Fermat
Luis Fernando Arean
Para Miguel, que se inicia en la gran aventura
Contenido:§. CronologíaCualquier estudiante que haya cursado matemáticas superiores durante los tres últimos siglos ha oído hablar del último teorema de Fermat. Pierre de Fermat era un matemático curioso. Nunca publicó un libro con su nombre. Todo lo más, escribió sus ideas en cartas o bien las circuló en manuscritos. Al parecer, le bastaba convencerse a sí mismo de que había demostrado un resultado para darlo por bueno, sin molestarse en escribir detalladamente la prueba. De ahí que su herencia representara un gran reto para los matemáticos que lo sucedieron, pues tenían que probar casi todo lo que Fermat había proclamado que era verdad. Y poco apoco lo hicieron —alguna vez lo refutaron— salvo en el caso de un endemoniado problema que nadie sabía demostrar…, ni tampoco refutar, Se trataba del último, una anotación casual que el autor dejó en un margen de una edición de un libro de Diofanto de Alejandría. Contra él se estrellaron algunas de las mentes más esclarecidas que ha dado la matemática, empezando por el suizo Leonhard Euler, el matemático más prolífico de todos los tiempos.
Todos esos estudiantes escucharon alguna vez de boca de sus profesores que dicho teorema nunca había sido demostrado, convirtiéndose en uno de ios problemas matemáticos más antiguos todavía vigentes a finales del siglo XX. Todos ellos se asombraron cuando un profesor escribió en la pizarra el enunciado del teorema. El enunciado era sencillísimo y cualquier alumno de secundaría lo entendería de inmediato. ¿Tal vez es que era imposible de probar? Esa posibilidad aterradora, el hecho de que existan afirmaciones matemáticas imposibles de demostrar, había sido adelantada por uno de los más grandes lógicos del siglo XX, el austríaco–estadounidense Kurt Gödel, y poco tiempo después por el padre de la informática, el británico Alan Turing. Tal vez el último teorema era uno de esos infelices desterrados del reino de las matemáticas. Tal vez Fermat, sin saberlo, había encontrado el primer resultado indemostrable de la historia de las matemáticas.
En cualquier caso, Fermat era el responsable, indirectamente y sin proponérselo, de haber creado más matemáticas con los vanos intentos de demostrar su último teorema que, probablemente, las que generaría la demostración que definitivamente cerraría el tema y lo pondría a dormir para siempre junto a tantos otros resultados que ya nadie investiga a fondo porque se conocen a la perfección.
El profesor dejaba entonces de hablar de Fermat y devolvía a la Tierra a sus alumnos, al confortable mundo en el que los teoremas se sucedían unos a otros con demostraciones rigurosas y el último teorema no era sino un extraño monstruo que quitaba el sueño a algunas personas Casi todos aceptaban que el problema nunca sería resuelto.
Hasta cierto punto, resulta paradójico que esta sea la aportación más conocida de Fermat, vista su condición de matemático de primer orden. A pesar de ello, su nombre rara vez se cita a la par de los de Arquímedes, Euclides, Descartes, Newton, Leibniz, Euler o Gauss. Sus enormes aportaciones han quedado relegadas por razones varias. Basta con dar un vistazo a las enciclopedias y libros de historia de las matemáticas para comprobar que apenas se le menciona, casi siempre a la sombra de un contemporáneo o sucesor.
Pierre de Fermat, un magistrado de Toulouse al que algunos consideran el más grande aficionado que haya contribuido a las matemáticas, vivió en la época en la que dicha ciencia, tras desperezarse lentamente de su sueño medieval, fue presa de una febril – actividad en la que sufrió una profunda transformación, una verdadera revolución científica. Poco se sabe de las incidencias de su vida, plácida, burguesa y sin sobresaltos, pero su carácter se nos desvela a través de su correspondencia y de su forma de abordar las matemáticas.
A pesar de ser, según todo indica, un hombre del Antiguo Régimen, Fermat fue un revolucionario en el ámbito científico. Pocos pusieron tantos cimientos de la matemática moderna como él, al igual que pocas personas dieron pasos tan audaces hacia el futuro. Pero, como suele pasar con ciertos revolucionarios, Fermat no apreció en su justa medida todo lo que estaba haciendo. Su obsesión era resucitar la ciencia griega que siglos de incuria y violencia habían destruido. Le interesaba reconstruir la obra de Diofanto, de Apolonio, de Arquímedes, de Euclides. No se dio cuento de que las herramientas que usaba para restituir a los autores de la Antigüedad eran las que fundarían una nueva ciencia y relegarían muchos de los métodos de los antiguos a un archivo para historiadores.
La generación posterior a Fermat perdió el interés por la matemática griega, con la notable excepción de Euclides, que fije, hasta bien entrado el siglo XX, la referencia para la enseñanza del rigor y la belleza en matemáticas. Sus Elementos son la obra más editada después de la Biblia. La modernidad ha perdido muy recientemente el privilegio de bañarse en sus aguas, de la misma forma que se ha perdido el latín de la Eneida o el griego de Homero.
Pero Euclides era una rareza. Desde finales del siglo XVII, la ciencia griega se había convertido en una curiosidad. A partir de entonces, los matemáticos no miraron atrás, pensaron siempre en el futuro y en lo que ellos mismos estaban creando. Fermat fue uno de los últimos que contempló la gran tradición del pasado. Y al hacerlo, y en la forma como lo hizo, enterró ese pasado y creó un mundo nuevo, junto con otros grandes matemáticos de su tiempo. Toda tradición se resiste a morir, y es cierto que incluso la obra cumbre de la física, los Philosophiae naturalis principia mathematica de Newton, adoptó una forma «griega». Pero era el canto del cisne. A la muerte de Fermat, en 1665, la matemática griega había sido ya sustituida por la moderna. Después de él, ningún gran matemático se preocupó por restituir la matemática de la Antigüedad.
En este libro se repasa la historia de esa revolución Los dos primeros capítulos versan sobre el teorema que le hizo famoso y que, durante tres siglos y medio, espoleó a los matemáticos a crear edificios increíbles con el único fin de resolver el endiablado puzle. Por sí misma, es una historia apasionante. El resto del libro contempla otras contribuciones de Fermat, las que permanecen en una semioscuridad totalmente inmerecida.
Se tratarán sus contribuciones a la teoría de números y de cómo Fermat fundó esa disciplina como la conocemos hoy en día, así como de la génesis de la geometría analítica, una revolución científica que cambió para siempre la forma de hacer matemáticas, basándolas en el lenguaje universal del álgebra. También tienen cabida en esta obra sus métodos de máximos y mínimos, tangentes, cuadraturas y rectificaciones, precursores del cálculo infinitesimal. Se analizarán los obstáculos epistemológicos —el término es del filósofo francés Gastón Bachelard— que le impidieron descubrir el cálculo propiamente dicho. Finalmente, incidiremos en su papel seminal en la creación de la teoría de la probabilidad y en su aportación a la física en la forma de un principio extremo que lleva su nombre.
Se glosarán los logros de un gran pensador, pero también se tratarán las razones de que haya sido olvidado. Algunas son simples casualidades, crueldades del destino, mientras que otras están íntimamente ligadas a la personalidad de Fermat, a su fobia a publicar tratados bajo su nombre al tiempo que anhelaba el reconocimiento de sus colegas a través de sus epístolas, llenas de problemas que decía haber resuelto, pero que desesperaban, por su inconcreción, a sus corresponsales. Así pues, su propia personalidad opacó su obra, porque sus ideas cayeron casi siempre en terreno fértil, pero fueron separadas de su nombre, condenándole a la oscuridad. Es así como la biografía personal de Fermat, tan parca en hechos reseñables, se revela verdaderamente a través de su obra y su actitud hada ella, dejando vislumbrar la personalidad de un hombre fascinante.
§. Cronología
| 1601. | Nace el 20 de agosto, en Beaumont, Francia. |
| 1620. | Cursa estudios de Derecho en Toulouse durante cinco años. |
| 1625. | Reside en Burdeos durante cuatro años, donde trabó conocimiento con el matemático francés Jean de Beaugrand. |
| 1631. | El 1 de mayo se gradúa en Orleans y obtiene los cargos de Concejal en el Parlamento de Toulouse y el de Comisario de Ruego de Palacio. |
| 1636. | Primera carta al filósofo Marín Mersenne; Escribe el tratado sobre geometría analítica Introducción a los lugares geométricos planos y espaciales. Circula el Methodus (Método de máximos y mínimos). |
| 1637. | Gestación del último teorema. |
| 1636. | Se produce la polémica con su rival René Descartes por el método de los máximos y mínimos y su aplicación a las tangentes. |
| 1640. | Anuncio del pequeño teorema de Fermat. |
| 1641. | Se producen diferentes enfrentamientos de posturas con Bernard Frénicle y Pierre Brûlart. |
| 1643. | Explica los fundamentos de su método en Investigación analítica, una de sus memorias más importantes. |
| 1652. | Cae enfermo de la peste. Su amigo Bernard Medon anuncia falsamente su muerte. |
| 1654. | Mantiene correspondencia con Blaise Pascal, de resultas de la cual se establecen loa principios de la teoría de la probabilidad. |
| 1657. | Polémica con John Wallis y William Brouncker acerca de la ecuación de Pell. |
| 1658. | Redacta el Tratado de cuadraturas, en el que amplía la aplicación de su método. Establece controversias sobre la Dióptrica con el cartesiano Claude Clerselier. |
| 1659. | Inicia un intercambio de correspondencia con el matemático neerlandés Christiaan Huygens. |
| 1660. | Aparece el Tratado de rectificación, en el que Fermat se aleja de su método expositivo analítico y adoptó el método sintético griego. |
| 1665. | Fallece el 12 de enero en la localidad de Castres, cerca de Toulouse. |
Capítulo 1
El teorema que tardó 350 años en serlo
A pesar de su aparente simplicidad, el último teorema de Fermat atormentó a los mejores matemáticos del mundo durante nada menos que 350 años. Una y otra vez intentaron demostrarlo, y una y otra vez fracasaron, hasta que a finales del siglo XX un introvertido británico logró lo que hasta entonces había parecido imposible.Contenido:
§. El último teoremaImaginemos el instante. Un hombre de luengos cabellos se inclina, a la luz de una vela, sobre un ejemplar de la Aritmética del matemático griego Diofanto de Alejandría (ca. 214–ca. 298) con la espalda encorvada. Después de leer uno de los teoremas, reflexiona un poco, sonríe, moja la pluma y escribe una frase en latín en uno de los márgenes del libro. Hace una pausa, vuelve a tomar la pluma, y añade
§. Los griegos
§. Desde el renacimiento hasta el siglo XVII
§. La vida personal y profesional de Fermat
§. La personalidad matemática de Fermat
«[...] cuíus rei demonstrationen mirabilem sane de lexi, hanc marginis exiguitas non caperet».Es decir;
«[...] he encontrado una demostración admirable de este resultado, pero este margen es demasiado estrecho para escribirla».Seguramente el hombre se iría pronto a dormir. Al día siguiente le esperaban urgentes asuntos en el Parlamento. No sabemos cuántas veces recordó esa pequeña anotación. Tal vez nunca volvió a pensar en ella; su vida estaba ocupada en otros menesteres. ¿Imaginó en algún momento que esas pocas palabras darían lugar a una de las más apasionantes odiseas de la historia de las matemáticas y que a lo largo de los siglos atormentarían, a varias de las mentes más brillantes del mundo? Es poco probable. Pierre de Fermat, el protagonista de dicha escena, era dado a los juegos y las adivinanzas, pero es difícil suponer que aquella noche hubiera intuido que había creado la más famosa adivinanza matemática de todos los tiempos.
De hecho, tal adivinanza estuvo a punto de no pasar a la posteridad. Escrita como nota personal en el margen de un libro, pudo haber desaparecido sin más junto con los otros hechos más o menos triviales de una vida como tantas. Pero la acotación sobrevivió a su autor, fue descubierta e impresa, y se convirtió en el rey de los problemas al parecer imposibles de resolver. El mundo continuó su marcha. El cardenal Richelieu gobernaba la Francia que Alejandro Dumas inmortalizó en Los Tres Mosqueteros en la época en la que Fermat escribía, mientras un rey incapaz se recreaba en sus ocios. Cayó Richelieu, le siguieron la serie de movimientos de insurrección conocidos como la Fronda, el Rey Sol, y después la Ilustración, la Revolución, el revuelto siglo XIX y el aún más dramático siglo XX. Y mientras la historia discurría, el resultado que Fermat decía haber demostrado seguía ahí, resistiendo todos los ataques, todos los intentos para probarlo: esa demostración que no cabía en un margen tampoco tenía un lugar en las mentes de los más grandes matemáticos.
Aceleremos la acción. Nos encontramos ahora en 1993, un mundo con ordenadores y una red de Internet incipiente. La URSS había caído. No existían aún las redes sociales, pero sí un antecesor llamado Usenet, al que prácticamente solo estaban suscritas las personas ligadas al mundo académico, un número absurdamente pequeño si se compara con los actuales usuarios de determinadas redes sociales. De pronto, esa primitiva red, usualmente adormilada, comenzó a bullir de excitación. Los mensajes se sucedían, relampagueantes, con términos que un lego no podía entender formas modulares, curvas elípticas, grupos de Galois, teoría de Iwasawa, conjetura de Taniyama–Shimura... Poco a poco, la imagen de lo que había sucedido se iba formando en la red. Andrew Wiles, un matemático británico experto en un campo llamado curvas elípticas, había pronunciado, nada menos que en el Instituto Isaac Newton de Cambridge, tres conferencias en las que, paso a paso, con paciencia y un sentido del arte dramático digno de un Laurence Olivier, avanzó hacia un resultado inevitable.
Durante años, Wiles trabajó en secreto, como un alquimista, sin compartir con nadie ya no digamos sus resultados, ni siquiera la naturaleza de su proyecto. No quería que nadie le quitara la gloria de resolver uno de los problemas más difíciles del mundo matemático. Aunque habían corrido algunos rumores en forma de correos electrónicos, cuando era abordado por algún colega que le preguntaba sobre el contenido de sus conferencias, se limitaba a sonreír y a responder: «Asiste a las conferencias y lo verás».
Tanto secreto espoleó la curiosidad. Así que el auditorio de doscientas personas, formado por avezados especialistas y algunos doctorandos, hervía con cada minuto que pasaba Al anunciar las conferencias, Wiles tuvo buen cuidado de esconder su proyecto bajo un título aparentemente inocuo. Sin embargo, conforme avanzaba en su exposición, los expertos empezaron a darse cuenta de lo que se cocinaba Entusiasmados, escribían correos electrónicos en las pausas entre las conferencias, llenos de expectación ante lo que imaginaban que sucedería. Ante el silencio sepulcral de su auditorio, el expositor llenó pizarra tras pizarra de matemáticas complejísimas y novedosas. Finalmente, Wiles escribió unas pocas líneas más que completaban la prueba, hizo una pausa dramática, y garrapateó el enunciado del último teorema de Fermat Se volvió sonriente hacia el público y dijo: «Creo que voy a dejarlo aquí».
Varias cámaras se dispararon, hubo ovaciones, aplausos... Uno de los problemas más difíciles del mundo, también uno de los más antiguos sin resolver, cayó finalmente ante el ataque sistemático de un matemático brillante que había trabajado a solas durante más de un lustro. Pero, ¿cómo es posible? ¿Redescubrió Wiles la prueba de Fermat? No, la historia es mucho más compleja. De hecho, los aplausos resultaron prematuros: la demostración de Wiles contenía un error fatal. Su estrategia de hermetismo tenía ese enorme riesgo: al no compartir sus avances, nadie pudo señalarle ese error antes de que fuere tarde. Y en matemáticas, un solo error, un solo paso en falso, invalida toda la demostración, que se derrumba como un castillo de naipes. Todos los pasos son, precisamente, como esos naipes que apuntalan la estructura de tal forma que, con solo retirar uno de ellos, esta se desmorona. Wiles tuvo por tanto que volver a la pizarra, contrito, y trabajar todavía unos años para dar con una demostración definitiva, a prueba de balas, que finalmente logró publicar en 1994. Pero dejemos por el momento a Wiles, en su máximo momento de gloria, extático ante sus rendidos admiradores.
§. El último teorema
Es hora de volver a Fermat y enunciar su último teorema. El resultado que el matemático escribió en latín en ese pequeño margen era el siguiente:
Es imposible escribir un cubo como la suma de dos cubos, o una cuarta potencia como la suma de dos cuartas potencias, y en general, para ningún número que sea una potencia mayor que dos ser escrito como la suma de dos potencias del mismo grado.
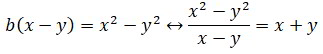
Escrito en notación algebraica moderna, lo que dice el último teorema es que la ecuación xn+ yn= zn, con n > 2, no tiene soluciones naturales; es decir, no existen números naturales x, y y z que cumplan la propiedad arriba enunciada: tener un cubo (o potencia mayor) que sea la suma de dos cubos (o potencia mayor del mismo grado).
El teorema de Fermat se aplica exclusivamente a los números naturales (aquellos con los que contamos cosas: 1, 2, 3,... y así indefinidamente); si bien en su enunciado original el autor no dio esta condición explícita, la misma se entiende por contexto.
Cabe preguntarse por qué Fermat había solo de exponentes mayores que dos. La respuesta es sencilla. Para el caso n = 1, tenemos un enunciado trivial: en efecto, todo número natural mayor que uno es expresable como la suma de otros dos números (no necesariamente distintos entre sí). Cuando n = 2 nos encontramos frente al conocidísimo teorema de Pitágoras (véase la figura), expresado en la forma de una ecuación algebraica: x2 + y2 = z2

Representación geométrica del teorema de Pitágoras
32 + 42 = 9 + 16 = 25 = 52
Otro ejemplo es x = 5, y = 12, z = 13, otro más, x = 65, y = 72, y z = 97. Entre los primeros cien números hay 16 ejemplos similares, y se puede demostrar que, en total, existen infinitos conjuntos de tres números naturales que cumplen esa propiedad, conjuntos conocidos como ternas pitagóricas. Lo que Fermat decía, por tanto, es que si se cambia ese exponente igual a dos por un exponente mayor no existe una terna de números naturales que cumpla dicha propiedad, ternas que, en justicia, podríamos llamar «fermatianas».Dada esta definición, el último teorema de Fermat es equivalente a decir que no existen las ternas fermatianas. No es difícil imaginar cómo Fermat llegó a este resultado. Llevaba un tiempo analizando las ternas pitagóricas y sus propiedades, un problema que se conocía como «descomponer un cuadrado»: consideraba escribir ese cuadrado como la suma de dos cuadrados, de forma tal que todos los números implicados fueran naturales. Parece razonable suponer que, una vez planteado ese problema, Fermat se preguntaría qué sucedería si en vez de cuadrados usaba cubos, cuartas potencias, etc. Al fin y al cabo, una de las tendencias más naturales en un matemático es buscar la generalización de un resultado, o, cuando menos, explorar las posibles generalizaciones. Entender el problema planteado, pues, es bastante sencillo, y si bien la mitad de la solución de un problema es entenderlo, la otra mitad, en el caso del último teorema de Fermat, gestado en 1637, es extraordinariamente difícil. ¿Por qué? Para intentar responder a esa pregunta hay que hacer un «pequeño» viaje al pasado, unos dos mil cien años antes de Fermat, a tiempos de Pitágoras. No solo por el parentesco que el último teorema tiene con las ternas pitagóricas, sino porque es fundamental entender el concepto de demostración matemática que inauguró Pitágoras para apreciar qué significa probarlo.
§. Los griegos
Volvamos al principio de los tiempos matemáticos para tratar la naturaleza de la demostración matemática. Pitágoras de Samos (ca. 580–ca. 495 aC.) es un personaje semilegendario. Casi todo lo que nos ha llegado sobre el sabio fue escrito siglos después de su muerte, y dado el carácter semidivino que le atribuían sus seguidores, buena parte de ello es una colección de mitos. Así como una leyenda llamada Homero, fundó la literatura occidental, una leyenda llamada Pitágoras fundó la matemática.
Una cosa es segura: Pitágoras no descubrió el teorema que lleva su nombre. Egipcios y babilonios lo conocían y aplicaban, pero lo hacían como receta. Era algo que comprobaron una y otra vez y habían determinado que funcionaba En lenguaje moderno, los egipcios y los babilonios usaban la matemática de forma empírica: si comprobaban sistemáticamente que un resultado funcionaba, generalizaban y pensaban que era verdadero siempre. Eso es lo que se conoce como razonamiento inductivo, algo que los humanos hacemos de forma natural: cuando encontramos una receta que funciona, seguimos aplicándola, aunque no entendamos por qué funciona.
Sin embargo, lo que hizo Pitágoras fue realmente revolucionario: llegó a la convicción de que no bastaba con recetas empíricas, sino que había que demostrar rigurosamente que la receta era verdadera. Es cierto que Tales de Mileto (ca 630–545 aC.), el padre de la filosofía, había hecho ya varias demostraciones, pero Pitágoras convirtió la búsqueda de una demostración matemática en un programa sistemático. Hizo algo asombroso: pensar que la receta podía, en todos los casos, demostrarse deductivamente, usando las reglas de la lógica, de forma que se convirtiera en una verdad eterna, inatacable, imposible de refutar. Contra el empirismo, opuso la razón: él poder de la mente sería capaz, según Pitágoras, de alcanzar la certidumbre por sí solo. Así, una demostración basada en regias lógicas, formada por una serie de pasos que cualquiera puede seguir y comprender era mejor que un millón de experimentos.
Demostración geométrica del teorema de PitágorasConsideremos dos cuadrados de igual área, con lado a + b, y subdividámoslos como se muestra en la figura. Obviamente, el área de cada uno de los cuadrados es ( a + b) 2, pero hay una forma más interesante de expresarlas. En el cuadrado de la izquierda, el área total es la suma de las áreas de los dos cuadrados con lados b y a más la suma de las áreas de los cuatro triángulos con lados a y b, que es1/2 ab
para cada uno de ellos. Por tanto, el área total del primer cuadrado esA1 = a2 + b2 + 4 = (1/2 ab)
El área del segundo cuadrado es la suma del área del cuadrado inscrito de lado c más, nuevamente, la suma de las áreas de cuatro triángulos de lados a y b:A1 = c2 + 4 = (1/2 ab)
Como A1, y A2 son iguales,a2 + b2 + 4 (1/2 ab) = c2 + 4 (1/2 ab)
Y, simplificando la ecuación:a2 + b2 = c2.
Este es un ejemplo típico de demostración directa por construcción, ya que para llegar a ella hay que construir diversas figuras geométricas en el interior de los cuadrados.
Pitágoras fue, hasta donde se sabe, el primero en pensar que tales verdades no solo eran posibles, sino también alcanzables sistemáticamente Por ello merece el título de Padre de la Matemática, toda la ambición de la ciencia matemática vislumbrada por Pitágoras, una de las más fructíferas en la historia intelectual de la humanidad, la retomaría el matemático alemán David Hilbert (1862–1943) con su Wir müssen wissen. Wir werden wissen («¡Hemos de saber! ¡Sabremos!») en la segunda década del siglo XX.
Pitágoras, o alguien de su escuela, demostró el teorema que lleva su nombre, de forma tal que era imposible ya dudar de su verdad. Este teorema nos da una regla inmutable. En el caso de un triángulo rectángulo, esta relación se cumplirá siempre. Con su programa, Pitágoras puso el listón muy alto para las generaciones posteriores: ya no bastaba con encontrar una receta, comprobarla muchas veces y proclamar una regla universal. Desde entonces» en matemáticas, había que probarla. Y aunque en algunos casos resultaría endemoniadamente difícil, el programa pitagórico demostró ser tan fructífero que los matemáticos, a pesar de las dificultades, no están dispuestos a renunciar a él. Como el poeta al que la cárcel de la métrica y la rima estimulan la creatividad, el matemático piensa que el rigor que impone su método es imprescindible para acceder a las verdades que descubre.
Durante siglos los griegos aplicaran este principio para seguir demostrando con rigor sus resultados. Pero un geómetra que reinó al mismo tiempo que Ptolomeo I (367–283 a.C.) general de Alejandro Magno y rey de Alejandría, llegaría a cumbres más altas. Se trata de Euclides (ca. 325–265 a.C.), quien no se conformó con demostrar algunos resultados aislados, sino que, ambiciosamente, quiso reunir todo el conocimiento matemático de su época en un solo sistema.
Euclides cayó en la cuenta de que toda demostración se basaba en resultados anteriores que habían sido a su vez demostrados; pero este proceso no podía seguir hasta el infinito. Por fuerza, había que partir de algunas verdades que consideraba evidentes. A esas verdades las llamó axiomas. Asimismo, tenían que existir definiciones claras de los elementos utilizados; en geometría, por ejemplo, puntos, líneas, triángulos, círculos, etc. A partir de esos pocos elementos Euclides demostró que se podían organizar todos los resultados en un solo corpus de conocimiento en el que los resultados demostrados y los asumidos (los axiomas) servían como base para demostrar otros resultados. A diferencia de los axiomas, esos nuevos resultados que requerían ser demostrados recibieron el nombre de teoremas. Invocando este procedimiento una y otra vez podemos construir un edificio inmenso, una teoría matemática, es decir, una especie de árbol en el que, a partir de unas pocas raíces, se puede generar un número potencialmente infinito de ramas y hojas, algunas más importantes (más robustas y más fructíferas en su potencial de crear nuevas ramas) que otras, pero todas igualmente verdaderas.
Se cuenta que Ptolomeo I intentó que Euclides le enseñara matemáticas, y que, impaciente ante la prolijidad y concentración que ello le requería, exigió que el sabio simplificara sus explicaciones, a lo que este repuso:
Majestad, lo que me pedís es imposible; es indispensable que sufráis y paséis por todos los pasos necesarios para entender la ciencia. No existe un camino real en matemáticas .
Es imposible exagerar la importancia del programa de Euclides. Prácticamente todas las generaciones venideras de matemáticos lo tomaron como referencia. A día de hoy, cualquier matemático que proponga una teoría nueva—o intente replantear una teoría existente— utiliza dicho programa. Hasta bien entrado el siglo XX, su obra, los famosos Elementos, fue el libro más popular después de la Biblia, consagrándose como un texto de referencia y estudio imprescindible en los institutos y las universidades.
Pero a pesar de sus increíbles intuiciones, Pitágoras y la escuela que fundó tenían un elemento que a los modernos nos parece algo perturbador. En efecto, los pitagóricos fundaron una especie de religión y secta secreta, tal vez no muy distinta de otras antiguas sociedades secretas griegas, como la de Eleusis o los misterios órficos. Al igual que los iniciados eleusinos, los pitagóricos no podían revelar la naturaleza de sus actividades.
El misticismo pitagórico estaba íntimamente ligado a la idea de que el número era la esencia de la naturaleza. Pero los pitagóricos no tenían el mismo concepto de número que nosotros, Para ellos, los números solo eran los naturales y aquellos que podían ser expresados como un cociente de naturales (3/4, 5/8, etc.): el conjunto de los racionales positivos.
Por supuesto, los pitagóricos sabían medir longitudes geométricas. Fieles a su mística fe en la esencia numérica de la naturaleza, estaban seguros de que toda longitud era expresable como un número, es decir, como un racional positivo. Su geometría aspiraba a describir la naturaleza como cualquier ciencia natural, igual que la armonía musical también descubierta por ellos. Los triángulos rectángulos que los pitagóricos dibujaban eran triángulos naturales en el mismo sentido en el que una cuenta vibrante era natural.
Entonces sucedió el desastre. Según la leyenda, uno de los discípulos de Pitágoras demostró que la hipotenusa de un triángulo rectángulo no era un número, no en el sentido que los pitagóricos daban al término. Asombrosamente, se trataba del triángulo rectángulo más sencillo posible: aquel que tiene dos catetos de longitud igual a uno, un triángulo que además de rectángulo, es isósceles. En efecto, en ese triángulo la hipotenusa, por el propio teorema de Pitágoras, es igual a raíz de dos. ¡Pero raíz de dos no es expresable como un número racional positivo! Es lo que hoy en día llamamos irracional, no porque dichos números tengan algún defecto psicológico, sino porque no pueden ser expresados como un cociente o razón entre dos números naturales. Eso es lo que la leyenda dice que demostró Hipaso de Metaponto (ca. 500 a.C.), un discípulo díscolo. Por ello (o por haber revelado la demostración al mundo), se dice que fue ahogado en el mar frente a Cretona, en la actual Calabria italiana. La demostración es un típico caso de reducción al absurdo, en el que se supone lo contrario de la conclusión que se quiere demostrar y, a su vez, se demuestra que esa suposición nos lleva a una contradicción irresoluble con una verdad ya demostrada Es uno de los métodos de prueba más poderosos de las matemáticas, en el que, como decía el matemático británico Godfrey Hardy (1877–1947), el matemático arriesga más que cualquier ajedrecista con su gambito: arriesga el juego entero.
Demostración de la irracionalidad de √2Pongamos por caso que –√2 es racional. Entonces, puede expresarse como la razón de dos números enteros: √2 = p/ q. Podemos suponer, sin pérdida de generalidad, que la razón anterior es irreducible, es decir, que no puede simplificarse más, o, lo que es lo mismo, p y q no tienen divisores comunes– Ahora bien, de la expresión anterior se sigue que 2 = p2/ q2. Por tanto, p2 es par. Pero si un número entero al cuadrado es par, el número mismo, p, es par (porque el cuadrado de un impar es siempre impar). Por tanto, podemos escribir p = 2 k y 4 k2 = 2 q2. Con lo cual, q2 es también par y p también lo es. ¡Pero eso contradice la hipótesis de que no había divisores comunes entre p y q! En consecuencia, alguna de nuestras hipótesis es falsa. No puede ser la hipótesis de que la razón es irreducible: tiene que ser, efectivamente, la suposición de que √2 es racional.
El orgullo intelectual de los pitagóricos sufrió un durísimo golpe: el mundo no estaba, al parecer, basado en el número como esencia. No se les ocurrió a los pitagóricos que bastaba generalizar su limitado concepto de número para resolver el dilema, que es lo que los matemáticos han hecho a partir de la Edad Moderna, cada vez que se encuentran con una dificultad similar. Pero es explicable; en los albores de la matemática era imposible para los pitagóricos asumirlo que les parecía inexpresable. Finalmente, se vieron obligados a hacer una distinción entre magnitud y número, entre las longitudes medibles en geometría y los números expresares de forma aritmética Así, ambas disciplinas se alejaban en un divorcio que solo los trabajos en el siglo XVII de Franciscus Vieta, Fermat y René Descartes lograrían remediar.
§. Desde el renacimiento hasta el siglo XVII
El Renacimiento trajo un verdadero despertar de la actividad intelectual matemática, Cuesta encontrar durante toda la Edad Media resultados matemáticos prominentes en Europa; tales resultados se dieron solamente en el mundo musulmán. Pero el gradual conocimiento de textos griegos que habían sido preservados por los árabes, conjuntado con las propias contribuciones originales del islam, llevaron a los incipientes matemáticos del siglo XVI a una actividad sin precedentes.
Tartaglia y CardanoNiccoló Fontana (1499–1557), apodado Tartaglia, y Girolarno Cardano 1501–1576) fueron dos de los cosistas más célebres. Tartaglia tuvo una infancia agitada. Huérfano de padre y hundido en la miseria, en la conquista de Brescia un soldado francés le dio un corte que afectó la mandíbula y el paladar, impidiéndole hablar con normalidad. De ahí su sobrenombre, «tartamudo». Estudió balística y fue el primer traductor de Euclides y Arquímedes al italiano.Cardano, médico célebre, algebrista, ludópata y gran Ingeniero, perdió un hijo al no poder pagar la Indemnización que se le exigía para que no lo ejecutaran. Su otro hijo era también ludópata y le robaba dinero.
Niccoló Fontana, TartagliaEl matemático italiano Sciplone del Ferro (1465–1526) había encontrado la solución a las ecuaciones cúbicas que mantuvo en secreto salvo para sus discípulos más íntimos. Uno de ellos. A. M. Flor, retó a Tartaglia en 1535 a una justa matemática. Trabajando a marchas forzadas, Tartaglia encontró su propia solución, más general que la de Del Ferro. Ello le permitió tomar por sorpresa a Flor, resolver todos los problemas de ecuaciones cúbicas que este le proponía, y a su vez ganarle proponiendo problemas que Flor no pudo resolver. Cardano supo de esa justa y aduló a Tartaglia hasta que este, finalmente, le mostró la solución, exigiendo un juramento de secreto. Pero Cardano averiguó también la solución de Del Ferro y, pensando que ello le relevaba de su juramento, publicó la de Tartaglia en Ars Magna, su gran tratado de álgebra. Tartaglia nunca se lo perdonó y lanzó una larga campaña de desprestigio, a la que Cardano contestó a través de un discípulo, y, según se dice, financió la acusación de herejía que sufrió Cardano por haber realizado el horóscopo de Cristo
Girolamo Cardano
Muy tempranamente, los matemáticos se dividieron. Por un lado estaban los geómetras que intentaban comprender y completar los resultados griegos. Téngase en cuenta que, aunque se preservaron varios libros, muchísimos otros perecieron en las diversas contingencias históricas que separaban la época helenística del Renacimiento, un período que abarca alrededor de dos mil años. Notoria entre estas contingencias fue la destrucción — o sucesivas destrucciones— de la Biblioteca de Alejandría. Así que los matemáticos renacentistas, convencidos de que habían perdido un enorme acervo de conocimiento, buscaban rellenar los agujeros que la historia había horadado en las obras de Euclides, Arquímedes, Diofanto, Ptolomeo o Apolonio. Su método era el griego: rigurosas y bellas demostraciones geométricas.
Al mismo tiempo, sin embargo, otros matemáticos, a los que se ha dado en llamar cosistas, se dedicaban a la resolución de problemas más o menos prácticos, y eran empleados por comerciantes, aunque con frecuencia también se ganaban el sustento participando en justas en las que se planteaban problemas que debían resolver. Dichos matemáticos eran algebristas primitivos, y su enfoque era pragmático; no estaban tan interesados en el rigor, la perfección y la belleza de la prueba como en la efectividad de sus recetas. De alguna forma, eran herederos de los egipcios y babilonios. La misma naturaleza del trabajo de los cosistas hizo que por un lado restaran importancia a la idea de demostración y, por otro, cultivaran una tradición secretista muy distinta de la que animaba a los griegos pos pitagóricos, que publicaban de manera transparente sus resultados, de forma semejante a como se hace hoy en día.
Recapitulando, se ha hecho una rápida reseña de la historia de las matemáticas para indagar en la naturaleza de la prueba según diversas tradiciones matemáticas, desde Pitágoras hasta el Renacimiento. Dichas tradiciones oscilan entre el secretismo y la transparencia, entre el rigor y el pragmatismo. Y fue en ese caldo de cultivo de tendencias enfrentadas en el que Fermat desarrolló su trabajo. El jurista y matemático francés vivió en una época en la que, con justicia, se podría decir que se fundó la matemática moderna, basándose de forma muy importante en las tradiciones antiguas, pero al mismo tiempo creando algo totalmente novedoso, y no fue Fermat un personaje menor en el nacimiento de dicha matemática.
Es de señalar que toda esa actividad científica, tanto por parte de los modernos herederos de la tradición griega como por la de los cosistas, ocurría casi toda al margen de las anquilosadas instituciones universitarias de la época, ancladas aún en la pesada tradición medieval. De hecho, no existía por aquel entonces una cátedra propiamente matemática en dichas universidades. No había profesores ni árbitros académicos de ningún tipo, ni una disciplina con protocolos a los que todo practicante tuviera que adherirse, como ocurre hoy en día, en que para ser matemático hay que discurrir por varios cursos y asignaturas y un programa de doctorado supervisado por un investigador que, a su vez, ha obtenido la aprobación académica de sus pares, que tiene que refrendarse a lo largo de su carrera mediante el cuidadoso escrutinio de sus publicaciones.
Nada de ello existía en los siglos XVI y XVII. Uno de los más grandes historiadores de las matemáticas, el escocés Eric Temple Bell (1883–1960), llamó a Fermat el «príncipe de los aficionados», pero el hecho es que, en su siglo, todos eran de una u otra manera aficionados. Unos pocos matemáticos lograron que los mecenas de la época subvencionaran sus investigaciones, pero la mayoría practicaba otras profesiones y dedicaban a la matemática su tiempo libre.
§. La vida personal y profesional de Fermat
Llegamos así al primer año del siglo XVII. Pierre de Fermat nació el 20 de agosto de ese mismo año, 1601. Su padre, Dominique, era un próspero comerciante, un curtidor de Beaumont–de–Lomagne, un pueblecito cercano a Toulouse. Su cuna convertía a Fermat en alguien un poco extranjero en la Francia de entonces, centrada históricamente en el norte, y con una inherente desconfianza hacia los «gascones», la gente del sur, como el famoso D’Artagnan. El francés René Descartes (1596–1650), que sería su gran rival matemático, nacido en la Turena francesa, en la zona noble del Loira, resaltaría la condición gascona de Fermat como un baldón. Fermat, en cambio, la reivindicaría con orgullo.
Su madre, Claire, provenía de lo que, en la Francia del Antiguo Régimen, se llamaba noblesse de robe, el funcionariado, y muy particularmente, el que se dedicaba a la judicatura. Ambas tradiciones, el dinero del padre burgués y la herencia de la madre, convertían al joven Pierre en un candidato ideal a escalar socialmente a través de una carrera relacionada con la abogacía, y, en efecto, es lo que hizo.
Se sabe muy poco de su vida privada en general, y aún menos de sus tiempos como niño y adolescente. Tuvo, al parecer, un hermano, Clément, también dedicado a la abogacía, y dos hermanas, Louisey Marie. Todo indica que su niñez y sus años mozos discurrieron plácidamente en Beaumont, tal vez bajo la instrucción de los frailes cordeliers del monasterio de Grandselve.
Pierre se matriculó en Derecho en la Universidad de Toulouse antes de su estancia en Burdeos en la segunda mitad de la década de 1620. Es muy probable que su formación matemática comenzara en Burdeos, aunque no queda ningún testimonio de si su interés por dicha disciplina precedió a su mudanza a esa ciudad, cuyas razones son poco claras. Se ha especulado con que, precisamente, se mudó a Burdeos para estudiar matemáticas, en una especie de año sabático en el que se apartó del Derecho para perseguir lo que sería su pasión secreta durante toda la vida. Dado que en dicha ciudad había una tradición matemática mucho mayor que la que pudiera existir en Toulouse, la explicación no es descabellada.
Burdeos es la ciudad donde François Viéte (1540–1603) —al que se conoce en castellano por la latinización de su nombre, Franciscus Vieta— desarrolló su trabajo matemático. Habrá ocasión de explorar su trabajo en mayor profundidad, pero baste decir por ahora que fue el fundador del álgebra simbólica. Su trabajo, por tanto, fue importantísimo, pero, tal vez por razones geográficas, por su relativo aislamiento en una ciudad de provincias en la centralista Francia y por la falta a la sazón de medios de difusión científica, en los años en los que Fermat estuvo en Burdeos su revolucionario trabajo era prácticamente desconocido fuera del círculo de sus discípulos más directos. Fermat no conoció a Vieta, que murió cuando él tenía dos años, pero trabó conocimiento con uno de sus discípulos, Jean de Beaugrand (ca. 1584–1640), quien sería su amigo y colega hasta su muerte, El caso es que ya en 1629, con veintiocho años, Fermat dio las primeras noticias de su talento matemático al enviar a Beaugrand una copia de su reconstrucción de una obra perdida del geómetra griego Apolonio de Perga (ca. 262–190 a.C.), De locis planis, es decir, sobre los lugares —geométricos— planos. Buena parte del trabajo de los matemáticos de los siglos XVI y XVII era intentar reconstruir dichas obras perdidas a través de referencias de otros matemáticos. En particular, la obra de Papo de Alejandría (290–350), que vivió varios siglos después de la mayoría de ios matemáticos a los que reseñaba, fue una referencia fundamental. En efecto, Papo consignó unos 400 teoremas extraídos de las obras de los clásicos que él todavía pudo leer, de forma que, aunque parte de las obras de estos no habían logrado llegar al Renacimiento, perdidas en los sucesivos incendios de la Biblioteca de Alejandría y en otros similares holocaustos culturales, cuando menos quedaban esas pocas ruinas, esas piedras aisladas debidas a Papo, para, de alguna forma, imaginar toda la gloria de los edificios matemáticos que había erigido la Antigüedad, del mismo modo que un arqueólogo puede describir el ágora de Atenas a partir de lo que queda de ella.


En el Antiguo Régimen los parlamentos tuvieron una importancia política considerable como contrapesos del poder central del rey que intentaba imponer su voluntad absolutista. En particular, el de Toulouse fue una concesión real a una población que se quejaba de la lejanía de París y de cómo las formas específicas del derecho del Languedoc eran ignoradas en la capital.
Cabe recordar la agitadísima época en la que vivió Fermat. Eran los tiempos de Luis XIII, débil y voluntarioso, y de su poderoso ministro, el cardenal Richelieu. No hacía mucho que había sido asesinado el rey Enrique IV, el hugonote que se convirtió al catolicismo porque París bien valía una misa; por entonces, Pierre era un niño de ocho años. Las brutales guerras de religión entre católicos y protestantes, apenas apaciguadas por el edicto de Nantes (1598), que promulgaba la tolerancia de ambos credos, eran también pasado reciente. De hecho, Richelieu todavía pelearía contra los protestantes de la Rochelle, no muy lejos de Burdeos, en un episodio que Dumas consignó en Los tres mosqueteros y en el que participó el mismísimo Rene Descartes. Durante, la vida de Fermat también tuvo lugar la Guerra de los Treinta Años, uno de los episodios más dramáticos de la historia de Europa, que solo puede compararse en brutalidad y sufrimiento dé la población civil a las dos guerras mundiales; y el episodio de la Fronda, la rebelión contra Mazarino cuando el despotismo de la regencia de Luis XIV la enfrentó con los parlamentos — esos mismos parlamentos en los que Fermat hizo carrera— y con una parte de la nobleza provinciana.
Sin embargo, si algo define la vida de Fermat es la placidez. Vivió en una época de grandes acontecimientos, pero no participó políticamente en ninguno de ellos. No se le conocen, de hecho, opiniones políticas. Unos meses después de graduarse se casó con una prima segunda por parte de madre, Louise de Long. El matrimonio engendró cinco hijos, que se sepa. Clément–Samuel, Jean, Claire, Catherine y Louise. El primogénito heredaría el puesto del padre, que a su vez pasaría en herencia a su hijo. Jean se convirtió en archidiácono, Claire se casó y tuvo dos hijas monjas– Poco más se sabe, pero estas pinceladas permiten vislumbrar una tranquila vida burguesa, sin demasiada agitación, lo cual es asombroso, dada la violenta historia política de la época. Parece ser que Fermat vivió todas estas convulsiones sin que le afectaran en lo más mínimo, a pesar de que, durante su carrera judicial, llegó a ocupar puestos de mucha importancia, que, dada la histórica oposición del Parlamento de Toulouse a la autoridad central, casi con seguridad tendrían que haber situado a Fermat en medio de complicados conflictos políticos.
Los parlamentos eran cuerpos judiciales, no legislativos. Fueron abolidos durante la jacobina Revolución francesa, pero en su momento fueron un gran contrapeso al absolutismo real. Por tanto, en toda su carrera profesional Fermat se ocupó de impartir justicia, pero también de mediar entre intereses políticos contrapuestos. El edicto de Nantes, en particular, ordenaba que existieran cámaras para que los derechos de ambas confesiones, la católica y la hugonota, tuvieran representación y justicia.
En Castres, ciudad cercana a Toulouse y bastión protestante, Fermat fue miembro de una de esas cámaras a partir de 1632, cuando tenía treinta y un años. Es de suponer que los conflictos fueran significativos, pero nada de ello se trasluce en la correspondencia de Fermat, que es prácticamente la única forma de indagar en su vida. Algunos biógrafos creen ver en ello su aversión a las polémicas y las confrontaciones, su voluntad conciliadora, e incluso tal vez la motivación que le llevó a perseguir su pasatiempo, las matemáticas, para escapar de los conflictos y ambigüedades de su vida profesional.
En verdad, en pocos ámbitos hay tanta certidumbre y tan poco espacio para la duda como en matemáticas. Es profundamente irónico, por tanto, que Fermat viviera en una época en la que, debido a la juventud de la disciplina en su forma moderna, los debates eran el pan de cada día y que, de hecho, siendo uno de los pensadores más brillantes del siglo, estuviera involucrado en buena parte de ellos, algo que le causó no poca amargura. Si buscaba certidumbre, muchas veces encontró incomprensión y oposición a sus ideas.
Fermat mantuvo toda su vida una relación estrecha con su pueblo natal, Beaumont, en el que también presidió en ocasiones el Consejo General. Pero parece claro que viajó poco y que su vida transcurrió entre Toulouse, Castres y Beaumont, con algún ocasional viaje a Burdeos.
Fuera de sus conocidos de juventud en Burdeos, algún matemático tolosano y el inglés Kenelm Digby, Fermat no conoció personalmente a casi ninguno de sus colegas; prácticamente toda su interacción con ellos fue epistolar. Su vida, comparada con la agitada vida de su rival Descartes, que combatió en la Guerra de los Treinta Artos, viajó por media Europa y frecuentó diversas cortes, se presenta apacible, burguesa y provinciana. Las matemáticas eran su refugio secreto cuando, harto de confrontaciones políticas y sentencias dolorosas, se refugiaba en su casa para leer, reflexionar, crear mundos nuevos y, a veces, comunicarlas a sus corresponsales.
En efecto, Fermat escribió cientos de cartas en las cuales detallaba sus descubrimientos, retaba a sus adversarios o se enzarzaba en amargas polémicas. El principal entre sus corresponsales fue un personaje curioso, un monje de la orden de los Mínimos, Marín Mersenne (1588–1648), quien tenía una gran pasión por la matemática que le llevó a cartearse con la mayoría de los grandes pensadores de la época.
No existiendo revistas científicas, lo más similar que había en la época era Mersenne, una especie de central epistolar que recibía resultados de diversos matemáticos y los comunicaba a otros corresponsales. Mersenne fue la primera gaceta científica, y si bien su talento matemático personal nunca fue espectacular, su enorme mérito radicó en su capacidad de entender quiénes eran los grandes creadores de la matemática de la época y la importancia de sus resultados; y, por supuesto, crear esos puentes de comunicación entre aficionados más o menos aislados entre sí. Sin Mersenne, Fermat hubiera sido un oscuro personaje que se recreaba en las matemáticas en la soledad de su despacho. Gracias al monje que le leía en la soledad de su celda y compartía luego sus descubrimientos, la fama matemática de Fermat se esparció por toda Europa. Mersenne vivía en París y estaba en estrecho contacto con un grupo de matemáticos parisinos en el que descollaba Étienne Pascal, padre de Blaise, y que, a instancias del propio Mersenne, se reunía de forma irregular en las casas de sus participantes, y posteriormente en la propia celda del monje, que llegó a contar con 180 corresponsales repartidos por toda Europa.
Mersenne adoraba las polémicas, y gozaba enfrentando a sus corresponsales y contertulios entre sí. Creía firmemente en que ese era el método a partir del cual resplandecería la verdad. Con frecuencia, incluso compartía con otros corresponsales las cartas que le enviaban en confidencia, sin tener autorización para ello, con lo que causó no pocos disgustos y malentendidos. Para Mersenne, más importante que la lealtad y la confianza de sus corresponsales, era que las ideas matemáticas se ventilaran en público y se debatieran con fervor. Esta convicción le costó la amistad de Descartes La Academia Francesa de Ciencias fue, en su germen, ese grupo de matemáticos que se reunía alrededor de Mersenne.
Martin Mersenne conoció a Fermat a través de un amigo del tolosano. [Pierre de Carcavi, según dice el propio Carcavi en la primera carta que dirigió a Mersenne el 26 de abril de 1636, comenzando una fructífera correspondencia. Carcavi, matemático aficionado, a su vez, se trasladó a París desde Toulouse como bibliotecario del rey, y no perdió ocasión de hablar a Mersenne del genio matemático de Fermat. En todo caso, Fermat vio a Mersenne en persona una sola vez en Burdeos, en 1664, cuando este iba de vuelta a París después de un periplo por Europa. Así, se piensa, transcurrió la totalidad de la vida de Fermat, entre la judicatura que le permitía llevar pan a la mesa de su familia y la secreta pasión que le consumía cuando no tenía que vestir la toga. Se puede decir que se ganó la vida con el Derecho y la inmortalidad con las matemáticas.
Hasta donde se sabe, Fermat solamente enfermó de gravedad durante La peste de los años 1652 y 1653. Tanto fue así que uno de sus amigos. Bernard Medon, reportó su muerte a un corresponsal holandés, Nicholas Heinsius, Poco tiempo después Medon se desdecía y comunicaba a Heinsius la feliz nueva de que Fermat seguía entre los vivos. Curiosamente, la peste ayudó a su carrera. Dado que la progresión en la judicatura estaba determinada por estricto escalafón, la muerte de muchos de sus colegas en esos aciagos años le hizo subir rápidamente en la lista, hasta llegar a ser el tercero en antigüedad del máximo tribunal del Parlamento, la Tornelle, que veía las causas penales. En esa situación tuvo que condenar en una ocasión a la hoguera a un sacerdote expulsado que «había abusado de sus funciones», algo que le causó, si hemos de creer su correspondencia, un gran desasosiego, que a su vez le impidió durante unas semanas dedicarse a resolver el problema matemático que le tenía ocupado a la sazón.
La otra gran actividad legal de Fermat era elevar peticiones de los súbditos a la Corona. Dichos súbditos no podían hacer las peticiones directamente; debían pasar por un consejero como Fermat, al que tenían que convencer de los méritos de su petición. Según algunos testimonios, Fermat cumplió esta función con empatía y generosidad.
Tenemos constancia de que fue el vocero del Parlamento de Toulouse en sus relaciones con el poderoso canciller de la Corona, Pierre Séguier. El cargo de canciller era uno de los más poderosos de Francia, equivalente actualmente a un ministro de Justicia. En una instancia particular, Fermat defendió ante Séguier que los habitantes de Aquitania fueran declarados exentos de pagar un cierto impuesto, dado que, según su argumento, cualquier intento de cobrarlo por la fuerza llevaría irremediablemente a indeseables revueltas civiles.
De todas formas, todo parece indicar que su carrera como parlamentario nunca llamó demasiado la atención. El propio Fermat confesó en una ocasión a Mersenne que temía que un nombramiento en particular, que había solicitado a Séguier, no tuviera lugar, dado el fracaso «de su gestión en Castres», de la que no se tienen más datos. Años más tarde, el intendente de Longuedoc escribió un informe al célebre ministro Jean–Baptiste Colbert en el que daba su opinión sobre el primer presidente del Parlamento, superior directo de Fermat, a quien interesaba al ministro vigilar, y sobre sus consejeros. Su opinión de Fermat, en tanto magistrado, es poco halagadora:
Fermat, un hombre de gran erudición, tiene contacto con sabios de todo el mundo, Pero suele estar muy preocupado (con su erudición) no instruye bien sus casos y se confunde mucho. No es uno de los amigos del primer presidente.Sea como sea, Fermat se revelaba como un hombre reservado, casi tímido, conciliador hasta el punto de, por un lado, servir en un altísimo cargo en una institución abiertamente enfrentada a la Corona y, por otro, tener buenas relaciones con la Corte.
§ . La personalidad matemática de Fermat
Los rasgos del carácter retraído de Fermat influyeron decisivamente en su carrera científica Según comenta Michael Sean Mahnney, un» de sus principales biógrafos, su correspondencia matemática está desprovista de la egolatría que caracterizaba a un Rene Descartes o un John Wallis. A Mersenne le confesó que no perseguía la gloría, que estaba «exento de ambición». Esto tal vez no es exacto. Está claro que Fermat se enorgullecía de su carrera en la judicatura y de los altos puestos que había escalado; de la misma forma, esperaba reconocimiento por sus contribuciones matemáticas. Pero esa ambición era, en cierto sentido, modesta. Le bastaba el reconocimiento de sus colegas, no la gloria de ser reconocido por el gran público–, y cuando no lo obtuvo reaccionó de forma dolida, frustrado ante la indiferencia o la hostilidad de algunos de sus contemporáneos.
Los rasgos del carácter retraído de Fermat influyeron decisivamente en su carrera científica Según comenta Michael Sean Mahnney, uno de sus principales biógrafos, su correspondencia matemática está desprovista de la egolatría que caracterizaba a un René Descartes o un John Wallis. A Mersenne le confesó que no perseguía la gloría, que estaba «exento de ambición». Esto tal vez no es exacto. Está claro que Fermat se enorgullecía de su carrera en la judicatura y de los altos puestos que había escalado; de la misma forma, esperaba reconocimiento por sus contribuciones matemáticas. Pero esa ambición era, en cierto sentido, modesta. Le bastaba el reconocimiento de sus colegas, no la gloria de ser reconocido por el gran público, y cuando no lo obtuvo reaccionó de forma dolida, frustrado ante la indiferencia o la hostilidad de algunos de sus contemporáneos.
Esta personalidad explica tal vez por qué Fermat —«el más perezoso de los hombres», le dice a Mersenne refiriéndose a sí mismo— nunca publicó bajo su nombre en vida, y por qué evitó en la medida de lo posible dar demostraciones de los resultados que anunciaba en su correspondencia.
La tradición de secreto en las matemáticas se había originado con la escuela pitagórica; pero si tal hermetismo tenía raíces místicas en la Antigüedad, los cosistas lo continuaron por razones pragmáticas. Era el equivalente a la moderna protección de las patentes.
Mersenne, precisamente, luchaba contra ese secretismo cuando hacía circular las cartas que le habían enviado. Convencido con firmeza de que solo el debate haría progresar las matemáticas, el monje de la orden de los Mínimos de París inauguró una nueva tradición, intentando convencer a sus corresponsales de que revelaran sus secretos. Pero, a pesar de su poder de persuasión, nunca convenció a Fermat de que publicara una obra formal Para Mersenne y los miembros de su círculo, Fermat tenía que ser alguien desesperante: un brillantísimo matemático que contaba sus resultados a cuentagotas, sin aportar, en la mayoría de los casos, una demostración de sus teoremas.
En más de una ocasión Fermat utilizó ese secretismo tan caro a los cosistas para retar a sus adversarios a que resolvieran un problema que él mismo había ya resuelto. Este tipo de juegos y adivinanzas parecía causarle gran placer, sobre todo cuando, como ocurrió varías veces, la rivalidad se había convertido en franca enemistad. De esta forma, Fermat se limitó a explicar retazos de sus ideas en cartas que primordialmente iban dirigidas a Mersenne, y, en ocasiones, a circular memorias y pequeños tratados manuscritos. Solamente se publicó en vida una obra debida a él, como un apéndice de otro libro y bajo seudónimo. Esta renuencia frustró a muchos de sus amigos, llevando a Medon a rogar a Keinsius que usara sus buenos oficios para convencer nada menos que a la reina Cristina de Suecia a que instara a Fermat a publicar, una labor en la que Mersenne, Gilíes de Roberval, Blaise Pascal y Christiaan Huygens habían fracasado.
Tal renuencia podría también deberse a la enorme cantidad de trabajo que la formalización rigurosa de sus resultados hubiera requerido. Fermat era un hombre de enorme intuición matemática, y con frecuencia unos pocos garabatos escritos para sí mismo le convencían de que tenía razón. Convertir esos garabatos en una prueba formal según el estándar de la geometría griega, era mucho más trabajo del que Fermat quería dedicar a su pasatiempo. Él trabajaba para sí mismo; sus pruebas, parciales o completas, eran para consumo personal. Como un jugador de ajedrez que adivina el jaque mate en cinco jugadas, Fermat solo avanzaba hasta el punto en la demostración que le parecía necesario. Sus notas eran solo recordatorios para sí mismo, claves para que en su mente se presentara de nuevo la idea que había iluminado justo antes de escribir dichas notas. Pero hay otra razón metodológica que será aparente en él más adelante, cuando detallemos cómo amplió la tradición matemática que heredó de Vieta.
Sea como sea, convencer a otros de la corrección de sus resultados no entraba entre sus preocupaciones. Ya sabrían ellos, pensaba, reproducir sus razonamientos. O si no pueden, peor para ellos. En todo caso, el trabajo de convencerlos era un desperdicio de su limitado tiempo, que estaría mejor empleado en descubrir nuevos resultados, no en probar rigurosamente los que ya le parecían evidentes.
«[Si existe] cualquier parte de mi obra que se considere digna de publicación, me niego a que mi nombre figure en ella»Su propia carrera profesional habría incentivado esta actitud, dado que le robaba tiempo a la matemática. Y así, toda la vida científica de Fermat estuvo marcada por esos resultados que se enunciaban con parsimonia, esas ideas apenas esbozadas que nunca fueron perseguidas hasta su consecución, ese desdeño por rellenar huecos y detalles y esa ausencia de pruebas. En resumen, el reverso de lo que la obra de Euclides, con su enfoque sistemático y riguroso, y sus demostraciones prístinas, había significado para generaciones de matemáticos En ese sentido, Fermat estaba mucho más cerca de la tradición cosista que del rigor helenístico.
Fermat, en una carta enviada a Roberval en 1637.
Todas estas notas, bocetos de demostraciones y papeles desordenados (al menos, todas las que pudo encontrar y a las que pudo dar sentido) fueron ordenadas, sistematizadas y publicadas por su albacea, el primogénito Clément–Samuel que además de heredar los cargos del padre, recibió al menos una parte de su afición por las matemáticas.
En particular, en 1670 el hijo publicó Los comentarios a Diofanto, reuniendo todas las notas marginales de su padre. Fue así como llegó hasta nosotros ese teorema que, seguramente, era solo una nota que Fermat se hacía a sí mismo. Nunca la compartió con nadie en toda su generalidad; la única constancia que tenemos de ella es ese margen que Clément–Samuel, fiel a la memoria de su padre, transcribió y publicó póstumamente.
Fermat discutió casos particulares del teorema; pero el enunciado general, tal como aparecía en su casual anotación, se hubiera perdido con casi total seguridad en la noche de ios tiempos matemáticos como se perdieron, tantas obras de Euclides, Apolonio, Diofanto y otros pensadores.
El destino de una obra es caprichoso; a veces pende de un hilo, de la voluntad de alguien que crea que esa obra es importante y que merece ser conocida. Y ese hilo, en el caso de Fermat, fue el amor de Clément–Samuel por su padre y su memoria.
Así es como llegamos, finalmente, a ese margen en el que Fermat escribió su endiablado teorema.
«He encontrado — decía– una maravillosa demostración de esta afirmación, que por desgracia no cabe en este margen tan pequeño.»Es curioso que los siglos hayan hablado siempre del último teorema de Fermat. En matemáticas, cualquier resultado no demostrado se conoce como conjetura o hipótesis. Así, tenemos la hipótesis de Riemann, la conjetura de Goldbach, y hasta hace muy poco, la conjetura de Poincaré, que al haber sido demostrada, se ha convertido en el teorema de Poincaré–Perelman. Y es que solo los resultados demostrados merecen el nombre de teorema.
Pero, por alguna razón, el último teorema de Fermat se conoció siempre como teorema; tal vez porque los otros comentarios fueron siendo demostrados poco a poco, hasta solo quedar el último. Es, por tanto, el teorema que tardó 350 años en serlo.
Capítulo 2
Los intentos de demostración del último teorema
Durante 350 años los historiadores de las matemáticas se han preguntado inútilmente si Fermat llegó a demostrar su teorema, si fanfarroneaba, o si se equivocó al pensar que lo había demostrado. Dado el modo de actuar del matemático francés, casi todo es posible, aunque algunas informaciones son más probables que otras.Contenido:
§. De Euler a Sophie GermainLos instrumentos matemáticos de la época de Fermat eran muy similares a los que emplea un alumno aplicado de instituto. Dicho de otra forma, la humanidad tardó unos 2.500 años en adquirir los conocimientos de un bachiller. En cambio, desde entonces los conceptos son cada vez más difíciles de entender páralos no especialistas.
§. Faltings y la búsqueda informática de contraejemplos
§. La conjetura de Taniyama–Shimura
§. El paso final
La matemática que usó Wiles para demostrar el último teorema de Fermat no existía en los tiempos del sabio francés. De hecho, buena parte de ella no fue inventada hasta el siglo XX. Ello hace extraordinariamente difícil creer que Fermat tuviera una prueba de su teorema, que resistió los ataques de algunas de las mejores mentes matemáticas mundiales durante 350 años.
Lo más probable es que Fermat hubiera demostrado algunos casos particulares del teorema. En la observación 45 del tratado de Diofanto consta que probó el caso con n = 4. Es decir, no existen números naturales x, y y z tales que: x4 + y4 = z4.
Es posible que hubiera probado también el caso con n = 3. Cuando menos, lo citó en su correspondencia como un resultado probado, de la misma forma que lo hizo con n = 4. Y, muy probablemente, a partir de estos dos casos, pensó que la generalización era muy sencilla.
No era la primera vez que Fermat se equivocaba. También había afirmado que 22 p+ 1 es siempre un número primo (divisible solamente por sí mismo y por la unidad) si p es primo. El gran matemático suizo Leonhard Euler (1707–1783) demostraría que esto no es verdadero: con un valor tan bajo como p = 5 la afirmación de Fermat falla, ya que dicho número es divisible por 641.
Así que Fermat se había equivocado alguna vez, confiando demasiado en su intuición y en sus demostraciones incompletas. No es descabellado pensar que su supuesta demostración del último teorema sedo existió en su imaginación, y que su falta de rigor le llevó a hacer una afirmación muy audaz a partir de un par de casos especiales... afirmación de la que, por otro lado, no se tiene constancia de que quisiera compartirla con otros.
En todo caso, hay que hacer notar que la observación que constituye el último teorema es una cosa curiosa, casi un detalle, no uno de los fundamentos de una revolución matemática comparada con otros resultados que a fecha de hoy no han sido demostrados, como la hipótesis de Riemann, su importancia matemática palidece: al demostrar el último teorema no se crea un nuevo y fecundo campo de investigación matemática. Los matemáticos miden la importancia de un resultado en función de la matemática nueva que dicho resultado, al ser demostrado, genera. El caso es que el último teorema, por sí mismo, no genera gran cosa.
Sin embargo, los esfuerzos para demostrarlo durante 360 años desarrollaron teorías matemáticas importantísimas. Su enorme paradoja es esa: en cierto sentido, es un resultado sin importancia, una observación adecuada para el margen donde fue escrita; pero la enorme dificultad de la demostración y el interés que suscitó a través de los siglos llevaron a crear teorías completas cuya aplicación y desarrollo resultaron capitales.
Aquellos profesares de los que hablamos al principio seguramente decían a sus alumnos: «Ojalá nunca sea demostrado». Porque las matemáticas que han generado sus intentos de demostración son más importantes que el teorema en sí, y esperamos que se sigan creando teorías novedosas gracias a dichos intentos. Desde luego, cabe otra versión de la historia, en la que Fermat, como hizo alguna vez, jugaba con sus contemporáneos, retándolos a demostrar algo de lo que él mismo no estaba seguro; pero el no haber hecho público el resultado trabaja en contra de tal hipótesis. Además, como se ha dicho, la posibilidad de que realmente tuviera una demostración general del teorema es muy difícil. O los matemáticos más brillantes de los últimos 360 años han sido ciegos o la matemática necesaria para demostrar el teorema simplemente no existía en los tiempos de Fermat. Lo segundo es mucho más probable.
Un problema sin resolver es como un muro. Los matemáticos que lo acometen tienen que fabricar armas para derribarlo. Y hay problemas que, sencillamente, no pueden ser derribados con ciertas armas. De la misma forma que una catapulta romana resultaría absurdamente inútil contra un portaaviones moderno, determinadas herramientas matemáticas son pobres ante ciertos problemas, y los matemáticos tienen que devanarse los sesos inventando nuevas estrategias de ataque y nuevas armas. La historia moderna de las matemáticas, en buena medida, es la historia de la invención de esas armas.
Fermat tenía armas que una generación o dos anteriores no hubieran soñado; pero no eran suficientes para resolver su problema. Por otro lado, era imposible que él lo supiera. Tal vez el jurista tolosano se vio deslumbrado por el brillo de las armas que su maestro Vieta y él mismo habían inventado, y no supo que no serían capaces de derrumbar determinados muros. El lema de Vieta era nulum non problema solvere: «no hay problema sin solución». Esta confianza era excesiva, pero nadie podía saberlo entonces.
Los matemáticos acometen las demostraciones con tantas estrategias como tiene un general en batalla; o tal vez con más de ellas. En tiempos de Fermat el número de estrategias se multiplicó drásticamente con la invención del álgebra simbólica; una de las que usó el propio Fermat la inventó él mismo: el método del descenso infinito, que parte de la reducción al absurdo. En su versión mis simple, dicho método consiste en asumir como hipótesis la negación de la conclusión del teorema que queremos probar (el recurso de reducción al absurdo), y buscar una propiedad que es válida para un número dado, n. Acto seguido, se demuestra que si esa propiedad es válida para el número n, también lo es para un número menor que n, típicamente n – 1.
¡Pero aquí hay un problema! Si esto es cierto, hay sucesión infinita de números naturales cada vez más pequeños, y sabemos que esto no es cierto. Hay un número natural más pequeño que todos, el número uno. Por tanto, tenemos una contradicción, lo cual demuestra que nuestra hipótesis es errónea.
Así fue como Fermat demostró que su famoso teorema era verdadero al menos en el caso particular en el que n = 4, en una demostración que casi cupo en otro margen de la misma Aritmética de Diofanto donde consignó el caso general. Y decimos «casi» porque Fermat omitió, como era su costumbre, algunos pasos de la demostración. Poco más se puede decir de las investigaciones de Fermat sobre su último teorema, ya que apenas dejó algo dicho al respecto; así que tenemos que embarcamos en esa jornada de 350 años para entender el desarrollo de una historia que Fermat no pudo ver.
§. De Euler a Sophie Germain
Como ya se ha dicho, el último teorema fue postulado póstumamente. Por otro lado, la teoría de números formulada por Fermat tuvo bastante poco éxito entre sus contemporáneos, más preocupados por los acuciantes problemas del cálculo. Así pues, la publicación de los comentarios de Fermat a la Aritmética de Diofanto tuvo poca repercusión. Los matemáticos de su época no entendían su obsesión por esos problemillas sin sentido, que parecían más adivinanzas y puzles que problemas matemáticos importantes.
Fue otro científico aficionado, el matemático prusiano Christian Goldbach (1690–1764) — a quien curiosamente se recuerda por una conjetura no muy distinta de los problemas que abordaba Fermat y que continúa sin ser resuelta a día de hoy—, el que comenzó a estudiar a Fermat y llamó la atención del más grande matemático de su época sobre los trabajos del tolosano. Nacido unos cuarenta años después de la muerte de Fermat, ese matemático era Leonhard Euler.
Leonhard EulerEl matemático suizo Leonhard Euler (1707–1783) fue el estandartede la matemática del siglo XVIII. Su trabajo cubre prácticamente todas las áreas vigentes en su momento, al tiempo que importantes trabajos en física. Euler ocupó destacados puestos en las Academias Reales de Rusia y Prusia, bajo Catalina la Grande y Federico II, donde se codeó con reyes y pensadores de la talla de Voltaire. Tuerto de un ojo, Euler terminó por perder la vista del todo, pero ello no le Impidió seguir produciendo a) ritmo de un articulo a la semana. Dotado de una memoria prodigiosa, lograba componer sus teoremas en su mente de la misma forma en que podía recitar sin problema la Eneida de principio a fin. De él se cuenta que, estando Catalina harta de los desplantes ateos de Diderot, pidió a Euler que le humillara públicamente. Euler se acercó al filósofo y le espetó:
respondió. Diderot no supo qué responder. Sin embargo, algunos historiadores dudan de la veracidad de la anécdota. También Euler es responsable de una de las fórmulas más bellas de la matemática: eiπ+ l = 0.
Sucede que la curiosidad de Euler se despertó por los comentarios de Goldbach, y el suizo comenzó a analizar los trabajos de Fermat. Entre otras cosas, demostró que este se equivocaba en uno de los resultados de los que se sentía más orgulloso, la afirmación de que ciertos números, conocidos como «números de Fermat», son siempre primos. Pero Euler también indagó si el último teorema era cierto, Y aunque no pudo demostrarlo en el caso general, logró demostrarlo para el caso en el que n = 3. Así que, en el punto en el que Euler dejó el tema, se habían demostrado dos casos... o en realidad una infinidad de ellos, ya que si se demuestra el teorema para n = 3, el resultado es válido para todos los múltiplos de 3, es decir, para la secuencia 6, 9, 12, 15... Esto es así porque cualquier potencia que sea múltiplo de tres se puede escribir como un número al cubo. Por ejemplo, 46 = 163. Análogamente, como Fermat demostró para el caso n = 4, está demostrado también para los múltiplos de 4.
Sophie GermainComo todas las mujeres científicas hasta el siglo XX, la matemática parisina Sophie Germain (1776–1031) se enfrentó a múltiples problemas para seguir su carrera científica. Sin educación formal, se hizo Con las notas de l’École Polytechnique para estudiar. Se carteó con los grandes matemáticos de la época, como Joseph–Louis Lagrange, Adrien–Marie Legendre y Gauss, haciéndose pasar por un tal «señor LeBlanc» Gauss se enteró de su Identidad en las circunstancias más curiosas Imaginables. Habiendo ocupado les tropas napoleónicas la localidad alemana en la que Gauss vivía. Germain temió por la vida de su corresponsal, recordando el ejemplo de Arquímedes, así que escribió al general Pernety, amigo de su familia, rogándole que protegiera al genio. Pernety mandó un destacamento que informó a Gauss de las gestiones de Sophie. Emocionado y asombrado. Gauss escribió a Germain haciéndole notar cómo los estúpidos prejuicios de la época hacían que una mujer requiriera ser en realidad una persona del «más noble valor, extraordinario talento y genio superior» para lograr vencer los obstáculos que se oponían a su carrera.
Si pudiéramos demostrar el teorema para los números primos dado que cualquier número es un múltiplo de primos lo tendríamos demostrado en general. Sin embargo, por desgracia la demostración para el caso n = 5 era extraordinariamente más compleja de lo que Fermat hubiera imaginado. De todas formas, el hecho de que Euler se interesara por los trabajos de Fermat insufló una bocanada de aire fresco en la teoría de números. Esta disciplina se convirtió, gracias a Euler y a Carl Friedrich Gauss (1777–1855), en una teoría matemática respetable, tal y como Fermat había deseado.
Sin embargo, el teorema no tuvo suerte en manos de Gauss, el llamado príncipe de las matemáticas, que se refería a él en términos desdeñosos. Lo consideraba una pérdida de tiempo; o es posible que haya intentado resolverlo alguna vez, y que, frustrado por falta de éxito adoptara la estrategia del zorro con las uvas fingiendo despreciar lo anhelado por saberlo inalcanzable.
Pero otros matemáticos de su época lo abordaron. Notoriamente, Sophie Germain que descubrió que, para los primos que llevan su nombre (números p donde p es un primo y P = 2 p + 1 también lo es), reuniendo ciertas propiedades que deben cumplir P y p, en particular que p no divida a x×y×z, el producto de las tres incógnitas de la ecuación de Fermat, el último teorema de Fermat es cierto para n = p. Con esta técnica, Germain logró demostrar el teorema de Fermat para todos los primos menores de 100. Por desgracia su trabajo no fue publicado en vida.
Adrien Marie Legendre y Gustav Leujeune Dirichlet lograron demostrar el caso n = 5. La demostración utiliza herramientas matemáticas que no existían en el siglo XVII, como la teoría de formas cuadráticas. La demostración, en efecto, era relativamente sencilla para los casos n = 3 y n = 4, pero se volvía mucho más compleja a partir de n = 5 e intratable, por métodos convencionales, a partir de n = 23.
De todas maneras, el intento de Sophie Germain fue el primero en el que se buscaba una solución para toda una clase de números, no para primos particulares, y abrió una estrategia novedosa de ataque al problema que siguió utilizándose en las décadas siguientes vieron los intentos de Gabriel Lamé (1795– 1870) y Augustin–Louis Cauchy (1789–1857) para demostrar el teorema. Lamé logró probar el caso n = 7, y en una tormentosa sesión de la Academia Francesa de Ciencias, anunció que estaba a punto de demostrar el caso general. Delineó a grandes rasgos su estrategia, que se basaba en el álgebra de números complejos. De forma sensacional, Cauchy, una de las cumbres matemáticas de la época, se levantó para declarar, a su vez, que él también estaba a punto de tener la demostración, y que su enfoque era muy similar al de Lamé. Se inició entonces una carrera entre los dos matemáticos, que fue dramáticamente interrumpida cuando un alemán, Ernst Kummer (1810–1893), proclamó con teutónica satisfacción que las técnicas de Cauchy y Lamé estaban equivocadas. En efecto, decía Kummer, ambos habían cometido el fatal error de suponer que los números complejos que usaban tenían una factorización única Esto, argumentaba correctamente Kummer, no era cierto. Así las cosas, la estrategia de Cauchy y Lamé se hundió, mientras Kummer siguió investigando y llegó a crear una nueva teoría matemática para intentar demostrar el último teorema de Fermat. Su investigación le llevó a intentar entender cuáles eran los obstáculos a la factorización única que intentaban los franceses, y esto le llevó a su vez a formular los principios de lo que se conoce como teoría de ideales. Las herramientas se iban complicando cada vez más... Pero Kummer fue mucho más allá. Usando técnicas matemáticas aún más avanzadas, logró encontrar las condiciones que hacían posible la factorización única. A partir de ello, demostró que existen ciertos primos, llamados regulares, para los que el último teorema de Fermat se cumple. Kummer había logrado demostrar él teorema para un número enorme de casos (tal vez infinito, aunque no se ha demostrado que el número de primos regulares sea infinito). De hecho, lo había demostrado para todos los casos menores a 100 salvo 37, 59 y 67, que son primos irregulares. El trabajo de Kummer fue también fundamental para la posterior generalización de su concepto de números ideales por parte del matemático alemán Richard Dedekind (1831–1916), creando la teoría de ideales, una importante extensión de las propiedades de los números naturales. Un ideal, por ejemplo, es el conjunto de los números pares, o los múltiplos de tres, pero hay ideales que no son números, a pesar de lo cual conceptos familiares como la factorización en primos son aplicables a ellos.
Corrección de KummerEl enfoque de Gabriel Lamé y Augustin–Louis Cauchy estribaba en intentar factorizar el miembro izquierdo de la ecuación de Fermat de la siguiente forma: xn + yn = (x + y) (x + ςy) (x + ςn–1y) donde x e y son números enteros ordinarios y los ς son lo que se conoce como enteros algebraicos que, a pesar de su nombre, son números complejos (números como a + bi, donde i es Igual a √–1 que ocurren como raíces de cierto tipo de polinomios. Lo relevante es que, si dicha factorización es única, se puede demostrar que no hay soluciones para la ecuación de Fermat. Es decir, que el último teorema es verdadero. Tanto Lamé como Cauchy habían abierto un nuevo frente: el uso de números complejos de una cierta forma. Pero Kummer demostró que esta factorización, en general, es imposible. A partir de ello, intentó buscar las condiciones en las que pudiera llevarse a cabo. Esto le llevó al estudio de los llamados campos ciclotómicos , que son una extensión de los racionales, obtenida añadiendo uno de los números ς de la ecuación anterior. Kummer aplicó por primera vez la teoría de grupos a la teoría de números. A partir de ello, el matemático alemán logró demostrar que existen ciertos primos que no dividen a un número, llamado número de clase de ideales, que es una característica de la extensión anteriormente mencionada. Estos primos son los primos regulares.
§. Faltings y la búsqueda informática de contraejemplos
Durante los años que siguieron a la muerte de Kummer, en 1893, hubo poca investigación formal novedosa para demostrar el último teorema. Los investigadores profesionales lo dejaron de lado. Se convirtió durante décadas en el pasatiempo de matemáticos aficionados buscando el Grial que prometía la gloria y algún premio económico (a principios del siglo XX, Paul Wolfekehl instauró un premio dotado con 100.000 marcos a quien demostrara o refutara el último teorema de Fermat), pero las herramientas con que contaban estos aficionados, más o menos tan primitivas como las de Fermat, se revelaron una y otra vez insuficientes para derribar el muro. Si acaso, la invención de los ordenadores permitió intentar la búsqueda de contraejemplos. Como se sabe, basta un solo contraejemplo, un resultado contrario (en el caso de Fermat, encontrar al menos una terna x, y y z naturales que cumplan la ecuación para n > 2) para demostrar que el teorema es falso. En cambio, si se quiere demostrar que es verdadero no basta un millón de ejemplos.
Los ordenadores, cada vez más poderosos, permitieron demostrar a principios de la década de 1980 que el último teorema era verdadero para todos los valores de n hasta cuatro millones. Pero eso no bastaba. Aunque la mayoría de los matemáticos estaban convencidos de que el último teorema era verdadero, no se puede afirmar un resultado por más casos afirmativos que lo respalden. Esto se comprobó espectacularmente con una conjetura que formuló Euler en el siglo XVIII, que afirmaba que x4 + y4 + z4 = w4 no tenía soluciones naturales. Dicha conjetura se demostró falsa mediante un contraejemplo en 1988, Unos doscientos años después de la muerte de Euler. La ecuación tiene la siguiente solución: x = 2.682.440, y = 15.365.639, z = 18.796.760, w = 20.615.67.
Es una especie de justicia poética que el hombre que refutó a Fermat con sus primos haya sido refutado a su vez.
Pero en 1983, un investigador alemán llamado Gerd Faltings dio un salto de gigante al demostrar que, si existen soluciones naturales a la ecuación de Fermat, el número de estas es finito. Esto no demostraba el teorema, que dice que el número de soluciones es cero, pero era un avance significativo. Procedamos con cautela, aclarando que un número finito puede ser
![]()
La estrategia de Faltings se basaba en los resultados de una disciplina llamada geometría diferencial. La geometría diferencial estudia, muy grosso modo, curvas y superficies geométricas generalizadas, utilizando para ello herramientas del cálculo como la diferenciación y la integración. Ahora bien, un grupo de investigadores rusos se dio cuenta, en la década de 1970, de que se podían relacionar ciertos problemas de la teoría de números, a la que pertenece el último teorema de Fermat, con ciertos problemas de la geometría diferencial. Esos investigadores habían tendido un puente entre dos islas, dos disciplinas que parecían alejadísimas entre si y cuyos especialistas no se hablaban entre ellos, al menos no profesionalmente. Faltings relacionó la ecuación de Fermat ( xn+ yn = zn) con distintas superficies en el mundo de la geometría diferencial, una para cada valor de n. Dichas superficies son como rosquillas, salvo que en vez de tener un solo agujero central, tienen muchos. Cuanto más grande es n, más agujeros tienen. Faltings relacionó la existencia de más de un agujero con el hecho de que la ecuación de Fermat relacionada tenía, cuando mucho, un número finito de soluciones. Era un gran paso, pero aún insuficiente.
§. La conjetura de Taniyama–Shimura
Volviendo al último teorema, nadie se imaginaba por dónde saltaría la liebre. Si un matemático de la época de Fermat operaba con elementos familiares, como círculos o números primos, los investigadores de épocas posteriores comenzaron a crear criaturas cada vez más curiosas y a intentar entender las leyes que reglaban su comportamiento.
En este punto de la narración, es preciso no desesperarse si no se logra entender las complejas estructuras matemáticas que se usan para intentar derribar el muro. Nadie que no sea un experto puede entenderlas cabalmente. De hecho, solo un científico profesional puede seguir con detalle estos argumentos. Sea como fuere, los matemáticos crearon una teoría sobre una de esas estructuras, las curvas elípticas, y otra, totalmente distinta y sin aparente relación con la primera, sobre formas modulares.

Curvas elípticas para c = 0 y distintos valores para a y b
Ahora bien, cada forma modular tiene, siguiendo un símil de Simón Singh, un ADN, una serie de números que lo describen por completo, y que llamaremos M1 , M2 , Mn. Análogamente, cada curva elíptica tiene a su vez otro ADN, que llamaremos E1 , E2 ,…En.
Hasta bien entrado el siglo XX ambos campos— el estudio de las curvas elípticas y el de las formas modulares— eran compartimentos estancos, sin la menor relación entre sí. Siguiendo la tradición de especialización de los matemáticos, que se volvió cada vez más aguda a partir del siglo XIX, quienes se ocupaban de una cosa no teman la menor idea de la otra.
Pero entonces llegaron los matemáticos japoneses Yutaka Taniyama (1927–1958) y su amigo Goto Shimura, que postularon un resultado asombroso; a cada curva elíptica le correspondía una forma modular, y viceversa. Los ADN eran totalmente intercambiables. La secuencia de M de una forma modular era igual a la secuencia de E de una curva elíptica, y viceversa.
No podían demostrar esta conjetura cuando la plantearon en el Japón de la posguerra, pero estaban bastante seguros de su verdad. A la pregunta de un colega de si estaba asegurando que algunas curvas elípticas tenían una correspondiente forma modular, Shimura contestó: «No, estoy afirmando que todas la tienen».
La conjetura era hermosa, porque tendía un puente entre dos áreas aparentemente ajenas. Era un puente entre dos mundos. Si era cierta, significaba que cualquier teorema demostrado sobre formas modulares seria cierto para las curvas elípticas, y viceversa. La belleza de todo esto no solamente consiste en que se ahorra la mitad del esfuerzo, sino que a veces una demostración es mucho más accesible en uno de los mundos que en el otro. La conjetura fascinó a los matemáticos durante décadas... Pero, como sucedió con el último teorema, resistió todos los intentos de demostración. Es cierto que los investigadores habían explorado un enorme número de casos particulares y en todos la conjetura parecía cumplirse; pero esto no sirve como prueba. Sin embargo, los investigadores empezaron a explorar sus consecuencias si fuera cierta, descubriendo una enorme cantidad de resultados fantásticos. La conjetura era muy fecunda. Si tan solo fuera verdadera... Todos estos resultados eran como ramas separadas del árbol de las matemáticas, porque se basaban en una hipótesis no demostrada. Pero el mundo que se vislumbraba más allá del muro era fantástico. Años después, a mediados de la década de 1980, el matemático alemán Gerhard Frey planteó que el último teorema de Fermat podía escribirse como una curva elíptica. Pero era una curva elíptica muy especial. Si existiera de verdad, su secuencia de E sería tan extraña que sería imposible la existencia de una forma modular con una secuencia de M igual. En efecto, sí la curva elíptica de Frey existiera, la conjetura de Taniyama–Shimura habría encontrado un contraejemplo, y seria por tanto falsa. La falsedad del último teorema implica la falsedad de Taniyama–Shimura, por lo que, recíprocamente, la verdad de Taniyama–Shimura implica la verdad del último teorema. Frey no logró probar su hipótesis, pero el matemático norteamericano Ken Ribet lo hizo poco después. El resultado de Frey y Ribet inauguraba una estrategia de ataque totalmente novedosa Durante décadas la invención de estrategias nuevas para atacar el último teorema había caído en un impasse, pero de pronto había nacido un nuevo frente, totalmente novedoso: quien demostrara la conjetura de Taniyama–Shimura demostraría el último teorema de Fermat.
§. El paso final
Es aquí donde Andrew Wiles entra en escena. Por una increíble casualidad, Wiles había estado obsesionado por el teorema de Fermat desde que tenía diez años; pero cuando estudió matemáticas, sus intereses le llevaron — aparentemente— muy lejos de dicho resultado: se especializó en curvas elípticas. Tuvo que haber sido asombroso para él conocer el resultado de Frey y Ribet, en una conversación casual en 1986. ¡El premio estaba a su alcance!
"Un día andaba mirando en la biblioteca pública local y encontré un libro sobre matemáticas que contaba un poco de la historia de este problema, y yo, con diez años de edad, pude entenderlo. Desde ese momento traté de resolverlo yo mismo [...]. Ese problema era el último teorema de Fermat"
Andrew Wiles en referencia a su primer contacto con el último teorema de Fermat
Sin dudarlo, Wiles se encerró en su cubículo y, sin participar a nadie de sus proyectos, decidió probar la conjetura de Taniyama–Shimura, que, como hemos visto, demostraría de forma automática el último teorema de Fermat. Entre ese momento de iluminación y el ciclo de conferencias en Cambridge mediaron siete años, en los que Wiles no publicó casi nada y se dedicó, en apariencia de forma exclusiva, a sus actividades docentes.
Esto es algo inusitado, dado que un investigador que no publica ve su carrera seriamente comprometida. Existe un adagio en la comunidad académica: publicar o perecer. El éxito se mide por el número de citas que tienen los artículos publicados en revistas de prestigio. Sin hacer caso de dicho adagio, Wiles se mantuvo en un mutismo prácticamente total, publicando de vez en cuando sobre cuestiones muy alejadas de su investigación real. Avanzaba a buen paso, y algunos de sus resultados en teoría de grupos tenían el suficiente mérito como para darle un gran prestigio; pero temeroso de que alguien se oliera lo que estaba haciendo, Wiles se obligó a sí mismo a callar. Pronto los colegas comenzaron a pensar que la carrera de Wiles estaba acabada, que su genio matemático se había agotado, algo nada raro, ya que la mayoría de los matemáticos hacen sus contribuciones cuando son jóvenes.
Este mutismo le llevó a tener que tragarse su disgusto cuando, apenas dos años después de comenzar su labor, otro investigador llamado Yoichi Miyaoka anunció que había demostrado el último teorema de Fermat. Miyaoka se había basado en una estrategia distinta de la de Wiles, heredera de la estrategia de Faltings, pero análoga en el fondo a lo que intentaba Wiles: él mismo había formulado una conjetura, la conjetura de Miyaoka, que, al igual que Taniyania–Shimura, implicaba el último teorema; si la conjetura de Miyaoka era verdadera, también lo era el último teorema de Fermat. Por fortuna para Wiles, el propio Faltings encontró rápidamente un error en la demostración de Miyaoka, y a pesar de todos los esfuerzos por enmendarlo, ésta se hundió en apenas dos meses. Wiles suspiró aliviado y continuó trabajando.
La historia de cómo Wiles logró la demostración es muy compleja: su prueba tiene más de cien páginas. Conviene resaltar algunos aspectos de ella. En primer lugar, Wiles usó, igual que Kummer, la teoría de grupos.
El enfoque original de Wiles se basó además en una estrategia llamada teoría de Iwasawa, la cual descartó, dado que no producía avances, a favor del llamado método de Kolyvagin–Flach. Es interesante hacer notar que la teoría de Iwasawa comenzó como una generalización del trabajo de Kummer. En matemática hay linajes que persisten en la historia.
Évariste Galois y Niels AbelÉvariste Galois (1811–1832) y Niels Henrik Abel (1802–1829) desarrollaron, de forma independiente, la teoría de grupos para resolver el problema de si la ecuación de quinto grado tenía una solución general, como si la tenían todas las ecuaciones de grado menor. La teoría del francés Galois fue mucho más desarrollada que la del noruego Abel, siendo el primero en usar el término " grupo".Ambos matemáticos compartieron el destino trágico de haber muerto jóvenes. Abel, consumidos por la enfermedad y las privaciones. Galois, fogoso revolucionario a la par que matemático genial, vivió una breve vida que se consumió en un absurdo duelo por una mujer, en el que muchos han querido ver una trampa política de la policía de Luis Felipe de Orleans, Ninguno de ellos fue reconocido en vida. Es conocido que Galois escribió febrilmente sus ideas en la víspera del duelo, seguramente convencido de que iba a morir al día siguiente. De vez en cuando, escribía «No tengo tiempo», Al día siguiente, en efecto, fue herido de muerte y abandonado por su adversario. Todavía vivió unos días. Viendo a su hermano llorar le dijo: «No llores, necesito todo mi valor para morir a los veintiún años».
Évariste Galois (1811–1832)
Teoría de grupos
Un grupo es simplemente un conjunto A con una operaciónque cumple algunas propiedades; es cerrada (el resultado de la operación está en A), es asociativa, tiene un elemento neutro y un inverso. Uno de los grupos más sencillos es el de permutaciones de elementos.
Por ejemplo, un conjunto ( a, b. c), y la operación que consiste en ordenar los tres elementos de distintas maneras (abc), (acb), ( bca), etc., forman un grupo. Hoy en día los grupos son omnipresentes en matemáticas. Pocas cosas han sido tan fértiles como la teoría de grupos. Pero además, el estudio de la teoría de grupos lleva al estudio de otras estructuras algebraicas, como los anillos, los cuerpos y los ideales. Buena parte del álgebra moderna es el estudio de un conjunto y ciertas operaciones sobre los elementos de ese conjunto.
Niels Henrik Abel (1802–1829)
Como hemos dicho, el matemático que intenta demostrar un teorema difícil es como el general que hace uso de diversas estrategias hasta que, en un momento de iluminación, encuentra la que funciona para derribar el muro. Wiles mismo comparó su trabajo a entrar en una habitación a oscuras en la que poco a poco, se van reconociendo los muebles y objetos que contiene, hasta que, finalmente, uno encuentra el interruptor y logra inundar la habitación de luz.
El caso es que la prueba que Wiles expuso en aquella célebre serie de conferencias pronunciadas el 23 de junio de 1993 en Cambridge estaba basada en su segunda estrategia, en Kolyvagin–Flach, habiendo descartado por inútil el método inicial. Sin embargo, esa prueba se derrumbó porque contenía un error fatal.
Wiles se estrelló contra el mismo muro que Cauchy, Lamé, Kummer y Miyaoka. Todos habían acariciado el premio, solo para ser derrotados en el último instante.

El matemático francés Augustin–Louis Cauchy demostró el teorema de números poligonales de Fermat en 1813.
Pero ello no fue evidente al principio, cuando Wiles era aclamado al final de su conferencia. El error surgió durante la revisión para la publicación, un proceso rigurosísimo que se conoce como «revisión por los pares». Típicamente, durante dicho proceso, se formulan preguntas y dudas que el autor tiene que responder. Y hubo una de esas dudas que Wiles no pudo resolver.

En 1843, Ernst Kummer afirmó haber demostrado el último teorema de Fermat y demostró que se cumplía con números primos primarios.
El hermetismo de Wiles tenía ese precio. La discusión abierta entre colegas de los proyectos de investigación y el grado de avance de los mismos es una de las reglas no escritas de la práctica matemática. Dicha discusión permite identificar posibles errores, discutir estrategias, contrastar ideas.

Andrew Wiles publicó en 1995 una demostración definitiva del último teorema de Fermat
Wiles conocía el riesgo que corría, pero el premio era demasiado importante para compartirlo con nadie. A sí que optó por correr el riesgo... y cometió un error.
«El problema de trabajar sobre Fermat es que puedes pasarte años sin obtener nada [...].»De todas formas, la prueba de Wiles contenía tanta matemática novedosa que, por sí sola, había valido la pena. Igual que Cauchy o Kummer, sus intentos de asaltar el muro habían abierto las puertas a mundos en los que los matemáticos podían adentrarse fructíferamente durante décadas.
Andrew Wiles
Pero Wiles no estaba listo para darse por vencido. Dado que el secreto y a no tenía sentido, empezó a trabajar con un colega, Richard Taylor, para intentar corregir el error. Finalmente, dio con la solución. Todo estribaba en conciliar el método que había abandonado originalmente, el de Iwasawa, con el de Kolyvagin–Flach. Wiles encontró la solución el día de su cumpleaños, y de pronto, todo fue claridad. El interruptor de la luz había sido accionado y la habitación resplandecía. Poco después se publicarían dos artículos en los Annals of Mathematics correspondientes a mayo de 1995, uno firmado por Wiles y Taylor y otro solo por Wiles. Ambos contribuían a demostrar, finalmente, uno de los problemas más difíciles de todos los tiempos. El exiguo margen que hubiera contenido la prueba era, en efecto, insuficiente para los cientos de páginas de novedosa matemática que había inventado Wiles, basándose a su vez en las increíbles inspiraciones de Taniyama, Shimura, Frey y Ribet. El muro había caído por fin. Uno de los asedios más largos y difíciles de la historia de la matemática se saldaba con el triunfo de los sitiadores. Del teorema como tal no se podían deducir resultados novedosos y revolucionarios en matemáticas, pero los intentos de demostración, tanto los fallidos como el exitoso, dieron un enorme acervo de nuevas y fructíferas rutas de exploración. Es posible que si Euler no se hubiera interesado por el problema, la teoría de números hubiera tardado mucho más en ser desarrollada; la teoría de ideales de Dedekind fue concebida originalmente por Kummer como una herramienta para abordar el teorema, aunque hoy en día es aplicada en muchísimas otras instancias. Faltings y Miyaoka indagaron en las conexiones entre geometría diferencial y teoría de números gracias al último teorema. Y, finalmente, Wiles tal vez no se hubiera dedicado a probar Taniyama–Shimura con tanto afán si no hubiera conocido la relación entre esta conjetura y su problema favorito de la infancia. Todo ello se lo debemos a ese humilde postulado que no pasaba de ser una curiosa observación, el teorema que Fermat escribió un día en el margen de la Aritmética de Diofanto.
Capítulo 3
La moderna teoría de números
A pesar de la importancia del último teorema de Fermat en el desarrollo posterior de las matemáticas, si hubiera hecho solamente esta contribución, la figura del jurista tolosano carecería de la relevancia con la que cuenta. Pero Fermat fue un matemático de primera línea; para muchos historiadores, un pensador a la altura de Arquímedes, Euler o Gauss. Realizó importantes contribuciones a uno de sus campos favoritos, la moderna teoría de números, de la que el propio Fermat es el fundador.Contenido:
§. El pequeño teorema de FermatLos divisores propios o partes alícuotas de un número (incluyendo el número uno, que siempre divide a cualquier número) son aquellos, distintos del propio número, que lo dividen exactamente (es decir, sin dejar resto). Pues bien, un número perfecto es aquel que tiene la propiedad de que la suma de sus divisores propios es igual al propio número.
§. Los triángulos rectángulos y el enfoque generalista
§. La descomposición de números y la partición de los primos impares
§. Números poligonales
§. La ecuación de Pell y desalientos diversos
Veámoslo con un ejemplo. Los divisores propios de 6 son 1, 2 y 3, y l + 2 + 3 = 6. Luego 6 es un número perfecto, el primero de ellos, de hecho. Los pitagóricos adscribían una gran importancia mística a los números perfectos. En particular, el 6 conjuntaba los tres primeros números, que tenían significados místicos importantes (unicidad, dualidad y trinidad como mezcla de unicidad y dualidad); el 6 era el resumen de todos estos significados.
Los griegos sólo identificaron los cuatro primeros números perfectos: el 6, el 28, el 496 y el 8128. El quinto no se descubrió hasta el siglo XV y da un salto gigante: 33.550.336. Hallar un número perfecto no es fácil. En marzo de 2012 se conocían solo 47 el mayor de los cuales tiene 25.956.377 dígitos.
Conocemos a Euclides como un gran geómetra, pero, sin embargo un hecho menos advertido es que sus Elementos contenían muchos teoremas aritméticos. Al célebre matemático griego le debemos por ejemplo, el saber que los números primos son infinitos. En el campo de los números perfectos, demostró un resultado asombroso (véase la figura): sea N = 2 n (2 n + 1 –1) = 2 n M, donde hemos llamado M al factor 2 n + 1–1 ( M es uno de los llamados «números de Mersenne», que veremos más adelante). Entonces, nos dice Euclides, N es perfecto si M es primo.

Representación gráfica de un número perfecto
Como es evidente, hay números que no son perfectos. Estos se dividen en dos tipos: aquellos en los que la suma de sus divisores propios es menor al número, llamados números abundantes, y aquellos en los que dicha suma es mayor al número, llamados números deficientes (ya que se quedan cortos respecto de la suma).
Demostración de la infinitud de los números primosEsta demostración se debe a Euclides, y procede por el ya conocido método de reducción al absurdo. Supongamos que la conclusión es falsa y los números primos son finitos. Esto quiere decir que hay un número primo máximo. Llamémosle p. Ahora bien, construyamos el número N como el producto de todos los primos más uno: N = p1 × p2×…× pn–1× pn + 1 = An+ l. Este número no es divisible por ningún primo desde p, hasta pn, ya que, para ser divisible, tendría que serlo también tanto An como 1, y, claramente, ningún número divide a 1, salvo él mismo. Es decir, o bien N es un número primo, o bien contiene factores primos mayores que pn – 1. Por tanto, hemos encontrado un número primo mayor que pn – 1 contradiciendo nuestra hipótesis de que p es el número primo máximo, se sigue que la hipótesis es falsa y que el número de primos es infinito.
Finalmente, hay otros números muy relacionados con los números perfectos: los llamados números amigos. Dos números son amigos entre sí cuando la suma de los divisores propios de uno es igual al otro y viceversa. En la Antigüedad, el único par de números amigos conocido era 220 y 284. En efecto, los divisores propios de 220 son 1, 2, 4, 5, 10, 11, 20, 22, 44, 56, 110 y 284 = 1 + 2 + 4 + + 5 + 10 + 11 + 20 + 22 + 44 + 65 + 110. Análogamente, los divisores propios de 284 son 1, 2, 4, 71, 142, y 220 = 1 + 2 + 4 + 71 + 142.
También este par de números amigos tenía un significado mágico–místico. En la Edad Media, se creía que si dos personas comían dos panes en los que se habían inscrito estos dos números, respectivamente, esas personas serían amigas para siempre, aunque no se conocieran con anterioridad. La resurrección del misticismo pitagórico al principio de la Edad Moderna mantuvo el interés en estos problemas. En su libro Traite de l’harmonie universelle, Mersenne afirmaba que Fermat había descubierto un par de números amigos, 17296 y 18416, el primer par de números amigos descubierto desde la Antigüedad. Y también que Fermat había demostrado que tanto 120 como 672 eran números deficientes con valor igual a la mitad de la suma de sus divisores propios (es decir, dicha suma es 240 y 1344 respectivamente). Tales números se conocen como números multiplicativamente perfectos o k–perfectos.
«[Entre] los hombres de alta alcurnia... Que han hecho aportaciones en esta área de las matemáticas y a quienes nadie puede enseñar nada, repetiría el nombre de…, [Étienne Pascal] y añadiría el del Sr. Fermat...»Así, ya en 1636 Fermat estaba preocupado por cómo determinar la suma de los divisores propios de un número dado, y seguramente por aquel entonces tenía un método para hacerlo. Dicho método nunca fue publicado y está perdido. Nos ha llegado, sin embargo, un método debido a René Descartes. Dado que todo número se puede expresar como el producto de potencias de sus factores primos,
Comentario de Marin Mersenne en su libro Traite de l’harmonie universelle (1636)
![]()
Fermat derivó varios resultados a partir de su método. Por ejemplo, envió a Mersenne un par de resultados que este incluyó en la segunda parte de su Harmonie, publicada en 1637. El primero proponía un método general para encontrar números amigos, similar en estructura a la que aplicó Euclides para encontrar números perfectos. En particular, si tres números A = 32 × 22 n–1, B = 3 × 2 n–1 y C = 3 × 2 n–1 son primos, entonces 2 nA y 2 nBC son números amigos. Nótese la similitud de este resultado con el de Euclides sobre números perfectos. El segundo resultado daba una fórmula similar para un caso específico de números multiplicativamente perfectos, los que son la tercera parte de su suma de divisores propios. El argumento era similar: si un número de cierta forma es primo, el resultado de la fórmula es un número que, multiplicado por tres, da la suma de sus divisores propios. Fermat afirmó que había encontrado fórmulas similares para otros números multiplicativamente perfectos, pero estas nunca aparecieron.
Todos estos problemas tienen un sustrato común: en cada uno de ellos, antes de poder asegurar si un número es perfecto, o un par de ellos amigos, u otro multiplicativamente perfecto hay que averiguar si ciertos números con determinada estructura son primos. No es de extrañar, por tanto, que en su correspondencia con Mersenne en los últimos años de la década de 1630 su atención se dirigiera cada vez más hacia el problema de probar cuándo un número con cierta forma es primo.
§. El pequeño teorema de Fermat
Fermat se dio cuenta de que los problemas fundamentales de la teoría de números se derivan del estudio de los primos, la factorización y la primalidad (es decir, la determinación de si un número es primo). Este hecho le convierte en el padre de la teoría de números moderna. En la antigüedad, Diofanto había publicado una célebre Aritmética, de la cual ha sobrevivido aproximadamente la mitad. No es un tratado como los Elementos de Euclides, sino una colección de más de cien problemas de ecuaciones determinadas —con una o pocas soluciones únicas— e indeterminadas (con un número infinito de soluciones). No hay un enfoque sistemático en la exposición de dichos problemas, cuya solución suele ser ad hoc, individual para cada problema. El método de solución se expone caso por caso, a manera de ejemplo. De forma no menos importante, cuando se topaba con una ecuación indeterminada Diofanto se contentaba con encontrar una sola solución, ignorando la existencia de otras posibles soluciones.
Dado que, como se ha visto con anterioridad, los griegos consideraban que los números eran solo los números racionales positivos, mientras que los números como √2 eran extraños monstruos que solo aparecían en geometría, Diofanto daba soluciones únicamente para dichos números. Por ello, los métodos para eliminar soluciones no racionales eran fundamentales para Diofanto y se usaban aún en el siglo XVII. Ahora bien, los números racionales, en general, no son factorizables. Los griegos lo sabían, pero, aunque conocían los primos, no habían creado una disciplina que estudiara de forma exclusiva los números que sí son factorizables, los naturales. Esa disciplina la fundó Fermat; él fue el primero en darse cuenta de que los números naturales merecían ser estudiados por sí mismos, y el primero en sentar los fundamentos de dicho estudio en el análisis de las propiedades de los números primos.
Los números primos son los ladrillos con los que se construyen todos los naturales. Ya se han visto varios resultados en los que es fundamental que una cierta cantidad sea un número primo. Hay muchos otros en los que uno se concentra en los números primos, ya que explorar las propiedades de estos ladrillos permite hacer aseveraciones que no se podrían realizar sobre un natural en general. Los primos tienen propiedades interesantes que los números compuestos — no primos— no poseen; por ese motivo, razonar con ellos y deducir propiedades de los números compuestos a partir de ellos es una estrategia común en teoría de números.
Los trabajos de Fermat llamaron la atención de un matemático llamado Bernard Frénicle de Bessy (1605–1675), miembro del círculo de Mersenne. Frénicle, aunque no tenía el genio matemático de Fermat, había desarrollado una intuición impresionante sobre las propiedades de números muy grandes. Su relación fue, como todas las de Fermat, epistolar, comenzando en 1640 y terminando, con intermitencias, casi veinte años después. Y como muchas de las de Fermat, fue una relación difícil. Sin embargo, Frénicle fue tal vez la persona que mejor entendió las contribuciones de Fermat a la teoría de números.
En efecto, viviendo en aislamiento en Toulouse, Fermat fracasó una y otra vez en sus intentos de despertar el interés de sus colegas en el novedoso campo que estaba descubriendo. Parte de la culpa se debe, seguramente, a dicho aislamiento monacal. Pero otra buena parte es fruto de su forma de trabajar. Al no compartir sus métodos, al tratar incluso a corresponsales como Frénicle con displicencia, era imposible que Fermat creara escuela, se allegara discípulos, tomara el papel de un líder explorando territorio nuevo siempre que Fermat trabajó en problemas que preocupaban a sus contemporáneos, sus contribuciones fueron razonablemente reconocidas. Pero en teoría de números estaba solo. Él era el pionero. Nadie le entendía, nadie comprendía por qué esos problemas en apariencia triviales, sin ninguna aplicación, tenían la menor importancia. Que ninguna persona le hiciera caso le causó una enorme amargura, que comenzó a manifestarse gradualmente en una beligerancia cada vez mayor contra sus contemporáneos.
La criba de Eratóstenes y la complejidadLa criba de Eratóstenes es el método más antiguo para determinar sí un número N es primo. Para ello, se hace una lista de todos los números hasta N. Partiendo del primer primo, el 2, se tachan de esa lista todos los múltiplos de 2 hasta N. Luego se hace lo propio para el primer número no tachado de la lista, que es el 3, luego el 5, etc., hasta llegar al número más cercano a √ N. Cada primer número no tachado es primo. Si en cualquier momento de este proceso se tacha N, sabemos que N es un número compuesto. Por el contrario, si se llega al último número, el primo más cercano a √ N. N es primo. Evidentemente, el método es engorroso, ya que requiere conocer todos los números primos hasta √ N. Un método similar es la división por tentativa. En este caso, se divide por todos los primos hasta √ N (obtenidos previamente), o bien por dos y todos los impares hasta √ N, hasta encontrar uno que divida a N o agotar la lista.
Eficiencia computacional .
Los métodos como la criba de Eratóstenes claramente pueden ser más o menos eficientes. El estudio de la eficiencia computacional de un algoritmo es una de las ramas de investigación más importantes en computación. Hay problemas que son irresolubles, dado que no existe un algoritmo que pueda dar siempre una respuesta. De los problemas que son solubles, podemos estimar cuál es el tiempo máximo en el que se resuelve el problema con un algoritmo dado. Esto se representa como O(f(n)) donde f(n) es cualquier función de n , que a su vez es una medida del «tamaño» del problema (por ejemplo, puede ser el número de elementos de una lista) Puede haber algoritmos con complejidad: O(n), O(n2 ), O(log n) O(n log n) O(en) etc. Por otro lado, existen problemas que, siendo solubles, requieren tanto tiempo que no es realista intentar resolverlos. Son los problemas de complejidad exponencial: O(en) o, peor aún, combinatoria: O(n!), por ejemplo, contar todas las permutaciones de n objetos. Reciben el nombre de problemas Intratables. Hay otra clase de problemas muy interesante: aquellos que podrían ser intratables, pero no sabemos si lo son. Conceptualmente, son problemas en los que, si se conoce la solución, es muy fácil comprobar si dicha solución es verdadera, pero en los que encontrar la solución, al parecer es un problema intratable. Decimos «al parecer» porque nadie ha podido demostrar si lo son. Estos problemas se llaman problemas NP. El problema de factorizar un número es el ejemplo más relevante para nosotros. Finalmente, existen los problemas tratables, que son los que sabemos que son solubles en un tiempo razonable, del orden de O( nk), O(n log n) u O(log n) reconocidos como tiempos polinomiales. La criba de Eratóstenes es un algoritmo con complejidad O(10 √n ) claramente exponencial.
En su correspondencia con Fermat, a través de Mersenne, Frénicle retó a Fermat a que encontrara un número perfecto de 20 dígitos. La respuesta del matemático tolosano fue inmediata: no existe tal número, como tampoco existe uno de 21 dígitos, lo cual a su vez demuestra que la conjetura de que existe al menos un número perfecto en cada intervalo entre 10 n y 10 n + 1 es falsa.
En una de las raras ocasiones en las que Fermat mostró algunas de sus bazas, en su respuesta a Frénicle, en 1640, afirmaba que los números de Mersenne M = 2 p–1 solo son primos cuando el exponente es primo. También que, si n es primo, n divide a 2 n–1–1 y, finalmente, que si n es primo, los únicos divisores posibles de 2 n –l tienen la forma k(2 n) + 1. Pero como era habitual, Fermat no ofreció ninguna prueba.
El primer resultado es muy importante, ya que permite descartar una gran cantidad de números de Mersenne como candidatos a primos. El segundo y el tercero son atajos. El segundo permite encontrar al menos un divisor de un cierto número de Mersenne (que puede ser el propio número, como demuestra 23–1–1 = 3, que divide a 3) y el tercero permite limitar la forma de los factores de otro número de Mersenne, con lo que su búsqueda —y la consecuente demostración de si el número es primo o compuesto— se vuelve mucho más eficiente: se limita a los números de esa forma, excluyendo todos los demás. Si bien Fermat no conocía métodos de búsqueda de primalidad mejores que la criba del griego Eratóstenes de Cirene (276–194 a C.), sí podía determinar la primalidad de ciertos números muy rápidamente gracias a estos atajos.
Fermat usó el tercer resultado para demostrar que no existe ningún número perfecto de 20 o 21 dígitos. Primero, determinó que 237 – 1 es el único número de Mersenne que puede generar, a través de la fórmula de Euclides, un número perfecto de 20 ó 21 dígitos (esto implica conocer y dar por válido el recíproco del teorema de Euclides, que demostró Euler años después). Luego determinó que ese número de Mersenne no es primo, siendo divisible por 223 = 3–(2 – 37) + 1, que precisamente tiene la forma k( 2n) + 1. En efecto, en vez de tener que calcular la cantidad enorme de primos que podrían dividir al trigésimo séptimo número de Mersenne, a Fermat le bastó ir probando los números k(2 – 37) + 1 para distintos valores de k. Al tercer intento ya había encontrado la respuesta.
En su carta a Frénicle, Fermat decía que había comenzado a vislumbrar la luz de resultados maravillosos. Pero en realidad, esa luz ya la había visto. Los dos últimos resultados de los que hablaba a Frénicle eran corolarios de un resultado mucho más general, lo que hoy en día se conoce como el «pequeño teorema de Fermat», para diferenciarlo del último teorema. Es una paradoja que el «pequeño» teorema sea mucho más útil en teoría de números que el «último», pero así lo ha querido la terminología.
El recíproco de un teoremaLa demostración directa de un teorema procede de las hipótesis, y paso por paso avanza hacia la conclusión. Algunos de estos pasos son invertibles; otros no. En general, un paso que tenga una implicación no es invertible. Veámoslo con un ejemplo cotidiano. Se puede deducir que la acera está mojada del hecho de que está lloviendo, pero no podemos deducir que está lloviendo porque la acera está mojada; lo último puede haber pasado por circunstancias ajenas a la lluvia, desde un camión cisterna que derrama agua a su paso hasta una manguera con la que se riega la acera. Si llueve, entonces la acera está mojada, pero no necesariamente al revés. Decimos que el hecho de que llueva es una condición suficiente para que la acera esté mojada, pero no es necesaria. Esta unidireccionalidad está presente, entre muchos otros, en el pequeño teorema.
En el mismo año 1640 Fermat anunciaba el pequeño teorema a Frénicle. El pequeño teorema de Fermat es uno de esos resultados que solo es aplicable a un número primo. En su enunciado actual, el teorema dice que, dados un primo p y un número natural a , con a y p primos relativos (o sea, que p no divide a a), ap – 1–1 es divisible por p. Al principio no parece clara la relevancia de este teorema, pero el hecho es que establece una propiedad fundamental de los ladrillos, los primos, que tiene consecuencias muy interesantes.
Godfrey Hardy, hacia 1912, notaba con satisfacción que los problemas de la teoría de números no tenían aplicación práctica Sin embargo, este hecho cambió radicalmente cuando, en 1977, se desarrolló un algoritmo de encriptación llamado RSA, que depende críticamente de la diferencia en eficiencia entre factorizar un número en dos factores primos (encontrar la solución) y multiplicar dos factores para obtener un número (comprobar la solución).
Violar el código requiere factorizar un número enorme. Esto tiene que ser muy difícil para que el algoritmo tenga éxito. En cambio, quienes conocen los factores pueden fácilmente codificar y descodificar el mensaje, ya que ello solamente requiere una multiplicación. Por primera vez, la teoría de números tenía una aplicación práctica. De este principio dependen hoy en día todas las transacciones encriptadas que se llevan a cabo en internet, nada menos. Sin embargo, la seguridad del método, entendida como la diferencia de tiempo entre codificar y descodificar, por un lado, y violar el código, por otro, no ha podido ser demostrada. Toda nuestra economía electrónica pende de ese hilo matemático, aunque la mayoría de los expertos cree que el algoritmo es seguro.
Sea como fuere, a partir de la implantación generalizada del RSA, tanto las pruebas de primalidad — el primer paso del algoritmo es encontrar dos primos enormes— como los algoritmos de factorización — que, en el peor de los casos, podrían destruir la seguridad del RSA— han cobrado una importancia práctica enorme.
Fermat estaba, pues, preocupado por el problema de la primalidad. Como ejemplo de una prueba de primalidad trivial, uno puede preguntarse si un número dado cumple la propiedad del pequeño teorema de Fermat; sin embargo, nótese que esto es el recíproco del teorema y, por tanto, no hay ninguna garantía de que el número sea primo. De hecho, se sabe que los llamados números de Carmichael no cumplen el recíproco del teorema. Aun así, dicha prueba es tan sencilla y rápida que se usa en la implementación del algoritmo RSA para descartar rápidamente números compuestos. Porque, en realidad, la prueba de primalidad basada en el pequeño teorema es una prueba de si el número es compuesto. Por si fuera poco, el pequeño teorema de Fermat se utiliza también para demostrar que el algoritmo RSA es correcto puede preguntarse si un número dado cumple la propiedad del pequeño teorema de Fermat; sin embargo, nótese que esto es el recíproco del teorema y, por tanto, no hay ninguna garantía de que el número sea primo. De hecho, se sabe que los llamados números de Carmichael no cumplen el recíproco del teorema. Aun así, dicha prueba es tan sencilla y rápida que se usa en la implementación del algoritmo RSA para descartar rápidamente números compuestos. Porque, en realidad, la prueba de primalidad basada en el pequeño teorema es una prueba de si el número es compuesto. Por si fuera poco, el pequeño teorema de Fermat se utiliza también para demostrar que el algoritmo RSA es correcto.
La factorización de FermatFermat inventó un método de factorización que, en ciertos casos, es más eficiente que la división por tentativa, a partir de la observación de que un número impar no cuadrado se puede escribir como N = x2 – y2, dondex = (n1 + n2 )/2 e x = (n1 – n2 )/2
Se puede demostrar fácilmente que N = n1 × n2. Si N es primo, n1 = N y n2, = 1. En caso contrario, n1 y n2 son divisores propios de N. Dado que n1, y n2, son impares por ser N impar, x e y son enteros. De aquí que resolver la ecuación anterior para x e y enteros implique la existencia de una factorización de N. Para resolver esta ecuación se procede por tanteo, empezando con un entero m que cumpla cierta propiedad y, si no es la solución, continuar con otro número m' que se obtiene a partir de m y continuar así hasta que se obtenga un divisor propio o se llegue al propio número N. La factorización de Fermat puede llegar a ser muy eficiente en ciertos casos, porque los números m tienen que ser cuadrados, y muchas veces es muy fácil determinar si un número es cuadrado solo por inspección. En efecto, los cuadrados perfectos solo pueden terminar en 0, 1, 4, 5, 9, 16, 36, 56, 76 y 96, lo cual excluye el 90% de las terminaciones. La belleza del método es que no requiere conocer todos los primos hasta un cierto número, y que, si N es compuesto y tiene un factor cercano a √ N, esta factorización lo identifica con rapidez
Otras pruebas de primalidad se dividen entre probabilísticas y deterministas. Entre las primeras está la prueba de Miller–Rabin, que se basa también en el pequeño teorema de Fermat, o la de Solovay–Strassen, fundamentada en un teorema de Euler que generaliza el pequeño teorema. Esta última nunca declara que un número es primo sin serlo, pero es menos exitosa con números compuestos. En efecto, hay pruebas que son más eficaces mostrando que un número es compuesto y otras más aptas para probar que es primo.
Una extensión determinista de la prueba de Miller–Rabin se basa en un resultado no probado: la hipótesis extendida de Riemann. Su eficacia, evidentemente, depende de que dicha hipótesis sea cierta. Sin embargo, en 2002 se anunció por primera vez una prueba, llamada AKS, que es general, (funciona para cualquier número), determinista, incondicional (no depende de resultados no probados) y eficiente (con una complejidad computacional polinomial). El algoritmo AKS está también basado en una generalización del pequeño teorema de Fermat.
Existen muchos otros resultados que dependen del pequeño teorema. Uno de los más conocidos es algo que todos hemos observado: la expansión decimal de un número racional se repite periódicamente si en dicho racional, expresado como fracción irreducible, el denominador es un primo p distinto de 2 y de 5 (que son los factores primos de 10). De hecho, se repite con un período de repetición de, o bien p – 1 o bien un divisor de p – 1. Es por ello que 1/3 = 0,33333... y 1/7 = 0,142857142867..., pero 1/5 = 0,2, sin repetición periódica. La discusión anterior debería servir para entender que el pequeño teorema es uno de los resultados más importantes de la teoría de números.
"He aquí el teorema fundamental que se cumple en cada grupo finito, llamado habitualmente pequeño teorema de Fermat, porque Fermat fue el primero en probar una parte especial de él"
"Anotación del matemático alemán Kurt Hensel en su Libro Teoría de Números. (Zahlentheorie 1913)."
Por supuesto que Fermat, fiel a su costumbre, no dejó ninguna demostración. Este fue demostrado por Euler, que ignoraba que Leibniz, unos años antes, lo había demostrado a su vez, aunque el resultado no se publicó hasta el siglo XIX. La demostración de Leibniz usa matemáticas al alcance de Fermat, con lo que es posible que la demostración de Fermat, si existió, discurriera por líneas similares. De todas formas, las aplicaciones posteriores evidentemente no fueron intuidas por Fermat. Para él, el teorema era una herramienta para probar la primalidad de ciertos números, como 2 n– 1. Era uno de sus atajos para evitar la criba de Eratóstenes. Por ejemplo, gracias a su pequeño teorema, Fermat fue capaz de atacar números de la forma an– l con a > 2, que nunca son primos; reduciendo los candidatos a sus divisores primos a un conjunto menor. Como es fácil de ver, estos números son una generalización de los números de Mersenne. También le permitió atacar de la misma forma, limitando la forma de sus posibles factores, números de la forma an + 1, que, según afirmó, solo son primos si a es par y n de la forma 2 n. Fue en el curso de esta investigación cuando descubrió los llamados primos de Fermat, que cumplen estas dos condiciones y otra más, que m sea primo:
![]()
Pero la intuición de Fermat falló en esta ocasión. Euler encontró un contraejemplo con p = 5. El número resultante es divisible por 641. Fermat era consciente de que no podía probar este resultado, y reflejó su frustración por ello durante muchos años; en 1669, anunció una prueba a su amigo Carcavi, pero dado el contraejemplo de Euler, esa prueba, de haber existido, seguramente era errónea. En todo caso, está claro que el pequeño teorema le permitía a Fermat eliminar de sus cálculos todo un conjunto de números primos candidatos a divisores de números de cierta forma, lo cual agilizaba las pruebas de primalidad de dichos números; sin embargo, para su gran frustración, nunca logró lo que ambicionaba; un teorema que le permitiera deshacerse de todos los primos eliminables para dichos tipos de números.
Al día de hoy no existe un método verdaderamente eficiente y seguro para generar números primos de tamaño arbitrado; no existe una fórmula cerrada como la que encontró Euclides para los números perfectos pares. La mayoría de los métodos de generación de primos requieren conocer todos los primos hasta un cierto número previo, o bien saber si los números vecinos al candidato a primo son factorizables. De ahí que las pruebas de primalidad sean fundamentales: en general, primero se busca un candidato a primo y luego se prueba si lo es.
A finales de 1640, Fermat parecía haber perdido interés en las sumas de divisores propios. Sus siguientes exploraciones en teoría de números emparentan directamente con su último teorema.
§. Los triángulos rectángulos y el enfoque generalista
Los triángulos rectángulos racionales son ternas racionales — llamadas pitagóricas— de números x, y y z que cumplen el teorema de Pitágoras: x2 + y2 = z2.
Estas ternas son muy antiguas y se encuentran ya en Babilonia y en Egipto. Pero Euclides demostró que dados dos números racionales p y q, z = p2 + q2, x – p2 e y = 2 pq es una terna pitagórica. Se sigue inmediatamente que el número de ternas pitagóricas es infinito, porque los racionales son infinitos.
Diofanto dedicó el Libro VI de su Aritmética a resolver problemas relacionados con este tipo de triángulos, tal como acostumbraba; caso por caso. Su método de solución implicaba plantear una ecuación o un sistema de dos ecuaciones. El problema es que, en ocasiones, esto daba como resultado un número racional negativo, algo que para él no tenía sentido, dado que ningún triángulo tiene lados de longitud negativa En otras ocasiones, su método fallaba porque ciertas condiciones necesarias para su éxito no se cumplían, a saber, que en las ecuaciones resultantes el coeficiente de x2 sea un cuadrado, o bien lo sea la constante. Diofanto escogió sus problemas cuidadosamente para que cumplieran estas condiciones y la solución fuera siempre positiva, haciendo la «trampa» de solo proponer problemas solubles a través del método propuesto.
La obra de Diofanto fue editada por Claude Gaspard Bachet de Méziriac, en Francia, en 1621. Fue a partir de esta edición que Fermat trabó conocimiento con Diofanto, y fue en esta edición donde escribió su famosa anotación del último teorema en el margen.
Fermat se interesó por los triángulos rectángulos, con importantes novedades: en primer lugar, limitó su estudio solo a los números naturales. En segundo, en vez de resolver casos particulares con números específicos, Fermat tomó el método de solución de Diofanto y lo planteó en términos generales. Mientras Diofanto estaba limitado por el lenguaje del álgebra verbal, Fermat, siguiendo a Vieta, ya utilizaba un álgebra simbólica que le permitía una mayor capacidad de abstracción. Así las cosas, Frénicle escribió a Fermat en 1641 proponiéndole un problema: encontrar un triángulo en el que el cuadrado de la diferencia de los dos catetos exceda al cateto menor por un cuadrado (recordemos que todos los números deben ser enteros, y por tanto, los cuadrados son siempre cuadrados perfectos): ( x – y) 2 = y + z2. Los problemas diofantinos, invariablemente, llevan a ecuaciones de este tipo.
Fermat resolvió no sin esfuerzo el problema, pero dos años después ya tenía un método. Propuso a Pierre Brûlart de Saint Martin tres problemas similares, a fin de despertar su interés en la teoría de números. Brûlart y el propio Frénicle reaccionaron con indignación. Según ellos, los problemas no tenían solución. Sentían que Fermat se burlaba de ellos, que intentaba dejarlos en ridículo. Pero el tolosano aseguró, a través de Mersenne, que la solución existía, sin especificarla. Sin embargo, la presión de Mersenne hizo que esta vez sus resultados fueran revelados al cabo de un tiempo.
«Usted me pregunta si el número 100 895 598169 es primo o [...] compuesto. A esta pregunta yo le respondo que este número es compuesto y que se obtiene del producto de estos dos: 898 423 y 112 303, que son primos.»La supuesta imposibilidad estribaba en que el método de Diofanto daba un resultado negativo; pero Fermat había resuelto el nudo gordiano. En efecto, cuando obtenía una raíz negativa, re–expresaba la ecuación utilizando esa raíz y un cambio de variable, y resolvía por el método de Diofanto la ecuación resultante. Si volvía a dar una raíz negativa, re–expresaba de nuevo, iterando hasta que, finalmente, le resultara una raíz positiva. Fermat había explotado la indeterminación de la ecuación para inventar un ingenioso método de solución.
Fermat a Mersenne a propósito de teorema.
Al utilizar este enfoque generalista, basado en la teoría de ecuaciones, Fermat rompía de manera definitiva con el pasado diofantino abocado a soluciones particulares, un salto que sus contemporáneos no lograron comprender. En cuanto a Fermat, habiendo resuelto el problema, se desentendió de los números cuadrados; sin embargo, su relación con Frénicle y Brûlart se vio seriamente deteriorada.
§. La descomposición de números y la partición de los primos impares
En otra carta de 1640 a Frénicle, Fermat anunció que había encontrado una teoría general de la descomposición de un número en sumas de dos cuadrados. El origen de ello fue un comentario de Bachet a un problema de Diofanto; descomponer un número N en la suma de dos cuadrados de cuatro formas distintas.
La descomposición de números en sumandos es un problema similar a la factorización. Si en esta se buscan divisores, en la descomposición se buscan sumandos. Como es obvio, los sumandos tienen que ser de un cierto tipo, ya que encontrar sumandos cualesquiera es trivial. Fermat resolvió el problema, generalizándolo a encontrar todas las formas en las que un número dado se puede descomponer en la suma de dos cuadrados.
La solución es una fórmula que no escribiremos aquí. Baste apuntar que la relevancia del resultado está en que Fermat logró, de nuevo, un método general, y en que para probarlo usó una curiosa propiedad de los primos, mucho más importante que el problema en sí. En efecto, Fermat sabía que los números primos de la forma 4 k – 1 no pueden expresarse como la suma de dos cuadrados. También, aunque la demostración le costó un mayor esfuerzo y fue realizada con su método de descenso infinito, demostró que los números primos de la forma 4 k + 1 siempre se pueden descomponer en la suma de dos cuadrados, y esa suma es única. Fermat había logrado partir los primos impares en dos grupos disjuntos según si obedecen o no cierta propiedad. Usó estos dos resultados para demostrar que el problema de Bachet se podía reducir a determinar, dado un número N, y cuántos de sus divisores primos son de la forma 4 k – l y cuántos de la forma 4 k + 1. En efecto, salvo el número dos, todos los primos se pueden escribir de una forma u otra, dado que ambas formas cubren todos los números impares. Por tanto, solo los divisores primos de la forma 4 k + 1 pueden formar dos sumandos y el número de formas en que se puede descomponer N no es otra cosa que un problema de combinatoria.
Nuevamente, vemos la potencia de la estrategia de concentrarse en los divisores primos. Es poco lo que podemos decir sobre un número N general. Pero ¡sí que podemos hacer afirmaciones sobre sus divisores primos, que literalmente rebosan propiedades interesantes! Y ello nos lleva a descubrir algo sobre el número N. Esta es la fructífera estrategia que Fermat usó una y otra vez. El mismo se había quejado a Mersenne, en 1636, de que no existían principios generales en la aritmética para resolver problemas. Pocos años después, el propio Fermat había establecido sólidamente algunos de esos principios.
§. Números poligonales
Después de 1644, Fermat dejó súbitamente de escribir a sus corresponsales, en un silencio que duraría diez años. A ello contribuyó, sin lugar a dudas, la muerte en 1648 de su principal corresponsal, el padre Mersenne, y el hecho de que sus relaciones con sus otros dos corresponsales habituales, Frénicle y Brûlart, se habían enfriado al punto de la ruptura. Este hiato fue roto cuando Blaise Pascal, hijo de Étienne, se dirigió a Fermat para plantearle el problema que inauguraría la teoría de la probabilidad. Durante esta correspondencia, Fermat aprovechó para plantear problemas en teoría de números, confiando en interesar a Pascal en esta. Citando una frase de Francia Bacon: « Muchos deben pasar para que el conocimiento crezca», Fermat decía que era importante crear una cofradía de matemáticos que, compitiendo entre sí pero también colaborando, trabajaran para resolver los problemas planteados por dicha teoría Uno de los resultados que Fermat comunicó es de una gran belleza Para explicarlo, hay que volver a la otra gran preocupación aritmética de los pitagóricos, los números triangulares y su generalización, los números poligonales. Un número triangular es aquel que puede descomponerse de forma que los sumandos formen un triángulo (figura. 1).
Por ejemplo, el número 10 tiene esta propiedad; 10 = 1 + 2 + 3 + 4, es decir, es la suma de los cuatro primeros números naturales. El número 10 estaba en el corazón de la mística pitagórica.
Se referían a él como el tetraktys y representaba los cuatro elementos, la armonía de las esferas y el ordenamiento del espacio (0 dimensiones, 1 dimensión, 2 y 3 dimensiones, representadas por cada línea).
Los pitagóricos rezaban al tetraktys y juraban por él, considerándolo engendrador de dioses y hombres y fuente de la cambiante creación.

Estamos ya en condiciones de enunciar el resultado de Fermat: todo número es, o bien triangular, o bien la suma de dos o tres números triangulares. También es, o bien, cuadrado, o bien la suma de dos, tres o cuatro cuadrados. También pentagonal, o bien la suma de dos, tres, cuatro o cinco pentagonales. Y así sucesivamente.
Además de en su correspondencia a Pascal, Fermat dejó consignado este resultado en otro de los márgenes de la Aritmética de Diofanto. No es sorprendente que lo acompañara de una observación casi idéntica a la del último teorema; «La demostración de este maravilloso resultado no tiene cabida en este margen pero pienso escribir un libro sobre este tema». Como en tantas otras ocasiones, Fermat faltó a su promesa. Dicho tratado no fue escrito jamás, y la prueba nunca se encontró, Lagrange y Gauss probarían casos particulares y, finalmente, Cauchy daría con una prueba general en 1812.

Edición de 1621 de la Aritmética de Diofanto, en el que Fermat hizo numerosas anotaciones hoy célebres.
§. La ecuación de Pell y desalientos diversos
Dado que no podía recurrir directamente a Frénicle, ante el rechazo de Pascal, Fermat discurrió un nuevo plan. Había entrado en contacto con la matemática del inglés John Wallis a través de un libro que le había proporcionado Digby. Tanto él como Wallis habían adoptado un enfoque muy semejante para resolver problemas de sumas de potencias de enteros. Lleno de esperanza por ello, Fermat se dirigió a Wallis, procurando interesarlo en los problemas que Pascal había rechazado.

John Wallis participó en el reto que Fermat lanzó a los matemáticos da su época sobre la solución a la ecuación de Pell.

A partir de 1636, Fermat mantuvo un intercambio de correspondencia muy notorio con Marín Mersenne (en la imagen), un monje de la orden de los Mínimos. Mersenne estaba en contacto con los principales matemáticos parisinos del momento, entre los que destacaba Étienne Pascal, padre de Blaise.
Estos problemas — y otros muchos que Fermat abordó en su correspondencia sin tratarlos explícitamente— requerían del conocimiento de las propiedades de la ecuación de Pell, cuya solución general Fermat había, sin lugar a dudas, encontrado: x2 –py2 = 1 , con p primo.

Tanto el vizconde William Brouncker (en la imagen) como John Wallis mantuvieron una intensa y acalorada correspondencia con Fermat entre 1657 y 1658.
Fermat respondió a Digby con una carta en la que decía que cualquier tonto podía encontrar la solución de Brouncker y Wallis, y después de reflexionar sobre la tradicional enemistad entre ingleses y franceses, lanzaba lo que los ingleses consideraron un insulto, aunque es bastante probable que el bienintencionado Fermat intentara solamente «consolar» a los ingleses respecto de su falta de talento matemático: «ningún campo puede albergar cualquier cosecha». Echando más sal en la herida, el tolosano añadió a esta carta una dura crítica del libro de Wallis que Digby le había entregado.
"Esperamos estas soluciones, las cuales, si Inglaterra o Bélgica o la Galia Celta, no las producen, entonces la Galia Narbonesa lo hará."La respuesta de Fermat llegó a todos los interesados, pero la polémica subsiguiente excluyó al tolosano, convirtiéndose en una justa entre Frénicle y Digby, por un lado, y Wallis y Brouncker por el otro. Wallis insistió en que estos problemas, de los que se podía concebir una gran variedad, no ofrecían ninguna utilidad ni dificultad alguna. No lograba ver los aspectos teóricos que Fermat encontraba en ellos. Eran divertimentos sin sentido, y no merecían la atención «de toda Inglaterra, Francia y Holanda». Wallis también mostró su aburrimiento sobre las proposiciones negativas de Fermat, de las que su último teorema es solamente el ejemplo más famoso. En efecto, el inglés consideraba que había un número infinito de tales proposiciones, a cual más aburrida e inconsecuente, y se preguntaba por qué Fermat daba tanta importancia a asombrar a Frénicle con sus «audaces» afirmaciones sobre ecuaciones particulares con un número limitado (o cero) de soluciones. Como hemos visto, Wallis se equivocaba gravemente. Los problemas planteados por Fermat daban lugar a investigaciones muy fructíferas.
Extracto de la carta que Fermat escribió el 3 de enero de 1657 a Claude Martin de Laurendiere lanzando un reto a los matemáticos europeos.
Fermat, sin embargo, no se rendía Su última carta a Digby junio de 1658, demostraba que todavía tenía esperanzas de que Wallis y Brouncker entendieran las cosas a su manera. Mucho más conciliadora y adulatoria, simplemente pedía que los ingleses reconocieran su error. Wallis nunca contestó. Se limitó a incluir la carta como colofón de su libro sobre esta polémica. El intento fermatiano de hacer que la teoría de números cruzara el canal de la Mancha había fracasado. Como ironía final, John Pell, un matemático inglés de poca monta, copió la ecuación de Fermat—que, por otro lado, ya era conocida en la India— del libro de Wallis. Dicha copia llegó a las manos de Euler, que, ignorante de su autoría, llamó a dicha expresión ecuación de Pell. Nuevamente, Fermat había sido traicionado por la posteridad.
El cada vez más rendido y amargado Fermat haría un intento postrero de interesar a todos por su pasión y por el mundo que solo él había intuido. Dicho intento lleva el ilustre nombre del matemático neerlandés Christiaan Huygens, quien había escrito en 1656 al tolosano instándole a publicar sus resultados.
Fermat, finalmente, hizo un pequeño tratado que hizo llegar a Carcavi con la intención de que este se lo enviara a Huygens. En este tratado habla, entre otras cosas, del método de descenso infinito que ya se ha comentado en conexión con el último teorema, y explica cómo lo usó para demostrar su resultado sobre la descomposición de primos 4 k + l en una suma de dos cuadrados, esbozando apenas la prueba. Otra vez el secretismo de Fermat volvía a ganar la partida: resultados enunciados sin demostración, pruebas apenas esbozadas, proyectos de investigación incompletos.
Al final, Fermat alegaba que no tenía tiempo para escribir un tratado completo, pero que si otros matemáticos pudieran llenar las lagunas (refiriéndose específicamente a Frénicle y Carcavi), « la posteridad tal vez me agradecería por haber mostrado que los antiguos no lo sabían todo ».
Huygens le reiteró su admiración, pero, como Pascal antes que él, declinó participar en la nueva teoría de números. Igual que otros matemáticos de la época, no veía la utilidad de entretenerse en esos problemas. Huygens era un matemático aplicado, un hombre interesado en problemas de física y su solución a través de las matemáticas. En cambio, a Fermat esos problemas no le interesaban. La disonancia entre ambas maneras de abordar las matemáticas era irresoluble. Si al principio de su correspondencia Huygens era entusiasta con el ya viejo Fermat, la continuación de esta le llevó progresivamente al tedio. Además de no entender los descubrimientos de Fermat en teoría de números, la notación de este, fiel a su maestro Vieta, le resultaba fatigosa comparada con la más clara de Descartes; los problemas que planteaba Fermat, o bien eran triviales o bien habían sido resueltos con anterioridad ya que Fermat le enviaba a veces sus investigaciones antiguas, ignorando tal vez que algunas de ellas habían quedado obsoletas. Poco a poco, la correspondencia decayó, y con ello la última oportunidad de que un discípulo adoptara sus investigaciones.
Capítulo 4
La geometría analítica
Fermat no se limitó a la teoría de números. En el siglo XVII la geometría analítica y el cálculo comenzaban a surgir, y Fermat fue una pieza fundamental en el establecimiento de sus primeros resultados. Aquí, a diferencia de lo que le sucedió con la teoría de números, el matemático francés formó parte de un esfuerzo colectivo y sus descubrimientos fueron plenamente reconocidos durante su vida.Contenido:
§. La geometría analíticaDe nuevo, para entender las aportaciones de Fermat, hay que dar un salto atrás hasta llegar al nacimiento del álgebra. Después de su enorme gloria helenística, las matemáticas occidentales languidecieron durante la Edad Media. En Europa es difícil encontrar una obra original en matemáticas hasta Leonardo Fibonacci, que vivió a caballo entre los siglos XII y XIII. En cambio, en el mundo musulmán la herencia griega fue adoptada y transformada de forma decisiva. Los musulmanes tradujeron a Aristóteles, Euclides, Ptolomeo, Apolonio y Diofanto, entre otros muchos autores griegos, preservando su conocimiento. Pero también lideran dos contribuciones fundamentales. Desarrollaron decisivamente el álgebra y adoptaron la notación numérica india, extendiéndola con el uso de decimales. Es imposible concebir el desarrollo de la matemática occidental sin el lenguaje de los números indoarábigos. Los griegos no podían expresar los números irracionales. Esa incapacidad de expresar algo es un obstáculo al pensamiento. Solo cuando uno es capaz de conceptualizar una cosa es posible razonar sobre ella. Por esta razón la introducción de los números indoarábigos fue una de las grandes revoluciones científicas. Nos daban, en primer lugar, el cero. Era posible, finalmente, pensar que «nada» era expresable. También ofrecían una forma de escribir decimales, acercándonos a la expresión de números irracionales. Además, el sistema indo arábigo nos dio la posibilidad de calcular algorítmicamente (es decir, con base en reglas) las operaciones más básicas: la suma, la sustracción, la multiplicación, la división. En vez de usar el ábaco, imprescindible si se utilizan números romanos, por primera vez era posible hacer operaciones mentalmente de acuerdo con las sencillas reglas que todo escolar puede aprender. La otra gran innovación del islam fue la sistematización del álgebra El que tal vez fuera su mayor matemático, Muhammad ibn Musa al–Khwarizmi (Al–Juarismi, 780–850), escribió un tratado sistemático de álgebra en el que categorizó diversos tipos de ecuaciones y describió cómo los dos lados de una ecuación son como los platos de una balanza equilibrada, con lo que lo que se resta o suma de un lado debe restarse o sumarse del otro.
Gracias al triunfo de los algoritmos y a la adopción y conocimiento del álgebra árabe fue posible el desarrollo de una de las escuelas modernas de la matemática de los siglos XVI y XVII, los cosistas, que no eran otra cosa que calculistas que se basaban en la tradición árabe y en sus propios descubrimientos para hacer cálculos efectivos. Antes que nada pragmáticos, no tenían demasiado tiempo para el rigor griego: habían vuelto a los tiempos de las recetas y a la utilización de una panoplia de problemas representativos para ilustrar sus métodos. En esta mezcla de tradiciones se desarrolló la carrera de Fermat. Por un lado, la tradición cosista de resolución de problemas; por otro, los geómetras y su pasión por los grandes resultados sistemáticos. Pero la última pieza, y la más importante para entender a Fermat, es el maestro del maestro, François Vieta: es la argamasa que une las dos vertientes de la carrera de Fermat y apunta el camino a la gran síntesis que lograría el matemático tolosano. Dicha argamasa tomó la forma del álgebra simbólica y la teoría de ecuaciones.
Ya Diofanto, en la época helenística, había usado ocasionalmente símbolos para representar cantidades numéricas, pero fue Vieta quien introdujo de forma definitiva un nuevo lenguaje que, como la notación indoarábiga, permitía expresar cosas inexpresables hasta entonces. Vieta fue el primero en usar letras de forma sistemática para referirse por un lado a las constantes y por otro a las incógnitas.
El álgebra simbólica permite representar un número sin saber exactamente qué número es. Ya no es «la cosa», es la x. De hecho; como en el caso del último teorema, se pueden expresar números «que tal vez ni siquiera existen», los x, y, z de la ecuación de Fermat. Ello implica que se puede razonar sobre clases enteras de problemas, y hacer aseveraciones sobre un número infinito de problemas similares conociendo solo su estructura algebraica, la relación entre las variables a través de una ecuación. Es decir, es posible hablar de ecuaciones de una forma general. Por ejemplo, se puede decir de forma rápida y sencilla que a2 – b2 = ( a + b) (a – b), y que esto se cumple para cualesquiera a y b. El álgebra simbólica libera nuestra mente de las pesadas descripciones verbales y nos permite razonar a otro nivel, de la misma forma que los números indo arábigos nos ayudan a calcular. Esta revolución fue posible gracias a Vieta y, posteriormente, a Descartes.
Tras la anterior exposición, se hace necesario detenerse un poco en ciertos conceptos. Los matemáticos griegos hacían pruebas rigurosas, usualmente constructivas. Estas pruebas se llamaban «sintéticas», e iban desde las hipótesis del teorema hacia su conclusión, con reglas lógicas, paso a paso. Pero rara vez un mar temático toma un camino tan directo cuando está descubriendo sus resultados. El matemático, y los griegos no eran una excepción, usa métodos heurísticos, informales, para comprobar si tiene razón o no, antes de intentar una prueba En Grecia, los caminos tentativos con los que el matemático intentaba indagar sobre la prueba, una especie de andamiaje que desaparece de la exposición final de la prueba, se llamaba análisis (hay que hacer notar que dicha palabra tiene un significado totalmente distinto en la matemática actual), mientras que la prueba era la síntesis. El análisis procede a partir de la conclusión hada las hipótesis, mientras que una prueba normal, rigurosa y sintética procede siempre en sentido contrario. Para desesperación de sus lectores de los siglos XVI y XVII, los griegos no dejaban trazas de su método analítico. Borraban sus huellas para dejar solamente el rigor y la belleza de la prueba sintética. Papo, escribiendo siglos después de las cumbres de la matemática helenística, fue uno de los pocos autores que dejó trazas analíticas.
A primera vista, esta forma de proceder parece extraña. Los recíprocos de los teoremas no tienen por qué ser ciertos (véase, por ejemplo, el pequeño teorema de Fermat). De ahí que la traducción del análisis (en dirección contraria) en prueba sintética (en la dirección, digamos, correcta, de las hipótesis a la conclusión), no sea automática. Pero los griegos se valieron de ingeniosos métodos para poder invertir sus análisis y convertirlos a una demostración en toda regla. En particular, observaron que en geometría, en muchas ocasiones, los pasos sí son invertibles. En otras ocasiones, introdujeron hipótesis auxiliares para que dichos pasos fueran invertibles.
El análisis, tal como lo practicaban los griegos, encontró también vida entre los algebristas árabes y los cosistas. Ahora bien, las ecuaciones del álgebra son esencialmente invertibles. Si se van aplicando las reglas de conversión de una ecuación, el camino inverso siempre puede transitarse. Por ejemplo, podemos pasar de escribir a2 – b2 a escribir ( a + b) ( a – b)..., o bien hacerlo al revés. Esto es así porque dos expresiones iguales entre sí son libremente intercambiables. Vieta se dio cuenta de esto y descubrió que si basaba el análisis en el álgebra, utilizando únicamente manipulaciones de ecuaciones e identidades, sus demostraciones serian automáticamente verdaderas. Esto le llevó a postular, de forma revolucionaria, que análisis y álgebra eran una y la misma cosa, lo que él llamó arte analítico.
Había ahora una forma general de razonar sobre las ecuaciones, y un problema podía resolverse en dos pasos: el planteamiento, que es la traducción al álgebra simbólica del problema en la forma de una ecuación, y la manipulación algebraica hasta dar con la solución. Lo que se practica en las clases de matemáticas en el instituto. De esta manera, en vez de enfocarse en la solución misma de una ecuación particular, como habían hecho los cosistas, Vieta se concentró en las reglas para manipular la ecuación: sumar términos de ambos lados, restar términos, elevar a potencias, extraer raíces, multiplicar o dividir por factores, buscando fórmulas generales de manipulación, que dependieran solo de la estructura de la ecuación. Buena parte del tratado de Vieta está dedicado a catalogar las identidades mediante las cuales se llevan a cabo esas manipulaciones.
Si vemos 3 + 2, nuestra tendencia natural es hacer la suma y poner un 5, como hacían los cosistas. Pero con ello perdemos la estructura de la expresión original, el hecho de que es una suma. Y por tanto, no podemos razonar de forma general sobre sumas. Al impedir estas reducciones, el algebra simbólica nos permite razonar sobre estructuras. Podríamos decir que el álgebra simbólica se concentra en la sintaxis de la ecuación, olvidando su contenido, su significado, hasta la solución final. Al mismo tiempo, el álgebra de Vieta sugería que los objetos con los que trataba, constantes e incógnitas, no necesariamente eran números. Podían ser cualquier cosa: ángulos para hablar de trigonometría, elementos geométricos. Cualquier cosa en la que tuviera sentido sumar, multiplicar, elevar a potencias, etc. El álgebra, que había sido nada más que una rama de la aritmética enfocada a la solución de problemas numéricos, se convertía así en el lenguaje universal de las matemáticas.
«La matemática es la ciencia del orden y la medida, de bellas cadenas de razonamientos, todos sencillos y fáciles.»Llegados a este punto, debería resultar evidente la importancia que el trabajo de Vieta, que Fermat conoció en Burdeos, tuvo en nuestro personaje. En efecto, en Fermat hemos visto ya esa misma tendencia de ir de lo particular a lo general, de analizar la estructura de las ecuaciones que resuelven una clase de problemas, la supremacía del método por encima de los problemas específicos. Vieta no solo propone métodos y soluciones; plantea un programa matemático que Fermat llevó hasta sus últimas consecuencias. Pero no estaba solo. Otro gran pensador, René Descartes, había llegado a las mismas conclusiones, partiendo de la filosofía y llegando al álgebra como una herramienta de clarificación del pensamiento. Los tres, Vieta, Descartes y Fermat, fundarían los métodos de la matemática moderna, divorciándolos para siempre de las elegantes construcciones de Euclides y los geómetras griegos. Donde antes hubo trazos con regla y compás, ahora vendrían las manipulaciones algebraicas sobre objetos cada vez más extraordinarios. El álgebra, en efecto, se convirtió en sus manos en la forma de razonamiento matemático por excelencia.
René Descartes
Si bien la deuda matemática de Fermat con Vieta es evidente, continúa siendo polémico hasta qué punto este influyó a Descartes. Algunos historiadores piensan que Descartes conocía las obras de Vieta, como afirmó Beaugrand; otros creen que Descartes, como él mismo afirmaba, llegó a sus resultados de forma independiente. Pero siendo un mejor sistematizador que Vieta, su notación resultó ser mucho más clara — recuérdese que una buena notación, en matemáticas, puede iluminar, mientras que una notación oscura puede confundir el pensamiento— y su teoría de ecuaciones era tan superior a la de Vieta que, en el lapso de una generación, se impuso por completo, haciendo que el maestro de Fermat cayera en el olvido. Ahí donde Vicia usaba una agotadora casuística muy a tono con su mente de abogado. Descartes aplicaba su mente de filósofo para construir grandes sistemas.
A pesar de sus intuiciones revolucionarias, Vieta seguía atado al pasado en algunos aspectos. Para él una incógnita elevada al cuadrado tenía un significado muy específico: es un cuadrado real, geométrico, un área. Lo misino una incógnita elevada al cubo, un volumen. Y a pesar de que era capaz de imaginar potencias superiores (Cuárticas, quínticas), que no tenían un significado geométrico evidente, no logró dar un paso fundamental: pensar que un polinomio podía ser homogéneo, es decir, que sus términos podían tener potencias distintas; ax3 + bx2 + cx = d. Para él, esto era como sumar peras con manzanas, una línea con un cubo, un cuadrado con un punto. No tiene sentido geométrico. Esto le llevó a formular una ley de homogeneidad: los polinomios deben ser sumas de monomios del mismo grado. Cuadrados con cuadrados, cubos con cubos
Evidentemente, Vieta tenía todo el peso del pasado griego en sus hombros, en el que los números no tenían dimensión pero las figuras geométricas sí. Combinar ambos no tenía sentido. Para les griegos era inevitable que el concepto de dimensión estuviera asociado con la multiplicación de elementos geométricos; dos líneas multiplicadas dan un rectángulo y un rectángulo por una tercera línea da un paralelepípedo.
Rene DescartesSin duda René Descartes (1596-1650) es la figura más relevante de la filosofía del siglo XVII. Le distingue sobre todo su recurso a la duda sistemática, su renuncia a todo aquello que se pudiera probar, expresamente a lo que concierne a su cogito.
Se crió en La Haye en la Touraine francesa, y asistió a la Universidad de Poitiers donde se graduó en derecho, pero pronto se unió al ejército de Maurice de Nassau,combatiendo en Flandes contra España. Participó también en la Guerra de los Treinta Años, bajo el mando del duque Maximiliano de Baviera, siendo destinado a La Rochelle, en la misma que Alejandro Dumas imaginó sus mosqueteros. Estando en campaña, tuvo una iluminación: todas las verdades tenían que estar encadenadas y basadas en una verdad primera. Su Pienso, luego existo.
Descartes se convenció de que la razón era la vía al conocimiento. La mayor parte de su vida, después de licenciarse en el ejército, transcurrid en m República Holandesa, saltando de una ciudad y una universidad a otra. En 1637 publicó el Discurso del método con sus apéndices. Cuatro años más tarde, verían la luz las Meditaciones filosóficas. Condenado y perseguido en el mundo católico, Descartes fue invitado por Cristina de Suecia para der su tutor. Se dice que las manías de la reina de madrugar y de mantener las ventanas abiertas terminaron por minar la salud del pensador, que murió de neumonía un 11 de febrero.
El papa Alejandro VII incluyó sus obras en el índice de los libros prohibidos trece años después
Fermat tuvo problemas para librarse de esta restrictiva forma de pensar, que impide concebir polinomios más generales. Lo logró, pero, de la forma a la que ya nos tiene acostumbrados, sin haber puesto en un terreno teórico firme su renuncia a aplicar dicha ley. Descartes, en cambio, razonó su abandono de la ley de homogeneidad. Fue el primero en usar los superíndices a los que estamos tan habituados para denotar la operación de elevar a una potencia, y lo hizo en parte para librarse de los vicios de la notación previa. Vieta escribía cosas como: B Aquad + G planum A = Z solido. Quad, planum y sólido son las potencias a las que se elevan A, G y Z respectivamente para conservar la homogeneidad, con una obvia interpretación geométrica. Descartes rechazó dicha interpretación, diciendo:
Yo mismo estuve mucho tiempo engañado por estos nombres [cuadrado, cubo]... Finalmente observé después de muchos experimentos que no hay nada que con esta interpretación se pueda resolver que no pueda resolverse de forma más sencilla y clara sin ella, y que tales nombres deben ser rechazados para evitar que confundan el pensamiento.Descartes postula que, dado que, por ejemplo, un triángulo con un cierto ángulo y con lados a y 1 es similar a un triángulo con el mismo ángulo y lados ab y b, todos los problemas geométricos son escalables entre sí y la unidad que uno elija es arbitraria. En otras palabras, el producto ab, que tiene grado dos y es, por tanto, un cuadrado, no es distinto en absoluto del número lineal b. Así, no cabe pensar que representan objetos matemáticos distintos. Dimensionalmente son iguales.
Vieta cayó en el olvido y Descartes se impuso. Esto tiene su importancia, porque la absoluta fidelidad de Fermat al maestro Vieta oscureció las propias aportaciones del tolosano, que con frecuencia eran oscuras para contemporáneos y sucesores que habían adoptado la notación y las ideas de Descartes. Ello es otro de los factores que llevó a Fermat, a su vez, a ser incomprendido.
Hay otra faceta del trabajo de Vieta que ilumina la obra de Fermat. Ya se ha comentado que Vieta tenía una gran fe —por lo general justificada— en su arte analítico, fe que iba aparejada con un cierto desdén hacia la forma sintética en la que los griegos habían construido sus pruebas, Afirmaba en su Introducción al arte analítico (1571) que, dado que el análisis que él proponía implicaba que todos los pasos de una demostración eran reversibles, la síntesis a la manera griega ya no era necesaria.
Fermat tomó este principio de Vieta como uno de los fundamentos de su investigación matemática y, junto con su hábito desidia para escribir tratados completos, dicha adopción clarificó por qué se topó con tanta incomprensión entre sus contemporáneos: en efecto, dados unos pocos pasos analíticos que le permitían —o eso creía él— vislumbrar la demostración, para Fermat como para Vieta, hacer la demostración a la griega no tenía sentido. Era redundante. El problema, claro, es que sus contemporáneos no estaban tan imbuidos como él del programa analítico de Vieta. Fermat no supo ver esa disonancia, y ello le ocasionó no pocos desencuentros y amarguras. Finalmente, es curioso señalar que, como ya se ha visto en varios ejemplos, Fermat usaba álgebra simbólica para sus manipulaciones, pero casi siempre plantea el resultado en términos verbales. ¿Hay mejor ejemplo de cómo Fermat estaba a caballo entre dos tradiciones, entre un mundo matemático que moría y otro que empezaba a nacer?
§. La geometría analítica
Es momento de detenerse un poco en la cronología. En el capítulo anterior se hizo referencia a casi toda la vida matemática de Fermat, cronológicamente hablando, Pero la «otra vida» que ahora tratará transcurrió en paralelo y fue incluso anterior, en algunos aspectos, por lo que conviene volver atrás en el tiempo, a los años de Burdeos.
Fermat estuvo en Burdeos en la segunda mitad de la década 1620. Para entonces, había perfeccionado su método de máximos y mínimos y había comenzado la restauración de la obra de Apolonio de Perga sobre los lugares geométricos planos, la línea recta y el círculo. Dicha obra se perdió, pero el hecho de que Papo describiera sus resultados permitió a los matemáticos de los siglos XV y XVI, convertidos en verdaderos arqueólogos del saber, intentar estas reconstrucciones. El programa de Vieta implicaba, en primera instancia, dicha reconstrucción; y en segunda, la transformación de los resultados clásicos al nuevo lenguaje del arte analítico.
Fermat logró restituir buena parte de la obra de Apolonio, según la había resumido Papo, que había generalizado los 147 teoremas y 8 lemas que contenía la obra original a apenas 16, pero un teorema, en particular, le impedía avanzar. La demostración parcial que había dado no le satisfacía. A su vuelta a Toulouse en 1631, Fermat había empezado a analizar dicho problema a la luz de una nueva técnica. Ya en 1636 existen claros indicios de que usaba dicha técnica para resolver problemas clásicos. Finalmente, escribió su teoría en un pequeño tratado llamado «Introducción a los lugares geométricos planos y sólidos» (en latín , Ad locos piornos et solidos isagoge, a partir de ahora, Isagoge), que envió a París— a Mersenne y Roberval— en algún momento entre finales de 1636 y principios de 1637. Esa es la época en la que Fermat comenzó su correspondencia con Mersenne, inundando Paris de resultados asombrosos, no solo en teoría de números, sino sobre geometría y lo que, corriendo el tiempo, se llamaría cálculo. Sus trabajos atrajeron la atención de un matemático francés que trabajaba en problemas similares, Gilles de Roberval (1602–1675), que se convirtió en devoto admirador del magistrado de Toulouse.
La Isagoge era el primer paso de una gran revolución. Vieta ya había planteado resolver problemas geométricos con métodos algebraicos, pero sus problemas se limitaban a encontrar ciertos puntos que cumplieran una cierta razón o intersecciones entre figuras geométricas simples, como una recta y un círculo, en ios que la solución era, invariablemente, un punto. Fermat había visto más allá, logrando un resultado revolucionario: nada más ni nada menos que reducir toda la geometría (la reina de las ciencias según Platón) a la humilde álgebra que, hasta una generación anterior, solo había servido para resolver problemas numéricos sin aparente trascendencia matemática. El matemático tolosano había inventado la geometría analítica. Nos apresuramos a señalar que otro gran pensador lo hizo de forma casi simultánea e independiente: René Descartes, al que se le suele atribuir la primicia, hasta el punto de que las coordenadas que usamos reciben el nombre de «cartesianas». Pero si bien no cabe duda de que las ideas de Descartes estaban maduras antes que las de Fermat, fue este último quien publicó primero.
El segundo capítulo de la presente obra trata cómo los matemáticos buscan puentes entre campos que, a primera vista, son distintos y no tienen ninguna relación. Uno de los primeros ejemplos de esa actividad de tender puentes es la geometría analítica, llamada así poique usa el arte analítico — el álgebra— para describir toda la geometría. De pronto, todos los problemas geométricos pueden resolverse con el álgebra, a partir de la definición de curvas como lugares geométricos .
Un lugar geométrico es un conjunto, usualmente infinito, de puntos: lo que llamamos una curva, a pesar de que no todas sean curvas en el sentido coloquial Dicho conjunto debe cumplir una cierta propiedad. Por ejemplo, todos los puntos que equidistan de un punto fijo definen el lugar geométrico llamado «tirado», y todos los puntos cuya distancia a un punto dado es igual a la distancia a una recta dada definen él lugar geométrico llamado «parábola».
De esta forma, se pueden definir curvas cada vez más complejas. Estudiando los lugares geométricos definidos por Apolonio, Fermat, al igual que Descartes, tuvo una iluminación: dichos lugares geométricos, cuando estaban en un plano, podían ser descritos por completo como una ecuación indeterminada en dos incógnitas.
La dimensionalidad no dependía, como habían pensado todos hasta entonces, del grado de la ecuación, de si era cuadrática o cúbica. Dependía del número de incógnitas. Así, si se tenían dos incógnitas, tendríamos curvas en un plano (dos dimensiones). Si se tenía una sola, tendríamos los puntos sobre líneas (una dimensión) que analizaba Vieta. Si teníamos tres, tendríamos superficies en las tres dimensiones del espacio.
No importaba si una ecuación era un polinomio de grado tres; su dimensión no era una superficie en tres dimensiones, sino, si tenían dos incógnitas, una humilde curva en dos (véase la figura).

Gráfico en dos dimensiones de una curva cúbica , cuya ecuación general es: y = ax 3 + bx2+ cx + d
Previamente a la geometría analítica, los lugares geométricos se describían de acuerdo con sus propiedades, o bien, como en el caso de las cónicas, como intersecciones de un volumen y una superficie. La geometría analítica cambió el paradigma por completo, permitiendo que el número limitado de curvas que habían estudiado los griegos, y que tenían que construirse una a una, se multiplicara hasta el infinito. Esto no es una exageración. En efecto, el número de ecuaciones en dos incógnitas es infinito, y como a cada una de ellas corresponde una curva, el número de posibles curvas es también infinito.
Adicionalmente, la algebrización de la geometría permitía introducir la enorme flexibilidad de las operaciones algebraicas, sumas, restas, multiplicaciones, divisiones, elevación y potencias y extracción de raíces, que, junto con la teoría de ecuaciones, permitían resolver muchos problemas de forma casi mecánica. Comparado con el laborioso método constructivo de los geómetras griegos, la geometría analítica era un método extraordinariamente poderoso para resolver problemas, como Fermat demostró al abordar algunos teoremas de Papo que nunca habían sido resueltos, y un problema de Galileo, en el que corrigió al propio maestro toscano: mientras Galileo pensaba que una bala de cañón que cae hacia el centro de una Tierra en movimiento sigue una trayectoria circular, Fermat descubrió que la trayectoria es una espiral. Galileo, en correspondencia con Fermat, aceptó la corrección.
Apolonio y las cónicasApolonio de Perga (ca.262–ca.190aC.) C sistematizó el estudio de las curvas llamadas cónicas, a las que dio los nombres que hoy tienen.Las cónicas se definen por la intersección de un plano con un cono en diversos ángulos. Se puede demostrar que, salvo casos degenerados, la totalidad de las cónicas está contemplada en los casos ilustrados: si se corta el cono de forma paralela a la generatriz, el resultado es una parábola. Si el ángulo del plano con el eje es mayor que el ángulo de la generatriz, el resultado es una elipse, y en el límite en el que el plano es perpendicular al eje, un circulo. Finalmente, si el ángulo entre plano y generatriz es menor, el resultado es una hipérbola con dos ramas. Las propiedades formuladas por el matemático de Perga para definir estas curvas permitieron que cada una de ellas tuviera una característica definitoria que la distinguía de todas las otras cónicas, expresada en forma de una proporción. A partir de tales características fue que Descartes y Fermat construyeron su estudio de las ecuaciones correspondientes.
Ahora bien, el programa de Descartes, aunque riquísimo en sus consecuencias, no fue perseguido por el autor, Su intención era mostrar una nueva forma de pensar, más que encontrar nuevos resultados matemáticos. Paradójicamente, en 1637, cuando la carrera matemática de Fermat apenas comenzaba, Descartes, por voluntad propia, concluía la suya. La Geometría que publicó era parte de un libro en el que había tres tratados científicos, precedidos del celebérrimo Discurso del método. Su Geometría no era otra cosa, a sus ojos, que una ilustración del método que había descubierto, una prueba incontrovertible del poder de su filosofía. Publicada en 1637, la obra es el canto del cisne matemático de Descartes, Justo por los años en los que Fermat comenzaba su mayor efervescencia. Los dos genios apenas se encontraron. Este hecho no debe interpretarse como un gesto desdeñoso a la enorme contribución de Descartes; simplemente, es de reseñar que su genio matemático refulgió en unos pocos anni mirabiles. Era sobre todo un filósofo, y Fermat un matemático de pura cepa. Su forma de abordar los problemas era distinta. Para Descartes, bastaba con establecer el método; para Fermat, era necesario aplicarlo a la resolución de cuestiones matemáticas.

Ilustración método de coordenadas de Fermat y de la forma cómo define un lugar geométrico
Siempre que dos cantidades [dos incógnitas] se encuentren en igualdad..., existe un lugar geométrico... tal que el punto final de una [de estas cantidades] describe una línea recta o una curva.
Según el historiador Cari Boyer, esta afirmación constituye una de las mayores revoluciones de la historia de las matemáticas. No es directamente demostrable; se trata de un postulado. Pero Fermat dedica el resto de su pequeño tratado a ilustrar su utilidad, analizando un tipo particular de curvas: las cónicas, la lútea recta y el círculo (al que la Antigüedad no consideraba una cónica).
Fermat, al igual que Descartes, no definió el sistema de coordenadas rectangulares que tan familiar resulta hoy en día. Su geometría analítica es monoaxial: solo define el eje de las abscisas. Sin embargo, es evidente que utiliza implícitamente el eje de las ordenadas al definir distancias.
En la figura se muestran los elementos de la geometría analítica de Fermat Tenemos una ecuación con dos incógnitas x e y y una constante c, f (x, y) = e. La distancia x0 es claramente el valor de la abscisa, mientras que la ordenada está dada por el valor de la longitud del segmento y0. Nótese que el ángulo α no necesariamente es recto, como ocurriría en el sistema actual de coordenadas cartesianas. De hecho, el ángulo es arbitrario (autores posteriores caerían en la cuenta de que es mucho más sencillo hacer que a sea recto). El punto que se mueve sobre el lugar geométrico es A. Podemos verlo moverse a la posición A', que corresponde a una abscisa x1 y una ordenada y1 El punto a observar es que f(x0, y0) = f(x1, y1 ) = c; es decir, la ecuación se cumple para todos los puntos A sobre el lugar geométrico, y, recíprocamente, los puntos A están totalmente definidos por la ecuación. Esta es la correspondencia clave entre geometría y álgebra que proporciona la geometría analítica — la notación es anacrónica; Fermat no hubiera usado la notación de función f(x, y).
Hay un concepto implícito en esta exposición que fue fundamental en el desarrollo del cálculo: la variación continua. Al usar un eje monoaxial Fermat se concentró en cómo se mueve un punto sobre la curva que define el lugar geométrico. Esto es conceptualmente distinto del proceso de representar gráficamente puntos en un plano con dos ejes coordenados e interpolar la curva entre ellos, que es como la mayoría de nosotros hemos aprendido a hacer una gráfica La visión de Fermat es dinámica: corresponde a un punto que se mueve de una cierta forma, es decir, que tiene una cierta trayectoria, y por tanto, casi sin quererlo, Fermat le dio realidad física a su geometría analítica, introduciendo una forma de ver las cosas que resultaría fundamental en los trabajos posteriores de Newton, Leibniz y la familia Bernoulli. Otra característica a resaltar del sistema de Fermat es que solo incluye cantidades positivas, tanto para las abscisas como para las ordenadas, por lo que sus curvas están siempre en el primer cuadrante del plano y, por tanto, a veces pierden entre la mitad y las tres cuartas partes de su extensión. Una parábola con vértice en el origen y foco en el eje x, por ejemplo, sería solo media parábola.
El teorema central que Fermat demuestra en su Isagoge es que todas las cónicas, además de la línea recta y el círculo, pueden ser expresadas por ecuaciones generales de segundo grado o de primer grado, en el caso de la recta. Fermat divide todas las ecuaciones posibles de primer o segundo grado en siete casos «canónicos», demostrando que cualquier ecuación de primer o segundo grado se puede reducir a uno de esos siete casos, que corresponden respectivamente a un círculo, una elipse, una parábola y dos tipos de hipérbola y dos tipos de línea recta. Las demostraciones de cada uno de los casos son más prolijas de lo que Fermat acostumbraba, pero aun así obvian varios pasos que le parecían evidentes, por provenir de obras clásicas tales como los Data de Euclides, el tratado de Cónicas de Apolonio o las propias obras de Vieta.
Al igual que Vieta, Fermat omite invariablemente la prueba sintética, la ruta que nos llevaría desde el lugar geométrico hasta su ecuación correspondiente, considerándola trivial y utilizando solo el método analítico para ir desde la ecuación hasta el lugar geométrico. Pero está claro en todo momento que Fermat piensa —como en efecto ocurre— que sus teoremas son bidireccionales, es decir, que también se da que para todo lugar geométrico hay una ecuación. Finalmente, en sus pruebas Fermat utilizó, sin destacarlas demasiado, una serie de transformaciones típicas de la geometría analítica, tales como trasladar un círculo para que su centro coincida con el origen de coordenadas, rotar una parábola o hacer un cambio de variable. Fermat ya sabía que podía llevar a cabo estas transformaciones sin que su resultado perdiera generalidad.
Habiendo establecido una geometría analítica plana, Fermat se lanzó a continuación a tratar de extender sus resultados a tres dimensiones. Sin embargo, sus herramientas matemáticas fallaron en este intento. La falta de un sistema de coordenadas demostró ser fatal; la visualización de ios resultados geométricos en tres dimensiones sin sus correspondientes coordenadas es demasiado difícil, y Fermat no logró nunca la tan deseada extensión.
Descartes fue el primero en filosofar sobre el álgebra como una especie de proceso mental que clarificara el pensamiento, pero está claro que Fermat, menos inclinado a la filosofía, era un firme adherente a ese programa. Entre los dos lograron establecer una forma nueva de pensamiento matemático que continúa hasta nuestros días. Seguramente Fermat no lo sabía, pero él sería uno de los últimos matemáticos en interesarse de forma tan profunda por los clásicos. Queriendo restaurar la tradición clásica a través del rescate de sus obras más emblemáticas, en realidad la estaba enterrando. Las herramientas que había usado para desentrañar los misterios olvidados de Grecia habían inaugurado un mundo novedoso, que haría que muchos de los métodos clásicos griegos cayeran en la irrelevancia.
Soluciones gráficas a ecuaciones de grado superiorEn un apéndice que circuló poco tiempo después de su Isagoge, Fermat diseñó un método general para convertir una ecuación cúbica o cuártica en un sistema de ecuaciones de segundo grado. Se trata de buscar un punto de intersección entre dos curvas. Así la ecuación determinada x3 + bx2 = bc, mediante la introducción de una nueva variable y, se convierte en dos ecuaciones indeterminadas: x2 + bx = by, c = xy. Claramente, se trata de la intersección entre una parábola y una hipérbola. Por desgracia, el mismo espíritu geométrico del método impidió a Fermat buscar más de una raíz (una intersección), dado que, influido por los griegos, le bastaba una sola raíz positiva. El tolosano utilizó estos resultados para atacar la clasificación de curvas de Descartes, en una polémica que hoy en día se antoja estéril, ya que dichas clasificaciones se han vuelto irrelevantes.
Capítulo 5
Contribuciones de Fermat al cálculo diferencial e integral
La geometría analítica sería la base sobre la que se asentarían otros resultados revolucionarios, y muy particularmente, el cálculo. Fermat cayó en la cuenta de que, toda vez que podía usar una ecuación para describir por completo una curva, podía utilizar manipulaciones algebraicas para razonar sobre las propiedades de esa curva. Pero, para llegar a esa conclusión, tuvo que seguir un tortuoso camino.Contenido:
§. La controversia con DescartesYa en Burdeos —donde estableció contacto con el círculo de seguidores de Vieta y recibió clases privadas de matemáticas de Jean de Beaugrand—, en su juventud, Fermat había dado con un método para encontrar valores máximos y mínimos que, como precedía a su invención de la geometría analítica, no estaba basado en esta. Sin embargo, a lo largo de unos quince años, volvió sobre este tema una y otra vez, escribiendo pequeños tratados sobre él y hablando del mismo en su correspondencia. En dichos escritos se refleja la transformación del pensamiento de Fermat respecto al método. Lo cierto es que, como el jurista tolosano solía hacer, prometió en una de sus cartas a Mersenne que, cuando tuviera tiempo, escribiría un gran tratado sobre el tema, cosa que nunca sucedió. Se trata de otra oportunidad perdida porque, de haberlo hecho, no es descabellado pensar que hoy atribuiríamos a Fermat la invención del cálculo diferencial.
§. La cuadratura
§. La rectificación
Por desgracia, Fermat nos tiene ya acostumbrados a esta forma de proceder algo anárquica. Descartes dijo una vez con desdén que Fermat era un solucionador de problemas (a la manera cosista), no un gran sistematizador. Tal vez tenía algo de razón. Al genio de Toulouse le bastaba comprobar que un método funcionaba para asegurarse de su generalidad, y se olvidaba de demostrarlo. Su indagación sobre máximos y mínimos no fue una excepción.
§. La controversia con Descartes
Hacia 1636, circulaba ya en París una memoria de Fermat llamada Método para determinar máximos y mínimos y tangentes a líneas curvas (que llamaremos, a partir de ahora, el Methodus, por su nombre en latín). Escrito probablemente en 1629, el Methodus consistía en apenas seiscientas palabras. Era un par de recetas, de algoritmos. No había ni una indicación de cómo había llegado al resultado ni una prueba del mismo. Como veremos, la falta de claridad del Methodus le daría no pocos dolores de cabeza. Tal como estaba escrito, el método resultaba absurdo. Casi de inmediato, gracias a la intervención de Descartes, el Methodus desató una enorme polémica, y ello llevó a Fermat, por primera y prácticamente única vez en su vida, a explayarse en la explicación de los fundamentos de su método a lo largo de los años. Hasta cinco memorias, incluyendo en ellas una carta a Brûlart, llegó a escribir nuestro personaje al respecto. La más importante de ellas fue la Investigación analítica del método de máximos y mínimos (en adelante, Investigación analítica), en la que reúne las dos vertientes de su pensamiento derivado por un lado de Vieta y, por otro, de los antiguos: Euclides y Papo.
En efecto, en Papo encontró un problema en el que se intentaba obtener un máximo. Estos problemas nos son familiares hoy en día Por ejemplo, encontrar el cuerpo geométrico que englobe el mayor volumen con la menor área superficial (la esfera). O bien, como problema inverso, determinar si un panal de abeja es una forma óptima de cubrir el plano, Como puede verse, este tipo de investigaciones tienen mucho que ver con la optimización de recursos. En todo caso, a Fermat le llamó la atención que el máximo que buscaba Papo fuera «único y singular». Dadas sus dotes de humanista, Fermat pudo entender el griego que el propio traductor de Papo al latín, Federico Commandino, daba por imposible. Papo hablaba de un extremo que era único. A partir de ello, y de sus lecturas de Vieta, se planteó cómo manipular la ecuación cuadrática que describía el problema de Papo para hacer que la solución fuera única.
Recordemos que una ecuación cuadrática suele tener dos raíces (decirnos «suele» porque, en tiempos de Fermat, había raíces que no eran aceptables, desde las irracionales hasta las complejas, pasando por las negativas). El caso es que Vieta había inventado un método para expresar los coeficientes de una ecuación en términos de dos de sus raíces, al que llamó sincrisis.
La sincrisis de VietaLa sincrisis consiste en combinar ecuaciones similares para obtener expresiones que relacionan sus raíces con sus coeficientes. Por ejemplo, de la ecuación bx – x2 = c, que tiene una raíz x, se puede obtener la ecuación by – y2 = c, donde y es la otra raíz. Vieta igualaba ambas ecuaciones bx – x2 = by – y2 , de donde:y, sustituyendo c = (x + y )x – x2 = x2 + x y – x2 = xy. De esta forma, tanto b como c estaban expresados en términos de x e y.
Fermat utilizó este método para manipular su ecuación cuadrática de una forma novedosa. Planteó que existía una raíz x y llamó a su otra raíz x + h, donde h, según él mismo aclara, puede ser cualquier valor. A continuación seguía un paso decisivo y extraño. Fermat «adigualó» la ecuación con valor x con la ecuación con valor x + h: x + h ƒ( x) ≅ ƒ( x + h). Llamó a esta operación «adigualar», usando un término prestado de Diofanto. Sin embargo, en realidad, en toda la teoría de ecuaciones de Vieta no existe justificación matemática formal para llevar a cabo esta extraña operación.
Por si fuera poco, Fermat se dedicó luego a eliminar varios términos que contuvieran h dividiendo por h:
ƒ(h)/h ≅ ƒ(x + h)/h
Finalmente, decretó que h era cero y que, por tanto, las dos raíces eran una sola. Esa es la forma de asegurar la unicidad, fijando una raíz y haciendo que la otra se iguale a ella. Pero, en efecto, lo que al parecer hizo Fermat, en medio del proceso, fue dividir por cero sin ninguna justificación teórica.El método de máximos y mínimos de FermatIlustremos el método con un ejemplo: dividir el segmento AB un punto E, de forma que AE – EB sea un máximo.Sea AB = b.
1. Entonces, si AE = a, EB = b – a.
2. Por tanto el producto del que se debe encontrar un máximo es ab – a2 .3. Cambiemos ahora la incógnita original a por a + e, que es la otra raíz. Por tanto, el segmento AB es ahora a + e y el segmento EB es b – a – e, con lo que el producto de ambos es ab – a2 + be – 2ae – e 2.
4. Se adigualan (2) y (3 ), de modo que ab – a2 + be – 2ae – e 2 = ab – a2.Se simplifica: be – 2 ae – e2 ≅ 0 ↔ be ≅ 2 ae + e2. Esta operación es similar a la sincrisis, adigualando en vez de igualando.
5. Se divide hasta que en uno de los miembros no a parezca ninguna e: b = 2 a + e.
6. Se hace que e sea cero: b = 2 a.
7. Por tanto, a = b/2
Se trata, evidentemente, del punto medio del segmento.
Esto se parece mucho a lo que se hace hoy en día al calcular la derivada, cuya definición no fue dada hasta el siglo XIX por Cauchy, e igualándola a cero, que es la forma como encontramos máximos y mínimos. Dicha similitud ha llevado a varios matemáticos — Lagrange, Pierre–Simón Laplace, Charles Fourier— e historiadores de la ciencia a decir que Fermat inventó el cálculo diferencial. Desgraciadamente, no fue así.
Es cierto que Fermat se estaba aproximando a los métodos del cálculo diferencial moderno. Esa h, en el pensamiento de Gottfried Leibniz e Isaac Newton, es una cantidad infinitesimal, algo que, dicho de la forma más vulgar posible, no es cero, pero se puede considerar en ciertas circunstancias como cero. Solo cuando Cauchy logró formalizar el concepto de limite, estas ideas tuvieron una expresión matemática rigurosa.
Fermat no hacía esta distinción entre cantidades finitas e infinitesimales, al menos no en sus trabajos sobre máximos y mínimos y tangentes, que ocuparon una parte relativamente temprana de su vida matemática. Dicha distinción es fundamental. Fermat consideraba que h la distancia a la raíz original, era totalmente arbitraria, tan grande o pequeña como se quiera. A todas luces, este es un pensamiento muy distinto al de los infinitesimales, que deben ser arbitrariamente pequeños. De hecho, Fermat nunca consideró que sus máximos y mínimos pudieran ser locales, no globales. Un máximo local solo puede encontrarse usando métodos infinitesimales. De todas formas, es de justicia apuntar que el método de Fermat llegaba incluso a discernir si una solución era un máximo o un mínimo, siguiendo lo que en la actualidad se conoce como el "criterio de la segunda derivada".
La reconstrucción anterior del pensamiento de Fermat está basada en la Investigación analítica. Es bastante seguro que el tolosano empezó con el problema mencionado de Papo, y los historiadores han logrado reconstruir, a partir de sus múltiples memorias, su razonamiento. De todas formas, como era su costumbre inveterada, incluso cuando formuló los pasos de una demostración como hizo en la Investigación analítica, Fermat se quedaba corto en sus explicaciones. Obviaba pasos, confiaba en que el lector llenara los huecos. Y el lector tenía que ser un experto que supiera de memoria que tal paso se justificaba por un teorema de Apolonio o tal otro por un teorema de Papo, o un tercero porque Vieta lo había demostrado. Peor aún, en el Methodus original, como hemos dicho, no había ni estos esbozos de prueba de la Investigación analítica, ni la menor justificación de las extrañas manipulaciones que emprendía nuestro personaje: Fermat se limitaba a dar el algoritmo. Evidentemente, una receta sin la menor explicación y con divisiones por cero chocó a sus contemporáneos, que, si eran amigos de Fermat, le pidieron explicaciones, y si no lo eran, le atacaron sin misericordia. Además, el Methodus se limitaba a resolver dos problemas ya resueltos, uno de Euclides y otro en el que encontraba tangentes y parábolas. El método, al menos en apariencia, no tenía nada de novedoso y sí mucho de problemático.
En el propio Methodus Fermat había formulado una forma de encontrar una tangente a cualquier curva dada. Con orgullo, decía que ese método era totalmente general y funcionaba siempre pero no justificaba su aserto, algo que a estas alturas no sorprenderá a nadie. El método para encontrar tangentes se derivaba naturalmente de su método de máximos y mínimos. En efecto, Fermat cayó en la cuenta de que, como las curvas clásicas griegas — cónicas, círculos y líneas rectas— estaban definidas en términos de proporciones, resolver el problema de la tangente era equivalente a encontrar el mínimo de una cierta razón entre dos cantidades.
Su método de máximos y mínimos servía por igual para maximizar o minimizar una cierta cantidad o una razón. Por tanto, encontrar una tangente era una aplicación natural.

BC2 / ZI2 = CD/ DI. Como OI = ZI, CD/ DI = BC2/ OI2
Por semejanza de los triángulos BCE y OIE se tiene queBC / OI = CE/ IE, por lo que CD/ DI = CE2/ ID2
Sean CD = d, CI = e y CE = a. Este último segmento es la subtangente.Entonces:
d / (d – e) > a2/ (a – e)2
yd(a – e)2 = a2 (d – e)
de donde
da2 – 2 dae + de2 = da2 – a2 e
Seguidamente se adigualan ambos miembros de la desigualdad : da2 – 2 dae + de2 ≅ da2 – a2 e, y eliminando y transponiendo términos: de2 – + a2 e = 2 dae. Dividiendo por e, de + a2 = 2 da. Finalmente, Fermat ignoró el término que contiene ea22 da, por lo que a = 2 d. De esta forma se halla el punto E, determinando la subtangente a la parábola (CE).El Methodus se escribió antes de que Fermat inventara la geometría analítica. Su única visión de las curvas clásicas seguía siendo la de Apolonio. Es por ello que Fermat seguía empleando las definiciones geométricas del griego en vez de su posterior visión algebraica. Pero en la investigación analítica esto había cambiado, y Fermat ya era capaz de utilizar el gran poder de sus ecuaciones algebraicas para atacar tanto él problema de máximas y mínimos como el de tangentes. De hecho, cada vez había menos diagramas en sus escritos. Le bastaba con la ecuación, que definía totalmente una curva, para analizar a fondo sus propiedades. Mediante dicha ecuación sería capaz de buscar máximos y mínimos. Por un lado, y tangentes por otro. El método algebraico revelaba de nuevo su gran poder.
Las tangentes a las curvas mecánicasEn su Geometría, Descartes había hecho una distinción entre curvas geométricas y mecánicas. Las primeras tenían expresión en ecuaciones algebraicas, es decir, polinomios. En cambio, las curvas mecánicas no tenían tal expresión; su definición se daba a partir del movimiento de un punto de acuerdo con ciertas reglas.Descartes creyó imposible analizar las curvas mecánicas en su Geometría. En cambio. Fermat, en una memoria de 1640 sin título abordó tres curvas geométricas, la cisoide, la concoide y el folio de Descartes, pero también una curva mecánica; la cicloide, la «Helena de las curvas», así llamada por la atracción que ejercía.
En efecto, la cicloide es la respuesta a una aparente paradoja de Aristóteles sobre la distancia que recorren dos puntos ubicados en dos círculos concéntricos que ruedan sobre una línea. Conceptualmente, la cicloide corresponde al movimiento de un punto en una rueda conforme esta se desplaza. Al analizar este problema, Fermat se vio obligado, «con el propósito de evitar irracionalidades», según sus palabras, a adigualar el segmento RB de la tangente con el segmento RN de la curva. Comenzaba ya a pensar en términos de segmentos arbitrariamente pequeños.
Todavía llegaría más lejos en años posteriores, prácticamente llegando al concepto de una distancia arbitrariamente pequeña en su tratamiento de la tangente a la cicloide, es decir, quedándose en el borde mismo del cálculo diferencia.
Pero Fermat se dio cuenta a medias del gran poder de sus herramientas. Obsesionado, como todos sus contemporáneos y como su maestro Vieta, en restituir la gran obra de los griegos, no reparó en que su pensamiento había derivado por otros derroteros, que había inaugurado una nueva forma de hacer matemáticas.
Atrapado por el pasado, no logrará entender cabalmente la importancia de sus logros.
Recordemos, en efecto, que la derivada de un punto dado sobre una curva se define como la pendiente de la tangente en ese punto. Fermat no lo veía... porque en realidad no se le ocurrió tratar la pendiente como una ecuación. De hecho, no calculó pendientes. Calculó subtangentes, es decir, la proyección de la tangente sobre el eje de las abscisas, concluyendo con tazón que una vez calculada dicha proyección, dibujar la tangente era trivial. Seguramente, es por esa razón que nunca apreció que la pendiente se puede expresar también como una curva definida poruña ecuación. Fermat era incapaz de ver que existía una relación entre dos ecuaciones en dos variables, en la que la derivación es una forma de convertir una en otra. Sea como sea, tenemos que volver a la fecha en que el Methodus comienza a circular, la geometría analítica y las justificaciones de la Investigación analítica estaban en el futuro. En el Methodus solo hay recetas. Entender y creer a Fermat requería buena voluntad, y por las fechas en que circulaba el Methodus había un hombre muy malhumorado con Pierre de Fermat, y muy poco dispuesto a ofrecerte esa buena voluntad. Ese hombre era nada más y nada menos que Descartes.
Descartes ignoraba la existencia de Fermat. En 1637, cuando apenas comenzaba la correspondencia de Fermat con París, había dado los toques finales a su célebre Discurso del método, que incluía como apéndices tres ensayos en los que intentaba ilustrar la potencia de su filosofía. Uno de ellos era la Dióptrica ; otro, la Geometría, en la que por primera vez Descartes exponía su visión de la teoría de ecuaciones y la geometría analítica. Estaba seguro de que nadie había hecho nada igual. Envanecido, pensaba que había refundado la filosofía formulando las reglas del pensamiento correcto, e ilustrando cómo se aplicaban a la matemática y la física.
Para entonces, Descartes ya había entrado en polémica con algunos matemáticos. La suerte quiso que dichos matemáticos fueran Roberval y el maestro de Fermat, Beaugrand, precisamente los amigos con los que Fermat contaba en esa época, cuando comenzaba a ser conocido en los círculos de París. Descartes había criticado duramente la Geostática de Beaugrand. A su vez, Beaugrand había acusado a Descartes de haber plagiado la teoría de ecuaciones de Vieta, su maestro. Según parece, Beaugrand había utilizado además su puesto de secretario del rey, que daba las autorizaciones de impresión, para escamotear una copia de la Dióptrica de Descartes, que terminó en manos de Fermat antes de su publicación, con lo que Mersenne se ganó la furia de Descartes.
Mersenne, preocupado, pidió a Fermat que no comentara el tratado en público, sino que dirigiera toda la correspondencia, a través de él ignorando todo lo que había pasado, Fermat interpretó esto como una petición de comentarios, así que, inocentemente, envió una carta en la que decía que la Dióptrica le parecía el intento de un investigador de indagar, a tontas y a locas, en la oscuridad, y que sus resultados eran el fruto de un argumento circular: el autor habría tomado, de todas las opciones, solo la que le permitía llegar a su conclusión, con lo que dicha conclusión estaba contenida en las premisas: El caso es que, increíblemente, Mersenne envió la carta de Fermat a Descartes, después de una vacilación inicial. Más o menos al mismo tiempo. Descartes había recibido una copia del primer tratado de Fermat, su reconstrucción de los lugares geométricos planos de Apolonio. Siendo un trabajo de juventud, Descartes lo desdeñó. Fermat, concluyó, obviamente no estaba a su altura intelectual.
Descartes pensó que Fermat no había entendido su Dióptrica, así que le recomendó, a través de Mersenne, que la leyera bien, añadiendo que si estudiaba también su Geometría podía llegar a ser un aventajado alumno. Resulta evidente que Descartes había subestimado a su oponente. Poco después recibiría copias del Methodus y la Isagoge enviadas por Fermat, que tal vez había sentido su orgullo herido y quería demostrar su valía. Seguramente, en ese momento Descartes cayó en la cuenta de su error: Fermat no era alguien a quien se pudiera despreciar, era un matemático de primera fila. De hecho, ¡había descubierto también la geometría analítica, de la que tan orgulloso estaba el propio Descartes!
En vez de reconocer el talento de su adversario, Descartes pensó paranoicamente que Fermat era parte de una conspiración, en la que también estaban sus odiados Roberval y Beaugrand, para destruir la obra de su vida, su joya, el Discurso del Método y sus aplicaciones. En efecto, en una carta a Mersenne en enero de 1638, Descartes se quejaba de que se intentaba ahogar a su hijo intelectual en la propia cuna. Y aunque no lo dijera explícitamente, es muy posible que también pensara que, a través de las indiscreciones de Beaugrand y Mersenne, Fermat había plagiado su geometría analítica. A continuación se exponen algunos fragmentos de las respuestas de Descartes a Mersenne: Mayo de 1637
[–.] me habéis enviado una proposición, de un matemático, un consejero de Toulouse, muy bella y que mucho me ha agradado, Porque en la medida en que es fácilmente soluble por lo que he escrito mi Geometría, [...] espero que este consejero, si es un hombre abierto y honesto, será una de las personas que sacarán mayor partido de mi trabajo [...]Sea como sea, Descartes encontró el punto débil de su adversario; no era la geometría analítica, era el Methodus. En efecto, en su falta de método, en su ausencia de justificación o demostración, Descartes encontró una forma ideal de atacar a Fermat Sus objeciones eran de dos tipos. En primer lugar, de forma ponzoñosa, devolvería a Fermat el cumplido de «a tontas y a locas». Según Descartes, la obra de Fermat no ofrecía ningún resultado original. Había llegado a sus conclusiones, conocidas previamente, por casualidad y sin esforzarse. A tâtons («a tientas»), la misma expresión que Fermat había empleado con él. Fermat había demostrado cómo obtener la tangente a una parábola. Según Descartes, sin embargo, el método era el mismo para cualquier otra curva sin cambiar nada, lo cual era claramente absurdo dado que la tangente a una parábola no es igual a la tangente a una elipse En segundo lugar, desmentía que el método de tangentes se derivara del método de máximos y mínimos.
18 de enero de 1638
[... ] no quiero siquiera nombrarle, a fin de que no se sienta tan avergonzado por los errores que le he encontrado, y porque mi intención no es insultar a nadie, sino solamente defenderme, como siento que él no perderá ocasión de envanecerse a mi costa en muchos escritos, creo que es apropiado que mucha gente vea mi defensa [...] Y si a pesar de ello él os dice que quiere enviarme otros escritos, os ruego que le pidáis que los reflexione de mejor manera que los precedentes; si no fuera así, os ruego que no me los enviéis.
Como hemos visto, la respuesta de Descartes — siempre a través de Mersenne— fue devastadora en su tono, en el que desdeña abiertamente al tolosano sin mencionar siquiera su nombre, diciendo que, si Fermat no reconsideraba, él no se dignaría a leer los otros resultados de Fermat que este había prometido enviar. Al mismo tiempo, daba muestras de su paranoia, acusando a Fermat de haberle atacado sistemáticamente, cuando este solo había arremetido una vez contra su Dióptrica.
"[Preferiría] no decir nada sobre el artículo que me habéis enviado [el Methodus], porque no hay nada que se pueda decir que aproveche a quien lo escribió […]"Mersenne, en esta polémica, tuvo el raro talento de empeorar las cosas. En vez de enviar la respuesta de Descartes directamente a Fermat, la turnó a su vez a los enemigos parisinos de Descartes, Étienne Pascal y Roberval, que, ni tardos ni perezosos, entraron en la polémica como elefante en cacharrería, a menudo mal interpretando el trabajo de su defendido. Esto confirmó los peores temores de Descartes: había una conspiración en su contra, y Fermat no era más que un peón en manos de los parisinos.
Descartes en una carta enviada a Mersenne el 18 de enero de 1638, en referencia al Methodus de Fermat.
De todas formas, Descartes se había pasado de listo. Si bien su segunda crítica, que el método de tangentes no se derivaba del de máximos y mínimos, es entendible dada la oscuridad del Methodus, su primera objeción era absurda. Descartes afirmaba que el método de Fermat daba la misma tangente para toda curva conocida, pero faltaba a la verdad, porque cambiar la palabra «parábola» por «elipse» requeriría no solo esa sustitución, sino también cambiar la definición matemática de la parábola por la de elipse, y si esto se hiciera, el método de Fermat funcionaría.
Descartes coronaba su carta con una enorme condescendencia, recomendando de nuevo a Fermat que leyera con cuidado la Geometría, en la que, afirmaba, estaba todo lo que Fermat creía haber descubierto. Solo a través de su libro, implicaba Descartes, se podía llegar a la verdad. Enfrentado a un genio matemático de su misma talla Descartes no pudo asimilarlo: se había convencido de que el monopolio de la verdad era suyo.
Para demostrar su punto, Descartes, convencido de estar debatiendo con un peso liviano, lanzó un reto: pidió a Fermat que encontrara la tangente a una curva dada, que la posteridad llamaría «folio de Descartes». Sin dudarlo, y para asombro de su adversario, Fermat respondió con la solución correcta En su respuesta, Fermat derivaba el resultado de dos formas. La segunda está basada en las propias ideas de Descartes; utilizando la normal para calcular la tangente; de esa manera quería demostrar a su adversario que su método daba los mismos resultados, pero de forma más simple. Sin embargo, Fermat nunca logró que su heurística de adigualar, que, según aseguraba, provenía de los griegos, fuera plenamente aceptada por sus adversarios. Pero, como era típico en él, pensaba que, si funcionaba, tenía que ser verdadera En todo caso, por fortuna para los historiadores, la polémica continuó por un tiempo, obligando a Fermat, por primera vez, a justificar sus resultados con cierto detalle.
En el fondo, todo era un malentendido. En la Investigación analítica ya estaba claro que la objeción de Descartes de que el método de tangentes no estaba basado en el de máximos y mínimos era falsa. Y, finalmente, un mediador al gusto de Descartes, el matemático francés Gérard Desargues (1591–1661), dio una respuesta salomónica a la polémica: Descartes tema razón de haber desconfiado porque la presentación de Fermat en el Methodus no era suficientemente clara, pero, en el fondo, Fermat tenía razón: su método de tangentes era perfectamente universal. Ambos gigantes habían chocado por un problema de egos. O más bien, del ego del filósofo, ya que Fermat se comportó, por lo general, de forma bastante correcta. Descartes aceptó el veredicto a regañadientes, e incluso se disculpó ante Fermat por sus insultos, pero no perdió oportunidad, en el futuro, de justificarse a sí mismo al tiempo que intentaba empañar la reputación de Fermat. Fermat continuaría su polémica contra Descartes y sus seguidores veinte años después, con su adversario ya fallecido. En escritos posteriores es evidente la admiración que tenía por Descartes, que se trasluce a pesar de sus críticas. En cierto sentido, aunque nunca abandonó a Vieta, Fermat hizo caso a Descartes y adoptó en parte la Geometría. Pero las heridas que la polémica causó, la forma desdeñosa con la que Descartes le trató y los intentos de este por desprestigiarle ante la comunidad matemática de su tiempo nunca llegaron a sanar.
§. La cuadratura
En el curso de sus investigaciones sobre tangentes y máximos y mínimos, Fermat acercó gradualmente su concepto de una adigualidad arbitraria al concepto, mucho más moderno, de una cuasi–igualdad aproximada, incluso arbitrariamente cercana hasta el punto de ser prácticamente cero. Pero fue en su método de cuadraturas cuando dio el paso final hacia lo infinitesimal, hacia las cantidades arbitrariamente pequeñas. Para entonces había dejado atrás sus métodos de tangentes y máximos y mínimos, y nunca los revisó a la luz de sus nuevas ideas.
El problema de las cuadraturas se había planteado desde la Antigüedad, a partir de las obras de Eudoxio y Arquímedes. En general, dicho problema consiste en encontrar el área limitada por una cierta curva y una recta (normalmente el eje) o, cuando la curva envuelve por completo un punto como en el caso de las espirales, el área delimitada por la curva y ese punto. Tal como lo hacían los antiguos, esta área se expresa construyendo un rectángulo cuya área sea igual al área buscada, es decir, encontrando el producto de dos números racionales a y b que conforman los lados del rectángulo. En realidad, en muchos casos se obtenían varios rectángulos cuyas áreas, sumadas, daban el área buscada.
Muy pronto los griegos se dieron cuenta de que cuadrar ciertas curvas era muy difícil. En particular, una de las más elementales; el círculo. Por más esfuerzos que hicieron, los griegos no pudieron construir un rectángulo con lados racionales que tuviera la misma área. La razón de tales fracasos no se descubrió hasta el siglo XIX: el número π, con el que se expresa necesariamente el área del círculo, no puede expresarse ya no digamos de forma racional, sino ni siquiera como el resultado de una ecuación algebraica, En la actualidad, tales números son llamados trascendentes, y son parte de los números irracionales.
La dificultad de cuadrar ciertas curvas en términos racionales no escapaba a Fermat, pero, como hemos dicho, su geometría analítica había dado lugar a un número infinito de curvas. En particular, curvas de grado superior al cuadrado de las cónicas eran de pronto perfectamente tratables como ecuaciones. Así que, en vez de obsesionarse por curvas no cuadrables como el círculo, Fermat aplicó su método a las curvas de grado superior. La convicción de Fermat de que dichas curvas estaban perfectamente determinadas por su ecuación poco a poco le llevó a no preocuparse por la representación geométrica. En sus cartas y tratados, con cada vez mayor énfasis, olvidaba la gráfica de la curva y se concentraba en la manipulación algebraica. Como siempre, Fermat empezó su trabajo a partir de un griego. Esa vez no era Apolonio ni Diofanto, sino Arquímedes. Sus trabajos definitivos sobre el tema fueron publicados por su hijo Clément–Samuel, después de su muerte, y aunque fueron incomprendidos por personas de la talla de Huygens, el autor ya no estaba presente para, como hizo con Descartes, aclarar lo que quería decir.
Volviendo a los tempranos tiempos de su correspondencia con Mersenne y Roberval, en 1636, encontramos a un Fermat ocupado con el tratado sobre espirales de Arquímedes, en el que este había determinado la cuadratura de la espiral que lleva su nombre. Fermat extendió este método a otras espirales, como la que había definido para el problema de Galileo mencionado anteriormente. Fermat retó a Roberval a encontrar la cuadratura de la parábola sólida, una función cúbica; y3 = kx, que consideró por primera vez y que se parecía mucho a una parábola. Roberval contestó de inmediato. Tenía ya un método similar al de Fermat basado en un teorema de suma de potencias de enteros que el tolosano había encontrado durante sus investigaciones sobre teoría de números, y en el antiguo "método de exhaución" inventado por Eudoxio y aplicado por Arquímedes. Consiste en acotar el área que buscamos entre dos sumas (véase la figura). Una de las sumas es la de los rectángulos mayores DEFG circunscritos al área real bajo la curva. La otra es la de los rectángulos menores HIFG inscritos a dicha área. Evidentemente, el área real está entre las dos sumas. El método de exhaución consiste en proponer un área y demostrar por una doble reducción al absurdo que era la única que podía estar entre ambas sumas no podía ser sino el área real.

En su Tratado de cuadraturas, Fermat demostraba lo lejos que había llegado. Su método ahora era aplicable a todas las hipérbolas de grado mayor que dos, que se le habían resistido veinte años antes; había cambios radicales. Ahí donde Arquímedes (y los métodos tempranos del propio Fermat y de Roberval) buscaban sumas finitas, Fermat ahora aceptaba la posibilidad de una suma infinita de rectángulos en el eje de las abscisas. Era la única forma de analizar el área bajo una hipérbola, ya que la alternativa implicaba no un número infinito de rectángulos, sino un número finito de rectángulos, uno de los cuales tenía área infinita. Un rectángulo de área infinita sumado a otros rectángulos da un área infinita En cambio, un infinito de rectángulos puede, en ciertas condiciones, dar un área finita. Pero además, el método de Fermat se alejaba del método de exhaución en el hecho fundamental de que ya no necesitaba acotar el área entre dos sumas. Le bastaba una sola suma en la que se adigualaba el lado superior de rada rectángulo con un segmento muy pequeño de la hipérbola. Cuanto más pequeño era el segmento, más cercana era esa adigualada, y por tanto, más cercana estaba el área bajo el segmento de curva al área del rectángulo correspondiente. La diferencia era sutilísima pero fundamental.
Tan sutil que Fermat no se dio cuenta de lo importante que era el cambio. Su concepto de adigualdad había cambiado: ya no se trataba de adigualar cantidades finitas cualesquiera. Fermat había encontrado los infinitésimos. Sin embargo, estaba seguro de continuar la tradición de Arquímedes. No entendió que el salto conceptual que había dado era tan grande que sus admirados maestros griegos no podían ya seguirle al terreno inexplorado que estaba abriendo. De nuevo, sin darse cuenta enterraba la tradición que tanto respetaba. En efecto, la cuadratura de curvas es la operación que hoy en día llamamos integración, aunque, como en el caso de las tangentes, Fermat no supo ver que el área bajo una curva era también una ecuación.
§. La rectificación
Si cuadrar significa encontrar un área rectangular igual a otra determinada por una curva, rectificar significa encontrar una línea recta igual en longitud a la de una línea curva Una vez más, el problema se remonta a los griegos.
Aristóteles había dictaminado que era imposible encontrar una línea recta igual en longitud a una línea curva. Su autoridad era tan grande que, en el siglo XVII, la mayoría de los matemáticos estaban de acuerdo, a pesar de que ya se habían logrado algunas rectificaciones, en particular por Arquímedes. Siguiendo a dicho maestro, Fermat estaba convencido de la posibilidad de rectificar curvas. Su trabajo al respecto es la única instancia de un tratado de Fermat que fue publicado de forma impresa en vida del autor, como un apéndice de la obra de un amigo, el jesuita tolosano Antoine de Lalouvère (1600–1064), en el tardío año de 1660. Sin embargo, se publicó de forma anónima. Su autor solamente se identificaba por unas iniciales que no se correspondían con las de Fermat. Los seguidores de Descartes, emulando al maestro, estaban convencidos de que Aristóteles tenía razón. Fermat, en su tratado, había decidido demostrar que los cartesianos se equivocaban.

Ilustración del método de rectificación de curvas de Fermat
El siguiente paso era encontrar la suma de estos segmentos y Fermat lo resolvió con lo que hoy llamaríamos un «cambio de variable». Fue un golpe de genio: el cambio de variable definiría una parábola ordinaria— de grado dos— cuya cuadratura es igual al valor de la suma que estamos buscando. En otras palabras, Fermat convirtió el problema de rectificación en un problema de cuadratura ya conocido y resuelto por él mismo. No contento con ello, definió una familia infinita de curvas basadas en una parábola generalizada y demostró que si esta es rectificable, todas las demás lo son. Lo hizo demostrando que siempre podría construir la parábola ordinaria asociada que acabamos de mencionar. De esta forma, su victoria sobre los cartesianos fue total. No solo había logrado rectificar una curva; había demostrado que el número de curvas rectificables es infinito.
La metodología de los dos tratados tardíos de FermatEl Tratado de cuadraturas emplea buena parte de los descubrimientos anteriores de Fermat, desde su método de máximos y mínimos—que permite dividir las curvas en segmentos que crecen o decrecen monotónicamente—, la geometría analítica —a través de rotaciones y traslaciones de eje que le permiten manipular esos segmentos— y, por supuesto, la noción de adigualdad.
Como era de esperar, es un tratado analítico. En cambio, el Tratado de rectificación es, metodológicamente, muy distinto a todo lo que Fermat había escrito hasta el momento. En efecto, el tolosano se alejaba de su método expositivo analítico y adoptó el método sintético griego, el de los clásicos como Euclides. Su razonamiento analítico, que era su forma normal de discurrir, estaba por tanto escondido. Por qué lo hizo es un misterio; pero tal vez tenga que ver con el peso de la tradición. La laboriosidad que implicaba escribir semejante obra, similar a la de Newton en los Principia, a su vez podría explicar por qué no utilizó este enfoque en ningún otro sitio.
Pero precisamente ese paso de reducir la rectificación a una cuadratura fue lo que volvió a impedir a Fermat ver que el resultado de su rectificación era otra ecuación. No se dio cuenta de quien estaba casi tocando los principios fundamentales del cálculo. Había logrado pensar en infinitesimales, un paso esencial en el descubrimiento del cálculo, pero esto no solo no le llevó a revisar su trabajo sobre tangentes y máximos, sino que tampoco supo interpretar sus resultados como ecuaciones: pensaba en subtangentes y áreas.
Años después— y en parte gracias a los trabajos de Fermat— Leibniz y Newton darían independientemente con las ideas centrales del cálculo: el uso de infinitésimos. Pero, sobre todo, con la idea fundamental de que la operación de calcular la pendiente de la tangente a una curva A da como resultado una ecuación B, y que la operación de encontrar la cuadratura de la curva B da como resultado la ecuación A. En otras palabras, que encontrar pendientes y cuadraturas, derivar e integrar, son operaciones complementarias como la suma y la resta. Este es el teorema fundamental del cálculo.
¿Cómo es posible que Fermat no se diera cuenta de que tenía al alcance de la mano el descubrimiento de dicho teorema? Es desesperante. Como el caballero Percival, Fermat contemplaba el Santo Grial, sin lograr reconocerlo, lo cual le impidió reclamar el triunfo de haberlo hallado. En todo caso, la gran síntesis que Leibniz y Newton lograron es un ejemplo más de esos grandes puentes entre problemas aparentemente disímiles que, como hemos visto, lograron el propio Fermat y Descartes con la geometría analítica y Taniyama, Shimura y Wiles con la conjetura que lleva el nombre de los dos primeros. Y con este Moisés que vislumbra la tierra prometida pero no llega a ella, casi hemos terminado nuestra historia. Falta el canto del cisne, que es tan revolucionarlo como el resto de sus aportaciones.
Capítulo 6
La probabilidad y el principio de Fermat
Las contribuciones de Fermat a la matemática no se agotan en las dos grandes vertientes que hemos tratado hasta ahora, la teoría de números por un lado, y la geometría analítica y el cálculo por otro. Junto con Pascal, se le acredita haber inventado la teoría de la probabilidad, y en sus últimos años se dedicó a revivir su polémica con Descartes sobre óptica.Contenido:
§. La óptica y el principio de FermatHablar de «leyes del azar» es, a primera vista, un despropósito. ¿Cómo el azar, algo que, por definición, no es predecible, puede tener leyes? Si, en pleno siglo XXI, este concepto nos parece asombroso, en tiempos de Fermat era inconcebible. Pero dichas leyes existen, y Fermat tuvo un papel fundamental en desarrollarlas a instancias de Blaise Pascal.
Como era costumbre, todo comenzó con un problema. Blaise Pascal, cuyo padre había sido uno de los corresponsales parisinos de Fermat, un íntimo del círculo de Mersenne, se dirigió a Fermat en 1654, recordándole su amistad con su fallecido padre, para plantearle una cuestión. Para entonces, Fermat había guardado años de silencio epistolar. A pesar de que volvió en la década de 1650 con brío renovado, y parece muy claro que no podría haberlo hecho sin haber estado trabajando en privado durante buena parte de ese tiempo, la muerte de Beaugrand, Descartes, Étienne Pascal y, sobre todo, Mersenne, sus ocupaciones profesionales, además de la peste y el agitado clima político de la Fronda, mantuvieron a Fermat en un profundo aislamiento que la carta de Pascal vino a romper.
Pascal había trabado conocimiento con un tal Antoine Gombaud, chevalier de Méré, un verdadero tahúr. Había deducido algunas reglas heurísticas para saber cuándo apostar y cuándo no, basadas en observaciones empíricas. El caballero le planteó a Pascal un problema basado en el llamado «juego de puntos», en el que un jugador apuesta que podrá obtener un cierto resultado, digamos un seis tirando un dado, en un número N de jugadas; digamos en ocho, como en el ejemplo de Gombaud. La cuestión es que se apuesta una cierta cantidad y se tira el dado hasta que, o bien han transcurrido las ocho jugadas sin que salga un seis, lo cual significa que el apostador pierde, o bien ha salido un seis, en cuyo caso el que tira el dado gana. La pregunta que hizo Gombaud a Pascal fue la siguiente: ¿Qué ocurre si se interrumpe el juego antes de terminar, digamos, después de tres tiradas? ¿De qué forma sería justo repartir la apuesta? Pascal planteó este problema y algunos similares en una carta que no ha sobrevivido. Sin embargo, conocemos la respuesta de Fermat.
Blaise PascalNacido en Clermont, en el centro de la geografía francesa, Blaise Pascal (1623– 1662) fue un genio precoz. A la edad de doce años, el joven presentó a su padre, Étienne, la prueba de que la suma de los ángulos de un triángulo cualquiera es 180º, uno de los teoremas capitales de los Elementos de Euclides, libro que el niño desconocía.Impresionado, Étienne se hizo cargo personalmente de su formación. Alrededor de la misma edad, perfeccionó la primera máquina calculadora mecánica conocida, diseñada para ayudar a su padre en los cálculos fiscales, muy similar a las que se usaron hasta mediados del siglo XX. Étienne tuvo un accidente, y para cuidarlo, Blaise contrató a dos jóvenes que profesaban el jansenismo, una corriente católica muy similar al calvinismo, a la que se oponían vehementemente los jesuitas. Blaise se convirtió al jansenismo, arrojándose a los brazos de una práctica religiosa severísima, pero al cabo de un tiempo retomó sus estudios. Blaise Pascal desarrolló importantes trabajos en hidrostática y en el estudio de las cónicas pero su fe continuó siendo su preocupación principal. Su aportación más conocida es la relativa al triángulo que lleva su nombre.
Tanto Fermat como Pascal tenían claro que había que calcular el número de casos posibles por un lado y el número de casos favorables a un jugador por el otro (el resto de casos son favorables al otro jugador). Después, había que dividir el segundo número por el primero, lo que hoy conocemos como probabilidad, aunque ninguno de ellos usó ese nombre, finalmente, se multiplicaría esa probabilidad por el monto de la apuesta. El resultado es lo que en la actualidad se llama valor esperado.
Hay otro principio fundamental que ambos aceptan inmediatamente: los eventos son independientes entre sí. La probabilidad de obtener un seis en el quinto intento es independiente de lo que haya sucedido hasta ese momento. Esto parece trivial a poco que se sepa de teoría de probabilidad, pero recordemos que hay millones de personas en el mundo que piensan que la lotería de Navidad acabará en cuatro porque «ya toca», porque hace mucho que no acaba en ese número.
Pascal había hallado un valor para el cuarto intento; es decir, después de tres intentos fallidos, suponiendo que ambos jugadores consideraran la alternativa de parar el juego o tirar un cuarto dado, cuál debería ser la forma justa de repartir el bote. Cabe observar que este no es el problema original de Gombaud; se limita a una sola tirada después de los tres intentos fallidos. Pascal encontró que si la tirada no se llevaba a cabo, el jugador que lanza el dado debería recibir 125/1296 de la apuesta original, alrededor del 10%, producto de considerar las probabilidades de haber acertado en la primera tirada, en la segunda y en la tercera, es decir, en el pasado. De acuerdo con esto, el jugador que lanza el dado tiene derecho a alrededor del 10% dé la apuesta.
Pero Fermat decía que no era así: «Si mi oponente me ofrece ese 10% para que no tire una vez más, sería un error aceptarlo». La probabilidad de obtener un seis en una tirada más es la misma que en cualquier otra tirada, 1/6, alrededor del 17%. Pascal vio su error y aceptó la solución de Fermat; él pasado no importa. Lo único que importa, para calcular la probabilidad, es el futuro.
Pero a continuación Pascal planteó algunas dudas. En primer lugar, intentó simplificar el problema reduciéndolo a un juego de monedas (cara o cruz), de forma que los momios estuvieran igualados para ambos jugadores. A partir de ello, utilizando un método recursivo, cuya álgebra es bastante compleja, propuso la solución al problema completo, considerando ya no solo la cuarta tirada, sino también el resto de posibilidades: que el tirador ganara en la quinta, sexta, séptima u octava tirada o que perdiera al cabo de todas ellas.
Fermat respondió que el análisis de Pascal era correcto, pero propuso un método mucho más simple. En vez de la complicada respuesta algebraica de Pascal, el tolosano realizó simplemente un recuento de casos posibles y eligió entre ellos los favorables. Sin embargo, con una intuición increíble (dado que ni él ni Pascal hicieron ningún esfuerzo empírico para confirmar sus resultados), hizo algo muy curioso: no se detuvo cuando el tirador había ganado, sino que consideró casos en las que este ganaría en las tiradas quinta a séptima, si la partida seguía.
Según Fermat, había que considerar todos esos casos para computar correctamente la probabilidad. Solo de esta forma se podía estar seguro de contar correctamente todos los casos posibles y todos los casos favorables. Acertaba, pero ni Pascal ni muchos de los que conocieron su método — en particular Roberval— entendieron al principio por qué– ¿Por qué había que continuar el juego cuando uno de los jugadores ya había ganado? Era absurdo considerar esos casos, dado que en un juego real la acción se detendría en cuanto alguien ganara, de la misma forma que se detiene un partido de tenis cuando uno de los jugadores llega a tres de cinco mangas ganadas, lo haga en tres o lo haga en cinco. Es cierto, comentaba Pascal en su respuesta, que dos jugadores pueden seguir jugando después de que uno haya ganado, y que, por lógica, el resto de las jugadas no alterará el resultado, pero, ¿qué ocurriría si fueran tres o más?
El triángulo de PascalAunque Pascal no descubrió el triángulo, si fue el primero en Occidente en explorarlo a fondo. Antes que él varios matemáticos indios, persas, chinos y occidentales habían tratado aspectos de esta curiosa estructura. La propiedad más elemental del triángulo es que una casilla dada es el resultado de sumar las dos casillas encima de ella. De este principio tan sencillo se deriva una enorme cantidad de resultados.Por ejemplo, el desarrollo de un binomio elevado a una potencia n–1 en cada uno de sus términos, los coeficientes correspondientes a la enésima fila del triángulo. Así:
( a + b)0 = 0
( a + b)1 = 1× a + 1× b
( a + b)2 = 1× a2 + 2× ab + 1× b2
( a + b)3 = 1×3 + 3× a2 b + 1× b2
( a + b )4 = 1× a4 + 4× a3 b + 6× a2 b2 + 4× ab3 + 1× b3
Otra aplicación inmediata del triángulo es el cálculo de combinaciones. En efecto, la casilla k de la fila n corresponde a todas las formas de escoger k elementos entre n, sin importar el orden,Por ejemplo, si tenemos cuatro elementos y queremos escoger dos de ellos sin importar el orden, podemos hacerlo de seis formas:
Imaginemos que hay tres jugadores que tienen igual probabilidad de ganar. Si uno de ellos ha ganado, digamos, a la cuarta oportunidad, no le conviene seguir el juego, porque otro de los jugadores podría empatarle. Esto no ocurre con dos jugadores, pero puede ocurrir con tres o más. Pascal le preguntó a Fermat; «¿Cómo entonces se puede seguir sosteniendo que hay que considerar todos los casos hasta el total de las ocho jugadas?». ¿No estaba Fermat considerando un caso poco realista?
Pascal no solo planteó la pregunta. Se respondió a sí mismo utilizando su triángulo para calcular todas las combinaciones posibles. La respuesta que obtuvo, según le pareció, no era la correcta, y ahí creyó encontrar una paradoja en el método de Fermat. A esa carta, la más compleja que escribió Pascal, fechada el 24 de agosto de 1654, Fermat respondió muy brevemente.
El error de Pascal era obvio para el magistrado tolosano: había olvidado que, aunque se tomaran en cuenta todas las combinaciones, porque se asumiera que el juego continuara hasta el final, ello solo tendría el efecto de considerar todos los casos posibles. Los casos favorables, por ejemplo, al jugador A, eran solo aquellos en los que A ganaba aunque B y C le empataran después. Ese empate era irrelevante porque A ya había ganado. Es como si un partido de fútbol terminara 2–1 pero los jugadores acordaran, para divertirse, seguir jugando un rato más. El resultado oficial, independientemente de si el equipo perdedor empata después, seguirá siendo 2–1. En otras palabras, hay que tener en cuenta el orden en el que ocurren los casos favorables, Si calculamos los casos favorables basándonos en el orden, la paradoja desaparece.
La apuesta de PascalEs curioso el hecho de que Pascal usara la teoría de la probabilidad en una de sus más importantes obras teológicas. El matemático francés fue un importante pensador católico, influido por el jansenismo. En sus célebres Pensées, libro que comenzó a raíz de la muerte de su padre pero que no terminó jamás. Pascal plantea la creencia en Dios de forma utilitarista, como una apuesta: si no creemos en Él, pero existe en realidad, nos habremos condenado eternamente; por tanto, lo racional es creer en Él porque incluso si no estamos seguros, el valor esperado —la salvación eterna — es infinitamente mayor si creemos que si no creemos (la condenación eterna). Este argumento ha sido criticado por varios filósofos, pero lo relevante aquí es apreciar cómo el pensamiento matemático había permeado la filosofía de Pascal.
Pascal aceptó la explicación de Fermat y dio por resuelto y dio por resuelto el problema. Ni Pascal ni Fermat volvieron activamente a la teoría de la probabilidad. De todas formas, de esta breve correspondencia, habían surgido ideas seminales importantísimas para el posterior desarrollo de la teoría de la probabilidad, que continuó primero Christiaan Huygens y, posteriormente, la genial familia Bernoulli.
La corrección de Fermat sobre el espacio de muestra es poco intuitiva, y cuesta mucho entenderla. Veámoslo con un ejemplo. Pongamos por caso que una persona dice que tiene dos hijos, de los cuales uno es varón. ¿Cuál es la probabilidad de que su otro hijo sea varón? La mayor parte de la gente responderá 50%. Pero esto es incorrecto. Hay cuatro posibilidades en el espacio de muestra, que podemos listar de la forma siguiente VH, VV, HV, HH. Claramente, la cuarta posibilidad se descarta por la información que nos han proporcionado. Pero quedan tres, no dos posibilidades igualmente probables. Por tanto, la probabilidad de que el otro hijo sea varón es de 1/3.
Pascal y Fermat habían planteado la forma de razonar sobre el futuro. Este era, sino completamente predecible, evento a evento, sí predecible en general, cuando eventos similares se repiten lo suficiente. Era un cambio asombroso, cuyas aplicaciones futuras apenas podían vislumbrar.
En un memorial dirigido a la Academia de Mersenne, Pascal hablaba de sus trabajos matemáticos, terminando con la correspondencia que había mantenido con Fermat. Ahí aseguraba que ambos habían logrado algo paradójico:
Así, juntando el rigor las demostraciones de la ciencia con la incertidumbre del azar, y conciliando ambas cosas en apariencia contrarias, puede, obteniendo su nombre de las dos, atribuirse con razón el asombroso titulo de «geometría del azar».Pascal, pues, tenía ya plena conciencia del logro; encontrar que el azar se repartía, como norma general, de forma «justa» (son sus palabras, algo teológicas), y que dicho reparto era matematicable porque cuando se refiere a geometría, Pascal en realidad quiere decir matemáticas. Por desgracia, al tiempo que la correspondencia entre Pascal y Fermat se desarrollaba, el primero ya había enfermado gravemente. En alguna de sus cartas le comentó al tolosano que estaba en cama y que, a pesar de haber recibido su carta, no había tenido oportunidad de leerla. Blaise Pascal desarrolló, casi seguramente, un cáncer de estómago que terminaría con sus días. Enfermo desde los veinte años, presa de atroces cefaleas, Pascal se consumía lentamente.
Seis años después de su breve correspondencia, en 1660, sabedor de que Pascal había ido a su natal Clermont desde París para una cura, Fermat le propuso una entrevista personal. El tolosano tampoco se sentía ya con fuerzas de emprender el viaje, y le propuso a Blaise un punto intermedio. Pero Pascal respondió que no le era posible. Asimismo, participaba a Fermat que le hubiera encantado conocerle personalmente, no por la matemática (la geometría, decía él), que no le haría dar ya ni dos pasos, sino por el placer de conversar con una persona a la que tanto admiraba. Llamando a Fermat « el mayor geómetra de Europa», expresaba al mismo tiempo indiferencia por tal oficio, asegurándole que las cualidades de su alma eran más valiosas que todo su conocimiento matemático. El teólogo había ganado la partida sobre el científico en el corazón del enfermo Pascal.
Sea como fuere, Pascal le comunicó que su propósito era volver a París de la forma más suave posible: a través de canales. Adivinamos que su sufrimiento le hacía imposible siquiera la idea de subirse una diligencia. Pascal murió con treinta y nueve años, como el verdadero asceta que fue toda su vida. Su religiosidad le convenció de que el sufrimiento era una condición natural del hombre, y aceptó su cruz con valor y estoicismo. Vio cómo el jansenismo que tanto había defendido era declarado herejía por el papa y por tanto suprimido por el rey, escribió una postrera obra en defensa de sus ideas, y falleció el 18 de agosto de 1662. Fermat se había quedado solo. Estaba Christiaan Huygens, como posible discípulo, pero el holandés, aunque reconocía su genio, era incapaz de entenderle. El gran genio matemático del siglo XVII no logró crear una escuela.
§. La óptica y el principio de Fermat
Recordemos que la polémica con Descartes comenzó con unas observaciones de Fermat sobre la Dióptrica, uno de los apéndices del Discurso del método. No hemos abundado en el capítulo anterior en las objeciones de Fermat, debido, entre otras cosas, a que fueron muy brevemente debatidas entre los dos. Rápidamente, la polémica se centró en los métodos de máximos y mínimos y las tangentes. Pero hacia el final de su vida, y con el fallecimiento de Descartes ocho años antes, Fermat revivió la polémica en lo que fue su última contribución a la ciencia.
«Me encantaría saber lo que él [Fermat] responderá, tanto sobre la carta adjunta a esta, donde respondo a su obra sobre máximos y mínimos, como a la precedente, donde repliqué a su demostración contra mi Dióptrica. Pues he escrito ambas para que él las lea, si me hacéis esa merced.»
Descastes en una carta enviada a Mersenne el 18 de enero de 1638
Fierre de Fermat fue, sobre todo, un matemático. Su interés por la física, lo que entonces se llamaba «filosofía natural», fue muy marginal, limitado a algunos comentarios en defensa de las ideas geoestáticas de su amigo Beaugrand y a la famosa polémica con Descartes sobre óptica. Fermat no entró en dicha polémica por propio pie. Pensó que tanto Mersenne como Beaugrand le pedían un comentario sobre el trabajo de Descartes, e hizo ese comentario con la mejor voluntad, sin darse cuenta de que ello le acarrearía la enemistad del filósofo.
Las objeciones de Fermat en el temprano año de 1637, cuando su correspondencia con Mersenne apenas comenzaba, eran fundamentalmente filosóficas. Fermat era un firme defensor del empirismo que había encontrado en Francis Bacon.
Según Fermat, la verdad en las ciencias físicas solo podía ser encontrada a través de la experimentación, como había hecho Galileo. Descartes daba un paso atrás, siempre según Fermat: usaba un método racionalista, totalmente aristotélico, para intentar llegar a verdades sobre la naturaleza. Había otro elemento que permeaba la crítica inicial de Fermat hacia la Dióptrica. Descartes había evitado publicar uno de los apéndices de su obra, El tratado del mundo, en el que explicaba sus principios físicos, por miedo a la Inquisición. No hacía muchos años que Galileo había sido condenado, y Descartes defendía un sistema heliocéntrico, igual que Galileo. Así que Descartes se abstuvo de publicar, privando a la Dióptrica de su justificación física y dejándola en un simple tratarlo matemático. Por tanto, Fermat no tenía forma de conocer las ideas físicas de Descartes. Tan solo conocía su metodología general racionalista Y los principios matemáticos de Dióptrica se le antojaron arbitrarios, sin ninguna base.
Veamos a continuación lo que Fermat no conocía. La luz, para Descartes, es un impulso que se comunica por colisión entre partículas muy sutiles, como bolas de billar (prácticamente toda la física cartesiana se basa en colisiones). Como símil Descartes hablaba del bastón de un ciego, que al chocar con algo, transmite el impulso de ese choque a la mano del ciego. La luz opera con el ojo de forma similar, siendo el bastón la sucesión de partículas que colisionan unas con otras. Su transmisión, además, es instantánea.
Descartes seguía razonando que el impulso, al ser una «fuerza» (la fuerza cartesiana no es la misma que la fuerza newtoniana con la que estamos familiarizados), podía descomponerse vectorialmente. A partir de ello derivaba las leyes de la reflexión, que para él era como el choque de una bola de billar contra una pared inamovible (como se puede comprobar, dicho choque tiene la misma propiedad que la reflexión: el ángulo de incidencia y el de salida son iguales). De forma más polémica, Descartes derivaba la ley de la refracción — lo que hoy conocemos como ley de Snell— de la conjetura de que, al cambiar a un medio más denso, era necesario que la luz ejerciera más fuerza para poder transmitirse, contrarrestando la resistencia del medio.
Reflexión y refracciónLa reflexión especular (figura 1) ocurre cuando la luz es total o parcialmente reflejada por una superficie reflejante, como un metal o un charco de agua.
Según sabemos hoy, aunque esto era todavía algo polémico en el siglo XVII, la ley de reflexión de la luz dice que:
1. El rayo incidente PO, el rayo reflejado OQ y la normal están en el mismo plano, por lo que dicho plano es perpendicular a la superficie.
2. θi = θr
3. PO y OQ se encuentran en lados opuestos de la normalLa refracción (figura 2) ocurre cuando la luz pasa de un medio transparente de cierta densidad a uno de densidad distinta. Se evidencia con la familiar imagen de la cuchara que parece «doblada» cuando está parcialmente sumergida en agua. La ley de refracción, conocida como ley de Snell, dice que el seno del ángulo entre el rayo incidente y la normal es al seno del ángulo entre la normal y el refractado como las respectivas velocidades son una a otra, y como el inverso de los respectivos índices de refracción uno a otro:
El modelo de Descartes tenía un problema: en un universo de bolas de billar, si cambiar de medio es, por ejemplo, atravesar una tela muy delgada, el ángulo previsto por la bola que atraviesa dicha tela se aleja de la normal, es decir, el ángulo crece. En cambio, lo que se observa en óptica es que el ángulo decrece. Para explicar esta discrepancia, Descartes imaginó un apaño físico: una explicación ad hoc, sin ninguna base ya no digamos experimenta], sino siquiera fundamentada en sus propios principios físicos. Ahora bien, toda esta explicación solo tiene sentido si se conocen los principios de la física cartesiana. La justificación de la teoría de la luz de Descartes está en su física, no en sus matemáticas.
Fermat no se dio cuenta de que necesitaba entender la física cartesiana para comprender la Dióptrica, ni Descartes ni los cartesianos advirtieron que Fermat ignoraba la física subyacente. Para ellos, Fermat simplemente no la entendía. En cambio, el tolosano veía injustificadas las derivaciones cartesianas. Otra vez estaba inmerso en un diálogo de besugos, como tantos en los que participó Fermat durante su vida. De todas formas, la física cartesiana hubiera repugnado a Fermat; y hubiera hecho bien, porque Descartes se equivocaba al reducir todo el mundo a colisiones entre partículas.
La polémica en aquella época no duró demasiado. Pero en 1658, Claude Clerselier contactó a Fermat para consultarle sobre la controversia, dado que estaba preparando una edición de las cartas de Descartes. Clerselier solo estaba interesado en averiguar si existían más de las dos cartas de Fermat que había encontrado, pero este le contestó con una larga carta en la que, además de las objeciones que había planteado en 1637, añadía otras nuevas. Para su asombro, Clerselier vio que Fermat quería reabrir la polémica.
A esas alturas Descartes había muerto, pero el resentimiento de Fermat contra el hombre que le había menospreciado y había intentado manchar su reputación no había decaído. Es posible también que, en ese momento de su vida, amargado por los múltiples fracasos en interesar a sus contemporáneos por la teoría de números, Fermat considerara que los ataques de Descartes habían contribuido a que no se le hiciera caso. Su carácter, afable al principio en medio de las discrepancias, se había agriado. Sea como fuere, Clerselier y otro matemático francés, Jacob Rohault, contestaron defendiendo a Descartes, Fermat no se amilanó, volvió la carga, y esta nueva polémica se prolongó durante cuatro años. La falta de interés que había mostrado en 1637 por involucrarse en cuestiones físicas había desaparecido del todo: estaba listo para la batalla.

Estampilla conmemorativa del último teorema de Fermat

El matemático neerlandés Christiaan Huygens fue uno de los pioneros en el desarrollo da la teoría de la probabilidad y utilizó como fundamento los estudios realizados por Pascal y Fermat.
Ahora bien, aunque Fermat lo planteó en estos términos, un análisis detallado de su razonamiento revela que no estaba calculando el camino más corto. Estaba calculando, en realidad, el tiempo más corto. Fermat había cambiado el principio de Herón: no midió distancias, sino tiempos. ¿Por qué, entonces, intentó Fermat enmascarar su razonamiento, basándolo en la autoridad del matemático griego? Por un lado, faltó a su convicción empirista. El principio de Fermat, que así se llama ahora, era en ese momento un postulado axiomático más que un resultado empírico. Fermat, para luchar contra Descartes, aceptó los términos de éste: matematización de la naturaleza y renuncia al empirismo, razonando a partir de postulados, como si la física fuera una rama de las matemáticas.
Pero, de forma más importante, Fermat se acogió a un principio de autoridad y enmascaró su verdadero método. Está claro por qué: tanto Cureau como Descartes pensaban que la luz se propagaba de forma instantánea, o, dicho de otro modo, que su velocidad era infinita. Pero para hablar del tiempo que tarda la luz en atravesar un medio dado es obvio que hay que asumir que la velocidad de la luz es finita. Sin duda, Fermat quería evitar esa polémica, en la que no tenía argumentos sólidos, y prometió enviarle a Cureau una demostración de la ley de refracción basada en ese principio. Cuatro años después, aún no lo había hecho. Cureau le imploró que se diera a la tarea, pero Fermat contestó que no tenía tiempo de realizar los complejos cálculos necesarios. Sin embargo, finalmente Fermat accedió y derivó la ley de refracción del principio que lleva su nombre, usando su método de máximos y mínimos.
Es asombroso cómo, en Fermat, los temas recurren una y otra vez. Por otro lado, es lógico: el principio de Fermat es un ejemplo de lo que se conoce en física como principios extrémales, que requieren calcular un máximo o un mínimo, en este caso, el tiempo mínimo. La formulación de la mecánica o de la óptica en términos de dichos principios tiene una importancia capital. En mecánica, por ejemplo, dichos principios son más básicos que las leyes de Newton, y de una aplicación mucho mayor el principio de mínima acción es válido tanto para la mecánica newtoniana como para la relatividad o la mecánica cuántica; lo único que cambia es la definición detallada de lo que hay que minimizar. Fermat, por tanto, estaba planteando, una vez más, un formalismo con un futuro inmenso.
En todo caso, el tolosano logró derivar la ley de refracción a partir de su principio, que, esta vez sí, era postulado de forma explícita. Y para su enorme sorpresa, ¡era la misma ley que había derivado Descartes! Claramente, la derivación de Fermat era mucho mejor. En primer lugar, se había basado en un principio de gran elegancia y simplicidad, que, ahora sabemos, es de aplicación universal en óptica sin que sea necesario hacer conjeturas sobre la naturaleza de la luz (solo sobre la finitud de su velocidad). En segundo, no requiere hipótesis ad hoc. Se deriva naturalmente del principio mismo.
Fermat estaba feliz. Los cartesianos verían confirmada la ley de refracción, que, a su vez, estaba derivada de una forma mucho más convincente que la que había usado Descartes. Nuevamente, la ingenuidad de nuestro personaje traicionó sus expectativas. Los cartesianos estrictos, como Clerselier, no podían transigir, no podían abandonar al maestro. La polémica continuó, ahora centrada en la derivación de Fermat.
Es una ironía que la última carta conocida que Fermat escribió sobre un tema científico, en 1662, fuera para defender su derivación, dado el poco interés que mostró durante toda su carrera por la física matemática, la cual, le decía a Mersenne en su primera carta, ni le interesaba ni se sentía capacitado para ejercerla Sabemos, por su última carta a Pascal, que ya desde 1660 se sentía enfermo y sin las fuerzas necesarias para hacer el trayecto a Clermont. Al año siguiente, hizo gestiones para que su hijo Clément–Samuel heredara sus cargos. El fin, intuía, estaba cercano.
A partir de 1662 todo es silencio. Lo poco que se sabe de los últimos años de Fermat se deriva de su carrera profesional. En 1663 el intendente del Languedoc, Bezin de Bésons, escribió a Colbert la carta donde analizaba a los consejeros del Parlamento de Toulouse, considerando a Fermat un gran erudito políticamente inofensivo, e incluso algo torpe en cuestiones profesionales. Ni Séguier antes que él ni Colbert tenían nada que temer del ingenuo magistrado, el sabio que se recreaba en las certidumbres matemáticas al tiempo que huía de la política.
Pero el magistrado siguió trabajando. Su sentido del deber era excepcional. Como ya se ha dicho, con frecuencia impidió que su dedicación a las matemáticas fuera mayor de la que fue. El 9 de enero de 1665 dictó su último acto judicial. Apenas tres días después, Pierre de Fermat murió en Castres, la ciudad con la que tan ligada estuvo su carrera profesional, y fue enterrado sin pompa en el cementerio local. Su panegírico fue publicado, probablemente por Pierre de Carcavi, en el Journal de Savants del 9 de febrero de 1665, expresando preocupación de que su desperdigada obra pudiera editarse finalmente en un magnus opus para que el mundo conociera la genialidad de Fermat:
Con gran tristeza hemos sabido de la muerte de M. de Fermat, consejero del Parlamento de Toulouse. Fue una de las más brillantes mentes de este siglo, un genio tan universal y de tal calibre que, si los sabios no hubieran sido testigos de su mérito extraordinario, apenas podríamos creer todo lo que de él se ha dicho, y nos quedaríamos cortos en sus alabanzas.
Pero, como hemos dicho, su obra pudo no sobrevivirle. El amor de hijo de Clément–Samuel, recopilando pacientemente sus obras, como el aduanero de Lao Tse, primero en sus comentarios a la Aritmética de Diofanto y luego en una Varia Opera. Mathematica, fue el primer paso para preservar sus obras. También Jacques de Billy y John Wallis, cada uno por su cuenta, publicaron elementos de la obra de Fermat.

Convento de los agustinos de Toulouse donde fue sepultado Fermat a los diez años de su muerte.
- Alsina Barnes, C., La secta de los números: el teorema de Pitágoras, Barcelona, RBA, 2010.
- Bell E. T., Los grandes matemáticos, Buenos Aires, Losada, 2010
- Boyer, C., Historia de la matemática, Madrid, Alianza Editorial, 2007.
- Du Sautoy, M., La música de los números primos, Barcelona, El Acantilado, 2007
- Fermat, P., Pascal, B., La geometría del azar (la correspondencia entre Pierre de Fermat y Blaise Pascal), Basulto Santos, Jesús; Carmúñez Ruiz, José Antonio (ed.), Tres Cantos (Madrid), Nivola, 2007.
- González Urbaneja , P.M., Fermat y los orígenes del cálculo diferencial, Tres Cantos (Madrid), Nivola, 2008.
- Gracián, E.: Los números primos: un largo camino al infinito, Barcelona, RBA, 2010.
- Mahoney, M.S., The Mathematical Career of Pierre de Fermat 1601–65, Princeton, Nueva Jersey, Princeton University Press, 1973.
- Navarro J., Al otro lado del espejo: la simetría en matemáticas, Barcelona, RBA, 2010.
- Singh, S., El enigma de Fermat, Barcelona, Planeta, 2006.
- Stewart, I ., Historia de las matemáticas, Madrid, Crítica, 2008



de la matemática del siglo XVIII. Su trabajo cubre prácticamente todas las áreas vigentes en su momento, al tiempo que importantes trabajos en física. Euler ocupó destacados puestos en las Academias Reales de Rusia y Prusia, bajo Catalina la Grande y Federico II, donde se codeó con reyes y pensadores de la talla de Voltaire. Tuerto de un ojo, Euler terminó por perder la vista del todo, pero ello no le Impidió seguir produciendo a) ritmo de un articulo a la semana. Dotado de una memoria prodigiosa, lograba componer sus teoremas en su mente de la misma forma en que podía recitar sin problema la Eneida de principio a fin. De él se cuenta que, estando Catalina harta de los desplantes ateos de Diderot, pidió a Euler que le humillara públicamente. Euler se acercó al filósofo y le espetó: 
Como todas las mujeres científicas hasta el siglo XX, la matemática parisina Sophie Germain (1776–1031) se enfrentó a múltiples problemas para seguir su carrera científica. Sin educación formal, se hizo Con las notas de l’École Polytechnique para estudiar. Se carteó con los grandes matemáticos de la época, como Joseph–Louis Lagrange, Adrien–Marie Legendre y Gauss, haciéndose pasar por un tal «señor LeBlanc» Gauss se enteró de su Identidad en las circunstancias más curiosas Imaginables. Habiendo ocupado les tropas napoleónicas la localidad alemana en la que Gauss vivía. Germain temió por la vida de su corresponsal, recordando el ejemplo de Arquímedes, así que escribió al general Pernety, amigo de su familia, rogándole que protegiera al genio. Pernety mandó un destacamento que informó a Gauss de las gestiones de Sophie. Emocionado y asombrado. Gauss escribió a Germain haciéndole notar cómo los estúpidos prejuicios de la época hacían que una mujer requiriera ser en realidad una persona del «más noble valor, extraordinario talento y genio superior» para lograr vencer los obstáculos que se oponían a su carrera. 

combatiendo en Flandes contra España. Participó también en la Guerra de los Treinta Años, bajo el mando del duque Maximiliano de Baviera, siendo destinado a La Rochelle, en la misma que Alejandro Dumas imaginó sus mosqueteros. Estando en campaña, tuvo una iluminación: todas las verdades tenían que estar encadenadas y basadas en una verdad primera. Su Pienso, luego existo.







