El pensamiento matematico Parte I
Morris Kline
A mi esposa, Helen Mann Kline
Prologo
Si queremos prever el futuro de la matemática, el camino adecuado para conseguirlo es el de estudiar la historia y el estado actual de esta ciencia.
Henri Poincaré
Este libro debe ser considerado simplemente como un panorama general de la historia de la matemática. Si uno se para a pensar que las obras de Euler superan los setenta volúmenes, las de Cauchy tienen veintiséis y las de Gauss doce, fácilmente puede caer en la cuenta de que una obra como ésta, en un solo volumen, no puede tener pretensiones de presentar una exposición completa. En algunos capítulos de este libro presentamos solamente unas pocas muestras de lo que se creó en los campos correspondientes, aunque confiamos en que estas muestras sean las más representativas. Por otra parte, al citar teoremas u otros resultados hemos omitido a menudo condiciones menores que se necesitarían para ser estrictamente correctos, con el fin de centrar la atención en las ideas principales. Por restringida que pueda parecer esta obra, creemos haber conseguido presentar una cierta perspectiva de la historia completa de la matemática.
El libro está organizado subrayando más bien los temas matemáticos importantes que los hombres que los desarrollaron. Cierto es que toda rama de la matemática lleva el sello de sus fundadores, y que los grandes hombres han jugado papeles decisivos al determinar el curso a seguir por la matemática, pero son sus ideas lo que queremos presentar; las biografías se considerarán como totalmente subordinadas. Hemos seguido, a este respecto, el consejo de Pascal:
«Cuando citemos autores, citaremos sus demostraciones, no sus nombres.»Por razones de coherencia, en especial para el período posterior al 1700, hemos tratado cada desarrollo en el momento en que alcanza su madurez, se destaca y ejerce su influencia sobre otros campos de la matemática. Así, por ejemplo, la geometría no euclídea aparece expuesta en el siglo XIX, a pesar de que la historia de los esfuerzos por demostrar o sustituir el axioma euclídeo del paralelismo se remonta a la época inmediatamente posterior a Euclides. Naturalmente, ha habido muchos temas que han aparecido recurrentemente en distintos períodos.
Con objeto de mantener el material dentro de límites razonables, hemos tenido que ignorar varias civilizaciones como la china[1], la japonesa y la maya, dado que su obra prácticamente no tuvo impacto sobre las corrientes centrales del pensamiento matemático. Por otra parte, a algunas teorías matemáticas como la teoría de probabilidades y el cálculo de diferencias finitas, que tienen hoy una gran importancia pero que no jugaron un papel tan importante en el período que aquí consideramos, se les ha dedicado poca atención. El enorme desarrollo de las últimas décadas nos ha obligado a incluir únicamente las creaciones del siglo XX que adquirieron su importancia dentro del período mencionado. Seguir a lo largo del siglo XX el desarrollo de temas tales como la teoría de ecuaciones diferenciales ordinarias o el cálculo de variaciones exigiría echar mano de materiales muy especializados que sólo tienen interés para los investigadores en esos campos concretos y alargaría excesivamente el libro. Aparte de estas últimas consideraciones, hay que añadir que resulta muy difícil evaluar objetivamente y sobre la marcha la importancia de muchos de los desarrollos más recientes. Precisamente la historia de la matemática nos enseña que muchos temas que provocaron un enorme entusiasmo y atrajeron la atención de los mejores matemáticos terminaron cayendo en el olvido. No hay más que recordar la afirmación de Cayley en el sentido de que la geometría proyectiva es toda la geometría, o la de Sylvester de que la teoría de invariantes algebraicos resume todo lo valioso de la matemática. En realidad, una de las preguntas más interesantes a las que viene a responder la historia es la de qué es lo que logra sobrevivir en la matemática; la historia hace, ciertamente, su propia y fundada evaluación.
De los lectores que tengan incluso unos conocimientos básicos de las docenas de campos más importantes no se puede esperar que conozcan lo esencial de todos estos desarrollos. Por tanto, y excepto en algunos temas muy elementales, se explica también el contenido de aquellos cuya historia se está estudiando, unificando así en cierto modo la exposición con la historia. Estas explicaciones de las diversas teorías pueden no llegar a clarificarlas completamente, pero deberían dar al menos una idea de su naturaleza. Consecuentemente, este libro puede servir en cierto sentido como una introducción histórica a la matemática; este enfoque constituye ciertamente uno de los mejores procedimientos para llegar a entender y apreciar correctamente una teoría.
Esperamos que este libro sea útil tanto para matemáticos profesionales como en formación. El profesional se ve hoy obligado a dedicar tanto tiempo y energías a su especialidad, que tiene pocas oportunidades de familiarizarse con su historia. Y, sin embargo, este marco histórico es muy importante. Las raíces del presente se hunden profundamente en el pasado, y casi nada de ese pasado resulta irrelevante para el hombre que trata de entender cómo el presente llegó a ser lo que es. Por otra parte, la matemática, pese a su proliferación en cientos de ramas, tiene su unidad propia y sus metas y problemas importantes y, salvo que los diversos campos contribuyan decididamente al núcleo de la matemática, corren el peligro de volverse estériles. La manera más segura de combatir los peligros que amenazan nuestra fragmentada ciencia quizás sea la de llegar a conocer los logros, tradiciones y objetivos de la matemática en el pasado, para poder dirigir las investigaciones por vías fructíferas. Como muy bien dijo Hilbert:
«La matemática es un organismo para cuya fuerza vital es condición necesaria la unión indisoluble de sus partes.»Para los estudiantes de matemáticas este libro puede presentar otro tipo de interés. Los cursos usuales presentan teorías matemáticas que parecen tener poca relación unas con otras. La historia puede dar la perspectiva global del tema y relacionar las materias de los cursos no sólo unas con otras sino también con las líneas centrales del pensamiento matemático.
Asimismo, dichos cursos también resultan engañosos por otro motivo básico: en ellos se da una presentación de una teoría organizada lógicamente, que deja la impresión de que los matemáticos han avanzado de un teorema al siguiente de una manera casi natural, que pueden superar cualquier dificultad, y que las teorías están ya completamente trilladas y acabadas. La imponente sucesión de teoremas hunde en la miseria al alumno, especialmente si está empezando a estudiar la materia.
La historia, por el contrario, nos enseña que el desarrollo de cualquier rama de la matemática se ha llevado a cabo de una manera gradual, a base de resultados que solían provenir de diversas direcciones. También nos enseña que a menudo se han necesitado décadas, e incluso cientos de años, de esfuerzos antes de conseguir algún progreso de importancia. Y en lugar de la impresión de que las teorías están ya completamente trilladas y terminadas, uno se encuentra con que, a menudo, lo que se ha conseguido es simplemente un punto de partida, con que hay que rellenar aún muchos huecos, o con que todavía quedan por hacer las generalizaciones realmente importantes.
Las cuidadas y ordenadas exposiciones que se hacen en los cursos habituales no muestran en absoluto los conflictos del proceso creativo, las frustraciones, y el largo y arduo camino que los matemáticos han tenido que recorrer para llegar a construir una estructura importante. Siendo consciente de esto, el estudiante no sólo logrará un conocimiento mejor, sino que sacará de ahí el valor necesario para seguir atacando con tenacidad sus propios problemas, y no se desanimará por las deficiencias de su propio trabajo. Realmente, el conocimiento de cómo han avanzado los matemáticos dando traspiés, a veces en la oscuridad más absoluta, hasta llegar a reunir las piezas individuales de sus resultados, debería animar a cualquier principiante en la investigación.
Para cubrir el extenso período que pretende describir este libro, hemos tratado de seleccionar las fuentes más fiables. Para la época anterior al cálculo infinitesimal, estas fuentes, tales como el libro de T. L. Heath A History of Greek Mathematics, son obviamente fuentes secundarias, y en esos casos hemos utilizado varias de ellas y no sólo una. Para los desarrollos posteriores, casi siempre se ha podido ir directamente a las obras originales, que afortunadamente pueden encontrarse en las revistas o en las obras completas de los matemáticos más eminentes. También hemos visto facilitada nuestra labor por los numerosos informes y resúmenes de investigaciones que se encuentran a menudo en las ediciones de obras completas. Hemos tratado de dar referencias concretas de todos los resultados importantes, pero hacerlo así para todos los teoremas habría supuesto una confusa masa de referencias y un consumo de espacio que es mejor dedicarlo a la exposición misma.
. Las fuentes utilizadas se indican en las bibliografías de los finales de capítulo; el lector interesado puede obtener en dichas fuentes mucha más información de la que hemos extractado aquí. Estas bibliografías incluyen también muchas referencias que no se podrían considerar como fuentes; sin embargo, se ha considerado interesante incluirlas bien porque ofrecen información adicional, porque el nivel de la presentación puede ser útil para algunos lectores, o porque pueden ser más fácilmente accesibles que las fuentes originales.
Quiero expresar mi gratitud a mis colegas Martin Burrow, Bruce Chandler, Martin Davis, Donald Ludwig, Wilhelm Magnus, Carlos Moreno, Harold N. Shapiro y Marvin Tretkoff, que respondieron a numerosas preguntas, leyeron muchos capítulos y ejercieron una valiosa crítica. Un agradecimiento muy especial debo a mi esposa Helen por su crítica del manuscrito, su extensa comprobación de nombres, fechas y fuentes, así como por su cuidadosa lectura de las pruebas de imprenta. De gran ayuda resultó la labor de Mrs. Eleanore M. Gross, que mecanografió todo el texto. Por último, quiero expresar también mi gratitud a la dirección y equipo de la Oxford University Press por su escrupulosa edición de este libro.
Morris Kline
Nueva York, Mayo 1972
Capítulo 1
La matemática en Mesopotamia
La lógica puede permitirse ser paciente, puesto que es eterna.
Oliver Heaviside
1. ¿Dónde tuvo su origen la matemática?1. ¿Dónde tuvo su origen la matemática?
2. La historia política de Mesopotamia
3. Los símbolos numéricos
4. Las operaciones aritméticas
5. El álgebra babilónica
6. La geometría babilónica
7. Aplicaciones de la matemática en Babilonia
8. Evaluación global de la matemática babilónica
Bibliografía
La matemática, entendida como disciplina racional bien organizada e independiente, no existía antes de que entraran en escena los griegos de la época clásica, que va más o menos del 600 al 300 a. C. Hubo, sin embargo, algunas civilizaciones anteriores en las que se desarrollaron los orígenes o rudimentos primarios de la matemática. Muchas de las civilizaciones primitivas no llegaron más que a distinguir entre uno, dos y muchos, mientras que otras consiguieron acceder a números realmente grandes e incluso fueron capaces de operar con ellos. Otras aún llegaron a reconocer los números como conceptos abstractos, adoptando palabras especiales como nombres para cada uno de ellos y símbolos concretos para representarlos, e incluso introdujeron el uso de una base como el diez, el veinte o el cinco para representar una unidad de orden superior al ir contando. También nos encontramos con las cuatro operaciones aritméticas elementales, si bien restringidas a números no muy grandes, y con la idea de fracción, que solía limitarse, sin embargo, a 1/2, 1/3 y otras análogas, expresadas mediante palabras. Se reconocieron además las ideas geométricas más sencillas, como la recta, el círculo, los ángulos, etcétera. No deja de ser interesante hacer notar que el concepto de ángulo probablemente surgiera de la observación de los distintos ángulos que pueden formar el muslo y la pierna de una persona, o su brazo y su antebrazo, porque en muchas lenguas se denomina a un lado de un ángulo con la palabra «brazo» o «pierna». En español, por ejemplo, se habla a veces de los brazos de un ángulo recto. Las aplicaciones de la matemática en estas civilizaciones primitivas se limitaron a cálculos comerciales muy sencillos, al cálculo aproximado de áreas de campos, a la decoración geométrica de la cerámica, al diseño de dibujos para reproducirlos repetidamente en los tejidos, y al registro y medida del tiempo.
Hasta que llegamos a la matemática de los babilonios y de los egipcios de hacia el año 3000 a. C., no encontramos ningún otro progreso matemático. Desde que los pueblos primitivos decidieron establecerse sedentariamente en una zona concreta, construyendo viviendas y dedicándose a la agricultura y a la domesticación de animales hacia el 10000 a. C., podemos ver lo lentamente que fue dando sus primeros pasos la matemática más elemental. Por otra parte, la existencia de buen número de civilizaciones sin matemáticas de las que podemos hablar nos muestra lo diseminado que estuvo antiguamente el cultivo de esta ciencia.
2. La historia política de Mesopotamia
Los babilonios fueron los primeros de estas dos antiguas civilizaciones en contribuir al desarrollo de las corrientes centrales de la matemática. Nuestros conocimientos acerca de las civilizaciones antiguas del Próximo Oriente, y de Babilonia en particular, son en su mayor parte el resultado de la investigación arqueológica de los últimos cien años, y por este motivo dichos conocimientos son bastante incompletos y sujetos a correcciones y modificaciones según se vayan haciendo nuevos descubrimientos. El adjetivo «babilónico» se aplica, abusando un tanto del lenguaje, a toda una serie de pueblos que ocuparon, simultáneamente o de manera sucesiva, la región comprendida entre los ríos Éufrates y Tigris y sus alrededores, región conocida como Mesopotamia y que hoy forma parte del Estado moderno de Irak. Estos pueblos vivieron en una serie de ciudades, a veces incluso políticamente independientes unas de otras, tales como Babilonia, Ur, Nippur, Susa, Assur, Uruk, Lagash, Kish y otras. Hacia el 4000 a. C. se instalaron en el sudeste de Mesopotamia los sumerios, distintos étnicamente de los semitas y de los pueblos indogermánicos posteriores. Su capital fue Ur, y el territorio que ocuparon se llamó Sumer. Aunque la cultura que desarrollaron los sumerios alcanzó su apogeo hacia el 2250 a. C., antes incluso, hacia el 2500 a. C., fueron dominados políticamente por los acadios, un pueblo semita cuya capital era Accad, gobernados en esa época por el rey Sargón, y así la brillante cultura sumeria quedó fusionada con la acadia, que la asimiló. Un período de alto nivel cultural se produjo durante el reinado del rey Hammurabi (hacia el 1700 a. C.), bien conocido como autor y promulgador de un famoso código legal.
Hacia el año 1000 a. C., nuevas migraciones y la introducción del hierro trajeron consigo nuevos cambios, y más tarde, durante el siglo VIII a. C., la región fue controlada por los asirios, que procedían de la zona montañosa del alto Tigris. Por lo que sabemos, los asirios no añadieron nada nuevo a la cultura anterior, y un siglo más tarde vemos el imperio asirio compartido por los caldeos y los medos, estos últimos muy próximos étnicamente a los persas, que vivían más al Este. A este período de la historia de Mesopotamia (siglo VII a. C.) se le suele llamar período caldeo. El Próximo Oriente cayó en poder de los persas, con el rey Ciro, hacia el 540 a. C., y algunos matemáticos persas de la época, tales como Nabu-Rimanni (ca. 490 a. C.) y Kidinu (ca. 480 a. C.) llegaron a ser conocidos por los griegos.
El año 330 a. C., Alejandro Magno, el gran general griego, conquistó Mesopotamia, y al período que va del 300 a. C. a los comienzos de nuestra era se le suele llamar período seléucida, del nombre del general griego que fue el primero en controlar la región a la muerte de Alejandro en el verano del año 323 a. C. Sin embargo, para entonces ya se había producido el florecimiento de la matemática griega, y desde la época de Alejandro hasta mediados del siglo VII d. C., en que entraron en escena los árabes, fue la influencia griega la que predominó en el Próximo Oriente. En cualquier caso, la mayor parte de las contribuciones de los babilonios a la matemática son muy anteriores al período seléucida.
A pesar de los numerosos y frecuentes cambios de gobernantes en Mesopotamia, en el desarrollo de la matemática se dio una continuidad notable de conocimientos, tradición y práctica desde los tiempos más antiguos hasta la época de Alejandro por lo menos.
3. Los símbolos numéricos
La principal fuente de información que tenemos sobre la civilización y la matemática babilónica, tanto de la antigua como de la más reciente, la constituyen los textos grabados en tablillas de arcilla. Estos textos se escribían sobre las tablillas cuando la arcilla aún estaba blanda, y a continuación se cocían en hornos o simplemente se endurecían al sol. Este procedimiento ha garantizado la buena conservación de las que no han resultado destruidas. Estas tablillas datan principalmente de dos períodos: algunas de hacia el 2000 a. C., y en mayor cantidad del período que va desde el 600 a. C. al 300 d. C. Las del primer período son las más importantes por lo que se refiere a la historia de la matemática.
La lengua y la escritura utilizadas en las tablillas del período más antiguo es el acadio, que se superpuso al tipo de lenguaje y escritura sumerios, más antiguo aún, como hemos dicho. Las palabras de la lengua acadia consistían en una o más sílabas, y cada sílaba venía representada por un grupo de signos que se reducían esencialmente a pequeños segmentos rectilíneos. Los acadios utilizaban para escribir un prisma de sección triangular, que apoyaban sobre la tablilla en una posición inclinada, produciendo así unas señales en forma de «cuña» orientadas en distintas direcciones. Esta escritura recibió más tarde el nombre de «cuneiforme», de la palabra latina cuneus, que significa «cuña».
La aritmética alcanzó su más alto grado de desarrollo en la civilización babilónica durante el período acadio. Los números naturales se escribían de la manera siguiente:

Al principio, los babilonios no tenían ningún símbolo para indicar la ausencia de unidades de un orden o posición cualquiera y, por lo tanto, sus numerales podían resultar ambiguos; así, por ejemplo
Pero los babilonios también utilizaron el principio de notación posicional para representar las fracciones, lo que constituye sin duda el aspecto más notable y útil de su invención. Así, por ejemplo,
Algunas de las fracciones más sencillas venían representadas por símbolos especiales. Así, nos encontramos con
En realidad, los babilonios no utilizaron exclusivamente la base 60. A veces, sobre todo para representar años, escribían cosas como 2 me 25, donde la palabra me representa 100, es decir, que se trata del año 225. De la misma manera se usó limu para 1.000, generalmente en textos no matemáticos, aunque a veces aparezca incluso en algunos textos matemáticos del período seléucida. También se pueden encontrar a veces mezclados el 10 y el 60, como en 2 me 1, 10, que significa 2 x 100 + 1 x 60 + 10 = 270. Sistemas mixtos, utilizando una amplia variedad de unidades de diversos órdenes, tales como 60, 24, 12, 10, 6 y 2, se usaron para fechas, áreas, medidas de peso, monedas, etc., más o menos como nosotros usamos 12 para las horas, 60 para los minutos y los segundos, 10 para contar, etc. El sistema babilónico, en el fondo lo mismo que el nuestro, constituía el resultado de diversas costumbres históricas y regionales. Sin embargo, en los textos matemáticos y astronómicos utilizaron casi exclusivamente la base 60.
No sabemos con seguridad cómo llegó a generalizarse el uso de esta base 60. Una de las posibles explicaciones sugiere que pudo venir aconsejada por los diferentes sistemas de medidas de peso; supongamos que tenemos un sistema de medidas de peso con valores que están entre sí en las relaciones
1/2, 1/3, 2/3, 1, 10
y supongamos que hay otro sistema con una unidad distinta pero las mismas relaciones anteriores, y que razones de tipo político o social aconsejan fusionar los dos sistemas (como si se tratara de metros y pies, por ejemplo). Si la mayor de las dos unidades fuera 60 veces la menor, entonces 1/2, 1/3 y 2/3 de la mayor serían múltiplos enteros de la menor, y así podría haberse adoptado la unidad mayor por resultar tan conveniente.En cuanto a los orígenes de la notación posicional, hay al menos dos explicaciones posibles. En un sistema antiguo de escritura numérica, 1 multiplicado por 60 venía representado por un símbolo
4. Las operaciones aritméticas
En el sistema babilónico los símbolos para el 1 y para el 10 eran los símbolos básicos; los números del 1 al 59 se construían combinando más o menos de estos símbolos, de manera que las operaciones de sumar y restar se reducían a añadir o quitar símbolos. Para representar la suma los babilonios reunían las dos expresiones en una sola, como en
También efectuaban los babilonios multiplicaciones de números enteros: multiplicar por 37, por ejemplo, suponía multiplicar por 30, luego por 7, y sumar los resultados. El símbolo específico para la multiplicación era
Para dividir un número entero por otro los babilonios procedían de la manera usual, y dado que dividir por un entero a es lo mismo que multiplicar por su inverso 1/a, en este punto se presentaban inevitablemente las fracciones. Los babilonios representaban los inversos como «decimales» sexagesimales y, salvo en los pocos casos que hemos mencionado más arriba, no utilizaban símbolos especiales para las fracciones. Para ello se habían construido tablas que mostraban cómo expresar números del tipo 1/a en forma sexagesimal finita, donde a = 2α3β5γ. Sólo en algunas tablillas se dan valores aproximados para 1/7, 1/11, 1/13, etc., porque estas fracciones conducen a expresiones sexagesimales infinitas que se repiten periódicamente. Cuando aparecían en los problemas más antiguos fracciones con denominadores que incluían algún factor primo distinto de 2, 3 ó 5, entonces el mismo factor molesto aparecía también en el numerador y simplemente se cancelaba uno con otro.
Los babilonios utilizaron sistemáticamente estas tablas de inversos. Dichas tablas nos muestran textos como el siguiente, por ejemplo:

Los babilonios disponían también de tablas de cuadrados, raíces cuadradas, cubos y raíces cúbicas. Cuando la raíz en cuestión era un número entero se daba su valor exacto, y para las demás el valor sexagesimal correspondiente era sólo aproximado, desde luego, puesto que los números irracionales no se pueden expresar con un número finito de cifras decimales ni sexagesimales. Sin embargo, no hay ninguna evidencia en absoluto de que los babilonios fueran conscientes de este importantísimo hecho, sino que lo más plausible es que creyeran que los irracionales también se podían expresar de manera exacta en forma sexagesimal, prolongando la expresión hasta donde fuera necesario. Una excelente aproximación babilónica a √2 da como valor √2 = 1,414213... en vez del correcto 1,414214...
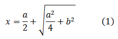
Las raíces aparecen, por ejemplo, al calcular la diagonal d de un rectángulo de altura h y base w. En un problema se pide calcular la diagonal de una puerta rectangular de altura y anchura dadas; la respuesta viene dada sin más explicaciones, y se reduce a utilizar la fórmula aproximada para la diagonal d,


5. El álgebra babilónica
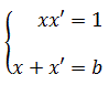
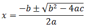
Aparte de las tablas, que nos suministran abundante información sobre el sistema numérico y las operaciones aritméticas babilónicas, hay otras con textos que contienen problemas algebraicos y geométricos. Un problema típico del álgebra babilónica más antigua pide hallar un número tal que sumado a su inverso dé un número dado. En notación moderna podemos escribir que lo que buscaban los babilonios eran dos números x y x tales que

x2 - bx + 1 = 0.
Los babilonios calculaban b/2, luego (b/2)2 y por último

Los babilonios llegaron a resolver problemas concretos que conducían a sistemas de cinco ecuaciones con cinco incógnitas, e incluso hay un problema, que aparece en el contexto de una corrección de observaciones astronómicas, que conduce a un sistema de diez ecuaciones con diez incógnitas, la mayor parte de ellas lineales. La solución del sistema utiliza un método especial de ir combinando las ecuaciones hasta llegar a calcular los valores de las incógnitas.
Los problemas algebraicos aparecen formulados y resueltos de una manera completamente verbal, sin utilizar símbolos especiales. A menudo aparecen las palabras us (longitud), sag (anchura) y asa (área) utilizadas para representar las incógnitas, no porque dichas incógnitas representen necesariamente tales cantidades geométricas, sino probablemente porque muchos problemas algebraicos surgieron de situaciones geométricas y la terminología geométrica acabó por imponerse como terminología corriente. Un ejemplo de la manera en que se utilizaban estos términos para representar las incógnitas, así como de la forma en que aparecen formulados los problemas, puede ser el siguiente:
«He multiplicado la longitud por la anchura y el área es 10. He multiplicado la longitud por ella misma y he obtenido un área. El exceso de la longitud sobre la anchura lo he multiplicado por sí mismo y el resultado por 9. Y esta área es el área obtenida multiplicando la longitud por ella misma. ¿Cuáles son la longitud y la anchura?»Es evidente que aquí las palabras longitud, anchura y área son simplemente nombres cómodos para las dos incógnitas y su producto, respectivamente.[2]
Hoy escribiríamos este problema simplemente como
xy = 10
9(x - y)2= x2
La solución, dicho sea de paso, conduce a una ecuación de cuarto grado en x, en la que faltan los términos en x3 y en x, de manera que en realidad es lo que nosotros llamamos una ecuación bicuadrada, que se puede resolver como una ecuación cuadrática en x2, y así lo hicieron los antiguos babilonios.También aparecen problemas que conducen a raíces cúbicas; uno de estos problemas, formulado en simbolismo moderno, es el siguiente:
![]()
En realidad los babilonios utilizaron a veces símbolos especiales para las incógnitas, pero este simbolismo pasó inadvertido. En algunos problemas aparecen dos palabras sumerias especiales (un poco modificadas por terminaciones acadias) para representar dos incógnitas que son una inversa de la otra. Además, se utilizaban de hecho los antiguos pictogramas sumerios para estas palabras, y como ya no se usaban tales pictogramas en el lenguaje usual, el efecto era el mismo que si se utilizasen símbolos especiales para representar las incógnitas. Estos símbolos se usaron repetidamente y se pueden identificar fácilmente, incluso sin saber cómo se pronunciaban en acadio.
En la resolución de los problemas algebraicos solamente se iban explicando las etapas necesarias para llegar a la solución. Por ejemplo:
«eleva al cuadrado 10, lo que da 100; resta 100 de 1.000, lo que da 900», etc.Dado que no aparece razón alguna que justifique cada etapa, lo único que podemos hacer nosotros es inferir cómo sabían lo que había que hacer.
En algunos problemas concretos sumaban los babilonios progresiones aritméticas y geométricas; nos encontramos, por ejemplo, en nuestra notación, con la suma
1 + 2 + 4 +... + 29 = 29 + (29 - 1) = 210 - 1.
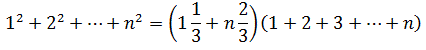
También aparece la suma de los cuadrados de los números enteros del 1 al 10, como si se hubiera calculado aplicando la fórmula
El álgebra babilónica incluía también algo de lo que nosotros llamamos teoría de números. Así, aparecen calculadas muchas ternas pitagóricas, probablemente aplicando la regla correcta, es decir, que si
x = p2 - q2
y = 2pq
z = p2 + q2
entoncesx2 + y2 = z2.
Y también resolvieron la ecuaciónx2 + y2 = 2z2
para números enteros.6. La geometría babilónica
El papel de la geometría en Babilonia fue prácticamente insignificante, no llegando a constituir una rama independiente de la matemática. Los problemas sobre divisiones de campos o sobre tamaños de ladrillos necesarios para alguna construcción se convertían inmediatamente en problemas algebraicos. Algunos cálculos de áreas y volúmenes se daban siguiendo ciertas reglas o fórmulas; sin embargo, las figuras que ilustran los problemas geométricos aparecen dibujadas toscamente y las fórmulas utilizadas a menudo son incorrectas. En los cálculos babilónicos de áreas, por ejemplo, no puede decirse con seguridad si los triángulos son rectángulos o si los cuadriláteros son cuadrados y, por lo tanto, si las fórmulas aplicadas son correctas o no para las figuras en cuestión. Sin embargo, ya se conocían la relación pitagórica, la semejanza de triángulos y la proporcionalidad de los lados correspondientes en triángulos semejantes. Al parecer, el área del círculo se calculaba siguiendo la regla A = c2/12, donde c es la longitud de la circunferencia; esta regla equivale, evidentemente, a utilizar 3 como valor de π. Sin embargo, otro de sus resultados, en el que se da la relación entre el perímetro de un hexágono regular y su circunferencia circunscrita, supone adoptar un valor de 3 1/8 para π.
Se sabía calcular, unos, correcta y otros incorrectamente, algunos volúmenes que se presentaban al resolver problemas físicos concretos.
Aparte de algunos hechos especiales, tales como el cálculo del radio de la circunferencia circunscrita a un triángulo isósceles dado, la geometría babilónica venía a reducirse a una colección de reglas para el cálculo de áreas de figuras planas sencillas, incluyendo los polígonos regulares, y de los volúmenes de cuerpos sólidos también sencillos. La geometría no se estudió nunca en sí y por sí misma, sino siempre en conexión con problemas prácticos.
7. Aplicaciones de la matemática en Babilonia
A pesar de su limitada extensión, la matemática entraba en muchos aspectos de la vida de los babilonios. Babilonia era un cruce de importantes rutas comerciales, y los babilonios utilizaron sus conocimientos de aritmética y de álgebra elemental aplicados a longitudes y pesos, a intercambios de moneda y mercancías, al cálculo de interés simple y compuesto, de los impuestos y de las porciones de una cosecha a pagar al granjero, al templo y al Estado, mientras que los problemas de herencias y divisiones de campos conducían a problemas algebraicos. La mayoría de los textos cuneiformes que tratan de matemáticas (excluyendo las tablas y textos de ejercicios) se refieren a problemas económicos. No hay duda, pues, de la influencia de la economía en el desarrollo de la aritmética del período más antiguo.
La construcción de canales, presas y otros proyectos de riego exigía cálculos, y el uso de ladrillos planteaba numerosos problemas numéricos y geométricos. Otros cálculos útiles eran los de volúmenes de graneros y edificios, y los de áreas de campos. La estrecha relación entre la matemática babilónica y los problemas prácticos aparece tipificada en lo siguiente: se trata de excavar un canal de sección trapezoidal y de dimensiones dadas. Se conoce también lo que puede cavar un hombre en un día, así como la suma del número de hombres empleados y los días que han de trabajar. El problema consiste en calcular el número de hombres y el número de días de trabajo.
Dado que la conexión entre matemática y astronomía se hizo esencial desde la época de los griegos en adelante, es interesante saber qué conocían los babilonios sobre astronomía. De la astronomía sumeria no sabemos nada, y durante el período acadio la astronomía fue cualitativa y rudimentaria; indudablemente el desarrollo de la matemática precedió al desarrollo de cualquier tipo importante de astronomía. Durante el período asirio (hacia el 700 a. C.), la astronomía comenzó a incluir descripciones matemáticas de los fenómenos y un registro sistemático de los datos de observación. El uso de la matemática aumentó sustancialmente durante los tres últimos siglos antes de nuestra era, dedicándose de manera especial al estudio de los movimientos lunares y planetarios; de hecho, la mayor parte de los textos astronómicos data de este período seléucida. Estos textos pueden clasificarse en dos grupos: efemérides planetarias y tablas de posiciones de los cuerpos celestes en diversas épocas. Hay indicaciones de cómo calcular las efemérides.
La aritmética que hay detrás de las observaciones lunares y solares muestra que los babilonios calculaban las diferencias primeras y segundas de los datos sucesivos, observaban la constancia de esas diferencias primeras o segundas y extrapolaban o interpolaban para otros datos. Su manera de proceder equivalía a utilizar el hecho de que los datos pueden ajustarse mediante funciones polinómicas, lo que les permitía predecir la posición diaria de los planetas. Conocían con cierta exactitud los períodos de los planetas y utilizaban los eclipses como base de cálculo. No hubo, sin embargo, ningún esquema geométrico del movimiento lunar o planetario en la astronomía babilónica.
Los babilonios del período seléucida disponían ya de extensas tablas sobre los movimientos del Sol y de la Luna, que les daban velocidades y posiciones variables. También aparecían en las tablas, o se podían obtener fácilmente de ellas, conjunciones especiales y eclipses del Sol y de la Luna; así pues, los astrónomos podrían predecir las lunas nuevas y los eclipses dentro de un margen de pocos minutos. Sus datos indican que conocían la longitud del año solar o tropical (o año de las estaciones) como 12 + 22/60 + 8/602 meses (de Luna nueva a Luna nueva), y la longitud del año sidéreo (el tiempo que emplea el Sol en volver a la misma posición relativa a las estrellas) con menos de 4 1/2 minutos de margen.
Las constelaciones que dan sus nombres a los doce signos del Zodiaco ya se conocían antes, pero el Zodiaco mismo aparece por primera vez en un texto del año 419 a. C. Cada sector del Zodiaco abarcaba un arco de 30 grados y las posiciones de los planetas en el cielo se fijaban con respecto a las estrellas y también por su posición en el Zodiaco.
La astronomía servía para fines muy diversos. Para empezar, era necesaria para hacer el calendario, que venía determinado por las posiciones del Sol, la Luna y las estrellas. El año, el mes y el día son cantidades astronómicas que hay que calcular con exactitud para conocer la época de la siembra y las fiestas religiosas, por ejemplo. En Babilonia, debido en parte a la conexión del calendario con las fiestas y ceremonias religiosas, y en parte a que los cuerpos celestes eran considerados como dioses, eran los sacerdotes los encargados de llevar el calendario.
Este calendario era básicamente lunar; el mes comenzaba con la primera aparición del cuarto creciente después del oscurecimiento total de la Luna o Luna nueva, mientras que el día comenzaba por la tarde de la primera aparición del cuarto creciente y duraba de puesta del Sol a puesta del Sol. El calendario lunar es difícil de mantener porque, aunque conviene que el mes contenga un número entero de días, los meses lunares, calculados a base del tiempo entre dos conjunciones sucesivas del Sol y de la Luna (es decir, de Luna nueva a Luna nueva), varía de 29 a 30 días. Por lo tanto, se plantea el problema de decidir qué meses han de tener 29 y cuáles 30. Otro problema, más importante aún, es el de poner de acuerdo el calendario lunar con las estaciones. La solución es muy complicada porque depende de las trayectorias y velocidades del Sol y de la Luna. El calendario lunar contenía meses extra intercalados entre los normales, de manera que 7 de éstos cada 19 años venían a mantener aproximadamente de acuerdo el calendario lunar con el año solar, de manera que 235 meses lunares equivalían a 19 años solares. Se calculaba sistemáticamente el solsticio de verano, y tanto el solsticio de invierno como los equinoccios se colocaban a intervalos iguales. Este calendario fue utilizado por los judíos, los griegos y los romanos hasta el 45 a. C., en que se adoptó el calendario llamado Juliano.
La división del círculo en 360 grados tuvo su origen en la astronomía babilónica de los últimos siglos anteriores a la era cristiana, y no parece haber tenido nada que ver con la utilización anterior de la base 60; sin embargo, la base 60 sí se usó para dividir el grado y el minuto en 60 partes cada uno, y el astrónomo Ptolomeo (siglo II d. C.) siguió a los babilonios en esta práctica.
Estrechamente relacionada con la astronomía estuvo la astrología. En Babilonia, como en tantas civilizaciones antiguas, los cuerpos celestes se consideraron como dioses y, por lo tanto, se suponía que tenían influencia e incluso control sobre los asuntos de los hombres. Teniendo en cuenta la importancia del Sol para la luz, el calor y el crecimiento de las plantas, el terror inspirado por sus eclipses, y muchos fenómenos estacionales como el apareamiento de los animales, resulta fácil entender la creencia de que los cuerpos celestes afectan incluso a los acontecimientos diarios en la vida del hombre.
Los sistemas de predicción seudocientíficos en las antiguas civilizaciones no siempre tuvieron que ver con la astronomía; los números mismos tenían presuntas propiedades místicas y podían utilizarse también para hacer predicciones. Podemos encontrar algunos usos babilónicos en el Libro de Daniel y en los escritos de los profetas del Antiguo y Nuevo Testamento. La «ciencia» hebrea de la geometría (una forma de misticismo cabalístico) se basaba en el hecho de que cada letra del alfabeto tenía un valor numérico determinado, porque los hebreos usaban las letras para representar números. Si la suma de los valores numéricos de las letras en dos palabras era la misma, se deducía una importante conexión entre las dos ideas o personas o sucesos representados por esas dos palabras. En la profecía de Isaías (21:8), el león proclama la caída de Babilonia, debido a que las letras en la palabra hebrea para león y para Babilonia suman lo mismo.
8. Evaluación global de la matemática babilónica
La utilización por parte de los babilonios de términos y símbolos especiales para las incógnitas, el uso de algunos símbolos operativos y su solución de algunos tipos de ecuaciones con una o más incógnitas, especialmente las ecuaciones cuadráticas, constituye el punto de partida del álgebra. El desarrollo de un método sistemático para escribir números enteros y fracciones les permitió disponer de una aritmética bastante avanzada y utilizarla en muchas situaciones prácticas, especialmente en astronomía. Podríamos decir que alcanzaron un tipo de habilidad numérica y algebraica para resolver ecuaciones especiales de grado más alto, pero, consideradas globalmente, su aritmética y su álgebra fueron muy elementales. A pesar de que trabajaban con números y problemas concretos, mostraron un cierto grado de abstracción matemática al reconocer que algunos métodos eran propios de determinadas clases de ecuaciones.
También se plantea la cuestión de hasta qué punto utilizaron los babilonios la idea de demostración en matemáticas. Efectivamente, resolvieron, mediante procedimientos sistemáticos correctos, ecuaciones bastante complicadas y, sin embargo, se limitaban a dar instrucciones verbales de los cálculos a realizar, sin justificarlos de ninguna manera. Es casi seguro que los procesos aritméticos y algebraicos y las reglas geométricas que utilizaron fueran el resultado final de la evidencia física misma, acompañada del método de ensayo y error; para los babilonios resultaba justificación suficiente para seguir utilizando dichos procesos el que funcionasen aceptablemente bien. En resumen, en la matemática babilónica no se encuentra ni el concepto de demostración, ni la idea de una estructura lógica basada en principios que merecieran aceptación por un motivo u otro, ni la consideración de cuestiones tales como las de bajo qué condiciones pueden existir soluciones de los problemas.
Bibliografía
- Bell, E. T.: The Development of Mathematics,2.a ed., McGraw-Hill, capítulos 1-2.
- Boyer, Cari B.: Historia de la Matemática,Madrid, Alianza Editorial, 1986.
- Cantor, Moritz: Vorlesungen über Geschichte der Mathematik,2.a ed., B. G. Teubner, 1894, vol. 1, cap. 1.
- Chiera, E.: They Wrote on Clay,Chicago University Press, 1938.
- Childe, V. Gordon: Man Makes Himself,New American Library, 1951, caps. 6-8.
- Dantzig, Tobías: Numher: The Language of Science,4.a ed., Macmillan, 1954, caps. 1-2.
- Karpinski, Louis C.: The History of Arithmetic,Rand McNally, 1925.
- Menninger, K.: Numher Words and Numher Symhols: A Cultural History of Numhers,Massachusetts Institute of Technology Press, 1969.
- Neugebauer, Otto: The Exact Sciences in Antiquity,Princeton University Press, 1952, caps. 1-3 y 5. —: Vorgriechische Mathematik, Julius Springer, 1934, caps. 1-3 y 5.
- Sarton, George: A History of Science,Harvard Universy Press, 1952, vol. 1, cap. 3. —: The Study of the History of Mathematics and the History of Science, Dover (reprint), 1954.
- Smith, David Eugene: History of Mathematics,Dover (reprint), 1958, vol. 1, cap. 1.
- Struik, Dirk J.: A Concise History of Mathematics, 3.a ed., Dover, 1967, capítulos 1-2.
- Van der Waerden, B. L.: Science Awakening,P. Noordhoff, 1954, caps. 2-3.
Capítulo 2
La matemática egipcia
La ciencia toda, incluida la lógica y la matemática, es función de la época; la totalidad de la ciencia, tanto en sus ideales como en sus logros.
E. H. Moore
Contenido:1. El marco histórico1. El marco histórico
2. La aritmética
3. Algebra y geometría
4. Aplicaciones de la matemática egipcia
5. Resumen
Bibliografía
Mientras que en Mesopotamia los pueblos que ejercieron el dominio sociopolítico del país a lo largo de su historia cambiaron con frecuencia, con el resultado de la aparición de nuevas influencias culturales, la civilización egipcia se desarrolló sin verse afectada prácticamente por influencias extranjeras. Desconocemos los orígenes de esta civilización, pero seguramente existía ya incluso antes del 4000 a. C. Egipto, como decía el historiador griego Heródoto, es un regalo del Nilo. Una vez al año, este río, que recoge sus aguas en el lejano sur del África central y de Abisinia, inunda casi todo el territorio que se extiende a lo largo de sus riberas, y deja fértiles depósitos de limo al retirarse. La mayor parte de la población vivía de cultivar estas tierras, y aún hoy lo sigue haciendo; el resto del país es un desierto.
Al principio hubo dos reinos, uno en el norte y otro en el sur de lo que es hoy Egipto, hasta que, en algún momento entre el 3500 y el 3000 a. C., el rey Menes unificó los llamados Alto y Bajo Egipto. A partir de ese momento, los grandes períodos de la historia egipcia se establecen cronológicamente en términos de las distintas dinastías reinantes, considerando a Menes como el fundador de la primera dinastía. La culminación de la cultura egipcia se produjo en torno a la tercera dinastía (hacia el 2500 a. C.), durante la cual los faraones hicieron construir las grandes pirámides. La civilización egipcia siguió sus propios derroteros hasta que Alejandro Magno conquistó el país el año 332 a. C. En adelante, y hasta poco después del 600 d. C., tanto su historia como su matemática pertenecen ya a la cultura griega. Así pues, dejando aparte una invasión menor de los hiksos (1700-1600 a. C.), y algunos contactos con la civilización babilónica (que se deducen del descubrimiento en el valle del Nilo de las llamadas tablillas cuneiformes de Tell al-Amarna, de hacia el 1500 a. C.), la civilización egipcia fue una creación altamente original del pueblo que vivió durante esos tres milenios en el valle del Nilo.
Los antiguos egipcios desarrollaron sus propios sistemas de escritura. Uno de ellos, y el más antiguo, la escritura jeroglífica, era de tipo pictórico, es decir, que cada símbolo era el dibujo de algún objeto concreto. La escritura jeroglífica se utilizó mucho en los monumentos hasta comienzos de nuestra era, pero desde el 2500 a. C., aproximadamente, los egipcios usaron en la vida diaria, al escribir sobre papiro, la llamada escritura hierática. Este sistema utilizaba símbolos convencionales que en principio habían sido meras simplificaciones de los símbolos jeroglíficos por un proceso de estilización. La escritura hierática es silábica; cada sílaba venía representada por un ideograma, y una palabra completa por una colección de ideogramas. El significado de cada palabra no tiene, en general, nada que ver con el de cada ideograma por separado.
La escritura usual se hacía con tinta negra o roja sobre papiro. Las hojas de papiro se producían cortando en tiras delgadas el tallo de la planta del mismo nombre, pegando estas tiras en dos capas cruzadas, prensándolas y encolándolas. Debido a que el papiro, al secarse excesivamente, se resquebraja, nos han llegado pocos documentos del antiguo Egipto, dejando aparte las inscripciones jeroglíficas sobre piedra, abundantes, pero que transmiten escasa información interesante.
Los documentos matemáticos más importantes que han sobrevivido son dos papiros bastante extensos: el papiro de Moscú, que se conserva en un museo de la capital rusa, y el papiro Rhind, descubierto en 1858 por el anticuario escocés A. Henry Rhind y ahora en el British Museum. El papiro Rhind también se conoce como papiro de Ahmes, por el nombre de su autor, que comienza con las siguientes palabras: «Cálculo Exacto para Entrar en Conocimiento de Todas las Cosas existentes y de Todos los Oscuros Secretos y Misterios.» Ambos papiros datan de hacia el 1700 a. C. También hay algunos fragmentos de otros papiros escritos en la misma época y posteriores. Estos papiros de tipo matemático fueron redactados por escribas que eran funcionarios del Estado egipcio o administradores de los templos.
Lo que contienen los papiros son problemas y sus soluciones, 85 en el papiro Rhind y 25 en el papiro de Moscú. Es posible que tales problemas se les presentasen a los escribas en su trabajo, y se esperaba que los supiesen resolver, pero lo más probable es que los problemas que figuran en los dos papiros más importantes tuvieran una intención pedagógica, como ejemplos más o menos artificiales de problemas típicos y sus soluciones. A pesar de que estos papiros datan, como hemos dicho, de hacia 1770 a. C., las matemáticas que aparecen en ellos probablemente las conocían ya los egipcios en fecha tan remota como el 3500 a. C., y poco fue lo que se añadió desde esa época hasta la conquista griega.
2. La aritmética
Los símbolos numéricos jeroglíficos que utilizaron los egipcios fueron
| 1 | | |
| 10 | ∩ |
| 100 | |
| 1.000 | |
| 10.000 | |
| 100.000 | |
| 1.000.000 |
Estos símbolos se combinaban para formar números intermedios, siendo la dirección de la escritura de derecha a izquierda, de manera que
| | | | ∩∩
por ejemplo, representaba 24. Se trata, pues, de un sistema de escritura numérica que usa la base 10, pero no es posicional, sino aditivo.En escritura hierática egipcia, los símbolos para los diez primeros números naturales son los siguientes:

| 1 | 12 |
| 2 | 24 |
| 4 | 48 |
| 8 | 96 |
Cada línea se obtiene de la anterior por duplicación, y como 4 + 8 = 12 y 4 x 12 = 48 y 8 x 12 = 96, sumando 48 y 96 se obtiene el valor de 12 por 12. Como se ve, este proceso es bastante distinto del usual de multiplicar por 10, luego por 2, y sumar. La multiplicación por 10 se efectuaba a veces sustituyendo los símbolos de las decenas por símbolos para 100, etc.
Particularmente interesante resulta el método utilizado por los egipcios para dividir un número por otro. Por ejemplo, para dividir 19 por 8 procedían de la manera siguiente:
| 1 | 8 |
| 2 | 16 |
| 1/2 | 4 |
| 1/4 | 2 |
| 1/8 | 1 |
y, por lo tanto, la respuesta era 2 + 1/4 + 1/8. La idea consiste simplemente en tomar el número de ochos y de partes de 8 que sumen 19.
El método de representación de las fracciones en el sistema numérico egipcio era mucho más complicado que el nuestro. El símbolo

| 1/2 | |
| 2/3 | |
| 1/4 |
Aparte de esas pocas especiales, todas las demás fracciones se descomponían en lo que llamamos fracciones unitarias. Así, por ejemplo, Ahmes escribe 2/5 como 1/3 + 1/15, donde el signo más no aparece pero se sobreentiende. El papiro Rhind contiene al principio una tabla en la que se expresan las fracciones de numerador 2 y de denominador impar entre 5 y 101, como sumas de fracciones unitarias. Por medio de esta tabla una fracción tal como la 7/29, que para Ahmes significa 7 dividido por 29, podría expresarse como suma de fracciones unitarias: dado que 7 = 2 + 2 + 2 + 1, Ahmes procede a convertir cada 2/29 en una suma de fracciones unitarias; combinando estos resultados y modificándolos un poco llega a una suma de fracciones unitarias, todas de distinto denominador, que dan la expresión final para 7/29 en la forma

1/5 + 1/29 + 1/145
pero como la tabla de 2/n de Ahmes conduce a la expresión anterior, es ésta la que se usa. La expresión de una de nuestras fracciones a/b como suma de fracciones unitarias se practicó de manera sistemática en Egipto siguiendo métodos y reglas elaborados a lo largo de siglos desde una remota antigüedad. Los egipcios efectuaban las cuatro operaciones aritméticas con fracciones utilizando las fracciones unitarias. Los frecuentes y complicados cálculos con fracciones fueron sin duda una de las razones de que los egipcios no llegaran a desarrollar nunca una aritmética ni un álgebra avanzadas.La naturaleza de los números irracionales tampoco llegó a reconocerse en la aritmética egipcia, al igual que no lo había sido en la babilónica. Las raíces cuadradas sencillas que aparecían en los problemas aritméticos o algebraicos se podían expresar, y se expresaron, en términos de números enteros y de fracciones.
3. Algebra y geometría
Los papiros que nos han llegado contienen también soluciones de problemas con una incógnita, que vienen a ser equivalentes a nuestra resolución de ecuaciones lineales. Sin embargo, los procesos seguidos eran puramente aritméticosy no constituían, para los egipcios, un tema distinto, como podía ser la resolución de ecuaciones. Estos problemas aparecen formulados verbalmente, como todos, con unas someras instrucciones para obtener la solución, sin explicación alguna de por qué se usan tales procedimientos ni de por qué funcionan bien. Por ejemplo, el problema 31 del papiro de Ahmes, traducido literalmente, dice: «Una cantidad; sus 2/3, su 1/2, su 1/7, su totalidad asciende a 33.» Esto para nosotros significa:

El problema 63 del mismo papiro dice lo siguiente: «Instrucciones para dividir 700 hogazas de pan entre 4 personas, 2/3 para el primero, 1/2 para el segundo, 1/3 para el tercero, 1/4 para el cuarto.». Esto significa para nosotros resolver la ecuación

En algunos casos Ahmes utiliza en su solución la llamada «regula falsi», o «regla de la falsa posición». Así, para calcular cinco números en progresión aritmética, sujetos a una condición extra y tales que su suma sea 100, elige Ahmes la diferencia d de la progresión de manera que sea igual a 5½ veces el término menor, y toma tal término menor igual a 1, con lo que obtiene la progresión 1, 6½, 12, 17½ y 23. Pero estos números sólo suman 60, mientras que lo que debían sumar era 100. Ahmes multiplica entonces cada uno de los términos por 5/3 = 100/60.
El único tipo de ecuación de segundo grado que aparece es el más sencillo, ax2 = b; incluso donde aparecen dos incógnita, el problema es del tipo

Este álgebra egipcia tan restringida no utilizaba prácticamente ningún simbolismo. En el papiro de Ahmes las operaciones de sumar y restar aparecen representadas por un dibujo esquemático de las piernas de una persona que se acerca y que se aleja, respectivamente, es decir
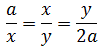
Y ¿qué se puede decir de la geometría egipcia? En realidad, lo primero que hay que señalar es que los egipcios no establecían ninguna separación entre aritmética y geometría, y en los papiros nos encontramos con problemas de los dos tipos mezclados. Al igual que los babilonios, los egipcios consideraban la geometría como una herramienta práctica. Uno se limitaba a aplicar la aritmética y el álgebra a problemas de áreas, volúmenes y otras situaciones geométricas. Heródoto nos dice que la geometría egipcia tuvo su origen en la necesidad que provocaba la crecida anual del Nilo de volver a trazar las lindes de los terrenos cultivados por los agricultores. Sin embargo, los babilonios desarrollaron una geometría parecida sin tal necesidad. Los egipcios disponían de recetas para el cálculo de áreas de rectángulos, triángulos y trapezoides; en el caso del área de un triángulo, aunque multiplicaban un número por la mitad de otro, no podemos estar seguros de que el método sea correcto, porque no tenemos la seguridad de que las palabras utilizadas representen las longitudes de la base y la altura o simplemente dos lados. Además, las figuras están tan mal dibujadas en los papiros que a veces no se puede saber exactamente qué área o volumen se está calculando. Su cálculo del área del círculo, sorprendentemente bueno, usa la fórmula A = (8d/9)2 donde d es el diámetro, lo que supone utilizar 3,1605 como valor de π.
Un ejemplo puede ilustrarnos bien la «exactitud» de las fórmulas egipcias para áreas. En los muros de un templo de Edfu aparece una lista de campos, presumiblemente regalos al templo; estos campos solían tener cuatro lados, que representaremos por a, b, c, d, donde a, b y c, d son las parejas de lados opuestos. Las inscripciones dan las áreas de estos campos siguiendo la regla


Los egipcios también tenían reglas para el volumen de un cubo, un paralelepípedo, un cilindro y otras figuras sencillas, algunas de ellas correctas y otras sólo aproximadas. Los papiros dan como volumen de un tronco de cono, que representa probablemente una clepsidra (o reloj de agua), el siguiente:

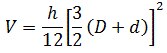
La regla más sorprendente quizás de la geometría egipcia es la del volumen de un tronco de pirámide de base cuadrada que, escrita en notación moderna es
![]()
Tampoco sabemos si los egipcios reconocieron el teorema de Pitágoras. Sí sabemos que había agrimensores o «tensadores de la cuerda», pero la historia de que utilizaban una cuerda anudada a intervalos iguales para dividir la longitud total en partes de longitudes 3, 4 y 5, que podían usar para formar un triángulo rectángulo, no aparece confirmada en ningún documento.
Las reglas formuladas no aparecen expresadas en símbolos, naturalmente. Los egipcios enunciaban los problemas verbalmente, y su procedimiento para resolverlos era esencialmente lo que nosotros hacemos cuando calculamos siguiendo una fórmula. Así, por ejemplo, una traducción casi literal del problema geométrico de calcular el volumen de un tronco de pirámide es la siguiente: «Si te dicen: una pirámide truncada de 6 como altura vertical por 4 en la base por 2 en el extremo superior. Tienes que cuadrar este 4, resultado 16. Tienes que doblarlo, resultado 8. Tienes que cuadrar 2, resultado 4. Tienes que sumar el 16, el 8 y el 4, resultado 28. Tienes que tomar un tercio de 6, resultado 2. Tienes que tomar dos veces el 28, resultado 56. Ves, es 56. Lo has hecho correctamente.»
¿Conocían los egipcios demostraciones o justificaciones de sus procedimientos y recetas? Algunos creen que el papiro de Ahmes fue escrito en el estilo de un libro de texto para estudiantes de la época y que, por lo tanto, aunque Ahmes no formule ninguna regla o principio general para resolver diferentes tipos de ecuaciones, es muy probable que las conociera, pero quería que el estudiante las formulara por sí mismo o bien tuviera cerca un maestro que lo hiciera por él. Bajo este punto de vista, el papiro de Ahmes resulta un texto de aritmética bastante avanzado. Otros creen que se trata del cuaderno de notas de un alumno. En cualquier caso, los papiros registran casi con toda seguridad los tipos de problemas que debían resolver los escribas en asuntos de negocios y administrativos, y que los métodos de resolución eran simplemente reglas prácticas conocidas por experiencia en ese trabajo. Nadie cree seriamente que los egipcios dispusieran de una estructura deductiva, basada en axiomas, que justificara la corrección de sus reglas.
4. Aplicaciones de la matemática egipcia
Los egipcios utilizaron la matemática en la administración de los asuntos del Estado y de los templos, en el cálculo de salarios pagados a los trabajadores, en el cálculo de volúmenes de graneros y áreas de campos, en el cobro de impuestos estimados según el área de la tierra, en la conversión de un sistema de medidas a otro y en el cálculo del número de ladrillos necesario para la construcción de edificios o rampas. Los papiros contienen también problemas relativos a la cantidad de grano necesario para producir cantidades dadas de cerveza, o la cantidad de grano de una calidad necesario para obtener el mismo resultado que con grano de otra calidad, cuya «fuerza» relativa al primero fuera conocida.
Como en Babilonia, se hacía un importante uso de la matemática en astronomía, cosa que data de la primera dinastía. Para los egipcios los conocimientos astronómicos eran esenciales, por lo siguiente. El Nilo es el elemento esencial de la vida en Egipto, cuyos habitantes viven de cultivar las tierras que el Nilo cubre de rico mantillo en su desbordamiento anual. Sin embargo, el egipcio tenía que estar bien preparado para los aspectos peligrosos de la inundación; casa, herramientas y ganado tenían que ser retirados temporalmente de la zona y hacer los preparativos para sembrar inmediatamente después. Por lo tanto, era necesario predecir la llegada de la inundación, cosa que se hacía por los fenómenos astronómicos que la precedían.
La astronomía hizo posible también el calendario. Aparte de la necesidad del calendario para el comercio, estaba la necesidad de establecer las fiestas religiosas, puesto que se creía esencial, para asegurar la benevolencia de los dioses, que las fiestas se celebraran en el momento debido. Y, lo mismo que en Babilonia una vez más, la tarea de llevar el calendario correspondió en gran parte a los sacerdotes.
Los egipcios llegaron a calcular la longitud del año solar observando la estrella Sirio. Un día del verano se hacía visible esta estrella en el horizonte exactamente antes de la salida del sol, mientras que en días sucesivos permanecía visible durante más tiempo antes de que la luz del sol la extinguiese. El momento en que era visible justo antes de la salida del sol recibía el nombre de salida heliacal de Sirio, y el intervalo entre dos de ellas consecutivas era de, aproximadamente, 365¼ días. Así pues, los egipcios adoptaron (se supone que el 4241 a. C.) un calendario civil con un año de 365 días. La concentración en Sirio se debió indudablemente al hecho de que las aguas del Nilo comenzaban a subir aproximadamente ese día, que se eligió como primer día del año.
El año de 365 días se dividió en 12 meses de 30 días, más cinco días extras al final. Como los egipcios no intercalaron el día adicional cada cuatro años, el calendario civil iba retrasándose poco a poco con respecto a las estaciones, y al cabo de 1460 años volvía a la situación inicial; a este intervalo se le llama ciclo Sótico, del nombre egipcio para Sirio. No sabemos con seguridad si los egipcios conocieron este ciclo. Su calendario fue adoptado por Julio César el 45 a. C., pero transformado en un año de 365 1/4 días por consejo del griego alejandrino Sosígenes. A pesar de que la determinación del año por los egipcios y su calendario fueron contribuciones valiosas, esto no condujo a una astronomía bien desarrollada, sino que fue, de hecho, rudimentaria y muy inferior a la babilónica.
Los egipcios combinaron sus conocimientos de astronomía y de geometría para construir sus templos, de manera que en ciertos días del año el sol incidiera sobre ellos de una manera especial, Por ejemplo, algunos fueron construidos de manera que el día más largo del año el sol penetraba directamente hasta el fondo del santuario e iluminaba la efigie del dios sobre el altar. Esta orientación de los templos la encontramos también a veces en Babilonia y en Grecia. Las pirámides se orientaban igualmente en direcciones especiales con respecto al cielo, y la Esfinge mira hacia el Este. Aunque los detalles de la construcción de estos monumentos no nos interesan ahora, vale la pena observar que las pirámides representan otra aplicación de la geometría egipcia. Son tumbas de faraones, como se sabe, y, dado que los egipcios creían en la inmortalidad, suponían que una tumba bien construida era esencial para la otra vida; de hecho, en cada pirámide se instalaba una residencia completa para el rey y la reina, y se ponía especial cuidado en construir sus bases de forma correcta, y las dimensiones relativas de la base y la altura eran importantes. Sin embargo, no hay que exagerar la complejidad o profundidad de las ideas puestas en juego; la matemática egipcia fue simple y rudimentaria, y no incluía principios profundos, contrariamente a lo que suele afirmarse.
5. Resumen
Revisemos sumariamente la situación de la matemática antes de que los griegos entren en escena. En las civilizaciones babilónica y egipcia nos encontramos con una aritmética de números enteros y fracciones, incluida la notación posicional, los comienzos del álgebra y algunas fórmulas empíricas en geometría. Casi no hay simbolismo apenas algún pensamiento consciente sobre abstracciones, ninguna formulación metodológica general y ninguna idea de demostración o incluso de razonamiento plausible que pudiera convencer a alguien de la corrección de un procedimiento o fórmula. No hubo, de hecho, ninguna concepción de ciencia teórica de ningún tipo.
Aparte de algunos resultados ocasionales en Babilonia, en ambas civilizaciones la matemática no se consideró una disciplina independiente digna de cultivarse por sí misma. Se trataba de una herramienta en forma de reglas simples y desconexas que respondían a problemas de la vida diaria, aunque ciertamente nada se hizo en matemáticas que alterase o afectase la forma de vida. A pesar de que la matemática babilónica fue más avanzada que la egipcia, casi lo mejor que se puede decir de ambas es que mostraron cierto vigor, si no rigor, y más perseverancia que brillantez.
Toda evaluación implica usar algún tipo de criterio. Puede resultar un tanto injusto, pero es natural comparar las dos civilizaciones con la griega que las sucedió. Con esta medida, los egipcios y los babilonios se nos presentan como rudos albañiles, mientras los griegos serían magníficos arquitectos. Pueden encontrarse descripciones más favorables, incluso elogiosas, de los logros de egipcios y babilonios, pero suelen estar hechas por especialistas en estas culturas, que se convierten, inconscientemente quizás, en devotos admiradores de su propio campo de interés.
Bibliografía
- Boyer, Cari B.: Historia de la Matemática, Madrid, Alianza Editorial, 1986. Cantor, Moritz: Vorlesungen über Geschichte der Mathematik, 2.a ed., B. G. Teubner, 1894, vol. 1, cap. 3.
- Chace, A. B., et al., eds.: The Rhind Mathematical Papyrus, 2 vols., Mathematical Association of America, 1927-29.
- Childe, V. Gordon: Man Makes Himself, New American Library, 1951. Karpinski, Louis C.: The History of Arithmetic, Rand McNally, 1925. Neugebauer, O.: The Exact Sciences in Antiquity, Princeton University Press, 1952, cap. 4. —: Vorgriechische Mathematik, Julius Springer, 1934.
- Sarton, George: A History of Science, Harvard University Press, 1952, vol. 1, cap. 2.
- Smith, David Eugene: History of Mathematics, Dover (reprint), 1958, vol. 1, cap. 2; vol. 2, caps. 2 y 4.
- Van der Waerden, B. L.: Science Awakening, P. Noordhoff, 1954, cap. 1.
Capítulo 3
Los orígenes de la matemática clásica griega
1. El marco histórico
2. Las fuentes generales
3. Las escuelas principales del período clásico
4. La escuela jónica
5. Los pitagóricos
6. La escuela eleática
7. Los sofistas
8. La escuela platónica
9. La escuela de Eudoxo
10. Aristóteles y su escuela
Bibliografía
Así es, pues, la matemática: te recuerda la forma invisible del alma; da vida a sus propios descubrimientos; despierta la mente y purifica el intelecto; arroja luz sobre nuestras ideas intrínsecas y anula el olvido y la ignorancia que nos corresponden por nacimiento.
Proclo
1. El marco históricoEn la historia de la civilización los griegos alcanzaron una posición preeminente, y en la historia de la matemática su época fue una de las más brillantes. A pesar de que tomaron muchos elementos prestados de las civilizaciones vecinas, los griegos edificaron una civilización y una cultura originales, de las más impresionantes de toda la historia de la humanidad, la que más ha influido en el desarrollo de la cultura occidental moderna, y que fue decisiva en la fundamentación de la matemática tal como la entendemos hoy. Uno de los grandes problemas de la historia de la cultura es el de dar cuenta de la brillantez y de la creatividad de los antiguos griegos.
Aunque nuestro conocimiento de los orígenes de su historia está sujeto, evidentemente, a revisiones y clarificaciones según vayan avanzando las investigaciones arqueológicas, tenemos motivos para creer, sobre la base de la Ilíada y la Odisea de Homero, del desciframiento de las antiguas lenguas y escrituras, y de las mismas excavaciones arqueológicas, que la civilización griega se remonta hacia el 2800 a. C. Los griegos se instalaron en Asia Menor, que pudo haber sido su lugar de origen, en el territorio continental europeo que constituye la Grecia moderna, y en el sur de Italia, Sicilia, Creta, Rodas, Délos y el norte de África. Hacia el 775 a. C., los griegos sustituyeron varios sistemas de escritura jeroglífica que utilizaban por la escritura alfabética fenicia (que también utilizaban ya los hebreos). Con la adopción del alfabeto, los griegos se convirtieron en un pueblo más letrado y mucho más capaz de registrar tanto su historia como sus ideas.
Con el establecimiento definitivo de los griegos en estos territorios, entraron en contacto comercial y cultural con los egipcios y los babilonios. Hay abundantes referencias en los escritos clásicos griegos a los conocimientos de los egipcios, a los que algunos griegos llegaron a considerar erróneamente como los fundadores de la ciencia, en particular de la agrimensura, la astronomía y la aritmética. Muchos griegos viajaron a Egipto para estudiar y conocer sus gentes, mientras otros visitaban Babilonia, y allí aprendieron su matemática y otras ciencias.
La influencia de Egipto y de Babilonia seguramente fue muy sensible en Mileto, una importante ciudad jónica en las costas de Asia Menor, en la que nacieron la filosofía, la matemática y las demás ciencias griegas. Mileto fue una importante y rica ciudad comercial del Mediterráneo, a cuyo puerto llegaban los barcos tanto de la Grecia continental como de Fenicia y Egipto; Babilonia estaba, en cambio, conectada a Mileto por medio de rutas de caravanas hacia el Este. Jonia cayó en manos de los persas hacia el 540 a. C., aunque Mileto conservó cierto grado de independencia. Una vez aplastado, el 494 a. C., el levantamiento jónico contra Persia, Jonia comenzó a perder su importancia. Volvió a formar parte de la Grecia propiamente dicha el 479 a. C., cuando los griegos derrotaron a los persas, pero para entonces la actividad cultural se había desplazado ya al territorio de la Grecia continental, con centro en Atenas.
A pesar de que la civilización griega antigua duró hasta el 600 d. C., aproximadamente, desde el punto de vista de la historia de la matemática conviene distinguir dos períodos: el clásico, que va desde el 600 al 300 a. C., y el alejandrino o helenístico, desde el 300 a. C. al 600 d. C. La adopción del alfabeto, que ya hemos mencionado, y el hecho de que el papiro estuviera disponible en Grecia durante el siglo VII a. C. quizás puedan explicar el florecimiento cultural que tuvo lugar hacia el 600 a. C. Indudablemente, el disponer de este material de escritura ayudó mucho a la difusión de las ideas.
2. Las fuentes generales
Sorprendentemente, las fuentes de las que procede nuestro conocimiento de la matemática griega son menos directas y fiables que las que tenemos de las matemáticas egipcia y babilónica, mucho más antiguas, debido a que no nos ha llegado ningún manuscrito original de los matemáticos griegos importantes de esa época. Una razón es, sin duda, la de que el papiro es un material de frágil consistencia; no obstante, los egipcios también utilizaron el papiro y, por suerte, se salvaron unos pocos de sus documentos matemáticos. Algunos de los voluminosos escritos griegos también podrían haber llegado hasta nosotros si no hubieran resultado destruidas sus grandes bibliotecas.
Nuestras fuentes principales para las obras matemáticas griegas son los códices bizantinos manuscritos en griego, escritos entre 500 y 1500 años después de que fueran escritas las obras griegas originales. Estos códices no suelen ser reproducciones literales, sino ediciones críticas, de manera que no podemos estar seguros de qué tipo de cambios hicieron los editores. También disponemos a veces de traducciones al árabe de las obras griegas, y de versiones latinas de estas traducciones al árabe; aquí, una vez más, no sabemos qué cambios pueden haber realizado los traductores ni hasta qué punto entendían correctamente los textos originales. Además, incluso los textos griegos utilizados por los autores árabes y bizantinos pudieron muy bien ser de autenticidad dudosa. Por ejemplo, aunque no disponemos del manuscrito de Herón, matemático griego de la época alejandrina, sí sabemos que hizo un cierto número de modificaciones en los Elementos de Euclides, dando demostraciones distintas y añadiendo nuevos casos de teoremas y sus recíprocos. Análogamente, Teón de Alejandría (finales del siglo IV d. C.) nos dice que modificó algunas secciones de los Elementos en su edición, y las versiones griegas y árabes que nos han llegado pueden provenir de tales versiones de los originales. Sin embargo, de una u otra forma, lo cierto es que disponemos de las obras de Euclides, de Apolonio, de Arquímedes, de Ptolomeo, de Diofanto y de otros matemáticos griegos. Muchos textos griegos escritos durante el período clásico y el alejandrino no han llegado hasta nosotros porque ya incluso en plena época griega se vieron superados por los escritos de estos autores.
Los griegos escribieron algunas historias de la matemática y de otras ciencias. Así, por ejemplo, Eudemo (siglo IV a. C.), miembro de la escuela aristotélica, escribió una historia de la aritmética, otra de la geometría y otra de la astronomía, historias que, salvo fragmentos citados por escritores posteriores, se han perdido. La historia de la geometría trataba del período anterior a Euclides, y evidentemente sería inapreciable disponer de ella. Teofrasto (c. 372-c. 287 a. C.), otro discípulo de Aristóteles, escribió por su parte una historia de la física, que también se ha perdido, excepto unos cuantos fragmentos.
Además de los anteriores, tenemos dos importantes comentarios; Pappus (finales del siglo III d. C.) escribió su Synagoge o Colección Matemática, de la que conservamos casi su totalidad en una copia del siglo XII. Se trata de una exposición de la mayor parte de la obra de los matemáticos griegos clásicos y alejandrinos desde Euclides a Ptolomeo, complementada por un cierto número de lemas y teoremas que añade Pappus para facilitar su comprensión. Pappus mismo escribió también otra obra anterior titulada Tesoro del Análisis, que era una colección formada por las propias obras griegas. Esta obra se ha perdido, pero en el libro VII de su Colección Matemática nos resume lo que contenía el Tesoro.
El segundo comentarista importante es Proclo (410-485 d. C.), escritor muy prolífico. Proclo extrajo su material de los textos originales de los matemáticos griegos y de otros comentaristas anteriores. De las obras que nos han llegado, su Comentario, que estudia el libro I de los Elementos de Euclides, es la más importante. Según todos los indicios, Proclo trataba de escribir un comentario más extenso de los Elementos, pero al parecer nunca lo hizo. El Comentario contiene una de las tres citas atribuidas tradicionalmente a la historia de la geometría de Eudemo (véase la sección 10), pero probablemente tomadas de una modificación posterior. Este resumen concreto, el más largo de los tres, suele conocerse como el «sumario» de Eudemo. Proclo también nos dice algo sobre la obra de Pappus, de manera que, aparte de las ediciones y versiones posteriores de los clásicos griegos mismos, la Colección Matemática de Pappus y el Comentario de Proclo son las dos fuentes principales para la historia de la matemática griega.
Por lo que se refiere a las redacciones literales originales (aunque no, desde luego, los manuscritos), sólo disponemos de un fragmento relativo a la cuadratura de las lúnulas de Hipócrates, citado por Simplicio (primera mitad del siglo VI d. C.) y tomado de la Historia de la Geometría perdida de Eudemo, y un fragmento de Arquitas sobre la duplicación del cubo, y de los manuscritos originales nos han llegado algunos papiros escritos en la época alejandrina. Las fuentes no estrictamente matemáticas, pero sí próximas, han resultado ser también de un enorme valor para la historia de la matemática griega. Por ejemplo, los filósofos griegos, especialmente Platón y Aristóteles, tenían mucho que decir sobre la matemática, y sus escritos han sobrevivido como las obras matemáticas mismas.
La reconstrucción de la historia de la matemática griega, basada en las fuentes que acabamos de mencionar, ha resultado una tarea gigantesca y complicada. A pesar de los grandes esfuerzos de los historiadores, todavía quedan lagunas en nuestros conocimientos y algunas conclusiones son discutibles; sin embargo, los hechos básicos están razonablemente claros.
3. Las escuelas principales del período clásico
Las contribuciones más importantes del período clásico son los Elementos de Euclides y las Secciones Cónicas de Apolonio. Para apreciar correctamente estas obras son necesarios algunos conocimientos de los grandes cambios experimentados en la naturaleza misma de la matemática y de los problemas con que se enfrentaron, y resolvieron, los griegos. Por otra parte, estas obras tan acabadas nos dan muy poca información sobre los trescientos años de actividad creadora que las precedieron o de las cuestiones que iban a ser vitales en la historia posterior.
La matemática clásica griega se desarrolló en diversos centros que se sucedían unos a otros, basándose cada uno en la obra de sus predecesores. En cada uno de estos centros, un grupo informal de matemáticos realizaba sus actividades dirigido por uno o más sabios. Este tipo de organización ha seguido funcionando en la época moderna, y su razón de ser se comprende fácilmente; hoy mismo, cuando un sabio importante se establece en un lugar concreto —normalmente una universidad—, otros estudiosos le siguen para aprender del maestro.
La primera de estas escuelas, la escuela jónica, fue fundada por Tales (c. 640-c. 546 a. C.) en Mileto. No sabemos con exactitud si Tales mismo enseñó a muchos otros, pero sí sabemos que los filósofos Anaximandro (c. 610-c. 547 a. C.) y Anaxímenes (c. 550-480 a. C.) fueron discípulos suyos. Anaxágoras (c. 500-c. 428 a. C.) perteneció también a esta escuela, y se supone que Pitágoras mismo (c. 585 c. 500 a. C.) pudo haber aprendido matemáticas de Tales; más tarde, Pitágoras fundaría su propia e importante escuela al sur de Italia. Hacia finales del siglo VI, Jenófanes de Colofón, en Jonia, emigró a Sicilia y fundó a su vez un centro al que pertenecieron los filósofos Parménides (siglo V a. C.) y Zenón (siglo V a. C.). Estos últimos se establecieron en Elea, en el sur de Italia, ciudad a la que se trasladó la escuela, y por eso se conoció a este grupo como la escuela eleática. Los sofistas, que se mostraron activos desde mediados del siglo V en adelante, se concentraron principalmente en Atenas, ciudad en la que la escuela más famosa fue la Academia de Platón, de la que sería discípulo Aristóteles. La Academia tuvo una importancia sin precedentes para el pensamiento griego, sus discípulos y asociados fueron los más grandes filósofos, matemáticos y astrónomos de su época; y esta escuela conservaría su preeminencia en filosofía incluso después de que la capital de las matemáticas pasara a Alejandría. Eudoxo, que aprendió matemáticas principalmente de Arquitas de Tarento (Sicilia), fundó su propia escuela en Cízico, ciudad del norte de Asia Menor. Cuando Aristóteles abandonó la Academia de Platón, fundó a su vez otra escuela en Atenas, el Liceo; esta escuela ha recibido tradicionalmente el nombre de Escuela Peripatética. No todos los grandes matemáticos del período clásico pueden identificarse con una escuela concreta, pero para mayor claridad y coherencia estudiaremos la obra de cada matemático en relación con una escuela particular, incluso si su asociación a ella no fue demasiado estrecha.
4. La escuela jónica
El fundador de esta escuela y su figura más importante fue Tales. Aunque no sabemos nada con seguridad acerca de su vida y obra, Tales nació y vivió probablemente en Mileto; viajó mucho y durante algún tiempo vivió en Egipto, donde desarrolló actividades comerciales y, al parecer, aprendió mucho acerca de la matemática egipcia. Se supone, además, que fue un astuto comerciante que, aprovechando una buena cosecha de aceitunas, alquiló todas las almazaras de Mileto y Chíos para realquilarlas después a un precio más alto. Se dice que Tales anunció un eclipse de sol el año 585 a. C., pero esto es muy dudoso teniendo en cuenta los conocimientos astronómicos de la época.
Se le atribuye también el cálculo de las alturas de las pirámides comparando sus sombras con la de un bastón de altura conocida, en el mismo instante, y mediante el mismo uso de los triángulos semejantes se supone que calculó la distancia de un buque a la playa. También se le ha atribuido la transformación de la matemática en una ciencia abstracta, y haber dado demostraciones deductivas de algunos teoremas, pero ambas cosas son de nuevo dudosas. Por último, se le ha atribuido a Tales el descubrimiento del poder de atracción de los imanes así como de la electricidad estática.
La escuela jónica sólo merece una breve mención por su contribución a la matemática propiamente dicha, pero su importancia para la filosofía, y la filosofía de la ciencia en particular, fue enorme (véase cap. 7, sec. 2). Esta escuela perdió su importancia a partir de la conquista de la región por los persas.
5. Los pitagóricos
La antorcha fue recogida por los pitagóricos que, habiendo aprendido de Tales, según se cuenta, fundaron sus propia escuela en Crotona, asentamiento griego en el sur de Italia. No conocemos ninguna obra escrita por los pitagóricos, y sólo sabemos de ellos por los escritos de otros, entre los que hay que incluir a Platón y Heródoto. Concretamente, apenas sabemos nada de la vida personal de Pitágoras y de sus seguidores, ni podemos tener la seguridad de qué hay que atribuirle a él personalmente o a sus discípulos. Por lo tanto, cuando se habla de la obra de los pitagóricos hay que tener en cuenta que en realidad nos estamos refiriendo a la obra del grupo entre el 585 a. C., presunta fecha de su nacimiento, y aproximadamente el 400 a. C. Filolao (siglo V a. C.) y Arquitas (428-347 a. C.) fueron dos miembros destacados de esta escuela.
Pitágoras nació en la isla de Samos, próxima a la costa de Asia Menor, y, después de algún tiempo estudiando con Tales en Mileto, viajó a otros países, entre ellos Egipto y Babilonia, donde asimiló su matemática al mismo tiempo que sus teorías místicas, y finalmente se estableció en Crotona. En esta ciudad fundó una especie de hermandad de tipo religioso, científico y filosófico. En realidad, era formalmente una escuela con un número limitado de miembros que aprendían de sus maestros. Las enseñanzas impartidas al grupo se mantenían en secreto por parte de los miembros, aunque, por lo que se refiere a la matemática y a la física, algunos historiadores niegan que existiera tal secreto. Se supone que los pitagóricos participaron en la política de su ciudad aliándose con la facción aristocrática y terminaron siendo expulsados violentamente por el partido democrático o popular. Pitágoras huyó a la cercana Metaponto y allí murió, al parecer asesinado, hacia el 497 a. C. Sus seguidores se esparcieron por otras ciudades griegas y continuaron sus enseñanzas.
Una de las grandes contribuciones griegas al concepto mismo de la matemática fue el reconocimiento consciente y el énfasis puesto en el hecho de que los objetos matemáticos, números y figuras geométricas, son abstracciones, ideas producidas por la mente y claramente distintas de los objetos o imágenes físicas. Es cierto que incluso algunas civilizaciones primitivas, y con seguridad los egipcios y los babilonios, habían aprendido a pensar en los números separados de los objetos físicos, y, sin embargo, cabe preguntarse en qué medida eran conscientes del carácter abstracto de tal pensamiento. Por otra parte, los conceptos geométricos de todas las civilizaciones prehelénicas estaban decididamente ligados a la materia. Para los egipcios, por ejemplo, una recta no era más que una cuerda tensa o el borde de un terreno, y un rectángulo, su frontera.
El reconocimiento de que la matemática trabaja con abstracciones puede atribuirse con cierta seguridad a los pitagóricos. Sin embargo, puede que esto no fuera cierto desde el principio; Aristóteles nos dice, por ejemplo, que los pitagóricos consideraban a los números como los componentes últimos de los objetos materiales del mundo real[3]. Así pues, los números no tenían una existencia separada de los objetos sensibles. Cuando los primeros pitagóricos decían que todos los objetos estaban compuestos por números (enteros), o que los números eran la esencia del universo, lo entendían en sentido literal, porque los números eran para ellos como los átomos para nosotros. Se supone incluso que los pitagóricos de los siglos VI y V no distinguían realmente los números de los puntos geométricos, entendidos, naturalmente, como puntos extensos o esferas minúsculas. Sin embargo, Eudemo, según nos informa Proclo, decía que Pitágoras se remontó a principios más altos (que los de los egipcios y babilonios) y se ocupó de problemas abstractos de la inteligencia pura. Eudemo añade que Pitágoras fue el verdadero creador de la matemática pura, a la que convirtió en un arte liberal.
Los pitagóricos solían representar los números mediante puntos en la arena o piedrecillas, clasificándolos según las formas de estas distribuciones de puntos o piedras. Así, los números 1, 3, 6, 10, etc. recibían el nombre de triangulares porque los puntos correspondientes podían distribuirse en forma de triángulo equilátero (fig. 3.1). El cuarto número triangular, el 10, ejerció una fascinación especial sobre los pitagóricos, siendo para ellos una especie de número sagrado, que tiene cuatro puntos en cada lado; el 4 era otro de sus números favoritos. Los pitagóricos comprobaron que las sumas 1, 1 + 2, 1 +2 + 3, y así sucesivamente, daban lugar a los números triangulares y que 1 + 2 +... + n = n x (n + 1)/2.

Figura 3.1

Figura 3.2

Para pasar de un número cuadrado al siguiente, los pitagóricos seguían el esquema que aparece en la figura 3.3; los puntos a la derecha y bajo las rectas en la figura forman lo que ellos llamaban un gnomon. Simbólicamente, lo que descubrieron era que
n2 + (2n + 1) = (n + l)2
Además, si partimos del 1 y añadimos el gnomon 3 y después el gnomon 5, y así sucesivamente, lo que tenemos es, en nuestro simbolismo,1 + 3 + 5 +... + (2n — 1) = n2.

Figura 3.3

Figura 3.4. El área sombreada es el gnomon.

Figura 3.5. Números pentagonales.
Análogamente, los números hexagonales (fig. 3.6) son 1, 6, 15, 28,..., y en general 2n2 — n.

Figura 3.6. Números hexagonales.
Los pitagóricos descubrieron una regla para construir ternas de números enteros que pudieran ser lados de un triángulo rectángulo, sobre las cuales volveremos más adelante. Así, descubrieron que si m es impar, entonces m, (m2 - l)/2 y (m2 + l)/2 constituyen una de estas ternas. Sin embargo, esta regla solamente da algunas de ellas. Cualquier terna de números enteros que represente los lados de un triángulo rectángulo recibe el nombre de terna pitagórica.
Los pitagóricos estudiaron los números primos, las progresiones, y ciertos tipos de razones y proporciones que encerraban para ellos una belleza especial. Así, s\p y q son dos números, la media aritmética A es (p + q)/2, la media geométrica G es √pq, y la media armónica H, que es el recíproco de la media aritmética de 1/p y 1/q, es 2pq/(p + q). Ahora bien, como puede comprobarse fácilmente, G es la media geométrica de A y H. La proporción A/G = G/H recibió el nombre de proporción perfecta, y la p : (p + q)/2 = 2pq/(p + q) : q el de proporción musical.
Para los pitagóricos, los números eran únicamente los números enteros y una razón entre dos números no era una fracción y, por lo tanto, otro tipo de número como en la época moderna. Las fracciones concretas, utilizadas para expresar partes de una unidad monetaria o de una medida, se utilizaban evidentemente en el comercio, pero tales usos comerciales de la aritmética quedaban fuera del marco de la matemática griega propiamente dicha. Por lo tanto, los pitagóricos se vieron desagradablemente sorprendidos por el descubrimiento de que algunas razones, por ejemplo, la razón de la hipotenusa de un triángulo rectángulo isósceles a un cateto o, lo que es lo mismo, de la diagonal al lado de un cuadrado, no podían expresarse por medio de números enteros. Dado que los pitagóricos se habían dedicado a estudiar las ternas de números enteros que podían ser lados de un triángulo rectángulo, lo más probable es que descubrieran estas nuevas razones en el mismo contexto. Llamaron razones conmensurables a las que se podían expresar por medio de números enteros, lo que significaba que las dos cantidades venían medidas por una unidad común, y a las que no eran expresables de esa manera, razones inconmensurables; por lo tanto, lo que nosotros expresamos de la forma √2/2 es una razón inconmensurable. Una razón entre magnitudes inconmensurables recibió el nombre de αλογος (alogos o inexpresable), aunque también se utilizó el término αρρητος (arretos o que no tiene razón). El descubrimiento de las razones inconmensurables se atribuye a Hipaso de Metaponto (siglo V a. C.), suponiéndose que los pitagóricos se encontraban navegando en el mar en esa época y que lanzaron a Hipaso por la borda como castigo por haber introducido en el universo un elemento que negaba la teoría pitagórica de que todos los fenómenos del universo se podían reducir a números enteros y sus razones.
La demostración dada por los pitagóricos de la inconmensurabilidad de √2 con 1 procedía, según Aristóteles, por reductio ad absurdum, es decir, por el método de demostración indirecta. Concretamente, la demostración mostraba que si la hipotenusa fuera conmensurable con el cateto, entonces el mismo número tendría que ser a la vez par e impar, y transcurre de la manera siguiente: sea la razón de la hipotenusa al cateto en un triángulo rectángulo isósceles α/β y consideremos expresada esta razón mediante los números más pequeños posibles. Entonces α2 = 2β2 por el teorema de Pitágoras, y dado que α[4] es par, α debe serlo también, puesto que el cuadrado de cualquier número impar es impar 2. Ahora bien, la razón α/β estaba expresada en sus términos mínimos, luego β tiene que ser impar; como α es par, sea α = 2γ, luego α2 = 4γ2 = 2β2, luego β2 = 2β2, es decir, β2 par y β también par. Pero β era impar por lo anterior y hemos llegado a una contradicción.
Esta demostración, que es la misma, desde luego, que la demostración moderna de la irracionalidad de √2, aparecía incluida en antiguas ediciones de los Elementos de Euclides como proposición 117 del libro X. Sin embargo lo más probable es que no apareciera en el texto original de Euclides y, por lo tanto, se suele omitir en las ediciones modernas.
En la matemática moderna las razones inconmensurables se expresan por medio de números irracionales, pero los pitagóricos nunca habrían aceptado tales números. Los babilonios trabajaron, de hecho, con tales números mediante aproximaciones, aunque probablemente no sabían que tales aproximaciones sexagesimales fraccionarias nunca podían ser exactas, así como tampoco los egipcios llegaron a reconocer el carácter distinto de los irracionales. Los pitagóricos, al menos, reconocieron que las razones inconmensurables son de un tipo completamente diferente de las conmensurables.
Este descubrimiento planteó un problema central en la matemática griega. Hasta este momento los pitagóricos habían identificado número y geometría, pero la existencia de razones inconmensurables destruía esta identificación. No cesaron de considerar todo tipo de longitudes, áreas y razones en geometría, pero se restringieron a considerar razones numéricas únicamente para el caso conmensurable. La teoría de proporciones para razones inconmensurables y para todo tipo de magnitudes se debe a Eudoxo, cuya obra estudiaremos más adelante.
Hay algunos otros resultados geométricos descubiertos también por los pitagóricos. El más famoso es, desde luego, el mismísimo teorema de Pitágoras, un teorema clave para la geometría euclídea, pero también se le atribuyen muchos de los teoremas que conocemos sobre triángulos, rectas paralelas, polígonos, círculos, esferas y los poliedros regulares. Concretamente, sabían que la suma de los ángulos de un triángulo es de 180 grados, y entre otros resultados conocían una teoría restringida de figuras semejantes y el hecho de que un plano puede ser recubierto por triángulos equiláteros, cuadrados y hexágonos regulares.
Los pitagóricos empezaron a estudiar un tipo de problemas conocidos con el nombre de aplicación de áreas. El más sencillo de ellos era el de construir un polígono de área igual a uno dado y semejante a otro dado. Otro consistía en construir una figura concreta con un área que excedía o resultaba defectuosa de otra en un área dada. La forma más importante del problema de aplicación de áreas es: dado un segmento, construir sobre una parte de él o sobre él mismo extendido un paralelogramo igual en área a una figura rectilínea dada y resultando deficiente (en el primer caso) o excediendo (en el segundo caso) en un paralelogramo semejante a uno dado. Más adelante discutiremos en detalle estas aplicaciones de áreas al estudiar la obra de Euclides.
La contribución más esencial de los griegos a la matemática fue su insistencia en que todos los resultados matemáticos deberían ser establecidos deductivamente a partir de un sistema explícito de axiomas. Por lo tanto, se plantea la cuestión de si los pitagóricos demostraban ya sus resultados geométricos. No podemos dar una respuesta definitiva, pero es muy dudoso que los pitagóricos del período antiguo o medio exigieran demostraciones deductivas, explícitas o implícitas, basadas en un sistema de axiomas de cualquier tipo. Proclo nos asegura que demostraron el teorema de la suma de los ángulos de un triángulo, pero esto puede ser debido a los pitagóricos tardíos. La cuestión acerca de si demostraron el teorema de Pitágoras ha sido muy discutida, y la conclusión generalmente aceptada es la de que probablemente no. Es relativamente fácil demostrarlo utilizando resultados sobre triángulos semejantes, pero lo cierto es que los pitagóricos no tenían una teoría completa de la semejanza. La demostración dada en la proposición 47 del libro I de los Elementos de Euclides (cap. 4, sec. 4) es difícil porque no utiliza la teoría de figuras semejantes, y se trata de una demostración que Proclo atribuye a Euclides mismo. La conclusión más verosímil acerca de la presencia de demostraciones en la geometría pitagórica es la de que durante la mayor parte de la vida de la escuela los miembros justificaban sus resultados sobre la base de casos especiales, análogamente a como hacían en aritmética. Sin embargo, en la época de los pitagóricos tardíos, es decir, hacia el 400 a. C., el status de la demostración había cambiado ya debido a otros desarrollos; así pues, estos miembros tardíos de la hermandad pudieron haber dado ya demostraciones rigurosas.
6. La escuela eleática
El descubrimiento pitagórico de las razones inconmensurables introdujo en escena una dificultad que preocupó a los griegos, a saber, la relación entre lo discreto y lo continuo. Los números enteros representan objetos discretos y una razón conmensurable representa una relación entre dos colecciones de objetos discretos o entre dos longitudes que admiten una unidad de medida común, de manera que cada una de ellas es una colección discreta de unidades. Sin embargo, las longitudes en general no son colecciones discretas de unidades, y este es el motivo de que aparezcan las razones de longitudes inconmensurables. En otras palabras, longitudes, áreas, volúmenes, tiempos y otras cantidades son continuas. Nosotros diríamos que los segmentos rectilíneos, por ejemplo, pueden tener longitudes racionales o irracionales en términos de alguna unidad concreta, pero los griegos no dieron este paso.
El problema de la relación entre lo discreto y lo continuo fue puesto en evidencia por Zenón, que vivió en la ciudad de Elea, al sur de Italia. Zenón nació entre el año 495 y el 480 a. C., y era más bien un filósofo que un matemático, del que, al igual que de su maestro Parménides, se dice que fue inicialmente un pitagórico. Zenón propuso un cierto número de paradojas, cuatro de las cuales tratan del movimiento, cuyo objeto no está del todo claro debido a nuestro conocimiento incompleto de la historia de la filosofía griega. Se dice que con ellas pretendía defender a Parménides, que había sostenido que el movimiento o el cambio en general es imposible, y también que trataba de atacar a los pitagóricos, que creían en unidades extensas pero indivisibles, los puntos de la geometría. No sabemos exactamente lo que dijo Zenón, sino que nos vemos obligados a apoyarnos en citas de Aristóteles, que menciona a Zenón con objeto de criticarlo, y de Simplicio, que vivió en el siglo VI d. C. y que basaba sus afirmaciones en los escritos de Aristóteles.
Las cuatro paradojas sobre el movimiento son distintas, pero el argumento importante probablemente consistía en las cuatro consideradas en bloque. En la época en que vivió Zenón había dos concepciones opuestas del espacio y del tiempo: una, que el espacio y el tiempo son indefinidamente divisibles, en cuyo caso el movimiento resultaría continuo y «liso»; y la otra, que el espacio y el tiempo están formados por pequeños intervalos indivisibles (como en el cine), en cuyo caso el movimiento consistiría en una sucesión de minúsculos saltos espasmódicos. Los argumentos de Zenón están dirigidos contra ambas teorías, las dos primeras paradojas contra la primera, y las otras dos contra la segunda. La primera paradoja de cada pareja considera el movimiento de un único cuerpo, y la segunda el movimiento relativo de un cuerpo con respecto a otro.
Aristóteles formula en su Física, la primera paradoja, llamada de Dicotomía, de la manera siguiente: «La primera afirma la no existencia del movimiento basándose en que lo que está en movimiento debe alcanzar la posición a medio camino antes de alcanzar su meta.» Esto significa que para atravesar AB (fig. 3.7) hay que alcanzar primero la posición C; para llegar a C hay que llegar primero a D, y así sucesivamente. En otras palabras, sobre la hipótesis de que el espacio es indefinidamente divisible y por lo tanto que una longitud finita contiene un número infinito de puntos, es imposible cubrir incluso una longitud finita en un tiempo finito.

Figura 3.7
La segunda paradoja lleva el nombre de Aquiles y la Tortuga, según Aristóteles:
«Afirma que el objeto que se mueve más lentamente no puede ser alcanzado por el más rápido ya que el perseguidor debe llegar primero al punto del cual partió el perseguido, de manera que el más lento necesariamente estará siempre en cabeza. El argumento es análogo al de la Dicotomía, pero la diferencia radica en que no dividimos en mitades las distancias que se han de recorrer.»Aristóteles dice entonces que si el objeto que se mueve lentamente cubre una distancia finita, puede ser superado por la misma razón que daba al responder a la primera paradoja.
Las otras dos paradojas están dirigidas contra el movimiento «cinematográfico». La tercera, llamada de la Flecha, nos la presenta Aristóteles como sigue:
«La tercera paradoja que formuló Zenón es la de que una flecha moviéndose está en reposo; él llega a esta conclusión a partir de la hipótesis de que el tiempo está constituido por instantes. Si no fuera por esta hipótesis no habría tal conclusión.»Según Aristóteles, lo que dice Zenón es que en cualquier instante durante su movimiento la flecha ocupa una posición determinada y por lo tanto está en reposo. Así pues, no puede estar en movimiento. Aristóteles afirma que esta paradoja falla si no admitimos las unidades de tiempo indivisibles.
La cuarta paradoja, llamada del Estadio o de las Filas en Movimiento, la fórmula Aristóteles con estas palabras:
«La cuarta consiste en el argumento acerca de un conjunto de cuerpos moviéndose en una carrera y cruzándose con otro conjunto de cuerpos en número igual y moviéndose en dirección opuesta, el primero partiendo del final y el otro de punto medio y moviéndose ambos con igual velocidad; Zenón concluye que de esto se sigue que la mitad del tiempo es igual a su doble. El error consiste en suponer que dos cuerpos moviéndose a velocidades iguales consumen tiempos iguales en cruzarse, el primero con un cuerpo que está en movimiento y el segundo con otro de igual tamaño que está en reposo, hipótesis que es falsa.»La interpretación más probable de la cuarta paradoja de Zenón podría formularse de la manera siguiente: supongamos que tenemos tres filas de soldados A, B y C (fig. 3.8), y que en la mínima unidad de tiempo toda la fila B se mueve una posición hacia la izquierda, mientras que en el mismo tiempo la fila C se mueve una posición hacia la derecha. Entonces, relativamente a B, C se ha movido dos posiciones, y por lo tanto ha debido haber una unidad de tiempo menor al cabo de la cual C estaría una posición a la derecha de B, o bien la mitad de la unidad de tiempo resultaría ser igual a la unidad misma.

Figura 3.8

Figura 3.9
Arquímedes nos dice que fue Demócrito quien descubrió que los volúmenes de un cono y de una pirámide son iguales a 1/3 de los volúmenes del cilindro y prisma que tienen la misma base y la misma altura, pero que las demostraciones de estos dos resultados se deben a Eudoxo. Demócrito consideraba al cono como una serie de capas muy finas e indivisibles (fig. 3.9), pero se encontró enfrentado con la dificultad de que si las capas fueran todas iguales darían un cilindro, mientras que si fueran distintas la superficie del cono no sería lisa.
7. Los sofistas
Después de la derrota final de los persas en Micala el 479 a. C., Atenas se convirtió en la ciudad más importante de una liga de ciudades griegas, y en un floreciente centro comercial. La riqueza acumulada en el comercio, que hizo de Atenas la ciudad más rica de su época, fue utilizada por el famoso gobernante Pericles para reconstruir y adornar la ciudad. Jónicos, pitagóricos y todo tipo de intelectuales se vieron atraídos a Atenas, donde se ponía un especial énfasis en el razonamiento abstracto con el fin de extender el dominio de la razón tanto a la naturaleza como al hombre mismo.
La primera escuela ateniense, llamada la de los sofistas, incluía eruditos maestros en gramática, retórica, dialéctica, elocuencia, moral y —lo que más nos interesa a nosotros— geometría, astronomía y filosofía. Uno de sus objetivos principales era el de usar la matemática para entender el funcionamiento del universo.
Muchos de los resultados matemáticos obtenidos fueron subproductos de los intentos de resolver los tres famosos problemas de construcciones: construir un cuadrado de área igual a un círculo dado; construir la arista de un cubo de volumen doble que otro de arista dada; y trisecar un ángulo cualquiera: todo ello debía ser realizado con regla y compás únicamente.
Se han dado diversas explicaciones sobre el origen de estos famosos problemas de construcciones. Por ejemplo, una versión del origen del problema de la duplicación del cubo, encontrada en una obra de Eratóstenes (c. 284-192 a. C.), nos cuenta que los habitantes de Délos, bajo el azote de una peste, consultaron al oráculo sobre la manera de librarse de ella, a lo que el oráculo respondió que debían construir un altar de tamaño doble del que ya existía, de forma cúbica. Los habitantes de Délos comprobaron que duplicando la arista no se duplicaba el volumen, y se dirigieron a Platón, quien les dijo que el dios del oráculo no había contestado así porque quisiera o necesitara un altar doble, sino para censurar a los griegos por su indiferencia con respecto a la matemática y su falta de respeto por la geometría. Plutarco también nos cuenta la misma historia.
En realidad, estos problemas de construcciones eran generalizaciones de otros problemas ya resueltos por los griegos. Dado que cualquier ángulo podía ser bisecado, era natural plantearse la trisección. Y dado que la diagonal de un cuadrado es el lado de un cuadrado de área doble que el original, el problema correspondiente para el cubo resulta también muy natural. El problema de cuadrar el círculo es un caso típico de muchos problemas griegos de construir una figura de forma dada y de área igual a otra figura dada. Otro problema no tan famoso fue el de la construcción de los polígonos regulares de 7 o más lados; aquí, de nuevo, la construcción del cuadrado, del pentágono y del hexágono regulares, sugirieron la etapa siguiente.
Se han dado diversas explicaciones acerca de la restricción a la regla y el compás como instrumentos. La línea recta y la circunferencia eran, a los ojos de los griegos, las figuras básicas, traducidas físicamente en la regla y el compás, y por lo tanto se consideraron preferibles las construcciones con estos dos instrumentos. También se ha esgrimido la razón de que Platón puso objeciones a otros instrumentos mecánicos porque hacían intervenir demasiado el mundo de los sentidos en lugar del mundo de las ideas, que él consideraba como primario. Es muy probable, sin embargo, que en el siglo V la restricción a la regla y el compás no fuera tan rígida, pero, como veremos, las construcciones jugaron un papel vital en la geometría griega, y los axiomas de Euclides las limitaron a las que se pueden hacer con regla y compás; por lo tanto, desde ese momento en adelante tal restricción puede haberse tomado con más seriedad. Pappus, por ejemplo, nos dice que si una construcción puede hacerse con regla y compás, cualquier otra solución utilizando medios distintos no es satisfactoria.
El primer intento conocido de resolver uno de los tres famosos problemas se debió al jonio Anaxágoras, quien se supone trató de resolver la cuadratura del círculo mientras se encontraba en prisión; no sabemos nada más sobre el caso. Otro de los intentos más famosos fue el de Hipias de Elis, una ciudad del Peloponeso. Hipias fue uno de los sofistas más importantes, nacido hacia el 460 a. C. y contemporáneo de Sócrates.
Intentando trisecar el ángulo inventó Hipias una nueva curva, que desgraciadamente no es constructible con regla y compás. Esta curva se llama la cuadratriz o trisectriz, y se genera de la manera siguiente: sea AB (fig. 3.10) un segmento d que gira en el sentido de las agujas de un reloj alrededor de A a una velocidad constante, hasta ocupar la posición AD. Durante el mismo tiempo BC se mueve hacia abajo manteniéndose paralela a sí misma y a una velocidad constante hasta alcanzar la posición AD. Supongamos que AB se encuentra en la posición AD' al mismo tiempo que BC ocupa la posición B'C, y sea E' el punto de intersección de AD' con B'C'. Entonces E' es un punto genérico de la cuadratriz BE'G. El punto límite G es el final de la cuadratriz [5].
La ecuación de la cuadratriz en coordenadas cartesianas rectangulares puede obtenerse de la manera siguiente: supongamos que AD' alcanza AD en alguna fracción t/T del tiempo total T que invierte AB en alcanzar AD.

Figura 3.10



![]()

![]()





Figura 3.11

En su demostración hace uso Hipócrates del hecho de que dos círculos son entre sí como los cuadrados construidos sobre sus diámetros. Es muy dudoso que Hipócrates pudiera dar realmente una demostración de este hecho, puesto que tal demostración depende del método de exhausción inventado más tarde por Eudoxo.
Hipócrates consiguió cuadrar otras tres lúnulas, trabajo que conocemos a través de los escritos de Simplicio, y se trata del único fragmento de la matemática clásica griega que nos ha llegado en su redacción original.
También demostró Hipócrates que el problema de la duplicación del cubo puede reducirse a encontrar dos medias proporcionales entre la arista dada y su doble. En nuestra notación algebraica, sean x e y tales que

![]()
Otra idea muy importante fue la que se les ocurrió a los sofistas Antifón (siglo V a. C.) y Brisson (c. 450 a. C.). Al intentar cuadrar el círculo se le ocurrió a Antiphon la idea de aproximarse a dicha figura por medio de polígonos inscritos de número de lados cada vez mayor.
Brisson incorporó la idea de utilizar polígonos circunscritos. Antifón, por su parte, vino a sugerir además que el círculo podría ser considerado como un polígono de un número infinito de lados; más adelante veremos cómo utilizó Eudoxo estas ideas en su método de exhausción (cap. 4 sec. 9).
8. La escuela platónica
La escuela platónica sucedió a los sofistas a la cabeza de la actividad matemática. Sus precursores inmediatos, Teodoro de Cirene, en el norte de África (nacido hacia el 470 a. C.), y Arquitas de Tarento, en el sur de Italia (428-347 a. C.) fueron pitagóricos y maestros ambos de Platón, de manera que sus enseñanzas pudieron haber sido las que dieron lugar a la fuerte influencia pitagórica en toda la escuela de Platón.
A Teodoro se atribuye el haber demostrado que las razones que nosotros representamos por √3, √5, √7,..., √17 son todas inconmensurables con la unidad. Arquitas, por su parte, introdujo la idea de considerar una curva como generada por un punto en movimiento, y una superficie generada por una curva en movimiento. Usando esta idea resolvió el problema de la duplicación del cubo hallando dos medias proporcionales entre dos cantidades dadas; estas medias proporcionales se construyen geométricamente hallando la intersección de tres superficies: la que genera una circunferencia girando alrededor de una tangente, un cono y un cilindro. La construcción es bastante complicada, y no entraremos aquí en los detalles. Arquitas escribió también sobre mecánica matemática, diseñó máquinas, estudió el sonido y contribuyó a las escalas musicales mediante ciertos inventos y algo de teoría.
La escuela platónica estuvo encabezada, naturalmente, por Platón, e incluyó entre sus miembros a Menecmo y su hermano Dinostrato (siglo IV a. C.) y a Teeteto (c. 415-c. 369 a. C.). A muchos otros miembros los conocemos sólo de nombre.
Platón (427-347 a. C.) nació en una familia distinguida, y de joven tuvo ambiciones políticas, pero la suerte de Sócrates le convenció de que no había lugar en la política para un hombre de conciencia. Viajó a Egipto y visitó a los pitagóricos en el sur de Italia; la influencia pitagórica pudo producirse a través de estos contactos. Hacia el 387 a. C. fundó Platón su Academia en Atenas, la cual se parecía en muchos sentidos a una universidad moderna. La Academia disponía de terrenos, edificios, estudiantes, y allí daban cursos formalmente Platón y sus ayudantes. Durante el período clásico se vio especialmente favorecido el estudio de la filosofía y de la matemática, y aunque el principal centro matemático se desplazó a Alejandría hacia el 300 a. C., la Academia siguió manteniendo su preeminencia en filosofía durante todo el período alejandrino. En total duró casi 900 años hasta su cierre por orden del emperador cristiano Justiniano el año 529 d. C., porque enseñaba «conocimientos paganos y perversos».
Platón, que fue uno de los hombres más sabios de su época, no era matemático, pero su entusiasmo por la materia y la creencia en su importancia para la filosofía y para el entendimiento del universo hizo que animara a los matemáticos a cultivarla. Es notable, y así hay que destacarlo, que casi todas las obras matemáticas importantes del siglo IV se deban a amigos o discípulos de Platón. Platón mismo parece haber estado más interesado en mejorar y perfeccionar lo que ya se conocía.
Aunque no podemos estar seguros de en qué medida los conceptos de la matemática fueron considerados como abstracciones antes de la época de Platón, no cabe duda de que Platón y sus sucesores los consideraron así. Platón dice que los números y conceptos geométricos no tienen en sí nada material y son distintos de los objetos físicos. Así pues, los conceptos de la matemática son independientes de la experiencia y tienen una realidad propia; se los descubre, no se los inventa o crea, y esta distinción entre abstracciones y objetos materiales pudo tener su origen en Sócrates.
Una cita de la República de Platón puede servir para ilustrar la concepción contemporánea de los objetos matemáticos. Sócrates se dirige a Glaucón:
Y toda la aritmética y el cálculo tienen que ver con el número.En otro contexto[7], se discuten los conceptos de la geometría. Hablando acerca de los matemáticos dice Platón:
Si...
Entonces este es un conocimiento del tipo que estamos buscando, que tiene un doble uso, militar y filosófico; pues el hombre de guerra debe aprender el arte de los números o no sabrá cómo disponer sus tropas, y el filósofo también, porque tiene que salir del mar del cambio y buscar el verdadero ser, y por lo tanto debe de ser un aritmético... Por lo tanto este es un tipo de conocimiento que la legislación puede prescribir adecuadamente, y debemos intentar persuadir a los que estén destinados a ser hombres principales de nuestro Estado para que aprendan aritmética, pero no sólo como aficionados, sino que deben proseguir ese estudio hasta ver la naturaleza de los números sólo con la mente; y no, una vez más, como los mercaderes o los tenderos al por menor, con la vista puesta en comprar o vender, sino por su utilidad militar y para el alma misma, debido a que éste será el camino más fácil para ella de pasar del cambio a la verdad y el ser... Entiendo, como estaba diciendo, que la aritmética tiene un gran efecto de elevación, impulsando al alma a razonar sobre el número abstracto, y rechazando la introducción de objetos visibles o tangibles en el razonamiento...[6]
«Y no sabéis también que aunque hacen uso de las formas visibles y razonan acerca de ellas, no piensan en éstas, sino en los ideales a que ellas semejan... Pero están intentando realmente contemplar las cosas mismas, que sólo pueden ser vistas con los ojos de la mente».Estas citas dejan claro que Platón y otros griegos para los que él habla valoraban las ideas abstractas y preferían las ideas matemáticas como preparación para la filosofía. Las ideas abstractas de las que se ocupa la matemática son afines a otras, tales como la bondad y la justicia, cuyo entendimiento es la meta de la filosofía de Platón. Así pues, la matemática es la preparación para el conocimiento del universo ideal.
¿Por qué preferían y subrayaban los griegos los conceptos abstractos de la matemática? No podemos contestar a esta pregunta, pero hay que observar que los primeros matemáticos griegos fueron filósofos y que los filósofos en general ejercieron una influencia formativa importante en el desarrollo de la matemática griega. Los filósofos están interesados en las ideas y muestran una propensión típica por las abstracciones en muchos campos; así, los filósofos griegos pensaron sobre la verdad, el bien, la caridad y la inteligencia, especularon sobre la sociedad ideal y el estado perfecto, y tanto los pitagóricos tardíos como los platónicos distinguieron claramente entre el mundo de las ideas y el de las cosas. Las relaciones en el mundo material estaban sujetas a cambios y no representaban por ello la verdad última, pero las relaciones en el mundo ideal eran inmutables y por lo tanto verdades absolutas; éstas eran pues el objeto propio del filósofo.
Platón, concretamente, creía que las idealizaciones perfectas de los objetos físicos son la auténtica realidad; el mundo de las ideas y relaciones entre ellas es permanente, sin edad, incorruptible y universal, mientras que el mundo físico es una realización imperfecta del mundo ideal y está sujeto a la degradación. Por lo tanto, sólo el mundo ideal merece estudio y sólo se puede obtener un conocimiento infalible de las puras formas inteligibles. Sobre el mundo físico sólo podemos tener opiniones, y la ciencia física está condenada a verse hundida en el fango de un mundo de sensaciones.
No sabemos si los platónicos contribuyeron decisivamente a la estructura deductiva de la matemática, aunque sí sabemos que se interesaron por la demostración y la metodología del razonamiento. Proclo y Diógenes Laercio (siglo III d. C.) atribuyeron dos tipos de metodología a los platónicos. El primero es el método del análisis, en el que lo que se busca se considera como conocido, y se deducen consecuencias hasta llegar a una verdad conocida o a una contradicción; si se ha llegado a una contradicción entonces la conclusión deseada es falsa, mientras que si se ha llegado a una verdad conocida y si las etapas son reversibles se tiene una demostración. El segundo es el método de reductio ad absurdum o de demostración indirecta. El primer método probablemente no fue inventado por Platón, sino que quizás él subrayó su necesidad para la síntesis subsecuente, mientras que el método indirecto se le atribuye también a Hipócrates, como ya hemos indicado.
El status de la estructura deductiva en Platón viene expresado claramente en un pasaje de la República[8] en el que dice:
«Sabes bien que los estudiantes de geometría, aritmética y ciencias análogas suponen lo impar y lo par y las figuras y tres tipos de ángulos y todo lo demás en las diversas ramas de la ciencia; éstas son sus hipótesis, que se supone ellos y todo el mundo conocen, y por lo tanto no se dignan explicarlas ni a ellos mismos ni a otros, sino que comienzan por ellas y avanzan hasta que llegan al fin, y de una manera consistente, a su conclusión.»Si admitimos que este párrafo describe fielmente la matemática de la época, entonces ya se hacían ciertamente demostraciones, pero la base axiomática quedaba implícita o podía variar algo de un matemático a otro.
Platón sostenía que era deseable una organización deductiva del conocimiento y que la tarea de la ciencia era descubrir la estructura de la naturaleza (ideal) y darle una articulación en forma de sistema deductivo. Platón fue el primero en sistematizar las reglas de la demostración rigurosa, y se supone que sus seguidores ordenaron los teoremas en un orden lógico. Sabemos también que en la Academia de Platón se planteó la cuestión de si un problema dado podría ser resuelto o no, sobre la base de las verdades conocidas y de las hipótesis dadas en el mismo. Hayan sido las matemáticas organizadas deductivamente a partir de axiomas explícitos por los platónicos o no, de lo que no hay duda es de que una demostración deductiva a partir de algunos principios aceptados se consideró necesaria al menos desde la época de Platón en adelante. Al insistir en esta forma de demostración los griegos rechazaban expresamente todas las reglas, procedimientos y hechos que habían sido aceptados en el «corpus» de la matemática durante miles de años antes del período griego.
¿Por qué insistieron tanto los griegos en la demostración deductiva? Dado que la inducción, observación y experimentación son fuentes vitales de conocimiento, que fueron y aún son utilizadas hoy masiva y provechosamente por las ciencias, ¿por qué prefirieron los griegos el razonamiento deductivo en matemáticas con exclusión de todos los demás métodos? Sabemos que a los griegos, o geómetras filosóficos como se llamaban, les gustaba el razonamiento y la especulación, como se pone en evidencia por sus grandes contribuciones a la filosofía, a la lógica y a la ciencia teórica, y además, los filósofos estaban interesados en alcanzar la verdad. Mientras que la inducción, la experimentación y las generalizaciones basadas en la experiencia sólo pueden dar un conocimiento probable, la deducción conduce a resultados absolutamente seguros si las premisas son correctas. En el mundo griego clásico la matemática formaba parte del cuerpo de verdades que buscaban los filósofos y así tenía que ser deductiva.
Otra razón de la preferencia griega por el método deductivo la podemos encontrar en el rechazo mostrado por la clase cultivada del período clásico griego por los asuntos prácticos. Aunque Atenas era un importante centro comercial, los negocios y otras profesiones como la medicina las realizaban los esclavos. Platón sostenía que la ocupación de los hombres libres en el comercio debería ser castigada como un crimen, y Aristóteles decía que en el estado perfecto ningún ciudadano (en oposición a los esclavos) debería practicar ningún arte mecánica. A los pensadores de tal sociedad tenían que serles extrañas la experimentación y la observación, y por lo tanto ningún resultado científico ni matemático podría derivarse de esas fuentes.
Dicho sea de paso, hay evidencia que nos muestra que en los siglos VI y V a. C. la actitud griega hacia el trabajo, el comercio y las habilidades técnicas era muy diferente, y que la matemática encontró aplicaciones a las artes prácticas. Tales usó al parecer su matemática para mejorar la navegación, mientras que Solón, un gobernante del siglo VI, honró los oficios, y los inventores fueron muy estimados. Sophia, la palabra griega utilizada normalmente para expresar sabiduría y pensamiento abstracto, significaba en aquella época habilidad técnica. Fueron los pitagóricos, nos dice Proclo, los que «transformaron la matemática en una educación liberal», es decir, en una educación para hombre libres en lugar de un oficio de esclavos.
En su biografía de Marcelo, mostró Plutarco el cambio de actitud hacia artilugios tales como los instrumentos mecánicos, de la forma siguiente:
«Eudoxo y Arquitas habían sido los primeros creadores de este famoso y muy apreciado arte de la mecánica, que empleaban como elegante ilustración de las verdades geométricas y como medio de sustanciar experimentalmente, y a satisfacción de los sentidos, conclusiones demasiado complicadas para demostrarlas por medio de palabras y figuras. Como, por ejemplo, para resolver el problema, necesario a menudo en las construcciones de figuras geométricas, de dados los dos extremos, hallar los dos medios de una proporción, ambos matemáticos recurrían a la ayuda de instrumentos, adaptando a sus fines ciertas curvas y secciones de rectas. Pero con qué indignación lanzó Platón sus invectivas contra este método como la simple corrupción y anulación de lo bueno de la geometría, que volvía así vergonzosamente su espalda a los objetos incorpóreos de la inteligencia pura para recurrir a la sensación y, buscando ayuda (obtenida no sin limitaciones y pérdidas) en la materia, vino a ocurrir que la mecánica se separó de la geometría y, repudiada y despreciada por los filósofos, ocupó su lugar como arte militar.»Esto explica el escaso desarrollo de la ciencia experimental y de la mecánica en el período clásico griego.
Haya aislado o no la investigación histórica los factores relevantes para explicar la preferencia de los griegos por el razonamiento deductivo, lo que sí sabemos con exactitud es que fueron los primeros en insistir en el razonamiento deductivo como único método de demostración en matemáticas. Esta exigencia ha sido característica de la matemática desde entonces, y la ha distinguido de todos los demás campos de conocimiento o investigación. Sin embargo, aún habremos de ver hasta qué punto los matemáticos posteriores permanecieron fieles a este principio.
Por lo que se refiere al contenido de la matemática, Platón y su escuela mejoraron las definiciones y se supone que demostraron nuevos teoremas de geometría plana. Además, dieron un impulso importante a la geometría del espacio. En el libro VII, sección 528 de la República, dice Platón que antes de estudiar la astronomía, que trata de sólidos en movimiento, se necesita una ciencia que estudie tales sólidos. Pero esta ciencia, dice, ha sido descuidada; y se queja de que los investigadores de las figuras sólidas no hayan recibido el suficiente apoyo por parte del Estado. En consecuencia, Platón y sus discípulos procedieron a estudiar la geometría del espacio, y se supone que demostraron nuevos teoremas; estudiaron las propiedades del prisma, la pirámide, el cilindro y el cono, y descubrieron que no puede haber más de cinco poliedros regulares. Los pitagóricos sabían sin duda de la existencia de tres de estos sólidos con cuatro, ocho y veinte caras triángulos equiláteros, el cubo con cuadrados y el dodecaedro con doce pentágonos, pero la demostración de que no puede haber más que cinco se debe probablemente a Teeteto.
El descubrimiento más importante quizás de la escuela platónica fue el de las secciones cónicas, atribuido por el alejandrino Eratóstenes a Menecmo, un geómetra y astrónomo que fue discípulo de Eudoxo y miembro de la Academia platónica. Aunque no sabemos con exactitud qué fue lo que llevó al descubrimiento de las secciones cónicas, se cree que resultó del estudio de los famosos problemas de construcciones. Ya hemos dicho que Hipócrates de Chíos redujo el problema de la duplicación del cubo al de hallar dos segmentos x e y tales que
a : x = x : y = y : 2a,
pero estas ecuaciones nos dicen que![]()
Menecmo introdujo las secciones cónicas utilizando tres tipos de conos (fig. 3.12), con ángulos en el vértice recto, agudo y obtuso respectivamente, cortando cada uno de ellos por un plano perpendicular a una generatriz. Así pues, en esa época sólo se conocía una rama de la hipérbola.

Figura 3.12
9. La escuela de Eudoxo
El más grande de todos los matemáticos griegos de la época clásica, superado seguramente sólo por Arquímedes en la antigüedad, fue Eudoxo, al que Eratóstenes llamó «divino». Nació en Cnido, en Asia Menor, hacia el 408 a. C., estudió con Arquitas en Tarento, viajó a Egipto, donde aprendió astronomía, y después fundó una escuela en Cyzico en el norte de Asia Menor. Hacia el 368 a. C. se unió a la escuela de Platón junto con sus discípulos, para regresar algunos años más tarde a Cnido, donde murió hacia el 355 a. C. Habiendo sido astrónomo, médico, geómetra, legislador y geógrafo, probablemente sea más conocido como creador de la primera teoría astronómica de los movimientos celestes (cap. 7).
Su primera contribución importante a la matemática fue una nueva teoría de proporciones. El descubrimiento de un número cada vez mayor de irracionales (o razones inconmensurables) hizo necesario para los griegos hacer frente a estos números; pero ¿eran realmente números? Aparecían en razonamientos geométricos mientras que los números enteros y las razones entre números enteros aparecían tanto en geometría como en el estudio general de la cantidad. Pero ¿cómo se podrían extender las demostraciones geométricas que se habían hecho para longitudes, áreas y volúmenes conmensurables a los inconmensurables?
Eudoxo introdujo la idea de magnitud continua (cap. 4, sec. 5). No se trataba de un número, sino de entidades tales como segmentos rectilíneos, ángulos, áreas, volúmenes, tiempo, etc., que podían variar, como si dijéramos, de una manera continua. Las magnitudes se oponían en esto a los números, que saltaban de un valor a otro, como del cuatro al cinco, mientras que a las magnitudes no se les asignaba ningún valor cuantitativo. Eudoxo definía entonces una razón de magnitudes y a partir de ella una proporción, es decir, una igualdad de dos razones, que cubría los casos de razones conmensurables e inconmensurables. Sin embargo, una vez más, no se utilizaba número alguno para expresar tales razones. Los conceptos de razón y proporción estaban ligados así a la geometría, como veremos al estudiar el libro V de Euclides.
Lo que consiguió así Eudoxo fue evitar los números irracionales en tanto que números, es decir, evitó darles valores numéricos a las longitudes de segmentos, tamaños de ángulos y otras magnitudes, así como a las razones de magnitudes. Mientras la teoría de Eudoxo permitió a los matemáticos griegos hacer grandes progresos en geometría, suministrándoles los fundamentos lógicos necesarios para las razones inconmensurables, también tuvo varias consecuencias desafortunadas.
Por mencionar una, forzó una nítida separación entre número y geometría, dado que únicamente la geometría podía manejar las razones inconmensurables, pero también hizo de los matemáticos geómetras, y la geometría iba a convertirse en la base de casi toda la matemática rigurosa durante los dos mil años siguientes. Nosotros decimos aún x2, «x cuadrado» y x3, «x cubo» en lugar de, digamos, x segunda o x tercera, debido a que las magnitudes x2, y x3 sólo tenían un significado geométrico para los griegos.
La solución de Eudoxo al problema de cómo tratar las magnitudes inconmensurables o los números irracionales invirtió, de hecho, el punto de vista de la matemática griega anterior. Los pitagóricos primitivos habían puesto ciertamente el énfasis en el número como concepto fundamental, y Arquitas de Tarento, maestro de Eudoxo, afirmaba que sólo la aritmética, y no la geometría, podía dar demostraciones satisfactorias. Sin embargo, al volver a la geometría para manejar los números irracionales, los griegos abandonaron el álgebra y los números irracionales como tales. Pero ¿qué es lo que hicieron para resolver ecuaciones cuadráticas, donde las soluciones son frecuentemente números irracionales?, y ¿de qué manera trataron el sencillo problema de hallar el área de un rectángulo de lados inconmensurables? La respuesta a ambas preguntas es la de que transformaron la mayor parte del álgebra en geometría, en un proceso que analizaremos en el capítulo siguiente. La representación geométrica de los irracionales y de las operaciones con ellos no era práctica, evidentemente. Puede resultar lógicamente satisfactorio pensar en √2×√3 como el área de un rectángulo, pero si se necesita saber el producto para comprar moqueta, por ejemplo, no dará resultado.
Aunque los griegos dedicaron sus mayores esfuerzos en matemáticas a la geometría, no hay que olvidar que los números enteros y las razones entre ellos siguieron siendo conceptos perfectamente aceptables. Este campo de la matemática, como veremos, aparece organizado deductivamente en los libros VII, VIII y IX de los Elementos de Euclides; el material en cuestión cubre esencialmente lo que llamamos teoría de números o estudio de las propiedades de los enteros.
La siguiente pregunta se plantea de manera natural: ¿Qué hicieron los griegos con la necesidad de los números en la investigación científica, así como en el comercio y otros asuntos prácticos? Por un lado, la ciencia griega clásica fue cualitativa, como veremos. En cuanto a los usos prácticos de los números, ya hemos dicho que los intelectuales de la época se limitaron a las actividades filosóficas y científicas y no se ocuparon del comercio ni de los oficios; el hombre cultivado no se interesaba por los problemas prácticos. Pero uno puede pensar en todos los rectángulos de la geometría sin referirse para nada a las dimensiones concretas de ninguno de ellos. El pensamiento matemático se vio así separado de las necesidades prácticas, y los matemáticos no encontraron motivación para mejorar las técnicas aritméticas y algebraicas. Cuando las barreras ente las clases cultivadas y los esclavos se hicieron menos estrictas en el período alejandrino (del 300 a. C. al 600 d. C. aproximadamente) y los hombres cultos se interesaron por los asuntos prácticos, el énfasis se desplazó al conocimiento cuantitativo y al desarrollo de la aritmética y el álgebra.
Volviendo a las contribuciones de Eudoxo, también se debe a él el poderoso método griego para hallar áreas y volúmenes de figuras curvilíneas que nosotros llamamos método de exhausción. Estudiaremos este método y sus aplicaciones, tal como las presenta Euclides, más adelante. Se trata realmente de la primera etapa en la historia del cálculo infinitesimal, pero no utiliza una teoría de límites explícita. Con su ayuda demostró Eudoxo, por ejemplo, que las áreas de dos círculos son entre sí como los cuadrados de sus radios, que los volúmenes de dos esferas son entre sí como los cubos de sus radios, que el volumen de una pirámide es un tercio del volumen del prisma con la misma base y altura, y que el volumen de un cono es un tercio del cilindro correspondiente.
Siempre puede encontrarse un motivo u otro para atribuir a cualquier escuela, desde Tales en adelante, el haber introducido la organización deductiva de la matemática, pero es incuestionable, sin embargo, que la obra de Eudoxo estableció la organización deductiva sobre la base de unos axiomas explícitos. La razón para ello fue sin duda la necesidad de entender y operar con razones inconmensurables. Dado que Eudoxo abordó la tarea de construir la base lógica precisa para estas razones, es lo más verosímil que viera la necesidad de formular axiomas y deducir consecuencias una por una de manera que no se cometieran errores con estas magnitudes extrañas y conflictivas. Esta necesidad de manejar razones inconmensurables vino también a reforzar, sin duda, la decisión anterior de apoyarse exclusivamente en el razonamiento deductivo en las demostraciones.
Como los griegos buscaban verdades y habían decidido utilizar las demostraciones deductivas, tenían que basarse en axiomas que fueran ellos mismos verdaderos, y encontraron en efecto afirmaciones cuya veracidad era evidente para ellos, aunque las justificaciones dadas para aceptar los axiomas como verdades indiscutibles fueran diversas. Casi todos los griegos creían que la mente era capaz de reconocer estas verdades y Platón, en particular, aplicó su teoría de la anamnesis, según la cual hemos tenido ya una experiencia directa de las verdades en un período de existencia como almas en otro mundo antes de venir a la tierra, y no tenemos más que recordar esta experiencia para saber que estas verdades incluyen a los axiomas de la geometría; no es necesaria ninguna experiencia en la tierra. Algunos historiadores pretenden ver en las teorías de Platón y Proclo la idea de que puede haber alguna arbitrariedad en los axiomas, con tal solamente de que sean claros y verdaderos en la mente del matemático individual. Lo importante es razonar deductivamente sobre la base de los axiomas elegidos. Aristóteles tenía mucho que decir sobre los axiomas y pasamos ahora a exponer sus puntos de vista.
10. Aristóteles y su escuela
Aristóteles (384-322 a. C.) nació en Estagira, ciudad de Macedonia. Durante 20 años fue discípulo de Platón y durante otros 3 años, del 343 al 340 a. C., fue tutor de Alejandro Magno. El año 335 a. C. fundó su propia escuela, el Liceo, con un jardín, un aula y un altar a las Musas.
Aristóteles escribió sobre mecánica, física, matemáticas, lógica, meteorología, botánica, psicología, zoología, ética, literatura, metafísica, economía y muchos otros temas. No hay ningún libro dedicado exclusivamente a la matemática, pero en diversos lugares aparecen discusiones sobre la materia, que utiliza como ejemplos en muchos contextos.
Aristóteles consideraba a las ciencias clasificadas en tres tipos: teóricas, productivas y prácticas. Las teóricas, que son las que buscan la verdad, son la matemática, la física (óptica, armonía y astronomía), y la metafísica; de ellas la más exacta es la matemática. Las ciencias productivas son en realidad las artes, y las prácticas, como por ejemplo la ética y la política, tratan de regular las acciones humanas. En las ciencias teóricas la lógica es previa a los diversos temas incluidos en ellas, y el metafísico discute y explica lo que el matemático y el filósofo natural (o científico) toma como dado, por ejemplo el ser o realidad de la materia y el tipo de los axiomas.
Aunque Aristóteles no contribuyó con resultados matemáticos nuevos de importancia (algunos teoremas de Euclides se le atribuyen, sin embargo), sus teorías sobre la naturaleza de la matemática y sus relaciones con el mundo físico ejercieron una gran influencia. Mientras Platón creía que había un mundo independiente y eterno de las ideas, que constituía la realidad del universo y del que formaban parte los conceptos matemáticos, Aristóteles atribuía este papel a la materia o substancia concreta. Sin embargo, también llegó a poner énfasis en las ideas, es decir en las esencias universales de los objetos físicos, tales como dureza, blandura, gravedad, ligereza, esfericidad, frialdad y calor. Los números y las formas geométricas eran también propiedades de los objetos reales; se reconocían por abstracción pero pertenecían en realidad a los objetos mismos. Así, la matemática trabaja con conceptos abstractos que se derivan de propiedades de los cuerpos físicos.
Aristóteles discute también el concepto de definición. Su idea de definición es la moderna y la denomina un nombre para una colección de palabras señalando también que una definición correcta debe estar expresada en términos de algo previo a la cosa definida. Así, por ejemplo, critica la definición «un punto es aquello que no tiene partes», porque las palabras «aquello que» no dicen a qué se refieren, excepto posiblemente a «punto», y por lo tanto la definición no sería correcta. Reconoce, evidentemente, la necesidad de términos indefinidos, puesto que debe haber un punto de partida para la serie de definiciones, pero los matemáticos posteriores olvidaron esta necesidad hasta finales del siglo XIX.
Advierte también (como había hecho anteriormente Platón, según Plutarco) que una definición nos dice lo que es una cosa, pero no que la cosa misma exista. La existencia de las cosas definidas tiene que demostrarse excepto en el caso de unas pocas cosas primarias tales como el punto y la recta, cuya existencia se supone en los primeros principios o axiomas. Podemos definir un cuadrado pero tal figura puede no existir, es decir, las propiedades exigidas en la definición pueden ser incompatibles. Leibniz puso el ejemplo de un poliedro regular de 10 caras; uno puede definir naturalmente tal figura, pero no existe. Si no se comprueba que esta figura existe, y procedemos a demostrar teoremas acerca de ella, los resultados no tendrán sentido. El método de demostrar la existencia que adoptaron Aristóteles y Euclides fue el de la construcción. Los tres primeros axiomas de los Elementos de Euclides garantizan la construcción de rectas y circunferencias; todos los conceptos matemáticos restantes han de ser construidos para establecer su existencia. Así, los trisectores de ángulos, aunque sean evidentemente definibles, no son constructibles con rectas y circunferencias y por lo tanto no podían admitirse en la geometría griega.
Aristóteles se ocupa también de los principios básicos de la matemática, distinguiendo entre los axiomas o nociones comunes, que son verdades comunes a todas las ciencias, y los postulados, que son primeros principios aceptables para una ciencia concreta. Entre los axiomas incluye los principios lógicos, tales como la ley de contradicción, la ley del tercio excluso, el axioma de que si se suman o restan cosas iguales de otras iguales los resultados son iguales, y otros principios análogos. Los postulados no necesitan ser auto-evidentes sino que su verdad debe venir garantizada por las consecuencias que se derivan de ellos. La colección de axiomas y postulados ha de ser lo más reducida posible, con tal de que permitan demostrar todos los resultados. Aunque, como veremos, Euclides utiliza la distinción de Aristóteles entre nociones comunes y postulados, todos los matemáticos hasta principios del XIX pasaron por alto esta distinción y trataron los axiomas y los postulados como igualmente auto-evidentes. Según Aristóteles, los axiomas se obtienen de la observación de los objetos físicos, de los que son generalizaciones aprehendidas de modo inmediato. Tanto él como sus seguidores dieron muchas definiciones y axiomas o mejoraron otros anteriores y algunas de las versiones aristotélicas las incluye directamente Euclides.
Aristóteles discute los problemas fundamentales acerca de las relaciones entre puntos y rectas. Un punto, dice, es indivisible y tiene posición; pero entonces ninguna acumulación de puntos, por muchos que incluyera, podría darnos algo divisible, mientras que una recta es desde luego una magnitud divisible. Por lo tanto los puntos no pueden construir nada continuo como una recta, pues un punto no puede ser continuo con otro punto. Un punto, añade, es como el ahora en el tiempo; el ahora es indivisible y no una parte del tiempo. Un punto puede ser un comienzo, un final o un divisor en un segmento pero no es parte de él ni de ninguna magnitud. Solamente por movimiento puede un punto generar una recta y ser así origen de la magnitud. También afirma que, puesto que un punto no tiene longitud, si una recta estuviera compuesta de puntos tampoco tendría longitud y, análogamente, si el tiempo estuviera compuesto de instantes no habría ningún intervalo de tiempo. Su definición de continuidad, propiedad que posee una recta, es la siguiente: una cosa es continua cuando los límites en los que se tocan dos partes sucesivas cualesquiera son uno y el mismo y están, como la palabra misma, continuo, implica, juntos. En realidad hace diversas afirmaciones sobre las magnitudes continuas que no concuerdan unas con otras. El núcleo de su teoría, sin embargo, es que los puntos y los números son cantidades discretas y hay que distinguirlas de las magnitudes continuas de la geometría; no hay continuo en la aritmética. En cuanto a la relación entre estos dos campos, considera a la aritmética (es decir, a la teoría de números) como más exacta, porque los números se prestan más fácilmente a la abstracción que los conceptos geométricos. También considera a la aritmética como previa a la geometría, porque el número 3 es necesario para considerar un triángulo.
Al discutir el infinito hace Aristóteles una distinción, importante aún hoy, entre el infinito potencial y el infinito actual. La edad de la tierra, si es que tuvo un comienzo, es potencialmente infinita pero en ningún instante es actualmente infinita. Según él, sólo existe el infinito potencial. Los enteros positivos, concede, son potencialmente infinitos porque siempre podemos añadir 1 a cualquier número y obtener otro distinto, pero el conjunto infinito, como tal, no existe. La mayor parte de las magnitudes, incluso, no pueden ser ni siquiera potencialmente infinitas, porque si se añadieran de una manera indefinida podrían exceder los límites del universo. El espacio, sin embargo, sí es potencialmente infinito en el sentido de que puede ser subdividido indefinidamente, y el tiempo es potencialmente infinito en los dos sentidos.
Uno de los logros más importantes de Aristóteles fue la fundamentación de la ciencia de la lógica. Los griegos habían hecho ya el trabajo básico para fundar la lógica al producir razonamientos matemáticos correctos, pero correspondió a Aristóteles codificar y sistematizar las leyes que siguen estos razonamientos en una disciplina separada. Los escritos de Aristóteles dejan muy claro que derivó la lógica de la matemática. Los principios básicos de su lógica —la ley de contradicción, que afirma que una proposición no puede ser a la vez verdadera y falsa, y la ley de tercio excluso, que afirma que una proposición debe ser verdadera o falsa— están en el centro mismo del método de demostración indirecto en matemáticas; por otra parte, Aristóteles utiliza abundantes ejemplos matemáticos tomados de textos contemporáneos para ilustrar sus principios de razonamiento. Esta lógica aristotélica permaneció insuperada hasta el siglo XIX.
A pesar de que la lógica se derivó de la matemática, finalmente fue considerada como independiente de y previa a la matemática, y aplicable a todos los razonamientos. Incluso Aristóteles, como ya hemos hecho notar, consideró a la lógica como preliminar a las ciencias y a la filosofía, y concretamente en matemáticas subrayó la demostración deductiva como la única base para establecer los hechos. Para Platón, que creía que las verdades matemáticas preexistían o existían en un mundo independiente del hombre, el razonamiento no era la garantía de la corrección de los teoremas; el poder de la lógica jugaba sólo un papel secundario, haciendo explícito, por así decirlo, lo que ya se sabía que era verdadero.
Un miembro de la escuela aristotélica especialmente digno de mención es Eudemo de Rodas, que vivió a finales del siglo IV a. C. y fue el autor del «Sumario de Eudemo» citado por Proclo y por Simplicio. Como ya dijimos, Eudemo escribió historias de la aritmética, de la geometría y de la astronomía. Se trata pues del primer historiador de la ciencia que conocemos, pero lo que es más importante es que los conocimientos ya existentes en su época fueran lo suficientemente amplios como para merecer ser historiados.
El último de los autores del período clásico que vamos a mencionar aquí es Autólico de Pitania, astrónomo y geómetra que floreció hacia el 310 a. C. No fue miembro de la escuela de Platón ni de la de Aristóteles, aunque fue maestro de uno de los sucesores de Platón. De tres libros que escribió nos han llegado dos; son los libros griegos más antiguos que conocemos completos, aunque sólo a través de manuscritos que presumiblemente son copias de las obras de Autólico. Estos libros, Sobre la Esfera en Movimiento y Sobre Salidas y Puestas fueron incluidos más tarde en una colección llamada Pequeña Astronomía (para distinguirla de la posterior Gran Colección o Almagesto de Ptolomeo). Sobre la Esfera en Movimiento trata de los círculos meridianos, de los círculos máximos en general, y de lo que llamaríamos paralelos de latitud, así como de las áreas visible e invisible producidas por una fuente luminosa distante sobre una esfera en rotación, tal como el sol sobre la tierra. El libro presupone teoremas de geometría esférica que debían conocer, por lo tanto, los griegos de la época. El segundo libro de Autólico sobre la salida y puesta de estrellas corresponde a la astronomía de observación.
La forma del libro sobre la esfera en movimiento es importante; los puntos de las figuras vienen representados por letras y las proposiciones están ordenadas lógicamente. Primero se formula la proposición en general, después se repite, pero con referencia explícita a la figura y finalmente se da la demostración. Este es ya el estilo que usa Euclides.
Bibliografía
- Apostle, H. G.: Aristotle’s Philosophy of Mathematics, University of Chicago Press, 1952.
- Ball, W. W. Rouse: A Sbort Account of the History of Mathematics, Dover (reprint), 1960, caps. 2-3.
- Boyer, Cari B.: Historia de la Matemática, Madrid, Alianza Editorial, 1986.
- Brumbaugh, Robert S.: Plato’s Mathematical Imagination, Indiana University Press, 1954.
- Gomperz, Theodor: Greek Tbinkers, 4 vols., John Murray, 1920.
- Guthrie, W. K. C.: Historia de la filosofía griega, Madrid, Gredos, 1984.
- Hamilton, Edith: The Greek Way to Western Civilization, New American Library, 1948.
- Heath, Thomas L.: A History of Greek Mathematics, Oxford University Press, 1921, vol. 1. —: A Manual of Greek Mathematics, Dover (reprint), 1963, caps. 4-9. —: Mathematics in Aristotle, Oxford University Press, 1949.
- Jaeger, Werner: Paideia: los ideales de la cultura griega, México, FCE, 1990.
- Lasserre, François: The Birth of Mathematics in the Age of Plato, American Research Council, 1964.
- Maziarz, Edward A., y Thomas Greenwood: Greek Mathematical Philosophy, F. Unger, 1968.
- Sarton, George: A History of Science, Harvard University Press, 1952, vol. 1, caps. 7, 11, 16, 17 y 20.
- Scott, J. FA History of Mathematics, Taylor and Francis, 1958, cap. 2.
- Smith, David Eugene: History of Mathematics, Dover (reprint), 1958, vol. 1, cap. 3.
- Van der Waerden, B. L.: Science Awakening, P. Noordhoff, 1954, caps. 4-6.
- Wedberg, Anders: Plato’s Philosophy of Mathematics, Almqvist and Wiksell, 1955.
Capítulo 4
Euclides y Apolonio
1. Introducción
2. El marco de los Elementos de Euclides
3. Las definiciones y axiomas de los Elementos
4. Los libros I a IV de los Elementos
5. El libro V: La teoría de proporciones
6. El libro VI: Figuras semejantes
7. Los libros VII, VIII y IX: La teoría de números
8. El libro X: La clasificación de los inconmensurables
9. Los libros XI, XII y XIII: Geometría de sólidos y método de exhausción
10. Los métodos y defectos de los Elementos
11. Otras obras matemáticas de Euclides
12. La obra matemática de Apolonio
Bibliografía
Aprendimos de los pioneros en esta ciencia a no atender a meras imágenes plausibles cuando se trata de los razonamientos que deben presentarse en nuestra doctrina geométrica.
Proclo
1. IntroducciónLo más importante de la obra matemática que realizaron los autores del período clásico ha llegado afortunadamente hasta nosotros, en los escritos de Euclides y Apolonio. Cronológicamente, ambos pertenecen al segundo gran período de la historia griega, el helenístico o alejandrino. Sabemos con certeza, gracias a un párrafo del Comentario de Proclo, que Euclides vivió y enseñó en Alejandría en torno al año 300 a. C., aunque probablemente se educara en la Academia de Platón; y esto es todo cuanto conocemos de su vida. Apolonio murió en el año 190 a. C., de modo que toda su vida cae claramente dentro del período helenístico. Es habitual, sin embargo, situar su obra en el período clásico, ya que sus libros dan cuenta de lo producido en tal época. De hecho, Euclides estructuró los descubrimientos dispares de los griegos clásicos, como puede comprobarse comparando el contenido de sus libros con los fragmentos que nos han llegado de trabajos más antiguos; constituyen así los Elementos tanto una historia matemática de la época precedente como el desarrollo lógico de una teoría. La obra de Apolonio se sitúa generalmente en el período alejandrino que le corresponde, pero el espíritu y el contenido de su principal trabajo, las Secciones Cónicas, son del período clásico. El mismo Apolonio reconoció que los cuatro prime ros libros de los ocho que lo forman constituyen una revisión de los trabajos perdidos de Euclides sobre el mismo tema. Pappus menciona que Apolonio pasó largo tiempo con los discípulos de Euclides en Alejandría, lo que explica su familiaridad con la obra de este último. La discusión que haremos más adelante sobre las características del período alejandrino justificará, a nuestro parecer, la inclusión de Apolonio en el período clásico.
2. El marco de los Elementos de Euclides
Los Elementos son sin duda la obra más famosa de Euclides. Pese al escaso conocimiento que poseemos del período clásico, cabe señalar las principales fuentes del material contenido en ellos: aparte de los discípulos de Platón con quienes estudió Euclides, y a quienes debe mucho, sin duda, Proclo afirma que introdujo en sus Elementos muchos de los teoremas de Eudoxo, perfeccionó teoremas de Teeteto y proporcionó demostraciones irrefutables de muchos resultados insuficientemente demostrados por sus predecesores.
A Euclides se debe la elección del sistema de axiomas, la ordenación de los teoremas y la tersura y rigor de las demostraciones, muchas de ellas suyas, sin duda. Su forma de presentar éstas, sin embargo, había sido ya empleada por Autólico (ver cap. 3, sec. 9) y seguramente por otros de sus predecesores. Independientemente de la cuestión de cuánto haya de original en sus Elementos y cuánto pudo haber recogido de textos anteriores u otras fuentes, Euclides fue sin duda un gran matemático, como lo prueban sus otros escritos. Proclo señala que los Elementos eran muy apreciados en Grecia, e indica como prueba el gran número de comentarios a que habían dado lugar; entre los más importantes cabe citar los de Herón (c. 100 a. C. - c. 100 d. C.), Porfirio (siglo III) y Pappus (finales del mismo siglo). Presumiblemente su calidad les permitió reemplazar a los libros que sobre el mismo asunto se cree que escribieron Hipócrates de Chíos y los platónicos León y Teudio.
No contamos con manuscritos del propio Euclides, y sus escritos han tenido que ser reconstruidos a partir de las numerosas recensiones, comentarios y notas de otros autores. Todas las ediciones en lengua inglesa y en latín de los Elementos se han realizado a partir de manuscritos griegos; la recensión de Teón de Alejandría (fines del siglo IV), copias de ésta, versiones escritas de las lecciones de Teón, y un manuscrito griego del siglo X que François Peyrard (1760-1822) halló en la Biblioteca Vaticana, y que es una copia de una edición de Euclides anterior a la de Teón. Los historiadores J. L. Heiberg y Thomas L. Heath han utilizado principalmente este manuscrito en su estudio sobre Euclides, comparándolo, claro está, con los restantes manuscritos y comentarios disponibles. También existen versiones y comentarios árabes, basados al parecer en manuscritos griegos que se han perdido, y que han servido para precisar qué había y qué no en los Elementos escritos por Euclides; pero estas versiones árabes son en cualquier caso inferiores a los manuscritos griegos. Al apoyarse en tantas fuentes, la reconstrucción de los Elementos deja margen para la duda sobre algunas cuestiones. En particular, no sabemos con qué propósito fueron escritos; hay quienes los consideran un tratado para matemáticos formados, y quienes piensan que se trata de un texto para estudiantes. Proclo parece inclinarse por esta última opción.
Dadas la longitud y la incomparable importancia histórica de esta obra, dedicaremos varias secciones del presente capítulo a un repaso y comentario de su contenido, que quizá nos sorprenda un poco al compararlo con la «geometría euclídea» aprendida en la enseñanza media o superior. Las versiones más ampliamente difundidas en nuestro tiempo se basan en la modificación que Legendre realizó de los trabajos de Euclides, empleando una pizca de álgebra ajena a los Elementos, sin que por ello, como veremos, se altere el material geométrico.
3. Las definiciones y axiomas de los Elementos
Los Elementos constan de trece libros. En algunas ediciones se han incluido otros dos, debidos probablemente a otros autores. El libro I comienza con las definiciones de los conceptos que se utilizarán en la primera parte de la obra. Copiaremos aquí sólo las más importantes, numerándolas de acuerdo con la edición de Heath [9]:
DefinicionesEstas definiciones preliminares vienen cargadas de conceptos no definidos y no convienen por tanto a ningún propósito lógico. Puede que Euclides no se apercibiera de que los conceptos iniciales deben quedar sin definición, lo que le habría llevado a explicar ingenuamente su significado en términos de conceptos físicos. Algunos comentaristas afirman que, aun siendo consciente de que las definiciones no eran lógicamente útiles, quiso explicar lo que sus términos representaban intuitivamente, de manera que sus lectores quedaran convencidos de que los axiomas y postulados eran aplicables a esos conceptos.
1. Un punto es lo que no tiene partes.
2. Una línea es una longitud sin anchura. La palabra línea significa curva.
3. Los extremos de una línea son puntos. Esta definición establece que una línea o curva siempre tiene longitud finita; en los Elementos no aparecen curvas que se extiendan hasta el infinito.
4. Una línea recta es aquella que yace por igual sobre sus puntos. De acuerdo con la definición 3, la línea recta de Euclides es nuestro segmento. Se cree que esta definición pudo ser sugerida por el nivel que se usa en albañilería.
5. Una superficie es lo que sólo tiene longitud y anchura.
6. Los extremos de una superficie son líneas. Una superficie, por tanto, es también una figura acotada.
7. Una superficie plana es la que yace por igual sobre sus líneas rectas.
15. Un círculo es una figura plana rodeada por una línea tal que todas las rectas que inciden sobre ella desde cierto punto interior a la figura son iguales entre sí.
16. Ese punto se llama centro del círculo.
17. Un diámetro del círculo es cualquier recta que pasa por el centro y cuyos extremos están en la circunferencia (no definida explícitamente) del círculo. Tal recta divide en dos partes iguales al círculo.
23. Rectas paralelas son aquellas que, estando en el mismo plano, no se encuentran cuando se prolongan indefinidamente en ambas direcciones.
A continuación presenta cinco postulados y cinco nociones comunes (a las que Proclo llama axiomas). Asume la distinción ya indicada por Aristóteles de que las nociones comunes son verdades aplicables a cualquier ciencia, mientras que los postulados se aplican solamente a la geometría. Como ya señalamos en su momento, Aristóteles decía que no se precisa la certeza de que los postulados sean verdaderos, y que su veracidad se contrastaría al confrontar con la realidad los resultados de ellos deducidos. Proclo incluso habla del carácter hipotético de toda matemática, que sólo deduce lo que se sigue de las suposiciones iniciales, sean éstas verdaderas o no. Cabe pensar que Euclides compartiera el punto de vista de Aristóteles con respecto a la veracidad de los postulados. No obstante, en el desarrollo ulterior de las matemáticas, al menos hasta el advenimiento de las geometrías no euclídeas, tanto los postulados como las nociones comunes fueron aceptados como verdades incuestionables.
Euclides postula lo siguiente:
PostuladosEuclides no supone ingenuamente que los conceptos definidos existan o sean consistentes; como había señalado Aristóteles, se puede definir algo cuyas propiedades sean incompatibles. Los tres primeros postulados, que declaran la posibilidad de construir rectas y círculos, son asertos de existencia para esas entidades. A lo largo del libro I, Euclides prueba, construyéndolas, la existencia de las restantes, exceptuado el plano.
1. (Es posible) trazar una línea recta desde cualquier punto a cualquier otro.
2. (Es posible) prolongar continuamente en línea recta una recta dada.
3. (Es posible) trazar un círculo con cualquier centro y distancia (radio).
4. Que todos los ángulos rectos son iguales entre sí.
5. Que si una recta incide sobre otras dos formando del mismo lado ángulos internos menores que dos rectos, al prolongarlas indefinida mente se encontrarán por el lado en que los ángulos sean menores que dos rectos.
Nociones comunes
1. Cosas que sean iguales a una misma cosa son también iguales entre sí.
2. Si a cosas iguales se suman cosas iguales, los totales son iguales.
3. Si a cosas iguales se restan cosas iguales, los restos son iguales.
4. Cosas que encajen cada una en la otra son iguales entre sí.
5. El todo es mayor que la parte.
Presupone que la recta del postulado 1 es única; esta suposición está implícita en la proposición 4 del libro I, aunque habría sido mejor explicitarla. Del mismo modo, supone que la prolongación del postulado 2 es única, explícitamente en la proposición 1 del libro XI, e inconscientemente desde el mismo comienzo del libro I.
El postulado 5 se debe al propio Euclides; es una muestra de su genio haber reconocido su necesidad. Muchos griegos objetaron este postulado, considerándolo falto de evidencia, en comparación con los anteriores. Los intentos de probarlo a partir de los restantes axiomas y postulados, que comenzaron según Proclo en vida misma de Euclides, fracasaron. La historia detallada de tales esfuerzos se verá más adelante, en relación con la discusión sobre geometrías no euclídeas.
En cuanto a las nociones comunes, hay diferentes opiniones sobre cuáles aparecían realmente en el escrito original de Euclides. La cuarta, que constituye la base de las pruebas mediante superposición (congruencia) es de carácter geométrico, y debería ser un postulado. Euclides la utiliza en las proposiciones 4 y 8 del libro I, aunque diríase que de mala gana; podría haber hecho uso de ella en la demostración de la proposición 26 (a.l.a. = a.l.a. y l.a.a. = l.a.a.) y en cambio presenta una prueba más larga. Probablemente conocía el método por los trabajos de anteriores geómetras, y no supo cómo evitarlo. Pappus y otros, que encontraron inadecuado el conjunto de axiomas propuesto por Euclides, añadieron alguno más.
4. Los libros I a IV de los Elementos
Los libros I a IV tratan sobre las propiedades básicas de figuras rectilíneas y círculos. El libro I contiene los acostumbrados teoremas sobre congruencia, paralelismo, el teorema de Pitágoras, figuras equivalentes (de igual área) y paralelogramos. Todas las figuras son rectilíneas, esto es, formadas por segmentos de recta. De especial interés son los siguientes teoremas (la versión no es literal):
Proposición 1. Construcción de un triángulo equilátero sobre un segmento dado.
La demostración es simple. Se construye un círculo tomando A como centro y AB como radio (fig. 4.1), y otro con B como centro y BA como radio. Sea C el punto de intersección. Entonces ABC es el triángulo buscado.

Figura 4.1
Podría pensarse que el postulado 3 permite hacerlo inmediatamente. Pero eso significaría que el compás mantiene su abertura cuando se lleva al punto que se quiere tomar como extremo. Euclides, en cambio, supone un compás que sólo mantiene su rigidez al trazar un círculo determinado, sin levantarlo del papel, y presenta una demostración más complicada.
Proposición 4. Si dos triángulos tienen cada uno de ellos dos lados y el ángulo que comprenden iguales a los del otro, entonces son congruentes.
La prueba se hace llevando un triángulo sobre el otro, y mostrando que deben coincidir.
Proposición 5. Los ángulos de la base de un triángulo isósceles son iguales.
La demostración es mejor que la que puede encontrarse en muchos textos elementales, que emplea la bisectriz del ángulo A (fig. 4.2), cuya existencia se deduce precisamente de esta proposición.
Euclides extiende AB hasta F y AC hasta G, de manera que BF = CG. Entonces ΔAFC = ΔAGB, y por tanto FC = GB, -ÐACF = ÐABG y Ð 3 = Ð 4. De esto se deduce que ΔCBF = ΔBCG y por tanto Ð 5 = Ð 6, y Ð 1 = Ð 2. Pappus prueba el teorema considerando el triángulo dado como ΔABC y como ΔACB, lo que le permite utilizar la proposición 4 y deducir que los ángulos de la base son iguales.

Figura 4.2

Figura 4.3
Proposición 20. La suma de dos lados cualesquiera de un triángulo es mayor que el tercer lado.
Este teorema es lo que más se parece en geometría euclídea al hecho de que la línea recta es la distancia más corta entre dos puntos.
Proposición 27. Si una recta incide sobre otras dos formando ángulos alternos iguales, esas dos rectas serán paralelas entre sí.
La prueba aportada consiste en suponer que las rectas se cortan, de lo que se deriva una contradicción con la proposición sobre el ángulo externo de un triángulo. El teorema establece la existencia de al menos una recta paralela a otra dada, pasando por un punto también dado.
Proposición 29. Una recta que incide sobre dos paralelas forma ángulos alternos iguales entre sí, siendo cada ángulo externo igual al interno opuesto (los ángulos correspondientes son iguales), y la suma de los ángulos internos del mismo lado es igual a dos rectos.

Figura 4.4
Proposición 44. Construir sobre una recta dada, y con un ángulo rectilíneo dado, un paralelogramo equivalente a un triángulo dado.

Figura 4.5
Proposición 47. En los triángulos rectángulos el cuadrado del lado opuesto al ángulo recto es igual a la suma de los cuadrados de los lados que lo forman.
Tenemos aquí el teorema de Pitágoras. La prueba se lleva a cabo por medio de áreas, como en muchos textos escolares. Se muestra (fig. 4.6) que ΔABD ≈ ΔFBC, que el rectángulo BL = 2ΔABD, y el rectángulo GB = 2ΔFBC. En consecuencia, el rectángulo BL es igual al cuadrado GB, y el rectángulo CL es igual al cuadrado AK.
El teorema también muestra cómo obtener un cuadrado cuya área sea igual a la suma de dos cuadrados dados, es decir, cómo hallar un x tal que x2 = a2 + b2, siendo así otro ejemplo de álgebra geométrica.

Figura 4.6

Figura 4.7
AB2 + AC2 — BC2,
y por ser rectángulo el triángulo ADC,AD2 + AC2 = DC2.
Como AB = AD, tiene que ser BC2 = DC2, y por tanto BC = DC. De manera que los triángulos DAC y CAB son congruentes, y el ángulo CAB, igual al CAD, debe ser recto.El material más notable del libro II es el relativo al álgebra geométrica. Ya hemos señalado que los griegos no reconocían la existencia de números irracionales, lo que les dificultaba el tratamiento numérico de longitudes, áreas, ángulos y volúmenes. En el libro II todas las cantidades están representadas geométricamente, evitando así el problema de la asignación de valores numéricos. Los números se ven sustituidos por segmentos de recta; el producto de dos números se convierte en el área del rectángulo cuyos lados tienen como longitudes esos dos números; el producto de tres números es un volumen; la suma de dos números se traduce en la prolongación de un segmento en una longitud igual a la del otro, y la resta en recortar de un segmento la longitud del segundo; la división de un número por otro se indica por la razón entre los segmentos que los representan, de acuerdo con los principios introducidos posteriormente en los libros V y VI.
La división de un producto (un área) por un tercer número se realiza hallando un rectángulo que tenga como lado a este último y cuya área sea igual al producto dado, siendo entonces el otro lado el cociente buscado. La construcción utiliza la teoría de aplicación de áreas ya mencionada en la proposición 44 del libro I. La suma y resta de productos se reemplaza por suma y resta de rectángulos; la extracción de una raíz cuadrada, por la construcción de un cuadrado cuya área sea igual a la de un rectángulo dado (véase más adelante la proposición 14).
Las diez primeras proposiciones del libro II tratan geométricamente las proposiciones algebraicas siguientes, enunciadas con nuestro sistema notacional:
- a(b + c + d + ...) = ab + ac + ad + ...;
- (a + b)a + (a + b)b — (a + b)2;
- (a + b)a = ab + a2;
- (a + b)2 = a2 + 2ab + b2;
- ab + (1/2(a + b) — b)2 = (1/2(a + b))2;
- (2a + b)b + a2 = (a + b)2.
Proposición 1. Si tenemos dos rectas y se divide una de ellas en un número cualquiera de partes (fig. 4.8), el rectángulo que las tiene como lados equivale a los rectángulos que tienen como lados la recta no dividida y cada una de las partes de la otra.

Figura 4.8
Proposición 4. Si se divide mediante un punto cualquiera una recta dada, el cuadrado de la recta entera es igual a los cuadrados de las partes más el doble del rectángulo que tiene a esas partes como lados.
La demostración explica los evidentes hechos geométricos contenidos en la figura 4.9.

Figura 4.9

Figura 4.10
AB × BH = AH × AH.
La demostración se hace mediante áreas, utilizando teoremas anteriores, incluido el de Pitágoras, entre los que el decisivo es la proposición 6.La importancia del teorema reside en que la longitud a del segmento AB queda dividida en longitudes x y a - x tales que
(a - x)a = x2
es decir,x2 + ax = a2,
disponiendo así de un método geométrico para resolver esta última ecuación cuadrática. AB queda dividido también en media y extrema razón, ya que de AB × BH = AH × AH se deduce que AB : AH = AH : BH. Otras proposiciones del libro II equivalen a la resolución de las ecuaciones cuadráticas ax - x2 = b2 y ax + x2 = b2.Proposición 14. Construir un cuadrado equivalente a una figura rectilínea dada.
Esta última podría ser cualquier polígono; pero si es un rectángulo ABEF (fig. 4.11), el método de Euclides equivale a lo siguiente: se prolonga AB hasta C de manera que BC = BE', se construye el círculo que tiene como diámetro AC y se alza en B la perpendicular DB. El cuadrado buscado es el que tiene como lado DB. Este teorema, que Euclides prueba en términos de áreas, resuelve la ecuación x2 = ab, proporcionando así la raíz cuadrada de ab. En el libro IV, como veremos, se resuelven geométricamente ecuaciones cuadráticas más complicadas.
El libro III, que contiene 37 proposiciones, comienza con algunas definiciones relativas a la geometría de los círculos, y a continuación estudia las propiedades de cuerdas, tangentes, secantes, ángulos centrales e inscritos, etc.

Figura 4.11
Proposición 16. La recta perpendicular en el extremo a un diámetro cae fuera del círculo, y no puede interponerse ninguna otra recta entre esa perpendicular y la circunferencia; además el ángulo del semicírculo es mayor, y el restante menor, que cualquier ángulo rectilíneo agudo.

Figura 4.12
Proclo habla de los ángulos córneos como verdaderos ángulos. En la Edad Media y el Renacimiento[10], Cardano, Peletier, Vieta, Galileo, Wallis y otros volvieron a debatir la cuestión. Lo que hacía especial mente incómodos a los ángulos córneos para los comentaristas de Euclides es que se puedan construir círculos tangentes en A a TA de diámetro cada vez menor, cuyo ángulo córneo parece intuitivamente que debería incrementar su magnitud, lo que es negado por la proposición anterior. Por otro lado, si dos ángulos córneos cuales quiera fuesen nulos y por tanto iguales, deberían poder superponerse. Algunos comentaristas concluían de esto que los ángulos córneos no son verdaderos ángulos[11].
El libro IV trata en sus 16 proposiciones de figuras tales como triángulos, cuadrados, pentágonos y hexágonos regulares, inscritos en o circunscritos a círculos. La última proposición, que muestra cómo inscribir en un círculo dado un polígono regular de 15 lados, parece haber sido usada en astronomía: hasta tiempos de Eratóstenes se creía que el ángulo de la eclíptica (el que forman el plano ecuatorial de la Tierra y el plano de su órbita en torno al Sol) era de 24°, esto es, 1/15 de 360°.
5. El libro V: La teoría de proporciones
El libro V, basado en los trabajos de Eudoxo, está considerado como el mayor logro de la geometría euclídea; su contenido y significado se han debatido más extensa e intensamente que cualquier otra porción de los Elementos. Se cree que los pitagóricos poseían una teoría de la proporción, esto es, de la igualdad entre dos razones, para magnitudes conmensurables: razones expresables como cociente en tre dos números enteros. Aunque no conocemos los detalles de tal teoría, cabe suponer que cubría lo que veremos más tarde en el libro VII, y que se aplicaba a ciertas proposiciones sobre semejanza de triángulos. Los matemáticos que utilizaron proporciones antes de Eudoxo no poseían, en general, una fundamentación rigurosa para el tratamiento de magnitudes inconmensurables. El libro V, aun evitan do la introducción de números irracionales, extiende la teoría de las proporciones a razones inconmensurables.
La noción de magnitud que presenta Euclides pretende cubrir cantidades o entidades que pueden ser conmensurables o inconmensurables entre sí: longitudes, áreas, volúmenes, ángulos, pesos, tiempo... La longitud y el área han aparecido ya, por ejemplo, en el libro II. Pero hasta ahora no ha tenido ocasión Euclides de tratar con otros tipos de magnitudes ni tampoco con sus razones mutuas o proporciones, por lo que sólo ahora introduce el concepto general de magnitud, poniendo el énfasis en las proporciones para cualquier tipo de magnitudes.
Pese a la importancia que las definiciones tienen en este libro, no hay en él una definición de magnitud como tal. Euclides comienza con la
Definición 1. Una magnitud es parte de otra mayor cuando la mide.
Parte significa aquí submúltiplo, como 2 lo es de 6, mientras que 4 no es submúltiplo de 6.
Definición 2. Lo mayor es múltiplo de lo menor cuando es medido por lo menor.
Múltiplo significa por tanto múltiplo entero.
Definición 3. Una razón es una relación entre dos magnitudes del mismo tipo con respecto a su tamaño.
Es difícil separar la significación de esta tercera definición de la que viene a continuación:
Definición 4. Se dice que hay razón entre dos magnitudes cuando se puede multiplicar cada una de ellas de manera que exceda a la otra.
Lo que significa que hay razón entre a y b si algún múltiplo entero (incluyendo 1) de a es mayor que b y algún múltiplo entero de b (incluyendo 1) es mayor que a. Esta definición excluye un concepto que apareció más tarde, el de una cantidad infinitamente pequeña y no nula, a la que se llamó infinitésimo; no cabe razón entre dos magnitudes si una de ellas es tan pequeña que ninguno de sus múltiplos enteros excede a la otra. También excluye magnitudes infinitamente grandes, a las que no superaría ningún múltiplo entero de la cantidad menor. La definición clave es la siguiente:
Definición 5. Se dice que ciertas magnitudes están en la misma razón, la primera con la segunda y la tercera con la cuarta, cuando al tomar cualquier equimúltiplo de la primera y la tercera, y cualquier equimúltiplo de la segunda y la cuarta, el múltiplo de la primera es mayor, igual o menor que el de la segunda según que el de la tercera sea mayor, igual o menor que el de la cuarta.
La definición establece que

ma < nb implica mc < nd
ma = nb implica mc = nd
yma > nb implica mc > nd
Para comprender su alcance, utilicemos números modernos: para contrastar si
m√2 < n implica m√6 < n√3
ym√2 = n×1 implica m√6 = n√3
ym√2 > n×1 implica m√6 > n√3
En este ejemplo, claro está, la igualdad m√2 = n×1 no es posible, ya que m y n son números enteros mientras que √2 es irracional, pero esto sólo significa que la igualdad m√6 = n√3 no tiene por qué darse; la definición establece únicamente que si alguna de las tres posibilidades de la izquierda es cierta, debe serlo también el correspondiente aserto de la derecha. Una formulación equivalente de la definición 5 sería que los enteros m y n para los que ma < nb son los mismos que los enteros m' y n' para los que m'c < n'd.Sería conveniente indicar inmediatamente qué partido saca Euclides de esas definiciones. Cuando se quiere probar que si a/b = c/d entonces (a + b)/b = (c + d)/d, se consideran las razones y la proporción como números, incluso si las razones son inconmensurables, y se utiliza el álgebra para obtener el resultado; sabemos que las leyes algebraicas permiten operar con irracionales. Pero Euclides no puede hacerlo, y no lo hace; los griegos no poseían justificación suficiente para operar con razones de magnitudes inconmensurables. Así pues, Euclides prueba ese teorema usando las definiciones que ha dado, en particular la 5.a. De hecho, está sentando las bases para un álgebra de magnitudes.
Definición 6. Las magnitudes que tienen la misma razón se llaman proporcionales.
Definición 7. Si entre los múltiplos de unas magnitudes el de la primera excede al de la segunda pero el de la tercera no excede al de la cuarta, se dice que la razón entre la primera y la segunda es mayor que la razón entre la tercera y la cuarta.
Esta definición establece que si para algunos m y n, ma > nb pero mc no es mayor que nd, entonces a/b> c/d. Así, dada una razón entre inconmensurables a/b, se la puede situar entre otras mayores y menores que ella.
Definición 8. Una proporción tiene al menos tres términos.
En ese caso a/b = b/c.
Definición 9. Cuando tres magnitudes son proporcionales, se dice que la razón entre la primera y la tercera duplica la razón entre la primera y la segunda.
De modo que si A/B = B/C, razón entre A y C duplica la razón entre A y B, es decir, A/C = A2/B2, ya que A = B2/C y A/C = B2/C2 = A2/B2.
Definición 10. Cuando cuatro magnitudes son continuamente proporcionales, se dice que la razón entre la primera y la cuarta triplica la razón entre la primera y la segunda, y así sucesivamente, sea cual fuere la proporción.
O sea, que si A/B = B/C = C/D, la razón entre A y D triplica la razón entre A y B, es decir, A/D = A3/B3, ya que A = B2/C y A/D = B2/CD = (B2/C2)(C/D) = A3/B3.
Las definiciones 11 a 18 atañen a magnitudes correspondientes, alternancia, inversión, composición, separación, conversión, etc., refiriéndose a la formación de (a + b)/b, (a - b)/b y otras razones a partir de a/b.
El libro V prosigue con la demostración de veinticinco teoremas sobre magnitudes y razones entre magnitudes. Las pruebas son verbales y sólo dependen de las definiciones precedentes y de las nociones comunes o axiomas, tales como que al restar cosas iguales de cosas iguales se obtienen cosas iguales; no usa los postulados. Euclides emplea segmentos como ejemplos de magnitudes para ayudar al lector a comprender el significado de los teoremas y sus pruebas, pero aquéllos se aplican a toda clase de magnitudes.
Reproduciremos algunas de las proposiciones del libro V en lenguaje algebraico moderno, utilizando las letras m, n y p para los enteros y a, b, c para las magnitudes. No obstante, para hacerse idea del lenguaje de Euclides, veamos su primera proposición:
Proposición 1. Dado cualquier número de magnitudes, sean cuales fueren, equimúltiplos de otras magnitudes en igual número, cuales quiera que fueren las veces que una de ellas sea múltiplo de alguna, ese múltiplo será de todas.
Lo que significa, en lenguaje algebraico, que ma + mb + mc + ... = m(a + b + c + ...).
Proposición 4. Si a/b = c/d, entonces ma/nb = mc/nd.
Proposición 11. Si a/b = c/d y c/d = e/f entonces a/b = e/f.
Obsérvese que la igualdad entre razones depende de la definición de proporción, y Euclides pone buen cuidado en probar que la igualdad es transitiva.
Proposición 12. Si a/b = c/d = e/f, entonces a/b = (a + c + e)/(b + d +f).
Proposición 17. Si a/b = c/d, entonces (a - b)/b = (c - d)/d.
Proposición 18. Si a/b = c/d, entonces (a + b)/b = (c + d)/d.
Algunas de estas proposiciones parecen duplicar otras del libro II. Recordemos, sin embargo, que las proposiciones de este último se referían únicamente a segmentos de recta, mientras que el libro V proporciona la teoría para toda clase de magnitudes.
El libro V fue crucial para la subsiguiente historia de las matemáticas. Los griegos clásicos no admitían números irracionales e intenta ron evitarlos mediante artificios geométricos, como ya hemos indica do en nuestro repaso de los libros I a IV. Sin embargo, este uso de la geometría no tenía en cuenta las razones y proporciones de magnitudes inconmensurables de cualquier tipo, y el libro V, que inició una nueva teoría general de las magnitudes, vino a colmar esa laguna proporcionando una base firme a todo lo que en la geometría griega tuviera que ver con ellas. La cuestión clave, no obstante, es si la teoría de magnitudes servía como fundamento lógico para una teoría de los números reales que incluyera, naturalmente, a los irracionales.
Está fuera de duda cómo interpretaron a Euclides las sucesivas generaciones de matemáticos, que consideraron su teoría de las magnitudes aplicable sólo a la geometría, adoptando así la actitud de que sólo la geometría era rigurosa. Cuando se reintrodujeron los números irracionales a partir del Renacimiento, muchos matemáticos objetaron que tales números carecían de cualquier fundamento lógico.
Un examen crítico del libro V parece darles la razón. Cierto es que las definiciones y demostraciones que Euclides presenta en el libro V no hacen uso de la geometría; como ya hemos señalado, utiliza los segmentos de recta al presentar las proposiciones y pruebas única mente con fines pedagógicos. Aun así, si Euclides hubiera ofrecido realmente con su teoría de las magnitudes una teoría de los irracionales, ésta tendría que partir de alguna de las dos interpretaciones siguientes: o bien las magnitudes mismas, o bien las razones entre magnitudes, deberían poder ser consideradas como números irracionales.
Supongamos que las magnitudes mismas pudieran ser números irracionales. Dejando aparte cualquier crítica sobre el rigor de Euclides juzgado con criterios actuales, subsisten las siguientes dificulta des: Euclides nunca define qué se entiende por magnitud, ni la igualdad o equivalencia entre magnitudes; además, él opera con proporciones, y no con las magnitudes mismas: el producto de dos magnitudes ay b sólo aparece cuando se trata de longitudes, lo que le posibilita tratarlo como un área. El producto ab no podría entonces ser un número, ya que no hay un significado general para el producto en Euclides. Además, en el libro V prueba un cierto número de teoremas sobre proporciones que podrían fácilmente ser traducidos, como más arriba hicimos, en términos algebraicos. Pero para probar la proposición 18 tiene que utilizar la cuarta proporcional a tres magnitudes dadas, lo que sólo sabe hacer para segmentos de recta (libro VI, proposición 12). Así pues, no sólo su teoría general de las magnitudes es incompleta (incluso para demostraciones que él mismo expone en el libro XII), sino que lo que establece para longitudes depende de argumentaciones geométricas. Más aún, Euclides insiste en la definición 3 en que una razón puede darse solamente entre magnitudes homogéneas. Si las magnitudes fueran números esta limitación carecería evidentemente de significado. Su concepto de magnitud, tal como es usado más tarde, está ligado a esa definición y por tanto a la geometría. Otra dificultad es que no hay un sistema de números racionales al que pudiera añadirse una teoría de los irracionales. Aparecen razones entre números enteros, pero sólo como miembros de una proporción, e incluso esas razones no son consideradas como fracciones. Por último, no existe el producto de a/b y c/d incluso cuando las cuatro cantidades son números enteros, dejando aparte las magnitudes.
Intentemos ahora interpretar las razones entre magnitudes de Euclides como números, de modo que las razones entre inconmensurables serían los números irracionales y las razones entre conmensurables los racionales. Debería ser entonces posible al menos sumarlas y multiplicarlas. Pero en ningún momento apunta Euclides qué podría significar (a/b) + (c/d) cuando a, b, c y d son magnitudes. Sus razones aparecen únicamente como elementos de una proporción, y no tienen significado general. Finalmente, como ya hemos dicho, Euclides no posee el concepto de número racional sobre el que poder construir una teoría de los irracionales.
Así pues, el curso que siguió la historia de las matemáticas hasta el siglo XIX, tratando las cantidades continuas únicamente sobre una base geométrica, era obligado. En lo que atañe a los Elementos de Euclides al menos, no había en ellos una fundamentación para los números irracionales.
6. El libro VI: Figuras semejantes
El libro VI, que trata de las figuras semejantes y utiliza la teoría de las proporciones del libro V, comienza con algunas definiciones. Copiaremos unas pocas[12]:
Definición 1. Figuras rectilíneas semejantes son las que tienen los correspondientes ángulos iguales, y proporcionales los lados que forman esos ángulos.
Definición 3. Una recta está dividida en extrema y media razón cuando el total es a la parte mayor como ésta a la menor.
Definición 4. La altura de cualquier figura es la perpendicular trazada desde el vértice a la base.
Esta definición es bastante imprecisa, pero Euclides la usa.
En las demostraciones de los teoremas de este libro, tal como Euclides emplea su teoría de las proporciones, no se ve obligado a tratar separadamente los casos conmensurable e inconmensurable; esta separación fue introducida por Legendre, que utilizaba una definición algebraica de proporción limitada a cantidades conmensurables, y tenía así que tratar los casos inconmensurables con otra argumentación como la reductio ad absurdum.
Reproduciremos aquí sólo algunos de los treinta y tres teoremas. Encontraremos de nuevo algunos resultados básicos de álgebra moderna expuestos en lenguaje geométrico.
Proposición 1. Los triángulos y paralelogramos (es decir, sus áreas) que están bajo la misma altura (que tienen la misma altitud) son entre sí como sus bases.
Euclides usa aquí una proporción entre cuatro magnitudes, dos de las cuales son áreas.
Proposición 4. En los triángulos equiángulos, los lados opuestos a los ángulos iguales son proporcionales, y también lo son los lados correspondientes que forman los ángulos iguales.
Proposición 5. Si dos triángulos tienen sus lados proporcionales, serán equiángulos y tendrán iguales los ángulos formados por los correspondientes lados.
Proposición 12. Hallar la cuarta proporcional a tres rectas dadas.
Proposición 13. Hallar la media proporcional a dos rectas dadas.

Figura 4.13
Proposición 19. (Las áreas de) los triángulos semejantes son entre sí como la razón duplicada entre sus correspondientes lados.
Actualmente se expresa este teorema diciendo que la razón entre las áreas de triángulos semejantes es el cuadrado de la razón entre los correspondientes lados.
Proposición 27. De todos los paralelogramos aplicados a una misma recta (construidas sobre parte de esa recta) y deficientes (del construido sobre la recta entera) en paralelogramos semejantes al (paralelogramo dado) construido sobre la mitad de esa recta y similarmente dispuestos, el (de) mayor (área) es el que se aplica sobre la mitad de la recta y es semejante a su defecto.
El significado de esta proposición es el siguiente: Partiendo de un paralelogramo dado AD construido sobre AC, que es la mitad de un segmento dado AB, consideremos paralelogramos AF sobre AK (fig. 4.14), tales que su defecto, el paralelogramo FB, sea semejante a AD. El teorema de Euclides establece que de todos ellos el que tiene mayor área es el construido sobre AC.

Figura 4.14

Figura 4.15

![]()
![]()
![]()
Pero antes de tomarla en consideración señalemos un caso particular interesante de la proposición 27. Supongamos que el rectángulo dado AD (fig. 4.15) sea un cuadrado. En tal caso, de todos los rectángulos sobre AB cuya deficiencia sea un cuadrado, el mayor es el cuadrado sobre AC. Pero el área del rectángulo AF es AK × KF y como KF = KB, el perímetro de ese rectángulo es igual al del cuadrado DB o al del cuadrado AD, cuya área es mayor que la de AF. Así pues, de todos los rectángulos con igual perímetro el de mayor área es el cuadrado.
Proposición 28. Aplicar a una recta dada (con parte de ella como lado) un paralelogramo equivalente a una figura rectilínea dada (S) y deficiente (del paralelogramo sobre la recta entera) en un paralelogramo semejante a uno dado (D). Así (por la proposición 27), la figura rectilínea dada (5) no debe ser mayor que el paralelogramo construido sobre la mitad de la recta y semejante a su defecto.
Este teorema equivale geométricamente a la resolución de la ecuación cuadrática
ax - (b/c)x2 = S
donde el área S de la figura rectilínea dada está sometida, para que exista alguna solución real, a la condición S < (a2c)/(4b).
Figura 4.16
![]()
Proposición 29. Aplicar a una recta dada un paralelogramo equivalente a una figura rectilínea dada (S) y excedente en un paralelogramo semejante a uno dado (D).
En términos algebraicos, este teorema resuelve
![]()
Los paralelogramos construidos en las proposiciones 28 y 29 tienen un lado menor o mayor, respectivamente, que el segmento dado AB, recibiendo en griego los nombres de Elleipsis e Hyperbolé. El paralelogramo de área determinada construido sobre el segmento completo como base en la proposición 44 del libro I fue llamado Parabolé. Esos términos se trasladaron a las secciones cónicas por una razón que se nos hará obvia cuando estudiemos los trabajos de Apolonio.
Proposición 31. En los triángulos rectángulos, la figura construida sobre el lado opuesto al ángulo recto es equivalente a las semejantes y similarmente dispuestas sobre los lados que forman el ángulo recto.
Se trata de una generalización del teorema de Pitágoras.
7. Los libros VII, VIII y IX: La teoría de números
Los libros VII, VIII y IX tratan de la teoría de números, esto es, de las propiedades de los números enteros y de las razones entre números enteros. Son los tres únicos libros de los Elementos que tratan de aritmética como tal. En ellos Euclides representa los números como segmentos de recta y el producto de dos números como un rectángulo, pero sus argumentaciones no dependen de la geometría. Los asertos y pruebas son verbales, frente a la forma simbólica actual.
Muchas de las definiciones y teoremas, en particular los referidos a proporciones, repiten lo expuesto en el libro V, lo que ha llevado a los historiadores a preguntarse por qué Euclides vuelve a probar de nuevo proposiciones sobre números en lugar de aprovechar las ya probadas en el libro V.
Las respuestas son variadas. Aristóteles había incluido a los números entre las magnitudes, pero también había enfatizado la oposición entre lo discreto y lo continuo, y no sabemos si Euclides se vio influido por las opiniones de Aristóteles sobre este tema. Tampoco se puede decidir, a partir de las vagas definiciones del libro V, si pretendía que su concepto de magnitud incluyera a los números enteros. Juzgando por el hecho de que trató a los números separada mente, parecería deducirse que éstos no figuran entre las magnitudes. Otra explicación de este estudio separado es que ya existía antes de Eudoxo una teoría de los números y las razones entre conmensurables y que Euclides respetó la tradición presentando lo que eran dos desarrollos independientes, la teoría pre-eudoxiana, en gran parte pitagórica, y la teoría eudoxiana. Pudo también creer que, dado que la teoría de números puede construirse sobre fundamentos más simples que la de las magnitudes, era sensato hacerlo. También en las contribuciones recientes a las matemáticas encuentra uno enfoques alternativos, entre los que alguno puede ser más simple que otros. Aunque Euclides separa número y magnitud, expone algunos teoremas que los relacionan. Por ejemplo, la proposición 5 del libro X establece que la razón entre dos magnitudes conmensurables es la misma que la existente entre dos números.
En estos tres libros, como en otros, Euclides da por supuestos hechos que no enuncia explícitamente; por ejemplo, que si A divide (exactamente) a B y B divide a C, entonces A divide a C; que si A divide a B y a C, también divide a B + C y a B - C, etc.
El libro VII comienza con algunas definiciones:
Definición 3. Un número es parte de otro mayor cuando lo mide (cuando lo divide exactamente).
Definición 5. Un número es múltiplo de otro menor cuando es medido por éste.
Definición 11. Un número es primo cuando solamente lo mide la unidad.
Definición 12. Números primos entre sí son los que tienen como medida común únicamente la unidad.
Definición 13. Un número es compuesto cuando es medido por algún número (distinto de 1).
Definición 16. Cuando se multiplican dos números, el número así obtenido se llama plano, y sus lados son los números que se han multiplicado.
Definición 17. Cuando se multiplican tres números, el número así obtenido se llama sólido, y sus lados son los números que se han multiplicado.
Definición 20. Cuatro números son proporcionales cuando el prime ro es el mismo múltiplo, la misma parte, o las mismas partes del segundo que el tercero del cuarto.
Definición 22. Un número es perfecto cuando es igual a (la suma de) sus propias partes.
Las proposiciones 1 y 2 exponen el proceso mediante el que se obtiene la mayor medida (divisor) común de dos números. Euclides lo describe diciendo que si A y B son los números y B < A, debe restarse B de A el número de veces necesario para obtener un número C menor que B. A continuación, restar C de B tantas veces como sea preciso hasta obtener un número menor que C, y así sucesivamente. Si A y B son primos entre sí se llega a 1 como último resto, y 1 es el máximo común divisor. Si A y B no son primos entre sí se llega en alguna etapa a una división exacta, y el último divisor será el mayor común. Este proceso se sigue llamando todavía algoritmo de Euclides.
Vienen a continuación teoremas simples sobre números. Por ejemplo, si a = b/n y c = d/n, entonces a ± c = (b ± d)/n. Algunos de ellos no son sino los teoremas sobre proporciones anteriormente probados para magnitudes, y que ahora se prueban para números. Así, si a/b = c/d, (a - c)/(b - d) = a/b. En la definición 15 quedaba establecido que a - b es el resultado de sumar b consigo mismo a veces, y Euclides prueba ahora que a × b = b × a.
Proposición 30. Si un número primo mide al producto de dos números, debe medir al menos a uno de ellos.
Se trata de un resultado fundamental en la teoría moderna de números, cuya expresión actual se obtiene simplemente sustituyendo las palabras mide y medir por divide y dividir.
Proposición 31. Todo número compuesto es medido por algún número primo.
La demostración de Euclides parte de que si A es compuesto, por definición tiene algún divisor B; si B no es primo, es compuesto, y tiene algún divisor C que también lo es de A, etc. Y dice: «Si proseguimos la investigación de esta forma, se encontrará algún número primo que divide al anterior, que es un divisor de A. Puesto que, si no, habría una sucesión infinita de divisores de A, cada uno de ellos menor que el anterior, y esto es imposible para los números.» Toma así en consideración el hecho de que cualquier conjunto de números enteros positivos tiene un mínimo.
El libro VIII prosigue con la teoría de números, sin incorporar nuevas definiciones. Trata sobre todo de progresiones geométricas, que para Euclides son conjuntos de números en proporción continua, esto es, a/b - b/e = c/d = d/e = ... Tales proporciones continuas satisfacen nuestra definición de progresión geométrica, ya que en éstas la razón entre cada término y el siguiente es constante.
El libro IX concluye la tarea sobre teoría de números. Hay en él teoremas sobre números cuadrados, cúbicos, planos y sólidos, y más teoremas sobre proporciones continuas. Son de señalar los siguientes:
Proposición 14. Si un número es el menor medido por varios números primos, no puede ser medido por otros números primos.
Lo que significa que si a es el producto de los primos p, q,... esa descomposición de a en primos es única.
Proposición 20. Hay más números primos que cualquier multitud dada de números primos.
En otras palabras, hay infinitos números primos. La demostración de Euclides es clásica: a partir de los primos p1p2, ..., pn se puede formar el número p1 × p2 × ... × pn + 1, que es mayor que cualquiera de esos n primos, y que si es compuesto debe tener algún divisor primo diferente de todos ellos, ya que la división por p1, p2, ... ó pn deja como resto 1.
La proposición 35 del libro IX proporciona, con una elegante prueba, la suma de los términos de una progresión geométrica. La proposición 36 es un famoso teorema sobre números perfectos: si la suma de los términos de la progresión geométrica
1, 2, 22,..., 2n
es primo, el producto de esa suma por el último término, esto es,(1 + 2 +... + 2n)2n ó (2n+1 - 1)2n
es un número perfecto. Los griegos conocían los cuatro primeros números perfectos, 6, 28, 496 y 8128, y quizá también el quinto.8. El libro X: La clasificación de los inconmensurables
El libro X de los Elementos emprende la tarea de clasificar en tipos los irracionales, es decir, las magnitudes inconmensurables con una magnitud dada. Augustus De Morgan describió el contenido general de este libro así:
«Euclides investigó cada posible segmento cuya longitud pueda expresarse (con álgebra moderna) en la formaClaro está que no todos los irracionales pueden representarse así, y Euclides trata sólo los que surgen en su álgebra geométrica.siendo a y b las longitudes de dos segmentos conmensurables.»
La primera proposición del libro X es importante para posteriores apartados de los Elementos.
Proposición 1. Dadas dos magnitudes desiguales, si de la mayor se resta una magnitud mayor que su mitad, y de lo que queda otra magnitud mayor que su mitad, repitiendo este proceso quedará en algún momento una magnitud menor que la más pequeña de las dos magnitudes dadas.
Al final de la demostración Euclides afirma que el teorema se puede probar igualmente si las partes sustraídas son mitades. Al principio utiliza un axioma, no reconocido como tal por Euclides, que le posibilita sumar consigo misma un número finito de veces la menor de dos magnitudes hasta obtener una suma que exceda a la mayor. Su argumentación se apoya en la definición de razón entre dos magnitudes (definición 4 del libro V), pero esa definición no justifica el paso en cuestión, ya que si sólo puede hablar de razón entre dos magnitudes cuando cada una de ellas se puede multiplicar hasta superar a la otra, Euclides debería probar que entre esas dos magnitudes existe razón, en lugar de suponerlo implícitamente. Según Arquímedes, tal axioma (aunque bajo una forma ligeramente diferente) había sido utilizado ya por Eudoxo, que lo había establecido como lema. Arquí medes lo emplea sin prueba, tomándolo de hecho por un axioma, que hoy recibe el nombre de ambos: Arquímedes-Eudoxo.
Hay 115 proposiciones en este libro X, aunque en algunas ediciones aparecen unas proposiciones 116 y 117, la última de las cuales establece la irracionalidad de √2, con la prueba ya descrita en el capítulo 3.
9. Los libros XI, XII y XIII: Geometría de sólidos y método de exhausción
El libro XI inicia el tratamiento de los volúmenes o sólidos, aunque todavía aparecerán algunos teoremas de geometría plana. He aquí algunas de sus definiciones:
Definición 1. Un sólido es lo que tiene longitud, anchura y profundidad.
Definición 2. Los bordes de un sólido son superficies.
Definición 3. Una recta forma ángulo recto con un plano cuando lo forma con todas las rectas que la cortan y están en el plano.
Definición 4. Un plano forma ángulo recto con otro plano cuando las perpendiculares en uno de los planos a la intersección de ambos forman ángulos rectos con el otro plano.
Definición 6. La inclinación de un plano con respecto a otro es el ángulo agudo formado por las perpendiculares a la intersección común, en el mismo punto, en cada uno de los dos planos.
A ese ángulo agudo nosotros lo llamamos diedro.
Hay también definiciones para planos paralelos, figuras sólidas semejantes, ángulo sólido, pirámide, prisma, esfera, cono, cilindro, cubo, octaedro, icosaedro y dodecaedro (regulares). La esfera se define por el giro de un semicírculo en torno al diámetro que lo limita; el cono por el giro de un triángulo rectángulo en torno a uno de los lados del ángulo recto, siendo obtusángulo, rectángulo o acutángulo según que ese lado que permanece fijo en el giro sea menor, igual o mayor que el otro lado del ángulo recto; el cilindro, por el giro de un rectángulo en torno a uno de sus lados. La importancia de estas tres últimas definiciones está en que todos los sólidos considerados, excepto los poliedros regulares, se obtienen a partir del giro de una figura plana en torno a un eje.
Las definiciones son vagas, poco claras, y con frecuencia suponen teoremas no explicitados. Por ejemplo, la definición 6 da por supuesto que el ángulo es el mismo sea cual fuere el punto de la intersección de ambos planos en que se construya. También tiende Euclides a considerar únicamente sólidos convexos, sin especificar esto en su definición de poliedro regular.
El libro sólo habla de figuras limitadas por caras planas. De los 39 teoremas que contiene, los 19 primeros se refieren a propiedades de rectas y planos, por ejemplo, acerca de rectas paralelas y perpendiculares a planos. Las demostraciones de esos teoremas en este libro no siempre son adecuadas, y muchos teoremas generales sobre poliedros sólo se prueban para ciertos casos particulares.
Proposición 20. Si un ángulo sólido está limitado por tres ángulos planos, dos cualesquiera de ellos, tomados conjuntamente de cualquier manera, son mayores que el ángulo restante.
Es decir, que de los tres ángulos planos CAB, CAD y BAD (fig. 4.17) la suma de dos de ellos es mayor que el tercero.

Figura 4.17
Proposición 31. Los sólidos paralelepipédicos que tienen la misma altura son entre sí como sus bases.
El libro XII contiene 18 teoremas sobre áreas y volúmenes, en particular sobre figuras curvilíneas y figuras limitadas por superficies. La idea que en él domina es la del método de exhausción, que proviene de Eudoxo. Por ejemplo, para probar que la razón entre las áreas de dos círculos es como la razón entre los cuadrados de sus diámetros, ese método aproxima ambas áreas con una precisión creciente inscribiendo en ellas polígonos regulares, y como el teorema en cuestión es válido para los polígonos, queda así probado para los círculos. El término «exhausción», que proviene del hecho de que esos polígonos sucesivamente inscritos van dejando «exhausto», vacío, el círculo, no fue empleado por los griegos, sino que fue introducido en el siglo XVII. Por sí mismo, o por la vaga descripción que acabamos de dar de él, el término podría sugerir que se trata de un método aproximado, que constituye sólo una etapa hacia el concepto riguroso que se obtendría como límite. Se trata sin embargo, como vamos a ver, de un método riguroso en sí mismo, que no requiere un proceso explícito de paso al límite; su validez reside en el método indirecto de prueba, que evita el empleo de límites. De hecho, el trabajo de Euclides sobre áreas y volúmenes es más perfecto que el de Newton y Leibniz, quienes intentaron basarse en el álgebra y el sistema numérico, recurriendo a un concepto embrionario de límite.
Para una mejor comprensión del método de exhausción, consideremos con cierto detalle un ejemplo (en el próximo capítulo veremos algunos más tomados de la obra de Arquímedes). El libro XII se abre con la
Proposición 1. La razón entre los polígonos semejantes inscritos en círculos es como la razón entre los cuadrados de los diámetros de ambos círculos.
No reproduciremos la demostración porque no contiene ninguna particularidad especial. Llegamos ahora a la proposición crucial:
Proposición 2. La razón entre dos círculos es la misma que la que hay entre los cuadrados de sus diámetros.
Describiremos a continuación lo esencial de la demostración de Euclides: prueba en primer lugar que puede ir «vaciando» el círculo, mediante polígonos (fig. 4.18).

Figura 4.18.
Sean entonces S y S' las áreas de dos círculos (fig. 4.19) y sean d y d' sus diámetros. Euclides desea probar que
S : S' = d2 : d'2 (3)
Supongamos que no se cumple esa igualdad y que en su lugar se tieneS : S" = d2 : d'2 (4)
donde S" es algún área mayor o menor que S' (se supone aquí y en todo el libro XII la existencia de la cuarta proporcional como un área). Si S" < S, podemos construir polígonos regulares con un número cada vez mayor de lados hasta que lleguemos a uno, digamos P', tal que su área difiera de S' en menos que S' - S". Ese polígono puede construirse porque ya se ha probado anteriormente que la diferencia entre el círculo S' y los polígonos regulares inscritos en él puede hacerse menor que cualquier magnitud dada, y por tanto menor que S' - S". EntoncesS' > P' >S" (5)
Inscribamos en S un polígono P semejante a P'. Por la Proposición 1,P : P' = d2 : d'2
y por (4) tenemos también queP : P' = S : S"
o bienP : S — P' : S".
Sin embargo, como P < S, resultaríaP' < S",
en contradicción con (5).De manera similar se puede probar que S" no puede ser mayor que S', luego S" = S', y teniendo en cuenta (4) queda establecida la proporción (3).

Figura 4.19
Proposición 5. La razón entre dos pirámides que tienen la misma altura y bases triangulares es igual a la razón entre sus bases.
Proposición 10. Cualquier cono es la tercera parte del cilindro que tiene la misma base e igual altura.
Proposición 11. La razón entre conos y cilindros de la misma altura es igual a la razón entre sus bases.
Proposición 12. La razón entre conos y cilindros semejantes es triple (razón entre los cubos) de la razón entre los diámetros de sus bases.
Proposición 18. La razón entre dos esferas es como la razón triplica da entre sus respectivos diámetros.
El libro XIII estudia propiedades de los polígonos regulares como tales e inscritos en círculos, y el problema de cómo inscribir los cinco poliedros regulares en una esfera. Prueba también que no existen más que esos cinco tipos de sólidos regulares (poliedros convexos). Este último resultado es un corolario a la proposición 18, que clausura el libro.
La prueba de que no pueden existir más que cinco tipos de sólidos regulares depende de un teorema previo, la proposición 21 del libro XI, que establece que las caras de un ángulo sólido deben sumar menos de 360°. Así, si juntamos triángulos equiláteros, podemos hacer que concurran tres en cada vértice del sólido regular para formar un tetraedro, cuatro para formar un octaedro o cinco para formar un icosaedro. Con seis triángulos equiláteros en un vértice se obtendría una suma de 360°, lo que descarta esa posibilidad. Podemos juntar tres cuadrados en cada vértice para obtener un cubo y tres pentágonos en cada vértice para formar un dodecaedro. No puede usarse ningún otro polígono regular, porque al unir tres en un punto se formaría un ángulo de 360° o más. Obsérvese que Euclides supone sólidos regulares convexos. Hay otros sólidos regulares no convexos.
Los trece libros de los Elementos contienen 467 proposiciones. En algunas ediciones antiguas se incluían dos libros más, que contenían otros resultados sobre sólidos regulares, aunque el libro XV es poco claro e impreciso. Ambos son, sin embargo, posteriores a Euclides. El libro XIV se debe a Hypsicles (c. 150 a. C.) y parte del libro XV se escribió probablemente mucho más tarde, en torno al siglo VI d. C.
10. Los méritos y defectos de los Elementos
Siendo los Elementos la primera fuente sustancial de conocimiento matemático, y habiendo sido utilizados por una generación tras otra, influyó como ningún otro libro en el derrotero de las matemáticas. Fue estudiándolos como se aprendió el concepto mismo de matemática, la noción de demostración y la ordenación lógica de los teoremas, y su contenido determinó el curso del pensamiento posterior. Por eso creemos necesario señalar las características que influyeron tan poderosamente en el futuro de la matemática.
Aunque, como ya dijimos anteriormente, la forma de presentación de las proposiciones no tiene su origen en Euclides, sí es suya la forma de presentación del conjunto de la obra: la exposición de los axiomas al comienzo, la explícita declaración de cada una de las definiciones y el ordenado encadenamiento de los teoremas, dispuestos de forma que vayan de lo más simple a lo más complejo.
Euclides también seleccionó los teoremas que consideraba de mayor importancia. Así, por ejemplo, no presenta el teorema según el cual las alturas de un triángulo se cortan en un punto. Hay teoremas en otras obras de Euclides, que discutiremos brevemente, que no consideró procedente incluir en los Elementos.
Aunque el requerimiento de que antes de incorporar figuras a la estructura lógica hay que demostrar su existencia es anterior a Euclides, él lo satisface con habilidad y sofisticación. De acuerdo con los postulados 1, 2 y 3, las construcciones que lleva a cabo sólo requieren el dibujo de rectas y circunferencias, con el único empleo de regla y compás. Como no pudo establecer la existencia de trisectores de un ángulo, no hay en su obra teoremas que se refieran a ellos.
Pese a algunas omisiones y errores de demostración que mencionaremos enseguida, la elección de los axiomas es notable. A partir de un pequeño número de éstos puede probar cientos de teoremas, muchos de ellos profundos. Además, esa elección fue muy inteligente, en particular en el caso del axioma de las paralelas. Sin duda sabía que cualquier axioma de ese tipo establece explícita o implícitamente lo que debe suceder en extensiones infinitas del espacio, y que cualquier pronunciamiento sobre lo que deba ser cierto en un espacio infinito es físicamente dudoso, debido a las limitaciones de la experiencia humana. Y sin embargo, también era consciente de que algún axioma de ese tenor era indispensable. Eligió por tanto una versión que establece condiciones bajo las que dos rectas se cortan en un punto a distancia - finita, y probó además todos los teoremas que pudo antes de recurrir a ese axioma.
Si bien Euclides empleó la superposición de figuras para establecer su congruencia, método que descansa en la 4.a Noción Común, se preocupó evidentemente por la validez de tal método, al que pueden presentarse dos objeciones: en primer lugar, se utiliza el concepto de movimiento, para el que no hay una base lógica; en segundo, el método de superposición supone que una figura mantiene todas sus propiedades cuando se la mueve de un lugar a otro. Puede entonces probarse que la figura desplazada es congruente con una tercera, pero la primera figura, en su posición original, podría no serlo. Suponer que el desplazamiento de una figura no cambia sus propiedades es un requerimiento muy fuerte acerca del espacio físico. De hecho, el propósito mismo de la geometría euclídea es la comparación de figuras en diferentes posiciones. Puede constatarse esa preocupación de Euclides por la validez del método en que no lo utilizara en demostraciones que pudiera efectuar por otros medios, aunque la superposición le hubiera permitido una prueba más simple.
Aunque los matemáticos generalmente consideraron a Euclides como un modelo de rigor hasta bien entrado el siglo XIX, hay en él serios defectos que unos pocos matemáticos detectaron y combatieron. El primero es el empleo de la superposición. El segundo, la vaguedad de algunas definiciones y las imprecisiones de otras. Las definiciones iniciales de punto, línea y superficie no tienen sentido matemático preciso y, como ahora sabemos, no se les puede dar ninguno porque cualquier desarrollo matemático independiente debe incluir términos no definidos (vid. sec. 3). En cuanto a la vaguedad de muchas definiciones, basta remitirse a los comentarios que hicimos sobre el libro V, por ejemplo. Una objeción adicional a las definiciones es que varias, como la definición 17 del libro I, presuponen un axioma.
Un estudio crítico de Euclides —con la ventaja, claro está, de los conocimientos actuales— muestra que utiliza decenas de suposiciones que nunca explícita y de las que sin duda no era consciente. Algunas ya las hemos mencionado en nuestra exposición. Lo que Euclides y cientos de los mejores matemáticos de las generaciones posteriores hicieron fue emplear propiedades que las figuras sugerían como evidentes, o intuitivamente tan evidentes que no podían darse cuenta de que las estaban utilizando. En algunos casos las suposiciones inconscientes pueden obviarse mediante demostraciones basadas en hipótesis explícitas, pero eso no siempre es posible.
Entre esas suposiciones inconscientes están las que se refieren a la continuidad de rectas y circunferencias. La demostración de la proposición 1 del libro I supone que las circunferencias tienen un punto en común. Cada una de ellas es un conjunto de puntos, y podría suceder que aunque ambas se crucen no hubiera un punto perteneciente a las dos allí donde se produce la supuesta intersección. La misma crítica puede hacerse al caso de dos rectas, que podrían cruzarse sin tener un punto común si sólo se tiene en cuenta la base lógica proporcionada por los Elementos.
También hay defectos en las demostraciones propuestas. Algunos son errores debidos a Euclides que pueden corregirse, aunque en ciertos casos se requeriría una nueva demostración. Otro tipo de defecto que recorre todos los Elementos es la afirmación de un teorema general del que sólo se prueba algún caso especial o para posiciones especiales de los datos propuestos.
Aunque hemos alabado a Euclides por la organización de conjunto del contenido de los Elementos, los trece libros no constituyen una unidad, sino una extensa compilación de otras obras anteriores. Por ejemplo, ya hemos señalado que los libros VII, VIII y IX repiten para los números enteros muchos de los resultados anteriormente atribuidos a las magnitudes. La primera parte del libro XIII repite resultados de los libros II y IV. Los libros X y XIII probablemente constituían una unidad, debido a Teeteto, antes de que Euclides los separara.
A pesar de estos defectos, muchos de los cuales ya fueron señala dos por otros comentaristas (vid. cap. 42, sec. 1) y probablemente también por los sucesores inmediatos de Euclides, los Elementos tuvieron tanto éxito que desplazaron a todos los textos de geometría anteriores. En el siglo III a. C., cuando aún se disponía de otros, incluso Apolonio y Arquímedes se remitían a los Elementos para citar resultados anteriores a ellos.
11. Otras obras matemáticas de Euclides
Euclides escribió otras obras de matemática y física, muchas de ellas importantes para la historia de las matemáticas. Pospondremos hasta un capítulo posterior la discusión sobre sus obras de física más importantes, la Óptica y la Catóptrica.
Pappus incluyó en sus Tesoros del Análisis los Datos de Euclides, describiéndolos como material geométrico suplementario relacionado con «problemas algebraicos». Los teoremas que contenía determinaban ciertas magnitudes a partir de otras dadas. Se trataba de un material de naturaleza semejante al que aparece en los Elementos, aunque los teoremas específicos fueran diferentes. Puede que fueran concebidos como un conjunto de ejercicios de repaso de los Elementos. Su contenido es íntegramente conocido.
De las obras de Euclides, a continuación de los Elementos, fueron las Cónicas las que desempeñaron un papel más relevante en la historia de las matemáticas. Según Pappus, el contenido de esta obra desaparecida, que constaba de cuatro libros, era sustancialmente el mismo que el recogido en los tres primeros libros de las Secciones Cónicas de Apolonio. Euclides trataba las cónicas como secciones de los tres diferentes tipos de conos (con ángulo recto, agudo y obtuso). La elipse se obtenía también como sección de cualquier cono y de un cilindro circular. Como veremos, Apolonio cambió este enfoque de las secciones cónicas.
Las Pseudaria de Euclides contenían demostraciones geométricas correctas y falsas, y se trataba de un libro destinado al aprendizaje de los estudiantes. La obra se ha perdido.
Sobre las divisiones (de figuras), mencionada por Proclo, trata de la subdivisión de una figura dada en otras, por ejemplo, de un triángulo en otros más pequeños o en triángulos y cuadriláteros. Existe una traducción latina, debida probablemente a Gerardo de Cremona (1114-1187), de una versión árabe incorrecta e incompleta. En 1851, Franz Woepcke encontró y tradujo otra versión árabe que parece ser correcta. Existe una traducción al inglés realizada por R. C. Archibald.
Los Porismas son otra obra perdida, cuyo contenido, y aun naturaleza, se desconocen en gran medida. Pappus, en su Colección Matemática, dice que constaba de tres libros. Se cree, basándose en los comentarios de Pappus y Proclo, que esos Porismas trataban esencialmente acerca de la construcción de objetos geométricos cuya existencia ya estaba asegurada. Así pues, podían considerarse como problemas intermedios entre los teoremas puros y las construcciones mediante las que se establece la existencia de alguna figura, entre los que podría ser típica la localización del centro de una circunferencia que cumpliera ciertas condiciones dadas.
La obra Superficies-Lugares, formada por dos libros, mencionada por Pappus en su Colección, y de la que no quedan restos, trataba probablemente de lugares geométricos que son superficies.
Los Fenómenos de Euclides, aun siendo un texto sobre astronomía, contienen 18 proposiciones de geometría esférica y otras sobre esferas en rotación uniforme. La Tierra es tratada como una esfera. Se conservan varias versiones.
12. La obra matemática de Apolonio
El otro gran griego que pertenece al período clásico en los dos sentidos de resumir y prolongar el tipo de matemática producida en ese período es Apolonio (c. 262-190 a. C.). Nació en Perga, ciudad situada en el noroeste de Asia Menor, que durante su vida estaba sujeta al dominio de Pérgamo. Se trasladó a Alejandría cuando todavía era joven, y aprendió matemáticas con los sucesores de Euclides. Por lo que sabemos, permaneció en Alejandría colaborando con los grandes matemáticos que allí trabajaban. Su obra maestra es el tratado sobre las cónicas, pero también escribió sobre otros temas. Su capacidad matemática era tan extraordinaria que llegó a ser conocido en vida, y más tarde, como «el Gran Geómetra». También fue grande su reputación como astrónomo.
Las secciones cónicas, como sabemos, fueron estudiadas mucho antes de Apolonio. Concretamente, Aristeo el Viejo y Euclides habían escrito obras sobre ellas. También Arquímedes, sobre el que volveremos más adelante, presentó algunos resultados sobre este tema. Fue Apolonio, no obstante, quien lo pulió, despojándolo de irrelevancias y le dio forma sistemática. Además de sus méritos totalizadores, las Secciones Cónicas contienen material altamente original, y son ingeniosas, extremadamente hábiles, y están excelente mente organizadas. Se trata de una realización tan monumental que cerró prácticamente el tema para los pensadores posteriores, al menos desde el punto de vista puramente geométrico. Puede considerarse verdaderamente como la culminación de la geometría griega clásica.
Las Secciones Cónicas constan de ocho libros que contienen 487 proposiciones. De ellos conservamos los cuatro primeros reproducidos en manuscritos griegos de los siglos XII y XIII, y los tres siguientes en una traducción al árabe escrita en 1290. El octavo se ha perdido, aunque en el siglo XVII Halley llevó a cabo una reconstrucción basándose en las indicaciones de Pappus.
Los predecesores de Euclides, éste mismo, y Arquímedes, trataron las secciones cónicas en relación con los tres tipos de conos circulares rectos, como habían sido introducidas por el platónico Menecmo. Tanto Euclides como Arquímedes, sin embargo, sabían que la elipse también puede obtenerse como sección de los otros dos tipos de conos circulares rectos, y Arquímedes también sabía que las secciones de conos circulares oblicuos mediante planos que corten a todas las generatrices son elipses. Probablemente se dio cuenta de que las otras secciones cónicas pueden obtenerse a partir de conos circulares oblicuos.
Fue Apolonio, sin embargo, el primero en basar la teoría de las tres cónicas en secciones de un mismo cono circular, recto u oblicuo, y en dar cuenta de las dos ramas de la hipérbola. Se aduce como una de las razones para que Menecmo y otros predecesores de Apolonio utilizaran planos perpendiculares a una de las generatrices de los tres tipos de cono circular recto, no que no vieran que pueden obtenerse otras secciones de esos conos, sino que deseaban estudiar el problema inverso. Dadas ciertas curvas cuyas propiedades geométricas sean las de las secciones cónicas, la demostración de que esas curvas se pueden obtener como secciones de un cono es más fácil cuando el plano con el que se corta al cono es perpendicular a una generatriz.
Consideraremos en primer lugar las definiciones y propiedades básicas de las cónicas que aparecen en el libro I. Dados un círculo BC y un punto A (fig. 4.20) situado fuera del plano que contiene al círculo, una recta que pasa por A y se mueve a lo largo de la circunferencia engendra un doble cono.

Figura 4.20
Dibujemos ahora la recta PL paralela a PM, hasta encontrar a BM en, digamos, F. A continuación dibujemos la recta PL perpendicular a PM en el plano de la sección. Para la elipse y la hipérbola se elige L de manera que se satisfaga la condición
![]()
![]()
Después de algunas construcciones de menor importancia que no reproduciremos, Apolonio prueba que para la elipse y la hipérbola
QV2 = PV × VR (6)
Apolonio llama a QV «ordenada» y así el resultado (6) muestra que el cuadrado de la ordenada equivale a un rectángulo construido sobre PL, en concreto el que tiene como lados PV y VR. Además, prueba que en el caso de la elipse el complementario de ese rectángulo en el rectángulo total PV × PL es el rectángulo LR, que es semejante al rectángulo de lados PL y PP'. De ahí el término «elipse» (vid. sec. 6).En el caso de la hipérbola se sigue cumpliendo (6), pero la construcción mostraría que VR es más largo que PL, de manera que el rectángulo PV × VR excede al rectángulo construido sobre PL, esto es, PL × PV, en un rectángulo LR que es semejante al rectángulo de lados PL y PP'. De ahí el término «hipérbola». En el caso de la parábola, Apolonio muestra que en lugar de (6) se tiene
QV2 = PV × PL, (7)
de manera que el rectángulo que equivale a QV2 es precisamente el construido sobre PL con anchura PV. De ahí el término «parábola».Apolonio introdujo esa terminología para las cónicas en lugar de las secciones de Menecmo de los conos recto, agudo y obtuso. Cuando las palabras parábola o elipse aparecen en los trabajos de Arquímedes, como ocurre en su Cuadratura de la Parábola (vid. cap. 5, sec. 3), se trata de inserciones de transcriptores posteriores.
Las ecuaciones (6) y (7) son las propiedades básicas de las secciones cónicas. Una vez obtenidas, Apolonio se olvida del cono y deduce otras propiedades a partir de esas ecuaciones. De hecho, donde ahora usamos abscisa, ordenada y la ecuación de una cónica para deducir propiedades, Apolonio emplea PV, la ordenada o semicuerda QV y una igualdad geométrica, ya sea (6) o (7). Claro está que en la exposición de Apolonio no aparece nada de álgebra.
Podemos fácilmente transcribir las propiedades básicas de Apolonio en la geometría moderna con coordenadas: si denotamos por 2p al segmento PL, que Apolonio llama parámetro de las ordenadas (latus rectum en las ediciones latinas), y por d la longitud del diámetro PP', y si x es la distancia PV medida a partir de P e y la distancia QV (lo que significa que estamos utilizando coordenadas oblicuas), se ve inmediatamente a partir de (7) que la ecuación de la parábola es
y2 = 2px.
Para la elipse, señalemos que de la ecuación (6) que la define podemos obtener primeramente quey2 = PV × VR
Pero PV × VR = x(2p - LS). También, como el rectángulo LR es semejante al determinado por PL y PP',![]()
![]()
![]()

Figura 4.21
Apolonio prueba que los centros de esas cuerdas están en un segmento AB, al que se llama diámetro de la cónica (el segmento PP' de la figura fundamental 4.20 es un diámetro), y a continuación, que si se dibuja una recta DE pasando por C, el punto medio de AB, que sea paralela a la familia original de cuerdas, esa recta corta en el punto medio a todas las cuerdas paralelas a AB. El segmento DE se llama diámetro conjugado con AB.

Figura 4.22

Figura 4.23
Después de introducir las propiedades básicas de las secciones cónicas, Apolonio presenta algunos hechos simples acerca de los diámetros conjugados. El libro I también se ocupa de las tangentes a las cónicas. Apolonio concibe una tangente como una recta que sólo tiene un punto en común con la cónica, permaneciendo cualquier otro punto fuera de ésta.
Muestra entonces que si se dibuja una recta pasando por un extremo de un diámetro (punto P de la figura fundamental 4.20) que sea paralela a las cuerdas que corresponden a ese diámetro (paralelas a QQ' en esa figura), caerá fuera de la cónica, sin que pueda haber ninguna otra recta entre ella y la cónica (vid. Elementos, libro III, proposición 16). Por tanto, la recta mencionada es la tangente a la cónica en P.

Figura 4.24
Apolonio prueba después que si se toma cualquier diámetro de la cónica distinto de PP' en la figura fundamental 4.20, las propiedades definitorias de la cónica, las ecuaciones (6) y (7), siguen siendo las mismas; claro está que QV se refiere entonces a la cuerda de tal diámetro. Lo que ha hecho equivale en nuestro lenguaje a una transformación de un sistema de coordenadas oblicuas en otro. En relación con esto, también prueba que a partir de cualquier diámetro y las ordenadas correspondientes se puede hacer el cambio a un diámetro (eje) cuyas ordenadas le son perpendiculares. En nuestro lenguaje, se tendría así un sistema de coordenadas rectangulares. También muestra Apolonio cómo construir cónicas a partir de ciertos datos —por ejemplo, un diámetro, el latus rectum, y la inclinación de las ordenadas con respecto al diámetro—. Lo hace construyendo primeramente el cono del que la cónica deseada es una sección.
El libro II comienza con la construcción y propiedades de las asíntotas a una hipérbola. Muestra, por ejemplo, no sólo la existencia de asíntotas, sino también que la distancia entre un punto de la curva y la asíntota se hace más pequeña que cualquier longitud dada alejándose lo suficiente a lo largo de la curva. Después introduce la hipérbola conjugada con una dada, mostrando que tiene las mismas asíntotas.
Otros teoremas del libro II muestran cómo hallar un diámetro de una cónica, el centro de una cónica que lo posea, el eje de una parábola, y los ejes de una cónica con centro.

Figura 4.25
El libro concluye con métodos para construir tangentes a cónicas que satisfagan ciertas condiciones dadas, como, por ejemplo, pasar por un punto dado.

Figura 4.26

OP2/OQ2 = 1.
El libro III trata a continuación las que llamaremos relaciones armónicas entre polo y polar. Si TP y TQ son tangentes a una cónica (fig. 4.27)
Figura 4.27
y si TRS es cualquier recta que corte a la cónica en R y S y a la cuerda PQ en I, se tiene
![]()

Figura 4.28
![]()
El libro prosigue con el problema de las propiedades focales de las cónicas con centro; no se menciona aquí el foco de una parábola.

Figura 4.29
En esta obra no aparece el concepto de directriz, pero el hecho de que una cónica es el lugar geométrico de los puntos cuyas distancias a un punto dado (foco) y una recta dada (directriz) mantienen una razón constante ya era conocido por Euclides, y Pappus lo explícito y demostró (vid. cap. 5, sec. 7).
Hay un problema famoso, resuelto parcialmente por Euclides, que consiste en determinar el lugar geométrico de los puntos para los que las distancias p, q, r y s a cuatro rectas dadas satisfacen la condición pq = αrs, donde a es un número dado. Apolonio dice en su prefacio a las Secciones Cónicas que se puede resolver este problema con las proposiciones del libro III. Cierto es que así puede hacerse, y también en este caso Pappus sabía que ese lugar geométrico es una cónica.

Figura 4.30
El resto del libro trata acerca del número de posibles intersecciones de dos cónicas en varias posiciones. Apolonio prueba que dos cónicas pueden cortarse a lo más en cuatro puntos.
El libro V es el más notable por su novedad y originalidad. Trata de las longitudes máxima y mínima de los segmentos que unen los puntos de una cónica con un punto dado. Apolonio comienza con puntos especiales sobre el eje mayor de una cónica con centro o sobre el eje de una parábola y encuentra las distancias máxima y mínima desde tales puntos a la curva. A continuación toma puntos sobre el eje menor de una elipse y hace lo mismo. Prueba también que si O es cualquier punto interior a una cónica y OP es un segmento de longitud máxima o mínima desde O hasta la cónica, la recta perpendicular en P a OP es tangente a la cónica en P; y si O' es cualquier punto sobre OP fuera de la cónica, O’P es una recta mínima (segmento de longitud mínima) desde O' hasta la cónica. La perpendicular a una tangente en el punto de tangencia es lo que ahora llamamos una normal, de manera que las rectas máxima y mínima desde cualquier punto son normales. Apolonio considera a continuación propiedades de las normales a una cónica. Por ejemplo, en una parábola o una elipse, la normal en cualquier punto cortará a la curva en algún otro punto. Muestra entonces cómo se pueden construir las normales a la cónica desde un punto dado interior o exterior a la cónica.
En el transcurso de su investigación sobre los segmentos de longitud máxima y mínima (relativa) que pueden trazarse desde un punto a una cónica, Apolonio determina las posiciones de los puntos desde los que se pueden trazar dos, tres y cuatro segmentos de ese tipo. Para cada una de las cónicas determina el lugar geométrico de los puntos que separan las regiones desde las que se puede trazar uno u otro número de normales. Ese lugar mismo, que Apolonio no analiza, es lo que ahora llamamos la evoluta de la cónica, lugar geométrico de los puntos de intersección de normales a la cónica «infinitamente próximas», o envolvente de la familia de normales a la cónica.
Así, desde cualquier punto dentro de la evoluta de la elipse (fig. 4.31), se pueden trazar cuatro normales a ésta, mientras que desde los puntos exteriores sólo pueden trazarse dos. (Hay puntos excepcionales.) En el caso de una parábola, la evoluta (fig. 4.32) es la curva llamada parábola semicúbica (estudiada por primera vez por William Neile (1637-1670)). Desde cualquier punto del plano por encima de la parábola semicúbica se pueden trazar tres normales a la parábola, y desde un punto que esté por debajo sólo una. Desde un punto de la propia parábola semicúbica se pueden trazar dos normales.
El libro VI se ocupa de cónicas y segmentos de cónicas congruentes y semejantes. Los segmentos de cónica son, como en el círculo, las regiones delimitadas por una cuerda. Apolonio muestra también cómo construir sobre un cono circular recto dado una sección cónica igual a una dada.

Figuras 4.31 y 4.32
El libro VIII se ha perdido. Probablemente contenía proposiciones sobre cómo determinar diámetros conjugados de una cónica (con centro) tales que ciertas funciones de sus longitudes alcancen valores dados.
Pappus menciona otras seis obras matemáticas de Apolonio. Una de ellas, Sobre Contactos, cuyo contenido fue reconstruido por Vieta, contenía el famoso «problema de Apolonio»: dados tres puntos, rectas o círculos, o cualquier combinación de tres de ellos, construir una circunferencia que pase por los puntos y sea tangente a las rectas y círculos. Muchos matemáticos, incluidos Vieta y Newton, proporcionaron soluciones a este problema.
La matemática estrictamente deductiva de Euclides y Apolonio ha alentado la impresión de que los matemáticos crean razonando deductivamente. Nuestro repaso a los trescientos años de actividad anteriores a Euclides muestra, sin embargo, que las conjeturas precedieron a las pruebas y el análisis a la síntesis. De hecho, los griegos no concedían mucho mérito a las proposiciones obtenidas mediante simple deducción. A los resultados que se derivan fácilmente de un teorema los llamaron corolarios o porismas. Tales resultados, obtenidos sin mucho trabajo adicional, fueron considerados por Proclo como frutos caídos del árbol o propinas.
No hemos agotado las contribuciones del genio griego a la matemática. Lo que hemos discutido hasta ahora pertenece al período griego clásico; todavía nos espera la importante época que se extiende desde el año 300 a. C., más o menos, hasta el 600 d. C. Antes de volver la página insistiremos en que el período clásico contribuyó con algo más que sus contenidos: creó la matemática misma en el sentido en que hoy entendemos la palabra. La insistencia en la deducción como método de demostración y la preferencia por lo abstracto en oposición a lo concreto determinaron el carácter de las matemáticas, mientras que la selección del conjuntó de axiomas más fructífero y aceptable, y la intuición y demostración de cientos de teoremas pusieron en marcha esta ciencia.
Bibliografía
- Ball, W. W. Rouse: A Short Account of the History of Mathematics, Dover (reimpresión), 1960, capítulos 2 y 3.
- Boyer, Cari B.: Historia de la Matemática, Madrid, Alianza Editorial, 1986. Coolidge, Julián L.: A History of Geometrical Methods, Dover (reimpresión), 1963, libro I, capítulos 2 y 3.
- Heath, Thomas L.: A Manual of Greek Mathematics, Dover (reimpresión), 1963, capítulos 3 al 9 y 12. —: A History of Greek Mathematics, Oxford University Press, 1921, vol. I, capítulos 3 al 11; vol. II, capítulo 14. —: The Thirteen Books of Euclid’s Elements, en 3 vols., Dover (reimpresión), 1956. —: Apolonius of Perga, Barnes & Noble (reimpresión), 1961.
- Neugebauer, Otto: The Exact Sciences in Antiquity, Princeton University Press, 1952, capítulo 6.
- Proclo: A Commentary on the First Book of Euclid's Elements, Princeton University Press, 1970.
- Sarton, George: A History of Science, Harvard University Press, 1952 y 1959, vol. I, capítulos 8, 10, 11, 17, 20, y capítulo 3 del vol. II.
- Scott, J. F.: A History of Mathematics, Dover (reimpresión), 1956, vol. I, capítulo 3; vol. II, capítulo 5.
- Struik, Dirk J.: A Concise History of Mathematics, 3.a edición, Dover, 1967, cap. 3.
- Van der Waerden, B. L.: Science Awakening, P. Noordhoff, 1954, capítulos 4 al 6.
Capítulo 5
El periodo greco-alejandrino: geometría y trigonometría
1. La fundación de Alejandría
2. El carácter de la matemática greco-alejandrina
3. Áreas y volúmenes en los trabajos de Arquímedes
4. Áreas y volúmenes en los trabajos de Herón
5. Algunas curvas excepcionales
6. El nacimiento de la trigonometría
7. La actividad geométrica tardía en Alejandría
Bibliografía
Sin los conceptos, métodos y resultados halla dos y desarrollados por generaciones precedentes desde la antigüedad griega, no podemos compren der ni los objetivos ni las conclusiones de las matemáticas en los últimos cincuenta años.
Hermann Weyl
1. La fundación de AlejandríaLa evolución de la matemática ha estado fuertemente ligada al curso de la historia. Las conquistas acometidas por los macedonios, un pueblo griego que vivía en la parte septentrional de las tierras de Grecia, llevó consigo la destrucción de la civilización clásica griega y puso las bases de otra civilización, esencialmente griega pero de carácter completamente diferente. Las conquistas fueron iniciadas el año 352 a. C. por Filipo II de Macedonia. Atenas fue derrotada el año 338 a. C. El año 336 a. C. Alejandro Magno, hijo de Filipo, tomó el mando y conquistó Grecia, Egipto y el Oriente Próximo, llegando por el este hasta la India y por el sur hasta las cataratas del Nilo. Construyó nuevas ciudades por todas partes, que eran a la vez fortalezas y centros de comercio. La más importante de todas, Alejandría, situada en el centro del imperio de Alejandro y con la intención de ser su capital, fue fundada en Egipto el año 332 a. C. Alejandro eligió el lugar y dibujó los planos para la construcción y la colonización de la ciudad, pero el trabajo no fue completado hasta muchos años después.
Alejandro imaginaba una cultura cosmopolita en su nuevo imperio. Debido a que, entre las demás, la única civilización importante era la persa, Alejandro intentó deliberadamente fundir ambas culturas. El año 325 a. C., él mismo se casó con Statira, hija del príncipe persa Darío, e indujo a cien de sus generales y a diez mil de sus soldados a casarse con mujeres persas. Incorporó veinte mil persas a su ejército y los mezcló con los macedonios en las mismas falanges. Asimismo, llevó colonizadores de todas las naciones a las diferentes ciudades fundadas por él. Tras su muerte, se encontraron órdenes escritas de transportar grandes grupos de europeos a Asia y viceversa.
Alejandro murió el año 323 a. C., antes de terminar su capital y cuando estaba todavía ocupado en sus conquistas. Después de su muerte, sus generales se enfrentaron entre sí para conseguir el poder. Tras varias décadas de inestabilidad política, el imperio se descompuso en tres partes independientes. La parte europea constituyó el imperio Antigónido (del general griego Antigono); la parte asiática, el imperio Seléucida (por el general Seleuco), y Egipto, gobernado por la dinastía griega Ptolemaica se convirtió en el tercer imperio. Antigonia, Grecia y Macedonia fueron cayendo de forma gradual bajo la dominación romana y su importancia, en lo que concierne al desarrollo de la matemática, llegó a ser insignificante. La matemática desarrollada en el imperio Seléucida fue principalmente una continuación de la matemática babilónica, completamente influida por los acontecimientos que estamos considerando. Las creaciones más importantes que continuaban el período clásico griego tuvieron lugar en el imperio Ptolemaico, principalmente en Alejandría.
El hecho de que el imperio Ptolemaico se convirtiera en el heredero matemático de la Grecia clásica no fue accidental. Los reyes del imperio fueron griegos sabios y continuaron el plan de Alejandro de construir un centro cultural en Alejandría. Ptolomeo Soter, que reinó del 323 a. C. al 285 a. C., sus inmediatos sucesores, Ptolomeo II, llamado Liladelfo, que reinó del 285 a. C. al 247 a. C., y Ptolomeo Euergetes, que lo hizo del 247 a. C. al 222 a. C. estaban muy bien enterados de la importancia cultural de las grandes escuelas griegas tales como las de Pitágoras, Platón y Aristóteles. Estos gobernantes llevaron a Alejandría estudiosos de todos los centros de cultura existentes y los mantuvieron mediante ayudas estatales. Alrededor del año 290 a. C., Ptolomeo Soter construyó un centro en el cual los sabios estudiarían y enseñarían. Este edificio, dedicado a las musas, fue conocido como el Museo y albergó a poetas, filósofos, filólogos, astrónomos, geógrafos, médicos, historiadores, artistas y la mayoría de los matemáticos famosos de la civilización greco-alejandrina.
Junto al Museo, Ptolomeo construyó una biblioteca, no sólo para la conservación de documentos importantes sino también para uso de todo tipo de público. Esta famosa biblioteca llegó a tener 750.000 volúmenes a un tiempo, e incluía las bibliotecas personales de Aristóteles y de su sucesor, Teofrasto. Los libros, casualmente, eran más fáciles de obtener en Alejandría que en la Grecia clásica debido a que el papiro egipcio estaba más a mano. De hecho, Alejandría se convirtió en el centro de fabricación de libros del mundo antiguo.
Los Ptolomeos continuaron también el plan de Alejandro de fomentar una fusión entre los pueblos, por lo que griegos, persas, judíos, etíopes, árabes, romanos, hindúes y negros se desplazaron a Alejandría sin encontrar obstáculos y se confundieron libremente en la ciudad. Aristócratas, ciudadanos y esclavos convivieron entre sí y, de hecho, las distinciones de clase de la vieja civilización griega desaparecieron. La civilización de Egipto recibió la influencia de los conocimientos que llevaron los mercaderes y las expediciones especia les organizadas por los sabios para aprender más cosas acerca de otras partes del mundo. En consecuencia, los horizontes intelectuales se ensancharon. Los largos viajes por mar de los alejandrinos necesitaban un mejor conocimiento de la geografía, de los métodos de medición del tiempo y de las técnicas de navegación, mientras que la competencia comercial generó el interés por los materiales, por el rendimiento de la producción y por el perfeccionamiento de los especialistas. Artes que habían sido despreciadas en el período clásico renacieron con nuevos bríos y se crearon escuelas de perfecciona miento. La ciencia pura siguió cultivándose, pero también hizo su aparición la ciencia aplicada.
Los aparatos mecánicos creados por los alejandrinos resultan sorprendentes incluso para criterios modernos: bombas para elevar agua desde pozos y cisternas, poleas mecánicas, cuñas, poleas marinas, sistemas de engranajes, y un cuentamillas en absoluto diferente de los que se pueden encontrar en un coche moderno se usaban de manera habitual. La fuerza del vapor se empleaba para conducir un vehículo a lo largo de las calles de la ciudad durante la procesión religiosa anual. El agua o el aire calentados mediante el fuego en vasijas ocultas en los altares del templo se utilizaban para fabricar estatuas móviles. El público observaba atónito cómo los dioses levantaban sus manos para bendecir a los fieles, dioses derramando lágrimas y estatuas lanzando bocanadas de agua. La fuerza del agua accionaba un órgano musical y trazaba figuras automáticamente en una fuente mientras el aire comprimido se usaba para hacer funcionar un cañón. Con objeto de mejorar las mediciones astronómicas se inventaron nuevos instrumentos mecánicos, incluido un reloj de sol muy perfeccionado.
Los alejandrinos tenían un conocimiento avanzado de fenómenos tales como el sonido y la luz. Conocían la ley de la reflexión y tenían un conocimiento empírico de la ley de la refracción (cap. 7, sec. 7), conocimientos que aplicaron a la construcción de espejos y lentes. Durante este período tuvo lugar la aparición por primera vez de un trabajo de metalurgia, que llevaba consigo una carga mucho mayor de química que los pocos hechos que conocían los antiguos sabios egipcios y griegos. Los venenos fueron una especialidad. La medicina floreció, debido en parte a que la disección del cuerpo humano, prohibida en la Grecia antigua, estaba permitida ahora, y el arte de la curación alcanzó su cumbre con la obra de Galeno (129-c. 201), quien, no obstante, vivió principalmente en Pérgamo y Roma. La Hidrostática, la ciencia del equilibrio de los cuerpos sumergidos en fluidos fue investigada con intensidad y, naturalmente, fundamentada de manera sistemática. El mayor de sus logros científicos fue la primera teoría astronómica verdaderamente cuantitativa (cap. 7, sec. 4).
2. El carácter de la matemática greco-alejandrina
El trabajo de los sabios en el Museo estaba dividido en cuatro secciones: literatura, matemáticas, astronomía y medicina. Puesto que dos de ellas eran esencialmente matemáticas y la medicina, a través de la astrología, precisa de algunas matemáticas, vemos que éstas ocupaban un lugar preponderante en el mundo alejandrino. Las características de la matemática estuvieron muy influidas por las nuevas civilización y cultura. Pese a lo que puedan decir los matemáticos acerca de la pureza de sus temas y su indiferencia en lo que se refiere a, y una elevación respecto de, su entorno social, la nueva civilización helenística produjo una matemática de características completamente diferentes de las del período clásico.
Naturalmente, Euclides y Apolonio fueron alejandrinos; pero, como ya hemos observado, Euclides organizó el trabajo del período clásico, y Apolonio es excepcional, ya que también organizó y extendió la matemática griega clásica —pese a que en su astronomía y sus trabajos sobre los números irracionales (que presentaremos en posteriores capítulos), estuvo influido a veces por la cultura alejandrina. Con toda seguridad, los restantes grandes matemáticos alejandrinos, Arquímedes, Eratóstenes, Hiparco, Nicomedes, Herón, Menelao, Ptolomeo, Diofanto y Pappus desplegaron el genio griego para la matemática teórica y abstracta, pero con notables diferencias. La geometría alejandrina se dedicaba principalmente a la obtención de resultados útiles para el cálculo de longitudes, áreas y volúmenes. Ciertamente, algunos de estos teoremas aparecen también en los Elementos de Euclides. Por ejemplo, la proposición 10 del libro XII señala que todo cono es la tercera parte del cilindro que tiene su misma base e igual altura. Por tanto, si se conoce el volumen de un cilindro se puede saber el de un cono. Sin embargo, tales teoremas son relativamente escasos en Euclides, mientras que ocupan la mayor parte de la atención de los geómetras alejandrinos. Así, mientras Euclides se contentaba con probar que la razón de las áreas de dos círculos es igual a la de los cuadrados de sus diámetros respectivos —lo que nos permite saber que el área es A = k × d2, pero sin un valor de k— Arquímedes obtuvo una aproximación muy exacta del número π, con lo que se podían calcular las áreas circulares.
Además, los griegos clásicos, debido a que no tomaban en consideración los números irracionales, produjeron una geometría estricta mente cualitativa. Los alejandrinos, de acuerdo con la práctica de los babilonios, no dudaron en usar los irracionales y asignar libremente números a longitudes, áreas y volúmenes. La culminación de estos trabajos fue el desarrollo de la trigonometría.
Incluso más significativo fue el hecho de que los alejandrinos resucitaron y extendieron la aritmética y el álgebra, que se convirtieron en temas de pleno derecho. Este desarrollo de la ciencia de los números era, por supuesto, imprescindible si se pretendía obtener un conocimiento cuantitativo tanto de los resultados geométricos como del uso directo del álgebra.
Los matemáticos alejandrinos tomaron parte activa en trabajos de mecánica. Calculaban centros de gravedad de cuerpos de distintas formas; trabajaban con fuerzas, planos inclinados, poleas y engranajes, y a menudo se convertían en inventores. Eran también los principales contribuidores de su época en trabajos sobre la luz, geografía matemática y astronomía.
En el período clásico la matemática abarcaba la aritmética (sólo de los números enteros), la geometría, la música y la astronomía. El panorama de la matemática sufrió una gran expansión en el período alejandrino. Proclo, que importó material procedente de Gémino de Rodas (siglo I a. C.) cita la última división de las matemáticas (segura mente en la época de Gémino): aritmética (nuestra teoría de números), geometría, mecánica, astronomía, óptica, geodesia, canon (ciencia de la armonía musical) y logística (aritmética aplicada). De acuerdo con Proclo, Gémino dice: «La totalidad de la matemática estaba dividida en dos grandes apartados con las siguientes distinciones: una parte relativa a los conceptos intelectuales propios y otra a los conceptos materiales.» La aritmética y la geometría eran intelectuales. La parte restante era material. No obstante, esta distinción fue disminuyendo progresivamente, pero a finales del siglo I a. C. todavía era significativa. Podemos decir, en una generalización poco rigurosa, que las matemáticas del período alejandrino cortaron su relación con la filosofía y se aliaron con la ingeniería.
Trataremos en primer lugar de los trabajos alejandrinos sobre geometría y trigonometría. En el capítulo siguiente discutiremos la aritmética y el álgebra.
3. Áreas y volúmenes en los trabajos de Arquímedes
No hay ninguna persona cuyos trabajos sinteticen el carácter de la edad alejandrina tan bien como Arquímedes (287-212 a. C.), el mayor matemático de la antigüedad. Hijo de un astrónomo, había nacido en Siracusa, un asentamiento griego en Sicilia. En su juventud fue a Alejandría, donde recibió su educación. Pese a que regresó a Siracusa y pasó allí el resto de su vida, estuvo en contacto con Alejandría. Era muy conocido en el mundo griego y fue muy admirado y respetado por sus contemporáneos.
Arquímedes estaba en posesión de una inteligencia sublime, una gran amplitud de intereses —tanto prácticos como teóricos— y una excelente habilidad mecánica. Sus trabajos en matemáticas incluyen el cálculo de áreas y volúmenes por el método de aproximaciones sucesivas, el cálculo del número π (en el transcurso del cual aproximó raíces cuadradas de números grandes y pequeños), y un sistema nuevo para representar números grandes en el lenguaje oral. En mecánica calculó los centros de gravedad de varias figuras planas y sólidas y dio teoremas sobre la palanca. La parte de la hidrostática que trata del equilibrio de los cuerpos que flotan en el agua fue creada por él. También tiene fama de haber sido un buen astrónomo.
Sus descubrimientos rebasaron en tal medida la técnica de su tiempo que a su alrededor surgieron un sinfín de historias y leyendas. En realidad, en la estima popular sus inventos oscurecieron sus matemáticas, pese a que puede situarse con Newton y Gauss como uno de los tres más grandes en este campo. En su juventud construyó un planetario, un mecanismo que funcionaba gracias a la potencia del agua y que reproducía los movimientos del Sol, la Luna y los planetas. Ideó una bomba (la hélice de Arquímedes) para elevar agua desde un río; mostró cómo usar la palanca para mover grandes pesos; utilizó poleas compuestas para botar una galera para el rey Hierón de Siracusa, e inventó ingenios militares y catapultas para proteger Siracusa cuando fue atacada por los romanos. Aprovechando las propiedades focales de un espejo en forma de paraboloide, incendió las naves romanas que sitiaban Siracusa concentrando sobre ellas los rayos solares.
Seguramente la historia más famosa sobre Arquímedes sea su descubrimiento del método para determinar la falsificación de una corona de oro. El rey de Siracusa había encargado la corona. Cuando se la entregaron sospechó que en su interior no habían colocado metales nobles y la hizo llegar a Arquímedes para que encontrara algún procedimiento que permitiera determinar su contenido sin que, por supuesto, hubiera que destruir la pieza. Arquímedes se planteó el problema; un día, mientras se estaba bañando observó que su cuerpo sufría un empuje hacia arriba producido por el agua y de repente comprendió el principio que le iba a permitir dar una solución al problema. Estaba tan excitado por su descubrimiento que iba dando saltos por la calle gritando «¡Eureka!» («¡lo he encontrado!»). Había descubierto que un cuerpo sumergido en el agua sufre un empuje vertical hacia arriba con una fuerza igual al peso del agua desalojada, y mediante este principio fue capaz de determinar la composición de la corona (ver cap. 7, sec. 6).
Pese a que Arquímedes era notablemente ingenioso y un inventor de fama, Plutarco dice que estos inventos no eran más que «la diversión del geómetra». Según Plutarco, Arquímedes «estaba en posesión de un espíritu tan alto, un alma tan profunda y una riqueza tal de conocimientos científicos que, a pesar de que estos inventos le habían proporcionado la celebridad de tener más que sabiduría humana, no dejaría tras él ningún trabajo escrito sobre tales cuestiones, sino que, considerando como innobles y viles los trabajos mecánicos y todo tipo de arte que se puede usar y aprovechar directamente, centró su mayor ambición en aquellas especulaciones cuya belleza y sutileza no añaden nada a las necesidades habituales de la vida». Sin embargo, la importancia de Plutarco como relator de historias es mucho mayor que como historiador. Arquímedes escribió libros sobre mecánica entre los que tenemos el que se titula Sobre la flotación de los cuerpos y otro, Sobre el equilibrio de planos; otros dos, Sobre palancas y Sobre centros de gravedad se han perdido. Escribió también un trabajo sobre óptica que ha desaparecido y trataba de sus descubrimientos; aunque el trabajo se ha perdido se sabe con certeza que escribió Sobre la estructura de la esfera, que describe un invento que muestra los movimientos del Sol, la Luna y los cinco planetas alrededor de la Tierra (fija).
La muerte de Arquímedes fue un presagio de lo que iba a suceder en todo el mundo griego. El año 216 a. C. Siracusa se alió con Cartago en la segunda guerra Púnica entre esa ciudad y Roma. Los romanos atacaron Siracusa el año 212 a. C. Mientras estaba dibujando figuras matemáticas en la arena, uno de los soldados romanos que acababan de tomar la ciudad dio el alto a Arquímedes. El caso es que Arquímedes se sintió confuso aunque se hizo el sordo ante el aviso del soldado romano. Tras esto, el soldado lo mató, a pesar de la orden del comandante romano, Marcelo, de que se le respetase la vida. Tenía entonces setenta y cinco años y estaba todavía en perfecta posesión de todas sus facultades. A modo de «compensación», los romanos construyeron una tumba muy historiada sobre la cual inscribieron un famoso teorema arquimediano.
Los escritos de Arquímedes toman la forma de pequeños tratados en vez de grandes libros. Nuestro conocimiento de estos trabajos viene de los manuscritos griegos existentes y de los manuscritos latinos traducidos del griego del siglo XIII en adelante. Alguna de las versiones latinas se hicieron a partir de manuscritos griegos asequibles a los traductores, pero no para nosotros. En 1543 Tartaglia hizo una traducción al latín de algunos trabajos de Arquímedes.
Los trabajos geométricos de Arquímedes representan el cénit de la matemática greco-alejandrina. En sus razonamientos matemáticos, Arquímedes usa teoremas de Euclides y Aristeo, así como otros resultados que él dice que son evidentes, es decir, pueden probarse fácilmente a partir de resultados conocidos. Sus demostraciones están perfectamente razonadas pero no resultan fáciles para nosotros ya que no estamos familiarizados con muchos de los métodos y resultados de los geómetras griegos.
En su trabajo Sobre la esfera y el cilindro Arquímedes comienza con definiciones e hipótesis. La primera hipótesis o axioma es que de entre todas las líneas (curvas) que tienen los mismos extremos la línea recta es la más corta. Otros axiomas se refieren a longitudes de curvas cóncavas y superficies. Por ejemplo, ADB (fig. 5.1) se supone que es menor que ACB.

Figura 5.1
Después de algunas proposiciones preliminares, en el libro I prueba:
Proposición 13. La superficie de cualquier cilindro circular recto sin incluir las bases es igual a [el área de] un círculo cuya base es media proporcional entre el lado [una generatriz] y el diámetro de su base.
Esto viene seguido de varios teoremas relativos al volumen de conos. De gran interés son:
Proposición 33. La superficie de cualquier esfera es cuatro veces el [área de] uno de sus círculos máximos.
Corolario a la proposición 34. Todo cilindro cuya base es un círculo máximo de una esfera y cuya altura es igual al diámetro de la esfera es 3/2 de [el volumen de] la esfera, y su superficie junto con sus bases es 3/2 de la superficie de la esfera.
Es decir, compara el área de la superficie y el volumen de una esfera con un cilindro circunscrito a la misma. Este es el famoso teorema que, de acuerdo con los deseos de Arquímedes, se inscribió sobre su lápida.
Prueba después en las proposiciones 42 y 43 que la superficie del segmento esférico ALMNP es el área de un círculo cuyo radio es AL (fig. 5.2).

Figura 5.2
Algunos teoremas del segundo libro de Sobre la Esfera y el Cilindro que se refieren sobre todo a segmentos esféricos son significativos, pues contienen una nueva álgebra geométrica. Por ejemplo, enuncia:
Proposición 4. Cortar una esfera con un plano de manera que los volúmenes de los segmentos obtenidos estén en una razón dada.
Este problema lleva algebraicamente a la resolución de la ecuación cúbica:
(a - x) : c = b2 : x2
y Arquímedes la resuelve geométricamente hallando la intersección de una parábola y una hipérbola rectangular.El trabajo Sobre Conoides y Esferoides estudia propiedades de figuras de revolución generadas por cónicas. El conoide de ángulo recto de Arquímedes es un paraboloide de revolución. (En tiempos de Arquímedes se consideraba todavía la parábola como una sección de un cono de ángulo recto.) El conoide de ángulo obtuso es una rama de un hiperboloide de revolución. Los esferoides de Arquímedes son lo que llamamos esferoides achatado y oblongo, que son figuras de revolución generadas por elipses. El objetivo principal del trabajo es la determinación de volúmenes de segmentos obtenidos al cortar cuerpos tridimensionales con planos. El libro contiene también algún trabajo de Arquímedes acerca de las secciones cónicas, ya citado al hablar de Apolonio. Como en otros trabajos, presupone teoremas que considera probados con facilidad o que pueden probarse con procedimientos usados con anterioridad. Varias de las demostraciones utilizan el método de las aproximaciones sucesivas. Algunos ejemplos de los contenidos pueden hallarse en las siguientes proposiciones:
Proposición 5. Si AA' y BB' son los ejes mayor y menor de una elipse y si d es el diámetro de cualquier círculo, el área de la elipse es al área del círculo como AA' × BB' es a d2.
El teorema dice que si 2a es el eje mayor y 2b, el eje menor y s y s' son las áreas de la elipse y el círculo respectivamente, entonces s/s' = Aab/d2, ya que s' = (π/4)d2, s = πab.
Proposición 7. Dadas una elipse de centro C y una línea CO perpendicular al plano de la elipse es posible encontrar un cono circular de vértice O de manera que la elipse es una sección del mismo.
Claramente, Arquímedes da por cierto que algunas, al menos, de las distintas secciones cónicas pueden obtenerse de un mismo cono, hecho utilizado ya por Apolonio.
Proposición 11. Si un paraboloide de revolución se corta por un plano que contiene al eje [de revolución], o es paralelo al mismo, la sección será una parábola igual a la parábola original que genera el paraboloide... Si se corta el paraboloide por un plano perpendicular a su eje la sección será un círculo cuyo centro está en el eje.
Hay resultados análogos para el hiperboloide y el esferoide.
Entre los resultados principales del trabajo está la
Proposición 21. [El volumen de] cualquier segmento de un paraboloide de revolución es igual a la mitad del cono o segmento de un cono que tiene la misma base y el mismo eje.
La base es el área (fig. 5.3) de la figura plana, elipse o círculo, que se obtiene cortando el paraboloide por el plano que determina el segmento.

Figura 5.3

Figura 5.4
Uno de los trabajos más novedosos de Arquímedes es un corto tratado conocido como El Método, en el cual muestra cómo usó ideas procedentes de la mecánica para obtener teoremas matemáticos correctos. Este trabajo no fue descubierto hasta el año 1906 en una biblioteca de Constantinopla. El manuscrito está escrito durante el siglo X en un pergamino que contiene otros trabajos de Arquímedes ya conocidos por otros caminos.

Figura 5.5
ABC (fig. 5.5) es un segmento arbitrario de una parábola limitado por la línea recta AB y el arco ABC. Sean CE, la tangente a la parábola en C; D, el punto medio de CA, y DBE el diámetro que contiene a D (línea paralela al eje de la parábola). Entonces Arquímedes afirma, tomando como referencia las Cónicas de Euclides, que
EB = BD, (1)
a pesar de que no se conoce la demostración de Euclides de este hecho. Se traza ahora el segmento AF paralelo a ED y sea K el punto de intersección de CB con AF. Determinamos el punto H en CK de manera que CK = KH y además, sea MNPO un diámetro arbitrario de la parábola. Se tiene ahora, en virtud de (1) y el uso de triángulos semejantes, que MN = NO.Arquímedes compara ahora el área del segmento y el área del triángulo CFA. Contempla la primera área como la suma de segmentos lineales tales como PO y el área del triángulo como la reunión de segmentos tales como MO. Prueba entonces que
HKOP = KN × MO.
Desde el punto de vista físico esto significa que si consideramos KH y KN como los brazos de una palanca con el punto de apoyo en K, entonces OP considerado como un peso situado en H compensaría el peso MO situado en N. En consecuencia, colocando la suma de todos los segmentos lineales tales como PO en el punto H se compensará la suma de todos los segmentos lineales tales como MO, concentrado cada uno de ellos en su punto medio, que es el centro de gravedad de un segmento lineal. Pero la colección de segmentos MO, situado cada uno de ellos en su centro de gravedad, es «equivalente» al triángulo CAF situado en su centro de gravedad. En su libro Sobre el Equilibrio de Planos, Arquímedes prueba que este centro es el punto X situado en CK con KX = (1/3)CK. Por la ley de la palanca, KX × (área del triángulo CFA) = HK × (área del segmento parabólico), o bien
En este método mecánico Arquímedes toma las áreas del segmento parabólico y del triángulo CFA como sumas de cantidades infinitas de segmentos lineales. Este método, en su opinión, lo es de descubrimiento, pero no de demostración geométrica rigurosa. Prueba en este tratado que el uso de este procedimiento resulta eficaz a la hora de descubrir nuevos teoremas sobre esferas, cilindros, esferoides y paraboloides de revolución.
En su libro Cuadratura de la Parábola, Arquímedes da dos métodos para hallar el área de un segmento parabólico. El primero de ellos es semejante al argumento mecánico que acabamos de examinar y en el que de nuevo se compensan áreas mediante el principio de la palanca, pero su elección de las áreas es diferente. Su conclusión, naturalmente, coincide con (2) y se da en la proposición 16. Ahora, Arquímedes sabe el resultado que quiere probar y se dispone a hacerlo con rigor matemático a través de una sucesión de teoremas (proposiciones 18-24).

Figura 5.6
Como corolario de este resultado, Arquímedes demuestra que el segmento parabólico se puede aproximar mediante un polígono tan cercano al mismo como se quiera, pues al construir un triángulo en el segmento limitado por PQ (fig. 5.6b), en el que P1V1 es el diámetro de ese segmento, se puede probar por métodos elementales de geometría (proposición 21) que (el área de) el triángulo PP1'q, construido sobre Pq y que tiene las mismas propiedades que el triángulo PP1Q, suman juntos 1/4 del triángulo PQq', además, en virtud del resultado del parágrafo anterior, los dos triángulos menores cubren más de la mitad de cada uno de los segmentos parabólicos en los que están situados.
El proceso de construir triángulos sobre las nuevas cuerdas QP1, P1P, PP1' y P1'q puede continuarse. Esta parte de la demostración es completamente análoga a la parte correspondiente en el teorema de Euclides sobre las áreas de dos círculos.
Así pues, tenemos condiciones suficientes para aplicar la proposición 1 del libro X de los Elementos de Euclides; es decir, podemos afirmar que el área de la figura poligonal obtenida al añadir triángulos al triángulo original PQq, es decir, el área
Δ PQq + (1/4)Δ PQq + (1/16)Δ PQq + ... (3)
con una cantidad finita de términos se aproxima al segmento parabólico tanto como se quiera; esto es, la diferencia entre el área del segmento y la suma finita (3) puede hacerse menor que cualquier cantidad fijada previamente.Arquímedes aplica ahora el método indirecto de demostración, que completa la prueba por el procedimiento de aproximaciones sucesivas. Demuestra en primer lugar que dados n términos de una progresión geométrica cuya razón es 1/4, se tiene
A1 + A2 +... + An + (1/3 )An = 4/3 A1 (4)
Esto puede probarse con facilidad de varias maneras; podemos hacer lo con nuestra fórmula para la suma de n términos de una progresión geométrica. En la aplicación de (4), A1 es el triángulo PQq.Prueba entonces Arquímedes que el área A del segmento parabólico no puede ser ni mayor ni menor que (4/3)A1. Su demostración consiste simplemente en que si el área A es mayor que (4/3)A1 obtendría un conjunto (finito) de triángulos cuya suma S diferiría del área del segmento en una cantidad menor que cualquier magnitud dada, por lo que la suma S sería mayor que (4/3)A1. Así,
A > S > (4/3)A1
Pero por (4) si S contiene m términos, entoncesS + (1/3)Am = (4/3 )A1
o bienS < (4/3)A1
lo que es contradictorio.Análogamente, supongamos que el área A del segmento parabólico es menor que (4/3)A1. Entonces (4/3)A1 - A es un número positivo. Como los triángulos trazados por Arquímedes son cada vez más pequeños, podemos obtener una sucesión de triángulos inscritos tales que
(4/3)A1 - A > Am (5)
donde Am es el término m-ésimo de la sucesión y representa geométricamente la suma de 2m-1 triángulos. Pero como consecuencia de (4):A1 + A2 +... + Am + 1/3Am = 4/3 A1 (6)
entonces4/3A1 — (A1 + A2 + ... + Am) = 1/3Am
o bien4/3A1 - (A1 + A2 + ... + Am) < Am (7)
Se sigue de (5) y (7) queA1 + A2 +... + Am > A (8)
Pero toda suma formada por triángulos inscritos es siempre menor que el área del segmento. Luego (8) es imposible.Evidentemente, Arquímedes había sumado una progresión geométrica infinita, ya que cuando n tiene a infinito en (4), An tiende a cero, y la suma de la progresión infinita es (4/3)A1.
Los trabajos de Arquímedes sobre los métodos mecánico y matemático de cálculo del área de un segmento parabólico ponen de manifiesto cómo distinguía con claridad entre los razonamientos físico y matemático. Su rigor es muy superior al que se puede encontrar en los trabajos de Newton y Leibniz.

Figura 5.7
Proposición 24. El área limitada por la primera vuelta de la espiral y la línea inicial [el área sombreada en la figura] es igual a un tercio del primer círculo.
El primer círculo es el círculo de radio OA, que es igual a 2πa, por lo que el área sombreada es π(2πa)2/3.
La demostración se hace por el método de exhausción. En teoremas precedentes, en los que se preparan los instrumentos de demostración, el área de una región limitada por un arco de espiral, el arco BPQRC de la figura 5.8, y por dos radios vectores OB y OC está contenida entre dos conjuntos de sectores circulares: así Bp', Pq', Qr',... son arcos de círculos centrados en O y análogamente Pb, Qp, Rq son también arcos de círculos con centro en O. Los sectores circulares del conjunto inscrito son OBp', OPq', Oqr',..., y los sectores circulares del conjunto circunscrito son OPb, OQp, ORq,... Es decir, los sectores circulares sustituyen a los polígonos inscritos y circunscritos como figuras aproximadoras en el método de exhausción. (Nosotros utilizamos tales figuras en el cálculo cuando determinamos áreas en coordenadas polares.)

Figura 5.8
Arquímedes da también el resultado para el área limitada por el arco de espiral una vez que el radio vector ha dado dos vueltas completas alrededor de O; hay también otros resultados relacionados con áreas. Casualmente, matemáticos posteriores usaron la espiral para trisecar un ángulo y de hecho para dividir un ángulo en cualquier número de partes iguales.
Da la sensación de que, tras un estudio de sus trabajos geométricos, Arquímedes se dedicó exclusivamente en este campo a la obtención de resultados útiles sobre áreas y volúmenes. Estos trabajos, y sus trabajos matemáticos en general, no son espectaculares en cuanto a conclusiones, ni especialmente nuevos en cuanto a métodos o temas, pero aborda problemas muy difíciles y originales. Dice a menudo que las sugerencias de los problemas vienen de la lectura de los trabajos de sus predecesores; por ejemplo, los trabajos de Eudoxo sobre la pirámide, el cono y el cilindro (que aparecen en los Elementos de Euclides) sugirieron a Arquímedes su trabajo sobre la esfera y el cilindro, y la cuestión de la cuadratura del círculo sugirió la cuadratura del segmento parabólico. El trabajo de Arquímedes sobre hidrostática, no obstante, es completamente innovador; y sus trabajos sobre mecánica son nuevos en tanto que da demostraciones matemáticas (cap. 7, sec. 6). Su escritura es elegante, ordenada, acabada y a punto.
4. Áreas y volúmenes en los trabajos de Herón
Herón, que vivió en algún momento entre los años 100 a. C. y 100 d. C., es de gran interés no sólo desde el punto de vista de la historia de las matemáticas, sino también para mostrar las características del período alejandrino. Proclo se refiere a Herón como mecánico, lo que podría significar un ingeniero mecánico de hoy y habla de él en conexión con Ctesibio, su maestro. Herón fue también un gran agrimensor.
Lo que más llama la atención de los trabajos de Herón es su mezcla de rigor matemático y lo aproximado de los métodos y fórmulas de los egipcios. Por otra parte, escribió un comentario sobre Euclides, usó los resultados precisos de Arquímedes (a los que se refiere con frecuencia), y en trabajos originales probó algunos teoremas nuevos de la geometría euclídea. Por otra parte, se dedicó a la geometría aplicada y la mecánica y dio todo tipo de resultados aproximados sin justificación. Uso fórmulas egipcias con libertad y gran parte de su geometría fue también egipcia en cuanto a su carácter.
En sus Métrica y Geométrica, que han llegado hasta nosotros solamente a través de un libro que trata sobre su trabajo, Herón da teoremas y reglas para áreas planas, áreas de superficies y volúmenes de gran número de figuras. Los teoremas de estos libros no son nuevos. Para figuras con bordes curvilíneos utiliza los resultados de Arquímedes. Además, escribió Geodesia y Estereométrica (cálculo de volúmenes de figuras), los cuales se refieren a las mismas cuestiones de los dos primeros libros. En todos estos trabajos está interesado principalmente en resultados numéricos.
En su Dioptra (teodolito), un tratado de geodesia, Herón muestra cómo calcular la distancia entre dos puntos de los que sólo uno es accesible y entre dos puntos visibles pero no accesibles. Muestra también cómo trazar una perpendicular desde un punto a una línea que no se puede alcanzar y cómo hallar el área de un campo sin entrar en él. La fórmula para el área de un triángulo, atribuida a él pese a ser debida a Arquímedes, es decir
![]()
Aunque algunas de sus fórmulas están demostradas, Herón da varias sin demostración y otras son aproximadas. Así, da una fórmula inexacta para el área de un triángulo junto con la anterior correcta. Un motivo por el que Herón da varias fórmulas egipcias puede ser que las fórmulas exactas precisan raíces cuadradas o cúbicas y los agrimensores no ejecutaban tales operaciones. De hecho se distinguía entre geometría pura y geodesia o métrica. El cálculo de áreas y volúmenes pertenecía a la geodesia y no formaba parte de una educación general; estaba reservado a agrimensores, albañiles, carpinteros y otros técnicos. No hay ninguna duda de que Herón continuó y enriqueció la ciencia egipcia de la medida de campos; sus escritos sobre geodesia fueron utilizados durante varios siglos.
Herón aplicó varios de sus teoremas y reglas al diseño de teatros, salas para banquetes y baños. Sus trabajos de aplicación incluyen Mecánica, La Construcción de Catapultas, Mediciones, El Diseño de armas, Neumática (la teoría y uso del aire comprimido), y Sobre el Arte de Construcción de Autómatas. Dio diseños para relojes de agua, instrumentos de medida, máquinas automáticas, máquinas elevadoras de pesos e ingenios de guerra.
5. Algunas curvas excepcionales
Pese a que los griegos clásicos introdujeron y estudiaron algunas curvas poco corrientes, como las cuadratrices, la máxima atención de esa geometría estuvo dedicada a figuras que podían dibujarse con regla y compás y relegó aquellas curvas al olvido. Los alejandrinos, sin embargo, se sintieron liberados de tal restricción; así Arquímedes no dudó en introducir la espiral. Varias curvas más fueron introducidas durante el período alejandrino.

Figura 5.9
Si b es la distancia perpendicular de P a AB y si las longitudes a se miden a lo largo de los rayos que parten de P, y comenzando en AB pero en la dirección de P, obtenemos otras tres curvas según sea a > b, a = b o a < b. Luego hay cuatro tipos de concoides, todas ellas debidas a Nicomedes. La ecuación polar moderna es
![]()
Se atribuye a Nicomedes el invento de un mecanismo para construir las concoides. La naturaleza del mecanismo es de mucho menos interés que el hecho de que los matemáticos de la época estuvieran interesados en inventarlo. Las concoides de Nicomedes, junto con la recta y el círculo son las curvas constructibles más antiguas de las que poseemos una información satisfactoria.

Figura 5.10
CH : HZ = HZ : HD = HD : HP.
Así HZ y HD son dos medias proporcionales entre CH y HP. Esto resuelve el problema de Délos. La ecuación de la cisoide en coordenadas rectangulares esy2(a + x) = (a - x)3
donde O es el origen; a el radio del círculo, y OD y OA los ejes de coordenadas. Esta ecuación incluye las dos ramas de la curva que se muestran en la figura, las cuales no fueron consideradas por Diocles.6. El nacimiento de la trigonometría
Completamente nueva en la geometría cuantitativa griega alejandrina fue la trigonometría, una creación de Hiparco, Menelao y Ptolomeo. Este trabajo estuvo motivado por el deseo de construir una astronomía cuantitativa, y sería utilizada para predecir las trayectorias y posiciones de los cuerpos celestes y para ayudar a medir el tiempo, el cálculo del calendario, la navegación y la geografía.
La trigonometría de los griegos alejandrinos es lo que llamamos trigonometría esférica aunque, como veremos, incluye también las ideas básicas de la trigonometría plana. La trigonometría esférica presupone la geometría esférica, como por ejemplo las propiedades de los círculos máximos y los triángulos esféricos, muchas de las cuales ya eran conocidas; había sido investigada al mismo tiempo que la astronomía se convirtió en matemática, en los triángulos esféricos, muchas de las cuales ya eran conocidas; había sido investigada al mismo tiempo que la astronomía se convirtió en matemática, en los tiempos posteriores a los Pitagóricos. Los Phaenomena, de Euclides, basados asimismo en un antiguo trabajo, contienen algo de geometría esférica. Muchos de sus teoremas pretendían tratar sobre el movimiento aparente de las estrellas. Teodosio (sobre el 20 a. C.) recopiló los conocimientos aprovechables de entonces en su Sphericae, pero su trabajo no era numérico y por tanto no sería de utilidad para abordar el problema fundamental de la astronomía griega, es decir, medir el tiempo durante la noche mediante la observación de las estrellas.
El fundador de la trigonometría es Hiparco, que vivió en Rodas y Alejandría y murió alrededor del año 125 a. C. Conocemos muy poco acerca de él. La mayor parte de lo que conocemos proviene de Ptolomeo, que atribuye a Hiparco muchas ideas de trigonometría y astronomía. Le debemos a él varias observaciones astronómicas y descubrimientos, la teoría astronómica con mayor influencia en la antigüedad (cap. 7, sec. 4), y trabajos sobre geografía. De todos los trabajos de Hiparco solamente se ha conservado su Comentario sobre los Phaenomena de Eudoxo y Aratus. Gémino de Rodas escribió una introducción a la astronomía, que poseemos, y que contiene una descripción del trabajo de Hiparco sobre el Sol.
El método de Hiparco de aproximarse a la trigonometría, como lo describió y utilizó Ptolomeo, es el siguiente. La circunferencia de un círculo se divide en 360°, tal como hizo por primera vez Hypsicles de Alejandría (sobre el 150 a. C.) en su libro Sobre la Salida de los Astros y por los babilonios de los últimos siglos antes de Jesucristo, y un diámetro se divide en 120 partes. Cada parte de la circunferencia y del diámetro se divide a su vez en 60 partes y cada una de ellas en otras 60, conforme al sistema babilónico de fracciones sexagesimales. Entonces, para un arco dado AB de un determinado número de grados, Hiparco — en un libro, perdido actualmente, sobre cuerdas en un círculo— da el número de unidades en la cuerda correspondiente AB. El método de cálculo de estas unidades será descrito en la exposición del trabajo de Ptolomeo, que presenta de manera combinada sus pensamientos y resultados.
El número de unidades de la cuerda correspondiente a un arco de un determinado número de grados equivale a la función seno moderna.

Figura 5.11

La Sphaerica, existente en versión árabe, está en tres libros. En el primero, sobre geometría esférica, se encuentra el concepto de triángulo esférico, es decir, la figura formada por tres arcos de círculos máximos sobre una esfera, cada uno de ellos menor que una semicircunferencia. El objetivo del libro es probar teoremas para triángulos esféricos, análogos a los probados por Euclides para los triángulos planos. Así, la suma de dos lados de un triángulo esférico es mayor que el tercer lado y la suma de los ángulos de un triángulo es mayor que dos ángulos rectos. Lados iguales abarcan ángulos iguales. Entonces Menelao demuestra el teorema, que no tiene análogo en los triángulos planos, según el cual si los ángulos de un triángulo esférico coinciden con los de otro, los dos triángulos son congruentes. Da también otros teoremas de congruencia y teoremas sobre triángulos isósceles.
El segundo libro de la Sphaerica de Menelao trata fundamental mente de astronomía y sólo indirectamente se refiere a la geometría esférica.

Figura 5.12
sen P1A × sen P2B × sen P3C = sen P1C × sen P2A × sen P3B.
La demostración de este teorema se apoya sobre el teorema correspondiente para triángulos planos, llamado también teorema de Menelao. Para triángulos planos el teorema establece (fig. 5.13) queP1A × P2B × P3C = P1C × P2A × P3B.
Menelao no demuestra el teorema plano. Se puede concluir que ya era conocido o tal vez que Menelao lo había probado en un escrito anterior.
Figura 5.13



Figura 5.14
El desarrollo de la trigonometría griega y sus aplicaciones a la astronomía tuvieron su culminación en los trabajos del egipcio Claudio Ptolomeo (muerto el 168 a. C.), que era miembro de la familia real de matemáticos aunque no era de la casa real de Egipto. Ptolomeo vivió en Alejandría y trabajó en el Museo.
En su Sintaxis Matemática o Colección Matemática (el trabajo fue titulado por los árabes como Megale Syntaxis, Megiste y finalmente Almagesto), Ptolomeo continúa y completa los trabajos de Hiparco y Menelao en trigonometría y astronomía. La trigonometría y la astronomía están mezcladas en los trece libros del Almagesto, si bien el libro I trata con amplitud sobre trigonometría esférica y los restantes se dedican principalmente a la astronomía, de la que hablaremos en el capítulo 7.
El Almagesto de Ptolomeo es esencialmente matemático, salvo en los lugares en que utiliza la física aristotélica para refutar la hipótesis heliocéntrica, sugerida por Aristarco. Afirma que, debido a que solamente el conocimiento matemático, abordado interrogativamente, dará a sus practicantes un conocimiento fiable, había decidido cultivar tanto como le fuera posible esta disciplina teórica. Ptolomeo dice también que desea fundamentar su astronomía «sobre los caminos incontrovertibles de la aritmética y la geometría».
En el capítulo IX del libro I Ptolomeo comienza calculando las cuerdas de los arcos de un círculo, con lo que extendía los trabajos de Hiparco y Menelao. Como ya hemos observado, la circunferencia se divide en 360 partes o unidades (no usa la palabra «grado») y el diámetro en 120 unidades; propone entonces, dado un arco que contenga un determinado número de las 360 unidades, encontrar la longitud de la cuerda expresada en términos del número de unidades que contiene todo el diámetro, es decir, 120 unidades.

Figura 5.15
EB2 = ED2 + BD2,
EB2 = 4500
yEB = 67 4'55"
(lo que representa 67 + 4/60 + 55/602 unidades). Ahora, EF = EB por lo que podemos conocer EF. Entonces FD = EF - DE = 67 4'55" - 30 = 37 4'55". Como FD es igual que el lado del decágono, es la cuerda de un arco de 36°. Luego conocemos la cuerda de este arco. Utilizando FD y el triángulo rectángulo FDB, podemos calcular BF: es igual a 70 32'3". Pero BF es el lado del pentágono, por lo que se tiene la cuerda del arco de 72°.Naturalmente, para el lado de un hexágono regular, como coincide con el radio, se tiene evidentemente que la cuerda de longitud 60 pertenece al arco de longitud 60. Asimismo, como el lado del cuadra do inscrito se puede calcular de manera inmediata a partir del radio, se tiene la cuerda de 90°, que es 84 51'10". Además, puesto que el lado del triángulo equilátero inscrito puede calcularse también de manera inmediata a partir del radio, se obtiene que la cuerda de 120° es 103 55'23".

Figura 5.16
La relación que se ha establecido aquí es equivalente a sen2A + cos2A = 1, donde A es un ángulo agudo arbitrario. Esto puede verse como sigue: Ptolomeo ha probado que si S es un arco menor de 180° entonces
(cuerda S)2 + [cuerda (180 - S)]2 = 1202,
pero por la relación (9) anterior(cuerda S)2 = 1202 sen2S/2
Luego se tiene



Figuras 5.17 y 5.18
Prueba a continuación cómo, dada una cuerda cualquiera en un círculo, se puede calcular la cuerda del arco mitad de la cuerda dada. En términos modernos esto representa calcular sen A/2 a partir de sen A. Este resultado es potente, como afirma Ptolomeo, ya que podemos comenzar con un arco cuya cuerda es conocida y calcular las cuerdas de sus sucesivas mitades. Prueba también que si se conocen las cuerdas de dos arcos AB y BC se puede calcular la cuerda del arco AC. Esto representa, en nuestro lenguaje actual, la fórmula de sen (A + B). Como caso particular, se puede determinar, en términos modernos, sen 2A a partir de sen A.
Como Ptolomeo puede calcular la cuerda de 3/4° a partir de la cuerda de 12° mediante divisiones sucesivas en mitades, puede añadir este arco de 3/4° o restarlo de cualquier arco de cuerda conocida, y en virtud de los teoremas anteriores, puede calcular la cuerda de la suma o la diferencia de dos arcos. Por lo tanto, está en disposición de obtener las cuerdas de todos los arcos a intervalos de 3/4°. Sin embargo, desea obtener las cuerdas de arcos con saltos de 1/2°, lo que se dispone a hacer recurriendo a razonar con desigualdades. El resultado aproximado es que la cuerda de 1/2° es 0 31'25".
Está ahora en disposición de construir una tabla de las cuerdas de arcos, para arcos que difieren entre sí 1/2º, desde 0º hasta 180°. Esta es la primera tabla trigonométrica.
Pasa entonces Ptolomeo (capítulo XI del libro I) a resolver problemas de astronomía, comenzando por encontrar arcos de círculos máximos sobre una esfera. Estos arcos son lados de triángulos esféricos, algunas de cuyas partes son conocidas bien por observación o mediante cálculos previos. Para determinar los arcos desconocidos, Ptolomeo prueba relaciones que son teoremas de trigonometría esférica, algunos de los cuales habían sido probados ya en el libro III de la Sphaerica de Menelao.

Figura 5.19
sen a = sen c sen A
tan a = sen b tan A
cos c = cos a cos b
tan b = tan c cos A.
Por supuesto, para Ptolomeo las distintas funciones trigonométricas son cuerdas de arcos. Para tratar triángulos oblicuángulos los descompone en triángulos esféricos rectángulos. No hay ninguna presentación sistemática de la trigonometría esférica; demuestra únicamente aquellos teoremas que necesita para resolver problemas astronómicos concretos.El Almagesto pone la trigonometría en su forma definitiva, que perdurará alrededor de mil años. Generalmente hablamos de esta trigonometría como esférica, pero la distinción entre trigonometría plana y esférica es muy difusa si se observa lo hecho por Ptolomeo. Ciertamente, Ptolomeo trabaja con triángulos esféricos pero, por haber calculado las cuerdas de arcos, ha puesto realmente las bases de la trigonometría plana. Pues, conociendo sen A y, por tanto, cos A para cualquier A comprendido entre 0º y 90°, se pueden resolver triángulos planos.
Observemos que la trigonometría fue creada para ser usada en astronomía, y como la trigonometría esférica era de mayor utilidad para este propósito, fue la primera en ser desarrollada. El uso de la trigonometría plana en mediciones indirectas y en agrimensura es ajeno a la matemática griega. Esto puede parecemos extraño, pero es históricamente incuestionable, ya que la astronomía era el mayor objetivo de los matemáticos griegos. Los agrimensores hacen su aparición en el período alejandrino; pero un matemático como Herón, que estuvo interesado en la agrimensura y habría sido capaz de desarrollar la trigonometría plana, se contentó con aplicar la geometría euclídea. Los agrimensores incultos no estaban en situación de crear la trigonometría necesaria.
7. La actividad geométrica tardía en Alejandría
La actividad matemática en general y geométrica en particular declinó en Alejandría aproximadamente a partir del comienzo de la era cristiana. Analizaremos las posibles razones del declive en el capítulo 8. Lo que sabemos acerca de los trabajos de geometría de la primitiva era cristiana viene de los principales comentaristas Pappus, Teón de Alejandría (fin del siglo IV d. C.) y Proclo.
En conjunto, muy pocos teoremas originales se descubrieron en este período. Los geómetras dan la impresión de haberse ocupado principalmente del estudio y comprensión de los trabajos de los grandes matemáticos que les precedieron. Completaron demostraciones que los autores originales habían omitido, bien porque las habían considerado suficientemente sencillas para dejarlas a los lectores, bien porque fueron dadas en tratados que se habían perdido. Estas demostraciones recibieron el nombre de lemas, en un antiguo uso de la palabra.
Tanto Teón como Pappus informan acerca de Zenodoro, que vivió en algún momento entre el 200 a. C. y el 100 d. C. Al parecer, Zenodoro escribió un libro sobre figuras isoperimétricas, es decir, figuras con el mismo perímetro y en él probó los teoremas siguientes:
- Entre los polígonos de n lados con el mismo perímetro, el polígono regular es el que tiene mayor área.
- Entre los polígonos regulares con igual perímetro, el que tiene más lados tiene mayor área.
- El círculo tiene mayor área que un polígono regular del mismo perímetro.
- De todos los sólidos con la misma superficie, la esfera tiene el mayor volumen.
Al final del período alejandrino, las aportaciones de Pappus a la geometría aparecen como una especie de contrapunto. Los ocho libros de su Colección Matemática contienen algún material original. El nuevo trabajo de Pappus no fue de primer orden, pero algo del mismo merece ser tenido en cuenta.
El libro V da las demostraciones, resultados y extensiones de los trabajos de Zenodoro relativos a las áreas limitadas por curvas con el mismo perímetro. Pappus añade el teorema por el cual de todos los segmentos de un círculo que tienen el mismo perímetro, el semicírculo tiene mayor área. Prueba también que la esfera tiene mayor volumen que cualquier cono, cilindro o poliedro regular con la misma área de su superficie.

Figura 5.20


Figura 5.21

La proposición 131 del libro VII equivale a la afirmación de que la diagonal de cualquier cuadrilátero queda cortada armónicamente por la otra diagonal y por la línea que une los puntos de intersección de los pares de lados opuestos. Así, ABCD es un cuadrilátero (fig. 5.22); CA es una diagonal; CA queda cortada por la otra diagonal BD y por FH, que une la intersección de AD y BC con la intersección de AB y CD.

Figura 5.22

Figura 5.23
Uno de los últimos lemas, la proposición 238, establece una propiedad fundamental de las secciones cónicas: el lugar geométrico de todos los puntos cuyas distancias desde un punto fijo (foco) y desde una línea fija (directriz) están en razón constante es una sección cónica. Esta propiedad fundamental de las cónicas no aparece en el libro de Apolonio Secciones Cónicas, pero, como ya hemos observado en el capítulo precedente, era probablemente conocida por Euclides.
En la introducción del libro VII, Pappus se apoya en la afirmación de Apolonio de que su método capacita para hallar el lugar geométrico de los puntos tales que el producto de sus distancias a dos líneas es igual al producto de sus distancias a otras dos líneas por una constan te. Pappus sabe —-pero, sin embargo, no demuestra— que el lugar es una cónica. Apunta también que el problema se puede generalizar a cinco, seis o más rectas. Hablaremos de nuevo de esta cuestión en conexión con los trabajos de Descartes.
El libro VIII es de especial importancia puesto que está dedicado esencialmente a la mecánica, la cual, conforme a los puntos de vista alejandrinos, se contempla como una parte de la matemática. En efecto, Pappus prologa el libro planteando esta cuestión. Cita a Arquímedes, Herón y otras figuras menos conocidas como las figuras de la mecánica matemática. El centro de gravedad de un cuerpo se define como el punto interior del mismo (no ha de ser necesariamente interior) tal que si el cuerpo se suspende desde el mismo, permanece en su posición inicial. Explica entonces procedimientos para la determinación del punto. Trata también sobre el movimiento de un cuerpo a lo largo de un plano inclinado y aborda la cuestión de comparar la fuerza requerida para deslizar un cuerpo por un plano horizontal con la que se necesita para hacerlo en un plano inclinado.
El libro VII contiene también un famoso teorema llamado a veces teorema de Pappus y a veces teorema de Guldin, debido a que Paul Guldin (1577-1643) lo redescubrió de forma independiente. El teorema afirma que el volumen generado por la rotación completa de una curva cerrada plana totalmente situada a un lado del eje de rotación es igual al área limitada por la curva multiplicada por la circunferencia del círculo que pasa por el centro de gravedad. El resultado es muy general y Pappus era consciente de ello. No da una demostración del teorema y es muy posible que tanto el teorema como su demostración se conocieran con anterioridad a su tiempo.
En lo que se refiere a la geometría, el período alejandrino finaliza con los trabajos de varios comentaristas. Teón de Alejandría escribió un comentario sobre el Almagesto de Ptolomeo y nuevas ediciones de los Elementos y la Optica de Euclides. Su hija Elypatia (fallecida el 415), estudiante de matemáticas, escribió comentarios sobre Diofanto y Apolonio.
Proclo Diadoco, que hemos citado a menudo, escribió un comen tario sobre el libro I de los Elementos de Euclides. Este comentario es importante porque Proclo había tenido acceso a trabajos ahora perdidos, incluyendo la Historia de la Geometría de Eudemo y el libro de Gémino que probablemente se titulaba la Doctrina o la Teoría de la Matemática.
Proclo recibió su educación en Alejandría y posteriormente se desplazó a Atenas, donde se convirtió en la cabeza de la Academia de Platón. Fue un avanzado neo-platónico y escribió varios libros sobre los trabajos de Platón y en general sobre filosofía; la poética ocupaba su interés tanto como la matemática. Igual que Platón, creía que la matemática era sierva de la filosofía. Es propedéutico, porque quiere limpiar los ojos del alma, eliminando los obstáculos que colocan los sentidos en el camino de los conocimientos universales.
Hubo otro lado no matemático de Proclo, que aceptó varios mitos y misterios religiosos y fue un devoto adorador de las divinidades griegas y orientales. Rechazó la teoría ptolemaica porque un caldeo «en quien no está permitido no creer» pensaba de manera distinta. Hay que decir que Proclo tuvo la suerte de que los oráculos caldeos no contradecían ni negaban a Euclides.
Entre otros comentaristas, citaremos unos pocos. Simplicio, un comentarista de Aristóteles, estudió en Alejandría y en la Academia de Platón, y se desplazó a Persia cuando Justiniano cerró la Academia el año 529. Reprodujo material de la Historia de Eudemo, incluyendo un largo resumen del intento de Antifón sobre la cuadratura del círculo y sobre la cuadratura de lúnulas de Hipócrates. Isidoro de Mileto (siglo VI), que al parecer tuvo una escuela en Constantinopla (que se había convertido en la capital del Imperio Romano Oriental y el centro de alguna actividad matemática) escribió comentarios y puede haber escrito una parte del decimoquinto libro de los Elementos de Euclides. Eutocio (siglo VI d. C.), probablemente discípulo de Isidoro, escribió un comentario sobre los trabajos de Arquímedes.
Bibliografía
- Aaboe, Asger: Episodes from the Early History of Mathematics, Random House, 1964, caps. 3-4.
- Ball, W. W. R.: A Short Account of the History of Mathematics, Dover (reimpresión), 1960, caps. 4-6.
- Cajori, Florian: A History of Mathematics, Macmillan, 1919, pp. 29-52.
- Dijsterhuis, E. J.:Archimedes (Traducción Inglesa), Ejnar Munksgaard, 1956.
- Heath, Thomas L.: A History of Greek Mathematics, Oxford University Press, 1921, vol. 2, caps. 13, 15, 17-19, 21. —: The Works of Archimedes, Dover (reimpresión), 1953.
- Pappus de Alejandría: La Collection Mathématique, ed. Paul Ver Eecke, 2 vols., Albert Blanchard, 1933.
- Parsoris, Edward Alexander: The Alexandrian Library, The Elsevier Press, 1952.
- Sarton, George: A History of Science, Harvard University Press, 1959, vol. 2, caps. 1-3, 5, 18.
- Scott, J. F.: A History of Mathematics, Taylor and Francis, 1958, caps. 3-4.
- Smith, David Eugene: History of mathematics, Dover (reimpresión), 1958, vol. 1, cap. 4; vol. 2, caps. 8 y 10.
- Van der Waerden, B. L.: Science Awakening, P. Noordhoff, 1954, caps. 7-8.
Capítulo 6
El periodo alejandrino: el resurgir de la aritmética y el algebra
Dondequiera que haya un número está la belleza.
Proclo
Contenido:1. Los símbolos y operaciones de la aritmética griega1. Los símbolos y operaciones de la aritmética griega
2. Crecimiento independiente de la aritmética y el álgebra
Bibliografía
Volvamos por un momento a analizar las características de la aritmética en el período clásico. Los griegos clásicos llamaban logística al arte del cálculo; reservaban la palabra aritmética a la teoría de números. Los matemáticos clásicos desdeñaron la logística debido a que se refería a los cálculos prácticos que se necesitaban en la industria y el comercio. Sin embargo, nosotros consideraremos tanto la logística como la aritmética para ver lo que los griegos alejandrinos tenían a su disposición.
El arte clásico griego de escribir y trabajar con números no continúa en el lugar en que lo dejaron los babilonios. Parece que en logística los griegos se adaptaron a sus verdaderos orígenes. Los numerales arcaicos griegos encontrados en Creta anteceden al período clásico en aproximadamente quinientos años. No hay hechos notables en este esquema, solamente los símbolos concretos de los números 1, 2, 3, 4, 10, 200, 1000 y así sucesivamente. Muy al principio de la era clásica los griegos introdujeron otros símbolos especiales para los números y usaron algún tipo de ábaco para los cálculos. Posteriormente, alrededor del 500 a. C. usaron el sistema ático, del cual la noticia más antigua que se tiene es una inscripción del año 450 a. C. El sistema ático usa palos para los números del 1 al 4; Π, la primera letra de penta, para el cinco, y más tarde se usó Г para designar el 5; Δ, de deka, era el 10; H, de hekaton, representaba el 100; X, de chilioi, el 1000; y M, de myrioi, representaba el 10.000. Los números intermedios se representaban mediante combinaciones de estos símbolos especiales. Así Γ| = 6; ΓΔ = 50; ΓH = 5000; ΔΓ||| = 18.
No obstante, nadie sabe cómo escribían los números los primeros matemáticos clásicos —por ejemplo, los Pitagóricos—. Podían haber usado piedras para calcular, pues la palabra «cálculo» significa «piedra». El significado original en griego de «ábaco» era «arena», lo que sugiere que antes de la introducción de los ábacos, y probablemente más tarde dibujaban los números como marcas en la arena. En los trescientos años que van de Tales a Euclides los matemáticos no prestaron atención al cálculo, y este arte no progresó en absoluto. Es significativo que los libros no nos hablen de la práctica de la aritmética.
Por alguna razón desconocida, los griegos clásicos cambiaron su forma de escribir los números por el sistema jónico o el alejandrino, que usan letras del alfabeto. Este sistema alfabético era el más corriente entre los matemáticos greco-alejandrinos y se encuentra en particular en el Almagesto de Ptolomeo. Se usó también en la antigua Siria y en Israel.
Los detalles del sistema griego son como sigue:

Los símbolos para el 6, 90 y 900 y el símbolo M del sistema ático no estaban en el alfabeto griego corriente de entonces; los tres primeros, llamados ahora stigma (o digamma), koppa y sampi, pertenecían a un antiguo alfabeto que los griegos habían tomado de los fenicios (quienes, no obstante, no utilizaban letras para designar números). El hecho de que se usaran estas letras antiguas hace pensar que este sistema de escritura de los números data de aproximadamente el 800 a. C. y probablemente procede de Mileto, en Asia Menor.
Para números mayores de 1000, el alfabeto se repetía, pero se colocaba una coma antes de la letra para evitar confusiones. Asimismo, se trazaban líneas horizontales sobre los números para distinguirlos de las palabras. Por ejemplo:
![]()
Los papiros griegos de la primera parte del período alejandrino (los tres primeros siglos a. C.) contienen símbolos para el cero tales como
![]()
El Arenario de Arquímedes presentaba un esquema para escribir números muy grandes. Intentaba demostrar que era capaz de escribir un número tan grande como los granos de arena del universo. Toma el mayor número expresado hasta entonces en numerales griegos, que es 108, una miríada de miríadas, y lo usa para comenzar una nueva serie de números que va hasta 108 × 108 ó 1016. Utiliza entonces 1016 para iniciar una nueva serie de números de 1016 hasta 1024, y así sucesivamente. A continuación hace una estimación del número de granos de arena del universo y demuestra que es menor que el mayor número que se puede expresar. Lo importante de este trabajo de Arquímedes no es un esquema práctico para escribir efectivamente cualquier número grande, sino la idea de que se pueden construir números grandes de manera indefinida. Apolonio tenía un esquema semejante.
Las operaciones aritméticas con los números enteros escritos y descritos antes eran semejantes a las nuestras. Así, para sumar, los griegos escribían los números uno debajo de otro para formar una columna de unidades, una de decenas, y así sucesivamente, sumando los números de cada columna y pasando de una columna a la siguiente. Estos métodos representaban un gran paso adelante si se comparan con los métodos egipcios. El último, sin embargo, fue utilizado también por los greco-alejandrinos.
Para las fracciones estaba el símbolo especial L" para 1/2. Así, (a veces con un acento)

ιγ' κθ" κθ" = 13/29
Diofanto escribía a menudo el denominador antes que el numerador.Se ha encontrado también el esquema egipcio para la escritura de fracciones cuyo numerador era mayor que 1 como una suma de fracciones unitarias. Así, Heron escribe 163/224 como
![]()
![]()
![]()
Las fracciones escritas tanto en el sistema griego como en el egipcio eran demasiado complicadas para los cálculos astronómicos, por lo que los astrónomos greco-alejandrinos adoptaron las fracciones sexagesimales babilonias. No se sabe con precisión cuándo comenzó esta práctica, pero se utiliza ya en el Almagesto de Ptolomeo. Así, cuando Ptolomeo escribe 31 25 quiere expresar
![]()
Como se deduce de la discusión anterior, los alejandrinos usaron las fracciones como números en su verdadero sentido, mientras que los matemáticos del período clásico hablaban solamente de una razón entre números enteros y no como partes de un todo, y las razones se utilizaban exclusivamente en las proporciones. Sin embargo, las fracciones genuinas, es decir, fracciones como entes con su verdadero significado, se usaron en el comercio incluso durante el período clásico. Durante el período alejandrino, Arquímedes, Herón, Diofanto y otros se sirvieron de las fracciones con entera libertad y efectuaron operaciones con ellas. Pese a todo, por lo que se puede saber, no trataron el concepto de fracción, al parecer debido a que es suficientemente claro desde el punto de vista intuitivo para que puedan ser aceptadas y utilizadas.
La raíz cuadrada como operación, aunque fue considerada en la Grecia clásica, pasó realmente desapercibida. Existen indicaciones en los escritos de Platón de que los pitagóricos aproximaban √2 sustituyendo 2 por 49/25 con lo que obtenían 7/5. Análogamente, Teodoro aproximó probablemente √3 tomando 49/16 en sustitución de 3, obteniendo 7/4. El número irracional como tal no tenía ningún lugar en la matemática de la Grecia clásica.
La siguiente información que tenemos acerca del manejo de raíces en Grecia procede de Arquímedes. En su Medida del Círculo aborda principalmente el cálculo de una buena aproximación de π, es decir, la razón de la circunferencia respecto al diámetro del círculo; en el transcurso del trabajo opera con números enteros grandes y con fracciones, y obtiene asimismo una excelente aproximación de √3, que es:
![]()
![]()
![]()
Herón aproximaba las raíces cuadradas con frecuencia mediante:
![]()
![]()
Al final de la era alejandrina el algoritmo de la raíz cuadrada utiliza, igual que nosotros, el principio de que (a + b)2 = a2 + 2ab + b2. Las aproximaciones sucesivas se obtienen por tanteo, teniendo cuidado siempre de que el cuadrado de la aproximación calculada sea menor que el número cuya raíz cuadrada se desea calcular. Al explicar el uso por parte de Ptolomeo de este procedimiento, Teón apunta que se utiliza una figura geométrica para ayudarse en la elección; esta figura es la que utiliza Euclides en la proposición 4 del libro II de los Elementos y es el camino geométrico de expresar (a + b)2. Así, Ptolomeo da
![]()
2. Crecimiento independiente de la aritmética y el álgebra
Hemos estado revisando los métodos para hacer aritmética empleados por los griegos en los dos períodos, pero más especialmente en el período alejandrino cuando la geometría y la trigonometría se convirtieron en materias de carácter cuantitativo. Pero el principal asunto a que se dedica este capítulo es el nacimiento de la aritmética y el álgebra como materias independientes de la geometría. Los trabajos aritméticos de Arquímedes, Apolonio y Ptolomeo fueron un paso en esta dirección, aunque usaron la aritmética para calcular cantidades geométricas. Se puede llegar a la conclusión de que los números estaban destinados a ello, debido a que representaban magnitudes geométricas y la lógica de las operaciones estaba garantizada por el álgebra geométrica. Pero no hay duda de que Herón, Nicómaco (sobre el 100), que fue probablemente un árabe de Gerasa en Judea, y Diofanto (sobre el 250), un griego de Alejandría, trataron los problemas aritméticos y algebraicos por sí mismos y no en dependencia de la geometría, ya sea como motivación, ya como auxiliar de la lógica.
Más significativo que el trabajo de Herón de calcular raíces cuadradas y cúbicas es el hecho de que formuló y resolvió problemas algebraicos mediante procedimientos aritméticos puros. No usaba símbolos especiales; la narración es verbal. Por ejemplo, trata el siguiente problema: dado un cuadrado tal que la suma de su área y su perímetro es 896 pies, determinar su lado. El problema, con nuestra notación, consiste en calcular x de manera que verifique x2 + 4x = 896. Herón completa el cuadrado sumando 4 a cada miembro y tomando la raíz cuadrada. No demuestra nada, sino que simplemente describe las operaciones a realizar. Hay varios problemas de este tipo en sus trabajos. Evidentemente, éste es el viejo estilo egipcio y babilonio de presentación, y no hay ninguna duda que Herón recogió mucho material de los antiguos textos egipcios y babilonios. Allí, recordémoslo, el álgebra era independiente de la geometría y, como en el caso de Herón, una prolongación de la aritmética.
En su Geométrica, Herón habla de sumar un área, una circunferencia y un diámetro. Cuando usa estas palabras quiere decir, por supuesto, que lo que quiere es sumar sus valores numéricos. Del mismo modo, cuando dice que multiplica un cuadrado por un cuadrado, quiere expresar que lo que está calculando es el producto de los valores numéricos respectivos. Herón tradujo también gran parte del álgebra geométrica de los griegos a procesos aritméticos y algebraicos.
Este trabajo de Herón (así como el uso que hace de las fórmulas egipcias de aproximación de áreas y volúmenes) se considera a veces como el principio del declive de la geometría griega. Es más correcto contemplarlo como una mejora helénica de las matemáticas babilonias y egipcias. Cuando Herón suma áreas y segmentos lineales, no está aplicando incorrectamente la geometría clásica griega sino que simplemente está continuando la práctica de los babilonios para quienes área y longitud eran exclusivamente palabras para ciertas incógnitas aritméticas.
Más notable desde el punto de vista del resurgimiento de una aritmética independiente es el trabajo de Nicómaco, que escribió la Introductio Arithmetica en dos tomos. Fue el primer libro de importancia en el que la aritmética (en el sentido de la teoría de números) estaba tratada con independencia absoluta de la geometría. Desde el punto de vista histórico, su importancia para la aritmética es comparable a la de los Elementos de Euclides para la geometría. Este libro no sólo fue estudiado, tomado como referencia y copiado por docenas de autores posteriores, sino que se reconoce como inspirador de varios libros por otros autores del mismo período, con lo que refleja el interés de la época. Los números representaban cantidades de objetos y dejaron ya de ser considerados como longitudes de líneas, como en Euclides. Nicómaco utiliza siempre palabras, mientras que Euclides emplea una letra, como A, o dos letras tales como BC —refiriéndose en el segundo caso a un segmento lineal— al hablar de números. Luego el lenguaje de Nicómaco es más torpe. Considera sólo números enteros y razones de números enteros.
Nicómaco era un pitagórico, y pese a que la tradición pitagórica no había muerto, la reanimó. De las cuatro materias destacadas por Platón — aritmética, geometría, música y astronomía— Nicómaco afirma que la aritmética es la madre de las demás. Esto es lo que mantiene:
no solamente porque decimos que existía antes que las demás en la mente del Dios creador como algún plan universal y ejemplar, confiando en ella como un diseño y arquetipo, el creador del universo puso en orden sus creaciones materiales y las hizo de acuerdo con sus propios fines; sino también porque es por su naturaleza anterior en su nacimiento...La aritmética, continúa, es esencial para las demás ciencias ya que éstas no existirían sin ella. Sin embargo, si las demás ciencias fueran abolidas, la aritmética seguiría existiendo.
La esencia de la Introductio está en los trabajos aritméticos de los primeros pitagóricos. Nicómaco considera números pares e impares, cuadrados, rectangulares y poligonales. Estudia también números primos y compuestos y números paralelepipédicos (de la forma n2(n + 1) y define muchos más tipos. Da la tabla de multiplicar para números comprendidos entre el 1 y el 9 precisamente como la aprendemos nosotros.
Nicómaco repite varios enunciados pitagóricos, como que la suma de dos números triangulares consecutivos es un cuadrado perfecto y recíprocamente. Va más allá que los pitagóricos al ver, aunque sin probarlas, relaciones de tipo general. Así, afirma, el (n - l)-ésimo número triangular sumado con el número k-gonal n-ésimo da el número (k + l)-gonal n-ésimo. Por ejemplo, el (n - l)-ésimo número triangular sumado al número cuadrado n-ésimo da el n-ésimo número pentagonal. Con nuestra notación
![]()
Descubrió la siguiente proposición: si escribimos los números impares:
1, 3, 5, 7, 9, 11, 13, 15, 17,...
entonces el primero es el cubo de 1; la suma de los dos siguientes, el cubo de 2; la suma de los tres siguientes, el cubo de 3, y así sucesivamente. Hay otras proposiciones sobre progresiones.Nicómaco da cuatro números perfectos, 6, 28, 496 y 8128 y repite la fórmula de Euclides para los mismos. Clasifica todo tipo de razones, incluidas m + 1 : m, 2m + n : m + n, y mn + 1 : n y les da nombre. Estas fueron muy importantes en música.
Estudia también la proporción, la cual, dice, es muy necesaria para «las ciencias naturales, la música, la trigonometría esférica y la planimetría, y en especial para el estudio de la matemática antigua». Da diversos tipos de proporciones, entre ellas la proporción musical
![]()
Nicómaco utiliza siempre números concretos para discutir las distintas categorías y proporciones. Los ejemplos ilustran y explican sus afirmaciones, pero no hay ningún apoyo tras los ejemplos para las afirmaciones generales. No utiliza el método deductivo de demostración.
La Introductio tuvo valor porque es una presentación sistemática, ordenada, clara y amplia de la aritmética de los enteros y las razones de enteros, liberada de la geometría. No era original en cuanto a las ideas pero fue una recopilación de gran utilidad. Incorporaba propiedades especulativas, estéticas, místicas y morales de los números, pero ninguna aplicación práctica. La Introductio fue el texto habitual de aritmética durante mil años. En Alejandría, a partir de la época de Nicómaco, la aritmética se convirtió en el tema de estudio favorito, por encima de la geometría.
En este tiempo, también el álgebra toma la delantera. Aparecen libros de problemas resueltos mediante técnicas algebraicas. Algunos de estos problemas eran exactamente los que aparecían en los textos babilonios del 2000 a. C. o en el papiro Rhind. Estos trabajos griegos sobre álgebra fueron escritos en forma literaria y no se usa ningún simbolismo, ni tampoco se da ninguna demostración de los métodos empleados. A partir de la época de Nicómaco, los problemas que conducían a ecuaciones tenían la forma común de un rompecabezas. Entre cincuenta y sesenta de los mismos se conservan en el Códice Palatino de Epigramas Griegos (siglo X). Treinta de ellos como mínimo se atribuyen a Metrodoro (sobre el 500 d. C.), pero seguramente son más antiguos. Uno es el problema del ganado de Arquímedes, según el cual hay que calcular el número de bueyes y vacas de colores distintos conforme a la información dada. Otro se debe a Euclides e involucra a una muía y un asno que transportan grano. Otro se refiere al tiempo que deben emplear unas cañerías para llenar una cisterna. Había problemas de edades, tal como aparecen en nuestros textos de álgebra.
El punto culminante del álgebra greco-alejandrina se alcanza con Diofanto. No sabemos casi nada acerca de sus orígenes y de su vida; probablemente fue griego. Un problema algebraico hallado en una colección griega da los siguientes hechos acerca de su vida: su infancia duró 1/6 de su vida; su adolescencia, hasta 1/12 más; se casó tras 1/7 más, y su hijo nació 5 años después. El hijo vivió la mitad de la edad de su padre y éste murió 4 años después que el hijo. El problema es determinar cuánto vivió Diofanto. La respuesta se calcula con facilidad y resulta ser 84. Su trabajo destaca por encima del de sus contemporáneos; por desgracia, apareció demasiado tarde para tener una gran influencia en su tiempo, ya que una corriente de destrucción estaba engullendo toda la civilización.
Diofanto escribió varios libros que se han perdido en su totalidad. Se conoce parte de un tratado Sobre los Números Poligonales en el que establece y demuestra teoremas pertenecientes a los libros VII, VIII y IX de los Elementos con el método deductivo; sin embargo, los teoremas no son muy importantes. Su gran trabajo es la Arithmetica, la cual, dice Diofanto, comprende trece libros. Nosotros tenemos seis, procedentes de un manuscrito del siglo XIII que es una copia griega de otro más antiguo y de versiones posteriores.
La Arithmetica, como el papiro Rhind, es una colección de problemas independientes. La dedicatoria señala que fue escrito como una serie de ejercicios para ayudar a uno de sus estudiantes a aprender la materia. Uno de los hitos más importantes de Diofanto es la introducción del simbolismo en el álgebra. Debido a que no estamos en posesión del manuscrito escrito por él, sino de otro muy posterior, no conocemos los símbolos con exactitud. Se cree que el símbolo que usaba para la indeterminada era ς, que jugaba el papel de nuestra x. Esta ς puede haber sido la misma letra que la griega σ escrita al final de una palabra, como en αριτημος (arithmos) y pudo haber sido elegida a causa de que no representaba ningún número en el sistema griego de servirse de letras para designar números. Diofanto llamó a la incógnita «el número del problema». Nuestra x2 la escribe Diofanto como ΔY, la Δ por ser la primera letra de δύναμις (dynamis, «potencia»), x3 es KY; la K de κύbος (cubos). x4 es ΔYΔ; x5 es ΔKY; x6 es KYK. En este sistema KY no es exactamente el cubo de ς como x3 lo es de x. Para Diofanto, ςχ = 1/x. Usa también nombres para estas potencias, por ejemplo número para x, cuadrado para x2, cubo para x3, cuadrado- cadrado (dynamodynamis) para x4, cuadrado-cubo para x5 y cubo- cubo para x6 [15].
La aparición de este simbolismo es evidentemente notable, pero el uso de potencias superiores a tres es todavía más extraordinario. Los griegos clásicos no podían ni querían considerar productos de más de tres factores ya que tal producto no tenía ningún significado geométrico. En una base puramente aritmética, no obstante, tales productos tienen un significado; y ésta es precisamente la idea adoptada por Diofanto.
Diofanto indica la adición poniendo los términos uno a continuación de otro. Así
![]()
La Ṁ es un símbolo para la unidad e indica que a continuación va un número puro que no contiene la indeterminada. De nuevo
![]()
Para la sustracción emplea el símbolo /|\. Así, para indicar x6 - 5x4 + x2 - 3x - 2 escribe:
![]()
Diofanto redacta sus soluciones en un texto continuo, de la misma manera que nosotros escribimos prosa. Su ejecución de las operaciones es completamente aritmética; es decir, no hay ninguna llamada a la geometría para ilustrar o justificar sus afirmaciones. Así (x - l)(x - 2) se interpreta algebraicamente, igual que lo hacemos nosotros. Aplica también identidades algebraicas tales como

El primer libro de la Arithmetica consiste fundamentalmente en problemas que conducen a la determinación de ecuaciones de primer grado con una o más incógnitas. Los cinco libros restantes tratan principalmente de ecuaciones indeterminadas de segundo grado. Pero esta separación no es estricta. En el caso de ecuaciones determinadas (es decir, ecuaciones con solución única) con más de una incógnita, emplea la información dada para eliminar todas las incógnitas menos una y, al final, termina con ecuaciones cuadráticas de la forma ax2 = b. Por ejemplo, el problema 27 del libro I dice: encontrar dos números tales que su suma sea 20 y su producto 96. Diofanto procede así: sea 20 la suma; 96, el producto, y 2x, la diferencia entre los números buscados. Luego, los números son 10 + x, 10 - x. Por tanto, 100 - x2 = 96. Entonces, x = 2 y los números buscados son 12 y 8.
La característica más sorprendente del álgebra de Diofanto es su solución de las ecuaciones indeterminadas. Tales ecuaciones habían sido consideradas con anterioridad, como por ejemplo en el trabajo pitagórico para las soluciones de x2 + y2 = z2, así como en el problema arquimediano del ganado, que conduce a siete ecuaciones con ocho incógnitas (más dos condiciones suplementarias), y en otros escritos curiosos. Diofanto, no obstante, trata las ecuaciones indeterminadas extensamente y es el creador de esta rama del álgebra llamada en la actualidad, efectivamente, análisis diofántico.
Resuelve ecuaciones lineales con dos incógnitas, como
x + y - 5 = 0
En estas ecuaciones da un valor a una indeterminada y resuelve la ecuación para un valor racional positivo de la otra. Reconoce que el valor asignado a la primera incógnita es estrictamente accidental. (En el análisis diofántico moderno solamente se calculan soluciones enteras.) Muy poco es lo hecho con este tipo de ecuación y el trabajo es apenas significativo puesto que las soluciones racionales positivas se calculan de golpe.Resuelve entonces ecuaciones cuadráticas, cuya forma más general es (en nuestra notación)
y2 = Ax2 + Bx + C (1)
Diofanto no escribe y2 pero dice que la expresión cuadrática debe ser igual a un número cuadrado (cuadrado de un número racional). Considera (1) para valores especiales de A, B y C y estudia estos tipos en casos separados. Por ejemplo, cuando no aparece C toma y = mx/n, dondem y n son números enteros concretos, obtieneAx2 + Bx = (m/n)2x2,
y entonces simplifica x y la resuelve. Cuando A y C no se anulan pero A = a2, supone y = ax - m. Si C = c2, pone y = (mx - c). En todos los casos m es un número determinado.Estudia también el caso de ecuaciones cuadráticas simultáneas, como
y2 = Ax2 + Bx + C (2)
z2 = Dx2 + Ex + F (3)
Aquí también considera solamente casos particulares, es decir, cuando A, B,..., F son números determinados o verifican condiciones especiales, y este método consiste en asignar a y y a z expresiones en términos de x, y a continuación resolver en x.De hecho, está resolviendo ecuaciones determinadas en una incógnita. Lo que ocurre, sin embargo, es que al elegir expresiones para y y z en (2) y (3) y para y en (1), está dando soluciones totalmente significativas y los valores asignados a y y z son arbitrarios.
Tiene también problemas en los que expresiones cúbicas y de mayor grado de x deben ser iguales a un número cuadrado, por ejemplo:
Ax3 + Bx2 + Cx + d2 = y2.
Aquí toma y = mx + d y fija m de manera que se anule el coeficiente de x. Como el término d2 se simplifica y puede dividir por x2 toda la ecuación, obtiene una ecuación de primer grado en x. Hay también casos especiales en que una expresión cuadrática en x es igual a y3. Reduce todas estas ecuaciones cuadráticas en x a los tiposax2 = bx
ax2 = b
ax2 + bx = c
ax2 + c = bx
ax2 = bx + c
y resuelve cada uno de ellos. Solamente resuelve una ecuación cúbica en x, de escasa importancia.Las ecuaciones anteriores muestran los tipos de problemas que resuelve Diofanto. El lenguaje real de los problemas se ilustra con los ejemplos siguientes:
Libro I, problema 8. Dividir un número cuadrado dado en dos cuadrados.
Aquí toma el 16 como el número cuadrado dado y obtiene 256/23 y 144/25. Este es el problema que generalizó Fermat y que da lugar a la afirmación de que la ecuación xm + ym = zm no es resoluble para m > 2.
Libro II, problema 9. Dividir un número dado que es la suma de dos cuadrados en la suma de otros cuadrados distintos de los anteriores. Toma 13 ó 4 + 9 como número dado y obtiene 324/25 y 1/25.
Libro III, problema 6. Encontrar tres números tales que su suma y la suma de dos cualesquiera de ellos sea un cuadrado perfecto. Diofanto da los tres números 80, 320 y 41.
Libro IV, problema 1. Dividir un número dado en dos cubos tales que la suma de sus lados es un número dado.
Con el número 370 y la suma de los lados igual a 10, encuentra el 43 y el 27. Los lados son las raíces cúbicas de los cubos.
Libro IV, problema 29. Expresar un número dado como la suma de cuatro cuadrados más la suma de sus lados.
Dado el número 12, halla 121/100, 49/100, 361/100 y 169/100 como los cuatro cuadrados; sus lados son las raíces cuadradas de cada cuadrado.
En el libro VI Diofanto resuelve varios problemas que hacen referencia a los lados (racionales) de un triángulo rectángulo. El uso del lenguaje geométrico es accidental, incluso cuando aparece el término área. Lo que busca son números racionales a, b y c tales que a2 + b2 = c2 y sujetos a alguna otra condición. Así, el primer problema es hallar un triángulo rectángulo (de lados racionales) tal que la hipotenusa menos cada uno de los catetos es un cubo. En este caso llega a obtener la solución entera 40, 96 y 104. Sin embargo, en general obtiene soluciones racionales.
Diofanto da muestras de una gran habilidad para reducir ecuaciones de los diferentes tipos a formas que pueda manejar. No sabemos cómo llegó a sus métodos. Como prescinde totalmente de la geometría, no es probable que se inspirara en los procedimientos empleados por Euclides para resolver ecuaciones cuadráticas. Además, Euclides no estudia problemas indeterminados, que, como tales, aparecen con Diofanto. Debido a que carecemos de información acerca de la continuidad del pensamiento en los finales del período alejandrino, no podemos hallar indicios de los trabajos de Diofanto en sus predecesores. Dentro de lo que se puede asegurar, sus trabajos en álgebra pura son notablemente distintos de trabajos precedentes.
Acepta solamente raíces racionales positivas e ignora cualesquiera otras. Incluso cuando una ecuación cuadrática tiene dos raíces positivas da solamente una, la mayor. Cuando al resolver una ecuación observa claramente que va a dar dos raíces negativas o imaginarias, la rechaza y dice que no es resoluble. En el caso de raíces irracionales, recompone sus pasos y prueba cómo modificando la ecuación se puede obtener otra con raíces racionales. Aquí Diofanto se aparta de Herón y Arquímedes. Herón era un agrimensor y las cantidades geométricas que buscaba podían ser irracionales, por lo que las aceptaba, aunque naturalmente las aproximaba para obtener valores útiles. Arquímedes buscaba también soluciones exactas, y cuando eran irracionales determinaba desigualdades para acotarlas. Diofanto es un algebrista puro, y como el álgebra de su tiempo no admitía los números irracionales, ni los negativos, ni los complejos, rechazaba las ecuaciones que tenían tales soluciones. Es, no obstante, digno de destacar que las fracciones, para Diofanto, eran números y no una razón entre dos números enteros.
No tenía ningún método general. Cada uno de los 189 problemas de la Arithmetica está resuelto por un procedimiento distinto. Hay más de 50 tipos diferentes de problemas, pero no se hace ningún intento de clasificarlos. Sus métodos son más cercanos a los de los babilonios que a los de sus antecesores griegos y hay indicios de influencias babilónicas, puesto que, en efecto, resuelve algunos problemas como lo hacían los babilonios. Sin embargo, no se ha probado la existencia de una conexión directa entre los trabajos de Diofanto y el álgebra babilonia. Sus adelantos en álgebra respecto de los babilonios consisten en la utilización del simbolismo y la resolución de ecuaciones indeterminadas. En ecuaciones determinadas no hizo mucho más que ellos, pero su Arithmetica se parecía a la logística, que Platón, entre otros, había proscrito de la matemática.
La variedad de métodos de Diofanto para cada uno de los problemas deslumbra más que deleita. Fue un virtuoso sagaz y clarividente pero en apariencia no profundizó lo suficiente en sus procedimientos para darles generalidad. (Es también cierto que el análisis diofántico es un conjunto de problemas independientes.) Al contrario de un investigador especulativo que busca ideas generales, Diofanto buscaba solamente soluciones correctas. Hay algunos resultados que podrían llamarse generales, como que ningún número primo de la forma 4n + 3 puede ser la suma de dos cuadrados. Euler atribuyó a Diofanto métodos generales del mismo que no parecían tales debido a que no tenía coeficientes literales, y otros creyeron que su material pertenecía a una ciencia abstracta y básica. Pero este punto de vista no fue compartido por todos. Sin embargo, sus trabajos, contemplados como un todo, son un monumento algebraico.
Un elemento de la matemática que es de gran importancia hoy en día, y que faltaba en el álgebra griega, es el uso de letras para representar una clase de números como, por ejemplo, los coeficientes de las ecuaciones. Aristóteles utilizó letras del alfabeto griego para indicar un tiempo arbitrario o una distancia cualquiera y en la discusión del movimiento empleaba frases tales como «la mitad de B».
Euclides, asimismo, usaba letras para designar clases de números en los libros VII a IX de los Elementos, una práctica continuada por Pappus. Sin embargo, no hubo ningún reconocimiento de la enorme contribución que podían aportar las letras para aumentar la efectividad y la generalidad de la metodología algebraica.
Otra característica del álgebra alejandrina es la ausencia de una estructura deductiva explícita. Los diferentes tipos de números —números enteros, fracciones e irracionales— no estaban realmente definidos. No existía ninguna base axiomática sobre la que se pudiera levantar una estructura deductiva. Los trabajos de Herón, Nicómaco y Diofanto, y de Arquímedes en lo que concierne a la aritmética, siguen la metodología de los textos egipcios y babilonios que dicen cómo hacer las cosas. Las demostraciones deductivas y ordenadas de Euclides y Apolonio, y de la geometría de Arquímedes, han sido olvidadas. Los problemas son inductivos en espíritu ya que muestran métodos para problemas concretos que presumiblemente pueden ser aplicados a clases generales cuya amplitud no se especifica. A la vista del hecho de que, como consecuencia de los trabajos de los matemáticos de la Grecia clásica, se admitían determinados resultados obtenidos deductivamente a partir de una base axiomática explícita, la aparición de una aritmética y un álgebra independientes sin ninguna estructura lógica de su edificio se convirtió en uno de los grandes problemas de la historia de la matemática. Este acercamiento a la aritmética y el álgebra es el indicio más claro de las influencias egipcias y babilonias en el mundo alejandrino. Pese a que los algebristas greco-alejandrinos no parecieron conscientes de estas deficiencias, veremos que iban a preocupar profundamente a los matemáticos europeos.
Bibliografía
- Ball, W. W. R.: A Short Account of the History of Mathematics, Dover (reimpresión), 1960, caps. 5 y 7.
- Cajori, Florian: A History of Mathematics, Macmillan, 1919, pp. 52-62.
- Heath, Thomas L.: Diophantus of Alexandria, Dover (reimpresión), 1964. —: The Works of Archimedes, Dover (reimpresión), 1953, caps. 4 y 6 de la introducción, pp. 91-98, 319-326. —: A History of Greek Mathematics, Oxford University Press, 1921, vol. 1, caps. 1-3; vol. 2, cap. 20. —: A Manual of Greek Mathematics, Dover (reimpresión), 1963, caps. 2-3 y 17
- D’Ooge, Martin Luther: Nichomachus of Gerasa, University of Michigan Press, 1938.
- Van der Waerden, B. L.: Science Awakening, P. Noordhoff, 1954, pp. 278-86.
Capítulo 7
La racionalización griega de la naturaleza
La matemática es la puerta y la llave de las ciencias.
Roger Bacon
Contenido:1. La inspiración de la matemática griega1. La inspiración de la matemática griega
2. Los comienzos de una visión racional de la naturaleza
3. El desarrollo de la creencia en una estructura matemática
4. La astronomía matemática griega
5. La Geografía
6. La Mecánica
7. La Óptica
8. La Astrología
Bibliografía
Desgraciadamente, salvo indicaciones ocasionales, los clásicos griegos, como los Elementos de Euclides, las Secciones Cónicas de Apolonio y los trabajos geométricos de Arquímedes, no dan ninguna explicación de por qué estos autores investigaron sus temas. Dan solamente la matemática formal y cuidadosamente deductiva. En este sentido, los textos griegos no presentan diferencias con los modernos manuales y tratados de matemáticas. Tales libros pretenden exclusivamente organizar y presentar los resultados matemáticos alcanzados y por ello omiten las motivaciones de la matemática, las pistas y sugerencias de los teoremas y las aplicaciones del conocimiento matemático.
Para comprender por qué los griegos crearon una matemática de gran vitalidad, se deben investigar sus objetivos. Lo que impulsó a los griegos a crear y apreciar la matemática fue el deseo urgente e irreprimible de comprender el mundo físico. La matemática era una parte importante de la investigación de la Naturaleza y la clave para la comprensión del Universo, pues las leyes matemáticas son la esencia de su diseño.
¿Qué pruebas tenemos de que éste fue el papel de la matemática? Resulta difícil demostrar que un teorema determinado o un conjunto de teoremas fueran creados para una finalidad concreta puesto que no tenemos información suficiente acerca de los matemáticos griegos. La afirmación directa de Ptolomeo de que creó la trigonometría para la astronomía es una excepción. Sin embargo, cuando se descubre que Eudoxo fue primordialmente un astrónomo y que Euclides no escribió solamente los Elementos sino también Phaenomena (un trabajo sobre la geometría de la esfera aplicado al movimiento de la esfera celeste), la Optica y Catóptrica, los Elementos de Música, y pequeños trabajos sobre mecánica, todos ellos matemáticos, no podemos por menos de concluir que las matemáticas fueron algo más que una disciplina aislada. Conociendo cómo funciona la mente humana, y conociendo con gran detalle cómo trabajaban hombres como Euler y Gauss, podemos estar seguros de que las investigaciones en astronomía, óptica y música sugirieron problemas matemáticos y es más que probable que la motivación para la matemática fuese su aplicación a estas otras áreas. Es asimismo relevante que la geometría de la esfera, conocida en Grecia como «sphaerica» fuera estudiada al mismo tiempo que la Astronomía se convertía en matemática, lo que ocurrió incluso antes de los tiempos de Eudoxo. La palabra «sphaerica» significaba «astronomía» para los pitagóricos.
Afortunadamente, las deducciones que podemos hacer a partir de los trabajos de los matemáticos, pese a ser bastante razonables, se establecen sin duda por la evidencia abrumadora de los escritos de los filósofos griegos, muchos de los cuales eran también eminentes matemáticos, y de los científicos griegos. Los límites de la matemática no eran propiamente matemáticos. En el período clásico, la matemática comprendía la aritmética, la geometría, la astronomía y la música, mientras que en el período alejandrino, como ya hemos observado en el capítulo 5, las secciones de las ciencias matemáticas eran aritmética (Teoría de Números), geometría, mecánica, astronomía, óptica, geodesia, canónica (armonía musical) y logística (aritmética aplicada).
2. Los comienzos de una visión racional de la naturaleza
Las civilizaciones que precedieron a la griega o las que eran contemporáneas de ella contemplaban la naturaleza como algo caótico, misterioso, caprichoso y terrorífico. Los acontecimientos de la naturaleza estaban manipulados por dioses. Sacerdotes y magos podían inducir a los dioses a ser bondadosos e incluso a realizar milagros, pero la vida de los hombres estaba completamente sometida a su antojo.
A partir de la época en que nuestro conocimiento de la civilización y cultura griegas comienza a ser razonablemente definido y concreto, es decir, alrededor del año 600 a. C., encontramos en los intelectuales una actitud completamente nueva frente a la naturaleza: racional, crítica y laica. La mitología fue rechazada, al creer que los dioses manipulaban al hombre y al mundo físico de acuerdo con sus caprichos. La nueva doctrina establece que la naturaleza es ordenada y funciona invariablemente conforme a un plan. Además, se tiene la absoluta convicción de que la mente humana es potente e incluso superior; el hombre no sólo puede aprender los caminos de la naturaleza, sino que incluso puede predecir los acontecimientos.
Es cierto que la aproximación racional fue asumida solamente por los intelectuales, un grupo pequeño tanto en el período clásico como en el alejandrino. Mientras estos hombres eran contrarios a la atribución de los acontecimientos a dioses y demonios y desafiaban los misterios y terrores de la naturaleza, el pueblo en general era profundamente religioso y creía que los dioses dominaban los sucesos. Aceptaban doctrinas místicas y supersticiones crédulamente igual que lo hacían egipcios y babilonios. De hecho, la mitología griega fue amplia y altamente desarrollada.
Los jonios comenzaron la tarea de determinar la naturaleza de realidad. No describiremos las teorías cualitativas de Tales, Anaxágoras y sus compañeros, cada uno de ellos centrado en una sustancia concreta inmutable a través de todos los cambios aparentes. La identidad subyacente de esta sustancia primera se conserva, pero todas las formas de la materia pueden explicarse en términos de ella. Esta filosofía natural de los jonios dio lugar a una serie de denodadas especulaciones, audaces conjeturas y brillantes intuiciones más bien que resultados de amplias y cuidadosas investigaciones científicas. Fueron quizá excesivamente ambiciosos queriendo ver la escena en su totalidad y dando el salto ingenuamente para sacar conclusiones. Pero ellos sustituyeron las viejas historias míticas por explicaciones materiales y objetivas de la estructura y el diseño del universo. Ofrecieron un acercamiento razonable en lugar de las narraciones imaginativas e ingenuas de los poetas y defendían sus afirmaciones con el uso de la razón. Al menos estos hombres se atrevieron a estudiar el universo con sus mentes y rechazaron la confianza en dioses, espíritus, fantasmas, demonios, ángeles y demás agentes míticos.
3. El desarrollo de la creencia en una estructura matemática
El paso decisivo para eliminar el misterio, el misticismo y la arbitrariedad de los trabajos sobre la naturaleza, y reducir la apariencia de caos a un modelo comprensible y ordenado fue la aplicación de la matemática. El primer grupo importante que presentó una filosofía racional y matemática de la naturaleza fue el de los pitagóricos. Sacaron alguna inspiración a partir del aspecto místico de la religión griega; sus doctrinas religiosas estaban centradas en la purificación del alma y su redención desde la corrupción y encierro del cuerpo. Sus componentes vivían con sencillez y estaban dedicados por entero al estudio de la filosofía, la ciencia y la matemática. Los nuevos miembros debían prometer el secreto, al menos en las creencias religiosas, y les exigían formar parte del grupo durante toda la vida. La comunidad estaba abierta tanto a los hombres como a las mujeres.
El pensamiento religioso de los pitagóricos era indudablemente místico, pero su filosofía natural era decididamente racional. Estaban sorprendidos por el hecho de que fenómenos que eran de muy diferente forma desde el punto de vista cualitativo, presentaban propiedades matemáticas idénticas. Por lo tanto, las propiedades matemáticas debían ser la esencia de tales fenómenos. Más concretamente, los pitagóricos basaban esta esencia en el número y en las relaciones numéricas. El número era su primer principio para la explicación de la naturaleza. Todos los objetos estaban formados por puntos o «unidades de existencia» en combinaciones que correspondían a las distintas figuras geométricas. Como pensaban en los números a la vez como puntos y como partículas elementales de materia, el número era la materia y la forma del Universo y la causa de todo fenómeno. De aquí la doctrina pitagórica «todas las cosas son números». Dice Filolao, un famoso pitagórico del siglo V:
«si no fuera por el número y su naturaleza, nada de lo que existe estaría claro para nadie, ni en sí mismo ni en su relación con otras cosas. Podéis observar la potencia del número influyendo no sólo en los negocios de demonios y dioses, sino también en todos los actos y en el pensamiento del hombre, en todos los oficios y en la música.»La reducción de la música, por ejemplo, a una simple relación entre números fue posible para los pitagóricos cuando descubrieron dos hechos: primero, que el sonido producido por una cuerda pulsada depende de la longitud de la cuerda; y segundo, que los sonidos armónicos están dados por cuerdas igualmente tirantes cuyas longitudes respectivas estén en razón igual a las razones de números enteros. Por ejemplo, un sonido armónico se produce pulsando dos cuerdas igualmente tensas si la longitud de una de ellas es igual al doble de la de la otra. En nuestro lenguaje, el intervalo entre las dos notas es una octava. Otra combinación armónica está formada por dos cuerdas cuyas longitudes están en la relación de 3 a 2, en este caso la más corta da una nota llamada la quinta inferior de la dada por la primera cuerda. De hecho, las longitudes relativas en toda combinación armónica de cuerdas pulsadas se pueden expresar como una razón de números enteros. Los pitagóricos desarrollaron también una famosa escala musical griega. Pese a que no dedicaremos espacio a la música en el período griego, hagamos notar que varios matemáticos griegos, incluidos Euclides y Ptolomeo, escribieron sobre el tema, en especial acerca de las combinaciones armónicas de sonidos y la construcción de escalas.
Los pitagóricos redujeron los movimientos de los planetas a relaciones numéricas. Creían que los cuerpos, al moverse en el espacio, producían sonidos; tal vez esto les vino sugerido por el zumbido que se produce al blandir un objeto sujeto al extremo de una cuerda. Creían, además, que un cuerpo que se mueve con rapidez da una nota más alta que el que se mueve lentamente. Ahora, de acuerdo con su astronomía, un planeta se mueve más rápidamente cuanto mayor es su distancia a la Tierra. Luego los sonidos que producen los planetas, que no oímos porque estamos acostumbrados a ellos desde el nacimiento, variaban con su distancia a la Tierra y todos están armonizados. Pero como esta «música de las esferas», como toda armonía, no se reducía más que a relaciones numéricas, lo mismo ocurría con los movimientos de los planetas.
Los pitagóricos, y probablemente el propio Pitágoras, buscaban no solamente observar y describir los movimientos celestes, sino también encontrar alguna regularidad en ellos. La idea de un movimiento circular uniforme, aparentemente obvia en el caso de la Luna y el Sol, sugería que todos los movimientos planetarios fueran explicables en términos de movimientos circulares uniformes. Los últimos pitagóricos llevaron a cabo una ruptura más que sorprendente con la tradición; fueron los primeros en creer que la Tierra era esférica.
Además, como el 10 era su número ideal, decidieron que debía haber 10 cuerpos en movimiento en el cielo. Primero, existía un fuego central alrededor del cual se movían los cuerpos celestes, incluida la Tierra. Conocían cinco planetas además de la Tierra. Estos seis cuerpos, el Sol, la Luna y la esfera a la que estaban sujetas las estrellas daban un total de 9 cuerpos móviles solamente. En consecuencia, afirmaban la existencia de un décimo cuerpo, llamado Anti-Tierra, que también giraba alrededor del fuego central. Nosotros no podemos ver este décimo cuerpo debido a que se mueve exactamente a la misma velocidad que la Tierra en el lado opuesto del fuego central y también porque la parte habitada de la Tierra está de espaldas al fuego central. Aquí tenemos la primera teoría que pone la Tierra en movimiento. Sin embargo, los pitagóricos no afirmaban la rotación de la esfera; al contrario, la esfera de estrellas fijas gira alrededor del centro del Universo.
La creencia en que los cuerpos celestes son eternos, divinos, perfectos e inmutables y que los objetos sublunares, como la Tierra y (de acuerdo con los griegos) los cometas, están sujetos a cambios, descomposición, decadencia y muerte, puede haber venido también de los pitagóricos. La doctrina del movimiento circular uniforme y la distinción entre cuerpos celestes y sublunares se convirtió en algo inherente al pensamiento griego.
Otros hechos de la naturaleza fueron «reducidos» también a números. Los números 1, 2, 3 y 4, la tetractys, fueron especialmente apreciados porque su suma es 10. De hecho el juramento de los pitagóricos parece haber sido: «Yo juro en nombre de la Tetractys que ha sido concedida a nuestra alma. La fuente y las raíces de todo lo que fluye en la naturaleza están contenidos en ella.» Los pitagóricos afirmaban que la naturaleza estaba formada de agrupaciones de cuatro elementos; por ejemplo, punto, línea, superficie y sólido, y los cuatro elementos, tierra, aire, fuego y agua. Los cuatro elementos fueron también centrales en la filosofía de la naturaleza de Platón. Como el 10 era ideal, el 10 representaba el Universo. La idealidad del 10 exigía que la totalidad del Universo se pudiera describir en términos de 10 categorías de opuestos: impar y par, limitado e ilimitado, bueno y malo, derecho e izquierdo, uno y varios, macho y hembra, recto y curvo, cuadrado y oblongo, luz y oscuridad, y reposo y movimiento.
Evidentemente, la filosofía pitagórica mezcló pensamientos serios con doctrinas que podríamos considerar fantasiosas, inútiles y sin base científica. Su obsesión por la importancia de los números dio como resultado una filosofía natural que en realidad tenía poca correspondencia con la naturaleza. No obstante, orientaron la comprensión de la naturaleza no como los jonios, a través de una sustancia única, sino por medio de la estructura formal de relaciones numéricas. Además, tanto ellos como los jonios decían que el verdadero sentido de los datos debía ser un orden armonioso de la naturaleza.
Podemos ver ahora por qué el descubrimiento de cantidades inconmensurables fue algo desastroso para la filosofía pitagórica: una razón de longitudes inconmensurables no se podría expresar como una razón de números enteros. Además, creían que la recta estaba formada por una cantidad finita de puntos (que identificaban con partículas físicas); pero éste no sería el caso para una longitud como √2. Su filosofía, basada en la primacía de los números enteros, habría saltado hecha añicos si hubieran aceptado los irracionales como números.
Puesto que los Pitagóricos «reducían» la astronomía y la música a números, estas disciplinas quedaron enlazadas a la aritmética y la geometría, y las cuatro fueron consideradas como las disciplinas matemáticas. Se convirtieron y permanecieron en parte del currículum escolar incluso en la Edad Media, cuando recibieron el nombre colectivo de «el quadrivium». Como ya hemos observado, el interés de los pitagóricos por la aritmética (es decir, por la teoría de números) no fue debido a los valores puramente estéticos de dicha disciplina sino a una búsqueda de la explicación de fenómenos naturales en términos numéricos; y esta valoración puso énfasis en proporciones especiales y en las formas triangulares, cuadrangulares, pentagonales y de orden superior en que se pueden ordenar los números. Además, fue la filosofía natural de los pitagóricos, centrada alrededor del número, la que dio importancia a esta materia con autores como Nicómaco. De hecho, la ciencia moderna coincide con el énfasis de los pitagóricos sobre el número —aunque, como veremos, de una manera mucho más sofisticada— mientras que la teoría moderna de números, puramente estética, proviene de la aritmética pitagórica propiamente dicha.
Los filósofos situados cronológicamente entre los pitagóricos y Platón estudiaron igualmente la naturaleza de la realidad, pero no involucraron en ella la matemática de una manera directa. Los argumentos y puntos de vista de hombres como Parménides (siglo V a. C.), Zenón (siglo V a. C.), Empédocles (c. 484-c. 424 a. C.), Leucipo (c. 440 a. C.) y Demócrito (c. 460-c. 370 a. C.) fueron cualitativos, igual que los de sus predecesores jonios. Hicieron grandes afirmaciones acerca de la realidad, que eran, en el mejor de los casos, escasamente sugeridas por la observación. Sin embargo, todos afirmaban que la naturaleza es inteligible y que la realidad puede entenderse a través del pensamiento. Cada uno de ellos era un eslabón de la cadena que conducía a la investigación matemática de la naturaleza. Leucipo y Demócrito fueron notables porque fueron los más explícitos al afirmar la teoría del atomismo. Su filosofía común era que el mundo está compuesto de una cantidad infinita de átomos simples y eternos. Estos difieren en la forma, tamaño, orden y posición, pero todo objeto es una combinación de tales átomos. Pese a que las magnitudes geométricas se pueden dividir indefinidamente, los átomos son las últimas partículas indivisibles (la palabra átomo significa indivisible en griego). Dureza, forma y tamaño son propiedades físicamente reales de los átomos. Las restantes propiedades, como el sabor, calor y color no están en los átomos sino en el perceptor; así el conocimiento sensorial es imprevisible porque varía con el perceptor. Igual que los Pitagóricos, los atomistas aseguraban que la realidad que subyace en la constantemente cambiante diversidad del mundo físico se podía expresar en términos matemáticos y, además, que los acontecimientos de este mundo estaban estrictamente determinados por leyes matemáticas.
Platón, el primero de los pitagóricos después de Pitágoras, fue el propagador con mayor influencia de la doctrina por la que la realidad e inteligibilidad del mundo físico se pueden abarcar solamente a través de las matemáticas. Para él no había ninguna duda de que el mundo estaba matemáticamente trazado, ya que «Dios geometriza eternamente». El mundo percibido por los sentidos es confuso y engañoso y en cualquier caso imperfecto y perecedero. El conocimiento físico no es importante, ya que los objetos materiales cambian y decaen; así, el estudio directo de la naturaleza y las investigaciones estrictamente físicas son inútiles. No obstante, el mundo físico es una copia imperfecta del mundo ideal, el único que deben estudiar matemáticos y filósofos. Las leyes matemáticas, eternas e inmutables, son la esencia de la realidad.
Platón fue más allá que Pitágoras al desear no solamente comprender la naturaleza a través de la matemática, sino sustituir la propia naturaleza por ella. Creía que alguna ojeada al mundo físico podría suministrar algunas verdades básicas, a partir de las cuales la razón podría seguir adelante sin ayuda. Desde esa óptica no existiría la naturaleza, sino la matemática, que sustituiría las investigaciones físicas como lo hace en geometría.
La actitud de Platón hacia la astronomía ilustra su postura sobre la búsqueda del conocimiento. Esta ciencia no se refiere al movimiento de los cuerpos celestes visibles. La ordenación de las estrellas en el cielo y sus movimientos aparentes son por supuesto maravillosos y bellos para ser contemplados, pero la simple observación y explicación de los movimientos se apartan de la verdadera astronomía. Antes de llegar a esta última «debemos dejar solo al cielo», pues la verdadera astronomía trata de las leyes del movimiento de las estrellas verdaderas en un cielo matemático del que el cielo visible no es más que una expresión imperfecta. Platón anima a una dedicación a una astronomía teórica, cuyos problemas agradan a la mente y no a los ojos, y cuyos objetos se abarcan mentalmente y no con la vista. La variedad de figuras que presenta el cielo a los ojos se utiliza sólo como diagramas para ayudar a la investigación de las verdades más altas. Los usos de la astronomía en la navegación, cálculo del calendario y la medida del tiempo fueron ajenos a Platón.
Los puntos de vista de Platón acerca del papel de la matemática son una parte integral de su filosofía, que afirma que hay una realidad objetiva universalmente válida constituida de formas e ideas. Estas realidades eran independientes de los seres humanos y eran inmutables, eternas e intemporales. Estas ideas han llegado hasta nosotros a través del recuerdo o anamnesis; si bien están presentes en el alma, deben estimularse para reparar en ellas o hacerlas surgir desde sus abismos. Estas ideas son la única realidad. Incluidas en ellas, pero ocupando un rango inferior, están las ideas matemáticas, que se contemplan como un estado intermedio entre el mundo sensible y las ideas superiores como la bondad, la verdad, la justicia y la belleza. En esta filosofía general la matemática jugaba un doble papel; no sólo eran una parte de la realidad sino que, como ya hemos señalado en el capítulo 3, ayudaban a disciplinar a la mente para alcanzar las ideas eternas. Como dice Platón en el libro VII de La República, el estudio de la geometría da una visión más sencilla del concepto de divinidad:
«La geometría conduce el alma hacia la verdad y crea el espíritu de la Filosofía...»Aristóteles, al mismo tiempo que tomaba varias ideas de su maestro Platón, tenía una idea completamente distinta del estudio del mundo real y de la relación entre las matemáticas y la realidad. Criticó la visión del mundo de Platón y su reducción de la ciencia a las matemáticas. Aristóteles fue un físico; creía en las cosas materiales como sustancia primera y origen de la realidad. La física y la ciencia en general debe estudiar el mundo físico para obtener verdades; el verdadero conocimiento se obtiene a partir de la experiencia sensorial por medio de la intuición y la abstracción. Entonces, la razón debe aplicarse a los conocimientos así obtenidos.
La materia por sí misma no es importante. Como tal es indeterminada, simplemente tiene la potencialidad de la forma; la materia se convierte en algo importante cuando está organizada en formas diversas. La forma y el cambio en la materia, que dan lugar a nuevas formas, son los hechos interesantes de la realidad y los que ciertamente conciernen a la ciencia.
Al contrario de lo que creían los antiguos griegos, Aristóteles pensaba que la materia no estaba formada de una sustancia primitiva. La materia que vemos y tocamos está compuesta de cuatro elementos básicos: tierra, agua, fuego y aire. A su vez, cada elemento tiene sus propias cualidades características. La tierra es fría y seca; el agua, fría y húmeda; el aire, caliente y húmedo, y el fuego, caliente y seco. Por tanto, las cualidades de un objeto determinado dependen de las proporciones de los elementos que entran en él; y con esto quedan determinadas la solidez, la dureza, el grosor y otras propiedades.
Los cuatro elementos tienen otras características. La tierra y el agua tienen gravedad; el aire y el fuego, ligereza. La gravedad motiva que un elemento tienda a situarse en el centro de la Tierra; la ligereza da lugar a que busque el cielo. Así, si se conocen las proporciones de los elementos que forman parte de un cuerpo dado, se puede conocer también su movimiento.
Aristóteles contempla los sólidos, fluidos y gases como tres tipos distintos de materia que se distinguen por la posesión de diferentes cualidades intrínsecas. La transición de sólido a líquido, por ejemplo, representa la pérdida de una cualidad y su sustitución por otra. Así, el cambio del mercurio en oro rígido conlleva tomar del mercurio la sustancia que tiene la fluidez y sustituirla por otra sustancia.
La ciencia había de considerar también las causas del cambio. Para Aristóteles había cuatro tipos de causas. La primera era la causa material o inmanente; para una estatua de bronce, el bronce es la causa inmanente. La segunda era la causa formal; para una estatua era el diseño o la forma. La causa formal de la armonía es la relación de 2 a 1 en la octava. La tercera causa era la causa eficiente, el agente o el actor; el artista y su cincel son las causas efectivas para la estatua. La cuarta era la causa final o el propósito para el que servía el fenómeno; las estatuas sirven para el goce del pueblo, para ofrecer belleza. La causa final era la más importante de las cuatro porque daba la razón última de acontecimientos o fenómenos. Cada cosa tenía una causa final.
¿Qué lugar tenía la matemática en este esquema de cosas? Las ciencias físicas eran fundamentales para el estudio de la naturaleza y las matemáticas ayudaban a describir propiedades formales tales como la forma y la cantidad. Proporcionaban también explicaciones de hechos observados en fenómenos materiales. De esta manera, la geometría daba las razones de hechos que se producían en óptica y astronomía y la aritmética las proporciones que producirían la armonía. Pero la matemática era definitivamente una abstracción del mundo real, ya que los objetos matemáticos no son independientes o anteriores a la experiencia. Existen en la mente humana como una clase de ideas intermedias entre los objetos sensibles y la esencia de los mismos. Puesto que se han abstraído del mundo físico, son aplicables a él, pero no tienen ninguna realidad aparte de las cosas visibles y tangibles. La matemática sola no puede proporcionar nunca una definición adecuada de la sustancia. Diferencias cualitativas, como los distintos colores, no pueden ser reducidas a diferencias geométricas. En consecuencia, en el estudio de las causas, la matemática puede dar, en el mejor de los casos, algún conocimiento de la causa formal, esto es, una descripción. Puede describir lo que ocurre en el mundo físico, puede establecer correlaciones entre variaciones concomitantes, pero no puede decir nada acerca de las causas finales y efectivas del movimiento o el cambio. Así pues, Aristóteles distinguía formalmente entre matemática y física, y asignaba un papel menor a la matemática. No estuvo interesado en la predicción.
A partir de este resumen podemos ver que todos los filósofos griegos que forjaron y moldearon el mundo intelectual griego pusieron el énfasis en el estudio de la naturaleza para la comprensión y apreciación de su realidad subyacente. Desde los tiempos de los pitagóricos prácticamente todos aseguraban que la naturaleza estaba diseñada matemáticamente. Durante el período clásico, la teoría del diseño matemático de la naturaleza quedó establecida y la investigación de las leyes matemáticas, institucionalizada. A pesar de que esta teoría no motivaba todas la matemática creada después, una vez establecida fue aceptada y seguida concienzudamente por la mayoría de los grandes matemáticos. Durante el tiempo en que imperó esta doctrina, que fue hasta finales del siglo XIX, la investigación del diseño matemático se identificó con la búsqueda de la verdad. Aunque algunos griegos —por ejemplo, Ptolomeo— sostenían que las teorías matemáticas eran solamente intentos humanos de proporcionar una descripción coherente, la creencia de que las leyes matemáticas eran la verdad en lo que se refiere a la naturaleza, atrajo hacia la matemática a algunos de los pensadores más nobles y profundos.
Observaremos también, con el fin de apreciar mejor lo que ocurrió en el siglo XVII, el énfasis griego sobre la potencia de la mente. Puesto que los filósofos griegos creían que la mente era el agente más poderoso para abarcar la naturaleza, adoptaron principios básicos que se referían a la mente. Así, la creencia de que el movimiento circular era el básico, defendida por Aristóteles sobre la base de que el círculo es completo mientras que una figura lineal, debido a que está limitada por varias curvas (segmentos lineales), es incompleta y por tanto de importancia secundaria, recurría a la mente basándose en principios estéticos. Que los cuerpos celestes se moverían sólo con velocidad constante o uniforme fue un concepto que agradaba a la mente, seguramente porque era más sencillo que el movimiento no uniforme. La combinación de los movimientos circular y uniforme pareció sentar bien a los cuerpos celestes. Que los cuerpos sublunares fueran diferentes de los planetas, el Sol y las estrellas también pareció razonable, ya que los cuerpos celestes presentaban un aspecto permanente mientras que los cambios sobre la Tierra eran evidentes. Incluso Aristóteles, que daba importancia a las abstracciones solamente en la medida en que podían servir de ayuda para comprender el mundo observable, decía que debemos comenzar a partir de principios que son conocidos y manifiestos a la mente y proceder entonces a analizar las cosas que se encuentran en la naturaleza. Vamos, dice, de lo universal a lo particular, del hombre a los hombres, exactamente como los niños llaman padre a todos los hombres y entonces aprenden a distinguir. Así pues, incluso las abstracciones que vienen de objetos concretos presuponen algunos principios generales que emanan de la mente. Esta doctrina, el poder de la mente para producir primeros principios, fue rechazada el siglo XVII.
4. La astronomía matemática griega
Vamos a examinar ahora la producción griega en lo que se refiere a la descripción matemática de los fenómenos naturales. Es a partir de los tiempos de Platón cuando las distintas ciencias creadas por los griegos toman un contenido y una dirección significativos. Aun cuando nos proponemos analizar la astronomía griega, lo haremos a través de un aspecto de la geometría euclídea. Ya hemos observado que la geometría esférica se desarrolló en función de la astronomía. La geometría era, en efecto, subsidiaria de un campo más general como es la cosmología. Los principios geométricos, para los griegos, estaban incorporados a la estructura global del Universo, de la que el espacio era el principal componente. Por tanto, el estudio del propio espacio y de las figuras del mismo era de importancia para un fin superior. En otras palabras, la geometría fue una ciencia: la ciencia del espacio físico.
Fue Platón quien, pese a estar enterado del número impresionante de observaciones astronómicas hechas por los babilonios y los egipcios, puso énfasis en la ausencia de una teoría subyacente o unificadora y de una explicación de los movimientos aparentemente irregulares de los planetas. Eudoxo, que fue durante un tiempo alumno de la Academia, hizo suyo el problema de Platón de «salvar las apariencias». Su respuesta es la primera teoría astronómica razonablemente completa. Escribió cuatro libros sobre astronomía: Espejo, Acontecimientos, El período de ocho años y Sobre velocidades, de los que conocemos sólo algunos fragmentos. Por estos fragmentos y los relatos de otros autores conocemos el espíritu de la teoría de Eudoxo.
Los movimientos del Sol y la Luna, vistos desde la Tierra, pueden ser descritos a grandes rasgos como circulares con velocidad constante. Sin embargo, sus desviaciones de las órbitas circulares son lo suficientemente grandes como para haber sido observadas y para requerir una explicación. Los movimientos de los planetas, observados desde la Tierra, son todavía más complejos, pues durante una revolución cualquiera invierten su recorrido, marchan hacia atrás durante un tiempo y de nuevo vuelven a moverse hacia adelante. Además, sus velocidades en estos caminos son variables.
Para demostrar que los movimientos reales, bastante complicados y aparentemente sin leyes, eran comprensibles en términos de movimientos circulares sencillos, Eudoxo propuso el esquema siguiente: para cualquier cuerpo celeste existía un conjunto de tres o cuatro esferas, todas concéntricas y cuyo centro era la Tierra, girando cada una de ellas alrededor de un eje. La esfera más interior contenía el cuerpo que se movía a lo largo de lo que se podría llamar el ecuador de dicha esfera; es decir, el eje de rotación era perpendicular al camino circular del cuerpo. Sin embargo, mientras giraba sobre su eje, esta esfera era arrastrada por la rotación de la esfera concéntrica siguiente por medio del siguiente artificio: imaginemos que el eje de rotación de la primera esfera se prolonga por cada uno de sus extremos hasta cortar la segunda esfera. Si ahora la segunda esfera gira alrededor de su propio eje, hará girar también el eje de la primera al mismo tiempo que esta última da vueltas alrededor del mismo. El eje de la segunda esfera es a su vez arrastrado por la rotación de la tercera esfera sobre su eje. Eudoxo encontró que para el Sol y la Luna bastaba una combinación de tres esferas para reproducir sus movimientos reales observados desde la Tierra. Para cada planeta se requería una cuarta esfera, relacionada con la tercera como ya hemos descrito. La esfera más exterior daba una vuelta cada 24 horas alrededor de un eje que pasaba por los polos de la esfera celeste. En total, Eudoxo usaba 27 esferas. Sus ejes de rotación, velocidades de giro y radios estaban determinados de manera que la teoría se ajustara lo mejor posible a las observaciones disponibles en su tiempo.
El esquema de Eudoxo era matemáticamente elegante y destacable en varios aspectos. La idea misma de la utilización de combinaciones de esferas era ingeniosa; y la tarea de elegir los ejes, velocidades y radios para hacer que el movimiento resultante del cuerpo celeste se ajustara a las observaciones reales requiere grandes habilidades matemáticas para trabajar con superficies y curvas (esto es, los caminos de los planetas) en el espacio.
Es especialmente digno de mención que la teoría de Eudoxo es estrictamente matemática. Sus esferas, excepto la «esfera» de las estrellas fijas, no eran cuerpos materiales sino construcciones matemáticas. Tampoco intentaba describir las fuerzas que harían girar las esferas tal como él decía que lo hacían. Su teoría es completamente moderna en su espíritu, pues hoy en día la finalidad de la ciencia consiste en dar una descripción matemática de los fenómenos y no una explicación física de los mismos.
El sistema de Eudoxo tenía serios inconvenientes. No tenía en cuenta la velocidad variable del Sol y presentaba pequeños errores acerca de su camino real. Su teoría no acababa de encajar con el movimiento real de Marte y tampoco era satisfactoria para Venus. Que Eudoxo admitiera tales inconvenientes puede explicarse por el hecho de que creía que no tenía en su poder el número de observaciones suficiente. Probablemente había estudiado en Egipto solamente los hechos más importantes acerca de puntos estacionarios, regresiones y períodos de revolución de los planetas exteriores (Marte, Júpiter y Saturno). Quizá también por este motivo sus valores para los tamaños y las distancias de los cuerpos celestes estaban muy equivocados. Aristarco dice que Eudoxo creía que el diámetro del Sol era nueve veces el de la Luna.
Aristóteles no valoraba un esquema estrictamente matemático, por lo que no le satisfizo la solución de Eudoxo. Para inventar un mecanismo real que haga que una esfera obligue a otra a girar, añadió 29 esferas. Estas estaban intercaladas entre las de Eudoxo de tal forma que una esfera arrastra a otra a través de un contacto real y por ello todas transmitían su propia potencia a partir de la más exterior. En algunos escritos de Aristóteles la esfera de las estrellas, que era móvil, es el primer motor de las restantes. En otros existe un motor inmóvil detrás de la esfera de estrellas. Sus 56 esferas complicaron el sistema de tal manera que fue desacreditado por los científicos, pese a que fue popular entre seglares en la Europa medieval. Aristóteles también creía que la Tierra era esférica, por razones de simetría y equilibrio y porque la sombra de la Tierra sobre la Luna, visible en los eclipses lunares, es circular.
Los escritos sobre astronomía continúan después de Aristóteles sin solución de continuidad. Después de los trabajos de Autólico (cap. 3, sec. 10) y los Fenómenos de Euclides (cap. 4, sec. 11) los siguientes grandes trabajos astronómicos son alejandrinos. Las observaciones de los caldeos, las observaciones hechas por los babilonios del período seléucida y las mediciones hechas por los propios alejandrinos incrementaron enormemente el número y la precisión de los datos asequibles.
El primer gran astrónomo alejandrino fue Aristarco (sobre 310- 230 a. C.) que estudió geometría, astronomía, música y otras ramas de la ciencia. Su libro Sobre el Tamaño y las Distancias del Sol y la Luna, del que existen manuscritos en griego y árabe, es el primer gran intento de medir las distancias del Sol y la Luna desde la Tierra y los tamaños relativos entre estos cuerpos. Estos cálculos son, claramente, otro ejemplo del interés de los alejandrinos respecto de cuestiones de tipo cuantitativo. Aristarco no tenía a su disposición la trigonometría, ni un buen valor para k (el trabajo de Arquímedes al respecto apareció más tarde), pero utilizó la geometría euclídea de forma muy eficaz.

Figura 7.1
Una vez que conoce las distancias relativas, Aristarco calcula los tamaños relativos midiendo los tamaños de los discos del Sol y de la Luna visibles desde la Tierra. Concluyó que el volumen del Sol era 7000 veces mayor que el de la Luna. Estuvo muy lejos de la verdad: el número correcto es 64.000.000. Calculó también que la razón entre el radio del Sol y el de la Tierra está comprendida entre 19/3 y 43/6; no obstante, la razón correcta es alrededor de 107.
Aristarco es igualmente famoso por haber sido el primero que propuso la hipótesis heliocéntrica —la Tierra y los planetas dan vueltas alrededor del Sol, que permanece fijo, describiendo círculos—. Las estrellas también están fijas y su movimiento aparente se debe a la rotación de la Tierra sobre su eje. La Luna gira alrededor de la Tierra. Pese a que, como sabemos hoy día, Aristarco estaba en lo cierto, su idea no fue aceptada por varias razones. Por una parte, la mecánica griega (ver más abajo), que había sido ya bien desarrollada por Aristóteles, no consideraba objetos situados en una Tierra móvil. De acuerdo con Aristóteles, los objetos pesados buscaban el centro del Universo. Este principio daba cuenta de la caída de objetos hacia la Tierra, ya que ésta era el centro del Universo; pero si estuviera en movimiento los objetos quedarían detrás de ella. Este argumento fue utilizado por Ptolomeo contra Aristarco y, de hecho, fue usado también contra Copérnico ya que el sistema mecánico que seguía prevaleciendo era todavía el de Aristóteles. Ptolomeo decía también que las nubes se rezagarían detrás de una Tierra en movimiento. Además, la Mecánica de Aristóteles requería una fuerza para mantener los objetos terrestres en movimiento y no existía ninguna fuerza evidente. No conocemos la forma en que Aristarco rebatió estos argumentos.
Otro argumento que se lanzó contra Aristarco era que si la Tierra estuviera en movimiento su distancia a las estrellas fijas debía variar, pero esto claramente no era así. Aristarco dio a esto la refutación correcta: decía que el radio de la esfera de las estrellas fijas es tan grande que la órbita de la Tierra es demasiado pequeña para apreciar tal variación. La idea heliocéntrica de Aristarco fue rechazada por muchos por considerarla impía, al identificar la materia corruptible de la Tierra con la materia incorruptible de los cuerpos celestes. La hipótesis de que los planetas se mueven alrededor del Sol describiendo círculos es, naturalmente, insatisfactoria, ya que el movimiento es realmente más complicado, pero la idea heliocéntrica podía haber sido refinada y Copérnico lo hizo más tarde. No obstante, fue demasiado radical para el pensamiento griego.
El creador de la Astronomía matemática cuantitativa es Apolonio. Era llamado Epsilon debido a que el símbolo e se usaba para designar la Luna y gran parte de su astronomía estaba dedicada al movimiento de dicho astro. Antes de considerar su trabajo así como el de Hiparco y Ptolomeo, con los que está fuertemente relacionado, examinaremos el esquema básico que había inspirado la astronomía griega entre los tiempos de Eudoxo y Apolonio: el esquema de epiciclo y deferente.

Figura 7.2
Se supone que Apolonio conocía perfectamente el esquema del movimiento epicíclico y los detalles que permiten la representación de los movimientos de los planetas, la Luna y el Sol. Ptolomeo atribuye específicamente a Apolonio la determinación de los puntos en que un planeta permanece estacionario e invierte el sentido de su movimiento.
El punto culminante de la astronomía griega son los trabajos de Hiparco y Ptolomeo. El esquema de deferente y epiciclo fue tomado por Hiparco (muerto sobre el 125 a. C.) y aplicado al movimiento de los cinco planetas conocidos entonces, la Luna, el Sol y las estrellas. Conocemos los trabajos de Hiparco a través del Almagesto de Ptolomeo, si bien resulta difícil distinguir qué es debido a Hiparco y qué a Ptolomeo. Después de realizar observaciones en Rodas durante treinta y cinco años y utilizar las observaciones de los babilonios, Hiparco trabajó sobre los detalles de la teoría epicíclica del movimiento. Seleccionando adecuadamente los radios del epiciclo y el deferente y las velocidades de un cuerpo sobre su epiciclo así como el centro de éste sobre el deferente, era capaz de obtener una descripción mejorada de los movimientos. Tuvo mucho éxito con el Sol y la Luna, pero su éxito fue solamente parcial con los planetas. Durante el tiempo de Hiparco, un eclipse de Luna se predecía con un error de una o dos horas, mientras que los eclipses de Sol se predecían con menor precisión. Esta teoría era válida también para las estaciones.
La aportación más original de Hiparco es su descubrimiento de la precesión de los equinoccios. Para comprender este fenómeno supongamos que el eje de rotación de la Tierra se prolonga hasta las estrellas. El punto en el que corta la esfera de las estrellas describe un círculo y tarda 2600 años en recorrerlo. En otras palabras, el eje de la Tierra varía continuamente su dirección respecto a las estrellas y el movimiento es periódico. La estrella a la que apunta en cualquier momento recibe el nombre de Estrella Polar. El ángulo abarcado desde la Tierra por su diámetro del círculo mencionado con anterioridad es de 45°.
Hiparco tiene varias contribuciones más a la astronomía, como la construcción de instrumentos para la observación, la determinación del ángulo de la eclíptica, la medida de irregularidades en el movimiento de la Luna, la mejora de la determinación de la duración del año solar (que estimó en 365 días, 5 horas, 55 minutos y 12 segundos (aproximadamente 6 1/2 minutos demasiado largo) y un catálogo de alrededor de mil estrellas. Encontró que la razón entre la distancia a la Luna y el radio de la Tierra era 67,74; el verdadero valor es 60,4. Calculó que el radio de la Luna es 1/3 del de la Tierra; sabemos en la actualidad que es 27/100.
Ptolomeo extendió los trabajos de Hiparco con varias mejoras sobre la descripción matemática de los movimientos de todos los cuerpos celestes. La teoría geocéntrica generalizada, presentada en el Almagesto, ofrece una exposición completa de la teoría de deferente y epiciclo, que se conoce hoy en día como teoría de Ptolomeo.
Con el fin de dar una descripción geométrica de las observaciones realizadas, Ptolomeo introdujo también una modificación del movimiento epicíclico conocido como el movimiento ecuante uniforme. En este esquema (fig. 7.3) el planeta se mueve sobre un epiciclo con centro en Q al tiempo que Q se mueve sobre un círculo de centro C, que no es la Tierra sino un punto próximo. Fija la velocidad de Q introduciendo el punto R tal que EC = CR y de manera que ÐQRT crece uniformemente. Así Q se mueve con velocidad angular constante, pero no con velocidad lineal uniforme.

Figura 7.3
La teoría ptolemaica ofreció la primera evidencia razonablemente completa de la uniformidad e invariabilidad de la Naturaleza y fue la última respuesta griega al problema de Platón de racionalizar los movimientos aparentes de los cuerpos celestes. Ninguna otra producción de toda Grecia podía rivalizar con el Almagesto debido a su profunda influencia sobre las concepciones del Universo y ninguna, salvo los Elementos de Euclides, logró tan incuestionable autoridad.
Este breve relato de la astronomía griega no ha revelado todo el fondo y extensión del trabajo realizado incluso por los autores citados aquí, y omite muchas contribuciones más. Casi todos los matemáticos griegos, incluido Arquímedes, se dedicaron a esta cuestión. La astronomía griega fue dominante y globalizadora y utilizó muchas matemáticas.
5. La Geografía
Otra ciencia creada en tiempos de los griegos es la Geografía. Aunque algunos griegos clásicos como Anaximandro y Hecateo de Mileto (muerto sobre el 475 a. C.) hicieron algunos mapas de la Tierra tal como era conocida entonces, fueron los alejandrinos quienes realizaron los grandes avances en geografía. Midieron o calcularon distancias a lo largo de la Tierra, la altura de las montañas, la profundidad de los valles y la extensión de los mares. Los alejandrinos estaban especialmente estimulados a estudiar geografía porque el mundo griego se había extendido.
El primer gran geógrafo alejandrino fue Eratóstenes de Cirene (c. 284-c. 192 a. C.), director de la biblioteca de Alejandría, matemático, poeta, filósofo, historiador, filólogo, cronólogo y con la fama de ser uno de los hombres más cultos del mundo antiguo. Estudió en Atenas en la escuela de Platón y fue invitado a Alejandría por Ptolomeo Euergetes. Eratóstenes trabajó en Alejandría hasta que a su vejez le sobrevino la ceguera; a causa de esta desgracia dejó de comer hasta morir de ese modo.
Eratóstenes recopiló todo el conocimiento geográfico del momento y realizó numerosos cálculos de distancias sobre la Tierra entre lugares importantes (como por ejemplo las ciudades). Uno de sus cálculos más famosos es la longitud de la circunferencia de la Tierra. Al mediodía del solsticio de verano, observó que el Sol estaba prácticamente sobre la vertical de Siena, la ciudad llamada actualmente Asuán (fig. 7.4). (Esto fue confirmado al observar que el Sol brillaba directamente vertical allí hasta el fondo de un pozo.) Al mismo tiempo, en Alejandría, que está (con una variación de Io) en el mismo meridiano, que Siena pero situada más al Norte, observó que el ángulo entre la vertical (OB en la figura) y la dirección del Sol (AD en la figura) era de 1/50 de 360°.

Figura 7.4
Eratóstenes escribió una Geografía en la que incorporó los métodos y resultados de sus mediciones y cálculos. Incluye explicaciones acerca de la naturaleza y las causas de los cambios que han tenido lugar sobre la superficie de la Tierra. Hizo también un mapa del mundo.
El trazado científico de mapas se convirtió en una parte de la geografía. Está generalmente admitido que fue Hiparco quien introdujo la latitud y la longitud, si bien el sistema era conocido con anterioridad. El uso de la latitud y la longitud permite una descripción precisa de localizaciones sobre la Tierra. Hiparco inventó la proyección ortográfica, por la cual los «rayos de luz» procedentes del infinito proyectan la Tierra sobre un plano (fig. 7.5). Nuestra visión de la Luna es prácticamente ortográfica. Este método le permitió representar una porción de la Tierra sobre una superficie plana.

Figura 7.5

Figuras 7.6 y 7.7
Una línea que parte de O (fig. 7.6) y pasa por P, situado sobre superficie de la Tierra, se prolonga hasta que corte el plano del Ecuador o un plano tangente por el polo opuesto. Hiparco usaba presumiblemente este último y Ptolomeo el plano ecuatorial. De esta manera los puntos de la esfera se transfieren a un plano. En este esquema todos los puntos del mapa están en la verdadera dirección desde el centro del mismo. Asimismo, los ángulos quedan conservados localmente (transformación conforme), aunque Ptolomeo no menciona nada de esto. Los meridianos y los paralelos de las latitudes son perpendiculares. Los círculos de la esfera se convierten en círculos del plano, pero el área no se conserva. El propio Ptolomeo ideó la proyección cónica, es decir, la proyección de una región de la Tierra desde el centro de la esfera sobre un cono tangente (fig. 7.7).En su Geografía, una obra en ocho tomos, Ptolomeo enseña métodos de confección de mapas. El capítulo 24 del libro I es el trabajo más antiguo que existe dedicado por su título y su contenido a aplicar una esfera sobre un plano. La Geografía completa es el primer atlas y diccionario geográfico. Da la latitud y la longitud de 8.000 lugares de la Tierra y fue la referencia típica durante cientos de años.
6. La Mecánica
Los griegos fueron los iniciadores de la ciencia de la Mecánica. En su Física, Aristóteles incluye una teoría del movimiento que es el punto culminante de la mecánica griega. Como toda su física, su mecánica está basada en principios racionales, aparentemente semievidentes, sólo levemente comprobados por la observación y la experiencia o diseñados a partir de ellas.
Según Aristóteles, hay dos tipos de movimiento, el natural y el violento o creado por el hombre. Las esferas celestes tienen solamente un movimiento natural, que es circular. Para los objetos terrestres, él pensaba que poseen un movimiento natural (en oposición a los movimientos violentos provocados al arrastrar o empujar un cuerpo de un lugar a otro) debido a que cada cuerpo tiene un lugar natural en el Universo en el que permanece en equilibrio o en reposo. Los cuerpos pesados tienen su lugar natural en el centro del Universo, que coincide con el centro de la Tierra. Los movimientos naturales se producen cuando un cuerpo busca su lugar natural. En sus movimientos naturales, los cuerpos terrestres describen trayectorias rectas hacia arriba o hacia abajo. Si un objeto terrestre no estuviera en su lugar natural, lo buscaría con la mayor rapidez posible. Los movimientos violentos, es decir, los provocados por el hombre, están compuestos de partes circulares y de partes rectilíneas. Así, una piedra lanzada hacia arriba sigue un camino en línea recta hacia arriba y un camino en línea recta hacia abajo.
Cualquier cuerpo en movimiento está sujeto a una fuerza y a una resistencia, la fuerza es el peso del cuerpo y la resistencia viene del medio en el que se mueve dicho cuerpo. En el movimiento violento la fuerza está aplicada por la mano o por algún mecanismo y la resistencia procede de su peso. Sin fuerza no habría movimiento; sin resistencia el movimiento quedaría completado en un instante. La velocidad de cualquier movimiento, entonces, depende de la fuerza y de la resistencia. Estos principios se pueden resumir de forma moderna por la fórmula V F/R; esto es, la velocidad es directamente proporcional a la fuerza e inversamente proporcional a la resistencia.
Como en el movimiento violento la resistencia está provocada por el peso, para cuerpos ligeros la resistencia, R, es menor. En virtud de la fórmula anterior, la velocidad debe ser mayor; es decir, los cuerpos más ligeros se mueven con más rapidez bajo la misma fuerza. En el caso del movimiento natural, la fuerza es el peso, por lo que cuerpos más pesados caen más rápidamente. Como en un movimiento natural la resistencia viene dada por el medio, en el vacío la velocidad debería ser infinita. Por lo tanto el vacío es imposible.
Aristóteles tenía dificultades para describir algunos fenómenos. Para explicar las velocidades crecientes en la caída de los cuerpos hacía que la velocidad del cuerpo aumentara a medida que se iba aproximando a su lugar natural porque el cuerpo se mueve con más alegría; pero esto no es coherente con que la velocidad dependa del peso fijo. En el caso de una flecha lanzada desde un arco, Aristóteles decía que la flecha continuaba el movimiento aunque no estuviera en contacto con el arco porque la mano o el arquero comunicaba una potencia de movimiento al aire circundante y este aire a la capa siguiente de aire y así sucesivamente. Alternativamente, el aire situado frente a la flecha se comprimía y empujaba alrededor de la parte posterior de la flecha para prevenir un vacío y así la flecha es empujada hacia adelante. No explicó la caída de la potencia motriz.
El mayor físico matemático de los tiempos de Grecia es Arquímedes. El, más que ningún otro autor griego, acercó la geometría a la mecánica y utilizó con gran ingenio argumentos geométricos para dar sus demostraciones. En mecánica escribió Sobre el equilibrio de planos o el centro de gravedad de planos, una obra en dos tomos. Por centro de gravedad de un cuerpo o una colección de cuerpos enlazados rígidamente entre sí entiende, igual que lo hacemos nosotros, el punto en el que se debe apoyar el cuerpo o colección de cuerpos para que esté en equilibrio por la fuerza de la gravedad. Comienza con postulados sobre la palanca y el centro de gravedad. Por ejemplo (los números están de acuerdo con los asignados por Arquímedes):
1. Pesos iguales a distancias iguales están en equilibrio y pesos iguales a distancias distintas no están en equilibrio, pero el peso se inclina hacia el que está a mayor distancia.
2. Si, cuando pesos situados a determinadas distancias están en equilibrio, se añade algo a uno de ellos, dejan de estar en equilibrio pero se inclinan hacia el peso al que se ha hecho la adición.
5. En figuras distintas pero semejantes sus centros de gravedad estarán situados de manera que guardarán la misma semejanza...
7. En cualquier figura cuyo perímetro es cóncavo en la misma dirección el centro de gravedad debe estar en el interior de la figura.
A continuación de estos postulados coloca un número determinado de proposiciones; las demostraciones de algunas de ellas dependen de resultados de un tratado perdido, Sobre Palancas:
Proposición 4. Si dos pesos iguales no tienen el mismo centro de gravedad, el centro de gravedad del sistema formado por los dos cuerpos está en el punto medio del segmento cuyos extremos son los centros de gravedad respectivos.
Proposiciones 6 y 7. Dos magnitudes tanto conmensurables como inconmensurables se equilibran en una balanza a distancias inversamente proporcionales a las magnitudes.
Proposición 10. El centro de gravedad de un paralelogramo es el punto de intersección de sus diagonales.
Proposición 14. El centro de gravedad de un triángulo está en el punto de intersección de las líneas trazadas desde dos vértices cualesquiera al punto medio del lado opuesto respectivo.
El libro II se dedica al centro de gravedad de un segmento parabólico. Entre los teoremas principales están:
Proposición 4. El centro de gravedad de un segmento parabólico determinado por una línea está situado sobre el diámetro del segmento.

Figura 7.8
Proposición 8. Si A O es el diámetro de un segmento parabólico y G su centro de gravedad, entonces AG = (3/2)GO.
Trabajos sobre centros de gravedad pueden encontrarse en varios libros del período greco-alejandrino. Algunos ejemplos son la Mecanica de Herón y el libro VIII de la Colección Matemática de Pappus (cap. 5, sec. 7).
La ciencia de la hidrostática —el estudio de la presión de los fluidos en reposo— fue creada por Arquímedes. En su libro Sobre los cuerpos flotantes está interesado en la presión ejercida por el agua sobre los objetos situados en ella. Da dos postulados. El primero de ellos es que el efecto que produce la presión ejercida por cualquier parte del fluido sobre el fluido es descendente. El segundo postulado afirma que la presión ejercida por un fluido sobre un cuerpo situado en él está dirigida hacia arriba en la dirección de la perpendicular que pasa por el centro de gravedad del cuerpo. Algunos de los teoremas que demuestra en el libro I son:
Proposición 2. La superficie de un fluido en reposo es la superficie de una esfera cuyo centro es el centro de la Tierra.
Proposición 3. Los sólidos que, a tamaños iguales, tienen el mismo peso que un fluido, si se hunden en un fluido quedarán sumergidos de manera que no emergen por encima de la superficie, pero tampoco se hunden por debajo de ella.
Proposición 5. Si se sitúa en un fluido un sólido más ligero que el propio fluido quedará sumergido en él de manera que el peso del sólido en el aire será igual al peso del fluido desplazado.
Proposición 7. Un sólido más pesado que un fluido desciende hasta el fondo del mismo cuando se sitúa en él, y el sólido, cuando se pese en el fluido, será más ligero que su verdadero peso en el peso del fluido desplazado.
Se cree que esta última proposición es una de las empleadas por Arquímedes para determinar la composición de una famosa corona (cap. 5, sec. 3). Debió razonar de la manera siguiente: sea W el peso de la corona. Tomemos una corona de oro puro de peso W y pesémosla en el fluido. Pesará una cantidad F1 menos, que es el peso del agua desplazada. Análogamente, un peso W de plata pura desplazará un peso de agua igual a F2, que puede calcularse pesando la plata en el agua. Entonces, si la corona original contiene un peso w1 de oro y un peso w2 de plata, la corona original debe desplazar un peso de agua igual a


w1F1 + w2F2 = (w1+ w2 )F
o bien![]()
Para apreciar un poco las complejidades matemáticas y físicas de los problemas tratados por Arquímedes en este trabajo, citaremos una de las proposiciones sencillas del libro II.
Proposición 2. Si un segmento recto de un paraboloide de revolución cuyo eje no es mayor que 3p/4 [p es el parámetro principal o «latus rectum» de la parábola generatriz] y cuya gravedad específica es menor que la de un fluido, se sumerge en el fluido con su eje inclinado un determinado ángulo respecto de la vertical, pero de manera que la base del segmento no toque la superficie del fluido (fig. 7.9), el segmento del paraboloide no permanecerá en esta posición sino que volverá a la posición en la que el eje esté vertical.

Figura 7.9
7. La Óptica
Después de la Astronomía, la Óptica ha sido una de las ciencias matemáticas más cultivadas y de más éxito. Fue creada por los griegos. Casi todos los filósofos griegos, comenzando por los pitagóricos, especulaban acerca de la naturaleza de la luz, la visión y el color. Nosotros nos fijaremos, sin embargo, en los logros matemáticos. El primero de ellos es la afirmación sobre los fundamentos a priori dada por Empédocles de Agrigento en Sicilia (c. 490 a. C.) de que la luz viaja con velocidad finita.

Figura 7.10
La Catóptrica (teoría de los espejos) describe el comportamiento de los rayos de luz reflejados sobre espejos planos, cóncavos y convexos y el efecto de este comportamiento sobre lo que vemos. Igual que en la Optica, comienza con definiciones que realmente son postulados. El teorema 1, la ley de la reflexión, es ahora fundamental en lo que se llama óptica geométrica.

Figura 7.11
Herón sacó una consecuencia importante de la ley de la reflexión. Si P y Q (fig. 7.11) son dos puntos cualesquiera situados a un mismo lado de la recta ST, de todos los caminos que podrían seguirse para ir del punto P a la línea y de aquí al punto Q, el más corto es el que pasa por el punto R de manera que las dos líneas PR y QR forman ángulos iguales con la recta —que es exactamente el camino que sigue un rayo de luz. Así pues, la luz sigue el camino más corto que va de P a Q a través del espejo. Aparentemente, la naturaleza conoce muy bien la geometría y la utiliza a su total conveniencia. Esta proposición aparece en la Catóptrica de Herón, que trata también de espejos cóncavos y convexos y combinaciones de espejos.
Se escribió una cantidad enorme de trabajos sobre la reflexión de la luz mediante espejos de varias formas. Entre ellos están la actualmente perdida Catóptrica de Arquímedes y los dos trabajos, llamados ambos Sobre los espejos ustorios, de Diocles y Apolonio. Los espejos incendiarios eran sin duda espejos cóncavos en forma de esferas, paraboloides de revolución y elipsoides, este último formado al girar una elipse alrededor de su eje mayor. Indudablemente, Apolonio conocía que un espejo en forma de paraboloide reflejaría la luz procedente de un foco a través de un haz paralelo al eje del espejo. Recíprocamente, los rayos que vienen paralelos al eje se concentrarán en el foco. Los rayos del Sol así concentrados producen un calor muy grande en el foco; de ahí el término de espejo incendiario. Esta es la propiedad del espejo en forma de paraboloide que se supone utilizó Arquímedes para concentrar los rayos de sol sobre las naves romanas e incendiarlas. Apolonio conocía también las propiedades de reflexión de las restantes secciones cónicas, por ejemplo, que todos los rayos que emanan de un foco de un espejo en forma de elipsoide se reflejan sobre el otro foco. Da las propiedades más importantes de la elipse y la hipérbola en el libro III de sus Secciones Cónicas (cap. 4, sec. 12). Griegos posteriores, en particular Pappus, conocían evidentemente la propiedad focal del paraboloide.
El fenómeno de la refracción de la luz, es decir, la curvatura de los rayos de luz cuando ésta pasa por un medio cuyas propiedades cambian constantemente, o el repentino cambio de dirección de un rayo de luz cuando pasa de un medio a otro, como por ejemplo del aire al agua, fue estudiado por los griegos alejandrinos. Ptolomeo observó el efecto de la refracción en la atmósfera sobre rayos procedentes del Sol y las estrellas e intentó, infructuosamente, encontrar la ley correcta de la refracción cuando la luz pasa del aire al agua o del aire al cristal. Su Optica, que trata de los espejos y la refracción, se ha conservado.
8. La Astrología
Aunque actualmente la Astrología no es aceptada como ciencia, en civilizaciones antiguas tenía esta consideración. La astrología desarrollada por los griegos alejandrinos de alrededor del siglo II a. C. era diferente de la astrología babilonia del período asirio. La última se dedicaba exclusivamente a sacar conclusiones sobre el rey y asuntos de Estado a partir de observaciones de la posición de los planetas. No había ningún cálculo y la apariencia del cielo en el momento del nacimiento no jugaba ningún papel. Sin embargo, la astrología helénica o la alejandrina eran personales: predecían el futuro y el destino de personas concretas basándose en las posiciones calculadas del Sol, la Luna y los cinco Planetas del Zodiaco en el momento del nacimiento. Para evaluar estos datos se construyó un enorme cuerpo de doctrinas.
Ciertamente, esta ciencia fue tomada en serio por los griegos alejandrinos. Ptolomeo escribió un trabajo muy conocido sobre la cuestión, el Quatripartite o Tetrabiblos, o Cuatro Libros Acerca de la Influencia de las Estrellas, en el que da reglas para las predicciones astrológicas que fueron utilizadas durante un millar de años.
La importancia de la astrología en la historia de las ciencias radica en que motivó el estudio de la Astronomía, no sólo en Grecia sino también en la India, Arabia y en la Europa medieval. La Astrología fomentó la Astronomía en mucho mayor medida que la Alquimia lo hizo con la Química. Curiosamente, los errores en las predicciones astrológicas eran atribuidos a errores en Astronomía y no a lo incierto de las doctrinas astrológicas.
La Grecia alejandrina presentó los comienzos de la aplicación de la matemática a la medicina, de forma peculiar en gran medida a través de la astrología. Los doctores, llamados «iatromatemáticos», empleaban signos astrológicos para decidir los tratamientos. Galeno, el gran médico de los tiempos griegos, era un firme creyente en la astrología, quizá por ello es disculpable que Ptolomeo, el astrónomo más renombrado, también lo fuera. Esta conexión entre la matemática y la medicina se reforzó en la Edad Media.
Nuestra narración de la ciencia griega, en lo que concierne a la matemática, ha tratado sobre las ciencias matemáticas. Los griegos se dedicaron a otras investigaciones en áreas en las que la matemática, al menos en aquella época, no jugaba ningún papel. Además, mejoraron experimentos y llevaron a cabo observaciones, estas últimas especialmente en Astronomía. Sin embargo, su logro fundamental es que dieron un gran valor a las matemáticas dentro del contexto científico. El diálogo Platónico Philebo expresaba en primer lugar el pensamiento de que cada ciencia es una ciencia solamente en la medida en que contiene matemáticas; este principio ganó muchos adeptos a partir de los logros de los griegos. Además, los griegos pusieron claramente en evidencia que la Naturaleza está diseñada matemáticamente. Fue su visión de la Naturaleza y su iniciación de la investigación matemática de la Naturaleza lo que inspiró la creación de la matemática, en la época griega y en todos los siglos sucesivos.
Bibliografía
- Apostle, H. G.: Aristotle’s Philosophy of Mathematics, University of Chicago Press, 1952.
- Berry, Arthur: A Short History of Astronomy, Dover (reimpresión), 1961, caps. 1-2.
- Clagett, Marshall: Greek Science in Antiquity, Abelard-Schuman, 1955.
- Dreyer, J. L. EA History of Astronomy from Thales to Kepler, Dover (reimpresión), 1953, caps. 1-9.
- Farrington, Benjamín: Ciencia griega, Barcelona, Icaria, 1986.
- Gomperz, Theodor: Greek Thinkers, 4 vols. John Murray, 1920.
- Heath, Thomas L.: Greek Astronomy, J. M. Dent and Sons, 1932. —: Aristarchus of Samos, Oxford University Press, 1913. —: The Works of Archimedes, Dover (reimpresión), 1953, pp. 189-220 y 253-300.
- Jaeger, Werner: Paideia, México, FCE, 1990.
- Pannekoek, A.: A History of Astronomy, John Wiley and Sons, 1961.
- Sambursky, S.: El mundo físico de los griegos, Madrid, Alianza, 1990.
- Santillana, G. de: The Origins of Scientific Thought from Anaximander to Proclus, 600 a. C. to 300 d. C. University of Chicago Press, 1961.
- Sarton, George: A History of Science, Harvard University Press, 1952 y 1959. Vols. 1 y 2.
- Ver Eecke, Paul: Euclide, L’Optique et la catoptrique, Albert Blanchard, 1959.
- Wedberg, Anders: Plato’s Philosophy of Mathematics, Almqvist and Wiksell, 1955.
Capítulo 8
El final del mundo griego
Quien comprenda a Arquímedes y Apolonio admirará menos los logros de los hombres más ilustres de tiempos posteriores.
G. W. Leibniz
Contenido:1. Reseña de las realizaciones griegas1. Reseña de las realizaciones griegas
2. Las limitaciones de la matemática griega
3. Los problemas legados por los griegos
4. La desaparición de la civilización griega
Bibliografía
Aunque la civilización greco-alejandrina perduró hasta el año 640 d. C., en el que finalmente fue destruida por los mahometanos, es evidente que, a causa de su productividad decreciente, la civilización había entrado ya en declive durante los primeros siglos de la era cristiana. Antes de entrar a considerar las razones de este declive resumiremos las realizaciones y las imperfecciones de la matemática griega y tomaremos nota de los problemas que ha dejado para generaciones futuras. Los griegos alcanzaron grandes metas, y la continuación de la matemática, cuando fue retomada por los europeos tras pequeñas incursiones a cargo de hindúes y árabes, estuvo tan completamente determinada por el legado de los griegos que es importante tener claro dónde se sitúa su matemática.
Los griegos se caracterizaron por hacer matemática abstracta. Esta contribución principal es de una relevancia y un valor inconmensurables por el hecho de que un mismo triángulo abstracto o una misma ecuación algebraica se puede aplicar a cientos de situaciones físicas diferentes, que es donde se ha demostrado que radica el secreto de la potencia de la matemática.
Los griegos insistieron en las demostraciones deductivas. Este fue sin duda un avance extraordinario. De los cientos de civilizaciones que habían existido, algunas habían desarrollado algún tipo rudimentario de aritmética y de geometría. Sin embargo, ninguna civilización, aparte de los griegos concibió la idea de establecer conclusiones exclusivamente a través del razonamiento deductivo. La decisión de exigir demostraciones deductivas está en contraposición absoluta con los métodos utilizados por el hombre hasta entonces en los demás campos; es, de hecho, casi irracional, porque casi todo el conocimiento altamente fiable se adquiría a través de la experiencia, la inducción, el razonamiento por analogía y la experimentación. Pero los griegos buscaban verdades y vieron que solamente las obtendrían por los métodos infalibles del razonamiento deductivo. Comprendieron también que para llegar a verdades seguras debían partir de verdades y estar seguros de no suponer ningún hecho no garantizado. Por tanto, establecieron todos sus axiomas de forma explícita y además adoptaron la práctica de situarlos muy al principio de sus trabajos para que de esta manera pudieran ser examinados de golpe con sentido crítico.
Después de concebir este plan enormemente importante para asegurar un conocimiento seguro, los griegos introdujeron una sofisticación que difícilmente podía esperarse de los innovadores. Su conciencia de que los conceptos no podían ser contradictorios y de que no se puede construir una estructura consistente trabajando con figuras no existentes (tales como un poliedro regular de diez caras) pone de manifiesto una agudeza de pensamiento casi sobrehumana y ciertamente sin precedentes. Como sabemos ahora, su método para establecer la existencia de los conceptos, con lo que podían trabajar con ellos, era demostrar que podían construirse con el uso de regla y compás.
La potencia de los griegos para intuir teoremas y demostraciones queda atestiguada por el hecho de que los Elementos de Euclides contienen 467 proposiciones y las Secciones Cónicas de Apolonio, 487, obtenidas todas ellas a partir de 10 axiomas enunciados en los Elementos. La coherencia que proporcionan las estructuras deductivas no ofrece ninguna duda, ni siquiera secundaria en cuanto a su importancia, ni quizá tampoco secundaria en cuanto a atención. Aún la posibilidad de obtener los mismos resultados a partir de numerosos conjuntos de axiomas distintos —si bien igualmente fiables— podría dar una versión del conocimiento menos manejable y asimilable.
La contribución griega al contenido de la matemática —geometría plana y del espacio, trigonometría plana y esférica, los comienzos de la teoría de números, la ampliación de la aritmética y el álgebra de Egipto y Babilonia— es enorme, especialmente si se tiene en cuenta el reducido número de personas dedicadas a ellas y los escasos siglos a los que se extendió su actividad. A estas contribuciones debemos añadir el álgebra geométrica, que esperaba solamente el reconocimiento de los números irracionales y la instauración del lenguaje simbólico para convertirse en la base de gran parte del álgebra elemental. Por otra parte, el estudio de figuras curvilíneas por el método exhaustivo, a pesar de que formaba parte de su geometría, merece una mención especial ya que constituye el comienzo del cálculo.
Una contribución igualmente importante y un motivo de inspiración para generaciones posteriores fue la concepción griega de la naturaleza. Los griegos identificaban la matemática con la realidad del mundo físico y veían en ella la verdad última sobre la estructura y el plan del Universo. Encontraron la alianza entre la matemática y el estudio desinteresado de la naturaleza, lo que se ha convertido desde entonces en la gran base de la ciencia moderna. Además, fueron bastante más lejos a la hora de racionalizar la Naturaleza, al establecer la firme convicción de que el Universo está en efecto trazado matemáticamente, es controlable, está regido por leyes y es comprensible para el hombre.
El atractivo estético de la matemática no fue pasado por alto. En la época griega, las matemáticas eran consideradas también como un arte; la belleza, la armonía, la sencillez, la claridad y el orden eran reconocidas en ellas. La aritmética, la geometría y la astronomía se tomaban como el arte de la mente y la música, el del espíritu. Platón se complacía con la geometría; Aristóteles no separaría las matemáticas de la estética, pues el orden y la simetría eran para él elementos importantes de belleza, y éstos los encontraba en las matemáticas. Evidentemente, los intereses racionales y estéticos, así como los morales, son difícilmente separables en el pensamiento griego. Leemos una y otra vez que la esfera es el cuerpo con la forma más bella y es, por tanto, divina y buena. El círculo participaba junto con la esfera de esta llamada a la estética; parecía obvio por tanto que el círculo fuera el camino de aquellos cuerpos que representaban lo inmutable, el orden eterno del cielo, mientras que el movimiento lineal prevalecía sobre la tierra imperfecta. No hay duda que fue la estética de las matemáticas lo que dio lugar a que los matemáticos griegos prosiguieran la exploración de temas concretos una vez utilizados para la comprensión del mundo físico.
2. Las limitaciones de la matemática griega
Pese a sus logros maravillosos, las matemáticas griegas eran defectuosas. Sus limitaciones señalan los caminos del progreso al que, sin embargo, todavía no estaban abiertas.
La primera limitación fue la incapacidad para admitir el concepto de número irracional. Esto significaba no solamente una restricción de la aritmética y el álgebra, sino también una vuelta a la geometría y el énfasis en ella, ya que el pensamiento geométrico evitaba una presentación explícita de lo irracional como un número. Si los griegos hubieran afrontado el número irracional podrían haber adelantado el desarrollo de la aritmética y el álgebra; e incluso, si ellos mismos no lo hubieran hecho, no habrían impedido que lo hicieran generaciones posteriores, que fueron inducidas a pensar que solamente la geometría ofrecía un fundamento seguro para el estudio de magnitudes cuyos valores podían incluir irracionales. Arquímedes, Herón y Ptolomeo comenzaron a trabajar con los irracionales como números, pero no modificaron el carácter de las matemáticas griegas ni la impronta subsiguiente del pensamiento griego. El hecho de que los griegos se concentraran en la geometría nubló la visión de otras generaciones al enmascarar la correspondencia íntima entre los conceptos geométricos y los aritméticos y las operaciones. El fracaso a la hora de definir, aceptar y conceptualizar los irracionales como números forzó una distinción entre número y magnitud. En consecuencia, el álgebra y la geometría fueron contempladas como disciplinas sin ninguna relación mutua.
De haber estado menos dedicados a ser lógicos y rigurosos, los griegos podían haber aceptado (y operado con) los números irracionales, igual que lo hicieron los babilonios y otras civilizaciones que sucedieron a los griegos. Pero la base intuitiva de la idealización no estaba clara, y la construcción lógica no entraba de lleno en sus poderes. La virtud de los griegos de insistir en la exactitud de los conceptos y las definiciones constituía un defecto en lo que concierne a las matemáticas creativas.
La restricción del rigor matemático a la geometría (además de a la teoría de números) dio lugar a otra desventaja importante: el uso de métodos geométricos condujo a demostraciones cada vez más complicadas a medida que las matemáticas se iban ampliando, particularmente en el área de la geometría del espacio. Además, incluso en las demostraciones más sencillas, hay una ausencia de métodos generales, lo cual es claro para nosotros ahora por estar en posesión de la geometría analítica y del cálculo. Cuando se consideran las dificultades que encontró Arquímedes para hallar el área de un segmento parabólico o el área subtendida por un arco de su espiral, y se compara esto con los métodos modernos de cálculo, se aprecia la efectividad de estos últimos.
Los griegos no sólo restringieron las matemáticas en gran medida a la geometría, sino que incluso limitaron esta disciplina a las figuras que se podían obtener a partir de la línea recta y el círculo. De acuerdo con esto, las únicas superficies admitidas eran aquellas que se podían obtener haciendo girar líneas rectas y círculos alrededor de un eje, como por ejemplo el cilindro, el cono y la esfera, formados por la revolución de un rectángulo, un triángulo y un círculo, respectivamente, alrededor de una recta; el prisma, que es un cilindro especial, y la pirámide, que resulta de la descomposición de un prisma. Las secciones cónicas se introdujeron al cortar conos mediante un plano. Curvas como la cuadratriz de Hipias, la concoide de Nicomedes y la cisoide de Diocles quedaron como algo marginal de la geometría; recibieron, en este caso, el calificativo de mecánicas, más que geométricas.
La clasificación de las curvas a cargo de Pappus es un intento de mantener unos límites fijos. Los griegos, conforme a los criterios de Pappus, distinguían las curvas como sigue: los lugares planos o curvas planas eran los que se podían construir a partir de líneas rectas y círculos; las cónicas recibían el nombre de lugares sólidos puesto que se originaban a partir del cono; las curvas lineales, como cuadratrices, concoides, cisoides y espirales formaban la tercera clase. Análogamente, distinguían entre problemas planos, sólidos y lineales. Los problemas planos se resolvían mediante rectas y círculos; los problemas sólidos, a través de una o más secciones cónicas. Los problemas que no podían resolverse por medio de líneas rectas, círculos o cónicas se llamaban lineales, debido a que utilizaban líneas (curvas) que tenían un origen más complicado o menos natural que las anteriores. Pappus destacó la importancia de resolver problemas mediante lugares planos o sólidos ya que entonces se podía dar el criterio para una solución efectiva.
¿Por qué los griegos limitaron su geometría a la recta, el círculo y a figuras directamente derivadas de ellos? Una razón es que de esta manera resolvían el problema de determinar la existencia de figuras geométricas. Como ya hemos visto, Aristóteles, en particular, señalaba que debemos estar seguros de que los conceptos introducidos no son autocontradictorios; es decir, hemos de demostrar que existen. Para aclarar este punto, los griegos, al menos en un principio, admitían exclusivamente aquellos conceptos que se podían construir. La recta y el círculo se admitían como constructibles en los postulados, pero las demás figuras debían poderse construir con la recta y el círculo.
Sin embargo, el uso de construcciones para determinar su existencia no se aplicaba a figuras tridimensionales. En este punto, los griegos aceptaban, en apariencia, lo que era intuitivamente claro, como por ejemplo la existencia de figuras de revolución tales como la esfera, el cilindro y el cono. Las secciones planas de estas figuras daban lugar a curvas tales como las secciones cónicas; así, fueron aceptadas incluso figuras planas cuya existencia no había sido establecida —aunque con reticencias—. Descartes hace notar esta cuestión muy al principio del libro II de La Géometrie: «Es cierto que las secciones cónicas no fueron aceptadas nunca de buena gana en la geometría antigua...»
Otro motivo para la restricción a la recta, el círculo y otras figuras derivadas de ellos parte de Platón, ya que de acuerdo con sus ideas tenía que estar claro lo que era aceptable. Mientras el número entero parecía ser aceptable como una idea clara en sí misma, pese a que nunca fue explícitamente definida por los griegos, las figuras geométricas tenían que construirse con precisión. Rectas y círculos, así como figuras que se derivan de ellos estaban claros, mientras que las curvas introducidas mediante instrumentos mecánicos (distintos de la regla y el compás) no lo estaban, por lo que eran inadmisibles. La restricción a figuras claramente definidas dio lugar a una geometría simple, ordenada, armoniosa y bella.
Al insistir en una unidad, una completitud y una sencillez para su geometría y al separar el pensamiento especulativo de la utilidad, la geometría clásica griega limitó sus logros. Restringió la visión de las gentes y cerró sus mentes a nuevos pensamientos y métodos. Llevaba en sí misma la semilla de su propia muerte. La estrechez de su campo de acción, la exclusividad de su punto de vista y la demanda estética sobre ella pudieron haber detenido su evolución, si no fuera por las influencias de la civilización alejandrina, que ensanchó las perspectivas de los matemáticos griegos.
Las doctrinas filosóficas griegas limitaron las matemáticas en otra dirección. A lo largo de todo el período clásico, creían que el hombre no creaba los hechos matemáticos: preexistían. El hombre se limitaba a descubrirlos y a registrarlos. En el Teeteto Platón compara la búsqueda del conocimiento a un pájaro cautivo encerrado en una jaula. Los pájaros, ya prisioneros, necesitan solamente ser cogidos con la mano. Esta creencia acerca de la naturaleza de las matemáticas no prevaleció.
Los griegos no consiguieron comprender lo infinitamente grande, lo infinitamente pequeño y los procesos infinitos. Ellos «se atemorizaban ante el silencio de los espacios infinitos». Los pitagóricos asociaron lo bueno y lo malo con lo limitado y lo ilimitado respectivamente. Aristóteles dice que el infinito es imperfecto, inacabado y en consecuencia inabordable; no tiene forma y es confuso. Los objetos tienen una naturaleza únicamente cuando están delimitados y son distinguibles.
Para evitar cualquier afirmación acerca de la infinitud de la línea recta, Euclides dice que un segmento lineal (utiliza la palabra «línea» en este sentido) puede prolongarse todo lo que sea necesario. La reticencia para incluir lo infinitamente grande puede verse también en el enunciado del axioma de las paralelas de Euclides. En vez de considerar dos líneas que se prolongan indefinidamente y dar una condición directa o una hipótesis bajo la cual las rectas paralelas podrían existir, su axioma de las paralelas da una condición por la cual dos líneas rectas se cortan en algún punto finito.
El concepto de lo infinitamente pequeño está implícito en la relación existente entre los puntos de una línea o la relación entre lo discreto y lo continuo; las paradojas de Zenón pudieron haber sido la causa de que los griegos dejaran de lado esta cuestión. La relación entre punto y recta abrumaba a los griegos y llevó a Aristóteles a separar ambos conceptos. Pese a que admite que los puntos estaban sobre rectas, dice que una recta no puede estar formada de puntos y que lo continuo no puede construirse a partir de lo discreto (cap. 3, sec. 10). Esta distinción contribuyó también a la presunta necesidad de separar el número de la geometría, ya que los números eran discretos, mientras que la geometría trataba de magnitudes continuas.
Puesto que recelaban de los procesos infinitos, omitieron el proceso de paso al límite. Al aproximar un círculo mediante un polígono se contentaban con hacer que la diferencia fuera menor que cualquier cantidad dada previamente, pero se exigía que fuera siempre estrictamente positiva. De esta manera el proceso queda claro para la intuición; el paso al límite, por otra parte, habría llevado consigo la consideración de lo infinitamente pequeño.
3. Los problemas legados por los griegos
Las limitaciones del pensamiento matemático griego conducen de manera casi automática a los problemas que dejaron para las generaciones futuras. El fracaso a la hora de aceptar los irracionales como números dejó ciertamente abierta la cuestión de si se podía asignar un número a razones inconmensurables, con lo que éstas podrían estudiarse desde el punto de vista de la aritmética. Con el número irracional, el álgebra se ampliaría también. En vez de regresar a la geometría para resolver ecuaciones cuadráticas, o de otro tipo, que podían tener raíces irracionales, estos problemas se podrían abordar en términos numéricos y el álgebra se desarrollaría a partir de la situación en que la dejaron los egipcios y los babilonios o donde la dejó Diofanto, que rechazó la idea de considerar los irracionales como números.
Incluso para los números enteros y las razones de números enteros, los griegos no tenían ninguna base lógica; la sustituyeron por algunas definiciones bastante vagas, establecidas por Euclides en los libros VII y IX de los Elementos. La necesidad de un fundamento lógico del sistema de números se vio acrecentada por el uso libre de los números, incluidos los irracionales, por parte de los alejandrinos; a este respecto continuaron estrictamente las tradiciones empíricas de egipcios y babilonios. Por tanto, los griegos legaron dos ramas de las matemáticas completamente distintas y desigualmente desarrolladas. Por una parte estaba la rigurosa, deductiva y sistemática geometría y por otra, la heurística y empírica aritmética y su extensión al álgebra.
La incapacidad para la construcción de un álgebra deductiva significa que el rigor matemático quedó confinado a la geometría; de hecho, éste siguió siendo el caso hasta los siglos XVII y XVIII, cuando el álgebra y el cálculo ya se habían extendido. Incluso entonces se entendía todavía que las matemáticas rigurosas se referían a la geometría.
La restricción de la geometría euclídea a conceptos que se pudieran construir con regla y compás dejó dos tareas a las matemáticas. La primera era específica: probar la cuadratura del círculo, la trisección del ángulo y la duplicación del cubo con la regla y el compás. Estos tres problemas ejercieron una gran fascinación e incluso hoy en día llaman la atención a la gente, pese a que, como veremos, estaban resueltos en el siglo XIX.
La segunda tarea era ampliar los criterios para la existencia. La posibilidad de ser construido como medio- de probar la existencia se convirtió en algo excesivamente restrictivo para los conceptos con los que iban a trabajar las matemáticas (y con los que más tarde lo hicieron). Además, como algunas longitudes no se pueden construir, la recta euclídea es incompleta; es decir, no contiene, en sentido estricto, las longitudes no constructibles. Para ser internamente completas y más útiles al estudio del mundo físico, las matemáticas debían liberarse a sí mismas de una limitación técnica para el establecimiento de la existencia de los conceptos.
Como vimos, el intento de evitar una afirmación directa acerca de líneas rectas paralelas infinitas hizo que Euclides enunciara el axioma de la paralelas de una forma mucho más complicada. Consiguió que, al hablar de esta manera, este axioma perdiera la autoevidencia de los nueve restantes y hay buenas razones para pensar que evitó usarlo mientras pudo. Varios griegos intentaron encontrar axiomas que sustituyeran al de las paralelas, o probarlo en función de los otros nueve. Ptolomeo escribió acerca de esta cuestión; Proclo, en su comentario sobre Euclides, da el intento de Ptolomeo de demostrar el postulado de las paralelas e intenta a su vez probarlo por sí mismo. Simplicio cita otros dos investigadores y añade que la gente «en la antigüedad» puso objeciones al uso del axioma de las paralelas.
Estrechamente relacionada con el problema del postulado de las paralelas está la cuestión de saber si el espacio físico es infinito. Euclides supone en el postulado 2 que un segmento de línea recta puede extenderse tanto como sea preciso; usa este hecho, pero solamente para obtener grandes longitudes finitas —por ejemplo en el libro I, proposiciones 11, 16 y 20—. Herón da nuevas demostraciones de estos teoremas y evita prolongar las líneas, con el fin de salir al paso de las objeciones de cuantos negaran que el espacio se podía abarcar por extensión. Aristóteles había considerado la cuestión de averiguar si el espacio era infinito y dio seis argumentos de naturaleza no matemática para probar que es finito; pronosticaba que esta cuestión sería problemática.
Otro problema importante legado a la posteridad fue el cálculo de áreas limitadas por curvas y volúmenes limitados por superficies. Los griegos, especialmente Eudoxo y Arquímedes, no solamente habían abordado la cuestión sino que, como hemos visto, lograron progresos considerables usando el método de exhausción. Pero el procedimiento presentaba dificultades como mínimo en dos aspectos: en primer lugar, cada problema requería algún esquema ingenioso para aproximar el área o el volumen en cuestión; sin embargo, la inventiva humana simplemente no disponía de suficientes recursos para las áreas y volúmenes que tenía que calcular después. En segundo lugar, el resultado al que llegaban los griegos consistía habitualmente en probar la equivalencia del área o volumen deseados con el área o el volumen de alguna figura más sencilla cuya medida todavía no era conocida cuantitativamente. Pero es precisamente este conocimiento cuantitativo el que requieren las aplicaciones.
4. La desaparición de la civilización griega
Comenzando aproximadamente con el principio de la era cristiana, la vitalidad de la actividad matemática griega declinó rápidamente. Las únicas contribuciones importantes de la nueva era fueron las de Ptolomeo y Diofanto. Los grandes comentaristas Pappus y Proclo merecen también la atención, pero en realidad son los que cierran la nómina. El declive de esta civilización, que durante cinco o seis siglos aportó contribuciones que sobrepasaban en gran medida, tanto en extensión como en brillantez, las de cualquier otra, requiere una explicación.
Desgraciadamente, los matemáticos están sujetos a los designios de la historia, igual que el último labrador. Basta con familiarizarse con los hechos más superficiales de la historia política de Alejandría para darse cuenta de que no sólo las matemáticas, sino cualquier tipo de actividad cultural, estaban destinadas a sufrir. Mientras la civilización greco-alejandrina estuvo gobernada por los Ptolomeos, floreció. El primer desastre fue el advenimiento de los romanos, cuyo único papel en la historia de las matemáticas fue el de agentes de destrucción.
Antes de discutir su impacto sobre la civilización greco- alejandrina, veamos algunos hechos acerca de las matemáticas en Roma y la naturaleza de la civilización romana: las matemáticas romanas apenas si son dignas de mención. El período durante el cual los romanos figuran en la historia comprende los años que van desde aproximadamente el 750 a. C. hasta el 476 de nuestra era, más o menos el mismo tiempo durante el cual floreció la civilización griega. Además, como veremos, a partir del 200 a. C. los romanos estuvieron en estrecho contacto con los griegos. Con todo, en los once siglos no hubo ningún matemático romano; además de otros detalles este hecho habla virtualmente por sí mismo de toda la historia de las matemáticas en Roma.
Los romanos tenían una aritmética rudimentaria y algunas fórmulas geométricas aproximadas que posteriormente fueron complementadas por copias de las greco-alejandrinas. Sus símbolos para los números enteros nos son familiares. Para calcular con números enteros utilizaban diversos tipos de ábacos. Los cálculos se hacían también con los dedos y con la ayuda de tablas especialmente preparadas.
Las fracciones en Roma estaban en base 12. Se usaban símbolos y palabras especiales para designar 1/12, 2/12,..., 11/12, 1/24, 1/36, 1/48, 1/96,... El origen de la base 12 puede ser la relación existente entre el mes lunar y el año. La unidad de peso, por cierto, era el as; un doceavo del mismo era la uncía, de la que derivan nuestras onza y pulgada.
El principal uso de la aritmética y la geometría en Roma fue la agrimensura, para determinar las fronteras de las ciudades y para medir terrenos para las casas y los templos. Los agrimensores calculaban la mayoría de las cantidades que precisaban usando solamente instrumentos sencillos y triángulos congruentes.
Debemos a los romanos una mejora del calendario. En los tiempos de Julio César (100-44 a. C.) el año básico romano tenía 12 meses, que totalizaban 355 días. En años alternos se añadía un mes intercalado de 22 ó 23 días de manera que el año promedio tenía 366 días y 1/4. Para mejorar este calendario, César llamó a Sosígenes, un alejandrino, que aconsejó un año de 365 días con un año bisiesto cada cuatro años. El calendario Juliano fue adoptado el año 45 a. C.
A partir del año 50 a. C., aproximadamente, los romanos escribieron sus propios libros técnicos; todo el material de base, sin embargo, se tomó de las fuentes griegas. El más famoso de estos trabajos técnicos son los diez libros de Vitrubio sobre arquitectura, que datan del año 14 a. C. Aquí, también, el material es griego. Es curiosa la afirmación de Vitrubio de que los tres grandes descubrimientos matemáticos son el triángulo rectángulo 3, 4, 5, la irracionalidad de la diagonal del cuadrado unidad y la solución de Arquímedes del problema de la corona. Da otros hechos que implican el uso de matemáticas, tales como las proporciones de las partes del cuerpo humano ideal, algunas relaciones aritméticas armónicas y relaciones aritméticas acerca de las capacidades de las catapultas.
Entre los romanos el término «matemáticas» cayó en desgracia a causa de que los astrólogos recibían el nombre de mathematicii, y la astrología fue condenada por los emperadores romanos. El emperador Diocleciano (245-316 de nuestra era) hacía distinciones entre geometría y matemáticas. La primera se enseñaba y aplicaba en las escuelas públicas; pero el «arte de las matemáticas» —esto es, la astrología— fue condenado y prohibido completamente. El «código de matemáticas y malas artes», la ley romana que prohibía la astrología, se aplicó también en Europa durante la Edad Media. Sin embargo, los emperadores romanos y los cristianos empleaban astrólogos en sus cortes por la posibilidad de que pudiera haber algo de cierto en sus profecías. La distinción entre los términos «matemático» y «geómetra» duró hasta bien pasado el Renacimiento. Incluso en los siglos XVII y XVIII, «geómetra» significaba lo que hoy entendemos por «matemático».
Los romanos eran un pueblo práctico y hacían alarde de su practicismo. Diseñaron y completaron grandes proyectos de ingeniería —viaductos, magníficas vías que sobreviven todavía hoy, puentes, edificios públicos y mediciones de terrenos— pero se negaron a considerar cualquier idea que pudiera haber detrás de las aplicaciones particulares y concretas que estaban realizando en aquel momento. La actividad romana acerca de las matemáticas viene dada por Cicerón: «Los griegos dieron al geómetra el más alto honor; de acuerdo con esto, nada tenía un progreso más brillante que las matemáticas. Pero nosotros hemos establecido como límite de este arte su utilidad para medir y contar.»
Los emperadores romanos no dieron apoyo a las matemáticas tal como hicieron los Ptolomeos en Egipto. Ni los romanos comprendían la ciencia pura. Su incapacidad para desarrollar las matemáticas es notoria, debido a que gobernaban un ancho imperio y porque lo que buscaban era la resolución de problemas prácticos. La lección que se puede aprender de la historia de los romanos es que los pueblos que desdeñan los trabajos de matemáticos y científicos altamente teóricos y desacreditan su utilidad ignoran la forma en la que se han presentado importantes desarrollos prácticos.
Volvamos de nuevo al papel que jugaron los romanos en la historia política y militar de Grecia. Tras haber asegurado el control del centro y el norte de Italia, conquistaron las ciudades griegas del sur de Italia y Sicilia. (Recordemos que Arquímedes contribuyó a la defensa de Siracusa cuando los romanos atacaron la ciudad y murió a manos de un soldado romano.) Los romanos conquistaron Grecia propiamente dicha el año 146 a. C. y Mesopotamia el 64 a. C. Al intervenir en las luchas internas de Egipto entre Cleopatra, la última de la dinastía Ptolomea, y su hermano, César manipuló para asegurarse un dominio sobre el país. El año 47 a. C., César prendió fuego a la flota egipcia que navegaba y estaba anclada en el puerto de Alejandría; el fuego se extendió a la ciudad e incendió la Biblioteca. Dos siglos y medio de recolección de libros y medio millón de manuscritos, que representaban el esplendor de la antigua cultura, fueron borrados. Afortunadamente un excedente de libros que no habían podido ser colocados en la repleta Biblioteca estaban en aquellos tiempos almacenados en el templo de Serapis y éstos no fueron incendiados. Asimismo, Atalo III de Pérgamo, que murió el 133 a. C., había legado a Roma su gran colección de libros. Marco Antonio regaló esta colección a Cleopatra y se sumaron a los libros del templo. La colección resultante volvió a ser enorme de nuevo.
Los romanos regresaron a la muerte de Cleopatra, el año 31 a. C., y a partir de este momento controlaron Egipto. Su interés en extender su poder político no incluía la difusión de su cultura. Las áreas subyugadas se convirtieron en colonias, de las que se extraía una gran riqueza mediante la expropiación y los impuestos. Como la mayoría de los emperadores romanos eran propietarios, arruinaban todos los países que controlaban. Cuando se producía algún levantamiento, como ocurrió, por ejemplo, en Alejandría, los romanos no dudaban en matar de hambre a la población y, una vez dominada la revuelta, matar a miles de habitantes.
La historia del final del imperio romano es también relevante. El emperador Teodosio (gobernó entre el 379 y el 395) dividió su ancho imperio entre sus dos hijos, Honorio, que fue el que gobernó Italia y Europa occidental, y Arcadio, que gobernó Grecia, Egipto y el Oriente próximo. La parte occidental fue conquistada por los godos durante el siglo V y su historia posterior pertenece ya a la de la Europa medieval. La parte oriental, que incluía Egipto (durante un tiempo), Grecia y lo que en la actualidad es Turquía, conservó su independencia hasta que fue conquistada por los turcos el año 1453. Puesto que el Imperio Romano de Oriente, conocido también como el Imperio Bizantino, incluía Grecia propiamente dicha, la cultura y las obras griegos fueron conservados en alguna medida.
Desde el punto de vista de la historia de las matemáticas, la aparición del cristianismo tuvo consecuencias poco afortunadas. Pese a que los jefes cristianos adoptaron varios mitos y costumbres griegas y orientales con la intención de hacer el cristianismo más aceptable a los conversos, se opusieron a las enseñanzas paganas y ridiculizaron las matemáticas, la astronomía y la física; se prohibió a los cristianos contaminarse con las enseñanzas griegas. A pesar de la persecución cruel de que fueron objeto por parte de los romanos, el cristianismo se difundió y llegó a tener tal importancia que el emperador Constantino (272-337) se vio obligado a adoptarlo como la religión oficial del Imperio Romano. Así, los cristianos fueron capaces de llevar a cabo una mayor destrucción de la cultura griega. El emperador Teodosio proscribió las religiones paganas y, en 392, dio la orden de que los templos griegos fueran destruidos. Muchos de ellos fueron convertidos en iglesias, a pesar de que a menudo estaban adornados todavía con esculturas griegas. Los paganos fueron atacados y asesinados por todo el Imperio. El destino de Hipatia, una matemática alejandrina de relevancia, e hija de Teón de Alejandría, simboliza el fin de la era. Como consecuencia de haberse negado a abandonar la religión griega, los fanáticos cristianos la apresaron en las calles de Alejandría y la despedazaron.
Los libros griegos fueron quemados a millares. El año en que Teodosio prohibió las religiones paganas, los cristianos destruyeron el templo de Serapis, que todavía albergaba la única gran colección de obras griegas. Se estima que fueron destruidos 300.000 manuscritos. Muchos más trabajos escritos en pergamino fueron requisados por los cristianos y usados para sus propios escritos. El año 529 el emperador romano de Oriente, Justiniano, cerró todas las escuelas griegas de filosofía, incluida la Academia de Platón. Muchos sabios griegos abandonaron el país y algunos —por ejemplo, Simplicio— se asentaron en Persia.
El último suspiro para Alejandría fue la conquista de Egipto por los rebeldes mahometanos el año 640. Los libros que todavía quedaban fueron destruidos basándose en la proclama dada por Ornar, el conquistador árabe: «Los libros, o bien contienen lo que ya está en el Corán, en cuyo caso no tenemos que leerlos, o bien contienen lo contrario de lo que está en el Corán, en cuyo caso no debemos leerlos.» Como consecuencia de esto los baños de Alejandría se calentaron con el fuego de los rollos de pergamino.
Tras la captura de Alejandría por los mahometanos, la mayoría de los sabios emigraron a Constantinopla, que se había convertido en la capital del Imperio Romano de Oriente. Pese a que no florecería ninguna actividad respecto de las líneas del pensamiento griego en la atmósfera cristiana hostil de Bizancio, este flujo de eruditos y sus trabajos de relativa calidad incrementaron el tesoro del conocimiento que llegó hasta Europa ochocientos años después.
Resulta quizá fuera de lugar contemplar lo que podía haber sido. Pero no se puede dejar de considerar que la civilización greco- alejandrina terminó su activa vida científica en los umbrales de la era moderna. Fue la poco habitual combinación de intereses teóricos y prácticos que demostró ser fecunda mil años después. Durante los últimos siglos de su existencia, gozaron de libertad de pensamiento, que es también esencial para una cultura floreciente y abordaron y llevaron a cabo avances de gran relevancia en varios campos que fueron los que se convirtieron en primordiales durante el Renacimiento: geometría cuantitativa plana y del espacio, trigonometría, álgebra, cálculo y astronomía.
Se dice a menudo que el hombre propone y Dios dispone. Es más acertado decir que los griegos y Dios propusieron y el hombre dispuso. Los matemáticos griegos fueron borrados, pero el fruto de su trabajo llegó hasta Europa por el camino que vamos a relatar.
Bibliografía
- Cajori, Florian: A History of Mathematics, Macmillan, 1919, pp. 63-68.
- Gibbon, Edward: Historia de la decadencia y ruina del Imperio Romano, Madrid, Turner, 1984.
- Parsons, Edward Alexander: The Alexandrian Library, The Elsevier Press, 1952.
Capítulo 9
La matemática de los hindúes y de los árabes
Así como el Sol eclipsa las estrellas por su brillantez, también el hombre culto eclipsará la fama de otros en asambleas del pueblo si propone problemas algebraicos y todavía más si los resuelve.
Brahmagupta
Contenido:1. La primera matemática hindú1. La primera matemática hindú
2. Aritmética y álgebra indias del período 200-1200
3. Geometría y trigonometría indias durante el período 200-1200
4. Los árabes
5. Aritmética y álgebra árabes
6. La geometría y la trigonometría árabes
7. La matemática alrededor del 1300
Bibliografía
Los sucesores de los griegos en la historia de la matemática fueron los hindúes de la India. Pese a que las matemáticas indias llegaron a tener relevancia sólo después de recibir la influencia de los resultados griegos, en un principio hubo desarrollos autóctonos sin ninguna importancia.
La civilización hindú data como mínimo del 2000 a. C., pero, dentro de lo que podemos saber, no existía ningún tipo de matemáticas antes del 800 a. C. Durante el período de Sulvasutra, que va del 800 a. C. al 200 de nuestra era, los indios produjeron alguna matemática rudimentaria. No existía ningún documento matemático aislado pero se puede considerar algunos hechos recogidos de otros escritos, y de monedas e inscripciones.
A partir del siglo III a. C. aproximadamente, aparecen símbolos numéricos, que variaban considerablemente de un siglo a otro. Son típicos los símbolos de Brahmi:

Entre los escritos religiosos había una clase llamada Sulvasutras (reglas de la cuerda) que contenía instrucciones para la construcción de altares. En uno de los Sulvasutras del siglo IV o V a. C. se da una aproximación de √2, pero no hay ninguna indicación de que es precisamente una aproximación. Asimismo, no se conoce casi nada acerca de la aritmética de ese período.
La geometría de esta antigua época hindú se conoce algo mejor. Las reglas contenidas en los Salvasutras dan condiciones para las formas y tamaños de los altares. Las tres formas más comúnmente usadas eran el cuadrado, el círculo y el semicírculo; y fuera la que fuese la forma utilizada, el área tenía que ser la misma. Por tanto, los hindúes habían construido círculos que tenían la misma área que los cuadrados, o dos veces mayor para que se pudiera utilizar el semicírculo. Otra forma empleada era el trapecio isósceles; aquí se permitió usar una forma semejante y en consecuencia, aparecieron problemas geométricos adicionales para construir la figura semejante.
Al diseñar los altares autorizados los hindúes adquirieron algún conocimiento de los hechos geométricos básicos, como el teorema de Pitágoras, dado en la forma: «La diagonal de un cuadrilongo (rectángulo) produce por sí mismo las dos áreas a que dan lugar por separado cada uno de los lados del cuadrilongo. En general, la geometría de este período consiste en un conjunto inconexo de reglas verbales aproximadas para el cálculo de áreas y volúmenes. Apastamba (siglos IV o V a. C.) da una construcción para la obtención de un círculo con la misma área que un cuadrado, la cual usa, efectivamente, el valor 3,09 para π, pero él pensaba que la construcción era exacta. En toda la geometría de este período primitivo no se encuentra ninguna demostración; las reglas eran empíricas.
2. Aritmética y álgebra indias del período 200-1200
La segunda época de las matemáticas indias, el período alto, se puede datar groseramente desde el año 200 de nuestra era hasta el 1200. Durante la primera parte del mismo, la civilización de Alejandría influyó decisivamente en los indios. Varahamihira (c. 500), un astrónomo, dice: «Los griegos, pese a ser impuros [cualquiera que tenga una creencia diferente es impuro], deben ser honrados, puesto que fueron adiestrados en las ciencias y allí sobresalieron por encima de los demás. ¿Qué se puede decir, pues, de un brahmán si él une a su pureza la altura de la ciencia?» La geometría de los indios era realmente griega, pero ellos tenían un don especial para la aritmética. Igual que con el álgebra, pudieron haber partido de Alejandría y posiblemente de Babilonia, pero aquí, además, llegaron muy lejos en su desarrollo. La India estaba también un poco en deuda con China.
Los matemáticos más importantes del segundo período son Aryabhata (nacido el 476), Brahmagupta (nacido el 598), Mahavira (siglo IX) y Bhaskara (nacido el 1114). Muchos de sus trabajos y en general los de los matemáticos indios estaban motivados por la astronomía y la astrología. En realidad, no hay textos de matemáticas independientes, el material matemático aparece en capítulos de libros de astronomía.
Los métodos indios para la escritura de números en el año 600 eran numerosos y en algunos casos incluían palabras o sílabas para los símbolos numéricos. El año 600 se volvió otra vez a los antiguos símbolos brahmi, a pesar de que la forma concreta de los mismos varió a lo largo del período. La notación posicional en base 10, que había sido de uso limitado durante unos cien años, se convierte ahora en habitual. También el cero, que los griegos alejandrinos usaban en los primeros tiempos solamente para designar la ausencia de un número, fue considerado un número a todos los efectos. Mahavira dice que la multiplicación de un número por cero da cero y que la sustracción de cero no disminuye el valor del número. Sin embargo, afirma también que si se divide un número por cero, su valor permanece invariable. Bhaskara, al hablar de una fracción cuyo denominador es cero dice que dicha fracción permanece invariable aunque se añada o sustraiga cualquier cantidad, así como no sufre ningún cambio la inmutable divinidad cuando se crean y destruyen los mundos. Un número dividido por cero, añade, se designa como una cantidad infinita.
Para las fracciones en astronomía los indios usaban la notación posicional sexagesimal. Para otras finalidades empleaban una razón de enteros, pero sin la barra, como por ejemplo:
Las operaciones aritméticas eran muy parecidas a las nuestras. Por ejemplo, Mahavira da nuestra regla de división por una fracción: invierte y multiplica.
Los indios introdujeron los números negativos para indicar deudas; en tales situaciones, los números positivos representaban activos. El primer uso conocido de tales números se debe a Brahmagupta, hacia 628; él da también las reglas de las cuatro operaciones para los números negativos. Bhaskara indica que la raíz cuadrada de un número positivo tiene dos valores, uno positivo y otro negativo. Evita la dificultad de la raíz cuadrada de un número negativo, pero afirma que no hay ninguna raíz cuadrada de un número negativo porque estos números no son un cuadrado. No se da ningún tipo de definiciones, axiomas o teoremas.
Los indios no aceptaron los números negativos de manera incondicional. Bhaskara, al dar 50 y —5 como las dos soluciones de un problema, dice: «El segundo valor no debe ser tenido en cuenta en este caso, ya que es inadecuado; la gente no acepta las soluciones negativas.» Sin embargo, los números negativos fueron ganando aceptación lentamente.
Los indios dieron otro gran paso en aritmética al afrontar la cuestión de los números irracionales; es decir, comenzaron a operar con estos números con métodos correctos, lo cual, pese a que no fue demostrado generalmente por ellos, al menos permitió la obtención de conclusiones útiles. Por ejemplo, Bhaskara dice: «Llamemos la suma de dos irracionales al mayor número irracional, y dos veces su producto al menor de ellos. La suma y la diferencia de ellos se efectúa como si fueran números enteros.» Muestra entonces cómo sumarlos: dados los irracionales √3 y √12,
![]()
![]()
![]()
Bhaskara da también la regla siguiente para la suma de dos irracionales: «La raíz del cociente del mayor irracional dividida por el menor, aumentada en una unidad; la suma elevada al cuadrado y multiplicada por la menor cantidad irracional es igual a la suma de las dos raíces irracionales.» Esto significa, por ejemplo

Los indios eran menos sofisticados que los griegos a la hora de detectar las dificultades lógicas implícitas en el concepto de número irracional. Su interés en el cálculo les hizo pasar por encima de consideraciones filosóficas, o cuestiones que los griegos creían eran fundamentales. No obstante, al aplicar alegremente a los irracionales métodos semejantes a los usados con los racionales ayudaron al progreso de las matemáticas. Además, toda su aritmética fue completamente independiente de su geometría.
Los indios hicieron también algún progreso en álgebra. Usaron abreviaturas de palabras y algunos símbolos para describir las operaciones. Como en el caso de Diofanto, no había ningún símbolo para la adición; una tilde sobre el sustraendo indicaba sustracción; otras operaciones se designaban con palabras clave o abreviaturas; por ejemplo ka, de la palabra karama, indicaba la raíz cuadrada. Para las incógnitas, cuando había más de una, tenían palabras que denotaban colores. La primera se llamaba la incógnita y las restantes, negro, azul, amarillo y así sucesivamente. Este simbolismo, aunque no era exhaustivo, era suficiente para que se pueda clasificar el álgebra hindú como cuasisimbólica, y en realidad lo era más que el álgebra sincopada de Diofanto. Los problemas y sus soluciones se escribían en este estilo cuasisimbólico. Sólo se daban los pasos y no iban acompañados de justificaciones ni demostraciones.
Los indios sabían que las ecuaciones cuadráticas tenían dos raíces e incluían las negativas y las irracionales. Los tres tipos de ecuaciones cuadráticas ax2 + bx = c, ax2 = bx + c, ax2 + c = bx con a, b, c positivos, estudiadas por Diofanto de manera independiente, fueron tratadas como un solo caso px2 + qx + r = 0, porque admitían que algunos coeficientes podían ser negativos. Usaban el método de completar un cuadrado, que por supuesto no era nuevo para ellos. Como no admitían las raíces cuadradas de los números negativos, no resolvieron todas las ecuaciones de este tipo. Mahavira resuelve también x/4 + 2√x + 15 = 0, que proviene de un problema enunciado verbalmente.
En las ecuaciones indeterminadas avanzaron más allá de Diofanto. Estas ecuaciones surgieron en problemas de astronomía; las soluciones mostraban cuándo ciertas constelaciones aparecerían en el firmamento. Los indios consideraban todas las soluciones enteras mientras que Diofanto tomaba una solución racional. El procedimiento para obtener las soluciones enteras de ax ± by = c donde a, b y c son números enteros positivos fue introducido por Aryabhata y mejorado por sus sucesores. Es el mismo que el utilizado en la actualidad. Consideremos ax + by = c. Si a y b tienen un factor común m que no divide a c, no existe ninguna solución entera ya que el primer miembro es divisible por m mientras que el segundo, no. Si a, b y c tienen un factor común pueden existir soluciones, y, a la vista de la observación precedente, es suficiente considerar el caso en que a y b son primos entre sí. Ahora, el algoritmo de Euclides para el cálculo del máximo común divisor de dos enteros a y b con a > b comienza dividiendo a entre b con lo que a = a1b + r, donde a1 es el cociente y r, el resto. Por tanto, a/b = a1 + r/b. Esto puede expresarse como:
![]()


![]()
Las fracciones obtenidas al detenerse en el primero, segundo, tercero y en general n-ésimo cociente, reciben el nombre de primer, segundo, tercer, n-ésimo convergente, respectivamente. Como en el caso en que a y bson enteros la fracción continua finaliza, existe un convergente que precede inmediatamente a la expresión exacta de a/b. Si p/qes el valor de este convergente, se puede probar que:
aq - bp = ±1
Consideremos el valor positivo. Volviendo de nuevo a nuestra ecuación indeterminada original, y como aq - bp = 1 podemos escribir:ax + by = c(aq - bp)
y reordenando los términos, tenemos![]()
![]()
Los indios trabajaron también con ecuaciones cuadráticas indeterminadas. Resolvieron el tipo:
y2 = ax2 + 1
siendo a no cuadrado perfecto y reconocieron que este tipo era fundamental para estudiar la ecuacióncy2 = ax2 + b.
Los métodos utilizados son excesivamente especializados para ser objeto de consideración aquí.Es destacable que encontraron placer en varios problemas matemáticos y los enunciaron de manera ingeniosa o en verso, o en algún contexto histórico, para agradar y atraer a la gente. La razón original para actuar así pudo haber sido un intento de ayudar la memoria, ya que la vieja práctica del brahmán era confiar en la memoria y escribir las cosas después.
El álgebra se aplicó a los problemas habituales del comercio: cálculo del interés, descuento, división de los beneficios de un socio y la asignación de porciones en una herencia; pero la astronomía fue la aplicación más importante.
3. Geometría y trigonometría indias durante el período 200-1200
Durante este período, la geometría no hizo avances notables; consistía en fórmulas (correctas e incorrectas) para el cálculo de áreas y volúmenes. Muchas de ellas, como la fórmula de Herón para el área de un triángulo v el teorema de Ptolomeo, proceden de los griegos alejandrinos. Algunas veces los indios tenían conciencia de cuándo una fórmula era sólo aproximadamente correcta y otras veces, no. Sus valores para π eran por lo general incorrectos; utilizaban corrientemente √10, aunque el valor 3,1416 aparece algunas veces. Para el área de un cuadrilátero dieron la fórmula
![]()
En trigonometría los indios hicieron algunos avances de poca consideración. Ptolomeo había usado las cuerdas de arcos, calculadas sobre la base de que el diámetro de un círculo estaba dividido en 120 unidades. Varahamihira utilizó 120 unidades para el radio. Por tanto, la tabla de cuerdas de Ptolomeo se convirtió para ellos en una tabla de semicuerdas, pero todavía asociadas a todo el arco. Aryabhata hizo entonces dos cambios. Primero, asoció la semicuerda con la mitad del arco de la cuerda completa, este concepto hindú de seno fue usado por todos los matemáticos posteriores. En segundo lugar, introdujo un radio de 3438 unidades. Este número se obtiene asignando 360 ´ 60 unidades (el número de minutos) a la circunferencia de un círculo y usando la fórmula C = 2πr, con π aproximado por 3,14. De esta manera, en el esquema de Aryabhata el «seno de un arco de 30°, es decir, la longitud de la semicuerda correspondiente a un ángulo de 30°, era 1719. Aunque utilizaban el equivalente a nuestro coseno, usaban con más frecuencia el seno del arco complementario. Usaban también la noción de «seno verso» ó 1 -coseno.
Como el radio de un círculo contenía ahora 3438 unidades, los valores de las cuerdas de Ptolomeo no eran los más adecuados y calcularon de nuevo una tabla de semicuerdas, partiendo de la base de que la semicuerda que corresponde a un arco de 90° es 3438 y la semicuerda que corresponde a un arco de 30° es 1719. Entonces, usando identidades trigonométricas tales como las establecidas por Ptolomeo, fueron capaces de calcular las semicuerdas a intervalos de 3°45'. Este ángulo resulta de dividir cada cuadrante de 90° en 24 partes. Es digno de mención que usaron las identidades en forma algebraica, al contrario de los argumentos de Ptolomeo, e hicieron cálculos aritméticos sobre las relaciones algebraicas. Su práctica era, en principio, semejante a la nuestra.
La motivación de la trigonometría fue la Astronomía, de la que la trigonometría era prácticamente un subproducto. Los trabajos astronómicos típicos incluyen el Surya Siddhanta (Sistema del Sol, siglo IV) y el Aryabhatiya de Arabhata (siglo VI). El trabajo más importante fue el Siddhanta Siromani (Diadema de un sistema astronómico) escrito por Bhaskara en el 1150. Dos capítulos de este trabajo se titulan Lúavati (Lo hermoso) y Vijaganita (Extracción de raíces), y estaban dedicados a la aritmética y el álgebra.
Aunque la astronomía constituyó un interés primordial en el período que sigue al año 200, los indios no hicieron grandes progresos en este campo. Se fijaron en la actividad helenística de menor importancia en astronomía aritmética (de origen babilonio), que predice las posiciones planetarias y lunares por extrapolación a partir de los datos de las observaciones. Incluso las palabras hindúes de centro, minuto y otros términos eran exactamente una transliteración de las correspondientes palabras griegas. Los hindúes se interesaron levemente en la teoría geométrica de deferente y epiciclo, si bien enseñaban la esfericidad de la Tierra.
Alrededor del año 1200 declinó la actividad científica en la India y cesó el progreso matemático. Después de que los británicos conquistaran la India en el siglo XVIII, algunos sabios de la India viajaron a Inglaterra para estudiar y a su regreso iniciaron alguna investigación. No obstante, esta actividad moderna forma parte de las matemáticas europeas.
Como indica nuestro resumen, los hindúes estuvieron interesados y realizaron aportaciones en actividades aritméticas y computacionales más que en cuestiones de carácter deductivo. Su nombre para las matemáticas era Ganita, que significa «la ciencia del cálculo». Evidenciaron métodos muy buenos y grandes facilidades técnicas, pero no hay ninguna prueba de que consideraran algún tipo de demostración. Tenían reglas, pero en apariencia, ningún escrúpulo lógico. Además, no aportaron ningún método general ni ningún punto de vista novedoso en el área de las matemáticas.
Es rigurosamente cierto que los indios no apreciaban la importancia de sus propias aportaciones. Las escasas ideas valiosas que tuvieron, tales como separar los símbolos correspondientes a los números entre 1 y 9, la conversión a la base 10 y los números negativos fueron introducidos por casualidad sin tener conciencia de que eran innovaciones notables. No eran sensibles a los valores de las matemáticas. En el mundo de las ideas, avanzaron, aceptaron e incorporaron las ideas rudimentarias de egipcios y babilonios. El historiador persa al-Biruni (973-1048) dice de ellos: «Sólo puedo comparar su literatura matemática y astronómica... a una mezcla de concha de perla y dátiles verdes o de perlas y estiércol, o de cristales valiosos y piedras corrientes. Ambos tipos de cosas son iguales a sus ojos porque no pueden elevarse a los métodos de una deducción estrictamente científica.»
4. Los árabes
Visto desde la distancia, el papel de los árabes en la historia de las matemáticas fue el de asestar el último golpe a la civilización alejandrina. Antes de comenzar sus conquistas habían sido un pueblo nómada que ocupaba la región de la Arabia moderna. Fueron incitados a la actividad y a la unidad por Mahoma y menos de un siglo después de su muerte, ocurrida el 632, habían conquistado tierras que iban de la India hasta España incluyendo el norte de África y el sur de Italia. El año 755 el imperio árabe se escindió en dos reinos independientes; la parte oriental tenía su capital en Bagdad y la occidental, en Córdoba, en España.
Una vez terminadas sus conquistas, los antiguos nómadas pusieron su empeño en construir una civilización y una cultura. Rápidamente, los árabes se interesaron por las artes y las ciencias. Las dos capitales atrajeron a científicos y apoyaron su trabajo, si bien fue Bagdad la que demostró ser la más importante: allí se construyeron una academia, una biblioteca y un observatorio astronómico.
Los recursos culturales al alcance de los árabes fueron considerables. Invitaron a científicos indios a establecerse en Bagdad. Cuando Justiniano cerró la Academia de Platón el año 529, muchos de sus miembros griegos marcharon a Persia, y las enseñanzas griegas que florecieron allí se convirtieron, un siglo más tarde, en parte del mundo árabe. Los árabes establecieron también contactos con los griegos del Imperio Bizantino; de hecho, los califas árabes adquirieron manuscritos griegos a los bizantinos. Egipto, el centro del saber griego durante el período alejandrino, fue conquistado por los árabes, por lo que la ciencia que sobrevivió allí contribuyó a la actividad del imperio árabe. Las escuelas sirias de Antioquía, Emesa y Damasco y la escuela de los cristianos nestorianos de Edesa, que se habían convertido en los mayores depositarios del Cercano Oriente de los trabajos griegos después de la destrucción de Alejandría el año 640, y los monasterios cristianos del Oriente próximo, que también estaban en posesión de estos trabajos, estaban bajo el gobierno de los árabes. De esta manera, los árabes tenían el control, o el acceso, de hombres y cultura del Imperio Bizantino, Egipto, Siria, Persia y las tierras situadas más al Este, incluida la India.
Se habla de matemáticas árabes, pero en un principio eran matemáticas en lengua árabe. La mayoría de los sabios eran griegos, cristianos, persas y judíos. Sin embargo, es cierto que los árabes, tras finalizar el período de sus conquistas, marcado por el fanatismo religioso, fueron liberales con respecto a otros pueblos y sectas y los infieles pudieron desarrollar sus actividades con entera libertad.
Fundamentalmente, lo que poseían los árabes era el conocimiento griego, adquirido directamente de los manuscritos griegos o de versiones sirias o hebreas. Todos los trabajos que tenían una gran importancia eran accesibles para ellos. Los bizantinos les proporcionaron una copia de los Elementos de Euclides alrededor del año 800 y los tradujeron al árabe. La Sintaxis Matemática de Ptolomeo fue traducida también al árabe el año 827 y se convirtió en un libro fundamental, casi divino, para los árabes; era conocido como el Almagesto, que significa el libro mayor. Tradujeron también el Tetrabiblos de Ptolomeo y este libro de astrología fue popular entre ellos. Con el tiempo fueron accesibles en lengua árabe los trabajos de Aristóteles, Apolonio, Arquímedes, Herón y Diofanto y las obras indias. Entonces, los árabes mejoraron las traducciones e introdujeron comentarios. Estas traducciones, algunas de ellas conservadas, pudieron encontrarse más tarde en Europa, cuando los originales griegos ya se habían perdido. Hasta el 1300 la civilización árabe fue dinámica y su ciencia se difundió ampliamente.
5. Aritmética y álgebra árabes
Cuando los árabes eran todavía nómadas tenían palabras para los números, pero no disponían de ningún símbolo. Tomaron y mejoraron los símbolos numéricos de los indios y su idea de la notación posicional. Usaban estos símbolos numéricos para los números enteros y las fracciones corrientes (añadiendo una barra al esquema hindú) en sus textos matemáticos y numerales alfabéticos árabes, a partir de la idea griega, para los textos astronómicos. Para la astronomía usaban las fracciones sexagesimales, igual que Ptolomeo.
Del mismo modo que los indios, los árabes trabajaron libremente con los irracionales. De hecho, Ornar Khayyam (1048?-1122) y Nasir-Eddin (1201-1274) afirman claramente que toda razón de magnitudes, tanto conmensurables como inconmensurables, puede ser considerada como un número, aseveración que Newton se vio obligado a reafirmar en su Aritmética Universal de 1707. Los árabes consideraron las operaciones con números irracionales que habían introducido los indios, y transformaciones tales como √a2b = a√b y √ab = √a √b se convirtieron en habituales.
En aritmética, los árabes dieron un paso atrás: aunque estaban familiarizados con los números negativos y las reglas de las operaciones con ellos a través de los trabajos de los indios, los rechazaron.
Al álgebra contribuyeron antes de nada con el nombre. La palabra «álgebra» viene de un libro escrito el 830 por el astrónomo Mohammed ibn Musa al-Khowárizmi (sobre el 825), titulado Al-jabr w’al muqábala. La palabra al-jabr que en este contexto significa «restauración», restaura el equilibrio en una ecuación al colocar en un miembro de la misma un término que ha sido eliminado del otro; por ejemplo, si -7 se suprime de x2 - 7 = 3, el equilibrio se restaura escribiendo x2 = 7 + 3.
Al muqábala significa «simplificación», en el sentido de que, por ejemplo, se pueden combinar 3x y 4x y obtener 7x, o bien suprimir términos iguales en miembros distintos de una ecuación. Al-jabr significa también «componedor de huesos», es decir, un restaurador de huesos rotos. Cuando los moros llevaron la palabra a España se convirtió en algebrista y significaba «componedor de huesos». En algún tiempo no era raro en España ver un cartel con la inscripción «Algebrista y Sangrador»[18] a la entrada de una barbería, ya que en aquel tiempo, e incluso en siglos posteriores, los barberos administraban tratamientos médicos sencillos. En el siglo XVI en Italia, álgebra significaba el arte de componer huesos rotos. Cuando el libro de al-Khowárizmi fue traducido por primera vez al latín en el siglo XII, se tituló Ludus algebrae et almucgrabalaeque, aunque se usaron también otros títulos. El nombre fue finalmente resumido como álgebra.
El álgebra de al-Khowárizmi está basada en el trabajo de Brahmagupta, pero muestra también influencias babilonias y griegas. Al- Khowárizmi ejecuta algunas operaciones exactamente igual que Diofanto. Por ejemplo, en ecuaciones con varias incógnitas, las reduce a una indeterminada y a continuación las resuelve. Diofanto coloca una indeterminada a continuación de otra para escribir s2 y lo mismo hace al-Khowárizmi. Este llama «potencia» al cuadrado de la incógnita, que es una palabra de Diofanto. Utiliza también, igual que Diofanto, nombres especiales para las potencias de la indeterminada. Llama a esta última la «cosa» o la «raíz» (de una planta), y de ahí procede nuestro término raíz. Al-Karkhi de Bagdad (fallecido sobre el 1029) que escribió un texto árabe de álgebra superior en los primeros años del siglo XI, sigue realmente a los griegos y en especial a Diofanto. Sin embargo, los árabes no usaron ninguna clase de simbolismo; su álgebra es completamente retórica y a este respecto representa un retroceso si se compara con la de los indios e incluso con la de Diofanto.
En su Algebra, al-Khowárizmi da el producto de (x ± a) e (y ± b). Muestra cómo añadir y sustraer términos de expresiones de la forma ax2 + bx + c. Resuelve ecuaciones lineales y cuadráticas, pero considera las seis formas distintas, tales como ax2 = bx, ax2 = c, ax2 + c = bx, ax2 + bx = c y ax2 = bx + c, con a, b, c siempre positivos. Evita los números negativos en solitario y la sustracción de cantidades mayores que el minuendo. En este procedimiento de considerar formas separadas, al-Khowárizmi sigue la línea de Diofanto. Al- Khowárizmí reconoce que una ecuación cuadrática puede tener dos raíces, pero da solamente las que son reales y positivas, que pueden ser irracionales. Algunos autores dan raíces positivas y raíces negativas.
Un ejemplo de un problema cuadrático planteado por al- Khowárizmi es el siguiente: «Un cuadrado y diez de sus raíces son iguales a treinta y nueve unidades, es decir, si sumamos diez raíces a un cuadrado, la suma es igual a treinta y nueve.» Da la solución así: «Tomemos la mitad del número de raíces, esto es, en este caso, cinco, y multipliquemos esta cantidad por sí misma y el resultado es veinticinco. Añadámosla a treinta y nueve, lo que da sesenta y cuatro; tomemos su raíz cuadrada, u ocho, y restémosle la mitad del número de raíces, precisamente cinco, y queda un resto de tres. Esta es la raíz.» La solución dada sigue exactamente el proceso llamado «completar un cuadrado».
Pese a que los árabes dan soluciones algebraicas de las ecuaciones cuadráticas, explican o justifican sus procesos geométricamente. Sin duda, estaban influidos por la confianza que tenían los griegos en el álgebra geométrica: a la vez que aritmetizaban el problema, debían pensar que la demostración había que hacerla con métodos geométricos.
Así, para resolver la ecuación x2 + 10x = 39, al-Khowárizmi da el siguiente razonamiento geométrico: sea AB (fig. 9.1) el segmento que representa el valor de la incógnita x y construyamos el cuadrado ABCD.

Figura 9.1
Luego, el cuadrado completo tiene área 39 + 25 ó 64 y su lado debe valer 8. Así pues, AB o AD es 8 - 5 ó 3. Este es el valor de x. El argumento geométrico se basa en la proposición 4 del libro II de los Elementos.
Los árabes resolvieron algunas ecuaciones cúbicas algebraicamente y dieron una justificación geométrica, tal como hemos ilustrado en el caso de las ecuaciones cuadráticas. Esto es lo que hicieron, por ejemplo, Tábit ibn Qorra (836-901), un pagano de Bagdad, que fue también físico, filósofo y astrónomo, y el egipcio al-Hassan ibn al-Haitham, conocido generalmente como Alhazen (sobre 965-1039). Ornar Khayyam creía que la ecuación cúbica general debería resolverse sólo geométricamente, usando secciones cónicas. Vamos a ilustrar el método usado en su Algebra (hacia 1079) para resolver algunos tipos de tales ecuaciones considerando uno de los casos más sencillos estudiados por él: x3 + Bx =C, donde B y C son positivos.
Khayyam escribe la ecuación como x3 + b2x = b2c donde b2 = B y b2c = C. Construye entonces una parábola (fig. 9.2) de parámetro b. Esta cantidad, por supuesto, fija la parábola, y aunque la curva no puede construirse con el uso de la regla y el compás, se pueden dibujar cuantos puntos de la misma se deseen.

Figura 9.2
La demostración de Khayyam es estrictamente sintética. A partir de la propiedad geométrica de la parábola dada por Apolonio (o como podemos ver a partir de la ecuación x2 = by)
x2 = b ´ PS (6)
o bien![]()
Consideremos ahora el triángulo rectángulo QPR. La altura PS es media proporcional entre QS y SR. Por tanto:
![]()
![]()
![]()
x3 + b2x = b2c.
Khayyam resolvió también ecuaciones del tipo x3 + ax2 = c3, cuyas raíces están determinadas por la intersección de una hipérbola y una parábola, y del tipo x3 ± ax2 + b2x - b2c, las raíces de la cual se determinan mediante la intersección de una elipse y una hipérbola. Resolvió asimismo una ecuación de cuarto grado: (100 - x2)(10 - x2) = 8100, cuyas raíces están determinadas por la intersección de una hipérbola y un círculo. Da solamente raíces positivas.La resolución de ecuaciones cúbicas con el uso de intersecciones de cónicas es el mayor avance hecho por los árabes en álgebra. Las matemáticas son del mismo tipo que el álgebra geométrica de los griegos, aunque utilicen secciones cónicas. El objetivo sería dar una respuesta aritmética, pero los árabes la podían obtener solamente midiendo la longitud final que representa x. En este trabajo la influencia de la geometría griega es evidente.
Los árabes resolvieron también ecuaciones indeterminadas de segundo y tercer grado. Un par de autores se dedicaron a estudiar la ecuación x3 + y3 = z3, pero no pudo ser resuelta completamente. Dieron también las sumas de las potencias primera, segunda, tercera y cuarta de los n primeros números naturales.
6. La geometría y la trigonometría árabes
La geometría árabe estuvo influida principalmente por Euclides, Arquímedes y Herón. Los árabes hicieron comentarios críticos a los Elementos de Euclides, lo que resulta sorprendente, ya que pone de manifiesto unas apreciaciones de rigor que contrastan con su indiferencia habitual por el mismo en álgebra. Estos comentarios incluyen trabajos sobre el axioma de las paralelas, que consideraremos más adelante (cap. 36). Estos comentarios son más valiosos por la información que suministran acerca de los manuscritos griegos que los árabes tenían a su disposición desde que habían sido extraviados que por el hecho de que pudieran ofrecer algún resultado nuevo o alguna demostración diferente. Un problema nuevo, que se hizo popular en Europa durante el Renacimiento, fue investigado por el persa Abü’l- Wefá o Albuzjani (940-998); construcciones con una recta y un círculo fijo (es decir, un compás con abertura fija).
Los árabes hicieron algún pequeño progreso en trigonometría. La suya, igual que en el caso de los indios, es más aritmética que geométrica (como en Hiparco y Ptolomeo). Así, para calcular valores de algún coseno a partir de valores del seno usaban una identidad como sen2A + cos2A = 1 y transformaciones algebraicas. Igual que los indios, utilizaban senos de arcos en vez de cuerdas de arcos dobles, pese a que (como en los trabajos indios) el número de unidades en el seno o semicuerda depende del número de unidades tomadas en el radio. Tábit ibn Qorra y el astrónomo al-Battání (sobre 858-929) introdujeron este uso de senos entre los árabes.
Los astrónomos árabes introdujeron lo que llamamos tangente y cotangente, pero como líneas que contenían un número determinado de unidades, exactamente como el seno de un arco era una longitud que contenía una cantidad dada de unidades. Estas dos razones se pueden encontrar en el trabajo de al-Battáni. Abü’l-Wefá introdujo la secante y la cosecante como longitudes en un trabajo de astronomía. Calculó también tablas de senos y tangentes para intervalos de 10' de ángulo. Al-Bíruni dio el teorema del seno para triángulos planos y una demostración del mismo.
La sistematización de la trigonometría plana y esférica en un trabajo independiente de la astronomía la proporcionó Nasir-Eddin en su Tratado del Cuadrilátero. Este trabajo contiene seis fórmulas fundamentales para la resolución de triángulos rectángulos esféricos y muestra cómo resolver triángulos más generales por el método que denominamos del triángulo polar. Por desgracia, los europeos no conocieron el trabajo de Nasír hasta aproximadamente el año 1450; hasta entonces la trigonometría permaneció, tal como había sido concebida, como un apéndice de la astronomía, tanto en los textos como en las aplicaciones.
El esfuerzo científico árabe, si bien no fue original, fue amplio; sin embargo, nosotros no podemos hacer otra cosa que destacar del mismo la continuación de las líneas propuestas por los griegos, Contrariamente a los indios, los árabes tomaron como punto de partida la astronomía de Ptolomeo. La astronomía fue cobrando cada vez más importancia, ya que las horas de las oraciones debían ser conocidas con absoluta precisión, y porque los árabes debían rezar de cara a La Meca desde cualquier punto de su vasto imperio. Las tablas astronómicas fueron aumentadas; los instrumentos, mejorados, y se construyeron y utilizaron observatorios. Igual que en la India, prácticamente todos los matemáticos eran principalmente astrónomos. La astrología jugó también un importante papel a la hora de estimular los trabajos en astronomía y, en consecuencia, en matemáticas.
Otra ciencia estudiada por los árabes fue la óptica. Alhazen, que fue físico además de matemático, escribió el gran tratado Kitab al~manazer o Compendio de Optica, que ejerció una gran influencia. En él se establece la ley de la reflexión completa, incluyendo el hecho de que el rayo incidente, el reflejado y la normal a la superficie de reflexión están todos contenidos en un mismo plano. Pero, igual que Ptolomeo, no tuvo éxito a la hora de hallar la ley del ángulo de refracción, pese a que dedicó a ello grandes esfuerzos y experimentaciones. Habló de los espejos esféricos y parabólicos, las lentes, la cámara oscura y la visión. La óptica fue un tema favorito de los árabes porque se presta a proyectos ocultos y místicos. Pese a ello, no aportaron ninguna idea original de importancia.
El uso de las matemáticas por parte de los árabes se centraba en los campos que hemos indicado anteriormente. La astronomía, la astrología, la óptica y la medicina (a través de la astrología) las necesitaban, si bien partes del álgebra, como dijo uno de los matemáticos árabes, eran «más necesarias en cuestiones de distribución, herencias, sociedades, medidas de tierras...». Los árabes estudiaron matemáticas para el resto de las pocas ciencias que cultivaron, y no por sí mismas. No estudiaron las ciencias por su valor intrínseco. No se interesaron en el objetivo de los griegos de comprender el plan matemático de la Naturaleza o para entender los caminos de Dios, como en la Europa medieval. El objetivo árabe, nuevo en la historia de la ciencia, era dominar la Naturaleza. Ellos pensaban que lograrían este poder a través de la alquimia, la magia y la astrología, que constituyeron una gran parte de su esfuerzo científico. Este objetivo fue abandonado más tarde por mentes más críticas, que distinguirían entre ciencia y pseudociencia y fueron más profundos en su estudio.
Los árabes no produjeron ningún avance significativo en matemáticas. Lo que hicieron fue absorber las matemáticas griegas e indias, conservarlas y finalmente, a través de los acontecimientos que hemos contemplado hasta ahora, transmitirlas a Europa. La actividad árabe alcanzó su cumbre alrededor del año 1000. Entre los años 1100 y 1300 los ataques cristianos en las Cruzadas debilitaron a los árabes orientales. Como consecuencia de ello, su territorio fue invadido y conquistado por los mongoles; después de 1258, el califato de Bagdad dejó de existir. Destrucciones adicionales a cargo de los tártaros bajo Tamerlán acabaron de borrar esta civilización árabe, aunque se desarrolló algún atisbo de actividad matemática después de la invasión tártara. En España, los árabes fueron constantemente atacados y finalmente derrotados en el año 1492 por los cristianos; esto terminó con la actividad matemática y científica en ese país.
7. La matemática alrededor del 1300
Si bien la labor matemática de los indios y árabes no fue brillante, produjo algunos cambios en el contenido y en el carácter de las matemáticas que fueron importantes para abordar su futuro. La notación posicional en base 10 (que usa símbolos especiales para los números de 1 a 9 y el cero como número), la introducción de los números negativos y el libre uso de los irracionales como números no sólo amplió considerablemente la aritmética sino que allanó el camino para un álgebra más trascendente, un álgebra en la que las letras y las operaciones se podrían aplicar a una clase más amplia de números.
Ambos pueblos trabajaron con ecuaciones, determinadas e indeterminadas, con una base más aritmética que geométrica. Si bien el álgebra, tal como la iniciaron egipcios y babilonios, estaba fundamentada aritméticamente, los griegos la habían desvirtuado al requerir una base geométrica. Por lo tanto, los trabajos indios y árabes no sólo recondujeron el álgebra a sus propios orígenes sino que incluso la hicieron avanzar por varios caminos. Los indios aumentaron el simbolismo e hicieron progresos en el campo de las ecuaciones indeterminadas, mientras que los árabes se aventuraron en el problema de las ecuaciones de tercer grado, aunque los trabajos de Khayyam todavía estaban vinculados a la geometría.
La geometría euclídea no hizo ningún avance, pero sí lo hizo la trigonometría. La introducción del seno o semicuerda demostró ser un avance técnico. La técnica aritmética o algebraica para el manejo de identidades y para el cálculo en trigonometría fue un paso definitivo, y la segregación del conocimiento trigonométrico de la astronomía puso de manifiesto una ciencia más ampliamente aplicable.
Hubo dos hechos que fueron significativos para el reconocimiento futuro de que el álgebra podía coexistir con la geometría. La aceptación de los números irracionales hizo posible asignar valores numéricos a todos los segmentos lineales y a las figuras de dos o tres dimensiones; es decir, expresar longitudes, áreas y volúmenes mediante números. Además, la práctica de los árabes de resolver ecuaciones algebraicas al mismo tiempo que justificaban el proceso a través de una representación geométrica exhibía el paralelismo entre las dos materias. El desarrollo más completo de este paralelismo se dejó a la geometría analítica.
Quizá más interesante sea el concepto autocontradictorio de las matemáticas que tenían indios y árabes. Ambos trabajaron con entera libertad en aritmética y álgebra y, sin embargo, no se preocuparon en ninguna medida de la noción de demostración. No resulta sorprendente que tanto egipcios como babilonios se contentaran con su escasa aritmética y algunas reglas geométricas de base empírica; ésta es una base natural para casi todo el conocimiento humano. Pero los indios y los árabes estaban al tanto del concepto totalmente nuevo de demostración matemática instaurado por los griegos. El comportamiento hindú puede tener alguna justificación; pese a que poseían claramente algún conocimiento de los trabajos de los griegos clásicos, les prestaron muy poca atención y siguieron fundamentalmente el tratamiento greco-alejandrino de la aritmética y el álgebra. Incluso su preferencia por un tipo de matemáticas sobre otras levanta una controversia. Pero los árabes conocían completamente la geometría griega e incluso hicieron estudios críticos de Euclides y otros autores griegos. Por otra parte, las condiciones para continuar el estudio de la ciencia pura eran favorables en un período que duró varios siglos, por lo que la presión para producir resultados prácticos y útiles no tenía que dar lugar necesariamente a que los matemáticos sacrificaran la demostración por la utilidad inmediata. ¿Por qué, pues, los dos pueblos han tratado las dos áreas de las matemáticas de forma tan distinta a los griegos?
Hay muchas respuestas posibles. Ambas civilizaciones carecieron por completo de espíritu crítico, a pesar de los comentarios árabes de Euclides. Luego, es posible que se contentaran con tomar las matemáticas tal como las encontraron; es decir, la geometría era deductiva, pero la aritmética y el álgebra eran empíricas o heurísticas. Una segunda posibilidad es que tanto un pueblo como el otro —más propiamente los árabes— admitieron que los métodos y temas de la geometría eran completamente diferentes de los de la aritmética y el álgebra pero no veían la manera de encontrar un fundamento lógico para la aritmética. Un hecho que parece apoyar esta teoría es que los árabes, al menos, explicaban su solución de las ecuaciones cuadráticas con argumentos geométricos.
Hay otras explicaciones posibles. Indios y árabes apoyaron la aritmética, el álgebra y la formulación algebraica de las relaciones trigonométricas, así como las operaciones con ellas. Esta predisposición puede provocar una mentalidad distinta o reflejar una respuesta a las necesidades de las civilizaciones. Las dos que estamos considerando estaban orientadas a la práctica y, como hemos tenido ya ocasión de observar al hablar de los griegos alejandrinos, las necesidades prácticas exigían resultados cuantitativos, que eran facilitados por la aritmética y el álgebra. Una pequeña evidencia que puede favorecer la tesis de que había una diferencia de mentalidad respecto a los griegos clásicos es la reacción de los europeos ante una herencia matemática muy parecida a la que habían recibido indios y árabes. Como veremos, los europeos estuvieron mucho más preocupados por la situación tan dispar que presentaban la aritmética y la geometría.
En ausencia de un estudio exhaustivo y definitivo podemos adoptar la postura de admitir que los indios y árabes eran conscientes de la situación precaria en que se encontraban la aritmética y el álgebra, pero tuvieron la audacia, reforzada por necesidades prácticas, de desarrollar estas ramas. Si bien es indudable que no apreciaban lo que estaban realizando, tomaron el único camino de innovación matemática posible. Las nuevas ideas pueden llegar solamente a través de la búsqueda libre y audaz del discernimiento heurístico e intuitivo. La justificación lógica y las medidas correctoras, que se necesitarían más tarde, pueden plantearse solamente cuando hay algo que fundamentar lógicamente. Los indios y árabes tuvieron el atrevimiento de llevar de nuevo la aritmética y el álgebra al lugar que ocupaban anteriormente y situarlas casi a la misma altura que la geometría.
Se había llegado así a dos tradiciones o conceptos de matemáticas independientes entre sí: por una parte, el cuerpo de conocimiento lógico y deductivo establecido por los griegos, que servía para el ambicioso propósito de comprender la Naturaleza; y por otra, las fundamentadas empíricamente y orientadas a la práctica, creadas por los egipcios y babilonios y resucitadas por los greco-alejandrinos y prolongadas por los indios y árabes. Una favorece la geometría y la otra, la aritmética y el álgebra. Ambas tradiciones y ambos objetivos fueron continuados y llevados a cabo.
Bibliografía
- Ball, W. W. R.: A Short Account of the History of Mathematics, Dover (reimpresión), 1960, cap. 9.
- Berry, Arthur: A Short History of Astronomy, Dover (reimpresión), 1961, pp. 76-83.
- Boyer, Cari B.: Historia de la Matemática, Madrid, Alianza Editorial, 1986.
- Cajori, Florian: A History of Mathematics, Macmillan, 1919, pp. 83-112.
- Cantor, Moritz: Vorlesungen über Geschichte der Mathematik, 2.a ed., B. G. Teubner, 1894, Johnson Reprint Corp., 1965, vol. 1, caps. 28-30, 32-37.
- Coolidge, Julián L.: The Mathematics of Great Amateurs, Dover (reimpresión), 1963, cap. 2.
- Datta, B., and A. N. Singh: History of Hindú Mathematics, 2 vols. Asia Publishing House (reimpresión), 1962.
- Dreyer, J. L. E.: A History of Astronomy from Thales to Kepler, Dover (reimpresión), 1953, cap. 11.
- Karpinski, L. C.: Robert of Chester’s Latín Translation of the Algebra of al-Khowarizmi,Macmillan 1915. Hay también versión inglesa.
- Kasir, D. S.: The Algebra of Omar Khayyam, Columbia University Teachers College thesis, 1931.
- O’Leary, De Lacy: How Greek Sciences Passed to the Arabs, Routledge and Kegan Paul, 1949.
- Pannekoek, A.: A History of Astronomy, John Wiley and Sons, 1961, cap. 15.
- Scott, J. F.: A History of Mathematics, Taylor and Francis, 1958, cap. 5.
- Smith, David Eugene: History of Mathematics, Dover (reimpresión), 1958, vol. 1, pp. 138-47, 152-92, 283-90.
- Struik, D. J.: «Ornar Khayyam, Mathematician», The Mathematics Teacher, 51, 1958, 280-285.
Capítulo 10
El periodo medieval en Europa
En la mayoría de las ciencias una generación destruye lo que otra ha construido y lo que una ha establecido otra lo deshace. Sólo en matemáticas cada generación añade un piso nuevo a la antigua estructura.
Hermann Hankel
Contenido:1. Los comienzos de la civilización europea
2. Los elementos disponibles para la cultura
3. El papel de las matemáticas en
4. Europa en la Alta Edad Media
5. El estancamiento en matemáticas
6. El primer renacimiento de las obras griegas
7. El renacimiento del racionalismo y del interés por la naturaleza
8. El progreso específico en matemáticas
9. El progreso en las ciencias físicas
10. Sumario
Bibliografía
1. Los comienzos de la civilización europea
La Europa occidental y central empezó a participar en el desarrollo de las matemáticas cuando la civilización árabe comenzó a declinar. Sin embargo, para familiarizarnos con la situación de la Europa medieval, para saber cómo empezó la civilización europea y para entender las direcciones que tomó, debemos volver, al menos brevemente, a sus comienzos.
En los tiempos en que florecieron babilonios, egipcios, griegos y romanos, la zona que ahora se llama Europa (excepto Italia y Grecia) poseía una civilización primitiva. Las tribus germánicas que vivían en ella no tenían ni una escritura ni una cultura. El historiador romano Tácito (siglo I d. C.) describe esas tribus, aproximadamente en tiempos de Cristo, como honestas, hospitalarias, bebedoras, no amantes de la paz y orgullosas de la lealtad de sus esposas. La cría de ganado, la caza y el cultivo de grano eran las principales ocupaciones. Comenzando en el siglo IV de la era cristiana, los hunos condujeron hacia el Oeste a los godos y a las tribus germánicas que ocupaban la Europa central. En el siglo V los godos conquistaron el Imperio Romano de Occidente.
Aunque partes de Francia e Inglaterra habían adquirido alguna cultura durante la dominación del Imperio Romano, hacia el 500 después de Cristo comenzaron a actuar en Europa nuevas influencias civilizadoras. Incluso antes de la caída del Imperio, la Iglesia Católica estaba organizada y era poderosa. La iglesia convirtió gradualmente a los bárbaros germánicos y godos al cristianismo y comenzó a fundar escuelas; éstas estaban asociadas a monasterios ya existentes, que conservaban fragmentos de las culturas griega y romana, y habían estado enseñando a la gente a leer los servicios de la iglesia y los libros sagrados. Un poco más tarde, la necesidad de preparar hombres para desempeñar puestos eclesiásticos motivó el desarrollo de escuelas superiores.
En la última mitad del siglo VIII, algunos dirigentes seglares fundaron más escuelas. En el imperio de Carlomagno, las escuelas fueron organizadas por Alcuino de York (730-804), un inglés que vino a Europa por invitación del mismo Carlomagno. Estas escuelas también estuvieron asociadas a catedrales o monasterios, y enfatizaban la teología cristiana y la música. En realidad, las universidades en Europa se desarrollaron a partir de las escuelas eclesiásticas, con profesores suministrados por las órdenes religiosas, como los franciscanos y los dominicos. Bolonia, la primera universidad, fue fundada en 1088. Las universidades de París, Salerno, Oxford y Cambridge fueron establecidas alrededor de 1200. Por supuesto que, en sus comienzos, difícilmente podían ser consideradas como universidades en el sentido actual. Además, aunque formalmente independientes, estaban esencialmente dedicadas a los intereses de la Iglesia.
2. Los elementos disponibles para la cultura
A medida que la Iglesia extendía su influencia, iba favoreciendo e imponiendo una determinada cultura. El latín era la lengua oficial de la Iglesia y por ello el latín se convirtió en la lengua internacional de Europa y en la lengua de las matemáticas y de la ciencia. Era también la lengua en que se enseñaba en las escuelas europeas hasta bien entrado el siglo XVIII. Resultó inevitable que los europeos buscaran el conocimiento sobre todo en libros latinos, esto es, romanos. Puesto que la matemática romana era insignificante, todo lo que los europeos aprendieron fue un sistema de números muy primitivo y unos pocos conocimientos de aritmética. También conocieron un poco de la matemática griega a través de algunos traductores.
El principal traductor, cuyas obras fueron ampliamente utilizadas hasta el siglo XII, fue Anicio Manlio Severino Boecio (c. 480-524), descendiente de una de las más antiguas familias romanas. Utilizando fuentes griegas, compiló selecciones latinas de tratados elementales sobre aritmética, geometría y astronomía. De los Elementos, de Euclides, puede haber traducido lo mismo cinco libros que dos, y éstos constituyeron una parte de su Geometría. En este tema dio definiciones y teoremas, pero no demostraciones. También incluyó en este trabajo algún material sobre la geometría de la medición. Algunos resultados son incorrectos y otros, sólo aproximaciones. Curiosamente, la Geometría también contenía material sobre los ábacos y las fracciones, estas últimas como preliminar al material sobre astronomía (que no tenemos). Boecio también escribió Institutis arithmetica, una traducción de la Introductio arithmetica de Nicómaco, aunque omitió algunos de los resultados de éste. Este libro fue la fuente de toda la aritmética que se enseñó en las escuelas durante casi mil años. Finalmente, Boecio tradujo algunas obras de Aristóteles, y escribió una astronomía basada en Ptolomeo y un libro sobre música basado en trabajos de Euclides, Ptolomeo y Nicómaco. Es muy probable que Boecio no entendiera todo lo que traducía. Fue él quien introdujo la palabra «quadrivium» para designar a la aritmética, geometría, música y astronomía. Su obra más conocida, todavía leída en la actualidad, son las Consolaciones de la Filosofía, que escribió mientras estaba en prisión por supuesta traición (por la que fue decapitado al final).
Otros traductores fueron el romano Aurelio Casiodoro (c. 475- 570), quien expuso unas pocas partes de las obras griegas en matemáticas y astronomía en su propia pobre versión; Isidoro de Sevilla (c. 560-636), quien escribió las Etimologías, una obra en veinte libros sobre temas que abarcaban desde las matemáticas hasta la medicina, y el inglés Beda el Venerable (674-735). Estos hombres fueron los eslabones principales entre las matemáticas griegas y los primeros tiempos del mundo medieval.
En todos los problemas que aparecen en los libros escritos por los primeros matemáticos medievales sólo aparecen las cuatro operaciones con enteros. Puesto que, en la práctica, los cálculos se hacían en varios tipos de ábacos, las reglas de estas operaciones estaban especialmente adaptadas para ello. Las fracciones se utilizaban raras veces, y cuando se hacía se utilizaban fracciones romanas con nombres específicos más que un simbolismo especial; por ejemplo, uncía era 1/12, quincunx era 5/12, dodrans era 9/12. Los números irracionales no aparecían en absoluto. Los buenos calculadores fueron conocidos en la Edad Media como practicantes de una forma de magia, el «Arte Negro».
En el siglo X, Gerbert (1003...), nativo de Auvernia, y más tarde el Papa Silvestre II, contribuyeron a mejorar el estudio de las matemáticas. Sus escritos, sin embargo, se limitaron a la aritmética y geometría elementales.
3. El papel de las matemáticas en Europa en la Alta Edad Media
Aunque los elementos disponibles para la enseñanza de las matemáticas eran escasos, éstas eran relativamente importantes en el curriculum de las escuelas medievales, incluso desde muy pronto. El curriculum estaba dividido en el quadrivium y el trivium. El quadrivium incluía la aritmética, considerada como la ciencia de los números puros, la música, vista como una aplicación de los números, la geometría, o el estudio de magnitudes tales como longitudes, áreas y volúmenes en reposo, y la astronomía, el estudio de magnitudes en movimiento. El trivium cubría la retórica, la dialéctica y la gramática.
Incluso el aprendizaje de las pocas matemáticas que hemos descrito servía para varios propósitos. Después de la época de Gerbert fueron aplicadas para obtener alturas y distancias, para lo que se utilizaban el astrolabio y el espejo como instrumentos de campo. Se esperaba de la clerecía que defendiera la teología y refutara argumentos en contra mediante razonamientos, y las matemáticas eran consideradas como un buen entrenamiento para el razonamiento teológico, de la misma manera que Platón las había considerado como un buen entrenamiento para la filosofía. La Iglesia también abogaba por la enseñanza de las matemáticas por su aplicación para el cumplimiento del calendario y la predicción de las fiestas. En cada monasterio había al menos una persona que podía realizar los cálculos necesarios para ello, y en el curso de este trabajo fueron diseñadas numerosas mejoras en aritmética y en el método de cálculo del calendario.
Otra motivación para el estudio de algunas matemáticas fue la astrología. Esta pseudociencia, que había estado algo en boga en Babilonia, en la Grecia helenística y entre los árabes, era casi universalmente aceptada en la Europa medieval. La doctrina básica de la astrología era, por supuesto, que los cuerpos celestes influían y controlaban los cuerpos humanos y su destino. Para entender las influencias de los cuerpos celestes y para predecir lo que presagiaban acontecimientos celestes especiales, tales como conjunciones y eclipses, eran necesarios algunos conocimientos de astronomía, y por tanto eran indispensables algunas matemáticas.
La astrología fue especialmente importante en la Baja Edad Media. Todas las cortes tenían astrólogos y las universidades tenían profesores de astrología y cursos sobre el tema. Los astrólogos aconsejaban a los príncipes y a los reyes sobre decisiones políticas, campañas militares y asuntos personales. Es curioso que incluso gobernantes instruidos y vinculados al pensamiento griego confiaran en los astrólogos. En el último período medieval y en el Renacimiento, la astrología no sólo se convirtió en una actividad importante, sino que fue considerada como una rama de las matemáticas.
A través de la astrología, se estableció una relación entre las matemáticas y la medicina (cap. 7, sec. 8). Aunque la Iglesia menospreciaba el cuerpo físico como relativamente falto de importancia, los médicos no estaban necesariamente de acuerdo con ello. Puesto que los cuerpos celestes influían presumiblemente en la salud, los médicos estudiaban, por una parte, las relaciones entre los acontecimientos celestes y las constelaciones y, por otra, la salud de los individuos. Se recogían y conservaban los datos de las constelaciones que aparecían en los nacimientos, matrimonios, enfermedades y muertes de miles de personas y se utilizaban para predecir el éxito de los tratamientos médicos. Para realizar todo esto se requería un conocimiento tan amplio de las matemáticas que los médicos tenían que ser personas ilustradas en este campo. De hecho, eran más astrólogos y matemáticos que estudiosos del cuerpo humano.
La aplicación de las matemáticas a la medicina a través de la astrología se extendió todavía más durante la última parte del período medieval. Bolonia tuvo una escuela de medicina y de matemáticas en el siglo XII. Cuando el astrónomo Tycho Brahe acudió a la Universidad de Rostock en 1566, allí no había astrónomos sino astrólogos, alquimistas, matemáticos y médicos. En muchas universidades, los profesores de astrología eran más comunes que los profesores de medicina y de astronomía propiamente dichas. Galileo enseñó astronomía a estudiantes de medicina, pero por su interés para la astrología.
4. El estancamiento en matemáticas
La Alta Edad Media se extiende aproximadamente desde el 400 hasta el 1100: setecientos años, durante los cuales la civilización europea podría haber desarrollado algunas matemáticas. Podría haber encontrado una inmensa ayuda en los trabajos griegos si hubiera seguido las pocas directrices disponibles hacia el vasto conocimiento encerrado en ellas. Aunque durante este período las matemáticas no experimentaron ningún progreso, tampoco se hizo ningún intento serio por construirlas. Las razones pueden ser de interés para quienes desean entender bajo qué circunstancias pueden florecer las matemáticas.
La razón primordial del bajo nivel de las matemáticas era la ausencia de interés por el mundo físico., La Cristiandad, que dominaba Europa, prescribía sus propios fines, valores y modo de vida. Las preocupaciones importantes eran espirituales, de tal manera que los interrogantes sobre la naturaleza que estuvieran estimulados por la curiosidad o por fines prácticos eran considerados como frívolos o sin valor. La Cristiandad, e incluso los últimos filósofos griegos, estoicos, epicúreos y neoplatónicos, resaltaron la elevación de la mente sobre la carne y la materia y la preparación del alma para una vida futura en el cielo. La realidad última era la vida eterna del alma; y la salud del alma se reforzaba mediante el aprendizaje de verdades morales espirituales. Las doctrinas del pecado, del miedo del infierno, de la salvación y del deseo del cielo eran dominantes. Puesto que el estudio de la naturaleza no contribuía a alcanzar tales fines o a prepararse para la vida futura, era rechazado como algo sin valor e incluso herético.
¿De dónde, entonces, sacaron los europeos el conocimiento sobre la naturaleza y plan del universo y del hombre? La respuesta es que todo ese conocimiento fue obtenido del estudio de las Escrituras. Los credos y dogmas de los Padres de la Iglesia, que eran ampliaciones e interpretaciones de las Escrituras, fueron tomados como la suprema autoridad. San Agustín (354-430), hombre muy instruido, y muy influyente en la difusión del neoplatonismo, dijo: «Cualquier conocimiento que el hombre haya adquirido fuera de las Sagradas Escrituras, si es dañino, allí está condenado; si es saludable, allí está contenido.» Esta cita, si bien no es representativa de Agustín, sí lo es de la actitud hacia la naturaleza en la Alta Edad Media.
Este breve esbozo de la civilización en la Alta Edad Media, aunque bastante unilateral porque nos hemos referido sobre todo a su relación con las matemáticas, puede, sin embargo, proporcionar alguna idea sobre lo que era genuino de Europa y lo que Europa, construyendo sobre el exiguo legado de Roma, produjo bajo la guía de la Iglesia. Hasta 1100, el período medieval no produjo ninguna cultura grande en las esferas intelectuales. Las características de su situación intelectual eran las de falta de matización en las ideas, dogmatismo, misticismo, y confianza en las autoridades, que eran constantemente consultadas, analizadas y comentadas. Las inclinaciones místicas llevaban a la gente a elevar a realidades lo que eran vagas ideas, e incluso a aceptarlas como si fueran verdades religiosas. Lo poco que existía como ciencia teórica era estático. La Teología encerraba todo el conocimiento, y los Padres de la Iglesia desarrollaron sistemas de conocimiento universal. Pero no concibieron o buscaron principios diferentes de los contenidos en las doctrinas cristianas.
La civilización romana no fue productiva en matemáticas porque estaba demasiado preocupada por la obtención de resultados prácticos e inmediatamente aplicables. La civilización de la Europa medieval no lo fue tampoco, precisamente por la razón opuesta. No estaba preocupada en absoluto por el mundo físico. Los asuntos y problemas mundanos no tenían importancia. La Cristiandad puso todo el énfasis en la vida después de la muerte y en la preparación para esa vida.
Aparentemente, las matemáticas no pueden florecer ni en una civilización demasiado ligada a la tierra ni en una demasiado ligada al cielo: Tendremos oportunidad de ver que donde se han desarrollado con más éxito ha sido en una atmósfera intelectual libre que combine un interés por los problemas que presenta el mundo físico con un deseo de pensar sobre ideas sugeridas por esos problemas en una forma abstracta que no promete ningún resultado práctico o inmediato. La Naturaleza es la matriz de la que nacen las ideas. Esas ideas deben, entonces, estudiarse por ellas mismas. Así, paradójicamente, se obtiene una nueva visión de la naturaleza, una comprensión más rica, más amplia, más potente, lo que genera, a su vez, actividades matemáticas más profundas.
5. El primer renacimiento de las obras griegas
Hacia 1100 la civilización de Europa estaba, de alguna manera, estabilizada. Aunque la sociedad era fundamentalmente feudal, existían ya numerosos comerciantes independientes, se iniciaban la industria, la agricultura en gran escala, el manufacturado, la minería, los bancos, la ganadería, y gente libre o independiente cultivaba el arte y la artesanía. Se había establecido el comercio exterior, en particular con los árabes y el Oriente Próximo. Finalmente, tanto los príncipes como los dignatarios de la Iglesia y los comerciantes habían adquirido la riqueza necesaria para financiar la enseñanza y el cultivo de las artes. Aunque había ya una sociedad estable, hay pocos indicios de que, si hubieran seguido su propia forma de vida, los europeos hubieran abandonado alguna vez su concepto de la vida y el énfasis ya esbozado con respecto a ella, y se hubieran concentrado en un estudio serio de las matemáticas. La Europa Occidental era la sucesora de la Roma cristianizada, y ni Roma ni la Cristiandad se habían inclinado hacia las matemáticas. Pero alrededor de 1100 nuevas influencias comenzaron a afectar a la atmósfera intelectual. A través del comercio y de los viajes, los europeos se habían puesto en contacto con los árabes del área mediterránea y del Oriente Próximo y con los bizantinos del Imperio Romano de Oriente. Las Cruzadas (c. 1100- c. 1300), campañas militares para conquistar territorios, llevaron a los europeos a tierras árabes. Los cruzados eran hombres de acción más que de ilustración; quizá por ello la importancia de los contactos a través de las Cruzadas ha sido sobreestimada. De cualquier forma, los europeos comenzaron a conocer los trabajos griegos gracias a los árabes y a los griegos bizantinos.
La toma de conciencia del conocimiento griego creó una gran conmoción; los europeos se pusieron a buscar activamente copias de los trabajos griegos, de sus versiones árabes y textos escritos por árabes. Los príncipes y dignatarios de la Iglesia respaldaron a muchos eruditos en su búsqueda de esos tesoros. Estos eruditos fueron a los centros árabes de África, España, sur de Francia, Sicilia y Oriente Próximo para estudiar los trabajos existentes y llevarse consigo lo que pudieran comprar. Adelardo de Bath (c. 1090-c. 1150) fue a Siria, que estaba bajo control árabe, a Córdoba, disfrazado de estudiante mahometano, y al sur de Italia. Leonardo de Pisa aprendió aritmética en el norte de África. Las repúblicas del norte de Italia y el Papado enviaron comisiones y embajadores al Imperio Bizantino y a Sicilia, que era el origen de los famosos centros griegos y que, hasta el 878, había estado bajo el poder de Bizancio. En 1085 Toledo cayó en poder de los cristianos y se abrió allí para los eruditos europeos un centro importantísimo para el estudio de los trabajos árabes. Sicilia fue conquistada por los cristianos a los árabes en 1091, y los trabajos allí existentes pudieron ser consultados libremente desde entonces. Investigaciones realizadas en Roma, que poseía obras griegos de los días del Imperio, permitieron sacar a la luz más manuscritos.
Al ir obteniendo esas obras, los europeos se propusieron, en forma creciente, ir traduciéndolos al latín. Las traducciones del griego del siglo XII no fueron, en general, buenas, porque el griego no se conocía bien. Eran de verbo ad verbum; pero eran mejores que las traducciones de las obras griegas que habían pasado a través del árabe, una lengua bastante poco parecida al griego. Por lo tanto, hasta bien entrado el siglo XVII, hubo una producción constante de nuevas y mejoradas traducciones.
Europa pudo, pues, conocer los trabajos de Euclides y Ptolomeo, la Aritmética y el Algebra de al-Kuoárizmí, la Esférica de Teodosio, muchos trabajos de Aristóteles y Herón, y un par de trabajos de Arquímedes, en particular su Medida de una circunferencia. (El resto de sus obras fue traducido al latín en 1544 por Hervagio de Basle.) Ni Apolonio ni Diofanto fueron traducidos durante los siglos XII y XIII. También fueron traducidos trabajos de filosofía, medicina, ciencia, teología y astrología. Como los árabes tenían casi todos los trabajos griegos, los europeos adquirieron una literatura inmensa. Admiraron tanto estas obras y les asombraron tanto las nuevas ideas que descubrieron en ellas, que se convirtieron en discípulos del pensamiento griego, y llegaron a valorar bastante más esos trabajos que sus propias creaciones.
6. El renacimiento del racionalismo y del interés por la naturaleza
Un enfoque racional de los fenómenos naturales y de su explicación en términos de causas naturales, en oposición a las explicaciones morales o de intenciones, comenzó a dar señales de vida casi inmediatamente después de que llegaran a Europa las primeras traducciones de los trabajos árabes y griegos. Un grupo de estudiosos en Chartres, Francia, constituido por Gilbert de la Porée (c. 1076-1154), Thierry de Chartres (m.c. 1155), y Bernard Sylvester (c. 1150), habían comenzado a buscar explicaciones racionales incluso de pasajes de la Biblia y hablaban, al menos, de la necesidad de utilizar las matemáticas en el estudio de la naturaleza. Sus doctrinas seguían el Timeo de Platón, pero eran más racionales que ese diálogo. Sin embargo, sus pronunciamientos sobre los fenómenos físicos, aunque notables en el pensamiento medieval, no fueron ni significativos ni lo suficientemente influyentes como para dedicarles más atención aquí.
Con el influjo de los trabajos griegos se realzó la tendencia a las explicaciones racionales, al estudio del mundo físico y al interés en el disfrute del mundo real, a través de la comida, de la vida física y de los placeres de la naturaleza. Hubo quien incluso llegó a confrontar su propia razón contra la autoridad de la Iglesia. Así, Adelardo de Bath decía que no escucharía a quienes están «sujetos por las bridas...; por lo que si quieres comunicarte conmigo, intercambia razones».
Un hecho bastante sorprendente es que la introducción de algunos de los trabajos griegos retrasó la consciencia de Europa un par de siglos. Hacia 1200, los extensos trabajos de Aristóteles eran ya razonablemente conocidos. Los intelectuales europeos estaban complacidos e impresionados por su vasta acumulación de hechos, sus agudas distinciones, sus convincentes razonamientos y su organización lógica del conocimiento. El defecto en las doctrinas de Aristóteles era su aceptación de todo aquello que interesara a la mente, casi sin considerar su correspondencia con la experiencia. Ofrecía conceptos, teorías y explicaciones, como la doctrina de las sustancias básicas, la distinción entre los cuerpos terrestres y celestes (cap. 7, sec. 3), y el énfasis en la causa final, que tenían poca base en la realidad, o que no resultaron fructíferos. Como todas estas doctrinas fueron aceptadas sin discusión, las nuevas ideas, o no fueron consideradas, o no tuvieron suficiente audiencia, y se retrasó el posible progreso a que habrían conducido. También fue quizás un obstáculo el que Aristóteles asignara a las matemáticas un papel menor, ciertamente subordinado a la explicación física, la cual, para Aristóteles, era cualitativa.
El trabajo científico del período comprendido aproximadamente entre 1100 y 1450 fue realizado por los escolásticos, quienes se adhirieron a doctrinas basadas en la autoridad de los Padres Cristianos y de Aristóteles; su trabajo se resintió en consecuencia. Algunos de los escolásticos se rebelaron en contra del dogmatismo dominante y de la corrección absoluta de la ciencia de Aristóteles. Uno de los que sintieron la necesidad de obtener principios generales a partir de la experimentación, y de las deducciones en las que las matemáticas jugaran un papel y que pudieran entonces ser contrastadas con los hechos, fue el filósofo natural Robert Grosseteste (c. 1168-1253), obispo de Lincoln.
El disidente más elocuente contra la autoridad, que además tenía ideas genuinas que ofrecer, fue Roger Bacon (1214-1294), el Doctor Mirabilis. Declaró: «Si tuviera poder sobre los trabajos de Aristóteles, los hubiera quemado todos; porque es sólo una pérdida de tiempo estudiarlos, y una causa de error, y una multiplicación de la ignorancia más allá de toda expresión.» Los enormes conocimientos de Bacon cubrían las ciencias de su tiempo y numerosas lenguas, incluyendo el árabe. Mucho antes de que resultaran ampliamente conocidos, él estaba informado de los últimos inventos y avances científicos: la pólvora, la acción de las lentes, los relojes mecánicos, la construcción del calendario y la formación del arco iris. Incluso comentó ideas sobre submarinos, aeroplanos y automóviles. Sus escritos sobre matemáticas, mecánica, óptica, visión, astronomía, geografía, cronología, química, perspectiva, música, medicina, gramática, lógica, metafísica, ética y teología fueron profundos.
Lo que es especialmente notable de Bacon es que comprendió cómo se obtiene un conocimiento fiable. Se preguntó por las causas que producen o impiden el avance de la ciencia, y especuló sobre la reforma de los métodos de investigación. Aunque recomendó el estudio de las Escrituras, atribuyó un gran valor a las matemáticas y a la experimentación, y previo importantes expectativas que podrían realizarse mediante la ciencia.
Las ideas matemáticas, afirma, son innatas en nosotros e idénticas a cosas tales como las que se encuentran en la naturaleza, porque la naturaleza está escrita en el lenguaje de la geometría. Por lo tanto, las matemáticas ofrecen la verdad. Son anteriores a las otras ciencias, porque permiten el conocimiento de la cantidad, la cual es aprehendida por la intuición. «Demuestra» en un capítulo de su Opus Majus que toda ciencia requiere matemáticas, y sus razonamientos muestran una justa apreciación del papel de las matemáticas en la ciencia. Aunque realza las matemáticas, también reconoce completamente el papel y la importancia de la experimentación como medio de descubrimiento y como comprobación de resultados obtenidos teóricamente, o de cualquier otra manera.
«El razonamiento resuelve una pregunta; pero no nos hace sentirnos seguros, o asentir en la contemplación de la verdad, excepto cuando también se obtiene la verdad que lo es mediante la experiencia.»La Opus Majus de Bacon trata bastante de la utilidad de las matemáticas en la geografía, la cronología, la música, la explicación del arco iris, el cálculo del calendario y la justificación de la fe. También trata sobre el papel de las matemáticas en la administración del Estado, meteorología, hidrografía, astrología, perspectiva, óptica y visión.
Sin embargo, incluso Bacon era un producto de su tiempo. Creía en la magia y en la astrología, y mantenía que la teología era el objetivo de todo aprendizaje. Fue también una víctima de su tiempo: acabó en prisión, como muchos otros importantes intelectuales que habían comenzado a afirmar la prioridad e independencia de la razón humana y la importancia de la observación y de la experimentación. Su influencia en su tiempo no fue grande.
Guillermo de Ockham (c. 1300-1349) continuó los fuertes ataques a Aristóteles, criticando los puntos de vista de éste sobre las causas. La causa final, decía, es una pura metáfora. Todas las causas son inmediatas, y la causa total es el agregado de todas las antecedentes que bastan para que se realice un suceso. Este conocimiento de las conexiones tiene una validez universal por la uniformidad de la naturaleza. La función primaria de la ciencia es establecer sucesiones de observaciones. Por lo que se refiere a la sustancia, Ockham decía que conocemos sólo propiedades, no una forma sustancial fundamental.
También atacó la física y la metafísica contemporáneas, diciendo que el conocimiento obtenido de la experiencia es real, mientras que las construcciones racionales no lo son; éstas están inventadas sólo para explicar los hechos observados. Su famoso principio es «la navaja de Ockham» —ya establecido por Grosseteste y Duns Scoto (1266- 1308)—: es fútil trabajar con más entidades cuando basten menos. Separó la teología de la filosofía natural (ciencia), basado en que la teología obtiene conocimientos a partir de revelaciones, mientras que la filosofía natural debe obtenerlos mediante la experiencia.
Estos disidentes no sugirieron nuevas ideas científicas. Sin embargo, presionaron para obtener una mayor libertad de especulación, pensamiento e investigación, y propiciaron la experiencia como la fuente del conocimiento científico.
7. El progreso específico en matemáticas
A pesar de los rígidos límites del pensamiento en el período comprendido aproximadamente entre 1100 y 1450, tuvo lugar alguna actividad matemática. Los principales centros en los que se desarrolló fueron las universidades de Oxford, París, Viena (fundada en 1365) y Erfurt (fundada en 1392). El trabajo inicial fue una respuesta directa a la literatura griega y árabe.
El primer europeo que merece mencionarse es Leonardo de Pisa (c. 1170-1250), también llamado Fibonacci. Fue educado en África, viajó extensamente por Europa y Asia Menor, y fue famoso por su soberana posesión de todo el conocimiento matemático de su generación y de las precedentes. Residió en Pisa, y era bien conocido de Federico II de Sicilia y de los filósofos de la corte, a quienes están dedicados muchos de sus trabajos.
En 1202, Leonardo escribió su Líber Abad, muy usado y que hizo época, y que consistía en una traducción libre de materiales árabes y griegos al latín. La notación árabe para los números, y los métodos de cálculo hindúes, ya eran algo conocidos en Europa, pero sólo en los monasterios. La gente utilizaba en general los numerales romanos, y evitaban el cero porque no lo entendían. El libro de Leonardo ejerció una gran influencia y cambió el panorama; enseñó el método hindú de cálculo con enteros y fracciones, raíces cuadradas y raíces cúbicas. Estos métodos fueron mejorados después por comerciantes florentinos.
Tanto en el Líber Abad como en un trabajo posterior, el Líber Quadratorum (1225), Leonardo se ocupó del álgebra. Siguió a los árabes en usar palabras en lugar de símbolos y basar el álgebra en métodos aritméticos. Expuso la solución de ecuaciones determinadas e indeterminadas de primero y segundo grado, así como de algunas ecuaciones cúbicas. Al igual que Khayyam, creía que las ecuaciones cúbicas no podían ser resueltas algebraicamente.
Referente a la geometría, Leonardo, en su Practica Geometriae (1220), reprodujo buena parte de los Elementos de Euclides y de la trigonometría griega. Sus enseñanzas de agrimensura mediante métodos trigonométricos en lugar de los métodos geométricos romanos, representó un ligero avance.
La característica nueva más significativa del trabajo de Leonardo es la observación de que la clasificación de Euclides de los irracionales en el libro X de los Elementos no incluía todos los irracionales. Leonardo mostró que las raíces de x3 + 2x2 + 10x = 20 no pueden construirse con regla y compás. Esta fue la primera indicación de que el sistema de números contenía más de los que permitía el criterio griego de existencia basado en la construcción mencionada. Leonardo introdujo también la noción de lo que todavía se llama sucesiones de Fibonacci, en las que cada término es la suma de los dos precedentes.
Además de la observación de Leonardo sobre los irracionales, había algunas ideas germinales en el trabajo de Nicolás Oresme (c. 1323-1382), obispo de Lisieux y profesor en el Colegio Parisino de Navarra. En su trabajo no publicado Algorismus Proportionum (c. 1360), presentó tanto una notación como algunos cálculos para exponentes fraccionarios. Su reflexión fue que, puesto que (en nuestra notación) 43 = 64 y que (43)1/2 = 8, entonces 43/2 = 8. La noción de exponentes fraccionarios reapareció en los trabajos de varios escritores del siglo XVI, pero no fue utilizada ampliamente hasta el XVII.
Otra contribución del trabajo de Oresme fue el estudio del cambio. Recordemos que Aristóteles distinguía nítidamente entre cualidad y cantidad. La intensidad del calor era una cualidad. Para cambiar la intensidad, una sustancia, una especie de calor, debe perderse y otra añadirse. Oresme afirmaba que no había tipos diferentes de calor sino más o menos cantidad del mismo tipo. Varios escolásticos del siglo XIV en Oxford y París, incluyendo a Oresme, comenzaron a pensar sobre el cambio y la velocidad del cambio cuantitativamente. Estos autores estudiaron el movimiento uniforme (movimiento con velocidad constante), movimiento diforme (movimiento con velocidad variable) y movimiento uniformemente diforme (movimiento con aceleración constante).
Esta línea de pensamiento culminó en ese período con la doctrina de Oresme de la latitud de las formas. Sobre este tema escribió De Uniformitate et Difformitate Intensionum (c. 1350) y Tractatus Latitudinibus Formarum. Para estudiar el cambio y la velocidad del cambio, Oresme siguió la tradición griega afirmando que las cantidades medibles distintas de números podían representarse mediante puntos, líneas y superficies. Por ello, para representar el cambio de la velocidad con el tiempo, representa el tiempo a lo largo de una línea horizontal, que llama la longitud, y las velocidades en distintos instantes de tiempo mediante líneas verticales, que llamó latitudes. Para representar una velocidad que decrece uniformemente desde el valor OA (fig. 10.1) en O a cero en B, dibuja una figura triangular. También apunta que el rectángulo OBDC, determinado por E, el punto medio de AB, tiene la misma área que el triángulo OAB y representa un movimiento uniforme a lo largo del mismo intervalo de tiempo. Oresme asociaba el cambio físico con toda la figura geométrica. El área completa representaba la variación en cuestión; no había referencia a valores numéricos.

Figura 10.1
8. El progreso en las ciencias físicas
Ya que el progreso de las matemáticas depende vitalmente de la renovación del interés por la ciencia, anotaremos brevemente los esfuerzos realizados en este área por el hombre medieval.
En mecánica, incorporaron los muy aceptables trabajos griegos sobre la palanca y los centros de gravedad, y los trabajos de Arquímedes sobre hidrostática. Hicieron poco más que comprender la teoría de la palanca, aunque Jordanus Nemorarius (m. 1237) realizó algunas ligeras aportaciones. La que recibió más atención fue la teoría del movimiento.
Como la ciencia de Aristóteles había adquirido cierto ascendiente, fue su teoría la que constituyó el punto de partida para las investigaciones sobre el movimiento. Como apuntamos en el capítulo 7, había varias dificultades aparentes en la teoría de Aristóteles. Los primeros científicos medievales intentaron resolverlas dentro del marco de referencia aristotélico. Por ejemplo, para interpretar la aceleración de la caída de los cuerpos, varios estudiosos del siglo XIII interpretaban las vagas nociones de Aristóteles sobre la gravedad queriendo significar que el peso de un cuerpo aumenta cuando se aproxima al centro de la Tierra. Entonces, puesto que la fuerza aumenta, también lo hace la velocidad. Otros cuestionaron la ley fundamental de Aristóteles de que la velocidad es la fuerza dividida por la resistencia.
A la escuela de Chartres sucedió en el siglo XIV una escuela de París, cuyas cabezas fueron Oresme y Jean Buridán (c. 1300- c. 1360). Aquí, en la universidad, las concepciones aristotélicas habían sido dominantes. Para explicar el movimiento continuo de los objetos lanzados por una fuerza, Buridán desarrolló una nueva teoría, la teoría del ímpetu. Siguiendo al erudito cristiano del siglo VI Filopón, Buridán decía que la potencia motriz aplicada a una flecha o a un proyectil estaba aplicada al objeto mismo y no al aire. Este ímpetu, más que la acción propulsora del aire, mantendría la velocidad uniforme del objeto indefinidamente, en ausencia de fuerzas externas. En el caso de los cuerpos que caen, el ímpetu aumentaría gradualmente por la actuación de la gravedad natural, que añadiría sucesivos incrementos de ímpetu al que el objeto ya tenía. En cuerpos ascendentes —por ejemplo, proyectiles— el ímpetu proporcionado al objeto disminuiría gradualmente por la resistencia del aire y la gravedad natural. Ímpetu era lo que Dios había dado a las esferas celestes, que no necesitaban agentes celestiales para mantenerlas en movimiento. Buridán definió el ímpetu como la cantidad de materia multiplicada por la velocidad; en consecuencia, en términos modernos, es el momento.
Esta nueva teoría era notable por varias razones. Aplicándola a los movimientos en el cielo y la tierra, Buridán pudo unirlos en una teoría. Además, la teoría implicaba que, contrariamente a la ley de Aristóteles, una fuerza podía alterar el movimiento y no sólo mantenerlo. Tercero, el concepto de ímpetu en sí mismo era un gran avance; transfería la potencia motriz del medio al objeto móvil y también hacía posible la consideración de un vacío. Buridán es uno de los fundadores de la dinámica moderna. Su teoría fue ampliamente aceptada en su propio siglo y durante los dos siglos siguientes.
Quizá el movimiento de los proyectiles recibió esta atención porque el armamento mejorado del siglo XIII, como catapultas, ballestas y arcos, podía lanzar proyectiles a lo largo de trayectorias más largas y más arqueadas; un siglo más tarde se utilizaban los cañones. Aristóteles había dicho que un cuerpo sólo puede moverse bajo la acción de un tipo de fuerza en cada momento; si estuvieran actuando dos, una destruiría a la otra. Por lo tanto, un cuerpo arrojado hacia arriba y hacia afuera se movería a lo largo de una línea recta hasta que el movimiento «violento» se consumiera y entonces el cuerpo caería directamente a la tierra según un movimiento natural. De las diversas revisiones de esta teoría, la idea de Jordano Nemorario resultó ser la más útil; mostró que la fuerza bajo la que se mueve un cuerpo arrojado en línea recta, puede descomponerse en cualquier instante en dos componentes, la gravedad natural actuando hacia abajo y una fuerza de proyección «violenta» horizontal. Esta idea fue adoptada por da Vinci, Stevin, Galileo y Descartes.
La escuela parisina de Buridán y Oresme consideró no sólo el movimiento uniforme sino también el diforme y el uniformemente diforme, y demostró para su propia satisfacción que la velocidad efectiva en el movimiento uniformemente diforme era la media de las velocidades inicial y final. Quizá lo más significativo acerca de los esfuerzos realizados en el desarrollo de la mecánica en los siglos XIII y XIV fue el intento de introducir consideraciones cuantitativas y reemplazar razonamientos cualitativos por cuantitativos.
El principal interés de los científicos medievales se centraba en el campo de la óptica. Una razón para ello es que los griegos habían establecido, en lo que hoy llamamos óptica geométrica, unos fundamentos más firmes que en cualquier otro campo de la física, y a finales del período medieval sus numerosos trabajos en óptica eran conocidos en Europa. Además, los árabes habían obtenido algunos avances adicionales. Hacia 1200, algunas de las leyes básicas sobre la luz eran bien conocidas, como la de la propagación en línea recta de la luz en un medio uniforme, la ley de la reflexión y la incorrecta ley de Ptolomeo sobre la refracción (creía que el ángulo de refracción era proporcional al ángulo de incidencia). También habían pasado a Europa de los griegos y los árabes conocimientos como el de los espejos esféricos y parabólicos, la aberración esférica, la cámara oscura, los usos de las lentes, el funcionamiento del ojo, la refracción atmosférica y la posibilidad de ampliación.
Los científicos Grosseteste, Roger Bacon, Vitello (siglo XIII), John Peckham (m. 1292) y Teodorico de Freiberg (m.c. 1311) aportaron algunos avances en el estudio de la luz. Habiendo estudiado la refracción de la luz a través de lentes, determinaron las longitudes focales de algunas lentes, estudiaron combinaciones de lentes, sugirieron la ampliación de las imágenes mediante combinaciones de lentes y aportaron mejoras a la teoría del arco iris. Los espejos de vidrio fueron perfeccionados en el siglo XIII; las gafas se remontan a 1299. Vitello observó la dispersión de la luz bajo refracción; esto es, produjo colores haciendo pasar luz blanca a través de un cristal hexagonal. También hizo pasar la luz a través de un cuenco de agua para estudiar el arco iris, pues había notado previamente que cuando la luz del sol pasaba a través de un cuenco de agua los colores del arco iris aparecían en la luz emergente. La óptica continuó siendo una ciencia importante; encontraremos a Kepler, Galileo, Descartes, Fermat, Huygens y Newton trabajando en ella.
9. Sumario
En la ciencia, como en otros campos, la Edad Media se concentró en los trabajos consagrados y contrastados por el tiempo. Las escuelas produjeron adecuadas selecciones de antiguos manuscritos, resúmenes y comentarios. El espíritu de los tiempos obligaba a las mentes a seguir caminos rígidos, prescritos, sólidos. La búsqueda de una filosofía universal que cubriera todos los fenómenos del hombre, de la naturaleza y de Dios es característica del último período medieval. Pero las contribuciones adolecieron de una falta de matización en las ideas, de misticismo, de dogmatismo y de un espíritu de comentario dirigido al análisis de lo que se consideraba la autoridad.
Sin embargo, a medida que el mundo cambiaba, fue creciendo cada vez con más fuerza la consciencia de la discrepancia y el conflicto entre las creencias y los hechos manifiestos, y se hizo más clara la necesidad de una revisión del aprendizaje y de las creencias. Antes de que Galileo demostrara el valor de la experiencia, antes de que Descartes enseñara a la gente a mirarse a sí mismos y antes de que Pascal formulara la idea de progreso, fueron los pensadores no convencionales, en su mayor parte los escolásticos disidentes, los que intentaron avanzar a lo largo de nuevas líneas, desafiando perspectivas establecidas y confiando más fuertemente en la observación de la naturaleza de lo que lo habían hecho los griegos.
La experimentación, motivada en parte por la búsqueda de poderes mágicos, y el uso de la inducción para obtener principios generales o leyes científicas, comenzaron a ser fuentes importantes del conocimiento, a pesar del hecho de que el principal método científico de la Baja Edad Media era la explicación racional, presentada en una demostración formal o geométrica basada en principios a priori.
El valor de las matemáticas en la investigación de la naturaleza también recibió algún reconocimiento. Aunque, en general, los científicos medievales siguieron a Aristóteles en su búsqueda de explicaciones materiales o físicas, éstas eran difíciles de obtener y no fueron demasiado útiles; encontraron paulatinamente que era más fácil relacionar observaciones y resultados experimentales matemáticamente y entonces comprobar la ley matemática relevante. Por ello, en astronomía, los científicos interesados en la teoría propiamente dicha, en la navegación y en el calendario no utilizaron la modificación de Aristóteles de la teoría de Eudoxo, sino la teoría de Ptolomeo. Como consecuencia, las matemáticas comenzaron a jugar un papel mayor que el que Aristóteles les había asignado.
A pesar de las nuevas tendencias y actividades, es dudoso que la Europa medieval, si hubiera proseguido un camino sin cambios, hubiera desarrollado nunca una auténtica ciencia y las matemáticas. La investigación libre no estaba permitida. Las pocas universidades ya existentes hacia 1400 estaban controladas por la Iglesia, y los profesores no eran libres para enseñar lo que ellos estimaban correcto. Si no se condenaron doctrinas en el período medieval fue sólo porque no se estableció ninguna importante. Cualquier disensión verdadera del pensamiento cristiano que apareciera en cualquier esfera era suprimida sumarísima y cruelmente, y con una malicia sin igual en la historia, sobre todo a través de la Inquisición, iniciada por el Papa Inocencio III en el siglo XIII.
Otros factores, relativamente menos importantes, retrasaron también los cambios en Europa. El renacido conocimiento griego alcanzó sólo a los pocos estudiosos que disponían del ocio y de la oportunidad para estudiarlo. Los manuscritos eran caros; muchos de los que querían comprarlos no podían. Además Europa, en el período comprendido entre 1100 y 1500, estaba dividida en numerosos ducados, principados, ciudades-estado más o menos democráticas u oligárquicas y los Estados Pontificios, todos ellos independientes. Las guerras entre todas esas unidades políticas eran continuas y absorbían las energías de la gente. Las Cruzadas, que empezaron alrededor de 1100, desperdiciaron un enorme número de vidas. La Peste Negra, en la segunda mitad del siglo XIV, se llevó aproximadamente la tercera parte de la población de Europa, e hizo retroceder la civilización en su conjunto. Afortunadamente, fuerzas de tendencia revolucionaria comenzaron a ejercer su influencia en las escenas social, política e intelectual europeas.
Bibliografía
- Ball, W. W. R.: A Short Account of the History of Mathematics, Dover (reimpresión), 1960, caps. 8, 10, 11.
- Boyer, Cari B.: Historia de la Matemática, Madrid, Alianza Editorial, 1986.
- Cajori, Florian: A History of Mathematics, Macmillan, 1919, pp. 113-129.
- Claggett, Marshall: The Science of Mechanics in the Middle Ages, University of Wisconsin Press, 1959. —: Nicole Oresme and the Geometry of Qualities and Motions, University of Wisconsin Press, 1968.
- Crombie, A. C.: De Agustín a Galileo, Madrid, Alianza, 1979. —: Robert Grosseteste and the Origins of Experimental Science, Oxford University Press, 1953.
- Easton, Stewart: Roger Bacon and His Search for a Universal Science, Columbia University Press, 1952.
- Hofmann, J. E.: The History of Mathematics, Philosophical Library, 1957, caps. 3-4.
- Smith, David Eugene: History of Mathematics, Dover (reimpresión), 1958, vol. I, pp. 177-265.
Capítulo 11
El Renacimiento
Me parece que si alguien quiere avanzar en matemáticas debe estudiar a los maestros y no a los discípulos.
N. H. Abel
Contenido:1. Influencias revolucionarias en Europa1. Influencias revolucionarias en Europa
2. La nueva perspectiva intelectual
3. La difusión de la instrucción
3. La actividad humanística en las matemáticas
5. El clamor por la reforma de la ciencia
6. El nacimiento de empirismo
Bibliografía
En el período comprendido aproximadamente entre 1400 y 1600, que adoptaremos como el período del Renacimiento (aunque este término se utiliza para describir diferentes períodos cronológicos por distintos autores), Europa fue sacudida profundamente por una cantidad de acontecimientos que acabaron por alterar drásticamente las perspectivas intelectuales, y agitaron la actividad matemática con magnitud y profundidad sin precedentes.
Las influencias revolucionarias se difundieron ampliamente. Los cambios políticos que sucedieron a las casi incesantes guerras afectaron a todas las ciudades y estados de Europa. Italia, la madre del Renacimiento, es un ejemplo importante. Aunque la historia de los estados italianos en los siglos XV y XVI está plagada de intrigas constantes, asesinatos en masa, y destrucción provocada por las guerras, la naturaleza muy fluida de las condiciones políticas y el establecimiento de algunos gobiernos democráticos favorecieron el desarrollo del individuo. Las guerras contra el papado, una importante potencia política y militar en esa época, no sólo liberaron al pueblo de la dominación de la Iglesia, sino que estimularon también la oposición intelectual.
Italia acumuló una gran riqueza durante el último período de la Edad Media. Esto se debió principalmente a su situación geográfica. Sus puertos de mar eran los más favorablemente situados para importar artículos de África y Asia y enviarlos al resto de Europa. Grandes casas de banca hicieron de Italia el centro financiero. Esta riqueza era esencial para propiciar el aprendizaje. Y fue en Italia, el más atormentado de los países, hirviendo en tumultos, donde primero se concibieron y expresaron los modos de pensar que iban a moldear la civilización occidental.
Durante el siglo XV llegaron a Europa, en enormes cantidades, las obras griegas. Durante la primera parte del siglo se hicieron más fuertes las conexiones entre Roma y el Imperio Bizantino, que poseía la mayor colección de documentos griegos, pero que había estado muy aislado. Los bizantinos, en guerra con los turcos, buscaron el apoyo de los estados italianos. Con estas mejores relaciones, profesores griegos fueron a Italia, e italianos al Imperio Bizantino para aprender griego. Cuando los turcos conquistaron Constantinopla en 1453, los estudiosos griegos marcharon a Italia, llevando más manuscritos con ellos. Por tanto, no sólo hubo más manuscritos griegos disponibles en Europa, sino que muchos de los recientemente adquiridos eran mucho mejores que los adquiridos previamente en los siglos XII y XIII. Las traducciones ulteriores, realizadas al latín directamente del griego, eran más fiables que las realizadas del árabe.
La invención de Johann Gutenberg, hacia 1450, de la imprenta con tipos movibles, aceleró la difusión del conocimiento. El papel de lino y algodón, que los europeos heredaron de los chinos a través de los árabes, sustituyó al pergamino y al papiro a partir del siglo XII. Desde 1474, los trabajos matemáticos, astronómicos y astrológicos aparecieron en forma impresa. Por ejemplo, la primera edición impresa de los Elementos de Euclides en una traducción latina realizada por Johannes Campanus (siglo XIII), apareció en Venecia en 1482. A lo largo del siglo siguiente, aparecieron en ediciones impresas los primeros cuatro libros de las Secciones Cónicas de Apolonio, los trabajos de Pappus, la Arithmetica de Diofanto, así como otros tratados.
La utilización de la brújula y de la pólvora tuvo efectos significativos. La brújula hizo posible la navegación más allá del alcance de la vista desde tierra. La pólvora, introducida en el siglo XIII en Europa, cambió los métodos de guerra y el diseño de las fortificaciones, e hizo que resultara importante el estudio del movimiento de proyectiles.
Se inició una nueva era económica, debido a un crecimiento enorme en el manufacturado, minería, agricultura en gran escala y una gran variedad de oficios. Cada una de estas empresas encontró problemas técnicos que fueron tratados más vigorosamente que en cualquier otra civilización previa. En contraste con las sociedades esclavas de Egipto, Grecia y Roma, y la servidumbre de la gleba del feudalismo, la nueva sociedad poseía una clase en expansión de obreros y artesanos libres. Trabajadores independientes y patronos con asalariados tenían incentivos para pensar e inventar mecanismos que ahorraran trabajo. La competitividad de una economía capitalista también estimuló estudios directos de fenómenos físicos y conexiones causales para mejorar materiales y métodos de producción. Como la Iglesia había proporcionado explicaciones de muchos de esos fenómenos, surgieron los conflictos. Podríamos estar seguros de que siempre que la explicación física se revelaba más útil que la teológica, ésta era ignorada.
La clase de los comerciantes contribuyó a instaurar un nuevo orden en Europa promoviendo las exploraciones geográficas de los siglos XV y XVI. Inducidas por la necesidad de disponer de mejores rutas para el comercio y de proveedores de mercancías, las exploraciones trajeron a Europa mucho conocimiento de tierras extrañas, plantas, animales, climas, formas de vida, creencias y costumbres.
Las dudas sobre la solidez de la ciencia y de la cosmología de la Iglesia suscitadas por la observación directa o por la información filtrada a Europa por exploradores y mercaderes, las objeciones a la supresión, por parte de la Iglesia, de la experimentación y la reflexión sobre los problemas creados por el nuevo orden social, la degeneración de algunos dignatarios de la Iglesia, las prácticas corruptas de la Iglesia, como la cuestión de las indulgencias y, finalmente, las serias diferencias doctrinales, culminaron en la Reforma protestante. Los reformistas fueron apoyados por comerciantes y príncipes, ansiosos por quebrar el poder de la Iglesia.
La Reforma como tal no liberalizó el pensamiento ni liberó las mentes. Los dirigentes protestantes sólo querían establecer su propio dogmatismo. Sin embargo, al suscitar cuestiones referentes a la naturaleza de los sacramentos, a la autoridad del gobierno de la Iglesia, y al significado de algunos pasajes de las Escrituras, Lutero, Calvino y Zuinglio involuntariamente estimularon a mucha gente para pensar y hacer lo que, de otra manera, ni siquiera hubieran intentado. Se estimuló el pensamiento y se provocó la discusión. Además, para ganar adeptos, los protestantes afirmaron que el juicio individual, en vez de la autoridad papal, era la base de las creencias. Se consolidaron, pues, modificaciones en estas creencias. Muchos, puestos a elegir entre lo que decían los católicos o los protestantes, se desentendían de ambos y se volvían hacia las dos fes de la naturaleza, la observación y la experimentación, como fuentes del conocimiento.
2. La nueva perspectiva intelectual
La Iglesia se basaba en la autoridad, reverenciaba a Aristóteles, y calificaba la duda de criminal. También desaprobaba las satisfacciones materiales y propugnaba la salvación del alma para una vida futura. Estos principios contrastaban profundamente con los valores que los europeos habían aprendido de los griegos, aunque no se hubieran establecido explícitamente en los trabajos de Aristóteles: el estudio de la naturaleza, el disfrute del mundo físico, el perfeccionamiento de la mente y del cuerpo, la libertad de investigación y de expresión y la confianza en la razón humana. Molestos por la autoridad de la Iglesia, por las restricciones en la vida material y por la confianza en las Escrituras como la única fuente de todo conocimiento, los intelectuales se aferraron ansiosamente a los nuevos valores. En lugar de disputas sin fin y de discusiones sobre el significado de los pasajes bíblicos para la determinación de la verdad, los hombres volvieron la vista a la naturaleza misma.
Casi como corolario del Renacimiento y de los valores griegos, sobrevino el renacimiento del interés por las matemáticas. Especialmente de los trabajos de Platón, que se conocieron en el siglo XV, los europeos aprendieron que la naturaleza está diseñada matemáticamente, y que este diseño es armonioso, estéticamente agradable y la verdad última. La naturaleza es racional, simple y ordenada, y actúa según leyes inmutables. Las obras platónicas y pitagóricas realzaban el número como la esencia de la realidad, doctrina que ya había recibido alguna atención de los escolásticos desviacionistas de los siglos XIII y XIV. El renacimiento del platonismo clarificó y cristalizó las ideas y métodos con los que estos hombres habían estado luchando. El énfasis pitagórico-platónico sobre las relaciones cuantitativas como la esencia de la realidad se hizo dominante en forma gradual. Copérnico, Kepler, Galileo, Descartes, Huygens y Newton eran, en este aspecto, pitagóricos y, mediante su trabajo, establecieron el principio de que el objetivo de la actividad científica debe ser la obtención de leyes matemáticas cuantitativas.
Las matemáticas atraían a los intelectuales del Renacimiento todavía por otra razón. El Renacimiento fue un período en el que la civilización y cultura medievales se iban desacreditando a medida que las nuevas influencias, información y movimientos revolucionarios recorrían Europa. Estos hombres buscaban bases nuevas y más firmes para edificar el conocimiento, y las matemáticas les ofrecían esos cimientos. Las matemáticas permanecieron como el único cuerpo de verdades aceptado en medio de sistemas filosóficos que se desmoronaban, de creencias teológicas discutidas y de valores éticos cambiantes. El conocimiento matemático era cierto, y ofrecía una base segura en un pantano; la búsqueda de la verdad fue reconducida hacia él.
Los matemáticos y los científicos recibieron alguna inspiración de los prejuicios teológicos de la Edad Media, que habían inculcado la visión de que todos los fenómenos de la naturaleza están no sólo interconectados, sino que se producen de acuerdo con un plan global: todas las acciones de la naturaleza siguen el plan establecido por una única causa primera. ¿Cómo, pues, se reconciliaba la visión teológica del universo de Dios con la búsqueda de las leyes matemáticas de la naturaleza? La respuesta fue una nueva doctrina, según la cual Dios había diseñado el universo matemáticamente. En otras palabras, atribuyendo a Dios el carácter de matemático supremo, se hacía posible dotar de un sentido religioso a la búsqueda de las leyes matemáticas de la naturaleza.
Esta doctrina inspiró el trabajo de los matemáticos de los siglos XVI y XVII, e incluso de algunos del siglo XVIII. La investigación de las leyes matemáticas de la naturaleza era un acto de devoción; era el estudio de los caminos y naturaleza de Dios y de su plan del universo. El científico del Renacimiento era un teólogo, cuyo tema era la naturaleza en vez de la Biblia. Copérnico, Brahe, Galileo, Pascal, Descartes, Newton y Leibniz hablan repetidamente de la armonía que Dios imprimió al universo mediante su diseño matemático. El conocimiento matemático, como es en sí mismo la verdad acerca del universo, es tan sacrosanto como cualquier línea de las Escrituras, e incluso superior, porque es un conocimiento claro e indiscutible. Galileo dijo: «No se descubre menos admirablemente Dios a nosotros en las acciones de la naturaleza que en las sagradas afirmaciones de las Escrituras.» A lo que Leibniz añadió: «Cum Deus calculat, fit mundus» (Como Dios calcula, así está hecho el mundo). Estos hombres buscaban relaciones matemáticas que revelarían la magnificencia y gloria del trabajo de Dios. El hombre no podría esperar comprender el plan divino tan claramente como el mismo Dios lo entendía pero, con humildad y modestia, podría intentar al menos aproximarse a la mente de Dios.
Los científicos persistían en la búsqueda de leyes matemáticas que estuvieran en la base de los fenómenos naturales, porque estaban convencidos de que Dios había incorporado esas leyes en su construcción del universo. Cada descubrimiento de una ley de la naturaleza era aclamado más como prueba de la brillantez de Dios que como prueba de la del investigador. Kepler, en particular, escribió alabanzas a Dios con ocasión de cada descubrimiento. Las creencias y actitudes de los matemáticos y científicos ejemplifican el fenómeno cultural más amplio que recorrió la Europa renacentista. Las obras griegas incidieron en un mundo cristiano profundamente devoto, y los dirigentes intelectuales nacidos en uno y atraídos por el otro fusionaron las doctrinas de ambos.
3. La difusión de la instrucción
Por diversas razones, la difusión de los nuevos valores tuvo lugar lentamente. Las obras griegas podían encontrarse, al principio, sólo en las cortes de príncipes seculares o eclesiásticos, y no eran accesibles a la gente en general. La imprenta contribuyó enormemente a hacer los libros disponibles en general, pero el efecto fue gradual porque incluso los libros impresos eran caros. El problema de difundir el conocimiento era también complicado por dos factores adicionales. En primer lugar, muchos a quienes hubiera gustado utilizar las matemáticas y la ciencia en la industria, artesanía, navegación, arquitectura y otros fines, no eran cultos; la escolarización no era en absoluto común. El segundo factor fue la lengua. A las personas instruidas —eruditos, profesores y teólogos— les resultaba familiar el latín y, hasta cierto punto, el griego. Pero los artistas, artesanos e ingenieros conocían sólo las lenguas vernáculas —francés, alemán, y las diversas lenguas italianas— y no se beneficiaron de las traducciones latinas de las obras griegas.
A partir del siglo XVI, muchos clásicos griegos fueron traducidos a las lenguas populares. Los mismos matemáticos participaron en esta actividad. Por ejemplo, Tartaglia tradujo los Elementos de Euclides del latín al italiano en 1543. El movimiento de traducción continuó hasta bien entrado el siglo XVII, pero se realizó lentamente porque muchos estudiosos eran hostiles y despreciaban al pueblo llano. Preferían el latín, porque creían que el peso de la tradición asociado a él conferiría autoridad a sus pronunciamientos. Para oponerse a estos estudiosos, llegar al público, y obtener apoyo para sus ideas, Galileo escribió deliberadamente en italiano. Descartes escribió en francés por la misma razón; esperaba que quienes utilizaran su razonamiento natural podrían ser mejores jueces de sus enseñanzas que los que respetaban servilmente los escritos antiguos.
Otra medida que se tomó para educar al público, adoptada en algunas ciudades de Italia, fue el establecimiento de bibliotecas. La familia Medici financió bibliotecas en Florencia y algunos papas hicieron lo mismo en Roma. En parte para difundir la educación y en parte para proporcionar un lugar de encuentro para la comunicación entre los estudiosos, algunos gobernantes liberales fundaron las academias. La más notable entre éstas fue la Academia Florentina, fundada por Cosimo I de Medici (1519-1574) en 1563, que se convirtió en un centro de estudios matemáticos, y la Academia Romana dei Lincei (de los linces) fundada en 1603. Miembros de estas academias traducían trabajos latinos a lenguas populares, daban conferencias al público y profundizaban en su propio conocimiento comunicándose con los demás. Estas academias fueron las precursoras de las más famosas, fundadas más tarde en Inglaterra, Francia, Italia y Alemania, y que fueron tan enormemente útiles en la difusión del conocimiento.
Lamentablemente, las universidades de los siglos XV y XVI casi no jugaron ningún papel en estos avances. La teología gobernaba las universidades y su estudio era el propósito del aprendizaje. El conocimiento era considerado completo y cerrado. Por lo tanto, la experimentación era innecesaria, e ignorados los nuevos descubrimientos de los de fuera. Lo más que hicieron los conservadores profesores de la universidad fue aferrarse al conocimiento medieval tal como había sido formulado por los escolásticos desde el siglo XIII. Las universidades enseñaban aritmética, geometría, astronomía y música, pero la astronomía estaba basada en la de Ptolomeo y no era observacional. La filosofía natural significaba el estudio de la Física de Aristóteles.
4. La actividad humanística en las matemáticas
Mientras que los escolásticos se adhirieron firmemente a las últimas doctrinas medievales, un nuevo grupo de humanistas se dedicó a reunir, organizar y estudiar críticamente el conocimiento griego y romano. Estos hombres realizaron estudios asiduos y, con una sagacidad cuestionable en su conjunto, se esforzaron por limpiar los textos de errores y por recuperar material perdido. Aceptaron servilmente, repitieron e interpretaron sin parar lo que habían encontrado en manuscritos antiguos y medievales, emprendiendo incluso estudios filosóficos para precisar los significados. Escribieron también muchos libros en los que rehicieron muchos trabajos antiguos en una reinterpretación escolástica. Aunque esta actividad pudo haber despertado algún interés por aprender, propició, sin embargo, la decepción de que el aprendizaje consistía en profundizar y confirmar el cuerpo de conocimiento aceptado.
Típico entre los humanistas del siglo XVI fue Gerónimo Cardano (Gerolamo Cardano), que nació en Pavía en 1501. Su carrera como pícaro y estudioso fue una de las más fascinantes entre las fantásticas trayectorias de los hombres del Renacimiento. Proporciona un relato de su vida en su obra De vita propria (De la propia vida), escrita cuando era ya anciano, en la que se ensalza y humilla a sí mismo. Dice que sus padres le dotaron sólo de miseria y desprecio; pasó una infancia miserable y fue tan pobre durante los primeros cuarenta años de su vida que dejó de considerarse pobre a sí mismo porque, según decía, no le quedaba nada que perder. Era de gran temperamento, dedicado a los placeres eróticos, pendenciero, engreído, sin sentido del humor, incapaz de sentir remordimiento e intencionadamente cruel en su manera de hablar. Aunque no era un apasionado del juego, jugó a los dados todos los días durante veinticinco años y al ajedrez durante cuarenta como escape de la pobreza, de las enfermedades crónicas, de las calumnias y de las injusticias. En su Líber de ludo aleae (Libro sobre juegos y azar), publicado póstumamente en 1663, dice que se debe jugar para conseguir el premio de la puesta para compensar el tiempo perdido, y proporciona consejos sobre cómo hacer trampas para asegurar esa compensación.
Después de dedicar su juventud a las matemáticas, la física y el juego, se graduó en medicina por la Universidad de Padua. Practicó este arte, enseñó más tarde en Milán y en Bolonia, y se hizo famoso en toda Europa como médico. También trabajó como profesor de matemáticas en varias universidades italianas. En 1570 fue encarcelado por la herejía de realizar el horóscopo de Jesús. Sorprendentemente, el Papa le contrató más tarde como astrólogo. A los setenta y cinco años, poco antes de su muerte en 1576, se jactaba de su fama, de su nieto, de su riqueza, de su conocimiento, de sus amigos poderosos, de su creencia en Dios y de catorce dientes en buen estado.
Sus escritos incluyeron matemáticas, astronomía, astrología, física, medicina y una enorme variedad de otros temas, como aforismos morales (para compensar sus trampas en las cartas). A pesar de su gran preparación en las ciencias, Cardano era un hombre de su tiempo; creía firmemente en la astrología, en los sueños, en los hechizos, en la lectura de la mano, en los portentos y en las supersticiones, y escribió muchos volúmenes sobre estos temas. Es el apologista racional de estas artes ocultas, que, según sostenía, permiten tanta certeza como la navegación o la medicina. También escribió tratados enciclopédicos sobre los habitantes del universo, esto es, sobre los ángeles, demonios y diversas inteligencias, incluyendo en esos libros material robado, sin la menor duda, al distinguido amigo de su padre, Leonardo da Vinci. El material existente ocupa cerca de 7.000 páginas.
La tendencia sincrética, mostrada por los filósofos naturales en sus escritos, que unificaba toda la realidad en trabajos gigantescos, está representada en matemáticas por Cardano. Con diligencia exenta de crítica, extrajo de fuentes antiguas, medievales y contemporáneas todo el conocimiento matemático disponible y lo reunió en una masa enciclopédica, utilizando fuentes tanto teóricas como empíricas. A su acariciada teoría de números, mágica y mística, estaba asociada su predilección por la especulación algebraica, que llevó más lejos que sus contemporáneos. Además de ser un doctor famoso, Cardano se distinguió de los demás filósofos naturales ilustrados del siglo XVI por su más profundo interés en las matemáticas. Pero las matemáticas no eran un método para él; eran un talento mágico especial y una forma de especulación cargada emocionalmente.
Uno de los menos conocidos humanistas, Ignacio Danti (1537- 1586), profesor de matemáticas en Bolonia, escribió un libro de matemáticas para profanos que reducía toda la matemática pura y aplicada a series de cuadros sinópticos. Le scienze matematiche ridotte in tavole (Bolonia, 1577) es característica del espíritu clasificador de los tiempos; sirvió para dirigir el curso de la instrucción matemática en las escuelas al final del siglo XVI. Danti fue uno de los pocos matemáticos y astrónomos que abogaron por considerar la matemática aplicada como una rama del conocimiento (como hizo Galileo más tarde). Los temas cubiertos son significativos porque muestran la variedad de las matemáticas en aquella época: aritmética, geometría, música, astrología, goniometría (especialmente la medida de volúmenes), meteorología, dióptrica, geografía, hidrografía, mecánica, arquitectura, arquitectura militar, pintura y escultura. Los primeros cuatro temas representaban la matemática pura; los restantes, la matemática aplicada.
Esfuerzos humanistas característicos son también evidentes en las investigaciones en mecánica realizadas por prestigiosos matemáticos tales como Guidobalde del Monte (1545-1607), Bernardino Baldi (1553-1617) y Giovanni Battista Benedetti (1530-1590). Estos hombres casi no comprendieron los teoremas de Arquímedes; los trabajos de Pappus tenían más sentido para ellos y tenían un mayor atractivo, porque Pappus había explicado con más detalle las demostraciones dadas en anteriores clásicos griegos. Se desviaron poco de los escolásticos tratando los problemas normales y conocidos, y se limitaron a la corrección de afirmaciones y teoremas aislados. Aceptaron muchas cosas que eran falsas y, además, les faltó la habilidad para separar las ideas vivas y vitales de las agotadas y sin valor. Su formación humanística les inclinó a incorporar en deducciones euclídeas todo el conocimiento antiguo y nuevo, sin tener en cuenta cómo ajustaba todo ello con los experimentos. Como consecuencia, sus facultades de crítica se debilitaron y su propia experiencia perdió valor. Su experimentación no tenía ingredientes mágicos, y su erudición era sobre todo humanística pero, en principio y en esencia, eran los últimos de los medievalistas más que los fundadores de nuevos métodos de pensamiento e investigación. Debido a su dependencia con respecto a los antiguos modos de pensamiento, los matemáticos y físicos italianos Francesco Maurolico (1494-1575), Benedetti, Baldi y del Monte, no aportaron contribuciones innovadoras o revolucionarias en la formulación o resolución de problemas matemáticos o físicos. Estos fueron los hombres a quienes más tarde Galileo llamaría generosamente sus maestros, y quienes, en algunos aspectos, le prepararon el camino.
5. El clamor por la reforma de la ciencia
Como en los siglos anteriores de su existencia, las matemáticas iban a obtener sus principales inspiraciones y temas de las ciencias físicas. Sin embargo, para que la ciencia floreciera era esencial que los europeos rompieran con la adherencia servil a la autoridad. Ya bastantes se habían dado cuenta de que el método de la ciencia debía ser cambiado; iniciaron una verdadera ruptura con el escolasticismo y con la aceptación sin crítica del conocimiento griego.
Uno de los primeros en reclamar un nuevo enfoque del conocimiento fue el famoso artista del Renacimiento Leonardo da Vinci (1452-1519). Increíblemente dotado tanto física como mentalmente, alcanzó grandeza como lingüista, botánico, zoólogo, anatomista, geólogo, músico, escultor, pintor, arquitecto, inventor e ingeniero. Leonardo se distinguió en primer lugar por su desconfianza del conocimiento que muchos estudiosos profesaban tan dogmáticamente. Estos hombres, cuyo conocimiento había sido adquirido sólo en los libros, que él describió como pavoneándose, hinchados y pomposos, adornándose no de sus propios trabajos sino de los de otros, trabajos que ellos se limitaban a repetir, no eran más que los recitadores y trompeteros del conocimiento de otras personas. También criticó los conceptos, métodos y objetivos de los eruditos librescos, porque éstos no se relacionaban con el mundo real. Llegó casi a jactarse de que no era un hombre de letras y de que podía hacer mayores y mejores cosas aprendiendo mediante la experiencia. Y, de hecho, aprendió por sí mismo muchos hechos de las matemáticas, algunos principios de la mecánica y las leyes del equilibrio de la palanca. Realizó observaciones notables sobre el vuelo de los pájaros, el flujo del agua, la estructura de las rocas y la estructura del cuerpo humano. Estudió la luz, el color, las plantas y los animales. Son famosas sus palabras: «Si no te basas en los fundamentos adecuados de la naturaleza, trabajarás con poco honor y menos provecho.» La experiencia, decía, nunca decepciona, aunque nuestro juicio sí pueda hacerlo. «En el estudio de las ciencias que dependen de las matemáticas, los que no consultan a la naturaleza sino a autores no son los hijos de la naturaleza, sino sólo sus nietos.»
Leonardo creía en la combinación de la teoría y la práctica. Dice: «Quien ama la práctica sin la teoría es como el marino que se embarca sin timón ni brújula, y nunca sabe dónde amarrará.» Por otra parte, decía, la teoría sin la práctica no puede sobrevivir, y muere tan rápidamente como vive. «La teoría es el general; los experimentos son los soldados.» Quería utilizar la teoría para dirigir los experimentos.
Sin embargo, Leonardo no comprendió completamente el verdadero método de la ciencia. De hecho, no tenía ni metodología ni ninguna filosofía subyacente. Su trabajo fue el de un investigador práctico de la naturaleza, motivado por móviles estéticos, pero sin ninguna otra dirección. Estaba interesado en las relaciones cuantitativas y las buscó, y en este aspecto fue un precursor de la ciencia moderna. Sin embargo, no era tan conscientemente cuantitativo como Galileo. Mientras que sus escritos sobre mecánica y ciencia fueron utilizados por hombres del siglo XVI tales como Cardano, Baldi, Tartaglia y Benedetti, no constituyeron ningún estímulo para Galileo, Descartes, Stevin y Roberval.
Los puntos de vista de Leonardo sobre las matemáticas y su conocimiento operativo y utilización del mismo eran peculiares de su tiempo e ilustran su espíritu y enfoque. Leyendo a Leonardo se encuentran muchas afirmaciones que sugieren que era un matemático ilustrado y un filósofo profundo que trabajó al nivel del matemático profesional. Dice, por ejemplo: «El hombre que desacredita la certeza suprema de las matemáticas está alimentando la confusión, y no puede silenciar nunca las contradicciones de las ciencias sofistas, que conducen a la charlatanería inacabable... porque ninguna búsqueda humana puede llamarse ciencia a menos que prosiga su camino a través de la exposición y demostración matemática.» Para ir más allá de la observación y de la experiencia sólo había para él un camino fiable a través de las decepciones y los espejismos —las matemáticas—. Sólo manteniéndose unida a las matemáticas podía la mente penetrar con seguridad en el laberinto del pensamiento intangible e insustancial. La naturaleza actúa mediante leyes matemáticas, y las fuerzas y las operaciones de la naturaleza deben de ser estudiadas mediante investigaciones cuantitativas. Estas leyes matemáticas, a las que uno debe acercarse a través de la experiencia, son el objetivo del estudio de la naturaleza. Sobre la base de tales pronunciamientos, a Leonardo se le considera a menudo, sin ninguna duda, como mejor matemático de lo que realmente era. Cuando se examinan las notas de Leonardo se cae en cuenta de lo poco que sabía de matemáticas, y de que su enfoque era empírico e intuitivo.
Más influyente instando una reforma en los métodos de la ciencia fue Francis Bacon (1561-1626). Bacon buscó métodos para obtener verdades en las esferas intelectual, moral, política y física. Aunque ya estaban produciéndose cambios en los métodos de las ciencias físicas durante el siglo XVI, el público en general e incluso muchos hombres de letras no eran conscientes de ello. La elocuencia sublime de Bacon, su amplia sabiduría, sus visiones globales y valientes pronunciamientos sobre el futuro hicieron que muchos consideraran con más atención lo que estaba ocurriendo y prestaran atención a lo que él dibujaba como la «Gran Instauración». Cuando la gente se dio cuenta finalmente de que la ciencia estaba comenzando a realizar los avances que Bacon había anunciado, le aclamaron como el autor y dirigente de la revolución que él había, solamente, percibido con anticipación. En realidad, comprendió mejor que sus contemporáneos los cambios que estaban teniendo lugar.
La característica más sobresaliente de su filosofía era el anuncio confiado y enfático de una nueva era en el progreso de la ciencia. En 1605 publicó su tratado Advancement of Learning; fue seguido por el Novum Organum (Nuevo método) de 1620. En este último libro es más explícito. Señala la debilidad y escasos resultados de los esfuerzos anteriores en el estudio de la naturaleza. La ciencia, dice, se ha desarrollado sólo en medicina y matemáticas, o se ha utilizado para la preparación de jóvenes inmaduros. El progreso está en un cambio del método. Todo conocimiento comienza con la observación. Entonces proporciona su extraordinaria contribución: una insistencia en una «inducción graduada y sucesiva» en lugar de una generalización apresurada. Bacon dice: «Hay dos caminos, y sólo pueden ser dos, para buscar y encontrar la verdad. Uno de ellos, desde los sentidos y los casos particulares, vuela a los axiomas más generales, y desde esos principios y sus verdades, establecidos de una vez por todas, inventa y enjuicia los axiomas intermedios. El otro método acumula axiomas a partir de los sentidos y de los casos particulares, ascendiendo en forma continuada y por grados, de modo que, al final, llega a los axiomas más generales; este último camino es el verdadero, pero no ha sido intentado hasta ahora.» Por «axiomas» él entiende proposiciones generales a las que se llega mediante inducción, y adecuados para servir de punto de partida para un razonamiento deductivo.
Bacon atacó el enfoque escolástico de los fenómenos naturales con estas palabras: «Los axiomas descubiertos mediante discusiones no pueden avalar el descubrimiento de nuevas obras; porque la sutileza de la naturaleza es muchas veces mayor que la sutileza de las discusiones... Los errores radicales en la primera elaboración del pensamiento no pueden subsanarse por la excelencia de su funcionamiento o correcciones subsiguientes... Debemos conducir a los hombres a los casos particulares, mientras que los mismos hombres, por su parte, deben esforzarse por mantener disponibles sus nociones e ideas y comenzar a familiarizarse con los hechos.»
Bacon no se dio cuenta de que la ciencia debe medir para obtener leyes cuantitativas. En otras palabras, no vio qué tipos de investigaciones graduales se necesitaban y el orden en que debían ser realizadas. Tampoco valoró la inventiva que todo descubrimiento requiere. De hecho, dice que «no se deja mucho a la agudeza y poder del ingenio, pero todos los grados de ingenio e intelecto están al mismo nivel».
Aunque no lo creó, Bacon publicó el manifiesto en favor del método experimental. Atacó los sistemas filosóficos preconcebidos, las creaciones mentales y muestras estacionarias del conocimiento. El trabajo científico, dijo, no debe enredarse en una búsqueda de causas finales, lo cual pertenece a la filosofía. La lógica y la retórica son útiles sólo para organizar lo que ya sabemos. Rodeemos y acerquémonos a la naturaleza, y luchemos mano a mano con ella. No realicemos deshilvanados y fortuitos experimentos; seamos sistemáticos, directos y dirigidos. La matemática tiene que ser una sirvienta de la física. En su conjunto, Bacon ofreció un programa fascinante para las futuras generaciones.
Otra doctrina, y programa, se asocia a Francis Bacon, aunque le antecede. En su conjunto, los griegos se habían contentado con obtener de su ciencia y matemáticas una comprensión de los caminos de la naturaleza. Los pocos científicos del primer período medieval y los escolásticos estudiaron ampliamente la naturaleza para determinar la causa final o el propósito al que se orientaban los fenómenos. Sin embargo, los árabes, un pueblo más práctico, estudiaron la naturaleza para adquirir poder sobre ella. Sus astrólogos, profetas y alquimistas buscaron el elixir de la vida, la piedra filosofal, métodos para convertir metales menos útiles en más útiles, y propiedades mágicas de plantas y animales para prolongar la vida del hombre, curar sus enfermedades y enriquecerle materialmente. Mientras que estas pseudociencias continuaban floreciendo en la época medieval, algunos de los escolásticos más racionales —como, por ejemplo, Robert Grosseteste y Roger Bacon— comenzaron a considerar el mismo propósito, pero mediante investigaciones más propiamente científicas. Gracias a los exhortos de Francis Bacon, la dominación de la naturaleza se convirtió en una doctrina positiva y en una motivación extendida.
Bacon deseaba utilizar el conocimiento. Quería dominar a la naturaleza para que estuviera al servicio del hombre y para su bienestar, y no para placer y deleite de los estudiosos. Como decía, la ciencia tiene que remontarse a los axiomas y desde allí descender a las aplicaciones. En La Nueva Atlántida Bacon describe una sociedad de estudiosos dotada de espacio y equipamiento para la adquisición de conocimiento útil. Previo que la ciencia puede proporcionar al hombre «infinitos recursos», «dotar a la vida humana de invenciones y satisfacciones, y facilitar la conveniencia y el agrado del hombre». Estos, decía, son los verdaderos y legítimos fines de la ciencia.
Descartes, en su Discurso del Método, se hizo eco de este pensamiento: Es posible alcanzar un conocimiento que es muy útil en la vida y, en lugar de esa filosofía especulativa que se enseña en las escuelas, podemos encontrar una filosofía práctica mediante la cual, conociendo la fuerza y la acción del fuego, del agua, del aire, de las estrellas, de los cielos y de todos los demás cuerpos que nos rodean, tan nítidamente como conocemos el oficio de nuestros artesanos, podamos de la misma manera utilizarlos en todos aquellos usos para los que están adaptados y, por tanto, convertirnos en los dominadores y poseedores de la naturaleza.
El químico Robert Boyle dijo: «Las satisfacciones de la humanidad pueden aumentar mucho mediante la aportación a las actividades de la misma de la visión del naturalista.»
El desafío lanzado por Bacon y Descartes fue aceptado rápidamente, y los científicos se sumergieron optimistamente en la tarea de dominar y entender la naturaleza. Estas dos motivaciones son todavía las dos principales fuerzas conductoras y, de hecho, las interconexiones entre la ciencia y la ingeniería crecieron rápidamente desde el siglo XVII en adelante.
Este programa fue adoptado aún más seriamente por los gobiernos. La Academia Francesa de Ciencias, fundada por Colbert en 1666, y la Real Sociedad de Londres, fundada en 1662, se dedicaron al cultivo de «tal conocimiento, en la medida en que tienda a ser útil» y a hacer ciencia «útil a la vez que atractiva».
6. El nacimiento de empirismo
Mientras que los reformadores de la ciencia pedían el retorno a la naturaleza y la necesidad de hechos experimentales, los artesanos de orientación práctica, los ingenieros y los pintores estaban en realidad encontrándose con los duros hechos de la experiencia. Utilizando la visión intuitiva natural de los profanos, y buscando no los significados últimos sino sólo las explicaciones útiles de los fenómenos que encontraban en su trabajo, estos técnicos construyeron un conocimiento que desafiaba, en realidad, las distinciones complicadas, las largas derivaciones etimológicas de los significados, las complicadas argumentaciones lógicas y las pomposas citas de autoridades griegas y romanas de que hacían gala los cultos estudiosos, e incluso los humanistas. Como las realizaciones técnicas de la Europa renacentista fueron superiores y más numerosas que las obtenidas por cualquier otra civilización, el conocimiento empírico adquirido en su obtención fue inmenso.
Los artesanos, ingenieros y artistas tenían que resolver problemas procedentes de ideas mecánicas y propiedades de materiales que tenían que convertir en reales y practicables. Sin embargo, las nuevas perspectivas físicas obtenidas de esta manera fueron impresionantes. Fueron los fabricantes de gafas los que, sin descubrir ninguna ley de la óptica, inventaron el telescopio y el microscopio. Los técnicos llegaron a las leyes acudiendo a los fenómenos. Mediante pasos medidos y graduales, que no había sugerido ninguna visión especulativa del método científico, obtuvieron verdades tan profundas y globales como ninguna conjetura hubiera osado anticipar. Mientras que los reformadores teóricos eran audaces, seguros de sí mismos, impulsivos, ambiciosos, y desdeñosos de la antigüedad, los reformadores prácticos eran cultos, modestos, lentos y receptivos de todo conocimiento, bien derivado de la tradición o de la observación. Ellos trabajaban más que especulaban, trataban con lo particular más que con las generalidades, y aportaban algo a la ciencia, en lugar de definirla o proponer cómo obtenerla. En física, artes plásticas y, en general, los campos de la técnica, la experiencia más que la teoría o la especulación se convirtió en la nueva fuente del conocimiento.
A la vez que el puro empirismo de los artesanos, y en realidad sugerido en parte por los problemas que ellos presentaban, tuvo lugar el aumento gradual de la observación y experimentación sistemáticas, llevadas a cabo por un grupo más culto. Griegos como Aristóteles o Galeno habían observado mucho y tratado de las inducciones que podrían hacerse sobre la base de las observaciones; pero no se puede decir que los griegos tuvieran nunca una ciencia experimental. La actividad del Renacimiento, muy modesta en extensión, señala el comienzo de la nueva y vasta empresa científica. Los grupos más significativos de los experimentalistas del Renacimiento fueron los fisiólogos, zoólogos y botánicos capitaneados por Andrea Vesalio (1514-1564), Ulises Aldrovandi (1522-1605) y Andre Cesalpino (1519-1603), respectivamente.
En el área de las ciencias físicas, el trabajo experimental de William Gilbert (1540-1603) sobre el magnetismo fue, con mucho, el más extraordinario. En su famosa De Magriete (1600), afirma explícitamente que debemos comenzar a partir de los experimentos. Aunque respetaba a los antiguos porque provenía de ellos una corriente de sabiduría, desdeñaba a quienes citaban a otros como autoridades y no experimentaban o verificaban lo que se les había comunicado. Sus series de sencillos experimentos, cuidadosamente realizados y detallados, son un clásico del método experimental. Puntualiza, incidentalmente, que Cardano, en su De Rerum Varietate, había descrito una máquina de movimiento perpetuo y comenta: «Condenen los dioses estos trabajos falsos, deshonestos y distorsionados, que no hacen más que confundir las mentes de los estudiantes.»
Hemos estado señalando los abigarrados intereses prácticos que condujeron a un vasto desarrollo del estudio de la naturaleza y el impulso consiguiente a la experimentación sistemática. Junto a este trabajo práctico, con mucha independencia con respecto a él pero sin olvidarlo, algunos hombres continuaron esforzándose en el objetivo, más amplio, de la ciencia-la comprensión de la naturaleza. El trabajo de los últimos escolásticos sobre la caída de los cuerpos, descrito en el capítulo anterior, fue continuado en el siglo XVI. El objetivo predominante era el de obtener las leyes básicas del movimiento. El trabajo sobre el movimiento de proyectiles, a menudo descrito como una respuesta a necesidades prácticas, fue motivado mucho más por amplios intereses científicos en mecánica. El trabajo de Copérnico y Kepler en astronomía (cap. 12, sec. 5) estaba motivado ciertamente por el deseo de mejorar la teoría astronómica. Incluso los artistas del Renacimiento intentaron penetrar en la esencia de la realidad.
Afortunadamente, los técnicos y científicos comenzaron a reconocer intereses comunes y a valorar la ayuda que los unos podían obtener de los otros. Los técnicos de los siglos XV y XVI, los primeros ingenieros que habían confiado en la destreza manual, ingeniosidad mecánica y pura inventiva y cuidaban menos de los principios, se hicieron conscientes de la ayuda que podían obtener, para la práctica, de la teoría. Por su parte, los científicos se percataron de que los artesanos estaban descubriendo hechos de la naturaleza que una teoría correcta debía explicar, y que podían encontrar en el trabajo de los artesanos prometedoras sugerencias para su investigación. En el párrafo de apertura de su Diálogos referentes a dos nuevas ciencias (las ciencias eran la resistencia de materiales y la teoría del movimiento), Galileo reconoce esta inspiración para sus investigaciones. «La constante actividad que vosotros, venecianos, mostráis en vuestro famoso arsenal sugiere a la mente estudiosa un amplio campo para la investigación, especialmente esa parte del trabajo que se relaciona con la mecánica; porque en este departamento todos los tipos de instrumentos y máquinas están siendo construidos constantemente por muchos artesanos, entre quienes debe de haber algunos que, en parte por experiencias heredadas y en parte por su propia observación, han llegado a ser muy hábiles y expertos en las explicaciones.»
Los intereses prácticos y puramente científicos se fundieron en el siglo XVII. Cuando los principios generales y los problemas surgieron de las necesidades empíricas, y el conocimiento matemático de los griegos había llegado a ser completamente accesible para los científicos, éstos estuvieron más capacitados para continuar desarrollando la ciencia pura. Sin perder de vista el objetivo de entender el plan del universo, también intentaron voluntariamente impulsar la práctica. El resultado fue un desarrollo de la actividad científica en una escala sin precedentes, además de mejoras técnicas de peso y de gran alcance que culminaron en la Revolución Industrial.
La gran importancia de los comienzos de la ciencia moderna para nosotros es, por supuesto, que preparó el camino para los principales desarrollos en matemáticas. Su efecto inmediato fue su relación con problemas concretos. Puesto que los matemáticos del Renacimiento trabajaron para las repúblicas y los príncipes, y colaboraron con los arquitectos y obreros manuales —Maurolico fue un ingeniero que trabajaba para la ciudad de Messina, Baldi fue un matemático que trabajaba para el Duque de Urbino, Benedetti fue el ingeniero jefe del Duque de Saboya, y Galileo fue matemático de corte del Gran Duque de Toscana— tuvieron en cuenta las observaciones y las experiencias de la gente práctica. Hasta la época de Galileo, el impacto de los técnicos y de los arquitectos puede verse ampliamente en el trabajo de Nicolo Tartaglia (1499?-1557), un genio que fue autodidacta en la ciencia de su tiempo. Tartaglia realizó la transición del matemático práctico al ilustrado, separando con criterio problemas y observaciones útiles del conocimiento empírico. Su singularidad radica en su realización y en su completa independencia de las influencias mágicas que caracterizan el trabajo de su rival Cardano. La posición de Tartaglia está a mitad de camino entre Leonardo y Galileo —no sólo cronológicamente, sino porque su trabajo sobre las matemáticas de problemas dinámicos elevaron ese tema a la categoría de nueva ciencia e influyó en los predecesores de Galileo.
El efecto a largo plazo fue que la matemática moderna, guiada por la doctrina platónica de que es la esencia de la realidad, creció casi enteramente a partir de los problemas de la ciencia. Bajo la nueva línea directriz de estudiar la naturaleza y obtener leyes que englobaran observaciones y hechos experimentales, las matemáticas rompieron con la filosofía y se unieron a las ciencias físicas. Las consecuencias para las matemáticas fueron una explosión de actividad y de creación original que fue la más prolífica en su historia.
Bibliografía
- Ball, W. W. R.: A Short Account of the History of Mathematics, Dover (reimpresión), 1960, caps. 12-13.
- Burtt, E. A.: Los fundamentos metafísicos de la Ciencia Moderna, Buenos Aires, Suramericana, 1945.
- Butterfield, Herbert: Los Orígenes de la Ciencia Moderna, Madrid, Taurus, 1982.
- Cajori, Florian: A History of Mathematics, 2nd ed., Macmillan, 1919, pp. 128-145.
- Cardano, Gerolamo: Opera Omnia, Johnson Reprint Corp., 1964. —: Mi vida, Madrid, Alianza, 1991. —: The Book on Game of Chance, Holt, Rinehart and Winston, 1961.
- Claggett, Marshall, ed.: Critical Problems in the History of Science, University of Wisconsin Press, 1959, pp. 3-196.
- Crombie, A. C.: Historia de la ciencia de Agustín a Galileo, Madrid, Alianza, 1979. —: Robert Grosseteste and the Origins of Experimental Science, Oxford University Press, 1953, cap. 11.
- Dampier-Whetham, W. C. D.: Historia de la Ciencia, Madrid, Tecnos, 1986.
- Farrington, B.: Francis Bacon, filósofo de la revolución industrial, Madrid, Ayuso, 1971.
- Masón, S. F.: Historia de las Ciencias, Madrid, Alianza, 1988.
- Ore, O.: Cardano: The Gambling Scholar, Princeton University Press, 1953.
- Randall, John H., Jr.: The Making of the Modem Mind, Houghton Mifflin, 1940, caps. 6, 9.
- Russell, Bertrand: Historia de la filosofía occidental, Madrid, Espasa-Calpe, 1984.
- Smith, David Eugene: History of Mathematics, Dover (reimpresión), 1958, vol. I, pp. 242-265, y cap. 8.
- Smith, Preserved: A History of Modem Culture, Holt, Rinehart and Winston, 1940, vol. I, caps. 5-6.
- Strong, Edward, W.: Procedures and Metaphysics, University of California Press, 1936; reimpreso por Georg Olms, 1966, pp. 1-134.
- Taton, René, ed.: The Beginnings of Modem Science, Basic Books, 1964, pp. 3-51, y 82-177.
- Vallentin, Antonina: Leonardo da Vinci, Viking Press, 1938.
- White, Andrew D.: Historia del conflicto entre Ciencia y Teología, Siglo XXI, 1972.
Capítulo 12
Las contribuciones matemáticas en el renacimiento
El principal propósito de todas las investigaciones sobre el mundo exterior debe ser descubrir el orden y la armonía racionales que han sido impuestos por Dios y que Él nos ha revelado en el lenguaje de las matemáticas.
Johannes Kepler
Contenido:1. Perspectiva1. Perspectiva
2. La geometría propiamente dicha
3. Álgebra
4. Trigonometría
5. Los principales progresos científicos del Renacimiento
6. Notas sobre el Renacimiento
Bibliografía
Aunque los hombres del Renacimiento sólo percibieron ligeramente las perspectivas, valores y objetivos de las obras griegas, dieron algunos pasos originales en matemáticas y realizaron avances en otros campos, que prepararon el camino para el extraordinario desarrollo de nuestro tema en el siglo XVII.
Los artistas fueron los primeros en manifestar la renovación del interés en la naturaleza y en aplicar seriamente la doctrina griega de que las matemáticas son la esencia de la realidad de la naturaleza. Los artistas eran autodidactas y aprendían mediante la práctica. Les llegaron filtrados algunos fragmentos del conocimiento griego pero, en su conjunto, sintieron más que percibieron las ideas y perspectivas intelectuales griegas. Hasta cierto punto, esto fue una ventaja porque, careciendo de una escolarización formal, estaban libres de todo adoctrinamiento. Además, disfrutaron de libertad de expresión, porque su trabajo se consideraba «innocuo».
Los artistas del Renacimiento eran, por su profesión, hombres universales, esto es, eran contratados por los príncipes para realizar todo tipo de tareas, desde la creación de grandes pinturas hasta el diseño de fortificaciones, canales, puentes, máquinas de guerra, palacios, edificios públicos e iglesias. En consecuencia, estaban obligados a aprender matemáticas, física, arquitectura, ingeniería, tallado de las piedras, el trabajo de los metales, anatomía, el trabajo de la madera, óptica, estática e hidráulica. Realizaron trabajos manuales, pero también se ocuparon de los problemas más abstractos. En el siglo XV, al menos, ellos eran los mejores físicos matemáticos.
Para valorar sus contribuciones a la geometría, debemos hacer notar sus nuevos objetivos en la pintura. En el período medieval, la glorificación de Dios y la ilustración de los temas bíblicos eran los fines de la pintura. Los fondos dorados sugerían que las personas y objetos retratados estaban en alguna región celestial. Además, se pretendía que las figuras fueran simbólicas más que realistas. Los pintores producían formas planas y sin naturalidad, y no se desviaban de los cauces establecidos. En el Renacimiento, la descripción del mundo real se convirtió en el objetivo de la pintura. Por lo tanto, los artistas emprendieron el estudio de la naturaleza para reproducirla fielmente en sus lienzos, y se enfrentaron al problema matemático de presentar el mundo real tridimensional en un lienzo bidimensional.
Filippo Brunelleschi (1377-1446) fue el primer artista que estudió y utilizó intensivamente las matemáticas. Giorgio Vasari (1511-1574), el artista y biógrafo italiano, dice que el interés de Brunelleschi en las matemáticas le llevó a él a estudiar perspectiva, y que empezó a pintar para aplicar la geometría. Leyó a Euclides, a Hiparco y a Vitello en matemáticas y óptica, y aprendió matemáticas del matemático florentino Paolo del Pozzo Toscanelli (1397-1482). Los pintores Paolo Ucello (1397-1475) y Masaccio (1401-1428) también se interesaron por principios matemáticos para desarrollar un sistema de perspectiva realista.
El genio teórico en la perspectiva matemática fue Leone Battista Alberti (1404-1472), quien presentó sus ideas en Della Pittura (1435), impreso en 1511. Este libro, profundamente matemático en su carácter, también incluye algo de óptica. Su otro importante trabajo matemático es Ludí Mathematici (1450), que contiene aplicaciones a la mecánica, agrimensura, cálculo del tiempo y fuego de artillería. Alberti concibió el principio que se convertiría en la base del sistema matemático de perspectiva adoptado y perfeccionado por sus sucesores artistas. Propuso pintar lo que ve un ojo, aunque era muy consciente de que en la visión normal ambos ojos ven la misma escena desde posiciones ligeramente distintas, y que sólo a través de la reconciliación de las dos imágenes en el cerebro se percibe la profundad. Su plan era obtener la ilusión de la profundidad mediante instrumentos tales como la luz y la sombra, y la disminución del color con la distancia. Su principio básico puede explicarse en los siguientes términos. Entre el ojo y la escena interponía una pantalla de vidrio en posición vertical. Entonces imaginaba líneas de luz desde el ojo o punto de estación hasta cada punto de la escena misma. Llamaba a estas líneas una pirámide de rayos o una proyección. Donde estos rayos atravesaban la pantalla de vidrio (la imagen plana), imaginaba puntos marcados; a esta colección de puntos la llamaba una sección. El hecho significativo sobre esto es que creaba la misma impresión sobre el ojo que la escena misma, porque de la sección provienen las mismas líneas de luz que de la escena original. En consecuencia, el problema de pintar en forma realista es el de obtener una sección verdadera sobre la pantalla de vidrio o, en la práctica, sobre un lienzo. Por supuesto que la sección depende de la posición del ojo y de la de la pantalla. Esto significa sólo que pueden hacerse diferentes pinturas de la misma escena.
Como el pintor no mira a través de su lienzo para determinar la sección, debe disponer de reglas basadas en teoremas matemáticos que le digan cómo dibujarla. Alberti proporcionó algunas reglas[19] correctas en su Delta Pittura, pero no dio todos los detalles. Pretendió que su libro fuera como un sumario que se completara con discusiones con sus compañeros pintores y, de hecho, se disculpa por su brevedad. Intentó hacer su material concreto, más que formal y riguroso, y por ello dio teoremas y construcciones sin demostraciones.
Además de presentar los conceptos de proyección y sección, Alberti suscitó una cuestión muy significativa. Si se interponen dos pantallas de vidrio entre el ojo y la escena, las secciones en ellas serán diferentes. Además, si el ojo mira la misma escena desde dos posiciones distintas y, en cada caso, se interpone una pantalla de vidrio entre el ojo y la escena, otra vez la sección será diferente. Y, sin embargo, la sección corresponde a la misma figura. Por lo tanto, deben tener algunas propiedades en común. La cuestión es: ¿cuál es la relación matemática entre dos cualesquiera de estas secciones o cuáles son las propiedades matemáticas que tienen en común? Esta cuestión se convirtió en el punto de partida del desarrollo de la geometría proyectiva.
Aunque bastantes artistas escribieron libros sobre perspectiva matemática y compartían la filosofía del arte de Alberti, podemos mencionar aquí sólo uno o dos de los principales. Leonardo creía que la pintura debe ser una reproducción exacta de la realidad, y que la perspectiva matemática lo permitiría. Era «el timón e hilo conductor de la pintura» e incluía la óptica aplicada y la geometría. La pintura, para él, era una ciencia porque revela la realidad en la naturaleza; por esta razón es superior a la poesía, a la música y a la arquitectura. Los escritos de Leonardo sobre la perspectiva están contenidos en su Tratatto dellapittura (1651), compilado por algún autor desconocido que utilizó lo más valioso de las notas de Leonardo sobre el asunto.
El pintor que estableció los principios matemáticos de la perspectiva en una forma bastante completa fue Piero della Francesca (c. 1410-1492). También él consideraba la perspectiva como la ciencia de la pintura y quiso corregir y extender el conocimiento empírico a través de las matemáticas. Su trabajo principal, De prospettiva pingen- di (1482-1487), aportó algunos avances a las ideas de Alberti de proyección y sección. En general, suministra procedimientos útiles para los artistas, y sus indicaciones incluyen el empleo de bandas de papel, madera y cosas análogas. Para ayudar al artista, le proporciona, como Alberti, definiciones inteligibles intuitivamente. Entonces le brinda teoremas que «demuestra» mediante construcciones o por un cálculo aritmético de razones. Fue el pintor matemático y el artista científico por excelencia, y sus contemporáneos así le consideraron. Fue también el mejor geómetra de su tiempo.
Sin embargo, de todos los artistas del Renacimiento, el mejor matemático fue el alemán Albrecht Dürer (Alberto Durero) (1471-1528). Su Underweysung der Messung mid dem Zyrkel und Rychtscheyd (Instrucción en la medida con regla y compás, 1525), un libro de geometría, sobre todo, fue realizado para transmitir a los alemanes el conocimiento que Durero había adquirido en Italia y, en particular, para ayudar a los artistas con la perspectiva. El libro, más preocupado por la práctica que por la teoría, fue muy influyente.
La teoría de la perspectiva se enseñaba en las escuelas de pintura desde el siglo XVI en adelante, de acuerdo con los principios establecidos por los maestros de los que nos hemos ocupado. Sin embargo, sus tratados sobre perspectiva habían consistido, en su conjunto, en preceptos, reglas y procedimientos ad hoc: les había faltado una sólida base matemática. En el período comprendido entre 1500 y 1600, los artistas y matemáticos siguientes situaron el tema sobre una base deductiva satisfactoria, y pasó de ser un arte casi empírico a una verdadera ciencia. Trabajos definitivos sobre perspectiva fueron escritos mucho más tarde por los matemáticos del siglo XVIII Brook Taylor y J. H. Lambert.
2. La geometría propiamente dicha
Aparte de la perspectiva, los desarrollos que experimentó la geometría durante los siglos XV y XVI no fueron muy impresionantes. Uno de los temas de que trataron Durero, Leonardo y Lúea Pacioli (c. 1445-c. 1514), un monje italiano alumno de Piero della Francesca y amigo y profesor de Leonardo, fue el de la inscripción de polígonos regulares en circunferencias. Intentaron tales construcciones mediante una regla y un compás de apertura fija, una limitación ya considerada por el árabe Abü’l-Wefá, pero sólo proporcionaron métodos aproximados.
La construcción del pentágono regular era un problema de gran interés, porque surgía en el diseño de fortificaciones. En los Elementos (libro IV, proposición 11), Euclides había dado una construcción no limitada por un compás de apertura fija. El problema de dar una construcción exacta con esta limitación fue tratado por Tartaglia, Ferrari, Cardano, del Monte, Benedetti y muchos otros matemáticos del siglo XVI. Benedetti, entonces, amplió el problema y se propuso resolver todas las construcciones euclídeas con una regla y un compás de apertura fija. El problema general fue resuelto por el danés George Mohr (1640-1697) en su Compendium Euclidis Curiosi (1673).
Mohr demostró también, en su Euclides Danicus (1672), que las construcciones que podían realizarse con una regla y un compás podían realizarse también con sólo un compás. Por supuesto que sin la regla no es posible dibujar la línea recta que une dos puntos, pero dados dos puntos se pueden construir los puntos de intersección de la recta y la circunferencia, y dados dos pares de puntos, se puede construir el punto de intersección de las dos rectas determinadas por los dos pares. El hecho de que sólo un compás baste para realizar las construcciones euclídeas fue redescubierto por Lorenzo Mascheroni (1750-1800) y publicado en su La geometría del compasso.
Otro tema de interés para los griegos, el de los centros de gravedad de los cuerpos, también fue considerado por los geómetras del Renacimiento. Leonardo, por ejemplo, dio un método correcto y uno incorrecto para obtener el centro de gravedad de un trapezoide isósceles. Dio después, sin demostración, la situación del centro de gravedad del tetraedro, a la cuarta parte del segmento que une el centro de gravedad de la base triangular con el vértice opuesto, contada desde la base.
Dos ideas geométricas originales aparecen en trabajos menores de Durero. La primera de ellas es la de considerar curvas en el espacio. Comienza estudiando curvas del espacio helicoidales y considera la proyección de estas curvas sobre el plano. Las proyecciones son varios tipos de espirales, y Durero muestra cómo construirlas. También presenta la epicicloide, que es el lugar geométrico descrito por un punto determinado de una circunferencia que gira apoyándose en el exterior de otra circunferencia fija. La segunda idea es la proyección ortogonal de curvas y de figuras humanas en dos y tres planos mutuamente perpendiculares. Esta idea, que Durero sólo rozó, fue desarrollada a finales del siglo XVIII, dentro de la geometría descriptiva, por Gaspard Monge.
El trabajo de Leonardo, Piero, Pacioli y Durero en geometría pura no es, ciertamente, significativo desde el punto de vista de la obtención de resultados nuevos. Su valor principal fue el de que difundió ampliamente algunos conocimientos de geometría, aunque fueran algo bastos comparados con los que alcanzaron los griegos. La cuarta parte de la obra de Durero Underweysung, junto con la de Piero De Corporibus Regularibus (1487) y la de Pacioli De Divina Proportione (1509) renovaron el interés por la estereometría (medida de figuras sólidas), que floreció en la época de Kepler.
Otra actividad geométrica, la elaboración de mapas, sirvió para estimular posteriores investigaciones geométricas. Las exploraciones geográficas habían revelado la inadecuación de los mapas existentes; al mismo tiempo, se iban desvelando nuevos conocimientos geográficos. La confección e impresión de mapas había comenzado en la segunda mitad del siglo XV en centros como Amberes y Amsterdam.
El problema de la confección de mapas surge del hecho de que una esfera no puede cortarse, abrirse y extenderse sobre un plano sin distorsionar las distancias. Además, las direcciones (ángulos) o áreas, o ambos, pueden distorsionarse también. El método nuevo más significativo de confección de mapas se debe a Gerard Kremer, conocido también como Mercator (1512-1594), quien dedicó su vida a la ciencia. En 1569 publicó un mapa utilizando la famosa proyección de Mercator. En este esquema, las líneas de latitud y de longitud son rectas. Las líneas de longitud están igualmente espaciadas, pero el espaciado entre las líneas de latitud se incrementa. El propósito de este incremento es el de mantener correcto el cociente entre el largo de un minuto de longitud y el de un minuto de latitud. Sobre la esfera, un cambio de 1' de latitud corresponde a 6087 pies; pero un cambio de 1' de longitud sólo es igual a 6087 pies en el ecuador. Por ejemplo, en la latitud 20°, un cambio de 1' en longitud equivale a 5722 pies, proporcionando el cociente 1' de cambio en longitud
![]()
![]()
El mapa de Mercator tiene varias ventajas. Sólo en esta proyección dos puntos del mapa están en el rumbo correcto de la brújula uno con respecto a otro. Por tanto, una curva sobre la esfera cuyo rumbo es la brújula constante, esto es, una curva llamada loxodroma o línea de rumbo, que corta a todos los meridianos según un mismo ángulo, se convierte en una línea recta en el mapa. Las distancias y las áreas no se conservan; de hecho, el mapa distorsiona mucho en los polos. Sin embargo, como la dirección se conserva, también se conserva el ángulo de dos direcciones en un punto, y se dice que el mapa es conforme.
Aunque ninguna idea matemática grande surgió de los trabajos de elaboración de mapas en el siglo XVI, el problema se volvió a considerar más tarde por otros matemáticos, y eso les llevó a trabajar en geometría diferencial.
3. Algebra
Hasta la aparición de la Ars Magna (1545) de Cardano, de la que trataremos en el próximo capítulo, no hubo en el Renacimiento desarrollos trascendentes en álgebra. Sin embargo, vale la pena mencionar el trabajo de Pacioli. Como muchos otros de su siglo, es el conocimiento sistemático más amplio y que se puede aplicar a la vida práctica y espiritual de todo el mundo. También se dio cuenta de las ventajas del conocimiento teórico para realizar el trabajo práctico. La teoría debe dominar y guiar, dice a los matemáticos y técnicos. Como Cardano, pertenecía al círculo humanista. La principal publicación de Pacioli es la Summa de Arithmetica, Geometría, Proportione et Proportionalita (1494). La Summa era un compendio del conocimiento disponible, y era representativa de su época porque vinculaba las matemáticas con una gran cantidad de aplicaciones prácticas.
El contenido incluía los símbolos numéricos indo-arábigos, que ya se utilizaban en Europa, la aritmética de los negocios, en particular la contabilidad, el álgebra creada hasta entonces, un pobre resumen de los Elementos de Euclides y algo de trigonometría tomada de Ptolomeo. La aplicación del concepto de proporción para descubrir el plan en todas las fases de la naturaleza y en el universo mismo era un tema importante. Pacioli llamaba a la proporción «madre» y «reina» y la aplicaba a los tamaños de las partes del cuerpo humano, a la perspectiva e incluso a las mezclas de colores. Su álgebra es retórica; sigue a Leonardo y a los árabes al llamar a la incógnita la «cosa». Al cuadrado de la incógnita Pacioli le llama census, que a veces abrevia como ce o Z; el cubo de la incógnita, cuba, se representa a veces como cu o C. También aparecen otras abreviaturas para palabras, tales como p para más y ae para aequalis. Escribiendo ecuaciones, cuyos coeficientes son siempre numéricos, coloca los términos en el lado que permita la utilización de coeficientes positivos. Aunque aparezca la sustracción ocasional de un término, por ejemplo, -3x, no se utilizan números puramente negativos; sólo se dan las raíces positivas. Utilizó el álgebra para calcular cantidades geométricas, de la misma manera que nosotros utilizaríamos una proporción aritmética para relacionar las longitudes de los lados de dos triángulos semejantes y, quizá, para obtener una longitud desconocida, aunque la utilización de Pacioli es, a menudo, más complicada. Termina el libro con la observación de que la solución de
x3 + mx = n
y dex3 + n = mx
(utilizamos la notación moderna) son tan imposibles como la cuadratura del círculo.Aunque no había nada de original en la Summa, este libro y su De Divina Proportione fueron valiosos porque contenían mucho más de lo que se enseñaba en las universidades. Pacioli hizo de intermediario entre lo que existía en los trabajos académicos y el conocimiento adquirido por artistas y técnicos, a quienes intentó ayudar a aprender y a utilizar las matemáticas. Sin embargo, un comentario significativo sobre el desarrollo matemático de la aritmética y el álgebra entre 1200 y 1500 es que la Summa de Pacioli, que apareció en 1494, no contenía prácticamente nada más que el Líber Abad de Leonardo de Pisa, de 1202. De hecho, la aritmética y el álgebra de la Summa estaban basadas en el libro de Leonardo.
4. Trigonometría
Hasta 1450, la trigonometría era sobre todo trigonometría esférica; la agrimensura continuaba utilizando los métodos geométricos de los romanos. Aproximadamente hacia esa fecha, la trigonometría plana comenzó a tener importancia en agrimensura, aunque Leonardo de Pisa ya había iniciado el método en su Practica Geometriae (1220).
Los alemanes llevaron a cabo nuevos trabajos en trigonometría a finales del siglo XV y principios del XVI. Habitualmente, estudiaban en Italia y luego volvían a sus ciudades de origen. En esa época, Alemania se había hecho próspera. Alguna de esa riqueza había sido adquirida a través de la Liga Hanseática del norte de Alemania, que controlaba buena parte del comercio; por ello algunos comerciantes importantes pudieron apoyar económicamente el trabajo de muchos de los que mencionaremos más adelante. El trabajo sobre trigonometría fue motivado por la navegación, el cálculo del calendario y la astronomía, por la que había crecido el interés con la creación de la teoría heliocéntrica, sobre la que trataremos más tarde.
George Peurbach (1423-1461), de Viena, comenzó a corregir las traducciones latinas del Almagesto, que se habían hecho de las versiones árabes, pero que él propuso hacer del original griego. También comenzó a hacer tablas trigonométricas más precisas. Sin embargo, Peurbach murió joven, y su trabajo fue continuado por su discípulo Johannes Müller (1436-1476), conocido como Regiomontano, quien revitalizó la trigonometría en Europa. Habiendo estudiado astronomía y trigonometría con Peurbach en Viena, Regiomontano fue a Roma, estudió griego con el cardenal Bessarion (c. 1400-1472), y reunió los manuscritos griegos de los eruditos griegos que habían huido de los turcos. En 1471 se estableció en Nüremberg bajo el patronazgo de Bernard Walther. Regiomontano hizo traducciones de trabajos griegos —las Secciones Cónicas de Apolonio y partes de Arquímedes y Herón— y fundó su propia imprenta para imprimirlas.
Siguiendo a Peurbach, adoptó el seno hindú, esto es, la semicuerda del semiarco, y construyó una tabla de senos basada en un radio de 600.000 unidades y otra basada en un radio de 10.000.000 de unidades. También calculó una tabla de tangentes. En la Tabulae Directionum (escrita entre 1464 y 1467), dio tablas de tangentes de cinco cifras y subdivisiones decimales de los ángulos, un procedimiento muy poco habitual para aquellos tiempos.
Entre los muchos que construyeron tablas en los siglos XV y XVI, puede mencionarse a George Joachim Rhaeticus (1514-1576), Copérnico, François Vieta (1540-1603) y Bartolomáus Pitiscus (1561-1613). Una característica de su trabajo fue la utilización de radios de cada vez mayor número de unidades, de manera que los valores de las cantidades trigonométricas podían obtenerse en forma más precisa, sin necesidad de utilizar fracciones o decimales. Por ejemplo, Rhaeticus calculó una tabla de senos basada en un radio de 1010 unidades y otra basada en uno de 1015 unidades, y dio valores para cada 10 segundos de arco. Pitiscus en su Thesaurus (1613) corrigió y publicó la segunda tabla de Rhaeticus. La palabra «trigonometría» es suya.
Más fundamental fue el trabajo sobre la resolución de triángulos planos y esféricos. Hasta aproximadamente 1450, la trigonometría esférica consistía en unas reglas sueltas basadas en versiones griegas, hindúes y árabes, la última de las cuales vino de España. Los trabajos de los árabes orientales Abü’l-Wefá y Nássir-Eddin no se conocieron en Europa hasta entonces. Regiomontano pudo aprovechar el trabajo de Nássir-Eddin y, en De Triangulis, escrito entre 1462 y 1463, reunió en una forma más efectiva el conocimiento disponible en trigonometría plana, geometría esférica y trigonometría esférica. Obtuvo la ley de los senos para triángulos esféricos, es decir
![]()
cos a = cos b´cos c + sen b´sen c´cos A.
El De Triangulis no fue publicado hasta 1533; mientras tanto, Johann Werner (1468-1528) mejoró y publicó las ideas de Regiomontano en De Triangulis Sphaericis (1514).Durante muchos años después del trabajo de Regiomontano, la trigonometría esférica continuó siendo confusa por la necesidad de una multitud de fórmulas, en parte porque Regiomontano en su De Triangulis, e incluso Copérnico un siglo después, utilizaron sólo las funciones seno y coseno. Además, los valores negativos para las funciones coseno y tangente de los ángulos obtusos no eran considerados números.
Rhaeticus, que era un discípulo de Copérnico, cambio el significado del seno. En vez de llamar a AB (fig. 12.1) el seno de AD, llamó a AB el seno del ángulo AOB.

Figura 12.1
Las trigonometrías plana y esférica fueron, más tarde, sistematizadas y extendidas ligeramente por François Vieta, abogado de profesión, pero valorado mucho más como el matemático más importante del siglo XVI. Su Canon Mathematicus (1579) fue el primero de sus muchos trabajos sobre trigonometría. En él reunió las fórmulas para la resolución de triángulos planos rectos y oblicuos, e incluyó su propia contribución, la ley de las tangentes:

cos A = -cos B´cos C + sen B´sen C´cos a.
Muchas identidades trigonométricas habían sido establecidas por Ptolomeo; Vieta añadió algunas otras. Por ejemplo, obtuvo la identidad![]()
Utilizó la fórmula del sen nd para resolver el problema propuesto por el matemático belga Adrianus Romanus (1561-1615) en su libro Ideae Mathematicae (1593) como desafío a todos los franceses. El problema consistía en resolver una ecuación de grado cuarenta y cinco en x. Enrique IV de Francia llamó a Vieta, quien se dio cuenta de que el problema equivalía a lo siguiente: dada la cuerda de un arco, obtener la cuerda de la cuadragésima quinta parte de ese arco. Ello es equivalente a expresar sen 45 A en términos de sen A y obtener sen A. Si x = sen A, entonces la ecuación algebraica es de grado cuarenta y cinco en x. Vieta sabía que este problema se podía resolver separando la ecuación en una ecuación de quinto grado y en dos de tercer grado, que podía resolver rápidamente. Dio las 23 raíces positivas, pero ignoró las negativas. En su Responsum (1595)[21] explicó su método de resolución.
En el siglo XVI, la trigonometría comenzó a separarse de la astronomía y adquirió el rango de rama de las matemáticas. Siguió siendo importante la aplicación a la astronomía, pero se desarrollaron otras como, por ejemplo, la agrimensura, que garantizaron el estudio del tema desde un punto de vista más independiente.
5. Los principales progresos científicos del Renacimiento
Los matemáticos del Renacimiento prepararon el terreno para el resurgir del estudio matemático en Europa mediante las traducciones de los trabajos griegos y árabes y los trabajos enciclopédicos de compilación del conocimiento existente. Pero las motivaciones y direcciones de las creaciones matemáticas siguientes de los europeos surgieron principalmente de los problemas científicos y tecnológicos, aunque hubo algunas excepciones. El crecimiento del álgebra fue, al menos al comienzo, una continuación de las líneas árabes de actividad, y algunos de los nuevos trabajos en geometría fueron sugeridos por problemas propuestos por artistas.
Con mucho, el desarrollo renacentista más significativo en la motivación de las matemáticas de los dos siglos siguientes fue la revolución en astronomía, que capitanearon Copérnico y Kepler. Cuando los textos griegos estuvieron disponibles, después de, aproximadamente, 1200, tanto la teoría astronómica de Aristóteles (una modificación de la de Eudoxo) como la teoría de Ptolomeo se difundieron ampliamente y se tendió a considerarlas contrapuestas. Estrictamente hablando, tanto los árabes como los últimos astrónomos medievales habían hecho aportaciones para mejorar la precisión de ambos esquemas o para adaptar el esquema de Aristóteles a la teología cristiana. El esquema de Ptolomeo, razonamiento preciso para su época, era puramente matemático y considerado, por tanto, sólo como una hipótesis, y no como una descripción de estructuras reales. La teoría de Aristóteles era la más generalmente aceptada, aunque la de Ptolomeo era más útil para las predicciones astronómicas, la navegación y el cálculo del calendario.
Algunas figuras árabes, del final del Medievo y del Renacimiento, como al-Biruni (973-1048), Oresme y el cardenal Nicolás de Cusa (1401-1464), quizá en respuesta a ideas griegas, consideraron seriamente que la Tierra pudiera estar girando, y que podría ser igualmente posible construir una teoría astronómica basada en el movimiento de la Tierra alrededor del Sol, pero ninguno desarrolló una nueva teoría.
Entre los astrónomos, Nicolás Copérnico apareció de pronto como un coloso. Nacido en Thorn, Polonia, en 1473, Copérnico estudió matemáticas y ciencia en la universidad de Cracovia. A la edad de veintitrés años fue a Bolonia para proseguir sus estudios, y allí se familiarizó con la doctrina pitagórica y otras doctrinas griegas, en particular con la teoría astronómica. También estudió medicina y derecho canónico. En 1512 volvió a Polonia y se hizo canónigo en la Catedral de Frauenberg, donde permaneció hasta su muerte en 1543. Mientras realizaba sus tareas se dedicó a estudios y observaciones intensivos, que culminaron en una teoría astronómica revolucionaria. Esta realización en el terreno del pensamiento sobrepasa decisivamente en significación, valentía y magnificencia a la conquista de los mares.
Es difícil determinar cuál fue la causa de que Copérnico derrocara la teoría de Ptolomeo, de mil cuatrocientos años de antigüedad. Las indicaciones en el prefacio de su obra clásica, De Revolutionibus Orbium Coelestium (Sobre las revoluciones de las esferas celestes, 1543) son incompletas y, en cierta manera, enigmáticas. Copérnico afirma que estaba motivado por visiones divergentes sobre la precisión del sistema de Ptolomeo, por la visión de que la teoría de Ptolomeo era sólo una hipótesis conveniente y por el conflicto entre los seguidores de las teorías de Aristóteles y de Ptolomeo.
Copérnico conservó algunos principios de la astronomía de Ptolomeo. Utilizó la circunferencia como la curva básica sobre la cual iba a construirse su explicación de los movimientos de los cuerpos celestes. Más todavía, como Ptolomeo, utilizó el hecho de que el movimiento de los planetas debe construirse mediante una sucesión de movimientos con velocidad constante. Su razón era que un cambio en la velocidad podía ser motivado sólo por un cambio en la potencia motora y puesto que Dios, la causa del movimiento, era constante, el efecto lo tenía que ser también. Asumió el esquema griego del movimiento epicíclico sobre un deferente. Pero Copérnico rechazó el movimiento ecuante uniforme utilizado por Ptolomeo porque este movimiento no requiere una velocidad lineal uniforme.
Utilizando la idea de Aristarco de situar el Sol en lugar de la Tierra en el centro de cada deferente, Copérnico fue capaz de sustituir los complicados diagramas que se requerían anteriormente para describir el movimiento de cada cuerpo celeste por diagramas mucho más simples. En lugar de 77 circunferencias, necesitó sólo 34 para explicar el movimiento de la Luna y de los seis planetas conocidos. Más adelante refinó algo este esquema situando al Sol cerca, pero no exactamente en el centro, del sistema.
La teoría de Copérnico no concordaba mejor con las observaciones que las modificaciones de entonces de la teoría de Ptolomeo. El mérito de su sistema fue más bien que hizo que el movimiento de la Tierra alrededor del Sol explicara las principales irregularidades del movimiento de los planetas sin utilizar tantos epiciclos. Además, su esquema trataba a todos los planetas de la misma forma en general, mientras que Ptolomeo había utilizado esquemas algo diferentes para los planetas interiores, Mercurio y Venus, que para los exteriores, Marte, Júpiter y Saturno. Por último, el cálculo de las posiciones de los cuerpos celestes era más sencillo en el esquema de Copérnico, tanto que incluso en 1542 algunos astrónomos, utilizando su teoría, comenzaron la preparación de nuevas tablas de las posiciones celestes.
La teoría de Copérnico encontró una oposición tan profunda como llena de prejuicios. Las discrepancias entre la teoría de Copérnico y las observaciones hizo que Tycho Brahe (1546-1601) abandonara la teoría y buscara un compromiso. Vieta, por la misma razón, la rechazó también y volvió a intentar mejorar la teoría de Ptolomeo. La mayor parte de los intelectuales rechazaron la teoría, bien porque no llegaron a entenderla o porque no apoyaban ideas revolucionarias. Las matemáticas de la misma eran ciertamente difíciles de entender; como dice el mismo Copérnico en el prefacio, el libro estaba dirigido a matemáticos. La observación de una nueva estrella por Brahe y astrónomos alemanes en 1572 ayudó algo a la teoría. La súbita aparición y desaparición de estrellas contradecía el dogma aristotélico y escolástico de la invariabilidad de los cielos.
El destino de la teoría heliocéntrica hubiera sido muy incierto si no es por el trabajo de Johannes Kepler (1571-1630). Nació en Weil, una ciudad en el ducado de Württemberg. Su padre era un borrachín que pasaba de ser un mercenario a atender una taberna. Se le sacó pronto de la escuela y fue enviado a trabajar al campo. Cuando era todavía un niño, contrajo la viruela, que le dejó las manos lisiadas y la vista deteriorada. Sin embargo, se las arregló para obtener un grado universitario en el Colegio de Maulbronn en 1588; a continuación, dirigido hacia el ministerio religioso, estudió en la Universidad de Tubinga. Allí, un cordial profesor de matemáticas y de astronomía, Michael Mástlin (Móstlin, 1550-1631) le enseñó privadamente la teoría de Copérnico. Los superiores de Kepler en la universidad consideraron su dedicación y, en 1594, le ofrecieron un puesto de profesor de matemáticas y moral en la Universidad de Gratz, en Austria, que Kepler aceptó. Para realizar sus tareas se le exigió saber astrología; ello le volcó todavía más hacia la astronomía.
Kepler fue expulsado de Gratz cuando la ciudad pasó bajo control católico, y se convirtió en ayudante de Tycho Brahe en el observatorio de este último en Praga. Cuando murió, Kepler fue contratado en su lugar. Parte de su trabajo era elaborar horóscopos para quien le había contratado, el emperador Rodolfo II. Kepler se consolaba a sí mismo pensando que la astrología permitía vivir a los astrónomos.
Durante toda su vida Kepler estuvo acosado por todo tipo de dificultades. Su primera mujer y varios de sus hijos murieron. Como protestante, sufrió de diversas formas persecución por parte de los católicos. Estuvo con frecuencia en una situación económica desesperada. Su madre fue acusada de brujería y Kepler tuvo que defenderla. Sin embargo, a lo largo de todas estas desgracias continuó su trabajo científico con perseverancia, laboriosidad extraordinaria e imaginación fértil.
En su enfoque de los problemas científicos, Kepler es una figura de transición. Como Copérnico y los pensadores medievales, estaba atraído por una teoría bella y racional. Aceptó la doctrina platónica de que el universo está ordenado de acuerdo con un plan matemático preestablecido. Pero, a diferencia de sus predecesores, tenía un gran respeto por los hechos. Su trabajo más maduro estuvo basado enteramente en hechos, y en él avanzó desde los hechos a las leyes. En la búsqueda de leyes mostró una gran inventiva en las hipótesis, un amor por la verdad y una viva fantasía que no obstruía la razón. Aunque imaginó un gran número de hipótesis, no dudó en rechazarlas cuando no se adaptaban a los hechos.
Motivado por la belleza y armonía del sistema de Copérnico, decidió dedicarse a la búsqueda de las armonías geométricas adicionales que pudieran permitir explicar las observaciones mucho más precisas que había proporcionado Tycho Brahe. Su búsqueda de las relaciones matemáticas de cuya existencia estaba convencido le condujo a emplear años de trabajo siguiendo caminos falsos. En el prefacio de su Mysterium Cosmographicum (1596), dice: «Intento demostrar que Dios, al crear el universo y regular el orden del cosmos, tenía en su mente los cinco cuerpos regulares de la geometría tal como se conocen desde los tiempos de Pitágoras y Platón, y que fijó, de acuerdo con aquellas dimensiones, el número de cielos, sus proporciones y las relaciones de sus movimientos.»
Y así postuló que los radios de las órbitas de los seis planetas eran los radios de las esferas relacionadas con los cinco sólidos regulares de la siguiente manera. El radio más grande era el de la órbita de Saturno. En una esfera de este radio suponía inscrito un cubo. En este cubo se inscribía una esfera cuyo radio sería el de la órbita de Júpiter. En esta esfera suponía inscrito un tetraedro y en éste, a su vez, otra esfera, cuyo radio era el de la órbita de Marte, y así sucesivamente con los cinco sólidos regulares. Ello permitía seis esferas, justo lo suficiente para el número de planetas conocidos entonces. Sin embargo, las deducciones que se obtenían de esta hipótesis no estaban de acuerdo con las observaciones y abandonó la idea, pero no antes de que hubiera hecho extraordinarios esfuerzos para aplicarla, incluso en formas modificadas.
Aunque el intento de utilizar los cinco sólidos regulares para descubrir los secretos de la naturaleza no tuvo éxito, Kepler obtuvo un completo triunfo en sus esfuerzos posteriores para encontrar relaciones matemáticas armoniosas. Sus resultados más famosos e importantes se conocen hoy como las tres leyes de Kepler del movimiento planetario. Las dos primeras fueron publicadas en un libro de 1609 con un título muy largo que a veces se reduce a Astronomía Nova y a veces a Comentarios sobre el movimiento de Marte.
La primera ley establece que la trayectoria de cada planeta no es la resultante de la combinación de circunferencias que se mueven, sino que es una elipse con el Sol en uno de sus focos (fig. 12.2). La segunda ley de Kepler se entiende mejor mediante un diagrama (fig. 12.3). Los griegos, según vimos, creían que el movimiento de un planeta debe explicarse en términos de velocidades lineales constantes. Kepler, como Copérnico, se aferró al principio a la doctrina de las velocidades constantes. Pero sus observaciones le impulsaron a abandonar también esta preciada creencia. Su alegría fue grande cuando fue capaz de sustituirla por algo igualmente atractivo, porque así se confirmaba su convicción de que la naturaleza sigue leyes matemáticas. Si MM' y NN' son distancias recorridas por un planeta en intervalos iguales de tiempo, entonces, de acuerdo con el principio de velocidad constante, MM' y NN' tendrían que ser distancias iguales.

Figura 12.2

Figura 12.3
El trabajo de Kepler es bastante más revolucionario que el de Copérnico; igualmente desafiante al adoptar el heliocentrismo, Kepler rompió radicalmente con la autoridad y la tradición al utilizar la elipse (oponiéndose a la composición de movimientos circulares) y velocidades no uniformes. Se mantuvo firmemente en la posición de que las investigaciones científicas son independientes de todas las doctrinas filosóficas y teológicas, que sólo las consideraciones matemáticas deben determinar la validez de cualquier hipótesis y que las hipótesis y las deducciones que se obtengan de ellas deben de resistir la confirmación empírica.
El trabajo de Copérnico y Kepler es notable en muchos aspectos, pero vamos a limitarnos a su importancia en la historia de las matemáticas. En vista de los muchos y serios argumentos en contra de la teoría heliocéntrica, su trabajo demostró cuán fuertemente había arraigado en Europa el punto de vista griego de que las verdades de la naturaleza reposan en leyes matemáticas.
Había objeciones científicas de peso, muchas de las cuales habían sido ya avanzadas por Ptolomeo, en contra de la sugerencia de Aristarco. ¿Cómo podía un cuerpo tan pesado como la Tierra ser puesto y mantenido en movimiento? Los otros planetas estaban en movimiento, incluso de acuerdo con la teoría de Ptolomeo, pero los griegos y pensadores medievales habían mantenido que éstos estaban compuestos de alguna sustancia ligera especial. Había otras objeciones. ¿Por qué, si la Tierra gira de Oeste a Este, al tirar un objeto al aire éste no cae al oeste de su posición original? ¿Por qué la Tierra no se deshace en su rotación? La respuesta, muy endeble, de Copérnico a la última objeción fue que la esfera es una forma natural y que se mueve naturalmente, y que por tanto la Tierra no se destruiría a sí misma. Se le preguntó también por qué los objetos que están sobre la Tierra, incluso el mismo aire, permanecen en ella si ésta gira aproximadamente a 3/10 de milla por segundo y se traslada alrededor del Sol a una velocidad aproximada de 18 millas por segundo. Si, como creían Ptolomeo y Copérnico, la velocidad de un cuerpo en movimiento natural es proporcional a* su peso, la Tierra debía dejar detrás de sí objetos de peso menor. Copérnico replicó que el aire tenía «tendencia a la Tierra» y que, por lo tanto, permanecería con ella.
Todavía había objeciones científicas adicionales por parte de los astrónomos. Si la Tierra se movía, ¿por qué no cambiaba la dirección de las estrellas «fijas»? Un ángulo de paralaje de 2' requería que la distancia de las estrellas fuera al menos cuatro millones de veces el radio de la Tierra; tal distancia era inconcebible en esa época. Al no detectar ningún paralaje de las estrellas (lo que implicaba que tenían que estar incluso más lejos), Copérnico declaró que «los cielos son inmensos comparados con la Tierra y parecen ser de tamaño infinito... Los límites del universo son desconocidos e imposibles de conocer». Entonces, dándose cuenta de lo inadecuado de su respuesta, propuso el problema a los filósofos y se evadió de él. Nadie midió este paralaje hasta que en 1838 el matemático Bessel midió el correspondiente a una de las estrellas más próximas, y obtuvo que era de 0,31".
Si Copérnico y Kepler hubieran sido hombres «sensibles», no hubieran desafiado nunca a sus sentidos. No sentimos ni la rotación ni la revolución de la Tierra, a pesar de las grandes velocidades a que se realizan. Por otra parte, lo que sí vemos es el movimiento del Sol.
Copérnico y Kepler eran muy religiosos; sin embargo, ambos negaban una de las doctrinas centrales del cristianismo, cual es que el hombre, la principal preocupación de Dios, estaba en el centro del universo, y que todo en el universo giraba en torno de él. En contraste, la teoría heliocéntrica, al poner al Sol en el centro del universo, minaba este reconfortante dogma de la Iglesia, porque hacía aparecer al hombre como sólo uno de una multitud de peregrinos a la deriva a través de un frío firmamento. Parecía menos probable que hubiera nacido para vivir gloriosamente y alcanzar el paraíso después de su muerte. Menos probable, también, era que fuera objeto de los cuidados de Dios. Por tanto, al desplazar la Tierra, Copérnico y Kepler removieron una piedra angular de la teología católica y pusieron en peligro su estructura. Copérnico señaló que el universo es tan inmenso comparado con la Tierra que hablar de un centro no tiene sentido. Sin embargo, este razonamiento le colocó todavía más en oposición con la religión.
En contra de todas estas objeciones, Copérnico y Kepler tenían sólo una respuesta, pero de peso. Cada uno había obtenido una simplificación matemática y, en verdad, una teoría estéticamente superior y abrumadoramente armoniosa. Si las relaciones matemáticas eran el objetivo del trabajo científico, y si podía darse una descripción matemática mejor, entonces este hecho, reforzado con la creencia de que Dios había diseñado el mundo y habría utilizado, como es lógico, la teoría superior, bastaría para contrapesar todas las objeciones. Cada uno de ellos sintió, y estableció con claridad, que su trabajo revelaba la armonía, simetría y designio del taller divino y la todopoderosa presencia de Dios. Copérnico no podía contener su júbilo: «Obtenemos, por tanto, bajo esta disposición ordenada, una maravillosa simetría en el universo y una relación definida de armonía en el movimiento y magnitud del orbe, de una clase que no es posible obtener de otra manera.» El mismo título del trabajo de Kepler de 1619, La armonía del mundo, y las interminables alabanzas a Dios, expresando su satisfacción por la magnificencia del plan matemático de Dios, atestiguan sobre sus creencias.
No es sorprendente que, al principio, sólo matemáticos apoyaran la teoría heliocéntrica. Sólo un matemático, y uno convencido de que el universo estaba trazado matemáticamente, habría tenido la fortaleza mental para desdeñar las creencias filosóficas, religiosas y físicas que prevalecían entonces. Hasta que Galileo enfocó su telescopio hacia el firmamento, la evidencia astronómica no apoyó al razonamiento matemático. Las observaciones de Galileo, realizadas a principios del siglo XVII, revelaron cuatro lunas alrededor de Júpiter, mostrando que los planetas podían tener lunas. Se deducía, por tanto, que la Tierra podía no ser más que un planeta, precisamente porque tenía una luna. Galileo también observó que la Luna tenía una superficie rugosa y montañas y valles como la Tierra. En consecuencia, era también posible que la Tierra fuera sólo un cuerpo celeste más, y no necesariamente el centro del universo.
La teoría heliocéntrica ganó aceptación finalmente porque era más simple para los cálculos, por su superioridad matemática y porque la apoyaban las observaciones. Esto significó que la ciencia del movimiento tenía que rehacerse a la luz de una Tierra con movimiento de rotación y de revolución. En resumen, se necesitaba una nueva ciencia de la mecánica.
Las investigaciones sobre la luz y la óptica continuaron en una línea sin fisuras con respecto a lo que ya hemos señalado sobre el período medieval. En el siglo XVI los astrónomos se interesaron más por estos temas porque el efecto de refracción del aire sobre la luz cambia la dirección de los rayos de luz cuando éstos vienen de los planetas y de las estrellas y, por tanto, proporcionan una información equivocada sobre las direcciones de esos cuerpos. Hacia el final del siglo XVI fueron inventados el telescopio y el microscopio. Los usos científicos de esos instrumentos son obvios; abrieron nuevos mundos, y el interés por la óptica, ya extenso, se intensificó todavía más. Casi todos los matemáticos del siglo XVII realizaron trabajos sobre la luz y las lentes.
6. Notas sobre el Renacimiento
El Renacimiento no produjo ningún nuevo resultado brillante en matemáticas. Los pequeños progresos en esta área contrastan con las realizaciones en literatura, pintura y arquitectura, en las que fueron creadas obras maestras que todavía forman parte de nuestra cultura, y en la ciencia, en la que la teoría heliocéntrica eclipsó lo mejor de la astronomía griega y empequeñeció cualquier contribución árabe o medieval. Para las matemáticas este período fue, sobre todo, de absorción de los trabajos griegos. No fue tanto un renacimiento como una recuperación de una cultura más antigua.
Igualmente importante para la salud y crecimiento de las matemáticas fue que restableció, una vez más, como en los tiempos de Alejandría, sus conexiones íntimas con la ciencia y la tecnología. En la ciencia, el darse cuenta de que el objetivo eran las leyes matemáticas, el serlo todo y el fin de todo y, en tecnología, la valoración de que la formulación matemática de los resultados de las investigaciones era la más profunda y útil forma de conocimiento y la guía más segura para el diseño y la construcción, garantizaron el que las matemáticas fueran a ser una fuerza importante en los tiempos modernos y sentaron la promesa de nuevos desarrollos.
Bibliografía
- Armitage, Angus: Copernicus, W. W. Norton, 1938. —: John Kepler, Faber and Faber, 1966. —: Sun, Stand Then Still, Flenry Schumann, 1937; en rústica como The World of Copernicus, New American Library, 1951.
- Ball, W. W. Rouse: A Short Account of the History of Mathematics, Dover (reimpresión), 1960, cap. 12.
- Baumgardt, Carola: Johannes Kepler, Life and Letters, Víctor Gollancz, 1952.
- Berry, Arthur: A Short History of Astronomy, Dover (reimpresión), 1961, pp. 86-197.
- Braunmühl, A. von: Vorlesungen üher die Geschichte der Trigonometrie, 2 vols., B. G. Teubner, 1900 y 1903, reimpreso por M. Sándig, 1970.
- Burtt, E. A.: Los fundamentos metafísicos de la Ciencia Moderna, Buenos Aires, Suramericana, 1945.
- Butterfield, Herbert: Los Orígenes de la Ciencia Moderna, Madrid, Taurus, 1982.
- Cantor, Moritz: Vorlesungen über Geschichte der Mathematik, 2.a ed., B. G. Teubner, 1900, vol. 2, pp. 1-344.
- Caspar, Max: Johannes Kepler, trad. Doris Hellman, Abelard-Schumann, 1960.
- Cohen, I. Bernard: El nacimiento de una nueva física, Madrid, Alianza, 1989.
- Coolidge, Julián L.: The Mathematics of Great Amateurs, Dover (reimpresión), 1963, caps. 3-5.
- Copernicus, Nicolaus: Sobre las revoluciones de los orbes celestes, Madrid, Tecnos, 1987.
- Crombie, A. C.: Historia de la ciencia de Agustín a Galileo, Madrid, Alianza, 1979.
- Da Vinci, Leonardo: Philosophical Diary, Philosophical Library, 1959. —: Tratado de la pintura, Madrid, Akal, 1986.
- Dampier-Whetham, W. C. D.: Historia de la Ciencia, Madrid, Tecnos, 1986.
- Dijksterhuis, E. J.: The Mechanization of the World Picture, Oxford University Press, 1961, partes 3 y 4.
- Drake, Stillman y I. E. Drabkin: Mechanics in Sixteen-Century Italy, University of Wisconsin Press, 1969.
- Dreyer, J. L. E.: A History of Astronomy from Thales to Kepler, Dover (reimpresión), 1953, caps. 12-16. —: Tycho Brahe, A Picture of Scientific Life and Work in the Sixteen Century, Dover (reimpresión), 1963.
- Gade, John A.: The Life and Times of Tycho Brahe, Princeton University Press, 1947.
- Galilei, Galileo: Diálogo sobre los máximos sistemas, Madrid, Alianza (en preparación).
- Hall, A. R.: La Revolución científica, Barcelona, Crítica, 1985.
- Hallerberg, Arthur E.: «George Mohr and Euclidis Curio si», The Mathema- tics Teacher, 53, 1960, 127-132. —: «The Geometry of the Fixed Compass», The Mathematics Teacher, 52, 1959, 230-244.
- Hart, Ivor B.: The World of Leonardo da Vinci, Viking Press, 1962.
- Hofmann, Joseph E.: The History of Mathematics, Philosophical Library, 1957.
- Hughes, Barnabas: Regiomontanus on Triangles, University of Wisconsin Press, 1967. Es una traducción del De Triangulis.
- Ivins, W. M., Jr.: Art and Geometry (1946). Dover (reimpresión), 1965.
- Kepler, Tohannes: Gesammelte Werke, C. H. Beck’sche Verlagsbuchhandlung, 1938-59. —: Conceming the More Certain Foundations of Astrology, Caney Publications, 1942. Muchos de los libros de Kepler han sido reimpresos y sólo pocos traducidos.
- Koyré, Alexandre: Del mundo cerrado al universo infinito, Madrid, Siglo XXI, 1984. —: La Révolution astronomique, Hermann, 1961.
- Kuhn, Thomas S.: La revolución copernicana, Ariel, 1985.
- MacCurdy, Edward: The Notebooks of Leonardo da Vinci, George Braziller (reimpresión), 1954.
- Pannekoek, A.: A History of Astronomy, John Wiley and Sons, 1961, caps. 16-25.
- Panofsky, Erwin: «Dürer as a Matkematician», en James R. Newman, The World of Mathematics, Simón and Schuster, 1956, pp. 603-621.
- Santillana, G. de: The Crime of Galilea, University of Chicago Press, 1955.
- Sarton, George: The Appreciation of Ancient and Medieval Science During the Renaissance, University of Pennsylvania Press, 1957. —: Six Wings: Men of Science in the Renaissance, Indiana University Press, 1957.
- Smith, David Eugene: History of Mathematics, Dover (reimpresión), 1958, vol. I, cap. 8, y vol. 2, cap. 8.
- Smith, Preserved: A History of Modern Culture, Holt, Rinehart and Winston, 1940, vol. I, caps. 2-3.
- Taylor, Henry Osbom: Thought and Expression in the Sixteenth Century, Crowell-Collier (reimpresión), 1962, parte V.
- Tropfke, Johannes: Geschichte der Elementarmathematik, 7 vols., 2.a ed., W. de Gruyter, 1921-24.
- Vasari, Giorgio: Vidas de artistas ilustres, Madrid, Iberia, 1957.
- Wolf, Abraham: A History of Science, Technology and Philosophy in the Sixteenth and Seventeenth Centuries, George Alien and Unwin, 1950, caps. 1-6.
- Zeller, Sister Mary Claudia: «The Development of Trigonometry from Regiomontanus to Pitiscus», Ph. D. Dissertation (Tesis Doctoral), University of Michigan, 1944; Edwards Brothers, 1946.
Capítulo 13
La aritmética y el álgebra en los siglos XVI y VI
El álgebra es el instrumento intelectual que aclara los aspectos cuantitativos del mundo.
Alfred North Whitehead
Contenido:1. Introducción1. Introducción
2. La situación del sistema numérico y la aritmética
3. El simbolismo
4. La solución de las ecuaciones de tercer y cuarto grados
5. La teoría de ecuaciones
6. El teorema binomial y cuestiones afines
7. La teoría de números
8. La relación entre el álgebra y la geometría
Bibliografía
Los primeros desarrollos matemáticos europeos de importancia tuvieron lugar en la aritmética y el álgebra. El trabajo de hindúes y árabes había puesto los cálculos aritméticos prácticos en primera línea matemática y había fundado el álgebra sobre una base aritmética en vez de geométrica. Este trabajo atrajo también la atención sobre el problema de la resolución de ecuaciones.
En la primera mitad del siglo XVI apenas hubo cambio alguno con respecto a la actitud de espíritu de los árabes, sino solamente un incremento en el tipo de actividad que los europeos habían aprendido de las obras árabes. Para mediados de siglo, las necesidades prácticas y científicas de la civilización europea exigían ya más avances en aritmética y álgebra. Las aplicaciones tecnológicas del trabajo científico y las necesidades prácticas requerían, como ya hemos apuntado, resultados cuantitativos. Por ejemplo, las lejanas exploraciones geográficas precisaban un conocimiento astronómico más exacto. Al mismo tiempo, el interés en conectar la nueva teoría astronómica con las cada vez más precisas observaciones exigía mejores tablas astronómicas, lo que, a su vez, significaba disponer de tablas trigonométricas más precisas. El desarrollo de la actividad bancaria y comercial pedía una mejor aritmética. La respuesta a estos intereses es evidente en los escritos de Pacioli, Tartaglia y Stevin, entre otros. La Summa de Pacioli y el General trattato de’ numeri e misure (1556) de Tartaglia contienen un número inmenso de problemas de aritmética mercantil. Finalmente, el trabajo técnico de los artesanos, especialmente en arquitectura, la fabricación de cañones y el movimiento de proyectiles necesitaban un nuevo pensamiento cuantitativo. Además de estas aplicaciones, una utilización totalmente nueva del álgebra, la representación de curvas, motivó enormes cantidades de trabajo. Bajo la presión de estas necesidades se aceleró el progreso en álgebra.
Vamos a dividir el análisis de todos estos nuevos desarrollos en cuatro epígrafes: aritmética, simbolismo, teoría de ecuaciones y teoría de números.
2. La situación del sistema numérico y la aritmética
Hacia el año 1500 se aceptaba el cero como un número y los números irracionales se usaban con más libertad. Pacioli, el matemático alemán Michael Stifel (1486?-1567), el ingeniero militar Simón Stevin (1548-1620) y Cardano utilizaban números irracionales en la tradición de hindúes y árabes, introduciendo cada vez más tipos. Stifel, por ejemplo, trabajaba con irracionales de la forma
![]()

Dado que, al analizar figuras geométricas, cuando nos fallan los números racionales toman su lugar los irracionales y prueban exactamente las cosas que los números racionales no pudieron probar... nos vemos movidos y obligados a afirmar que son verdaderamente números; obligados, esto es, por los resultados que se siguen de su uso, resultados que percibimos como reales, ciertos y constantes. Por otra parte, otras consideraciones nos obligan a negar que los números irracionales sean números en absoluto. Esto es, cuando tratamos de someterlos a numeración [representación decimal]... hallamos que se escapan continuamente, de forma que ninguno de ellos puede ser aprehendido precisamente en sí mismo... Y nada de tal naturaleza carente de precisión puede llamarse número... Por consiguiente, de la misma forma que un número infinito no es un número, un número irracional no es un número verdadero, sino que yace oculto en una especie de nube de infinitud.A continuación, argumenta que los números son enteros o fraccionarios; obviamente, los irracionales no son ni una cosa ni otra, luego no son realmente números. Un siglo después, Pascal y Barrow decían que un número como √3 sólo puede entenderse como una magnitud geométrica; los números irracionales son meros símbolos que no tienen existencia independiente de- la magnitud geométrica continua, y la lógica de las operaciones con números irracionales debe justificarse por el método eudoxiano de las magnitudes. Este era también el punto de vista de Newton en su Arithmetica Universalis (publicada en 1707, aunque basada en clases dadas treinta años antes).
Otros hicieron afirmaciones positivas de que los números irracionales eran entidades independientes. Stevin consideraba los irracionales como números, y los aproximaba cada vez más por racionales; John Wallis, en su Algebra (1685), también aceptaba los irracionales como números en su pleno sentido. Consideraba el libro V de los Elementos de Euclides como de naturaleza esencialmente aritmética. También Descartes, en las Reglas para la dirección del espíritu (hacia 1628), admitía los irracionales como números abstractos que pueden representar magnitudes continuas.
En cuanto a los números negativos, aunque conocidos en Europa a través de los textos árabes, no eran aceptados como números por la mayoría de los matemáticos de los siglos XVI y XVII, o, si lo eran, nunca como raíces de ecuaciones. Nicolás Chuquet (1445?-1500?) en el siglo XV y Stifel (1553) en el XVI hablaban de los números negativos como absurdos. Cardano daba números negativos como raíces de ecuaciones, pero los consideraba soluciones imposibles, meros símbolos, llamándolos «ficticios», mientras que a las raíces positivas las llamaba «reales». Vieta descartaba enteramente los números negativos. Descartes los aceptaba en parte: llamaba «falsas» a las raíces negativas de las ecuaciones, con el argumento de que pretendían representar números menores que la nada. Había, sin embargo, mostrado (ver la sección 5) que, dada una ecuación, es posible obtener otra cuyas raíces son mayores en una cantidad dada que las de la original, de forma que una ecuación con raíces negativas puede transformarse en otra con raíces positivas. Dado que podemos convertir raíces falsas en raíces reales, Descartes estaba dispuesto a aceptar los números negativos. Pascal consideraba sustraer 4 de 0 completamente absurdo.
Un interesante argumento en contra de los números negativos lo dio Antoine Arnauld (1612-94), teólogo y matemático, y buen amigo de Pascal. Arnauld cuestionaba que -1 : 1 = 1 : - 1, ya que, según decía, -1 es menor que +1, y, por tanto, ¿cómo iba a ser un menor a un mayor como un mayor a un menor? Este problema fue discutido por muchos. En 1712, Leibniz concedía[25] que la objeción era válida, pero argumentaba que es posible calcular con tales proporciones pues su forma es correcta, de la misma forma que es posible calcular con cantidades imaginarias.
Uno de los primeros algebristas que aceptó los números negativos fue Thomas Harriot (1560-1621), que de vez en cuando ponía un número negativo sólo como segundo miembro de una ecuación, aunque no aceptaba raíces negativas. Rafael Bombelli (siglo XVI) dio definiciones claras para los números negativos. Stevin utilizaba coeficientes positivos y negativos en las ecuaciones, y aceptaba también raíces negativas. En su L'Invention nouvelle en l'algebre (1629), Albert Girard (1595-1632) colocaba los números negativos en paridad con los positivos, y daba las dos raíces de la ecuación de segundo grado, incluso si ambas eran negativas. Tanto Girard como Harriot usaban el signo «menos» para la operación de sustracción y para los números negativos.
En términos globales, no muchos matemáticos de los siglos XVI y XVII se sentían a gusto o aceptaban los números negativos como tales, por no hablar de reconocerlos como verdaderas raíces de las ecuaciones. Había ciertas creencias curiosas acerca de ellos. Aunque Wallis se adelantó a su tiempo aceptándolos, creía que eran mayores que infinito, pero no menores que cero. En su Arithmetica Infinitorum (1655), razonaba que, dado que la razón a/0, con a positivo, es infinita, al cambiar el denominador por una cantidad negativa, como en a/b con b negativo, la razón debe ser mayor que infinito.
Aun sin haber vencido completamente sus dificultades con los números irracionales y negativos, los europeos se buscaron más problemas al toparse con lo que hoy llamamos números complejos. Obtuvieron dichos números extendiendo la operación aritmética de la raíz cuadrada a números cualesquiera que apareciesen al resolver ecuaciones de segundo grado por el método usual de completar el cuadrado. Así, Cardano, en el capítulo 37 de su Ars Magna (1545), plantea y resuelve el problema de dividir 10 en dos partes cuyo producto sea 40, cuya ecuación es x(10 — x) = 40. Obtiene las raíces 5 + √-15 y 5 - √-15, y luego dice: «dejando a un lado las torturas mentales que ello implica», multipliquemos 5 + √-15 y 5 - √-15; el producto es 25 - (-15), es decir, 40. Afirma entonces que «así progresa la sutileza aritmética, cuyo fin es, como se ha dicho, tan refinado como inútil». Como pronto veremos, Cardano se vio aún más comprometido con los números complejos al resolver la ecuación de tercer grado (sección 4). También Bombelli consideraba números complejos en la solución de ecuaciones de tercer grado y formuló en forma prácticamente moderna las cuatro operaciones con números complejos, aunque todavía los consideraba como inútiles y «sofísticos». Albert Girard sí reconocía los números complejos, al menos como soluciones formales de ecuaciones. En L'Invention nouvelle en l’algebre, dice: «Se puede decir: ¿Por qué son útiles esas soluciones imposibles [raíces complejas]? A lo que yo respondo: por tres cosas: por la certeza de las reglas generales, por su utilidad, y porque no hay otras soluciones.» Sin embargo, los avanzados puntos de vista de Girard no tuvieron influencia.
También Descartes rechazó las raíces complejas, acuñando para ellas el término «imaginarias». En La Géometrie dice: «Ni las raíces verdaderas ni las falsas [negativas] son siempre reales; a veces son imaginarias.» Razonaba que, mientras que las raíces negativas al menos pueden hacerse «reales» transformando la ecuación en la que aparecen en otras cuyas raíces sean positivas, esto no puede hacerse para las raíces complejas. Estas, por tanto, no son reales sino imaginarias; no son números. Descartes hacía una distinción más clara que sus predecesores entre raíces reales e imaginarias de las ecuaciones.
El propio Newton no consideraba las raíces complejas como significativas, probablemente porque en su tiempo carecían de sentido físico. Dice en Universal Arithmetic[26]: «Es de razón que las raíces de las ecuaciones sean imposibles [complejas], no vaya a ser que presenten casos de problemas que son imposibles como si fuesen posibles.» Es decir, los problemas que no tienen solución física o geométricamente real deberían tener raíces complejas.
Esta falta de claridad acerca de los números complejos puede ilustrarse por el muy citado aserto de Leibniz: «El Espíritu Divino halló una sublime expresión en esa maravilla del análisis, ese portento del mundo ideal, ese anfibio entre el ser y el no ser que llamamos la raíz imaginaria de la unidad negativa»[27]. Aunque Leibniz trabajaba formalmente con números complejos, no entendía su naturaleza.
Durante los siglos XVI y XVII, los métodos operativos con números reales fueron mejorados y extendidos. En Bélgica (a la sazón parte de los Países Bajos) encontramos a Stevin en La Disme (Aritmética Decimal, 1585) abogando por el uso de los decimales, en oposición al sistema sexagesimal, para escribir y operar con fracciones. Otros, como Christoff Rudolff (c. 1550-c. 1545), Vieta y el árabe al-Kashí (m. hacia 1436), los habían utilizado previamente. Stevin recomendaba la adopción de un sistema decimal de pesos y medidas, en la idea de ahorrar tiempo y trabajo a los contables (él mismo había comenzado su carrera como escribiente). Escribía 5,912 como 5 i9 j1 k2 o como 5, 9' 1" 2'". Vieta mejoró y extendió los métodos de extracción de raíces cuadradas y cúbicas.
El uso de las fracciones continuas en la aritmética constituye otro de los desarrollos de este período. Recordemos que los hindúes, en particular Aryabhata, habían utilizado fracciones continuas para resolver ecuaciones lineales indeterminadas. Bombelli, en su Algebra (1572), fue el primero en usarlas para aproximar raíces cuadradas. Para aproximar √2 escribe
![]()
![]()
![]()



![]()
El matemático inglés John Wallis, en su Arithmetica Infinitorum (1655), representa 4/π como el producto infinito
![]()
![]()

En esta época no se obtuvo ningún resultado definitivo con respecto a la convergencia de pn/qn hacia el número representado por la fracción continua.
El mayor avance en la aritmética durante los siglos XVI y XVII fue la invención de los logaritmos. La idea básica fue indicada por Stifel. En Arithmetica Integra, observó que los términos de la progresión geométrica
1, r2, r3,...
se corresponden como los términos de la progresión aritmética de los exponentes0, 1, 2, 3,...
La multiplicación de dos términos de la progresión geométrica da como resultado un término cuyo exponente es la suma de los correspondientes términos de la progresión aritmética, y la división de dos términos de la progresión geométrica da un término cuyo exponente es la diferencia de los correspondientes términos de la progresión aritmética. Esta observación la hace también Chuquet en Le Triparty en la Science des nombres (1484). Stifel extendió esta relación entre las dos progresiones a los exponentes negativos y fraccionarios. Así, la división de r2 por r3 da r-1, que corresponde al término -1 en la progresión aritmética extendida. Stifel, sin embargo, no utilizó esta conexión entre ambas progresiones para introducir los logaritmos.John Napier (1550-1617), el escocés que desarrolló los logaritmos hacia 1594, fue guiado por esta correspondencia entre los términos de una progresión geométrica y los de la progresión aritmética correspondiente. A Napier le interesaba facilitar los cálculos de trigonometría esférica que precisaban los problemas astronómicos. De hecho, envió sus resultados preliminares a Tycho Brahe para su aprobación.
Napier explicó sus ideas en Mirifici Logarithmorum Canonis Descriptio (1614) y en Mirifici Logarithmorum Canonis Constructio (1619), publicada póstumamente. Como le interesaba la trigonometría esférica, consideró los logaritmos de senos. Siguiendo a Regiomontano, que utilizaba semicuerdas de un círculo cuyo radio contenía 107 unidades, Napier empezó con 107 como el mayor número considerado. Representó los valores del seno de 107 a 0 sobre la línea AZ (ver fig. 13.1) y supuso que A se mueve hacia 2 con velocidad proporcional a su distancia de 2.

Figura 13.1
DZ= CZ - CD.
Además, la velocidad del punto móvil en C es k(CZ). Entonces, la distancia CD es igual a k(CZ)t. Por tanto,DZ= CZ - k(CZ)t = CZ( 1 - kt).
Así pues, cada longitud de la sucesión AZ, BZ, CZ,... es 1 - kt multiplicado por la distancia anterior.A continuación, Napier considera otro punto que parte al mismo tiempo que A y se mueve a velocidad constante en la recta A’L (fig. 13.1), extendida indefinidamente hacia la derecha, de forma que este punto alcanza B', C', D'... al mismo tiempo que el primer punto llega a B, C, D... respectivamente. Las distancias A'B', A'O, A'D',... están obviamente en progresión aritmética. Estas distancias A'B', A'C', A'D',... fueron consideradas por Napier como los logaritmos de BZ, CZ, DZ,... respectivamente. El logaritmo de AZ ó 107 se tomaba como 0. Por tanto, los logaritmos crecen en progresión aritmética, mientras que los números (senos) decrecen en progresión geométrica.
La cantidad aquí denotada como 1 - kt es 1 - 1/107 en la obra original de Napier, pero la cambió al llevar a cabo el cálculo de los logaritmos.
Obsérvese que cuanto menor tomemos t menor será el decrecimiento de los senos desde AZ hasta BZ, CZ, etc., y más próximos entre sí estarán los números de la tabla de logaritmos.
Napier tomó las distancias A’B', A'C' como 1, 2, 3,... aunque no había necesidad de hacerlo. Podrían haber sido 1/2, 1, 1 1/2, 2,... y el esquema habría funcionado exactamente igual. Además, los números originales eran significativos en cuanto que eran cantidades, con independencia de que fuesen senos, de forma que el esquema de Napier proporcionaba realmente logaritmos de números. El propio Napier aplicó los logaritmos a cálculos de trigonometría esférica.
La palabra «logaritmo», acuñada por Napier, significa «número de la razón». «Razón» se refiere a la razón común de la sucesión de números AZ, BZ, CZ,... También se refería a los logaritmos como «números artificiales».
Henry Briggs (1561-1631), profesor de matemáticas y astronomía, sugirió a Napier en 1615 que se utilizase 10 como base, y que el logaritmo de un número fuese el exponente en la potencia de 10 que igualase dicho número. Aquí, en oposición al esquema de Napier, se elige primero la base. Briggs calculó sus logaritmos tomando raíces cuadradas sucesivas de 10, es decir, √10, √(√10), ..., hasta alcanzar, tras 54 extracciones de raíces, un número ligeramente mayor que 1. Es decir, obtuvo el número
![]()
Joost Bürgi (1552-1632), relojero e instrumentista suizo y ayudante de Kepler en Praga, se interesaba también en facilitar los cálculos astronómicos. Inventó los logaritmos, independientemente de Napier, hacia 1600, pero no publicó su trabajo, Progress Tabulen, hasta 1620. También Bürgi fue estimulado por las observaciones de Stifel de que la multiplicación y división de términos en una progresión geométrica puede llevarse a cabo sumando y restando los exponentes. Su obra aritmética fue similar a la de Napier.
Gradualmente fueron introduciéndose variantes de la idea de Napier. Se obtuvieron muchas y distintas tablas de logaritmos por medios algebraicos. El cálculo de logaritmos mediante series infinitas lo llevaron a cabo más tarde James Gregory, Lord Brouncker, Nicholas Mercator (n. Kaufman, 1620-87), Wallis y Edmond Halley (ver cap. 20, sec. 2).
Aunque la definición de los logaritmos como los exponentes de las potencias que representan un número en una base fija, según la idea de Briggs, se convirtió en el método usual, no se llegaron a definir como exponentes al comienzo del siglo XVII porque los exponentes fraccionarios e irracionales no se utilizaban. Hacia fin de siglo, una serie de matemáticos cayeron en la cuenta de que los logaritmos podían definirse de esa manera, pero la primera exposición sistemática de este enfoque no tuvo lugar hasta 1742, cuando William Jones (1675-1749) lo presentó en la introducción de la Table of Logarithms de William Gardiner. Euler había definido ya los logaritmos como exponentes, y en 1728, en un manuscrito no publicado (Opera Posthuma, II, 800-804), introdujo el número e como base de los logaritmos naturales.
El siguiente desarrollo en la aritmética (cuya realización ulterior ha resultado decisiva en tiempos recientes) fue la invención de instrumentos mecánicos y máquinas para acelerar la ejecución de los procesos aritméticos. La regla de cálculo procede del trabajo de Edmund Gunter (1581-1626), que utilizó los logaritmos de Napier. William Oughtred (1574-1660) introdujo reglas de cálculo circulares.
En 1642, Pascal inventó una máquina de calcular que hacía las sumas llevando de forma automática las cifras de las unidades a las decenas, de las decenas a las centenas, etc. Leibniz la vio en París e inventó a continuación una máquina de multiplicar. Mostró su idea a la Real Sociedad de Londres en 1677, y se publicó una descripción en la Academia de Berlín en 1710. A finales del siglo XVII, Samuel Morland (1625-95) inventó independientemente una máquina de sumar y restar, y otra de multiplicar.
No seguiremos con la historia de las máquinas de calcular porque hasta 1940, por lo menos, eran simplemente instrumentos mecánicos que llevaban a cabo operaciones aritméticas, y no tuvieron influencia en el curso de las matemáticas. Observemos, no obstante, que el paso más significativo entre las máquinas ya descritas y los modernos ordenadores electrónicos fue efectuado por Charles Babbage (1792- 1871), que introdujo una máquina orientada al cálculo astronómico y de navegación. Su «máquina analítica» fue diseñada para llevar a cabo toda una serie de operaciones aritméticas basadas en instrucciones dadas a la máquina al comienzo, poniéndose luego a trabajar automáticamente mediante la fuerza del vapor. Con apoyo del gobierno británico, construyó modelos de demostración. Lamentablemente, la máquina planteaba demandas que eran excesivas para las posibilidades de la ingeniería de la época.
3. El simbolismo
Hubo un avance en el álgebra que resultó mucho más significativo para su propio desarrollo y el del análisis que el progreso técnico del siglo XVI, y fue la introducción de un mejor simbolismo. Ciertamente, este paso hizo posible hacer una ciencia del álgebra. Antes del siglo XVI, el único matemático que había introducido conscientemente el simbolismo para hacer más compacto y efectivo el razonamiento y la escritura algebraica fue Diofanto. Todos los demás cambios de notación eran esencialmente abreviaturas de palabras normales introducidas de forma un tanto accidental. En el Renacimiento, el estilo habitual era aún retórico, con uso de palabras especiales, abreviaturas y, por supuesto, los símbolos de los números.
En el siglo XVI, la presión en pro de la introducción del simbolismo vino indudablemente de las crecientes demandas científicas que se ejercían sobre los matemáticos, de la misma forma que los avances en los métodos de cálculo lo fueron en respuesta al creciente uso de tales artes. Su progreso fue, sin embargo, intermitente. Muchos cambios se efectuaron por accidente, y es claro que los hombres del siglo XVI no llegaron a percibir lo que el simbolismo podría hacer en favor del álgebra. Ni siquiera los avances importantes en el simbolismo eran inmediatamente aceptados por los matemáticos.
Probablemente, las primeras abreviaturas, usadas del siglo XV en adelante, fueron p para «más» y m para «menos», pero en el Renacimiento, y especialmente en los siglos XVI y XVII, se introdujeron símbolos especiales. Los símbolos (+) y (-) fueron introducidos por los alemanes en el siglo XV para denotar excesos y defectos en los pesos de cofres y arcas, y los matemáticos los adoptaron, apareciendo en los manuscritos ya desde 1481. El símbolo (´) para «por» se debe a Oughtred, aunque Leibniz planteó la certera objeción de que podría confundirse con la letra x.
El signo (=) fue introducido en 1557 por Robert Recordé (1510-58), de Cambridge, que escribió el primer tratado de álgebra, The Whetstone of Witte (1557). Decía que no conocía dos cosas más iguales que dos líneas paralelas, y por tanto dos líneas de ese tipo deberían denotar la igualdad. Vieta, que al principio escribía «aequalis», usó después (~) para la igualdad. Descartes utilizaba oc. Los símbolos (>) y (<) se deben a Thomas Harriot. Los paréntesis aparecen en 1544, y los corchetes y llaves, introducidos por Vieta, datan de 1593, aproximadamente. El símbolo de raíz cuadrada, √, era utilizado por Descartes, quien, sin embargo, escribía para la raíz cúbica √c.
Observemos unos ejemplos de formas de escritura. Usando R para la raíz cuadrada, p para «más» y m para «menos», Cardano escribía
![]()
5p: Rm:15
5m: Rm:15
25m:m:15
qd. est 40.
También escribía![]()
El uso de símbolos para las incógnitas y sus potencias tuvo un ascenso sorprendentemente lento, si se tiene en cuenta la simplicidad y, sin embargo, extraordinario valor de tal práctica. (Naturalmente, Diofanto había usado tales símbolos.) Autores de comienzos del XVI, como Pacioli, se referían a la incógnita como radix («raíz» en latín) o res («cosa» en latín), cosa («cosa» en italiano) y coss («cosa» en alemán), razón por la cual el álgebra llegó a ser conocido como el arte «cósico». En su Ars Magna, Cardano se refería a la incógnita como rem ignotam. Escribía x2 = 4x + 32 como qdratu aeqtur 4 rebus p:32[28]. El término constante, 32, se llamaba el número. Los términos y notaciones variaban enormemente. Muchos símbolos se derivaban de abreviaturas: por ejemplo, un símbolo para la incógnita era R, abreviatura de res. La segunda potencia, representada por 2 (de zensus) se llamaba quadratum o censo. C, tomado de cubus, denotaba x3.
Los exponentes fueron gradualmente introducidos para denotar las potencias de x. Recordemos que ya Oresme, en el siglo XIV, usaba exponentes asociados a números. En 1484, Chuquet, en Triparty, escribía 123, 105 y 1208 para indicar 12x3, 10x5 y 120x8. También escribía 12° por 12x° y 1lm por 7x-1. Así, 83, 71m igual a 562 significaba 8x3 ´ 7x-1 = 56x2.
En su Algebra, Bombelli utilizaba la palabra tanto en vez de cosa. Para designar x, x2 y x3 escribía
![]()
![]()
1i + 3j + 6k + l
Stevin también usaba exponentes fraccionarios, 1/2 para la raíz cuadrada, 1/3 para la raíz cúbica, y así sucesivamente.Claude Bachet de Mézirac (1581-1638) prefería escribir x3 + 13x2 + 5x + 2 como
1C + 13Q + 5N + 2
Vieta usaba la misma notación para las ecuaciones con coeficientes numéricos.Descartes hizo un uso bastante sistemático de los exponentes enteros positivos. Expresaba
1 + 3x + 6x2 + x3 como 1 + 3x + 6xx + x3.
Ocasionalmente, como otros, usaba también x2. Para potencias superiores empleaba x4, x5, ... pero no xn. Newton usaba exponentes positivos, negativos, enteros y fraccionarios, como x5/3 y x-3. Cuando en 1801 Gauss adoptó x2 para xx, la primera de éstas se convirtió en la usual.El cambio más significativo en el carácter del álgebra fue introducido por François Vieta en relación con el simbolismo. Educado como abogado, trabajó como tal en el parlamento de Bretaña. Más tarde fue consejero privado de Enrique de Navarra. Cuando, como resultado de problemas políticos, estuvo alejado de su cargo entre 1584 y 1589, se dedicó enteramente a las matemáticas. En general, se interesaba por ellas como entretenimiento, e imprimió e hizo circular su trabajo a sus expensas..., garantía de olvido, como dijo un escritor.
Vieta era un humanista en espíritu e intención; deseaba ser el conservador, redescubridor y continuador de la matemática antigua. Para él, innovación era renovación. Describe su In Artem Analyticam Isagoge[29] como «la obra del análisis matemático restaurado». Para escribir este libro se inspiró en la Colección Matemática de Pappus y en la Arithmetica de Diofanto. Creía que los antiguos habían empleado un tipo algebraico general de cálculo, que él reintrodujo en su álgebra, reactivando meramente así un arte conocido y aprobado en la antigüedad.
Durante el hiato en su carrera política, Vieta estudió las obras de Cardano, Tartaglia, Bombelli, Stevin y Diofanto. De ellas, y particularmente de la de Diofanto, extrajo la idea de emplear letras. Aunque una serie de matemáticos, incluyendo Euclides y Aristóteles, habían usado letras en lugar de números específicos, estos usos eran infrecuentes, esporádicos e incidentales. Vieta fue el primero en emplear letras sistemáticamente y con un propósito, no sólo para representar una incógnita o las potencias de una incógnita, sino como coeficientes generales. Habitualmente usaba consonantes para las cantidades conocidas y vocales para las desconocidas. Llamaba a su álgebra simbólica logística speciosa, en oposición a logística numerosa. Vieta era plenamente consciente de que cuando estudiaba la ecuación general de segundo grado ax2 + bx + c = 0 (en nuestra notación), estaba estudiando toda una clase de expresiones. Al hacer la distinción entre logística speciosa y logística numerosa en su Isagoge, Vieta trazó la línea divisoria entre la aritmética y el álgebra. El álgebra, la logística speciosa, dijo, es un método de operar con especies o formas de cosas. La aritmética, la numerosa, trata de números. Así, en un solo paso, el álgebra se convirtió en un estudio de tipos generales de formas y ecuaciones, pues lo que se hace para el caso general cubre una infinidad de casos particulares. Vieta empleaba coeficientes literales solamente para representar números positivos.
Vieta trató de establecer las identidades algebraicas ocultas en forma geométrica en las obras griegas clásicas, pero, a su juicio, claramente reconocibles en Diofanto. En efecto, como observamos en el capítulo 6, éste había realizado muchas transformaciones de expresiones algebraicas mediante identidades que no citaba explícitamente. En sus Zeteticorum Libri Quinqué, Vieta intentó recobrar tales identidades. Completó el cuadrado de una expresión cuadrática general y expresó identidades de tipo general como
a3 + 3 a2b + 3 ab2 + b3 = (a + b)3
aunque él lo escribía así:| a cubus + b in a quadr. 3 + a in b quad. 3 + b cubo aequalia |
| a + b cubo |
Podría parecer lógico que los sucesores de Vieta se hubiesen impresionado inmediatamente por la idea de los coeficientes generales. Sin embargo, parece ser que la introducción de letras para denotar clases de números fue aceptada como un progreso de poca entidad en el desarrollo del simbolismo. La idea de los coeficientes literales se deslizó en las matemáticas casi por casualidad. No obstante, las ideas de Vieta sobre el simbolismo fueron apreciadas y flexibilizadas por Harriot, Girard y Oughtred.
A Descartes se deben ciertas mejoras en el uso de las letras de Vieta. Empleaba las primeras letras del alfabeto para las cantidades conocidas, y las últimas para las incógnitas, como se hace modernamente. Pero Descartes, como Vieta, sólo utilizaba las letras para representar números positivos, si bien no dudaba en efectuar restas entre términos con coeficientes literales. Hasta que lo hizo John Hudde (1633-1704), en 1657, no se empleó una letra para designar números positivos y negativos. Newton lo hacía con toda libertad.
Es preciso mencionar a Leibniz en la historia del simbolismo, aunque es posterior a los avances más significativos en el álgebra. Realizó prolongados estudios de diversas notaciones, experimentó con símbolos, pidió opinión a sus contemporáneos, y después escogió lo mejor. Encontraremos algo de su simbolismo en nuestro estudio del cálculo. Apreciaba ciertamente el gran ahorro de pensamiento que unos buenos símbolos hacen posible.
Así, hacia fines del siglo XVII, el uso deliberado del simbolismo, esto es, no incidental o accidental, y la consciencia de la potencia y generalidad que confiere, habían hecho su entrada en la matemática. Desgraciadamente, hubo demasiados símbolos introducidos a prueba y sin reflexión por parte de personas que no percibían la importancia del instrumento simbólico. Al observar esto, el historiador Florian Cajori se vio impulsado a decir que «nuestros símbolos de hoy son un mosaico de signos individuales de sistemas rechazados».
4. La solución de las ecuaciones de tercer y cuarto grados
La solución de las ecuaciones de segundo grado por el método de completar el cuadrado era conocida desde la época de los babilonios, y prácticamente el único progreso en este tema hasta 1500 fue llevado a cabo por los hindúes, que trataban ecuaciones como x2 + 3x + 2 y x2 — 3x — 2 como un solo tipo, mientras que sus predecesores, e incluso la mayoría de sus sucesores renacentistas, preferían tratar la última en la forma x2 = 3x + 2. Cardano, como ya observamos, resolvió de hecho una ecuación de segundo grado con raíces complejas, pero despreció las soluciones como inútiles. La ecuación cúbica, excepto en casos aislados, había desafiado a la matemática hasta entonces; en fecha tan tardía como 1494, Pacioli afirmaba que la solución de las ecuaciones generales de tercer grado era imposible.
Scipione dal Ferro (1465-1526), profesor de matemáticas en Bolonia, resolvió hacia 1500 ecuaciones del tipo x3 + mx = n, aunque no publicó su método porque en los siglos XVI y XVII los descubrimientos solían mantenerse secretos para desafiar a los rivales a resolver el mismo problema. No obstante, hacia 1510 confió su método a Antonio María Fior (de la primera mitad del siglo XVI) y a su yerno y sucesor Annibale della Nave (1500?-58).
No sucedió nada más hasta que Niccoló Fontana de Brescia (1499?-1557) entró en escena. De niño recibió en la cara un corte de sable de un soldado francés, lo que le causó una tartamudez, a consecuencia de lo cual fue apodado Tartaglia, «tartamudo». Educado en la pobreza, se enseñó a sí mismo latín, griego y matemáticas. Se ganaba la vida dando clases de ciencias en diversas ciudades italianas. En 1535, Fior desafió a Tartaglia a resolver treinta ecuaciones de tercer grado. Tartaglia, que decía haber resuelto ya ecuaciones cúbicas de la forma x3 + mx2 = n, con m y n positivos, resolvió las treinta, incluyendo las del tipo x3 + mx = n.
Presionado por Cardano a revelar su método, Tartaglia se lo dio en un oscuro verso, tras haberle prometido Cardano mantenerlo secreto. Esto sucedía en 1539. En 1542, Cardano, y su alumno Ludovico Ferrari (1522-65), con ocasión de una visita de della Nave, determinó que el método de dal Ferro era el mismo que el de Tartaglia. A pesar de su promesa, Cardano publicó su versión del método en su Ars Magna. En el capítulo 11 dice que «Scipio Ferro de Bolonia descubrió hace más de treinta años esta fórmula y se la dio a Antonio María Fior de Venecia, cuyo concurso con Niccoló Tartaglia de Brescia dio a éste ocasión de descubrirla. Me la dio en respuesta a mis peticiones, aunque ocultando la demostración. Armado de esta asistencia, busqué su demostración en [varias] formas. Fue muy difícil. A continuación sigue mi versión».
Tartaglia protestó por la ruptura de la promesa, y en Quesiti ed invenzioni diverse (1546) presentó su propia versión. Sin embargo, ni en este libro ni en su General trattato de’ numeri e misure (1556), que es una buena presentación de los conocimientos aritméticos y geométricos de la época, ofreció nada más de la propia ecuación de tercer grado. La disputa sobre quién resolvió primero la ecuación de tercer grado condujo a un conflicto abierto entre Tartaglia y Ferrari, que se extendió entre salvajes peleas y en el cual Cardano no tomó parte. El propio Tartaglia no estaba por encima de los reproches; publicó una traducción de parte de la obra de Arquímedes, que en realidad había copiado de Guillermo de Moerbecke (m. c. 1281), y pretendía haber descubierto la ley del movimiento de un objeto en un plano inclinado... que en realidad era de Jordanus Nemorarius.
Cardano ilustra su método con la ecuación x3+ 6x= 20, pero nosotros, para comprobar la generalidad del mismo, consideraremos
x3 + mx = n (4)
con m y n positivos. Cardano introduce dos cantidades t y u, imponiendo que se verifiquen las dos relaciones siguientes:t - u = n (5)
y(tu) = (m/3)3 (6)
Afirma entonces que![]()

Este es el método de Cardano. Tenía que probar, sin embargo, que (7) da un valor correcto de x. Su prueba es geométrica; para Cardano, t y u son volúmenes de cubos de lados 3√t y 3√u respectivamente, y el producto 3√t ´ 3√u representa un rectángulo formado por ambos lados, cuya área es m/3. Igualmente, cuando nosotros expresamos t - u = n, Cardano dice que la diferencia de ambos volúmenes es n. A continuación afirma que la solución x es la diferencia de los lados de los dos cubos, es decir, x = 3√t - 3√u. Para demostrar que este valor de x es correcto, enuncia y prueba el lema geométrico siguiente:

Figura 13.2
![]()
![]()
Cardano, como Tartaglia, también resuelve ecuaciones particulares de los tipos
x3 = mx + n
x3 + mx + n = 0
x3 + n = mx
Ha de tratar cada uno de dichos casos separadamente, y todos ellos independientemente de la ecuación (4), ya que, en primer lugar, hasta esta época las ecuaciones que escribían los europeos sólo contenían términos con números positivos, y, en segundo lugar, Cardano tenía que dar una justificación geométrica independiente para cada caso.Cardano también muestra cómo resolver ecuaciones como x3 + 6x2 = 100. Sabía cómo eliminar el término en x2; como el coeficiente es 6, sustituye x por y - 2 y obtiene y3 = 12y + 84. También observó que una ecuación como x6 + 6x4 =100 puede tratarse como una cúbica haciendo x2 = y. A lo largo del libro da raíces positivas y negativas, a pesar de llamar «ficticios» a los números negativos. No tenía en cuenta, sin embargo, las raíces complejas. De hecho, en el capítulo 37, llama «falsos» a los problemas que dan lugar a raíces que no son ni verdaderas ni falsas (ni positivas ni negativas). El libro es detallista, incluso aburrido para el lector moderno, y ello porque Cardano trata separadamente toda una multitud de casos, no sólo de la ecuación de tercer grado, sino también de las ecuaciones cuadráticas auxiliares que ha de resolver para hallar t y u. En cada caso, escribe la ecuación en forma tal que los coeficientes de los términos sean positivos.
Hay una dificultad con la solución de Cardano de la ecuación de tercer grado que él observó, pero no resolvió. Cuando todas las raíces de la ecuación son reales y distintas, se puede probar que t y u son complejos, ya que el radicando en (8) es negativo; y sin embargo, necesitamos 3√t y 3√u para obtener x. Esto significa que ciertos números reales pueden expresarse en términos de raíces cúbicas de números complejos. Sin embargo, esas tres raíces reales no pueden obtenerse por medios algebraicos, es decir, por radicales. Tartaglia llamó a este caso «irreducible». Uno pensaría que la posibilidad de expresar números reales como combinaciones de números complejos hubiera persuadido a Cardano a considerarlos seriamente, pero no fue así.
Vieta, en De Aequationum Recognitione et Emendatione, escrito en 1591 y publicado en 1615
![]()
![]()
y3 + pq + q = 0 (12)
Introduciendo y = nz, donde n está a nuestra disposición, podemos hacer coincidir los coeficientes de (12) con los de (11). Sustituyendo y = nz en (12) resulta![]()

![]()

Cualquiera que sea el valor de A, cos A satisface (11) por ser una identidad. Ahora bien, se ha elegido A de forma que (13) sea un caso particular de (11). Para este valor de A, cos A satisface (13). Pero el valor de A está determinado por (16), lo cual fija 3A, y para cualquier A que satisfaga (16), también la satisfacen A + 120° y A + 240°, y como z = cos A, hay, por tanto, tres valores que satisfacen (13):
cos A, cos (A + 120°) y cos (A + 240°).
Los tres valores que satisfacen (12) son el producto de n por estos valores de 2, donde n está dado en (14). Vieta obtuvo sólo una raíz.La ecuación de tercer grado tiene, desde luego, tres raíces. Fue Leonhard Euler, en 1732, el primero en ofrecer una discusión completa de la solución de Cardano de la ecuación cúbica, insistiendo en que siempre hay tres raíces y especificando cómo se calculan


x4 + bx3 + cx2 + dx + e = 0. (18)
Transponiendo obtenemosx4 + bx3 = -cx2 - dx - e. (19)
Completamos ahora el cuadrado en el primer miembro sumando (1/2(bx))2
![]()


Para presentar el método de Ferrari, Cardano, en el capítulo 39 de la Ars Magna, resuelve una multitud de casos especiales, todos con coeficientes numéricos. Así, resuelve ecuaciones de los tipos
x4 = bx2 + ax + n
x4 = bx2 + cx3 + n
x4 = cx3 + n
x4 = ax + n
Da, como en el caso de la ecuación de tercer grado, una prueba geométrica de los pasos algebraicos básicos, y después da la regla de solución en palabras.A base de resolver numerosos ejemplos de ecuaciones de tercer y cuarto grado, Cardano, Tartaglia y Ferrari dieron prueba de haber buscado y obtenido métodos que funcionaban para todos los casos de los grados respectivos. El interés en la generalidad es una característica nueva. Su trabajo precedió a la introducción de los coeficientes literales por parte de Vieta, de forma que no pudieron beneficiarse de tal instrumento. Vieta, que ya había hecho posible la generalidad en la demostración mediante la introducción de los coeficientes literales, buscaba ahora otro tipo de generalidad. Observó que los métodos de resolución de las ecuaciones de segundo, tercer y cuarto grados eran muy diferentes. Buscó, por tanto, un método que fuese válido para las ecuaciones de cualquier grado. Su primera idea fue eliminar el término de grado inmediatamente inferior al máximo mediante una sustitución. Tartaglia había hecho esto para la ecuación cúbica, pero no lo intentó para todas las ecuaciones.
En el Isagoge, Vieta hace lo siguiente. Para resolver la ecuación de segundo grado
x2 + 2bx = c
hacex + b = y.
Entoncesy2 = x2 + 2 bx + b2.
A la vista de la ecuación original,y = √(c + b2).
Por tanto,x = y - b = √(c + b2) - b.
En el caso de la ecuación de tercer gradox3 + bx2 + cx + d = 0.
Vieta empieza haciendo x = y - b/3. Esta sustitución da lugar a la cúbica reduciday3 + py + q = 0 (23)
A continuación introduce una transformación más, que, de hecho, es la que aún se estudia hoy día. Definey = z-p/3z (24)
y obtiene![]()
![]()
![]()
Para resolver la ecuación general de cuarto grado
x4 + bx3 + cx2 + dx + e = 0,
Vieta hace x = y - b/4, reduciendo la ecuación ax4 + px2 + qx + r = 0.
Transpone ahora los tres últimos términos y suma 2x2y2 + y4 a ambos miembros. Esto convierte al primer miembro en cuadrado perfecto y, como en el método de Ferrari, eligiendo y adecuadamente consigue expresar el segundo miembro como un cuadrado perfecto de la forma (Ax + B)2. La elección apropiada de y se efectúa aplicando la condición del discriminante a una ecuación de segundo grado, lo cual conduce a una ecuación de sexto grado en y que, afortunadamente, es de tercer grado en y2. Este paso y el resto del trabajo son idénticos a los del método de Ferrari.Otro método general explorado por Vieta es la descomposición del polinomio en factores de primer grado, como, por ejemplo, x2 + 5x + 6 = (x + 2)(x + 3). No tuvo éxito en ello, en parte por rechazar las raíces que no fuesen positivas, y en parte por no poseer una teoría suficiente, como el teorema del factor, en la cual basar un método general. Thomas Harriot tuvo la misma idea y fracasó por las mismas razones.
La búsqueda de métodos algebraicos generales se desplazó a continuación hacia la resolución de ecuaciones de grado mayor que cuatro. James Gregory, que había proporcionado métodos propios de resolución de la ecuación de tercer y cuarto grados, trató de emplearlos en la solución de la de quinto. El y Ehrenfried Walter von Tschirnhausen (1651-1708) probaron transformaciones para reducir las ecuaciones de orden superior a dos términos, una potencia de x y una constante. Estos métodos de solución de ecuaciones de grado mayor que cuatro fracasaron. En posteriores trabajos sobre integración, Gregory dio por sentado que no era posible resolver algebraicamente la ecuación general de grado n para n > 4.
5. La teoría de ecuaciones
El trabajo sobre los métodos de resolución de ecuaciones produjo una serie de teoremas y observaciones que se estudian todavía hoy en la teoría elemental de ecuaciones. La cuestión del número de raíces que puede tener una ecuación fue objeto de atención. Cardano había introducido las raíces complejas, y por un tiempo pensó que una ecuación podía tener cualquier número de raíces, pero pronto se dio cuenta de que una ecuación de tercer grado tiene 3 raíces, una de cuarto 4, y así sucesivamente. En L’Invention nouvelle, Albert Girard infiere y enuncia que una ecuación polinómica de grado n tiene n raíces si se cuentan las raíces imposibles (es decir, complejas) y si se tienen en cuenta las repetidas. Girard, sin embargo, no dio prueba alguna. Descartes, en el tercer libro de La Géometrie, dice que una ecuación puede tener tantas raíces como el número de dimensiones (el grado) de la incógnita, usando la expresión «puede tener» por considerar las raíces negativas como falsas. Más tarde, al incluir las raíces imaginarias y las negativas a efectos de contar las raíces, concluyó que hay tantas como indica el grado.
La siguiente cuestión importante fue la de averiguar el número de raíces positivas, negativas y complejas. Cardano observó que las raíces complejas de una ecuación (con coeficientes reales) se dan por pares. Newton lo demostró en su Arithmetica Universalis. Descartes, en La Géometrie, enunció sin demostración la regla de los signos, conocida como «regla de Descartes», que afirma que el máximo número de raíces positivas de f(x) = 0, donde f es un polinomio, es el número de variaciones del signo de los coeficientes, y que el máximo número de raíces negativas es el número de apariciones de dos signos «+» o dos signos « - » consecutivamente. En terminología actual, la última parte de la regla afirma que el número máximo de raíces negativas es el número de variaciones en la ecuación f(—x) = 0. Esta regla fue demostrada por varios matemáticos del siglo XVIII. La prueba que se da normalmente en la actualidad se debe a Abbé Jean-Paul de Gua de Malves (1712-85), que también demostró que la ausencia de 2m términos consecutivos indica que hay 2m +2 ó 2m raíces complejas, según que los dos términos entre los que se halla la deficiencia tengan signos iguales o distintos.
En su Arithmetica Universalis, Newton describió, sin prueba, otro método para determinar el número máximo de raíces positivas y negativas y, con ello, el mínimo número de raíces complejas. Su método es más complicado de aplicar, pero da mejores resultados que la regla de los signos de Descartes. Fue finalmente demostrado como caso particular de un teorema más general de Sylvester[32]. Un poco antes, Gauss había demostrado que si el número de raíces positivas queda por debajo del número de variaciones del signo, tal diferencia debe ser un número par.
Otra clase de resultados se refiere a las relaciones entre las raíces y los coeficientes de una ecuación. Cardano descubrió que la suma de las raíces es el opuesto del coeficiente de xn-1, que la suma de los productos de dos en dos es el coeficiente de xn-2, etc. Tanto Cardano como Vieta (en De Aequationum Recognitione et Emendatione) emplearon la primera de estas relaciones entre raíces y coeficientes de ecuaciones de grado pequeño para eliminar el término en xn-1 en las ecuaciones polinómicas de la forma que ya hemos descrito. Newton enunció la relación entre raíces y coeficientes en su Arithmetica Universalis, y también James Gregory en una carta a John Collins (1625-83), secretario de la Royal Society, aunque ninguno de ellos dio ninguna demostración.
Vieta y Descartes construyeron ecuaciones cuyas raíces fuesen mayores o menores que las de otra ecuación dada previamente. El proceso consiste simplemente en reemplazar x por y + m. Ambos utilizaron la transformación y - mx para obtener una ecuación cuyas raíces fuesen el producto de m por las de la ecuación dada. Para Descartes, el primero de estos procesos tenía la significación antes apuntada de que las raíces falsas (negativas) pudiesen hacerse verdaderas (positivas) y recíprocamente.
Descartes demostró también que si una ecuación de tercer grado con coeficientes racionales tiene una raíz racional, entonces el polinomio puede expresarse como producto de factores con coeficientes racionales.
Otro resultado importante es el actualmente conocido como «teorema del factor». En el tercer libro de La Géometrie, Descartes enuncia que f(x) es divisible por x - a, con a positivo, si y sólo si a es una raíz de f(x) = 0, y por x + a si y sólo si a es una raíz falsa. Con éste y otros resultados, Descartes establece el método moderno de hallar las raíces racionales de una ecuación polinómica. Tras convertir en 1 el coeficiente de mayor grado, hace que todos los coeficientes sean enteros multiplicando las raíces de la ecuación por el factor preciso, mediante la regla por él dada de sustituir x por y/m en la ecuación. Las raíces racionales de la ecuación original deben ser ahora factores enteros del término constante de la nueva ecuación. Si, a base de probar, se encuentra una raíz a, por el teorema del factor, y - a es divisor del nuevo polinomio en y. Descartes observa entonces que eliminando este factor se reduce el grado de la ecuación y se puede trabajar con la ecuación reducida.
Newton, en Arithmetica Universalis, y otros anteriormente, enunciaron resultados de acotación superior de las raíces de una ecuación. Uno de estos teoremas tiene que ver con el cálculo, y será enunciado en el capítulo 17 (sec. 7). Newton descubrió la relación entre las raíces y el discriminante de la ecuación, por ejemplo, que ax2 + bx + c = 0 tiene raíces iguales, reales o no reales según que b2 - 4ac sea igual, mayor o menor que 0.
En La Géometrie, Descartes introduce el principio de coeficientes indeterminados, que puede ilustrarse del siguiente modo: para descomponer x2 - 1 en dos factores lineales, se expresa
x2 - 1 = (x + b)(x + d).
Haciendo la multiplicación en el segundo miembro e igualando los coeficientes de las potencias de x en ambos miembros, se obtieneb + d = 0
bd = -1,
de donde se obtienen b y d. Descartes insistió en la utilidad de este método.Otro método, el de inducción matemática, hizo su entrada explícitamente en el álgebra a finales del siglo XVI. Desde luego, el método se halla implícito incluso en la demostración de Euclides de la infinitud de los números primos. En ella prueba que si hay n números primos, debe haber n + 1, y como hay un primer número primo, el número de ellos debe ser infinito. El método fue explícitamente reconocido por Maurolico en su Arithmetica de 1575, y lo empleó para probar, por ejemplo, que 1 + 3 + 5 +... + (2n - 1) = n2. Pascal comentó en una carta su conocimiento de la introducción del método por parte de Maurolico y lo usó en su Traité du triangle arithmétique (1665), donde presenta lo que hoy llamamos triángulo de Pascal (sec. 6).
6. El teorema binomial y cuestiones afines
El teorema binomial (o fórmula del binomio) para exponentes enteros positivos, es decir, el desarrollo de (a + b)n para n entero positivo, ya era conocido por los árabes del siglo XIII. Hacia 1544, Stifel introdujo el término «coeficiente binomial» y mostró cómo calcular (1 + a)n a partir de (1 + a)n-1. El cuadro de números

En 1665, Newton mostró cómo calcular (1 + a)n directamente, sin hacer referencia a (1 + a)n-1. Se convenció entonces de que el desarrollo era válido para valores fraccionarios y negativos de n (resultando una serie infinita en este caso), y enunció, aunque nunca demostró, tal generalización. Sí llegó a verificar que la serie de (1 + x)1/2 multiplicada por sí misma da 1 + x, pero ni él ni James Gregory (que llegó al mismo teorema independientemente) creyeron necesaria una demostración. En dos cartas, del 6 de junio y del 4 de octubre de 1676, a Henry Oldenburg (c. 1615-77), secretario de la Royal Society, Newton enunció el resultado más general que conocía en 1669, a saber, el desarrollo de (P + PQ)m/n. Lo consideraba un método útil para extraer raíces, pues si Q es menor que 1 (una vez sacado P factor común), los términos sucesivos, al ser potencias de Q, tiene valores cada vez menores.
Con independencia del trabajo sobre el teorema del binomio, las fórmulas para el número de permutaciones y de combinaciones de n objetos tomados r a r habían aparecido en las obras de una serie de matemáticos, entre ellos Bhaskara y el francés Levi ben Gerson (1321). Pascal observó que la fórmula de las combinaciones, denotada generalmente por nCro

Las investigaciones sobre permutaciones y combinaciones están conectadas con otro desarrollo, la teoría de la probabilidad, que iba a alcanzar importancia fundamental en el siglo XIX, pero apenas merece mención en los siglos XVI y XVII. El problema de la probabilidad de sacar un número concreto al lanzar dos dados se había planteado ya en la época medieval. Otro problema, el de cómo dividir las ganancias entre dos jugadores cuando éstas corresponden al primer jugador que obtenga n puntos, y el juego resulta interrumpido cuando el primero lleva ganados p puntos y el segundo q, aparece en la Summa de Pacioli y en libros de Cardano, Tartaglia y otros. Este problema adquirió cierta importancia cuando, propuesto a Pascal por Antoine Gombaud, Chevalier de Méré (1610-85), Pascal y Fermat se cartearon al respecto. El problema y su solución carecen de importancia, pero el trabajo de ambos marca el comienzo de la teoría de la probabilidad. Los dos aplicaron para ello la teoría de combinaciones.
El primer libro de significación sobre la probabilidad es el Ars Conjectandi de Bernoulli. Su aportación más importante, aún llamada «teorema de Bernoulli», dice que si p es la probabilidad de un suceso y q es la probabilidad de que éste no se dé, entonces la probabilidad de que dicho suceso se dé al menos m veces en n intentos es la suma de los términos del desarrollo de (p + q)n desde pn hasta el término que contiene pmqm-1.
7. La teoría de números
Mientras que los intereses prácticos fueron el estímulo para el progreso en el cálculo, el simbolismo y la teoría de ecuaciones, fue la preocupación por problemas puramente matemáticos la que condujo a una actividad renovada en la teoría de números. El tema, desde luego, había sido iniciado por los griegos clásicos, y Diofanto había añadido la parte relativa a las ecuaciones indeterminadas. Hindúes y árabes evitaron que cayese en el olvido, y aunque casi todos los algebristas del Renacimiento que hemos mencionado hicieron conjeturas y observaciones, el primer europeo que hizo extensas e impresionantes contribuciones a la teoría de números y dio al tema un enorme impulso fue Pierre de Fermat (1601-65).
Nacido en una familia de comerciantes, se formó como abogado en la ciudad francesa de Toulouse, ganándose la vida con dicha profesión. Durante cierto período fue consejero del parlamento de Toulouse. Aunque las matemáticas eran una afición para Fermat, y sólo podía dedicarles escaso tiempo, contribuyó con resultados de primera importancia a la teoría de números y al cálculo, fue uno de los dos creadores de la geometría de coordenadas y, como ya hemos visto, inició junto a Pascal la investigación sobre la probabilidad. Como todos los matemáticos de su siglo, trabajó en problemas de las ciencias y dejó una duradera contribución a la óptica: el «principio del tiempo mínimo de Fermat» (cap. 24, sec. 3). La mayoría de los resultados de Fermat nos son conocidos a través de cartas escritas a sus amigos. Publicó sólo unos pocos artículos, y algunos de sus libros y artículos fueron publicados tras su muerte.
Fermat consideraba que se había descuidado la teoría de números. Se quejó en una ocasión de que apenas nadie proponía o entendía cuestiones aritméticas y se preguntó: «¿se debe a que hasta ahora la aritmética ha sido tratada más geométrica que aritméticamente?» El propio Diofanto, observó, estaba atado en cierta medida a la geometría. Para Fermat, la aritmética tiene un dominio que le es propio, la teoría de los números enteros.
La obra de Fermat en teoría de números determinó la dirección del trabajo en el área hasta las contribuciones de Gauss. El punto de partida de Fermat fue Diofanto. Muchas traducciones de su Arithme- tica habían sido realizadas por matemáticos renacentistas. En 1621, Bachet de Méziriac publicó el texto griego y una traducción latina. Esta fue la edición que manejó Fermat, anotando la mayoría de sus resultados en los márgenes, y comunicando unos cuantos a sus amigos por carta. El ejemplar que contiene las notas marginales de Fermat fue publicado por su hijo en 1670.
Fermat enunció muchos teoremas sobre teoría de números, pero sólo en un caso dio una demostración, y ésta apenas esbozada. Los mejores matemáticos del siglo XVIII dedicaron grandes esfuerzos a probar sus resultados (cap. 25, sec. 4). Todos ellos resultaron ser correctos, excepto un error (del que luego hablaremos) y un famoso y aún no demostrado «teorema», acerca de cuya certeza todas las indicaciones son favorables. No hay duda de que poseía una gran intuición, pero no es probable que tuviese demostraciones de todas sus afirmaciones.
Un documento descubierto en 1879 entre los manuscritos de Huygens incluye un famoso método, llamado del «descenso infinito», introducido y empleado por Fermat. Para comprenderlo, consideremos el teorema enunciado por Fermat en una carta a Marín Mersenne (1588-1648) del 25 de diciembre de 1640, que afirma que un número primo de la forma 4n + 1 puede expresarse de una y sólo una manera como suma de dos cuadrados. Por ejemplo, 17 = 16 + l y 29 = 25 + 4. El método consiste en probar que si existe un número primo de la forma 4n + 1 que no posee la propiedad en cuestión, tiene que haber un número primo menor de la forma 4n + 1 que tampoco la posea. Así, como n es arbitrario, debe haber otro más pequeño aún. Descendiendo a lo largo de todos los valores enteros positivos de «, debemos llegar a n = 1, o sea, al número primo 4 ´ 1 + 1, es decir, 5, que, por tanto, no puede gozar de la mencionada propiedad. Pero 5 sí es expresable como suma de dos cuadrados de una manera única, de donde concluimos que todo primo de la forma 4n + 1 también lo es. Fermat envió este esbozo de demostración a su amigo Pierre de Carcavi (m. 1684) en 1659. Afirmó que había utilizado el método para probar el teorema recién descrito, pero jamás se ha hallado su demostración. También dijo haber probado otros teoremas por este mismo método.
El método del descenso infinito es diferente de la inducción matemática. En primer lugar, no exige mostrar un caso en el que el teorema en cuestión se satisfaga, ya que el argumento puede completarse observando que el caso n = 1 lleva simplemente a una contradicción con algún otro hecho conocido. Además, aceptada la hipótesis para un valor de n, el método muestra que existe otro menor, pero no necesariamente el anterior, para el cual la hipótesis es cierta. Finalmente, el método demuestra la falsedad de ciertas afirmaciones, siendo, de hecho, más útil para este propósito.
Fermat afirmó también que ningún número primo de la forma 4n + 3 puede expresarse como suma de dos cuadrados. En una nota escrita en su ejemplar de Diofanto y en la carta a Mersenne, Fermat generaliza la conocida relación triangular entre 3, 4 y 5 enunciando los siguientes teoremas: un número primo de la forma 4n + 1 es la hipotenusa de uno y sólo un triángulo rectángulo de lados enteros. El cuadrado de (4n + 1) es la hipotenusa de dos y sólo dos de tales triángulos rectángulos; su cubo, de tres; su bicuadrado, de cuatro, y así sucesivamente, hasta el infinito. Consideremos, por ejemplo, el caso n = 1. Entonces 4n + l = 5 y 3, 4 y 5 son los lados del único triángulo rectángulo que tiene 5 como hipotenusa. Sin embargo, 52 es la hipotenusa de dos y sólo dos triángulos rectángulos, a saber, aquellos cuyos lados miden 15, 20, 25 y 7, 24, 25. Igualmente, 53 es la hipotenusa únicamente de los tres triángulos rectángulos de lados 75, 100, 125; 35, 120, 125 y 44, 117, 125.
En la carta a Mersenne, Fermat declara que el mismo número primo 4n + 1 y su cuadrado se pueden expresar cada uno de manera única como la suma de dos cuadrados; su cubo y bicuadrado, de dos formas cada uno; sus potencias quinta y sexta, de tres, y así sucesivamente. Así, para n = l, 5 = 4+ l y 52 = 9 +16; 53 = 4 + 121 = 25 + 100, etc. Continúa la carta: si un número primo que es la suma de dos cuadrados se multiplica por otro número primo que es también suma de dos cuadrados, el producto será la suma de dos cuadrados de dos formas distintas. Si el primer número primo se multiplica por el cuadrado del segundo, el producto será la suma de dos cuadrados de tres formas; si se multiplica por el cubo del segundo, el producto será la suma de dos cuadrados de cuatro formas, y así sucesivamente hasta el infinito.
Fermat enunció muchos teoremas sobre la representación de los números primos en las formas
x2 + 2y2, x2 + 3y2, x2 + 5y2, x2 - 2y2
y otras formas, que son extensiones de la representación como suma de dos cuadrados. Por ejemplo, todo primo de la forma 6n + 1 puede representarse como x2+ 3y2; todo primo de la forma 8n + 1 u 8n + 3, como x2 + 2y2. Un número primo impar (todos menos el 2) puede expresarse de manera única como diferencia de dos cuadrados.Dos de los teoremas enunciados por Fermat han dado en ser conocidos como el «pequeño» y el «gran», siendo éste también llamado el «último teorema de Fermat». El teorema pequeño, comunicado en carta de 18 de octubre de 1640 a su amigo Bernard Frénicle de Bessy (1605-75), afirma que si p es un número primo y a es primo con p, entonces ap - a es divisible por p.
El gran «teorema» de Fermat, que él creía haber probado, afirma que para n > 2 no hay soluciones enteras de xn + yn = zn. Este teorema fue enunciado por él en una nota al margen de su libro de Diofanto, junto al problema (de Diofanto) de dividir un cuadrado dado en (suma de) dos cuadrados. Fermat añade: «Por otra parte, es imposible separar un cubo en dos cubos, un bicuadrado en dos bicuadrados, o, en general, una potencia que no sea un cuadrado en dos potencias con el mismo exponente. He descubierto una demostración verdaderamente maravillosa de esto, pero el margen no es suficiente para contenerla.» Desgraciadamente, la prueba de Fermat, si es que la obtuvo, nunca fue hallada, y cientos de los mejores matemáticos han sido incapaces de demostrar el teorema. Fermat afirmó en carta a Carvavi que había empleado el método del descenso infinito para demostrar el caso n = 4, pero no dio detalles. Frénicle, con las pocas indicaciones de Fermat, dio una demostración para el mencionado caso en su obra de publicación póstuma Traité des triangles rectangles en nombres (Tratado sobre propiedades numéricas de los triángulos rectángulos)[33].
Anticipándonos un poco, digamos que Euler demostró el teorema para n = 3 (cap. 25, sec. 4). Como el teorema es cierto para n = 3, es cierto para cualquier múltiplo de 3, pues si no lo fuese para n = 6, por ejemplo, habría enteros x, y, z tales que
x6 + y6 = z6
Pero entonces(x2)3 + (y2)3 = (z2)3
y el teorema sería falso para n = 3. Por tanto, sabemos que el teorema de Fermat es cierto para un número infinito de valores de «, pero no sabemos todavía si lo es para todos. En realidad sólo se necesita probarlo para n = 4 y para n primo impar. En efecto, supongamos primero que n no es divisible por un primo impar; debe ser entonces una potencia de 2, y al ser mayor que 2 tiene que ser 4 o divisible por 4. Sea n = 4m. Entonces la ecuación xn + yn = zn se convierte en(xm)4 + (ym)4 = (zm)4
Si el teorema no fuese cierto para n, tampoco lo sería para n = 4. Luego si es cierto para n = 4, lo es para todo n no divisible por un número primo impar. Si n = pm, donde p es primo impar, entonces, si el teorema no fuese cierto para n, tampoco lo sería para el exponente p. Luego si es cierto para n = p, lo es para todo n divisible por un número primo impar.Fermat cometió algunos errores. Creía haber hallado una solución al viejo problema de construir una fórmula que diese números primos para 'todos los valores de la variable n. Sin embargo, no es difícil demostrar que 2m + 1 no puede ser primo a no ser que m sea una potencia de 2. En muchas cartas, datadas de 1640 en adelante [34], Fermat afirmó el recíproco (es decir, que (2)2 + 1 representa una serie de números primos), aunque admitió no poder probar su aserto. Más tarde empezó a dudar de que fuese cierto. Hasta ahora, sólo se conocen los cinco números primos 3, 5, 17, 257 y 65.537 dados por la fórmula (ver cap. 25, sec. 4).
Fermat enunció y esbozó[35] la demostración por descenso infinito del siguiente teorema: el área de un triángulo rectángulo cuyos lados sean números racionales no puede ser un cuadrado perfecto. El esbozo de prueba es el único que diera jamás, y se sigue como corolario que la resolución de x4 + y4 = z4 en números enteros es imposible.
Con respecto a los números poligonales, Fermat enunció en su libro de Diofanto el importante teorema de que todo entero positivo es, o bien triangular, o la suma de dos o tres números triangulares; todo entero positivo es, o bien un cuadrado, o la suma de 2, 3 ó 4 cuadrados; todo entero positivo es, o bien pentagonal, o la suma de 2, 3, 4 ó 5 números pentagonales; y así sucesivamente para números poligonales de órdenes más elevados. Hizo falta mucho trabajo para probar estos resultados, que son correctos sólo si se incluyen 0 y 1 como números poligonales. Fermat afirma haber demostrado estos teoremas por el método del descenso infinito.
Los números perfectos fueron, como sabemos, estudiados por los griegos, y Euclides dio el resultado básico de que 2n-1(2n - 1) es perfecto si 2n - 1 es primo. Para n = 2, 3, 5 y 7, los valores de 2n - 1 son primos, de forma que 6, 28, 496 y 8128 son números perfectos (como ya fue observado por Nicómaco). Un manuscrito de 1456 da correctamente 33.550.336 como el quinto número perfecto; corresponde a n = 13. En su Epitome (1536), Hudalrich Regius da también este quinto número perfecto. Pietro Antonio Cataldi (1552-1626) observó en 1607 que 2n - 1 es compuesto si n lo es, y comprobó que 2n - 1 es primo para n = 13, 17 y 19. En 1644 Marín Mersenne dio otros valores. Fermat trabajó también en el problema de los números perfectos. Consideró en qué casos es 2n - 1 primo, y en carta a Mersenne de junio de 1640 enunció estos teoremas: (a) Si n no es primo, 2n - 1 no es primo; (b) si n es primo, 2n - 1, de ser divisible, sólo lo es por números primos de la forma 2kn + 1. En la actualidad se conocen unos veinte números perfectos. Es una cuestión abierta si los hay impares.
Redescubriendo una regla enunciada en primer lugar por Tabit ibn Qorra, Fermat dio en 1636 un segundo par de números amigos, 17.926 y 18.416 (el primero, 220 y 284, ya lo había dado Pitágoras), y Descartes, en una carta a Mersenne, dio un tercer par, 9.363.548 y 9.437.506.
Fermat volvió a descubrir el problema de resolver x2 - Ay2 = 1, cuando A es entero no cuadrado. El problema tiene una larga historia entre griegos e hindúes. En una carta de febrero de 1657 a Frénicle, Fermat enunció el teorema de que x2 - Ay2 = 1 tiene un número ilimitado de soluciones cuando A es positivo y no es un cuadrado perfecto[36]. Euler llamó a ésta «ecuación de Pell», erróneamente, como ahora sabemos. En la misma carta[37], Fermat desafió a todos los matemáticos a encontrar una infinidad de soluciones enteras. Lord Brouncker dio algunas soluciones, aunque no demostró que hubiera infinitas. Wallis sí resolvió completamente el problema y dio sus soluciones en cartas de 1657 y 1658[38] y en el capítulo 98 de su Algebra. Fermat también afirmó poder probar cuándo x2 - Ax2 = B, con Ay B dados, es soluble, y poder resolverla. No sabemos cómo resolvió Fermat dichas ecuaciones, aunque dijo en una carta de 1658 que había usado el método del descenso para la primera.
8. La relación entre el álgebra y la geometría
El álgebra, como hemos podido ver, se expandió enormemente durante los siglos XVI y XVII. Por haber estado tan ligada a la geometría, antes de 1500 las ecuaciones de grado superior al tercero eran consideradas irreales. Cuando el estudio de las ecuaciones de grado superior se impuso a los matemáticos (por ejemplo, por el uso de las identidades trigonométricas como ayuda en el cálculo de tablas) o fue sugerido como extensión natural de las ecuaciones de tercer grado, la idea pareció absurda a muchos matemáticos. Así, en su edición del Coss (Algebra) de Rudolff, Stifel dice: «Ir más allá del cubo como si hubiese más de tres dimensiones... va contra la naturaleza.»
No obstante, el álgebra se impuso sobre las limitaciones del pensamiento geométrico, aunque la relación entre álgebra y geometría siguió siendo complicada. El mayor problema era justificar el razonamiento algebraico, y la solución, durante el siglo XVI y parte del XVII, fue apoyarse en el significado geométrico equivalente de cada desarrollo algebraico. Pacioli, Cardano, Tartaglia, Ferrari y otros dieron pruebas geométricas de las reglas algebraicas. También Vieta estaba profundamente ligado a la geometría: escribe, por ejemplo, A3 + 3B2A = Z3, donde A es la incógnita y B y Z son constantes, con objeto de que cada término sea de tercer grado y represente, por tanto, un volumen. Como veremos, sin embargo, la posición de Vieta con respecto al álgebra era de transición. Barrow y Pascal pusieron de hecho objeciones al álgebra, y después a los métodos analíticos de la geometría de coordenadas, así como al cálculo, por carecer el álgebra de justificación.
La dependencia del álgebra de la geometría empezó a invertirse en cierta manera cuando Vieta, y después Descartes, emplearon el álgebra para resolver problemas de construcciones geométricas. La motivación de muchos de los desarrollos algebraicos que aparecen en In Artem Analyticam Isagoge de Vieta es la resolución de problemas geométricos y la sistematización de construcciones geométricas. Típico de la aplicación del álgebra a la geometría en la obra de Vieta es el siguiente problema de sus Zeteticorum Libri Quinqué: dadas el área de un rectángulo y la razón de sus lados, hallar los lados del rectángulo. Toma el área como B planum y la razón del lado mayor al menor como S a R. Sea A el lado mayor. Entonces RA/S es el lado menor. Por tanto, B planum es igual a (R/S) (A cuadrado). Multiplicando por S obtenemos la ecuación final, BS = RA2. Vieta muestra entonces cómo con esta ecuación se puede construir A con regla y compás a partir de las cantidades conocidas, B y R/S. La idea es que, si se deduce que una longitud deseada x satisface la ecuación ax2 + bx + c = 0, se sabe que

El álgebra, para Vieta, significaba un procedimiento especial de descubrimiento; era análisis en el sentido de Platón, que lo oponía a la síntesis. Teón de Alejandría, que introdujo el término «análisis», lo definió como el proceso que comienza con la presunción de lo que se busca y llega por deducción a una verdad conocida. Esta es la razón por la cual Vieta llamó a su álgebra «arte analítico», pues llevaba a cabo el proceso de análisis, particularmente en problemas geométricos. Este fue, de hecho, el punto de partida del pensamiento de Descartes sobre la geometría analítica, y su trabajo en la teoría de ecuaciones estuvo motivado por el deseo de emplearlas mejor en la resolución de problemas geométricos.
La interdependencia entre álgebra y geometría puede verse también en la obra de Marino Ghetaldi (1566-1627), alumno de Vieta. Hizo un estudio sistemático de la solución algebraica de determinados problemas geométricos en uno de los libros de su Apollonius Redivivus (Apolonio redivivo o modernizado, 1607). Recíprocamente, dio pruebas geométricas de reglas algebraicas y construyó geométricamente las raíces de ecuaciones algebraicas. Un trabajo completo sobre este tema es su De resolutione et compositione mathematica (1630), publicado póstumamente.
Hallamos también en los siglos XVI y XVII la conciencia de la necesidad de desarrollar el álgebra como sustitución de los métodos geométricos introducidos por los griegos. Vieta vio la posibilidad de utilizar el álgebra para tratar la igualdad y la proporción de magnitudes, sin importar si tales magnitudes surgían de problemas geométricos, físicos o comerciales. De aquí que no dudase en considerar ecuaciones de grado superior y en utilizar el método algebraico, abrigando la idea de una ciencia deductiva de las magnitudes que emplease el simbolismo. Mientras que el álgebra era para Vieta principalmente una vía perfecta hacia la geometría, su visión era lo bastante grandiosa como para percibir en ella una vida y significado propios. Bombelli dio pruebas algebraicas aceptables para su tiempo, sin el uso de la geometría. Stevin afirmaba que lo que se podía hacer en geometría podía hacerse en aritmética y álgebra. El libro de Harriot Artis Analyticae Praxis (1631) extendió, sistematizó e hizo emerger algunas de las implicaciones de la obra de Vieta. El libro es muy parecido a un texto moderno de álgebra. Es más analítico que ninguna obra anterior de álgebra, y presenta grandes avances en el simbolismo; fue ampliamente utilizado.
También Descartes empezó a ver grandes potencialidades en el álgebra, comenzando, según él, donde Vieta terminó. No considera el álgebra como una ciencia en el sentido de proporcionar conocimiento sobre el mundo físico. Ciertamente, afirma, tal conocimiento consta de geometría y mecánica. Ve en el álgebra un poderoso método de guía del razonamiento con cantidades desconocidas y abstractas, sobre todo. En su visión, el álgebra mecaniza la matemática de forma que el pensamiento y los procesos se simplifican y no requieren gran esfuerzo de la mente. La creación matemática podría volverse casi automática.
El álgebra, para Descartes, precede a las demás ramas de la matemática. Es una extensión de la lógica útil para tratar cantidades, y, en este sentido, incluso más fundamental que la geometría, es decir, lógicamente anterior a ella. Por todo ello, buscó un álgebra independiente y sistemática, en vez de una colección sin plan ni fundamento de símbolos y métodos ligados a la geometría. Hay un esbozo de tratado de álgebra, conocido como Le Calcul (1638), escrito por el propio Descartes o bajo su dirección, que considera el álgebra como una ciencia específica. Este álgebra está desprovista de sentido; es una técnica de cálculo, y forma parte de su búsqueda general del método.
La visión de Descartes del álgebra como una extensión de la lógica que trata de la cantidad le sugirió la posibilidad de crear una ciencia algebraica más amplia que considerase, además de la cantidad, otros conceptos y pudiese utilizarse para cualquier tipo de problema. Hasta los principios y métodos lógicos podrían expresarse simbólicamente, y se utilizaría todo el sistema para mecanizar el razonamiento. Descartes llamó a esta noción «matemática universal». La idea es vaga en sus realizaciones, y no llegó a investigarla en profundidad. A pesar de todo, fue el primero en asignar al álgebra un lugar fundamental en el sistema de conocimiento.
Esta visión del álgebra, considerada en su plenitud en primer lugar por Leibniz y finalmente desarrollada en la lógica simbólica (cap.51, sec. 4), fue también la de Barrow, aunque en menor amplitud. Barrow, amigo, profesor y predecesor de Newton en la cátedra Lucasiana de matemáticas en Cambridge, no consideraba el álgebra como parte de la matemática propiamente dicha, sino como una formalización de la lógica. Para él, sólo la geometría era matemática, y la aritmética y el álgebra trataban de magnitudes geométricas expresadas en símbolos.
Con independencia de la filosofía del álgebra de Descartes y Barrow y de las potencialidades que ambos puedan haber visto en ella como ciencia universal del razonamiento, el efecto práctico del uso creciente de técnicas aritméticas y algebraicas fue el de establecer el álgebra como rama de las matemáticas independiente de la geometría. Para la época, Descartes dio un paso importante al escribir a2 para representar tanto una longitud como un área, cuando Vieta había insistido en que una segunda potencia debía representar un área. Descartes llamó la atención sobre su utilización de a2 como un número, observando explícitamente que se había apartado de sus predecesores. Dice que x2 es una cantidad tal que x2:x = x:l. Igualmente, dice en La Géometrie que un producto de líneas puede ser una línea; pensaba en las cantidades, y no en términos geométricos como habían hecho los griegos. Le parecía perfectamente claro que el cálculo algebraico era independiente de la geometría.
John Wallis, influido por Vieta, Descartes, Fermat y Harriot, fue mucho más lejos que ellos al liberar la aritmética y el álgebra de la representación geométrica. En su Algebra (1685) dedujo algebraicamente todos los resultados del libro V de Euclides. Abandonó también la limitación de homogeneidad en las ecuaciones algebraicas en x e y, concepto que se había mantenido debido a que dichas ecuaciones se derivaban de problemas geométricos. Veía en el álgebra brevedad y transparencia.
Aunque a Newton le entusiasmaba la geometría, hallamos por vez primera en su Arithmetica Universalis una afirmación de la importancia básica de la aritmética y el álgebra en oposición a la geometría. Descartes y Barrow todavía favorecían a la geometría como rama fundamental de las matemáticas. Newton necesitó y utilizó el lenguaje algebraico para el desarrollo del cálculo, cuya manipulación óptima era la algebraica. Y en lo que se refiere a la supremacía del álgebra sobre la geometría, las necesidades del cálculo diferencial e integral iban a ser decisivas.
Así, hacia 1700, el álgebra había alcanzado una situación que le permitía mantenerse sobre sus propios pies. La única dificultad era que no tenía lugar donde ponerlos. Desde los tiempos de egipcios y babilonios, la intuición, el ensayo y error habían proporcionado algunas reglas de cálculo, la reinterpretación del álgebra geométrica griega había dado otras, y el trabajo algebraico independiente en los siglos XVI y XVII, guiado en parte por la interpretación geométrica, había conducido a muchos resultados nuevos. Pero para el álgebra no había fundamentos lógicos análogos a los que Euclides había dado a la geometría. Esta despreocupación, aparte de las objeciones de Pascal y Barrow, resulta sorprendente, ya que, para esta época, había en Europa plena conciencia de las exigencias de una matemática deductiva rigurosa.
¿Cómo sabían los matemáticos lo que era correcto? Las propiedades de los enteros positivos y las fracciones se deducen de manera tan inmediata de la experiencia con colecciones de objetos que parecen evidentes. Hasta Euclides dejó sin base lógica a los libros de los Elementos que tratan de la teoría de números. A medida que se fueron añadiendo nuevos tipos de números al sistema numérico, las reglas de las operaciones ya aceptadas para los enteros positivos y las fracciones se aplicaron a los nuevos elementos, con el pensamiento geométrico como útil guía. Las letras, cuando fueron introducidas, eran simples representaciones de números y podían ser tratadas como tales. Las técnicas algebraicas más complicadas se justificaban bien por argumentos geométricos como los de Cardano, bien por pura inducción sobre casos específicos; pero ninguno de estos procedimientos era lógicamente satisfactorio. Ni siquiera la invocación a la geometría daba la base lógica para los números negativos, irracionales o complejos, ni justificaba, por ejemplo, la argumentación de que si un polinomio es negativo para x = a y positivo para x = b, debe anularse entre a y b.
No obstante todo ello, los matemáticos procedieron alegre y confiadamente al empleo de la nueva álgebra. Wallis, de hecho, afirmaba que los métodos del álgebra no eran menos legítimos que los de la geometría. Sin darse cuenta, los matemáticos estaban a punto de entrar en una nueva era en la que inducción, intuición, ensayo y error y argumentos físicos iban a servir de bases para las demostraciones. El problema de construir un fundamento lógico para el sistema numérico y el álgebra era difícil, mucho más de lo que ningún matemático del siglo XVII podía haber percibido. Y es una suerte que los matemáticos fuesen crédulos, y hasta ingenuos, y no lógicamente escrupulosos; pues la creación libre debe preceder a la formalización y la fundamentación lógica, y el más grande período de creación matemática acababa de comenzar.
Bibliografía
- Ball, W. W. R.: A Short Account of the History of Mathematics. Dover (reprint), 1960, cap. 12.
- Boyer, Cari B.: History of Analytic Geometry. Scripta Mathematica, 1956, cap. 4. —: Historia de la Matemática, Madrid, Alianza Editorial, 1986.
- Cajori, Florian: Oughtred, A Great Seventeenth Century Teacher of Mathematics, Open Court, 1916. —: A History of Mathematics, 2nd. ed., Macmillan, 1919, pp. 130-59. —: A History of Mathematical Notations, Open Court, 1928, vol. 1.
- Cantor, Moritz: Vorlesungen über Geschichte der Mathematik, 2.a ed., B. G. Teubner, 1900, Johnson Reprint Corp., 1965, vol. 2, pp. 369-806.
- Cardan, G.: Opera Omnia, 10 vols., 1663, Johnson Reprint Corp., 1964.
- Cardano, Girolamo: The Great Art, trad. T. R. Witmer, Massachusetts Institute of Technology Press, 1968.
- Coolidge, Julián L.: The Mathematics of Great Amateurs. Dover (reimpresión), 1963, caps. 6-7.
- David, F. N.: Games, Gods and Gambling: The Origins and History of Probability, Hafner, 1962.
- Descartes, René: The Geometry, Dover (reimpresión), 1954, Libro 3. —: Discurso del método, Madrid, Alfaguara, 1987.
- Dickson, Leonard E.: History of the Theory of Numbers, Carnegie Institution, 1919-23, Chelsea (reimpresión), 1951, vol. 2, cap. 26.
- Fermat, Pierre de: Oeuvres, 4 vols. y suplemento, Gauthier-Villars, 1891- 1912, 1922.
- Heath, Sir Thomas L.: Diophantus of Alexandria, 2 ed., Cambridge Universi- ty Press, 1910. Dover (reimpresión), 1964, Suplemento, secs. 1-5.
- Hobson, E. W.: John Napier and the Invention of Logarithms. Cambridge University Press, 1914.
- Klein, Jacob: Greek Mathematical Thought and the Origin of Algebra. Massachusetts Institute of Technology Press, 1968. Contiene una traducción del Isagoge de Vieta.
- Knott, C. G.: Napier Tercentenary Memorial Volume, Longmans Green, 1915.
- Montucla, J. F.: Histoire des mathématiques, Albert Blanchard (reimpresión), 1960, vol. 1, parte, 3, libro 3; vol. 2, parte 4, libro 1.
- Mordell, J. L.: Three Lectures on Fermat’s Last Theorem, Cambridge University Press, 1921.
- Morley, Henry: Life of Cardan, 2 vols., Chapman and Hall, 1854.
- Newton, Sir Isaac: Mathematical Works, vol. 2, ed. D. T. Whiteside, Johnson Reprint Corp., 1967. Este volumen contiene una traducción de la Arith- metica Universalis.
- Ore, Oystein: Cardano: The Gambling Scholar, Princeton University Press, 1953. —: «Pascal and the Invention of Probability Theory», Amer. Math. Monthly, 67, 1960, 409-19.
- Pascal, Blaise: Oeuvres completes. Hachette, 1909. —: Obras. 1, Madrid, Alfaguara, 1981.
- Sarton, George: Six Wings: Men of Science in the Renaissance, Indiana University Press, 1957, «Second Wing» [Hay ed. cast.: Seis alas, Buenos Aires, 1960].
- Sarton, George: Six Wings: Men of Science in the Renaissance, Indiana University Press, 1957, «Second Wing».
- Schneider, I.: «Der Mathematiker Abraham de Moivre (1667-1754)», Archive for History of Exact Sciences, 5, 1968, 177-317.
- Scott, J. F.: A History of Mathematics, Taylor and Francis, 1958, caps. 6 y 9. —: The Scientific Work of René Descartes, Taylor and Francis, 1952, cap. 9. —: The Mathematical Work of John Wallis, Oxford University Press, 1938.
- Smith, David Eugene: History of Mathematics, Dover (reimpresión), 1958, vol. 1, caps. 8-9; vol. 2, caps. 4 y 6. —: A Source Book in Mathematics, 2 vols., Dover (reimpresión), 1959.
- Struik, D. J.: A Source Book in Mathematics, 1200-1800, Harvard University Press, 1969, caps. 1-2.
- Todhunter, I.: A History of the Mathematical Theory of Probability, Chelsea (reimpresión), 1949, caps. 1-7.
- Turnbull, H. W.: James Gregory Tercentenary Memorial Volume, Bell and Son, 1939. —: The Mathematical Discoveries of Newton, Blackie and Son, 1945.
- Vieta, F.: Opera Mathematica, (1646), Georg Olms (reimpresión), 1970.
Capítulo 14
Los comienzos de la geometría proyectiva
Confieso francamente que nunca he sentido gusto por el estudio o la investigación en física o en geometría, a no ser que pudieran servir como medio de llegar a algún tipo de conocimiento de las causas próximas... para el bien y la comodidad de la vida, el mantenimiento de la salud, la práctica de algún arte... pues he observado que una buena parte de las artes se basa en la geometría, como el de tallar la piedra en arquitectura, el de los relojes de sol, y el de la perspectiva en particular.
Girard Desargues
Contenido:1. El renacer de la geometría1. El renacer de la geometría
2. Problemas planteados por los trabajos sobre la perspectiva
3. La obra de Desargues
4. La obra de Pascal y La Hire
5. La aparición de nuevos principios
Bibliografía
El resurgir de la actividad creadora en geometría anduvo a la zaga del renacer del álgebra. Aparte de la creación del sistema matemático de perspectiva y de las incidentales aportaciones geométricas de los artistas de Renacimiento (cap. 12, sec. 2), muy poco de importancia se hizo en geometría desde el tiempo de Pappus hasta 1600. Provocó cierto interés la aparición de numerosas ediciones impresas de las Secciones Cónicas de Apolonio, especialmente la notable traducción latina de Federigo Commandino (1509-75) de los libros I al IV en 1566. Los libros V al VII vieron la luz gracias a otros traductores, y una serie de matemáticos, entre ellos Vieta, Willebrord Snell (1580-1626) y Ghetaldi emprendieron la reconstrucción del perdido libro VIII.
Lo que hacía falta para dirigir las mentes de los matemáticos por nuevos caminos eran problemas nuevos. Uno de ellos había sido ya planteado por Alberti: ¿qué propiedades geométricas tienen en común dos secciones de la misma proyección de una figura real? Un gran número de problemas procedía de las ciencias y las necesidades prácticas. El uso que hizo Kepler de las secciones cónicas en su obra de 1609 dio un enorme impulso al reexamen de dichas curvas y a la búsqueda de propiedades que fueran útiles para la astronomía. La óptica, que venía interesando a los matemáticos desde la época griega, recibió gran atención tras la invención del telescopio y el microscopio, a principios del siglo XVII. El diseño de lentes para estos instrumentos se convirtió en un problema de primera magnitud, que se tradujo en interés por la forma de las superficies, o la de sus curvas generatrices si aquéllas eran de revolución. Las exploraciones geográficas habían creado la necesidad de disponer de mapas y de estudiar las trayectorias de los barcos representados en la esfera y en el mapa. La introducción de la noción de una Tierra móvil exigía nuevos principios en la mecánica que dieran cuenta de las trayectorias de los objetivos móviles, lo que también significaba estudiar curvas. Entre los objetivos móviles, los proyectiles eran los más importantes, ya que los cañones de la época podían disparar ya balas a cientos de metros, siendo, pues, vital predecir su trayectoria y su alcance. El problema práctico de hallar áreas y volúmenes empezó a atraer mayor atención. La Nova Stereometria Doliorum Vinariorum (Nueva Ciencia de Medir Volúmenes de Toneles de Vino, 1615) de Kepler inició un nuevo estallido de actividad en este área.
Otra clase de problemas entró en escena como consecuencia de la asimilación de las obras griegas. Los matemáticos empezaron a darse cuenta de que a los métodos griegos de demostración les faltaba generalidad. Hacía falta crear un método especial casi para cada teorema. Esta observación ya la había hecho Agrippa von Nettesheim en 1527, así como Maurolico, traductor de obras griegas y autor de libros sobre secciones cónicas y otras cuestiones matemáticas.
La mayoría de las soluciones dadas a estos nuevos problemas resultaron no ser más que variaciones menores sobre temas antiguos. La forma de tratar las secciones cónicas se vio alterada. Tales curvas empezaron a definirse como lugares geométricos en el plano, en vez de como secciones de un cono, como en la obra de Apolonio. Guidobaldo del Monte, por ejemplo, definió la elipse en 1579 como el lugar de los puntos cuya suma de distancias a los focos es constante. No sólo las cónicas, sino otras curvas griegas más antiguas, como la concoide de Nicomedes, la cisoide de Diocles, la espiral de Arquímedes y la cuadratriz de Hipias fueron estudiadas de nuevo. Se introdujeron nuevas curvas, muy especialmente la cicloide (ver cap. 17, sec. 2). Pero aunque todo este trabajo era útil para difundir las contribuciones de los griegos, nada en él ofrecía novedades en resultados o en métodos de demostración. La primera innovación trascendente tuvo lugar como respuesta a los problemas planteados por los pintores.
2. Problemas planteados por los trabajos sobre la perspectiva
La idea básica del sistema de perspectiva focal creado por los pintores es el principio de proyección y sección (cap. 12, sec. 1). Una escena real es vista por el ojo, considerado como un punto. Las líneas de fuga desde varios puntos de la escena hacia el ojo se dice que constituyen una proyección. Según dicho principio, la propia pintura debe contener una sección de tal proyección, formada por lo que aparecería en un plano que pasase a través de la proyección.

Figura 14.1
Este problema admite una extensión: consideremos dos secciones distintas de esta misma proyección correspondientes a dos planos distintos que cortan a la proyección en ángulos cualesquiera. ¿Qué propiedades geométricas tienen en común ambas secciones?

Figura 14.2
Algunos de los geómetras del siglo XVII se propusieron responder a estas cuestiones. Siempre consideraron los métodos que utilizaban y los resultados que obtenían como parte de la geometría euclídea, y, sin embargo, esos métodos y resultados, aun contribuyendo sin duda en gran medida a ese campo, resultaron ser los comienzos de una nueva rama de la geometría, conocida a partir del siglo XIX como «geometría proyectiva». Nos referiremos a las investigaciones en este área con tal nombre, aunque en el siglo XVII no se hacía distinción entre las geometrías euclídea y proyectiva.
3. La obra de Desargues
Quien primero atacó directamente los problemas arriba mencionados fue el autodidacta Girard Desargues (1591-1661), que llegó a ser oficial del ejército y después ingeniero y arquitecto. Desargues conocía la obra de Apolonio y pensó en la posibilidad de introducir nuevos métodos de demostración de teoremas sobre cónicas, cosa que hizo, y con plena conciencia de la potencia de tales métodos. Desargues quería también mejorar la formación y las técnicas de los artistas, ingenieros y talladores de piedra; la teoría por sí misma le interesaba poco. Empezó por poner en orden muchos teoremas utilizables, difundiendo inicialmente sus resultados en cartas y hojas impresas. Dio también clases gratis en París. Después escribió varios libros, uno de ellos de enseñanza de canto para niños, y otro de aplicación de la geometría a la albañilería y al tallado .de piedras.
Su texto principal, precedido en 1636 por un folleto sobre perspectiva, fue Brouillon project d'une atteinte aux événements des recontres du cone avec un plan (Borrador de un ensayo de tratado de los resultados de los encuentros de un cono con un plano, 1939)[39]. Este libro trata de lo que ahora llamaríamos métodos proyectivos en geometría. Desargues imprimió unos cincuenta ejemplares y los distribuyó entre sus amigos. Poco después, todos se habían perdido. Una copia manuscrita de La Hire fue hallada accidentalmente en 1845 por Michel Chasles y reproducida por N. G. Poudra, quien editó la obra de Desargues en 1864. Finalmente, Pierre Moisy descubrió hacia 1950 una primera edición de 1639 en la Biblioteca Nacional de París, que ha sido reproducida. Este ejemplar recién descubierto contiene también un apéndice y una importante fe de erratas del propio Desargues. El teorema fundamental de Desargues sobre triángulos y otros resultados fueron publicados en 1648 en un apéndice de un libro sobre perspectiva de un amigo suyo, Abraham Bosse (1602-76). En este libro, Maniere universelle de M. Desargues, pour pratiquer la perspective, Bosse trató de popularizar los métodos prácticos de Desargues.
Desargues empleaba una curiosa terminología, parte de la cual ya aparecía en la obra de Alberti. Llamaba «palmas» a las rectas. Cuando ciertos puntos aparecían señalados en la recta, lo llamaba «tronco». Sin embargo, una recta con tres pares de puntos en involución (ver más abajo) era un «árbol». La intención de Desargues al introducir esta nueva terminología era ganar en claridad al evitar las ambigüedades presentes en los términos más usuales. Pero su lenguaje y sus extrañas ideas hacían difícil la lectura del libro. Mersenne, Descartes, Pascal y Fermat lo llamaron loco. Incluso Descartes, al enterarse de que Desargues había introducido un nuevo método para tratar las cónicas, escribió a Mersenne que no veía cómo nadie pudiera hacer nada nuevo en cónicas que no fuese con ayuda del álgebra. Sin embargo, al conocer Descartes los detalles del trabajo de Desargues, lo respetó profundamente. Fermat consideraba a Desargues el verdadero fundador de la teoría de las secciones cónicas, y hallaba su libro rico en ideas, que al parecer poseía. Pero la falta general de aprecio hacia su obra repugnó a Desargues, que se retiró a su hacienda.
Antes de dar cuenta de los teoremas de Desargues, hemos de introducir un nuevo convenio sobre paralelas. Alberti había apuntado que dos rectas que son paralelas en una escena real deben ser dibujadas de forma que se corten en un punto, a no ser que sean paralelas al lienzo. Así, las líneas A'B' y C'D' de la figura 14.1 más arriba, que se corresponden con las paralelas AB y CD, según el principio de proyección y sección deben cortarse en algún punto O'. De hecho, O y AB determinan un plano, así como O y CD. Estos dos planos cortan al cristal en A'B' y C'D', pero como se cortan en O, esos dos planos han de tener una recta común; esta recta corta al cristal en cierto punto O', que es también la intersección de A'B' y C'D'. El punto O' no corresponde a ningún punto ordinario de AB ni de CD. De hecho, la recta OO' es horizontal, y por tanto paralela a AB y CD. El punto O' se llama punto impropio o de anulación, pues no tiene correspondiente en las rectas AB y CD, mientras que cualquier otro punto de A'B' y C'D' se corresponde con un punto definido de AB y CD, respectivamente.
Para completar la correspondencia entre los puntos de las líneas A'B' y AB, así como entre los puntos de C'D' y CD, Desargues introdujo un nuevo punto en AB y CD, llamado punto del infinito, que se añade a los puntos usuales de ambas líneas y debe considerarse como su punto común. Además, cualquier paralela a AB o CD debe contenerlo y cortar a AB y CD en él. Cualquier conjunto de rectas paralelas con dirección distinta de AB o CD tiene asimismo un punto del infinito. Como cada conjunto de rectas paralelas tiene un punto en común y existe un número infinito de conjuntos distintos de paralelas, el convenio de Desargues introduce una infinidad de nuevos puntos en el plano euclídeo. Hizo la hipótesis adicional de que éstos yacen en una recta, que corresponde a la línea del horizonte en la sección. Se añade así una nueva línea recta a las ya existentes en el plano euclídeo. Se supone que un conjunto de planos paralelos tiene en común la recta del infinito de cada uno de ellos; es decir, todos los planos paralelos se cortan en una recta.
La adición de un nuevo punto a cada recta no contradice axioma o teorema alguno de la geometría euclídea, aunque requiere ciertos cambios de terminología. Las rectas no paralelas siguen cortándose en puntos ordinarios, mientras que dos paralelas se cortan en el «punto del infinito» de cada una. Este convenio sobre los puntos del infinito en geometría euclídea es cómodo, pues evita considerar casos particulares. Por ejemplo, ahora se puede decir que dos rectas cualesquiera se cortan exactamente en un punto. Pronto veremos otras ventajas de este convenio.
También Kepler, en 1604, había añadido un punto del infinito a las rectas paralelas, pero por razones distintas.

Figura 14.3

Figura 14.4
Aunque el teorema es cierto tanto si los triángulos están en el mismo o en diferentes planos, la demostración sólo es sencilla en el último caso. Desargues probó el teorema y su recíproco, tanto para el caso bidimensional como el tridimensional.

Figura 14.5
Pappus ya había introducido esta razón (cap. 5, sec. 7) y había probado que es la misma en las dos rectas AD y A'D'. Menelao también probó un teorema semejante sobre círculos máximos en la esfera (cap. 5, sec. 6). Ninguno de ellos, sin embargo, pensaba en términos de proyecciones y secciones. Desargues sí, y demostró que la razón doble es la misma en cualquier sección de una proyección.
En su obra fundamental de 1639 trata del concepto de involución, también introducido por Pappus, y al que Desargues dio nombre.
![]()
Figura 14.6

Figura 14.7

Figura 14.8
Dos lados son opuestos cuando no tienen en común ninguno de los cuatro puntos, de forma que BC y DE son opuestos, como CD y BE y también BD y CE.
Las intersecciones O, F y A de los tres pares de lados opuestos son los puntos diagonales del cuadrilátero. Supongamos ahora que los cuatro vértices B, C, D y E están en un círculo, y supongamos que una recta PM corta a los pares de lados en P, Q; I, K; y G, H; y al círculo en el par L, M.
Estos cuatro pares de puntos son pares de una involución.
Supongamos además que la figura completa se proyecta desde un punto exterior al plano de la figura, y se efectúa una sección de esta proyección. El círculo dará origen en la sección a una cónica, y cada recta de la figura original dará lugar a su vez a una recta. En particular, el cuadrilátero inscrito en el círculo dará lugar a un cuadrilátero inscrito en la cónica. Como una involución se proyecta sobre una involución, se sigue el siguiente resultado, importante y general: si un cuadrilátero se halla inscrito en una cónica, cualquier recta que no pase por un vértice corta a la cónica y a los pares de lados opuestos del cuadrilátero completo en cuatro pares de puntos de una involución.
Desargues introduce a continuación la noción de cuaterna armónica. Los puntos A, B, E y F forman una cuaterna armónica si A y B son un par de puntos conjugados con respecto a los puntos dobles E y F de una involución. (La definición actual de que la razón doble de la cuaterna armónica sea igual a -1 es posterior.) [40] Como una involución se proyecta en una involución, una cuaterna armónica se proyecta en una cuaterna armónica. Desargues muestra entonces que si un miembro de una cuaterna armónica es el punto del infinito (de la recta de los cuatro), el otro punto del par es el punto medio del segmento que une los otros dos puntos de la cuaterna. Además, si A, B, A' y B' forman una cuaterna armónica (fig. 14.9), y se considera la proyección desde O, entonces OA' es perpendicular a OB', OA'es la bisectriz del ángulo AOB y OB' es la bisectriz del ángulo suplementario.

Figura 14.9

Figura 14.10
Tras demostrar los asertos anteriores para el círculo, Desargues usa una vez más la proyección desde un punto exterior al plano de la figura y una sección de dicha proyección para probar que los resultados se verifican para una cónica cualquiera.
Desargues define un diámetro de una cónica como la polar de un punto del infinito. Vamos a ver que esta definición coincide con la de Apolonio.

Figura 14.11
Vemos, pues, que Desargues no sólo introdujo nuevos conceptos, en particular los elementos del infinito, obteniendo muchos resultados, sino que, sobre todo, introdujo la proyección y sección como nuevo método de demostración, unificando así el estudio de los distintos tipos de cónicas, que Apolonio había tratado por separado. Desargues fue uno de los matemáticos más originales de un siglo rico en genios.
4. La obra de Pascal y La Hire
La segunda contribución de importancia a la geometría proyectiva fue la de Blaise Pascal (1623-62). Nacido en Clermont, Francia, fue un niño enfermizo y tuvo mala salud a lo largo de su corta vida. Su padre, Etienne Pascal, trató de mantener a su hijo alejado de las matemáticas hasta que tuviese quince o dieciséis años, por considerar que no se debe iniciar a un niño en una materia mientras no tenga edad suficiente para absorberla. Sin embargo, a los doce años de edad, Blaise insistió en saber qué era la geometría, y, una vez que se le dijo, empezó a trabajar en ella por su cuenta.
La familia se había trasladado a París cuando Pascal tenía ocho años. Incluso de niño iba con su padre a las reuniones semanales de la «Académie Mersenne», que más tarde se convertiría en la Academia Libre y, en 1666, en la Academia de Ciencias. Entre sus miembros se hallaban el P. Mersenne, Desargues, Roberval (profesor de matemáticas en el Collége de France), Claude Mydorge (1585-1647) y Fermat.
Pascal dedicó tiempo y energía considerables a la geometría proyectiva. Fue uno de los fundadores del cálculo, e influyó sobre Leibniz en esta cuestión. Como ya hemos visto, también tuvo participación en los comienzos de la investigación sobre la probabilidad. A los diecinueve años inventó la primera máquina calculadora para ayudar a su padre en su trabajo como tasador de impuestos. Sus aportaciones también incluyen la física, con su trabajo experimental en un original mecanismo para crear el vacío, en el estudio del decrecimiento del peso del aire con la altura y en la aclaración del concepto de presión en los líquidos. La originalidad de su trabajo en física ha sido cuestionada; de hecho, algunos historiadores de la ciencia lo han descrito como divulgativo o como plagiario, según lo compasivos que quisieran ser.
Pascal fue grande en muchos otros campos. Fue un maestro de la prosa francesa; sus Pensées y sus Lettres provinciales son clásicos de la literatura. Fue también polemista famoso en teología. Desde la infancia trató de reconciliar la fe religiosa con el racionalismo de las matemáticas y la ciencia, y ambos compitieron por su energía y su tiempo a lo largo de su vida. Pascal, como Descartes, creía que las verdades de la ciencia deben apelar claramente a los sentidos o a la razón, o ser consecuencias lógicas de tales verdades. No hallaba lugar para conjurar misterios en materias de ciencia y matemáticas. «Nada que tenga que ver con la fe puede ser objeto de la razón.» En materia de ciencia, en la cual sólo interviene nuestro pensamiento natural, la autoridad es inútil; la razón por sí misma tiene bases para tal conocimiento. Sin embargo, los misterios de la fe se ocultan a los sentidos y a la razón, y deben ser aceptados por la autoridad de la Biblia. Condena a los que usan la autoridad en la ciencia o la razón en la teología, considerando, no obstante, el nivel de la fe superior al de la razón.
La religión dominó sus pensamientos a partir de los veinticuatro años, aunque siguió realizando un trabajo matemático y científico. Creía que el afán por la ciencia por mero disfrute era incorrecto. Hacer del disfrute el fin principal de la investigación era corromperla, porque uno llegaba a adquirir «una codicia o lujuria por aprender, un apetito disoluto por el conocimiento... Un estudio así de la ciencia surge de un interés principal por uno mismo como el centro de las cosas, en lugar de preocuparse de buscar fuera, entre todos los fenómenos naturales que nos rodean, la presencia de Dios y Su gloria».
En su obra matemática fue mayormente intuitivo; anticipó grandes resultados, hizo soberbias conjeturas y supo ver métodos más directos. En etapas más avanzadas de su vida llegó a considerar la intuición como la fuente de toda verdad. Varias de sus frases sobre este tema se han hecho famosas: «El corazón tiene sus propias razones, que la razón desconoce.» «La razón es el lento y tortuoso método por el cual los que no conocen la verdad la descubren.» «Humíllate, razón impotente.»
Si hemos de guiarnos por la carta que escribió a Fermat el 10 de agosto de 1660, Pascal parece haberse vuelto en cierta medida contra las matemáticas hacia el fin de su vida: «Hablando francamente de las matemáticas, las encuentro el ejercicio más elevado del espíritu; pero al mismo tiempo sé que es tan inútil que hago poca distinción entre un hombre que sólo sea matemático y un artesano común. También la llamo la ocupación más bella del mundo; pero es sólo una ocupación; he dicho muchas veces que es bueno intentarlo [estudiar matemáticas], pero sin agotar nuestras fuerzas; así que yo no daría dos pasos por las matemáticas, y estoy seguro de que usted apoya firmemente mi opinión.» Pascal era hombre de cualidades muy variadas, aunque contradictorias.
Desargues urgió a Pascal a trabajar en el método de proyección y sección, sugiriéndole en particular el objetivo de reducir las muchas propiedades de las secciones cónicas a un pequeño número de proposiciones básicas. Pascal adoptó estas recomendaciones, y en 1639, a los dieciséis años, escribió un libro sobre cónicas que empleaba métodos proyectivos, es decir, proyección y sección. Este trabajo se ha perdido, pero Leibniz lo vio en París en 1676, y se lo describió al sobrino de Pascal. Un Ensayo sobre las cónicas (1640) de ocho páginas, conocido de unos pocos contemporáneos de Pascal, se perdió también, hasta 1779, en que fue recuperado[41]. Descartes, que leyó su ensayo de 1640, lo consideró tan brillante que no podía creer que lo hubiese escrito alguien tan joven.
El resultado más famoso de Pascal en geometría proyectiva, que aparece en las dos obras antes citadas, es un teorema que lleva hoy su nombre, y que en lenguaje moderno afirma lo siguiente: si se tiene un hexágono inscrito en una cónica, los tres puntos de intersección de los pares de lados opuestos están en línea recta.

Figura 14.12
Sólo tenemos indicaciones acerca de cómo probó Pascal este teorema. Afirma que, al ser cierto para el círculo, por proyección y sección debe ser cierto para todas las cónicas. Y es claro que si uno efectúa una proyección de dicha figura desde un punto exterior al plano, seguida de una sección, ésta contendrá una cónica y un hexágono inscrito en ella. Además, los lados opuestos del hexágono se cortarán en tres puntos que se hallarán sobre una recta, puntos y recta homólogos a P, Q, R y la recta PQR de la figura original. Por cierto, el teorema de Pappus (cap. 5, sec. 7), que se refiere a tres puntos sobre dos rectas, es un caso particular de este teorema. Cuando la cónica degenera en dos rectas, como cuando una hipérbola degenera en sus asíntotas, se obtiene la situación descrita por Pappus.
El recíproco del teorema de Pascal, a saber: «si un hexágono es tal que los puntos de intersección de sus tres pares de lados opuestos están en línea recta, entonces sus vértices están sobre una cónica», es también cierto, aunque Pascal no lo consideró. Hay otros resultados en la obra de Pascal de 1640, pero no vale la pena analizarlos aquí.
El método de proyección y sección fue continuado por Philippe de La Hire (1640-1718), que fue pintor en su juventud y después se dedicó a las matemáticas y la astronomía. Como Pascal, La Hire fue muy influido por Desargues y llevó a cabo considerable trabajo sobre las secciones cónicas. Parte de él, aparecido en publicaciones de 1673 y 1679, empleaba la manera sintética de los griegos, pero con nuevos métodos, como las definiciones focales de la elipse y la hipérbola, y en algunas cosas utilizó la geometría analítica de Descartes y Fermat. Su trabajo más importante, sin embargo, es Sectiones Conicae (1685), y está dedicado a la geometría proyectiva. Como Desargues y Pascal, La Hire demostraba primero propiedades del círculo, relativas sobre todo a cuaternas armónicas, y las trasladaba a otras secciones cónicas por proyección y sección. Podía así trasladar las propiedades del círculo a cualquier tipo de sección cónica con un solo método de demostración. Aunque hay algunas omisiones, como el teorema de involución de Desargues y el teorema de Pascal, hallamos en la obra de La Hire de 1685 prácticamente todas las propiedades de las cónicas que hoy nos son familiares, demostradas sintéticamente y establecidas sistemáticamente.

Figura 14.13
Globalmente considerados, los resultados de La Hire no van más allá de los de Desargues y Pascal. Sin embargo, en la teoría de polos y polares obtiene un resultado nuevo importante: demuestra que si un punto describe una línea recta, entonces la polar del punto gira alrededor del polo de la recta. Así, si Q (fig. 14.13) se mueve a lo largo de la recta p, la polar de Q gira alrededor del polo P de la recta p.
5. La aparición de nuevos principios
Por encima de los teoremas concretos de Desargues, Pascal y La Hire surgían nuevas ideas y perspectivas. La primera es la idea de cambio continuo de una entidad matemática de un estado a otro; en nuestro caso, la entidad es una figura geométrica. Fue Kepler, en su Astronomía pars Optica[42] de 1604, el primero que pareció darse cuenta de que la parábola, la elipse, la hipérbola, el círculo y la cónica degenerada formada por un par de rectas se pueden derivar continuamente unas de otras. Para llevar a cabo este proceso de cambio continuo de una figura en otra, por ejemplo, de elipse a parábola y después a hipérbola, Kepler fija un foco y supone el otro móvil a lo largo de la recta que los une. Al hacer que el foco móvil se desplace hasta el infinito (y que la excentricidad se aproxime a 1), la elipse se convierte en parábola, y si ahora hacemos que el foco móvil reaparezca en la recta, pero al otro lado del foco estacionario, la parábola se convierte en hipérbola. Cuando los dos focos de una elipse se juntan, ésta se convierte en un círculo, y cuando los dos focos de una hipérbola se juntan, ésta degenera en dos rectas. Para hacer posible que un foco pueda alejarse hasta el infinito y luego reaparecer al otro lado, Kepler suponía, como ya hemos indicado, que la línea recta, extendida en ambas direcciones, se corta a sí misma en el infinito en un punto, de forma que la recta tiene las propiedades de un círculo. Aunque no es satisfactorio desde el punto de vista intuitivo visualizar así la recta, la idea es lógicamente sólida, y llegó a ser fundamental en la geometría proyectiva del siglo XIX. Kepler indicó también que las diversas secciones del cono pueden obtenerse variando continuamente la inclinación del plano que las produce.
La noción de cambio continuo en una figura es también empleada por Pascal. Haciendo converger dos vértices consecutivos de un hexágono, éste se transforma en pentágono, lo cual le permite razonar sobre propiedades del pentágono a partir de las correspondientes del hexágono, analizando lo que les sucede ante cambios continuos. Análogamente se pasa de pentágonos a cuadriláteros.
La segunda idea que surge claramente de la obra de los geómetras «proyectivos» es la de transformación e invariancia. Proyectar una figura desde un cierto punto y luego obtener una sección de dicha proyección es transformar la figura original en otra nueva. Las propiedades de ésta que nos interesan son aquellas que permanecen invariantes por la transformación. Otros geómetras del siglo XIX, como Gregorio de St. Vincent (1584-1667) y Newton[43], introdujeron transformaciones distintas de la proyección y sección.
Estos geómetras proyectivos continuaron además la labor de búsqueda de métodos generales iniciada por los algebristas, Vieta en particular. En la época griega, los métodos de demostración habían sido de potencia limitada. Cada teorema exigía un plan de ataque distinto. Ni Euclides ni Apolonio parecen haberse preocupado de los métodos generales. Sin embargo, Desargues insistió en el método de proyección y sección porque veía en él un procedimiento general para probar teoremas sobre cónicas cualesquiera, una vez demostrados para el círculo. Además, vio en las nociones de involución y cuaterna armónica conceptos más generales que los de la geometría euclídea. En efecto, una cuaterna armónica, cuando uno de sus puntos está en el infinito, se reduce a tres puntos, uno de los cuales es el punto medio de los otros dos, por lo cual la noción de cuaterna armónica y los teoremas relativos a ellas son más generales que la noción de punto bisector de un segmento. Desargues y Pascal trataban de deducir el máximo número posible de resultados de un solo teorema. Bosse indica que Desargues dedujo sesenta teoremas de Apolonio a partir de su teorema de involución, y que Pascal le felicitó por ello. Este, en su búsqueda de las relaciones entre figuras distintas, como hexágono y pentágono, trató de hallar una aproximación común a ambas. Se piensa, en efecto, que dedujo unos 400 corolarios de su teorema del hexágono a base de analizar sus consecuencias para figuras relacionadas con él, aunque no se ha hallado ninguna obra suya en la que esto aparezca. El interés por el método es evidente en la obra de La Hire de 1685, cuyo objetivo principal era precisamente probar que el método de proyección y sección era superior a los de Apolonio, e incluso a los métodos algebraicos de Descartes. Este afán por la generalidad en resultados y métodos se convirtió en fuerza poderosa en la matemática posterior.
Mientras los geómetras insistían en la generalidad del método, estaban descubriendo inconscientemente otro tipo de generalidad. Muchos de los teoremas, como el del triángulo de Desargues, tratan de intersecciones de rectas, y no de longitudes, ángulos y áreas, como sucede en la geometría euclídea. La intersección de dos rectas es lógicamente anterior a cualquier consideración de tamaño, pues el propio hecho de la intersección determina la formación de una figura. Estaba naciendo una nueva y fundamental rama de la geometría interesada en las propiedades de posición e intersección, y no en las métricas o de tamaño. Sin embargo, los matemáticos del siglo XVII que trabajaron en geometría proyectiva empleaban la geometría euclídea como base, particularmente los conceptos de distancia y medida de ángulos. Además, estos geómetras, lejos de pensar en términos de la nueva geometría, intentaban de hecho mejorar los métodos de la geometría euclídea. La conciencia de que en su trabajo se hallaba implícita una nueva rama de la geometría no llegó hasta el siglo XIX.
Si bien la motivación para el estudio de la geometría proyectiva fue originalmente el deseo de ayudar a los pintores, este objetivo se desvió y se fundió con el creciente interés por las secciones cónicas. Pero la matemática pura no resultaba agradable al espíritu del siglo XVII, cuyos matemáticos estaban mucho más interesados en entender y dominar la naturaleza; es decir, en los problemas científicos. Los métodos algebraicos resultaron ser más efectivos en el tratamiento de los problemas matemáticos, y proporcionaban el conocimiento cuantitativo que ciencia y tecnología buscaban. Los resultados cualitativos obtenidos por la geometría proyectiva con sus métodos sintéticos no eran, ni mucho menos, tan útiles. De aquí que fuese abandonada en favor del álgebra, la geometría analítica y el cálculo, que dieron lugar, independientemente, a nuevas áreas de central importancia en la matemática moderna. Los resultados de Desargues, Pascal y La Hire fueron olvidados y hubo de redescubrirse más tarde, en el siglo XIX sobre todo, época en la cual las creaciones y nuevos puntos de vista surgidos entre tanto permitieron a los matemáticos sacar el fruto de las grandes ideas aún latentes en la geometría proyectiva.
Bibliografía
- Chasles, Michel: Aperqu historique des méthodes en géometrie, 3 ed., Gauthier-Villars et Fils, pp. 68-95,118-37 (igual que en la primera edición de 1837).
- Coolidge, Julián L.: A History of Geometrical Methods. Dover (reimpresión), 1963, pp. 88-92. —: A History of the Conic Sections and Quadric Surfaces, Dover (reimpresión), 1968, cap. 3. —: «The Rise and Fall of Projective Geometry», Amer. Math. Monthly, 41, 1934, 217-28.
- Desargues, Girard: Oeuvres, 2 vols., Leiber, 1864.
- Ivins, W. M., Jr.: «A Note on Girard Desargues», Scripta Math., 9, 1943, 33-48. —: «A Note on Desargues’s Theorem», Scripta Math., 13, 1947, 203-10.
- Mortimer, Ernest: Blaise Pascal: The Life and Work of a Realist, Harper and Bros., 1959.
- Pascal, Blaise: Oeuvres, Hachette, 1914-21. —: Obras. 1, Madrid, Alfaguara,1 1981.
- Smith, David Eugene: A Source Book in Mathematics, Dover (reimpresión), 1959, vol. 2, pp. 307-14, 326-30.
- Struik, D. JA Source Book in Mathematics, 1200-1800, Harvard University Press, 1969, pp. 157-68.
- Taton, René: L'Oeuvre mathématique de G. Desargues, Presses Universitai- res de France, 1951.
Capítulo 15
La geometría analítica
He decidido abandonar la geometría abstracta, es decir, la consideración de cuestiones que sólo sirven para ejercitar la mente, para estudiar otro tipo de geometría que tiene por objeto la explicación de los fenómenos de la naturaleza.
René Descartes
Contenido:1. La motivación de la geometría de coordenadas1. La motivación de la geometría de coordenadas
2. La geometría analítica de Fermat
3. René Descartes
4. La obra de Descartes en geometría analítica
5. El avance de la geometría analítica
6. El avance de la geometría analítica durante el siglo XVII
7. La importancia de la geometría analítica
Bibliografía
Fermat y Descartes, los dos principales responsables de la gran creación matemática que siguió a las que hemos estudiado, estaban interesados, como Desargues y sus seguidores, en hallar métodos generales para el estudio de curvas. Pero Fermat y Descartes se hallaban inmersos en el trabajo científico, siendo, por ello, plenamente conscientes de la necesidad de métodos cuantitativos, y la impresión que causó en ambos la potencia del álgebra hizo que se volcaran a la aplicación de ésta al estudio de la geometría. La disciplina que crearon se llama geometría de coordenadas o analítica, y su idea central es asociar ecuaciones algebraicas a las curvas y superficies. Es ésta una de las vetas más ricas y fructíferas del pensamiento matemático que jamás se hayan encontrado.
Está fuera de toda duda que la motivación de Fermat y Descartes se hallaba en las necesidades de la ciencia y en su interés por la metodología. Las aportaciones de Fermat al cálculo, la construcción de tangentes y la obtención de máximos y mínimos fueron motivadas, como veremos más claramente al hablar de la historia del cálculo, por la resolución de problemas científicos. Hizo, además, aportaciones de primer orden a la óptica. Su interés por la metodología puede comprobarse explícitamente en su breve libro Ad Locos Planos et Solidos Isagoge (Introducción a los lugares planos y sólidos[44]), escrito en 1629, pero publicado en 1679[45], en el que habla de su búsqueda de métodos universales para los problemas de curvas. Fue, al igual que Descartes, uno de los científicos más grandes de siglo XVII, y como él, hizo del método un objetivo primario de todo su trabajo.
2. La geometría analítica de Fermat
En sus trabajos en teoría de números, Fermat partió de la obra de Diofanto. Para sus investigaciones sobre curvas, partió de la obra de los geómetras griegos, sobre todo Apolonio, cuyo libro perdido Lugares planos había reconstruido. Gracias a sus contribuciones al álgebra, estaba en condiciones de aplicarla al estudio de las curvas, cosa que hizo en Ad Locos, afirmando su propósito de inaugurar un estudio general de los lugares geométricos que los griegos no habían llegado a hacer. No conocemos la manera exacta en que evolucionaron las ideas de Fermat sobre la geometría analítica. Aunque estaba familiarizado con el uso que daba Vieta al álgebra en la resolución de problemas geométricos, lo más probable es que tradujese directamente los resultados de Apolonio a una forma algebraica.

Figura 15.1
Fermat había enunciado con anterioridad su principio general: «Siempre que en una ecuación se hallen dos cantidades incógnitas, tenemos un lugar geométrico, cuyo extremo describe una línea recta o curva.» Así, los extremos J, J', J''... de E en sus diversas posiciones describen la «línea». Sus cantidades desconocidas A y E son en realidad variables, esto es, la ecuación en A y E es indeterminada. Aquí usa Fermat la idea de Vieta de representar con una letra toda una clase de números. A continuación, Fermat da varias ecuaciones algebraicas en A y E y analiza las curvas que describen. Así, escribe «D in A aequetur B in E» (en nuestra notación, Dx = By), y afirma que representa una línea recta. Da también la ecuación más general d(a - x) = by en nuestra notación, concluyendo que también representa una recta. La ecuación «B quad. - A quad. aequetur E quad» (en nuestra notación, B2 - x2 = y2) representa un círculo. Análogamente, a2 - x2 = ky2 representa una elipse, a2 + x2 = ky2 y xy = a representan hipérbolas, y x2 = ay representa una parábola. Como Fermat no usaba coordenadas negativas, sus ecuaciones no podían representar las curvas completas que pretendía describir. Era consciente de la posibilidad de trasladar y girar los ejes, ya que consideró ecuaciones más complicadas de segundo grado, dando las formas más simples a las que se pueden reducir. Afirma, de hecho, que una ecuación de primer grado en A y E tiene como lugar geométrico una recta, y todas las ecuaciones de segundo grado tienen cónicas como lugares geométricos. En su Methodus ad Disquiriendam Maximam et Minimam (Método para hallar máximos y mínimos, 1637)[46], introdujo las curvas de y = xn e y = x-n.
2. René Descartes
Descartes fue el primer gran filósofo moderno, uno de los fundadores de la biología moderna, un físico de primera fila y, sólo incidentalmente, matemático. Pero cuando un hombre de tal potencia intelectual dedica aunque sólo sea una parte de su tiempo a un tema, los resultados han de ser forzosamente importantes.
Nació en La Haye, Turena (Francia), el 31 de marzo de 1596. Su padre, un abogado moderadamente rico, le envió a los ocho años de edad al colegio de jesuitas de La Fleche, en Anjou. Por su delicada salud, le era permitido pasar las mañanas en la cama, tiempo que aprovechaba para estudiar, y conservó esa costumbre durante toda su vida. A los dieciséis años dejó La Fleche y a los veinte se licenció en la Universidad de Poitiers con el título de abogado y marchó a París. Allí encontró a Mydorge y al P. Marín Mersenne y pasó un año con ellos estudiando matemáticas. Descartes, sin embargo, era muy inquieto y se enroló en el ejército del príncipe Mauricio de Orange en 1617. Pasó los nueve años siguientes alternando el servicio en diversos ejércitos con la juerga en París, aunque siguió estudiando matemáticas en todo este período. Su habilidad para resolver un problema anunciado en un tablón en Breda (Holanda) le convenció de su capacidad matemática, y empezó a plantearse seriamente dedicarse a ello. Volvió a París, y, entusiasmado por la potencia del telescopio, se recluyó para estudiar la teoría y construcción de instrumentos ópticos. En 1628 se fue a Holanda en busca de ambiente intelectual más libre y seguro. Allí vivió veinte años y escribió sus famosas obras. En 1649 fue invitado a la corte de la reina Cristina de Suecia. Aceptó, tentado por el honor y el atractivo de la realeza, y allí murió de neumonía en 1650.
Su primera obra, Regulae ad Directionem Ingenii (Reglas para la dirección del espíritu)[47], fue escrita en 1628 y publicada póstumamente. Su siguiente obra importante fue Le Monde (Sistema del mundo, 1634), que contiene una teoría cosmológica de vórtices para explicar cómo se mantienen los planetas en su movimiento propio y en sus órbitas alrededor del sol. Sin embargo, no la publicó por miedo a ser perseguido por la Iglesia. En 1637 publicó el Discours de la méthode pour bien conduire la raison, et chercher la vérité dans les Sciences[48]. Este libro, un clásico de la literatura y la filosofía, contiene tres famosos apéndices: La Géometrie, La Dioptrique y Les Méteores. La Géometrie contiene sus ideas sobre la geometría analítica y el álgebra, y es el único libro de matemáticas escrito por Descartes, aunque no dejó de comunicar por carta otras muchas ideas matemáticas. El Discours le trajo gran fama de inmediato, y su entusiasmo y el de su público no dejaron de crecer con el paso del tiempo. En 1644 publicó Principia Philosopbiae, dedicada a la ciencia física y en especial a las leyes del movimiento y la teoría de vórtices. Contiene material de su Sistema, que ahora consideraba más aceptable para la Iglesia. En 1650 publicó Musicae Compendium.
Las ideas de Descartes dominaron el siglo XVII. Sus enseñanzas y escritos llegaron a ser conocidos incluso entre personas ajenas a la ciencia, por la forma tan atractiva en que él las presentaba. Sólo la Iglesia le rechazó. En realidad, Descartes era persona devota, y feliz de haber establecido (como creía) la existencia de Dios. Pero había enseñado que la Biblia no era la fuente del conocimiento científico, que la razón por sí sola bastaba para establecer la existencia de Dios, y que el hombre sólo debía aceptar aquello que pudiese entender. La Iglesia reaccionó ante tales enseñanzas incluyendo el libro en el Índice de libros prohibidos poco después de su muerte, y prohibiendo las oraciones fúnebres con ocasión de su entierro en París.
Descartes llegó a la matemática por tres vías: la filosofía, el estudio de la naturaleza y el interés por los usos de la ciencia. Es difícil, y quizá artificial, tratar de separar estas tres líneas de pensamiento. Vivió la culminación de la controversia protestante y los primeros logros de la ciencia en el descubrimiento de leyes de la naturaleza que desafiaban a muchas doctrinas religiosas. Todo ello hizo que Descartes empezase a dudar de los conocimientos que había adquirido en la escuela. Al término de sus estudios en La Fleche, había llegado ya a la conclusión de que su educación no había hecho más que contribuir a su perplejidad. Se vio asediado por dudas, y se convenció de que no había más progreso que el reconocimiento de su propia ignorancia. Pero como había asistido a una de las escuelas más famosas de Europa, y no se consideraba mal estudiante, se vio justificado para dudar de que hubiera en alguna parte algún cuerpo de conocimiento seguro. Se planteó así la cuestión: ¿Cómo podemos llegar al conocimiento de algo?
Pronto llegó a la conclusión de que la lógica en sí misma era estéril: «En cuanto a la Lógica, los silogismos y los demás preceptos son de utilidad para la comunicación de lo que ya sabemos, o... incluso para hablar sin juicio de cosas que ignoramos, pero no para investigar lo desconocido.» La lógica, pues, no nos proporciona las verdades fundamentales.
¿Y dónde hallarlas? Rechazó la filosofía del momento, fundamentalmente escolástica, que, aunque sugestiva, parecía no disponer de fundamentos claros y cuyos razonamientos no siempre eran irreprochables. La filosofía, concluyó, sólo proporciona «los medios para disertar sobre cualquier materia con apariencia de verdad». La teología apuntaba hacia un cielo al que aspiraba a llegar tanto como cualquier otro, pero ¿era correcto el camino?
El método para establecer la verdad en cualquier campo se le ocurrió, según él, en un sueño, el 10 de noviembre de 1619, durante una de sus campañas militares. Era el método de las matemáticas. Estas le atraían porque las pruebas basadas en sus axiomas eran irrefutables, y la autoridad no contaba para nada. Las matemáticas proporcionaban el método para llegar a las verdades y para demostrarlas efectivamente, y era evidente que dicho método trascendía a su materia de estudio. Dice: «Es un método de conocimiento más potente que ningún otro que nos haya sido otorgado por obra humana, y es la fuente de todos los demás.» Continúa en la misma idea:
...Todas las ciencias que tienen como fin la investigación sobre el orden y la medida están relacionadas con las matemáticas, y poco importa si esa medida se busca en los números, formas, estrellas, sonidos o cualquier otro objeto; por todo ello, debe existir una ciencia general que explique todo lo que deba ser conocido sobre el orden y la medida, con independencia de su aplicación a alguna disciplina particular, y es así que esta ciencia tiene su propio nombre, consagrado por su prolongado uso, y es el de matemáticas. Y una prueba de que sobrepasa con mucho en facilidad e importancia a las ciencias que de ella dependen es que abarca a la vez todos los objetos a las que éstas se dedican, además de muchos otros...Y así concluye que
«las largas cadenas de razonamientos simples y fáciles a que están acostumbrados los geómetras para alcanzar las conclusiones de sus más difíciles demostraciones me han llevado a imaginar que todas las cosas cuyo conocimiento compete al hombre están mutuamente relacionadas de la misma forma».De su estudio del método matemático extrajo en las Reglas para la dirección del espíritu los siguientes principios para asegurar la exactitud del conocimiento en cualquier campo: no aceptar como verdadero nada que no esté en la mente de forma tan clara y distinta que excluya cualquier duda; dividir las dificultades en otras menores; proceder de lo simple a lo complejo; y, finalmente, enumerar y revisar los pasos del razonamiento de forma tan completa que nada pueda omitirse.
Con estos elementos esenciales del método, destilados de su práctica matemática, Descartes esperaba resolver cuestiones de filosofía, física, anatomía, astronomía, matemáticas y otros campos. Y aunque no tuvo éxito en tan ambicioso programa, sí hizo contribuciones notables a la filosofía, las ciencias y las matemáticas. La aprehensión inmediata por la mente de verdades básicas, claras y distintas, el poder de la intuición y la deducción de consecuencias son la esencia de su filosofía del conocimiento. Cualquier pretensión de conocimiento obtenido de otra forma debe rechazarse como sospechosa de error y peligrosa. El propósito de los tres apéndices del Discours es mostrar la efectividad de su método, cosa que creyó haber logrado.
Descartes inauguró la filosofía moderna. No podemos aquí seguir hablando de su sistema, sino sólo de unos pocos aspectos de importancia para las matemáticas. En filosofía, tomó como axiomas verdades que le pareciesen tan claras como para aceptarlas de inmediato, adoptando finalmente cuatro:
(a) cogito, ergo sum (pienso, luego existo);
(b) todo fenómeno tiene una causa;
(c) un efecto no puede ser mayor que su causa;
(d) son innatas a la mente las ideas de perfección, espacio, tiempo y movimiento.
La idea de perfección, de ser perfecto, no puede ser deducida o creada por la mente imperfecta del hombre, en virtud del axioma (c). Sólo puede obtenerse a partir de un ser perfecto. Luego Dios existe. Como Dios no puede engañarnos, podemos estar seguros de que los axiomas de las matemáticas, que son claros para nuestra intuición, y las deducciones que de ellos hacemos mediante procesos puramente mentales se aplican realmente al mundo físico y son, pues, verdades. Se sigue así que Dios tiene que haber establecido la naturaleza según leyes matemáticas.
En cuanto a las propias matemáticas, creía en las ideas claras y distintas, como la de triángulo. Estas ideas matemáticas existen y son eternas e inmutables, y no dependen de que se piense en ellas o no. Las matemáticas, pues, tienen una existencia externa y objetiva.
La segunda cuestión esencial para Descartes, y para casi todos los pensadores de su época, era entender la naturaleza. Dedicó muchos años a los problemas científicos y experimentó intensamente en mecánica, hidrostática, óptica y biología. Su teoría de los vórtices fue la dominante en cosmología durante todo el siglo XVII. Fue el fundador de la filosofía mecanicista, según la cual todos los fenómenos naturales, incluyendo el funcionamiento del cuerpo humano y excluyendo el alma, se reducen a movimientos que obedecen a las leyes de la mecánica. La óptica, particularmente el diseño de lentes, tenía gran interés para él. Parte de La Géometrie está dedicada a la óptica, y lo mismo sucede con La Dioptrique. Descartes comparte con Willebrord Snell el honor del descubrimiento de la ley de refracción de la luz. Como en filosofía, su obra científica fue fundamental y revolucionaria.
De gran importancia en esta obra científica es el interés de Descartes para poner en uso los frutos de la ciencia (cap. 11, sec. 5), en lo cual se separa clara y abiertamente de los griegos. Dominar la naturaleza para el bien del hombre es la motivación de muchos de los problemas científicos a los que se dedicó. E impresionado por el poder de las matemáticas, se aplicó en utilizarlas; para él, no era una disciplina contemplativa, sino una ciencia constructiva y útil. Al contrario que a Fermat, poco le importaba su belleza y armonía, y menos aún valoraba la matemática pura, llegando a afirmar que el método matemático aplicado sólo a las matemáticas carece de valor por no ser parte del estudio de la naturaleza. Aquellos que cultivan las matemáticas por sí mismas son investigadores ociosos entregados a un juego vano del espíritu.
3. La obra de Descartes en geometría analítica
Convencido de la importancia del método y de la posibilidad de emplear con provecho las matemáticas en el trabajo científico, Descartes se dedicó a aplicar dicho método a la geometría. En esa empresa juntaron sus fuerzas su interés general en el método y su particular conocimiento del álgebra. Le molestaba que cada demostración de la geometría euclídea exigiese argumentos nuevos y a menudo ingeniosos. Tildaba explícitamente a la geometría de los clásicos de abstracta en exceso y tan ligada a las figuras «que sólo puede ejercitar el entendimiento a condición de fatigar grandemente la imaginación». El álgebra, que tan extendida halló, fue también objeto de su crítica, por estar tan completamente sujeta a reglas y fórmulas «que resulta un arte lleno de confusión y oscuridad e idóneo para estorbar, y no una ciencia útil para el desarrollo de la mente». Por todo ello, Descartes propone tomar lo mejor del álgebra y la geometría y corregir los defectos de una con la ayuda de la otra.
Lo que en realidad emprendió fue la aplicación del álgebra a la geometría. Vio con claridad la potencia del álgebra y su superioridad sobre los métodos geométricos de los griegos en la creación de una metodología más amplia. Hizo asimismo notar la generalidad del álgebra y su valor en la mecanización del proceso del razonamiento y en la reducción del trabajo en la resolución de problemas, y percibió su potencial como ciencia universal del método. El producto de esta aplicación del álgebra a la geometría fue La Géometrie.
Aunque Descartes usó las mejoras en la notación algebraica que ya hemos indicado en el capítulo 13, su libro no es fácil de leer. Esta oscuridad era en gran parte deliberada, y Descartes presumía que pocos matemáticos en Europa podían entender su trabajo. Se limitó a indicar las construcciones y demostraciones, dejando a otros la labor de completar los detalles. En una carta compara su manera de escribir con la de un arquitecto que traza los planos y prescribe lo que ha de hacerse, y deja el trabajo manual a carpinteros y albañiles. Dice también: «Nada he omitido por descuido, más preveo que ciertas personas que presumen de saberlo todo no perderían la oportunidad de decir que no he escrito nada que ellos no conociesen si me expresase de forma suficientemente inteligible para ellos.» Muchos comentarios explicativos se han escrito para hacer comprensible el libro de Descartes.
Sus ideas sólo pueden entenderse mediante los ejemplos que da en el libro. Omite la demostración de la mayor parte de sus enunciados generales alegando que si uno se molesta en examinar sistemáticamente estos ejemplos, las demostraciones de los resultados generales resultan claras, y es mejor aprenderlas de esta manera.
Comienza La Géometrie con la resolución de problemas geométricos mediante el álgebra, a la manera de Vieta, y sólo de forma gradual va surgiendo la idea de la ecuación de una curva. Apunta en primer lugar que las construcciones geométricas requieren sumar, restar, multiplicar y dividir líneas, así como extraer raíces cuadradas de líneas concretas. Como todas estas operaciones existen también en el álgebra, pueden expresarse en términos algebraicos.
Para abordar un problema dado, Descartes dice que debemos suponer conocida la solución y representar con letras todas las líneas, conocidas y desconocidas, que sean necesarias para la construcción buscada. Así, al no hacer distinción entre líneas conocidas y desconocidas, hemos de «desenmarañar» la dificultad mostrando en qué forma están relacionadas entre sí estas líneas, con la idea de expresar la misma cantidad de dos formas distintas, lo cual nos da una ecuación. Hemos de encontrar tantas ecuaciones como líneas desconocidas haya. Si quedan varias ecuaciones, hay que combinarlas hasta que sólo quede una línea incógnita expresada en términos de líneas conocidas. A continuación, Descartes muestra cómo construir la línea desconocida empleando el hecho de que satisface la ecuación algebraica.
Supongamos, por ejemplo, que un problema geométrico nos lleva a hallar una longitud desconocida x, y que la formulación algebraica indica que x debe satisfacer la ecuación x2 = ax + b2, donde a y b son longitudes conocidas. Sabemos entonces por álgebra que


Figura 15.2

En la primera mitad del libro I, Descartes resuelve exclusivamente problemas clásicos con ayuda del álgebra, lo que constituye una aplicación del álgebra a la geometría, pero no geometría analítica en nuestro sentido actual. Hasta este punto sólo ha considerado problemas de construcción determinados, que tienen una única solución. Aborda a continuación problemas indeterminados, en los que hay muchas longitudes como soluciones posibles. Los extremos de todas estas longitudes rellenan una curva, y aquí, según Descartes, «se pide también descubrir y trazar la curva que contiene todos esos puntos».
Esta curva viene descrita por la ecuación indeterminada final que expresa las longitudes incógnitas y en términos de las longitudes arbitrarias x. Descartes insiste además en que para cada x, y satisfaga una ecuación determinada, de forma que pueda construirse. Si la ecuación es de primer o segundo grado, y puede construirse por los métodos del libro I, por medio de rectas y círculos exclusivamente. Para ecuaciones de grado superior, anuncia que mostrará su construcción en el libro III.
Descartes usa el teorema de Pappus (cap. 5, sec. 7) para ilustrar lo que sucede cuando un problema da lugar a una ecuación con dos incógnitas. Este problema, que no había sido resuelto en toda su generalidad, dice lo siguiente: dadas tres rectas en un plano, hallar la posición (o lugar geométrico) de todos los puntos desde los que se pueden trazar tres rectas, una para cada una de las dadas, que formen un ángulo determinado con cada una de ellas (el ángulo puede variar de una recta a otra), de forma que el rectángulo formado por dos de las líneas construidas esté en una razón dada con el cuadrado de la tercera línea construida; si son cuatro las rectas dadas inicialmente, entonces las rectas construidas formando ángulos dados con las dadas deben ser tales que el rectángulo formado por dos de ellas debe estar en una razón dada con el formado por las otras dos; si hay inicialmente cinco rectas, entonces las cinco rectas construidas formando un ángulo dado con cada una de las anteriores deben ser tales que el producto de tres de ellas esté en una razón dada con el producto de las dos restantes. La condición exigida al lugar geométrico cuando se dan más de cinco líneas es una extensión obvia de la ya mencionada.
Pappus había anunciado que cuando se dan tres o cuatro rectas, el lugar buscado es una sección cónica. En el libro II, Descartes trata el problema de Pappus para el caso de cuatro rectas.

Figura 15.3
Descartes llama x a AP e y a PC. Por consideraciones geométricas sencillas, obtiene los valores de CR,CQ y CS en términos de cantidades conocidas. Emplea estos valores en la condición CP ´ CR = CS ´ CQ y obtiene una ecuación de segundo grado en x e y de la forma
y2 = Ay + Bxy + Cx + Dx2 (2)
donde A, B, C y D son expresiones algebraicas sencillas en términos de las cantidades conocidas. Ahora indica Descartes que si seleccionamos un valor cualquiera de x, tenemos una ecuación cuadrática en y de la que y puede despejarse, y, por tanto, construirse con regla y compás, como ya se ha mostrado en el libro I. Por consiguiente, si se toman infinitos valores de x se obtienen un número infinito de valores de y, y, por tanto, un número infinito de puntos C. El lugar de todos estos puntos C es una curva cuya ecuación es (2).Lo que ha hecho Descartes es establecer una recta (AG en la figura anterior) como línea de base con un origen en el punto A. Los valores x son, pues, longitudes a lo largo de esta recta, y los valores y son longitudes que comienzan en la línea de base y forman un ángulo fijo con ella. Este sistema de coordenadas es lo que ahora llamamos un sistema oblicuo. Las x e y de Descartes sólo pueden tomar valores positivos; sin embargo, sus ecuaciones cubren porciones de la curva en zonas distintas de la que hoy llamaríamos primer cuadrante. Se limita a suponer que el lugar geométrico en consideración se halla en el primer cuadrante, haciendo referencias de pasada sobre lo que podría suceder en otro caso. Que existe una longitud para cada número real positivo se da por hecho inconscientemente.
Una vez que ha llegado a la idea de la ecuación de una curva, Descartes procede a desarrollarla. Se demuestra fácilmente, afirma, que el grado de una curva es independiente de la elección del eje de referencia, y aconseja elegir este eje de forma que la ecuación resultante sea lo más sencilla posible. En otro gran paso adelante, considera dos curvas distintas, expresa sus ecuaciones con respecto a los mismos ejes de referencia y halla sus puntos de intersección resolviendo las ecuaciones simultáneamente.
También en el libro II, Descartes considera críticamente las distinciones que hacían los griegos entre curvas planas, sólidas y lineales. Estos habían llamado curvas planas a las constructibles con regla y compás; las curvas sólidas eran las secciones cónicas, y las curvas lineales eran todas las demás, como la concoide, la espiral, la cuadratriz y la cisoide. Los griegos también llamaban a las lineales curvas mecánicas, porque se necesita cierto mecanismo especial para construirlas. Pero, dice Descartes, incluso la recta y el círculo requieren algún instrumento. Y, además, no nos puede importar la precisión de la construcción mecánica, pues lo único que cuenta en matemáticas es el razonamiento. Posiblemente, prosigue, los antiguos ponían objeciones a estas curvas por estar definidas de forma insegura. Sobre estas bases rechaza Descartes la idea de que sólo son legítimas las curvas constructibles con regla y compás[49], y llega a proponer nuevas curvas engendradas por construcciones mecánicas. Concluye con la muy significativa afirmación de que las curvas geométricas son las que pueden expresarse mediante una única ecuación algebraica (de grado finito) en x e y, con lo que acepta la concoide y la cisoide, mientras que llama mecánicas a todas las demás curvas, como la espiral y la cuadratriz.
Esta insistencia de Descartes en que las curvas aceptables son las que admiten una ecuación algebraica es el principio de la eliminación de la constructibilidad como criterio de existencia. Leibniz fue más lejos que Descartes: empleando las palabras «algebraica» y «trascendente» en vez de los términos de Descartes «geométrica» y «mecánica», protestaba contra el requerimiento de que una curva hubiese de tener una ecuación algebraica [50]. De hecho, Descartes y sus contemporáneos hicieron caso omiso de tal restricción y trabajaron con igual entusiasmo con la cicloide, la curva logarítmica, la espiral logarítmica (log ρ = aθ), y otras curvas no algebraicas.
Al ampliar el concepto de curva admisible, Descartes dio un paso fundamental. No sólo admitía curvas anteriormente rechazadas, sino que ensanchaba su dominio, pues dada cualquier ecuación algebraica en x e y, puede obtenerse su curva, y generar así curvas totalmente nuevas. En Arithmetica Universalis, Newton dice (1707): «Pero los modernos geómetras, avanzando todavía mucho más allá [de las curvas planas, sólidas y lineales de los griegos], han recibido en la geometría todas las líneas que pueden expresarse por ecuaciones.»
Descartes prosigue considerando las clases de curvas geométricas. La primera y más simple es la formada por las de primer y segundo grados en x e y. Descartes dice en este sentido que las ecuaciones de las secciones cónicas son de segundo grado, pero no lo demuestra. Las curvas cuyas ecuaciones son de tercer y cuarto grados constituyen la segunda clase, las de grados quinto y sexto, la tercera, y así sucesivamente. La razón para agrupar los grados tercero y cuarto, así como el quinto y el sexto, es que creía que se podía reducir una del grado superior al inferior, de la misma forma en que las ecuaciones de cuarto grado pueden resolverse mediante las de tercero. Esta creencia era, por supuesto, incorrecta.
El tercer libro de La Géometrie vuelve al tema del libro I. Su objetivo es la resolución de problemas de construcciones geométricas que, al formularse algebraicamente, dan lugar a ecuaciones determinadas de grado tercero o superior y que, de acuerdo con el álgebra, precisan de las secciones cónicas y curvas de grado superior. Considera, por ejemplo, el problema de construir las dos medias proporcionales entre dos cantidades dadas a y q. El caso especial q = 2a fue abordado muchas veces por los griegos clásicos por su importancia en el problema de la duplicación del cubo. Descartes procede como sigue: sea z una de las medias proporcionales; entonces z2/a tiene que ser la segunda, ya que se ha de cumplir que

z3 = a2q, (3)
es decir, hemos de resolver una ecuación cúbica. Descartes muestra entonces que z y z2/a pueden obtenerse por una construcción geométrica que utiliza una parábola y un círculo.Tal y como describe Descartes la construcción, no aparecen coordenadas. Sin embargo, la parábola no se puede construir con regla y compás sino punto a punto, y se debe, por tanto, utilizar la ecuación para dibujar la curva exactamente.
Descartes no obtiene z por el procedimiento de escribir las ecuaciones en x e y del círculo y la parábola y hallar las coordenadas del punto de intersección resolviendo el sistema de ecuaciones. En otras palabras, no resuelve las ecuaciones gráficamente en el sentido que le damos nosotros. En su lugar, usa construcciones puramente geométricas (excepto en su suposición de que se puede dibujar la parábola), el conocimiento de que z satisface una ecuación y las propiedades geométricas del círculo y la parábola (que se pueden ver más fácilmente mediante sus ecuaciones). Descartes hace aquí lo mismo que en el libro I, con la salvedad de que en el problema de construcciones que resuelve ahora la longitud incógnita satisface una ecuación de tercer grado o superior, en vez de ser de primer o segundo grados. Su solución de los aspectos puramente algebraicos del problema y la subsiguiente construcción son prácticamente las mismas que habían dado los árabes, con la diferencia de que él podía usar las ecuaciones de las secciones cónicas para deducir sus propiedades y dibujarlas.
Descartes no sólo deseaba mostrar cómo podían resolverse ciertos problemas sólidos con la ayuda del álgebra y de las cónicas, sino que le interesaba clasificar los problemas para poder entender lo que había en cada uno de ellos y saber cómo proceder para resolverlos. Su clasificación se basa en el grado de la ecuación a la que se llega al formular algebraicamente el problema de construcción.
Si dicho grado es uno o dos, la construcción puede efectuarse con rectas y círculos. Si el grado es tres o cuatro, hay que usar cónicas, y afirma —por cierto— que todos los problemas cúbicos pueden reducirse a la trisección del ángulo y la duplicación del cubo, y que ninguno de ellos puede resolverse sin utilizar curvas más complicadas que el círculo. Si el grado de la ecuación es superior a cuatro, se precisan curvas más complicadas que las cónicas para efectuar la construcción.
Descartes también consideraba el grado de una curva como medida de su simplicidad. Siempre debe usarse la curva más simple, es decir, la de menor grado, para resolver un problema de construcción. Esta insistencia en el grado llegó a ser tan intensa que una figura complicada como el folium (u hoja) de Descartes (fig. 15.4), cuya ecuación es x3 + y3 — 3axy = 0, era considerada más simple que y = x4.
Mucho más importante que la visión cartesiana de los problemas de construcción y su clasificación es la importancia dada al álgebra. Esta es la clave para reconocer los problemas típicos de la geometría y unificar problemas cuya forma geométrica no parece guardar relación alguna.
El álgebra aporta a la geometría los principios más naturales de clasificación y la jerarquía de método más natural. No sólo pueden discutirse con elegancia, plenitud y rapidez las cuestiones de resolubilidad y constructibilidad geométrica gracias al álgebra, sino que sin ella tal discusión es imposible. De esta forma, el sistema y la estructura fueron transferidos de la geometría al álgebra.

Figura 15.4
![]()

Figura 15.5
En La Dioptrique, tras describir el funcionamiento del ojo, Descartes considera el problema de diseñar lentes para telescopios, microscopios y gafas. Se sabe desde la antigüedad que una lente esférica no enfoca en un solo punto los rayos paralelos o divergentes desde una fuente. Estaba, pues, abierta la cuestión de la forma que habría de tener una lente para enfocar los rayos incidentes. Kepler había sugerido que alguna cónica podría tener tal propiedad. Descartes se aplicó al diseño de una lente que enfocase los rayos perfectamente.
Procedió a resolver el problema general: ¿qué superficie de separación entre dos medios es tal que los rayos de luz procedentes de un punto del primer medio que pasen por refracción al segundo convergen en un punto? Descubrió que la curva generatriz de la superficie de revolución buscada es un óvalo, actualmente llamado óvalo de Descartes. Esta curva, junto con sus propiedades de refracción, se discuten en La Dioptrique, y esta discusión se complementa en el libro II de La Géometrie.
Según la definición moderna, el óvalo es el lugar geométrico de los puntos M que satisfacen la condición
FM ± nF'M = 2a
donde F y F' son dos puntos fijos, 2a es un número real mayor que FF' y n es un número real arbitrario. Si n = 1, la curva es una elipse. En el caso general, la ecuación del óvalo es de cuarto grado en x e y, y la figura consta de dos curvas cerradas y distintas, una contenida en la otra y sin punto común. La curva interior es convexa y la exterior puede serlo también o tener puntos de inflexión como en la figura 15.6.
Figura 15.6
A pesar de diferencias tan significativas en cuanto a método y objetivos de la geometría analítica, Descartes y Fermat se enredaron en una discusión acerca de la prioridad del descubrimiento. La obra de Fermat no se publicó hasta 1679; sin embargo, su descubrimiento de las ideas básicas de la geometría analítica, en 1629, antecede a la publicación de La Géometrie de Descartes en 1637. En esta época, Descartes conocía plenamente muchos hallazgos de Fermat, pero siempre negó que sacara sus ideas de él. Las ideas de Descartes en geometría analítica, según el matemático holandés Isaac Beeckman (1588-1637), se remontan a 1619. Además, no hay posible discusión acerca de la originalidad de muchas de sus ideas básicas sobre el tema.
Cuando se publicó La Géometrie, Fermat la criticó por omitir ideas como las de máximos y mínimos, las tangentes a las curvas y la construcción de lugares geométricos sólidos, temas que, en su opinión, merecían la atención de cualquier geómetra. Descartes, por su parte, dijo que Fermat había hecho muy poca cosa; de hecho, nada a lo que no pudiera llegarse fácilmente con trabajo o conocimiento previo; mientras que él había necesitado una profunda experiencia sobre la naturaleza de las ecuaciones, tal y como aparece en el tercer libro de La Géometrie. Descartes se refería sarcásticamente a Fermat como vostre Conseiller de Maximis et Minimis, y afirmaba que estaba en deuda con él. Roberval, Pascal y otros tomaron el partido de Fermat, y Mydorge y Desargues, el de Descartes. Los amigos de Fermat escribieron implacables cartas contra Descartes. Con el tiempo, las actitudes de ambos se suavizaron, y en un trabajo de 1660, Fermat, mientras apuntaba cierto error en La Géometrie, declaró que admiraba de tal forma su genio, que, incluso cuando cometía errores, el trabajo de Descartes era más valioso que el de otros que no cometían ninguno. Descartes no había sido tan generoso con él.
El acento que la posteridad ha puesto sobre La Géometrie no es el que interesaba a Descartes. Aunque la idea sobresaliente para el futuro de las matemáticas era la de asociar ecuación y curva, para Descartes esto no era más que un medio para un fin, a saber, la resolución de problemas de construcciones geométricas. El énfasis de Fermat en las ecuaciones de lugares geométricos es, desde el punto de vista moderno, más oportuno. Las construcciones geométricas que con tanto ahínco describe Descartes en los libros I y III han ido perdiendo su importancia, en buena medida porque la construcción ya no se usa, como entre los griegos, para establecer la existencia del objeto construido.
Hay otra parte del libro III que también ha encontrado un lugar permanente en la matemática. Dado que Descartes resolvía los problemas de construcciones geométricas formulándolos primero algebraicamente, resolviendo después las ecuaciones obtenidas, y efectuando finalmente las construcciones que exigiese la solución, con el tiempo llegó a reunir, junto con sus propias investigaciones en la teoría de ecuaciones, otras que habían facilitado la resolución de algunos de sus problemas. Y dado que las ecuaciones algebraicas siguieron apareciendo en cientos de contextos distintos que nada tenían que ver con construcciones geométricas, esta teoría de ecuaciones se ha convertido en parte básica del álgebra elemental.
5. El avance de la geometría analítica durante el siglo XVII
La idea fundamental de la geometría analítica, el empleo de ecuaciones algebraicas para representar y estudiar curvas, no fue acogida con entusiasmo por los matemáticos por varias razones. El libro de Fermat, Ad Locos, aunque circuló entre sus amigos, no fue publicado hasta 1679. El interés que puso Descartes en resolver problemas de construcciones geométricas oscureció la idea principalla de ecuación asociada a una curva. De hecho, muchos de sus contemporáneos consideraban la geometría analítica como una herramienta para resolver los problemas de construcción. Leibniz llegó a referirse a la obra de Descartes como una regresión a los antiguos. El propio Descartes se dio cuenta de que su aportación iba mucho más allá de contribuir con un nuevo método de resolución de problemas de construcciones. En la introducción a La Géometrie dice: «Además, lo que he escrito en el segundo libro sobre la naturaleza y propiedades de las líneas curvas y sobre el método de examinarlas va, a mi entender, mucho más allá del tratamiento de la geometría ordinaria, como la retórica de Cicerón va más allá del a, b, c de los niños.» Sin embargo, los usos alternativos que dio a las ecuaciones de las curvas, como la resolución del problema de Pappus, la obtención de normales a las curvas o el estudio de las propiedades de los óvalos, se vieron oscurecidos por la atención que dedicó a los problemas de construcción. Otra razón de la lenta difusión de la geometría analítica fue la insistencia de Descartes en hacer su presentación tan difícil de seguir.
Además de esto, muchos matemáticos ponían objeciones a la idea de confundir álgebra y geometría, o aritmética y geometría. Estas protestas se venían oyendo ya desde el siglo XVI, durante el ascenso del álgebra. Tartaglia, por ejemplo, insistía en la distinción entre las operaciones con objetos geométricos a la manera griega y las operaciones entre números. Reprochó a un traductor de Euclides el emplear como sinónimos multiplicare y ducere. La primera pertenece al número, decía, y la segunda a la magnitud. También Vieta consideraba las ciencias del número y de la magnitud geométrica, como paralelas pero distintas. El propio Newton, en su Arithmetica Universalis, no estaba de acuerdo en confundir álgebra y geometría, aunque hizo ciertas contribuciones a la geometría analítica y la empleó en el cálculo. Dice:[51]
Las ecuaciones son expresiones de cálculo aritmético y no tienen propiamente lugar en la geometría, excepto en el sentido de que permitan probar que cantidades geométricas verdaderas (esto es, líneas, superficies, sólidos y proporciones) coincidan unas con otras. Multiplicaciones, divisiones y cálculos de este tipo han sido recientemente introducidos en la geometría de forma poco aconsejable y contra los principios primeros de dicha ciencia... Por consiguiente, no deben confundirse ambas ciencias, y el fruto reciente de tal confusión es la pérdida de esa simplicidad en la que consiste la elegancia geométrica.Una interpretación razonable de la postura de Newton es que quería mantener el álgebra aparte de la geometría elemental, pero la consideraba útil en el estudio de las cónicas y curvas de grado superior.
Otra razón más de la lentitud de la aceptación de la geometría analítica era la crítica general a la falta de rigor del álgebra. Ya hemos mencionado la repugnancia de Barrow a aceptar los números irracionales como algo más que meros símbolos de magnitudes geométricas continuas (cap. 13, sec. 2). La aritmética y el álgebra hallaban su justificación lógica en la geometría; por tanto, el álgebra no podía reemplazar a la geometría o existir como su igual. El filósofo Thomas Hobbes (1588-1679), figura de pequeña talla en matemáticas, hablaba, sin embargo, en nombre de muchos cuando criticaba al «rebaño de los que aplican su álgebra a la geometría». Hobbes decía que esos algebristas consideraban erróneamente los símbolos como geometría, y describía el libro de John Wallis sobre cónicas como ruin y como «una costra de símbolos».
A pesar de todos estos obstáculos contra la justa apreciación de las contribuciones de Descartes y Fermat, un grupo de matemáticos fue progresivamente adoptando y extendiendo la geometría analítica. La primera tarea que había que realizar era explicar la idea de Descartes. Una traducción latina de La Géometrie de Frans van Schooten (1615-60), publicada por primera vez en 1649 y vuelta a editar muchas veces, no sólo puso el libro al alcance de todos los estudiosos en una lengua que podían leer, sino que contenía un comentario explicativo de la concentrada presentación de Descartes. En la edición de 1659-61, van Schooten daba efectivamente la forma algebraica de una transformación de coordenadas de una línea de base (eje de las x) en otra. Tan impresionado estaba del poder del método de Descartes que pretendía que los geómetras griegos lo habían empleado para deducir sus resultados. Disponiendo del material algebraico, los griegos, según van Schooten, vieron cómo obtener los resultados sintéticamente (y mostró cómo hacerlo) y estos métodos sintéticos, menos transparentes que los algebraicos, fueron los que publicaron para asombrar al mundo. Van Schooten puede haberse engañado por la palabra «análisis», que para los griegos significaba analizar un problema, y el término «geometría analítica», que describe específicamente el uso del álgebra como método por parte de Descartes.
John Wallis, en De Sectionibus Conicis (1655), dedujo primeramente las ecuaciones de las cónicas traduciendo las condiciones geométricas de Apolonio a la forma algebraica (de forma muy parecida a lo que hemos visto en el cap. 4, sec. 12), con objeto de discutir los resultados de aquél. Definió después las cónicas como las curvas correspondientes a ecuaciones de segundo grado en x e y, y probó que éstas eran efectivamente las secciones cónicas usuales de la geometría. Probablemente fue el primero en probar propiedades de las cónicas mediante sus ecuaciones. Su libro ayudó enormemente a difundir la idea de la geometría de coordenadas y a popularizar el tratamiento de las cónicas como curvas en el plano en vez de como secciones del cono, aunque esta versión tradicional siguió utilizándose. Wallis insistía además en la validez del razonamiento algebraico, mientras que Descartes, al menos en La Géometrie, se apoyaba realmente en la geometría, considerando el álgebra meramente como una herramienta. Wallis fue también el primero en introducir conscientemente abscisas y ordenadas negativas. Es posible que Newton, que hizo lo mismo más tarde, tomara la idea de Wallis. Podemos contrastar la observación de van Schooten acerca del método con la de Wallis, para quien Arquímedes y casi todos los clásicos habían ocultado a la posteridad su método de descubrimiento y análisis de forma tan completa que a los modernos les había resultado más fácil inventar un nuevo análisis que recuperar el antiguo.
El libro de Newton The Method of Fluxions and Infinite Series (El método de fluxiones y series infinitas), escrito hacia 1671, pero publicado por primera vez en traducción inglesa de John Colson (m. en 1760) con el mencionado título en 1736, contiene muchos usos de la geometría analítica, sobre todo el trazado de curvas a partir de sus ecuaciones. Una de las ideas originales que ofrece es el empleo de nuevos sistemas de coordenadas. Todos los matemáticos del siglo XVII y muchos del XVIII usaban generalmente un solo eje y trazaban los valores de y formando un ángulo recto u oblicuo con el eje, lo que corresponde en esencia a nuestro sistema de coordenadas polares.

Figura 15.7
Se introdujeron muchas curvas nuevas, junto con sus ecuaciones.
En 1694, Bernoulli introdujo la lemniscata[52], que desempeñó un papel de gran importancia en todo el análisis del siglo XVIII. Se trata de un caso particular de una clase de curvas llamadas óvalos de Cassini (lemniscatas generales) introducidas por Jean-Dominique Cassini (1625-1712), aunque no aparecieron impresas hasta que su hijo Jacques (1677-1756) publicó los Elements d'astronomie en 1749.
Los óvalos de Cassini (fig. 15.8) están definidos por la condición de que el producto r1 ´r2 de las distancias de un punto arbitrario de la curva a dos puntos fijos S1 y S2 sea igual a b2, donde b es una constante. Sea 2a la distancia S1S2. Si b > a, obtenemos un óvalo que no se corta a sí mismo; si b = a, resulta la lemniscata introducida por Jacobo Bernoulli, y si b < a se tienen dos óvalos separados. La ecuación en coordenadas rectangulares de los óvalos de Cassini es de cuarto grado. El propio Descartes introdujo la espiral logarítmica

Figura 15.8
Cada uno de los extremos de estas perpendiculares describe una curva en el plano respectivo, que puede tratarse por el método ya indicado. Mas al principio del libro II, Descartes observa que una ecuación en tres incógnitas que caracterice al punto general C de un lugar geométrico representa un plano, una esfera o una superficie más complicada. Evidentemente, se dio cuenta de que su método podía extenderse a curvas y superficies en el espacio tridimensional, pero no llegó a efectuar por sí mismo tal extensión.
Fermat da, en una carta de 1643, un breve esquema de sus ideas sobre la geometría analítica tridimensional. Habla de superficies cilíndricas, paraboloides elípticos, hiperboloides de dos hojas y elipsoides, y afirma que, para coronar la introducción a las curvas planas, habría que estudiar las curvas sobre superficies. «Esta teoría es susceptible de tratarse por un método general que explicaré si tengo tiempo.» En un trabajo de media página, Novus Secundarum

Figura 15.9

Figura 15.10
6. La importancia de la geometría analítica
A la luz del considerable progreso que ya había realizado el álgebra antes de que Fermat y Descartes hicieran su aparición en la escena, la geometría de coordenadas no tiene la apariencia de un gran triunfo técnico. Para Fermat, se trataba de parafrasear algebraicamente a Apolonio. En el caso de Descartes, apareció casi por accidente mientras proseguía el trabajo de Vieta y otros empeñados en facilitar, mediante la introducción del álgebra, la resolución de ciertos problemas de construcciones geométricas. Y, sin embargo, la geometría analítica cambió de hecho la faz de las matemáticas.
Al argumentar que una curva es cualquier lugar geométrico que tiene una ecuación algebraica, Descartes abrió de un solo golpe el dominio matemático. Cuando se considera la variedad de curvas que han ido teniendo aceptación y uso en las matemáticas, y se compara tal conglomerado con lo que aceptaban los griegos, es fácil ver cuán importante fue el derribo de las barreras de la geometría griega.
Por medio de la geometría analítica, Descartes intentó dotar de método a la geometría, y consiguió mucho más de lo que nunca pensó. Es hoy un lugar común reconocer no sólo cuán fácilmente se puede probar muchas propiedades de las curvas con ayuda del álgebra, sino también que el método para abordarlas es casi automático. Más potente aún es el método: cuando Wallis y Newton empezaron a usar letras para designar tanto números positivos como negativos, llegando incluso después a referirse a números complejos, fue posible resumir en un solo tratamiento algebraico muchos casos que la geometría pura tenía que considerar separadamente. Por ejemplo, para demostrar, en geometría sintética, que las alturas de un triángulo se cortan en un punto, hace falta considerar por separado si la intersección tiene lugar en el interior o en el exterior del triángulo. En geometría analítica, ambos casos se consideran conjuntamente.
La geometría analítica resultó ser una herramienta de doble uso para las matemáticas. Por una parte, los conceptos geométricos podían formularse algebraicamente, y los objetivos geométricos podían alcanzarse por medio del álgebra. Recíprocamente, al interpretar geométricamente los enunciados algebraicos puede lograrse una visión más intuitiva de su significado, lo cual puede, a su vez, ser fuente de nuevas conclusiones. Estas virtudes menciona Lagrange en sus Leçons élémentaires sur les mathématiques[55]: «Mientras álgebra y geometría llevaron caminos separados, su progreso fue lento y sus aplicaciones limitadas. Pero en cuanto ambas ciencias juntaron sus fuerzas, sacaron cada una de la otra una vitalidad fresca y desde entonces desfilaron a paso ligero hacia la perfección.» Ciertamente, la inmensa potencia que ha desarrollado la matemática desde el siglo XVII en adelante debe atribuirse, en gran medida, a la geometría analítica.
El mérito más importante de la geometría analítica fue dotar a la ciencia del utillaje matemático que siempre había necesitado, y que había empezado a exigir abiertamente en el siglo XVII: herramientas cuantitativas. No hay duda de que el estudio del mundo físico pide, en una primera etapa, geometría. Los objetos son básicamente figuras geométricas, y las trayectorias de los objetos móviles son curvas. El propio Descartes estaba, desde luego, convencido de que toda la física podía reducirse a geometría. Pero, como ya hemos apuntado, los usos de la ciencia en geodesia, navegación, cálculos de calendario, predicciones astronómicas, movimiento de proyectiles e incluso en el diseño de lentes, al que el mismo Descartes se dedicó, exigen conocimiento cuantitativo. La geometría analítica posibilitó la expresión de formas y trayectorias en forma algebraica, de la cual se podía extraer información cuantitativa.
Así pues, el álgebra, que Descartes había considerado como mera herramienta, más como una extensión de la lógica que como parte de las matemáticas propiamente dichas, llegó a ser más esencial que la propia geometría. La geometría analítica allanó de hecho el camino para la más completa inversión de papeles entre álgebra y geometría. Desde la época de los griegos hasta 1600, aproximadamente, la geometría dominó las matemáticas y el álgebra estaba subordinada a ella; a partir de 1600, el álgebra se convirtió en la disciplina matemática básica, y en esta transformación el cálculo iba a ser el factor esencial. Los antecedentes del álgebra hicieron más difíciles las cosas por la causa que ya hemos mencionado: su falta de fundamentación lógica. Nada se haría al respecto, sin embargo, hasta bien entrado el siglo XIX.
El hecho de que el álgebra se edificase sobre una base empírica ha dado lugar a una confusión en la terminología matemática. La disciplina creada por Fermat y Descartes suele llamarse «geometría analítica». La palabra «analítica» no es apropiada; «geometría de coordenadas» o «geometría algebraica» (que tiene hoy día otro significado) hubiera sido más adecuado. La palabra «análisis» se ha venido empleando desde Platón para significar el proceso de remontarse partiendo de lo que se desea probar hasta llegar a alguna verdad conocida. Es, en este sentido, opuesto a «síntesis», que describe la presentación deductiva. Hacia 1590, Vieta rechazó la palabra «álgebra» por carecer de significado en las lenguas europeas, y propuso el término «análisis» (cap. 13, sec. 8), pero no se llegó a adoptar esta sugerencia. Sin embargo, para él y para Descartes, la palabra «análisis» era todavía apropiada para describir la aplicación del álgebra a la geometría, ya que el álgebra servía para «analizar» el problema de construcción geométrica considerado: se suponía conocida la longitud buscada, se hallaba una ecuación satisfecha por esa longitud, se operaba con dicha ecuación y se concluía con la construcción de la longitud en cuestión. Así, Jacques Ozanam (1640-1717) dice en su Diccionario (1690) que los geómetras modernos efectuaban sus análisis por medio del álgebra. En la famosa Encyclopédie del XVIII, D'Alembert usa «álgebra» y «análisis» como sinónimos. Gradualmente, «análisis» llegó a significar el método algebraico, aunque la nueva geometría de coordenadas, hasta el fin del siglo XVIII, era generalmente descrita como la aplicación del álgebra a la geometría. Para fines de siglo, el término «geometría analítica» llegó a ser el usual y a aparecer con frecuencia en los títulos de los textos.
Sin embargo, a medida que el álgebra se convertía en la disciplina dominante, los matemáticos empezaron a considerar que poseía una función mucho mayor que la de analizar un problema en el sentido de los griegos. En el siglo XVIII, el punto de vista de que el álgebra, en su aplicación a la geometría, es algo más que una herramienta, que la propia álgebra es un método de introducir y estudiar curvas y superficies (el supuesto punto de vista de Fermat, en oposición al de Descartes) terminó por triunfar como resultado de la obra de Euler, Lagrange y Monge. De aquí que el término «geometría analítica» se refiera tanto a la demostración como al uso del método algebraico, y, en consecuencia, hablemos hoy de geometría analítica en oposición a geometría sintética, sin significar que una es un método de invención y la otra de demostración, pues ambas geometrías son deductivas.
Mientras tenían lugar estas transformaciones, el cálculo y algunas extensiones suyas, como las series infinitas, entraban en el campo matemático. Tanto Newton como Leibniz consideraban el cálculo como una extensión del álgebra; se trata del álgebra del infinito, o del álgebra que trata con cantidades infinitas de términos, como en las series infinitas. En fecha tan tardía como 1797, Lagrange, en su Théorie des fonctions analytiques, decía que el cálculo y sus desarrollos eran sólo generalizaciones del álgebra elemental. Como álgebra y análisis habían sido sinónimos, el propio cálculo llegó a ser llamado análisis. En un famoso texto de 1748, Euler usó el término «análisis infinitesimal» para describir el cálculo. Este término fue empleado hasta finales del siglo XIX, en que se adoptó la palabra «análisis» para describir el cálculo y las demás ramas de las matemáticas construidas sobre él. La situación resultante es, pues, confusa, pues el término «análisis» abarca todos los desarrollos basados en los límites, mientras que la «geometría analítica» no contiene procesos de límite.
Bibliografía
- Boyer, Cari B.: History of Analytic Geometry. Scripta Mathematica, 1956. Cantor, Moritz: Vorlesungen über Geschichte der Mathematik, 2.a ed., B. G.
- Teubner, 1900, Johnson Reprint Corp., 1965, vol. 2, pp. 806-76. Chasles, Michel: Aperçu historique des méthodes en géometrie, 3 ed., Gauthier-Villars et Fils, 1889, caps. 2-3 y notas.
- Coolidge, Julián L.: A History of Geometrical Methods. Dover (reimpresión), 1963, pp. 117-31.
- Descartes, René: The Geometry, Dover (reimpresión), 1954. —: Oeuvres, 12 vols., Cerf, 1897-1913. —: El discurso del método, Madrid, Alfaguara, 1987.
- Fermat, Pierre de: Oeuvres, 4 vols. y suplemento, Gauthier-Villars, 1891- 1912; suplemento, 1922.
- Montucla, J. F.-. Histoire des mathématiques, Albert Blanchard (reimpresión), 1960, vol. 2, pp. 102-77.
- Scott, J. F.: The Scientific Work of René Descartes, Taylor and Francis, 1952. Smith, David E.: A Source Book in Mathematics, 2 vols., Dover (reimpresión), 1959, vol. 2, pp. 389-402.
- Struik, D. J.: A Source Book in Mathematics, 1200-1800, Harvard University Press, 1969, pp. 87-93, 143-157.
- Vrooman, Jack, R.: René Descartes: A Biography, G. P. Putnam’s Sons, 1970.
- Vuillemin, Jules: Mathématiques et métaphysique chez Descartes, Presses Universitaires de France, 1960.
- Wallis, John: Opera, 3 vols. (1693-99), Georg Olms (reimpresión), 1968.
Capítulo 16
La matematización de la ciencia
De manera que podemos decir que la puerta está ahora abierta, por primera vez, a un método nuevo, acompañado por numerosos y maravillosos resultados que, en años venideros, atraerá la atención de otras mentes.
Galileo Galilei
Contenido:1. Introducción1. Introducción
2. El concepto de la ciencia de Descartes
3. El enfoque de la ciencia de Galileo
4. El concepto de función
Bibliografía
Hacia 1600, los científicos europeos estaban indudablemente impresionados por la importancia de las matemáticas en el estudio de la naturaleza. La prueba más fuerte de esta convicción era el deseo de Copérnico y Kepler de derrocar las leyes aceptadas de la astronomía y de la mecánica, y las doctrinas religiosas al respecto, por una teoría que tenía sólo ventajas matemáticas. Sin embargo, el éxito sorprendente de la ciencia moderna y el impulso enorme para el trabajo creativo que las matemáticas encontraron en esta fuente no se hubieran producido si la ciencia hubiera continuado como en el pasado. Pero en el siglo XVII, dos hombres, Descartes y Galileo, revolucionaron la misma naturaleza de la actividad científica. Seleccionaron los conceptos que debía utilizar la ciencia, redefinieron los objetivos de la actividad científica y alteraron el método de la ciencia. Su reformulación no sólo suministró una potencia inesperada y sin precedentes a la ciencia, sino que la ligó indisolublemente a las matemáticas. Para entender el espíritu que animó a las matemáticas desde el siglo XVII hasta el XIX, debemos examinar primero las ideas de Descartes y de Galileo.
2. El concepto de la ciencia de Descartes
Descartes proclamó explícitamente que la esencia de la ciencia eran las matemáticas. Dice que «ni admite ni espera ningún principio de la física diferente de los que están en la geometría o en la matemática abstracta, porque así se explican todos los fenómenos de la naturaleza y pueden darse algunas demostraciones de ellos». El mundo objetivo es espacio solidificado, o geometría encarnada. Sus propiedades deben poderse deducir, por tanto, del primer principio de la geometría.
Descartes explicó con más detalles que el mundo debe ser accesible y reducible a las matemáticas. Insistió en que las propiedades más fundamentales y fiables de la materia son forma, extensión y movimiento en el espacio y en el tiempo. Como la forma es sólo extensión, Descartes afirmaba: «Dadme extensión y movimiento y construiré el universo.» El movimiento en sí mismo se producía por la acción de las fuerzas sobre las moléculas. Descartes estaba convencido de que estas fuerzas obedecían a leyes matemáticas invariables y, puesto que la extensión y el movimiento eran expresables matemáticamente, todos los fenómenos podían ser descritos matemáticamente.
La filosofía mecanicista de Descartes se extendía incluso al funcionamiento del cuerpo humano. Creía que las leyes de la mecánica explicarían la vida del hombre y de los animales, y en sus trabajos de fisiología utilizó el calor, la hidráulica, tubos, válvulas y las acciones mecánicas de las palancas para explicar las acciones del cuerpo. Sin embargo, Dios y el alma estaban exentos de mecanismos.
Si Descartes consideraba el mundo externo como consistente sólo de materia en movimiento, ¿cómo explicaba los gustos, olores, colores y las cualidades de los sonidos? Aquí adoptaba la antigua doctrina griega de las cualidades primarias y secundarias la cual, según la exponía Demócrito, mantenía que «lo dulce y amargo, lo frío y caliente, así como los colores, todas estas cosas existen, pero en la opinión y no en la realidad; lo que realmente existe son partículas inmutables, átomos, y sus movimientos en el espacio vacío». Las cualidades primarias, materia y movimiento, existen en el mundo físico; las cualidades secundarias son sólo efectos que las cualidades primarias inducen en los órganos de los sentidos de los seres humanos por el impacto de átomos externos en esos órganos.
Por lo tanto, para Descartes hay dos mundos; uno, una enorme máquina matemática, armoniosamente diseñada, que existe en el espacio y en el tiempo, y otro, el mundo de los espíritus pensantes. El efecto de los elementos del primer mundo en el segundo produce las cualidades no matemáticas o secundarias de la materia. Descartes afirmaba, además, que las leyes de la naturaleza son invariables, porque son sólo una parte de un modelo matemático predeterminado, y que Dios no podía alterar la invariable naturaleza. Aquí Descartes negaba la extendida creencia de que Dios intervenía continuamente en el funcionamiento del universo.
Aunque las doctrinas filosóficas y científicas de Descartes subvertían el aristotelismo y el escolasticismo, él era escolástico en un aspecto fundamental: extrajo de su propia mente proposiciones acerca de la naturaleza del ser y de la realidad. Creía que existen verdades a priori y que el intelecto, por su propio poder, puede llegar a un conocimiento perfecto de todas las cosas; estableció, por ejemplo, leyes del movimiento sobre la base de un razonamiento a priori. (En realidad, en sus trabajos biológicos realizó experimentos, y extrajo de ellos conclusiones vitales.) Sin embargo, aparte de su confianza en los principios a priori, promulgó una filosofía sistemática y general que destrozó el soporte del escolasticismo y abrió frescos canales de pensamiento. Su intento de barrer todas las preconcepciones y los prejuicios era una clara declaración de revuelta con respecto al pasado. Al reducir los fenómenos naturales a acontecimientos puramente físicos, hizo mucho por desembarazar a la ciencia del misticismo y de las fuerzas ocultas. Los escritos de Descartes fueron altamente influyentes; su filosofía deductiva y sistemática se extendió en el siglo XVII e impresionó a Newton, especialmente por la importancia del movimiento en ella. Exposiciones de su filosofía delicadamente encuadernadas adornaban incluso los tocadores de las damas.
3. El enfoque de la ciencia de Galileo
Aunque la filosofía de la ciencia de Galileo Galilei coincide en gran parte con la de Descartes, fue Galileo quien formuló los más radicales, efectivos y concretos métodos de la ciencia moderna y quien, mediante su propio trabajo, demostró su efectividad.
Galileo (1564-1642) nació en Pisa en la familia de un comerciante en tejidos, e ingresó en la universidad de Pisa para estudiar medicina. Los cursos estaban allí todavía, aproximadamente, al nivel del curriculum medieval; Galileo aprendió sus matemáticas privadamente, de un ingeniero práctico, y a la edad de diecisiete años cambió de la medicina a las matemáticas. Después de cerca de ocho años de estudio solicitó una plaza para enseñar en la universidad de Bolonia, pero fue rechazado por no tener méritos suficientes. Se aseguró una plaza de profesor en Pisa. Estando allí, comenzó a atacar a la ciencia aristotélica, y no dudó en expresar sus puntos de vista, aunque sus críticas le enemistaron con sus colegas. Había empezado también a escribir importantes trabajos matemáticos que suscitaron celos en los menos competentes. Se intentó, pues, que no se encontrara a gusto, y en 1592 se marchó y aceptó un puesto como profesor de matemáticas en la universidad de Padua. Allí escribió un libro corto, Le mecaniche (1604). Después de dieciocho años en Padua fue invitado a Florencia por el Gran Duque Cósimo II de Médicis, quien le nombró Matemático Principal de su corte, le dio casa y un salario considerable, y le protegió de los jesuitas, quienes dominaban el Papado y ya le habían amenazado por defender la teoría de Copérnico. Para expresar su gratitud, Galileo llamó a los satélites de Júpiter, que había descubierto durante el primer año al servicio de Cósimo, las estrellas Mediceas. En Florencia, Galileo tuvo la tranquilidad suficiente para proseguir sus estudios y para escribir.
Su defensa de la teoría de Copérnico molestó a la Inquisición romana, y en 1616 fue llamado a Roma. Sus enseñanzas sobre la teoría heliocéntrica fueron condenadas por la Inquisición; tuvo que prometer no publicar nada más sobre el tema. En 1630, el Papa Urbano VIII le dio permiso para publicar siempre que hiciera un libro matemático y no doctrinal. Por tanto, en 1632, publicó su clásico Dialogo dei massimi sistemi (Diálogo sobre el gran sistema del mundo). La Inquisición romana le llamó otra vez en 1633 y, bajo la amenaza de tortura, le obligaron a retractarse de su defensa de la teoría heliocéntrica. Se le prohibió publicar y se le exigió que viviera prácticamente bajo arresto domiciliario. Emprendió la tarea de escribir sus reflexiones de esos años y trabajó sobre los fenómenos del movimiento y sobre la resistencia de materiales. El manuscrito, titulado Discorsi e dimostrazioni matematiche intorno a due nuove scienze (Discursos y demostraciones matemáticas referentes a dos nuevas ciencias, que también se conoce como Diálogos referentes a dos nuevas ciencias), fue llevado secretamente a Holanda y publicado allí en 1638. Esta es la obra, clásica, en la que Galileo ofreció su nuevo método científico. Defendió sus acciones con las palabras de que nunca había «declinado en piedad y reverencia por la Iglesia y mi propia conciencia».
Galileo fue un hombre extraordinario en muchos campos. Fue un perspicaz observador astronómico. Se le llama a menudo el padre de la invención moderna; aunque no inventó el telescopio o los «vidrios asombrosos», como los llamaba Ben Jonson, fue capaz inmediatamente de construirlos cuando conoció la idea. Fue un inventor independiente del microscopio, y diseñó el primer reloj de péndulo. También diseñó un compás con escalas que proporcionaba automáticamente los resultados de cálculos numéricos, de modo que el usuario podía leer las escalas y evitar el tener que hacer los cálculos. Este aparato fue tan solicitado que produjo muchos para venderlos.
Galileo fue el primer estudioso moderno importante del sonido. Sugirió una teoría ondulatoria del sonido y comenzó a trabajar sobre el tono, los armónicos y la vibración de cuerdas. Su trabajo fue continuado por Mersenne y Newton y se convirtió en una inspiración importante para el trabajo matemático del siglo XVIII.
Los principales trabajos de Galileo, aunque referidos a temas científicos, se consideran todavía como obras maestras desde un punto de vista literario. Su Sidereus Nuncius (Mensajero sideral) de 1610, en el que anunciaba sus observaciones astronómicas y declaraba su apoyo a la teoría de Copérnico, fue un éxito inmediato, y fue elegido para la prestigiosa Academia dei Lincei en Roma. Sus dos más grandes clásicos, Diálogo sobre los máximos sistemas y los Diálogos sobre dos nuevas ciencias, son claros, directos, agudos, pero profundos. En ambos, Galileo hace que uno de los personajes presente los puntos de vista de la época, contra los que otro personaje razona hábil y tenazmente para mostrar las falacias y puntos débiles de estos esquemas, y la fuerza de los nuevos.
En su filosofía de la ciencia, Galileo rompió radicalmente con lo especulativo y lo místico en favor de una visión de la naturaleza mecánica y matemática. También creía que los problemas científicos no debían enredarse ni oscurecerse con argumentos teológicos. De hecho, uno de sus logros en la ciencia, aunque algo apartado del método que examinaremos a continuación, fue el de reconocer el terreno de la ciencia y separarlo del de las doctrinas religiosas.
Galileo, como Descartes, estaba convencido de que la naturaleza estaba diseñada matemáticamente. Su afirmación de 1610 es famosa:
La filosofía [naturaleza] está escrita en ese gran libro que siempre está delante de nuestros ojos —quiero significar el universo— pero que no podemos entender si no aprendemos primero el lenguaje, y comprendemos los símbolos, en los que está escrito. El libro está escrito en lenguaje matemático, y los símbolos son triángulos, circunferencias y otras figuras geométricas, sin cuya ayuda es imposible comprender ni una palabra de él, sin lo cual se deambula en vano a través de un oscuro laberinto.[56]La naturaleza es sencilla y ordenada, y su comportamiento es regular y necesario. Actúa de acuerdo con leyes matemáticas perfectas e inmutables. La razón divina es la fuente de lo racional en la naturaleza; Dios colocó en el universo esa rigurosa necesidad matemática que los hombres alcanzan sólo laboriosamente. El conocimiento matemático es, en consecuencia, no sólo verdad absoluta, sino tan sacrosanto como cualquier línea de las Sagradas Escrituras. De hecho, es superior, porque hay mucho desacuerdo con respecto a las Escrituras, pero no puede haber ninguna con respecto a las verdades matemáticas.
Otra doctrina, el atomismo del griego Demócrito, es más clara en Galileo que en Descartes. El atomismo presuponía un espacio vacío (que Descartes no aceptaba) y átomos indestructibles e individuales. El cambio consistía en la combinación y separación de los átomos. Todas las variedades cualitativas de los cuerpos eran debidas a la variedad cuantitativa en el número, tamaño, forma y disposición especial de los átomos. Las principales propiedades de los átomos eran la impenetrabilidad y la indestructibilidad; estas propiedades servían para explicar los fenómenos físicos y químicos. La adhesión de Galileo al atomismo le situó en la vanguardia de las doctrinas científicas.
El atomismo condujo a Galileo a la doctrina de las cualidades primarias y secundarias. Dice:
«Si las orejas, lenguas y narices se suprimieran, soy de la opinión de que la forma, cantidad (tamaño) y movimiento permanecerían, pero se terminarían los olores, sabores y sonidos, los cuales, abstraídos de la criatura viviente, sólo son palabras.»De un plumazo, pues, tanto Galileo como Descartes simplificaron mil fenómenos y cualidades para concentrarse en la materia y el movimiento, propiedades que pueden ser descritas matemáticamente. Quizá no es muy sorprendente que en el siglo en el que los problemas de movimiento eran los más prominentes y serios, los científicos encontraran que el movimiento era un fenómeno físico fundamental.
La concentración en la materia y el movimiento fue sólo el primer paso en el nuevo enfoque de la naturaleza de Galileo. Su siguiente pensamiento, también expresado por Descartes, fue que cualquier rama de la ciencia puede ser configurada sobre el modelo de las matemáticas. Esto implica dos pasos esenciales. Las matemáticas comienzan con axiomas —verdades claras y autoevidentes— y a partir de ellos se pasa a establecer nuevas verdades mediante razonamientos deductivos. Cualquier rama de la ciencia, pues, debe comenzar con axiomas o principios y continuar deductivamente. Además, se debe extraer de los axiomas tantas consecuencias como sea posible. Esta forma de pensar se remonta a Aristóteles, que también buscaba una estructura deductiva para la ciencia, con el modelo matemático in mente.
Sin embargo, Galileo se separó radicalmente de los griegos, de los científicos medievales, e incluso de Descartes en su método para obtener primeros principios. Los pregalileanos y Descartes habían creído que la mente proporcionaría los principios básicos; no había más que pensar en cualquier clase de fenómenos y la mente reconocería inmediatamente las verdades fundamentales. Este poder de la mente se ponía claramente de manifiesto en las matemáticas. Axiomas como «iguales sumados a iguales proporcionan iguales» o «dos puntos determinan una recta», sugerían inmediatamente el pensar en números o figuras geométricas, y eran verdades indudables. Así habían encontrado también los griegos algunos principios físicos igualmente atrayentes. Era apropiado el que todos los objetos del universo tengan un sitio natural. El estado de reposo parecía claramente más natural que el estado de movimiento. Parecía indudable, también, que tuviera que aplicarse una fuerza para poner y mantener a los cuerpos en movimiento. Creer que la mente proporciona principios fundamentales no se opone a que las observaciones pudieran jugar un papel en la obtención de esos principios. Pero las observaciones sólo evocaban los principios correctos, de la misma manera que la visión de una cara familiar puede traer a la mente hechos sobre esa persona.
Los científicos griegos y medievales estaban tan convencidos de que existían principios fundamentales a priori que cuando observaciones experimentales ocasionales no concordaban con ellos, inventaban explicaciones especiales para preservar los principios y explicar, aun así, las anomalías. Estos hombres, como decía Galileo, primero decidían cómo debía funcionar el mundo y luego adaptaban lo que veían a sus principios preconcebidos.
Galileo decidió que en física, en contraposición a lo que ocurría en matemáticas, los primeros principios deben proceder de la experiencia y de la experimentación. El camino para obtener principios básicos y correctos es prestar atención a lo que dice la naturaleza más que a lo que prefiere la mente. La naturaleza, razonaba, no hace primero el cerebro de los hombres y organiza a continuación el universo de manera que sea aceptable al intelecto humano. A los pensadores medievales, que continuaban repitiendo a Aristóteles y debatiendo lo que había querido decir, Galileo les dirigió la crítica de que el conocimiento proviene de la observación y no de los libros, y que era inútil debatir sobre Aristóteles. Dice: «Cuando disponemos de los decretos de la naturaleza, la autoridad no sirve para nada...» Por supuesto, también algunos pensadores del Renacimiento, y el contemporáneo de Galileo, Francis Bacon, habían llegado a la conclusión de que la experimentación era necesaria; en este aspecto particular de su nuevo método Galileo no estaba por delante de los demás. Sin embargo, el modernista Descartes no vio la sabiduría de la confianza de Galileo en la experimentación. Los hechos que provienen de los sentidos, decía Descartes, sólo pueden conducir al engaño, pero la razón penetra a través de esos engaños. Desde los principios generales innatos que proporciona la mente podemos deducir fenómenos particulares de la naturaleza y comprenderlos. Galileo también era consciente de que se podía obtener principios incorrectos mediante la experimentación y que, como consecuencia, las deducciones que se basaran en ellos podían ser incorrectas. Por ello propuso el empleo de los experimentos para comprobar las conclusiones de sus razonamientos así como para obtener principios básicos.
Galileo era, en realidad, una figura de transición por lo que se refiere a la experimentación. El, con Isaac Newton cincuenta años más tarde, creía que unos pocos experimentos claves o críticos podrían proporcionar principios fundamentales correctos. Además, muchos de los llamados experimentos de Galileo eran en realidad experimentos mentales, es decir, confiaba en la experiencia común para imaginar lo que ocurriría si se realizara un experimento. Entonces él obtenía una conclusión con la misma confianza que si hubiera realizado el experimento. Cuando en el Diálogo sobre el gran sistema del mundo describe el movimiento de una bola arrojada desde el mástil de un barco en movimiento, uno de los personajes, Simplicio, le pregunta si había realizado un experimento, Galileo le contesta: «No, y no lo necesito, porque sin ninguna experiencia puedo confirmar que es así, ya que no puede ser de otra manera.» Dice, de hecho, que experimentaba pocas veces, y sobre todo, en esos casos, para refutar a quienes no se interesaban por las matemáticas. Aunque Newton realizó algunos famosos e ingeniosos experimentos, también dice que los utilizaba para hacer sus resultados físicamente inteligibles y para convencer a la gente.
La verdad del asunto es que Galileo tenía algunas ideas preconcebidas acerca de la naturaleza, lo que le hacía confiar en que unos pocos experimentos bastarían. Creía, por ejemplo, que la naturaleza era sencilla. Por tanto, cuando consideraba cuerpos que caían libremente, los cuales caen con velocidad creciente, suponían que el aumento de la velocidad es el mismo en cada segundo de caída. Esta era la «verdad» más sencilla. Creía también que la naturaleza está diseñada matemáticamente, y, por tanto, cualquier ley matemática que pareciera estar de acuerdo con ella, aun sobre la base de una experimentación bastante limitada, le parecía correcta.
Para Galileo, así como para Huygens y Newton, la parte matemática, deductiva, de la empresa científica tenía una importancia mayor que la experimental. Galileo no estaba menos orgulloso de la abundancia de teoremas que surgían de un único principio que del descubrimiento del principio mismo. Los hombres que forjaron la ciencia moderna —Descartes, Galileo, Huygens y Newton (podemos también incluir a Copérnico y a Kepler)— enfocaron el estudio de la naturaleza como matemáticos, en su método general y en sus investigaciones concretas. Fueron primordialmente pensadores especulativos que esperaban aprehender principios matemáticos amplios, profundos (pero también sencillos), claros e inmutables, bien a través de la intuición o mediante observaciones y experimentos cruciales, y deducir entonces nuevas leyes a partir de estas verdades fundaméntales, enteramente en la forma en que las propias matemáticas habían construido su geometría. El grueso de la actividad era la porción deductiva; así se derivarían sistemas completos de pensamiento.
Lo que los grandes pensadores del siglo XVII consideraban como el método adecuado de la ciencia se reveló en realidad como el camino provechoso. La búsqueda racional de las leyes de la naturaleza produjo, en la época de Newton, resultados extremadamente valiosos sobre la base del conocimiento observacional y experimental más ligero. Los grandes avances científicos de los siglos XVI y XVII se hicieron en astronomía, donde la observación ofrecía poca cosa nueva, y en mecánica, en la que los resultados experimentales no eran muy sorprendentes y ciertamente no decisivos, mientras que la teoría matemática correspondiente alcanzaba comprehensión y perfección. Y durante los dos siglos siguientes los científicos produjeron leyes de la naturaleza, profundas y extensas, apoyados en muy pocos experimentos y en observaciones casi triviales.
La esperanza de Galileo, Huygens y Newton de que sólo unos pocos experimentos bastarían para sus propósitos, puede entenderse fácilmente. Como estaban convencidos de que la naturaleza estaba diseñada matemáticamente, no veían ninguna razón por lo que no pudieran actuar en asuntos científicos como los matemáticos actuaban en su campo. Como dice John Hermán Randall en Making of the Modern Mind:
«La ciencia nació de la fe en la interpretación matemática de la naturaleza...»Galileo, sin embargo, obtuvo unos pocos principios a partir de la experiencia, y en este trabajo también su enfoque fue una ruptura radical con respecto al de sus predecesores. Pensaba que se debe penetrar en lo que es fundamental en los fenómenos y comenzar allí. En Dos nuevas ciencias dice que no es posible tratar la variedad infinita de pesos, formas y velocidades. Había observado que las velocidades con las que caen objetos disímiles difieren menos en el aire que en el agua. Por lo tanto, cuanto más ligero sea el medio hay menos diferencias entre las velocidades de caída de los cuerpos. «Habiendo observado esto, vino a mí la conclusión de que en un medio totalmente desprovisto de resistencia todos los cuerpos caerían con la misma velocidad.» Lo que Galileo estaba haciendo aquí era separar los efectos incidentales o sin importancia en un esfuerzo por llegar al principal.
Por supuesto que los cuerpos reales caen en un medio resistente. ¿Qué podía decir Galileo acerca de esos movimientos? Su respuesta fue: «... por tanto, para manejar este asunto de una forma científica, es necesario prescindir de estas dificultades (resistencia del aire, fricción, etcétera) y, habiendo descubierto y demostrado los teoremas en el caso en que no hay resistencia, utilizarlos y aplicarlos con las limitaciones que nos muestre la experiencia».
Habiendo prescindido de la resistencia del aire y de la fricción, Galileo buscaba leyes básicas del movimiento en el vacío. Por tanto, no sólo contradecía a Aristóteles e incluso a Descartes por pensar en cuerpos moviéndose en un espacio vacío, sino que hacía precisamente lo que hace el matemático al estudiar figuras reales. El matemático prescinde de la estructura molecular, del color y del grosor de las líneas, para llegar a algunas propiedades básicas y concentrarse en ellas. Así se introdujo Galileo en los factores físicos básicos. El método matemático de la abstracción es, en verdad, un paso más allá de la realidad pero, paradójicamente, conduce de vuelta a la realidad con una fuerza mayor que si todos los factores realmente presentes se tienen en cuenta de una vez.
Hasta entonces, Galileo había formulado unos cuantos principios metodológicos, muchos de los cuales fueron sugeridos por el camino que las matemáticas habían utilizado en la geometría. Su siguiente principio fue el de utilizar las matemáticas mismas, pero en una forma especial. A diferencia de los aristotélicos y de los últimos científicos medievales, que se habían anclado en la consideración de cualidades que estimaban fundamentales, y estudiaban la adquisición y pérdida de éstas, o debatían el significado de las mismas, Galileo propuso buscar axiomas cuantitativos. Este cambio es muy importante; veremos todo su significado más adelante, pero puede ser útil ahora considerar un ejemplo elemental. Los aristotélicos decían que una bola cae porque tiene peso, que cae hacia la tierra porque todo objeto busca su sitio natural, y que para los cuerpos pesados el sitio natural es el centro de la tierra. Estos principios son cualitativos. Incluso la primera ley del movimiento de Kepler, la de que la trayectoria de cada planeta es una elipse, es una afirmación cualitativa. En contraste, consideremos la afirmación de que la velocidad (en pies por segundo) con la que cae una bola es 32 veces el número de segundos que ha estado cayendo o, en símbolos, v = 32t. Esta es una afirmación cuantitativa acerca de cómo cae una bola. Galileo pretendía buscar sus axiomas como tales afirmaciones cuantitativas, y esperaba deducir algunos nuevos por medios matemáticos. Estas deducciones también proporcionarían un conocimiento cuantitativo. Además, como hemos visto, las matemáticas iban a ser su medio esencial.
La decisión de buscar un conocimiento cuantitativo expresado en fórmulas llevaba consigo otra decisión radical, aunque el primer contacto con ella difícilmente revela todo su significado. Los aristotélicos creían que una de las tareas de la ciencia era el explicar por qué sucedían las cosas; esta explicación significaba desvelar las causas del fenómeno. La explicación de que un cuerpo cae porque tiene peso proporciona la causa efectiva de la caída, y la afirmación de que busca su sitio natural expone la causa final. Pero el planteamiento cuantitativo v = 32t, independientemente de su valor, no explica por qué cae una bola, dice sólo cómo cambia la velocidad con el tiempo. En otras palabras, las fórmulas no explican: describen. El conocimiento de la naturaleza que buscaba Galileo era descriptivo. Dice en Dos nuevas ciencias: «La causa de la aceleración del movimiento de los cuerpos que caen no es una parte necesaria de la investigación.» Más en general, dice que investigará y demostrará algunas de las propiedades del movimiento sin considerar cuáles pueden ser sus causas. La búsqueda científica positiva iba a separarse de las cuestiones de motivación última, e iba a abandonarse la especulación sobre las causas físicas.
Las primeras reacciones a este principio de Galileo posiblemente serían negativas. La descripción de los fenómenos en términos de fórmulas difícilmente podía parecer más que un primer paso. Parecería que la verdadera función de la ciencia, la de explicar por qué sucedían los fenómenos, había sido realmente comprendida por los aristotélicos. Incluso Descartes había protestado ante la decisión de Galileo de buscar fórmulas descriptivas. Dijo: «Todo lo que dice Galileo acerca de los cuerpos que caen en el espacio vacío está construido sin cimientos: debería haber determinado primero la naturaleza del peso.» Además, decía Descartes, Galileo debería reflexionar sobre las razones últimas. Pero veremos claramente después de algunos capítulos que la decisión de Galileo de buscar la descripción fue la idea más profunda y fructífera que se haya podido tener sobre el método científico.
Mientras que los aristotélicos habían hablado en términos de cualidades tales como fluidez, rigidez, esencias, lugares naturales, movimiento natural y violento y potencialidad, Galileo escogió un conjunto de conceptos enteramente nuevo, el cual, además, era medible, de modo que sus medidas podían relacionarse mediante fórmulas. Algunos de ellos son: distancia, tiempo, velocidad, aceleración, fuerza, masa y peso. Estos conceptos son demasiado familiares para sorprendernos. Pero en la época de Galileo eran elecciones radicales, al menos como conceptos fundamentales; y éstos fueron los que se revelaron como más operativos en la tarea de entender y dominar la naturaleza.
Hemos mostrado las características esenciales del programa de Galileo. Algunas de sus ideas ya las mantenían otros; algunas otras eran completamente originales suyas. Pero lo que establece la grandeza de Galileo es que vio con tanta claridad lo que estaba equivocado o era deficiente en los esfuerzos científicos de entonces, se liberó completamente de los antiguos modos y formuló tan claramente los nuevos métodos. Además, al aplicarlos a los problemas del movimiento no sólo ejemplificó el método, sino que consiguió obtener resultados brillantes —en otras palabras, demostró que el método funcionaba—. La unidad de su trabajo, la claridad de sus pensamientos y expresiones y la fuerza de su argumentación influyó en casi todos sus contemporáneos y sucesores. Más que cualquier otro, Galileo es el fundador del método de la ciencia moderna. Era completamente consciente de lo que había realizado (ver el lema del capítulo), y también lo eran otros. El filósofo Hobbes dijo de Galileo: «Ha sido el primero en abrirnos la puerta del reino de la física.»
No podemos continuar la historia del método de la ciencia. Sin embargo, como las matemáticas se hicieron tan importantes en esta metodología y se aprovecharon tanto de su adopción, debemos hacer notar hasta qué punto el programa de Galileo fue aceptado completamente por gigantes como Newton. Este afirma que se necesitan los experimentos para obtener las leyes básicas. También es claro para él que la función de la ciencia, después de haber obtenido algunos principios básicos, es deducir nuevos hechos a partir de esos principios. En el prefacio de sus Principia, dice:
Puesto que los científicos (como nos dice Pappus) valoraban la ciencia de la mecánica como de la mayor importancia en la investigación de las cosas naturales, y los modernos, rechazando las formas sustanciales y las cualidades ocultas, se han esforzado por someter los fenómenos de la naturaleza a las leyes de las matemáticas, en este tratado he cultivado las matemáticas hasta donde se relacionan con la filosofía (ciencia)... y, en consecuencia, presento este trabajo como los principios matemáticos de la filosofía, porque la auténtica carga de la filosofía parece consistir en esto —a partir de los fenómenos del movimiento, investigar las fuerzas de la naturaleza, y entonces, mediante esas fuerzas, mostrar los otros fenómenos...Por supuesto, principios matemáticos, para Newton y Galileo, eran principios cuantitativos. Dice en los Principia que su propósito es descubrir y establecer la forma exacta en la que «todas las cosas han sido ordenadas en medida, número y peso». Newton tenía una buena razón para hacer hincapié en las leyes matemáticas cuantitativas como contrapuestas a la explicación física, porque el concepto físico central en su mecánica celeste era la fuerza de la gravitación, cuya acción no podía explicarse en absoluto en términos físicos. En lugar de una explicación, Newton tenía una formulación cuantitativa de cómo actuaba la gravedad, que era significativa y utilizable. Y por ello dice, al comienzo de los Principia: «Porque aquí pretendo sólo dar una noción matemática de estas fuerzas, sin considerar sus causas físicas y sedes.» Hacia el final del libro repite este pensamiento:
Pero nuestro propósito es sólo descubrir la cantidad y propiedades de esta fuerza a partir de los fenómenos, y aplicar lo que descubrimos en algunos casos sencillos, como principios, mediante los cuales, de forma matemática, podemos estimar los efectos de ellos en casos más complicados... Decimos, de forma matemática (itálica en Newton), para evitar todas las cuestiones sobre la naturaleza y cualidades de esta fuerza, que no pretenderíamos determinar mediante ninguna hipótesis...El abandono del procedimiento físico en favor de la descripción matemática escandalizó incluso a grandes científicos. Huygens consideró la idea de la gravitación como «absurda», porque su acción a través del espacio vacío imposibilitaba cualquier acción mecánica. Mostró su sorpresa porque Newton se hubiera tomado el trabajo de realizar esa cantidad de cálculos laboriosos con el único fundamento del principio matemático de la gravitación. Leibniz atacó la gravitación como una potencia incorpórea e inexplicable; Jean Bernoulli (hermano de Jacques) la denunció como «repugnante a las mentes acostumbradas a no aceptar ningún principio en física que no fuera incontestable y evidente». Pero esta confianza en la descripción matemática, aun donde la comprensión física faltaba completamente, permitió a Newton sorprendentes contribuciones, por no mencionar los desarrollos siguientes.
Como la ciencia se hizo muy dependiente de las matemáticas, casi subordinada a ellas, fueron los científicos quienes extendieron el campo y las técnicas de las matemáticas, y la multiplicidad de problemas que suministró la ciencia proporcionó a los matemáticos muchas y profundas direcciones de trabajo creativo.
4. El concepto de función
El primer avance matemático que se obtuvo de las investigaciones científicas realizadas de acuerdo con el programa de Galileo provino del estudio del movimiento. Este problema absorbió a los científicos y matemáticos del siglo XVII. Es fácil ver por qué. Aunque la astronomía de Kepler fue aceptada ya a principios del siglo XVII, especialmente después de que las observaciones de Galileo dieran pruebas adicionales de la teoría heliocéntrica, la ley de Kepler del movimiento elíptico es sólo aproximadamente correcta, si bien sería exacta si sólo estuvieran en el espacio el Sol y un planeta. Las ideas de que los otros planetas perturban el movimiento elíptico de cualquier otro planeta y de que el Sol perturba el movimiento elíptico de la Luna alrededor de la Tierra, ya habían sido consideradas; de hecho, la noción de una fuerza gravitacional actuando entre dos cuerpos cualesquiera fue sugerida por Kepler, entre otros. Por lo tanto, el problema de mejorar el cálculo de las posiciones de los planetas estaba abierto. Además, Kepler había obtenido sus leyes esencialmente ajustando curvas a los datos astronómicos, sin ninguna explicación, en términos de leyes fundamentales del movimiento, de por qué los planetas se movían en trayectorias elípticas. El problema básico de deducir las leyes de Kepler a partir de los principios del movimiento constituía un claro desafío.
La mejora de la teoría astronómica también tenía un objetivo práctico. En su búsqueda de materias primas y comercio, los europeos habían emprendido navegaciones en gran escala que implicaban el recorrido de grandes distancias fuera de la vista de tierra. Los marineros necesitaban, por tanto, métodos precisos para determinar la latitud y la longitud. La determinación de la latitud puede hacerse mediante observación directa del Sol o de las estrellas, pero la determinación de la longitud es bastante más difícil. En el siglo XVI, los métodos para hacerlo eran tan imprecisos que los navegantes cometían errores de hasta 500 millas. Después de, aproximadamente, 1514, se utilizaba la dirección de la Luna con relación a las estrellas para determinar la longitud. Estas direcciones, según se ven desde un mismo lugar de referencia en diferentes momentos, estaban tabuladas. Un navegante determinaría la dirección de la Luna, la cual no se vería muy afectada por estar en un lugar distinto, y determinaría su hora local utilizando, por ejemplo, las direcciones de las estrellas. Directamente de las tablas, o mediante interpolación, podía obtener la hora en el lugar de referencia cuando la Luna tenía la dirección medida y así calcular la diferencia de hora entre su posición y la de referencia. Cada hora de diferencia significa una diferencia de 15 grados en longitud. Este método, sin embargo, no era preciso. Como los barcos de aquellos tiempos estaban constantemente cabeceando, era difícil obtener en forma precisa la dirección de la Luna; pero como la Luna no se mueve mucho con relación a las estrellas en pocas horas, la dirección de la Luna tenía que ser determinada con bastante precisión. Una equivocación de un minuto de ángulo significa un error de medio grado de longitud; pero incluso el realizar una medida con un error de menos de un minuto estaba lejos de las posibilidades de la época. Aunque fueron sugeridos e intentados otros métodos para determinar la longitud, parecía indispensable un mejor conocimiento de la trayectoria de la Luna para ampliar y mejorar las tablas, y muchos científicos, incluyendo Newton, trabajaron en el problema. Incluso en los tiempos de Newton, el conocimiento de la posición de la Luna era tan impreciso que el uso de las tablas conducía a errores de hasta 100 millas al determinar la posición en el mar.
Los gobiernos de Europa estaban muy interesados, porque las pérdidas en los envíos eran considerables. En 1675, el rey Carlos II de Inglaterra fundó el Royal Observatory en Greenwich para obtener mejores observaciones del movimiento de la Luna y para que sirviera como estación fija o de referencia para la determinación de la longitud. En 1672, el gobierno inglés estableció la Comission for the Discovery of Longitude, y ofreció recompensas de hasta 20.000 libras por ideas sobre cómo medir la longitud.
Los científicos del siglo XVII también se enfrentaron al problema de explicar los movimientos terrestres. Bajo la teoría heliocéntrica, la Tierra giraba sobre sí misma y efectuaba un movimiento de revolución en torno al Sol. ¿Por qué, entonces, deberían los objetos permanecer en ella? ¿Por qué los objetos que se tiran deberían caer hacia la Tierra, si ésta ya no era el centro del universo? Además, todos los movimientos, como el de los proyectiles, por ejemplo, parecían producirse como si la Tierra estuviera en reposo. Estas cuestiones atrajeron la atención de muchos, como Cardano, Tartaglia, Galileo y Newton. Las trayectorias de los proyectiles, sus alcances, la altura a que podían llegar, el efecto de la velocidad de la boca del arma sobre la altura y el alcance del proyectil, eran cuestiones básicas, y los príncipes entonces, como las naciones ahora, gastaron grandes sumas de dinero en sus soluciones. Se necesitaban nuevos principios del movimiento para tener en cuenta estos fenómenos terrestres, y los científicos pensaron que, como se creía que el universo estaba construido de acuerdo con un plan maestro, los mismos principios que explicaran los movimientos terrestres también lo harían con los celestes.
Del estudio de los varios problemas del movimiento emergió el más específico de diseñar métodos más precisos para medir el tiempo. Los relojes mecánicos, que se habían utilizado desde 1348, no eran muy precisos. El cartógrafo flamenco Gemma Frisius había sugerido el uso de un reloj para determinar la longitud. Un barco podría llevar un reloj con la hora de un lugar de longitud conocida; como la determinación de la hora local, mediante la posición del Sol, por ejemplo, era relativamente sencilla, el navegante sólo necesitaba anotar la diferencia de hora y traducir ésta inmediatamente a diferencia de longitudes. Pero, incluso en 1600, no podía disponerse de relojes durables, precisos y en condiciones de navegar.
El movimiento de un péndulo parecía proporcionar el mecanismo básico para la medida del tiempo. Galileo había observado que el tiempo requerido para una oscilación completa de un reloj era constante, y ostensiblemente independiente de la amplitud de la oscilación. Preparó el diseño de un reloj de péndulo e hizo que su hijo construyera uno; pero fueron Robert Hooke y Huygens quienes realizaron el trabajo básico sobre el péndulo. Aunque el reloj de péndulo no era adecuado para un barco (se necesitaba una precisión de dos o tres segundos al día para el objetivo del cálculo de la longitud, y el movimiento del barco afectaba mucho a los péndulos), se reveló de valor inmenso en el trabajo científico, así como para la medida del tiempo en las casas y los negocios. Un reloj apropiado para la navegación fue finalmente diseñado por John Harrison (1693- 1776) en 1761, y comenzó a utilizarse a fines del siglo XVIII. Como no fue posible disponer antes de un reloj propiamente dicho, la determinación precisa del movimiento de la Luna era todavía el principal problema científico en ese siglo.
Del estudio del movimiento obtuvieron las matemáticas un concepto fundamental, que fue central en prácticamente todo el trabajo de los siguientes doscientos años —el concepto de función o relación entre variables—. Se encuentra esta noción casi a lo largo de todo Dos nuevas ciencias, de Galileo, el libro en el que fundó la mecánica moderna. Galileo expresó sus relaciones funcionales en palabras y en el lenguaje de las proporciones. Así, en su trabajo sobre la resistencia de materiales, tiene ocasión de afirmar: «Las áreas de dos cilindros de volúmenes iguales, despreciando las bases, están una con respecto a otra en una razón que es la raíz cuadrada de la razón de sus longitudes.» En otra parte: «Los volúmenes de cilindros rectos cuyas superficies curvas son iguales son inversamente proporcionales a sus alturas.» En su trabajo sobre el movimiento establece, por ejemplo, que «los espacios descritos por un cuerpo que cae desde el reposo con un movimiento uniformemente acelerado están, unos con respecto a otros, en la relación de los cuadrados de los intervalos de tiempo empleados en atravesar esas distancias». «Los tiempos de descenso a lo largo de planos inclinados de la misma altura, pero de diferentes pendientes, están unos con respecto a los otros en la relación de las longitudes de esos planos.» El lenguaje muestra claramente que está tratando con variables y funciones; no faltaba más que un paso para escribir estas frases en forma simbólica. Como el simbolismo del álgebra se estaba extendiendo en ese momento la afirmación de Galileo sobre los espacios descritos por un cuerpo que cae pronto se escribió como s = kt2 y su afirmación sobre los tiempos de descenso como t = kl.
Muchas de las funciones introducidas durante el siglo XVII fueron estudiadas en primer lugar como curvas, antes de que el concepto de función fuera totalmente identificado. Esto ocurrió, por ejemplo, en el caso de las funciones trascendentes elementales tales como log x, sen x y ax. Así, Evangelista Torricelli (1608-1647), discípulo de Galileo, en una carta de 1644, describía sus investigaciones sobre la curva que nosotros representaríamos mediante y = ae-cx para x ≥ 0 (el manuscrito en el que escribió esta investigación no fue editado hasta 1900). La curva le fue sugerida a Torricelli por el trabajo que se desarrollaba entonces sobre los logaritmos. Descartes encontró la misma curva en 1639, pero él no mencionó su conexión con los logaritmos. La curva seno apareció en las matemáticas como la curva asociada a la cicloide, en el trabajo de Roberval sobre la cicloide (cap. 17, sec. 2) y aparece dibujada a lo largo de dos períodos en la Mechanica de Wallis (1670). Las tablas de valores de las funciones trigonométricas y logarítmicas eran conocidas, por supuesto, en aquella época, con gran precisión.
Es también relevante el que las antiguas y las nuevas curvas fueran introducidas mediante movimientos. En la época griega, pocas curvas, como la cuadratriz y la espiral de Arquímedes, estaban definidas en términos de movimiento, pero en aquellos tiempos tales curvas estaban fuera de los límites de las matemáticas legítimas. La actitud era completamente diferente en el siglo XVII. Mersenne, en 1615, definió la cicloide (que era conocida anteriormente) como el lugar geométrico (que describe) un punto (fijo) de una rueda que gira sobre el suelo. Galileo, que había demostrado que la trayectoria de un proyectil disparado en el aire formando un ángulo con respecto al suelo es una parábola, consideró la curva como el lugar geométrico de un punto móvil.
Con Roberval, Barrow y Newton, el concepto de curva como la trayectoria de un punto móvil alcanza reconocimiento explícito y aceptación. Dice Newton en su Quadrature of Curves (escrito en 1676):
«Considero las cantidades matemáticas en este punto no como constituidas por muy pequeñas partes, sino como descritas por un movimiento continuado. Las líneas [curvas] están descritas, y así generadas, no por la yuxtaposición de partes sino por el movimiento continuado de puntos... Esta génesis tiene lugar realmente en la naturaleza de las cosas, y se ve diariamente en el movimiento de los cuerpos.»Los términos y el simbolismo para los distintos tipos de funciones representadas por estas curvas fueron introduciéndose gradualmente. Había muchas dificultades sutiles de las que casi no se era consciente. Por ejemplo, el uso de las funciones de la forma ax, cuando x toma valores positivos y negativos, enteros y fraccionarios, llegó a ser común en el siglo XVII. Se suponía (hasta el siglo XIX, cuando se definieron por primera vez los números irracionales) que la función estaba también definida para valores irracionales de x, de modo que nadie cuestionaba una expresión de la forma 2√2. Se entendía implícitamente que un valor así era intermedio entre los obtenidos para dos exponentes racionales cualesquiera por encima y por debajo de √2.
La distinción de Descartes entre curvas geométricas y mecánicas (cap. 15, sec. 4) suscitó la distinción entre funciones algebraicas y trascendentes. Afortunadamente, sus contemporáneos ignoraron su rechazo de lo que él llamó curvas mecánicas. Mediante cuadraturas, adición de series y otras operaciones incluidas en el cálculo, surgieron y fueron estudiadas muchas funciones trascendentes. La distinción entre funciones algebraicas y trascendentes fue hecha por James Gregory en 1667, cuando intentó demostrar que el área de un sector circular no podía ser una función algebraica del radio y de la cuerda. Leibniz demostró que sen x no podía ser una función algebraica de x e incidentalmente demostró el resultado buscado por Gregory[57]. La comprensión completa y el uso de las funciones trascendentes vino gradualmente.
La definición más explícita del concepto de función en el siglo XVII fue dada por James Gregory en su Vera Circuli et Hyperbolae Quadratura (1667). Definió una función como una cantidad que se obtiene de otras cantidades mediante una sucesión de operaciones algebraicas o mediante cualquier otra operación imaginable. Con la última frase quería decir, según explica, que es necesario añadir a las cinco operaciones del álgebra una sexta operación, que él define como el paso al límite. (A Gregory, como veremos en el capítulo 17, le preocupaban los problemas de cuadraturas.) El concepto de función de Gregory no se conservó; pero, en cualquier caso, pronto se habría vuelto demasiado restringido al utilizarse, cada vez más ampliamente, la representación de funciones mediante series.
Desde el mismo comienzo de su trabajo sobre el cálculo, es decir, desde 1665 en adelante, Newton utilizó el término «fluent» (fluyente) para representar cualquier relación entre variables. En un manuscrito de 1673, Leibniz utilizó la palabra «función» para significar cualquier cantidad que varía de un punto a otro de una curva —por ejemplo, la longitud de la tangente, de la normal, de la subtangente y de la ordenada—. La curva misma se decía dada mediante una ecuación. Leibniz también introdujo las palabras «constante», «variable» y «parámetro», esta última utilizada en conexión con una familia de curvas[58]. Tratando con funciones, Jean Bernoulli hablaba ya desde 1697 de una cantidad formada, de cualquier manera posible, de variables y constantes[59]; con «cualquier manera» quería decir mediante expresiones algebraicas y trascendentes. Adoptó la frase de Leibniz «función de x» para esta cantidad en 1698. En su Historia (1714), Leibniz utilizó la palabra «función» para significar cantidades que dependen de una variable.
En cuanto a la notación, Jean Bernoulli escribía X ó ξ para una función general de x, aunque en 1718 cambió a Φx. A Leibniz le pareció bien esto, pero propuso también x1 y x2 para funciones de x, utilizando el superíndice cuando se tratara con varias funciones. La notación f(x) fue introducida por Euler en 1734[60]. El concepto se convirtió inmediatamente en central en los trabajos sobre el cálculo. Veremos más adelante cómo fue extendido ese concepto.
Bibliografía
- Bell, A. E.: Christian Huygens and the Development of Science in the Se- venteenth Century, Edward Arnold, 1947.
- Burtt, E. A.: Los fundamentos metafísicos de la Ciencia Moderna, Editorial Suramericana, Buenos Aires, 1945.
- Butterfield, Herbert: The Origins of Modern Science, Macmillan, 1951, caps. 4-7. H. Butterfield, Los orígenes de la ciencia moderna, Madrid, Taurus, 1982.
- Cohén, I. Bernard: The Birth of a New Physics, Doubleday, 1960.
- Coolidge, Julián L.: The Mathematics of Great Amateurs, Dover (reimpresión), 1963, pp. 119-127.
- Crombie, A. C.: Augustine to Galileo, Falcon Press, 1952, Cap. 6. A. C. Crombie, Historia de la ciencia: De San Agustín a Galileo, Madrid, Alianza Editorial, 1979.
- Dampier-Whetham, W. C. DA History of Science and Its Relations with Philosophy and Religión, Cambridge University Press, 1929, cap. 3. W. C. Dampier, Historia de la ciencia y sus relaciones con la filosofía y religión, Madrid, Tecnos, 1986.
- Dijksterhuis, E. J.: The Mechanization of the World Picture, Oxford University Press, 1961.
- Drabkin, LE., and Stillman Drake: Galileo Galilei: On Motion and Mechantes, University of Wisconsin Press, 1960.
- Drake, Stillman: Discoveries and Opinions of Galileo, Doubleday, 1957.
- Galilei, Galileo: Opere, 20 vols., 1890-1909, reimpreso por G. Barbera, 1964-1966. —: Dialogues Concerning Two New Sciences, Dover (reimpresión), 1952. Consideraciones y demostraciones matemáticas sobre las nuevas ciencias, Editora Nacional, Madrid, 1976.
- Hall, A. R.: The Scientific Revolution, Longmans Green, 1954, caps. 1-8. —: From Galileo to Newton, Collins, 1963, caps. 1-5. A. R. Hall, La Revolución Científica, 1500-1700, Barcelona, Crítica, 1985.
- Huygens, C.: Oeuvres completes, 22 vols., M. Nyhoff, 1888-1950.
- Newton, I.: Mathematical Principies of Natural Philosphy, University of California Press, 1946. I. Newton, Principios matemáticos de la filosofía material, 2 vol., Madrid, Alianza, 1987.
- Randall, John H., Jr.: Making of the Modern Mind, ed. rev., Houghton Mifflin, 1940, cap. 10.
- Scott, J. F.: The Scientific Work of René Descartes, Taylor and Francis, 1952, caps. 10-12.
- Smith, Preserved: A History of Modern Culture, Henry Holt, 1930, vol. I, caps. 3, 6 y 7.
- Strong, Edward, W.: Procedures and Metaphysics, University of California Press, 1936; caps. 5-8.
- Whitehead, Alfred North: Science and Modern World, Cambridge University Press, 1926, cap. 3.
- Wolf, Abraham: A History of Science, Technology and Philosophy in the Sixteenth and Seventeenth Centuries, 2.a ed., George Alien and Unwin, 1950, cap. 3.
Capítulo 17
La creación del cálculo
Quien, por un vigor de la mente casi divino, los movimientos y las figuras de los planetas, las trayectorias de los cometas y las mareas de los mares primero demostró.
Epitafio de Newton
Contenido:1. La motivación del cálculo1. La motivación del cálculo
2. El trabajo sobre el cálculo de principios del siglo XVII
3. La obra de Newton
4. La obra de Leibniz
5. Una comparación de las obras de Newton y Leibniz
6. La controversia sobre la prioridad
7. Algunas adiciones inmediatas al cálculo
8. La solidez del cálculo
Bibliografía
Justamente después de la adopción del concepto de función vino el cálculo, el cual, junto con la geometría euclídea, es la mayor creación de todas las matemáticas. Aunque era, hasta cierto punto, la respuesta a problemas ya manejados por los griegos, el cálculo fue creado sobre todo para tratar los principales problemas científicos del siglo XVII.
Había cuatro tipos principales de problemas. El primero era el siguiente: dada la fórmula de la distancia que un cuerpo recorre como función del tiempo, obtener la velocidad y la aceleración en cualquier instante; y, al revés, dada la fórmula que describe la aceleración de un cuerpo como función del tiempo, obtener la velocidad y la distancia recorrida. Este problema surgió directamente en el estudio del movimiento, y la dificultad que planteaba era que las velocidades y las aceleraciones que interesaban en el siglo XVII variaban de instante en instante. Al calcular una velocidad instantánea, por ejemplo, no se puede dividir la distancia recorrida por el tiempo empleado, como ocurre en el caso del cálculo de la velocidad media, porque en un instante dado tanto la distancia recorrida como el tiempo empleado son cero, y 0/0 no tiene sentido. Sin embargo, era claro desde un punto de vista físico que los objetos móviles tienen una velocidad en cada instante de su viaje. El problema inverso de obtener la distancia recorrida, conociendo la fórmula de la velocidad, incluye la dificultad correspondiente; no se puede multiplicar la velocidad en cualquier instante por el tiempo utilizado para obtener el espacio recorrido, porque la velocidad varía de un instante a otro.
El segundo tipo de problemas era obtener la tangente a una curva. El interés por este problema vino de más de una fuente; era un problema de geometría pura, y era de gran importancia para las aplicaciones científicas. La óptica, como sabemos, era uno de los principales objetivos científicos del siglo XVII; el diseño de las lentes era de interés directo para Fermat, Descartes, Huygens y Newton. Para estudiar el paso de la luz a través de una lente, se debe conocer el ángulo bajo el cual el rayo toca a la lente, para aplicar la ley de refracción.

Figura 17.1
En realidad, incluso el mismo significado de «tangente» estaba abierto. Para las secciones cónicas, la definición de una tangente como una recta que toca a una curva en sólo un punto y que permanece a un lado de la curva, bastaba; esta definición era utilizada por los griegos. Pero era inadecuada para las curvas más complicadas que se utilizaban en el siglo XVII.
El tercer problema era obtener el valor máximo o mínimo de una función. Cuando una bala se dispara desde un cañón, la distancia que recorrerá horizontalmente —el recorrido— depende del ángulo de inclinación del cañón con respecto al suelo. Un problema «práctico» era obtener el ángulo que haría máximo el recorrido. A principios del siglo XVII Galileo obtuvo que (en el vacío) el recorrido máximo se obtenía para un ángulo de fuego de 45°; también encontró la máxima altura alcanzada por proyectiles disparados con distintos ángulos respecto al suelo. El estudio del movimiento de los planetas también presentaba problemas de máximos y mínimos, tales como los de obtener la mayor y la menor distancia de un planeta al Sol.
El cuarto problema era el de obtener longitudes de curvas como, por ejemplo, la distancia recorrida por un planeta en un período de tiempo dado; las áreas acotadas por curvas; los volúmenes acotados por superficies; los centros de gravedad de los cuerpos y la atracción gravitatoria que un cuerpo extenso, un planeta, por ejemplo, ejerce sobre otro cuerpo. Los griegos habían aplicado el método exhaustivo para obtener algunas áreas y volúmenes. A pesar del hecho de que lo aplicaban para áreas y volúmenes relativamente sencillos, tenían que utilizar mucha ingeniosidad, porque al método le faltaba generalidad, y no obtuvieron respuestas numéricas muy a menudo. El interés por obtener longitudes, áreas, volúmenes y centros de gravedad revivió cuando los trabajos de Arquímedes se hicieron conocidos en Europa. El método exhaustivo se modificó primero gradualmente, y después radicalmente por la invención del cálculo.
2. El trabajo sobre el cálculo de principios del siglo XVII
Los problemas del cálculo fueron abordados por, al menos, una docena de los matemáticos más grandes del siglo XVII, y por varias docenas de otros menos importantes. Todas sus contribuciones fueron coronadas por las realizaciones de Newton y Leibniz. Aquí podremos señalar sólo las contribuciones principales de los precursores de estos dos maestros.
El problema del cálculo de la velocidad instantánea a partir del conocimiento de la distancia recorrida como función del tiempo, y su inverso, se vio pronto que eran casos particulares del cálculo del cambio relativo instantáneo de una variable con respecto a otra, y su problema inverso. El primer tratamiento significativo de los problemas de cambios relativos, en general, se debe a Newton; lo examinaremos más tarde.
Se propusieron varios métodos para obtener la tangente a una curva. En su Traité des indivisibles, que data de 1634 (aunque no fue publicado hasta 1693), Giles Persone de Roberval (1602-1675) generalizó un método que Arquímedes había usado para obtener la tangente en cualquier punto de su espiral. Como Arquímedes, Roberval pensó en una curva como lugar geométrico de un punto que se mueve bajo la acción de dos velocidades.

Figura 17.2
Aunque la noción de tangente como una recta que tiene la dirección de la velocidad resultante era más complicada que la definición griega de una recta que toca a una curva, el nuevo concepto podía aplicarse a muchas curvas en el que el antiguo fallaba. Era también valioso porque relacionaba la geometría pura y la dinámica, las cuales, antes de los trabajos de Galileo, habían sido consideradas como esencialmente distintas. Por otra parte, esta definición de tangente era objetable en términos matemáticos, porque se basaba en conceptos físicos. Surgieron muchos casos de curvas en situaciones que no se podían relacionar con el movimiento y por lo tanto la definición de tangente no se podía aplicar. Por todo ello fueron ganando aceptación otros métodos para obtener tangentes.
El método de Fermat, que él había ideado en 1629 y que puede encontrarse en su manuscrito de 1637 Methodus ad Disquirendam Maximam et Minimam (Métodos para obtener máximos y mínimos)

Figura 17.3
Sea QQ1 un incremento de longitud E de TQ. Como el triángulo TQP es semejante al triángulo PRT1
TQ : PQ = E : T1R.
Pero, dice Fermat, T1R es casi P1R, por lo tantoTQ : PQ = E : (P1Q1 - QP).
Llamando f(x) a PQ, en nuestra notación moderna, tenemosTQ : f(x) = E:[f(x + E) - f(x)].
Por tanto
Fermat aplicó este método de las tangentes a muchos problemas difíciles. El método tiene la forma del método, ahora habitual, del cálculo diferencial, pero está suponiendo enteramente la difícil teoría de los límites.
Para Descartes, encontrar la tangente a una curva era importante porque permitía encontrar propiedades de las curvas —como, por ejemplo, el ángulo de intersección de dos de ellas—. Dice: «este es el problema más útil, y el más general, no sólo que conozco, sino de los que deseo conocer en geometría». Escribió su método en el segundo libro de La Géométrie. Era puramente algebraico y no incluía ningún concepto de límite, mientras que para Fermat sí lo implicaba, si se formulaba rigurosamente. Sin embargo, el método de Descartes sólo era útil para curvas cuyas ecuaciones fueran de la forma y = f(x), donde f(x) era un polinomio sencillo. Aunque el método de Fermat era general, Descartes pensaba que su método era mejor; criticó el de Fermat, del que hay que reconocer que no resultaba claro en su presentación de entonces, e intentó interpretarlo en términos de sus propias ideas. Fermat, a su vez, proclamaba que su método era superior y veía ventajas en su utilización de los pequeños incrementos E.
Isaac Barrow (1630-1677) también dio un método para obtener tangentes a las curvas. Barrow era un profesor de matemáticas de la universidad de Cambridge. Muy versado en griego y árabe, pudo traducir algunos de los trabajos de Euclides y mejorar algunas otras traducciones de los escritos de Euclides, Apolonio, Arquímedes y Teodosio. Su trabajo más importante, las Lectiones Geometricae (1669), es una de las grandes contribuciones al cálculo. En él utilizaba métodos geométricos, «liberados», según decía, «de las abominables cargas del cálculo». En 1669, Barrow renunció a su puesto de profesor en favor de Newton y volvió a los estudios teológicos.
El método geométrico de Barrow es bastante complicado y hace uso de curvas auxiliares. Sin embargo, vale la pena destacar una característica, porque ilustra la forma de pensar de la época; y es el uso de lo que se llama el triángulo diferencial, o característico.

Figura 17.4

Figura 17.5
y2 + 2 ay + a2 = px + pe.
Resta y2 = px y obtiene2 ay + a2 = pe
A continuación desprecia las potencias superiores de a y e (cuando aparecen), que es lo mismo que sustituir PRP' de la figura 17.4 por PRP' de la figura 17.5, y concluye que![]()
![]()
El trabajo sobre el tercer tipo de problemas, la obtención de los máximos y mínimos de una función, puede decirse que comienza con una observación de Kepler. Estaba interesado en la forma de los toneles de vino; en su Stereometria Doliorum (1615) demostró que, de todos los paralelepípedos rectos, de bases cuadradas, inscritos en una esfera, el cubo es el mayor. Su método fue el de calcular los volúmenes para elecciones particulares de las dimensiones. Esto, en sí mismo, no era significativo; pero notó que cuando se acercaba al volumen máximo, el cambio en volumen que correspondía a un cambio fijo en las dimensiones crecía cada vez menos.
Fermat, en su Methodus ad Disquirendam, describió su método, que ilustró mediante el siguiente ejemplo: dado un segmento, se desea encontrar un punto de él tal que el rectángulo formado con los dos segmentos en que queda dividido sea máximo. Llama B a todo el segmento, y sea A una parte de él. El área del rectángulo formado por los dos segmentos es AB - A2. Ahora sustituye A por A + E. La otra parte es, entonces, B - (A + E), y el área del rectángulo es ahora (A + E) (B - A - E). Iguala las dos áreas porque, según razona, en un máximo los dos valores de la función —es decir, las dos áreas— deben de ser iguales. Por tanto,
AB + EB - A2 - 2AE - E2 = AB - A2.
Restando los términos comunes en los dos miembros y dividiendo por E, obtieneB = 2A + E.
Hace entonces E = 0 (él dice que desprecia el término en E) y obtiene B = 2A. Por lo tanto, el rectángulo es un cuadrado.El método, en palabras de Fermat, es bastante general; él lo describe así: si A es la variable independiente, y si A se incrementa hasta A + E, entonces cuando E se hace indefinidamente pequeño y cuando la función pasa por un máximo o un mínimo, los dos valores de la función han de ser iguales. Estos valores se igualan; la ecuación se divide por E, y E se hace tender a cero, de modo que puede determinarse a partir de la ecuación el valor de A que hace máxima o mínima a la función. El método es esencialmente el que utilizaba para obtener la tangente a una curva. Sin embargo, el hecho básico allí es la semejanza de dos triángulos; aquí es la igualdad de dos valores de la función. Fermat no vio la necesidad de justificar la introducción de un E distinto de cero y después, después de dividir por E, hace E = O[62].
Los trabajos del siglo XVII sobre obtención de áreas, volúmenes, centros de gravedad y longitudes de curvas comienzan con Kepler, de quien se dice que se interesó por el problema de los volúmenes porque notó la falta de precisión de los métodos utilizados por los tratantes en vinos para obtener el volumen de los barriles. Este trabajo (en Stereometria Doliorum) es tosco para los niveles actuales. Por ejemplo, el área de un círculo es, para él, el área de un número infinito de triángulos, cada uno con un vértice en el centro y una base en la circunferencia. De la fórmula del área de un polígono regular inscrito en una circunferencia, la mitad del perímetro por el apotema, obtenía el área del círculo. De forma análoga, consideraba el volumen de una esfera como la suma de los volúmenes de pequeños conos cuyos vértices están en el centro de la esfera y cuyas bases están en la superficie de la esfera. Así demostró que el volumen de la esfera es un tercio del radio por la superficie. Consideró el cono como una suma de discos circulares muy estrechos y pudo así calcular su volumen. Estimulado por la obra de Arquímedes Esferoides y Conoides, generó nuevas figuras mediante rotación de áreas y calculó los volúmenes correspondientes. Así calculó el volumen de la figura generada por el giro alrededor de su cuerda de un segmento circular.
La identificación de las áreas y volúmenes curvilíneos con la suma de un número infinito de elementos infinitesimales es la esencia del método de Kepler. El que el círculo pudiera considerarse como la suma de un número infinito de triángulos estaba justificado, para él, por el principio de continuidad (cap. 14, sec. 5). No veía ninguna diferencia de principio entre las dos figuras. Por la misma razón, una línea y un área infinitesimal eran realmente lo mismo; y de hecho consideró, en algunos problemas, un área como suma de líneas.
En Dos nuevas ciencias Galileo concibe las áreas en una forma parecida a Kepler; al tratar el problema del movimiento uniformemente acelerado, presentó un razonamiento para mostrar que el área encerrada bajo la curva tiempo-velocidad es la distancia.

Figura 17.6
Bonaventura Cavalieri (1598-1647), discípulo de Galileo y profesor en un liceo de Bolonia, fue influido por Kepler y Galileo y fue estimulado por este último para interesarse por problemas del cálculo. Cavalieri desarrolló las ideas de Galileo y otros sobre los indivisibles mediante un método geométrico, y publicó un trabajo sobre el tema, Geometría Indivisibilibus Continuorum Nova quadam Ratione Promota (Geometría superior mediante un método bastante desconocido, los indivisibles de los continuos, 1635). Considera un área como constituida por un número indefinido de rectas paralelas y equidistantes y un volumen como compuesto por un número indefinido de áreas planas paralelas; a estos elementos los llama los indivisibles de área y volumen, respectivamente. Cavalieri es consciente de que el número de indivisibles que constituyen un área o un volumen debe ser infinitamente grande, pero no trata de profundizar en esto. En líneas generales, los indivisibilistas mantenían, como expresara Cavalieri en sus Exercitationes Geometricae Sex (1647), que una línea está hecha de puntos como una sarta de cuentas; un plano está hecho de líneas, como un tejido de hebras, y un sólido de áreas planas como un libro de hojas. Sin embargo, aceptaban un número infinito de elementos constituyentes.

Figura 17.7
Este mismo principio está incluido en la proposición que se enseña actualmente en los libros de geometría de sólidos y que se conoce como teorema de Cavalieri. El principio establece que si dos sólidos tienen igual altura y si las secciones por planos paralelos a las bases y a la misma distancia de ellas siempre están en una razón dada, los volúmenes de los dos sólidos también están en esa razón. Utilizando esencialmente este principio, Cavalieri demostró que el volumen de un cono es 1/3 del volumen del cilindro circunscrito. Trató de la misma forma el área limitada bajo dos curvas, y = f(x) e y = g(x), en nuestra notación, y definidas para los mismos valores de x; considerando las áreas como la suma de las ordenadas, si las ordenadas de una están en una razón constante con respecto a las de la otra entonces, según Cavalieri, las áreas están en la misma razón. Demostró mediante sus métodos en Centuria di varii problemi (1639) que, en nuestra notación,

La teoría de los indivisibles de Cavalieri fue criticada por sus contemporáneos, y Cavalieri intentó responderles, pero no tenía ninguna justificación rigurosa. A veces pretendía que su método era sólo un instrumento pragmático para evitar el método exhaustivo. A pesar de las críticas al método, éste fue utilizado intensamente por muchos matemáticos. Otros, como Fermat, Pascal y Roberval, utilizaron el método e incluso la nomenclatura, como la suma de ordenadas, pero consideraban el área como una suma de infinitos rectángulos pequeños en lugar de una suma de líneas.
En 1634, Roberval, quien dice que había estudiado al «divino Arquímedes», utilizó esencialmente el método de los indivisibles para obtener el área encerrada bajo un arco de cicloide, un problema sobre el que Mersenne había llamado su atención en 1629.

Figura 17.8
El método de Roberval para obtener el área encerrada por la cicloide es instructivo. Sea OABP (fig. 17.8) el área situada bajo la mitad de un arco de cicloide. El diámetro de la circunferencia generatriz es OC y P es un punto cualquiera del arco. Se toma PQ = DF. El lugar geométrico descrito por Q se llama curva asociada a la cicloide. (La curva OQB es, en nuestra notación, y = a sen (x/a), donde a es el radio de la circunferencia generatriz, con tal que el origen esté en el punto medio de OQB y el eje OX sea paralelo a OA.) Roberval afirma que la curva OQB divide al rectángulo OABC en dos partes iguales porque, básicamente, a cada línea DQ en OQBC le corresponde una línea igual RS en OABQ. Entonces puede aplicarse el principio de Cavalieri. El rectángulo OABC tiene su base y altura iguales, respectivamente, a la semicircunferencia y diámetro de la circunferencia generatriz; por lo tanto su área es doble de la de la circunferencia. Entonces OABQ tiene la misma área que la circunferencia generatriz. Además, el área entre OPB y OQB es igual al área del semicírculo OFC porque de la misma definición de Q se tiene que DF = PQ, de modo que estas dos áreas tienen la misma anchura en todas partes. En consecuencia, el área encerrada debajo del semiarco es una vez y media el área de la circunferencia generatriz. Roberval también obtuvo el área encerrada en un arco de la curva seno, el volumen generado por la revolución del arco alrededor de su base, otros volúmenes conectados con la cicloide y el centroide de su área.

Figura 17.9
d ´ d2 + d(2d)2 + d(3d)2 + ... + d(nd)2 (1)
od3(1 + 22 + 32 + ... + n2).
Ahora bien, la suma de las potencias m-ésimas de los primeros n números naturales había sido obtenida por Pascal y Fermat precisamente para su uso en tales problemas; por ello los matemáticos pudieron sustituir fácilmente la última expresión por
![]()
Vemos que el método requiere aproximar la figura curvilínea mediante otras rectilíneas, como en el método exhaustivo. Sin embargo, hay un cambio vital en el último paso: en lugar de la demostración indirecta utilizada en el método anterior, aquí el número de rectángulos se hace infinito y se toma el límite de (3) cuando n se hace infinito aunque pensar en términos de límite no era en absoluto explícito en esta época. Este nuevo enfoque, utilizado en fecha tan temprana como 1586 por Stevin en su Statics, fue seguido por muchos otros, incluyendo a Fermat[63].
Si la curva en cuestión no fuera la parábola, se tendría que sustituir la propiedad característica de la parábola por la de la curva en cuestión y obtener así alguna otra serie en lugar de la (1) de antes. Sumar la análoga de (1) para obtener la análoga de (2) requería ingenio. Por tanto, los resultados sobre áreas, volúmenes y centros de gravedad fueron limitados. Es claro que el potente método de calcular el límite de tales sumas invirtiendo la diferenciación todavía no había sido considerado.
Utilizando esencialmente el tipo de técnica de sumación que acabamos de ilustrar, Fermat conocía antes de 1636 que (en nuestra notación)

Pascal fue uno de los que realizaron la sumación en forma geométrica. En 1658 consideró algunos problemas sobre la cicloide[65]. Calculó el área de cualquier segmento de la curva cortada por una recta paralela a la base, el centroide del segmento y los volúmenes de los sólidos generados por esos segmentos al girar alrededor de sus bases (YZ en la fig. 17.10) o de una recta vertical (el eje de simetría).
En este trabajo, así como en trabajos previos sobre áreas encerradas bajo curvas de la familia y = xn, sumó pequeños rectángulos en la forma descrita en conexión con la (1) de antes, aunque su trabajo y resultados fueron enunciados geométricamente. Bajo el seudónimo de Dettonville, proponía los problemas que había resuelto como un reto para otros matemáticos, publicando a continuación sus propias soluciones superiores (Lettres de Dettonville, 1659).

Figura 17.10
Uno de los notables resultados de Wallis, obtenido en sus esfuerzos por calcular el área del círculo analíticamente, fue una nueva expresión de π. Calculó el área acotada por los ejes, la ordenada en x y la curva para las funciones
y = (1-x2)0
y = (1-x2)1
y = (1-x2)2
y = (1-x2)3
…
y obtuvo las áreas
1, 2/3, 8/15, 48/105, … (4)
Ahora bien, la circunferencia viene dada por![]()
![]()
Esto significa que la suma de las áreas desde x0 hasta xi, cuya suma forma una progresión geométrica, es proporcional al logaritmo de los valores de las y{ o, en nuestra notación,


Figura 17.11
![]()
Hasta, aproximadamente, 1650 nadie creía que la longitud de una curva pudiera ser igual exactamente a la longitud de una recta. De hecho, en el segundo libro de La Géometrie, Descartes expone que la relación entre las líneas curvas y rectas ni se conoce ni se podrá conocer nunca. Pero Roberval encontró la longitud de un arco de cicloide. El arquitecto Christopher Wren (1632-1723) rectificó la cicloide mostrando que (fig. 17.12) el arco PA = 2PT

Figura 17.12
Christian Huygens (1629-1695) obtuvo algunos resultados adicionales sobre rectificación. En particular, encontró la longitud del arco de la cisoide. También realizó contribuciones al trabajo sobre áreas y volúmenes y fue el primero en dar resultados sobre áreas de superficies diferentes de la esfera. Así, obtuvo las áreas de porciones de superficies del paraboloide y del hiperboloide. Huygens obtuvo todos estos resultados por métodos puramente geométricos, aunque utilizó la aritmética, como Arquímedes había hecho ocasionalmente, para obtener respuestas cuantitativas.
La rectificación de la elipse desafiaba a los matemáticos. De hecho, James Gregory afirmaba que la rectificación de la elipse y de la hipérbola no podría realizarse en términos de funciones conocidas. Durante algún tiempo, los matemáticos no se animaron a trabajar más sobre este problema, y no se obtuvieron resultados nuevos hasta el siglo siguiente.
Hemos estado tratando de las principales contribuciones de los predecesores de Newton y Leibniz a los cuatro problemas más importantes que motivaron los trabajos sobre el cálculo. Los cuatro problemas habían sido considerados como diferentes; sin embargo, se detectaron relaciones entre ellos que, incluso, llegaron a utilizarse. Por ejemplo, Fermat había usado exactamente el mismo método para obtener tangentes y para obtener el valor máximo de una función. También se vio fácilmente que el problema del cambio relativo de una función con respecto a la variable independiente y el problema de la tangente eran el mismo. De hecho, el método de Fermat y de Barrow para obtener tangentes no es más que la contrapartida geométrica de la obtención del cambio relativo. Pero la característica principal del cálculo, después de los mismísimos conceptos de derivada y de integral como límite de una suma, es el hecho de que la integral puede obtenerse invirtiendo el proceso de diferenciación o, como decimos nosotros, obteniendo la antiderivada. Se habían encontrado muchas pruebas de esta relación, pero no se había valorado adecuadamente su significado. Torricelli había observado en casos particulares que el problema del cambio relativo era esencialmente el inverso del problema del área. Estaba, de hecho, incluido en el uso que Galileo hacía del hecho de que el área encerrada bajo la curva tiempo-velocidad proporciona la distancia recorrida hasta el tiempo correspondiente. Puesto que el cambio relativo de la distancia debe de ser la velocidad, el cambio relativo del área, considerada como una «suma», debe de ser la derivada de la función de área.. Pero Torricelli no cayó en la cuenta de ello en general. También Fermat conocía la relación entre área y derivada en casos particulares, pero no valoró su generalidad o importancia. James Gregory, en su Geometriae de 1668, demostró que los problemas de la tangente y del área son problemas inversos, pero su libro pasó desapercibido. En las Geometrical Lectures, Barrow exponía la relación entre obtener la tangente a una curva y el problema del área, pero estaba dicha en forma geométrica y ni siquiera él mismo se dio cuenta de su significado.
En realidad se había acumulado una inmensa cantidad de conocimiento sobre el cálculo antes de que Newton y Leibniz entraran en escena. Una panorámica de tan sólo el único libro de Barrow muestra un método para obtener tangentes, teoremas sobre diferenciación del producto y del cociente de dos funciones, la diferenciación de potencias de x, la rectificación de curvas, el cambio de variables en una integral definida e incluso la diferenciación de las funciones implícitas. Aunque en el caso de Barrow la formulación geométrica hacía difícil el reconocimiento de las ideas generales, en la Arithmetica Infinitorum de Wallis podían encontrarse resultados comparables en forma aritmética.
Puede uno preguntarse entonces qué quedaba por realizar en la senda de los principales resultados nuevos. La respuesta es una mayor generalidad del método y el tomar conciencia de la generalidad de lo que ya había sido establecido en problemas particulares. Los trabajos sobre el cálculo durante los primeros dos tercios de siglo se perdieron en los detalles. Además, en sus esfuerzos por alcanzar rigor a través de la geometría, no se utilizaron ni se exploraron, en general, las implicaciones de la nueva álgebra ni de la geometría de coordenadas, y muchos se agotaron en sutiles razonamientos sin salida. Lo que estimuló, en último extremo, la percepción necesaria y el alcance de la generalidad fue el trabajo aritmético de Fermat, Gregorio de St. Vincent y Wallis, aquel a quien Hobbes criticó por sustituir la geometría por símbolos. James Gregory afirmaba en su prefacio a la Geometriae que la verdadera división de las matemáticas no era en geometría y aritmética, sino en lo universal y lo particular. Lo universal fue proporcionado por las dos mentes universales, Newton y Leibniz.
3. La obra de Newton
Los grandes avances en las matemáticas y en la ciencia se construyen casi siempre sobre el trabajo de muchos hombres que aportan sus contribuciones, poco a poco, a lo largo de cientos de años; de vez en cuando un hombre, lo bastante lúcido como para distinguir las ideas valiosas de sus predecesores de la confusión de sugerencias y pronunciamientos, lo suficientemente imaginativo como para encajar las piezas en una nueva explicación, lo bastante audaz como para construir un plan maestro, da el paso culminante y definitivo. En el caso del cálculo, éste fue Isaac Newton.
Newton (1642-1727) nació en la aldea de Woolsthorpe, Inglaterra, donde su madre trabajaba la granja que le había dejado su marido, quien había muerto dos meses antes de que naciera Isaac. Se educó en escuelas locales, de bajo nivel educativo, como un joven sin ninguna inclinación especial, excepto su interés por los aparatos mecánicos. Superó los exámenes de entrada, con deficiencias en geometría euclídea, en el Trinity College de la Universidad de Cambridge en 1661, y allí estudió tranquilamente y sin obstáculos. En un determinado momento casi cambió su carrera de filosofía natural (ciencia) a derecho. Según parece, recibía muy poco estímulo de sus profesores excepto, posiblemente, de Barrow. Por ello, realizó experiencias por sí mismo y estudió la Géometrie de Descartes, así como los trabajos de Copérnico, Kepler, Galileo, Wallis y Barrow.
Justo después de que Newton terminara su trabajo de licenciatura, la universidad fue cerrada porque la peste se había extendido por toda el área de Londres. Se fue de Cambridge y pasó los años 1665 y 1666 en la tranquilidad de la casa familiar en Woolsthorpe. Allí inició su magnífico trabajo en mecánica, matemática y óptica. En esa época se dio cuenta de que la ley de gravitación del inverso del cuadrado, un concepto ya anticipado por otros, incluso por Kepler ya en 1612, era la llave de una ciencia unificadora de la mecánica; obtuvo un método general para tratar los problemas del cálculo y, mediante experimentos con la luz, realizó el trascendental descubrimiento de que la luz blanca, como la del Sol, está compuesta en realidad de todos los colores, desde el violeta hasta el rojo. «Todo esto», decía Newton más tarde,
«fue en los años de la peste de 1665 y 1666, ya que en aquellos días yo estaba en lo mejor de mi edad para la invención, y me interesaban las matemáticas y la filosofía (ciencia) más que en cualquier otra época desde entonces».Newton no dijo nada de esos descubrimientos. Volvió a Cambridge en 1667 para obtener un grado de maestro y fue elegido miembro del Trinity College. En 1669 Isaac Barrow renunció a su plaza de profesor y Newton fue contratado en el puesto de Barrow como profesor Lucasiano de matemáticas. Según parece, no era un buen profesor, porque pocos estudiantes asistían a sus clases; tampoco sus colegas se dieron cuenta de la originalidad del material que presentaba. Sólo Barrow y, algo más tarde, el astrónomo Edmund Halley (1656-1742) valoraron su grandeza y le estimularon.
Al principio Newton no publicó sus descubrimientos. Se dice que tenía un miedo a la crítica anormal; De Morgan dice que «un miedo mórbido a la oposición de los demás gobernó toda su vida». Cuando en 1672 publicó su trabajo sobre la luz, acompañado de su filosofía de la ciencia, fue criticado severamente por la mayor parte de sus contemporáneos, incluyendo a Robert Hooke y a Huygens, quienes tenían ideas diferentes sobre la naturaleza de la luz. Newton quedó tan desconcertado que resolvió no publicar ya en el futuro. Sin embargo, en 1675 publicó otro trabajo sobre la luz que contenía su idea de que la luz era una corriente de partículas —la teoría corpuscular de la luz—. Otra vez se vio envuelto en una tormenta de críticas e incluso de pretensiones por parte de otros de haber descubierto ya esas ideas. Esta vez Newton decidió que sus resultados serían publicados después de su muerte. No obstante, publicó trabajos posteriores y varios libros famosos, los Principia, la Opticks (edición inglesa, 1704, edición italiana, 1706), y la Arithmetica Universalis (1707).
Desde 1665 en adelante aplicó la ley de la gravitación al movimiento planetario; en este campo, los trabajos de Hooke y Huygens le influyeron considerablemente. En 1684, su amigo Halley le instó a publicar sus resultados, pero, además de su renuncia a publicar, Newton no disponía de una demostración de que la atracción gravitatoria ejercida por una esfera sólida actúa como si la masa de la esfera estuviera concentrada en el centro. Dice, en una carta a Halley del 20 de junio de 1686, que hasta 1685 sospechaba que esto era falso. En ese año demostró que una esfera cuya densidad varía sólo con la distancia al centro atrae, de hecho, a una partícula externa como si la masa de la esfera estuviera concentrada en su centro, y se mostraba de acuerdo en escribir su trabajo.
Halley, entonces, apoyó editorialmente a Newton y pagó la publicación. En 1687 apareció la primera edición de los Philosophiae Naturalis Principia Mathematica (Los principios matemáticos de la filosofía natural). Hubo dos ediciones posteriores, en 1713 y 1726, y la segunda incluía algunas mejoras. Aunque el libro le reportó a Newton una gran fama, era muy difícil de entender. Confesó a un amigo que lo había hecho difícil a propósito «para evitar ser atacado por pequeños charlatanes en matemáticas». Sin duda esperaba así evitar las críticas que habían recibido sus trabajos anteriores sobre la luz.
Newton era también un químico importante. Aunque no hay grandes descubrimientos asociados a su nombre en este campo, se debe tener en cuenta que la química estaba entonces en su infancia. Tuvo la idea correcta de intentar explicar los fenómenos químicos en términos de partículas últimas, y poseyó un conocimiento profundo de la química experimental. En este tema escribió un importante artículo, «De natura acidorum» (escrito en 1692 y publicado en 1710). En las Philosophical Transactions of the Royal Society de 1701, publicó un artículo sobre el calor, que contiene su famosa ley de enfriamiento. Aunque leía los trabajos de los alquimistas, no aceptaba sus nebulosos y místicos puntos de vista. Las propiedades químicas y físicas de los cuerpos podrían, según creía, explicarse en términos del tamaño, forma y movimiento de las partículas últimas; rechazaba las fuerzas ocultas de los alquimistas, tales como simpatía, antipatía, armonía y atracción.
Además de su obra sobre mecánica celeste, luz y química, Newton trabajó en hidrostática e hidrodinámica. A su magnífico trabajo experimental sobre la luz, añadió su experimentación sobre el rozamiento en el movimiento del péndulo en distintos medios, la caída de esferas en aire y agua, y el flujo de agua de surtidores. Como la mayor parte de los científicos de la época, Newton se construyó su propio equipo. Se construyó dos telescopios reflectantes, produciendo incluso la aleación para el armazón, fabricando la montura y puliendo las lentes.
Después de trabajar como profesor durante treinta y nueve años, Newton se deprimió y sufrió un colapso nervioso. Decidió abandonar la investigación y en 1695 aceptó un contrato como director de la Casa de la Moneda de Londres. Durante sus veintisiete años en ese puesto no hizo investigación, salvo para trabajar ocasionalmente en algún problema. Llegó a ser presidente de la Royal Society en 1703, cargo que mantuvo hasta su muerte; fue hecho caballero en 1705.
Es evidente que Newton se interesó mucho más en la ciencia en general que en las matemáticas, y que participó activamente en los problemas de su época. Consideró que el principal valor de su trabajo científico era el de que constituyera un apoyo de la religión revelada y era, de hecho, un teólogo ilustrado, aunque nunca se ordenó. Pensaba que la investigación científica era dura y monótona, pero se mantuvo en ella porque proporcionaba pruebas de la gran obra de Dios. Como su antecesor Barrow, Newton se orientó hacia los estudios religiosos relativamente tarde. En la obra The Chronology of Ancient Kingdoms Amended, intentó atribuir fecha precisa a sucesos descritos en la Biblia y en otros documentos religiosos, relacionándolos con sucesos astronómicos. Su principal trabajo religioso fue las Observations Upon the Prophecies of Daniel and the Apocalypse of St. John. La exégesis bíblica fue una fase del enfoque racional de la religión, que era común en la Edad de la Razón; Leibniz también intervino en ello.
Al menos por lo que se refiere al cálculo, Newton generalizó las ideas ya adelantadas por muchos otros, estableció métodos ya maduros y mostró las interrelaciones entre varios de los importantes problemas descritos anteriormente. Aunque aprendió mucho como alumno de Barrow, en álgebra y cálculo estuvo más influido por los trabajos de Wallis. Decía que se vio conducido a sus descubrimientos en análisis por la Arithmetica Infinitorum; ciertamente, realizó progresos en su trabajo sobre el cálculo razonando analíticamente. Sin embargo, incluso Newton pensaba que la geometría era necesaria para una demostración rigurosa.
En 1669 Newton hizo circular entre sus amigos una monografía titulada De Analysi per Aequationes Numero Terminorum Infinitas (Sobre el análisis por medio de ecuaciones con un infinito número de términos); no fue publicado hasta 1711. Supone que tiene una curva, y que el área z (fig. 17.13) bajo esa curva viene dada por
z = axm (5)
donde m es entero o fraccionario. A un incremento infinitesimal de x lo llama momento de x, y lo representa mediante o, una notación utilizada por James Gregory y que equivale a la E de Fermat. Al área acotada por la curva, el eje OX, el eje OY y la ordenada en x + o, la llama z + oy, donde oy es el momento del área. Entoncesz + oy = a(x + o)m (6)
Aplica el teorema del binomio al segundo miembro, obteniendo una serie infinita cuando m es fraccionario, resta (5) de (6), divide por o, desprecia los términos que contienen todavía o y obtieney = maxm-1
Así, en el lenguaje actual, el cambio relativo del área en cualquier x es el valor de y de la curva en ese valor de x. Recíprocamente, si la curva es y = maxm-1, el área encerrada por ella es z = axm.En este proceso Newton no sólo dio un método general para obtener el cambio relativo de una variable con respecto a otra (z con respecto a x en el ejemplo anterior), sino que mostró que el área puede obtenerse invirtiendo el proceso de obtener un cambio relativo.
Como las áreas se habían obtenido y expresado también como sumación de áreas infinitesimales, Newton también mostró que tales sumas pueden obtenerse mediante la inversión del proceso de obtener un cambio relativo.

Figura 17.13
Después de demostrar que la derivada del área es el valor de la y y afirmar que el recíproco es cierto, Newton estableció la regla de que, si el valor de y es una suma de términos, entonces el área es la suma de las áreas que resultan de cada uno de los términos. En expresión moderna, la integral indefinida de una suma de funciones es la suma de las integrales de las funciones por separado.
En su siguiente contribución en la monografía citada, desarrolló su utilización de las series infinitas. Para integrar y = a2/(b + x), dividió a2 por b + x y obtuvo
![]()
![]()
De la misma manera, para integrar y = 1/(1 + x2) utiliza el desarrollo del binomio para escribir
y = 1 - x2 + x4 - x6 + x8 - ...
e integra término a término. Hace notar que si, en lugar de ello, se toma y = 1/(1 + x2), mediante el desarrollo del binomio se obtendríay = x-2 - x-4 + x-6 - x-8 + ...
que se puede integrar término a término. Señala entonces que cuando x es suficientemente pequeño debe utilizarse el primer desarrollo, pero que cuando x es grande debe usarse el segundo. Por tanto, de alguna manera era consciente de que lo que llamamos convergencia era importante, pero no tenía una noción precisa de ello.Y cualquier cosa que realice el Análisis común mediante Ecuaciones de un Número de Términos finito (con tal que se pueda hacer) se puede hacer siempre mediante Ecuaciones infinitas, de modo que no he tenido ningún reparo en llamar a esto Análisis igualmente. Porque los razonamientos en este campo no son menos ciertos que en el otro; tampoco las ecuaciones menos exactas; aunque nosotros Mortales, cuyos poderes de razonamiento están confinados dentro de límites estrechos, no podemos ni expresar ni tampoco concebir todos los Términos de estas Ecuaciones, como para conocer exactamente de ellos las cantidades que queremos.Hasta entonces, en ese enfoque del cálculo, Newton había utilizado lo que puede ser descrito como el método de los infinitesimales. Los momentos son cantidades infinitamente pequeñas, indivisibles o infinitesimales. La lógica de lo que hizo Newton no está clara, por supuesto. Dice en este trabajo que su método está «explicado brevemente más que demostrado con precisión».
Newton proporcionó una segunda, más extensa y más definitiva, exposición de sus ideas en el libro Methodus Fluxionum et Serierum Infinitarum
; e
y la fluyente de ésta es x".En este segundo trabajo Newton establece algo más claramente el problema fundamental del cálculo: dada una relación entre dos fluyentes, obtener la relación entre sus fluxiones y recíprocamente. Las dos variables de las que se da la relación pueden representar cualquier cantidad. Sin embargo, Newton piensa en ellas como cambiantes con el tiempo porque es una forma de pensar útil, aunque, como señala, no es necesaria. Por tanto, si o es un «intervalo de tiempo infinitamente pequeño», entonces x
e 
= nxn

y El método de las fluxiones no es esencialmente diferente del utilizado en De Analysi
y
) sobre la base de que son infinitamente pequeños comparados con el que se conserva. Sin embargo, su punto de vista en el Method of Fluxions
e
e
Dada una relación entre
e
,
y las fluyentes están presentes. El primer tipo es el más fácil y, en notación moderna, corresponde a resolver dy/dx = f(x). Del segundo tipo, Newton trata
2y2 + (y3/3) = z
Por tanto, si el tercer tipo se considera una ecuación en derivadas parciales, Newton obtiene sólo una integral particular.Newton se dio cuenta de que en este trabajo había presentado un método general. En una carta a John Collins, fechada el 10 de diciembre de 1672, en la que proporciona los elementos de su método y un ejemplo, dice,
Este es un [caso] particular, o más bien un corolario, de un método general, que puede aplicarse, sin ningún cálculo complicado, no sólo al dibujo de las tangentes de cualquier línea curva, tanto geométrica como mecánica... sino también para resolver otros tipos más abstrusos de problemas sobre curvaturas, áreas, longitudes, centros de gravedad de curvas, etc.; tampoco está... limitado a las ecuaciones que no contengan cantidades irracionales. He entretejido este método con el de las ecuaciones, reduciéndolos a las series infinitas.Newton resaltaba el uso de las series infinitas porque mediante ellas podía tratar funciones tales como (1 + x)3/2, mientras que sus predecesores habían estado limitados, en su conjunto, a las funciones algebraicas racionales.
En su Tractatus de Quadratura Curvarum (Tratado sobre la cuadratura de las curvas), un tercer artículo sobre el cálculo, escrito en 1676 pero publicado en 1704, Newton dice que había abandonado el infinitesimal o cantidad infinitamente pequeña. Critica ahora el despreciar los términos que incluyen o porque, según dice
en matemáticas no se debe despreciar ni los errores más diminutos... Considero las cantidades matemáticas, en este punto, no como consistentes en pequeñas partes, sino como descritas por un movimiento continuo. Las líneas están descritas, y por tanto generadas, no por la yuxtaposición de partes, sino por el movimiento continuo de puntos; las superficies por el movimiento de líneas; los ángulos por la rotación de los lados; las porciones de tiempo por un flujo continuo...El nuevo concepto de Newton, el método de la razón primera y última, significa lo siguiente. Considera la función y = xn. Para obtener la fluxión de y o de xn, se deja a x «fluir» hasta x + o. Entonces xn se convierte en
Las fluxiones son, hasta la aproximación que queramos, como los incrementos de las fluyentes generados en tiempos iguales y tan pequeños como sea posible y, para hablar con precisión, están en la razón primera de los incrementos emergentes; aunque pueden expresarse mediante líneas cualesquiera que sean proporcionales a ellos.
![]()
![]()
![]()
1 a nxn-1
Entonces, la fluxión de x es a la fluxión de xn como 1 a nxn-1 o, como diríamos en la actualidad, el cambio relativo de y con respecto a x es nxn-1.Esta es la razón o cociente primera de los incrementos emergentes. Por supuesto que la lógica de esta versión no es mejor que la de las dos precedentes; sin embargo, Newton dice que su método está en armonía con la geometría de los antiguos y que no es necesario introducir cantidades infinitamente pequeñas.
Newton también dio una interpretación geométrica.
Dados los datos de la fig. 17.14, supongamos que bc se mueve hasta BC de modo que c coincida con C. Entonces el triángulo curvilíneo CEc es «en la última forma» semejante al triángulo CET, y sus lados «evanescentes» serán proporcionales a CE, ET y CT. Por lo tanto, las fluxiones de las cantidades AB, BC y AC son, en la última razón o cociente de sus incrementos evanescentes, proporcionales a los lados del triángulo CET o del VBC.

Figura 17.14

Newton no publicó sus artículos básicos sobre el cálculo hasta mucho después de haberlos escrito. El primer informe impreso de su teoría de las fluxiones apareció en el Algebra de Wallis (segunda edición en latín, 1693), de la que Newton escribió desde la página 390 hasta la 396. Si la hubiera publicado entonces de una vez, podría haber evitado la controversia con Leibniz sobre la prioridad del descubrimiento.
La primera publicación de Newton que incluye su desarrollo del cálculo es la magnífica obra Mathematical Principies of Natural Philosophy[68]. Por lo que se refiere a la noción básica del cálculo, la fluxión o, como diríamos nosotros, la derivada, Newton hace varias afirmaciones. Rechaza los infinitesimales o las cantidades indivisibles últimas en favor de las «cantidades divisibles evanescentes», cantidades que se puede hacer disminuir tanto como se quiera. En las ediciones primera y tercera de los Principia Newton dice: «Cocientes (o razones) últimos en los que las cantidades se anulan no son, estrictamente hablando, razones de cantidades últimas sino límites a los que se acercan las razones de esas cantidades, al decrecer sin límite, las cuales, aunque pueden hacerse más próximos (a sus límites) que cualquier diferencia dada, no pueden ni sobrepasarlos ni alcanzarlos antes que las cantidades hayan decrecido indefinidamente»[69]. Esta es la afirmación más clara de todas las que hizo con respecto a su cociente último. A propósito de la cita anterior, también dice:
«Por velocidad última se entiende aquella con la que se mueve el cuerpo, ni antes de que llegue a su posición final, cuando cesa el movimiento, ni después, sino en el mismo instante en el que llega... Y, de la misma manera, por razón última de cantidades evanescentes debe entenderse la razón de cantidades, no antes de que se anulen, no después, sino aquella con la que se anulan.»En los Principia Newton utilizó métodos de demostración geométricos. Sin embargo, en lo que se llaman los Portsmouth Papers (artículos de Portsmouth), que contienen trabajos no publicados, utilizó métodos analíticos para obtener algunos de los teoremas. Estos artículos muestran que él también obtenía resultados analíticamente, más allá de los que podía traducir en términos geométricos. Se cree que una razón por la cual recurría a la geometría es porque las demostraciones resultaban más comprensibles para sus contemporáneos. Otra es que admiraba inmensamente el trabajo geométrico de Huygens y esperaba igualarlo. En estas demostraciones geométricas Newton utiliza los procesos de paso al límite básicos del cálculo. Así, el área encerrada bajo una curva se considera esencialmente como la suma de los rectángulos que la aproximan, tal como se hace en el cálculo actualmente. Sin embargo, en vez de calcular tales áreas, utiliza este concepto para comparar áreas encerradas bajo diferentes curvas.
Demuestra que, cuando AR y BR (fig. 17.15) son las perpendiculares a las tangentes en A y en B al arco ACB, la razón última, cuando B se aproxima y llega a coincidir con A, de dos cualesquiera de las cantidades, la cuerda AB, el arco ACB y AD, es 1.
Por ello, dice en el corolario 3 al lema 2 del libro I:
«Y, en consecuencia, en toda nuestra argumentación sobre razones últimas, podemos utilizar libremente una de esas líneas en lugar de otra cualquiera de ellas.»

Figura 17.15
Además (fig. 17.16), sean BD y CE perpendiculares a AE (que no es necesariamente tangente al arco ABC en A). Cuando B y C se aproximan y coinciden con A, la razón última de las áreas ACE y ABD es igual a la razón última de AE2 a AD2.
Los Principia contienen una gran riqueza de resultados, de los que señalaremos algunos. Aunque el libro está dedicado a la mecánica celeste, tiene una enorme importancia para la historia de las matemáticas, no sólo porque el propio trabajo de Newton sobre el cálculo estuvo motivado en gran parte por su constante interés por los problemas allí tratados, sino porque los Principia presentaban nuevos temas y enfoques de problemas que fueron explorados durante los cien años siguientes, en el curso de los cuales fue creada una parte enorme del análisis.

Figura 17.16
Ley I. Todo cuerpo continúa en su estado de reposo, o de movimiento uniforme en línea recta, a menos que se vea impelido a cambiar ese estado por fuerzas que actúen sobre él.
Ley II. El cambio [en la cantidad] de movimiento es proporcional a la potencia motriz actuante; y se realiza en la dirección de la línea recta en la que se imprime esa fuerza.
Por cantidad de movimiento Newton indica, como había explicado anteriormente, el producto de la masa por la velocidad. Por tanto, el cambio en el movimiento, si la masa es constante, es el cambio en velocidad, es decir, la aceleración. Esta segunda ley se escribe ahora a menudo como F = ma, cuando la fuerza F está en newtons, la masa m en kilogramos y la aceleración a en metros por segundo en cada segundo. La segunda ley de Newton es en realidad un enunciado vectorial; es decir, si la fuerza tiene componentes en, digamos, tres direcciones mutuamente perpendiculares, entonces cada componente provoca una aceleración en su propia dirección. Newton utilizó el carácter vectorial de la fuerza en problemas particulares, pero todo el significado de la naturaleza vectorial de la ley fue completamente reconocido por primera vez por Euler. Esta ley incorpora el cambio clave con respecto a la mecánica de Aristóteles, la cual afirmaba que la fuerza es la causa de la velocidad. Aristóteles también había afirmado que se necesita una fuerza para mantener la velocidad. La Ley I lo niega.
Ley III. A toda acción siempre se opone una reacción igual...
No entraremos en una digresión sobre la historia de la mecánica, excepto para señalar que las dos primeras leyes son más explícitas y son enunciados, algo generalizados, de los principios del movimiento descubiertos previamente y avanzados ya por Galileo y Descartes. La distinción entre masa, esto es, la resistencia que ofrece un cuerpo a un cambio en su movimiento, y peso, la acción que la gravedad ejerce sobre la masa de cualquier objeto, también se debe a ellos; y el carácter vectorial de la fuerza generaliza el principio de Galileo de que los movimientos horizontales y verticales de un proyectil, por ejemplo, pueden tratarse independientemente.
El libro I de los Principia comienza con algunos teoremas del cálculo, incluyendo los que relacionan las razones últimas citadas anteriormente. Trata a continuación el movimiento bajo fuerzas centrales, es decir, fuerzas que siempre atraen al objeto móvil hacia un punto (fijo, que resulta ser el Sol, en la práctica), y demuestra en la Proposición 1 que áreas iguales son barridas en tiempos iguales (que abarca la ley de las áreas de Kepler). Newton considera a continuación el movimiento de un cuerpo a lo largo de una sección cónica y muestra (Props. 11, 12 y 13) que la fuerza debe variar como el inverso del cuadrado de la distancia a un punto fijo. También prueba el recíproco, que contiene la primera ley de Kepler. Después de algún tratamiento de la fuerza centrípeta, deduce la tercera ley de Kepler (Prop. 15). Siguen dos secciones dedicadas a las propiedades de las secciones cónicas. El problema principal es la construcción de cónicas que satisfagan cinco condiciones dadas; en la práctica éstas son, habitualmente, datos de observación. Entonces, dado el tiempo que un objeto ha estado en movimiento a lo largo de una sección cónica, determina su velocidad y posición. Estudia el movimiento de las líneas absidales, es decir, las líneas que unen el centro de atracción (en un foco) a la distancia máxima o mínima de un cuerpo que se mueve a lo largo de una cónica, que gira, a su vez, a cierta velocidad alrededor del foco. La Sección 10 está dedicada al movimiento de cuerpos sobre superficies, con referencia especial al movimiento del péndulo. Aquí Newton reconoce debidamente el trabajo de Huygens. En conexión con el efecto acelerador de la gravedad sobre los movimientos, investiga las propiedades geométricas de las cicloides, epicicloides e hipocicloides, y proporciona la longitud de la epicicloide (Prop. 49).
En la Sección 11 Newton deduce, a partir de las leyes del movimiento y la ley de la gravitación, el movimiento de dos cuerpos que se atraen mutuamente con la fuerza debida a la gravitación. Su movimiento se reduce al movimiento de uno de ellos alrededor del segundo cuerpo que se toma fijo. El cuerpo que se mueve recorre una elipse.
Considera a continuación la atracción ejercida por esferas y esferoides, de densidad uniforme y variable, sobre una partícula. Da una demostración geométrica (Sec. 12, Prop. 70) de que una fina capa esférica homogénea no ejerce ninguna fuerza sobre una partícula en su interior. Como su resultado se verifica para una capa delgada, también lo hace para una suma de tales capas, esto es, para una capa de espesor finito. (Demuestra más adelante [Prop. 91, Cor. 3] que se verifica el mismo resultado para una capa elipsoidal homogénea, es decir, una capa contenida entre dos superficies elipsoidales semejantes, situadas de forma similar.) La Proposición 71 muestra que la atracción de una fina capa esférica y homogénea sobre una partícula externa es equivalente a la atracción que se ejercería si la masa de la capa estuviera concentrada en el centro, de modo que la capa atrae a la partícula hacia el centro y con una fuerza que varía como el inverso del cuadrado de la distancia al centro. La Proposición 73 muestra que una esfera sólida homogénea atrae a una partícula interior con una fuerza proporcional a la distancia de la partícula al centro. Por lo que se refiere a la atracción que ejerce una esfera sólida y homogénea sobre un punto externo, la Proposición 74 muestra que es la misma que si la masa de la esfera estuviera concentrada en el centro. Por lo tanto, si dos esferas se atraen mutuamente, la primera atrae a todas las partículas de la segunda como si la masa de la primera estuviera concentrada en su centro. Entonces la primera esfera se convierte en una partícula atraída por la masa distribuida de la segunda, por lo que la segunda esfera también puede tratarse como una partícula cuya masa está concentrada en su centro. Así, ambas esferas pueden tratarse como partículas cuyas masas están concentradas en sus centros respectivos. Todos estos resultados, originales de Newton, se extienden a esferas cuyas densidades son simétricas esféricamente, así como a otras leyes de atracción además de la del inverso del cuadrado de la distancia.
A continuación Newton considera el movimiento de tres cuerpos, cada uno de los cuales atrae a los otros dos, y obtiene algunos resultados aproximados. El problema del movimiento de tres cuerpos ha sido muy importante desde la época de Newton, y hasta el momento no ha sido resuelto exactamente.
El segundo libro de los Principia está dedicado al movimiento de cuerpos en medios resistentes tales como el aire o los líquidos. Es el comienzo de la hidrodinámica. Newton supone, en algunos problemas, que la resistencia del medio es proporcional a la velocidad y, en otros, al cuadrado de la velocidad del cuerpo que se mueve. Considera también qué forma debe tener un cuerpo para encontrar la mínima resistencia (Cap. 24, sec. 1). Asimismo considera el movimiento de péndulos y proyectiles en el aire y en fluidos. Dedica una sección a la teoría de ondas en el aire (por ejemplo, ondas de sonido) y obtiene una fórmula para la velocidad del sonido en el aire. También trata el movimiento de ondas en el agua. Newton continúa con una descripción de los experimentos que realizó para determinar la resistencia que los fluidos ofrecen a los cuerpos que se mueven en su seno. Una conclusión importante es la de que los planetas se mueven en un vacío. En este libro, Newton abrió un campo enteramente nuevo; sin embargo, el trabajo definitivo sobre el movimiento de los fluidos estaba todavía por hacer.
El libro III, titulado On the System of the World (Sobre el sistema del Mundo), contiene la aplicación de la teoría general desarrollada en el libro I al sistema solar. Muestra cómo puede calcularse la masa del Sol en términos de la de la Tierra, y que la masa de cualquier planeta que tenga un satélite puede obtenerse de la misma manera. Calcula la densidad media de la Tierra y obtiene que está entre cinco y seis veces la del agua (la cifra actual está alrededor de 5,5).
Muestra que la Tierra no es una esfera verdadera sino un esferoide oblato y calcula el aplanamiento; su resultado es que la elipticidad del esferoide oblato es de 1/230 (la cifra actual es de 1/297). De la observación de esta forma en cualquier planeta, se puede calcular la longitud de su día. Utilizando el grado de aplanamiento y la noción de fuerza centrípeta, Newton calcula la variación de la atracción gravitatoria de la Tierra sobre la superficie y, por tanto, la variación en el peso de un objeto. Demuestra que la fuerza atractiva de un esferoide no es la misma que si la masa del esferoide estuviera concentrada en su centro.
Se ocupa a continuación de la precesión de los equinoccios. La explicación se basa en el hecho de que la Tierra no es esférica, sino que se abomba a lo largo del Ecuador. En consecuencia, la atracción gravitatoria de la Luna sobre la Tierra no actúa en realidad sobre el centro de la Tierra, sino que fuerza un cambio periódico en la dirección del eje de rotación de la Tierra. Newton calculó el período de este cambio, y obtuvo que era de 26.000 años, valor obtenido por Hiparco a partir de las observaciones a su disposición.
Newton explicó las principales características de las mareas (libro I, Prop. 66; libro III, Prop. 36, 37). La Luna es la causa principal; el Sol, la segunda. Utilizando la masa del Sol calculó la altura de las mareas solares. De las alturas observadas de las mareas más altas y más bajas (el Sol y la Luna en plena conjunción o en plena oposición) determinó la marea lunar e hizo una estimación de la masa de la Luna. Newton también fue capaz de efectuar un tratamiento aproximado del efecto del Sol sobre el movimiento de la Luna alrededor de la Tierra. Determinó el movimiento de la Luna en latitud y en longitud; el movimiento de la línea de los ábsides (la línea que va del centro de la Tierra al punto de máxima distancia de la Luna); el movimiento de los nodos (los puntos en los que la trayectoria de la Luna corta al plano de la órbita de la Tierra; estos puntos efectúan un movimiento de regresión, es decir, se mueven lentamente en dirección opuesta al movimiento de la Luna misma); la evección (un cambio periódico de la excentricidad de la órbita de la Luna); la ecuación anual (el efecto sobre el movimiento de la Luna del cambio diario de distancia entre la Tierra y el Sol); y el cambio periódico en la inclinación del plano de la órbita de la Luna con respecto al plano de la órbita de la Tierra. Había siete irregularidades conocidas en el movimiento de la Luna, y Newton descubrió dos más, las desigualdades del apogeo (la línea de los ábsides) y de los nodos. Su aproximación proporcionó sólo la mitad del movimiento de la línea de los ábsides. Clairaut, en 1752, mejoró el cálculo y obtuvo los 3o de rotación de la línea de los ábsides; sin embargo, mucho más tarde, John Couch Adams halló el cálculo correcto en los papeles de Newton. Finalmente, Newton mostró que los cometas deben moverse bajo la atracción gravitatoria del Sol porque sus trayectorias, determinadas sobre la base de observaciones, son secciones cónicas. Newton dedicó una gran cantidad de tiempo al problema del movimiento de la Luna porque, como observamos en el capítulo anterior, este conocimiento era necesario para mejorar el método para determinar la longitud. Trabajó tanto en ello que se quejaba de que le producía dolores de cabeza.
4. La obra de Leibniz
Aunque sus contribuciones fueron bastante diferentes, el hombre que se alinea con Newton en la construcción del cálculo es Gottfried Wilhelm Leibniz (1646-1716). Estudió leyes y, después de defender una tesis sobre lógica, recibió el grado de licenciado en Filosofía. En 1666 escribió la tesis De Arte Combinatoria (Sobre el arte de las combinaciones)[71], un trabajo sobre un método universal de razonamiento; esto completaba su trabajo para un doctorado en filosofía en la universidad de Altdorf y le cualificaba para una plaza de profesor. Durante los años 1670 y 1671 Leibniz escribió sus primeros artículos sobre mecánica y hacia 1671 había producido su máquina de calcular. Obtuvo un trabajo como embajador del Elector de Mainz y en marzo de 1672 marchó a París en una misión política. Esta visita le puso en contacto con matemáticas y científicos, en particular con Huygens, y despertó su interés en las matemáticas. Aunque había leído algo sobre el tema y había escrito el artículo de 1666, él dice que no conocía casi las matemáticas hasta 1672. En 1673 fue a Londres y conoció a otros científicos y matemáticos, entre los que se encontraba Henry Oldenburg, en aquel tiempo secretario de la Royal Society de Londres. Aunque trabajando como diplomático profundizó en las matemáticas y leyó a Descartes y a Pascal. En 1676 Leibniz fue contratado como bibliotecario y consejero del Elector de Hannover. Veintidós años más tarde, el Elector de Branden- burgo invitó a Leibniz a trabajar para él en Berlín. Aunque envuelto en todo tipo de maniobras políticas, entre ellas la de la sucesión de Georg Ludwig de Hannover al trono de Inglaterra, Leibniz trabajó en muchos temas, y sus actividades colaterales cubrieron un campo enorme. Murió despreciado en 1716.
Además de diplomático, Leibniz fue filósofo, abogado, historiador, filólogo y geólogo pionero. Realizó un trabajo importante en lógica, mecánica, óptica, matemáticas, hidrostática, neumática, ciencia náutica y máquinas de calcular. Aunque su profesión era la jurisprudencia, sus trabajos en matemáticas y filosofía están entre los mejores que ha producido el mundo. Mantuvo contacto por carta con gente en sitios tan alejados como China y Ceilán. Intentó incansablemente reconciliar las iglesias católica y protestante. Fue quien propuso, en 1669, que se fundara una Academia de Ciencias Alemana; al fin, la Academia de Berlín fue organizada en 1700. Su recomendación original había sido la de una sociedad para la realización de inventos en mecánica y descubrimientos en química y fisiología que pudieran ser útiles a la humanidad; Leibniz quería que el conocimiento se aplicara. Llamaba a las universidades «monacales» y las acusaba de que poseían los conocimientos, pero no la facultad de discernir, y que estaban absortas en cuestiones sin importancia. En lugar de ello, urgía la búsqueda del conocimiento real —matemáticas, física, geografía, química, anatomía, botánica, zoología e historia—. Para Leibniz, las habilidades del artesano y del hombre práctico eran más valiosas que las cultas sutilezas de los eruditos profesionales. Favoreció la lengua alemana sobre el latín porque éste era el aliado del pensamiento antiguo e inútil. Los hombres enmascaran su ignorancia, decía, utilizando la lengua latina para impresionar a la gente. El alemán, por otra parte, era entendido por la gente de la calle, y podía desarrollarse para contribuir a la claridad del pensamiento y a la agudeza del razonamiento.
Leibniz publicó artículos sobre el cálculo desde 1684 en adelante, y diremos más sobre ellos después. Sin embargo, muchos de sus resultados, así como el desarrollo de sus ideas, están contenidos en cientos de páginas de notas hechas desde 1673 en adelante, pero que él nunca publicó. Estas notas, como se podría esperar, saltan de un tema a otro y contienen cambios de notación a medida que se desarrollaba el pensamiento de Leibniz. Algunas son ideas sencillas que se le ocurrían mientras leía libros o artículos de Gregorio de St. Vincent, Fermat, Pascal, Descartes y Barrow o intentaba moldear los pensamientos de ellos en su propia forma de enfocar el cálculo. En 1714 Leibniz escribió Historia et Origo Calculi Differentialis, en donde proporciona una panorámica del desarrollo de su propio pensamiento. Sin embargo, esta obra fue escrita muchos años después de que hubiera realizado su trabajo y, en vista de la debilidad de la memoria humana y de la mayor percepción que había adquirido en aquella época, su historia puede no ser precisa. Como su propósito era defenderse él mismo contra una acusación de plagio, podría haber distorsionado inconscientemente su informe sobre los orígenes de sus ideas.
A pesar del confuso estado de las notas de Leibniz examinaremos algunas, porque revelan cómo uno de los mayores intelectos luchó para entender y crear. Hacia 1673 era consciente del importante problema directo e inverso de obtener tangentes a las curvas; también estaba bastante seguro de que el método inverso era equivalente al de obtener áreas y volúmenes mediante sumaciones. El desarrollo algo sistemático de sus ideas comienza con notas de 1675. Sin embargo, parece útil, para comprender su pensamiento, señalar que en su De Arte Combinatoria había considerado sucesiones de números, primeras diferencias, segundas diferencias y diferencias de mayor orden. Así, para la sucesión de cuadrados
0, 1, 4, 9, 16, 25, 36,
las primeras diferencias son1, 3, 5, 7, 9, 11
y las segundas diferencias son2, 2, 2, 2, 2, 2.
Leibniz se dio cuenta de la anulación de las segundas diferencias para la sucesión de los números naturales, la de las terceras diferencias para la sucesión de los cuadrados, y así sucesivamente. También observó, por supuesto, que si la sucesión original comienza por 0, la suma de las primeras diferencias es el último término de la sucesión.Para relacionar estos hechos con el cálculo tuvo que pensar en la sucesión de los números como en los valores y de una función, y en la diferenciación de dos cualesquiera como la diferencia de dos valores contiguos de y. Inicialmente pensó que la x representaría el orden del término en la sucesión e y el valor de este término.
La cantidad dx, que a menudo escribe como a, es entonces 1 porque es la diferencia de los órdenes de dos términos sucesivos, y dy es la diferencia real en los valores de dos términos sucesivos. Entonces, utilizando omn. como la abreviatura del latín omnia, para significar suma, y utilizando l en lugar de dy, Leibniz concluye que omn.l = y, porque omn. 1 es la suma de las primeras diferencias de una sucesión cuyos términos comienzan por 0 y que, por lo tanto, proporciona el último término.
Sin embargo, omn. y l presenta un nuevo problema. Leibniz obtiene el resultado de que omn. yl es y2/2 pensando en términos de la función y = x.

Figura 17.17
«Las líneas rectas que aumentan de la nada, multiplicada cada una por su elemento de aumento correspondiente forman un triángulo.»Estos pocos hechos ya aparecen, entre otros más complicados, en artículos de 1673.
En el paso siguiente luchó con varias dificultades. Tuvo que efectuar la transición de una serie discreta de valores al caso en el que dy y dx son incrementos de una función arbitraria y de x. Como estaba todavía atado a las sucesiones, donde x es el orden del término, su a o dx era 1; por ello incluyó u omitió a libremente. Cuando hizo la transición al dy y dx de cualquier función, esta a no era ya 1. Sin embargo, como todavía estaba luchando con la noción de sumación, ignoró este hecho.
Así en un manuscrito del 29 de octubre de 1675, Leibniz comienza con
![]()
![]()
![]()

Otro teorema del mismo tipo, que Leibniz obtuvo mediante razonamientos geométricos, es
![]()

omn. x2 = x omn. x -omn.omn. x
Pero omn. x, dice, es x2/2 (demostró que omn. yl es y2/2). Por tanto,![]()
![]()

Leibniz se dio cuenta bastante pronto, probablemente al estudiar los trabajos de Barrow, de que la diferenciación y la integración como sumación deben de ser procesos inversos; así, el área, cuando se diferencia, debe proporcionar una longitud. Por ello, en el mismo manuscrito del 29 de octubre, dice Leibniz: «Dada l y su relación con x, obtener ∫ l.» A continuación, dice: «Supóngase que ∫ l = ya. Sea l = ya/d. [Aquí pone d en el denominador. Significaría más para nosotros si hubiera escrito l = d(ya).] Entonces a medida que ∫ aumenta, d disminuye las dimensiones. Pero ∫ significa una suma y d, una diferencia. De la y dada podemos siempre obtener y/d o l, es decir, la diferencia de las y. Por lo tanto, una ecuación puede transformarse en la otra, como ocurre para la ecuación


Hasta este momento Leibniz había estado pensando en los valores de y como en los valores de términos de una sucesión y en los de x, habitualmente, como en el orden de esos términos, pero ahora, en este artículo, dice: «Todos estos teoremas son ciertos para series en las que las diferencias de los términos estén, con respecto a los términos mismos, en una razón que sea menor que cualquier cantidad previamente fijada.» Es decir, que dy/y puede hacerse menor que toda cantidad cualquiera.
En un manuscrito fechado el 11 de noviembre de 1675, titulado «Ejemplos del método inverso de las tangentes», Leibniz utiliza ∫ para la suma y x/d para la diferencia. Dice, entonces, que x/d es dx, la diferencia de dos valores de x consecutivos, pero aparentemente aquí dx es una constante e igual a la unidad.
A partir de razonamientos difícilmente inteligibles, como el anterior, Leibniz establecía el hecho de que la integración como proceso de sumación es el inverso de la diferenciación. Esta idea está en los trabajos de Barrow y Newton, quienes obtuvieron áreas por antidiferenciación, pero Leibniz es el primero que la expresa como una relación entre sumación y diferenciación. A pesar de su rotunda afirmación, él no tenía claro en absoluto cómo obtener un área de lo que se podría escribir vagamente como Σy dx —es decir, cómo obtener un área encerrada bajo una curva a partir de un conjunto de rectángulos—. Por otra parte, esta dificultad acosaba a todos los investigadores del siglo XVII. Sin poseer un concepto claro de límite, ni siquiera nociones claras sobre el área, Leibniz pensó sobre esta última a veces como una suma de rectángulos tan pequeños y tan numerosos que la diferencia entre esta suma y el área verdadera encerrada bajo la curva podía despreciarse, y otras como una suma de las ordenadas o valores de las y. Este último concepto de área era común, especialmente entre los indivisibilistas, quienes pensaban que la unidad de área última y el valor de y eran lo mismo.
Con respecto a la diferenciación, incluso después de reconocer que dy y dx pueden ser cantidades arbitrariamente pequeñas, Leibniz tenía que superar todavía la dificultad fundamental de que la razón dy/dx no es completamente la derivada en nuestro sentido. Basaba su razonamiento en el triángulo característico, que también habían utilizado Pascal y Barrow.

Figura 17.18
En el manuscrito del 11 de noviembre de 1675, Leibniz muestra cómo puede resolver un problema definido. Busca la curva cuya subnormal es inversamente proporcional a la ordenada. En la figura 17.18, la normal es TV y la subnormal p es UV. De la semejanza de los triángulos PRQ y TUV obtiene

pdx = ydy
Pero la curva tiene la propiedad dada de quep = b/y
donde b es la constante de proporcionalidad. Por tanto,

![]()
En un artículo del 26 de junio de 1676, se da cuenta de que el mejor método para obtener las tangentes es hallar dy/dx, donde dy y dx son diferencias y dy/dx es el cociente. Ignora dx´dx y potencias de orden superior de dx.
En noviembre de 1676 es capaz de dar las reglas generales dxn = nxn-1 para n entero y fraccionario y ∫xn = xn+1/(n + 1), y dice: «El razonamiento es general, y no depende de cuáles puedan ser las progresiones de las x.» Aquí x todavía significa el orden de los términos de una sucesión. En este manuscrito también dice que para diferenciar
![]()
El 11 de julio de 1677, Leibniz podía dar las reglas correctas para la diferencial de la suma, diferencia, producto y cociente de dos funciones y para las potencias y raíces, pero sin demostraciones. En el manuscrito del 11 de noviembre de 1675 se había peleado con d(u v) y d(u/v), y pensó que d(u v) = dudv.
En 1680, dx se había convertido en la diferencia de las abscisas y dy en la diferencia de las ordenadas. Dice: «... ahora, estas dx y dy se tomarán como infinitamente pequeñas, o bien se entiende que los dos puntos de la curva están separados una distancia que es menor que cualquier longitud dada...». Llama a dy el «incremento momentáneo» en y cuando la ordenada se mueve a lo largo del eje de las x.
Pero PQ, en la figura 17.18, se considera todavía como parte de una línea recta. Es «un elemento de la curva o un lado de un polígono de infinitos ángulos que se apoya en la curva...». Continúa utilizando la forma diferencial habitual. Por tanto, si y = a2/x, entonces
![]()

Figura 17.19
![]()

La primera publicación de Leibniz sobre el cálculo está en el Acta Eruditorum de 1684 [72]. En este artículo, el significado de dy y de dx no está todavía claro. Define, en este artículo, dx como una cantidad arbitraria, y dy como (ver la fig. 17.18).
dy : dx = y : subtangente
Esta definición de dy presupone alguna expresión para la subtangente; por tanto la definición no es completa. Además, la definición de Leibniz de la tangente como una recta que une dos puntos infinitamente próximos no es satisfactoria.También da en este artículo las reglas que había obtenido en 1677 para la diferencial de la suma, producto y cociente de dos funciones, y la regla para obtener d(xn). En este último caso, esboza la demostración para n entero positivo, pero dice que la regla es verdadera para todo n; para las otras reglas no da demostraciones. Hace aplicaciones a la obtención de tangentes, máximos y mínimos y puntos de inflexión. Este artículo, de seis páginas de largo, es tan poco claro que los hermanos Bernoulli lo llamaron «un enigma más que una explicación»[73].
En su artículo de 1686

En el artículo de 1686 así como en artículos posteriores[75], Leibniz dio las diferenciales de las funciones exponencial y logarítmica, e identificó las funciones exponenciales como una clase. También trató la curvatura, el círculo osculador y la teoría de las envolventes (ver el cap. 23). En una carta de Jean Bernoulli en 1697, diferenciaba bajo el signo integral con respecto a un parámetro. También tuvo la idea de que muchas integrales indefinidas podían ser calculadas reduciéndolas a formas conocidas, y habla de preparar tablas para tales reducciones —en otras palabras, una tabla de integrales—. Intentó definir las diferenciales de orden superior, tales como ddy (d2y) y dddy (d3y), pero las definiciones no fueron satisfactorias. Aunque sin éxito, intentó obtener un significado para da y donde a es un número real cualquiera.
Con respecto a la notación, Leibniz trabajó esmeradamente en busca de la más adecuada. Sus dx, dy y dy/dx se utilizan todavía. Introdujo la notación log x, dn para la diferencial n-ésima, e incluso d-1 y d-n para ∫ y para la iteración n-ésima de la sumación, respectivamente.
En general, el trabajo de Leibniz, aunque rico en sugestiones y profundo, fue tan incompleto y fragmentario que resultaba difícilmente inteligible. Afortunadamente los hermanos Bernoulli, Jacques y Jean, se impresionaron y estimularon inmensamente con las ideas de Leibniz, pulieron sus esquemáticos trabajos y aportaron una cantidad inmensa de nuevos desarrollos que trataremos más adelante. Leibniz reconoció que el cálculo era tanto de ellos como suyo.
5. Una comparación de las obras de Newton y Leibniz
Tanto a Newton como a Leibniz se les debe reconocer que vieran el cálculo como un método nuevo y general, aplicable a muchos tipos de funciones. Después de su contribución, el cálculo dejó de ser un apéndice y una extensión de la geometría griega para convertirse en una ciencia independiente capaz de manejar una cantidad de problemas ampliamente extendida.
También ambos aritmetizaron el cálculo, es decir, construyeron en él con conceptos algebraicos. La notación y técnicas algebraicas utilizadas por Newton y Leibniz no sólo les proporcionaron un instrumento más efectivo que la geometría, sino que también permitieron tratar con la misma técnica muchos problemas geométricos y físicos diferentes. Un cambio importante que se produjo del comienzo al fin del siglo XVII fue la algebrización del cálculo. Este fenómeno es comparable a lo que Vieta había hecho en la teoría de ecuaciones y Descartes y Fermat en geometría.
La tercera contribución vital que comparten Newton y Leibniz es la reducción a la antidiferenciación del área, volumen y otros problemas que habían sido tratados anteriormente como sumaciones. Así, los cuatro problemas principales —cambio relativo, tangentes, máximos y mínimos, y sumación— quedaron reducidos todos a diferenciación y antidiferenciación.
La distinción principal entre el trabajo de los dos es que Newton utilizó los incrementos infinitamente pequeños en x y en y como medio para determinar la fluxión o derivada. Era esencialmente el límite del cociente de los incrementos, cuando éstos se hacían cada vez más pequeños. Por otra parte, Leibniz trató directamente con los incrementos infinitamente pequeños en x y en y, es decir, con diferenciales, y determinó las relaciones entre ellos. Esta diferencia refleja la orientación física de Newton, en la que un concepto como el de velocidad es central, y la preocupación filosófica de Leibniz por las partículas últimas de la materia, que llamó mónadas. Como consecuencia, Newton resolvió los problemas de áreas y volúmenes pensando enteramente en términos de cambio relativo. Para él, la diferenciación era básica; este proceso y su inverso resolvían todos los problemas del cálculo y, de hecho, el uso de la sumación para obtener un área, un volumen o un centro de gravedad aparece raramente en sus trabajos. Leibniz, en cambio, pensaba primero en términos de sumación aunque, por supuesto, estas sumaciones se calcularan mediante antidiferenciación.
Una tercera distinción entre las obras de los dos está en la libre utilización, por parte de Newton, de las series para representar funciones; Leibniz prefería la forma cerrada. En una carta a Leibniz en 1676, Newton hacía hincapié en el uso de las series, incluso para resolver ecuaciones diferenciales sencillas. Aunque Leibniz utilizaba series infinitas, replicó que el objetivo real era el de obtener los resultados en términos finitos, utilizando las funciones trigonométricas y logarítmicas cuando no sirvieran las funciones algebraicas. Recordó a Newton la afirmación de James Gregory de que la rectificación de la elipse y de la hipérbola no podía reducirse a las funciones circulares y logarítmica, y retó a Newton para que determinara, mediante el uso de las series, si Gregory estaba en lo cierto o no. Newton respondió que mediante la utilización de las series podía decidir si algunas integraciones podían realizarse en términos finitos, pero no dio ningún criterio. De nuevo, en una carta a Jean Bernoulli fechada en 1712, Leibniz ponía objeciones al desarrollo en serie de funciones, y afirmaba que el cálculo debía ocuparse de reducir sus resultados a cuadraturas (integraciones) y, donde fuera necesario, cuadraturas que incluyeran funciones trascendentes.
Hay diferencias en sus maneras de trabajar. Newton era empírico, concreto y circunspecto, mientras que Leibniz era especulativo, dado a las generalizaciones y osado. Leibniz estaba más preocupado por las fórmulas operacionales para elaborar un cálculo en sentido amplio; por ejemplo, reglas para la diferencial de un producto o cociente de funciones, su regla para dn(u v) (donde u y v son funciones de x) y una tabla de integrales. Fue Leibniz quien estableció los cánones del cálculo, el sistema de reglas y fórmulas. Newton no se molestó en formular reglas, aun cuando pudo haber generalizado fácilmente sus resultados concretos. Sabía que si z = uv, entonces z = uv + vk, pero no resaltó este resultado general. Aunque Newton inició muchos métodos, no hizo hincapié en ellos. Sus grandiosas aplicaciones del cálculo no sólo demostraron su valor sino que estimularon y casi determinaron enteramente la dirección del análisis del siglo XVIII, en mucha mayor medida que el trabajo de Leibniz. Newton y Leibniz difirieron también en su preocupación por la notación. Newton no daba importancia a este asunto, mientras que Leibniz dedicaba días enteros a elegir una notación sugestiva.
6. La controversia sobre la prioridad
Nada del trabajo de Newton sobre el cálculo fue publicado antes de 1687, aunque había comunicado diversos resultados a amigos entre los años 1665 y 1687. En particular, había enviado su tratado De Analysi en 1669 a Barrow, quien lo envió a John Collins. Leibniz visitó París en 1672 y Londres en 1673 y se comunicó con gente que conocía el trabajo de Newton. Sin embargo, no publicó nada sobre el cálculo hasta 1684. Por tanto, se suscitó la cuestión de si Leibniz había conocido los detalles de lo que había hecho Newton, y Leibniz fue acusado de plagio. Sin embargo, investigaciones realizadas mucho después de la muerte de los dos mostraron que Leibniz descubrió independientemente ideas importantes sobre el cálculo, aunque Newton realizó la mayor parte de su trabajo antes que Leibniz. Ambos deben mucho a Barrow, aunque éste utilizó casi exclusivamente métodos geométricos. El significado de la controversia no está en la cuestión de quién fue el triunfador sino más bien en el hecho de que los matemáticos tomaron partido. Los matemáticos continentales, los hermanos Bernoulli en particular, se pusieron del lado de Leibniz, mientras que los matemáticos ingleses defendieron a Newton. Los dos grupos se enemistaron, incluso agriamente, entre sí; Jean Bernoulli llegó a ridiculizar y lanzar invectivas contra de los ingleses.
El resultado fue que los matemáticos ingleses y continentales cesaron de intercambiar ideas. Como el trabajo principal de Newton y primera publicación sobre el cálculo, los Principia, utilizaba métodos geométricos, los ingleses continuaron utilizando principalmente la geometría durante cerca de cien años después de su muerte. Los continentales adoptaron los métodos analíticos de Leibniz y los ampliaron y mejoraron. Estos demostraron ser bastante más efectivos; por ello, no sólo los matemáticos ingleses se quedaron más atrás, sino que las matemáticas se vieron privadas de contribuciones que podrían haber realizado las mentes más capaces.
7. Algunas adiciones inmediatas al cálculo
El cálculo es, por supuesto, el comienzo de la muy importante parte de las matemáticas que se conoce como análisis. Seguiremos los importantes desarrollos de este campo en los capítulos siguientes; señalaremos aquí, no obstante, algunas adiciones que se hicieron inmediatamente después del trabajo básico de Newton y Leibniz.
En su Arithmetica Universalis (1707) Newton estableció un teorema sobre la cota superior de las raíces reales de ecuaciones polinómicas. El teorema dice: un número a es una cota superior de las raíces reales de f(x) = 0 si, cuando se sustituye x por a se tiene que f(x) y todas sus derivadas mantienen el mismo signo.
En su De Analysi y su Method of Fluxions, dio un método general para aproximar las raíces de f(x) =0, que fue publicado en el Algebra de Wallis de 1685. En su tratado Analysis Aequationum Universalis (1690), Joseph Raphson (1648-1715) mejoró este método; aunque lo aplicó sólo a polinomios, es mucho más ampliamente utilizable. Esta modificación es conocida ahora como el método de Newton o el método de Newton-Raphson. Consiste en tomar una aproximación a, en primer lugar, y calcular a continuación a - f(a)/f'(a). Se llama a esto b y se calcula b - f(b)/f' (b). Se llama c a este resultado y así sucesivamente. Los números a, b, c,... son aproximaciones sucesivas de la raíz. (La notación es moderna.) En realidad, el método no proporciona necesariamente mejores aproximaciones de la raíz J. Raymond Mourraille mostró en 1768 que a debe escogerse de manera que la curva y = f(x) sea convexa hacia el eje de las x en el intervalo entre a y la raíz. Bastante más tarde Fourier descubrió este hecho independientemente.
En su Démostration d’une méthode pour résoudre les égalitéz de tous les dégrez (1691), Michel Rolle (1652-1719) incluyó el famoso teorema que lleva su nombre, es decir, el que establece que si una función es cero en dos valores de x, a y b, entonces la derivada es cero en algún valor de x entre a y b. Rolle enunció el teorema pero no lo demostró.
Después de Newton y Leibniz, los dos fundadores más importantes del cálculo fueron los hermanos Bernoulli, Jacques y Jean. Jacques Bernoulli (1655-1705) fue autodidacta en matemáticas y por eso maduró lentamente en ellas. A instancias de su padre estudió para el sacerdocio, pero finalmente se orientó hacia las matemáticas y en 1686 se hizo profesor en la Universidad de Basilea. Sus intereses principales desde entonces fueron las matemáticas y la astronomía. Cuando, a finales de los 1670, comenzó a trabajar en problemas matemáticos, los trabajos de Newton y Leibniz eran todavía desconocidos para él. También aprendió de La Géométrie de Descartes, de la Arithmetica Infinitorum de Wallis y de las Geometrical Lectures de Barrow. Aunque tomó muchas cosas de Barrow, las puso en forma analítica. Se familiarizó gradualmente con el trabajo de Leibniz, pero como había aparecido tan poco impreso, mucho de lo que hizo Jacques coincidió con los resultados de Leibniz. En realidad, como ocurrió con otros matemáticos de su tiempo, no comprendió completamente el trabajo de Leibniz.
La actividad de Jacques está íntimamente relacionada con la de su hermano menor Jean (1667-1748). A Jean le dedicó su padre a los negocios, pero se orientó hacia la medicina, mientras aprendía matemáticas de su hermano. Se hizo profesor de matemáticas en Groningen, Holanda, y después sucedió a su hermano en Basilea.
Tanto Jacques como Jean mantuvieron correspondencia constante con Leibniz, con Huygens, con otros matemáticos y entre ellos mismos. Todos trabajaban en muchos problemas comunes, sugeridos en cartas o propuestos como desafíos. Como también los resultados, en aquella época, se comunicaban a menudo por carta, con o sin publicación ulterior, el asunto de la prioridad es complicado. A veces se reclamaba el mérito de un resultado, que había sido anunciado, pero del que no se daba la demostración en ese momento. La situación se complicaba más por las peculiares relaciones que se desarrollaron. Jean estaba extremadamente ansioso por conseguir la fama y comenzó a competir con su hermano; pronto comenzaron a desafiarse con problemas. Jean no dudó en utilizar medios poco escrupulosos para aparecer como el descubridor de resultados que había obtenido de otros, incluyendo su hermano. Jacques era muy sensible y reaccionó de la misma manera. Los dos publicaron artículos que debían mucho al otro, sin reconocer el origen de las ideas. De hecho, Jean se convirtió en un crítico acérrimo de su hermano, y Leibniz trató de mediar entre ambos. Aunque Jacques había dicho anteriormente, mientras alababa a Barrow, que el trabajo de Leibniz no debía ser menospreciado, se hizo cada vez más receloso con respecto a Leibniz. Además le molestaba la superior percepción de Leibniz y pensaba que éste era muy arrogante al señalar que había hecho cosas que él pensaba que eran suyas. Llegó a convencerse de que Leibniz sólo quería minimizar su trabajo y que estaba favoreciendo a Jean en las disputas entre los hermanos. Cuando Nicolás Fado de Duillier (1664-1753) le atribuyó a Newton el mérito de la creación del cálculo y se enzarzó en una controversia con Leibniz, Jacques escribió cartas a Fado oponiéndose a Leibniz.
Por lo que se refiere al trabajo de los Bernoulli en el cálculo, se puede decir que ellos también trataron problemas tales como la obtención de curvaturas de curvas, evolutas (envolventes de las normales a una curva), puntos de inflexión, rectificación de curvas y otros temas básicos del cálculo. Los resultados de Newton y Leibniz fueron extendidos a espirales de distintos tipos, a la catenaria y a la tractriz, que fue definida como la curva (fig. 17.20) para la cual el cociente entre PT y OT es una constante.

Figura 17.20
z = dxds : ddy = dy ds : ddx
donde z es el radio de curvatura. Si dividimos el numerador y el denominador de cada uno de los cocientes por ds2 obtenemos
Jean produjo un teorema, ahora famoso, para obtener el límite al que se aproxima una fracción cuyo numerador y denominador se acercan a cero. Este teorema fue incluido por Guillaume F. A. L'Hôpital (1661-1704), un discípulo de Jean, en un influyente libro sobre el cálculo, el Analyse des infiniment petits (1696), y se conoce ahora como regla de L'Hôpital.
8. La solidez del cálculo
Desde el mismo momento de la presentación de los nuevos métodos para obtener cambios relativos, tangentes, máximos y mínimos, etc., se atacó a las demostraciones como poco sólidas. El uso de los elementos últimos indivisibles de Cavalieri y sus razonamientos extrañaron a quienes todavía respetaban el rigor lógico. A sus críticas, Cavalieri respondía que los geómetras contemporáneos habían sido más libres con respecto a la lógica que él —por ejemplo, Kepler, en su Stereometria Doliorum—. Estos geómetras, continuaba, se habían limitado, en su cálculo de áreas, a imitar el método de Arquímedes de sumar líneas, pero no habían proporcionado las demostraciones rigurosas que los prestigiosos griegos habían utilizado para hacer riguroso su trabajo. Estaban satisfechos con sus cálculos sólo con tal de que los resultados fueran útiles. Cavalieri se sintió justificado al adoptar el mismo punto de vista. Decía que sus procedimientos podían conducir a nuevos inventos y que su método no obligaba en absoluto a considerar una estructura geométrica como compuesta por un número infinito de secciones; no tenía otro objetivo que el de establecer razones correctas entre áreas o volúmenes. Esas razones conservarían su sentido y valor cualquiera que fuera la opinión que se pudiera tener sobre la composición de un continuo. En cualquier caso, decía Cavalieri, «el rigor es la preocupación de la filosofía y no de la geometría».
Fermat, Pascal y Barrow se dieron cuenta de la imprecisión de sus trabajos sobre sumación, pero creían que se podían hacer demostraciones precisas a la manera de Arquímedes. Pascal, en las Cartas de Dettonville (1659), afirmaba que la geometría infinitesimal y la geometría clásica griega estaban en buen acuerdo. Concluía:
«lo que se demuestra mediante las reglas verdaderas de los indivisibles podría también demostrarse con el rigor y en la forma de los antiguos».Además, decía que el método de los indivisibles debe ser aceptado por cualquier matemático que pretenda contarse entre los geómetras. Difiere del método de los antiguos sólo en el lenguaje. Sin embargo, también Pascal tenía sentimientos ambivalentes acerca del rigor. A veces opinaba que el corazón interviene para asegurarnos la corrección de los pasos matemáticos. El «discernimiento» adecuado, más que la lógica geométrica, es lo que se necesita para realizar un trabajo correcto, así como la valoración religiosa de que la gracia está por encima de la razón. Las paradojas de la geometría, tal como se utilizan en el cálculo, son como los aparentes absurdos del cristianismo, y el indivisible en geometría está en la misma relación con lo finito que la justicia del hombre con la de Dios.
La resistencia que ofrecieron Cavalieri y Pascal se refería a la sumación de cantidades infinitamente pequeñas. Como con la derivada, los primeros investigadores como Fermat y Roberval pensaron que se trataba de un proceso algebraico sencillo que tenía una interpretación geométrica clara y que, por lo tanto, podía justificarse mediante razonamientos geométricos. En realidad Fermat tuvo mucho cuidado de no enunciar ningún teorema general cuando adelantaba alguna idea que no podía justificar por el método exhaustivo. Barrow razonaba sólo geométricamente y, a pesar de sus ataques a los algebristas por su falta de rigor, él era menos escrupuloso acerca de la solidez de sus razonamientos geométricos.
Ni Newton ni Leibniz entendieron claramente, ni definieron rigurosamente, sus conceptos fundamentales. Hemos observado ya que ambos vacilaron en sus definiciones de la derivada y de las diferenciales. Newton no creyó en realidad que había partido de la geometría griega. Aunque utilizó el álgebra y la geometría de coordenadas, de las que no gustaba mucho, pensó que los métodos subyacentes no eran más que extensiones naturales de la geometría pura. Leibniz, sin embargo, era un hombre de visión que pensó en términos amplios, como Descartes. Vio las implicaciones a largo plazo de las nuevas ideas, y no dudó en declarar que estaba naciendo una nueva ciencia. Por ello no estaba demasiado preocupado por la falta de rigor en el cálculo.
En respuesta a la crítica a sus ideas, Leibniz escribió varias réplicas, insatisfactorias. En una carta de Wallis, de 30 de marzo de 1690[76], dice que
Es útil considerar cantidades infinitamente pequeñas tales que, cuando se busca su cociente, pueden no considerarse cero, pero que pueden despreciarse cuando aparecen con cantidades incomparablemente más grandes. Por lo tanto, si tenemos x + dx, dx puede despreciarse. Pero es diferente si buscamos la diferencia entre x + dx y x. De la misma manera, no podemos tener a la vez x dx y dx dx. Por lo tanto, si tenemos que diferenciar xy, escribimos (x + dx) (x + dx) - xy = x dy + y dx + dx dy. Pero dx dy puede despreciarse como incomparablemente menor que x dy + y dx. Así, en cualquier caso particular, el error es menor que cualquier cantidad finita.Por lo que se refiere a los significados últimos de dy, dx y dy/dx, Leibniz fue siempre impreciso. Hablaba de dx como de la diferencia de los valores de x entre dos puntos infinitamente próximos y de la tangente como de la recta que une tales puntos. Despreció diferenciales de orden superior sin ninguna justificación, aunque distinguía entre los distintos órdenes. Los infinitamente pequeños dx y dy se describían a veces como tendiendo a cero o como cantidades incipientes, como opuestas a cantidades ya formadas. Estas cantidades indefinidamente pequeñas no eran cero, pero eran más pequeñas que cualquier cantidad finita. A veces recurría a la geometría para decir que un diferencial de orden superior es a uno de orden inferior como un punto es a una línea[77] o que dx es a x como un punto a la Tierra o como el radio de ésta al de los cielos. Pensó en el cociente de dos infinitesimales como en el de inasignables o de cantidades indefinidamente pequeñas, pero de manera que pudiera, sin embargo, ser expresado en términos de cantidades definidas tales como el cociente de la ordenada a la subtangente.
Una tormenta de ataques y refutaciones se inició en libros de 1694 y 1695 por el físico y geómetra holandés Bernard Nieuwentijdt (1654-1718). Aunque admitía que los nuevos métodos, en general, conducían a resultados correctos, criticaba la oscuridad de los mismos y señalaba que a veces conducían a absurdos. Se quejaba de que no podía entender cómo las cantidades infinitamente pequeñas se diferenciaban de cero y preguntaba cómo una suma de infinitesimales podía ser finita. También dudaba del significado y de la existencia de diferenciales de orden superior y de poder despreciar cantidades infinitamente pequeñas en partes de los razonamientos.
Leibniz, en un borrador de una respuesta de Nieuwentijdt, escrito probablemente en 1695, y en un artículo en el Acta Eruditorum de 1695[78], da varias respuestas. Habla de críticas «sobreprecisas» y dice que un exceso de escrúpulos no debería inducirnos a rechazar los frutos de la invención. Dice a continuación que sus métodos difieren de los de Arquímedes sólo en las expresiones utilizadas, pero que los suyos están mejor adaptados al arte del descubrimiento. Las palabras «infinito» e «infinitesimal» significan meramente cantidades que se pueden tomar tan grandes o tan pequeñas como se desee para mostrar que el error en que se incurre es menor que cualquier número que pueda fijarse de antemano —en otras palabras, que no hay error—. Se puede utilizar estos entes últimos —esto es, cantidades infinitas e infinitamente pequeñas— como un instrumento, en la misma forma en que los algebristas utilizaban las raíces imaginarias con gran provecho.
Los razonamientos de Leibniz hasta entonces consistían en que su cálculo utilizaba sólo los conceptos matemáticos ordinarios. Pero como no pudo satisfacer adecuadamente a sus críticos, enunció un principio filosófico conocido como la ley de continuidad, que era prácticamente el mismo ya establecido por Kepler. En 1687, en una carta a Pierre Bayle

Figura 17.21
dy : dx = (2x + dx) : a
dice: «Ahora, como por nuestro postulado es posible incluir en el razonamiento general también el caso en el que (fig. 17.21), la ordenada x2y2 se desplaza acercándose cada vez más a la x1y1 hasta que llega a coincidir con ella, es evidente que en este caso dx se hace cero y debe ser despreciado...» Leibniz no dice qué significado debe dársele al dx que aparece en el primer miembro de la ecuación.Por supuesto, dice, que cosas que son absolutamente iguales tienen una diferencia nula; por lo tanto, una parábola no es una elipse.
Todavía puede imaginarse un estado de transición o de evanescencia en el que aún no se haya llegado exactamente a la igualdad o al reposo... pero en el que se esté pasando a un estado tal que la diferencia sea menor que cualquier cantidad asignable; en ese estado puede todavía quedar una diferencia [con respecto a la igualdad], alguna velocidad, algún ángulo (distinto de cero), pero en todo caso algo infinitamente pequeño...
Por el momento, tanto el que un tal estado de transición entre la desigualdad y la igualdad... pueda sostenerse en un sentido riguroso o metafísico, o que extensiones infinitas cada vez más grandes o infinitamente pequeñas cada vez menores sean consideraciones legítimas, es un asunto que considero posiblemente cuestionable...
Será suficiente si, cuando hablamos de cantidades infinitamente grandes (o, más estrictamente, ilimitadas) o infinitamente pequeñas (es decir, las menores a las que alcance nuestro conocimiento), se entiende que significamos cantidades que son indefinidamente grandes o indefinidamente pequeñas, es decir, tan grandes o tan pequeñas como se quiera, de modo que el error que se pueda asignar previamente sea menor que una cantidad establecida de antemano.
En estos supuestos, todas las reglas de nuestros algoritmos, en la forma en que están establecidas en el Acta Eruditorum de octubre de 1684, pueden probarse sin demasiada dificultad.
Leibniz vuelve entonces sobre esas reglas. Introduce las cantidades (d)y y (d)x y lleva a cabo el procedimiento habitual de diferenciación con ellas. Llama a éstas cantidades asignables o definidas no evanescentes. Después de obtener el resultado final, dice, podemos sustituir (d)y y (d)x por las cantidades evanescentes o no asignables dy y dx, haciendo «la suposición de que el cociente de las cantidades evanescentes dy y dx es igual al cociente de (d)y y (d)x, porque esta suposición puede siempre ser reducida a una verdad indudable».
El principio de continuidad de Leibniz no es hoy, ciertamente, un axioma matemático, pero él le dio importancia, y resultó importante más tarde. Muchos de sus razonamientos están de acuerdo con este principio. Por ejemplo, en una carta a Wallis[80], Leibniz defendía su utilización del triángulo característico como una forma sin magnitud, la forma que quedaba después de que las magnitudes habían sido reducidas a cero, y preguntaba, desafiante: «¿Quién no admite una forma sin magnitud?» De la misma manera, en una carta a Guido Grandi [81], dice que lo infinitamente pequeño no es un cero simple y absoluto sino un cero relativo, es decir, una cantidad evanescente que mantiene todavía el carácter de la que está desapareciendo. Sin embargo, dice también Leibniz, en otras ocasiones, que no cree en magnitudes verdaderamente infinitas o verdaderamente infinitesimales.
Leibniz, menos preocupado por la justificación última de sus procedimientos que Newton, sentía que aquélla se apoyaba en la efectividad de éstos. Acentuaba el valor algorítmico o de procedimiento de lo que había creado. De alguna manera tenía confianza en que si formulaba claramente las reglas de operación, y si éstas se aplicaban adecuadamente, se obtendrían resultados razonables y correctos, aunque pudieran ser dudosos los significados de los símbolos relacionados.
Parece evidente que ni Newton ni Leibniz lograron clarificar, y mucho menos precisar, los conceptos básicos del cálculo: la derivada y la integral. No siendo capaces de dominarlos adecuadamente, confiaron en la coherencia de los resultados y la fecundidad de los métodos para seguir adelante sin rigor.
Varios ejemplos pueden ilustrar esta falta de claridad, incluso entre los más grandes sucesores inmediatos de Newton y Leibniz. Jean Bernoulli escribió su primer texto sobre el cálculo en 1691 y 1692. La parte de cálculo integral fue publicada en 1742[82]; La parte de cálculo diferencial, Die Differentialrechnung, no fue publicada hasta 1924. Sin embargo, el Marqués de L'Hôpital publicó una versión francesa ligeramente modificada (a la que ya se ha hecho referencia) bajo su propio nombre en 1696. Bernoulli comienza el Differentialrechnung con tres postulados. El primero dice así: «Una cantidad que decrece o aumenta en una cantidad infinitamente pequeña ni se incrementa ni disminuye.» Su segundo postulado es: «Toda línea curva consta de infinitas líneas rectas, que son infinitamente pequeñas.» En su razonamiento sigue a Leibniz y utiliza los infinitesimales. Así, para obtener dy a partir de y = x2, utiliza e en lugar de dx y obtiene (x + e)2 - x2, o 2xe + e2, y entonces suprime e2. Como Leibniz, utilizó vagas analogías para explicar lo que eran las diferenciales. Así, dice, las cantidades infinitamente grandes son como distancias astronómicas y las infinitamente pequeñas son como animalillos descubiertos en el microscopio. En 1698 estableció que los infinitesimales deben existir[83]. Sólo se tiene que considerar la serie infinita 1, 1/2, 1/4,... Si se toman 10 términos, entonces 1/10 existe; si se toman 100 términos, 1/100 existe. El infinitesimal corresponde al número infinito de términos.
Unos pocos, Wallis y Jean Bernoulli entre ellos, intentaron definir el infinitesimal como el recíproco de ∞, porque éste era un número definido para ellos. Aún otros actuaban como si lo que era incomprensible no necesitara explicación adicional. Para la mayor parte de los investigadores del siglo XVIII, el rigor no era motivo de preocupación. Lo que decían, a menudo, que podía hacerse riguroso mediante el método de Arquímedes, no podría haberlo rigorizado un Arquímedes; esto es particularmente cierto por lo que se refiere al trabajo sobre la diferenciación, que no tenía paralelo en la matemática griega.
En realidad, el nuevo cálculo estaba introduciendo conceptos y métodos que inauguraban una separación radical del trabajo previo. Con el trabajo de Newton y Leibniz, el cálculo se convirtió en una disciplina totalmente nueva que requería sus propios cimientos. Aunque no eran totalmente conscientes de ello, los matemáticos habían vuelto la espalda al pasado.
Gérmenes de los nuevos conceptos correctos pueden encontrarse incluso en la literatura del siglo XVII. Wallis, en la Aritmética Infinitorum, avanzó el concepto aritmético de límite de una función como un número al que se aproxima la función de modo que la diferencia entre este número y la función puede hacerse menor que cualquier cantidad fijada de antemano y que se anularía cuando el proceso se continuara hasta el infinito. La forma de decirlo es vaga, pero contiene la idea correcta.
James Gregory, en su Vera Circuli et Hiperbolae Quadratura (1667), señalaba explícitamente que los métodos utilizados para obtener áreas, volúmenes y longitudes de curvas incluían un nuevo proceso, el proceso de paso al límite. Además, añadía, esta operación era distinta de las cinco operaciones algebraicas de adición, sustracción, multiplicación, división, y extracción de raíces. Dio forma algebraica al método exhaustivo y se dio cuenta de que las aproximaciones sucesivas obtenidas utilizando figuras rectilíneas circunscritas alrededor de un área o volumen dado y las obtenidas utilizando figuras rectilíneas inscritas convergían ambas al mismo «último término». Señaló también que este proceso de paso al límite conduce a irracionales que no se pueden obtener como raíces de racionales. Pero estas ideas de Wallis y Gregory fueron ignoradas en su tiempo.
Los fundamentos del cálculo permanecían oscuros. Se añadía a la confusión el hecho de que los defensores del trabajo de Newton continuaban hablando de razones primeras y últimas, mientras que los seguidores de Leibniz utilizaban las cantidades no nulas infinitamente pequeñas. Muchos de los matemáticos ingleses, quizás porque en lo principal estaban todavía ligados al rigor de la geometría griega, recelaban de todo el trabajo sobre el cálculo. Así, el siglo terminaba con el cálculo en un estado de confusión.
Bibliografía
- Armitage, A.: Edmond Halley, Thomas Nelson and Sons, 1966.
- Auger, L.: Un Savant Méconnu: Gilíes Persone de Roberval (1602-1675), Blanchard, 1962.
- Ball, W. W. R.: A Short Account of the History of Mathematics, Dover (reimpresión), 1960, pp. 309-370.
- Barón, Margaret E.: The Origins of Infinitesimal Calculas, Pergamon Press, 1969.
- Bell, Arthur E.; Newtonian Science, Edward Arnold, 1961.
- Boyer, Cari B.: The Concepts of the Calculas, Dover (reimpresión), 1949. : Historia de la Matemática, Madrid, Alianza Editorial, 1986.
- Brewster, David: Memoirs of the Life, Writings and Discoveries of Sir Isaac Newton, 2 vols., 1885, Johnson Reprint Corp., 1965. Cajori, Florian: A History of the Conceptions of Limits and Fluxions in Great Britain from Newton to Woodhouse, Open Court, 1919. : A History of Mathematics, Macmillan, 1919, 2nd ed., pp. 181-220. Cantor, Moritz: Vorlesungeh über Geschichte der Mathematik, 2.* ed., A. G. Teubner, 1990 y 1898, vol. 2, pp. 821-922; vol. 3, pp. 150-316. Child, J. M.: The Geometrical Lectures of Isaac Barrow, Open Court, 1916. : The Early Mathematical Manuscript of Leibniz, Open Court, 1920. Cohén, I. B.: Isaac Newton’s Papers and Letters on Natural Philosophy, Harvard University Press, 1958.
- Coolidge, Julián L.: The Mathematics of Great Amateurs, Dover (reimpresión), 1963, caps. 7, 11 y 12.
- De Morgan, Augustus: Essays on the Life and Work of Newton, Open Court, 1914.
- Fermat, Pierre de: OEuvres, Gauthier-Villars, 1891-1912, vol. 1, pp. 139-179; vol. 3, pp. 121-156.
- Gibson, G. A.: «James Gregory’s Mathematical Work», Proc. Edinburgh Math. Soc., 41, 1922-1923, 2-25.
- Huygens, C.: OEuvres completes, 22 vols., Societé Hollandaise des Sciences, Nyhoff, 1888-1950.
- Leibniz, G. W.: OEuvres, Firmin-Didot, 1859-1875. : Mathematische Schriften, ed. C. I. Gerhardt, 7 vols., Ascher-Schmidt, 1849-1863. Reimpreso por Georg Olms, 1962.
- More, Louis T.: Isaac Newton, Dover (reimpresión), 1962.
- Montucla, J. F.: Histoire des mathématiques, Albert Blanchard (reimpresión), 1960, vol. 2, pp. 102-177, 348-403; vol. 3, pp. 102-138.
- Newton, Sir Isaac: The Mathematical Works, ed. D. T. Whiteside, 2 vols., Johnson Reprint Corp., 1964-1967. El vol. 1 contiene las traducciones (al inglés) de los tres artículos básicos sobre el cálculo. : Mathematical Papers, ed. D. T. Whiteside, 4 vols., Cambridge Univer- sity Press, 1967-1971. : Mathematical Principies of Natural Philosophy, ed. Florian Cajori, 3rd ed., University of California Press, 1946. Principios matemáticos de la filosofía natural, 2 vol., Madrid, Alianza Editorial, 1987. : Opticks, Dover (reimpresión), 1952. Optica, Madrid, Alfaguara, 1977.
- Pascal, B.: OEuvres, Hachette, 1914-1921. Obras. 1, Madrid, Alfaguara, 1981.
- Scott, Joseph F.: The Mathematical Work of John Wallis, Oxford University Press, 1938. : A History of Mathematics, Taylor and Francis, 1958, caps. 10-11.
- Smith, D. E.: A Source Book in Mathematics, Dover (reimpresión), 1959, pp. 605-626.
- Struik, D. J.: A Source Book in Mathematics, 1200-1800, Harvard University'Press, 1969, pp. 188-316, 324-328.
- Thayer, H. S.: Newton’s Philosophy of Nature, Hafner, 1953.
- Turnbull, H. W.: The Mathematical Discoveries of Newton, Blackie and Son, 1945. : James Gregory Tercentenary Memorial Volume, Roy al Society of Edin- burgh, 1939.
- Turnbull, H. W. y Scott, J. F.: The Correspondence of Isaac Newton, 4 vols., Cambridge University Press, 1959-1967.
- Walker, Evelyn: A Study of the Traité des indivisibles of Gilíes Persone de Roberval, Columbia University Press, 1932.
- Wallis, John: Opera Mathematica, 3 vols., 1693-1699, Georg Olms (reimpresión), 1968.
- Whiteside, Derek T.: «Patterns of Mathematical Thought in the Seventeenth Century», Archive for History of Exact Sciences, 1, 1961, pp. 179-388.
- Wolf, Abraham: A History of Science, Technology and Philosophy in the 16th and 17th Centuries, 2nd ed., George Alien and Unwin, 1950, caps. 7-14.
Capítulo 18
Las matemáticas a partir de 1700
Habiendo considerado esas pocas cosas, toda la cuestión se reduce a la geometría pura, la cual es el objetivo de la física y la mecánica.
G. W. Leibniz
Contenido:1. La transformación de las matemáticas1. La transformación de las matemáticas
2. Las matemáticas y la ciencia
3. La comunicación entre los matemáticos
4. Las perspectivas para el siglo XVII
Bibliografía
Al comienzo del siglo XVII, Galileo todavía había experimentado la necesidad de discutir con el pasado. Al final del siglo, las matemáticas habían experimentado cambios tan amplios y radicales que nadie hubiera dejado de percibir la llegada de una nueva era.
Los matemáticos europeos produjeron mucho más entre, aproximadamente, 1550 y 1700 de lo que los griegos habían producido en casi diez siglos. Esto se explica fácilmente por el hecho de que, mientras las matemáticas en Grecia se habían cultivado sólo por unos pocos, la difusión de la educación en Europa, aunque en absoluto universal, promovió el desarrollo de matemáticos en Inglaterra, Francia, Alemania, Holanda e Italia. La invención de la imprenta permitió un amplio acceso no sólo a los trabajos griegos, sino a los resultados de los propios europeos, los cuales, ahora más fácilmente disponibles, sirvieron para estimular nuevos esfuerzos.
Pero el genio del siglo no se pone en evidencia únicamente por la expansión de la actividad. La variedad de nuevos campos abiertos en este breve período es impresionante. El crecimiento del álgebra como ciencia (porque el uso de coeficientes literales permitió en buena parte la realización de demostraciones), así como la vasta ampliación de sus métodos y teoría, los comienzos de la geometría proyectiva y de la teoría de la probabilidad, la geometría analítica, el concepto de función y, sobre todo, el cálculo, fueron las principales innovaciones, cada una de ellas destinada a empequeñecer la realización por excelencia de los griegos —la geometría euclídea.
Además del desarrollo cuantitativo y de los nuevos caminos de exploración se produjo un intercambio completo de los papeles del álgebra y de la geometría. Los griegos habían favorecido la geometría porque era el único camino en el que podían conseguir rigor; incluso en el siglo XVII, los matemáticos se sentían obligados a justificar los métodos algebraicos con demostraciones geométricas. Se podría decir que hasta 1600 el cuerpo de las matemáticas era geométrico, con algunos apéndices algebraicos y trigonométricos. Después del trabajo de Descartes, Fermat y Wallis el álgebra se convirtió no sólo en un método efectivo para sus propios fines, sino también en un enfoque superior para la solución de problemas geométricos. La mayor efectividad de los métodos analíticos en el cálculo decidió la competición, y el álgebra se convirtió en la sustancia dominante de las matemáticas.
Fueron Wallis y Newton quienes vieron claramente que el álgebra proporcionaba un método superior. A diferencia de Descartes, quien consideraba al álgebra como sólo técnica, Wallis y Newton se dieron cuenta de que se trataba de algo de vital importancia. El trabajo de Desargues, Pascal y La Hire fue menospreciado y olvidado, y los métodos geométricos de Cavalieri, Gregorio de St. Vi- cent, Huygens y Barrow fueron reemplazados. La geometría pura fue eclipsada durante casi cien años convirtiéndose, como mucho, en una interpretación del álgebra y en una guía del pensamiento algebraico mediante la geometría de coordenadas. Es cierto que la excesiva reverencia hacia el trabajo geométrico de Newton en los Principia, reforzada por la enemistad contra los matemáticos continentales engendrada por la disputa entre Newton y Leibniz, provocó que los matemáticos ingleses persistieran en el desarrollo geométrico del cálculo. Pero sus contribuciones fueron triviales comparadas con lo que los continentales fueron capaces de obtener utilizando el enfoque analítico. Lo que era evidente en 1700 fue expresado explícitamente nada menos que por una autoridad como Euler quien, en su Introductio in Analysi Infinitorum (1748), alaba al álgebra como muy superior a los métodos sintéticos de los griegos.
Los matemáticos abandonaron el método geométrico con gran desgana. Según Henry Pemberton (1694-1771), quien editó la tercera edición de los Principia de Newton, éste no sólo expresó constantemente una gran admiración por los geómetras de Grecia, sino que se censuró a sí mismo por no seguirlos más de cerca de lo que lo hizo. En una carta a David Gregory (1661-1708), un sobrino de James Gregory, Newton señalaba que «el álgebra es el análisis de los chapuceros en matemáticas». Pero su propia Arithmetica Universalis de 1707 hizo tanto como cualquier otro trabajo para establecer la supremacía del álgebra. En esta obra establece la aritmética y el álgebra como la ciencia básica, admitiendo sólo la geometría allí donde hiciera las demostraciones más fáciles. Leibniz, también, notó la dominación creciente del álgebra y se sintió obligado a decir, en un ensayo no publicado[84]: «a menudo, los geómetras pueden demostrar en pocas palabras lo que es muy largo en el cálculo... el enfoque del álgebra está garantizado, pero no es mejor.»
Otro cambio, más sutil, en la naturaleza de las matemáticas había sido aceptado inconscientemente por los maestros. Hasta 1550 los conceptos en matemáticas eran idealizaciones inmediatas o abstracciones de la experiencia. Por entonces hicieron su aparición los números irracionales y negativos, y fueron ganando aceptación gradualmente. Cuando, además, irrumpieron en las matemáticas los números complejos, una amplia álgebra que utilizaba coeficientes literales y las nociones de derivada e integral, el campo quedó dominado por conceptos procedentes de partes recónditas de la mente humana. La noción de un cambio relativo instantáneo, en particular, aunque teniendo, por supuesto, una base intuitiva en el fenómeno físico de la velocidad es, sin embargo, bastante más una construcción intelectual y es también, cualitativamente, una contribución completamente diferente del triángulo matemático. Además de estas ideas, entraban en liza las cantidades infinitamente grandes, que los griegos habían evitado cuidadosamente, y las cantidades infinitamente pequeñas, que los griegos habían soslayado habilidosamente.
En otras palabras, los matemáticos estaban aportando conceptos, más que abstrayendo ideas del mundo real. Sin embargo, estos conceptos eran útiles en las investigaciones físicas (con la excepción de los números complejos, que todavía tenían que probar su utilidad) porque tenían algunos lazos con la realidad física. Los europeos se sentían incómodos con los nuevos tipos de números y las nociones del cálculo, sin percibir realmente la causa de su preocupación. A medida que esos conceptos se iban revelando más útiles en las aplicaciones fueron siendo aceptados, primero a regañadientes y luego en forma pasiva. La familiaridad no produjo menosprecio sino aceptación e incluso naturalidad. Después de 1700, cada vez más nociones, cada vez más apartadas de la naturaleza y surgiendo auténticamente de la mente humana, entrarían a formar parte de las matemáticas con menos reservas. Para la génesis de sus ideas, las matemáticas se desplazaron de las facultades sensoriales a las intelectuales.
La incorporación del cálculo al cuerpo de las matemáticas introdujo otro cambio en el concepto mismo de las matemáticas, que subvirtió el ideal propugnado por los clásicos griegos. Hemos señalado ya que la emergencia del álgebra y del cálculo había planteado el problema de los fundamentos lógicos de estas partes de las matemáticas, y que este problema no había sido resuelto. A todo lo largo del siglo, algunos matemáticos se habían sentido incómodos por el abandono de la demostración en el sentido deductivo, pero sus protestas se ahogaron en el uso y satisfacción crecientes con respecto al álgebra y el cálculo; hacia finales de siglo, los matemáticos habían abandonado virtualmente los requerimientos de conceptos claramente definidos y demostraciones deductivas. La construcción axiomática rigurosa dio paso a la inducción a partir de ejemplos particulares, a ideas intuitivas, a vagas evidencias geométricas y a razonamientos físicos. Como la demostración deductiva había sido el rasgo distintivo de las matemáticas, los matemáticos estaban, pues, abandonando el sello de su campo de actividad.
Retrospectivamente es fácil ver por qué se vieron obligados a ello. Mientras los matemáticos obtuvieron sus conceptos de la experiencia inmediata, era posible definir estos conceptos y seleccionar los axiomas necesarios —aunque, además, las bases lógicas de la teoría de los enteros que presentó Euclides en los libros VII al IX de los Elementos eran deplorablemente deficientes—. Pero cuando introdujeron conceptos que ya no idealizaban experiencias inmediatas, como los números irracionales, negativos, y complejos, y la derivada y la integral, no valoraron adecuadamente el hecho de que estos conceptos eran de un carácter diferente y por ello no llegaron a darse cuenta de que se necesita una base para el desarrollo axiomático que fuera diferente de las verdades evidentes por sí mismas.
Es cierto, sin embargo, que los nuevos conceptos eran bastante más sutiles que los antiguos y que, como sabemos ahora, no podría haberse edificado fácilmente la base axiomática adecuada.
¿Cómo podían los matemáticos críticos, buenos conocedores de las matemáticas griegas, estar satisfechos actuando sobre una base heurística? Estaban preocupados por problemas importantes de la ciencia, acuciantes en algunos casos, y las matemáticas que utilizaban permitían manejar esos problemas. Más que buscar una comprensión total de las nuevas creaciones o intentar erigir la estructura deductiva requerida, justificaban su conciencia mediante sus éxitos. Un recurso ocasional a doctrinas filosóficas, o místicas, bastaba para encubrir algunas dificultades de manera que éstas dejaran de ser visibles.
Un objetivo nuevo, en particular, caracteriza las matemáticas del siglo XVII y siguientes —la generalidad de los métodos y de los resultados—. Ya hemos señalado el valor que se otorgaba a la generalidad del método: Vieta en su introducción de los coeficientes literales, los geómetras proyectivos, Fermat y Descartes en la exploración de curvas, y Newton y Leibniz en el tratamiento de las funciones. Por lo que se refiere a la generalidad de los resultados, los logros eran limitados. Muchos eran sólo afirmaciones, como la de que toda ecuación polinómica de grado n tiene n raíces, o que toda ecuación de segundo grado en x e y es una cónica. Los métodos matemáticos y la notación eran todavía demasiado limitados para permitir el establecimiento de resultados generales, pero esto se convirtió en un objetivo de los esfuerzos matemáticos.
2. Las matemáticas y la ciencia
Desde los tiempos de la Grecia clásica, las matemáticas se habían valorado sobre todo por su papel en la investigación de la naturaleza. La astronomía y la música estaban ligadas constantemente a las matemáticas, y la mecánica y la óptica eran, ciertamente, matemáticas. Sin embargo, la relación de las matemáticas con la ciencia se alteró de diversas formas debido al trabajo realizado en el siglo XVII. En primer lugar, porque la ciencia, que se estaba desarrollando enormemente, había sido dirigida por Galileo hacia la utilización de axiomas cuantitativos y deducciones matemáticas (cap. 16, sec. 3); la actividad matemática que estaba inspirada directamente por la ciencia se convirtió en dominante.
Además, la recomendación de Galileo de buscar la descripción matemática en lugar de la explicación causal condujo a la aceptación de conceptos tales como el de fuerza de gravitación. Esta fuerza y las leyes del movimiento fueron la base completa del sistema de Newton de la mecánica. Como el único conocimiento seguro sobre la gravitación era matemático, las matemáticas se convirtieron en la sustancia de las teorías científicas. El rebelde siglo XVII encontró un mundo cualitativo cuyo estudio se encontraba apoyado por las abstracciones matemáticas, y legó un mundo cuantitativo, matemático, que incluía bajo sus leyes matemáticas la concreción del mundo físico.
En tercer lugar, aunque los griegos había utilizado libremente las matemáticas en su ciencia, mientras bastaran las bases euclídeas para las matemáticas, existía una distinción profunda entre éstas y aquélla. Tanto Platón Como Aristóteles distinguieron una de otra (cap. 3, sec. 10 y cap. 7, sec. 3), aunque de diferentes formas, y Arquímedes es especialmente claro acerca de lo que se establece matemáticamente y lo que se conoce físicamente. Sin embargo, a medida que se extendía el campo de las matemáticas, y que los matemáticos no sólo se basaban en significados físicos para entender sus conceptos, sino que aceptaban los razonamientos matemáticos porque proporcionaban profundos resultados físicos, la frontera entre las matemáticas y la ciencia se hizo borrosa. Paradójicamente, a medida que la ciencia iba basándose cada vez más en las matemáticas para producir sus conclusiones físicas, las matemáticas fueron basándose cada vez más en los resultados científicos para justificar sus propios procedimientos.
El resultado de esta interdependencia fue una virtual fusión de las matemáticas y de vastas áreas de la ciencia. Lo que constituía la brújula de las matemáticas, tal como se entendía en el siglo XVII, puede verse en el Cursus seu Mundus Mathematicus (El Curso o el Mundo de las Matemáticas) de Claude-François Milliet Deschales (1612-1678), publicado en 1674 y, en una edición ampliada, en 1690. Además de aritmética, trigonometría y logaritmos, trata de geometría práctica, mecánica, estática, geografía, magnetismo, ingeniería civil, carpintería, talla de piedras, construcción militar, hidrostática, movimiento de fluidos, hidráulica, construcción de barcos, óptica, perspectiva, música, diseño de armas de fuego y cañones, el astro- labio, relojes de sol, astronomía, el cálculo del calendario y el horóscopo. Finalmente, incluye álgebra, la teoría de los indivisibles, la teoría de las cónicas y curvas especiales como la cuadratriz y la espiral. Esta obra fue popular y estimada. Aunque en la inclusión de algunos temas refleja los intereses del Renacimiento, presenta en su conjunto un cuadro razonable del mundo de las matemáticas del siglo XVII e incluso del XVIII.
Se podría esperar que los matemáticos hubieran estado preocupados por preservar la identidad de su dominio. Pero además del hecho de que estaban obligados a depender de significados y resultados físicos para sostener sus razonamientos, los más grandes entre los que contribuyeron con aportaciones a las matemáticas en el siglo XVII (y XVIII) fueron, o bien primariamente científicos o al menos preocupados por igual por los dos campos. Descartes, Huygens y Newton, por ejemplo, fueron más grandes físicos que matemáticos. Pascal, Fermat y Leibniz fueron activos en física. De hecho, sería difícil nombrar un matemático extraordinario de ese siglo que no hubiera estado vivamente interesado por la ciencia. Como consecuencia, estos hombres no quisieron, ni intentaron, hacer ninguna distinción entre los dos campos. Descartes dice, en sus Reglas para la dirección del espíritu, que las matemáticas son la ciencia del orden y la medida e incluye, además del álgebra y la geometría, la astronomía, la música, la óptica y la mecánica. Newton dice en sus Principia: «En matemáticas tenemos que investigar las cantidades de fuerzas, con su proporción consecuente, con cualesquiera condiciones supuestas; entonces, cuando entramos en la física, comparamos estas proporciones con los fenómenos de la naturaleza...» Aquí la física se refiere a la experimentación y a la observación. Las matemáticas de Newton podrían considerarse como la física matemática actual.
3. La comunicación entre los matemáticos
Hasta aproximadamente 1550, las matemáticas habían sido creadas por investigadores aislados o por pequeños grupos encabezados por uno o dos directores prominentes. Los resultados se comunicaban oralmente o se escribían ocasionalmente en textos —que, sin embargo, eran manuscritos—. Como las copias tenían que hacerse también a mano, éstas eran escasas. En el siglo XVII los libros impresos habían llegado a ser, de alguna manera, corrientes, aunque tampoco esta mejora difundió el conocimiento tan ampliamente como podría haberse pensado. Como el mercado para la matemática avanzada era pequeño, los editores tenían que establecer precios elevados. Los buenos impresores eran escasos. La publicación era seguí- da, habitualmente, por ataques a los autores por parte de oponentes no demasiado escrupulosos; no era difícil para tales críticos encontrar bases para el ataque, especialmente porque el álgebra y el cálculo no estaban en absoluto fundamentados lógicamente. Los libros, en cualquier caso, no eran habitualmente el vehículo de las nuevas creaciones, porque resultados significativos no garantizaban una publicación del tamaño de un libro.
Como consecuencia, muchos matemáticos se limitaron a escribir cartas a amigos en las que relataban sus descubrimientos. Temiendo que esas cartas llegaran a manos de quienes pudieran aprovecharse de tales documentos no oficiales, los escritores ponían sus resultados a menudo en forma cifrada o mediante anagramas, los cuales podían ser descifrados en caso necesario.
A medida que se incorporaban a la creación matemática más investigadores, el deseo de intercambio de información y el estímulo por reunirse con gente con los mismos intereses intelectuales se concretó en la formación de sociedades científicas o academias. En 1601 jóvenes nobles fundaron en Roma la Accademia dei Lincei (de los linces); duró treinta años. Galileo ingresó como miembro en 1611. Otra sociedad italiana, la Accademia del Cimento (Academia de Experimentos) fue fundada en Florencia en 1657 como una organización formal de investigadores que se habían estado reuniendo en un laboratorio fundado por dos miembros de la familia Medici aproximadamente diez años antes. Esta academia contó entre sus miembros con Vincenzo Viviani (1622-1703) y con Torricelli, ambos discípulos de Galileo. Desgraciadamente, la sociedad se deshizo en 1667. En Francia, Desargues, Descartes, Gassendi, Fermat y Pascal, entre otros, mantuvieron reuniones privadamente, bajo la dirección de Mersenne, desde 1630 en adelante. Este grupo fue distinguido por Luis XIV, fundando con él la Académie Royale des Sciences en 1666, y proporcionando apoyo a sus miembros. Paralelamente a lo que había sucedido en Francia, un grupo inglés centrado alrededor de John Wallis comenzó en 1645 a mantener reuniones en el Gresham College, en Londres. Estos investigadores se ocuparon sobre todo de matemáticas y astronomía. A este grupo Carlos II le concedió unos estatutos formales en 1662, adoptando el nombre de Royal Society of London for the Promotion of Natural Knowledge (Sociedad Real de Londres para la Promoción del Conocimiento Natural). Esta sociedad se dedicó a hacer útiles las matemáticas y la ciencia, considerando como temas de interés el teñido, el acuñado, la fabricación de armas, el refinado de los metales y la estadística de poblaciones. Finalmente, la Academia de Ciencias de Berlín, por la que Leibniz había abogado durante algunos años, fue abierta en 1700, con Leibniz como primer presidente. En Rusia, Pedro el Grande fundó la Academia de Ciencias de San Petersburgo en 1724.
Las academias fueron importantes no sólo por hacer posible el contacto directo y el intercambio de ideas, sino porque apoyaron la existencia de revistas. La primera de las revistas científicas, aunque lo fue patrocinada por una academia, fue el Journal des Sqavans o Journal des Savants, que comenzó su publicación en 1665. Esta revista y las Philosophical Transactions of the Roy al Society, que comenzó a publicarse en el mismo año, fueron las primeras revistas que incluyeron artículos matemáticos y científicos. La Académie des Sciences francesa comenzó la publicación Histoire de l’Académie Royale des Sciences avec les Mémoires de Mathématique et Physique (Historia de la Real Academia de Ciencias con las Memorias de Matemáticas y Física). También publicó las Mémoires de Mathématique et de Phisique Présentés a L'Académie Royale des Sciences par Divers Sqavans et Lus dans ses Assemblées (Memorias de Matemáticas y Física presentadas a la Real Academia de Ciencias por Diversos Sabios y Leídas en sus Asambleas), también conocidas como las Mémoires des Savants Etrangers. Otra de las primeras revistas científicas, la Acta Eruditorum, comenzó en 1682 y, como estaba publicada en latín, pronto adquirió una difusión internacional. La Academia de Ciencias de Berlín patrocinó la Histoire de L'Académie Royale des Sciences et Belles-lettres (cuyo título durante muchos años fue el de Miscellanea Berolinensia).
Las academias y sus revistas abrieron nuevas puertas a la comunicación científica; éstas y revistas posteriores se convirtieron en el medio aceptado para la publicación de las nuevas investigaciones. Las academias propiciaron la investigación en cuanto que la mayor parte de ellas apoyaron económicamente a investigadores. Por ejemplo, Euler fue patrocinado por la Academia de Berlín desde 1741 hasta 1766 y Lagrange desde 1766 hasta 1787. La Academia de San Petersburgo apoyó a Daniel y a Nicholas Bernoulli en varias ocasiones, y a Euler desde 1727 hasta 1741, y otra vez desde 1766 hasta su muerte en 1783. La fundación de las academias por los gobiernos europeos marca también la entrada oficial de los gobiernos en el área de la ciencia y el apoyo a la misma. La utilidad de la ciencia había sido reconocida.
Las instituciones de las que cualquiera en la actualidad hubiera esperado que jugaran el papel más importante en la creación y difusión del conocimiento —las universidades— fueron ineficaces. Eran conservadoras y dogmáticas, controladas por las religiones oficiales de los países respectivos y muy lentas incorporando los conocimientos nuevos. En su conjunto, enseñaban sólo un poco de aritmética, álgebra y geometría. Aunque había algunos matemáticos en la universidad de Cambridge en el siglo XVI, desde 1600 hasta 1630 no hubo ninguno. De hecho, en Inglaterra a principios del siglo XVII las matemáticas no formaban parte del curriculum. Estaban consideradas como algo demoníaco. Wallis, que había nacido en 1616, dice de la educación corriente durante su infancia que «las matemáticas en aquel tiempo se consideraban raramente entre nosotros como algo académico; más bien se miraban como algo mecánico —un asunto de comerciantes—». Fue a la universidad de Cambridge y estudió matemáticas allí, pero aprendió bastante más estudiando independientemente. Aunque preparado como para ser profesor de matemáticas, se fue a Cambridge «porque ese estudio había muerto allí, y no se abría ningún porvenir para una profesor de esa materia».
Las primeras cátedras de matemáticas se fundaron en Oxford en 1619, y más tarde en Cambridge. Antes de eso, había habido sólo profesores de baja categoría. La cátedra Lucasiana en Cambridge, que Barrow fue el primero en ocupar, fue fundada en 1663. El mismo Wallis se hizo catedrático en Oxford en 1649 y mantuvo la cátedra hasta 1702. Un obstáculo para la contratación de profesores capaces fue que éstos tenían que tomar las órdenes sagradas, aunque se hicieron excepciones, como en el caso de Newton. Las universidades británicas (incluidas las de Londres, Glasgow y Edimburgo) tuvieron, en general, casi la misma historia: desde, aproximadamente, 1650 hasta 1750, fueron de alguna manera activas, pero declinaron en su actividad hasta, aproximadamente, 1825.
Las universidades francesas de los siglos XVII y XVIII fueron inactivas en matemáticas. Hasta finales del siglo XVIII, en que Napoleón fundó escuelas técnicas de primera categoría, no efectuaron ninguna contribución. También en las universidades alemanas la actividad matemática en esos dos siglos se mantuvo en un nivel bajo. Leibniz estuvo aislado y, como señalamos anteriormente, se lamentaba de las enseñanzas de las universidades. Los centros universitarios de Ginebra y Basilea, en Suiza, fueron las excepciones en el período que estamos considerando; se pudieron vanagloriar de los Bernoulli, Hermann, y otros. Las universidades italianas tuvieron alguna importancia en el siglo XVII pero perdieron terreno en el XVIII. Cuando se piensa que Pascal, Fermat, Descartes, Huygens y Leibniz no enseñaron nunca en ninguna universidad y que Kepler y Galileo, aunque enseñaron durante algún tiempo, fueron matemáticos de corte la mayor parte de su vida, se cae en la cuenta de lo relativamente poco importantes que fueron las universidades.
4. Las perspectivas para el siglo XVIII
Los avances enormes del siglo XVII en álgebra, geometría analítica y cálculo; el fuerte compromiso de las matemáticas con la ciencia, que proporcionó problemas profundos e interesantes; el entusiasmo producido por los sorprendentes éxitos de Newton en mecánica celeste y la mejora de las comunicaciones proporcionada por las academias y revistas apuntaba, todo ello, a desarrollos adicionales importantes y servía para crear unas expectativas inmensas sobre el futuro de las matemáticas.
Tenían que superarse algunos obstáculos. Las dudas sobre la solidez del cálculo, el distanciamiento entre los matemáticos ingleses y continentales, el bajo nivel de las instituciones educativas existentes y la incertidumbre sobre el apoyo a la profesión en matemáticas retenían a los jóvenes o futuros matemáticos. Sin embargo, el entusiasmo de los matemáticos era casi ilimitado. Tenían visiones de una tierra prometida y estaban ansiosos por presionar hacia adelante. Además, trabajaban en una atmósfera bastante más adecuada para la creación que en cualquier otra época, desde que la geometría de la Grecia clásica del 300 antes de Cristo imponía no sólo restricciones en el campo de las matemáticas, sino que imprimía un nivel de rigor a la matemática aceptable que impedía la creatividad. Los hombres del siglo XVII habían roto ambas ataduras. El progreso en matemáticas casi exige pasar por alto completamente los escrúpulos lógicos y, afortunadamente, los matemáticos se atrevieron ya a confiar en intuiciones y consideraciones físicas.
Bibliografía
- Hahn, Roger: The Anatomy of a Scientific Institution: The París Academy of Sciences, 1666-1803, University of California Press, 1971.
- Hall, A. Rupert: The Scientific Revolution, 1500-1800, Longmans, Green, 1954, cap. 7. La Revolución científica, 1500-1700, Barcelona, Crítica, 1985.
- Hall, A. Rupert, y Marie Boas: The Correspondence of Henry Oldenburg, 4 vols., University of Wisconsin Press, 1968.
- Hartley, Sir Harold: The Royal Society: Its Origins and Founders, The Ro- yal Society, 1960.
- Ornstein, M.: The Role of Scientific Societies in the Seventeeth Century, University of Chicago Press, 1938.
- Purver, Margery: The Royal Society, Concept and Creation, Massachusetts Institute of Technology Press, 1967.
- Wolf, Abraham: A History of Science, Technology and Philosophy in the 16th and 17th Centuries, 2.a ed., George Alien and Unwin, 1950, cap. 4.
FIN
Parte I
Notas:
