El romántico nórdico
Carlos Sánchez y Teresita Noriega
A tí que en cualquier rincón oscuro de la Tierra, con firmeza y tesón, haces tu luz propia.
Agradecimientos
Son muchos los maestros a quienes deberíamos agradecer. Pero nos decidimos por citar aquí solo a los que con sus amables diligencias nos han permitido consultar la literatura necesaria para documentar esta nívola matemátíca sobre Niels Abel. Nos queremos referir a los profesores Fernando Bombal, Luis del Pozo y Mariano Martínez de la Universidad Complutense, Luis Español de la Universidad de La Rioja y Josep Llombart de la Universidad del País Vasco. Todos ellos nos facilitaron el acceso a diferentes bibliotecas y nos permitieron confrontar muchas de las ideas que exponemos en el libro con colegas de Madrid, Logroño y Bilbao.
Nuestra gratitud para el Dr. Didier Dacunha-Castell cuya gestión de buena voluntad nos permitió utilizar los ricos fondos bibliográficos de las universidades Paris Sud y Jussieu en más de una ocasión.
Agradecemos también la amable y rápida respuesta del Dr. Gert Schubring, del Institut für Didaktik der Mathematik de la Universidad de Bielefeld, con la valiosa relación de todas las obras de Carl Jacobi.
Los participantes del seminario de Cultura Matemática en la Universidad de La Habana, tanto profesores como estudiantes, con su paciente atención, sus consejos y su estímulo, han colaborado a que esta obra pueda presentarse a sus lectores.
Un reconocimiento muy especial a nuestra íntima amiga y fiel compañera Concepción Valdés Castro, que con esmero ha leído cada línea de este libro y con sus críticas atinadas nos ha ayudado ostensiblemente a mejorar su calidad.
Ambos autores se sienten obligados a expresar su sincera gratitud a la Editorial NIVOLA y particularmente al director de esta colección, Antonio Pérez Sanz, quién confió en nuestra habilidad para nivolar la vida y la obra de este paradigma de puro matemático del periodo romántico.
Todos los mencionados deben considerarse partícipes de los posibles méritos de esta obra. Los únicos culpables de cualquier imprecisión, deficiencia o error somos nosotros, los autores.
“Me parece que si alguien quiere avanzar en matemáticas debe estudiar a los maestros y no a los discípulos".
Niels Henrik Abel
Conocí al maestro Abel cuando aún no me había decidido por las mates. Muchas características de la vida y de la obra del joven me inspiraron simpatía y me estimularon a sumergirme en su mundo de ecuaciones y funciones. Lo que leí entonces me hizo pensar que ser como Abel era cosa de elegidos por los dioses, de gente de otros mundos. Después he tenido oportunidad de conocer a jóvenes con condiciones y características de vida muy similares a las de Abel y con un talento para las matemáticas extraordinario. Muchos de los que he conocido realmente han sido de otros mundos. Nacidos en rincones apartados del planeta han tenido que batallar mucho para encontrar su camino. Algunos ya tienen su lugar en la historia, al menos en la de sus pequeños países. Otros aún lo están buscando, aquí o allá. Todos los que he conocido tienen algo común, ninguno ha tenido un espíritu liliputiense. Aunque a veces la falta de luz a su alrededor los haya hecho caer, se han levantado y no han dejado de hacerlo...
La Noruega de Abel no tiene mucho que ver con la Noruega actual. Desde hace varias décadas los países nórdicos presentan un nivel económico y social muy avanzado. Particularmente, Noruega, en los últimos informes del Programa de Desarrollo de las Naciones Unidas se mantiene en el primer lugar como el país que posee el mayor índice de desarrollo humano. No obstante, Noruega comenzó el siglo XIX unida al Reino de Dinamarca, pasó por un despiadado bloqueo británico de casi 10 años, y quedó anexada al Reino de Suecia, hasta que a principios del siglo XX, alcanzó su plena independencia. Durante todo el siglo XIX fue un territorio en vías de desarrollo, de clima muy hostil, con una densidad de población muy baja y un pobre nivel cultural. En tales condiciones precarias creció y creó Niels Abel.
Escribir sobre Abel era un viejo anhelo. Deseaba comunicar a otros los mismos sentimientos que experimenté al saber sobre su vida. Niels Abel vivió solo 26 años y 8 meses, pero su imagen evoca mucho de los espíritus románticos. Abel es una especie rara de heraldos de la ciencia. Junto a Galois, que también vivió poco, pero con la pupila insomne, nos comunicó que lo más importante para trascender no es gozar del reconocimiento oficial, sino tener pasión por la ciencia, claridad en los objetivos y firmeza en la acción. Lástima que yo no sea como aquellos escaldos nórdicos que cantaban las hazañas de sus héroes y estimulaban a sus pueblos a seguir sus ejemplos. Esta vez he acudido a mi amiga Teresita de Jesús Noriega, para que me ayudara a hacer un relato de la vida y la obra de este joven puramente cristiano sin caer en la tentación de la tragedia o el melodrama. Para presentar a Niels Henrik Abel pasando por las principales vicisitudes, pero no como un vía crucis; para mostrarlo tal como fue, con su ropaje humilde, pero sin corona de espinas. Queríamos exponerlo a los lectores, temerario como Aquel que anduvo en la mar y no con la resignación de Aquel que murió en la cruz. ¿Lo habremos logrado?
El periodo romántico no tiene fronteras fijas. Para nosotros es el periodo de las revoluciones. Del liberalismo económico y el radicalismo filosófico. De un carácter congenial con la tradición y la índole nacionalista. Se enmarca entre la Revolución social en la Francia monárquica de 1789 y las revoluciones populares de 1848 que estremecieron Europa. Todo esto matizado por la otra Revolución, la industrial, que comenzó con visos británicos en el siglo XVIII y se fue lentamente propagando por el continente. Es el ascenso vertiginoso del capitalismo y la formación de una capa intermedia en la sociedad con muchos anhelos y más desilusiones. Quizá sea un índice aproximado el grado de opresión en que el pueblo se encuentre para que el romanticismo se exprese en el fervor patriótico, según aconteció en Hungría, Polonia o Rusia. O un largo período previo de agitación o prosperidad para que predomine la evocación y la fantasía, como en Francia, Prusia e Inglaterra. El romanticismo nórdico que le tocó sentir a Abel es una conciliación de ambos.
Y en matemáticas, es el periodo de la algebrización del análisis, que se abre con la Teoría analítica de las funciones de Lagrange y continúa con el Análisis algebraico de Cauchy. Es la época de las Disquisitiones arithmeticae de Gauss y la teoría de Galois, resucitada por Liouville. Es cuando los herejes fundan las geometrías no euclidianas y los sistemas hipercomplejos no conmutativos y no asociativos. Es el momento en que se toma conciencia de la necesidad de fundamentar, para después construir en terreno sólido. En probar que los entes existen, antes de usarlos indiscriminadamente. Es la época de exaltación de la matemática pura la que Abel, en su mandato efímero, pero de ejercicio firme y persistente, representa como el elegido en los países nórdicos.
La obra se divide en cinco capítulos. Los dos primeros pretenden mostrar cómo se forjó el genio de Abel. Cómo influyó su circunstancia en la formación de un carácter firme y tenaz. Cómo fue creciendo su pasión desmedida, más que por la matemática pura, por la pureza de la matemática. Primero presentamos su medio familiar, sobre todo al padre exigente, durante los años duros del bloqueo británico, mientras que en Noruega crece el sentimiento de independencia. Después lo veremos en la vida académica, en sus lecturas de los maestros que pronto aprenderá a apreciar más que si son discípulos. Pero, quizás su mejor escuela la encontrará en los reinos de Gauss y Cauchy, a través de un viaje de casi 2 años. El mismo Abel dice: después de este viaje estoy trabajando con mucho más vigor que antes. Es en este viaje donde comprende lo difícil que es vivir entre los vivos y decide cuál debe ser su línea de acción matemática. ¡Lástima que solo le quedaran escasamente dos años de vida!
Los siguientes dos capítulos versan sobre la principal obra de Abel: la teoría de las ecuaciones algebraicas de grado mayor o igual a cinco y la fundación de una nueva ciencia acerca de las funciones inversas de las integrales de fracciones con irracionalidades. Nos hemos esforzado en presentar estos temas de nivel matemático universitario de la forma más elemental posible, pero sin vulgarizar. Porque no merecen conocerse de tal forma. Hemos procurado un estilo accesible a un lector que, amante del desafío intelectual de la matemática moderna, aún desconozca el álgebra abstracta y el análisis complejo.
Por último, a manera de epílogo, desvelamos algo del legado de Abel. A través de otro de sus temas preferidos, la sumación de series infinitas, nos propusimos acentuar su estilo riguroso en la búsqueda de la pureza de la matemática. Así como hace el poeta al concebir su obra, procurando que sus metáforas digan con poco, mucho, así mismo Abel clarifica el lenguaje de la matemática.
Un científico debe ser juzgado, además de por el valor intrínseco de su obra, por la influencia que ejerce sobre otros científicos que lo perpetúan. Liouville y Hermite en Francia; Riemann y Weierstrass en Alemania; Sylow y Lie en la misma Noruega; nos bastan para afirmar que, indiscutiblemente, Niels Henrik Abel puede ser reconocido como uno de los grandes matemáticos del período romántico, no solo en los países nórdicos. Con mayor precisión, Abel es El romántico nórdico.
Carlos Sánchez Fernández, Ciudad de La Habana, 6 de abril de 2005 En el día del 176 aniversario del fallecimiento de Niels Henrik Abel.
Capítulo 1
Así se forjó un genio
La matemática es una empresa espiritual, el desarrollo metódico del genio.
Novalis (1772-1801)
§. En familia
Niels Henrik Abel fue el segundo hijo de la unión de las familias Abel y Simonsen. Ambas tenían raíces en Dinamarca y viajaron a la tierra de oportunidades, al norte, en Noruega. Mathias y Jacob, llegaron de Abild, región fronteriza en disputa entre Alemania y Dinamarca, en el siglo XVII, y fundaron una familia que pronto se labró una reputación de honestos funcionarios públicos, los Abel. Simón Nielsen, que llegó a principios del XVIII, de Saxild, en la Dinamarca central, y cuyos negocios madereros pronto le dieron prestigio y poder, fundó la familia Simonsen en Riser, una próspera ciudad al sureste de Noruega. Los Abel ganaron renombre como magistrados y pastores luteranos, brindando sus servicios a los necesitados, su dignidad era su fortuna; los Simonsen eran hábiles exportadores de maderas, se dedicaron a la construcción de barcos y pronto formaron parte de la nueva aristocracia dominante.
§. El padre de Niels
Søren Georg Abel ganó prestigio desde joven como cristiano ilustrado y bondadoso. Lo habían enviado a estudiar a la Escuela Latina de Elsinor, porque el rector, Niels Treschow, tenía prestigio como pedagogo interesado en brindar una formación integral y moderadamente liberal.

Escenarios de la vida de Niels Abel en Noruega: Nedstrand. donde nació: Froland, donde murió; Risdr, donde nació su madre; Gjerstad, donde pasó su infancia. Cristianía, actual Oslo, la capital de Noruega, donde estudió. Son donde trabajó su novia Crelly.
Allí encontró Søren Georg las ideas humanistas del iluminismo. Elsinor es un puerto marítimo, en una isla cercana a Copenhague y se considera una de las más bellas ciudades de Dinamarca, popular porque su famoso castillo de Kronborg sirvió de escenario al Hamlet de Shakespeare. No había nada más placentero para el joven que sentarse al amanecer en una de las colinas y contemplar el sol naciente sobre la costa alta de Suecia, mientras las campanas de la mañana tañían y los guardacostas daneses saludaban el nuevo día con salvas de cañones. La Escuela de Elsinor significó también el alba para sus proyectos vitales. De ahí pasó a la Universidad de Copenhague, donde se comenzaban a introducir en cierto grado las ideas de la cultura del intelecto. Por esos años, se habían establecido asignaturas extraordinarias de estética, historia de la literatura, historia natural y, sin coste adicional alguno, se podían seguir cursos de lenguas modernas. Por supuesto, que todavía el método científico se veía con desconfianza y el latín seguía siendo la lengua de las ceremonias académicas y de los exámenes. Lo que se pretendía era, simplemente, reconciliar el viejo humanismo cristiano con el nuevo realismo romántico. El radicalismo provenía de las noticias sobre las revueltas por la emancipación de las colonias en América y de las ideas de libertad, igualdad y fraternidad, en la cercana Francia. Søren Georg retornó a Gjerstad con 20 años cumplidos imbuido de las ideas de tributo a la utilidad y a la inteligencia y, en consecuencia, de fe en la facultad humana de resolver los misterios de la vida. Llegaba a trabajar como capellán, junto a su padre, el diligente Hans Mathias Abel, pastor de la humilde parroquia de Gjerstad.
Gjerstad era una comunidad algo aislada, con difícil acceso, a la orilla de un pequeño lago, en un distrito montañoso en el sureste, aunque no en la parte más salvaje de Noruega, sino a una docena de millas de la costa oeste del fiordo de Cristianía. La parroquia estaba conformada por unas 56 familias de granjeros locales, la mayoría sin preparación académica. Entusiasmado con las ideas de su padre de elevar el nivel cultural de la feligresía, Søren Georg creó una sociedad de Lectores uniendo sus propios libros conseguidos en Dinamarca a otros que se compraron con la ayuda de algunos de los granjeros. La mayoría de los libros estaban orientados a dar consejos prácticos para la vida rural y al proselitismo cristiano, pero entre los autores de los títulos donados por el joven había varios de los polémicos enciclopedistas franceses. Por supuesto, algunos feligreses consideraban a la biblioteca como herética. Hasta el mismo pastor Hans Mathias vio con recelo poner a disposición de sus parroquianos las obras del librepensador Voltaire que su hijo había adquirido en Copenhague. Pero, sin duda, este fue el origen de una de las primeras bibliotecas populares del país, que, por cierto, aún existe en la actualidad. De esta biblioteca elegirá más adelante Niels Abel sus primeras lecturas.
Matrimonio e instalación en las islas Finnoy
En algunos fines de semana, Søren Georg visitaba la costera y próspera ciudad de Risor. Allí conoció y simpatizó con Anne Marie, la mayor, la más bella y atractiva de las hijas de los ricos Simonsen de Risar. Extrañamente, el patriarca de los Simonsen, el magnate de la navegación Niels Henrik Saxild Simonsen, no puso objeciones al compromiso. Es posible que pensara que la acogida de un pastor ilustrado en el seno de la familia podría traer la bendición a sus negocios y tornarlos más distinguidos. La cuestión es que en mayo de 1799 se casaron y aquellas dos familias, tan diferentes, mezclarían sus sangres en sus hijos, que fueron tantos como seis, cinco varones y una dama.
Poco más tarde, en el verano de ese mismo año, Søren Georg fue nombrado vicario de la parroquia de las islas suroccidentales de Finnoy. A las islas se podía llegar solo en bote, tras una calamitosa travesía, sobre todo para Anne Marie, tan poco acostumbrada a los aprietos. Se establecieron en Finnoy en enero de 1800, la finca del vicariato estaba bien abastecida, con reses, caballos y ovejas, y seis sirvientes, tres hombres jóvenes y tres damas, que no dejaban mucho que hacer a Anne Marie. No se retrasó la ampliación de la familia y poco después tuvieron su primer hijo, que se llamó como su abuelo paterno, Hans Mathias. Søren Abel pronto se consagró a la elevación del nivel cultural de sus parroquianos y organizó una sociedad de Lectores, similar a la creada en Gjerstad, que en un año llegó a tener 60 asociados. Para él, esta actividad rendía más frutos que cualquiera de los dogmáticos sermones que en los últimos 10 años habían escuchado sus feligreses.
El 5 de agosto de 1802 nació nuestro biografiado en la parroquia de Nedstrand, en la región de Finnoy. Le pondrán el nombre de su abuelo materno, Niels Henrik. El pequeño Abel era de salud delicada y durante sus primeros años su madre tuvo que prestarle mucha atención.
§. De nuevo en Gjerstad
Un año después del nacimiento de Abel llegó la noticia de que el pastor Hans Mathias había muerto a los 65 años. Fue cremado, según la tradición vikinga, en las cercanías del lago de Gjerstad, en lo alto de una colina que dominaba todo el valle que tanto amó. Este suceso, tan triste para la familia Abel, abrió la oportunidad de volver a Gjerstad, mucho mejor situada y más próspera que las islas de Finnoy.

Uno de los numerosos sellos que Noruega ha emití do en homenaje a Abel.
En el verano, después de 4 años de ausencia, Søren Georg Abel sucedió a su padre como vicario de la parroquia de Gjerstad, que lo recibió con profunda satisfacción, por ser el hijo de alguien tan querido en la región y a quien además ya conocían muy bien. Desarrolló una intensa actividad social: en la biblioteca, en las escuelas, procurando empleo para los pobres, vacunando a los niños del distrito y escribiendo un nuevo catecismo luterano. Desafortunadamente este catecismo fue atacado por ser demasiado racionalista, pero también fue defendido por prominentes clérigos progresistas. Su prestigio creció rápidamente. Søren Abel mejoró los métodos del cultivo de la patata, tomó medidas para incrementar la producción de alimentos y jugó un papel decisivo en propagar las ideas de la independencia económica de Noruega y la lucha por la explotación propia de los recursos naturales: pronto se convirtió en un verdadero líder en la comunidad.
§. Trafalgar y el bloqueo comercial
Mientras la monarquía danesa-noruega se pudo mantener alejada del epicentro de las guerras napoleónicas, el bienestar de la población se hizo notorio. En los primeros años de la infancia de Abel todavía se hablaba de la época dorada de la economía noruega. Se exportaba madera, hierro y pescado, y se construían embarcaciones seguras. Risor, donde tenían su negocio los Simonsen, fue, particularmente una de las ciudades más favorecidas por la bonanza económica en la encrucijada de los siglos XVIII y XIX. Sin embargo, a partir de la batalla de Trafalgar de 1805, cuando el almirante Nelson destruyó la flota hispano-francesa, en la que también estuvieron involucrados algunos marinos daneses y noruegos, los ingleses se envalentonaron y comenzaron a hostigar a la corona danesa para que se coaligara contra Napoleón. El 2 de septiembre de 1807, los ingleses, sin declaración de guerra, atacaron a la flota danesa-noruega en el puerto de Copenhague y comenzaron un bloqueo naval para impedir el comercio y con ello obligar a la capitulación de Dinamarca.
Debido a la incomunicación entre Noruega y Dinamarca, fue creciendo el sistema político independiente de Noruega, y una parte significativa de los noruegos comenzó a pensar que la política de Dinamarca estaba arruinando al comercio y a los negocios y que los llevaría a la inanición. En 1809, cuando Niels Henrik Abel tenía 7 años, hubo una hambruna generalizada en toda Noruega.
§. Se consolida el liderazgo del pastor Abel
En Gjerstad, bajo la diligente organización del pastor Abel, se construyó un granero, se racionaron los cereales, se sembraron patatas en el sótano del granero y el pastor, conocedor de las tradiciones vikingas, recomendó la ingestión moderada de carne de caballo. Para los vikingos, la sangre de los caballos era la mejor ofrenda a los dioses y, en las fiestas de sacrificio, uno de los manjares siempre era la carne de los caballos ofrendados. Con la imposición de las normas cristianas se prohibieron los sacrificios, y con ellos la ingestión de carne de caballo, y enseguida la ley comenzó a castigar con severidad a los incumplidores. Pero ahora, con la hambruna, Søren Georg pensó que esa era la solución, recobrar la tradición vikinga y que él, como guía espiritual, debía dar el ejemplo. Así que invitó a todos sus feligreses a una comida donde el plato principal era la carne de caballo. Con las penurias que pasaban, los convidados se olvidaron de las leyes y comieron con placer, hasta sentirse satisfechos. Desde ese día dejó de ser un tabú incluir en las comidas dicha carne.
Desde 1807, la tía Elisabeth se había mudado a Gjerstad con el pretexto de ayudar a su hermana, pero su objetivo principal era otro. Lo que pasaba era que el oficial danés Peder Mandrup Tuxen, uno de los primeros y más asiduos huéspedes de los Abel tras trasladarse éstos a Gjerstad, se había enamorado de la hermana de la señora Abel, la dieciochoañera Elisabeth Marie Simonsen. A pesar de que el viejo Simonsen no consideraba digno de su hija al oficial, la relación se mantuvo gracias a que el vicariato de Gjerstad les sirvió de centro para su romance.
§. Los primeros maestros y enseñanzas
Desde su llegada a Gjerstad, la tía materna se había hecho cargo de la educación primaria de los dos Abel mayores, Hans Mathias de 7 años y Niels Henrik de 5. Presumiblemente, fue la tía Elisabeth quién enseñó a leer y escribir a Abel y le hizo inteligible el catecismo de su padre. Como era costumbre en estos manuales, el catecismo de Søren Georg Abel estaba redactado en forma de preguntas y respuestas, con estilo retórico y sin posibles variantes interpretativas. Seguro que el pequeño Abel aprendió de memoria todas las respuestas a aquellas 300 y tantas preguntas, donde se trataba de explicar el verdadero significado de las cosas y las acciones humanas según la doctrina cristiana.
Además de su catecismo, Søren Georg confeccionó unos cuadernillos para educar a sus hijos: “Sobre puntuación y sus usos” “Sobre monedas, pesos y medidas”, “Sobre el arte de calcular", con las 4 operaciones aritméticas y sus reglas básicas; “Sobre el aprendizaje de la lengua danesa”, “Sobre la historia de Dinamarca y Noruega", desde el nacimiento de Cristo hasta las guerras napoleónicas, y “Sobre la descripción del mundo", con una detallada descripción de los países nórdicos y un resumen de cada país europeo y algunas particularidades de los demás continentes.
§. La madre de Niels Henrik
Y mientras Niels Henrik Abel recibía la educación primaria de su padre y de su tía ¿dónde estaba su madre? Anne Marie Abel realmente no dedicó mucho tiempo a sus hijos, solo el imprescindible. Al menos eso pensó siempre Niels Henrik. Recordemos que Anne Marie debía atender a 5 niños además de Niels: Hans Mathias, dos años mayor que Niels; Thomas Hammond, un año menor; Peder Mandrup, nacido en 1807; Elisabeth, en 1810; y el benjamín Thor Henrik, en 1814. Pero, además, ¿podía esperarse otra cosa de aquella joven madre que había pasado gran parte de su infancia y su juventud sin sentir el apego hacia ella de sus padres? Hans Mathias Simonsen estaba demasiado ocupado en ampliar su capital para así poder comprar todo lo que supuestamente necesitaba su familia para ser feliz. La madre, Magdalena Andrea, murió con solo 35 años, cuando Anne Marie tenía 6 años. Después cuidarían de ella varias gobernantas, institutrices y dos madrastras, ninguna muy generosa en afectos. Niels recordaba a su madre ocupada en organizar bailes y reuniones sociales, procurando una diversión que en los agrestes páramos de Gjerstad no era fácil conseguir. En las reuniones dominicales, cuando tocaba el piano, cantaba y conversaba con los feligreses, parecía una reina, la bella esposa del pastor, pero cuando no había jolgorio se aburría terriblemente en la monotonía del quehacer doméstico, para el que no tenía la menor inclinación. Poco a poco las jaquecas se hicieron frecuentes, Anne Marie se distanció de su papel de madre y de esposa del pastor. La bebida fue su único refugio. Abel se le acercaba para recibir afecto y solo recibía reprimendas. Según dicen algunos de los biógrafos de Abel, parece ser que el único que recibía algún afecto proveniente de Anne Marie era uno de sus jóvenes sirvientes, encargado de los caballos. ¿Cuánto habrá afectado al niño esa conducta materna? No sabemos. Pero, sin duda que la extraña relación de su madre con Niels Henrik marcó algunos rasgos de su carácter. Tal vez, esa angustia que más adelante le agobiará al estar solo; y esa melancolía que, sin avisar, frecuentemente lo invadirá, serán consecuencia del comportamiento materno durante su infancia.
§. Las circunstancias cambian y el pastor Abel va al nuevo parlamento
Gran Bretaña, la mayor potencia naval y comercial de la época intensificó las medidas de bloqueo comercial y la situación en Noruega se volvió bastante escabrosa y repleta de penurias. La piratería al estilo vikingo en los mares adyacentes se convirtió para muchos en la única solución para la supervivencia. Algunos no se adhirieron a tales andanzas, como los Simonsen, que poco a poco vieron mermar su economía, hasta caer casi en la ruina. Otros se harían famosos en todo el reino por su ingenio y picardía para burlar los diferentes controles marítimos, serían los nuevos ricos y los héroes del momento.
El oficial de la marina danesa Peder Mandrup Tuxen realizó la heroica misión de trasladar en un pesquero sueco, sano y salvo, a través del cerco inglés al nuevo comandante en jefe de todo el sur y el sureste de Noruega, el príncipe Frederick de Hessen-Kassel. Este hecho bastó para que el veterano Simonsen accediera a la boda de su hija Elisabeth con el nuevo héroe, que se efectuó con mucha pompa, como si los Simonsen fueran de la anacrónica aristocracia noruega.
La guerra de 1807-1814, con su bloqueo y vacas flacas, dejó su impronta en la región de Gjerstad. Las opiniones habían estado divididas: los que querían una Noruega independiente bajo la protección de Inglaterra, que se había adueñado de los mares, y los que preferían la unión con Suecia, sobre todo la alta burguesía dominante. Pero la suerte estaba ya echada: Dinamarca hubo de ceder Noruega a su rival Suecia. El pastor observó las huellas de la guerra en su congregación y notó que los tiempos difíciles le habían abierto los ojos al pueblo sobre la necesidad de cambiar y perfeccionar su sistema de vida. Las circunstancias habían fortalecido el espíritu de independencia y habían mostrado el liderazgo del pastor Abel, que con el apoyo de su comunidad fue elegido representante local (senador) en el primer parlamento noruego (storting), que durante el otoño de 1814 celebró sus sesiones en Cristianía, la ciudad más importante y que más tarde recuperaría su nombre histórico de Oslo como capital del Reino de Noruega.

Peder Mandrup Tuxen y su esposa Elisabeth Marie, hermana de la madre de Abel.
Allí el pastor Abel, mostrando su capacidad de orador, defendió la idea de que los noruegos eran quienes debían decidir los términos bajo los cuales llamar a los suecos hermanos. Formuló sus ideas con tacto político y concisión matemática. “seamos nosotros, como una nación libre, los que tendamos primero nuestra mano fraterna y sincera a los suecos".
§. Frescos aires de autonomía
Se abría una nueva época para Noruega y para el joven Abel. Era el momento de empezar a labrarse un futuro independiente. Niels Henrik Abel contaba 13 años de edad cuando, el 31 de octubre de 1815, se embarcó en Risor hacia Cristianía para comenzar sus estudios en la acreditada Escuela Catedral (Oslo katedrals- kole). Su padre, con sus influencias en el Storting, había obtenido una beca de estudios, porque sus fondos no alcanzaban para pagarlos. Aquel día de la partida de su hijo y discípulo hacia la capital, el pastor escribe en su diario: “¡Quiera Dios protegerle! Pero es con angustia que yo le envío afuera, a ese mundo despiadado".
En esta primera etapa de su vida, junto a su familia y amigos, Abel había tenido muchos momentos felices, jugando libremente en los bosques, nadando en los lagos y vagando por las colinas alrededor de la parroquia. Pero también había conocido las desdichas y las carencias, materiales y sentimentales. Porque experimentó, como todos los noruegos, las consecuencias del bloqueo comercial de los poderosos británicos, porque sintió entrañablemente el frío de la relación maternal, porque apreció cómo el flagelo del alcoholismo azotaba a sus seres queridos, porque aún tan joven era capaz de comprender lo irracional y agresivo del mundo donde pasó su infancia.
Ahora Niels Henrik Abel tenía que dejar atrás los juegos y las penurias de la infancia y sumergirse en los estudios. Precisaba realizarse como un hombre culto, útil y bueno para construir el mundo nuevo que su padre le había enseñado a soñar.
§. Mi alumno, mi amigo
Conocí a Abel en 1818. Tenía casi cumplidos los 16 años. Su aspecto no tenía nada especialmente destacable. Era de estatura mediana, descuidada vestimenta, rostro pálido, callado, con cierta cortedad o timidez en sus modales. Yo era solo 7 años mayor que él, pero vi en sus ojos brillantes y profundos, en su sentido de la responsabilidad, la voluntad y la capacidad para hacer lo que mi talento no consiguió. Me di cuenta enseguida de que mi papel era empujarlo un poco para que por sí mismo encontrara su camino. Debía enseñarle a aprender. Con los verdaderos maestros y no con los que como yo éramos solo simples comunicadores de la grandeza de los clásicos.
Algo importante que tenía que trasmitirle era la inspiración que yo había encontrado en Lagrange. Al igual que su émulo Laplace, Lagrange decía que se debía estudiar al maestro de todos los geómetras ilustrados, al gran Euler, y detenerse a resolver todos los problemas que desbordaban de sus obras; pues con la lectura de las soluciones encontradas por otra persona no se comprendía la esencia del quehacer científico. Era necesario dedicarse a aprender a razonar, a disciplinar el sentido común. Aprender a hacer preguntas más que a conocer las respuestas de los otros. Mi misión era comunicarle a Niels todo lo que decían estos grandes maestros, presentarle a Euler, a Lagrange y a Laplace en todas sus dimensiones. Creo que hice todo lo posible para lograrlo. Por supuesto que tuve aliados, como mis maestros Hansteen y Rasmussen, a quienes acudí pidiéndoles cooperación. No me la negaron, pues ellos enseguida comprendieron que yo tenía razón, Abel era uno de los elegidos y no se le podía dejar abandonado a su suerte.
Pero, disculpen, no me he presentado. Yo soy Bernt Holmboë, y fui maestro y amigo de Niels Abel. Tuve mejor suerte que Niels y la muerte no me cogió por sorpresa. Por tanto tuve tiempo de editar sus Obras completas y hasta de escribir una biografía que añadí como preámbulo a sus trabajos. Luego he comprendido que no fui lo suficientemente claro y preciso al exponer los méritos de mi amigo. Ahora me han dado una nueva oportunidad, al menos para destacar sus años de estudio, y no pienso desaprovecharla.
HolmboëBernt Michael Holmboë (1795- 1850) era también hijo de un pastor luterano. Se graduó en la Escuela Catedral de Cristianía y sirvió por un corto tiempo como soldado en la campana contra Suecia de 1814. Fue aceptado como asistente del astrónomo Cli.Hansteen en 1815 y en 1818 fue nombrado profesor de matemáticas en la Escuela Catedral.
Allí conoció a Abel y fue el primero en considerarlo un genio matemático, por lo que ayudó junto a Hansteen y otros profesores a pagarle los estudios universitarios. En 1826 aceptó una plaza de profesor de matemáticas en la Universidad de Cristianía, por lo que recibió algunas críticas porque se pensaba que esa plaza debía ser para Niels Abel. No obstante, Abel nunca mostró sentirse ofendido y siguió siendo su amigo más íntimo. De 1826 a 1850 dio clases en la academia militar de Cristianía. En 1834 fue nombrado catedrático de matemáticas puras en la universidad de la capital noruega. Después de la muerte de Abel recopiló y publicó en 1839 las Obras completas del desaparecido. Ha pasado a la historia como el maestro y mejor amigo de Niels Abel.
§. Su rendimiento académico
En septiembre de 1818, en la primera evaluación integral que hice de mi alumno Niels Abel, ya lo distinguí como un “genio mate mático extraordinario”. Tengo que decir que los demás maestros no pensaban lo mismo de la aptitud de Abel en sus respectivas materias. Al parecer Niels se concentraba tanto en los problemas de matemáticas que se olvidaba de su preparación global y la necesidad de aprobar todas las asignaturas. Por supuesto, desde que me convertí en su tutor y amigo, lo aconsejaba y él me prometía cumplir con sus deberes, pero la atracción hacia las matemáticas era muy absorbente.
Sus notas fueron en general, muy variables, excepto en geometría y aritmética, donde todas, en los seis cursos que pasó en la Escuela Catedral, de 1816 a 1821, fueron de sobresaliente, en las demás asignaturas sus notas oscilaban entre el aprobado y el notable. La peor era la caligrafía. ¡Era indescifrable la letra de Niels! Pasé las de Caín tratando de entender sus manuscritos inéditos. Cualquiera diría que su padre era médico y no pastor.
§. El espectro paterno
Niels hablaba mucho de su padre. No hay duda de que la persona que más influyó en su formación primaria fue él. El parlamentario Søren Georg era conocido como una persona honesta, obstinada, ambiciosa y obsesionada con la idea de que solo la educación y la cultura nos hacen mejores. Pronto su ambición y su ingenuidad política lo enemistaron con los más poderosos. Perdió su escaño en el parlamento, y aquel fracaso, unido a una situación familiar que se le había ido de entre las manos, representó su desgracia, la caída en el alcoholismo y, finalmente, su fallecimiento en mayo de 1820. En Niels aquella muerte dejó una impresión duradera en su subconsciente, sus recuerdos convirtieron al padre en un espectro severo y omnipresente, como aquel que hostigó al joven príncipe Hamlet. Era el primero y más íntimo de sus muertos, aquel que le orientaría siempre a tomar el camino correcto y le daría bríos a su pasión por encontrar la verdad. Quién creó en él su sentido de la responsabilidad y quién también le infundió el temor reverencial y la humildad que se debe tener ante dios.
Niels se esforzaba en respetar el legado espiritual de su padre, pero para un joven de 18 años no era fácil cumplir con la doctrina luterana del sacerdocio de todos los creyentes. Yo, que lo vi sufrir, pienso que esa obsesión con el recuerdo del padre lastró su carácter. Se tornó muy ensimismado y taciturno. Se esforzaba por aparentar alegría y liviandad, pero aquel comportamiento se sentía como una farsa montada para alejar la compasión de sus allegados. Además, el espectro opresor e intolerante del padre provocó que su timidez se hiciera más marcada. Por eso, yo le recomendaba que se concentrara en los estudios, y que ampliara también el grupo de sus compañeros y amigos. Traté de entretenerle con los problemas matemáticos más accesibles a su inexperiencia pero que representaran un desafío intelectual que lo obligara a meditar y a olvidar sus penas. Afortunadamente, se entusiasmó con las ecuaciones algebraicas.
§. Su primer logro, su primer error, su primera conclusión matemática
Recuerdo muy bien aquel día en que llegó eufórico ante mí diciendo que creía haber resuelto en radicales la ecuación de quinto grado. No me parecía posible que aquel mozalbete de solo 19 años hubiese encontrado tan rápido algo que muchos otros de la estatura de Fermat, Euler o Lagrange no habían descubierto. Leí repetidamente su manuscrito y no veía donde estaba el fallo. Acudí a mis maestros, Søren Rasmussen y Christopher Hansteen, que entonces eran profesores, respectivamente, de matemáticas y astronomía en la Universidad de Cristianía, pero ellos tampoco consiguieron entender los cálculos. Decidimos enviar el manuscrito al matemático más prestigioso de Escandinavia, Ferdinand Degen, en Copenhague. Este no nos dio una respuesta categórica, pero recomendó con cautela que el joven se dedicara mejor a las integrales elípticas, que tenían mayores perspectivas en la física y otros campos de aplicación.

Christopher Hansteen
Abel se sintió desanimado con la respuesta, pero tratamos de que no perdiera el entusiasmo, explicándole cuántos obstáculos e incomprensiones habían tenido que enfrentar los grandes matemáticos de la historia antes de que fueran reconocidos sus méritos. Afortunadamente aquel primer choque no lo alejó de sus intereses matemáticos.
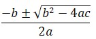
Al contrario, pronto él mismo encontró un error en sus razonamientos y se dedicó a probar que aquella fórmula universal que creía haber encontrado, no solo era errónea, sino que no existía ninguna otra fórmula semejante para la quíntica, la ecuación de quinto grado.
Por mi parte, hice lo único que podía hacer. Tenía que ayudarlo a que se familiarizara con las obras clásicas que podrían abrirle el entendimiento y darle la suficiente cultura matemática como para reconocer los caminos hacia la verdad. Leimos juntos el recién editado Tratado de cálculo diferencial e integral en tres gruesos volúmenes del profesor de l’École Polytechnique, Sylvestre Lacroix, y muchos otros manuales contemporáneos, junto con obras de Euler y de Lagrange. Pronto llegó a la conclusión de que era mejor aprender de los maestros que de los discípulos.
Euler y Lagrange[1]Leonhard Euler (1707-1783) y Joseph-Louis Lagrange (1736- 1813) son los dos más grandes matemáticos del Siglo de las Luces y los maestros más estudiados por Abel. Polifacéticos y muy productivos, prácticamente obtuvieron resultados notables en todas las ramas de las matemáticas, puras y mixtas. Ambos nacieron en la periferia de la Europa científica. Euler, en Basilea y Lagrange en Turín. Precozmente mostraron su aptitud científica y fueron contratados por las Academias de Ciencias, Euler en San Petersburgo y Berlín, y Lagrange en Berlín y París, donde su talento encontró respaldo y no se perdió inútilmente. Lagrange consideraba a Euler como su maestro y Euler admiraba la sagacidad de Lagrange que era casi 30 años más joven. Con solo 19 años Lagrange le comunicó a Euler sus ideas originales para resolver problemas de máximos y mínimos, que llamó métodos de cálculo de variaciones. Euler asumió esta denominación desde entonces. Federico el grande, que no sentía simpatía por Euler, quiso llevar a la Academia de Berlín como presidente a Lagrange, mientras Euler permanecía como director de la sección de matemáticas. Con exquisita cortesía y dando muestra de admiración y agradecimiento por quien supo apreciar públicamente sus méritos cuando era un desconocido, Lagrange declinó el ofrecimiento mientras Euler estuviera allí. Ni Abel, ni muchos otros matemáticos célebres, podrían alcanzar su gloria si no hubieran asimilado la obra de estos dos gigantes.
§. Sobre sus profesores en la universidad
En aquellos tiempos había una opinión generalizada entre los estudiantes de que los profesores impartían clases de lo que les interesaba y no de lo que ellos necesitaban para su vida profesional. Sin embargo, Abel no era de los que se quejaba. En particular, sentía gran estima por los profesores Søren Rasmussen, de matemáticas, Christopher Hansteen, de astronomía y Georg Sverdrup de filosofía.
El profesor que más clases dio a Abel fue Sverdrup: filosofía teórica y práctica, griego y además el seminario de filología, todas ellas materias importantes para la preparación del andeneksamen o examen philosophicum, requisito obligatorio para los que aspiraban al servicio público. Además Sverdrup era el bibliotecario de la universidad y poseía una erudición con la que cargaba su lengua mordaz.

Georg Sverdrup
Se decía que Sverdrup asombraba a sus nuevos alumnos con sus clases ocurrentes y chispeantes. Tenía una voz potente y había participado en las luchas políticas de Noruega.
Abel asociaba a Sverdrup con las amargas batallas libradas por su padre en el parlamento. Se comentaba que Sverdrup criticaba cualquier cosa que otro escribiera porque él no tenía tiempo de escribir nada.
Abel sacó un notable en filosofía, tanto teórica como práctica, pero en griego no obtuvo buena nota. Se dice que se dedicaba a pensar en sus problemas de matemáticas durante las clases de griego, que no le gustaban.
Existe una leyenda, que con el tiempo muchos creen verdadera, de que en una ocasión, estando en clase de griego, Abel se levantó como un poseso y que al preguntarle Sverdrup qué le ocurría, le gritó: ¡Lo tengo! ¡Lo tengo! Sinceramente, nunca ni Abel ni Sverdrup me relataron esta anécdota, pero ¿para qué desmentirla?, son muchos los que en Noruega la cuentan y bien pudiera ser cierta. Creo que si una anécdota refleja un rasgo marcado de la personalidad del biografiado, no hay razón para no incluirla en su biografía.
De entre sus profesores, quién más se preocupó por Niels fue Christopher Hansteen, que impartía astronomía y cuatro clases a la semana de trigonometría esférica y mecánica celeste, muy ligada a la geodesia. Enseñaba el uso del sextante y el cronómetro para determinar posiciones, y también topografía y meteorología. Por supuesto, Hansteen hablaba también de sus experimentos sobre geomagnetismo, cuyos resultados le dieron cierta fama hasta más allá de las fronteras de Noruega. Los aspectos relacionados con la navegación eran muy significativos para las naciones nórdicas, cuya economía y subsistencia dependía del mar. A Hansteen se le habían dado tareas importantes en la confección de mapas precisos de Noruega y también como consejero en asuntos de pesos y medidas. Todos teníamos a Hansteen en alta estima, era una persona muy noble y honesta, para mí fue casi como un padre y también lo fue para Abel. Lo que me enseñó sobre el trabajo científico lo transmití totalmente a Niels. Aunque debo decir que para Abel lo preferido eran las matemáticas puras, los razonamientos teóricos y no el trabajo experimental de laboratorio, como le gustaba a Hansteen. Recuerdo que éste se sintió molesto porque Abel no sacó la nota más alta en astronomía. De todas formas, siempre se mantuvo atento a sus progresos y nunca dejó de ayudarle en sus necesidades económicas.
Me falta hablarles del viejo Søren Rasmussen. Lo de viejo era un mote que le pusimos, porque con sus treinta y tantos años era el mayor de todos nuestros profesores de entonces, muy respetado y querido, a pesar de ser muy exigente. Las clases de Rasmussen eran sobre trigonometría y álgebra, pero se interesaba por las series numéricas así como por el uso del cálculo diferencial en el estudio de las curvas. Poco a poco el cálculo integral fue entrando en los cursos de Rasmussen. Aunque siendo sincero, cuando se lo explicó a Niels ya lo habíamos estudiado juntos en las obras originales de Euler y Lagrange y en el Tratado de Lacroix. Rasmussen dedicaba mucho tiempo a asesorar al gobierno en temas financieros y sus trabajos en el Banco de Noruega no le servían para profundizar en las matemáticas, por lo que su saber se iba volviendo obsoleto. Pronto Abel acumuló muchos más conocimientos de álgebra y análisis que los de su profesor universitario. Pero no hacia ostentación de ello, no era pedante ni arrogante, sino todo lo contrario, bastante retraído y muy modesto. Además, Rasmussen comprendía el talento matemático de Abel y lo estimulaba a que continuara sus estudios autodidactas. Era tal el afecto que Rasmussen sentía hacia su aventajado alumno que le pagó un viaje a Copenhague en las vacaciones de verano de 1823 para que contactara con matemáticos daneses y pasara un par de meses en mejores condiciones de descanso, junto a su tía materna y su marido.
§. Primer viaje fuera de Noruega
Este viaje a Copenhague fue todo un acontecimiento en la vida de Abel y también para nosotros sus amigos. La cuestión es que Rasmussen le dio un estipendio suficiente para pagar el viaje y pasar los dos meses sin penurias económicas en casa de sus tíos, pero el joven no tenía ropa adecuada. Sus ropas raídas, deslucidas y fuera de moda le habían servido para los tres años que llevaba en la universidad y era hora de cambiarlas para dar una buena impresión en Copenhague, cuyos jóvenes eran tildados de petimetres. Recuerdo que Hansteen intentó ayudar a través de su primo Niels Treschow, ministro del gobierno, a conseguirle una beca de viaje. Hizo una carta llena de elogios a la capacidad matemática de Abel, a lo que representaba para el joven poder intercambiar experiencias con científicos mejor preparados que le orientaran y a lo que significaría para Noruega en un futuro. Tanto bombo y platillo fueron en vano, pues el ministro Treschow no entendía de matemáticas, era de los que anteponían las humanidades a la ciencia, y conocía perfectamente las dificultades financieras del gobierno, por tanto, no intercedió. Entonces Hansteen, seguro que también empujado por su esposa Catherine Borch, que se había convertido en una segunda y verdadera madre para Niels, le compró un par de trajes y algunas otras cosas imprescindibles para el viaje. Así que Niels pudo hacer sus maletas y emprender su primer viaje fuera de Noruega.
DegenCarl Ferdinand Degen (1755-1825) estudió leyes, teología y filosofía, pero además estaba muy informado de la historia de las matemáticas y dominaba varias lenguas. Siendo estudiante había ganado premios en teología y matemáticas. Defendió su tesis sobre la filosofía de Kant y fue profesor particular del príncipe Christian Frederick. Antes de ser nombrado catedrático en la Universidad de Copenhague en 1814, fue profesor de física y matemáticas en la Escuela Catedral de Odense y rector en el Instituto de Viborg. Sus investigaciones principales fueron sobre álgebra, teoría de números y aplicaciones del análisis a la geometría. Desarrolló la teoría de la interpolación y se interesó también por las integrales elípticas. Fue miembro de la Academia Real Danesa y de la Academia de San Petersburgo.
Para Abel el viaje fue un estímulo y una diversión. Fue bien tratado en todas partes, particularmente por sus tíos Tuxen y sus ocho primos, que lo recibieron alegremente en su elegante mansión de Christianshavn. Su tío tenía entonces toda la responsabilidad sobre la docencia en mecánica e hidráulica en la Academia Naval y gozaba de una alta reputación.
Abel se encontró con todos los matemáticos daneses, en particular con Ferdinand Degen, en la primera semana. Recuerdo perfectamente lo que Abel me contó en su primera carta; esta misiva inició una costumbre de informarme de todos sus pasos a dondequiera que iba fuera de Cristianía. Me decía: “Los hombres de ciencia de aquí piensan que Noruega es pura barbarie y yo hago todo lo que puedo para convencerles de lo contrarío.”
Se sentía mejor preparado en matemáticas que la mayoría en Copenhague. Solo Degen lo sobrepasaba, sobre todo por su cultura general. Hablaba con mucho fervor de la sustanciosa biblioteca de matemáticas de Degen y de cómo el ya anciano profesor le dio todas las facilidades para que pudiera extraer de ella todo lo que necesitara.
§. Sus primeros enamoramientos
Al parecer Niels, que estaba por cumplir los 21 años de edad, ya estaba pensando en casarse. La primera dama hermosa que conoció fue al visitar a la familia de la señora Hansteen en Sora, en el interior, al oeste de Copenhague. Allí conoció a la menor de la hermanas de Catherine Hansteen, Charité Borch. Esta joven, casi de su misma edad, tenía una refinada educación, que aunque contrastaba con los ademanes bruscos y la timidez de Niels, causó una impresión tan grata en Abel que hasta sus últimos días habló de ella como modelo de mujer. Pero, aparentemente, Niels comprendió que Charité era de otra clase social y aunque es posible que se mostrara muy amable, no se conoce que hubiera intentado establecer un noviazgo con ella.
Después de pasar unos pocos días en Sora, regresó a Copenhague y aprovechó para saciar su gusto por el teatro. El escape de Niels, su mayor entretenimiento, además de las matemáticas, siempre fue el teatro. Iba tanto como podía. Allí observaba la vida desde fuera, sin necesidad de tomar parte en las decisiones. Quizás contemplando las acciones teatrales olvidaba por un momento la falta de lógica de las reglas de la vida. Otros encontraban refugio en la música o en la pintura, pero Niels prefería el cristal claro de las actividades del ser humano como se representaba en el teatro.
Niels no era proclive a las fiestas y reuniones con mucho alboroto, pero sus tíos necesitaban hacer vida social y no solo organizaban tertulias y veladas en su mansión, sino que acostumbraban a participar en fiestas más populares.
A Niels no le quedaba otra opción que acompañarles, y en una fiesta organizada por la Academia Naval se encontró con una joven que enseguida lo atrajo, Christine Kemp.

Christine Kemp, Crelly, la prometida de Niels Abel. El retrato fue realizado por Johan Gørbitz en 1835, cuando ella estaba casada con Keilhau.
Le preguntó a su tía sobre la joven. El padre de Christine, muy relacionado con la vida militar, había tenido hasta su muerte el título honorario de Comisionado de Guerra. La madre, Catherine Koch, quedó sola, al morir su esposo, con nueve hijos, el mayor tenía 17 años y el menor solo un año. Christine tenía entonces 12 años de edad. Los Tuxen habían ayudado a la familia en tal situación. Crelly, como le decían a la joven Christine, tenía además conocimientos de alemán, francés y artes manuales. No sería un dechado de perfecciones, pero para Niels, tan falto de ternura femenina, era un ángel, como solía decir.
Niels me contó a su regreso cómo se hicieron amigos. No había sido fácil decidirse a hablarle. Después de vencer su timidez, aproximarse a ella y pedirle bailar la próxima pieza, lo que pasó es que la orquesta tocó una música que ninguno de los dos conocía, un vals vienés recién traído a los salones de Copenhague, y permanecieron parados uno frente al otro sin saber qué hacer, mirándose como tontos, hasta que echaron a reír y dejaron el salón sin haber bailado. ¿Qué ocurrió después de esta escena?, no puedo decirles, porque Abel no me contó más. La cuestión es que cuando regresó y relató su enamoramiento, ninguno de sus amigos creíamos posible que Niels, tan tímido y poco dado a fiestas, hubiera tenido tales experiencias. Pronto Crelly se convirtió en su primera y única novia, la que lo acompañaría hasta su lecho de muerte.
§. Nuevos hallazgos matemáticos
En la biblioteca de Degen, Niels encontró un libro que le abrió el apetito por los problemas con los números enteros. El Ensayo sobre la teoría de números de Legendre, con su prefacio donde describe la evolución de la teoría desde la Antigüedad clásica hasta el último cuarto del siglo XVIII. Este libro lo fascinó. Niels se entusiasmó tanto con el gran teorema de Fermat como con los otros problemas abiertos que, no obstante su formulación tan simple, se resistían a ser solucionados.
Allí encontró la conjetura de Golbach:
Si n > 4 es par, entonces n es la suma de dos números primos impares.
Si n > 7 es impar, entonces n es la suma de tres números primos impares.
Se intrigó también con las proposiciones de Legendre sobre la distribución de los números primos. Legendre conjeturó que para todo número entero mayor que 1, existe siempre un número primo entre n2y (n + 1)2, también que si k y 1 son enteros sin divisores comunes, entonces la sucesión (kn + 1) contiene una infinidad de números primos.
A Niels todavía le llamó más la atención la parte analítica, el establecimiento de una fórmula que representara aproximadamente la cantidad de números primos inferiores a un número entero dado x.
No puedo decirles cuánto tiempo dedicó Abel a estos problemas, pero lo cierto es que quedó seducido por aquel libro y procuró después leer otros libros de su autor.
A su regreso buscamos otros textos de Legendre en la biblioteca de la Universidad de Cristianía y encontramos los Ejercicios de cálculo integral sobre diversos órdenes de transcendentes, en tres volúmenes que juntos estudiamos con avidez. Ahí se desarrollaba con profusión el tema de las integrales elípticas que era, desde que Degen se lo recomendó, uno de sus preferidos. Aquella feliz coincidencia motivó que se dedicase más a este tema, sobre el que no paró hasta que se convirtió en merecedor del gran premio de la Academia de París... Pero, desafortunadamente, los premios le llegarían a título póstumo.
Legendre[2]Adrieu-Marie Legendre (1752-1833) fue uno de los más famosos geómetras del periodo revolucionario en Francia, aunque no llegó al virtuosismo y la profundidad de Lagrange y Laplace, ni se comprometió con los cambios sociales como Condorcet o Monge.
De 1775 a 1780 fue profesor en la escuela militar de París y desde 1783 su actividad estuvo vinculada a la Academia de Ciencias. En su Memoria sobre la forma de la Tierra introdujo los famosos polinomios de Legendre. Publicó varios trabajos sobre mecánica celeste, geometría y teoría de números antes de dedicarse durante casi 40 años a la teoría de las integrales elípticas. En 1794 publicó sus Elementos de geometría que fue libro de texto básico alrededor de 100 años, no solo en Francia, sino en toda Europa y en EE.UU. En los Elementos dio una prueba simple de que ny tí son irracionales y conjeturo su trascendencia.
En 1798 escribió su Teoría de números, en la que en una segunda edición corregida y aumentada de 1808 aparece, entre otros importantes resultados, la estimación asintótica de la distribución de los números primos, de la que Gauss le reclamó la prioridad. Se destacó por la honestidad en la aceptación de los méritos de sus antecesores, pero con Gauss no hubo arreglo. Reconoció los méritos de Abel y Jacobi, que desarrollaron la teoría de las funciones elípticas, e incluyó parte de estos resultados en las últimas ediciones de su Tratado sobre las funciones elípticas. Sobre esto se habla en el capitulo ¡V de este libro.
Amistades y entretenimientos
Abel frecuentaba la sociedad noruega de estudiantes, creada inmediatamente después de haberse fundado la universidad. Allí conoció a sus mejores amigos: Mathias Keilhau y Christian Peter Boeck, que se distinguieron en varios debates y discusiones de la época. Al parecer los demás estudiantes no involucraban a Abel en sus polémicas y otras actividades sociales, a las que Abel asistía como simple espectador. La única vez que Niels tomó parte en una protesta, que recuerde, fue contra el despido injustificado de Henrik, uno de mis hermanos, que era asistente en el laboratorio de química. Niels estaba indignado por la injusticia y no soportaba su impotencia ante las medidas irracionales de la administración universitaria.
Aunque parezca extraño, después de que les he hablado tanto de la timidez y el ensimismamiento frecuente de Niels, su presencia era apreciada en las reuniones estudiantiles, porque cuando cogía confianza, lo mismo podía cantar una balada, como jugar a las cartas con mucha maña o fumarse una pipa de tabaco, aunque siempre fue muy cuidadoso con el alcohol. Frecuentemente, después de una partida de cartas, Abel y sus amigos iban al local de madame Michelsen, el Arca de Noé o el Pultosteu como se le llamaba al ultrajado lupanar.
Sus principales amigos eran de familia acomodada, con casa de descanso en las afueras, lo que era una moda de la clase media. A Abel le costaba trabajo en el verano rechazar las invitaciones de los fines de semana, pero prefería quedarse a resolver sus problemas matemáticos. Además, le molestaba no poder corresponder. Cuando se reunía con su familia, en Gjerstad, no era como descanso, sino por preocupación. Sobre todo le perturbaba la situación en que se encontraba su hermana menor Elisabeth y pensaba en la forma de llevarla a la ciudad, como había hecho con su hermano Peder, que vivía cerca de él en Cristianía. Su madre seguía como siempre, tan voluble e intoxicada con el alcohol, mientras su amigo Jürgen se dedicaba al cuidado de la finca. Recordaba lo que su padre le decía sobre ayudar al prójimo y procurar siempre mejorar la vida de todos lo que le rodeaban y se deprimía comprobando que no tenía forma de cambiar aquellas miserables condiciones en que estaba sumida su familia en Gjerstad.
§. Primeras publicaciones
En febrero de 1823 ocurrió un acontecimiento que cambió la vida científica de Noruega y en particular impulsó la notoriedad de Niels. En Cristianía apareció el Magazin for naturvidenskaberne (Revista sobre ciencias naturales), la primera revista científica noruega, que estaba dedicada principalmente a las ciencias naturales. Tenía tres editores, Gregers Lundh, médico multifacético, que ejercía como director del colegio mayor Regentsen, el profesor Hansteen y el farmacéutico Hans Henrik Maschmann, padre de uno de los mejores amigos de Abel, Cari Gustav Maschmann. Todos estaban preocupados por conseguir prestigio y apoyo para las ciencias. En el segundo número de esta nueva publicación científica apareció el primer artículo de Abel. Es un trabajo sobre la posibilidad de despejar una variable en función de otra cuando se conoce una relación entre las dos variables, lo que técnicamente se conoce como un resultado sobre funciones implícitas. En el siguiente volumen, dividido en dos números, aparecerá “La solución de un par de proposiciones con la ayuda de la integral definida", un trabajo de 25 páginas en total. En este segundo artículo aparece por primera vez en la historia una ecuación integral y su solución. Esta ecuación integral se conoce hoy como ecuación de Abel. Sus amigos Keilhau y Boeck también publicaron en la revista y consiguieron prestigio, convirtiéndose los tres en la esperanza científica de Noruega.
No todos los editores de la revista estaban de acuerdo en publicar los resultados matemáticos de Abel. Pero Hansteen defendió vigorosamente el mérito de los artículos de Abel, incluso para lectores de ciencias naturales. Pero hubo otro trabajo de Abel que no logró la atención de la revista y tampoco fue publicado como monografía. Abel lo escribió en francés en el verano de 1823 y versaba sobre la integración de ecuaciones diferenciales. Fue presentado a la universidad y se encargó a Rasmussen y a Hansteen que emitieran un informe sobre él, pero las dificultades económicas de entonces no permitieron su publicación y yo no pude encontrarlo cuando edité las obras completas de Niels; está, por tanto, decididamente perdido. Recuerdo como los compañeros de Abel se asombraron cuando este les mostró su trabajo escrito en francés. Niels les dijo que no tenía ningún mérito especial, porque estaba repleto de fórmulas y escrito, más del 90%, en el lenguaje universal de las matemáticas.
§. El teorema de Abel sobre la quintica
En algún momento antes de las navidades de aquel fructífero año de 1823, Abel termina la demostración del teorema que explicará el misterio de la quintica. La redacta como monografía, también en francés, porque sabe que atraerá la atención en el continente. Niels quería imprimirla, si era posible, en la misma Francia.
Recibe, como otras veces, el apoyo de los profesores de la universidad que dirigen una carta en diciembre al gobierno solicitando una beca de viaje. Pero el gobierno considera que debe pasar otro par de años en la universidad perfeccionando su conocimiento de los idiomas europeos y de otras disciplinas necesarias para enfrentar con éxito el viaje. En abril recibe la comunicación de que se le asigna un estipendio por un periodo de dos años y la promesa de darle una beca de viaje en cuanto culmine su preparación. Decide entonces publicar con sus propios recursos la monografía sobre la imposibilidad de resolver con radicales la quíntica, pensando que este trabajo le abrirá las puertas de la Europa científica.

“Memoria sobre las ecuaciones algebraicas donde se demuestra la imposibilidad de la resolución de la ecuación general de quinto grado" publicada en francés en forma de folleto por el propio Abel en 1824.
Como el estipendio que ha recibido es poco, para que la publicación sea más económica la reduce a solo 6 páginas. Además, con las prisas, no la revisa y se escapan varias erratas, incluso en el título, restándole atractivo y claridad al asunto. En fin, pierde su dinero en una publicación que no encontró lectores.
§. Abel se prepara para ganar reputación en Europa
Según su hermano Peder, en este tiempo era común que por las noches Niels se despertara agitado, encendiera una vela y se sentara varias horas a hacer cálculos. También había noches que no se acostaba hasta bien avanzada la madrugada, ensimismado en sus problemas. Decía Peder que acostumbraba a llevar un pedazo de tiza en el bolsillo y en sus paseos por la ciudad a veces se paraba en un sitio y se ponía a garabatear en los muros con sus símbolos matemáticos. ¿Será cierto? o ¿serán fantasías de su hermano más cercano? Realmente, en esos días yo lo veía absorto y ojeroso, con el desaliño del que se desvela por conseguir algo lejano y difícil.
Niels estaba ansioso por salir de Noruega. Además, un grupo de amigos nuestros ya tenía asegurado su futuro como postgraduados. Boeck y otros dos recién graduados iban a reunirse con Maschmann y Keilhau, que ya estaban en Berlín, con el fin de obtener una formación científica sólida. Niels, con cartas de recomendación firmadas por los profesores Rasmussen y Hansteen, le escribió al rey solicitándole una bolsa de viaje. Planteó como objetivos principales ir a París, la metrópoli de la matemática, y visitar en Gotinga a Gauss, el líder de los matemáticos. Después de algunas dilaciones, recibió por fin la ansiada beca de viaje por dos años.
Antes de partir hizo los arreglos familiares que estaban dentro de sus posibilidades. Su hermana Elisabeth ya había recibido la confirmación y tenía buenas referencias del vicario de Gjerstad. Abel consiguió que la señora Hansteen la acogiera hasta que encontrara un trabajo fijo, lo que ocurriría seis meses más tarde cuando el consejero Niels Treschow la empleó y la mantuvo en su mansión durante casi seis años. También se preocupó de su joven hermano Peder, que había pasado el examen artium de entrada a la universidad y pensaba estudiar teología, para quien consiguió un albergue económico y sano relativamente cerca de la universidad. Abel dejó parte de su estipendio a la señora Hansteen para pagar las necesidades de Peder y le suplicó encarecidamente que lo mantuviera al tanto de la situación de su familia.
A mí también me pidió que le informara de todo lo que aconteciera con sus hermanos. Aquel último día antes del ansiado viaje nos abrazamos muy fuerte y en sus ojos, siempre brillantes, vi asomar una lágrima silenciosa. ¿Sería por los hermanos que dejaba en Cristianía?, ¿por la familia que le quedaba en Gjerstad sumida en la miseria?, ¿o por la tierra donde yacía su padre? Me dio la espalda y no se volvió, o quizás fui yo quien giró el rostro para no verle partir.
Capítulo 2
Viaje a través del reino de Gauss y Cauchy
¿Y puede alguien viajar con la misión de solo estudiar lo estrictamente científico? Después de este viaje estoy trabajando con mucho más vigor que antes.
Abel, en carta al decano Hansteen, 12 de agosto de 1826.
Abel no dejó ningún diario que haya sido encontrado. Por medio de sus cartas y otros documentos hemos logrado construir fragmentos del diario que Abel podría haber escrito mientras realizaba su viaje de estudios por Europa. A veces, nuestro conocimiento de los hechos se complementa con nuestra imaginación, así hemos conseguido llenar algunas lagunas y dar coherencia al relato. No obstante, siempre hemos pretendido respetar la verdad histórica.
Gauss y CauchyCarl Friedrich Gauss (1777-1855) y Augustin-Louis Cauchy (1789-1857) fueron dos matemáticos con características bastante diferentes, sin duda, ambos son considerados los matemáticos más prominentes de su época. Gauss manifestó sus dotes matemáticas a una edad más temprana que la de Cauchy, aunque Lagrange y Laplace, que eran amigos de la familia de Cauchy, detectaron sus cualidades extraordinarias y ayudaron a su formación.
Gauss se hizo famoso con solo 19 años al resolver el problema clásico de los polígonos regulares que pueden construirse con regla y compás, decidiéndose así definitivamente por las matemáticas. Entre los 19 y 21 años escribió su primer libro Disquisitiones arithmeticae, que convirtió a la teoría de números en una ciencia unificada y sistemática. Estudió en la Universidad de Gotinga filosofía y filología. En 1807 obtuvo la cátedra de astronomía de la Universidad de Gotinga y la dirección de su observatorio astronómico, permaneciendo en esos puestos hasta el final de su vida.
Cauchy se graduó en l’École Polytechnique y entró en la exigente Escuela de Ingenieros de Caminos, donde fue un alumno destacado. Trabajó como ingeniero en Cherbourg durante varios años y realizó simultáneamente varios trabajos matemáticos importantes que fueron publicados y apreciados por sus colegas. No obstante, fracasó en su intento de obtener varios puestos académicos durante el período napoleónico, probablemente por su marcado clericalismo católico. En 1815, desterrado Napoleón, Cauchy fue designado como profesor asistente de análisis en l’École Polytechnique y al año siguiente ganó el gran premio de la Academia Francesa por un trabajo sobre ondas. En seguida fue elegido miembro de la academia para sustituirá los académicos napoleónicos expulsados.
Los intereses de Gauss y Cauchy fueron extraordinariamente amplios y en todas las ramas en las que trabajaron dejaron una huella indeleble. Realizaron investigaciones sobre álgebra teoría de números, geometría diferencial, análisis matemático, mecánica y en diferentes áreas de la física matemática. Sin embargo, la influencia de ambos en sus contemporáneos se vio limitada, ya que no mantuvieron buenas relaciones con otros científicos y no tuvieron discípulos directos. Gauss publicó poco y tardíamente y no le gustaba dar clases. en cambio, Cauchy se preocupaba mucho por el rigor de sus clases y redactaba sus trabajos con esmero. Hay constancia de 789 trabajos científicos de su autoría. Sus obras completas fueron publicadas en 27 volúmenes. Después de Euler, debe ser el geómetra más productivo de todos los tiempos.
El viaje comienza el 7 de septiembre de 1825 y se extiende hasta el 20 de mayo de 1827, en un momento en el que las ciencias matemáticas parecían girar alrededor de las influyentes figuras de Gauss en Gotinga y de Cauchy en París. Hemos dividido el relato en tres grandes etapas: la primera trata fundamentalmente las razones que lo llevaron a decidirse por viajar primero a Berlín y lo significativo de su estancia allí; la segunda narra las peripecias, con un aparente sentido turístico-cultural, de Abel y de un grupo de amigos por Europa central, y la última presenta su estancia en París y el regreso a Noruega.
Noche del 7 de septiembre. He decidido comenzar este diario para recoger las incidencias más significativas de mi viaje de estudios a Gotinga y París. Presiento que esta oportunidad no se repetirá en mi vida. No tengo pretensiones de escritor, por tanto no pretendo hacer con él después una novela, sino solo conservar lo imprescindible que refresque mi memoria. Ahora acabo de embarcarme. Boeck y Moller, que tomaron el barco en Cristianía por la mañana, me han recogido en el muelle de Son, donde me despedí de Crelly.
Baltazar Mathias Keilhau (1797-1858) había conocido a Abel durante las actividades de la asociación de estudiantes. Ahora seguía con entusiasmo sus estudios de geología en Alemania y habla preparado un viaje por los Alpes con sus amigos.
Christian Peter Boeck (1798-1877), quizás el más cercano a Abel desde sus días de estudiante en la Escuela Catedral. Después de pasar un año como médico militar ha recibido una beca para estudiar medicina veterinaria en Alemania y Francia.
Nils Otto Tank (1800-1864), hijo de un rico comerciante y ministro del gabinete, ha pasado un tiempo en Inglaterra con el fin de obtener preparación comercial pero al final se ha interesado especialmente por la mineralogía, sobre la que piensa profundizar en el viaje junto a Keilhau.
Nicolai Benjamín Møller (1802-1860) estudió mineralogía se graduó en 1824 y realizó prácticas en las minas de plata de Kongsberg. Ha sido muy precoz y ya tiene publicaciones originales en la Revista sobre ciencias naturales.
Carl Gustav Maschmann (1802-1848) ya está instalado en Berlín y será quién los ayude allí. Ha estudiado farmacología en Cristianía para seguir la carrera de su padre, muy interesado en el desarrollo de la ciencia en Noruega y uno de los que ayudaron económicamente a Abel.
Niels Abel y estos cinco jóvenes eran considerados como las promesas científicas que construirían el futuro de Noruega.
No me gustan las despedidas, he tenido que controlarme para que una lágrima no me traicionara delante de mis amigos. Crelly no lo ha conseguido. Mis argumentos para el viaje, en lugar de darle confianza y seguridad, la volvieron más sensible. Lamento que este largo viaje no sea bueno para nuestra relación. Pero necesito encontrarme con matemáticos extranjeros, sobre todo con los franceses, que seguro que apreciaran mejor mis trabajos. Con una buena recomendación podré conseguir su publicación y ganar prestigio como matemático. Así se lo he dicho y no ha resultado fácil que lo comprendiera. El mejor argumento ha sido que al regreso se me abrirán las puertas de la universidad y podré tener un trabajo estable que nos saque de la pobreza en que nuestras familias han vivido. Es tarde y ha sido un día tenso y abrumador.
8 de septiembre. Una brisa fresca empuja al barco por el fiordo hasta su salida al mar. Aunque no es la primera vez que recorro el fiordo de Cristianía he sentido una emoción especial ahora que es seguro que pasarán casi dos años antes de volver a verlo. Boeck y Møller me han dicho lo mismo. Debe ser que para los noruegos el fiordo representa mucho más que una vía de comunicación con el mundo exterior. En cuanto hemos llegado a mar abierta comenzamos a sentir la fuerza del oleaje y a sufrir mareos. Boeck es el único que se mantiene firme y hasta con deseos de ayudar a los más afectados. Es increíble como consigue mantener el estado de ánimo y soportar los exabruptos de los enfermos... no puedo seguir escribiendo, voy a tratar de dormir hasta que todo pase.
9 de septiembre. Al fin el tiempo mejora. Han sido casi dos días infernales. Ayer por la noche, uno de los pasajeros, un señor muy refinado, ha hecho testamento pensando que no conseguiría sobrevivir a la tormenta. Boeck ha sido atento con todos sin distinción y ha mostrado sus dotes como médico, aunque su formación sea de veterinario. En la próxima madrugada pasaremos por el estrecho de Elsinor y ya he me he puesto de acuerdo con Boeck para estar bien despiertos y poder admirar el castillo de Kronborg, que sirvió de escenario a uno de nuestros dramas preferidos, el Hamlet de Shakespeare. Así que me acostaré temprano.
10 de septiembre. Boeck me ha despertado a tiempo para admirar la belleza del paso cerca de Elsinor. Muchas pequeñas embarcaciones surcaban el estrecho. Le conté a Boeck que mi padre había pasado su juventud en esos extraordinarios parajes y que me hablaba con fervor de sus tardes absorto en meditaciones mientras el sol se escondía por el horizonte. Boeck me recordó su aprecio por mi padre, quién como senador, con su energía y perseverancia, había promovido la idea de abrir estudios de veterinaria en Cristianía. Lástima que mi padre no pueda ver como sus sueños comienzan a tornarse realidad. He recordado que poco antes de morir me dijo que yo debía continuar mis estudios y luchar por ser un hombre culto, porque la independencia de la Noruega del futuro se ganaría en una batalla que tendría como protagonistas principales a hombres ilustrados, bien preparados. ¡Dios quiera que la ocasión sea propicia para esto!
11 de septiembre. Tank, que ha viajado por tierra a través de Suecia, nos ha esperado en el muelle. He decidido quedarme unos días en casa de mis tíos Tuxen en Christianshavn, mientras que Boeck, Møller y Tank continúan viaje a Hamburgo, donde Keilhau les ha reservado habitaciones.
Oersted[3]Hans Christian Oersted (1777-1851) fue un físico y químico danés que estudio en la Universidad de Copenhague y demostró la existencia de un campo magnético en torno a una corriente eléctrica. Fue profesor de física desde 1806. En 1815 fue nombrado secretario de la Real Academia Danesa de Ciencias y hasta su muerte lúe un verdadero líder en las actividades de esta sociedad científica. En 1820 descubrió que una aguja imantada se desvía colocándose en dirección perpendicular a un conductor por el que circula una corriente eléctrica, iniciando así el estudio del electromagnetismo.
Me gustaría seguirles, pero tengo que poner mis ideas en orden, despedirme de mis familiares aquí y, además, tengo el encargo de recoger un aparato para medir la intensidad magnética que Hansteen, famoso por sus aparatos de medida, ha prestado al profesor Oersted de la Universidad de Copenhague. Con este aparato debemos hacer mediciones en el curso de nuestro viaje que luego el profesor Hansteen analizará. El profesor Oersted ya sabía de mi existencia. En una carta que le envió Hansteen me ha presentado como "Señor estudioso N. H. Abel, nuestro emergente Sol matemático”. Hansteen me la leyó pensando que eso me haría sentir halagado y lo que he sentido son deseos de decirle que la rompiera y escribiera otra más sencilla, pero me ha dado pena ofenderle. A veces me abruma el profesor Hansteen con sus agasajos, pero desde la muerte de mi padre, a nadie he agradecido más las atenciones. Mis tíos me han recibido espléndidamente, con algunos de mis platos preferidos. Hemos charlado un buen rato después de la cena y ahora debo descansar.
12 de septiembre. Visito al profesor Henrik von Schmidten, quien me entrega una carta de recomendación para el consejero Crelle en Berlín, una persona excelente en todos los sentidos, que puede ayudarme mucho, me ha dicho.
13 de septiembre. Pasaré estos dos últimos días en Copenhague con la familia de la señora Hansteen en Sorø, lugar apacible de la campiña danesa, donde puedo meditar con tranquilidad y ver si he actuado correctamente y he tomado una buena decisión en relación con este viaje. Aunque no podré ver a la atractiva Chanté, que está precisamente en Noruega visitando a su tía la señora Hansteen. ¡Cuánto me atrae Chanté! A veces he llegado a pensar que la quiero más que a mi Crelly. Pero tal vez sea solo un deseo pasajero. Crelly me necesita, es más tierna y complaciente. Mientras Chanté es todo lo contrarío, impetuosa y autosuficiente. Una vida cómoda le ha permitido adquirir una cultura que mi Crelly no ha podido alcanzar, es ingeniosa y muy simpática. Pero Crelly y yo hemos pasado por las mismas carencias y dificultades, nos comprendemos mejor y estamos comprometidos. En fin, aún es temprano para preocuparse por el matrimonio, antes debo conseguir un trabajo estable. Espero lograrlo al regreso de este viaje.
14 de septiembre. En estos días he meditado y llegado a la conclusión de que seguiré viaje con mis amigos hasta Berlín, donde pasaremos el invierno. Cuando estoy solo me pongo melancólico y me cuesta trabajo concentrarme. Cuando estoy con amigos, me siento animado y después, cuando investigo, soy más creativo, las ideas fluyen más vivamente. Además, ahora me siento seguro y esperanzado con la carta de presentación para el consejero Crelle, que dicen que es muy amable y que tiene contactos importantes en el gobierno prusiano.
Esta decisión de Abel de no viajar directamente a Gotinga o a París, como estaba propuesto en el plan aprobado por el consejo universitario, ha sido muy controvertida. Algunos historiadores opinan que es una muestra de su madurez y de su independencia de criterio; otros, por el contrario, dicen que demuestra su irresponsabilidad al incumplir el plan trazado. En todo caso, la decisión le va a abrir posibilidades insospechadas, como veremos enseguida.
Abel aborda un buque de vapor moderno y llega rápidamente a la ciudad portuaria alemana de Lübeck, desde donde se desplaza en coche a Hamburgo para encontrarse allí con sus amigos. Hamburgo ha sufrido bastante durante las guerras napoleónicas, pero en el momento en que Abel y sus amigos llegan, esta renaciendo nuevamente como miembro de la Confederación Germánica.
18 de septiembre. Aquí en Hamburgo solo se habla del talento genial de un joven judío, un tal Mendelssohn, quién con solo 9 años debutó como pianista y poco después ya interpretaba sus propias composiciones. Acaba de terminar una obertura muy popular sobre la obra de Shakespeare El sueño de una noche de verano, y ¡no pasa de 17 años! Siento no tener una cultura musical para apreciar justamente a este genio. Con tantas lecturas de clásicos de las ciencias matemáticas no he tenido ni tiempo ni posibilidades para otra cosa que no sean algunas salidas al teatro. Realmente el teatro me apasiona y no pienso perder la oportunidad de admirar las representaciones teatrales en las ciudades que visite. Aunque el tema de esta obertura me ha abierto el apetito por escucharla.
21 de septiembre. Todos juntos vamos a cumplir el encargo de Hansteen de visitar en la ciudad de Altona [hoy un barrio de Hamburgo], al conocido astrónomo Heinrich Christian Schumacher, por cierto, uno de los pocos amigos de Gauss. Aunque estaba resfriado nos recibió con amabilidad. Schumacher conoce mis trabajos por medio de Hansteen. Afortunadamente no hace referencia a mi fallido intento de escribir algo sobre astronomía y satisfacer así los deseos de Hansteen. Pero sí habla de mi trabajo sobre la quíntica, que pudo mostrar a Gauss. Me disgustó saber que a Gauss no le satisfizo y que su respuesta fue que él mismo encontraría una solución más adelante. Trató de apaciguar mi disgusto diciéndome que Gauss era siempre muy escéptico con los trabajos de otros y que desconfiaba de los extranjeros. En lugar de aliviar mi pena, desalentó mi interés por conocer a Gauss y pedir su consejo. Lo único positivo que saqué de este encuentro fue que Schumacher me ofreció el boletín Noticias de astronomía, que él mismo edita, para la publicación de mis trabajos futuros.
Schumacher, mediante sus relaciones con Gauss, podía haber abierto las puertas de Gotinga a Abel; sin embargo sus palabras fueron más bien de desánimo. No obstante cumplió con su promesa de publicar en su revista los trabajos de Abel. A fin de cuentas, Schumacher parece haber recibido una grata impresión de Abel. Así lo expresará a Gauss varios años más tarde en la carta donde le comunica la muerte prematura del joven: “fue tan admirable como ser humano como notable matemático”.
Después de unos pocos días en Hamburgo el grupo de jóvenes se dirige a la primera escala importante del viaje, Berlín. Allí Abel pasará algo más de 4 meses. Reflejamos solo los momentos más significativos.
11 de octubre. Estamos al fin instalados en Berlín. No me imaginaba una ciudad tan bulliciosa. Nos hemos topado con varios desfiles militares y con las calles repletas de gente. Se observan muchos edificios lujosos, palacios e iglesias. Maschmann nos ha reservado unas habitaciones sencillas, pero cómodas, en un pequeño edificio de tres plantas frente al rio Spree. Es una zona agradable y muy respetable. El alquiler es más barato porque en los bajos tenemos una taberna. Pero es un sitio relativamente tranquilo, además la taberna seguro que nos será útil en invierno. En el piso alto vive la familia de un profesor universitario, muy reservada según dice el casero.
13 de octubre. He conocido al consejero Crelle. Fui al Instituto de Industria, llamé a la puerta de su oficina y una voz fuerte me indicó que entrara. No sabía cómo articular las palabras que me había aprendido para la presentación. Le entregué una copia de algunos de mis trabajos y la carta que me había dado el profesor Von Schmidten. Crelle creyó que yo era un estudiante que quería hacer el examen de ingreso al centro. Con mucha dificultad logré decir " Nada de examen, solo matemática”. Entonces miró los papeles que le llevaba y comprendió mis intereses.
De mutuo acuerdo decidimos entendernos en francés. Me preguntó qué libros de matemáticas había leído y se mostró sorprendido de que en Noruega hubiera tenido conocimiento de tales obras. Se interesó sobre todo por mis investigaciones sobre las ecuaciones algebraicas. Le dejé una copia de mi memoria publicada en Cristianía. De momento no entendió mi método y me ha pedido que le lleve una demostración más detallada. También me dijo que el nivel matemático de Alemania es muy bajo comparado con el de Francia, pero que está seguro que con las nuevas ideas del gobierno una nueva era se abrirá para las ciencias matemáticas en Prusia.
CrelleAugust Leopold Adam Crelle (1780-1855) fue un ingeniero alemán que, de forma autodidacta, se interesó por las ciencias matemáticas. Trabajó para el gobierno prusiano y proyectó múltiples obras públicas, entre ellas la vía férrea Berlín-Potsdam en 1838.Desde 1828 fue asesor del Ministerio de Educación de Prusia en lo relativo a ternas matemáticos. Sus principales trabajos fueron en geodesia y geometría plana. Fue un excelente organizador y se preocupó de ayudar a jóvenes talentos como Abel, En 1826 fundó la Revista de matemáticas puras y aplicadas donde se publicaron obras de Abel, Steiner, Dirichlet, Jacobi, Lobachevski y Weierstrass, entre otros, que pronto se convertiría en el prestigioso Journal de Crelle y aún hoy aparece periódicamente. Fue miembro, desde 1827, de la Academia de Ciencias de Berlín.
Placa conmemorativa en la casa de Berlín (en la actualidad el 172 de Potsdamer Strasse) donde vivió Crelle los últimos 15 años de su vida.
Cuando expresé mi asombro de que no existiera una revista matemática del estilo del Boletín de Ferrusac (Boletín universal de las ciencias y de la industria) francés, me ha respondido que desde hacía tiempo tenía en mente editar una revista que diera a conocer los avances matemáticos y que espera hacerla realidad lo antes posible. He salido muy entusiasmado de este encuentro y me he llevado la impresión de que es una persona diligente, bien preparada, interesada en las matemáticas y de que mis trabajos le han parecido importantes. Tengo que aprovechar esta magnífica oportunidad.
Los vecinos del piso de arriba han golpeado el techo en señal de protesta. Realmente solo estábamos hablando sobre las incidencias del día, pero quizás me he exaltado demasiado contando a mis amigos mi encuentro con Crelle.
15 de octubre. Nuestro vecino de arriba ha vuelto a molestarse con nuestras discusiones y ha protestado enérgicamente con sus golpes.
HegelGeorg Wilhelm Friedrich Hegel (1770-1831) ha sido uno de los teóricos más influyentes en el pensamiento universal. Después de estudiar un curso de Filosofíay teología en el seminario de la Universidad de Tubinga, y decidir que no quería ser clérigo, trabajó como preceptor en Berna (Suiza) en 1793. En 1799 murió su padre, dejándole un legado cuya cuantía económica le permitió abandonar su trabajo como tutor. En 1801 ingresó en la Universidad de Jena, donde más tarde llegaría a ser profesor. Allí concluyó La fenomenología del espíritu (1807), una de sus obras más importantes. Fue director de un instituto de enseñanza secundaria en Núremberg durante ocho años. En los años que paso en esta ciudad contrajo matrimonio con Marie von Tucher, de quien tuvo tres hijos: una niña, que murió al poco de nacer, y dos varones. En Núremberg publicó después de siete años de trabajo Ciencia de la lógica (1816). En 1818 se trasladó a la Universidad de Berlín, donde permaneció hasta su muerte. Algunas notas de sus clases fueron publicadas a titulo póstumo. Entre las obras así editadas están Lecciones sobre la historia de la filosofía (1836) y Lecciones sobre la filosofía de la historia (1837). Cuando murió era el filósofo más importante de Alemania.
He averiguado que es un profesor de filosofía en la universidad y que los estudiantes lo respetan. Su nombre es Georg Hegel. Según dicen, ha publicado varios libros y desde hace pocos años imparte clases en Berlín. Me han recomendado su Ciencia de la lógica, pero no tengo tiempo para ese tipo de lecturas. De todas formas, hemos acordado respetar la tranquilidad de la familia Hegel y nuestras conversaciones serán en la taberna de los bajos.
20 de octubre. Le he llevado a Crelle una prueba detallada de la imposibilidad de resolución algebraica de la quíntica. Me ha ofrecido que consulte su biblioteca particular. Además de varios clásicos, tiene la colección completa del Boletín de Ferrusac, donde he encontrado valiosa información sobre nuevos libros y resultados matemáticos. También me ha invitado a las tertulias semanales de los lunes en su residencia, a las que asiste la intelectualidad berlinesa. No perderé esta oportunidad de conocer a la comunidad científica de Berlín.
25 de octubre. He asistido por primera vez a la tertulia en la residencia de Crelle. Me ha impresionado provechosamente. Se habla sobre todo del desarrollo de actividades culturales y se escucha mucha música. Mi oído no está familiarizado con la música moderna, con este instrumento que ha sustituido al clavicordio. Por cierto que he escuchado con agrado una pieza del joven compositor hamburgués Mendelssohn. Pero lo que más ha llamado mi atención es la participación también de damas; algunas, con muy afinada voz, han cantado varios lieder de un compositor austríaco, dicen que también muy joven, un tal Schubert. Estas canciones sí que han sido de mi agrado. He conocido a un par de jóvenes interesados en las matemáticas. Ambos adoran a Gauss, a quien consideran la "quintaesencia de toda la excelencia matemática”. En cambio, Crelle dice que todo lo que Gauss escribe es "absolutamente oscuro y difícil de comprender" y que sus conferencias son "de mala muerte".
SteinerJakob Steiner (1796-1863) estudió en Suiza con el famoso pedagogo Johann Pestalozzi y en Alemania en la Universidad de Heidelberg. De 1821 a 1835 trabajó corno profesor de secundaria de matemáticas y luego se incorporó a la Universidad de Berlín. Es considerado por algunos historiadores como el primer especialista verdadero en geometría. Se interesó sobre todo por la construcción puramente sintética de la geometría. Utilizó el principio de dualidad en geometría proyectiva, pero no consiguió liberar completamente la geometría de los métodos métricos. Se interesó también por los problemas isoperimétricos y por las construcciones con solo regla y un círculo fijo.
Para Crelle un buen trabajo científico debe estar escrito con claridad y elegancia, ser accesible y resultar motivador para todos los interesados.
20 de noviembre. Los paseos vespertinos de los viernes con Crelle y con un joven suizo amante de la geometría llamado Jacob Steiner, se han hecho tan populares que según nos ha contado un amigo los llaman el paseo de los viernes de Adán (en alusión al segundo nombre de Crelle) con Caín y Abel. En estas caminatas me he enterado de los trámites que realiza Crelle para que su revista sea editada a más tardar el próximo año. Nos ha solicitado, a Steiner y a mí, que preparemos sendos trabajos para el primer número. Yo pienso redactar dos, uno sobre funciones simétricas y otro sobre la quíntica.
10 de diciembre. De nuevo me ha sorprendido durante el sueño una idea clave para mis investigaciones. No puedo contenerme y tengo que levantarme, prender el candil y copiarla rápidamente. Ya se hace una costumbre, que a mis amigos molesta un poco, pero no puedo hacer nada, es algo completamente involuntario y sorpresivo. Tengo terminados dos artículos para el primer número del Journal de Crelle y otros dos casi terminados para el siguiente número. No puedo perder esta oportunidad de darme a conocer aquí.
25 de diciembre. Nos hemos reunidos todos para celebrar la navidad al viejo estilo noruego. Nosotros cinco y un amigo danés, Rudolph Rothe, que tiene una pequeña beca para estudiar jardinería. Rudolph trabaja en los jardines de Sans Souci, el bello palacio que fuera residencia de verano de Federico II el grande de Prusia en Potsdam, a pocos kilómetros de Berlín. Esta fiesta ha sido el colmo para el profesor Hegel, que nos ha enviado a su sirvienta con las quejas. Boeck, que ha hecho migas con ella, nos ha contado que la sirvienta le dijo al profesor que éramos unos estudiantes daneses que estaban celebrando una fiesta navideña y que Hegel le gritó descompuesto "Nada de daneses, son osos rusos". Es cierto que entre los noruegos la navidad se festeja con mucha bebida y gran jolgorio, como tienen fama de hacerlo también los rusos, pero desconozco como lo harán los osos.
Sábado 14 de enero. Esta es mi segunda visita a las famosas tertulias de Madame Levy. Aunque no soy amante de reuniones sociales muy concurridas he aceptado la invitación porque así, cada sábado tengo la oportunidad de perfeccionar mis conocimientos de la lengua y la cultura alemana. Además, me ha servido para comprender que las damas también se interesan por las matemáticas y por la física. Se discute de todo: religión, arte, literatura, medicina, ciencia..., en fin, de lo humano y lo divino. Yo no suelo intervenir, salvo que alguien lo solicite expresamente. Pero he conseguido establecer relaciones. Aquí también me he tropezado con un poeta tan joven como yo, Heinrich Heine -no olvidaré su nombre- que ha leído, con mucha delicadeza, sus poemas y, aunque no he entendido todo, he sentido reflejada en ellos una nostalgia y una romántica ironía. Cuando me siento triste, tan lejos de todos mis familiares y amigos de la infancia, me gustaría poder expresar mi melancolía con tanta belleza.
20 de enero. De nuevo he paseado con Crelle y Steiner. Crelle se ha ofrecido para acompañarme a Gotinga y servirme de intermediario ante Gauss. Sin embargo, no existe otro lugar en Alemania que resulte mejor para mi formación que Berlín. De Gotinga se habla de su magnífica biblioteca y de Gauss, pero aquí he tenido acceso a todos los libros que he necesitado, mientras que Gauss es alguien completamente inaccesible. Si realmente Crelle puede acompañarme, iré con gusto, pero si no fuera posible, no me preocupa. Mi horizonte cultural se ha ampliado enormemente en Berlín, además de encontrar el vehículo idóneo para publicar y darme a conocer. Ya he conseguido entregar cuatro artículos a Crelle y tengo otros dos en el tintero. Muchos de mis sueños se han hecho realidad aquí, sin necesidad de Gotinga y las excelencias del señor Gauss.
30 de enero. Después de consultar con mis amigos y meditar sobre ello, al fin he decidido como continuar este viaje. Mi plan consiste ahora en viajar con Keilhau al centro minero de Freiberg, en Sajonia, donde según mi amigo tendré albergue, sosiego y las mejores condiciones para culminar los artículos que deseo dejar a Crelle antes del viaje a Gotinga y a la región del Rin. Mi idea es pasar un mes en Freiberg y unos pocos días en Gotinga, solo los necesarios para revisar la biblioteca, ya que de Gauss seguramente no podré obtener nada aun cuando Crelle me ayude a comunicarme con él. De ahí me dirigiré enseguida a París, donde dispondré de mejores condiciones. Allí continuaré mis estudios sobre las integrales elípticas y sus funciones inversas que, aunque sea un tema difícil, y ya bastante elaborado por el célebre Legendre, estoy convencido de que aún tiene nuevas vetas que explotar.
A mediados de febrero Abel y Keilhau parten de Berlín. Luego pasan unas 36 horas en Leipzig, donde Keilhau debe controlar la edición de su libro sobre la formación geológica de Noruega. Los ingresos por esta publicación le permitirán financiar su viaje. De aquí van a Freiberg donde Abel estará un mes tratando de poner orden en sus ideas. Es probable que aquí en Freiberg, además de culminar los 6 artículos que aparecerán en los tres primeros números del Journal de Crelle, concluya su memoria sobre el teorema del binomio (ver Cap. 5) y que comience su Memoria de París sobre las integrales hiperelípticas (ver Cap. 4).
El plan de viajar a Gotinga con Crelle se vino abajo. Crelle le envió una nota explicándole que no podría ir a causa de obligaciones gubernamentales en Prusia. Abel se ve colocado en la disyuntiva de viajar solo a Gotinga y París o viajar junto a sus amigos por el sur de Europa y después ir a París. Keilhau trata de convencerlo para que lo acompañe junto a Boeck y Møller en un recorrido geológico por las bellas montañas de Bohemia, del Tirol y de los Alpes dolomíticos. Este viaje tiene un gran valor para Keilhau y sus amigos mineralogistas, ya que estudiarían formaciones geológicas que corroborarían una tesis de Keilhau sobre los orígenes del granito. El itinerario incluiría bellas ciudades como Praga, Viena, Trieste, Venecia y Basilea antes de llegar a París. Abel podría continuar con sus trabajos mientras los mineralogistas hacen incursiones en las montañas. Aparentemente, Abel no es seducido por este proyecto inmediatamente. La primera noticia de que Abel se ha incorporado al viaje la encontramos en una carta de Keilhau a Boeck del 17 de marzo de 1826. En ella plantea que los tres (Keilhau, Abel y Møller, que se les ha unido en Freiberg) irán al encuentro de los otros dos (Boeck y Tank), que están en Dresde (el otro miembro del grupo, el farmacéutico Maschmann permanece en Berlín culminando sus estudios), para desde allí, todos juntos, comenzar el recorrido geológico.
Segunda etapa: viaje turístico-cultural
La palabra turismo, derivada de la francesa tour, gira, empleada primero en inglés como tourism, afición a viajar por placer, todavía no se usaba habitualmente en el siglo XIX.
El objetivo del viaje de Abel era ante todo los estudios, siguiendo las tradiciones vigentes hasta comienzos del siglo XIX.
Pero sin duda que su paso por las regiones del norte de Italia y de Suiza, en especial su estancia en los Alpes, se puede considerar como turismo romántico por ese fervor apasionado y casi místico con que describe en sus cartas la naturaleza salvaje y los lugares intrincados.

Vamos a acompañar a Abel y a sus amigos, sobre todo por las ciudades más importantes, y trataremos de reflejar las peripecias con la suficiente claridad y fidelidad como para que el lector consiga sacar justas conclusiones sobre el provecho o la ineficacia del viaje.
22 de marzo. Boeck y Tank nos estaban esperando en Dresde, como habíamos planeado. Boeck nos muestra la primera carta de Hansteen, quien agradece las mediciones con el instrumento de "oscilaciones magnéticas” y nos dice que mantiene informados a los lectores de la Revista sobre ciencias naturales sobre nuestro itinerario, que le parece excelente para continuar los estudios geológicos y las mediciones magnéticas. No ha podido escribir antes pues ha sido nombrado decano de la Facultad de Filosofía. Deja entrever que no aprueba mi abandono del plan inicial de ir a Gotinga y encontrarme con Gauss. Aparentemente Hansteen no ha comprendido mis cartas donde le explico lo que Schumacher me ha dicho sobre Gauss. Yo solo no me atrevo a presentarme ante un hombre tan especial. Espero que el decano Hansteen no me retire su confianza.

La casa de Caspar David Friedrich a orillas del rio Elba en Dresde.
26 de marzo. Dresde es una ciudad cultural. Existe un ambiente que inspira arte por todas partes. Ayer fuimos juntos al teatro a ver un drama alemán. Hoy hemos ido a apreciar una ópera italiana. Nos hemos encontrado con el encargado de negocios de Dinamarca, el noruego Irgens-Bergh, quien nos ha dicho que hemos tenido una maravillosa oportunidad de apreciar la ópera de Dresde bajo la dirección de Carl María von Weber, quién le ha proporcionado una vitalidad romántica germánica, insólita en el mundo actual, a todo el repertorio italiano. También nos ha dado algunas recomendaciones, nos ha dado invitaciones para un aristocrático casino en Dresde y nos ha invitado a una comida en su residencia.
28 de marzo. Hemos comido a mediodía con Bergh y allí hemos conocido a nuestro compatriota el pintor Johann Christian Dahl, que está en Dresde desde 1818 formando parte del movimiento romántico liderado por su maestro Caspar David Friedrich. Ahora vive en casa de él, pero en unos días partirá para Noruega por un año. Nos ha invitado a conocer la obra de Friedrich.
Hoy he escrito una larga carta al decano Hansteen. He tratado de explicarle mis decisiones y que continúo investigando siempre que puedo, sobre todo por las noches. Le he hablado sobre mi propósito de utilizar todas mis fuerzas para eliminar la enorme tiniebla que recubre todo el análisis superior, de investigar los fundamentos de los fenómenos ligados a la representación de funciones por series infinitas. Y además, he decidido comunicarle que Crelle desea que me establezca permanentemente en Berlín. Con cierta delicadeza le he contado los argumentos de Crelle y su propuesta para que trabaje como editor de la revista mientras no consiga una plaza como profesor. Le he comunicado que, por supuesto, he rechazado esta propuesta, pero que ante su insistencia le he prometido darle una respuesta definitiva al finalizar mi viaje. A mi regreso hacia Noruega pasaré por Berlín y hablaré con él.
29 de marzo. Con Dahl hemos visitado las galerías del palacio Zwinger, recién restaurado. Realmente las pinturas del maestro Friedrich son impresionantes, llenas de misterio y con simbologías fascinantes, que gracias a Dahl hemos comprendido.

El pintor Caspar David Friedrich retratado probablemente por J. C. Finelius entre 1810 y 1820.
Mientras Dahl nos explicaba, veía su inmensa analogía con las matemáticas, que para muchos están llenas de un misterio inexpugnable, pero que cuando se aprenden sus códigos alcanzan una belleza incomparable. En las galerías del palacio hemos admirado la Madonna Sixtina de Rafael y una rica colección de esculturas de la Antigüedad. Dahl nos ha demostrado en unos maravillosos momentos el porqué a Dresde se le llama la Florencia del Elba.
31 de marzo. Ayer ha habido una gran discusión entre mis amigos. Yo me he mantenido al margen. Discordias por asumir posiciones intransigentes. No han conseguido conciliar sus puntos de vista y nos hemos dividido. Tank y Møller permanecerán aquí en Dresde, mientras Keilhau, Boeck y yo continuamos con el recorrido geológico. Realmente eran Tank y Møller, mineralogistas, los que deberían acompañar a Keilhau, pero la terquedad de Tank y el mal genio de Keilhau han provocado esta disensión absurda en el grupo. Para mí no ha sido difícil decidir con quiénes continuar, ya que Boeck y Keilhau son mis más antiguos amigos y, además, no puedo quedarme en Dresde.

La Ópera Semper de Dresde.
3 de abril. Estamos en la hermosa ciudad de Praga. Nada más cruzar la frontera con la región de Bohemia nos ha sorprendido la fertilidad de los campos, no conocemos nada parecido en nuestra Noruega. Realmente esta zona también es muy diferente a la Alemania que dejamos atrás. Muchas iglesias católicas, muchos mendigos, mutilados y, sobre todo, ciegos. Por todas partes se expende cerveza y lo que más nos ha asombrado es ver a las mujeres bebiendo a la par que los hombres. Ayer domingo estuvimos en la representación del Guillermo Tell de Schiller por Ferdinand Esslair de Múnich, considerado el mejor actor alemán. Me había gustado mucho el drama Don Carlos, pero esta puesta en escena ha sido insuperable, sobre todo por la actuación de Esslair. Boeck nos ha convencido de que pasemos unos días aquí porque ha encontrado muchos elementos de historia natural en la zona que le interesan para sus estudios.
5 de abril. Hemos subido a una torre en una parte elevada de la ciudad desde donde hemos podido apreciar una vista estupenda de toda Praga y sus alrededores. Por recomendación de Hansteen hemos visitado la tumba de Tycho Brahe, el astrónomo danés que acumuló más datos en sus mediciones astronómicas que todos los obtenidos hasta la invención del telescopio. La tumba se conserva en una de las innumerables iglesias de Praga. También visitamos su ex-observatorio, que han convertido en un instituto militar. Por las noches he conseguido organizar mis nuevas ideas sobre las integrales trascendentes. Espero poder redactarlas como una memoria al llegar a París.
Sábado 15 de abril. Después de 4 días de viaje por Bohemia, la región más fértil que hemos admirado hasta ahora, ayer tarde llegamos a Viena. Nos hemos tenido que hospedar en un hotel muy caro hasta que consigamos algo más económico. Hoy asistimos a uno de los teatros que es el orgullo de los vieneses, el Teatro Imperial. Tienen toda la razón para sentir esa satisfacción, hay un ambiente distinguido y unos actores estupendos. No me iré de Viena hasta haber visitado todos sus teatros. He comprobado que donde más aprendo la esencia de la lengua y la cultura germana es en los teatros. Además en Noruega no hay nada igual, ni creo que lo habrá nunca.
17 de abril. Hoy visité a Joseph von Littrow, director del observatorio. Como llevaba la carta de presentación de Crelle y ahora mi alemán es más fluido e inteligible, me ha recibido con mucha amabilidad.
Von LittrowJoseph von Littrow (1781-1840), astrónomo austríaco, comenzó a estudiar en la Universidad de Viena, pero terminó en la de Praga (1803). Fue profesor y director del observatorio de Cracovia (1807-09), profesor en Kazán (1810-16) y director del observatorio de Budapest (1816-19) antes de llegar a Viena en 1819. En todas las ciudadesque visitó se distinguió como un activo popularizador de las bondades de la astronomía. Sus investigaciones matemáticas versaron sobre geometría, en particular el estudio de las epicicloides. Utilizó la teoría de las fracciones continuas para dar una teoría aritmética de los distintos sistemas de calendarios solares y lunares. Durante su estancia en Kazán conoció al joven Lobachevski y fue de los primeros en reconocer la importancia de su geometría no euclidiana Fue miembro de sociedades científicas de San Petersburgo, Praga, Cracovia y Londres.
19 de abril. Al fin hemos conseguido dos cuartos económicos en un edificio donde deben vivir más de quinientas personas. La familia del encargado del edificio ha sido atenta con nosotros y nos ayudará en nuestras necesidades domésticas. Está muy cerca de la catedral de san Esteban que, según dicen, y contando su prominente aguja gótica, es la catedral más alta del mundo. No puede creerse todo lo que los habitantes dicen de su ciudad, pero realmente es impresionante, aunque yo encuentro su interior aún más magnificente.
10 de mayo. He encontrado en Von Littrow un compañero de ideas. Tiene un don especial para explicar las cosas más sofisticadas como si fueran cuentos de hadas. He comprendido por qué Crelle simpatiza con él. Nos reunimos para charlar varias veces por semana, casi siempre temprano, en el observatorio, donde pasa la mayor parte del día. Otras veces me ha invitado a cenar en su casa. Su esposa, una polaca de solo 34 años, es muy simpática; su único defecto es que gusta de aspirar tabaco rapé. Según Von Littrow cuando la conoció en Cracovia era peor, pues fumaba como los turcos y parecía una chimenea. Lo único que no me gusta de las cenas en su casa es que siempre hay algunos de sus 12 hijos, que aún no han ido a dormir y gritan y brincan por toda la casa y no nos permiten concentrarnos en nuestros temas científicos.
Domingo 14 de mayo. ¡Cuánto siento no tener una cultura musical! Keilhau y Boeck si que han conseguido disfrutar y apreciar la famosa música vienesa. Después de mucho insistir, ayer me han convencido de que les acompañe a escuchar un concierto de música sinfónica. Me convencieron cuando les dije que no tengo oído para tal música y me respondieron que eso no es un pretexto, pues una de las piezas que escucharíamos pertenece a un compositor que es completamente sordo y se considera entre los mejores exponentes de la actual escuela vienesa. ¡Me parece increíble que un sordo pudiese componer una música tan llena de armonia! Pero confieso que salvo el momento en que la música del sordo me estremeció, casi todo el tiempo he estado pensando en mis problemas con las integrales hiperelípticas. Quizás ese sea el fin de esta música sinfónica, estimularnos a pensar sobre lo que nos agrada.
20 de mayo. Von Littrow me ha mostrado una nueva revista de la Universidad de Viena donde aparece un artículo anónimo que cita a uno de mis trabajos aparecidos en el primer número del Journal de Crelle. Este autor anónimo afirma que la imposibilidad de resolución algebraica de la quíntica fue demostrada antes por un tal Paolo Ruffini, matemático italiano. No sé si tiene razón, pero con seguridad que ambos hemos trabajado independientemente. No considero necesario empezar una polémica estéril sobre la prioridad y menos con un autor que no da su cara a conocer. De todas formas cuando me instale en París pienso leer los trabajos de Ruffini y, si fuera necesario, les haré justicia en algún artículo (ver Cap. 3).
25 de mayo. Dejo Viena en una noche hermosa, como lo han sido las seis semanas que hemos pasado en esta ciudad fascinante. Se siente una rara sensación al dejar atrás una ciudad tan grandiosa y disímil sabiendo que no volverás a verla, especialmente si ha sido un lugar donde uno se ha divertido y aprendido tanto. Me acompañan, en el expreso postal, Møller y Tank, quienes felizmente se nos han unido hace una semana. Boeck y Keilhau partieron antes, el día 18, pero marchan a pie, a través de los Alpes orientales para ampliar sus conocimientos geológicos de la zona y hacer otras mediciones magnéticas para Hansteen.
27 de mayo. Estamos en Graz, singular villa rodeada por los Alpes. Para llegar aquí hemos utilizado un paso entre montañas de una enorme belleza, que nos ha hecho sentir la nostalgia por los bellos paisajes noruegos. Al llegar a la región de Steinmark he sentido que volvía a mi tierra, de la que me separan tantos kilómetros y tantos días.
28 de mayo. Hemos dado un paseo por la villa de Graz, que posee una rica historia medieval, pues llegó a ser residencia de los emperadores del Sacro Imperio Romano Germánico. Por recomendación de Hansteen hemos visitado su universidad, donde enseñó el astrónomo Johannes Kepler antes de ser contratado como ayudante por Tycho Brahe. Al regresar a la posada nos hemos encontrado con Keilhau y Boeck, que estaban ansiosos por contarnos sus aventuras alpinas. Mañana por la noche partiremos todos juntos hacia Trieste, ¡donde veremos por fin el mar!
2 de junio. Acabamos de llegar a Trieste. Aunque estoy extremadamente cansado después de un viaje de 4 días y medio a través de las montañas quiero dejar constancia de mis agradables impresiones. ¡Qué maravillosa vista! Justo antes de llegar, cansados de pasar por intrincados parajes, por sinuosos senderos entre altos picos, de pronto se abrió el paisaje y ante nosotros, en el horizonte, apareció el mar Adriático. Nos bajamos del carruaje y admiramos parte del golfo de Trieste, la península de Istria y la costa de Venecia. Enseguida nos vino a la mente (¡y al corazón!) la maravillosa vista del fiordo de Cristianía desde Ekeberg. Y no sé por qué, instantáneamente recordé a mis hermanos, especialmente a Peder y a mi tierna Elisabeth... ¡Fue demasiada emoción para un solo día!
Domingo 4 de junio. Estamos maravillados de la belleza de esta ciudad y de la vivacidad de la vida comercial. Por supuesto que el mar es su principal atractivo. Nada más nos hemos instalado, hemos corrido a bañarnos en la playa. Aquí hay gente de todas las nacionalidades europeas, además de turcos, árabes y negros africanos. Sobre todo se ve y escucha a muchos serbios y croatas, siempre peleando entre sí. En el puerto hemos contado cuatro embarcaciones noruegas descargando pescado. Subimos a tres de ellas y en una hasta nos invitaron a comer de nuestro sabroso bacalao y nos dieron un vino clásico. No podíamos dejar la ciudad sin asistir al teatro y hoy los cinco hemos visto nuestra primera comedia italiana El doctor y la muerte. Lo que más nos ha llamado la atención ha sido la sorprendente escenografía y aunque no hemos entendido mucho nos hemos divertido, sobre todo viendo a los asistentes reír escandalosamente.
8 de junio. Ayer a las 12 de la noche partimos de Trieste en barco y a las ocho de la mañana avistamos las torres de la excepcional Venecia. Mis lecturas de las recién publicadas aventuras de Giovanni Casanova me habían familiarizado con algunos lugares, pero solo visitando Venecia se aprecia lo insólito de esta ciudad. Paramos en el Hotel Europa, no lejos de la famosa plaza de San Marcos. Salimos de paseo en góndola, después de pasar largo rato negociando un precio económico. Seguimos a pie por las estrechas y tortuosas calles, donde hemos visto muchos mendigos y picaros, que nos han mantenido en guardia todo el tiempo. Existe una melancólica atmósfera en la antigua y ruinosa Venecia. Por todas partes se observan tantos signos de la gloria pasada como de la miseria presente. Magníficos palacios casi destruidos, grandes edificios derrumbados mostrando rasgos de la belleza de antaño. Por todas partes el testimonio de la decadencia. Pero el león alado de Venecia aún puede rugir orgulloso por la extraordinaria belleza de la plaza san Marcos. Rodeada por bellos edificios de diferentes estilos y con enormes columnatas, es tan radiante de día como animada es su vida nocturna. En uno de los lados de la plaza he contado 25 cafés, algunos amplísimos, aunque prohibidos para los bolsillos de jóvenes estudiantes. Mañana conoceremos mejor esta ciudad.
9 de junio. Hoy subimos al Campanile de san Marcos y hemos admirado una monumental vista de toda la ciudad. Canales, calles y callejones compitiendo a ser más estrechos y sinuosos, contorneando más de 100 islotes, confluyendo todos en el mar, que parece engullirlos con avidez. No menos impresionante es el interior de la catedral, lleno de mármoles y mosaicos de colores. Pudimos visitar la prisión del palacio del Dogo, de donde se escapó Casanova, descrita en uno de los episodios más emocionantes de sus memorias. Cuando leí las aventuras de Casanova, caballero de Seingalt, que más me llamó la atención es que, no obstante el tiempo dedicado a sus encuentros galantes y a otras atrevidas empresas, tuvo oportunidad de resolver algunos problemas matemáticos de forma original. Yo no lo comprendía, pero ahora sí. Cuando se tiene la preocupación y el deseo de resolver un problema, se piensa en él en cualquier momento libre y, a veces, también en los ocupados.
Domingo 11 de junio. Después de pasar rápidamente por Padua hemos llegado a esta bella ciudad de Verona. Nos han impresionado los monumentos romanos bien conservados, sobre todo un puente construido por Vitrubio sobre el Adigio y un inmenso anfiteatro para más de 2000 personas. Esta es la ciudad de Romeo y Julieta, y da gran placer recorrer los palacios y plazas que fueron escenario de una de nuestras tragedias preferidas.
14 de junio. ¡Qué maravilloso paisaje salvaje! El paso de las montañas, por despeñaderos que se abrían a ambos lados como abismales fauces dispuestas a devorarnos, fue inolvidable. El sendero parecía una infinita culebra angosta deslizándose entre las montañas. Aquí Keilhau y los mineralogistas pretenden comprobar sus tesis geológicas. Según ellos, el inusual colorido, que tan bello encontramos, no es otra cosa que diferentes combinaciones de carbonatos de magnesio y de calcio que forman las rocas llamadas calizas dolomíticas. Por eso a esta parte del Tirol meridional se le conoce por Alpes dolomíticos. Decidimos hospedarnos en una hostería relativamente cerca de Bolzano. Estamos tan eufóricos, embriagados con el ambiente y satisfechos por el hecho de que hemos llegado al punto culminante de nuestro itinerario geológico, que nos hemos presentado como profesores: Keilhau, profesor de mineralogía; Boeck, profesor de veterinaria; Abel, profesor de geometría...
Pero se les conocerá como los estudiantes de Noruega. Maravillados con el salvaje escenario y el ambiente, han escrito en el libro de huéspedes que abrigan la esperanza de volver. Pero el destino no lo permitirá. De todas formas pasan unos días inolvidables y su espíritu romántico se ha encumbrado vagando por los Alpes.
Por esos parajes permanecerán casi dos semanas. El 27 de junio el grupo se divide: Boeck, Keilhau y Møller deciden pasar algún tiempo más en los Alpes italianos recogiendo materiales geológicos, Tank y Abel, antes de llegar a París, quieren conocer algo de Suiza y, por supuesto, la villa de Basilea, ciudad del Rin donde en el siglo XVIII se consolidó una increíble escuela matemática. Basilea es la ciudad de los Bernoulli, geómetras y viajeros, donde nació y se formó el coloso Euler, el maestro de todos los matemáticos.
Y es en Basilea donde Abel se queda solo. Tank recibe la noticia de que una catástrofe ha ocurrido en su pueblo Frednkshald. Las llamas han dejado sin hogar a muchos de sus vecinos, aunque el negocio de la familia milagrosamente se ha salvado. Tank decide regresar a su tierra a brindar su solidaridad. Abel continúa viaje a París, solo, pero según él, con mayores bríos para realizar sus investigaciones. ¿Será cierto que esta variante turística de los planes iniciales ha sido beneficiosa para su carrera científica?
Abel sabe que Hansteen le reprocha haberse desviado de los objetivos de su viaje. En su primera carta desde París, el 12 de agosto, le dice así:
Me hace sentir extremadamente infame hacer algo que no reciba vuestra aprobación, y ahora que está hecho, tengo que buscar refugio en vuestra bondad [...] ¿Y puede alguien viajar con la misión de estudiar únicamente lo estrictamente científico? Después de este viaje estoy trabajando con mayor vigor que antes.
Tercera etapa: París y el regreso
11 de julio. Ayer, después de 3 días y 3 noches de viaje, he llegado finalmente a París, el foco de todos mis deseos matemáticos. Afortunadamente encontré relativamente rápido a Gørbitz, que me ha ayudado a buscar un alojamiento económico. Después de algunas vueltas me he establecido en casa de la familia Cotte, en el barrio de St. Germain, por 120 francos mensuales, con 2 comidas al día y lavado de ropa inclusive. El cuarto es amplio, es económico y además estar entre franceses me servirá para practicar el idioma. El señor Cotte parece saber algo de matemáticas y su señora ha sido muy amable.
20 de julio. Me he decidido a visitar a Alexis Bouvard (1767-1843) en el observatorio. Le entregué la carta de presentación que me facilitó Von Littrow en Viena. Me ha recibido amablemente y me ha prometido que en cuanto acaben las vacaciones de verano me lle vara al Instituí de France para que conozca a los más famosos matemáticos de la ciudad.
27 de julio. He pasado por la librería del barón de Ferrusac, director del famoso Boletín. Él no estaba pero he conocido al joven Jacques Saigey, editor de la parte de física y matemáticas. Me he presentado como futuro editor del Journal de Crelle y me ha mostrado la extensa biblioteca, que ha brindado para mis consultas. Tiene nuevos e interesantes libros y revistas que consultaré con gusto.
GørbitzJohann Gørbitz (1782-1853), pintor noruego, se muda a París en 1809 y encuentra trabajo en el taller de Jeau-Autoiue Gros, famoso por sus cuadros de Napoleón. Gørbitz pinta tanto interiores como paisajes románticos y retratos al óleo y pastel. Pero destaca por sus miniaturas, que fueron exhibidas en el Salón de París. Será un cicerone para Abel, que lo conoce a través de Hansteen
El único retrato de Abel que se conoce fue realizado por Johann Gørbitz en el otoño de 1826.
1 de agosto. El calor ha sacado a los parisinos de la ciudad y los ha empujado hacia la campiña o hacia las playas. Las bibliotecas están cerradas. Deambulo por la ciudad o paso el tiempo en el apartamento de Gørbitz, cerca de la universidad. En casa de los Cotte siempre estoy encerrado en mi cuarto, pues el tonto del señor Cotte quiere mostrarme su cultura matemática, bastante pobre, y me atormenta. Lo único interesante es que conoce a Legendre y dice que me podrá presentar a él.
3 de agosto. El señor Cotte me ha llevado a conocer a Legendre. Desafortunadamente, hemos llegado en el preciso momento en que Legendre se aprestaba a tomar un carruaje ante la puerta de su domicilio. A pesar de sus más de 70 años lo he visto muy vivaz. Aunque solo intercambiamos unas pocas palabras de presentación, quizás tenga una próxima ocasión de conseguir su apoyo para la publicación de la memoria que preparo sobre las trascendentes elípticas.
Sábado 12 de agosto. Llevo un mes aquí y todavía no he podido hacer buenas relaciones. Salvo Bouvard, ningún otro de mis contactos me sirve de mucho. Hoy le he escrito a Hansteen que ya estoy añorando regresar a casa. Es muy difícil establecer una conversación y hacer amistades. Si no pronuncias claramente las palabras no te entienden. Me ha defraudado París, prefiero cualquiera de las ciudades que he conocido en Alemania. Aunque en lo que respecta al trabajo matemático es ahora cuando he tenido las mayores oportunidades. Desde muy temprano, después de un suculento desayuno, me siento a trabajar; a mediodía descanso y doy un pequeño paseo por el Jardín du Luxembourg o por los alrededores del Palais Royal. De regreso continúo hasta las cinco o cinco y media, en que hago una comida abundante. A veces llega la medianoche y sigo sentado garabateando en mis papeles. Ha sido productivo todo este tiempo, tengo terminados varios artículos que enviaré a Crelle y uno de ellos, sobre ecuaciones algebraicas, lo enviaré a los Anales de Gergonne en Montpellier. Mi carta de triunfo la reservo para el Instituí de France.
Seguro que Hansteen, que bien conoce mi pasión por el teatro, no creerá que aún no he ido a la Comédie française. Por supuesto que iré, pero espero aguzar mejor el oído.
Domingo 20 de agosto. Llega Keilhau, que estará unas semanas, hasta octubre, aquí conmigo en casa de los Cotte. Según Keilhau, el señor Cotte trata de mostrarme su cultura matemática, pero la gentil señora Cotte pretende mostrarme otras cosas. Keilhau ha recibido carta de Hansteen donde le comunica que su contrato en la Universidad de Cristianía sigue el proceso normal. Ha sido el primero de nosotros en conseguir una plaza permanente. Para mí no hay tales noticias. Mi futuro en Noruega sigue tan incierto como antes del viaje.
13 de septiembre. Al fin me he tropezado con el gran Cauchy en l’École Polytechnique. Según lo que sus alumnos dicen, su cabeza no debe funcionar bien, salvo para investigar en matemáticas. Se mantiene altanero, distante de todos. Al parecer no le interesa si entienden o no lo que explica, y son pocos los que consiguen seguir sus oscuras explicaciones de análisis algebraico. Pero, sin duda, es actualmente el matemático que mejor sabe cómo debe hacerse la matemática pura. He comprado una serie de fascículos suyos publicados todos bajo el título de Ejercicios de matemáticas, desde principios de este año han aparecido 9 números. Los he leído todos rápidamente y los he encontrado magníficos. Es una pena que Cauchy sea tan arrogante y con su fanatismo intolerante se mantenga tan aislado. Aunque muchos como yo admiramos su abundante obra, no sentimos deseo de acercarnos a pedirle ayuda. Hasta ahora es el único que he conocido que trabaje efectivamente en matemáticas puras y no me quedará otro remedio que acudir a él para que valore mi monografía sobre las trascendentes elípticas.
Domingo 24 de septiembre. Esta es la tercera vez que frecuento con Keilhau la Comedie française. Según Keilhau, la señora Mars es más que humana, un ser divino. Esta actriz, que fuera una de las preferidas de Napoleón, tiene un encanto picante, magnífico sobre todo para las comedias. No he sentido mayor placer que cuando la vi interpretar Las preciosas ridículas de Molière. Tiene 40 años de edad pero siempre interpreta papeles más jóvenes, con mucha picardía. Es muy guapa y avispada. Tanto para Keilhau como para mí, es un dechado de belleza femenina.
Sábado 14 de octubre. Keilhau y yo fuimos invitados a cenar por el conde Gustav Lowenhielm, embajador sueco-noruego en París. El conde está casado con una señora francesa y ambos son muy amables. Nos dijo que todos los 24 de diciembre invita a cenar a todos sus compatriotas que se encuentran en París. Se nos fue un poco el control con la bebida, pero no creo hayamos dejado mala impresión a los Lowenhielm.
16 de octubre. He tenido que sufragar los gastos del viaje de regreso de Keilhau, puesto que el adelanto de su salario, que le prometieron que le enviarían a París, no ha llegado. Lo único bueno de la marcha de Keilhau es que lleva una maleta con la mayoría de los libros y artículos que he conseguido hasta ahora. Entre los libros va el quinto y último volumen de la Mecánica celeste de Laplace como regalo para Hansteen, quien tiene ya los cuatro anteriores.

Página del cuaderno de notas de Abel escrita durante su estancia en París en 1826. El dibujo de arriba es una gran lemniscata.
Esta monumental obra es un compendio de toda la teoría matemática sobre la gravitación. También he enviado regalos y una carta para Elisabeth, que sigue trabajando en casa del ministro Treschow en Cristianía.
30 de octubre. Hoy ha sido la presentación de mi memoria sobre las trascendentes elípticas en el Institut de France. El secretario, Fourier, leyó la introducción y se ha procedido a elegir a la comisión encargada de redactar un dictamen sobre su idoneidad para ser publicada. Han sido designados Cauchy y Legendre. No dudo de que sean los más capacitados, pero también están muy ocupados en otros proyectos y me temo que no puedan hacer su informe en dos semanas, como necesito.
30 de noviembre. No me siento satisfecho con las relaciones que he logrado hacer en estos cuatro meses. Seguro que en Alemania en el mismo tiempo habría hecho más amistades. Los franceses son extremadamente reservados con los extranjeros.
La historia de la memoria perdida de ParísMemoria sobre una propiedad general de una clase muy amplia de funciones trascendentes
24 de octubre de 1826: Abel escribe a Holmboë que la ha terminado y la ha entregado a Cauchy, pero que este solo le ha dado una ojeada desdeñosa, sin decir palabra.
30 de octubre de 1826: Fourier presenta la memoria en la reunión del institut de France. La memoria queda olvidada entre otros proyectos y papeles de Cauchy
Verano de 1829: después de la muerte de Abel, es hallada la memoria y la Academia de París decide publicarla.
1841:es publicada dentro de las Memorias presentadas por diversos sabios extranjeros, pero se pierde el manuscrito, sustraído aparentemente por el profesor Guglielmo Libri (1803-1869) coleccionista de libros (sobre todo perdidos).
1952: el manuscrito es encontrado en Florencia por el profesor Viggo Brun. Después de un cuidadoso estudio por un especialista noruego, se concluye que el manuscrito es auténtico, pero se detecta que faltan 8 páginas.
2000: Andrea del Centina, profesor de la Universidad de Ferrara, encuentra el manuscrito completo en el Nuovo Fondo Libri de la Biblioteca Moreniana de Florencia [Ver Andrea Del Centina (2002). The Manuscript of Abel’s Parisian Memoir Found in its Entirety, Hist. Math. 29, pp 65-69]
Es muy difícil intimar con ellos. Cada cual trabaja en lo suyo, el más absoluto egoísmo reina por todas partes. Todo el mundo quiere enseñar y nadie desea aprender. El francés con quien mejores relaciones he tenido es Jacques Saigey. A petición suya he redactado varias referencias y resúmenes de artículos de otras revistas para el Boletín, en particular he dado a conocer el Journal de Crelle en París. Bajo el auspicio de Saigey se han organizado unos encuentros informales en la librería de Ferrusac a los que hemos llamado el círculo de Saigey. En uno de los encuentros se me ha acercado un joven prusiano pensando que yo era su compatriota. Se llama Peter Gustav Lejeune-Dirichlet y he averiguado que tiene mucho talento. Es más joven que yo y, con la colaboración de Legendre, ha mostrado la imposibilidad de resolver en números enteros la ecuación x5 + y5 = z5 y otros problemas de manera impecable. Este problema, planteado por Fermat, me ocupó no pocas horas durante el verano de 1823, cuando estuve en Copenhague, pero lo dejé a un lado para tratarlo más adelante, cuando tuviera más claras las razones por las que unas ecuaciones tienen solución y otras no.
Dirichlet me ha hablado de su mentor, el naturalista Alexander von Humboldt, que reside en París, y de su hermano Wilhelm von Humboldt, quienes le han prometido su ayuda para obtener una plaza de profesor en Berlín. Le he hablado a Crelle de Von Humboldt y hace unos días me ha respondido que no debo perder la oportunidad de conocerle, que si necesito una carta de presentación me la enviará.
7 de diciembre. Sigo frecuentando el círculo de Saigey. He mantenido conversaciones muy agradables con François Raspail, joven que tiene una amplia cultura y experiencia y que es aún más crítico que yo respecto al egoísmo de los franceses. Una de las cosas que admiro de él es su pasión en la defensa de sus ideas contra todo tipo de injusticia. En particular, le ha molestado mucho que Cauchy y los demás carcamales del Institut de France me hayan tratado con tanta rigidez y en lugar de estimular mi trabajo, como hizo Crelle, me pongan en fila a esperar su celestial beneplácito. Realmente ha pasado más de un mes desde la presentación de mi memoria y todavía nadie me ha llamado para pedirme aclaraciones o para darme su opinión.
15 de diciembre. El frío y la falta de buena alimentación me han debilitado y permitido que coja la gripe. He tenido que dejar mis acostumbrados paseos por el Jardín du Luxembourg y el Palais Royal. Los dolores en el pecho, que son acompañados por una tos incesante, terminan por provocarme tanta fatiga que debo acostarme hasta que logre recuperarme.
RaspailFrançois Vincent Raspail (1794-1878) fue profesor de filosofía y teología en Avignon, pero por sus ideas heréticas se vio forzado a cambiar su residencia a París.Aquí, después de la caída de Napoleón, defiende con audacia y gran elocuencia las ideas republicanas. Toma parte en organizaciones secretas y de manera autodidacta estudia botánica biología y medicina Además, impartiendo clases particulares se gana el sustento de su joven esposa y de sus hijos. En 1824 atrajo la atención por un artículo sobre diferentes tipos de pastos y después de 1830 realizó una serie de investigaciones en química orgánica que sirvieron para fundamentar la teoría de que tanto las plantas como los humanos estamos compuestos por células. Se interesó por los parásitos, tanto en el cuerpo humano como en la sociedad. Sus anuarios sobre salud se hicieron muy populares. Fue un político radical socialista que durante toda su vida se pronunció y luchó contra todo tipo de injusticia, exponiendo la corrupción y la incompetencia de los funcionarios de los niveles superiores. Por esto estuvo en prisión y fue enviado al exilio en varias ocasiones, pero siempre regresó a Francia. Llegó a convertirse en una especie de héroe nacional, popular en el mundo entero por la combinación de científico y político. Fue miembro de la Cámara de Diputados y puso el caso de Abel, el amigo de su juventud, como ejemplo del favoritismo de la Academia hacia los viejos científicos con abundante capital en detrimento de la carrera de los jóvenes.
No tengo apetito, pero de todas formas no me queda dinero suficiente para pagar el pasaje de regreso y además hacer alguna comida como suplemento a las dos que la señora Cotte me prepara. Me siento desgraciado, melancólico y con un deseo irresistible de estar de nuevo en mi tierra.
El bienestar de Abel durante su último mes en París se vio deteriorado bruscamente, pero no parece que sospechase que estaba tuberculoso. No se acerca a ninguno de sus amigos en busca de ayuda médica. Seguro que François Raspail hubiera podido, y gustoso hubiera querido, ayudarle con sus contactos. La melancolía lo llevó a la depresión y esta lo fue alejando cada vez más de la racionalidad necesaria para encauzar su vida en París. Por otra parte, del Institut de France no le llaman, ni para darle buenas noticias sobre su memoria ni para nada. Además recibe una carta de Keilhau donde le dice que las cosas no marchan bien tampoco en la universidad. No hay una plaza libre para Abel. Es el golpe de gracia. Solitario, con la salud quebrantada y el ánimo por los suelos, el 29 de diciembre de 1826 marcha de París y se dirige a Berlín, donde espera encontrar calor humano y alivio para sus penas.
De París viaja a Bruselas, ciudad que le place, y en la que permanece una noche y todo un día. Pasa por Lieja y por Aquisgrán, ciudad esta en donde comienza a sentirse más a gusto entre germano-parlantes. En Colonia, Kassel y Magdeburgo pasará varios días buscando entretenimiento. Va a dos funciones de teatro, a obras cómicas y callejea más animado. Después de varios inconvenientes, y tras una ruta bastante accidentada, llega a su ansiada Berlín y, según cuenta a Boeck en una carta del 15 de enero de 1827, encontró la felicidad al ver rostros y escuchar voces familiares. Allí pudo encontrar de nuevo a su amigo Maschmann, quién le sirvió de cicerone y le presentó a los nuevos escandinavos llegados a la capital prusiana. Con sus viejos y nuevos amigos Abel pasará al menos dos noches a la semana, charlando, riendo y jugando a las cartas. Poco a poco recupera su estado de ánimo y también mejora algo su situación económica ya que habitualmente gana en el juego. Como antes, cada lunes visita a Crelle, quien continúa interesado en que establezca su residencia permanente en Berlín. Crelle lo apremia con su proposición de trabajo como editor del Journal.
Fragmentos de cartas de AbelLunes, 15 de enero [carta a Boeck],
Me preocupa terriblemente el futuro. A veces tengo el deseo de permanecer aquí en Alemania para siempre, lo que puedo hacer sin dificultad. Crelle me bombardea sin misericordia para lograr que me quede aquí. Él se exaspera conmigo porque le digo que no. Crelle piensa que Noruega es otra Siberia y no entiende qué matemática podré hacer si regreso.
Abel concluye esta carta a Boeck con la esperanza de una rápida respuesta con el envío de todo el dinero posible. En estas primeras semanas en Berlín, recurre a sus viejos amigos y les cuenta a todos sus dificultades económicas. Escribe a Keilhau, a Møller, a Holmboë y a todos les dice lo mismo:
Sábado, 20 de enero [a Holmboë].
Como estoy en un aprieto infernal, naturalmente necesito tanto cuanto me puedas enviar y lo más rápido posible.
La primera remesa de Holmboë llega el 25 de febrero, pero es insuficiente dadas la deudas contraídas para la supervivencia en esas semanas. Al siguiente día le vuelve a escribir a su amigo Boeck que está más cercano, en Münich:
Por favor, envíe el poco de dinero que puedas [y agrega más adelante las últimas noticias recibidas sobre su posible futuro en Cristianía]. Hansteen planea una expedición a Siberia y espera que el Gabinete le asigne rápidamente el dinero para el viaje [...]. Hansteen piensa que al menos como sustitución temporal podré ser contratado por la universidad. Pero también me ha dicho que en el primer año después de mi regreso, tendré que trabajar en una escuela. Esto podría ponerme ya sobre mis propias piernas.
Efectivamente, Abel pasará un año dando clases, pero no en una escuela, sino a alumnos particulares hasta que se le presenta la oportunidad de sustituir a Hansteen cuando este al fin parta en marzo de 1828 para su expedición de año y medio a Siberia. Mientras, en Berlín el frío arrecia, la salud de Abel, con el frío, las tensiones y la poca alimentación vuelve a deteriorarse. Sobre esto no escribe a sus amigos ¿por no darle importancia o para no preocuparles? En marzo vuelve a escribirle a Holmboë agradeciéndole su eficaz ayuda económica.
Domingo, 4 de marzo [a Holmboë].
Muchas, muchísimas gracias por tu benevolencia.
Extraeré de ella una asombrosa cantidad de bienestar ya que soy más pobre que una rata de iglesia. Viviré con esto todo lo mejor que pueda antes de tomar mi camino hacia el norte. Permaneceré un tiempo en Copenhague donde me encontraré con mi novia y después iré a casa, donde llegaré tan vacío que tendré que vender la vajilla frente a la puerta de la iglesia. No estoy perturbado, es que he sido maltratado por la miseria y la desdicha. Tendré que darle un vuelco a las cosas.
En esta carta Abel también comunica a Holmboë que, no obstante todas sus desgracias, mantiene en pie su deseo de investigar, le habla de su estudio de la lemniscata y de su propósito de encontrar una caracterización de todas las ecuaciones que pueden ser resueltas algebraicamente, y dice que ha encontrado muchas Proposiciones en esa dirección. Agrega que ha completado una parte de su mayor obra sobre las trascendentes elípticas, de más de 120 páginas. Efectivamente, esta significativa memoria se publicará en el Journal de Crelle en dos partes, una en septiembre de 1827 y la segunda en mayo de 1828. Termina su carta comunicando al amigo toda su amargura acumulada en estos dos últimos meses y le dice:
Vivo una vida terriblemente aburrida, no hay variaciones. Estudio, comida y sueño, nada mas [...]. Quiero regresar a casa ahora que no existe ninguna necesidad particular de continuar aquí. Cuando uno está en casa se martiriza a si mismo pensando en el extranjero, con concepciones equivocadas. Ningún país extranjero es mucho mejor. En general, el Mundo es fastidioso, aunque también es terriblemente franco y honesto [porque te lo hace percibir enseguida]. No existen lugares, fuera en el Mundo, donde esto sea más fácil de comprender que en Alemania o Francia; con confianza te digo que estos son diez veces peores.
Abel guardó sus últimos centavos para el regreso. Dejó Berlín a finales de abril y viajó lo más rápido posible hacia Copenhague. Según la familia Hansteen, estaba más ansioso por ver a Chanté que a su prometida Crelly, y esta evidente predilección casi provoca que se rompan las relaciones. Lo cierto es que Abel dejó el retrato que le hizo Gørbitz con la familia de la señora Hansteen. Esto era lo único que Abel podía regalar como muestra de gratitud por la entusiasta hospitalidad recibida en Sorø. Por otra parte, el compromiso entre Abel y Crelly no se rompió porque ambos continuaron pensando en casarse. Abel pasó 2 o 3 semanas en casa de sus tíos Tuxeu en Christianshavn mientras Crelly vivía en casa de su madre, muy cerca, lo que les permitió revitalizar sus relaciones. A través de los tíos encontró un trabajo de gobernanta para Crelly en la zona minera de Froland, relativamente cerca de Cristianía. El 18 de mayo Abel dejó Copenhague en dirección a Noruega, con la esperanza de conseguir una posición estable en su tierra junto a los suyos y así poder casarse con Crelly. Lejos estaba de saber que no era la falta de trabajo el obstáculo mayor para su boda, sino su salud maltratada y destrozada por el bacilo de la tuberculosis.
Le dice que en Noruega no tendrá el futuro asegurado y que las carencias económicas no le propiciarán el sosiego necesario para su trabajo. La situación económica y el dilema de regresar o permanecer en Berlín serán los mayores problemas que tendrá que resolver.

Casas típicas en la costa de Noruega (cortesía Eva Jiménez).
Capítulo 3
El misterio de la quíntica
"¡Oh, siempre llegaras a alguna parte, aseguró el Gato, si caminas lo suficiente!"
Alicia en el país de las maravillas (1865) Lewis Carroll
Quizás lo que más ha contribuido a la fama de Abel es el hecho de haber esclarecido un enigma que ocupó las investigaciones de los matemáticos durante varios siglos y que llamaremos el misterio de la quíntica.
Durante mucho tiempo se había tratado de encontrar fórmulas que dieran la solución general para todas las ecuaciones algebraicas de un grado determinado. Hasta el grado cuarto, n < 5, se habían hallado tales fórmulas ya en la época del Renacimiento italiano. Pero aún al comienzo del siglo XIX se desconocía si existían expresiones generales para n mayor o igual a 5. Y tampoco se sabía caracterizar qué tipos de ecuaciones particulares se podían resolver de tal manera.
El problema concreto era el siguiente: dada la ecuación p(x) = 0. donde
p(x) = anxn + an-1xn-1 +…+ a1x + a0
es un polinomio de cierto grado mayor o igual a cinco, obtener una expresión de las soluciones en términos de los coeficientes ak de la ecuación dada y de las operaciones algebraicas elementales, como sumar, restar, multiplicar, dividir y extraer raíces.
Pero ¿qué se sabía del tema, exactamente, en la época romántica del joven Abel?, ¿quiénes le habían desbrozado el camino hacia la explicación del misterio?, ¿qué métodos tenía a su disposición?, ¿cuál fue, precisamente, el papel de Abel? y ¿qué significó su aportación para la constitución de una teoría general de las ecuaciones algebraicas? De eso trata, en síntesis y de la forma más simple posible, el presente capítulo.
§. Historia abreviada de un añejo problema
La ecuación de segundo grado ax2 + bx + c = 0 no reviste desde hace mucho tiempo ningún misterio.
Es conocido que la fórmula algebraica de solución, en simbología moderna, es:

que expresa la solución en función de los coeficientes de la ecuación dada empleando únicamente expresiones racionales (suma, producto y cocientes) entre estos coeficientes y raíces cuadradas de dichas expresiones.
Los babilonios, hace más de cuatro mil años, resolvían a su modo las ecuaciones cuadráticas, pero no tenían la simbología adecuada ni se preocuparon por comunicar una metodología general para estos problemas. Posteriormente otras civilizaciones se preocuparon por el asunto, que presentaba dificultades sobre todo por falta de notaciones y la no aceptación de los números negativos. Por ejemplo, en el siglo IX, Mohammed ibn-Musa al-Jwarizmi propuso un método de solución para 6 ecuaciones canónicas de grado menor o igual que 2 y explicó cómo convertir un problema dado en una de esas ecuaciones.
Casi doscientos años más tarde, el célebre poeta y algebrista Ornar Jayyam reconoce, en su Álgebra (1074), veinticinco formas distintas de ecuaciones algebraicas de grado menor o igual a 3 y muestra como se resuelven geométricamente, pero sin plantear una fórmula universal ni para las de segundo ni para las de tercer grado.[4]
Hay que esperar hasta el Renacimiento italiano para que aparezcan las fórmulas algebraicas para las ecuaciones de grados 3 (cúbica) y 4 (cuártica), similares a la de la ecuación de segundo grado pero un poco más complicadas. Girolamo Cardano (1501- 1576) las publicó en su obra Ars magna y desató una polémica sobre la paternidad de dichas fórmulas.
Mediaron siglos entre el poder resolver las ecuaciones de primer y segundo grado y el establecimiento de fórmulas de solución para las de grado 3 y 4, proceso que no estuvo exento de disputas y polémicas pero que condujo a la idea de que también era posible encontrar fórmulas de solución para ecuaciones de grado igual o mayor que 5.
Para precisar un poco las ideas, digamos que las fórmulas algebraicas de solución para ecuaciones de grado 1, 2 y 3 se hallaban a partir de la solución de ecuaciones de grado menor o igual que el grado de la ecuación dada.
En el caso de la ecuación cuadrática ax2 + bx + c = 0 se trata de resolver la ecuación:

es decir, para hallar x hay que hallar una raíz cuadrada y resolver una ecuación de primer grado.
En el caso de la ecuación cúbica, x3 - bx2 + cx - d = 0, y siguiendo el procedimiento desarrollado durante el Renacimiento, esta se puede convertir, mediante sustituciones racionales, en:

La solución de la cúbica: ¿Tartaglia o Cardano?[5]La primera persona que es reconocida por haber resuelto ecuaciones de tercer grado por métodos algebraicos es el italiano Scipione del Ferro. Él no publica sus resultados, pero éstos llegan a oídos de Antonio María Fiore, el cual lanza un reto a los matemáticos de la región para competir resolviendo treinta problemas en los que aparecen ecuaciones de tercer grado. En 1535 Niccolò Fontana, nacido en Brescia y más conocido como Tartaglia (tartamudo), acepta el reto. Tartaglia logra encontrar un método para resolver ecuaciones de tercer grado no contempladas por el método de Del Ferro y así gana en el duelo a Fiore. Pero Tartaglia no comunica a nadie su método.
El matemático italiano Girolamo Cardano se interesa por el problema y logra convencerá Tartaglia para que le comunique su fórmula, cosa que Tartaglia hace en forma de epigrama y después de que Cardano le jure que no lo comunicará a nadie. Pero Cardano publica en su libro Ars magna una solución general de la ecuación de tercer grado y también de la de cuarto grado, esta última resuelta por su alumno Luigi Ferrari. Cardano reconoce en su libro los trabajos de Del Ferro y Tartaglia, pero las fórmulas son conocidas hoy en día mayormente como las fórmulas de Cardano.
En este caso la solución de la cúbica se reduce a la solución de la ecuación:

es decir, una ecuación cuadrática cuyas raíces son:

y a la de las ecuaciones cúbicas binómicas:

De nuevo en este caso las soluciones vienen expresadas como funciones de los coeficientes de la ecuación original en las que aparecen solo operaciones racionales y cálculo de raíces, en este caso cuadradas y cúbicas.
Para el caso de la ecuación cuártica la situación es similar, reduciéndose la búsqueda de la solución en este caso a la de una ecuación cúbica, cuyas formulas de solución ya eran conocidas.
Es decir, en cada caso la solución de la ecuación se reduce a la resolución de ecuaciones de menor grado o a ecuaciones binó- micas del mismo grado, es decir de la forma x" - a = 0. Esto explica el que durante un largo periodo de tiempo las investigaciones sobre la ecuación de grado cinco se orientaran a hallar procedimientos de solución similares.
§.¿En qué consiste pues el problema?
Pues en que durante mucho tiempo los matemáticos dieron por sentado que existían fórmulas que expresaban la solución para ecuaciones de grado cinco, pero no lograban encontrarlas.
Se basaban en lo que conocían para ecuaciones de grado uno al cuatro y en esa época no pensaban, ni por asomo, que quizás dichas fórmulas no existieran. Por eso siguieron buscando las fórmulas para ecuaciones de grado cinco, esperando que alguien, con un golpe de suerte o de ingenio, resolviera el misterio.
Estas investigaciones resultaron infructuosas, ya que la respuesta al problema para ecuaciones de grado superior a cuatro es negativa.
Queremos señalar que nos referimos a la búsqueda de fórmulas generales de solución, es decir partiendo de que los coeficientes de las ecuaciones consideradas pueden ser cualesquiera y que lo que se pretende es una expresión en la que estén solamente estos coeficientes y que por tanto sirva para cualquier ecuación del mismo tipo.
Muchos matemáticos notables se ocuparon de este problema, que se conoce como el problema de la solubilidad de las ecuaciones algebraicas, problema que impulsó la transformación y evolución futura del álgebra.
Después del Renacimiento no hubo avances significativos. Tenemos que esperar a los años finales del siglo XVIII para ver como el misterio comienza a entrar en el camino final de su comprensión.
En este periodo varios matemáticos atacaron independientemente el problema, entre ellos los más notables fueron los franceses Joseph-Louis Lagrange y Alexandre Vandermonde. El trabajo de estos dos geómetras refleja que se daban cuenta, de una u otra forma, de que si el enfoque anterior para resolver el problema de la quíntica no había tenido éxito era porque los métodos empleados no eran aplicables al caso de las ecuaciones de grado mayor o igual que cinco.
Aunque las ideas de los dos están relacionadas, el trabajo de Lagrange es el más extenso y el que más influenció a sus sucesores.
§. El punto de ruptura: Lagrange
Joseph-Louis Lagrange publicó en 1770-1771 en la revista de la Academia de Berlín el artículo “Reflexiones sobre la teoría algebraica de las ecuaciones”, que marcó el comienzo de un verdadero nuevo periodo en el estudio de las ecuaciones algebraicas.
A diferencia del enfoque de sus predecesores, Lagrange basó su investigación en un análisis detallado de los algoritmos existentes para la solución de las ecuaciones de grados 2, 3 y 4. El objetivo de este análisis era determinar en que estaban basados estos algoritmos y por qué fallaban para ecuaciones de grado mayor o igual a cinco. Esta aproximación es conocida como el enfoque a priori de Lagrange.
Introdujo la idea novedosa de considerar funciones de las raíces y examinar los valores que estas asumen cuando se intercambian las raíces entre sí. Así probó que la solubilidad de una ecuación depende de la construcción de otra ecuación que llamó primeramente reducida y que más tarde él mismo denominó resolvente.
Lagrange demostró que es necesario que exista una ecuación auxiliar, que es una ecuación de grado menor o igual al de la ecuación inicial, cuyas raíces sean expresiones racionales de las raíces de la ecuación original y de sus coeficientes. Si esto es así, las raíces de la ecuación original son expresiones racionales de los coeficientes de la ecuación original y de las raíces de la ecuación auxiliar. Si la ecuación auxiliar existe y sus raíces pueden ser determinadas algebraicamente, entonces también podrá hacerse lo mismo con las raíces de la ecuación original.
Lagrange no demostró la existencia de tal ecuación en el caso de la ecuación general de grado n. Mostró que si una ecuación algebraica podía ser resuelta algebraicamente, esa solución pasaba por el subterfugio de la ecuación resolvente.
A partir del análisis de las fórmulas conocidas para la solución de las ecuaciones de grado menor que cinco, Lagrange observó que, en cada caso, la determinación de la ecuación resolvente implicaba la construcción de una expresión racional de las raíces y que los diferentes valores que esta expresión racional tomaba, al intercambiar las raíces entre sí, eran ellos mismos las raíces de otra ecuación cuya solución era posible calcular.
Ejemplifiquemos lo anterior en el caso de las ecuaciones de grado 3.
Como es conocido, la ecuación cúbica general x3 – bx2 + cx - d = 0, puede ser transformada en la ecuación y3 + py - q = 0. Esta es la que vamos a utilizar.
Sean y1 ,y2, y3 las raíces de esta ecuación, y sea
![]()
donde a3 = 1, es decir a es una raíz cúbica de la unidad distinta de la unidad, t tomará 6 valores diferentes al intercambiar entre sí y1, y2, y3 de todas las formas posibles, es decir bajo la acción de lo que se conoce como todas las permutaciones de orden 3.
Sin embargo, si en lugar de t tomamos θ = t3, θ toma solo 2 valores diferentes bajo la acción de las permutaciones, estos son:

Calculando con un poco de paciencia y haciendo uso de las relaciones de Viète y las propiedades de las raíces cúbicas de la unidad se obtiene

Entonces θ1 y θ2, y pueden ser determinados como las raíces de la ecuación cuadrática con coeficientes racionales:

que no es más que la ecuación
(u – θ1) (u – θ2) = 0
¡Esta es la resolvente de Lagrange!
Es decir, Lagrange escoge una función racional de las raíces de la ecuación, en este caso es

que toma dos valores diferentes, y a partir de estos valores llega a una ecuación, en este caso de grado 2, cuyas raíces son los valores diferentes que toma 6y cuyos coeficientes dependen racionalmente de los de la ecuación inicial.
Ahora se puede resolver la ecuación cuadrática obtenida y así llegar a las expresiones para θ1, y θ2

En nuestro caso, usando:
![]()
y que, por la fórmula de Viète y1 + y2 + y3 = 0 tenemos que:
![]()
es decir, por ejemplo

De forma análoga podemos obtener y2 e y3
Estas son las fórmulas de Cardano para la ecuación cúbica.
Las raíces de la ecuación original son pues expresiones algebraicas de sus coeficientes, por tanto, la ecuación cúbica es soluble.
Pero a su vez, y es un hecho importante señalado por Lagrange, los radicales involucrados no solo son algebraicos en los coeficientes sino que son racionales en las raíces y en las raíces de la unidad, como se observa a partir de la expresión de fórmulas θ1 y θ1.
El problema de la solución de la cúbica queda pues reducido a la solución de la ecuación

y de las cúbicas binómicas v3 – u1 = 0 y v3 - u2 = 0 donde u1 y u2 son las soluciones de la primera ecuación.
Las funciones simétricas y las fórmulas de VièteLas fórmulas de Viète relacionan los coeficientes de una ecuación algebraica con funciones simétricas de las raíces de las mismas. Esto permite que partiendo de n valores conocidos se pueda, mediante estas funciones simétricas, escribir una ecuación de orden n, que tiene esos valores como raíces.
Estas relaciones fueron advertidas desde el siglo XVII por algunos matemáticos, entre ellos Newton, y fueron usadas por Logrange y Vandermonde en sus trabajos sobre solubilidad de ecuaciones, pero es el nombre del matemático francés François Viète (1540- 1603) el que se asocia más con estas fundones. Viète introduce la notación y la simbología que usamos hoy en día, por ejemplo x corno la incógnita. De hecho es a Viète a quien se debe el uso de la palabra coeficiente. Sin embargo su nombre es quizás más conocido por las fórmulas de Viète.
Por ejemplo, si se tiene la ecuación cúbica x3 - bx2 + cx - d = 0 y se supone que sus tres raíces son x1, x2, x3 entonces se puede
escribir:x3 – bx2 + cx – d= (x – x1) (x – x2) (x – x3)
Desarrollando e igualando coeficientes se obtienen las igualdades:
b = x1 + x2+ x3
c = x1x2 + x1x3 + x2x3
d = x1 x2 x3
que son las fórmulas de Viète para la ecuación de tercer grado.
Los polinomios:
S1 = x1 + x2+ x3
S2 = x1x2 + x1x3 + x2x3
S3 = x1 x2 x3
son polinomios simétricos en las variables x1, x2, x3 es decir, que si intercambiamos las variables entre sí las expresiones que obtenemos son siempre las mismas. Decimos que estos polinomios son invariantes bajo las permutaciones de las raíces, es decir son simétricos.
Veamos ahora como era el razonamiento general de Lagrange: A cada ecuación algebraica de grado n
xn + a1xn-1 + ... + an (1*)
Cuyas raíces son x1, x2,... es posible atribuir una función racional de las raíces
f(x1, x2, x3,…, xn )
Considerando las permutaciones de x1, x2,... xn, que son n!, esta función puede alcanzar un máximo de n! valores diferentes. Denotemos dichos valores por f1, f2, f3,…, fn!.
Estos valores son las raíces de la resolvente de Lagrange:
(t – f1) (t – f2)…(t – fn!) (2*)
Claramente las raíces de la ecuación original son funciones racionales de las raíces de la resolvente. El grado de la resolvente podrá ser reducido si se puede encontrar una función f que tome un número menor de valores diferentes al permutar las raíces.
Lagrange establece el importante teorema que dice que el número de valores debe ser siempre un divisor de n! , que en el lenguaje contemporáneo de la teoría de grupos es el célebre teorema de Lagrange que dice que el orden de un subgrupo de un grupo finito es siempre divisor del orden del grupo.
En los casos de ecuaciones cúbicas o cuárticas el grado de la resolvente sería 6 y 24, respectivamente. Lagrange probó que f puede ser seleccionada de modo que la resolvente sea de grado menor que la ecuación original.
Cuando Lagrange analizó el caso de la ecuación de quinto grado, es decir de cómo buscar una función racional de las raíces que permitiera reducir el grado de la resolvente, ¡que sería en general de 120!, solo pudo llegar a la conclusión de que podía ser reducido a 6. Él no concluyó si sería posible encontrar una resolvente de grado menor que 5, pero sembró la duda de que esto fuera posible, y por tanto abrió la posibilidad de considerar que la ecuación general de grado mayor o igual a 5 no fuera resoluble algebraicamente.
Grupos de permutaciones, grupos y grupos cíclicosConsideremos cómo podemos escribir tres letras en todos los órdenes posibles:
abc, bca, cab, acb, cba, bac
Este es el conjunto de todas las permutaciones posibles de 3 elementos, que llamamos S3
Posiblemente sería mejor verlo en términos del orden de las letras y así escribimos:123, 231, 312, 132, 321, 213
La manera de interpretar esto es la siguiente: 312 quiere decir que la letra o el símbolo que está en la tercera posición pasa a la primera, la que está en la primera pasa a la segunda y la que está en la segunda posición pasa a la tercera. Con esta interpretación podemos hacer permutaciones sucesivas. Llamemos:
Id = 123, s1= 231, s2 = 312, t1 = 132, t2 = 321, t3 = 213
Si escribimos t2 t1 quiere decir que primero realizamos la permutación t2 y a continuación la t1.
La permutación t1 transforma 123 en 132, o si se prefiere, abc en acb, al aplicar, a continuación, t2 el que está en la primera posición va a la tercera, el que está en la segunda no se mueve y el que está en la tercera posición va a la primera, así obtenemos 231 o bca. Observemos que esta es la permutación s1. De esta manera podemos construir la tabla de multiplicación de las permutaciones de 3 elementos:
La forma de leer la tabla es la siguiente, para hacer t2 t1 en la fila donde aparece en primer lugar t, buscamos la columna en la que arriba aparece t1. En la intersección de la fila y la columna aparece la solución s1.Este conjunto S3 es un grupo. De manera similar se puede hacer lo mismo para Sn el conjunto de las permutaciones de n elementos.
Eu general un grupo es un conjunto G con una operación interna, es decir, una forma de operar entre los elementos del conjunto (como con las permutaciones) de manera que el resultado de la operación es otro elemento del conjunto.
Además hay un elemento neutro, al que llamamos e (en las permutaciones Id), que hace que el resultado de realizar las operaciones ae y ea tiene como resultado a.
También todo elemento tiene un inverso u opuesto, es decir, que para todo elemento a de G existe un elemento a’ tal que las operaciones a a’y a’ a siempre dan el elemento neutro e (en el caso de S3 por ejemplo el opuesto de s1 es s2.
Además hay una propiedad de asociatividad de la operación interna lo cual hace posible definir un producto de múltiples elementos.
Si observamos la tabla de s3 podemos observar que el sub- conjunto formado por id, s1 y s2 forma a su vez un grupo, es decir es un subgrupo de S3
En general si tenemos un subconjunto H de un grupo G, que a su vez es un grupo con la misma ley, decimos que H es un subgrupo de G.
Eu el subgrupo de s3 que vimos, si se toma al elemento s1 podemos ver que los otros elementos del subgrupo son potencias de él es decir s2 = (s1)2 = s1s1 y Id = (s1)3
Cuando en un grupo todos los elementos se pueden expresar como potencias de un elemento fijo decimos que el grupo es cíclico.
El método a priori utilizado por Lagrange para el estudio de la solubilidad de ecuaciones es importante no solo por sí mismo, sino porque implica de hecho el requerimiento de una prueba de existencia, pues supone que existe una solución y analiza las condiciones para dicha existencia en lugar de dar por sentado que existe una solución y tratar de calcularla, que era lo que se había hecho hasta el momento.
§. Otros enfoques paralelos: Vandermonde
Alexandre Vandermonde, sin haber utilizado un enfoque a priori como Lagrange, también enfrentó el problema de la solubilidad de forma distinta a como se había venido haciendo.
En su “Memoria sobre la resolución de las ecuaciones”, que fue presentada a la Academia de Ciencias de París en 1770 y escrita antes que las “Reflexiones” de Lagrange, Vandermonde empleó un enfoque directo. Su idea de cómo atacar el problema la expresa de la siguiente manera:
“Lo que interesa es buscar los valores generales más simples que puedan satisfacer efectivamente a una ecuación de un grado determinado".
De hecho, este es el enfoque que empleará Abel posteriormente para comprender el misterio de la quíntica.
VandermondeAlexandre-Théophile Vandermonde (1735-1796) era hijo de un medico, estudió música y solo comenzó a trabajar en temas matemáticos a los 35 años. Tuvo muchos otros intereses, como la química y los temas siderúrgicos. Fue elegido miembro de la Academia de Ciencias en 1771 y se relacionó con otros científicos de la época y en especial con Monge. Desde 1782 fue director del Conservatorio de Artes y Oficios. Partidario de la Revolución Francesa, fue miembro activo del Club de los Jacobinos y participó en la fundación de la Escuela Normal superior.
Publicó cuatro trabajos matemáticos. En el primero, sobre la resolución de ecuaciones, abordó tópicos que habían sido ya estudiados antes, pero desde otro punto de vista. Demostró que la ecuación xn - 1 = 0 es soluble por radicales para n < 10. Kronecker afirma que el estudio del álgebra moderna comienza con este artículo de Vandermonde. Su segundo artículo fue un estudio sobre los movimientos del caballo en el ajedrez, un tema relacionado con la topología. El tercero trata problemas de combinatoria. El último artículo trata sobre los determinantes, demostrando algunas propiedades de los mismos.
Para dar una idea del trabajo de Vandermonde, veamos como ejemplo el caso de la ecuación cuadrática. Vandermonde considera una ecuación cuadrática con raíces a y b, y trata de escribir a y b como funciones algebraicas (valores generales, dice él) de la suma de a y b y de su producto (funciones algebraicas de las funciones simétricas elementales de las raíces), y que tomen como valores cada una de las raíces.
Para la cuadrática con raíces a y b se tiene:
x2 – (a + b)x + ab = (x – a)(x – b) = 0
Debemos buscar una función que satisfaga simultáneamente las condiciones de que a sea función de a + b y de ab y que b sea también función de a + b y de ab.
En este caso la función dada por Vandermonde fue

Tales funciones no deben cambiar ante permutaciones de las raíces.
Vandermonde logró aplicar su método con éxito para ecuaciones de grado 2, 3 y 4, pero para grados mayores encontró enormes problemas de cálculo.
El método directo de Vandermonde le llevó también a la conexión entre el grado de la resolvente y el número de valores que toma una función de las raíces de la ecuación original cuando estas raíces son permutadas de todas las formas posibles.
También transformó y redujo el problema de la solubilidad de la ecuación de grado n al de la búsqueda de una función que tiene ciertas propiedades cuando sus elementos son permutados.
Vandermonde llega a ecuaciones auxiliares que también llama resolventes. Para la ecuación quíntica obtiene una resolvente de grado 24 (4!), con la posibilidad de reducir el grado a 6. Obsérvese que ese es el menor grado encontrado también por Lagrange.
Para ecuaciones de grado superior Vandermonde determina los grados de la resolvente para algunos casos. Un análisis de los mismos le permite llegar a la conclusión de que es incapaz de encontrar una función de las raíces de una ecuación de grado 5 que pudiera conducirlo a una ecuación de grado 3 o 4. Además afirma estar convencido de que tal función no existe.
§. El teorema fundamental y la ecuación ciclotómica: Gauss
La teoría de Lagrange hace uso de ecuaciones del tipo xn - A = 0. Una de sus raíces, que llamaremos n√A, es algebraica en los coeficientes, las otras son racionales en esta raíz y en las raíces n-ésimas de la unidad, por tanto, en realidad hasta que alguien no probara la solubilidad algebraica de estas ecuaciones la teoría de Lagrange estaba incompleta. Ese alguien será Gauss.
El trabajo de Carl Friedrich Gauss sobre solubilidad algebraica aparece 25 años después de los de Lagrange. Gauss se dedicó al análisis exhaustivo de uno de los casos de ecuaciones solubles, las llamadas binomiales, es decir de la forma xn - A = 0, que son esenciales para el estudio de la solubilidad, ya que dichas ecuaciones aparecen como ecuaciones auxiliares en la solución de las ecuaciones algebraicas.
En su tesis de 1799 Gauss demostró el llamado teorema fundamental del álgebra, que dice que: “Todo polinomio no constante con coeficientes complejos de grado n tiene n raíces”. Varios grandes matemáticos habían trabajado antes en este teorema, o en versiones del mismo, entre ellos están Descartes, D’Alembert y Euler.
Gauss expresó sus dudas sobre la solubilidad general de las ecuaciones algebraicas en la primera de las varias demostraciones que dio del teorema fundamental. En sus Disquisitioues arithmeticae (1801, séptima parte), Gauss incluyó de todas formas algunos resultados sobre solubilidad y volvió a expresar sus dudas sobre la imposibilidad de hallar una solución general para ecuaciones de grado superior, aunque señaló que debían existir infinitas clases de ecuaciones solubles.
Gauss probó la solubilidad de la ecuación xn - 1 = 0 para un n natural arbitrario, también dio el método de solución de la misma y numerosos ejemplos, en especial para n igual a 17 y 19. La solubilidad de esta ecuación está relacionada con la posibilidad de construir polígonos regulares de n lados empleando regla y compás. De hecho la primera anotación en el famoso diario matemático de Gauss versa sobre la posibilidad de construir un polígono regular de 17 lados.
Gauss hace primero algunas anotaciones sobre las conexiones matemáticas de la ecuación xn - 1 = 0 y luego prueba que es suficiente considerar la solución de la ecuación xn - 1 = 0 para n primo y que es posible reducir el resto de los casos a este.
Ya era conocido que todas las raíces de la ecuación en cuestión eran potencias de una de ellas (lo que puede encontrase ya en los estudios de Lagrange). Esta vinculación proviene de las relaciones de Vandermonde entre las raíces de la ecuación estudiada, que, entre otros, ya era conocida por Euler.
Un cálculo algebraico nos muestra la relación:
xn - 1 = (x- 1) (xn-1 + xn--2 + ... + x +1)
Las ecuaciones ciclotómicasLas ecuaciones ciclotómicas xn-1 + xn-2 +... + x +1 = 0 son llamadas así porque tienen que ver con la división de la circunferencia en partes iguales. Esto a su vez tiene que ver con la posibilidad de construir polígonos regulares mediante regla y compás, uno de los problemas clásicos de la Antigüedad.
En la sección séptima de sus Disquisitiones arithmeticae Gauss estudia en detalle cuándo es posible que la ecuación xn - 1 = 0 pueda ser resuelta algebraicamente. Resolverla algebraicamente es en cierto modo equivalente a poder construir las raíces usando solo regla y compás. Estas raíces coinciden geométricamente con los puntos de división de una circunferencia de radio 1 en n partes iguales, luego construir las raíces es equivalente a construir un polígono regular de n lados. Es sabido que no todo polígono regular se puede construir. Gauss probó que era posible para n = 17.257 y después en general para los números n de la forma 2(2)n +1 que sean primos.
Por tanto las raíces de la ecuación xn - 1 = 0 son 1 y las raíces de la llamada ecuación ciclotómica:
xn-1 + xn-2 + ... + x +1 = 0
Estas raíces forman un grupo cíclico. Gauss no da una demostración detallada de la solubilidad general de la ecuación ciclotómica, al igual que Vandermonde, solamente hace un bosquejo de la prueba y se limita a dar ejemplos del procedimiento para algunos casos particulares.
Ruffíni el olvidadoPaolo Ruffíni (1765-1822) nació en Valentano, Italia, y era hijo de un médico. Estudió matemáticas, medicina, filosofía y literatura en la Universidad de Módena. Casi recién graduado, en 1788, fue nombrado profesor de fundamentos de análisis y en 1791 profesor de elementos de matemáticas. Como también había estudiado medicina, en 1791 le fue concedida una licencia para practicarla. En 1798 Ruffini, al haberse negado a prestar juramento de adhesión a la República Cisalpina, creada por Napoleón Bonaparte, perdió su puesto de profesor y se le prohibió enseñar Ante esta prohibición, se dedicó a practicar la medicina y a trabajar en su proyecto de probar que la quíntica no era soluble por radicales.
Ruffini fue el primero en introducir lo que en terminología moderna se conoce corno orden de un elemento, conjugación y descomposición en ciclos de los elementos de un grupo de permutaciones. Su trabajo con permutaciones le permite demostrar, con lagunas, la insolubilidad de la quíntica, resultado notable, pero no aceptado, sin embargo, por la comunidad matemática. El único matemático que reconoció la importancia de su demostración fue Cauchy, lo que resulta sorprendente dada la personalidad de este último. Sin duda, que el trabajo de Cauchy en permutaciones fue influenciado por las ideas de Ruffini
Eu 1814, después de la caída de Napoleón, fue nombrado rector de la Universidad de Módena. Ocupaba al mismo tiempo las cátedras de matemáticas aplicadas y de medicina clínica. Enfermó durante una epidemia de tifus en 1817 y, aunque sobrevivió, su salud se vio afectada. Publicó en 1820 un artículo científico sobre el tifus basado en su propia experiencia. Escribió también trabajos de filosofía y sobre cálculo de probabilidades y sus aplicaciones.
En la parte VII de las Disquisitiones, Gauss señala que su teoría es aplicable no solo a funciones ciclotómicas sino también a otras funciones trascendentes como, por ejemplo, a una función que dependa de la integral ∫(dx/√(1-x2)) aquí Gauss tenía en mente la división de una lemniscata en n partes iguales, problema que se reduce a una ecuación de grado n2, pero de esto solo se conservan borradores, ya que no fue publicado (sobre este tema de las integrales lemniscáticas trataremos en el próximo capítulo).
Realmente Gauss solo publicó su estudio de las ciclotómicas para n primo. El caso de n no primo puede verse tratado en notas de su diario pero nunca publicó los resultados, algo parecido pasó con muchos otros problemas en los que trabajó.
§. El gran olvidado: Ruffini
También en Italia, siguiendo la tradición matemática del Renacimiento, se ocuparon del problema de la resolución algebraica de la quíntica. Paolo Ruffini fue el primero en ensayar una prueba de la insolubilidad por radicales de ecuaciones algebraicas de grado mayor que 4, afirmación que incluyó en el subtítulo de su libro Teoría general de las ecuaciones, publicado en 1799.
En años posteriores aparecieron 6 versiones de la demostración de Ruffini, que fueron en parte una reacción a las objeciones que en 1804 había planteado Gianfrancesco Malfati (1731-1807), profesor de la Universidad de Ferrara, quien había resuelto algunos tipos particulares de ecuaciones quínticas y que, como representante de una generación anterior, no podía concebir la idea de la no existencia de una solución general.
Ruffini fue más allá de la pura convicción de la existencia de una conexión entre la solubilidad de las ecuaciones algebraicas y las permutaciones. En su trabajo, la teoría de permutaciones no solo fue un instrumento de cálculo sino una componente estructural de la teoría de solubilidad.
El objetivo principal del trabajo de Ruffini era la demostración de la insolubilidad algebraica de la ecuación general de grado 5. La existencia de lagunas en sus razonamientos y el hecho que su exposición de los resultados no fuera completamente clara motivó que sus conclusiones y técnicas fueran casi universalmente rechazadas por sus contemporáneos, lo que justifica la afirmación de que es uno de los grandes olvidados de la historia de las matemáticas.
Ruffini pertenece también, junto a Lagrange y Abel, al grupo de los matemáticos que consideraron que el problema no era calcular las soluciones sino demostrar la existencia o no de las mismas. En eso es también uno de los matemáticos que se sitúan en la avanzada de su época.
Ruffini aclaró las dudas sobre la insolubilidad de las ecuaciones de grado superior presentando una prueba de su insolubilidad. A pesar de ciertas deficiencias, esta demostración es aceptable. La prueba fue hecha usando medios e ideas publicadas por Lagrange casi 30 años antes, pero también introduciendo elementos de la teoría de permutaciones que no habían sido considerados por otros anteriormente. La persona que consiguió más crédito con sus estudios sobre las permutaciones fue nuestro ya conocido Augustin-Louis Cauchy.
§. La teoría de las permutaciones según Cauchy
Aunque Cauchy no tuvo que ver directamente con el problema de la ecuación general, su trabajo en permutaciones fue muy valioso para los que después trabajaron en este tema, en especial para Abel y Galois.
Sus primeros resultados se publicaron en la “Memoria sobre el número de valores que una función puede alcanzar, cuando se permutan de todas las formas posibles las cantidades que ella envuelve”, aparecida en 1815.
Esta obra está dedicada a la demostración de un teorema sobre el número de valores diferentes que una expresión no simétrica de n cantidades alcanza, y concluye que no puede ser menor que el mayor número primo p que no supera a n, a menos que este sea 2. Este es un resultado que utilizará Abel. Cauchy señala que esta es una generalización de un resultado de Ruffini que afirma la imposibilidad de tener una expresión en 5 o más variables que asuma exactamente 3 o 4 valores diferentes.
En este trabajo Cauchy introduce la notación por filas para una permutación que se utiliza actualmente. Dicha notación no aparecía en los trabajos de Lagrange o Ruffini, lo que de hecho les dificultaba el trabajar con permutaciones.
Cauchy menciona en su trabajo de 1815 a Ruffini, Lagrange y Vandermonde. Según Cauchy, los dos últimos fueron los primeros en discutir el problema de cuántos valores diferentes puede tomar una función de u variables cuando estas variables son permutadas.
Cauchy señala que su interés por el estudio de las permutaciones surge con el estudio de la teoría de números, lo que le puso en contacto con el trabajo de Ruffini. Su mención de los trabajos de Ruffini hace suponer que conocía el problema de la solubilidad de las ecuaciones según era enfocado por éste, pero no hizo referencia alguna de cómo sus resultados podrían influir en la solución de dicho problema.
La utilidad de los trabajos de Cauchy en este campo se puso en evidencia solo cuando Abel y Galois los utilizaron para sus demostraciones. El famoso trabajo de Cauchy de 1815 permite una construcción sistemática del grupo de permutaciones, siendo ésta la primera vez que los grupos fueron un objeto de estudio independiente.
En 1815 Cauchy hace una vaga mención de Ruffini como su predecesor en el trabajo con permutaciones, pero en un trabajo posterior de 1844 Cauchy ya no menciona ni a Ruffini ni a ningún otro autor. Sin duda, Cauchy jugó un papel central en el desarrollo de la teoría de permutaciones, y aunque es cierto que Ruffini anticipó muchos de los resultados de los artículos pioneros de Cauchy, fue la actividad de este último la que consolidó la teoría de permutaciones como disciplina matemática independiente. La influencia de Cauchy fue mucho mayor que la de Ruffini, y en concreto Abel desconocía los resultados de Ruffini cuando desentrañó el misterio de la quíntica.
§. Abel se enfrenta al misterio
¿En qué situación se encuentra el misterio de la quíntica cuando hace su aparición Abel?
Si bien Lagrange se mostraba escéptico con respecto a la posibilidad de probar la solubilidad de la ecuación general de grado mayor o igual a 5, al menos con las herramientas con que se contaba en ese momento, Gauss estaba convencido de la insolubilidad, pero nunca la demostró. Otro matemático, Ruffini, había hallado y publicado una demostración incompleta de la insolubilidad de la quíntica, pero sus trabajos eran prácticamente desconocidos o no aceptados por los que los conocían.
Es decir, para Abel, como también para su contemporáneo Galois, el problema estaba a la espera de una solución.
¿Cuáles son los trabajos de Abel sobre las ecuaciones algebraicas?
En 1824, antes de iniciar su viaje de estudios por Europa, Abel había publicado una primera demostración de la insolubilidad bajo el titulo “Memoria sobre las ecuaciones algebraicas donde se demuestra la imposibilidad de la resolución de la ecuación general del quinto grado”. Este trabajo fue publicado en francés en Cristianía en forma de folleto y a expensas del propio Abel, de ahí que contara con pocas páginas y pocos ejemplares y que fuera poco difundido.
En 1826 Abel publica en el primer número del Journal de Crelle un artículo titulado “Demostración de la imposibilidad de la resolución algébrica de las ecuaciones que superan el cuarto grado”, en el que da una demostración más detallada de la insolubilidad de la quíntica que la aparecida en el folleto publicado en Cristianía.
Durante su estancia en París, Abel publicó en el volumen 6 (1826) del Boletín de Ferrusac una nota anónima en la que presentaba un análisis detallado del artículo que había aparecido en el Journal de Crelle en ese mismo año. Este artículo aparece en la recopilación de las obras completas de Abel, editadas en 1881 por Sophus Lie y Ludwig Sylow, como un apéndice del artículo del Journal de Crelle.
Abel publicó dos trabajos más relativos a la solubilidad de ecuaciones, pero con respecto al misterio de la quíntica los esenciales son el de 1824 y los dos de 1826 mencionados anteriormente, que en esencia exponen los mismos resultados con distintos grados de detalle.
Expondremos, siguiendo fundamentalmente la nota de Abel en el Boletín de Ferrusac, estos resultados para así tener una idea de cómo Abel llegó a esclarecer lo referente a la quíntica y cómo estos resultados están relacionados con los de otros autores. En lo posible seguiremos el lenguaje y notación usados por Abel en sus artículos.
Abel establece que es imposible resolver algebraicamente la ecuación general de quinto grado
“puesto que toda función algebraica de los coeficientes de la ecuación dada, al ser sustituida en lugar de la incógnita, conduce a un absurdo".
Para Abel, resolver algebraicamente una ecuación significa expresar sus raíces mediante funciones algebraicas de sus coeficientes. Una función v es para él algebraica en las cantidades x1, x2, .... si es posible expresar v en términos de x1, x2, .... , empleando la adición, la multiplicación, la división y la extracción de raíces de índice primo.
Abel establece la distinción entre funciones enteras, si solo se emplean las dos primeras operaciones; racionales, cuando además se usa la división; y algebraicas si entran todas las operaciones.
El método escogido por Abel para atacar el problema, como ya señalamos al referirnos al trabajo de Vandermonde, consistía en determinar la forma más general de una expresión algebraica que satisficiese a la ecuación general y luego determinar si esta expresión podía satisfacer o no a la ecuación general, de ahí que su primer objetivo fuera la búsqueda de la expresión general de las funciones algebraicas.
Abel muestra que las funciones algebraicas más simples que pueden escribirse son las combinaciones de funciones racionales, combinadas con radicales de índice primo de funciones a su vez racionales, esto es lo que él llama una función algebraica de primer orden.
Por ejemplo,

es una función de primer orden.
Las funciones algebraicas de segundo orden son aquellas en las que entran radicales de funciones de primer orden. Por ejemplo

Y así se pueden ir construyendo funciones algebraicas de orden cualquiera. Una función algebraica de orden n podría estar formada a partir de funciones de todos los órdenes hasta el orden n -1 combinadas entre ellas algebraicamente. Si esta función de orden n tiene m cantidades de dicho orden, se dirá que es de grado m.
Encontramos entonces el primer resultado de Abel en el que da la expresión general de una función algebraica de orden p y grado m.
Una función algebraica v de orden u y grado m puede escribirse corno:

donde n es un número primo, q0, q2, ...qn-1 son funciones algebraicas de orden u y grado m-1 a lo sumo, y p una función algebraica de orden n-1, y tal que es imposible expresar p1/n mediante una función racional de p, q0, q2, ...qn-1.
Abel relacionará este resultado con la solubilidad de las ecuaciones demostrando que la forma más general de la última resolvente, la que da una raíz de la ecuación original, debe ser de la forma
x = q0+ p1/n + q2p2/n + ... + qn-1pn-1/n
Donde n es primo, p, q0, q2, ...qn-1 son expresiones algebraicas de los coeficientes de la ecuación inicial y p1/n no puede ser expresado racionalmente en función de q0, q2, ...qn-1 .
Es en este punto donde el trabajo de Abel se cruza con los trabajos de Leonhard Euler en relación con la insolubilidad de la quíntica. Si miramos el resultado de Abel sobre la forma de la resolvente, vemos que es la forma que había propuesto Euler en su segundo trabajo.
Volvamos ahora al camino trazado por Abel. La expresión general que halla para las funciones algebraicas le permite demostrar para la ecuación general algebraica de grado n, lo siguiente:
Si una ecuación algebraica es resoluble algebraicamente, se puede siempre dar a la raíz una forma tal que todas las expresiones algebraicas de que ella está compuesta pueden ser expresadas mediante funciones racionales de las raíces de la ecuación dada.
Para demostrarlo, Abel supone una ecuación general algebraica
![]()
resoluble algebraicamente. Sea
![]()
la expresión de una raíz cualquiera de la ecuación.
Entonces v1/n, s0, s2,…, sn-1se pueden expresar racionalmente en función de las raíces x1, x2... xn de la ecuación
![]()
lo que obtiene razonando a partir de que se ha supuesto que v1/n no puede ser expresado como función racional de y, v, s0, s2,…, sn-1.
Euler y las soluciones de ecuaciones de grado arbitrarioEuler mencionó el problema de la insolubilidad en dos ocasiones. En 1732-1733 en su artículo “Conjetura sobre la forma de las raíces de las ecuaciones de grado arbitrario” y en 1762-1763 en su memoria “Sobre la solución de ecuaciones de grado arbitrario". En la primera Euler señala que la resolución de las ecuaciones de grados 2, 3 y 4 se reduce a la resolución de ecuaciones de grado 1, 2 y 3 respectivamente y se refiere a estas últimas como ecuaciones resolventes.
Para una ecuación de grado n, xn = axn-2 + bxn-3 + ... + q asume una resolvente de grado n - 1, zn-1 = 𝛼zn-2 + 𝛽zn-3+ ..., y una expresión para las raíces de la ecuación original en función de raíces n-ésimas de las raíces de la resolvente.
Si z1, z2, ... zn, son las raíces de la resolvente, entonces Euler dice que las raíces de la ecuación original son de la forma:x = n√z1 + n√z1 + …+ n√zn-1
En el segundo trabajo, Euler reemplaza la expresión para las raíces por una nueva
x = 𝜔 + A1 n√z1 +A2 n√z2 + …+An-1n√zn-1
con 𝜔 real y z raíz de una ecuación de grado ≤ n - 1
Lo que hace su segundo trabajo especialmente importante es la generalidad de la fórmula que propone para las raíces, ya que si la ecuación original es soluble por radicales, Abel demostrará posteriormente que entonces las raíces se expresan por la fórmula dada por Euler en este segundo trabajo.
Si consideramos una cualquiera de las cantidades v, s0, s2, por ejemplo v y designemos por v1 v2, ...vn los valores diferentes de v que se obtienen al intercambiar entre ellas las raíces x1, x2, ..., xn de todas las formas posibles, se podrá formar entonces una ecuación de grado n en la cual los coeficientes sean funciones racionales de a1, a2, ...an-l, y donde las raíces sean v1 v2, ...vn que son funciones racionales de x1, x2, ...xn. Haciendo pues:
![]()
Todas las cantidades u1/v, t0, t2, ...tv-1 serán funciones racionales de u1 v2, ...vn que son funciones racionales de x1, x2, ...xn. Repitiendo este razonamiento se obtiene el resultado.
Abel concluye pues que si la ecuación general es soluble algebraicamente, entonces cada una de las raíces de la ecuación general puede ser expresada de forma tal que cada expresión algebraica involucrada sea racional en esas raíces. Realmente Abel debió haber dicho racional en dichas raíces y en las raíces de la unidad, ya que estas raíces necesariamente aparecen en esas expresiones.
Algunos de los predecesores de Abel lo ayudan directamente a demostrar la insolubilidad de la quíntica. Él utiliza una serie de resultados previos, que enumeraremos a continuación:
El numero de valores diferentes que una función de n cantidades puede tomar por todas las sustituciones posibles entre esas cantidades es necesariamente un divisor del producto 1×2×3×…×n
De este resultado Abel dice: “esto es conocido ”, ya que realmente es uno de los resultados de Lagrange antes mencionados.
El siguiente resultado, cuya demostración Abel confiesa haber tomado de una memoria de Cauchy, y que es una generalización, a su vez, de uno de Ruffini es el siguiente:
El número de valores que toma una función racional de n cantidades no puede ser menor que el mayor número primo menor o igual que n, a menos que sea 1 ó 2.
Por último:
Cuando una función de varias variables toma m valores diferentes, siempre se puede encontrar una ecuación de grado m cuyos coeficientes son funciones simétricas de esos valores, y que tiene a dichos valores por raíces; pero es imposible encontrar una ecuación de la misma forma pero de grado menor que m que tenga a uno o varios de esos valores por raíces.
Esto es, expresado en otra forma, el resultado dado por Viète.
Con estos resultados Abel puede probar la insolubilidad de la quíntica que enuncia así:
Es imposible resolver algebraicamente la ecuación de quinto grado.
Demostración
Suponiendo que la ecuación de quinto grado sea soluble algebraicamente, se podrá, según el resultado del propio Abel visto anteriormente, expresar todas las funciones algebraicas de las cuales una raíz está compuesta mediante funciones racionales de las raíces.
Como es imposible expresar una raíz de una ecuación general por una función racional de los coeficientes, es necesario que se tenga:R1/m = v
Donde R1/mes una de las funciones de primer orden que se encuentran en la expresión de la raíz y R es una función racional de los coeficientes de la ecuación dada, es decir R es una función simétrica de las raíces y v una función racional de las raíces.R1/m = v da lugar a vm - R = 0
Donde v debe tomar m valores diferentes al intercambiar las raíces entre ellas, ya que R es una función simétrica de las raíces (Viète).
El número de valores de una función racional de cinco variables debe ser un divisor de 5! (Lagrange).
Es necesario pues que m, que es un número primo, sea 2, 3 o 5. Usando el resultado de Cauchy, m no puede ser 3, luego queda por analizar los valores 2 y 5, los cuales Abel demuestra que llevan a contradicciones.
Estas contradicciones completan la prueba de Abel de la insolubilidad de la ecuación general de grado 5.
Abel observa, pero sin dar la demostración, que es también imposible resolver la ecuación general de grado mayor que 5.
Algunos pudieran considerar que la demostración de Abel no es completa, ya que usa en sus cálculos, sin ninguna aclaración, las raíces k-ésimas de la unidad para k menor que el grado de la ecuación dada. Estas son las raíces de la ecuación ciclotómica:
xk-1 + xk-2 + ... + x + 1 = 0
que Gauss ya había probado era algebraicamente soluble.
La demostración por Abel de la insolubilidad de la ecuación general de grado cinco atrajo la atención del propio Abel y de sus contemporáneos hacia el problema de determinar clases de ecuaciones particulares que fuesen solubles por radicales.
§.¿Y bajo qué condiciones es soluble por radicales una ecuación?
Lo que demuestra Abel para ecuaciones de grado cinco y que, después con los resultados de Galois, puede extenderse a grados superiores, es que la ecuación general no es resoluble por radicales. Esto significa, como ya hemos señalado anteriormente, que si se consideran ecuaciones con coeficientes arbitrarios (en realidad algebraicamente independientes en el sentido moderno) es imposible expresar la solución de dicha ecuación mediante una función algebraica de dichos coeficientes.
Ahora bien, eso no significa que no haya ecuaciones, y aún clases enteras de ecuaciones, de grados superiores al quinto, cuya solución se expresa mediante funciones algebraicas de los coeficientes, como por ejemplo las ecuaciones del tipo xn - A = 0, que son solubles para todo n y cuya solución está dada por x = n√A, considerando, por supuesto, las raíces complejas, si queremos obtener las n raíces.
El hecho de considerar clases de funciones y buscar su solución ya había sido analizado por varios matemáticos, como ya hemos visto. Pero, una vez demostrada la insolubilidad de la ecuación de grado cinco y más o menos aceptada la generalización de este resultado a grados superiores, el problema del estudio de la posible solubilidad de ciertos tipos de ecuaciones comienza a investigarse, es decir comienza la búsqueda de las condiciones generales para que una ecuación dada sea resoluble o no por radicales.
Abel le escribe a Holmboë en 1826:
En estos momentos estoy trabajando en la teoría de ecuaciones, mi tema favorito, y me parece que al fin he encontrado los medios para resolver el problema general, es decir el determinar la forma de las ecuaciones algebraicas que pueden ser resueltas algebraicamente.
Dos meses antes de su muerte, en 1829, Abel publicó en el Journal de Crelle su “Memoria sobre una clase particular de ecuaciones algebraicamente solubles”. Comenzaba esta memoria diciendo:
Aunque la resolución algebraica de ecuaciones no sea posible en general, hay sin embargo ecuaciones particulares de todos los grados que admiten una tal resolución Tales son por ejemplo las ecuaciones de la forma xn - 1 = 0. La resolución de estas ecuaciones está fundada sobre ciertas relaciones que existen entre las raíces. Yo he tratado de generalizar este método,...
Abel señala distintos casos particulares donde se cumplen sus suposiciones, siendo uno de ellos el caso en que todas las raíces de una ecuación pueden ser expresadas de la forma: x, 𝜃x,..., 𝜃n-1x, con 𝜃nx = xy 𝜃xuna función racional de x,y señala que la ecuación

con n primo, es una de estas. En terminología moderna significa que el grupo de Galois de la ecuación es cíclico.
Abel dice aquí que esta propiedad la poseen cierta clase de ecuaciones, a las que llegó a través de la teoría de las funciones elípticas.
En este artículo Abel estableció el siguiente resultado:
Si las raíces de una ecuación de un cierto grado están relacionadas de tal manera que todas son expresares racionalmente mediante una de ellas, que designaremos como x, y si, más aún, para cualquier par de raíces que designaremos por θx y θ1x se tiene queθ θ1x = θ1 θx
Entonces la ecuación es algebraicamente soluble. Análogamente, si la ecuación se supone irreducible, y su grado esdonde 𝛼1, 𝛼2 y ... 𝛼𝜛 son primos diferentes, entonces se puede reducir la resolución de esta ecuación a la de μ1 ecuaciones de grado α1 ecuaciones de grado α2 etc.
Usando terminología moderna, este artículo establece la solubilidad algebraica de aquellas ecuaciones cuyo grupo de Galois es abeliano. Es por este artículo por el nombre de Abel resulta asociado con la conmutatividad. Ya en 1853 el alemán Leopold Kronecker (1823-1891) aplicaba el apelativo de abelianas a aquellas ecuaciones cuya solubilidad había sido demostrada por Abel.
Entre los papeles póstumos de Abel había un manuscrito incompleto, titulado “Sobre la resolución algebraica de funciones”, cuya publicación en la primera recopilación de sus Obras completas (1839), hecha por su maestro y amigo Holmboë, ayudó a reabrir la pregunta de la solución de ecuaciones especiales y facilitó el camino para la publicación de los artículos de Galois. En este trabajo Abel precisa en qué consiste el problema de la solubilidad de ecuaciones y presenta un programa sobre cómo enfocar y resolver completamente el problema.
De este trabajo, por su interés, reproducimos completamente el pasaje siguiente:
En esta memoria trató el problema de la solución algebraica de ecuaciones en toda su generalidad. El primero, y si no me equívoco el único, que trató antes de mí de probar la imposibilidad de la solución algebraica de ecuaciones generales es el “geómetra” Ruffíni. Pero su memoria es tan complicada que es muy difícil discernir si su razonamiento es válido. A mí me parece que su razonamiento no siempre es satisfactorio.
Yo creo que la prueba que yo di en el primer volumen de esta revista [Journal de Crelle] no deja nada que desear con respecto al rigor, pero no es tan simple como podría ser.
He hallado, tratando de resolver un problema más general, otra demostración, basada en los mismos principios, pero más simple.
Es conocido que toda expresión algebraica puede satisfacer una ecuación de mayor o menor grado de acuerdo a la naturaleza particular de dicha expresión. Luego hay de esta manera una infinidad de ecuaciones particulares que son algebraicamente solubles. De esto se derivan de manera natural dos problemas, cuya solución comprende toda la teoría de la solubilidad algebraica de ecuaciones:
Encontrar todas las ecuaciones de un grado dado que sean algebraicamente solubles.
Decidir si una ecuación dada es algebraicamente soluble o no. El objetivo de este trabajo es la consideración de estos dos problemas.
Aunque no daremos a estos problemas una solución completa, indicaremos sin embargo métodos confiables para alcanzar la solución. Se ve que estos dos problemas están íntimamente ligados, de forma que la solución del primero debe conducir al segundo. En el fondo estos dos problemas son el mismo.
Abel trabajó solamente en el primero de los dos problemas. Quizás su muerte prematura impidió que avanzara más y es Évariste Galois quién dará respuesta al segundo problema enunciando un criterio general para que una ecuación algebraica sea soluble por radicales.
En el pasaje citado está expresada la posición de Abel con respecto a Ruffini. Abel conoció las ideas de Ruffini sobre una demostración de insolubilidad no antes del inicio del verano de 1826, durante su estancia en Viena, es decir después de la publicación de su primer trabajo sobre la insolubilidad de la ecuación de quinto grado. Abel no podía haber conocido antes los trabajos de Ruffini debido al poco reconocimiento y divulgación que tenían. De hecho él no tuvo conocimiento de los mismos directamente, pues su fuente de información fue un resumen preparado por autores anónimos sobre las principales ideas de Ruffini. En el segundo artículo sobre teoría de ecuaciones, publicado en 1826 en el primer número del Journal de Crelle, Abel llenó la laguna que había en los trabajos de Ruffini relativa a que éste nunca demostró que los radicales que aparecen en las expresiones de las raíces de una ecuación sean expresiones racionales de las raíces. Es por esto por lo que Abel llamó la atención sobre este punto en su trabajo publicado en el Boletín de Ferrusac en el que resumió y puntualizó los resultados de su artículo 1826 en el Journal de Crelle
Sí una ecuación algebraica es soluble, entonces uno puede siempre escribir cada raid de tal manera que las expresiones algebraicas componentes se expresen como funciones racionales de la raíz de la ecuación dada.
En este otro pasaje del artículo de 1839, Abel expresa la necesidad de demostrar teoremas de existencia, necesidad que Cauchy puso de moda casi al mismo tiempo en análisis y en particular en la teoría de ecuaciones diferenciales y que aparece en álgebra por primera vez con la demostración que hizo Gauss del teorema fundamental del álgebra:
Abel dice:
En efecto, se trataba de resolver las ecuaciones, sin saber si esto era posible. En ese caso se podía bien llegar a la solución, cuando esto fuera posible, pero si desafortunadamente la solución era imposible, habría habido que buscarla eternamente, sin encontrarla. Es necesario pues tomar otro camino. En lugar de buscar una relación que no se sabe si existe o no, es necesario preguntarse si tal relación es en efecto posible.
En este artículo de 1839 Abel no usa directamente las permutaciones, pues trata aún de calcular la solución explícitamente, pero reorienta su forma de proceder, investigando qué ecuaciones pueden satisfacer una expresión algebraica en lugar de qué expresiones algebraicas pueden satisfacer una ecuación, como había hecho anteriormente; lo que contribuyó a hacer más claro el problema de la búsqueda de condiciones para que una ecuación sea soluble, problema que será resuelto definitivamente por Évariste Galois, casi contemporáneo de Abel y con una vida tan corta como la suya. Galois sufrió casi tanto o más que Abel la incomprensión de los matemáticos de su época y la desidia de algunos de ellos.
En mayo de 1829, un mes después de la muerte de Abel, Galois dirigió a la Academia de Ciencias de París una memoria en que proponía un criterio necesario y suficiente para la solubilidad de ecuaciones, que era lo que planteaba Abel como segundo problema a resolver en su programa para el estudio de la solubilidad de ecuaciones. Dicho criterio permitía saber cuando la resolución algebraica de una ecuación era posible. En el documento que Galois envió a la Academia, decía lo siguiente: “Él [Abel] no dejó nada sobre el tratamiento general del problema que nos ocupa. Puesto que de una vez y para siempre, y esto es lo extraordinario de nuestra teoría, en todos los casos se tiene una respuesta de si o no".
En 1830, un año después de la muerte de Abel, Galois logró publicar en el Boletín de Ferrusac tres artículos.
Galois, un matemático desafortunado[6]Évariste Galois (1811-1832) nació en Bourg-La Reine, un suburbio actual de París, y estudió a partir de los doce años en el colegio Louis Le Grand, uno de los más prestigiosos de París. Es allí donde comienza su interés por las matemáticas leyendo las obras de Legendre, Euler, Gauss, Jacobi y, en particular, las de Lagrange sobre resolución de ecuaciones.
Eu 1829 publicó su primer trabajo matemático, en el que estudia las fracciones continuas. Realizó los exámenes para ingresar en la Escuela Politécnica en 1828 y en 1829, pero en ambas oportunidades fracasó. Se conformó con ingresar en la Escuela Normal, que tenía en ese momento menos nivel que la Politécnica.
Su trabajo sobre la solubilidad de las ecuaciones fue presentado por primera vez a la Academia en 1829, y Cauchy fue encargado de su revisión. Pero al darse a conocer el artículo póstumo de Abel sobre este tema, Cauchy sugiere a Galois rehacerlo. Galois lo vuelve a presentar y el artículo es entregado a Fourier para su revisión, pero muere poco después y el documento se pierde.
En enero de 1831 Galois vuelve a presentar por tercera vez su trabajo sobre la resolución de ecuaciones a la Academia, y esta vez se le entrega el trabajo a Poisson, que da una opinión desfavorable. Poisson afirma que las demostraciones de Galois no están ni claras ni lo suficientemente desarrolladas como para poder emitir un juicio positivo.
Galois participó del ambiente político de su época, fue miembro de la sociedad de Amigos del Pueblo y estuvo en prisión por sus actividades políticas. Falleció en mayo de 1832 a consecuencia de las heridas recibidas en un duelo realizado por un asunto de honor. La noche antes de su muerte redacto una carta a su amigo Chevalier en la que expuso sus resultados matemáticos, en particular los referentes a la resolución de ecuaciones. A su amigo le pidió que enviase sus trabajos a otros matemáticos como Gauss y Jacobi para que diesen su opinión sobre la importancia de los mismos y no sobre su veracidad, pues él estaba convencido de que eran ciertos. Once años más tarde, en 1843, Liouville anunciará a la Academia de Ciencias que en los escritos de Galois hay una demostración general del problema de la condición necesaria y suficiente para que una ecuación sea soluble por radicales. en 1846 Liouville publica póstumamente los trabajos de Galois, lo que hoy conocemos como teoría de Galois.
En uno de ellos, titulado “Análisis de una Memoria sobre la resolución algebraica de las ecuaciones", aparecen ya algunos resultados que serán luego generalizados en lo que hoy conocemos como teoría de Galois. El artículo presenta resultados que se refieren a ecuaciones primitivas y da condiciones necesarias o necesarias y suficientes bajo las cuales ciertos tipos de ecuaciones primitivas son solubles por radicales. Este artículo es el único que apareció publicado en vida de Galois sobre la solubilidad de ecuaciones.
En 1831, después de rechazada su memoria por la Academia y estando en prisión por sus actividades políticas, Galois se defiende de la manera siguiente:
“Abel parece ser el autor que más se ha ocupado de esta teoría [la teoría de la solubilidad de las ecuaciones algebraicas]. Se sabe que después de haber creído encontrar la solución de la ecuación general de quinto grado, este geómetra demostró la imposibilidad de esta solución. Pero en la memoria alemana publicada con este fin, la imposibilidad del problema se demuestra empleando argumentos relacionados con el grado de las ecuaciones auxiliares y en el momento en que fue publicada, es seguro que Abel ignoraba las circunstancias particulares para la resolución por radicales. Es por esto por lo que si he mencionado este trabajo en mi memoria ha sido con el único fin de declarar que no tiene ninguna relación con mi teoría. [...]En todo caso, me sería fácil demostrar que yo ignoraba hasta el nombre de Abel cuando presenté a la consideración del Instituto mis primeras investigaciones sobre la teoría de las ecuaciones, y que la solución de Abel no pudo haber aparecido antes que la mía".
En otro momento añade:
“ Pero como la muerte anticipada de este geómetra [Abel], privó a la ciencia de las investigaciones prometidas por él [...] no era menos necesario el dar solución a un problema, aunque me sea doloroso poseerla, porque debo el tenerla a una de las más grandes pérdidas que haya tenido la ciencia".
Queda claro que Galois reconoce la importancia de Abel, pero deja sentado que sus resultados fueron encontrados de forma independiente.
Pero, ¿cuál es el teorema básico de la teoría de Galois? El teorema de Galois sobre la solubilidad de las ecuaciones algebraicas dice: “La condición necesaria y suficiente para que una ecuación algebraica sea resoluble por medio de radicales es que el grupo de Galois asociado a la misma sea soluble”.
Grupos de Galois y resolución de ecuacionesConsideremos una ecuación algebraica cualquiera
xn + an-1xn-1 + … + a2x2 + a1x + a0= 0
El grupo de Galois de esta ecuación es el conjunto de las permutaciones de las raíces de la ecuación que dejan invariante “todas las relaciones entre las raíces". Pero, ¿qué quería decir Galois con esta expresión?
Tomemos la ecuación de cuarto grado x4 - 7x3 + 10 = 0, esta ecuación tiene cuatro raíces que es posible calcular fácilmente, son x1 = √2 , x2 = -√2 , x3 = √5 y x4 = -√5. Estas raíces cumplen relaciones entre ellas, tales como que la suma de x1 y x2 es 0 y que su producto es -2, es decir un número racional. Observemos que esto último sucede con x3 y x4. En este caso permutaciones válidas serán aquellas que intercambien a x1 con x2 y a x3 con x4, pero no una que intercambie a x4 con x1. Es decir en nuestro caso el grupo de Galois estará formado por 4 permutaciones: la que transforma a cada raíz en si misma (la identidad I), la que intercambia a x1 y x2 y no cambia las otras (t1), la que intercambia a x3 y x4 y no cambia las otras (t2) y finalmente la combinación de estas dos últimas, es decir, aquella intercambia a x1 y x2 y a x3 con x4 (σ).
En este caso el grupo de Galois tiene 4 elementos. La tabla de multiplicación del grupo se construye observando el resultado de aplicar en forma consecutiva las permutaciones, así el producto t2 t1 es aplicar primero t1, es decir, intercambiar x1 y x2, y después aplicar t2, es decir, intercambiar x3 y x4, notemos que el resultado final es 0.Esto se escribe en forma de tabla:
Si observamos la tabla de multiplicación podemos ver que hay subconjuntos del grupo que se conservan por el producto. Así, si tomamos solamente las dos permutaciones I y t1, las combinaciones entre ellas por producto siempre van a dar I o t1 lo mismo sucede si consideramos I con t2 y si consideramos I con 𝜎. En el lenguaje de grupos esto equivale a decir que tiene 3 subgrupos de orden 2. El grupo de Galois es de orden 4 y tiene 3 subgrupos de orden 2. Estos subgrupos tienen la propiedad de ser invariantes. La existencia de un subgrupo invariante de orden 2 del grupo de Galois de la ecuación implica, según la teoría de Galois, que la ecuación puede ser resuelta por medio de radicales.
¿Y qué sucede con la ecuación general de quinto grado? En este caso el grupo de Galois es todo el grupo de las permutaciones de orden 5, es decir, S5. Este grupo tiene 120 elementos y no es soluble en el sentido de Galois, por tanto: ¡la ecuación general de quinto grado no puede ser resuelta algebraicamente!
Es de esta forma, como un caso particular de su teoría, como Galois explica en qué consiste el misterio de la quíntica. Con ello confirmó la teoría de Abel y entró en la historia de las matemáticas como la persona que proporcionó la respuesta más completa a la pregunta ¿bajo qué condiciones es soluble en radicales la quíntica?
Capítulo 4
Duelo de titanes: Abel, Jacobi y las funciones elípticas
“Las comparaciones son instructivas: la mirada que lo abarca todo, que se dirige hacia las alturas, hacia lo ideal, destaca a Abel como superior a Jacobi...de una forma sobresaliente".
Karl Weierstrass, en carta a Sofía Kowalevsky,
15 de abril de 1873.
El gran premio de ciencias matemáticas de la Academia de París fue otorgado en 1830 ex-aequo a Niels Abel (post mortem) y a Carl Jacobi, por sus contribuciones a la formación de la teoría de las funciones elípticas. Estos dos matemáticos eran muy diferentes entre sí. Como ya sabemos, Niels Abel, hijo de un pastor protestante, nació en una isla perdida en el archipiélago nórdico, en un momento que su país era bloqueado y asediado por la mayor potencia militar y económica; estudió gracias a la solidaridad de sus amigos y profesores, nunca tuvo un trabajo permanente; era tímido y con cierta inclinación a la melancolía; todo el que lo conoció admiró su tenacidad y quiso ayudarle. Cari Jacobi, hijo de banquero, nació en la Prusia que comenzaba a imponerse en la Confederación Germana como el estado más potente y agresivo, estudió donde quiso y en cuanto se graduó consiguió un puesto de profesor en una de las mejores universidades de Europa; poseía una sutil capacidad para ofender con sus sarcasmos y, aunque muchos lo respetaban por su notable inteligencia, no supo ganar el afecto de nadie. Pero, tanto Abel como Jacobi, son reconocidos hoy como titanes que pretendieron asaltar el cielo de las matemáticas.
JacobiCarl Gustav Jacob Jacobi (1804-1851) era hijo de un banquero de Potsdam. Se graduó en la Universidad de Berlín en 1825 y desde entonces impartió clases allí hasta que se trasladó a Königsberg para ejercer también como profesor.
En 1834 creó el seminario de matemática y física teórica en el departamento de matemáticas que dirigía en Königsberg. Este seminario se convirtió en prototipo en toda Alemania. En 1839, por agotamiento nervioso, se alejó de la docencia y realizó viajes de reposo por distintas ciudades europeas. En 1844 fijó su residencia en Berlín sin obligación de impartir clases hasta el restablecimiento de su salud. Junto con Dirichlet, se preocupó de que la Universidad de Berlín asumiese un papel dirigente. Pero su diabetes no le dejó fuerzas para crear un seminario en Berlín. En 1846, ya muy enfermo, se dedicó muy intensamente a la historia de las matemáticas helenas.
Tenía una cultura matemática muy vasta y publicó trabajos en teoría de números, álgebra, geometría diferencial, teoría de ecuaciones diferenciales, cálculo de variaciones, mecánica analítica y mecánica celeste. Su personalidad excepcional exudaba un entusiasmo contagioso tanto para las investigaciones como para la docencia. Se dice que fue considerado demasiado arrogante por sus contemporáneos. Tuvo el respeto de todos, pero pocos lo admiraban. Era de una conducta social y política bastante inconsecuente. Lo mismo era considerado reaccionario y conservador como liberal de izquierdas. Ganó numerosos premios y fue miembro de todas las academias de ciencia importantes.
A decir verdad, cuando en septiembre de 1827 ambos publicaron sus primeros trabajos sobre las nuevas funciones trascendentes eran unos jóvenes de 23 y 25 años de edad que tenían varios intereses comunes. Ambos se apasionaron desde la escuela por las matemáticas y comenzaron por el estudio de los grandes maestros: las obras de Euler y Lagrange. Los dos se ocuparon del problema de la quíntica, aunque Abel se aficionó más por el tema y nunca lo abandonó completamente. Y en su lucha fabulosa por establecer una teoría de las funciones elípticas forjaron una rivalidad y, a la vez, una complicidad que la muerte no consiguió destruir.
Hoy no quedan dudas de que los dos, independientemente, llegaron a formular las principales propiedades de las funciones elípticas. Pero, todavía muchos piensan que lograron simultáneamente sus resultados. Quizás esta idea fue expandida por descuido de los mismos admiradores del joven Abel: en primer lugar, el editor de casi todas sus obras, Crelle en la necrológica publicada en su Journal (1829) y después, su maestro Holmboë en el prefacio de las Obras completas (1839). Crelle dice:
“Abel y Jacobi han siempre marchado igualmente y muy cerca en sus investigaciones sobre las funciones elípticas, no obstante no conocerse entre sí, solo a través de sus trabajos, sin encontrarse, ni cruzarse sus caminos”.
Por su parte, Holmboë apunta:
“Al mismo tiempo que nuestro Abel, y sin conocer las obras de este último, el Sr. Jacobi de Königsberg comenzó a tratar la teoría de las funciones elípticas, se estableció así una rivalidad entre estos dos genios superiores en sus tratados sobre dichas funciones”.
De esto se infiere que ambos, independiente y simultáneamente, comenzaron a interesarse por las funciones elípticas. Si dos admiradores confesos de Abel como Crelle y Holmboë dicen esto, no queda sospecha que fue así, o quizás....
Para subrayar la complejidad del asunto de la prioridad en la formulación de la teoría de las funciones elípticas, leamos lo que el mismo Holmboë, en dicho prefacio, señala más adelante:
“Abel ya me había dicho que antes de su estancia en París en 1826 ya había acabado la parte esencial de los principios que precisaba en el estudio de estas funciones y que hubiera preferido esperar para publicar sus descubrimientos hasta que se pudiera componer una teoría completa, pero, mientras tanto, el sr. Jacobi se había entrometido caminando sobre sus huellas... "
Pero la opinión dominante en Alemania, promovida no por Jacobi, sino por sus alumnos, era otra. Cuando se cumplió el 45 aniversario de la publicación del trabajo principal de Jacobi, Nuevos fundamentos de las funciones elípticas (1829), se realizó en Berlín un acto de conmemoración. El discurso de homenaje se le asignó al profesor Karl Borchardt, uno de los principales alumnos de Jacobi. Borchardt era además, desde 1855, el sucesor de Crelle como editor de la Revista de matemáticas puras y aplicadas, donde se habían publicado los principales artículos de ambos contendientes. Entre otras cosas, Borchardt dice que
“Ningún geómetra que compare las publicaciones de Abel y Jacobi puede dudar de que los dos, al mismo tiempo e independientemente, estaban en posesión de la teoría de funciones elípticas en su totalidad".
Estaba presente en el acto un joven sueco que realizaba estudios de postgrado con Karl Weierstrass y a este joven le pareció que se le otorgaba poca importancia a los trabajos de Abel, que era su coterráneo si se tiene en cuenta que desde 1814 Noruega dependía de la corona sueca. Aquel joven quedó molesto con aquellas palabras irreverentes hacia Abel y cuando en el invierno del siguiente año (1875-76) se encontraba en Gotinga, que tenía una de las mejores bibliotecas de obras matemáticas, se decidió a hacer una investigación para poner en orden sus ideas sobre el tema de las funciones elípticas. No fue ninguna sorpresa para Gösta Mittag-Lefíler, que así se llamaba, verificar que según los documentos consultados era injusto el criterio tan categóricamente difundido en Alemania de “que los dos al mismo tiempo [...] estaban en posesión de la teoría de funciones elípticas"', en realidad Abel se había adelantado en varios años a Jacobi.
Mittag-Leffler se acordó de un profesor noruego de Cristianía que podía dejar aclarado el asunto. Inmediatamente escribió al profesor Cari Bjerknes (1825-1903) para pedirle que revisara los manuscritos y otros documentos de Abel, accesibles solo en Cristianía, y tratara de rectificar la injusticia. Bjerknes realizó un estudio profundo de la documentación conservada en la universidad sobre los trabajos de Abel y algún tiempo después le contestó a Mittag-Leffler:
“Al principio estaba un poco contrariado con su carta pues me parecía que Lid. era injusto con Jacobi. Poco a poco mis investigaciones me han conducido al resultado, para mi inesperado, que Ud. verá en mi exposición”.
Mittag-LefflerGösta Mittag-Leffler (1846-1927) nació en Estocolmo y estudió en la Universidad de Uppsala, la más antigua de Suecia. Perfeccionó sus conocimientos en París yBerlín y fue profesor en Estocolmo. Sus trabajos fueron principalmente sobre teoría de funciones complejas. Complemento la obra de sus maestros Weierstrass y Hermite y logro que Sofía Kowalevsky ocupase una plaza de profesora en la Universidad de Estocolmo. En 1882 creó la revista Acta mathematica que pronto ganó prestigio internacional sobre todo por su gestión como divulgadora de la matemática contemporánea. Fue presidente de honor de la Unión Internacional de Matemáticos desde 1924. En el centenario del nacimiento de Abel, Mittag-Leffler dedico un número de su revista a la conmemoración y redactó una breve biografía que se publicó en sueco (1903) y en francés (1907). Existe un instituto de investigación cerca de Estocolmo que lleva su nombre.
Cuatro años más tarde, Bjerknes envió a Mittag-Leffler un manuscrito con los resultados de sus investigaciones en forma de una biografía científica de Abel. Para Mittag-Leffler no fue muy difícil conseguir la edición y publicación en Estocolmo de aquella obra, que apareció con el título de Niels Henrik Abel. Panorama de su vida y su acción científica (1880). No pasaría mucho tiempo para que se tradujera al francés (1885) y se divulgara en la comunidad matemática occidental.

Carl Bjerknes
Esta biografía de Bjerknes fue durante mucho tiempo la obra más completa sobre la vida y la obra de Abel.
Por el contrario, el matemático alemán Leo Königsberger (1837-1921), admirador de la obra de Jacobi, y que había trabajado en el tema, publicó en 1879 sobre la historia de la teoría de las trascendentes elípticas en los años 1826-1829, donde pretendía probar que ambos contendientes tuvieron iguales objetivos y grandes logros, cada uno desde su punto de vista y metodología.
En este capítulo recogemos con la mayor objetividad posible los hechos reflejados en diferentes documentos, sobre todo cartas que involucran no solo a Abel y a Jacobi, sino a todos los que como Gauss, Legendre y más tarde, Weierstrass, también colaboraron en la construcción de la sólida teoría de las trascendentes elípticas. Nuestro interés principal no es demostrar la prioridad de Abel sino, sobre todo, presentar, de la forma más comprensible y escueta posible, cuáles fueron las aportaciones de cada uno y su significado desde el punto de vista contemporáneo.
Pero antes, trataremos de exponer sucintamente los aspectos matemáticos imprescindibles para valorar con justicia la obra de ambos.
§. Un difícil problema en apariencia sencillo
Desde los trabajos de Euler se ha considerado que el análisis matemático trata el estudio de las funciones. Pero ¿cuáles son las funciones más simples que estudia el análisis? Sin duda, las algebraicas.
Una función algebraica es una función y = f(x) que satisface la ecuación polinómica en las dos variables (x, y) siguiente:
Pn(x,y) = p0(x)yn + p1(x)yn-1 +…+ pn-1(x)y + pn(x) = 0 (*)
donde los pk(x), k = 0, 1, 2,...,« son polinomios de la variable x. Por ejemplo, las funciones:

están asociadas respectivamente a los polinomios siguientes:

A las funciones que no son algebraicas se les llama comúnmente funciones trascendentes. No es fácil probar que una función dada es trascendente. Para ello debe probarse que no existe ningún polinomio en dos variables del tipo (*) que la define. Se sabe que las funciones trigonométricas y sus inversas son trascendentes, así como las exponenciales y sus inversas, las logarítmicas. Estas son las funciones que se estudian en el bachillerato, además de las algebraicas; a todas ellas las llamamos funciones elementales.
Pero en análisis matemático nos hace falta manipular esas funciones elementales. Por manipular entendemos operar con ellas. ¿Con qué operaciones? Pues las operaciones que se admiten en los cálculos analíticos, como son las operaciones algebraicas: la suma, el producto, el cociente (siempre que sea posible), la composición y la inversión (siempre que sea válida). Y, por supuesto, también la derivación y la integración.
Como se puede comprobar directamente de la definición (*), las operaciones algebraicas y la composición y la inversión con funciones algebraicas producen funciones algebraicas, inclusive la función derivada de toda función algebraica es también una función algebraica. Pero existen funciones trascendentes cuyas derivadas son funciones algebraicas. Esto último es equivalente a decir que las integrales de las funciones algebraicas no siempre son funciones algebraicas.
Por ejemplo:

Pero también aparecen otras funciones, como por ejemplo:

Ni F(t), ni G(t), para k diferente de 0 y 1, son funciones elementales, no obstante ser las dos funciones subintegrales algebraicas y bastante sencillas.
Diferentes matemáticos, sobre todo a partir de la obra de Euler, buscaron demostrar qué integrales de funciones algebraicas son funciones elementales. Uno de los primeros resultados hallados fue que toda función racional R(x) = P(x)/Q(x), donde P(x) y Q(x) son polinomios, es integrable en funciones elementales. Concretamente, ya en el siglo XVIII, antes de Euler, se sabía que la integral de la función R(x), en todo intervalo que no contiene ceros del denominador Q(x), o es otra función racional, o un logaritmo o la función inversa de la tangente aplicada a una cierta expresión racional.
Euler demostró que la integral de toda expresión del tipo
![]()
donde, como antes, R denota una función racional, pero ahora de dos variables (x, y), ligadas por la relación algebraica
y2 = a0x2 + a1x + a2
es reducible con transformaciones algebraicas a la integral de una expresión racional P(x)/Q(x)
Por tanto, tales expresiones son integrables en funciones elementales. Por ejemplo:

resultado que el lector puede comprobar derivando las funciones del segundo término.
Enseguida Euler y otros matemáticos trataron de encontrar resultados semejantes para integrandos del tipo
![]()
cuando n es mayor o igual que 3.
Pero este tema resultó muy rebelde y no se dejó someter con las mismas mañas. Así que fue necesario precisar conceptos e introducir otras herramientas más efectivas.
§. La clasificación de los bichos admisibles
Si llamamos funciones admisibles a todas aquellas que se obtienen de las algebraicas usando solo las operaciones algebraicas, la composición, la inversión, y, además, las operaciones de derivación e integración aplicadas solo a funciones algebraicas, obtenemos todas las funciones conocidas en la enseñanza secundaria, las elementales... y muchas otras desconocidas.
Por ejemplo

es admisible, aunque no es algebraica, ni es elemental, mientras que

no es admisible porque la función subintegral no es algebraica.
La cuestión es ¿cuáles son estas otras funciones admisibles que no son elementales? ¿Qué propiedades las caracterizan? No hay que ser muy sagaz para darse cuenta que la clase de las funciones elementales es una clase muy restringida dentro de las funciones que hemos llamado admisibles. Y que una función admisible no elemental puede ser un bicho muy extravagante y grotesco. Por eso, tenemos que clasificar estos bichos y estudiar primero aquellos cuyas propiedades sean semejantes a los que ordinariamente ya conocemos como los bichos circulares (las funciones trigonométricas y sus inversas, relacionadas con el círculo unidad) o los bichos hiperbólicos (las funciones relacionadas con hipérbolas, como las logarítmicas y sus inversas, las exponenciales).
Ejemplos elementales de bicho circular asociado a la circunferencia x2 + y2 = 1 y de bicho hiperbólico asociado a la hipérbola zy = 1 son:

§. Otros bichos hiperbólicos
Sea

Se comprueba por derivación que

Por tanto,

Si restamos, término a término, la segunda igualdad de la primera, obtenemos:

A esta nueva función admisible se le llama seno hiperbólico. De forma similar se define el coseno hiperbólico:

Se comprueba fácilmente que cosh2(x) - senh2(x) = 1
A fin de cuentas, hemos definido el seno hiperbólico como la función inversa de la función integral

Aquí el integrando es una función racional simple

donde las dos variables están ligadas algebraicamente por la relación hiperbólica z2 - y2 = 1
Obsérvese la analogía con los bichos circulares, asociados a la relación circular z2 + y2 = 1
Entre los bichos admisibles más sencillos están las funciones elípticas que se obtienen por la inversión de las integrales elípticas.
Una integral elíptica es una integral de la forma ∫R(x,y)dx, donde R es una función racional de las variables x, y, ligadas algebraicamente por y = √P(x), donde P(x) es un polinomio de grado 4 (ó 3) sin ceros múltiples. Es claro que R(x,y) es una función algebraica.
La longitud de un arco de elipseEl nombre de integr al elíptica se relaciona con el problema de la rectificación de un arco de elipse, en él aparece un caso simple de este tipo de integral:
donde a y b son los semiejes de la elipse.
El cálculo de la longitud de un arco de elipse fue intentado por Wallis en 1655. Al resistirse la integral al cálculo en funciones elementales, Newton (1669), Euler (1733) y Maclaurin (1742), entre otros, usaron desarrollos en series de potencias de la función algebraica para hallar valores numéricos aproximados de la función integral
§. Las funciones lemniscáticas
Las integrales elípticas son las integrales de funciones algebraicas más simples que no son expresables en términos de funciones elementales, son las funciones admisibles más cercanas a las circulares e hiperbólicas y tienen muchas propiedades semejantes a éstas. Además de encontrarse en problemas que se reducen a la rectificación de arcos de elipses e hipérbolas, tales integrales se encontraron en diferentes problemas tratados en los inicios del cálculo, como en el problema de la determinación del periodo de un péndulo simple, en la determinación de la llamada curva elástica y en algunos de los famosos desafíos lanzados por geómetras de la época. Jacob Bernoulli, por ejemplo, atendiendo un desafío de Leibniz de 1689, encontró que la longitud de un arco de lemniscata puede expresarse por la llamada integral lemniscática


λ(x) es una integral trascendente elíptica manipulable mucho mejor que la obtenida en la rectificación de la elipse. A la función inversa sl (y) de esta integral lemniscática se le llama seno lemniscático por analogía con el seno circular.
Numerosas propiedades de las integrales elípticas fueron encontradas, en primer lugar, para la integral lemniscática y después extendidas a integrales elípticas más generales.
Consideremos la lemniscata canónica, que en coordenadas polares se expresa por:
r2 = sen 2θ, 0 < θ < 2π
Si la longitud de la lemniscata es 2w entonces el número

mide un cuarto de la longitud de la lemniscata canónica y
sl(ω/2) = 1
Euler encontró 6 cifras decimales de este número, Gauss encontró 24, pero que este número es trascendente, como

solo se pudo demostrar en 1930.
Dada la definición de ω y la característica de la lemniscata canónica, el seno lemniscático tiene periodo 2ω. En el intervalo 0 < y < 2ω, la función asume todos los valores del intervalo [-1,1] y además, sl(y) es impar.
También, por analogía con las circulares, se define el coseno lemuiscático
![]()
Por tanto:
![]()
El coseno lemniscático es de periodo 2ω pero, a diferencia del seno lemniscático, es par.
Aunque varios sabios del siglo XVIII se interesaron por las integrales elípticas, las obras que influyeron decisivamente en Abel y Jacobi son las de Euler y Legendre. Los resultados más importantes que halló Euler son conocidos como fórmulas de adición para las integrales elípticas.
Leonhard Euler, además, generalizó para las integrales elípticas muchos de los resultados hallados anteriormente para el caso de la integral lemniscática y trató de extender sus resultados a casos en que bajo el radical se tienen polinomios de grado superior a cuatro, pero sus métodos no eran generalizables. Euler llamó la atención sobre la analogía entre las integrales elípticas y las integrales para las funciones trigonométricas inversas. Sin embargo, Euler en ningún momento trató con las inversas de aquellas funciones definidas por integrales elípticas.
El siguiente paso hacia la sistematización de una teoría será dado por Legendre, quién, motivado por los trabajos de Euler, se dedicará a forjar la obra definitiva sobre integrales elípticas.
Fórmulas de adición para funciones circulares, hiperbólicas y lemniscáticasLas fórmulas de adición expresan algebraicamente el valor de la función de la suma de dos argumentos a través de los valores de esta misma función para cada uno de los sumandos, por ejemplo:
Para el seno circular:Para la función exponencial¿Y puede alguien viajar con la misión de sol
exp(𝛼 + 𝛽) = exp(𝛼)× exp(𝛽)
Para el seno hiperbólico:Para el seno lemniscático:
Obsérvese que, a diferencia de las formulas de adición para el seno circular y el seno hiperbólico, en el caso del seno lemniscático aparece un denominador que se anula para ciertos valores de α y β que, por tanto, deja de definir en tales puntos a la función sl(α). Esta es una característica general de las funciones elípticas que será explorada por Abel y por Jacobi.
En 1793 se publica en París la “Memoria sobre las trascendentes elípticas de Legendre", donde se clasifican las integrales elípticas en tres tipos canónicos:

Donde los parámetros cumplen 0 < φ < π/2, 0 < k < 1
Se le llama a φ amplitud de la integral y a k su módulo.
Legendre demostró que toda otra integral elíptica puede reducirse, a través de operaciones algebraicas o por composición de cambios de variables, a una combinación algebraica de los tres tipos canónicos. Es decir, que el estudio general de las integrales elípticas se puede restringir a investigar las propiedades de estos tres tipos canónicos.
Los resultados de Legendre se expusieron de forma extensa y sistemática en sus Ejercicios de cálculo integral en tres volúmenes (1811, 1817 y 1826) y en su obra principal, el Tratado de las funciones elípticas en 2 gruesos volúmenes aparecidos en 1825 y 1826 respectivamente. Este tratado resume la obra de todos sus predecesores, enuncia una cantidad increíble de resultados originales y se presenta con un orden riguroso y didáctico.
Resultados de Gauss sobre funciones lemniscáticas en el plano complejoEl lector debe aceptar que también es aplicable, a integrales de funciones algebraicas la conocida regla de sustitución de la variable bajo el signo integral, lo cual no es cierto para cualquier tipo de sustitución, pero es válido en los casos simples que veremos a continuación: sea
si hacemos la sustitución t = - iw, es decir w = it, obtenernos dt = - idw
Si pasamos a las funciones inversas deducimos:
[z = sl(y), iz = sl(iy)] → [sl(iy) = isl(y)]
Utilizando la fórmula de adición para el seno lemniscático,
obtenemos:
donde u = sl(x) y v = sl(y)La fórmula similar del seno circularse deduce fácilmente si recordamos las propiedades de las funciones hiperbólicas:
si comparamos ambas fórmulas, enseguida encontrarnos dos diferencias fundamentales:
1. El sen(x + iy) es una función entera, es decir no tiene singularidades en ningún punto del plano complejo, mientras que sl(x + iy) se define por un cociente cuyo denominador se anula en infinitos puntos, donde u = ± 1 y v = ± 1. Estos puntos se llaman polos y a la función seno lemniscático por tener solo tales singularidades en el plano complejo se le dice meromorfa, del griego mero (fracción) y morfa (forma), es decir con forma de fracción.
2. La función seno circular tiene solamente un periodo primitivo 2π. En cambio, la función seno lemniscático tiene tanto el periodo real 2ω como el periodo imaginario 2iω como primitivos independientes, y se demuestra que cualquier combinación del tipo 2mω + n(w + iω) para m y n números enteros es un periodo (además, que estos son los únicos periodos del seno lemniscático).
Sin embargo, Legendre no consiguió comprender lo necesario para dar el salto cualitativo correspondiente: la consideración de las funciones inversas de las funciones integrales.
Algunos historiadores dicen que Euler ya se percató de la mayor importancia de las inversas de las integrales elípticas, pero hasta ahora parece ser Gauss el primero en darse cuenta de considerar estas funciones inversas. Sin embargo, como era su costumbre, Gauss no se preocupó de difundir sus resultados.
Como aparece en su Diario, en 1797, con solo 19 años, Gauss definió el seno y coseno lemniscáticos no solo para valores reales sino también para valores complejos. Pero estos resultados, y otros similares, se publicaron solo después de su muerte en 1855 y no tuvieron, al menos al principio, ninguna influencia en la constitución de la teoría de funciones elípticas.
Los que ganarán el mérito de abrir una nueva línea de investigación con funciones admisibles especiales, las funciones inversas de las integrales elípticas, serán Niels Abel y Carl Jacobi. Como mérito de Legendre debemos anotar que cuando supo de los trabajos de ambos, los elogió con mucha humildad y escribió tres suplementos a su Tratado de las trascendentes elípticas en los que describió con admiración las nuevas Ideas.
En resumen:
Las funciones elípticas son las inversas de las trascendentes

integrales definidas por donde R(x, y) es una función racional de las dos variables y los coeficientes a1 son tales que a0 o a1 son diferentes de cero y el polinomio subradical no tiene raíces dobles. Según los documentos conservados, y conocidos hasta el momento, antes que Abel y Jacobi, solo Gauss trató las funciones elípticas, sobre todo en un caso particular: el seno y el coseno lemniscáticos, funciones inversas de las integrales lemniscáticas del tipo

Estos trabajos de Gauss eran desconocidos tanto por Abel como por Jacobi, que se basaron fundamentalmente en los trabajos de Euler y Legendre.
Además, tanto Abel como Jacobi se interesaron no solo por establecer una teoría general de las funciones elípticas, sino también por extender esta teoría a integrales hiperelipticas, es decir aquellas donde el polinomio subradical es de grado mayor que 4. A estas integrales hiperelípticas, y a sus funciones inversas, suele llamárseles hoy integrales abelianas y funciones abelianas a propuesta del propio Jacobi como justo homenaje a quien primero las estudió en profundidad.
¿Pero cómo se construyó esta teoría? ¿Cuáles fueron las aportaciones principales de Abel y Jacobi? ¿En qué momento lo hicieron? ¿Qué significado tienen hoy sus logros? A responder a estas preguntas nos dedicaremos a continuación.
§. Abel versus Jacobi
Recordemos que en 1821 Abel creía haber encontrado la fórmula de solución de la quíntica y que los profesores de matemáticas de Cristianía no consiguieron detectar el error y decidieron enviar el trabajo a Copenhague, donde residía el matemático más prestigioso de Escandinavia, Ferdinand Degen. Fue éste quien primero le recomendó a Abel estudiar las trascendentes elípticas en lugar de continuar con la quíntica, asunto que Degen consideraba muy árido y poco estimulante. El mismo Degen le entregó un manuscrito con un teorema que había encontrado sobre la trasformación de las integrales elípticas.
La primera referencia a resultados propios de Abel la tenemos dos años después, en una carta a Holmboë de agosto de 1823. En ella dice que con la ayuda de Degen ha encontrado un error en una pequeña memoria que trata sobre las funciones inversas a las trascendentes elípticas (memoria que no es publicada mientras vive Abel pero que se ha incluido en la segunda edición de sus Obras completas).
Pasados otros dos años, precisamente en agosto de 1825, poco antes de partir de viaje a Alemania y Francia, Abel comunica a Hansteen que la parte principal de la teoría de las trascendentes elípticas está preparada para su publicación.
Durante el viaje, en abril de 1826, Abel le dice a Holmboë que en su estancia de un mes en la tranquila Freiberg, en Sajonia, ha redactado una memoria con sus ideas sobre las funciones elípticas y que la espera publicar en París.
De nuevo volvemos a oír hablar de la “Memoria” en una carta a Holmboë del 24 de octubre de 1826. Aquí dice que la ha entregado a Cauchy y que éste la ha mirado desdeñosamente sin decir palabra. El 30 de octubre es presentada en París por Fourier la monografía de Abel “Memoria sobre una propiedad general de una clase muy amplia de funciones trascendentes”. Son casi 70 páginas de resultados, con sus respectivas demostraciones, que, como hemos dicho anteriormente, tuvieron un destino muy errante, y no se publicarían hasta 1841.
Como parece ser su punto de vista desde el comienzo de sus investigaciones originales, Abel pone énfasis en el caso más general de integrales, que hoy se llaman integrales abelianas. Éstas son las integrales de la forma ∫R(x,y)dx, donde R es una función racional de dos variables (x,y) ligadas por una ecuación algebraica general
a(x,y) = yn + p1(x)yn-1 +...+ pn-1(x)y + pn(x) = 0
Abel logró establecer un teorema de adición que generaliza de manera natural el enunciado que había dado Euler para las integrales elípticas. Después de exponer los principios generales de la teoría estudia el caso particular de las integrales hiperelípticas,
a(x,y) = y2 – P(x)
donde P(x) es un polinomio de grado arbitrario siempre mayor que 4 (tomo 1 de las Obras completas, pp. 444-456).
La primera publicación de los logros de Abel, redactada después de la “Memoria” antes mencionada, y su obra más importante sobre las funciones elípticas, es “Investigaciones sobre las funciones elípticas”, publicada en dos partes. En una carta a Holmboë de marzo de 1827, estando en Berlín, le dice que tiene terminada la primera parte de más de 120 páginas y que la entregará a Crelle para su revista. Al fin se la entrega en mayo y aparecerá publicada en septiembre. Esta es la primera vez que encontramos publicado el principio de inversión que, aparentemente y según nos dice Bjerknes, dominaba al menos desde 1823.
Jacobi, por su parte, ha dado sus primeros pasos en la teoría de las trascendentes elípticas bastante más tarde, en marzo de 1827, según se deduce de una carta enviada a Legendre el 9 de septiembre de 1828, donde le dice: “Estoy un poco causado de este tema que me ha ocupado durante 18 meses casi todo el día y la noche”. Afortunadamente se repuso rápidamente del cansancio, pues este tema será muy frecuentado por Jacobi durante casi 20 años, hasta poco antes de su muerte en 1851.
Fue también en septiembre de 1827, el mismo mes en que apareció la primera publicación de Abel, cuando en unas “Notas sobre las trascendentes elípticas” publicadas en el Journal de Schumacher, Jacobi anunció públicamente sus logros. Es solo una página y no tiene demostraciones. Según aparece señalado, Jacobi lo envió el 13 de junio y prometió enviar las demostraciones en otro artículo posterior. Lo cumple dos meses después, en agosto, pero no aparece publicado hasta diciembre con el título “Sobre las transformaciones racionales de las trascendentes elípticas”. Son 8 páginas contando a las demostraciones. La idea de la inversión está implícita, pero no expuesta con la merecida importancia.
El primer trabajo de Jacobi debe haber llegado a Cristianía no antes de octubre o noviembre y el segundo, por las condiciones climáticas del invierno nórdico, no antes de abril de 1828. Abel no sospechaba del duelo de ideas que se había iniciado entre él y Jacobi. Por consiguiente, no se sintió apremiado en la publicación de la segunda parte de sus “Investigaciones...” y no la envió a Crelle hasta el 12 de febrero de 1828. En el tiempo transcurrido entre la primera y la segunda parte, Jacobi, además de su memoria de diciembre, escribió una cortísima nota de una página con fecha 25 de enero 1828, “Suplemento a la memoria de Abel”, cuyo objetivo es hacer una simplificación en la transformación usada por Abel.
En abril de 1828 Abel es ya consciente de la competencia con Jacobi sobre el tema de las funciones elípticas y por eso decide enviar rápidamente a Crelle todos sus resultados. Lo primero que hace, el 20 de abril, es enviar a Schumacher un artículo que considera mortificará a Jacobi porque expone en forma más clara y exhaustiva los resultados sobre las transformaciones que este había anunciado en el Journal de Schumacher. Este importante trabajo se titula “Solución de un problema general concerniente a la transformación de las funciones elípticas”. Más adelante envía un suplemento de 12 páginas “Suplemento a la memoria anterior”. En total 37 páginas donde expone detalladamente sus métodos de transformación de funciones integrales y de sus inversas.
Por su parte, Jacobi, aunque ya en el artículo de diciembre 1827 había publicado sus ideas sobre la consideración de las funciones elípticas como inversas de las integrales, no es hasta 1829 cuando publica su obra clave Nuevos fundamentos de las funciones elipticas, que se convertirá rápidamente en una referencia clásica sobre este tipo de funciones.
Las funciones elípticas sn, cn y dn de Jacobi
Jacobi. en sus Nuevos fundamentos de las funciones elípticas, introdujo para la amplitud la notación φ = am u y definió
y
Estas notaciones serian abreviadas y usadas hasta hoy corno símbolos de las funciones elípticas, a veces con el apellido de Jacobi:
sn u = sen φ, cn u = cos φ, dn u = Δ(φ,k)
Para ellas se cumplen las relaciones fundamentales:
sn2 u + cn2 u = 1
dn2 u + k2sn2 u = 1
De esta manera se definen para valores reales las funciones elípticas sn, cn y dn.
Abel no la pudo leer porque apareció cinco meses después de que entrara en la fase crítica de su tuberculosis y seis semanas después de su muerte. Pero si hubiera podido leerla seguro que la hubiera valorado justamente pues tenía en alta estima la obra de Jacobi: el único que ha sabido comprenderme. Además, los Nuevos fundamentos de las funciones elípticas comienzan con un elogio a Abel, atribuyéndole con honestidad las fórmulas de adición y de multiplicación y remitiendo al lector a “Investigaciones sobre las funciones elípticas” publicada en el Journal de Crelle. Como un eco de las palabras pronunciadas por Legendre con relación a Abel, lo califica como “nostra laude majore”.
La siguiente idea, desarrollada en primer lugar por Abel, fue definir las funciones elípticas para valores complejos. Para ello, faltaba tener fórmulas de adición similares a las encontradas por Euler para las integrales elípticas. Según Bjerknes, Abel estaba en posesión de estas fórmulas a finales de 1824, o como máximo en 1825, antes de su viaje por Europa, y lo demuestra en su memoria de París, pero al no haber sido publicada no tenía valor en su duelo con Jacobi. Así que Abel necesitaba publicar las fórmulas de adición para las funciones inversas de las trascendentes elípticas.
Como señalamos arriba, Abel está gravemente enfermo. Guarda reposo y en periodos intermitentes de mejoría trabaja obsesivamente, como si supiera que no le queda mucho de vida. En tales condiciones envía a Crelle cuatro artículos más que se publican entre septiembre y diciembre de 1828 y otros tres entre febrero y abril de 1829. El último de ellos es la ampliación de una parte de la memoria perdida en París.
En la que sería su última morada en Froland, ya bastante debilitado por su mortal enfermedad, logra hacer la redacción final y enviar a Crelle, exactamente el 6 de enero de 1829, la fórmula de adición debidamente demostrada y le dice:
Me propongo desarrollar en otra ocasión las numerosas aplicaciones de este teorema, que mostrarán la naturaleza de estas junciones trascendentes.
Este artículo se conoce como el testamento científico de Abel y se titula “Demostración de una propiedad general de una cierta clase de funciones trascendentes”.
Pero Abel no ceja de batallar y continúa con un compendio de la teoría general de las funciones elípticas e hiperelípticas. No sabemos cuando lo culminó o si realmente fue su amigo Holmboë quién reunió sus notas dándoles la redacción final para que saliera publicado en los números 3 y 4 del Journal de Crelle, es decir entre septiembre y diciembre de 1829, varios meses después de la muerte de Abel. Son más de 100 páginas de resultados bajo el título de “Resumen de una teoría de las funciones elípticas" que, según el matemático francés Charles Hermite, representaría para sus seguidores trabajo para un siglo.
La doble periodicidad de las funcionesDesarrollamos con la notación actual, que no es de Abel ni tampoco de Jacobi, algunas de las ideas principales de Abel en el caso del seno elíptico definido como la función inversa de
Primero Abel halló, la fórmula de adición del seno elíptico para u y v reales:
Después encontró la fórmula para valores imaginarios
A partir de estas fórmulas encuentra sn(u + iv):
Con mucha habilidad de cálculo Abel encuentra uno de los resultados principales de la teoría de las funciones elípticas. A semejanza de las funciones circulares, las funciones elípticas son periódicas pero, a diferencia de aquellas, sus periodos son dos, uno en la dirección del eje real y otro en la dirección del eje imaginario (como ocurre en particular con las funciones lemniscáticas). Abel halla las relaciones de periodicidad siguientes:
k’ es un número tal que k’2 + k2= 1, 0 < k’< 1. Los números reales K y K’ expresan la periodicidad de estas funciones cuando la variable toma valores reales o imaginarios puros respectivamente. Realmente cualquier número complejo de la forma 4Km + 2iK’n, donde m y n son enteros cualesquiera, es un periodo del seno elíptico y se demuestra que tales números abarcan todos los periodos posibles de sn(u). Los períodos 4K y 2iK' se denominan periodos primitivos, ya que cualquier otro periodo se expresa como combinación en enteros de ellos. Análogamente, se puede demostrar que cn(u) es una función con los periodos primitivos 4K y 2K + 2iK’ mientras que dn(u) tiene los periodos primitivos 2K y 4iK’.
El resultado fundamental de Abel se enuncia diciendo que todas las funciones elípticas son doblemente periódicas en el campo complejo. Luego es suficiente estudiarlas en un paralelo- gramo del plano. Pero Abel no se detuvo aquí en sus estudios de las propiedades de las funciones elipticas, también encontró todos los ceros y las singularidades de las mismas. Es decir, halló los puntos del plano complejo donde estas funciones se anulan y donde dejan de ser continuas y demostró que las únicas singularidades son de tipo polar, es decir, que las singularidades son puntos en cuya vecindad la función tiende a oo, tales puntos se llaman polos. A las funciones de variable compleja que solo tienen singularidades de tipo polar en el plano complejo se les llama meromorfas. Así que, si usamos la terminología actual del análisis complejo, Abel probó que las funciones elípticas son funciones meromorfas, doblemente periódicas.
Posteriormente, el matemático francés Joseph Liouville redondeará estos resultados de Abel, junto a otros de Jacobi en una elegante teoría de funciones complejas especiales.
Es cierto que muchos de los resultados de Abel fueron encontrados por Jacobi de manera independiente, aunque no simultánea, y que ambos mantuvieron una amistosa competencia en la obtención de otras relaciones análogas a las conocidas para las funciones circulares. Pero la prematura muerte de Abel en 1829 cedió el paso a Jacobi, quién pronto se hizo famoso por la maestría que mostraba en sus conferencias sobre funciones elípticas. En su favor hemos de decir que siempre se preocupó de que a Abel le otorgaran el mérito correspondiente y que abrigó la esperanza de que la Universidad de Berlín le concediera a Abel una plaza de profesor, pero cuando lo logró fue demasiado tarde.
En una carta a Legendre del 14 de junio de 1829, Jacobi se refiere a Abel:
"Pocos días después del envío de mi última carta he conocido la triste noticia de la muerte de Abel. Nuestro gobierno le había llamado a Berlín, pero la llamada no lo ha encontrado entre los vivos. ¡Ha sido cruelmente frustrada la esperanza que yo había concebido de encontrarle en Berlín! Los vastos problemas que él se había propuesto de establecer criterios necesarios y suficientes para que una ecuación algebraica cualquiera sea resoluble, de que una integral cualquiera pudiese ser expresada en cantidades finitas, su invención admirable de la propiedad general que engloba a todas las funciones que son integrales de funciones algebraicas, etc., etc., marcan un género de cuestiones muy originales que nadie antes de él había osado imaginar. Él se ha ido ¡pero nos ha dejado un gran ejemplo!”
Por su parte, después de los Nuevos fundamentos..., Jacobi decide emprender un viaje parecido al de Abel, primero a París, donde conoce personalmente a Legendre y después a Gotinga, donde se encuentra con Gauss. Éste, a través de los artículos que le enviaba su amigo Schumacher, conocía la obra de Jacobi, pero se expresa siempre con reservas hacia ella, dándole mayor mérito a los trabajos de Abel.
Trabajos post-mortem de AbelDespués de su muerte, los trabajos de Abel sobre las trascendentes abelianas continuaron publicándose con la colaboración de Holmboë y Crelle. Fueron publicados los siguientes:
1832. “Consideraciones generales sobre las transcendentes abelianas”. Journal de Crelle, 3.
Proviene de un manuscrito inédito donde Abel, en sus pocos últimos momentos de sosiego, recoge algunos de los resultados de la Memoria de París para que no se pierdan con su muerte.1835. “Sobre las funciones tetraperiódicas de dos variables a las cuales conlleva la teoría de las funciones trascendentes abelianas”. Journal de Crelle, 2.
Aquí demuestra que una función elíptica no puede tener más de dos periodos independientes y que su cociente es un número imaginario puro. Además trata la generalización del teorema de adición para funciones hiperelípticas.1839. Teoría de las trascendentes elípticas.
Recopilación de manuscritos inéditos de 1823-1825, bajo la redacción de Holmboë, para las Obras completas. En ella se desarrolla sobre todo la teoría de las transformaciones y se estudian exhaustivamente las reducciones de integrales elípticas. En particular se demuestra que los tres tipos de integrales canónicas de Legendre no se reducen una a la otra y que las integrales elípticas no se pueden calcular por medio de funciones algebraicas o por logaritmos de tales funciones. Valga notar que unos años antes, en 1833, Liouville había conseguido demostrar que las integrales elípticas no se pueden calcular por funciones elementales, algo de lo que todos los matemáticos estaban convencidos pero que ninguno había publicado, Abel y Jacobi tampoco.1841. “Memoria sobre una propiedad general de una clase muy amplia de las funciones trascendentes”.
Por fin se publica la que podía haber sido la consagración de Abel como fundador indiscutible de la teoría de funciones elípticas e hiperelípticas en 1826.
Jacobi regresará a Königsberg en la primavera de 1830 y continuará sus investigaciones. Así se publican 3 artículos en 1831 sobre la multiplicación y la división de funciones elípticas. A partir de 1832 Jacobi trabaja con las integrales hiperelípticas llamándolas integrales abelianas y al teorema de adición correspondiente teorema de Abel, en memoria de su rival desaparecido.
La aportación principal de Jacobi serán las llamadas funciones theta que introduce, al menos desde 1835, como medio auxiliar para representar todas las funciones elípticas. Ya hemos apuntado antes que la representación para las funciones elípticas es como una fracción racional, una función meromorfa, es decir, como un cociente de dos polinomios de grado infinito. Pues a ciertos polinomios particulares que conforman el numerador y el denominador de las funciones elípticas, son los que Jacobi llamó funciones dieta. Jacobi hedió las representaciones en serie de potencias de estas funciones theta y con solo cuatro de ellas logró construir las representaciones analíticas de todas las funciones elípticas. Su trabajo, basado en ideas desarrolladas en teoría de números por Euler, alcanzó gran notoriedad y fue continuado posteriormente por otros profesores alemanes. Esta forma de trabajo analítico, muy apegada a resultados de teoría de números, es algo característico de las investigaciones dentro del contexto universitario neohumanista alemán.
No nos detendremos aquí en el estudio de tales relaciones con la teoría de los números que, aunque muy importantes para comprender el desarrollo ulterior de la teoría de funciones abelianas y sus aplicaciones, nos alejarían de nuestros objetivos. Digamos solamente que el estudio de las muy diversas formas de funciones theta para las diferentes funciones abelianas constituyó una de las principales actividades de los matemáticos del siglo XIX.
En un importante artículo publicado en la revista de la Academia de París basado en las brillantes clases sobre funciones elípticas impartidas en Berlín desde 1836, Jacobi demostró que toda función de una variable compleja (no solo las elípticas) que para cualquier valor del argumento tiene el comportamiento de una función racional, no puede tener más de dos periodos primitivos independientes y el cociente de los dos periodos primitivos es necesariamente un número imaginario puro. Este descubrimiento abrió una nueva dirección de trabajo sobre el estudio general de las funciones de una variable compleja doblemente periódicas, clase a la que en particular pertenecen las funciones elípticas.
Basándose en las ideas de Abel y Jacobi, Liouville desarrolló una teoría muy general de las funciones elípticas. Liouville prueba que toda función elíptica no constante debe tener al menos dos polos y que una función entera (sin polos, como un polinomio) doblemente periódica era necesariamente una constante. Concluye de ahí que una función meromorfa doblemente periódica tiene al menos dos polos o un polo doble en el paralelogramo de los periodos. Aunque estos logros de Liouville no serían publicados hasta 1879, ejercieron una fuerte influencia, principalmente en Charles Hermite (1822- 1901) que hizo notables aportes tanto a la teoría general como a sus aplicaciones. Con estos resultados la teoría de las funciones elípticas será considerada como parte de la teoría general de las funciones meromorfas doblemente periódicas en el plano complejo.
Valga aclarar que ni Abel ni Jacobi, ni tampoco Liouville, utilizaron en sus razonamientos la teoría ya elaborada por Cauchy sobre las funciones de variable compleja. Cauchy sentenció, al conocer de los trabajos de Liouville, que con el uso de su teoría todos estos resultados se hubieran obtenido de forma inmediata;
pero esto no era completamente válido. Los intentos de sistematizar y generalizar la teoría de funciones elípticas estimularon la introducción de nuevos enfoques muy diferentes a los de Cauchy.
LiouvilleJoseph Liouville (1809-1882) culminó sus estudios académicos en l'École Polytechnique (1827) y en la Escuela de Puentes y Caminos (1830) de París. Trabajo varios años como ingeniero y en 1833 comenzó a trabajar como profesor en l’École Polytechnique.
Sus intereses matemáticos fueron vastísimos: teoría de números, formas cuadráticas, geometría diferencial, funciones elípticas, teoría de funciones complejas, ecuaciones diferenciales, problemas de contorno y mecánica analítica, entre otros temas. Publicó cerca de 400 trabajos.
Es famoso por su demostración de la existencia de números trascendentes y por los estudios sobre problemas de valores propios. En 1836 fundó y edito durante muchos años una de las primeras revistas especializadas: la Revista de matemáticas puras y aplicadas, conocida como el Journal de Liouville. Fue el primero en reconocer la obra de Galois y publicarla en su Journal.
Tales fueron las ideas aritméticas de Weierstrass para el tratamiento de las funciones abelianas y las originales ideas geométricas de Riemann, que abrieron nuevas direcciones en la importante teoría de las variedades abelianas.
§. Las cartas tienen la palabra
Cuando Crelle recibe los primeros artículos de Abel y Jacobi sobre las funciones elípticas recuerda comentarios sobre los trabajos de juventud de Gauss sobre el tema y se dirige a este alertándole y a la vez brindando su Journal para la publicación. Gauss le contesta con relativa rapidez y, sin referirse a los trabajos de Jacobi, destaca su reconocimiento de los trabajos de Abel:
Carta de Gauss a Crelle, 12 de marzo de 1828:
“Otros asuntos me impiden por el momento redactar mis investigaciones. Abel ha tomado la delantera sobre mí al menos por un buen trecho. Él ha seguido exactamente la misma vía por la cual yo había entrado en 1798. Tampoco es asombroso para mi que haya llegado en la mayor parte a los mismos resultados. Como él ha demostrado sobradamente en sus deducciones tanta destreza, profundidad y elegancia, yo me considero, desde entonces, liberado de la obligación de redactar mis propias investigaciones”.
Abel siente por Legendre una enorme admiración. Es a él, junto con Cauchy, a quién se designa para valorar la famosa Memoria de París. Abel, que precisa del dictamen sobre su Memoria, piensa en varias ocasiones en escribir a Legendre, pero su timidez y el gran respeto que le profesa al ilustre sabio lo refrenan. Quién atrae la atención de Legendre sobre la obra de Abel es precisamente Jacobi. En cuanto Legendre conoce los primeros trabajos publicados por Abel, escribe a Crelle elogiando su originalidad. Crelle se lo comunica a Abel, quien al fin se decide a escribirle exponiendo sus logros, aún no publicados, que aparecen en la Memoria. La respuesta tarda, pero llega:
Carta de Legendre a Abel, 25 de octubre de 1828:
“El final de vuestra carta me sorprende por la generalidad que Ud. ha sabido dar a sus investigaciones sobre las funciones elípticas y así mismo sobre unas funciones aún más complicadas. He tardado mucho tratando de ver los métodos que lo han conducido a tan bellos resultados; yo no sé si podré comprenderos pero lo que es seguro es que todavía no tengo ni idea de los medios que Ud. ha podido emplear para vencer tamañas dificultades. ¡Qué cabeza ésta la de tan joven noruego!”
Abel apreciaba la obra de Jacobi y decía que su rival era el único que realmente lo había comprendido. Jacobi, no obstante su carácter arrogante, también admiró y valoró con justicia a Abel.
Carta de Jacobi a Legendre, 15 de septiembre de 1828:
“Seguramente, habrá recibido Ud. dos memorias del señor Abel, la primera en el Journal de Crelle y la otra en las Noticias astronómicas de Schumacher [...] La segunda memoria, publicada en la revista del señor Schumacher n° 138, contiene una deducción rigurosa de los teoremas de transformación cuya falta se hace sentir en mis anuncios sobre el mismo tema. Ella está por encima de mis elogios, tanto como está por encima de mis propios trabajos"
Es tanto el impacto que le causa esta memoria que se refiere a ella de nuevo un mes después, en carta ahora a Crelle.
Carta de Jacobi a Crelle, 7 de octubre de 1828:
“Considero la memoria de Abel incluida en las Noticias astronómicas [Journal de Schumacher] bajo el título de “solución, etc.” como una de las más bellas obras maestras de las matemáticas”
Y cuándo conoce los resultados de Abel sobre integrales hiperelípticas que estaban desarrollados completamente en la Memoria de París no publicada, enseguida se dirige a Legendre reprochándole.
Carta de Jacobi a Legendre, 14 de marzo de 1829:
“¡Que descubrimiento del señor Abel esta generalización de la integral de Euler![...] Pero, ¿cómo es posible que este descubrimiento, que puede ser el más importante que se haya hecho en las matemáticas en este siglo que vivimos, habiendo sido comunicado a vuestra Academia hace más de dos años, haya podido escapar a la atención de Ud. y de sus colegas?"
A la muerte de Abel muchos de los que le conocieron mostraron su consternación al enterarse a través de los medios de comunicación, que por cierto entonces no eran muy expeditos. En particular, Gauss, el príncipe de los matemáticos, fue informado tardíamente.
Carta de Schumacher a Gauss, 12 de mayo de 1829:
“Ud. ha visto sin duda en los periódicos que Abel ha muerto, Legendre ha publicado un segundo suplemento y en el prefacio se refiere a Abel de manera que se puede interpretar que está por debajo de Jacobi. Yo sé de Ud. que se debe considerar precisamente lo contrario".
Y la reacción no se demora:
Carta de Gauss a Schumacher, 19 de mayo de 1829:
“La muerte de Abel, que yo no he visto anunciada en ningún periódico, es una tremenda pérdida para la ciencia. si por azar se imprime o pudiera imprimirse alguna cosa sobre las circunstancias de la vida de esta cabeza eminentemente distinguida y cayera entre sus manos, le ruego que me lo comunique inmediatamente. Yo desearía también tener su retrato si fuera posible encontrarlo. [Wilhelm von] Humboldt, con quien he hablado de él, tenía el profundo deseo de hacer de todo con tal de traerlo a Berlín".
Pasan algunos años y Crelle le pide a Jacobi que haga un artículo sobre la obra de Legendre para el Journal donde se refleje objetivamente lo que se debía a Abel. Jacobi, que valoraba muy alto el significado de la obra de Abel sobre las integrales hiperelípticas, le contesta:
Carta de Jacobi a Crelle, 22 de abril de 1832:
‘Legendre da a la trascendentecuando P pasa el cuarto grado el nombre de hiperelíptica. Nos gustaría mejor llamarla
trascendente abeliana, puesto que Abel fue el primero en introducirla
en el análisis y además muestra su gran importancia en un amplio teorema. A este mismo teorema, como el más bello monumento a este
espíritu extraordinario, bien se le debía atribuir el nombre de teorema
de Abel. [...] Ya que este teorema enuncia en una forma simple, sin
ningún aparato de cálculo, el más profundo y el más amplio pensamiento matemático, lo consideramos el mayor descubrimiento de nuestro tiempo, aunque solo un trabajo futuro, en un porvenir que puede ser lejano, logrará esclarecemos toda su importancia”.
No tuvo que pasar mucho tiempo para que la magnificencia de
la herencia matemática de Abel y Jacobi fuera no solo elogiada, sino
también depurada por muchos ilustres matemáticos. Hemos mencionado antes a Liouville y Hermite en Francia y en Alemania a Riemann y Weierstrass. Precisamente de quien se considera uno de los mejores intérpretes de las bondades de la teoría de funciones elípticas, nos gustaría exponer una valoración de ambos 40 años después que sus principales trabajos fueran difundidos. Se trata de un fragmento de una carta que Weierstrass escribió a su alumna rusa Sofía Kowalevsky a propósito de una rencilla con otro profesor.
Carta de Weierstrass a Sofía Kowalevsky 15 de abril de 1873:
"Hay en él un defecto, que encontramos en muchos hombres muy inteligentes [...] y es que no poseen suficiente imaginación (quizás debería decir mejor fantasía); y es cierto que un matemático que no es un poco poeta, no será jamás un matemático completo. Las comparaciones son instructivas: la mirada que lo abarca todo, que se dirige hacia las alturas, hacia lo ideal, destaca a Abel como superior a Jacobi... de una forma sobresaliente".
No cabe duda de que Abel mostró con creces su capacidad para encontrar la esencia de las cuestiones y, abstrayéndose de todo lo superfluo, generalizar y forjar algo nuevo, más potente, y esto supo expresarlo de la manera más precisa y concisa, ¡como hacen los poetas!
Esto también fue señalado por Mittag-Leffler en el centenario del nacimiento de Abel (1902):
“Los mejores trabajos de Abel son verdaderos poemas líricos de una belleza sublime, donde la perfección de la forma deja transparentar la profundidad del pensamiento, al mismo tiempo que rebosan de imaginación..."
Abel mostró su talento poético sobre todo al concebir la teoría de las trascendentes hiperelípticas, hoy todavía llamadas abelianas. Jacobi supo encontrar la mejor manera de representar estas funciones, introduciendo las funciones theta y hallando nuevas propiedades y aplicaciones. Abel fue el arquitecto y Jacobi el constructor, ambos fueron necesarios para que la nueva obra fuera sólida, bella e imperecedera.
Capítulo 5
A manera de epílogo. La herencia abeliana
“El modelo de las matemáticas del siglo XIX fue trazado por cuatro hombres: Gauss, Cauchy, Abel y Galois”.
Sophus Lie (1842-1899)
Niels Abel contaba solo 26 años y 8 meses de edad cuando murió el 6 de abril de 1829. No había tenido tiempo de hacer testamento legal nombrando herederos. ¿Pero qué podía dejar aquel pobre joven? No poseía bienes, ni dinero. No tenía hijos, ni sucesores.
A su lado, hasta el último minuto, Niels tuvo a su novia Crelly. Su situación económica inestable no le había permitido hacerla su esposa. Cuando tuvo conocimiento de su próximo final, Abel la confió al cuidado de su amigo mejor acomodado, el profesor de geología Mathias Keilhau. En el otoño del siguiente año, Christine Kemp y Keilhau se casaron. Vivieron juntos por el resto de sus días. Keilhau, en su autobiografía, escribió que Christine le había dado la madurez y la prudencia que le faltó a su vida. Tal vez era precisamente eso lo que Niels apreciaba en ella y dejó de herencia a su gran amigo.
Como sabemos, un año después de la muerte de Abel se le otorgó el gran premio de ciencias matemáticas de la Academia de Ciencias de París. Le correspondían 1500 francos que, según la determinación del jurado, debían traspasarse a sus herederos. Después de prolongadas investigaciones jurídicas, la Academia decidió entregar el importe del premio a su marchita madre Anne Marie. Esta herencia no pudo sacarla de su miseria, ni consiguió aliviar sus penurias, quizás hasta contribuyó a empeorar su alcoholismo.
Por supuesto que ninguno de estos dos legados de Abel, uno sentimental y otro material, representan su verdadera herencia a la humanidad. En este último capítulo, a manera de epílogo, solo pretendemos sugerir posibles respuestas a preguntas como ¿cuál es la efectiva herencia matemática de Abel? y aún mejor ¿cuál es el espíritu de su obra que hemos capitalizado en beneficio del desarrollo de las ciencias matemáticas?, ¿quiénes representan mejor a los indiscutibles herederos del patrimonio de Abel?
§. La huella matemática de Abel
Bernt Holmboë, maestro y amigo de Abel, recibió el encargo de poner en orden y publicar toda la obra matemática de Abel. Diez años después, en 1839, aparecieron editadas las Obras completas en dos volúmenes. En la introducción, Holmboë rinde tributo a la memoria de quién fuera su íntimo amigo con las palabras siguientes:
El tiempo y el cuidado que yo he dedicado a la edición de esta obra siempre los consideraré lo más útil en mi vida si en alguna forma contribuye a la divulgación de su trabajo, el más importante de su género en nuestros días.
A través de la inmensa amplitud de sus problemas y el severo rigor que usaba en sus métodos, siguiendo el ejemplo del famoso Monsieur Cauchy, el autor dio a la matemática uu impulso que permanecerá abierto para todo uu siglo. Planeó caminos desconocidos antes de él y creó una nueva visión sobre el cálculo y el análisis en general. Por estas razones, los trabajos de nuestro autor descansan en tan alta clase que aquellos matemáticos que deseen conocer su ciencia no deben desdeñar leerlos”.
A un lector de formación matemática contemporánea que lea las Obras completas de Niels Abel podrá parecerle que hizo sus hallazgos en los campos del álgebra y el análisis. Específicamente en tres temas desvinculados entre sí: la resolución por radicales de las ecuaciones algebraicas, la teoría de las funciones elípticas y la sumación de series infinitas. Realmente estos tres temas están íntimamente ligados. Tanto que algunos años después de la muerte de Abel, en 1858, el matemático francés Charles Hermite publicó una solución de la quíntica a través de las funciones elípticas abelianas, enlazando magistralmente estos dos campos. Paralelamente, Weierstrass desarrollaría toda una teoría de representación en series infinitas para presentar armónicamente una teoría general con los resultados de Abel, Jacobi y otros sobre las integrales hiperelípticas y sus inversas, las funciones abelianas.
§. Hermite y Weierstrass como herederos de Abel
Fue Liouville quién le presentó a Hermite la teoría de Abel y Galois, tanto sobre funciones elípticas como de resolución en radicales de las ecuaciones algebraicas. Al parecer Hermite fue uno de los primeros en penetrar en los razonamientos tan abstrusos de Galois. Tan temprano como en 1843 informó a Jacobi, en una de las múltiples cartas que se intercambiaron entonces, de su deseo de enfrentar el problema de la quíntica utilizando las funciones modulares, herramienta que introdujo Hermite en sus trabajos sobre la ampliación de la obra de Abel y Galois y que al criterio de otros grandes matemáticos fue de las más bellas creaciones de Hermite y de las matemáticas del siglo XIX.
Hermite llegó a su descubrimiento por su profundo conocimiento tanto de la teoría de las ecuaciones algebraicas como de la teoría de las funciones elípticas.
HermiteCharles Hermite (1822-1901) estudió entre 1840 y 1842 en el exclusivo Colegio Louis le Granó en París. Terminó sus estudios en l’Ecole Polytechnique en 1845. Fue discípulo de Liouville, quién lo dirigió a la investigación matemática. Desde 1848 trabajó en la misma École Polytechnique y desde el 69 hasta el 97 también fue profesor en la Sorbona.
Sus principales trabajos fueron sobre teoría de fundones elípticas y sus aplicaciones.
Pero son de importancia sus resultados en álgebra y teoría de números. Desarrolló la teoría de las formas algebraicas y sus invariantes y la aplicó a la teoría de números. Introdujo una clase especial de formas bilineales que hoy se conocen como formas hermiticas.Demostró en 1873 la trascendencia del número e. También estudió una clase de polinomios ortogonales que llevan su nombre. El artículo sobre la resolución de la quíntica mediante funciones elípticas apareció en 1858 en la revista de la Academia de Ciencias de París. Al siguiente año fue aceptado como miembro correspondiente de la Academia de Ciencias de Berlín. En 1890 fue elegido presidente de la Academia de Ciencias de París y en 1895 miembro honorario de la Academia de Ciencias de San Petersburgo. En el Congreso Internacional de Matemáticos que en el verano de 1900 se celebró en París fue nombrado por aclamación presidente de honor. Murió pocos meses después, el 14 de enero de 1901.
Observó incidentalmente que una ecuación que se presentaba en el problema de la división en cinco partes de las funciones elípticas se podía trasformar en la forma trinómica x5 + ax-+ b = 0 de la ecuación general de quinto grado. De esta manera obtuvo las funciones de los coeficientes a y b que reducen la forma trinómica a una identidad. Las funciones trascendentes necesarias para resolver la ecuación general de quinto grado habían sido por tanto construidas. Era el mejor monumento a la memoria de Abel erigido con la materia de sus sueños: la quíntica se resolvía por las funciones elípticas.
Por su parte, Weierstrass consagró sus trabajos (desde la década de 1840) a establecer y a estudiar los desarrollos en series infinitas y una nueva teoría de productos infinitos con el fin de aplicarlos a una teoría general que incluyera tanto las funciones elípticas como las hiperelípticas.
En sus cursos de la Universidad de Berlín, Weierstrass enseña su teoría de las funciones en un ciclo, generalmente de cuatro semestres, a lo largo de 30 años, desde el semestre de verano 1857 hasta el semestre de invierno 1887, salvo en periodos de descanso por el deterioro de su salud.
El esquema es el siguiente:
- La teoría general de las funciones analíticas.
- La teoría de las funciones elípticas.
- Aplicación de las funciones elípticas a la geometría y a la mecánica.
- La teoría de las funciones abelianas
Weierstrass había conocido desde joven la obra de Abel y Jacobi sobre funciones elípticas. El profesor Gudermann, siendo Weierstrass un joven estudiante, le planteó como problema la representación en series de potencias de las funciones theta de Jacobi y de ahí la expresión de toda función elíptica como cociente de dos polinomios infinitos. Weierstrass logró resolver este problema pero quedó interesado en generalizarlo.
Se conoce por una carta que le envió a su alumna Sofía Kowalevsky, que ya en 1874 tenía establecido un sistema de principios riguroso para el estudio de las funciones analíticas que permitían presentar armoniosamente la teoría de las integrales abelianas. Estas ideas, que había expuesto también en sus clases de Berlín, fueron publicadas en un artículo muy importante de 1876 donde muestra su intención de construir la teoría paso a paso a partir del concepto de función analítica como análogo del caso más simple de función polinomial.
WeierstrassKarl Theodor Wilhelm Weierstrass (1815-1897), el gran legislador de la matemática, nació en Ostenfelde en el seno de una familia humilde católica, de un padre tesorero público, muy riguroso y dominante. No concluyó sus estudios de derecho en la Universidad de Bonn y con la lectura de la monografía de Jacobi se interesó por las funciones elípticas. Tuvo conocimiento de los trabajos de Gudermann en Münster y estudió con él de 1839 a 1841.
Ejerció como profesor de instituto durante 15 años. Sus años más fructíferos, cuando contaba entre 25 y 40 años, los pasó prácticamente aislado de centros universitarios.
No obstante, se sabe que entre 1841 y 1855 desarrolló sus ideas sobre teoría de funciones y en 1854 se publicó en el Journal de Crelle su primer artículo importante.
Ese mismo ano la Universidad de Königsberg lo nombró doctor honorífico y obtuvo una beca para organizar sus resultados.
En 1856 la Universidad de Berlín le contrató como profesor para impartir 12 horas de clase semanales, además de otras tareas a las que no estaba acostumbrado. Por ello, en el invierno de 1859-60 comenzó a padecer los primeros signos de agotamiento nervioso. En 1864, con 49 años, fue nombrado profesor titular Durante más de 30 años, ante un auditorio cada vez mayor y más internacional impartió sus clases sobre teoría de funciones. Las notas de sus clases son muy importantes porque Weierstrass siempre sintió pavor por publicar. Se dice que en sus clases construía meticulosa y metódicamente toda una teoría sin citar a ningún autor y con una coherencia como si estuviera copiando un texto. Se mantuvo en su puesto de profesor hasta su muerte a los 82 años, aunque a partir de los 60 años tuvo que suspender varias veces sus clases por su debilitada salud.
Sus investigaciones estuvieron centradas en la teoría de funciones analíticas pero realizó incursiones en otros campos como el cálculo de variaciones, la geometría diferencial y el álgebra lineal. Junto con Kummer, creó el seminario de matemáticas puras que dio prestigio a la Universidad de Berlín. Fue miembro de las Academias de Ciencias de Berlín (1856), San Petersburgo (1864) y París (1868).
Pero no pretendemos detenernos en la explicación de los logros de Hermite, Weierstrass y otros que como ellos, heredaron la obra de Abel y la unieron a la de Galois y Jacobi para constituir una teoría amplia y efectiva de las funciones abelianas. Nuestro objetivo principal en este epígrafe es señalar qué aspectos caracterizan el espíritu matemático legado por Abel.
§. El programa de Abel
Si se analiza detenidamente toda la producción matemática de Abel, se observa una coherencia que reside más en el estilo que en los temas. El programa de Abel, se puede comprender como la búsqueda del rigor en las matemáticas a través del lenguaje claro y preciso del álgebra. ¿Pero podemos decir que este proyecto es original del genio de Abel? Hagamos un poco de historia.
Si algo caracteriza a la Revolución Intelectual de los siglos XVII y XVIII es la voluntad de claridad y unidad en el saber. Ya el programa cartesiano planteaba “intelectualiza” la ciencia de Euclides de forma tal que se redujera al álgebra:
“Los elementos del álgebra son propiamente la ciencia general o el fundamento y el principio de toda la matemática y no la geometría, la cual depende en varios puntos de un conocimiento de estos elementos.
Para los ilustrados la imaginación está ligada a la geometría y el intelecto, la razón o l’esprit como dirían los franceses, está ligada al álgebra, Ars magna desde el Renacimiento.
A partir del siglo XVIII, el análisis matemático no es más que el estudio de las funciones, que no son otra cosa que la expresión analítica, abstracta, de las curvas y superficies de la geometría. Todos los cálculos con estas funciones se pretenden reducir a la manipulación de los polinomios algebraicos o en su defecto a los polinomios infinitos, las series de potencias. El mejor representante de esta voluntad de reducir el cálculo al álgebra, a través de las series de potencias, sería Euler, que fue el primero que postuló, en su obra cumbre de 1748 Introducción al análisis de los infinitos, que el análisis no era otra cosa que el estudio de las funciones. La dificultad estriba en que este estudio por medio de las series exige el concepto del infinito matemático y una definición rigurosa de suma de una serie infinita.
Una de las primeras tentativas de darle al análisis matemático los fundamentos rigurosos para el cálculo con las series infinitas se debe a Lagrange.
El proyecto de Lagrange queda explícito en 1797 cuando se publica su Teoría de las funciones analíticas. Uno de los objetivos de este texto, que Abel va a encontrar en la bien dotada biblioteca de la Universidad de Cristianía, era relacionar el cálculo con el resto del álgebra de manera que se comprenda todo como un solo método. Dicho sintéticamente, el objetivo de Lagrange es algebrizar el análisis.

Estatua de Abel realizada por el escultor Gustav Vigeland en el parque del palacio real de Oslo. Fue inaugurada en 1908.
Para algebrizar, Lagrange asume explícitamente lo que muchos antes de él realizaban sin expresarlo claramente: las funciones que intervienen en el análisis, las funciones analíticas, son en general localmente desarrollables en series de potencias.
La voluntad lagrangiana de dar una teoría general basada en un principio simple no hace más que poner en evidencia teórica las doctrinas de Euler, quien con mayor audacia e imaginación utilizó las expresiones analíticas de las funciones. La influencia de la obra de Lagrange fue tal que, en adelante, muchos de los textos de cálculo hasta bien adentrado el siglo XX, aparecieron con el título de Análisis algebraico.
§. La convergencia de las series de potencias
Ya sabemos que las principales fuentes de saber matemático para Abel fueron las obras de Euler y Lagrange. Es decir, conocía el proyecto de unidad matemática a través de la algebrización y del uso de las series de potencias para algebrizar el cálculo.
¿Pero estaba terminado este proyecto? ¿Tenía la teoría de series el fundamento riguroso que con ellas se pretendía conseguir en todo el análisis? El trabajo de Lagrange coronó toda una época dorada para la sumación. Lagrange se preocupó por desterrar del análisis el uso de infinitesimales, incrementos evanescentes o fluxiones, pero con sus manejos algebraicos no aclararía el concepto convergencia en las representaciones analíticas.
En una carta del 29 de marzo de 1826, desde Dresde, a su maestro y protector Christopher Hansteen, que por su importancia reproducimos casi totalmente, Abel se expresa de la forma siguiente:
"La matemática pura en su sentido más estricto debe ser en el futuro el objeto exclusivo de mis estudios. Quiero consagrarme con todas mis fuerzas a aportar un poco más de claridad a la prodigiosa oscuridad que se encuentra hoy incontestablemente en el análisis. Carece hasta tal punto de plan y de sistema que es verdaderamente maravilloso que pueda ser estudiado por tanta gente y lo peor del caso es que nunca ha sido tratado rigurosamente. Solo hay unas pocas proposiciones en el análisis superior que se hayan demostrado de una manera lógicamente sostenible. En todas partes encuentra uno esta manera desafortunada de concluir lo general partiendo de lo particular y es extremadamente peculiar que tal procedimiento, a pesar de todo, haya llevado a tan pocas de las así llamadas paradojas. Sería sumamente interesante ocuparse en investigar la razón... A mí criterio, esto se debe a que las funciones de las que hasta ahora se ha ocupado el análisis pueden, en su mayor parte ser expresadas por medio de series de potencias [subrayado de los autores]. Pero si' intervienen otras funciones, lo que a decir verdad no ocurre muy frecuentemente, entonces la cosa no marcha bien y de las conclusiones falsas se injieren un montón de proposiciones incorrectas que se encadenan. Yo he examinado varías, y estoy bastante contento por haberles proporcionado claridad (ala mayor parte). Mientras uno emplea un método general todo marcha bien; pero y o debo ser extremadamente prudente ya que las proposiciones una vez admitidas sin demostración rigurosa (es decir sin demostración) están tan fuertemente enraizadas en mí que me siento expuesto a cada momento a servirme de ellas sin revisarlas. Estos trabajos se publicarán en el Journal publicado por Crelle... ”
Observen como se expresa madura y críticamente sobre el análisis... ¡Y Abel aún no había cumplido los 24 años de edad cuando escribe esta carta!
Exactamente, son dos los trabajos de Abel que aparecieron en el Journal de Crelle. Tratan sobre el tema de la convergencia y la sumación de series infinitas: “Investigación sobre la serie

en el número 4 del primer volumen, en 1826, y “Nota sobre la memoria del Sr. L. Olivier que lleva por título Observaciones sobre las series infinitas y su convergencia”, que apareció en el número 1 del tercer volumen, en 1828.
§. La serie del binomio
La serie del binomio

para m no entero, aparece en el margen de un ejemplar de la Arithmetica infinitorum de Wallis escrita por el joven Newton en 1665. Años más tarde, en una carta que Leibniz dirige al secretario de la Royal Society de Londres, se interesa sobre lo que saben los matemáticos ingleses sobre las series infinitas. Esta carta es respondida por Newton el 13 de junio de 1676 enunciando el teorema del binomio para exponente racional, pero sin explicar los orígenes de dicha fórmula. Sea cual sea su origen y quien fue el primero que la publicó, lo cierto es que para la escuela británica esta será un arma potente para algebrizar las funciones mecánicas, inexplicables o trascendentes, como indistintamente se les llamaba a las no algebraicas. En la casi totalidad de los textos de cálculo del siglo XVIII será la herramienta principal para obtener los desarrollos en series de potencias necesarios. Hasta entonces no se presta atención a determinar para qué valores converge la susodicha serie. A comienzos del siglo XIX van a aparecer dos demostraciones de los valores de m para los cuales hay convergencia, una de Augustin Cauchy en su Análisis algebraico (1821) y otra de Niels Abel en el Journal de Crelle (1826).
En el libro de Cauchy se llama la atención sobre la importancia de la serie del binomio. La organización de los seis primeros capítulos está concebida con el objetivo principal de obtener el desarrollo de (1 + x)m para x y m reales. En el capítulo 6 de su Análisis algebraico, Cauchy define los criterios de convergencia de las series infinitas, entre los que aparece el hoy llamado criterio de Cauchy, sin una demostración rigurosa a causa de una presentación todavía confusa de los números reales. También encontramos el resultado falso de que la suma de una serie de funciones continuas es continua. Se explica en parte este error porque la definición de continuidad asumida por Cauchy no es una definición puntual sino global en todo un intervalo real. Cauchy aplica la totalidad de los resultados precedentes al estudio de la serie del binomio.
Considera la función

y muestra que
g(m) está definida para todo x ∈ (-1, 1)
g es continua (utilizando el resultado falso del capítulo 6)
g verifica la ecuación funcional ) = g(m) g(m’) = g(m + m’).
Por tanto:
g es una función exponencial g(λ) = Aλ y enseguida que:g(m) = Am = [g(l)]m = (1 + x)m
Queda así probado que la serie del binomio es válida para todo x ∈ (-1, 1).
Es Abel quién primero se atreve a señalar el error de Cauchy sobre la suma de una serie de funciones continuas. En una carta dirigida a su amigo Holmboë, en enero de 1826, Abel da como contraejemplo la serie convergente de funciones continuas

que tiene como suma la función discontinua

En la memoria sobre la serie del binomio aparecida en el Journal de Crelle en 1826, Abel indica:
“no se han examinado todos los casos donde esta serie es conver gente ya que el objetivo de esta memoria es tratar de llenar una laguna en ¡a solución del Problema símente: encontrar la suma de la serie

para todos los valores reales o imaginarios de x y de m para los cuales la serie es convergente
El camino que toma Abel es similar al de Cauchy, pero utiliza teoremas más precisos sobre las series, trabaja en el campo complejo y, sobre todo, da una definición de continuidad más adaptable al asunto:
“una función f(x) será llamada continua en x entre las cotas x = α y x = β para un valor cualquiera de x comprendido entre esas dos cotas, la cantidad f(x - β), para los valores siempre decrecientes de β, se aproxima indefinidamente al limite fx)".
Se trata aquí de la definición de continuidad de /en un punto x, lo que no era el caso en la definición de Cauchy, que trataba la continuidad en un intervalo (¡sin asomo, por supuesto, de la definición de continuidad uniforme!).
Abel comienza por estudiar en detalle todos los casos para x y m números complejos donde la serie del binomio converge:
para todo x tal que |x| < 1 y cualquiera sea m:
para |x| = 1, Re(x) ≠ -1, Re(m) > -1 y para |x| = 1, Re(x) = -1, Re(m) > 0 y prueba que en todos los otros casos la serie del binomio diverge.
Después llama φ(m) a la suma de la serie, verifica la relación φ(m + m’) = φ(m)φ(m’), y haciendo x = a + ib y m = k + ik’, φ(m) = p + iq, demuestra continuidad de las funciones p y q, y después de cálculos muy detallados encuentra una expresión general de la serie del binomio en el caso complejo:

para todo x tal que |-rj < 1 y cualquiera sea m.
La fórmula del binomio para m y x reales Abel la obtiene inmediatamente para los valores particulares b = 0 y k’ = 0:
φ(m) = (1 + a)m = (1 + x)m
En otra carta a Holmboë de diciembre 1826 escribirá:
"Me atrevo a decir que esta es la primera demostración rigurosa de la fórmula del binomio, en todos los casos posibles”.
§. Gauss, Cauchy, Abel y Galois
Piense el lector en las diferentes personalidades que con su obra impregnaron a las matemáticas del siglo XIX de su estilo característico. El matemático noruego Sophus Lie nos ayuda y nos dice que el modelo de las matemáticas del siglo XIX fue diseñado por cuatro hombres: Gauss, Cauchy, Abel y Galois. Después de leer lo que antecede en este libro ¿qué cree el lector?
El paso de la sumación de las series infinitas a la investigación de la convergencia y la representación analítica de las funciones es el cambio de estilo de pensamiento entre la época de Euler y la época de Abel y Cauchy. La transición de los teoremas especiales a las teorías abstractas y generales queda plenamente evidente al comparar el álgebra de Lagrange con la de Abel y Galois. Lo mismo se percibe en otros campos. Era el advenimiento de la radicalización del pensamiento matemático. En una época de revoluciones, socia
les y económicas, las matemáticas asumían un papel revolucionario. Entonces se produjo la transición de las matemáticas utilitarias y mecanicistas del siglo XVIII, que daban prioridad a la resolución de problemas particulares, a las matemáticas abstractas y universales, preocupadas en fundamentar sus actos con teoremas de existencia y construcción de teorías amplias y métodos efectivos que, al menos teóricamente, llevaban en sí las soluciones detalladas de una infinidad de problemas especiales.
Abel sería como la estrella de la madrugada, anunciadora del alba. Si alguna herencia nos legó esa fue su radicalismo, su búsqueda de teoremas de existencia, su interés por construir teorías amplias, su programa de algebrización. Con el fin de apreciar mejor las características de la huella matemática de Abel, comparémosla brevemente con la de los otros ilustres destacados por Sophus Lie.
En este sentido nos parece que Gauss era menos moderno que Abel, un cuarto de siglo más viejo que él, pero al que sobrevivió por 36 años. Las ecuaciones abelianas eran una generalización de las ecuaciones que discutió Gauss en su problema de los polígonos regulares. Un contraste análogo existe entre la manera que tuvieron los dos hombres de abordar las funciones elípticas: las abelianas conllevan como casos particulares las funciones lemniscáticas de Gauss. Cierto es que tan temprano como en 1812, Gauss hizo un estudio minucioso de la convergencia de las series hipergeométricas, pero como en otros casos, no desarrolló sus ideas de forma extensa. Gauss realizó un estudio riguroso de las ecuaciones ciclotómicas, mas no consideró el problema de la insolubilidad en su generalidad.
Sin duda que las obras maestras de Gauss tienen la perfección clásica, pero esa misma perfección, que recuerda al estilo más rígido de los griegos, repelía a los menos pacientes jóvenes, que buscaron caminos más llanos para rodear los obstáculos que se presentaban en su camino. La matemática de Gauss era genial, pero menos osada, menos revolucionaria.
¿Y Cauchy? Si le preguntáramos a él, con certeza nos diría mucho sobre sus aportes decisivos tanto al análisis como al álgebra, pero seguramente no se calificaría como revolucionario, y menos como romántico. No obstante, en Cauchy encontramos ideas fundamentales sobre los grupos de permutaciones que luego utilizarán Abel y, sobre todo, Galois. La obra de Cauchy, junto a la de Abel, abrió las puertas a los fundamentos modernos del análisis algebraico. Pero los errores que cometió Cauchy fueron encontrados y rectificados por el mismo Abel, cuya obra despreció.
Sin dudas, Abel y Galois señalaron el comienzo de la manera abstracta de abordar el álgebra. También es cierto que Galois llegó más lejos con su teoría general de las ecuaciones algebraicas, pero en su enfoque analítico de las funciones su aportación fue insignificante. La vida, como a Abel, tampoco le alcanzó.
En conclusión, Gauss y Cauchy, aunque visionarios, estaban más cerca del siglo XVIII que del XX. Abel y Galois estaban más cerca del siglo XX que del XVIII.
Aunque Abel y Galois hablaban de los maestros con respeto y buscaron sin éxito su aprobación, pocas veces siguieron sus huellas. Eran románticos y revolucionarios. Y en el caso de Galois, esta concepción fue aún más coherente con su propia vida.
No se puede ni suponer lo que Abel y Galois podrían haber realizado con una existencia normal, aunque parece muy probable que hubiera sido mucho y de la mejor calidad. Para los grandes matemáticos, la madurez temprana y una productividad sostenida no son la excepción sino la regla. Puede que sea cierto que las ideas más originales se tienen en la juventud, pero cuesta tiempo elaborarlas. Gauss, en particular, empleó unos cincuenta años en desarrollar las inspiraciones que tuvo (esta es substancialmente su propia descripción) antes de cumplir 21 años, e incluso con medio siglo de continuo laborar solo consiguió madurar y publicar una pequeña parte de sus ideas.
Cabe conjeturar que si las condiciones económicas, políticas y sociales de Noruega hubieran sido otras y Abel hubiera logrado tener una vida más larga, como fue el caso de otros matemáticos, habría podido ver no solo el reconocimiento hacia su obra sino, lo que seguro para él hubiera sido más importante, cómo esta obra trascendió a las matemáticas noruegas.
Pero ¿qué huella dejó en Noruega el ejemplo de Abel?, ¿quiénes se pueden considerar los herederos legítimos en Noruega de la matemática de Abel?
§. La herencia en Noruega: Silow y Lie
Sin duda la aparición en Noruega de un matemático de la talla de Abel tuvo una influencia fundamental en el futuro de las matemáticas en ese relativamente poco poblado país. Siguiendo las huellas de Abel, en los siglos XIX y XX han aparecido matemáticos noruegos de primer orden en diferentes ramas de las matemáticas y sus aplicaciones.
En los capítulos anteriores nos hemos referido a Bernt Holmboë, que fue el descubridor del talento matemático de Abel y que en cierta forma se puede considerar su heredero. Pero Holmboë no tuvo logros importantes en la investigación matemática y ha pasado a la historia como maestro y primer editor de las Obras completas de Abel. También antes hemos mencionado a Cari Bjerknes, quién hiciera la primera biografía completa de Niels Abel a instancias del sueco Mittag-Leffler. Carl Bjerknes no trabajó realmente en los temas que Abel impulsó, aunque su vida fue similar a la de Abel por las sucesivas penurias que sufrió. Fue en un viaje a Gotinga, con más de 30 años de edad, cuando Bjerknes conoció a Dirichlet, quien le mostró que en la hidrodinámica había un campo fértil de trabajo investigador si se usaban las ideas de la teoría del potencial y el electromagnetismo. Su hijo Vilhelm Bjerknes (1862-1951) fue su asistente y continuó sus investigaciones, ganando prestigio internacional como especialista en mecánica aplicada y física matemática.
Pero si queremos referirnos a algunos matemáticos noruegos que en particular tuvieran que ver de cerca con la obra de Abel y de una manera u otra haber sido influenciados por ésta, tenemos que mencionar a Peter Ludwig Sylow y a Sophus Lie.
SylowPeter Ludwig Mejdell Sylow (1832-1918) nació 3 años después de la muerte de Abel, en Cristianía. Era hijo de un funcionario que después se convertiría en miembro del gobierno, se graduó con excelentes calificaciones en la Universidad de Cristianía en 1855 pero como no había un puesto disponible en la universidad comenzó a trabajar como profesor de enseñanza secundaria en un instituto, tarea que desarrollaría hasta 1898.
En el curso 1861-1862 obtuvo una beca para estudiar en París y en Berlín, siguiendo las huellas de su admirado Niels Abel En el informe de su viaje informa haber estudiado geometría con Chasles, mecánica racional con Liouville y métodos de límites y su historia con Duhamel.Además señala haberse familiarizado con nuevos trabajos en teoría de ecuaciones. En Berlín, siendo su intención asistir a las clases de Weierstrass y hallándose este enfermo, se dedicó a trabajar en la biblioteca, estudiando teoría de números y teoría de ecuaciones. Allí conoció a Carl Borchardt (1817-1880), editor en ese momento del Journal de Crelle, con el que estableció un intercambio de ideas sobre la obra de Abel y Jacobi que fue muy fructífero para ambos.
Los teoremas de Sylow sobre teoría de grupos no aparecen publicados hasta 1872. En 1894 le fue otorgado un doctorado honorífico en la Universidad de Copenhague. Sylow se mantuvo trabajando como profesor y director de instituto hasta que en 1898, a instancias de Lie, fue creada para él una cátedra especial en la Universidad de Cristianía en la que trabajaría con entusiasmo hasta su muerte.
Estos matemáticos noruegos fueron los editores de la segunda edición de las Obras completas de Abel, obra en dos tomos publicada en Cristianía en 1881, referencia obligada de cualquiera que quiera conocer sobre la obra y, por qué no, sobre la personalidad de Niels Abel.
§. Ludwig Sylow
Sylow se interesó por las matemáticas desde muy temprana edad y comenzó a trabajar en funciones elípticas, siguiendo la tradición de Abel y Jacobi, alentado por el profesor de matemáticas Ole Jacob Broch (1808-1889) de la Universidad de Cristianía. Broch siempre fue un admirador de la obra de Abel y, más tarde, con su influencia como miembro del parlamento noruego, sería uno de los que, junto a Cari Bjerknes, Sylow y Sophus Lie, consiguieron financiación para hacer una segunda edición, corregida y aumentada, de las Obras completas de Abel.
Los trabajos de Abel en solubilidad de ecuaciones algebraicas mediante radicales y las orientaciones de Cari Bjerknes motivaron el cambio de los intereses de Sylow hacia el tema de las ecuaciones algebraicas.
Los teoremas de SylowFueron publicados en un artículo de 10 páginas que apareció en Mathematische Annalen Vol. 5 en 1872, bajo el titulo "Teoremas sobre los grupos de sustituciones”. Los resultados contenidos en este artículo bastaron para que Sylow pasara a formar parte de los matemáticos conocidos mundialmente.
Recordemos que Lagrange había demostrado, y Abel lo utiliza en su demostración de la imposibilidad de resolver la quíntica mediante radicales, lo que se conoce en términos modernos como teorema de Lagrange, que dice que el orden (cantidad de elementos) de un subgrupo de un grupo finito es un divisor del orden del grupo. El reciproco de este teorema, es decir, la cuestión de que si un número divide al orden del grupo, existe un subgrupo de ese orden, no se cumple en general, pero sin embargo existen recíprocos parciales del teorema, es decir teoremas que dan condiciones bajo las cuales un grupo finito posee subgrupos de un orden (divisor del orden del grupo) dado.
Uno de estos recíprocos parciales es el teorema de Cauchy. Sylow encuentra recíprocos parciales del teorema de Lagrange que son resultados más fuertes que el de Cauchy. Veamos, en lenguaje moderno, cuales son:
Supongamos que tenemos un grupo G de orden m, y que m se puede escribir de la forma m = pn q donde p es un número primo y n es la mayor potencia para la cual esto se puede hacer (por ejemplo 12 = 22×3), entonces:
G posee subgrupos de orden pn que son llamados los p-subgrupos de Sylow de G
El número de p-subgrupos de Sylow de G es k + 1, donde k es un entero (es decir es congruente con 1 módulo p). Y el número de los p-subgrupos de Sylow divide a q. En el ejemplo de 12, el número de 2-subgrupos de Sylow es 1 o 3.
Si H1 y H2 son dos de p-subgrupos de Sylow, entonces H2 = gH1g’ para algún elemento g de G.
Aparte de dar un reciproco del teorema de Lagrange, los teoremas de Sylow son muy útiles para enfrentar muchas cuestiones algebraicas. Por ejemplo, se puede demostrar mediante ellos que hay un único grupo de orden 15.
En 1860, durante la octava reunión de científicos de Escandinavia en Copenhague, Sylow presentó su reconstrucción del último trabajo de Abel sobre solubilidad algebraica de ecuaciones, que, como hemos mencionado en el capítulo III, este último había dejado inconcluso. Este trabajo de Sylow permitía deducir que Abel, ya en 1828, sabía más sobre las posibles formas de solución de dichas ecuaciones que lo comúnmente aceptado. Este estudio del último artículo de Abel dio comienzo al exhaustivo trabajo de Sylow sobre la obra de Abel, que culminaría con la edición de las obras de este, tarea que llevó a cabo junto a Sophus Lie.
En el curso 1862-63 el profesor de matemáticas de la Universidad de Cristianía Ole Broch fue elegido miembro del parlamento noruego y Sylow fue llamado para impartir un ciclo de conferencias.
Sophus LieMarius Sophus Lie (1842-1899) nació 13 años después de la muerte de Niels Abel en Nordfjordeide, Noruega. Al igual que Abel era hijo de un pastor luterano. Sophus quería seguir una carrera militar pero tenía problemas de visión por lo que ingresó en la Universidad de Cristianía. Es entonces, en 1862, cuando asiste a las conferencias que imparte Sylow. También asistió a clases de matemáticas impartidas por Cari Bjerknes, pero hasta el momento de su graduación, en 1865, no había mostrado habilidad o interés especial por las mismas.
Es alrededor de 1866 cuando su interés cambia. En 1867, después de tener, según él mismo lo cuenta, “una brillante idea matemática nueva", decidió que su camino eran las matemáticas.
Alrededor de 1868 su interés se reafirma al comenzar a leer los trabajos de Plückery Poncelet sobre geometría. Obtuvo el doctorada en 1872 e inmediatamente la Universidad de Cristianía creó una plaza de profesor para él, que ocuparía desde el otoño de 1872 hasta el verano de 1886. Con una plaza fija y un prestigio profesional en ascenso. Lie se casó en 1874 con Anna Birch y tuvo 3 hijos.
En 1886 Lie, a instancias de su amigo Félix Klein, pasó a ocupar la plaza que el mismo Klein dejara vacante en Leipzig para trabajar en Gotinga. No obstante tener mejores condiciones de vida y trabajo y estar menos aislado que en Cristianía, ya que su fama era notable y muchos estudiantes venían a estudiar con él, sentía añoranza por su Noruega natal. La Academia de Ciencias de San Petersburgo lo nombró miembro correspondiente en 1896 y en 1897 la Sociedad Físico-matemática de Kazán le otorgó el premio Lobachevski por sus trabajos de aplicación de la teoría de grupos a la fundamentación de la geometría no euclidiana. En 1898 regresó a Cristianía para ocupar una plaza especialmente creada para él. Ya estaba muy enfermo y falleció de anemia perniciosa en febrero del siguiente año.
El tema era “Ecuaciones algebraicas y sustituciones”, y se proponía como objetivo explicar lo fundamental de los enfoques de Abel y Galois para la teoría de ecuaciones. Sophus Lie, el otro héroe de esta parte de la historia, entonces un estudiante de 20 años, asistió a dichas conferencias y este fue su primer encuentro con la teoría de grupos.
Las investigaciones posteriores de Sylow lo llevarían a los teoremas que hoy se conocen con su nombre. Los teoremas de Sylow son una herramienta fundamental en el trabajo con grupos finitos y de ahí, para la solubilidad de ecuaciones. Aunque el interés principal de Sylow era la teoría de grupos, también escribió sobre funciones elípticas. Realmente son pocos los matemáticos del siglo XIX que no hicieron alguna incursión en la teoría de las funciones abelianas.
§. Sophus Lie
Lie publica a sus expensas en 1869 un breve trabajo matemático sobre la idea de considerar geometrías tomando líneas en lugar de puntos. Al igual que hizo Abel con su trabajo inicial sobre la insolubilidad de la quíntica, Lie preparó una versión más detallada pero no logró que la Academia de Ciencias de Cristianía aceptara publicar su trabajo. También como Abel, fue en el Journal de Crelle donde consiguió la divulgación de su obra. El impacto de este artículo hace que obtenga una beca para viajar y conocer a los principales matemáticos de la época.
KleinFélix Chrístian Klein (1849-1925) nació en Dusseldorf (Alemania), donde estudió la enseñanza secundaria. Luego pasaría a la Universidad de Bonn para estudiar matemáticas y física durante los años 1865-1866. Plücker dirigió su tesis de doctorado sobre geometría de líneas (en su geometría sus objetos eran líneas y no puntos, como había hecho Lie) y sus aplicaciones a la mecánica. Obtuvo su título de doctor en 1868, año en el que fallece Plücker dejando la mayoría de su trabajo en geometría de rectas incompleto. A Klein le fue asignada la tarea de hacer las adiciones necesarias al segundo volumen, aun no publicado, del trabajo de Plücker.
En 1869 visita Berlín, París y Gotinga. En 1872 es nombrado profesor en Erlangen (Baviera) con sólo 23 anos. Posteriormente lo será en el Instituto superior Técnico de Münich desde 1875. En este año se casa con Anné Hegel, nieta del conocido filósofo. En 1880 es nombrado catedrático de geometría en Leipzig, donde permanecerá hasta 1886, año en que acepta un puesto en la Universidad de Gotinga, en la cual continuará hasta su retiro en 1913.
En Gotinga, Klein estableció un centro de investigación que sirvió de modelo a los mejores centros de investigación matemática en el mundo. También contribuyó a la fama de la revista Mathematische Annalen siendo su editor principal desde 1876. Los primeros descubrimientos importantes de Klein fueron hechos en 1870 en colaboración con
Sophus Lie, que jugó un importante papel en el desarrollo de Klein al introducirle en las investigaciones sobre teoría de grupos. El trabajo en el cual Klein da su concepción de la geometría como el estudio de las propiedades de un espacio que son invariantes bajo un grupo de transformaciones dado, conocido como Programa de Erlangen (1872), tuvo profundas consecuencias en el desarrollo futuro de las matemáticas.
Klein estuvo interesado en el problema de resolver la quíntica mediante métodos trascendentes, lo que le llevó a considerar funciones elípticas modulares. También desarrolló una teoría de funciones automorfas. Dedicó muchos esfuerzos por perfeccionar la enseñanza de las matemáticas y fue elegido en el Congreso de Matemáticos celebrado en Roma en 1908 como primer presidente de la Comisión Internacional de Instrucción Matemática.
A finales de 1869 visita Gotinga y Berlín, en esta última ciudad conoce a Kummer y a Weierstrass. Se interesa más por los trabajos de Kummer sobre álgebra que por los analíticos de Weierstrass, pero sin desdeñarlos.
Sylow y Lie revisaron los manuscritos originales, traduciendo al francés aquellos trabajos que fueron publicados en noruego y corrigiendo algunos de los que fueron publicados en alemán por Crelle, ya que según ellos, algunas correcciones de estilo de la versión en alemán de Crelle modificaban el sentido de lo que Abel había querido expresar. Escogieron el francés para su edición de las obras completas para dar una unidad lingüística a la edición, en correspondencia además con que muchos trabajos fueron redactados en francés por el propio Abel.
En el tomo II, donde Sylow y Lie incluyen las obras póstumas de Abel, los extractos de cartas y las notas de los editores, se incluye también un compendio de todos los manuscritos de Abel aún existentes, destacando que en un protocolo completado por Abel después de agosto de 1826 habían encontrado pruebas de que Abel trabajó sobre la teoría de las funciones elípticas en París a fines de 1826, lo cual concuerda con lo que Abel le dice a Holmboë en una carta incluida en dicho tomo II. Comentarios similares hacen los editores en el prefacio con respecto a que en las cartas a Holmboë aparece que en 1823 ya Abel había considerado la función inversa de la integral elíptica de primera especie, pero señalan que también en aquel momento Abel aún no dominaba las contradicciones que había encontrado en sus investigaciones al respecto. Ellos reconocen a Abel como el primero en descubrir las funciones elípticas propiamente dichas.
Ambos matemáticos: Sophus Lie y Ludwig Sylow, aunque no podamos decir que fueron discípulos directos de Abel, son herederos legítimos de su espíritu matemático por su profundo trabajo en la edición de sus obras completas, por la importancia de sus hallazgos y por continuar desarrollando la investigación matemática en su país.
| 1789 | Toma de la Bastilla. Nace Cauchy (1789-1857). |
| 1797 | Lagrange (1736-1813) publica su Teoría de las funciones analíticas. |
| 1799 | Paolo Ruffini (1795-1822) afirma haber probado la insolubilidad de la quíntica mediante radicales. Coya (1746-1828) termina El sueño de la razón produce monstruos. Schiller (1759-1805) termina la trilogía histórica Wallenstein. |
| 1800 | Søren Georg Abel se casa con Anne Marie Simonsen (1781-1846). Es nombrado vicario de las pequeñas islas de Finnoy, tiene su primer hijo, Hans Mathias (1800-42). |
| 1801 | Aparecen las Disquisitiones arithmeticae de Gauss (1777-1855). |
| 1802 | El 5 de agosto nace Niels Henrik Abel en Nedstrand, en la parroquia de Finnoy. Nace Alejandro Dumas (1802-1870). Nace Víctor Hugo (1802-1885). |
| 1803 | Beethoven (1770-1827) termina su Sinfonía n° 3 Heroica. |
| 1804-15 | Søren Georg Abel sucede a su padre como vicario de la parroquia de Gjerstad. Destaca por su trabajo social y deviene representante local (senador) en el primer parlamento noruego durante el otoño de 1814. |
| 1809 | Goethe (1749-1832) publica Las afinidades electivas. |
| 1810 | Gergonne (1771-1855) publica su primer volumen de los Anuales de math, purés et appliquées. |
| 1811 | Nace en Bourg-La Reine Évariste Galois (1811-1832). |
| 1815 | Niels Henrik es un alumno de la Escuela Catedral de Cristianía. Cauchy publica su memoria “Sobre el número de valores que una función puede alcanzar, cuando se permutan de todas las formas posibles las cantidades que ella envuelve”. Los Cien Días de Napoleón Bonaparte (1769-1821) y su exilio definitivo en la isla de Santa Elena. |
| 1816 | Se estrena El barbero de Sevilla de Rossini (1792-1868). |
| 1818 | Bernt M. Holmboë (1795-1850) es nombrado profesor de la Escuela Catedral. Caspar David Friedrich (1774-1840) pinta Viajero junto al mar de niebla y Mujer frente al sol poniente. |
| 1820 | Søren Georg Abel es castigado como teólogo y es declarado inepto como político. Muere en mayo. Alexandr Pushkin (1799-1837) escribe su Oda a la libertad. |
| 1821 | Niels Abel cree haber resuelto algebraicamente la ecuación de quinto grado. Aprueba el examen de ingreso a la Universidad de Cristianía. Se publica el Análisis algebraico de Cauchy. |
| 1823 | El primer artículo de Abel es publicado en Cristianía. El profesor de matemáticas Søren Rasmussen (1768-1850) le paga un viaje a Copenhague; se encuentra con la joven que será su novia Christine Kemp (1804-1862). |
| 1824 | Decide publicar con sus propios recursos el artículo sobre la imposibilidad de resolver algebraicamente la quíntica. En las navidades formaliza el noviazgo con Christine Kemp. Beethoven termina su Novena Sinfonía. |
| 1825 | Abel escribe al rey con la petición de recibir una bolsa de viaje. En septiembre inicia el viaje por Alemania y Francia. En Berlín encuentra a August L. Crelle (1780-1855). |
| 1826 | Aparece el primer número de la Revista de matemáticas puras y aplicadas, que posteriormente será conocida como el Journal de Crelle. En el primer número aparece un artículo de Abel titulado “Demostración de la imposibilidad de la resolución algébrica de las ecuaciones que superan el cuarto grado”. En París, Abel termina una larga memoria sobre integrales hiperelípticas y la entrega al Instituto de Francia, donde languidece entre los papeles de Cauchy sin ser leída. |
| 1827 | Durante los primeros días de enero retorna cansado y empobrecido a Berlín. Encuentra un trabajo de gobernanta para su novia en Froland, poblado minero en la costa sureste del fiordo de Cristianía. Se publican los primeros artículos sobre funciones elípticas de Abel y Jacobi. |
| 1828 | Su situación económica mejora algo al ser aceptado como profesor asociado en la universidad como sustituto temporal del profesor Hansteen que parte en una expedición a Siberia. Crelle trata persistentemente de conseguir un puesto para Abel en Berlín. |
| 1829 | Durante 12 semanas permanece enfermo en cama en Froland. Tiene tuberculosis. En febrero aparece en el Journal de Crelle un trabajo titulado “Memoria sobre una ciase particular de ecuaciones algebraicamente solubles”, en el que estudia la solubilidad de clases particulares de ecuaciones. Se publica “Demostración de una propiedad general de una cierta clase de funciones trascendentes”. Muere el 6 de abril. Dos días después llega la noticia de Crelle de que está aprobada la plaza de profesor en Berlín para Abel. En París su memoria perdida y olvidada sobre integrales hiperelípticas es encontrada y leída con gran admiración. Aparecen los Nuevos fundamentos de las funciones elípticas, obra cumbre de Jacobi Galois somete a la Academia de París el primer trabajo sobre una teoría general de las ecuaciones algebraicas. |
| 1830 | Abel y Jacobi ganan ex-aequo el gran premio de matemáticas de la Academia de Ciencias de París. Delacroix pinta La libertad guiando al pueblo. |
| 1832 | Évariste Galois fallece en mayo. |
| 1839 | Aparece la primera edición de las Obras completas de Abel, realizada por Holmboë. |
| 1841 | Se publica la Memoria sobre una propiedad general de una clase muy amplia de las funciones trascendentes en París. Esta es la memoria perdida y finalmente encontrada que Abel había presentado a la Academia durante su estancia en París. |
| 1844 | Joseph Liouville (1809-1882) publica una nueva construcción de las funciones elípticas como funciones meromorfas doblemente periódicas. |
| 1846 | Liouville publica póstumamente los trabajos de Galois. |
| 1848 | Revoluciones populares en diversos países europeos. Se publica La dama de las camelias de Alejandro Dumas, hijo. |
| 1857 | Karl Weierstrass (1815-1897) comienza sus clases en la Universidad de Berlín sobre teoría de funciones y, en particular, incluye la teoría de las funciones abelianas. |
| 1858 | Charles Hermite (1822-1901) publica su demostración de la solución de la quíntica usando funciones elípticas. |
| 1862 | Víctor Hugo publica su obra más famosa, Los miserables. |
| 1880 | Se publica en Estocolmo Niels Henrik Abel. Panorama de su vida y su acción científica del profesor noruego Cari Bjerknes (1825-1903), primera biografía de Abel. |
| 1881 | Sylow (1832-1918) y Lie (1842-1899) publican una nueva edición de las Obras completas de Abel. |
Los premios Abel y los premios Ramanujan
Supongamos que por obra y gracia de la imaginación Niels Abel resurgiera en el siglo XXI, con la misma edad que murió y con los mismos méritos ¿Cuál es el premio que Abel se honraría en recibir: el premio Nobel, el premio Abel o el premio Ramanujan?
Qué preferiría Abel ¿recibir un premio con el nombre del inventor de la dinamita, con su propio nombre o con el nombre de alguien que tuvo que luchar lo indecible para ser reconocido como matemático? Si Ud., amiga o amigo lector ha leído este libro, creemos que no le será difícil contestar. Pero si Ud. es de los que acostumbra a empezar los libros por el final y aún no lo ha leído pues ¿a qué espera? Si lo que sucede es que no sabe qué buenaventuras conllevan estos premios, entonces, si tiene un poco de paciencia, le podemos explicar brevemente en qué consisten.
Nos parece que el premio Nobel goza de una popularidad relativa, y la mayoría sabe que no se otorga en matemáticas. Consideramos que no es pertinente exponer aquí las razones personales por las cuales el químico sueco Alfred Nobel no consideraba a los matemáticos merecedores de su premio. Eliminemos esta opción en nuestro problema. Nos restan los premios Abel y Ramanujan como posibilidades.
Desde que Alfred Nobel anunció su plan de establecer un premio anual sin incluir a las matemáticas, muchos clamaron por un premio similar en este campo. Uno de ellos fue Sophus Lie, pero la muerte le llegó de forma anticipada, en 1899, sin lograr el apoyo oficial necesario.
En la organización de los eventos por el centenario del nacimiento de Niels Abel, que se celebraron en el verano de 1902, también se discutió la idea de crear un premio en su honor. Pero la comunidad matemática escandinava no tenía entonces tanto apoyo oficial como ahora.
Hubo que esperar hasta el bicentenario del nacimiento de Abel para que el gobierno noruego estableciera el premio Abel con un fondo de 200 millones de coronas noruegas (unos 24 millones de euros) y con la idea de otorgar un premio anual de 6 millones de coronas noruegas (unos 720.000 euros).
En el comunicado de prensa gubernamental se dice:
“Necesitamos reforzar las matemáticas y las deudas. Niels H. Abel era un matemático noruego conocido internacionalmente que hace casi 200 años produjo un impacto duradero en el mundo de la ciencia. Un premio internacional de matemáticas dedicado a su figura es una expresión de la importancia de las matemáticas, y va dirigido a estimulara estudiantes e investigadores".
Y continúa más adelante:
“Se espera que la creación del premio Abel tenga varios efectos beneficiosos: mayor interés de la juventud por el estudio de las deudas, fortalecimiento de la investigación matemática en el país, mavor percepción de Noruega corno uu país de conocimiento v aprendizaje, asi como una toma de conciencia iuternaáonar [subrayado de los autores].
El Premio Abel se otorgó por primera vez en el 2003 al matemático francés Jean-Pierre Serre (nacido en 1926). En 2004 el premio se dividió entre sir Michael Francis Atiyah (nacido en Londres en 1929) e Isadore M. Singer (nacido en Detroit, EE.UU., en 1924). En 2005 al matemático estadounidense de procedencia húngara Peter Lax (nacido en Budapest, Hungría, en 1926, pero desde 1941 en EE.UU.). Todos los laureados tienen una obra cuantiosa y de incuestionable calidad y han demostrado una consagración a las matemáticas en todas sus dimensiones, con lo que justifica con creces el respeto y el prestigio otorgados. Seguro que el mismo Niels Abel se sentiría muy satisfecho con ver a tales hombres de ciencia asociados a su nombre.
Todos los laureados provienen del mundo más desarrollado, o al menos, como pasa con Lax, tienen hecha su vida científica en países desarrollados. Todos tenían 75 o más años al recibir el premio. Todos, sin excepción, habían ganado varios otros premios. Todos tenían asegurado no solo el presente sino el futuro, sin necesidad de ese prestigio, ni esa fabulosa cantidad de dinero. Realmente, ¿son estos ilustres matemáticos imagen contemporánea de lo que fue el matemático Abel? Esta es una pregunta espinosa que no necesitamos responder.
RamanujanSrinivasa Ramanujan (1887-1920) nació en el seno de una familia muy humilde del sur de la ludia y no pudo ingresar en la universidad por sus dificultades con el inglés. Trabajó como contable mostrando asombrosas habilidades con los números y escribió, en busca de reconocimiento, a varios matemáticos británicos exponiéndoles sus resultados sobre propiedades de los números. Estas cartas llegaron al matemático inglés G. H. Hardy (1877-1947) y éste, sorprendido por su originalidad, logró su admisión en Cambridge en 1916.
Su abundante producción matemática no es fácil de describir, pues no tenía formación académica y no tenía la noción occidental de demostración Igual que Abel, tenía un instinto analítico.Corno Abel, se intereso también por las funciones elípticas y por los problemas de sumación de series infinitas. Como Abel, contrajo la tuberculosis y regresó a su patria. Tampoco, como Abel, encontró un puesto de trabajo en ninguna universidad de su país. Publico varios trabajos y fue elegido miembro de la Royal Society. Hardy decía que lo más trágico de Ramanujan no era haber muerto con sólo 32 años, sino que no recibió la preparación adecuada y una parte significativa de sus resultados eran redescubrimientos.
Además de como reconocimiento de logros científicos a matemáticos individuales, el premio Abel fue establecido con el fin de estimular a los jóvenes a mostrar un interés por esta ciencia. Es evidente que divulgar la vida de los laureados, saber de su consagración, sus méritos como investigadores, eleva el prestigio de los matemáticos y estimula a los jóvenes. Pero, ¿no alentaría a muchos más jóvenes si se premiara a investigadores aún en activo, que con esa financiación pudieran vencer obstáculos económicos y lograr otros relevantes resultados en la investigación y en la formación de otros matemáticos? ¿No enaltecería más el nombre de Abel si se premiara sobre todo a los de países en vías de desarrollo, o provenientes de países de la periferia científica, como lo era la Noruega del romanticismo?
A finales de 2004 se anunció que el Centro Internacional para la Física Teórica Abdus Salam (ICTP) radicado en Trieste, Italia, en cooperación con la Unión Internacional de Matemáticos (IMU), había acordado otorgar anualmente el premio Srinivasa Ramanujan para jóvenes matemáticos (menores de 45 años) de los países en vías de desarrollo, con un fondo monetario donado por la Fundación Abel de Noruega. El premio Ramanujan tiene un valor monetario de 10.000 dólares. El primer ganador será anunciado en diciembre de 2005. ¿Qué le parece esta noticia?
En fin de cuentas, ¿no cree Ud. que se honraría mejor a Abel otorgándole el premio Ramanujan que galardonándolo con el premio Abel? Quizás Ud. piense que lo injusto es la diferencia fabulosa del monto monetario de cada premio: €720.000 para el premio Abel, menos de 10.000 para el premio Ramanujan. Pero, ¿y si ambos fueran del mismo monto monetario, algo más estimulante para continuar investigando con menos de 45 años, digamos, de unos 50.000 euros?
Le recomendamos consultar el sitio electrónico:
Estaba todavía entre los vivos Niels Henrik Abel cuando se hizo la primera solicitud de financiamiento para la edición de sus Obras. Fueron los franceses Legendre, Poisson, Lacroix y el barón Maurice quienes en septiembre de 1828 se dirigieron al rey de Suecia Karl Johann con la petición, pero no recibieron respuesta. Después de su muerte se reiniciaron las gestiones oficiales y al fin, en 1831 por acuerdo del Collegium Académico de Cristianía, a solicitud del profesor Hansteen, fue decidido que a expensas del estado y con el cuidado de su maestro y amigo Bernt Holmboë se editaran las Obras completas de Abel. El trabajo fue arduo. Holmboë tradujo al francés todo lo publicado en noruego y alemán y descifró los manuscritos que encontró, quedando perdidos la famosa monografía de París sobre las funciones abelianas y otro manuscrito muy importante sobre ecuaciones algebraicas. Al fin, exactamente 10 años después de la muerte de Niels Abel, se publicó la primera edición.
Abel, N. (1839) Oeuvres complétes, avec des notes et developpements, redigés par ordre du mi par B. Holmboë. (2 vols.), Cristianía.
Nosotros hemos usado una reimpresión francesa de la segunda edición de Peter Sylow y Sophus Lie de 1881, edición aumentada con varios manuscritos hallados y realizada por iniciativa de la Academia Noruega de Ciencias. Esta reimpresión de las Obras completas de Abel contiene todos los trabajos originales de Abel, cuya lectura permite acercarse a su estilo y metodología. También contiene cartas de Abel, así como útiles notas aclaratorias de los editores, dos de los grandes matemáticos del siglo XIX y de los mejores conocedores de su obra. Estas Obras completas se pueden consultar en el sitio de la Biblioteca Nacional de Francia http./gallica.bnf.fr/
Abel, N. (1992) Oeuvres completes, (2 vols.). Segunda edición, Éditions Jacques Gabay, Sceaux.
Además de los obituarios escritos por Crelle, Holmboë y otros, existen varias biografías muy completas sobre Niels Abel. La primera, y por mucho tiempo la única, que trató con extensión no solo la vida sino también la obra de Abel, fue la del matemático noruego Cari Bjerknes de 1880, que se tradujo al francés en 1885 con adiciones del autor dando detalles sobre el periodo en que Abel visitó París y sobre todo de la contienda con Jacobi por la teoría de las funciones elípticas. Se puede consultar en el sitio de la Biblioteca de la Universidad de Cornell http://mathbook.s.librarv.cornell.edn:8l)85/Dienst/UIMATH/
Bjerknes, C. A. (1885) Niels Henrik Abel. Tableau de sa vie et de son action scientifique. Bordeaux.
También en el sitio de Cornell hemos consultado la biografía más corta que el matemático sueco Mittag-Leffler redactara en su lengua materna en el centenario del nacimiento de Abel y que un poco después apareciera en francés.
Mittag-Leffler, G. (1907) Niels Henrik Abel, A. Hermann, ed., París.
Los autores conocieron por primera vez sobre la personalidad de Abel en la obra
Ore, O. (1957) Niels Henrik Abel. Mathematician Extraordinaire. University of Minnesota Press. 278 pp.
Este autor, también célebre matemático noruego, profesor de la prestigiosa universidad de Yale desde 1929, publicó en francés una síntesis de esta biografía en una colección de suplementos de la Revista Elemente der Mathematik que recomendamos no solo por ser más concisa, sino porque tiene mejor explicados los temas matemáticos, que por su complejidad no son tratados en la mayoría de las biografías.
Ore, O. (1982) Niels Henrik Abel, Birkhauser, Basilea, 24 pp.
Sin duda, la biografía que actualmente es más completa es la de Arild Stubhaug, matemático y publicista noruego. Se publicó primero en Oslo, en 1996. Después apareció la edición inglesa en 2000, una alemana en 2003 y una francesa, más reciente, en 2004. Hemos usado la inglesa.
Stubhaug, A. (2000) N. H. Abel and his times. Called to soon by ñames afar Springer. Nueva York. 580 pp.
Una biografía concisa, pero bastante completa de Niels Henrik, junto a la de otros grandes matemáticos que hemos citado, se encuentra en el libro siguiente, traducido al castellano:
Wussing, H.; Arnold, W. (eds.) (1989) Biografías de grandes matemáticos. Prenséis Universitarias de Zaragoza. 676 pp.
El tema de las ecuaciones algebraicas se puede encontrar en varias obras con diferentes niveles, en esta bibliografía hemos decidido colocar solo aquellas que nos ayudaron a perfilar mejor el papel de Niels Abel en el descifre del misterio de la quíntica.
Una monografía muy completa sobre el inicio y evolución del álgebra, que en sus capítulos 6 y 7 trata el problema de la solubilidad por radicales en los siglos XVII y XVIII hasta culminar en el XIX con la teoría de Galois es la escrita por la Dra. Isabella Bcishmakova de la Universidad Lomonósov de Moscú y que hace unos años ha sido traducida al inglés:
Béishméikova, 1.; Smirnova, G. (2000) The Beginnings and Evolution of Algebra, Dolciani Mathematical Expositions, number 23, Mathematical Association oí America.
Un libro dirigido a hacer un análisis histórico del surgimiento y evolución de las estructuras algebraicas, pero que al analizar los textos vigentes en el siglo XIX se remonta a los trabajos de Lagrange y sus seguidores y al problema de la solubilidad de ecuaciones es el siguiente:
Corry, L. (1996) Modera Algebra and trie Rise of Mathematical Struciures, Birkháuser.
Un artículo monográfico de más de 100 páginas que es una útil fuente sobre el tema de solubilidad de ecuaciones es:
Kiernan, M. (1971) The Development of Galois Theory from Lagrange to Artin, Archives of History of Exact Sciences, Vol 8.
Como el lector habrá comprobado el problema de la resolución de ecuaciones motivó la introducción del concepto de grupo. El siguiente libro, en su parte II, tiene como objetivo estudiar la conexión entre la teoría de solubilidad de ecuaciones algebraicas y los grupos de permutaciones, aportando datos interesantes sobre Lagrange, Vandermonde, Ruffini, Cauchy y Abel.
Wussing, H. (1984) The génesis ofthe absíract group concept, MIT, traducido del original en alemán.
La literatura elemental sobre el difícil tema del capítulo IV es muy escasa. Recomendamos la obra siguiente:
Markushévich, A. I. (1984) Curvas maravillosas. Números complejos. Funciones maravillosas. Lecciones populares de matemáticas. Ed. Mir. Moscú.
También nuestro libro tiene un epígrafe dedicado a este tema y lo hemos usado como base:
Sánchez Fernández, C.; Valdés Castro, C. (2004) De los Bernoulli a los Bourbaki. Una historia del arte y la ciencia del cálculo. NIVOLA. Madrid.
Para el que desee profundizar en la historia de las funciones elípticas la mejor obra que conocemos es la siguiente:
Houzel, Ch. (1978) Fonctious elliptiques et intégrales abéliennes en Abregé d’histoire des mathématiques 1700-1900. (ed. por Jean Dieudonné) Vol II, cap. VIL Ed. Hermann, París.
En el capítulo V, la historia referente a la serie del binomio tiene como base el artículo siguiente:
Pensevy, M. (1986) La serie du binóme de Wallis a Abel. Gaz. Math. Soc. Math. Fran. 31, pp. 133-157.
Una obra clásica, algo envejecida, pero con valores indudables, nos ha ayudado a ubicar las ideas de Abel en su contexto matemático del periodo romántico. Nos referimos a
Klein F. (1927) Vorlesungen iiberdie Entwicklung der Mathematik im 19 Jahrfiundert. Berlín.
que usamos en su edición rusa de 1989 bajo la redacción del destacado matemático M. M. Postnikov.
Con el mismo objetivo consultamos la obra siguiente
Bell, E. T. (1940) The Development ofMathematics. McGraw-Hill. Nueva York 655 pp.
De la obra de Bell existe edición castellana, del Fondo de Cultura Económica de México, con el título Historia de las matemáticas, con una traducción no siempre fiel al original, como refleja el título.
Acaba de ser publicada una edición de una serie de artículos relacionados con la obra de Abel escrita por los mejores especialistas en tales campos con un enfoque histórico en varios de ellos. La mayoría son trabajos presentados en las conferencias por el centenario y el bicentenario del nacimiento de Abel. Esta acompañada con un CD-ROM con una gran cantidad de información sobre Niels Henrik.
Laudal, Olav A.; Piene, Ragni (Eds.) (2004) The Legacy of Niels Henrik Abel. Oslo. 784 pp.
También con trabajos presentados en la conferencia por el bicentenario del nacimiento de Abel es la obra, más sencilla, pero bien editada, siguiente:
Bekken, O; Reidar, M. (Eds.) (2003) Study the Masters: The Abel-Fauvel Conference; Nationellt Centrum für Matematikutbildning, Goteborg, Suecia, 310 pp.
En Internet existen varios sitios interesantes sobre la vida y la obra de Niels Abel. Recomendamos en particular el sitio noruego sobre los premios Abel www.abelprisen.no/
Notas:


y teología en el seminario de la Universidad de Tubinga, y decidir que no quería ser clérigo, trabajó como preceptor en Berna (Suiza) en 1793. En 1799 murió su padre, dejándole un legado cuya cuantía económica le permitió abandonar su trabajo como tutor. En 1801 ingresó en la Universidad de Jena, donde más tarde llegaría a ser profesor. Allí concluyó La fenomenología del espíritu (1807), una de sus obras más importantes. Fue director de un instituto de enseñanza secundaria en Núremberg durante ocho años. En los años que paso en esta ciudad contrajo matrimonio con Marie von Tucher, de quien tuvo tres hijos: una niña, que murió al poco de nacer, y dos varones. En Núremberg publicó después de siete años de trabajo Ciencia de la lógica (1816). En 1818 se trasladó a la Universidad de Berlín, donde permaneció hasta su muerte. Algunas notas de sus clases fueron publicadas a titulo póstumo. Entre las obras así editadas están Lecciones sobre la historia de la filosofía (1836) y Lecciones sobre la filosofía de la historia (1837). Cuando murió era el filósofo más importante de Alemania.
Jakob Steiner (1796-1863) estudió en Suiza con el famoso pedagogo Johann Pestalozzi y en Alemania en la Universidad de Heidelberg. De 1821 a 1835 trabajó corno profesor de secundaria de matemáticas y luego se incorporó a la Universidad de Berlín. Es considerado por algunos historiadores como el primer especialista verdadero en geometría. Se interesó sobre todo por la construcción puramente sintética de la geometría. Utilizó el principio de dualidad en geometría proyectiva, pero no consiguió liberar completamente la geometría de los métodos métricos. Se interesó también por los problemas isoperimétricos y por las construcciones con solo regla y un círculo fijo.
que visitó se distinguió como un activo popularizador de las bondades de la astronomía. Sus investigaciones matemáticas versaron sobre geometría, en particular el estudio de las epicicloides. Utilizó la teoría de las fracciones continuas para dar una teoría aritmética de los distintos sistemas de calendarios solares y lunares. Durante su estancia en Kazán conoció al joven Lobachevski y fue de los primeros en reconocer la importancia de su geometría no euclidiana Fue miembro de sociedades científicas de San Petersburgo, Praga, Cracovia y Londres.
Aquí, después de la caída de Napoleón, defiende con audacia y gran elocuencia las ideas republicanas. Toma parte en organizaciones secretas y de manera autodidacta estudia botánica biología y medicina Además, impartiendo clases particulares se gana el sustento de su joven esposa y de sus hijos. En 1824 atrajo la atención por un artículo sobre diferentes tipos de pastos y después de 1830 realizó una serie de investigaciones en química orgánica que sirvieron para fundamentar la teoría de que tanto las plantas como los humanos estamos compuestos por células. Se interesó por los parásitos, tanto en el cuerpo humano como en la sociedad. Sus anuarios sobre salud se hicieron muy populares. Fue un político radical socialista que durante toda su vida se pronunció y luchó contra todo tipo de injusticia, exponiendo la corrupción y la incompetencia de los funcionarios de los niveles superiores. Por esto estuvo en prisión y fue enviado al exilio en varias ocasiones, pero siempre regresó a Francia. Llegó a convertirse en una especie de héroe nacional, popular en el mundo entero por la combinación de científico y político. Fue miembro de la Cámara de Diputados y puso el caso de Abel, el amigo de su juventud, como ejemplo del favoritismo de la Academia hacia los viejos científicos con abundante capital en detrimento de la carrera de los jóvenes.
Este conjunto S3 es un grupo. De manera similar se puede hacer lo mismo para Sn el conjunto de las permutaciones de n elementos.
Esto se escribe en forma de tabla:
Berlín y fue profesor en Estocolmo. Sus trabajos fueron principalmente sobre teoría de funciones complejas. Complemento la obra de sus maestros Weierstrass y Hermite y logro que Sofía Kowalevsky ocupase una plaza de profesora en la Universidad de Estocolmo. En 1882 creó la revista Acta mathematica que pronto ganó prestigio internacional sobre todo por su gestión como divulgadora de la matemática contemporánea. Fue presidente de honor de la Unión Internacional de Matemáticos desde 1924. En el centenario del nacimiento de Abel, Mittag-Leffler dedico un número de su revista a la conmemoración y redactó una breve biografía que se publicó en sueco (1903) y en francés (1907). Existe un instituto de investigación cerca de Estocolmo que lleva su nombre.













Sus intereses matemáticos fueron vastísimos: teoría de números, formas cuadráticas, geometría diferencial, funciones elípticas, teoría de funciones complejas, ecuaciones diferenciales, problemas de contorno y mecánica analítica, entre otros temas. Publicó cerca de 400 trabajos.
cuando P pasa el cuarto grado el nombre de hiperelíptica. Nos gustaría mejor llamarla
Demostró en 1873 la trascendencia del número e. También estudió una clase de polinomios ortogonales que llevan su nombre. El artículo sobre la resolución de la quíntica mediante funciones elípticas apareció en 1858 en la revista de la Academia de Ciencias de París. Al siguiente año fue aceptado como miembro correspondiente de la Academia de Ciencias de Berlín. En 1890 fue elegido presidente de la Academia de Ciencias de París y en 1895 miembro honorario de la Academia de Ciencias de San Petersburgo. En el Congreso Internacional de Matemáticos que en el verano de 1900 se celebró en París fue nombrado por aclamación presidente de honor. Murió pocos meses después, el 14 de enero de 1901.
Ese mismo ano la Universidad de Königsberg lo nombró doctor honorífico y obtuvo una beca para organizar sus resultados.
Además señala haberse familiarizado con nuevos trabajos en teoría de ecuaciones. En Berlín, siendo su intención asistir a las clases de Weierstrass y hallándose este enfermo, se dedicó a trabajar en la biblioteca, estudiando teoría de números y teoría de ecuaciones. Allí conoció a Carl Borchardt (1817-1880), editor en ese momento del Journal de Crelle, con el que estableció un intercambio de ideas sobre la obra de Abel y Jacobi que fue muy fructífero para ambos.