En busca de las ondas de gravitación
Paul Davies
La búsqueda de las ondas gravitatorias es un episodio apasionante y algo pintoresco del desarrollo de la ciencia y de la tecnología de las últimas décadas. Pocos físicos dudan de la existencia real de ondas en el campo gravitatorio, análogas a las ondas del campo electromagnético. Sin embargo, los cálculos indican que si bien la emisión de radiación gravitatoria por parte de objetos astronómicos distantes podría tener repercusiones en su evolución y estructura mucho más importantes que las de sus equivalentes emisiones electromagnéticas, los detectores de los laboratorios terrestres probablemente sólo captarían un 10 -76 de la energía emitida. Esto se debe a que la interacción de la radiación gravitatoria con la materia es mínima, a pesar de las cantidades colosales de energía que contienen las grandes explosiones de ondas gravitatorias en el espacio.La gran debilidad de los efectos buscados exige una tecnología de una capacidad asombrosa. Se tiene en proyecto la detección de un único cuanto de vibración en una tonelada de metal. Habrá que medir para ello movimientos de sólo 10-21 m en una barra de un metro de longitud a muy baja temperatura. Se han hecho grandes progresos hacia la consecución de estas precisiones extraordinarias, y el desarrollo de detectores de ondas gravitatorias sigue a buen ritmo. Tuvo lugar un acontecimiento de importancia básica para este programa a principios de la década de 1970, cuando el profesor Joseph Weber de la Universidad de Maryland aseguró que había descubierto ondas gravitatorias con su primer detector. Los trabajos posteriores no han confirmado estos resultados, pero está apuntando en el horizonte la fundación de una nueva rama de la astronomía, que utilizará como «telescopios gravitatorios» los detectores de ondas gravitatorias. Con estos aparatos podríamos «ver» en los densos núcleos de los quásares y de las estrellas de neutrones, penetrar hasta el borde mismo de los agujeros negros e incluso llegar a escuchar el rumor de la gran explosión que dio origen al Universo.
El descubrimiento del llamado pulsar binario en 1974 dio un nuevo impulso a esta fascinante evolución. Este objeto presenta señales inconfundibles dé que está emitiendo ondas gravitatorias.
Ha llegado pues el momento de escribir un texto para no especialistas sobre el tema de las ondas gravitatorias y su detección. Para entender este libro no se necesitan conocimientos profundos de física ni de astronomía. Los temas de la gravedad y la teoría de la relatividad de Einstein se explican a partir del nivel básico. Las matemáticas se reducen a lo mínimo y sólo se utilizan el álgebra y el cálculo elementales del bachillerato. En muchos casos he introducido palabras en las ecuaciones evitando así recurrir a un exceso de símbolos formales. El nivel del texto corresponde más o menos al del Scientific American o al del New Scientist.
El tratamiento dado a la materia no es el propio de un libro de texto, sino que se ha presentado en forma de relato de una aventura científica que promete una rica cosecha de éxitos en las próximas décadas.
Agradezco la información y los comentarios que me han proporcionado N. D. Birrell, S. A. Hugget, M. J. Rees, D. C. Robinson y W. G. Unruh.
Quiero agradecer también a S. Mitton, G. A. Papini y J. Weber el material fotográfico suministrado.
Nota sobre unidades y nomenclatura.
He utilizado en esta obra el sistema de unidades internacionalmente aceptado (unidades SI), excepto al tratar distancias astronómicas, en cuyo caso he recurrido ocasionalmente al parsec (= 3,09 × 10 16 m = 3,26 años luz), abreviado pc, o a la unidad astronómica (radio medio de la órbita terrestre = 1,50 × 10 11 m), abreviada UA, que son unidades más apropiadas.
Muchas de las estimaciones numéricas y algunas de las fórmulas citadas tienen únicamente una aproximación de un orden de magnitud, y en tales casos se ha utilizado el signo de igualdad aproximada ‘≈’.
Newcastle- upon-Tyne.
P. C. W. Davies
Capítulo 1
Las ondas electromagnéticas
1.1. Fuerzas y camposLa mayoría de las personas están familiarizadas con las fuerzas eléctricas y magnéticas, o en su vida diaria o porque han visto experimentos elementales de laboratorio. Lo difícil de entender es que estas fuerzas puedan traducirse en un movimiento ondulatorio capaz de abandonar el laboratorio y de desplazarse por el espacio como una entidad aparentemente independiente.
1.2. Electromagnetismo
1.3. Las ondas electromagnéticas
1.4. Fuentes de ondas electromagnéticas
1.5. La teoría especial de la relatividad
Las ondas sonoras y del agua no parecen tan extraordinarias, porque en su caso podemos captar un medio tangible que vibra cuando pasa la onda. En cambio una onda electromagnética no es una perturbación sufrida por ninguna sustancia y puede desplazarse sin problemas a través de un vacío total. La radiación calorífica y luminosa procedente del Sol —quizá las dos ondas electromagnéticas que nos son más familiares— llega a la Tierra después de atravesar 150 millones de kilómetros de espacio vacío.
¿Qué son las ondas electromagnéticas? En las secciones siguientes se explicará el mecanismo que permite a las fuerzas eléctricas y magnéticas interaccionar entre sí y producir perturbaciones ondulatorias en el espacio libre. También se explicarán algunas propiedades de estas perturbaciones para compararlas después con las ondas gravitatorias.
1.1. Fuerzas y campos
La electricidad se manifiesta como una fuerza que actúa sobre los cuerpos cargados eléctricamente. Los ejemplos más sencillos de estas fuerzas son los llamados efectos electrostáticos, como los que se producen al peinarnos o al quedar adherido al techo una pelota de goma acabada de frotar.
Hay dos tipos de cargas eléctricas, llamadas positivas y negativas. Las cargas de igual nombre se repelen, y las de nombre distinto se atraen. La existencia de dos variedades de electricidad, y por lo tanto de fuerzas atractivas y repulsivas, contrasta con la gravedad, que siempre atrae.
Se sabe actualmente que toda la electricidad está fija en partículas subatómicas constituyendo múltiples de una cantidad fundamental: un «átomo» de electricidad. No todos los tipos de partículas subatómicas contienen carga eléctrica, pero la partícula más ligera cargada es el electrón, que transporta una unidad de carga. Todos los átomos normales contienen electrones, y a menudo estos electrones se sueltan de los átomos con bastante facilidad.
En algunas sustancias, como los metales, proliferan los átomos libres. Un cuerpo macroscópico queda cargado eléctricamente gracias en general a la reordenación de los electrones.
Un átomo normal tiene cantidades iguales de electricidad positiva y de electricidad negativa, por lo tanto es eléctricamente neutro. El número de «unidades» de electricidad transportadas por todos los electrones del átomo, que convencionalmente se consideran negativas, está equilibrado exactamente por una carga positiva igual y opuesta localizada en el núcleo atómico. Si un cuerpo contiene un exceso de electrones quedará cargado negativamente, mientras que un déficit de electrones supone la existencia en el núcleo de cargas positivas no equilibradas, y por lo tanto el cuerpo en su conjunto estará cargado positivamente.
Los electrones son partículas bastante móviles, y se desplazan fácilmente a través de la mayoría de metales. Los electrones, bajo la acción de las fuerzas eléctricas, se repelen mutuamente. y por lo tanto hay una tendencia natural a dispersarse de los agregados locales de electrones. Por ejemplo, si una multitud de electrones está situada en el extremo de un hilo metálico, los electrones se desplazarán a lo largo del hilo intentando escapar de su repulsión mutua. Nace así una corriente eléctrica.
A principios del siglo XIX se descubrió que las corrientes eléctricas producen fuerzas magnéticas, y a la inversa, que al mover un imán cerca de un hilo, se induce una corriente eléctrica a través del hilo (véase la fig. 1-1). Esta interacción entre fuerzas eléctricas y magnéticas es un elemento fundamental para comprender las ondas electromagnéticas. Se cree actualmente que todo el magnetismo se debe a corrientes eléctricas, es decir, que no hay «átomos de magneticidad» que puedan desempeñar en el magnetismo el papel que los electrones desempeñan en la electricidad.

Fig. 1-1. Inducción electromagnética. Si se retira repentinamente un imán del interior de la bobina, el cambio en el campo magnético que atraviesa el hilo crea un campo eléctrico que a su vez impulsa una corriente alrededor de la bobina.
Una manera adecuada de describir las fuerzas que actúan entre las cargas y las corrientes eléctricas es recurrir al concepto de campo, que introdujo Michael Faraday. En vez de decir que dos cargas se atraen (o se repelen) a través del espacio vacío, decimos que toda carga eléctrica crea a su alrededor un campo eléctrico, cuya intensidad disminuye con la distancia. La fuerza experimentada por una carga cercana se atribuye entonces a la interacción entre esta última carga y el campo. Esta carga crea, como es lógico, su propio campo, que reaccionará a su vez sobre la primera carga. La intensidad de la fuerza es proporcional a la intensidad del campo en este punto. La figura 1-2 ofrece una representación gráfica de estas ideas.

Fig. 1-2. El campo eléctrico. La carga positiva fija está rodeada por un campo eléctrico invisible. Las cargas de prueba captan el campo existente en sus proximidades y se sienten atraídas (—) hacia la carga central o repelidas por ella ( + ).
Es posible dar un significado a la forma del campo y utilizarla para representar la disposición de las fuerzas alrededor de una configuración determinada de cargas de imanes.

Fig. 1-3. Líneas de fuerza. Las líneas que divergen de la carga positiva indican la forma del campo eléctrico. A medida que las líneas se separan su densidad disminuye en proporción inversa al cuadrado de la distancia a la carga (entre tres dimensiones), por lo tanto la fuerza sigue una ley del cuadrado inverso.
La densidad relativa de las líneas constituye una medida de la fuerza. Cerca del centro, donde la fuerza es intensa por su gran proximidad a la carga, las líneas están apretadas, pero se abren a medida que aumenta la distancia, indicando con ello que se debilita el campo y que se debilita la fuerza que éste ejerce sobre una carga de prueba. Las líneas de fuerza no acaban nunca, excepto en otra carga, por lo tanto su número total es constante. Si imaginamos esferas concéntricas situadas alrededor de la carga central, cada esfera estará atravesada por el mismo número de líneas. El área de las esferas aumenta proporcionalmente al (radio)2, por lo tanto la densidad de las líneas disminuye con la distancia proporcionalmente a 1/(radio) 2, es decir, siguiendo la ley del cuadrado inverso.
La figura 1-4 muestra las líneas de campo existentes alrededor de un sistema de cargas más complicado, y las líneas análogas de fuerza magnética existentes alrededor de un imán. Las líneas del campo magnético representan la fuerza que actúa sobre un polo norte puntual de prueba.

Fig. 1-4. Campos dipolares, (a) La conjunción de cargas iguales y opuestas (+ , —) se llama dipolo y produce un campo estático con una estructura complicada. La carga de prueba A se mueve oblicuamente a + y a —. (b) Un dipolo magnético (imán) formado por la conjunción de dos polos magnéticos (N, S; norte, sur) crea un campo magnético de forma similar.
Es evidente que el éter no puede ser un medio familiar para nosotros, porque los cuerpos materiales eléctricamente neutros pueden pasar a su través sin experimentar ninguna resistencia. Por ejemplo, la Tierra gira alrededor del Sol sin encontrar al parecer resistencia alguna.
1.2. Electromagnetismo
Los campos eléctricos y magnéticos tienen un valor inapreciable como simples ayudas conceptuales, pero a primera vista parecen redundantes físicamente. Hasta ahora nada separa el comportamiento del campo de las fuentes eléctricas y magnéticas a las cuales está ligado. Podemos explicar que las fuerzas se deben a cargas eléctricas y a corrientes eléctricas que actúan a distancia, o bien considerar las cargas y las corrientes como fuentes de los campos y buscar en los campos una explicación de la fuerza eléctrica y magnética. Es puramente una cuestión de conveniencia lingüística.
Todo esto cambió con la obra revolucionaria de James Clerk Maxwell a principios de los años 1860. Los resultados de Maxwell proporcionan un bello ejemplo de la utilización de la simetría y elegancia matemáticas como medio para mejorar nuestra comprensión de la naturaleza.
El hecho de que los campos magnéticos sean producidos por corrientes eléctricas y puedan actuar sobre ellas indica una profunda relación entre la electricidad y el magnetismo. Sin embargo, esta relación parece presentar dos desviaciones. La primera es la ausencia de carga magnética: al parecer los campos magnéticos sólo son producidos por corrientes eléctricas. Desde hace tiempo esta asimetría ha confundido a los físicos, y algunos creen que existen cargas magnéticas en partículas subatómicas hasta ahora no descubiertas, aunque faltan datos experimentales que apoyen esta conjetura. El segundo desequilibrio entre la electricidad y el magnetismo es que si bien un campo magnético variable induce un campo eléctrico que puede crear una corriente eléctrica (véase la figura 1-1), el efecto recíproco era desconocido en el siglo XIX. Maxwell se preocupó por esto, porque las ecuaciones que relacionan la intensidad de un campo con el comportamiento de sus fuentes son inconsecuentes a no ser que un campo eléctrico pueda inducir un campo magnético y viceversa.
Maxwell, para obtener una formulación matemática consecuente, introdujo un nuevo término en las ecuaciones de campo, que representa el efecto ausente. De este modo eliminó una de las asimetrías de la teoría. Tiene más importancia todavía que la audaz iniciativa de Maxwell transformara la naturaleza de los campos. Si un campo eléctrico cambiante puede inducir un campo magnético, a medida que este último campo se forme inducirá a su vez un campo eléctrico. Pero la formación del nuevo campo eléctrico continúa produciendo su propio campo magnético variable, y así indefinidamente. Se plantea así la interesante posibilidad de que los campos eléctrico y magnético puedan sostenerse uno a otro en una especie de movimiento perpetuo. Además, cada campo actúa como fuente del otro, por lo tanto los campos pueden existir y moverse incluso en regiones del espacio donde no hay cargas o corrientes eléctricas que puedan actuar como fuentes. De este modo los campos consiguen una independencia que nadie hubiese sospechado en la época anterior a Maxwell. Los campos, desligados ya de las cargas y de las corrientes, tienen ahora la libertad de asumir una existencia mecánica separada. Han sido elevados de la condición de recurso lingüístico a la de un sistema físico real e independiente.
Las perturbaciones eléctricas y magnéticas autosostenidas exigen siempre la presencia simultánea de campos eléctricos y magnéticos —cada uno de los cuales alimenta al otro—, por lo tanto, estamos tratando en realidad con un campo electromagnético único y unificado, del cual los campos eléctrico y magnético son individualmente simples componentes. Maxwell investigó el comportamiento de estos movimientos electromagnéticos autosostenidos y pronto descubrió que existe una solución de sus ecuaciones de gran simplicidad. El movimiento del campo puede adoptar una forma muy familiar: la de una onda. Las ecuaciones indican que la velocidad de la onda depende de las propiedades eléctricas y magnéticas del medio en donde se propaga. En el espacio libre la velocidad resulta ser de aproximadamente 3 x 10 8 ms-1, que es la velocidad de la luz. Maxwell llegó a la conclusión de que la luz es una onda electromagnética, logrando así una síntesis brillante de la ciencia de la óptica con la de la teoría electromagnética.
1.3. Las ondas electromagnéticas
¿Qué es una onda electromagnética? En el siglo XIX estaba de moda imaginar la perturbación ondulatoria como una vibración del misterioso éter, al igual que una onda sonora es una vibración del aire. Como veremos, esta imagen es innecesaria y si se toma al pie de la letra es incorrecta.
Una onda electromagnética es básicamente una ondulación de la fuerza eléctrica y magnética. Si la consideramos como un campo variable en movimiento, podemos seguir los cambios que experimenta el campo situando cargas eléctricas en su camino, para medir así la intensidad local del campo. Todas las ondulaciones periódicas de un sistema lineal pueden formarse según el teorema de Jean Fourier mediante la superposición de ondas armónicas puras o sinusoidales, por lo tanto sólo debemos considerar un movimiento ondulatorio del tipo sen {wt + Ø) donde ω es la frecuencia angular de las oscilaciones, t es el tiempo y Ø es un ángulo de fase constante.

Fig. 1-5. Onda electromagnética. El campo eléctrico ondula sinusoidalmente como se ve en la figura, abajo. La carga positiva de prueba (arriba) experimenta las fuerzas variables indicadas. La ausencia de una flecha significa fuerza nula en aquel instante.
Vale la pena observar que el movimiento de la carga de prueba está desfasado 1/2 ciclo en relación a la fuerza impulsora; es decir, que cuando la fuerza está dirigida hacia arriba la partícula se mueve hacia abajo, pero desacelerándose. La carga alcanza el punto más bajo de su trayectoria cuando la fuerza dirigida hacia arriba está en un máximo. Las flechas de la figura 1-5 representan la fuerza, no el movimiento.
Las expresiones «hacia arriba» y «hacia abajo» se han utilizado de modo puramente esquemático, porque la onda electromagnética no tiene ninguna relación necesaria ni con arriba ni con abajo. De hecho el campo eléctrico ondulante puede señalar en cualquier dirección perpendicular a la dirección de propagación de la onda (véase la fig. 1-6). Las ondas de este tipo se llaman transversales. Esto puede expresarse con vectores (cantidades dirigidas indicadas por flechas). El vector k de la figura 1-6 indica la dirección de propagación de la onda, mientras que el vector unidad e representa la dirección de la fuerza eléctrica. Puesto que la onda es transversal, k ye son perpendiculares.

Fig. 1-6. Onda transversal. La onda se desplaza en la dirección del vector k, pero los campos eléctrico (y magnético) son perpendiculares a esta dirección. El campo eléctrico ondula siguiendo la dirección de e, perpendicular a k. La carga de prueba (bolita) es impulsada arriba y abajo en la dirección de e por el campo eléctrico oscilante.
Un análisis matemático demuestra que el campo magnético B oscila con la misma frecuencia que el campo eléctrico, pero en dirección perpendicular a él (véase la fig. 1-7). Es interesante considerar el efecto de las fuerzas tanto eléctricas como magnéticas sobre la carga de prueba. Cuando la carga empieza a moverse bajo la acción del campo eléctrico forma una minúscula corriente eléctrica que tiene acción magnética (en esto se basa el motor eléctrico, consistente en una bobina por la que pasa una corriente eléctrica que se ve forzada a girar en el campo de un imán). La fuerza magnética que actúa sobre una corriente es perpendicular a ella y al campo magnético aplicado, por lo tanto en este caso su dirección sigue la línea de propagación (es decir, la línea de k). El efecto principal de la onda consiste en desplazar la carga de prueba perpendicularmente a k, pero también tiene el pequeño efecto secundario de impulsarla ligeramente en su misma dirección. Si la partícula cargada está sometida a fuerzas de amortiguamiento, oscilará ligeramente desfasada (es decir, que se retrasará en relación al campo impulsor) y el efecto medio de la acción a lo largo de k será una presión. Dicho con otras palabras, la partícula cargada retrocede, y nosotros deducimos del hecho que la onda electromagnética ha de transportar un momento lineal, parte del cual impone a la carga.
Las colas de los cometas ilustran bellamente el transporte de momento lineal por las ondas electromagnéticas, que pueden ejercer una fuerza cuando chocan con la materia.

Fig. 1-7. Los campos eléctrico (E) y magnético (B) oscilan en fase, perpendiculares entre sí y a la dirección de propagación k. Cuando una carga de prueba se desplaza a lo largo de E, crea una corriente que el campo magnético B fuerza en la dirección k.
Es evidente que al ponerse en movimiento una partícula cargada adquiere energía, lo que nos indica que la onda transporta energía además de momento lineal. La teoría de Maxwell demuestra que la densidad de energía en unidades gaussianas es simplemente:



Fig. 1-8. Superposición de ondas polarizadas. La suma de dos ondas de intensidades desiguales con polarizaciones perpendiculares produce una onda con un vector de polarización e intermedio. Los campos magnéticos no están dibujados.
Para satisfacer esta condición adicional de la polarización es preciso construir una onda general utilizando ondas sinusoidales pertenecientes a dos conjuntos independientes, cada uno polarizado perpendicularmente al otro. Entonces puede construirse cualquier dirección intermedia de polarización mediante la adición vectorial (véase la fig. 1-8).
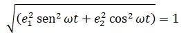
Es posible pues crear ondas polarizadas en una dirección concreta. Otra posibilidad consiste en combinar entre sí dos ondas polarizadas perpendicularmente de modo diferente, como vemos en la figura 1-9. Aquí las ondas están desfasadas 1/4 de ciclo π/2 radianes), de modo que cuando una onda alcanza la intensidad de campo máxima la otra está en cero, y viceversa. Esto significa que si las ondas tienen igual intensidad y la dependencia temporal de una onda se describe mediante e1 sen ωt, la otra se describe mediante e2 sen (ωt + π/2) =e2 cos ωt. Puesto que e1 y e2 son perpendiculares, la intensidad de la onda superpuesta resultante es, según la regla de la adición vectorial,

![]()

El ángulo θ aumenta de modo uniforme con la velocidad ω, es decir, que el vector de polarización e gira a izquierdas con una frecuencia angular ω uniforme.
Esta disposición se llama polarización circular, y si una onda polarizada circular- mente choca con cargas de prueba tenderá a girarlas. El par ejercido demuestra que las ondas electromagnéticas transportan momento angular o espín, además de momento lineal y energía.

Fig. 1-9. Polarización circular. Si se superponen dos ondas de intensidad igual con una diferencia de fase de π/2, la dirección del campo eléctrico resultante gira dando una vuelta en cada ciclo de la onda, pero la intensidad total del campo es constante, es decir, no oscila. Este fenómeno en teoría cuántica (abajo) puede considerarse como un fotón que gira sobre sí mismo a medida que avanza.
Conviene a veces imaginar que estas partículas transportan energía y momento lineal, y además que mientras se desplazan giran alrededor de su dirección de movimiento (véase la fig. 1-9). La teoría cuántica da el valor de estas cantidades en función de la constante de Planck h y de la frecuencia ν
energía = hv
momento lineal = hv/c
espin = h/2π
Los físicos suelen medir el espín atómico en unidades de h/2π, llamadas h, por lo tanto en este sistema el fotón tiene un espín 1. Después ampliaremos estas consideraciones a las ondas gravitatorias.1.4. Fuentes de ondas electromagnéticas
Los campos electromagnéticos pueden existir y propagarse como ondas a través del espacio vacío, desprovisto de cargas y de corrientes eléctricas, por lo tanto conviene preguntarse cómo pueden generarse de entrada estos campos auto- sostenidos. ¿De dónde provienen las ondas? Las ondas, una vez iniciadas, pueden ondular por sí solas, como las ondas de un estanque que persisten bastante tiempo después de haber tirado la piedra. ¿Pero qué desempeña el papel de piedra en nuestro caso?
Un problema interesante es saber si el Universo se creó con ondulaciones electromagnéticas incorporadas ya en su interior, pero, dejando de lado cuestiones cosmológicas, la manera obvia de generar campos ondulantes es utilizar cargas y corrientes eléctricas. El hecho de que la luz sea una onda electromagnética demuestra que en toda materia luminosa ha de haber electricidad, y ahora sabemos que todos los átomos contienen partículas eléctricas que pueden emitir y absorber fotones cuando se perturban.
Varios años después de la obra de Maxwell, Heinrich Hertz consiguió producir en el laboratorio radiaciones electromagnéticas. Las ondas de Hertz se distinguían de la luz, cuya longitud de onda se sitúa hacia los 10-7 m, en que tenían muchos metros de longitud, ocupando una región del espectro electromagnético que hoy llamamos de radio. Hoy se sabe que los rayos gamma y X, la luz ultravioleta y el calor infrarrojo son siempre ondas electromagnéticas que sólo se distinguen entre sí y de las ondas luminosas y de radio por su longitud de onda y su frecuencia. Todas se desplazan en el vacío a la velocidad de la luz (c). La figura 1-10 muestra el espectro electromagnético entero.

Fig. 1-10. El espectro electromagnético
El campo que la rodea deberá ajustarse a la nueva posición de la carga; las líneas de fuerza tendrán que radiar a partir de una posición ligeramente desplazada. Sin embargo, sabemos por la teoría de Maxwell que una perturbación en el campo se desplaza a una velocidad fija a través del espacio vacío: la velocidad de la luz, c. Por consiguiente, las regiones distantes del campo no se enterarán de la nueva posición de la carga hasta pasado un tiempo r/c, donde r es la distancia radial a la carga. Es decir, que las regiones cercanas del campo responderán rápidamente, y las líneas de campo pueden reordenarse para centrarse en la nueva posición de la carga, mientras que el campo distante de momento no se verá afectado. Se deduce de esto que en los puntos de unión de las dos regiones el campo presentará un repentino pliegue (véase la fig. 1-11).

Fig. 1-11. El pliegue eléctrico. El repentino desplazamiento de la carga eléctrica (positiva) crea un pliegue en el campo que se desplaza hacia fuera con la velocidad de la luz. Dentro del pliegue las líneas de fuerza radian desde la nueva posición, fuera de él radian desde la posición antigua. En el pliegue las líneas son densas (campo intenso) y perpendiculares a las líneas radiales (campo transversal). El pliegue es más pronunciado en dirección perpendicular a la línea de movimiento de la carga y menos pronunciado cerca de esta dirección (la energía depende angularmente de sen2 θ).
Recordemos que la densidad de las líneas de campo mide la intensidad del campo en este punto. En la región de pliegue, las líneas perturbadas se amontonan formando una delgada cáscara. (La forma de las líneas en la cáscara refleja el movimiento detallado de la carga durante el breve período de su desplazamiento desde la primera posición a la segunda.)
Por lo tanto, el campo experimenta una intensificación dentro de la región de la cáscara en comparación con las regiones exteriores. El volumen de la cáscara crece proporcionalmente a r2, pero la longitud de cada pliegue crece proporcionalmente a r porque el desajuste de las dos formas radiales es proporcionalmente mayor a una distancia r de la carga mayor. El efecto final es que la intensidad del campo perturbado disminuye proporcionalmente a 1/r. en lugar de hacerlo proporcionalmente a 1/ r2 como el campo radial no perturbado.
Esta lenta disminución de la intensidad es un fenómeno característico de la radiación electromagnética, y nos indica que la perturbación puede propagarse a gran distancia con intensidad apreciable.
De hecho, si recordamos que la densidad de energía del campo contiene el factor E2, deducimos que la densidad de energía del campo disminuye proporcionalmente a 1/r2, lo cual significa que la energía total que atraviesa una superficie esférica centrada en la carga es constante e independiente del tamaño de la esfera. Esto significa que la perturbación radiante conserva su energía a medida que se va desplazando hacia fuera.
De la figura 1-11 puede deducirse otro rasgo de la radiación electromagnética. Es evidente que el tamaño del pliegue es algo menor cerca de la dirección del desplazamiento de la carga que en la dirección perpendicular a ella. La geometría elemental da un factor sen θ, donde θ es el ángulo de la dirección de interés con respecto a la línea de movimiento de la carga. Por lo tanto, la energía radiada presenta la forma de la figura 1-12.
Si la carga volviera de repente a su posición anterior, se produciría otro pliegue. La agitación continua produce una perturbación continua del campo, y si el movimiento es continuo y periódico, los pliegues radiados presentarán el aspecto de una ondulación u onda. Una vibración sinusoidal de la carga generará una onda armónica pura de la misma frecuencia. Para que la carga produzca una vibración con estas características, ha de estar confinada e impulsada por una fuerza adecuada, por ejemplo otro campo eléctrico.

Fig. 1-12. Distribución angular de la energía de radiación alrededor de una fuente dipolar.
Disposiciones más complicadas de cargas en movimiento generarán formas de radiación más complicadas. La figura 1-13 muestra otra situación idealizada. Tenemos un par de dipolos opuestos y situados uno al lado de otro. Si se pone en oscilación este sistema se obtiene una forma de radiación más complicada llamada cuadripolar, por los cuatro polos (cargas) que aparecen en la figura.

Fig. 1-13. Esta disposición simétrica de cuatro cargas (dos dipolos) se llama cuadripolo.
Es interesante observar que la forma de la radiación proporciona información sobre la estructura interior de la fuente. Se ha utilizado el análisis de la naturaleza multipolar de los rayos gamma para explorar la organización de los núcleos de los átomos, que emiten fotones de alta energía cuando se redistribuyen sus protones. Más adelante analizaremos la aplicación a las ondas gravitatorias de las características multi-polares.
La construcción basada en la figura 1-11 es evidentemente muy heurística. No se ha dicho nada, por ejemplo, sobre los campos magnéticos. Si queremos tratar adecuadamente la emisión de radiación mediante una distribución de cargas y de corrientes eléctricas, hay que analizar detalladamente las ecuaciones de Maxwell. Este tratamiento supera el marco de la presente obra, pero finalizaremos esta sección ofreciendo un breve resumen de la estructura básica de las ecuaciones de Maxwell.
Maxwell combinó unas cuantas leyes referentes a la electricidad y al magnetismo dentro de un sistema único de ecuaciones. La primera de estas leyes, llamada ley de Faraday, describe la variación espacial del campo eléctrico inducido por un campo magnético cambiante. Dicho con palabras,
variación espacial de E = velocidad de cambio de B.
La segunda ecuación incorpora la ley de André Ampère sobre la producción de campos magnéticos mediante corrientes eléctricas, pero completada con un término adicional de Maxwell que describe a su vez la producción de un campo magnético mediante un campo eléctrico variable:variación espacial de B = corriente eléctrica + velocidad de cambio de E.
Las ecuaciones, sin este término final, son inconsecuentes.Una tercera ecuación incorpora la observación de que no existen polos magnéticos libres. La ecuación final, llamada ley de Coulomb por el nombre de Charles Coulomb, relaciona la aparición de nuevas líneas de fuerza eléctrica con la densidad de las cargas eléctricas en una región del espacio: las líneas de fuerza eléctricas principian (o finalizan) en cargas eléctricas libres. Estas dos ecuaciones pueden expresarse del modo siguiente:
número de nuevas líneas de fuerza que emergen de una región del espacio = 0 (para el campo magnético) = densidad de carga eléctrica (para el campo eléctrico)
La tarea consiste en encontrar soluciones de estas ecuaciones que proporcionen las intensidades de los campos eléctrico y magnético E y B en función de las corrientes y de las cargas. Si se despeja la velocidad de cambio de la segunda ecuación de Maxwell, el campo magnético puede eliminarse mediante la primera ecuación. Se obtiene así una nueva ecuación que relaciona las derivadas segundas de E (es decir, la variación de la variación espacial y la velocidad de cambio de la velocidad de cambio) y la velocidad de cambio de la corriente eléctrica. Se obtiene una ecuación semejante para B al eliminar E.Estas ecuaciones que relacionan las variaciones espacial y temporal del campo son características de las ecuaciones ondulatorias, y poseen soluciones que son armónicas en el espacio (una forma de onda sinusoidal) y en el tiempo (ondulaciones periódicas de intensidad sinusoidal). Si se escoge como corriente un dipolo oscilante, pueden encontrarse soluciones que describen un campo de radiación de tipo 1/ r con una dependencia angular de sen 6 (dipolar), superpuesto a los campos eléctricos ordinarios de tipo 1/r2. Estas soluciones demuestran que el campo magnético ondulatorio también disminuye proporcionalmente a l/r y que lejos de la fuente la perturbación ondulatoria se aproxima a la forma discutida en la sección anterior, con E y B perpendiculares entre sí y transversales al vector de propagación k.
1.5. La teoría especial de la relatividad
Como ya hemos dicho, uno de los éxitos de la teoría de Maxwell fue descubrir que sus ondas electromagnéticas se desplazaban con la misma velocidad que la luz, de lo cual dedujo que la luz es una vibración del campo electromagnético. Pero la noción de velocidad es ambigua. ¿Cuál es la velocidad de la Tierra? ¿Del Sol? ¿De la Galaxia?
¿Cómo medimos la velocidad? La velocidad de un aeroplano podría ser de 200 m s-1 para personas situadas en el suelo, pero es cero para los pasajeros. Cuando decimos que un avión se desplaza a 200 m s-1, en realidad queremos decir «200 m s -1 en relación al suelo» o quizás en relación al aire. Del mismo modo, la velocidad de un coche se mide en relación a la carretera.
Si un cuerpo se mueve de modo uniforme no hay manera de utilizar un efecto mecánico, dentro del cuerpo, que permita medir su velocidad. Solamente puede deducirse la velocidad en relación al entorno observando este entorno. Si el entorno también se mueve, se necesita otro sistema para calibrar su movimiento, y así sucesivamente. No existe ningún sistema o cuerpo visible del Universo que podamos considerar en reposo absoluto, y que permita medir por comparación con él todas las velocidades de modo absoluto. Desde luego, si el movimiento de un cuerpo no es uniforme, como el movimiento de un avión que choca con una turbulencia, se producen efectos absolutos, como que el café se vierta sobre el regazo de un pasajero. Pero si el movimiento no es acelerado, lo único que tiene sentido mecánicamente es la velocidad relativa.
¿Cuál es, pues, la velocidad de las ondas de Maxwell? Sus ecuaciones dan una respuesta única: 3 × 108 m s -1. La teoría no da opción a que alguien mida la velocidad, ni nos dice cuál podría ser la velocidad de este observador.
En el siglo XIX los científicos supusieron que la velocidad de la luz se refería al movimiento de la luz en relación al éter, que definía un estado de reposo absoluto comparándolo con el cual podía calibrarse todo movimiento. Se consideraba, por ejemplo, que la Tierra se desplazaba por el éter del mismo modo que un pez nada por el mar. Sin embargo, la Tierra, al contrario del pez, no experimenta fricción alguna, ni el éter ejerce ningún efecto mecánico sobre los cuerpos que se desplazan a su través con velocidad uniforme. En caso afirmativo debería abandonarse el principio de la relatividad del movimiento, sobre el cual está fundada toda la mecánica.
Albert Einstein, en los primeros años de este siglo investigó la dinámica de las partículas eléctricas, prestando especial atención al tema de la relatividad del movimiento. Einstein consideró sacrosanto el principio de la relatividad, y quiso ampliarlo a la teoría electromagnética. Propuso sustituir el concepto de éter por una nueva y extraordinaria ley de la naturaleza. La velocidad única c que aparece en las ecuaciones de Maxwell tenía que considerarse válida para cualquier observador, con independencia de su estado de movimiento.
Esto significa que un observador medirá la velocidad de un impulso luminoso y verá que es c, y que otro observador que pase a gran velocidad por su lado medirá la velocidad del mismo impulso y descubrirá que también es c. Se deduce de esto que si perseguimos un impulso luminoso con un cohete, por potentes que sean los motores no ganaremos ni un metro por segundo al impulso que se aleja de nosotros delante nuestro.
La extraña naturaleza de esta propuesta se pone de manifiesto si un observador permanece sobre la Tierra y ve el impulso luminoso alejarse por el espacio mientras su colega lo persigue en el cohete (fig. 1-14).

Fig. 1-14. La velocidad de la luz es constante. El cohete persigue el impulso luminoso. Los astronautas comprueban que continúa alejándose con la misma velocidad c relativa al cohete, aunque éste se desplace a máxima potencia. Sin embargo, desde la Tierra el impulso luminoso parece alejarse con una velocidad c relativa a la Tierra, por lo tanto parece que el cohete consiga reducir algo la velocidad con que el impulso se aleja del cohete.
Si viajar deprisa encoge los kilómetros, es evidente que los pasajeros del cohete llegarán a su destino algo antes de lo previsto. Se deduce que desde la perspectiva no contraída de la Tierra, el viaje observado del cohete ha de tardar más de lo que este mismo viaje les parece haber tardado a los observadores de dentro del cohete. Esto significa que la escala temporal es diferente en los dos sistemas, y que el reloj del cohete retrasa en relación al reloj de la Tierra, también aquí en un factor (1 - v2/c2)½. Así pues, tanto el espacio como el tiempo son «elásticos» y pueden contraerse o estirarse según sea el estado de movimiento de sujeto.
Antes del trabajo de Einstein, se dio gran importancia a los intentos de medir la velocidad de la Tierra a través del éter utilizando rayos de luz. En un famoso experimento realizado por Albert Michelson y Edward Morley en 1887, la velocidad resultó ser cero, ¡lo cual implicaba que la Tierra estaba en reposo! La nueva teoría de la relatividad de Einstein, publicada en 1905, convertía este resultado en algo esperado, porque los rayos luminosos se desplazarán siempre con una velocidad c en relación al experimentador, sea cual fuere el movimiento de éste.
Desde entonces, las ideas de Einstein se han comprobado experimentalmente de muchas maneras, y se han medido directamente efectos como el alargamiento del tiempo. En un reciente experimento se crearon partículas subatómicas llamadas muones y se almacenaron en un anillo magnético moviéndose casi a la velocidad de la luz. Se observó que su vida en comparación con la desintegración radiactiva se multiplicaba por un factor de 29,33. La teoría de la relatividad impregna gran parte de la física moderna, y es actualmente una parte de la física convencional.
Es evidente una consecuencia importante de la teoría: si no podemos acercarnos a un impulso luminoso corriendo aceleradamente detrás suyo, es del todo imposible avanzarlo. Ningún objeto material puede superar la velocidad de la luz, por energía que tenga a su disposición. Desde el punto de vista mecánico los cuerpos parece que aumenten cada vez más de peso a medida que su velocidad aumenta. Por ejemplo, partículas subatómicas que en el marco de referencia del laboratorio parece que se desplacen a un 99.9% de la velocidad de la luz, tienen un peso medido 22 veces superior al que tenían en reposo. A medida que se empuja estas partículas hacia la barrera de la luz, sus masas crecen ilimitadamente.
Esta capacidad de convertir la energía en exceso de masa puede invertirse: la masa puede convertirse en energía. Esto sucede en las reacciones nucleares, especialmente en el Sol, donde desaparecen cada segundo cuatro millones de toneladas de masa para proporcionar luz solar. Esta interconversión se expresa mediante la famosa relación de Einstein:
E = mc2
El factor c2 indica que una masa pequeña equivale a una gran cantidad de energía. Un kilo de masa suministraría la energía que necesita una familia media durante un millón de años.El hecho de que las longitudes y los intervalos de tiempo dependan del estado de movimiento del observador parece que debería introducir muchas complicaciones en la física, pero no sucede así. Consideremos dos acontecimientos que tienen lugar en dos lugares diferentes y en dos momentos separados. La distancia espacial Δr entre estos acontecimientos dependerá del observador, al igual que el intervalo temporal Δt. Sin embargo, resulta que la combinación
Δr2 – c2 Δt2
es invariante, es decir, independiente del movimiento del observador. Esto recuerda la geometría ordinaria tridimensional, donde la proyección de una barra en tres direcciones perpendiculares, Δ x. Δy y Δz depende del observador y varía según la orientación de la barra en relación al observador, pero donde la longitud «real»Δr = (Δx2 + Δy2 + Δz2)½
es constante, la misma para todos los observadores. Vemos ahora que si tenemos en cuenta el movimiento también debemos aceptar los efectos de contracción de la teoría de la relatividad de Einstein, y el auténtico invariante no es Δr sino(Δr2 – c2 Δt2)½ = (Δx2 + Δ y2 + Δz2 - c2 Δt2)½
Por lo tanto, en lugar de combinar los tres intervalos espaciales del modo pitagórico habitual, tenemos que combinar cuatro intervalos. Δx, Δy, Δz y cΔt, aunque este último es algo peculiar porque aparece en el intervalo invariante con un signo negativo.Esta geometría del espacio y del tiempo sustituye la antigua idea de un espacio tridimensional por un nuevo espacio-tiempo cuadridimensional, que comprende x, y, z y t. El espacio y el tiempo son relativos por separado, y dependen del movimiento de los observadores, pero el espacio-tiempo es absoluto e independiente del movimiento.

Fig. 1-15. Diagrama espacio-temporal, mostrando la línea de universo de una partícula y el cono de luz hacia el futuro emitido en el punto P.
Es corriente utilizar una escala de distancias tal que la velocidad de la luz sea la unidad. Esto supone medir por ejemplo el tiempo en segundos y las distancias espaciales en segundos luz. La línea de universo de un impulso luminoso forma entonces un ángulo de 45° con la vertical en el diagrama espacio-temporal. Si la partícula emite en todas direcciones un destello de luz en un instante dado (el acontecimiento P de la figura), todas las líneas de universo de la luz estarán situadas a lo largo de un cono dirigido hacia el futuro y llamado cono de luz. A lo largo de este cono, velocidad = Δ r/Δt = constante = c, es decir que
(Δr2 – c2 Δt2)½ = 0
y vemos que la distancia cuadridimensional a lo largo del cono de luz es cero. Este valor es invariante y por lo tanto todos los observadores están de acuerdo con el cono de luz, si bien la línea de universo de la partícula material cambiará de pendiente según sea el marco de referencia que utilice el observador. Esto corresponde físicamente a que la velocidad de la luz sea la misma en todos los marcos de referencia, aunque no lo sean las velocidades de los objetos materiales.La utilización de la relatividad y del lenguaje del espacio- tiempo cuadridimensional permite realizar una síntesis elegante de los campos eléctrico y magnético. Hasta ahora el campo electromagnético se ha descrito como una conjunción del vector E del campo eléctrico y del vector B del campo magnético en cada punto del espacio. Esto parece una especie de campo di-vectorial, una entidad bastante complicada. Sin embargo, hay que recordar que E y B no son completamente independientes uno de otro, sino que están relacionados por las ecuaciones de Maxwell. Para ver lo que esto significa físicamente, consideremos un ejemplo familiar de la relatividad del movimiento. Un río constituye una corriente para un observador situado en la orilla, pero para un observador a bordo de un bote sin motor que se deja arrastrar por la corriente, el agua no corre a lo largo del casco y por lo tanto no hay corriente.
Un observador puede ver de modo semejante un conjunto de cargas pasando por su lado y llamarlo corriente eléctrica, mientras que otro observador en reposo en relación a las cargas, no verá ninguna corriente. El primero detectará un campo magnético, pero el segundo sólo un campo puramente electrostático. No puede decirse que exista «realmente» un campo magnético o que exista «realmente» sólo un campo electrostático. La naturaleza eléctrica o magnética del sistema depende del estado de movimiento del observador, y sólo e! campo electromagnético sintetizado, considerado como un todo, es «real» de modo independiente.
Un campo eléctrico estático es un campo vectorial (porque describe una fuerza en cada punto del espacio, y una fuerza es un vector); sin embargo, no necesitamos especificar E en cada punto para describir completamente el campo. Esto se debe a que el valor de E en cada punto está relacionado con su valor en las partes vecinas mediante la ecuación de Coulomb. De hecho, basta con dar un único número (es decir, un escalar, no un vector) a cada punto del espacio. Este escalar se llama el potencial eléctrico y puede concebirse como una medida de la energía electrostática adquirida por una carga de prueba unidad llevada hasta aquel punto. Por lo tanto, en realidad el campo eléctrico estático es sólo un campo escalar. Para recuperar la dirección del vector eléctrico a partir del correspondiente campo escalar tomamos el gradiente del potencial. Es decir, que en cada punto del espacio la fuerza eléctrica señala hacia la dirección de mayor cambio (disminución) del potencial. La intensidad del campo es proporcional al gradiente.
El hecho de que el campo electrostático en realidad sólo sea un campo escalar está relacionado con el hecho de que lo genera una fuente escalar: la densidad de carga eléctrica. En cambio, un campo magnético es generado por una fuente vectorial: la corriente eléctrica. Para poder determinar el campo magnético alrededor de un conductor no sólo debemos concretar la intensidad de la corriente que lo atraviesa, sino también la orientación del conductor, pues la corriente tiene magnitud y dirección. No existen cargas magnéticas libres, por lo tanto el campo magnético sólo puede reducirse a un campo potencial escalar en una región del espacio alejada de fuentes de corrientes. Si queremos relacionar el campo con la presencia de una corriente, tenemos que usar un potencial vector. Por lo tanto, el campo magnético es en general un campo vectorial.
En relatividad, el papel de los vectores cambia. A causa de la contracción de las longitudes, un vector ordinario puede alterar aparentemente su magnitud de un marco de referencia a otro (la flecha se encoge). Sin embargo, pueden construirse vectores espacio-temporales de cuatro componentes en lugar de los vectores espaciales de tres componentes, y estos vectores se comportarán ordenadamente cuando cambie el marco de referencia. No es de extrañar que el campo electromagnético pueda expresarse en este lenguaje de cuatro componentes, porque el electromagnetismo fue la comadrona de la relatividad. Lo que sucede es que el potencial eléctrico (de un componente, escalar) se combina con los tres componentes del potencial magnético y forma un campo vectorial cuadridimensional con propiedades correctas de transformación relativista. Por lo tanto, llamamos al campo electromagnético campo cuadrivectorial o campo vectorial para abreviar, en lugar de campo di-vectorial (tridimensional).
Capítulo 2
¿Qué son las ondas gravitatorias?
2.1. La gravedad como fuerzaLas ondas electromagnéticas son fáciles de entender, en parte porque resultan familiares, en parte porque las fuerzas eléctricas y magnéticas tienen una interpretación sencilla y fácilmente visualizable en función de los campos. En cambio, la gravedad exige no solamente la teoría de la relatividad, sino también una aplicación de esta teoría que recurre a conceptos exóticos como el espacio-tiempo curvado. Esta llamada teoría general de la relatividad tiene fama de difícil. Afortunadamente, puede llegarse a una comprensión de las ondas gravitatorias sin recurrir en su totalidad a esta teoría, y en el presente capítulo se explicará todo lo que el lector necesita conocer al respecto. Las ondas gravitatorias se comportan en muchos aspectos de modo semejante a las ondas electromagnéticas, pero también hay diferencias y conviene ir con cuidado para no exagerar las analogías.
2.2. La gravedad como campo
2.3. El. Espacio-tiempo curvado
2.4. La teoría general de la relatividad
2.5. Ondas de gravedad
2.1. La gravedad como fuerza
La gravedad es la fuerza que conocemos mejor, porque nos mantiene de pie sobre el suelo. Es también la fuerza más universal, pues actúa entre todos los cuerpos materiales. Sabemos que las galaxias distantes gravitan porque sus estrellas están ligadas a ellas por una fuerza invisible. Las mismas estrellas se mantienen coherentes gracias a la gravedad a pesar de la enorme presión térmica que sufren. La gravedad de la Luna (y del Sol) se manifiesta a diario en la Tierra con las mareas.
Galileo Galilei e Isaac Newton emprendieron en la Edad Moderna el primer estudio sistemático de la gravedad. Galileo demostró que si se ignoraban complicaciones como la resistencia del aire, todos los cuerpos se aceleran con igual rapidez al ser soltados, independientemente de su masa o de su constitución.
Newton trató la gravedad como una fuerza que actúa a distancia a través del espacio vacío entre cuerpos materiales. Sus famosas leyes del movimiento afirman que un cuerpo abandonado a sí mismo no cambia su estado de movimiento. Solamente cambiará su velocidad o la dirección de su movimiento si actúa sobre él una fuerza. En el espacio libre, a gran distancia de toda materia, un cuerpo continuará moviéndose de modo uniforme. En cambio, en la Tierra, la fricción y la resistencia del aire pronto agotan la energía de los cuerpos en movimiento y les obligan a detenerse. Sin estas fuerzas los cuerpos continuarían moviéndose indefinidamente.
Newton demostró que la velocidad con que un cuerpo se acelera bajo la acción de una fuerza es inversamente proporcional a la cantidad de materia que contiene, es decir, a su masa. La misma fuerza acelerará un camión de dos toneladas con la mitad de rapidez que un camión de una tonelada. La resistencia que oponen los cuerpos dotados de masa a los cambios de movimiento se llama inercia. Por lo tanto, si todos los cuerpos caen con igual rapidez, la fuerza de la gravedad ha de actuar con mayor fuerza sobre los de mayor masa, para poder desplazarlos igual que otros a pesar de su mayor inercia. La experiencia nos enseña que esto es cierto: los cuerpos de gran masa y gran inercia también son más pesados.
Los físicos creen que la observación formulada por Galileo sobre los cuerpos que caen es exacta. La fuerza de la gravedad es exactamente proporcional a la masa del cuerpo, es decir, que el peso es exactamente proporcional a la inercia. Como veremos, esta relación tiene una gran importancia.
Cerca de la superficie de la Tierra la gravedad no varía mucho, pero una observación elemental demuestra que la gravedad ha de disminuir con la distancia. Los planetas del Sistema Solar giran alrededor del Sol siguiendo trayectorias casi circulares a distancias distintas, pero los planetas interiores como Mercurio y Venus tienen períodos de giro u orbitales mucho más cortos que los planetas exteriores. Comparemos los 88 días de Mercurio con los 12 años de Júpiter. Johannes Kepler descubrió la siguiente ley de los períodos planetarios:
período orbital
(radio orbital)3/2
(radio orbital)/(período)2,
por lo tanto, recurriendo a la ley de Kepler deducimos inmediatamente que la fuerza centrífuga ejercida sobre un planeta es proporcional a 1/ r2, donde r es el radio orbital. La gravedad, para equilibrar esta fuerza, ha de variar con el cuadrado inverso de la distancia, de modo idéntico a la fuerza que hay alrededor de una carga eléctrica. La masa del cuerpo desempeña aquí el papel de «carga», por lo tanto la ley de Newton puede escribirse del modo siguiente:Fuerza = GMm/r2 (2.1)
donde M y m son las dos masas gravitatorias (idealizadas como dos puntos) y r la distancia entre ellas. G vale 6,67×10 -11 N m2 kg-2. Esta constante determina la fuerza de la gravedad existente entre dos masas unitarias de separación unitaria. Por lo que sabemos, G es una constante universal, lo que significa que la fuerza de la gravedad es la misma en todo el Universo y en todas las épocas.Si M es la masa del Sol y m una masa planetaria mucho menor, r es entonces el radio de la órbita del planeta y podemos igualar (2.1) a la fuerza centrífuga ejercida sobre la segunda masa:
GMm /r2 = mv2 /r (2.2)
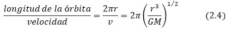
donde v es la velocidad del planeta. Resolviendo (2.2) obtenemos:v = (GM/r)½ (2.3)
La velocidad de los planetas exteriores (cuyo r es grande) es evidentemente inferior a la de los planetas interiores. El período es simplemente:
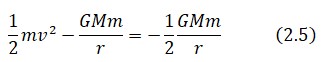
La energía de un planeta está constituida por dos componentes: su energía cinética, ½ mv2. y su energía de enlace gravitatoria debida a la atracción hacia el Sol, —GMm/r. Esta última es negativa porque para separar un planeta de su enlace gravitatorio tendríamos que hacer un trabajo. La energía neta es

La ecuación (2.5) se ha obtenido para un modelo idealizado con órbitas circulares, y se ha despreciado la reacción de la fuerza gravitatoria sobre el Sol (que es muy pequeña); sin embargo, la estructura de este resultado es generalmente correcta, incluso en sistemas complicados que pueden incluir muchas masas. La energía total de un sistema ligado gravitatoriamente de masa total M tiene la forma:

Es muy significativo que pueda utilizarse la fuerza centrífuga de rotación para contrarrestar la atracción gravitatoria del Sol. La fuerza centrífuga se llama a veces «gravedad artificial» porque no puede distinguirse de la gravedad «real». Además de los efectos centrífugos, cualquier aceleración puede simular la gravedad (véase la fig. 2-1). Y a la inversa, si se deja que un cuerpo se acelere libremente bajo la acción de la gravedad (imaginemos un ascensor en caída libre), la aceleración dirigida hacia abajo equilibra la fuerza de la gravedad y el sistema pierde su peso. La ausencia de peso es un rasgo familiar del vuelo espacial y no se debe a que una nave espacial en órbita esté tan lejos de la Tierra que no sienta su gravedad (pues entonces no podría mantenerse en órbita), sino a que está en caída libre.

Fig. 2-1. La gravedad directa se experimenta (localmente) de un modo que sólo está relacionado con el estado de movimiento del observador. Ambos observadores sienten las mismas fuerzas g, el uno en Tierra y el otro sobre una plataforma acelerada en el espacio lejano.
Como es lógico, estas observaciones sobre la ausencia de peso en la caída libre equivalen en realidad a las de Newton y Galileo según las cuales los cuerpos caen con igual rapidez.

Fig. 2-2. Orbitar significa caer, (a) El cuerpo A. soltado en vertical desde un punto P del espacio, cae directamente hacia el suelo. B es proyectado a la derecha de P, y sigue en su caída una trayectoria curvada. C sale proyectado a la derecha a tal velocidad que pasa de largo de la Tierra, cae de nuevo, vuelve a pasar de largo y continúa así dando vueltas indefinidamente. (b) Si se eliminara de pronto la gravedad de la Tierra, el cuerpo proyectado C se desplazaría en una línea recta a C1. Sin embargo la Tierra lo acelera hacia el suelo —el cuerpo cae hasta la posición C2— y por lo tanto la órbita se curva. Obsérvese que C se acelera hacia la Tierra, pero se desplaza más o menos perpendicularmente a esta dirección.

Fig. 2-3. Un marco de referencia en caída libre. Debido al principio de equivalencia, los efectos gravitatorios locales se anulan (se «transforman a cero») en la caída libre. Todo lo que contiene la caja cae hacia abajo con igual rapidez y al observador le parece que carezcan de peso. La bala que atraviesa la caja parece desplazarse en línea recta.
El hecho de que todos los objetos caigan con igual rapidez bajo al acción de la gravedad significa que una fuerza gravitatoria externa no puede distinguirse mediante una observación ¡ocal, porque todo caerá del mismo modo y no se producirá ningún cambio en la relación entre los objetos cercanos. Así, por ejemplo, la gravedad del Sol en la superficie de la Tierra, que sólo es el 0,06% de la gravedad de la Tierra, no tiene ningún efecto local: este cambio se notaría fácilmente en una máquina de pesar con un resorte de una cierta precisión. No nos sentimos más ligeros cuando tenemos el Sol sobre nuestras cabezas. Ni lo notaríamos si estuviéramos sobre la superficie del planeta Mercurio, en donde la gravedad del Sol es casi un 1% de la debida al planeta en sí. En ambos casos el respectivo planeta está cayendo libremente en la gravedad solar, equilibrándola completamente mediante su aceleración orbital.
Aunque no existen efectos locales debidos a la gravedad cuando el observador cae libremente, puede haber efectos no locales. Volvamos al ejemplo del ascensor que cae. Supongamos que se sueltan dos cuerpos pequeños dentro del ascensor separados una cierta distancia. Cada uno cae directamente hacia el suelo. Sin embargo, la Tierra no es plana, sino aproximadamente esférica, de modo que la horizontal local situada debajo de una partícula forma un ligero ángulo con la otra.

Fig. 2-4. (a) Dos partículas vecinas en caída libre se acercan lentamente mientras descienden hacia el centro geométrico de la Tierra siguiendo trayectorias que convergen gradualmente, (b) En esta imagen exagerada cuatro partículas que forman un cuadrado caen libremente. Fuerzas gravitatorias diferenciales deforman gradualmente el cuadrado y lo transforman en rombo. La partícula inferior está más cerca de la Tierra, por lo tanto siente una gravedad algo más intensa y cae más rápidamente. La partícula superior se retrasa en relación a las demás porque está más lejos de la Tierra. La pareja a uno y otro lado se acerca lentamente como se ha explicado en (a). Estas fuerzas diferenciales se llaman «de marea» porque causan también las mareas oceánicas, (c) De modo semejante, un anillo flexible se aplana paulatinamente por los lados y se estira de arriba abajo.
Un observador que caiga con el ascensor observará (en principio) un movimiento muy ligero de un cuerpo hacia el otro a medida que ambos se precipiten hacia abajo. En un ascensor real, donde las partículas estarán separadas sólo un metro, la convergencia valdrá unos minúsculos 0,016 mm por cada 100 m verticales de caída. Sin embargo, constituyen un signo directo de que está presente una fuerza gravitatoria exterior (la de la Tierra).
Además de estas fuerzas habrá también, como es lógico, diminutas fuerzas gravitatorias actuando entre las partículas que caen. En general, estas fuerzas internas serán despreciables. y, desde luego, las despreciaremos en nuestras consideraciones actuales. Es de la máxima importancia comprender que estos movimientos relativos entre partículas en caída libre no se deben a una gravedad mutua que actuaría entre ellas, sino a su respuesta a la gravedad exterior.
El aspecto de los efectos reales, incluso al caer libremente bajo la acción de la gravedad, es un fenómeno no local, porque obliga a efectuar observaciones de cuerpos distribuidos por una región extensa del espacio. Los efectos se producen si la gravedad externa no es uniforme, es decir, si varía de intensidad o de dirección de un punto a otro. Estamos tratando pues un proceso diferencial: la fuerza gravitatoria directa en sí es inobservable (en la caída libre), pero los efectos secundarios generalmente mucho más pequeños causados por su variación de un punto a otro pueden ser observables.
Cuanto mayor sea la región de observación, mayores pueden resultar estas diferencias. Por ejemplo, la gravedad de la Luna en un lugar de la Tierra no ejerce una fuerza neta, porque la Tierra y la Luna caen libremente dentro de sus mutuas gravedades. Sin embargo, es comprobable la variación de la gravedad de la Luna a lo largo de la superficie terrestre. El lado de la Tierra que en un momento dado mira a la Luna está 12.000 km más cerca de ella que el lado opuesto, y a causa de ello la gravedad de la Luna varía en más del 6 %. Esto hace que los océanos de diferentes regiones de la superficie de la Tierra caigan con diferentes velocidades hacia la Luna, y en consecuencia se produzcan mareas (véase la figura 2-5). Las fuerzas diferenciales de la gravedad se llaman por este motivo fuerzas de marea. Fijémonos en que la Tierra, además de intentar caer hacia la Luna, ha de luchar también con el movimiento orbital Tierra-Luna, de modo que la Luna y la Tierra acaban cayendo una alrededor de la otra.
Tenemos una ilustración sorprendente de la diferencia entre gravedad directa y gravedad de marea observando que si bien la gravedad del Sol en la superficie terrestre es unas 180 veces más intensa que la de la Luna, las mareas solares son más pequeñas que las lunares. Esto se debe a que la variación de la gravedad solar de un lado a otro de la Tierra es sólo del 0,017 %. El Sol está mucho más lejos que la Luna, y el diámetro adicional de la Tierra apenas aumenta la intensidad de la gravedad solar.

Fig. 2-5. Las mareas oceánicas. Del mismo modo que el anillo flexible de la figura 2-4 (c) se aplana y se estira cuando cae en la gravedad de la Tierra, la cáscara esférica formada por el océano que rodea la Tierra se aplana y adopta una forma similar mientras cae en la gravedad no uniforme de la Luna. La Luna levanta el agua en A y B y la deprime en C y D. La intensidad de la gravedad lunar en A es más del 6% superior a la del punto más distante B: es esta variación, y no la gravedad directa en sí, lo que origina las mareas.
Si la misma Tierra fuera líquida, se deformaría también bajo la acción de las fuerzas de marea, y no notaríamos localmente las mareas oceánicas. Pero la Tierra es casi rígida y las mareas inducen tensiones en su material. Esta tensión de marea, que intenta deformar un cuerpo rígido, desempeñará un papel importante en la detección de las ondas gravitatorias.
2.2. La gravedad como campo
La fuerza de la gravedad se parece en cierta manera a la fuerza de la electricidad; ambas fuerzas, por ejemplo, obedecen a la ley del cuadrado inverso. Esto nos induce a utilizar el poderoso concepto de campo para describir la gravedad, de modo análogo al campo eléctrico. Sin embargo, ¿qué tipo de campo debemos emplear? ¿Qué lo caracteriza?
Hay diferencias importantes entre la electricidad y la gravedad. La gravedad, por lo que sabemos, sólo atrae cuerpos, mientras que la electricidad puede atraerlos y repelerlos. Esto se debe a que existen dos tipos de carga eléctrica: positiva y negativa. La masa desempeña el papel de «carga gravitatoria», y se cree que esta carga es positiva en todos los cuerpos materiales ordinarios. Observemos que, en el caso de la electricidad, las cargas semejantes se repelen, pero en la gravedad las masas semejantes se atraen.
Otra diferencia entre la gravedad y la electricidad es la gran debilidad de la primera comparada con la segunda. Las partículas constituyentes de un átomo de hidrógeno, por ejemplo, se atraen mediante fuerzas eléctricas con una fuerza 1040 veces superior a la de la gravedad; si el hidrógeno tuviera que mantenerse unido por la acción de la gravedad, la cohesión sería tan débil que el tamaño mínimo del átomo (el radio de la órbita cuántica inferior) sería superior al del Universo observado. A pesar de ello, ya en 1798 Henry Cavendish pudo medir en el laboratorio la fuerza gravitatoria existente entre dos grandes esferas metálicas. Entre dos esferas de 1 kg situadas a 1 m de distancia hay una atracción de sólo 6,7×10-11N. La gravedad es tan débil que sólo las masas de dimensiones astronómicas pueden ejercer una fuerza apreciable.
Una diferencia final es que la gravedad puede simularse o eliminarse localmente mediante una aceleración, por ejemplo, la de la caída libre. Es imposible hacer esto con fuerzas eléctricas, porque no todos los cuerpos sienten la misma fuerza eléctrica. De hecho hay cuerpos (los no cargados) que no responden en absoluto a las fuerzas eléctricas. Si soltamos un conjunto de cuerpos de cargas distintas en un campo eléctrico exterior no se comportarán como si «no tuvieran peso», volando todos juntos, sino que se dispersarán rápidamente, pues unos sentirán una atracción más intensa que otros, y algunos incluso serán repelidos a causa del signo de su carga.
En cierto sentido, sólo la gravedad de marea puede considerarse real. Si la gravedad directa, es decir, las fuerzas gravitatorias locales, pueden simularse o eliminarse mediante la aceleración, las fuerzas experimentadas se deben más al estado de movimiento del observador que a la gravedad en sí. Sentimos la gravedad de la Tierra no sólo porque estamos situados en su campo gravitatorio, sino porque el suelo aprieta nuestros pies y nos impide asumir un estado de movimiento de caída libre. Se podría conseguir un efecto equivalente en el espacio lejano, lejos de la gravedad planetaria, con un motor de cohete que creara una aceleración de 1 g (véase la figura 2-1). Sólo la ausencia de diminutas fuerzas de marea en la nave espacial delataría la diferencia. Todo esto indica que cualquier concepto del campo gravitatorio debería basarse en los efectos de marea, no en la fuerza directa. Indica también que las ondas de un campo gravitatorio serán «ondas de marea». El principio de equivalencia entre gravedad y aceleración, y la correspondiente falta de peso en la caída libre, significan que la gravedad objetiva (no la que depende del observador) es un efecto secundario, de marea.
Si la gravedad directa está relacionada únicamente con nuestro estado de movimiento no uniforme, parece natural ampliar las ideas de la relatividad del movimiento uniforme al caso de los marcos de referencia acelerados, intentando así incorporar la gravedad dentro de la teoría de la relatividad. Einstein emprendió esta tarea entre 1905 y 1915, ampliando su obra anterior, llamada ahora teoría «especial», e incorporándola en la llamada teoría general de la relatividad. Recordemos que la relatividad especial está íntimamente relacionada con la estructura del espacio y del tiempo, o espacio- tiempo, y que el espacio y el tiempo pueden sufrir individualmente distorsiones debidas al movimiento uniforme de los observadores. Veremos luego que el gran descubrimiento de Einstein fue que la gravedad puede modelarse también permitiendo que el espacio-tiempo la deforme de un modo más complejo.
Cuando un campo eléctrico actúa sobre una carga de prueba, la fuerza resultante puede representarse mediante un único vector (véase la fig. 2-6). Este vector puede descomponerse en tres dimensiones, en tres componentes perpendiculares. Sin embargo, el efecto de la gravedad de marea es más complicado. Supongamos que utilizamos como cuerpo de prueba un pequeño cubo de materia, y que lo dejamos caer libremente en un campo gravitatorio no uniforme, como el interior de nuestro ascensor que cae hacia abajo. En este ejemplo sencillo, la base del cubo intenta caer a mayor velocidad que la cara superior, porque está más cerca del suelo, donde la gravedad terrestre es algo más intensa (recordemos la fig. 2-4). Por lo tanto, la gravedad de marea intenta estirar verticalmente el cubo. Además, los lados del cubo intentan caer hacia el centro de la Tierra siguiendo trayectorias convergentes, por lo tanto la gravedad de marea intenta comprimir el cubo horizontalmente. En un campo gravitatorio más complicado podría haber también fuerzas que intentaran retorcer el cubo y cizallarlo, privándolo de su forma rectangular.
La combinación de todas las tensiones que actúan sobre el cubo pueden describirse mediante nueve componentes separadas de la fuerza. Consideremos, por ejemplo, una cara del cubo. Fuerzas paralelas a la superficie intentarán cizallarla y rotarla en relación a la cara opuesta.
En esta superficie bidimensional sólo se precisan dos componentes del vector para describir la fuerza resultante.

Fig. 2-6. (a) Una fuerza eléctrica puede representarse mediante un vector único, (b) La gravedad directa también es un vector único, pero la gravedad de marea que actúa sobre un bloque en caída libre es más complicada. En cada superficie hay fuerzas que intentan girar y deformar el bloque. Otras fuerzas que actúan perpendicularmente a las caras intentan estirar y contraer el bloque.
Es evidente que la gravedad no es un simple campo vectorial. como el campo electromagnético. Las nueve componentes necesarias para especificar la acción de la gravedad sobre un cuerpo de prueba en caída libre indican una estructura de campo más complicada. Sin embargo, las nueve componentes no son simples números aleatorios. En cierto sentido, las nueve componentes pueden tratarse a veces como la conjunción de dos vectores de tres componentes (ver el recuadro). Esta organización se expresa llamando tensor (en realidad un tensor de segundo rango) al correspondiente objeto matemático de nueve componentes, un objeto bastante especial. Decimos, pues, que la gravedad es un campo tensorial mientras que el campo electromagnético, como indicamos al final del apartado 1.5, es un campo vectorial. Esta distinción es de la mayor importancia.
La teoría de la relatividad no se ocupa de un espacio tridimensional, sino de un espacio-tiempo cuadridimensional. Si el electromagnetismo exige un campo de cuatro vectores, la gravedad relativista exigirá un tensor de (4 × 4 = ) 16 componentes (aunque en la teoría de Einstein sólo 10 son independientes). Hablaremos a su debido tiempo del significado físico de las componentes adicionales.
Si en lugar de un cuerpo rígido soltamos un conjunto suelto de partículas en forma de nube, el conjunto será incapaz al caer de resistir las tensiones inducidas por las fuerzas de marea. La nube sufrirá una deformación, del mismo modo que los océanos cambian de forma sometidos a la gravedad de marea de la Luna. Se precisará un tensor de varias componentes para describir esta deformación como un cizallamiento, una dilatación y una rotación. La forma cambiante puede considerarse la respuesta a las pequeñas aceleraciones mutuas de las partículas individuales. La magnitud de estas aceleraciones es proporcional a la fuerza de marea.
2.3. El espacio-tiempo curvado
La deformación de un conjunto de partículas que caen puede considerarse inducida por las fuerzas de marea, pero es posible estudiar el fenómeno de un modo totalmente distinto y mucho más natural. La noción de fuerza es útil cuando tratamos con una fuerza fija que actúa sobre un conjunto de masas diferentes que sufren aceleraciones variadas. En el caso de la gravedad de marea tenemos exactamente lo contrario. Las aceleraciones están fijas y las fuerzas de marea varían. Esto se debe al principio de equivalencia, según el cual todos los cuerpos de prueba, sea cual fuere su masa o constitución, se acelerarán de modo igual en las mareas. Como es lógico, las fuerzas de marea varían de una partícula a otra según sea su masa, pero la aceleración en cada punto dado es la misma si sustituimos una masa de prueba por otra.
Supongamos, para insistir en el tema, que en nuestro ascensor en caída libre soltamos dos anillos de partículas, uno de ellos formado por cuescos de lobo, el otro por cojinetes de plomo (véase la fig. 2-4). El efecto de la gravedad de marea sobre estas partículas a medida que caen es deformar las formas de los anillos de modo idéntico.
Si la gravedad deforma de igual manera todas las formas en caída libre, se deduce que describir la deformación en función de las fuerzas es innecesariamente complicado. La deformación es en realidad únicamente un efecto geométrico, no mecánico.
La gravedad es un campo tensorialSea A un vector de longitud unidad. Para describirlo podríamos inventar un sistema de coordenadas x, y y decir (i) A =(1, 0).Si giramos este marco de referencia, (ii) A = (0, 1). Orientaciones intermedias dan pares intermedios de números, por ejemplo, (iii) (a1, a2). En todos los casosa12 + a22 = 1. Las dos componentes a1, a2 han de cumplir esta relación sea cual fuere el cambio del marco de referencia, para conservar la longitud unidad de A; por lo tanto las componentes no son nombres cualesquiera sino que se organizan alrededor de esta relación. En tres dimensiones se necesitan tres componentes (a1, a2 , a3): a12 + a22 + a32 = 1.
Consideremos ahora dos vectores unitarios A y B y multipliquemos dos a dos todas sus componentes a1b1,a1b2, a3b2, etc. Simbolicemos porc11 el par a1,b1; por c32 el par a3b2, etc., y dispongamos las nueve ces en el cuadro siguienteEste objeto de nueve componentes c se llama diada, y es en realidad una conjunción de los dos vectores A y B que podría escribirse de la siguiente forma: C = AB. Cuando el marco de referencia gira, estas componentes c11, etc., cambian, pero de un modo disciplinado que las convierte en algo más que una matriz de números, puesto que deben cumplir con la condición de conservar las longitudes de A y de B, y además de mantener fijas su orientación relativa. Cualquier matriz C (construida o no a partir de dos vectores) que disfrute de estas propiedades especiales de transformación se llama un tensor.
Puesto que la deformación es la misma para todas las partículas de prueba, daremos una descripción más económica de la gravedad de marea si expresamos el fenómeno en lenguaje geométrico en lugar de utilizar las ideas de la mecánica y abandonamos del todo el uso de las fuerzas.
Éste fue el enfoque seguido por Einstein. Dijo que la gravedad podía comprenderse mejor no como una fuerza sino como una manifestación de la geometría del espacio-tiempo. La deformación del anillo, por ejemplo, puede considerarse no como una distorsión del anillo en sí debida a las fuerzas, sino como una caída sin fuerzas a través de una geometría deformada.
Una situación así es corriente en la vida cotidiana. Supongamos que golpeamos con poca fuerza dos pelotas de golf y las situamos en trayectorias paralelas (véase la fig. 2-7).

Fig. 2-7. Unas bolas moviéndose sobre una superficie irregular pueden experimentar fuerzas que actúan como la gravedad de marea y les obliguen a acercarse o separarse. Estas fuerzas pueden considerarse creadas por la geometría subyacente y distorsionada de las superficies, (a) Una protuberancia del suelo obliga a las bolas a separarse, (b) Una concavidad las obliga a juntarse.
Einstein propuso que el espacio-tiempo está curvado o deformado, y que las partículas a medida que caen se desplazan a lo largo del camino más recto, llamado geodésica, a través del espacio-tiempo curvado de fondo. Las geodésicas vecinas pueden converger o divergir, reproduciendo así el efecto de las fuerzas de marea.
Esta idea tiene una buena analogía bidimensional. La superficie de la Tierra está curvada, y esto origina algunos fenómenos raros en los viajes por aire. Para llegar a Los Angeles desde Londres hay que volar primero hacia el noroeste y luego hacia el suroeste a fin de seguir la geodésica (la ruta más «recta» o corta). El equivalente a una línea recta sobre la Tierra es el llamado círculo máximo, por ejemplo una línea de longitud. Estas particulares trayectorias geodésicas se cortan en los polos. Si dos aviones separados por varios kilómetros vuelan hacia el norte desde el ecuador siguiendo sus respectivas líneas de longitud (geodésicas), cada piloto dirá que su avión se desplaza siguiendo exactamente una línea recta. Al principio emprenden vuelos paralelos, pero irán convergiendo paulatinamente y al final chocarán en el polo norte (véase la fig. 2-8). Si los pilotos creyeran que la Tierra es plana, tendrían que explicar esta convergencia como el efecto de una misteriosa fuerza de marea exterior que los va acercando. Nosotros atribuimos más razonablemente este efecto a la curvatura de la superficie de la Tierra. Del mismo modo, en el ascensor que cae, la descripción superior es que cada partícula «vuela» siguiendo la ruta recta (geodésica), sin que la perturbe para nada ninguna fuerza, a través del espacio- tiempo curvado.

Fig. 2-8. Geodésicas curvadas. La geometría de la Tierra no es plana, por lo tanto dos trayectorias «rectas» (geodésicas) que son paralelas en el ecuador convergen y se cortan en el polo norte. Esta convergencia es análoga a las fuerzas de marea que obligan a dos partículas a acercarse en el ascensor en caída libre.
Es importante comprender que lo curvado es el espacio- tiempo, no únicamente el espacio. A menudo se piensa equivocadamente que la curvatura de la órbita de la Tierra en el espacio refleja la curvatura subyacente del espacio. Esto es incorrecto, como lo demuestra una simple observación. La Tierra se desplaza siguiendo una órbita casi circular con una velocidad casi constante. La curvatura de esta órbita en el espacio se mide por 1/r2, donde r es el radio orbital; observemos que un r grande corresponde a una curvatura pequeña. Esta curvatura orbital en el caso de la Tierra es de 4×10-23 m-2 aproximadamente. Si otro cuerpo, por ejemplo un asteroide, pasa cerca de la Tierra a gran velocidad, su órbita estará mucho menos curvada, aunque en este punto experimenta la misma gravedad (véase la fig. 2-9). A pesar de ello, cuando pasamos al espacio-tiempo, y no al simple espacio, comprobamos que en realidad las dos órbitas tienen una curvatura prácticamente idéntica.
Para comprender el significado del espacio-tiempo curvado podemos estudiar los diagramas espacio-temporales introducidos en el apartado 1.5. Imaginemos que pudiéramos interrumpir la gravedad solar; la Tierra se desplazaría entonces a través del espacio con una velocidad constante y en línea recta.

Fig. 2-9. Una trayectoria curvada no implica un espacio curvado. El asteroide rápido corta la órbita de la Tierra en P. Allí ambos cuerpos equidistan del Sol, pero la órbita del asteroide está mucho menos curvada en el espacio.

Fig. 2-10. La curvatura en el espacio-tiempo, (a) Si no hay gravedad, la Tierra sigue una línea recta. La trayectoria es recta tanto en el espacio como en el tiempo, (b) Con gravedad, la Tierra está atrapada en órbita alrededor del Sol. En el espacio-tiempo esta órbita es una hélice que se curva suavemente. Para ver su forma en el espacio tenemos que mirar la hélice desde arriba (es decir, proyectarla sobre el plano horizontal), obteniendo entonces una elipse mucho más curvada (línea de puntos). Recordemos que la escala vertical está muy comprimida, por lo que la curvatura de la hélice es incluso inferior a la dibujada.
Debemos recordar ahora, al dibujar diagramas espacio- temporales que la escala de los ejes espaciales y del eje temporal ha de concordar. Esto supone multiplicar el tiempo por c. Es evidente que el diagrama, tal como lo dibujamos, está muy comprimido verticalmente porque el período orbital es de un año (paso de la hélice = un año luz), mientras que el radio orbital mide sólo una unidad astronómica (1,5 × 108 km, o sea, aproximadamente 8 1/3 minutos luz). Para corregir esta compresión habría que estirar verticalmente el dibujo diez mil veces. Una vez hecho esto, la curvatura de la línea de universo de la Tierra en el espacio-tiempo es muy ligera, aunque desde luego continúa siendo de 4 × 10-23 m-2 en el espacio. Einstein propuso que esta ligera curvatura de la línea de universo en el espacio-tiempo se debe realmente a la curvatura de la misma geometría del espacio-tiempo. Sería una situación similar a construir un modelo del espacio-tiempo con un bloque de cristal atravesado por líneas de universo rectas, bloque que luego calentaríamos y retorceríamos de modo que las líneas tuvieran que adaptarse a la curvatura del cristal.
Es fácil ver ahora que el asteroide de gran velocidad que sigue una órbita poco curvada en el espacio (véase la fig. 2-9) tiene en el espacio-tiempo una línea de universo que se curva aproximadamente igual que la de la Tierra. La trayectoria del asteroide en el espacio no se curva mucho, pero el cuerpo recorre una unidad astronómica con bastante mayor rapidez que la Tierra. Los tiempos respectivos multiplicados por c son mucho mayores que las distancias, por lo tanto podemos despreciar estas últimas al calcular la curvatura. Si el período de la Tierra es t. la distancia orbital en el espacio-tiempo es aproximadamente ct (en este caso un año luz), por lo tanto, la curvatura es aproximadamente de 16/c2 t2, o 16 × 10-23 m -2 para la Tierra (véase la fig. 2-11).

Fig. 2-11. Para calcular la curvatura de la hélice en el espacio-tiempo despreciamos la pequeña distancia horizontal (radio de la hélice), que es muy inferior a la distancia vertical (paso de la hélice). Entonces la curvatura (1/r2) es aproximadamente la misma que la de un círculo de radio r que toque la hélice, siendo r = ¼ct.
Un poco de mecánica newtoniana (véase la ecuación [2.4]) da para el período t: 2πr3/2/(GM)½ , donde M es la masa del Sol. Por lo tanto, la curvatura de la línea de universo de la Tierra debida al Sol es 16/c2t2 ≈ GM/r3c2. Pero GM/r3c2 es igual a


Si dos cuerpos se mueven en órbitas ligeramente diferentes se acelerarán uno en relación al otro debido a los efectos de marea (la gravedad solar varía de una órbita a otra). Al reescribir (2.7) del modo siguiente:
Aceleración de la gravedad = (curvatura espacio-temporal) × (distancia) × c2
observamos que para dos partículas vecinas.

Como dijimos, la deformación de una forma flexible en caída libre se ha de describir mediante un tensor multicomponente. Si queremos traducir este fenómeno a la geometría espacio-temporal deberemos usar un tensor de la geometría de las superficies curvadas, generalizado adecuadamente para un espacio-tiempo cuadridimensional. Afortunadamente el matemático Bernhard Riemann había hecho ya la mayor parte del trabajo, y Einstein, en su teoría general de la relatividad, utilizó el llamado tensor de Riemann como descripción de la curvatura del espacio-tiempo. Los efectos de marea pueden expresarse entonces esquemáticamente del modo siguiente:

Einstein no sólo demostró que la gravedad es un campo tensorial, sino que también descubrió las ecuaciones de campo que relacionan la magnitud y naturaleza de la distorsión espacio-temporal con las cualidades del material gravitatorio. Hasta ahora no hemos dicho nada sobre el sistema que produce la gravedad, y una teoría completa también debe tenerlo en cuenta.
Si la gravedad es un campo tensorial, debe tener una fuente tensorial. La teoría de la gravedad de Newton se basaba en la idea de que la masa de un cuerpo es la fuente de la gravedad. Esta cantidad es sólo un número (un escalar), no un tensor. Cuando se descubrió que la energía es equivalente a la masa (E = mc2), quedó claro que la fuente de la gravedad ha de ser algo más complicado que la masa. Imaginemos, para entender estas complejidades adicionales, una partícula en reposo. La partícula tiene masa, pero carece de energía adicional. Sin embargo, otro observador que se desplace en relación a la partícula le atribuirá tanto masa en reposo como energía cinética. Por lo tanto, su efecto gravitatorio será distinto. La transformación del tensor de campo gravitatorio al cambiar este marco de referencia debe reflejar estas consideraciones.
La energía es un número, y según lo dicho, es un número que depende del marco de referencia del observador. La situación es análoga a la del potencial eléctrico (recordemos la discusión anterior). En este último caso mejoramos la teoría transformando el campo escalar no relativista en un cuadrivector que se transforma correctamente, a saber, el potencial electromagnético. Una maniobra de semejantes características puede aplicarse a la energía combinándola con el momento lineal trivectorial. El cuadrivector energía-momento lineal (o masa-energía-momento lineal) es una cantidad física con propiedades de transformación correctas al cambiar el marco de referencia.
Sin embargo, todavía no tenemos un tensor: el cuadrivector masa-energía-momento lineal no sirve todavía como fuente de la gravedad. Podría construirse un tensor simple uniendo dos cuadrivectores de este tipo. Esto nos acerca al resultado, pero hay que satisfacer otras exigencias: las propiedades matemáticas del tensor fuente han de corresponderse con las propiedades geométricas del tensor de Riemann y sus tensores relacionados. Es preciso para ello incorporar los efectos de la tensión, además de la masa, la energía y el momento lineal. Tenemos al final el tensor tridimensional de tensión aumentado con el cuadrivector masa- energía-momento lineal. Este último proporciona los componentes adicionales necesarios para convertir un tritensor en un cuadritensor, que puede representarse mediante una matriz de 4×4. En la teoría de Einstein sólo son independientes tres de estas dieciséis componentes.
Einstein utiliza en la ecuación final de campo un tensor basado en una forma contraída del tensor de Riemann, que sólo tiene diez componentes independientes, para describir geométricamente la distorsión del espacio-tiempo, y las iguala a las diez componentes independientes del tensor tensión-energía-momento lineal. Es esquemáticamente lo siguiente:
variaciones en la geometría del espacio-tiempo =
= tensión, masa-energía y momento lineal de la fuente.
Esta es la famosa ecuación del campo gravitatorio de Einstein. Desempeña un papel análogo a las ecuaciones de Maxwell que relacionan las cuatro componentes independientes del campo electromagnético vectorial con la densidad de carga y el vector corriente de la fuente (también de cuatro componentes).2.5. Ondas de gravedad
Se plantea inmediatamente saber si pueden existir ondas de gravedad que sean soluciones de la ecuación de Einstein, del mismo modo que las ondas electromagnéticas son soluciones de las ecuaciones de Maxwell. El mismo Einstein había estudiado esta cuestión en la temprana fecha de 1918. Descubrió ciertamente que existían soluciones ondulatorias, en las que las ondulación del espacio-tiempo se propaga a través del espacio vacío como una entidad independiente, con una velocidad igual a la de la luz.
En los primeros tiempos reinó una cierta confusión sobre el papel de estas tres soluciones. Algunas personas afirmaban que las ondulaciones de la geometría no eran físicamente reales porque al igual que una fuerza gravitatoria directa (local), podían transformarse y eliminarse mediante una aceleración, significando con ello que las deformaciones progresivas eran solamente un artificio matemático que describe un cambio en el marco de referencia, como al pasar de coordenadas cartesianas a curvilíneas en una lámina todavía plana de papel (véase la fig. 2-12).

Fig. 2-12. Curvatura real y aparente, (a). La lámina plana tiene una red rectangular, (b) La misma geometría plana está representada por una red curvada y complicada, (c) Esta superficie es intrínsecamente curvada y no puede construirse en ella ninguna red rectangular. Los primeros investigadores se preocuparon por la posibilidad de que las ondas gravitatorias fueran puras ficciones, ondas matemáticas de la red (como [b]), pero en realidad son ondulaciones auténticas de geometría (como [c]).
Pero ¿qué son las ondas gravitatorias?
Volvamos a la figura 1-11 y a la explicación de las ondas electromagnéticas en función del cambio repentino de posición de una partícula fuente. Puede elaborarse un argumento análogo en el caso de la gravedad. Si se perturba violentamente un cuerpo de gran masa, el campo cercano se ajusta rápidamente, pero el campo lejano ha de esperar a que la señal de que la masa se ha movido se propague hasta él con la velocidad finita c. por lo tanto existe una deformación progresiva cuya intensidad disminuye en función de 1/r y no de 1/r2, como la fuerza newtoniana.
Sin embargo, hay una diferencia importante, debida a que la electricidad puede ser tanto atractiva como repulsiva, mientras que la gravedad es puramente atractiva (las cargas eléctricas son positivas y negativas, mientras que la masa es siempre positiva). Un simple radiador dipolar eléctrico consiste en una partícula de carga positiva unida a un muelle anclado en un cuerpo muy pesado (véase la fig. 2-13). La carga al oscilar a derecha e izquierda forma un dipolo variable y se crean ondas electromagnéticas. El momento dipolar es ex, donde x es el desplazamiento y e la carga. Cuando la partícula se acelera, también se acelera el momento dipolar. Este dispositivo puede sustituirse por dos partículas, una con una carga positiva y la otra con una carga negativa.
Si unimos las dos cargas con un muelle, las oscilaciones de este par constituyen un dipolo de características semejantes a la simple partícula cargada.

Fig. 2-13. Dipolos eléctricos. Las oscilaciones de la carga única representada en (a) tienen las mismas características de dipolo eléctrico que el par de cargas oscilantes representado en (b). En ambos casos, cuando el resorte se contrae hay un desplazamiento neto de la carga positiva hacia la izquierda, mientras que una expansión desplaza la carga positiva hacia la derecha. Esta oscilación del «centro de carga» genera ondas electromagnéticas.
Pasemos ahora a las ondas gravitatorias y consideremos dos masas iguales unidas por un muelle (véase la fig. 2-14). En este caso las dos «cargas gravitatorias» (es decir, las dos masas) son positivas, y por lo tanto el movimiento de una de ellas hacia la derecha no es equivalente al movimiento de la otra hacia la izquierda. De hecho, desde el punto de vista gravitatorio, los dos efectos tratan de contrarrestarse en lugar de reforzarse mutuamente, por lo tanto las dos masas no constituyen en absoluto un dipolo variable. Un dipolo de masas podría formar una única masa, al estilo de la figura 2-13 (a), pero esto plantea un problema. Cuando consideramos las vibraciones de la partícula cargada, pudimos ignorar el cuerpo pesado en donde habíamos anclado el muelle, porque carecía de carga. Sin embargo, en el caso de la gravedad no hay cuerpos «sin carga». Todos los cuerpos tienen carga gravitatoria, y debemos tener en cuenta la gravedad de la masa de sujeción.
Cuando el muelle se contrae tira de la partícula hacia la izquierda, pero el extremo lejano también trata de tirar del cuerpo pesado hacia la derecha (la acción y la reacción son iguales y opuestas). El cuerpo pesado tiene una mayor inercia que le impide moverse mucho. Sin embargo, la gravedad de este cuerpo es mayor debido a su gran masa. Si queremos reducir el movimiento del cuerpo de sujeción podemos aumentar su masa, pero al aumentar la acción gravitatoria se produce un equilibrio: por el principio de equivalencia, los dos efectos se compensan exactamente.

Fig. 2-14. Los dipolos gravitatorios no pueden generar ondas gravitatorias. (a) Ambas masas contienen carga gravitatoria positiva, por lo tanto, cuando el resorte se contrae el movimiento hacia la izquierda de una masa gravitatoria se opone al movimiento hacia la derecha de la otra. El centro de masa no se mueve, por lo tanto el dipolo no oscila, (b) Este aparato constituiría un dipolo oscilante si la masa pesada estuviera realmente fija. Sin embargo, siempre hay un ligero movimiento de reacción, y puesto que la masa pesada tiene una acción gravitatoria mucho mayor, también anula el movimiento dipolar gravitatorio debido a la masa ligera; el centro de masa tampoco se acelera. Tenemos que considerar los momentos cuadripolares de estos sistemas (que no oscilan) para generar ondas gravitatorias.
Este resultado puede resumirse recurriendo a la ley de conservación del momento lineal. El centro de masa del sistema total que aparece en la figura 2-14 no puede acelerarse, por lo tanto el momento del dipolo de masa no puede acelerarse.
En realidad, los sistemas de doble masa de la figura 2-14 constituyen un cuadripolo, donde cada masa individual actúa como un dipolo oscilante. En primera aproximación la perturbación gravitatoria de un dipolo oscilante anula la de la otra, pero debido a que la perturbación necesita un tiempo para propagarse a lo largo del muelle, las dos perturbaciones están ligeramente desacompasadas y no se anulan exactamente. Como consecuencia de este momento cuadripolar cambiante, el sistema radia ondas gravitatorias.
Del mismo modo que la intensidad del momento dipolar gobierna la eficiencia de la creación de ondas electromagnéticas, la intensidad del momento cuadripolar controla la producción de ondas gravitatorias. En este caso sencillo de dos masas iguales unidas mediante un muelle de longitud x, el momento lineal cuadripolar en la dirección x es
Q = Mx2 (2.10)
Habrá también momentos cuadripolares en las direcciones perpendiculares. La definición general de Q es![]()
![]()
Puede demostrarse que en la zona de radiación (es decir, lejos de la fuente) la onda gravitatoria se desplaza en forma de vibración transversal del campo. Como sucede con el campo electromagnético, hay dos estados independientes de polarización de la onda (ver más abajo).

Fig. 2-15. Efecto de la onda gravitatoria. El paso de la onda perpendicularmente al plano del anillo flexible induce las distorsiones dibujadas. Están ilustrados los dos estados de polarización. Las líneas de trazos representan las distorsiones medio ciclo después. Por lo tanto, la distorsión del anillo oscila entre direcciones perpendiculares. Debajo de cada figura está representada una secuencia de distorsión de un solo ciclo.
La onda gravitatoria es un tensor, por lo tanto necesitamos un sistema de prueba más complicado que una sola partícula.
Una configuración conveniente consiste en tomar un anillo flexible situado perpendicularmente al vector de propagación de la onda k. La figura 2-15 muestra el efecto físico causado por el paso de la onda. Cuando pasa la ondulación, el anillo se deforma, perdiendo su circularidad.
Durante el primer semiciclo la deformación se produce en una dirección, y en el segundo semiciclo el anillo se deforma en una dirección perpendicular.
La causa geométrica de la deformación es que la onda gravitatoria representa al pasar un cambio local en la geometría, que estira o encoge todas las distancias perpendiculares entre sí. Dicho con un lenguaje más mecánico, la onda representa el paso de un impulso de gravedad de marea y el anillo sufre la misma reordenación de marea que los océanos de la Tierra (compárese también la fig. 2-4 [c]). Las diferentes partes del anillo caen de modo diferente en los campos gravitatorios ligeramente diferentes experimentados en las distintas regiones de su periferia.
La figura 2-15 (a) muestra una onda gravitatoria con una polarización concreta. En el caso de una onda electromagnética. el otro estado de polarización está girado 90° en relación al primero, es decir, que los campos eléctricos de los dos estados son perpendiculares (recuérdese la fig. 1-8). Aquí una rotación de 90° de la configuración que aparece en la figura 2-15 (a) reproduce el mismo dibujo, pero con una diferencia de fase de medio ciclo, por lo tanto este estado de polarización no es independiente. El otro estado está girando sólo 45°, como vemos en la figura 2-15 (b). Por lo tanto, una rotación de 90° nos hace pasar por el doble de estados de polarización de la onda gravitatoria que los de la onda electromagnética. No es de extrañar esto, porque la fuente cuadripolar contiene, hablando de una manera aproximada, dos vectores en lugar de uno.
Como sucede en el caso electromagnético, cualquier configuración de onda cuadripolar puede construirse mediante una superposición de dos estados de polarización. Se obtiene un caso especial desplazando sus fases un cuarto de ciclo. Esto es otra vez el caso de la polarización circular. El efecto neto sobre el anillo flexible es que las protuberancias giran a medida que pasa la onda (fig. 2-16). Observemos que después de un ciclo completo de la onda, el dibujo ha girado 180°, en lugar de los 360° que habría girado con una onda electromagnética polarizada circularmente. Por lo tanto, se necesitan dos ciclos para tener una rotación completa del dibujo, y esta duplicidad de valores (ver también más arriba) deriva del carácter tensorial de la onda.

Fig. 2-16. Polarización circular. La distorsión gira en lugar de oscilar. Obsérvese que si bien la forma vuelve a la misma configuración después de un solo ciclo, está «cabeza abajo» y se precisan dos ciclos de la onda para que la protuberancia dé una revolución completa. Compárese esta característica de «espín 2» con el «espín 1» de las ondas electromagnéticas.
Es curioso observar la similitud de la rotación de las protuberancias representadas en la figura 2-16 con las de la figura 2-5, es decir, la protuberancia de la marea oceánica que gira alrededor de la Tierra a medida que la Luna gira en su órbita. El ciclo periódico de la Luna crea desde luego una onda gravitatoria con un período de un mes, pero éste es el campo próximo (el campo 1/r2, correspondiente a la fuerza de Coulomb en electrodinámica), no el campo de radiación o lejano (el campo 1/ r). Este libro se ocupa de las ondas de radiación gravitatoria de este último campo.

Fig. 2-17. Los anillos giran con la misma energía, pero (b) gira a velocidad doble que (a). El momento angular está definido por masa × velocidad angular × radio2 ≡ Mωr 2. Con anillos de igual radio la razón entre momentos angulares es M 1ω1 /M2ω2. Pero la energía cinética = ½ M1ω12r2 = ½M2ω22r2, por lo tanto M 1ω1 / M2ω2 = 2. Es decir, que (a) tiene un momento angular doble que (b). (También ha de tener cuatro veces la masa de (b).)
Antes de finalizar esta introducción a las ondas gravitatorias hay que citar una complicación teórica seria. En la teoría de Einstein, la gravedad puede deberse a la tensión, a la masa-energía y al momento lineal. Una onda gravitatoria transporta energía y momento lineal, y, por lo tanto, actúa de por sí como fuente de gravedad. La gravedad representa energía, por lo tanto podemos decir de modo aproximado que la gravedad gravita. El gravitón está «cargado» de masa-energía. En cambio el fotón no transporta carga eléctrica, y no es fuente de campos electromagnéticos. Esta diferencia entre el electromagnetismo y la gravedad se expresa diciendo que el primero es lineal y la segunda no lineal. Un sistema lineal tiene generalmente la propiedad de que si dos causas originan dos efectos, cuando las dos causas actúan conjuntamente producen la suma de los efectos. Por ejemplo, si una fuente produce un cierto campo electromagnético y otra produce un campo distinto, ambas fuentes juntas producen los dos campos superpuestos. Por lo tanto, podernos sumar los campos electromagnéticos de modo lineal, como números corrientes o vectores.La gravedad, al ser no lineal, es más complicada. Si dos masas producen cada una campos asociados, cuando actúan conjuntamente el campo final es más que la suma directa de los dos primeros. Hay que tener en cuenta factores como la gravedad debida a la energía de interacción gravitatoria entre las dos fuentes, y la gravedad de un campo al actuar sobre el otro.
Afortunadamente, cuando los campos son débiles, los efectos no lineales suelen ser pequeños y pueden ignorarse. Esta condición se supone frecuentemente al discutir la radiación gravitatoria. Las perturbaciones ondulatorias que se desplazan a la velocidad de la luz y que se comportan de modo muy análogo a las ondas electromagnéticas son soluciones de la ecuación de Einstein que se tratan con esta aproximación lineal.
Capítulo 3
Fuentes de ondas gravitatorias
3.1. Generadores simplesDeterminar la posibilidad de las ondas gravitatorias es muy diferente a demostrar que pueden detectarse o que son importantes. Transcurrió solamente una década, más o menos, desde que Maxwell predijo las ondas de radio hasta que Hertz las produjera en el laboratorio. Han pasado ya sesenta años desde la publicación del trabajo original de Einstein sobre la radiación gravitatoria. ¿Cuánto habrá que esperar para generar estas ondas en el laboratorio?
3.2. Eficiencia de la generación de ondas gravitatorias
3.3. Ondas gravitatorias de las estrellas
3.4. Las ondas gravitatorias de los agujeros negros
3.5. Fuentes cosmológicas
3.6. Características de la radiación
Se dijo que la gravedad es en cierto sentido 1040 veces más débil que el electromagnetismo. Esta extraordinaria debilidad es el obstáculo mayor a la manipulación tecnológica de la gravedad y significa de modo casi cierto que el estudio de la radiación gravitatoria deberá basarse en fuentes naturales situadas en otros lugares del Universo. Desgraciadamente, la misma debilidad que inhibe la generación de las ondas gravitatorias dificulta también su detección, por lo que incluso un flujo de energía de radiación gravitatoria en la superficie terrestre comparable al calor y a la luz del Sol es improbable que pueda detectarse con los actuales equipos de que disponemos. La interacción entre las ondas gravitatorias y la materia es tan débil que en un detector típico sólo se registra un gravitón entre 1023. Esto significa que se precisan procesos de enorme potencia para dar un interés práctico al tema de las ondas gravitatorias. Vamos a describir en este capítulo algunos de estos sobrecogedores procesos y determinaremos su luminosidad gravitatoria.
3.1. Generadores simples
En principio, la generación de ondas de gravedad es muy sencilla. Lo único que se necesita en un cuadripolo variable de masa. Por ejemplo, bastaría el aparato de la figura 2-14 (a): dos masas iguales unidas por un resorte.
Si restringimos el tratamiento a la aproximación lineal, la emisión de energía por el sistema puede estimarse observando que dependerá de la intensidad de la gravedad medida por la constante de Newton G; de la velocidad con que la energía escapa del sistema, que es la velocidad de la luz c: y, naturalmente, del momento cuadripolar Q. Sería lógico que la emisión dependiera también de la frecuencia angular de vibración ω. Estos son los únicos parámetros físicos que caracterizan el sistema.
Cuando las masas entran en vibración oscilan alrededor de sus posiciones de equilibrio. Por lo tanto, su separación vibrará sinusoidalmente alrededor de la longitud de equilibrio L:
x = L + x0 sen ωt
donde x0 es la amplitud de las oscilaciones (que se suponen pequeñas). La parte relevante (es decir oscilante) del momento cuadripolar Q Mx2 es pues. 2MLx0 sen ωt.La potencia promediada a lo largo de un ciclo deberá ser por consideraciones puramente dimensionales la que da la sencilla fórmula


El restante factor de (3.1), αM2L2x02ω6, es variable, depende del sistema en cuestión y tiene unidades de (potencia) 2. La potencia emitida está determinada, pues, por la razón entre esta cantidad y la potencia «normal» radiada (3.2). Observemos que c5/G es una cantidad de energía enorme, más que el calor y la luz emitidos por todo el Universo. Corresponde a la conversión en energía cada segundo de 200.000 masas solares. La presencia de c5/G en el denominador de (3.1) indica que el valor de (3.1) será ridículamente pequeño a no ser que el numerador contenga energías de proporciones astronómicas. La potencia radiada por dos masas de 1 kg, separadas 1 m y oscilando 1 cm a 10 Hz (ciclos por segundo) es sólo de 5 × 10-47 J s-1. Se necesitaría un billón de trillones de trillones de tales aparatos para que la energía de sus ondas gravitatorias encendiera una sola bombilla doméstica.
Una manera más sugestiva de escribir (3.1) es

Una fuente eficiente de radiación gravitatoria sería una barra en rotación. La proyección de la barra vista desde el plano de rotación se expande y se contrae periódicamente a medida que gira y pasa de una configuración de punta a otra lateral. Así, este movimiento equivale a un cuadripolo oscilante (véase la fig. 3-1). La fórmula (3.3) aplicada a una barra de masa M y longitud L girando ω veces por segundo da

La máxima potencia emitida se consigue con grandes valores de la masa y de la frecuencia. Para ver lo que puede lograrse de esta manera es instructivo volver a escribir (3.4) en función de la velocidad de rotación v de la periferia:


Fig. 3-1. Barra en rotación, (a) Este sistema simple es una fuente de ondas gravitatorias. (b) La barra, vista desde el plano de rotación, parece ensancharse y contraerse alternativamente entre estas dos formas, constituyendo así un momento cuadripolar oscilante.

Recordemos como comparación que la Tierra gira a 10-6 c y que su radio es unas 109 veces su radio gravitatorio. Sin embargo, existen, como veremos, objetos astronómicos que se acercan de modo satisfactorio a las exigencias anteriores, por lo menos temporalmente.
Otra manera interesante de escribir (3.5) es




Fig. 3-2. La galaxia M81. Esta bella estructura espiral es una galaxia típica muy parecida a nuestra Vía Láctea. Contiene unas 1011 estrellas y su diámetro mide quizá 100.000 años luz. Es probable que agujeros negros en el brillante núcleo o explosiones estelares en los brazos espirales emitan ondas gravitatorias. Nuestro Sol está situado en uno de los brazos espirales de la Vía Láctea, a una tercera parte de la distancia al centro. (Observatorio Lick, California.)

La única esperanza real de estudiar ondas gravitatorias es observar más allá de la Tierra procesos extraterrestres de magnitud astronómica. Sin embargo, nuestra situación en el Universo nos deja necesariamente a gran distancia de los sistemas más violentos y enérgicos (pues la vida, de lo contrario, no sobreviviría), por lo tanto es probable que los mejores generadores de ondas gravitatorias sean los más distantes. Se tiene así un equilibrio: las fuentes más potentes están muy lejos y sólo depositan sobre la Tierra una pequeña fracción de la potencia emitida.
Hay también un problema más serio. Es cierto que al pasar de las masas de laboratorio, o incluso de las masas terrestres, a las astronómicas, la potencia emitida aumenta en muchos órdenes de magnitud. Sin embargo, la inspección de la fórmula general (3.8) demuestra que lo importante es el flujo de energía, no solamente la masa-energía en sí misma; por lo tanto, lo importante es preguntarse qué fuerzas son las causantes de estos movimientos de masas astronómicas. La velocidad con que se reordenan las masas dependerá de la naturaleza y de la intensidad de estas fuerzas.
Cuando se estudian objetos astronómicos importantes, la gravedad es casi siempre la fuerza dominante. Esto quiere decir que las fuerzas que causan fenómenos violentos en sistemas astronómicos de gran masa ya son ellas mismas gravitatorias, y resulta, como veremos más adelante, que el flujo de potencia inducido gravitatoriamente tiene un efecto profundamente depresor sobre la generación de ondas gravitatorias.
3.2. Eficiencia de la generación de ondas gravitatorias
No basta reunir masas enormes y aumentar en varios órdenes de magnitud la carga gravitatoria para garantizar la eficiencia de la producción de ondas gravitatorias. Esto se debe a que los objetos de gran masa (estrellas, planetas, agujeros negros, galaxias, etc.) son tan pesados que las fuerzas electromagnéticas apenas les afectan. Sólo la gravedad puede desplazarlos con una cierta violencia. Sin embargo, un cuerpo acelerado por la misma gravedad es un emisor de ondas gravitatorias muy poco eficaz.
Para entender esto, recordemos el principio de equivalencia según el cual toda la materia y toda la energía (incluyendo la energía del campo gravitatorio) se acelera con igual velocidad cuando cae libremente bajo la acción de la gravedad. Por lo tanto le costará mucho a un cuerpo «desprenderse» mediante ondas gravitatorias de su propio campo gravitatorio con el simple expediente de caer libremente en la gravedad de otro sistema.
Es instructivo estudiar esto detalladamente. En primer lugar veamos por qué el proceso electromagnético equivalente es tan eficiente. Imaginemos una pequeña partícula cargada eléctricamente rodeada por un campo eléctrico que se extiende hasta el infinito, aunque la fuerza de este campo disminuya en función de la distancia a la partícula. Si la partícula se acelera emitirá ondas electromagnéticas, como explicamos anteriormente). Supongamos que la partícula es acelerada por un campo eléctrico exterior, por ejemplo, el creado por otra partícula (tendríamos así una colisión de dos partículas cargadas, una fuente normal de ondas electromagnéticas). La partícula cargada es desviada violentamente de su camino por el campo exterior, pero su propio campo, que carece de carga y que por lo tanto no siente la fuerza, no resulta afectado por el campo exterior y trata de continuar como antes. De hecho las regiones distantes del campo no se darán cuenta de la repentina desviación hasta pasado un tiempo. O sea que la forma del campo se curva y la deformación se propaga hacia fuera en forma de radiación electromagnética. En cierto sentido los bordes del campo se sueltan cuando la partícula fuente salta repentinamente de lado. El efecto es muy pronunciado a gran distancia de la partícula, aunque, como es lógico, el campo será allí más débil.
Pasemos ahora al caso gravitatorio y consideremos una partícula eléctrica acelerada por un campo gravitatorio. De nuevo la partícula cargada es desviada violentamente en su movimiento al caer en la gravedad exterior, pero ahora la energía del campo eléctrico que la rodea también siente la gravedad, porque la energía está sometida a la gravedad. Además, el principio de equivalencia hace que la energía del campo disminuya con una aceleración igual a la partícula central, de modo que a primera vista parecerá que la partícula que cae no genera radiación electromagnética: la partícula y el campo eléctrico caen simplemente hacia abajo sin que la forma del campo eléctrico se deforme.
Sin embargo, hay que recordar que el principio de equivalencia es válido únicamente de modo ¡ocal, mientras que el campo eléctrico que rodea la carga se extiende evidentemente a través del espacio. Por lo tanto, la periferia del campo sondeará regiones donde la gravedad exterior tiene una intensidad diferente de su valor en la partícula cargada. En especial, si la gravedad exterior se debe a un cuerpo compacto de gran masa, el campo eléctrico a gran distancia del cuerpo intentará caer algo más lentamente en la gravedad más débil que impera allí, mientras que el campo eléctrico cercano al cuerpo sufrirá un tirón hacia abajo más fuerte incluso que el de la partícula cargada. Por lo tanto, estas fuerzas de marea intentan estirar también el campo eléctrico de la partícula, pero con una fuerza bastante inferior a la de un campo eléctrico exterior. La violencia de marea perturba la forma del campo eléctrico, y la perturbación se propaga en forma de ondas electromagnéticas, es decir, que parte del campo eléctrico se «mantiene» en forma de radiación mientras que la partícula cargada cae alejándose de su interior. Pero el nivel de radiación es muy inferior al conseguido con una aceleración eléctrica, porque es únicamente un efecto de marea.
Estas consideraciones pueden ampliarse mediante una analogía directa al caso de las ondas gravitatorias. El cuerpo que cae tiene masa y está rodeado por su propio campo gravitatorio, que, al poseer energía, está sometido también al campo exterior (recordemos que la gravedad gravita) y por lo tanto intenta caer con el cuerpo. De nuevo las fuerzas de gravitación distorsionan la forma del campo y arrancan ondulaciones de energía gravitatoria, pero con muy poca eficiencia.
Estas descripciones heurísticas de la producción (reprimida) de radiación electromagnética y gravitatoria por cuerpos en caída libre reciben también una interpretación muy natural en función del espacio-tiempo curvado, porque cuando el campo que cae se encuentra con la gravedad de marea, en realidad está encontrando una curvatura. La deformación geométrica «pliega» entonces las líneas de fuerza del modo descrito en la figura 1-11. En este caso podemos considerar que el pliegue se debe a la «deformación» de la geometría espacio-temporal subyacente, y no al movimiento repentino de la partícula central. O sea, que en cierto sentido, la partícula no es la fuente auténtica de la radiación, y este papel queda reservado a la curvatura del espacio-tiempo. De hecho, puede generarse radiación de un tipo u otro «fijando» la partícula (cargada y/o con masa) y haciendo girar alrededor suyo un cuerpo de gran masa dentro del campo eléctrico y/o gravita- torio de la partícula fija. El movimiento rápido de la geometría plegada que rodea el cuerpo de gran masa desprende vibraciones del campo eléctrico y/o gravitatorio de la partícula fija, dentro del cual está sumergido el cuerpo de gran masa.
La generación de radiación gravitatoria mediante fuerzas gravitatorias queda suprimida tan intensamente por el principio de equivalencia, en comparación con el caso electromagnético análogo, que la «gravitónica», al contrario de la electrónica, pertenece posiblemente a un futuro muy lejano.
3.3. Ondas gravitatorias de las estrellas
Las fuentes astronómicas más claras de ondas gravitatorias son conjuntos de estrellas que giran una alrededor de la otra de modo complicado. Los movimientos de estas masas enormes provocan intensas perturbaciones gravitatorias que escapan fuera del sistema en forma de ondas gravitatorias, como las ondas turbulentas producidas en el agua por un grupo de canoas a motor girando conjuntamente.
Podemos utilizar la fórmula general (3.8) para estimar la potencia radiada. El flujo interno de potencia será aproximadamente la energía interna dividida por un tiempo característico, que podría asimilarse a un período orbital típico. Este tiempo representaría la duración necesaria para que el sistema cambie apreciablemente de forma. Como dijimos en la sección anterior, este tiempo está determinado por las fuerzas gravitatorias y no por fuerzas, digamos, electromagnéticas; por lo tanto, la emisión de ondas gravitatorias es muy débil.
Si la masa total es M y el radio del cúmulo de objetos es R. un período orbital típico no sería muy distinto del valor de Kepler para un cuerpo que gira alrededor de una masa puntual M, el cual es 2πR3/2[GM)1/2. Observemos que esta cantidad es comparable también al tiempo que necesita un cuerpo para caer libremente desde la periferia al centro del sistema, o alternativamente al tiempo de implosión si todo el sistema sufre un colapso gravitatorio. La energía cinética interna es. en promedio (menos) una mitad de la energía potencia!, según el llamado teorema del virial. Si la masa M está distribuida más o menos uniformemente por todo el volumen esférico de radio R. la energía potencial de la autoatracción de esta esfera de materia es aproximadamente —GM2/R, o sea que podemos tomar la energía cinética igual a GM2/2R. El flujo de potencia interno es entonces


El sistema compuesto más sencillo es una estrella binaria, consistente en dos estrellas que giran alrededor de su centro de gravedad común (véase la fig. 3-3). En nuestra galaxia hay miles de millones de estrellas binarias. La fórmula del momento cuadripolar (3.3) para dos estrellas de masa igual M en órbitas circulares de radio R da


Fig. 3-3. Dos estrellas que giren alrededor de su centro común de gravedad, G, emitirán un flujo continuo de radiación gravitatoria de gran longitud de onda, con una frecuencia = 1/(período orbital).
La fórmula (3.10) es muy sensible al radio orbital R, y parece razonable preguntarse cuál puede ser el valor mínimo de R. Es evidente que R ha de ser mayor que el diámetro de las estrellas correspondientes, pero en la práctica las tensiones de marea provocan graves disrupciones en un sistema estelar binario incluso para valores de R algo superiores a éste. Las estrellas típicas tienen diámetros del orden de 106-107 km; por lo tanto, es imposible mejorar los valores del ejemplo anterior en más de unas cuantas potencias de diez.
Uno de los candidatos más prometedores es el sistema estelar doble llamado εBoo, que emite una potencia de 1023 J s -1, y que al estar a menos de 12 pc de la Tierra produce un flujo de radiación gravitatoria en la superficie de la Tierra igual a 10-13 J m2 s-1. La tabla 3-1 contiene unos cuantos sistemas estelares binarios de interés.
No es probable que las binarias produzcan individualmente suficiente radiación para que podamos detectarlas en el futuro previsible, pero el efecto acumulado de todas las binarias en la galaxia podría ser considerable. Se ha estimado que aproximadamente 1028 J escapan de la Galaxia cada segundo a consecuencia de esta actividad.

Incluso estrellas solas de neutrones podrían ser fuentes prolíficas de ondas gravitatorias. Se cree que estos objetos son los restos de estrellas de gran masa que se volvieron inestables y explotaron. Se sabe por la teoría de la evolución estelar que las estrellas de gran masa queman su combustible nuclear mucho más rápidamente que el Sol. La mayoría de estrellas están formadas principalmente por hidrógeno, que se convierte lentamente en helio gracias a las reacciones nucleares que tienen lugar en el núcleo caliente y denso de la estrella. En fases posteriores, el helio puede utilizarse también para liberar energía nuclear, lo cual sintetiza en el núcleo de la estrella núcleos atómicos más complejos. Estos, a su vez, proporcionan más combustible nuclear hasta que se llegan a producir elementos pesados como el hierro. Los elementos más pesados suelen ser combustibles menos eficientes, y los que están situados después del hierro en la tabla periódica ya no proporcionan una ganancia neta de energía en un proceso de fusión.

Fig. 3-4. Supernova. (a) En 1937 se observó una explosión de supernova en la galaxia IC 4182. La supernova era tan brillante que la galaxia misma no aparece en esta exposición breve, (b) Quince meses después su brillo había disminuido hasta hacerse casi invisible, (c) En enero de 1942 la supernova ya no era visible, ni siquiera utilizando esta exposición prolongada que revela detalles de la galaxia de fondo. (Observatorios Hale, California.)

Fig. 3-5. Nebulosa Cangrejo. Esta irregular nube de gas está formada por los restos fragmentados de la explosión de supernova observada por astrónomos orientales en 1054. En su centro hay una estrella de neutrones en rápida rotación que advierte su presencia mediante impulsos de radio muy rápidos. Los violentos fenómenos de supernova que formaron la estrella de neutrones debieron ir acompañados por grandes explosiones de radiación gravitatoria, pero la emisión rítmica de ondas gravitatorias debida a la continua rotación de la estrella es demasiado débil para detectarse. (Observatorio Lick, California.)
El destino del núcleo en colapso depende críticamente de su masa. Si la masa del núcleo estelar supera tres masas solares, parece una consecuencia inevitable de la teoría general de la relatividad de Einstein que se forme un agujero negro. Si los núcleos tienen una masa solar o menos, es posible una estrella de neutrones. En este objeto, la gravedad es tan intensa que incluso los átomos se hunden bajo su propio peso y quedan aplastados disgregándose en neutrones. Una estrella de neutrones podría alcanzar una densidad central de 10 18 kg m-3, es decir, densidades nucleares, y se parece más bien a un núcleo atómico gigante. La gravedad superficial en un objeto tan terrible podría ser 1012 veces mayor que la existente sobre la Tierra, y un dedal de materia pesaría allí lo mismo que 1024 kg sobre la Tierra.
Existe una estrella de neutrones típica en el centro de la nebulosa Cangrejo a unos 1.700 pc de distancia, en la constelación de Tauro. Son los restos de una estrella convertida en supernova que observaron astrónomos orientales en 1054. Hoy en día las capas exteriores explotadas de la estrella forman una masa nebulosa confusa, y cerca del centro hay una estrella de neutrones de aproximadamente 0,8 masas solares, que gira a la velocidad extraordinaria de 30 revoluciones por segundo.
Una estrella en rápida rotación se abombará en el ecuador por la acción de las fuerzas centrífugas. Sin embargo, si el cuerpo se mantiene simétrico axialmente no hay momento cuadripolar variable, y no se emite radiación gravitatoria. Podría darse una ligera desviación de la simetría axial si una parte de la turbulencia inicial de la fase de colapso quedara «congelada» dentro de la corteza sólida de la estrella. Por ejemplo, si la estrella de neutrones del Cangrejo se desviara de la simetría axial sólo una parte en mil, la oscilación del momento cuadripolar bastaría para emitir radiación gravitatoria con una potencia de 1031 J s-1. Una emisión tan potente disminuiría en una cantidad observable la energía rotacional de la estrella, pero el efecto se complicaría por pérdidas comparables de energía debidas al mecanismo pulsar (ver el apartado 5.3).
Si el material neutrónico tiene la suficiente rigidez, la simetría axial puede fallar repentinamente a una velocidad crítica y la forma de la estrella puede hacerse muy elipsoidal con un elevado momento angular, provocando una gran radiación gravitatoria. Por desgracia, se conocen muy poco las propiedades de la materia ultradensa, y no puede formularse una apreciación razonable de la probabilidad de que esto suceda.
Más prometedora que la rotación de la estrella de neutrones es la violencia que acompaña su nacimiento en el agitado centro de una supernova. Durante la turbulencia implosivo-explosiva, el globo naciente de neutrones poseerá energía vibratoria, además de rotacional. La estrella, por así decirlo, resonará y vibrará. El modo más bajo de vibración será el modo simétrico de respiración: una inflación y deflación puramente radial con una frecuencia típica de mil ciclos por segundo. Este movimiento no lleva asociado ningún momento cuadripolar, por lo tanto no se genera radiación gravitatoria. Sin embargo, los modos elevados de vibración radiarán intensamente. Además, si la estrella está también girando con rapidez, el modo radial resultará perturbado y puede introducir energía en los modos cuadripolares.
La estrella de neutrones del Cangrejo tiene hoy en día 1042 J de energía rotacional, aunque ha perdido algo de ella desde su formación. Podría esperarse que el nacimiento de un objeto así fuera acompañado por una energía vibracional situada entre 1042 y 1044 J. Esta energía se radiará al espacio gravitatoriamente en un tiempo que podría variar entre 0,1 s y unos cuantos días, dependiendo de los detalles.
Es imaginable que este proceso pueda generar hasta 1044 J s -1, y si la estrella está localizada a sólo 100 pc de distancia dará sobre la Tierra un flujo de 106 J m -2 s-1. Este valor queda dentro de margen de captación de los detectores actuales, suponiendo que estén sintonizados a la frecuencia de las vibraciones de la fuente.
Nuestros conocimientos sobre las explosiones de supernova y la formación de estrellas de neutrones son todavía rudimentarios, pero una secuencia plausible podría ser la siguiente. El núcleo de una estrella vieja y de gran masa agota su combustible nuclear y empieza a contraerse bajo su propio peso. Para conservar su momento angular empieza a girar más rápidamente, de modo que cuando sufre el colapso y se convierte en una estrella de neutrones su aplanamiento es considerable. La implosión adicional hasta las dimensiones de una estrella de neutrones aumenta drásticamente la velocidad de rotación, que alcanza muchas vueltas por segundo, y la esfera de neutrones se aplana hasta alcanzar casi la forma de una torta. Si la tensión resulta excesiva la esfera se fragmenta dando un sistema compuesto de estrellas de neutrones más pequeñas. (Las envolturas exteriores de la estrella original ya han sido eyectadas.) La pérdida de energía por radiación gravitatoria en este maelstrom turbulento es tan grande que al cabo de poco tiempo los fragmentos empiezan a fundirse, y cada encuentro emite una explosión intensa de ondas. Al final se forma un sistema único —o una estrella de neutrones o un agujero negro— en un estado muy turbulento, y sus movimientos vibratorios no radiales se amortiguan lentamente gracias a la emisión de más radiación gravitatoria.
Por lo tanto, la emisión de ondas gravitatorias consistirá en una secuencia de explosiones intensas de radiación durante el colapso del núcleo estelar y la consiguiente reorganización de los fragmentos, seguida por una emisión continua y constante debida a los movimientos vibratorios del producto final. Se ha estimado que un 1 % aproximadamente de la masa en reposo del núcleo estelar podría radiarse en las explosiones iniciales, y quizás un 5 % durante la fase de vibración. Por lo tanto, la estrella quizás emita más energía en unos cuantos años de radiación gravitatoria que en los muchos miles de millones de años de su vida normal cuando emitía calor y luz.
Incluso después de estabilizarse, la estrella de neutrones puede continuar radiando ondas gravitatorias causadas por terremotos en su interior. Cambios repentinos en las señales de radio de los pulsares se han interpretado como terremotos de neutrones. La energía tensional liberada durante un sismo de este tipo se ha estimado en un máximo de 1038 J, y una proporción elevada de esta energía podría convertirse en ondas gravitatorias.
Fenómenos violentos de este tipo en otras estrellas también generarán radiación gravitatoria. Por ejemplo, las explosiones estelares llamadas novas, que son menos violentas, pero bastante más frecuentes que las supernovas, podrían radiar 1028 J s -1.
Estas explosiones se dan en cantidad tal que hay buenas posibilidades de que una de ellas ocurra a sólo unos centenares de parsecs de distancia, y aunque la energía emitida es relativamente modesta, el flujo en la Tierra puede ser por ejemplo de 10-11 J m -2 s-1. Sin embargo, este flujo queda todavía muchos órdenes de magnitud por debajo del nivel de detectabilidad.
Es interesante comparar la potencia de la radiación gravitatoria debida al movimiento conjunto de una estrella con la debida a los movimientos térmicos de sus átomos constituyentes. En el núcleo solar la temperatura es de unos 107 K; por lo tanto, la energía térmica por partícula es aproximadamente de 10 -16 J. El núcleo solar es tan denso que los electrones (las partículas que experimentan la actividad más vigorosa) están sujetos a fuerzas cuánticas, por lo tanto el tiempo característico será h/(energía del electrón) ~10-18 s. El flujo de potencia por electrón es pues ~10 2 J s-1, lo que da una potencia radiada en ondas gravitatorias de 3×10 49 J s-1. El núcleo solar contiene unos 5 × 1056 electrones, y la potencia total radiada es ~ 108 J s-1 o cien megavatios. Esta cifra puede compararse con los 1026 J s-1 radiados en forma de calor y de luz, y los 10-4 J s emitidos en forma de ondas gravitatorias por el movimiento de la Tierra alrededor del Sol (esta última potencia no llegaría a encender ni una bombilla).
3.4. Las ondas gravitatorias de los agujeros negros
No hay duda de que las fuentes más prolíficas de radiación gravitatoria son los llamados agujeros negros. La emisión de ondas gravitatorias por los demás sistemas tiene ciertamente importancia para su estructura y desarrollo, pero si se quiere detectar ondas gravitatorias en la Tierra, las mayores esperanzas se centran en los fenómenos de extraordinaria violencia que acompañan la formación de los agujeros negros y en las consiguientes experiencias catastróficas en ellos.
En el apartado 3.1 señalamos que sólo es posible una potencia emitida cercana al límite c5/G con sistemas próximos a sus radios gravitatorios (rg = 2GM /c2) que se muevan a velocidades relativistas (v ~ c).
Cuando una estrella u otro objeto se comprime a un valor próximo a este radio, la curvatura del espacio-tiempo (~GM/c2r3) se hace comparable a la curvatura de la superficie de la estrella (1/rg2 ~ c4/G2M2). Esto indica que habrá graves distorsiones del espacio y del tiempo cerca de la superficie. La expresión newtoniana de la energía gravitatoria de una partícula de masa m, -GMm/r, válida para r grande, se modifica por efectos relativistas cerca de rg y se convierte en

Puede demostrarse que ningún material es capaz de resistir la enorme gravedad existente en el radio gravitatorio. La estrella deberá sufrir una implosión, y los cálculos demuestran que el colapso y desaparición de la estrella tienen lugar quizás en un microsegundo de su tiempo. No existe acuerdo en cuanto al posible destino final de la estrella implosionada, pero algunos matemáticos conjeturan que la estrella puede desgarrar el espacio-tiempo y desaparecer totalmente del Universo por una especie de borde del espacio-tiempo donde la gravedad es tan intensa que la curvatura aumenta ilimitadamente. Sea lo que fuere, la región del espacio que antes ocupaba la estrella queda vacía y, al no poder escapar la luz de ella, se hace invisible al Universo exterior. Por lo tanto, la región del espacio que ocupaba antes la estrella queda en forma de agujero negro.
Nada puede escapar de dentro del agujero, ni las mismas ondas gravitatorias, pero la grave perturbación del espacio- tiempo vecino provocada por la implosión extraordinariamente rápida de la estrella provocará una tremenda liberación de energía gravitatoria radiante. Un colapso exactamente esférico no producirá ondas de gravedad, debido a la falta de un momento cuadripolar variable, pero en la práctica la rotación y la turbulencia alimentarán los movimientos asimétricos con una fracción elevada de la energía disponible.
Podemos llevar a cabo una estimación aproximada de la energía total emitida por el colapso de un objeto y la formación del correspondiente agujero negro utilizando la fórmula muy general (3.9) que proporciona órdenes de magnitud. La emisión se producirá en forma de una breve explosión cuando el sistema entre en colapso. El tiempo de colapso es aproximadamente de R3/2/(GM) 1/2; por lo tanto, la energía total emitida será

E = Mc2,
es decir, que toda la masa-energía del sistema se radia al exterior en forma de ondas gravitatorias. Este resultado es desde luego un límite superior, y la fracción exacta de Mc2 dependerá críticamente de los detalles del proceso concreto de colapso. En la mayoría de los casos el valor estará situado probablemente entre un 1 % y un 10 % de Mc2 (aunque algunos cálculos detallados sugieren un intervalo de valores algo menor). El resultado es una cantidad impresionante de energía (hasta 1046 J para una estrella de masa solar). Además, podrían también formarse agujeros negros a partir de objetos mucho mayores que una estrella sola; por lo tanto, aunque la eficiencia de conversión en ondas gravitatorias fuera modesta, la potencia radiada podría ser enorme.Por ejemplo, un gran número de estrellas de un cúmulo denso podrían sufrir un colapso conjunto y formar un superagujero.

Fig. 3-6. El cúmulo globular NGC 288. Durante la formación de nuestra Galaxia se separaron de los gases primordiales enormes cúmulos estelares en forma de glóbulos esféricos de docenas de años luz de diámetro. La elevada concentración de estrellas cerca del centro indica que allí se esconden agujeros negros de gran masa. Si los agujeros se tragan estrellas o incluso si chocan entre sí, emitirán potentes explosiones de ondas gravitatorias. (Observatorio Anglo-australiano, Nueva Gales del Sur.)

Fig. 3-7. El quásar 3C 273. A principios de la década de 1960 los astrónomos empezaron a descubrir objetos «casi-estelares» o quásares. Su aspecto estelar no concuerda con su gran alejamiento; el ejemplo anterior está relativamente cercano a la Tierra, quinientos mil millones de parsecs. Se cree que los quásares son muy densos y de mucha energía. Los procesos de gran violencia que ocurren necesariamente en su interior, como puede deducirse por el difuminado chorro de materia que eyecta 3C 273, son ideales para generar ondas gravitatorias. Muchos astrónomos creen que los quásares contienen agujeros negros. (Observatorio Nacional de Kitt Peak, Arizona.)
Se podrían formar agujeros negros de masa incluso superior en los centros de algunas galaxias activas, o en las quásares, objetos muy compactos y superenergéticos situados en el borde del Universo observable. Los superagujeros podrían contener una masa equivalente a la de mil millones de estrellas. Estos fenómenos podrían ser tan raros que quizá sólo ocurrirían una vez cada cien años o más en todo el Universo observable. Sin embargo, producirían en la Tierra impulsos de ondas gravitatorias muchos millones de veces más intensos que la formación de agujeros negros dentro de nuestra Galaxia.
Algunos astrónomos creen que las galaxias contienen halos de agujeros negros de enorme masa formados durante los primeros 100 millones de años del Universo, a continuación del big bang o gran explosión primigenia, cuando el material cosmológico estaba comprimido y tenía una densidad muy superior. Es posible que una fracción apreciable de la masa del Universo esté inmovilizada en esta forma. Si esta hipótesis es correcta, el número de fenómenos violentos que acompañaron el nacimiento de estos objetos habría sido tan grande que el Universo debería estar bañado continuamente en sus ondas gravitatorias con una intensidad en la Tierra que quizá sería millones de veces superior a la debida a los procesos de formación de agujeros negros de masa solar dentro de nuestra Galaxia.
La formación de un agujero negro es la fuente más probable de ondas gravitatorias detectables, pero el agujero, una vez formado, puede producir todavía radiación si se traga más materia. El agujero podría engullir incluso estrellas enteras, liberando una gran proporción de su masa en forma de ondas gravitatorias.
Se han efectuado cálculos detallados para determinar la eficiencia de la conversión de la masa-energía en radiación gravitatoria cuando un cuerpo pequeño de masa m se precipita en un agujero negro de masa M (véase la fig. 3-8).
Podemos hacernos una idea aproximada de la potencia emitida utilizando la expresión general (3.8).

Fig. 3-8. Cuando un objeto pequeño cae en un gran agujero negro emite ondas gravitatorias intensas en la región r = varios r g. A medida que el objeto se acerca a r el «desplazamiento hacia el rojo» gravitatorio reduce fuertemente la frecuencia y energía de las ondas, anulándose del todo la emisión cuando el objeto entra en el agujero y desaparece para siempre.
La mayor parte de las ondas gravitatorias se emiten desde una región de campo intenso cercana a rq. Sin embargo, la partícula, una vez dentro de r, ha entrado ya en el agujero negro de donde no puede escapar radiación gravitatoria. Por lo tanto, la mayor parte de la energía emana del sector de trayectoria situado, por ejemplo, entre 5rg y rg. Si prescindimos de la aceleración, la partícula tarda aproximadamente 4rg/c en caer a lo largo de esta distancia. El flujo de potencia es pues



Sin embargo, cuando m ~ M, la potencia podría ser considerable. Este sería el caso, por ejemplo, de un agujero de masa solar engullendo una estrella de neutrones, o de la colisión de dos agujeros negros de masa igual. El astrofísico estadounidense Larry Smarr ha efectuado cálculos, con computador, muy extensos y ambiciosos para determinar la energía radiada por la colisión de dos agujeros negros sin rotación. Los resultados parecen indicar un coeficiente de eficiencia algo inferior a 0,01, incluso próximo a 0,001. Sin embargo, si los agujeros giraran, el proceso podría radiar una fracción elevada de la masa total. Esta idea es extraordinaria. Una estrella pasa normalmente muchos miles de millones de años radiando calor y luz, y a consecuencia de esto pierde un 1 % aproximadamente de su masa-energía. Si luego se colapsa y se convierte en un agujero negro que choca con otro agujero negro, puede perder por ejemplo diez veces esta cantidad (~10 46 J) en una única explosión de ondas gravitatorias. Si un fenómeno así ocurriera en el centro de nuestra Galaxia, el flujo de energía en la superficie de la Tierra sería aproximadamente de 104 J m-2 s-1.
Es interesante preguntarse si existe un límite superior para la cantidad de energía que pueden radiar dos agujeros negros en colisión. El joven profesor Stephen Hawking, de la Universidad de Cambridge, ha demostrado un teorema fundamental según el cual en cualquier proceso el área total de los agujeros negros no puede disminuir, y esto fija un factor de eficiencia máximo de la conversión de energía. (Existe una analogía directa con la termodinámica, donde la segunda ley, que prohíbe la disminución de la entropía, limita la eficiencia de conversión del calor en energía en las máquinas térmicas.)
La superficie de un agujero no rotatorio (y sin carga eléctrica) es

Si los agujeros giran, el límite superior sube hasta el 50 %, y si contienen además la máxima cantidad permisible de carga eléctrica, puede alcanzar hasta un 65 %. Sin embargo, en situaciones astrofísicas realistas, las eficiencias de conversión serían por lo menos un orden de magnitud inferiores a estos valores límites.
3.5. Fuentes cosmológicas
La mayoría de astrónomos actuales creen que el Universo empezó con una gran explosión {big bang) hace unos 15.000 millones de años. Edwin Hubble descubrió en los años 1920 que las galaxias distantes se alejan de nosotros y unas de otras y que su estado puede calificarse de expansión del Universo entero. Los modernos telescopios ópticos y radiotelescopios indican que esta expansión es muy uniforme en todas direcciones.
Si las galaxias experimentan actualmente una recesión, en el pasado tuvieron que estar más juntas. Si extrapolamos hacia atrás en el tiempo, las galaxias debieron estar completamente comprimidas hace unos miles de millones de años, suponiendo que su velocidad de recesión fuera la actual. Sin embargo, las galaxias tuvieron que expandirse mucho más deprisa antes que ahora para escapar de su gravedad mutua, y si tenemos en cuenta este factor llegamos a una época situada 15.000 millones de años en el pasado cuando toda la materia del Universo explotó a partir de un torbellino caliente, denso y ardiente.
La relatividad general proporciona una explicación natural de esta expansión al considerarla una inflación del espacio. El espacio-tiempo «elástico» de Einstein puede imaginarse extendido en todas direcciones y arrastrando consigo las galaxias. Una analogía utilizada frecuentemente es la de una lámina de caucho cubierta de puntos que representan las galaxias. Al estirar la lámina cada punto se aleja de los demás (véase la fig. 3-9). Cada punto se considera a sí mismo como el centro de un movimiento uniforme de expansión. Observemos, sin embargo, que los puntos no se alejan ni se acercan de ningún punto concreto. La gran explosión no fue pues la explosión de una concentración de materia en un lugar concreto y su expansión por un vacío preexistente.

Fig. 3-9. La expansión del Universo. Si utilizamos una lámina de caucho como modelo podemos comprobar que al estirarla los intervalos entre todos los puntos aumentan. Si la lámina es infinita (o se cierra formando una esfera) carecerá de centro; sin embargo, cada punto (por ejemplo A) ve que todos los puntos vecinos (por ejemplo. B. C) se alejan continuamente de él.
Sea como fuere, pueden estudiarse detalladamente las épocas de actividad intensa y violenta que siguieron a la erupción inicial. Son especialmente interesantes los movimientos turbulentos y caóticos de materia y del espacio-tiempo que debieron generar cantidades enormes de radiación gravitatoria.

Fig. 3-10. Un campo de galaxias. La fotografía muestra un cúmulo de galaxias distantes, muchos de cuyos miembros aparecen como simples manchas borrosas. En una época más temprana del Universo, cuando estos objetos se estaban todavía formando a partir de gases primigenios y entre grandes turbulencias, las colisiones intergalácticas debieron generar grandes cantidades de radiación gravitatoria de longitud de onda muy larga, radiación que todavía hoy baña el Universo. (Observatorio Anglo- australiano, Nueva Gales del Sur.)
Se ha indicado antes que la actual expansión del Universo es notablemente uniforme. Esto podría interpretarse de dos modos. Podría ser que el Universo se creara en un estado caótico, y que la turbulencia primigenia se hubiera amortiguado, convirtiéndose una fracción importante de ella en ondas gravitatorias.
Desde este punto de vista el Universo debería estar lleno de radiación gravitatoria de gran energía. Por otra parte, el actual carácter liso y uniforme del Universo podría indicar que empezó de modo uniforme, con pocas turbulencias capaces de generar ondas gravitatorias. (La expansión uniforme en sí no produce ondas gravitatorias, porque es demasiado simétrica; no hay momento cuadripolar variable.) Para saber qué punto de vista es correcto habrá que esperar a conocer mejor las eficiencias generales y relativas de los distintos mecanismos amortiguadores propuestos.
A pesar de estos problemas, hay razones físicas fundamentales para esperar que el nacimiento del Universo fuera acompañado por lo menos de cierta turbulencia y granulación. En primer lugar existen galaxias. Si concebimos el fuego primigenio como un fluido uniformizado compuesto principalmente de gas de hidrógeno, este gas al empezar a acumularse en determinadas regiones por fluctuaciones aleatorias formará un núcleo de materia de una densidad algo superior que empezará a atraer más materia con su propia gravedad. La perturbación de densidad aumentará y podría al final recoger una cantidad suficiente de material vecino para formar una galaxia.
Sin embargo, esta acumulación de materia tuvo que competir con la expansión universal, que entonces era mucho más rápida que ahora. Los cálculos demuestran que la velocidad de crecimiento de estas acumulaciones puramente casuales es insuficiente para producir las galaxias que observamos actualmente. Parece inevitable deducir de esto que el cosmos primigenio debió de contener ya de entrada una notable cantidad de granulación que proporcionó los centros gravitatorios de las protogalaxias. Como señaló el astrónomo británico Martin Rees, si esto es así, debieron generarse ondas gravitatorias cuando estas grandes concentraciones de materia chocaban mutuamente entre los gases primigenios.
Podemos recurrir de nuevo a (3.8) para obtener una estimación muy basta de la potencia radiada en ondas gravitatorias. Una galaxia típica tiene una masa de unos 1041 kg, y si una protogalaxia contuviera una fracción apreciable de esta masa desplazándose por ejemplo a un 10 % de la velocidad de la luz, la energía cinética sería aproximadamente de 1056 J. La actual densidad de las galaxias es de una por 1069 m 3 pero en la época de formación de las galaxias el Universo tenía sólo una décima parte de su edad actual y la densidad entre protogalaxias era de 30 a 100 veces superior, aproximadamente una galaxia por 106~7 m3 lo que corresponde a una separación media de unos 1022 m. El tiempo necesario para el «rebote» de una protogalaxia entre otras dos a 0,1 c sería 1022/(3 × 107) ≈ 3 × 1014 s, es decir, unos cuantos millones de años. Sin embargo, la mayor parte de la potencia en ondas gravitatorias se habría radiado durante las mismas colisiones, que habrían ocupado un tiempo algo inferior al anterior, por ejemplo, 10 13 s. Si tomamos este último valor como el tiempo característico, el flujo de potencia será:


Un segundo motivo fundamental para esperar una cierta turbulencia primigenia deriva de la teoría cuántica de la gravedad (ver sección 5.4). Según el principio de incertidumbre de Heisenberg, la energía de un sistema puede fluctuar de modo probable una cantidad ΔE durante un período de tiempo Δt, donde ΔE y Δt están relacionados por
ΔE × Δt ≈ h (3.12)
siendo h la constante del Planck dividida por 2π. Si se aplica este principio al campo gravitatorio, pueden producirse cambios repentinos e impredecibles en la energía del campo, lo que a su vez representa fluctuaciones en la curvatura espacio- temporal, o gravedad de marea.Para estimar la escala de estas fluctuaciones podemos considerar que las ondas de geometría producidas por los efectos cuánticos se propagan como ondas gravitatorias a la velocidad de la luz. Por lo tanto, en una esfera de radio r el tiempo necesario para que la perturbación alcance la superficie de la esfera es Δt = r/c, y a partir de (3.12) obtenemos una fluctuación de energía aproximadamente igual a ΔE ≈ hc/r. Estas fluctuaciones normalmente serán minúsculas. Por ejemplo, en una esfera del tamaño de un átomo. ΔE ≈ 10 -16 J. que tiene una masa de sólo 10-33 kg. (Comparemos este valor con la masa de un átomo de hidrógeno, ~10 -27 kg). El efecto gravitatorio de esta masa minúscula es totalmente despreciable.
Podemos estimar la importancia de esta gravedad cuántica calculando la autoenergía gravitatoria de la fluctuación, es decir, la energía necesaria para separar ΔE en contra de su propia gravedad. La autoenergía de una masa esférica M según la teoría de la gravedad de Newton, es -GM2/r , por lo tanto la autoenergía debida a las fluctuaciones cuánticas de Heisenberg es aproximadamente

Sin embargo, si escogemos una escala de longitud r lo bastante pequeña se alcanza un punto en el cual la energía cuántica, al fluctuar y generarse, se enlaza intensamente con sí misma bajo la acción de su propia gravedad, convirtiéndose quizás en un agujero negro cuántico temporal. Así pues, cuando la autoenergía de enlace gravitatoria alcanza un valor comparable a la misma energía ΔE, se producirán perturbaciones drásticas en el campo gravitatorio y en la geometría del espacio-tiempo.
La situación se acerca a este régimen disruptivo cuando

Estas distancias y escalas temporales son unas veinte potencias de diez más pequeñas que los valores nucleares y quedan totalmente fuera de los valores medibles directamente.
La escala de longitud (hG/c3)1/2 se llama longitud de Planck, porque fue Max Planck quien señaló por primera vez que podía construirse una nueva escala fundamental de longitud a partir de las constantes h, c y G. Sería de esperar que los efectos gravitatorios cuánticos tuvieran gran importancia en las escalas de Planck. Volveremos a este tema en el apartado 5.4. De momento nuestro interés se centra en que, con independencia de la evolución posterior, a los 5×10-44 s después del inicio del big bang (tiempo llamado era de Planck), el Universo no pudo ser de ningún modo uniforme, y debió experimentar fluctuaciones cuánticas violentas y turbulentas.
Este caos primigenio puede representarse pintorescamente imaginando el espacio como una jalea sometida a espasmos violentos. A medida que el Universo se expandió, estos estremecimientos debieron amortiguarse y desaparecer, pero algunas reliquias de los antiguos temblores deben de conservarse actualmente entre nosotros en forma de ondas gravitatorias que bañan todo el Universo.
La densidad de energía de la radiación gravitatoria primigenia puede estimarse como siempre a partir de (3.8). En la era de Planck la densidad de energía cuántica del Universo era igual a (energía de Planck)/(volumen de Planck). El tiempo característico de fluctuación es el tiempo de Planck, y así, por lo tanto, el flujo de potencia por unidad de volumen es


El Universo estaba entonces muy caliente, por lo tanto la radiación gravitatoria estuvo probablemente en equilibrio térmico a una temperatura correspondiente a la anterior densidad de energía.
La ley de Stefan, que relaciona la temperatura con la densidad de energía, permite deducir que la temperatura al final de la era de Planck fue de 1032 K (comparemos este valor con los 10 7 K del centro del Sol).
A medida que el Universo se expansionó, la temperatura fue disminuyendo. Esto se debe a que las ondas gravitatorias están incrustadas en un espacio en expansión, y a medida que el espacio se estira la longitud de onda crece proporcionalmente. La temperatura es inversamente proporcional a la longitud de onda; por lo tanto, lo temperatura desciende en proporción inversa a la escala de longitud en expansión. Las ecuaciones de Einstein predicen que la longitud de la escala crece proporcionalmente a (tiempo)½ mientras la radiación domine sobre la materia, condición que se cumplió hasta unos 105 años. Luego, esta radiación era ya demasiado fría para tener un importante efecto gravitatorio, y la escala de longitudes creció proporcionalmente a (tiempo)2/3 . Por lo tanto, la temperatura a los 105 años era


3.6 características de la radiación
Antes de dejar el tema de las fuentes, deberíamos decir algo sobre las características de la radiación gravitatoria que puede emanar de fuentes astrofísicas y cosmológicas.
La radiación gravitatoria del espacio es de dos tipos. En primer lugar hay explosiones breves e intensas debidas a fenómenos repentinos y violentos como las explosiones de supernovas o la colisión de dos agujeros negros. Luego hay ondas continuas debidas al fondo térmico creado por el big bang, las estrellas binarias y los pulsares, y el efecto integrado de muchos fenómenos catastróficos distantes.
La longitud de onda y frecuencia de estas ondas están relacionadas por la fórmula

En general, el impulso de radiación procedente de un fenómeno catastrófico contendrá muchas frecuencias. La dispersión de frecuencias será comparable a (duración del impulso)-1 ~ (tiempo de caída libre en la fuente)-1. Es evidente que las frecuencias más altas proceden de las fases avanzadas del colapso, porque el sistema se acelera a medida que implosiona. Sin embargo, cuando el sistema se acerca al radio gravitatorio adquiere importancia otro efecto. Las ondas gravitatorias para abandonar la estrella han de escalar una gravedad superficial cada vez mayor. Las ondas gravitatorias, que son una forma de energía, están sujetas a esta gravedad de fondo, y por lo tanto pierden energía a medida que la escalan (ver, por ejemplo, la fig. 3-8). Esto se manifiesta físicamente por una pérdida de frecuencia, efecto llamado desplazamiento gravitatorio hacia el rojo cuando afecta a la luz (pues el rojo es la onda larga de la luz óptica). Por lo tanto, la frecuencia que alcanza la Tierra es algo inferior a la generada originalmente por el sistema.
Cuando se alcanza el mismo radio gravitatorio rg, el desplazamiento de frecuencia se hace ilimitado, es decir, todas las frecuencias se desplazan al cero, lo que significa que no puede escapar del sistema ninguna onda gravitatoria. Esto corresponde a la formación de un agujero negro. Por lo tanto, no habrá frecuencias superiores a c/rg, pues estas ondas sólo es probable que se formen dentro del agujero, cuando el radio de la estrella es inferior a rg. Es, pues, probable que un impulso de radiación debido al colapso gravitatorio y consiguiente formación de un agujero negro se extienda desde cero hasta c/rg para interrumpirse luego abruptamente. Si el agujero negro tiene diez masas solares, esta frecuencia máxima es aproximadamente de 103 Hz.
Las ondas gravitatorias procedentes de fuentes continuas como las estrellas binarias y las vibraciones de las estrellas de neutrones tendrán un espectro de frecuencias bastante estrecho, en contraste con los fenómenos catastróficos y turbulentos. Por lo tanto, un estudio de la distribución de frecuencias de las ondas gravitatorias puede revelar detalles sobre la estructura interna de la fuente. Si además pueden estudiarse las características de polarización de las ondas, se obtendrá más información todavía sobre el mecanismo generador. En el siguiente capítulo se describirá la tecnología actual y en estudio para alcanzar estos objetivos.
Capítulo 4
Detectores de ondas gravitatorias
4.1. Principios básicos del detectorSe han descrito en el capítulo anterior algunas fuentes naturales de ondas gravitatorias. Estas fuentes son múltiples y variadas, y la detección de ondas gravitatorias promete abrir un nuevo y rico campo para la astronomía.
4.2. La tecnología actual
4.3. Otros detectores
Al parecer, las ondas gravitatorias emanan de los más tempranos momentos imaginables después de la creación, emanan de las proximidades de los agujeros negros, de los interiores de los quásares y estrellas de neutrones, de las turbulentas profundidades de los cúmulos estelares y de muchos sistemas más. El análisis de esta radiación proporcionaría información de valor incomparable sobre estos lugares inaccesibles y remotos del cosmos, y nos proporcionaría datos sobre el comportamiento del espacio-tiempo y de la materia en estas situaciones extremas.
La detección de las ondas gravitatorias proporcionaría también una bella comprobación de la teoría genera! de la relatividad de Einstein. la primera comprobación cualitativamente nueva de la relatividad general desde hace más de sesenta años. Describiremos en este capítulo la naciente tecnología de los telescopios de gravedad, una tecnología que podría revolucionar la astronomía en las décadas venideras.
4.1 principios básicos del detector
Antenas destinadas a captar ondas electromagnéticas adornan hoy en día la mayoría de los tejados de las casas. El principio para detectar ondas gravitatorias con una antena es de extrema simplicidad. Cuando las ondas gravitatorias atraviesan la materia, la ponen en vibración. Lo único que debe hacer el experimentador es buscar las sacudidas de su equipo que no puedan explicarse de otro modo.
¿Por qué sacuden la materia las ondas gravitatorias? Estas ondas son en realidad ondas de geometría, que tratan de estirar y de contraer alternativamente las distancias de los dibujos de la figura 2-15 discutidos en los párrafos correspondientes. Si el detector es una masa de materia sólida, partes diferentes del cuerpo intentarán caer de modos diferentes en las mareas de gravedad, y el cuerpo se estirará y se comprimirá, creándose tensiones en su interior. Sin embargo, no es preciso que visualicemos el proceso de este modo. Podemos considerar que las vibraciones del detector se deben a la conversión de las ondas gravitatorias en ondas sonoras dentro del material: parte de la energía del espacio-tiempo vibrante es absorbida por el metal y convertida en energía de materia vibrante. En el lenguaje cuántico se aniquilan gravitones y se crean fonones.
La eficacia de esta antena está determinada por la fracción del flujo de energía incidente que pueda absorber y convertir en sonido (la intensidad del acoplamiento gravitón- fonón). El aparato podría no ser más complicado que un trozo de aluminio, o que dos bolas unidas mediante un resorte, o que dos péndulos suspendidos a una cierta distancia: cualquier cosa que registre una vibración de la distancia cuando pasen por ella las ondas.
En un receptor de radio hay un oscilador eléctrico que está «sintonizado» a la frecuencia buscada de la señal incidente. Las ondas de radio excitan (eléctricamente) una vibración eléctrica resonante en este circuito interno, que luego se amplía y se analiza. Para buscar ondas gravitatorias procedentes de una fuente natural, pueden seguirse dos estrategias. Una es construir un detector sintonizado a una frecuencia esperada (por ejemplo, la velocidad de pulsación de una estrella de neutrones, el período de rotación de una estrella binaria), de modo que la antena responda mejor a las señales que uno espera encontrar. El otro enfoque consiste en construir un detector de banda ancha que responda a un amplio margen de señales incidentes, suponiéndose ahora que las ondas más intensas serán probablemente explosiones cortas de procesos en agujeros negros, cuya frecuencia de pico sólo puede estimarse de modo muy aproximado.
Antes de entrar en los detalles técnicos, conviene hacerse una idea de la intensidad de los efectos que podemos esperar. En el capítulo 3 hemos estudiado las intensidades de los flujos de ondas gravitatorias de varias fuentes. Muchas fuentes de radiación gravitatoria producen, por lo menos durante una duración breve, un flujo de energía en la Tierra situado entre 10-10 J m-2 s-1 y 10 J m-2 s-1. La máxima energía que podría esperarse en la Tierra en un tiempo de búsqueda razonable (por ejemplo un año) sería una explosión debida a la colisión de dos superagujeros en una galaxia muy distante o en un quásar, la cual podría producir una energía total de 10 J m -2. ¿Con qué fuerza vibraría un detector al responder a una señal de tal intensidad?
Una manera directa de responder a esta pregunta es aplicar la teoría normal del oscilador forzado (ver el Apéndice). Sin embargo, puede obtenerse el mismo resultado utilizando un argumento de gran generalidad de la termodinámica llamado equilibrio detallado. Además, este argumento puede seguirse muy fácilmente.
Supongamos que disponemos de un detector que vibra naturalmente con una frecuencia angular ω0 determinada. Imaginemos, para concretar, el caso idealizado de dos masas iguales M unidas mediante un resorte de longitud L (véase la fig. 2-14). Si se sumerge esta antena en un baño térmico de ondas gravitatorias de temperatura T, procedentes uniformemente de todas las direcciones, el detector empezará a absorber energía de las ondas y a vibrar. Al vibrar se pondrá a emitir (es decir, re-radiar) ondas gravitatorias, porque su momento cuadripolar fluctúa. Mientras la intensidad emitida sea inferior a la energía absorbida, la energía del detector aumentará. Al final, las vibraciones llegarán a ser tan enérgicas que el detector quedará equilibrado y la pérdida de energía debida a la emisión de ondas gravitatorias quedará exactamente compensada por la energía ganada con la absorción de ondas gravitatorias.
No toda la energía absorbida de las ondas se convertirá en movimientos oscilatorios coherentes del detector. Una parte de la energía vibratoria se convertirá en calor dentro del resorte, generado por la fricción y por otros efectos disipadores. Sin embargo, esta energía térmica hará vibrar con mayor energía las moléculas del resorte, y este movimiento generará por sí mismo a escala microscópica energía de ondas gravitatorias. Cuando se alcance el equilibrio termodinámico, el resultado de estas fluctuaciones moleculares equilibrará exactamente la conversión de las ondas gravitatorias incidentes en calor. De este modo, el movimiento en equilibrio del oscilador se reducirá a unas vibraciones aleatorias, y el detector quedará a la misma temperatura que el baño ambiente de ondas gravitatorias.
Esta situación es semejante al caso electromagnético. Cuando un cuerpo alcanza el equilibrio termodinámico con un baño ambiente de radiación, los movimientos moleculares provocan una emisión térmica de tipo electromagnético cuya intensidad compensa exactamente la energía térmica absorbida desde el entorno.
Podemos utilizar este equilibrio para calcular la sección transversal, a, de la absorción de ondas gravitatorias, que puede considerarse físicamente como el área efectiva que ofrece el detector a las ondas. Para equilibrar la energía es preciso que


La figura 4-1 muestra la variación de la sección transversal con la frecuencia. La respuesta del detector tiene un pico agudo alrededor de la frecuencia natural, ω = ω0, y disminuye rápidamente hasta cero fuera del intervalo ω0 ± Δω/2. Esta forma general es característica de los osciladores pasivos y la respuesta selectiva a la frecuencia que poseen se llama resonancia. En el Apéndice se discute la forma exacta de la curva, pero aquí sólo debemos observar que la anchura del pico está determinada por el tiempo de amortiguamiento del oscilador.
Para entender esta relación, observemos que si golpeamos el oscilador y dejamos que vibre libremente no continuará oscilando indefinidamente, sino que la oscilación disminuirá lentamente a medida que fuerzas de amortiguamiento como la fricción gasten la energía del sistema convirtiéndola en calor.

Fig. 4-1. Resonancia. La mayoría de detectores responden a un intervalo estrecho de frecuencias alrededor de la frecuencia de resonancia (natural) w0. La amplitud del intervalo (Δw) está determinada por el tiempo de amortiguamiento (Δw ≈ r-1).

Fig. 4-2. Oscilaciones amortiguadas. La amplitud de vibración disminuye exponencialmente, con una «semivida» 2τ, que depende de la intensidad de las fuerzas amortiguadoras. Las frecuencias contenidas en esta onda amortiguada tienen un espectro similar a la figura 4-1, con una dispersión Δw = τ-1
Si suponemos que el amortiguamiento es muy bajo y por lo tanto que el pico σ(ω) es agudo, el flujo incidente procedente de la radiación térmica no variará de modo apreciable en el estrecho intervalo Δω ≈ τ-1, de modo que podremos eliminar el término «flujo por Hz/2π» de la integral de (4.2) y sustituirlo por su valor en ω = ω0. Dividiendo, pues, ambos miembros por esta cantidad obtenemos:

La expresión (3.1) da la potencia radiada haciendo α = 4/15. Escribamos (3.1) de la forma siguiente:

La noción de equilibrio termodinámico indica que la energía total se comparte de modo equitativo entre todos los movimientos disponibles del sistema (es decir, que hay equiparación de energía entre los varios grados de libertad). Por lo tanto, las oscilaciones del detector tienen la misma energía media que los osciladores del campo gravitatorio (esta energía es igual a kT. donde k es la constante de Boltzmann). Podemos, por lo tanto, escribir (4.3) del modo siguiente:



Es interesante expresar la sección transversal en función de Q y del radio gravitatorio del detector (rg = 4GM/c2 para una masa total 2M:



Para calcular el tipo de vibración que este minúsculo efecto induce, supongamos que disponemos de un flujo incidente de ondas gravitatorias de 100 J m2 s-1 concentrado en el estrecho intervalo de frecuencias 1/(2π τ) = 0,003 Hz alrededor de la frecuencia de resonancia. Este flujo es el que podría esperarse de la colisión de dos agujeros negros en el centro de nuestra Galaxia, pero un intervalo tan estrecho de frecuencias sólo podría llegar de un sistema periódico como una estrella de neutrones en vibración. La barra de aluminio que sólo tiene una sección transversal efectiva interceptora de 10-23 m2, sólo absorbe 10 21 J s-1. Supongamos que este flujo incidente alimenta de modo continuo la barra. La energía de las vibraciones resonantes va aumentando hasta llegar a un punto de equilibrio en que la disipación de energía en forma de calor queda exactamente compensada por la energía absorbida. Una barra con una Q de 106 tendrá a 3.000 Hz un tiempo de amortiguación de unos 53 s. La energía absorbida durante este tiempo será de 5 × 10-20 J, igual a su vez a la cantidad de energía transformada en calor por el amortiguamiento. Por lo tanto, la barra debe tener una energía vibratoria aproximadamente igual al doble de este valor (puesto que casi la mitad de la energía se amortigua cada 53 s), o sea, 10-19 J.
Vale la pena convertir esta minúscula energía vibratoria en el valor que indica el movimiento real sufrido por la barra. La relación entre la amplitud x0, la energía E y la masa total M de un oscilador armónico es


Supongamos, tomando otro ejemplo, que utilizamos toda la Tierra como detector. ¿Qué sacudidas inducen en nuestro planeta las ondas gravitatorias? La Tierra tiene un período vibratorio cuadripolar de 54 minutos, correspondiente a ondas gravitatorias con una longitud de onda de mil millones de kilómetros. El radio gravitatorio es 4 mm, por lo tanto σ ~ 10-15Q × (superficie de la Tierra) ~ Qm2. Si Q ≈ 400 y si se tiene un flujo incidente continuo en la frecuencia de resonancia de 1 J m-2 s -1 (muy optimista), la energía vibratoria de la Tierra es aproximadamente de 106 J, lo que produce un desplazamiento en la superficie de la Tierra de 10-7 m aproximadamente. Estas cifras son mínimas a cualquier nivel de referencia.
Desde luego no es probable que una fuente realista de ondas sea continua y que tenga una única frecuencia. Se cree que la mayor parte de la radiación más intensa adopta la forma de impulsos repentinos procedentes de catástrofes gravitatorias, como el colapso de un núcleo estelar. Estos impulsos presentarán un intervalo amplio de frecuencias. Quizá convenga entonces construir un detector de bajo Q que pueda responder a esta banda ancha. La sección transversal variará con una razonable lentitud en función de la frecuencia, al igual que la intensidad de las ondas. El detector ya no captará la energía de modo continuo, y el interés se centrará más en la energía total entregada al detector por el impulso:
![]()
En la sección anterior explicamos que el principio para detectar ondas gravitatorias es muy simple: basta buscar las vibraciones inducidas por simpatía en un trozo de material. El oscilador detector puede ser cualquier cosa, y la antena más sencilla es un simple bloque de metal. Lo único necesario es una tecnología capaz de medir cambios en la longitud del bloque muy inferiores a 10-15 m.
El profesor Joseph Weber de la Universidad de Maryland construyó la primera antena de laboratorio para ondas gravitatorias. El profesor Weber ha sido el pionero en el campo de la astronomía de ondas gravitatorias durante más de dos décadas. Su detector favorito, que ha servido de modelo para otros aparatos, era una barra cilíndrica de aluminio, de 1,53 m de longitud, 0,66 m de diámetro y 1.4 toneladas de peso. Su frecuencia natural en el modo más bajo era de 1.660 Hz.
Cualquier astrónomo en potencia de ondas gravitatorias que utilice una barra de tipo Weber se enfrenta con dos problemas cruciales. El primero es medir desplazamientos de la barra de una pequeñez sin precedentes. El segundo es aislar la barra de otras fuentes perturbadoras que normalmente inducirían en ella vibraciones superiores en muchos órdenes de magnitud a las debidas a las ondas gravitatorias. Por ejemplo, las ondas sísmicas podrían borrar cualquier explosión lejana de ondas gravitatorias.
Weber se enfrentó al problema del ruido suspendiendo la barra delicadamente de un hilo delgado en el vacío y apoyando el aparato sobre filtros acústicos. Además, construyó dos barras idénticas y las situó a varios centenares de kilómetros de distancia (una en la Universidad de Maryland y la otra en el laboratorio Nacional Argonne, cerca de Chicago). Luego buscó desplazamientos coincidentes de las barras, y con esta técnica pudo eliminar muchas perturbaciones exteriores aleatorias, que con muy poca probabilidad podían afectar de modo simultáneo los dos aparatos.
Weber midió los desplazamientos de la barra utilizando transductores piezoeléctricos de tensión fijados alrededor de la parte media del cilindro. Estos transductores convierten los diminutos movimientos de la barra en impulsos eléctricos que pueden amplificarse y registrarse. Los circuitos electrónicos estaban sintonizados a la frecuencia del modo vibratorio fundamental de la barra, 1.660 Hz, para que la sensibilidad fuera máxima.
Un obstáculo importante de estas mediciones de alta sensibilidad es el ruido extraño procedente, no del entorno del laboratorio, sino del interior de la misma barra y causado por los movimientos de agitación de sus átomos. Este ruido interno se debe a la agitación térmica de las moléculas de la barra y sólo puede reducirse disminuyendo la temperatura. Nociones fundamentales de termodinámica predicen que la barra adquirirá una energía vibratoria debida a estos inevitables movimientos internos (llamados a veces movimientos brownianos) igual en promedio a kT, donde k es la constante de Boltzmann y T la temperatura de la barra.
A temperatura ambiente kT es aproximadamente 4×10-21 J, valor comparable a la energía vibratoria inducida por las ondas gravitatorias más potentes que puedan esperarse razonablemente. El movimiento de la barra debido a este ruido se obtiene de la ecuación (4.8):

La amplitud del movimiento térmico es grande, pero las características del movimiento pueden diferir del inducido por las ondas gravitatorias. En especial, el movimiento térmico no es una vibración periódica, sino una serie de fluctuaciones. La velocidad de cambio de estas fluctuaciones es lenta comparada con las debidas a una explosión breve e intensa de ondas gravitatorias, como las que podríamos esperar, por ejemplo, de un colapso gravitatorio. Esto se explica porque el ruido térmico se debe a la participación colectiva de un gran número de átomos, y la probabilidad de que muchos átomos cooperen a gran escala y den una «patada» repentina es, desde luego, muy baja. La longitud de la barra varía al azar, y sólo cambia apreciablemente en una escala temporal determinada por el tiempo de amortiguamiento de la barra. (Existe una estrecha relación entre las propiedades de amortiguamiento de la barra, que convierten el movimiento vibratorio organizado en calor, es decir, en movimientos moleculares caóticos, y el proceso inverso de fluctuaciones aleatorias en un caos molecular que conspiran para producir un movimiento organizado y a gran escala.) En la breve escala temporal A t del impulso, el cambio probable de longitud debido al ruido es inferior a (4.9) en un factor (Δt/τ)-½ donde τ es el tiempo de amortiguamiento. Las duraciones típicas de las explosiones se sitúan entre 10-3 s y 10-1 s, mientras que τ podría estar situada en la región de los 20 s, lo cual da un xruidoefectivo de 10 -17 m aproximadamente. Recordemos para comparar que el desplazamiento de la barra debido al colapso de una estrella de diez masas solares y su conversión en un agujero negro en el centro de nuestra galaxia resulta ser también aproximadamente 10-17 m.
Es evidente que el ruido térmico puede reducirse enfriando la antena y aumentando el tiempo de amortiguamiento, es decir, el factor de calidad Q. Están en proyecto experimentos en los que la antena estará enfriada a 3 × 10-3 K, lo cual mejorará la sensibilidad en un factor aproximado de 300. Además, la cuidadosa utilización de materiales como el niobio permite obtener valores de Q de 107 a 109. Mejor todavía, cristales únicos de zafiro alimentados hasta alcanzar una masa de muchos kilogramos permitirían alcanzar Q de hasta 1014, lo cual correspondería a tiempos de amortiguamiento de 1013 oscilaciones, es decir, de un año incluso con frecuencias de MHz.
En los últimos años se han conseguido grandes progresos en la tarea de reducir el ruido térmico de la antena y acercarlo al objetivo técnicamente realizable de 10-21 m, necesario para detectar las explosiones más frecuentes de ondas gravitatorias que podrían llegar de un gran grupo de galaxias distantes (como el llamado cúmulo de Virgo), en lugar de una probable explosión por década procedente de un agujero negro de la Vía Láctea.
Sin embargo, otros problemas de ruido afligen estas mediciones delicadas, porque los mismos sensores están sujetos a fluctuaciones térmicas, que ampliadas por la electrónica pueden sumergir la minúscula señal. La energía del ruido en el sensor es proporcional a la amplitud de banda de las frecuencias, y si el tiempo de medición se hace muy largo, esta amplitud de banda puede reducirse mucho. Por otra parte, para que el sensor mida las vibraciones de la barra debe estar acoplado a ella de algún modo, y entonces los movimientos térmicos del sensor reaccionarán sobre la barra, produciendo una fuerza exactamente igual a los propios movimientos térmicos de la antena. Cuanto más tiempo exija la medición, mayor será esta perturbación. Existe pues un conflicto entre el ruido directo del sensor y el efecto secundario que este ruido induce al perturbar la antena. El mejor compromiso consiste en hacer ambas perturbaciones aproximadamente iguales, siempre que el tiempo de medición continúe superando la duración de la explosión.
Vladimir Braginsky, de la Universidad de Moscú, tiene proyectados detectores muy sensibles. Consisten en una cavidad de microondas: una cavidad dentro de una superficie conductora en la que se crea una onda estacionaria de microondas electromagnéticas. Una pared de la cavidad es la superficie de la antena. Al vibrar la antena, la forma de la onda estacionaria resulta perturbada.
Podemos preguntarnos si existe algún límite para la sensibilidad de un detector de ondas gravitatorias, o si con tiempo y dinero suficientes puede detectarse cualquier onda gravitatoria, por débil que sea. Hemos visto que las mediciones a realizar son tan delicadas que deben tenerse en cuenta incluso los efectos atómicos. Cuando uno se acerca a las limitaciones atómicas, la mecánica y la electrónica ordinaria dejan de ser válidas. Hay que pasar entonces a la mecánica cuántica. En el capítulo 3 explicamos que las fluctuaciones y el ruido cuánticos produjeron ondas gravitatorias al final de la era de Planck. Se producirán también fluctuaciones cuánticas, pero a una escala temporal mucho más larga, dentro de los detectores de ondas gravitatorias.
Investiguemos primero la naturaleza cuántica de la misma onda gravitatoria. Por analogía con el concepto de fotón, podemos considerar la onda gravitatoria como una lluvia de gravitones. Cada gravitón de frecuencia angular ω tiene una energía de hω. Una explosión de supernova en el cúmulo galáctico de Virgo (situado bastante cerca a nivel cosmológico, unos 107 pc) produciría en la Tierra un impulso total de energía de 5 × 10-6 J m2 Hz-1 sobre una banda de 1 Hz a 103 Hz. Esto corresponde a que una antena de tipo Weber intercepte unos 1028 gravitones, si la duración de la explosión es de 0,3 s, lo que implica que haya unos 1020 gravitones dentro del detector en cualquier momento de la explosión. Es evidente que con un número tan grande no tenemos que preocuparnos de las propiedades cuánticas de la gravedad en sí, y es una suerte pues todavía carecemos de una teoría aceptable de la gravedad cuántica (ver el apartado 5.4).
Sin embargo, si tenemos en cuenta que la sección transversal del detector puede ser únicamente de 10-25 m2, y que dentro de la banda estrecha (~1 Hz o menos) necesaria para excitar el detector quizá sólo haya un gravitón entre 103, deducimos que sólo un gravitón tiene probabilidad de ser absorbido, es decir, de convertirse en un fotón. Según la teoría cuántica, el detector no puede absorber una fracción de gravitón; por lo tanto, es perfectamente posible que la onda gravitatoria no ejerza ningún efecto sobre la barra, es decir, que no se absorba ningún gravitón. Hemos alcanzado pues el límite fundamental de la sensibilidad del detector. Las fuentes de ondas gravitatorias de energía inferior a la citada no podrán, al parecer, detectarse sin aumentar de modo sustancial la sección transversal del detector. La sensibilidad del detector ha de alcanzar por lo menos el nivel del cúmulo de Virgo para poder esperar varios acontecimientos al año, por lo tanto, este límite cuántico parece asestar un golpe mortal a la astronomía de ondas gravitatorias.
La naturaleza cuántica de la onda gravitatoria puede ignorarse, pero es evidente que hay que tener en cuenta la naturaleza cuántica de la antena y del equipo sensor. Braginsky ha estudiado este punto para ver si puede evitarse el inquietante límite antes citado. En primer lugar debe recordarse que la teoría cuántica predice la existencia de niveles discretos de energía. Estos niveles suelen ser inobservables en los objetos macroscópicos, y sólo resultan manifiestos en las dimensiones atómicas. ¡Ahora nosotros debemos considerar estos efectos de nivel atómico en una tonelada de metal! En una barra de tipo Weber, los niveles de energía están separados por sólo 10-31 J (muchos menos que en un átomo). Por lo tanto, la energía de un cuanto (hω) de excitación de la barra es de una pequeñez casi inconcebible, casi la misma energía que adquiriría un único electrón soltado desde una posición de reposo a una altura de un centímetro (aunque, afortunadamente, a las bajas frecuencias que interesan la mayoría de impactos electrónicos no entregan mucha energía a la barra).
Si utilizamos la ecuación (4.8) podremos calcular el desplazamiento vibratorio causado por un único cuanto de excitación. Haciendo la energía = hω obtenemos:


Fig. 4-3. (a). El profesor G. Papini y el detector criogénico que su grupo está desarrollando en la Universidad de Regina. El detector en sí es un gran cristal de cuarzo, muy puro, enfriado casi al cero absoluto para reducir los efectos del ruido térmico. (Fotografía reproducida con permiso del profesor G. Papini, Universidad de Regina.)

Fig. 4-3 (b). El laboratorio está situado bajo tierra en una región tranquila de las praderas canadienses. (Fotografía reproducida con permiso del profesor G. Papini, Universidad de Regina.)

Para poder explotar esta mejora es preciso detectar un único salto cuántico entre los demás n cuantos. Esto obliga a medir el número de cuantos de la barra con una precisión exacta. La posibilidad de llevar a cabo esta tarea pasa por un análisis previo de los aparatos de medición cuántica. El físico canadiense William Unruh demostró que los sensores que utilizan acoplamientos lineales sólo pueden medir n dentro de un factor √ n, condición que elimina el factor de mejora 1/√n en (4.11). Parece ser, afortunadamente, que acoplamientos más complicados permiten (por lo menos en principio) una precisión exacta. Sin embargo, para evitar entrar en conflicto con el principio de incertidumbre de Heisenberg es preciso prescindir de toda información sobre la fase de las vibraciones.
4.3. Otros detectores
Se ha dedicado una cierta atención al tema de la detección de radiación gravitatoria continua, no formada por impulsos breves. Como vimos en el capítulo 3, debería emanar de los pulsares y de las estrellas binarias un flujo continuo.
Estas ondas incidentes pueden seguirse durante un período extenso de tiempo, y esto permite bombear a la antena más energía total. Sin embargo, también en este caso se plantean problemas profundos. Un simple detector de barra debería ser de un tamaño enorme para resonar a las bajas frecuencias esperadas (~10 Hz); por lo tanto, hay que recurrir a un diseño más complicado. Un grupo japonés construyó un detector de este tipo sintonizado con la pulsar del Cangrejo, para que funcionara a 60,2 Hz. Por desgracia, la sensibilidad limitada de su aparato sólo permite fijar un límite superior a la cantidad de radiación gravitatoria procedente de esta fuente; este límite es 200.000 veces mayor que el límite que puede deducirse mediante otras consideraciones.
El trabajo inicial, y gran parte de los esfuerzos consiguientes, se encontraron en la detección de ondas gravitatorias utilizando los cilindros suspendidos de Weber, pero actualmente hay en proyecto o están en construcción otros aparatos más modernos y precisos.
Uno de los más prometedores utiliza el principio del interferómetro. La figura 4-4 muestra una posible disposición consistente en un láser y dos espejos, M1y M2, cuidadosamente suspendidos. La luz coherente del láser se divide en dos rayos, uno de los cuales se refleja muchas veces entre y el espejo central C, mientras el otro rayo hace lo mismo en el «brazo» de M2. Al final, los dos rayos se recombinan y se obtiene un dibujo de interferencia en el cual se solapan los picos y los senos de las respectivas ondas luminosas. Si, mientras tanto, llega una onda gravitatoria, los espejos se moverán y el dibujo de interferencia oscilará.
Una ventaja de este sistema es su no resonancia (porque las frecuencias naturales de los espejos suspendidos son muy inferiores a la de las ondas gravitatorias). Por lo tanto, los espejos, en lugar de responder a una sola frecuencia, se limitan a seguir la forma de la onda, sea cual fuere.

Fig. 4-4. Un interferómetro de láser. Diagrama esquemático donde aparece un rayo de láser dividido en dos, y cada subrayo rebotando muchas veces entre los espejos antes de recombinarse con el otro y crear una imagen de interferencia. Pequeños cambios en las distancias entre los espejos producen desplazamientos en el dibujo de la imagen de interferencia.
El primer detector de este tipo alcanzó sólo un 1 % de la sensibilidad de las barras de tipo Weber, pero esta sensibilidad puede mejorar construyéndose los brazos del interferómetro muy grandes. Si se utilizaran además superficies reflectores de gran calidad podrían conseguirse hasta 300 reflexiones, lo cual daría una longitud efectiva del brazo de 3 × 105 m, por ejemplo. Estos detectores podrían ser superiores a las barras resonantes a frecuencias bajas, aunque los problemas planteados por el ruido exterior (por ejemplo, las ondas sísmicas) por debajo de 0,1 Hz podrían obligar a situarlos equipos en órbita.
Otra propuesta de un detector no resonante es utilizar naves espaciales distantes. Si atravesara el Sistema Solar una onda gravitatoria con un intervalo de frecuencias de 10 a 10-4 Hz (longitudes de onda desde un diámetro terrestre hasta el tamaño del Sistema Solar, como las que produciría un superagujero en otra galaxia), la onda haría oscilar la nave espacial (y la Tierra). Este minúsculo movimiento podría detectarse explotando la técnica con que la policía controla las velocidades en carretera. Cuando una onda de radio se refleja en un objeto que se aleja, su «eco» tiene una frecuencia ligeramente inferior debido a que la superficie reflectante está retrocediendo. Este efecto Doppler de «desplazamiento hacia el rojo» se utiliza de modo rutinario para controlar los movimientos de las naves espaciales y puede alcanzar una precisión en las mediciones de frecuencia de unas 3 partes en 1013, aunque esta cifra podría mejorarse.
El procedimiento consistiría en utilizar un máser de gran estabilidad de frecuencia, o una cavidad superconductora, como oscilador de referencia, y enviar continuamente las oscilaciones a una nave espacial. La nave dispondría de un reemisor que devolvería el eco, y así podrían compararse las señales de partida y de retorno. El impulso de la onda gravitatoria al pasar pone brevemente en oscilación primero la Tierra y luego la nave espacial (o al revés). La oscilación de la Tierra mueve tanto el receptor como el transmisor, desplazando temporalmente en el sentido Doppler el rayo de retorno y el rayo emitido. Cuando la nave espacial entra en oscilación, el rayo de retorno sufre otro desplazamiento Doppler temporal. Finalmente, la oscilación terrestre impresa en el rayo de salida retorna en el eco del reemisor con su correspondiente oscilación. De este modo la forma de la onda gravitatoria queda codificada tres veces en las señales, facilitando su localización dentro del ruido. Además, un estudio del retraso entre las señales puede proporcionar cierta información sobre la dirección de la fuente.
Una fuente importante de ruido es la inestabilidad del oscilador de referencia; otra es el efecto del tenue medio interplanetario. Los cálculos indican que explosiones de ondas gravitatorias debidas a superagujeros de 107 masas solares podrían inducir en una frecuencia de unos 10-3 Hz desplazamientos Doppler de una parte en 1016 ó 1017. Esto equivale aproximadamente a un 1 % del nivel actual de ruido.
También queda dentro del alcance de la tecnología actual detectar un fondo continuo de ondas gravitatorias, ya sea procedentes de fuentes distantes o bien procedentes del big bang. Si la misma cantidad de energía contenida en el fondo térmico de la radiación electromagnética primordial (4 × 10-14 J m -3) estuviera presente en las ondas gravitatorias con longitudes de onda de 1 UA (longitudes de onda que probablemente no se deberían al escenario convencional del big bang, sino que tendrían otro origen), estas ondas podrían detectarse en un futuro próximo.
Desde que Weber inició sus experimentos hacia 1970, grupos de todo el mundo han seguido sus pasos y han desarrollado sus propios telescopios de ondas gravitatorias. Los problemas tecnológicos con los que han tenido que enfrentarse son formidables. En este capítulo hemos esbozado algunas de las dificultades planteadas por la medición de perturbaciones mínimas, pero otros problemas igualmente temibles afectan otros aspectos de los experimentos: el buen aislamiento, la electrónica y el tratamiento de datos, la fabricación de barras precisas o el cultivo de cristales puros, entre otros muchos. Se han conseguido extraordinarios progresos, pero hay que avanzar más si queremos superar la simple detección de las ondas gravitatorias. El objetivo último es disponer de telescopios gravitatorios con un potencial de observación que competiría por ejemplo con los telescopios de rayos X o incluso con los radiotelescopios. Habrá que mejorar en varios órdenes de magnitud la sensibilidad de los aparatos para alcanzar este objetivo.
Apenas se ha hablado en este libro del desarrollo de los equipos periféricos o de algunas propuestas llenas de imaginación para diseñar otros detectores, como el convertidor resonante gravitón-fotón. Sean cuales fueren los éxitos finales de los detectores gravitatorios, no hay duda de que la experiencia adquirida en esta lucha constante por las mediciones de sensibilidad superaba reportará enormes beneficios al conjunto de la ciencia y de la tecnología.
Capítulo 5
¿Han podido observarse?
5.1. Los acontecimientos de WeberEl profesor Joseph Weber de la Universidad de Maryland, el hombre cuya visión y tenacidad estimularon de modo decisivo las investigaciones sobre ondas gravitatorias, publicó un anuncio espectacular en el número de 16 de junio de 1969 de Physical Review Letters. Sus dos antenas de barras suspendidas, una en Maryland y la otra en el Laboratorio Nacional de Argonne, estaban registrando impulsos coincidentes de origen desconocido a un ritmo de casi uno por día. Si los resultados del profesor Weber eran correctos, constituían uno de los descubrimientos científicos más emocionantes y, sin embargo, más asombrosos realizados desde la Segunda Guerra Mundial. Los «acontecimientos de Weber», como acabaron llamándose, contribuyeron decisivamente a desencadenar la carrera en pos de detectores de ondas gravitatorias cada vez más perfectos.
5.2. La reacción en las fuentes
5.3. El pulsar binario
5.4. Por qué las ondas gravitatorias hacen ondular la materia
5.1. Los acontecimientos de weber
A finales de los años 60 Joseph Weber empezó a registrar vibraciones en un simple detector resonante de barra, del tipo descrito en el capítulo anterior, estacionado en College Park, Maryland. Los temblores, que poseían unas tres veces la energía térmica de la barra, ocurrían al parecer varias docenas de veces cada día. Weber, consciente de la multitud de posibles fuentes perturbadoras más prosaicas que las ondas gravitatorias, montó un experimento paralelo en el Laboratorio Nacional de Argonne, cerca de Chicago, y observó allí un ritmo semejante de perturbaciones. Sin embargo, al parecer sólo un acontecimiento por día se producía simultáneamente en las dos barras, aunque Weber, mediante un análisis estadístico, llegó a la conclusión de que era muy improbable que aquellas conjunciones fueran casuales.
Dados dos conjuntos de impulsos aleatorios, es evidente que habrá algunas coincidencias casuales, pero Weber estimó que la proporción de coincidencias casuales tenía que ser un orden de magnitud inferior. Una prueba de esta estimación consistió en introducir un retraso temporal en uno de los circuitos electrónicos que registraban los impulsos y ver si disminuía el ritmo de los impulsos coincidentes. Al parecer así fue. Los acontecimientos causados por ondas gravitatorias en las dos localidades deberían ocurrir simultáneamente dentro de la resolución temporal del equipo (> 0,1 s), por lo tanto el retraso introducido eliminaría automáticamente todas las perturbaciones inducidas por ondas gravitatorias.
Weber llevó a cabo un estudio cuidadoso de todas las influencias no debidas a ondas gravitatorias que podían ser responsables de los acontecimientos, entre ellas erupciones solares, relámpagos, señales artificiales de radio y actividad eléctrica, y ondas sísmicas.

Fig. 5-1. El detector de ondas gravitatorias de Weber. Joseph Weber aparece con uno de los cilindros de aluminio utilizados en sus primeros trabajos de detección de ondas gravitatorias. Las barras de este tipo se suspenden delicadamente de un bucle de alambre y los traductores de tensión instalados alrededor de la parte media registran las vibraciones. Hace una década Weber dijo haber detectado temblores coincidentes en dos aparatos de este tipo separados por varios centenares de kilómetros. (Fotografía reproducida con permiso del profesor J. Weber, Universidad de Maryland.)
Quizás el anuncio más intrigante de todos fue la llamada «anisotropía sidérea». La barra permanece fija en el laboratorio, pero, a medida que la Tierra gira, el eje del cilindro gira también en relación a las estrellas distantes. Estas barras, debido a su forma cilíndrica, presentan la mayor sensibilidad a las ondas gravitatorias cuando la dirección de propagación de éstas es perpendicular a los ejes.
Si las ondas llegan de una dirección fija del espacio es de esperar que la intensidad de las vibraciones de la barra varíe a lo largo de un día.
Hay, sin embargo, una sutileza adicional: la Tierra no sólo gira sobre su eje, sino que también gira en órbita alrededor del Sol. En un día este movimiento orbital equivale a unos cuatro minutos de giro axial. Por lo tanto, el período de rotación de la Tierra en relación a las estrellas lejanas es cuatro minutos inferior al relativo al Sol. (Al cabo de un año todas estas diferencias de cuatro minutos se han sumado y dan un día entero). El primer período se llama día sidéreo, y el segundo (24 horas) es el día solar. Su diferencia se manifiesta por la lenta migración diaria de la posición del Sol sobre las constelaciones del fondo, debida a que nuestro punto de mira cambia progresivamente a medida que el movimiento orbital de la Tierra altera nuestro aspecto.
Es de esperar que cualquier actividad de origen humano presente una periodicidad de 24 horas (un día solar), porque las únicas personas cuyos hábitos se rigen por el día sidéreo son los astrónomos. En cambio, cualquier actividad que tenga su origen en el espacio galáctico o más allá tendrá una variación sidérea, porque su posición se mantendrá fija en relación a las estrellas distantes, no al Sol. Weber dividió los acontecimientos de su detector en tres conjuntos que representaban intervalos de cuatro horas y descubrió que los 150 acontecimientos registrados a lo largo de un período de seis meses presentaban una correlación significativa con el tiempo sidéreo, y no con el tiempo solar. Los acontecimientos tenían su origen al parecer en las profundidades del espacio. Es curioso que la subida y bajada de las explosiones presentara una doble periodicidad diaria. Esto es lógico, porque el máximo registrado cuando las barras están perpendiculares a las ondas y la fuente está a un lado de la Tierra debe ser seguido al cabo de unas doce horas por otro máximo, cuando las barras están de nuevo perpendiculares, pero con las ondas procedentes del otro lado de la Tierra (la Tierra es virtualmente transparente a las ondas). Weber, después de observar los tiempos de los máximos, llegó a la conclusión de que las ondas emanaban del centro de la Vía Láctea.
Estas observaciones de Weber fueron recibidas con gran entusiasmo e interés a principios de los años 70, pero también con cierto escepticismo. Los resultados experimentales parecían muy convincentes, por lo menos superficialmente, y la anisotropía sidérea era exactamente el efecto que cabía esperar si los acontecimientos de Weber se debían a encuentros violentos de agujeros negros en el congestionado centro de nuestra Galaxia. Sin embargo, parecía como si Weber fuera víctima de su propio éxito, porque si todos los acontecimientos que publicaba se debían a las ondas gravitatorias, el nivel de actividad superaba en mucho lo esperado.
Explicamos en el capítulo 3 que el colapso de una estrella de diez masas solares y la formación de un agujero negro en el centro de nuestra Galaxia produciría un flujo en la Tierra de unos 10“ 5 J m '2. el cual induciría en una barra de un metro una vibración de sólo 10“17 m. No está claro que un acontecimiento así. a pesar de su energía, llegara a captarse con el equipo original de Weber, pero suponiendo que lo captara, la mayoría de astrónomos cree que la frecuencia de un fenómeno como éste sería de dos o tres veces por siglo (la frecuencia de las supernovas por galaxia). En cambio, los acontecimientos de Weber se producían una vez cada día. Además, la amplitud de banda de sus detectores era de sólo 0.1 Hz, y esta gran frecuencia representaba probablemente una fracción minúscula del número total de explosiones en todas las frecuencias.
Como es lógico, pueden imaginarse muchas fuentes más de impulsos de ondas gravitatorias cuya frecuencia sería la indicada; por ejemplo, un superagujero en el centro de la Galaxia con una masa de 10: masas solares que engullera una nueva estrella cada día, de modo que cada una de estas estrellas liberara una buena fracción de su masa de reposo en forma de ondas gravitatorias. Sin embargo, si este ritmo de pérdida de masa fuera remotamente normal, la Galaxia perdería masa emitiéndola al espacio intergaláctico en forma de radiación gravitatoria a un ritmo prodigioso, y es difícil explicar que sus efectos no hayan afectado de forma visible la estructura de la Galaxia a lo largo de miles de millones de años.
Se planteó urgentemente la necesidad de verificar en otros laboratorios los acontecimientos de Weber, con independencia de su fuente real. A principios de los 70 varios grupos de investigación de distintos países montaron experimentos similares utilizando barras basadas en el proyecto pionero de Weber. Algunos de estos grupos dijeron que habían mejorado significativamente la sensibilidad del aparato original de Weber. Pero, aparte de un impresionante acontecimiento publicado por el profesor R. Drever de la Universidad de Glasgow en 1972, ninguno de estos grupos obtuvo resultados que pudieran interpretarse como configuración de las ondas gravitatorias.
Durante un tiempo se discutió furiosamente la realidad de los acontecimientos de Weber, los aspectos técnicos de su equipo o de los equipos de otros grupos y el análisis de los datos. Algunos debates se caracterizaron quizá por una cortesía algo inferior a la que suele reinar en las cuestiones científicas. Hoy en día, casi una década después, todo el mundo parece estar de acuerdo en que deben lograrse mejoras considerables en la sensibilidad para poder registrar de modo normal acontecimientos astronómicos mediante las ondas gravitatorias.
Los acontecimientos de Weber no han podido explicarse nunca de modo satisfactorio. Algunas personas creen, desde luego, que son totalmente espurios, quizás un producto del computador, pero hay que aceptar la posibilidad de que Weber tuviera la fortuna de «conectar» su aparato en una época de actividad insólitamente intensa de las ondas gravitatorias. Quizás existe un superagujero en el centro de la Galaxia y de vez en cuando se precipitan a su interior cúmulos estelares. Si estos acontecimientos son muy raros, y si Weber tuvo la suerte de registrar uno de ellos, el problema de la pérdida de masa no sería tan grave. No parece que pueda darse respuesta a estas conjeturas sin antes saber bastantes más cosas sobre las ondas gravitatorias y sobre las condiciones que reinan en el centro de nuestra Galaxia. Hasta entonces, hay que considerar los acontecimientos de Weber como un hito importante e intrigante en el desarrollo de la astronomía de ondas gravitatorias.
5.2. La reacción en las fuentes
La detección directa con un «telescopio» de laboratorio de las ondas gravitatorias es el sistema más satisfactorio para explotar la información contenida en la radiación gravitatoria, pero no es el único sistema que permite deducir la existencia e intensidad de esta radiación. Discutimos en el capítulo 3 la potencia de emisión de una variedad de fuentes, y en algunos casos se vio que podía radiarse al espacio una fracción significativa de la masa-energía total disponible. Es imposible que la fuente pierda toda esta energía sin que se observen algunos efectos drásticos en la misma fuente. Si no podemos captar todavía las ondas gravitatorias que nos llegan de la fuente, por lo menos podríamos ver la reacción que el acontecimiento produce en ella.
Se supone que la emisión de ondas gravitatorias tiene un fuerte efecto de amortiguamiento, por ejemplo, sobre las violentas oscilaciones de forma que pueden acompañar el nacimiento de una estrella de neutrones. Son menos espectaculares pero de más fácil estudio los efectos en un sistema estelar binario. En este caso, las dos estrellas giran alrededor de su centro de gravedad común, y por lo tanto el movimiento orbital ha de proporcionar la energía necesaria para producir la radiación gravitatoria. La sangría continua de energía obligará a las estrellas a acercarse lentamente una a otra en espiral.
Para estimar el ritmo de degeneración de la órbita, volvamos a la ecuación (3.10) que da la potencia emitida por un sistema estelar binario con dos estrellas de masa igual en órbitas circulares. La escala temporal característica de un cambio apreciable en el radio orbital es

Observemos la sensibilidad del tiempo de degeneración a diferencias en el radio orbital R. Una disminución en un factor 10 del radio acelerará 10.000 veces el colapso de la órbita. Si expresamos (5.1) en función del período orbital P (en segundos), de modo que

Es divertido también calcular la vida del sistema binario más ligero conocido, a saber, el positronio. El positronio, formado por un electrón y su equivalente de antimateria, el positrón, se aniquila electromagnéticamente dando dos fotones al cabo de 10 -10 s aproximadamente. La teoría cuántica da como energía de la órbita más baja me4/4 h2, donde e es la carga del electrón y m la masa de cada partícula. Para obtener el tiempo característico tomamos h/(energía), de modo que el flujo de potencia es aproximadamente m2e8/h5. Aplicando la ecuación (3.8) encontramos que la potencia de la onda gravitatoria emitida es de Gm4e16/h10c5, y la vida de energía/potencia ~h8c5/Gm3e12, aproximadamente 1030, o sea 1047 veces más larga que el correspondiente proceso electromagnético.
Señalamos en el capítulo 3 que las estrellas ordinarias no pueden acercarse demasiado sin que se produzcan efectos de marea disruptivos, pero las estrellas doblemente compactas (es decir, un sistema binario en el que ambas estrellas han sufrido el colapso) podrían orbitar «limpiamente» a 106 km una de otra. ¿Son abundantes las estrellas binarias doblemente compactas? El problema es complicado, porque estos sistemas se están formando continuamente, mientras que otros degeneran y desaparecen. Cuando estas estrellas se acercan demasiado, los procesos de marea acaban dominando y el sistema sufre una disrupción violenta, acabando probablemente como un único sistema rodeado de escombros, o como un agujero negro. Las estimaciones van desde la aparición de un nuevo sistema en nuestra Galaxia a intervalos de miles de años hasta su aparición a intervalos de centenares de miles de años. Si sabemos el ritmo de degeneración podremos estimar la probabilidad de encontrar un sistema así con un período dado. Es razonable suponer que en algún lugar de la Galaxia hay un sistema binario doblemente compacto con un período orbital de sólo unos minutos. Este sistema degeneraría de modo perceptible en unos cuantos miles de años, y produciría en la Tierra un flujo de quizá 10-12 J m -2 s-1. Si extendemos la búsqueda hasta el cúmulo de Virgo cabría esperar que existiera allí un sistema con un período de sólo unas docenas de segundos, y una vida de sólo unos centenares de años.
Estos resultados parecen muy interesantes, pero si se intenta buscar uno de estos sistemas se plantea un problema fundamental. Los objetos compactos son por su misma naturaleza difíciles de detectar. Por ejemplo, un agujero negro es negro, y sólo lo delatará su efecto gravitatorio sobre un objeto visible cercano, o quizá los rayos X producidos por la caída de materia a su interior. Una estrella de neutrones no es visible directamente. Por fortuna existe quizás un mecanismo muy efectivo que permite no sólo localizar una estrella de neutrones, sino seguir su movimiento: el pulsar.
5.3. El pulsar binario
Todas las estrellas giran con mayor o menor rapidez: el Sol gira sobre sí mismo cada 25 días aproximadamente. A medida que una estrella se contrae, su velocidad rotacional ha de aumentar para que se conserve el momento angular. Durante la explosión de una supernova es probable que el núcleo de la estrella afectada sufra una implosión y que se reduzca a unos cuantos kilómetros de radio, en cuyo caso el aumento de la velocidad de rotación será espectacular. Una estrella típica de neutrones podría nacer girando docenas de veces por segundo. La Nebulosa Cangrejo, el resto de la supernova de 1054, contiene una estrella de neutrones de este tipo.
La estrella estará constituida principalmente por neutrones, pero contendrá todavía algunas cargas eléctricas libres y tendrá atrapado un potente campo magnético, estimado en 10 12 gauss en su superficie (comparemos este valor con el medio gauss del campo magnético de la Tierra). Al girar la estrella, también giran las líneas del campo magnético, rodando como los radios de una rueda. Al mismo tiempo, un campo eléctrico radial arranca los electrones de la superficie estelar y los escupe en forma de viento hacia el campo magnético del entorno. Los electrones se enredan en las líneas del campo magnético rotatorio y se dejan arrastrar por él, acercándose su velocidad a la de la luz en la periferia de la «rueda». Estos electrones se desplazan en órbitas circulares y, por lo tanto, sufren enormes aceleraciones que les obligan a emitir radiación electromagnética en forma de ondas luminosas y de radio. Estas ondas, llamadas radiación sincrotónica (porque se generan también en los aceleradores de partículas subatómicas llamados sincrotones) se concentran en un cono de pequeño ángulo, debido a las elevadas velocidades en juego, y emiten un rayo estrecho de radiación, como la luz de un faro. A medida que el sistema gira, este rayo barre la Galaxia y cada vez que pasa por la Tierra vemos un impulso de radiación.
El astrónomo de Cambridge Anthony Hewish y su estudiante Jocelyn Bell (ahora Burnell) descubrieron la primera de estas fuentes de radio pulsantes, o pulsares. Pronto se encontraron docenas más, entre ellas una situada en el centro de la Nebulosa Cangrejo. Estos impulsos de radio son extraordinariamente regulares y pueden repetirse varias veces por segundo. Si se registran cuidadosamente los impulsos puede observarse que la velocidad de rotación de la estrella central de neutrones se reduce lentamente a medida que pierde energía.

Fig. 5-2. El radiotelescopio de Arecibo, Puerto Rico. Aparece un segmento del plato parabólico situado dentro de un cráter natural. Las ondas de radio que refleja su superficie se enfocan hacia la estructura triangular que sostiene el detector. Este gigantesco instrumento se ha utilizado para escuchar las señales de radio del pulsar binario PSR 1913 + 16, cuyos impulsos revelan al parecer la emisión de ondas gravitatorias procedentes del sistema. (Universidad Cornell, Observatorio Ionosférico de Arecibo, Puerto Rico.)
La conclusión inevitable es que el movimiento del pulsar está cambiando rápidamente, y que la variación de la velocidad de los impulsos se debe al cambiante efecto Doppler. Las características del cambio encajan de modo preciso con el modelo de un sistema binario doblemente compacto, con la estrella de neutrones (el pulsar) en órbita alrededor de otro sistema no visible, quizás un agujero negro u otra estrella de neutrones. A medida que el pulsar gira alrededor de su compañera, avanza hacia nosotros y retrocede alternativamente. Cuando avanza, la frecuencia de las ondas de radio aumenta (pero no de velocidad; recordemos la teoría especial de la relatividad), y cuando retrocede, las ondas se alargan y presentan una frecuencia inferior. Estos cambios se reflejan en las variaciones observadas del ritmo de pulsación captado en la Tierra.
Hulse y Taylor no sólo habían descubierto una binaria muy compacta, sino también una binaria con un reloj interno (el mecanismo del pulsar), que podía utilizarse para seguir los cambios del movimiento y del campo gravitatorio y poner así a prueba la teoría de la relatividad. El descubrimiento produjo un entusiasmo considerable, y en los meses siguientes se siguió cuidadosamente la evolución del nuevo pulsar.
Los astrónomos, combinando los cálculos de los modelos teóricos con las observaciones y utilizando los tiempos de llegada de los impulsos de radio a fin de corregir los parámetros de los modelos, pronto pudieron proporcionar una información muy detallada y precisa sobre el sistema PSR 1913+ 16. La tabla 5-1 muestra algunas estadísticas vitales del sistema.
Vale la pena comentar algunas de estas características. En primer lugar el período orbital de la binaria es muy breve, algo menos de ocho horas (es decir, un «año» de ocho horas). Esto significa que la velocidad orbital es grande y el potencial gravitatorio intenso (los dos son un orden de magnitud mayores que los correspondientes valores del planeta Mercurio en el Sistema Solar).

Como se ha dicho en la sección anterior, la rotación de una estrella alrededor de otra debería causar una pérdida de potencia en forma de ondas gravitatorias que provocaría una lenta degeneración de la órbita. Cuando el período es de ocho horas, el tiempo de degeneración es inferior a 1010 años, lo cual supone un cambio por año en el período orbital de unas pocas partes en 109. El reloj interno del pulsar es tan preciso, que cambios de tal magnitud deberían ser perceptibles en unos pocos años.
En el Noveno Simposio Texas de Astrofísica Relativista celebrado en Münich en diciembre de 1978, Taylor anunció el descubrimiento, según dijo, de radiación gravitatoria. La figura 5-3 resume sus datos y muestra la degeneración orbital observada comparada con las predicciones teóricas derivadas de la teoría general de la relatividad de Einstein. El acuerdo parece muy impresionante. A medida que pasa el tiempo y que la órbita degenera más puede mejorarse progresivamente la precisión de la comparación.

Fig. 5-3. Los puntos representan errores medidos de fase orbital causados al suponer que el período orbital de la binaria tiene un valor fijo. Las incertidumbres que acompañan cada punto son comparables o menores que el punto. La curva indicada corresponde al período orbital predicho por la relatividad general si las masas del pulsar y de su compañera son equivalentes e iguales a 1,41 masas solares. (De J.H. Taylor, L.A. Fowler y P.M. McCulloch, Nature, 277 (1979), 437-40.)
Sin embargo, antes de sacar esta conclusión debe comprobarse la ausencia de otros procesos que puedan explicar la degeneración orbital. Una posibilidad al respecto es la fricción. Si el sistema binario estuviera contaminado por gas y otros escombros, estos materiales ejercerían una resistencia al avance de las estrellas en sus órbitas que provocaría también una degeneración orbital. Una prueba contra esta posibilidad es la ausencia de una dispersión variable de frecuencia en las señales de radio, dispersión que existiría inevitablemente si los impulsos de radio tuvieran que pasar de vez en cuando por cantidades importantes de materia.
Otra causa de degeneración orbital es la fricción de marea. La gravedad de la estrella de neutrones levantará mareas en la superficie de su compañera, y al girar las estrellas una alrededor de la otra estas protuberancias de marea serán arrastradas por el movimiento. El desplazamiento continuo de grandes cantidades de materia viscosa tiene el efecto de convertir la energía de marea en calor. Las protuberancias de marea también ejercen un efecto gravitatorio propio sobre la estrella de neutrones vaciando de su energía orbital una cantidad igual al calor generado por las mareas. Si la compañera fuese una estrella ordinaria como el Sol, esta degeneración de marea sería colosal, y desde luego el objeto debería ser mucho más compacto. Hay un dato de observación directa que lo confirma. La ausencia de todo eclipse en los impulsos de radio, eclipses que se producirían si la pulsar desapareciera detrás de su compañera, limita el diámetro de esta última a menos de 105 km, demasiado pequeña para que sea una estrella ordinaria. Si este astro fuera otra estrella de neutrones o un agujero negro, los efectos de marea serían despreciables debido a su minúsculo tamaño. En cambio, si el objeto acompañante fuera simplemente una estrella contraída, por ejemplo, una enana blanca o una estrella de helio (ambos astros son estrellas agotadas de poca masa que podrían tener un tamaño mayor que la Tierra), los efectos de marea podrían rivalizar con los efectos debidos a las ondas gravitatorias.
¿Cómo podemos determinar la naturaleza de la estrella acompañante? El cálculo de su masa proporciona una cierta información, porque si equivaliera a varias masas solares habría que pensar en un agujero negro (un objeto colapsado gravitatoriamente de más de tres masas solares según la relatividad general no puede evitar convertirse en un agujero negro). Sin embargo, Taylor calcula que la masa es de sólo V/2 masas solares, y cree que se trata de una estrella de neutrones.
La distancia estimada al pulsar es de 5.000 pc, lo bastante baja para que una búsqueda telescópica directa pueda revelar la presencia de una estrella de helio. En el verano de 1979 se publicaron en la revista Nature los resultados de una búsqueda de este tipo llevada a cabo en el Observatorio Nacional de Kitt Peak. Los autores aseguran que han detectado una estrella en las coordenadas celestes precisas del pulsar binario PSR 1913 -I- 16. La probabilidad de que sea una estrella no relacionada con el pulsar pero situada casualmente en su dirección se calcula en un 3 %. Si trabajos espectroscopios posteriores confirman que el objeto es realmente una estrella de helio, complicaría considerablemente nuestra apreciación de este sistema binario.
Hay que mencionar un punto final, pero muy importante. En el apartado 2.5 advertimos al lector que la discusión teórica de las ondas gravitatorias no se basaría en una aproximación que se aplica frecuentemente pero que en la práctica está sujeta a debate. La gravedad es una teoría no lineal: es decir, que la gravedad también gravita. Esto significa que si dos distribuciones de tensión-energía-momento producen ciertos campos gravitatorios, la superposición de ambas fuentes no producirá la superposición de los dos campos, porque el cambio de energía gravitatoria causado por la interacción gravitatoria entre las dos fuentes aportará su propia contribución al campo gravitatorio total. La gravedad actúa en cierto modo sobre sí misma, y en los capítulos anteriores hemos ignorado esta no linealidad.
No hay duda de que el enfoque adoptado es legítimo en muchas circunstancias, cuando los campos gravitatorios de interés son lo bastante débiles, y esto se cumple probablemente en el tema de la detección de ondas gravitatorias. Sin embargo, cuando se trata de su emisión no podemos estar tan seguros. El campo de las ondas gravitatorias cercano a una fuente astronómica es muchos órdenes de magnitud más intenso que en la Tierra. Además, en una teoría lineal puede suponerse que un pequeño cambio del campo produce una pequeña reacción sobre la fuente. Esto no puede asumirse en una teoría no lineal, y algunos físicos han dicho que la reacción sobre las fuentes debida a la emisión de ondas gravitatorias podría diferir en factores numéricos elevados de las estimaciones ingenuas basadas en la fórmula (3.3) y en argumentos bastos sobre la conservación de la energía. Taylor afirma que el buen acuerdo entre los datos del pulsar binario y la teoría linealizada basada en (3.3) confirma la aproximación lineal hasta un grado importante de precisión. Por otra parte, también puede suponerse que el acuerdo es una pura coincidencia, debida a la conjunción de una reacción sobre la fuente de la onda gravitatoria mucho mayor (o menor) y a efectos de marea sobre la compañera.
Por desgracia, la teoría no lineal de la reacción sobre la fuente en la emisión de ondas gravitatorias ha topado con graves problemas de principio y de complejidad técnica en el aparato matemático. Es probable que el descubrimiento de la pulsar binaria estimule un análisis más enérgico de este antiguo problema teórico.
5.4. Por qué las ondas gravitatorias hacen ondular la materia
La historia de la búsqueda de las ondas gravitatorias empezó con Einstein en 1918, dejó de ser teórica y se transformó en experimental en los años 60, y se situó en una posición de interés central para los astrónomos y los físicos en los años 70. En el transcurso de la década de 1980, la física de las ondas gravitatorias iba a «despegar» y a convertirse en un apartado importante de la investigación científica. Las ondas gravitatorias son tan débiles que probablemente nunca se utilizarán en telecomunicaciones. ¿En qué reside pues su importancia?
En el texto de los capítulos anteriores han aparecido algunas respuestas a esta pregunta. Para el experimentador la física de las ondas gravitatorias es excitante por dos motivos. El primero es el desafío que supone una tecnología de alta precisión. Poder captar un movimiento de una décima de trillonésima de centímetro en una tonelada de aluminio es un logro impresionante. Además, es asombroso acercarse al límite de la ingeniería cuántica, donde se manifiestan a escala del laboratorio efectos esencialmente subatómicos. Los físicos han tenido que plantearse seriamente la necesidad de situar tan delicadamente sus sensores y sondas sobre las antenas que no perturben ni el equivalente de un solo electrón, lo cual demuestra hasta qué punto los órdenes de magnitud se han ido derrumbando ante el ingenio y la pericia de los experimentadores modernos. Sea cual fuere el resultado de la física de las ondas gravitatorias, sería desde luego sorprendente que este nivel de precisión no repercutiera favorablemente en otros campos de la ciencia.
Para un astrónomo, el interés experimental se centra más en el tema de la astronomía de ondas gravitatorias, una nueva ventana abierta al Universo. En las últimas dos o tres décadas, los astrónomos han abierto el espectro electromagnético partiendo de la porción visible, la del infrarrojo cercano y la del ultravioleta, para pasar primero a las ondas de radio, luego a los rayos X, al infrarrojo lejano y a los rayos gamma. Cada nuevo intervalo de longitudes de onda ha proporcionado una rica cosecha de observaciones y ha aumentado enormemente nuestra comprensión del Cosmos.
Sin embargo, todas las ondas electromagnéticas adolecen de una limitación fundamental: no pueden penetrar mucho en la materia. Por suerte para la astronomía, el Universo está bastante vacío, y gran parte de la información electromagnética se propaga a través de miles de millones de años luz en el espacio. Sin embargo, al no poder penetrar fácilmente en la materia, sólo transporta información sobre los rasgos superficiales de la fuente. Con frecuencia los lugares de interés auténtico para el físico y el astrónomo están enterrados a gran profundidad dentro de la materia o están envueltos en gases y otros materiales de menor interés que el interior en sí. Cuando miramos los planetas, o el Sol y las estrellas, sólo podemos ver sus superficies. Los procesos que dan energía a las estrellas están ocultos en sus corazones. Cuando examinamos la radiación térmica de fondo en microondas tampoco estamos observando realmente el big bang, sino la última superficie de gas opaco unos 100.000 años después, cuando el material cosmológico estaba todavía demasiado caliente para ionizarse.
El deseo de sondear las profundidades más vitales del Universo, de examinar la materia y la energía en sus condiciones más extremas, da un interés adicional a la astronomía de ondas gravitatorias. porque no se trata de explorar una nueva región del espectro electromagnético, sino un espectro totalmente nuevo. Los gravitones, como los neutrinos, pueden atravesar fácilmente grandes cantidades de materia ultra- densa sin ser detenidos y pueden brotar violentamente de los centros de las estrellas, de las estrellas de neutrones y de los quásares, y del mismo borde de los agujeros negros. Las ondas gravitatorias pueden retumbar a través del Universo desde el primer momento concebible del big bang, y transportar información sobre épocas que son anteriores en más de cincuenta potencias de diez a las correspondientes señales electromagnéticas. Si los astrónomos dispusieran de telescopios de ondas gravitatorias podrían seguir las torturadas destrucciones de estrellas enteras, las explosiones titánicas de los quásares y las terribles colisiones de los agujeros negros. Podrían «ver» los violentos giros de las estrellas nacientes de neutrones, la turbulencia de una supernova y el suave pero inexorable colapso de los cúmulos globulares y de las galaxias. Quizá se tarde mucho en llegar a captar estos detalles, pero no parece que la ciencia pueda renunciar a seguir el nuevo camino Maxwell-Hertz que Einstein abrió para nosotros.
Si volvemos a los aspectos teóricos, el simple descubrimiento de las ondas gravitatorias representa un hito en el desarrollo de la teoría de la gravedad. La teoría general de la gravedad de Einstein se publicó en 1915, pero tuvieron que pasar varias décadas para que la teoría empezara simplemente a comprenderse. La mayoría de los científicos la aceptan como la descripción correcta de la estructura del espacio- tiempo y de la gravedad, por lo menos a escala microscópica. Sin embargo, la comprobación de la teoría topa con formidables problemas matemáticos y experimentales. Hay varios motivos que explican esto.
En primer lugar la gran debilidad de la gravedad significa que no pueden hacerse muchos experimentos en el laboratorio. El experimentador ha de renunciar a controlar las fuentes de la gravedad y aprovechar lo que la naturaleza le ofrece en otros lugares del Universo. De entrada parece que los sistemas con mejores posibilidades son los de más masa. Por desgracia, los sistemas de gran masa son también los más complicados. Es improbable, por ejemplo, que una galaxia, con sus 10 11 estrellas, proporcione mucha información utilizable sobre la relatividad general. En cambio, el Sistema Solar ha sido tradicionalmente el campo de pruebas de la teoría, y las llamadas tres pruebas clásicas de la relatividad general ya se habían llevado a cabo con éxito en 1919. Desde entonces los avances tecnológicos han servido principalmente para mejorar la precisión de estas tres pruebas. Ahora, gradas al descubrimiento del pulsar binario, pueden llevarse a cabo por primera vez desde 1919 nuevas comprobaciones cualitativas de la relatividad general.
Otro motivo de nuestro lento avance en la comprensión de la relatividad general es su complejidad matemática. Las ecuaciones de Einstein son en sí, y desde un punto de vista formal, elegantemente simples y concisas. El problema se presenta al aplicarlas a los sistemas muchas veces complicados que se presentan en situaciones astronómicas reales. La no linealidad de la teoría a menudo impide obtener soluciones exactas, y los métodos de aproximación pueden ser prolongados, tediosos y de dudosa confianza. Hemos indicado ya que las fórmulas normales de la emisión de ondas gravitatorias y su reacción sobre el emisor contienen una aproximación lineal que se ha puesto en duda. El estudio experimental del pulsar binario permite ahora comprobar la validez de esta aproximación crucial.
Si tomamos una perspectiva más amplia, la gravedad es una de las cuatro fuerzas fundamentales conocidas de la naturaleza. Las otras tres, el electromagnetismo y las fuerzas nucleares débil y fuerte, tienen descripciones de mecánica cuántica. La teoría cuántica nació cuando se descubrió que las ondas electromagnéticas se emitían y se absorbían en cantidades discretas, o fotones. Si se cree que la teoría cuántica debe aplicarse de modo consecuente a toda la física (suposición que se acepta casi unánimemente), también hay que cuantificar las ondas gravitatorias mediante gravitones.
La debilidad de la gravedad significa que debe excluirse todo experimento con gravitones, al contrario de los experimentos con fotones; por lo tanto, sólo podemos comprobar la teoría de que la gravedad está cuantificada mediante modelos matemáticos: intentando construir una teoría completa que proporcione por lo menos respuestas razonables a los problemas físicos, aunque su comprobación exceda quizás a nuestras capacidades físicas. Este procedimiento no puede demostrar que la gravedad cuántica es correcta, pero la falta de una teoría viable podría poner en entredicho la teoría cuántica, o la relatividad general, o ambas.
Desde hace unos veinte años se han efectuado continuos y vigorosos intentos para formular una teoría de la gravedad cuántica, pero sin éxito. El problema es el siguiente. Según el principio de incertidumbre de Heisenberg de la teoría cuántica, la energía no se conserva necesariamente de modo estricto. Puede tomarse «prestada» energía durante breves intervalos, siempre que se devuelva prontamente. La energía prestada ΔE está relacionada con la duración Δt por
ΔE × Δt ~ h.
La disponibilidad de estos préstamos de energía significa que los gravitones pueden crearse de la nada, si desaparecen de nuevo al cabo de un tiempo lo bastante breve. De hecho, alrededor de cada partícula de materia hay un enjambre entero de estos transitorios gravitones virtuales, como se les llama. La nube de gravitones interacciona con la partícula y altera su masa-energía. La corrección debería ser, pues, muy pequeña y reflejar la debilidad de los efectos de la gravedad cuántica. Y, sin embargo, la corrección resulta ser infinita. Esto se debe a que no hay límite a la posible energía de los gravitones virtuales, porque si los emite y reabsorbe la misma partícula, su vida At no tiene límite inferior, y por lo tanto ΔE, según la relación de Heisenberg, puede ser arbitrariamente grande.También en las demás teorías cuánticas de las demás fuerzas de la naturaleza, como la electrodinámica cuántica, aparece una autoenergía infinita. En el caso de esta última teoría, y en ciertas otras teorías recientes de las fuerzas nucleares, estas infinidades no afectan la potencia predictiva de la teoría porque no se dan en cantidades que puedan observarse realmente. Además, el número de cantidades infinitas está estrictamente limitado.
Las teorías que permiten manejar las infinidades sin echar a perder el sentido de la teoría se llaman renormalizables, y poseen a este respecto algunas propiedades matemáticas muy especiales. Por desgracia, la relatividad general no posee al parecer estas propiedades y en su estado actual no es renormalizable.
La incapacidad de construir una teoría directa de la gravedad cuántica ha inspirado algunos enfoques nuevos y radicales. Uno de ellos, llamado supergravedad, intenta combinar los gravitones con otros tipos de partículas cuánticas que tienen un espín semientero con la esperanza de que los infinitos combinados sean más fáciles de renormalizar. Es demasiado pronto para saber si este enfoque tendrá éxito.
Otros han propuesto abandonar totalmente la relatividad general a nivel microscópico, mientras que programas más ambiciosos intentan construir tanto la estructura espacio-temporal como los principios cuánticos a partir de una estructura matemática más fundamental.
Sea cual fuere el resultado, es probable que la síntesis de las ondas gravitatorias y de la teoría cuántica tenga un profundo impacto en el futuro de la física.
Apéndice
Teoría de los detectores de ondas gravitatorias
fuerza elástica = —Kx = 2Mx (A.1)
donde K es una constante elástica (positiva) y M es la masa de cada esfera de la figura 2-14 (a).La ecuación (A.l) puede resolverse obteniéndose
![]()
Al moverse la barra, la energía se disipa en forma de calor. Por lo tanto, la barra experimenta una fuerza de amortiguamiento proporcional a la velocidad x. El oscilador amortiguado obedece a la ecuación

Si la barra es impulsada no sólo por unas fuerzas elásticas y de amortiguamiento, sino también por una onda gravitatoria, debemos incluir en la ecuación (A.3) una tercera fuerza. Ignoremos los factores angulares y supongamos una fuerza impulsora B puramente sinusoidal B sen ωt, siendo B una constante. (A.3) se sustituye entonces por


![]()


La energía de vibración se distribuye en promedio de modo equitativo entre la energía cinética y la elástica (potencial); por lo tanto, la energía total será
![]()
Observemos, para relacionar el flujo de energía de la onda con la fuerza máxima sobre la barra B, que la aceleración de la barra, B/2M, ha de ser proporcional a la longitud L, puesto que es un efecto de marea. La otra cantidad característica de la onda es la frecuencia ω; por lo tanto, consideraciones dimensionales permiten escribir

El flujo de energía también depende únicamente de a; y de las constantes físicas c y G. De nuevo por consideraciones dimensionales tendremos
![]()

Si dividimos (A.8) por τ e igualamos a a × (A. 11) obtenemos una expresión de σ cerca de la resonancia:


Finalicemos esta exposición obteniendo la fórmula utilizada en el apartado 4.1 que da el número de osciladores del campo gravitatorio productores de las ondas que atraviesan una superficie unidad del detector por unidad de tiempo por Hz/2π.
Consideremos primero el problema más sencillo de las ondas en una cuerda en tensión. Supongamos que los puntos extremos de la cuerda están fijos. Sólo existirán en la cuerda determinadas longitudes de onda de la vibración, concretamente las que permiten «encajar» en la cuerda un número entero de semilongitudes de onda (véase la fig. A.l). Por lo tanto, el modo inferior de vibración tiene una longitud de onda 2L, siendo L la longitud de la cuerda; y la correspondiente frecuencia angular es π c/L.

Fig. A-1. Los tres modos vibratorios más bajos de una cuerda de longitud L. Las longitudes de onda son 2L, L y 2L/3, y las frecuencias πc/L, 2πc/L y 3πc/L, respectivamente.
Si L es muy grande, las frecuencias permitidas están muy apretadas; por lo tanto, al pasar al límite, cuando L → ∞ podemos suponer que son continuas y podemos preguntarnos cuántos modos vibratorios hay en el intervalo ω a ω + dω. Puesto que ω = nπc/L, es evidente que la respuesta es dn = (L/πc)dω).
En tres dimensiones el número de modos en el intervalo dω es elevado, porque puede haber vibraciones en tres direcciones perpendiculares. En un cubo de material elástico de lado L, ya no habrá un único entero n gobernando las frecuencias de los modos, sino tres: l, m, n, correspondientes a las tres direcciones perpendiculares. Las longitudes de onda permitidas son2L/(l2 + m2 + n2)½, y las frecuencias angulares permitidas son(πc/L) / (l2 + m2 + n2)½, que se obtiene resolviendo la ecuación de onda con la condición de contorno de que la amplitud de la onda se anule en la superficie del cubo.
Los enteros l, m, n, toman los valores 0, 1, 2, 3,... Si se representan en una red tridimensional, todos están situados en el octante superior de la derecha. Un punto dado de la red (l, m, n) está situado a una distancia R ≡ (l2 + m2 + n2) ½ del origen, por lo tanto ω = πRc/L. Si consideramos una cáscara esférica situada entre R y R + dR tendrá un volumen 4π/R2dR; por lo tanto, en el octante que interesa sólo hay 1/8 × 4π/R2dR. Pero dR = Ldω/πc; por lo tanto

Puesto que estamos tratando con ondas gravitatorias, que pueden tener dos direcciones de polarización independientes, tenemos que duplicar esta cantidad.
L3 es el volumen del cubo; por lo tanto, el número de vibraciones de onda por unidad de volumen espacial es (ω2/π2c3)dω.
Las ondas se desplazan a la velocidad c, o sea que atraviesan por segundo cada unidad de superficie c × (ω2 /π2c3)dω. Es decir, que el número de osciladores por unidad de superficie por segundo por Hz/2π es ω2/π2c2.
F I N

