
Agradecimientos
Como siempre, estoy en deuda con mucha gente por la ayuda experta y los consejos que me han proporcionado para la preparación de este libro, y en especial con:En Inglaterra: los profesores Tim Burt, Maurice Tucker y Mark White de la Durham University; el reverendo Nicholas Holtman de la iglesia de St. Martin-in-the-Fields de Londres; el reverendísimo Michael Sadgrove de la catedral de Durham; Keith Blackmore de The Times; Beth McHattie y Philip Davies del English Heritage; Aosaf Afzal, Dominic Reid y Keith Moore de la Royal Society; y al personal de la London Library y la Durham University Library.
En Estados Unidos: Elizabeth Chew, Bob Self, Susan Stein, Richard Gilder y Bill Beiswanger de Monticello; Dennis Pogue de Mount Vernon; Jan Dempsey de la Wenham Public Library de Massachusetts; y el personal de la Lauingier Library de la Georgetown University y la Drake University Library de Des Moines.
Estoy asimismo en deuda, y en tantos sentidos que resulta imposible citarlos todos, con Carol Heaton, Fred Morris, Gerry Howard, Marianne Velmans, Deborah Adams, Sheila Lee, Dan McLean, Alison Barrow, Larry Finlay, Andrew Orme, Daniel Wiles y Tom y Nancy Jones. Deseo expresar mi particular agradecimiento a mis hijos Catherine y Sam por su heroica y bondadosa ayuda. Y por encima de todo, como siempre, mi mayor agradecimiento a mi querida e infinitamente paciente esposa, Cynthia.
Para Jesse y Wyatt
Poco después de que nos trasladáramos a vivir a una antigua rectoría anglicana situada en un pueblecito de tranquilo anonimato en Norfolk, encontré motivos suficientes para subir al desván a investigar el origen de un lento pero misterioso goteo. Como en nuestra casa no había escalera que subiese al desván, para acceder a él no quedó otro remedio que recurrir a una alta escalera de mano y contornearme de forma indecorosa a través de una portilla que se abría en el techo, razón por la cual todavía no había subido allí (ni he vuelto a hacerlo con mucho entusiasmo desde entonces).
Siempre resulta emocionante descubrirte contemplando un mundo que conoces bien pero que nunca has visto desde ese ángulo. Estaría a unos quince metros de altura, lo que en medio de Norfolk casi siempre es garantía de unas buenas vistas. Justo delante de mí tenía la antigua iglesia de muros de sílex a la que nuestra casa había estado asociada en su día. Más allá, a los pies de una suave ladera y algo separado de la iglesia y la rectoría, estaba el pueblo al que ambas pertenecían. A lo lejos, en la otra dirección, se alzaba la abadía de Wymondham, un conglomerado de esplendor medieval dominando el horizonte sureño. A media distancia, en el campo, retumbaba un tractor trazando surcos rectos en la tierra. Por lo demás, se extendía en todas direcciones la tranquila, agradable y atemporal campiña inglesa. Lo que le daba a todo aquello cierta inmediatez era que justo el día anterior había estado paseando por buena parte de aquel paisaje en compañía de un amigo llamado Brian Ayers. Brian acababa de jubilarse como arqueólogo del condado y debía de saber acerca de la historia y el paisaje de Norfolk más que ningún otro ser vivo. No había estado nunca en la iglesia de nuestro pueblo y le apetecía echarle un vistazo. Se trata de un edificio elegante y antiguo, más viejo que Notre Dame de París y de la misma época que las catedrales de Chartres y Salisbury. Pero Norfolk está lleno de iglesias medievales —tiene 659, más por kilómetro cuadrado que cualquier otro lugar del mundo—, por lo que es fácil pasar por alto una de ellas.
— ¿Te has fijado —me preguntó Brian cuando entramos en el cementerio— en que muchas iglesias rurales parece que estén hundiéndose en el terreno? —señaló el punto donde se veía como si el edificio estuviera colocado en una leve inclinación, como un peso situado sobre un cojín. Los cimientos de la iglesia estarían un metro por debajo del camposanto que la rodeaba—. ¿Sabes por qué?
Admití, como suele suceder cuando estoy con Brian, que no tenía ni idea.
—Pues no es porque la iglesia esté hundiéndose —dijo Brian, sonriendo—. Es porque el cementerio ha subido. ¿Cuántas personas imaginas que habrá enterradas aquí?
Miré las tumbas en un intento de hacer una estimación, y le dije:
—No lo sé. ¿Ochenta? ¿Un centenar?
—Me parece que andas un poco por debajo —replicó Brian, en un alarde de bondadosa ecuanimidad—. Piénsalo bien. Una parroquia rural como ésta tiene una media de doscientos cincuenta habitantes, lo que se traduce más o menos en unos mil fallecimientos por siglo, a los que hay que sumar los de unos cuantos miles de pobres almas más que ni siquiera llegaron a la madurez. Multiplica esto por el número de siglos que la iglesia lleva en pie y verás que lo que tienes aquí no son ochenta o cien enterramientos, sino una cifra que rondaría más bien los veinte mil.
Esto, no hay que olvidar, a escasos pasos de la puerta de mi casa.
— ¿Veinte mil? —dije.
Movió la cabeza en un prosaico gesto afirmativo.
—Un montón de gente, huelga decir. Por eso el terreno ha subido casi un metro —me concedió un momento para digerir aquello y continuó—. En Norfolk hay unas mil parroquias. Multiplica todos los siglos de actividad humana por mil parroquias y verás que tienes ante ti una cantidad impresionante de cultura material —miró pensativo las diversas agujas de campanarios que se perfilaban en el paisaje—. Desde aquí pueden verse diez o doce parroquias, lo que significa que nuestra vista alcanza a ver aproximadamente un cuarto de millón de enterramientos, y todo eso en un lugar que ha sido siempre tranquilo y rural, donde nunca ha pasado gran cosa.
Era la forma de Brian de explicar cómo un condado bucólico y escasamente poblado como Norfolk era capaz de producir 27.000 descubrimientos arqueológicos anuales, muchos más que cualquier otro condado en Inglaterra.
—La gente lleva mucho tiempo tirando sus cosas por aquí… desde mucho antes de que Inglaterra fuera Inglaterra.
Me enseñó un mapa con todos los descubrimientos arqueológicos conocidos de nuestra parroquia. Prácticamente todos los yacimientos habían dado algún fruto: herramientas neolíticas, monedas y cerámica romanas, broches anglosajones, sepulturas de la Edad de Bronce, granjas vikingas. Justo pasados los límites de nuestra propiedad, en 1985, un granjero descubrió, atravesando un campo de cultivo, un excepcional colgante de época romana de inconfundible forma fálica.
Todo aquello me resultaba, y sigue resultándome, asombroso: imaginarme un hombre envuelto en su toga de pie en lo que ahora eran los límites de mi finca, palpándose por todas partes y comprendiendo con consternación que acababa de perder su precioso recuerdo, que luego había permanecido enterrado en la tierra durante diecisiete o dieciocho siglos, durante interminables generaciones de actividad de humana, durante las idas y venidas de anglosajones, vikingos y normandos, en los tiempos del surgimiento del idioma inglés, del nacimiento de la nación inglesa, del desarrollo ininterrumpido de la monarquía y todo lo demás, hasta ser finalmente recogido por un campesino de finales del siglo XX, es de suponer también que con cierta consternación.
Y ahora, desde el tejado de mi casa, asimilando aquel inesperado panorama, caí en la cuenta de lo magnífico que era que en dos mil años de actividad humana lo único que había llamado la atención del mundo exterior, por brevemente que fuera, hubiera sido el descubrimiento de un colgante romano de forma fálica. El resto no eran más que siglos y siglos de gente viviendo tranquilamente su día a día —comiendo, durmiendo, practicando el sexo, haciendo lo posible por divertirse— y se me ocurrió, con el poderío de un pensamiento experimentado con los cinco sentidos, que en realidad la historia es básicamente esto: montones de gente haciendo cosas normales. Incluso Einstein debió de pasar parte de su vida pensando en sus vacaciones o en su nueva hamaca o en lo delicado del tobillo de la joven dama que acababa de bajar del tranvía al otro lado de la calle. Son las cosas que llenan nuestra vida y nuestros pensamientos, y que aun así, tratamos como secundarias y apenas merecedoras de consideración formal. No sé cuántas horas de mis años escolares dediqué a estudiar el Compromiso de Missouri o la Guerra de las Dos Rosas, pero fueron inmensamente más de las que se me animó, o se me permitió dedicar, a la historia del comer, del dormir, de la práctica del sexo o del hacer todo lo posible por divertirse.
De modo que pensé que sería interesante, y que podría llenar un libro con ello, considerar las cosas normales de la vida, fijarse en ellas de una vez por todas y tratarlas como si también fuesen importantes. Echando un simple vistazo a mi casa, me quedé sorprendido, y también algo horrorizado, al darme cuenta de lo poco que sabía sobre el mundo doméstico que me rodeaba. Una tarde, sentado a la mesa de la cocina, jugueteando con el salero y el pimentero, se me ocurrió que no tenía ni la más mínima idea de por qué, de entre todas las especias del mundo, tenemos un vínculo tan perdurable con estas dos. ¿Por qué no pimienta y cardamomo, por ejemplo, o sal y canela? ¿Y por qué los tenedores tienen cuatro puntas y no tres o cinco? Todo debe tener sus motivos.
Vistiéndome, me pregunté por qué todas las chaquetas de mis trajes tienen una hilera de botones inútiles en cada manga. En la radio oí que hablaban de alguien que había pagado por room and board [1] , y me di cuenta de que cuando la gente habla de eso no sé a qué se refiere. De pronto, la casa empezó a parecerme un lugar lleno de misterios.
Y así fue como tuve la idea de iniciar un viaje, de deambular de habitación en habitación y reflexionar sobre cómo cada una de ellas ha figurado en la evolución de la vida privada. El baño sería una historia de la higiene, la cocina del arte culinario, el dormitorio del sexo, la muerte y el sueño, y así sucesivamente. Escribiría una historia del mundo sin salir de casa.
La idea tenía cierto atractivo, todo hay que decirlo. Había escrito hacía poco un libro en el que intentaba comprender el universo y cómo se ensambla todo, una empresa peliaguda, como es de suponer. De manera que la idea de trabajar con algo tan pulcramente delimitado y tan confortablemente finito como una vieja rectoría de un pueblo inglés tenía atractivos evidentes. Era un libro que podía hacer en zapatillas.
Pero nada de eso. Las casas son repositorios asombrosamente complejos. Lo que descubrí, para sorpresa mía, es que todo lo que sucede en el mundo —todo lo que se descubre, o se crea, o todo aquello por lo que se pelea amargamente— acaba terminando, de una manera u otra, en tu casa. Guerras, hambrunas, la Revolución industrial, la Ilustración, todo está ahí, en los sofás y las cajoneras, escondido entre los pliegues de las cortinas, en la aterciopelada suavidad de las almohadas, en la pintura de las paredes y el agua de las cañerías. Y por ello la historia de la vida doméstica no es sólo una historia sobre camas, sofás y cocinas, como más o menos me imaginé que iba a ser, sino sobre escorbuto, guano, la Torre Eiffel, chinches, profanación de tumbas y prácticamente todo lo que ha sucedido. Las casas no son el refugio de la historia. Son el lugar donde termina la historia.
No es necesario que advierta que la historia de cualquier tipo tiende a dispersarse. Para encajar la historia de la vida privada en un único volumen, tuve claro de entrada que tendría que ser dolorosamente selectivo. En consecuencia, y a pesar de que de vez en cuando me aventuro en el pasado lejano (es imposible hablar de baños sin hablar de los romanos, entre otras cosas), lo que sigue se concentra principalmente en sucesos de los últimos ciento cincuenta años, cuando nació el verdadero mundo moderno, casualmente la edad de la casa por la que estamos a punto de empezar a andar.
Vista del interior del etéreo Palacio de Cristal de Joseph Paxton, construido con motivo de la Gran Exposición de 1851. Las verjas siguen en pie en los jardines de Kensington.
Aunque no he identificado el pueblo donde se encuentra la rectoría, quiero destacar que la casa es real, igual que son reales (o lo eran) las personas mencionadas con relación a ella. Quiero destacar asimismo que los párrafos del capítulo uno que hacen referencia al reverendo Thomas Bayes aparecieron de forma algo distinta en la introducción que escribí para Seeing Further: The Story of Science and the Royal Society.
§. 1
En otoño de 1850, en el Hyde Park de Londres se levantó una estructura extraordinaria: un invernadero gigante de hierro y cristal que ocupaba siete hectáreas y media de terreno y en cuya liviana inmensidad podían albergarse cuatro catedrales de San Pablo. Durante su breve existencia, fue el edificio más grande del planeta. Conocido formalmente como el Palacio de la Gran Exposición de los Productos de la Industria de Todas las Naciones, era incontestablemente majestuoso, pero más aún por ser tan repentino, tan asombrosamente cristalino, por estar tan gloriosa e inesperadamente allí. Douglas Jerrold, columnista del semanario Punch, lo apodó el Palacio de Cristal, y con ese nombre pasó a la historia.Tardaron cinco meses en construirlo. Y fue un milagro que llegara a edificarse. Menos de un año antes, ni siquiera existía como concepto. La exposición para la que fue diseñado era el sueño de un funcionario público, de nombre Henry Cole, cuya otra llamada de atención a la historia es la invención de la felicitación navideña (como una manera de animar a la gente a utilizar el nuevo correo a un penique). En 1849, Cole visitó la Exposición de París —un acontecimiento provinciano en comparación, limitado a fabricantes franceses— y se metió en la cabeza intentar algo similar en Inglaterra, aunque más grandioso. Convenció a muchos dignatarios, incluyendo al príncipe Alberto, y consiguió entusiasmarlos con la idea de una Gran Exposición, de tal modo que el 11 de enero de 1850 se celebró la primera reunión con vistas a celebrar la inauguración el 1 de mayo del año siguiente. Eso les daba menos de dieciséis meses para diseñar y erigir el edificio más grande jamás imaginado, atraer e instalar decenas de miles de muestras de todos los rincones del globo, acondicionar restaurantes y lavabos, contratar personal, organizar la cobertura aseguradora y la protección policial, imprimir prospectos y un millón de cosas más en un país que, para empezar, no estaba ni mucho menos convencido de que quería un evento tan costoso y perturbador. Era una ambición a todas luces inalcanzable, y durante los meses que siguieron se fracasó a todas luces en el intento de conseguirlo. Se celebró un concurso abierto al que se presentaron 245 diseños para el palacio de exposiciones. Todos ellos fueron rechazados por su falta de viabilidad.
Enfrentándose al desastre, el comité hizo lo que hacen a veces los comités cuando se encuentran en una situación desesperada: nombrar otro comité con un título más adecuado. El Building Committee of the Royal Commission for the Great Exhibition of the Works of Industry of All Nations estaba integrado por cuatro hombres —Matthew Digby Wyatt, Owen Jones, Charles Wild y el gran ingeniero Isambard Kingdom Brunel— y tenía una única orden, producir un diseño digno de la mayor exposición de la historia, que iba a inaugurarse en un plazo de diez meses, dentro de un presupuesto cerrado y reducido. De los cuatro miembros del comité, sólo el joven Wyatt era arquitecto de formación, aunque aún no había construido nada; en aquella fase de su carrera se ganaba la vida como escritor. Wild era un ingeniero cuya experiencia se limitaba casi exclusivamente a barcos y puentes. Jones era decorador de interiores. Sólo Brunel tenía experiencia en proyectos a gran escala. Era sin duda un genio, pero enervante, pues para encontrar el punto de intersección entre sus desorbitadas visiones y una realidad alcanzable casi siempre se hacían necesarias épicas inversiones de tiempo y dinero.
La estructura que los cuatro hombres presentaron era un objeto de infeliz portento. Un cobertizo inmenso, bajo y oscuro, cargado de tenebrosidad, con el espíritu y el carácter jovial de un matadero, que parecía diseñado a toda prisa por cuatro personas trabajando cada una por su lado. Aunque con casi toda seguridad era inconstruible, el coste ni podía calcularse. Su construcción exigía treinta millones de ladrillos y, con el tiempo disponible, nadie garantizaba la adquisición de una cantidad como aquélla y mucho menos su entrega. El conjunto tenía que ir coronado por la contribución de Brunel: una cúpula de hierro de sesenta metros de diámetro, un detalle llamativo, sin lugar a dudas, pero un poco extraño para un edificio de una sola planta. Hasta la fecha nadie había construido en hierro una cosa tan imponente y, claro está, Brunel no podía empezar a componerla y levantarla hasta que tuviera un edificio debajo; y todo esto, para un proyecto que se debía realizar y completar en diez meses y que, en principio, tenía que permanecer en pie menos de medio año. Quién lo desmontaría después y qué se haría con aquella imponente cúpula y los millones de ladrillos eran preguntas demasiado incómodas como para planteárselas.
Fue entonces cuando en aquella crisis abierta irrumpió la tranquila figura de Joseph Paxton, jardinero jefe de Chatsworth House, la sede principal del duque de Devonshire (aunque, siguiendo las peculiares costumbres inglesas, localizada en Derbyshire). Paxton era un portento. Nacido en 1803 en Bedfordshire, en el seno de una humilde familia de campesinos, empezó a trabajar como aprendiz de jardinero a los catorce años de edad, pero destacaba de tal manera que en un plazo de seis años estaba dirigiendo un arboreto experimental para la nueva y prestigiosa Horticultural Society (que pronto se convertiría en la Royal Horticultural Society) en el oeste de Londres, un trabajo de mucha responsabilidad para alguien que era poco más que un niño. Estando allí, entabló un día conversación con el duque de Devonshire, propietario de la vecina Chiswick House y de unas cuantas casas más diseminadas por las islas Británicas (unas ochenta mil hectáreas de productiva campiña repartidas entre siete enormes fincas). El duque se quedó prendado de Paxton al instante, no tanto, por lo que parece, porque Paxton exhibiera una particular genialidad, sino porque hablaba con voz fuerte y clara. El duque era duro de oído y valoraba a la gente que le hablaba claro. En un impulso, invitó a Paxton a convertirse en jardinero jefe de Chatsworth. Paxton aceptó. Tenía veintidós años.
Seguramente fue el gesto más inteligente que haya hecho nunca un aristócrata. Paxton asumió el puesto con unos niveles de energía y dedicación deslumbrantes. Diseñó y puso en marcha la famosa Fuente del Emperador, capaz de proyectar un surtidor de agua de ochenta y ocho metros de altura, una hazaña de ingeniería hidráulica que sólo se ha superado una vez en toda Europa; construyó el jardín de rocalla más grande de todo el país; diseñó una nueva urbanización en la finca; se convirtió en el más destacado experto mundial en dalias; ganó premios por producir los mejores melones, higos, melocotones y nectarinas del país; y creó un invernadero tropical gigantesco, conocido como el Gran Horno, que ocupaba media hectárea de terreno y era tan espacioso que cuando la reina Victoria fue a visitarlo en 1843, pudo pasear por su interior montada en un carruaje de caballos. Con la mejora de la gestión de la finca, redujo las deudas del duque en un millón de libras. Con la bendición del duque, lanzó y dirigió dos revistas de jardinería y un periódico de difusión nacional, el Daily News, donde Charles Dickens realizó durante un breve tiempo las labores de editor. Escribió libros de jardinería, invirtió tan sabiamente en acciones de compañías ferroviarias que fue invitado a formar parte en el consejo de tres de ellas, y en Birkenhead, cerca de Liverpool, diseñó y construyó el primer parque municipal del mundo. El norteamericano Frederick Law Olmsted quedó tan fascinado con el concepto que ideó el Central Park de Nueva York a su imagen y semejanza. En 1849, el botánico jefe de los Kew Gardens envió a Paxton un ejemplar excepcional y enfermo de un lirio, preguntándose si podría salvarlo. Paxton diseñó un invernadero especial y —a buen seguro no le sorprenderá ya a estas alturas— en tres meses el lirio empezó a florecer.
Cuando se enteró de que los miembros de la comisión de la Gran Exposición estaban teniendo problemas para encontrar un diseño para su salón, se le ocurrió que algo del estilo de sus invernaderos podría funcionar. Mientras presidía una reunión de un comité de la Midland Railway, garabateó un boceto en un pedazo de papel secante y dos semanas después tenía los planos listos para presentar. El diseño, de hecho, quebrantaba todas las reglas del concurso. Había sido presentado una vez cerrado el plazo de admisión y, a pesar de todo el cristal y el hierro que llevaba, incorporaba muchos materiales combustibles —hectáreas de entarimado de madera, entre otras cosas— que estaban estrictamente prohibidos. Los asesores arquitectónicos hicieron notar, y con razón, que Paxton no era arquitecto de formación y que nunca antes había intentado erigir nada de aquel calibre. Aunque, claro está, nadie lo había hecho. Por aquel motivo, no se podía afirmar con total confianza que el plan fuera a funcionar. A muchos les preocupaba la posibilidad de que el edificio resultara insoportablemente caluroso cuando le azotara el sol abrasador y las multitudes se abrieran paso a empellones en su interior. Otros temían que los montantes que sujetaban las cristaleras se dilataran con el calor del verano y que los gigantescos paneles de cristal cedieran como resultado de ello y cayeran sobre la muchedumbre. Pero la principal preocupación era que una tormenta acabara llevándose aquel edificio de frágil aspecto.
De modo que los riesgos eran considerables y se percibían claramente, pero aun así, después de escasos días de malhumor y dudas, los integrantes de la comisión aprobaron el plan de Paxton. Nada —absolutamente nada, la verdad— expresa mejor la Gran Bretaña victoriana y su brillantez que el hecho de que el edificio más osado e icónico del siglo fuera confiado a un jardinero. El Palacio de Cristal de Paxton no necesitaba ladrillos; de hecho, ni mortero, ni cemento, ni cimientos. Era cuestión de tornillos y quedaba plantado sobre el suelo como una tienda. Fue no sólo una solución ingeniosa a un reto monumental, sino que también supuso un alejamiento radical de cualquier cosa que hasta entonces se hubiera intentado.
La principal virtud del etéreo palacio de Paxton era que podía prefabricarse a partir de piezas estándar. Su corazón estaba integrado por un único componente —un armazón triangular de hierro fundido de noventa centímetros de ancho por siete metros y siete centímetros de largo— que iba encajándose con otros armazones hasta construir un esqueleto del que colgar el cristal del edificio (casi cien mil metros cuadrados, o lo equivalente a una tercera parte del cristal que se producía en Gran Bretaña en todo un año). Se diseñó una plataforma móvil especial que se movía entre los soportes del techo para que los obreros pudieran instalar dieciocho mil paneles de cristal a la semana, una tasa de productividad que era, y es, una maravilla de eficiencia. Para gestionar la enorme cantidad de canalones necesarios —unos treinta y dos kilómetros en total—, Paxton ideó una máquina, controlada por un reducido equipo de hombres, capaz de ensamblar seiscientos metros de canalón al día, una cantidad que antes habría representado una jornada de trabajo para trescientos hombres. El proyecto era una maravilla en todos los sentidos.
Paxton tuvo la suerte de elegir el momento adecuado, pues justo en la época de la Gran Exposición la producción de cristal era mayor que nunca. El cristal siempre había sido un material complicado. Era difícil fabricarlo bien, y no especialmente fácil producirlo, razón por la cual había sido un producto de lujo durante gran parte de su historia. Por suerte, dos recientes innovaciones tecnológicas habían cambiado el panorama. En primer lugar, los franceses inventaron el vidrio cilindrado, llamado así porque el cristal fundido se extendía sobre unas mesas de hierro y se alisaba luego con un rodillo cilíndrico. Esto permitió por vez primera la creación de paneles de cristal de gran tamaño, lo que hizo posible la aparición de los escaparates. El vidrio cilindrado, sin embargo, necesitaba enfriarse durante diez días antes de desmoldarse, lo que significaba que las mesas estaban fuera de servicio durante la mayor parte del tiempo, y el resultado obtenido exigía después un intenso trabajo de esmerilado y pulido. Esto lo hacía caro. En 1838, se inventó un sistema de refinado más barato: la lámina de cristal. La lámina tenía la mayoría de las virtudes del vidrio cilindrado, pero se enfriaba más rápidamente y necesitaba menos pulido, por lo que su fabricación resultaba más barata. De pronto se hizo posible fabricar de forma económica cristal de gran tamaño en cantidades ilimitadas.
Junto con esto se produjo la oportuna abolición de dos impuestos de gran tradición: el impuesto sobre las ventanas y el impuesto sobre el cristal (que, en el sentido más estricto, era un impuesto sobre el consumo). El impuesto sobre las ventanas se remontaba a 1696 y era lo bastante gravoso como para que la gente evitara poner ventanas en edificios si ello era posible. Las aberturas enladrilladas a modo de ventanas que actualmente caracterizan muchos edificios de la época en Gran Bretaña solían estar pintadas en su día para que parecieran ventanas. (A veces es una vergüenza que no sigan estándolo). La gente consideraba el impuesto como «un gravamen sobre el aire y la luz» y se traducía en que muchos criados y demás personas de limitados recursos se veían condenados a vivir en estancias mal ventiladas.
El segundo impuesto, introducido en 1746, estaba basado no en el número de ventanas, sino en el peso de su cristal, por lo que a lo largo de la época georgiana el cristal era delgado y frágil, y los marcos de las ventanas tenían que ser robustos para compensarlo. Los famosos cristales de ojo de buey se convirtieron también en un elemento característico de la época. Son consecuencia de un tipo de fabricación del vidrio que producía lo que se conoce como vidrio de corona (llamado así porque es ligeramente convexo, o en forma de corona). El ojo de buey señalaba el lugar en la lámina de vidrio donde se apoyaba la caña de soplar. Al ser más débil esa parte del vidrio, eludía el impuesto, y desarrolló por ello cierto atractivo entre la gente de economía más frugal. Los ojos de buey se hicieron populares en posadas y comercios y en las partes traseras de las casas, donde la calidad no tenía tanta importancia. El gravamen sobre el cristal fue abolido en 1845, casi a punto de cumplir su centenario, y a este hecho le siguió, conveniente y casualmente en 1851, la abolición del impuesto sobre las ventanas. Justo en el momento en que Paxton necesitaba más cristal de lo que nunca antes nadie hubiera podido necesitar, el precio del material se redujo a menos de la mitad. Esto, junto con los cambios tecnológicos que por otro lado fomentaron la fabricación, fue el estímulo que hizo posible el Palacio de Cristal.
El edificio terminado medía exactamente 1.851 pies (564 metros) de largo, para conmemorar el año, 124 metros de ancho y más de treinta metros de altura en su parte central, lo bastante espacioso como para albergar una admirada avenida de olmos que, de lo contrario, habrían tenido que ser talados. Debido a su tamaño, la estructura precisó de mucho material: 293.655 paneles de cristal, 33.000 armazones triangulares de hierro y miles de metros cuadrados de entarimado de madera para el suelo; pero aun así, gracias a los métodos de Paxton, el coste final fue de unas sumamente agradables 80.000 libras. De principio a fin, la obra duró treinta y cinco semanas. La construcción de la catedral de San Pablo se había prolongado treinta y cinco años.
A poco más de tres kilómetros de distancia, los nuevos edificios del Parlamento llevaban una década en construcción y no estaban ni mucho menos finalizados. Un periodista del Punch sugirió, sólo medio en broma, que el Gobierno debería encargar a Paxton el diseño de un Parlamento de Cristal. Incluso surgió una frase pegadiza aplicable a cualquier problema cuya solución parecía inalcanzable: «Pregúntale a Paxton».
El Palacio de Cristal se convirtió de este modo en el edificio más grande del mundo y también en el más ligero y etéreo. Hoy en día estamos acostumbrados a ver cristal en abundancia, pero para una persona de 1851, la idea de pasear debajo de metros cúbicos de luz casi irreal en el interior de un edificio resultaba deslumbrante, mareante incluso. Creo que somos incapaces de imaginarnos la primera impresión de un visitante al ver de lejos el Pabellón de la Exposición, brillante y transparente. Debía de parecer tan delicado y evanescente, tan milagrosamente improbable, como una burbuja de jabón. Llegar a Hyde Park y ver el Palacio de Cristal flotando por encima de los árboles, reluciente bajo la luz del sol, debía de ser un momento de esplendor capaz de hacer temblar las rodillas a cualquiera.
§. 2
Mientras se erigía el Palacio de Cristal en Londres, ciento ochenta kilómetros al noreste, junto a una vieja iglesia rural, bajo los extensos cielos de Norfolk, se levantaba en 1851 un edificio bastante más modesto en un pueblo próximo a la ciudad mercado de Wymondham: una casa parroquial de vaga y laberíntica naturaleza, bajo un tejado irregular con remates ornamentados en los aleros y garbosas chimeneas de un prudente estilo gótico: «una casa de buen tamaño, y lo suficiente confortable en un sentido formal, feo y respetable», tal y como Margaret Oliphant, una novelista victoriana enormemente popular y prolífica, describía esa especie de casas en su novela The Curate in Charge.Éste es el edificio que nos acompañará durante las aproximadamente quinientas páginas que siguen. Fue diseñado por un tal Edward Tull de Aylsham, un arquitecto fascinantemente desprovisto de talento convencional, como veremos, para un joven pastor de buena familia llamado Thomas J. G. Marsham. Con veintinueve años de edad, Marsham era beneficiario de un sistema que le proporcionaba a él, y a otros como él, un estilo de vida magnífico exigiéndole muy poco a cambio.
En 1851, cuando empieza nuestra historia, había 17.621 pastores anglicanos, y un rector rural, con sólo doscientas cincuenta almas a su cargo, disfrutaba de unos ingresos medios de 500 libras, tanto como un funcionario público como Henry Cole, el hombre de la Gran Exposición. Entrar a formar parte de las filas de la Iglesia era una de las dos actividades por defecto destinadas a los hijos menores de la nobleza y la clase acomodada (la carrera militar era la otra), por lo que a menudo aportaban también a su cargo parte de la riqueza familiar. Muchos recibían además sustanciosos ingresos por el arrendamiento de las tierras beneficiales, o tierras de labrantío, que acompañaban el nombramiento. Incluso los titulares menos privilegiados eran en general gente pudiente. Jane Austen se crió en lo que consideraba una lamentablemente exigua rectoría de Steventon, Hampshire, a pesar de disponer de sala de estar, cocina, salón, estudio y biblioteca, y siete dormitorios… para nada un destino de privaciones. La finca más rica de todas estaba en Doddington, Cambridgeshire, con más de quince hectáreas de terreno y unos ingresos anuales de 7.300 libras —el equivalente actual a 5 millones de libras— para el afortunado párroco, hasta que la finca fue dividida en 1865 [2] .
En la Iglesia anglicana había dos tipos de clérigos: vicarios y rectores. La diferencia era mínima desde el punto de vista eclesiástico, pero inmensa desde el económico. Históricamente, los vicarios eran los suplentes de los rectores (la palabra tiene su origen en vicarious, que indica un papel de sustituto), pero en tiempos del señor Marsham la distinción se había disipado y era más bien cuestión de tradición local que el párroco (palabra cuyo origen se encuentra en el término persona ecclesiae) fuera llamado vicario o rector. Persistía, sin embargo, la diferencia en lo que a los ingresos se refiere.
La paga de los pastores no venía de la Iglesia, sino que procedía de rentas y diezmos. Había dos tipos de diezmos: diezmos grandes, obtenidos a partir de las cosechas principales, como el trigo y la cebada, y diezmos pequeños, procedentes de los huertos, la bellota y cualquier otro forraje ocasional. Los diezmos eran una fuente crónica de tensión entre Iglesia y campesino, y en 1836, el año anterior a la subida al trono de la reina Victoria, se decidió simplificar el asunto. A partir de aquel momento, en lugar de entregar al párroco local una parte acordada de su cosecha, el campesino le pagaría una cantidad anual fija basada en el valor de sus tierras. Esto significaba que los párrocos tenían derecho a su parte asignada incluso en años de mala cosecha, lo que a su vez significaba que los párrocos no tenían cosechas que no fueran buenas.
El papel del párroco rural era extraordinariamente poco preciso. La piedad no era un requisito necesario, ni siquiera era de esperar. La ordenación anglicana exigía la posesión de un título universitario, pero la mayoría de los ministros leía los clásicos y no estudiaba para nada la divinidad, y en consecuencia carecía de formación sobre cómo predicar, proporcionar inspiración o consuelo, u ofrecer un apoyo cristiano significativo. Muchos ni siquiera se tomaban la molestia de redactar sermones y se limitaban a comprar un volumen de sermones preparados y leer uno de ellos una vez por semana.
Aun sin nadie pretenderlo, el resultado fue la creación de una clase integrada por gente rica y cultivada que tenía en sus manos cantidades infinitas de tiempo. En consecuencia, muchos de ellos empezaron, de forma prácticamente espontánea, a hacer cosas notables. Nunca en la historia ha existido un grupo de gente consagrada a un abanico tan amplio de actividades loables sin tener ningún tipo de vinculación profesional con ellas.
Estudiemos algunos ejemplos.
George Bayldon, vicario de un remoto rincón de Yorkshire, tenía tan pocos asistentes a sus servicios que transformó en gallinero la mitad de su iglesia aunque, por otro lado, se convirtió en una autoridad autodidacta en lingüística y compiló el primer diccionario de islandés. No muy lejos de allí, Laurence Sterne, vicario de una parroquia próxima a York, escribió novelas populares, de las cuales Vida y opiniones del caballero Tristram Shandy es la más recordada. Edmund Cartwright, rector de una parroquia rural de Leicestershire, inventó el telar mecánico, que convirtió la Revolución industrial en verdaderamente industrial; en tiempos de la Gran Exposición, sólo en Inglaterra funcionaban 250.000 de sus telares.
En Devon, el reverendo Jack Russell crió el terrier que lleva su nombre, mientras que en Oxford, el reverendo William Buckland escribió la primera descripción científica de los dinosaurios y, no por casualidad, se convirtió en la máxima autoridad mundial en coprolitos (heces fosilizadas). Thomas Robert Malthus, en Surrey, escribió su Ensayo sobre el principio de la población (que, como recordará de sus días de colegio, sugería que, por razones matemáticas, el aumento de los medios de subsistencia nunca podrá mantener el ritmo del crecimiento de la población), dando origen con ello a la disciplina de economía política. El reverendo William Greenwell, de Durham, fue el padre fundador de la arqueología moderna, aunque es más recordado entre los pescadores con caña por ser el inventor de «la gloria de Greenwell», la mosca más apreciada para la pesca de la trucha.
En Dorset, Octavius Pickard-Cambridge, párroco de gallardo nombre, se convirtió en una autoridad mundial en el campo de las arañas, mientras que su contemporáneo, el reverendo William Shepherd, escribía la historia de los chistes verdes. John Clayton, de Yorkshire, fue el primero en ofrecer una demostración práctica del alumbrado con gas. El reverendo George Garrett, de Manchester, inventó el submarino [3] . Adam Buddle, un vicario botánico de Essex, fue quien dio nombre a la flor de la budleia. El reverendo John Mackenzie Bacon, de Berkshire, fue un pionero de la navegación con globo aerostático y el padre de la fotografía aérea. Sabine Baring-Gould escribió el himno «Adelante, soldados cristianos» y, de forma más inesperada, la primera novela en la que apareció un hombre lobo. El reverendo Robert Stephen Hawker, de Cornwall, escribió buena poesía y fue muy admirado por Longfellow y Tennyson, aunque alarmaba un poco a sus parroquianos por ir tocado siempre con un fez de color rosa y pasar la mayor parte de su vida bajo la influencia poderosamente serena del opio.
Gilbert White, del Western Weald de Hampshire, acabó siendo el naturalista más valorado de su época y escribió la lúcida y todavía apreciada Natural History of Selborne. En Northamptonshire, el reverendo M. J. Berkeley se convirtió en un prestigioso entendido en hongos y enfermedades de las plantas; un hecho menos positivo es que fue al parecer el responsable de la propagación de muchas enfermedades dañinas, entre ellas la más perniciosa de todas las plagas hortícolas, el oídio o enfermedad de la vid. John Michell, rector de Derbyshire, enseñó a William Herschel a construir un telescopio, que Herschel utilizó después para descubrir Urano. Michell concibió también un método para pesar la Tierra, que fue posiblemente el experimento científico práctico más ingenioso del siglo XVIII. Murió antes de poder llevarlo a cabo y el experimento acabó completándolo en Londres Henry Cavendish, un brillante familiar del duque de Devonshire, el patrón de Paxton.
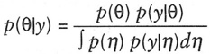
Pero quizás el párroco más extraordinario de todos fue el reverendo Thomas Bayes, de Tunbridge Wells, Kent, que vivió de 1701 a 1761. Por lo que se sabe era un predicador tímido y deprimente, pero también un matemático singularmente dotado. Concibió la ecuación matemática que se conoce como el Teorema de Bayes y que tiene este aspecto:
Fueron muchos más los clérigos que no engendraron grandes obras, pero sí grandes hijos. John Dryden, Christopher Wren, Robert Hooke, Thomas Hobbes, Oliver Goldsmith, Jane Austen, Joshua Reynolds, Samuel Taylor Coleridge, Horatio Nelson, las hermanas Brontë, Alfred Lord Tennyson, Cecil Rhodes y Lewis Carroll (que también fue ordenado, aunque nunca ejerció) fueron hijos de párrocos. Es posible encontrar algo sobre la desproporcionada influencia del clero realizando una búsqueda en la versión electrónica del Dictionary of National Biography. Introduzca la palabra «rector» y obtendrá cerca de 4.600 entradas; «vicario» genera 3.300 más. Es interesante compararlo con las cifras decididamente más modestas que ofrece la búsqueda de «médico», 338; «economista», 492; «inventor», 639; y «científico», 741. (Interesante también que estas cifras no sean muy superiores a las obtenidas realizando una búsqueda de «donjuán», «asesino» o «loco», y que estén superadas con creces por «excéntrico», con 1.010 resultados).
* * * *
Había tanta distinción entre el clero que es fácil olvidar que esa gente era, de hecho, inusual, y que en su mayoría sus integrantes eran probablemente más similares a nuestro señor Marsham, que de haber conseguido algún logro, o de haber tenido alguna ambición, no dejó indicios de ello. Su vínculo más cercano a la fama fue su bisabuelo, Robert Marsham, inventor de la fenología, la ciencia (si no es excesivo denominarla así) que se ocupa de realizar el seguimiento de los cambios estacionales (las primeras floraciones de los árboles, el primer canto del cuco en primavera, etc.). Cabe pensar que se trata de algo que la gente realiza de manera espontánea, pero de hecho nadie se había dedicado a ello, al menos no de forma sistemática, y bajo la influencia de Marsham se convirtió en un pasatiempo muy popular y altamente considerado en todo el mundo. En Estados Unidos, Thomas Jefferson era un devoto seguidor del tema. Incluso siendo presidente, encontró tiempo para tomar nota de la primera y la última aparición de treinta y siete tipos de fruta y verduras en los mercados de Washington, y le pidió a su representante en Monticello que realizara allí observaciones similares para ver si las fechas revelaban variaciones significativas entre los dos lugares. Cuando los climatólogos modernos dicen que las flores del manzano aparecen en primavera tres semanas antes de lo que lo hacían antiguamente, y ese tipo de cosas, utilizan a menudo como material de base las anotaciones de Robert Marsham. Este Marsham fue también uno de los terratenientes más ricos de la región de East Anglia, con una gran finca en un pueblo de curioso nombre, Stratton Strawless, cerca de Norwich, donde Thomas John Gordon Marsham nació en 1821 y pasó la mayor parte de su vida antes de desplazarse una veintena de kilómetros para ocupar el cargo de rector en nuestro pueblo.No sabemos casi nada acerca de la vida de Thomas Marsham allí, pero por suerte conocemos en abundancia los detalles de la vida diaria de las parroquias rurales en su época de esplendor gracias a los escritos de alguien que vivía en la cercana parroquia de Weston Longville, quince kilómetros al norte cruzando una extensa zona de campos de cultivo (y visible desde el tejado de nuestra rectoría). Se trata del reverendo James Woodforde, que precedió a Marsham en cincuenta años, aunque la vida no cambió mucho en ese tiempo. Woodforde no era excepcionalmente devoto, ni erudito, ni dotado, pero disfrutaba de la vida y escribió un entusiasta diario durante cuarenta y cinco años que ofrece una perspectiva extraordinariamente detallada de la vida de un párroco rural. Olvidado durante cien años, el diario fue redescubierto y publicado en formato resumido en 1924 como The Diary of a Country Parson. Se convirtió en un éxito de ventas internacional aun siendo, como apuntó un crítico, «poco más que una crónica de glotonería».
La cantidad de comida que se servía en las mesas del siglo XVIII era pasmosa, y Woodforde casi nunca disfrutó de una comida de la que no dejara constancia con todo su cariño y en su totalidad. A continuación, todos los productos que describe con motivo de una de sus cenas habituales en 1784: lenguado de Dover con salsa de langosta, pollo tomatero, lengua de buey, rosbif, sopa, filete de ternera con colmenillas y trufas, pastel de paloma, mollejas, oca en salsa verde con guisantes, mermelada de albaricoque, tarta de queso, champiñones al vapor y bizcocho borracho. En otra comida podía elegir entre un plato de tenca, un jamón, tres aves de corral, dos patos asados, un cuello de cerdo, pudding de ciruelas y tarta de ciruelas, tarta de manzana y una variedad de fruta y frutos secos, bañado todo ello con vino tinto y blanco, cerveza y sidra. Nada se interponía a una buena comida. Cuando falleció la hermana de Woodforde, anotó su sincero pesar en el diario, pero encontró también espacio suficiente para añadir: «Hoy he cenado un buen pavo asado». Tampoco se interponía nada del mundo exterior. Apenas hay mención a la Guerra de la Independencia norteamericana. Cuando en 1789 cayó la Bastilla, destacó el hecho, pero no le concedió más espacio que el que le dedicaba al desayuno. Y tal y como corresponde, la última entrada del diario alude a una comida.
Woodforde era un ser humano decente —enviaba comida a los pobres de vez en cuando y llevó una vida de una virtud intachable—, pero en todos los años que abarcan sus diarios no existen pistas de que en algún momento reflexionara sobre la redacción de un sermón o sintiese una vinculación especial con sus parroquianos que no fuera más allá del regocijo de sumarse a ellos para cenar si surgía una invitación. Si no es un representante de lo típico en esa época, a buen seguro es un ejemplo de lo que era posible.
Y en cuanto a cómo encajaba el señor Marsham en todo esto, es imposible saberlo. Si su objetivo en la vida era dejar la mínima huella posible en la historia, lo consiguió con creces. En 1851, tenía veintinueve años de edad y estaba soltero, un estado que conservó toda su vida. Su ama de llaves, una mujer con un nombre interesante por atípico, Elizabeth Worm, estuvo a su servicio durante unos cincuenta años, hasta su fallecimiento en 1899. Por lo que se ve, debió de encontrar la compañía del señor Marsham lo bastante agradable, pero si alguien más fue de la misma opinión, o no, es imposible saberlo.
Existe, sin embargo, una pequeña y prometedora pista. El último domingo de marzo de 1851, la Iglesia anglicana llevó a cabo un sondeo a nivel nacional para averiguar cuánta gente había asistido a la iglesia aquel día. Los resultados fueron una sorpresa. Más de la mitad de la población de Inglaterra y Gales no había acudido a la iglesia, y sólo el 20 % había asistido a un servicio anglicano. Por ingeniosos que fueran sus integrantes creando teoremas matemáticos o compilando diccionarios de islandés, el clero había dejado de tener para las comunidades la importancia de la que había gozado antaño. Por suerte, no había indicios de esto en la parroquia del señor Marsham. Los datos del censo muestran que aquel domingo asistieron a su servicio matutino 79 parroquianos y 86 lo hicieron por la tarde. Eso equivalía a casi el 70 % de los parroquianos de su beneficio, un resultado muy superior a la media nacional. Suponiendo que éstos fueran sus resultados típicos, nuestro señor Marsham debió de ser un hombre bien considerado.
§. 3
En el mismo mes en que la Iglesia anglicana llevaba a cabo el sondeo para averiguar el volumen de asistencia a sus servicios, Gran Bretaña realizó también el censo nacional que ponía en marcha cada diez años y que situó la población del país en la precisa cifra de 20.959.477 habitantes. Esto representa sólo el 1, 6 % del total mundial, pero puede afirmarse con toda seguridad que no existía otra fracción tan pequeña más rica y productiva. Este 1, 6 % de población con nacionalidad británica producía la mitad del carbón y el hierro del mundo, controlaba casi dos terceras partes de su comercio marítimo y una tercera parte del comercio en general. Prácticamente todo el algodón tejido en el mundo se fabricaba en hilanderías británicas con máquinas inventadas y construidas en Gran Bretaña. Los bancos de Londres tenían más dinero depositado que el que pudiera tener la suma de los demás centros financieros mundiales. Londres era el corazón de un imperio enorme y en crecimiento que en su momento álgido abarcaría casi treinta millones de kilómetros cuadrados y convertiría el «Dios salve a la reina» en el anatema nacional de una cuarta parte de la población mundial. Gran Bretaña lideraba el mundo en prácticamente cualquier categoría mensurable. Era el país más rico, más innovador y más competente del mundo, donde incluso los jardineros alcanzaban la grandeza.De pronto, por primera vez en la historia, en la vida de la mayoría de la gente había mucho de todo. Karl Marx, mientras vivía en Londres, destacó maravillado, y también con una pizca de impotente admiración, que en Gran Bretaña era posible comprar quinientos tipos diferentes de martillo. Había actividad por todos lados. Los londinenses modernos viven en una gran ciudad victoriana; los victorianos sobrevivían en ella, por decirlo de algún modo. El alcance de las interferencias —las zanjas, los túneles, las fangosas excavaciones, las aglomeraciones de carruajes y otros vehículos, el humo, el barullo, la confusión— generadas por el esfuerzo de proveer a la ciudad de trenes, puentes, cloacas, estaciones de servicio, centrales eléctricas, líneas de metro y todo lo demás, implicaba que el Londres victoriano no sólo era la ciudad más grande de la tierra, sino también el lugar más ruidoso, fétido, embarrado, concurrido, asfixiante y lleno de agujeros que el mundo había visto en toda su existencia.
El censo de 1851 demostraba también que en aquel momento vivía en Gran Bretaña más gente en las ciudades que en el campo —la primera vez que esto sucedía en el mundo— y la consecuencia más visible de este fenómeno eran multitudes a una escala que nunca antes se había experimentado. La gente trabajaba en masa, se desplazaba en masa, se escolarizaba, encarcelaba y hospitalizaba en masa. Cuando iba a divertirse, lo hacía en masa, y no había lugar al que acudiera con mayor entusiasmo y arrobamiento que al Palacio de Cristal.
Si el edificio en sí era un prodigio, las maravillas que albergaba en su interior no lo eran menos. Se exhibían cerca de cien mil objetos, repartidos entre catorce mil expositores. Entre las novedades estaba un cuchillo con 1.851 hojas, mobiliario tallado a partir de bloques de carbón del tamaño de muebles (sin otro objetivo que demostrar que podía hacerse), un piano a cuatro bandas para cuartetos caseros, una cama que se transformaba en una balsa salvavidas y otra que automáticamente lanzaba a su sorprendido ocupante a una bañera recién preparada, artilugios voladores de todo tipo (ninguno de ellos funcional, sin embargo), instrumentos para realizar sangrías, el espejo más grande del mundo, una montaña enorme de guano de Perú, los famosos diamantes Hope y Koh-i-Noor [4] , una maqueta de un puente colgante destinado a unir Gran Bretaña con Francia e interminables muestras de maquinaria, telas y objetos de todo tipo procedentes de cualquier rincón del mundo. The Times calculó que ver la exposición entera requería unas doscientas horas.
No todos los expositores eran tan brillantes. Terranova dedicó toda su área de exposición a la historia y la fabricación del aceite de hígado de bacalao, lo que la convirtió en un oasis de tranquilidad muy valorado por los que buscaban recuperarse de los empujones de las masas. La sección de Estados Unidos apenas tenía contenido. El Congreso, con toda su parsimonia, se había negado a destinar fondos al evento y el dinero provenía de aportaciones privadas. Por desgracia, cuando los productos norteamericanos llegaron a Londres se descubrió que los organizadores habían pagado únicamente el transporte de la mercancía hasta los muelles, y no hasta su destino final en Hyde Park. Y, claro está, tampoco había dinero reservado para montar los expositores y dotarlos de personal durante cinco meses. Afortunadamente, el filántropo norteamericano George Peabody, que vivía en Londres, intercedió por la causa y proporcionó un fondo de emergencia de 15.000 dólares, rescatando a la delegación estadounidense de la situación de crisis en la que ella misma se había inmerso. Todo esto no sirvió más que para reforzar la convicción más o menos universal de que los norteamericanos eran poco más que amables montañeses que no estaban aún preparados para actuar sin supervisión en el escenario del mundo.
Y por eso fue una auténtica sorpresa cuando por fin se montaron los expositores y el público descubrió que la sección de Estados Unidos era una avanzadilla de genialidad y portento. Prácticamente todas las máquinas norteamericanas hacían cosas que el mundo ansiaba que hiciesen las máquinas —arrancar clavos, cortar piedra, fabricar velas—, pero con una pulcritud, una presteza y una fiabilidad sin fin que dejó pestañeando a las demás naciones. La máquina de coser de Elias Howe deslumbró a las señoras ofreciendo la promesa imposible de que uno de los pasatiempos más esclavos de la vida doméstica podía resultar emocionante y divertido. Cyrus McCormick exhibió una segadora capaz de realizar el trabajo de cuarenta hombres, una reivindicación tan atrevida que casi nadie la creyó hasta que decidieron transportar la segadora a una granja de los condados de los alrededores de la ciudad y demostró que hacía lo que prometía hacer. Pero el objeto más llamativo era el revólver de repetición de Samuel Colt, que no sólo era maravillosamente letal, sino que además estaba hecho con piezas intercambiables, un método de fabricación tan inconfundible que acabó conociéndose como «el sistema americano». Sólo una creación local conseguía estar a la altura de estas cualidades de virtuosismo, novedad, utilidad y precisión de la era de las máquinas: el edificio de Paxton, que desaparecería en cuanto la exposición finalizara. Para muchos europeos, aquélla fue la primera e inquietante pista de que aquellos pueblerinos que mascaban tabaco al otro lado del charco estaban creando en silencio el próximo coloso industrial, una transformación tan improbable que la mayoría ni podía creerse que estuviera produciéndose.
Pero el aspecto más popular de la Gran Exposición no fue ningún expositor en concreto, sino las elegantes «salas de descanso», donde los visitantes podían hacer sus necesidades cómodamente, una oferta aceptada con agradecimiento y entusiasmo por 827.000 personas, 11.000 cada día. Los servicios públicos eran una carencia deplorable en el Londres de 1851. En el Museo Británico, hasta 30.000 visitantes diarios tenían que compartir dos únicos retretes exteriores. En el Palacio de Cristal, los inodoros tenían cisterna de verdad, encantando hasta tal punto a los visitantes que empezó a ponerse de moda instalar en casa inodoros con cisterna y cadena, un avance que rápidamente tendría consecuencias catastróficas para Londres, como veremos.
La Gran Exposición supuso tanto un avance importante a nivel social como sanitario, pues fue la primera vez que gente de todas las clases se aglutinaba y se mezclaba en una proximidad tan íntima. Muchos temían que la gente de a pie —«los grandes sin lavar» los había apodado William Makepeace Thackeray el año anterior en su novela La historia de Pendennis— no fuera merecedora de esta confianza y estropeara las cosas. Podía incluso producirse un sabotaje. Al fin y al cabo, sólo habían pasado tres años desde los levantamientos populares de 1848, que habían convulsionado Europa y derrocado gobiernos en París, Berlín, Cracovia, Budapest, Viena, Nápoles, Bucarest y Zagreb.
Se temía concretamente que la exposición atrajera a los cartistas y a sus compañeros de viaje. El cartismo era un movimiento popular que obtenía su nombre de la Carta del Pueblo (The People’s Charter) de 1837, que propugnaba diversas reformas políticas —todas modestas, considerándolo en retrospectiva— que iban desde la abolición de las circunscripciones podridas y malversadas hasta la adopción del sufragio universal masculino [5] . En el espacio de una década, los cartistas presentaron al Parlamento una serie de peticiones, una de ellas redactada en un documento de casi diez kilómetros de largo y que supuestamente estaba firmada por 5, 7 millones de personas. El Parlamento se quedó impresionado, pero las rechazó todas por el bien del propio pueblo. Todo el mundo coincidía en que el sufragio universal era un concepto peligroso, «tremendamente incompatible con la existencia de la civilización», según palabras del historiador y parlamentario Thomas Babington Macaulay.
En Londres, el asunto alcanzó un punto crítico en 1848, cuando los cartistas anunciaron una manifestación multitudinaria en Kennington Common, al sur del Támesis. Se temía que aquello creciera como la espuma y que la indignación los llevara a cruzar el puente de Westminster y a asaltar el Parlamento. Los edificios del Gobierno diseminados por la ciudad se reforzaron con prontitud. En el Ministerio de Asuntos Exteriores, lord Palmerston, titular del Foreing Office, bloqueó las ventanas con montones de ejemplares de The Times. En el Museo Británico se apostaron hombres en los tejados con una reserva de ladrillos para lanzar a la cabeza de cualquiera que intentara ocupar el edificio. En el exterior del Banco de Inglaterra se instalaron cañones y los empleados de diversas instituciones gubernamentales recibieron espadas y viejos mosquetes, en dudoso estado de conservación, muchos de ellos casi tan peligrosos para sus potenciales usuarios como para cualquiera lo bastante atrevido como para plantarse delante de ellos. Ciento setenta mil guardias especiales —en su mayoría hombres acaudalados y sus criados— se pusieron al mando del anciano duque de Wellington, de ochenta y dos años de edad y afectado de una sordera que no le permitía oír más que gritos extremadamente potentes.
Al final, la manifestación se quedó en nada, en parte porque el líder de los cartistas, Feargus O’Connor, empezaba a comportarse de forma excéntrica como consecuencia de un caso todavía no diagnosticado de demencia sifilítica (por el cual sería recluido en un manicomio al año siguiente), en parte porque la mayoría de los participantes no eran realmente revolucionarios de corazón y no querían participar en un derramamiento de sangre, y en parte porque un oportuno chaparrón hizo que retirarse a un pub resultara de repente una alternativa más atractiva que tomar por asalto el Parlamento. The Times decidió que la «turba de Londres, aun ni siendo heroica, ni poética, ni patriótica, ni ilustrada, ni limpia, es en comparación un organismo bondadoso» y, sin embargo, condescendiente, que es más o menos lo mismo.
A pesar de esta tregua, los sentimientos en algunos barrios seguían siendo intensos en 1851. Henry Mayhew, en su influyente London Labour and the London Poor, publicado aquel año, apuntaba que los miembros de la clase trabajadora «casi sin excepción» eran «proletarios candentes que abrigan opiniones violentas».
Pero incluso el proletario más acalorado, por lo que parece, quedó encantado con la Gran Exposición. Se inauguró el 1 de mayo de 1851, sin incidentes, un «espectáculo bello, imponente y conmovedor» en palabras de una radiante reina Victoria, que calificó la jornada de la inauguración como «el día más grande de nuestra historia», y lo decía sinceramente. Acudió gente de todos los rincones del país. Una mujer llamada Mary Callinack, de ochenta y cinco años de edad, caminó más de cuatrocientos kilómetros desde Cornwall y se hizo famosa por ello. Un total de seis millones de personas visitaron la Gran Exposición durante los cinco meses y medio que permaneció abierta. La jornada de mayor afluencia de público, el 7 de octubre, la visitaron casi 110.000 personas. En un determinado momento, había 92.000 personas en el edificio, la multitud más grande jamás reunida en el interior de un espacio cerrado.
Pero no todos los visitantes quedaron encantados. William Morris, el futuro diseñador y esteta, que tenía por aquel entonces diecisiete años, se quedó tan horrorizado ante la falta de gusto y la veneración del exceso de la exposición, que salió tambaleándose del edificio y vomitó entre los arbustos. Pero la mayoría de la gente la adoraba, y casi todo el mundo se comportó. Durante el periodo de exhibición sólo veinticinco personas fueron detenidas por infracciones, quince por carteristas y diez por robos de escasa cuantía. La ausencia de criminalidad es incluso más remarcable de lo que podría parecer porque en la década de 1850 Hyde Park estaba considerado un lugar notablemente peligroso, sobre todo a partir de que anochecía, cuando el riesgo de robo era tan grande que el parque sólo podía cruzarse en comitiva. Pero gracias a las multitudes se convirtió durante medio año en uno de los lugares más seguros de Londres.
La Gran Exposición produjo unos beneficios de 186.000 libras, cantidad suficiente para adquirir doce hectáreas de terreno al sur de Hyde Park, en una zona conocida informalmente como Albertópolis, donde fueron construidos los grandes museos e instituciones que aún dominan hoy en día el barrio: el Royal Albert Hall, el Victoria & Albert Museum, el Museo de Historia Natural, el Royal College of Art y el Royal College of Music, entre otros.
El imponente Palacio de Cristal de Paxton se mantuvo en pie en Hyde Park hasta el verano de 1852, mientras se decidía qué hacer con el edificio. Prácticamente nadie quería su desaparición, pero tampoco nadie se ponía de acuerdo en cuanto a qué sería de él. Una propuesta algo exagerada fue convertirlo en una torre de cristal de trescientos metros de altura. Al final se acordó trasladarlo a un nuevo parque —que recibiría el nombre de Parque del Palacio de Cristal— en Sydenham, al sur de Londres. Pero durante el proceso el edificio se hizo más grande aún; el nuevo Palacio de Cristal era el doble de grande y empleaba también el doble de volumen de cristal. Al estar situado en una pendiente, la nueva edificación se convirtió en un verdadero desafío. Se derrumbó cuatro veces. Fueron necesarios 6.400 trabajadores para levantar el nuevo edificio, y éstos necesitaron más de dos años para conseguirlo. Diecisiete de ellos perdieron la vida. Toda la magia y la bendición que en su día rodearan al Palacio de Cristal se habían esfumado extrañamente. Nunca recuperó su lugar predominante en el cariño de los británicos. En 1936, el edificio se incendió.
Diez años después de la Gran Exposición moría el príncipe Alberto. La descomunal nave espacial gótica conocida como el Albert Memorial fue construida justo al oeste de donde se había erigido el Palacio de Cristal, con un colosal coste de 120.000 libras, mucho más de lo que había costado levantar el Palacio de Cristal. Allí sigue entronizado hoy en día Alberto, bajo un enorme baldaquín dorado. Sostiene en su regazo un libro: el catálogo de la Gran Exposición. Todo lo que queda del Palacio de Cristal original es un par de verjas decorativas de hierro fundido que daban acceso al puesto de venta de tickets en la entrada del recinto construido por Paxton y que ahora, desapercibidas, señalan la estrecha frontera que separa Hyde Park de los Jardines de Kensington.
También la edad de oro del clero rural finalizó abruptamente. La década de 1870 fue testigo del comienzo de una salvaje crisis agrícola que asoló a los terratenientes y a todo aquel de cuya prosperidad dependían. En seis años, cien mil granjeros y campesinos abandonaron la tierra. En nuestra parroquia la población descendió casi a la mitad en tan sólo quince años. Hacia mediados de la década de 1880, el valor estimado de la parroquia era sólo de 1.713 libras, apenas 100 libras más de lo que le había costado a Thomas Marsham construir su rectoría tres décadas atrás.
A finales de siglo, los ingresos medios de un pastor anglicano eran menos de la mitad de lo que habían sido cincuenta años antes. Teniendo en cuenta el poder adquisitivo, era una renta incluso más mísera. Las parroquias rurales dejaron de ser una sinecura atractiva. Muchos pastores no podían permitirse siquiera el matrimonio. Los que tenían cerebro y oportunidades se llevaron su talento a otras partes. Con la llegada del nuevo siglo, escribe David Cannadine, «las mejores cabezas de toda una generación estaban fuera de la Iglesia, y no dentro».
En 1899, la propiedad de la familia Marsham fue dividida y vendida, y con ello terminó la relación benigna y dominante de la familia con el condado. Curiosamente, fue un suceso inesperado que se produjo en la cocina el responsable en gran parte de la devastadora crisis que se inició hacia 1870 y se prolongó tantos años. Llegaremos dentro de poco a esta historia, pero antes de entrar en la casa e iniciar la visita, podríamos quizá dedicar unas cuantas páginas a reflexionar sobre la inesperadamente pertinente pregunta de por qué la gente vive en casas.
§. 1
Si de algún modo pudiéramos devolver a la vida al reverendo Thomas Marsham y llevarlo de nuevo a su rectoría, lo que seguramente más le sorprendería —aparte de estar allí, por supuesto— sería descubrir que la casa se había vuelto invisible, por así decirlo. Hoy en día se encuentra inmersa en un frondoso bosque privado que le otorga un aspecto rotundamente aislado, pero en 1851, recién estrenada, se erigiría con severidad, sorprendentemente incluso, en plena campiña, un montón de ladrillos rojos en un campo desnudo.En muchos otros aspectos, sin embargo, y dejando al margen cierto envejecimiento y la incorporación de algunos cables eléctricos y una antena de televisión, sigue prácticamente igual que en 1851. Es ahora, y era entonces, evidentemente una casa. Tiene el aspecto que tienen las casas. Tiene cierto aire hogareño.
Por lo tanto resulta tal vez un poco sorprendente la reflexión de que nada en esta casa, o en cualquier casa, sea casual. Todo tuvo que ser pensado —puertas, ventanas, chimeneas, escaleras— y gran parte de ello, como estamos a punto de ver, llevó mucho más tiempo y experimentación de lo que cabría pensar.
Las casas son cosas realmente extrañas. Carecen de características definitorias universales: pueden tener cualquier forma, incorporar virtualmente cualquier tipo de material, ser casi de cualquier tamaño. Pero aun así, dondequiera que vayamos sabemos que son casas y reconocemos la vida hogareña en el momento en que las vemos. Esta ara confortable es, resulta ser, extremadamente antigua, y la primera pista de este notable hecho fue descubierta por casualidad justo en la época de la construcción de la Vieja Rectoría, en el invierno de 1850, cuando un temporal terrible asoló Gran Bretaña.
Fue uno de los peores temporales en muchas décadas y causó una devastación generalizada. En las Goodwin Sands, frente a la costa de Kent, naufragaron cinco barcos sin que hubiera supervivientes. En la costa de Worthing, Sussex, once hombres en un bote salvavidas que iban a socorrer a una embarcación en peligro se ahogaron cuando el bote fue volteado por una ola gigante. En un lugar llamado Kilkee, un velero irlandés de nombre Edmund, que navegaba rumbo a América, perdió el timón y pasajeros y tripulación vieron con impotencia cómo la embarcación era arrastrada hacia las rocas y quedaba hecha añicos. Se ahogaron noventa y seis personas, aunque algunas consiguieron llegar a tierra firme, incluyendo una anciana aferrada a la espalda del valiente capitán, que se apellidaba Wilson y que era, según destacó con sombría satisfacción el Ilustrated London News, inglés. En conjunto, más de doscientas personas perdieron la vida aquella noche en las aguas que rodean las costas británicas.
En Londres, en el Palacio de Cristal a medio construir que empezaba a erigirse en Hyde Park, los paneles de cristal recién instalados se levantaron y golpearon con fuerza, pero permanecieron en su lugar, y el edificio resistió el agresivo vendaval sin apenas quejarse, para el alivio de Joseph Paxton, quien había prometido que su obra estaba a prueba de temporales y agradeció la confirmación. Mil cien kilómetros en dirección norte, en las escocesas islas Orcadas, el temporal se prolongó durante dos días. En la bahía de O’Skaill, la tempestad arrancó la hierba de un montículo de suelo irregular, lo que se conoce localmente como un howie, un punto de referencia desde que la memoria humana alcanzaba a recordar.
Cuando la tormenta amainó por fin y los isleños se acercaron a la playa, que había cambiado bastante de aspecto, quedaron asombrados al ver que en el punto donde hasta entonces había estado el howie, habían aparecido los restos de un antiguo y sólido poblado construido en piedra, con sus casas sin tejado pero maravillosamente intactas. Integrado por nueve casas, muchas de ellas con su contenido original, el poblado se remonta a cinco mil años atrás. Es más antiguo que Stonehenge y las Pirámides, más antiguo que todo excepto contadas construcciones. Es inmensamente excepcional e importante. Se conoce como Skara Brae.
Gracias a su integridad y estado de conservación, Skara Brae ofrece una sensación de vida hogareña íntima y casi escalofriante. En ninguna parte es posible obtener un sentimiento más potente de vida hogareña que en la Edad de Piedra. Como todo el mundo destaca, es como si los habitantes se acabaran de marchar de allí. Lo que nunca deja de asombrar en Skara Brae es su sofisticación. Eran las moradas de gente del Neolítico, pero las casas tenían puertas con cerradura, un sistema de desagüe e incluso, por lo que parece, fontanería elemental con aberturas en las paredes para evacuar los desechos. Los interiores eran espaciosos. Las paredes, todavía en pie, alcanzaban hasta los tres metros de altura, lo que proporcionaba amplitud de espacio por encima, y los suelos estaban enlosados. Cada casa tenía aparadores empotrados, hornacinas de almacenamiento, compartimentos encajados que presumiblemente eran camas, depósitos de agua y capas de material aislante que servirían para mantener los interiores confortables y sin humedades. Las casas eran todas de un único tamaño y estaban construidas siguiendo el mismo tipo de planta, lo que sugiere una especie de genial comuna más que una jerarquía tribal convencional. Entre las casas había pasadizos cubiertos que conducían a un área abierta pavimentada —apodada «el mercado» por los primeros arqueólogos—, donde se realizarían labores en un entorno social.
Los habitantes de Skara Brae llevaban una buena vida. Tenían joyas y cerámica. Cultivaban trigo y cebada, y disfrutaban de generosas capturas de marisco y pescado, incluyendo un bacalao que pesó treinta y cuatro kilos. Tenían ganado vacuno, ovejas, cerdos y perros. Lo único que les faltaba era madera. Para calentarse quemaban algas, y las algas generan un combustible renuente, pero ese desafío crónico que ellos sufrían es una buena noticia para nosotros. De haber podido construir casas de madera, nada de ellos habría llegado a nosotros y Skara Brae habría sido eternamente impensable.
Resulta imposible exagerar la excepcionalidad y el valor de Skara Brae. La Europa prehistórica era un lugar tremendamente vacío. Hace quince mil años, el número de habitantes de las islas Británicas no debía de superar los dos mil. En tiempos de Skara Brae, es posible que esa cifra hubiera aumentado hasta los veinte mil, pero sigue siendo una densidad de población de un habitante por cada mil doscientas hectáreas, por lo que tropezarse con cualquier indicio de vida neolítica siempre resulta emocionante. Y debió de ser emocionante incluso entonces.
Skara Brae ofrecía también otras curiosidades. Una de las moradas, ligeramente separada de las demás, sólo podía abrirse desde fuera, indicando con ello que quienquiera que estuviera allí dentro estaba confinado, lo que descarta la idea de estar ante una sociedad de serenidad universal. Por qué sería necesario tener encerrado a alguien en una comunidad tan pequeña es una pregunta que, evidentemente, no puede responderse desde una distancia temporal tan grande. También resultan desconcertantes los depósitos estancos que hay en todas las casas. La explicación más común es que se empleaban para almacenar lapas, un molusco de concha dura que abunda en la zona, pero por qué querrían un arsenal de lapas teniéndolas tan a mano es una pregunta de difícil respuesta, puesto que aun permitiéndose el lujo de la conjetura, las lapas son un alimento malísimo que proporciona sólo una caloría por pieza, y tan correosas que son prácticamente incomestibles; de hecho, masticarlas consume más energía que la que las lapas devuelven en forma de nutrientes.
No sabemos nada sobre esa gente —de dónde venían, qué idioma hablaban, qué los llevó a establecerse en un lugar tan solitario en el extremo más desarbolado de Europa—, pero todas las evidencias encontradas indican que al parecer Skara Brae disfrutó de seiscientos años de paz y tranquilidad ininterrumpidas. Entonces un día, en torno al 2500 a. C., los habitantes del poblado desaparecieron, de forma repentina, por lo que parece. En el pasadizo que hay justo enfrente de una de las viviendas se descubrieron un montón de cuentas ornamentales diseminadas, algo que tenía que ser muy valioso para su propietario, lo que sugiere que el collar se rompió y su propietario tenía tanto miedo que ni siquiera se detuvo a recogerlo. Como tantas otras cosas, es imposible aseverar por qué la vida feliz e idílica de Skara Brae tuvo un final tan repentino.
* * * *
Aunque parezca increíble, después del descubrimiento de Skara Brae transcurrieron más de tres cuartos de siglo hasta que alguien volviera a pasarse por allí a echar un vistazo. William Watt, del cercano Skaill House, rescató unos cuantos objetos y, más horroroso si cabe, los invitados a una fiesta que tuvo lugar posteriormente, un fin de semana de 1913, armados con picas y otras herramientas, salieron de Skaill House y saquearon alegremente el emplazamiento llevándose Dios sabe qué a modo de recuerdo, pero ésa fue toda la atención que consiguió atraer Skara Brae. Luego, en 1924, otro temporal arrastró hacia el mar una sección de una de las casas y se decidió finalmente que era necesario examinar y proteger de un modo formal el lugar. La tarea recayó en un interesante, curioso y brillante profesor marxista de la Universidad de Edimburgo, de origen australiano, que aborrecía el trabajo de campo y al que no le gustaba en absoluto viajar si podía evitarlo. Se llamaba Vere Gordon Childe.Childe no tenía formación de arqueólogo. A principios de la década de 1920 eran pocos los que la tenían. Había leído a los clásicos y estudiado filología en la Universidad de Sidney, donde había desarrollado también una profunda y duradera vinculación con el comunismo, una pasión que le cegaba de los excesos de Iósiv Stalin pero que matizaba su arqueología de formas sorprendentemente productivas. En 1914 llegó a la Universidad de Oxford como estudiante de posgrado y fue allí donde se inició en las lecturas y el pensamiento que le llevarían a convertirse en la autoridad más destacada de la época en el conocimiento de la vida y los movimientos de los pueblos primitivos. En 1927, la Universidad de Edimburgo lo destinó a un puesto de reciente creación, el de profesor de Arqueología Prehistórica de Abercombrie, lo que lo convertía en el único arqueólogo con formación académica de Escocia, razón por la cual, cuando algo como Skara Brae requirió una investigación, lo llamaron a él. Así fue como en verano de 1927 viajó hacia el norte en tren y barco y llegó a las islas Orcadas.
Prácticamente todas las descripciones que nos han llegado por escrito sobre Childe se explayan, casi con cariño, en la excentricidad de sus modales y en su aspecto peculiar. Su colega Max Mallowan (más conocido ahora, cuando es recordado, como el segundo marido de Agatha Christie) dijo de él que tenía una cara «tan fea que duele incluso mirarla». Otro colega recordaba a Childe como «alto, desgarbado y feo, excéntrico en el vestido y a menudo brusco de modales [con una] personalidad curiosa y con frecuencia alarmante». Las escasas fotografías de Childe que han llegado a nuestros días confirman sin lugar a dudas que no era una belleza —era flaco y sin apenas barbilla, una mirada bizca detrás de unas gafas que recordaban los ojos de un búho, y un bigote que parecía que fuera a cobrar vida en cualquier momento y salir corriendo—, pero por mucho que la gente dijera cosas desagradables acerca del exterior de su cabeza, su interior era un espacio de dorado esplendor. Childe tenía una mente magnífica y retentiva y una facilidad excepcional para los idiomas. Leía al menos una docena de ellos, lenguas muertas y vivas, lo que le permitía examinar con minucia textos tanto antiguos como modernos sobre cualquier tema de su interés, y había pocos que no le interesaran. La combinación de aspecto raro, discreto apocamiento, torpeza física y aplastante intelecto era más de lo que muchos podían soportar. Un estudiante recordaba cómo en una excepcional velada en sociedad, Childe se dirigió a los presentes en media docena de idiomas, demostrando cómo realizar divisiones largas en números romanos, elucidando con sentido crítico sobre la base química de las dataciones de la Edad de Bronce y citando de memoria y en su idioma original largos fragmentos de clásicos de la literatura. La gente, en su mayoría, lo encontraba agotador.
No era un excavador nato, por no decir algo peor. Un colega, Stuart Piggott, destacaba casi con temor reverencial su «incapacidad para apreciar la naturaleza de los restos arqueológicos sobre el terreno, y los procesos relacionados con su recuperación, reconocimiento e interpretación». Prácticamente todos sus libros, que son muchos, estaban más basados en la lectura que en la experiencia personal. Incluso su dominio de los idiomas era sólo parcial. Pese a poder leerlos de manera impecable, utilizaba una pronunciación inventada por él mismo, que nadie que hablara aquellos idiomas podía en realidad comprender. Estando en Noruega, y con la esperanza de impresionar a sus colegas, intentó una vez pedir un plato de frambuesas y le trajeron doce cervezas.
Independientemente de sus deficiencias en cuanto a aspecto y modales, fue sin lugar a dudas una auténtica contribución para el mundo de la arqueología. En el transcurso de tres décadas y media, produjo seiscientos artículos y libros, tanto populares como académicos, incluyendo los éxitos de ventas Los orígenes de la civilización (1936) y Qué sucedió en la historia (1942), en los que muchos arqueólogos posteriores se inspiraron para escoger su profesión. Por encima de todo era un pensador original, y justo cuando estaba inmerso en las labores de excavación de Skara Brae, tuvo la que fue quizá la mayor y más original idea de la arqueología del siglo XX.
* * * *
El pasado humano se divide tradicionalmente en tres épocas muy desiguales: el Paleolítico (o «vieja Edad de Piedra»), que comenzó hace 2, 5 millones de años y cuyo final se sitúa hace unos 10.000 años; el Mesolítico («Edad de Piedra intermedia»), que abarca la época de transición entre el estilo de vida cazador-recolector y la aparición de la agricultura, un periodo iniciado hace diez mil años y que acabó hace seis mil; y el Neolítico («nueva Edad de Piedra»), que cubre los últimos dos mil productivos años de Prehistoria, hasta la Edad de Bronce. Cada uno de estos periodos tiene muchos subperíodos —periodo de Olduvai, musteriense, gravetiense, etc.—, de interés para los especialistas y sobre los que no es necesario extenderse aquí.La idea importante que conviene retener es que durante el primer 99 % de nuestra historia como seres humanos poca cosa hicimos aparte de procrear y sobrevivir, pero después el hombre descubrió la agricultura, el regadío, la escritura, la arquitectura, el Gobierno y los demás refinamientos de la existencia, que fueron sumándose colectivamente hasta dar lugar a lo que cariñosamente conocemos como civilización. Se ha descrito muchas veces como el acontecimiento más trascendental de la humanidad, y la primera persona que reconoció y conceptualizó este complejo proceso fue Vere Gordon Childe. Lo denominó revolución neolítica.
Sigue siendo uno de los grandes misterios del desarrollo humano. Incluso ahora, los científicos son capaces de decirnos dónde se produjo y cuándo, pero no por qué. Con casi toda seguridad (bien, pensamos que con casi toda seguridad) tuvo algo que ver con grandes cambios climáticos. Hace unos 12.000 años, la Tierra empezó a calentarse rápidamente y entonces, por razones desconocidas, volvió a la frialdad durante un millar de años, una especie de último suspiro de la Edad de Hielo. Los científicos conocen este periodo como Dryas Reciente. (El nombre tiene su origen en una planta ártica, el dryas, que es una de las primeras que puebla de nuevo el terreno cuando se retira una capa de hielo. Hubo también un periodo conocido como Dryas Antiguo, que carece de importancia para el desarrollo humano). Después de diez siglos más de frío, el mundo volvió a calentarse con rapidez y ha permanecido cálido desde entonces. Casi todo lo que hemos hecho como seres avanzados ha sucedido en el transcurso de esta breve racha de gloria climatológica.
Lo interesante de la revolución neolítica es que se produjo en toda la Tierra, entre gente que no podía tener ni idea de que otros, en lugares muy alejados de donde ellos se encontraban, estaban haciendo exactamente lo mismo. La agricultura se inventó de manera independiente siete veces como mínimo: en China, Oriente Medio, Nueva Guinea, los Andes, la cuenca del Amazonas, México y el oeste de África. De un modo similar, las ciudades surgieron en seis lugares distintos: China, Egipto, India, Mesopotamia, América Central y los Andes. Que todas estas cosas sucedieran por todas partes, con frecuencia sin posibilidad alguna de contacto es, a primera vista, realmente misterioso. Tal y como lo expresó un historiador: «Cuando Cortés desembarcó en México encontró carreteras, canales, ciudades, palacios, escuelas, juzgados, mercados, regadíos, reyes, sacerdotes, templos, campesinos, artesanos, ejércitos, astrónomos, mercaderes, deporte, teatro, arte, música y libros», todo ello inventado de forma independiente en relación con avances similares en otros continentes. Algo que, a buen seguro, es un poco misterioso. Los perros, por ejemplo, fueron domesticados más o menos al mismo tiempo en lugares tan alejados como Inglaterra, Siberia y Norteamérica.
Resulta tentador pensar en esto como una especie de «momento bombilla» global, aunque sería forzar un poco el tema. La mayoría de avances incluyeron periodos larguísimos de prueba, error y ajustes, que se prolongaron a menudo durante miles de años. La agricultura empezó hace 11.500 años en el Levante mediterráneo, pero hace ocho mil años en China y hace sólo poco más de cinco mil años en la mayor parte de América. La gente llevaba ya cuatro mil años viviendo con animales domésticos antes de que a alguien se le ocurriera poner a trabajar a los más grandes tirando de arados; los occidentales utilizaron durante dos mil años un arado pesado, difícil de manejar, con una hoja recta extremadamente ineficiente antes de que alguien introdujera los arados curvos más sencillos que los chinos empleaban desde tiempos inmemoriales. Los mesopotámicos inventaron y utilizaron la rueda, pero sus vecinos egipcios esperaron dos mil años antes de adoptarla. En Centroamérica, los mayas inventaron por su lado la rueda, pero no se les ocurrió ninguna aplicación práctica y la reservaron única y exclusivamente para juguetes infantiles. Los incas no tenían ruedas, ni dinero, ni hierro, ni escritura. El avance del progreso, en resumen, ha sido cualquier cosa excepto predecible y rítmico.
Durante mucho tiempo se creyó que el hecho de asentarse en un lugar —el sedentarismo, tal y como se conoce— y la agricultura fueron de la mano. Se suponía que la gente abandonó el nomadismo y se pasó a la agricultura para tener garantizado el suministro de alimento. Matar venados en estado salvaje es difícil y arriesgado, y los cazadores debían de volver muchas veces a casa con las manos vacías. Mucho mejor controlar las fuentes alimenticias y tenerlas a mano de forma permanente y conveniente. Pero, de hecho, los investigadores se dieron cuenta muy pronto de que el sedentarismo no era tan simple como eso. Más o menos por la misma época en que Childe excavaba en Skara Brae, una arqueóloga de la Universidad de Cambridge, Dorothy Garrod, que trabajaba en un lugar de Palestina llamado Shuqba, descubrió una antigua cultura a la que puso el nombre de natufiense, en honor a un wadi, o lecho seco de un río, que había en las cercanías. Los natufienses construyeron los primeros pueblos y fundaron Jericó, que se convirtió en la primera ciudad de verdad del mundo. Eran gente, por lo tanto, muy asentada. Pero no cultivaban. Un hecho inesperado. Sin embargo, otras excavaciones realizadas en diversos lugares de Oriente Medio demostraron que no era algo excepcional que hubiera pueblos establecidos en comunidades permanentes mucho antes de que se iniciaran en la agricultura, a veces hasta con ocho mil años de antelación.
Así pues, si la gente no se asentaba para dedicarse a la agricultura, ¿por qué se embarcó entonces en esa forma de vida completamente novedosa? No tenemos ni idea o, más bien dicho, tenemos muchas ideas, pero no sabemos si alguna de ellas es la acertada. Según Felipe Fernández-Armesto, existen al menos treinta y ocho teorías para explicar por qué la gente decidió vivir en comunidades: que fueron empujados a ello por el cambio climático, o por el anhelo de permanecer cerca de sus muertos, o por el poderoso deseo de elaborar y beber cerveza, que sólo era alcanzable permaneciendo en un mismo lugar. Una teoría, sugerida evidentemente en serio (Jane Jacobs la cita en su importante obra de 1969, La economía de las ciudades), es que «lluvias fortuitas» de rayos cósmicos provocaron mutaciones en las hierbas que las convirtieron repentinamente en fuentes de alimento atractivas. La respuesta abreviada es que nadie sabe por qué la agricultura se desarrolló del modo en que lo hizo.
Conseguir alimento a partir de plantas es un trabajo difícil. La conversión del trigo, el arroz, el maíz, el mijo, la cebada y otras hierbas en alimento normal y corriente es uno de los grandes logros de la historia de la humanidad, pero también uno de los más inesperados. Basta con pensar en el césped que puede tener en su jardín para darse cuenta de que la hierba en su estado natural no es un alimento evidente para seres no rumiantes como nosotros. En nuestro caso, convertir la hierba en algo comestible es un reto solucionable única y exclusivamente a través de abundante y cuidada manipulación y prolongado ingenio. Piense en el trigo. El trigo es inútil como alimento hasta que se convierte en algo mucho más complejo y ambicioso como el pan, y eso requiere muchísimo esfuerzo. Alguien debe primero separar el grano y molerlo hasta convertirlo en polvo, después convertir ese polvo en harina, luego mezclar esa harina con otros componentes como la levadura y la sal para formar la masa. Después hay que trabajar la masa hasta conseguir que adquiera una determinada consistencia, y finalmente el resultado debe hornearse con precisión y cuidado. La posibilidad de fracaso sólo en este último paso es tan grande que en cada sociedad en la que está presente el pan, la cocción del mismo se ha encomendado a profesionales desde épocas muy tempranas.
Tampoco es que la agricultura llevara consigo una mejora sustancial del nivel de vida. El cazador-recolector típico disfrutaba de una dieta más variada y consumía más proteínas y calorías que la población asentada, y consumía cinco veces más vitamina C que la media que consumimos actualmente. Incluso en las acerbas profundidades de la Edad de Hielo, sabemos que los pueblos nómadas comían sorprendentemente bien… y sorprendentemente sano. Los pueblos asentados, por otro lado, dependían de una variedad de alimentos mucho más limitada, garantía de insuficiencias dietéticas. Los tres grandes cultivos domésticos de la Prehistoria fueron el arroz, el trigo y el maíz, pero todos ellos presentan importantes desventajas como alimentos básicos. Tal y como John Lanchester explica: «El arroz inhibe la actividad de la vitamina A; el trigo contiene un elemento químico que dificulta la acción del zinc y que puede producir raquitismo; el maíz es deficiente en aminoácidos esenciales y contiene fitatos, que impiden la absorción del hierro». En el Próximo Oriente, la altura media descendió en casi quince centímetros durante los primeros tiempos de la agricultura. Incluso en las islas Orcadas, donde la vida prehistórica era probablemente lo mejor posible, un análisis de 340 esqueletos demostró que muy pocos sobrevivían más allá de los veinte años.
Lo que mató a los habitantes de las islas Orcadas no fue una deficiencia alimenticia, sino una enfermedad. Las personas que conviven con otras presentan probabilidades inmensas de transmitir enfermedades de casa en casa, y la exposición a los animales que fomentaba la domesticación implica que la gripe (de los cerdos y las aves de corral), la varicela y el sarampión (de las vacas y las ovejas), y el ántrax (de los caballos y las cabras, entre otros) se incorporaron también al ser humano. Por lo que sabemos, las enfermedades infecciosas se tornaron endémicas sólo a partir de que la gente empezara a convivir. Los asentamientos acarrearon además un enorme incremento de «comensales de los humanos» —ratones, roedores y otras criaturas que viven con y de nosotros— que con mucha frecuencia actuaron también como portadores de enfermedades.
Vere Gordon Childe en Skara Brae, 1930.
Somos, en lo más básico, seres de la Edad de Piedra. Desde un punto de vista dietético, el Neolítico continúa con nosotros. Tal vez aderecemos nuestros platos con hojas de laurel e hinojo picado, pero a pesar de ello la comida típica de la Edad de Piedra sigue ahí. Y cuando caemos enfermos, las enfermedades que sufrimos son las enfermedades de la Edad de Piedra.
§. 2
Si hace diez mil años le hubieran pedido que imaginara cuál sería el emplazamiento de las grandes civilizaciones futuras, seguramente las habría situado en algún punto de América Central o del Sur, basándose en las cosas sorprendentes que estaban haciendo allí con los alimentos. Los académicos llaman Mesoamérica a esta parte del Nuevo Mundo, un término vago y acomodaticio que podría definirse más o menos como América Central, sumándole tanta o tan poca parte de América del Norte y del Sur según sea necesario para soportar cada hipótesis en particular.Los mesoamericanos fueron los mayores cultivadores de la historia, pero de todas sus numerosas innovaciones hortícolas, ninguna ha sido más importante o inesperada como la creación del maíz. Seguimos sin tener ni idea de cómo lo hicieron. Si observamos las formas primitivas de cebada, arroz o trigo y las comparamos con sus contrapartidas modernas, vemos enseguida las afinidades. Pero el maíz salvaje no se parece en nada al maíz moderno. Genéticamente, su pariente más próximo es una hierba muy fina llamada teosinte, pero más allá del nivel similar de cromosomas no existe parentesco visible. El maíz crece en forma de robusta mazorca en un único tallo y sus granos quedan encerrados en el interior de una cáscara rígida y protectora. Una mazorca de teosinte, en comparación, mide poco más de dos centímetros de largo, carece de cáscara y crece en múltiples tallos. Su valor alimenticio es casi nulo; un grano de maíz es más nutritivo que una mazorca entera de teosinte.
Queda fuera de nuestro alcance adivinar cómo alguien consiguió cultivar mazorcas de maíz a partir de una planta tan diminuta y poco propicia, o incluso cómo se le ocurrió intentarlo. En 1969, y con la idea de cerrar el tema de una vez por todas, un grupo de científicos del mundo entero especializados en alimentación convocaron la conferencia sobre el origen del maíz en la Universidad de Illinois, pero los debates se tornaron tan vituperiosos y agrios, y personales en muchas ocasiones, que la conferencia acabó sumida en el caos y nunca llegó a publicarse ningún tipo de documento. Desde entonces no ha habido más intentos. Pero los científicos están bastante seguros de que el maíz se domesticó en primer lugar en las planicies del oeste de México y no tienen la menor duda, gracias a las convincentes maravillas de la genética, de que fue a partir del teosinte, pero cómo se hizo todo sigue siendo el eterno misterio.
Pero se logró, crearon la primera planta del mundo resultado de la ingeniería, una planta tan profundamente manipulada que ahora depende por completo de nosotros para su supervivencia. Los granos de maíz no se desprenden por sí solos de la mazorca, razón por la cual el maíz no existiría si el hombre no lo arrancara y lo plantara. Si el hombre no lo hubiera atendido constantemente durante estos miles de años, el maíz se habría extinguido. Los inventores del maíz no sólo crearon un nuevo tipo de planta, sino que además crearon —concibiéndolo a partir de nada, en realidad— un nuevo tipo de ecosistema que no existía en ninguna parte de su mundo. En Mesopotamia, había ya prados naturales, por lo que el cultivo fue básicamente una cuestión de transformar campos de cereales naturales en campos de cereales mejores y controlados. Pero en la árida maleza de América Central, los campos eran desconocidos. Tuvieron que ser creados a partir de cero por gente que jamás había visto una cosa parecida. Fue como si alguien en pleno desierto se imaginara un prado.
Hoy en día, el maíz es mucho más indispensable de lo que la gente cree. La fécula de maíz se utiliza en la fabricación de bebidas con gas, chicles, helados, mantequilla de cacahuete, kétchup, pintura para vehículos, líquido para embalsamar, pólvora, insecticidas, desodorantes, jabón, patatas fritas, apósitos quirúrgicos, laca de uñas, polvos desodorantes para los pies, aliños para ensaladas y varios cientos de cosas más. Tomando prestadas las palabras de Michael Pollan, no es tanto que hayamos domesticado el maíz como que el maíz nos ha domesticado a nosotros.
Lo preocupante es que al estar las cosechas diseñadas para un estado de perfección genética uniforme, acaban perdiendo su variabilidad protectora. Cuando hoy en día pasamos en coche por al lado de un campo de maíz, vemos que cada tallo es igual a su vecino, y no sólo extremadamente similar, sino idéntico de forma inquietante, a nivel molecular. Los replicantes viven en perfecta armonía porque ninguno puede superar a los demás. Pero tienen también idénticas vulnerabilidades. En 1970, el mundo del maíz sufrió una auténtica conmoción cuando una enfermedad conocida como tizón del sur empezó a matar el maíz de todo Estados Unidos y los especialistas se dieron cuenta de que prácticamente toda la cosecha del país se había plantado a partir de semillas con un citoplasma genéticamente idéntico. Si el citoplasma se hubiera visto afectado directamente o si la enfermedad hubiera sido más virulenta, los científicos del mundo entero estarían ahora calentándose la cabeza con las mazorcas de teosinte y estaríamos comiendo patatas fritas y helados de sabor bastante desagradable.
La patata, el otro gran cultivo del Nuevo Mundo, presenta otra hornada de misterios igualmente intrigantes. La patata es de la familia de la belladona, que es altamente tóxica, y en su estado salvaje está llena de glicoalcaloides venenosos, el mismo elemento, en menores dosis, que aporta energía a la cafeína y la nicotina. Convertir la patata salvaje en un producto comestible exigía disminuir su contenido de glicoalcaloides entre un 50% y un 20 %. Esto suscita muchas preguntas, empezando por la más obvia: ¿cómo lo hicieron? Y mientras lo hacían, ¿cómo sabían que estaban haciéndolo? ¿Cómo saber que el contenido venenoso se ha reducido, por ejemplo, un 20 %, o un 35 %, o una cifra similar? ¿Cómo valorar los avances en el proceso? Y, sobre todo, ¿cómo sabían que todo ese ejercicio merecería la pena y que, como resultado de ello, conseguirían un alimento inocuo y nutritivo?
Claro está, que siempre podría haber mutado una patata tóxica de forma espontánea, ahorrando con ello generaciones de cultivo experimental selectivo. Pero de haber sido así, ¿cómo sabían que había mutado y que de entre todas las patatas salvajes venenosas había una que se podía comer?
El hecho es que la gente del mundo antiguo hacía a menudo cosas que no sólo resultan sorprendentes, sino que son además incomprensibles.
§. 3
Mientras los mesoamericanos cultivaban maíz y patatas (y aguacates, tomates, judías y un centenar más de plantas distintas de las que ahora a duras penas podríamos prescindir), los habitantes del otro lado del planeta construían las primeras ciudades. Que no son para nada menos misteriosas y sorprendentes.Y hasta qué punto, se hizo patente gracias a un descubrimiento realizado en Turquía en 1958. Un día, a finales de ese año, un joven arqueólogo británico llamado James Mellaart, estaba conduciendo junto con dos colegas por un rincón desértico del centro de Anatolia cuando se fijó en un terraplén de aspecto poco natural —un «montículo cubierto de cardos»— que se elevaba por encima de la árida planicie. En su conjunto ocupaba algo más de trece hectáreas, una superficie misteriosamente inmensa. Cuando regresó a la zona al año siguiente, Mellaart realizó unas cuantas excavaciones de sondeo y, asombrado, descubrió que el montículo escondía los restos de una antigua ciudad.
Supuestamente, aquello era imposible. Las ciudades antiguas, como todo profano sabía, eran un fenómeno de Mesopotamia y el Levante mediterráneo. No tenían que existir en Anatolia. Pero aquélla era de las más antiguas —posiblemente la más antigua—, justo en medio de Turquía y de un tamaño sin precedentes, Çatal Höyük (que significa «montículo en forma de horca») tenía nueve mil años de antigüedad. Había estado habitada con continuidad durante más de mil años y en su momento álgido había albergado una población de ocho mil habitantes.
Mellaart clasificó a Çatal Höyük como la primera ciudad construida en el mundo, una conclusión a la que Jane Jacobs dio peso y publicidad en su influyente trabajo La economía de las ciudades, pero que es incorrecta en dos sentidos. En primer lugar, no era una ciudad, sino un pueblo muy grande. (Para los arqueólogos la distinción radica en que las ciudades no tienen sólo tamaño, sino también una estructura administrativa apreciable). Más relevante es el hecho de que hoy en día existen comunidades considerablemente más antiguas: Jericó en Palestina, Mallaha en Israel, Abu Hureyra en Siria. Ninguna, sin embargo, resultó ser tan curiosa como Çatal Höyük.
Vere Gordon Childe, padre de la revolución neolítica, no vivió lo suficiente como para conocer el descubrimiento de Çatal Höyük. Poco antes del hallazgo, realizó su primera visita en treinta y cinco años a su país natal, Australia. Había estado ausente durante más de la mitad de su vida. Caminando por las Blue Mountains se cayó por un precipicio o saltó al vacío. En cualquier caso, fue hallado muerto en el fondo de un barranco conocido como el Salto de Govett. Trescientos metros más arriba, un excursionista encontró su chaqueta cuidadosamente doblada, junto con sus gafas, su brújula y su pipa dispuestas encima.
A buen seguro Çatal Höyük le habría fascinado, pues prácticamente nada tenía sentido en aquel lugar. La ciudad estaba construida sin calles ni callejuelas. Las casas se apiñaban en un amasijo más o menos sólido. El acceso a las viviendas situadas en medio de aquel amasijo sólo era posible trepando por los tejados de otras muchas casas, todas ellas de distintas alturas, y entrando a través de escotillas abiertas en los tejados, una componenda de lo más inconveniente. No había plazas ni mercados, ni edificios municipales o administrativos, ningún signo de organización social. Los constructores se limitaban a levantar cuatro nuevas paredes, incluso cuando edificaban junto a paredes ya existentes. Es como si aún no le hubieran cogido el tranquillo a la vida colectiva. Y podría muy bien ser así. Çatal Höyük constituye un apasionante recordatorio de que la naturaleza de las comunidades y los edificios que hay en ellas no está decretado por nadie. A nosotros tal vez nos parezca natural tener puertas a nivel del suelo y casas separadas entre sí mediante calles y callejuelas, pero es evidente que los habitantes de Çatal Höyük tenían una visión del asunto completamente distinta.
Tampoco había carreteras o caminos que llegaran o partieran de la comunidad. Estaba construida sobre terreno pantanoso, en una llanura aluvial. En kilómetros a la redonda no había otra cosa que espacio, pero aun así la gente vivía apiñada, como si las mareas les acosaran por todos lados. Nada indica por qué aquella gente se congregó allí a millares cuando podía haberse diseminado por el paisaje que rodeaba el asentamiento.
Aquella gente cultivaba… pero en granjas que estaban como mínimo a once kilómetros de distancia. La tierra alrededor del pueblo proporcionaba malos pastos y no ofrecía nada en absoluto en forma de frutas, frutos secos u otras fuentes naturales de alimento. Tampoco había madera ni combustible. En resumen, no había ninguna razón muy evidente por la que instalarse allí, pero lo hicieron, y en grandes cantidades.
Çatal Höyük no era ni mucho menos un lugar primitivo. Era sorprendentemente avanzado y sofisticado para su época, lleno de tejedores, cesteros, carpinteros, fabricantes de cuentas, fabricantes de arcos y muchos más artesanos especializados de todo tipo. Los habitantes practicaban un arte de primera categoría, y no sólo conocían la tela, sino que tenían una amplia gama de tejidos. Producían incluso tejidos a rayas, algo que no es en absoluto fácil de conseguir. Tener buen aspecto era importante para ellos. Y es curioso que pensaran antes en tejidos a rayas que en construir puertas y ventanas.
Todo esto no es más que un nuevo recordatorio de lo poco que sabemos, o que podemos siquiera empezar a imaginar, sobre el estilo de vida y las costumbres del pasado antiguo. Y con esto en mente, entremos de una vez por todas en la casa y empecemos a ver lo poco que también sabemos de ella.
§. 1
Ninguna estancia se remonta más atrás en la historia que el recibidor o hall. Espacio actualmente destinado a limpiarse los zapatos y colgar el sombrero, fue en su día la habitación más importante de la casa. De hecho, durante mucho tiempo fue la casa. Cómo se ha producido este curioso cambio es una historia que se remonta a los inicios de Inglaterra y a una época, hace mil seiscientos años, en la que embarcaciones cargadas de gente procedente de tierra firme llegaron a nuestras costas y estas personas empezaron, de un modo del todo misterioso, a ocupar territorio. Sabemos poquísimo acerca de quién era esa gente, y lo poco que sabemos carece a menudo de sentido, pero con ellos se inicia la historia de Inglaterra y de la casa moderna.Según el relato convencional, los acontecimientos fueron muy simples: en el 410 d. C., con su imperio derrumbándose, los romanos se retiraron de Britania con prisas y confusión, y las tribus germanas —los anglos, los sajones y los jutos que aparecen en miles de libros de texto— se hacinaron para ocupar su lugar. Pero, por lo que parece, es muy posible que la cosa no funcionara así.
En primer lugar, los invasores no tenían por qué hacinarse. Se estima que tal vez fueran unos diez mil los extranjeros que llegaron a Britania durante el siglo posterior a la retirada de los romanos, lo que equivale a una media de sólo un centenar de personas al año. La mayoría de los historiadores la considera una cifra muy pequeña, pero nadie es capaz de sustituirla por un número más acertado. Ni tampoco, de hecho, puede decir nadie cuántos británicos nativos estaban allí para recibir u oponerse a los invasores. La cifra se sitúa, de modos diversos, entre un millón y medio y cinco millones —en lo que de por sí es una gráfica demostración de lo extraordinariamente vago que es el periodo que estamos tratando—, pero lo que parece casi seguro es que los invasores eran inferiores en número a los conquistados.
El porqué los británicos vencidos no encontraron los medios o el vigor necesarios para resistir con más efectividad sigue siendo un profundo misterio. Estaban, al fin y al cabo, renunciando a muchas cosas. Durante cuatro siglos habían formado parte de la civilización más poderosa de la tierra y habían disfrutado de beneficios —agua corriente, calefacción central, buenas comunicaciones, gobiernos ordenados, baños calientes— con los que sus toscos conquistadores se sentían incómodos o con los que no estaban familiarizados. Se hace difícil concebir la sensación de indignidad que los nativos debieron de sentir al encontrarse superados por paganos analfabetos y sucios procedentes de los boscosos confines de Europa. Bajo el nuevo régimen, tuvieron que prescindir de casi todas sus ventajas materiales y no las recuperarían hasta pasados mil años.
Fue un periodo generalizado de Völkerwanderung, «las grandes migraciones», en el que grupos de todo el mundo antiguo —hunos, vándalos, godos, visigodos, ostrogodos, magiares, francos, anglos, sajones, daneses, alamanes y muchos más— desarrollaron una inquietud extraña, aparentemente insaciable, y los invasores de Britania formaron parte de todo ello. El único relato escrito que nos ha llegado de lo sucedido es el que nos dejó un monje conocido como Beda el Venerable, que escribió tres siglos después de los hechos. Es Beda quien nos cuenta que la fuerza invasora estaba integrada por anglos, sajones y jutos, pero se desconoce quiénes eran exactamente esos pueblos y qué tipo de relación mantenían entre ellos.
Los jutos son un misterio insondable. Normalmente se supone que venían de Dinamarca porque allí existe una provincia denominada Jutlandia. Pero un problema apuntado por el historiador F. M. Stenton es que Jutlandia se conoció por su nombre mucho después de que los jutos hubieran partido supuestamente de allí, y darle a un territorio el nombre de un pueblo que ya no habita en él sería un hecho tan excepcional que resultaría incluso único. En cualquier caso, Jótar, la palabra escandinava de la que deriva Jutlandia, no tiene necesariamente, ni plausiblemente, nada que ver con ningún tipo de grupo o raza. La referencia de Beda es en realidad la única mención conocida de los jutos, y en ningún momento vuelve a citarlos. Algunos eruditos piensan que la referencia es un comentario añadido a posteriori por otra mano y que nada tiene que ver con Beda.
Los anglos son sólo un poco menos oscuros. Aparecen mencionados de vez en cuando en textos europeos, por lo que como mínimo tenemos la seguridad de que existieron, pero nada sugiere que tuvieran cierta importancia. Si fueron temidos o admirados, fue en el seno de círculos muy pequeños. Por lo tanto es casi una ironía que fuera su nombre el que, por mayor o menor casualidad, acabara vinculándose a un país en cuya formación tal vez estuvieran sólo levemente involucrados.
Eso nos deja sólo con los sajones, que sin lugar a dudas estuvieron presentes en el continente —la existencia en la Alemania moderna de varias Sajonias, Sajonia-Coburgo y cosas similares lo atestigua—, aunque tampoco fueron, por lo visto, especialmente poderosos. Lo mejor que Stenton puede decir a su favor es que fueron «los menos oscuros» de los tres. En comparación con los godos, que saquearon Roma, o con los vándalos, que asolaron Hispania, fueron un pueblo insignificante. Britania, por lo que parece, fue conquistada por campesinos, no por guerreros.
No aportaron prácticamente nada nuevo, simplemente un idioma y su ADN. Ningún aspecto de su tecnología o forma de vida ofrecía ni siquiera un adelanto moderado con respecto a lo ya existente. No debieron de ser muy populares. Tampoco muy impresionantes. Pero por alguna razón, su impacto fue tan profundo que su cultura sigue con nosotros, más de un milenio y medio después, de un modo extraordinario y fundamental. Tal vez no sepamos nada acerca de sus creencias, pero seguimos rindiendo homenaje a tres de sus dioses —Tiw, Woden y Thor— en el nombre en inglés de los tres días intermedios de la semana, y cada viernes conmemoramos eternamente a la esposa de Woden, Frig [6] . Un fuerte vínculo de cariño.
Borraron por completo la cultura existente. Los romanos habían permanecido en Britania durante 367 años y los celtas al menos mil, pero era como si no hubieran estado nunca. En ningún lado se produjo un fenómeno similar. Cuando los romanos abandonaron la Galia e Hispania, la vida en esos lugares continuó prácticamente igual que hasta entonces. Sus habitantes siguieron hablando sus propias versiones del latín, que empezaban a evolucionar ya hacia lo que luego sería el francés y el castellano. Los gobiernos continuaron. Los negocios prosperaron. Las monedas circulaban. Las estructuras sociales se conservaron. En Britania, sin embargo, los romanos dejaron apenas cinco palabras y los celtas no más de veinte, en su mayoría términos geográficos para describir características concretas del paisaje británico. Crag [7] , por ejemplo, es una palabra celta, igual que tor, que significa «saliente rocoso».
Después de la retirada de los romanos, algunos celtas huyeron a Francia y fundaron Bretaña. Los hubo, sin duda, que se resistieron y fueron masacrados o acabaron como esclavos. Pero en su mayoría se limitaron a aceptar la invasión como un hecho infeliz y adaptaron su vida en consecuencia. «No tuvo por qué significar una gran masacre o un derramamiento de sangre —me explicó en una ocasión mi amigo Brian Ayers, el antiguo arqueólogo del condado de Norfolk, mientras contemplábamos la campiña que se extiende en las proximidades de mi casa—. Seguramente llegará un día en que mirarás este campo y descubrirás una veintena de personas acampadas allá abajo, y poco a poco caerás en la cuenta de que no piensan marcharse, de que te están usurpando la tierra. Sin duda hubo algún que otro enfrentamiento sangriento, pero en general creo que fue más bien una cuestión de adaptación de la gente que vivía aquí a unas circunstancias que cambiaron dramáticamente».
Existen varios relatos de batallas —se dice que una que tuvo lugar en Crecgan Ford (un punto de localización incierta) acabó con un balance de cuatro mil británicos muertos— y, por supuesto, la leyenda nos ha dejado narraciones de la valiente resistencia del rey Arturo y sus hombres, pero lo que hay no es más que leyenda. Nada en los restos arqueológicos indica una masacre generalizada ni que la población huyera despavorida. Los invasores no solo no eran poderosos guerreros, sino que tampoco eran muy buenos cazadores, por lo que se sabe. Los restos arqueológicos muestran que desde el momento de su llegada vivieron de animales domésticos y prácticamente no cazaron. La agricultura siguió también su curso sin interrupciones. Por lo que muestran las evidencias, la transición fue tan fluida como un cambio de turno en una fábrica. Seguramente no fue el caso, pero lo más probable es que nunca sepamos lo que sucedió en realidad. Se ha convertido en una época sin historia. Britania dejó de ser el fin del mundo conocido para convertirse en un lugar más allá de ese fin.
Incluso lo que sabemos, a partir de la arqueología, es a menudo difícil de comprender. Para empezar, los recién llegados se negaron a vivir en casas romanas, aun cuando éstas estaban bien construidas, eran superiores a cualquier cosa que pudieran tener en su lugar de origen y estaban a su disposición. Edificaron, en cambio, estructuras mucho más básicas, a veces incluso justo al lado de las villas romanas abandonadas. Tampoco aprovecharon las ciudades romanas. Durante trescientos años, Londres permaneció prácticamente vacío.
En el continente, los pueblos germánicos vivían normalmente en lo que se conoce como «casas alargadas» —la «clásica» morada de campesinos en la que las personas viven en un extremo y el ganado en el otro—, pero los recién llegados abandonaron también su uso durante los seiscientos años siguientes. Nadie sabe por qué. En su lugar, salpicaron el paisaje con unas estructuras pequeñas y extrañas que reciben el nombre de grubenhäuser —«casas hoyo»—, aunque hay razones sólidas para dudar de que en realidad fueran casas. Una grubenhaus consistía simplemente en un hoyo, de medio metro aproximado de hondo, sobre el cual se erigía un pequeño edificio. Durante los dos primeros siglos de ocupación anglosajona, fueron las estructuras nuevas más numerosas e importantes del país. Muchos arqueólogos piensan que el hoyo se cubría con un suelo de madera, convirtiéndolo de este modo en un sótano poco profundo, aunque resulta difícil adivinar con qué fin. Las dos teorías más comunes son que los hoyos estaban destinados al almacenamiento, pensando que el aire fresco del subsuelo conservaría mejor los productos perecederos, o que fueron diseñados para mejorar la circulación del aire e impedir que los tablones de madera se pudrieran. Pero el esfuerzo de excavar agujeros —algunos estaban cavados directamente en la piedra— parece desproporcionado en relación con los posibles beneficios que pudiera aportar el flujo de aire, y se cree además que es muy improbable que una circulación del aire mejor produjera cualquiera de esos resultados teóricos.
La primera grubenhaus no fue descubierta hasta 1921 —una fecha notablemente tardía teniendo en cuenta lo numerosas que sabemos ahora que son estas estructuras—, en el transcurso de una excavación en Sutton Courtenay (ahora en Oxfordshire, por aquel entonces en Berkshire). El descubridor fue Edward Thurlow Leeds, del Ashmolean Museum de Oxford, y la verdad es que no le gustó en absoluto lo que vio. La gente que vivía en esas casas había llevado una «existencia semitroglodita» tan sórdida que «inspira incredulidad en las mentes modernas», masculló el profesor Leeds en una monografía fechada en 1936. Los ocupantes, continuaba, vivían «entre asquerosos desperdicios en forma de huesos rotos, comida y loza hecha añicos […] en condiciones casi tan primitivas como uno pueda imaginarse. No daban importancia alguna a la limpieza y se contentaban con arrojar los restos de comida en un rincón de la cabaña y dejarlos allí». Para Leeds, las grubenhäuser eran casi una traición a la civilización.
Este punto de vista prevaleció durante casi treinta años, pero poco a poco las autoridades empezaron a cuestionarse si realmente había vivido gente en aquellas pequeñas estructuras tan curiosas. Para empezar eran sumamente diminutas —las medidas habituales eran dos metros de ancho por tres de largo—, lo que las convertía en casas muy justas incluso para los campesinos más humildes, sobre todo teniendo en cuenta que en su interior tenían que hacer fuego. Una grubenhaus tenía un área útil de dos metros setenta centímetros, de los cuales prácticamente dos quedarían ocupados por un hogar, lo que no dejaba el más mínimo espacio para nadie. Por lo tanto es posible que no fueran habitáculos, sino talleres o cobertizos para almacenamiento, aunque el porqué de su aspecto subterráneo tal vez quede sumido para siempre en el misterio.
Por suerte, los recién llegados —los ingleses, como podemos perfectamente llamarlos a partir de ahora— trajeron consigo un segundo tipo de edificio, mucho menos numeroso pero mucho más importante. Eran edificios mayores que las grubenhäuser, aunque poco más puede decirse de ellos. Eran simplemente espacios grandes, parecidos a graneros, con un hogar abierto en el centro. La palabra empleada para denominar a este tipo de estructura ya era vieja en el año 410, y se ha convertido en una de las primeras palabras conocidas del idioma inglés. Las llamaban halls [8] .
Toda la vida, de día y de noche, tenía lugar prácticamente en esta estancia casi desnuda y siempre llena de humo. Criados y familia comían, se vestían y dormían juntos, «una costumbre que no inducía ni a comodidades ni a la observancia del decoro», según destacó en 1909 J. Alfred Gotch, también con una clara ausencia de comodidad, en su clásico The Growth of the English House. A lo largo de todo el periodo medieval, hasta bien entrado el siglo XV, el hall era efectivamente la casa, hasta el punto de que acabó convirtiéndose en algo habitual darle ese nombre a la totalidad de la vivienda, como sucede en Hardwick Hall o Toad Hall.
Todos los miembros de la casa, incluyendo criados, sirvientes, viudas y cualquiera que tuviera un vínculo continuado, eran considerados familia: eran literalmente «familiares», utilizando la palabra en su sentido original. En el lugar más dominante del hall (y normalmente con menos corrientes de aire) se levantaba una plataforma o tarima donde comían el propietario y su familia, una práctica que recuerda a las mesas elevadas que se encuentran todavía hoy en día en colegios e internados que tienen (o simplemente pretenden proyectar) un sentido de larga tradición. El jefe de la casa era el husband, un término compuesto que literalmente significa «dueño de la casa» o «propietario de la casa». Su papel como jefe y proveedor era tan primordial que de ese término deriva también la palabra husbandry, que hace referencia a la gestión y administración de las tierras. Sólo mucho más tarde la palabra husband acabó denotando en inglés al esposo o cónyuge por matrimonio.
Incluso las casas más espléndidas tenían sólo tres o cuatro espacios en su interior: el hall propiamente dicho, una cocina y quizás una o dos estancias secundarias, conocidas como cenadores, salones o alcobas, donde el jefe de la casa podía retirarse para sus asuntos privados. Hacia el siglo IX o X, solía haber también una capilla, aunque se utilizaba más para asuntos de negocios que como lugar de culto. A veces, estas estancias privadas se construían en dos plantas, accediéndose a la superior —denominada solar— con la ayuda de una escalera de mano o una escalera muy básica. «Solar» suena a sol y luz, pero de hecho el nombre era una mera adaptación de solive, que en francés significa «vigueta». Los solares eran simplemente habitaciones montadas sobre viguetas, y durante mucho tiempo fueron la única habitación en planta superior que pudieron permitirse la mayoría de las casas. Con frecuencia eran poco más que almacenes. Tan poca importancia le daba la gente a las habitaciones en el sentido moderno de la palabra «habitación», entendiéndola como un espacio cerrado o aislado, que no aparece en el idioma inglés hasta la época de los Tudor.
La sociedad estaba integrada principalmente por hombres libres, siervos y esclavos. Cuando un siervo moría, su señor tenía derecho a hacerse con alguna de sus pequeñas posesiones personales, como por ejemplo alguna prenda, a modo de impuesto de sucesión. Era frecuente que los campesinos tuvieran una única indumentaria, un vestido largo suelto conocido como cotta (que acabó evolucionando hacia el término coat, que en inglés moderno significa «abrigo»). El hecho de que esto fuera lo mejor que un campesino podía ofrecer, y de que el señor de la casa lo quisiera, nos cuenta todo lo que necesitamos saber sobre la calidad de la vida medieval a muchos niveles. La servidumbre de la gleba era una forma de vínculo permanente con un señor, que a menudo se ofrecía casi como un juramento religioso, un acto que debió de consternar a más de un descendiente, pues la servidumbre, una vez jurada, se extendía en perpetuidad a todos ellos. La consecuencia principal de la servidumbre era la anulación de la libertad de movimientos del siervo y la imposibilidad de contraer matrimonio fuera de la finca de su señor. Pero, pese a todo, los siervos podían llegar a prosperar. Hacia finales del periodo medieval, uno de cada veinte siervos era propietario de veinte hectáreas o más de tierra, una posesión importante para la época. En cambio, los hombres libres, conocidos como ceorls, tenían libertad en principio, pero con frecuencia eran demasiado pobres como para poder disfrutar de ella.
Los esclavos, muchas veces rivales capturados en tiempo de guerra, fueron numerosos entre los siglos IX y XI —en una finca mencionada en el Domesday Book (Libro del Juicio Final) había más de setenta—, aunque no vivían bajo el trato de sumisión deshumanizada que encontramos en tiempos más modernos, como en el sur de Estados Unidos, por ejemplo. A pesar de que los esclavos eran una propiedad y, como tal, podían venderse —y por bastante dinero: un esclavo varón sano podía costar el equivalente a ocho bueyes—, los esclavos podían tener propiedades, casarse y moverse libremente en su comunidad. La palabra que en inglés antiguo significaba esclavo era thrall, y en el inglés moderno la expresión enthralled significa «estar esclavizado por una emoción».
Las fincas medievales solían estar muy fragmentadas. Un thegn [9] inglés del siglo XI llamado Wulfric tenía setenta y dos propiedades repartidas por toda Inglaterra, e incluso las fincas más pequeñas acostumbraban a estar muy dispersas. En consecuencia, los grupos familiares medievales estaban en constante movimiento. Y solían ser también muy grandes.
Las casas reales tenían fácilmente quinientos sirvientes y criados, y los pares del reino y los prelados importantes nunca tenían menos de cien. Con cifras tan considerables, era tan fácil llevar el grupo familiar hasta la comida como llevar la comida hasta el grupo familiar, por lo que el movimiento era más o menos constante y todo estaba diseñado para ser movible (razón por la cual, y no por casualidad, meubles y mobili, significan «mueble» en francés e italiano, respectivamente). Los muebles eran frugales, transportables y marcadamente prácticos, «tratados más como equipamiento que como posesiones personales de valor», en palabras de Witold Rybczynski.
La necesidad de transporte explica también por qué muchos baúles y arcones antiguos tenían tapas en forma de cúpula: para que el agua resbalase durante los viajes. La gran desventaja de los arcones, claro está, es que para sacar cualquier cosa del fondo hay que retirar primero todo lo que hay encima. Pasó muchísimo tiempo —hasta el siglo XVII— antes de que a alguien se le ocurriera la idea de incorporar cajones y convertir de este modo los arcones en cajoneras.
Incluso en las mejores casas, los suelos eran normalmente de tierra cubierta con cañas, encubriendo «escupitajos, vómitos y orina de perros y hombres, cerveza derramada y restos de pescado y otra porquería indecible», tal y como sucintamente resumió el teólogo y viajero holandés Desiderius Erasmus (Erasmo de Rotterdam) en 1524. Un par de veces al año se depositaban nuevas capas de cañas, pero los viejos excrementos no se retiraban, por lo que, añadía Erasmus con abatimiento, «el sustrato podía permanecer imperturbable durante veinte años». Efectivamente, los suelos eran un nidal enorme, favorecido por insectos y roedores furtivos, la incubadora perfecta de la peste. Pero aun así, tener un suelo mullido era en general signo de prestigio. Entre los franceses era común decir que los ricos estaban «de paja hasta la cintura».
Los suelos de tierra siguieron siendo la norma en la Gran Bretaña y la Irlanda rurales hasta el siglo XX. «El ground floor era un nombre de lo más acertado [10] », tal y como comenta el historiador James Ayres. Incluso después de que los suelos de madera o de baldosas empezaran a ser habituales en las casas de más calidad, hacia la época de William Shakespeare, las alfombras resultaban demasiado valiosas para pisarlas. Por eso las colgaban en las paredes o las disponían sobre las mesas. A menudo, sin embargo, se conservaban en el interior de baúles y se sacaban con el único fin de impresionar a los visitantes más especiales.
Las mesas de comedor eran simples tablas de madera colocadas encima de caballetes, y los aparadores eran estanterías de madera donde poder disponer tazas y otros recipientes [11] . Pero no eran habituales. Los vasos de cristal eran la excepción y los comensales solían compartirlos con su vecino en la mesa. Al final, los aparadores se incorporaron a cómodas más decoradas, que nada tenían que ver con la ropa, sino con la preparación, o condimentación, de la comida [12] .
En viviendas más humildes, todo era de lo más sencillo. La mesa de comedor era una simple tabla y recibía ese nombre: board. Cuando no se utilizaba, la tabla se colgaba en la pared y a la hora de comer se descolgaba para instalarla directamente sobre las rodillas de los comensales. Con el tiempo, esa palabra inglesa acabó refiriéndose no sólo a la superficie donde comer, sino también a la comida en sí, y de ahí el término room and board, «habitación y tabla» en su sentido literal, para referirse a «pensión completa». Y todo esto explica también por qué a los huéspedes se les denomina en inglés boarders y el origen de una expresión inglesa que se aplica a las personas honestas —que mantienen sus manos visibles en todo momento—: aquellas que «están por encima de la tabla».
Los asientos eran bancos sencillos (bancs, en francés, de donde viene la palabra «banquete»). Hasta el siglo XVII, las sillas fueron muy excepcionales —la palabra data de hecho de 1300— y su objetivo no era la comodidad de quien se sentaba en ellas, sino atribuirle autoridad. Incluso ahora se utiliza en inglés como verbo y se dice que la persona que dirige una reunión chairs esa reunión, un verbo que deriva evidentemente de chair («silla» en inglés). Por otro lado, el presidente de la junta directiva de una empresa se conoce en inglés como el chairman of the board, un término que además, y de forma ciertamente curiosa, recuerda las costumbres de los campesinos medievales en la mesa.
Los banquetes medievales muestran a gente comiendo todo tipo de manjares exóticos que ya no consumimos. Destacan especialmente las aves. Se consumían águilas, garzas, pavos reales, gorriones, alondras, pinzones, cisnes y muchas otras cosas voladoras. No tanto porque los cisnes y otras aves curiosas fueran sumamente deliciosas, sino más bien porque no había disponibilidad de otras carnes mejores. Durante mil años apenas se consumió carne de ternera, cabrito o cordero, porque los animales de las que se obtienen esas carnes eran necesarios por su lana, su estiércol o su fuerza muscular y eran demasiado valiosos para ser sacrificados. Durante gran parte del periodo medieval, la mayor fuente de proteínas animales fueron los arenques ahumados.
Y aun en el caso de que hubiera habido carne disponible, estaba casi siempre prohibida. Las comidas medievales tenían que acomodar tres días de pescado a la semana, más cuarenta días de Cuaresma y muchas otras jornadas religiosas en las que estaba prohibida la carne de animales terrestres. El número total de días con restricciones dietéticas fue variando con el tiempo, pero en su apogeo cabe pensar que prácticamente la mitad de los días del año eran jornadas de «ayuno». Apenas había pescado o cosa que nadara que no se comiera. Las anécdotas de cocina recogidas por el obispo de Hereford nos muestran que en su casa se comían arenques, bacalao, abadejo, salmón, lucio, pargo, caballa, maruca, merluza, carpa, anguila, lamprea, bacalada, tenca, trucha, piscardo, gobio, rubio y algunas especies más, más de dos docenas de pescados distintos en total. También se comía mucho el barbo, la breca e incluso la marsopa. Hasta tiempos de Enrique VIII, no observar los días de consumo obligatorio de pescado se castigaba con la muerte, al menos en teoría. Los días de consumo de pescado cayeron en el olvido después de la ruptura con Roma, pero fueron restablecidos por Isabel para apoyar los intereses de la flota británica. La Iglesia anglicana también se inclinó por los días de pescado, no tanto por convicción religiosa como por el lucrativo negocio secundario que suponía la venta de dispensas.
El dormir solía ser informal. Hoy en día «hacemos la cama» porque eso es lo que en realidad se hacía en la Edad Media: extendías un jergón de tela o amontonabas un poco de paja, buscabas una capa o una manta, y te apañabas lo más cómodamente posible. Las cuestiones relacionadas con el dormir fueron distendidas durante mucho tiempo. La trama de uno de los Cuentos de Canterbury gira en torno a la esposa de un molinero que se equivoca de cama en su propia casa, algo que no le habría ocurrido si durmiese cada noche en el mismo sitio. Hasta bien entrado el siglo XVII, por «cama» se entendía tan sólo el colchón y su relleno, no la estructura y su contenido. Para eso existía el término «bastidor o armazón» de la cama.
Los inventarios de las viviendas del periodo isabelino muestran una gran vinculación de la gente con su cama y su ropa de cama, seguidas por los utensilios de cocina. Sólo a partir de entonces empezó a aparecer el mobiliario general en los inventarios, y siempre en términos vagos, como «unas cuantas mesas y algunos bancos». Por lo que parece, la gente no sentía una vinculación especial con sus muebles, del mismo modo que nosotros no sentimos una vinculación emocional con nuestros electrodomésticos. No querríamos estar sin ellos, claro está, pero no son joyas de la familia que apreciemos en demasía. Otra cosa que se relacionaba con detalle era, sorprendentemente, el cristal de las ventanas. Exceptuando las iglesias y algunas casas ricas, el cristal de las ventanas fue algo muy excepcional hasta bien entrado el siglo XVII. Eleanor Godfrey, en su historia de la fabricación del vidrio, destaca que en 1590 un concejal de Doncaster legó su casa a su esposa, pero las ventanas a su hijo. Los propietarios del castillo de Alnwick, en el mismo periodo, retiraban los cristales de las ventanas siempre que tenían que ausentarse para minimizar el riesgo de rotura.
Incluso en las casas más grandes, sólo las ventanas de las habitaciones principales tenían cristales. Las demás se cubrían con postigos. Descendiendo en la escala económica, las ventanas siguieron siendo excepcionales hasta bastante más tarde. Cuando Shakespeare nació, en 1564, ni siquiera los vidrieros tenían ventanas con cristales en sus propias casas; en el momento de su fallecimiento, medio siglo después, la situación había cambiado algo, pero no del todo. La mayoría de hogares de clase media tenía por aquel entonces ventanas con cristales en la mitad de sus estancias.
Lo que sí es seguro es que las grandes comodidades no existían, ni siquiera en las mejores casas. Es realmente extraordinario lo mucho que tardó la gente en alcanzar los niveles más elementales de comodidad. Pero todo tiene una razón de ser: la vida era dura. Durante la Edad Media, gran parte de la vida se consagraba única y exclusivamente a la supervivencia. Las hambrunas eran habituales. El mundo medieval era un mundo sin reservas de alimentos y cuando las cosechas eran malas, tal y como sucedía de media un año de cada cuatro, el hambre era inmediato. Y cuando varias cosechas seguidas fallaban, la gente se moría de inanición. Inglaterra sufrió cosechas especialmente catastróficas en 1272, 1277, 1283, 1292 y 1311, y después una racha asesina continuada entre 1315 y 1319. Y esto, claro está, además de la peste y otras enfermedades que aniquilaron a la población por millones. Es poco probable que la gente condenada a una vida corta y a penurias crónicas se preocupara por la decoración. Pero incluso teniendo esto en cuenta, resulta curioso que hubiera una gran lentitud en todo lo relacionado con el afán de prosperar para alcanzar aunque fueran unos niveles modestos de comodidades. Los agujeros en el techo, por ejemplo, servían para evacuar el humo, pero también para que entrara la lluvia y las corrientes de aire, hasta que alguien, por fin, muy tardíamente, inventó una estructura en forma de claraboya con persianas de tablillas que permitía la evacuación del humo e impedía a la vez la entrada de lluvia, pájaros y viento. Fue un invento maravilloso, pero cuando se pensó en él, en el siglo XIV, empezaban a aparecer ya las chimeneas y esos respiraderos dejaron de ser imprescindibles.
Dejando todo esto aparte, no sabemos casi nada más sobre el interior de las casas antes de la Edad Media. De hecho, según el historiador del mueble Edward Lucie-Smith, sabemos más sobre cómo se sentaban o reclinaban los antiguos griegos y romanos que sobre los ingleses de hace ochocientos años. Apenas han llegado hasta nosotros muebles anteriores a 1300 y las ilustraciones que aparecen en manuscritos o pinturas son escasas y contradictorias. Los historiadores del mueble están tan hambrientos de hechos que se ven obligados incluso a aprovechar las pistas que ofrecen las canciones infantiles. Con frecuencia encontramos escrito que en la época medieval existió un tipo de taburete llamado tuffet, un supuesto basado exclusivamente en el famoso verso: «La señorita Muffet estaba sentada en un tuffet». De hecho, el único lugar donde aparece esta palabra escrita en inglés antiguo es en esa canción infantil. Si alguna vez existió ese tipo de taburete, no aparece registrado en ningún lado más.
Todo esto se aplica a las casas de los más pudientes, pero hay que tener siempre presentes dos cosas: las casas superiores no eran necesariamente tan superiores, y las casas inferiores tampoco eran tan horrendas. Las mejores casas, en general, no eran estructuras complejas, sino que simplemente tenían halls más grandes.
Sobre las casas en sí sabemos menos incluso porque apenas sobrevive nada en pie de los primeros periodos del asentamiento. Los anglosajones le tenían un cariño tremendo a la madera como material de construcción, hasta el punto de que el término genérico que utilizaban para denominar a los edificios era timbran [13] pero por desgracia la madera se pudre y casi nada ha llegado hasta nuestros días. En toda Gran Bretaña, por lo que se sabe, tan sólo sobrevive una puerta del periodo anglosajón, una maltrecha puerta de roble de un vestíbulo exterior de la abadía de Westminster que pasó desapercibida hasta el verano de 2005, cuando alguien se dio cuenta de que tenía 950 años de antigüedad y de que, por lo tanto, era la puerta más antigua que se conocía en el país.
Merece la pena detenernos un poco a pensar en cómo se adivina la antigüedad de una puerta. La respuesta nos la da la dendrocronología, la ciencia que cuenta los anillos de los árboles. Los anillos de los árboles proporcionan una guía muy exacta, pues cada uno de ellos indica el paso de un año, por lo que en su conjunto forman lo que podría entenderse como una especie de huella. De este modo, si tenemos un trozo de madera del que conocemos su edad, podemos utilizar el dibujo de sus anillos para fechar otros trozos de madera del mismo periodo. Para remontarnos siglos atrás, basta con encontrar dibujos que se solapen entre sí. Si, por ejemplo, tenemos un árbol que vivió entre 1850 y 1910 y otro que vivió entre 1890 y 1970, ambos árboles deberían tener dibujos solapados entre 1890 y 1910, el periodo durante el cual los dos estuvieron vivos. Construyendo una biblioteca de secuencias de anillos, podemos remontarnos a mucho tiempo atrás.
En Gran Bretaña tenemos suerte de que muchas cosas se construyeran utilizando madera de roble, pues es el único árbol británico que nos ofrece evidencias claras y útiles. Pero incluso las mejores maderas presentan problemas. No existen dos árboles que ofrezcan exactamente el mismo dibujo. Uno podría tener anillos más estrechos que otro porque creció en la sombra, o tuvo más competencia a nivel del suelo, o recibió menos agua. A efectos prácticos, para disponer de una base de datos fiable se hace necesaria una cantidad inmensa de secuencias de anillos de árboles y para obtener una lectura precisa hay que realizar ingeniosos ajustes estadísticos… y para ello se necesita el teorema mágico del reverendo Thomas Bayes, que mencionamos en el primer capítulo.
Tomando una muestra de madera del grosor de un lápiz y sometiéndola a las diversas pruebas que acabamos de mencionar, los científicos descubrieron que la citada puerta de la abadía de Westminster se construyó con la madera de un árbol talado entre 1032 y 1064, justo antes de la conquista normanda, es decir, cuando terminó el periodo anglosajón. Y esa solitaria puerta es prácticamente todo lo que de ese periodo nos ha llegado [14] Con tan poco con lo que proceder, queda mucho espacio para la discusión. Jane Grenville, en su meticulosa y definitiva obra Medieval Housing, ofrece una llamativa pareja de ilustraciones que muestra cómo dos equipos de arqueólogos, utilizando la misma información, visualizaron el aspecto de una casa alargada de Wharram Percy, un pueblo medieval perdido de Yorkshire. Una de las ilustraciones muestra una vivienda marcadamente sencilla y básica, con paredes de adobe o clunch (una mezcla de adobe y estiércol) y tejado de hierba o turba. La otra muestra una construcción mucho más robusta y sofisticada sobre una cimbra curva de madera en la que se han encajado robustas vigas con habilidad y esmero. La realidad es que los restos arqueológicos muestran básicamente el asentamiento en el suelo de los edificios, pero no su aspecto.
Durante mucho tiempo se creyó que las casas de los campesinos medievales eran poco más que cabañas primitivas, ese tipo de estructura frágil y ligera que los lobos derribaban soplando en los cuentos de hadas. La sensación era de que no podían durar más de una sola generación. Grenville cita a un académico que se sintió lo bastante seguro como para aseverar que las casas de la gente de a pie fueron «uniformemente de mala calidad en toda Inglaterra» hasta la época de los Tudor, una afirmación aplastante, y equivocada, por lo que parece. Las evidencias sugieren cada vez más que la gente de a pie de la Edad Media, y seguramente de mucho tiempo antes, podía tener buenas casas si así lo quería. Una pista la ofrece el desarrollo de la especialización artesanal —tejados de paja, carpintería, pintura de brocha gorda, y similares— a finales de la Edad Media. Por otro lado, cada vez aparecen más puertas con cerradura, una clara indicación de que tanto los edificios como su contenido eran valiosos. Y, por encima de todo, es evidente que las casitas estaban evolucionando hacia una amplia variedad de tipos: «Wealden completa», «media Wealden», «de doble fila de habitaciones», «con ala posterior», «en forma de H», «con pasillo central y con establo para vacas», etc. Las diferencias carecen de importancia, pero las personas que vivían en ellas eran lo que daba a sus casas carácter y distinción. A buen seguro, la propiedad de una casa, por muy sencilla que fuera, proporcionaba un sentimiento de orgullo.
* * * *
Un detalle que no pasó desapercibido en la época medieval fue que prácticamente todo el espacio que quedaba por encima de la altura de la cabeza era inutilizable porque solía estar lleno de humo. El hogar abierto presentaba claras ventajas —irradiaba calor en todas direcciones y permitía sentarse a su alrededor—, pero era también como tener una hoguera permanente en medio de la sala de estar de la casa. Saltaban las chispas, y el humo iba hacia donde lo arrastraba la corriente de aire —y con tanta gente entrando y saliendo, y con las ventanas sin cristales, cada corriente de aire debía de arrastrar consigo una bocanada de humo—, o se elevaba hacia el techo y allí se quedaba hasta que conseguía filtrarse por un agujero abierto en el tejado.Se necesitaba algo que, a primera vista, podría parecer sencillo y directo: una práctica chimenea. Pero la solución tardó mucho en aparecer, y no por falta de ganas, sino por el desafío técnico que suponía. Un fuego crepitante en un hogar de gran tamaño genera mucho calor y necesita un tubo sólido y una placa de fundición que proteja la parte posterior del hogar (o retablo, para utilizar la terminología arquitectónica), y antes de 1330 (el momento en que aparece por primera vez en inglés la palabra que se traduce como «chimenea») nadie sabía cómo fabricar esas piezas. Los hogares ya existían —los normandos los habían traído a Inglaterra—, pero no eran magníficos. Se hacían simplemente abriendo un hueco en los muros más gruesos de los castillos y horadando un agujero en la pared exterior para que el humo pudiese salir. El tiro era muy deficiente y, como consecuencia de ello, la leña ardía mal y generaba poco calor, por lo que era un elemento poco frecuente fuera de los castillos. Por otro lado, no era aplicable a las casas de madera, el material con el que estaban construidas en su mayoría.
Lo que al final marcó la diferencia fue la aparición de buenos ladrillos, que a la larga gestionan el calor mucho mejor que prácticamente cualquier tipo de piedra. Las chimeneas permitieron además el cambio del combustible habitual al carbón, un cambio oportuno porque el suministro de madera británico empezaba a menguar rápidamente. Pero el humo del carbón era acre y tóxico y tenía que mantenerse en el interior del hogar [15] de tal modo que los gases y el humo pudieran ascender por el tubo de la chimenea. Con esto se consiguieron casas más limpias por dentro pero un mundo exterior más contaminado, un hecho que, como veremos, tuvo consecuencias muy importantes para el aspecto y el diseño de las viviendas.
Pero no todo el mundo estaba feliz con la desaparición de los hogares abiertos.
Un banquete medieval.
Pero a pesar de la pérdida de calor y comodidad, los beneficios, por lo que al espacio se refiere, eran evidentes. Y así fue como la aparición de la chimenea se convirtió en uno de los momentos trascendentales de la historia de la vida doméstica. De pronto se hacía posible colocar tablas de madera encima de las vigas y crear todo un nuevo mundo en una planta superior.
§. 2
La expansión hacia arriba de las casas lo cambió todo. Las habitaciones empezaron a proliferar en cuanto los propietarios más adinerados descubrieron la satisfacción que aportaba disponer de un espacio más personal. El primer paso, en general, consistió en construir una nueva y amplia habitación en la planta superior, conocida como la sala principal, donde el señor y su familia hacían todo lo que anteriormente hacían en el hall —comer, dormir, repantigarse y jugar—, pero sin tanta gente a su alrededor, destinando el salón grande de la planta de abajo a los banquetes y otras ocasiones especiales. Los criados dejaron de formar parte de la familia y se convirtieron… en criados.El concepto de espacio personal, que ahora nos parece algo tan natural, fue toda una revelación. La gente no se hartaba de él. Y muy pronto no bastó con vivir aparte de tus inferiores, sino que se hizo además necesario disfrutar de tiempo aparte de los de tu misma condición.
A medida que a las casas fueron creciéndoles alas y ampliándose, y que el acomodamiento doméstico fue volviéndose más complejo, fueron creándose o adaptándose palabras para describir los nuevos tipos de estancia: términos como «estudio», «dormitorio», «salón privado», «ropero», «oratorio» (un lugar para la oración), «sala de estar», «sala de retiro» y «biblioteca» (en sentido hogareño, no institucional) datan del siglo XIV o de algo antes. Y otros conceptos les siguieron poco después: «galería», «galería larga», «sala de audiencias», «vestidor» (para vestirse), «salón», «apartamento», «alojamiento» y «suite». « ¡Qué distinto es todo esto de la antigua costumbre de tener a la familia entera viviendo día y noche en el hall!», escribió Gotch en un momento de excepcional exuberancia. Una nueva tipología no mencionada por Gotch era el boudoir o tocador, literalmente «una habitación donde enfurruñarse», que desde sus inicios se relacionó con las intrigas sexuales.
Incluso con el aumento de la privacidad, la vida siguió siendo mucho más comunal y expuesta de lo que lo es hoy en día. Los retretes tenían a veces múltiples asientos, para facilitar la conversación, y en pinturas vemos a menudo a parejas en la cama o en el baño retozando mientras sus asistentes los esperan y sus amigos permanecen afablemente sentados en las cercanías, jugando a las cartas o charlando, pero al alcance tanto de la vista como del oído.
Durante mucho tiempo, el uso al que se destinaron las nuevas habitaciones no estuvo tan segregado como lo está ahora. En un sentido amplio, todas las estancias eran salas de estar. Los planos italianos de la época del Renacimiento, y posteriores, no etiquetaban las diversas estancias porque tuvieran propósitos concretos. La gente se movía por la casa buscando la sombra o la luz y arrastrando con frecuencia consigo los muebles, por lo que las habitaciones, si recibían algún nombre, era el de mattina (para su utilización diurna) o sera (para la noche). En Inglaterra encontramos una informalidad similar. El dormitorio no se utilizaba únicamente para dormir, sino también para comidas privadas y para recibir a las visitas más especiales. De hecho, el dormitorio se convirtió hasta tal punto en un lugar de entretenimiento general que pronto se hizo necesario idear espacios más privados. (La palabra bedroom fue utilizada por primera vez por Shakespeare hacia 1590 en El sueño de una noche de verano, aunque haciendo referencia únicamente al espacio del interior de la cama [16] . Como palabra para describir una habitación destinada a dormir, no empezó a utilizarse hasta el siglo siguiente).
Las pequeñas habitaciones contiguas al dormitorio se utilizaron para todo tipo de propósitos privados, desde la defecación hasta las citas a escondidas, y por ello las palabras que identifican estas habitaciones han llegado hasta nosotros de una manera curiosamente fragmentada. La palabra «closet [17] —nos cuenta Mark Girouard— tuvo una larga y honorable historia antes de descender a su ignominia final y quedar convertida en un armario grande o en una habitación para el lavadero y las fregonas de la criada». Originalmente, esa estancia era más un estudio que un cuarto de almacenaje.Cabinet, que al principio era el diminutivo de cabin [18] , cambió de sentido hacia mediados del siglo XIV para indicar un estuche donde guardar objetos valiosos. Pero muy poco después —en cuestión de una sola década—, pasó a referirse a la habitación en sí. Los franceses, como tan a menudo sucede, refinaron el concepto y lo aplicaron a diversos tipos de estancia, de tal modo que un elegante chateau francés del siglo XVIII podía tener un cabinet de compagnie, uncabinet d’assemblée, un cabinet de proprieté y un cabinet de toilette, además de un cabinet normal y corriente.
En inglés, la palabra cabinet acabó reservándose para la más exclusiva y privada de todas las estancias, el lugar sagrado e íntimo donde se celebraban las reuniones más privadas. Pero al cabo de un tiempo dio uno de esos estrambóticos saltos que dan a veces las palabras y pasó a describir (hacia 1605) no sólo el lugar donde el rey se reunía con sus ministros, sino que se convirtió además en el término destinado a designar a los ministros en su conjunto: el gabinete. Esto explica por qué esta única palabra describe actualmente en inglés tanto al grupo más íntimo y exaltado de asesores del Gobierno, como las estanterías que ocupan los recovecos del cuarto de baño donde guardamos nuestros laxantes y cosas por el estilo.
Sucedía a menudo que esta habitación de uso particular tenía adjunta una pequeña hornacina o alcoba, conocida en general como «retrete», pero llamada también «privada», «excusado», «letrina», «común», «guardarropa», «evacuatorio» o «garita», entre otros nombres, que contenía una bancada con un agujero, colocado estratégicamente sobre una prolongada caída a un foso o pozo profundo. Se supone, y se ha encontrado escrito también, que la estancia «privada» dio su nombre a los derechos asociados al Gobierno en Inglaterra, destacando entre ellos el Sello Privado y el Consejo Privado. De hecho, estos términos llegaron a Inglaterra con los normandos, casi dos siglos antes de que la «privada» adoptara su matiz de lavatorio. Cierto es, sin embargo, que la persona responsable del privado real era conocida como el «gentilhombre del excusado», y que con el tiempo pasó de ser un limpiador de retretes a convertirse en el asesor de mayor confianza del monarca.
El mismo proceso se produjo con muchas otras palabras. El wardrobe, o «armario ropero» actual, se refería en su origen a una habitación de almacenamiento. Después se convirtió, sucesivamente, en una habitación donde vestirse, en una habitación para dormir, en un retrete y, finalmente, en un mueble tipo armario. Por el camino adoptó también el significado de «conjunto de prendas de una persona».
* * * *
Para acomodar los nuevos tipos de habitaciones, las casas crecieron tanto hacia afuera como hacia arriba. En la campiña empezó a proliferar y a brotar un tipo de casa completamente nuevo, conocido como la casa de los prodigios. Estas casas casi nunca tenían una altura inferior a tres pisos, llegando en ocasiones hasta los cuatro, y a menudo eran asombrosamente inmensas. La más descomunal de todas ellas era Knole House, en Kent, que creció y creció hasta abarcar más de una hectárea y media de superficie e incorporar siete patios (uno para cada día de la semana), cincuenta y dos escaleras (una para cada semana del año) y trescientas sesenta y cinco habitaciones (una para cada día del año), o eso se cuenta.Observando estas casas es posible ver a veces, de forma sorprendente, cómo los constructores iban aprendiendo a medida que construían. Un ejemplo curioso es el de Hardwick Hall, en Derbyshire, construida para la condesa de Shrewsbury —Bess de Hardwick, como se la conoce— en 1591. Hardwick Hall fue la maravilla de su época y se hizo enseguida famosa por sus grandes ventanales, que dieron lugar a un conocido dicho: «Hardwick Hall, más cristal que pared». Para el ojo moderno, las ventanas de la casa poseen un tamaño y una distribución que parecen normales, pero en 1591 aquello era una novedad tan deslumbrante que el arquitecto (que se cree que fue Robert Smythson) no sabía muy bien cómo encajarlas. Algunas de las ventanas son, de hecho, espacios vacíos que ocultan chimeneas. Otras están compartidas por habitaciones situadas en dos plantas distintas. Algunas habitaciones grandes apenas tienen ventanas y hay habitaciones minúsculas que casi no tienen otra cosa. Las ventanas y los espacios que iluminan sólo coinciden de forma muy intermitente.
Bess llenó la casa con un elegante despliegue de plata, tapices, pinturas y los objetos habituales de cualquier casa inglesa, pero lo más chocante para el ojo moderno es lo desnudo y modesto del resultado global. Los suelos estaban cubiertos con sencillas esteras. La impresionante galería medía cincuenta metros de largo, pero estaba tan sólo amueblada con tres mesas, alguna silla de respaldo recto, unos pocos bancos y dos espejos (que en la Inglaterra isabelina eran tesoros sumamente valiosos, más que cualquier pintura).
No sólo se construían casas enormes, sino que se construyeron muchas. Pero lo que hace de Hardwick Hall una casa tan excepcional es que ya existía un Hardwick Hall en perfecto estado justo enfrente de la nueva construcción (lo que se conoce ahora como Hardwick Old Hall). En la actualidad está en ruinas, pero en época de Bess el edificio estaba en pie y siguió estándolo durante ciento cincuenta años más.
Tradicionalmente, los constructores de estas grandes casas (y los acumuladores de casas) eran los monarcas. En el momento de su fallecimiento, Enrique VIII tenía un mínimo de cuarenta y dos palacios. Pero su hija Isabel comprendió con astucia que le salía mucho más barato visitar las casas de los demás y dejar que fueran ellos los que sufragaran los gastos de sus viajes, por lo que resucitó a lo grande la venerable práctica de realizar una gira real cada año. En realidad, la reina no era una gran viajera —jamás salió de Inglaterra y dentro de ella no se aventuró a ir muy lejos—, pero era una visitante estupenda. Sus giras anuales se prolongaban entre ocho y doce semanas, durante las que solía visitar unas dos docenas de casas.
Las giras reales eran casi siempre recibidas con una mezcla de excitación y miedo por aquéllos a quienes el monarca visitaba. Por un lado, las giras proporcionaban oportunidades inigualables de promoción y ascenso social, pero por el otro resultaban pasmosamente caras. La casa real estaba integrada por hasta quinientas personas y un gran número de ellas —unas ciento cincuenta en el caso de Isabel I— acompañaban al personaje real en sus peregrinaciones anuales. Los anfitriones no sólo tenían que sufragar el elevadísimo gasto que suponía alimentar, albergar y entretener a un ejército de gente mimada y privilegiada, sino que podían sufrir hurtos y daños en sus propiedades, además de alguna que otra malsana sorpresa. Después de que la corte de Carlos II abandonara Oxford hacia 1660, uno de los lugareños comentó con comprensible horror que los visitantes reales habían dejado «sus excrementos en cada esquina, en chimeneas, estudios, carboneras y sótanos».
Pero teniendo en cuenta que una visita real satisfactoria podía reportar grandes beneficios, los anfitriones trabajaban con la mayor inventiva y meticulosidad posible para complacer al invitado real. Los propietarios acostumbraban a ofrecer elaboradas piezas cortas de teatro y desfiles, pero eso era lo mínimo, y muchos construían lagos navegables, edificaban alas adicionales y reconstruían paisajes con la esperanza de suscitar de labios reales una pequeña exclamación de satisfacción. Los regalos se prodigaban con generosidad. Un desdichado cortesano llamado sir John Puckering le regaló a Isabel un abanico de seda decorado con diamantes, varias joyas, un vestido de exótico esplendor y un clavicémbalo de excepcional calidad, pero durante la primera cena en su casa vio con sus propios ojos cómo Su Majestad admiraba su cubertería de plata y un salero y, sin decir palabra, guardaba dichos objetos en la saca real.
Incluso sus ministros más antiguos eran hipersensibles a los placeres de la reina. Después de que Isabel se quejara de lo lejos que estaba la casa de campo que lord Burghley tenía en Lincolnshire, dicho lord compró y amplió otra en Waltham Cross, actualmente en los suburbios del nordeste de Londres, porque estaba más próxima. Christopher Hatton, el canciller de la reina, construyó expresamente un imponente edificio, Holdenby House, para recibir a la reina. Al final resultó que la reina nunca acabó yendo allí y el lord falleció con una deuda de 18.000 libras, una cantidad abrumadora, equivalente a unos 9 millones de libras actuales.
A veces, a los constructores de estas casas no les quedaba otra elección. Jacobo I ordenó al leal pero insignificante sir Francis Fane que reconstruyera a escala colosal Aperthorpe Hall, en Northamptonshire, para que él y el duque de Buckingham, su amante, dispusieran de algunas habitaciones de grandeza adecuada por donde poder pasearse de camino a la alcoba.
Pero la peor imposición era recibir la orden de asumir una obligación de larga duración y costosa para con la corona. Ése fue el destino del marido de Bess de Hardwick, sexto lord Shrewsbury. Durante dieciséis años fue obligado a ser carcelero de María, reina de Escocia, lo que en realidad significaba mantener en su propia casa a la corte de un pequeño estado sumamente desleal. No podemos más que imaginarnos su desazón al ver la fila de ochenta carros tirados por caballos —lo bastante como para que la procesión alcanzara más de medio kilómetro de largo— avanzando por el camino de acceso a su casa portando a la reina escocesa, cincuenta criados y secretarios y todas sus posesiones. Además de albergar y alimentar a toda esa gente, Shrewsbury tenía que mantener a un ejército privado por cuestiones de seguridad. El coste y la tensión emocional provocaron la infelicidad del matrimonio… aunque lo más seguro es que bajo ninguna circunstancia hubieran podido llegar a ser felices. Bess era una devora-hombres; Shrewsbury era su cuarto marido y el enlace fue más un consorcio empresarial que una unión de corazones. Al final, ella lo acusó de tener un romance con la reina escocesa —una acusación peligrosa fuera o no fuera cierta— y se separaron. Fue entonces cuando Bess empezó a construirse una de las casas más majestuosas de la época.
A medida que la vida fue adentrándose en casas cada vez más grandes, el hall perdió su propósito original para convertirse en un simple vestíbulo de entrada con una escalera, una estancia para ser recibido y pasar de largo de camino hacia espacios más importantes. Ése era el caso en Hardwick Hall, a pesar de su nombre. Todas las estancias importantes estaban en las plantas superiores. El hall nunca volvería a ser un lugar de especial relevancia en las casas. Ya en 1663, la palabra se utilizaba para describir cualquier espacio modesto, en especial una entrada o un pasillo unido a esa entrada. Perversamente, y de forma simultánea, su sentido original se conservó y se extendió, de hecho, para pasar a describir también espacios grandes e importantes, sobre todo espacios públicos: Carnegie Hall, Royal Albert Hall, town hall y hall of fame [19] entre muchos otros.
En el hogar, sin embargo, se convirtió —y continúa siéndolo— en la estancia semánticamente más degradada de la casa. En la Vieja Rectoría, como en la mayoría de casas actuales, es un reducido vestíbulo, un pequeño espacio cuadrado útil con armarios y perchas, donde nos quitamos las botas y colgamos las chaquetas, un preliminar de la casa en sí. A nivel inconsciente, solemos reconocer este hecho invitando a nuestros huéspedes a entrar dos veces en casa: la primera en la puerta, cuando los invitamos a entrar porque están fuera, y la segunda después de que se hayan despojado de abrigos y sombreros, cuando los invitamos a entrar en la casa propiamente dicha, con una animada exclamación doble y más enfática: « ¡Pasad! ¡Pasad!».
Y siguiendo en este orden de cosas, dejemos aquí nuestras prendas de exterior y entremos por fin en la estancia donde empieza de verdad una casa.
§. 1
En verano de 1662, Samuel Pepys, una figura joven y en alza de la Marina británica, invitó a su jefe, el comisario naval Peter Pett, a cenar en su casa en Seething Lane, cerca de la Torre de Londres. Pepys tenía veintinueve años y su intención a buen seguro era impresionar a su superior. Pero, para su horror y consternación, cuando le sirvieron su plato de esturión vio que estaba lleno de «abundantes gusanitos reptando».Descubrir comida en avanzado estado de animación no era común ni siquiera en tiempos de Pepys —pasó vergüenza de verdad—, pero la inseguridad acerca de la frescura y la integridad de los alimentos era una cosa bastante normal. Si no se descomponían rápidamente por falta de una adecuada conservación, existían elevadas probabilidades de que estuvieran coloreados o hinchados con sustancias peligrosas y poco atractivas.
Casi nada, por lo que parece, escapaba de las tortuosas artimañas de los adulteradores de alimentos. El azúcar y otros ingredientes caros solían alargarse con yeso, escayola, arena, polvo y otras formas de «hinchado», como se conocían a nivel colectivo estos aditivos. Se sabe que la mantequilla se engrosaba con sebo y manteca de cerdo. Un consumidor de té, según diversas autoridades en la materia, podía beber sin querer cualquier cosa, desde serrín hasta excrementos de oveja pulverizados. La inspección detallada de una remesa en concreto, informa Judith Flanders, resultó ser té sólo en la mitad de su contenido; el resto era arena y tierra. Al vinagre se le añadía ácido sulfúrico para que fuera más intenso, tiza a la leche, trementina a la ginebra. Para que las verduras luciesen más verdes y las jaleas brillaran más, se les añadía arseniato de cobre. El cromato de plomo proporcionaba a los productos horneados un brillo dorado y aportaba un resplandor especial a la mostaza. A las bebidas se les incorporaba acetato de plomo a modo de edulcorante y el minio daba un toque encantador al queso Gloucester, aunque le restaba salubridad.
Por lo que parece, apenas existía producto alimenticio que no pudiera mejorarse o resultarle más económico a su vendedor gracias a una pequeña manipulación fraudulenta. Incluso las cerezas, informaba Tobias Smollett, podían recuperar su brillo de fruta fresca si el vendedor se las paseaba un poco por la boca antes de exponerlas para su venta. ¿Cuántas ingenuas damas de alta alcurnia, se preguntaba, habrían disfrutado de un plato de sensuales cerezas «paseadas y humedecidas entre los sucios y, tal vez, llenos de llagas morros de un vendedor ambulante de St. Giles»?
El pan era un blanco especialmente popular. En su popular novela La expedición de Humphry Clinker (1771), Smollett caracterizaba el pan londinense como una mezcla venenosa de «tiza, alumbre y cenizas de hueso, insípido al gusto y destructivo para el organismo», cosas que eran de lo más normal por aquel entonces, y que seguramente llevaban ya un buen tiempo siéndolo, tal y como evidencia la frase del cuento Juan y las habichuelas mágicas: «Le aplastaré los huesos para hacerme el pan». La primera acusación formal de adulteración generalizada del pan la encontramos en un libro titulado Poison Detected: Or Frightful, escrito anónimamente en 1757 por «Mi amigo, un médico», que revelaba «con autoridad muy creíble» que «los panaderos utilizan con frecuencia sacos de huesos viejos» y que «los osarios de los muertos sufren saqueos para incorporar porquería al alimento de los vivos». Casi contemporáneo es otro libro, The Nature of Bread, Honestly and Dishonestly Made, del doctor Joseph Manning, que informaba de que era común entre los panaderos incorporar alubias, tiza, albayalde, cal muerta y cenizas de hueso a todas las barras de pan que cocían.
Estas aseveraciones se presentan de forma rutinaria como hechos incluso ahora, por mucho que Frederick A. Filby, en su clásico Food Adulteration, demostrara de manera bastante concluyente hace unos setenta años que tales alegaciones no podían ser ciertas. Filby dio el paso de cocer él mismo las barras de pan incorporando los adulterantes en la forma y las proporciones apuntadas. En todos los casos, excepto en uno, el pan resultante era duro como el cemento o su masa no crecía, y prácticamente todas las barras obtenidas tenían un olor o un sabor repugnantes. Varias de ellas necesitaron más tiempo de cocción que las barras de pan convencionales, encareciendo en consecuencia su producción. Ninguna de las barras de pan adulteradas era comestible.
La realidad es que el pan es material sensible y que si a ese material se incorporan productos ajenos en prácticamente cualquier cantidad, a buen seguro serán perceptibles. Pero esto sucede en casi todos los alimentos. Resulta difícil creer que alguien pudiera beberse una taza de té y no darse cuenta de que estaba compuesto por limaduras de hierro en un 50 %. Aunque es evidente que la adulteración existía, sobre todo cuando servía para mejorar el color o proporcionar un aspecto de frescura a los alimentos, la pretendida adulteración sería excepcional o infundiosa en la mayoría de los casos, y esto es lo que sucede a buen seguro con todo lo que se dice que se incorporaba al pan (con la única y destacada excepción del alumbre, sobre el que explicaré más detalles en un momento).
Resulta duro insistir en la importancia que el pan tenía en la dieta inglesa del siglo XIX. Para mucha gente, el pan no era tan sólo un acompañamiento importante para la comida, sino que era la comida. Según el historiador del pan, Christian Petersen, el 80 % del gasto de los hogares iba destinado a la comida, y hasta el 80 % de ese gasto se consagraba al pan. Incluso la clase media destinaba hasta dos tercios de sus ingresos en comida (en comparación con la cuarta parte actual), de la cual una proporción elevada e importante era pan. La historia nos cuenta que, para las familias más pobres, la dieta diaria consistía en unos gramos de té y azúcar, algo de verdura, un par de lonchas de queso y, sólo de vez en cuando, un poco de carne. El resto era pan.
El pan era tan importante que las leyes que dictaban su pureza eran estrictas y los castigos severos. Un panadero que engañara a sus clientes podía ser multado con 10 libras por barra vendida, u obligado a un mes de trabajos forzosos en la cárcel. Durante un tiempo se planteó seriamente castigar a los panaderos malhechores con la deportación a Australia. Todo esto era motivo de preocupación para los panaderos, ya que las barras de pan pierden peso durante el proceso de cocción debido a la evaporación y es fácil por ello cometer errores accidentales. Por esa razón, los panaderos regalaban de vez en cuando alguna que otra pieza, el famoso trece por docena.
El alumbre, sin embargo, es otra cosa. El alumbre es un compuesto químico —técnicamente, un doble sulfato— que se utiliza como fijador de tintes. (La palabra oficial es mordiente). Se empleaba asimismo como agente decolorante en todo tipo de procesos industriales y para curtir el cuero. Es un blanqueador excelente para la harina, algo que no tiene que ser nocivo de por sí. Para empezar, una pequeña cantidad de alumbre cunde muchísimo. Sólo tres o cuatro cucharadas bastan para blanquear un saco de harina de 125 kilos, y una cantidad diluida siguiendo estas proporciones no haría daño a nadie. De hecho, incluso ahora sigue utilizándose el alumbre como aditivo en según qué alimentos y medicamentos. Es un ingrediente habitual en la levadura en polvo y las vacunas, y a veces se incorpora al agua potable por sus propiedades decolorantes. De hecho, servía para transformar harina de categoría inferior —harina perfecta desde el punto de vista nutricional pero poco atractiva a la vista— en harina aceptable para las masas y, en consecuencia, permitía a los panaderos utilizar de forma más eficiente su trigo. Además, se incorporaba a la harina como agente secante por razones perfectamente legítimas.
Las sustancias ajenas no se incorporaban siempre con la intención de estirar los alimentos. A veces, simplemente, caían en ellos. Una investigación parlamentaria de distintas panaderías llevada a cabo en 1862 descubrió muchas de ellas llenas de «telarañas a montones, cargadas de polvo de harina acumulado sobre ellas, y colgando a tiras» hasta el punto de poder precipitarse sobre cualquier recipiente o bandeja que pasara por debajo. Insectos y alimañas correteaban por paredes y superficies. Según Adam Hart-Davis, en 1881 se estudió una muestra de helado vendida en Londres y se descubrió que contenía pelo humano, pelo de gato, insectos, fibras de algodón y otros ingredientes insalubres, aunque lo más probable es que esto fuera más un reflejo de la falta de higiene que la incorporación fraudulenta de agentes con la intención de hinchar el material. En el mismo periodo, un pastelero de Londres fue multado «por colorear sus dulces amarillos con pigmento que le había sobrado de pintar su carromato». Pero es precisamente el hecho de que este tipo de cosas llamara la atención de los periódicos lo que indica que eran sucesos excepcionales más que rutinarios. Humphry Clinker, una dispersa novela escrita en formato de cartas, describe una imagen tan gráfica de la vida en la Inglaterra del siglo XVIII que aparece citada con frecuencia incluso ahora, y a buen seguro responde a numerosas preguntas. En uno de sus pasajes más pintorescos, Smollett describe que la leche se transportaba por las calles de Londres en cubos abiertos, en el interior de los cuales caían «escupitajos, mocos y mascadas de tabaco de los peatones, excesos de los carros cargados de barro, salpicaduras de las ruedas de los carruajes, suciedad y basura lanzada por picaros por el simple hecho de gastar una broma, vómitos de recién nacido […] y, finalmente, los bichos que caen de los harapos de la desaliñada marrana que vende esta preciosa mezcla…». Pero lo que se pasa fácilmente por alto es que el libro pretendía ser una sátira, no una historia documental. Smollett ni tan siquiera estaba en Inglaterra cuando lo escribió, sino padeciendo una muerte lenta en Italia. (Falleció tres meses después de su publicación).
No quiero decir con esto que no hubiera mala comida. A buen seguro que la había. La carne infectada y podrida era un problema importante. La suciedad del mercado londinense de Smithfield, el principal centro de intercambio de carne de la ciudad, era legendaria. Un testigo de una investigación parlamentaria llevada a cabo en 1828 dijo haber visto «una ternera abierta en canal tan rancia que la grasa no era más que una especie de baba amarilla que goteaba». Los animales que eran conducidos a pie hasta Londres desde parajes remotos solían llegar agotados y enfermos, y no mejoraban en absoluto mientras estaban allí. Se dice que a veces despellejaban a las ovejas vivas. Muchos animales estaban llenos de llagas. En Smithfield se vendía una carne tan mala que incluso hubo quien se inventó un calificativo al respecto: cag-mag, la abreviatura de dos palabras del argot que significaba, literalmente, «mierda barata».
Y aun cuando las intenciones de los productores eran buenas, los alimentos en sí no lo eran siempre. Transportar alimentos a mercados lejanos en condiciones comestibles suponía un desafío constante. La gente soñaba con poder comer manjares de países lejanos o fuera de temporada. En enero de 1859, Norteamérica entera siguió con impaciencia el recorrido de un barco cargado con trescientas mil jugosas naranjas que navegó a toda vela desde Puerto Rico hasta Nueva Inglaterra para demostrar que era posible conseguirlo. Pero cuando llegó a puerto, más de dos tercios de la carga se habían podrido hasta convertirse en una apestosa papilla. Los productores de tierras más lejanas no podían ni siquiera pretender conseguir algo así. Los argentinos criaban rebaños impresionantes de ganado en sus interminables y obsequiosas pampas, pero no tenían manera de transportar la carne, por lo que sus vacas acababan siendo hervidas para aprovechar los huesos y el sebo y desechar la carne. Buscando cómo ayudarlos, el químico alemán Justus Liebig concibió la fórmula de un extracto de carne, que acabó conociéndose como Oxo, pero que nunca logró marcar más que una mínima diferencia.
Lo que se necesitaba con desesperación era encontrar la manera de conservar los alimentos en buen estado y frescos durante periodos más largos de lo que la naturaleza permitía. A finales del siglo XVIII, un francés llamado François Appert (o tal vez Nicolas Appert, las fuentes varían de manera confusa) escribió un libro titulado El arte de conservar todo tipo de sustancias animales y vegetales durante varios años , que representó un auténtico hito. El sistema de Appert consistía básicamente en guardar herméticamente los alimentos en frascos de cristal y hervir después los frascos a fuego lento. El método solía funcionar bien, pero los cierres no eran del todo herméticos y a veces penetraban en los frascos aire y elementos contaminantes, provocando con ello problemas gastrointestinales a quienes disfrutaban de su contenido. Ante la imposibilidad de fiarse del todo de los frascos de Appert, nadie lo hizo.
En resumen, hasta que la comida llegaba a la mesa podían sucederle un montón de cosas malas. Por ello, cuando a principios de la década de 1840 apareció un producto milagro que prometía transformar la situación, el entusiasmo se disparó. El producto era algo inesperadamente conocido: el hielo.
§. 2
En verano de 1844, la Wenham Lake Ice Company —que tomaba su nombre de un lago de Massachusetts— inauguró un local en el Strand londinense y empezó a exponer diariamente en su escaparate un bloque de hielo. Nadie en Inglaterra había visto jamás un bloque de hielo tan grande —y menos en verano y en el centro de Londres—, ni tan portentosamente cristalino y transparente. Se podía incluso leer un periódico a través de él: normalmente colocaban un ejemplar detrás del bloque para que los transeúntes pudieran ver en persona aquel hecho asombroso. El escaparate se convirtió en una verdadera sensación y siempre estaba abarrotado de mirones.Thackeray mencionaba el hielo Wenham en una de sus novelas. La reina Victoria y el príncipe Alberto insistieron en utilizarlo en Buckingham Palace y otorgaron a la empresa una garantía real. Mucha gente suponía que el lago Wenham era una reserva de agua importante, del tamaño de uno de los Grandes Lagos. Charles Lyell, el geólogo inglés, estaba tan intrigado que realizó un viaje especial hasta el lago desde Boston —un desplazamiento que no era en absoluto sencillo— aprovechando una gira de conferencias en Estados Unidos. Estaba fascinado por la lentitud con la que se derretía el hielo Wenham e imaginó que tenía algo que ver con su pureza. En realidad, el hielo Wenham se derretía con la misma rapidez que cualquier otro hielo. Exceptuando el hecho de que venía de muy lejos, no tenía nada más de especial.
El hielo elaborado con agua de lago era un producto maravilloso. Se producía solo y a coste cero, era limpio, renovable e infinito. Las únicas desventajas eran que no existía una infraestructura para producirlo y almacenarlo, igual que tampoco existía un mercado donde venderlo. Para que la creación de una industria del hielo fuera posible, era necesario encontrar la forma de cortar y desprender el hielo a gran escala, construir almacenes, obtener derechos comerciales, poner en marcha una cadena fiable de consignadores y agentes y, sobre todo, generar demanda en lugares donde el hielo apenas se había visto o no se había visto nunca, teniendo en cuenta además que, con toda seguridad, el hielo no era algo que la gente estuviera predispuesta a pagar. El hombre que puso en marcha todo esto fue un bostoniano de buena cuna y carácter desafiante llamado Frederic Tudor. Hacer del hielo una propuesta comercial se convirtió en su presuntuosa obsesión.
La idea de transportar hielo desde Nueva Inglaterra a puertos lejanos se consideró una completa locura, «el capricho de un cerebro trastornado», en palabras de uno de sus contemporáneos. El primer envío de hielo a Gran Bretaña dejó tan perplejos a los funcionarios de aduanas en cuanto a su clasificación, que las trescientas toneladas de hielo se derritieron antes de poder llegar a descargarse en los muelles. Los armadores se mostraban muy reacios a aceptar el hielo como carga. No les fascinaba en absoluto la posible humillación de llegar a puerto con las bodegas repletas de agua inútil, pero temían también el auténtico peligro que significaban toneladas de hielo en movimiento o el agua del deshielo desestabilizando sus navíos. Eran hombres, al fin y al cabo, cuyo instinto náutico se basaba en el concepto de que el agua tenía que estar fuera de la embarcación y por ello se mostraban reacios a correr un riesgo tan excéntrico cuando además ni siquiera había un mercado para el producto.
Tudor era un hombre extraño y complicado, «autoritario, engreído, despectivo hacia los competidores e implacable con los enemigos», según reza la valoración de Daniel J. Boorstin. Marginó a sus amigos más íntimos y traicionó la confianza de sus colegas, casi como si eso fuera la ambición de su vida. Prácticamente todas las innovaciones tecnológicas que hicieron posible el comercio del hielo fueron de hecho obra de su retraído, obediente y sufridor socio Nathaniel Wyeth. A Tudor le costó años de esfuerzo y frustración, y la totalidad de su fortuna familiar, poner en marcha el negocio del hielo, pero poco a poco la idea fue alcanzando popularidad y acabó haciéndole rico, a él y a muchos más. Durante varias décadas, el hielo fue la segunda producción en importancia, en lo que a toneladas se refiere, de Estados Unidos. Aislado adecuadamente, el hielo podía mantenerse durante un tiempo sorprendentemente prolongado. Podía incluso sobrevivir al viaje de más de 26.000 kilómetros y 130 días de navegación que separaban Boston de Bombay (o como mínimo dos tercios de la carga conseguían sobrevivir, haciendo que el largo viaje resultase rentable). El hielo viajó hasta los rincones más alejados de América del Sur y de Nueva Inglaterra a California a través del cabo de Hornos. El serrín, un producto que antes carecía de valor, resultó ser un aislante excelente, aportando unos útiles ingresos adicionales a los aserraderos de Maine.
El lago Wenham fue en realidad un elemento secundario para el negocio del hielo en Estados Unidos. Nunca produjo más de diez mil toneladas de hielo al año, en comparación con el casi millón de toneladas extraídas anualmente sólo del río Kennebec, en Maine. En Inglaterra, se habló del hielo Wenham más que se utilizó. Algunos negocios recibían envíos regulares, pero no se servía prácticamente en ninguna casa (excepto en la real). Hacia 1850, no sólo la mayoría del hielo que se vendía en Gran Bretaña no procedía de Wenham, sino que tampoco era americano. Los noruegos —un pueblo que normalmente no se asocia a prácticas astutas— le cambiaron el nombre a un lago cercano a Oslo, el lago Oppegaard, y lo rebautizaron como lago Wenham para explotar aquel lucrativo mercado. Hacia 1850, la mayoría del hielo que se vendía en Gran Bretaña era de origen noruego, aunque hay que decir que el hielo nunca llegó a hacerse popular entre los británicos. Incluso ahora, se vende a menudo en el Reino Unido como si fuera bajo receta médica. El mercado de verdad resultó estar en la misma Norteamérica.
Según destaca Gavin Weightman en su historia de los negocios, The Frozen Water, los estadounidenses apreciaban el hielo como nunca nadie lo había hecho. Lo utilizaban para enfriar la cerveza y el vino, para preparar deliciosos cócteles helados, para aplacar fiebres y para crear un amplio espectro de golosinas congeladas. Los helados se hicieron populares… y asombrosamente inventivos. En Delmonico’s, el famoso restaurante de Nueva York, los clientes podían pedir helado de pan de centeno y helado de espárragos, entre otros inesperados sabores. Sólo la ciudad de Nueva York consumía casi un millón de toneladas de hielo al año. Brooklyn engullía 334.000 toneladas, Boston 380.000, Filadelfia 377.000. Los norteamericanos se sentían inmensamente orgullosos de las comodidades civilizadas que aportaba el hielo. «Siempre que oigas decir que los americanos abusan de algo —comentó un norteamericano a Sarah Maury, una visitante británica—, piensa en el hielo».
El lugar donde el hielo demostró su máxima efectividad fue en la refrigeración de los vagones de tren, pues su utilización permitía transportar de costa a costa carne y otros alimentos perecederos. Chicago se convirtió en el epicentro de la industria del ferrocarril en gran parte porque era capaz de generar y conservar enormes cantidades de hielo. En Chicago había edificios capaces de contener hasta 250.000 toneladas de hielo. Antes del hielo, cuando hacía calor, la leche (que salía caliente de la vaca, claro está) sólo podía conservarse un par de horas antes de que empezara a estropearse. El pollo tenía que comerse el mismo día que era desplumado. La carne fresca apenas duraba más de una jornada. Ahora, los alimentos podían conservarse durante más tiempo en el lugar de su producción y venderse también en mercados lejanos. La primera langosta llegó a Chicago en 1842, traída de la Costa Este en un vagón de tren refrigerado. Los habitantes de Chicago se acercaron a verla como si el crustáceo fuera originario de un planeta remoto. Por primera vez en la historia, los alimentos no tenían que consumirse obligatoriamente cerca de su lugar de producción. Los granjeros de las infinitas planicies del Medio Oeste norteamericano no sólo producían ahora alimentos más baratos y en mayor abundancia que en ninguna otra parte, sino que además podían venderlos prácticamente en cualquier lado.
Mientras, otros avances aumentaron de gran manera el abanico de posibilidades de la conservación de los alimentos. En 1859, un norteamericano llamado John Landis Mason resolvió el reto que el francés François (o Nicolas) Appert no había acabado de dominar un siglo antes. Mason patentó el frasco de cristal con tapa metálica de rosca. Esta tapa proporcionaba un cierre perfecto y posibilitaba la conservación de todo tipo de alimentos que de lo contrario se estropearían. El frasco Mason fue un éxito enorme por todas partes, aunque Mason apenas obtuvo beneficio de ello. Vendió los derechos a cambio de una suma modesta y se volcó en otros inventos que imaginó que le harían rico —una balsa salvavidas plegable, un estuche para conservar los puros con todo su frescor, un plato de sopa con drenaje propio—, pero sus posteriores inventos no solo no fueron un éxito, sino que además ni siquiera eran buenos. Viendo cómo sus inventos fracasaban uno tras otro, Mason se recluyó en una enajenada pobreza. En 1902 murió solo y olvidado en un piso de Nueva York.
Un método alternativo e incluso más logrado de conservación de alimentos, a saber, el enlatado, fue perfeccionado en Inglaterra por un hombre llamado Bryan Donkin, que trabajó en el artilugio entre 1810 y 1820. El invento de Donkin conservaba los alimentos a las mil maravillas, aunque las primeras latas, hechas con hierro forjado, eran pesadas y prácticamente imposibles de abrir. Una marca en particular indicaba en sus instrucciones la necesidad de abrirlas con la ayuda de un martillo y un cincel. Los soldados solían atacarlas con bayonetas o disparándoles balas. La verdadera innovación tuvo que esperar a la llegada de materiales más ligeros, que a su vez facilitaron la fabricación en masa. A principios de la década de 1880, un hombre, trabajando duro, podía llegar a producir unas sesenta latas al día. Las máquinas de 1880 conseguían bombear quinientas diarias. Pero, sorprendentemente, conseguir abrirlas siguió siendo un impedimento durante mucho más tiempo. Se patentaron diversos abridores, pero todos eran de complicado manejo o casi mortales en caso de sufrir un desliz. El abrelatas moderno —ese que tiene dos ruedas y una llave giratoria— se remonta tan sólo a 1925.
Los avances en la conservación de la comida formaban parte de una revolución mucho más amplia en la producción de alimentos que cambió la dinámica de la agricultura en todas partes. La segadora McCormick facilitó la producción en masa de cereales, lo que a su vez permitió que Estados Unidos produjera ganado a gran escala. Eso a su vez llevó al desarrollo de grandes centros de producción cárnica y mejoró los métodos de refrigeración… y el hielo siguió estando en el centro de todo hasta bien avanzada la época moderna. En un momento tan tardío como 1930, Estados Unidos disponía de 181.000 vagones de tren refrigerados, todos ellos enfriados con hielo.
La repentina posibilidad de transportar alimentos a grandes distancias y de conservarlos lo suficientemente frescos como para que llegaran en buen estado a mercados remotos, transformó la agricultura de muchos países lejanos.
La edad de oro de la gula.
En otoño de 2007, en el transcurso de una visita a Nueva Inglaterra, me desplacé en coche desde Boston al lago Wenham para conocer el que en su día fuera, aunque brevemente, el lago más famoso del mundo. En la actualidad, Wenham se extiende junto a una tranquila autopista en medio de una atractiva campiña a unos veinticinco kilómetros al norte de Boston y ofrece un pintoresco paisaje acuático a los conductores que se desplazan entre las ciudades de Wenham e Ipswich. El lago Wenham hace actualmente las veces de depósito de agua de la ciudad de Boston y está rodeado por ello con una alambrada y permanece cerrado al público. Un indicador en el margen de la carretera celebra el tricentenario de la ciudad de Wenham que tuvo lugar en 1935, pero no hace mención alguna al negocio del hielo que en su día la hiciera famosa.
§. 3
Si pudiéramos entrar en la cocina de la rectoría en 1851, nos chocarían de inmediato varias diferencias. Para empezar, no habría fregadero. Las cocinas de mediados del siglo XIX eran únicamente para cocinar (al menos en los hogares de clase media); fregar los platos se hacía en el lavadero —la habitación que visitaremos a continuación—, lo que significaba que cualquier plato y cacharro tenía que transportarse cruzando el pasillo hasta una estancia donde se fregaba y secaba, para ser devuelto a continuación a la cocina para cuando se necesitara de nuevo. Eso podía significar muchos viajes, pues los victorianos cocinaban mucho y ofrecían una cantidad espectacular de platos. Un libro popular escrito en 1851 por una tal lady Maria Clutterbuck (que en realidad era la esposa de Charles Dickens) nos ayuda a hacernos una idea del tipo de cocina que se practicaba en aquella época. Uno de los menús sugeridos —para una cena de seis personas— consta de «sopa de zanahoria, rodaballo con salsa de gambas, pastelillos de langosta, riñones estofados, espalda de cordero asada, pavo hervido, codillo de jamón, puré de patatas y patatas fritas, cebollas guisadas, pudin de pasas, manjar blanco, nata y macarrones». Se ha calculado que una comida así podía generar 450 objetos que lavar. La puerta batiente que daba paso al fregadero no debía de parar.De haber llegado en el momento en que el ama de llaves, la señorita Worm, y su ayudante, una chica del pueblo de diecinueve años de edad llamada Martha Seely, estaban horneando o cocinando, podríamos haberlas encontrado realizando una labor que hasta hacía muy poco no se practicaba: midiendo con meticulosidad los ingredientes. Hasta mediados del siglo XIX, las instrucciones de los libros de cocina eran siempre bastante imprecisas, mencionando tan sólo «un poco de harina» o «la leche suficiente». Lo que lo cambió todo fue un revolucionario libro escrito por una tímida y, a decir de todos, dulce poetisa de Kent llamada Eliza Acton. Como sus poemas no se vendían, su editor le sugirió que probara con algo más comercial, y en 1845 la señorita Acton publicó Modern Cookery for Private Families. Fue el primer libro que indicaba medidas y tiempos de cocción precisos, y se convirtió en el modelo que, siempre sin quererlo, han seguido todos los libros de cocina desde entonces.
El libro disfrutó de un éxito considerable, pero de pronto se vio arrinconado por una rimbombante obra, el Book of the Household Management de Isabella Beeton, un libro extenso, perdurable en el tiempo y muy influyente. No ha existido otro libro como éste, tanto a nivel de influencia como de contenido. Fue un éxito instantáneo y seguiría siéndolo hasta bien entrado el siglo siguiente.
La señorita Beeton dejaba claro desde la primera línea que llevar una casa era un asunto serio y poco alentador. «Como en el caso del comandante de un ejército, o el líder de cualquier empresa, lo mismo se aplica al ama de casa», declaraba. Sólo un momento antes había aclamado ya su desinteresado heroísmo: «Debo reconocer francamente que de haber sabido, de antemano, que este libro me habría costado el trabajo que me ha costado, jamás habría tenido el valor suficiente como para empezarlo», declaraba, dejando al lector con una sensación de pesadumbre y culpable adeudo.
Sin perjuicio de su título, The Book of Household Management pasa velozmente por encima de su supuesto tema principal en unas sucintas veintitrés páginas y se vuelca a continuación en la cocina, a la que dedica la práctica totalidad de las siguientes novecientas. Pero a pesar de esta predisposición hacia la cocina, a la señorita Beeton no le gustaba cocinar y no se acercaba a la cocina de su casa si podía evitarlo. No hay que profundizar mucho en las recetas para empezar a sospecharlo: cuando sugiere, por ejemplo, hervir la pasta durante una hora y tres cuartos antes de servirla. Como muchas mujeres de su país y su generación, recelaba de manera innata de todo lo exótico. Los mangos, decía, gustaban sólo a «aquellos que no tienen prejuicios contra la trementina». Encontraba las langostas «bastante indigestas» y «no tan nutritivas como en general se supone». El ajo era «ofensivo». Las patatas eran «sospechosas; muchas de ellas son narcóticas, y muchas otras nocivas». Opinaba que el queso encajaba únicamente con las personas sedentarias —no explicaba por qué— y sólo «en muy pequeñas cantidades». Había que evitar en especial los quesos veteados, pues eran brotes de hongos. «En términos generales —añadía, con cierto matiz de ambigüedad—, no es sano consumir organismos en descomposición, y hay que marcar el límite en alguna parte». Lo peor de todo era el tomate: «La planta tiene un olor desagradable, y su zumo, expuesto a la acción del fuego, emite un vapor tan potente que provoca vértigos y vómitos».
Por lo que parece, la señorita Beeton no conocía el hielo como elemento para conservar la comida, pero podemos asumir con bastante seguridad que no habría sido de su agrado, pues en general no le gustaban las cosas frías. «Los ancianos, los de salud delicada y los niños deberían abstenerse de bebidas heladas o frías —escribió—. También es necesario abstenerse de ellas cuando se tiene mucho calor o inmediatamente después de haber realizado ejercicio violento, ya que en algunos casos han producido enfermedades con fatal desenlace». En el libro de la señorita Beeton se mencionaban muchos alimentos y actividades con consecuencias fatales.
Pese a sus aires de matrona, la señorita Beeton tenía tan sólo veintitrés años cuando empezó el libro. Lo escribió para la editorial de su marido, donde fue publicado en treinta y tres entregas mensuales, empezando en 1859 (el año en que se publicó también El origen de las especies de Charles Darwin), y en formato de libro en 1861. Samuel Beeton había ganado ya mucho dinero con la publicación de La cabaña del tío Tom, que fue una sensación tanto en Gran Bretaña como en Norteamérica. Fundó también varias revistas populares, entre ellas Englishwoman’s Domestic Magazine (1852), que presentaba muchas innovaciones —una página de pasatiempos, una columna médica, patrones de vestidos— que seguimos encontrando en las revistas femeninas actuales.
Prácticamente todo en Household Management sugiere que el libro fue escrito con falta de atención al detalle y con prisas. Las recetas eran en su mayoría contribuciones de las lectoras y, de no ser así, eran plagios. La señorita Beeton robó con desvergüenza de las fuentes de información más evidentes y a su alcance. Hay párrafos enteros copiados textualmente de la autobiografía de Florence Nightingale. Otros extraídos de Eliza Acton. Hay que destacar que la señorita Beeton ni siquiera se molestó en adaptar el género, por lo que presenta un par de historias relatadas en una voz que, de forma desconcertante y pasmosa, sólo puede ser masculina. A nivel de estructura, el libro es un auténtico caos. Dedica más espacio a la preparación de una sopa de tortuga que al desayuno, el almuerzo y la cena juntos, y en ningún momento menciona el té de la tarde. Las inconsistencias son poco menos que espectaculares. En la misma página en la que se explaya relatando las peligrosas desventajas del tomate («se ha descubierto que contiene un ácido muy particular, un aceite volátil, un extracto resinoso de color marrón muy oloroso, un material vegeto-mineral, muco-sacarina, algunas sales y, con toda probabilidad, un alcaloide»), ofrece la receta de los tomates guisados, que califica de «delicioso acompañamiento» y destaca que «es una fruta completa que se digiere con facilidad. Su aroma estimula el apetito y cuenta con una aprobación prácticamente universal».
A pesar de sus múltiples peculiaridades, el libro de la señorita Beeton fue un éxito enorme y prolongado. Las dos virtudes que no se le pueden reprochar son su suprema confianza y su extensión. La era victoriana fue una época de ansiedad, y el voluminoso libro de la señorita Beeton prometía guiar a la preocupada ama de casa a través de todos y cada uno de los complicados obstáculos de la vida. Hojeando sus páginas, el ama de casa podía aprender a doblar servilletas, despedir a un criado, quitar pecas, preparar un menú, aplicar sanguijuelas, preparar un pastel Battenberg y devolver la vida a una persona alcanzada por un rayo. La señorita Beeton esclarecía en precisos pasos cómo preparar una tostada con mantequilla. Ofrecía soluciones para el tartamudeo y las aftas bucales, discutía la historia del cordero como animal de sacrificio, proporcionaba una lista exhaustiva de los muchos cepillos (cepillo para la estufa, cepillo para las cornisas, cepillo para los pasamanos, plumero, cepillo para las alfombras, cepillo para las migas… unos cuarenta en total) necesarios en cualquier casa que aspirara a ser higiénicamente respetable, comentaba los peligros de entablar amistades con prisas y las precauciones que debían tomarse antes de entrar en la habitación de un enfermo. Era un manual de instrucciones que podía seguirse religiosamente y eso era justo lo que la gente quería. La señorita Beeton se mostraba contundente en todo tipo de temas: el equivalente doméstico a un sargento de instrucción.
Murió con sólo veintiocho años, de fiebres puerperales, ocho días después de dar a luz por cuarta vez, pero su libro sobrevivió mucho tiempo después. Vendió más de dos millones de ejemplares sólo en su primera década de existencia y continuó vendiéndose con regularidad hasta bien entrado el siglo XX.
* * * *
Mirándolo ahora en retrospectiva, resulta casi imposible comprender por completo a los victorianos y su dieta alimenticia. Para empezar, el surtido de manjares era deslumbrante. Por lo que se ve, la gente comía prácticamente cualquier cosa que se moviera entre la maleza o pudiera sacarse del agua. La perdiz, el esturión, la alondra, la liebre, la becada, el rubio, el barbo, el capellán, el chorlito, la agachadiza, el gobio, el albur, la anguila, la tenca, el espadín, el pavipollo y muchas exquisiteces olvidadas durante largo tiempo aparecían en las recetas de la señorita Beeton. Las frutas y las verduras eran infinitas en número. Sólo de manzanas había, por increíble que parezca, más de dos mil variedades entre las que elegir: Worcester aperada, belleza de Bath, reineta naranja de Cox y muchas más, cuyo nombre era fruto de una inspirada vena poética. En Monticello, a principios del siglo XIX, Thomas Jefferson cultivó veintitrés tipos distintos de guisantes y más de doscientos cincuenta frutas y verduras distintas. (Curiosamente para su época, Jefferson era casi vegetariano y comía sólo pequeñas porciones de carne a modo de «condimento»). Además de grosellas, fresas, ciruelas, higos y otros productos que hoy en día conocemos bien, Jefferson y sus contemporáneos disfrutaron también de las delicias de las tayberry [20] , la atanasia, la verdolaga, la baya japonesa de la vid, la ciruela damascena, los nísperos, la col marina, el pandano, el guisante de Rounceval, la escaravia (una especie de raíz de sabor dulce), los cardos, la escorzonera (un tipo de salsifí), el levístico, el colinabo y montones de alimentos más que hoy en día apenas se encuentran o no se encuentran en absoluto. Jefferson, dicho sea de paso, fue también un aventurero de la comida. Entre sus muchos otros logros, fue la primera persona de Estados Unidos que decidió cortar las patatas a lo largo y freírlas. De modo que, además de ser el autor de la Declaración de Independencia, fue también el padre de la patata frita.Si la gente podía comer tan bien era en parte debido a que muchos alimentos que ahora consideramos exquisiteces eran por aquel entonces abundantes. Las langostas se criaban con tanta exuberancia en las costas británicas que eran alimento de presos y huérfanos o se trituraban para emplearse a modo de abono; los criados cerraban tratos por escrito con sus señores por los que se acordaba que no comerían langosta más de dos veces por semana. Los norteamericanos disfrutaban si cabe de mayor abundancia. Sólo el puerto de Nueva York albergaba la mitad de ostras del mundo y producía tal cantidad de esturión que el caviar se servía como tentempié en los bares. (La idea era que, al tratarse de una comida salada, la gente bebería más cerveza). El tamaño y la variedad de platos y condimentos resultaban casi sobrecogedores. En 1867, un hotel de Nueva York presentaba una carta con 145 platos distintos. Un recetario norteamericano muy popular, publicado en 1853 y titulado Home Cookery, menciona como el que no quiere la cosa el truco de incorporar cien ostras a una olla de sopa de quingombó para «mejorarla». La señorita Beeton presentaba nada menos que 135 recetas solamente de salsas.
Ciertamente, los apetitos victorianos eran comedidos en comparación. La edad de oro de la gula fue en realidad el siglo XVIII. Fue la época de John Bull, el icono más coloradote, sobrealimentado y propenso a enfermedades coronarias que jamás haya creado un país con la esperanza de impresionar a los demás países. No es quizás casualidad que dos de los monarcas más gordos de la historia británica disfrutaran de sus comilonas en el siglo XVIII. La primera fue la reina Ana. Aunque los retratos de Ana siempre tratan discretamente de no mostrarla más que un poquito rolliza, como una de las rotundas bellezas de Rubens, era en realidad una mujer de tamaño gigante, «extremadamente obesa y corpulenta», según las cándidas palabras de la duquesa de Marlborough, su antigua mejor amiga. Al final, Ana se puso tan gorda que no podía ni subir ni bajar escaleras. En el castillo de Windsor tuvieron que abrir una trampilla en el suelo de sus habitaciones a través de la cual la bajaban, a tirones y con escasa elegancia, a los salones de la planta inferior con la ayuda de poleas y una grúa. Debía de ser un espectáculo impresionante. Cuando murió, fue enterrada en un ataúd que era «casi cuadrado». Y más enorme era aún el príncipe regente, el futuro Jorge IV, cuyo estómago, liberado de su corsé, le caía hasta las rodillas. Con cuarenta años de edad, su contorno de cintura era de más de un metro y veinte centímetros.
Incluso gente más delgada se sentaba a la mesa para ingerir cantidades de comida que parecen imposibles o demasiado generosas, si no desestabilizadoras a todas luces. Un desayuno apuntado por el duque de Wellington consistía en «dos palomas y tres bistecs, tres partes de una botella de Mozelle, una copa de champán, dos copas de oporto y una copa de brandy», y eso cuando se sentía algo indispuesto. El reverendo Sydney Smith, pese a ser hombre de la Iglesia, captó el espíritu de la época negándose a bendecir la mesa. «Con el orgasmo del hambre devorador encima, parece impertinente interponer un sentimiento religioso —explicaba—. Murmurar oraciones con la boca haciéndose agua, es confundir los propósitos».
A mediados del siglo XIX, las raciones pantagruélicas se habían institucionalizado y convertido en rutinarias. La señorita Beeton nos ofrece el siguiente menú para una pequeña cena de fiesta: sopa falsa de tortuga, filetes de rodaballo a la crema, lenguado frito con salsa de anchoas, conejos, ternera, culata de buey estofada, pollo asado, jamón hervido, un plato de palomas o alondras asadas y, para terminar, tartaletas de ruibarbo, merengues, gelatina transparente, pudin helado y soufflé. Todo esto, según el libro de la señorita Beeton, para seis personas.
El aspecto irónico de todo esto es que cuanta más atención dedicaban los victorianos a la comida, menos cómodos con ella parecían sentirse. No daba en absoluto la impresión de que a la señorita Beeton le gustara comer, y trataba la comida, igual que trataba la mayoría de cosas, con una especie de lúgubre necesidad de pasar por ello con rapidez y determinación. Recelaba sobre todo de cualquier cosa que pudiera añadirle sabor a los alimentos. Aborrecía el ajo. La guindilla apenas aparece mencionada. Incluso la pimienta negra era sólo para los intrépidos. «Nunca debería olvidarse —alertaba a sus lectores—, que, aun en pequeñas cantidades, produce efectos nocivos en complexiones inflamatorias». Estos sentimientos de alarma se vieron replicados de manera persistente en libros y periódicos de la época.
Al final, muchos hogares victorianos se olvidaron del sabor y se limitaron a concentrarse en intentar que la comida llegara caliente a la mesa. En las casas grandes era un objetivo ambicioso, pues las cocinas podían quedar muy alejadas de los comedores. Audley End, en Essex, estableció un récord en este sentido al tener la cocina y el comedor separados por más de doscientos metros. En Tatton Park, Cheshire, para intentar acelerar el tema se instaló una línea de tren casera que enviaba los platos de la cocina a un montacargas, y de éste al comedor. Sir Arthur Middleton, de Belsay Hall, cerca de Newcastle, estaba hasta tal punto obsesionado con la temperatura de la comida que llegaba a su mesa que hundía un termómetro en todos los platos y los devolvía para calentarlos de nuevo, con frecuencia repetidas veces, en el caso de que no alcanzaran los estándares esperados, por lo que sus cenas solían prolongarse hasta muy tarde y consumirse en un estado más o menos carbonizado. Auguste Escoffier, el gran chef francés del Hotel Savoy de Londres, se ganó la estima de los comensales británicos no sólo por preparar platos estupendos, sino también por utilizar en las cocinas un sistema de brigadas con distintos cocineros concentrados en diferentes tipos de alimentos —una para la carne, otra para las verduras, etc. — con el fin de que todo se colocara en los platos simultáneamente y se sirviera en la mesa envuelto en una inusual gloria de humeante vapor.
* * * *
Todo esto, naturalmente, está en chocante desacuerdo con lo que se ha comentado antes sobre la pobreza de la dieta de la persona de a pie del siglo XIX. El hecho es que hay tal confusión de evidencias que resulta imposible saber hasta qué punto la gente comía o no comía bien.Si el consumo medio sirve para darnos alguna indicación, podría decirse que se consumía bastante comida sana: más de tres kilos y medio de peras por persona en 1851 en comparación con el kilo y cuarto actual; cuatro kilos de uvas y otras frutas blandas, más o menos el doble de la cantidad que consumimos ahora; y ocho kilos de frutos secos en comparación con el kilo y medio actual. En las verduras las cifras son más sorprendentes si cabe. El londinense medio consumía en 1851 catorce kilos y medio de cebollas en comparación con los seis kilos de hoy en día; dieciocho kilos de nabos y colinabos en comparación con el kilo actual; y engullía treinta y un kilos de repollo en comparación con los nueve y medio de ahora. El consumo de azúcar era de trece kilos y medio por cabeza, menos de un tercio de la cantidad que se consume hoy en día. Por lo tanto, la sensación es que, en general, se comía bastante sano.
Pero existen relatos más anecdóticos, escritos entonces y posteriormente, que indican más bien lo contrario. Henry Mayhew, en su clásico London Labour and the London Poor, publicado el año de la construcción de nuestra rectoría, sugería que un pedazo de pan y una cebolla eran la cena típica del obrero, mientras que una historia mucho más reciente (y merecidamente mucho más elogiada), Consuming Passions, de Judith Flanders, afirma que «la dieta básica de las clases trabajadoras y gran parte de las clases medias bajas a mediados del siglo XIX consistía en pan o patatas, un poco de mantequilla, queso o beicon, té con azúcar».
Lo que a buen seguro es cierto es que la gente que no podía controlar su dieta comía tremendamente mal. El informe llevado a cabo por un magistrado sobre las condiciones en una fábrica del norte de Inglaterra en 1810 reveló que los aprendices permanecían junto a sus máquinas desde las seis menos diez de la mañana hasta las nueve y diez o nueve y cuarto de la noche, con una única y breve pausa para almorzar. «Comen gachas aguadas para desayunar y almorzar [sin separarse de las máquinas] y normalmente torta de avena y melaza, o torta de avena y un caldo ligero para cenar», escribió. Eso era, casi con toda seguridad, bastante típico para cualquiera encerrado en una fábrica, una cárcel, un orfanato o que se hallara en otra situación de impotencia.
También es cierto que para los más pobres la dieta era muy poco variada. En Escocia, los trabajadores del campo de principios del siglo XIX recibían una ración media semanal de ocho kilos de gachas de avena, además de un poco de leche, y casi nada más, aunque en general se consideraban afortunados porque con eso al menos no tenían que comer patatas. La patata fue desdeñada a lo largo de los cien o ciento cincuenta años posteriores a su introducción en Europa. Mucha gente la consideraba una verdura insalubre porque sus partes comestibles crecían bajo tierra en lugar de buscar la nobleza del sol. Los pastores predicaban incluso contra la patata basándose en que no aparecía mencionada en la Biblia.
Los irlandeses eran los únicos que no podían permitirse ser tan remilgados. Para ellos, la patata era un regalo caído del cielo gracias a la abundancia de sus cosechas. Media hectárea de terreno pedregoso servía para sustentar a una familia de seis personas, siempre que estuvieran dispuestas a comer muchas patatas, y los irlandeses, por pura necesidad, lo estaban. Hacia 1780, la supervivencia del 90 % de los habitantes de Irlanda dependía exclusivamente o casi exclusivamente de la patata. Por desgracia, la patata es también uno de los productos hortícolas más vulnerable, susceptible a más de 260 tipos de plagas o infestaciones. Desde el momento de su llegada a Europa, hubo malas cosechas con regularidad. En los ciento veinte años previos a la gran hambruna, la cosecha de la patata fracasó un mínimo de veinticuatro ocasiones. Trescientas mil personas murieron como consecuencia de la cosecha fallida de 1739. Pero esta horrorosa cifra resulta insignificante en comparación con la escalada de muertes que se produjo entre 1845 y 1846.
Todo sucedió muy rápidamente. La cosecha iba bien hasta agosto y de pronto empezó a marchitarse y secarse. Al desenterrar los tubérculos, aparecieron esponjosos y en avanzado estado de descomposición. Aquel año se perdió la mitad de la cosecha irlandesa. El culpable fue un hongo llamado Phytophthora infestans, pero nadie lo sabía. La gente le echó la culpa a cualquier cosa que se le pasara por la cabeza: al vapor de los trenes de vapor, a la electricidad de los postes del telégrafo, a los nuevos abonos de guano que empezaban a ser populares. Y la cosecha no sólo fue mala en Irlanda. Fue mala en toda Europa. Pero los irlandeses dependían muy especialmente de ella.
Las ayudas se hicieron famosas por su lentitud. Meses después de que se iniciara la hambruna, sir Robert Peel, el primer ministro británico, seguía pidiendo cautela. «En los informes irlandeses existe tal tendencia a la exageración y la inexactitud que siempre es deseable obrar en consecuencia con cierto retraso», escribió. En el peor año de la hambruna de la patata, el mercado del pescado de Londres, Billingsgate, vendió 500 millones de ostras, 1.000 millones de arenques frescos, casi 100 millones de lenguados, 498 millones de gambas, 304 millones de bígaros, 33 millones de platijas, 23 millones de caballas y otras cantidades de diversos pescados igualmente gigantescas, y ni un solo bocado de todo ello viajó a Irlanda para aliviar a la gente que allí se moría de hambre.
Lo más importante de esta tragedia es que en la misma Irlanda había comida suficiente. El país producía grandes cantidades de huevos, cereales y carnes de todo tipo, y extraía abundantes capturas del mar, pero casi todo se destinaba a la exportación. Y así fue como un millón y medio de personas murieron innecesariamente de hambre. Fue la mayor pérdida de vidas humanas sufrida por Europa desde la peste negra.
Capítulo 5
El lavadero y la despensa
Igual que sucede con la cocina, éstas serían las habitaciones de la casa donde el señor Marsham entraría con reservas, si es que entraba alguna vez, pues era el reino de los criados… aunque su parecido con un reino fuera pura coincidencia. De acuerdo con los criterios de la época, la zona destinada a los criados es, curiosamente, muy pequeña para tratarse de una rectoría. En la rectoría de Barham, en Kent, construida hacia la misma época, el arquitecto concedió a los criados no sólo una cocina, una despensa y un lavadero, sino también una alacena, un almacén, una carbonera, varios armarios empotrados y, de crucial importancia, una habitación para el ama de llaves, claramente ideada para el descanso y la relajación.
Lo que hace todo esto bastante difícil de imaginar es que la casa, tal y como se construyó, no siempre encaja a la perfección con la casa que Edward Tull diseñó. Es evidente que el señor Marsham sugirió (o tal vez incluso insistió en llevar a cabo) revisiones notables, y en absoluto sorprendentes, pues la casa que Tull le diseñó encerraba diversas y llamativas peculiaridades. Sin ningún motivo lógico o deducible, Tull colocó la entrada principal en el lateral de la casa. Instaló un retrete en el descansillo de la escalera principal —un lugar realmente extraño y fuera de lo común—, dejando la escalera sin ventanas, por lo que debía de ser oscura como un sótano aun en plena luz del día. Diseñó un vestidor adjunto a la habitación principal, pero no incluyó una puerta que conectara ambas estancias. Construyó un desván sin escalera de acceso, pero con una puerta excelente hacia ninguna parte.
Estas caprichosas ideas fueron revisadas en su mayoría en algún momento antes o durante la construcción de la casa. Al final, la entrada principal quedó colocada de un modo más convencional en la parte delantera, no en un lateral. El retrete de la escalera nunca llegó a construirse. La escalera fue equipada con un ventanal que sigue todavía bañándola agradablemente con los rayos de sol cuando luce y proporciona una encantadora vista sobre la iglesia. Se incorporaron dos habitaciones adicionales: un estudio en la planta baja y un dormitorio suplementario o cuarto de los niños en la planta superior. En conjunto, la casa, tal y como quedó construida, es bastante distinta de la vivienda que Tull diseñó.
De entre todos los cambios, uno de ellos resulta particularmente intrigante. En los planos originales de Tull, la superficie que ahora ocupa el comedor era mucho más pequeña e incluía un espacio destinado a una «alacena para el criado», que sin lugar a dudas habría sido una habitación destinada a que los criados pudieran comer y descansar en ella. Nunca llegó a construirse. Y lo que se hizo, en cambio, fue duplicar el tamaño del comedor abarcando la totalidad de ese espacio. Por qué el rector solterón decidió privar a sus empleados de una estancia donde poder sentarse y regalarse en su lugar un comedor de tamaño considerable resulta, por supuesto, imposible de adivinar teniendo en cuenta todo el tiempo que ha transcurrido desde entonces. El resultado es que los criados se quedaron sin un lugar donde poder sentarse cómodamente cuando no estaban trabajando. Aunque podría muy bien ser que no se sentaran casi nunca. Es lo que solía suceder con la servidumbre.
El señor Marsham tenía tres criados: el ama de llaves, la señorita Worm; la chica del pueblo, Martha Seely, que trabajaba como subalterna; y un mozo de cuadra y jardinero llamado James Baker. Igual que su señor, todos eran solteros. Tres criados para ocuparse de un pastor soltero tal vez nos parezca ahora excesivo, pero en época de Marsham no lo era, ni mucho menos. La mayoría de rectores tenía al menos cuatro criados y algunos diez o más. Las familias tenían criados igual que la gente moderna tiene electrodomésticos. Los trabajadores también tenían criados. Y a veces, incluso los criados tenían criados.
Los criados eran algo más que una ayuda y una comodidad, eran un indicador vital de posición social. Los invitados a una cena se sentaban según el número de criados existentes. La gente se aferraba desesperadamente a sus criados. Incluso en la época colonial americana, y después de haberlo perdido casi todo en un negocio que se fue a pique, Frances Trollope, madre del novelista Anthony Trollope, siguió conservando un criado uniformado. Karl Marx, que vivía en el Soho en un estado de endeudamiento crónico y que con frecuencia no tenía ni comida que llevarse a la boca, tenía un ama de llaves y un secretario personal. La casa estaba tan abarrotada que el secretario —un hombre llamado Pieper— tenía que compartir cama con Marx. (Incluso así, Marx consiguió tener sus momentos de intimidad para seducir y dejar embarazada al ama de llaves, que le dio un hijo el año de la Gran Exposición).
La servidumbre, por lo tanto, formaba parte esencial de la vida de mucha gente. En 1851, un tercio de las mujeres jóvenes de Londres —aquéllas con edades comprendidas entre los quince y los veinticinco— eran criadas. Y una de cada tres era prostituta. Para muchas, era la única salida posible. La cifra total de criados de Londres, tanto masculinos como femeninos, era superior a la población de toda Inglaterra excepto sus seis ciudades más grandes. Se trataba, en su mayoría, de un universo femenino. En 1851, las mujeres que trabajaban como criadas superaban a los criados masculinos en una proporción de diez a uno. Pero en el caso de las mujeres no solía ser un trabajo para toda la vida. La mayoría había abandonado la profesión a los treinta y cinco años de edad, normalmente para casarse, y muy pocas permanecían en un mismo puesto durante más de un año. No es de extrañar, como veremos. Ser criado era, en general, un trabajo duro y desagradecido.
El tamaño de la plantilla, como cabría esperar, variaba enormemente, pero en la parte superior de la escala social solía ser considerable. Una casa de campo grande tenía una media de cuarenta criados interinos. El conde de Lonsdale era soltero y vivía solo, pero tenía cuarenta y nueve personas atendiéndole. Lord Derby tenía dos docenas simplemente para servirle la cena. El primer duque de Chandos tenía una orquesta privada para deleitarle durante las comidas, aunque sacaba rendimiento adicional de algunos de sus músicos obligándoles a realizar también labores de criado; un violinista, por ejemplo, era el encargado de afeitar a diario a su hijo.
El personal externo engrosaba aún más los números, sobre todo si los propietarios eran aficionados a la equitación y la caza. En Elveden, la propiedad que tiene la familia Guinness en Suffolk, había dieciséis guardabosques, nueve guardabosques subalternos, veintiocho conejeros (encargados de cuidar las madrigueras de los conejos) y dos docenas de empleados diversos —setenta y siete personas en total— única y exclusivamente para garantizar que sus invitados tuvieran siempre suficientes animalillos aturullados que hacer añicos. Los visitantes de Elveden conseguían aniquilar cada año más de cien mil aves. El sexto barón de Walsingham mató él solito en un único día 1.070 urogallos, una marca que no ha sido superada y que confiamos en que nunca llegue a serlo. (Walsingham debió de ir acompañado por un equipo de cargadores que le proporcionaban un suministro regular de escopetas cargadas, por lo que conseguir disparar el número necesario de disparos era sencillo. El verdadero reto debía de ser mantener un flujo continuo de blancos. A buen seguro, soltarían urogallos previamente enjaulados. Por mucho que se considerara un deporte, es también probable que Walsingham se dedicara a disparar directamente a las aves enjauladas para así disponer de más tiempo para disfrutar del té).
Los invitados iban acompañados de sus propios criados, por lo que durante los fines de semana no era excepcional que el número de personas en el interior de una casa de campo llegara a ciento cincuenta. La confusión sería inevitable con tanta gente. En una ocasión, en la década de 1890, lord Charles Beresford, famoso calavera, entró en la que creía que era la alcoba de su amante y con un lascivo grito de « ¡Cocoricó!» saltó a la cama. Al instante descubrió que estaba ocupada por el obispo de Chester y su esposa. Para evitar confusiones de este estilo, los invitados de Wentworth Woodhouse, un edificio solariego de Yorkshire, recibían a su llegada unas cajitas de plata en cuyo interior había confeti personalizado que podían ir esparciendo por los pasillos para ayudarles luego a encontrar el camino de regreso a su habitación, o el camino de una habitación a otra.
Todo tendía a ser a gran escala. La cocina de Saltram, una casa de Devon, tenía seiscientas ollas y cacerolas de cobre, una cifra bastante típica. Las casas de campo podían tener hasta seiscientas toallas, y cantidades similares de sábanas y ropa de cama en general. La simple tarea de marcarlo todo, inventariarlo y guardarlo correctamente era monumental de por sí. Pero incluso a un nivel más modesto —el de una parroquia, por ejemplo— una cena para diez personas podía fácilmente implicar la utilización y limpieza de unas cuatrocientas piezas entre platos, vasos, piezas de cubertería, etc.
Los sirvientes, de cualquier nivel, trabajaban duro y muchas horas. Un criado jubilado recordaba en 1925 lo pronto que en su vida profesional se había encargado de encender el fuego, lustrar veinte pares de botas y limpiar y atender treinta y cinco lámparas, todo ello en el tiempo en que el resto de la casa empezaba a despertarse. Tal y como el novelista George Moore escribió por propia experiencia en sus memorias, Confessions of a Young Man, el grueso de los criados pasaba diecisiete horas diarias «trabajando como esclavos entrando y saliendo de la cocina, subiendo a la planta de arriba con carbón y desayunos y jofainas de agua caliente, o abajo arrodillado delante de la rejilla del horno. […] Los huéspedes te lanzaban de vez en cuando una palabra amable, pero nunca una que te reconociera como uno de los suyos; simplemente la conmiseración que podría mostrarse hacia un perro».
Antes de la aparición de las cañerías por el interior de las casas, había que llevar agua a las habitaciones y retirarla una vez utilizada. Como norma, todas las habitaciones en uso tenían que visitarse y renovarse cinco veces entre el desayuno y la hora de acostarse. Y cada una de estas visitas exigía un complicado despliegue de recipientes y paños de tal manera que, por ejemplo, el agua limpia nunca subía en el mismo recipiente en el que se bajaba el agua sucia. La criada tenía que llevar tres tipos distintos de paños —uno para secar los vasos de las bebidas, otro para las sillas con orinal y otro para las aljofainas— y acordarse (o evitar que la señora la fastidiara al respecto) de utilizar cada uno de ellos para su correspondiente fin. Y todo esto, claro está, sólo para el aseo general. Si un invitado o un miembro de la familia deseaba un baño, la carga de trabajo se incrementaba dramáticamente. Una bañera normal tenía una capacidad de doscientos litros, una cantidad de agua que tenía que calentarse en la cocina y subirse a peso en recipientes especiales… y en una sola noche podía haber una docena o más de bañeras que llenar. Cocinar exigía también mucha fuerza y reservas de energía. Un caldero lleno podía pesar perfectamente veintisiete kilos.
El mobiliario, las rejillas de las chimeneas, las cortinas, los espejos, las ventanas, el mármol, el latón, el cristal y la plata, todo tenía que limpiarse y lustrarse con regularidad, normalmente con el pulimento y las ceras de fabricación casera propios de cada familia. Para mantener relucientes los cuchillos y los tenedores de acero, no bastaba con lavarlos y sacarles brillo; había que afilarlos con vigor con un pedazo de cuero embadurnado con una pasta hecha con polvo abrasivo, tiza y polvo de ladrillo, azafrán o cuerno de ciervo mezclado todo ello generosamente con manteca de cerdo. Antes de guardarse, los cuchillos se engrasaban con grasa de cordero (para impedir su oxidación) y se envolvían en papel de color marrón, por lo que había que desenvolverlos, lavarlos y secarlos antes de volver a utilizarlos. La limpieza de los cuchillos era un proceso tan tedioso y pesado que una máquina para limpiar cuchillos —que no era más que una caja con un mango que hacía girar un cepillo rígido— se convirtió en uno de los primeros aparatos pensados para ahorrar trabajo en la casa. Una de ellas se promocionaba como «El amigo de la criada». Y sin duda lo era.
No era sólo una cuestión de hacer el trabajo, sino a menudo de realizarlo según los exigentes estándares que en general sólo le pasan por la cabeza a quien no tiene que trabajar nunca. En Manderston, Escocia, un equipo de criados tenía que dedicar tres días enteros dos veces al año a desmantelar, pulir y montar de nuevo una majestuosa escalera. Había trabajos de este tipo que eran tan degradantes como carentes de sentido. La historiadora Elisabeth Garrett explica la anécdota de una casa en la que el mayordomo y sus ayudantes tenían que disponer alfombras de escalera alrededor de la mesa del comedor antes de servirla para de este modo no pisar la alfombra buena. Una criada de Londres se quejaba de que sus señores le hacían cambiarse de ropa y ponerse presentable simplemente para salir a la calle a pararles un taxi.
El aprovisionamiento de los hogares era otra enorme preocupación. Muchas veces, los comestibles se compraban sólo dos o tres veces al año y se almacenaban en grandes cantidades. El té se compraba por cajas, la harina por barriles. El azúcar venía en unos grandes conos llamados panes de azúcar. Los criados se convirtieron en expertos en la conservación y el almacenamiento de productos. La autosuficiencia era tanto un deseo como una necesidad. No era sólo una cuestión de hacer el trabajo, sino de preparar los materiales con los que poder realizar ese trabajo. Para almidonar un cuello o lustrar unos zapatos, había que ingeniárselas para obtener los ingredientes. Los betunes comerciales no aparecieron hasta 1890. Antes de eso, había que fabricar un betún casero poniendo a hervir una mezcla de ingredientes, un proceso que no sólo tintaba las botas, sino también las cacerolas, las cucharas utilizadas para remover y cualquier otra cosa con la que entrara en contacto. El almidón se obtenía después de un laborioso proceso a partir del arroz o las patatas. Ni siquiera la ropa de cama era un material acabado. Se compraban piezas de tela y de allí se obtenían manteles, sábanas, camisas, toallas, etc.
Las casas más grandes tenían una habitación con un alambique para destilar licores y donde se elaboraba una exhaustiva variedad de productos: tintas, herbicidas, jabón, dentífrico, velas, ceras, vinagres y encurtidos, cremas faciales y cosméticos, venenos para las ratas, polvos para acabar con las pulgas, champús, medicamentos, líquidos para quitar las manchas del mármol, para sacar los brillos de los pantalones, para endurecer los cuellos de las camisas, incluso para quitar las pecas. (Se decía que se conseguía con una mezcla de bórax, zumo de limón y azúcar). Estos preciosos preparados podían necesitar cualquier cantidad y tipo de ingredientes: cera de abeja, bilis de buey, alumbre, vinagre, aceite de trementina y cosas realmente sorprendentes. El autor de un manual de mediados del siglo XIX recomendaba limpiar una vez al año los cuadros con una mezcla de «sal y orina añeja», aunque dejaba en manos del lector determinar la orina de quién y hasta qué punto debía de ser añeja.
Muchas casas tenían tantas despensas, almacenes y otras zonas de servicio que la mayor parte de ellas pertenecía en realidad a los criados. En The Gentleman’s House, de 1864, Robert Kerr afirmaba que la típica casa señorial tenía doscientas habitaciones (contando todos los espacios destinados a almacenamiento), de las cuales casi la mitad exacta eran dependencias del hogar, que es lo mismo que decir habitaciones dedicadas a los criados y a sus labores, o sus dormitorios. Cuando se incorporaban establos y otros edificios anexos, la propiedad quedaba bajo el control de los criados de forma abrumadora.
La división del trabajo entre bambalinas podía ser tremendamente complicada. Kerr dividía los conjuntos de dependencias en nueve categorías: cocina, panadería y destilería, hall de los criados superiores, hall de los criados inferiores, sótanos y dependencias anexas, colada, habitaciones privadas, «suplementarias» y vías públicas. Otras casas hacían cómputos distintos. Florence Court, en Irlanda, tenía más de sesenta departamentos, mientras que Eaton Hall, la sede del duque de Westminster en Cheshire, tenía sólo dieciséis, una cifra bastante modesta teniendo en cuenta que tenía más de trescientos criados. Todo dependía de la predisposición organizativa del señor, la señora, el mayordomo y el ama de llaves.
Una casa de campo grande tenía probablemente armería, cuarto de lámparas, dependencia para el alambique, pastelería, despensa del mayordomo, pescadería, panadería, carbonera, alacena de caza, destilería, sala de espadas, cuarto de los cepillos, zapatero y una docena de estancias más, como mínimo. Lanhydrock House, en Cornwall, tenía una estancia exclusiva para ocuparse de los orinales. Otra, en Gales, según Juliet Gardiner, tenía una habitación reservada para planchar periódicos. Las casas más majestuosas o más antiguas podían tener también cuartos dedicados a la fabricación y conservación de salsas, especias, aves de corral o botellas, y otros de origen más exótico, como un aguador (donde se guardaban las jarras para el agua), una cerería (para las velas), una sala para la avena (para las bestias de carga), una mantelería (para la ropa de mesa y de cama) y muchas más.
Los nombres de ciertos cuartos de trabajo no son tan específicos como podría parecer. La buttery o cuarto de las botellas no tiene nada que ver con la mantequilla [butter], como su nombre podría indicar, sino que hace referencia a los culos de las botellas [butts]. (Es una corrupción de boutellerie, la palabra de la que derivan «botella» y butler o «mayordomo»; en sus orígenes, el trabajo del mayordomo consistía en ocuparse del cuidado de las botellas de vino). Curiosamente, la única habitación de servicio cuyo nombre no deriva de los productos que almacenaba es la dairy o vaquería. El nombre deriva en este caso de un término en francés antiguo, dey, que significa «doncella». Literalmente, pues, la palabra inglesa que se utiliza para designar la lechería significaría «el cuarto donde están las nodrizas», de lo que puede fácilmente deducirse que un francés antiguo estaba más interesado en encontrar a la doncella que la leche.
Sólo en los hogares más modestos ponían los propietarios los pies en la cocina o la zona de los criados y, tal y como apunta Juliet Gardiner, «sabían sólo por informes las condiciones en las que vivían sus criados». No era excepcional que el jefe de la casa no supiera de sus criados más que el nombre. En su mayoría serían incluso incapaces de orientarse en los oscuros rincones de las zonas reservadas a ellos.
La vida estaba rigurosamente estratificada a todos los niveles, y esta ansiedad por la diferenciación existía tanto para los invitados y la familia, como para la servidumbre. Un estricto protocolo dictaba en qué partes de la casa podía uno aventurarse —qué pasillos y escaleras podía utilizar, qué puertas podía abrir— según fuera invitado o pariente próximo, institutriz o tutor, niño o adulto, aristócrata o plebeyo, hombre o mujer, criado superior o criado inferior. Hasta tal punto reinaba la rigidez, observa Mark Girouard, que el té de la tarde en una casa señorial podía llegar a servirse en once lugares distintos para once castas distintas de personas. En su historia de los criados de las casas de campo, Pamela Sambrook explica el caso de dos hermanas que trabajaban en una misma casa, una como criada y la otra como niñera, pero no tenían permiso para hablar entre ellas ni saludarse cuando se cruzaban porque vivían en dos territorios sociales distintos.
Los criados disponían de poco tiempo que poder dedicar a su aseo personal, pero por otro lado eran acusados constantemente de sucios, una auténtica injusticia teniendo en cuenta que la jornada típica de un criado empezaba a las seis y media de la mañana y terminaba a las diez de la noche, o más tarde cuando había alguna actividad social. La autora de un manual de economía doméstica apunta con nostalgia que le hubiera gustado proporcionar a sus criados buenas habitaciones, pero que no lo hacía porque siempre acababan desordenadas. «Cuanto más simple, por lo tanto, sea el mobiliario de la habitación del criado, mejor», concluía. Hacia el periodo eduardiano, los criados consiguieron medio día libre a la semana y un día entero libre al mes, un acuerdo poco generoso teniendo en cuenta que era el único tiempo del que disponían para adquirir objetos personales, cortarse el pelo, visitar a la familia, cortejar a la pareja, relajarse o disfrutar de unas pocas horas de preciosa libertad.
Tal vez la parte más dura del trabajo fuera la de estar vinculado y dependiendo de gente a quien le importabas bien poco. Los diarios de Virginia Woolf muestran una preocupación casi obsesiva de la escritora por sus criados y el reto que le suponía mostrarse paciente con ellos. De una criada, escribe: «Está en un estado de naturaleza: sin formación, inculta […] de tal modo que uno ve una mente humana contoneándose desnuda». Como clase, eran molestos como «las moscas en la cocina». La contemporánea de Woolf, Edna St. Vincent Millay, tenía menos pelos en la lengua. «La única gente que de verdad odio son los criados —escribió—. No son seres humanos».
Era un mundo extraño, sin lugar a dudas. Los criados constituían una clase de seres humanos cuya existencia estaba básicamente consagrada a asegurar que los integrantes de otra clase de seres humanos tuviera al alcance de la mano todo lo que deseaba en el momento en que se le ocurriera desearlo. Los receptores de esta atención se convirtieron en seres inconcebiblemente mimados. En la década de 1920, el décimo duque de Marlborough fue a visitar a su hija a su casa, una vivienda demasiado pequeña como para que pudieran acompañarle sus criados. Una mañana salió del baño en un estado de impotente perplejidad porque su cepillo de dientes no hacía la espuma a la que estaba acostumbrado. Resultó que su ayuda de cámara siempre le ponía el dentífrico en el cepillo y el duque ni siquiera sabía que los cepillos de dientes no se recargaban de forma automática.
La humillación ocasional era algo normal en la vida del servicio. A veces se exigía a los criados adoptar un nuevo nombre, de tal modo que el segundo lacayo de la casa se llamara siempre «Johnson», por ejemplo, ahorrándole de este modo a la familia el tedio de tener que aprender un nuevo nombre cada vez que un lacayo se jubilaba o caía atropellado bajo las ruedas de un carruaje. Los mayordomos eran un asunto especialmente delicado. Se esperaba de ellos que tuvieran el porte y los modales de un caballero, y que vistieran en consecuencia, pero con frecuencia el mayordomo se veía sometido a ordinarieces intencionadas con relación a la sastrería —unos pantalones que no quedaban bien con la chaqueta, por ejemplo— para garantizar con ello que su inferioridad quedara de manifiesto de inmediato [22] .
Un manual daba instrucciones —de hecho, ofrecía incluso un guión— para humillar a una criada delante de un niño, para el bien tanto del niño como de la criada. En la escena en cuestión, el niño es llamado al estudio, donde encuentra a su madre con la avergonzada criada, que solloza en silencio.
—Tu niñera Mary —empieza a decir la madre— va a contarte ahora mismo que no existen hombres negros que entran sigilosamente por la noche en las habitaciones de los niños traviesos. Quiero que escuches bien lo que te cuente tu niñera Mary, porque hoy mismo se marcha y seguramente no volverás a verla nunca más.
La niñera tiene que hacer frente entonces a todas y cada una de sus historietas y es obligada a retractarse de todas ellas.
El niño escucha con atención y le tiende la mano a la empleada despedida.
—Gracias, niñera —dice sucintamente—, no debería haber tenido miedo, pero me lo creía, ¿sabes? —y a continuación, se dirige a su madre y le dice—. Ahora ya no tendré miedo, madre —le asegura como un hombrecito, y todos vuelven a su vida normal… excepto, claro está, la niñera, que lo más probable es que no vuelva a encontrar otro trabajo respetable.
El despido, especialmente en el caso de las mujeres, era la calamidad más temida, pues suponía pérdida de empleo, pérdida de techo, pérdida de perspectivas de futuro, pérdida de todo. La señorita Beeton hacía en su libro especial hincapié en recomendar a sus lectoras que no permitieran que los sentimientos, la caridad cristiana o cualquier otro tipo de compasión les llevara a redactar una recomendación falsa o engañosa para un empleado despedido. «Cuando de dar una recomendación se trata, no es necesario decir que la señora debería dejarse guiar por el sentido de la justicia más estricta. No es razonable que una dama recomiende a otra a un criado que no está dispuesta a seguir ella conservando», escribió la señorita Beeton, y no era necesario darle más vueltas al tema.
* * * *
Con el avance de la era victoriana, se exigió a los criados no sólo ser honestos, limpios, trabajadores, formales, dedicados y circunspectos, sino además convertirse, en la máxima medida de lo posible, en invisibles. Jenny Uglow, en su historia de la jardinería, menciona una finca en la que, cuando la familia estaba instalada en ella, los jardineros tenían que dar un rodeo de más de un kilómetro y medio para vaciar las carretillas con el fin de no convertirse en una presencia fastidiosa en el campo visual del propietario. En una casa de Suffolk, los criados tenían que ponerse de cara a la pared cuando los miembros de la familia pasaban por su lado.Cada vez más, las casas se diseñaban para que el servicio permaneciera lejos de la vista de la familia y separado de ella excepto en los momentos en que era absolutamente necesario. El refinamiento arquitectónico que más colaboró a esta segregación fue la escalera de servicio. «Cuando la alta sociedad sube las escaleras ya no tiene que cruzarse con sus heces de la noche anterior», según lo expresó con acertado ingenio Mark Girouard. «Esta privacidad es muy valorada por ambos bandos», escribió en 1864 Robert Kerr en The Gentleman’s House, aunque podríamos asumir sin riesgo a equivocarnos que el señor Kerr era más afín a los sentimientos de los que llenaban los orinales que a los de los que los vaciaban.
En el nivel más alto, no eran sólo los criados, sino también los invitados y los miembros permanentes de la casa los que debían mantenerse mínimamente visibles. Cuando la reina Victoria salía a dar su paseo de las tardes por los terrenos de Osborne House, en la isla de Wight, nadie en absoluto, de ningún nivel social, tenía permiso para cruzarse con ella. Se decía que podías adivinar en qué lugar de la finca estaba la reina por la gente que huía aterrada ante su presencia. En una ocasión, el canciller del erario, sir William Harcourt, se encontró en campo abierto sin nada tras lo que esconderse, excepto un arbusto enano. Teniendo en cuenta que Harcourt medía más de un metro noventa de altura y era muy corpulento, aquel gesto no podía ser más que simbólico. Su Majestad fingió no verlo, pues era una experta en no ver cosas. En la casa, donde los encuentros en los pasillos eran inevitables, tenía el hábito de mantener la vista fija al frente y, con una mirada de rabia, fulminar a cualquiera que se cruzara en su camino. Los criados, a menos que fueran de extrema confianza, no tenían permiso para mirarla directamente.
«La división de clases es una de las cosas más peligrosas y reprobables, jamás pretendida por la ley de la naturaleza y que la reina siempre se esfuerza por alterar», escribió la reina en una ocasión, ignorando convenientemente que el único lugar donde este noble principio no aplicaba era ante su real presencia.
El criado principal de la casa era el mayordomo. Su equivalente femenino era el ama de llaves. Por debajo de ellos estaba el encargado de la cocina y chef y una panoplia de sirvientas, camareras, ayudas de cámara, criados y lacayos. Los lacayos eran en su origen lo que la expresión en inglés, footmen, indica en el sentido más literal: hombres que correteaban a pie detrás del palanquín o el carruaje de su señor o su señora, para impresionar y realizar cualquier servicio que pudiera surgir por el camino. Hacia el siglo XVII, eran apreciados como si fueran caballos de carreras y a veces sus señores los hacían competir entre ellos apostando fuerte. Los lacayos realizaban la mayoría de los trabajos públicos de la casa —atender la puerta, servir la mesa, entregar mensajes—, por lo que con frecuencia eran elegidos por su altura, su porte y por ser apuestos, para indignación de la señorita Beeton. «Cuando la dama sigue la moda y elige a su lacayo sin otra consideración que su altura, su aspecto o el contorno de su pantorrilla, no sorprende que acabe encontrándose con un empleado doméstico sin apego alguno a la familia», resollaba.
Se suponía popularmente que los amoríos entre lacayos y señoras eran típicos de las casas de moral más relajada del país. En un caso muy conocido, el vizconde Ligonier de Clonmell descubrió que su esposa había estado viéndose con un noble italiano, el conde Vittorio Amadeo Alfieri. Ligonier lo retó en duelo, como el honor exigía, y los dos hombres se enfrentaron en Green Park utilizando espadas que tomaron prestadas de un taller próximo. Jugaron con las armas durante unos minutos, pero sin ponerle el corazón, seguramente porque ambos sabían que la caprichosa lady Ligonier no se merecía un derramamiento de sangre, una sospecha que ella misma confirmó casi de inmediato fugándose con su lacayo. El suceso provocó comentarios procaces por todo el país y algún que otro acertado verso, entre los que destaca este pareado:
Pero mira cómo la deliciosa LigonierLa vida de los criados no era ni mucho menos tan mala. En general, las grandes casas de campo estaban ocupadas tan sólo dos o tres meses al año, por lo que la vida de algunos criados consistía en largos periodos de desahogo salpicados por temporadas de trabajo duro e interminables horas. Para los criados de ciudad, era más bien el caso contrario.
Prefiere a su chico de los recados
más que a los que con ella tienen que ver.
Vivían calientes, estaban bien alimentados, iban decentemente vestidos y tenían un lugar donde dormir por las noches en una época en que estas cosas tenían mucha importancia. Teniendo en cuenta todas estas comodidades, se ha calculado que un criado con experiencia disfrutaba de un sueldo equivalente a 50.000 libras actuales. Había, en general, otros privilegios adicionales para aquéllos lo bastante ingeniosos o atrevidos como para aprovecharlos. En Chatsworth, por ejemplo, la cerveza llegaba de la fábrica directamente a la casa a través de una tubería que atravesaba el invernadero de Joseph Paxton. Durante un mantenimiento rutinario, se descubrió que un empleado emprendedor de la casa había estado explotándola, también de forma rutinaria.
Los criados solían ganar un buen dinero con las propinas. Era habitual, a la salida de una cena, tener que pasar por delante de una fila de cinco o seis lacayos, todos ellos esperando su chelín, lo que hacía que salir a cenar resultase un asunto muy caro para todo el mundo excepto para los criados. Asimismo, se esperaba de los invitados de fin de semana que fueran dadivosos con sus propinas. Los criados ganaban también algún dinero con los visitantes. En el siglo XVIII se implantó la costumbre de ofrecer giras turísticas siempre que los visitantes fueran respetablemente vestidos, y empezó a ser común entre la clase media visitar fincas señoriales de un modo muy parecido a como lo hacemos hoy en día. En 1776, una visitante de Wilton House destacó haber sido la visita número 3.025 de aquel año, y eso que era sólo agosto. Algunas propiedades recibían tantos paseantes que tuvieron que formalizarse planes para mantener la situación bajo control. Chatsworth se abría al público dos días fijos a la semana, y Woburn, Blenheim, Castle Howard, Hardwick Hall y Hampton Court establecieron asimismo horarios de apertura para tratar de limitar las masas. Horace Walpole estaba tan harto de las visitas que recibía su casa, Strawberry Hill, en Twickenham, que empezó a emitir entradas y a imprimir una larga lista de normas sobre lo que estaba permitido y lo que no. Si, por ejemplo, alguien solicitaba cuatro entradas y luego se presentaban cinco personas, ninguna de ellas era admitida. Otras casas se mostraban más acomodaticias. Robeky Hall, en Yorkshire, abrió incluso un salón de té.
Con frecuencia, el trabajo más duro era el de las casas más pequeñas, donde un solo criado tenía que hacer la labor de dos o tres personas en otras partes. La señorita Beeton, como era de esperar, tenía mucho que decir acerca de cuántos criados había que tener en casa dependiendo de la posición económica y el linaje de cada uno. Una persona de noble cuna, decretó, necesitaba un mínimo de veinticinco criados. Una persona que ganara 1.000 libras anuales necesitaba cinco: una cocinera, dos sirvientas, una niñera y un lacayo. El mínimo para el hogar de un profesional de clase media eran tres: camarera, sirvienta y cocinera. Incluso alguien que ganara tan poco como 150 libras anuales se consideraba lo bastante rico como para emplear a una criada para todo (una denominación que habla por sí sola). La señorita Beeton tenía cuatro criados. En la práctica, sin embargo, la mayoría no empleaba tanto personal como la señorita Beeton creía conveniente.
Una casa mucho más típica era la de Thomas y Jane Carlyle, el historiador y su esposa, que tenían una sola criada en su casa del número 5 de Great Cheyne Row, en Chelsea. Esta infravalorada alma tenía no sólo que cocinar, limpiar, lavar los platos, atender las chimeneas, retirar las cenizas, ocuparse de las visitas, gestionar la despensa y todo lo demás, sino que cada vez que a los Carlyle les apetecía darse un baño —y les apetecía a menudo— tenía que recoger agua, calentarla y subir tres tramos de escaleras cargada con ocho o diez cubos enormes de agua caliente, y después repetir la operación en sentido inverso.
En casa de los Carlyle, la criada no disponía de habitación propia, sino que vivía y dormía en la cocina, un arreglo sorprendentemente común incluso en los hogares más pequeños y refinados, como era el caso de los Carlyle. La cocina de Great Cheyne Row estaba en el sótano, y era abrigada y cómoda, aunque quizás algo oscura, pero ni siquiera un espacio tan elemental como ése quedaba bajo su control. A Thomas Carlyle le gustaba también su comodidad y solía leer allí por la noche, desterrando a la criada a la «trascocina», un término que no suena muy atroz pero que en realidad no era más que un almacén sin ningún tipo de calefacción. Allí la criada se instalaba entre sacos de patatas y otras provisiones hasta que oía la silla de Carlyle rascando el suelo, los golpecitos de su pipa en la rejilla de la chimenea y los sonidos típicos que acompañaban su retirada, que acostumbraba a ser muy tarde, después de la cual podía por fin reivindicar su espartana cama.
En los treinta y dos años que los Carlyle vivieron en Great Cheyne Row, pasaron por su casa treinta y cuatro criadas, y eso que los Carlyle eran una gente relativamente fácil con quien trabajar, pues no tenían hijos y eran bastante pacientes y compasivos por naturaleza. Pero les resultaba casi imposible encontrar empleadas que satisficieran sus exigentes estándares. A veces las criadas fracasaban de un modo espectacular, como cuando la señora Carlyle llegó una tarde a casa en 1843 y se encontró a su ama de llaves borracha como una cuba en el suelo de la cocina, «con una silla volcada encima y en medio de un completo caos de platos sucios y fragmentos de vajilla rota». En otra ocasión, la señora Carlyle se quedó horrorizada al enterarse de que, en su ausencia, una criada había dado a luz a un hijo ilegítimo en el salón de la planta baja. Le inquietó especialmente el hecho de que la mujer hubiera utilizado «mis mejores servilletas». La mayoría de las criadas, sin embargo, se marchaban o eran despedidas cuando se negaban a trabajar tan duro como les exigían los Carlyle.
El hecho indiscutible es que los criados eran simples seres humanos, y sólo rara vez poseían la agudeza, las habilidades, la resistencia y la paciencia necesarias para satisfacer los incesantes caprichos de sus patronos. Nadie que contara con los muchos talentos necesarios para ser un sirviente excepcional querría a buen seguro serlo.
La principal vulnerabilidad de los criados era su impotencia. Podían culparlos de prácticamente todo. Nunca ha habido chivos expiatorios más convenientes, tal y como los mismos Carlyle descubrieron en un famoso incidente que tuvo lugar la noche del 6 de marzo de 1835. En aquella época, los Carlyle acababan de mudarse a Londres procedentes de su Escocia natal con la esperanza de que Thomas pudiera labrarse allí una carrera como escritor. Tenía entonces treinta y ocho años y había alcanzado ya una moderada reputación —muy moderada, todo hay que decirlo— gracias a un denso trabajo de personal filosofía titulado Sartor Resartus, pero tenía que escribir aún su obra magna. Pretendía corregir aquella escasez con una historia de la Revolución francesa en varios tomos. En invierno de 1835, después de un trabajo agotador, había finalizado el primer volumen y entregado el manuscrito a su amigo y mentor, John Stuart Mill, para que le diese su valiosa opinión.
Éste era el telón de fondo con el que se plantó Mill en la puerta de la casa de Carlyle aquella gélida noche de principios de marzo, con el rostro desvaído. Detrás de él, esperando en el interior de un carruaje, estaba Harriet Taylor, la amante de Mill. Taylor era la esposa de un hombre de negocios de moral tan relajada que prácticamente la compartía con Mill, e incluso les proporcionaba una casita en el oeste de Londres, en Waltonon-Thames, donde poder citarse. Dejaré que sea el mismo Carlyle quien continúe con el relato a partir de este punto:
Se oyó entonces la llamada en la puerta de Mill: entró pálido, incapaz de hablar, le dijo casi sin aliento a mi esposa que bajara a hablar con la señora Taylor; y vino conmigo (cogido de mi mano y con cara de asombro), la viva imagen de la desesperación. Después de pronunciar diversas frases coherentes e incoherentes sin resultado alguno, me informa de que mi Primer Volumen (abandonado por él de forma excesivamente descuidada, después o mientras lo leía) estaba, exceptuando cuatro o cinco pedazos de hojas, irrevocablemente ¡ANIQUILADO! Recuerdo y aún puedo recordar menos que nada de todo lo que escribí con tanto afán: ha desaparecido, ni el mundo entero ni yo respaldado por él podríamos recuperarlo; más aún, el viejo espíritu ha huido también […] Se ha ido, y no volverá.Una criada, explicó Mill, lo había visto junto al guardafuego de la chimenea y lo había utilizado para encenderla. No es necesario reflexionar mucho sobre el asunto para percatarse de que la explicación presenta ciertos puntos débiles. En primer lugar, un manuscrito, como quiera que esté dispuesto, no tiene nunca el aspecto de ser un objeto irrelevante; cualquier criada que trabajara en casa de Mill estaría acostumbrada a ver manuscritos y a buen seguro quedaría siempre impresionada por su posible importancia y valor. En cualquier caso, no se necesita un manuscrito entero para encender la chimenea. Quemarlo entero habría requerido ir echando pacientemente las hojas en pequeñas tandas, la acción que se habría llevado a cabo de querer eliminar el manuscrito, pero no en el caso de tener la intención de encender un fuego. En resumen, es imposible concebir circunstancias en que la criada, por muy pocas luces que tuviera, pudiera destruir por completo, accidentalmente pero de forma verosímil, un trabajo como aquél.
Una posible alternativa es que el mismo Mill hubiera quemado el manuscrito en un ataque de celos o de rabia. Mill era una autoridad en todo lo relacionado con la Revolución francesa y le había explicado a Carlyle que tenía pensado escribir algún día un libro sobre el tema, por lo que queda claro que los celos podrían haber sido un motivo. Por otro lado, Mill estaba atravesando una crisis personal en aquella época: la señora Taylor acababa de comunicarle que no pensaba abandonar a su marido e insistía en mantener aquella peculiar relación a tres bandas. Es posible pensar que Mill estuviera algo desequilibrado. Pero aun así, un acto tan disoluto y destructivo no encajaba ni con el buen carácter del que siempre había hecho gala Mill, ni con su aparentemente sincero estupor y dolor por la pérdida. La única posibilidad que queda es que la señora Taylor, que no era muy del agrado de los sobrios y formales Carlyle, fuera la responsable, de algún modo no especificado. Mill les había contado a los Carlyle que durante sus estancias en Walton le había estado leyendo a la señora Taylor partes de la obra, por lo que surgió la sospecha de que ella pudiera tener el manuscrito en el momento del desastre y fuera el oscuro y desdichado origen de todo el asunto.
Pero los Carlyle no podían cuestionar nada de todo aquello, ni siquiera de un modo desesperado y retórico. Las reglas del decoro dictaban que los Carlyle tenían que aceptar los hechos tal y como Mill se los había expuesto y que las preguntas adicionales sobre cómo se había producido aquella catástrofe tan terrible, sorprendente e inexplicable estaban fuera de lugar. Una criada indeterminada había destruido de forma imprudente el manuscrito de Carlyle en su totalidad, y allí acababa la historia.
A Carlyle no le quedó más opción que sentarse y recomponer el libro lo mejor que pudo, una tarea que le supuso un auténtico reto porque ya no disponía de notas a las que recurrir, pues había cogido la estrambótica y manifiestamente equivocada costumbre de quemar sus notas a medida que iba finalizando los capítulos, como queriendo con ello celebrar el trabajo hecho. Mill insistió en entregarle a Carlyle una compensación de 100 libras, cantidad suficiente para vivir un año mientras rehacía el libro, pero su amistad, y no es de sorprender, nunca volvió a ser la misma. Tres semanas después, en una carta dirigida a su hermano, Carlyle se quejaba explicándole que Mill ni siquiera había tenido la cortesía de dejarlos sufrir el golpe en privado, pues «se quedó indiscretamente hasta casi medianoche, y mi pobre Dame y yo tuvimos que permanecer allí sentados hablando de cosas triviales; y no pudimos hasta entonces expresar libremente nuestro lamento».
Es imposible saber en qué difiere la versión reeditada de la original. Lo que sí puede decirse es que el volumen que nos ha llegado es uno de los libros más ilegibles que atrajo la estima de su época. Está escrito en su totalidad en tiempo presente y con un lenguaje extraño y exaltado que parece estar siempre lindando el umbral de la incoherencia. Veamos, por ejemplo, a Carlyle disertando sobre el hombre que inventó la guillotina:
¿Y el loable Doctor Guillotin, a quien esperábamos ver una vez más? Sino aquí, el doctor debería estar aquí, y le vemos con el ojo de la profecía: pues efectivamente los diputados parisinos llegan todos un poco tarde. Singular Guillotin, médico respetable; condenado por un satírico destino a la más extraña gloria inmortal que siempre mantuvo al oscuro mortal alejado de la última morada, ¡en el fondo del olvido! […] ¡Desgraciado doctor! Durante veintidós años, sin pasar por la guillotina, no oirá hablar más que de guillotina; después en la muerte, a lo largo de eternos siglos vagará como si fuera un desconsolado fantasma, por la orilla equivocada de Estigia y Leteo; su nombre a buen seguro sobrevivirá al de César.Los lectores nunca se habían encontrado con una intimidad tan desenvuelta en un libro y les parecía emocionante. Dickens afirmaba haber leído la obra quinientas veces y a ella atribuía la inspiración de Historia de dos ciudades. Oscar Wilde veneraba a Carlyle: «Hizo de la historia una canción por primera vez en nuestro idioma —escribió—. Fue el Tácito inglés». Durante medio siglo Carlyle fue un dios para la familia de la literatura.
Murió en 1881. Sus relatos escritos apenas le sobrevivieron, pero su historia personal continúa viva en gran parte gracias a la correspondencia excepcionalmente voluminosa que él y su esposa dejaron, suficiente para llenar treinta tomos escritos en letra pequeña. Thomas Carlyle se quedaría sin duda pasmado y consternado de saber que sus relatos apenas se leen y que en la actualidad es conocido por las minucias de su vida diaria, incluyendo las decenas de insignificantes quejas sobre sus criadas. La ironía, claro está, es que el hecho de haber empleado a todas aquellas criadas ingratas es lo que les daba a él y a su esposa la satisfacción de escribir todas aquellas cartas.
Gran parte de esto siempre había sido así. Al igual que los Carlyle, pero casi dos siglos antes, Samuel Pepys y su esposa, Elizabeth, tuvieron también una interminable serie de sirvientes que aparecen citados durante los nueve años y medio que se prolongó su diario. Y no es de extrañar que les durasen poco, pues Samuel pasaba buena parte de su tiempo sobando a las mujeres y pegando a los chicos… aunque, a decir verdad, también arreaba alguna que otra zurra a las chicas. En una ocasión, le cogió la escoba a una criada llamada Jane «y le di una paliza hasta que lloró en extremo». Su crimen era ser desaliñada. Pepys tenía a su servicio a un chico cuya principal función era, por lo que parece, poder tener siempre a mano alguien a quien zurrar, «con un bastón o una vara o un látigo o una cuerda, o incluso con una anguila en salazón», según explica Liza Picard.
Pepys era especialista en despedir al servicio. Una de sus criadas fue despedida por pronunciar «algunas palabras picantes», otra por chismosa. A una le dieron ropa nueva nada más llegar, pero se escapó aquella misma noche; cuando la encontraron, Pepys le quitó la ropa e insistió en castigarla a latigazos. Otras fueron despedidas por beber o hurtar comida. A buen seguro habría algunas que se marcharon después de rechazar sus escarceos amorosos. Aunque una cantidad pasmosa sucumbió a sus encantos. Durante los ocho años y medio de su diario, Pepys mantuvo relaciones sexuales con al menos diez mujeres distintas a su esposa y encuentros sexuales con cuarenta más. Muchas eran criadas. De una sirvienta, Mary Mercer, el Dictionary of National Biography apunta, sin alterarse: «Por lo que parece, Samuel cogió la costumbre de acariciarle los pechos a Mercer mientras ella lo vestía por las mañanas». (Resulta interesante que se utilice «Samuel» para referirse a nuestro libertino héroe y «Mercer» para referirse a la esclava). Cuando no estaban vistiéndolo, aguantando sus palizas o soportando sus manoseos, Pepys esperaba de sus criadas que le peinasen y le limpiasen las orejas. Eso además de cocinar, limpiar, traer, llevar y todo lo demás. No sorprende en absoluto que a los Pepys les costara tanto encontrar y conservar a sus criadas.
La experiencia de Pepys demostraba asimismo que los criados podían ser traicioneros. En 1679, Pepys despidió a su mayordomo por acostarse con el ama de llaves (quien, como dato interesante, siguió a su servicio). El mayordomo intentó vengarse acusando a Pepys de papista ante sus enemigos políticos. Era un periodo de histeria religiosa y Pepys fue encarcelado en la Torre de Londres. Gracias a que al mayordomo empezó a remorderle la conciencia y confesó que todo habían sido invenciones suyas, Pepys fue liberado, pero el suceso sirvió de doloroso recordatorio de que los señores podían estar tanto a merced de los criados como los criados lo estaban de sus señores.
* * * *
Por lo que a los criados se refiere, sabemos poco de ellos porque apenas queda constancia de su existencia. Una interesante excepción es la de Hannah Cullwick, que de forma excepcional llevó un detallado diario durante casi cuarenta años. Cullwick nació en 1833 en Shropshire y empezó a trabajar a tiempo completo en una casa como chica de los cacharros —fregona de cocina— con ocho años de edad. A lo largo de su prolongada carrera fue sirvienta de segunda, ayudante de cocina, cocinera, pinche y ama de llaves. En todos esos puestos trabajó duro y muchas horas. Inició su diario en 1859, con veinticinco años de edad, y siguió escribiéndolo hasta justo antes de su sesenta y cinco cumpleaños. Gracias al espacio de tiempo tan grande que abarca, el diario constituye el registro más completo de la vida diaria de una criada durante la época dorada de la servidumbre. Como sucedía con la mayoría de criados, Hannah trabajaba desde antes de las siete de la mañana hasta las nueve o las diez de la noche, a veces hasta más tarde. Los diarios, desprovistos a menudo de toda emoción, son un catálogo interminable de las tareas que realizaba. Ésta es una entrada típica, fechada el 14 de julio de 1860:Abrí las contraventanas y encendí el fuego de la cocina. Sacudí el hollín en el agujero del polvo y luego lo vacié de hollín. Barrí y saqué el polvo de las habitaciones y el recibidor. Puse en marcha los fogones y preparé el desayuno. Limpié dos pares de botas. Hice las camas y vacié los orinales. Limpié y lavé las cosas del desayuno. Limpié la bandeja; limpié los cuchillos y preparé la comida. Lo limpié todo. Limpié la cocina; vacié una cesta. Llevé dos pollos a la señora Brewer y volví con el recado. Preparé una tarta y desplumé y destripé dos patos y los asé. Fregué de rodillas las escaleras y los suelos. Lustré el rascador de zapatos de delante de la casa; fregué también de rodillas la acera de la calle. Lavé el fregadero. Fregué de rodillas la despensa y fregué las mesas. Fregué los suelos de alrededor de la casa y limpié las repisas de las ventanas. Serví el té al señor y la señora Warwick […] Fregué de rodillas los suelos del retrete, el pasillo y la despensa. Lavé al perro y limpié los lavamanos. Preparé la cena para que la sirviera Ann, pues yo estaba demasiado sucia y cansada como para subir. Me lavé en una bañera y me fui a la cama.Un día típico y soporífero. Lo más excepcional de la jornada es que consiguiera darse un baño. La mayoría de los días acaba sus entradas con un exhausto y fatalista «Me acosté con la suciedad encima».
Además de su sobria relación de tareas, la vida de Hannah Cullwick esconde algo incluso más extraordinario, pues pasó treinta y seis años, desde 1873 hasta su muerte en 1909, casada en secreto con su patrón, un funcionario y poeta menor llamado Arthur Munby, que nunca dio a conocer su relación a su familia y amistades. Cuando estaban solos, vivían como marido y mujer, pero cuando recibía visitas, Cullwick se recluía en su papel de criada. Si había invitados que se quedaban a dormir, Cullwick se ausentaba del lecho matrimonial y dormía en la cocina. Munby era un hombre de cierta posición. Contaba entre sus amigos a Ruskin, Rossetti y Browning, que visitaban con frecuencia su casa, pero ninguno tenía ni idea de que la mujer que le llamaba «señor» era en realidad su esposa. Incluso en privado, su relación tenía un matiz poco ortodoxo, por no decir otra cosa peor. Cuando ella estaba a sus órdenes, le llamaba massa y se oscurecía la piel para tener el aspecto de una esclava. Hannah escribía su diario, por lo que parece, para que él pudiera leer cómo se ensuciaba.
Fue sólo en 1910, después de que él falleciera y se hiciese público su testamento, que salió a la luz la noticia, causando poca sensación. Fue su curioso matrimonio, más que sus conmovedores diarios, lo que hizo famosa a Hannah Cullwick.
* * * *
En el punto inferior de la montaña de criados estaban las lavanderas, que se encontraban en un nivel tan bajo que a menudo quedaban por completo fuera de la vista de todo el mundo. La colada iba a ellas más que iban ellas a recoger la colada. Las labores de lavandería se menospreciaban hasta tal punto que en las casas más grandes el castigo para los criados solía ser hacer la colada. Era un trabajo agotador. En una casa de campo de tamaño considerable, el personal podía fácilmente ocuparse de lavar a la semana seiscientas o setecientas prendas, toallas y sábanas. Antes de 1850 no había detergentes y la colada tenía que dejarse en remojo en agua jabonosa o lejía durante horas, después aporrearse y fregarse con energía, hervirse durante una hora o más, aclararse repetidamente, escurrirse a mano o (después de 1850) con la ayuda de un rodillo y sacarse a tender sobre un seto o extenderse sobre el césped para secarla. (Uno de los delitos más comunes en el campo era el robo de la ropa puesta a secar, por lo que siempre tenía que haber alguien vigilando la colada hasta que se secaba). En conjunto, según escribió Judith Flanders en The Victorian House, una colada sencilla —compuesta por sábanas y otra ropa de casa, por ejemplo— incorporaba ocho procesos distintos como mínimo. Pero muchas coladas estaban lejos de ser sencillas. Los tejidos difíciles o delicados tenía que tratarse con el mayor de los cuidados y las prendas que incluían distintos tipos de tejido —terciopelo y encaje, por ejemplo— tenían que desarmarse con cuidado, lavarse por separado y volver a coserse.Al ser muchos tintes efímeros y engorrosos de tratar, se hacía necesario añadir al agua de la colada, dosis muy precisas de determinados elementos químicos, bien para conservar el color, bien para recuperarlo: alumbre y vinagre para los verdes, bicarbonato sódico para los morados, aceite de vitriolo para los rojos. Cualquier lavandera que se preciara disponía de un amplio catálogo de recetas para eliminar distintos tipos de manchas. Las sábanas solían ponerse en remojo en orina rancia, o en una solución diluida de excrementos de aves de corral, pues ambos productos tenían un efecto blanqueador, aunque como apestaban (y no es de extrañar), había que realizar luego un aclarado vigoroso, normalmente con algún tipo de extracto de plantas, para dulcificar el olor.
El almidonado era una tarea tan laboriosa que a menudo se dejaba para el día siguiente. Planchar era otro trabajo descomunal y se hacía siempre aparte. Las planchas se enfriaban con rapidez, lo que obligaba a utilizarlas a gran velocidad y a irlas intercambiando con otras recién calentadas. En general, había una en funcionamiento y dos calentándose. Las planchas eran pesadas de por sí y era necesario presionar con mucha fuerza para conseguir los resultados deseados. Pero, por otro lado, había que planchar con delicadeza y cuidado, pues los controles de temperatura no existían y era muy fácil chamuscar los tejidos. Las planchas se calentaban sobre el fuego, por lo que era normal que se tiznaran con hollín y había que limpiarlas constantemente. Cuando además se almidonaba, el producto se pegaba a la plancha, que tenía después que frotarse con papel de lija o con una lima esmeril.
El día de colada tocaba levantarse a las tres de la mañana. En las numerosas casas que tenían una única criada, se hacía necesario contratar a una lavandera externa para ese día. Había, por otro lado, casas que mandaban la colada a lavar fuera, pero hasta el invento del ácido carbólico y otros desinfectantes potentes, siempre se hacía con miedo a que la colada volviese a casa infectada con alguna terrible enfermedad, como la escarlatina. Había además la incertidumbre, motivo de cierta aprensión, de no saber con la ropa de quién lavaban tu ropa. Whiteley’s, unos grandes almacenes de Londres, empezó a ofrecer servicio de lavandería en 1892, pero la iniciativa no despegó con éxito hasta que el director del establecimiento decidió publicar un gran anuncio explicando que la ropa de la servidumbre y la ropa de los clientes se lavaban siempre por separado. Hasta bien entrado el siglo XX, muchos de los ciudadanos más adinerados de Londres enviaban la colada semanal a sus casas de campo en tren para que se encargaran de ella empleados de su confianza.
En Norteamérica, la situación de la servidumbre era muy distinta en casi todos los niveles. Los norteamericanos, como se ha escrito a menudo, no tenían tantos criados como los europeos, aunque esto sólo es verdad hasta cierto punto. En una zona en particular, algunos norteamericanos tenían muchos criados: los esclavos. Thomas Jefferson tenía más de doscientos esclavos, incluyendo veinticinco sólo para su casa. Según apunta uno de sus biógrafos: «Cuando Jefferson escribió que había plantado olivos y granados, hay que recordar que él no cogió ni siquiera una pala, sino que se limitó a dirigir a sus esclavos».
La esclavitud y el tipo de raza al que se pertenecía no estaban fuertemente correlacionados en los primeros tiempos. Algunos negros eran tratados como criados contratados y eran liberados como cualquiera de ellos cuando finalizaba el plazo. Un hombre negro del siglo XVII que vivía en Virginia y se llamaba Anthony Johnson, adquirió una plantación de tabaco de cien hectáreas y prosperó lo bastante como para llegar a tener sus propios esclavos. Ni tampoco fue al principio una institución exclusivamente sureña. La esclavitud fue legal en Nueva York hasta 1827. En Pennsylvania, William Penn tenía esclavos. Cuando Benjamin Franklin se trasladó a vivir a Londres en 1757, lo hizo acompañado por dos esclavos, llamados King y Peter.
En Estados Unidos, sin embargo, no había muchos criados libres. Incluso en su momento más álgido, menos de la mitad de los hogares norteamericanos tenían un criado y, por otro lado, muchos criados no se veían a sí mismos como tales. La mayoría se negaba a vestir uniforme y muchos contaban con compartir la mesa con la familia durante las comidas, ser tratados, en resumen, casi como iguales.
Tal y como lo expresó un historiador, en lugar de intentar reformar a los criados era más fácil intentar reformar la casa, y por ello desde un momento muy temprano América se enamoró locamente de los aparatos prácticos y que ahorraban trabajo, aunque los artilugios del siglo XIX añadían a menudo casi tanto trabajo como el que ahorraban.
Hannah Cullwick fotografiada por su marido realizando diversas tareas como criada, y vestida como deshollinadora (abajo a la derecha). A destacar la cadena de eslabones que lleva colgada del cuello.
En cualquier caso, muchos de los nuevos aparatos eliminaron mayoritariamente trabajos que antes realizaban los hombres —cortar madera, por ejemplo— y fueron de escaso beneficio para las mujeres. De hecho, los cambios de estilo de vida y la tecnología se tradujeron en más trabajo para las mujeres en forma de casas más grandes, comidas más complicadas, coladas más copiosas y frecuentes, y expectativas de limpieza aún mayores.
Pero una potente e invisible presencia estaba a punto de cambiarlo todo para todo el mundo, y para contar esa historia necesitamos pasar no a otra habitación, sino a una pequeña caja colgada en la pared.
Capítulo 6
La caja de los fusibles
Desde la Edad Media, Gran Bretaña no había vivido sumida en tal oscuridad, y las consecuencias fueron estrepitosas y graves. Para no chocar contra el bordillo o contra cualquier vehículo aparcado, los coches adquirieron la costumbre de circular por encima de las líneas divisorias blancas de la calzada, una solución que funcionaba hasta que se tropezaban con otro vehículo que hacía lo mismo pero en sentido contrario. Los peatones estaban en peligro constante, pues las aceras se convirtieron de repente en una carrera de obstáculos de farolas, árboles y mobiliario urbano invisible. Los tranvías, apodados con respeto como «el peligro silencioso», resultaban especialmente inquietantes. «Durante los cuatro primeros meses de la guerra —relata Juliet Gardiner en Wartime—, un total de 4.133 personas perdieron la vida en las calles británicas», un incremento del cien por cien con respecto al año anterior. Casi tres cuartas partes de las víctimas fueron peatones. Sin lanzar ni una sola bomba, la Luftwaffe estaba ocasionando ya seiscientas bajas al mes, según observó con aspereza el British Medical Journal.
Por suerte, las cosas volvieron pronto a la calma y la vida de la gente se iluminó de nuevo un poco —lo mínimo para evitar aquella carnicería—, pero el suceso fue un saludable recordatorio de lo mucho que se había acostumbrado el mundo a la abundancia de luz.
Nos olvidamos de lo dolorosamente oscuro que era el mundo antes de la electricidad. Una vela —una buena vela— proporciona apenas una centésima parte de la luz que genera una única bombilla de cien vatios. Abra la puerta de la nevera y tendrá más luz que la cantidad total de iluminación de la que disfrutaban la mayoría de hogares en el siglo XVIII. Durante la mayor parte de la historia, el mundo por la noche era un lugar tremendamente oscuro.
De vez en cuando conseguimos ver entre la penumbra, por decirlo de algún modo, cuando encontramos descripciones de lo que estaba considerado suntuoso, como en el caso de un invitado a una plantación de Virginia, Nomini Hall, que escribió maravillado en su diario lo «luminoso y espléndido» que estaba el comedor durante un banquete porque había siete velas encendidas, cuatro sobre la mesa y otras tres repartidas por la estancia. Para él, aquello era un resplandor de luz. Hacia la misma época, al otro lado del océano, en Inglaterra, un artista amateur de talento llamado John Harden nos dejó un encantador conjunto de dibujos que mostraba la vida familiar en su casa, Brathay Hall, en Westmorland. Lo que resulta chocante es la escasa iluminación que la familia esperaba o exigía. Un dibujo típico de esta serie muestra a cuatro miembros de la familia sentados afablemente alrededor de la mesa de la costura, leyendo y charlando bajo la luz de una única vela, sin desprender la más mínima sensación de penuria o privación, y a buen seguro ningún indicio de estar adoptando posturas desesperadas para obtener un poquitín más de luz que pudiera caer de forma más productiva sobre una página o un bordado. Un dibujo de Rembrandt, Estudiante junto a una mesa con vela, se acerca mucho a la realidad. Muestra a un joven sentado a una mesa, perdido en las profundidades de la penumbra y la oscuridad que una solitaria vela, colgada en la pared a su lado, no consigue ni siquiera empezar a penetrar. Pero tiene un periódico. El hecho es que la gente se las apañaba con las noches oscuras porque no conocía otra cosa [23] .
La creencia generalizada de que la gente en el mundo anterior a la electricidad se acostaba en cuanto caía la noche está basada por completo en el supuesto de que la frustración empujaría a retirarse a cualquiera que estuviera privado de una buena iluminación. Pero por lo que parece, la gente no se acostaba a una hora tan temprana: las nueve o las diez de la noche era la hora habitual para la mayoría en la época anterior a la electricidad y, en muchos casos, sobre todo en las ciudades, era incluso más tarde. Para los que podían controlar su horario laboral, la hora de acostarse y de levantarse era entonces tan variable como pueda serlo ahora, y por lo que parece tenía poco que ver con la cantidad de luz disponible. Samuel Pepys, en su diario, anota que un día se ha levantado a las cuatro de la mañana y otro se ha acostado asimismo a las cuatro. Se sabe que Samuel Johnson se quedaba en la cama hasta el mediodía si podía; y generalmente podía. El escritor Joseph Addison se levantaba en verano a las tres de la mañana (y a veces incluso más temprano), pero en invierno no salía de la cama hasta las once. Por lo que se ve, no había prisa por terminar el día. Los visitantes del Londres del siglo XVIII destacaban con frecuencia el hecho de que las tiendas estuvieran abiertas hasta las diez de la noche, y es evidente que no había tiendas sin tenderos. Cuando se recibía invitados, era normal servir la cena a las diez y permanecer reunidos hasta medianoche. Incluyendo el rato previo de conversación y la música posterior, una cena de gala podía prolongarse durante siete horas o más. Los bailes solían durar hasta las dos o las tres de la madrugada, hora en la cual se servía una cena. La gente tenía tantas ganas de salir y permanecer despierta que no permitía que nada se interpusiera en su camino. En 1785, una tal Louisa Stewart escribió a su hermana contándole que el embajador francés sufrió «ayer un ataque de parálisis», pero los invitados se presentaron igualmente en su casa aquella noche «y jugamos al faro, etc., como si él no estuviera muriéndose en la habitación contigua. Somos gente extraña».
Moverse era un poco más complicado porque en el exterior estaba muy oscuro. En las noches más negras no era excepcional que el peatón tropezara y se «diera con la cabeza contra un poste» o sufriera cualquier otra dolorosa sorpresa. La gente tenía que abrirse paso a tientas en la oscuridad, aunque en algunos casos se limitaba simplemente a palpar a oscuras. La luz en Londres seguía siendo tan escasa en 1763 que James Boswell fue capaz de mantener relaciones sexuales con una prostituta en el puente de Westminster, un lugar para citas no precisamente muy íntimo. La oscuridad se traducía también en peligro. Abundaban los ladrones por todas partes y, tal y como una autoridad londinense apuntó en 1718, la gente se mostraba reacia a salir por la noche por miedo a poder «ser cegada, pegada, herida o apuñalada». Para evitar tropezar en la insondable oscuridad, o ser víctima de una emboscada de criminales, la gente contrataba los servicios de loslinkboys —llamados así porque llevaban unas antorchas conocidas como links hechas con cuerdas gruesas empapadas en resina u otros materiales combustibles—, o niños portadores de antorchas, para que los acompañasen hasta casa. Por desgracia, tampoco estos chiquillos eran de confianza y a veces guiaban a sus clientes hacia callejones donde ellos mismos o sus cómplices dejaban al desdichado cliente limpio de dinero y objetos valiosos.
Incluso después de que, hacia mitad del siglo XIX, el alumbrado público a gas se generalizara, cuando caía la noche el mundo seguía siendo bastante tenebroso. Las farolas de gas más luminosas daban menos luz que una bombilla moderna de 25 vatios. Además, estaban muy espaciadas. En general, entre una farola y otra había un mínimo de treinta metros de oscuridad, y en algunas calles —King’s Road en el barrio londinense de Chelsea, por ejemplo— estaban separadas entre ellas por setenta metros, de modo que no iluminaban tanto la calle como proporcionaban puntos distanciados de luz a modo de guía. Y aun así, las farolas de gas se conservaron durante un tiempo sorprendentemente prolongado en ciertos barrios. En un momento tan tardío como la década de 1930, casi la mitad de Londres seguía iluminada con gas.
Si algo en el mundo anterior a la electricidad empujaba a la gente a acostarse temprano no era el aburrimiento, sino la extenuación. La gente trabajaba muchísimas horas. El Statute of Artificers de 1563 establecía que todos los artificieros (es decir, artesanos y menestrales) y jornaleros «deben estar y continuar en su trabajo, a las cinco de la mañana o antes, y seguir en el trabajo, y no marcharse, hasta entre las siete y las ocho de la noche» (lo que daba como resultado una semana laboral de ochenta y cuatro horas). Al mismo tiempo, merece la pena tener presente que un teatro típico de Londres, como el Globe de Shakespeare, tenía un aforo de dos mil personas —cerca del 1 % de la población de la ciudad—, de las cuales una gran parte era gente trabajadora, y que además, en cualquier momento, había varios teatros funcionando de manera simultánea, junto con otros entretenimientos como peleas entre perros y osos y peleas de gallos. Por lo tanto, independientemente de lo que los estatutos decretaran, es evidente que un día cualquiera varios miles de londinenses trabajadores no estaban en sus bancos de trabajo, sino pasándoselo bien.
Lo que consolidó de manera incuestionable las jornadas laborales interminables fue la Revolución industrial y la aparición del sistema de fabricación. En las fábricas, los obreros tenían que estar en su puesto de trabajo de siete de la mañana a siete de la tarde entre semana y de siete a dos los sábados, pero en los periodos de mayor actividad del año —lo que se conocía como «épocas dinámicas»— podían estar pegados a las máquinas de tres de la madrugada a diez de la noche, es decir, una jornada laboral de diecinueve horas. Hasta la introducción de la Ley Fabril de 1833, niños de incluso siete años de edad estaban obligados a cumplir esos horarios. No es de sorprender que con esas circunstancias la gente comiera y durmiera cuando podía.
Los ricos seguían horarios más relajados. Escribiendo en 1768 sobre la vida en el campo, Fanny Burney apuntaba: «Desayunamos siempre a las diez, y nos levantamos antes a la hora que nos place; comemos exactamente a las dos, tomamos el té a las seis y cenamos a las nueve en punto». Su rutina se replica en incontables diarios y cartas de otros de su clase. «Ofreceré el relato de un día y con ello verán cada día», escribió una joven a Edward Gibbon hacia 1780. Su jornada, escribía, empezaba a las nueve, y el desayuno era a las diez. «Y después, hacia las once, toco el clavicémbalo o dibujo; a la una traduzco y a las dos salgo de nuevo a pasear, a las tres suelo leer y a las cuatro vamos a comer; después de comer jugamos al backgammon, tomamos el té a las siete, y trabajo o toco el piano hasta las diez, cuando cenamos un poco, y a las once nos acostamos».
La iluminación era de varios tipos, todos ellos bastante insatisfactorios según los criterios modernos. La forma más básica eran las «velas de junco», que se fabricaban cortando juncos en tiras de aproximadamente medio metro de largo que se untaban luego con grasa animal, normalmente de cordero. A continuación se colocaban en un soporte metálico y se prendían como una candela. Una vela de junco duraba entre quince y veinte minutos, por lo que una velada larga exigía tanto una buena reserva de juncos como mucha paciencia. Los juncos se recogían una vez al año, en primavera, por lo que se hacía imprescindible racionar con cuidado la iluminación durante los doce meses siguientes.
Para los más acomodados, el método habitual de iluminación eran las velas. Las había de dos tipos: de sebo y de cera. Las de sebo, hechas a partir de grasa animal derretida, presentaban la gran ventaja de que podían fabricarse en casa a partir de la grasa de cualquier animal sacrificado y, por lo tanto, eran baratas… o lo eran hasta 1709, cuando el Parlamento, bajo la presión del gremio de los cereros, promulgó una ley por la que se declaraba ilegal fabricar velas en casa. La ley fue motivo de gran indignación en las zonas rurales, y a buen seguro fue mayoritariamente burlada, aunque con ciertos riesgos. Se podían seguir fabricando velas de junco caseras, aunque esa libertad fuera más bien teórica. En tiempos de penuria, los campesinos no tenían animales que sacrificar y las velas de junco exigían disponer de grasa animal, lo que les obligaba a pasar sus veladas no sólo hambrientos, sino también a oscuras.
El sebo era un material exasperante. Se derretía a tanta velocidad que la vela se consumía constantemente y era necesario recortarla hasta cuarenta veces en una hora. Además, el sebo proporcionaba una luz irregular y apestaba. Y como que en realidad el sebo no era más que un pedazo de materia orgánica en descomposición, cuanto más vieja se hacía la vela de sebo, más maloliente se tornaba. Las velas de cera de abeja eran mucho mejores. Proporcionaban una luz regular y necesitaban menos recortes, aunque costaban cuatro veces más y, en consecuencia, se utilizaban sólo para las mejores ocasiones. La cantidad de iluminación que uno se regalaba a sí mismo era un indicador de su estatus. Elizabeth Gaskell tenía un personaje en una de sus novelas, una tal señorita Jenkyns, que siempre tenía dos velas en casa pero sólo encendía una. Se pasaba el rato encendiendo ora la una, ora la otra, con el fin de que tuvieran siempre exactamente la misma longitud. De esta manera, si recibía invitados no verían velas de distinto tamaño ni adivinarían su incómoda frugalidad.
Cuando escaseaban los combustibles convencionales, la gente utilizaba lo que podía: tojo, helechos, algas, excrementos secos, cualquier cosa que ardiera. En las islas Shetland, según James Boswell, las aves conocidas como petreles de la tempestad eran tan grasas que a veces la gente se limitaba a atravesarlas por la garganta con un palo y a quemarlas, aunque sospecho que Boswell era un pelín crédulo. En otras partes de Escocia se recogían excrementos y se secaban para ser posteriormente utilizados para iluminar y a modo de combustible. La falta de estiércol para abono debilitó mucho la tierra y se dice que aceleró el declive agrícola de la zona. Pero los había más afortunados. En Dorset, cerca de la bahía de Kimmeridge, los esquistos de la playa eran ricos en alquitrán y ardían como el carbón, salían gratis y, de hecho, proporcionaban una luz mucho mejor. Para los que podían permitírselas, las lámparas de aceite eran la alternativa más eficiente, pero el aceite era caro y las lámparas de aceite eran sucias y necesitaban limpiarse a diario. En el transcurso de una noche, y a medida que el hollín se acumulaba en su tiro, una lámpara podía llegar a perder hasta el 40 % de su potencia lumínica. De no atenderse debidamente, podían ser terriblemente mugrientas. Elisabeth Garrett explica cómo una chica que asistió a una fiesta en Nueva Inglaterra donde las lámparas humeaban, comentó después: «Teníamos todos la nariz negra y la ropa completamente gris y […] destrozada». Por este motivo, mucha gente siguió con las velas incluso después de que aparecieran otras alternativas. Catherine Beecher y su hermana, Harriet Beecher Stowe, en The American Woman’s Home, una especie de réplica americana al libro de la señorita Beeton, Book of Household Management, seguían dando instrucciones para fabricar velas en casa aún en 1869.
Hasta finales del siglo XVIII, la calidad de la iluminación había seguido siendo igual que la que había trescientos años atrás. Pero en 1783, un médico suizo llamado Ami Argand inventó una lámpara que aumentaba de forma espectacular los niveles de luz con el simple recurso de hacer llegar más oxígeno a la llama. Las lámparas de Argand tenían además una manigueta que permitía a su usuario ajustar el nivel de viveza de la llama, una novedad que dejó agradecidos y sin habla a muchos usuarios. Thomas Jefferson fue uno de sus primeros entusiastas y destacó con franca admiración cómo una única lámpara de Argand podía proporcionar el mismo nivel de iluminación que media docena de velas. Estaba tan impresionado que en 1790 compró varias lámparas de Argand en París y se las llevó con él a Estados Unidos.
Argand nunca llegó a enriquecerse como se merecía. Sus patentes no se respetaron en Francia, razón por la cual se mudó a Inglaterra, donde tampoco lo respetaron. La abnegada ingenuidad de Argand no le aportó nada en absoluto.
La mejor luz era la que producía el aceite de ballena, y el mejor tipo de aceite de ballena se obtenía del espermaceti de la cabeza del cachalote, conocido también como ballena del esperma. Los cachalotes son animales misteriosos y esquivos que incluso ahora siguen sin comprenderse del todo. Producen y almacenan grandes reservas de espermaceti —hasta tres toneladas— en una voluminosa cavidad de su cráneo. A pesar de su nombre, el espermaceti no es esperma y carece de función reproductiva. En contacto con el aire, su consistencia líquida, transparente y acuosa se transforma en una crema lechosa y blanquecina que ayuda a comprender por qué los marineros le dieron el nombre de esperma de ballena. Nadie ha averiguado todavía la función del espermaceti. Podría estar relacionado con la flotabilidad, o podría tener que ver con el proceso del nitrógeno en la sangre de la ballena. Los cachalotes se sumergen a enormes profundidades —más de mil quinientos metros— a gran velocidad y sin que sufran por ello efectos nocivos, por lo que se cree que el espermaceti podría explicar de alguna manera por qué no sufren el síndrome de descompresión. Otra teoría apunta que el espermaceti sirve a los machos para amortiguar los golpes cuando luchan entre ellos por sus derechos de apareamiento. Esto ayudaría a entender la famosa predilección de los cachalotes por embestir con la cabeza los barcos balleneros cuando se enfurecen, a menudo con mortales consecuencias. No se conoce tampoco por qué los cachalotes se embisten entre ellos con la cabeza. No menos misterioso fue, durante siglos, el producto sumamente valioso que producen y que se conoce como ámbar gris (aunque de hecho el ámbar gris es más bien negruzco). El ámbar gris se forma en el sistema digestivo del cachalote —sólo muy recientemente se ha determinado que es una sustancia generada a partir de los picos de los calamares gigantes, la única parte de ese animal que no consiguen digerir— y lo excreta a intervalos regulares. Durante siglos se encontró flotando en el mar o en las playas, donde llegaba arrastrado por las mareas, y nadie sabía de dónde salía. Resultó ser un fijador sin igual para perfumes, lo que le daba un valor inmenso, aunque quien podía permitírselo lo consumía también. Carlos II consideraba el ámbar gris y los huevos como los platos más delicados que existían. (Se dice que el sabor del ámbar gris recuerda al de la vainilla). En cualquier caso, la presencia del ámbar gris junto con el preciado espermaceti convirtió al cachalote en una presa enormemente atractiva.
Al igual que sucedía con el de otros tipos de ballenas, el aceite de los cachalotes también era deseado por la industria como emoliente para la fabricación de jabones y pinturas, además de utilizarse como lubricante para maquinaria. Las ballenas proporcionaban asimismo agradables cantidades de barba de ballena, un material similar al hueso que se obtenía de su mandíbula superior y que suministraba una materia prima robusta pero flexible para las ballenas de los corsés, los látigos de las calesas y otros objetos que precisaban cierta elasticidad natural.
El aceite de ballena era una especialidad norteamericana, tanto en su producción como en lo referente a su consumo. Fue la industria ballenera lo que en un momento tan temprano llevó la prosperidad a los puertos de Nueva Inglaterra, como Nantucket y Salem. En 1846, Estados Unidos tenía más de 650 balleneros, tres veces más de los que había repartidos por el resto del mundo. El aceite de ballena estaba sometido a una enorme carga fiscal en toda Europa, por lo que solía utilizarse el aceite de colza (una planta de la familia del repollo), o el canfeno, un derivado del aguarrás, que proporcionaba una luz estupenda pero era altamente inestable y presentaba una tendencia alarmante a explotar.
Nadie sabe cuántas ballenas fueron aniquiladas durante la gran época de su pesca, pero una estimación sugiere que en las cuatro décadas anteriores a 1870 fueron sacrificadas unas trescientas mil. Tal vez no parezca una cifra descomunal, pero hay que tener en cuenta que las cifras de ballenas nunca fueron descomunales. En cualquier caso, la cacería fue suficiente como para llevar a muchas especies al borde de la extinción. A medida que la cantidad de ballenas fue menguando, las expediciones fueron tornándose cada vez más prolongadas —hasta cuatro años era normal, y se conocen casos de hasta cinco— y los balleneros se vieron obligados a buscar en los rincones más solitarios de los más remotos mares. Todo esto se tradujo en costes cada vez mayores. Hacia 1850, el galón de aceite de ballena se vendía a 2, 5 dólares —la mitad del sueldo semanal de un trabajador medio—, pero aun así la implacable caza continuó. Muchas especies de ballena —seguramente todas— habrían desaparecido para siempre de no ser por una secuencia de sucesos improbables que se inició en Nueva Escocia en 1846, cuando un hombre llamado Abraham Gesner inventó el que durante algún tiempo sería el producto más valioso de la Tierra.
Gesner era médico de profesión pero tenía una extraña pasión por la geología del carbón, y experimentando con alquitrán —un residuo no aprovechable y pegajoso resultado del proceso de la transformación del carbón en gas— ingenió una manera de destilarlo y convertirlo en un líquido combustible que denominó (no se sabe muy bien por qué) queroseno. El queroseno ardía estupendamente y daba una luz tan potente y regular como la que proporcionaba el aceite de ballena, pero con el potencial de poder ser producido de forma mucho más económica. El problema estaba en que la producción en masa parecía imposible. Gesner fabricó el suficiente queroseno como para iluminar las calles de Halifax y acabó instalando una planta en Nueva York que lo convirtió en un hombre próspero, aunque el queroseno obtenido a partir del carbón nunca llegaría a ser más que un producto marginal para el mundo en general. A finales de la década de 1850, la producción norteamericana total era tan sólo de seiscientos barriles diarios. (El alquitrán, por otro lado, encontró pronto aplicaciones en una amplia variedad de productos: pinturas, tintes, pesticidas, medicamentos y muchos más, convirtiéndose en la base de la industria química moderna).
En ese momento apareció otro héroe inesperado: un joven brillante llamado George Bissell, que acababa de dimitir de su puesto como inspector escolar en Nueva Orleans después de una breve pero distinguida carrera en la enseñanza pública. En 1853, durante una visita a Hanover (New Hampshire), su ciudad natal, Bissell fue a visitar a un profesor de la universidad donde cursó sus estudios, el Dartmouth College, y allí se fijó en una botella de nafta mineral que dicho profesor guardaba en una estantería de su despacho. El profesor le explicó que la nafta mineral —lo que hoy llamaríamos petróleo— rezumaba a la superficie en el oeste de Pennsylvania. Y que si empapabas un trapo con ella, el trapo se encendía, pero que nadie le había encontrado al producto ningún uso excepto como ingrediente en patentes de fármacos. Bissell llevó a cabo algunos experimentos con la nafta mineral y vio que, de poder extraerse a escala industrial, podía convertirse en un excelente producto para iluminar.
Fundó una empresa a la que puso por nombre Pennsylvania Rock Oil Company y arrendó tierras a orillas de un perezoso acuífero llamado Oil Creek, cerca de Titusville, en el oeste de Pennsylvania. La novedosa idea de Bissell consistía en perforar en busca de petróleo, igual que se perforaría para buscar agua. Hasta el momento, lo único que se había hecho era excavar. Para ponerlo todo en marcha, envió a Titusville a un hombre llamado Edwin Drake —que en los libros de historia aparece mencionado siempre como «coronel» Edwin Drake— con instrucciones para iniciar las perforaciones. Drake ni tenía experiencia en perforaciones, ni era coronel. Había trabajado como revisor en los ferrocarriles, puesto que se había visto obligado a abandonar por cuestiones de salud. La única ventaja que presentaba para la empresa era que seguía disfrutando de un pase de ferrocarril que le permitía viajar gratis hasta Pennsylvania. Para realzar su categoría, Bissell y sus socios le enviaban la correspondencia a Drake dirigiéndola al «Coronel E. L. Drake».
Con un colchón de dinero prestado, Drake reunió a un equipo de perforadores para que empezara a buscar petróleo. Y aunque los perforadores pensaban que Drake era un loco simpático, aceptaron gustosos el trabajo y empezaron a perforar siguiendo sus instrucciones. El proyecto se tropezó casi de entrada con dificultades técnicas. Pero, para el asombro de todos, Drake demostró un inesperado talento natural para solventar los problemas mecánicos y consiguió sacar el proyecto adelante. Estuvieron perforando durante más de año y medio sin que apareciera petróleo. En verano de 1859, Bissell y sus socios se habían quedado sin fondos. A regañadientes, enviaron una carta a Drake ordenándole que diera por terminada la operación. Pero antes de que la carta llegara a su destino, el 27 de agosto de 1859, a sólo veintiún metros de profundidad, Drake y sus hombres dieron con el petróleo. No fue el elevado surtidor que tradicionalmente asociamos con los yacimientos de petróleo —aquel petróleo tuvo que ser laboriosamente bombeado hasta la superficie—, pero producía un volumen continuo de un líquido espeso, viscoso y azul verdoso.
Aunque en su momento nadie lo valoró, ni mucho menos, acababan de cambiar el mundo por completo y para siempre.
* * * *
El primer problema para la compañía fue dónde almacenar el petróleo que estaban produciendo. En el lugar del yacimiento no había barriles suficientes, por lo que durante las primeras semanas almacenaron el petróleo en bañeras, aljofainas, cubos y cualquier recipiente que encontraron. Al final, empezaron a construir barriles concebidos expresamente para este fin con una capacidad de 42 galones, el equivalente a 159 litros, el barril que sigue siendo hoy en día la medida estándar del petróleo. Luego estaba la cuestión incluso más apremiante de explotarlo a nivel comercial. En su estado natural, el petróleo no era más que una sustancia viscosa y repugnante. Bissell comenzó a trabajar en su destilación para convertirlo en algo de mayor pureza. Y con ello descubrió que, una vez purificado, no sólo era un lubricante excelente, sino que como efecto colateral generaba cantidades muy importantes de gasolina y queroseno [24] . La gasolina no servía para nada —era excesivamente volátil— y por ello se desechaba, pero el queroseno proporcionaba una luz muy brillante, tal y como Bissell esperaba, y a un coste muy inferior al producto derivado del carbón de Gesner. Por fin el mundo tenía un producto para iluminar barato capaz de rivalizar con el aceite de ballena.En cuanto otra gente vio lo fácil que era extraer petróleo y convertirlo en queroseno, se inició un importante movimiento de colonos. Cientos de torres de perforación abarrotaron muy pronto el paisaje en torno a Oil Creek. «En tres meses —apunta John McPhee en In Suspect Terrain—, la que en su día fuera bautizada cariñosamente como Pithole City pasó de tener una población cero a disfrutar de quince mil habitantes, y nacieron muchas otras ciudades en la región: Oil City, Petroleum Center, Red Hot. John Wilkes Booth llegó y perdió todos sus ahorros, y decidió a continuación asesinar a un presidente».
El año del descubrimiento de Drake, Estados Unidos produjo dos mil barriles de petróleo; en cuestión de diez años eran más de cuatro millones, y sesenta millones cuarenta años después. Por desgracia, Bissell, Drake y los demás inversores de la compañía (rebautizada posteriormente como Seneca Oil Company) no prosperaron hasta el nivel que pretendían. Otros pozos producían volúmenes muy superiores —uno de ellos, llamado Pool Well, bombeaba hasta tres mil barriles diarios— y la cifra de pozos llegó a generar tal abundancia de producto en el mercado que el precio del petróleo se derrumbó de manera catastrófica, pasando de los 10 dólares el barril que costaba en enero de 1861 hasta sólo 10 céntimos el barril al final de aquel mismo año. Era una buena noticia para consumidores y ballenas, pero no tan buena para los petroleros. Cuando el boom amainó, los precios de la tierra cayeron también en picado. En 1878, una parcela se vendía en Pithole City por 4, 37 dólares. Trece años antes se habrían pagado por ella 2 millones de dólares.
Mientras otros fracasaban e intentaban desesperadamente salir del negocio del petróleo, una pequeña empresa de Cleveland llamada Clarck and Rockefeller, que trataba con cerdos y otros productos ganaderos, decidió entrar en él. Empezó comprando concesiones que se habían ido a pique. En 1877, menos de veinte años después del descubrimiento del petróleo en Pennsylvania, Clarck había desaparecido de escena y John D. Rockefeller controlaba cerca del 90 % del negocio del petróleo de Estados Unidos. El petróleo no sólo proporcionaba la materia prima para un tipo de iluminación muy lucrativo, sino que además respondía a la desesperada necesidad de lubricante de todos los motores y máquinas de la nueva era industrial. El monopolio virtual de Rockefeller le permitió mantener precios estables y hacerse increíblemente rico con ello. A finales de siglo, su fortuna personal aumentaba al ritmo de 1.000 millones de dólares anuales, calculado en dinero actual… y en una época donde el impuesto sobre la renta no existía. Ningún ser humano ha sido tan rico en tiempos modernos.
Bissell y sus socios corrieron distintas suertes, y a un nivel mucho más modesto. La Seneca Oil Company ganó dinero durante una temporada, pero en 1864, sólo cinco años después de la exitosa perforación de Drake, no pudo seguir compitiendo y abandonó el negocio. Drake dilapidó el dinero que había ganado y murió poco después, sin un céntimo e impedido por las neuralgias. Bissell salió mucho mejor parado. Invirtió sus ganancias en un banco y otros negocios, y reunió una pequeña fortuna, la suficiente como para construir en Dartmouth un precioso gimnasio, que sigue todavía en pie.
* * * *
Mientras el queroseno se establecía como sistema de iluminación preferido por millones de hogares, sobre todo en ciudades pequeñas y zonas rurales, en las comunidades más grandes se enfrentó con la aparición de otra maravilla de la época: el gas. Para los acomodados de las ciudades importantes, el gas se convirtió en una alternativa adicional a partir de 1820. En su mayoría, sin embargo, se utilizaba en fábricas y tiendas y para la iluminación de las calles, y no empezó a ser habitual en los hogares hasta mediados de siglo.El gas presentaba muchas desventajas. Los que trabajaban en oficinas con suministro de gas o visitaban teatros iluminados con gas se quejaban a menudo de dolor de cabeza y náuseas. Para minimizar este problema, las luces de gas se instalaban a veces en la parte exterior de las ventanas de las fábricas. En el interior, ennegrecían los techos, descolorían los tejidos, corroían el metal y dejaban una capa grasienta de hollín sobre cualquier superficie horizontal. Las flores se marchitaban rápidamente en su presencia y las plantas se ponían amarillas a menos que se aislaran en invernaderos. Sólo la aspidistra parecía inmune a sus efectos nocivos, lo que explica su presencia en casi todas las fotografías de salones de la época victoriana. La utilización del gas, además, exigía ciertas precauciones. La mayoría de las compañías suministradoras de gas reducían el flujo que circulaba a través de sus conductos durante el día, cuando la demanda era baja. En consecuencia, quien deseara utilizar una lámpara de gas por la mañana tenía que abrir bien la espita para obtener un nivel de iluminación decente. Pero a medida que avanzaba el día, cuando la presión aumentaba, la luz podía llegar a llamear peligrosamente, chamuscando techos y provocando incluso incendios en el caso de que la espita hubiera quedado abierta al máximo. Por lo tanto, el gas era peligroso además de sucio.
Pero el gas presentaba una ventaja irresistible. Era luminoso, como mínimo veinte veces más que cualquier otra cosa conocida por el mundo anterior a la aparición de la electricidad. Una habitación iluminada con gas era de media veinte veces más luminosa de lo que pudiera serlo antes. No era una luz íntima —no se podía acercar ni a un libro ni a la costura, como podía hacerse con una lámpara de mesa—, pero proporcionaba una iluminación general maravillosa. Hacía mucho más agradables actividades como la lectura, jugar a las cartas e incluso la conversación. Los comensales podían apreciar el estado de la comida, sortear sin problemas las espinas de un delicado pescado y saber cuánta sal salía del salero. Si se caía una aguja al suelo, se localizaba sin necesidad de esperar a que hubiese luz de día. Era posible ver los títulos de los libros almacenados en las estanterías. La gente empezó a leer más y a permanecer despierta hasta más tarde. No es casualidad que la segunda mitad del siglo XIX fuera testigo de un repentino y duradero auge de periódicos, revistas, libros y partituras. El número de periódicos y revistas en Gran Bretaña pasó de 150 a principios de siglo a los casi 5.000 de finales del XIX.
El gas fue especialmente popular en Estados Unidos y Gran Bretaña. En 1850 estaba disponible en la mayoría de grandes ciudades de ambos países. Pero el gas siguió siendo una indulgencia de la clase media. Los pobres no podían permitírselo y los ricos solían desdeñarlo, en parte debido al coste y el trastorno que suponía instalarlo, en parte por el daño que causaba a cuadros y tejidos valiosos, y en parte también porque cuando tienes criados que te lo hacen todo no existe tanta urgencia para invertir en más comodidades. El irónico resultado de ello, tal y como Mark Girouard ha apuntado, es que no sólo los hogares de clase media, sino también instituciones como manicomios y prisiones, estuvieron mejor iluminados —y, de hecho, mejor calentados— mucho antes de que lo estuvieran las grandes mansiones inglesas.
Estar caliente en casa siguió suponiendo un verdadero reto para la mayoría de la gente durante el siglo XIX. El señor Marsham tenía una chimenea en casi todas las estancias de su rectoría, incluso en el vestidor, además de una robusta cocina económica. Limpiar, preparar y abastecer una cantidad de fuegos tan grande debía de suponer mucho trabajo pero, aun así, la casa resultaba incómoda y fría durante varios meses del año. (Sigue siéndolo). Las chimeneas sólo son eficientes para mantener el calor en espacios pequeños, algo que podría pasarse por alto en un lugar de temperaturas templadas como es Inglaterra, pero en los gélidos inviernos de gran parte de Norteamérica, la incapacidad de las chimeneas de proyectar calor en una estancia se hizo evidente. Thomas Jefferson se quejaba de que una noche tuvo que dejar de escribir porque se le había congelado la tinta en el tintero. Un cronista llamado George Templeton Strong anotó en su diario que en invierno de 1866 ni siquiera con dos hornos y todas las chimeneas encendidas conseguía que la temperatura de su casa en Boston superara los tres grados.
Fue Benjamin Franklin, como era de esperar, quien volcó su atención en el asunto e inventó lo que acabó conociéndose como estufa Franklin (o Pennsylvania). La estufa Franklin fue sin duda alguna un avance, aunque más sobre el papel que en la práctica. Consistía básicamente en un horno de metal insertado en una chimenea, pero con tiros y respiraderos adicionales que desviaban de forma ingeniosa el flujo del aire y proyectaban más calor hacia la habitación. Pero era también cara y compleja y ocasionaba muchas molestias —a veces intolerables— en las habitaciones donde tenía que instalarse. El secreto del sistema estaba en un segundo tiro posterior que no podía deshollinarse a menos que se desmontara por completo. La estufa necesitaba además un respiradero de aire frío procedente del subsuelo, lo que en términos prácticos significaba que la estufa no podía instalarse en habitaciones ubicadas en la planta superior ni donde hubiera un sótano debajo, lo que la inhabilitaba para ser utilizada en muchas casas. El diseño de Franklin fue mejorado en Norteamérica por David Rittenhouse y en Europa por Benjamin Thompson, conde de Rumford, pero el confort de verdad no se consiguió hasta que se cerraron los hogares y se puso una estufa en la habitación. Este tipo de estufa, conocida como estufa holandesa, olía a hierro quemado y secaba el ambiente, pero como mínimo los que la tenían disfrutaban de un buen calor.
Cuando los norteamericanos se trasladaron hacia las praderas del Oeste, la ausencia de madera para combustible provocó problemas. Se utilizaron las mazorcas de maíz a modo de combustible, así como las boñigas de vaca, que pasaron a conocerse eufemísticamente y con cierto encanto como «carbón de superficie». En zonas más salvajes, se quemaban además todo tipo de grasas —grasa de cerdo, grasa de venado, grasa de oso e incluso la grasa de alguna que otra paloma— y aceites de pescado, a pesar de lo mucho que humeaban y apestaban.
Las estufas se convirtieron en la obsesión americana. A principios del siglo XX, en la US Patent Office se habían registrado más de siete mil tipos distintos. La única característica que tenían todas ellas en común era lo complicado de su funcionamiento. Una estufa típica de 1899, según un estudio llevado a cabo en Boston, quemaba unos 135 kilos de carbón por semana, generaba doce kilos de cenizas y exigía tres horas y once minutos de atención. Si se tenían estufas tanto en la cocina como en la sala de estar, además de chimeneas abiertas en otras estancias, suponía un gran trabajo adicional. Otra importante desventaja de los hogares cerrados era que robaban mucha luz a la estancia donde estuvieran instalados.
La combinación del fuego con los materiales combustibles aportó un elemento de alarma y emoción a todos los aspectos de la vida diaria del mundo anterior a la aparición de la electricidad. Samuel Pepys anotó en su diario cómo un día, trabajando en su escritorio a la luz de una vela, empezó a percibir un olor horrible y acre, como a lana quemándose; sólo entonces se percató de que lo que ardía era su nueva y carísima peluca. Estos pequeños incendios eran sucesos de lo más habitual. Prácticamente todas las habitaciones de todas las casas vivieron un incendio en algún momento de su existencia, y prácticamente todas las casas podían arder con facilidad, pues casi todo lo que había en ellas, desde los camastros de paja hasta los tejados de paja o junco, era combustible en potencia. Para disminuir el riesgo de peligros nocturnos, las chimeneas se cubrían con una especie de tapa en forma de cúpula que se conocía como couvrefeu (origen del término curfew, «toque de queda» en inglés), pero ni aun así se evitaba por completo el peligro.
Los refinamientos tecnológicos mejoraban a veces la calidad de la luz, pero con la misma frecuencia aumentaban el riesgo de incendio. Las lámparas de Argand tenían el peso desplazado hacia la parte superior, pues el depósito de combustible necesitaba estar elevado para permitir el flujo de combustible hacia la mecha, lo que las hacía inestables y fáciles de volcar. Si el queroseno se vertía o se derramaba resultaba casi imposible de apagar en caso de prender. En la década de 1870, y sólo en Estados Unidos, los incendios como consecuencia del queroseno causaban un promedio de seis mil víctimas mortales al año.
Los incendios en lugares públicos eran también preocupantes, sobre todo después del desarrollo de una forma de intensa iluminación, caída ahora en el olvido, conocida como luz Drummond, en honor a Thomas Drummond, de los Royal Engineers de Gran Bretaña, a quien se atribuye, erróneamente, su invención a principios de la década de 1820. En realidad fue un invento de sir Goldsworthy Gurney, un compañero ingeniero e inventor de considerable talento. Drummond simplemente popularizó esa luz y nunca declaró haberla inventado, pero se le atribuyó el mérito en su día y así ha continuado desde entonces. La luz Drummond, o luz de calcio, como se denominó también, se basaba en un fenómeno conocido desde hacía ya tiempo: que si se prendía un potente fuego a un pedazo de cal o de magnesio, resplandecía con una luz blanca muy intensa. Con la ayuda de una llama hecha a partir de una mezcla rica en oxígeno y alcohol, Gurney consiguió calentar una pelota de cal de un tamaño no superior a una canica de un modo tan eficiente que su luz podía verse a cien kilómetros de distancia. El artilugio funcionó con éxito en los faros, pero también lo adoptaron los teatros. La luz no sólo era perfecta y regular, sino que podía concentrarse en un haz y proyectarse sobre los actores seleccionados; ahí está el origen de la expresión inglesa in the limelight, que literalmente se traduciría como «bajo la luz de cal [25] ». La desventaja era que el tremendo calor de la luz de cal provocó muchos incendios. En sólo una década, ardieron en Estados Unidos más de cuatrocientos teatros. Según un informe publicado en 1899 por William Paul Gerhard, la autoridad en incendios de la época, en la totalidad del siglo XIX casi diez mil personas perdieron la vida en Gran Bretaña víctimas de incendios en teatros.
El fuego era incluso un peligro en los viajes, sobre todo teniendo en cuenta que las posibilidades de escapar de él eran en estos casos limitadas o imposibles. En 1858, un barco cargado de inmigrantes llamado Austria se incendió cuando navegaba rumbo a Estados Unidos y casi quinientas personas fallecieron de una muerte horrible al consumirse la embarcación. También los trenes eran peligrosos. Desde 1840, los vagones de pasajeros iban equipados con estufas de madera o carbón en invierno y con lámparas de aceite para poder leer, por lo que el alcance de las catástrofes en un tren en marcha es fácilmente imaginable. Incluso en un momento tan tardío como 1921, un incendio provocado por una estufa en un tren cerca de Filadelfia acabó con la vida de veintisiete personas.
En tierra firme, el mayor temor era que los incendios se descontrolaran y se propagaran, destruyendo barrios enteros. El fuego urbano más famoso de la historia es casi con toda seguridad el Gran Incendio de Londres de 1666, que se inició como un pequeño incendio en una panadería próxima al Puente de Londres y se propagó rápidamente hasta alcanzar casi un kilómetro de extensión. El humo era visible incluso desde Oxford y el crepitar del fuego podía oírse desde allí en forma de un leve y horripilante susurro. El incendio consumió 13.200 casas y 140 iglesias. Pero, de hecho, el incendio de 1666 fue en realidad el segundo Gran Incendio de Londres. En 1212 se había producido un incendio más devastador si cabe. Aunque menor en extensión que el de 1666, fue más rápido y más frenético, y saltó de calle en calle con una rapidez tan temeraria que los ciudadanos fueron superados en su huida o quedaron atrapados sin posibilidad de vías de escape. El incendio se llevó 12.000 vidas. En cambio, en el incendio de 1666 murieron sólo cinco personas, que se sepa. Durante 454 años, el incendio de 1212 fue conocido como el Gran Incendio de Londres. Y debería seguir siéndolo.
La mayoría de ciudades sufrió incendios devastadores de vez en cuando, algunas repetidamente. Boston los tuvo en 1653, 1676, 1679, 1711 y 1761. Después vivió un respiro hasta el invierno de 1834, cuando un incendio por la noche destruyó setecientos edificios —la mayoría del centro— y fue tan feroz que llegó incluso a los barcos amarrados en el puerto. Pero todos los incendios urbanos parecen nimios en comparación con el que asoló Chicago una ventosa noche de octubre de 1871 cuando, según se dice, la vaca de una tal señorita Patrick O’Leary arreó una coz a una lámpara de queroseno que había en un establo de De Koven Street y el caos se extendió rápidamente. El fuego destruyó dieciocho mil edificios y dejó sin hogar a ciento cincuenta mil personas. Los daños ascendieron a más de 200 millones de dólares y supuso la quiebra de cincuenta y una compañías de seguros.
En los lugares donde las casas estaban adosadas las unas a las otras, como sucedía en las ciudades europeas, poco se podía hacer, aunque los constructores idearon un útil remedio. Originalmente, las viguetas que sustentaban los pisos de las casas inglesas corrían de lado a lado y se asentaban sobre las paredes medianeras que separaban las casas. Esto creaba, básicamente, un lineal de vigas que recorría la calle, elevando con ello el riesgo de que los incendios se propagaran de una casa a su contigua. Pero a partir del periodo georgiano, las viguetas empezaron a colocarse en sentido contrario, extendiéndose de la parte delantera a la parte trasera de las casas, transformando así en cortafuegos las paredes medianeras. Sin embargo, el hecho de tener las vigas dispuestas en este nuevo sentido implicaba la necesidad de paredes maestras, lo que dictaba el tamaño de las habitaciones, lo que a su vez determinaba cómo se utilizaban esas habitaciones y cómo se vivía en las casas.
Un fenómeno natural trajo consigo la promesa de eliminar la totalidad de los mencionados peligros y desventajas: la electricidad. La electricidad era un tema fascinante, pero resultaba complicado urdir alguna aplicación práctica. Utilizando las patas de las ranas y la electricidad producida por sencillas baterías, Luigi Galvani demostró que la electricidad podía contraer los músculos. Su sobrino, Giovanni Aldini, comprendiendo que podía ganar dinero con esto, ideó un espectáculo en el que utilizaba la electricidad para animar tanto los cuerpos de asesinos recién ejecutados, como las cabezas de los guillotinados, consiguiendo que abrieran los ojos y que sus bocas esbozaran mudas muecas. El supuesto lógico que se escondía detrás de todo esto era que si la electricidad era capaz de mover a los muertos, podía también ayudar a los vivos. En pequeñas dosis (confiamos al menos en que fueran pequeñas), se utilizó para todo tipo de enfermedades, desde tratar el estreñimiento hasta impedir que los jóvenes tuvieran erecciones ilícitas (o que disfrutaran con ellas). Charles Darwin, desesperado por una misteriosa dolencia crónica que lo tenía postrado en un estado letárgico, se envolvía de forma regular con cadenas de zinc electrificadas, se empapaba el cuerpo con vinagre y se sometía con disciplina a horas de inútiles hormigueos con la esperanza de obtener alguna mejoría. Pero nunca lo consiguió. El presidente James Garfield, mientras moría lentamente como consecuencia de la bala de un asesino, expresó su débil pero evidente alarma cuando descubrió a Alexander Graham Bell envolviéndolo con cables electrificados en un intento de localizar la bala.
Pero la verdadera necesidad era una práctica luz eléctrica. En 1846, de forma inesperada, un hombre llamado Frederick Hale Holmes patentó una lámpara de arco eléctrico. Holmes conseguía la luz generando una potente corriente eléctrica y obligándola a saltar entre dos varillas de carbono, un truco que Humphry Davy había demostrado, pero no aprovechado, hacía más de cuarenta años. En manos de Holmes, el resultado era una luz cegadora. No se sabe prácticamente nada acerca de Holmes, ni de dónde venía, ni qué estudios tenía, ni cómo aprendió a dominar la electricidad. Lo único que se sabe es que trabajaba en la École Militaire de Bruselas, donde desarrolló el concepto junto a un tal profesor Floris Nollet; después regresó a Inglaterra y compartió su invento con el gran Michael Faraday, que comprendió enseguida que con ello se podía obtener una luz estupenda para los faros.
La primera instalación se hizo en el faro de South Foreland, al lado de Dover, y entró en funcionamiento el 8 de diciembre de 1858 [26] . Estuvo en marcha durante trece años y se instalaron otras en diversos faros más, pero la iluminación con arco nunca tuvo un gran éxito porque era complicada y cara. Exigía un motor electromagnético y una máquina de vapor, un conjunto que pesaba dos toneladas, y necesitaba constante atención para funcionar sin problemas.
Hay que dejar constancia a favor de las lámparas de arco que eran increíblemente luminosas. La estación de tren de St. Enoch, en Glasgow, estaba iluminada con seis lámparas de Crompton —que fueron bautizadas así en honor a su fabricante, R. E. Crompton—, jactándose cada una de ellas de dar la luz de seis mil velas. En París, un inventor de origen ruso llamado Paul Jablochkoff desarrolló un tipo de lámparas de arco que se hicieron famosas con el nombre de velas de Jablochkoff. Se utilizaron para iluminar muchas calles y monumentos parisinos durante la década de 1870 y fueron una auténtica sensación. Por desgracia, era un sistema caro y no funcionaba muy bien. Las luces operaban en serie, y si una de ellas fallaba, fallaban todas, como las lucecitas de un árbol de Navidad. Y fallaban a menudo. Después de sólo cinco años, la empresa de Jablochkoff se declaró en quiebra.
Las luces de arco eléctrico eran demasiado potentes para el uso doméstico. Lo que se necesitaba en las casas era un filamento doméstico que pudiera arder con una luz regular durante periodos prolongados de tiempo. El principio de la iluminación incandescente se comprendía, y de hecho se había conquistado, desde hacía mucho tiempo. En 1840, siete años antes del nacimiento de Thomas Alva Edison, sir William Grove, un abogado y juez que era además un brillante científico aficionado con un interés muy especial por la electricidad, exhibió una lámpara incandescente que funcionaba durante varias horas; pero nadie quería una bombilla que costaba mucho fabricar y que sólo funcionaba durante unas horas, por lo que Grove no siguió insistiendo en su invento. En Newcastle, un joven farmacéutico e inventor aficionado llamado Joseph Swan, vio una demostración de la lámpara de Grove y realizó por su cuenta y con éxito algunos experimentos, pero la tecnología existente no conseguía obtener un buen vacío en el interior de la bombilla. Sin ese vacío, cualquier filamento se consumía con rapidez, convirtiendo la bombilla en un lujo caro y de corta vida. Además, a Swan le interesaban también otros temas, en particular la fotografía, terreno en el que realizó importantes contribuciones. Inventó el papel fotográfico de bromuro de plata, que permitió la realización de las primeras impresiones fotográficas de alta calidad, perfeccionó el proceso del colodión y realizó además diversas mejoras en las sustancias químicas empleadas en la fotografía. Mientras, su negocio farmacéutico, que se ocupaba tanto de la fabricación de productos como de la venta al por menor, iba viento en popa. En 1867, su socio y cuñado, John Mawson, murió en un insólito accidente descargando nitroglicerina para ser desechada en un páramo de las afueras de la ciudad. Fue, en resumen, una época complicada y llena de distracciones para Swan, y sus intereses se alejaron durante treinta años de la iluminación.
Entonces, hacia 1870, Hermann Sprengel, un químico alemán que trabajaba en Londres, inventó un aparato que acabó conociéndose como la bomba de mercurio de Sprengel. Fue el invento crucial que hizo en realidad posible la iluminación doméstica. Por desgracia, sólo una persona en la historia creyó que Hermann Sprengel se merecía ser más famoso: Hermann Sprengel. La bomba de Sprengel era capaz de reducir el volumen de aire en el interior de una cámara de cristal a una millonésima parte de su volumen normal, lo que permitiría que un filamento colocado en su interior alumbrara durante cientos de horas. Lo único que faltaba ahora era encontrar el material adecuado para construir el filamento.
La investigación más decidida y fomentada fue la llevada a cabo por Thomas A. Edison, un destacado inventor norteamericano. En 1877, cuando inició su aventura en busca de una luz comercialmente satisfactoria, Edison estaba ya en camino de ser conocido como «el mago de Menlo Park». Edison no era un ser humano en absoluto atractivo. Carecía de escrúpulos para mentir o engañar, y estaba dispuesto a robar patentes o sobornar a los periodistas para que escribieran reportajes favorables. En palabras de uno de sus contemporáneos, tenía «un vacío allí donde su conciencia debería estar». Pero era emprendedor y trabajador, y un organizador sin par.
Edison envió a varios hombres a los rincones más remotos del mundo en busca de material que pudiera emplearse para la fabricación de filamentos y puso a equipos de hombres a trabajar hasta en doscientos cincuenta materiales distintos con la esperanza de dar con uno que tuviera las características de durabilidad y resistencia necesarias. Probaron con todo, incluyendo incluso el pelo de la exuberante barba pelirroja de un amigo de la familia. Justo antes del Día de Acción de Gracias de 1879, los trabajadores de Edison desarrollaron un trozo de cartulina carbonizado, muy fino y cuidadosamente doblado, que ardería hasta trece horas, un tiempo que no era aún suficiente a efectos prácticos. El último día de 1879, Edison invitó a una selecta audiencia a presenciar una demostración de sus nuevas luces incandescentes. A su llegada a la finca que Edison tenía en Menlo Park, en Nueva Jersey, se quedaron encandilados al ver dos edificios cálidamente iluminados. De lo que no se dieron cuenta, sin embargo, era que la luz no era en su mayoría eléctrica. Los esforzados sopladores de cristal de Edison habían conseguido preparar sólo treinta y cuatro bombillas, de modo que el grueso de la iluminación la proporcionaban lámparas de aceite estratégicamente colocadas.
Swan no retomó sus investigaciones sobre la luz eléctrica hasta 1877, pero, trabajando solo, llegó a un sistema de iluminación más o menos idéntico. En enero o febrero de 1879, Swan ofreció en Newcastle una demostración pública de su nueva lámpara incandescente. La vaguedad de la fecha se debe a que no sabemos seguro si mostró su nueva lámpara en una conferencia ofrecida en enero o si simplemente habló sobre ella; pero lo que sí es cierto es que al mes siguiente la encendió ante una agradecida audiencia. En cualquier caso, la demostración se produjo un mínimo de ocho meses antes de cualquier cosa que Edison pudiera elaborar. Aquel mismo año, Swan instaló luces en su casa y en 1881 había cableado ya la casa del gran científico lord Kelvin, en Glasgow, de nuevo mucho antes de que Edison pudiera conseguir algo similar.
Sin embargo, la primera instalación de Edison fue mucho más destacada y su relevancia, por lo tanto, mucho más duradera. Edison cableó un barrio entero del bajo Manhattan, cerca de Wall Street, que recibiría energía de una planta instalada en dos edificios medio en ruinas situados en Pearl Street. A lo largo del invierno, la primavera y el verano de 1881 y 1882, Edison tendió veinticinco kilómetros de cable y verificó y volvió a verificar, casi con fanatismo, su sistema. No todo salió a la primera. Los caballos se comportaban caprichosamente por la vecindad hasta que se cayó en la cuenta de que les pasaba la electricidad por los cascos. En los talleres, varios de los hombres de Edison perdieron piezas dentales como consecuencia de la intoxicación por mercurio provocada por la prolongada exposición a la bomba de mercurio de Sprengel. Pero al final todos los problemas se solventaron y la tarde del 4 de septiembre de 1882 Edison, desde el despacho del financiero J. P. Morgan, accionó un interruptor que iluminaba ochocientas bombillas eléctricas en los ochenta y cinco negocios que habían contratado su plan.
En lo que Edison destacó de verdad fue como organizador de sistemas. La invención de la bombilla fue algo extraordinario, pero de poca aplicación práctica si nadie disponía de una toma de corriente donde enchufarla. Edison y sus incansables trabajadores tuvieron que diseñar y construir todo un sistema desde cero, desde centrales eléctricas y cableado barato y fiable, hasta portalámparas y enchufes. En cuestión de meses, Edison había montado no menos de 334 pequeñas centrales eléctricas por todo el mundo, y en aproximadamente un año, sus centrales estaban iluminando trece mil bombillas. Con mucha astucia, las emplazó en lugares que le garantizaran el máximo impacto: en la Bolsa de Nueva York, el Palmer House Hotel de Chicago, la Scala de Milán o el salón de banquetes de la Cámara de los Comunes en Londres. Swan, mientras, seguía con la fabricación en su propia casa. En pocas palabras, le faltó visión de negocio. De hecho, ni siquiera presentó la patente. Edison presentó patentes en todas partes, incluyendo Gran Bretaña en noviembre de 1879, con lo que se aseguró su preeminencia.
Según los estándares modernos, estas primeras luces eran muy débiles, pero para la gente de la época una luz eléctrica era un brillante milagro, «un pequeño globo de sol, una auténtica lámpara de Aladino», según informaba boquiabierto un periodista del New York Herald. Resulta difícil imaginarse ahora lo luminoso, limpio y misteriosamente continuo que podía parecer aquel fenómeno. Cuando en septiembre de 1882 se encendieron las luces de Fulton Street, el sobrecogido periodista del Herald describió la escena para sus lectores como la «acostumbrada tenue llama del gas» cediendo paso de forma repentina a un brillante «resplandor continuo […] fijo y constante». Era emocionante, pero era evidente también que el mundo tardaría un tiempo en acostumbrarse a ello.
Y, por supuesto, la electricidad tenía aplicaciones que iban más allá de la iluminación. Ya en 1893, la Columbian Exposition de Chicago exhibió un «modelo de cocina eléctrica». Una idea excitante, también, aunque todavía poco práctica. Para empezar, teniendo en cuenta que la distribución eléctrica no estaba generalizada, era necesario que los propietarios construyeran en su finca su propia «central eléctrica» para disponer de la electricidad necesaria. Y aun en el caso de los que tenían la suerte de estar cableados con el mundo exterior, las compañías públicas eran incapaces de suministrar la potencia suficiente para que los electrodomésticos funcionaran bien. Para precalentar un horno se necesitaba casi una hora. Y una vez precalentado, no generaba más que unos modestos 600 vatios de calor; además, los fogones no podían utilizarse simultáneamente con el horno. Había también ciertas ineficiencias de diseño. Los mandos para regular el calor estaban justo por encima del nivel del suelo. Para el ojo moderno, estos nuevos hornos eléctricos serían raros porque eran de madera, en general madera de roble, y revestidos con zinc o cualquier otro material protector. Los modelos de porcelana blanca no llegaron hasta la década de 1920… y fueron considerados muy extraños de entrada. Mucha gente consideraba su aspecto más en consonancia con un hospital o una fábrica, que para una casa particular.
A medida que la electricidad empezó a estar al alcance de todo el mundo, mucha gente empezó a encontrar exasperante tener que confiar su comodidad a una fuerza invisible capaz de matar rápidamente y en silencio. La mayoría de los electricistas se había formado con prisas y todos eran inexpertos por fuerza, por lo que pronto se convirtió en una profesión sólo apta para temerarios. Los periódicos ofrecían relatos detallados y gráficos siempre que uno de ellos se electrocutaba, un suceso bastante rutinario. En Inglaterra, Hilaire Belloc presentó unos ripios que captaban muy bien el ambiente que se vivía en la calle:
Un roce fortuito —el imprudente desliz de una mano—En 1896, Franklin Pope, antiguo socio de Edison, se electrocutó mientras trabajaba en el cableado de su casa, demostrando para satisfacción de muchos que la electricidad era sumamente peligrosa incluso para los expertos. Las bombillas explotaban de vez en cuando, siempre de forma imprevista, a veces con desastrosas consecuencias. El nuevo Dreamland Park de Coney Island quedó destrozado en 1911 por un incendio originado a partir de la explosión de una bombilla. Las chispas que emitían conexiones defectuosas provocaron la explosión de varios conductos principales de gas, lo que significaba que no era ni siquiera necesario estar conectado a la electricidad para correr peligro.
Los bornes —un fogonazo— un sonido como un ¡zip!
Un olor a quemado inunda el sorprendido ambiente
¡El electricista ya no está!
La ambivalencia dominante quedó demostrada por la señora de Cornelius Vanderbilt, que asistió a un baile de disfraces vestida de luz eléctrica para celebrar la instalación de electricidad en su casa de la Quinta Avenida de Nueva York, pero que después lo hizo desinstalar todo cuando se sospechó que había sido el origen de un pequeño incendio. Otros detectaban amenazas más capciosas. Una autoridad, de nombre S. F. Murphy, identificó un montón de dolencias inducidas por la electricidad: vista cansada, cefaleas, mala salud en general y posiblemente incluso «el apuramiento prematuro de la vida». Un arquitecto afirmó estar seguro de que la electricidad provocaba pecas.
Durante los primeros años, nadie pensó en clavijas y enchufes, por lo que cualquier aparato eléctrico que hubiera en la casa tenía que conectarse directamente al sistema eléctrico. Cuando con el cambio de siglo aparecieron por fin los enchufes, estuvieron disponibles sólo como parte integrante de las luces de techo, lo que implicaba tener que encaramarse a una silla o una escalera para poder conectar cualquier aparato. Los enchufes de pared aparecieron a continuación, pero no eran muy de fiar. Por lo que se dice, los primeros solían chisporrotear y humear y a veces incluso disparaban chispas. En Manderston, una gran finca escocesa, hasta bien avanzada la época eduardiana, y según Juliet Gardiner, era costumbre lanzar cojines para aplacar la furia de un enchufe de pared en concreto.
El aumento del número de consumidores se vio además contenido porque la década de 1890 fue un periodo de crisis económica. Pero el alumbrado eléctrico acabó mostrándose irresistible. Era limpio, constante, fácil de mantener y estaba disponible al instante y en cantidades infinitas con sólo accionar un interruptor. La iluminación con gas había tardado medio siglo en consolidarse, pero la generalización del alumbrado eléctrico fue mucho más rápida. Hacia 1900, en prácticamente todas las ciudades, el alumbrado eléctrico era ya la norma, y los aparatos eléctricos le siguieron a continuación: el ventilador eléctrico en 1891, el aspirador en 1901, la lavadora y la plancha en 1909, la tostadora en 1910, la nevera y el lavavajillas en 1918. Al inicio de la década de 1920, eran ya comunes cerca de cincuenta tipos de electrodomésticos y los artilugios eléctricos estaban tan de moda que los fabricantes producían todo lo que se les pasaba por la cabeza, desde tenacillas para rizar el pelo hasta un pelador de patatas eléctrico. La utilización de la electricidad en Estados Unidos pasó de 79 kilovatios/hora per cápita en 1902 a 960 en 1929, y así hasta llegar a los más de 13.000 actuales.
Es adecuado otorgarle a Thomas A. Edison el mérito de gran parte de todo esto, siempre y cuando recordemos que su genialidad no fue la invención de la luz eléctrica, sino de los métodos necesarios para producirla y suministrarla a una grandiosa escala comercial, una ambición y un reto en realidad muy superiores. Y también mucho más lucrativos. Gracias a Edison, la luz eléctrica se convirtió en la maravilla de la época. Pero resulta interesante, como veremos dentro de poco, que la luz eléctrica acabara siendo uno de los pocos inventos de Edison que hizo en realidad lo que él esperaba que hiciese.
Leyendo a la luz de la vela.
§. 1
Si tuviéramos que resumirlo en una sola frase, diríamos que la historia de la vida privada es la historia de ir sintiéndose confortable y cómodo poco a poco. Hasta el siglo XVIII, el concepto de sentirse confortable en casa era tan desconocido que ni siquiera existía una palabra que lo definiera. «Confortable» significaba simplemente «capaz de ser consolado». El confort se entendía como el consuelo que se ofrece al herido o al afligido. La primera persona que utilizó la palabra en su sentido moderno fue el escritor Horace Walpole, que en una carta a un amigo escrita en 1770 le comentaba que una tal señora White le atendía muy bien y le hacía sentirse «lo más confortable posible». A principios del siglo XIX, todo el mundo hablaba de tener un hogar confortable o de disfrutar de una vida confortable, pero antes de la época de Walpole, nadie hacía mención de ello.En ningún lugar de la casa se plasma mejor el espíritu del confort (si no la realidad) que en la estancia de curioso nombre en la que ahora nos encontramos: el salón. El término inglés que define esta pieza, drawing room, es la abreviatura de otro mucho más antiguo, withdrawing room, que hace referencia a un espacio donde la familia podía retirarse [withdraw] del resto de los miembros de la casa para disfrutar de una mayor privacidad, un término que nunca acabó precisamente de instalarse con confort en el uso general del inglés. Durante un tiempo, en los siglos XVII y XVIII, el término drawing room se vio desafiado en los círculos ingleses más refinados por el salon francés, que a veces se anglicanizó para dar lugar a la palabra saloon. Ambas palabras, sin embargo, acabaron poco a poco asociándose a espacios exteriores a la casa, de modo que el saloon vino primero a referirse a una estancia donde socializar en un hotel o en un barco, después a un local donde se servían bebidas alcohólicas, y finalmente, y de forma algo inesperada, a un tipo de automóvil, la berlina. Salon, por otro lado, quedó vinculado de manera indeleble a lugares relacionados con actividades artísticas, antes de que se lo apropiaran (a partir de 1910) los proveedores de tratamientos capilares y de belleza. Parlour, la palabra que durante mucho tiempo han preferido los norteamericanos para denominar a la habitación principal de la casa, tiene cierto sabor a siglo XIX, pero de hecho es la denominación más antigua de todas. Aparece registrada por primera vez como una habitación donde los monjes podían ir a hablar (derivando del francés parler, hablar) en 1225 y fue extendida a contextos seculares hacia el último cuarto del siglo siguiente. Drawing room es el término que utilizó Edward Tull en el plano de la rectoría y es casi seguramente la palabra que emplearía el culto señor Marsham, aunque es probable que incluso entonces estuviera ya en minoría. Hacia mediados del siglo XIX estaba siendo suplantada en todos los ambientes, excepto en los más distinguidos, por sitting room, un término que aparece por primera vez en inglés en 1806. Un cambio posterior fue lounge, que originariamente hacía referencia a un tipo de sillón o sofá, después a una chaqueta de tipo deportivo y, finalmente, a partir de 1881, a una habitación.
Partiendo del supuesto de que era un tipo convencional, el señor Marsham debió de intentar que ésta fuera la estancia más confortable de la casa, con el mobiliario más mullido y de mejor calidad. En la práctica, sin embargo, lo más probable es que fuera cualquier cosa menos confortable durante la mayor parte del año, pues el salón de casa posee una única chimenea que no podría calentar más que una pequeña zona central de la habitación. Incluso con un buen fuego, y soy testigo de ello, en pleno invierno te plantas allí y ves el vaho salir de tu boca.
Aunque el salón se convirtió en el punto central del confort en la casa, la historia de hecho no empieza allí; y tampoco empieza en la casa. Empieza fuera de ella, más o menos un siglo antes de que naciera el señor Marsham, con un simple descubrimiento que hizo muy ricas a familias terratenientes como la suya y que le permitiría un día construirse una preciosa rectoría. El descubrimiento fue simplemente éste: no era necesario que la tierra descansara con regularidad para conservar su fertilidad. No fue en absoluto una de las ideas más brillantes, pero cambió el mundo.
Tradicionalmente, la tierra de cultivo inglesa estaba dividida en largas franjas denominadas furlongs y estos furlongs se dejaban en barbecho una temporada de cada tres —a veces una temporada de cada dos— para que recuperasen su capacidad de producir cosechas sanas [27] . Esto significaba que, en un año cualquiera, un tercio de los campos de cultivo eran improductivos. Como consecuencia de esta práctica, no había alimento suficiente para mantener vivas grandes cantidades de animales durante el invierno, y a los terratenientes no les quedaba otra alternativa que sacrificar cada otoño una parte importante de su ganado y afrontar un largo periodo de vacas flacas hasta la llegada de la primavera.
Pero los campesinos ingleses descubrieron entonces algo que los campesinos holandeses sabían ya desde hacía mucho tiempo: si en los campos en barbecho se sembraban nabos, tréboles o un par de plantas más, el suelo se renovaba de forma milagrosa y se obtenía además un generoso forraje invernal. Era la infusión de nitrógeno la que obraba el milagro, aunque nadie lo entendió muy bien durante casi doscientos años. Lo que sí se entendió, y se valoró en gran manera, fue que aquello transformaba de un modo drástico las fortunas agrícolas. Además, como los animales seguían con vida durante el invierno, producían cantidades adicionales de abono que enriquecían más si cabe el suelo.
Resulta difícil exagerar el milagro que todo eso pudo parecer. Antes del siglo XVIII, la agricultura británica daba bandazos de crisis en crisis. Un académico llamado W. G. Hoskins calculó (en 1964) que, entre 1480 y 1700, una cosecha de cada cuatro era mala, y que casi una de cada cinco era catastróficamente mala. Pero ahora, gracias al simple recurso de la rotación de cultivos, la agricultura pudo estabilizarse con un ritmo de prosperidad continua y más o menos fiable. Fue esta prolongada edad de oro la que dio al campo la atmósfera de próspero atractivo del que disfruta aún hoy en día, y la que permitió a muchos como el señor Marsham adoptar ese gratificante y novedoso producto: el confort.
También los granjeros se beneficiaron de un nuevo artefacto con ruedas que inventó hacia 1700 Jethro Tull, un granjero y pensador agrícola de Berkshire. Conocido como sembradora, permitía plantar directamente las semillas en la tierra en lugar de esparcirlas a mano. Las semillas eran caras, y la nueva sembradora de Tull redujo la cantidad necesaria de las tres o cuatro fanegas por cada media hectárea, a menos de una; y como que las semillas quedaban plantadas a mayor profundidad y en surcos bien definidos, brotaban con más éxito, por lo que las cosechas mejoraron también y pasaron de ser de entre veinte a cuarenta fanegas por cada media hectárea a cifras tan elevadas como ochenta fanegas.
La nueva vitalidad en este ámbito quedó también reflejada en programas de cría de ganado. Casi todas las grandes razas ganaderas —Jersey, Guernsey, Hereford, Aberdeen Angus, Ayrshire [28] — fueron creaciones del siglo XVIII. También las ovejas fueron manipuladas con éxito para convertirse en los bultos anormalmente lanudos que vemos hoy. Una oveja medieval daba unos 700 gramos de lana; las ovejas de nueva creación del siglo XVIII daban hasta cuatro kilos. Y debajo de toda aquella lana encantadora, las ovejas eran además gratamente rollizas. Entre 1700 y 1800, el peso medio de las ovejas vendidas en el mercado de Smithfield en Londres se dobló, pasando de los diecisiete kilos a los treinta y seis. Las terneras engordaron en igual medida. Y del mismo modo creció la producción láctea.
Pero todo esto tenía un coste. Para que los nuevos sistemas de producción funcionasen era necesario amalgamar pequeños campos para convertirlos en campos más grandes y desarraigar de sus tierras a muchos campesinos. Este sistema de cercamiento, en el que campos pequeños que antiguamente habían dado de comer a muchos se transformaban ahora en campos cercados mucho más grandes pero que enriquecían a unos pocos, hizo de la agricultura algo inmensamente lucrativo para aquéllos con grandes posesiones, y pronto, en muchas zonas, ése fue casi el único tipo de posesión que siguió existiendo. Los cercamientos habían avanzado poco a poco con el paso de los siglos, pero el fenómeno se aceleró entre 1750 y 1830, cuando unos dos millones y medio de hectáreas de tierra de labranza británica quedaron cercadas. El cercamiento fue duro para los campesinos desalojados, pero les dio a ellos y a sus descendientes la posibilidad de trasladarse a vivir a las ciudades y convertirse en las abnegadas masas de la nueva Revolución industrial, que estaba justo iniciándose y estaba siendo subvencionada en gran parte con la riqueza sobrante de los cada vez más acaudalados terratenientes.
Muchos terratenientes descubrieron además que se asentaban sobre grandes vetas de carbón, justo en el momento en que el carbón se había vuelto de repente imprescindible para la industria. Esto no siempre representó un gran avance en lo que a belleza se refiere —en un momento del siglo XVIII, desde Chatsworth House se veían ochenta y cinco minas de carbón a cielo abierto, o eso ha quedado escrito—, pero se tradujo en gratificantes montañas de dinero. Otros hicieron fortuna arrendando la tierra al ferrocarril o construyendo canales y controlando los derechos de paso. El duque de Bridgewater obtenía unos beneficios anuales del 40 % del monopolio de un canal que tenía en la parte oeste de sus fincas. Y todo ello en una época en la que no existía el impuesto sobre la renta, ni el impuesto sobre plusvalías, ni el impuesto sobre dividendos o intereses: no existía prácticamente nada capaz de interrumpir el flujo regular de dinero ingresado. Mucha gente nacía en un mundo en el que no había que hacer nada con la riqueza, sólo almacenarla. El tercer conde de Burlington, para tomar un ejemplo entre muchos, era propietario de inmensas fincas en Irlanda —unas diecisiete mil hectáreas en total— y jamás visitó aquel país. Al final fue nombrado lord tesorero de Irlanda y siguió sin visitarlo.
Esta acaudalada élite y su descendencia llenaron la campiña británica de robustas e incoherentes expresiones de esta nueva joie de richesse. Un recuento estima que entre 1710 y finales del siglo XVIII se construyeron en Inglaterra un mínimo de 840 grandes casas de campo, «dispersas como ciruelas de extrema rareza en el inmenso pudin de un país», según las exuberantes palabras de Horace Walpole.
Casas extraordinarias necesitaban personas extraordinarias para ocuparse de su diseño y construcción, y tal vez nadie hubo más extraordinario —o como mínimo, más inesperado— que sir John Vanbrugh. Vanbrugh (1664-1726) era miembro de una gran familia —uno entre diecinueve hermanos—, acomodada y de origen holandés, aunque llevaban establecidos en Inglaterra casi medio siglo cuando nació Vanbrugh [29] . «Un caballero encantador y afable», según palabras del poeta Nicholas Rowe, Vanbrugh era por lo que se ve del agrado de todo aquel que lo conocía (con la notable excepción de la duquesa de Marlborough, como veremos). Un retrato realizado por sir Godfrey Kneller, expuesto en la National Portrait Gallery de Londres, realizado cuando Vanbrugh tendría unos cuarenta años, nos muestra a un hombre agradable con una cara sonrosada, regordeta y de aspecto bastante normal —de hecho, cualquier cosa menos agobiado—, tocado con una peluca de magnificencia barroca, como estaba de moda en la época.
Durante las tres primeras décadas de su vida, no demostró nada especial que indicara hacía dónde irían los tiros. Trabajó en un negocio vinícola de la familia, viajó a la India como representante de la Compañía Británica de las Indias Orientales —una empresa por aquel entonces todavía bastante nueva y sin renombre— y finalmente se hizo soldado, aunque sin destacar tampoco en ello. Enviado a Francia, fue arrestado como espía casi en el mismo momento en que pisó tierra firme y pasó prácticamente cinco años en prisión, aunque con las razonables comodidades de un caballero.
Por lo que se ve, la cárcel tuvo un efecto galvanizador sobre él, pues a su regreso a Inglaterra se convirtió con una rapidez remarcable en un celebrado dramaturgo, produciendo en veloz sucesión dos de las comedias más populares de su época, The Relapse y The Provok’d Wife. Con personajes con nombres como Esposa Mimosa, lord Petimetre, sir Tonelete Patoso y sir John Bruto, podrían parecemos de un estilo poco considerado, pero eran el colmo de la bufonada en una época tan exagerada y perfumada como aquélla. Era material escabroso. Un escandalizado miembro de la Society for the Reformation of Manners dijo que Vanbrugh «había corrompido la escena más allá del relajamiento de cualquier tiempo anterior». Pero otros adoraban sus obras por exactamente los mismos motivos. El poeta Samuel Rogers lo consideraba «casi el genio más grande que jamás haya vivido».
Vanbrugh escribiría o adaptaría para su puesta en escena un total de diez obras, y entretanto, y con una precipitación no menos sorprendente, volcó también su talento en la arquitectura. De dónde le vino este impulso era tanto un misterio para sus contemporáneos como lo es para nosotros ahora. Lo único que se sabe es que en 1701, con treinta y cinco años de edad, empezó a trabajar en una de las casas más majestuosas jamás construida antes en Inglaterra: Castle Howard, en Yorkshire. Tampoco se sabe cómo logró convencer a su amigo Charles Howard, tercer conde de Carlisle —descrito por un historiador de la arquitectura como «más bien insulso pero incontrolablemente rico»— para que respaldara una ambición tan ostensiblemente alocada como aquélla. No era sólo una casa enorme, sino también un lugar decididamente palaciego, construido «a una escala hasta entonces prerrogativa de la realeza», según palabras del biógrafo de Vanbrugh, Kerry Downes. Es evidente que Carlisle vio algo en los toscos bocetos de Vanbrugh, y Vanbrugh, todo hay que decirlo, poseía el respaldo de un arquitecto de verdad y de talento indiscutible: Nicholas Hawksmoor, que tenía veinte años de experiencia pero curiosamente se contentaba con trabajar como ayudante de Vanbrugh. Es posible también que Vanbrugh trabajara gratis. (Nunca se han encontrado evidencias de dinero que cambiara de manos, y en ambos casos eran hombres que realizaban un seguimiento detallado de este tipo de cosas). Sea como fuere, Carlisle despidió al distinguido arquitecto que pensaba emplear, William Talman, y dio rienda suelta al novato Vanbrugh.
Vanbrugh y Carlisle eran miembros de una sociedad secreta conocida como el Kit-Cat Club, una organización de tendencia whig fundada más o menos exclusivamente para garantizar la sucesión dentro de la casa de Hannover, un cambio dinástico que garantizaba que los futuros monarcas británicos serían protestantes aunque, a corto plazo, no fueran especialmente británicos [30] . Que los miembros del Kit-Cat consiguieran su objetivo no fue un logro menor, teniendo en cuenta que su candidato, Jorge I, no hablaba inglés, carecía de cualidades admirables y era, según los cálculos, el número cincuenta y ocho en la línea de sucesión al trono. Pero más allá de esta maniobra política, el club operaba con tal discreción que prácticamente no se sabe nada del mismo. Uno de sus miembros fundadores fue un jefe pastelero llamado Christopher —o «Kit»— Cat. Kit-Cat era también el nombre por el que se conocían sus famosos pasteles de cordero, por lo que si el nombre del club tiene su origen en su apellido o en sus pasteles ha sido tema de discusión en determinados y minúsculos círculos durante trescientos años. La vida del club se prolongó tan sólo entre 1696 y 1720 —los detalles concretos de su andadura se desconocen— y el número total de miembros no superaba la cincuentena, de los cuales dos terceras partes eran pares del reino. Cinco de sus miembros —lord Carlisle, lord Halifax, lord Scarborough y los duques de Manchester y Marlborough— le encargaron trabajos a Vanbrugh. Entre los miembros del club destacaba también el primer ministro Robert Walpole (padre de Horace), los periodistas Joseph Addison y Richard Steele y el dramaturgo William Congreve.
No es que Vanbrugh ignorara por completo las características clásicas en Castle Howard, sino que se limitó a enterrarlas bajo una especie de kudzu de ornamentación barroca. Una estructura de Vanbrugh nunca es igual a otra, pero Castle Howard es, por decirlo de algún modo, inusualmente inusual. Tenía una cantidad impresionante de estancias formales —trece en una sola planta—, pero pocos dormitorios: nada que ver con la cantidad que normalmente cabría esperar. Había muchas habitaciones con formas extrañas o mal iluminadas. Gran parte de los detalles externos son poco habituales, si no erráticos del todo. Las columnas de un lado de la casa son dóricas sencillas, mientras que en el otro son de ornado estilo corintio. (Vanbrugh argumentaba, no sin cierta lógica, que nadie podía ver los dos lados a la vez). Pero la característica más chocante, al menos durante los primeros veinticinco años de existencia de la casa, es que fue construida sin su ala oeste, un hecho, no obstante, que no fue culpa de Vanbrugh. Carlisle tenía otras inquietudes y dejó de edificar el ala oeste, con lo que la mansión quedó notoriamente inacabada. Cuando por fin se construyó el ala que faltaba, veinticinco años después y obra de otro arquitecto, fue en un estilo completamente distinto, por lo que el visitante actual se encuentra con un ala este barroca, tal y como Vanbrugh pretendía, y un ala oeste ineludiblemente inadecuada que sigue el estilo de Palladio y que dejó satisfecho a su posterior propietario pero apenas a nadie más.
La característica más famosa de Castle Howard, su corona con cúpula (una «linterna», sería su nombre formal, un término cuyo origen se encuentra en una palabra griega que significa «penetrar luz») sobre el vestíbulo de entrada, fue un añadido posterior, y resulta marcadamente desproporcionada en relación con el edificio que tiene debajo. Es demasiado alta y demasiado fina. Tal y como un crítico arquitectónico apuntó con cierta diplomacia, «de cerca no encaja de forma muy lógica con el edificio que hay debajo». Aunque, como mínimo, era un elemento novedoso. La única estructura con cúpula existente en el momento de la construcción era la nueva catedral de San Pablo de Christopher Wren. Ninguna casa tenía algo parecido.
Castle Howard es, en resumen, una propiedad muy elegante, pero elegante en un sentido muy propio. La cúpula tal vez resulte algo curiosa, pero Castle Howard no sería nada sin ella. Y podemos decirlo con excepcional confianza porque durante veinte años Castle Howard estuvo sin ella. A última hora de la noche del 9 de noviembre de 1940, se declaró un incendio en el ala este. En aquellos tiempos la casa disponía de un único teléfono, y el teléfono se derritió como el chocolate antes de que alguien pudiera llegar a él. De modo que tuvieron que ir corriendo a la caseta del guardia, a más de kilómetro y medio de la casa principal, y llamar desde allí a los bomberos. Cuando llegaron los bomberos de Malton, un pueblo que se encuentra a diez kilómetros de distancia, habían transcurrido ya dos horas y gran parte de la casa se había perdido. La cúpula se había desmoronado como consecuencia de las elevadas temperaturas y había caído en el interior de la casa. Castle Howard permaneció sin cúpula durante los veinte años siguientes, y continuó siendo una bella mansión —seguía siendo majestuosa, seguía siendo imponente, seguía siendo impasiblemente grandiosa—, pero había perdido su encanto. Cuando a principios de la década de 1960 se reconstruyó por fin la cúpula, la casa recuperó al instante su peculiar atractivo.
A pesar de su limitada experiencia, Vanbrugh recibió a continuación el encargo de construir una de las casas más importantes jamás edificada en Gran Bretaña, Blenheim Palace, esa colosal explosión de magnificencia que encontramos en Woodstock, Oxfordshire. Blenheim tenía que ser un regalo de la nación al duque de Marlborough en agradecimiento a su victoria sobre los franceses en la batalla de Blindheim (cuyo nombre los ingleses consiguieron anglicanizar y convertir en Blenheim), Baviera, en 1704. La finca poseía un total de nueve hectáreas de terreno de calidad excepcional, que generaban unos ingresos de 6.000 libras anuales, una suma tremenda para la época, pero, por desgracia, insuficiente para pagar una casa de la escala de Blenheim… y Blenheim era tan grande que se salía de cualquier escala conocida.
Tenía trescientas habitaciones y ocupaba una extensión de 2, 8 hectáreas [31] . Una fachada de 75 metros era enorme para una casa señorial; en Blenheim la fachada medía 261 metros. Era el mayor monumento a la vanidad que Gran Bretaña había visto jamás. Hasta el último centímetro estaba cubierto de pétrea suntuosidad decorativa. Era más grandioso que cualquier palacio real y, por lo tanto, no sorprende que fuera caro, muy caro. El duque, miembro del Kit-Cat Club, se entendía bastante bien con Vanbrugh, pero después de acordar los principios generales del asunto, partió a combatir más batallas y dejó los temas domésticos en manos de su esposa, Sarah, duquesa de Marlborough. Fue ella, por lo tanto, quien supervisó básicamente la obra y desde el primer momento no se llevó bien con Vanbrugh. En absoluto.
Las obras se iniciaron en verano de 1705 y hubo problemas desde el principio. Por el camino tuvieron que llevarse a cabo muchos y costosos ajustes. Hubo que cambiar la entrada principal cuando el propietario de una casita se negó a moverse de allí, por lo que la verja de entrada tuvo que enclavarse en un lugar extraño en la parte posterior de Woodstock, lo que exigía a los visitantes recorrer la calle mayor, doblar una esquina y entrar en la finca a través de lo que incluso hoy recuerda extrañamente a una puerta de servicio (por muy grandiosa que sea).
Blenheim estaba presupuestado en 40.000 libras. Al final costó unas trescientas mil. Y fue una auténtica desgracia porque los Marlborough eran famosos por su tacañería. El duque era tan rácano que se negaba a poner el punto sobre las íes cuando escribía con tal de ahorrar tinta. Nunca quedó claro quién tenía que pagar las obras, si la reina Ana, el Tesoro o los Marlborough. La duquesa y la reina Ana tenían una relación muy estrecha, bastante extraña y posiblemente incluso íntima. Cuando estaban a solas se hablaban entre ellas utilizando curiosos apodos cariñosos —«señora Morley» y «señora Freeman»— para evitar que el hecho de que una fuera miembro de la realeza y la otra no provocara entre ellas una situación embarazosa. Por desgracia, la construcción de Blenheim coincidió con un enfriamiento de la relación, lo que contribuyó a la incertidumbre con respecto a la responsabilidad económica de la obra. La cosa se complicó más si cabe después del fallecimiento de la reina en 1714 y la subida al trono de un rey que no sentía ningún tipo de afecto especial hacia los Marlborough, ni se sentía en deuda con ellos. Los contratistas estuvieron sin cobrar durante años mientras las disputas arreciaban, y en su mayoría consiguieron al final cobrar sólo una parte de lo que se les debía. Las obras quedaron interrumpidas durante cuatro años, de 1712 a 1716, y muchos de los obreros que no habían cobrado se mostraron comprensiblemente reacios a reanudar el trabajo. Vanbrugh no cobró hasta 1725, casi veinte años después de que se iniciaran las obras.
Incluso cuando las cosas avanzaban, Vanbrugh y la duquesa reñían sin cesar. Ella consideraba el palacio «demasiado grande, demasiado oscuro y demasiado marcial». Acusaba a Vanbrugh de extravagancia e insubordinación, y acabó convencida de que era un ser maligno. En 1716, lo despidió, aunque ordenando a los obreros que se mantuvieran fieles a sus planos. Cuando, en 1725, Vanbrugh se acercó con su esposa a ver el edificio terminado —un edificio al que había consagrado unos dos tercios de su carrera como arquitecto y un tercio de su vida—, fue informado en la verja de acceso de que la duquesa había dejado firmes instrucciones de que no debía ser admitido en el recinto. De modo que nunca vio terminada su obra maestra, excepto como un destello en la lejanía. Fallecía ocho meses más tarde.
Igual que Castle Howard, Blenheim es una construcción barroca, pero más acentuada si cabe. El perfil de su tejado es una erupción festiva de orbes, urnas y otros ornamentos verticales. Fueron muchos los que odiaron su escala monumental y su ostentación. El conde de Ailesbury lo desdeñó como «una masa de piedra sin gusto ni condimento». Alexander Pope, después de enumerar sus fallos de forma exhaustiva, concluía: «En una palabra, es una absurdidad carísima». El duque de Shrewsbury lo despreció como «una gran cantera de piedras a cielo abierto». Un chistoso llamado Abel Evans escribió un falso epitafio para Vanbrugh:
Reposa con fuerza sobre él, tierra, pues élBlenheim es incuestionablemente una obra gloriosa y exagerada, pero pasmosa, es evidente, y su escala es tan desmesurada que casi siempre impresiona a quien la visita por vez primera. Resulta difícil creer que alguien quisiera vivir en una inmensidad tan opresiva y, de hecho, los Marlborough apenas vivieron allí. No se trasladaron a la mansión hasta 1719 y el duque murió sólo dos años después.
Depositó sobre ti una pesada carga.
Independientemente de lo que cada uno piense de Vanbrugh y sus creaciones, la época de los arquitectos convertidos en auténticas celebridades acababa de empezar [32] .
* * * *
Antes de la época de Vanbrugh, los arquitectos no eran personajes muy conocidos. La fama recaía normalmente en los que pagaban por las casas, no en quienes las diseñaban. Hardwick Hall, de la que hablamos en el capítulo dedicado al hall, fue uno de los grandes edificios de su época, pero simplemente se supone que su arquitecto fue Robert Smythson. Es una suposición a buen seguro acertada, por todo tipo de razones, pero no existen pruebas reales de ello. Smythson fue de hecho el primer hombre que fue denominado arquitecto —o que estuvo cerca de ser denominado arquitecto— en un monumento fechado hacia 1588, en el que aparece descrito como «arquitecto y agrimensor». Pero como sucede con muchos otros de su época, se sabe poquísimo sobre su vida anterior, incluyendo dónde nació y cuándo. Aparece por vez primera en los registros de Longleat House, en Wiltshire, en 1568, cuando tenía ya más de treinta años y era maestro masón. Se desconoce por completo dónde había estado antes.Incluso después de que la arquitectura se reconociera como profesión, la mayoría de los arquitectos tenían otras procedencias. Iñigo Jones era diseñador de producciones teatrales, Christopher Wren era astrónomo, Robert Hooke científico, Vanbrugh soldado y dramaturgo, William Kent pintor y diseñador de interiores. Como profesión formal, la arquitectura se desarrolló muy tarde. Los exámenes obligatorios no se introdujeron en Gran Bretaña hasta 1882 y la arquitectura no se impartió como disciplina académica a tiempo completo hasta 1895.
Hacia mediados del siglo XIX, sin embargo, la arquitectura doméstica empezó a atraer mucho respeto y atención, y durante un tiempo nadie tuvo mayor cantidad de ambas cosas que Robert Adam. Si Vanbrugh fue el primer arquitecto convertido en una celebridad, Adam fue el más grande. Nacido en 1728 en Escocia, hijo de un arquitecto, era uno de los integrantes de un cuarteto de hermanos, todos ellos arquitectos de éxito, aunque Robert fue el genio indiscutible de la familia y el que recordará la historia. El periodo comprendido entre 1755 y 1785 se conoce a veces como la Edad de Adam.
Un retrato de Adam expuesto en la National Portrait Gallery de Londres, realizado hacia 1770, cuando tenía poco más de cuarenta años, nos muestra a un hombre de aspecto bondadoso tocado con una peluca empolvada de color gris, aunque en realidad Adam no fue un tipo especialmente agradable. Era arrogante y egoísta y trataba mal a sus empleados, pagándoles poco y manteniéndolos en un estado de servidumbre perpetua. Los multaba severamente si los sorprendía realizando algún trabajo para otro que no fuera él, aunque fuera un simple boceto para su propio entretenimiento. Los clientes de Adam, sin embargo, veneraban su talento y durante treinta años no pararon de darle trabajo. Los hermanos Adam se convirtieron en una especie de empresa de arquitectura. Eran propietarios de canteras, de un negocio de madera para la construcción, de una adobería, de un taller para la fabricación de estucos y de muchas cosas más. Llegó un momento en el que tenían dos mil empleados. Diseñaban no sólo casas, sino también todos los objetos de su interior: muebles, chimeneas, alfombras, camas, lámparas, llegando incluso a detalles menores como los pomos de las puertas, los tiradores de las campanillas y los tinteros.
Los diseños de Adam eran intensos —abrumadores a veces— y poco a poco fueron cayendo en desgracia. Sentía una debilidad ineludible por la decoración excesiva. Entrar en una estancia diseñada por Adam es casi como meterse dentro de un enorme pastel recubierto de azúcar escarchado. De hecho un crítico contemporáneo lo calificó de «cocinero de pasteles». A finales de la década de 1780, Adam fue tachado de «azucarado y afeminado» y se quedó tan pasado de moda que tuvo que retirarse a su Escocia natal, donde murió en 1792. En 1831 había caído hasta tal punto en el olvido que la influyente Lives of the Most Eminent British Architects ni siquiera lo menciona. Pero aquel destierro no duró mucho tiempo. Hacia 1860 su reputación vivió un renacimiento, que continúa hoy en día, aunque actualmente se le recuerda más por sus suntuosos interiores que por su arquitectura.
La característica que todos los edificios de la época de Adam tenían en común era la devoción rigurosa por la simetría. Vanbrugh, sin duda alguna, no logró la simetría completa en Castle Howard, pero fue una cuestión fortuita. En otras partes, sin embargo, todo se adhería a la simetría como si fuera una ley inmutable del diseño. Cualquier ala debía tener un ala pareja, fuera necesaria o no, y toda ventana y frontón de un lado de la entrada principal debía tener su reflejo perfecto en las ventanas y los frontones del otro lado, independientemente de lo que pudiera haber detrás. El resultado era a menudo la construcción de alas que en realidad nadie quería. No fue hasta el siglo XIX cuando este absurdo tocó a su fin, y fue una destacable propiedad de Wiltshire —una de las más extraordinarias que se haya construido nunca— la que inició este proceso.
Se llamaba Fonthill Abbey y fue la creación de dos hombres extraños y fascinantes: William Beckford y el arquitecto James Wyatt. Beckford era increíblemente rico. Su familia poseía plantaciones en Jamaica y llevaba un siglo dominando el comercio del azúcar en las Indias Occidentales. Su madre lo mimaba de tal modo que siempre procuró que su hijo disfrutara de todas las ventajas que le aportaba su alta cuna. Recibió clases de piano de Wolfgang Amadeus Mozart, que contaba entonces ocho años de edad. Sir William Chambers, el arquitecto del rey, le enseñó a dibujar. La riqueza de Beckford era tan inagotable y gigantesca que cuando recibió su herencia al cumplir los veintiún años, dilapidó 40.000 libras —una cifra colosal— en una fiesta. En uno de sus poemas, lord Byron lo llamaba «el hijo más rico de Inglaterra», y seguramente tenía razón.
En 1784, Beckford se convirtió en el protagonista principal del escándalo más espectacular y jugoso de su época, cuando salió a la luz su implicación en un par de flirteos tempestuosos y frenéticamente peligrosos. Uno de ellos era con Louisa Beckford, la esposa de un primo hermano suyo. Al mismo tiempo, se enamoró también de un joven frágil y delicado llamado William Courtenay, el futuro noveno conde de Devon, al que todo el mundo coincidía en calificar como el chico más bello de Inglaterra. Durante varios tórridos años, y a buen seguro agotadores, Beckford mantuvo ambas relaciones, con frecuencia bajo el mismo techo. Pero en otoño de 1784 se produjo una repentina ruptura. Beckford recibió o descubrió una nota en la mano de Courtenay que le provocó un ataque de celos. No se sabe lo que decía la nota, pero provocó en Beckford una reacción desaforada. Se dirigió a la habitación de Courtenay y, según las palabras algo confusas de uno de sus invitados, «le atizó con la fusta, lo que generó un ruido, y la puerta se abrió; Courtenay estaba en camisón, y Beckford en alguna que otra postura… una historia curiosa».
Y tanto que sí.
La desgracia de todo el asunto es que Courtenay era el niño mimado de su familia —el único chico entre catorce hermanas— y era, además, muy joven. Tenía dieciséis años cuando se produjo el incidente, pero podía tener diez cuando cayó bajo la depravada influencia de Beckford. No era un asunto que la familia de Courtenay quisiera dejar pasar, y podríamos dar por descontado que el cornudo primo de Beckford tampoco se sentiría muy feliz. Deshonrado y sin esperanza de redención, Beckford huyó al continente. Viajó extensamente y escribió, en francés, una novela gótica titulada Vathek: An Arabian Tale, que resulta prácticamente ilegible en la actualidad pero que fue muy admirada en su día.
Entonces, en 1796, con su deshonra ni mucho menos próxima a su fin, Beckford hizo algo completamente inesperado. Regresó a Inglaterra y anunció su plan de derribar la mansión que tenía la familia en Wiltshire, Fonthill Splendens, que contaba tan sólo catorce años de antigüedad, y construir una nueva casa en su lugar… y no una casa cualquiera, sino la mansión más grande de Inglaterra después de Blenheim. Era una decisión extraña, pues no tenía previsto llenar la casa con compañía. El arquitecto seleccionado para llevar a cabo aquel leve ejercicio de demencia fue James Wyatt.
Wyatt es una figura que, curiosamente, ha quedado arrinconada. Su única biografía importante, escrita por Antony Dale, fue publicada hará cuestión de medio siglo. Tal vez podría ser más célebre, pero debido al hecho de que muchos de sus edificios ya no existen, hoy en día se le recuerda más por lo que destruyó que por lo que construyó.
Nacido en Staffordshire, hijo de un granjero, Wyatt se sintió atraído por la arquitectura desde joven y pasó seis años en Italia estudiando dibujo arquitectónico. En 1770, con sólo veinticuatro años de edad, diseñó el Panteón, un salón de exposiciones y sala de reuniones, inspirado en líneas generales en el antiguo edificio romano del mismo nombre, que ocupó un lugar destacado en Oxford Street, Londres, durante ciento sesenta años. Horace Walpole lo consideraba «el edificio más bello de Inglaterra». Por desgracia, Marks & Spencer no era de la misma opinión y en 1931 lo derribó para construir unos grandes almacenes.
Wyatt fue un arquitecto de talento y distinguido —durante el reinado de Jorge III fue nombrado topógrafo del Office of Works, lo que significaba ser el arquitecto oficial del país—, pero un desastre continuo como ser humano. Era desorganizado, olvidadizo y fue un eterno disoluto. Era un borrachín empedernido y se corría a menudo unas juergas tremendas. Un año se saltó cincuenta reuniones semanales seguidas del Departamento de Obras Públicas. Su supervisión del departamento era tan nefasta que uno de los empleados fue capaz de realizar tres años seguidos de vacaciones. Pero cuando estaba sobrio era una persona de trato agradable y era elogiado ampliamente por su encanto, buen carácter y visión arquitectónica. Un busto suyo exhibido en la National Portrait Gallery lo muestra recién afeitado (y limpio, de hecho un rasgo excepcional en él), con una buena mata de pelo y un rostro que parece curiosamente afligido, o tal vez sólo algo resacoso.
A pesar de sus carencias, se convirtió en el arquitecto más codiciado de su época, pero aceptó más encargos de los que era capaz de gestionar y apenas conseguía prestar la debida atención a alguno de ellos, para exasperación de sus clientes. «Si consigue un buen puro y tener una botella a su lado, ya no le importa nada más», escribió uno de sus numerosos clientes frustrados.
«Existe un abrumador consenso de opinión —escribió su biógrafo Dale— en cuanto a que Wyatt tenía tres fallos destacados: una ausencia total de capacidad para los negocios, una inhabilidad completa para aplicarse de forma constante o intensiva […] y una tremenda imprevisión». Y eso que son palabras de un observador favorable. Wyatt era, en resumen, incompetente e imposible. Un cliente llamado William Windham estuvo atrapado durante once años en una obra que debería de haberle supuesto sólo una parte de ese tiempo. «Cualquier persona tiene derecho a sentirse impaciente —escribió con fatiga Windham a su arquitecto ausente— al encontrar las habitaciones principales de su casa casi inhabitables porque no ha sido capaz de obtener de usted lo que no sería más que un trabajo de un par de horas». Ser cliente de Wyatt equivalía a ser un sufridor.
Pero su carrera fue tanto un éxito como notablemente productiva. En el transcurso de cuarenta años, construyó o remodeló cien casas de campo, restauró cinco catedrales e hizo muchas cosas para cambiarle la cara a la arquitectura británica, aunque hay que decir que no siempre para bien. Su forma de tratar las catedrales fue especialmente temeraria y demoledora. Un crítico llamado John Carter se sentía tan inquieto ante la predilección de Wyatt por destrozar los interiores antiguos que lo apodó el Destructor y dedicó doscientos doce artículos en el Gentelman’s Magazine —básicamente toda su carrera— a atacar el estilo y el carácter de Wyatt.
En la catedral de Durham, Wyatt tenía planes de coronar el edificio con una imponente aguja. Nunca llegó a suceder, lo cual quizás no es mala cosa, puesto que en Fonthill quedaría muy pronto patente que pocos lugares había más peligrosos que justo debajo de una torre construida por Wyatt. Quiso también derribar la antigua capilla Galilea, donde descansan los restos mortales de Beda el Venerable y uno de los grandes logros de la arquitectura normanda inglesa. Por suerte, también ese plan fue rechazado.
Beckford estaba cautivado por el arrojado ingenio de Wyatt, pero mascullaba de indignación por sus hábitos disolutos y su tremenda falta de fiabilidad. Pero aun así, consiguió mantenerlo lo bastante centrado como para que dibujase los planos y empezase a trabajar poco antes del cambio de siglo.
Todo en Fonthill se diseñó a una escala fantástica. Las ventanas tenían una altura de quince metros. Las escaleras medían igual de ancho que de largo. La puerta principal alcanzaba los nueve metros de altura, pero estaba hecha de tal manera que parecía aún más alta gracias a la costumbre de Beckford de emplear a porteros enanos. Cortinas de veinticuatro metros colgaban de los cuatro arcos del Octógono, una cámara central de la que irradiaban cuatro brazos. La visión desde el pasillo central se prolongaba más allá de noventa metros. La mesa de comedor —siendo Beckford su único ocupante noche tras noche— medía quince metros de largo. Los techos se perdían en una remota penumbra de cerchas góticas. Fonthill era muy probablemente la residencia más extenuante jamás construida, y todo ello para un hombre que vivía solo y era conocido en todas partes como «el hombre a quien ningún vecino recurriría». Para preservar su intimidad, Beckford construyó un muro formidable, conocido como «la barrera», que rodeaba toda la finca. Medía más de tres metros y medio de altura, tenía una longitud de veinte kilómetros y estaba rematado con pinchos de hierro.
Entre las estructuras adicionales planificadas destacaba una imponente tumba, de treinta y ocho metros de longitud, en la que se colocaría su ataúd sobre un estrado situado siete metros y medio por encima del suelo, para que, según creía, los gusanos nunca pudieran consumirle.
Fonthill era deliberada y salvajemente asimétrico —«anarquía arquitectónica» en palabras del historiador Simon Thurley— y presentaba un ornado estilo gótico que le proporcionaba el aspecto de un cruce entre una catedral medieval y el castillo de Drácula. Wyatt no fue el inventor del neogótico. Esa distinción recae en Horace Walpole por su casa Strawberry Hill en las afueras de Londres. El gothick, como se escribía a veces en inglés para diferenciarlo del gótico medieval, hacía alusión en un principio no a un estilo arquitectónico, sino a un tipo de novela lóbrega y exagerada que también inventó Walpole en 1794 con El castillo de Otranto. Strawberry Hill, sin embargo, fue una cosa bastante comedida y pintoresca, una casa más o menos convencional con alguna tracería gótica y otras ornamentaciones. Las creaciones góticas de Wyatt eran mucho más oscuras y potentes. Tenían amenazantes torres y románticas agujas, así como confusos remates en tejados estudiadamente asimétricos, para que diera la impresión de que la estructura había tenido un crecimiento orgánico a lo largo de los siglos. Era una especie de fantasía de Hollywood del pasado, mucho antes de que existiese un Hollywood. Walpole inventó un término, gloomth, para transmitir el ambiente del gothick; las casas de Wyatt eran la quintaesencia de la tenebrosidad [33] . De hecho, la rezumaban.
En su obsesión por finalizar el proyecto, Beckford puso quinientos hombres a trabajar las veinticuatro horas del día, pero las cosas salían continuamente mal. La torre de Fonthill, que se elevaba hasta alcanzar los ochenta y cinco metros de altura, era la más alta que jamás se había construido en una casa de carácter privado, y resultó ser una auténtica pesadilla. Sin darle muchas vueltas, Wyatt utilizó para su construcción un nuevo tipo de enlucido conocido como cemento Parker Roman, inventado por un tal reverendo James Parker, de Gravesend, uno más de esa casta de clérigos inquisitivos que conocimos a principios del libro. Se desconoce qué impulso llevó al reverendo Parker al mundo de los materiales de construcción, pero su intención era producir un cemento de secado rápido similar al que en su día utilizaron los romanos a partir de una receta perdida desde entonces. Por desgracia, su cemento tenía poca fuerza y, de no mezclarse correctamente en las proporciones exactas, tendía a caerse a trozos… como sucedió en Fonthill. Horrorizado, Beckford vio cómo su imponente abadía se caía a pedazos incluso a medida que iba levantándose. Se derrumbó dos veces durante la construcción. E incluso cuando estuvo erigida por completo, se resquebrajaba y se quejaba de forma premonitoria.
Para la ilimitada exasperación de Beckford, Wyatt se ausentaba a menudo para emborracharse o dedicarse a otros proyectos. De manera que mientras las cosas se derrumbaban literalmente en Fonthill y los quinientos obreros huían de allí como alma que lleva el diablo o estaban mano sobre mano a la espera de recibir instrucciones, Wyatt estaba enfrascado en el descomunal y fallido proyecto de construcción de un nuevo palacio en Kew para Jorge III. Por qué Jorge III quería un nuevo palacio en Kew es una pregunta de lo más razonable, pues tenía ya allí mismo un palacio estupendo, pero Wyatt siguió adelante y diseñó una construcción formidable (apodada la Bastilla por su peligroso aspecto), uno de los primeros edificios del mundo que utilizaba hierro forjado como material estructural. Desconocemos el aspecto que podía tener ese nuevo palacio porque no existen reproducciones del mismo, pero debió de ser espectacular al estar construido totalmente en hierro forjado a excepción de puertas y suelos. Presumiblemente, de haber sobrevivido habría sido más o menos como vivir en el interior de un caldero. Por desgracia, a medida que el edificio empezó a tomar forma a orillas del Támesis, el rey empezó a perder la vista y el interés por las cosas que no podía acabar de ver claras; por otro lado, Wyatt nunca había sido un personaje muy de su agrado. De modo que, con la estructura a medio construir y con más de 100.000 libras gastadas, las obras se interrumpieron de manera repentina. La casa se mantuvo en pie como un cascarón inacabado durante unos veinte años hasta que un nuevo rey, Jorge IV, ordenó finalmente derribarla.
Beckford bombardeó a Wyatt con cartas llenas de indignación. « ¿Qué pútrida posada, qué taberna apestosa o qué burdel infestado de viruela esconde ahora sus canos y pegajosos miembros?», le preguntaba a menudo. El apodo que utilizaba para Wyatt era «bagazo» o proxeneta. Cualquier carta era una monótona arenga de rabia e inventivos insultos. Wyatt era, sin lugar a dudas, para volver loco a cualquiera. En una ocasión abandonó Fonthill con destino a Londres para, supuestamente, atender un asunto urgente, pero se detuvo sólo a cinco kilómetros de allí, en una más de las diversas propiedades de Beckford, donde tropezó con otro invitado borracho. Beckford los encontró una semana después, rodeados de botellas vacías e inconscientes.
El coste final de Fonthill se desconoce, pero en 1801 un observador informado sugería que Beckford había gastado ya 242.000 libras —cantidad suficiente como para construir dos Palacios de Cristal—, y eso que la obra no estaba ni siquiera a la mitad. Beckford se instaló en la abadía en el verano de 1807, sin que el edificio estuviese finalizado. No había ninguna comodidad. «Había que mantener encendidas continuamente sesenta chimeneas, invierno y verano, para que la casa estuviera seca, y ni que decir caliente», apunta Simon Thurley. La mayoría de los dormitorios parecían celdas monásticas; trece de ellos carecían de ventanas. La alcoba de Beckford era sorprendentemente austera y no había en ella más que una estrecha cama.
Wyatt seguía apareciendo de forma intermitente y enfurecía a Beckford con sus prolongadas ausencias. A primeros de septiembre de 1813, justo después de su treinta y siete cumpleaños, Wyatt volvía de Gloucestershire a Londres con un cliente cuando el carruaje en el que viajaban volcó y fue proyectado contra la pared, dándose un golpe mortal en la cabeza. Murió más o menos en el acto, dejando a su viuda sin un céntimo.
Justo en ese momento, los precios del azúcar empezaron a caer en picado y Beckford acabó expuesto incómodamente al lado malo del capitalismo. En 1823, estaba tan necesitado de fondos que se vio obligado a vender Fonthill. Fue adquirida por 300.000 libras por un personaje excéntrico, John Farquhar, que había nacido en la Escocia rural pero había viajado a la India de joven, donde había hecho fortuna fabricando pólvora. A su regreso a Inglaterra, en 1814, se había instalado en una elegante casa en Londres, en Portman Square, que desatendió de forma llamativa. También desatendió de forma llamativa su propia persona, hasta tal punto que en sus paseos por el barrio lo detenían e interrogaban a veces por considerarlo un vagabundo sospechoso. Después de adquirir Fonthill, apenas la visitó. Estaba, sin embargo, allí el día más espectacular de la breve existencia de Fonthill, justo antes de la Navidad de 1825, cuando la torre empezó a quejarse de manera continuada antes de derrumbarse por tercera y última vez. La ráfaga de aire que provocó la caída empujó a un criado casi diez metros por un pasillo, pero milagrosamente ni él ni nadie resultó herido. Una tercera parte de la casa quedó sepultada bajo los escombros de la torre, y nunca más volvería a ser habitable. Farquhar se mostró muy sereno ante su desgracia y se limitó a comentar que aquello simplificaba en gran manera las atenciones que precisaba el lugar. Murió al año siguiente, inmensamente rico pero intestado, y ninguno de los parientes en refriega se hizo cargo de la casa. Lo que quedaba de ella fue derribado y retirado poco después.
Beckford, mientras, cogió sus 300.000 libras y se retiró a Bath, donde construyó una torre de cuarenta y siete metros de altura con un contenido estilo clásico. Conocida como Lansdown Tower, fue erigida con buenos materiales y con gran prudencia, y sigue todavía en pie.
§. 2
Fonthill marcó el punto álgido no sólo de la ambición y el desatino en el terreno doméstico, sino también de la incomodidad. Había surgido una curiosa relación inversa, por lo que parece, entre la cantidad de esfuerzo y gasto consagrados a una casa y el grado en que ésta era realmente habitable. La gran época de la construcción de casas aportó nuevos niveles de elegancia y grandeza a la vida privada británica, pero casi nada en términos de delicadeza, calidez y comodidades.Estos atributos hogareños serían la creación de un nuevo tipo de persona que apenas existía una generación atrás: el profesional de clase media. Siempre había habido gente de categoría intermedia, claro está, pero como entidad diferenciada y fuerza identificable con la clase media fue un fenómeno del siglo XVIII. El término «clase media» no se acuñó hasta 1745 (en un libro sobre el comercio de lana irlandés, nada más y nada menos), pero a partir de ese momento las calles y las cafeterías de Gran Bretaña se llenaron de personas confiadas, locuaces y adineradas que respondían a esa descripción: banqueros, abogados, artistas, editores, diseñadores, comerciantes, promotores inmobiliarios y otros que en general hacían gala de un espíritu creativo y de ambición. Esta nueva y cada vez mayor clase media estaba al servicio no sólo de los muy ricos, sino también, de un modo incluso más lucrativo, de sí misma. Fue el cambio que dio origen al mundo moderno.
La invención de la clase media inyectó en la sociedad nuevos niveles de demanda. De pronto había en las ciudades enjambres de gente con espléndidas casas necesitadas de mobiliario y, de un modo igual de repentino, el mundo se llenaba de objetos deseables con los que abastecerlas. Alfombras, espejos, cortinas, mobiliario tapizado y bordado y un centenar de cosas más que rara vez se veían en los hogares antes de 1750 empezaron a ser ahora habituales.
El crecimiento del Imperio y de los intereses comerciales en ultramar tuvo un gran impacto, a menudo de la forma más inesperada. Tomemos como ejemplo la madera. Cuando Gran Bretaña era un país isleño aislado, disponía básicamente de un solo tipo de madera para fabricar sus muebles: el roble. La madera de roble es un material noble, duradero, literalmente tan duro como el hierro, pero en realidad es adecuado tan sólo para mobiliario denso y macizo: cajoneras, camas, mesas y similares. Pero el desarrollo de la Marina británica y la difusión de los intereses comerciales de Gran Bretaña se tradujeron en la disponibilidad de maderas de muchos tipos —nogal de Virginia, álamo blanco de las Carolinas, teca de Asia— que supusieron un cambio total en los hogares, incluyendo la forma de sentarse, conversar y entretenerse.
La madera más apreciada de todas era la caoba del Caribe. La caoba era una madera brillante, indeformable y sumamente dúctil. Podía tallarse y calarse con delicadas formas que encajaban a la perfección con la exuberancia del rococó, pero por otro lado era lo bastante fuerte como para poder convertirse en mueble. No se conocía otra madera que ofreciera las características de la caoba: de pronto los muebles alcanzaron una categoría escultórica. Los respaldos de las sillas —los espaldares— podían trabajarse de tal manera que dejaban anonadada a gente que en su vida había visto nada menos tosco que una silla Windsor. Las patas adquirían curvas ondulantes y tenían exquisitos pies; los brazos se extendían para rematarse con espirales y volutas a las que era un placer agarrarse y una delicia contemplar. De pronto, cualquier silla —y, de hecho, cualquier cosa del interior de la casa— se llenó de elegancia, estilo y fluidez.
La caoba nunca habría llegado a ser una madera tan apreciada de no haber existido otro nuevo material mágico, procedente del otro lado de la Tierra, que le otorgaba su acabado más espléndido: la laca. La laca es una secreción dura y resinosa del escarabajo de la laca de la India. Los escarabajos de la laca aparecen en enjambres en determinadas regiones de la India en ciertas épocas del año y sus secreciones producen un barniz inodoro, no tóxico, asombrosamente brillante y muy resistente a los arañazos y la decoloración. No atrae el polvo mientras está húmedo y se seca en cuestión de minutos. Incluso ahora, cuando la química reina por encima de todo, la laca posee montones de aplicaciones contra las que no pueden competir los productos sintéticos. Cuando vaya a la bolera, recuerde que es la laca lo que otorga a las pistas su incomparable brillo, por ejemplo.
Las nuevas maderas y barnices transformaron las formas que podían adoptar los muebles, pero era imprescindible algo más —un nuevo sistema de fabricación— para producir las grandes cantidades de muebles de calidad necesarias para satisfacer la interminable demanda. Mientras que los diseñadores tradicionales, como Robert Adam, realizaban un nuevo diseño para cada encargo, los ebanistas se dieron cuenta de que era mucho más efectivo a nivel de costes fabricar muchos muebles a partir de un único diseño. Y así empezaron a explotar un sistema de fabricación a gran escala, produciendo piezas cortadas a partir de moldes, ensamblándolas y acabándolas con la ayuda de un equipo de especialistas. Acababa de ver la luz la época de la fabricación en masa.
Resulta ciertamente irónico pensar que quienes más hicieron por instaurar las técnicas de fabricación en masa fueron aquéllos a quienes ahora más reverenciamos por su artesanía, y a nadie se aplica mejor esto que a un oscuro ebanista del norte de Inglaterra llamado Thomas Chippendale. Su influencia fue enorme. Fue el primer plebeyo que dio nombre a un estilo de mobiliario; antes de él, esos nombres recordaban fielmente a la monarquía: Tudor, isabelino, Luis XIV, reina Ana. Pero sabemos poquísimo acerca de él. No tenemos ni idea, por ejemplo, de qué aspecto tenía. Exceptuando que nació y se crió en la ciudad mercado de Otley, rozando los Yorkshire Dales, nada más se sabe de sus comienzos. Su primera aparición en un escrito data de 1748, cuando llega a Londres, ya con treinta años de edad, y se establece como un nuevo tipo de fabricante y proveedor de mobiliario para el hogar conocido como tapicero.
Era una idea ambiciosa, puesto que el negocio de los tapiceros era complicado y amplio. Uno de los de mayor éxito, George Seddon, tenía cuatrocientos empleados: tallistas, doradores, ensambladores, especialistas en espejos y latón, etc. Chippendale no operaba a esa escala, pero tenía a su cargo cuarenta o cincuenta hombres, y su local ocupaba dos fachadas en los números 60 y 62 de St. Martin’s Lane, en la esquina de lo que es ahora Trafalgar Square (que no existiría hasta ochenta años más tarde). Ofrecía además un servicio extremadamente completo, pues fabricaba y vendía sillas, mesas auxiliares, tocadores, escritorios, mesas de naipes, librerías, burós, espejos, cajas de reloj, candelabros, portavelas, atriles, lampadarios, cómodas y un exótico y novedoso armatoste al que puso el nombre de «sofá». Los sofás eran atrevidos, excitantes incluso, pues al parecer las camas insinuaban la idea de un descanso libidinoso. La empresa disponía también de papel pintado y alfombras y llevaba a cabo reparaciones, mudanzas e incluso funerales.
Thomas Chippendale fabricaba muebles estupendos, sin ningún género de dudas, pero lo mismo hacían muchos artesanos más. Sólo en St. Martin’s Lane había treinta ebanistas en el siglo XVIII, y los había asimismo a centenares repartidos por Londres y por todo el país. El motivo por el que conocemos hoy en día el nombre de Chippendale es porque en 1754 hizo algo bastante audaz. Publicó un libro con sus diseños que tituló The Gentleman and Cabinet-Maker’s Director, que incluía 160 láminas. Los arquitectos llevaban casi doscientos años haciendo este tipo de cosas, pero a nadie se le había ocurrido la idea de hacerlo con piezas de mobiliario. Los dibujos resultaron inesperadamente seductores. En lugar de ser plantillas planas y bidimensionales, como era lo habitual, se trataba de dibujos con perspectiva, sombras y brillos. El potencial comprador podía de inmediato visualizar cómo quedarían en su casa aquellos atractivos y deseables objetos. Sería engañoso afirmar que el libro de Chippendale fue una sensación, pues sólo se vendieron 308 ejemplares, pero entre sus compradores había cuarenta y nueve miembros de la aristocracia, lo que lo convirtió en un volumen desproporcionadamente influyente. Tampoco lo dejaron escapar otros ebanistas y artesanos, lo que destaca otra peculiaridad: que Chippendale invitó abiertamente a sus competidores a utilizar sus dibujos con fines comerciales. Esto sirvió para garantizar que Chippendale pasara a la posteridad, pero no colaboró mucho en su fortuna inmediata, pues los clientes potenciales podían conseguir muebles Chippendale a través de cualquier ebanista razonablemente habilidoso que los ofreciera a precios más baratos. Significó también dos siglos de dificultades para los historiadores del mueble, siempre tratando de determinar qué piezas son Chippendale auténticas y cuáles son copias realizadas a partir de su libro. Y que una determinada pieza sea un mueble Chippendale «auténtico» no significa que Thomas Chippendale le pusiera alguna vez la mano encima o conociera siquiera su existencia. Tampoco implica necesariamente que él la diseñara. Nadie sabe cuánto talento aportó en realidad, o si los dibujos de sus libros están en verdad hechos por él. Un mueble Chippendale auténtico significa simplemente que la pieza salió de su taller.
Pero tal es el aura de Chippendale que los muebles ni siquiera tienen que haber estado cerca de él. En 1756, en el Boston colonial, un ebanista llamado John Welch, utilizando los dibujos de Chippendale a modo de guía, realizó un escritorio de caoba que vendió a un hombre apellidado Dublois. El escritorio siguió con la familia Dublois durante doscientos cincuenta años. En 2007 lo sacaron a subasta en la sede neoyorquina de Sotheby’s. Y a pesar de que Thomas Chippendale jamás tuvo una relación directa con el mueble, se vendió por casi 3, 3 millones de dólares.
Inspirados por el éxito de Chippendale, otros ebanistas ingleses publicaron más libros de dibujos. Cabinet-Maker and Upholsterer’s Guide, de George Hepplewhite, fue publicado en 1788, y Thomas Sheraton le siguió con Cabinet-Maker and Upholsterer’s Drawing-Book, publicado por entregas entre 1791 y 1794. El libro de Sheraton tuvo el doble de suscriptores que el de Chippendale y fue traducido al alemán, una distinción de la que no gozó el volumen de Chippendale. Hepplewhite y Sheraton se hicieron muy populares en Estados Unidos.
Aunque cualquier pieza de mobiliario directamente asociada con cualquiera de los tres vale hoy en día una fortuna, fueron más bien admiradas que celebradas en vida de sus autores, y en ocasiones ni siquiera admiradas. La fortuna pasó por alto a Chippendale desde un principio. Era un ebanista sobresaliente, pero inútil para dirigir un negocio, una deficiencia que se hizo mucho más evidente después del fallecimiento de su socio, James Rannie, en 1766. Rannie era el cerebro de la operación y, sin él, Chippendale fue dando bandazos de crisis en crisis durante el resto de su vida. Un hecho dolorosamente irónico, ya que mientras luchaba para poder pagar a sus empleados y mantenerse alejado de la cárcel por sus deudas, Chippendale producía objetos de enorme calidad para algunas de las casas más ricas de Inglaterra y trabajaba estrechamente con los más destacados arquitectos y diseñadores: Robert Adam, James Wyatt, sir William Chambers, entre otros. Pero su trayectoria personal siguió cayendo implacablemente en picado.
No era un momento fácil para hacer negocios. Los clientes se retrasaban por costumbre en sus pagos. Chippendale tuvo que amenazar a David Garrick, el actor y empresario, con emprender acciones legales para cobrar sus facturas impagadas de forma crónica, y tuvo que dejar de trabajar en Nostell Priory, una mansión de Yorkshire, cuando la deuda contraída ascendió a 6.838 libras, un pasivo descomunal. «No tengo ni una guinea para pagar mañana a mis hombres», escribió con desesperación en un momento dado. Queda claro que Chippendale pasó gran parte de su vida al borde de la ansiedad, sin apenas tiempo para disfrutar de la mínima sensación de seguridad. En el momento de su fallecimiento en 1779, su fortuna personal había caído a unas tristes 28 libras, 2 chelines y 9 peniques, una cantidad insuficiente para comprar ni siquiera una modesta pieza de oro molido de su propia exposición. La empresa siguió adelante con esfuerzo bajo la batuta de su hijo, pero acabó declarándose en quiebra en 1804.
Cuando Chippendale murió, el mundo apenas se enteró de ello. No hubo esquelas en los periódicos. Catorce años después de su muerte, Sheraton comentó por escrito los diseños de Chippendale diciendo que «ahora están del todo anticuados y se han dejado de lado». A finales de la primera década del siglo XIX, su reputación había caído tan bajo que la primera edición del Dictionary of National Biography le concedió un único párrafo —mucho menos que lo dedicado a Sheraton o Hepplewhite—, con contenido en su mayoría crítico y en buena parte erróneo. El autor prestó tan poca atención a los detalles de la vida de Chippendale que situó su origen en Worcestershire, no en Yorkshire.
Sheraton (1751-1806) y Hepplewhite (1727?-1786) tampoco es que pudieran jactarse de magníficos éxitos. El taller de Hepplewhite estaba en un barrio venido a menos, Cripplegate, y su identidad era tan oscura que sus contemporáneos se referían a él con nombres como Kepplewhite o Hebblethwaite. Casi nada se sabe de su vida personal. Es muy posible que llevara muerto ya dos años cuando su libro de dibujos vio la luz. El destino de Sheraton fue más curioso si cabe. Es como si nunca llegara a abrir un taller, pues no se ha encontrado nunca ni un solo mueble atribuible a él. Tal vez nunca fabricara ninguno y actuara meramente como delineante y diseñador. A pesar de que su libro se vendió bien, no le sirvió para enriquecerse, pues tenía que suplementar sus ingresos dando clases de dibujo y perspectiva. En un determinado momento, abandonó el diseño de muebles y se formó como ministro de una secta contestataria conocida como los baptistas restringidos, y acabó convertido en un predicador callejero. Murió en Londres en 1806, sumido en la miseria, «entre porquería y bichos», dejando esposa y dos hijos.
Como ebanistas, Chippendale y sus contemporáneos fueron unos maestros, sin duda alguna, pero disfrutaron de una ventaja especial que nunca pudo ser igualada: la mejor madera para muebles que haya existido jamás, una especie de caoba llamada Swietenia mahogani. Exclusiva de ciertas partes de Cuba y de La Española (la isla que hoy comparten Haití y la República Dominicana), en el Caribe, la Swietenia mahogani no tiene parangón en cuanto a riqueza, elegancia y utilidad. Tan enorme fue la demanda que la madera se agotó, quedando irremediablemente extinguida a los cincuenta años de su descubrimiento. En el mundo existen unas doscientas especies adicionales de caoba, y en su mayoría son maderas estupendas, pero carecen de la riqueza y la maleabilidad de la desaparecida S. mahogani. Tal vez el mundo dé algún día ebanistas mejores que Chippendale y sus colegas, pero nunca producirá sillas mejores.
Curiosamente, nadie valoró todo esto durante mucho tiempo. Muchas sillas y otras piezas Chippendale, consideradas en la actualidad de un valor incalculable, pasaron un siglo o más tiempo incluso tiradas de cualquier manera en las dependencias de los criados antes de ser redescubiertas en la época eduardiana y devueltas a la parte principal de la casa. Otras, dejadas en herencia o vendidas junto con las casas a las que pertenecían, pudieron muy fácilmente permanecer ignoradas en cualquier casita de campo o segunda residencia, aun siendo mucho más valiosas que las casas donde se ubicaban.
§. 3
Si pudiéramos volver atrás en el tiempo y entrar en una casa de la época de Chippendale, una de las diferencias que de inmediato nos chocaría más sería que las sillas y otros muebles estarían apoyados contra la pared, proporcionando a cualquier estancia el aspecto de una sala de espera. Colocar las mesas o sillas en el centro de una habitación habría parecido algo fuera de lugar a los ojos de los georgianos, igual que hoy nos lo parecería a nosotros un armario allí en medio. (Una de las razones por las que acercaban el mobiliario a las paredes era para poder caminar a oscuras sin tropezar con nada). Al estar apoyados en la pared, los respaldos de las primeras sillas y asientos tapizados solían dejarse inacabados, igual que hacemos hoy en día con la parte trasera de cajoneras y armarios.Cuando había visitas, se solía adelantar el número necesario de sillas y disponerlas en círculo o semicírculo, como en la hora del cuento en la escuela primaria. Esto tenía el efecto inevitable de que todas las conversaciones fueran tensas y artificiales. Horace Walpole, después de permanecer sentado cuatro horas y media en un agonizante círculo de necia conversación, declaró: «Agotamos el Viento y el Tiempo, la Ópera y la Comedia […] y cualquier otro tema que pudiera tener cabida en un círculo formal». Pero aun así, cuando los anfitriones más osados intentaban introducir cierta espontaneidad disponiendo las sillas en grupos más íntimos de tres o cuatro personas, muchos tenían la sensación de que el resultado era equivalente a un pandemonio y la mayoría no lograba acostumbrarse a la idea de que hubiera otros conversando a sus espaldas.
El principal problema de las sillas de la época es que no eran precisamente confortables. La solución evidente era acolcharlas, pero la idea resultó más difícil de lo imaginado porque muy pocos artesanos poseían las habilidades necesarias para fabricar una buena silla acolchada. Los industriales se peleaban por conseguir bordes cuadrados en los que el tejido quedara debidamente unido a la madera —los ribetes y cordoncillos se introdujeron en un principio como una manera de camuflar esas imperfecciones—, y con frecuencia andaban perdidos en cuanto a producir un acolchado que mantuviera una forma curva permanentemente sobre el asiento. Sólo los guarnicioneros eran capaces de ofrecer de un modo fiable la durabilidad requerida, razón por la cual la mayoría de los primeros muebles tapizados lo estaban en cuero. Los tapiceros textiles se enfrentaban además al problema de que muchos tejidos anteriores a la era industrial sólo podían fabricarse con anchos no superiores a medio metro, generando con ello la necesidad de colocar costuras en lugares poco elegantes. Sólo después de la invención de la lanzadera volante por parte de John Kay en 1733, se hizo posible fabricar tejidos de anchuras cercanas al metro.
Las mejoras en las tecnologías textiles y de estampación transformaron las posibilidades decorativas más allá del mobiliario. Esta época fue testigo de la introducción generalizada de las alfombras, los papeles pintados y los tejidos vistosos. Apareció también la pintura con una amplia gama de colores. El resultado de todo ello es que a finales del siglo XVIII las casas estaban llenas de rasgos que habrían supuesto auténticos lujos sólo un siglo antes. La casa moderna —una casa que podríamos reconocer hoy en día— empezaba a emerger. Por fin, unos mil cuatrocientos años después de que los romanos se retiraran, llevándose con ellos los baños calientes, los sofás acolchados y la calefacción central, los británicos redescubrieron la novedosa condición de vivir sociablemente ubicados. Seguían sin dominar del todo el confort, pero habían descubierto un concepto atractivo. La vida, y las expectativas que la acompañaban, nunca volverían a ser las mismas.
Pero todo esto tuvo una consecuencia. La llegada del confort al hogar, y en particular el uso generalizado de una decoración interior más cálida, hizo el mobiliario mucho más vulnerable a manchas, quemaduras y otros malos usos. En un esfuerzo por salvar el mobiliario más valioso de los peores riesgos, se creó un nuevo tipo de habitación, y es allí adonde, oportunamente, nos dirigiremos a continuación.
§. I
En la época en que el señor Marsham decidió construir su casa, habría sido impensable para un hombre de su posición no disponer de un comedor formal donde recibir a las visitas, pero hasta qué punto tenía que ser formal y hasta qué punto tenía que ser espacioso, y si debía situarse en la parte anterior o posterior de la casa, son cuestiones que debieron de exigir cierta reflexión, pues los comedores eran aún lo bastante novedosos como para que sus dimensiones y su localización no se dieran por sentadas. Al final, como hemos visto, el señor Marsham decidió eliminar el hall de los criados propuesto en el plano original y regalarse un comedor de nueve metros de largo, lo bastante grande como para acomodar a dieciocho o veinte invitados, una cifra considerable para un párroco rural. Y aunque recibiera visitas a menudo, como todo parece indicar, debió de ser una estancia solitaria las noches en que cenaba solo. Aunque, como mínimo, la vista hacia el camposanto resultaba agradable.No sabemos casi nada sobre cómo utilizó esta habitación el señor Marsham, y no sólo porque sabemos muy poco sobre él, sino también porque sabemos sorprendentemente poco sobre determinados aspectos de los comedores. Es probable que en el centro de la mesa se colocara un objeto de costosa elegancia conocido como centro de mesa o frutero, consistente en diversos platos conectados entre sí mediante ramas decorativas, cada plato con una distinta selección de fruta y frutos secos. Durante cerca de un siglo, ninguna mesa que se preciara prescindiría de su centro de mesa. Nadie conoce el origen de la palabra en inglés, epergne; tampoco existe en francés. Es como si de pronto hubiera surgido de la nada.
Sobre la mesa de comedor del señor Marsham, es muy posible que hubiera también vinagreras —elegantes rejillas, normalmente de plata, para albergar condimentos—, un detalle que supone un nuevo misterio. Las vinagreras tradicionales venían con dos botellitas de cristal con tapón, para el aceite y el vinagre, y tres frasquitos a juego, es decir, recipientes con la parte superior con unos orificios a través de los cuales poder espolvorear los alimentos con diversos condimentos. Dos de esos frasquitos contenían sal y pimienta, pero se desconoce el contenido del tercer frasquito. Se supone normalmente que era mostaza en polvo, pero la verdad es que se ha llegado a esta conclusión porque a nadie se le ha ocurrido otra cosa más probable. «Nunca se ha sugerido una alternativa más satisfactoria», según lo expresa el historiador especialista en alimentación Gerard Brett. De hecho, no existen evidencias que sugieran que en algún momento de la historia los comensales usaran o desearan disponer de ese tipo de mostaza. Seguramente por este motivo, en los tiempos del señor Marsham, el tercer frasquito empezó a desaparecer rápidamente de las mesas, igual que las vinagreras en sí. Los condimentos variaban cada vez más según las comidas y algunos de ellos empezaron a asociarse con determinados platos: la salsa de menta con el cordero, la mostaza con el jamón, el rábano picante con la carne de buey, etcétera. En la cocina empezaron a utilizarse montones de aderezos. Pero únicamente dos de ellos fueron considerados tan importantes que nunca llegaron a abandonar la mesa. Me refiero, claro está, a la sal y la pimienta.
Por qué precisamente estos dos, de entre cientos de especias y aderezos disponibles, han gozado de una veneración tan duradera era una de las preguntas con las que iniciábamos este libro. La respuesta es complicada, y dramática. Y puedo asegurarle aquí mismo que ningún otro objeto que pueda tocar hoy en día estará vinculado a más derramamiento de sangre, sufrimiento y dolor que esa inofensiva pareja de gemelos que constituyen el salero y el pimentero.
Empecemos por la sal. La sal forma parte imprescindible de nuestra dieta por un motivo muy fundamental. La necesitamos. Sin ella estaríamos muertos. Es una de las cuarenta minúsculas partículas de material secundario —minucias del universo químico— que debemos incorporar a nuestro organismo para tener la energía y el equilibrio necesarios para continuar con nuestra vida diaria. Es lo que en conjunto se conoce como vitaminas y minerales, y hay muchísimas cosas que no conocemos de ellas —una cantidad sorprendente—, incluyendo cuántas necesitamos, qué es lo que hacen exactamente algunas de ellas y en qué cantidades debemos consumirlas para obtener resultados óptimos.
Que fueran necesarias fue un concepto que se tardó sorprendentemente mucho en asimilar. Hasta bien entrado el siglo XIX, nadie se había planteado el concepto de dieta equilibrada. Se creía que cualquier comida contenía una única, vaga y sustentante sustancia: «El alimento universal». Medio kilo de ternera tenía el mismo valor para el organismo que medio kilo de manzanas o de chirivías o de cualquier otra cosa, y todo lo que se requería del ser humano era que se asegurara de consumir la cantidad suficiente. Nadie se había planteado aún la idea de que determinados alimentos llevaban integrados elementos vitales y básicos para el bienestar del ser humano. Y no es de extrañar, ya que los síntomas de la deficiencia alimenticia —apatía, dolor en las articulaciones, propensión a sufrir infecciones, visión borrosa— rara vez sugieren un desequilibrio alimentario. Incluso hoy, cuando se nos empieza a caer el pelo o se nos hinchan los tobillos de manera alarmante, pocas veces pensamos en lo que hemos estado comiendo últimamente. Y mucho menos pensamos en lo que no hemos comido. Y eso es lo que les sucedía a los desconcertados europeos que, durante mucho tiempo, murieron a menudo en cantidades alarmantes y sin saber por qué.
Se ha sugerido que, sólo de escorbuto, murieron entre 1500 y 1850 hasta dos millones de marineros. Normalmente, en una travesía larga, acababa con la vida de la mitad de la tripulación. Se probaron diversos y desesperados recursos. Vasco de Gama, en una expedición de ida y vuelta a la India, animó a sus hombres a aclararse la boca con orina, una solución que no hizo nada para mejorar su escorbuto y mucho menos para levantar sus ánimos. A veces, el número de víctimas mortales era realmente sorprendente. En un viaje de tres años durante la década de 1740, una expedición naval británica bajo el mando del comodoro George Anson perdió a mil cuatrocientos hombres de los dos mil que partieron. Cuatro murieron víctimas del enemigo; el resto murió en su práctica totalidad como consecuencia del escorbuto.
Con el tiempo la gente se dio cuenta de que los marineros con escorbuto solían recuperarse al llegar a puerto y comer alimentos frescos, pero nadie se ponía de acuerdo sobre qué cosa de esos alimentos era lo que los ayudaba. Había quien pensaba que no tenía nada que ver con la comida, sino con el cambio de aires. En cualquier caso, era imposible conservar alimentos frescos durante las travesías prolongadas, por lo que identificar verduras y productos eficaces tampoco tenía sentido. Lo que se necesitaba era algún tipo de esencia destilada —un antiescorbútico, como lo denominaron los médicos— que fuera efectiva contra el escorbuto y además transportable. En la década de 1760, un médico escocés llamado William Stark, animado por Benjamin Franklin, llevó a cabo una serie de intrépidos experimentos con los que intentó identificar el agente activo privándose de él mediante métodos bastante estrambóticos. Pasó semanas viviendo tan sólo de los alimentos más básicos —pan y agua, principalmente— para ver qué ocurría. Y lo que ocurrió fue que en cuestión de seis meses acabó matándose, de escorbuto, sin haber llegado a ninguna conclusión útil. Más o menos hacia esa misma época, James Lind, un cirujano naval, llevó a cabo un experimento más riguroso y científico (y menos arriesgado a nivel personal) con doce marineros que padecían ya el escorbuto y a los que dividió por parejas. A cada pareja le administró un presunto elixir diferente: vinagre a una, ajo y mostaza a otra, naranjas y limones a una tercera, y así sucesivamente. Cinco de los grupos no mostraron ninguna mejoría, pero la pareja que consumió naranjas y limones se recuperó de manera rápida y completa. Sorprendentemente, Lind decidió ignorar la importancia del resultado y se aferró con terquedad a su creencia personal de que el escorbuto estaba provocado por alimentos mal digeridos que acumulaban toxinas en el organismo.
Quedó en manos del gran capitán Cook encauzar las cosas. Para la vuelta al mundo que realizó entre 1768 y 1771, cargó con diversos antiescorbúticos para experimentar con ellos, incluyendo 135 litros de mermelada de manzana y 45 kilos de chucrut para cada miembro de la tripulación. Ni una sola persona murió de escorbuto durante el viaje, un milagro que lo convirtió en héroe nacional tanto como su descubrimiento de Australia o cualquier otro de sus muchos logros de carácter épico. La Royal Society, la principal institución científica de Gran Bretaña, se quedó tan impresionada que lo galardonó con la medalla Copley, su más alta distinción. Pero por desgracia, la Armada británica no actuó a la misma velocidad. A pesar de las muchas evidencias, se anduvo con evasivas durante una generación más antes de empezar finalmente a administrar zumo de limón de un modo rutinario a todos los marineros [34] .
La comprensión de que una dieta inadecuada era la causa no sólo del escorbuto, sino de un amplio abanico de enfermedades comunes, llegó de manera muy lenta. No fue hasta 1897 cuando un médico holandés llamado Christiaan Eijkman, que trabajaba en Java, se dio cuenta de que la gente que comía arroz integral no enfermaba de beriberi, una enfermedad nerviosa debilitante, mientras que los que comían arroz blanco la contraían con frecuencia. Era evidente que alguna cosa estaba presente en determinados alimentos y ausente en otros, y que esa cosa era determinante para el bienestar. Fue el principio de la noción de «enfermedad deficitaria», nombre con el que se dio a conocer, y que le proporcionó el Premio Nobel de Medicina aun sin tener ni idea de cuáles eran esos agentes activos.
Pero el verdadero avance llegó en 1912, cuando Casimir Funk, un bioquímico polaco que trabajaba en el Lister Institute de Londres, aisló la tiamina, o vitamina B1, como se la conoce generalmente en la actualidad. Al darse cuenta de que formaba parte de una familia de moléculas, combinó los términos «vital» y «aminas» a fin de crear una nueva palabra: «vitaminas». Aunque Funk estaba en lo cierto en lo que a la parte vital se refiere, resultó que sólo algunas de las vitaminas son aminas (es decir, portadoras de nitrógeno), por lo que el nombre se cambió en inglés a vitamins, para hacerlo «menos enfáticamente impreciso», según una bella frase de Anthony Smith.
Funk aseveró también que existía una correlación directa entre la deficiencia de unas aminas específicas y la aparición de determinadas enfermedades, como el escorbuto, la pelagra y el raquitismo en particular. Era una idea de envergadura y con el potencial de poder salvar millones de vidas afectadas, pero por desgracia nadie le prestó atención. El manual médico más importante de la época seguía insistiendo en que el escorbuto estaba provocado por diversos factores —«ambiente insalubre, trabajo excesivo, depresión mental y exposición al frío y la humedad» eran los principales que sus autores creyeron oportuno mencionar— y sólo de forma marginal por una deficiencia alimenticia. Peor aún, en 1917 el nutricionista más importante de Estados Unidos, E. V. McCollum, de la Universidad de Wisconsin —el hombre que acuñó los términos vitaminas A y B—, declaró que el escorbuto no era, de hecho, una enfermedad provocada por una deficiencia alimenticia, sino consecuencia del estreñimiento.
Finalmente, en 1939, un cirujano de la Harvard Medical School llamado John Crandon decidió solucionar la situación de una vez por todas mediante el ancestral método de retirar la vitamina C de su dieta todo el tiempo necesario hasta caer verdaderamente enfermo. Y le llevó mucho tiempo. Durante las primeras dieciocho semanas su único síntoma fue una fatiga extrema. (Hay que destacar que siguió operando a pacientes durante este periodo). Pero a la semana diecinueve sufrió un repentino vuelco y fue a peor, hasta tal punto que podría haber muerto de no haber estado bajo estricta supervisión médica. Le inyectaron 1.000 miligramos de vitamina C y volvió a la vida casi al momento. Lo que resulta interesante es que nunca mostrara ninguno de los síntomas que suelen asociarse al escorbuto: caída de piezas dentales y sangrado de encías.
Mientras, resultó que las vitaminas de Funk no eran ni mucho menos un grupo tan coherente como se pensaba de entrada. Resultó que la vitamina B no era una sola vitamina, sino varias, razón por la cual tenemos las vitaminas B 1, B2, etc. Y para complicar aún más las cosas, la vitamina K no tiene nada que ver con la secuencia alfabética. Se llama K porque su descubridor, un danés llamado Henrik Dam, la denominó Koagulations vitamin por el papel que desempeña en la coagulación de la sangre. Posteriormente, se sumó el ácido fólico al grupo. Se le llama a veces vitamina B9, pero con más frecuencia simplemente ácido fólico. Existen dos vitaminas —el ácido pantoténico y la biotina— que no tienen número ni, de hecho, mucha relevancia, aunque ello se debe en gran parte a que nunca nos causan problemas. No se ha descubierto todavía un ser humano con cantidades insuficientes de ninguna de las dos.
Las vitaminas son, en resumen, un manojo desordenado. Resulta casi imposible definirlas de un modo que las abarque holgadamente a todas ellas. La definición habitual en los libros de texto es que una vitamina es «una molécula orgánica no fabricada por el cuerpo humano y que se necesita en pequeñas cantidades para mantener un metabolismo normal» pero, de hecho, la vitamina K la producen en el organismo las bacterias de los intestinos. La vitamina D, una de las sustancias más vitales, es en realidad una hormona, y en su mayoría la obtenemos no a partir de la dieta, sino a partir de la mágica acción de la luz del sol sobre la piel.
Las vitaminas son cosas curiosas. Resulta extraño, para empezar, que no podamos producirlas nosotros mismos siendo como somos tan dependientes de ellas para nuestro bienestar. Si una patata es capaz de producir vitamina C, ¿por qué no podemos hacerlo nosotros? En el reino animal, sólo el ser humano y los conejillos de indias son incapaces de sintetizar la vitamina C en su organismo. ¿Por qué nosotros y los conejillos de indias? No tiene sentido preguntárselo. Nadie lo sabe. El otro hecho destacable sobre las vitaminas es la chocante desproporción que existe entre la dosis y el efecto. Dicho de una forma muy sencilla, necesitamos mucho a las vitaminas, pero no las necesitamos en grandes cantidades. Distribuidos con sutileza pero de manera uniforme, 85 gramos de vitamina A servirán para tenernos en marcha durante toda la vida. Nuestras necesidades de vitamina B1 son inferiores si cabe, 28 gramos para setenta u ochenta años. Pero si intentamos salir adelante sin estas cantidades minúsculas de energía, tardaremos muy poco en caer destrozados.
Las mismas consideraciones se aplican a las partículas compañeras de las vitaminas: los minerales. La diferencia fundamental entre vitaminas y minerales es que las vitaminas provienen del mundo de los organismos vivos —de las plantas, las bacterias, etc.—, mientras que los minerales no. En un contexto alimenticio, «minerales» no es más que otro término utilizado para denominar a los elementos químicos —calcio, hierro, yodo, potasio y otros— que nos sustentan. En nuestro planeta existen noventa y dos elementos naturales, aunque algunos están presentes únicamente en cantidades minúsculas. El francio, por ejemplo, es tan raro que se cree que todo el planeta podría contener en un momento determinado tan sólo veinte átomos del mismo. En cuanto al resto de minerales, la mayoría pasan por nuestro cuerpo en un momento u otro, a veces con cierta regularidad, aunque si son importantes o no es algo que con frecuencia desconocemos. Tenemos mucho bromo repartido por nuestros tejidos. Se comporta como si estuviera allí con algún propósito, pero nadie ha logrado averiguar todavía cuál podría ser. Si elimináramos el zinc de nuestra dieta, sufriríamos una dolencia conocida como hipogeusia, en la que las papilas gustativas dejan de funcionar y la comida acaba resultando insulsa, repulsiva incluso, aunque hasta una fecha tan reciente como 1977 se creía que el zinc no desempeñaba ningún papel en nuestra dieta.
Varios elementos, como el mercurio, el talio y el plomo, por lo que se ve no nos hacen ningún bien y son con toda seguridad nocivos en el caso de consumirse en exceso [35] . Otros son asimismo innecesarios pero mucho más benignos, y entre ellos destaca el oro. Por eso el oro puede utilizarse como empaste dental: no nos hace ningún daño. En cuanto al resto, se sabe o se piensa, según Essentials of Medical Geology, que aproximadamente unos veintidós elementos son de extrema importancia vital. Estamos seguros con respecto a dieciséis de ellos; de los otros seis pensamos simplemente que son vitales. La nutrición es una ciencia muy inexacta. Tomemos como ejemplo el magnesio, que es necesario para la buena gestión de las proteínas en el interior de las células. El magnesio es un mineral que abunda en las judías, los cereales y las verduras de hoja verde, pero el tratamiento moderno de los alimentos reduce su contenido en magnesio hasta un 90 %, lo aniquila, de hecho. En consecuencia, la mayoría no lo consume ni mucho menos en la cantidad diaria recomendada, aunque nadie sepa muy bien cuál tendría que ser dicha cantidad. Tampoco nadie es capaz de concretar cuáles serían las consecuencias de una deficiencia de magnesio. Tal vez signifique unos años menos de vida, o unos cuantos puntos menos de cociente intelectual, o la pérdida de la memoria, o prácticamente cualquier cosa mala que usted quiera sugerir. No lo sabemos, y ya está. El arsénico resulta igual de incierto. Es evidente que si consumimos un exceso del mismo, desearíamos al instante no haberlo hecho. Pero todos incorporamos un poco de arsénico en nuestra dieta, y algunas autoridades están absolutamente seguras de que es vital para nuestro bienestar en esas minúsculas cantidades. Otros no lo están tanto.
Lo que nos devuelve, después de haber dado un gran rodeo, a la sal. De todos los minerales, el más vital en términos alimenticios es el sodio, que consumimos básicamente en forma de cloruro sódico: sal de mesa [36] . Aquí el problema no está en consumir demasiado poco, sino en consumirla en exceso. No necesitamos mucha sal —unos 200 miligramos al día, más o menos lo que se obtiene sacudiendo con fuerza el salero entre seis y ocho veces—, pero ingerimos de media unas sesenta veces esa cantidad. En una dieta normal resulta casi imposible no hacerlo debido a la cantidad de sal que incorporan los alimentos preparados que comemos con voraz devoción. Muchas veces, alimentos que aparentemente no tienen sal —cereales para el desayuno, sopas preparadas y helados, por ejemplo—, la llevan a montones. ¿Quién se imaginaría que treinta gramos de copos de maíz contienen más sal que treinta gramos de cacahuetes salados? ¿O que el contenido de una lata de sopa —de prácticamente cualquier lata— excede de forma considerable la cantidad diaria recomendada de sal para un adulto?
Los restos arqueológicos muestran que cuando la gente empezó a asentarse en comunidades agrícolas, empezó a sufrir deficiencias de sal —algo que nunca antes había experimentado— y tuvo que esforzarse por encontrar sal e incorporarla a la dieta. Uno de los misterios de la historia es cómo sabían que la necesitaban, ya que la ausencia de sal en la dieta no despierta ningún tipo de antojo. Te hace sentir mal y acaba matándote —sin el cloruro de la sal, las células se apagan, como un motor sin combustible—, pero en ningún momento un ser humano se pararía a pensar: «Caramba, seguro que con un poco de sal saldría adelante». En consecuencia, nos enfrentamos a la interesante pregunta de cómo sabían lo que andaban buscando, sobre todo cuando en ciertos lugares conseguir la sal requería cierto ingenio. Los antiguos británicos, por ejemplo, calentaban palos en la playa y luego los sumergían en el mar y rascaban la sal que quedaba adherida en ellos. Los aztecas, por su lado, conseguían la sal a partir de la evaporación de su propia orina. No son acciones intuitivas, por decirlo de un modo suave. Pero incorporar sal a la dieta es uno de los impulsos más intensos de la naturaleza y es, además, universal. Cualquier sociedad del mundo en la que la sal está fácilmente disponible consume, como media, cuarenta veces la cantidad necesaria para vivir. No nos cansamos de ella.
La sal es ahora tan omnipresente y barata que olvidamos hasta qué punto llegó a ser deseable y cómo, durante mucho tiempo, empujó al hombre hasta los confines del mundo. La sal era necesaria para conservar las carnes y otros alimentos, y por eso se requería a menudo en grandes cantidades: en 1513, Enrique VIII hizo sacrificar y conservar en sal veinticinco mil bueyes para una campaña militar. La sal era, por lo tanto, un recurso tremendamente estratégico. En la Edad Media, caravanas de hasta cuarenta mil camellos —la cantidad suficiente como para formar una fila de 115 kilómetros— transportaban sal desde Tombuctú, a través del Sáhara, hacia los animados mercados del Mediterráneo.
Se han librado guerras por la posesión de la sal y se ha traficado con esclavos por ella. La sal, por lo tanto, ha provocado mucho sufrimiento. Pero eso no es nada en comparación con las penurias, el derramamiento de sangre y la avaricia asesina que se asocian con diversos manjares insignificantes que no necesitamos para nada y sin los que podríamos vivir perfectamente. Me refiero a los complementos de la sal en el mundo de los condimentos: las especias [37] . Nadie moriría sin ellas, pero muchos han muerto por ellas.
Gran parte de la historia del mundo moderno es la historia de las especias, y la historia se inicia con un tipo de viña, de aspecto poco atractivo, que en su día crecía única y exclusivamente en la costa malaya al este de la India. Se trata de la Piper nigrum. Si la observáramos en su estado natural, a buen seguro dudaríamos de adivinar su importancia, pero es el origen de las tres «auténticas» pimientas: la blanca, la negra y la verde. Esos granitos duros de pimienta que echamos en los molinillos que solemos tener en casa, son en realidad el diminuto fruto de esa viña secado para que adopte un tacto arenoso. La diferencia entre las variedades está en función simplemente del momento en que se recogen y el procesado que sufren.
La pimienta había sido valorada en su territorio de origen desde tiempos inmemoriales, pero fueron los romanos los que la convirtieron en un producto internacional. Los romanos adoraban la pimienta. La echaban incluso a sus postres. El amor que sentían por ella sirvió para mantener su precio elevado y para otorgarle un valor imperecedero. Los comerciantes de especias del Lejano Oriente no podían creerse la suerte que habían tenido. «Llegan con oro y se marchan con pimienta», comentó maravillado un mercader tamil. Para su banquete de bodas, que tuvo lugar en 1468, el duque Carlos de Borgoña solicitó 172 kilos de pimienta negra —una cantidad que supera con creces la que podría emplearse en el mayor banquete de bodas— y los exhibió de manera llamativa para que todo el mundo comprobase lo fabulosamente rico que era.
Dicho sea de paso, la idea que durante tanto tiempo ha prevalecido de que las especias se utilizaban para camuflar los alimentos en mal estado no ha sido muy analizada. Los únicos que podían permitirse la mayoría de las especias eran justo aquéllos con menor probabilidad de consumir carne en mal estado y, de todas maneras, las especias eran demasiado caras como para desperdiciarlas para camuflar otros sabores. En consecuencia, cuando se utilizaban especias, se hacía con cuidado y frugalidad, y nunca a modo de sabroso camuflaje.
En volumen, la pimienta equivalía a un 70 % del comercio de las especias —nuez moscada y macis, canela, jengibre, clavo y cúrcuma, además de diversos productos exóticos que han caído en el olvido como el cálamo, el asafétida, el ajowan, el galangal y la cedoaria—, pero pronto otras mercancías de tierras lejanas empezaron a abrirse paso en Europa y acabaron siendo incluso más valiosas. Durante siglos, las especias no fueron sólo el manjar más apreciado del mundo, sino también la mercancía más valiosa que existía. Las islas de las Especias, escondidas en el Lejano Oriente, eran tan deseables, prestigiosas y exóticas que cuando Jacobo I se hizo con los dos pequeños islotes, fue un golpe tan importante que se puso como título «rey de Inglaterra, Escocia, Irlanda, Francia, Puloway y Puloroon».
La nuez moscada y la macis eran las más valiosas debido a su extrema rareza [38] . Ambas se obtenían a partir del mismo árbol, el Myristica fragrans, que se encontraba en las laderas más bajas de sólo nueve pequeñas y escarpadas islas volcánicas del mar de las Molucas, entre un montón de islas más —ninguna de ellas con el suelo y el microclima adecuado para que creciera allí el árbol de la nuez moscada— situadas entre Borneo y Nueva Guinea, en lo que hoy es Indonesia. El clavo, el capullo seco de un tipo concreto de arrayán, crecía en seis islas igualmente selectivas unos 330 kilómetros al norte, en el mismo archipiélago, lo que se conoce geográficamente como las Molucas y en la historia como las islas de las Especias. Para poner la situación en perspectiva, el archipiélago indonesio consta de dieciséis mil islas repartidas en casi dos mil kilómetros cuadrados de mar, por lo que no es de extrañar que la localización de quince de ellas fuera un misterio para los europeos durante tanto tiempo.
Todas estas especias llegaban a Europa a través de una complicada red de mercaderes, cada uno de los cuales se llevaba, claro está, su tajada. Cuando llegaban a los mercados europeos, la nuez moscada y la macis se vendían a sesenta mil veces más de lo que habían costado en el Lejano Oriente. De un modo inevitable, fue sólo cuestión de tiempo que los que se encontraban al final de la cadena de suministro llegaran a la conclusión de que sería mucho más lucrativo recortar los pasos intermedios y cosechar ellos mismos todos los beneficios.
Y así fue como empezó la gran época de las exploraciones. Cristóbal Colón es el más recordado de esos exploradores, pero no fue el primero. En 1487, cinco años antes que él, Fernao Dulmo y Joao Estreito partieron de Portugal hacia el Atlántico inexplorado, jurando regresar después de cuarenta días si no descubrían nada. Fue la última vez que se les vio. Encontrar los vientos adecuados para regresar a Europa no era en absoluto sencillo. El verdadero logro de Colón fue conseguir cruzar el Atlántico en ambas direcciones. Pese a ser un marinero consumado, no era muy bueno en nada más, sobre todo en geografía, un talento que podría parecer más vital para un explorador. Sería complicado nombrar a otra figura en la historia que haya conseguido una fama más duradera con menos aptitudes. Se pasó ocho años dando vueltas por las islas del Caribe y las costas de América del Sur convencido de que estaba en el corazón del Oriente y que Japón y China estaban detrás de cada puesta de sol. Nunca se enteró de que Cuba era una isla y ni una sola vez pisó, ni sospechó siquiera su existencia, la masa continental situada hacia el norte que todo el mundo piensa que descubrió: Estados Unidos. Llenó sus bodegas con pirita de hierro creyendo que era oro y con lo que confiaba a pies juntillas que eran canela y pimienta. Lo primero no era más que corteza de árbol sin valor alguno, y lo segundo no eran pimientos, sino chiles, excelentes cuando ya te has hecho una idea de lo que son, pero sorprendentemente lacrimosos cuando les arreas con fuerza un bocado.
Todo el mundo, excepto Colón, comprendió que aquélla no era la solución al problema de las especias y en 1497 Vasco de Gama, partiendo de Portugal, decidió ir a Oriente por el otro sentido, rodeando África. Era una propuesta mucho más truculenta de lo que pueda parecer. Los vientos predominantes y las corrientes en contra no permitían que una embarcación que navegara hacia el sur pudiera limitarse a seguir la línea de la costa, tal y como indicaría la lógica. Por ello Gama tuvo que adentrarse en el océano Atlántico —llegando casi hasta Brasil, de hecho, aunque él no lo supiera— para encontrar brisas del oeste que empujaran su flota hacia el cabo sur. Fue un viaje épico. Los europeos nunca habían llegado tan lejos navegando. Los barcos de Gama estuvieron sin avistar tierra más de tres meses seguidos. Fue el viaje en el que se descubrió el escorbuto. Los anteriores viajes por mar nunca habían sido tan prolongados como para que los síntomas del escorbuto hicieran su aparición.
Y trajo consigo también dos infelices tradiciones más del universo marítimo. Una fue la introducción de la sífilis en Asia —justo cinco años antes, los hombres de Colón la habían llevado de Europa a las Américas—, lo que la convirtió en una enfermedad realmente internacional. La otra fue la de imponer extrema violencia gratuita a los inocentes. Vasco de Gama era un hombre sumamente cruel. En una ocasión, capturó un navío musulmán cargado con centenares de hombres, mujeres y niños, encerró a pasajeros y tripulación en la bodega, rapiñó todo lo que había de valor y después —sin necesidad de ello, de un modo horripilante— prendió fuego a la embarcación. Adondequiera que fuera, Gama abusaba o masacraba a la gente que allí encontraba, y con ello estableció ese tono de desconfianza y brutal violencia que caracterizaría y denigraría la época de los descubrimientos.
Gama nunca llegó a las islas de las Especias. Como muchos más, creía que las Indias Orientales estaban sólo un poco más al este de la India —de ahí su nombre, por supuesto—, pero en realidad resultó que estaban mucho más allá de la India, tanto, que los europeos que llegaban allí empezaron a preguntarse si habrían dado la vuelta al mundo y llegado de nuevo a las Américas. De ser así, un viaje a las Indias en busca de especias sería más sencillo navegando rumbo oeste, más allá de las nuevas tierras descubiertas hacía poco por Colón, en lugar de rodear todo África y cruzar el océano Índico.
En 1519, Fernando de Magallanes partió en cinco navíos que hacían aguas por todas partes, en una valiente pero seriamente infra dotada operación, dispuesto a encontrar una ruta occidental. Lo que descubrió fue que entre las Américas y Asia había un vacío tan grande como jamás nadie se lo habría imaginado: el océano Pacífico. Nadie ha sufrido nunca tanto en su afán de hacerse rico como Fernando de Magallanes y su tripulación mientras navegaban incrédulos cruzando el Pacífico en 1521. Con las provisiones agotadas, idearon quizás el plato menos apetitoso que haya podido servirse jamás: excrementos de rata mezclados con virutas de madera. «Comíamos galletas que ya no eran galletas, sino polvo de galletas lleno de gusanos —anotó un miembro de la tripulación—. Apestaba a orina de ratas. Bebíamos agua amarilla que llevaba días podrida. Comimos también la piezas de cuero de buey que servían para cubrir los aparejos […] y a menudo comíamos serrín de las tablas del suelo». Estuvieron tres meses y veinte días sin alimentos frescos ni agua hasta que encontraron solaz en las costas de Guam, y todo ello en una empresa cuyo objetivo era llenar las bodegas de las embarcaciones de capullos de flores secas, pedazos de corteza de árboles y otras raspaduras aromáticas para condimentar la comida y convertirlas en bolas olorosas.
Al final, sólo dieciocho de los doscientos sesenta hombres iniciales sobrevivieron al viaje. Magallanes murió en una escaramuza con nativos en Filipinas. Pero a los dieciocho supervivientes les salió el viaje muy rentable. En las islas de las Especias cargaron 53.000 toneladas de clavo, que vendieron en Europa obteniendo un beneficio del 2.500 % y, casi por casualidad, se convirtieron en los primeros seres humanos que daban la vuelta al mundo. Pero el hecho más relevante del viaje de Magallanes no fue ser el primero en circunnavegar el planeta, sino ser el primero en percatarse de lo grande que en realidad era la Tierra.
* * * *
Aunque Colón no tenía mucha idea de lo que hacía, fueron sus viajes los que acabaron siendo lo más importante, y podemos fechar el momento del hecho con absoluta precisión. El 5 de noviembre de 1492, en Cuba, dos de los hombres de su tripulación volvieron al barco cargados con algo que nadie de su mundo había visto nunca: «una especie de cereal [que los nativos] llaman maíz que tenía buen sabor, se horneaba, secaba y se convertía en harina». Aquella misma semana, vieron a unos indios taínos con unos cilindros humeantes de malas hierbas colgando de la boca, aspirando humo hacia el interior del pecho y declarando que era un ejercicio de lo más satisfactorio. Colón se llevó también a casa algo de aquel producto.Y así se inició el proceso conocido por los antropólogos como el «intercambio colombino»: la transferencia de alimentos y otros materiales del Nuevo Mundo al Viejo Mundo y viceversa. Cuando los primeros europeos llegaron al Nuevo Mundo, los campesinos que allí vivían cultivaban más de un centenar de tipos de plantas comestibles: patatas, tomates, girasoles, calabacines, berenjenas, aguacates, un montón de tipos distintos de judías y calabazas, batatas, cacahuetes, anacardos, piñas, papaya, guayaba, ñames, mandioca, zapallos, vainilla, cuatro tipos distintos de chile y chocolate, entre muchas cosas más… una buena variedad.
Se estima que el 6o % de todas las cosechas actuales se originaron en las Américas. Y esos alimentos no sólo se incorporaron a las cocinas extranjeras, sino que se convirtieron en las cocinas extranjeras. Imagínese la cocina italiana sin tomates, la cocina griega sin berenjenas, la cocina thai e indonesia sin salsa de cacahuete, los curris sin chile, las hamburguesas sin patatas fritas o sin kétchup, la cocina africana sin mandioca. No hubo mesa en el mundo, en cualquier lugar desde Oriente hasta Occidente, que no mejorara de manera drástica con los manjares de las Américas.
Pero en aquel momento nadie lo anticipó. Lo irónico para los europeos es que los alimentos que encontraron eran los que básicamente no querían y, por otro lado, no encontraron los que querían. Buscaban especias y el Nuevo Mundo carecía desalentadoramente de ellas, exceptuando el chile, que resultaba picante en exceso y demasiado sorprendente para ser apreciado en un principio. Los prometedores alimentos del Nuevo Mundo no llamaron de entrada la atención. Los indígenas del Perú poseían ciento cincuenta variedades de patata, todas ellas muy valoradas. Un inca de hace quinientos años habría sido capaz de identificar las distintas variedades de patata igual que un snob moderno aficionado a los vinos identifica los diferentes tipos de uva. El idioma quechua del Perú conserva todavía mil palabras relacionadas con distintos tipos o circunstancias de las patatas. Hantha, por ejemplo, describe la patata vieja que tiene aún una pulpa comestible. Pero los conquistadores sólo volvieron a casa con unas pocas variedades, y hay quien dice que no eran precisamente las más deliciosas. Más al norte, los aztecas se sentían muy orgullosos del amaranto, un cereal que produce un grano nutritivo y sabroso. En México era un alimento tan popular como el maíz, pero los españoles se ofendieron al ver cómo lo utilizaban los aztecas, mezclándolo con sangre, en rituales con sacrificios humanos, y se negaron incluso a tocarlo.
Hay que decir que las Américas también obtuvieron mucho a cambio. Antes de que los europeos irrumpieran en su vida, los pueblos de Centroamérica tenían únicamente cinco animales domesticados —el pavo, el pato, el perro, la abeja y la cochinilla— y desconocían los lácteos. Sin la carne y el queso europeos, no existiría la cocina mexicana tal y como la conocemos. El trigo de Kansas, el café de Brasil, la ternera de Argentina y muchas cosas más nunca habrían sido posibles.
Pero el «intercambio colombino» incluyó además las enfermedades. Sin inmunidad contra muchas enfermedades europeas, los nativos enfermaban rápidamente y «morían a montones». Se estima que una epidemia, con mucha probabilidad de hepatitis vírica, acabó con la vida del 90 % de los nativos de la costa de Massachusetts. El que fuera un poderoso grupo tribal que habitaba la región que hoy en día se conoce como Texas y Arkansas, los caddo, vio disminuir su población, estimada en unas doscientas mil personas, a sólo 1.400, un descenso de cerca del 99 %. Un brote similar en el Nueva York moderno reduciría la población a 56.000 personas, «una cantidad insuficiente para llenar el Yankee Stadium», según la escalofriante frase de Charles C. Mann. Se estima que la suma de enfermedades y masacres redujo la población nativa de Mesoamérica en un 90 % durante el primer siglo de contacto con los europeos. A cambio, ellos regalaron la sífilis a los hombres de Colón [39] .
Con el tiempo, el intercambio colombino significó también un movimiento generalizado de pueblos, la fundación de colonias y la transferencia —a veces forzada— de idiomas, religión y cultura. Casi ningún otro hecho de la historia ha cambiado el mundo de un modo más profundo que la metedura de pata que Colón cometió en su búsqueda de las especias orientales.
Y todo esto esconde además otra ironía. El momento cumbre de la época de los descubrimientos coincidió con el tiempo en que el auge de las especias tocaba a su fin. En 1545, sólo veinte años después del épico viaje de Magallanes, un navío de guerra inglés, el Mary Rose, se hundió en misteriosas circunstancias frente a las costas británicas, cerca de Portsmouth. En el naufragio murieron más de cuatrocientos hombres. Cuando a finales del siglo XX se recuperaron los restos del barco, los arqueólogos marinos descubrieron sorprendidos que prácticamente todos los marineros llevaban atada a su cintura una diminuta bolsa que contenía pimienta negra. Debía de ser una de sus más preciadas posesiones. El hecho de que en 1545 un simple marinero pudiera permitirse una reserva de pimienta, por modesta que fuera, indica que los días en que la pimienta era un producto extremadamente raro y deseado sobremanera habían pasado a mejor vida. La pimienta iba ya camino de ocupar su lugar al lado de la sal, a modo de condimento habitual y humilde en comparación a otros productos.
La lucha por las especias exóticas, y a veces incluso por otras más comunes, continuó durante un siglo más. En 1599, ochenta mercaderes británicos, exasperados por el aumento del coste de la pimienta, constituyeron la Compañía Británica de las Indias Orientales con la intención de hacerse con una parte del mercado. Fue la iniciativa que consiguió para el rey Jacobo las valiosas islas de Puloway y Puloroon, pero la realidad es que los británicos nunca alcanzaron grandes éxitos en las Indias Orientales, y en 1667, con el Tratado de Breda, cedieron todos los derechos de la región a los holandeses a cambio de un pequeño pedazo de tierra de escasa importancia en América del Norte. El pedazo de tierra se llamaba Manhattan.
A aquellas alturas, sin embargo, había nuevos productos que la gente deseaba más si cabe y, del modo más inesperado, la lucha por ellos iba a cambiar el mundo todavía más.
§. 2
Dos años antes de su infeliz aventura con «abundantes gusanitos reptando», Samuel Pepys anotó en su diario un hito en su vida bastante más prosaico. El 25 de septiembre de 1660 probó por primera vez una nueva bebida caliente y anotó en su diario: «Y después encargué una taza de té (una bebida china), que nunca había bebido antes». Pepys no explica si le gustó o no, lo cual es una pena, puesto que es la primera mención que tenemos en inglés de una persona que bebe una taza de té.Un siglo y medio después, en 1812, un historiador escocés llamado David Macpherson, en un severo trabajo titulado History of the European Commerce with India, citaba el pasaje del té del diario de Pepys. Un hecho sorprendente, pues supuestamente en 1812 sus diarios eran aún desconocidos. A pesar de estar guardados en la Bodleian Library de Oxford, y de estar en consecuencia disponibles para su inspección, nadie les había echado jamás un vistazo —o eso se creía— porque estaban escritos en un código secreto que tenía aún que descifrarse. De qué modo Macpherson consiguió localizar, y traducir luego, aquel párrafo tan relevante entre seis volúmenes de garabatos densos y secretos, eso sin mencionar cuál fue la inspiración que lo llevó hasta allí, son misterios que están lejos de poder ser respondidos.
Por casualidad, un erudito de Oxford, el reverendo George Neville, profesor del Magdalen College, vio la referencia que hacía Macpherson a los diarios de Pepys y se sintió intrigado por conocer qué más había escrito en ellos. Al fin y al cabo, Pepys vivió momentos trascendentales —la restauración de la monarquía, la última gran peste epidémica, el Gran Incendio de Londres de 1666—, por lo que su contenido tenía a buen seguro gran interés. Encargó a un inteligente pero mezquino estudiante llamado John Smith que intentara descifrar el código y transcribir los diarios. El trabajo le llevó a Smith tres años. Y el resultado fueron, naturalmente, los diarios más famosos escritos en idioma inglés. De no haber tomado Pepys aquella taza de té, de no haber mencionado Macpherson ese hecho en una historia monótona, de haber sentido Neville menos curiosidad y de haber sido el joven Smith menos inteligente y obstinado, el nombre de Samuel Pepys no habría significado nada para nadie, con la excepción de los historiadores navales, y una parte muy considerable de lo que ahora sabemos sobre cómo vivía la gente en la segunda mitad del siglo XVII seguiría sin conocerse. Por lo tanto, fue buena cosa que probara aquella taza de té.
Normalmente, como la mayoría de la gente de su clase y de aquel periodo, Pepys bebía café, aunque el café era también un producto novedoso en 1660. Los británicos conocían de un modo vago el café desde hacía unas décadas, pero sobre todo como un brebaje extraño y oscuro procedente del extranjero. En 1610, un viajero llamado George Sandys describía con gravedad el café como algo «negro como el hollín, y con un sabor no muy distinto». La palabra se escribía en inglés de un montón de formas distintas, a cuál más imaginativa —coava, cahve, cauphe, cofa y cafe, entre otras—, antes de acabar finalmente como coffee hacia 1650.
La popularidad del café en Inglaterra hay que atribuirla a un hombre llamado Pasqua Rosee, siciliano de nacimiento y griego de origen, que trabajaba como criado para Daniel Edwards, un comerciante británico de Esmirna, en Turquía. Cuando se trasladó a Inglaterra con Edwards, Rosee empezó a servir café a los invitados de su señor, y resultó ser una bebida tan popular que en 1652 se animó a inaugurar una cafetería —la primera de Londres— en un cobertizo situado en el camposanto de St. Michael Cornhill, en la City. Rosee promocionaba el café como beneficioso para la salud, afirmando que curaba o prevenía los dolores de cabeza, la «secreción de legañas», los gases, la gota, el escorbuto, los abortos, los ojos inflamados y muchas cosas más.
Rosee tuvo mucho éxito en su negocio, pero su reinado como primer cafetero no duró mucho tiempo. Poco después de 1656 se vio obligado a abandonar el país «por algún delito menor», que por desgracia los registros no concretan. Lo único que se sabe es que se marchó de manera repentina y no se supo más de él. Rápidamente, otros corrieron a ocupar su lugar. Cuando se produjo el Gran Incendio, había en funcionamiento en Londres más de ochenta cafeterías, que se habían convertido en parte esencial de la vida de la ciudad.
El café que se servía en las cafeterías no era necesariamente muy buen café. En Inglaterra el café estaba gravado por galones, lo que invitaba a la práctica de prepararlo en remesas grandes, almacenarlo en frío en barriles y recalentarlo un poco en el momento de servirlo. De modo que el interés que despertó el café en Gran Bretaña tuvo menos que ver con que fuese una bebida de calidad y más con sus cualidades de lubricante social. La gente iba a las cafeterías para conocer a otra gente y compartir intereses, chismorrear, leer las últimas revistas y periódicos —una palabra y un concepto novedoso hacia 1660— e intercambiar información de valor para su vida y sus negocios. Cuando la gente quería saber qué pasaba en el mundo, iba a una cafetería a averiguarlo. La gente se acostumbró a utilizar las cafeterías a modo de oficinas, como sucedió con la más famosa, Lloyd’s Coffee House, en Lombard Street, que fue poco a poco evolucionando hasta convertirse en la compañía de seguros. El padre de William Hogarth tuvo la idea de inaugurar una cafetería donde sólo se hablara latín. Fracasó de un modo espectacular —toto bene, como el mismo señor Hogarth habría dicho— y pasó años en la cárcel de los morosos como infeliz consecuencia.
Aunque fueron la pimienta y las especias las que dieron origen a la Compañía Británica de las Indias Orientales, su destino fue el té. En 1696, William Pitt el Joven recortó de forma masiva el impuesto sobre el té, sustituyéndolo con el temido impuesto sobre las ventanas (con el lógico supuesto de que sería mucho más complicado camuflar ventanas que hacer contrabando con té), y el efecto sobre su consumo fue inmediato. Entre 1699 y 1721 las importaciones de té se multiplicaron casi por cien, pasando de casi seis toneladas a más de medio millón, para cuadruplicarse de nuevo en 1750. Los obreros bebían ruidosamente el té y las damas lo sorbían con elegancia. Se tomaba en el desayuno, el almuerzo y la cena. Fue la primera bebida en la historia que no se identificó con ninguna clase social en concreto, y la primera que tuvo su propio espacio ritual durante la jornada: la hora del té. Era más fácil de preparar en casa que el café y se llevaba especialmente bien con otro enorme placer gustativo que de pronto se hizo asequible a los salarios medios: el azúcar. Los británicos llegaron a adorar el té dulce con leche como ningún otro país lo hizo nunca (o quizás como ningún otro país pudo hacerlo). Durante un siglo y medio, el té fue el corazón de la Compañía Británica de las Indias Orientales, y la Compañía Británica de las Indias Orientales fue el corazón del Imperio británico.
Pero no todo el mundo le cogió el tranquillo al té de entrada. El poeta Robert Southey relataba la historia de una dama en el campo que recibió medio kilo de té como regalo de una amiga de la ciudad cuando el producto era aún una novedad. Sin saber muy bien qué hacer con aquello, lo puso a hervir en una olla, extendió las hojas sobre una tostada con mantequilla y sal y lo sirvió a sus amistades, que lo mordisquearon animosamente y lo declararon interesante, aunque no muy de su gusto. En otras partes, sin embargo, siguió adelante en su carrera, en tándem con el azúcar.
Los británicos siempre habían amado el azúcar, hasta tal punto que cuando tuvieron acceso al mismo, en tiempos del rey Enrique VIII, lo añadían a casi todo: huevos, carne y vino. Lo echaban a las patatas, rociaban con él las verduras, lo comían a cucharadas si podían. A pesar de ser muy caro, la gente lo consumía hasta que se le ponían los dientes negros, y si los dientes no se ennegrecían de forma natural, muchos los ennegrecían artificialmente para demostrar con ello lo ricos e indulgentes que eran consigo mismos. Pero gracias a las plantaciones de las Indias Occidentales, el azúcar empezó a ser cada vez más asequible y la gente a descubrir que se llevaba a las mil maravillas con el té.
El té dulce se convirtió en la indulgencia nacional. Hacia 1770, el consumo per cápita de azúcar era de nueve kilos por cabeza y en su mayoría, por lo que parece, se incorporaba al té. (Suena a una cantidad importante hasta que te das cuenta de que los británicos modernos consumen 36 kilos anuales por persona, mientras que los norteamericanos engullen unos robustos 57 kilos por cabeza). Igual que sucedía con el café, se decía que el té aportaba grandes beneficios para la salud; entre muchas otras cosas, se decía que «acalla los dolores de los intestinos». Un médico holandés, Cornelius Bontekoe, recomendaba beber cincuenta tazas de té al día —y en casos extremos hasta doscientas— para mantenerse en la flor de la vida.
El azúcar desempeñó asimismo un gran papel en un avance mucho menos encomiable: el comercio de esclavos. Casi todo el azúcar que consumían los británicos se cultivaba en fincas de las Indias Occidentales trabajadas por esclavos. Tenemos la tendencia a asociar la esclavitud única y exclusivamente con la economía de plantación del sur de Estados Unidos, pero de hecho hubo muchísima más gente que se hizo rica con la esclavitud, no sólo los mercaderes que mandaron cruzar el océano a 3, 1 millones de africanos antes de que el comercio de humanos quedara abolido en 1807.
El té se adoraba y apreciaba no sólo en Gran Bretaña, sino también en sus territorios de ultramar. El té estaba gravado en Estados Unidos como parte de los odiados impuestos Townshend. En 1770 se revocaron estos impuestos sobre todos los productos excepto el té, en lo que demostró ser un error fatídico. Los impuestos sobre el té se mantuvieron en parte para recordar a los colonos su sometimiento a la corona, y en parte para ayudar a la Compañía Británica de las Indias Orientales a salir de un profundo y repentino agujero. La compañía había alcanzado un tamaño extralimitado. Había acumulado casi ocho mil toneladas de té —una cantidad gigantesca de un producto perecedero— y, de un modo perverso, había intentado generar un ambiente de bienestar pagando más dividendos de lo que en realidad podía permitirse. El fantasma de la bancarrota se cernía sobre ella a menos que consiguiera reducir sus reservas. Con la esperanza de ayudarla a salir de la crisis, el Gobierno británico concedió a la compañía el monopolio efectivo de la venta del té en América. Y todos los americanos conocen bien lo que sucedió a continuación.
El 16 de diciembre de 1773, un grupo de ochenta colonos vestidos como indios mohicanos abordaron los barcos británicos amarrados en el puerto de Boston, forzaron 342 baúles cargados de té y lanzaron su contenido por la borda. Podría parecer un acto de vandalismo moderado. Pero en realidad se trataba del suministro de té de todo un año para la ciudad de Boston, con un valor de 18.000 libras, lo que significa que fue un delito grave y trascendental, y todos los implicados lo sabían. Nadie en aquel momento, casualmente, denominó el hecho como el Motín del Té; ese apelativo no se utilizó por primera vez hasta 1834. Tampoco puede decirse que el comportamiento de las masas se caracterizara por un espíritu bondadoso y alegre, como a los norteamericanos nos gusta pensar. Fue un asunto bastante desagradable. Quien salió peor parado de todo esto fue un agente de aduanas británico llamado John Malcolm. Malcolm acababa de ser expulsado de su casa en Maine y cubierto con alquitrán y plumas, un castigo intensamente doloroso, pues consistía en aplicar alquitrán caliente sobre la piel. Normalmente se aplicaba con cepillos duros, que ya dolían de por sí, aunque en algún caso el castigo se limitaba a colgar a la víctima por los tobillos y sumergirla de cabeza en el interior de un barril de alquitrán. A la capa de alquitrán se le añadían a continuación plumas, para que la víctima desfilara de esa guisa por las calles antes de recibir una paliza o acabar colgada en la horca. Por lo tanto, lo del alquitrán y las plumas no era en absoluto gracioso, y es fácil imaginar la desesperación de Malcolm al verse por segunda vez arrastrado a la fuerza fuera de su casa y siendo investido de nuevo con una «chaqueta yanqui», nombre con el que se conocía también ese castigo. Una vez seco, se necesitaban días de esmerado trabajo y enérgico restregado para quitarse de encima el alquitrán y las plumas. Después de los hechos, Malcolm envió a Inglaterra un pedacito de epidermis chamuscada y ennegrecida con una nota solicitando por favor la vuelta a casa. Su deseo se vio satisfecho. Mientras, sin embargo, Norteamérica y Gran Bretaña iban directos a la guerra. Quince meses después se oyeron los primeros disparos. Y tal y como un versificador de la época apuntó:
¿Qué descontentos, qué calamitosos sucesos,Y mientras Gran Bretaña perdía sus colonias americanas, se enfrentaba por el otro lado a graves problemas relacionados con el té. Hacia 1800, el té estaba ya imbuido en la mentalidad británica como la bebida nacional y las importaciones ascendían a más de diez mil toneladas anuales. La práctica totalidad del té venía de China, lo que generó un desequilibrio comercial crónico e importante. Los británicos solucionaron en parte este problema vendiendo a los chinos opio producido en la India. El opio era un negocio importante en el siglo XIX, y no sólo en China. En Gran Bretaña y en Norteamérica se consumía mucho opio —en particular las mujeres—, sobre todo en forma de analgésico medicinal y láudano. Las importaciones de opio a Estados Unidos pasaron de once toneladas en 1840 a 181 toneladas en 1872, y eran las mujeres las que en su mayoría lo consumían, aunque se administraba también a los niños para tratar las inflamaciones de la laringe y la tráquea. El abuelo de Franklin Delano Roosevelt, Warren Delano, inició la fortuna familiar con el comercio del opio, un hecho que la familia Roosevelt nunca pregonó a viva voz.
Su origen tienen en cosas baladíes?
Un poco de Té, arrojado al Mar,
Ha derramado la sangre a miles.
Para la interminable exasperación de las autoridades chinas, Gran Bretaña aprendió a dominar la habilidad necesaria para convencer a los ciudadanos chinos de que debían convertirse en adictos al opio —los cursos universitarios de historia del marketing tendrían que empezar sus clases con la venta del opio por parte de los británicos—, hasta el punto de que, en 1838, Gran Bretaña vendía anualmente a China casi 2.300 toneladas de opio. Pero, por desgracia, seguía siendo una cantidad insuficiente para compensar los enormes costes que suponían las importaciones de té desde China. Una solución evidente consistía en cultivar té en alguna zona cálida del Imperio británico en expansión. Pero el problema estribaba en que los chinos siempre habían mantenido en secreto el complicado proceso de convertir las hojas de té en una bebida refrescante, y nadie fuera de China sabía cómo poner aquello en marcha. Y aquí entra en escena un excepcional escocés llamado Robert Fortune.
En la década de 1840, Fortune pasó tres años viajando por China, camuflado como un nativo, para recopilar información sobre el cultivo y el proceso del té. Era una labor arriesgada: si lo hubiesen pillado, habría ido a la cárcel y podría haber sido ejecutado. Y a pesar de que Fortune no hablaba ninguno de los idiomas chinos, solventó siempre ese problema fingiendo ser originario de una provincia remota donde se hablaba otro dialecto. En el transcurso de sus viajes, no sólo aprendió los secretos de la producción del té, sino que introdujo además en Occidente plantas muy valiosas, entre ellas la palmera talipot, la naranja china y diversas variedades de azalea y crisantemo.
El cultivo del té se introdujo en la India siguiendo sus directrices en ese curiosamente inevitable año de 1851, con la plantación de unas veinte mil semillas y esquejes. En cuestión de medio siglo, y partiendo de cero en 1850, la producción de té en la India llegó a 63.500 toneladas anuales.
Pero por lo que a la Compañía de las Indias Orientales se refiere, su periodo de gloria llegó a un abrupto e infeliz final. El suceso que lo precipitó todo, y de forma bastante inesperada, fue la aparición de un nuevo tipo de rifle, el Enfield P53, justo en el momento en que se empezaban los cultivos de té. Se trataba de un rifle de formato antiguo que se cargaba echando pólvora por el cañón. La pólvora venía en unos cartuchos de papel engrasado que se abrían mordiéndolos. Entre los cipayos, nombre con el que se conocía a los soldados nativos, empezó a correr el rumor de que la grasa de los papelitos era de cerdo y de vaca, para el horror de los soldados musulmanes e indios, pues el consumo de ese tipo de grasas, aun siendo involuntario, los condenaba a la maldición eterna. Los oficiales de la Compañía de las Indias Orientales gestionaron el asunto con una falta de sensibilidad pasmosa. Juzgaron en consejo de guerra a varios soldados indios que se habían negado a utilizar los nuevos cartuchos y amenazaron con castigar a cualquier otro que no cerrara filas. Muchos cipayos estaban convencidos de que todo aquello formaba parte de una trama destinada a eliminar su fe en favor del cristianismo. Por desdichada casualidad, justo en aquel momento los misioneros cristianos empezaban a mostrarse por aquel entonces muy activos en la India, avivando aún más los recelos. El resultado de todo ello fue la rebelión de los cipayos de 1857, en la que los soldados nativos se sublevaron contra sus superiores británicos, a quienes superaban en número, matándolos en cantidades asombrosas. En Cawnpore, los rebeldes reunieron a doscientas mujeres y niños en un salón y los cortaron literalmente en pedazos. Otras víctimas inocentes fueron arrojadas a pozos, donde murieron ahogadas.
Cuando la noticia de estas crueldades llegó a oídos británicos, la venganza fue rápida e implacable. Los indios rebeldes fueron localizados y ejecutados de manera calculada para infundir terror y arrepentimiento. Un par de ellos fueron incluso disparados desde el interior de un cañón, o eso se cuenta. Fueron fusilados o ahorcados en cantidades incalculables. El episodio dejó profundamente conmocionada a Gran Bretaña. Justo después del levantamiento, se publicaron más de quinientos libros sobre el suceso. Y todos se mostraban más o menos de acuerdo en que la India era un país demasiado grande y demasiado problemático como para dejarlo en manos de un negocio. El control de la India pasó a la corona británica y la Compañía de las Indias Orientales fue clausurada.
§. 3
Todos estos alimentos, todos estos descubrimientos, todas estas interminables luchas, llegaron a Inglaterra y acabaron en las mesas y en un nuevo tipo de habitación: el comedor. El comedor no adquirió su significado moderno hasta finales del siglo XVII y no se generalizó en las casas hasta incluso más tarde. De hecho, el término no apareció en el diccionario de Samuel Johnson hasta 1755. Cuando Thomas Jefferson puso un comedor en Monticello, era aún una cosa extraña. Antes de eso, las comidas se servían en pequeñas mesas y en cualquier estancia.Lo que dio lugar a la aparición de los comedores no fue un repentino impulso universal de desear comer en un espacio dedicado exclusivamente a ese fin, sino más bien, y en gran medida, un simple deseo por parte de la señora de la casa de preservar sus nuevos y preciosos muebles tapizados de la profanación de la grasa. El mobiliario tapizado, como hemos visto, era caro, y lo último que quería el orgulloso propietario de una casa era que la gente se limpiase los dedos en él.
La llegada del comedor señaló un cambio no sólo en el lugar donde se servía la comida, sino también en cómo se comía y cuándo. Para empezar, los tenedores empezaron a generalizarse de repente. El tenedor había aparecido hacía tiempo, pero su aceptación fue muy lenta. El término en inglés que se aplica al tenedor, fork, hacía referencia al principio a un utensilio de labranza, y nada más; no se relacionó con la comida hasta mediados del siglo XV y lo hizo para describir un utensilio de gran tamaño que se utilizaba para asegurar un ave o una articulación cuando tenía que trincharse. El responsable de la introducción en Inglaterra del tenedor como cubierto fue Thomas Coryate, escritor y viajero de la época de William Shakespeare famoso por realizar larguísimas caminatas (de Inglaterra a la India, ida y vuelta, en una ocasión). En 1611 escribió su obra magna, titulada Coryate’s Crudities, en la que elogiaba el tenedor, que había conocido en Italia. El mismo libro destaca por presentar al héroe suizo Guillermo Tell a los lectores ingleses, así como un nuevo artilugio llamado paraguas.
Los tenedores se consideraban cómicamente melindrosos y poco varoniles… y también peligrosos, todo hay que decirlo. Al tener sólo dos afiladas puntas, la probabilidad de pincharse los labios o la lengua era enorme, sobre todo cuando el vino y la alegría debilitaban al comensal. Los fabricantes experimentaron añadiéndole más puntas —a veces hasta seis— antes de establecer, a finales del siglo XIX, que cuatro era la cifra con la que la gente parecía sentirse más cómoda. Es difícil asegurar por qué cuatro es el número que induce una sensación óptima de seguridad, pero da la impresión de que es un hecho fundamental en la psicología de las cuberterías.
El siglo XIX marcó también un momento de cambio en la forma de servir la comida. Antes de 1850, casi todos los platos de la comida se dejaban en la mesa ya de entrada. Cuando llegaban los comensales se encontraban con la comida esperándolos. Se servían con lo que encontraran a mano y pedían que les fueran pasando los platos, o pedían a algún sirviente que se los acercara. Este estilo de comer se conocía tradicionalmente como service à la française, pero fue en esa época cuando se inició una nueva práctica, el service à la russe, en la que la comida se iba trayendo a la mesa por platos. La nueva práctica no era del agrado de todo el mundo porque significaba tener que comer siguiendo todos los comensales el mismo orden y el mismo ritmo. Si una persona era lenta, retenía el siguiente plato para todos los demás, lo que significaba que la comida se enfriaba. Las cenas se prolongaban en ocasiones durante horas, poniendo en peligro el estado de sobriedad de muchos y la vejiga de casi todos.
El siglo XIX se convirtió además en la época de la mesa de comedor sofisticadamente recargada. Un comensal en una cena formal podía enfrentarse hasta con nueve copas de vino sólo para acompañar los platos principales —a la hora del postre se incorporaban más— y un despliegue cegador de cubertería con la que asaltar los numerosos platos que le pusieran delante. La variedad de utensilios para cortar, servir, tantear, arrancar y pasar las viandas de la bandeja al plato y del plato a la boca era casi innumerable. Además de un generoso despliegue de cuchillos, tenedores y cucharas de naturaleza más o menos convencional, el comensal tenía que aprender a reconocer y manipular utensilios especializados como palas para queso, cucharillas para aceitunas, tenedores para tortuga, pinchos para ostras, batidores para remover el chocolate, cuchillos para la gelatina, paletas para el tomate y pinzas de cualquier tamaño y grado de elasticidad. En un determinado momento, un único fabricante ofrecía hasta 146 tipos distintos de cubiertos para la mesa. Y lo curioso del caso es que uno de los escasos supervivientes de esta arremetida culinaria es uno de los utensilios que más cuesta entender: el cuchillo de pescado. Nadie ha identificado jamás una única ventaja de su extraña forma festoneada, ni ha descifrado la idea original que respaldó su invención. No existe ni un solo tipo de pescado que consiga cortar mejor o espinas delicadas que pueda separar con más facilidad de lo que consiga hacer un cuchillo convencional.
Comer era, como un libro de la época lo expresó, «la gran prueba» con reglas «tan numerosas y tan minuciosas con respecto al detalle que requieren el estudio más esmerado; y lo peor es que ninguna de ellas puede violarse sin exponer al infractor a la detección instantánea». El protocolo regía hasta la más mínima acción. Si deseabas beber un trago de vino, necesitabas que alguien bebiera contigo. Tal y como un visitante extranjero explicaba en una carta a casa: «Suelen enviar un mensajero de un extremo a otro de la mesa para anunciarle al señor B… que el señor A… desea beber vino con él; después de lo cual cada uno de ellos, a veces con considerables problemas, atrae la mirada del otro. […] Cuando levantas la copa, miras fijamente a aquél con quien estás bebiendo, haces una reverencia con la cabeza y bebes con gran solemnidad».
Había quien necesitaba más ayuda que otros con las reglas de la compostura en la mesa. John Jacob Astor, uno de los hombres más ricos de Estados Unidos, pero a todas luces no de los más cultivados, dejó pasmados a sus invitados en una cena cuando se inclinó y se limpió las manos en el vestido de la dama sentada a su lado. Un popular manual norteamericano, The Laws of Etiquette; or, Short Rules and Reflections for Conduct in Society , informaba a los lectores de que «pueden secarse la boca con el mantel, pero no sonarse la nariz con él». Otro recordaba con solemnidad a sus lectores que no era de buena educación en círculos refinados oler un pedazo de carne mientras se sujetaba con el tenedor. Explicaba también: «La costumbre normal entre personas bien educadas es la siguiente: la sopa se come con cuchara».
La hora de las comidas también varió, hasta que llegó la circunstancia en que apenas había una hora en el día que no fuera un momento importante para comer. La hora de las comidas estaba dictada hasta cierto punto por las onerosas y con frecuencia absurdas obligaciones de realizar y devolver visitas de cortesía. La norma indicaba que se debían realizar las visitas entre las doce y las tres. Si alguien iba de visita y no encontraba a la persona en casa, la etiqueta dictaba que la persona ausente devolviera la visita al día siguiente. No hacerlo era la más grave de las afrentas, lo que significaba en la práctica que la mayoría pasaba las tardes corriendo de un lado a otro para intentar alcanzar a gente que corría igualmente y de forma improductiva de un lado a otro intentando alcanzar a su vez a los primeros.
En parte por este motivo, la hora de comer fue retrasándose cada vez más —del mediodía a media tarde y al atardecer—, aunque los nuevos convencionalismos no se seguían ni mucho menos de una manera uniforme. Un visitante que estuvo en Londres en 1773 destacó que en una sola semana había sido invitado a comidas que habían empezado sucesivamente a la una del mediodía, a las cinco y a las tres de la tarde, y «a las seis y media, con la comida en la mesa a las siete». Ochenta años más tarde, cuando John Ruskin informó a sus padres de que había adoptado la costumbre de comer a las seis de la tarde, recibieron la noticia como una muestra del más disoluto atolondramiento. Comer tan tarde, le dijo su madre, era peligroso e insalubre.
Otro factor que influyó sobre la hora de las comidas fueron los horarios teatrales. Las representaciones diurnas de Shakespeare empezaban a las dos del mediodía, lo que las mantenía convenientemente alejadas de la hora de la comida, aunque en realidad el horario venía dictado por la necesidad de disfrutar de luz de día en los escenarios al aire libre como el Globe. Cuando las obras empezaron a representarse en el interior de locales, los horarios fueron poco a poco retrasándose y los asistentes al teatro se vieron obligados, con cierta desgana e incluso con encono, a adaptar sus comidas en consecuencia. Al final, incapaces o poco dispuestos a modificar más sus costumbres personales, el beau monde dejó de tratar de llegar al teatro para ver el primer acto y adoptó la costumbre de enviar a un criado para que reservara los asientos mientras ellos acababan de comer. En general, aparecían —ruidosamente, bebidos y con pocas ganas de concentrarse— mientras se desarrollaban los últimos actos. Durante toda una generación se hizo habitual que las compañías teatrales representaran la primera mitad de las obras ante un auditorio lleno de criados adormilados sin ningún tipo de vínculo con la actuación, y la segunda mitad ante una muchedumbre de borrachos con malos modales que no tenían ni idea de lo que iba nada.
La mesa de comedor sofisticada: cristalería en la que se incluyen decantadores, jarras para vino clarete y una jarra para el agua, de The Book of Household Management de la señorita Beeton.
Un cambio trascendente es que mientras hasta entonces la gente acostumbraba a consumir la máxima cantidad de calorías durante el desayuno y la comida del mediodía, con sólo un pequeño suplemento a la hora de la cena, la situación se invirtió por completo. La mayoría acumulamos —una palabra tristemente apropiada en este caso— nuestras calorías por la noche y nos las llevamos a la cama con nosotros, una práctica que no nos hace ningún bien. Los Ruskin, al final, tenían toda la razón.
§. 1
Si en 1783, al final de la Guerra de la Independencia, se le hubiera pasado por la cabeza sugerir que Nueva York sería algún día la ciudad más importante del mundo, le habrían tomado por loco. En 1783 Nueva York tenía unas perspectivas muy poco prometedoras. Había sido más unionista que ninguna otra ciudad, por lo que la guerra había tenido un infeliz efecto sobre su situación en el seno de la nueva república. En 1790 su población no superaba los 10.000 habitantes. Filadelfia, Boston e incluso Charleston eran puertos más concurridos.El estado de Nueva York sólo disfrutaba de una importante ventaja: un paso hacia el oeste a través de los Apalaches, la cadena montañosa que corre más o menos en paralelo al océano Atlántico. Resulta difícil creer que esas suaves y ondulantes montañas, que con frecuencia no son más que colinas grandes, pudieran llegar a constituir una barrera formidable para el movimiento de la población, pero de hecho apenas existían pasos a lo largo de sus más de cuatro mil kilómetros de longitud y suponían una obstrucción tan enorme para el comercio y las comunicaciones, que mucha gente creía que los pioneros que vivían más allá de las montañas acabarían, por pura necesidad práctica, formando un país aparte. A los campesinos les resultaba más barato embarcar sus productos río abajo hacia Nueva Orleans, por las aguas del Ohio y del Mississippi, después transportarlos por mar rodeando Florida y recorriendo el litoral del Atlántico y llegar de este modo a Charleston o a cualquier otro puerto del este —un recorrido de cinco mil kilómetros—, que cargarlos quinientos kilómetros por tierra entre las montañas.
Pero en 1810, De Witt Clinton, por aquel entonces alcalde de la ciudad de Nueva York y muy pronto gobernador del estado homónimo, tuvo una idea que muchos consideraron una locura pero que fue ciertamente ilusoria. Propuso la construcción de un canal que cruzara el estado hasta el lago Erie y conectara de este modo la ciudad de Nueva York con los Grandes Lagos y las ricas tierras de cultivo que se extendían más allá. La gente lo llamaba «la locura de Clinton», y no es de extrañar. El canal tendría que cavarse a base de pico y pala, hasta alcanzar una profundidad de doce metros, a lo largo de seiscientos kilómetros de páramo. Se necesitarían ochenta y tres esclusas, cada una de ellas de 27, 5 metros de longitud, para solventar los cambios de elevación. A lo largo de algunos tramos, el desnivel no sería como media de más de un par de centímetros por kilómetro. En ningún lugar del mundo civilizado se había intentado jamás construir un canal con este nivel de desafío, y mucho menos en plena naturaleza.
Y ése era el tema. Estados Unidos no tenía ni un solo ingeniero de origen nativo que hubiera trabajado en su vida en un canal. Thomas Jefferson, que normalmente veneraba la ambición, lo consideró una idea demencial. «Es un proyecto espléndido, y tal vez pueda construirse de aquí a un siglo —reconoció después de revisar los planos, aunque enseguida añadió—: Pensar en esto hoy en día linda con la locura». El presidente James Madison se negó a conceder ayuda federal, en gran parte motivado por el deseo de mantener el centro de gravedad comercial más al sur y alejado de aquel baluarte unionista.
De modo que a Nueva York no le quedó otra alternativa que apañárselas sin nadie u olvidarse del proyecto. A pesar del coste, los riesgos y la prácticamente total ausencia de las aptitudes necesarias, decidió subvencionarse a sí misma el proyecto. Se designaron cuatro hombres para llevarlo a cabo: Charles Broadhead, James Geddes, Nathan Roberts y Benjamin Wright. Tres de ellos eran jueces; el cuarto era maestro de escuela. Ninguno había visto jamás un canal, y mucho menos intentado construirlo. Lo único que tenían en común era cierta experiencia en prospecciones. Pero con la ayuda de lecturas, consultas e inspirada experimentación, lograron diseñar y supervisar el mayor proyecto de ingeniería que el Nuevo Mundo hubiera visto jamás. Se convirtieron en los primeros hombres de la historia en aprender a construir un canal construyendo un canal.
Desde el principio quedó claro el problema que amenazaba la viabilidad de la iniciativa: la falta de cemento hidráulico. Para que el canal fuera estanco se necesitaban medio millón de fanegas de cemento hidráulico (una fanega equivale a 35 litros, por lo que 500.000 fanegas son muchos litros). En el caso de que el agua se filtrara por alguna sección, sería un desastre para la totalidad del canal, razón por la cual era un problema de urgente solución. Por desgracia, nadie sabía cómo superarlo.
Un joven empleado del canal llamado Canvass White se presentó como voluntario para viajar a Inglaterra costeándose él mismo los gastos para ver qué podía aprender allí. Durante casi un año, White se desplazó por todo lo ancho y largo de Gran Bretaña —3.300 kilómetros realizó en total— estudiando canales y aprendiendo cómo estaban construidos y cómo se mantenían ensamblados, prestando especial atención a su estanqueidad. Por casualidad, resultó que el cemento Parker Roman, que como ya hemos visto desempeñó un destacado papel en el derrumbamiento de Fonthill Abbey, de William Beckford, debido a su falta de fuerza como material para la construcción de edificios, funcionaba inesperadamente bien como cemento hidráulico, donde se utilizaba a modo de mortero resistente al agua. Por desgracia su inventor, el reverendo Parker, de Gravesend, no se hizo rico con esto pues vendió la patente al año de su invención y después, casi irónicamente, emigró a América, donde murió al cabo de poco tiempo. Su cemento, sin embargo, funcionó a las mil maravillas hasta que quedó desfasado, a partir de 1820, con la aparición de variedades superiores, pero sirvió para darle a Canvass White la esperanza de imaginar la posibilidad de obtener algo similar con materiales norteamericanos.
De vuelta a casa, y armado con ciertos conocimientos sobre los principios científicos de la adhesión, White experimentó con diversos ingredientes nativos y enseguida formuló un compuesto que funcionaba incluso mejor que el cemento de Parker. Fue un gran momento para la historia tecnológica de Estados Unidos —de hecho, podría decirse que fue el principio de la historia tecnológica de Estados Unidos—, por el que White habría merecido hacerse rico y famoso. Pero no sucedió ninguna de esas dos cosas. Las patentes de White le daban derecho a un royalty de 4 céntimos por fanega vendida —una suma bastante ridícula—, pero los fabricantes se negaron a compartir con él sus beneficios. Presentó diversas reclamaciones en los tribunales, pero no consiguió ni un solo fallo a su favor. El resultado fue un largo descenso hacia la penuria.
Y los fabricantes se hicieron ricos produciendo lo que se convirtió en el mejor cemento hidráulico del mundo. Gracias en gran parte a la inventiva de White, el canal se inauguró pronto, en 1825, después de tan sólo ocho años de obras. Fue un triunfo de entrada. Lo utilizaron tantas embarcaciones —trece mil en su primer año—, que de noche sus luces parecían enjambres de luciérnagas sobre el agua, según un embelesado testigo. Gracias al canal, el coste de enviar una tonelada de harina de Buffalo a la ciudad de Nueva York cayó de 120 dólares la tonelada a solamente 6 dólares, y el tiempo de transporte pasó de tres semanas a una. Las consecuencias sobre la fortuna de Nueva York fueron espectaculares. Su porcentaje en el total de exportaciones nacionales pasó de menos del 10 % en 1800 a más del 60 % a mediados de siglo; y durante ese mismo periodo, de forma más sorprendente si cabe, su población pasó de diez mil habitantes a más de medio millón.
Seguramente ningún producto manufacturado de la historia ha hecho más para cambiar el destino de una ciudad que el cemento hidráulico de Canvass White, y con toda seguridad, ninguno ha caído más en el olvido. El canal de Erie no sólo garantizó la primacía económica de Nueva York en Estados Unidos, sino que, muy posiblemente, de Estados Unidos en el mundo. Sin el canal de Erie, Canadá habría quedado posicionado de un modo ideal para convertirse en el motor de Norteamérica, con el río San Lorenzo como conducto hacia los Grandes Lagos y las ricas tierras que se extienden más allá de ellos.
El gran, y no debidamente reconocido, Canvass White no sólo hizo rica a la ciudad de Nueva York, sino que además ayudó de una forma inmensa a Estados Unidos. En 1834, agotado por sus batallas legales y enfermo de una dolencia grave pero no concretada —seguramente tisis—, viajó a St. Augustine, Florida, con la esperanza de recuperarse, pero falleció poco después de su llegada. La historia lo había olvidado ya y era tan pobre que su esposa apenas pudo permitirse pagarle el entierro. Y ésta es, con toda probabilidad, la última vez que oirá usted hablar de él.
Si menciono todo esto aquí es porque hemos bajado al sótano, un espacio básico e inacabado en la Vieja Rectoría y en la mayoría de casas inglesas de la época. En su origen hacía las veces de carbonera. Hoy en día alberga la caldera, maletas que no se utilizan, material deportivo de la otra temporada y un montón de cajas de cartón cerradas, que casi nunca se abren pero que siempre han acompañado todas nuestras mudanzas con la esperanza de que algún día alguien pueda querer esa ropa de bebé que lleva allí guardada veinticinco años. No es un espacio simpático, pero compensa porque tiene la virtud de proporcionar la sensación de ser la superestructura de la casa —lo que la sostiene en pie y la mantiene en su lugar, que es el tema de este capítulo—, y la razón por la que he prologado todo esto con la historia del canal de Erie ha sido para destacar que los materiales constructivos son más importantes e incluso, me atrevería a decir, más interesantes de lo que podríamos pensar. Lo que es evidente es que ayudan a hacer historia en un sentido que casi nunca aparece mencionado en los libros.
De hecho, la historia de los principios de Norteamérica es la historia de tener que afrontar continuamente la escasez de materiales de construcción. Aun siendo un país célebre por la riqueza de sus recursos naturales, la orilla este de Estados Unidos resultó ser desastrosamente deficiente en muchos productos básicos para una civilización independiente. Uno de ellos era la piedra caliza, tal y como los primeros colonos descubrieron con enorme consternación. En Inglaterra, cualquiera podía construir una casa razonablemente segura con quincha —una mezcla de adobe y cañas—, siempre y cuando estuviese bien ligada con cal. Pero en América no había cal (o al menos nadie la encontró antes de 1690), por lo que los colonos se vieron obligados a utilizar adobe seco, con la consecuente falta de robustez y firmeza. Durante el primer siglo de la colonización rara era la casa que aguantaba en pie más de diez años. Coincidió además con el periodo de la Pequeña Edad de Hielo, cuando un siglo de vientos terriblemente fríos y rugientes tormentas asoló el mundo templado. En 1634, un huracán se llevó —en el sentido más literal: las levantó y las arrastró— la mitad de las casas de Massachusetts. Apenas se había finalizado la reconstrucción cuando azotó la zona una segunda tempestad de intensidad similar, «volcando varias casas, descobijando [es decir, llevándose el tejado] diversas más», según palabras de un cronista que sobrevivió al suceso. En muchas áreas no había ni siquiera piedra decente. Cuando George Washington quiso pavimentar el mirador de su casa en Mount Vernon con simples baldosas, tuvo que mandarlas traer de Inglaterra.
Lo único que América tenía en gran cantidad era madera. Cuando los europeos llegaron al Nuevo Mundo se estimaba que era un continente que tenía aproximadamente cuarenta millones de hectáreas de bosques, una extensión infinita a efectos prácticos. Pero los bosques que recibieron a los recién llegados no eran tan ilimitados como parecían de entrada, sobre todo a medida que los colonos fueron aventurándose tierra adentro. Más allá de las montañas de la Costa Este, los indios habían talado ya grandes extensiones y quemado gran parte del sotobosque para facilitar la caza. En Ohio, los primeros colonos se quedaron pasmados al descubrir que los bosques recordaban más a los parques ingleses que a los bosques vírgenes, y que eran además lo bastante espaciosos como para poder circular en carruaje entre los árboles. Los indios habían creado aquellos parques para favorecer la reproducción del bisonte, animal que prácticamente criaban.
Los colonos devoraron la madera. La utilizaron para construir casas, graneros, carromatos, barcos, cercados, muebles y todo tipo posible de utensilios de la vida diaria, desde cubos hasta cucharas. La quemaban en abundantes cantidades para calentarse y para cocinar. Según el historiador de la primera etapa norteamericana, Carl Bridenbaugh, la casa colonial media necesitaba entre quince y veinte cuerdas de leña. Esto equivaldría a una montaña de leña de veinticinco metros de altura, por veinticinco de ancho y cincuenta de largo, algo enorme. Pero lo que sí es cierto es que la madera se acabó rápido. Bridenbaugh menciona un pueblo en Long Island donde en sólo catorce años se agotó hasta el último palito de madera por donde quiera que miraras, y debió de haber muchos más así.
Se talaron enormes extensiones para crear campos de cultivo y pastos, e incluso los caminos acabaron convirtiéndose en amplios espacios despejados. En la América colonial las carreteras eran desmesuradamente anchas —cincuenta metros era muy habitual— para evitar las emboscadas y poder tanto circular como guiar rebaños de animales hacia los mercados. En 1810 apenas quedaba en Connecticut una cuarta parte de los bosques originales. Más al oeste, la aparentemente inagotable reserva de pino blanco de Michigan —170 billones de pies tablares cuando llegaron los primeros colonos— menguó en un 95 % en sólo un siglo. Gran parte de la madera norteamericana se exportó a Europa, sobre todo en forma de tablillas y tablones para la construcción. Tal y como Jane Jacobs apuntó en La economía de las ciudades, en el Gran Incendio de Londres ardió mucha madera americana.
Todo el mundo da por sentado que los primeros colonos construyeron cabañas de madera. Pero no fue así. No sabían cómo hacerlo. Las cabañas de madera fueron introducidas por los inmigrantes escandinavos a finales del siglo XVIII, y a partir de ahí se impusieron rápidamente. Aunque las cabañas de madera eran construcciones sencillas —y ése era, claro está, su atractivo—, implicaban también cierta complejidad. Para que los troncos encajaran en las esquinas, los constructores podían utilizar varios tipos de ensamblaje —ensamblaje en V, ensamblaje ensillado, ensamblaje en punta de diamante, ensamblaje cuadrado, machihembrado completo, medio machihembrado, etcétera— y éstos, a su vez, tenían curiosas afinidades geográficas, algo que no se ha podido explicar nunca del todo. El ensamblaje ensillado, por ejemplo, era el método preferido en el sur profundo y en las casas de la zona central de Wisconsin y el sur de Michigan, pero no estaba presente en prácticamente ningún otro lugar. Los habitantes del estado de Nueva York, por su parte, se decantaron de forma abrumadora por un método de ensamblaje conocido como entibado de falsa esquina, pero abandonaron casi por completo ese estilo al desplazarse de la zona. Podría trazarse una historia de la emigración norteamericana —y lo cierto es que se ha trazado— averiguando qué tipo de ensamblajes aparecieron y dónde; de hecho, se han dedicado carreras profesionales enteras a intentar entender los distintos modelos de ensamblaje.
* * * *
Cuando nos paramos a pensar en la velocidad a la que los colonos norteamericanos se abrieron camino entre los gigantescos bosques que los recibieron a su llegada, no sorprende que la escasez de madera fuera un problema crónico y preocupante en el paisaje inglés, mucho más reducido y poblado. Tal vez las leyendas y los cuentos de hadas nos hayan dejado una imagen popular inextirpable de la Inglaterra medieval como una tierra de bosques oscuros y amenazadores, pero en realidad Robin Hood y sus alegres compañeros no tenían muchos árboles detrás de los que poder esconderse. En tiempos del Domesday Book, 1086, sólo el 15 % de la campiña inglesa era boscosa.A lo largo de la historia, los británicos han utilizado y necesitado mucha madera. Una granja típica del siglo XV contenía la madera de 330 robles. Los barcos utilizaban más aún. El buque insignia de Nelson, el Victory, consumió probablemente tres mil robles adultos, el equivalente a un bosque de tamaño considerable. El roble se utilizaba también en grandes cantidades para procesos industriales. La corteza de roble, mezclada con excrementos de perro, se utilizaba para curtir el cuero. La tinta se hacía a partir de las agallas del roble, una especie de herida carnosa que inducen en los árboles unos avisperos parasitarios. Pero el mayor consumidor de madera era la industria del carbón. En tiempos de Enrique VIII, se necesitaban anualmente más de quinientos kilómetros cuadrados de bosque para producir carbón suficiente para la industria del hierro, y a finales del siglo XVIII la cifra había aumentado hasta los mil cuatrocientos kilómetros cuadrados anuales, o lo que es lo mismo, una séptima parte del total de zonas boscosas del país.
La mayoría de los bosques se gestionaba mediante una técnica que consiste en podar periódicamente los árboles hasta dejarlos a la altura de un sotobosque para que rebroten a partir del tocón, lo que significa que no había talas masivas de grandes superficies. De hecho, la industria del carbón, lejos de ser la culpable, fue la responsable del mantenimiento en buen estado de muchos bosques… aunque lo que se conservaba, bien hay que decirlo, solían ser bosques sin carácter y de escasa altura, más que bosques vírgenes de altos árboles en los que apenas penetraba el sol. Pero incluso con una gestión esmerada, la demanda de madera sufrió tal ascenso que, en el siglo XV, Gran Bretaña consumía la leña a más velocidad de la que la reponía, y hacia el siglo XVI, la madera para la construcción era desesperadamente escasa. Las casas con entramado de madera que asociamos en Inglaterra a este periodo no son un reflejo de la abundancia de madera, sino de su parquedad. Eran la forma que tenían los propietarios de demostrar que podían permitirse un recurso escaso.
La necesidad fue lo único que acabó finalmente obligando a la gente a decantarse por la piedra. Inglaterra poseía la piedra de construcción más maravillosa del mundo, pero tardó una eternidad en descubrirlo. Durante casi mil años, desde la caída del Imperio romano hasta la época de Chaucer, la madera fue el material constructivo predominante en Inglaterra. La piedra se reservaba única y exclusivamente para los edificios más importantes: catedrales, palacios, castillos, iglesias. Cuando los normandos llegaron a Inglaterra no había en el país ni una sola casa de piedra. Un hecho notable, pues justo debajo de los pies de todo el mundo había una piedra de construcción sublime proporcionada por una gran banda de calizas oolíticas de enorme dureza (es decir, calizas con grandes cantidades de oolitos esféricos, o granillos), que recorría en forma de amplio arco el conjunto del país, desde Dorset, en la costa sur, hasta las Cleveland Hills de Yorkshire, en el norte. Es lo que se conoce como la banda jurásica, y las piedras de construcción más famosas de Inglaterra, desde el mármol de Purbeck y la piedra blanca de Portland, hasta la piedra de color miel de Bath y las Costwold, se localizan en esta zona. Estas piedras, tremendamente antiguas, cuyo origen se remonta a los mares primitivos, son lo que otorga al paisaje británico esa sensación tan cálida e intemporal. De hecho, la intemporalidad que despiertan los edificios ingleses es una ilusión singular.
El motivo por el que la piedra no se utilizaba con más frecuencia es porque resultaba cara: cara de extraer por el trabajo que implicaba y cara de trasladar debido a su gran peso. Desplazar durante un tramo de veinte kilómetros un carromato cargado de piedra doblaba el coste del material, y por eso la piedra medieval nunca viajó muy lejos, y ésa es también la razón por la que existen en Gran Bretaña esas diferencias regionales tan atractivas y concretas en cuanto a la utilización de la piedra y los estilos arquitectónicos. Un edificio de piedra de tamaño importante —un monasterio cisterciense, pongamos como ejemplo— podía requerir unos cuarenta mil carros cargados de piedra. Un edificio de piedra resultaba, literalmente, sobrecogedor, y no sólo por lo sólido de su aspecto, sino también por ser sólidamente pétreo. La piedra en sí era una declaración de poder, riqueza y esplendor.
A nivel doméstico, la piedra apenas se utilizó hasta el siglo XVIII, pero a partir de entonces se impuso con rapidez, incluso para edificios sencillos como pequeñas cabañas rurales. Por desgracia, las grandes zonas que quedaban alejadas de la banda de caliza carecían de piedra local, y entre ellas estaba el lugar más importante y más hambriento de edificios: Londres. Pero los alrededores de Londres sí poseían enormes reservas de arcilla rica en hierro que ayudaron a que la ciudad redescubriese un antiguo material de construcción: el ladrillo. El ladrillo existe desde hace seis mil años, aunque en Gran Bretaña se remonta tan sólo al tiempo de la invasión romana, y además, todo hay que decirlo, el ladrillo romano no era de gran calidad. A pesar de su habilidad constructiva, los romanos no tenían la técnica necesaria para cocer un ladrillo de gran tamaño en su totalidad, por lo que fabricaban ladrillos finos que más bien parecían tejas. Con la marcha de los romanos, el ladrillo cayó en desuso en Inglaterra durante casi mil años.
El ladrillo empezó a aparecer en algunos edificios ingleses hacia 1300, pero durante los doscientos años siguientes, la escasa habilidad de los autóctonos obligó a importar ladrilleros y albañiles holandeses siempre que se quiso construir una casa de ladrillo. Como material constructivo de cosecha propia, el ladrillo salió a la luz en la época de los Tudor. Muchos de los grandes edificios ingleses de ladrillo, como Hampton Court Palace, datan de este periodo. El ladrillo presentaba una gran ventaja: normalmente podía fabricarse in situ. Los fosos y los estanques que asociamos con las casas señoriales de la época Tudor indican con frecuencia los lugares de extracción de la arcilla que luego se convertiría en ladrillo. Pero los ladrillos presentaban también sus desventajas. Para fabricar un ladrillo decente, el ladrillero tenía que realizar todas las fases del proceso con una precisión exacta. En primer lugar, tenía que mezclar con cuidado dos o más tipos de arcilla para garantizar la consistencia correcta e impedir que el ladrillo se combara o se contrajera durante la cocción. A continuación, la mezcla se introducía en los moldes para que adoptara la forma del ladrillo y se dejaba secar al aire libre durante dos semanas. Finalmente, los ladrillos se apilaban y se ponían a cocer en el horno. Si se producía un fallo en cualquiera de estas fases —si la mezcla era excesivamente húmeda o el horno no tenía la temperatura adecuada—, el resultado eran ladrillos defectuosos. Y los ladrillos defectuosos eran lo más normal del mundo. Por eso en la Gran Bretaña medieval y renacentista el ladrillo tenía mucho prestigio y valor. Era un material novedoso y sofisticado y, en general, estaba tan sólo presente en las estructuras más elegantes e importantes.
Tal vez la mayor demostración de la dificultad implícita en la fabricación de los ladrillos —o posiblemente la mayor demostración de testaruda futilidad— la encontramos en 1819, cuando Sydney Smith, el conocido y chistoso pastor anglicano, decidió fabricar sus propios ladrillos para la rectoría que estaba construyéndose en Foston le Clay, Yorkshire. Se dice que llegó a cocer sin éxito 150.000 ladrillos antes de acabar reconociendo que nunca iba a cogerle el tranquillo.
La edad de oro del ladrillo británico fue el siglo comprendido entre 1660 y 1760. «En ningún otro lugar del mundo puede verse enladrillado más bello que en los mejores ejemplos ingleses de esta época», escribieron Brunskill y Clifton-Taylor en su definitivo English Brickwork. Una gran parte de la belleza de los ladrillos de este periodo era precisamente su sutil carencia de uniformidad. Al ser imposible fabricar ladrillos idénticos, mostraban un amplio abanico de tonalidades que oscilaban desde el rojo más rosáceo hasta el ciruela más intenso. Los minerales de la arcilla son lo que otorga al ladrillo su color, y el predominio del hierro en la mayoría de los suelos es el responsable de su desproporcionada tendencia al rojo. El clásico ladrillo ocre de Londres obtiene su color por la presencia de yeso en el suelo.
Los ladrillos tenían que disponerse de forma intercalada para que las juntas verticales no formaran líneas continuas (que debilitarían la estructura) y ello dio lugar a la aparición de diversos estilos, todos ellos dictados fundamentalmente por cuestiones de solidez, pero también por un agradable afán de proporcionar variedad y belleza. El aparejo inglés es un estilo en el que se alternan hiladas de sogas (la cara ancha del ladrillo) con otras de tizones (la cara estrecha). El aparejo flamenco alterna los tizones con las sogas en la misma hilada. El aparejo flamenco es mucho más popular que el inglés, no porque sea más fuerte, sino porque resulta más económico, pues cualquier fachada tiene en este caso más caras anchas que estrechas y, en consecuencia, se necesitan menos ladrillos. Pero había muchos modelos más —el aparejo chino, el aparejo de Dearne, el aparejo de muro de jardín inglés, el aparejo en cruz, el aparejo de trampa de rata, el aparejo de monje, el aparejo volador, etc., todos con distintas configuraciones de sogas y tizones—, y cada uno de ellos podía mejorarse además haciendo que algunos ladrillos sobresalieran ligeramente, como pequeños escalones (lo que se conoce como ménsulas), o insertando ladrillos de distintos colores para crear un motivo en forma de diamante, lo que se conoce como un motivo decorativo romboidal o de pañal. (La relación entre un motivo de ladrillos y el pañal del bebé, es que esa prenda estaba en su origen hecha con hilo tejido de tal manera que formaba un motivo en forma romboidal).
El ladrillo siguió siendo un material eminentemente respetable y destinado a las casas más elegantes hasta el periodo de la Regencia, pero a partir de aquel momento surgió un repentino y frío rechazo hacia él, y muy en concreto hacia el ladrillo rojo. «Hay algo escabroso en la transición» de piedra a ladrillo, reflexionaba Isaac Ware en su influyente obra Complete Body of Architecture (1756). El ladrillo rojo, proseguía, era «ardiente y desagradable a la vista […] y de lo más impropio en el campo», precisamente el lugar donde más estaba utilizándose.
De pronto la piedra se convirtió en el único material aceptable para cubrir la superficie de los edificios. En el periodo georgiano, la piedra estaba tan de moda que los propietarios estaban dispuestos a llegar a extremos insospechados con tal de disimular la naturaleza de sus casas si no estaban construidas en piedra en su totalidad. Apsley House, en Hyde Park Corner, Londres, estaba construida en ladrillo, pero fue revestida con piedra de Bath cuando el ladrillo quedó repentinamente desfasado.
América desempeñó un papel indirecto e inesperado en la caída en desgracia del ladrillo. La pérdida de ingresos procedentes de los impuestos de las colonias norteamericanas que se produjo como consecuencia de la Guerra de la Independencia, así como el coste de dicha guerra, se tradujeron para el Gobierno británico en la necesidad urgente de recaudar fondos, por lo que en 1784 decidió introducir un rígido impuesto sobre el ladrillo. Los fabricantes producían ladrillos más grandes para reducir el impacto del impuesto, pero era tan incómodo trabajar con ellos que la consecuencia no fue otra que un descenso aún más pronunciado de las ventas. Para contrarrestar la caída del dinero recaudado con el impuesto sobre el ladrillo, el Gobierno decidió aumentarlo en dos ocasiones más, en 1794 y en 1803. El ladrillo cayó en picado, pasó de moda y no había, por otro lado, quien pudiera permitírselo.
El problema era que muchos de los edificios existentes eran ineludiblemente de ladrillo. Un recurso sencillo que se aplicó en Gran Bretaña fue el de darles a las casas una especie de tratamiento facial permanente aplicando una generosa capa de estuco —una especie de enlucido exterior hecho con cal, agua y cemento, un término que tiene su origen en una palabra del alemán antiguo, stukki, o «cobertura»— por encima de la superficie original de ladrillo. Cuando el estuco se secaba, se podían tallar en él unas líneas con las que se obtenía la apariencia de bloques de piedra. John Nash, un arquitecto de la época de la Regencia, se hizo especialmente famoso por sus obras de estuco, tal y como registra un conocido ripio:
¿Pero acaso no es nuestro Nash…Nash es otra de las varias personas que aparecen en esta historia que salió de la nada y cuyo ascenso a la grandeza era del todo impredecible. Se crió en la pobreza en el sur de Londres y su aspecto no era el de una figura especialmente imponente. Tenía «la cara como la de un mono», según la cruel descripción de un contemporáneo, y carecía de los modales y la educación que podrían haberle facilitado el camino hacia el éxito. Pero de un modo u otro, consiguió acceder a un periodo de aprendizaje en el despacho de sir Robert Taylor, uno de los arquitectos más destacados del momento.
un maestro grande y confeso?
¡Encuentra ladrillo por doquier y
nos lo convierte en yeso!
Finalizado su aprendizaje, se embarcó en una carrera que demostró más ganas que triunfos, al menos en un principio. En 1778, y como el típico juego de conjeturas de un principiante, diseñó y construyó dos grupos de casas en Bloomsbury, que se cuentan entre las primeras casas de Londres (si no las primeras) que se cubrieron con estuco. Por desgracia, el mundo no estaba preparado todavía para las casas cubiertas de estuco y no se vendieron. (Una de ellas estuvo desocupada durante doce años). Un contratiempo de este calibre habría supuesto un desafío en circunstancias propicias pero, simultáneamente, la vida privada de Nash estaba resolviéndose también de un modo espectacular. Su joven esposa resultó no ser la presa que él imaginaba. Acumulaba fabulosas facturas en modistas y sombrererías de Londres y, como consecuencia de ello, fue arrestado dos veces por deudas. Peor aún, descubrió que mientras él se esforzaba por superar aquellas dificultades legales, ella vivía apasionadas aventuras con otros, incluyendo uno de sus más viejos amigos, y que los dos hijos de su matrimonio no eran con toda probabilidad suyos (ni quizás tampoco de un solo hombre).
En la bancarrota y abatido, Nash se deshizo de su esposa y sus hijos —se desconoce qué fue de ellos— y se trasladó a Gales, donde inició una nueva y menos ambiciosa carrera, dispuesto a llevar una vida de arquitecto de moderado éxito especializado en la construcción de ayuntamientos de provincias y otros edificios municipales.
Y así transcurrió su vida durante unos años. Pero en 1797, a la avanzada edad de cuarenta y seis años, regresó a Londres, se casó con una mujer mucho más joven que él, se hizo íntimo amigo del príncipe de Gales —el futuro rey Jorge IV— e inició una de las carreras como arquitecto más importantes e influyentes que un profesional de su especialidad pueda haber tenido. El responsable de tan repentinos cambios sigue siendo un misterio. El rumor que circulaba era que su nueva esposa era la amante del príncipe regente y que Nash no era más que una tapadera. No es un supuesto descabellado, teniendo en cuenta que ella era una auténtica belleza y que el tiempo no le había sumado precisamente atractivo a Nash. Era, según sus propias palabras, una «figura gruesa, rechoncha y enana, con cabeza redonda, nariz chata y ojos pequeños». Pero como arquitecto era un genio, y casi enseguida empezó a producir un conjunto de edificios excepcionalmente osados y certeros. En Brighton transformó una tradicional mansión conocida como el Marine Pavilion en el edificio cubierto con una colorista y estrafalaria cúpula que se conoce hoy en día como el Brighton Pavilion. Pero los verdaderos cambios iban a producirse en Londres.
Nadie, a excepción tal vez de la Luftwaffe, ha hecho más para cambiar el aspecto de Londres de lo que hizo John Nash en el transcurso de los siguientes treinta años. Fue el creador de Regent’s Park y Regent Street, así como de muchas mansiones y casas adosadas de los alrededores, dándole a Londres un aspecto majestuoso e imperial del que antes carecía. Construyó Oxford Circus y Piccadilly Circus. Creó el Buckingham Palace a partir de la inferior Buckingham House. Y planificó, aunque no vivió lo bastante como para construirla, Trafalgar Square. Y cubrió con estuco prácticamente hasta el último centímetro de todo lo que construyó.
§. 2
El ladrillo podría haber quedado marginado para siempre como material de construcción doméstico de no haber sido por un importante e inesperado factor: la contaminación. A principios de la época victoriana, el carbón ardía en Inglaterra en cantidades prodigiosas. Una familia típica de clase media podía quemar una tonelada de carbón al mes y, de repente, la Gran Bretaña del siglo XIX se llenó de familias de clase media. En 1842, Gran Bretaña consumía dos terceras partes de la totalidad del carbón producido en el mundo occidental. Y en Londres, el resultado de ello no era otro que una oscuridad casi impenetrable durante la mayor parte del año. En uno de los relatos de Sherlock Holmes, éste tenía que encender una cerilla —en plena luz de día— para leer algo escrito en una pared. Tan complicado era orientarse, que la gente andaba tropezándose con las paredes o cayendo en agujeros invisibles. En un famoso incidente, siete personas cayeron una tras otra al Támesis. En 1854, cuando Joseph Paxton sugirió la construcción de un «Gran Cinturón Ferroviario» de dieciocho kilómetros que uniese las principales estaciones de Londres, propuso construirlo bajo cristal para que los pasajeros quedasen aislados del insalubre ambiente de la ciudad. Por lo que se ve, resultaba más atractivo estar encerrado con el humo espeso de los trenes que en el exterior, con la espesa niebla de todo lo demás [40] .El carbón estaba en prácticamente todas partes: ropa, pintura, plantas, muebles, edificios y sistemas respiratorios. En semanas de niebla mala, el número de fallecimientos registrados en Londres podía aumentar en un millar. Incluso las mascotas y los animales del mercado de carne de Smithfield morían en cifras desproporcionadamente altas.
El humo del carbón era especialmente nocivo para los edificios de piedra. Edificios nuevos y radiantes se deterioraban con alarmante rapidez. La piedra de Portland adoptaba un desagradable aspecto moteado, quedándose blancas y relucientes las fachadas expuestas al viento y la lluvia, y asquerosamente negras las zonas protegidas por alféizares, dinteles y cualquier rincón que quedara bajo cubierto. En Buckingham Palace, Nash utilizó piedra de Bath porque pensaba que resistiría mejor; se equivocaba. Casi de inmediato empezó a desmenuzarse. Un nuevo arquitecto, Edward Blore, se encargó de reparar el edificio. Rodeó el patio de Nash con una nueva fachada construida con piedra de Caen. Pero también empezó a desmoronarse casi enseguida. Lo más alarmante eran los nuevos edificios del Parlamento, donde la piedra empezó a ennegrecerse y a mostrar horribles hoyos y acanaladuras, como si hubiese recibido impactos de arma de fuego, incluso estando aún en proceso de construcción. Se intentaron remedios desesperados para detener el deterioro. Pintaron la superficie con diversas mezclas de goma, resinas, aceite de linaza y cera de abeja, pero no sirvió de nada e incluso aparecieron manchas nuevas, más alarmantes si cabe.
Sólo dos únicos materiales se mostraban impertérritos al insulto de los ácidos corrosivos. El primero de ellos era una notable piedra artificial conocida como piedra de Coade, en honor a Eleanor Coade, propietaria de la fábrica que la producía. La piedra de Coade se hizo muy popular y la utilizaron los arquitectos más destacados entre 1760 y 1830. Era prácticamente indestructible y podía modelarse para obtener de ella cualquier tipo de objeto ornamental: frisos, arabescos, capiteles, modillones o cualquier otro motivo decorativo que normalmente iría esculpido. El objeto realizado con piedra de Coade más famoso es el enorme león que hay sobre el puente de Westminster, cerca del Parlamento, aunque piedra de Coade la hay por todas partes: en Buckingham Palace, el castillo de Windsor, la Torre de Londres, la tumba del capitán Bligh en el cementerio de St. Mary-at-Lambeth, en Londres.
La piedra de Coade tiene el aspecto y el tacto de la piedra trabajada y resiste tanto como la más dura de las piedras, pero no es piedra. Es, sorprendentemente, una cerámica. La cerámica es arcilla cocida. Dependiendo del tipo de arcilla empleado y de la intensidad de la cocción, se obtienen tres materiales distintos: loza, gres o porcelana. La piedra de Coade es un tipo de gres especialmente duro y resistente. En la mayoría de casos es tan resistente a las inclemencias del tiempo y a la contaminación que parece casi nueva incluso después de dos siglos y medio de exposición a los elementos.
Pero a pesar de la ubicuidad y las notables características de la piedra de Coade, se sabe muy poco sobre ella y su epónima fabricante. Dónde y cuándo se inventó, cómo acabó Eleanor Coade implicándose en el proceso y por qué la empresa se cerró de repente a finales de la década de 1830, son cuestiones que han despertado escaso interés académico. La señora Coade no recibe más que media docena de párrafos de atención en el Dictionary of National Biography, y la única historia a gran escala de ella y su empresa fue un trabajo publicado por la historiadora Alison Kelly en 1999.
Lo que sí se sabe seguro es que Eleanor Coade era la hija de un hombre de negocios fracasado, originario de Exeter, que llegó a Londres en 1760 y dirigió un próspero negocio de venta de tejidos. Hacia finales de la década, Eleanor conoció a un tal Daniel Pincot, que ya andaba metido en el negocio de la fabricación de piedra artificial. Abrieron una fábrica en la orilla sur del Támesis, cerca de donde se encuentra hoy en día la estación de Waterloo, y empezaron a fabricar un material de excepcional calidad. Suele atribuírsele a la señora Coade el mérito del invento, pero es más probable que fuera Pincot quien descubriera el método y ella aportara el dinero. En cualquier caso, Pincot abandonó la empresa sólo dos años después y ya no se supo más de él. Eleanor Coade dirigió el negocio con mucho éxito durante cincuenta y dos años, hasta su fallecimiento en 1821 a los ochenta y ocho años de edad, un logro notable para una mujer del siglo XIX. Nunca se casó. No tenemos ni idea de si era una mujer dulce y cariñosa o una bruja regañona. Lo único que puede decirse es que las ventas de la empresa Coade cayeron sin ella. Al final, la empresa se fue a pique, pero tan en silencio que nadie sabe muy bien el momento exacto en que dejó de fabricar.
Existe el mito de que el secreto de la piedra de Coade murió con Eleanor Code. De hecho, el proceso se ha reproducido a nivel experimental en al menos dos ocasiones. Nada impide ahora fabricarla comercialmente. El único motivo por el que no se fabrica es porque nadie se toma la molestia de hacerlo.
Pero la piedra de Coade sólo podía utilizarse con fines decorativos. Por suerte, existía también otro material constructivo muy venerable que soportaba bien la contaminación: el ladrillo. La contaminación fue la causante del éxito del ladrillo moderno, aunque colaboraron en ello, además, otros oportunos factores. El desarrollo de los canales hizo que empezara a resultar rentable transportar ladrillos en barco a puntos remotos. La invención del horno Hoffman (llamado así por Friedrich Hoffman, su inventor alemán) permitió fabricar ladrillos de forma continua, y por lo tanto más barata, mediante una especie de cadena de fabricación. La desaparición en 1850 del impuesto sobre el ladrillo redujo todavía más los costes. Pero el principal estímulo fue simplemente el fenomenal crecimiento que vivió Gran Bretaña en el siglo XIX: el crecimiento de las ciudades, de la industria, de la necesidad de vivienda. En vida de la reina Victoria, la población de Londres pasó de un millón a casi siete millones de habitantes y las nuevas ciudades industriales como Manchester, Leeds y Bradford tuvieron tasas de crecimiento mayores aún. En términos generales, el número de casas se cuadruplicó en Gran Bretaña a lo largo del siglo y el nuevo material de construcción de viviendas fue el ladrillo, igual que lo fue también el de las fábricas, chimeneas, estaciones de ferrocarril, cloacas, escuelas, iglesias, oficinas y otras infraestructuras novedosas que vieron la luz en aquella frenética época. El ladrillo era demasiado versátil y demasiado barato como para resistirse a él. Se convirtió en el material de construcción por defecto de la Revolución industrial.
Según una estimación, en el periodo victoriano se colocaron en Gran Bretaña más ladrillos que en la totalidad de la historia anterior. El crecimiento de Londres significó la aparición de suburbios con casas de ladrillo más o menos idénticas, kilómetro tras kilómetro de «deprimente mediocridad repetitiva», según la desapacible descripción de Disraeli. El horno Hoffman tuvo mucho que ver con ello, pues introdujo la uniformidad más absoluta en cuanto a tamaño, color y aspecto de los ladrillos. Los edificios construidos con ladrillos del nuevo estilo tenían mucha menos sutileza y carácter que los edificios de épocas previas, pero resultaban por otro lado mucho más baratos, y en los asuntos humanos nunca ha habido un momento en que lo barato no triunfara.
El ladrillo solo presentaba un problema, que se hizo más evidente a medida que avanzaba el siglo y el espacio constructivo empezaba a menguar. Los ladrillos pesan mucho y no permiten la construcción de edificios demasiado altos (y no es que la gente no lo intentara). El edificio construido con ladrillo más alto que ha existido nunca es el Monadnock Building, con dieciséis pisos de altura, un edificio de oficinas levantado en Chicago en 1893 y diseñado poco antes de su muerte por el arquitecto John Root, de la famosa firma Burnham y Root. El Monadnock sigue todavía en pie y es un edificio extraordinario. Pesa tanto que las paredes a nivel de calle tienen un grosor de casi dos metros, lo que convierte la planta baja —que en condiciones normales suele ser la parte más acogedora de un edificio— en una bóveda oscura e intimidadora.
El Monadnock sería excepcional en cualquier parte, pero lo es especialmente en Chicago, donde el terreno es como una esponja. Chicago está construida sobre marismas: cualquier cosa pesada que se deposite sobre el suelo de Chicago desea hundirse y, en los primeros tiempos, generalmente se hundía. Los arquitectos solían conceder unos treinta centímetros de asentamiento en los terrenos de Chicago. Las aceras se construían con una fuerte inclinación y ascendían desde el bordillo hasta el edificio. La esperanza se depositaba en que, cuando el edificio se asentara, la acera descendiera con él y quedara perfectamente horizontal. Pero en la práctica, rara vez sucedía así.
Para mejorar el problema de hundimiento, los arquitectos del siglo XIX desarrollaron una técnica consistente en construir una «balsa» sobre la que asentar el edificio, de un modo parecido a la forma en que un surfista se sostiene sobre la tabla de surf. La balsa que hay debajo del Monadnock se extiende 3, 3 metros por debajo del edificio en todas direcciones, pero incluso con la balsa se hundió casi sesenta centímetros después de su construcción, un hecho indeseable en un edificio de dieciséis pisos. Que el edificio siga en pie es un testimonio de la pericia de John Root. Los hubo no tan afortunados. Un bloque de oficinas del Gobierno, conocido como el Federal Building, construido en 1880 con un pasmoso coste de 5 millones de dólares, se inclinó de forma tan rápida y peligrosa que no duró ni dos décadas. Muchos otros edificios más pequeños tuvieron vidas similarmente breves.
Lo que necesitaban los arquitectos era un material constructivo más ligero y flexible, y durante mucho tiempo pareció que ese material sería el que Joseph Paxton llevó por vez primera a la fama a gran escala con el Palacio de Cristal: el hierro.
Como material constructivo, había dos tipos de hierro: el hierro fundido y el hierro forjado. El hierro fundido, llamado así porque puede fundirse en moldes, era estupendo en cuanto a su compresión —soportando su propio peso—, pero no tan bueno bajo tensión, y tendía a partirse como un lápiz si se tensaba horizontalmente. En consecuencia, producía pilares excelentes, pero no servía para fabricar vigas. Por otro lado, el hierro forjado era lo bastante fuerte para trabajar en horizontal, pero más caro al ser más complicado y lento de fabricar por tener que doblarse repetidamente y martillearse mientras estuviera aún fundido. Además de hacerlo más fuerte, el proceso de doblado y martilleado lo hacía dúctil, es decir, capaz de ser estirado, como el toffee, y doblado en distintas formas, razón por la cual ciertos objetos decorativos, como las verjas, se fabrican con hierro forjado. De manera conjunta, ambos tipos de hierro se utilizaron en construcciones a gran escala y en proyectos de ingeniería en todo el mundo.
Curiosamente, el único lugar donde el hierro nunca llegó a imponerse fue en la construcción de viviendas. En todos los demás sitios, sin embargo, el hierro fue ganando fuerza… hasta que alguien cayó en la cuenta de que la fuerza no era, de hecho, su característica más fiable. La inquietante realidad era que el hierro fallaba a veces de un modo espectacular. El hierro fundido, en particular, tendía a astillarse o quebrarse si no estaba perfectamente fundido, y detectar las imperfecciones de antemano podía resultar imposible. Esta debilidad se puso de manifiesto, por desgracia, en el invierno de 1860 en una fábrica textil de Lawrence, en Massachusetts. Allí, una fría mañana, novecientas mujeres, en su mayoría inmigrantes irlandesas, estaban trabajando en sus ruidosas máquinas cuando una de las columnas de hierro fundido que soportaba el tejado cedió. Después de unos momentos de incertidumbre, las demás columnas de aquella fila fueron cediendo de una en una, como los botones que saltan disparados uno tras otro de una camisa. Las aterradas trabajadoras corrieron hacia las salidas, pero antes de que muchas de ellas consiguieran llegar a las puertas, el edificio se derrumbó con un estruendo que nunca olvidarían quienes pudieron oírlo. Murieron unas doscientas trabajadoras, aunque hay que destacar que nadie se molestó, ni entonces ni después, en realizar un conteo formal. Centenares más resultaron heridas. Muchas de las que quedaron atrapadas en el interior murieron horrorosamente calcinadas por el fuego provocado por las lámparas.
En la década siguiente, el hierro sufrió otro golpe más cuando un puente construido sobre el río Ashtabula, en Ohio, se derrumbó justo en el momento en que pasaba por encima de él un tren de pasajeros. Murieron setenta y siete personas. Casi exactamente tres años más tarde, aquel accidente fue recordado con misteriosa precisión en el puente de Tay, en Escocia. Mientras un tren lo cruzaba durante un día lluvioso, una parte del puente cedió, y los vagones se precipitaron hacia el agua, lo que acabó con la vida de una cifra casi idéntica de personas que las que habían muerto en el accidente del Ashtabula. Fueron las tragedias más notorias, pero los percances a menor escala con el hierro eran casi rutinarios. Las calderas de vapor de los trenes fabricadas con hierro fundido explotaban de vez en cuando y las vías se soltaban o se torcían bajo la presión de las cargas más pesadas o los cambios de la climatología, provocando descarrilamientos. Fueron de hecho las carencias del hierro las que, en gran parte, permitieron que el canal de Erie continuara siendo un éxito durante tanto tiempo. Bien entrada la época del ferrocarril, el canal seguía en auge, un hecho sorprendente teniendo en cuenta que durante los inviernos se helaba y resultaba intransitable. Los trenes podían circular todo el año y, a medida que los motores fueron mejorando, podían, en teoría, transportar más carga. En la práctica, sin embargo, las vías de hierro no eran lo bastante fuertes como para soportar cargas excesivamente pesadas.
Se hacía necesario algo mucho más fuerte, y ese material era el acero, que no es más que otro tipo de hierro pero con una cantidad distinta de carbono. El acero era un material superior en todos los sentidos, pero no podía fabricarse en grandes cantidades debido al elevado volumen de calor que exigía. Funcionaba bien en objetos como espadas y cuchillas de afeitar, pero no para productos a escala industrial como vigas y vías de tren. En 1856 ese problema se solucionó de forma inesperada —y, de hecho, de manera un tanto curiosa— gracias a un hombre de negocios inglés que no tenía ni idea de metalurgia pero que disfrutaba haciendo chapuzas y experimentos. Se llamaba Henry Bessemer y había alcanzado ya el éxito con la invención de un producto conocido como polvo de bronce. Se utilizaba para aplicar un falso acabado dorado a una gran diversidad de materiales. A los victorianos les encantaban los acabados dorados, por lo que el polvo de Bessemer lo convirtió en un hombre rico y le concedió la posibilidad de disfrutar de tiempo para saciar sus instintos inventivos. Durante la Guerra de Crimea decidió que quería construir armas pesadas, pero vio enseguida que para ello necesitaba un material mejor que el hierro fundido o el hierro forjado, y por ello empezó a experimentar con nuevos métodos de fabricación. Sin tener en realidad idea de lo que hacía, inyectó aire en lingotes de hierro fundido para ver qué pasaba. Lo que debería haber sucedido, según las predicciones convencionales, era una potente explosión, razón por la cual ninguna persona cualificada había intentado antes aquella locura. Pero el invento no explotó, sino que produjo una llama de elevada intensidad, que eliminaba las impurezas y daba como resultado un acero durísimo. De pronto se hizo posible fabricar acero en grandes cantidades. El acero era el material que la Revolución industrial estaba esperando. Todo, desde las líneas de ferrocarril hasta los barcos que cruzaban los océanos, pasando por los puentes, podía a partir de aquel momento construirse más deprisa, más fuerte y más barato. El acero hizo posibles los rascacielos, y los paisajes urbanos se transformaron de repente. Los trenes se hicieron lo bastante robustos como para cruzar continentes a buena velocidad y tirando de grandes cargas. Bessemer se hizo inmensamente rico y famoso, y muchas ciudades de Estados Unidos (tantas como trece, según una fuente de información) acabaron llamándose Bessemer o Bessemer City en su honor.
Las callejuelas del Londres victoriano según una ilustración de Gustave Doré.
§. 1
Su nombre completo era Alexandre Gustave Boenickhausen-Eiffel, y estaba destinado a una vida de respetable oscuridad en la fábrica de vinagre que su tío tenía en Dijon, pero la fábrica se fue a pique y decidió estudiar ingeniería.Y era, por decirlo de alguna manera, terriblemente bueno. Construyó puentes y viaductos que cruzaban desfiladeros imposibles, vestíbulos de estaciones de ferrocarril de asombrosa amplitud y otras estructuras grandiosas y desafiantes que siguen impresionándonos e inspirándonos, incluyendo entre ellas, en 1884, una de las más complicadas de todas, el esqueleto interno que sustenta la Estatua de la Libertad. Todo el mundo piensa en la Estatua de la Libertad como una obra del escultor Frédéric Bartholdi, y es un diseño suyo, claro está. Pero sin el ingenioso trabajo de ingeniería interior que la sustenta, la Estatua de la Libertad no es más que una estructura hueca de cobre de apenas dos milímetros y medio de espesor. El espesor de un conejito de Pascua de chocolate… aunque un conejito de Pascua de cuarenta y seis metros de altura que tiene que soportar viento, nieve, lluvias torrenciales, la sal y la humedad del mar, la expansión y la contracción del metal bajo el sol y en condiciones de frío, y mil rudos ataques físicos más.
Jamás un ingeniero se había enfrentado a todos estos retos, y Eiffel los solventó de la forma más limpia posible: creando un esqueleto de cimbras y muelles sobre los que se asienta el revestimiento de cobre como si fuera un vestido. Aunque en ningún momento pensó que esta técnica fuera adecuada para edificios más convencionales, resultó determinante para el invento de la construcción con muro de cortina, la técnica constructiva más importante del siglo XX y la que hizo posibles los rascacielos. (Los constructores de los primeros rascacielos de Chicago inventaron también por su lado el muro de cortina, pero Eiffel llegó primero). La habilidad de la piel metálica de combarse bajo presión anticipó claramente el diseño de las alas de los aviones mucho antes de que alguien se planteara en serio la existencia de los mismos. Por lo tanto, la Estatua de la Libertad es una obra de envergadura, pero debido al hecho de que su genialidad se esconde bajo las faldas de la Libertad, casi nadie lo valora.
Eiffel no era un hombre vanidoso, pero en su siguiente gran proyecto se aseguró de que a nadie volviera a pasarle por alto valorar su papel en la construcción creando algo que no era más que un esqueleto. El evento que hizo esto posible fue la Exposición de París de 1889. Como es habitual en este tipo de cosas, los organizadores querían un centro de atención icónico y aceptaron propuestas. Se presentaron en torno a un centenar de ellas, incluyendo el diseño de una guillotina de doscientos setenta y cinco metros de altura para conmemorar la sin par contribución de Francia a la decapitación. Para muchos era una idea casi tan disparatada como el diseño ganador de Eiffel. Muchos parisinos no le veían sentido al hecho de colocar una torre de perforación gigantesca y sin funcionalidad alguna en el centro de la ciudad.
La Torre Eiffel no sólo era la cosa más alta que alguien se hubiera jamás propuesto construir, sino que además era la cosa más alta e inútil que nunca hubiera existido. No era un palacio, ni una cámara funeraria, ni un lugar de culto. Ni siquiera conmemoraba un héroe caído. Eiffel insistió bravamente en que su torre tendría muchas aplicaciones prácticas —que se convertiría en una atalaya militar estupenda y que desde sus alturas podrían realizarse útiles experimentos aeronáuticos y meteorológicos—, aunque acabó reconociendo que en el fondo deseaba construirla por el curioso placer de hacer algo realmente enorme.
Muchos, sobre todo artistas e intelectuales, odiaron el proyecto desde el principio. Un grupo de notables que incluía a Alexandre Dumas, Émile Zola, Paul Verlaine y Guy de Maupassant presentó una larga y exacerbada carta de protesta por «la desfloración de París», argumentando que «cuando los extranjeros vengan a ver nuestra exposición, exclamarán asombrados: “¡Vaya! ¡Ésta es la atrocidad que han creado los franceses para que nos hagamos una idea de su gusto presuntuoso!”». La Torre Eiffel, proseguían, era «la invención grotesca y mercenaria de un constructor de máquinas». Eiffel aceptó los insultos con alegre ecuanimidad y se limitó a destacar que uno de los ultrajados firmantes de la petición, el arquitecto Charles Garnier, era, de hecho, miembro de la comisión que había aprobado la construcción de la torre.
En su estado final, la Torre Eiffel parece tan singular e integrada, se ve de forma tan evidente que no podría haber sido otra cosa, que tenemos que recordarnos que es un ensamblaje inmensamente complejo, un calado integrado por dieciocho mil partes que encajan de manera intrincada y que sólo permanecen unidas gracias a una cantidad inmensa de inteligencia. Pensemos tan sólo en los primeros cincuenta y cinco metros de estructura, desde el suelo hasta la primera plataforma, lo que correspondería ya a la altura de un edificio de quince plantas. Hasta esa altura, las patas de la estructura se inclinan vertiginosamente hacia el interior en un ángulo de cincuenta y cuatro grados. Es evidente que caerían de no estar apuntaladas por la plataforma. La plataforma tampoco podría estar donde está sin las cuatro patas que la sustentan desde abajo. Las partes individuales funcionan de manera impecable cuando se suman para formar un todo, pero hasta que no se suman no pueden funcionar en absoluto. El primer reto de Eiffel, por lo tanto, fue concebir un sistema para apuntalar cuatro patas inmensamente altas y pesadas, cada una de ellas forzando para caer hacia adentro; y luego, en el momento exacto, poder colocarlas en el lugar adecuado para que las cuatro convergieran en los puntos exactos para soportar una plataforma grande y también muy pesada. Una alineación incorrecta de una décima de grado habría significado un desplazamiento de casi medio metro de cualquiera de las patas, una distancia imposible de corregir sin desmontarlo todo de nuevo para volver a empezar. Eiffel efectuó esta delicada operación anclando cada pata en el interior de un contenedor gigantesco de arena, como un pie dentro de una bota inmensa. Después, cuando acabó de trabajar en ellas, las patas se acomodaron retirando la arena de los contenedores siguiendo un proceso cuidadosamente controlado. El sistema funcionó a la perfección.
Sin embargo, aquello no era más que el principio. Por encima de la primera plataforma venían otros doscientos cuarenta y cuatro metros de estructura de hierro realizada a partir de quince mil piezas, en su mayoría de gran tamaño y de difícil manejo, todas las cuales tenían que colocarse en su debido lugar a unas alturas cada vez más desafiantes. Las tolerancias en algunos puntos eran tan mínimas que alcanzaban solamente una décima de milímetro. Había observadores convencidos de que la torre no podría soportar su propio peso. Un profesor de matemáticas llenó resmas de papel con enfebrecidos cálculos y declaró que cuando la torre hubiera alcanzado dos tercios de su altura, las patas se separarían y la estructura se derrumbaría con una furia estrepitosa, destrozando el vecindario por completo. De hecho, la Torre Eiffel es bastante ligera, pues pesa un total de 9.500 toneladas —es en su mayoría aire, al fin y al cabo—, y necesitó unos cimientos de tan sólo dos metros de profundidad para soportar su peso.
Eiffel pasó más tiempo diseñando la torre que construyéndola. El levantamiento se realizó en menos de dos años y se ajustó al presupuesto. La obra empleó tan sólo ciento treinta hombres y no hubo ningún accidente mortal durante la construcción, un logro magnífico para un proyecto de esta envergadura en esa época. Hasta el levantamiento del edificio Chrysler de Nueva York en 1930, la Torre Eiffel fue la estructura más alta del mundo. Y aunque en 1889 el acero estaba desplazando para siempre al hierro, Eiffel lo rechazó como material porque siempre había trabajado con hierro y no se sentía cómodo con el acero. Por lo tanto, resulta ciertamente irónico que el edificio más grande jamás construido en hierro fuera también el último.
* * * *
La Torre Eiffel fue la estructura de gran tamaño más llamativa e imaginativa del siglo XIX, y quizás también el logro estructural más importante, pero no fue para nada el edificio más caro de su siglo, y ni siquiera de aquel año. En el mismo momento en que la Torre Eiffel se levantaba en París, a más de tres mil kilómetros de distancia, en las colinas de los Apalaches en Carolina del Norte, se levantaba una estructura mucho más cara: una residencia privada de fantástica escala. Se tardaría el doble en completarla que la Torre Eiffel, emplearía el cuádruple de trabajadores, su construcción acabaría costando el triple y todo ello para que en la casa vivieran un hombre y su madre sólo unos meses al año. Llamada Biltmore, era (y sigue siéndolo) la casa privada más grande jamás construida en Norteamérica. Nada habla mejor de la cambiante economía de finales del siglo XIX que el hecho de que los habitantes del Nuevo Mundo estuvieran construyéndose casas más grandes que los monumentos más grandes del Viejo Mundo.En 1889, Estados Unidos estaba inmerso en un suntuoso periodo de autoindulgencia desmesurada conocido como la Edad de Oro. Nunca habría otro tiempo igual. Entre los años 1850 y 1900 se disparó en Norteamérica cualquier medida de riqueza, productividad y bienestar. La población del país se triplicó durante ese periodo, pero su riqueza se multiplicó por trece. La producción de acero pasó de 13.000 toneladas anuales a 11, 3 millones. Las exportaciones de productos metálicos de todo tipo —armas, vías de ferrocarril, tuberías, calderas, maquinaria— pasaron de 6 millones de dólares a 120 millones. El número de millonarios, menos de veinte en 1850, ascendió a 40.000 a finales de siglo.
Al principio, los europeos observaron entretenidos las ambiciones industriales norteamericanas, después con consternación y finalmente con alarma. En Gran Bretaña surgió el National Efficiency Movement con la idea de recuperar el espíritu tenaz y porfiado que en su día convirtiera el país en la nación dominante. Libros con títulos comoLos invasores americanos y La «invasión comercial americana» de Europa se vendían con celeridad. Pero lo que los europeos estaban contemplando no era más que el principio.
A principios del siglo XX, Estados Unidos producía más acero que la suma de Alemania y Gran Bretaña, una circunstancia que hubiera sido inconcebible medio siglo antes. Lo que irritaba especialmente a los europeos era que casi todos los avances tecnológicos en la producción del acero se llevaban a cabo en Europa, pero era en Estados Unidos donde se fabricaba el acero. En 1901, J. P. Morgan absorbió y amalgamó una serie de empresas pequeñas para crear la US Steel Corporation, la empresa más grande que jamás hubiera existido. Con un valor de 1.400 millones de dólares, valía más que toda la tierra de Estados Unidos al oeste del Mississippi y sus beneficios anuales duplicaban en tamaño al Gobierno federal de Estados Unidos.
El éxito industrial norteamericano generó muchos ejemplos de magnificencia financiera: Rockefeller, Morgan, Astor, Mellon, Frick, Carnegie, Gould, du Pont, Belmont, Harriman, Huntington, Vanderbilt y muchos más participaban de una riqueza de perfil dinástico de proporciones inagotables. John D. Rockefeller ganaba 1.000 millones de dólares anuales, calculados en dinero actual, y no pagaba impuestos sobre esa renta. Nadie los pagaba, pues el impuesto sobre la renta no existía todavía en Estados Unidos. En 1894, el Congreso intentó introducir un impuesto del 2 % para rentas superiores a 4.000 dólares, pero el Tribunal Supremo lo declaró inconstitucional. El impuesto sobre la renta no formaría parte habitual de la vida norteamericana hasta 1914, y hasta esa fecha, todo el dinero que se ganaba era para quien lo ganaba. La gente nunca volvería a ser tan rica como entonces.
Gastar toda esta riqueza se convirtió para muchos en una ocupación más o menos a tiempo completo. Una especie de tono desesperado y vulgar empezó a vincularse con casi todo lo que esa gente hacía. En una cena celebrada en Nueva York, los comensales se encontraron con una mesa llena de arena y, delante de cada asiento, una pequeña pala de las que se utilizaban para buscar oro; al recibir una determinada señal, empezaron a cavar para encontrar diamantes y otras piedras preciosas previamente enterradas. En otra fiesta —seguramente la más pretenciosa que se haya celebrado jamás—, varias docenas de caballos con los cascos debidamente protegidos entraron en el salón de baile de Sherry’s, un inmenso y lujoso restaurante, y se pasearon entre las mesas para que los invitados, vestidos de vaqueros, pudieran disfrutar del novedoso y sublimemente inútil placer de cenar en un salón neoyorquino a lomos de un caballo. Se celebraban fiestas que costaban decenas de miles de dólares. El 26 de marzo de 1883, la señora de William K. Vanderbilt rompió con cualquier precedente celebrando una fiesta que costó 250.000 dólares, aunque hay que tener en cuenta, tal y como el New York Times prudentemente reconoció, que era para señalar el fin de la Cuaresma. Ofuscado con frecuencia en aquella época, el Times dedicó diez mil palabras de incontrolada efusividad para informar de hasta el último detalle del acontecimiento. Fue la fiesta a la que la señora de Cornelius Vanderbilt asistió disfrazada de luz eléctrica (con toda probabilidad la única ocasión en su vida en que se pudo decir de ella que estaba radiante).
Muchos de los nouveaux riches viajaron a Europa y empezaron a comprar obras de arte, mobiliario y cualquier otra cosa que pudieran embalar y enviar a casa. Henry Clay Folger, presidente de Standard Oil (y pariente lejano de los Folger, la familia cafetera), empezó a coleccionar First Folios de William Shakespeare, adquiriéndolos normalmente a aristócratas sin blanca, y acabó haciéndose con un tercio de la totalidad de ejemplares supervivientes que hoy todavía constituyen la base de la gran Folger Shakespeare Library de Washington, D. C. Otros, como Henry Clay Frick y Andrew Mellon, crearon estupendas colecciones de arte, mientras que algunos compraban simplemente de forma indiscriminada. El mejor ejemplo de estos últimos es el del magnate de la prensa William Randolph Hearst, que adquiría tesoros de forma tan desinhibida que necesitó dos naves industriales en Brooklyn para almacenarlos todos. Hearst y su esposa no eran, es evidente, los compradores más sofisticados del mundo: cuando él le explicó que el castillo galés que acababa de comprar era normando, se dice que ella le respondió: « ¿Normando? ¿Quién es Normando?».
Los nuevos ricos empezaron a coleccionar no sólo arte y artefactos europeos, sino también europeos. Durante el último cuarto del siglo XIX, se puso de moda identificar a aristócratas faltos de liquidez y casar con ellos a alguna hija. No menos de quinientas jóvenes norteamericanas ricas aceptaron este tipo de acuerdos. En prácticamente todos los casos, no era tanto un matrimonio como una transacción. May Goelet, que tenía que heredar 12, 5 millones de dólares, fue cortejada por un tal capitán George Holford, que era rico y poseía tres mansiones. «Por desgracia —escribió con melancolía en una carta a casa—, el pobre hombre no tiene título». Por lo que se casó en su lugar con el duque de Roxburghe, y como consecuencia de ello vivió una vida paupérrima pero disfrutó de un título estupendo. Para algunas familias, casarse con americanas ricas se convirtió no tanto en una costumbre como en un síndrome. Lord Curzon se casó con dos norteamericanas (una detrás de la otra, por supuesto). El octavo duque de Marlborough se casó con Lily Hammersley, una viuda norteamericana que no era muy atractiva (un periódico la describía como «una mujer mal vestida y con bigote») pero sí inmensamente rica, mientras que el noveno duque se casó con Consuelo Vanderbilt, que era guapa y venía complementada con una dote de 4, 2 millones de dólares en acciones del ferrocarril. Mientras, su tío, lord Randolph Churchill, se casó con la americana Jennie Jerome, quien no aportó mucho dinero a la familia pero a cambio concibió a Winston Churchill. A principios del siglo XX, el 10 % de los matrimonios aristocráticos británicos fueron con americanas, una proporción extraordinaria.
En su país, los nuevos ricos americanos construyeron casas de una escala grandiosa. Y la más grandiosa de todas era la de los Vanderbilt. Sólo en la Quinta Avenida de Nueva York se construyeron diez mansiones. Pero fuera de la ciudad tenían casas aún más palaciegas, sobre todo en Newport, Rhode Island. En lo que posiblemente sea el único ejemplo de ironía entre los multimillonarios, llamaban a sus casas de Newport «cabañas». De hecho, eran casas tan grandes que incluso los criados necesitaban criados. Tenían hectáreas de mármol, los candelabros más brillantes, tapices del tamaño de pistas de tenis, muebles, cortinas y alfombras cargadas de oro y plata. Se estima que, de haberse construido hoy, Breakers habría costado 500 millones de dólares, una cifra que no está nada mal para tratarse de una residencia de verano. La ostentación de estas propiedades generó tal desaprobación que un comité del Senado se planteó por una vez seriamente introducir una ley que limitara la cantidad que podía gastarse en la construcción de viviendas.
El arquitecto responsable de gran parte de todo esto fue un hombre llamado Richard Morris Hunt. Hunt se crió en Vermont y era hijo de un congresista, pero a los diecinueve años viajó a París y se convirtió en el primer norteamericano en estudiar arquitectura en la École des Beaux Arts (en efecto, fue el primer norteamericano que recibió formación formal como arquitecto). Era encantador y atractivo —«el americano más guapo de todo París», según un observador—, pero hasta 1881, cumplidos ya de sobras los cincuenta, su carrera fue próspera y respetable, aunque algo mundana. Uno de sus proyectos típicos fue el diseño de la base de la Estatua de la Libertad, un encargo lucrativo, pero no de los que daban reputación. Y entonces fue cuando descubrió a los ricos. Y, más concretamente, cuando conoció a los Vanderbilt.
Los Vanderbilt eran la familia más acaudalada de Estados Unidos, con un imperio basado en el ferrocarril y el transporte marítimo fundado por Cornelius Vanderbilt, «un hombre vulgar, siempre mascando tabaco, un palurdo profano», según la valoración de un contemporáneo. Cornelius Vanderbilt —el Comodoro, como le gustaba ser conocido, aunque sin tener derecho alguno a ese título— no podía ofrecer mucho a nivel de sofisticación o encanto intelectual, pero tenía un don innato para hacer dinero [41] . Hubo en un momento en que controlaba personalmente un 10 % de todo el dinero en circulación de Estados Unidos. En conjunto, los Vanderbilt eran propietarios de unos treinta y tres mil kilómetros de líneas ferroviarias y de la mayor parte de lo que circulaba por ellas, y eso les proporcionaba tanto dinero que ni siquiera sabían qué hacer con él. Y Richard Morris Hunt se convirtió, de la forma más grata posible, en el hombre que les ayudó a gastarlo. Les construyó casas de una grandeza suntuosa en la Quinta Avenida de Nueva York, en Bar Harbor, Maine, en Long Island y en Newport. Incluso el mausoleo de la familia en Staten Island valía, con sus 300.000 dólares de coste, tanto como una gran mansión. Fueran cuales fuesen los caprichos arquitectónicos que se les pasaran por la cabeza, allí estaba Hunt para satisfacerlos. Oliver Belmont, esposo de Alva Vanderbilt, estaba loco por los caballos. Le hizo diseñar a Hunt una mansión de cincuenta y dos habitaciones, Belcourt Castle, en la que la totalidad de la planta baja estaba constituida por establos, para que Belmont pudiera cruzar en su carruaje las gigantescas puertas de acceso y entrar en la casa. Los caballos tenían pesebres con paredes de teca y accesorios de plata de ley. La zona de vivienda estaba justo encima.
En una de las muchas mansiones de los Vanderbilt, el rincón del desayuno estaba adornado con un cuadro de Rembrandt. En Breakers, la casita de muñecas de los niños era más grande y estaba mejor equipada que la casa de mucha gente; tenía incluso timbre para llamar a los criados en el caso de que a alguno de los niños le apeteciera un refresco, necesitara que le atasen los cordones de los zapatos o sufriera cualquier otra crisis de comodidad. Los Vanderbilt llegaron a ser tan poderosos y consentidos que podían salir incluso impunes, y en sentido literal, de las acusaciones de asesinato. Reggie Vanderbilt, hijo de Cornelius y Alice Vanderbilt, era un conductor manifiestamente temerario (además de insolente, holgazán, estúpido y sin ninguna característica por la que pudiera salir bien parado) que atropello a peatones en Nueva York en cinco ocasiones distintas. Dos de ellos murieron; un tercero quedó tullido de por vida. Y nunca fue declarado culpable de nada.
El único miembro de aquella familia inmune a la necesidad de ser extravagante o repugnante fue George Washington Vanderbilt, un miembro del clan tan sumamente tímido y tranquilo que la gente daba a menudo por sentado que era tonto. Pero en realidad era muy inteligente y hablaba ocho idiomas. Vivió en casa hasta bien avanzada la edad adulta y dedicaba su tiempo a traducir literatura moderna al griego antiguo y viceversa. Poseía una colección de veinte mil libros, con toda probabilidad la biblioteca privada más importante de Estados Unidos. Su padre falleció cuando George tenía veintitrés años, dejando una fortuna de unos 200 millones de dólares. George heredó diez millones, que no parece una cantidad de dinero fabulosa, pero que equivaldría a unos 300 millones de dólares actuales.
En 1888 decidió finalmente construirse una casa. Compró 52.600 hectáreas de terreno boscoso en Carolina del Norte y encargó a Richard Morris Hunt que le construyera una vivienda confortable y en consonancia con aquel espacio. Vanderbilt decidió que quería un château del Loira —pero más majestuoso, claro está, y con mejor fontanería—, y así fue como construyó algo más grande: Biltmore (aunque, por lo que parece, nunca llegó a percatarse del juego de palabras [42] ). Inspirado claramente en el famoso Château de Blois, se trata de una laberíntica y excesiva montaña de piedra caliza de Indiana con 250 habitaciones, una fachada de 238 metros y una planta de dos hectáreas. Fue, y sigue siendo, la vivienda más grande que jamás se haya construido en Norteamérica. Para su construcción, Vanderbilt empleó mil trabajadores a los que pagaba un sueldo medio de 90 céntimos al día.
Llenó Biltmore con lo mejor que los europeos quisieron venderle, algo que a finales de la década de 1880 significaba prácticamente de todo: tapices, mobiliario, obras de arte clásicas. La escala de la obra recuerda, y en algunos aspectos cruciales supera, los excesos maníacos de William Beckford en Fonthill Abbey. La mesa de comedor podía dar cabida a setenta y siete comensales. El techo alcanzaba una altura de veintitrés metros. Debía de ser como vivir en el vestíbulo de una estación de tren importante.
La torre Eiffel en construcción, París, 1888.
Había un pueblo —una pequeña ciudad, de hecho— con escuelas, hospital, iglesias, estación de ferrocarril, bancos y tiendas para abastecer las necesidades de los dos mil empleados de la finca y sus familias. Los trabajadores llevaban una existencia próspera aunque semifeudal, sujeta a numerosas reglas. No podían tener perros, por ejemplo. Para mantener la propiedad, los bosques de Vanderbilt se talaban para producir leña y sus muchas granjas generaban fruta, verduras, lácteos, huevos, aves de corral y ganado. Realizaba también procesos de fabricación y elaboración de productos.
George tenía la intención de vivir allí con su madre varios meses al año, pero ella falleció poco después de que Biltmore estuviera terminada, por lo que vivió allí inmerso en una gigantesca soledad, hasta que en 1898 se casó con Edith Stuyvesant Dresser, con quien tuvo una única hija, Cornelia. En aquel momento empezaba a hacerse patente que la finca era un desastre financiero. Las pérdidas anuales ascendían a 250.000 dólares y George se vio obligado a mantenerla a flote con un capital que iba menguando. En 1914 murió repentinamente. Su esposa y su hija vendieron gran parte de la finca a toda velocidad y declinaron a partir de entonces cualquier relación con ella.
§. 2
Deberíamos detenernos un momento a reflexionar sobre el lugar en el que nos encontramos y por qué. Estamos en el pasillo, tal y como se llamaban los pasadizos domésticos en los planos arquitectónicos del siglo XIX. Se trata del espacio menos agradable y más oscuro de la Vieja Rectoría, pues carece de ventanas y capta su escasa luz natural a través de las puertas abiertas de las habitaciones a las que da acceso. Superada la mitad de su recorrido, hay una puerta que podría cerrarse —y en sus primeros tiempos se cerraba sin duda— para separar la zona de servicio de la casa de la zona privada. Más allá, cerca de la escalera trasera, hay una hornacina en la pared que no debía de estar allí cuando se construyó la casa, pues está claramente concebida para contener algo que no existía en 1851 pero que cambiaría el mundo más rápidamente de lo que nadie se hubiera imaginado. Y esa hornacina en particular es lo que nos ha traído hasta aquí.Si ha estado preguntándose a lo largo de estas últimas páginas qué tiene que ver la riqueza de los norteamericanos durante la Edad de Oro con el pasillo de la planta baja de una casa inglesa, la respuesta es: más de lo que se imagina. A partir de aquel momento, la dirección y la inercia de la vida moderna estuvieron cada vez más determinadas por los acontecimientos norteamericanos, los inventos de los norteamericanos, los intereses y las exigencias de los norteamericanos. Esta realidad fue para los europeos origen de cierta consternación, pero también algo apasionante, pues los norteamericanos hacían las cosas como nunca nadie las había hecho.
Estaban, para empezar, tan locamente enamorados del concepto de progreso que inventaban cosas sin tener ni idea de si luego serían de alguna utilidad. La quintaesencia más absoluta de este fenómeno fue Thomas A. Edison. Nadie era mejor (o peor, dependiendo de cómo se mire) inventando cosas que no servían para nada ni tenían objetivo evidente. En general, Edison tuvo un éxito inmenso y fue un enorme generador de riqueza. Se estima que en 1920 las industrias que sus inventos y mejoras engendraron valían, en conjunto, 21.600 millones de dólares. Pero era malísimo en cuanto a calcular cuáles de entre todos sus intereses tenían mejores perspectivas comerciales. Simplemente se convencía a sí mismo, como ningún ser humano lo había hecho antes, de que cualquier cosa que él inventara generaría dinero. Y de hecho, la mayoría de las veces, no fue así, y en ningún caso es más evidente que en su prolongado y costoso sueño de llenar el mundo de casas de hormigón.
El hormigón fue uno de los productos más apasionantes del siglo XIX. Como material existía desde hacía mucho tiempo —la gran cúpula del Panteón de Roma es de hormigón; la catedral de Salisbury se erige sobre cimientos de hormigón—, pero la innovación moderna llegó en 1824, cuando Joseph Aspdin, un humilde albañil de Leeds, inventó el cemento Portland, llamado así para sugerir que era tan atractivo y duradero como la piedra de Portland. El cemento Portland era muy superior a cualquier producto existente. Rendía mejor en agua incluso que el Cemento Romano del reverendo James Parker. Cómo llegó Aspdin a inventar su producto ha sido siempre un misterio, pues fabricarlo requería realizar diversos pasos con gran precisión, a saber, pulverizar la piedra caliza hasta alcanzar un grado concreto de fineza, mezclarla con arcilla con una humedad determinada y cocer el conjunto a temperaturas mucho más elevadas de las que se generarían en un horno de caliza normal. Lo que le proporcionó a Aspdin la corazonada de alterar los ingredientes del modo en que lo hizo y después de llegar a la conclusión de que con ello generaría un producto que resultaría más duro y sería más liso si se calentaba a temperaturas extremas, es un rompecabezas sin respuesta, pero sea como sea, lo consiguió y se hizo rico con ello.
Durante años, Edison se sintió cautivado por las posibilidades del hormigón y con el cambio de siglo decidió poner en práctica su capricho a lo grande. Constituyó la Edison Portland Cement Company y construyó una planta gigantesca cerca de Stewartsville, Nueva Jersey. En 1907, Edison era el quinto productor de cemento del mundo. Sus investigadores patentaron más de cuatro docenas de sistemas para mejorar la fabricación en masa de cemento de calidad. El cemento de Edison sirvió para construir el Yankee Stadium y el primer tramo de autopista de hormigón del mundo, pero su sueño seguía siendo llenar el mundo de casas de hormigón.
Su plan consistía en crear un molde de una casa completa en el que pudiera ir vertiéndose un flujo continuo de hormigón que formaría no sólo paredes y suelos, sino también todas las estructuras interiores: bañeras, lavabos, fregaderos, armarios, jambas de puertas e incluso los marcos de los cuadros. Exceptuando algunos cabos sueltos, como puertas e interruptores, todo estaría hecho de hormigón. Las paredes incluso podían tintarse, sugirió Edison, para que no tuvieran que pintarse nunca. Calculó que un equipo de cuatro hombres podía construir una casa cada dos días. Edison confiaba en vender sus viviendas de hormigón a un precio de 1.200 dólares, un tercio de lo que costaba una casa convencional del mismo tamaño.
Era un sueño descabellado e irrealizable por completo. Los problemas técnicos eran abrumadores. Los moldes, que por supuesto eran del tamaño de la casa, resultaban ridículamente engorrosos y complejos, pero el auténtico problema estaba en rellenarlos sin contratiempos. El hormigón es una mezcla de cemento, agua y conglomerados —es decir, gravilla y piedras pequeñas— y los conglomerados tienden, por su propia naturaleza, a hundirse. El reto de los ingenieros de Edison era formular una mezcla lo bastante líquida para que fluyera hasta el último rincón del molde, y lo bastante espesa como para que los conglomerados se mantuvieran en suspensión desafiando a la gravedad y que, además, al endurecerse adoptara una consistencia lisa y uniforme de calidad suficiente como para convencer a la gente de que estaba comprando una casa, no un búnker. Era una ambición imposible. Los ingenieros calcularon que, aun en el caso de que todo saliese bien, la casa pesaría más de doscientas toneladas, lo que provocaría tensiones estructurales de todo tipo.
Todos estos retos técnicos, más los problemas de exceso de oferta del sector (que la gigantesca planta de Edison no hizo más que agravar), garantizaban que Edison siempre tuviera que luchar para sacar dinero de la empresa. La fabricación de cemento era un negocio complicado de todos modos porque era estacional. Pero Edison siguió presionando y diseñó mobiliario de cemento —escritorios, aparadores, sillas, incluso un piano de hormigón— para sus viviendas de hormigón. Prometió que pronto ofrecería una cama de matrimonio que nunca se estropearía por sólo 5 dólares. La gama iba a darse a conocer en 1912 en una feria del cemento que iba a celebrarse en Nueva York. Pero cuando se inauguró, el stand de Edison estaba vacío. Nadie de la empresa de Edison ofreció jamás una explicación. Fue la última vez que se oyó hablar del mobiliario de hormigón. Por lo que se sabe, Edison nunca volvió a comentar el tema.
Se construyeron algunas casas de hormigón, y de hecho las hay que siguen todavía en pie en Nueva Jersey y Ohio, pero el concepto general nunca llegó a arraigar, y las casas de hormigón se convirtieron en uno de los fracasos más costosos de Edison. Y eso por decir algo, pues Edison era muy bueno inventando cosas que el mundo aún no tenía, pero malísimo en cuanto a discernir cómo decidiría utilizarlas la gente. Fracasó por completo, por ejemplo, en cuanto a predecir el potencial del fonógrafo como medio de entretenimiento, considerándolo única y exclusivamente como un dispositivo para escribir al dictado y archivar voces (de hecho lo llamó «la máquina parlante»). Durante años se negó a aceptar que el futuro de las películas estaba en proyectar imágenes sobre pantallas, pues odiaba la idea de que pudiera visionarias alguien que se colase en la sala de proyección sin haber comprado previamente su entrada. Durante mucho tiempo insistió en la idea de conservarlas en el interior de cosmoramas accionados con manivela. En 1908 declaró con total confianza que el avión no tenía futuro.
Después de sus caros fracasos con el cemento, Edison pasó a otras ideas que en su mayoría demostraron ser inviables o claramente disparatadas. Desarrolló un interés por la guerra y predijo que pronto podría inducir comas en masa en las tropas enemigas mediante «atomizadores de carga eléctrica». Elucubró asimismo un plan para construir electroimanes gigantes que atraparan las balas enemigas en vuelo y las devolvieran por donde habían venido. Invirtió fuertemente en una tienda de ultramarinos en la que los clientes depositarían una moneda en una ranura y, un instante después, a través de una rampa de deslizamiento parecida a un tobogán, recibirían un saco de carbón, patatas, cebollas, clavos, horquillas para el pelo o el producto que desearan. El sistema nunca funcionó. Ni de lejos.
Lo que nos lleva por fin a la hornacina en la pared y el objeto que contenía y que cambiaría el mundo: el teléfono. Cuando Alexander Graham Bell inventó el teléfono en 1876, nadie, incluido Bell, supo ver todo su potencial. Muchos no le veían ni siquiera potencial. Sorprendentemente, los ejecutivos de Western Union desdeñaron el teléfono por considerarlo «un juguete eléctrico». De modo que Bell decidió continuar por su cuenta y le salió rentable, por decirlo de alguna manera. La patente Bell (número 174.465) se convirtió en la patente más valiosa jamás concedida. Lo único que Bell hizo en realidad fue unir diversas tecnologías ya existentes. Los componentes necesarios para fabricar teléfonos tenían treinta años de vida y los principios implícitos estaban perfectamente entendidos. El problema no era tanto conseguir que la voz viajara a través de un cable —los niños venían haciéndolo desde hacía ya tiempo con dos latas y una cuerda—, sino amplificarla para que pudiera escucharse a largas distancias.
En 1861, un maestro de escuela llamado Philipp Reis fabricó un prototipo, e incluso lo llamó telephon, razón por la cual los alemanes suelen atribuirle a él el mérito del invento. Pero lo que el teléfono de Reis no hacía, de hecho, era funcionar, al menos en aquel momento. Sólo conseguía emitir señales sencillas —básicamente clics y una pequeña variedad de tonos musicales— y en ningún caso con la efectividad necesaria como para desafiar el dominio del telégrafo. Irónicamente, después se descubrió que cuando los puntos de contacto del aparato de Reis se ensuciaban con polvo y porquería, conseguían transmitir la voz con sorprendente fidelidad. Por desgracia, Reis, con su meticulosidad teutona, siempre tenía el aparato limpio y reluciente, y se fue a la tumba sin saber lo cerca que había estado de fabricar un instrumento funcional. Al menos tres hombres más, entre ellos Elisha Gray, estaban en camino de fabricar teléfonos funcionales cuando Bell, en 1876, vivió su momento crucial en Boston. Gray, de hecho, presentó lo que se conoce como una propuesta de patente —un documento que permitía proteger una invención que no estaba aún totalmente perfeccionada— el mismo día en que Bell presentaba la suya, más formal, pero, por desgracia para Gray, Bell le ganó por cuestión de horas.
Bell nació en 1847, el mismo año que Thomas A. Edison, y se crió en Edimburgo, pero emigró a Canadá con sus padres en 1870, un traslado motivado en gran parte por la tragedia familiar que acabó con la vida de sus dos hermanos, enfermos de tuberculosis, con sólo tres años de diferencia [43] . Mientras que sus padres se instalaron en una granja en Ontario, Bell ocupó un puesto de profesor de fisiología del tracto bucal en la recientemente fundada Boston University (BU), un nombramiento sorprendente para alguien que carecía de formación en fisiología del tracto bucal y sin título universitario. Lo único que tenía, en realidad, era un interés favorable a las comunicaciones y una familia que siempre había estado vinculada a ese campo. Su madre era sorda y su padre un experto mundial en voz y elocución en una época en la que la elocución estaba considerada con algo muy próximo a la reverencia. El libro del padre de Bell, The Standard Elocutionist, había vendido 250.000 ejemplares sólo en Estados Unidos. En cualquier caso, el puesto de Bell en la BU no era ni mucho menos tan importante como suena. Tenía que impartir sólo cinco horas de clase a la semana y recibía a cambio un sueldo de 25 dólares. Por suerte, le iba muy bien a Bell porque así tenía tiempo para dedicarse a sus experimentos.
Bell buscaba maneras de amplificar electrónicamente los sonidos para ayudar a los duros de oído. Pronto se le ocurrió que aquel trabajo podía utilizarse también para transmitir voces en la distancia y crear «telégrafos parlantes», como los denominó. Contrató a un joven llamado Thomas A. Watson para que le ayudara en su trabajo. Juntos se lanzaron a solucionar el problema a principios de 1875. Sólo un año más tarde, el 10 de marzo de 1876, una semana después del vigésimo noveno cumpleaños de Bell, tuvo lugar el momento más famoso de la historia de las telecomunicaciones en un pequeño laboratorio del número 5 de Exeter Place, en Boston, cuando a Bell se le cayó un poco de ácido en las rodillas y farfulló: «Señor Watson, venga aquí, quiero verle», y un asombrado Watson, que estaba en otra habitación, escuchó el mensaje con total claridad. Al menos eso fue lo que contó Watson cincuenta años después en una serie de anuncios que conmemoraban el cincuentenario del invento del teléfono. Bell, que había fallecido cuatro años antes, nunca le mencionó a nadie que se le hubiera derramado ácido, y resultaría extraño, pensándolo bien, que una persona víctima de un dolor abrasador como el que pudiera provocar ese accidente fuera capaz de solicitar algo con esa tranquilidad, con un tono de voz normal, a una persona que no estuviera presente. Además, y debido al carácter primitivo del prototipo del teléfono, Watson sólo podía escuchar los mensajes si presionaba el oído contra una lengüeta vibratoria, y parece bastante improbable que tuviera la oreja pegada a un aparato por si acaso a Bell, presa del dolor por culpa de un ácido, se le ocurría llamarle. Fueran cuales fuesen las circunstancias, las notas de Bell confirman que le pidió a Watson que fuera a verle y que Watson, que se encontraba en otra habitación, escuchó con claridad su petición. Acababa de tener lugar la primera llamada telefónica de la historia.
Watson se merece más atención de la que la historia le concede. Nacido en Salem, Massachusetts, en 1854, siete años después de que Bell naciera en Escocia, abandonó la escuela con catorce años y realizó diversos trabajos antes de entrar en contacto con Bell. Ambos hombres estaban unidos por profundos sentimientos de respeto e incluso de afecto pero, a pesar de su medio siglo de amistad, nunca llegaron a llamarse por su nombre de pila. Es imposible saber exactamente hasta qué punto fue vital el papel que desempeñó Watson en el invento del teléfono, pero lo que es evidente es que fue algo más que un simple ayudante. Durante los siete años que trabajó para Bell, presentó sesenta patentes a su nombre, incluyendo una para el característico sonido del teléfono que durante décadas formó parte invariable de cualquier llamada telefónica. Hay que destacar que, antes de su existencia, la única forma de saber si alguien intentaba conectar contigo era cogiendo de vez en cuando el teléfono y viendo si había alguien allí.
Para la mayoría de la gente, el teléfono era una novedad tan incomprensible que Bell tuvo que explicar lo que hacía exactamente. «El teléfono —escribió— podría describirse brevemente como un artefacto eléctrico que sirve para reproducir en distintos lugares los tonos y las articulaciones de la voz del que habla de modo que puedan llevarse a cabo conversaciones de viva voz entre personas que se encuentren en habitaciones distintas, en calles distintas o en ciudades distintas. […] La gran ventaja que presenta con respecto a cualquier otra forma de aparato electrónico es que el instrumento no requiere ningún tipo de habilidad especial para su operación».
Exhibido aquel verano en la Centennial Exhibition de Filadelfia, atrajo escasa atención. A los visitantes les impresionó mucho más la pluma electrónica inventada por Thomas A. Edison. La pluma funcionaba taladrando agujeritos en una hoja de papel a toda velocidad para formar el perfil de las letras como si fuese una plantilla, de tal modo que la tinta se inyectaba a través de los orificios en las páginas de debajo, permitiendo con ello realizar de forma rápida múltiples copias de un documento. Edison, siempre desorientado, confiaba en que su invento sería «más grande que la telegrafía». Y por supuesto que no lo fue, pero alguien se quedó con la idea de la pluma punzante y la reinventó para inyectar tinta bajo la piel. Acababa de nacer la moderna pistola para realizar tatuajes.
Por lo que al teléfono se refiere, Bell perseveró y poco a poco construyó el siguiente modelo. La primera instalación telefónica comenzó a funcionar en Boston en 1877. Permitía comunicaciones de tres vías entre dos bancos (uno de ellos con el interesante nombre de Shoe and Leather Bank) y una empresa privada. En julio de aquel año, Bell tenía doscientos teléfonos en funcionamiento en la ciudad y en agosto la cifra había ascendido a mil trescientos, aunque en su mayoría eran conexiones bidireccionales entre oficinas, más parecidos a un interfono que a un teléfono. El auténtico avance fue la invención de la centralita al año siguiente. La centralita permitía que cualquier usuario del teléfono pudiera hablar con otro usuario del teléfono de su zona, y muy pronto empezaron a multiplicarse. A principios de la década de 1880, había en Estados Unidos sesenta mil teléfonos operativos. En el transcurso de los veinte años siguientes, la cifra superaría los seis millones.
Los teléfonos fueron considerados en un principio como un elemento proveedor de servicios: partes meteorológicos, noticias del mercado de valores, alarmas de incendio, música para entretenimiento, incluso servía como sonajero para bebés inquietos. Nadie lo veía como un aparato para chismorrear, socializar o mantenerse en contacto con la familia y los amigos. De todas formas, la idea de charlar con alguien a quien veías con regularidad le habría parecido absurda a la mayoría.
Al estar basado en tantas tecnologías preexistentes, y al ser un negocio que enseguida fue lucrativo, un continuo de gente y empresas desafiaron las patentes de Bell o se limitaron a ignorarlas. Por suerte para Bell, su suegro, Gardiner Hubbard, era un brillante e incansable abogado. Emprendió o defendió seiscientas causas legales y las ganó todas. La más importante fue contra la gigantesca y monolítica Western Union, que formó equipo con Edison y Gray para intentar hacerse con el control del negocio del teléfono recurriendo a cualquier medio a su alcance. Western Union era el integrante principal del imperio Vanderbilt, y los Vanderbilt odiaban no ser los primeros. Tenían todas las ventajas de su parte —recursos económicos, una red de cableado ya existente, técnicos e ingenieros de gran calibre—, mientras que Bell sólo disponía de dos cosas: una patente y Gardiner Hubbard. Hubbard presentó una demanda por violación de patente y ganó el caso en menos de un año.
A principios del siglo XX, la compañía telefónica de Bell, con el nuevo nombre de American Telephone & Telegraph (AT&T), era la empresa más grande de Estados Unidos, con un capital social que se pagaba a 1.000 dólares la acción. (Cuando a finales de la década de 1980 la empresa fue finalmente disuelta para satisfacer las regulaciones antimonopolistas, valía más que la suma de General Electric, General Motors, Ford, IBM, Xerox y Coca-Cola juntas, y daba empleo a un millón de personas). Bell se fue a vivir a Washington, D. C., se hizo ciudadano estadounidense y se dedicó a causas meritorias. Entre otras cosas, inventó el pulmón de acero y experimentó con la telepatía. Cuando el presidente James A. Garfield fue víctima de un atentado con arma de fuego por parte de un loco descontento en 1881, llamaron a Bell para ver si podía ayudar a localizar la bala. Había inventado un detector de metales, que funcionaba a las mil maravillas en el laboratorio pero que dio unos resultados confusos junto a la cama de Garfield. No fue hasta mucho después que se cayó en la cuenta de que el aparato había estado interpretando los muelles del colchón presidencial. Y entre estas empresas colaboró en la fundación de la revista Science y de la National Geographic Society, para cuya revista escribió bajo el memorable nom de plume de H. A. Largelamb (un anagrama de «A. Graham Bell»).
Bell trató con generosidad a su amigo y colega Watson. Pese a que no tenía ningún tipo de obligación legal al respecto, premió a Watson con un 10 % de la empresa, lo que le permitió a Watson jubilarse rico con sólo veintisiete años. Con la posibilidad de hacer lo que le viniera en gana, dedicó el resto de su vida a hacer justamente eso. Viajó por el mundo, leyó y obtuvo una titulación en geología en el MIT. Después puso en marcha un astillero, que rápidamente llegó a dar trabajo a cuatro mil hombres, lo que le generó una tensión y unas obligaciones con las que no había contado. De modo que vendió el negocio, se convirtió al islamismo y se hizo seguidor de Edward Bellamy, un filósofo radical simpatizante del comunismo que durante un breve periodo de la década de 1880 disfrutó de enorme estima y popularidad. Cansado de Bellamy, Watson se trasladó a Inglaterra al alcanzar la edad madura y se hizo actor, especializándose en personajes de Shakespeare, llegando a actuar varias veces en Stratford-upon-Avon antes de regresar a Estados Unidos y disfrutar de una vida tranquila como jubilado. Murió, rico y feliz, en 1934 en su casa de invierno de Pass-Grille Key, Florida, justo a punto de cumplir los ochenta y un años de edad.
Dos nombres más merecen ser mencionados con respecto al teléfono. El primero es Henry Dreyfuss. Joven diseñador teatral cuya experiencia previa había sido única y exclusivamente el diseño de escenarios y el interior de cines, a principios de la década de 1920 recibió el encargo por parte de la nueva empresa AT&T de diseñar un nuevo tipo de teléfono que sustituyera la «palmatoria» vertical. Dreyfuss creó un diseño sorprendentemente achaparrado, parecido a una caja y astutamente moderno, en el que el auricular descansaba en sentido lateral sobre un soporte situado algo por encima y detrás de una esfera para marcar de gran tamaño. Se convirtió en el modelo estándar en todo el mundo durante gran parte del siglo XX. Era una de esas cosas —un poco como la Torre Eiffel— que funcionaba tan bien y parecía tan inevitable que cuesta cierto esfuerzo recordar que alguien tuvo que idearla. Y, de hecho, casi todo lo referente a este objeto —la cantidad de resistencia que ofrecía la esfera de marcación, el centro de gravedad bajo, que hacía casi imposible que pudiera volcar, la brillante idea de incluir en un único auricular las funciones de habla y escucha— fue el resultado del pensamiento consciente e inspirado de un hombre que en condiciones normales nunca habría podido acceder al diseño industrial. La razón por la cual los ingenieros de AT&T eligieron al joven Dreyfuss para el proyecto es algo que ha caído en el olvido, pero es evidente que no podían haber hecho mejor elección.
Dreyfuss no diseñó personalmente el marcador del teléfono. Lo había diseñado ya, en 1917, un empleado de Bell, William G. Blauvelt. Fue Blauvelt quien decidió incorporar tres letras junto a la mayoría de los números, sino todos. No asignó letras al primer orificio porque en aquellos tiempos el marcador del teléfono tenía que rotar un poco más allá del primer orificio para generar la señal que iniciaba la llamada. Así pues, la secuencia quedó como sigue: 2 (ABC), 3 (DEF), 4 (GHI), etc. Blauvelt prescindió de la Q desde el principio, porque siempre iba seguida por una U, lo que limitaba su utilidad, y al final prescindió también de la Z porque no aparecía lo bastante en inglés como para resultar útil. Cada centralita telefónica recibió un nombre, normalmente derivado de la calle o el distrito en que se encontraba —Bensonhurst, Hollywood, Pennsylvania Avenue, por ejemplo, aunque las había también con nombre de árboles u otros objetos—, de modo que la persona que llamaba le pedía a la operadora que le conectase con «Pennsylvania 6-5000» (como en la melodía de Glenn Miller) o con «Bensonhurst 5342». Cuando en 1921 se introdujeron las primeras llamadas directas, los nombres pasaron a ser prefijos de dos letras y se acordó que estas dos letras se indicaran en mayúsculas, como en HOllywood y BEnsonhurst.
El sistema tenía cierto encanto, pero con el tiempo quedó en evidencia que era poco práctico. Muchos nombres —RHinelander o SYcamore, por ejemplo— eran susceptibles de crear confusión entre aquellos que no dominaban la ortografía. Las letras complicaban además la introducción de las llamadas directas desde fuera de Estados Unidos, pues los teléfonos extranjeros no siempre tenían letras, o tenían letras y números con distintas disposiciones. Así fue cómo, a partir de 1962, el viejo sistema fue retirado paulatinamente en Norteamérica. Hoy en día, las letras actúan sólo a modo de dispositivo nemotécnico, permitiendo a los usuarios recordar marcar el 1-800-BUY-PIZZA o lo que sea.
Y por lo que a la rectoría se refiere, es imposible saber cuándo llegó a la casa el primer teléfono, pero lo que es seguro es que su instalación debió de ser un suceso emocionante para algún rector de principios del siglo XX y su familia. Hoy en día, sin embargo, la hornacina está vacía. La época en la que las casas tenían un único teléfono al pie de la escalera ha pasado al olvido y hoy en día nadie quiere hablar desde un lugar tan a la vista de todo el mundo e incómodo.
§. 3
Para muchos, la nueva época de enorme riqueza en Norteamérica significó poder permitirse caprichos especialmente curiosos. George Eastman, de las cámaras y películas Kodak, nunca se casó y vivía solo con su madre en una casa enorme en Rochester, Nueva York, aunque con muchos criados, incluyendo un organista, que le despertaba —y a buen seguro despertaba también a los demás habitantes de Rochester— con un recital al amanecer tocando un gigantesco órgano eólico. Otra simpática manía de Eastman era tener una cocina privada en la planta superior de la casa, que le gustaba frecuentar y donde, vestido con un delantal, se dedicaba a preparar pasteles. Más extremo era John M. Longyear de Marquette, Michigan, que después de enterarse de que la compañía ferroviaria Duluth, Mesabi & Iron Range Railroad había conseguido los derechos para tender vías y transportar mineral de hierro justo por delante de su casa, hizo desmantelar y empacar toda la propiedad —«casa, arbustos, árboles, fuentes, estanques ornamentales, setos y caminos, la caseta del guarda, el porche cochera, invernaderos y establos»— y transferirla a Brookline, Massachusetts, donde replicó su tranquila existencia anterior hasta en la última flor, pero sin trenes que pasaran por delante de sus ventanas. En comparación, la costumbre de Frank Huntington Beebe de tener dos mansiones, una al lado de la otra —una para vivir, la otra para decorar y redecorar—, parece bastante moderada.Por su puro compromiso con el gasto, sería difícil derrotar a la señora de E. T. Stotesbury, la reina Eva, como la conocía todo el mundo. Era una maravilla como entidad económica. En una ocasión gastó medio millón de dólares invitando a un grupo de amigos a una partida de caza con el único objetivo de matar caimanes para fabricar un conjunto de maletas y sombrereras. En otra ocasión, hizo redecorar durante la noche la totalidad de la planta baja de su casa de El Mirasol, Florida, pero se olvidó de informar a su sufrido esposo de ello, de tal modo que cuando el hombre se despertó a la mañana siguiente y bajó, se pasó un buen rato sin saber muy bien dónde estaba.
El marido en cuestión, Edward Townsend Stotesbury, hizo su fortuna como ejecutivo en J. P. Morgan, el imperio de la banca. Pese a ser un distinguido banquero, no tenía mucha presencia; era, en palabras de un cronista, «un digno agujero en la atmósfera, la mano invisible que escribía los cheques». El señor Stotesbury estaba valorado en 75 millones de dólares cuando conoció a la señora Stotesbury en 1912 —ella había agotado previamente la buena voluntad y la cuenta bancaria del que fuera su primer marido, el señor Oliver Eaton Cromwell—, que con mareante eficiencia le ayudó a gastar cincuenta millones de su fortuna en casas nuevas. Empezó con Whitemarsh Hall, en Filadelfia, una casa tan grande que no existen dos relatos que coincidan en la descripción de la misma. Dependiendo de qué cifras queramos creer, tenía 154, 172 o 272 habitaciones. Todos se muestran de acuerdo en que tenía catorce ascensores, bastante más que la mayoría de hoteles. Su mantenimiento le costaba al señor Stotesbury casi un millón de dólares anuales. Tenía empleados cuarenta jardineros y noventa criados. Los Stotesbury construyeron también una cabaña de verano en Bar Harbor, Maine, con sólo ochenta habitaciones y veintiocho cuartos de baño, y su mansión palaciega en Florida, El Mirasol.
El arquitecto de esta última extravagancia fue Addison Mizner, un nombre que ha caído casi en el olvido pero que durante un breve y resplandeciente periodo fue quizás el arquitecto más buscado, y seguramente el más extraordinario, de Norteamérica.
Mizner nació en el seno de una antigua y distinguida familia del norte de California. Su hermano era el dramaturgo y empresario Wilson Mizner que, entre muchas otras cosas, fue el coautor de la canción Frankie y Johnnie. Antes de convertirse en arquitecto, Addison llevó una vida de lo más exótica: pintó diapositivas para proyectar con la linterna mágica en Samoa, vendió tiradores de cajas fúnebres en Shanghai, ofreció antigüedades asiáticas de puerta en puerta a americanos ricos, fue buscador de oro en el Klondike. A su regreso a Estados Unidos, trabajó como arquitecto paisajista en Long Island y finalmente inició una carrera como arquitecto convencional en Nueva York, aunque tuvo que abandonarla repentinamente cuando las autoridades se dieron cuenta de que no tenía ni ningún tipo de formación específica —«ni siquiera un curso por correspondencia», según palabras de un pasmado observador—, ni licencia. De manera que en 1918 trasladó su despacho de arquitectura a Palm Beach, Florida, donde no eran tan remilgosos en cuanto a titulaciones, y empezó a construir casas para gente muy, pero que muy rica.
En Palm Beach entabló amistad con un joven llamado Paris Singer, uno de los veinticuatro hijos del magnate de la máquina de coser, Isaac M. Singer. Paris era artista, esteta, poeta, hombre de negocios y también un instigador que ejercía un poderoso poder en el neurótico mundo de la sociedad de Palm Beach. Mizner diseñó para él el Everglades Club, que al instante se convirtió en la avanzadilla más exclusiva al sur de la línea Mason-Dixon. Sólo tenían acceso a él trescientos miembros y Singer era implacablemente selectivo en cuanto a quién permitía la entrada al club. Prohibió el acceso a una mujer porque le molestaba su forma de reírse. Cuando otra miembro le suplicó clemencia en nombre de su desconsolada amiga, Singer la mandó callar si no quería ser también expulsada. Se calló.
Mizner se aseguró el éxito cuando recibió el encargo de Eva Stotesbury para la construcción de El Mirasol, una casa de invierno de enorme extensión, como era de esperar. (Sólo el garaje podía albergar cuarenta coches). Se convirtió en un proyecto más o menos permanente porque cada vez que alguien en Palm Beach amenazaba con construir algo más grande, la señora Stotesbury le ordenaba a Mizner construir una ampliación para que El Mirasol fuera siempre la mansión más imponente.
Sería justo decir que casi con toda seguridad no ha existido otro arquitecto como Addison Mizner. No creía en planos y era bastante aproximado en las instrucciones que daba a sus trabajadores, utilizando expresiones «más o menos a esta altura» o «justo por aquí». Tenía también fama de olvidadizo. A veces instalaba puertas que se abrían directamente a una pared o, en un caso de lo más interesante, revelaban el interior de una chimenea. Cuando el propietario de una elegante casita para los botes en el lago Worth fue a tomar posesión de su joya, descubrió que la estructura tenía cuatro paredes y ni una sola puerta. Mizner realizó una casa para un cliente llamado George S. Rasmussen y se olvidó de incluir la escalera, de modo que no le quedó otro remedio que colocar posteriormente una escalera adosada a un muro exterior. La solución obligaba al señor y la señora Rasmussen a ponerse impermeable o las prendas que fueran necesarias cuando tenían que desplazarse de una planta a otra en su propia casa. Cuando le preguntaron por este descuido, dicen que Mizner declaró que le daba lo mismo, pues los Rasmussen no eran en absoluto de su agrado.
Según el New Yorker, sus clientes estaban dispuestos a aceptar lo que a él le viniera en gana construirles. Sus fieles le ofrecían un cheque impresionante, desaparecían durante un año y cuando volvían tomaban posesión de una casa finalizada, sin saber si tendría el estilo de una hacienda mexicana, un palacio gótico veneciano, un castillo árabe o una festiva combinación de los tres. Mizner estaba especialmente encaprichado de los palazos italianos, y «envejecía» sus creaciones perforando, con la ayuda de un taladro manual, agujeros artificiales de carcoma en la madera y pintarrajeando las paredes con artísticos borrones que pretendían sugerir una vaga, aunque atractiva, mancha de moho renacentista. Después de que sus obreros crearan una estupenda chimenea o puerta, solía coger una almádana y cargarse una esquina para darle un aspecto de descuidada veneración. En una ocasión, en el Everglades Club, utilizó cal viva y laca para envejecer unas sillas de cuero. Por desgracia, el calor corporal de los miembros del club calentaba la laca hasta el punto de hacerla tan pegajosa que muchos se quedaban pegados en los asientos. «Pasaba la noche entera despegando a damas de esas malditas sillas», recordaba un camarero del club años después. Varias mujeres dejaron allí la espalda de sus vestidos. Pero a pesar de sus excentricidades, Mizner era admirado por todo el mundo. A veces llegó a tener hasta cien proyectos simultáneos entre manos y era capaz de diseñar más de una casa al día. «Algunos autores —escribió un cronista en 1952— han clasificado su Everglades Club, en Palm Beach, y su Claustro, en Boca Ratón, entre los edificios más bellos de América». Frank Lloyd Wright fue uno de sus admiradores. A medida que pasó el tiempo, Addison Mizner fue volviéndose cada vez más corpulento y excéntrico. Se le veía a menudo de compras por Palm Beach vestido en camisón o pijama. Falleció de un infarto en 1933.
La quiebra de Wall Street en 1929 acabó con la mayoría de los excesos de la época. E. T. Stotesbury salió especialmente tocado. En un inútil esfuerzo de apaciguar el estado de sus cuentas bancarias, le suplicó a su esposa que limitara sus gastos en diversión y no superara los 50.000 dólares mensuales, pero a la temible señora Stotesbury le pareció una restricción cruel e imposible. El señor Stotesbury estaba a punto de declararse insolvente cuando, el 16 de mayo de 1938, providencialmente, falleció también de un infarto. Eva Stotesbury continuó con vida hasta 1946, pero tuvo que vender joyas, cuadros y casas para mantenerse modestamente a flote. Después de su muerte, un promotor inmobiliario compró El Mirasol y lo demolió para construir más casas en sus terrenos. Desde entonces, una veintena más de casas construidas por Mizner en Palm Beach —la mayoría de lo que construyó, en resumen— fue asimismo derribada.
Las mansiones de los Vanderbilt con las que empezamos este informe tampoco salieron mucho mejor paradas. La primera mansión de los Vanderbilt en la Quinta Avenida fue construida en 1883 y fue demolida en 1914. En 1947 todas habían desaparecido. Ninguna de las casas de campo de la familia sobrevivió a una segunda generación.
Hay que destacar que tampoco se salvó casi nada del interior de los edificios. Cuando al epónimo jefe de la Jacob Volk Wrecking Company se le preguntó por qué no salvó las valiosísimas chimeneas de mármol de Carrara, los azulejos árabes, los paneles de madera de la época jacobina y demás tesoros que contenía la residencia de la Quinta Avenida de William K. Vanderbilt, le lanzó una mirada fulminante a su entrevistador. «No trato con material de segunda mano», le respondió.
§. 1
En 1897, un joven ferretero de Leeds llamado James Henry Atkinson cogió un trocito de madera, un poco de alambre grueso y poca cosa más, y creó uno de los grandes artilugios de la historia: la trampa para ratones. Es uno de los diversos objetos de utilidad —el clip para papeles, la cremallera y el imperdible se cuentan entre los muchos otros— que se inventaron a finales del siglo XIX y que rayaron hasta tal punto la perfección desde el principio, que apenas se les han implementado mejoras a lo largo de las muchas décadas que han transcurrido desde entonces. Atkinson vendió su patente por 1.000 libras, una suma más que considerable para la época, y siguió inventando otras cosas, pero nada que le garantizara más dinero o inmortalidad.Su ratonera, fabricada bajo la marca patentada Little Nipper, se ha vendido por decenas de millones y sigue eliminando ratones en todo el mundo con rápida y brutal eficiencia. En casa tenemos varias Little Nipper y seguimos escuchando el atroz ruido seco que acompaña el desenlace fatal con más frecuencia de la que nos gustaría. En invierno las atrapamos dos o tres veces por semana y casi siempre en el mismo lugar, en esa desapacible y pequeña habitación que se encuentra en un extremo de la casa.
Aunque la palabra «estudio» podría dar a entender un espacio importante, en realidad es simplemente un almacén venido a más, demasiado oscuro y frío incluso en los meses templados como para que te apetezca quedarte mucho rato allí. Es otra de las habitaciones que no aparece en los planos originales de Edward Tull. Lo más seguro es que el señor Marsham la añadiera porque necesitaba un despacho donde redactar sus sermones y recibir a los parroquianos, sobre todo, me atrevería a decir, a los menos refinados y a aquellos que llegaban a su casa con los zapatos más sucios; sin duda alguna, la esposa del terrateniente sería recibida en el salón contiguo, mucho más confortable. En la actualidad, el estudio es el refugio final de los muebles viejos y los cuadros que un miembro de la pareja conyugal admira y el otro alegremente echaría a la hoguera. De hecho, el único motivo por el que ahora entramos en él es para controlar las ratoneras.
Los ratones no son criaturas fáciles de comprender. Para empezar está su notable ingenuidad. Cuando te planteas la facilidad con la que aprenden a encontrar la salida en los laberintos y otros entornos complejos a los que son sometidos en los laboratorios, resulta sorprendente que no hayan captado que una pizca de mantequilla de cacahuete sobre una plataforma de madera es una tentación a la que merece la pena resistirse. No menos misteriosa es en nuestra casa la predilección —diría que casi es una determinación— que muestran por morir en esa habitación, el estudio. No sólo es el cuarto más frío de la casa, sino también el más alejado de la cocina y de todas las migajas de galletas, granos de arroz fugitivos y otros bocados que acaban en el suelo y que allí se quedan para quien los quiera. Los ratones pasan por completo de la cocina (seguramente, como alguien nos ha sugerido, porque es el lugar donde duerme nuestro perro) y las ratoneras que colocamos allí, suculentamente cebadas, no capturan otra cosa que no sea polvo. Nuestros ratones sienten una atracción fatal por el estudio, razón por la cual he pensado que tal vez sería el lugar adecuado donde reflexionar sobre los muchos seres vivos que conviven con nosotros.
* * * *
Donde hay humanos hay ratones. No existen otras criaturas que vivan en más entornos que estas dos. Los ratones domésticos —Mus musculus, como se les conoce en ambientes formales— son portentosamente adaptables por lo que al entorno se refiere. Se han encontrado ratones con vida incluso en un almacén de carne refrigerado a -10 ºC. Comen prácticamente cualquier cosa. Es casi imposible mantenerlos alejados de una casa: un adulto de tamaño normal es capaz de colarse por una abertura de sólo diez milímetros, un agujero tan estrecho que a buen seguro cualquiera apostaría dinero pensando que un ratón no puede pasar por él. Pero puede. Y lo hacen a menudo.Una vez dentro, los ratones se reproducen de un modo prodigioso. En condiciones óptimas (y en la mayoría de las casas pocas veces las condiciones son otra cosa que óptimas), un ratón hembra tendrá su primera camada entre las seis y las ocho semanas de vida y mensualmente a partir de ahí. Una camada normal incluye entre seis y ocho vástagos, lo que implica que las cifras ascienden rápidamente. Dos ratones que críen de manera prolífica podrían en teoría generar un millón de descendientes anuales. Pero, gracias a Dios, no es lo que sucede en nuestras casas, donde sólo de forma muy ocasional el número de ratones llega a descontrolarse. Australia parece especialmente propicia en este sentido. En un famoso brote acontecido en 1917, la ciudad de Lascelles, en la zona de Victoria, se vio literalmente invadida por ratones después de un invierno muy cálido. Durante un breve pero intenso periodo, los ratones existieron en Lascelles en unas densidades tan pasmosas que cualquier superficie horizontal se convirtió en una masa frenética de cuerpos corriendo a la velocidad de las flechas. Cualquier objeto inanimado se retorcía bajo una capa peluda. No había donde sentarse. Ni siquiera podían utilizarse las camas. «La gente duerme sobre las mesas para evitar los ratones —informó un periódico—. Las mujeres viven en un estado de terror constante, y los hombres andan ocupados tratando de impedir que los ratones desciendan por el cuello de sus abrigos». Más de 1.500 toneladas de ratones —tal vez cien millones de individuos— fueron aniquiladas antes de que aquella plaga pudiese darse por terminada.
Incluso en cifras comparativamente menores, los ratones pueden hacer mucho daño, sobre todo en zonas donde se almacena comida. Los ratones y otros roedores consumen cerca de una décima parte de la cosecha anual de cereales de Estados Unidos, una proporción asombrosa. Cada ratón desecha además unas cincuenta bolitas de excrementos al día, lo que supone también mucha contaminación. Debido a la imposibilidad de alcanzar la perfección en el almacenamiento, las regulaciones de higiene en muchos lugares permiten hasta dos bolitas fecales por cada pinta de grano, algo a tener en cuenta la próxima vez que observemos con detalle una barra de pan integral.
Los ratones son transmisores notables de enfermedades. El hantavirus, un miembro de la familia de trastornos respiratorios y renales que siempre resultan desagradables y que a menudo son mortales, se asocia muy especialmente a los ratones y sus defecaciones. (El término «hanta» tiene su origen en un río de Corea donde los occidentales detectaron por vez primera la infección durante la Guerra de Corea). Por suerte, el hantavirus es bastante excepcional porque somos muy pocos los que respiramos los delicados vapores de la defecación de las ratas, pero, en muchos países, si nos ponemos a cuatro patas en las inmediaciones de desperdicios infectados —si gateamos por el desván, por ejemplo, o instalamos una trampa en un armario empotrado—, corremos el riesgo de contraer la infección. En general, unas doscientas mil personas se contagian anualmente de este tipo de enfermedades, que acaban con la vida de entre el 30 % y el 80 % de los afectados, dependiendo de la rapidez con que se aplique el tratamiento correcto. En Estados Unidos, contraen el hantavirus entre treinta y cuarenta personas al año, y mueren una tercera parte de ellas. En Gran Bretaña, por suerte, no hay constancia de la enfermedad. Los ratones se han visto relacionados también con casos de salmonelosis, leptospirosis, tularemia, peste, hepatitis, fiebre Q y tifus murine, entre muchas otras enfermedades. En resumen, existen muy buenas razones por las que nadie debería querer ver ratones por casa.
Casi todo lo que pueda decirse sobre los ratones se aplica del mismo modo, pero multiplicado, a las ratas. Las ratas son más comunes de lo que nos pensamos dentro y alrededor de las casas. Están presentes incluso en las mejores mansiones. En el mundo templado encontramos dos principales variedades: la categóricamente denominada Rattus rattus, que se conoce también (y de manera reveladora) como rata de tejado, y laRattus norvegicus, o rata noruega [44] . A la rata de tejado le gusta estar en altura —en árboles y desvanes, sobre todo—, por lo que las correrías que pueda usted oír por el techo de su dormitorio a últimas horas de la noche no son, siento decirlo, ratoncitos de campo. Por suerte, las ratas de tejado son más tímidas que las ratas noruegas, que viven en madrigueras y son las que vemos correteando por las alcantarillas en las películas o merodeando entre los cubos de basura de los callejones.
Solemos asociar las ratas con condiciones de pobreza, pero las ratas no son tontas y es evidente que prefieren una casa pudiente a una pobre. Es más: las casas modernas proporcionan un entorno delicioso para las ratas. «El elevado contenido en proteínas que caracteriza los barrios más adinerados resulta especialmente atractivo», escribió hace unos años James M. Clinton, del Departamento de Sanidad de Estados Unidos, en un informe sobre la salud pública que sigue siendo uno de los más irresistibles trabajos, aunque inquietante, jamás llevado a cabo sobre la conducta de las ratas domésticas. No se trata sólo de que las casas modernas estén llenas de comida, sino que muchas de ellas la eliminan de tal modo que la hacen prácticamente irresistible. Tal y como Clinton exponía: «El triturador de basuras de las casas proporciona un suministro de alimento generoso, uniforme y equilibrado para las ratas». Según Clinton, una de las leyendas urbanas más antigua que existe, la de que las ratas entran en las casas por el inodoro, es en realidad cierta. En un brote acontecido en Atlanta, las ratas invadieron varias casas de barrios ricos y mordieron a unas cuantas personas. «En varias ocasiones —informó Clinton— se encontraron ratas vivas en tazas de váter tapadas». Si existe algún motivo para bajar la tapa, podría muy bien ser éste.
Una vez se encuentran en el entorno doméstico, la mayoría de las ratas muestran poco miedo «e incluso se aproximan de forma deliberada y establecen contacto con las personas sin movilidad». Se sienten especialmente envalentonadas en presencia de recién nacidos y ancianos. «He verificado el caso de una mujer imposibilitada que fue atacada por las ratas mientras dormía —informa Clinton. Y prosigue—: La víctima, una anciana hemipléjica, sufrió una intensa hemorragia como consecuencia de las heridas provocadas por múltiples mordiscos de rata y falleció a pesar de ser trasladada al hospital con carácter urgente. Su nieta, de diecisiete años de edad, dormía en la misma habitación en el momento del ataque y resultó ilesa».
Los mordiscos de rata no están debidamente estudiados porque sólo llaman la atención los casos más graves, pero incluso recurriendo a las cifras más conservadoras, es posible afirmar que al menos catorce mil personas son anualmente atacadas por las ratas en Estados Unidos. Las ratas tienen dientes muy afilados y pueden volverse agresivas en caso de sentirse acorraladas, mordiendo «con fiereza y ciegamente, igual que perros enloquecidos», según palabras de una autoridad en ratas. Una rata motivada puede saltar hasta casi un metro, una altura inquietante si se cruza en nuestro camino y está de mal humor.
La defensa habitual contra las plagas de ratas es el veneno. Los venenos suelen diseñarse en torno al curioso hecho de que las ratas no pueden regurgitar, razón por la cual retienen en su organismo venenos que otros animales —perros y gatos domésticos, por ejemplo— rápidamente vomitarían. También es habitual el uso de anticoagulantes, pero ciertas evidencias sugieren que las ratas están desarrollando una cierta resistencia a los mismos.
Las ratas, además, son inteligentes, y a menudo trabajan en cooperación. En el antiguo mercado de aves de corral de Gansevoort, en Greenwich Village, Nueva York, las autoridades responsables del control de las plagas no comprendían cómo hacían las ratas para robar huevos sin romperlos, por lo que decidieron que un exterminador montara guardia durante la noche para observar. Lo que vio fue una rata que abarcaba el huevo con sus cuatro patas para cogerlo y se tumbaba de espaldas. A continuación, una segunda rata tiraba de la primera rata por la cola y la arrastraba hacia la madriguera, donde compartían tranquilamente su premio. De un modo similar, los trabajadores de una planta de procesados cárnicos veían cómo, noche tras noche, las piezas de carne colgadas de los ganchos caían al suelo y eran devoradas. Un exterminador llamado Irving Billig montó guardia y descubrió finalmente que las ratas se acercaban en manada y formaban una pirámide justo debajo de la pieza de carne elegida y, a continuación, otra rata escalaba hasta la cima de aquella pequeña montaña y saltaba sobre la carne desde allí. Después trepaba hasta lo alto de la pieza de carne e iba mordisqueando por las proximidades del gancho hasta que la carne caía al suelo, momento en el cual centenares de ratas hambrientas se abalanzaban con fervor sobre ella.
Cuando comen, las ratas se atiborran sin dudarlo mientras haya comida disponible, pero también pueden subsistir con muy poco en caso necesario. Una rata adulta sobrevive con menos de treinta gramos de comida al día y con menos de quince gramos de agua. Parece que les gusta mordisquear cables por puro placer. Nadie sabe por qué, ya que los cables no son nutritivos y no ofrecen nada a cambio excepto la muy real perspectiva de acabar electrocutado. Pero aun así, las ratas no pueden evitarlo. Se cree que hasta una cuarta parte de los incendios no tienen otra explicación que falsos contactos de cables mordisqueados por las ratas.
Cuando no comen, las ratas se entretienen con el sexo. Las ratas mantienen muchas relaciones sexuales: lo hacen hasta veinte veces al día. Si una rata macho no encuentra una hembra, alegremente —o, como mínimo, voluntariamente— alivia sus instintos con otro macho. Las ratas hembras son tremendamente fecundas. La rata noruega hembra tiene, como media, 35, 7 crías al año, en camadas de seis a nueve crías. En condiciones adecuadas, sin embargo, una rata hembra puede tener una camada de hasta veinte crías cada tres semanas. En teoría, un par de ratas podrían iniciar una dinastía de quince mil ratas al año. Pero esto no sucede en la práctica porque las ratas tienen un elevado índice de mortalidad. Como sucede con muchos animales, la evolución las ha programado más o menos para que expiren con facilidad. La tasa de mortalidad anual de las ratas es del 95 %. Una campaña de exterminación disminuye normalmente la población de ratas en un 75 %, pero en cuanto la campaña termina, la población de ratas vuelve a recuperarse en menos de seis meses. En resumen, una rata, a nivel individual, no tiene enormes perspectivas de vida, pero su familia es indeleble en la práctica.
Las ratas, sin embargo, son tremendamente perezosas. Pasan hasta veinte horas al día durmiendo y salen a buscar comida sólo después de la caída del sol. Apenas se aventuran más allá de cincuenta metros si pueden evitarlo. Y es posible que ello forme parte de su política de supervivencia, pues las tasas de mortalidad se disparan cuando se ven obligadas a emigrar.
Cuando se menciona a las ratas en el contexto histórico, el tema gira invariablemente en torno a la peste. Y tal vez no sea del todo justo. Para empezar, las ratas no son las que transmiten la peste, sino que albergan las pulgas (que albergan la bacteria) que propagan la enfermedad. La peste mata a las ratas con la misma energía con la que nos mata a nosotros. De hecho, mata muchas otras cosas. Una de las señales de la existencia de un brote de peste es la muerte de perros, gatos, vacas y otros animales. Las pulgas prefieren la sangre de las criaturas peludas a la sangre de los humanos, y en general recurren a nosotros sólo cuando no hay nada mejor a su alcance. Por ese motivo, los epidemiólogos modernos que estudian lugares donde la peste todavía es común —sobre todo en determinadas zonas de África y Asia— evitan en general eliminar drásticamente a las ratas y otros roedores cuando se producen brotes. En cualquier caso, otros setenta animales, además de las ratas —incluyendo entre ellos conejos, ratones de campo, marmotas y ardillas—, se han visto implicados en la propagación de la peste. Por otra parte, es muy posible que la peor epidemia de peste de la historia no tenga absolutamente nada que ver con las ratas, al menos en Inglaterra. Mucho antes de la conocida como «Muerte Negra» del siglo XIV, una peste más devastadora si cabe asoló Europa durante el siglo VII. En algunos lugares murió casi todo el mundo. Beda, en su historia de Inglaterra escrita el siglo posterior, dice que cuando la peste llegó a su monasterio, en Jarrow, mató a todo el mundo excepto al abad y a un chico, una tasa de mortalidad muy por encima del 90 %. Fuera cual fuese la causa de su propagación, no fueron las ratas, por lo que parece. En ningún lugar de Inglaterra se han encontrado huesos de rata en una fecha tan antigua como el siglo VII, y eso que los investigadores han mirado a fondo. Una excavación realizada en diversos yacimientos de Southampton recogió huesos de cincuenta tipos de animales; ninguno de ellos era de rata.
Se ha sugerido que algunas epidemias atribuidas a la peste tal vez no fueran peste, sino ergotismo, una enfermedad producida por cereales contaminados con hongos. La peste no llegó a muchos lugares fríos del norte de Europa —Islandia escapó por completo de ella, igual que gran parte de Noruega, Suecia y Finlandia—, aunque en esas regiones sí había ratas. Por otro lado, por donde quiera que apareció la peste siempre estuvo asociada con años húmedos, igual que el ergotismo. El único problema de esta teoría es que los síntomas del ergotismo no se parecen a los de la peste. Es posible que el término «pestilencia» se utilizara con cierta libertad, o con vaguedad, o que, simplemente, los historiadores posteriores lo malinterpretaran.
Dibujo de la patente de la ratonera Little Nipper de James Henry Atkinson, 1899.
Se ha escrito muchas veces que en las ciudades hay una rata por cada ser humano que vive en ellas, pero los estudios demuestran que esta afirmación es exagerada. La cifra más probable es de una rata por cada doce personas. Por desgracia, siguen siendo muchas ratas… más o menos un cuarto de millón en el área metropolitana de Londres, por ejemplo.
§. 2
La vida real de su casa se desarrolla a una escala mucho menor. En el reino de lo muy diminuto, su casa está repleta de vida; es una auténtica selva tropical para todas esas cosas pequeñas que gatean y se arrastran. Ejércitos de minúsculas criaturas patrullan por las ilimitadas selvas de las fibras de sus alfombras, se lanzan en paracaídas entre las motas de polvo, reptan por las sábanas de noche para pacer en esa inmensa, deliciosa y agradable montaña de carne durmiente que es usted. Estas criaturas existen en cantidades que no puede ni imaginarse. Sólo su cama, si está medianamente limpia, es medianamente vieja, tiene unas dimensiones medianas y le da la vuelta con una frecuencia media (que es lo mismo que decir casi nunca), es probable que sea el hogar de unos dos millones de diminutos ácaros, demasiado pequeños para apreciarlos a simple vista, pero que sin duda alguna están ahí. Se ha calculado que, si su almohada tiene seis años (que es la edad media de una almohada), una décima parte de su peso estará constituida por piel mudada, ácaros vivos y muertos, y heces de esos ácaros, o frass, un término de origen alemán con el que las conocen los entomólogos.Gateando entre los ácaros, y a una escala mucho más gigantesca, podría haber también piojos, pues por lo que parece estas criaturas casi extinguidas vuelven a visitarnos. Como las ratas, los piojos presentan dos variedades principales: Pediculus capitas, o piojos de la cabeza, y Pediculus corporis, o piojos del cuerpo. Estos últimos son relativamente nuevos en la escena de los irritantes corporales. Evolucionaron en algún momento de los últimos cincuenta mil años a partir de los piojos de la cabeza. De los dos, los piojos de la cabeza son mucho más pequeños (son más o menos del tamaño de una semilla de sésamo y, de hecho, su aspecto es muy similar) y, en consecuencia, más difíciles de detectar. Un piojo de la cabeza, hembra adulto, deposita entre tres y seis huevos al día. Y cada piojo puede vivir hasta treinta días. Los caparazones vacíos de los piojos muertos se denominan liendres. Los piojos han desarrollado una resistencia cada vez mayor a los pesticidas aunque, por lo que parece, el motivo principal de su incremento son los ciclos de lavado a baja temperatura de las lavadoras. Tal y como el doctor John Maunder, del British Medical Entomology Centre, lo expresa: «Si lavamos ropa con piojos a bajas temperaturas, lo único que obtendremos serán piojos más limpios».
Históricamente, el terror de los dormitorios eran las chinches, o Cimex lectularius, como se conocen científicamente esos pequeños chupadores de sangre. Las chinches eran la garantía de que nadie durmiera solo. En otros tiempos, la gente se volvía medio loca por culpa de las chinches y el deseo de quitárselas de encima. Cuando Jane Carlyle descubrió que las chinches habían invadido la cama de su ama de llaves, ordenó desmontarla y sacarla al jardín, donde se lavaron las distintas partes con cloruro de lima y luego se dejaron en remojo en agua durante dos días para ahogar las posibles chinches que hubieran sobrevivido al desinfectante. La ropa de cama se encerró en una dependencia y se espolvoreó repetidamente con polvos desinfectantes hasta que no salieron de ella más chinches. Sólo entonces se armó el conjunto de nuevo y el ama de llaves pudo volver a dormir con normalidad en una cama que a buen seguro sería a partir de entonces casi tan tóxica para la pobre mujer como para la vida de cualquier insecto que osara trepar por ella.
Incluso cuando las camas no estaban activamente infestadas, era rutinario desarmarlas al menos una vez al año y darles una capa de desinfectante o barniz a modo de prevención. Los fabricantes solían publicitar la facilidad y la rapidez con que sus camas se desarmaban para llevar a cabo el mantenimiento anual. Las camas de latón se hicieron populares en el siglo XIX no porque de pronto se considerara el latón un metal elegante para las camas, sino porque era un material que no podía albergar chinches.
Igual que los piojos, las chinches están desagradablemente de vuelta. Durante la mayor parte del siglo XX estuvieron virtualmente extinguidas en la mayoría de Europa y Norteamérica gracias a la aparición de los insecticidas modernos, pero en los últimos años se ha producido un fuerte repunte. Nadie sabe muy bien por qué. Podría tener algo que ver con el aumento de los viajes internacionales —gente que las trae a casa en sus equipajes—, o con que estén desarrollando una mayor resistencia a las cosas con las que las rociamos. Sea lo que sea, de pronto vuelven a estar presentes. «Las hay en algunos de los mejores hoteles de Nueva York», citó un experto en el New York Times basándose en un informe de 2005. El artículo del Times continuaba destacando que como la mayoría de la gente carece de experiencia con chinches y no sabe qué buscar, es probable que descubra que está infestada sólo cuando se despierte y se encuentre acostada sobre un enjambre de ellas.
* * * *
Si dispusiera usted del material adecuado y de un nivel muy peculiar de motivación, podría encontrar incontables millones de otras criaturas chiquitas viviendo con usted: inmensas tribus de isópodos, pleópodos, endopoditos, miriápodos, chilópodos, paurópodos y otras pequeñas manchas prácticamente invisibles. Algunas de estas pequeñas criaturas son casi indestructibles. En la pimienta de cayena y en los tapones de corcho de cianuro vive un insecto llamado Niptus hololeucus. Algunos, como los ácaros de la harina y los ácaros del queso, cenan con usted con bastante regularidad.Si descendemos al siguiente nivel de cosas vivas, al mundo de los microbios, veremos que los números se inflan de tal manera que se hace imposible contarlos. Sólo la piel es el hogar de cerca de un trillón de bacterias. En nuestro interior viven miles de trillones más, muchas de ellas ocupadas en tareas necesarias y útiles como la desintegración de los alimentos en el intestino. En conjunto, tenemos en nuestro organismo cerca de cien cuatrillones de células bacterianas. Si las cogiésemos y las pusiéramos todas juntas, pesarían casi dos kilos. Los microbios son tan omnipresentes que olvidamos con facilidad que gran parte de cualquier casa moderna está ocupada por objetos pesados de metal —neveras, lavavajillas, lavadoras— cuya existencia está destinada única y exclusivamente a matarlos. Expulsar los gérmenes de nuestra vida es una especie de batalla diaria para muchos de nosotros.
El experto en gérmenes más famoso del mundo es casi con toda seguridad el doctor Charles P. Gerba, de la Universidad de Arizona, cuya dedicación a esta especialidad es tal que eligió Escherichia como segundo nombre de uno de sus hijos, en honor a la bacteria Escherichia coli. El doctor Gerba confirmó hace unos años que los gérmenes del hogar no siempre están en grandes cantidades allí donde cabría esperar. En una famosa investigación, calculó el contenido bacteriano de distintas habitaciones en diversas casas y descubrió que la superficie normalmente más limpia era el asiento del inodoro. Y ello se debe a que la limpiamos con desinfectante con más frecuencia que cualquier otra superficie. En contrapartida, la superficie de las mesas de trabajo tiene en promedio más bacterias que el asiento del inodoro.
La zona más sucia era el fregadero de la cocina, seguido muy de cerca por las superficies de la cocina, y el objeto más sucio era el trapo de cocina. La mayoría de trapos de cocina están impregnados de bacterias y, cuando utilizamos esos trapos para secar las superficies (o los platos, o la tabla para cortar el pan, o las barbillas grasientas, o cualquier otra superficie), los microbios se transfieren de un lugar a otro, permitiéndoles con ello nuevas oportunidades de criar y proliferar. La segunda forma más eficiente de propagar gérmenes, descubrió Gerba, es tirando de la cadena del inodoro con la tapa levantada. Esta acción arroja al ambiente miles de millones de microbios. Muchos se quedan en el aire, flotando como minúsculas burbujas de jabón, a la espera de ser inhalados, durante un espacio de tiempo que puede llegar a las dos horas; otros se instalan en objetos, como el cepillo de dientes. Una nueva razón, claro está, para bajar la tapa del inodoro.
Casi con toda seguridad, el descubrimiento más memorable de los últimos años con respecto a los microbios lo realizó una emprendedora estudiante de secundaria de Florida que comparó la calidad del agua de los servicios de los restaurantes de comida rápida de su ciudad con la calidad del hielo de los refrescos. Descubrió que, en el 70 % de los establecimientos inspeccionados, el agua de los servicios estaba más limpia que el hielo.
Lo que es quizás más destacable de todas estas multitudinarias formas de vida es lo poco que a veces sabemos de ellas, y lo reciente que es lo poco que sabemos. Los ácaros no se descubrieron como tales hasta 1965, aunque en todas las camas viven millones de ellos. En un momento tan tardío como 1947, un corresponsal médico del New Yorker escribía: «Los acáridos se encuentran en este país de forma muy excepcional y hasta hace poco eran prácticamente desconocidos en la ciudad de Nueva York». Poco después, a finales de la década de 1940, los residentes de un complejo de apartamentos llamado Kew Gardens, en el neoyorquino distrito de Queens, empezaron a caer enfermos con síntomas similares a los de la gripe. La enfermedad llegó a conocerse como «la fiebre misteriosa de Kew Gardens», hasta que un astuto exterminador se dio cuenta de que también los ratones enfermaban y, estudiando el caso con más detalle, descubrió unos ácaros diminutos entre su pelaje —los mismos ácaros que supuestamente no existían en cantidades notables en Norteamérica— que transmitían la viruela del raquitismo a los ocupantes de los apartamentos.
Un nivel similar de ignorancia se aplica asimismo a criaturas de mayor tamaño, y en gran parte a uno de los animales más importantes y menos comprendidos de todos los que a veces se encuentran en las casas modernas: los murciélagos. Los murciélagos no gustan a casi nadie, una verdadera pena, pues hacen mucho más bien que mal. Comen cantidades impresionantes de insectos, beneficiando con ello tanto a personas como a los cultivos. Los murciélagos pardos, la especie que se encuentra más comúnmente en Estados Unidos, consumen hasta seiscientos mosquitos a la hora. El diminuto murciélago pipistrelo —que no pesa más que una moneda de tamaño pequeño— aspira tres mil insectos él solito en el transcurso de una redada nocturna. Sin los murciélagos, habría en Escocia una cantidad mucho mayor de sus característicos mosquitos, más garrapatas en Norteamérica y más fiebres en los trópicos. Los árboles de los bosques quedarían consumidos a mordiscos. Los cultivos necesitarían más pesticidas. El universo natural se convertiría en un lugar lleno de estrés. Los murciélagos son también imprescindibles para el ciclo vital de muchas plantas silvestres gracias al papel que desempeñan en la polinización y la dispersión de sus semillas. Un murciélago seba —un pequeño murciélago de América del Sur— consume hasta sesenta mil diminutas semillas en una noche. La distribución de semillas que realiza una única colonia de murciélagos seba —unos cuatrocientos individuos— puede producir nueve millones anuales de nuevos árboles frutales. Sin los murciélagos, estos árboles frutales ni siquiera llegarían a existir. Los murciélagos son asimismo críticos para la supervivencia en estado salvaje de los aguacates, las balsas, las bananas, la fruta del pan, los anacardos, el clavo, los dátiles, los higos, las guayabas, los mangos, los melocotones y el cactus saguaro, entre muchas otras plantas.
En el mundo existen muchos más murciélagos de lo que la gente cree. De hecho, cerca de una cuarta parte de las especies de mamíferos —unas mil cien en total— son murciélagos. Su tamaño oscila entre el minúsculo murciélago abejorro, que en realidad no es más grande que un abejorro y, por lo tanto, es el menor de todos los mamíferos, hasta el magnífico zorro volador de Australia y del sur de Asia, cuyas alas pueden alcanzar una envergadura de hasta un metro y medio.
En el pasado se han hecho intentos de sacar provecho de las especiales características de los murciélagos. Durante la Segunda Guerra Mundial, el ejército norteamericano invirtió mucho tiempo y dinero en un extraordinario plan para armar a murciélagos con diminutas bombas incendiarias y lanzarlos desde aviones en grandes cantidades —hasta un millón a la vez— sobre territorio japonés. La idea era que los murciélagos se posasen en aleros y tejados, y que poco después los pequeños detonadores de los temporizadores se accionasen y los animales se prendieran fuego, provocando cientos de miles de incendios.
Pero crear la cantidad necesaria de minúsculas bombas y temporizadores exigía mucha experimentación y genialidad; finalmente, en la primavera de 1943, los trabajos habían avanzado lo suficiente como para programar una prueba en Muroc Lake, California. Por no decir algo peor, las cosas no salieron según lo preveía el plan. Por tratarse de un experimento, los murciélagos iban armados cual bombas vivientes cuando fueron lanzados. Pero la idea no era buena. Los murciélagos no aterrizaron en ninguno de los lugares designados, sino que destruyeron todos los hangares y la mayoría de los almacenes del aeropuerto de Muroc Lake, además del coche de un general del ejército. El informe del general sobre los sucesos de aquel día debía de ser de interesante lectura. En cualquier caso, el programa fue cancelado poco después.
Un plan menos disparatado para utilizar a los murciélagos, pero que tampoco alcanzó el éxito esperado, fue el concebido por un tal doctor Charles A. R. Campbell, de la Tulane University Medical School. La idea de Campbell consistía en construir «torres murciélago» gigantes, donde los murciélagos se posaran y criaran y que utilizaran como base para devorar mosquitos. Con ello, creía Campbell, se reduciría de forma sustancial la malaria y se obtendría guano en cantidades comercialmente rentables. Se construyeron varias torres, y algunas siguen todavía en pie, aunque en estado precario, pero el invento nunca funcionó. Por lo que se ve, a los murciélagos no les gusta que les digan dónde tienen que vivir.
En Estados Unidos, los murciélagos fueron perseguidos durante años por las autoridades sanitarias debido a la exagerada —y a veces irracional— preocupación de que transmitían la rabia. La historia empezó en octubre de 1951, cuando una mujer anónima del oeste de Texas, esposa del dueño de una plantación de algodón, se tropezó con un murciélago en la carretera al salir de su casa. Creyó que estaba muerto, pero cuando se inclinó para mirarlo, el animal dio un salto y le mordió en el brazo. Un hecho excepcional. Los murciélagos norteamericanos son insectívoros y nunca se ha oído decir que hayan mordido a un humano. La mujer y su marido desinfectaron y vendaron la herida —era pequeña— y ya no le dieron más importancia. Tres semanas después, la mujer ingresó delirando en un hospital de Dallas. Estaba «salvajemente agitada» y no podía ni hablar ni tragar. Su mirada era de terror. Fue imposible ayudarla. La rabia puede tratarse con éxito, pero sólo si el tratamiento es inmediato. En cuanto aparecen los síntomas, ya es demasiado tarde. Después de cuatro días de indecible angustia, la mujer entró en coma y murió.
Empezaron a brotar casos dispersos de personas mordidas por murciélagos rabiosos en otros lugares: dos en Pennsylvania, uno en Florida, Massachusetts y California, dos más en Texas. Todo ello en el espacio de cuatro años, por lo que no puede decirse que fuera un hecho incontrolado, pero causó preocupación. Finalmente, el día de Año Nuevo de 1956, un funcionario de salud pública de Texas, el doctor George C. Menzies, ingresó en un hospital de Austin con síntomas de rabia. Menzies había estado estudiando cuevas en la zona central de Texas en busca de pruebas de la existencia de murciélagos transmisores de la rabia, pero no había recibido ningún mordisco ni había estado expuesto a la rabia. Aun así se había infectado, y después de dos días de cuidados intensivos falleció de la manera habitual, con sufrimiento y terror, con los ojos como platos.
El caso recibió amplia cobertura y dio como resultado una histeria vengativa. Funcionarios de alto nivel llegaron a la conclusión de que el paso necesario y urgente no era otro que la exterminación. Los murciélagos se convirtieron en las criaturas con menos amigos de Estados Unidos. Y siguieron años de firme persecución en los que la población de murciélagos en muchos lugares sufrió una depredación espantosa. En un caso en concreto, la mayor colonia de murciélagos del mundo, localizada en Eagle Creek, Arizona, experimentó un descenso de su población tal que pasó de treinta millones de individuos a tres mil en cuestión de pocos años.
Merlin D. Tuttle, un destacado especialista en murciélagos estadounidense y fundador de Bat Conservation International, una institución sin ánimo de lucro dedicada a los murciélagos, relató una historia, publicada en el New Yorker en 1988, de un caso en que los funcionarios de salud pública de Texas le dijeron a un granjero que, si no mataba a los murciélagos que habitaban en una cueva situada en sus terrenos, él, su familia y su ganado corrían un grave riesgo de contraer la rabia. Siguiendo esas instrucciones, el granjero llenó la cueva de queroseno y le prendió fuego. La explosión mató a casi un cuarto de millón de murciélagos. Cuando Tuttle entrevistó posteriormente al granjero, le preguntó cuánto tiempo llevaba su familia como propietaria de aquellas tierras. «Cerca de un siglo», le respondió el granjero. «Y en todo ese tiempo —prosiguió Tuttle— ¿habían tenido algún problema con la rabia?» «No», le respondió el granjero.
«Y cuando le expliqué el valor de los murciélagos y lo que había hecho, se derrumbó y se echó a llorar», dijo Tuttle. De hecho, tal y como Tuttle destacó, «muere anualmente más gente como consecuencia de intoxicaciones alimentarias en los picnics de la Iglesia que personas hayan podido morir a lo largo de la historia por contacto con los murciélagos».
Hoy en día, los murciélagos se cuentan entre los animales en mayor peligro. Cerca de una cuarta parte de las especies de murciélagos están en las listas de observación por posible peligro de extinción —una proporción asombrosa y horrorosamente elevada para una criatura tan vital como ésta— y unas cuarenta especies están a punto de ser extinguidas. Al ser los murciélagos animales tan solitarios y a menudo tan complicados de estudiar, las cifras en lo referente a su población siguen siendo inciertas. En Gran Bretaña, por ejemplo, no se sabe muy bien si sobreviven diecisiete o dieciséis especies de murciélago. Las autoridades carecen de pruebas suficientes para decidir si el mayor murciélago con orejas de ratón está extinto o simplemente se encuentra en horas muy bajas.
Lo que sí es seguro es que las cosas van a ponerse más feas en todas partes. A principios de 2006, se descubrió entre los murciélagos que hibernaban en una cueva de Nueva York una nueva enfermedad tremendamente letal de origen fúngico, conocida como el síndrome de la nariz blanca (porque en las víctimas deja blanco el pelaje que rodea su nariz). La enfermedad mata hasta el 95 % de los murciélagos infectados. Se ha expandido ya a media docena de estados más y seguirá expandiéndose. A finales de 2009, los científicos seguían sin tener idea sobre el hongo que mata a su huésped, cómo se contagia, dónde se originó o cómo detenerlo. Lo que es seguro es que el hongo se adapta y sobrevive en condiciones frías, una mala noticia para los murciélagos de gran parte de Norteamérica, Europa y Asia.
Hay criaturas tan modestas y con frecuencia tan poco estudiadas, que apenas somos conscientes de que están al borde de la extinción. Gran Bretaña perdió veinte especies de mariposa nocturna a lo largo del siglo XX, y apenas protestó nadie por ello. Cerca del 75 % de las especies británicas de mariposa nocturna ha sufrido un declive de su población. La intensificación agrícola y los pesticidas cada vez más potentes se cuentan entre las causas probables de estos descensos, pero nadie lo sabe en concreto. Las especies de mariposas sufren el proceso de un modo similar, con al menos ocho de ellas en sus cifras más bajas de todos los tiempos y de nuevo por motivos que no pasan de simples suposiciones. Las repercusiones podrían ser considerables. Muchas aves son peligrosamente dependientes de una población sana de mariposas nocturnas y mariposas. Una sola familia de herrerillos comunes podría necesitar unas quince mil orugas por temporada. Por lo tanto, los descensos en la población de insectos significan también un descenso en la población de aves.
§. 3
Pero hay que decir que el movimiento en cuanto al número de poblaciones de ciertas especies no va siempre en descenso. A veces, las poblaciones aumentan de forma desmesurada, en ocasiones de tal modo que conforman incluso la historia. Y esto nunca ha sido más cierto que en 1873, cuando los granjeros del oeste de Estados Unidos y las llanuras de Canadá experimentaron una visita de alcance devastador. Llegaron, como salidas de la nada, nubes de langostas de las Montañas Rocosas, gigantescos amasijos chirriantes de movimiento y voracidad que ofuscaban el sol y devoraban todo lo que se interponía en su camino. Dondequiera que aterrizaran los enjambres de insectos, los efectos eran atroces. Devastaron campos y huertos y consumieron prácticamente todo aquello sobre lo que se posaron. Comían cuero y lona, coladas tendidas al sol, la lana del lomo de ovejas vivas, incluso los mangos de madera de las herramientas. Un testigo del fenómeno dijo, asombrado, que llegaban en cantidades tan espectaculares que apagaron incluso un incendio de considerable envergadura. Fue, según muchos testigos, como vivir el fin del mundo. El ruido era ensordecedor. Se estima que una nube podía llegar a alcanzar tres mil kilómetros de longitud por ochenta de anchura. Tardaba hasta cinco días en pasar en su totalidad por un punto determinado. Y se cree que una nube podía llegar a contener diez mil millones de insectos, aunque hay estimaciones que sitúan la cifra incluso en 12, 5billones, con un peso de 27, 5 millones de toneladas. Fue, sin lugar a dudas, la reunión más enorme de seres vivos jamás vista en la Tierra. Nada conseguía desviar a las langostas. Cuando dos nubes coincidían, se cruzaban y emergían por el otro lado sin víctimas. Ni a golpes de pala ni rociándolas con insecticida se conseguían resultados significativos.Fue justo en el momento en que la gente se desplazaba en grandes cantidades hacia el oeste de Estados Unidos y Canadá, creando una nueva banda de plantaciones de trigo en las grandes llanuras. La población de Nebraska, por ejemplo, pasó de 28.000 habitantes a un millón en sólo una generación. En el periodo posterior a la guerra civil norteamericana, se crearon en conjunto, al oeste del Mississippi, cuatro millones de granjas, y muchos de estos nuevos granjeros tenían importantes hipotecas sobre sus casas y tierras y habían contraído préstamos para pagar flotillas con el equipamiento necesario —cosechadoras, trilladoras, segadoras, etc.— para poder cultivar a escala industrial. Cientos de miles de personas más habían invertido colosales sumas de dinero en líneas de ferrocarril, silos de cereales y negocios de todo tipo para sustentar el increíble aumento de población que vivía en el oeste. Y con la plaga de la langosta, cantidades muy sustanciales de personas quedaron literalmente arrasadas.
Al finalizar el verano, la langosta se esfumó y volvió a vislumbrarse un rayo de esperanza. Pero el optimismo duró poco. Las langostas regresaron durante tres veranos más, cada vez en mayores cantidades. Empezó a arraigar la idea de que tal vez vivir en el oeste fuera un imposible. Y no menos alarmante era pensar que la langosta pudiera desplazarse hacia el este y empezara a devorar las ricas tierras de cultivo del Medio Oeste y el este. En toda la historia de América, nunca ha habido un momento más oscuro o de mayor impotencia.
Y entonces todo terminó. En 1877, las nubes fueron muchísimo más reducidas y las langostas se mostraron curiosamente aletargadas. Al año siguiente ni siquiera aparecieron. La langosta de las Montañas Rocosas (su nombre científico era Melanoplus spretus) no sólo se retiró, sino que desapareció por completo. Fue un milagro. El último ejemplar vivo fue localizado en Canadá en 1902. Y no se han vuelto a ver desde entonces.
Los científicos necesitaron más de un siglo para comprender qué había pasado, pero se ve que las langostas se retiraban en invierno a hibernar y criar en los terrenos arcillosos lindantes con los sinuosos ríos de las elevadas llanuras del este de las Rocosas. Resultó ser que éstos eran exactamente los mismos lugares donde las nuevas oleadas de granjeros recién llegados estaban transformando la tierra mediante el arado y la irrigación, actividades que mataron a las langostas y sus crisálidas durante su hibernación. Nadie podía haber concebido un remedio más efectivo de haber gastado millones de dólares y estudiado el asunto durante años. La extinción de una especie no es nunca buena cosa, pero en este caso es seguramente lo más parecido a algo positivo que un suceso puede llegar a ser.
De haber seguido prosperando la langosta, el mundo habría sido un lugar muy distinto. La agricultura y el comercio global, la población del oeste y, definitivamente, el destino de nuestra Vieja Rectoría, así como de prácticamente cualquier otra cosa conectada y relacionada con ello, se habría transformado profundamente de un modo que ni siquiera podemos llegar a imaginarnos. Los granjeros norteamericanos del último cuarto del siglo XIX estaban ya atrapados en una forma de populismo rabioso que mostraba un hondo resentimiento contra los bancos y las grandes empresas, unos sentimientos ampliamente extendidos en las ciudades, sobre todo entre los inmigrantes recién llegados. De haberse derrumbado la agricultura lo suficiente como para producir hambre y penurias generalizadas, es muy probable que se hubiera producido también un auge abrumador del socialismo. Y, sin duda alguna, muchos deseaban ardientemente este resultado.
Pero las cosas, claro está, se calmaron, el oeste continuó con su gran expansión, Norteamérica se convirtió en la panera del mundo y la campiña británica inició una caída en picado de la que nunca se ha recuperado por completo. Se trata de una historia a la que llegaremos a su debido momento, pero mientras, salgamos al jardín y reflexionemos sobre por qué era, y sigue siendo, un paisaje en el que resultaba tan atractivo estar.
§. 1
En 1730, la reina Carolina de Anspach, la diligente y siempre perfeccionista esposa del rey Jorge II, hizo algo bastante osado. Ordenó la desviación del pequeño río Westbourne, a su paso por Londres, para crear un estanque de gran tamaño en el centro de Hyde Park. El estanque, conocido como el Serpentine, sigue ahí y continúa siendo admirado por los visitantes, aunque casi nadie conoce lo históricas que son sus aguas.Fue el primer estanque artificial del mundo diseñado para no parecer artificial. Hoy en día resulta complicado comprender lo radical que llegó a ser ese paso. Hasta aquel momento, todas las superficies acuáticas artificiales eran rigurosamente geométricas, bien rectangulares, a modo de piscina reflectante, bien circulares, como el Estanque Redondo de los vecinos Kensington Gardens, construido tan sólo dos años antes. Pero en este caso, la superficie acuática era curvilínea y elegante, serpenteaba seductoramente y parecía como si hubiese estado formada por la naturaleza en un momento de descuidada casualidad. La gente estaba encantada con aquella ficción y se apiñaba para admirarlo. La familia real se sentía tan satisfecha que durante un tiempo mantuvo dos yates de gran tamaño en el Serpentine aun cuando apenas tenían espacio suficiente para realizar maniobras sin colisionar.
Para la reina Carolina, fue un excepcional triunfo popular, pues sus ambiciones relacionadas con los jardines eran a menudo poco sensatas. En el mismo periodo, se apropió de ochenta hectáreas del Hyde Park para anexionarlas a Kensington Palace, prohibiendo a los ciudadanos el acceso a sus frondosos senderos excepto los sábados, sólo durante una temporada determinada del año y con la condición de que pasearan por ellos con un aspecto respetable. No es de sorprender que la decisión fuera el origen de un resentimiento generalizado. La reina consideró también la idea de privatizar la totalidad de St. James’s Park y le preguntó a su primer ministro, Robert Walpole, cuánto costaría hacerlo. «Sólo una corona, señora», le respondió él con una débil sonrisa.
El Serpentine fue, pues, un éxito inmediato, y el mérito de que así fuera —con toda seguridad en lo que a la ingeniería se refiere y probablemente también en cuanto al concepto— es atribuible a una oscura figura llamada Charles Bridgeman. Siempre ha sido un misterio de dónde salió un hombre con un ingenio tan elegante. Emergió como salido de la nada en 1709, con un conjunto de dibujos firmados de elevadísima categoría para una propuesta de trabajos de paisajismo en Blenheim Palace. Antes de esto, lo que se dice de él no son más que conjeturas: dónde nació, la duración y las circunstancias de su formación, dónde adquirió sus considerables habilidades. Los historiadores ni siquiera se ponen de acuerdo en si su apellido debería escribirse Bridgeman o Bridgman. Pero lo que es evidente es que durante los treinta años posteriores a su aparición en escena, estuvo en todos los sitios donde se necesitó jardinería de primera categoría. Trabajó con los arquitectos más destacados —John Vanbrugh, William Kent, James Gibbs, Henry Flitcroft— en proyectos repartidos por toda Inglaterra. Diseñó y montó Stowe, el jardín más celebrado de la época. Fue nombrado jardinero real y gestionó los jardines de Hampton Court, Windsor, Kew y todos los parques reales bajo el dominio del rey. Creó los Richmond Gardens. Diseñó el Estanque Redondo y el Serpentine. Estudió y diseñó jardines para fincas repartidas por todo el sur de Inglaterra. Siempre que había una obra de jardinería importante que realizar, Bridgeman estaba allí. No existe ningún retrato individual suyo, aunque aparece, de forma bastante inesperada, en la segunda imagen de la secuencia de Hogarth La vida de un libertino, donde es uno de los diversos hombres, entre los que se incluyen un sastre, un profesor de baile y un jinete, que importunan al joven libertino para que invierta su dinero con ellos [45] . Incluso allí, sin embargo, a Bridgeman se le ve incómodo y rígido, como si se hubiese colado en la escena equivocada.
La jardinería ya era un gran negocio en Inglaterra cuando apareció Bridgeman. El invernadero del Brompton Park de Londres, localizado en los terrenos que actualmente ocupan los impresionantes museos de South Kensington, cubría cuarenta hectáreas y producía volúmenes enormes de arbustos, plantas exóticas y todo tipo de cosas verdes para las fincas señoriales de lo largo y ancho del país. Pero eran jardines distintos a los que conocemos hoy en día. Para empezar, eran fantásticamente coloridos: los caminitos estaban cubiertos con gravilla de colores, las estatuas estaban pintadas con llamativos colores, los parterres de flores se escogían por la intensidad de sus tonos. Nada era natural ni sin pretensiones. Los setos se recortaban con formas rocambolescas. Senderos y arriates eran rigurosamente rectos y estaban flanqueados con bojes y tejos exigentemente podados. La formalidad lo regía todo. Los terrenos de las mansiones señoriales no eran tanto parques como ejercicios de geometría.
Pero de repente, todo ese orden y artificialidad se esfumó por completo y se puso de moda que las cosas pareciesen naturales. No es en absoluto fácil adivinar de dónde salió este impulso. Los inicios del siglo XVIII fueron una época en la que prácticamente todos los jóvenes de buena y privilegiada cuna realizaban grandes giras turísticas por Europa. Y casi todos sin excepción volvían a casa entusiasmados con los órdenes formales del mundo clásico y con un ardiente deseo de reproducirlos en un entorno inglés. En lo referente a la arquitectura, no deseaban otra cosa que sentirse orgullosamente y de forma poco imaginativa meros subproductos. Pero en los jardines rechazaron la rigidez y empezaron a construir un universo exterior completamente nuevo. Para los que creen que los británicos tienen el genio de la jardinería imbuido en sus cromosomas, ésta fue la época que tal vez sirva para demostrarlo.
Uno de los héroes de este movimiento fue nuestro viejo amigo sir John Vanbrugh. Siendo como era un autodidacta, veía las cosas desde una perspectiva completamente novedosa. Concebía el escenario donde se instalaban sus casas como ningún arquitecto lo había hecho hasta entonces, por ejemplo. En Castle Howard, casi puede decirse que lo primero que hizo fue rotar el edificio noventa grados sobre su eje, de tal modo que quedara dispuesto de norte a sur y no de este a oeste, como aparecía en los planos previamente trazados por William Taiman. Esto hacía imposible proporcionar a la casa el enfoque longitudinal tradicional, con vistas de refilón de la estructura a modo de juego anticipatorio visual, pero para compensarlo tenía la virtud de que la casa se asentaba de manera mucho más cómoda en el paisaje y sus ocupantes disfrutaban de una vista infinitamente más satisfactoria. Era un cambio radical con respecto a la orientación tradicional. Antes de esto, las casas no se construían para disfrutar desde ellas de la vista, sino que ellas eran la vista.
Para maximizar panoramas importantes, Vanbrugh introdujo otra inspirada característica: el capricho, un edificio diseñado sin otro propósito que rematar una vista y ofrecer un punto placentero donde el ojo errante pueda fijar la mirada. Su Templo de los Cuatro Vientos, en Castle Howard, fue el primer ejemplo de esta tipología. Y a esto le sumó la innovación más ingeniosa y transformadora de todas: el «ha-ha». El ha-ha es un vallado hundido, una especie de empalizada diseñada para separar la parte privada de una finca de las partes dedicadas a otras labores y evitar la intromisión visual de una valla o un seto. Era una idea adaptada de las fortificaciones militares francesas (donde Vanbrugh debió de verlos durante sus años de prisión). Al permanecer invisibles hasta el último momento, la gente solía descubrirlos y gritar sorprendida « ¡Ha-ha!» y de ahí, se dice, el nombre. El ha-ha no fue tan sólo un dispositivo práctico para impedir que las vacas se adentraran en el césped, sino también una nueva forma de percibir el mundo. Terrenos, jardín, parques, finca… los distintos elementos formaban parte de un todo continuo. De pronto, la zona más atractiva de la propiedad no tenía por qué terminar cuando se acababa el césped, sino que podía prolongarse hasta el horizonte.
Una práctica menos feliz que Vanbrugh introdujo junto con Carlisle en Castle Howard fue la de arrasar los pequeños pueblos que pudiera haber en los terrenos de las fincas, obligando con ello a sus habitantes a trasladarse a otro lugar si se los consideraba poco pintorescos o excesivamente indiscretos. En Castle Howard, Vanbrugh quitó de en medio no sólo un pueblo, sino también una iglesia y el castillo en ruinas del que la casa tomaba su nombre. Y a partir de aquí, muchos pueblos de todo el país quedaron arrasados para dar paso a mansiones cada vez más grandes y poder disfrutar de buenas vistas sin impedimentos. Era casi como si una persona rica no pudiera empezar las obras de su mansión hasta no haber causado estragos en un mínimo de media docena de vidas serviles. Oliver Goldsmith se lamentó de esta práctica en un largo y sentimental poema, «El pueblo desierto», inspirado por una visita a Nuneham Park, Oxfordshire, cuando el primer conde de Harcourt estaba en curso de borrar del mapa un pueblo muy antiguo para conseguir un entorno más pintoresco para su nueva casa. Aquí, como mínimo, el destino se tomó una interesante venganza. Después de finalizar las obras, el conde fue a dar un paseo por sus reconfiguradas tierras y, al no acordarse de dónde estaba situado el pozo del antiguo pueblo, cayó en él y se ahogó [46] .
Vanbrugh no inventó obligatoriamente todas estas cosas. Horace Walpole, para empezar, atribuyó a Bridgeman el mérito de la invención del ha-ha, y es posible que fuera él quien le diera la idea a Vanbrugh. Pero, por lo que sabemos, también es posible que Vanbrugh se la diera a Bridgeman. Lo único que puede decirse al respecto es que a principios de la década de 1710 todo el mundo empezó a tener un montón de ideas para mejorar el paisaje, sobre todo dándole un aspecto de mayor naturalismo. Un suceso que a buen seguro contribuyó a este cambio fue una tormenta que se produjo en 1711 y que acabó conociéndose como el Gran Vendaval, que derribó árboles por todo el país y que llevó a la gente a darse cuenta, por vez primera, del agradable telón de fondo que constituían. En cualquier caso, la gente empezó de repente a adorar la naturaleza.
Joseph Addison, el ensayista, se convirtió en la voz del movimiento con una serie de artículos publicados en el Spectator titulados «Los placeres de la imaginación», en los que sugería que la naturaleza proporcionaba toda la belleza que el hombre pudiera desear. Lo único que necesitaba era un poco de gestión o, como expresó en una famosa frase: «Un hombre puede crear un bonito Paisaje en sus posesiones». Y proseguía: «No sé si soy singular en mi Opinión, pero, por mi parte, preferiría mirar un Árbol con toda su Exuberancia y Difusión de Follaje y Ramas, que cuando está podado y acicalado como una Figura Matemática», y de pronto fue como si todo el mundo coincidiese con él.
Los propietarios de casas solariegas siguieron de buena gana sus preceptos, introduciendo sinuosos senderos y errabundos lagos, aunque durante un tiempo las mejoras fueron en su mayoría arquitectónicas. Por todo el país, ricos terratenientes abarrotaron sus tierras con grutas, templos, atalayas, ruinas artificiales, obeliscos, caprichos almenados, casas de fieras, invernaderos para plantas tropicales, panteones, anfiteatros, exedras (muros curvos con hornacinas donde colocar bustos de figuras heroicas), el curioso ninfeo o cualquier otro antojo arquitectónico que se les pasara por la cabeza. Y no eran bagatelas ornamentales, sino robustos monumentos. El mausoleo de Castle Howard, diseñado por Nicholas Hawkmoor (y donde el patrono de Vanbrugh, el tercer conde, vive ahora en la eternidad), era tan grande y resultó tan costoso como cualquiera de las iglesias que Christopher Wren edificó en Londres. Robert Adam trazó un plan para erigir una ciudad romana amurallada, pintorescamente en ruinas y artificial por completo, que ocuparía casi cinco hectáreas de una ladera cubierta de prados en Herefordshire, con el simple objetivo de proporcionar a un noble menor, llamado lord Harley, algo entretenido que contemplar mientras desayunaba. Nunca acabó construyéndose, aunque sí lo hicieron otras diversiones de sorprendente magnificencia. La famosa pagoda de los Kew Gardens, que se eleva a una altura de cincuenta metros, fue durante mucho tiempo la estructura más alta de Inglaterra. Hasta el siglo XIX estaba suntuosamente dorada y cubierta con dragones pintados —ochenta en total— y tintineantes campanillas de latón, que el rey Jorge IV vendió para liquidar sus deudas, razón por la cual ahora no vemos más que un deslucido cascarón. En otros tiempos, en los Kew había otras diecinueve estructuras fantásticas repartidas por sus terrenos, incluyendo una mezquita turca, un palacio de la Alhambra, una catedral gótica en miniatura y templos dedicados a Eolo, Aretusa, Bellona, Pan, la paz, la soledad y el sol, todo con la intención de que algunos miembros de la familia real tuvieran a su alcance una variedad de diversiones con las que interrumpir sus paseos.
Durante un tiempo se puso de moda construir una ermita e instalar en ella a un ermitaño. En Painshill, Surrey, un hombre firmó un contrato para vivir siete años en pintoresca reclusión y observando silencio monástico a cambio de 100 libras al año, pero fue despedido al cabo de sólo tres semanas cuando se le vio bebiendo en un pub del pueblo. El propietario de una finca de Lancashire prometió 50 libras anuales de por vida a cualquiera que pasara siete años en una vivienda subterránea de su finca sin cortarse el pelo ni las uñas y sin hablar con nadie. Alguien aceptó la oferta y aguantó durante cuatro años antes de decidir que no podía más; es una pena que no se sepa si recibió como mínimo una pensión parcial como compensación por sus esfuerzos. La reina Carolina —la del Serpentine en Hyde Park— encargó al arquitecto William Kent la construcción de una ermita en Richmond en la que instaló a un poeta llamado Stephen Duck, pero tampoco fue un éxito, ya que Duck decidió que no le gustaba el silencio ni ser observado por desconocidos y decidió largarse. E inesperadamente, acabó convirtiéndose en el rector de una iglesia en Byfleet, Surrey. Por desgracia, tampoco allí fue feliz —por lo que se ve, no era feliz en ningún lado— y se suicidó arrojándose al Támesis.
La expresión definitiva del edificio capricho la encontramos a buen seguro en Chiswick, en aquel momento un pueblo situado al oeste de Londres, donde el tercer conde de Burlington (y otro miembro del Kit-Cat) hizo construir Chiswick House, que no era para nada una casa y donde nunca tuvo intención de vivir, sino un lugar donde contemplar obras de arte y escuchar música, una especie de casa de verano pretenciosa, construida a escala literalmente palaciega. Es la propiedad donde, como tal vez recordará, el octavo duque de Devonshire tuvo su primer y feliz encuentro con Joseph Paxton.
Mientras, Charles Bridgeman y sus sucesores siguieron trabajando exhaustivamente en la reconstrucción integral de paisajes. En su obra maestra, Stowe, en Buckinghamshire, todo se hizo a escala monumental. Uno de los ha-has allí construidos tenía seis kilómetros y medio de longitud. Se alteró la forma de diversas colinas, se inundaron valles, se construyeron aquí y allá templos de marmórea magnificencia. Stowe no tenía nada que ver con cualquier cosa que anteriormente se hubiera construido. Para empezar, se convirtió en una de las primeras atracciones turísticas del mundo. Fue el primer jardín británico que atrajo visitantes y el primero también en tener su propia guía. Se hizo tan popular, que en 1717 lord Cobham, su propietario, tuvo que adquirir una posada cercana para poder alojar en ella a los visitantes.
Bridgeman falleció en 1738 y poco después fue sucedido por un hombre tan joven que ni siquiera había nacido cuando Bridgeman empezó a trabajar en Stowe. El joven se llamaba Lancelot Brown y era exactamente el hombre que el movimiento paisajista necesitaba.
La historia de la vida de Brown recuerda mucho a la de Joseph Paxton. Ambos eran hijos de pequeños campesinos propietarios de sus tierras, ambos eran excepcionalmente brillantes y trabajadores, ambos empezaron en la jardinería siendo niños y ambos destacaron rápidamente en cuanto empezaron a trabajar para hombres ricos. En el caso de Brown, la historia empezó en Northumberland, donde su padre tenía unas tierras arrendadas en una finca llamada Kirkharle. Con catorce años, Brown empezó a trabajar allí como aprendiz de jardinero y estuvo siete años empleado, pero entonces decidió abandonar Northumberland y trasladarse al sur, con toda seguridad en busca de un clima mejor para su asma. Se desconoce lo que hizo durante el siguiente periodo de su vida, pero debió de destacar, pues poco después del fallecimiento de Charles Bridgeman, lord Cobham lo seleccionó como nuevo jardinero de Stowe. Tenía sólo veinticuatro años de edad.
Brown se encontró de pronto al cargo de una plantilla de cuarenta empleados y ejerciendo funciones tanto de pagador como de jardinero jefe. Poco a poco asumió la gestión de la totalidad de la finca, encargándose tanto de los proyectos de jardinería como de los de construcción. De esta manera, y sin duda alguna con estudios complementarios, adquirió las habilidades necesarias para convertirse en un arquitecto competente y profesional. Lord Cobham falleció en 1749 y Brown decidió independizarse. Se trasladó a Hammersmith, que entonces era un pueblo situado al oeste de Londres, e inició allí su carrera como profesional autónomo. Con treinta y cinco años de edad estaba a punto de convertirse en el hombre que la historia conoce como «Capability Brown», Brown el Capaz.
Su visión era arrolladora. Él no creaba jardines, creaba paisajes. Adquirió la costumbre, en cuanto estudiaba una finca, de anunciar que tenía capacidad para realizar aquel determinado trabajo, y de ahí proviene su famoso apodo. Siempre ha existido la tendencia a retratar a Brown como un mero remendón, como un reformador fortuito, que hacía poca cosa más que transformar árboles en atractivos setos. Pero, de hecho, nadie realizó más movimientos de tierras ni operó a mayor escala que él. Para crear el Valle Griego de Stowe, sus obreros retiraron, en carretillas, dieciocho mil metros cúbicos de tierra y piedras, que luego esparcieron por otras partes. En Heveningham, Suffolk, elevó tres metros y medio un prado de considerable tamaño. Trasladaba sin problemas árboles crecidos y a veces también pueblos perfectamente arraigados. Para poder realizar lo primero, inventó una máquina con ruedas capaz de mover árboles de hasta once metros de altura sin causarles ningún daño, un ejemplo de ingeniería hortícola que fue considerado casi un milagro. Plantó decenas de miles de árboles (noventa y un mil en un solo año en Longleat). Construyó lagos que llegaban a inundar hasta cuarenta hectáreas de tierra de cultivo, un hecho que sin duda alguna sembró ciertas dudas entre sus clientes. En Blenheim Palace, un puente magnífico cruzaba un insignificante arroyo; Brown lo flanqueó con lagos, transformándolo en una superficie acuática impresionante.
Visualizaba el aspecto exacto que tendrían sus paisajes en cien años. Mucho antes de que a nadie se le ocurriera hacerlo, utilizó de manera casi exclusiva árboles nativos. Son detalles como éste los que hacen que sus paisajes parezcan haber evolucionado de forma natural cuando en realidad estaban diseñados casi hasta la última boñiga. Era mucho más un ingeniero y un arquitecto paisajista que un jardinero. Tenía un don especial para «confundir la vista», haciendo, por ejemplo, que dos lagos situados a distintos niveles parecieran un único lago mucho más grande. Brown creaba paisajes que eran en cierto sentido «más ingleses» que la campiña a la que sustituían, y lo hacía a una escala tan abrumadora y radical que cuesta ahora imaginarse lo novedosa que llegó a ser en su momento su forma de trabajar. Él lo denominaba «creación de lugares». Tal vez el paisaje de las tierras bajas inglesas parezca hoy intemporal, pero es en gran parte una creación del siglo XVIII y fue Brown, más que nadie, quien lo hizo realidad. Si eso es hacer remiendos, es hacerlos a una escala grandiosa.
Brown ofrecía un servicio integral: diseño, suministro de plantas, plantación y mantenimiento. Trabajaba duro y con rapidez y gracias a ello conseguía gestionar muchos encargos. Se dice que una hora de rápida visita a una finca le bastaba para realizar un plan detallado de las mejoras a realizar. Gran parte del atractivo del enfoque de Brown estriba en que a la larga salía barato. Los jardines de meticulosos cuidados, con parterres, arbustos con formas decorativas y kilómetros de setos recortados, exigían mucho mantenimiento. Pero los paisajes de Brown se cuidaban en gran medida solos. Era además marcadamente práctico. Mientras que otros construían templos, pagodas y santuarios, Brown creaba edificios que parecían caprichos extravagantes pero que en realidad eran vaquerías, casetas para perros o viviendas para los trabajadores de las fincas. El hecho de haberse criado en una granja le ayudaba a comprender a la perfección su funcionamiento y con frecuencia introducía cambios que mejoraban su eficiencia. Aunque quizás no fuera un arquitecto magnífico, era competente y, gracias a su trabajo como paisajista, comprendía mejor que ningún otro arquitecto de su época el funcionamiento del drenaje. Fue un maestro de la ingeniería del suelo antes de que existiera tal disciplina. Por debajo de sus amodorrados paisajes corrían invisibles y complejos sistemas de drenaje que convirtieron cenagales en prados y que han seguido manteniéndolos en perfecto estado durante doscientos cincuenta años. Quizás podrían haberle apodado también «Drenaje Brown».
En una ocasión le ofrecieron a Brown 1.000 libras para trabajar en una finca en Irlanda, pero declinó la oferta argumentando que todavía no había creado toda Inglaterra. En sus tres décadas de trabajo por cuenta propia realizó ciento setenta encargos, transformando con ello una buena parte de la campiña inglesa. Al cabo de una década de hacerse trabajador autónomo, ganaba 15.000 libras anuales, cantidad suficiente como para situarlo en la zona alta de la emergente clase media.
Pero sus logros no eran ni mucho menos admirados sin reservas por todos. El poeta Richard Owen Cambridge le dijo en una ocasión a Brown:
—Muy seriamente le digo que desearía morir antes que usted, señor Brown.
— ¿Por qué? —le preguntó un sorprendido Brown.
Charles Bridgeman (el cuarto por la izquierda, con el plano de un jardín en la mano), en La vida del libertino de William Hogarth.
El artista John Constable odiaba la obra de Brown. «No es belleza porque no es naturaleza», declaró. Pero el mayor antagonista de Brown fue el tremendamente esnob sir William Chambers. Rechazaba los paisajes de Brown tachándolos de poco imaginativos e insistiendo en que «difieren muy poco de campos normales y corrientes». Hay que tener en cuenta, no obstante, que la idea de Chambers de mejorar un paisaje no era otra que inundarlo de edificios chillones. Fue él quien diseñó la pagoda, la falsa Alhambra y otras distracciones de los Kew. Chambers consideraba a Brown poco más que un campesino porque decía que su forma de hablar y sus modales carecían de refinamiento, pero los clientes de Brown lo adoraban. Uno de ellos, lord Exeter, colgó un retrato de Brown en su casa para poder verlo cada día. Y por lo que parece, Brown era además un buen hombre. En una de las escasas cartas que han llegado hasta nosotros, le explica a su esposa cómo, separado de ella por el trabajo, pasa el día manteniendo una conversación imaginaria con ella, «que tiene todo el encanto excepto tu querida compañía, que siempre será la más sincera y principal delicia, mi querida Biddy, de tu cariñoso marido». No está mal para alguien que apenas había ido a la escuela. Y es evidente que no son las palabras de un campesino. Brown falleció en 1783 con sesenta y seis años de edad y muchos lloraron su pérdida.
§. 2
Y mientras Capability Brown rechazaba flores y arbustos ornamentales, otros encontraban especies nuevas en formidable abundancia. El periodo de cincuenta años que se extiende en ambos sentidos antes y después de la muerte de Brown fue una época de descubrimientos sin precedente en el universo de la botánica. La búsqueda de plantas se convirtió en un importante impulsor tanto de la ciencia como del comercio.Puede decirse que la persona que lo empezó todo fue Joseph Banks, el brillante botánico que acompañó al capitán James Cook en su viaje a los Mares del Sur desde 1768 a 1771. Banks llenó la pequeña embarcación de Cook con plantas de todo tipo —treinta mil especies en total—, entre las que se incluían mil cuatrocientas que nunca se habían registrado, una cantidad que de golpe incrementó en un cuarto la reserva mundial de plantas conocidas. A buen seguro habría encontrado más en el segundo viaje de Cook, pero por desgracia Banks era tan caprichoso y mimado como brillante. Insistió esta vez en llevarse con él a diecisiete criados, incluyendo dos cornetas para entretenerlo por las noches. Cook se opuso educadamente y Banks se negó a acompañarlo. Lo que hizo en su lugar fue financiarse una expedición a Islandia. De camino, el grupo se detuvo en la bahía O’Skaill, en las Orcadas, y Banks llevó a cabo algunas excavaciones, pero pasó de largo el montículo cubierto de hierba que ocultaba Skara Brae y se perdió con ello la oportunidad de sumar uno de los grandes descubrimientos arqueológicos de la época a sus muchos otros logros.
Mientras, entregados buscadores de plantas se dedicaban a peinar el mundo, además de Norteamérica, que demostró ser especialmente productiva en cuanto a plantas que no sólo eran preciosas e interesantes, sino que además florecerían sin problemas en suelo británico. Los primeros europeos que se adentraron en Norteamérica desde el este no buscaban tierras donde asentarse, ni pasos hacia el oeste. Buscaban plantas que poder vender, y encontraron muchísimas y maravillosas nuevas especies: azalea, áster, camelia, catalpa, euforbio, hortensia, rododendro, rudbeckia, enredadera de Virginia, cereza silvestre y muchos tipos de helechos, arbustos, árboles y plantas trepadoras. Se podían reunir auténticas fortunas descubriendo nuevas plantas y transportándolas con éxito hasta los invernaderos europeos para su propagación. Los bosques de América del Norte se llenaron de tantos buscadores de plantas que es difícil decir quién descubrió qué. No se sabe, por ejemplo, si John Fraser, que da nombre al abeto de Fraser, descubrió cuarenta y cuatro o doscientas quince nuevas especies, dependiendo de la historia de la botánica a la que decidamos hacer caso.
Los peligros de la búsqueda de plantas eran considerables. Joseph Paxton envió dos hombres a Norteamérica para ver qué podían encontrar; ambos murieron ahogados cuando su bote, cargado en exceso, volcó en las feroces aguas de un río de la Columbia Británica. El hijo de André Michaux, un buscador francés, quedó terriblemente mutilado por un oso. En Hawai, David Douglas, descubridor del abeto de Douglas, cayó en una trampa para animales en un momento especialmente poco propicio: estaba ya ocupada por un búfalo que lo pisoteó hasta matarlo. Otros se perdían o morían de hambre, fallecían como consecuencia de la malaria, la fiebre amarilla u otras enfermedades, o perdían la vida en manos de recelosos nativos. Pero los que salieron de su aventura con éxito solían hacerse auténticamente ricos. Quizás el buscador de plantas más destacado fue Robert Fortune, a quien hemos encontrado por última vez en el capítulo 8 viajando arriesgadamente por China vestido como un nativo para descubrir los secretos de la producción del té. Su introducción del cultivo del té en la India salvó posiblemente al Imperio británico, pero fue la incorporación del crisantemo y la azalea a los invernaderos británicos lo que le permitió morir rico.
Otros estaban impulsados por su pasión por la aventura, y a veces iban peligrosamente mal informados. Tal vez los más destacados en esta categoría —y a primera vista los más inesperados— fueron los jóvenes amigos Alfred Russel Wallace y Henry Walter Bates, ambos hijos de modestos hombres de negocios ingleses. Aunque ninguno de los dos había viajado al extranjero, en 1848 decidieron viajar a la Amazonia en busca de especies botánicas. Poco después, se les sumó el hermano de Wallace, Herbert, y otro entusiasta aficionado, Richard Spruce, maestro de escuela en la finca de Castle Howard, Yorkshire, que jamás había pisado nada más desafiante que un prado inglés. Ninguno de ellos estaba ni de lejos preparado para la vida en los trópicos, y el pobre Herbert lo demostró contagiándose de la fiebre amarilla y falleciendo tan pronto como llegó a tierra. Los demás perseveraron, aunque por motivos desconocidos decidieron dividirse y tomar distintas direcciones.
Wallace se adentró en la selva siguiendo el río Negro y pasó los cuatro años siguientes recogiendo ejemplares con tenacidad. Se enfrentó a incontables retos. Los insectos convirtieron su vida en una pesadilla, se le rompieron las gafas, de las que era tremendamente dependiente, durante un intenso encuentro con un avispero y perdió una bota en otro momento caótico, por lo que pasó un tiempo avanzando a paso lento por la selva medio descalzo. Dejó perplejos a sus guías nativos conservando sus ejemplares en frascos de cachaça, un alcohol resultado de la fermentación de la caña de azúcar, en lugar de bebérsela como haría cualquier hombre sensato. Creyendo que estaba loco, se apropiaron de la cachaça que quedaba y la derramaron en la selva. Impertérrito —imperturbable—, Wallace siguió adelante.
Después de cuatro años, emergió de la tórrida selva agotado, vestido con harapos, tembloroso y delirando como consecuencia de unas fiebres recurrentes, pero con una excepcional colección de ejemplares. En el puerto brasileño de Pará, encontró pasaje de vuelta a casa a bordo de un navío llamado Helen. En pleno Atlántico, sin embargo, el Helen se incendió y Wallace tuvo que saltar a un bote salvavidas, dejando atrás su preciosa carga. Vio cómo el barco, consumido por las llamas, desaparecía bajo las olas, llevándose con él todos sus tesoros. Sin desanimarse (bueno, tal vez sólo desanimándose un poco), Wallace se concedió un periodo de convalecencia y partió de nuevo, esta vez hacia el otro extremo del planeta, el archipiélago malayo, donde vagó sin cesar durante ocho años y recogió la asombrosa cifra de 127.000 especies, incluyendo un millar de insectos y doscientos ejemplares de aves no registradas hasta entonces, todos los cuales consiguió llevar con éxito a Inglaterra.
Bates, entretanto, permaneció en América del Sur siete años más después de que Wallace se marchara, explorando en barca el Amazonas y sus afluentes. Acabó regresando a casa con casi quince mil ejemplares de animales e insectos, que parece una cifra modesta en comparación con las 127.000 especies de Wallace, aunque hay que tener en cuenta que unas ocho mil de las suyas —más de la mitad, una proporción fabulosa— eran nuevas para la ciencia.
Pero el más destacado en todos los sentidos fue Richard Spruce. Se quedó dieciocho años en América del Sur, explorando zonas jamás visitadas antes por un europeo y recopilando cantidades inmensas de información, incluyendo entre ella glosarios de veintiún idiomas nativos. Entre muchas cosas más, descubrió una planta del caucho comercialmente importante, la especie de coca de la que deriva la cocaína moderna y la variedad de cinchona que produce la quinina —durante un siglo el único remedio efectivo contra la malaria y otras fiebres tropicales—, así como la aromática agua tónica que tan esencial es para preparar una buena ginebra con tónica.
Cuando por fin regresó a Yorkshire, descubrió que todo el dinero que había ganado con sus aventuras a lo largo de veinte años había sido mal invertido por aquéllos a quienes se lo había confiado y, en consecuencia, no tenía ni un céntimo. Su salud estaba tan castigada que pasó la mayor parte de los veintisiete años siguientes postrado en la cama, catalogando lánguidamente sus descubrimientos. Jamás encontró la fuerza necesaria para escribir sus memorias.
* * * *
Gracias a los esfuerzos de estos atrevidos hombres y de muchísimos más como ellos, el número de plantas que los jardineros ingleses tenían a su disposición aumentó de manera asombrosa, pasando de cerca del millar en 1750 a muy por encima de las veinte mil sólo unos cien años después. Las plantas exóticas de reciente descubrimiento tenían precios muy elevados. Una pequeña araucaria, una conífera decorativa descubierta en Chile en 1782, podía alcanzar fácilmente en la Gran Bretaña de la década de 1840 el precio de 5 libras, el coste de tener una criada en casa durante todo un año. También las plantas ornamentales se convirtieron en una industria gigantesca. Y todo ello sirvió para dar un poderoso empujón a la afición a la jardinería.Y lo mismo hizo, de forma más inesperada, el auge del ferrocarril. El ferrocarril permitió a mucha gente trasladarse a vivir a suburbios alejados y desplazarse a trabajar a la ciudad. Y las propiedades más espaciosas permitieron —de hecho, casi exigieron— que la nueva raza de suburbanitas se aficionara a la jardinería.
Pero hubo aún otro cambio que tuvo consecuencias más profundas si cabe que todos los demás: el auge de la jardinería femenina en el hogar. El catalizador del fenómeno fue una mujer llamada Jane Webb, que no tenía formación alguna como jardinera y que saltó a la fama inesperadamente como autora de una obra mediocre pensada única y exclusivamente para ganar dinero y publicada en tres tomos que se tituló The Mummy! A Tale of the Twenty-second Century, que escribió de forma anónima en 1827, cuando contaba sólo veinte años. La descripción que hacía de un cortacésped a vapor excitó (en el sentido más serio) hasta tal punto a John Claudius Loudon, el escritor especialista en jardinería, que decidió entablar amistad con el autor, creyendo que se trataba de un hombre. Y Loudon se excitó más si cabe cuando descubrió que era una mujer, a la que enseguida propuso matrimonio aun doblándole exactamente la edad.
Jane aceptó, iniciando de esta manera una sociedad conmovedora y productiva. John Claudius Loudon era toda una eminencia en el mundo de la horticultura. Nacido en una granja escocesa en 1783, el año del fallecimiento de Capability Brown, pasó la juventud sumido en un fervor de superación personal, aprendiendo sin la ayuda de nadie seis idiomas, incluidos el griego y el hebreo, y asimilando de los libros todo lo que era posible saber sobre botánica, horticultura, historia natural y cualquier cosa que pudiera estar relacionada con las artes verdes. En 1804, con veintiún años de edad, empezó a escribir un interminable conjunto de voluminosos libros con títulos de lo más vehemente e intimidante — A Short Treatise on Several Improvements Recently Made in Hothouses, Observations on the Formation and Management of Useful and Ornamental Plantations, The Different Modes of Cultivating the Pine-Apple —, todos los cuales se vendieron mucho mejor de lo que sus títulos podrían invitar a pensar. También editó, escribió extensamente y produjo sin la ayuda de nadie un conjunto de revistas de jardinería muy populares —hasta cinco simultáneamente— y todo ello, hay que destacar, a pesar de padecer una salud nefasta. Tenía una habilidad especial para caer enfermo y desarrollar luego tremendas complicaciones. Tuvieron que amputarle el brazo derecho, por ejemplo, como resultado de un brote de fiebres reumáticas. Poco después se le anquilosó la rodilla, dejándolo víctima de una cojera permanente. Como consecuencia de sus dolores crónicos, fue durante un tiempo adicto al láudano. Un hombre, en resumidas cuentas, cuya vida nunca fue fácil.
La señora Loudon tuvo incluso más éxito que su marido gracias a una única obra, Practical Instructions in Gardening for Ladies, publicada en 1841, justo en el momento más oportuno. Era el primer libro de cualquier tipo que animaba a la mujer de clase alta a ensuciarse las manos e, incluso, a tener un débil brillo provocado por la transpiración. Resultaba algo novedoso, hasta llegar casi al erotismo. Gardening for Ladies insistía valientemente en que las mujeres podían ejercer la jardinería sin necesidad de supervisión masculina siempre y cuando tuvieran en cuenta unas mínimas y sensatas precauciones: trabajar de un modo regular pero sin excesiva energía, emplear tan sólo herramientas ligeras, nunca pisar suelo húmedo por las insalubres emanaciones que podían ascender por debajo de sus faldas. El libro daba por sentado que la lectora apenas había estado nunca al aire libre y, mucho menos, había puesto sus manos en una herramienta de jardinería. Veamos, por ejemplo, cómo la señora Loudon explica lo que hace una pala:
La operación de cavar, tal y como la realiza un jardinero, consiste en introducir perpendicularmente en el suelo, y con la ayuda del pie, la parte metálica de la pala, que actúa a modo de calza, y después utilizar el mango alargado como palanca, para levantar la tierra y extraerla.Todo el libro es así, describiendo con doloroso detalle las acciones más mundanas y evidentes, como qué parte de la pala es la que debe introducirse en el suelo. En la actualidad resulta prácticamente ilegible y lo más probable es que tampoco entonces su lectura resultara estupenda. El valor de Gardening for Ladies no fue tanto lo que contenía como lo que representó: el permiso para salir al exterior y hacer alguna cosa. Llegó exactamente en el momento adecuado para captar la imaginación de la nación. En 1841, las mujeres de clase media estaban aburridas a más no poder de la rigidez que envolvía su vida y agradecían cualquier sugerencia de diversión. Gardening for Ladies siguió siendo una edición rentable hasta finales de siglo. Y las animaba de verdad a ensuciarse las manos: el segundo capítulo estaba consagrado en su totalidad al estiércol.
Y además de su atractivo como entretenimiento, el auge de la jardinería en el siglo XIX tuvo un segundo impulso, inesperado a todas luces, y en el que John Claudius Loudon desempeñó también un papel trascendental. Aquella época estuvo intensamente marcada por epidemias de cólera y otras enfermedades contagiosas que mataron a mucha gente. Y no puede decirse que eso empujara exactamente a todo el mundo a salir al jardín, pero sí que produjo un deseo generalizado de respirar aire fresco y disfrutar de los espacios al aire libre, sobre todo cuando se hizo tan evidente que los cementerios urbanos eran en general escuálidos, estaban superpoblados y resultaban insalubres.
En pleno siglo XIX, Londres tenía tan solo noventa hectáreas de cementerios. Los muertos yacían apiñados en ellos en densidades casi inimaginables. Cuando el poeta William Blake falleció en 1827, fue enterrado en Bunhill Fields sobre tres personas más; posteriormente, otras cuatro fueron enterradas encima de él. De esta manera, los cementerios de Londres concentraban cantidades pasmosas de carne muerta. Se estima que en la iglesia parroquial de St. Marylebone había enterrados cien mil muertos en un camposanto de media hectárea. Donde hoy en día se alza la National Gallery, en Trafalgar Square, estaba el modesto cementerio de la iglesia de St. Martin-in-the-Fields. Había allí enterrados setenta mil cuerpos en el espacio que hoy ocuparía una pista de bochas y miles más yacían enterrados en las criptas del interior. En 1859, cuando St. Martin’s anunció su intención de vaciar las criptas, el naturalista Frank Buckland decidió localizar el ataúd del gran cirujano y anatomista John Hunter para poder dar sepultura a sus restos en la abadía de Westminster, y Buckland nos dejó un fascinante relato de lo que encontró en el interior.
«Después de que el señor Burstall abriera con llave la pesada puerta de madera de roble del panteón número tres —escribió Buckland—, proyectamos la luz de nuestra lámpara de ojo de buey hacia el interior del panteón y tuve una visión que jamás olvidaré». En la oscura penumbra que se extendía por delante de él había miles y miles de ataúdes desordenados y rotos, atiborrándolo todo, como si un tsunami los hubiera arrastrado hasta allí. Buckland necesitó dieciséis días de minuciosa búsqueda para dar con su presa. Por desgracia, nadie se esforzó de un modo similar con los demás ataúdes, que acabaron siendo transportados con carros a otros cementerios y depositados en sepulturas anónimas. Como consecuencia de ello, se desconoce incluso hoy en día el paradero de muchas personas dignas de reconocimiento: el fabricante de muebles Thomas Chippendale, la amante real Nell Gwyn, el científico Robert Boyle, el miniaturista Nicholas Hilliard, el salteador de caminos Jack Sheppard y el original Winston Churchill, padre del primer duque de Marlborough, por citar tan sólo unos cuantos.
Las iglesias recaudaban la mayor parte de su dinero gracias a los entierros y se mostraban reacias a abandonar tan lucrativo negocio. En la capilla baptista de Enon de Clement’s Lane, en Holborn (la actual sede de la London School of Economics), las autoridades eclesiásticas llegaron a acumular en sus sótanos la colosal cantidad de doce mil cuerpos en sólo diecinueve años. No es de sorprender que un volumen tan enorme de carne putrefacta generara olores difíciles de camuflar. Raro era el servicio en el que varios feligreses no acababan desmayándose. Al final, muchos dejaron de acudir allí, pero la capilla siguió aceptando cadáveres para su enterramiento. El pastor necesitaba ingresos.
Los cementerios estaban tan llenos que resultaba casi imposible hundir una pala en el suelo sin extraer un miembro en descomposición o cualquier otra reliquia orgánica. Los cuerpos se enterraban en sepulturas tan poco profundas y superficiales que a menudo daban con ellos los animales que escarbaban en la tierra o emergían de manera espontánea a la superficie, como sucede con las piedras en el campo, y tenían que ser enterrados de nuevo. En las ciudades, eran escasas las veces que los dolientes se desplazaban al cementerio para atender al entierro. La experiencia resultaba tremendamente desagradable y peligrosa, además. Abundan los informes anecdóticos que mencionan a visitantes de cementerios fulminados por pútridas emanaciones. Un tal doctor Walker testificó en una investigación parlamentaria que los trabajadores de los cementerios, antes de tocar un ataúd, taladraban un orificio en un lateral, introducían por allí un tubo y quemaban los gases que por él emanaban, un proceso que podía conllevar unos veinte minutos, según informó. Sabía de un hombre que no había tomado las debidas precauciones y que cayó fulminado al instante —«como si le hubiese golpeado la bala de un cañón»— como consecuencia de los gases de un enterramiento reciente. «Inhalar este gas, sin su previa disolución con el aire atmosférico, significa la muerte instantánea —confirmó el comité en su informe escrito, añadiendo con gravedad—: e incluso estando muy diluido, produce enfermedades que suelen acabar en muerte». Hasta finales de siglo, la revista médica Lancet siguió publicando de vez en cuando informes de personas superadas por los vapores nocivos durante sus visitas a cementerios.
A muchos les pareció que la solución más sensata a esta horrible inmundicia era trasladar los cementerios fuera de las ciudades y convertirlos en algo con un aspecto más parecido a un parque. Joseph Paxton fue un entusiasta de la idea, pero la persona que respaldó de un modo más destacado el movimiento fue el inagotable y omnipresente John Claudius Loudon. En 1843 escribió y publicó On the Laying Out, Planting and Managing of Cemeteries; and on the Improvement of Churchyards , un libro que resultó ser inesperadamente oportuno, pues él mismo iba a necesitar un cementerio antes de que aquel año tocase a su fin. Uno de los problemas de los cementerios de Londres, destacaba Loudon, era que estaban en su mayoría construidos sobre suelos ricos en arcilla, que no drenaban bien y, en consecuencia, fomentaban la podredumbre y el estancamiento. Los cementerios suburbanos, sugería, deberían instalarse sobre suelos arenosos o de gravilla, donde los cuerpos enterrados en ellos acabarían transformándose en abono integral. La plantación de abundantes árboles y arbustos no sólo crearía un ambiente bucólico, sino que además serviría para absorber los miasmas que rezumaran de las tumbas y sustituirían los aires fétidos por aire limpio. Loudon diseñó tres nuevos modelos de cementerios prácticamente indistinguibles de un parque común. Por desgracia, no consiguió descansar eternamente en ninguna de sus creaciones pues murió, agotado por el exceso de trabajo, antes de que pudieran ser construidos, aunque fue enterrado en el cementerio de Kensal Green, en el oeste de Londres, basado en principios similares.
Y así fue como, de manera tan desconcertante, los cementerios se convirtieron en parques de facto. Los domingos por la tarde la gente se acercaba a ellos no sólo para presentar sus respetos a sus seres queridos, sino también para pasear, tomar el aire y comer un picnic. El cementerio de Highgate, en el norte de Londres, con sus increíbles vistas y sus imponentes monumentos, se convirtió en una atracción turística por derecho propio. Los vecinos de la zona compraron llaves de las verjas para poder entrar y salir cuando les apeteciera. El más grande de todos era el cementerio de Brookwood, en Surrey, abierto junto a la London Necropolis and National Museum Company en 1854, que llegó a albergar casi un cuarto de millón de cuerpos en sus ochocientas bucólicas hectáreas. Se convirtió en una cosa tan descomunal, que la empresa puso en marcha un tren privado entre Londres y Brookwood, treinta y ocho kilómetros al oeste, con tres clases distintas de servicio y dos estaciones en Brookwood: una para los anglicanos y otra para los disidentes. Los trabajadores del tren lo conocían cariñosamente como el «Exprés de los Tiesos». El servicio siguió en funcionamiento hasta 1941, cuando sufrió lo que resultó ser un golpe mortal por parte de los bombarderos alemanes.
* * * *
Poco o poco, las autoridades entendieron que lo que en realidad quería la población no eran cementerios que fueran como parques, sino parques que fueran como parques. En el año del fallecimiento de Loudon, se inauguró en Birkenhead, en Liverpool, en la otra orilla del río Mersey, un fenómeno completamente nuevo: el parque municipal. Construido sobre cincuenta hectáreas de tierra baldía, fue un éxito instantáneo y una aclamada maravilla, y no hace falta decir que fue diseñado por el siempre diligente, siempre inventivo y siempre fiable Joseph Paxton.Los parques ya existían en esta época, pero no eran como los parques que conocemos hoy en día. Para empezar, solían ser exclusivos. Hasta bien entrado el siglo XIX, sólo la gente elegante y de categoría (además de unas pocas cortesanas descaradamente atrevidas que los frecuentaban de vez en cuando) tenía permiso para acceder a los grandes parques de Londres. Existía el «entendimiento tácito», según quedaba estipulado, de que los parques no eran para las clases inferiores, ni siquiera para las clases medias, independientemente de cómo esas categorías estuvieran definidas. Algunos parques ni siquiera se tomaban la molestia de especificarlo. Regent’s Park cobró expresamente un precio de entrada hasta 1835 para disuadir a la plebe de pasear por sus caminos y disminuir potencialmente con ello su categoría. De todos modos, la mayoría de las nuevas ciudades industriales carecían de parques y la gente trabajadora no tenía dónde ir en busca de aire fresco y diversión, salvo las polvorientas carreteras que salían de la ciudad en dirección al campo, y cualquiera lo bastante temerario como para apartarse de esos trillados caminos y adentrarse en suelo privado —para admirar el paisaje, vaciar la vejiga o beber de un riachuelo— podía acabar con los pies dolorosamente atrapados en una trampa de acero. Era una época en la que las deportaciones rutinarias a Australia por practicar la caza furtiva estaban a la orden del día y cualquier forma de ilegalidad, por inocente o leve que fuera, podía ser considerada nefasta.
Por lo tanto, el concepto de un parque construido por una ciudad para la libre utilización de su ciudadanía, fuera cual fuese su situación en la vida, resultaba casi indescriptiblemente emocionante. Paxton eludió las avenidas formales y las vistas ordenadas que solían incluir los parques y creó en su lugar algo más natural y atractivo. Birkenhead Park recordaba los terrenos de una mansión señorial, pero para el uso y disfrute de todo el mundo. En la primavera de 1851 (¡aquel año!), un joven periodista y escritor norteamericano llamado Frederick Law Olmsted, durante unas vacaciones de senderismo por el sector norte de Inglaterra en compañía de dos amigos, se paró a comprar provisiones en una panadería de Birkenhead y el panadero les habló del parque con tanto entusiasmo y orgullo que decidieron acercarse a echarle un vistazo. Olmsted se quedó encantado. La calidad del diseño paisajístico «había alcanzado aquí una perfección como nunca habría soñado», recordó en Walks and Talks of an American Farmer in England, su popular relato de aquel viaje. En aquella época, muchos habitantes de Nueva York abogaban de forma activa por la creación de un parque público decente para la ciudad y aquél, pensó Olmsted, era precisamente el parque que ellos necesitaban. No tenía ni idea de que seis años después sería él mismo quien diseñara aquel parque.
* * * *
Frederick Law Olmsted nació en 1822 en Hartford, Connecticut, hijo de un próspero comerciante de géneros de punto, y pasó el principio de su vida adulta saltando de puesto en puesto. Trabajó para una empresa textil, se hizo al mar como marino mercante, dirigió una pequeña granja y finalmente se dedicó a la escritura. Después de regresar a Norteamérica de su viaje a Inglaterra, se sumó a las filas del incipiente New York Times e inició una gira por los estados sureños que generó una serie de celebrados artículos que fueron posteriormente publicados en un libro titulado The Cotton Kingdom, un éxito de ventas. Se convirtió en un provocador, relacionándose con gente como Washington Irving, Henry Wadsworth Longfellow y William Makepeace Thackeray cuando estaban en la ciudad, y se incorporó como socio a la editorial Dix & Edwards. Durante un tiempo todo parecía marchar viento en popa, pero la empresa empezó a sufrir graves contratiempos financieros, y en 1857 —un año de crisis económicas y problemas bancarios generalizados— Olmsted se encontró de repente sin blanca y sin trabajo.Justo en aquel momento, el ayuntamiento de Nueva York estaba a punto de iniciar la transformación de 340 hectáreas de campos de heno y matorrales en el tan ansiado Central Park. Era un espacio enorme, con una extensión de cuatro kilómetros de largo por casi un kilómetro de ancho. Olmsted, desesperado, se presentó para el puesto de encargado de la plantilla y lo consiguió. Tenía treinta y cinco años de edad y no era en absoluto un movimiento ascendente en su carrera. Convertirse en encargado de un parque municipal era, para alguien que había disfrutado de tanto éxito como él, una humillante degradación, teniendo sobre todo en cuenta que el triunfo del Central Park no estaba ni mucho menos garantizado. Para empezar, en aquella época de «central» no tenía nada. El Upper Manhattan quedaba aún a más de tres kilómetros del sur. La zona donde se ubicaría el parque era un páramo deshabitado, una desamparada extensión de canteras abandonadas y «pantanos pestíferos», según palabras de un observador. La idea de convertir aquello en un lugar bello y popular resultaba casi ridículamente ambiciosa.
El diseño del parque, que desde sus primeros días, y no por casualidad, siempre se llamó el Central Park, con artículo determinado, no estaba aún decidido. Un premio de 2.000 dólares esperaba a la propuesta ganadora y Olmsted necesitaba el dinero. Formó equipo con Calvert Vaux, un joven arquitecto británico que acababa de llegar a Estados Unidos, y juntos presentaron un plan [47] . Vaux era un tipo menudo que no alcanzaba ni el metro y medio de altura. Hijo de un médico, se había criado en Londres y había emigrado a América en 1850, justo después de finalizar sus estudios. Olmsted tenía pasión y visión, pero carecía de las habilidades necesarias para realizar el proyecto, habilidades que Vaux podía aportar. Fue el principio de una sociedad inmensamente exitosa. La memoria del proyecto exigía que todas las propuestas incorporaran unas características concretas —un espacio para desfiles, campos deportivos, una pista de patinaje, un jardín floral como mínimo y una torre mirador, entre muchas cosas más— y que tuvieran además cuatro calles que cruzaran el parque con un determinado intervalo para que la longitud del espacio no lo convirtiera en una barrera para el tráfico que circulaba de este a oeste. Lo que diferenció el diseño de Olmsted y Vaux más que cualquier otra cosa fue su decisión de colocar en trincheras las calles que cruzaban el parque, por debajo de la línea de visión y segregándolas físicamente de los visitantes del parque, que las cruzarían tranquilamente por los puentes que pasarían por encima de ellas. «Esto presentaba también la ventaja de permitir que el parque pudiera cerrarse por la noche sin interrumpir el tráfico», escribe Witold Rybczynski en su biografía de Olmsted. La suya era la única propuesta que presentaba esa característica.
Es fácil dar por sentado que la creación de un parque consiste esencialmente en plantar árboles, trazar caminos, instalar bancos y excavar un estanque atractivo. Pero, en realidad, Central Park fue un enorme proyecto de ingeniería. Para empezar, fueron necesarios más de veinte mil barriles de dinamita para reconfigurar el terreno según las especificaciones de Olmsted y Vaux, y se tuvieron que traer más de tres cuartos de millón de metros cúbicos de mantillo para conseguir que la tierra fuera lo bastante rica como para poder plantar algo en ella. En el momento cumbre de su construcción, en 1859, trabajaban en Central Park 3.600 hombres. El parque fue abriéndose poco a poco, por lo que nunca hubo una gran inauguración oficial. Mucha gente lo encontraba desordenado y confuso. Y es verdad, Central Park no tiene puntos centrales dominantes. Tal y como Adam Gopnik lo expresa: «El Mall está orientado hacia nada y va a ningún lado en particular. Lagos y estanques se asientan cada uno en su correspondiente lugar y no forman parte de ninguna vía fluvial continua. Las áreas principales no están netamente delimitadas, sino que se funden las unas con las otras. Existe una ausencia deliberada de orientación, de planificación clara, de una lucidez que resulte familiar y reconfortante. Central Park carece de un punto central».
Pero la gente acabó adorándolo, y muy pronto Olmsted empezó a recibir encargos procedentes de todas partes. Un hecho ciertamente sorprendente, ya que Olmsted no era muy bueno construyendo el tipo de parques que la gente quería, y cuantos más parques construyó, más evidente se hizo esto. Olmsted estaba convencido de que todos los males de la vida urbana eran consecuencia del aire nocivo y la falta de ejercicio, que producían «una anomalía prematura del vigor del cerebro». Los paseos tranquilos y la reflexión relajada servirían para recuperar la salud, la energía e incluso el tono moral de una ciudadanía agotada. En consecuencia, Olmsted estaba en contra de todo lo que fuera ruidoso, enérgico o divertido. Y muy especialmente, no quería diversiones como zoos y lagos con barcas, justo el tipo de entretenimiento que más ansiaban los usuarios de los parques. En el Franklin Park de Boston prohibió jugar al béisbol, junto con otros «esparcimientos activos», como los denominaba desdeñosamente, a cualquiera excepto a los niños menores de dieciséis años. Las celebraciones del 4 de Julio se prohibieron, lisa y llanamente.
La gente respondió ignorando las reglas, y las autoridades del parque se mostraban complacientes y hacían la vista gorda, por lo que los parques de Olmsted acabaron siendo los lugares placenteros que él quería que fueran, aunque mucho más restrictivos que los parques europeos, con sus animados jardines donde poder beber cerveza y sus alegres atracciones mecánicas.
A pesar de que no se inició en el paisajismo hasta alcanzada la madurez, la carrera de Olmsted fue asombrosamente productiva. Construyó más de cien parques municipales en toda Norteamérica: en Detroit, Albany, Buffalo, Chicago, Newark, Hartford y Montreal. Y aunque Central Park es su creación más famosa, muchos opinan que Prospect Park, en Brooklyn, es su obra maestra. Ejecutó también más de doscientos encargos de carácter privado para mansiones e instituciones de todo tipo, incluyendo una cincuentena de campus universitarios. Biltmore fue el último proyecto de Olmsted… y, de hecho, uno de sus últimos actos racionales. Muy poco después cayó víctima de una demencia irreparable y progresiva. Pasó los últimos cinco años de su vida en el McLean Asylum de Belmont, Massachusetts, cuyos jardines, no es necesario decirlo, había diseñado.
§. 3
Aunque especular sin restricciones sobre el estilo de vida que llevó el buen reverendo Marsham en su rectoría presenta indudables peligros, algo con lo que muy probablemente soñó, si es que no acabó teniendo, fue con un invernadero, pues los invernaderos se convirtieron en el nuevo juguete de su época. Inspirados en el Palacio de Cristal de Joseph Paxton en Londres, y coincidiendo claramente en el tiempo con la abolición de los impuestos sobre el cristal, los invernaderos empezaron a aparecer por todas partes y a llenarse con los excitantes y nuevos ejemplares de plantas que llegaban a Gran Bretaña procedentes de cualquier rincón del mundo. Pero esta transferencia generalizada de seres vivos entre continentes tendría sus consecuencias. En el verano de 1863, un jardinero aficionado de Hammersmith, en el oeste de Londres, descubrió que una preciosa parra de su invernadero estaba enfermando. Fue incapaz de identificar la enfermedad, pero se dio cuenta de que tenía las hojas cubiertas de agallas de las que salían unos insectos que no había visto nunca. Recogió unos cuantos ejemplares y se los envió a John Obadiah Westwood, profesor de zoología de Oxford y una autoridad en insectos a nivel internacional.Por desgracia, la identidad del propietario de la parra no ha llegado hasta nosotros, y es una pena, pues fue una persona muy importante: el primer europeo que sufrió la plaga de filoxera, un diminuto y casi invisible pulgón que poco después devastaría la industria viticultora de toda Europa. Pero sobre el profesor Westwood sabemos muchas cosas más. Había nacido en circunstancias modestas —su padre era tintorero en Sheffield— y fue un completo autodidacta. Acabó convirtiéndose en la autoridad más destacada de Gran Bretaña no sólo en el campo de los insectos —nadie se le acercaba ni de lejos como experto en entomología—, sino también en el de los escritos anglosajones. En 1849 se convirtió en el primer profesor de zoología de Oxford.
Casi exactamente tres años después del descubrimiento de la filoxera en Hammersmith, los viticultores de la región de Bouches-du-Rhône, cerca de Arles, en el sur de Francia, se dieron cuenta de que sus viñas empezaban a marchitarse y morir. La muerte de los viñedos se propagó por toda Francia. Los viticultores se sentían impotentes. Los insectos infestaban las raíces, por lo que el primer indicio de la enfermedad mortal era el primer indicio de todo. Los campesinos no podían excavar para comprobar la presencia de la filoxera, pues en caso de hacerlo mataban las viñas, por lo que no les quedaba otro remedio que esperar y confiar en su buena suerte. La mayoría acabó frustrada.
El 40 % de los viñedos franceses fue víctima de la filoxera en el transcurso de quince años. El 80 % se «reconstituyó» injertando en las viñas raíces americanas. Pero entre la devastación general existían pequeñas y misteriosas zonas de aparente inmunidad. La región del champán quedó asolada por completo con la excepción de dos insignificantes viñedos situados en las afueras de Reims, que por algún motivo resistieron con éxito la infección y siguen produciendo uvas de champagne a partir de sus raíces originales, el único champán realmente francés.
Con casi toda seguridad, el pulgón de la filoxera procedente del Nuevo Mundo ya había llegado antes a Europa, aunque muerto e incapaz de sobrevivir al largo viaje por mar. La introducción de los veloces barcos de vapor y de los trenes aún más rápidos por tierra ayudó a que los pequeños pulgones pudieran llegar vivos y dispuestos a conquistar nuevos territorios.
La filoxera se originó en América y había aniquilado todos los intentos de introducir viñas europeas en suelos norteamericanos, un asunto que había causado consternación y desesperación desde la francesa Nueva Orleans hasta el Monticello de Thomas Jefferson, pasando por Ohio y las ondeantes tierras altas de Nueva York. Las viñas americanas eran inmunes a la filoxera, pero no producían un vino de muy buena calidad. Entonces, alguien se dio cuenta de que si injertabas viñas europeas en raíces americanas, se obtenían viñas capaces de resistir a la filoxera. La cuestión era si producirían un vino tan bueno como el que producían antes.
En Francia, muchos viticultores no soportaban la idea de corromper sus viñas con material americano. La Borgoña, temerosa de que sus amados y tremendamente valiosos grand crus se vieran en una situación de compromiso irreparable, se negó durante catorce años a permitir que las raíces americanas mancillaran sus antiguas viñas, aunque esas viñas se marchitaran y murieran por todas partes. Muchos viticultores iniciaron injertos ilegales de todos modos, y salvaron con ello de la extinción a sus nobles viñedos.
Pero gracias a las raíces americanas las viñas francesas siguen existiendo. Resulta imposible afirmar si los vinos de ahora son peores que los de antes. La mayoría de las autoridades opina que no, pero no cabe duda de que un remedio tan desesperado siembra dudas persistentes en aquellos que tienden a tenerlas. Lo que a buen seguro es cierto es que las viñas supervivientes anteriores a la aparición de la filoxera han alcanzado un caché que ha empujado a la gente a desprenderse de una cantidad asombrosa de su dinero y gran parte de su sentido común en la lucha por hacerse con algo tan deliciosamente insustituible. En 1985, Malcolm Forbes, el editor norteamericano, pagó 156.450 dólares por una botella de Château Lafite de 1787. Era demasiado valiosa como para beber su contenido, de modo que la guardó para su exhibición en una vitrina de cristal especialmente diseñada para ello. Por desgracia, las luces que artísticamente iluminaban la preciosa botella provocaron el encogimiento del viejísimo corcho, que acabó cayendo con una salpicadura de 156.450 dólares en el interior de la botella. Peor incluso fue el destino de un Château Margaux del siglo XVIII que se dijo que en su día había sido propiedad de Thomas Jefferson y que estaba valorado, de forma muy precisa, en 519.750 dólares. En 1989, mientras William Sokolin mostraba su adquisición en un restaurante de Nueva York, un viñatero golpeó sin querer la botella contra un carrito para servir la comida y la rompió, convirtiendo en un instante la botella más cara del mundo en la mancha sobre una alfombra más cara del mundo. El director del restaurante acercó el dedo a la alfombra y declaró que el vino ya no era bebible.
§. 4
Mientras la Revolución industrial producía máquinas maravillosas que estaban transformando la vida de las personas (y a veces también el comportamiento de las plagas), la ciencia hortícola se quedaba sorprendentemente atrás. Ya muy adentrado el siglo XIX, se seguía sin comprender algo tan básico como el factor que llevaba al crecimiento de las plantas. Todo el mundo sabía que el suelo necesitaba abono, pero nadie se ponía de acuerdo en por qué lo necesitaba o en cuál era el abono más efectivo. Una encuesta realizada entre campesinos durante la década de 1830 reveló que los abonos que se utilizaban en aquella época consistían en serrín, plumas, arena de playa, heno, peces muertos, conchas marinas, trapos de lana, cenizas, virutas de cuerno, alquitrán de hulla, tiza, yeso y semillas de algodón, entre otros productos. Algunos de ellos funcionaban mejor de lo que cabría esperar —al fin y al cabo, los campesinos no eran tontos—, pero nadie podía clasificarlos en orden de efectividad, ni afirmar qué proporciones eran las mejores. En consecuencia, la trayectoria de las cosechas agrícolas fue cayendo implacablemente en picado. Las cosechas de maíz en el norte del estado de Nueva York pasaron de treinta fanegas por media hectárea en 1775 a apenas una cuarta parte de eso medio siglo después. (Una fanega equivale a 35, 2 litros). Algunos destacados científicos, entre ellos Nicholas-Théodore de Saussure en Suiza, Justus Liebig en Alemania y Humphry Davy en Gran Bretaña, establecieron una relación entre nitrógeno y minerales por un lado, y la fertilidad del suelo por el otro, pero cómo convertir lo primero en lo segundo seguía siendo tema de debate, por lo que los campesinos seguían arrojando a sus campos mezclas desesperadas y muy a menudo inefectivas.Entonces, hacia 1830, apareció de repente el producto milagro que el mundo llevaba tanto tiempo esperando: el guano. El guano —excrementos de aves— venía utilizándose en Perú desde la época de los incas, y su eficacia había sido comentada por exploradores y viajeros desde entonces, pero no fue hasta un momento tan tardío cuando a alguien se le ocurrió almacenarlo en sacos y venderlo a los desesperados campesinos del hemisferio norte. Y en cuanto los extranjeros descubrieron el guano, ya no se hartaron de él. Un vertido de guano devolvía la energía a los campos y multiplicaba las cosechas hasta en un 300 %. El mundo quedó embargado por lo que llegó a conocerse como la «guanomanía». El guano funcionaba porque estaba cargado de nitrógeno, fósforo y nitrato de potasio, que casualmente eran también ingredientes vitales de la pólvora. El ácido úrico del guano era asimismo muy valorado por los tintoreros. En consecuencia, el guano empezó a ser apreciado en muchos sectores. De pronto, parecía no existir nada en el mundo que la gente estimase más.
El guano solía ser muy abundante allí donde anidaban las aves marinas. Había muchas islas rocosas literalmente cubiertas por él: existían con frecuencia depósitos de hasta cincuenta metros de profundidad. Algunas islas del Pacífico no eran otra cosa que guano. El comercio del guano enriqueció a mucha gente. Schroder’s, el banco mercantil británico, se fundó a partir del comercio del guano. Durante treinta años, prácticamente todos los ingresos por exportaciones de Perú fueron el resultado de ensacar y vender excrementos de ave a un universo agradecido. Chile y Bolivia iniciaron una guerra reclamando su derecho al guano. El Congreso de Estados Unidos redactó la Guano Islands Act, que permitía a los intereses privados reclamar como territorio norteamericano cualquier isla cargada de guano que encontraran y cuya propiedad no hubiese sido aún reclamada. De esta manera, Estados Unidos adquirió más de cincuenta islas.
Y mientras que por un lado el guano mejoraba la vida de los campesinos, por el otro tuvo un efecto muy grave sobre la vida en las ciudades. Aniquiló el mercado de los desechos humanos. Antes de la aparición del guano, los que se dedicaban a vaciar los pozos negros de las ciudades —los llamados basureros nocturnos— vendían los excrementos humanos a los campesinos de los alrededores de las urbes. Eso ayudaba a mantener los precios bajos. Pero después de 1847, el mercado de los excrementos humanos se vino abajo y los desechos se convirtieron en un problema que en general se solventó vertiendo la basura en el río más a mano, con consecuencias que, como veremos, tardarían décadas en solucionarse.
El problema inevitable del guano era que había tardado siglos en acumularse y pocos años en gastarse. Una isla situada frente a las costas de África, que se estima que contenía doscientas mil toneladas de guano, quedó completamente desnuda en el plazo de sólo un año. Los precios ascendieron a casi los 80 dólares la tonelada. En 1850, el campesino se enfrentaba a la descorazonadora elección de gastar la mitad de sus ingresos en guano o ver sus campos marchitarse. Era evidente que lo que se necesitaba era un abono sintético, algo que alimentara las cosechas de un modo fiable y económico. Fue justo en ese momento cuando entra en la historia una curiosa figura llamada John Bennet Lawes.
Lawes era hijo de un acaudalado terrateniente de Hertfordshire y desde niño había sentido pasión por los experimentos químicos. Convirtió una habitación sobrante de la casa familiar en un laboratorio y pasaba la mayor parte de su tiempo encerrado allí. Hacia 1840, con veinte y pico años, empezó a sentir curiosidad por la sorprendente excentricidad de los abonos hechos con harina de hueso, que esparcidos sobre determinados suelos, como calizas y turbas, producían espectaculares campos de nabos, aunque la misma harina esparcida en un suelo arcilloso no producía ningún tipo de efecto. Nadie sabía por qué. Lawes inició una serie de experimentos en la granja familiar, utilizando distintas combinaciones de suelos, plantas y estiércoles para intentar llegar al fondo de la cuestión. Fue el inicio de la agricultura científica. En 1843, el año del fallecimiento de Loudon, transformó parte de la granja en la Estación Experimental Rothamstead, el primer centro de investigación agrícola del mundo.
Lawes estaba loablemente obsesionado por los abonos y los estiércoles. Nadie ha mostrado jamás un interés más profundo que él por el tema… y ha metido más las manos en ello, en el sentido más literal. No existía ni un solo aspecto de los poderes de los fertilizantes que no provocara su fascinación. Alimentaba a sus animales siguiendo distintas dietas y luego estudiaba sus excrementos para ver cómo afectaban a los cultivos. Regaba las plantas con cualquier combinación posible de productos químicos que se le pasara por la cabeza y gracias a ello descubrió que los fosfatos minerales tratados con ácido hacían que la harina de hueso fuera efectiva en todo tipo de suelos, aunque no consiguió comprender por qué. (La respuesta llegó mucho más tarde en otra parte y quedó explicada por el hecho de que el agente activo fertilizante de los huesos de animales, el fosfato cálcico, se mostraba inerte en suelos alcalinos y necesitaba ácido para su activación). Pero Lawes creó el primer abono químico, al que denominó superfosfato de cal. El mundo acababa de conseguir el abono que con tanta desesperación necesitaba. Tan consagrado estaba Lawes a su negocio, que en su luna de miel realizó un recorrido con su flamante esposa siguiendo el curso industrial del Támesis y sus afluentes en busca de la localización adecuada para su nueva fábrica. Murió en 1900, tremendamente rico.
* * * *
Todos estos avances —el auge de la afición por la jardinería, el crecimiento de los suburbios, el desarrollo de abonos potentes— dieron como resultado un trascendental descubrimiento final que transformó el aspecto del mundo pero que pasa prácticamente desapercibido: el auge del césped casero.Antes del siglo XIX, el césped estaba reservado casi exclusivamente a los propietarios de mansiones señoriales y a las instituciones con grandes jardines debido al elevado coste que suponía mantenerlo. Los que deseaban el verdor de un césped, tenían sólo dos alternativas. La primera era tener un rebaño de ovejas. Ésa fue la opción elegida para el Central Park de Nueva York, que hasta finales del siglo XIX albergó un rebaño de doscientas ovejas controlado por un pastor que vivía en el edificio que hoy en día es el Tavern-on-the-Green. La otra opción era emplear a un equipo de trabajadores que pasara la totalidad de la temporada de crecimiento segando con guadaña, recogiendo y despachando la hierba en carretillas. Ambas alternativas resultaban caras y ninguna de las dos tenía un resultado final brillante. Incluso el césped segado con el máximo cuidado con la guadaña sería, según los estándares actuales, basto y aterronado, mientras que un césped cortado por las ovejas tendría un aspecto peor si cabe. Resulta imposible adivinar por cuál de estas dos opciones se inclinó el señor Marsham, pero teniendo en cuenta que tenía un jardinero a su servicio, es probable que el césped se segara con la guadaña. En cualquier caso, es casi seguro que su aspecto sería horroroso.
Existe una muy ligera posibilidad de que el señor Marsham utilizara una apasionante aunque inquietante nueva invención: el cortacésped. El cortacésped fue el invento de un tal Edwin Beard Budding, capataz de una fábrica textil de Stroud, Gloucestershire, a quien en 1830, mientras observaba una máquina que se utilizaba para recortar tejido, se le ocurrió la idea de voltear el mecanismo de corte, incorporarlo a un artilugio de menor tamaño con ruedas y mango y utilizarlo para cortar la hierba. Teniendo en cuenta que a nadie se le había ocurrido antes la posibilidad de segar la hierba, era un concepto novedoso. Y más remarcable es incluso el hecho de que la máquina de Budding, tal y como acabó patentándose, anticipara hasta un nivel asombroso el aspecto y la operativa del cortacésped cilíndrico moderno.
Se diferenciaba tan sólo en dos aspectos críticos. El primero es que era inmensamente pesado y difícil de maniobrar. James Ferrabee & Co., el fabricante de la máquina de Budding, prometía en un prospecto que los propietarios de su nueva máquina —y resulta interesante que no se dirigiera a jardineros ni a trabajadores de las fincas, sino a los propietarios en sí— descubrirían que fomentaba «un ejercicio divertido, útil y sano», e incluía ilustraciones en las que se veía a felices compradores caminando con la máquina sobre una superficie lisa como si estuvieran empujando un cochecito de bebé. En realidad, la máquina de Budding resultaba agotadora. Quien la hiciese funcionar no sólo tenía que sujetarla y mantenerla agarrada con fuerza, sino que además tenía que inclinarse todo lo posible sobre la máquina para ayudarla a moverse. Manipularla para colocarla de nuevo en posición al terminar una hilera de segado era prácticamente imposible sin la ayuda de otra persona.
El otro problema diferenciador de la máquina de Budding es que no cortaba muy bien. Al ser tan pesada y poseer un equilibrio tan complicado, las hojas daban vueltas descontroladamente por encima de la hierba sin hacer nada o arrancaban el césped con voracidad. Sólo de forma intermitente dejaban a su paso un césped bien cortado. La máquina resultaba muy cara, además. Como consecuencia de todo esto, no se vendió en cantidades importantes y Budding y Ferrabee acabaron partiendo peras.
Pero hubo más fabricantes que asimilaron el concepto de Budding y, poco a poco, aunque siempre tenazmente, acabaron mejorándolo. El principal problema era el peso. El hierro colado es tremendamente pesado. Para superar esta desventaja, los primeros cortacéspedes mecánicos se diseñaron para ser tirados por caballos. Un fabricante emprendedor, la Leyland Steam Power Company, adoptó la idea sugerida por Jane Loudon en 1827 y construyó un cortacésped a vapor, pero era tan aparatoso y gigantesco —pesaba más de tonelada y media— que resultaba incontrolable e implicaba el peligro constante de acabar destrozando vallas y setos [48] . Finalmente, la introducción de simples cadenas motrices (una idea que se tomó prestada de otra nueva maravilla de la época, la bicicleta) y de los novedosos aceros ligeros de Henry Bessemer hizo del pequeño cortacésped de propulsión posterior una propuesta práctica que era justo lo que el minúsculo jardín suburbano necesitaba. Durante el último cuarto del siglo XIX, el cortacésped se estableció cómodamente como un elemento más de la jardinería. Incluso en las propiedades más modestas, un césped bien cortado se convirtió en la solución ideal. Entre otras cosas, era una manera de anunciar al mundo que el propietario de la casa era lo bastante próspero como para no necesitar el espacio dedicado al jardín para cultivar verduras con las que llenar su mesa.
Aparte de tener la idea inicial, Budding no tuvo nunca nada más que ver con cortacéspedes, pero fue el creador de otro invento que aportó duraderos beneficios a la humanidad: la llave inglesa. Pero fue su cortacésped lo que cambió para siempre el mundo que se extiende bajo nuestros pies.
Para mucha gente, la jardinería consiste hoy en día en césped y poca cosa más. En Estados Unidos, el césped cubre más superficie —130.000 kilómetros cuadrados— que cualquier cultivo a nivel individual. La hierba de los céspedes domésticos quiere hacer lo que las hierbas salvajes hacen en la naturaleza, a saber, crecer hasta una altura de más o menos medio metro, florecer, volverse marrón y morir. Mantenerla corta, verde y creciendo continuamente significa manipularla de un modo bastante brutal y verterle muchas cosas encima. En el oeste de Estados Unidos, cerca del 60 % de toda el agua que sale de los grifos se destina a regar céspedes. Peor aún es la cantidad de herbicidas y pesticidas —32.000 toneladas anuales— con la que se impregnan los céspedes. Resulta tremendamente irónico que mantener un césped precioso sea precisamente la cosa menos verde que hagamos muchos.
Y con este tono en cierto sentido deprimente, volvamos a la casa y a la última estancia que visitaremos antes de subir a la planta superior.
§. 1
Lo llamamos el salón ciruela por la sencilla razón de que las paredes estaban pintadas de ese color cuando llegamos y, por casualidad, se quedó con ese nombre. Es imposible saber cómo llamaría el reverendo Marsham a esta habitación. En los planos originales aparece como «la sala de estar», pero esta estancia clave se trasladó posteriormente a la habitación contigua cuando se produjo la remodelación que privó a los criados de la propuesta «despensa del lacayo» con el fin de ofrecerle al señor Marsham un comedor más espacioso. Fuera como fuese que se llamara, esta habitación estaba claramente destinada a ser algún tipo de salón, seguramente para recibir a los invitados más privilegiados. El señor Marsham tal vez la denominara la biblioteca, pues tiene toda una pared cubierta hasta el techo con una librería empotrada lo bastante grande como para albergar unos seiscientos libros, una cifra respetable para un hombre de su profesión en aquellos tiempos. En 1851, los libros de lectura eran asequibles, pero los libros para impresionar seguían siendo caros, de modo que si las estanterías del señor Marsham contenían una colección de ejemplares con cubiertas de piel de becerro, es muy posible que fuera una muestra lo bastante importante como para darle nombre a esa habitación.El señor Marsham prodigó muchos cuidados a esta habitación. Las molduras del techo, la chimenea enmarcada en madera y las estanterías son de un estilo clásico moderadamente exuberante que sugiere una selección cara y reflexionada. Los muestrarios del siglo XIX ofrecían a los propietarios un abanico casi infinito de motivos de bellas proporciones y esotéricos nombres —óvolos, arcos conopiales, estrías, ganchillos, molduras escocesas, cavetos, dentículos, espirales, incluso un «cimacio lésbico» y doscientas formas más, como mínimo— con los que individualizar superficies de madera o escayola, y el señor Marsham eligió a manos llenas, decantándose por molduras en forma de burbujas para envolver el marco de la puerta, columnas aflautadas en las ventanas, guirnaldas con cintas y lazos ondeando por encima de la repisa de la chimenea y una majestuosa exhibición de semiesferas repetitivas, en un estilo conocido como ovas y dardos, ribeteando el techo.
Este entusiasmo decorativo ya no estaba en realidad de moda en aquella época y clasifica de algún modo al señor Marsham como un pueblerino, pero debemos estarle agradecidos, pues los estilos clásicos que seleccionó nos llevan directamente a la arquitectura más influyente de la historia —por mucho que fuera un pueblerino— y hacia dos de las casas más interesantes que jamás se hayan construido, ambas en América, ambas obra de los pueblerinos de allí. Éste será, por lo tanto, un capítulo sobre el estilo arquitectónico en el entorno doméstico y sobre algunos pueblerinos que cambiaron el mundo. Habla de pasada de los libros, además, y no de forma inapropiada, confío, ya que se trata de un capítulo originado en una habitación que tal vez fuera, o tal vez no, una biblioteca.
Para conocer la historia de cómo las características estilísticas del salón ciruela, y muchas cosas más construidas en el mundo a partir de aquel momento, adquirieron el aspecto que hoy en día tienen, nos toca marcharnos de Norfolk, en Inglaterra, y viajar hasta las soleadas llanuras del norte de Italia y la agradable y antigua ciudad de Vicenza, a medio camino entre Verona y Venecia, en la región conocida como el Véneto. A primera vista, Vicenza se parece mucho a cualquier otra ciudad del norte de Italia de su tamaño, pero casi todos los visitantes se sienten enseguida superados por una extraña sensación de familiaridad. Una y otra vez, vas doblando esquinas y te encuentras frente a edificios que tienes la impresión, de un modo casi misterioso, de haber visto ya antes.
Y en cierto sentido los has visto ya. Porque esos edificios fueron la plantilla de la que derivan muchos edificios importantes del mundo occidental: el Louvre, la Casa Blanca, Buckingham Palace, la New York Public Library, la National Gallery of Art de Washington e incontables cantidades de bancos, comisarías de policía, juzgados, iglesias, museos, hospitales, escuelas, mansiones y casas modestas. El Palazzo Barbarano y la Villa Piovene comparten ADN arquitectónico con la Bolsa de Nueva York, el Banco de Inglaterra y el Reichstag de Berlín, entre muchos otros. La Villa Capra, situada en una colina en las afueras de la ciudad, recuerda a un centenar de estructuras con cúpula, desde el Templo de los Cuatro Vientos de Vanbrugh en Castle Howard, hasta el Jefferson Memorial en Washington, D. C. La Villa Chiericati, con su llamativo pórtico con frontón triangular soportado por cuatro severas columnas, no es sólo parecido a la Casa Blanca, sino que es la Casa Blanca, pero extrañamente transferida a lo que sigue siendo una granja en funcionamiento en los confines orientales de la ciudad.
La persona responsable de toda esta presciencia arquitectónica fue un mampostero llamado Andrea di Pietro della Gondola, que en 1524, con menos de dieciséis años de edad, llegó a Vicenza procedente de su nativa Padua. Allí trabó amistad con un influyente aristócrata, Giangiorgio Trissino. De no haber sido por esta afortunada relación, lo más probable es que el joven hubiera pasado su vida en una polvorienta cantera de piedra, su genio hubiera quedado sin explorar y el mundo sería hoy un lugar de aspecto muy distinto. Por suerte para la posteridad, Trissino percibió en el chico un talento que merecía la pena cultivar. Lo acogió en su casa, le hizo aprender matemáticas y geometría, se lo llevó a Roma a ver los grandes edificios de la Antigüedad y le ofreció todas las ventajas que le permitirían convertirse en el arquitecto más importante, más seguro de sí mismo y más inesperadamente influyente de su época. Y durante ese proceso, le otorgó además el nombre por el que todos lo conocemos ahora: Palladio, en honor a Palas Atenea, la diosa de la sabiduría en la antigua Grecia. (Su relación, me siento curiosamente obligado a dejarlo claro, parece que fue enteramente platónica. Trissino fue un conocido mujeriego y su joven mampostero estaba felizmente casado y acabó convirtiéndose en padre de cinco hijos. Lo que sucedió simplemente fue que a Trissino le caía muy bien Palladio. Y por lo que se ve es lo que le sucedía a todo el mundo).
Y así fue como, bajo la tutela de aquel hombre, Palladio se convirtió en arquitecto, un paso excepcional para alguien de su origen, pues los arquitectos de la época solían iniciar su carrera como artistas, no como artesanos. Palladio no pintaba, ni esculpía, ni dibujaba; sólo diseñó edificios. Pero su formación práctica como mampostero le aportó una ventaja inigualable: le permitió una comprensión íntima de las estructuras y le facilitó, según una frase de Witold Rybczynski, comprender el cómo de un edificio tanto como el qué.
Palladio fue un clásico caso de talento adecuado, en el lugar adecuado y el momento adecuado. El épico viaje de Vasco de Gama a la India un cuarto de siglo antes había acabado con el monopolio de Venecia sobre el comercio de las especias por el lado europeo, socavando su dominio comercial, y la riqueza de la región empezaba a emigrar hacia el interior. De pronto había aparecido una nueva casta de campesinos caballeros que tenían tanto riqueza como ambiciones arquitectónicas y Palladio sabía exactamente cómo quedarse con lo primero para satisfacer lo segundo. Empezó a salpicar Vicenza y su región con las casas más perfectas y agradables jamás construidas. Su genio descansaba en su capacidad para diseñar edificios fieles a los ideales clásicos pero más seductores y atractivos, mejor dotados de comodidades y élan, que las formas antiguas, más severas, de las que derivaban. Era una revigorización de los ideales clásicos y el mundo estaría encantado con ello.
Palladio no diseñó muchos edificios: unos cuantos palazzos, cuatro iglesias, un convento, una basílica, dos puentes y treinta villas, de las cuales sólo diecisiete siguen todavía en pie. De las trece villas desaparecidas, cuatro no se terminaron nunca, siete fueron destruidas, una nunca llegó a construirse y otra está desaparecida y no se sabe nada de ella. Llamada Villa Ragona, si algún día llegó a ser construida, jamás ha sido localizada.
Los métodos de Palladio se basaban en la rigurosa adherencia a las reglas y tuvieron como modelo los preceptos de Vitrubio, un arquitecto romano del siglo I a. C. Vitrubio no fue un arquitecto especialmente destacado. En realidad, fue más bien un ingeniero militar. Lo que lo hace tan valioso para la historia es el hecho casual de la supervivencia de sus escritos, siendo en este sentido el único trabajo arquitectónico de la Antigüedad que ha llegado hasta nuestros días. En 1415 se localizó en una estantería de un monasterio suizo un único ejemplar de un texto de Vitrubio sobre arquitectura. Vitrubio imponía reglas extremadamente específicas en relación con proporciones, órdenes, formas, materiales y cualquier otra cosa susceptible de ser cuantificada. En su mundo todo estaba regido por fórmulas. La cantidad de espacio entre las columnas de una fila, por ejemplo, nunca podía dejarse en manos del instinto o el sentimiento, sino que estaba dictada por fórmulas estrictas concebidas para conferir una armonía automática y fiable. Un hecho que podía llegar a ser mareantemente particular. Por ejemplo:
La altura de todas las habitaciones oblongas se calculará sumando la longitud y la anchura, tomando la mitad de este total, y utilizando el resultado para la altura. Pero en el caso de oeci en forma de exedras o cuadradas, se dará a la altura ancho y medio de la anchura. […] La altura del tablinum en el dintel será una octava parte más que su anchura. Su techo se elevará encima un tercio de la misma anchura. La entrada, cuando el atrio es pequeño, será dos tercios de la altura y, en el caso de los atrios mayores, la mitad de la anchura del tablinum. […] Que los bustos de los antepasados con sus ornatos se coloquen a una altura correspondiente a la anchura de las alae. La proporción de la altura de las puertas a su anchura se observará, si son dóricas, a la manera dórica, y si son jónicas, a la manera jónica, según las reglas de la simetría establecidas en el Libro Cuarto cuando se habla de las puertas.Palladio, siguiendo a Vitrubio, creía que todas las habitaciones debían adoptar una de las siete formas elementales —circular, cuadrada o alguno de los cinco tipos distintos de rectángulo— y que determinadas habitaciones tenían que construirse siguiendo siempre determinadas proporciones. Los comedores, por ejemplo, tenían que tener el doble de longitud que de anchura. Solamente estas formas generaban espacios agradables, aunque en ningún momento dio explicaciones sobre cuál era el origen de ello. (Ni tampoco las aportó Vitrubio, en realidad). De hecho, Palladio siguió sus propios preceptos la mitad de las veces. Algunas de las reglas que decretó Palladio son dudosas, en cualquier caso. La idea de la jerarquía entre el tipo de columnas —las corintias siempre por encima de las jónicas y las jónicas siempre por encima de las dóricas— parece que fue idea de Sebastiano Serlio, contemporáneo de Palladio. La regla no aparece mencionada en ningún punto del tratado de Vitrubio. Palladio cometió además un error fundamental. Colocó un pórtico con columnas en todas las villas que construyó, ignorando que los pórticos sólo estaban presentes en los templos romanos, nunca en las casas. Se trata, con toda probabilidad, de su recurso más imitado, aun siendo, desde la perspectiva de la fidelidad, completamente erróneo. Pero, por otra parte, es posible que sea también el error más afortunado de la historia de la arquitectura.
De haberse limitado a construir varias casas bonitas repartidas por los alrededores de Vicenza, el nombre de Palladio nunca habría acabado convirtiéndose en adjetivo. Lo que lo hizo famoso fue un libro publicado en 1570, hacia el final de su vida. Titulado Los cuatro libros de la arquitectura, es en parte un libro de planos de plantas y alzados, en parte una declaración de principios y en parte una recopilación de consejos prácticos. Está lleno de reglas y particularidades —«Sobre la altura de las habitaciones», «Sobre las dimensiones de las puertas y ventanas»—, pero también de útiles consejos. (Por ejemplo: no colocar las ventanas demasiado cerca de las esquinas, pues debilitan la estructura en general). Era el libro perfecto para caballeros aficionados.
El primer y mayor defensor de Palladio en el mundo de habla inglesa fue Iñigo Jones, el diseñador teatral y arquitecto autodidacta que descubrió la obra de Palladio durante una visita a Italia veinte años después del fallecimiento de éste y se quedó prendado de ella hasta el punto de convertirla en su obsesión. Compró todos los dibujos de Palladio que cayeron en sus manos —unos doscientos en total—, aprendió a hablar italiano e incluso cambió su firma para imitar la de Palladio. A su regreso a Inglaterra, empezó a construir edificios al estilo de Palladio siempre que le surgió la oportunidad de hacerlo. El primero fue Queen’s House, en Greenwich, construido en 1616. Para los ojos actuales, es un bloque bastante monótono y cuadrado que recuerda a cualquier comisaría de policía de una pequeña ciudad del Medio Oeste, pero hay que tener en cuenta que en la Inglaterra de los Estuardo era asombrosamente rotundo y moderno. De repente fue como si todos los demás edificios del país pertenecieran a otra época, mucho más caótica.
El «palladianismo» quedó especialmente asociado con la arquitectura del periodo georgiano, de la que en cierto sentido resulta indistinguible. Esta época de orden arquitectónico se inició en 1714 con la subida al trono de Jorge I y se prolongó durante los reinados de tres Jorges más y del hijo de un Jorge, Guillermo IV, cuya muerte en 1837 significó la llegada al poder de la reina Victoria y el inicio de una nueva era dinástica. En la práctica, claro está, las cosas nunca son tan exactas. Los estilos arquitectónicos no cambian simplemente porque fallezca un monarca. Ni tampoco siguen uniformes durante la totalidad de una larga dinastía.
El periodo georgiano fue tan prolongado que durante el mismo surgieron y desaparecieron o prosperaron de forma independiente diversos refinamientos y desarrollos arquitectónicos, razón por la que a veces resulta imposible distinguir de un modo significativo entre neoclásico, regencia, renacimiento italiano, renacimiento griego y otros términos concebidos para denotar un determinado estilo, estética o periodo de tiempo. En Norteamérica, la etiqueta «georgiano» perdió todo su atractivo después de la independencia (y tampoco es que antes fuera algo muy apreciado), motivo por el que se acuñaron los términos «colonial» para los edificios construidos antes de la independencia y «federal» para los construidos posteriormente.
Lo que todos estos estilos tenían en común era su vinculación con los ideales clásicos, que es lo mismo que decir a unas reglas estrictas, algo que no siempre era magnífico. Las reglas implicaban que los arquitectos a veces ni siquiera necesitaban pensar. Mereworth, una mansión señorial de Kent diseñada por Colen Campbell, es en realidad una copia de la Villa Capra de Palladio —en la que sólo la cúpula está ligeramente alterada—, y muchas más destacan por su escasa originalidad. «Lo que importaba era la fidelidad al canon», según destacó Alain de Botton en La arquitectura de la felicidad. A pesar de que se construyeron edificios espléndidos siguiendo el estilo de Palladio —Chiswick House, el impresionante capricho de lord Burlington en el oeste de Londres nos viene resplandecientemente a la memoria—, el efecto global resultó repetitivo y soporífero. Tal y como el historiador de la arquitectura Nikolaus Pevsner observó: «No es fácil diferenciar mentalmente las diversas villas y casas de campo construidas durante el periodo».
La Villa Capra («La Rotonda») de Palladio (arriba) y Monticello, de Thomas Jefferson (abajo).
§. 2
En el otoño de 1769, en una colina del Piedmont de Virginia, en lo que eran entonces los confines del mundo civilizado, un joven empezó a construir la casa de sus sueños. Consumiría más de medio siglo de su vida y casi todos sus recursos, y nunca la vería terminada. Se llamaba Thomas Jefferson. Y la casa era Monticello.Nunca había habido una casa como aquélla. Era, casi literalmente, la última casa del mundo. Ante ella se extendía un continente inexplorado. Y detrás de ella, todo el mundo conocido. Tal vez nada habla mejor sobre Jefferson y su casa que el hecho de que esté situada de espaldas al viejo mundo y de cara al desconocido vacío del nuevo.
Lo que distinguía realmente a Monticello era que estaba construida en lo alto de una colina. La gente no solía hacer eso en el siglo XVIII, y por buenas razones prácticas. Jefferson se creó muchas desventajas al edificar donde lo hizo. Para empezar, tuvo que construir una carretera hasta la cima, y después despejar y nivelar hectáreas de cumbres rocosas, trabajos ambos de enorme envergadura. Tuvo que gestionar constantemente problemas relacionados con el suministro de agua. El agua siempre ha sido un problema en lo alto de las montañas, pues su naturaleza es correr ladera abajo, lo que hizo necesario excavar pozos excepcionalmente profundos. Incluso así, se secaban una media de un año de cada cinco y entonces había que subir el agua con carros. La iluminación se convirtió asimismo en un mal crónico, pues su casa era el punto más elevado en muchos kilómetros a la redonda.
Monticello es la Villa Capra de Palladio, pero reinterpretada, construida con materiales distintos, en otro continente: gloriosamente original, pero a la vez fiel al original. La época de la Ilustración era el momento perfecto para los ideales de Palladio. Fue un periodo intensamente científico durante el cual se creía que todo, incluyendo la belleza y su valoración, podía reducirse a principios científicos. Que el libro de planos de Palladio fuera también un libro elemental adecuado para arquitectos aficionados, lo convirtió en el sentido práctico, y también en el espiritual, en indispensable para un hombre como Jefferson. En el medio siglo previo a que Jefferson empezara a trabajar en Monticello se publicaron unos cuatrocientos cincuenta manuales de arquitectura, por lo que tenía mucho donde elegir, pero fue a Palladio a quien se consagró. «Palladio es la Biblia», escribió simplemente.
Cuando Jefferson empezó Monticello, nunca había estado en ninguna ciudad más grande que Williamsburg, la capital colonial, donde había estudiado en el College of William and Mary, y no puede decirse precisamente que Williamsburg, con unos dos mil habitantes, fuera una gran metrópolis. A pesar de que más adelante viajó a Italia, nunca llegó a ver Villa Capra y de haberlo hecho le habría sorprendido, pues Villa Capra es enorme en comparación con Monticello. Aunque su aspecto en las ilustraciones es muy similar, la versión de Palladio está construida a una escala que convierte a Monticello casi en una casita de campo. Ello se debe en parte a que las áreas de servicio de Monticello —las dependencias, como se conocían— están construidas en la ladera de la colina y no se ven desde la casa y el jardín. Monticello es, en gran parte, subterráneo.
Lo que los visitantes de Monticello ven hoy en día es una casa que Jefferson nunca llegó a contemplar, sino sólo a soñar. No pudo terminarla en vida, ni siquiera verla en un estado decente. Durante cincuenta y cuatro años, Jefferson vivió en una obra. «Construir y derribar es una de mis diversiones favoritas», comentaba alegremente, y en realidad fue así, pues nunca dejó de realizar pequeños ajustes y remover las cosas. Las obras se prolongaron hasta tal punto, que había partes de Monticello en franco deterioro mientras otras estaban todavía en construcción.
Los diseños de Jefferson tenían aspectos muy complicados. El tejado era la pesadilla de cualquier constructor, pues las juntas del tejado a cuatro aguas eran innecesariamente enrevesadas. «Era un lugar donde definitivamente demostró ser más un aficionado que un profesional», me explicó Bob Self, el arquitecto conservador de Monticello, en el transcurso de mi visita. «El diseño tenía todo el sentido del mundo, pero era mucho más complicado de lo que tenía que ser».
Como arquitecto, Jefferson era quisquilloso hasta el punto de la rareza. Algunos de sus planos especificaban medidas de hasta siete puntos decimales. Self me mostró un lugar donde aparecían unas extrañamente precisas 1, 8991666 pulgadas. «Nadie, ni siquiera ahora, podría medir una cosa con ese grado de precisión —me dijo—. Estamos hablando de millonésimas de pulgada. Sospecho que sería algún tipo de ejercicio intelectual. No puede ser otra cosa».
La característica más extraña de la casa son sus dos escaleras. Jefferson consideraba las escaleras un desperdicio de espacio, de modo que las construyó con una anchura de sólo sesenta centímetros y muy empinadas; «parece un poco una escalera de mano», comentó incluso un visitante. Las escaleras son tan estrechas y curvadas que prácticamente todo lo que había que subir por ellas, excepto las piezas más pequeñas del equipaje de las visitas, tenía que subirse con la ayuda de una manivela y entrarlo por las ventanas. Las escaleras estaban enterradas hasta tal punto en las entrañas de la casa que no les llegaba luz natural, por lo que resultaban prohibitivamente oscuras, además de empinadas. Moverse por ellas, sobre todo en sentido descendente, resulta una experiencia inquietante incluso ahora. Debido al peligro que conlleva, actualmente no se permite a los visitantes subir a la primera o a la segunda planta, por lo que gran parte de Monticello queda, por infeliz necesidad, acotada. (El espacio superior está básicamente destinado a oficinas). Y es por esta razón que los visitantes no pueden disfrutar de la estancia más agradable de la casa: la habitación del cielo, como la denominó Jefferson, que ocupa el espacio que se abre debajo de la cúpula. Con sus paredes amarillas y su suelo verde, sus frescas brisas y sus suntuosas vistas, constituiría un despacho, un estudio o un lugar de descanso perfecto. Pero siempre ha sido difícil acceder a él, y en tiempos de Jefferson resultaba inutilizable una tercera parte del año, pues no había manera efectiva de calentarlo. Como consecuencia de ello, acabó convirtiéndose en una especie de desván donde guardar trastos.
En otros aspectos, la casa era una maravilla. La cúpula, la característica definitoria de Monticello, tuvo que construirse de una manera extraña para que encajara sobre las paredes maestras de la parte posterior. «Y aunque parece completamente regular —me explicó Self—, no lo es. La estructura es un enorme ejercicio de cálculo. Las nervaduras que la soportan tienen distintas longitudes, pero tenían que abarcar el mismo radio, por lo que su diseño es un entresijo de senos y cosenos. Poca gente habría conseguido esa cúpula de allá arriba». Otras florituras estaban generaciones por delante de su tiempo. Entre otras cosas, Jefferson instaló en la casa trece claraboyas, lo que la convierte en excepcionalmente luminosa y ventilada.
En la terraza, Self me mostró un precioso reloj de sol esférico que hay en el jardín y que Jefferson fabricó personalmente. «No se trata sólo de una pieza de artesanía excepcional —dijo—, sino que hay que tener en cuenta que nunca se hubiera podido realizar sin conocimientos de astronomía. Es sorprendente que tuviera el tiempo y la capacidad para ubicar todo esto en su cerebro».
Monticello se hizo famoso por sus novedades: un montaplatos construido en el interior de una chimenea, retretes interiores, un aparato llamado polígrafo que con la ayuda de dos plumas realizaba una copia de cualquier carta que en él se escribiera. Hubo un detalle, un par de puertas que se abrían ambas a la vez cuando se empujaba sólo una de ellas —cualquiera de las dos—, que tuvo encantados y perplejos a los expertos durante un siglo y medio. No fue hasta que los mecanismos del invento quedaron expuestos durante la remodelación que tuvo lugar en la década de 1950, cuando se descubrió que las puertas estaban invisiblemente unidas mediante un mecanismo consistente en una biela y unas poleas instalado todo ello bajo el suelo, una solución bastante sencilla pero asombrosa, porque suponía un coste elevado y mucho trabajo para el poco esfuerzo que ahorraba.
* * * *
Jefferson era una persona con una energía sorprendente. Se jactaba de que, en cincuenta años, el sol jamás lo había sorprendido durmiendo en la cama y de que apenas desperdició un instante en sus ochenta y tres años. Tenía obsesión por anotarlo todo. Tenía siempre entre manos siete cuadernos y en cada uno de ellos anotaba incluso los detalles más microscópicos de la vida diaria. Apuntaba el tiempo que hacía cada día, las costumbres migratorias de las aves, la fecha del florecimiento de cada especie de flor. No sólo guardó copias de las dieciocho mil cartas que escribió, y guardó también las cinco mil que recibió, sino que las registró con diligencia en un «Registro Epistolario» que ya por sí solo ocupaba más de seiscientas cincuenta páginas. Anotaba hasta el último céntimo que ganaba y perdía. Dejó anotado cuántos guisantes eran necesarios para llenar un frasco de una pinta de capacidad. Tenía inventariados a nivel individual sus esclavos, explicando de un modo excepcionalmente detallado el tratamiento que recibían y lo que poseían.Pero, curiosamente, no escribió un diario ni realizó un inventario de la construcción de Monticello. «Curiosamente, sabemos más acerca de la casa de Jefferson en París que sobre ésta —me explicó Susan Stein, la conservadora de Monticello—. No sabemos qué tipo de tapices tenía en la mayoría de las estancias y no estamos del todo seguros sobre gran parte del mobiliario. Sabemos que la casa disponía de dos retretes interiores, pero no sabemos quién los disfrutaba ni qué utilizaban a modo de papel higiénico. Estas cosas no quedaron registradas». Con Jefferson, pues, nos encontramos en la rara coyuntura de que lo sabemos todo sobre los doscientos cincuenta tipos de plantas comestibles que cultivaba (las organizaba según si lo que se consumía eran sus raíces, su fruta o sus hojas), pero sorprendentemente poco sobre muchos aspectos de su vida en la casa.
La casa siempre fue terriblemente indulgente consigo misma. Cuando en 1772 Jefferson llevó a Monticello a su joven esposa, Martha, la casa llevaba ya tres años en construcción y quedó enseguida patente que aquella casa era de él. Su despacho privado, por ejemplo, doblaba casi en tamaño al del comedor y la habitación de matrimonio. Todo en la casa estaba concebido para satisfacer las necesidades y los caprichos de Jefferson. Podía, por ejemplo, comprobar la dirección y la velocidad del viento desde cinco lugares distintos de la casa, algo que la señora Jefferson no ansiaba precisamente con desesperación.
Tras la prematura muerte de Martha, sólo diez años después de su boda, la casa pasó a ser incluso más claramente suya. Jefferson no permitía a los invitados el acceso a las zonas privadas de la casa —que es lo mismo que decir a la mayoría de la casa—, a no ser que lo hiciesen escoltados. Los que deseaban hojear libros en la biblioteca tenían que esperar a que el señor Jefferson los acompañase personalmente allí.
De entre los diversos y desconcertantes deslices que encontramos en las notas de Jefferson, el más sorprendente es quizás que no tenía registrados sus libros y que, de hecho, no tenía ni idea de cuántos tenía. Jefferson amaba los libros y tuvo la gran suerte de formar parte de una generación para la que los libros empezaban a ser un objeto común. Hasta hacía muy poco, los libros eran excepcionales. Cuando el padre de Jefferson falleció en 1757, dejó una biblioteca de cuarenta y dos libros, un hecho espectacular. Una biblioteca de cuatrocientos libros —la cifra que John Harvard dejó al morir— estaba considerada algo tan colosal que el Harvard College recibe de él su nombre. En el transcurso de su vida, Harvard había adquirido libros a un ritmo de doce volúmenes anuales. Jefferson, en el transcurso de su vida, compró doce ejemplares mensuales, acumulando una media de mil por década.
Sin sus libros, Thomas Jefferson no podría haber sido Thomas Jefferson. Para alguien como él, que vivía en un lugar tan remoto, lejos de toda experiencia práctica, los libros constituían una guía vital sobre cómo vivir la vida, y ninguno le proporcionó mayor inspiración, satisfacción y enseñanzas útiles que Los cuatro libros de la arquitectura.
§. 3
Debido a las dificultades económicas y a su eterno estado en obras, Monticello nunca logró tener su mejor aspecto, ni siquiera acercarse a ello. En 1802, cuando la señora Anna Maria Thornton fue a visitarlo, se quedó sorprendida al ver que aún tenía que entrar a través de temblorosas planchas de madera. En aquel momento, Jefferson llevaba ya treinta años trabajando en la casa. «A pesar de que estaba preparada para encontrarme una casa inacabada, no pude evitar sorprenderme ante […] aquella tenebrosidad general», contaba maravillada en su diario. Pero a Jefferson nunca le importunaron las molestias. «Estamos viviendo en un horno de ladrillos», le escribió alegremente en un momento dado a un amigo. Por otro lado, Jefferson tampoco fue nunca muy cuidadoso. Con el clima húmedo y bochornoso de Virginia, la madera necesita una nueva capa de pintura cada cinco años, como mínimo. Por lo que se sabe, Jefferson nunca repintó nada. Las termitas empezaron a devorar las vigas de la estructura casi en el mismo momento en que se montaron y la putrefacción seca causó estragos muy rápidamente.Jefferson vivía en constantes dificultades económicas, aunque eran dificultades que él mismo se generaba. Gastaba a manos llenas. Cuando en 1790 regresó a Estados Unidos después de pasar cinco años en Francia, lo hizo con un impresionante cargamento de muebles y objetos para la casa —cinco cocinas, cincuenta y siete sillas, diversos espejos, sofás y candelabros, una urna para el café que él mismo había diseñado, relojes, ropa de cama, vajillas de todo tipo, 145 rollos de papel pintado, una reserva de lámparas de Argand, cuatro moldes para preparar gofres y muchas cosas más— que ocupaba ochenta y seis cajas de gran tamaño. Hizo traer además un carruaje tirado por caballos. Ordenó descargarlo todo en su residencia de Filadelfia, por aquel entonces la capital del país, y acto seguido salió a comprar más cosas.
A pesar de ser un asceta en todo lo relacionado con su persona —Jefferson vestía con menos ostentación que los criados de su propia casa—, gastaba sumas colosales en comida y bebida. Durante su primer periodo como presidente, gastó 7.500 dólares —el equivalente a 120.000 dólares actuales— sólo en vino. Durante un periodo de ocho años, compró un mínimo de veinte mil botellas de vino. Incluso con ochenta y dos años de edad y cargado de deudas, «seguía realizando pedidos de Muscat de Riversalle en lotes de ciento cincuenta botellas», como apunta, maravillado, uno de sus biógrafos.
Muchas de las peculiaridades de Monticello tienen su origen en las limitaciones de los obreros que trabajaban para Jefferson. En las columnas exteriores, tuvo que mantenerse fiel a un sencillo estilo dórico porque no consiguió encontrar a nadie con las habilidades necesarias para elaborar algo más complejo. Pero el mayor problema, tanto en lo referente al gasto como a la frustración, fue la falta de materiales locales. Merece la pena dedicar un minuto a reflexionar acerca de la situación a la que se enfrentaron los colonos americanos en su intento de construir una civilización en una tierra carente de todo tipo de infraestructuras.
La filosofía imperial de Gran Bretaña consistía en que Norteamérica tenía que proporcionarle materias primas a un precio justo y aceptar a cambio productos finales. El sistema estaba ratificado por una serie de leyes conocidas como las Navigation Acts, que estipulaban que cualquier producto destinado al Nuevo Mundo tenía que estar originado en Gran Bretaña o pasar por ella de camino allí, aunque se hubiera creado, por ejemplo, en las Indias Occidentales, lo que ocasionaba un doble cruce del Atlántico que carecía por completo de sentido. Era un arreglo absurdo e ineficiente, pero gratamente lucrativo para los comerciantes y fabricantes británicos, que tenían de este modo a su merced comercial a un continente en rápido crecimiento. En vísperas de la revolución, Norteamérica era el mercado de exportación de Gran Bretaña. Significaba el 8o % de la totalidad de las exportaciones de ropa de cama británicas, el 76 % de los clavos exportados, el 6o % del hierro forjado y casi la mitad de todo el cristal vendido en el extranjero. En términos de volumen, Norteamérica importaba anualmente 13.500 kilos de seda, 5.000 kilos de sal y más de 130.000 gorros de piel de castor, entre muchas otras cosas. Y gran parte de las mismas —por ejemplo, los gorros de piel de castor— estaban hechas con materiales originarios de Norteamérica que podrían fabricarse sin problemas en fábricas norteamericanas… un hecho que no pasó desapercibido a los norteamericanos.
El pequeño mercado interno norteamericano y los problemas de distribución en un área tan grande implicaban que los norteamericanos no podían competir ni siquiera cuando se atrevían a intentarlo. Hacia 1700 se pusieron en marcha varias fábricas importantes de producción de cristal, y algunas incluso prosperaron durante un breve periodo, pero en tiempos de la revolución ya no se fabricaba cristal en las colonias. En la mayoría de las casas, cuando se rompía una ventana, rota se quedaba. El cristal era tan excepcional que en todas partes se aconsejaba a los inmigrantes que trajeran consigo cristal para sus futuras ventanas. De un modo similar, el hierro sufría una carencia crónica. El papel era a menudo tan escaso que era casi inexistente. En Norteamérica se fabricaba tan sólo la loza más básica —jarrones, vasijas y cosas de este estilo— y cualquier objeto de calidad, como la porcelana y la loza, tenía que venir de Inglaterra (o a través de ella, lo que encarecía su coste). Para Jefferson y otros hacendados de Virginia, el problema se agravaba debido a la ausencia de ciudades. Era más fácil comunicar con Londres que con las demás colonias.
La consecuencia de esta situación era que prácticamente todo tenía que solicitarse a través de un agente remoto. Cualquier deseo tenía que comunicarse con exhaustivo detalle, aunque al final no quedaba otro remedio que confiar en la opinión y la honestidad de un desconocido. La posibilidad de sufrir un desengaño era inmensa. Un pedido típico de George Washington (este ejemplo es de 1757) ayuda a hacerse una idea de las muchísimas cosas que los norteamericanos eran incapaces de fabricar por sí mismos. Washington solicitaba dos kilos y medio de rapé, dos docenas de cepillos de dientes de esponja, veinte sacos de sal, veintitrés kilos de pasas y almendras, una docena de sillas de caoba, dos mesas («cuadradas, de un metro cuarenta de lado cuando estén abiertas y que puedan unirse de manera ocasional»), un queso de Cheshire grande, mármol para una chimenea, cierta cantidad de cartón piedra y papel pintado, un tonel de sidra, veintidós kilos de velas, veinte barras de azúcar y doscientos cincuenta paneles de cristal, entre muchas cosas más.
«Nota: Que esté bien embalado», añadía, casi quejumbrosamente, aunque en vano, pues casi todos los pedidos llegaban con mercancía rota, estropeada o perdida. Cuando llevas esperando casi un año a que te lleguen, por ejemplo, veinte paneles de vidrio y descubres que la mitad llegan rotos y el resto no es del tamaño esperado, incluso los temperamentos más estoicos suelen derrumbarse.
Desde el punto de vista de los comerciantes y los agentes, los pedidos resultaban a veces desconcertadamente ambiguos. Otro, también de Washington, solicitaba a su agente en Londres que le comprara «dos Leones como los Leones Antiguos de Italia». El agente supuso, correctamente, que Washington se refería a esculturas, pero tuvo que adivinar tipología y tamaño. Teniendo en cuenta que Washington siempre estuvo separado de Italia por un océano, es probable que tampoco él lo supiera con certeza. Las cartas de Washington a su agencia en Londres, Robert Cary & Co., solicitaban constantemente objetos que estuvieran «de moda» y «de última tendencia» o «uniformemente atractivos y refinados», pero sus cartas de seguimiento indican que ni siquiera él sabía muy bien a qué se refería.
Incluso las instrucciones más esmeradas corrían peligro de ser malinterpretadas. Edwin Tunis relata la historia de un hombre que adjuntó a su pedido un dibujo del blasón familiar que quería estampado en su vajilla. Para asegurarse de que sus órdenes quedaban bien entendidas, añadió una flecha gruesa para subrayar cierto detalle. Cuando llegaron los platos, el hombre descubrió horrorizado que la flecha aparecía fielmente copiada en cada pieza.
Resultaba fácil —y para muchos agentes irresistiblemente tentador— endilgarles a los americanos prendas y enseres invendibles que habían pasado de moda en Inglaterra. «No puedes hacerte una idea de la basura que se encuentra en las mejores tiendas», le escribió a una amiga una visitante inglesa llamada Margaret Hall. Hasta el punto de que en las fábricas inglesas se escuchaba con frecuencia una animada frase: «Esto ya es lo bastante bueno para América». Por otro lado, había constantes sospechas de sobreprecio. Washington escribió furioso a Cary después de recibir un envío diciendo que los productos suministrados eran «malos en calidad pero no en precio, porque en este sentido superan por mucho cualquier cosa que haya recibido».
La negligencia de agentes y comerciantes volvía locos de exasperación a los norteamericanos. El coronel John Tayloe, mientras construía en Washington la famosa Octagon House, solicitó una chimenea a la fábrica Coade de Londres, esperó cerca de un año para que le fuera entregada y no pudo más que resoplar cuando abrió el embalaje y descubrió que se habían olvidado de incluir la repisa. En lugar de esperar a que llegara la repisa, le ordenó a un carpintero local de confianza que le fabricara una de madera. La chimenea —todavía con su repisa de madera— es una de las pocas piezas Coade que existe en Norteamérica.
Como consecuencia de las dificultades de suministro, a los propietarios de plantaciones no les quedaba a menudo otro remedio que fabricar sus materiales. Jefferson cocía sus propios ladrillos —unos 650.000 en total—, pero era un asunto complicado pues, con el calor irregular de los hornos caseros, sólo la mitad de cada hornada resultaba utilizable. Empezó a fabricar también sus propios clavos. Y a medida que fue aumentando la tensión con Gran Bretaña, la situación se complicó aún más. En 1774, el Congreso Continental sancionó un acuerdo de no importación. Y Jefferson descubrió, para su consternación, que los catorce pares de carísimas ventanas de guillotina que había pedido en Inglaterra, y que necesitaba de verdad, nunca le llegarían.
La supresión del libre comercio enojó de gran manera al economista escocés Adam Smith (cuya Riqueza de las naciones se publicó, y no es casualidad, el mismo año en que Norteamérica declaraba su independencia), pero ni mucho menos tanto como enojó a los americanos, que estaban resentidos por la idea de seguir siendo eternamente un mercado cautivo. Sería exagerar la cuestión sugerir que las exasperaciones comerciales fueron la causa de la revolución norteamericana, pero lo que es evidente es que fueron un componente importante de la misma.
§. 4
Mientras Thomas Jefferson seguía con sus interminables obras en Monticello, doscientos kilómetros al nordeste su colega y compañero virginiano, George Washington, se enfrentaba a obstáculos y contratiempos similares y respondiendo con el mismo estilo de genio adaptativo en la reconstrucción de Mount Vernon, su casa colonial a orillas del río Potomac, cerca de lo que actualmente es el distrito de Columbia. (La proximidad no es casual. Washington recibió el encargo de elegir la localización de la nueva capital y eligió una zona que estaba a escasa distancia a caballo de su plantación).Cuando Washington se trasladó a Mount Vernon en 1754, después del fallecimiento de su hermanastro Lawrence, la casa era una granja modesta de ocho habitaciones. Dedicó los treinta años siguientes a la reconstrucción y ampliación del edificio hasta convertirlo en una mansión solariega de veinte habitaciones, todas ellas de elegantes proporciones y bellos acabados (y con muchos guiños a Palladio). Washington disfrutó de un breve viaje de juventud a Barbados, pero por lo demás, nunca salió de su «Pequeño país boscoso», como lo denominó una vez. Con todo y con eso, el visitante de Mount Vernon se quedaba sorprendido ante su sofisticación, como si Washington hubiera recorrido las grandes mansiones y jardines de Europa y seleccionado con atención los mejores aspectos de todos ellos.
Se preocupaba hasta por el último detalle. Durante los ocho años que se prolongó la Guerra de la Independencia, a pesar de todas las penurias y las distracciones de la batalla, escribió semanalmente a casa para estar al corriente de cómo iba todo y para emitir nuevas instrucciones o modificar las que ya había dado sobre cualquier elemento del diseño. El capataz de Washington se preguntaba, comprensiblemente, si aquél era buen momento para invertir tiempo y energía en una casa que el enemigo podía capturar y destruir. Washington pasó la mayor parte de la guerra atascado en el norte, dejando su parte del país crónicamente expuesta a los ataques. Por suerte, los británicos nunca llegaron a Mount Vernon. De haberlo hecho, a buen seguro habrían hecho desaparecer misteriosamente a la señora Washington y habrían prendido fuego a la casa y a la finca.
A pesar de los riesgos, Washington siguió presionando. De hecho, fue en el momento más bajo de la guerra, en 1777, cuando Mount Vernon adquirió sus dos características arquitectónicas más osadas: su cúpula y el porche frontal al aire libre, conocido como la piazza, con sus inconfundibles pilares rectangulares recorriendo la fachada este de la casa en toda su longitud. La piazza era un diseño del propio Washington y fue su golpe maestro. «Hasta la fecha —escribe Stewart Brand—, es uno de los lugares más agradables de Estados Unidos, aunque sea sólo para sentarse». La cúpula también fue una idea de Washington. No sólo incorpora un garboso remate al tejado, sino que hace las veces de efectivo aire acondicionado, capturando las brisas y dirigiéndolas hacia el cuerpo de la casa.
«La piazza es una forma realmente ingeniosa de mantener la casa sombreada y fresca, a la vez que constituye una fachada atractiva —me explicó Dennis Pogue, director adjunto de conservación de Mount Vernon, durante mi visita al lugar—. Fue un arquitecto muy superior de lo que casi siempre se ha reconocido».
Al estar realizando continuos añadidos a una estructura preexistente, Washington se vio obligado a hacer constantes concesiones. Por razones estructurales, tuvo que elegir entre rehacer gran parte del interior o abandonar la simetría en el extremo posterior de la casa (que es lo mismo que decir el lado de la casa que ven en primer lugar los visitantes cuando llegan a ella). Se decantó por prescindir de la simetría. «Fue una decisión valiente y poco habitual en aquellos tiempos, pero Washington siempre fue pragmático —dice Pogue—. Prefirió una disposición interior con sentido a perder eso a cambio de una simetría impuesta. Confiaba en que la gente no se diera cuenta de ello». Y la experiencia de Pogue confirma que la mitad de los visitantes no se da cuenta. Hay que decir, de todos modos, que la ausencia de simetría no resulta especialmente chirriante, aunque quien valore el equilibrio se dará cuenta de que la cúpula y el frontón están desalineados en casi medio metro.
Ante la falta de piedra de construcción de cualquier tipo, Washington revistió su casa con planchas de madera, cuidadosamente biseladas en los extremos para que adquirieran el aspecto de bloques de piedra tallada y pintadas para camuflar los nudos y las vetas. Mientras la pintura estaba secándose, el viento levantó la arena, que se pegó a la madera, proporcionándole una textura granulosa similar a la piedra. La impostura quedó tan lograda que los guías actuales señalan a los visitantes la verdadera naturaleza del edificio invitándoles a golpear el material con los nudillos.
Washington no consiguió pasar mucho tiempo disfrutando de Mount Vernon, e incluso cuando estaba en casa tampoco lograba tener mucha paz. Uno de los convencionalismos de la época era el de invitar a comer y hospedar a cualquier persona de aspecto respetable que llamase a tu puerta. Washington vivía asediado por las visitas —recibió 677 en un solo año—, muchas de las cuales se quedaban en la casa más de una noche.
Washington murió en 1799, sólo dos años después de jubilarse, y Mount Vernon inició entonces un largo declive. Hacia mediados del siglo siguiente, la casa estaba virtualmente en ruinas. Los herederos de Washington la ofrecieron a la nación a un precio razonable, pero el Congreso no consideró que su papel incluyese la gestión de las casas de los ex presidentes y se negó por ello a aportar fondos. En 1853, una mujer llamada Louisa Dalton Bird Cunningham, navegando por el Potomac en un vapor de pasajeros, se quedó tan horrorizada al ver el aspecto de la propiedad que creó una fundación, la Mount Vernon Ladies’ Association, que adquirió la finca e inició su larga y heroica restauración. Sigue cuidando de ella con inteligencia y cariño. Y más milagrosa aún es la supervivencia de sus singulares vistas panorámicas sobre el Potomac. En la década de los cincuenta, se presentó un plan para construir una gigantesca refinería petrolífera en la otra orilla. Una congresista de Ohio, Frances Payne Bolton, intercedió con éxito y consiguió salvar para la posterioridad aquellos doscientos kilómetros cuadrados de banda costera de Maryland, gracias a lo cual la vista sigue siendo hoy en día tan agradable y satisfactoria como lo fuera en tiempos de Washington.
* * * *
Monticello sufrió un proceso similar después de la muerte de Jefferson, aunque cuando él vivía ya estaba en un estado bastante decrépito. Un conmocionado visitante relataba en 1815 que casi todos los sillones estaban destrozados y desprendían cosas pegajosas. Cuando Jefferson falleció con ochenta y tres años de edad el 4 de julio de 1826 —cincuenta años después del día de la firma de la Declaración de Independencia—, tenía deudas que ascendían a más de 100.000 dólares, una cifra colosal, y Monticello estaba deshilachándose entero.Incapaz de permitirse el considerable mantenimiento de la casa, la hija de Jefferson la puso a subasta por 70.000 dólares, pero no hubo ofertantes. Al final, la casa fue vendida por sólo 7.000 dólares a un hombre llamado James Barclay, que intentó convertirla en una granja para la producción de seda. La empresa fracasó miserablemente. Barclay huyó a Tierra Santa para ejercer labores de misionero y la casa quedó abandonada. Entre los tablones de madera del suelo empezaron a asomar malas hierbas. Las puertas se caían. Las vacas paseaban por el interior de las estancias vacías. El famoso busto de Voltaire de Houdon apareció en medio de un campo de cultivo. En 1836, sólo diez años después del fallecimiento de Jefferson, Monticello fue adquirido por 2.500 dólares —una cifra insignificante incluso entonces para una casa como aquélla— por una inverosímil figura llamada Uriah Phillips Levy. Casi todo en Levy lo convertía en un propietario insólito para una finca del estado de Virginia, aunque casi todo en él era, de hecho, insólito. Para empezar, era un oficial de la marina judío, el único en toda la Marina de Estados Unidos. Era además de carácter difícil y escandaloso, cualidades que sus superiores no querían ver en ningún oficial de la marina, pero que además alimentaban claramente cualquier prejuicio antisemita que pudieran ya albergar. Levy fue juzgado cinco veces en consejo de guerra a lo largo de su carrera, y cinco veces exonerado. De igual relevancia para sus vecinos era el hecho de que fuera de Nueva York. Un yanqui judío no podía tener muchos amigos en Virginia. Con el estallido de la Guerra de Secesión, Monticello fue tomado por el Gobierno confederado y Levy huyó a Washington, el refugio más próximo. Pidió ayuda al presidente Abraham Lincoln y éste, apreciando claramente sus aptitudes, le concedió un puesto en el tribunal federal de consejos de guerra.
La familia Levy siguió siendo propietaria de Monticello durante noventa años, mucho más tiempo que el mismo Jefferson. Sin ellos, la casa no habría sobrevivido. En 1923, vendieron Monticello por 500.000 dólares a la recién constituida Thomas Jefferson Foundation, que se embarcó en un largo proyecto de restauración. Las obras no terminaron hasta 1954. Casi doscientos años después de que Jefferson la iniciara, Monticello era por fin la casa que él pretendía que fuese.
* * * *
De haber sido Thomas Jefferson y George Washington simples propietarios de plantaciones que construyeron casas interesantes, habría podido considerarse ya un logro suficiente. Pero es evidente que entre los dos instituyeron también una revolución política, llevaron a cabo una larga guerra, crearon y prestaron incansable servicio a una nueva nación y pasaron años lejos de casa. A pesar de tantas distracciones, y careciendo de formación y materiales adecuados, consiguieron construir dos de las casas más satisfactorias jamás edificadas. Y eso es un logro enorme.Los celebrados artefactos de Monticello —sus montaplatos silenciosos, sus puertas de doble apertura y similares— se desprecian a veces como simples trucos ingeniosos, pero de hecho anticiparon en unos ciento cincuenta años el amor de los norteamericanos por los aparatos que ahorran tiempo, además de ayudar a que Monticello se convirtiese no sólo en la casa con más estilo jamás construida en América, sino también en la primera casa moderna. Pero es Mount Vernon la que ha acabado siendo la más influyente de las dos. Se convirtió en el ideal de innumerables casas más, además del edificio del que derivan bancos con los que poder sacar dinero desde el coche, moteles, restaurantes y otras atracciones de carretera. Probablemente ningún otro edificio de Norteamérica ha sido más copiado, casi siempre por desgracia con un robusto toque kitsch, aunque esto no es en absoluto culpa de Washington y no le hace justicia a su reputación. No es casualidad que fuera él también el introductor del primer ha-ha en América, y podría reclamar además el derecho a ser considerado el padre del césped norteamericano; entre todo lo que hizo, dedicó años de meticulosos esfuerzos a intentar crear la pista de bochas perfecta y con ello se convirtió en la autoridad más destacada en semillas de césped y césped del Nuevo Mundo.
Resulta extraordinario pensar que mucho menos de un siglo separa la época en que Jefferson y Washington vivieron en una tierra salvaje y sin infraestructuras de una Edad de Oro en la que Norteamérica acabó dominando el mundo. Seguramente no ha existido otro momento en la historia en el que la vida diaria haya cambiado de forma más radical y exhaustiva que en los setenta y cuatro años transcurridos desde la muerte de Thomas Jefferson, en 1826, y el inicio del siglo siguiente, casi los mismos años, da la casualidad, que marcaron el inicio y el fin de la plácida vida del señor Marsham en Inglaterra.
* * * *
Y todo esto tiene una pequeña posdata. En verano de 1814, los británicos incendiaron el edificio del Capitolio norteamericano (un acto de vandalismo tan exasperante para Jefferson que se le pasó incluso por la cabeza enviar agentes norteamericanos a Londres para incendiar sus monumentos históricos) y, junto con él, la Biblioteca del Congreso. De inmediato, Jefferson ofreció con generosidad a la nación su biblioteca privada «en los términos que el Congreso pudiera considerar adecuados». Jefferson creía tener unos diez mil libros, pero cuando una delegación del Gobierno federal fue a inspeccionar su colección, descubrieron que la cifra exacta era de 6.487 ejemplares. Peor aún, cuando le echaron un vistazo a los libros, dejaron de estar tan seguros de quererlos. Muchos, tenían la sensación, no eran de interés alguno para el Congreso, pues versaban sobre temas como la arquitectura, la vitivinicultura, la cocina, la filosofía y el arte. Cerca de una cuarta parte estaban escritos en idiomas extranjeros, «que no pueden leerse», destacó apesadumbrada la delegación, mientras que muchos más eran de una «naturaleza inmoral e irreligiosa». Al final, los congresistas asignaron 23.900 dólares a Jefferson por su biblioteca —mucho menos de la mitad de su valor— y se llevaron los libros casi a regañadientes. Jefferson, como cabía esperar, se embarcó de inmediato en la construcción de una nueva biblioteca, y había acumulado cerca de mil libros nuevos en el momento de su fallecimiento sólo una década después.Tal vez el Congreso no se haya mostrado especialmente agradecido por este golpe de fortuna, pero la adquisición proporcionó a los recién nacidos Estados Unidos la biblioteca gubernamental más sofisticada del mundo y redefinió por completo el papel de una biblioteca de este tipo. Anteriormente, las bibliotecas gubernamentales habían sido meras salas de referencia, concebidas con objetivos estrictamente prácticos, pero aquélla sería una colección exhaustiva y universal, un concepto distinto por completo.
En la actualidad, la Biblioteca del Congreso es la biblioteca más grande del mundo, con más de ciento quince millones de libros y objetos relacionados con ellos. Por desgracia, la aportación de Jefferson no duró mucho tiempo allí. Treinta y seis años después de que la biblioteca de Jefferson fuese adquirida, la mañana de Nochebuena, se incendió una de las chimeneas de la biblioteca del Capitolio. Al ser tan temprano y un día festivo, no había nadie presente para percatarse del fuego o controlar su propagación. Cuando el incendio fue descubierto y controlado, gran parte de la colección había sido ya destruida, incluyendo el precioso ejemplar de Jefferson de Los cuatro libros de la arquitectura.
El año del incendio, no es necesario decirlo, fue 1851.
§. 1
Llegamos ahora a la parte más peligrosa de la casa; de hecho, uno de los entornos más arriesgados que existe: la escalera. Nadie sabe con certeza lo peligrosas que pueden ser las escaleras, puesto que la constancia escrita al respecto es curiosamente deficiente. La mayoría de los países mantiene registros de muertos y heridos por caídas, pero sin que conste la causa de dichas caídas. En Estados Unidos, por ejemplo, se sabe que cerca de doce mil personas al año caen al suelo y nunca vuelven a levantarse, pero se desconoce si ello es debido a que han caído de un árbol, de un tejado o del porche de atrás. En Gran Bretaña constaban, hasta 2002, cifras bastante escrupulosas en relación con caídas producidas en escaleras, pero el Departamento de Comercio e Industria decidió aquel año que realizar el seguimiento de este tipo de cosas era una extravagancia que no podía seguir permitiéndose, una medida económica bastante desacertada teniendo en cuenta lo mucho que las caídas le cuestan a la sociedad. El último conjunto de datos indicaba que, a lo largo de aquel año, la descomunal cifra de 306.166 británicos resultaron heridos como consecuencia de caídas por las escaleras, con la gravedad suficiente como para requerir atención médica, lo que indica claramente que no es cuestión baladí.John A. Templer, del MIT, autor de un texto erudito inmejorable sobre el tema (y hay que decir, prácticamente único), The Staircase: Studies of Hazards, Falls and Safer Design, sugiere que las cifras totales de caídas están seguramente muy infravaloradas. Pero incluso en los cálculos más conservadores, las escaleras aparecen como la segunda causa más común de muerte accidental, muy por detrás de los accidentes de coche pero por delante de ahogamientos, quemaduras y otras desgracias similarmente tristes. Cuando se calcula lo que le cuestan a la sociedad las caídas en términos de horas laborales perdidas y la tensión que suponen para el sistema sanitario, resulta curioso que no se hayan estudiado con más atención. Se invierten cantidades enormes de tiempo y dinero burocrático en prevención de incendios, investigación de incendios, reglamentación anti incendios y seguros contra incendios, pero apenas se dedica nada a la comprensión o la prevención de las caídas.
Todo el mundo tropieza por las escaleras en un momento u otro. Se ha calculado que existe la probabilidad de poner mal el pie en un peldaño una de cada 2.222 veces que utilizamos una escalera, de sufrir un accidente leve una de cada 63.000 veces, un accidente doloroso una de cada 734.000 y de necesitar atención hospitalaria una de cada 3.616.667 veces.
El 84 % de las personas que mueren como consecuencia de caídas en las escaleras de casa son mayores de sesenta y cinco años. Y no es tanto porque los ancianos no vayan con más cuidado cuando suben y bajan escaleras, como porque no se levantan bien después de la caída. Los niños, por suerte, rara vez mueren como consecuencia de caídas en escaleras, aunque las casas con niños pequeños son las que presentan porcentajes de lesiones más elevados, en parte porque utilizan mucho las escaleras y en parte debido a las cosas de todo tipo que los niños dejan en los peldaños. Los solteros presentan más probabilidades de caer que los casados, y las personas que en su día estuvieron casadas caen más que los integrantes de los dos grupos anteriores. La gente en buena forma cae más a menudo que la gente con mala condición física, en gran parte porque dan más saltos y no bajan con tanto cuidado ni realizando tantas pausas como los rechonchos o los enfermizos.
El mejor indicador de su riesgo personal es haberse caído muchas veces previamente. La tendencia a los accidentes es un área algo controvertida entre los epidemiólogos que estudian las lesiones provocadas por las escaleras, pero por lo que parece es una realidad. Cerca de cuatro de cada diez personas lesionadas en una caída por las escaleras ya habían resultado heridas antes como consecuencia de una caída de ese mismo tipo.
La gente cae de distintas maneras en distintos países. En Japón, por ejemplo, existen más probabilidades de resultar lesionado como consecuencia de una caída por las escaleras de una oficina, un centro comercial o una estación de tren que en Estados Unidos. Y no se debe a que los japoneses utilicen las escaleras de forma más temeraria, sino simplemente a que los norteamericanos no utilizan tantas escaleras en espacios públicos. Confían en la comodidad y la seguridad de ascensores y escaleras mecánicas. Las lesiones por caídas en escaleras de los norteamericanos se producen de un modo abrumador en casa, casi el único lugar donde se someten a la utilización regular de las escaleras. Por el mismo motivo, las mujeres presentan mayores probabilidades de caídas por las escaleras que los hombres: las utilizan más, sobre todo en casa, donde se producen mayoritariamente las caídas.
Cuando caemos por las escaleras, solemos echarnos a nosotros mismos la culpa del accidente y en general atribuimos la caída a un descuido o una falta de atención. De hecho, el diseño influye de forma importante en la probabilidad de que se produzca una caída y en el dolor que sentiremos cuando dejemos de rebotar por los peldaños. Una mala iluminación, la ausencia de barandillas, peldaños irregulares, contrahuellas excesivamente altas o bajas, peldaños excepcionalmente anchos o estrechos y descansillos que interrumpen el ritmo del ascenso o el descenso son los principales fallos de diseño causantes de accidentes.
Según Templer, la seguridad de las escaleras no es un problema único, sino dos: «Evitar las circunstancias que causan los accidentes y diseñar escaleras que minimicen los daños en caso de producirse un accidente». Habla de una estación de tren en Nueva York (no especifica cuál) en la que se aplicó a los bordes de los peldaños un tratamiento antideslizante con un dibujo que hacía difícil discernir dónde se acababa el peldaño. En el plazo de seis semanas, más de mil cuatrocientas personas —una cifra verdaderamente asombrosa— cayeron por esas escaleras, momento en el cual decidieron solucionar el problema.
Las escaleras incorporan tres figuras geométricas: la contrahuella, la huella y la pendiente. La contrahuella es la altura entre peldaños, la huella es el peldaño en sí (técnicamente, la distancia entre los bordes, o mamperlanes, de dos peldaños sucesivos medida horizontalmente), y la pendiente es la inclinación total de la escalera. El ser humano tiene una tolerancia a las pendientes bastante limitada. Cualquier cosa superior a 45 grados resulta incómodamente costosa de subir, cualquier cosa inferior a 27 grados es tediosamente lenta. Resulta muy duro subir escalones que no tienen mucha pendiente, y todo ello se debe a que nuestra zona de confort es muy pequeña. Un problema inevitable de las escaleras es que tienen que transmitir seguridad en ambas direcciones, por mucho que los mecanismos de la locomoción exijan posturas distintas en cada dirección. (Cuando subimos nos inclinamos hacia las escaleras, mientras que cuando bajamos echamos hacia atrás nuestro centro de gravedad, como si aplicásemos un freno). Por lo tanto, las escaleras que resultan seguras y cómodas en ascenso tal vez no lo sean tanto para bajar, y viceversa. La capacidad de proyección hacia arriba que tenga la huella, por decir algo, puede llegar a afectar a la probabilidad de dar un traspié. En un mundo perfecto, las escaleras cambiarían ligeramente de forma dependiendo de si el usuario subiera o bajara por ellas. Pero en la práctica, podríamos decir que cualquier escalera es un término medio.
Observemos una caída a cámara lenta. Bajar una escalera es, en cierto sentido, una caída controlada. El cuerpo se impulsa hacia el exterior y hacia abajo de un modo que sería a todas luces peligroso si no estuviéramos controlándolo todo. El problema para el cerebro estriba en distinguir el momento en el que el descenso deja de estar controlado y se inicia una situación de infeliz caos. El cerebro humano responde muy rápidamente al peligro y al desorden, pero aun así los reflejos necesitan una mínima fracción de tiempo —190 milisegundos para ser exactos— para ponerse en marcha, para que la mente asimile que algo va mal (que ha pisado un patín, por decir algo) y de este modo prepararse para realizar un aterrizaje complicado. Durante este intervalo tan increíblemente breve el cuerpo descenderá, en promedio, varios centímetros más… demasiados, en general, para que el aterrizaje resulte elegante. Si todo esto sucede en el último peldaño, el resultado no será otro que un desagradable sobresalto, más bien una afrenta a la dignidad que otra cosa. Pero si sucede más arriba, los pies no serán capaces de llevar a cabo una recuperación con el debido estilo y habrá que confiar en que podamos agarrarnos al pasamano o, en realidad, en que haya un pasamano. Un estudio realizado en 1958 descubrió que en tres cuartas partes de todas las caídas por escalera no había pasamanos en el punto donde se inició la misma.
Los dos momentos en que debe prestarse especial atención a una escalera son al principio y al final del recorrido. Es entonces cuando tendemos a estar más distraídos. Hasta un tercio de todos los accidentes en escaleras se producen en el primero o en el último peldaño, y dos tercios se producen en los tres primeros o en los tres últimos peldaños. La circunstancia más peligrosa es encontrar un único peldaño en un sitio inesperado. Casi igual de peligrosas son las escaleras con cuatro o menos peldaños. Parecen inspirar un exceso de confianza.
No es de sorprender que bajar escaleras resulte mucho más peligroso que subirlas. Cerca del 90 % de las lesiones se producen durante el descenso. La probabilidad de sufrir una caída «grave» es del 57 % en tramos de escalera rectos y de sólo el 37 % en escaleras con un recodo. También los descansillos deben tener un determinado tamaño —se considera correcta la suma del ancho de un peldaño más el ancho de un paso— para no romper el ritmo del usuario de la escalera. Una rotura del ritmo es el preludio de una caída.
Durante mucho tiempo se reconoció que la gente que sube y baja escaleras valora poder hacerlo con un determinado ritmo, y que este instinto podía satisfacerse fácilmente construyendo peldaños anchos en ascensos cortos y peldaños más estrechos en ascensos con mayor pendiente. Pero los autores de la arquitectura clásica dijeron muy poco sobre el diseño de las escaleras. Vitrubio se limitó a sugerir que las escaleras tenían que estar bien iluminadas. Lo que le preocupaba no era disminuir el riesgo de caídas, sino impedir que chocara la gente que se movía en direcciones opuestas (otro recordatorio de lo oscuro que podía llegar a ser el mundo anterior a la electricidad). No fue hasta finales del siglo XVII cuando un francés llamado François Blondel concibió una fórmula que fijaba matemáticamente la relación entre la contrahuella y la huella. Sugirió en concreto que, por cada unidad que aumentara la altura, la profundidad del peldaño debería disminuir en dos unidades. La fórmula fue ampliamente adoptada e incluso ahora, más de tres siglos después, continúa siendo venerada en muchos códigos constructivos aun sin funcionar del todo bien —o sin funcionar en absoluto— en escaleras excepcionalmente altas o excepcionalmente bajas.
En tiempos modernos, la persona que se tomó más en serio el diseño de escaleras fue, sorprendentemente, Frederick Law Olmsted. A pesar de que apenas nada de lo que le ocupaba se lo exigía, Olmsted se dedicó a medir quisquillosamente —y a veces incluso de forma obsesiva— huellas y contrahuellas durante nueve años para conseguir una fórmula que garantizase una escalera con confort y seguridad en ambas direcciones. Sus descubrimientos quedaron reflejados en un par de ecuaciones elaboradas por un matemático llamado Ernest Irving Freeze. Son las siguientes:
R = 9 - V 7 (G - 8) (G - 2)
yG = 5 + V 1/7 (9 - R)2 + 9
La primera, me han dicho, es para cuando la huella es fija, y la segunda para cuando no lo es.En la época actual, Templer sugiere que las contrahuellas deberían tener entre dieciséis y dieciocho centímetros, y que las contrahuellas nunca deberían ser inferiores a veintitrés centímetros, sino más bien tener unos veintiocho, aunque si miramos a nuestro alrededor observaremos que la variación es enorme. En general, y según la Encyclopaedia Britannica, en Estados Unidos los escalones suelen ser algo más altos, por unidad de peldaño, que los británicos, y los del resto de Europa más altos aún, pero no lo cuantifica.
En términos de la historia de la escalera, poca cosa puede decirse. Nadie sabe dónde se originó la escalera ni cuándo, ni siquiera aproximadamente. Las primeras, no obstante, no debieron de ser diseñadas para desplazarse hacia un piso más elevado, como cabría esperar, sino más bien hacia abajo, hacia el interior de las minas. En 2004 se descubrió la escalera de madera más antigua de la que se tiene noticia, fechada hace tres mil años, en Hallstatt, Austria, en el interior de una mina de sal subterránea de la Edad de Bronce. Fue posiblemente el primer entorno en el cual la capacidad de poder ascender y descender sin más ayuda que los pies (a diferencia de una escalera de mano, en la que son también imprescindibles las extremidades superiores) se convirtió en una ventaja necesaria y positiva, pues significaba poder tener ambas manos libres para transportar cargas pesadas.
«Perspectiva de una escalera», por Thomas Malton.
§. 2
Mientras continuamos con el tema de cómo nuestras casas pueden causarnos daños, haremos una pausa en el descansillo y reflexionaremos sobre otro elemento arquitectónico que a lo largo de la historia ha demostrado ser letal para un número sorprendentemente elevado de personas: las paredes, o más en particular lo que va sobre las paredes, es decir, pintura y papel pintado. Durante muchísimo tiempo ambos fueron, en diversos sentidos, sólidamente dañinos.Pensemos en el papel pintado, un producto que justo empezaba a popularizarse en los hogares en la época en que el señor Marsham construyó su rectoría. Durante mucho tiempo, el papel pintado —o «papel manchado», como se le denominaba aún en ciertas ocasiones— había sido muy caro. Estuvo sometido a fuertes impuestos durante cerca de un siglo y su fabricación, además, era extremadamente laboriosa. No estaba hecho a partir de pasta de celulosa de madera, sino con trapos viejos. Clasificar trapos era un trabajo sucio que exponía a los clasificadores a diversas enfermedades infecciosas. Hasta la invención, en 1802, de una máquina capaz de crear rollos continuos de papel, el tamaño máximo de una hoja no superaba los sesenta centímetros, lo que significaba que el papel debía unirse con gran destreza y cuidado. La condesa de Suffolk pagó 42 libras por empapelar una sola habitación en un momento (hacia 1750) en el que alquilar una buena casa en Londres costaba 12 libras anuales. El papel pintado con relieve textil, hecho con hilos de lana tintada pegados sobre la superficie del papel, se puso muy de moda después de 1750, pero además de los peligros implícitos de la fabricación del papel, presentaba otros relacionados con las colas, que solían ser tóxicas.
Cuando en 1830 desapareció por fin el impuesto sobre el papel pintado, el producto despegó (o tal vez sería más adecuado decir que continuó adelante). El número de rollos vendidos en Gran Bretaña pasó de un millón en 1830 a treinta millones en 1870, y fue a partir de entonces cuando empezó a ponerse enferma más gente. Desde sus inicios, el papel pintado se había coloreado con pigmentos que utilizaban grandes dosis de arsénico, plomo y antimonio, pero a partir de 1775 empezó a empaparse con un componente especialmente insidioso llamado arseniato de cobre, inventado por un desdichado químico sueco llamado Karl Scheele [50] . El color era tan popular que acabó conociéndose como verde Scheele. Posteriormente, con la adición de acetato de cobre, se refino hasta obtener un pigmento más rico si cabe conocido como verde esmeralda. Se utilizaba para colorear todo tipo de objetos: barajas de cartas, velas, prendas y tejido para cortinas, e incluso ciertos alimentos. Pero se hizo especialmente popular en el papel pintado. Y era peligroso no sólo para los que fabricaban o colocaban el papel pintado, sino también para los que después vivían con él.
A finales del siglo XIX, el 80 % de los papeles pintados ingleses contenía arsénico, a menudo en cantidades significativas. Uno de sus entusiastas fue el diseñador William Morris, que no sólo adoraba los verdes ricos en arsénico, sino que además formaba parte del consejo directivo de una empresa de Devon (y había invertido mucho dinero) que fabricaba pigmentos hechos con arsénico. Sobre todo en presencia de humedad —y en las casas inglesas era la regla, no la excepción—, el papel pintado desprendía un olor mohoso peculiar que a muchos les recordaba el del ajo. La gente se daba cuenta de que en los dormitorios con papel pintado verde no solía haber chinches. Se ha sugerido también que aquel papel pintado venenoso podía ser el responsable de que los cambios de aires fueran siempre tan beneficiosos para los enfermos crónicos. En muchos casos, cambiar de aires significaba sin duda escapar de un envenenamiento lento. Una de sus víctimas fue Frederick Law Olmsted, un hombre con quien estamos tropezándonos con más frecuencia de lo que cabría esperar. Por lo que parece, en 1893 sufrió un envenenamiento con arsénico provocado por el papel pintado de su dormitorio, justo en el momento en que el mundo empezaba a descubrir qué era lo que les hacía sentirse tan mal cuando estaban en la cama, y necesitó un verano entero de convalecencia… en otro dormitorio.
Las pinturas resultaban asimismo sorprendentemente peligrosas. La fabricación de pinturas implicaba la mezcla de numerosos productos tóxicos, en particular plomo, arsénico y cinabrio (un primo hermano del mercurio). Los pintores sufrían una vaga pero generalizada dolencia conocida como cólico de los pintores, que era, en esencia, una intoxicación de plomo adornada [51] . Los pintores compraban un bloque de plomo blanco y luego lo trituraban hasta convertirlo en polvo, un proceso que solían llevar a cabo haciendo rodar una bola de hierro repetidamente sobre el bloque. Con ello se ensuciaban y levantaban una auténtica polvareda… un polvo que era tremendamente tóxico. Entre los numerosos síntomas, los pintores solían presentar parálisis, tos fuerte y persistente, apatía, melancolía, pérdida del apetito, alucinaciones y ceguera. Una de las peculiaridades de la intoxicación con plomo es que provoca un agrandamiento de la retina que lleva a algunas de sus víctimas a ver halos rodeando los objetos, un efecto que Vincent Van Gogh explotó en sus pinturas. Es probable que también sufriera intoxicación por plomo. Era frecuente entre los artistas. James McNeill Whistler cayó gravemente enfermo por culpa del plomo blanco, que utilizó en grandes cantidades para crear su conocido cuadro a tamaño natural titulado La chica blanca.
Actualmente, la pintura con plomo está prohibida en casi todas partes con la excepción de determinadas aplicaciones muy concretas, aunque los restauradores la echan de menos porque proporcionaba una profundidad de color y una atmósfera suave que las pinturas modernas no consiguen igualar. La pintura con plomo destaca especialmente sobre madera.
La pintura implicaba también muchos problemas de competencias. En Inglaterra, y gracias a un sistema de gremios artesanales, era muy complicado saber quién tenía permiso para hacer qué, lo que se traducía en que algunos artesanos podían aplicar pintura, otros podían aplicar temples, y otros no podían aplicar ninguna de las dos cosas. Los pintores eran los que se ocupaban mayormente de pintar, como cabría esperar, pero los yeseros tenían permiso para aplicar temple (una especie de pintura fina) a las paredes enyesadas, aunque sólo unos pocos tonos. Fontaneros y vidrieros, por otro lado, podían aplicar pinturas al óleo pero no temple. Los motivos de todo ello son bastante inciertos, pero seguramente están relacionados con el hecho de que los marcos de las ventanas eran a menudo de plomo, un material en el que estaban especializados tanto fontaneros como vidrieros.
El temple se fabricaba con una mezcla de yeso y cola. Tenía un acabado más suave y fino que resultaba ideal para las superficies enlucidas. Hacia mediados del siglo XVIII, el temple cubría normalmente paredes y techos mientras que las pinturas oleosas, más pesadas, cubrían las superficies de madera. Las pinturas oleosas eran una propuesta más compleja. Consistían en una base (normalmente carbonato de plomo, o «plomo blanco»), un pigmento para proporcionar el color, un aglutinante como el aceite de linaza para hacerlas pegajosas, y agentes espesantes como cera o jabón, un detalle algo sorprendente teniendo en cuenta que las pinturas oleosas del siglo XVIII eran de por sí bastante viscosas y difíciles de aplicar («como extender alquitrán con una escoba», según palabras del escritor David Owen). Cuando alguien descubrió que incorporando trementina, un disolvente natural destilado a partir de la savia de los pinos, la pintura resultaba más fácil de aplicar, pintar se volvió por fin una tarea más fácil y el resultado más delicado. La trementina proporcionaba además un acabado mate, un estilo que se puso de moda a finales del siglo XVIII.
El aceite de linaza fue el ingrediente mágico de la pintura gracias a que la endurecía formando una capa lisa y resistente, es decir, fue lo que convirtió la pintura en pintura. El aceite de linaza se obtiene exprimiendo las semillas del lino, la planta de la que se obtiene también el lino como tejido. Su enorme desventaja era su extrema combustibilidad —en las condiciones adecuadas, un frasco de aceite de linaza podía estallar en llamas de manera espontánea— y con toda seguridad fue el origen de múltiples y devastadores incendios domésticos. Por ello tenía que utilizarse con especial precaución en presencia de fuego.
El acabado más elemental de todos era la lechada de cal, o blanqueado, que se aplicaba en general a las zonas más básicas, como las habitaciones de servicio y las dependencias de los criados. El encalado era una sencilla mezcla de cal viva y agua (mezclada a veces con sebo para mejorar la adherencia); no duraba mucho tiempo, pero aportaba el beneficio práctico de actuar como un desinfectante. A pesar de su nombre, el blanqueado iba muy a menudo tintado (aunque débilmente) con agentes colorantes.
Pintar era todo un arte, pues eran los mismos pintores quienes trituraban sus pigmentos y mezclaban sus pinturas —es decir, creaban sus propios colores— y en general lo hacían con gran secretismo para obtener una ventaja comercial sobre sus rivales. (Si al aceite de linaza se le añaden resinas en lugar de pigmentos, se obtiene barniz. Los pintores también realizaban este tipo de mezclas con enorme secretismo). La pintura tenía que mezclarse en proporciones pequeñas y utilizarse enseguida, por lo que la habilidad de saber preparar remesas de día en día escondía toda una técnica. Había además que aplicar varias capas, pues incluso las mejores pinturas tenían escasa opacidad. En general, para cubrir una pared se necesitaba un mínimo de cinco capas. Así pues, pintar era una tarea enorme, perturbadora y bastante técnica.
Los pigmentos tenían precios muy variados. Los colores más apagados, como el blanco roto y el piedra, podían obtenerse por 4 o 5 peniques el medio kilo. Los azules y los amarillos eran dos o tres veces más caros, y en consecuencia los empleaban únicamente los integrantes de las clases medias y superiores. El azul esmaltado, un tono de azul hecho con cristal en polvo, que le daba un efecto brillante, y azurita, conseguida a partir de una piedra semipreciosa, era aún más cotizado. El más caro de todos era el verdete, que se obtenía colgando tiras de cobre sobre una tina llena de excrementos de caballo y vinagre y rascando luego el cobre oxidado resultante. Se trata del mismo proceso que otorga su color verde a las cúpulas y las estatuas de cobre —sólo que más rápido y más comercial— y daba como resultado «el verde Hierba más delicado del mundo», según declaró un entusiasmado admirador del siglo XVIII. Una habitación pintada de verdete siempre generaba una exclamación de admiración en sus visitantes.
Cuando las pinturas se popularizaron, la gente empezó a quererlas con los colores más intensos que pudieran obtenerse. Los colores contenidos que asociamos en Gran Bretaña con el periodo georgiano, o en Norteamérica con el periodo colonial, son consecuencia de la descoloración, no una contención decorativa. En 1979, cuando Mount Vernon inició un programa con la intención de repintar los interiores con colores fieles a la antigua realidad, «la gente venía gritándonos —me explicó con una sonrisa Dennis Pogue, su conservador, durante mi visita—. Nos decían que estábamos convirtiendo Mount Vernon en una cosa chillona. Y tenían razón… era lo que estábamos haciendo. Pero simplemente porque era así. A mucha gente le costó aceptar que lo que estábamos llevando a cabo era una restauración fiel».
«Incluso ahora, las cartas de colores de pinturas de estilo colonial nos muestran casi siempre tonos apagados. Pero, de hecho, eran colores bastante intensos y a veces incluso sorprendentes. Cuanta más robustez pudieras conseguir en un color, más admiración obtenías a cambio. Para empezar, los colores fuertes denotaban que habías incurrido en un gasto importante, pues su producción incluía una cantidad importante de pigmento. Además, hay que recordar que estos colores se veían a la luz de las velas, por lo que necesitaban ser intensos para poder impactar en la penumbra».
El efecto se repite ahora en Monticello, donde varias de las habitaciones están pintadas con intensos amarillos y verdes. De pronto, George Washington y Thomas Jefferson parecen tener los instintos decorativos de los hippies. Pero, en realidad, si se comparan con lo que les siguió eran tremendamente contenidos.
Cuando en la segunda mitad del siglo XIX salieron al mercado las pinturas ya mezcladas, la gente empezó a embadurnar paredes con ellas con un desenfreno casi salvaje. Se puso de moda no sólo pintar con colores intensamente llamativos, sino también combinar hasta siete u ocho colores en una sola habitación.
Pero si observáramos la situación con detalle, nos sorprendería descubrir que en tiempos del señor Marsham había dos colores muy básicos que ni siquiera existían: un buen blanco y un buen negro. El blanco más luminoso disponible era un blanco roto bastante apagado, y a pesar de que los blancos mejoraron con el paso del siglo XIX, no fue hasta la década de 1940, con la incorporación del dióxido de titanio a las pinturas, cuando empezaron a estar disponibles blancos potentes y duraderos. La ausencia de una buena pintura blanca debió de ser doblemente destacable en los inicios de Nueva Inglaterra, pues los puritanos no sólo carecían de pintura blanca, sino que además no creían en la pintura. (La consideraban ostentosa). Por lo tanto, las relucientes iglesias blancas que asociamos con las ciudades de Nueva Inglaterra son, en realidad, un fenómeno relativamente nuevo.
La paleta del pintor carecía también de un negro potente. La pintura negra permanente, destilada del alquitrán y la brea, no estuvo disponible a nivel popular hasta finales del siglo XIX. En consecuencia, ese negro brillante que vemos en puertas, barandillas, verjas, farolas, canalones, bajantes y otros accesorios que constituyen una característica elemental de las calles del Londres actual, es en realidad algo bastante reciente. Si pudiéramos viajar en el tiempo y regresar al Londres de Dickens, una de las diferencias más notables que apreciaríamos sería la ausencia de superficies pintadas de negro. En época de Dickens, los elementos de hierro eran de color verde, azul claro o de un tono gris apagado.
Ahora, subamos la escalera y entremos en una habitación que tal vez no haya matado nunca a nadie, pero que con toda probabilidad ha sido testigo de más sufrimiento y desesperación que la suma de todas las demás habitaciones de la casa.
§. 1
El dormitorio es un lugar extraño. No hay otro espacio en la casa donde pasemos más tiempo sin hacer nada, y haciéndolo de la forma más silenciosa e inconsciente, y aun así es en el dormitorio donde se materializan gran parte de las desdichas más profundas y persistentes de la vida. Si está usted moribundo o enfermo, agotado, con problemas sexuales, con ganas de llorar, atormentado por la ansiedad, demasiado deprimido para enfrentarse al mundo o carente de ecuanimidad y alegría, el dormitorio será el lugar donde con toda probabilidad lo encontraremos. Ha sido así durante siglos, pero justo en el momento en que el reverendo Marsham construía su casa, a la vida que se desarrollaba detrás de la puerta del dormitorio se le vino a sumar una dimensión completamente nueva: el terror. Nunca antes había encontrado la gente más cosas de las que preocuparse que los victorianos en sus dormitorios.Las camas, muy especialmente, se convirtieron en causa de gran desasosiego. Por lo que parece, incluso la gente más limpia se convertía en una vaporosa masa de toxinas en cuanto se apagaba la luz. «El agua que desprende la respiración —explicaba Shirley Foster Murphy en Our Homes, and How to Make Them Healthy (1883) — está cargada de impurezas animales; se condensa en las paredes interiores de los edificios y gotea en forma de fétidos hilillos, y […] penetra en los muros», causando daños de naturaleza grave, aunque no especificada. En ningún momento se explicaba, ni se consideraba siquiera, por qué no provocaba estos daños cuando estaba dentro del organismo. Bastaba con saber que respirar por la noche era una práctica degenerada.
Se aconsejaban camas separadas para las parejas casadas, no sólo para evitar la vergonzosa emoción de un contacto accidental, sino también para reducir la mezcolanza de impurezas personales. Tal y como una autoridad médica explicaba con gravedad: «El aire que rodea el cuerpo debajo de la ropa de cama es extremadamente impuro al estar impregnado con sustancias venenosas que escapan a través de los poros de la piel». Hasta el 40 % de las muertes que se producían en Norteamérica, estimó un médico, eran resultado de la exposición crónica al aire insalubre durante las horas de sueño.
Las camas eran otra complicación. Dar la vuelta a los colchones y sacudirlos era una tarea habitual, y pesada. Un colchón normal de plumas contenía dieciocho kilos de plumas. Almohadas y cojines pesaban otro tanto, y todo eso tenía que vaciarse por completo de vez en cuando para que las plumas se aireasen, pues, de lo contrario, empezaban a oler mal. Era habitual tener gansos en las casas, que se desplumaban (una tarea agotadora tanto para los criados como para los gansos) unas tres veces al año para rellenar colchones y cojines. Un colchón de plumas recién sacudido debía de tener un aspecto divino, pero sus ocupantes acababan enseguida hundiéndose en las fisuras sin aire que se producían entre aquellas ondulantes colinas. El soporte estaba construido con un enrejado de cuerdas, que podían tensarse con una llave cuando empezaban a aflojarse (de ahí la expresión en inglés sleep tight [52] ), aunque ningún grado de tensión conseguía proporcionar el descanso adecuado. Los colchones de muelles se inventaron en 1865, pero al principio eran poco fiables puesto que los alambres podían moverse, conllevando el peligro muy real de que el ocupante de la cama acabara recibiendo un pinchazo.
Un popular libro norteamericano del siglo XIX, Goodhome’s Cyclopedia, dividía los colchones en diez tipos distintos según su nivel de confort. En orden descendente, eran:
PlumónCuando las virutas de madera y el serrín aparecen en una lista de los diez mejores materiales para fabricar un colchón comprendemos que nos enfrentamos a una época dura. Los colchones eran refugio no sólo de chinches, pulgas y polillas (que adoraban las plumas viejas cuando podían hacerse con ellas), sino también de ratas y ratones. El sonido de furtivos crujidos debajo del cubrecama acompañaba por desgracia el sueño de muchos.
Plumas
Lana
Vellón de lana
Pelo
Algodón
Virutas de madera
Algas marinas
Serrín
Paja
Los niños que tenían que dormir en camas nido bajas estaban especialmente familiarizados con la proximidad de los bigotes de las ratas. Una norteamericana llamada Eliza Ann Summers informaba en 1867 de cómo su hermana y ella se metían cada noche en la cama cargadas de zapatos para echarles a las ratas que correteaban por el suelo. Susanna Augusta Fenimore Cooper, hija de James Fenimore Cooper, dijo que nunca olvidaría y, de hecho, que jamás había superado, la experiencia de sentir las ratas recorriendo su cama cuando era pequeña.
Thomas Tyron, autor en 1683 de un libro sobre salud y bienestar, se quejaba de que el «sucio y excesivo excremento» de las plumas resultaba atractivo para los bichos. Sugería en su lugar paja fresca, y en grandes cantidades. Creía también (y con cierta justificación) que las plumas solían estar sucias de la materia fecal de las estresadas e infelices aves de las que se obtenían.
Históricamente, el relleno básico más común fue la paja, cuyos pinchazos a través del cutí eran un famoso tormento, pero la verdad es que solía utilizarse cualquier cosa que se encontrara. En la casa donde Abraham Lincoln pasó su infancia, utilizaban el hollejo seco del maíz, una alternativa que tenía que resultar tan ruidosa y crujiente como poco confortable. Cuando uno no podía permitirse plumas, la lana o la crin de caballo eran opciones más baratas, aunque solían oler fuerte. Además, la lana se infestaba de polillas. El único remedio seguro contra ellas era extraer la lana y ponerla a hervir, un proceso tedioso. En los hogares más pobres, se colgaban excrementos de vaca de los postes de la cama con la creencia de que ahuyentaban las polillas. En climas cálidos, los insectos que en verano entraban por las ventanas eran tanto una molestia como un peligro. A veces las camas se envolvían con mosquiteras, pero siempre con cierta inquietud, pues las mosquiteras eran extremadamente inflamables. Un visitante que estuvo en la zona norte del estado de Nueva York hacia 1790, informó de que sus anfitriones, en un bienintencionado ejercicio de fumigación, le llenaron la habitación de humo justo antes de acostarse y tuvo que abrirse camino a tientas entre una neblina asfixiante hasta dar con la cama. Se habían inventado ya las ventanas mosquiteras para impedir el paso de los insectos —Jefferson las tenía en Monticello—, pero su utilización no estaba generalizada debido a su elevado coste.
Durante gran parte de la historia la cama fue, para los propietarios de viviendas, su posesión más preciada. En tiempos de William Shakespeare, por ejemplo, una cama con dosel costaba 5 libras, la mitad del sueldo anual de un maestro de escuela. Al ser objetos tan valiosos, la mejor cama solía quedarse en la planta baja, con frecuencia en la sala de estar, para hacer alarde de ella ante los invitados o para que se viera desde la calle a través de una ventana abierta. En general, estas camas se reservaban en principio a las visitas importantes, pero en la práctica apenas se utilizaban, un hecho que viene a sumar cierta perspectiva a la famosa cláusula del testamento de Shakespeare por la que legaba a su esposa Anne su segunda mejor cama. Este hecho se ha interpretado a menudo como un insulto, cuando en realidad la segunda mejor cama era a buen seguro la cama de matrimonio y, por lo tanto, aquella que podría guardar más cariñosos recuerdos. Por qué Shakespeare mencionó en su testamento aquella cama en particular es un misterio aparte, puesto que en circunstancias normales Anne habría heredado todas las camas de la vivienda, pero en ningún caso fue el desaire que muchas interpretaciones han pretendido ver.
En otros tiempos, la intimidad era un concepto muy distinto al que ahora tenemos de ella. En las posadas, compartir la cama siguió siendo común hasta bien entrado el siglo XIX, y en los diarios encontramos frecuentes notas en las que el autor se lamenta de lo desagradable que resulta descubrir que un desconocido ocupa a última hora el otro lado de tu cama. En 1776, Benjamin Franklin y John Adams tuvieron que compartir cama en una posada de Nuevo Brunswick, Nueva Jersey, y pasaron una interminable y malhumorada noche en vela discutiendo si dejar o no dejar la ventana abierta.
Incluso en las casas era perfectamente normal que un criado durmiera a los pies de la cama de su señor, independientemente de lo que dicho señor pudiera estar haciendo en la cama. Hay clara constancia escrita de que tanto el mayordomo como el chambelán del rey Enrique V estaban presentes mientras el soberano se acostaba con Catalina de Valois. Los diarios de Samuel Pepys indican que en el suelo de la habitación que compartía con su esposa dormía siempre una criada, a la que consideraba como una especie de alarma antirrobo viviente. En tales circunstancias, las cortinas que envolvían las camas proporcionaban cierta intimidad, además de cortar las corrientes de aire, aunque acabaron considerándose como otro insalubre refugio para el polvo y los insectos. Las cortinas de las camas eran además un peligro en caso de incendio, una consideración a tener muy en cuenta cuando todo en el dormitorio, desde la esterilla del suelo hasta la paja del tejado, era sumamente combustible. Cualquier libro que pudiera encontrarse en una casa alertaba sobre el peligro de leer en la cama a la luz de las velas, aunque mucha gente practicaba de todos modos esa costumbre.
En una de sus obras, John Aubrey, el historiador del siglo XVII, relata una anécdota sobre el matrimonio de Margaret, la hija de Tomás Moro, con un hombre llamado William Roper. En el relato, Roper se presenta una mañana en casa de Moro y le dice que desea casarse con una de sus hijas —cualquiera le va bien—, después de lo cual Moro conduce a Roper a su dormitorio, donde sus hijas duermen en una cama nido que cuando no se utiliza queda guardada debajo de la cama parental [53] . Moro se agacha y con destreza retira «la sábana por una esquina y tira de ella de repente», cuenta Aubrey con palabras que rezuman vigor, descubriendo de este modo la desnudez de ambas chicas. Protestando adormiladas por la interrupción de su sueño, se mueven hasta tumbarse boca abajo y, después de un instante de reflexión, sir William anuncia que ya ha visto ambos lados y toca levemente con su bastón el trasero de Margaret, de dieciséis años de edad. «Y el cortejo no presentaba más problemas», escribe Aubrey con patente admiración.
Independientemente de que el episodio sea cierto o no —y merece la pena destacar que Aubrey escribía más de un siglo después de los hechos—, lo que queda claro es que nadie en su época consideraba extraño que las hijas adultas de Moro durmieran al lado de la cama de sus padres.
El verdadero conflicto de las camas, sobre todo en época victoriana, es que eran inseparables de la más problemática de las actividades: el sexo. Dentro del matrimonio, el sexo era, claro está, necesario de vez en cuando. Mary Wood-Allen, en su popular e influyente Lo que debe saber la joven, aseguraba a sus jóvenes lectoras que participar en intimidades físicas dentro del matrimonio estaba permitido, siempre y cuando se hiciera «sin una partícula de deseo sexual». Se consideraba que el estado de humor y las reflexiones de la madre en el momento de la concepción y a lo largo del embarazo afectaban al feto de forma profunda e irremediable. Se aconsejaba a las parejas no mantener relaciones a menos que estuvieran «en plena simpatía» entre ellos en ese momento por miedo a engendrar un hijo fallido.
Para evitar la excitación, se instruía a las mujeres que tomasen aire fresco, que evitasen pasatiempos estimulantes como la lectura y jugar a las cartas y, sobre todo, que nunca utilizaran el cerebro más allá de lo estrictamente necesario. Educarlo no era sólo una simple pérdida de tiempo y recursos, sino que además era peligrosamente nocivo para su delicada constitución. En 1865, John Ruskin opinaba en un ensayo que las mujeres deberían cultivarse con el único fin de convertirse en esposas útiles para sus maridos, y nada más. Incluso la norteamericana Catherine Beecher, que para los estándares de la época era una feminista radical, defendía con pasión que las mujeres tenían que disfrutar de derechos de educación plenos y equitativos, siempre y cuando se reconociera que necesitaban un tiempo adicional para arreglarse el pelo.
Para los hombres, el desafío más destacado y preocupante era no derramar ni una gota de líquido seminal fuera de los sagrados vínculos del matrimonio… y tampoco muchas dentro de esos vínculos si podían conseguirlo. Según explicaba una autoridad, el líquido seminal, retenido en el interior del cuerpo, enriquecía la sangre y tonificaba el cerebro. La consecuencia de la descarga ilícita de este elixir era un debilitamiento, en el sentido más literal del término, de la mente y el cuerpo. Por lo tanto, incluso en el seno del matrimonio había que ser frugal a nivel espermático, pues la práctica frecuente del sexo generaba esperma «lánguido» y, como consecuencia de ello, descendencia apática. Se recomendaba practicar el sexo una vez al mes como máximo.
La autodestructiva masturbación era a todas luces impensable. Las famosas consecuencias de la masturbación incluían virtualmente toda enfermedad indeseable conocida por la ciencia médica, sin excluir la locura y la muerte prematura. Había que sentir lástima por los que contaminaban su persona de esta manera, «pobres criaturas trémulas y rastreras, pálidas, zanquilargas y miserables que se arrastran por la tierra», según los describía un cronista. «Cualquier acto de contaminación de la propia persona es un terremoto, una explosión, un golpe mortalmente paralizante», declaró otro. Los casos de estudio insistían muy gráficamente en los riesgos. Un médico llamado Samuel Tissot describía a uno de sus pacientes babeando continuamente, goteando sangre aguada por la nariz y «defecando en la cama sin percatarse de ello». Eran estas últimas cuatro palabras las que resultaban especialmente demoledoras.
Lo peor de todo era que la adicción a la masturbación se transmitía de forma automática a la descendencia, por lo que cada suceso de placer perverso no sólo ablandaba el cerebro del practicante, sino que además minaba la vitalidad de generaciones aún por nacer. El análisis más concienzudo de los peligros sexuales, eso sin mencionar lo exhaustivo de su título, lo aportó sir William Acton en The Functions and Disorders of the Reproductive Organs, in Chilhood, Youth, Adult Age, and Advanced Life, Considered in Their Physiological, Social and Moral Relations , publicado por vez primera en 1857. Fue él quien decidió que la masturbación producía ceguera. Y fue también el responsable de la famosa afirmación: «Debería decir que la mayoría de las mujeres no están muy preocupadas por ningún tipo de sensación sexual».
Estas creencias prevalecieron durante un tiempo asombrosamente largo. «Muchos de mis pacientes me explicaron que su primer acto de masturbación tuvo lugar mientras presenciaban un espectáculo musical», informó con gravedad, y quizás también con cierta improbabilidad, el doctor William Robinson en un trabajo sobre los trastornos sexuales publicado en 1916.
Por suerte, la ciencia estaba preparada para echar un cable. Un remedio, descrito por Mary Roach en Bonk: The Curious Coupling of Sex and Science, era el anillo para el pene con púas, desarrollado hacia 1850, que se pasaba por el pene en el momento de acostarse (o en cualquier otro momento), recubierto con púas metálicas que se clavaban si el pene aumentaba impíamente de tamaño más allá de un mínimo rango de desviación permitido. Otros artilugios utilizaban corrientes eléctricas para despertar de una sacudida al sujeto y obligarle a hacer penitencia.
Pero hay que decir que no todo el mundo coincidía con estos puntos de vista conservadores. Ya en 1836, una autoridad médica francesa llamada François Lallemand publicó un estudio en tres volúmenes en el que relacionaba las relaciones sexuales frecuentes con un buen estado de salud. George Drysdale, un médico escocés, se quedó tan impresionado con esta afirmación que formuló una filosofía de amor libre y sexo desinhibido que publicó en un libro titulado Physical, Sexual and Natural Religion. Publicado en 1855, vendió noventa mil ejemplares y fue traducido a once idiomas, «incluyendo el húngaro», como indica el Dictionary of National Biography poniendo su habitual y encantador énfasis en los detalles más triviales. Es evidente que en la sociedad había cierto deseo de poder disfrutar de una mayor libertad sexual. Pero por desgracia, la sociedad en general estaba todavía a más de un siglo de poder conseguirlo.
En una atmósfera tan cargada y confusa como aquélla, no es de extrañar que para muchos disfrutar de unas buenas relaciones sexuales fuera una aspiración inalcanzable, y ningún caso fue más sonado que el del propio John Ruskin. En 1848, cuando el gran crítico de arte se casó con Euphemia «Effie» Chalmers Gray, de diecinueve años de edad, la relación empezó con mal pie y la situación jamás llegó a recuperarse. El matrimonio nunca se consumó. Como ella misma relató posteriormente, Ruskin le confesó que «se había imaginado a las mujeres como algo muy distinto a lo que vio que yo era y que el motivo por el que no me convirtió nunca en su Esposa fue porque sintió repugnancia hacia mi persona la primera noche…».
Al final, incapaz de continuar de aquella manera (o, en realidad, deseosa de empezar de la misma manera pero con otras personas), Effie inició un proceso de nulidad matrimonial contra Ruskin, los detalles del cual se convirtieron en carne de la prensa popular en muchos lugares, y a continuación se fugó con el artista John Everett Millais, con quien tuvo una vida feliz y ocho hijos. El momento elegido para fugarse con Millais fue desafortunado, pues en aquel momento Millais estaba pintándole un retrato a Ruskin. Ruskin, hombre de honor, siguió posando para Millais, pero nunca volvieron a dirigirse la palabra. Los simpatizantes de Ruskin, que los había a montones, respondieron al escándalo fingiendo que no lo había. Hacia 1900 el episodio había quedado diluido hasta tal punto que William G. Collingwood fue capaz de escribir, sin sonrojarse lo más mínimo, The Life of John Ruskin sin siquiera insinuar que Ruskin hubiera estado casado, y mucho menos que hubiese salido huyendo del dormitorio ante la imagen del vello púbico femenino.
Ruskin nunca superaría su gazmoñería ni daría muestras de desear hacerlo. Después del fallecimiento de Joseph Mallord William Turner —en 1851—, recibió el encargo de examinar las obras que el gran artista había dejado al país, y descubrió entre ellas diversas acuarelas de naturaleza alegremente erótica. Horrorizado, Ruskin decidió que aquello solo podía haberse dibujado «bajo ciertas condiciones de locura», y las destruyó en su mayoría por el bien de la nación, robando con ello a la posterioridad varias obras de valor incalculable.
La huida de Effie Ruskin de su infeliz matrimonio fue tanto una suerte como un hecho excepcional, pues en el siglo XIX las actas de divorcio, como cualquier cosa que tuviera que ver con el matrimonio, estaban abrumadoramente predispuestas a favor de los hombres. Para obtener el divorcio en la Inglaterra victoriana, al marido le bastaba con demostrar que su esposa se había acostado con otro hombre. La mujer, sin embargo, tenía que demostrar que su esposo había exacerbado su infidelidad cometiendo incesto, bestialismo o cualquier otra transgresión oscura e inexcusable incluida en una reducida lista de fechorías. Hasta 1857, el divorcio significó para la mujer la pérdida del derecho sobre todas sus propiedades y, en general, la pérdida de sus hijos. De hecho, la esposa no tenía ningún derecho ante la ley: ni derecho de propiedad, ni derecho de expresión, ni libertades de ningún tipo más allá de aquellas que su esposo decidiera concederle. Según William Blackstone, el gran teórico legal, una vez casada la mujer renunciaba a su «entidad o existencia legal». La esposa carecía por completo de personalidad legal.
Pero había países algo más liberales que otros. En Francia, de manera excepcional, la mujer podía divorciarse del hombre en caso de adulterio, aunque sólo en la circunstancia de que la infidelidad se hubiera producido en el hogar marital. En Inglaterra, sin embargo, los criterios eran muy injustos. En un conocido caso, una mujer llamada Martha Robinson vivía víctima de las continuas palizas y abusos por parte de su marido, un hombre cruel e inestable. Al final, él acabó transmitiéndole la gonorrea y después estuvo a punto de envenenarla echándole en la comida polvos para combatir las enfermedades venéreas sin que ella lo supiera. Con la salud mermada y los ánimos por los suelos, la mujer interpuso una demanda de divorcio. El juez escuchó con atención sus alegatos, pero acabó desestimando el caso, enviando a casa a la señora Robinson con la orden de que intentara tener más paciencia.
Ser mujer era difícil incluso cuando las cosas marchaban bien, pues se consideraba que la condición de mujer era casi patológica. Existía la creencia, más o menos universal, de que las mujeres, una vez alcanzada la pubertad, enfermaban o estaban casi permanentemente al borde de caer enfermas. El desarrollo de los pechos, el útero y el aparato reproductor «agotaban la energía de la reserva finita que todos los individuos poseen», según palabras de una autoridad en el tema. La menstruación aparecía descrita en textos médicos como si fuera un acto mensual de negligencia deliberada. «Cuando se produce dolor en cualquier fase del periodo mensual, es debido a la existencia de algo erróneo en el vestido, la dieta, o las costumbres personales y sociales de esa persona», escribió un observador (varón, claro está).
La dolorosa ironía es que las mujeres solían encontrarse mal debido a que las consideraciones del decoro les negaban los cuidados médicos adecuados. En 1856, cuando una joven ama de casa de Boston, de origen respetable, le confesó entre lágrimas a su médico que a veces se descubría pensando sin querer en hombres distintos a su esposo, el médico le ordenó una serie de rigurosas medidas de emergencia, entre las que había baños fríos y enemas, la eliminación de cualquier tipo de estímulo, incluyendo las comidas picantes y la lectura de novelas frívolas, y el fregado concienzudo de la vagina con bórax. Se decía que las novelas de carácter frívolo fomentaban pensamientos morbosos y predisponían a la histeria nerviosa. Tal y como un autor resumió muy seriamente: «La excitación que produce en los órganos corporales de las jóvenes la lectura de novelas románticas tiende a generar su desarrollo prematuro, y la niña se convierte físicamente en mujer meses o incluso años antes de lo que debería».
Incluso en un momento tan avanzado como 1892, Judith Flanders informa de un hombre que llevó a su esposa a que le hicieran una revisión ocular. Le dijeron que el problema no era otro que un desprendimiento de matriz y que no recuperaría la visión hasta que le fuera practicada una histerectomía.
Las exploraciones superficiales eran lo máximo que un médico podía permitirse acercarse en lo que a los asuntos reproductivos de las mujeres se refiere. Y las consecuencias podían ser gravísimas, pues los médicos no podían llevar a cabo exámenes ginecológicos. In extremis, y sólo en casos muy excepcionales, podían llegar a tantear por debajo de una sábana en una habitación en penumbra. Pero en la mayoría de ocasiones, las mujeres que presentaban algún problema médico localizado en la zona que se extiende desde el cuello hasta las rodillas tenían que limitarse a señalar en un muñeco, y completamente ruborizadas, la zona afectada.
En 1852, un médico norteamericano citaba con orgullo que las «mujeres prefieren sufrir el extremismo del peligro y el dolor antes que renunciar a los escrúpulos de delicadeza que impiden la completa exploración de sus enfermedades». Algunos médicos se negaban a utilizar el fórceps en el parto basándose en que con ello permitían que las mujeres con pelvis estrecha dieran a luz hijos, transmitiendo en consecuencia esa minusvalía a sus hijas.
La inevitable consecuencia de todo esto era que la ignorancia de la anatomía y la fisiología femenina entre los médicos era casi medieval. Los anales de la medicina muestran el mejor ejemplo de candidez profesional en el celebrado caso de Mary Toft, una criadora de conejos analfabeta de Godalming, Surrey, que durante varias semanas del otoño de 1726 logró convencer a las autoridades médicas, incluyendo a dos médicos de la casa real, de que estaba dando a luz conejos. La noticia fue una auténtica sensación nacional. Varios médicos asistieron a los partos, y se mostraron de lo más asombrados. Sólo cuando otro médico real, un alemán llamado Cyriacus Ahlers, investigó con más atención el tema, dictaminó que todo había sido una patraña de Toft, que confesó por fin el engaño. Fue encarcelada durante un breve tiempo acusada de fraude pero enseguida volvió a su casa en Godalming y, a partir de ahí, nadie volvió a saber de ella.
La comprensión de la anatomía y la fisiología femeninas estaban aún a años luz. En una fecha tan avanzada como 1878, el British Medical Journal publicó una briosa y extensa misiva preguntándose si el contacto de la mano de una mujer con la menstruación podía estropear un jamón. Judith Flanders destaca que un médico fue inhabilitado del ejercicio de su profesión por destacar por escrito que un cambio en la coloración de la zona que rodea la vagina poco después de la concepción era un indicador útil de embarazo. La conclusión era totalmente válida; pero el problema era que sólo podía llegarse a ella mediante la observación directa. El médico en cuestión nunca pudo volver a ejercer. Mientras, en Estados Unidos, James Platt White, un respetado ginecólogo, era expulsado de la American Medical Association por permitir que sus alumnos observaran a una mujer dando a luz (con el permiso de la interesada).
En contraposición, las actividades de un cirujano llamado Isaac Baker Brown se convirtieron en hechos de lo más extraordinario. En una época en la que los médicos normalmente no se acercaban más que a un par de palmos de la zona reproductiva del cuerpo de una mujer, y que de haberse acercado más habrían tenido muy poca idea de lo que podían encontrar allí, Baker Brown se convirtió en un cirujano ginecológico pionero. Por desgracia, sus motivaciones eran ideas gravemente perturbadas. En particular, estaba convencido de que casi todas las enfermedades femeninas eran el resultado de «la excitación periférica del nervio púdico centrado en el clítoris». Dicho sin rodeos, creía que las mujeres se masturbaban y que ésa era la causa de la locura, la epilepsia, la catalepsia, la histeria, el insomnio y muchos otros trastornos nerviosos.
Anillo para el pene con púas.
Cuando se descubrió que llevaba años extirpando clítoris sin el permiso o el conocimiento previo de las mujeres intervenidas, la reacción de la comunidad médica fue rápida y furibunda. En 1867, Baker Brown fue expulsado de la Obstetrical Society of London, hecho que dio por terminada la posibilidad de que siguiera ejerciendo. En el lado positivo, hay que decir que los médicos aceptaron por fin que había llegado el momento de prestar atención científica a las partes íntimas de las pacientes. Irónicamente, pues, pese a ser un médico pésimo y un ser humano terrible, Baker Brown hizo más que nadie para elevar a los estándares modernos el estudio y la práctica de la medicina femenina.
§ .2
Pero en la era premoderna, todo hay que decirlo, existía una razón muy sólida para temer todo lo relacionado con el sexo: la sífilis. Jamás ha habido una enfermedad más espantosa, al menos para la desafortunada parte de la población que contrae lo que se conoce como la sífilis terciaria, un hito que nadie desearía experimentar. La sífilis provocaba auténtico terror sexual. Para muchos, era un claro mensaje de Dios de que el sexo fuera de los límites del matrimonio era una invitación al justo castigo divino.La sífilis, como ya hemos visto, llevaba mucho tiempo entre nosotros. En 1495, sólo tres años después del viaje de Cristóbal Colón que la introdujo en Europa, algunos soldados en Italia empezaron a desarrollar pústulas «como granos de mijo» por la cara y el cuerpo, en lo que se considera como la primera referencia médica a la sífilis en Europa. Se difundió rápidamente, a tal velocidad que nadie se ponía de acuerdo en lo referente a su origen. La primera mención registrada en inglés data de 1503 y habla de ella como «la viruela francesa». En otras partes se conoció como el mal español, los humores celtas, la viruela napolitana y, el que fuera tal vez el término más revelador, «la enfermedad cristiana». La palabra «sífilis» la acuñó en un poema el italiano Hieronymus Fracastorius en 1530 (en el poema en cuestión, Sífilis es el nombre de un pastor que contrae la enfermedad), y en lengua inglesa no aparece hasta 1718. En este idioma, el término más vulgar clap es de origen incierto, aunque como mínimo es venerable. Se utiliza en inglés desde 1587.
La sífilis fue durante mucho tiempo una enfermedad especialmente inquietante por su forma de ir y venir en tres fases, cada una peor que la anterior. La primera fase solía manifestarse como un chancro genital, de aspecto horroroso pero indoloro. A eso le seguía un tiempo después una segunda fase en la que se sufría malestar, dolor y caída del pelo. Al igual que la sífilis primaria, la secundaria se curaba por sí sola en cuestión de un mes, tanto si se trataba como si no. Y para dos tercios de la población enferma de sífilis, eso era todo. La enfermedad terminaba así. Pero para el desgraciado tercio restante, el terror estaba aún por llegar. La infección podía permanecer en estado letárgico hasta veinte años e irrumpir entonces en forma de sífilis terciaria. Ésta es la fase por la que nadie querría pasar. Consume el organismo y destruye sin pausa y sin piedad huesos y tejidos. Era frecuente que la nariz se cayera o desapareciera. (Durante un tiempo Londres tuvo un No-Nose’d Club o «Club de los sin nariz»). La boca podía perder el paladar. La muerte de las células nerviosas puede convertir a la víctima en una ruina que anda a trompicones. Los síntomas varían y todos ellos son horribles. Pero a pesar de los peligros, la gente se resistía a los riesgos de una forma espeluznante. James Boswell contrajo diecinueve enfermedades venéreas en el transcurso de treinta años.
Los tratamientos para la sífilis eran duros. En los primeros tiempos se inyectaba una solución de plomo en la vejiga a través de la uretra. Después se pasó al mercurio, que siguió siendo el producto preferido hasta que con el siglo XX aparecieron los antibióticos. El mercurio producía síntomas tóxicos de todo tipo —huesos esponjosos, caída de piezas dentales—, pero no había otra alternativa. «Una noche con Venus y una vida entera con Mercurio», era el axioma de la época. Pero, en realidad, el mercurio no curaba la enfermedad, sino que se limitaba a moderar los peores síntomas y a provocar otros.
Tal vez nada nos separa de forma más clara del pasado que lo asombrosamente inefectivos —y a menudo aterradoramente desagradables— que eran antes los tratamientos médicos. Los médicos andaban perdidos por completo excepto en un rango muy limitado de enfermedades. Con frecuencia, los tratamientos no servían más que para empeorar las cosas. Los más afortunados, en muchos sentidos, eran los que sufrían sus males en privado y se recuperaban sin la intervención médica.
El peor resultado de todos, por razones evidentes, era tener que someterse a una intervención quirúrgica. En los siglos previos a la anestesia, se intentaron numerosas formas de aliviar el dolor. Uno de los métodos consistía en desangrar al paciente hasta debilitarlo. Otro en inyectar una infusión de tabaco en el recto (que, como mínimo, debía darle al paciente algo en qué pensar). El tratamiento más común consistía en la administración de opiáceos, sobre todo en forma de láudano, pero ni siquiera las dosis más generosas lograban enmascarar el dolor de verdad.
Cuando había que realizar amputaciones, los miembros solían extirparse en menos de un minuto para que la agonía del trauma terminase pronto, pero después había que suturar vasos y cerrar la herida, de modo que el dolor agudo se prolongaba un buen rato. El truco estaba en trabajar con rapidez. Cuando en 1658 Samuel Pepys se sometió a una litotomía —la extirpación de una piedra renal—, el cirujano tardó sólo quince segundos en abrir, encontrar y extraer una piedra del tamaño de una pelota de tenis. (Es decir, de una pelota de tenis del siglo XVII, bastante más pequeña que la actual, pero aun así una esfera de una dimensión considerable). Pepys fue muy afortunado, tal y como destaca Liza Picard, pues su operación era la primera que el cirujano realizaba aquel día y su instrumental estaba, en consecuencia, razonablemente limpio. A pesar de que la intervención se realizó con una rapidez tremenda, Pepys necesitó más de un mes de recuperación.
Las intervenciones más complicadas resultaban abrumadoras hasta extremos casi increíbles. Resulta doloroso incluso leerlo ahora, y es inconcebible pensar lo que debió de ser vivirlas. En 1806 y mientras vivía en París, la novelista Fanny Burney empezó a sufrir un dolor en el pecho derecho, que poco a poco fue haciéndose tan grave que no podía siquiera levantar el brazo izquierdo. El problema fue diagnosticado como un cáncer de mama y se recomendó la práctica de una mastectomía. La tarea fue encomendada a un conocido cirujano llamado Barón Larrey, cuya fama se basaba no tanto en su capacidad de salvar vidas, sino en que trabajaba a la velocidad del rayo. Posteriormente se haría famoso por realizar doscientas amputaciones en el plazo de veinticuatro horas durante la batalla de Borodino en 1812.
El relato que realiza Burney sobre su experiencia es insoportablemente atroz debido a la serenidad con la que relata el horror vivido. Casi tan malo como la intervención en sí fue el tormento de esperar su llegada. A medida que transcurrían los días, la ansiedad de la aprensión se hizo casi aplastante y empeoró cuando la mañana del día señalado se enteró de que los cirujanos llevaban varias horas de retraso. En su diario escribió: «Anduve de un lado para otro hasta que conseguí tranquilizar todas mis emociones y convertirme, gradualmente, casi en una boba —aletargada, sin sentimientos ni consciencia—, y así permanecí hasta que el reloj dio las tres».
En aquel momento oyó que llegaban cuatro carruajes, uno detrás de otro. Instantes después, entraban en la estancia siete hombres muy serios vestidos de negro. Le administraron a Burney una bebida para tranquilizarla, no anotó exactamente qué, pero lo habitual era vino mezclado con láudano. Instalaron una cama en medio de la habitación y la cubrieron con sábanas viejas para no estropear ni el colchón ni la ropa de cama buena.
«Entonces empecé a temblar violentamente —escribió Burney—, más por la aversión y el horror de los preparativos que de dolor […] subí, por lo tanto, por mi propio pie, a la cama, y M. Dubois me instaló encima del colchón, y me cubrió la cara con un pañuelo de batista. Pero era transparente y a través de él vi la cama rodeada al momento por los siete hombres y mi enfermera. Me negué a que me ataran; pero cuando a través de la batista vi el destello del brillo del acero… cerré los ojos […].» Al comprender que pretendían extirparle todo el pecho, sucumbió «a un terror que supera toda descripción». Cuando notó el corte del cuchillo, emitió «un grito que se prolongó a intervalos durante todo el rato que duró la incisión… y casi me maravilla que no siga resonando en mis oídos, de atroz que era la agonía. Finalizado el corte, y después de que retiraran el instrumento, el dolor pareció mermar […] pero cuando de nuevo sentí el instrumento, describiendo una curva, cortando contra la veta, si puedo expresarlo así, mientras la carne se resistía de un modo impulsivo, como oponiéndose y tratando de agotar la mano del operador, que se vio obligado a pasarlo de la derecha a la izquierda… entonces, de hecho, creo que debí morir. Intenté no abrir más los ojos».
Pero la operación continuó. Cuando los cirujanos hurgaron para extraer el tejido enfermo, sintió y escuchó la hoja raspando el esternón. La intervención duró un total de diecisiete minutos y medio, y ella tardó meses en recuperarse. Pero la operación le salvó la vida. Sobrevivió veintinueve años más y el cáncer nunca se reprodujo.
No es de extrañar que la gente, impulsada por el dolor y por una cautela natural que la alejaba de los médicos, pusiera en práctica en casa remedios extremos. El gobernador Morris, uno de los firmantes de la Declaración de la Independencia, acabó con su vida introduciéndose un hueso de ballena en el pene con la intención de solucionar una obstrucción urinaria.
La llegada de la anestesia quirúrgica en la década de 1840 no eliminó la agonía de los tratamientos médicos, sino que más bien la pospuso. Los cirujanos no se lavaban aún las manos ni limpiaban sus instrumentos, por lo que muchos pacientes sobrevivían a las operaciones y fallecían después como consecuencia de una agonía más prolongada y exquisita provocada por la infección. En general, se atribuía al «envenenamiento de la sangre». Cuando el presidente James A. Garfield fue víctima de un atentado en 1881, no fue la bala lo que acabó con su vida, sino los médicos que hurgaron en la herida sin haberse lavado antes las manos. La anestesia fomentó el aumento de las intervenciones quirúrgicas, y conllevó probablemente un considerable aumento del dolor, en términos globales.
En el mundo premoderno había muchas maneras de morir, incluso sin las inquietantes intervenciones de los cirujanos. En 1758, el registro de defunciones —o Bills of Mortality, como se conocían en Inglaterra— de la City londinense especifica 17.576 fallecimientos por más de ochenta causas distintas. La mayoría de muertes, como cabría esperar, era como consecuencia de la viruela, fiebres, tuberculosis o edad avanzada, pero entre las diversas causas mencionadas aparecen (siguiendo la terminología que consta en el listado):
Atragantado con grasa | 1 |
Picores | 2 |
Muertos de frío | 2 |
Fuego de San Antonio | 4 |
Letargo | 4 |
Dolor de garganta | 5 |
Gusanos | 6 |
Suicidio | 30 |
Viruela francesa | 46 |
Locura | 72 |
Ahogo | 109 |
Putrefacción | 154 |
Dientes | 644 |
Seguirá siendo un eterno misterio cómo los «dientes» pudieron llegar a matar a tanta gente. Fueran cuales fuesen las causas reales de fallecimiento, es evidente que expirar era un acto normal y que la gente estaba preparada para que la muerte le llegara desde prácticamente cualquier dirección. Los listados de defunciones de Boston del mismo periodo muestran que la gente moría por causas tan inesperadas como «beber agua fría», «estancamiento de líquidos», «fiebres nerviosas» y «susto». Resulta también interesante que muchas de las formas más habituales de muerte aparezcan sólo de un modo marginal. De los casi 17.600 fallecimientos registrados en Londres en 1758, sólo catorce fueron resultado de ejecuciones, cinco de asesinatos y cuatro personas murieron de hambre.
Con tantas vidas escorzadas, los matrimonios del mundo anterior a la era industrial solían ser breves. En los siglos XV y XVI, el matrimonio duraba una media de diez años antes de que uno de los componentes de la pareja falleciera. Se da a menudo por sentado que, al morir la gente tan joven, también se casaba joven para aprovechar al máximo la breve vida que tenía por delante. Pero por lo que parece, no era así. Entre otras cosas, la gente seguía considerando que la duración normal de la vida —el derecho teórico a vivir de cada uno— eran los consabidos setenta años mencionados en los salmos de la Biblia. Pero muy poca gente llegaba a ese punto. Para sustentar la teoría de que la gente se casaba muy temprano se cita casi siempre la tierna edad de los protagonistas de Romeo y Julieta de Shakespeare (Julieta tenía sólo trece años, Romeo era un poco más mayor). Dejando aparte la consideración de que los personajes eran ficticios y poca cosa podían probar, lo que siempre se pasa por alto es que en el poema de Arthur Brooke en el que Shakespeare basó su historia, los personajes tenían dieciséis años. Se desconoce por qué Shakespeare decidió que fueran más jóvenes, igual que se desconocen tantas otras cosas sobre él. En cualquier caso, la tierna edad de los protagonistas de Shakespeare no está soportada en el mundo real por ningún tipo de prueba documental.
En la década de 1960, el historiador de Stanford, Peter Laslett, realizó un meticuloso estudio de los expedientes matrimoniales británicos y descubrió que en ningún momento del pasado documentado la gente se casó a edades excesivamente tempranas. Entre 1619 y 1660, por ejemplo, el 85 % de las mujeres tenía diecinueve años o más en el momento de contraer matrimonio; sólo una de cada mil era menor de trece años. La edad media para contraer matrimonio era de veintitrés años y siete meses para las mujeres y casi veintiocho años para los hombres, edades que difieren muy poco de las medias actuales. El mismo William Shakespeare fue excepcional al casarse con sólo dieciocho años, mientras que su esposa, Anne, era extraordinariamente mayor con veintiséis. La mayoría de los matrimonios jóvenes eran formalidades conocidas como esponsals de futuro, que pueden considerarse más declaraciones de futuras intenciones que licencias para darse un revolcón en la cama.
Lo que sí es verdad es que había muchos más viudos y viudas que volvían a casarse con frecuencia y poco después del duelo. En el caso de las mujeres, era a menudo una necesidad económica. Y en el de los hombres, era más por el deseo de tener a alguien que se ocupara de ellos. En resumen, solía ser más una consideración práctica que emocional. Uno de los pueblos investigados por Laslett tenía, en 1688, setenta y dos hombres casados, de los cuales trece se habían casado dos veces, tres se habían casado tres veces, tres lo habían hecho cuatro veces y uno se había casado cinco veces, todo ello como resultado de la viudedad. En conjunto, una cuarta parte de todos los matrimonios eran nuevas uniones posteriores a una situación de viudedad, unas proporciones que permanecieron invariables hasta los primeros años del siglo XX.
Con tantos fallecimientos, el duelo se convirtió en una parte esencial de la vida de mucha gente. Los maestros del duelo fueron, claro está, los victorianos. Nunca hubo un pueblo con una vinculación más mórbida a la muerte o que encontrara formas más complicadas de conmemorarla. Una de las personas que más destacó en este aspecto fue la misma reina Victoria. Cuando su amado príncipe Alberto falleció en diciembre de 1861, hizo detener los relojes de su dormitorio a la hora de su muerte, las diez cincuenta de la noche, y por orden de la reina la alcoba siguió siendo atendida como si él estuviera simplemente ausente por una temporada, más que enterrado para siempre en un mausoleo cercano al palacio. Una ayuda de cámara preparaba a diario su ropa y el servicio dejaba en la habitación jabón, toallas y agua caliente a las horas correspondientes, para después retirarlo todo de nuevo.
Las reglas del duelo eran estrictas y agotadoramente amplias en todos los ámbitos sociales. Cualquier permutación posible de las relaciones sociales y familiares estaba considerada y reglada. Si, por ejemplo, el finado era un tío político, el luto tenía que prolongarse durante dos meses si le había sobrevivido la esposa, pero solamente un mes si estaba soltero o era viudo. Y de un modo similar quedaban reguladas todo tipo de relaciones. Ni siquiera era necesario haber conocido al fallecido. En el caso de la mujer, si su marido había estado casado anteriormente —una situación de lo más común— y fallecía un pariente cercano de la primera esposa, la actual esposa debía seguir un «luto complementario», una especie de duelo por poderes en nombre de la anterior esposa ya fallecida.
Y con igual precisión y meticulosidad quedaba exactamente estipulado el tiempo y la manera de llevar el luto. Las viudas, envueltas ya en kilos de sofocante paño, tenían que vestirse además con crepé negro, un tejido de seda de aspecto rugoso. El crepé rascaba, crujía y resultaba espantosamente complicado de mantener. Si el crepé se mojaba con gotas de lluvia, aparecían manchas blanquecinas que traspasaban y manchaban el tejido o la piel de debajo. Una mancha sobre el crepé destrozaba cualquier tejido que tocara y era casi imposible de borrar de la piel. Las cantidades de crepé del vestido venían estrictamente dictadas por el paso del tiempo. Con un simple vistazo a la cantidad de crepé que llevaba una mujer en cada manga, era posible adivinar cuánto tiempo hacía que había enviudado. Transcurridos dos años, la viuda pasaba a una fase conocida como «medio luto», en la que podía empezar a vestirse de gris o de color lavanda claro, siempre y cuando esos colores no se introdujeran con excesiva brusquedad.
Los criados también tenían que llevar luto por la desaparición de sus señores, y después de la muerte de un monarca se decretaba un periodo de luto nacional. El fallecimiento de la reina Victoria en 1901 fue seguido por un periodo de consternación, pues habían transcurrido casi sesenta años desde la última muerte real y nadie se ponía de acuerdo con relación al nivel de duelo apropiado para una reina de tan larga vida en una era moderna como aquélla.
* * * *
Y por si los victorianos no tenían ya bastantes preocupaciones, empezaron a desarrollar peculiares ansiedades con respecto a la muerte. El miedo a un entierro prematuro se generalizó, un miedo que Edgar Allan Poe explotó en 1844 con intenso efectismo en un cuento con ese mismo título. La catalepsia, un tipo de parálisis en la que la víctima parecía muerta aun estando plenamente consciente, se convirtió en la enfermedad más temida de la época. En periódicos y revistas abundaban artículos sobre gente que había sufrido sus efectos inmovilizadores. Un caso muy conocido fue el de Eleanor Markham, del norte del estado de Nueva York, que estaba a punto de ser enterrada en julio de 1894 cuando se escucharon unos gritos ansiosos en el interior de su ataúd. Cuando levantaron la tapa, la señorita Markham gritó: «¡Dios mío, estaban enterrándome viva!».Y explicó posteriormente a sus salvadores: «Estuve consciente durante todo el tiempo en que estuvieron ustedes realizando los preparativos para enterrarme. El horror que sentí por mi situación es indescriptible. Oía todo lo que se decía, incluso el más mínimo susurro al otro lado de la puerta». Pero por mucho que tratara de gritar, explicó, era incapaz de emitir un sonido. Según un informe, de los mil doscientos cadáveres exhumados en la ciudad de Nueva York entre 1860 y 1880 por una u otra razón, seis mostraban signos de haber estado dando golpes o de haberse movido posteriormente al momento de su entierro. En Londres, cuando el naturalista Frank Buckland buscaba el ataúd del anatomista John Hunter en la iglesia de St. Martin-in-the-Fields, informó haber encontrado tres ataúdes que mostraban evidencias claras de que se había producido movimiento en su interior (o al menos afirmó estar convencido de ello). Las anécdotas sobre entierros prematuros eran numerosas. Un corresponsal del popular periódico Notes and Queries ofrecía la siguiente contribución en 1858:
Un rico fabricante llamado Oppelt falleció hace quince años en Reichenberg, Austria, y su viuda y sus hijos mandaron erigir un panteón en el cementerio para albergar su cadáver. La viuda murió hace un mes y fue llevada a la misma tumba; pero, cuando se abrió con ese fin, descubrieron el ataúd de su esposo abierto y vacío, y el esqueleto en un rincón del panteón en posición sentada.Durante una generación, como mínimo, este tipo de artículos apareció de forma rutinaria incluso en periódicos serios. Había tantísima gente enfermizamente obsesionada por el miedo a ser enterrada antes de tiempo, que incluso se acuñó un término al respecto: taphephobia. El novelista Wilkie Collins dejaba cada noche en su mesita una carta con instrucciones de las pruebas que quería que se llevasen a cabo para asegurarse de que realmente había muerto durmiendo en el caso de que lo encontraran en un estado aparentemente cadáver. Otros ordenaban que les cortasen la cabeza o les extirpasen el corazón antes de ser enterrados, para que no hubiera ningún tipo de duda. Un autor propuso la construcción de «mortuorios de espera» donde poder albergar a los fallecidos durante unos días para asegurarse de que estaban muertos de verdad y no sólo excepcionalmente inmóviles. Un tipo más emprendedor diseñó incluso un dispositivo que permitía a quien se despertara en el interior de un ataúd poder tirar de una cuerda, que accionaba un tubo para poder respirar por él y simultáneamente activaba una alarma que hacía ondear una banderola a ras de suelo. En 1899 se estableció en Gran Bretaña la Association for Prevention of Premature Burial y al año siguiente se formó en Estados Unidos otra asociación con el mismo título. Ambas sociedades sugerían diversas y minuciosas pruebas que debían realizar los médicos antes de declarar muerta a una persona —una de ellas consistía en acercar una plancha caliente a la piel del fallecido para ver si salían ampollas— y, de hecho, durante un tiempo varias de esas pruebas se incorporaron a los planes de estudios de las escuelas de medicina.
El robo de tumbas era otra gran preocupación, y no sin razón, pues la demanda de cadáveres recientes en el siglo XIX era considerable. Sólo en Londres había veintitrés escuelas de medicina o anatomía, y todas ellas necesitaban un suministro regular de cadáveres. Hasta la aprobación de la Anatomy Act de 1832, sólo podían utilizarse para experimentos y disección los cadáveres de los criminales ejecutados, y las ejecuciones eran en Inglaterra mucho más excepcionales de lo que normalmente se supone. En 1831, un año típico, fueron condenadas a muerte en Inglaterra mil seiscientas personas, pero sólo cincuenta y dos de ellas fueron ejecutadas. Por lo tanto, la demanda de cuerpos era mucho mayor de lo que la ley procuraba. El robo de tumbas, en consecuencia, se convirtió en un negocio irresistiblemente tentador, teniendo en cuenta además que, gracias a un curioso subterfugio legal, el robo de un cuerpo estaba considerado un delito menor, no una felonía. En una época en la que un trabajador bien pagado ganaba una libra a la semana, un cadáver reciente podía remunerarse con 8 o 10 libras, y a veces incluso con veinte y, al menos en principio, sin correr muchos riesgos, siempre y cuando los malhechores fueran cuidadosos y retirasen solamente cadáveres, no mortajas, ataúdes o recuerdos, por lo que sí podían ser acusados de felonía.
Pero no era sólo el mórbido interés por la disección lo que movía el mercado. En los tiempos previos a la anestesia, los cirujanos necesitaban conocer muy bien el cuerpo humano. Resulta imposible hurgar concienzudamente entre arterias y órganos cuando el paciente grita de agonía y expulsa sangre a borbotones. La velocidad era esencial, y parte esencial de la velocidad era la familiaridad, que sólo podía conseguirse a partir de mucha práctica con los muertos. Y, claro está, la falta de refrigeración se traducía en que la carne empezaba a estropearse enseguida, lo que hacía que la necesidad de cuerpos frescos fuera constante.
Para combatir a los ladrones, los pobres, en particular, solían retener los cuerpos de sus seres queridos hasta que empezaban a descomponerse y perder con ello su valor. El Report on the Sanitary Condition of the Labouring Classes of Great Britain , de Edwin Chadwick, estaba lleno de horripilantes y sorprendentes detalles sobre esa práctica. En algunos barrios, destacaba, era normal que las familias conservaran el cadáver en la habitación principal durante una semana o más a la espera de que la descomposición estuviera avanzada. No era excepcional, decía, encontrar gusanos por la alfombra y a los más pequeños de la casa jugando entre ellos. El hedor, no es de extrañar, era impresionante.
Los cementerios, por otra parte, mejoraron sus medidas de seguridad y empezaron a emplear a vigilantes nocturnos armados. La iniciativa aumentó el riesgo de ser sorprendido y recibir una paliza por ello, por lo que muchos «hombres de la resurrección», como se los conocía a nivel popular, decidieron decantarse por el asesinato como método más seguro. Los más famosos y entregados a su labor fueron William Burke y William Hare, inmigrantes irlandeses residentes en Edimburgo, que mataron al menos a quince personas en menos de un año, a partir de 1827. Su método era crudamente efectivo. Entablaban amistad con tristes vagabundos, los emborrachaban y los asfixiaban sentándose el fornido Burke sobre el pecho de la víctima y tapándole Hare la boca. Acto seguido, llevaban el cadáver al profesor Rober Knox, que pagaba entre 7 y 14 libras por cada cadáver fresco y sonrosado que recibía. Knox debía de sospechar que algo tremendamente dudoso había de por medio —dos irlandeses alcohólicos presentándose en su casa con cadáveres bastante recientes, todos ellos con aspecto de haber expirado de forma tranquila—, pero siempre afirmó que formular preguntas no era asunto suyo. Hare evitó la horca delatando a su cómplice y ofreciéndose a testificar contra su amigo y socio. Resultó innecesario, pues Burke realizó una confesión completa y fue acto seguido ejecutado. Su cuerpo fue entregado a otra escuela de anatomía para su disección, y su piel pasó por un proceso de encurtido y durante años fue entregada a modo de recuerdo a visitantes privilegiados.
Hare pasó sólo un par de meses en la cárcel antes de ser liberado, aunque su destino posterior no fue precisamente feliz. Empezó a trabajar en un horno de cal, donde sus compañeros lo reconocieron y le arrojaron cal viva a la cara, cegándolo de manera permanente. Se cree que pasó sus últimos años como un mendigo vagabundo. Hay informes que afirman que regresó a Irlanda, otros lo sitúan en Norteamérica, pero se desconoce cuánto tiempo vivió y dónde fue enterrado.
Todo esto incentivó una forma alternativa de eliminar los cadáveres que resultó sorprendentemente controvertida en el siglo XIX. El movimiento a favor de la incineración no tuvo nada que ver con ningún tipo de religión ni con la espiritualidad. Se trataba de buscar una manera práctica de eliminar muchos cuerpos de un modo limpio, eficiente y no contaminante. Sir Henry Thompson, fundador de la Cremation Society of England, demostró la eficacia de sus hornos incinerando un caballo en Woking en 1874. La demostración funcionó a la perfección, pero provocó un clamor de protesta entre los que se oponían emocionalmente a la idea de quemar un caballo o cualquier otro animal. En Dorset, un tal capitán Hanham construyó su propio crematorio y lo utilizó con eficiencia y desafiando todas las leyes para eliminar los cadáveres de su esposa y de su madre. Otros, temerosos de ser arrestados, enviaron a sus seres queridos a países donde la incineración era legal. Charles Wentworth Dilke, el escritor y político que fue uno de los cofundadores del Gardener’s Chronicle junto con Joseph Paxton, embarcó en 1874 a su fallecida esposa con destino a Dresde para que fuese incinerada después de que muriese de parto. Otro temprano exponente fue Augustus Pitt Rivers, uno de los arqueólogos más destacados del siglo XIX, que no sólo expresó su deseo de ser incinerado, sino que además insistió en que lo fuera también su esposa, a pesar de sus continuas objeciones. «Maldita sea, mujer, arderás». Le decía cuando ella sacaba el tema a relucir. Pitt Rivers falleció en 1900 y fue incinerado, sin que la práctica fuera todavía legal. Su esposa le sobrevivió y recibió el entierro que siempre había anhelado.
En general, en Gran Bretaña la oposición continuó atrincherada durante mucho tiempo. Muchos consideraban inmoral la destrucción voluntaria de un cadáver. Otros aludían a consideraciones prácticas. Un punto que a menudo sacaban a relucir los que se oponían a la incineración era que destruía las pruebas en caso de asesinato. Tampoco ayudaba a la causa el hecho de que uno de sus principales defensores estuviese loco. Se llamaba William Price. Era un médico del Gales rural famoso por sus excentricidades, que eran múltiples. Era druida, vegetariano y cartista militante; se negaba a llevar calcetines y a tocar monedas. Con más de ochenta años de edad, tuvo un hijo con su ama de llaves al que puso el nombre de Jesucristo. Cuando el bebé murió, a principios de 1884, Price decidió incinerarlo sobre una pira en los terrenos de su casa. Cuando los habitantes del pueblo vieron las llamas y corrieron hacia el lugar para ver qué sucedía, encontraron a Price vestido al modo de los antiguos druidas, danzando en torno a la hoguera y entonando extraños cánticos. Indignados y aturullados, corrieron para detenerlo y Price, en medio de aquella confusión, arrancó el bebé medio quemado de las llamas y se retiró con él hacia el interior de la casa, donde lo conservó en una caja debajo de su cama hasta que fue arrestado unos días más tarde. Price fue llevado a juicio, pero fue liberado cuando el juez determinó que no había cometido ningún acto contundentemente criminal, pues el bebé no había llegado a ser incinerado. Pero aquel hecho retrasó de forma sustancial la causa de la incineración.
Y a pesar de que la incineración empezaba a ser un acto rutinario en muchas partes, no se legalizó en Gran Bretaña hasta 1902, justo a tiempo de que nuestro estimado señor Marsham pudiera elegirla como alternativa. Decidió no hacerlo.
§. 1
No sería fácil encontrar alegato sobre la higiene más equivocado, o como mínimo más incompleto, que el realizado por el célebre crítico arquitectónico Lewis Mumford en su clásico La ciudad en la historia, publicado en 1961:Durante miles de años, los habitantes de las ciudades convivieron con soluciones higiénicas deficientes, y con frecuencia asquerosas, revolcándose en desperdicios y suciedad que a buen seguro tenían capacidad para poder eliminar, pues la labor ocasional de retirada difícilmente podía resultar más repugnante que andar y respirar entre la presencia constante de tal inmundicia. Si pudiera explicarse esta indiferencia ante una suciedad y un olor que resultan repulsivos para muchos animales, incluidos los cerdos, que tratan por todos los medios de mantener limpios tanto su propio cuerpo como sus guaridas, tal vez obtendríamos también una pista de la naturaleza lenta e intermitente del avance tecnológico en sí, durante los cinco milenios que siguieron al nacimiento de la ciudad.De hecho, como ya hemos visto con Skara Brae en las islas Orcadas, el ser humano lleva muchísimo tiempo gestionando, a veces con una efectividad sorprendente, la suciedad, la basura y los desperdicios, y hemos de tener en cuenta que Skara Brae no es un caso aislado. Una vivienda de hace 4.500 años del valle del Indo, en un lugar llamado Mohenjo-Daro, disponía de un ingenioso sistema de conductos para las basuras a través del cual los desperdicios se eliminaban del habitáculo para quedar depositados en un podridero. En la antigua Babilonia había desagües y un sistema de alcantarillado. La civilización minoica disponía, hace más de 3.500 años, de agua corriente, bañeras y otras comodidades civilizadas. En resumen, la limpieza y el cuidado del cuerpo han sido importantes para muchas culturas y desde hace tanto tiempo, que resulta complicado saber por dónde empezar.
Los antiguos griegos adoraban el baño. Les gustaba andar desnudos — gymnasium significa «el lugar desnudo»— y hacer ejercicio hasta sudar de forma saludable, y tenían la costumbre de finalizar sus tareas diarias con un baño comunal. Pero todo esto eran básicamente chapuzones higiénicos. Para ellos, bañarse era una cosa ágil, algo que tenía que realizarse con rapidez. En realidad, los baños en serio —los baños lánguidos— se inician con Roma. Nadie se ha bañado jamás con tanta devoción y precisión como los romanos.
Los romanos amaban el agua —en una casa de Pompeya se han descubierto treinta grifos— y su red de acueductos abastecía sus principales ciudades con una abundancia extrema de agua fresca. El volumen de agua en Roma era superior a un metro cúbico diario por habitante, un auténtico derroche, siete u ocho veces más de lo que el romano medio necesita hoy en día.
Para los romanos, los baños eran algo más que un simple lugar donde ir a lavarse. Eran un refugio diario, un pasatiempo, una forma de vida. Los baños romanos tenían bibliotecas, tiendas, gimnasios, barberos, esteticistas, pistas de tenis, bares y burdeles. Los frecuentaban gentes de todos los estamentos sociales. «Era normal, cuando se conocía a un hombre, preguntarle dónde tomaba sus baños», escribe Katherine Ashenburg en su brillante historia de la limpieza, The Dirt on Clean. Había baños romanos construidos a una escala auténticamente palaciega. Los grandes baños de Caracalla tenían capacidad para mil seiscientos bañistas; los de Diocleciano tenían un aforo de tres mil personas.
El romano que acudía a los baños chapoteaba y boqueaba a lo largo de diversas piscinas con temperaturas distintas, desde el frigidarium, en el extremo más frío de la escala, hasta el calidarium en el otro. Por el camino, el romano o la romana se detenía en el unctuorium (o unctuarium) para recibir un masaje con aceites olorosos y después continuaba hacia el laconium, o sala de vapor, donde, después de sudar un rato, se retiraban los aceites con la ayuda de un instrumento denominado estrígilo con el que se eliminaban la suciedad y otras impurezas. Todo seguía un orden ritual, aunque los historiadores no se ponen por completo de acuerdo en cuál era exactamente ese orden, a buen seguro porque los detalles específicos varían de un lugar a otro y de una época a otra. Hay muchas cosas que desconocemos sobre los romanos y sus hábitos de baño: si los esclavos se bañaban en compañía de los ciudadanos libres, cuán a menudo se bañaban, cuánto tiempo dedicaban al baño o hasta qué punto se tomaban con entusiasmo esa actividad. Los romanos expresaban de vez en cuando su inquietud por el estado del agua y lo que encontraban flotando en ella, lo que sugiere que quizás no siempre tuvieran tantas ganas de remojarse como en general damos por sentado.
Parece, sin embargo, que durante gran parte de la época romana los baños estuvieron marcados por un rígido decoro que garantizaba una rectitud sana, pero que con el paso del tiempo la vida en los baños —igual que sucedió con la vida en Roma, en general— se volvió cada vez más retozona y acabó siendo habitual que hombres y mujeres se bañaran juntos y, posiblemente aunque de ninguna manera con total seguridad, que las mujeres se bañaran con los esclavos varones. Nadie sabe muy bien lo que los romanos hacían allí, pero fuera lo que fuese no sentaba del todo bien a los primeros cristianos. Consideraban los baños romanos licenciosos y depravados: sucios desde un punto de vista moral, aunque no desde el higiénico.
El cristianismo siempre se sintió curiosamente inquieto con respecto a la limpieza y desde el principio desarrolló la extraña tradición de equiparar la santidad con la suciedad. Cuando santo Tomás Becket murió en 1170, los que arreglaron su cuerpo destacaron con aprobación que su ropa interior «bullía de piojos». A lo largo del periodo medieval, uno de los métodos infalibles para ganarse el honor eterno consistía en hacer el juramento de no lavarse. Mucha gente peregrinaba desde Inglaterra a Tierra Santa, pero cuando un monje llamado Godric lo hizo sin mojarse ni una sola vez, se convirtió, de forma inevitable, en san Godric.
En la Edad Media, la propagación de la peste obligó a la gente a replantearse su actitud con respecto a la higiene y a pensar qué podía hacer para modificar su susceptibilidad a las epidemias. Por desgracia, todo el mundo llegó a la conclusión equivocada. Las mejores mentes del momento coincidieron en que el baño abría los poros de la epidermis y fomentaba que los vapores mortales invadieran el organismo. La mejor política era, pues, taponar los poros con suciedad. Durante los seiscientos años siguientes, la gente dejó de bañarse, de mojarse incluso si podía evitarlo… y como consecuencia de ello pagó un incómodo precio. Las infecciones pasaron a formar parte de la vida diaria. Los furúnculos eran lo habitual. Los sarpullidos y las manchas cutáneas se convirtieron en sucesos rutinarios. La gente pasaba el día rascándose. El malestar era constante y las enfermedades graves se aceptaban con resignación.
Surgieron enfermedades devastadoras que acababan con la vida de millones de personas y que luego, a menudo, desaparecían misteriosamente. La más destacada fue la peste (que en realidad eran dos enfermedades: la peste bubónica, cuyo nombre deriva de los inflamados bubones que aparecían en el cuello, las ingles o las axilas de las víctimas, y la incluso más letal e infecciosa peste neumónica, que atacaba el sistema respiratorio), pero había muchas más. El sudor inglés, una enfermedad sobre la que apenas sabemos nada, vivió epidemias en 1485, 1508, 1517 y 1528, matando a miles de personas antes de desaparecer, y no regresar nunca más (o al menos no lo ha hecho hasta el momento). Hacia 1550 fue seguida por otra extraña fiebre —«la enfermedad nueva»—, que «arrasó de forma horrible el reino y mató una cantidad sobrecogedora de hombres de todo tipo, pero en especial caballeros y hombres de gran riqueza», como apuntó un contemporáneo. Entretanto, y a veces de forma simultánea, se produjeron brotes de ergotismo, una infección provocada por un hongo del centeno. Quien consumía centeno contaminado sufría delirios, ataques epilépticos, fiebre, pérdida de consciencia y, en muchos casos, la muerte. Un aspecto curioso del ergotismo es que producía una tos similar al ladrido del perro, por lo que se considera el origen de la expresión en inglés barking mad [54] .
Pero la peor enfermedad, tanto por su frecuencia como porque resultaba devastadora, era la viruela. Había dos tipos principales de viruela: la común y la hemorrágica. Ambas eran malas, aunque la hemorrágica (que producía hemorragias internas además de pústulas cutáneas) era más dolorosa y mortal, acabando con la vida del 90 % de quienes la contraían, una tasa de mortalidad que casi doblaba a la de la viruela común. Hasta el siglo XVIII, con la introducción de la vacuna, la viruela mataba a cuatrocientas mil personas al año en toda la Europa situada al oeste de Rusia. Ninguna otra enfermedad se acercó ni de lejos a las cifras totales de víctimas de la viruela.
La viruela se comportaba de un modo cruelmente caprichoso con los que sobrevivían a ella, dejando a muchos de ellos ciegos o con horribles cicatrices, e ilesos a otros. A pesar de ser una enfermedad con mil años de existencia, no empezó a ser común en Europa hasta principios del siglo XVI. Su primera aparición en los registros ingleses se remonta a 1518. Los brotes de viruela se iniciaban con la aparición repentina de fiebres altas, acompañadas por dolores, malestar y mucha sed. Las pústulas se presentaban hacia el tercer día y se extendían por el cuerpo en cantidades que variaban de una víctima a otra. Lo peor era recibir la noticia de que un ser querido estaba «extremadamente lleno». En los peores casos, la víctima acababa convertida en una única pústula enorme. Esta fase iba acompañada de más fiebre y luego las pústulas se reventaban, liberando un pus de olor nauseabundo. Si la víctima sobrevivía a ello, sobrevivía normalmente a la enfermedad. Pero sus problemas no habían terminado, ni mucho menos. Las pústulas, convertidas ahora en costras, empezaban a picar de manera agonizante. Y hasta que las costras no caían no podía saberse si quedarían cicatrices y cuál sería su alcance. La reina Isabel estuvo a punto de morir de joven víctima de la viruela, pero se recuperó por completo y no le quedaron cicatrices. Su amiga, lady Mary Sydney, que la crió, no tuvo tanta suerte. «Cuando me fui era una bella dama —escribió su marido—… y cuando regresé me encontré la dama más horrorosa que la viruela pudiera haber creado». La duquesa de Richmond, que sirvió de modelo para la figura de Britania que aparecía en el penique inglés, quedó del mismo modo desfigurada un siglo más tarde.
La viruela tuvo también mucho que ver con el tratamiento de otras enfermedades. La liberación de pus llevó a la convicción de que el cuerpo intentaba con ello quitarse de encima venenos, por lo que las víctimas de la viruela eran sometidas a vigorosas sangrías, purgas, cortes y sudoraciones extremas, remedios que pronto empezaron a aplicarse a todo tipo de males y que casi siempre sólo servían para empeorar las cosas. El término en inglés que identifica a la viruela, smallpox [viruela pequeña], pretende diferenciar la enfermedad de la sífilis, o great pox [viruela grande].
Es evidente que no todas estas terribles enfermedades estaban directamente relacionadas con la higiene, pero la gente no lo sabía, ni le importaba. A pesar de que todo el mundo era consciente de que la sífilis se transmitía por contacto sexual, algo que, claro está, podía tener lugar en cualquier sitio, la enfermedad acabó imborrablemente asociada a las casas de baños. En general, las prostitutas tenían prohibido acercarse a menos de cien pasos de las casas de baños, establecimientos que al final acabaron clausurándose en toda Europa. Con la desaparición de las casas de baños, la mayoría de la gente (que, todo hay que decirlo, ya se lavaba poco) perdió la costumbre de lavarse. No es que la limpieza fuese una gran desconocida, pero sí que era un poco selectiva. «Lávate las manos a menudo, los pies de vez en cuando y la cabeza jamás», decía un proverbio inglés. La reina Isabel, según cuenta una célebre cita, se bañaba fielmente una vez al mes «lo necesite o no». En 1653, John Evelyn, el cronista, tomó la decisión de lavarse el pelo una vez al año. Robert Hooke, el científico, se lavaba los pies a menudo (porque le resultaba relajante), pero por lo que parece no dedicaba mucho tiempo a remojarse por encima de los tobillos. Samuel Pepys menciona en su diario, que escribió durante nueve años y medio, un único baño de su esposa. En Francia, el rey Luis XIII no se bañó hasta el día de su séptimo cumpleaños, en 1608.
El agua, cuando se utilizaba, solía ser puramente con fines medicinales. Hacia 1570, Bath y Buxton eran ya balnearios populares, pero incluso en estos casos la gente se mostraba recelosa. «Me parece que no puede ser limpio que haya tantos cuerpos juntos en la misma agua», anotó Pepys en el verano de 1668, planteándose la experiencia del balneario. Pero aun así, le gustó y pasó dos horas en el agua el día de su inmersión inaugural, y después pagó para que lo llevaran de vuelta a sus habitaciones envuelto en una sábana.
Cuando los europeos empezaron a visitar en masa el Nuevo Mundo, eran tan tremendamente malolientes que los indios no dejaban de comentar cómo apestaban. Nada, sin embargo, les hacía más gracia a los indios que la costumbre europea de sonarse la nariz con un pañuelo fino, doblarlo cuidadosamente a continuación y volver a guardarlo en el bolsillo como si fuese un valioso recuerdo.
Sin duda, algunos estándares de limpieza eran de esperar. Cuando un observador de la corte del rey Jacobo I apuntó que el rey nunca se acercaba al agua excepto para humedecerse los dedos con una servilleta mojada, lo escribió con cierto tono de repugnancia. Y hay que destacar que los que eran mugrientos de verdad eran en general célebres por ello. Entre estos debemos incluir al onceavo duque de Norfolk, que se oponía de forma tan violenta al agua y el jabón que sus criados tenían que esperar a que estuviera borracho como una cuba para darle un buen fregado; Thomas Paine, el folletista, cuya superficie era una acumulación ininterrumpida de suciedad; e incluso el refinado James Boswell, cuyo olor corporal maravillaba a muchos en una época en la que ese detalle indicaba sin duda alguna cosa. Pero Boswell no era nada en comparación con su contemporáneo, el marqués d’Argens, que llevó durante tantos años la misma camiseta que cuando por fin le convencieron de que se la quitase, se le había pegado de tal manera a su cuerpo «que salió acompañada de trozos de piel». Los había, no obstante, que se jactaban de su suciedad. La aristócrata lady Mary Wortley Montagu, una de las primeras grandes viajeras de la historia, iba tan mugrienta que un conocido se quejó de ello después de estrecharle la mano. « ¿Y qué diríais si vierais mis pies?», respondió lúcidamente lady Mary. La gente estaba tan poco acostumbrada a exponerse al agua en grandes cantidades que la idea les inspiraba pavor. Cuando Henry Drinker, un destacado filadelfio, instaló una ducha en su jardín en un momento tan tardío como 1798, su esposa Elizabeth se negó a probarla durante más de un año, «por no haberme mojado entera ni una sola vez en los últimos veintiocho años», explicó.
En el siglo XVIII la forma más fiable de darse un baño era estar loco. En este caso, no cesaban de poner en remojo al interesado. En 1701, sir John Floyer argumentó a favor de los baños fríos como cura de un montón de enfermedades. Su teoría era que al sumergir el cuerpo en agua fría se producía una sensación de «Terror y Sorpresa» que tonificaba los sentidos embotados y fatigados.
Benjamin Franklin lo probó con otra táctica. Durante los años que pasó en Londres, desarrolló la costumbre de tomar «baños de aire» tumbándose al sol desnudo delante de una ventana abierta en la planta superior de su casa. No por ello estaría más limpio, pero por lo que parece no le hizo ningún daño y al menos debía de servir para que sus vecinos tuvieran algo de que hablar. También curiosamente popular era el «lavado en seco», consistente en frotarse con un cepillo para abrir los poros y a buen seguro desalojar de paso los piojos. Mucha gente creía que el lino poseía cualidades especiales que absorbían la suciedad de la piel. Tal y como lo expresa Katherine Ashenburg, «se “lavaban” cambiándose de camisa». La mayoría, sin embargo, combatía la suciedad y el olor camuflándolos con cosméticos y perfumes o simplemente ignorándolos. Cuando todo el mundo apesta, nadie apesta.
Pero llegó un momento en que el agua se puso de repente de moda, aunque sólo en su vertiente medicinal. En 1702, la reina Ana acudió a Bath para tratarse la gota, una iniciativa que fomentó considerablemente la reputación curativa de sus aguas y su prestigio, aunque los problemas de Ana en realidad no tenían nada que ver con el agua y sí con su sobrealimentación. Pronto empezaron a brotar como setas las ciudades balneario: Harrogate, Cheltenham, Llandrindod Wells en Gales. Las ciudades costeras, sin embargo, reivindicaban que las aguas curativas de verdad eran las del mar, aunque, curiosamente, sólo las de los alrededores de sus comunidades. Scarborough, en la costa de Yorkshire, garantizaba que sus aguas eran un bálsamo contra la «Apoplejía, Epilepsia, Catalepsia, Vértigo, Ictericia, Melancolía Hipocondriaca y Flatulencia».
El pionero más famoso de las curas de aguas fue el doctor Richard Russell, que en 1750 escribió en latín un libro sobre las propiedades curativas del agua de mar, traducido al inglés cuatro años más tarde como A Dissertation Concerning the Use of Sea-Water in Diseases of the Glands . El libro de Russell recomendaba el agua de mar como eficaz tratamiento de múltiples trastornos, desde la gota y el reuma hasta la congestión cerebral. Los enfermos no sólo tenían que sumergirse en agua de mar, sino además beberla en grandes cantidades. Russell abrió consulta en el pueblo pesquero de Brighthelmstone, en la costa de Sussex, y tuvo tanto éxito que el pueblo creció y creció hasta transformarse por arte de magia en Brighton, el centro turístico costero más en boga del mundo en su época. Russell ha sido calificado como «el inventor del mar».
En los primeros tiempos, muchos se bañaban desnudos (y causaban a menudo gran indignación entre los aficionados a mirar, a veces con la ayuda de un telescopio), mientras que los más recatados se envolvían generosamente, y a veces incluso de manera peligrosa, en pesados ropajes. Pero la indignación de verdad se inició cuando los elementos más pobres empezaron a presentarse por allí y a desnudarse en la playa «en cantidades promiscuas» y zambullirse en el agua para disfrutar de lo que en realidad era, para la mayoría, su único baño del año. Las máquinas de baño se inventaron por mera cuestión de pudor. Eran simples carromatos que podían arrastrarse hasta el agua, con puertas y peldaños que permitían al cliente entrar en el agua con seguridad y discreción. Una gran parte de los efectos beneficiosos de los baños de mar no era tanto la inmersión como el enérgico frotamiento con franelas secas que se realizaba después.
El futuro de Brighton quedó permanentemente asegurado cuando en septiembre de 1783, justo cuando el Tratado de París daba fin a la revolución norteamericana, el príncipe de Gales visitó por vez primera el centro turístico. Confiaba en encontrar allí alivio para la inflamación de garganta que le aquejaba, y así fue. Le gustó tanto que ordenó de inmediato la construcción en la localidad del que sería su pabellón exótico. El príncipe hizo instalar una bañera privada, que llenarían con agua de mar, para no quedar expuesto a la mirada del pueblo cuando llevara a cabo sus tratamientos.
Jorge III, buscando también privacidad, viajó a Weymouth, un tranquilo puerto situado más al oeste, en Dorset, pero se quedó consternado cuando se encontró con miles de adeptos abarrotando la playa a la espera de presenciar su primer chapuzón. Cuando se metió en el agua, envuelto en un voluminoso vestido de sarga de color azul, una banda escondida en una máquina de baño cercana empezó a tocar el «Dios salve al rey». Aun con todo esto, el rey continuó disfrutando de sus viajes a Weymouth, adonde viajó casi cada año hasta que su creciente locura le imposibilitó seguir sometiendo su agitado cerebro a la mirada pública.
Tobias Smollett, novelista y médico que sufría problemas de pecho, abrió consulta en el Mediterráneo. Cada día tomaba un baño en las costas de Niza, para el asombro de los locales. «Lo veían muy extraño, que un hombre aparentemente tísico se sumergiera en el mar, sobre todo cuando hacía tanto frío; y algunos médicos pronosticaron su muerte inmediata», escribió un contemporáneo. Pero la consulta de Smollett fue un éxito y su libro de viajes, Travels through France and Italy, publicado en 1766, colaboró de forma significativa en la emergencia de la Riviera.
Los charlatanes tardaron muy poco en darse cuenta del dinero que podían obtener con los baños. Uno de los de mayor éxito fue James Graham (1745-1794). Autoproclamado médico, y sin título alguno que no fuera su audaz arrojo, Graham cosechó un éxito enorme en Bath y Londres durante la segunda mitad del siglo XVIII. Utilizaba imanes, pilas y cualquier otro aparato que emitiera un sonido rítmico para curar a pacientes de todo tipo de males, pero sobre todo de todos aquellos responsables de la infelicidad sexual, como la impotencia y la frigidez. Elevó los baños medicinales a un nivel seductoramente erótico, ofreciendo a sus clientes baños de leche, baños con masaje y baños de barro —o Baños de Tierra, como él los denominaba—, ofrecido todo ello en un entorno teatral con música, esculturas clásicas, ambiente perfumado y colaboradoras en paños menores, una de las cuales se dice que fue Emma Lyon, la futura lady Hamilton y amante de lord Nelson. Para los clientes cuyos problemas no respondían a tan tentadores servicios, Graham ofrecía una gigantesca y tremendamente electrificada «Cama Celestial» a 50 libras la noche. El colchón estaba relleno con pétalos de rosa y especias.
Por desgracia, Graham se dejó arrastrar por su éxito y empezó a jactarse de cosas que incluso sus más devotos seguidores encontraban insostenibles. Dio una conferencia con el rimbombante título de «Cómo vivir muchas semanas, meses o años sin comer absolutamente nada», mientras que en otra garantizó a sus oyentes una vida sana hasta los ciento cincuenta años de edad. Su negocio empezó a tambalearse a medida que sus pretensiones fueron tornándose más descabelladas, hasta que inició una caída en picado. En 1782, le fueron embargados todos sus bienes para pagar sus deudas y aquél fue el final de James Graham.
Graham aparece siempre descrito como un curandero risible, y por supuesto que lo era en gran parte, pero merece también la pena recordar que muchas de sus creencias —los baños fríos, la comida sencilla, las camas duras, las ventanas de los dormitorios abiertas para ventilar con aire gélido y, sobre todo, el perdurable horror por la masturbación— se convirtieron en valorados aditamentos de la vida inglesa que se prolongaron mucho más allá de su breve periodo de importancia celestial.
* * * *
Con el tiempo, la gente fue aceptando la idea de que mojarse de vez en cuando no era malo y las teorías sobre la higiene personal que habían dominado el mundo durante tanto tiempo sufrieron con ello un abrupto revés. Ahora, en lugar de ser malo tener la piel sonrosada y los poros abiertos, empezó a imponerse la creencia de que la piel era en realidad un ventilador maravilloso, de que a través de la piel se expulsaban el dióxido de carbono y otras inhalaciones tóxicas, y de que si el polvo y otras acrecencias bloqueaban los poros, las toxinas naturales quedaban atrapadas en el interior y se acumulaban peligrosamente. Era por eso por lo que la gente sucia —los grandes sin lavar, que mencionaba Thackeray— enfermaba con tanta frecuencia. Sus poros obstruidos los estaban matando. En una gráfica muestra, un médico demostró cómo un caballo, embadurnado por completo con alquitrán, se debilitaba a toda velocidad y moría lastimosamente. (De hecho, el problema del caballo no tenía que ver con la respiración, sino con la regulación de la temperatura, aunque eso era, desde el punto de vista del caballo, meramente académico).Pero lavarse por el simple hecho de ir limpio y oler bien fue una idea de lenta asimilación. Cuando en un sermón de 1788 John Wesley, fundador del metodismo, acuñó la frase «La limpieza nos acerca a la santidad», se refería a la ropa limpia, no a un cuerpo limpio. En relación con la limpieza del cuerpo, recomendaba sólo «afeitarse con frecuencia y lavarse los pies». Cuando el joven Karl Marx inició sus estudios universitarios hacia 1830, su preocupada madre le dio instrucciones especiales con referencia a la higiene, y en particular le mandó «fregarse semanalmente con esponja y jabón». Es evidente que en tiempos de la Gran Exposición las cosas estaban cambiando. De hecho, en la exposición se exhibieron más de setecientos jabones y perfumes, lo que refleja la existencia de cierto nivel de demanda, mientras que dos años más tarde la limpieza recibió otro oportuno empujón cuando el Gobierno abolió por fin el viejo impuesto sobre el jabón. Incluso así, en un momento tan tardío como 1861, un médico inglés escribía aún un libro titulado Baths and How to Take Them.
Pero lo que realmente llevó a los victorianos a prestar atención a los baños fue darse cuenta de que podían convertirse en un castigo glorioso. Los victorianos tenían una especie de instinto para el masoquismo y el agua se convirtió en un medio perfecto para dejarlo de manifiesto. Numerosos diarios dejan constancia de gente que tenía que romper el hielo de sus lavamanos para realizar sus abluciones matutinas, y el reverendo Francis Kilvert describió con placer los carámbanos de hielo que colgaban de su bañera y taladraban su piel mientras se bañaba felizmente la mañana del día de Navidad de 1870. También las duchas ofrecían muchas oportunidades de castigo y solían diseñarse para que fuesen lo más potentes posible. Uno de los primeros tipos de ducha resultaba tan feroz, que sus usuarios tenían que protegerse la cabeza con un tocado antes de meterse debajo de ella si no querían que las cañerías de su casa les dejaran sin sentido.
§. 2
Tal vez no exista otra palabra en inglés que haya sufrido más transformaciones en su vida que toilet. Originalmente, hacia 1540, hacía referencia a un tipo de paño y era un diminutivo de toile, una palabra que se utiliza aún en la actualidad para describir cierto tipo de tejido. Después se convirtió en una tela con la que se cubrían los tocadores. Después pasó a referirse a los objetos que podían encontrarse encima del tocador (de ahí la palabra inglesa toiletries, que abarca los distintos artículos de tocador). Después se convirtió en el tocador en sí, después en la acción de vestirse [55] , a continuación en el acto de recibir visitas mientras uno se vestía, después en el vestidor, luego en cualquier tipo de habitación contigua al dormitorio, a continuación en una habitación utilizada para lavarse, y finalmente en el lavabo en sí. Eso explica por qué toilet water describe en inglés el agua de colonia, algo con lo que alegremente podrías remojarte la cara o, de un modo simultáneo, remojarte en un toilet.Garderobe, una palabra hoy extinta en inglés, sufrió una transformación similar aunque más compactada. La palabra es una combinación de guard [«guardar»] y robe [«vestido»] y en sus orígenes hacía referencia a un cuarto de almacenaje, después a cualquier habitación de carácter privado, luego (brevemente) a un dormitorio y al final a un retrete. Aunque lo último que los retretes ofrecían era privacidad. Los romanos eran especialmente aficionados a combinar evacuación con conversación. Sus letrinas públicas tenían en general veinte o más asientos dispuestos en íntima proximidad y la gente las utilizaba con la misma desinhibición con la que hoy en día se sube a un autobús. (Para responder a una pregunta inevitable, había un canal de agua que corría por el suelo delante de cada fila de asientos; los usuarios empapaban en agua unas esponjas sujetas a palos para enjuagarse). Sentirse cómodo en compañía de desconocidos fue algo que se prolongó hasta tiempos modernos. Hampton Court tenía una «Gran Casa de Alivio» capaz de albergar a catorce usuarios a la vez. Carlos II siempre iba al lavabo acompañado por dos criados. Mount Vernon, la casa de George Washington, tenía un encantador retrete íntimo con dos asientos, uno al lado del otro.
Durante mucho tiempo los ingleses destacaron por su despreocupación por la intimidad para hacer sus necesidades. Giacomo Casanova, el aventurero italiano, comentó después de una visita a Londres la frecuencia con la que había visto a la gente «aliviar sus esclusas» delante de todo el mundo al borde de los caminos o junto a cualquier edificio. Pepys anota en su diario que su mujer se ponía de cuclillas en la calle «para hacer sus cosas».
Water closet data de 1755 y en su origen indicaba el lugar donde se administraban los enemas reales. Los franceses de 1770 se referían a los retretes interiores como un lieu à l’anglaise, o «un lugar inglés», un término cuya pronunciación podría ser quizás la explicación del origen de la palabra inglesa loo [«váter»]. En Monticello, Thomas Jefferson instaló tres retretes interiores —seguramente los primeros de Norteamérica— que incorporaban respiraderos para disipar los malos olores. Según los estándares de Jefferson (y, de hecho, según ningún tipo de estándar) no eran tecnológicamente avanzados: los excrementos caían en recipientes que después vaciaban los esclavos. Sin embargo, en la Casa Blanca —o la Casa del Presidente, como se denominaba entonces—, Jefferson hizo instalar en 1801 tres de los primeros inodoros con cisterna del mundo. Funcionaban con cisternas situadas en la azotea que acumulaban el agua de lluvia.
El reverendo Henry Moule, un vicario de Dorset, inventó el inodoro de tierra a mediados del siglo XIX. El inodoro de tierra consistía básicamente en una silla con orinal que incorporaba un depósito de almacenamiento lleno de tierra que, al tirar con una manivela, liberaba una dosis calculada de tierra en el receptáculo, camuflando con ello el olor y la visión de los restos allí depositados. Los inodoros de tierra fueron muy apreciados durante un tiempo, sobre todo en zonas rurales, pero fueron rápidamente superados por los inodoros con cadena, que no sólo camuflaban los excrementos, sino que además se los llevaban envueltos en un torrente de agua. O, como mínimo, lo hacían cuando funcionaban bien, lo que no siempre sucedía, ni siquiera a menudo, en los primeros tiempos.
La mayoría siguió utilizando orinales, que se guardaban en un armario del dormitorio o del vestidor y que (por razones completamente misteriosas) se conocían como jordans. A los extranjeros les horrorizaba la costumbre inglesa de guardar los orinales en armarios o aparadores del comedor, que los hombres sacaban de allí y utilizaban en cuanto las mujeres se retiraban. Había habitaciones provistas también con una «silla para las necesidades», siempre situada en una esquina. Moreau de Saint-Méry, un francés que visitó Filadelfia, comentó pasmado que había visto a un hombre retirar las flores de un jarrón para orinar en su interior. Otro francés que visitó la ciudad hacia la misma época informó de que había solicitado un orinal para su dormitorio y que había recibido la respuesta de que lo hiciese por la ventana, como todo el mundo. Cuando insistió en que le dieran algo donde poder hacer sus necesidades, su perpleja anfitriona le trajo una tetera, no sin recordarle luego con insistencia que necesitaba que se la devolviera a la mañana siguiente a tiempo para poder preparar el desayuno.
La característica más notable de las anécdotas relacionadas con este tipo de prácticas es que siempre —siempre, de verdad— son de gente de un determinado país que se queja horrorizada de las costumbres de la gente de otro país. Había tantas quejas sobre las costumbres en el retrete de los franceses, como quejas que los franceses pudieran realizar sobre las costumbres de los demás. Un comentario que circuló durante muchos siglos era que en Francia había «muchos orines en las chimeneas». Los franceses se vieron asimismo comúnmente acusados de hacer sus necesidades en las escaleras, «una práctica que aún seguía llevándose a cabo en Versalles en el siglo XVIII», escribe Mark Girouard en Life in the French Country House. Versalles se jactaba de tener cien cuartos de baño y trescientas sillas con orinal, todos ellos curiosamente infrautilizados, y en 1715 se publicó un edicto tranquilizando a sus residentes y visitantes porque a partir de aquella fecha se limpiarían semanalmente las heces de los pasillos.
Las aguas residuales iban a parar mayoritariamente a pozos negros, que por norma general estaban desatendidos y su contenido se filtraba a menudo en los recursos acuíferos de las proximidades. En los peores casos, se desbordaban. Samuel Pepys anotó en su diario una de estas ocasiones: «Cuando bajé al sótano […] metí el pie en una montaña enorme de excrementos […] con lo que he descubierto que el evacuatorio de casa del señor Turner está lleno y entra en mi sótano, lo que me preocupa».
Los encargados de limpiar los pozos negros eran conocidos como los hombres de los excrementos, y si alguna vez ha existido una forma menos envidiable que esa de ganarse la vida creo que aún tiene que ser descrita. Trabajaban en equipos de tres o cuatro. Uno de ellos —el más novato, podríamos perfectamente asumir— bajaba al pozo negro para cargar a paladas los excrementos en cubos. Un segundo hombre se situaba junto al pozo negro y se encargaba de subir y bajar los cubos, y el tercero y el cuarto transportaban los cubos hasta un carromato. Era un trabajo tan peligroso como desagradable. Los trabajadores corrían el riesgo de asfixiarse e incluso de ser víctimas de explosiones, pues trabajaban con la luz de una lámpara en entornos tremendamente repletos de gases. En 1753, Gentleman’s Magazine relataba el caso de un hombre de los excrementos que entró en el sótano donde se encontraba el pozo negro de una taberna de Londres y al instante quedó asfixiado por la toxicidad del ambiente. «Gritó pidiendo ayuda, y cayó de inmediato de bruces en el suelo», informó un testigo. Un compañero del hombre, que corrió rápidamente en su ayuda, cayó asfixiado de un modo similar. Se acercaron al sótano dos hombres más, pero no pudieron ni entrar debido a la toxicidad del aire, aunque consiguieron abrir un poco la puerta, liberando con ello lo peor de los gases. Cuando los rescatadores consiguieron sacar a los dos hombres, uno había muerto ya y nada pudo hacerse para salvar la vida del otro.
Los hombres de los excrementos tenían honorarios muy elevados y por esa razón los pozos negros de los barrios más pobres apenas se vaciaban y se desbordaban con frecuencia, un hecho que no es de sorprender teniendo en cuenta las presiones que normalmente sufrían los pozos negros del interior de las ciudades. El apiñamiento en muchos barrios londinenses era casi inimaginable. En St. Giles, el peor de los enjambres de Londres —escenario de La calle de la ginebra de Hogarth—, vivían cincuenta y cuatro mil personas en sólo unas cuantas calles. Según un cálculo, en las veintisiete casas de un callejón vivían mil cien personas, lo que se traduce en más de cuarenta personas por vivienda. En Spitalfields, más al este, los inspectores descubrieron a sesenta y tres personas viviendo en una sola casa. La casa tenía nueve camas, una por cada siete ocupantes. Fue por entonces cuando apareció una nueva palabra en inglés, de procedencia desconocida, para describir este tipo de barrios: slums [«barrios bajos»]. Charles Dickens fue uno de los primeros en utilizarla, en una carta fechada en 1851.
Naturalmente, estas gigantescas masas de humanidad generaban volúmenes impresionantes de excrementos, mucho más de lo que cualquier sistema de pozos negros pudiera llegar a abarcar. En un informe bastante típico, un inspector hablaba de haber visitado dos casas en St. Giles en las que los sótanos estaban llenos de suciedad hasta una altura de casi un metro. En el exterior, continuaba el inspector, el patio estaba cubierto por una capa de quince centímetros de excrementos. Habían dispuesto ladrillos a modo de pasarela para que los ocupantes de la casa pudieran cruzar el patio.
En Leeds, en la década de 1830, un estudio llevado a cabo en los barrios más pobres descubrió que muchas calles «flotaban sobre aguas residuales»; una calle, en la que vivían ciento setenta y seis familias, llevaba quince años sin ser limpiada. En Liverpool, hasta una sexta parte de sus habitantes vivía en sótanos oscuros donde podían filtrarse desperdicios de todo tipo. Y, claro está, los excrementos humanos no eran más que una pequeña parte de los montones gigantescos de porquería que generaban las ciudades superpobladas y de rápido desarrollo industrial. En Londres, el Támesis absorbía todo lo que nadie quería: carne podrida, gatos y perros muertos, basura, residuos industriales, heces humanas y muchas cosas más. Los animales eran conducidos a diario hasta el mercado de Smithfield para ser transformados en bistecs y costillas de cordero; se calcula que por el camino depositaban a lo largo del año cuarenta mil toneladas de excrementos. Eso, claro está, además de los excrementos de perros, caballos, gansos, patos, pollos y cerdos en celo que se criaban a nivel doméstico. Los fabricantes de cola, los tintoreros, los fabricantes de sebo para velas, los negocios de productos químicos de todo tipo, todos incorporaban sus derivados al mar de la pecina diaria. Gran parte de estos detritos en estado de descomposición acababan yendo a parar al Támesis con la esperanza de que la marea los arrastrara mar adentro. Pero las mareas, claro está, se mueven en ambas direcciones, y la marea que se llevaba los desperdicios hacia el mar los retornaba en gran parte de nuevo cuando volvía a subir. El río era un «torrente continuo de estiércol líquido», según palabras de un observador. Smollett, en Humphry Clinker, decía que «el excremento humano es la parte menos ofensiva», pues en el río flotaban también «todas las drogas, minerales y venenos utilizados en la mecánica y la manufactura, enriquecidos con los cadáveres putrefactos de bestias y hombres; y mezclado todo ello con los restos de las bañeras, casetas de perros y alcantarillas». El Támesis se tornó tan nocivo que cuando se produjo una fuga en un túnel que estaba excavándose en Rotherhithe, lo primero que salió por la brecha no fue agua de río, sino gases concentrados, que se incendiaron al entrar en contacto con las lámparas de los mineros, poniéndolos en la absurda y desesperada posición de tener que intentar correr más que las aguas que se aproximaban a ellos y las nubes de aire abrasador.
Los afluentes que desembocaban en el Támesis solían ser incluso peores que el mismo Támesis. La Flota del Río estaba en 1831 «casi inmóvil flotando sobre suciedad en estado sólido». El Serpentine de Hyde Park llegó a estar tan putrefacto que la gente que paseaba por el parque se situaba contra la dirección del viento para no oler sus efluvios. En la década de 1860 se dragó de su fondo una capa de aguas negras de cuatro metros y medio de profundidad.
Y a ese cenagal vino a sumarse algo que, inesperadamente, tuvo consecuencias desastrosas: el inodoro con cisterna. Los inodoros con cisterna llevaban ya un tiempo en funcionamiento. El primero de ellos fue construido por John Harington, ahijado de la reina Isabel. Cuando Harington le mostró el invento en 1597, la reina se mostró encantada y lo hizo instalar de inmediato en Richmond Palace. Pero la novedad iba muy por delante de su tiempo y transcurrieron casi doscientos años antes de que Joseph Bramah, ebanista y cerrajero, patentara en 1778 el primer váter con cadena moderno. Su aceptación fue discreta. Le siguieron muchos modelos más. Pero los primeros inodoros no funcionaban muy bien. Algunos funcionaban al revés, llenando la habitación de muchas más cosas de las que el horrorizado propietario esperaba librarse para siempre. Hasta el desarrollo de la tubería en U y el sifón —ese pequeño depósito de agua que regresa al fondo de la taza cada vez que se tira de la cadena—, las tazas de los inodoros actuaban a modo de conducto de olores de los pozos negros y las aguas residuales. Las tufaradas, sobre todo en temporadas de calor, podían llegar a ser insoportables.
Este problema lo resolvió uno de los inventores con un apellido, como veremos, de lo más apropiado, Thomas Crapper [56] (1837-1910), que nació en el seno de una familia humilde de Yorkshire y se dice que llegó caminando a Londres con once años de edad. Allí se convirtió en aprendiz de fontanero en Chelsea. Crapper inventó el clásico inodoro, que en Gran Bretaña sigue siendo muy común, con una cisterna elevada que se activa tirando de una cadena. Conocido como el Marlboro Silent Water Waste Preventer, era limpio, a prueba de fugas, inodoro y maravillosamente fiable, y su fabricación hizo riquísimo a Crapper, y tan famoso que muchas veces se piensa que su apellido es el origen del término del argot crap y de sus muchos derivados. De hecho, crap, como término que hace referencia a la materia fecal, es muy antiguo, y crapper, para referirse al inodoro, es un americanismo que no registró el Oxford English Dictionary hasta 1922. El apellido de Crapper es, pues, por lo que parece, una simple y feliz casualidad.
El evento trascendental para los inodoros con cisterna fue la Gran Exposición, donde se convirtieron en una de las más destacadas atracciones. Más de ochenta mil personas soportaron con paciencia largas colas para experimentar los inodoros con cisterna —una novedad para la mayoría— y se quedaron tan encantadas con el ruido y el remolino limpiador del agua que corrieron a instalarlos en sus casas. Tal vez no exista otro objeto de consumo de precio elevado en toda la historia que haya conseguido despegar a mayor velocidad que éste. A mediados del siglo XIX, ya había instalados en Londres unos doscientos mil.
El problema era que la red de alcantarillado de Londres estaba únicamente diseñada para absorber agua de lluvia y se mostró incapaz de gestionar aquella avalancha continua de residuos sólidos. Las cloacas empezaron a llenarse de aguas residuales densas y viscosas que no circulaban. Surgió entonces un tipo de trabajo, el de desatascador, cuya responsabilidad consistía en localizar los bloqueos y solucionarlos. Otras labores relacionadas con el alcantarillado eran las que realizaban los llamados alcantarilleros y los rapiñadores, que se dedicaban a remover la porquería, tanto en las alcantarillas como en los fétidos bancos de los ríos, en busca de joyas y alguna que otra cuchara de plata. Si se mira bien, los alcantarilleros se ganaban la vida, pero era una profesión peligrosa. El aire de las alcantarillas podía resultar mortal. La red de alcantarillado era extensa y sin mapas explicativos y hay constancia de muchos alcantarilleros que acabaron perdiéndose por ella o viéndose incapaces de encontrar la salida. Se rumoreaba asimismo que algunos habían sido atacados y devorados por las ratas.
Las epidemias asesinas eran habituales en el mundo escasamente higienizado previo a la aparición de los antibióticos. Se estima que la epidemia de cólera de 1832 acabó con la vida de sesenta mil británicos. Fue seguida en 1837-1838 por una devastadora epidemia de gripe y por posteriores brotes de cólera en 1848, 1854 y 1867. Y a todos estos ataques contra la tranquilidad del país se sumaron brotes mortales de fiebres tifoideas, fiebres reumatoides, escarlatina, difteria y viruela, entre otras enfermedades. Sólo las fiebres tifoideas mataron a más de mil quinientas personas al año en el periodo comprendido entre 1850 y 1870. La tosferina acabó con la vida de unos diez mil niños al año entre 1840 y 1910. El sarampión mató a más aún. En el siglo XIX había, por lo tanto, numerosas y terribles maneras de morir.
El cólera no fue una enfermedad muy temida en un principio por la decididamente inadecuada razón de que se creía que afectaba tan sólo a los pobres. En el siglo XIX estaba en general aceptado que los pobres eran pobres porque nacían para serlo. A pesar de que unos pocos empobrecidos podían aparecer generosamente descritos como no merecedores de su condición, en su mayoría eran por naturaleza «imprevisores, imprudentes y desaforados, y con una avidez habitual por la gratificación sensual», según lo resumía de forma sucinta un informe del Gobierno. Incluso Friedrich Engels, un observador mucho más compasivo que la mayoría, era capaz de escribir en La situación de la clase obrera en Inglaterra: «El carácter fácil del irlandés, su crudeza, que lo sitúa sólo un poco por encima del salvaje, su desprecio por todos los goces humanos, que su misma crudeza le imposibilita compartir, su suciedad y pobreza, todo ello favorece la ebriedad».
Por lo tanto, cuando en 1832 la gente de las abarrotadas ciudades empezó a caer en cantidades impresionantes víctima de una nueva enfermedad llegada de la India y conocida como cólera, fue un hecho en general visto como una de esas desgracias que se cernían sobre los pobres de vez en cuando. El cólera llegó a conocerse como «la peste del pobre». En la ciudad de Nueva York, más del 40 % de las víctimas eran inmigrantes irlandeses pobres. Los negros se veían también afectados en cifras desproporcionadas. La comisión médica del estado de Nueva York declaró, de hecho, que la enfermedad estaba limitada a los pobres disolutos y que «surge enteramente como resultado de sus hábitos de vida».
Pero el cólera empezó a atacar también a los habitantes de barrios acomodados, y el terror se generalizó enseguida. Desde la «Muerte Negra» no había habido enfermedad que inquietara hasta tal punto a la población. La característica más diferenciadora del cólera era su rapidez. Los síntomas —fuertes diarreas y vómitos, dolorosos retortijones, aplastantes cefaleas— aparecían de manera instantánea. La tasa de mortalidad era del 50 %, y a veces superior, pero era su celeridad —la terrible e impetuosa transición del bienestar a la repentina agonía, delirio y muerte— lo que resultaba aterrador para todo el mundo. Ver a un ser querido perfectamente bien a la hora del desayuno y muerto a la hora de cenar era una experiencia horrorosa.
Y hubo más enfermedades que acabaron también con numerosas vidas. Los que sobrevivían al cólera solían recuperarse por completo, a diferencia de las víctimas de la escarlatina, que acostumbraban a quedarse sordas o con lesiones cerebrales, y las de la viruela, que podían quedar terriblemente desfiguradas. Pero aun así fue el cólera la que se convirtió en la obsesión nacional. Entre 1845 y 1856 se publicaron en inglés cerca de setecientos libros sobre el cólera. Lo que más preocupaba a la gente era no saber qué lo causaba y cómo eludirlo. « ¿Qué es el cólera? — preguntaba Lancet en 1853—. ¿Es un hongo, un insecto, un miasma, una alteración eléctrica, una deficiencia de ozono, una malsana erosión del tracto intestinal? No sabemos nada».
La creencia más común era que el cólera y otras terribles enfermedades eran consecuencia del aire impuro. Se creía que cualquier cosa en proceso de descomposición o maloliente —aguas residuales, los cadáveres de los cementerios, vegetación en estado de putrefacción, efluvios humanos— producía enfermedades y era potencialmente mortal. «Una orgía de aromas invisibles de malaria cubre todas las calles —escribió un cronista, con cierto pintoresquismo, hacia mediados de siglo—. El veneno atmosférico, el factor acre y la suciedad gaseosa claman y no perdonan, y el paseante inhala cada vez que respira, y llena su par de pulmones con los vapores que emanan del fango en descomposición de las cunetas y la podredumbre». La máxima autoridad médica de Liverpool calculó en 1844, con segura precisión, el alcance de los daños e informó de ello al Parlamento: «Por el simple funcionamiento de los pulmones de los habitantes de Liverpool, un estrato de aire diario suficiente como para cubrir la totalidad de la superficie de la ciudad hasta una altura de un metro se considera inadecuado para la respiración».
El defensor más consagrado e influyente de la teoría de los miasmas fue Edwin Chadwick, secretario de la Comisión de la Ley de los Pobres y autor de A Report on the Sanitary Condition of the Labouring Population of Great Britain , que se convirtió en un inverosímil éxito de ventas en 1842. La creencia fundamental de Chadwick era que, si conseguías librarte de los olores, te librabas también de las enfermedades. «Cualquier olor equivale a enfermedad», explicó en una consulta parlamentaria. Su deseo no era otro que limpiar los barrios pobres y las viviendas que en ellos hubiera, pero no para mejorar las condiciones de vida de sus habitantes, sino simplemente para librarse de los malos olores.
Chadwick era un personaje intenso y sombrío, muy dado a los celos mezquinos y a las discusiones por defender su postura. Abogado de formación, pasó gran parte de su vida trabajando en diversas comisiones reales: para la mejora de las leyes de los pobres, de las condiciones de las fábricas, del nivel sanitario de las ciudades, para prevenir muertes evitables, para reorganizar el registro de nacimientos, muertes y matrimonios. No era un hombre del agrado de casi nadie. Su trabajo en la Ley de Pobres de 1834, que introdujo un sistema nacional de asilos para pobres de naturaleza casi penal, lo convirtió en un ser odiado entre la clase trabajadora, «el individuo más impopular de todo el Reino Unido», según un biógrafo. Ni siquiera su familia sentía afecto por él. La madre de Chadwick falleció siendo él un niño y su padre volvió a casarse e inició una segunda familia en el oeste de Inglaterra. Esta segunda familia acabó emigrando a Brooklyn y, por lo que parece, la relación se rompió. Uno de los hijos del segundo matrimonio fue Henry Chadwick, cuya carrera profesional se encaminó hacia una dirección completamente distinta. Se convirtió en redactor deportivo y fue uno de los primeros y entusiastas promotores del béisbol. De hecho, se le ha descrito a veces como el padre del juego moderno. Fue él quien concibió el marcador, la puntuación, el promedio de bateo, el promedio de runs ganados y muchos otros pormenores estadísticos que tanto adoran los aficionados al béisbol. La razón por la que el marcador del béisbol y la tarjeta de puntuación del criquet son tan similares es porque realizó lo primero basándose en la segunda [57] .
La teoría de los miasmas sólo tenía un punto débil destacado: carecía por completo de base. Por desgracia, sólo un hombre se dio cuenta de ello, y no consiguió que nadie estuviera de acuerdo con él. Se llamaba John Snow.
Snow nació en York, en 1813, en circunstancias modestas —su padre era un trabajador normal y corriente—, y por mucho que esto tal vez influyera negativamente en su vida social, le fue muy bien en cuanto a percepción y compasión, pues fue casi el único entre todas las autoridades médicas de la época que no culpó a los pobres de sus enfermedades, sino que comprendió que eran sus condiciones de vida lo que los hacía más vulnerables a influencias que escapaban de su control. Nadie jamás había abordado el estudio de la epidemiología con tamaña falta de prejuicios.
Snow estudió medicina en Newcastle pero se estableció en Londres, donde se convirtió en uno de los más destacados anestesistas de su tiempo, en un momento en que la anestesia era aún un campo inquietantemente experimental. Rara vez la palabra «práctica» ha sido más apropiada con respecto a las labores de un médico. La anestesia sigue siendo un asunto delicado incluso ahora, pero en los primeros tiempos, cuando las dosis se basaban en poco más que corazonadas y esperanzados supuestos, el coma, la muerte y otras graves consecuencias eran de lo más habitual. En 1853, se reclamó la presencia de Snow para que administrase cloroformo a la reina Victoria durante el parto del que era su octavo embarazo. La reacción al cloroformo era inesperada, y no sólo porque era un elemento nuevo —lo había descubierto un médico de Edimburgo hacía sólo seis años—, sino porque resultaba además claramente peligroso. Había muerto mucha gente como consecuencia de su aplicación. Y utilizarlo simplemente para ayudar a la reina a afrontar los dolores de un parto debió de ser, bajo el punto de vista de la mayoría de médicos, una imprudencia descabellada. La revista Lancet informó del tema como un rumor preocupante y se confesó atónita ante la idea de que cualquier médico cualificado decidiera correr ese riesgo con la persona real en cualquier circunstancia que no fuera una situación de crisis. Pero Snow no dudó en administrar cloroformo, ni entonces ni después, por mucho que esa práctica le recordara de forma intensa y constante los riesgos de la anestesia. En abril de 1857, por ejemplo, mató a un paciente después de haber experimentado con él un nuevo tipo de anestésico, el amileno, y haber calculado erróneamente la dosis tolerable. Justo una semana después, administraba de nuevo cloroformo a la reina.
Cuando no se dedicaba a ayudar a la gente a perder la consciencia antes de ser sometida a una intervención quirúrgica, Snow dedicaba gran parte de su tiempo a comprender de dónde provenían las enfermedades. Se preguntó en especial por qué el cólera devastaba de aquel modo algunos barrios mientras prácticamente pasaba por alto otros. En Southwark, el porcentaje de muertes por cólera era seis veces más elevado que en el vecino Lambeth. Si el cólera fuese consecuencia de un ambiente enrarecido, ¿por qué los habitantes de barrios colindantes, que respiraban el mismo aire, presentaban porcentajes de infección tan discrepantes? Además, si el cólera se transmitiera por el olor, los que realizaban tareas que obligaban a un contacto directo con los malos olores —los alcantarilleros, los desatascadores, los hombres de los excrementos y todos los que se ganaban la vida con la basura humana— tendrían que ser las víctimas más frecuentes. Pero no era así. Después del brote de 1884, Snow no consiguió encontrar ni un solo desatascador que hubiese fallecido.
El logro más perdurable de Snow fue no sólo comprender la causa del cólera, sino además recopilar evidencias de un modo científicamente riguroso. Realizó mapas detallados que mostraban la distribución exacta de las víctimas del cólera. Y los patrones descubiertos eran de lo más intrigante. Por ejemplo, el Hospital Bethlehem, el famoso manicomio, no tenía ni una sola víctima, mientras que los habitantes de las calles vecinas, en cualquier dirección, habían sucumbido en cantidades alarmantes. La diferencia estaba en que el hospital disponía de un suministro propio de agua, procedente de un pozo existente en sus terrenos, mientras que los que vivían en los alrededores se abastecían del agua de los pozos públicos. De la misma manera, los habitantes de Lambeth bebían agua que llegaba a través de un sistema de cañerías procedente de fuentes limpias de las afueras de la ciudad, mientras que los del vecino Southwark bebían agua que procedía directamente del contaminado Támesis.
Snow anunció sus descubrimientos en un panfleto publicado en 1849, On the Mode of Communication of Cholera, que demostraba un claro vínculo entre el cólera y el agua contaminada por heces humanas. Es uno de los documentos más importantes de la historia de la estadística, la salud pública, la demografía y la ciencia forense: uno de los documentos más importantes, en resumen, del siglo XIX. Nadie le hizo caso y las epidemias siguieron avanzando.
En 1854, un brote especialmente virulento golpeó el Soho. En un solo barrio en los alrededores de Broad Street, murieron en diez días más de quinientas personas, lo que convirtió el suceso, como Snow destacó, probablemente en el caso más devastador de mortalidad repentina de toda la historia, peor aún que la gran peste. La mortalidad podría haber sido aún mayor de no haber huido tanta gente de aquel barrio.
El patrón de mortalidad presentaba anomalías sorprendentes. Una de las víctimas había muerto en Hampstead y otra en Islington, a kilómetros de distancia un lugar del otro. Snow se desplazó a pie hasta el lugar donde habían vivido las remotas víctimas y entrevistó a familiares y vecinos. Resultó que la víctima de Hampstead era una forofa del agua de Broad Street —le gustaba tanto, que cargaba con ella regularmente hasta su casa— y había bebido un trago poco antes de caer enferma. La víctima de Islington era su sobrina, que había estado visitándola y también había bebido de aquella agua.
Snow consiguió convencer al consejo parroquial para que se retirase la manivela que accionaba una bomba de agua de Broad Street, después de lo cual los fallecimientos por cólera en el barrio se acabaron, o eso es lo que suele decirse. De hecho, la epidemia empezaba ya a amainar en el momento en que se retiró la manivela, en gran parte debido a la huida de muchos vecinos.
A pesar de todas las evidencias acumuladas, las conclusiones de Snow siguieron siendo rechazadas. Cuando Snow se presentó frente a un selecto comité parlamentario, su presidente, sir Benjamin Hall, se negó a reconocer sus descubrimientos. Empleando un tono de perplejidad, Hall le preguntó a Snow: « ¿Tiene que comprender el Comité, tomando el caso de los que se dedican a hervir huesos para diversos fines, que por muy ofensivos que sean para el sentido del olfato los efluvios que emanan de los establecimientos donde hierven huesos, usted sigue sin considerarlos perjudiciales en ningún sentido para la salud de los habitantes del barrio?».
«Eso opino yo», replicó Snow, pero por desgracia su actitud, siempre modesta y apocada, era menos directa que sus conclusiones, y las autoridades siguieron rechazándolas.
Hoy en día resulta difícil apreciar hasta qué punto resultaban radicales e inoportunos los puntos de vista de Snow. Muchas autoridades lo detestaban enérgicamente por ello. La revista Lancet llegó a la conclusión de que se embolsaba dinero de empresas cuyo interés era seguir inundando el ambiente de «vapores pestilentes, miasmas y repelentes abominaciones de todo tipo» y enriquecerse envenenando a sus vecinos. «Después de una detallada indagatoria —concluyó la investigación parlamentaria—, no vemos razón para adoptar esta creencia».
Y al final sucedió lo inevitable. En el verano de 1858, Londres sufrió una combinación de ola de calor y sequía durante la cual la suciedad se acumuló sin que las aguas pudieran eliminarla. Las temperaturas superaron con creces los treinta grados centígrados y allí se quedaron, una circunstancia excepcional para Londres. El resultado fue «El Gran Hedor», como lo denominó The Times. El Támesis se volvió tan ponzoñoso que nadie soportaba siquiera acercarse a él. «Quien aspira una sola vez el hedor, ya jamás podrá olvidarlo», escribió un periódico. En los nuevos edificios del Parlamento corrieron completamente las cortinas y las empaparon con una solución de cloruro de calcio con la intención de mitigar los letales olores, pero el resultado fue muy similar al pánico. Las sesiones del Parlamento tuvieron que suspenderse. Algunos de sus miembros, según Stephen Halliday, intentaron aventurarse en la biblioteca, cuyos ventanales dominaban el río, «pero al instante se vieron obligados a retirarse, tapándose la nariz con un pañuelo».
Snow nunca consiguió hacer valer sus ideas. Murió de forma repentina como consecuencia de un ataque de apoplejía en pleno Gran Hedor, sin saber que un día acabaría siendo considerado un héroe. Tenía sólo cuarenta y cinco años de edad. Su muerte pasó prácticamente desapercibida.
Por suerte, estaba a punto de entrar en escena otra figura heroica: Joseph Bazalgette. Por casualidad, Bazalgette tenía sus oficinas a la vuelta de la esquina de la consulta de Snow, aunque por lo que se sabe ambos hombres nunca llegaron a coincidir. Bazalgette era un hombre menudo, bajito y ligero como una pluma, pero compensaba su estatura de jockey con un bigote espectacularmente poblado que le llegaba literalmente de oreja a oreja. Como en el caso de ese otro gran ingeniero victoriano, Isambard Kingdom Brunel, era de ascendencia francesa, aunque su familia llevaba instalada en Inglaterra treinta y cinco años cuando Joseph nació en 1819. Su padre era comandante de la Marina Real y Bazalgette se crió en un ambiente privilegiado, siendo educado por tutores privados y disfrutando de todas las ventajas que podía ofrecerle la vida.
Descartado de la carrera militar debido a su estatura de duendecillo, se formó como ingeniero de ferrocarriles, pero en 1849, cuando contaba treinta años, entró en la Metropolitan Commission of Sewers, donde pronto ascendió al puesto de ingeniero jefe. La sanidad nunca pudo tener mejor adalid. Nada relacionado con el alcantarillado y la eliminación de residuos escapó de su escrutinio. Preocupado por el hecho de que Londres apenas disponía de baños públicos, concibió un plan para colocar lavabos públicos en los puntos más estratégicos de la ciudad. Calculó que recogiendo la orina y vendiéndola como producto industrial (la orina rancia era vital para la fabricación del alumbre, entre otras cosas), cada urinario generaría unos ingresos anuales de 48 libras, un retorno de la inversión de lo más atractivo. El plan nunca llegó a hacerse realidad, pero sirvió para inculcar la convicción generalizada de que, en todo lo que a alcantarillado se refería, Joseph Bazalgette era el hombre a quien había que acudir.
Después del Gran Hedor, se hizo patente la necesidad de reconstruir el sistema de alcantarillado de Londres, una tarea que fue encargada a Bazalgette. Era un reto formidable. Bazalgette tenía que insertar en una ciudad inmensamente concurrida casi dos mil kilómetros de túneles, que tenían que durar un tiempo indefinido, llevarse hasta la última partícula de residuos generados por tres millones de personas y gestionar un futuro crecimiento de dimensiones desconocidas. Tendría que adquirir terrenos, negociar derechos de paso, conseguir y distribuir materiales y dirigir a multitudes de trabajadores. Hasta el último aspecto de aquella tarea resultaba agotador sólo de pensarlo. La construcción de los túneles exigió 318 millones de ladrillos, y la extracción y redistribución de más de dos millones y medio de metros cúbicos de tierra. Y todo ello se hizo con un presupuesto de sólo 3 millones de libras.
Bazalgette excedió de manera brillante todas las expectativas. Durante el proceso de construcción del nuevo sistema de alcantarillado, transformó casi seis kilómetros de margen del río con la creación de los diques de Chelsea, Albert y Victoria (donde fue a parar una cantidad importante de la tierra extraída). Los nuevos diques no sólo proporcionaban espacio para un imponente colector —una especie de autopista de cloacas—, sino que además dejaban capacidad suficiente para ubicar una nueva línea de metro y para conducciones subterráneas de gas y otros suministros, y para una nueva vía de descongestión por arriba. El conjunto reclamó veintiuna hectáreas de terrenos, sobre los que se repartieron parques y paseos. Una característica inherente de los diques fue que provocaron el estrechamiento del río, cuyo caudal, como consecuencia de ello, cobró velocidad, mejorando así la limpieza de sus aguas. Sería difícil identificar otro proyecto de ingeniería que haya aportado un abanico más amplio de mejoras para la salud pública, el transporte, el tráfico, el esparcimiento y el funcionamiento del río. Y es el sistema que sigue funcionando en Londres. Dejando aparte los parques de la ciudad, los diques siguen contándose entre los entornos más agradables de Londres.
Debido a la limitación presupuestaria, Bazalgette sólo pudo permitirse llevar el alcantarillado hasta el extremo oriental de la metrópolis, hasta un lugar llamado Barking Reach. Allí, potentes tuberías de desagüe vertían diariamente al Támesis setecientos mil metros cúbicos de aguas residuales sin tratar, grumosas e intensamente pestilentes. Barking quedaba aún a treinta kilómetros de distancia de mar abierto, tal y como la consternada y desgraciada gente que vivía a lo largo de esos treinta kilómetros nunca cesó de destacar, pero las mareas eran lo bastante fuertes como para arrastrar la mayor parte del vertido de forma segura (aunque no siempre inodora) hasta el mar, y garantizar que nunca más volviera a haber epidemias en Londres provocadas por las aguas residuales.
Los nuevos vertidos de aguas residuales desempeñaron, sin embargo, un desafortunado papel en la mayor tragedia jamás vivida en aguas del Támesis. En septiembre de 1878, una embarcación de recreo de nombre Princess Alice, cargada a rebosar de excursionistas, regresaba a Londres después de una jornada en la costa cuando colisionó con otra embarcación en Barking, justo en el lugar y en el momento en que los dos gigantescos conductos de desagüe entraban en acción. El Princess Alice se hundió en menos de cinco minutos. Casi ochocientas personas perecieron ahogadas en un sofocante cenagal de aguas residuales sin tratar. A los que consiguieron nadar les resultó casi imposible abrirse camino entre la viscosa suciedad. Los cuerpos siguieron emergiendo a la superficie durante días. Muchos, informó The Times, estaban tan hinchados como consecuencia de las bacterias gaseosas, que ni siquiera pudieron enterrarse en ataúdes de tamaño normal.
Construcción de un túnel de alcantarillado cerca de Old Ford, Bow, en el este de Londres.
Edwin Chadwick nunca creyó en eso, y siguió toda su vida sugiriendo métodos para eliminar olores y mantener un ambiente sano. Una de sus últimas y más singulares propuestas fue la construcción, en diversos puntos de Londres, de una serie de torres tomando como modelo la novedosa Torre Eiffel de París. Según la visión de Chadwick, las torres actuarían como potentes ventiladores, atrayendo aire fresco y sano de las alturas y bombeándolo hacia el suelo. En verano de 1890 se fue a la tumba implacablemente convencido de que la causa de las epidemias eran los vapores atmosféricos.
Entretanto, Bazalgette se dedicó a otros proyectos. Construyó algunos de los puentes más bellos de Londres, en Hammersmith, Battersea y Putney, y trazó en el corazón de Londres diversas calles, novedosas y osadas, concebidas para aliviar la congestión provocada por el tráfico, entre ellas Charing Cross Road y Shaftesbury Avenue. Al final de su vida fue nombrado caballero, pero en realidad nunca alcanzó la fama que se merecía. Es lo que suele suceder con los ingenieros especializados en alcantarillado. Su persona está conmemorada con una modesta estatua en el dique Victoria, a orillas del Támesis. Falleció pocos meses después que Chadwick.
§. 3
En América la situación era más complicada que en Inglaterra. Los que viajaban a Norteamérica se quedaban sorprendidos al descubrir que las epidemias solían ser allí excepcionales y mucho más benignas. Y había un buen motivo para ello: las comunidades norteamericanas eran en general más limpias. No tanto porque sus habitantes fueran más melindrosos en sus costumbres, sino porque sus pueblos y ciudades eran más abiertos y espaciosos, lo que generaba una menor probabilidad de contaminación e infecciones. Pero, por otro lado, los habitantes del Nuevo Mundo tenían varias enfermedades adicionales que combatir, y algunas de ellas eran totalmente inescrutables. Una de éstas era la que se conocía como «la enfermedad de la leche». La gente que bebía leche en Norteamérica sufría a veces delirios y moría acto seguido con rapidez —la madre de Abraham Lincoln fue una de sus víctimas—, pero la leche infectada no tenía ni un olor ni un sabor distintos a los de la leche corriente, y nadie conocía el agente infeccioso. No fue hasta bien entrado el siglo XIX cuando alguien dedujo por fin que el problema eran las vacas que pastaban una planta llamada raíz de culebra blanca, inofensiva para las vacas pero que convertía su leche en un producto tóxico.Más letal y temida incluso era la fiebre amarilla. Se trataba de una enfermedad viral que recibía el nombre de fiebre amarilla porque la piel de las víctimas solía tornarse cetrina. Los verdaderos síntomas, no obstante, eran fiebres elevadas y vómitos de color negruzco. La fiebre amarilla llegó a Norteamérica a bordo de los barcos de esclavos procedentes de África. El primer caso está registrado en Barbados en 1647. Era una enfermedad horrorosa. Un médico que la contrajo declaró haber tenido la sensación de «tener tres o cuatro ganchos tirándome de los globos oculares y como si una persona, situada detrás de mí, tirara con fuerza de ellos para arrancarlos de las órbitas en dirección a la nuca». Se desconocía la causa, pero había la sensación generalizada —más un instinto que certidumbre intelectual— de que la raíz del asunto se encontraba en las aguas putrefactas.
En la década de 1790, un heroico inmigrante inglés llamado Benjamin Latrobe inició una larga campaña para sanear los suministros de aguas. Latrobe estaba sólo en América como consecuencia de su infortunio personal. En Inglaterra disfrutaba de una carrera profesional de éxito como arquitecto e ingeniero cuando su esposa falleció de parto en 1793. Desolado, decidió emigrar a Norteamérica, el lugar natal de su madre, para intentar reconstruir allí su vida. Durante un tiempo fue el único arquitecto e ingeniero con formación reglada del país, y como tal se hizo cargo de numerosos encargos importantes, desde el edificio del Bank of Pennsylvania en Filadelfia hasta el nuevo edificio del Capitolio en Washington.
Pero lo que más le preocupaba era su creencia de que el agua sucia estaba acabando innecesariamente con la vida de miles de personas. Después de un devastador brote de fiebre amarilla en Filadelfia, convenció a las autoridades para que llenaran los embalses de la ciudad con agua limpia y fresca procedente de más allá de los límites ciudadanos. Los cambios obraron un milagroso efecto y la fiebre amarilla nunca reapareció en Filadelfia con la misma fuerza. Latrobe llevó su iniciativa a otras ciudades e, irónicamente, en 1820 contrajo la fiebre amarilla mientras trabajaba en Nueva Orleans y murió como consecuencia de la misma.
Las ciudades que no mejoraban la calidad de su suministro de agua sufrían importantes inconvenientes. Hasta 1800, el agua corriente de Manhattan procedía en su totalidad de un sucio estanque —poco más que una «cloaca vulgar», según palabras de un contemporáneo— situado en el bajo Manhattan y conocido como Collect Pond. Pero la situación empeoró con el aumento de población que experimentó la ciudad después de la construcción del canal de Erie. Se estima que hacia la década de 1830 los pozos negros de la ciudad incorporaban a diario un centenar de toneladas de excrementos, contaminando a menudo los pozos próximos. En 1832, Nueva York no sólo sufrió una epidemia de cólera, sino además una de fiebre amarilla. En conjunto hubo cuatro veces más víctimas que en Filadelfia, con sus suministros de agua más limpios. La doble epidemia actuó como acicate para la ciudad de Nueva York de un modo similar al efecto que produjo el Gran Hedor en Londres, y en 1837 se iniciaron las obras del acueducto de Croton, que cuando estuvo finalizado, en 1842, inició por fin el suministro de agua limpia y segura a la ciudad.
Pero en lo que Norteamérica iba de verdad por delante del resto del mundo era en el suministro de cuartos de baño privados. Y lo que impulsó el movimiento no fueron los particulares, sino los hoteles. El primer hotel del mundo que ofreció un cuarto de baño en todas sus habitaciones fue el Mount Vernon Hotel, en la localidad turística de Cape May, Nueva Jersey. Fue en 1853 y constituyó un suceso tan por delante de su tiempo que fue necesario que transcurriese casi medio siglo antes de que otros hoteles decidieran ofrecer aquella extravagancia. Pero poco a poco, los cuartos de baño —aun siendo más bien compartidos y en el pasillo, más que privados y dentro de la habitación— empezaron a ser un elemento estándar en los hoteles, primero en Estados Unidos y luego cada vez más en Europa, y los hoteleros que no quisieron seguir la tendencia pagaron un elevado precio por ello.
En ningún lugar quedó esto más famosamente demostrado que en el inmenso y por lo demás espléndido Midland Hotel de St. Pancras Station, Londres. Diseñado por el gran George Gilbert Scott, responsable asimismo del Albert Memorial, el Midland pretendía ser el hotel más magnífico del mundo en el momento de su inauguración, en 1873. Costó el equivalente a 300 millones de libras actuales y era una maravilla en prácticamente cualquier sentido. Por desgracia —y, de hecho, también por sorpresa—, Scott incluyó tan sólo cuatro cuartos de baño a compartir entre seiscientas habitaciones. El hotel fue un fracaso desde el momento de su apertura.
En las viviendas privadas, el suministro de cuartos de baño era más bien aleatorio. Hasta finales del siglo XIX, muchas casas tenían sistema de cañerías hasta la cocina, y quizás también hasta un posible retrete en la planta baja, pero carecían de un cuarto de baño correcto porque en las cañerías no había presión suficiente como para conducir el agua hasta arriba. En Europa, aun en los casos en los que la presión lo permitía, los ricos se mostraron inesperadamente reacios a incorporar los baños a su vida. «Los cuartos de baño son para los criados», resolló un aristócrata inglés. O tal y como el duque de Doudeauville respondió con altivez cuando se le preguntó si instalaría cañerías en su nueva casa: «No estoy construyendo un hotel». Los norteamericanos, por otro lado, sentían una atracción mucho mayor hacia los placeres del agua caliente y los inodoros con cisterna. Cuando el barón de la prensa, William Randolph Hearst, adquirió el castillo galés de St. Donat’s, lo primero que hizo fue instalar treinta y dos cuartos de baño.
Al principio, los cuartos de baño no se decoraban más de lo que se decoraría una sala de calderas, por lo que solían tener un carácter marcadamente práctico. En las casas ya existentes, los cuartos de baño tuvieron que encajarse donde cupieran. Normalmente ocupaban el espacio de un dormitorio, pero en ocasiones se apretujaban a la fuerza en cualquier receso o en rincones de lo más extraño. En la rectoría de Wathfield, Suffolk, el baño se instaló simplemente en el vestíbulo principal de la planta baja, detrás de una mampara. Bañeras, inodoros y lavamanos solían tener tamaños increíblemente variados. En Lanhydrock House, Cornwall, había una bañera tan enorme que necesitaban una escalera de mano para trepar a ella y utilizarla. Otras, con ducha incorporada, parecían diseñadas como si fueran a lavar en ellas a los caballos.
Los problemas tecnológicos ralentizaron también la aceptación de los cuartos de baño. Fundir una bañera de una sola pieza que no fuera ni demasiado gruesa ni demasiado pesada se convirtió en un auténtico desafío. En cierto sentido, era más fácil fabricar un puente de hierro fundido que una bañera de ese material. Estaba además el problema de proporcionarle a la bañera un acabado que no se astillara, ni se manchara, ni se resquebrajara o, simplemente, que no se desgastara. El agua caliente era un medio formidablemente corrosivo. Las bañeras de zinc, cobre o hierro fundido tenían un aspecto estupendo de nuevas, pero no mantenían su acabado. No fue hasta la invención de los esmaltes cerámicos, hacia 1910, cuando las bañeras se convirtieron por fin en un objeto duradero y atractivo. El proceso de fabricación de ese material consistía en rociar el hierro fundido con una mezcla de polvos y hornear repetidas veces hasta conseguir un brillo similar al de la porcelana. Los esmaltes cerámicos no son en realidad ni esmalte ni cerámica, sino una capa vítrea, es decir, un tipo de vidrio. La superficie de las bañeras de esmalte era casi transparente cuando al compuesto no se le incorporaban blanqueadores u otros tintes.
Por fin el mundo pudo disfrutar de bañeras bonitas y que continuaban siendo bonitas durante mucho tiempo. Pero seguían resultando carísimas. En 1910, una bañera podía costar fácilmente 200 dólares, un precio que quedaba muy lejos del alcance de la mayoría de familias. Pero a medida que los fabricantes fueron mejorando los procesos de producción en masa, los precios cayeron, y hacia 1940 un norteamericano podía ya comprarse el conjunto completo del cuarto de baño —lavabo, bañera e inodoro— por 70 dólares, un precio que casi cualquiera podía permitirse.
Pero en otras partes las bañeras seguían siendo un lujo. En Europa, gran parte del problema residía en la falta de espacio donde ubicar los cuartos de baño. En 1954, sólo una vivienda francesa de cada diez tenía ducha o bañera. En Gran Bretaña, la periodista Katharine Whitehorn ha recordado que hasta una fecha tan reciente como finales de la década de 1950, ella y sus compañeros de la revista Woman’s Own no tenían permiso para escribir artículos sobre cuartos de baño porque no había suficientes hogares británicos que los tuvieran, y aquellos escritos sólo servirían para fomentar envidias.
Y por lo que a nuestra Vieja Rectoría se refiere, carecía de cuarto de baño en 1851, un hecho que no sorprende en lo más mínimo. Sin embargo, el arquitecto, el eternamente fascinante Edward Tull, incluyó un retrete, toda una novedad en 1851. Y más novedoso aún resultó el lugar donde eligió situarlo: en el descansillo de la escalera principal, detrás de una delgada partición. Dejando aparte el hecho de que el retrete se encontrara en un lugar tan extraño y poco conveniente, la partición habría significado el cerramiento de la ventana de la escalera, dejando el espacio inmerso en una oscuridad permanente.
La ausencia de salidas de desagüe en los dibujos del exterior de la casa sugiere que Tull tal vez no estudiara el tema con detenimiento. La consideración es, en cualquier caso, académica, pues el retrete nunca llegó a construirse.
§. 1
Hacia finales de septiembre de 1991, dos excursionistas alemanes, Helmut y Erika Simon, de Núremberg, caminaban por un elevado glaciar en los Alpes del sur del Tirol, en un lugar conocido como paso de Tisenjoch, cerca de la frontera entre Austria e Italia, cuando se tropezaron con un cuerpo humano que sobresalía del hielo en el borde del glaciar. El cuerpo estaba curtido y tremendamente demacrado, pero por lo demás intacto.Los Simon dieron un rodeo de más de tres kilómetros hasta llegar al refugio de montaña de Similaun, donde informaron de su descubrimiento. Llamaron a la policía, pero cuando ésta se personó en el lugar, los agentes comprendieron enseguida que no era un caso para ellos, sino para los prehistoriadores. Junto al cuerpo hallaron efectos personales —un hacha de cobre, un cuchillo de pedernal, flechas y un carcaj— que lo relacionaban con una época muy remota y mucho más primitiva.
Los ejercicios de datación que se realizaron posteriormente con radiocarbono demostraron que el hombre había muerto hacía unos cinco mil años. Enseguida le pusieron el nombre de Ötzi, en honor al valle más cercano, el Ötzal; hubo quien le llamó el Hombre de Hielo. Ötzi tenía consigo no sólo herramientas de todo tipo, sino que además iba vestido. Nunca antes se había encontrado nada tan completo y tan antiguo.
En contra de lo que se supone, los cuerpos que caen en glaciares casi nunca aparecen en sus extremos en un estado de impecable conservación. Los glaciares trituran y pulverizan con una fuerza lenta pero brutal y los cuerpos que puedan estar atrapados en ellos quedan en general reducidos a moléculas. De forma muy ocasional, se alargan hasta adquirir medidas estrafalarias, como los personajes de dibujos animados después de ser aplastados por una apisonadora. Si el cuerpo no recibe oxígeno, puede sufrir un proceso conocido como saponificación, por el que la carne se transmuta en una sustancia de aspecto ceroso y maloliente llamada adipocira. Estos cuerpos adquieren un aspecto turbador y parecen haber sido esculpidos a partir de jabón, perdiendo con ello toda definición significativa.
El cuerpo de Ötzi estaba tan bien conservado porque habían coincidido una serie de circunstancias favorables. En primer lugar, había muerto al aire libre un día de clima seco pero con la temperatura en abrupto descenso: efectivamente, había muerto de frío. Después había quedado cubierto por una serie de nevadas secas y ligeras, y lo más probable es que permaneciera durante años en un estado perfectamente helado antes de que el glaciar fuera apoderándose poco a poco de él. Incluso entonces, permaneció en un remolino periférico que lo salvó —y, también muy importante, salvó a sus posesiones— de acabar viéndose dispersado y aplastado. De haber muerto Ötzi unos cuantos pasos más cerca del glaciar o un poco más abajo, o bajo la llovizna o el sol, o en prácticamente cualquier otra circunstancia, no estaría ahora entre nosotros. Y a pesar de que es muy factible que Ötzi fuera en vida una persona normal y corriente, muerto se convirtió en el más extraño de los cadáveres.
Lo que hacía a Ötzi tan emocionante era que aquello no era un enterramiento, con los efectos personales concienzudamente dispuestos, sino una persona descubierta tal y como estaba en vida, con los objetos de la vida diaria que llevaba consigo en el momento de su muerte. Nunca se había descubierto nada igual, y permaneció casi enteramente oculto durante cuatro jornadas de eufóricos trabajos de recuperación. Se permitió a excursionistas y turistas turnarse para ir acuchillando el hielo que contenía el cuerpo. Un colaborador cargado de buenas intenciones cogió un palo e intentó escarbar con él, pero se le partió en dos. «Resultó que el palo —informó National Geographic— formaba parte de la estructura de madera de avellano y alerce de la mochila del Hombre de Hielo». Los voluntarios, en resumen, intentaron desenterrar el cadáver incluso ayudándose de sus valiosos utensilios.
El caso fue gestionado por la policía austríaca y el cuerpo, una vez liberado, fue conducido a una nave frigorífica de Innsbruck. Pero una investigación posterior llevada a cabo con la ayuda del sistema GPS reveló que el lugar exacto donde Ötzi fue descubierto era territorio italiano, y después de diversos altercados legales los austríacos fueron obligados a entregar su preciado tesoro y Ötzi fue conducido a Italia a través del paso del Brennero.
En la actualidad, Ötzi permanece expuesto sobre una mesa en una sala refrigerada del museo arqueológico de Bolzano, una ciudad de habla alemana del norte de Italia. Su piel tiene el color y la textura del cuero de primera calidad y luce tensa sobre sus huesos. La expresión de su rostro es de exhausta resignación. Desde que fue descendido de la montaña hace casi veinte años, Ötzi se ha convertido en el ser humano más investigado de la historia desde el punto de vista forense. Los científicos consiguieron determinar con sorprendente precisión numerosos detalles de su vida. Con la ayuda de microscopios de electrones descubrieron que el día de su muerte había consumido carne de íbice y de venado, pan de espelta y diversas verduras sin identificar. A partir de los granos de polen hallados en el interior de su colon y sus pulmones lograron deducir que había fallecido en primavera y había iniciado su jornada en el valle de aquellas montañas. Con el estudio de las trazas de elementos isotópicos, consiguieron descifrar incluso lo que comía de niño y, en consecuencia, dónde se había criado, llegando a la conclusión de que había crecido en el valle de Eisack, en lo que ahora es Italia, para después trasladarse al valle de Vinschgau, más al oeste y próximo a la actual frontera con Suiza. La mayor sorpresa de todas fue la relacionada con su edad: tenía cuarenta años como mínimo, pero posiblemente cincuenta y tres, lo que lo convertía en una persona muy mayor para su época. Pero hubo mucho más que no lograron explicar, incluyendo cómo había muerto y qué estaba haciendo a más de tres mil metros sobre el nivel del mar en el momento de su fallecimiento. Tenía el arco sin cuerda y a medio preparar, y la mayoría de flechas carecían de plumas, por lo que eran inservibles, aunque por alguna razón las llevaba con él.
Normalmente, poca es la gente que se detiene en los pequeños museos arqueológicos de las ciudades de provincias retiradas de las vías principales, pero el museo de Bolzano recibe auténticas avalanchas de visitantes durante todo el año y su tienda de regalos no para de vender recuerdos de Ötzi. Los visitantes hacen cola para verlo a través de una ventanilla. Y allí yace, desnudo y tendido bocarriba sobre una mesa de cristal. Su piel marrón refulge con la humedad que continuamente se rocía sobre él para conservarlo en óptimo estado. De hecho, no hay nada en Ötzi que lo distinga de forma innata. Es un ser humano normal y corriente, aunque excepcionalmente antiguo y bien conservado. Lo que resulta extraordinario son sus múltiples posesiones. Es un material equivalente a un viaje en el tiempo.
Ötzi tenía muchas cosas con él: zapatos, ropa, dos cestas hechas con corteza de abedul, una funda, un hacha, arco, carcaj y flechas, varias herramientas pequeñas, unas cuantas bayas, un pedazo de carne de íbice y dos hongos esféricos del abedul, cada uno de ellos del tamaño de una nuez grande y cuidadosamente envueltos en tendones. Una de las cestas había contenido en algún momento brasas envueltas en hojas de arce, para encender hogueras. Un conjunto de efectos personales de este calibre era un hallazgo único. Algunos de los objetos eran realmente únicos en el sentido de que nunca habían sido imaginados, y mucho menos se habían visto. El hongo del abedul era en particular un misterio, pues quedaba patente que era un producto valorado por su poseedor, aunque se desconoce que el hongo del abedul sirva para alguna cosa.
Sus utensilios empleaban dieciocho tipos distintos de madera, un surtido destacable. La herramienta más sorprendente era el hacha. La hoja era de cobre y del estilo que se conoce como hacha Remedello, en honor al yacimiento italiano donde se habían descubierto por vez primera este tipo de hachas. Pero el hacha de Ötzi era cientos de años más antigua que el hacha de Remedello más antigua. «Era —según palabras de un observador— como si en la tumba de un guerrero medieval se hubiera encontrado un rifle moderno». El hacha alteró en no menos de mil años el marco temporal de la Edad de Cobre en Europa.
Pero lo más emocionante y la auténtica revelación fueron las prendas. Antes de Ötzi nadie tenía ni idea —o, para ser más preciso, no había otra cosa que ideas— de cómo se vestía el hombre en la Edad de Piedra. Estos materiales, en el caso de haber sobrevivido, lo habían hecho sólo como fragmentos. Pero Ötzi llevaba una vestimenta completa, y repleta de sorpresas. Sus prendas estaban hechas a partir de pieles y pelo de una variedad impresionante de animales: ciervo común, oso, gamuza, cabra y vaca. Llevaba además un rectángulo de hierba tejida de casi un metro de longitud. Podía haber sido una capa para protegerse de la lluvia, pero de la misma manera podía haber hecho las veces de alfombrilla sobre la que dormir. Nada de todo aquello, repito, se había imaginado o visto jamás.
Ötzi llevaba unas polainas de piel sujetas con tiras de cuero unidas a una correa a modo de cinturón que, de forma curiosa y casi cómicamente, recuerdan las medias de nilón y las ligas que llevaban las pin-ups en la época de la Segunda Guerra Mundial. Nadie podía haber previsto ni de lejos un modelito como aquél. Llevaba un taparrabos de piel de cabra y un gorro de pelo de oso pardo (seguramente algún tipo de trofeo de caza), una prenda que debía de ser caliente y codiciosamente elegante. El resto de su atuendo estaba realizado básicamente con piel y pelo de ciervo común. Apenas nada procedía de animales domésticos, lo contrario de lo que cabría esperar.
Las botas fueron la sorpresa más espectacular. Recordaban a un par de nidos de pájaro sobre unas suelas de rígida piel de oso y parecían desesperadamente mal diseñadas y endebles. Intrigado, un especialista checo en calzado y pies llamado Vaclav Patek fabricó con todo detalle una réplica del par, utilizando con exactitud el mismo diseño e idénticos materiales, y se las puso para ir a caminar por la montaña. Eran, informó asombrado, «más cómodas y aptas» que cualquier par de botas modernas que hubiera calzado nunca. Su agarre en las rocas resbaladizas era mejor que el que proporcionaba el caucho moderno y era casi imposible que provocaran ampollas. Eran, sobre todo, tremendamente efectivas contra el frío.
A pesar de todas las pruebas forenses, transcurrieron diez años antes de que alguien se diera cuenta de que Ötzi tenía una punta de flecha clavada en el hombro izquierdo. Un examen más detallado demostró que sus prendas y sus armas estaban salpicadas con sangre de otras cuatro personas. Resultó que Ötzi había fallecido como consecuencia de un enfrentamiento violento. Ahora bien, el porqué sus asesinos lo persiguieron hasta un elevado paso de montaña es una pregunta de difícil respuesta, incluso a nivel especulativo. Más misterioso si cabe es por qué los asesinos no se hicieron con sus posesiones. Los objetos personales de Ötzi, sobre todo su hacha, eran valiosos. Pero aun así, después de haberlo acechado con toda probabilidad durante un buen rato y de haberse enzarzado en una sangrienta pelea cuerpo a cuerpo —conseguir que cuatro personas sangren exige ensañarse con ganas—, lo abandonaron en el mismo lugar donde cayó muerto y sin tocar para nada sus posesiones. Naturalmente, para nosotros ha sido una suerte que actuaran así, pues sus efectos personales ofrecen respuestas de todo tipo a preguntas que, por lo demás, serían incontestables, excepto a la que seguirá atormentándonos para siempre jamás, a saber: ¿qué demonios sucedió allí arriba?
* * * *
Nos encontramos en el vestidor, o al menos, en lo que aparece como vestidor en los planos originales de Edward Tull. Una de las muchas curiosidades arquitectónicas de Tull es que no proporcionó un acceso directo entre el vestidor y el contiguo dormitorio del señor Marsham, sino que ambas estancias daban por separado al pasillo de la planta superior. En consecuencia, para vestirse o desnudarse, el señor Marsham tenía que salir de su dormitorio y caminar unos pasos por el pasillo hasta entrar en el vestidor… una solución bastante curiosa teniendo en cuenta que a escasos metros de distancia se encontraba el «Dormitorio de la Criada» o, lo que es lo mismo, el de la fiel solterona señorita Worm. Una disposición de este tipo garantizaba a buen seguro encuentros casuales, que deberíamos presumir resultarían incómodos. Aunque tal vez no. Otra singularidad es lo convenientemente próximos que están ambos dormitorios teniendo en cuenta el rigor con que sus respectivos dominios estaban separados durante el día. La verdad es que es una vivienda complicada de imaginar.En cualquier caso, el señor Marsham cambió de parecer, pues en la casa construida el vestidor y el dormitorio están conectados. El vestidor es hoy en día un cuarto de baño, y probablemente así ha sido durante casi un siglo. Pero seguimos vistiéndonos en parte allí, lo cual es también la razón por la que estamos aquí para hablar sobre la larga y misteriosa historia del vestido.
* * * *
No es fácil responder a la pregunta de cuánto tiempo lleva el ser humano vistiéndose. Lo único que podemos afirmar es que hace unos cuarenta mil años, después de un periodo inmensamente largo durante el cual el ser humano hizo poca cosa más que procrear y sobrevivir, emergió de entre las sombras un personaje de enorme cerebro y moderno comportamiento que se conoce comúnmente como Hombre de Cromañón (en honor a una cueva en la región de la Dordoña francesa donde fueron descubiertos los primeros ejemplares), y que entre los miembros de este nuevo pueblo hubo un tipo ingenioso a quien se le ocurrió uno de los mayores y más infravalorados inventos de la historia: el hilo. El hilo es maravillosamente elemental. Se trata tan sólo de dos trocitos de fibra colocados el uno junto al otro y trenzados. Con ello se consiguen dos cosas: un cordón resistente y la posibilidad de construir cuerdas largas a partir de fibras cortas. Imaginémonos dónde estaríamos sin eso. No habría tela ni prendas, ni sedales para pescar, ni redes, lazos, maromas, correas, hondas, arcos de flechas, ni un millar de otros objetos útiles más. Elizabeth Wayland Barber, historiadora textil, no exageraba cuando lo denominó el «arma que permitió al ser humano conquistar la tierra».Históricamente, los dos tipos de fibras más comunes fueron el lino y el cáñamo. El lino estaba hecho a partir de la planta del lino y era popular porque crece hasta alturas considerables —puede alcanzar hasta un metro veinte de altura— y con gran rapidez. La desventaja es que la fabricación del tejido de lino es pesadamente exigente. Para separar las fibras del lino de su tallo leñoso y ablandarlas lo suficiente como para poder ser tejidas, se precisa una veintena de tareas distintas. Estas tareas tienen nombres casi esotéricos como agramado, enriado, mazado, tascado y rastrillado, aunque lo que conllevaba era básicamente aporrear, arrancar, empapar y conseguir separar la fibra interior flexible, o hilaza, de su tallo leñoso o cañamiza. Resulta chocante pensar que cuando hoy en día en inglés interrumpimos a un orador utilizamos un término que recuerda la preparación del lino tal y como se realizaba en los inicios de la Edad Media [58] .
El resultado de todo ese esfuerzo era un tejido resistente y adaptable: el lino. Aunque tendemos a pensar en el lino como un tejido blanco como la nieve, su tono natural es el marrón. Para volverlo blanco, tenía que ser blanqueado al sol, un proceso lento que podía llevar meses. El material de calidad inferior se dejaba sin blanquear y se transformaba en lona o tela de saco. La principal desventaja del lino es que no acepta bien los tintes y, en consecuencia, poco puede hacerse con él para que resulte atractivo.
El cáñamo era bastante similar al lino, pero más basto y no tan cómodo para vestir, por lo que solía utilizarse para hacer objetos como cuerdas y velas. Pero tenía una ventaja que lo compensaba: se fumaba y te ponía a tono, razón que Barber considera esencial para su prevalencia y su rápida divulgación durante la Antigüedad. Todo hay que decirlo, por mucho que no a todo el mundo le guste oírlo: los habitantes del mundo antiguo eran muy pero que muy aficionados al cáñamo y lo cultivaban en más cantidad de la que en realidad se necesitaba para la fabricación de cuerdas y velas.
Pero la fibra textil principal de la Edad Media fue la lana. La lana era mucho más caliente y resistente que el lino, pero la fibra de lana era escasa y debía de ser difícil de trabajar, sobre todo teniendo en cuenta que las antiguas ovejas eran criaturas sorprendentemente poco peludas. Su lana, resulta ser, era en su origen, una subcapa aterciopelada debajo de rizos de pelo enmarañado. Convertir las ovejas en los cuerpos lanudos que conocemos y valoramos hoy en día supuso siglos de esmerada crianza. Más aún, al principio la lana no se esquilaba, sino que se arrancaba dolorosamente. No es de extrañar que las ovejas sean animales tan asustadizos cuando ven a un ser humano.
E incluso en el caso de que los hombres de la Edad Media tuvieran enfrente un montón de lana, saber trabajarla era algo que estaba sólo en sus inicios. Para convertirla en tejido había que lavarla, peinarla, cardarla, separarla, torcerla, aprestarla y abatanarla, entre muchos otros procesos. Abatanar consistía en golpear el paño con el batán y encogerlo; el aprestado consistía en aplicar un brillo al paño. Con el peinado, las fibras se aplanaban creando un tejido resistente pero en comparación bastante rígido: un estambre. Para conseguir una lana más suave, el tejido se peinaba con cardas y las fibras se tornaban más esponjosas. A veces se incorporaba pelo de comadreja, armiño y otros animales para que el tejido final resultase más lustroso.
El cuarto tejido destacado era la seda. La seda era un lujo excepcional que valía literalmente su peso en oro. Los relatos de crímenes del siglo XVIII y XIX hacen casi siempre hincapié en el hecho de que los criminales eran encarcelados o deportados a Australia por el robo de un pañuelo, una cajita de encaje o cualquier otra aparente bagatela, cuando en realidad eran todos objetos de gran valor. Un par de medias de seda podía costar 5 libras y una cajita de encaje podía venderse por 20 libras, una cantidad suficiente para que una pareja viviese un par de años y una pérdida tremendamente grave para cualquier comerciante. Una capa de seda costaba 50 libras, muy por encima del alcance de cualquiera excepto los miembros de la nobleza. La mayoría, si tenía algún objeto de seda, era en forma de cintas u otro pequeño adorno. Los chinos atesoraban con ferocidad los secretos de la fabricación de la seda; el castigo por exportar una simple semilla de morera era la ejecución. Pero, al menos por lo que al norte de Europa se refiere, no tenían que preocuparse en exceso ya que la morera es un árbol demasiado sensible a las heladas como para sobrevivir en esos lares. Gran Bretaña intentó producir seda durante años, y a veces con buenos resultados, pero al final nunca consiguió superar los inconvenientes de unos inviernos periódicamente duros.
Con estos pocos materiales, y algunos adornos, como las plumas y el armiño, se lograban atuendos maravillosos, hasta tal punto que los legisladores del siglo XIV creyeron necesario introducir lo que se conoció con el nombre de leyes suntuarias para establecer límites en la vestimenta. Las leyes suntuarias fijaban con fanática precisión qué materiales y colores podía vestir cada uno. En tiempos de Shakespeare, aquel que disfrutaba de unos ingresos superiores a 20 libras anuales tenía permiso para vestir un jubón de raso, pero no un vestido de raso, mientras que quien percibía más de 100 libras anuales no tenía restricciones en cuanto al raso, pero podía lucir terciopelo única y exclusivamente en sus jubones y siempre y cuando el terciopelo no fuera ni carmesí ni azul, colores reservados para gente de categoría aún superior. Las restricciones se aplicaban también a la cantidad de tejido que podía emplearse para la confección de cada prenda y a si el tejido podía llevarse con pliegues o liso, y a muchos detalles más. Cuando, en el año 1603, Shakespeare y sus compañeros actores recibieron el patronazgo del rey Jacobo I, una de las prebendas del nombramiento consistió en recibir, y poder vestir, cuatro metros de tela de color grana, un honor considerable para alguien que se dedicaba a una profesión tan dudosa como la interpretación.
Las leyes suntuarias se promulgaron en parte para mantener a todo el mundo dentro de su correspondiente clase social, pero también por el bien de las industrias locales, que en general estaban concebidas para desanimar la importación de materiales extranjeros. El Statute of Caps, que exigía a la gente llevar gorra en lugar de sombrero, estuvo en vigor durante un tiempo por los mismos motivos, con la intención de ayudar a los fabricantes de gorras locales a superar una crisis. Por oscuros motivos, los puritanos se tomaron muy a mal la ley y fueron multados con frecuencia por burlarla. En los estatutos de 1337, 1363, 1463, 1483, 1510, 1533 y 1554 se sancionaron también diversas restricciones relacionadas con la vestimenta, aunque la constancia escrita evidencia que nunca se hicieron cumplir a rajatabla. En el año 1604 fueron derogadas por completo.
Para los que tienen una forma de ser racional, la moda es algo casi imposible de comprender. A lo largo de muchos periodos de la historia —tal vez de su mayoría—, la sensación dominante es que el fin de la moda no ha sido otro que lucir un aspecto de lo más ridículo. Y si a ello se le suma sentirse lo más incómodo posible, mucho mejor.
Vestirse de manera poco práctica es como querer demostrarle al mundo que no tienes necesidad alguna de realizar trabajos físicos. A lo largo de la historia, y en muchísimas culturas, esta característica ha superado en importancia a la comodidad. En el siglo XVI, por tomar sólo un ejemplo, se puso de moda el almidón. Y el resultado de su aplicación fueron esas majestuosas gorgueras escaroladas conocidas como lechuguillas. Las lechuguillas de mayor tamaño imposibilitaban prácticamente la deglución y obligaban al comensal a utilizar unas cucharas con un mango de longitud especial para llevarse la comida a la boca. Pero pese al famoso utensilio, a buen seguro muchos sufrirían turbadores accidentes y se quedarían con hambre a la hora de las comidas.
Incluso las cosas más sencillas podían llevar implícita una espléndida absurdidad. Cuando aparecieron los botones, hacia 1650, fue como si la gente no fuera a hartarse nunca de ellos, pues los aplicaban en decorativa profusión en espaldas, cuellos y mangas de chaquetas, donde en realidad no cumplían función alguna. Una reliquia de aquella costumbre es esa breve fila de botones inútiles que siguen colocándose en la parte inferior de las mangas de las chaquetas, cerca del puño. Siempre han sido puramente decorativos y nunca han servido para nada, y a pesar de los trescientos cincuenta años transcurridos, seguimos cosiéndolos allí como si fueran de la más imperiosa necesidad.
Tal vez el acto de moda más irracional, y que se prolongó ciento cincuenta años, fuera la costumbre masculina de llevar peluca. Samuel Pepys, como en otras tantas cosas, era un hombre que estaba a la vanguardia de todo y anotó en su diario, no sin cierta aprensión, la adquisición de una peluca en 1663, cuando todavía no eran muy comunes. Era una novedad tan destacada que temía que la gente se riese de él cuando acudiera a la iglesia, y se sintió muy aliviado, y también un poquitín orgulloso, al ver que nadie lo hacía. Le preocupaba asimismo, y no es de extrañar, que el pelo de las pelucas procediera de víctimas de la peste. Tal vez nada dice más sobre el poder de la moda que el hecho de que Pepys siguiera llevando pelucas aun preguntándose si acabarían matándole.
Las pelucas podían estar hechas de casi cualquier cosa: pelo humano, crin de caballo, hilo de algodón, pelo de cabra, seda. Un fabricante anunciaba un modelo hecho con alambre fino. Y las había de innumerables estilos —con coleta recogida, corta, de campaña, cana, Ramillies o peluca con trenza, de coliflor, con lazo, con tirabuzones y muchos más—, cada uno de ellos con alguna diferencia crucial en la longitud del mechón o la elasticidad del rizo. Una peluca podía costar 50 libras y eran tan valiosas que se dejaban como legado en las herencias. Cuanto más imponente era la peluca, más elevado era el escalafón social de su propietario [59] . Las pelucas eran, por otra parte, una de las presas más codiciadas por los ladrones. Los postizos de tamaño exageradamente ridículo no escapaban, sin embargo, del comentario cómico. En The Relapse, de Vanbrugh, uno de los personajes, un fabricante de pelucas, se jactaba de haber realizado una peluca «tan grande y llena de pelo que podría servir tanto a modo de sombrero como de capa en todo tipo de condiciones climatológicas».
Las pelucas picaban, eran incómodas y calurosas, sobre todo en verano. Para hacerlas más soportables, muchos hombres se afeitaban la cabeza, por lo que nos sorprendería conocer a muchas figuras famosas de los siglos XVII y XVIII tal y como sus esposas los veían por la mañana. Era una situación paradójica. Durante siglo y medio, los hombres prescindieron de su propio cabello, que era totalmente cómodo, para cubrirse la cabeza con algo extraño e incómodo. A menudo, incluso fabricaban las pelucas con su propio cabello. Y quien no podía permitirse una peluca, intentaba peinarse el pelo de tal manera que pareciese una peluca.
Las pelucas exigían un mantenimiento concienzudo. Una vez a la semana, tenían que enviarse al peluquero para remodelar los bucles con la ayuda de rulos calientes, y posiblemente introducirlas en el horno, un proceso conocido como «fundido». A partir de 1700, por razones que nada tienen que ver con el sentido común o la practicidad, se puso obligatoriamente de moda sumergir la cabeza diariamente en una nube de polvo blanco. El material que solía utilizarse para realizar estos empolvados era harina normal y corriente. Cuando hacia 1770 fracasó repetidas veces en Francia la cosecha de trigo, se produjeron disturbios por todas partes cuando la población se dio cuenta de que las escasas reservas de harina no se utilizaban para fabricar pan, sino que se destinaban a empolvar las privilegiadas cabezas de los aristócratas. A finales del siglo XVIII, los polvos para el pelo solían tintarse con colores —el azul y el rosa eran especialmente populares—, además de perfumarse.
El empolvado podía realizarse con la peluca colocada sobre un soporte de madera, aunque todo el mundo coincidía en que la elegancia más exquisita se conseguía empolvando la peluca directamente colocada en la cabeza de su propietario. Para tal efecto era preciso que el implicado se hubiera puesto la peluca, tapado los hombros y el torso con un paño y metido la cara en un cucurucho de papel (para no asfixiarse), mientras un criado o frisseur, armado con un fuelle, dispensaba nubes de polvo sobre la cabeza. Los había muy quisquillosos que aún llevaban el asunto más lejos. Un tal príncipe Raunitz necesitaba cuatro ayudas de cámara para que lanzasen sobre su cabeza cuatro nubes simultáneas de polvo, cada una de ellas tintada de un color distinto, entre las que deambulaba con parsimonia el príncipe para conseguir el efecto exactamente deseado. Al enterarse de aquello, lord Effingham decidió contratar a cinco frisseurs franceses con la única misión de cuidarle las pelucas; lord Scarborough contrató a seis.
Y entonces, de un modo casi repentino, las pelucas pasaron de moda. Los fabricantes de pelucas, desesperados, solicitaron a Jorge III que declarara obligatorio el uso de pelucas por parte de los varones, pero el rey se negó a ello. A principios del siglo XIX nadie las quería ya y las viejas pelucas acabaron convertidas en plumeros para el polvo. Hoy en día sobreviven sólo en ciertos tribunales británicos y de la Commonwealth. Según me han contado, las pelucas judiciales actuales están hechas con crin de caballo y cuestan unas 600 libras. Para evitar que parezcan nuevas —lo que muchos abogados creen que podría sugerir falta de experiencia—, las nuevas pelucas suelen sumergirse en té para darles el necesario aspecto envejecido.
Las mujeres, por otro lado, llevaron literalmente a otro nivel el uso de las pelucas: envolviendo el cabello en una especie de armazón de alambre conocido como pallisade o commode. Mezclando lana engrasada y crin de caballo con su propio pelo lograban alcanzar alturas auténticamente monumentales. Las pelucas femeninas alcanzaban en ocasiones alturas de setenta y cinco centímetros, convirtiendo a una portadora de altura media en una figura de dos metros treinta de altura. Cuando viajaban por algún compromiso, las damas se veían obligadas a sentarse en el suelo del carruaje o a asomar la cabeza por la ventanilla. Se conoce un mínimo de dos desgracias de mortal desenlace como consecuencia del incendio de cabellos femeninos al entrar en contacto con velas.
El cabello de la mujer se convirtió en un elemento tan complicado que impulsó la creación de un vocabulario completamente nuevo y tan sofisticado que incluso los distintos tipos de rizos y las diferentes partes de los rizos tenían su propio nombre: frivolité, des migraines, l’insurgent, monte la haut, sorti, frelange, flandon, burgoigne, choux, crouche, berger, confident y muchos más. (Chignon, el nombre que se aplica al moño en la nuca, es quizás la única palabra que aún se utiliza del que en su día fuera un extenso vocabulario). Debido a la cantidad descomunal de trabajo que implicaba, no era excepcional que las mujeres dejasen su peinado sin tocar ni una pizca durante meses seguidos, excepto para añadir de vez en cuando un poco de engrudo para mantenerlo bien compacto y en su lugar. Muchas dormían con el cuello colocado sobre un trozo de madera con una forma especial para que el peinado quedara elevado e intacto. Una de las consecuencias de no lavarse el pelo es que acababa convertido en un enjambre de insectos, gorgojos en particular. Se sabe de una mujer que sufrió un aborto al descubrir que su cubierta superior se había convertido en un nido de ratones.
La década de 1790 significó el apogeo de los peinados femeninos encumbrados, justo en el momento en que los hombres empezaban ya a olvidarse de las pelucas. En general, las pelucas femeninas iban engalanadas con cintas y plumas, pero a veces incorporaban detalles mucho más elaborados. John Woodforde, en su historia de tocador, menciona a una mujer que llevaba la maqueta de un barco, con sus velas y sus cañones, navegando entre las olas de su peinado, como pretendiendo protegerlo de una posible invasión.
Justo en el mismo periodo se pusieron de moda las pecas artificiales, lo que se conocía como mouches. Poco a poco, estos parches fueron adquiriendo distintas formas, como estrellitas o lunas en cuarto creciente, que se exhibían en la cara, el cuello y los hombros. En el momento cumbre de esta moda, todo el mundo llevaba tantas mouches encima que la gente daba la impresión de estar realmente cubierta de moscas. Los parches los utilizaban tanto hombres como mujeres y se decía que, dependiendo del lugar donde los llevaran colocados, reflejaban las inclinaciones políticas de sus usuarios: quien los lucía en la mejilla derecha era partidario de los whigs, mientras que quien los aplicaba sobre la izquierda era partidario de los tories. De un modo similar, un corazón en la mejilla derecha indicaba que su portador estaba casado, y en la mejilla izquierda, que estaba comprometido. Los parches acabaron complicándose hasta tal punto y siendo tan variados que generaron también la aparición de un nuevo vocabulario. De este modo, el parche que se aplicaba en la barbilla se denominaba silencieuse, el de la nariz l’impudente o l’effrontée, el que se colocaba en medio de la frente era un majestueuse, y así sucesivamente. En la década de 1780, y sólo para demostrar que la ridiculez creativa no conocía límites, se puso brevemente de moda llevar cejas falsas hechas con piel de ratón.
Al menos, los parches no eran tóxicos, y como tal eran prácticamente los únicos productos de belleza que no lo eran desde hacía muchos siglos. En Inglaterra existía una larga tradición de envenenamientos en nombre de la belleza. Había quien se dilataba de forma atractiva las pupilas con gotas de belladona. Pero lo que más peligro entrañaba era la cerusa, una pasta hecha con plomo blanco y conocida comúnmente como «pintura». La cerusa era muy popular. En el caso de las mujeres con marcas de la viruela se aplicaba como si fuese una lechada, para rellenar los hoyos de la piel, pero la utilizaban incluso las mujeres sin imperfecciones para conseguir una encantadora palidez fantasmagórica. La cerusa continuó siendo popular durante muchísimo tiempo. La primera referencia que encontramos a la cerusa como cosmético se remonta a 1519, en una anotación que afirma que las mujeres que van a la moda «blanquean su cara, su cuello y su pappis [que es lo mismo que decir sus pechos] con cerusa», mientras que en 1754, el Connoisseur, un periódico, seguía maravillándose por el hecho de que «cualquier dama que conozcas va embadurnada con ungüento de cerusa y yeso». La cerusa tenía tres inconvenientes destacados: se resquebrajaba cuando su portadora sonreía o hacía una mueca, se volvía gris al cabo de pocas horas y si se utilizaba durante un tiempo prolongado podía matar. Como mínimo, provocaba dolorosas inflamaciones oculares y pérdida de piezas dentales. Se sabe de al menos dos conocidas bellezas, una cortesana llamada Kitty Fisher y una dama de la alta sociedad, Maria Gunning, condesa de Coventry, que murieron por envenenamiento de cerusa con poco más de veinte años de edad, y resulta casi imposible imaginar cuántas mujeres más vieron su vida abreviada o su organismo perturbado por su afición a la cerusa.
Las pociones tóxicas también eran populares. Ya bien entrado el siglo XIX, muchas mujeres bebían, para mejorar el aspecto de su tez, un preparado conocido como la «solución de Fowler», que en realidad no era más que arsénico diluido. La esposa de Dante Gabriel Rossetti, Elizabeth Siddal (recordada como la modelo de la Ofelia ahogada en el río pintada por John Everett Millais), era una devota consumidora de la pócima, que con casi toda seguridad contribuyó a su temprana muerte en 1862 [60] .
También los hombres utilizaban maquillaje, y durante algo más de un siglo exhibieron un afeminamiento sobrecogedor, a veces en las circunstancias más inesperadas. El duque de Orleans, hermano de Luis XIV, «a pesar de ser uno de los sodomitas más famosos de la historia», según las sorprendentemente directas palabras de Nancy Mitford, fue un valeroso soldado, aunque muy poco ortodoxo. Llegaba al campo de batalla «pintado, empolvado, con sus pestañas pegadas, cubierto de cintas y diamantes —escribió en El Rey Sol—. Nunca llevaba sombrero por miedo a aplastar la peluca. Pero cuando entraba en combate, era valiente como un león y tan sólo temía los efectos que el sol y el polvo pudieran tener sobre su tez». Tanto hombres como mujeres adornaban su cabello con penachos y plumas y aderezaban sus rizos con cintas. Hubo hombres que se aficionaron incluso a llevar tacones —no zapatos con plataforma maciza, sino tacones finos de aguja de hasta quince centímetros de altura— y manguitos de piel para mantener las manos calientes. Algunos llevaban parasol en verano. Y casi todos se echaban perfume a mansalva. Se los conocía como macaronis, en honor al plato que descubrían cuando viajaban a Italia.
Resulta, por lo tanto, curioso que la conciencia popular haya asociado con el vestir excesivo a quienes acabarán aportando cierta moderación al tema, a saber, la elegante tribu rival de los dandis. Nada, con respecto al atuendo masculino, puede estar más lejos de la verdad, y la quintaesencia de ese apagado esplendor fue George «el Bello» Brummell, que vivió entre 1778 y 1840. Brummell no era rico, ni era tampoco un personaje de gran talento, ni dotado de un espléndido cerebro. Pero vestía mejor que nadie. Ni de forma más colorista ni con extravagancia, sino sencillamente con más cuidado y atención al detalle.
Brummell nació en circunstancias razonablemente privilegiadas, en Downing Street; su padre era asesor de confianza del primer ministro, lord North. Estudió en Eton y, por un breve tiempo, en Oxford, antes de pasar a ocupar un puesto militar en el regimiento del príncipe de Gales, el 10º de Húsares. Si tuvo alguna aptitud de mando en el campo de batalla, nunca llegó a demostrarlo, pues su función se limitó, básicamente, a lucir el uniforme y actuar como compañero y asistente del príncipe en reuniones formales. Como consecuencia de ello, acabó entablando amistad con el príncipe de Gales.
Brummell vivía en Mayfair y su casa fue durante varios años el epicentro de uno de los rituales más inesperados de la historia de Londres, el de una procesión de hombres hechos y derechos de gran eminencia que se presentaban cada tarde en el domicilio para ver cómo se vestía. Entre los que acudían a su casa con regularidad estaba el príncipe de Gales, tres duques, un marqués, dos condes y el dramaturgo Richard Brinsley Sheridan. Se sentaban y observaban en respetuoso silencio el proceso diario de acicalamiento de Brummell, que se iniciaba con un baño. En general, resultaba sorprendente que se bañara a diario, «y todas y cada una de las partes de su cuerpo», según añadió un testigo con especial asombro. Además, lo hacía en agua caliente. A veces le incorporaba leche, un detalle, no necesariamente afortunado, que se puso enseguida de moda. Pero cuando corrió la voz de que el marchito y tacaño marqués de Queensberry, que vivía en las proximidades, tenía también la costumbre de regalarse baños de leche, las ventas de dicho producto cayeron en picado en el barrio, pues empezó a rumorearse que el marqués devolvía la leche para revenderla después de haber inmerso en ella su ajada y decrépita piel.
El atuendo de los dandis era estudiadamente contenido. La vestimenta de Brummell estaba limitada casi por completo a tres sencillos colores: blanco, beige y negro azulado. Lo que distinguía a los dandis no era la riqueza de su plumaje sino el cuidado con que se acicalaban. Se trataba de conseguir una imagen magistral. Podían pasar horas para asegurarse de que todo pliegue y doblez fuera perfecto, inmejorable. En una ocasión, un visitante que llegó a casa de Brummell y se encontró el suelo lleno de corbatas, le preguntó qué sucedía a Robinson, su sufrido mayordomo. «Esto —respondió Robinson con un suspiro— no son más que nuestros fracasos». Los dandis se vestían y volvían a vestir sin cesar. En un solo día solían utilizar tres camisas, dos pares de pantalones, cuatro o cinco corbatas, varios pares de calcetines y un pequeño surtido de pañuelos.
Parte de la moda venía dictada también por la corpulencia cada vez mayor del príncipe de Gales (o el «príncipe de las ballenas [61] », como se le apodaba de forma burlona a sus espaldas). Cuando llegó a los treinta, el príncipe estaba tan entrado en carnes que tenían que meterlo a la fuerza en un corsé —una «Bastilla de barbas de ballena», según palabras de alguien que tuvo el privilegio de verlo— al que sus criados se referían con gran diplomacia como su «cinturón». El corsé empujaba hacia arriba la grasa de la parte superior del cuerpo del príncipe, que acababa emergiendo por el cuello de la camisa, como cuando el dentífrico se sale del tubo, de tal modo que los cuellos altos que estaban de moda en su época hacían las veces de pequeño corsé adicional, diseñado para esconder su más que doble mentón y el blandengue entramado de su cuello.
En el aspecto de la sastrería que más destacaron los dandis fue en el pantalón. Los pantalones solían llevarse tan ceñidos que quedaban como pintados sobre las piernas y resultaban reveladores al máximo, sobre todo teniendo en cuenta que se lucían sin ropa interior. La noche después de ver al conde d’Orsay, anotó Jane Carlyle en su diario, tal vez algo sofocada, que los pantalones del conde eran de «color piel y le sentaban como un guante». El estilo se basaba en los pantalones de montar del regimiento de Brummell. Las chaquetas llevaban faldones en la parte trasera y eran cortas por delante, enmarcando la entrepierna a la perfección. Era la primera vez en la historia que el vestuario de los hombres se diseñaba de forma consciente para que resultara más sexy que el de las damas.
Peinado extremo: La señorita Prattle consulta al doctor Double Fee acerca de su tocado panteón.
Por lo que parece Brummell pudo tener a cualquier dama que deseara, y también a muchos hombres, pero si se aprovechó o no de tal circunstancia es misteriosamente incierto. Las pruebas apuntan a que Brummell era asexual; se le desconoce cualquier relación, masculina o femenina, que implicara más trato que el meramente aural. Y resulta curioso que, siendo un hombre tan famoso por su aspecto, desconozcamos cómo era en realidad. Existen cuatro supuestos retratos de Brummell, pero difieren entre ellos de forma notable y es imposible saber cuál de ellos, si es que alguno lo hace, lo representa con fidelidad.La caída en desgracia de Brummell fue repentina e irreversible. Tuvo una disputa con el príncipe de Gales y dejaron de hablarse como consecuencia de ello. En un acto social, el príncipe ignoró con mordacidad a Brummell y se dirigió, en cambio, a la persona que lo acompañaba. Cuando el príncipe se retiró, Brummell se dirigió a su acompañante y realizó uno de los comentarios más desacertados de toda la historia social. « ¿Quién es ese gordo amigo tuyo?», le preguntó.
Un insulto de ese calibre equivalía a un suicidio social. Poco después, se vio abrumado por las deudas y tuvo que huir a Francia. Pasó los últimos veinticinco años de su vida inmerso en la pobreza, viviendo la mayor parte de ese tiempo en Calais, perdiendo la cabeza poco a poco pero sin perder jamás, dentro de su forma de vestir comedida y detallada, su sensacional porte.
§. 2
Justo en la misma época en la que el Bello Brummell dominaba la escena de la elegancia de Londres y el país entero, otro tejido empezaba a transformar el mundo, y en especial el mundo de la fabricación. Me refiero al algodón. Su importancia en la historia jamás será exagerada.El algodón es en la actualidad un material tan común que con frecuencia olvidamos que en su día fue extremadamente preciado y más valioso que la seda. Pero en el siglo XVII, la Compañía de las Indias Orientales empezó a importar calicós de la India (de la ciudad de Calicut, de donde tomaron su nombre) y así fue como, de repente, el algodón se volvió asequible. El calicó era entonces un término colectivo que agrupaba cretonas, muselinas, percales y otros tejidos de vivos colores que causaron un deleite inimaginable entre los consumidores occidentales porque eran ligeros, lavables y sus colores no desteñían. A pesar de que en Egipto también se cultivaba algodón, la India dominaba su comercio, tal y como nos recuerda la cantidad inagotable de palabras inglesas que derivan del mismo:kaki, dungarees [«pantalones»], gingham [«guinga»], muslim [«muselina»], pyjamas [«pijama»], shawl [«chal»], seersucker [«crespón rallado»], etc.
El repentino auge del algodón indio satisfacía a los consumidores, pero no a los fabricantes. Incapaces de competir con aquel maravilloso tejido, los trabajadores europeos del sector textil clamaron por todos lados en busca de protección, y de prácticamente todos lados la recibieron. La importación de tejidos acabados de algodón quedó prohibida en casi toda Europa durante el siglo XVIII.
Pero se podía seguir importando algodón como materia prima, lo que supuso un tremendo incentivo para la industria textil británica. El problema era que el algodón era muy duro de hilar y tejer, por lo que todo el mundo volcó su atención en solucionar estos dos problemas. La solución que encontraron es lo que se conoce como Revolución industrial.
Convertir fardos de esponjoso algodón en productos útiles como sábanas y pantalones vaqueros exige dos operaciones fundamentales: hilar y tejer. Hilar consiste en convertir pedazos cortos de fibra de algodón en grandes bobinas de hilo, torciendo poco a poco la fibra para ir incorporándola, el mismo proceso de la fabricación del hilo y la cuerda. Tejer se realiza entrelazando dos conjuntos de hilos o fibras en el ángulo adecuado para formar un entramado. La máquina que lo realiza se conoce como telar. Lo que hace el telar, simplemente, es sujetar en tensión un conjunto de hilos para que un segundo conjunto de hilos pueda entramarse con el primero y crear de este modo una tela. El conjunto de hilos tensos se denomina urdimbre. El segundo conjunto de hilos, el que trabaja activamente, se conoce como trama. Y el tejido se obtiene entrelazando hilos verticales y horizontales. La mayoría de los productos textiles del hogar —sábanas, pañuelos y similares— siguen siendo tejidos de este tipo.
El hilado y la tejeduría eran industrias artesanales que daban trabajo a muchísima gente. Tradicionalmente, el hilado era un trabajo destinado a las mujeres, mientras que la tejeduría quedaba en manos de los hombres. Pero el hilado era un proceso que exigía mucho más tiempo que la tejeduría, y esa disparidad se incrementó aún más después de que en 1733 John Kay, un joven de Lancashire, inventara la lanzadera volante, la primera de las varias innovaciones punteras que necesitaba la industria. La lanzadera volante de Kay doblaba la velocidad de producción de tejidos. Las hiladoras, incapaces ya de seguir el ritmo, empezaron a quedar rezagadas y a generar problemas en la línea de producción, con graves presiones económicas para todos los implicados.
Según el relato tradicional, tanto tejedores como hilanderas se enfurecieron hasta tal punto con Kay que acabaron atacando su casa y el inventor se vio obligado a huir a Francia, donde murió indigente. La historia se repite en muchos relatos, incluso ahora con «fervor dogmático», según palabras del historiador de la época de la Revolución industrial Peter Willis, aunque, de hecho, Willis insiste en que no hay nada de verdad en todo el asunto. Kay murió pobre, pero sólo porque no gestionó de forma muy acertada su vida. Se propuso fabricar personalmente sus máquinas y alquilarlas a los propietarios de los telares, pero estableció un precio de alquiler tan elevado que nadie podía pagarlo. Lo que sucedió entonces fue que le piratearon el invento, y Kay gastó infructuosamente todo su dinero tratando de conseguir una compensación a través de los tribunales. Al final se trasladó a Francia, con la vana esperanza de cosechar más éxitos allí. Sobrevivió casi cincuenta años a su invento. Y nunca sufrió ningún tipo de ataque ni se vio obligado a huir del país.
* * * *
Pasaría toda una generación antes de que alguien encontrara una solución al problema de las hilaturas, y llegó de un lugar inesperado. En 1764, un tejedor analfabeto de Lancashire, llamado James Hargreaves, inventó un artilugio ingeniosamente sencillo, que se conoció como la «hiladora Jenny», que realizaba el trabajo de diez hilanderas gracias a la incorporación de múltiples bobinas. Poco se conoce de Hargreaves, aparte de que nació y se crió en Lancashire, se casó joven y tuvo doce hijos. Desconocemos por completo su aspecto físico. Fue la más pobre y la más desafortunada de las figuras principales de los inicios de la Revolución industrial. A diferencia de Kay, Hargreaves sí que tuvo problemas. Un grupo de hombres de su misma localidad irrumpió en su casa y prendió fuego a sus herramientas y a una veintena de Jennies a medio terminar —una pérdida cruel y desesperada para un hombre de escasos recursos como él—, por lo que durante un período prudencial decidió abandonar la fabricación de Jennies y dedicarse a la teneduría de libros. Por cierto, el nombre de Jenny no es en honor a su hija, como con frecuencia se ha apuntado; Jenny era una palabra que solía utilizarse en el norte de Inglaterra para referirse a los motores.La máquina de Hargreaves no parece gran cosa en las ilustraciones —consistía básicamente en diez bobinas dentro de un armazón, con una rueda que las hacía girar—, pero transformó el panorama industrial de Gran Bretaña. Menos feliz es el hecho de que acelerara la introducción del trabajo infantil, pues los niños, más ágiles y menudos que los adultos, se manejaban mucho mejor para reparar los hilos rotos y los distintos problemas que pudieran surgir entre las casi inaccesibles extremidades de la Jenny.
Antes de la aparición de este invento, los trabajadores ingleses hilaban en sus casas más de 225 toneladas de algodón al año. Hacia 1785, y gracias a la máquina de Hargreaves y a las versiones más sofisticadas que le siguieron, esa cifra había ascendido a 7.250 toneladas. Hargreaves, sin embargo, no compartió la prosperidad que sus artilugios generaban, debido en gran parte a las maquinaciones de Richard Arkwright, la menos atractiva, menos inventiva y, sin embargo, más exitosa de todas las figuras de los inicios de la Revolución industrial.
Al igual que Kay y Hargreaves, Arkwright era un hombre de Lancashire —¿en qué habría quedado la Revolución industrial sin los hombres de Lancashire?—, nacido en Preston en 1732, lo que lo hace once años más joven que Hargreaves y casi treinta años más joven que Kay. (Hay que recordar, además, que la Revolución industrial no fue un suceso repentino y explosivo, sino un despliegue gradual de mejoras a lo largo de varias generaciones y en muchos terrenos distintos). Antes de convertirse en un hombre de la industria, Arkwright fue tabernero, fabricante de pelucas y cirujano-barbero, especializado en extraer piezas dentales y efectuar sangrías a los enfermos. Por lo que parece, se interesó en la producción de tejidos a partir de su amistad con otro John Kay —éste era relojero y no tenía parentesco alguno con el John Kay de la lanzadera volante—, y con su ayuda empezó a reunir la maquinaria y los componentes necesarios para llevar a cabo la totalidad de la producción mecánica de los tejidos bajo un mismo techo. Arkwright era hombre de pocos escrúpulos. Le robó a Hargreaves los rudimentos de la Jenny sin dudarlo ni un momento y sin remordimientos (menos aún con algún tipo de compensación), se escabulló de todo tipo de tratos comerciales y abandonó a amigos y socios cuando le resultó seguro o ventajoso hacerlo.
Tenía un verdadero don para realizar mejoras mecánicas, pero su auténtico genio radicaba en saber convertir posibilidades en realidades. Era un organizador —un buscavidas, en realidad—, y de los mejores. Gracias a una adecuada combinación de trabajo duro, suerte, oportunismo y gélida crueldad, se construyó, durante un periodo de tiempo breve pero extremadamente lucrativo, un monopolio virtual sobre el negocio del algodón en Inglaterra.
El personal desplazado por la maquinaria de Artwright no sólo sufrió el inconveniente de quedarse sin trabajo, sino que además quedó reducido al nivel más bajo de la desesperación. Es evidente que Arkwright vio venir lo que sucedería, pues construyó su primera fábrica como una auténtica fortaleza en un recóndito paraje de Derbyshire —que era un condado remoto de por sí— y la reforzó con cañones, guardando incluso en su interior una reserva de quinientas lanzas. Acorraló el mercado con la producción mecánica de tejidos y, como consecuencia de ello, se hizo inmensamente rico, aunque sin ganarse el aprecio de nadie ni conseguir vivir feliz. En el momento de su fallecimiento, en 1792, tenía cinco mil empleados y su fortuna se estimaba en medio millón de libras, una suma fabulosa para cualquiera, pero en especial para un hombre que había pasado gran parte de su vida dedicándose a fabricar pelucas y a trabajar como barbero-cirujano.
* * * *
De hecho, la Revolución industrial no era aún del todo industrial. El hombre que lo hizo posible fue la figura más inesperadamente fundamental de su época, y de prácticamente cualquier otra época: el reverendo Edmund Cartwright (1743-1823). Cartwright era hijo de una familia pudiente e importante a nivel local de Nottinghamshire y aspiraba a convertirse en poeta, pero acabó haciéndose pastor y destinado a una rectoría de Leicestershire. Una conversación casual con un fabricante de tejidos lo llevó en 1785 a diseñar —partiendo por completo de cero— el telar mecánico. Los telares de Cartwright transformaron la economía mundial y enriquecieron de verdad a Gran Bretaña. Cuando se celebró la Gran Exposición en 1851, funcionaban ya en Inglaterra un cuarto de millón de telares mecánicos, una cifra que aumentó al ritmo de cien mil por década antes de llegar a un máximo de 805.000 en 1913, momento en el cual había casi tres millones en funcionamiento en todo el mundo.De haberse visto Cartwright recompensado por el alcance de sus inventos, se habría convertido en el hombre más rico de su época —del mismo modo que John D. Rockefeller o Bill Gates se han visto compensados por los suyos—, pero la realidad es que su invento no le proporcionó nada de nada directamente y, de hecho, acabó endeudado en su intento de proteger y hacer respetar sus patentes. En 1809, el Parlamento lo premió con un pago total de 10.000 libras, casi nada en comparación con las 500.000 de Arkwright, pero lo bastante como para permitirle vivir con comodidad hasta el fin de sus días. Entretanto, su apetito por la invención lo llevó a desarrollar con gran éxito máquinas para fabricar cuerdas y para peinar la lana, además de novedosas prensas tipográficas, máquinas de vapor, tejas para tejados y ladrillos. Su último invento, patentado poco antes de su fallecimiento en 1823, fue un carruaje accionado con manivela «para ir sin caballos» que, según declaraba con total confianza el formulario de la patente, permitiría a dos hombres, accionando de forma continua la manivela pero sin excesivo esfuerzo, cubrir una distancia de hasta cuarenta y cinco kilómetros en un día, e incluso en terrenos empinados.
Con el zumbido de fondo de los telares mecánicos, la industria del algodón se encontraba en la posición adecuada para poder despegar, pero las fábricas necesitaban mucho más algodón del que los recursos existentes eran capaces de suministrar. El lugar evidente donde cultivar algodón era el sur de Estados Unidos. El clima, excesivamente cálido y seco para muchos cultivos, era perfecto para el algodón. Pero por desgracia, la única variedad que crecía bien en los suelos más sureños era una variedad complicada conocida como algodón de fibra corta. Era un algodón que no podía cultivarse de forma rentable porque sus bagas estaban llenas de semillas de tacto pegajoso —con una proporción de tres kilos de semillas por cada kilo de algodón final—, que tenían que arrancarse a mano de una en una. Separar las semillas de la fibra era una tarea tan laboriosa que ni siquiera con esclavos resultaba barata de realizar. El coste de alimentar y vestir a los esclavos era muy superior a la cantidad de algodón útil que incluso la mano de obra más diligente pudiera proporcionar.
El hombre que solucionó este problema se crió muy lejos de las plantaciones. Se llamaba Eli Whitney, era de Westborough, Massachusetts, y, si todos los ingredientes de la historia son ciertos (algo que, como estamos a punto de ver, es muy posible que no sea así), fue por la más afortunada de las casualidades que acabó pasando a la inmortalidad.
La historia, según los relatos convencionales, es la siguiente: después de graduarse en Yale en 1793, Whitney aceptó un trabajo como tutor en casa de una familia que vivía en Carolina del Sur, pero a su llegada descubrió que el salario que iba a percibir era sólo la mitad de lo que le habían prometido. Ofendido, rechazó el puesto, una acción que dejó su honor satisfecho y a él sin un céntimo y muy lejos de casa.
De camino hacia el sur había conocido a una joven y vivaracha viuda llamada Catharine Greene, esposa del fallecido general Nathanael Greene, héroe de la revolución norteamericana. En agradecimiento a los servicios prestados y a su apoyo a George Washington durante los periodos más tenebrosos de la guerra, la nación le había regalado a Greene una plantación en Georgia. Por desgracia, Greene, originario de Nueva Inglaterra, no estaba acostumbrado a las elevadas temperaturas de Georgia y había sido víctima de un fatal golpe de calor durante el primer verano que pasó allí. Whitney decidió ir a visitar a la viuda de Greene.
En aquel momento, la señora Green cohabitaba con pasión y sin esconderse de nadie con otro hombre educado en Yale llamado Phineas Miller, el capataz de su plantación, pero aun así, recibieron con agrado a Whitney en su casa. Fue entonces cuando Whitney entró en contacto con el problema de las semillas del algodón. Y creyó encontrar la solución sólo con examinar con atención una baga. Se encerró en el taller de la plantación e inventó un sencillo tambor rotatorio que al girar desgarraba la fibra del algodón con la ayuda de clavos, librándola de las semillas. El nuevo artilugio era tan eficiente que su trabajo equivalía al de cincuenta esclavos. Whitney patentó su desmotadora, a la que denominó gin (una abreviatura de engine o «motor»), y se dispuso a ser impresionantemente rico.
Y éste es el relato convencional de la historia. Parece, sin embargo, que gran parte de la misma no tiene nada de verdad. En la actualidad se sugiere que Whitney ya conocía a Miller —su conexión con Yale parece de lo contrario muy poco casual—, que a su vez estaba ya familiarizado con los problemas que conllevaba el cultivo del algodón en suelo americano y que viajó al sur, seguramente por petición de Miller, sabiendo que intentaría inventar aquel motor. Además, por lo que parece, el trabajo no se hizo en un par de horas en la misma plantación, sino que llevó semanas o meses y se realizó en un taller de Westborough. Sea cual sea la realidad del invento, la verdad es que el gin era una maravilla. Whitney y Miller constituyeron una sociedad con la clara intención de hacerse ricos, pero resultaron ser hombres de negocios desastrosos. Decidieron exigir a los usuarios de su máquina una tercera parte de la cosecha recogida, una proporción que tanto los propietarios de las plantaciones como los legisladores sureños consideraron francamente codiciosa. El hecho de que Whitney y Miller fueran yanquis tampoco alentaba los sentimientos a su favor. Pero se negaron con terquedad a modificar sus exigencias, convencidos de que los cultivadores sureños no se resistirían a un avance tecnológico tan revolucionario. Y tenían razón en cuanto a lo irresistible del invento, pero no cayeron en la cuenta de que su desmotadora podía piratearse con facilidad. Cualquier carpintero con cara y ojos podía imitarla en un par de horas. Y así fue como, en cuestión de poco tiempo, los propietarios de las plantaciones de todo el sur empezaron a cosechar el algodón con desmotadoras de fabricación casera. Whitney y Miller interpusieron sesenta demandas en Georgia y muchas más en otras partes, pero se tropezaron con la antipatía de los tribunales sureños. En 1800 —sólo siete años después de la invención del gin—, Miller y Catharine Greene se encontraban en una situación tan desesperada que se vieron obligados a vender su plantación.
El sur empezó a enriquecerse. El algodón se convirtió enseguida en el producto más negociado del mundo y dos terceras partes de todo ese algodón provenían de allí. Las exportaciones de algodón norteamericanas pasaron de apenas nada antes de la invención de la desmotadora, a la impresionante cantidad de un millón de toneladas en los inicios de la Guerra de Secesión. En su momento álgido, Gran Bretaña consumía el 84 % del total.
Antes del algodón, la esclavitud estaba en declive, pero la recogida del algodón, en contraposición con su proceso, demandaba una cantidad descomunal de mano de obra. Cuando Whitney desarrolló su invento, el esclavismo existía tan sólo en seis estados de Estados Unidos; en el momento del estallido de la Guerra de Secesión, era legal en quince. Peor aún, estados norteños como Virginia y Maryland, donde el algodón apenas podía cultivarse, empezaron a exportar esclavos a sus vecinos del sur, separando con ello a familias enteras e intensificando el sufrimiento de decenas de miles de personas. Entre 1793 y el principio de la guerra civil, fueron enviados al sur más de ochocientos mil esclavos.
Por aquella misma época, las prósperas fábricas de algodón británicas necesitaban también muchos obreros —más de los que el mero crecimiento de la población era capaz de proporcionar—, por lo que se volcaron cada vez más en la mano de obra infantil. Los niños eran maleables, baratos y en general más rápidos que los adultos en corretear entre la maquinaria y solucionar inconvenientes, roturas y otros fallos. Incluso los fabricantes más ilustrados utilizaban a los niños sin restricciones. No podían permitirse no hacerlo.
De manera que la desmotadora de Whitney no sólo ayudó a que mucha gente de ambos lados del Atlántico se enriqueciera, sino que además revitalizó la esclavitud, convirtió el trabajo infantil en una necesidad y preparó el terreno para la Guerra de Secesión norteamericana. Tal vez nunca nadie con un invento tan sencillo y bienintencionado haya generado más prosperidad generalizada, mayor desencanto personal y más sufrimiento involuntario que Eli Whitney con su gin. Demasiadas consecuencias para un simple tambor rotatorio.
Al final, unos pocos estados sureños accedieron a pagarle algo a Whitney. En total consiguió ganar 90.000 dólares con su invento, cantidad suficiente para cubrir gastos. Regresó entonces al norte y se instaló en New Haven, Connecticut, y allí dio con la idea que por fin le haría rico. En 1798 firmó un contrato para fabricar diez mil mosquetes para el Gobierno federal. Las armas tenían que fabricarse con un nuevo método, que acabó conociéndose como el sistema Whitney o sistema americano. La idea consistía en construir máquinas que generaran un suministro inagotable de piezas que poder ensamblar para crear productos acabados. De esta manera, no era necesario que los trabajadores tuvieran ningún tipo de maestría concreta. La maestría la pondrían las máquinas. Era un concepto brillante. Daniel J. Boorstin lo ha calificado como la innovación que enriqueció América.
Las armas se necesitaban con urgencia porque Estados Unidos estaba constantemente al borde de entrar en guerra con Francia. El contrato se firmó por valor de 134.000 dólares —el contrato de mayor importe firmado por el Gobierno norteamericano hasta aquel momento— y le fue concedido a Whitney a pesar de que ni poseía las máquinas para construir las piezas, ni experiencia alguna en la fabricación de armas, pero en 1801, en un momento altamente apreciado por generaciones de libros de historia, Whitney consiguió demostrar al presidente John Adams y al presidente electo Thomas Jefferson cómo un montón de piezas aparentemente sin relación alguna entre ellas, podían ensamblarse y convertirse en un arma completa. De hecho, entre bastidores Whitney se enfrentaba a todo tipo de problemas para que su sistema funcionase. Las armas se entregaron con más de ocho años de retraso, mucho después de que la crisis que había desencadenado su fabricación hubiera terminado. Más aún, un análisis de las armas supervivientes realizado en el siglo XX demostró que no se fabricaron siguiendo el sistema Whitney, sino que incorporaban piezas elaboradas manualmente en la fábrica. La famosa demostración a los presidentes se realizó con piezas ficticias. Por lo que se ve, Whitney pasó gran parte de aquellos ocho años sin trabajar siquiera en el pedido de los mosquetes, sino utilizando el dinero del contrato para promover sus esfuerzos de conseguir una indemnización por su invención de la desmotadora de algodón.
§. 3
En comparación con cualquier cosa conocida, el algodón era un material sorprendentemente ligero y fresco, pero no sirvió casi para nada en cuanto a sofocar el impulso de vestir de manera ridícula, sobre todo por lo que a las mujeres se refiere. A medida que avanzaba el siglo XIX, las mujeres fueron quedando cada vez más embutidas en el interior de su atuendo. Hacia la década de 1840, una mujer podía llevar debajo de su vestido una camisa hasta la rodilla, una camisola, hasta media docena de enaguas, un corsé y bragas. La idea, tal y como un historiador apunta, era «eliminar, en la medida de lo posible, cualquier impresión de forma». Toda esta infraestructura de prendas podía resultar aterradoramente pesada. Una mujer podía llegar a desarrollar sus tareas diarias bajo dieciocho kilos de ropa. Cómo hacían para satisfacer sus necesidades de micción es un tema que, por lo que se ve, ha escapado a la investigación histórica. Las crinolinas, o miriñaques, hechas con barba de ballena o acero, se introdujeron para dar forma sin necesidad de tanta ropa interior, pero aunque el peso se aligeró mínimamente, la torpeza de movimientos se incrementó de manera considerable. Tal y como lo expresa Liza Picard: «Uno se pregunta cómo, o si, las damas victorianas conseguían cruzar con su miriñaque un salón debidamente amueblado sin llevarse por el camino varias mesillas». Subir a un carruaje era para pensárselo dos veces y exigía mucha astucia, tal y como relata un fascinado remitente en una carta a casa: «La señorita Clara empezó a dar vueltas y más vueltas sobre sí misma como un pavo real, indecisa respecto hacia dónde dirigir su intento. Al final se decidió por una osada carrerilla en sentido lateral, y entró estrujando sus enaguas, que de pronto se ensancharon para recuperar su tamaño original, pero cuando la siguieron sus hermanas ya no quedó espacio para el mayor» (ni, de hecho, para nadie más).Los miriñaques se levantaban además ligeramente cuando su portadora se agachaba —cuando, por ejemplo, se inclinaba para golpear una bola de croquet—, ofreciendo con ello una electrizante visión de polainas con volantitos a cualquier hombre lo bastante listo como para decir: «Usted primero». Cuando se tensaban en exceso, los miriñaques presentaban la desalentadora tendencia a invertirse y volar hacia arriba, como un paraguas forzado por el viento. Abundan relatos sobre mujeres atrapadas y tambaleándose en el interior de aros mal colocados. Lady Eleanor Stanley anotó en su diario que la duquesa de Manchester tropezó intentando subir un par de peldaños para superar una cerca —por qué intentó saltar una cerca con miriñaque es un imponderable aparte— y acabó exponiendo sus calzas bombachas de cuadros escoceses «a la vista de todo el mundo en general y del duque de Malakoff en particular». Los vientos fuertes resultaban especialmente perturbadores y las escaleras una clara señal de peligro. Pero el riesgo más relevante era el fuego. «Muchas mujeres vestidas con miriñaque murieron como resultado de graves quemaduras por haberse acercado al fuego sin advertirlo», apuntan C. Willett y Phillis Cunnington en su inesperadamente solemne History of Underclothes. Un fabricante anunciaba con orgullo, aunque de forma inquietante, que sus miriñaques «no provocan accidentes, no aparecen mencionados en las investigaciones judiciales».
La edad de oro del miriñaque fue el periodo comprendido entre 1857 y 1866, momento en el cual empezó a quedar desterrado, no porque fuera peligroso y absurdo, sino porque cada vez se imponía más entre las clases inferiores, destruyendo con ello su exclusividad. «Incluso la criada de la dama debe tener ahora su miriñaque —expresaba con desaprobación una revista—, y hasta se ha vuelto esencial para las chicas que trabajan en las fábricas». El peligro de los miriñaques entre los amenazadores engranajes y el ronroneo de las correas de la maquinaria de las fábricas es muy fácil de imaginar.
El abandono de los miriñaques no significó, sin embargo, el fin de la incomodidad en el vestir. Ni mucho menos, pues los miriñaques dieron paso a los corsés, y los corsés se convirtieron en la mayor tortura del vestuario en muchos siglos. Algunas autoridades lo encontraban extrañamente alentador, basándose en la idea de que daba a entender sacrificio y castidad. Englishwoman’s Domestic Magazine, la popular revista de los Beeton, destacaba con aprobación en 1866 que las alumnas de un internado de señoritas se ataban las cintas de sus corsés el lunes por la mañana y no se libraban de su constreñimiento hasta el sábado, momento en el cual se les permitía aflojar las ballenas durante una hora «con el fin de poder lavarse». Un régimen así, apuntaba la revista, permitía a las chicas reducir su contorno de cintura de cincuenta y ocho centímetros a treinta y tres en sólo dos años.
La cruzada por reducir el perímetro a casi cualquier precio era real, pero la persistente creencia de que había mujeres que se sometían a la extirpación quirúrgica de algunas costillas para que su diafragma fuese todavía más comprimible no deja de ser, por suerte, un mito. Valerie Steele, en su encantadoramente precisa y académica obra, The Corset: A Cultural History, explica que no pudo encontrar evidencias de que se hubiera llevado a cabo ni una sola operación de este tipo. Para empezar, las técnicas quirúrgicas del siglo XIX no estaban a la altura requerida para poder conseguirlo.
El corsé se convirtió en una obsesión para los expertos médicos de la segunda mitad del siglo XIX. Al parecer, no existía en el cuerpo ni un solo sistema orgánico gravemente susceptible de sufrir y funcionar de forma indebida como consecuencia del efecto de estrangulación provocado por el encaje y las barbas de ballena. Los corsés impedían el libre latido del corazón, lo que hacía que la sangre se congestionara. A su vez, la lentitud de la circulación de la sangre provocaba casi un centenar de males distintos: incontinencia, dispepsia, paro hepático, «hipertrofia congestiva del útero» y pérdida de facultades mentales, para nombrar sólo algunos de los más destacados. La revista Lancet investigaba con regularidad los peligros de los corsés y en un caso llegó a la conclusión de que el latido del corazón de una víctima estaba tan limitado por el corsé, que la tensión excesiva acabó provocando su fallecimiento. Algunos médicos creían además que llevar la ropa interior excesivamente apretada hacía a las mujeres más susceptibles a la tuberculosis.
Es inevitable que el uso del corsé tuviera también connotaciones sexuales. El tono de la literatura femenina contraria al corsé era curiosamente similar al tono de la literatura masculina contraria a la masturbación. Con la restricción del flujo sanguíneo y la compresión de los órganos de las proximidades de la zona reproductiva, se temía que los corsés pudieran provocar un trágico incremento de los «deseos amatorios» e inducir incluso «espasmos voluptuosos». Poco a poco, los miedos relacionados con la vestimenta se extendieron a cualquier parte del cuerpo que pudiera cubrirse con prendas calentitas y cómodas. Se sugería que incluso los zapatos apretados podían generar un cosquilleo peligroso, si no un tremendo espasmo capaz de hacer temblar cielos y tierra. En los peores casos, las mujeres podían acabar desquiciadas por culpa de su vestimenta. Orson Fowler, autor de un tentador ataque titulado Tight-Lacing, Founded on Physiology and Phrenology; or, the Evils Inflicted on the Mind and Body by Compressing the Organs of Animal Life, Thereby Retarding and Enfeebling the Vital Functions [La práctica extrema del corsé, basada en la fisiología y la frenología; o los males infligidos a la mente y el cuerpo por la compresión de los órganos de la vida animal, retardando y debilitando, en consecuencia, las funciones vitales], propugnaba la teoría de que la distorsión contra natura de la circulación impulsaba una cantidad excesiva de sangre hacia el cerebro de la mujer capaz de provocar un cambio de personalidad permanente y turbador.
Lo único que realmente ponía en peligro la costumbre de llevar el corsé excesivamente apretado era el desarrollo del bebé en el vientre materno. Muchas mujeres seguían llevando corsé hasta momentos peligrosamente avanzados del embarazo, y los tensaban incluso más con el objetivo de esconder durante el máximo tiempo posible la indiscreta evidencia de que habían sido cómplices de una indecorosa explosión de espasmos voluptuosos.
Las rigideces victorianas llegaban a tales extremos que las damas ni siquiera tenían permiso para apagar una vela soplando en presencia de hombres, ya que la acción les exigía fruncir los labios en una mueca sugerente. No podían decir que se iban «a la cama» —despertaba una imagen estimulante en exceso—, sino simplemente decir que se «retiraban». Resultaba de hecho imposible comentar cualquier tema relacionado con el vestido, ni siquiera en un sentido aséptico, sin tener que recurrir a eufemismos. Los pantalones se convirtieron en «tegumentos inferiores» o simplemente en «inexpresables», mientras que la ropa interior era «lino». En conversaciones entre mujeres podían hablar de enaguas o, en voz baja, incluso de medias, pero apenas podían mencionar ninguna otra cosa que rozara directamente la piel.
En secreto, sin embargo, las cosas eran un poquitín más picantes de lo que a veces se nos ha hecho creer. Los tintes de origen químico —algunos de ellos decididamente intensos y vistosos— empezaron a estar disponibles a mediados de siglo y uno de los primeros lugares donde estuvieron presentes fue en la ropa interior, un tema que escandalizó a muchos, pues suscitaba la evidente pregunta de para el placer de quién estaba destinado aquel color. La ropa interior bordada se hizo también popular e igualmente escandalosa. Justo el mismo año que elogiaba a un internado femenino por mantener a las damiselas criminalmente sujetas a corsés durante una semana seguida, el Englishwoman’s Domestic Magazine despotricaba también declarando que «la cantidad de bordados que se aplica hoy en día a la ropa interior resulta pecaminosa; una joven dama consagró un mes a coser el ribete y bordar una prenda que apenas es posible que cualquier ser humano, excepto su lavandera, llegue jamás a ver».
Lo que no tenían era sujetadores. Los corsés ejercían presión desde abajo, ayudando con ello a mantener el pecho en su debido lugar, pero, por lo que me cuentan, lo más cómodo es sujetar el pecho desde arriba mediante tirantes. La primera persona que se dio cuenta de este detalle fue un fabricante de lencería llamado Luman Chapman, de Camden, Nueva Jersey, que en 1863 patentó lo que denominó «inflador de pechos», un primitivo sujetador atado al cuello. Entre 1863 y 1969 se registraron en Estados Unidos 1.230 patentes de sujetadores. El término brassiere, que sirve para denominar en inglés al sujetador y cuyo origen se encuentra en la palabra francesa que hace referencia al antebrazo, lo utilizó por vez primera en 1904 la empresa Charles R. De Bevoise Company.
Y aquí destruiremos un pequeño aunque tenaz mito. Se ha escrito a veces que el sujetador lo inventó un tal Otto Titzling. De hecho, si esa persona existió alguna vez, no desempeñó ningún papel en la invención de las prendas básicas. Y con esa nota, quizás un punto decepcionante, pasaremos a la habitación de los niños.
Capítulo 18
La habitación de los niños
§. 1
A principios de la década de 1960, en un libro muy influyente titulado L’enfant et la vie familiale sous l’Ancien Régime, un autor francés llamado Philippe Ariès realizaba una asombrosa afirmación. Declaraba que antes del siglo XVI, como muy pronto, la infancia no existía como tal. Había seres humanos pequeños, claro está, pero nada en su vida los hacía significativamente diferenciables de los adultos. «El concepto de infancia no existía», manifestaba con carácter irrevocable. Se trataba, esencialmente, de una invención victoriana.Ariès no era un especialista en ese campo y sus ideas estaban basadas casi por completo en evidencias indirectas, en su mayoría consideradas actualmente más bien dudosas, pero sus puntos de vista tocaron la fibra sensible del público y fueron ampliamente aceptados. Otros historiadores se apresuraron a declarar que antes de la edad moderna los niños no sólo vivían ignorados, sino que además su presencia no era grata. «En la sociedad tradicional, las madres observaban con indiferencia el desarrollo y la felicidad de los niños menores de dos años», declaraba Edward Shorter en The Making of the Modern Family (1976). Y el motivo no era otro que la elevada mortalidad infantil. «No podías permitirte establecer vínculos emocionales con un bebé que sabías que la muerte podía llevarse rápidamente», explicaba. Barbara Tuchman se hacía eco de este punto de vista, casi con exactitud, en el éxito de ventas Un espejo lejano: el calamitoso siglo XIV. «De todas las características en las que la época medieval se diferencia de la moderna —escribió—, ninguna llama tanto la atención como la relativa ausencia de interés por los niños». Realizar una inversión de amor en los niños más pequeños era tan arriesgado —«tan poco gratificante», era su curiosa expresión— que se reprimía por considerarse una merma de energía sin pies ni cabeza. Aquí, las emociones no entraban en juego. Los niños eran simplemente «un producto», bajo su escalofriante punto de vista. «Nacía un niño y moría, y otro ocupaba su lugar». O, tal y como el mismo Ariès explicaba: «El sentimiento general era, y siguió siéndolo durante mucho tiempo, que se tenían varios hijos con la idea de que sobrevivieran unos cuantos». Estas perspectivas llegaron a estandarizarse hasta tal punto entre los historiadores de la infancia que tendrían que pasar veinte años antes de que alguien se cuestionara si tal vez representaban un grave error de lectura de la naturaleza humana, eso sin mencionar los hechos conocidos de la historia.
No hay duda de que antiguamente los niños morían en grandes cantidades y que a los padres no les quedaba otro remedio que ajustar sus expectativas en consecuencia. Antes de la era moderna, el mundo era un lugar repleto de diminutos ataúdes. Las cifras citadas habitualmente hablan de que un tercio de los niños moría durante su primer año de vida y la mitad no llegaba ni a su quinto cumpleaños. La muerte visitaba con regularidad incluso los hogares más acomodados. Stephen Inwood destaca, por ejemplo, que el futuro historiador Edward Gibbon, que nació rico en el sano barrio de Putney, perdió a sus seis hermanos siendo todos ellos unos niños. Pero esto no quiere decir que la pérdida de los hijos no destrozara a los padres antes tanto como pueda hacerlo ahora. El cronista John Evelyn y su esposa tuvieron ocho hijos y perdieron a seis de ellos en su más tierna infancia, unos fallecimientos que los dejaron en cada ocasión desconsolados. «Aquí termina la alegría de mi vida», escribió simplemente Evelyn después de que su hijo mayor muriera en 1658 sólo tres días después de su quinto cumpleaños. El escritor William Brownlow perdió a un hijo cada año durante cuatro años seguidos, una serie de desgracias que «me han hecho pedazos y me han dejado destrozado», escribió, pero a su esposa y a él les quedaban aún más penurias que vivir: la trágica pauta de muertes anuales continuó durante tres años más hasta que se quedaron sin hijos.
Nadie expresó mejor la pérdida parental que William Shakespeare (ya que nadie ha expresado jamás las cosas mejor que él). Los siguientes versos son de La vida y la muerte del rey Juan, escrita poco después de que su hijo Hamnet falleciera con once años de edad en 1596:
El dolor llena la habitación de mi hijo ausenteNo son precisamente las palabras de alguien que considere a sus hijos un mero producto, y no hay razón alguna para suponer —ni evidencias, incluyendo el más puro sentido común— que los padres fueran, en cualquier momento del pasado, indiferentes en general a la felicidad y el bienestar de sus hijos. Una pista nos la ofrece el nombre de la habitación donde nos encontramos en este momento [62] . La palabra inglesa nursery [«habitación de los niños»] aparece registrada por primera vez en inglés en 1330 y desde entonces su utilización ha sido continua. Una habitación dedicada única y exclusivamente a las necesidades y comodidades de los niños no parece consistente con la creencia de que los niños carecían de importancia en el hogar. No menos importante es la palabra childhood [«infancia»] en sí misma. Hace un millar de años que existe en inglés (su primera aparición escrita data de 950 d. C., en los evangelios de Lindisfarne), y por lo tanto, independientemente de lo que haya podido significar a nivel emocional para la humanidad, como modo de vida, como estado de existencia aparte, es sin duda alguna un concepto antiguo. Sugerir que los niños eran objeto de indiferencia o que apenas existían como seres diferenciados es, en el mejor de los casos, una simplificación.
Se acuesta en su lecho, camina a mi lado de arriba abajo,
Se cubre con su hermoso rostro, repite sus palabras,
Me recuerda sus bellos rasgos,
Llena sus ropas vacías con la forma de su cuerpo.
No pretendo decir con esto que la infancia fuera en el pasado la despreocupada algazara que ahora tendemos a considerar. Era cualquier cosa excepto eso. La vida estaba llena de peligros desde el mismo momento de la concepción. Tanto para la madre como para el hijo, el hito más peligroso era el nacimiento en sí. Cuando las cosas iban mal, poco podían hacer la comadrona o el médico. Los médicos, en aquellos casos en que estaban presentes, solían recurrir a tratamientos que sólo servían para aumentar la agonía y el peligro, como el de realizarle una sangría a la agotada madre (basándose en que el proceso serviría para relajarla y considerando la consecuente pérdida de consciencia como una prueba de su éxito), aplicarle abrasadoras cataplasmas o poner a prueba sus cada vez menores reservas de energía y esperanza.
No era excepcional que el bebé presentara problemas para venir al mundo. En tales casos, el parto podía prolongarse durante tres semanas o más, hasta que el bebé o la madre, o ambos, quedaban tan agotados que resultaba imposible recuperarlos. Si el bebé moría en el útero, los procedimientos empleados para extraerlo eran tan horrorosos que no merece la pena describirlos. Basta con decir que se utilizaban ganchos y el bebé se extraía a pedacitos. Estas intervenciones no sólo le provocaban un sufrimiento inenarrable a la madre, sino que además comportaban un elevado riesgo de provocar una lesión en el útero y una grave infección. Con estas condiciones, resulta asombroso saber que sólo entre una y dos madres de cada cien morían de parto. Aunque si se tiene en cuenta que las mujeres tenían hijos continuamente (entre siete y nueve por término medio), la probabilidad de que una mujer falleciese de parto se eleva de manera dramática, alcanzando un porcentaje de una de cada ocho.
Para los niños, el nacimiento no era más que el principio. Por lo que parece, los primeros años de vida no eran tanto una época de aventuras como de desventuras. Además de las interminables oleadas de enfermedades y epidemias que salpicaban cualquier existencia, la muerte por accidente era mucho más común que ahora, sobrecogedoramente más común, de hecho. Los listados de los juzgados de instrucción de los siglos XIII y XIV incluyen fallecimientos repentinos infantiles con causas como «ahogado en un pozo», «mordido por una cerda», «caída en una olla de agua hirviendo», «atropellado por la rueda de un carro», «caída en un bote de puré caliente», «arrollado por una multitud» y muchas más de un tono igualmente inquietante. Emily Cockayne relata el triste caso de un pequeño que se tendió en medio de un camino y se cubrió con paja para gastarle una broma a sus amigos. Murió aplastado por un carro.
Ariès y sus seguidores tomaron estas muertes como una prueba de la indiferencia paterna y de la falta de interés de los padres por el bienestar de sus hijos. Una lectura más generosa tendría en cuenta que la jornada de una madre medieval estaba llena de actividades de todo tipo. Podía estar criando al pecho a un niño enfermo o moribundo, devastada ella misma por la fiebre, peleándose por intentar encender un fuego (o apagarlo) o mil cosas más. Si hoy en día las cerdas no muerden a los niños no es porque estén más vigilados, sino porque no tenemos cerdas paseándose por la cocina.
Muchas conclusiones modernas se basan en índices de mortalidad del pasado que no son del todo ciertos. La primera persona que prestó atención detallada a este asunto fue, de forma ciertamente inesperada, el astrónomo Edmond Halley, al que se recuerda, claro está, por el cometa que lleva su nombre (aunque en realidad no lo descubrió él, sino que simplemente lo reconoció como el mismo cometa cuya presencia otros habían destacado ya en tres anteriores visitas; no se conoció como cometa Halley hasta 1758, mucho después de su fallecimiento). Halley era un investigador inagotable de fenómenos científicos de todo tipo y generó documentos sobre cualquier cosa, desde el magnetismo hasta los efectos soporíferos del opio. En 1693, tropezó por casualidad con las cifras anuales de nacimientos y muertes de Breslau, Silesia (en la actualidad Wroclaw, Polonia), unos documentos que lo dejaron fascinado por estar excepcionalmente completos. Se dio cuenta de que a partir de aquellos datos podía construir gráficos con los que calcular la esperanza de vida de cualquier persona en cualquier momento de su existencia. Calculó, por ejemplo, que una persona de veinticinco años de edad tenía una probabilidad de ochenta contra uno de morir en el transcurso del año siguiente, que alguien que alcanzara la treintena podía esperar vivir razonablemente aún veintisiete años más, que la probabilidad de un hombre de cuarenta años de vivir siete años más era de 5, 5 contra uno, y así sucesivamente. Fueron las suyas las primeras tablas actuariales que existieron y, además de todo esto, posibilitaron la aparición del sector de los seguros de vida.
Los descubrimientos de Halley se publicaron en Philosophical Transactions of the Royal Society, una revista científica, y por ese motivo debieron de ser pasados por alto por los historiadores sociales, lo cual es una pena porque eran de gran interés para ellos. Las cifras presentadas por Halley mostraban, por ejemplo, que en Breslau vivían siete mil mujeres de edad fértil pero que al año sólo nacían mil doscientos niños, «poco más que una sexta parte», según destacó el científico. Es evidente que la gran mayoría de mujeres adoptaba los pasos necesarios para evitar el embarazo. En consecuencia puede decirse que el parto, al menos en Breslau, no era una carga ineludible a la que las mujeres estuvieran obligadas a someterse, sino en gran medida un acto voluntario.
Las cifras de Halley mostraban además que la mortalidad infantil no era tan elevada como invitan a pensar las cifras que en general se citan. En Breslau, algo más de una cuarta parte de los bebés nacidos moría en el transcurso de su primer año de vida, y un 44 % moría antes de cumplir los siete años de edad. Son cifras nefastas, a buen seguro, pero bastante mejores en comparación con las cifras de un tercio y la mitad, respectivamente, que siempre suelen citarse. Hasta que no transcurrían diecisiete años, la proporción de fallecimientos entre los jóvenes de Breslau no alcanzaba el 50 %. Eso era peor de lo esperado por Halley, que utilizó su informe para poner de manifiesto que nadie debería esperar disfrutar de una vida larga, sino prepararse para la posibilidad de morir antes de que en teoría le llegara su hora. «Cuán injustamente nos quejamos de la brevedad de nuestra vida —escribió— y nos sentimos agraviados por no alcanzar la Edad Anciana; cuando por lo que parece, la mitad de los nacidos muere en Diecisiete años […] [Por lo tanto] en lugar de rechistar contra lo que denominamos una Muerte prematura, deberíamos con Paciencia y despreocupación someternos a la Desintegración, que es la Condición necesaria de nuestro Material perecedero». Es evidente que las expectativas en relación con la muerte eran mucho más complicadas que la conclusión a la que podría conducirnos una simple valoración de las cifras.
Un problema adicional con respecto a las cifras —y una razón sensata por la que las mujeres quisieran limitar sus embarazos— era que justo en aquel momento las mujeres morían en masa por toda Europa como consecuencia de una nueva y misteriosa enfermedad que los médicos se sentían impotentes para derrotar y comprender. Conocida como fiebre puerperal (del término latín puer, que significa «niño»), aparece registrada por vez primera en Leipzig en 1652. Durante los doscientos cincuenta años siguientes, los médicos se vieron incapaces de darle una solución. La fiebre puerperal era especialmente temida porque aparecía de manera repentina, a menudo varios días después de un parto sin problemas y cuando la madre estaba ya del todo recuperada. En cuestión de horas, la víctima sufría fiebres altísimas y delirios, y permanecía en ese estado durante una semana, periodo después del cual se recuperaba o expiraba. Y expiraba con mucha frecuencia. En los peores brotes, fallecieron hasta el 90 % de las afectadas. Hasta finales del siglo XIX, la mayoría de médicos atribuía la fiebre puerperal al ambiente contaminado o a una moral relajada, cuando de hecho la causa eran sus manos sucias, que transferían microbios de un dolorido útero a otro. En un momento tan temprano como 1847, un médico vienés llamado Ignaz Semmelweis se dio cuenta de que si el personal del hospital se lavaba las manos con agua ligeramente tratada con cloro, las muertes de todo tipo caían en picado, pero casi nadie le prestó atención y pasarían aún muchas décadas antes de que las prácticas antisépticas se generalizaran.
Para unas pocas afortunadas, la promesa de una mayor seguridad llegó de la mano del fórceps obstétrico, que permitía recolocar mecánicamente a los bebés. Por desgracia, su inventor, Peter Chamberlain, decidió no compartir su invento con el mundo y lo guardó en secreto para utilizarlo con exclusividad en su consulta. Sus herederos mantuvieron su lamentable tradición durante cien años más hasta que otros inventaron el fórceps por su propia cuenta. Entretanto, una cifra incalculable de mujeres falleció víctima de una agonía innecesaria. El fórceps también entrañaba sus riesgos, todo hay que decirlo. Sin esterilizar y por su carácter definitivamente invasivo, podía provocar lesiones tanto al bebé como a la madre de no manejarse con la máxima delicadeza. Por este motivo, muchos médicos se mostraban reacios a utilizarlo. En el caso más famoso, la princesa Charlotte, presunta heredera al trono británico, falleció en 1817 al dar a luz a su primer hijo porque el médico que dirigía el parto, sir Richard Croft, no permitió que sus colegas utilizaran el fórceps para tratar de aliviar su sufrimiento. Como consecuencia de ello, y después de más de cincuenta horas de agotadoras e improductivas contracciones, murieron tanto el bebé como la madre. La muerte de Charlotte cambió el curso de la historia británica. De haber vivido, el periodo victoriano no habría existido porque no habría habido una reina Victoria. La nación se quedó conmocionada y se mostró implacable. Atónito y abatido al verse vilipendiado por todo el mundo, Croft se retiró a sus aposentos y se disparó una bala en la cabeza.
* * * *
Para la mayoría de seres humanos, tanto niños como adultos, el factor dominante de la vida hasta la llegada de los tiempos modernos fue pura y absolutamente económico. En los hogares más pobres —y eso, naturalmente, era la mayoría de los hogares—, cada persona era, desde el momento más temprano posible, una unidad de producción. John Locke, en un documento presentado a la Cámara de Comercio en 1697, sugería que los hijos de los pobres empezaran a trabajar a partir de los tres años de edad, y nadie lo consideró poco realista o despiadado. Es poco probable que el «Pequeño niño azul» de la canción de cuna [63] —el que nunca conseguía mantener alejadas a las ovejas del prado y a las vacas del maíz— tuviera más de cuatro años de edad, ya que los niños más mayores trabajaban en labores más duras.En las peores circunstancias, los niños eran sometidos a veces a los trabajos más extenuantes. Incluso con seis años de edad, tanto niños como niñas empezaban a trabajar en las minas, donde su menuda estructura les permitía acceder a los espacios más estrechos. Debido al calor y con el fin de ahorrar en ropa, solían trabajar desnudos. (También los hombres adultos trabajaban desnudos; las mujeres lo hacían desnudas de cintura para arriba). Los que trabajaban en las minas no veían la luz del sol durante gran parte del año, lo que hacía que muchos estuvieran raquíticos y débiles por la carencia de vitamina D que ello implicaba. Pero incluso los trabajos comparativamente más livianos resultaban peligrosos. Los niños que trabajaban en las fábricas de cerámica y alfarería de la región central de Inglaterra se dedicaban a limpiar recipientes que contenían restos de plomo y arsénico, lo que les provocaba un lento envenenamiento que acabó condenando a muchos de ellos a parálisis, perlesías y ataques de apoplejía.
Los niños trabajadores menos envidiados eran los deshollinadores, o «chicos trepadores», como se los conocía también. Empezaban temprano, trabajaban muy duro y morían antes que los integrantes de cualquier otro grupo. La mayoría iniciaba su breve carrera con cinco años, aunque hay constancia de un pequeño que empezó en la profesión con tres años y medio, una edad en la que incluso las tareas más sencillas tenían que resultar confusas y aterradoras. Se empleaban niños porque los tiros de las chimeneas eran estrechos y a menudo tremendamente enrevesados. «Los había que —escribe John Waller— formaban ángulos rectos, luego se desplegaban en horizontal o en diagonal, zigzagueaban incluso o se precipitaban hacia abajo antes de elevarse hacia el conducto exterior. Había una chimenea en Londres que cambiaba asombrosamente de dirección catorce veces». Era un trabajo brutal. Un método para evitar que los niños holgazanearan consistía en poner a arder un montón de paja en la base y enviar de este modo una ráfaga de calor chimenea arriba. Muchos chicos trepadores acabaron sus breves carreras jorobados e impedidos con once o doce años de edad. El cáncer de escroto era además uno de los riesgos que en particular entrañaba esta profesión.
En un mundo tan duro y tan carente de esperanzas, el caso de Isaac Ware destaca a modo de feliz milagro. Ware es un apellido que sale a relucir con frecuencia en las historias de la arquitectura del siglo XVIII, pues fue el crítico en la materia más destacado de su época y sus opiniones tenían mucho peso. (Fue quien, como tal vez recuerde de nuestra visita al sótano, a mediados del siglo XVIII ayudó a que pasara de moda el ladrillo rojo declarándolo «ardiente y desagradable a la vista»). Pero Ware no nació para disfrutar de una vida de prestigio. Empezó, de hecho, como golfillo callejero y deshollinador, y debió su cultura y su éxito a un único y extraordinario acto de bondad. Hacia 1712, un caballero anónimo —que nunca ha sido identificado formalmente pero que todo el mundo más o menos asume que era el tercer conde de Burlington, el constructor de Chiswick House y uno de los creadores de tendencias de la época— paseaba por Whitehall en Londres cuando vio a un joven barrendero dibujando en el suelo la imagen de la Banqueting House con un pedazo de carbón. El dibujo daba indicios de un talento tan extraordinario que Burlington se acercó a examinarlo, pero el chico, pensando que se había metido en problemas, rompió a llorar e intentó borrarlo. El caballero lo tranquilizó y entabló conversación con el pequeño, quedándose tan impresionado con la inteligencia natural del niño que compró su libertad a su patrono, lo admitió en su casa e inició el largo proceso de transformarlo en un caballero. Lo envió de gira por toda Europa y lo formó en todos los refinamientos de la vida.
Bajo su tutela, Ware se convirtió en un arquitecto competente, si no brillante, pero su gran talento fue el de ejercer como árbitro y pensador. Entre sus diversos e importantes libros destaca una traducción más que respetable al inglés de Los cuatro libros de la arquitectura de Palladio y The Complete Body of Architecture, que se convirtió en una especie de Biblia del gusto y el buen criterio tanto para profesionales como para aficionados. Nunca, pese a todo, ocultó por completo sus humildes orígenes. Se dice que cuando falleció, en 1766, su piel seguía mostrando las permanentes manchas de hollín de cualquier deshollinador.
Pero Ware fue una excepción, no hace falta decirlo. La mayoría de niños estaban totalmente a merced de sus patronos y eran tratados a veces de manera terrible. En un caso brevemente notorio, a un granjero de Malmesbury, Wiltshire, se le ocurrió la idea de castrar a dos de sus jóvenes aprendices y venderlos como cantantes a una compañía de ópera. La segunda parte de su ambición quedó frustrada, pero por desgracia no antes de que saliera airoso de la primera.
Hasta bien entrado el siglo XIX, los niños apenas tenían protección legal. Antes de 1814 no existía ley alguna que prohibiera el robo de niños, por ejemplo. En 1802, una mujer de Middlesex llamada Elizabeth Salmon, después de secuestrar a una niña llamada Elizabeth Impey, fue acusada de haberle robado su gorrita y su vestido porque era la única parte de la fechoría considerada ilegal. El secuestro comportaba tan pocos riesgos que existía la creencia generalizada de que los gitanos se dedicaban a robar niños y venderlos, aunque, por lo que parece, no es más que una verdad a medias. Un caso famoso fue el de una tal Mary Davis, una mujer de buena familia, que en 1812 encontró a su hijo perdido deshollinando una chimenea en una posada en la que por casualidad se alojaba.
La Revolución industrial sólo sirvió para empeorar las cosas, al menos en sus inicios. Antes de que la Ley Fabril de 1844 redujera la jornada laboral de los niños, las fábricas realizaban jornadas de entre doce y catorce horas, seis días por semana. En algunos casos se trabajaba incluso más, sobre todo en los periodos de mayor actividad en los que había que satisfacer grandes pedidos. En 1810 se descubrió que los aprendices de una fábrica estaban junto a sus máquinas desde las seis menos diez de la mañana hasta pasadas las nueve de la noche, con una única pausa para comer de entre media hora y cuarenta y cinco minutos, que solía realizarse sin alejarse de las máquinas. En casi ningún lado se proporcionaba una dieta adecuada para sobrevivir. «Comen gachas aguadas para desayunar y almorzar, y normalmente torta de avena y melaza, o torta de avena y un caldo ligero para cenar», informó un inspector. En algunas fábricas, las incomodidades eran tanto crónicas como considerables. Algunos materiales, como el lino, tenían que conservarse húmedos para poder ser trabajados, por lo que había obreros que vivían continuamente empapados por el agua que iban pulverizando las máquinas. En invierno tenía que ser insoportable. Casi toda la maquinaria industrial era peligrosa de verdad, pero sobre todo cuando los que trabajaban con ella estaban agotados y muertos de hambre. Se dice que había niños tan exhaustos que ni siquiera tenían energía para comer y a veces caían dormidos con la comida en la boca.
Pero como mínimo tenían un trabajo fijo. Porque para los que dependían del trabajo eventual, la existencia era una lotería interminable. Se estima que, en 1750, un tercio de los habitantes del centro de Londres se acostaba cada noche «casi sin un céntimo», una proporción que no hizo otra cosa que empeorar con el paso del tiempo. Los trabajadores eventuales se levantaban a diario sin saber si ganarían aquel día lo suficiente para poder llevarse algo a la boca. Tan exhaustivamente extremas eran las condiciones para muchos, que Henry Mayhew consagró un volumen entero de su obra en cuatro tomos, London Labour and the London Poor, a lo más bajo de lo bajo, los carroñeros, cuya desesperación los empujaba a buscar objetos de valor en casi cualquier cosa que estuviera tirada en las aceras. Y así escribía:
Más de una cosa que en una ciudad rural el pobre apartaría de su camino de un puntapié […] será velozmente capturado en Londres como un premio; vale dinero. Una gorra aplastada y raída, por ejemplo, o, mejor aún, un sombrero viejo, sin forma, sin corona, y sin ala, será recogido en la calle, y guardado con sumo cuidado en una bolsa…Las condiciones en las que vivían eran a veces tan precarias que sorprenden incluso al investigador más curtido. Un inspector de la vivienda informaba hacia 1830 de lo siguiente: «Encontré [una habitación] ocupada por un hombre, dos mujeres y dos niños, y en ella estaba también el cuerpo de una pobre niña que había muerto al nacer hacía unos días». Los padres pobres solían tener una prole considerable, una especie de seguro de jubilación, con la idea de que les sobreviviera una cantidad de vástagos suficiente como para mantenerlos en su chochez. En la segunda mitad del siglo XIX, un tercio de las familias inglesas tenía ocho o más hijos, otro tercio tenía entre cinco y siete y un último tercio (de forma abrumadora, el tercio más adinerado) tenía cuatro o menos. En los barrios más pobres era raro el hogar capaz de alimentar correctamente a todos sus integrantes, por lo que la desnutrición era un fenómeno más o menos endémico. Se cree que al menos el 15 % de los niños era patizambo o sufría distorsiones pélvicas provocadas por el raquitismo, y esas desgracias se encontraban presentes de un modo aplastante entre los más pobres de los pobres. Un médico del Londres victoriano publicó una lista de cosas con las que había visto alimentar a los más pequeños: gelatina de pies de ternera, panecillos secos empapados en aceite, carne ternillosa que no podían ni masticar. Cuando empezaban a gatear, los niños sobrevivían de lo que caía al suelo o de lo que podían rapiñar de un modo u otro. Con siete u ocho años de edad, la mayoría de niños se buscaba ya la vida en la calle. Se estima que hacia 1860 Londres tenía unos cien mil «pilluelos» sin escolarización, ni oficio, ni beneficio, ni futuro. «Su cantidad horroriza a cualquiera», anotó un contemporáneo.
Pero aun así, la idea de escolarizarlos provocaba aversión en prácticamente todo el mundo. Este miedo generalizado se basaba en la idea de que educar a los pobres equivaldría a llenarlos de aspiraciones para las que no eran idóneos ni tampoco, francamente, merecedores de ellas. Sir Charles Adderley, responsable de la política de educación del Gobierno a finales de los años cincuenta del siglo XIX, declaró sin alterarse: «Es claramente erróneo seguir escolarizando a los niños de la clase obrera después de que alcancen la edad en la que empiezan a trabajar». Hacerlo «sería tan arbitrario e impropio como poner a los chicos de Eton y Harrow a trabajar con la pala».
Nadie representó mejor la vertiente dura de las creencias que el reverendo Thomas Robert Malthus (1766-1834), que en 1798 publicó de forma anónima su Ensayo sobre el principio de la población y sus efectos en el futuro mejoramiento de la sociedad , una obra que de manera inmediata y rotunda se convirtió en una teoría altamente influyente. Malthus culpaba a los pobres de las penurias que padecían y se oponía a la idea de socorrer a las masas, basándose en que ello solo serviría para incrementar su tendencia a la ociosidad. «Incluso cuando se les presenta alguna posibilidad de ahorrar —escribió— pocas veces la aprovechan porque todo lo que les sobra después de satisfacer sus necesidades presentes va a parar, en términos generales, a la taberna. Puede por lo tanto decirse que las leyes de los pobres de Inglaterra disminuirían tanto el poder como la voluntad de ahorro entre la gente común, quebrantando uno de los más fuertes incentivos hacia la sobriedad y la laboriosidad, y consecuentemente hacia la felicidad.». Le preocupaban en especial los irlandeses y creía, según le escribió a un amigo en 1817, que «una gran parte de la población debería ser barrida de la tierra». No era precisamente un hombre con mucha caridad cristiana en el corazón.
Como consecuencia de las inexorables condiciones extremas de vida, las cifras de mortalidad se disparaban en aquellos lugares donde se acumulaba la gente pobre. En Dudley, en las Midlands, a mediados del siglo XIX, la esperanza media de vida al nacer había caído a sólo dieciocho años y medio, una duración nunca vista en Gran Bretaña desde los tiempos de la Edad de Bronce.
Una mujer dando a luz en el siglo XVIII. (A destacar la sábana rodeando el cuello del médico a efectos de proteger el pudor de la interesada)
Como siempre, los que más sufrían eran los pequeños, aunque su bienestar y seguridad apenas despertaban la curiosidad. Pocos datos más reveladores existen en la Gran Bretaña del siglo XIX que el hecho de que la fundación de la Society for the Prevention of Cruelty to Animals precediera en sesenta años a la fundación de una organización de carácter similar para la protección de los niños. Y no es menos notable que en 1840, poco más de una década y media después de su fundación, la primera se llamara Royal [«Real»] Society for the Prevention of Cruelty to Animals. La National Society for the Prevention of Cruelty to Children sigue sin tener actualmente la bendición real.
§. 2
Justo cuando parecía que la vida de los pobres en Inglaterra no podía ir a peor, fue precisamente a peor. La causa de este golpe fue la introducción y estricta implementación, a partir de 1834, de las nuevas leyes de los pobres. El alivio de la pobreza siempre había sido un tema delicado. Lo que inquietaba en especial a muchos victorianos acomodados no era la triste situación de los pobres, sino el coste que suponían. Las leyes de los pobres estaban en vigencia desde época isabelina, pero su aplicación quedaba en manos de cada parroquia. Algunas se mostraban razonablemente generosas, pero otras eran tan tacañas que se sabe que transportaban a los enfermos o a las parturientas a otra parroquia para que la responsabilidad pasara a su jurisdicción. Los nacimientos ilegítimos exasperaban en particular a los organismos oficiales, y asegurarse de que los malhechores recibían su correspondiente castigo y cargaban con la responsabilidad de sus actos se convirtió en una preocupación casi obsesiva para las autoridades locales. Una sentencia típica de un tribunal de Lancashire —en este caso de finales del siglo XVII— dice así:Jane Sotworth de Wrightington, soltera, jura que Richard Garstange de Fazerkerley, casado, es padre de Alice, su hija bastarda. Deberá hacerse cargo de la niña durante dos años, siempre y cuando no mendigue, y Richard se hará entonces cargo de ella hasta que cumpla los doce años de edad. Le entregará a Jane una vaca y seis chelines en monedas. Tanto él como ella serán en fecha de hoy azotados en Ormeskirke.A principios del siglo XIX, el problema del auxilio a los pobres se convirtió en una auténtica crisis nacional. Los costes de las guerras napoleónicas habían agotado prácticamente el erario público y la llegada de la paz no había hecho más que empeorar la situación, pues supuso la reincorporación a la vida civil de trescientos mil soldados y marineros que empezaron a buscar trabajo en una economía ya deprimida.
La solución con la que casi todo el mundo estuvo de acuerdo consistió en establecer una red nacional de asilos para pobres donde la normativa se haría respetar de manera consistente y según un criterio único a nivel nacional. Una comisión, cuyo secretario era el incansable Edwin Chadwick, trabajó sobre el tema con la minuciosidad característica de la época (y de Chadwick) y finalmente presentó un informe en trece volúmenes. El único punto en el que se había alcanzado el consenso era en que los nuevos asilos para pobres serían lo más desagradables que fuera posible, para impedir con ello que resultasen atractivos para dichos pobres. Una de las personas que ofreció su testimonio presentó un relato aleccionador tan sintomático del pensamiento dominante que merece la pena exponerlo aquí en su totalidad:
Recuerdo el caso de una familia apellidada Wintle, integrada por un hombre, su esposa y cinco hijos. Hará cosa de dos años, el padre, la madre y los dos hijos se pusieron muy enfermos y, encontrándose en una situación de grave penuria, se vieron obligados a vender la totalidad de su escaso mobiliario para sobrevivir; vivían con nosotros; y cuando nos enteramos de su extrema situación, acudimos a ofrecerles auxilio; ellos, sin embargo, rechazaron enérgicamente la ayuda. Informé de esto al sacristán, que decidió acompañarme, y juntos presionamos de nuevo a la familia sobre la necesidad de recibir auxilio; pero siguieron negándose, y no conseguimos convencerlos de que aceptaran nuestra oferta. Pero estábamos tan interesados en el caso que les enviamos cuatro chelines en un paquete junto con una carta, instándoles a que solicitaran más, en el caso de continuar enfermos; y eso hicieron, y desde ese momento hasta el presente (hace ahora ya más de dos años), no creo que hayan pasado más de tres semanas alejados de nuestros libros de cuentas, aunque en la familia haya habido pocas o ninguna enfermedad. Así pues, efectivamente acabamos echando a perder las costumbres adquiridas por su anterior diligencia; y no tengo la menor duda en cuanto a afirmar que, en nueve casos de cada diez, éste es el efecto constante de haber saboreado la generosidad parroquial.El informe de los miembros de la comisión bramaba hipócritamente contra aquellos «que consideran el apoyo parroquial como un privilegio que les corresponde, y lo exigen como derecho». Los miembros de la comisión creían que se había llegado a un punto en el que el auxilio a los pobres estaba disponible con tal generosidad que «al indigente le parece que el Gobierno ha decidido revocar, a su favor, las leyes ordinarias de la naturaleza; que ha promulgado que los niños no sufrirán como consecuencia de la mala conducta de sus padres —la esposa de su marido, o el marido de esa esposa—; que nadie perderá los medios de una subsistencia confortable, independientemente de su indolencia, derroche o vicio». Con un celo que se acercaba de un modo peligroso a la paranoia, el informe continuaba sugiriendo que el trabajador pobre podía decidir de forma deliberada «vengarse de la parroquia» casándose y engendrando hijos «para aumentar esa sobrepoblación local que está poco a poco consumiendo los fondos con los que él y los demás trabajadores de la parroquia tienen que ser mantenidos». No tenía nada que perder con una estrategia así, pues sus hijos podían trabajar en casa y «convertirse en una fuente de ingresos para los padres si el negocio es bueno, y, si fracasara, ser mantenidos por la parroquia».
Para asegurarse de que los pobres nunca fueran compensados por su ociosidad, los nuevos asilos se concibieron para que resultasen lo más estrictos y tristes posible. Maridos y mujeres eran separados de entrada, los niños alejados de sus padres. En algunos asilos, los internos llevaban uniformes que recordaban los carcelarios. La comida era calculadamente horrorosa. («Bajo ningún concepto deberá la dieta ser superior o igual al modo ordinario de subsistencia de las clases trabajadoras del vecindario», decretaron los integrantes de la comisión). La conversación en los comedores y durante las horas de trabajo estaba prohibida. Cualquier esperanza de felicidad, implacablemente proscrita.
Los internos tenían que trabajar a diario muchas horas para ganarse el pan y la cama. Una de las tareas habituales consistía en recoger estopa. La estopa era cuerda vieja rebozada en alquitrán que se utilizaba para calafatear los barcos. Recogerla consistía simplemente en desenmarañar sus fibras para poder reutilizarla. Era un trabajo duro y desagradable —las fibras eran muy rígidas y podían provocar dolorosos cortes— y agonizantemente lento, además. En el asilo Poplar, al este de Londres, se exigía a los internos varones recoger diariamente dos kilos y medio de estopa, una cifra que duplicaba casi la impuesta a los prisioneros. Los que no alcanzaban su objetivo eran sometidos a una dieta de pan y agua. En 1873, dos terceras partes de todos los internos de Poplar estaban sometidos a ese estricto régimen de comidas. Se dice que en el asilo de Andover, en Hampshire, donde se obligaba a los internos a prensar huesos para fabricar abono, los hombres pasaban tanta hambre que chupaban incluso aquellos huesos para extraer de ellos el tuétano.
Las atenciones médicas escaseaban y se ofrecían a regañadientes. Para reducir gastos, nunca se aplicaba anestesia a los pacientes de los asilos que se veían obligados a someterse a intervenciones quirúrgicas. Las enfermedades eran endémicas. Abundaban de forma notoria dos tipos de tuberculosis —la tísica o pulmonar y la escrófula, que afectaba a los huesos, la musculatura y la piel— y el tifus era un temor constante. Los niños estaban tan debilitados que enfermedades que hoy en día no son más que molestias menores resultaban entonces devastadoras. El sarampión mató en el siglo XIX a más niños que cualquier otra enfermedad. La tosferina y el crup, una enfermedad que afecta a la laringe y la tráquea, mataron a decenas de miles más, y no había otro lugar donde el contagio pudiera ser mayor que en un asilo mal ventilado y abarrotado de gente.
Algunos asilos eran tan horribles que generaban sus propias enfermedades. Había una vaga enfermedad crónica que se conocía simplemente como «el picor» (y que ahora se cree que era la suma de varias infecciones cutáneas). Con casi toda seguridad su origen era la falta de higiene, aunque es posible que la mala dieta alimenticia contribuyera asimismo a su aparición. Las carencias alimenticias y la mala higiene hacían universales las lombrices, la tenia y otros sinuosos invasores del organismo. Una empresa farmacéutica de Manchester fabricó un purgante que garantizaba expulsar, religiosamente y quizás de forma algo explosiva, hasta el último inoportuno parásito que pudiera haber en el tracto intestinal. Un usuario testificó con orgullo que había expulsado cuatrocientos treinta gusanos, «algunos de ellos de Grosor Excepcional». Pero los que vivían en los asilos tenían que limitarse a soñar con una solución así.
La tiña y otras infecciones de origen fúngico eran asimismo endémicas. Los piojos eran un problema constante. Uno de los tratamientos para combatirlos consistía en poner en remojo la ropa de cama en una solución de cloruro de mercurio y cloruro cálcico, lo que convertía las sábanas en un veneno no sólo para los piojos, sino también para los desgraciados que dormían en ellas. A su llegada al asilo, los internos solían ser desinfectados con métodos brutales. En un asilo de las Midlands, un chico llamado Henry Cartwright olía tan mal a su llegada, que la enfermera jefe ordenó que lo echaran en una solución de sulfuro de potasio para eliminar aquel olor de su cuerpo. Y lo que hizo fue eliminar por completo al pobre chico. Cuando lo sacaron de allí ya se había ahogado. Las autoridades no se mostraban indiferentes del todo ante estos abusos. En Brentwood, Essex, una enfermera llamada Elizabeth Gillespie fue llevada a juicio por haber matado a una chica empujándola por las escaleras, siendo condenada a cinco años de cárcel por ello. Incluso así, los abusos físicos y de carácter sexual, especialmente contra los más jóvenes, eran generalizados.
En la práctica, los asilos sólo podían albergar un determinado número de internos (menos de una quinta parte de todos los indigentes de Inglaterra en un momento dado). El resto de los pobres de la nación sobrevivían con las «ayudas externas», es decir, pequeñas sumas de dinero destinadas a subvencionar los gastos de alquiler y comida. Cobrar estas cantidades era a veces terriblemente complicado. C. S. Peel destaca el caso de un pastor sin trabajo de Kent —«un hombre honesto y trabajador, sin trabajo no por culpa suya»— que tenía que realizar cada día un viaje de ida y vuelta a pie de cuarenta y tres kilómetros para cobrar la insignificante ayuda de 1 chelín y 6 peniques para él, su esposa y sus cinco hijos. El pastor realizó la caminata a diario durante nueve semanas seguidas antes de acabar derrumbándose como consecuencia del hambre y la debilidad. En Londres, una mujer llamada Annie Kaplan, al cargo ella sola de seis hijos después de que su marido falleciera, fue informada de que no podía sacar adelante a la totalidad de sus hijos con la exigua cantidad que iban a concederle y recibió la orden de elegir a dos de sus hijos para internarlos en un orfanato. Kaplan se negó a ello. «Si cuatro se mueren de hambre, seis se morirán de hambre —declaró—. Si tengo un pedazo de pan para cuatro, tendré un pedazo de pan para seis. […] No pienso entregar a ninguno». Las autoridades le rogaron que reconsiderara su decisión, pero no quiso hacerlo y no entregó a ninguno de sus hijos. Se desconoce qué fue de ella y de los niños.
* * * *
Una de las pocas figuras que simpatizó de manera activa con la grave situación de los pobres fue también una de las más insospechadas, por extraño que parezca. Friedrich Engels llegó a Inglaterra en 1842, con sólo veintiún años de edad, para ayudar a su padre a dirigir su fábrica textil. La empresa, llamada Ermen & Engels, fabricaba hilo de coser. A pesar de que el joven Engels era un hijo leal y un hombre de negocios razonablemente concienzudo —al final acabó convirtiéndose en socio—, dedicó gran parte de su tiempo a malversar fondos, de un modo tímido pero persistente, para apoyar a su amigo y colaborador Karl Marx, que vivía en Londres.Sería difícil imaginarse a dos fundadores menos sospechosos para un movimiento tan ascético como el comunismo. Mientras que Engels deseaba con ahínco la caída del capitalismo, por otro lado se enriquecía y disfrutaba cómodamente de todos sus beneficios. Tenía un establo lleno de caballos espléndidos, asistía a cacerías los fines de semana, bebía los mejores vinos, tenía una amante y se codeaba con la élite de Manchester en el elegante Albert Club, es decir, hacía todo lo que cabía esperar que hiciese un miembro de éxito de la alta sociedad. Marx, por su parte, denunciaba constantemente a la burguesía pero vivía una vida lo más burguesa que era capaz de permitirse, enviando a sus hijas a colegios privados y jactándose a la mínima oportunidad del origen aristocrático de su esposa.
El paciente apoyo que Engels le brindó a Marx resulta poco menos que admirable. Aquel crucial año de 1851, Marx aceptó un trabajo como corresponsal en el extranjero del New York Daily Tribune, pero sin intención alguna de dedicarse a redactar artículos. Su inglés no era lo bastante bueno, para empezar. Su idea consistía en que Engels se los escribiera para que él los cobrara, y esto es justo lo que sucedió. Pero ni siquiera entonces los ingresos bastaron para sustentar el estilo de vida despreocupado y extravagante que llevaba, y eso fue lo que obligó a Engels a malversar dinero de la empresa de su padre, una actividad que practicó durante años, corriendo un riesgo considerable.
Además de dirigir una fábrica y mantener a Marx, Engels empezó a interesarse de verdad por la penosa situación de los pobres de Manchester. Aunque no siempre se mostró claramente abierto de miras. Como vimos en el anterior capítulo, no tenía en muy buen concepto a los irlandeses y siempre estuvo dispuesto a creer que los pobres eran los responsables exclusivos de su triste destino. Pero aun así, nadie escribió con mayor sentimiento sobre la vida en los barrios bajos victorianos. En La situación de la clase obrera en Inglaterra explicaba que la gente vivía entre una «suciedad y fetidez desmesuradas». Relataba el caso de una mujer cuyos dos pequeños, muertos de frío y al borde de la inanición, fueron sorprendidos robando comida. Cuando un policía devolvió los chiquillos a su casa, encontró a la madre con seis niños más «literalmente apiñados en un pequeño cuarto trasero, sin más mobiliario que dos viejas sillas de junco sin asiento, una mesita con dos patas quebradas, una taza rota y un platillo. En el hogar apenas si brillaba una chispa de fuego, y en un rincón había un montón de trapos viejos, el volumen equivalente a lo que cabría dentro del delantal de una mujer, que hacía las veces de cama para toda la familia».
Las descripciones de Engels eran sin duda conmovedoras y se citan en la actualidad con frecuencia, pero a menudo cae en el olvido el hecho de que su libro se publicó en 1845 únicamente en alemán y que no fue traducido al inglés hasta treinta y dos años más tarde. Como reformador de las instituciones británicas, Engels no ejerció ningún tipo de influencia hasta mucho después de que dichas reformas se hubiesen iniciado.
Pero en otras partes, las condiciones de los pobres empezaban a llamar la atención. Hacia 1860, se puso de moda entre los periodistas disfrazarse de vagabundos e ingresar en asilos —a los que a partir de ahora denominaremos refugios— para investigar e informar de las condiciones que se vivían en su interior, lo que permitió a los lectores experimentar sus horripilantes circunstancias de un modo indirecto y sin abandonar para nada la comodidad de sus hogares. Y así fue como los lectores se enteraron de que los internos del refugio de Lambeth eran obligados a desnudarse y sumergirse en una bañera turbia, «del color de un caldo aguado de cordero», con los espumosos restos de pellejos que habían dejado los que habían pasado antes por allí. Había tenebrosos dormitorios donde hombres y niños, «todos ellos completamente desnudos», se amontonaban juntos en camas que eran poco más que jergones. «Los pequeños yacían en brazos de hombres adultos, los hombres se abrazaban entre ellos; no había ni fuego, ni luz, ni supervisión, y los débiles y los achacosos quedaban por completo a merced de los fuertes y rufianescos. El ambiente estaba cargado con un hedor pestilente».
Provocados por estos informes, una nueva casta de benefactores inició la fundación de una amplia diversidad de organizaciones de todo tipo —un Committee for Promoting the Establishment of Baths and Wash Houses for the Labouring Classes, una Society for the Suppression of Juvenile Vagrancy, una Society for Promoting Window Gardening Amongst the Working Clases of Westminster, incluso una Society for the Rescue of Boys Not Yet Convicted of Any Criminal Offence—, casi siempre con la esperanza de ayudar a los pobres a mantenerse o volver a sentirse sobrios, cristianos, trabajadores, limpios, respetuosos de la ley, responsables como padres o virtuosos. Los había también que pretendieron mejorar las condiciones de vivienda de los pobres. Uno de los más generosos fue George Peabody, un hombre de negocios norteamericano que se estableció en Inglaterra en 1837 (fue él, quizás lo recuerde, quien ofreció el fondo de emergencia que permitió que los expositores norteamericanos pudieran exhibir finalmente en la Gran Exposición) y dedicó gran parte de su inmensa fortuna a construir bloques de pisos, repartidos por todo Londres, destinados a los pobres. Por mucho que la pesada mano del paternalismo siguiera estando aún patente, las viviendas de Peabody dieron cabida a casi quince mil personas, proporcionándoles pisos limpios y en comparación espaciosos. Pero se sabe que los inquilinos no tenían permiso para pintar ni decorar las paredes con papel pintado, instalar cortinas o personalizar de modo destacado sus hogares. En consecuencia, no resultaban mucho más alegres que celdas carcelarias.
Pero el auténtico cambio se produjo con el crecimiento repentino del trabajo misionero a nivel local, reflejado de forma muy particular en las labores de un hombre que hizo más de lo que nadie hubiera podido hacer antes para ayudar (muchas veces lo quisieran o no) a los niños necesitados. Se llamaba Thomas Barnardo. Era un joven irlandés que llegó a Londres a principios de la década de 1860 y se quedó tan horrorizado al ver las condiciones a las que se enfrentaban los jóvenes desamparados, que puso en marcha una organización formalmente conocida como la National Incorporated Association for the Reclamation of Destitute Waif Children, aunque todo el mundo acabó conociéndola como la asociación del doctor Barnardo.
Barnardo tenía unos orígenes de lo más exóticos. Su familia provenía de los judíos sefardíes españoles, y se había trasladado a Alemania antes de instalarse definitivamente en Irlanda. Cuando nació Thomas, en 1845, la afiliación religiosa de la familia había pasado al sector más extremo del protestantismo. Barnardo había caído también bajo el influjo del fundamentalista Plymouth Brethren, y ésta fue la causa que empujó su traslado a Londres a principios de la década de 1860, pues albergaba la intención de estudiar para médico y ejercer como misionero en China. Pero nunca llegó a ir a China. De hecho, tampoco llegó a ser médico. Lo que hizo en cambio fue iniciar sus labores como misionero trabajando para los niños sin hogar (y finalmente también con niñas). Con dinero prestado, inauguró su primer hogar de acogida en el este de Londres.
Barnardo era un publicista brillante y desarrolló una campaña de impresionante éxito basada en torno a llamativas fotografías de niños antes y después de su acogida. Las fotografías del «antes» mostraban a mugrientos (y a veces escasamente vestidos) niños abandonados con tétrico semblante, mientras que las fotografías del «después» los mostraban limpios, despiertos y radiantes de alegría gracias al proceso de salvación cristiana que habían experimentado. Las campañas tuvieron tanto éxito que Barnardo empezó pronto a dirigir sus intereses hacia otras direcciones, abriendo enfermerías, hogares para niños sordos y mudos, hogares para limpiabotas vagabundos y muchas cosas más. El eslogan que adornaba la fachada del hogar del barrio de Stepney era: «Jamás se negará aquí la entrada a un niño necesitado». Un sentimiento excepcionalmente noble, y mucha gente empezó a odiar a Barnardo por ello. El problema de acoger a niños sin ningún tipo de condiciones era una afrenta a los principios de la Nueva Ley de Pobres de 1834.
La ambición ilimitada de Barnardo le hizo entrar en conflicto con otro misionero, Frederick Charrington. Vástago de una familia de cerveceros inmensamente rica con base en el East End, Charrington había iniciado de repente sus labores como misionero después de que un día viera a un borracho pegando a su esposa delante de un pub de Charrington del que él acababa de salir, simplemente porque la mujer le había suplicado al marido que le diera dinero para dar de comer a sus hambrientos hijos. A partir de aquel momento, Charrington se hizo abstemio, renunció a su herencia y empezó a trabajar con los pobres. Consideraba Mile End Road como su feudo personal, razón por la cual cuando Barnardo anunció su intención de abrir allí un café para abstemios, Charrington se lo tomó muy mal y se embarcó en una campaña implacable de carácter asesino. Ayudado por un predicador itinerante llamado George Reynolds (que hasta hacía muy poco tiempo había sido mozo de estación), se dedicó a difundir los rumores de que Barnardo había mentido sobre sus orígenes, gestionado mal sus hogares, se había acostado con su casera y engañado al público con publicidad fraudulenta. Los hogares de Barnardo, apuntó además, eran avanzadillas de sodomía, borracheras, sobornos y demás vicios depravados.
Por desgracia para Barnardo, una incómoda y generosa parte de todo esto era cierta. Podría decirse que Barnardo era un mentiroso y que empeoró la situación respondiendo a las insinuaciones con más mentiras. Cuando se aseveró que estaba falseando su titulación como médico —una ofensa grave según la Medical Act de 1858—, Barnardo sacó a relucir un diploma de una universidad alemana, pero prácticamente enseguida quedó demostrado que se trataba de una mala falsificación. Se demostró asimismo que había falseado muchas de las fotografías del antes y el después de niños rescatados por él, haciendo que parecieran mucho más desamparados de lo que en realidad lo estaban. Muchas de las fotografías mostraban a los niños vestidos con prendas ingeniosamente hechas jirones que dejaban al descubierto seductoras cantidades de carne, algo que se interpretó posteriormente como un rastrero reclamo a los intereses más lascivos. Incluso los más leales seguidores de Barnardo pusieron su fidelidad en entredicho. Aparte de la preocupación que pudieran sentir con respecto a su carácter y su probidad, el alcance de sus deudas resultaba también inquietante. Uno de los principios fundamentales de los Hermanos de Plymouth era la devoción a la frugalidad, pero, a pesar de ello, Barnardo se había dedicado a pedir préstamos repetidamente con el fin de seguir abriendo más hogares.
Al final, Barnardo fue declarado culpable de falsear las fotografías y de haber afirmado sin razón que era médico, aunque fue exonerado de todos los demás cargos. Irónicamente, la vida en los hogares de Barnardo era poco más atractiva que la vida en los temidos asilos. Los internados se levantaban a las cinco y media de la mañana y estaban obligados a trabajar hasta las seis y media de la tarde, con breves interrupciones para comer, rezar y un mínimo de escolarización. Después del trabajo, la última hora de la tarde y la primera de la noche se dedicaba a la formación militar, clases y más oración. Si un niño intentaba fugarse, era castigado en una celda de aislamiento. Barnardo no se dedicaba tan sólo a reclutar niños, sino a sacarlos de las calles con un espíritu de «abducción filantrópica». Cada año, cerca de mil quinientos de estos niños eran enviados obligatoriamente en barco a Canadá para que los hogares pudieran acoger a más niños.
En el momento de su muerte, en 1905, Barnardo había acogido a doscientos cincuenta mil niños. Y dejó la organización con una deuda en consonancia: 250.000 libras, una suma colosal.
§. 3
Hasta ahora sólo hemos hablado de niños pobres, pero los niños acomodados también tenían que soportar sus propios tormentos. Eran tormentos que muchos pobres niños famélicos habrían aceptado de buen grado, es evidente, pero que, no obstante, seguían siendo tormentos. En su mayoría tenían que ver con la adaptación emocional y con aprender a vivir en un mundo carente de muestras de afecto. Se esperaba, casi desde el mismo instante en que abandonaban el vientre materno, que los niños de clase media y alta de la Inglaterra victoriana fueran obedientes, deferentes, honestos, trabajadores, flemáticos y emocionalmente contenidos. Un apretón de manos ocasional era prácticamente el máximo nivel de calor físico que podía esperar el niño a partir de que dejaba de ser un bebé. El típico hogar de clase acomodada de la Inglaterra victoriana era, en palabras de un contemporáneo, un lugar de «frío, severo y marcadamente inhumano comedimiento que impide cualquier cosa que se asemeje a ese trato amistoso, considerado y comprensivo que debería marcar toda relación familiar».Los niños acomodados tenían que soportar con frecuencia las penurias implícitas en la construcción del carácter. El cuñado de Isabella Beeton, Willy Smiles, tuvo once hijos pero sólo servía el desayuno para diez con el fin de poner freno a la lentitud a la hora de sentarse a la mesa. Gwen Raverat, hija de un académico de Cambridge, recordaba en los últimos años de su vida que le obligaban a echarse sal en las gachas del desayuno, en lugar de las brillantes cucharadas de azúcar que sus padres se regalaban, y que tenía prohibido untar el pan con mermelada en base a que cualquier cosa sabrosa podía causar estragos en su fibra moral. Una contemporánea, miembro de una familia de clase similar, recordaba con melancolía la comida que le servían a ella y a su hermana a lo largo de la infancia: «En Navidad teníamos naranjas. La mermelada no la vimos jamás».
Y a la destrucción de las papilas gustativas le acompañaba un curioso respeto por el poder que ejercían el miedo y el terror en la construcción del carácter. Los libros que preparaban a los jóvenes lectores para la posibilidad de que la muerte se los llevara en cualquier momento, y si no se los llevaba a ellos casi a buen seguro acabaría llevándose a mamá, a papá o a su hermano favorito, eran extremadamente populares. Esos libros subrayaban siempre lo maravilloso que era el cielo (aunque daba la sensación de que era también un lugar sin mermelada). Al parecer, la intención era ayudar a los niños a no tener miedo a morir, aunque el efecto era casi a buen seguro el contrario.
Había otras obras literarias concebidas para asegurarse de que los niños comprendieran la ofensa estúpida e imperdonable que era desobedecer a un adulto. Un poema popular, «La terrible historia de Pauline y las cerillas», explicaba la historia de una niña que no hizo caso al amable consejo de su madre de no jugar con cerillas. Y explicaba el poema lo que sucedió:
Pero Pauline no siguió su recomendación,Y para asegurarse de no dar cabida a malos entendidos, el poema continuaba con una gráfica ilustración de una niña engullida por las llamas, con una expresión de profunda consternación dibujada en su rostro. Y el poema concluía así:
Encendió una cerilla, ¡era su ilusión!
Y chisporroteó, y con luminosidad se encendió…
Exactamente igual que en el dibujo aquel prendió.
Saltó y correteó de alegría
Tan encantada que ni apagarla quería.
¡Mira! ¡Oh, mira! Qué suceso fatal
El fuego ha prendido en su delantal;
Su delantal arde, sus brazos, su pelo;
Arde toda entera, por donde quiera.
Y se quemó con todos sus vestidos«La terrible historia de Pauline y las cerillas» era un poema de una serie escrita por un doctor alemán llamado Heinrich Hoffmann, que los creó en un principio con la intención de animar a sus propios hijos a llevar una vida de rígida circunspección. Los libros de Hoffman eran muy populares y tuvieron muchas traducciones (una de ellas corrió a cargo de Mark Twain). Todos seguían la misma pauta, que consistía en ofrecer a los niños una tentación difícil de rechazar y demostrarles luego lo dolorosas que eran las consecuencias de haber sucumbido a ella. En manos de Hoffmann no quedaba prácticamente ninguna actividad de la infancia que escapara a la posibilidad de un brutal correctivo. En otro de sus poemas, «La historia del pequeño Chupadedos», un niño llamado Conrad recibe la advertencia de no chuparse el dedo porque llamará con ello la atención de una macabra figura conocida como el sastre gigante.
Y brazos y manos, y nariz y ojos;
Hasta que de perder ya no quedó nada
Excepto sus zapatitos de color grana;
Y sólo esto encontraron
Los que entre las cenizas del suelo rebuscaron.
A los pequeños que se chupan el dedo,Pero el pequeño Chupadedos ignora el consejo y descubre que en el universo de Hoffmann los castigos son rápidos e irreversibles:
Y que sueñan cómo será,
Viene a buscarlos el sastre,
Saca sus grandes tijeras
Y les corta los dedos por pillastres.
Se abre la puerta y, de un salto,A los niños mayores los cuentos de este estilo debían de hacerles cierta gracia, pero para los más pequeños tenían que ser aterradores —y justo eso pretendían ser—, teniendo sobre todo en cuenta que iban siempre acompañados por gráficas ilustraciones que mostraban a consternados pequeños ardiendo o sangrando en los puntos donde en su día existieron útiles partes de su cuerpo.
Entra en la casa el sastre al asalto.
¡Oh, niños, mirad! El sastre ha llegado
Y a nuestro pequeño Chupadedos ha encontrado.
¡Tris, tras! ¡Tris, tras! Vuelan las tijeras;
Y Conrad grita: ¡Oh! ¡Oh! ¡Oh!
¡Tris, tras! ¡Tris, tras! Y tan rápido van
Que ambos pulgares ya no están.
Cuando mamá vuelve a casa,
Las manos triste le enseña.
¡Ah!, dice mamá. ¡Sin pulgares te quedaste
El sastre vino, pillastre!
* * * *
Los niños ricos solían dejarse a merced de los criados y de sus particulares y peculiares antojos. El futuro lord Curzon, que se crió como hijo de un rector en Derbyshire, vivió durante años aterrorizado por una institutriz casi psicótica que lo mantenía durante horas atado a una silla o encerrado en un armario, se comía sus postres, le obligaba a escribir cartas confesando fechorías que no había cometido y lo paseaba por el pueblo vestido con blusones ridículos y con una placa colgada al cuello pregonando que era un «MENTIROSO», un «LADRÓN» o cualquier otro calificativo vergonzoso del que no era en absoluto merecedor. Aquellas experiencias lo dejaron tan traumatizado que no fue capaz de contárselas a nadie hasta que fue un adulto. Algo más suave fue la experiencia del futuro sexto conde de Beauchamp, quien quedó en las garras de una institutriz que era una fanática religiosa; los domingos le exigía asistir a siete servicios eclesiásticos y a pasar el tiempo redactando ensayos sobre la bondad de Dios.Para muchos, las duras experiencias de la infancia no eran más que un modesto calentamiento para el estrés de la vida en las escuelas públicas. Es casi imposible encontrar una adversidad acogida con mayor entusiasmo que la escuela pública inglesa en el siglo XIX. Desde el momento de su llegada, los alumnos eran sometidos a regímenes durísimos, incluyendo baños fríos, frecuentes golpes de vara y la retirada de la dieta de cualquier cosa que pudiera ser descrita como apetitosa. Los chicos del Radley College, cerca de Oxford, estaban siempre tan famélicos que se veían obligados a recoger bulbos de las flores del jardín de la escuela para asarlos después en sus habitaciones a la llama de una vela. En otras escuelas donde no había bulbos, los chicos se comían incluso las velas. El novelista Alec Waugh, hermano de Evelyn, asistió a una escuela de preparatorio llamada Fernden que, por lo que parece, estaba singularmente consagrada a los ideales del sadismo. El día de su llegada, le sumergieron los dedos en un recipiente con ácido sulfúrico para quitarle por completo las ganas de morderse las uñas, y poco después le obligaron a comerse el contenido de un tazón de pudin de sémola en el que acababa de vomitar, una experiencia que, es natural, disminuyó por completo su entusiasmo por la sémola para el resto de su vida.
Las condiciones de vida en los colegios privados siempre fueron severas. Las ilustraciones de los dormitorios de los colegios del siglo XIX nos muestran unos espacios que en nada se diferencian de los dormitorios de las cárceles o de los hogares para pobres. Los dormitorios solían ser tan fríos que el agua que pudiera haber en jarras y tazas se helaba por las noches. Las camas eran poco más que plataformas de madera, a menudo sin otra cosa para calentarlas y acolcharlas que un par de toscas mantas. En Westminster y Eton, cada noche encerraban a una cincuentena de chicos en salas enormes y allí los dejaban, sin ningún tipo de supervisión, hasta la mañana siguiente, quedando de este modo los más débiles a merced de los más fuertes. Los más jóvenes tenían que levantarse a veces a media noche para ponerse a lustrar botas, ir a buscar agua y diversas tareas más que estaban obligados a realizar antes de la hora del desayuno. No es de extrañar que Lewis Carroll comentara ya de adulto que nada en el mundo lo convencería para repetir la experiencia vivida en sus días de colegio.
Muchos chicos eran azotados a diario, a veces incluso dos veces. De hecho, no recibir una azotaina era motivo de celebración. «Esta semana lo he hecho mucho mejor en aritmética y no he visto la vara ni una sola vez», escribió feliz a casa, a principios de los años ochenta del siglo XIX, un niño que estudiaba en Winchester. Las azotainas solían consistir en un castigo de entre tres y seis golpes administrados con una vara de madera de abedul de aspecto y tacto similares a los de un látigo, aunque a veces se adoptaban medidas incluso más violentas. En 1682, un director de Eton se vio obligado a dimitir después de acabar con la vida de un niño. Una cifra muy notable de jóvenes acabaron aficionándose al siseo y al escozor de las zurras, hasta tal punto que las azotainas por puro placer acabaron conociéndose como le vice anglais. Se sabe de al menos dos primeros ministros del siglo XIX, Melbourne y Gladstone, que eran flagelantes devotos, y de una tal señora Collet, de Covent Garden, que dirigía un burdel especializado en ofrecer sexo con bofetones.
Por encima de todo, se esperaba que los hijos hicieran lo que se les decía y que continuaran haciéndolo incluso mucho después de haber alcanzado la mayoría de edad. Los padres se reservaban el derecho a seleccionar la pareja, la carrera profesional, la forma de vida, la filiación política, el estilo de vestir y prácticamente cualquier otra consideración que pudiera ser dictada, y reaccionaban a menudo con violentas represalias económicas si no se tenían en cuenta sus órdenes. Henry Mayhew, el reformador social, fue desheredado después de que se negara a someterse a las órdenes de su padre de convertirse en abogado. Y lo mismo sucedió, uno detrás de otro, con seis de sus siete hermanos. Sólo el séptimo mostró interés por ser abogado (o quizás simplemente por hacerse con toda la fortuna), estudió obedientemente y heredó el lote completo. La poetisa Elizabeth Barrett fue desheredada por casarse con Robert Browning, que no sólo era un poeta sin un céntimo, sino además —lo más horroroso— nieto de un tabernero. De un modo similar, los horrorizados padres de Alice Roberts la desheredaron cuando no pudieron disuadirla de casarse con el indigente hijo de un pianista católico romano. Por suerte para la señorita Roberts, aquel hombre era el futuro compositor Edward Elgar, que la hizo rica de todas maneras.
A veces se desheredaba a los hijos por consideraciones mucho más triviales. El segundo lord Townshend, después de años de inquietud provocados por el afeminamiento de su hijo, excluyó de repente al pobre desdichado de su testamento cuando un día lo vio entrar en el salón de su casa con unos lazos de color rosa en los zapatos. Muy comentado fue asimismo el caso del sexto duque de Somerset, conocido como «el duque Orgulloso», que siempre exigía a sus hijas mantenerse de pie en su presencia y que se dice que desheredó a una de ellas cuando se despertó de una siesta y sorprendió sentada a la pobre infeliz.
Lo que a menudo resulta chocante —y, de hecho, deprimente— es la rapidez con que los padres retiraban no sólo el dinero, sino también el cariño. Elizabeth Barrett y su padre tenían una relación muy estrecha, pero cuando ella le anunció su intención de casarse con Robert Browning, el señor Barrett dio de inmediato por finiquitado cualquier tipo de contacto. Aunque se casó muy enamorada y con un hombre talentoso y respetable, nunca volvió a hablar ni a escribir a su hija. En el desconcertante mundo de la paternidad victoriana, la obediencia estaba por encima de cualquier otra consideración de cariño y felicidad, y esa extraña y dolorosa convicción siguió vigente en la mayoría de hogares acomodados hasta como mínimo la época de la Primera Guerra Mundial.
Por lo tanto, viendo la situación, podría decirse que los victorianos no inventaron tanto la infancia como la des-inventaron. Pero todo era más complicado de lo que parece. Privando a los niños de afecto durante la infancia, y por otro lado haciendo todo lo posible por controlar su conducta hasta bien entrada la edad adulta, los victorianos se encontraban en la muy curiosa coyuntura de, al mismo tiempo, tratar de eliminar la infancia y hacerla durar eternamente. No es de extrañar que el fin de la era victoriana coincidiera casi con exactitud con la invención del psicoanálisis.
* * * *
Desafiar a un padre era algo tan tremendamente inaceptable que la mayoría de los hijos, incluso siendo ya adultos, ni siquiera se planteaban hacerlo. Un ejemplo perfecto de esta tendencia lo encontramos en Charles Darwin. Cuando el joven Darwin recibió la oferta de viajar a bordo del HMS Beagle, escribió una conmovedora carta a su padre explicándole los motivos exactos por los que deseaba realizar aquel viaje, y hasta qué punto lo anhelaba, pero trató por todos los medios de garantizarle que retiraría enseguida su nombre si la idea «incomodaba» a su padre, por mínimamente que fuera. El señor Darwin reflexionó sobre el asunto y declaró que la idea le incomodaba, de manera que Charles, sin protestar ni decir ni pío, retiró su nombre de la lista de candidatos. Pensar ahora que Charles Darwin no se hubiera embarcado en el Beagle resulta inimaginable. Pero lo que a Darwin le resultaba inimaginable era desobedecer a su padre.Naturalmente, Darwin acabó viajando, y si su padre claudicó fue en gran parte debido a un extraño aunque crucial factor en la vida de muchos integrantes de las clases superiores: el matrimonio en el seno de la familia. El matrimonio entre primos era bastante común en el siglo XIX, y en ningún caso queda mejor ilustrado que con los Darwin y sus primos, los Wedgwood (una familia famosa en el mundo de la alfarería). Charles se casó con su prima hermana Emma Wedgwood, hija de su querido tío Josiah. Caroline, la hermana de Darwin, se casó por su parte con Josiah Wedgwood III, el hermano de Emma y primo hermano de los dos hermanos Darwin. Otro de los hermanos de Emma, Henry, se casó no con una Darwin, sino con una prima hermana por parte de la familia Wedgwood, añadiendo con ello una nueva ramificación a la portentosamente enredada genética familiar. Finalmente, Charles Langton, que no estaba emparentado con ninguna de las dos familias, se casó primero con Charlotte Wedgwood, otra hija de Josiah y prima de Charles, y después de la muerte de Charlotte, con la hermana de Darwin, Emily, convirtiéndose, por lo que se ve, en el marido de la cuñada de su cuñada e incrementando con ello la probabilidad de que cualquier hijo de la unión fuera primo hermano de sí mismo. El significado de todo esto en términos de relaciones entre sobrinos, sobrinas y la siguiente generación de primos es casi incalculable.
Pero, en este caso, el resultado más bien inesperado fue uno de los grupos familiares más felices del siglo XIX. Casi todos los Darwin y los Wedgwood se tenían mucho cariño, lo que fue una suerte para todos nosotros, ya que cuando el padre de Darwin expresó sus recelos con respecto al viaje en el Beagle, el tío de Darwin, Josiah, intercedió en su nombre y habló con el padre de Charles, su primo Robert. Lo que es más: Robert se mostró dispuesto a ser convencido por el respeto y cariño que sentía por Josiah.
Por lo tanto, gracias a su tío y a la tradición de conservar los genes en el seno de la familia, Charles Darwin se hizo a la mar durante los cinco años siguientes y reunió las pruebas que le permitieron cambiar el mundo. Y eso nos lleva, de forma muy conveniente, aunque también algo inesperada, a la parte superior de la casa y al último espacio que visitaremos.
§. 1
En el memorable verano de 1851, mientras las multitudes atestaban en Londres la Gran Exposición y Thomas Marsham se establecía en su nueva propiedad en Norfolk, Charles Darwin entregaba a sus editores un voluminoso manuscrito, el resultado de ocho años de ferviente investigación sobre la naturaleza y las costumbres de los percebes. Titulado A Monograph of the Fossil Lepadidae, or, Pedunculated Cirripedes of Great Britain , tal vez no suene de entrada como el más entretenido de los trabajos, y no lo era, pero le garantizó una reputación como naturalista y le otorgó, en palabras de uno de sus biógrafos, «la autoridad para hablar, cuando llegó el momento de ello, sobre variabilidad y transmutación», sobre la evolución, en otras palabras. Hay que destacar, no obstante, que Darwin no había terminado aún con los percebes. Tres años más tarde publicó un estudio de 684 páginas sobre los cirrópodos sésiles y un trabajo complementario más modesto sobre los percebes fósiles que no habían sido mencionados en su primera obra. «Odio el percebe como ningún hombre puede haberlo odiado», declaró al concluir su trabajo, y se hace difícil no solidarizarse con él.Fossil Lepadidae no fue un éxito de ventas descomunal, pero no funcionó peor que otro libro publicado en 1851, una curiosa y mística divagación en forma de parábola sobre la caza de ballenas titulada simplemente The Whale. Era un libro de lo más oportuno, pues el ritmo con el que se cazaba la ballena en aquel momento estaba destinado a condenarla a buen seguro a la extinción, pero ni el público ni las críticas lo acogieron con calor y ni siquiera lo comprendieron. Era una obra excesivamente densa y compleja, cargada de introspección y datos. Un mes después salió a la venta en Estados Unidos con otro título: Moby Dick. Y tampoco se vendió mejor que en Europa. El fracaso del libro fue una sorpresa, pues su autor, un hombre de treinta y dos años de edad llamado Herman Melville, que había disfrutado de un éxito enorme con sus dos anteriores relatos de aventuras en el mar, Taipi: un edén caníbal yOmú, un relato de aventuras en los Mares del Sur. Pero Moby Dick no consiguió despegar en vida de su autor. Ni tampoco nada más de lo que posteriormente escribió. Melville murió olvidado en 1891. Su último libro, Billy Budd, marinero, no encontró editor hasta treinta años después de su fallecimiento.
Aunque es poco probable que el señor Marsham conociera Moby Dick o Fossil Lepadidae, ambas obras reflejaban un cambio fundamental que empezaba a dominar el universo del pensamiento: la necesidad casi urgente de precisar con exactitud hasta el último cabo suelto de hecho discernible y darle un reconocimiento permanente por escrito. El trabajo de campo hacía furor entre los caballeros con inclinaciones científicas. Algunos se decantaron por la geología y las ciencias naturales. Otros se aficionaron a las antigüedades. Los más aventureros sacrificaron las comodidades del hogar, y a menudo muchos años de su vida, para explorar los rincones más remotos del mundo. Se convirtieron en científicos, una nueva palabra, acuñada en inglés en 1834.
Su curiosidad y dedicación eran inagotables. No existía lugar excesivamente remoto o inconveniente, ni objeto que no mereciera ser considerado. Fue la época en la que el cazador de plantas Robert Fortune viajó por toda China camuflado como un nativo para recopilar información sobre el cultivo y el proceso del té, en la que David Livingstone remontó el Zambeze y se adentró en los rincones más oscuros de África, en la que los aventureros botánicos peinaron los interiores de Norteamérica y Sudamérica en busca de ejemplares interesantes y novedosos, y en la que Charles Darwin, con sólo veintidós años de edad, inició como naturalista el épico viaje que cambiaría su vida, y la nuestra, de un modo que nadie entonces podía ni imaginarse.
Casi nada de lo que Darwin encontró durante los cinco años del viaje dejó de llamar su atención. Anotó tantos hechos y consiguió tal riqueza de ejemplares que necesitó una década y media sólo para cubrir todo lo relacionado con los percebes. Entre muchas cosas más, recogió centenares de nuevas especies de plantas, realizó importantes descubrimientos fósiles y geológicos, desarrolló una muy admirada hipótesis para explicar la formación de los atolones de coral y se hizo con el material y la perspectiva necesarios para crear una revolucionaria teoría de la vida, algo que no está nada mal para un joven que, de haberse salido su padre con la suya, se habría convertido en párroco rural, como nuestro señor Marsham, un panorama que horrorizaba a Darwin.
Una de las ironías del viaje del Beagle es que Darwin fue contratado por el capitán Robert FitzRoy por su base teológica y porque se esperaba de él que encontrara pruebas que sustentaran una interpretación bíblica de la historia. Cuando Josiah Wedgwood convenció a Robert Darwin para que permitiera viajar a su hijo, se esforzó en destacar que «el interés por la historia natural […] es muy adecuado para un Pastor». Pero al final resultó que cuantas más cosas veía Darwin del mundo, más convencido empezó a estar que la historia y la dinámica de la Tierra eran inmensamente más extensas y complicadas de lo que el pensamiento tradicional permitía. Su teoría sobre la formación de los atolones de coral, por mencionar sólo una, exigía un espacio temporal que iba mucho más allá de cualquier cosa permitida por las escalas de tiempo bíblicas, un hecho que enfureció al devoto y volátil capitán FitzRoy.
Al final, claro está, Darwin concibió una teoría —la supervivencia del mejor adaptado, según la conocemos; descendencia con modificación, según él la denominó— que explicaba la maravillosa complejidad de los seres vivos de un modo que no requería en absoluto la intervención de una deidad. En 1842, seis años después de finalizar su viaje, había elaborado un resumen de 230 páginas en el que esbozaba los principales elementos de la teoría. Y después hizo algo extraordinario: guardó el documento bajo llave en un cajón y lo mantuvo allí durante dieciséis años. El tema, tenía la impresión, era demasiado fuerte como para ser sometido a la discusión pública.
* * * *
Pero mucho antes de la aparición de Darwin, había ya quien veía cosas que no encajaban con las creencias ortodoxas. Uno de los primeros descubrimientos de este tipo tuvo lugar, de hecho, a escasos kilómetros de la Vieja Rectoría, en el pueblo de Hoxne, donde a finales de la última década del siglo XVIII un acaudalado terrateniente y aficionado a las antigüedades llamado John Frere descubrió un alijo de herramientas de pedernal junto a los huesos de animales extinguidos mucho tiempo atrás, lo que sugería una coexistencia que supuestamente no podía haberse dado. En una carta enviada a la Society of Antiquaries de Londres, informó de que las herramientas estaban hechas por seres que «no tenían el uso de los metales […] [lo que] podría tentarnos a referirlos a un periodo muy remoto». Se trata de una perspectiva tremendamente entusiasta para la época… demasiado entusiasta, en realidad, razón por la cual fue ignorada por completo. El secretario de la sociedad le dio las gracias por su «curiosa y muy interesante comunicación», y la cosa se quedó ahí durante los cuarenta años siguientes. [64]Pero después empezaron a producirse, en lugares sorprendentemente cercanos, más descubrimientos de herramientas y huesos antiguos. En una cueva próxima a Torquay, en Devon, el padre John MacEnery, sacerdote católico y excavador aficionado, descubrió pruebas, más o menos irrefutables, de que los humanos habían cazado mamuts y otros animales extintos. Aquella idea chocaba de un modo tan incómodo con los preceptos bíblicos, que MacEnery no reveló a nadie sus hallazgos. Pero entonces, un funcionario de aduanas francés llamado Jacques Boucher de Perthes descubrió un yacimiento conjunto de huesos y herramientas en la llanura de Somme y escribió un extenso e influyente trabajo, Antiquités Celtiques et Antédiluviennes, que atrajo la atención internacional. En la misma época, William Pengelly, un director de escuela inglés, inspeccionó de nuevo con detalle la cueva de MacEnery y otra cueva cercana, localizada en Brixham, y anunció que los hallazgos de MacEnery eran demasiado perturbadores como para ser compartidos. Puede afirmarse, por lo tanto, que hacia mediados del siglo XIX empezó a hacerse cada vez más evidente que la Tierra tenía un montón de historia, lo que acabaría conociéndose como Prehistoria, una palabra que, sin embargo, no se acuñó hasta 1871. Resulta revelador de lo radical de estas ideas el hecho de que ni siquiera hubiera palabras para ellas.
A principios del verano de 1858, Alfred Russel Wallace, desde Asia, le hizo llegar a Darwin una noticia que le cayó a este como una bomba. Le envió el borrador de un ensayo, «On the Tendency of Varieties to Depart Indefinitely from the Original Type» [Sobre la tendencia de las variedades a diferenciarse indefinidamente del tipo original]. Era la misma teoría a la que, de forma inocente e independiente, había llegado Darwin. «Jamás vi una coincidencia más asombrosa —escribió Darwin—. Si Wallace hubiera visto el manuscrito que redacté en 1842, no podría haber hecho un mejor compendio breve de él».
El protocolo exigía que Darwin dejara paso a Wallace para permitirle atribuirse el mérito de la teoría, pero Darwin no tuvo el valor suficiente como para realizar tan noble gesto. Aquella teoría era demasiado importante para él. Un factor que vino a complicarlo todo en ese momento fue que su hijo Charles, con sólo dieciocho meses de edad, estaba gravemente enfermo de escarlatina. A pesar de ello, Darwin encontró el tiempo necesario para remitir rápidamente diversas cartas a sus amigos científicos más eminentes, quienes le ayudaron a improvisar una solución. Se acordó que Joseph Hooker y Charles Lyell presentaran resúmenes de ambos documentos en una reunión de la Linnean Society de Londres, concediendo a Darwin y Wallace prioridad conjunta sobre la nueva teoría. Y eso fue lo que cumplidamente hicieron el 1 de julio de 1858. Wallace, que seguía en la lejana Asia, no estaba al corriente de estas maquinaciones. Darwin no asistió a la reunión porque justo aquel día él y su esposa estaban enterrando a su hijo.
Darwin se puso a trabajar de inmediato en la ampliación de su borrador hasta sacar de él un libro completo, que publicó en noviembre de 1859 bajo el título de El origen de las especies mediante la selección natural, o la conservación de las razas favorecidas en la lucha por la vida . Fue un éxito de ventas instantáneo. Ahora resulta casi imposible imaginar hasta qué punto la teoría de Darwin conmocionó el mundo intelectual, o hasta qué punto muchísima gente deseó con desesperación que no fuese acertada. El mismo Darwin le comentó a un amigo que mientras escribía el libro había tenido la sensación de «estar confesando un asesinato».
Muchos devotos no podían aceptar que la Tierra fuese tan antigua y que estuviera animada de un modo tan aleatorio como aquellas nuevas ideas indicaban. Un destacado naturalista, Philip Henry Gosse, publicó una desesperada teoría alternativa conocida como «procronismo», en la que sugería que Dios había creado a propósito la Tierra de tal modo que pareciese antigua, para dar a las personas de mente inquisitiva temas interesantes sobre los que reflexionar. Durante la ajetreada semana de la Creación, insistía Gosse, Dios había tenido incluso tiempo para incrustar fósiles en las rocas.
Poco a poco, sin embargo, la gente más culta acabó aceptando que el mundo no sólo era más antiguo de lo que suponía la Biblia, sino también mucho más complicado, imperfecto y confuso. Naturalmente, todo esto socavó la base de confianza sobre la que operaban pastores como el señor Marsham. En términos de su preeminencia, aquello fue el principio del fin.
* * * *
Con su entusiasmo por desenterrar tesoros, algunos de los integrantes de la nueva casta de investigadores perpetraron daños espantosos. Se extraían objetos del suelo como aquel que «arranca patatas», según palabras de un alarmado observador. En Norfolk, miembros de la nueva Norfolk and Norwich Archaeological Society —fundada poco después de que el señor Marsham pasara a ocupar su puesto en nuestra parroquia— destriparon cerca de un centenar de túmulos, una parte considerable de la totalidad de enterramientos de este tipo de todo el país, sin dejar ningún registro escrito de lo que descubrieron o de cómo estaba distribuido el material, para la desesperación de posteriores generaciones de eruditos.La verdad es que pensar en que justo en el momento en que los británicos estaban descubriendo su pasado estaban también destruyendo buena parte del mismo, esconde una evidente y dolorosa ironía. Y tal vez nadie ejemplifica mejor esta nueva tipología de rapaz coleccionista que William Greenwell (1820-1918), canónigo de la catedral de Durham, a quien hemos conocido mucho antes como el inventor de «la gloria de Greenwell», la celebrada —entre quienes celebran este tipo de cosas— mosca para la pesca de la trucha. En el transcurso de su larga carrera, Greenwell se hizo con un conjunto extraordinario de objetos «a través de regalos, adquisiciones y felonía», según palabras de un historiador. Excavó —aunque quizás la palabra más indicada en este caso sería «devoró»— sin la ayuda de nadie 443 enterramientos repartidos por toda Inglaterra. Sus métodos podrían describirse como entusiastas, aunque chapuceros. No dejó prácticamente anotaciones ni registros escritos, por lo que a menudo resulta imposible saber qué encontró y dónde lo hizo.
Una virtud que compensa las labores de Greenwell es que introdujo al esplendorosamente llamado Augustus Henry Lane Fox Pitt Rivers en el mundo de la arqueología. Pitt Rivers es famoso por dos cosas: como uno de los arqueólogos pioneros más destacados y como uno de los hombres más desagradables que ha existido. Lo hemos conocido ya de pasada en este libro. Era aquel formidable personaje que se emperró en que su esposa debía ser incinerada. («Maldita sea, mujer, arderás», era su alegre frase favorita). Procedía de una interesante familia, a algunos de cuyos miembros hemos conocido también, destacando dos tías abuelas que podrían describirse con justicia como explosivas. La primera, Penélope, se casó con el vizconde Ligonier de Clonmell. Fue ella quien, como tal vez recordará, tuvo un romance con un conde italiano y luego se fugó con su lacayo. La segunda era la joven que se casó con Peter Beckford, pero que se enamoró perdidamente de su primo William, el constructor de Fonthill Abbey. Ambas eran hijas de George Pitt, primer barón de Rivers, del que nuestro Pitt Rivers cogió las dos mitades de su nombre.
Augustus Pitt Rivers era una figura gigantesca e intimidatoria de carácter fogoso que saltaba a la primera de cambio y que presidía de forma imperiosa una inmensa finca de once mil hectáreas llamada Rushmore, cerca de Salisbury. Era manifiestamente mezquino. En una ocasión, su esposa invitó a los habitantes del pueblo a Rushmore para celebrar una fiesta de Navidad y se quedó con el corazón destrozado cuando vio que no se presentaba nadie. Lo que no sabía era que su marido, al enterarse de sus planes, había ordenado a un criado cerrar con candado las verjas de la finca.
Era capaz de actos violentos repentinos y desproporcionados. Después de expulsar de su finca a uno de sus hijos por haber cometido alguna infracción indecible, prohibió a sus demás hijos mantener contacto con el expulsado. Pero una de sus hijas, Alice, compadeciéndose de su hermano, se reunió con él junto a la verja de la finca para prestarle algo de dinero. Cuando Pitt Rivers se enteró, salió al encuentro de Alice cuando ésta regresaba a la casa y la tumbó de una paliza con su propia fusta de montar.
La singular especialidad de Pitt Rivers —una especie de hobby, podría parecer— consistía en desahuciar a sus arrendatarios más ancianos. En una ocasión, entregó una carta de despido a un hombre y su tullida esposa, ambos con más de ochenta años de edad. Cuando le suplicaron que reconsiderase su decisión, ya que no tenían familia ni lugar adónde ir, les respondió secamente: «He sentido mucho recibir su carta y comprobar lo poco que les agrada tener que marcharse de Hinton. Para ser breve, tengo la impresión de que mis deberes con la propiedad me obligan a ocupar su casa lo antes posible». La pareja fue expulsada de inmediato, aunque Pitt Rivers jamás ocupó la casa y, según su biógrafo, Mark Bowden, con casi toda seguridad nunca tuvo intención de hacerlo [65] .
A pesar de sus numerosas carencias personales, Pitt Rivers fue un arqueólogo sobresaliente y, de hecho, fue uno de los padres de la arqueología moderna. Aportó método y rigor a la disciplina. Etiquetó con detalle fragmentos de alfarería y otros vestigios en un momento en que nada de esto se hacía de forma rutinaria. La idea de organizar los hallazgos arqueológicos en una secuencia sistemática —un proceso que se conoce como tipología— fue una de sus aportaciones. Resulta extraordinario que le interesaran menos los deslumbrantes tesoros que los objetos de la vida diaria —jarrones, peines, cuentas decorativas y demás—, que hasta aquella fecha habían sido en su mayoría infravalorados. Aportó asimismo a la arqueología la devoción a la precisión. Inventó un aparato que denominó «craneómetro», que servía para medir con precisión los cráneos humanos. A su fallecimiento, su colección de objetos pasó a constituir la base del gran Pitt Rivers Museum de Oxford.
Hacia mediados del siglo XIX, y gracias en gran parte a la meticulosa metodología de Pitt Rivers, la arqueología empezó a convertirse más en una ciencia y menos en una búsqueda del tesoro, y los imprudentes excesos de los primeros especialistas en antigüedades pasaron a ser cosa del pasado. Aunque en el mundo considerado desde un punto de vista más amplio, la destrucción iba a peor. Prácticamente todos los monumentos antiguos de Gran Bretaña estaban en manos privadas y no existía ley alguna que obligara a los propietarios de los terrenos donde se ubicaban a cuidar de ellos. Abundan historias de destrucción de objetos, bien porque la gente los consideraba una molestia, bien porque nadie apreciaba su singularidad. En las islas Orcadas, un granjero de Stennes, un lugar no muy alejado de Skara Brae, demolió un megalito prehistórico conocido como la Piedra de Odín por la simple razón de que se interponía en su camino cuando araba los campos, y a punto estaba de hacer lo mismo con las hoy famosas Piedras de Stennes, cuando los horrorizados isleños lo convencieron de que desistiese de su idea.
Incluso un monumento tan incomparable como Stonehenge se encontraba en una situación de inseguridad manifiesta. Los visitantes solían grabar sus nombres en las piedras o descascarillarlas para llevarse un recuerdo. En una ocasión descubrieron a un hombre aporreando una de las piezas de piedra arenisca con un mazo. A principios de la década de 1870, el London and South-Western Railway anunció sus planes de tender una línea de ferrocarril que pasaría justo por el centro del yacimiento de Stonehenge. Ante las quejas recibidas, un empleado de los ferrocarriles contraatacó diciendo que Stonehenge estaba en estado «irreparable y no sirve absolutamente para nada a nadie».
Es evidente que el patrimonio británico de la Antigüedad necesitaba un salvador. Y aquí hace su aparición uno de los personajes más extraordinarios de esta extraordinaria época. Se llamaba John Lubbock y es increíble que no sea una figura más conocida. Resulta difícil identificar a alguien que hiciera más cosas útiles en más campos y se llevara menos fama por ello.
Hijo de un rico banquero, Lubbock se crió como vecino de Charles Darwin en Kent. Jugaba con los hijos de Darwin y entraba y salía constantemente de la casa de éste. Tenía un don especial para la historia natural que le hizo ganarse el cariño del gran personaje. Juntos pasaron muchas horas en el estudio de Darwin observando especímenes en microscopios parejos. Cuando Darwin cayó en una depresión, el joven Lubbock era la única visita que accedía a recibir.
Al llegar a la edad adulta, Lubbock siguió los pasos de su padre en la banca, pero tenía el corazón puesto en la ciencia. Era un experimentador incansable, aunque tal vez algo excéntrico. En una ocasión pasó tres meses tratando de enseñar a leer a su perro. Gracias al interés que en él despertaba la arqueología, aprendió danés porque Dinamarca era entonces el líder mundial en aquel campo. Le llamaban en especial la atención los insectos y tenía una colonia de abejas en la sala de estar de su casa, lo mejor, en su opinión, para estudiar sus costumbres. En 1886 descubrió los paurópodos, una de las diversas familias de esos diminutos ácaros, cuya existencia se desconocía, y que mencionamos en nuestra anterior discusión sobre las criaturas que habitan en la casa. Teniendo en cuenta, como hemos visto, que los ácaros fueron en su mayoría ignorados por la ciencia hasta mediados del siglo XX, identificar una familia de los mismos en 1886 fue un logro muy destacado, especialmente para un banquero cuyas investigaciones científicas se limitaban a las noches y los fines de semana. No menos importante fue su estudio de la variabilidad del sistema nervioso en los insectos, que fue de gran ayuda para Darwin y su idea de la descendencia con modificación justo en el momento en que Darwin más la necesitaba.
Además de banquero y entomólogo aficionado, Lubbock fue también, entre muchas cosas más, un destacado arqueólogo, miembro del consejo del Museo Británico, miembro del Parlamento, vicecanciller (o director) de la London University y autor de populares libros. Como arqueólogo, fue quien acuñó los términos «Paleolítico», «Mesolítico» y «Neolítico» y uno de los primeros en utilizar la novedosa y práctica palabra «Prehistoria». Como político y miembro del Parlamento por el Partido Liberal, se convirtió en un ardiente defensor del trabajador. Introdujo la legislación que limitaba el horario laboral en los talleres a diez horas diarias y en 1871 consiguió la aprobación —virtualmente sin la ayuda de nadie— de la Bank Holidays Act [66] , que introdujo el imponentemente radical concepto de vacaciones pagadas para los trabajadores de a pie [67] . Hoy en día resulta casi imposible imaginar el revuelo que causó aquella ley. Antes de la nueva ley de Lubbock, los empleados solían estar dispensados de trabajar el Viernes Santo, el día de Navidad o el 26 de diciembre (nunca, en general, los dos), y los domingos, y eso era todo. La idea de poder disfrutar de un día adicional —y además en verano— era impensable. Lubbock se convirtió en el hombre más popular de Inglaterra y los días festivos fueron conocidos cariñosamente durante mucho tiempo como «los días de san Lubbock». Nadie en su época habría podido imaginarse que su nombre acabaría cayendo en el olvido.
Pero la que nos importa a nosotros aquí es otra de las innovaciones aportadas por Lubbock: la conservación de los monumentos antiguos. En 1872, y gracias a la información que le proporcionó un párroco rural, Lubbock se enteró de que estaban a punto de derribar gran parte de Avebury, un círculo antiguo de piedras bastante más grande que el de Stonehenge (aunque sin una composición tan pintoresca), para poder construir viviendas. Lubbock adquirió los terrenos amenazados, junto con otros dos monumentos antiguos cercanos, West Kennet Long Barrow y Silbury Hill (un enorme montículo construido por el hombre, el mayor de Europa), pero enseguida se hizo evidente que no podía proteger todas las piezas valiosas que pudieran verse amenazadas, por lo que empezó a presionar para legislar la salvaguarda de los tesoros históricos. Hacer realidad esta ambición no fue ni mucho menos tan fácil como el sentido común podría sugerir, ya que los tories, que ostentaban el poder bajo el Gobierno de Benjamin Disraeli, consideraron la propuesta como un egregio ataque contra los derechos de la propiedad. La idea de concederle a un funcionario del Gobierno el derecho a entrar en las tierras de una persona de una casta superior y empezar a decirle cómo tenía que gestionar su finca era disparatada y ultrajante. Pero Lubbock continuó insistiendo y en 1882, bajo el nuevo Gobierno liberal de William Ewart Gladstone, consiguió la aprobación parlamentaria de la Ancient Monuments Protection Act, un hito, si es que algún día hubo alguno, en la historia de la legislación.
Teniendo en cuenta que la protección de los monumentos era un tema tan delicado, se acordó que el primer inspector de Monumentos Antiguos fuera alguien a quien los terratenientes respetaran, a ser posible otro terrateniente. Y resultó que Lubbock conocía a una persona con estas características, el hombre que estaba a punto de convertirse en su nuevo suegro, nada más y nada menos que Augustus Henry Lane Fox Pitt Rivers.
Su relación a través del matrimonio debió de ser tan sorprendente para ellos como lo es para nosotros. Para empezar, ambos eran casi de la misma edad. Pero dio la casualidad de que a principios de la década de 1880, Lubbock, que había enviudado recientemente, había conocido a Alice, la hija de Pitt Rivers, durante una estancia de fin de semana en Castle Howard. Lubbock rozaba los cincuenta, Alice tenía tan sólo dieciocho años. Lo que causó la chispa entre ellos queda más allá de cualquier elucubración, pero la realidad es que se casaron poco después. Fue un matrimonio muy feliz. Ella era más joven que alguno de los hijos de él, un detalle que podía haber generado relaciones incómodas, y por lo que parece sentía escaso interés por el trabajo que él realizaba, pero lo único que es seguro es que la vida con Lubbock era mucho mejor que recibir palizas con una fusta de montar.
Tanto si Lubbock desconocía la brutalidad de Pitt Rivers con respecto a Alice como si estaba simplemente dispuesto a pasarla por alto —y hay pocas cosas que hablen más de cómo estaba la situación en aquellos tiempos que el hecho de que ambas posibilidades fueran factibles—, la verdad es que Pitt Rivers y él tuvieron una feliz relación profesional, sin duda gracias a los muchos intereses en común que tenían. Como inspector de Monumentos Antiguos, los poderes de Pitt Rivers no eran espectaculares. Su trabajo consistía en identificar monumentos importantes que pudieran correr peligro y ofrecerse a acogerlos bajo la batuta del Estado si el propietario así lo deseaba. Aunque la solución libraba a los propietarios de los gastos de conservación de los recintos, en su mayoría pusieron pegas, puesto que ceder el control de parte de una finca privada era un paso sin precedentes. Incluso el mismo Lubbock dudó antes de renunciar a Silbury Hill.
Dibujo imitando una polichinela que representa a John Lubbock, creador de la Bank Holidays Act y de la Ancient Monuments Protection Act.
Pitt Rivers falleció en 1900. En dieciocho años consiguió catalogar (o «inventariar», según la jerga al uso) sólo cuarenta y tres monumentos, apenas dos por año. (La cifra de monumentos antiguos inventariados en la actualidad supera los 19.000). Pero ayudó a establecer dos precedentes de inconmensurable importancia: que las cosas antiguas son lo suficientemente valiosas como para ser merecedoras de protección y que los propietarios de monumentos antiguos tienen el deber de cuidarlos. Estas políticas no fueron siempre de riguroso cumplimiento en su época, pero los principios implícitos fueron cruciales e inspiraron a otros a llevar a cabo actividades de protección adicionales. En 1877 se fundó la Society for the Protection of Ancient Buildings, liderada por el diseñador William Morris, a la que siguió el National Trust en 1895. Por fin los monumentos británicos empezaban a disfrutar de algún tipo de medida formal de protección.
Pero los riesgos seguían allí. Stonehenge continuó en manos privadas y su propietario, sir Edmund Antrobus, se negó a escuchar los consejos del Gobierno e incluso a permitir el paso de los inspectores en su propiedad. Con el cambio de siglo se supo que un comprador anónimo estaba interesado en transportar las piedras a Estados Unidos para reconstruir el monumento a modo de atracción turística en algún lugar del oeste del país. De haber aceptado Antrobus la oferta, ninguna ley se lo hubiera podido impedir. Ni, de hecho, durante muchos años hubo nadie dispuesto a intentar impedírselo. Durante los diez años posteriores a la muerte de Pitt Rivers, el puesto quedó vacante para ahorrar presupuesto.
§. 2
Mientras todo esto sucedía, la vida en la campiña británica se veía gravemente remodelada por un hecho que apenas se recuerda en la actualidad, pero que fue la mayor catástrofe económica de la historia moderna de Gran Bretaña: la crisis agrícola de la década de 1870, cuando las cosechas resultaron desastrosas un total de siete años de aquella década. Esta vez, los granjeros y terratenientes no pudieron compensar las pérdidas elevando los precios, como habían hecho en el pasado, pues se enfrentaban a la fuerte competencia de ultramar. Estados Unidos, en particular, se había convertido en una máquina agrícola impresionante. Gracias a la segadora de McCormick y a otras grandes y sonoras herramientas, las praderas americanas se habían vuelto sumamente productivas. Entre 1872 y 1902, la producción de trigo de Estados Unidos se incrementó en un 700 %. Durante el mismo periodo, la producción de trigo británica cayó en más de un 40 %.Los precios se derrumbaron también. El trigo, la cebada, la avena, el tocino, el cerdo, la oveja y el cordero redujeron su valor a la mitad durante el último cuarto del siglo XIX. La lana cayó de veintiocho chelines la bala de seis kilos a sólo doce. Se arruinaron miles de campesinos y granjeros arrendatarios. Y más de cien mil granjeros y campesinos abandonaron las tierras en las que trabajaban. Los campos se quedaron sin cultivos. Nadie podía pagar el alquiler. Y no había perspectivas de ayudas por ningún lado. Las iglesias rurales se quedaron notoriamente vacías a medida que los sueldos de los párrocos se recortaron. Los parroquianos que aún quedaban eran más pobres que nunca. No era el mejor momento para ser párroco rural. Y nunca volvería a serlo.
En el momento álgido de la crisis agrícola, el Gobierno británico, en manos de los liberales, hizo una cosa extraña. Inventó un impuesto concebido para castigar a una clase que ya estaba sufriendo de manera terrible y no había hecho nada en especial para ocasionar los problemas que se vivían en aquel momento. La clase eran los grandes terratenientes. El impuesto era el de sucesiones. La vida estaba a punto de cambiar de forma increíble para miles de personas, incluyendo entre ellas a nuestro señor Marsham.
El diseñador del nuevo impuesto fue sir William George Granville Venables Vernon Harcourt, el ministro del Tesoro un hombre que no fue del agrado de nadie en ningún momento de su vida, ni siquiera de su propia familia. Conocido entre los suyos, aunque para nada de forma cariñosa, como «Jumbo» debido a su impresionante rotundidad, era muy poco probable que se convirtiera en perseguidor de las clases terratenientes, siendo él mismo uno de ellos. El hogar de la familia Harcourt era Nuneham Park, en Oxfordshire, una mansión que ya hemos tenido la oportunidad de visitar en este libro. Nuneham, como tal vez recordará, fue el lugar donde un Harcourt anterior a William remodeló toda la finca y luego, al no acordarse de dónde estaba el pozo del antiguo pueblo, cayó en él y se ahogó. Desde que los tories iniciaron su andadura, los Harcourt siempre se contaron entre ellos, por lo que el hecho de que William se uniera a los liberales fue considerado en el seno de la familia como una oscura traición. Su impuesto dejó perplejos incluso a los liberales. Lord Rosebery, el primer ministro (que era también un gran terrateniente), se preguntó si como mínimo se concedería algún tipo de ayuda en aquellos casos en que dos herederos murieran en rápida sucesión. Sería muy duro, pensaba Rosebery, gravar una finca por segunda vez antes de que el legatario hubiera tenido oportunidad de recuperar la economía familiar. Pero Harcourt se negó a hacer cualquier concesión.
Sin duda alguna, los principios de Harcourt se vieron matizados por la circunstancia de que él mismo no tenía prácticamente posibilidad alguna de heredar las propiedades de su familia. Aunque, de hecho, acabó heredándolas después de que el hijo mayor de su hermano falleciera de repente y sin herederos en la primavera de 1904. Pero Harcourt no consiguió disfrutar mucho tiempo de su buena suerte. Expiró seis meses más tarde, lo que significó que sus herederos se contaron entre los primeros que tuvieron que pagar el impuesto de sucesiones de manera consecutiva, tal y como Rosebery temía. No es frecuente que la vida ponga tan claramente y tan pronto las cosas en el lugar que les corresponde.
Los impuestos de sucesiones en tiempos de Harcourt eran de un modesto 8 % sobre las fincas valoradas en un millón de libras o más, pero resultaron ser una fuente de ingresos tan fiable, y tan popular entre los millones de habitantes que no tenían que pagarlos, que fueron incrementándose una y otra vez hasta que en vísperas de la Segunda Guerra Mundial habían llegado al 60 %, un nivel capaz de provocar lágrimas hasta al más rico. Por otro lado, los impuestos sobre la renta se incrementaron también repetidas veces, un hecho que, junto con la aparición de nuevos impuestos —un Impuesto sobre la Tierra no Cultivada, un Impuesto sobre el Valor Incremental, un Súper Impuesto—, hizo que la carga fiscal cayera de forma desproporcionada sobre los propietarios de tierras y los miembros de las clases privilegiadas. De este modo, el siglo XX se convirtió para las clases altas en, según palabras de David Cannadine, una época «envuelta en penumbra».
La mayoría vivía en un estado de crisis semipermanente. Cuando las cosas se ponían feas de verdad —cuando había que cambiar por completo un tejado o cuando una exigencia impositiva llegaba cuando ya no había con qué pagar—, el desastre solía contenerse vendiendo reliquias familiares. Cuadros, tapices, joyas, libros, porcelana, vajillas de plata, sellos curiosos, cualquier cosa por la que pudiera obtenerse un precio razonable, fueron saliendo poco a poco de las mansiones señoriales para ir a parar a museos o a manos de extranjeros. Fue la época en la que Henry Clay Folger compró todos los First Folio de Shakespeare que fue capaz de encontrar y en la que George Washington Vanderbilt adquirió tesoros en cantidad suficiente como para llenar la mansión de doscientas cincuenta habitaciones que tenía en Biltmore, cuando hombres como Andrew Mellon, Henry Clay Frick y J. P. Morgan compraron obras maestras de la pintura a carretadas y cuando William Randolph Hearst adquirió todo lo que encontraba a su paso.
Apenas es posible encontrar una mansión de Gran Bretaña que no se desprendiera de algo en un momento dado. Los Howard, de Castle Howard, prescindieron de ciento diez clásicos de la pintura y de más de un millar de libros excepcionales. En Blenheim Palace, los duques de Marlborough vendieron montones de cuadros, incluyendo dieciocho obras de Rubens y más de una docena de pinturas de Van Dyck, antes de descubrir tardíamente el atractivo financiero que suponía casarse con norteamericanas ricas. En 1882, el fabulosamente rico duque de Hamilton vendió objetos brillantes de todo tipo por valor de cerca de 400.000 libras, y unos años más tarde volvió a vender objetos por valor de 250.000 libras más. Para muchos, las grandes casas de subastas de Londres se convirtieron en algo similar a las tiendas de empeño.
Cuando los propietarios de las mansiones habían vendido todo objeto de valor que cubría sus paredes y sus suelos, vendían a veces también las paredes y los suelos. En Wingerworth Hall, Derbyshire, desmontaron un salón entero y lo montaron de nuevo para formar parte integrante del St. Louis Art Museum. En Cassiobury Park, Hertfordshire, retiraron una escalera de Grinling Gibbons para montarla de nuevo en el Metropolitan Museum of Art de Nueva York. A veces la práctica incluía mansiones enteras, como sucedió con Agecroft Hall, una preciosa casa solariega de Lancashire, que fue desmontada a trocitos, embalada en contenedores numerados y enviada por barco a Richmond, Virginia, donde fue montada de nuevo y donde sigue elevándose con todo su orgullo.
Tantas penurias aportaron algo bueno, aunque sólo de forma muy ocasional. Los herederos de sir Edmund Antrobus, incapaces de seguir conservando su propiedad, la pusieron en venta en 1915. Un hombre de negocios y criador de caballos de carreras llamado sir Cecil Chubb compró Stonehenge por 6.600 libras —unas 300.000 libras actuales, una suma insignificante, por lo tanto— y lo cedió con gran generosidad a la nación, convirtiéndolo por fin en un lugar preservado.
Pero los finales felices son la excepción. Centenares de mansiones rurales acabaron siendo insalvables y su triste destino fue primero el declive y finalmente el derribo. Casi todas estas pérdidas fueron una desgracia. Y las hubo que rozaron casi el escándalo. Streatlam Castle, que en su día fue una de las casas más elegantes del condado de Durham, fue entregada al Territorial Army, que la utilizó, sorprendentemente, como blanco de sus ejercicios de prácticas de tiro. Aston Clinton, una casa del siglo XIX de inmenso y exuberante encanto que en sus tiempos fue propiedad de los Rothschild, fue adquirida por el municipio y derribada para construir en su lugar un insulso centro de formación profesional. El destino de las mansiones señoriales llegó hasta un punto tan lamentable que se dice que una casa de Lincolnshire fue adquirida por una productora cinematográfica con el simple objetivo de incendiarla en la escena culminante de una película.
No había lugar seguro, por lo que parece. Incluso Chiswick House, un edificio emblemático en cualquier sentido, estuvo a punto de perderse. Durante un tiempo se convirtió en manicomio, pero en la década de 1950 quedó vacío y pasó a formar parte de la lista de edificios por derribar. Por suerte, el sentido común prevaleció para salvarlo y en la actualidad sobrevive bajo el amparo del English Heritage, un organismo público. El National Trust rescató cerca de doscientas casas a lo largo del siglo, y unas cuantas sobrevivieron convirtiéndose en atracciones turísticas, aunque no siempre sin problemas. Según cuenta Simon Jenkins, en una mansión señorial vivía una abuela que se negaba a abandonar uno de los salones siempre que en televisión daban carreras de caballos. «Fue votada como la mejor atracción», añade Jenkins. Otros caserones descubrieron una nueva vida en forma de colegios, clínicas u otras instituciones. Nuneham Park, la mansión de sir William Harcourt, pasó gran parte del siglo XX reconvertida en centro de formación de la Royal Air Force. (En la actualidad es un convento religioso).
Pero hubo centenares de mansiones más que fueron borradas del mapa sin concesiones. En la década de 1950, el periodo de apogeo de la destrucción, las casas señoriales desaparecían al ritmo de dos por semana. No se sabe exactamente cuántas desaparecieron. En 1974, el Victoria and Albert Museum de Londres celebró una famosa exposición, «La destrucción de la casa de campo», en la que se examinaba la enorme pérdida de mansiones señoriales del siglo anterior. En total, los conservadores del museo, Marcus Binney y John Harris, contabilizaron 1.116 mansiones desaparecidas, pero investigaciones posteriores elevaron esa cifra a 1.600 incluso antes de que la muestra hubiera terminado, y hoy en día se sitúa la cifra, en términos generales, por encima de las dos mil, una cantidad dolorosamente significativa si tenemos en cuenta que fueron algunas de las residencias más atractivas, elegantes, sorprendentes, ambiciosas, influyentes y pacientemente estimadas que jamás puedan haberse erigido en el planeta.
§. 3
Por lo tanto, ésa era la situación en la que se encontraban el señor Marsham y su siglo a medida que conjuntamente se aproximaban a sus últimos años. Desde la perspectiva de la vida doméstica, puede decirse que nunca ha existido una época más interesante o memorable. En el siglo XIX la vida privada se transformó por completo: desde el punto de vista social, intelectual, tecnológico, higiénico, del vestir, sexual y en prácticamente cualquier otro sentido. El señor Marsham nació (en 1822) en un mundo que era aún esencialmente medieval —un lugar con velas, sanguijuelas medicinales, viajes a pie, noticias de lugares lejanos que llegaban con semanas o meses de retraso—, pero vivió para ser testigo de la llegada de una maravilla tras otra: los barcos de vapor y los trenes veloces, la telegrafía, la fotografía, la anestesia, las tuberías interiores, la luz eléctrica, la música grabada, los coches y los aviones, los rascacielos, las películas cinematográficas, la radio y, literalmente, cientos de miles de pequeñas cosas más, desde las pastillas de jabón fabricadas en serie hasta los cortacéspedes.Resulta casi imposible concebir los muchos cambios radicales en la vida diaria a los que se vio expuesta la población del siglo XIX, sobre todo en su segunda mitad. Incluso algo tan elemental como el fin de semana era una auténtica novedad. El término weekend no está documentado en inglés hasta 1879, momento en el que aparece en la revista Notes & Queries en la siguiente frase: «En Staffordshire, cuando una persona se va de casa el sábado por la tarde, al finalizar su semana laboral, para pasar la noche del sábado y el domingo siguiente en compañía de amigos a cierta distancia, se dice que está, pasando su weekend en casa de fulanito de tal». Incluso así, y de forma muy clara, únicamente indicaba el sábado por la tarde y el domingo, y sólo para determinada gente. No fue hasta la última década del siglo XIX cuando todo el mundo comprendió el concepto, aunque no todo el mundo empezó a disfrutarlo, pero es evidente que empezaba a vislumbrarse de un modo incuestionable el derecho al descanso.
Lo irónico de todo esto es que justo cuando el mundo empezaba a ser un lugar más agradable para la mayoría —más bien iluminado, con fontanería fiable, con distracciones más satisfactorias, caprichosas y ostentosas—, empezaba a desintegrarse en silencio para personajes como el señor Marsham. La crisis agrícola que se inició en la década de 1870, y que se prolongó de forma casi indefinida, era de forma palpable un desafío tan grande para los pastores rurales como para los acaudalados terratenientes de los que dependían, y resultaba doblemente difícil para aquéllos cuya riqueza familiar estaba vinculada a la tierra, como era el caso del señor Marsham.
Hacia 1900, los ingresos de un pastor eran muy inferiores a la mitad, en términos reales, de lo que lo habían sido cincuenta años atrás. El Crockford’s Clerical Directory de 1903 apuntaba desapaciblemente que una «sección considerable» del clero vivía con un nivel de «mera subsistencia». Informaba, además, de que un tal reverendo F. J. Bleasby se había presentado cuatrocientas setenta veces al puesto de curato y, tras tomar conciencia finalmente de su humillante derrota, había ingresado en un asilo de pobres. El pastor acomodado era, de manera clara e irremediable, cosa del pasado.
Las laberínticas casas parroquiales que en su día hicieron la vida espaciosa y agradable a los curas rurales pasaron a convertirse para muchos en una carga inmensa y en una enorme fuente de gastos. Los integrantes del clero del siglo XX, de origen mucho más modesto y obligados a subsistir con ingresos mucho más reducidos, no podían permitirse mantener propiedades tan amplias. En 1933, una tal señora Lucy Burnett, esposa de un vicario rural de Yorkshire, explicó quejumbrosa a una comisión eclesiástica lo gigantesca que era la vicaría que se veía obligada a gestionar: «Tengo la sensación de que si una banda de música se pusiera a tocar en mi cocina, no podrían ustedes oírla desde el salón», dijo. La responsabilidad de la conservación de los interiores recaía sobre los titulares del cargo, que cada vez estaban más empobrecidos y no podían ni siquiera efectuar mejoras. «Más de una parroquia ha estado veinte, treinta, incluso cincuenta años sin experimentar ningún tipo de renovación», escribió Alan Savidge en una historia de las parroquias rurales fechada en 1964.
La solución más sencilla para la Iglesia anglicana consistió en vender las casas parroquiales más problemáticas y construir edificios más reducidos en las cercanías. Hay que decir que los comisarios de la Iglesia anglicana, los funcionarios responsables de la tarea de eliminar casas parroquiales, no eran en todos los casos hombres de negocios muy astutos. En The Old Rectory, un libro escrito por Anthony Jennings en 2009, el autor indica que en 1983 se vendieron cerca de trescientas casas parroquiales a un precio medio de 64.000 libras y que, en contrapartida, se gastó una media de 76.000 libras en la construcción de edificios sustitutos de calidad muy inferior.
De las trece mil casas parroquiales que existían en 1900, solo novecientas continúan hoy en día siendo propiedad de la Iglesia anglicana. Nuestra rectoría pasó a manos privadas en 1978. (No sé cuánto dinero pagaron por ella). Su historia como rectoría se prolongó ciento veintisiete años y durante ese periodo fue el hogar de ocho pastores. Curiosamente, los siete últimos rectores permanecieron más tiempo en la casa que la misteriosa figura que la construyó. Thomas Marsham se marchó en 1861, después de sólo diez años, para ocupar una nueva rectoría en Saxlingham, un puesto casi tan oscuro en un pueblo situado treinta y tres kilómetros al norte de aquí, junto al mar.
Nunca conseguiremos saber por qué se construyó una casa tan notable. Tal vez pretendía impresionar a alguna encantadora joven, que acabó declinando su oferta y casándose con otro. Tal vez ella lo eligió a él y murió antes de que pudieran casarse. Ambos desenlaces eran bastante comunes en el siglo XIX y ambos explicarían ciertos misterios en el diseño de la rectoría, como la presencia de un cuarto para los niños y la vaga feminidad del salón ciruela, aunque ninguna de las sugerencias que hagamos pasará jamás de ser una simple suposición. Lo único que podemos afirmar es que la felicidad que lograra encontrar el señor Marsham en su vida no estuvo dentro de los vínculos del matrimonio.
Debemos confiar, al menos, en que la relación con su abnegada ama de llaves, la señorita Worm, encerrara cierta calidez y afecto, por muy tímidamente que se expresara. Fue, con casi toda seguridad, la relación más prolongada de la vida de ambos. Cuando la señorita Worm falleció en 1899, con setenta y seis años de edad, llevaba más de medio siglo siendo su ama de llaves. Aquel mismo año, la finca que poseía la familia Marsham en Stratton Strawless fue vendida en quince lotes distintos, probablemente porque no consiguieron encontrar a nadie que pudiera comprarla en su integridad. La venta marcó el final de cuatrocientos años de preeminencia de la familia Marsham en el condado. En la actualidad, lo único que sigue ahí a modo de recordatorio de ese hecho es un pub llamado Marsham Arms en el cercano pueblo de Hevingham.
El señor Marsham no llegó a vivir ni seis años más. Falleció en 1905 en un hogar de jubilados de un pueblo próximo. Tenía ochenta y tres años y, exceptuando su época como estudiante, pasó toda su vida en Norfolk, en un área de poco más de treinta y tres kilómetros de punta a punta.
§. 4
Empezamos aquí en el desván —hace ahora mucho tiempo, da la impresión—, cuando me encaramé y atravesé la portilla del techo con la intención de encontrar el origen de un lento y misterioso goteo. (Resultó ser una teja que se había descolocado y dejaba penetrar la lluvia). Como bien recordará, descubrí una puerta que daba acceso a un espacio en el tejado desde el que había una vista espléndida sobre la campiña. El otro día volví a subir por primera vez desde que empecé a trabajar en el libro. Me pregunté vagamente si vería el mundo de forma distinta ahora que sé un poco más acerca del señor Marsham y las circunstancias de su vida.De hecho, no. Lo que más sorprendente me resultaba no era lo mucho que había cambiado el mundo allá abajo desde tiempos del señor Marsham, sino lo poco que lo había hecho. Evidentemente, a un señor Marsham resucitado le chocarían algunas novedades —los coches corriendo por la carretera a media distancia, un helicóptero volando con todo su estrépito por lo alto—, pero en su mayor parte contemplaría un paisaje en apariencia intemporal y que le resultaría tremendamente familiar.
Ese aire de permanencia es engañoso, claro está. No es que el paisaje no cambie, sino que cambia demasiado lentamente como para que nos percatemos de ello, aun en el transcurso de ciento sesenta años. Si retrocediéramos lo suficiente, veríamos muchos cambios. Si viajáramos quinientos años atrás, no encontraríamos casi nada que nos resultase familiar excepto la iglesia, algunos setos y campos de cultivo y el relajado perfil de algunos caminos. Si retrocediésemos un poco más, veríamos al romano que perdió su colgante de forma fálica con el que empezamos el libro. Y si retrocediésemos muchísimo más —unos cuatrocientos mil años, más o menos—, encontraríamos leones, elefantes y otra fauna exótica pastando por áridas llanuras. Eran los animales que dejaron allí los huesos que tanto fascinaron a los primeros amantes de las antigüedades, como John Frere, en el cercano Hoxne. El lugar de su hallazgo queda demasiado apartado como para poder verse desde el tejado de casa, pero los huesos que descubrió podrían pertenecer sin problemas a animales que en su día pastaron por nuestros terrenos.
Hay que destacar que lo que atrajo a estos animales hasta esta parte del mundo fue un clima sólo unos tres grados centígrados más cálido del que disfrutamos ahora. Hoy en día, hay personas que volverán a vivir en una Gran Bretaña tan cálida como lo fue aquélla. Queda fuera del ámbito de este libro hacer suposiciones con respecto a si será un agostado Serengeti o un paraíso de verdor lleno de viñas de cosecha propia y árboles frutales que mantienen su esplendor durante todo el año. Lo que es seguro es que será un lugar muy distinto, en el que la humanidad futura tendrá que adaptarse a un ritmo mucho más rápido que el que indica el propio ritmo geológico.
Una de las cosas que no se ve desde nuestro tejado es toda la energía y recursos que hoy en día necesitamos para disfrutar del confort y las comodidades que damos por hecho en nuestra vida. Y son muchos… una cantidad pasmosa. La mitad de toda la energía que se ha producido en la Tierra desde que se inició la Revolución industrial, la hemos consumido en los últimos veinte años. Y de forma desproporcionada la hemos consumido nosotros, los habitantes del mundo rico; somos una mínima parte sumamente privilegiada.
En la actualidad, el habitante medio de Tanzania necesita casi un año para producir el volumen de emisiones de carbono que un europeo genera sin esfuerzo cada dos días y medio, o cada veintiocho horas un norteamericano. Somos, en resumidas cuentas, capaces de vivir como vivimos porque utilizamos cien veces más recursos que la mayoría de los demás habitantes del planeta. Un día —y no espere que sea un día muy lejano—, muchos de estos seis mil millones aproximados de personas menos pudientes exigirán tener lo mismo que nosotros tenemos, y obtenerlo con la misma facilidad con la que nosotros lo obtenemos, y eso exigirá más recursos de los que este planeta puede fácilmente, o incluso muy posiblemente, generar.
La mayor ironía de nuestra interminable cruzada por llenar nuestra vida de comodidades y felicidad sería haber creado un mundo que no tuviera ninguna de esas cosas. Pero eso, claro está, corresponde ya a otro libro.
- ABSE, Joan, John Ruskin: The Passionate Moralist, Quartet Books, Londres, 1980.
- ACKROYD, Peter, Albion: The Origins of the English Imagination, Chatto & Windus, Londres, 2002.
- ACTON, Eliza, Modern Cookery for Private Families, Longman, Brown, Green and Longmans, Londres, 1858.
- ADAMS, William Howard (ed.), The Eye of Thomas Jefferson, National Gallery of Art, Washington, 1976.
- ADDISON, sir William, Farmhouses in the English Landscape, Robert Hale, Londres, 1986.
- ALCABES, Philip, Dread: How Fear and Fantasy Have Fueled Epidemics from the Black Death to Avian Flu , Public Affairs, Nueva York, 2009.
- ALLEN, Edward, How Buildings Work: The Natural Order of Architecture, Oxford University Press, Nueva York, 1980. [Hay trad. cast.: Cómo funciona un edificio: principios fundamentales, Editorial Gustavo Gili, Barcelona, 2008.]
- AMATO, Ivan, Stuff: The Materials the World Is Made Of, Basic Books, Nueva York, 1997.
- ANDRADE, E. N. da C., A Brief History of the Royal Society, Royal Society, Londres, 1960.
- ARIÈS, Philippe, Centuries of Childhood: A Social History of Family Life, Jonathan Cape, Londres, 1962. [Orig. francés: L’enfant et la vie familiale sons l’Ancien Régime, Plon, 1960.]
- ARNSTEIN, Walter L., Britain Yesterday and Today: 1830 to the Present, D. C. Heath and Co., Lexington, Massachusetts, 1971.
- ASHENBURG, Katherine, The Dirt on Clean: An Unsanitized History, North Point Press/Farrar, Satrus and Giroux, Nueva York, 2007.
- ASHTON, Rosemary, Thomas and Jane Carlyle: Portrait of a Marriage, Chatto & Windus, Londres, 2001.
- ASLET, Clive, The American Country House, Yale University Press, New Haven, 1990.
- AYRES, James, Domestic Interiors: The British Tradition 1500-1850, Yale University Press, New Haven, 2003.
- BAER, N. S., y R. SNETHLAGE (eds.), Saving Our Architectural Heritage: The Conservation of Historie Stone Structures , John Wiley & Sons, Chichester, 1997.
- BAIRD, Rosemary, Mistress of the House: Great Ladies and Grand Houses 1670-1830, Weidenfeld & Nicolson, Londres, 2003.
- BAKALAR, Nicholas, Where the Germs Are: A Scientific Safari, John Wiley & Sons, Nueva York, 2003.
- BAKER, Hollis S., Furniture in the Ancient World: Origins and Evolution 3100-475 BC , Macmillan, Nueva York, 1966.
- BALDON, Cleo e Ib MELCHIOR, Steps and Stairways, Rizzoli International, Nueva York, 1989.
- BALL, Philip, Bright Earth: The Invention of Colour, Viking, Londres, 2001. [Hay trad. cast.: La invención del color, Nuevas Ediciones de Bolsillo, Barcelona, 2009.]
- BALTER, Michael, The Goddess and The Bull: Catalhÿük: An Archeological Journey to the Dawn of Civilization , Free Press, Nueva York, 2005.
- BARBER, E. J. W., Prehistoric Textiles: The Development of Cloth in the Neolithic and Bronze Ages, with Special Reference to the Aegean , Princeton University Press, Princeton, Nueva Jersey, 1991. —, Women’s Work: The First 20, 000 Years; Women, Cloth and Society in Early Times , W. W. Norton, Nueva York, 1994.
- BARKER, Graeme, The Agricultural Revolution in Prehistory: Why Did Foragers Become Farmers ? Oxford University Press, Oxford, 2006.
- BASCOMB, Neal, Higher: A Historic Race to the Sky and the Making of a City, Broadway Books, Nueva York, 2003.
- BATES, Elizabeth Bodwell y Jonathan L. FAIRBANKS, American Furniture 1620 to the Present, Richard Marek Publishers, Nueva York, 1981.
- BAUGH, Albert C. y Thomas CABLE, A History of the English Language (5ª ed.), Prentice Hall, Upper Saddle River, N. J., 2002. [Hay trad. cast.: Historia de la literatura inglesa, Editorial Prensa Española, Madrid.]
- BAX, B. Anthony, The English Parsonage, John Murray, Londres, 1964.
- BEARD, Geoffrey, The Work of Robert Adam, John Bartholomew & Son, Edimburgo, 1978.
- BEAUCHAMP, K. G., Exhibiting Electricity, The Institution of Electrical Engineers, Londres, 1997.
- BEEBE, Lucius, The Big Spenders, Doubleday, Garden City, Nueva York, 1966.
- BEETON, Mrs. Isabella, The Book of Household Management, S. O. Beeton, Londres, 1861.
- BELANGER, Terry, Lunacy and the Arangement of Books, Oak Knoll Press, New Castle, Delaware, 2003.
- BENTLEY, Peter J., The Undercover Scientist: Investigating the Mishaps of Everyday Life , Random House, Londres, 2008.
- BERENBAUM, May R., Bugs in the System: Insects and Their Impact on Human Affairs, Helix Books, Reading, Massachusetts, 1995.
- BERESFORD, John (ed.), The Diary of a Country Parson: The Reverend James Woodforde (5 vols.). Clarendon Press, Oxford, 1924.
- BERNSTEIN, William A., A Splendid Exchange: How Trade Shaped the World, Atlantic Books, Londres, 2008.
- BERRY, R. J. (ed.), Biology of the House Mouse, Zoological Society of London, Londres, 1981.
- BEST, Gary Dean, The Dollar Decade: Mammon and the Machine, in 1920s America, Praeger Publishers, Westport, Connecticut, 2003.
- BINNEY, Marcus, SAVE British Heritage, 1975-2005: Thirty Years of Campaigning, Scala Publishers, Londres, 2005.
- BOARDMAN, Barrington, From Harding to Hiroshima, Dembner Books, Nueva York, 1985.
- BODANIS, David, The Secret Garden, Simon & Schuster, Nueva York, 1992. —, Electric Universe: The Shocking True Story of Electricity, Crown Publishers, Nueva York, 2005 [Hay trad. cast.: El universo electrónico: la sorprendente aventura de la electricidad , Editorial Planeta, Barcelona, 2006.]
- BOORSTIN, Daniel, J., The Americans: The National Experience, Random House, Nueva York, 1965. —, The Discovers, Penguin, Londres, 1983. [Hay trad. cast.: Los descubridores, Editorial Crítica, Barcelona, 2008.]
- BOUCHER, Bruce, Palladio: The Architect in His Time, Abbeville Press, Nueva York, 1994.
- BOURKE, Joanna, Fear: A Cultural History, Virago Press, Londres, 2005.
- BOURNE, Jonathan y Vanessa BRETT, Lightning in the Domestic Interior: Renaissance to Art Noveau, Sotheby’s, Londres, 1991.
- BOURNE, Russell, Cradle of Violence: How Boston’s Waterfront Mobs Ignited the American Revolution , John Wiley & Sons, Hoboken, Nueva Jersey, 2006.
- BOWERS, Brian, A History of Electric Light and Power, Science Museum, Londres, 1982.
- BRADY, Patricia, Martha Washington: An American Life, Viking, Nueva York, 2005.
- BRAND, Stewart, How Buildings Learn: What Happens After They’re Built, Viking, Nueva York, 1994.
- BRANDS, H. W., The First American: The Life and Times of Benjamin Franklin, Doubleday, Londres, 2000.
- BREEN, T. H., The Marketplace of Revolution: How Consumer Politics Shaped American Independence , Oxford University Press, Oxford, 1994.
- BRETT, Gerard, Dinner is Served: A History of Dining in England, 1400-1900, Rupert Hart-Davis, Londres, 1968.
- BRIDENBAUGH, Carl, Early Americans, Oxford University Press, Nueva York, 1981.
- BRIGGS, Asa, Victorian People: Some Reassessments of People, Institutions, Ideas and Events, 1851-1867 , Odhams Press, Londres 1954.
- BRIMBLECOMBE, Peter, The Big Smoke: A History of Air Pollution in London Since Medieval Times , Methuen, Londres, 1987.
- BRITTAIN-CATLIN, Timothy, The English Parsonage in the Early Nineteenth Century, Spire Books, Reading, 2008.
- BRODIE, Fawn M., Thomas Jefferson: An Intimate History, W. W. Norton, Nueva York, 1974.
- BROOKE, Iris, English Costume of the Seventeenth Century, Adam & Charles Black, Londres, 1934.
- BROOKS, John, Once in Golconda: A True Drama of Wall Street 1920-1938, Harper & Row, Nueva York, 1969.
- BROTHWELL, Don y Patricia, Food in Antiquity: A Survey of the Diet of Early Peoples, Johns Hopkins University Press, Baltimore, I969.
- BROWN, Kevin, The Pox: The Life and Near Death of a Very Social Disease, Sutton Publishing, Stroud, Gloucestershire, 2006.
- BRUNSKILL, Ian y Andrew SANDERS, Great Victorian Lives: An Era in Obituaries, Times Books, Londres, 2007.
- BRUNSKILL, Ronald, Building in Britain, Victor Gollancz, Londres, 1990.—, y Alec CLIFTON-TAYLOR, English Brickwork, Hyperion/Ward Lock, Londres, 1977.
- BURCHARD, John y Albert BUSH-BROWN, The Architecture of America: A Social and Cultural History, Little, Brown, Boston 1961.
- BURKHARDT, Frederick, y Sydney SMITH (eds.), The Correspondence of Charles Darwin, 1821-1836, Cambridge University Press, Cambridge, 1985.
- BURNS, Ric y James SANDERS, New York: An Illustrated History, Knopf, Nueva York, 1999.
- BUSHMAN, Richard, L., The Refinement of America: Persons, Houses, Cities, Vintage Books , Nueva York, 1992.
- BUSVINE, James R., Insects and Hygiene: The Biology and Control of Insects Pests of Medical and Domestic Importance in Britain , Methuen, Londres, 1951.
- BYLES, Jeff, Rubble: Unearthing the History of Demolition, Harmony Books, Nueva York, 2005.
- CADBURY, Deborah, Seven Wonders of the Industrial World, Harper Perennial, Londres, 2004.
- CALMAN, sir Kenneth C., Medical Education: Past, Present and Future, Churchill Livingstone, Edimburgo, 2007.
- CANNADINE, David, The Pleasures of the Past, Collins, Londres, 1989. —, Aspects of Aristocracy: Grandeur and Decline in Modern Britain, Yale University Press, New Haven, 1994. —, The Decline and Fall of the British Aristocracy, Penguin, Londres, 2005.
- CARPENTER, Kenneth J., The History of Scurvy and Vitamin C, Cambridge University Press, Cambridge, 1986.
- CARSON, Gerald, The Polite Americans, William Morrow, Nueva York, 1966.
- CARTER, Gwendolen, M., The Government of the United Kingdom, Harcourt Brace Jovanovich, Nueva York, 1972.
- CARTER, W. Hodding, Flushed: How the Plumber Saved Civilization, Atria Books, Nueva York, 2006.
- CARVER, Martin, Sutton Hoo: Burial Ground of Kings, British Museum Press, Londres, 1998.
- CASPALL, John, Fire and Light in the Home pre-1820, Antique Collectors Club, Woodbridge, Suffolk, 1987.
- CASSIDY, Tina, Birth: A History, Chatto & Windus, Londres, 2007.
- CATCHPOLE, Antonia, David CLARK y Robert PEDERBY, Burford: Buildings and People in a Costwold Town, Phillimore, Londres, 2008.
- CATLING, Harold, The Spinning Mule, David & Charles, Newton Abbot, 1970.
- CHADWICK, Edwin, Report from His Majesty’s Commissioners for Inquiring into the Administration and Practical Operation of the Poor Laws , B. Fellowes, Londres, 1834.
- CHADWICK, George F., The Works of Sir Joseph Paxton, Architectural Press, Londres, 1961.
- CHADWICK, Owen, The Victorian Church, Adam & Charles Black, Londres, 1970.
- CHANDOS, John, Boys Together: English Public Schools 1800-1864, Hutchinson, Londres, 1984.
- CHISHOLM, Kate, Fanny Burney: Her Life, 1752-1840, Chatto & Windus, Londres, 1998.
- CHURCHILL, Allen, The Splendor Seekers, Grosset & Dunlap, Nueva York, 1974.
- CIERAAD, Irene (ed.), At Home: An Anthropology of Domestic Space, Syracuse University Press, Siracusa, Nueva York, 1999.
- CLARK, H. F., The English Landscape Garden, Pleiades Books, Londres, 1948.
- CLELAND, Liza, Mary HARLOW y Lloyd LLEWELLYN-JONES (eds.), The Clothed Body in the Ancient World, Oxbow Books, Londres, 2005.
- CLIFTON-TAYLOR, Alee, The Pattern of English Building, Faber and Faber, Londres, 1987.
- CLOUDSEY-THOMPSON, J. L., Spiders, Scorpions, Centipedes and Mites, Pergamon Press, Londres, 1968.
- COCKAYNE, Emily, Hubbub: Filth, Noise and Stench in England 1600-1770, Yale University Press, Nueva York, 2007.
- COHEN, Deborah, Household Gods: The British and Their Possessions, Yale University Press, New Haven, 2006.
- COLERIDGE, Arthur, Chippendale Forniture, Circa 1745-1765, Clarkson N. Potter, Nueva York, 1968.
- COLLEY, Linda, Britons: Forging the Nation 1707-1837, Pimlico, Londres, 1992.
- COLLINGWOOD, W. G., The Life of John Ruskin, Methuen and Co., Londres, 1900.
- COLLINS, Irene, Jane Austen: The Parson’s Daughter, Hambledon Press, 1998.
- COLQUHOUN, Kate, A Thing in Disguise: The Visionary Life of Joseph Paxton, Harper Perennial, Londres, 2004. —, Taste: The Story of Britain Through Its Cooking, Bloomsbury, Londres, 2007.
- CORSON, Richard, Fashions in Hair: The First Five Thousand Years, Peter Owen, Londres, 1965. —, Fashions in Makeup from Ancient to Modern Times, Peter Owen, Londres, 2003.
- COSSONS, Neil (ed.), The Making of the Modern World: Milestones of Science and Technology , John Murray, Londres, 1992.
- COWAN, Henry J., The Master Builders: A History of Structural and Environmental Design from Ancient Egypt to the Nineteenth Century , John Wiley & Sons, Nueva York, 1977.
- COWAN, Ruth Schwartz, More Work for Mother: The Ironies of Household Tecnology from the Open Hearth to the Microwave , Basic Books, Nueva York, 1983.
- COWARD, Barry, The Stuart Age: England, 1603-1714 (2ª ed.), Longman, Londres, 1980.
- COX, Margaret, Life and Death in Spitafields, 1700 to 1850, Council for British Archaelogy, York, 1996.
- CRINSON, Mark y Jules LUBBOCK, Architecture, Art or Profession? Three Hundred Years of Architectural Education in Britain , Prince of Wales Institute of Architecture, Manchester, 1994.
- CROMPTON, Frank, Workhouse Children, Sutton Publishing, Londres, 1997.
- CROSSLEY, Fred H., Timber Building in England: From Early Times to the End of the Seventeenth Century , B. T. Batsford, Londres, 1951.
- CROWFOOT, Elisabeth, Frances PRITCHARD y Kay STANILAND, Textiles and Clothing c. 1150-C. 1450, HMSO, Londres, 1992.
- CRUICKSHANK, Dan, The Story of Britain’s Best Buildings, BBC, Londres, 2002.
- CRYSTAL, David, The Stories of English, Allen Ale, Londres, 2004.
- CULLWICK, Hannah, The Diaries of Hannah Cullwick, Victorian Maidservant, Virago, Londres, 1984.
- CUMMINGS, Richard Osborn, The American and His Food: A History of Food Habits in the United States , University of Chicago Press, Chicago, 1970.
- CUNNINGHAM, Hugh, The Children of the Poor: Representations of Childhood Since the Seventeenth Century , Blackwell, Oxford, 1991.
- CUNNINGTON, C. Willett y Phillis CUNNINGTON, The History of Underclothes, Faber and Faber, Londres, 1951.
- CURL, James Stevens, The Victorian Celebration of Death, Sutton Publishing, Londres, 2000.
- DALE, Anthony, James Wyatt: Architect, 1746-1813, Basil Blackwell, Oxford, 1936.
- DALZELL, Robert F. y Lee BALDWIN DALZELL, George Washington’s Mount Vernon: At Home in Revolutionary America , Oxford University Press, Oxford, 1998.
- DANIELS, Jonathan, The Time Between the Wars: Armistice to Pearl Harbor, Doubleday, Nueva York, 1966.
- DAUMAS, Maurice (ed.), A History of Technology and Invention: Progress Through the Ages (3 vols.), Crown Publishing, Nueva York, 1979.
- DAVID, Saul, The Indian Mutiny: 1857, Viking, Londres, 2002.
- DAVIDSON, Marshall B., The American Heritage History of Colonial America, American Heritage, Boston, 1967.
- DAVIES, Norman, The Isles: A History, MacMillan, Londres, 1999.
- DAVIES, Stevie, A Century of Troubles: England 1600-1700, Pan Macmillan/Channel 4, Londres, 2001.
- DAVIN, Anna, Growing Up Poor: Home, School and Street Life in London, 1870-1914 , Rivers Oram Press, Londres, 1996.
- DAVIS, Dorothy, A History of Shopping, Routledge & Kegan Paul Londres, 1966.
- DAVIS, Pearce, The Development of the American Glass Industry, Harvard University Press, Cambridge, Massachusetts, 1949.
- DE BOTTON, Alain, The Architecture of Happiness, Pantheon, Nueva York, 2006. [Hay trad. cast.: La arquitectura de la felicidad, Editorial Lumen, Barcelona, 2008.]
- DEETZ, James, In Small Things Forgotten: The Archaeology of Early American Life , Doubleday, Nueva York, 1977.
- DELAINE, J. y D. E. JOHNSTON (eds.), Roman Baths and Bathing, Journal of Roman Archaeology, Portsmouth, Rhode Island, 1999.
- DESMOND, Adrian y James MOORE, Charles Darwin, Editorial Herder, Barcelona, 2008.
- DE SOLA POOL, Ithiel, Forecasting the Telephone: A Retrospective Technology Assessment, Ablex Publishing, Norwood, Nueva Jersey, 1983.
- DÍAZ-ANDREU, Margarita, A World History of Nineteenth-Century Archaeology: Nationalism, Colonialism, and the Past , Oxford University Press, Oxford, 2007.
- DILLON, Francis, The Pilgrims, Doubleday, Garden City, Nueva York, 1975.
- DIRKS, Nicholas B., The Scandal of Empire: India and the Creation of Imperial Britain , Belknap Press, Cambridge, Massachusetts, 2006.
- DOLAN, Eric J., Leviathan: The History of Whaling in America, W. W. Norton, Nueva York, 2007.
- DOUGLAS, Ann, Terrible Honesty: Mongrel Manhattan in the 1920s, Noonday Press/Farrar, Straus and Giroux, Nueva York, 1995.
- DOWNES, Kerry, Sir John Vanbrugh: A Biography, Sidgwick & Jackson, Londres, 1987.
- DUTTON, Ralph, The English Country House, B. T. Batsford, Londres, 1935.
- DYER, Christopher, Making a Living in the Middle Age: The People of Britain 850-1520 , Yale University Press, New Haven, 2002.
- EDE, Janet y Norma VIRGOE, Religious Worship in Norfolk: The 1851 Census of Accommodation and Attendance at Worship , Norfolk Record Society, Norwich, 1998.
- EDEN, Mary y Richard CARRINGTON, The Philosophy of the Bed, Hutchinson, Londres, 1961.
- EKIRCH, A. Roger, At Day’s Close: A History of Nightime, Phoenix, Londres, 2006.
- ELLIOTT, Charles, The Transplanted Garden, Lyons & Butford, Nueva York, 1995.
- EMSLEY, John, The Elements of Murder: A History of Poison, Oxford University Press, Oxford, 2005.
- EVANS, G. Blakemore (ed.), The Riverside Shakespeare, Houghton Mifflin Co., Boston, 1974.
- EVENSON, A. Edward, The Telephone Patent Conspiracy of 1876: The Elisha Gray-Alexander Bell Controversy and Its Many Players , McFarland and Co., Jefferson, Dakota del Norte, 2000.
- FAGAN, Brian, The Long Summer: How Climate Changed Civilization, Granta, Londres, 2004. [Hay trad. cast.: El largo verano: de la Era Glacial a nuestros días, Editorial Gedisa, Barcelona, 2007.]
- FARRELL-BECK, Jane y Colen GAU, Uplift: The Brain America, University of Pennsylvania Press, Filadelfia, 2002.
- FELSTEAD, Alison, Jonathan FRANKLIN y L. PINFIELD, Directory of British Architects, 1834-1900, Mansell, Londres, 1993.
- FERNÁNDEZ-ARMESTO, Felipe, Food: A History, Pan, Londres, 2001.
- FILBY, Frederick A., A History of Food Adulteration and Analysis, George Allen & Unwin, Londres, 1934.
- FLANDERS, Judith, The Victorian House: Domestic Life from Childbirth to Deathbed, Harper Collins, Londres, 2003. —, Consuming Passions: Leisure and Pleasure in Victorian Britain, Harper Perennial, Londres, 2007.
- FLANNERY, Tim, The Weather Makers: The History and Future Impact Climate Change, Text Publishing, Melbourne, 2005. [Hay trad. cast.: La amenaza del cambio climático: historia y futuro, Taurus Ediciones, Madrid, 2006.]
- FLETCHER, Anthony, Growing Up in England: The Experience of Childhood, 1600-1914, Yale University Press, New Haven, 2008.
- FORBES, Esther, Paul Revere and the World He Lived In, Houghton Mifflin, Boston, 1942.
- FORT, Tom, The Grass is Greener: Our Love Affair with the Lawn, HarperCollins, Londres, 2000.
- FORTEY, Adrian, Objects of Desire: Design and Society Since 1750, Thames & Hudson, Londres, 1995.
- FOSS, Michael, The Age of Patronage: The Arts in Society 1660-1750, Hamish Hamilton, Londres, 1971.
- FOWLER, Brenda, Iceman: Uncovering the Life and Times of a Prehistoric Man Found in an Alpine Glacier , Macmillan, Londres, 2001.
- FRASER, Antonia, King Charles II, Weidenfeld & Nicolson, Londres, 1979. —, The Weaker Vessel: Woman’s Lot in Seventeenth-Century England, Phoenix Press, Londres, 1984.
- FREEDMAN, Paul, Out of the East: Spices and the Medieval Imagination, Yale University Press, New Haven, 2008. [Hay trad. cast.: Lo que vino de Oriente: las especias y la imaginación medieval, Universidad de Valencia, Valencia, 2010.]
- GARDINER, Juliet, Wartime: Britain 1939-1945, Headline, Londres, 2004.
- GARRETT, Elisabeth Donaghy, At Home: The American Family 1750-1870, Henry N. Abrams, Nueva York, 1990.
- GARRETT, Laurie, The Coming Plague: Newly Emerging Diseases in a World Out of Balance , Farrar, Straus and Giroux, Nueva York, 1994.
- GASCOIGNE, John, Joseph Banks and the English Enlightenment: Useful Knowledge and Polite Culture , Cambridge University Press, Cambridge, 1994.
- GAYLE, Margot y Carol GAYLE, Cast-Iron Architecture in America: The Significance of James Bogards , W. W. Norton & Co., Nueva York, 1998.
- GELIS, Jacques, History of Childbirth: Fertility, Pregnancy and Birth in Early Modern Europe , Northeastern University Press, Boston, 1991.
- GEORGE, Wilma, Biologist Philosopher: A Study of Life and Writings of Alfred Russel Wallace , Abelard-Schuman, Londres, 1964.
- GERIN, Winifred, Charlotte Bronte: The Evolution of Genius, Claredon Press, Oxford, 1967.
- GILBERT, Christopher, The Life and Works of Thomas Chippendale, Christie’s, Londres, 1978.
- GIROUARD, Mark, Life in the English Country House: A Social and Architectural History , Yale University Press, New Haven, 1978. —, Life in the French Country House, Alfred A. Knopf, Nueva York, 2000.
- GLOAG, John y Derek BRIDGEWATER, A History of Cast Iron in Architecture, George Allen & Unwin, Londres, 1948.
- GLYNN, Ian y Jennifer GLYNN, The Life and Death of Smallpox, Profile Books, Londres, 2004.
- GODFREY, Eleanor S., The Development of English Glassmaking 1560-1640, Clarendon Press, Oxford, 1975.
- GOODWIN, Lorine Swainston, The Pure Food, Drink, and Drug Crusaders, 1879-1914, McFarland & Co., Jefferson, Carolina del Norte, 1999.
- GOSNELL, Mariana, Ice: The Nature, the History, and the Uses of an Astonishing Science , Alfred A. Knopf, Nueva York, 2005.
- GOTCH, J. Alfred, The Growth of the English House: From Early Feudal Times to the Close of the Eighteenth Century (2ª ed.), Batsford, Londres, 1909.
- GRAY, Charlotte, Reluctant Genius: Alexander Graham Bell and the Passion for Invention , Arcade Publishing, Nueva York, 2006.
- GREEN, Charles, Sutton Hoo: The Excavation of a Royal Ship-Burial, Merlin Press, Londres, 1963.
- GREEN, Harvey, The Light of the Home: An Intimate View of the Lives of Women in Victorian America , Pantheon, Nueva York, 1983.
- GREEN, Sally, Prehistorian: A Biography of Vere Gordon Childe, Moonraker Press, Bradford-on-Avon, Wiltshire, 1981.
- GROHSKOPF, Bernice, The Treasure of Sutton Hoo: Ship-Burial for an Anglo-Saxon King, Robert Hale, Londres, 1971.
- GROSVENOR, Edwin S. y Morgan WEESON, Alexander Graham Bell: The Life and Times of the Man Who Invented the Telephone , Harry N. Abrams, Nueva York, 1997.
- GUINESS, Desmonf y Julius TROUSDALE SADLER, Jr., The Palladian Style in England, Ireland and America, Thames & Hudson, Londres, 1976.
- HALLIDAY, Stephen, The Great Stink of London: Sir Joseph Bazalgete and the Cleansing of the Victorian Capital , Sutton Publishing, Stroud, Gloucestershire, 1999.
- HALPERIN, John, The Life of Jane Austen, Johns Hopkins University Press, Baltimore, 1984.
- HANSON, Neil, The Dreadful Judgement: The True Story of the Great Fire of London, 1666 , Doubleday, Londres, 2001. —, The Confident Hope of a Miracle: The True History of the Spanish Armada , Doubleday, Londres, 2003.
- HARDYMENT, Christina, From Mangle to Microwave: The Mechanization of Household Work, Polity Press, Cambridge, 1985. —, Home Comfort: A History of Domestic Arrangements, Viking, Londres, 1992.
- HARRIS, Eileen, Going to Bed, HMSO, Londres, 1981. —, Keeping Warm, Victoria & Albert Museum, Londres, 1982. —, The Genius of Robert Adam: His Interiors, Yale University Press, New Haven, 2001.
- HART-DAVIS, Adam, What the Tudors and Stuarts Did for Us, Boxtree/Pan Macmillan, Londres, 2002.
- HARTLEY, Sir Harold, The Royal Society: Its Origins and Founders Royal Society, Londres, 1960.
- HARVEY, John, English Medieval Architects: A Biographical Dictionary Down to 1550 , B. T. Batsford, Londres, 1954.
- HEADLEY, Gwyn y Wim MEULENKAMP, Follies: A National Trust Guide, Jonathan Cape, Londres, 1986.
- HEFFER, Simon, Moral Desperado: A Life of Thomas Carlyle, Weidenfeld & Nicolson, Londres, 1995.
- HEMLOW, Joyce (ed.), The journals and Letters of Fanny Burney (Madame d’Arblay), vol. 6, Clarendon Press, Oxford, 1975.
- HENDERSOR, W. O., The Life of Friedrich Engels, Frank Cass, Londres, 1976.
- HERBERT, Victor, Nutrition Cultism: Facts and Fictions, George F. Sticley Co., Filadelfia, 1980.
- HIBBERT, Christopher, London: The Biography of a City, William Morrow & Co., Nueva York, 1969. —, The Court at Windsor: A Domestic History, Penguin, Londres, 1982. —, Redcoats and Rebels: The War for America, 1770-1781, Grafton Books, Londres, 1990. —, Elizabeth I: A Personal History of the Virgin Queen, Penguin, Londres, 2001.
- HILL, Rosemary, Stonehenge, Profile Books, Londres, 2008. —, God’s Architect: Pugin and the Building of Romantic Britain, Penguin, Londres, 2008.
- HIRST, Francis W., Life and Letters of Thomas Jefferson, Macmillan, Londres, 2006.
- HIX, John, The Glass House, Phaidon, Londres, 1974.
- HOBSBAWN, E. J., Industry and Empire, Penguin, Londres. [Hay trad. cast.: Industria e imperio: historia de Gran Bretaña desde 1750 hasta nuestros días , Editorial Crítica, Barcelona, 2001.]
- HODDER, Ian, The Leopard Tale: Revealing the Mysteries of Catal Höyük, Thames & Hudson, Londres, 2006.
- HOLDERNESS, B. A., Pre-Industrial England: Economy and Society from 1500 to 1750, J. M. Dent & Sons, Londres, 1976.
- HOLME, Thea, The Carlyles at Home, Persephone, Londres, 2002.
- HORN, Pamela, The Rise and Fall of the Victorian Servant, Gill and Macmillan, Dublín, 1975. —, Pleasures and Pastimes in Victorian Britain, Sutton Publishing, Stroud, Gloucestershire, 1999.
- HOWARTH, Patrick, The Year Is 1851, William Collins Publishers, Londres, 1951.
- HOYT, William G. y Walter B. LANGBEIN, Floods, Princeton University Press, Princeton, Nueva Jersey, 1955.
- HUGHES, Kathryn, The Short Life and Long Times of Mrs. Beeton Fourth Estate, Londres, 2005.
- HUNT, Tristam, Building Jerusalem: The Rise and Fall of the Victorian City, Phoenix, Londres, 2005.
- HUTCHINSON, Horace G., Life of Sir John Lubbock, Lord Avebury Macmillan, Londres, 1914.
- HYAM, Ronald, Britain’s Imperial Century, 1815-1914: A Study of Empire and Expansion , Palgrave/Macmillan, Basingstoke, 2002.
- INWOOD, Stephen, A History of London, Macmillan, Londres, 1998. —, City of Cities: The birth of Modern London, Macmillan, Londres, 2005.
- ISRAEL, Paul, Edison: A Life of Invention, John Wiley & Sons, Nueva York, 1998.
- JACKSON-STOPS, Gervase, The Country House in Perspective, Pavilion, Londres, 1990.
- JACOBS, Jane, The Economy of Cities, Jonathan Cape, Londres. [Hay trad. cast.: La economía de las ciudades, Edicions 62, Barcelona, 1975.]
- JENKINS, David (ed.), The Cambridge History of Western Textiles (2 vols.), Cambridge University Press, Cambridge, 2003.
- JENNINGS, Anthony, The Old Rectory: The Story of the English Parsonage, Continuum, Londres, 2009.
- JESPERSEN, Otto, Growth and Structure of the English Language(9ª ed.), Doubleday, Garden City, Nueva York, 1956.
- JOHN, Eric, Reassessing Anglo-Saxon England, Manchester University Press, Manchester, 1996.
- JOHNSON, Malcolm, St. Martin-in-the-Fields, Phillimore & Co., Chichester, Sussex, 2005.
- JOHNSON, Matthew, Housing Culture: Traditional Architecture in an English Landscape , UCL, Londres, 1993.
- JOHNSTON, Shirley, Palm Beach Houses, Rizzoli International, Nueva York, 1991.
- JOKILEHTO, Jukka, A History of Architectural Conservation, Butterworth-Heinemann, Oxford, 1999.
- JONES, Maldwyn Allen, American Immigration, University of Chicago Press, Chicago, 1960.
- JUPP, Peter C. y Ciare GITTINGS, Death in England, Manchester University Press, Manchester, 1999.
- KAY, Jane Holtz, Lost Boston, Houghton-Mifflin, Boston, 1990.
- KEAY, John, The Spice Route: A History, John Murray, Londres, 2005.
- KELLY, Alison, The Book of English Fireplaces, Country Life Books, Londres, 1968. —, Mrs. Coade’s Stone, Self Publishing Association/Georgian Group, Upton-upon-Severn, 1999.
- KELLY, Ian, Beau Brummell: The Ultimate Dandy, Hodder & Stoughton, Londres, 2005.
- KENEALLY, Thomas, The Great Shame and the Triumph of the Irish in the English-Speaking World , Nan Talese/Doubleday, Nueva York, 1999.
- KING, Ross, The Judgement of Paris: The Revolutionary Decade That Gave the World Impressionism , Walker & Co., Nueva York, 2006.
- KIPPLE, Kenneth E, y K. C. ORNELAS (eds.), The Cambridge World History of Food, Cambridge University Press, Cambridge, 2000.
- KISSELOFF, Jeff, You Must Remember This: An Oral History of Manhattan from the 1890s to World War II , Harcourt Brace Jovanovich, Nueva York, 1989.
- KOSTOF, Spiro, America by Design, Oxford University Press, Nueva York, 1987.
- KOVEN, Seth, Slumming: Sexual and Social Politics in Victorian London, Princeton University Press, Princeton, Nueva Jersey, 2004.
- KRONENBERG, Louis (ed.), Atlantic Brief: Lives: A Biographical Companion to the Arts, Atlantic Monthly Press, Boston, 1965.
- KURLANSKY, Mark, Salt: A World History, Vintage, Londres. [Hay trad. cast.: Sal: historia de la única piedra comestible, Ediciones Península, Barcelona, 2003.] —, The Big Oyster: New York in the World, A Molluscar History, Jonathan Cape, Nueva York, 2006.
- KYVIG, David E., Daily Life in the United States, 1920-1939, Greenwood Press, Westport, Connecticut, 2002.
- LACEY, Robert, Sir Walter Raleigh, History Book Club, Londres, 1973. —, y Danny DAZINGER, The Year 1000: What Life Was Like at the Turn of the First Millennium , Abacus, Londres, 2003.
- LAING, Alastair, Lightning: The Arts and Living, Victoria & Albert Museum, Londres, 1982.
- LAING, Lloyd, The Archaeology of Late Celtic Britain and Ireland, c. 400-1200 AD , Methuen, Londres, 1975.
- LAMB, H. H., Historic Storms of the North Sea, British Isles and Northwest Europe , Cambridge University Press, Cambridge, 1991.
- LAMBTON, Lucinda, Vanishing Victoriana, Elsevier/Phaidon, Londres, 1976. —, Lucinda Lambton’s A to Z of Britain, Elsevier/Phaidon, Londres, 1996.
- LANCASTER, John, Engineering Catastrophes: Causes and Effects of Major Accidents, Abington Publishing, Cambridge, 1997.
- LARWOOD, Jacob, The Story of London’s Parks, Chatto & Windus, Londres, 1881.
- LASDUN, Susan, The English Park: Royal, Private and Public, Andre Deutsch, Londres, 1991.
- LASLETT, Peter, The World We Have Lost: England Before the Industrial Age (2ª ed.), Scribner, Nueva York, 1993.
- LEAHY, Kevin, Anglo-Saxon Crafts, Tempus, Londres, 2003.
- LEAPMAN, Michael, The World for a Shilling: How the Great Exhibition of 1851 Shaped a Nation , Headline, Londres, 2001. —, Inigo: The Troubled Life of Inigo Jones, Architect of the English Renaissance , Headline, Londres, 2003.
- LEES-MILNE, James, Earls of Creation: Five Great Patrons of Eighteenth-Century Art, Hamish Hamilton, Londres, 1962.
- LEVI, Peter, The Life and Times of William Shakespeare, Macmillan, Londres, 1998.
- LEWIS, R. A., Edwin Chadwick and the Public Health Movement, 1832-1854, Longmans, Green and Co., Londres, 1952.
- LIND, Carla, The Lost Buildings of Frank Lloyd Wright, Thames & Hudson, Londres, 1996.
- LINDSAY, Jack, 1764: The Hurlyburly of Daily Life Exemplified in One Year of the Eighteenth Century , Frecerick Muller, Londres, 1959.
- LINGEMAN, Richard, Small Town America: A Narrative history 1620-The Present, G. P. Putman’s Sons, Nueva York, 1980.
- LITTLE, Lester D. (ed.), Plague at the End of Antiquity: The Plague of 541-750, Cambridge University Press, Cambridge, 2007.
- LITTLEJOHN, David, The Fate of the English Country House, Oxford University Press, Oxford, 1997.
- LOFTS, Nora, Life in England, Weidenfeld & Nicolson, Londres, 1976.
- LONGFORD, Elizabeth, Wellington: A New Biography, Sutton Publishing, Stroud, Gloucestershire, 2001.
- LOUDON, Mrs., Practical Instructions in Gardening for Ladies, John Murray, Londres, 1841.
- LOVILL, Justin (ed.), Ringing Church Bells to Ward Off Thunderstorms and Other Curiosities from the Original Notes and Queries , Bunbury Press, Londres, 2009.
- LUBBOCK, Jules, The Tiranny of Taste: The Politics of Architecture and Design in Britain 1550-1960 , Yale University Press, New Haven, 1995.
- LUCIE-SMITH, Edward, Furniture: A Concise History, Oxford University Press, Nueva York. [Hay trad. cast.: Breve historia del mueble, Ediciones Destino, Barcelona, 1998.]
- LUYRETTE, Henry, Gustave Eiffel, Rizzoli International, Nueva York, 1985.
- LYNES, Russell, The Domesticated Americans, Harper & Row, Nueva York, 1963.
- MCCURDY, Howard E., Space and the American Imagination, Smithsonian Institution Press, Washington, 1997.
- MCCUSKER, John J. y Russell R. MENARD, The Economy of British America, 1607-1789, University of North Carolina Press, Chapel Hill, 1985.
- MCGEE, Harold, On Food and Cooking: The Science and Lore of the Kitchen, Unwin Hyman, Londres, 1986. [Hay trad. cast.: La cocina y los alimentos: enciclopedia de la ciencia y la cultura de la comida , Editorial Debate, Barcelona, 2007.]
- MACINNIS, Peter, The Killer Beans of Calabar and Other Stories, Allen & Unwin, Sydney, 2004.
- MACKAY, James A., Sounds Out of Silence: A Life of Alexander Graham Bell, Mainstream Publishing, Edimburgo, 1997.
- MCLAUGHLIN, Jack, Jefferson and Monticello: The Biography of a Builder, Henry Holt, Nueva York, 1997.
- MCPHEE, John, In Suspect Terrain, Noonday Press/Farrar, Straus & Giroux, Nueva York, 1987.
- MCWILLIAMS, James E., A Revolution in Eating: How the Quest for Food Shaped America, Columbia University Press, Nueva York, 2005.
- MANN, Charles C., 1491: New Revelations of the Americas Before Columbus, Vintage, Nueva York, 2005. [Hay trad. cast.: Una nueva historia de América antes de Colón, Taurus Ediciones, Madrid, 2006.]
- MARGETSON, Stella, The Long Party: High Society in the Twenties and Thirties, Heath, Farnborough, 1974.
- MARK, Robert, Light, Wind and Structure: The Mystery of the Master Builders, MIT Press, Cambridge, Massachusetts, 1990.
- MARSDEN, Christopher, The English at the Seaside, Collins, Londres, 1947.
- MARSTON, Maurice, Sir Edwin Chadwick, Leonard Parsons, Londres, 1925.
- MATHIAS, Peter, The First Industrial Nation: An Economic History of Britain, 1700-1914 (2ª ed.), Methuen, Londres, 1983.
- MATTHEWS, Leonard H. (ed.), The Whale, George Allen & Unwin, Londres, 1968.
- MEACHAM, Standish, Life Apart: The English Working Class 1880-1914, Thames & Hudson, Londres, 1977.
- MELOSI, Martin V., Garbage in the Cities: Refuse, Reform and the Environment 1880-1980 , Texas A&M University Press, College Station, 1980. —, The Sanitary City: Urban Infrastructure in America from Colonial Times to the Present , Johns Hopkins University Press, Baltimore, 2000.
- MENNIM, Michael, Hall Houses, William Sessions, York, 2005.
- MERCER, David, The Telephone: The Life Story of a Technology, Greenwood Press, Westport, Connecticut, 2006.
- MERCER, Eric, Forniture 700-1700, Weidenfeld & Nicolson, Londres, 1969.
- MILES, David, The Tribes of Britain, Weidenfeld & Nicolson, Londres, 2005.
- MILLER, Ross, American Apocalypse: The Great Fire and the Myth of Chicago, University of Chicago Press, Chicago, 1990.
- MINGAY, G. E. (ed.), The Agricultural Revolution: Changes in Agriculture 1650-1880, Adam & Charles Black, Londres, 1997.
- MITCHELL, James K. y Kenichi SOGA, Fundamentals of Soil Behavior, John Wiley & Sons, Nueva York, 2005.
- MITFORD, Nancy, The Sun King: Louis XIV at Versailles, Sphere, Londres, 1969. [Hay trad. cast.: El Rey Sol: Luis XIV en Versalles, Noguer Ediciones, Barcelona, 1976.]
- MORAN, Joe, Queuing for Begginers: The Story of Daily Life from Breakfast to Bedtime , Profile Books, Londres, 2007.
- MORDANT CROOK, J., The Rise of the Noveaux Riches: Style and Status in Victorian and Edwardian Architecture , John Murray, Londres, 1999.
- MORLEY, John, Death, Heaven and the Victorians, Studio Vista, Londres, 1971.
- MORRIS, Richard, Churches in the Landscape, J. M. Dent & Sons, Londres, 1989.
- MOWL, Timothy, William Beckford: Composing for Mozart, John Murray, Londres, 1998.
- MOXHAM, Roy, Tea: Addiction, Exploitation, and Empire, Constable, Londres, 2003.
- MUMFORD, Lewis, The City in History: Its Transformation and its Prospects, Sector & Warbug, Londres, 1961. [Hay trad. cast.: La ciudad en la historia, Infinito, Buenos Aires, 1966.]
- NASAW, David, Going Out: The Rise and Fall of Public Amusements, Basic Books, Nueva York, 1993.
- NEWMAN, Lucile F. (ed.), Hunger in History: Food Shortage, Poverty and Deprivation, Basil Blackwell, Oxford, 1990.
- NEWTON, Norman T., Design on the Land: The Development of Landscape Architecture, Belknap Press, Cambridge, Massachusetts, 1971.
- OAKLEY, J. Ronald, God’s Country: America in the Fifties, Dembner Books, Nueva York, 1986.
- OLIPHANT, Margaret, The Curate in Charge (2ª ed.), MacMillan, Londres, 1876.
- OLMSTED, Frederick Law, Walks and Talks of an American Farmer in England, David Bogue, Londres, 1852.
- OLSON, Sherry H., Baltimore: The Building of an American City, Johns Hopkins University Press, Baltimore, 1980.
- ORDISH, George, The Great Wine Blight, Sidgwick & Jackson, Londres, 1987.
- OWEN, David, The Walls Around Us: The Thinking Person’s Guide to How a House Works , Villard, Nueva York, 1992. —, Sheetrock & Shellac: A Thinking Person’s Guide to the Art and Science of Home Improvement , Simon & Schuster, Nueva York, 2006.
- OWEN-CROCKER, Gale R., Dress in Anglo-Saxon England, Boydell Press, Londres, 1986.
- PALLADIO, Andrea, The Four Books of Architecture(facsímil), Isaac Ware, Londres, 1736. [Hay trad. cast.: Los cuatro libros de la arquitectura, Akal, Madrid, 2008.]
- PALMER, Arlene, Glass in Early America, W. W. Norton, Nueva York, 1993. PARISSIEN, Steven, Adam Style, Phaidon, Londres, 1992. —, Palladian Style, Phaidon, Londres, 1994. —, The Georgian House, Aurum Press, Londres, 1995.
- PASTON-WILLIAMS, Sara, The Art of Dining: A History of Cooking and Eating, National Trust, Londres, 1993.
- PATTON, Mark, Science, Politics and Business in the Work of Sir John Lubbock: A Man of Universal Mind , Ashgate, Aldershot, 2007.
- PEATROSS, C. Ford (ed.), Historic America: Buildings, Structures and Sites, Library of Congress, Washington, D. C., 1983.
- PETERSEN, Christian, Bread and the British Economy, circa 1770-1870, Scolar Press, Aldershot, 1995.
- PETROSKI, Henry, The Evolution of Useful Things, Vintage Books, Nueva York, 1994.
- PETTIGREW, Jane, Tea: A Social History, National Trust, Londres, 2001.
- PICARD, Liza, Elizabeth’s London: Everyday Life in Elizabethan London, Orion Books, Londres, 2003. —, Restoration London, Weidenfeld & Nicolson, Londres, 1997. —, Dr. Johnson’s London: Life in London, 1740-1770, Weidenfeld & Nicolson, Londres, 2000. —, Victorian London: The Life of a City 1840-1870, Phoenix, Londres, 2005.
- PIPONNIER, Francoise y Perrine MANE, Dress in the Middle Ages, Yale University Press, New Haven, 1997.
- PLANEL, Philippe, Locks and Lavatories: The Architecture of Privacy English Heritage , Londres, 2000.
- PLATT, Colin, The Architecture of Medieval Britain: A Social History, Yale University Press, New Haven, 1990.
- PLUMRIDGE, Andrew y Wim MEULENKAMP, Brickwork: Architecture and Design, Harry N. Abrams, Nueva York, 1993.
- POLLAN, Michael, The Omnivore’s Dilemma: A Natural History of Four Meals, Penguin Books, Londres, 2007.
- PORTER, Roy, Flesh in the Age of Reason, Allen Lane, Londres, 2003.
- POSTGATE, Raymond, Story of a Year: 1848, Jonathan Cape, Londres, 1955.
- PRYCE, Will, Buildings in Wood: The History and Traditions of Architecture’s Oldest Building Material , Rizzoli International, Nueva York, 2005. [Hay trad. cast.: Arquitectura de Madera: historia universal, Art Blume, Barcelona, 2006.]
- PULLAR, Philippa, Consuming Passions: A History of English Food and Appetite, Book Club Associates, Londres, 1977.
- QUINEY, Anthony, Town Houses of Medieval Britain, Yale University Press, New Haven, 2003.
- RABY, Peter, Alfred Russel Wallace: A Life, Chatto & Windus, Londres, 2001.
- RACKHAM, Oliver, The History of the Countryside, J. M. Dent & Sons, Londres, 1986.
- RAPPORT, Mike, 1848: Year of Revolution, Basic Books, Nueva York, 2008.
- RATHJE, William y Cullen MURPHY, Rubbish! The Archaeology of Garbage, University of Arizona Press, Tucson, 2001.
- READER, John, Cities, William Heinemann, Londres, 2004. —, Propitious Esculent: The Potato in World History, William Heinemann, Londres, 2008.
- REYNOLDS, Andrew, Later Anglo-Saxon England: Life and Landscape, Sutton Publishing, Stroud, Gloucestershire, 1999.
- REYNOLDS, Reginald, Beds, With Many Noteworthy Instances of Lying On, Under or About Them , Andre Deutsh, Londres, 1952.
- RIBEIRO, Aileen, Dress in Eighteenth-Century Europe, 1715-1789, B. T. Batsford, Londres, 1984.
- RICHARDSON, Tim, The Arcadian Friends: Inventing the English Landscape, Bantam Press, Londres, 2007.
- RIIS, Jacob A., How the Other Half Lives: Studies Among the Poor, Sampson Low, Marston, Searle & Rivington, Londres, 1891.
- RIVERS, Tony, Dan CRUICKSHANK, Gillian DARLEY y Martin PAWLEY, The Name of the Room: A History of the British House and Home, BBC, Londres, 1992.
- ROACH, Mary, Bonk: The Curious Coupling of Sex and Science, W. W. Norton & Co., Nueva York, 2008.
- ROMER, John, The History of Archaeology, Facts on File, Nueva York, 2001.
- ROOT, Waverley y Richard DE ROCHEMONT, Eating in America: A History, William Morrow, Nueva York, 1976.
- ROSE, Michael, The English Poor Law 1780-1930, David & Charles Newton Abbot, 1971.
- ROSENTHAL, Joel T. (ed.), Essays on Medieval Childhood: Responses to Recent Debates, Shaun Tyas, Donington, Lincolnshire, 2007.
- ROTH, Leland M., American Architecture: A History, Westview Press, Boulder, Colorado, 2001.
- ROUCHECHÉ, Berton, Curiosities of Medicine: An Assembly of Medical Diversions 1552-1962 , Victor Gollanz, Londres, 1963.
- RUSSELL, E. John, A History of Agricultural Science in Great Britain: 1620-1954, George Allen & Unwin, Londres, 1966.
- RYBCZYNSKI, Witold, Home: A Short History of an Idea, Pocker Books, Londres, 1987. [Hay trad. cast.: La casa: historia de una idea, Editorial Nerea, San Sebastián, 1997.] —, Waiting for the Weekend, Viking, Nueva York, 1991. [Hay trad. cast.: Esperando el fin de semana, Publicaciones y Ediciones Salamandra, Barcelona, 1992.] —, City Life: Urban Expectations in a New World, Scribner, Londres, 1995. —, A Clearing in the Distance: Frederick Law Olmsted and America in the Nineteenth Century , Scribner, Nueva York, 1999. —, The Look of Architecture, Oxford University Press, Nueva York, 2001. —, The Perfect House: A Journey with the Renaissance Master Andrea Palladio , Scribner, Nueva York, 2002.
- SALMON, Frank, Building on Ruins: The Rediscovery of Rome and English Architecture , Ashgate Press, Aldershot, 2000.
- SALVADORI, Mario, Why Buildings Stand Up: The Strength of Architecture, W. W. Norton, Nueva York, 1980. —, y Matthys LEVY, Structural Design in Architecture, Prentice-Hall, Englewood Cliffs, Nueva Jersey, 1967.
- SAMBROOK, Pamela A., The Country House Servant, Sutton Publishing/National Trust, Stroud, Gloucestershire, 2004.
- SAVIDGE, Alan, The Parsonage in England: Its History and Architecture, SPCK, Londres, 1964.
- SCHELLER, William G., Barons of Business: Their Lives and Lifestyles, Beaux Arts Editions, Los Ángeles, 2002.
- SCHLERETH, Thomas J., Victorian America: Transformations in Everyday Life, 1876-1915, HarperCollins, Nueva York, 1991.
- SCHNEER, Jonathan, The Thames: England’s River, Little, Brown, Londres, 2005.
- SCHOFIELD, John, Medieval London Houses (2ª ed.), Yale University Press, New Haven, 2003.
- SCOTT, Geoff, Building Disasters and Failures: A Practical Report, T. Werner Laurie, Ltd., Londres, 1939.
- SELINUS, Olle, Essentials of Medical Geology: Impacts of the Natural Environment on Public Health , Elsevier, Amsterdam, Elsevier, 2005.
- SHAPIRO, Laura, Something from the Oven: Reinventing Dinner in 1950s America, Viking, Nueva York, 2004.
- SHORTER, Edward, The Making of the Modern Family, Collins, Londres, 1976.
- SIMMONS, I. G., An Environmental History of Great Britain from 10, 000 Years Ago to the Present , Edinburgh University Press, Edimburgo, 2001. —, Global Environmental History: 10, 000 BC to AD 2000, Edinburgh University Press, Edimburgo, 2008.
- SIMO, Melanie L., London and the Landscape: From Country Seat to Metropolis, Yale University Press, Nueva York, 1988.
- SINCLAIR, David, The Pound: A Biography, Century, Londres, 2000.
- SKAGGS, Jimmy M., The Great Guano Rush: Entrepreneurs and American Overseas Expansion , St. Martin’s Press, Nueva York, 1994.
- SMITH, Anthony, The Body, George Allen & Unwin, Londres, 1968. [Hay trad. cast.: El cuerpo humano: el increíble viaje desde el nacimiento a la muerte , Ediciones Folio, Barcelona.]
- SMITH, Bernard J. y Patricia A. WARKE (eds.), Processes of Urban Stone Decay, Donhead, Londres, 1995.
- SMOLLETT, Tobias, The Expedition of Humphry Clinker, University of Georgia Press, Athens, Georgia, 1990.
- SOKOLOV, Raymond, Why We Eat What We Eat, Summit Books, Nueva York, 1991.
- SOLNIT, Rebecca, Wanderlust: A History of Walking, Verso, Londres, 2002.
- SOUTHERN, R. W., The Making of the Middle Ages, Hutchinson’s University Library, Londres, 1953.
- SPANN, Edward K., The New Metropolis: New York City, 1840-1857, Columbia University Press, Nueva York, 1981.
- SPROULE, Anna, Lost Houses of Britain, David & Charles, New Abbot, 1982.
- STANDAGE, Tom, A History of the World in Six Glasses, Walke & Co., Nueva York, 2005. [Hay trad. cast.: La historia del mundo en seis tragos, Editorial Debate, Barcelona, 2006.]
- STARKEY, David, Elizabeth: The Struggle for the Throne, HarperCollins, Londres, 2001.
- STEELE, Valerie, Fashion and Eroticism: Ideals of Feminine Beauty from the Victorian Era to the Jazz Age , Oxford University Press, Nueva York, 1985. —, The Corset: A Cultural History, Yale University Press, New Haven, 2001.
- STEINBACH, Susie, Women in England, 1760-1914: A Social History, Weidenfeld & Nicolson, Londres, 2004.
- STEINGARTEN, Jeffrey, The Man Who Ate Everything: And Other Gastronomic Feats, Disputes, and Pleasurable Pursuits , Alfred A. Knopf, Nueva York, 1998.
- STENTON, F. M., Anglo-Saxon England, Clarendon Press, Oxford, 1971.
- STERN, Robert A. M., Pride of Place: Building the American Dream, Houghton-Mifflin, Boston, 1986.
- STEWART, Amy, The Earth Moved: On the Remarkable Achievements of Earthworms, Frances Lincoln, Londres, 2004.
- STEWART, Rachel, The Town House in Georgian London, Yale University Press, New Haven, 2009.
- STRASSER, Susan, Never Done: A History of American Housework, Pantheon, Nueva York, 1982.
- STRINGER, Chris, Homo Britannicus: The Incredible Story of Human Life in Britain, Allen Lane, Londres, 2006.
- STRONG, Roy, Tudor and Jacobean Portrait, HMSO, Londres, 1960. —, A Little History of the English Country Church, Vintage Books, Londres, 2008.
- STROUD, Dorothy, Capability Brown, Faber and Faber, Londres, 1999.
- SULLIVAN, Robert, Rats: A Year with New York’s Most Unwanted Inhabitants, Granta, Londres, 2005.
- SUMMERSON, John, Architecture in Britain 1530 to 1830, Penguin, Londres, 1963. —, The Unromantic Castle and Other Essays, Thames & Hudson, Londres, 1990. —, The Life and Work of John Nash, Architect, Allen & Unwin, Londres, 1980.
- SUTHERLAND, Daniel E., The Expansion of Everyday Life, 1860-1876, Harper & Row, Nueva York, 1986.
- TANNANHILL, Reay, Food in History, Eyre Methuen, Londres, 1973. —, Sex in History, Abacus, Londres, 1981.
- TAYLOR, Christopher, Village and Farmstead: A History of Rural Settlement in England, George Philip & Son, Londres, 1983.
- TAYLOR, Derek, Ritzy: British Hotels 1837-1987, Milman Press, 2003.
- TEMPLER, John A., The Staircase: Studies of Hazards, Falls and Safer Design, MIT Press, Cambridge, Massachusetts, 1992.
- THANE, Elswyth, Potomac Squire, Duell, Sloan and Pearce, Nueva York, 1963.
- THOMAS, Charles, Celtic Britain, Thames & Hudson, 1936.
- THOMPSON, E. P., The Making of the English Working Class, Penguin, Londres, 1968.
- THOMPSON, F. M. C. (ed.), The Cambridge Social History of Britain 1750-1950 (vol. 2), Cambridge University Press, Cambridge, 1990.
- THOMPSON, M. W., General Pitt-Rivers: Evolution and Archaeology in the Nineteenth Century , Moonraker Press, Bradford-on-Avon, 1977.
- THORNTON, Peter, Seventeenth-Century Interior Decoration in England, France and Holland, Yale University Press, New Haven, 1979.
- THURBER, James, The Years with Ross, Ballantine Books, Nueva York, 1972.
- THURLEY, Simon, Hampton Court: A Social and Architectural History, Yale University Press, New Haven, 2003. —, Lost Buildings of Britain, Viking, Londres, 2004.
- TINNISWOOD, Adrian, The Polite Tourist: A History of Country House Visiting, National Trust, Londres, 1989.
- TIPPER, Jess, The Grubenhaus in Anglo-Saxon England: An Analysis and Interpretation of the Evidence from a Most Distinctive Building Type , Landscape Research Centre, Yedingham, North Yorkshire, 2004.
- TOMALIN, Claire, Samuel Pepys: The Unequalled Self, Viking, Londres, 2002.
- TOY, Edward, T., Getting Dressed, Victoria & Albert Museum, Londres, 1981.
- TRAILL, David A., Schliemann of Troy: Treasure and Deceit, John Murray, Londres, 1995.
- TREVELYAN, G. M., Illustrated English Social History, Volume 3: The Eighteenth Century , Penguin, Londres, 1966.
- TRIGGER, Bruce, G., Gordon Childe: Revolutions in Archaeology, Thomas & Hudson, Londres, 1980. [Hay trad. cast.: Revolución arqueológica: el pensamiento de Gordon Childe, Fontamara, Barcelona, 1982.]
- TROLLOPE, Frances, Domestic Manners of the Americans, Alfred A. Knopf, Nueva York, 1949.
- TUCHMAN, Barbara, A Distant Mirror: The Calamitous Fourteenth Century, Knof, Nueva York [Hay trad. cast.: Un espejo lejano: el calamitoso siglo XIV, Península, Barcelona, 2000.]
- TUNIS, Edwin, Colonial Living, World Publishing, Cleveland, Ohio, 1957.
- TURNER, Jack, Spice: The History of a Temptation, Vintage, Londres, 2005.
- TURNER, Roger, Capability Brown and the Eighteenth-Century English Landscape, Phillimore, Londres, 1999.
- UGLOW, Jenny, A Little History of British Gardening, Chatto & Windus, Londres, 2004.
- UPTON, Dell y John Michael VLATCH (eds.), Common Places: Readings in American Vernacular Architecture, University of Georgia Press, Georgia, 1986.
- VANDERBILT II, Arthur, Fortune’s Children: The Fall of the House Vanderbilt, Michael Joseph, Londres, 1990.
- VAN DULKEN, Stephen, Inventing the Nineteenth Century: The Great Age of Victorian Inventions , British Library, Londres, 2001.
- VIDAL, Gore, The Last Empire: Essays 1992-2000, Doubleday, Nueva York, 2001.
- VINTEN-JOHANSEN, Peter, Howard BRODY, Nigel PANETH, Stephen RACHMAN y Michael RIP, Cholera, Chloroform, and the Science of Medicine: A Life of John Snow , Oxford University Press, Oxford, 2003.
- VITRUBIO POLIÓN, Marco, The Ten Books of Architecture, Harvard University Press, Cambridege Mass., 1914. [Hay trad. cast.: Los diez libros de la arquitectura, Alianza Editorial, Madrid, 2009.]
- WAGNER, Gillian, Barnardo, Weidenfeld & Nicolson, Londres, 1979.
- WALLER, John, The Real Oliver Twist: Robert Blincoe, A Life That Illuminates an Age , Icon Books, Cambridge, 2005.
- WARE, Susan (ed.), Forgotten Heroes, Free Press, Nueva York, 1998.
- WARNER, Jessica, Craze: Gin and Debauchery in an Age of Reason, Four Walls Eight Windows, Nueva York, 2002.
- WATKIN, David, Regency: A Guide and Gazetteer, Barrie & Jenkins, Londres, 1982.
- WATTS, Sheldon, Epidemics and History: Disease, Power and Imperialism, Yale University Press, New Haven, 1997. [Hay trad. cast.: Epidemias y poder: historia, enfermedad, imperialismo, Editorial Andrés Bello, Barcelona, 2000.]
- WAUGH, Alexander, Fathers and Sons, Review Books, Londres, 2004.
- WEBSTER, Robin, G. M. (ed.), Stone Cleaning and the Nature, Soiling and Decay Mechanisms of Stone , Donhead, Londres, 1992.
- WEIGHTMAN, Gavin, The Frozen-Water Trade: A True Story, Hyperion, Nueva York, 2003. —, The Industrial Revolutionaries: The Creation of the Modern World, 1776-1914 , Atlantic Books, Londres, 2007.
- WEINREB, Ben y Christopher HOBBERT, The London Encyclopaedia, Macmillan, Londres, 1985.
- WEISMAN, Alan, The World Without US, Virgin Books, Londres. [Hay trad. cast.: El mundo sin nosotros, Editorial Debate, Barcelona, 2007.]
- WEST, Anthony James, The Shakespeare First Folio: The History of the Book (2 vols.), Oxford University Press, Oxford, 2001.
- WHARTON, Edith y Ogden CODMAN Jr., The Decoration of Houses, W. W. Norton, Nueva York, 1998.
- WHEEN, Francis, Karl Marx, Fourth Estate, Londres, 1999. [Hay trad. cast.: Karl Marx, Editorial Debate, Barcelona, 2000.]
- WHITE, Gilbert, The Natural History of Selborne, Penguin, Londres, 1977.
- WILBUR, Marguerite Eyer, The East India Company and the British Empire in the Far East, Richard R. Smith, Nueva York, 1945.
- WILKINSON, Philip, The Shock of the Old: A Guide to British Buildings, Channel 4 Books, London, 2001.
- WILLES, Margaret, Reading Matters: Five Centuries of Discovering Books, Yale University Press, New Haven, 2008.
- WILSON, Bee, Swindled: From Poison Sweets to Counterfeit Coffee – the Dark History of the Food Cheats , John Murray, Londres, 2008.
- WINKLE, Kenneth J., The Young Eagle: The Rise of Abraham Lincoln, Taylor Trade Publishing, Dalias, 2001.
- WISE, Sarah, The Italian Boy: Murder and Grave-Robbery in 1830s, London, Jonathan Cape, Londres, 2004.
- WOLMAR, Christine, Fire and Steam: How the Railway Transformed Britain, Atlantic Books, Londres, 2007.
- WOOD, Margaret, The English Medieval House, Bracken Books, Londres, 1983.
- WOOD, Peter, Poverty and the Workhouse in Victorian Britain, Sutton Publishing, Stroud Gloucestershire, 1991.
- WOODFORDE, John, The History of Vanity, St. Martin’s Press, Londres, 1992.
- WOOLF, Virginia, The London Scene, Snow Books, Londres. [Hay trad. cast.: Escenas de Londres, Editorial Lumen, Barcelona, 1986.]
- WORSLEY, Giles, England’s Lost Houses from the Archives of Country Life, Aurum Press, Londres, 2002.
- WRIGHT, Lawrence, Warm and Snug: The History of the Bed, Routledge & Kegan Paul, Londres, 1962. [Hay trad. cast.: Caliente y confortable: historia de la cama, Noguer Ediciones, Barcelona, 1964.]
- Clean and Decent: The Fascinating History of the Bathroom and the Water-Closet , Penguin, Londres, 2000. [Hay trad. cast.: Pulcro y decente: la interesante y divertida historia del cuarto de baño y del W. C. , Noguer Ediciones, Barcelona, 1962.]
- WRIGHT, Ronald, A short History of Progress, Anansi Press, Toronto, 2004. [Hay trad. cast.: Breve historia del progreso: ¿hemos aprendido por fin las lecciones del pasado ?, Ediciones Urano, Barcelona, 2006.]
- YAFA, Stephen, Cotton: The Biography of a Revolutionary Fiber, Penguin, Nueva York, 2006.
- YARWOOD, Doreen, The Architecture of England: From Prehistoric Times to the Present Day , B. T. Bastford, Londres, 1963.
- YERGIN, Daniel, The Prize: The Epic Quest for Oil, Money and Power, Simon & Schuster, Nueva York, 1991.
- YOUINGS, Joyce, Sixteenth Century England, Penguin, Londres, 1984.
Para Notas, Fuentes y bibliografía; visite Bibliografía completa
Introducción: «Esperando a la reina»: ilustración procedente de Dickinson’s Comprehensive Pictures of the Great Exhibition in 1851, 1854; Getty Images.Capítulo 2, 1: Vere Gordon Childe, Skara Brae, islas Oreadas, 1930: © RCA-HMS (Ver Gordon Childe Collection). Concede la licencia: www.rcahms.gov.uk
Capítulo 3, 1: Un banquete medieval, 1491, grabado en madera alemán: Colección privada/The Bridgeman Art Library Nationality.
Capítulo 4, 2: Farmer Giles’ Establishment, Christmas Day 1800, aguafuerte de William Heath publicado en 1830: Science Museum Pictorial.
Capítulo 5, 1: Hannah Cullwick, fotografiada por Arthur Munby; limpiando zapatos, 1864; con cubo y regadera, 1864; fregando escaleras, 1872; como deshollinadora, 1862: Trinity College Library, Cambridge.
Capítulo 6, 1: Family Group(Grupo familiar), dibujo a la pluma de John Harden, 1804: por cortesía de la National Library of Scotland.
Capítulo 7, 1: The Great Western Hall leading to the Grand Saloon or Octagon, Fonthill Abbey, grabado de la escuela de George Cattermole, 1823: Colección Privada/The Stapleton Collection/The Bridgeman Art Library Nationality.
Capítulo 8, 3: «Cristalería, incluyendo decantadores, jarras para vino clarete y una jarra para el agua», de The Book of Household Management de Isabella Mary Beeton, 1892: © 2009 The British Library Board.
Capítulo 9, 2: «Sobre Londres desde una baranda», grabado de Gustave Doré extraído de London: A Pilgrimage de Gustave Doré y Blanchard Jerrold, 1872.
Capítulo 10, 1: La Torre Eiffel en construcción a ciento diez metros de altura, París, 1888: Topfoto/Roger-Viollet.
Capítulo 11, 1: Patente de la ratonera Little Nipper inventada por James Henry Atkinson, presentada el 27 de junio de 1899 y publicada como GB 13277/1899: © British Library Board.
Capítulo 12, 1: The Rake’s Levée, lámina segunda de «La vida de un libertino» de William Hogarth, (1967-1764): Guildhall Library, City of London/The Bridgeman Art Library Nationality.
Capítulo 13, 1: Boceto de la Villa Rotonda, Vicenza, por sir Charles Barry, 1820: colección de dibujos de la RIBA Library; y grabado del siglo XIX de Monticello, Virginia.
Capítulo 14, 1: «Perspectiva de una escalera», extraído de A complet treatise on perspective de Thomas Malton, 1779: colección de fotografías de la RIBA Library.
Capítulo 15, 1: «Anillo uretral de cuatro puntas», de On the Pathology and Treatment of Spermatorrhoea, de John Laws Milton, 1887: Wellcome Library, Londres.
Capítulo 16, 2: Construcción de los grandes túneles de alcantarillado cerca de Old Ford, Bow, 1859-1865, grabado en madera: Wellcome Library, Londres.
Capítulo 17, 1: Miss Prattle Consulting Doctor Double Fee about her Pantheon Head Dress , 1772, dibujo anónimo en media tinta: Wellcome Library, Londres.
Capítulo 18, 1: Mujer dando a luz, grabado en madera anónimo, 1711: Wellcome Library, Londres.
Capítulo 19, 1: John Lubbock, primer barón de Avebury, viñeta de Edward Linley Sambourne, Punch, 19 de agosto de 1882.
Notas:
Gracias al apoyo de Evelyn, Gibbons tuvo un gran éxito, pero su riqueza la obtuvo dirigiendo un taller que producía esculturas y mampostería. Fue Gibbons, al parecer, quien tuvo la idea de representar a los héroes británicos como estadistas romanos, vestidos con toga y sandalias, una iniciativa que puso muy de moda sus trabajos de mampostería. Aunque en la actualidad está considerado como el mejor tallista en madera de la modernidad, no fue especialmente famoso por ello en vida. Para Blenheim Palace, Gibbons produjo trabajos de mampostería decorativa por valor de 4.000 libras, y tallas de madera por un valor de sólo 36 libras. Parte del motivo por el que sus suntuosas tallas de madera son tan valoradas hoy en día es porque son muy escasas.