el contrario, los yacimientos de sales ligeras se descubren en los lugares donde la magnitud de g es menor. El valor de g se puede medir con una precisión de una cienmilésima de cm/s2
Los métodos de prospección basados en el empleo de péndulos y pesos superexactos se llaman gravitatorios. Estos tienen una gran importancia práctica, particularmente para el descubrimiento del petróleo. Es que, con los métodos gravitatorios de prospección, es fácil descubrir las aglomeraciones de sal bajo la tierra y, frecuentemente ocurre, que allí donde hay sal, hay también petróleo. Además, éste está a mayor profundidad, mientras que la sal está más cerca de la superficie terrestre. Con el método gravitatorio de prospección fue descubierto el petróleo en el Kazajstán y en otros lugares.
5. Gravedad bajo tierra
Queda por aclarar una cuestión interesante. ¿Cómo varía la fuerza de gravedad al profundizarse bajo tierra?
El peso de un objeto es el resultado de la tensión de unos hilos invisibles tendidos a él desde cada trozo de substancia de la Tierra. El peso es una suma de fuerzas, el resultado de la suma de fuerzas elementales que actúan sobre el objeto por parte de las partículas de la Tierra. Todas estas fuerzas, aunque sus direcciones formen diversos ángulos, tiran del cuerpo hacia «abajo», hacia el centro de la Tierra.
Y, ¿cuál es la gravedad de un objeto situado en un laboratorio bajo tierra? Sobre él actúan las fuerzas de atracción de las capas interiores y exteriores de la Tierra.
Examinemos las fuerzas de gravitación que actúan sobre un punto situado dentro del globo terrestre por parte de la capa exterior. Si se divide esta capa en otras finas, se corta en una de ellas un cuadradito de lado a1, y desde el perímetro del cuadradito se trazan líneas por el punto O en el cual nos interesa la gravedad, en el lugar opuesto de la capa resultará un cuadradito de otras dimensiones, de lado a2 (fig. 6.4).

Figura 6.4
De la demostración hecha por el lector se deduce, a1/r1 = a2/r2 lo que significa que se equilibran las fuerzas de atracción que actúan sobre el punto O por parte de los dos cuadraditos.
Dividiendo la capa fina en pares semejantes de cuadraditos «opuestos», hemos establecido un resultado admirable: la capa fina homogénea esférica no actúa sobre ningún punto situado dentro de ella. Pero esto, es cierto para todas las capas finas en que hemos dividido la zona esférica situada sobre el punto subterráneo que nos interesa.
Por lo tanto, la capa terrestre situada sobre el cuerpo, es como si no existiese. La acción sobre el cuerpo de sus partes separadas se equilibran y la fuerza total de atracción por parte de la capa exterior es igual a cero.
Claro, en estos razonamientos se suponía que la densidad de la Tierra era constante dentro de cada capa.
El resultado de nuestros razonamientos nos da la posibilidad de obtener la fórmula para la fuerza de gravedad que actúa a la profundidad H bajo tierra. El punto, situado a la profundidad H, experimenta una atracción sólo por parle de las capas interiores de la Tierra. La fórmula
![]()
Si la Tierra tuviese una misma densidad en todas las capas, la fórmula para g tomaría la forma:

Esto significa, que g cambiaría directamente proporcional a (R –H); cuanto mayor sea la profundidad H, tanto menor será g.
En realidad, el comportamiento de g cerca de la superficie terrestre (que se puede observar hasta las profundidades de 5 km bajo el nivel del mar), no obedece a esta regla. Los experimentos muestran que en estas capas, g, por el contrario, aumenta con la profundidad. La divergencia entre el experimento y la fórmula se explica porque no se había tenido en cuenta la diferencia de densidad a diversas profundidades.
La densidad media de la Tierra se halla fácilmente dividiendo la masa por el volumen del globo terrestre. Esto nos proporciona el número 5,52 g/cm3. A su vez, la densidad de las rocas superficiales es mucho menor, ésta es igual a 2,75 g/cm3. La densidad de las capas terrestres aumenta con la profundidad. En las capas de la superficie de la Tierra, este efecto es superior a la disminución ideal que se deduce de la fórmula y la magnitud de g aumenta.
6. Energía gravitatoria
Ya nos hemos encontrado, en un ejemplo simple, con la energía gravitatoria. Un cuerpo, levantado sobre la tierra a la altura h, posee una energía potencial mgh.
Sin embargo, esta fórmula se puede aplicar solamente cuando la altura h es mucho menor que el radio de la Tierra.
La energía de la gravitación es una cantidad importante. Es interesante obtener una fórmula para la energía que sirviese para los cuerpos levantados sobre la Tierra a cualquier altura y, en general, para dos masas que se atraen de acuerdo con la ley universal:
![]()


A = U1 - U2
donde U1 es el valor inicial de la energía potencial de gravitación y U2 el valor final de la misma.Comparando estas dos fórmulas, para la energía potencial hallamos la expresión
![]()
Según esta fórmula, para valores muy grandes de r, la energía potencial U = 0. Esto es comprensible, puesto que a tales distancias ya no se siente la atracción. Pero al acercarse los cuerpos, la energía potencial tiene que disminuir, pues a cuenta de ella tiene que realizarse trabajo.
Pero, ¿hacia dónde tiene que disminuir desde cero? En dirección negativa. Por eso, en la fórmula figura el signo menos. Pues, —5 es menor que cero y —10 es menor que —5.
Si solamente se trata del movimiento cerca de la superficie terrestre, la expresión general para la fuerza de gravitación se podría sustituir por el producto mg. Entonces, con gran precisión, U1 - U2 -= mgh.
Pero, en la superficie de la Tierra, el cuerpo tiene una energía potencial
-γ(Mm)/R
donde R es el radio de la Tierra. Por lo tanto, a la altura h sobre la superficie terrestre,![]()
La energía gravitatoria determina la rigidez de las cadenas «que ligan» el cuerpo con la Tierra. ¿Cómo romper estas cadenas? ¿Cómo conseguir que un cuerpo, lanzado desde la Tierra, no vuelva a ella? Claro que, para esto, hay que comunicar al cuerpo una velocidad inicial muy grande. Pero, ¿qué es lo mínimo que se pide?
A medida que se aleja de la Tierra, la energía potencial de un cuerpo lanzado desde la Tierra (un proyectil, un cohete), va aumentando (el valor absoluto de U disminuye); la energía cinética va disminuyendo. Si la energía cinética se convierte en cero antes de tiempo, antes de que rompamos las cadenas de gravitación del globo terrestre, el proyectil despedido cae de vuelta a la Tierra.
Es necesario que el cuerpo conserve su energía cinética mientras su energía potencial no se haga, prácticamente, igual a cero. Antes del lanzamiento, el proyectil tenía la energía potencia' -γ(Mm)/R (M y R son la masa y el radio de la Tierra).
Por eso, hay que comunicarle al proyectil una velocidad tal, que se haga positiva la energía total del proyectil despedido. Un cuerpo, con una energía total negativa (el valor absoluto de la energía potencial es mayor que el valor de la cinética) no puede salir de los límites de la esfera de gravitación.
Por consiguiente, llegamos a una condición sencilla. Para separar de la Tierra un cuerpo de masa m, hay que vencer una energía potencial de gravitación igual a
U = -γMm/R
La velocidad del proyectil tiene que alcanzar el valor llamado segunda velocidad cósmica v2 que es fácil hallar de la igualdad de las energías potencial y cinética:
es decir,
![]()
O bien,
![]()
![]()
O sea, que v2 = √2 v1.
La masa de la Luna es 81 veces menor que la masa de la Tierra; su radio es cuatro veces menor que el terrestre. Por eso, la energía gravitatoria en la Luna es veinte veces menor que en la Tierra, y para desprenderse de la Luna es suficiente una velocidad de 2,5 km/s.
La energía cinética mv22/2 se gasta en romper las cadenas gravitatorias del planeta que sirve de estación de partida. Si quisiéramos que el cohete se moviese con una velocidad v, venciendo la gravedad, tendríamos que comunicarle una velocidad complementaria mv2/2. En este caso, para mandar de viaje al cohete habría que comunicarle una energía
mv02/2 = mv22/2 + mv2/2
De tal manera, las tres velocidades de que se trata están ligadas con la simple relación:v02 = v22 + v2
¿Qué velocidad mínima se necesita para que un proyectil, enviado a las estrellas lejanas, supere la gravitación de la Tierra y del Sol? Esta velocidad la señalaremos con v3 puesto que se llama tercera velocidad cósmica.Determinemos, ante todo, el valor de la velocidad que se necesita para vencer solamente la atracción del Sol.
Como acabarnos de ver, la velocidad necesaria para que un proyectil disparado salga fuera de la esfera de atracción terrestre es √2 veces mayor que la velocidad necesaria para poner un satélite en una órbita terrestre. Estos mismos razonamientos se refieren también al Sol, es decir, la velocidad necesaria para salir fuera de la esfera de atracción solar es √2 veces mayor que la velocidad del satélite del Sol (o sea, de la Tierra). Como la velocidad del movimiento de la Tierra alrededor del Sol es, aproximadamente, de 30 km/s, la velocidad necesaria para salir de la esfera de atracción del Sol es de 42 km/s. Esto es muchísimo; sin embargo, para mandar un proyectil a las estrellas lejanas, hay que aprovechar, naturalmente, el movimiento del globo terrestre y lanzar el cuerpo en dirección del movimiento de la Tierra. Entonces, tenemos que comunicarle solamente una velocidad de 42 — 30 — 12 km/s.
Ahora podemos calcular definitivamente la tercera velocidad cósmica. Esta es la velocidad con la que hay que lanzar el cohete para que, saliendo de la esfera de atracción terrestre, alcance una velocidad de 12 km/s. Aplicando la fórmula que acabamos de mencionar, obtenemos:
v32 = 112 + 122
de donde, v3 = 10 km/s.Resumiendo, con una velocidad de 11 km/s, el cuerpo abandona la Tierra, pero no se marcha «muy lejos»; la Tierra le deja escapar, pero el Sol no le deja en libertad. El cohete se convierte en un satélite del Sol.
Resulta que la velocidad necesaria para viajar por el espacio estelar es, solamente, vez y media mayor que la que se necesita para viajar por el sistema solar dentro de la órbita terrestre. Claro que, como ya se advirtió, un aumento sensible de la velocidad inicial del proyectil va acompañado de muchas dificultades técnicas.
7. Cómo se mueven los planetas
A la pregunta de cómo se mueven los planetas, se puede contestar abreviadamente: de acuerdo con la ley gravitatoria. Las únicas fuerzas aplicadas a los planetas son las gravitatorias.
Como la masa de los planetas es mucho menor que la del Sol, las fuerzas de interacción de los planetas no desempeñan un gran papel. El movimiento de cada uno de los planetas está casi totalmente dictado por la fuerza de atracción del Sol, como si los demás planetas no existiesen.
Las leyes del movimiento de los planetas alrededor del Sol se deducen de la ley de gravitación universal. Históricamente, esto no ocurrió así. Las leyes del movimiento de los planetas fueron descubiertas por el célebre astrónomo alemán Juan Kepler antes de Newton, sin emplear la ley de gravitación, basándose en el estudio de las observaciones astronómicas realizadas durante casi veinte años.
Las trayectorias, o como suelen decir los astrónomos, las órbitas, que describen los planetas alrededor del Sol, son muy parecidas a una circunferencia.
¿Cómo está relacionado el período de rotación de un planeta con el radio de su órbita?
La fuerza de gravitación, que actúa sobre el planeta por parte del Sol, es igual a
![]()
Pero según la ley principal de la mecánica, F/m es la aceleración y, además, la centrípeta:
F/m = v2/r
La velocidad del planeta se puede expresar como la longitud de la circunferencia 2πr, dividida por el período de rotación T.Poniendo v = 2πr / T y el valor de la fuerza F en la fórmula de la aceleración, obtenemos:


T12/T22 = r13/r23
La razón de los cuadrados de los tiempos de rotación de los planetas es igual a la razón de los cubos de los radios de sus órbitas. Kepler dedujo esta interesante ley del experimento. La ley de gravitación universal explicaba esta observación de Kepler.El movimiento circular de un cuerpo celeste alrededor de otro, es solamente una de las posibilidades.
Las trayectorias de un cuerpo que gira alrededor de otro a causa de las fuerzas gravitatorias pueden ser muy diversas. Sin embargo, como muestra el cálculo y como había sido observado por Kepler sin ningún cálculo, todas éstas pertenecen a una clase de curvas llamadas elipses.
Si atamos un hilo a dos alfileres, hincados en un papel de dibujo, y se estira del hilo con la punta de un lapicero, moviéndolo de modo que el hilo se mantenga en tensión, en el papel se marcará una curva: ésta es la elipse (fig. 6.5).

Figura 6.5
Las elipses pueden tener diversas formas. Si tomamos un hilo mucho más largo que la distancia entre los alfileres, resultará una elipse muy parecida a un círculo.
Por el contrario, si la longitud del hilo es solamente un poco mayor que la distancia entre los alfileres entonces se obtiene una elipse alargada, parecida a un palito.
Los planetas describen elipses, en uno de cuyos focos está el Sol.
¿Qué elipses describen los planetas? Resulta que éstas son muy parecidas a circunferencias.
La trayectoria más distinta de la circunferencia es la del planeta más próximo al Sol: la de Mercurio. Pero, en este caso, el diámetro más largo de la elipse es solamente el 2% mayor que el más corto. Otra cosa ocurre con los satélites artificiales. Vean la fig. 6.6. La órbita de Marte no se distingue de la circunferencia.

Figura 6.6
Mercurio está en el perihelio 1,5 veces más próximo del Sol que el afelio.
Los planetas principales describen elipses alrededor del Sol muy parecidas a circunferencias. Sin embargo, existen cuerpos celestes que se mueven alrededor del Sol por elipses muy alargadas. Entre estos se encuentran los cometas. Sus órbitas, refiriéndose a su alargamiento, no se pueden comparar con las de los planetas. se puede decir que los cuerpos celestes que se muevan por elipses pertenecen a la familia del Sol. Sin embargo, a veces, en nuestro sistema penetran forasteros casuales.
Se han observado cometas que describen unas curvas alrededor del Sol, que juzgando por su forma, se puede hacer la conclusión de que ellos jamás volverán, pues no pertenecen a la familia del sistema solar. Las curvas «abiertas» que describen los cometas se llaman hipérbolas.
Sobre todo, se mueven con mucha rapidez los cometas que pasan cerca del Sol. Esto es comprensible: la energía total del cometa es constante y, al acercarse al Sol, aquél tiene la energía potencial mínima. Esto quiere decir que, en este caso, la energía cinética del movimiento es máxima. Claro que esto tiene lugar para todos los planetas y para la Tierra inclusive. Pero este efecto no es muy grade, ya que la diferencia de las energías potenciales en el afelio y en el perihelio es pequeña.

Figura 6.7
En la fig. 6.7 están representadas dos posiciones de un planeta. Desde el Sol, o sea, desde el foco de la elipse, se han trazado dos radios hasta las posiciones del planeta, y el sector formado, se ha rayado. Hay que determinar la magnitud del área que describe el radio en una unidad de tiempo. Si el ángulo es pequeño, el sector descrito por el radio en un segundo se puede sustituir por un triángulo. La base del triángulo es igual a la velocidad v (el espacio recorrido en un segundo) y la altura igual al brazo d de la velocidad. Por eso, el área del triángulo es igual a vd/2.
De la ley de conservación del momento se deduce que la magnitud mvd permanece constante durante el movimiento. Pero, si mvd es constante, tampoco varía el área vd/2 del triángulo. Podemos dibujar sectores para cualquier momento; éstos resultarán de igual área. La velocidad del planeta varía, pero, lo que se puede llamar velocidad sectorial, se mantiene constante.
No todas las estrellas tienen un cerco planetario. En el cielo hay bastantes estrellas dobles. Dos cuerpos celestes inmensos giran uno alrededor de otro.
La gran masa del Sol le convierte en el centro de la familia. En las estrellas dobles, los dos cuerpos celestes tienen masas parecidas. En este caso, no se puede suponer que una de las dos estrellas está en reposo.

Figura 6.8
Los planetas del sistema solar se encuentran en condiciones ideales, pues no sufren rozamiento alguno.
Los pequeños cuerpos celestes artificiales creados por el hombre, los satélites, no están en tal situación ideal, ya que las fuerzas de rozamiento, aunque insignificantes al principio, son, de todos los modos, sensibles e intervienen resueltamente en el movimiento.
La energía total del planeta se mantiene inalterable. Con cada vuelta, disminuye un poquito la energía total del satélite. A primera vista, parece que el rozamiento tiene que retardar el movimiento del satélite. En realidad ocurre lo contrario.
Recordemos, ante todo, que la velocidad del satélite es igual a √(gR), o a √(γM/R) donde R es la distancia hasta el centro de la Tierra y M, su masa. La energía total del satélite es igual a:

![]()
De todos modos, el balance total es negativo, puesto que la energía potencial decrece dos veces más rápidamente que crece la energía cinética.
El rozamiento conduce al aumento de la velocidad del movimiento del satélite y no a su disminución.
Ahora se comprende por qué el cohete conductor adelanta al pequeño satélite. El cohete vacío grande tiene mayor rozamiento.8. Viajes interplanetarios
Para el día de hoy ya hemos sido testigos de varios viajes a la Luna. Cohetes automáticos y cohetes tripulados ya han estado en la Luna y han regresado de ésta.
Los cohetes sin tripulación ya han visitado Marte y Venus. No está lejos la cita con otros planetas, su exploración y el regreso a la Tierra de hombres o de aparatos automáticos.
Ya tenemos aclaradas las principales reglas de los viajes interplanetarios, a saber, el principio de funcionamiento del cohete y el cálculo de las velocidades cósmicas indispensables para crear un satélite de un cuerpo celeste o abandonar «para siempre» el planeta.
A título de ejemplo de un viaje interplanetario analicemos el vuelo a la Luna. Para ir a parar a la Luna es necesario orientar el cohete hacia un punto de la órbita lunar. La Luna debe llegar a este punto simultáneamente con el cohete. El cohete puede enviarse según la vertical terrestre, como asimismo formando un ángulo cualquiera. Se sobreentiende que no está contraindicado tampoco el vuelo horizontal. Para que el proyectil alcance la Luna es preciso comunicarle la segunda velocidad cósmica, o sea, la velocidad de liberación.
Las diferentes trayectorias del vuelo requieren distintas cantidades de combustible, ya que se diferencian por las pérdidas para el aceleramiento. El tiempo del vuelo depende enormemente de la velocidad inicial. Si ésta es mínima, el tiempo del vuelo será próximo a cinco días. Si la velocidad aumenta 0,5 km/s, dicho tiempo se reducirá a un día.
A. primera vista puede parecer que para el «alunizaje» es suficiente llegar a la zona de atracción de la Luna con la velocidad final nula. Se figura que una vez en alcanzado esto el aparato, simplemente, «caerá» a nuestro satélite. El error de este razonamiento radica su lo siguiente. Cuando el cohete tenga la velocidad igual a cero con respecto a la Tierra en lo que se refiere a la Luna su velocidad será igual a la de ésta, pero dirigida en el sentido contrario.

Figura 6.9
Al observar el cohete desde la Luna podemos estar seguros de que éste llegará bajo un ángulo recto respecto a la superficie lunar si su velocidad es igual a v. ¿Cómo debe proceder, entonces, el matemático que calcula la óptima trayectoria y la velocidad del cohete?
Evidentemente, debe conseguir que el cohete llegue al punto B no con velocidad nula, sino con velocidad V, también señalada en la fig. 6.9. Y ésta no es difícil de calcular valiéndose del paralelogramo de velocidades representado en el mismo dibujo.
No obstante, poseemos cierta libertad. No es obligatorio que el vector de velocidad v se apunte al centro de la Luna. Además, la propia atracción de la Luna incrementa los errores tolerables.
Los cálculos demuestran que todas estas admisiones son sumamente pequeñas y la precisión en los valores de la velocidad inicial debe ser del orden de varios metros por segundo. El ángulo bajo el cual parte el cohete debe establecerse con la exactitud de hasta una décima de grado y el tiempo de partida no debe desviarse del de cálculo más que en varios segundos.
Bueno, tenemos que el cohete entra en la esfera de acción de la Luna con una velocidad diferente de cero. El cálculo demuestra que esta velocidad debe ser igual a 0,8 km/s. La atracción de la Luna la hará aumentar y el encuentro con la superficie tendrá lugar a la velocidad de 2,5 km/s. Se sobreentiende que de eso ¡ni hablar!, pues el vehículo resultará destruido con tal encuentro. No hay ninguna otra salida, salvo amortiguar la velocidad mediante el sistema de retrocohete. Para realizar el llamado toque suave será necesario consumir una cantidad bastante grande de combustible. La fórmula insertada en el acápite 3 del capítulo 3, testimonia que el cohete tendrá que «adelgazar» 2,7 veces.
Si querernos regresar, el cohete, después de su alunizaje no debe quedarse sin combustible. La Luna es un cuerpo celeste «pequeño». Su radio es igual a 1737 km y la masa es de 7,35 x 1022 kg. No es difícil calcular que la primera velocidad cósmica, o sea, la velocidad orbital necesaria para crear un satélite artificial de la Luna es igual a 1680 m/s, mientras que la velocidad de liberación alcanza 2375 m/s. De este modo, para abandonar la Luna es preciso comunicar al proyectil una velocidad de cerca de 2,5 km/s. Con esta velocidad inicial mínima regresaremos a la Tierra dentro de 5 días, teniendo nuestra velocidad al final del viaje el valor ya conocido de cerca de 11 km/s.
La entrada en la atmósfera de la Tierra debe ser de pendiente suave ya que se necesita evitar sobrecargas si a bordo de la nave cósmica se hallan personas. Sin embargo, incluso en el caso de que se trate sobre el aterrizaje de un vehículo automático, igualmente hace falta dar varias vueltas alrededor de la Tierra, reduciendo cada vez el diámetro de la elipse con el fin de no sobrecalentar la envoltura del cohete.
Una expedición tripulada a la Luna cuesta sumas colosales. Si se toma en consideración que a la Tierra debe regresar el módulo con personas e instrumentos de no menos de 5 toneladas de masa, resultará que la masa inicial del complejo coheteril alcanza 4500 toneladas. Los especialistas estiman que durante los próximos veinte años, hasta que se elaboren nuevos sistemas de motores con alta velocidad de salida de gases, no se efectuarán nuevos vuelos con hombres a la Luna, sin hablar ya de otros planetas. Desde luego, es difícil estar seguros de la certeza de semejantes pronósticos.
9. Si no hubiese Luna...
Aquí no vamos a discutir las tristes consecuencias que traería la falta de la Luna para los poetas y enamorados. El título del párrafo debe entenderse de un modo más prosaico: ¿cómo influye la presencia de la Luna en la mecánica terrestre?
Cuando, anteriormente, hablábamos de las fuerzas que actúan sobre un libro situado en la mesa, decíamos con seguridad, que éstas eran la atracción de la Tierra y la fuerza de reacción. Estrictamente hablando, el libro situado sobre la mesa es atraído por la Luna, por el Sol y hasta por las estrellas.
La Luna es nuestro vecino más próximo. Olvidémonos del Sol y de las estrellas, y veamos en cuánto se altera el peso del cuerpo en la Tierra por la acción de la Luna.
La Tierra y la Luna están en movimiento relativo. Con respecto a la Luna, la Tierra, como un todo (o sea, todos los puntos de la Tierra) se mueve con una aceleración γm/r2, donde m es la masa de la Luna y r la distancia del centro de la Luna al centro de la Tierra.
Examinemos ahora un cuerpo situado en la superficie de la Tierra. A nosotros nos interesa, en cuánto se altera su peso a causa de la acción de la Luna. El peso terrestre se determina por la aceleración con respecto a la Tierra. Por lo tanto, en otras palabras, nos interesa saber en cuánto se altera, por la acción de la Luna, la aceleración de un cuerpo situado en la superficie terrestre con respecto a la Tierra.
La aceleración de la Tierra con respecto a la Luna es γm/r2; la aceleración de un cuerpo situado en la superficie de la Tierra, con respecto a la Luna es y γm/r12 donde r1 es la distancia del cuerpo a la Luna (fig. 6.10).

Figuras 6.10 y 6.11
La magnitud γm/r2 es constante para la Tierra, mientras que para diversos puntos de la superficie terrestre, la magnitud γm/r12 es diferente. Por lo tanto, la diferencia geométrica que nos interesa es diferente para diversos lugares del globo terrestre.
¿Cuál es la gravedad terrestre en el lugar de la superficie de la Tierra más próximo a la Luna, en el más lejano de ella y en el medio?
Para hallar la aceleración del cuerpo con respecto al centro de la Tierra, debida a la acción de la Luna, o sea, la corrección a la g terrestre, hay que restar la magnitud constante γm/r2 de la magnitud γm/r12 en los sitios indicados del globo terrestre (las flechas claras en la fig. 6.11). Además, hay que recordar, que la aceleración γm/r2 de la Tierra respecto a la Luna, está dirigida paralelamente a la línea del centro Tierra — Luna. Restar un vector es equivalente a sumar el vector opuesto. En el dibujo, los vectores -γm/r2 están marcados con flechas en negrilla.
Sumando los vectores señalados en el dibujo, hallamos lo que nos interesa: la variación de la aceleración de la caída libre sobre la superficie de la Tierra, debida a la influencia de la Luna.
En el sitio más próximo a la Luna, la aceleración complementaria resultante es igual a:

Teniendo en cuenta que R es mucho menor que r, la fórmula escrita se puede simplificar. Reduciendo a un común denominador, obtenemos:

2γmR/r3
Trasladémonos a los antípodas. En el punto B, la aceleración por parte de la Luna no es mayor, sino menor que la aceleración general terrestre. Pero ahora, estamos situados en la parte del globo terrestre más lejana a la Luna. La disminución de la atracción de la Luna en esta parte del globo terrestre, conduce a los mismos resultados a que conducía el aumento de la atracción en el punto A, a saber: a la disminución de la aceleración de la fuerza de gravedad. ¿Verdad que el resultado es sorprendente? Pues, aquí también, como resultado de la acción de la Luna, el cuerpo se hace más ligero. La diferencia
Otra cosa ocurre en la línea media. Aquí, las aceleraciones forman ángulos entre sí y la resta de la aceleración general de la Tierra, por la Luna, -γm/r2, y de la aceleración, por la Luna, de un cuerpo situado en la Tierra, γm/r12, hay que efectuarla geométricamente (fig. 6.12).

Figura 6.12
Así pues, la influencia de la Luna en la mecánica terrestre consiste en la alteración del peso de los cuerpos situados en la superficie terrestre. Además, el peso disminuye en el punto más próximo y en el más alejado de la Luna y aumenta en la línea media; la alteración del peso en el último caso, es dos veces menor que en el anterior.
Naturalmente, que las razones expuestas son válidas para cualquier planeta, para el Sol, para las estrellas.
Un cálculo sencillo muestra que ni los planetas, ni las estrellas, no proporcionan una ínfima parte de la aceleración lunar.
Es muy fácil comparar la acción de cualquier cuerpo celeste con la de la Luna: hay que dividir las aceleraciones complementarias de este cuerpo por «el complemento lunar»:

Poniendo los valores numéricos hallarnos, que la gravedad terrestre por la influencia del. Sol varía 2,17 veces menos que por la influencia de la Luna.
Veamos ahora en cuánto variaría el peso de los cuerpos terrestres si la Luna abandonase la órbita de la Tierra. Sustituyendo los valores numéricos en la expresión 2γmR/r3 hallamos, que la aceleración lunar es del orden de 0,0001 cm/s2, o sea, representa una diezmillonésima parto de g.
Parece como si esto no fuese nada. ¿Valía la pena de prestar tanta atención a un problema tan complicado de mecánica, siendo el efecto tan ínfimo? No debemos de apresurarnos en hacer conclusiones semejantes. Este efecto «insignificante» es la causa de las potentes olas de las mareas. Trasladando inmensas masas de agua, se crea diariamente una energía cinética de 1015 J. Esta es equivalente a la energía que llevan todos los ríos del globo terrestre.
En efecto, el porcentaje de la variación de la magnitud que hemos calculado es pequeñísimo. Un cuerpo que se hiciese más ligero en una magnitud tan «insignificante», se alejaría del centro de la Tierra. Pero, como el radio de la Tierra es de 6.370.000 metros, una desviación insignificante se mediría en decenas de centímetros.
Figúrense que la Luna hubiese parado su movimiento con respecto a la Tierra y que brillase sobre el océano. Los cálculos ilustran que en este sitio, el nivel del agua se elevaría en 54 cm. La misma elevación de agua resultaría en los antípodas. En la línea media entre estos puntos extremos, el nivel del agua en el océano disminuiría en 27 cm.
Gracias a la rotación de la Tierra alrededor de su eje, los «lugares» de subidas y descensos del océano se desplazan continuamente. Estas son las mareas. Durante seis horas, aproximadamente, se produce una subida del nivel del agua; el agua avanza hacia la costa: es el flujo. Después comienza el reflujo, que también dura unas seis horas. En cada día lunar se efectúan dos flujos y dos reflujos. El cuadro del fenómeno de las mareas se complica mucho debido al rozamiento de las partículas del agua, a la forma del fondo del mar y al contorno del litoral.
Por ejemplo, en el mar Caspio son imposibles las mareas, por la simple razón de que toda la superficie del mar está simultáneamente en las mismas condiciones. Tampoco existen mareas en los mares interiores, unidos con el océano por estrechos y largos corredores, como el mar Negro y el mar Báltico.
Particularmente grandes suelen ser las mareas en las bahías estrechas, donde la ola de pleamar que viene del océano se levanta a mucha altura. Por ejemplo, en la bahía Guizhiguinskaya, en el mar Ojotsk, la altura de la pleamar alcanza unos cuantos metros.
Si las costas del océano son bastante planas (como, por ejemplo, en Francia), la subida del agua durante la pleamar puede cambiar en muchos kilómetros la frontera de la tierra y el mar.
Los fenómenos de las mareas dificultan la rotación de la Tierra, pues, el movimiento de las olas de las mareas está ligado al rozamiento. Para superar este rozamiento —llamado de marea—, se tiene que realizar un trabajo. Por esto, disminuye la energía de rotación, y con ella, la velocidad de rotación de la Tierra alrededor de su eje.
Esto fenómeno da lugar al alargamiento del día, de que se habló en las páginas iniciales.
El rozamiento de marea nos ayuda a comprender por qué la Luna presenta siempre una misma cara a la Tierra.
Probablemente, en cierto tiempo, la Luna era fluida. La rotación de este globo fluido alrededor de la Tierra iba acompañada de un grandísimo frotamiento de marea que, poco a poco, retardaba el movimiento de la Luna. Por fin, la Luna acabó de girar con respecto a su eje, las mareas se terminaron y la Luna escondió de nuestra vista la mitad de su superficie.Contenido:
- Prensa hidráulica
- Presión hidrostática,
- Presión de la atmósfera
- Cómo se conoció la presión atmosférica
- Presión atmosférica y el tiempo
- Variación de la presión con la altura
- Ley de Arquímedes
- Presión de millones de atmósferas
- Unidades y dimensiones de las magnitudes físicas en el SI y sus relaciones con las unidades CGS
La prensa hidráulica es una máquina antigua que ha conservado su significado hasta nuestros días.

Figura 7.1
Si las superficies de los émbolos son S1 y S2, y los desplazamientos, l1, y l2, entonces, por la igualdad de volúmenes, se tiene:
S1 l1 = S2 l2
o bien,l1 /l2 = S2 /S1
Tenemos que conocer la condición de equilibrio de los émbolos.Esta condición la hallaremos sin dificultad, partiendo de que el trabajo de las fuerzas en equilibrio tiene que ser igual a cero. Siendo esto así, al desplazar los émbolos, los trabajos de las fuerzas que obran sobre ellos tienen que ser iguales (pero de signo contrario). Por consiguiente,
F1 l1 = F2 l2, o bien, F2/F1 = l1/l2
Comparando con la igualdad anterior, vemos queF2/F1 = S2/S1
Esta sencilla ecuación manifiesta la posibilidad de una multiplicación muy grande de la fuerza. El émbolo que transmite la presión puede tener cientos o miles de veces menor superficie. En esta misma cantidad de veces se diferenciará de la fuerza muscular, la fuerza que actúa sobre el émbolo grande.Con ayuda de la prensa hidráulica se pueden forjar y estampar los metales, prensar uvas, levantar pesos, etc.
Claro que la ganancia en fuerza irá acompañada de pérdida en el camino. Para comprimir con la prensa un cuerpo en 1 cm, habrá que hacer un recomido con la mano tantas veces mayor, cuantas veces se diferencian las fuerzas F1 y F2
La razón de la fuerza a la superficie F/S, se llame en física, presión. En vez de decir: la fuerza de 1 kgf actúa sobre la superficie de 1 cm2, diremos abreviadamente: la presión (ésta se designa con la letra p), p = 1 kgf/cm2.
En vez de la razón F2/F1 = S2/S1 podemos escribir ahora:
F2/S2 = F1/S1 o sea p1 = p2
Así, pues, la presión sobre los dos émbolos es la misma.Nuestro razonamiento no depende de la posición de los émbolos, ya sean sus superficies horizontales, verticales u oblicuas. Y, en general, el asunto no está en los émbolos. Podemos figurarnos que se han elegido dos partes cualesquiera de una superficie que contiene líquido, y afirmar, que la presión sobre esta superficie es la misma en todos los sitios.
De este modo, resulta que la presión dentro del líquido es igual en todos sus puntos y en todas las direcciones. O, en otras palabras, sobre una superficie de una media determinada actúa una fuerza igual, donde quiera y como quiera que esté situada la superficie. Esta regla lleva el nombre de principio de Pascal.
2. Presión hidrostática
El principio de Pascal es justo para los líquidos y los gases. Sin embargo, éste no toma en consideración una circunstancia muy importante, la existencia del peso.
En las condiciones terrestres no se puede olvidar esto. El agua también pesa. Es comprensible por esto, que dos superficies situadas a diversa profundidad bajo el agua, experimentan presiones distintas. ¿A qué es igual esta diferencia? Figurémonos que se ha elegido dentro del líquido un cilindro recto con las bases horizontales. El agua situada dentro de él. presiona sobre el agua que la rodea. La fuerza total de esta presión es igual al peso mg del líquido en el cilindro (fig. 7.2). Esta fuerza total se descompone en dos fuerzas que actúan sobre las bases del cilindro y sobre se superficie lateral. Pero las fuerzas que actúan sobre las paredes opuestas de la superficie lateral son iguales en valor absoluto y de dirección contraria.

Figura 7.2
Según el principio de Pascal, la presión sobre superficies de diversa orientación, pero situadas a una misma profundidad, es la misma. Esto significa, que la diferencia de presiones en dos puntos del líquido, situados uno sobre otro a la altura h, es igual al peso de una columna de líquido de sección igual a la unidad y la altura h:
p2 – p1 = ρgh
La presión del agua debida u su gravedad, se llama hidrostática.Frecuentemente, en las condiciones terrestres, sobre la superficie libre del líquido presiona el aire. La presión del aire se llama atmosférica. La presión en la profundidad de un líquido, se compone de la presión atmosférica y de la hidrostática.
Para calcular la fuerza de la presión del agua, sólo hay que saber la medida de la superficie sobre la que presiona y la altura de la columna de líquido sobre ella. Todo lo demás, en virtud del principio de Pascal, no juega ningún papel.

Figura 7.3
Si dos recipientes de diferente forma, pero con un mismo nivel de agua, se unen con un tubo, el agua no pasa de un recipiente a otro. Este paso podría ocurrir, en el caso en que las presiones en los recipientes fuesen diferentes. Pero esto no es así; en los vasos comunicantes, el líquido siempre estará a un mismo nivel, independientemente de sus formas.
Por el contrario, si son diferentes los niveles de agua en los vasos comunicantes, el agua comienza a desplazarse y los niveles se igualan.
La presión del agua es mucho mayor que la del aire. A la profundidad de 10 m el agua presiona sobre 1 cm2 con una fuerza de 1 kgf, por encima de la presión atmosférica. A la profundidad de 1 km, con una fuerza de 110 kgf, sobre 1 cm2.
En algunos lugares, el océano tiene una profundidad de más de 10 km. Las fuerzas de presión del agua en estas profundidades son enormes. Un trozo de madera sumergido a la profundidad de 5 km, se comprime de tal modo, a causa de esta presión colosal, que después de tal «bautizo», se hunde en una barrica de agua como un ladrillo.
Esta enorme presión crea muchas dificultades a quienes estudian la vida del mar. Los descensos a grandes profundidades se efectúan en globos de acero, llamados batisferas con los que se aguantan presiones de más de 1 tonelada sobre 1 cm2.
Los submarinos pueden sumergirse solamente a una profundidad de 100 a 200 m.
3. Presión de la atmósfera
Nosotros vivimos en el fondo de un océano de aire, llamado atmósfera. Cualquier cuerpo, cualquier granito de arena, todo objeto situado en la Tierra está sometido a la presión del aire.
La presión atmosférica no es tan pequeña. Sobre cada centímetro cuadrado de la superficie de un cuerpo actúa una fuerza de cerca de 1 kgf.
La causa de la presión atmosférica es evidente. El aire, así como el agua, tiene peso y, por consiguiente, efectúa una presión igual (así como para el agua) al peso de la columna de aire situada sobre el cuerpo. Cuanto a más altura subamos en un monte, tanto menos aire habrá sobre nosotros y, por lo tanto, tanto menor será la presión atmosférica.
Para la vida y para la ciencia es necesario saber medir la presión. Para esto sirven unos aparatos especiales llamados barómetros.
No es difícil construir un barómetro. En un tubo cerrado por un extremo, se echa mercurio. Tapando el extremo abierto con el dedo, se invierte el tubo y se introduce por el extremo abierto en una vasija con mercurio. Claro, el mercurio del tubo descenderá, pero éste no se vacía. No hay duda de que no hay aire en el espacio situado por encima del mercurio. El mercurio se mantiene en el tubo gracias a la presión del aire exterior (fig. 7.4).

Figura 7.4
Si se toma un tubo menor de 76 cm, éste se llenará de mercurio y no veremos el vacío. La columna de mercurio de 76 cm de altura presiona sobre la base con la misma fuerza que la atmósfera.
Dicha columna de mercurio de 76 cm de altura sobre una superficie de 1 cm2 pesa cerca de un kilogramo, o más exactamente. 1,033 kgf. Este número es el volumen de mercurio de 1 x 76 cm3, multiplicado por su densidad y por la aceleración de la caída libre.
Como se ve, la presión media o normal atmosférica que siente cada hombre de la tierra es próxima a la presión que surge sobre un plano de 1 cm2 bajo la acción de una pesa de 1 kg.
Para medir las presiones se usan diferentes unidades. A veces se indica, simplemente, la altura de la columna de mercurio en milímetros. Por ejemplo, se suele decir: hoy la presión es mayor que la normal, es igual a 761 mm Hg (o sea, de mercurio).
La presión de 760 mm Hg, se llama atmósfera física. La presión de 1 kgfkm2, se llama atmósfera técnica.
Los físicos frecuentemente utilizan también la unidad de presión llamada baria. 1 baria = 105 dinas/cm2. Como 1 gf = 981 dinas, resulta que 1 baria es, aproximadamente, igual a una atmósfera. Más exactamente, la presión normal atmosférica es, aproximadamente, igual a 1013 milibarias. Actualmente el SI utiliza la unidad de presión, pascal (Pa), equivalente a la acción de una fuerza de 1. newton sobre una superficie de 1 m2. Esta presión es muy pequeña ya que
1 Pa = 1 N/m2 = = 10 dyn/cm2 = 10-5 b
Calculando la medida de la superficie terrestre por la fórmula 4πR2, hallamos que el peso de toda la atmósfera se expresa por un número grandísimo, 5 x 1018 kgf.Al tubo del barómetro se lo puede dar cualquier forma; lo principal es que uno de los extremos esté cerrado de tal modo, que sobre la superficie del mercurio dentro del tubo no haya aire. Sobre el otro nivel del mercurio actúa la presión de la atmósfera.
Con el barómetro de mercurio se puede medir la presión atmosférica con mucha exactitud. Claro que no es obligatorio tomar mercurio, se puede emplear cualquier otro líquido. Pero el mercurio es el líquido más pesado y la altura de la columna de mercurio, siendo normal la presión, es la mínima.
El barómetro de mercurio no es un aparato muy cómodo. No es conveniente dejar abierta la superficie del mercurio (los vapores de mercurio son venenosos), además, el aparato no es portátil.
Los barómetros metálicos (o sea, vacíos) carecen de estos defectos.
Todos habrán visto tal barómetro. Representa una pequeña caja metálica redonda con una graduación y una aguja indicadora. En la escala van marcadas las magnitudes de la presión, generalmente en centímetros de la columna de mercurio.
De la caja metálica se ha extraído el aire. La tapa de la caja está sujeta por un resorte muy fuerte, ya que, en caso contrario, está aplastada por la presión atmosférica. Al cambiar la presión, la tapa, bien se contrae, bien se estira. Esta va unida con una aguja, de modo que, al contraerse, la aguja va hacia la derecha.
Este barómetro se gradúa comparándolo con las indicaciones del de mercurio.
También se basa en la presión atmosférica un aparato muy sencillo, llamado sifón.
El chófer de un automóvil quiere ayudar a su compañero, a quien se lo ha acabado la gasolina. ¿Cómo trasvasar la gasolina del depósito de su automóvil? ¿No habrá que inclinarlo como una tetera?
Un tubo de goma nos saca del apuro. Uno de sus extremos se introduce en el depósito y por el otro extremo se extrae el aire con la boca. Después, rápidamente se tapa con el dedo el extremo abierto y se establece a una altura menor que la del depósito. Ahora se puede quitar el dedo, la gasolina se irá vertiendo sola de la manga improvisada (fig. 7.5).

Figura 7.5
Para la acción del sifón es necesaria la presión atmosférica: ésta «empuja» el líquido y evita que se rompa la columna de líquido en el tubo. Si no hubiese presión atmosférica, la columna se rompería en el punto de la curvatura y el líquido se vertería en ambos recipientes.
El sifón comienza su trabajo cuando el líquido de la rama derecha (la que «vierte») desciende más abajo del nivel del líquido que se trasvasa, en el que se ha colocado el extremo izquierdo del tubo. En caso contrario, el líquido fluirá de vuelta.
4. Cómo se conoció la presión atmosférica
Ya las civilizaciones antiguas conocían las bombas aspirantes. Sirviéndose de ellas, levantaban el agua a alturas considerables. El agua, asombrosamente obediente, era conducida por el émbolo de tal bomba.
Los filósofos de la antigüedad, pensando sobre las causas de esto, llegaban a la conclusión ingeniosa de que el agua va detrás del émbolo, porque la naturaleza tiene miedo al vacío, y que, por eso, entre el émbolo y el agua no queda espacio libre.
Cuentan que un artesano construyó una bomba aspirante para los jardines del duque de Toscana en Florencia y que el émbolo tenía que levantar el agua a una altura de más de 10 m. Pero, por mucho que se esforzaban en absorber con esta bomba el agua, no resultó nada. Hasta los 10 m, el agua iba tras el émbolo, después el émbolo se separaba del agua y se formaba el mismo vacío que la naturaleza temía.
Cuando se dirigieron a Galileo a explicar las causas del fracaso, éste respondió que la naturaleza, verdaderamente, no tolera el vacío, pero hasta cierto límite. Probablemente, Torricelli, discípulo de Galileo, utilizó este caso como motivo para efectuar en el año 1643 su célebre experimento con el tubo lleno de mercurio. Este experimento ya lo hemos descrito, consiste en la construcción del barómetro de mercurio.
Tomando un tubo de más de 76 cm, Torricelli formó el vacío sobre el mercurio (a veces, en su honor, lo llaman el vacío de Torricelli) y de este modo demostró la existencia de la presión atmosférica.
Con este experimento, Torricelli resolvió las dudas del artesano del duque de Toscana. En efecto, es claro que el agua irá, obedientemente, detrás del émbolo de la bomba aspirante a lo largo de unos cuantos metros. Este movimiento continuará hasta que la columna de agua de 1 cm2 de sección alcance el peso de 1 kgf. Esta columna de agua tendrá una altura de 10 m. Por esto, es por lo que la naturaleza tiene miedo al vacío..., pero no más que hasta 10 m.
En el año 1654, después de 11 años del descubrimiento de Torricelli, el burgomaestre de Magdeburgo, Otto von Guericke[10], mostró palpablemente la acción de la presión atmosférica. El autor se hizo célebre, no tanto por la esencia física del experimento, como por la teatralidad con que lo expuso.
Dos hemisferios de cobre fueron unidos por un aro intermedio. Del globo formado se extrajo el aire mediante una válvula instalada en uno de los hemisferios, después de lo cual, resultaba imposible separar los hemisferios. Se ha conservado la descripción detallada del experimento de Guericke. Ahora se puede calcular la presión de la atmósfera sobre los hemisferios; siendo el diámetro del globo de 37 cm, la fuerza era igual a cuatro toneladas, aproximadamente. Para separar los hemisferios, Guericke ordenó arrear dos troncos de ocho caballos cada uno. Tras el atelaje iban las cuerdas, atadas a los aros que estaban sujetos en los hemisferios. Resultó que los caballos no tuvieron fuerza para separar los hemisferios.
La fuerza de ocho caballos (precisamente de ocho y no de dieciséis, ya que los otros ocho fueron arreados para mayor efecto, pues podían haber sido sustituidos por un gancho clavado en la pared, manteniendo la misma fuerza que actuaba sobre el hemisferio) fue insuficiente para romper les hemisferios de Magdeburgo.
Si entre dos cuerpos contiguos hay un vacío, éstos no se pueden separar, debido a la presión atmosférica.5. Presión atmosférica y el tiempo
La oscilación de la presión debida al tiempo, tiene un carácter muy irregular. Antes se creía que el tiempo se determinaba sólo por la presión. Por eso, hasta hoy día, en los barómetros ponen las indicaciones: claro, seco, lluvia, tempestad. Se encuentra incluso la indicación: «terremoto».
El cambio de presión, verdaderamente, juega un gran papel en el cambio del tiempo. Pero este papel no es decisivo. La presión media o normal sobre el nivel del mar, es igual a 1013 milibarias. Las oscilaciones de la presión son relativamente pequeñas. Raramente desciende la presión de 935 a 940 milibarias y se eleva hasta 1055 a 1060.
La presión más baja se observó el 18 de agosto de 1927, en el mar de la China, que fue de 885 milibarias. La más alta, de cerca de 1080 milibarias. se observó el 23 de enero de 1900 en Siberia, en la estación de Barnaul (todas las cifras se han tomado con respecto al nivel del mar).
En la fig. 7.6 está representado un mapa que usan los meteorólogos para analizar los cambios del tiempo. Las líneas trazadas en el mapa se llaman isobaras. En cada una de estas líneas la presión es la misma (su magnitud está indicada con un número). Observemos los lugares de menor y de mayor presión, las «cumbres» y «depresiones» de la presión.

Figura 7.6
La presión no es la misma en diferentes lugares de la superficie terrestre y la presión más alta «empuja» el aire hacia los lugares de menor presión. Se podría pensar que el viento tenía que soplar en dirección perpendicular a las isobaras, o sea, hacia allí donde la presión disminuye con mayor rapidez. Sin embargo, el mapa de los vientos muestra otra cosa. En los asuntos de la presión del aire se inmiscuye la fuerza de Coriolis, que introduce una corrección bastante considerable.
Como sabemos, sobre cualquier cuerpo que se mueve en el hemisferio norte actúa la fuerza de Coriolis, dirigida hacia la derecha del movimiento. Esto también se refiere a las partículas del aire. Expulsada de los lugares de mayor presión hacia los lugares donde la presión es menor, la partícula tendría que moverse transversalmente a las isobaras, pero la fuerza de Coriolis la desvía hacia la derecha, y la dirección del viento forma con la isobara un ángulo, aproximadamente de 45°.
Es asombroso el gran efecto de esta fuerza tan pequeña. La explicación está en que los obstáculos a la acción de la fuerza de Coriolis, el frotamiento de las capas del aire, son insignificantes.
Es todavía más interesante la influencia de la fuerza de Coriolis en la dirección de los vientos en las «cumbres» y en los «hoyos» de la presión. El aire, debido a la acción de la fuerza de Coriolis, al separarse de las «cumbres» de presión, no fluye en todas las direcciones por los radios, sino que se mueve en espiral. Estas corrientes de aire en espiral giran hacia un mismo lado y crean un torbellino circular en las regiones de alta presión, trasladando las masas de aire en sentido de las agujas de un reloj. La fig. 2.16 muestra claramente cómo el movimiento radial se convierte en espiral a causa de la acción de una fuerza de desviación constante.
Lo mismo ocurre con las regiones de baja presión. Si no hubiese la fuerza de Coriolis, el aire fluiría hacia esta región, uniformemente por todos los radios. Sin embargo, por el camino, las masas de aire se desvían hacia la derecha. En este caso, como se ve claro en el dibujo, se forma un torbellino circular que mueve el aire en sentido contrario al de las agujas de un reloj.
Los vientos en las regiones de baja presión se llaman ciclones; los vientos en las regiones de alta presión, anticiclones.
No hay que creer que todo ciclón significa un huracán o una tempestad. El paso de los ciclones y de los anticiclones por la ciudad donde vivimos, es un fenómeno ordinario, claro que ligado en gran parte, con la alteración del tiempo. En muchos casos, la aproximación de un ciclón significa la llegada del mal tiempo, y la aproximación de un anticiclón, la llegada del buen tiempo.
Desde luego, no vamos a convertirnos en pronosticadores del tiempo.6. Variación de la presión con la altura
Con la variación de la altura cambia la presión. Por primera vez este hecho lo aclaró el francés Perier por encargo de Pascal en 1648. La montaña Puy de Dome cerca de La cual vivió Perier tenía la altura de 975 m. Las mediciones demostraron que el mercurio en el tubo de Torricelli cae a 8 mm al subirse a la montaña.
El hecho que la presión del aire cae a medida que aumenta la altura es completamente natural. Es que allí, arriba, sobre el instrumento ya presiona una menor columna de aire.
Si alguna vez usted voló en avión, entonces, debe saber que en la pared frontal de la cabina está montado un instrumento que con una precisión de hasta decenas de metros indica la altura a la que ascendió el vehículo. Dicho instrumento se denomina altímetro. No es sino un barómetro ordinario, pero graduado para los valores de las alturas sobre el nivel de) mar.
La presión disminuye con el incremento de la altura; hallemos la fórmula de esta relación. Separemos una pequeña capa de aire de 1 cm2 de área situada entre las alturas h1 y h2. En una capa no muy grande es poco notoria la variación de la densidad en función de la altura. Por esta razón el peso del volumen separado (es un cilindro de altura h2 - h1 y el área de 1 cm2) de aire sea
mg = ρ (h2 - h1) g
Precisamente este peso aporta la caída de la presión al elevarse desde la altura h1 hasta la altura h2. Es decir(p2 - p1) / ρ = g (h2 - h1)
Pero de acuerdo con la ley de Boyle-Mariotte que el lector conoce (y si no la conoce, tomará conocimiento de ésta en el libro 2), la densidad de un gas es proporcional a la presión. Por lo tanto(p2 - p1) / p ~ g (h2 - h1)
A la izquierda tenemos la porción en que creció la presión al descender desde h2 hasta h1. En consecuencia, a los iguales descensos h2 - h1 corresponderá el incremento de presión en un mismo tanto por ciento.Las mediciones y el cálculo, en plena concordancia, demuestran que al elevarse sobre el nivel del mar, por cada kilómetro, la presión caerá en 0,1 parte. Lo mismo se refiere también al descenso a pozos profundos bajo el nivel del mar: cuando se baje a un kilómetro la presión crecerá en 0,1 de su valor.
Se trata de una variación en 0,1 respecto al valor en la altura precedente. Este hecho significa que al subir un kilometro la presión disminuirá constituyendo 0,9 de la misma al nivel del mar; seguidamente, al ascender un kilometro más, ésta se hace igual a 0,9 de las nueve décimas respecto al nivel del mar; a la altura de 3 kilómetros la presión será igual a 0,9 de 0,9 de 0,9, es decir, (0,9)3 con respecto a la presión al nivel del mar. No es difícil continuar más adelante este razonamiento.
Designando la presión al nivel del mar por p0, podemos escribir la presión a la altura h (expresada en kilómetros) de la siguiente forma:
p = p0 (0.87)h = p0 x 10-0.08h
Entre paréntesis está escrito el número más exacto, ya que 0,9 es un valor redondeado. La fórmula supone que la temperatura es la misma en todas las alturas. No obstante, en la realidad, la temperatura de la atmósfera varía con la altura y, además, de acuerdo con una ley bastante compleja. A pesar de todo, la fórmula aporta resultados no malos y puede valerse de ésta en las alturas hasta un centenar de kilómetros.Mediante esta fórmula no es difícil determinar que a la altura de Elbruz, cerca de 5,6 km, la presión disminuirá aproximadamente el doble y a la altura de 22 km (altura récord de ascensión de un estratóstato con hombres) la presión caerá hasta 50 mm de Hg.
Cuando decimos que la presión de 760 mm de Hg es normal, no se debe olvidar de añadir: «al nivel del mar». A la altura de 5,6 km la presión normal será la de 380 mm de Hg y no la de 760 mm de Hg.
Paralelamente a la presión y según la misma ley, con el aumento de la altura disminuye la densidad del aire. A la altura de 160 km la cantidad de aire será ya muy reducida.
En efecto,
(0,87)160 = 10-10
Junto a la superficie de la Tierra la densidad del aire es igual a 1000 gcm3, aproximadamente; en consecuencia, a la altura de 160 km, de acuerdo con nuestra fórmula, a 1 m3 debe corresponder 10-7 g de aire. Pero, como evidencian las mediciones efectuadas mediante los cohetes, la densidad del aire a esta altura es, realmente, unas diez veces mayor.Una reducción aún mayor con respecto a la realidad nuestra fórmula proporciona para las alturas de varias centenas de kilómetros. La culpa de que la fórmula se torna inadecuada para las grandes alturas la tiene la variación de la temperatura en función de la altitud, así como un fenómeno especial: la disgregación de las moléculas del aire por acción de la radiación solar. Aquí no nos detendremos en este fenómeno.
7. Ley de Arquímedes
Colguemos una pesa de una romana. El resorte se estirará e indicará su peso. Sin quitar la pesa, sumerjamos la romana en el agua. ¿Han cambiado las indicaciones de la romana? Sí, parece como si el peso del cuerpo hubiese disminuido. Si se hace el experimento con una pesa de hierro de un kilogramo, la «disminución» del peso será, aproximadamente, de 140 gf.
¿Qué es lo que ha ocurrido? Pues, es claro, que no se pudo variar ni la masa del cuerpo, ni la atracción de la Tierra. La causa de la pérdida de peso puede ser solamente una: sobre el cuerpo sumergido en el agua actúa hacia arriba una fuerza de 140 gf. ¿De dónde aparece esta fuerza de empuje, descubierta por el célebre sabio de la antigüedad, Arquímedes? Antes de examinar un cuerpo sólido en el agua, veamos «el agua en el agua». Figurémonos que se ha elegido un volumen de agua. Este volumen tiene peso, pero no cae al fondo. ¿Por qué? La respuesta es clara: a esto se opone la presión hidrostática del agua que lo rodea. Esto significa que la resultante de esta presión en el volumen considerado es igual al peso del agua y está dirigida verticalmente hacia arriba.
Está claro que si ahora, este mismo volumen se ocupa con un cuerpo sólido, la presión hidrostática se mantiene igual.
Así pues, sobre un cuerpo, sumergido en un líquido, como resultado de la presión hidrostática, actúa una fuerza que va dirigida verticalmente hacia arriba y cuya magnitud es igual al agua que desaloja el cuerpo. Este es el principio de Arquímedes.
Cuentan que Arquímedes estaba tomando un baño, pensando el modo de averiguar si había mezcla de plata en una corona de oro, o no. Al tomar el baño, la persona siente palpablemente la fuerza de empuje. La ley fue descubierta inesperadamente por Arquímedes, ésta se presentó de la forma más simple. Con el grito de «Eureka» (que quiere decir «hallé»), Arquímedes salió del baño y fue corriendo a la habitación por la preciosa corona, para determinar inmediatamente la pérdida de su peso en el agua.
La pérdida de peso de un cuerpo en el agua, expresada en gramos, es igual al peso del agua desalojada por él. Sabiendo el peso del agua, inmediatamente se halla su volumen, que es igual al volumen de la corona. Conociendo el peso de la corona, se puede hallar, rápidamente, la densidad del material del que está hecha y, sabiendo la densidad del oro y de la plata, se puede hallar el porcentaje de la mezcla.
Es natural que el principio de Arquímedes sea justo para cualquier líquido. Si en un líquido de densidad ρ se ha sumergido un cuerpo de volumen V, el peso del líquido desalojado, que precisamente es la fuerza de empuje, será igual a ρVg.
La acción de muchos aparatos simples que controlan las propiedades de los productos líquidos, está basada en el principio de Arquímedes. Si se mezcla alcohol o leche con agua, su densidad se altera, y por esta densidad se puede juzgar sobre su composición. Esta medición se efectúa simple y rápidamente con el areómetro (fig. 7.7). Al introducirlo en el líquido, el areómetro se sumerge a mayor o menor profundidad, en dependencia de la densidad.

Figura 7.7
En el areómetro hay marcadas unas divisiones, y la densidad del líquido se indica por la graduación que corresponde al nivel del líquido. Los areómetros se emplean para controlar el alcohol, para controlar la leche: el pesa-leches.
La densidad media del cuerpo del hombre es un poco mayor que la unidad. Quien no sabe nadar, se hunde en agua dulce. La densidad del agua salada es mayor que la unidad. En la mayoría de los mares, la salinidad del agua es insignificante y la densidad del agua, aunque es mayor que la unidad, sin embargo, es menor que la densidad media del cuerpo humano. La densidad del agua en el golfo de Kara-Bogas-Gol, en el mar Caspio, es igual a 1,18. Esto es más que la densidad media del cuerpo humano. En este golfo es imposible hundirse. Se puede tumbar uno en el agua y leer un libro.
El hielo flota en el agua. La preposición «en», no es aquí oportuna. La densidad del hielo es, aproximadamente, el 10% menor que la del agua; por eso, del principio de Arquímedes, se deduce, que el trozo de hielo está sumergido en el agua, aproximadamente, en 0,9 de su volumen. Precisamente por esto es muy peligroso el encuentro de los barcos de mar con los icebergs.
Una balanza de palanca puede estar en equilibrio en el aire, mas esto no significa que ella se mantiene también en equilibrio en el vacío. El principio de Arquímedes se refiere el aire del mismo modo que al agua. En el aire, sobre el cuerpo actúa una fuerza de empuje, que es equivalente al peso de un volumen de aire igual al volumen del cuerpo. El cuerpo «pesa» menos en el aire que en el vacío. Cuanto mayor sea el volumen, tanto mayor será la pérdida de peso. Una tonelada de madera pierde más peso que una tonelada de plomo. A la pregunta, en broma, de cuál es más ligero, se da la siguiente respuesta: una tonelada de plomo es más pesada que una tonelada de madera, si se pesan en el aire.
Mientras se trata de cuerpos pequeños, la pérdida de peso en. el. aire no es grande. Sin embargo, pesando un trozo de las dimensiones de una habitación, «perderíamos» unas cuantas decenas de kilogramos. En las mediciones exactas de peso se tiene que contar la corrección en la pérdida de peso en el aire.
La fuerza de Arquímedes en el aire ofrece la posibilidad de construir globos, aeróstatos y dirigibles de diversas formas. Para esto hay que disponer de un gas que sea más ligero que el aire.
Si se llena de hidrógeno un globo de 1 m3 de volumen, cuyo peso es de, 0,09 kgf, la fuerza ascensional que es la diferencia de la fuerza de Arquímedes y del peso del gas, será igual a:
1,29 kgf - 0,09 kgf = 1,20 kgf;
(la densidad del aire es 1,29 kg/m3).Por lo tanto, a este globo se le puede colocar cerca de un kilogramo de carga, y esto no representa una molestia para volar por encima de las nubes.
Está claro que con volúmenes no muy grandes, de unos cuantos cientos de metros cúbicos, los globos de hidrógeno son capaces de levantar al aire una carga considerable.
Un defecto serio de los aeróstatos de hidrógeno es que el hidrógeno es inflamable. Este forma con el aire una mezcla explosiva. En la historia de la creación de aeróstatos se han señalado casos trágicos.
Por esto, cuando se descubrió el helio, empezaron a llenar los globos con él. El helio es dos veces más pesado que el hidrógeno y el empuje ascendente de un globo lleno de este gas es menor. Sin embargo, ¿es esencial esta diferencia?
La fuerza ascensional de un globo de 1 m3, lleno de helio, es igual a la diferencia:
1,29 kgf - 0,18 kgf = 1,11 kgf.
La fuerza ascensional ha disminuido solamente en un 8%. Por otra parte, las cualidades del helio son evidentes.
Figura 7.8
Actualmente, tienen mucho empleo los globos provistos de diversos aparatos para mediciones, los cuales informan por radio sobre los resultados obtenidos (fig. 7.8).
Estas radiosondas llevan consigo una radioemisora con pilas, que con señales convencionales da informaciones sobre la humedad, temperatura y presión de la atmósfera en diferentes alturas.
Se puede mandar a navegar muy lejos un aeróstato sin guía y determinar con bastante exactitud el sitio de aterrizaje. Para esto, hace falta que el aeróstato se eleve a mucha altura, de unos 20 ó 30 km. En estas alturas las corrientes de aire son muy estables, y, previamente, se puede calcular la ruta del aeróstato con bastante exactitud.
Si es necesario, se puede cambiar automáticamente la fuerza ascensional del aeróstato, soltando el gas o arrojando el lastre.
Antes, para volar por el aire, se empleaban unos aeróstatos en los que iba instalado un motor con una hélice. A estos aeróstatos, llamados dirigibles, les daban una forma aerodinámica. Los dirigibles no pudieron competir con los aviones; comparándolos, incluso con los aviones de 30 años atrás, resultan muy voluminosos, incómodos de dirigir. Se mueven lentamente y tienen «un techo muy bajo»8. Presión de millones de atmósferas
Diariamente nos encontramos con grandes presiones sobre superficies pequeñas. Veamos, por ejemplo, cuál es la presión que se ejerce sobre el extremo de una aguja. Supongamos que el extremo de la aguja o del clavo tiene una medida lineal de 0,1 mm. Esto significa que el área de la punta es igual a 0,0001 cm2. Pero, si se actúa sobre este clavito con una fuerza no muy grande, de 10 kgf, el extremo del clavo ejercerá una presión de 100 000 atmósferas. No tiene nada de extraordinario que los objetos puntiagudos se introduzcan tan fácilmente en los cuerpos sólidos.
De este ejemplo se deduce que la creación de grandes presiones sobre pequeñas superficies es una cosa muy ordinaria. Otra cosa es, si se trata de crear presiones altas sobre superficies grandes.
Las presiones altas se crean en los laboratorios con ayuda de prensas potentes, como la hidráulica (fig. 7.9). El esfuerzo de la prensa se transmite por un émbolo de poca superficie, éste se introduce en un depósito, dentro del cual se desea crear alta presión.

Figura 7.9
Aquí, la naturaleza viene a nuestro encuentro. Resulta que, a presiones de cerca de 20.000 atmósferas, los metales se endurecen considerablemente. Por eso, el aparato para la obtención de presiones superaltas lo sumergen en un líquido que está bajo una presión de alrededor de 30.000 atmósferas. En este caso, en el depósito interior, se consigue crear (otra vez con el émbolo) una presión de unos cuantos cientos de miles de atmósferas. La presión más alta, de 400.000 atmósferas, fue obtenida por el físico americano Bridgmen.
No es vano al interés de la obtención de presiones.
Unidades y dimensiones de las magnitudes físicas en el SI y sus relaciones con las unidades CGS







F I N
Notas: