El lenguaje de las matemáticas
Raul Rojas González
Tengo que agradecerles a los estudiantes de mis cursos sobre historia de las matemáticas su ayuda localizando fuentes y discutiendo sobre los símbolos. A mi esposa Margarita y a mi hija Tania les agradezco su continuo apoyo durante tantos años. Mi hermana Graciela, también matemática, me ayudó a revisar el manuscrito en múltiples ocasiones, tropezando con muchos de aquellos errores que el autor, de tanto verlos, los desaparece inconscientemente de la página. Mi amigo el doctor Víctor Pérez Abreu leyó una primera versión y me hizo sugerencias muy valiosas. También le agradezco a mi suegra, doña Hortensia Argüero, porque nunca dejó de preguntarme sobre el manuscrito..., hasta que me obligó a terminarlo. Finalmente, no me queda más que agradecer al equipo editorial del FCE el magnífico cuidado editorial de esta edición.
Este libro se lo dedico a las nuevas generaciones: a mi recién nacido nieto Nikolai Andrei. Espero que algún día lo lea, quizás en una edición que pueda reunir aún más símbolos y más historias.
La filosofía é scritta in questo grandissimo libro che continuamente ci sta aperto innanzi agli occhi (io dico l'universo), ma non si puó intendere se prima non simpara a intender la lingua, e conoscer i caratteri, nd quali é scritto. Egli é scritto in lingua matemática, e i caratteri son triangoh, cerchi, ed altre figure geometriche, sen- za i quali mezi é impossibile a intenderne umanamente parola; senza questi é un aggirarsi vanamente per un oscuro laberinto.[1]
Galileo Galilei, El ensayador
El libro que el lector tiene en sus manos es resultado de décadas de docencia en el área de las matemáticas. El texto intenta mostrarles a los estudiantes de ciencias e ingeniería que conceptos que hoy en día utilizamos casi en forma automática tienen una larga historia, incluidos sus símbolos. Desde Galileo sabemos que el mundo de la naturaleza está escrito en el “lenguaje de las matemáticas”. Sin embargo, rara vez nos adentramos en la historia de esta ciencia, lo cual representa una pérdida doble: por un lado, cultural, y por el otro, incluso de contenido, ya que si sabemos de dónde provienen los conceptos y qué disputas generó su primera formulación, estamos mejor preparados para utilizarlos como parte de nuestro arsenal matemático.
El libro está dividido en nueve capítulos con 54 secciones en total. Cada una de ellas se limita a examinar uno o dos símbolos matemáticos, su historia y las variantes que pueden haber tenido. Las secciones son autocontenidas, así que se les puede leer en cualquier orden. El libro está concebido precisamente para que el lector deambule de un capítulo al otro, para que explore el origen de nuestro lenguaje matemático siguiendo la inspiración del momento. Mi experiencia es que estas pequeñas historias pueden servir también para despabilar a los estudiantes en clase, para darles un empujón mental cuando comienzan a aburrirse o quieren claudicar enfrentados al formalismo del pizarrón. Es siempre interesante escuchar acerca de las matemáticas de Leibniz o de Gauss, o ver cuán variadas cruces hemos adoptado como símbolos matemáticos.
Esta estrategia de secciones autocontenidas tiene el efecto colateral de producir una cierta redundancia. Algunas explicaciones, o bien la presentación de algún matemático, aparecen en dos o más partes del texto. He tratado de limitar las repeticiones al mínimo posible, sin haberlas podido evitar del todo. Apelo a la paciencia del lector, recordándole que la repetición ayuda a grabarse mejor las cosas.
Mi primer seminario sobre la historia de los símbolos matemáticos lo organicé en Berlín en 1997, hace ya 21 años. Los temas aquí reunidos los fui garrapateando a lo largo del tiempo, algunas veces en inglés y otras en alemán. Sin embargo, no estaba satisfecho porque no lograba encontrar el estilo adecuado para desarrollar el tema. De plano me regresé al idioma materno, y fue así como en 2017 el manuscrito pudo encontrar su forma final, más fluida y más amena. Ya habiendo encontrado la forma correcta de realizar la exposición será más fácil preparar una edición en inglés de la obra.
Este libro no es un tratado enciclopédico, como la obra monumental de Florian Cajori de 1928 (A History of Mathematical Notations), que hasta el día de hoy no ha sido superada. No se trata aquí de seguir toda la notación matemática en el tiempo, puntualmente y autor por autor, a veces década por década. Se trata más bien de maravillarse con la historia del quehacer matemático y de conocer a los gigantes en cuyos hombros hoy nos erigimos. Se trata de entender cómo se pudo forjar el lenguaje de las matemáticas a través de un esfuerzo colectivo que abarca más de veinte siglos y a muchos imperios, algunos ya desaparecidos. Lo que queda, lo único permanente, es el progreso de las matemáticas, siempre a la búsqueda de una mejor forma de expresar relaciones entre estructuras abstractas, siempre a la búsqueda de su propia voz.
Contenido:§. El nacimiento del álgebra
§. ¿Cómo usamos los símbolos matemáticos?
§. Las fórmulas matemáticas más bellas
§. ¿Por qué extraemos raíces?
§. El nacimiento del álgebra
Ál-gebra es una palabra árabe. Para entender su origen tenemos que remontarnos a la época y al ambiente retratados en Las mil y una noches, cuando el Imperio islámico se transformó en una potencia militar y científica. ¿Quién no recuerda al califa Harún al-Rashid patrullando de noche Bagdad, la capital del imperio? ¿Quién no recuerda a Scheherezade, quien logra evitar su propia ejecución, día con día, comenzando un relato que deja inconcluso al amanecer? El sultán Schahriar, deseoso de conocer el desenlace de la historia, le perdona la vida cada mañana, aunque había jurado ejecutar a todas sus esposas después de un solo día de matrimonio para hacer imposible un adulterio. Así durante mil y una noches.
Pero antes de los árabes, el origen de las matemáticas se remonta a los primeros conocimientos aritméticos, a la invención de los números y de las operaciones posibles con ellos. Más tarde los griegos desarrollaron la geometría y los rudimentos de manipulaciones simbólicas en las matemáticas. Hace ya 23 siglos que el legendario Euclides de Alejandría compendió los conocimientos aritméticos y geométricos de su época en su obra magna, los Elementos. Sin embargo, el álgebra tomó más tiempo, ya que en esta disciplina se opera con números concebidos como entes abstractos, es decir, como variables que pueden adoptar diferentes valores.
Fue otro matemático griego quien se atrevió a representar variables y ecuaciones complejas con combinaciones simbólicas. Nos referimos al gran Diofanto, cuya vida se pierde en la bruma de los tiempos. Ni siquiera estamos seguros de cuándo nació, pero algunos autores piensan que vivió en el siglo m de nuestra era. Con los 13 libros de su Aritmética, Diofanto aspiró a alcanzar el mismo nivel de virtuosismo que Euclides. Y aunque los conocimientos geométricos de los griegos nunca se extraviaron, sí se perdió en Europa la tradición algebraica de Diofanto, quien fue redescubierto y traducido al latín apenas en el Renacimiento.
Mientras en Europa se transitaba a tientas por la noche de la Edad Media, los persas y los árabes se encargaron de rescatar el legado científico de los griegos. Durante la época retratada en Las mil y una noches, la llamada Edad de Oro del Islam, la cultura árabe se extendió desde el Asia Menor hasta el norte de África y la península ibérica. En un intervalo de 600 años, desde el siglo VIII hasta el XIII, los árabes absorbieron la ciencia y la tecnología egipcias, babilónicas, griegas y romanas. Al establecerse el llamado califato abasí, se dio gran importancia a la ciencia, la medicina y la educación. La capital del imperio se trasladó de Damasco a Bagdad, y fue en esta ciudad donde se fundó la Casa de la Sabiduría, que al principio era simplemente una biblioteca pero que evolucionó hasta transformarse en un centro de reunión y docta disputa de los ilustrados de aquel tiempo.

Figura I.1. Primera página del Álgebra de Al-Khuwarizmi, ca. 863 d.C. (fuente: John L. Esposito, The Oxford History of Islam, Oxford University Press, Nueva York, 1999).
Uno de esos sabios fue Abu Abdallah Muhammad ibn Müsá Al-Khuwarizmi (ca. 780-850 d.C.), cuya fama perdura hasta la actualidad y al que evocamos cada vez que hablamos de algoritmos, un vocablo derivado de su nombre. De la proveniencia de Al-Khuwarizmi no estamos seguros, pero nació en algún lugar situado entre Persia y Uzbekistán. Era él un erudito universal, que lo mismo se atareó realizando observaciones astronómicas que levantando mapas y estudiando la geografía del imperio, así como las matemáticas. La palabra álgebra es precisamente un fragmento del título del libro más famoso de Al-Khuwarizmi: Kitdb al-mukhtayarfi hisdb al-jabr wa-l-muqdbala, que algunos traducen como Compendio de cálculos completando y balanceando.
Este libro fue importante porque popularizó el sistema decimal posicional y porque contiene una exposición extensa y didáctica de la manera en que se pueden resolver problemas algebraicos de manera metódica. Siglos después, en Italia, se hablaría de resolver problemas numéricos con el ábaco, o bien con papel y tinta, usando algoritmos y guarismos, es decir, cifras decimales.
El libro de Al-Khuwarizmi procede en forma similar a la de muchos otros “recetarios” algebraicos posteriores. Plantea un problema particular y muestra cómo hallar la solución. El problema podría ser encontrar un número que reducido tres unidades se convierte en 2. Lo importante es el método para llegar al resultado, que se puede después extrapolar a situaciones nuevas.
El libro estaba dirigido a los mercaderes, e incluso a los jueces que tenían que distribuir herencias de acuerdo con ciertas proporciones.

Figura 1.2. Páginas del Álgebra de Al-Khuwarizmi donde se muestra “cómo completar el cuadrado” para resolver una ecuación (fuente: The Bodleian Library, Universidad de Oxford).
El estilo es el de un manual, no el de una obra de investigación. En el caso de las igualdades algebraicas se procede como cuando se tiene una balanza para pesar y comparar objetos. Si movemos un peso —es decir, un número— de un lado de la balanza al otro, debemos tener cuidado de no destruir la igualdad. Por eso, la palabra Al-jabr del título del libro de Al-Khuwarizmi muchos la interpretan como completar, en referencia a la idea de completar expresiones matemáticas para mantener el equilibrio. La traducción al latín del libro de Al-Khuwarizmi, realizada en 1145, fue titulada Líber algebras et almucabola. Es éste el momento en el que el vocablo “álgebra” ingresa definitivamente al repertorio verbal europeo.
Con los años transcurridos, podría parecer que la acepción de algebra como completar es aceptada universalmente. Pero no es así: hace casi ochenta años los historiadores de la ciencia Salomón Gandz y Otto Neugebauer rastrearon, como si fueran detectives, el origen del término al-jabr y arribaron a un resultado diferente. Los dos investigadores analizaron las fuentes de Al-Khuwarizmi, quien se basó en textos babilónicos, asirios y sumerios. En particular, la palabra asiria gabru-maharu significa contraponer o ser igual. Los árabes adoptaron el sonido de la palabra, pero la escribieron como al-jabr. Además, los árabes tenían su propia expresión con el mismo significado: al-muqa-bala. Por eso el título del libro de Al-Khuwarizmi (Kitcib al-mukh- tasarfi hisdb al-jabr wa-l-muqdbala) es en realidad redundante y se refiere, en suma, a “la ciencia de las ecuaciones”, siendo al-jabr y al-muqabala los términos asirio y árabe, respectivamente, para denotar la misma cosa: una ecuación.
Todos los libros tienen una doble historia, la de su escritura y la de su posterior influencia. Mientras que Al-Khuwarizmi no llegó al nivel de complejidad de Diofanto, sí tuvo un impacto directo más inmediato. Diofanto podía resolver problemas con distintas variables y hasta sextas potencias, pero su libro no podía ser utilizado como manual algebraico para los problemas más relevantes en la práctica. El libro de Al-Khuwarizmi, por el contrario, incidió en las matemáticas de uso diario en Europa a través de los popularizadores de su obra.
Muchos escritores se han interesado por la Antigüedad árabe. Jorge Luis Borges escribió alguna vez: “En el siglo XV se recogen en Alejandría, la ciudad de Alejandro Magno, una serie de fábulas. Esas fábulas tienen una historia extraña, según se supone. Fueron habladas al principio en la India, luego en Persia, luego en Asia Menor y finalmente, ya escritas en árabe, se compilan en El Cairo. Es el libro de Las mil y una noches”. Edgar Allan Poe incluso completó las Arabica Nights con una sátira, la historia de la noche 1002. Habría sido bueno que Borges, tan aficionado a las matemáticas, hubiera extendido también Las mil y una noches con alguna alucinante historia, como su cuento sobre el Aleph, pero que tratara de Al-Khuwarizmi, Bagdad y los libros de matemáticas que transformaron al mundo.
§. ¿Cómo usamos los símbolos matemáticos?
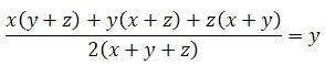
En la historia de las matemáticas se distinguen tres periodos: las matemáticas retóricas, las matemáticas anotadas y nuestra moderna matemática simbólica. Los más antiguos textos matemáticos, de la primera fase, resuelven problemas aritméticos o algebraicos utilizando únicamente texto, sin símbolos, o un mínimo de ellos. El ejemplo que sigue, tomado de un libro del italiano renacentista Lúca Pacioli (c. 1445-c. 1514), nos da una idea de la forma en que se argumentaba retóricamente: “Tenemos tres cantidades en proporción continua. Multiplicamos cada una por la suma de las otras dos y agregamos los resultados. Esto se divide entre el doble de la suma de las tres cantidades y el resultado final es siempre la segunda cantidad”. Todo esto es mucho más difícil de comprender que cuando vemos la fórmula a la que se refiere el texto y que es relativamente simple:
Si x/y = y/z, entonces

En la actualidad no esperamos abrir un libro de matemáticas sin encontrarnos con un sinnúmero de expresiones simbólicas. De hecho, este lenguaje matemático resulta oscuro al principio para los no iniciados y ha contribuido a ahuyentar al público del estudio de la disciplina. Pero quien conoce la simbología puede captar de un vistazo la esencia de una expresión; puede incluso comenzar a operar mentalmente con ella.
Por todo esto, no es extraño que algunos matemáticos hayan decidido analizar el tipo de expresiones que utilizamos en los libros e identificar los símbolos más frecuentemente empleados. Dicho de otra manera, si abrimos una obra de matemáticas en una página cualquiera, ¿qué tipo de símbolos encontraremos con mayor probabilidad? Vivimos en la época del big data, es decir, de las grandes bases de datos. Existen vastos repositorios de trabajos matemáticos que se pueden utilizar para una evaluación estadística. Sólo hay que tomar la computadora y contar con qué frecuencia aparecen los diversos símbolos. ¿Qué nos dice un análisis de este tipo?
No sorprende que el símbolo más frecuente sea el de igualdad: ¡94% de las expresiones matemáticas lo contienen! Y es que en las matemáticas siempre estamos transformando expresiones y necesitamos especificar qué cosa es igual a qué otra cosa. Los dos símbolos siguientes más usados son los paréntesis, el de apertura y el de cierre, que nos ayudan a organizar las operaciones para evitar ambigüedades de cálculo. Por eso, casi 60% de las expresiones matemáticas contienen paréntesis. De dichas expresiones, 93% albergan además algún operador aritmético; de ahí que una expresión típica en matemáticas pudiera ser algo como esto:
![]()
donde los cuadrados sólo nos sirven para reservar el espacio para algún símbolo. Si examinamos todos los símbolos que pueden aparecer en una expresión aritmética, esto es lo que nos dice la estadística:
- 13% son números.
- 6% son letras del alfabeto griego.
- 15% son operadores matemáticos.
- 7% son operadores relaciónales.
- 8% son paréntesis.
- 3% son flechas.
- 6% son símbolos de puntuación.
No asombra que las letras ocupen tanto espacio en una expresión matemática: las utilizamos para indicar variables y constantes. Los números siempre están ahí, de alguna forma, ya que nos ayudan a especificar el problema. Las letras latinas y las griegas junto con los números representan, por sí solas, 55% de los caracteres de una expresión matemática. Los operadores relaciónales son muy importantes, ya que nos indican igualdad, o bien, que algo es menor o mayor que otra cosa. También hay operadores de similitud.
Levantar estos datos no es un ejercicio ocioso: si se quiere desarrollar reconocedores de caligrafía computarizados que puedan transformar lo escrito en una tableta en una fórmula para un libro o para un cálculo, es importante saber cuáles son los símbolos más importantes, los que encontraremos más frecuentemente. Si mi reconocedor computarizado de escritura es muy bueno para las letras latinas, pero no para las griegas, tendré seguramente problemas con 6% de los caracteres. En cuanto a la estructura de las expresiones matemáticas, lo más importante es reconocer subíndices, potencias y fracciones, ya que en todos estos casos se pierde la secuencia lineal de la escritura y la fórmula comienza a extenderse en dos dimensiones.
Si ahora inspeccionamos cuáles de las letras latinas y griegas son las más populares en las expresiones, nos encontramos con que n, i x son las tres más frecuentes en textos de matemáticas, mientras x, y, a son las tres más populares en textos de ingeniería. La variable x, como se ve, es igualmente importante en matemáticas que en ingeniería. La letra i es muy utilizada en expresiones con subíndices y sucesiones, al igual que la letra n.

Figura 1.3. Tabla que muestra las apariciones de los símbolos e identificadores matemáticos en diversas ecuaciones. La clasificación se realiza de acuerdo con el origen de los caracteres, los que se presentan en un orden de mayor a menor frecuencia de uso.
La tabla de apariciones de símbolos mostrada arriba (para textos de matemáticas en el repositorio arXiv en internet y para textos de ingeniería) deja ver la importancia de los operadores aritméticos y contiene algunas sorpresas. De la mayoría de estos símbolos tenemos una historia que ofrecer en los capítulos que siguen.
§. Las fórmulas matemáticas más bellas
Los matemáticos saben bien que en su disciplina no sólo existen teoremas y resultados centrales, sino que también algo que a veces se llama elegancia. Un teorema se puede demostrar en diez páginas, pero si es posible hacerlo en tres líneas y, además, la representación empleada nos permite avanzar hacia regiones solitarias e inexploradas, lo que tenemos no sólo es una verdad universal, sino además un teorema bonito. Es decir, en ocasiones las matemáticas también nos pueden cautivar por su valor estético.
Reflexionando precisamente sobre esto, en el año 2002 la matemática rusa Natasha Kondratieva preguntó a varios matemáticos distinguidos de todo el mundo cuáles serían en su opinión las tres fórmulas matemáticas más hermosas, tanto por su expresividad como por su profundidad. Recibió muchas respuestas, pero tres expresiones surgieron como claras vencedoras, dos de ellas relacionadas con el suizo Leonhard Euler y una con el griego Pitágoras. El teorema de Pitágoras fue quizá la fórmula más señalada. La identidad se expresa en notación moderna sencillamente como
x2 + y2 = z2
donde z es la hipotenusa de un triángulo rectángulo y las respectivas longitudes de los lados del triángulo están representadas por las variables x, y. La fórmula es una de las primeras que se aprenden al estudiar geometría. La demostración del teorema es sencilla y además la fórmula invita a ser generalizada (llevándonos así al teorema de Lermat, que afirma precisamente que la generalización no es válida para argumentos enteros y exponentes enteros mayores que 2). Contemplar esta fórmula y todas sus implicaciones es muy interesante. Por ejemplo, en geometrías no euclidianas la fórmula pitagórica no funciona. Por otro lado, la notación usada arriba para la expresión pitagórica presupone la geometría analítica y también la notación de potencias de variables, dos productos del trabajo del matemático francés René Descartes.

Figura I.4. Demostración del teorema de Pitágoras sin usar palabras.
Por si eso no bastara, la demostración del teorema de Pitágoras es simple y puede hacerse sin palabras, como se muestra en la figura I.4, donde resulta evidente que el área gris (c2) se puede redistribuir para representar a2 + b2. Éste es precisamente un ejemplo de una demostración que es elegante por intuitiva.
La segunda fórmula muy mencionada por los matemáticos consultados fue la llamada ecuación o identidad de Euler:
eiπ + 1 = 0.
En esta identidad encontramos el cero y el uno, los dos enteros de los que parte el sistema numérico. Aparece la adición como operación aritmética y además los dos números trascendentes e y π, cuya notación fue introducida o bien consolidada por Euler. La letra i nos remite a los números imaginarios y complejos. Además, tenemos en la expresión la función exponencial con un exponente complejo.
La identidad de Euler se basa en la relación de la función exponencial con las funciones trigonométricas y apunta hacia una posible generalización de las mismas, es decir, hacia el seno y el coseno hiperbólicos. Hoy en día, interpretando los números complejos como vectores en el plano es fácil visualizar el teorema.

Figura I.5. Representación del número complejo cos 𝜑 + i sen 𝜑.
Euler postuló la identidad en 1740, cincuenta años antes de que Caspar Wessel mostrara cómo representar números complejos como vectores en el plano.
Podemos tomar la expresión ei𝜑 = cos 𝜑 + i sen 𝜑 como la definición de exponenciales con exponente complejo, o se puede partir de las llamadas series de Taylor para obtener la misma fórmula. Si el ángulo es 𝜑 = π, el vector con coordenadas (cos π, sen π) es nada menos que el vector (-1, 0), o sea, simplemente el número real -1. De ahí se deriva la identidad de Euler directamente.
También la tercera fórmula más mencionada como la más estética es de Euler; se trata de su célebre ecuación para poliedros:
V - E + F = 2.
La fórmula nos dice que el número de vértices V de un poliedro, menos el número de sus aristas E, más el número de sus caras F, es siempre igual a dos. Se puede verificar la ecuación empíricamente para los poliedros regulares usando los datos que se muestran en la figura I.6.
El mismo Euler quedó fascinado con el resultado. El 14 de noviembre de 1750 le escribió a su amigo Christian Goldbach:
“Estoy sorprendido de que estas propiedades generales de la estereometría no hayan sido percibidas por nadie más, hasta donde estoy enterado”.

Figura I.6. Poliedros regulares, también llamados sólidos platónicos convexos. Este grupo está conformado por cinco cuerpos geométricos: tetraedro, cubo o hexaedro, octaedro, dodecaedro e icosaedro. Se caracterizan por compartir ciertas propiedades básicas, entre ellas la regularidad de sus caras, la identidad de todos sus ángulos y la semejanza en longitud de todas sus aristas (V, número de vértices; E, número de aristas; F, número de caras).
En el mundo de las matemáticas hay muchas otras fórmulas, además de las aquí mencionadas, que por su profundidad y brevedad nos maravillan. Con una notación poderosa y expresiva, la belleza de los resultados matemáticos salta a la vista y deja volar nuestra imaginación.
§. ¿Por qué extraemos raíces?
Un matemático sin ecuaciones es como un químico sin probetas ni matraces, es como un arquitecto sin sus dibujos, es como un ingeniero civil sin concreto. Hablando de ecuaciones, un problema matemático que encontramos frecuentemente es el de resolver igualdades del siguiente tipo:
ax2 + bx + c = 0.
En alemán, que siempre se jacta de ser un lenguaje muy riguroso, se dice que queremos encontrar las posiciones aulas, es decir, aquellas x que resuelven la ecuación. Sin embargo, en el mismo idioma también se dice Wurzela bestimmea, que corresponde a nuestra locución encontrar las raíces de la ecuación. En inglés también se habla de encontrar roots (raíces) de la expresión. Es éste un caso que se antoja extravagante de conjunción entre las matemáticas y la botánica. ¿De dónde viene esta peculiar forma de expresarnos? Veamos.
Generalmente, los matemáticos de la Antigüedad no podían resolver el caso general de un problema planteado, como la ecuación cuadrática mostrada arriba con coeficientes variables. Resolvían por eso casos especiales de cada ecuación (por ejemplo, b = 0 en la expresión anterior) y describían el proceso de solución en forma de recetarios verbales. No se manipulaban símbolos, como hacemos ahora, sino que se relataba el proceso de solución con los números dados. Es lo que se llamaba el álgebra vernácula, es decir, platicadita.
Los griegos siguieron un camino alternativo y muy peculiar. Versados en la geometría y provistos de potentes teoremas matemáticos, podían convertir muchos problemas numéricos en un problema geométrico equivalente.

Figura I.7. Método para encontrar la raíz de un número utilizando únicamente instrumentos como regla y compás.
Por ejemplo, para extraer la raíz cuadrada de 2 basta con dibujar un triángulo con catetos de longitud 1 y la hipotenusa del triángulo es de longitud √2 gracias al teorema de Pitágoras.
La figura I.7 muestra un método geométrico más general para encontrar la raíz cuadrada de un número r cualquiera utilizando únicamente regla y compás. Para ello, los segmentos de longitud r y 1, respectivamente, se colocan uno tras otro. Se dibuja el círculo que tiene a esta línea roja como diámetro y el resultado buscado es la longitud de la línea verde de la figura, que, de acuerdo con las leyes de similitud de triángulos, tiene que tener la longitud √r. Éste es precisamente el método griego de geometrizar la aritmética para resolver problemas que ahora llamamos algebraicos.
Los griegos concibieron muchas otras técnicas como ésta, de regla y compás, con las que se podían realizar adiciones, sustracciones y multiplicaciones de segmentos que representan números. Dados los datos del problema en forma de longitudes de segmentos, había entonces que concebir una construcción geométrica adecuada a la interrogante planteada. El resultado buscado era la longitud de algún segmento generado durante la construcción. Por eso los romanos, que tradujeron directamente de los griegos, llamaban latas a la incógnita de un problema algebraico (es decir, el lado). Muchos siglos después, el matemático francés François Viète hablaría también de la solución de una ecuación como del latus de la misma.
El que no todos los problemas aritméticos pudieran ser resueltos con regla y compás les provocaba gran ansiedad a los matemáticos griegos. Por ejemplo, la cuadratura del círculo —es decir, construir un cuadrado con un área igual a la de un círculo dado— no se puede resolver con estas herramientas. Es uno de los problemas clásicos de la Antigüedad que sólo después de siglos sería completamente entendido. Pero aun cuando un problema sí fuera soluble, como el de encontrar un segmento de longitud √2, la imposibilidad de expresar este número como un cociente de enteros era fuente de desdicha. Por lo menos para la hecatombe o sacrificio de cien reses que, según la leyenda, la escuela de Pitágoras ofreció a los dioses para celebrar el descubrimiento. “Desde entonces tiemblan los bueyes cada vez que una nueva verdad se revela”, escribió el alemán Ludwig Borne.
Pero regresando a nuestro tema original: llamar a las soluciones de ecuaciones sus raíces es uno de los más peculiares malentendidos derivados de esta estrategia de geometrizar la aritmética. Todo comienza en Arabia. Una vez que las culturas griega y romana entraron en decadencia, los matemáticos árabes tomaron la estafeta del desarrollo de las ciencias. En Bagdad y otras ciudades se tradujeron las obras matemáticas de los griegos. Eruditos como Al-Khuwarizmi y el célebre Abu’l-Hasan Al-Uqlidisi escribieron extensos tratados matemáticos. Es ésta la llamada Edad de Oro del Islam, que comienza en el siglo VIII.
Ahora bien, los autores árabes se referían a la incógnita en problemas numéricos utilizando las palabras mal y jadhr. Esta última se refiere a la variable cuyo valor estamos tratando de elucidar, mientras que la primera representa su cuadrado. Esta terminología parece haber sido adoptada de los indios, pero en todo caso la palabra jahdr es una referencia directa a los griegos, ya que se puede traducir como fundamento o base de una construcción geométrica, precisamente aquella que representa el problema en cuestión. Pero esta palabra se puede confundir, de acuerdo con el contexto, con la base o raíz de una planta. Los primeros traductores europeos de tratados matemáticos árabes decidieron usar, no el término latus, como los romanos, sino la acepción algo confusa de jahdr como radix (raíz). La referencia a la construcción geométrica desaparece así tras el velo verbal. Pero en cierta forma se creó un concepto más abstracto, ya que no importa si resolvemos un problema de manera geométrica o algebraica, la solución es la raíz. Algunos historiadores de la ciencia opinan que incluso nuestra preferencia por la letra x para representar la cantidad desconocida en un problema de una sola variable viene de tomar la última letra de radix para hablar de la incógnita. También habría que mencionar que los eruditos judíos que tradujeron del árabe directamente al hebreo fueron más cuidadosos y transformaron la palabra jadhr en la palabra gader, que significa lado o borde.
Los matemáticos y traductores Johannes Hispaniensis, Gerhard de Cremona y Leonardo de Pisa —mejor conocido como Fibonacci— popularizaron la nueva terminología en Sevilla, Toledo e Italia, respectivamente. Al nuevo vocablo le salieron alas y se difundió por todo el continente. El capítulo 14 del Líber abaci de Fibonacci, por ejemplo, se titula “De reperiendis radicibus quadratis et cubitis...” (Cómo encontrar raíces cuadradas y cúbicas...). Por el esfuerzo y también por las pifias de estos traductores trasnochados, hablamos desde entonces de encontrar las raíces de un polinomio.
Capítulo II
Números y variables
§. Las cifras indoarábigas y el mercantilismo
§. El alfabeto griego y sus predecesores
§. El cero
§. La simetría de los símbolos
§. La variable x
§. El valor absoluto
§. Las potencias como superíndice
§. Los subíndices
§. El punto decimal
§. Las cifras indoarábigas y el mercantilismo
§. Las cifras indoarábigas y el mercantilismo
La escuela italiana de matemáticas fue una de las primeras en desarrollar un sistema simbólico refinado. La primera generación de autores de obras matemáticas, que surge al ir terminando la Edad Media y de cara al Renacimiento, se forjó en Venecia y sus alrededores. No es casual: ese puerto era el punto de contacto con el Oriente y uno de los centros mercantiles más importantes de Europa precisamente en la época en que comienza a nacer el capitalismo. Fue en Venecia donde Marco Polo publicó la fabulosa historia de sus viajes a China.
Es también en Venecia donde surgen las primeras escuelas de ábaco y contabilidad. Fueron precisamente los mercaderes venecianos quienes inventaron el método de contabilidad con entradas dobles, es decir, con una columna para los débitos y otra para los créditos. Y es en Venecia donde aparece la obra que habría de popularizar en Europa el uso de las cifras indoarábigas.

Figura II.1. Página del Liber abaci del matemático Leonardo de Pisa (mejor conocido como Fibonacci). El ejemplar se encuentra resguardado en la Biblioteca Nacional de Florencia) Italia (fuente: Wikimedia Commons).
Nos referimos al Liber abaci (Libro de cálculos) de Leonardo de Pisa, mejor conocido como Fibonacci. Es ésta, sin duda, una de las obras más influyentes en la historia de las matemáticas. El libro logró instruir a los europeos para que pudieran calcular usando números decimales con papel y lápiz (en realidad papel, pluma y tinta, ya que el lápiz con mina de grafito no fue inventado hasta el siglo XVI, en Inglaterra).
El Liber abaci comienza con la frase: “Las nueve cifras indias son 9, 8, 7, 6, 5,4, 3, 2,1”. De ahí pasa a añadir zephir) el cero, al conjunto de símbolos necesarios para representar cualquier número decimal. Con su monumental obra, Fibonacci contribuyó a popularizar la notación indoarábiga moderna, tan superior a la romana.
Los griegos, tan versados en matemáticas, especialmente en geometría, no contaban con símbolos adicionales para los dígitos decimales. A las letras, desde alfa hasta omega, les asignaban un valor numérico propio y así, sin sistema posicional, componían los números (de manera similar a lo que harían después los romanos con su notación no posicional). El sistema posicional se difundió de Babilonia a la India y fue ahí donde se simplificó, al cambiar de la base 60 a la base 10, y donde múltiples escribas fueron creando las primeras cifras decimales.

Figura II.2. El Códice vigilano (Codex Vigilanus, de 976 d.C.) contiene la primera referencia europea conocida a las cifras indoarábigas. Antes de presentarse los números aparece una leyenda (en latín): “Hemos de saber que la gente de la India es poseedora de un entendimiento muy agudo y que las otras civilizaciones le conceden el primer lugar en el conocimiento de la aritmética y de la geometría) así como de las otras artes liberales. Esto se comprueba con las nueve figuras con las que representan cada uno de los números) cuyo trazo se presenta a continuación: 987654321” (fuente: Wikimedia Commons).
Los árabes adoptaron los métodos y la notación indios, y por eso hoy hablamos de las cifras indoarábigas, para reconocer la aportación de los dos centros culturales en la aparición del sistema de números decimales.
Antes de Fibonacci, las cifras indias ya habían sido introducidas en Europa a través de las colonias árabes de España. El llamado Códice vigilano) albergado en el Monasterio de El Escorial, contiene la primera referencia a la nueva notación. De la península ibérica las cifras indoarábigas se abrieron paso lentamente por Europa, hasta que llegaron las grandes obras de divulgación.
El Líber abaci fue publicado por primera vez en 1202, hace ya más de ocho siglos. Hasta la invención del sistema decimal posicional existían dos formas de escribir números: utilizando un sistema de agregación, como el romano, basado en asignarle un valor fijo a cada letra repetida (por ejemplo, 50 a la L, 1000 a la M), o bien, haciendo uso de un sistema posicional como el de los babilonios, de base 60. Eclécticos como somos, seguimos usando la notación romana para las fechas, pero la base 60 para el reloj y las brújulas con sus 360 grados, así como la notación decimal para los cálculos comerciales. Aunque fueron los asirios y los babilonios quienes inicialmente introdujeron la notación posicional, los indios más tarde perfeccionaron el sistema decimal, adoptando el cero babilónico.
Leonardo de Pisa nació en una familia de mercaderes y aprendió recorriendo el Mediterráneo, absorbiendo las matemáticas árabes en viajes a Bizancio, Egipto, Siria y ciudades del norte de África. De su vida se sabe poco, prácticamente sólo lo que reveló en los prólogos de sus libros. Como era el hijo (filius) del mercader Bonacci, su nombre se transformó en Fibonacci. Hoy en día mucha gente ha oído hablar de la serie de Fibonacci, esto es, la serie de los números 1, 1, 2, 3, 5, 8, etc., cuyo origen se remonta al Líber abaci, donde esta secuencia aparece como la solución al problema de calcular el total de pares de conejos en generaciones sucesivas.
En la época de Fibonacci la notación con números romanos hacía muy difícil ejecutar multiplicaciones o divisiones. Todos los cálculos complejos de la vida comercial eran la responsabilidad de una casta especial de técnicos, los llamados calculistas. Los mercaderes mismos tenían que dominar el uso del ábaco y las mesas de cálculo o emplear a un calculista, así como hoy se contrata a un contador para que lleve los libros de la empresa. Utilizar el ábaco era lo mismo que calcular. De ahí el nombre del libro.
El Líber abaci se publicó antes de la invención de la imprenta de Gutenberg. Cada ejemplar de la obra era una copia confeccionada a mano, y seguramente su precio sólo resultaba asequible a mercaderes o bibliotecas. Más aún, estaba escrito en latín: no se dirigía al pueblo, en su mayoría iletrado, sino al público educado. Durante el siglo XIII comienzan a aparecer las primeras empresas dedicadas a reproducir libros por encargo. Antes, los monasterios se ocupaban de copiarlos, pero ya en la época de Fibonacci ésta era una actividad secular y comercial. Es muy difícil saber cuántos ejemplares del Líber abaci fueron producidos en su época, pero una segunda edición apareció en 1228, casi un cuarto de siglo después de la primera.
Fibonacci no fue el primero ni el único expositor del sistema indoarábigo, pero sí el más exitoso, dado el carácter del Líber abaci como “manual práctico”. Los primeros capítulos cubren paso a paso lo que ahora aprendemos en las escuelas primarias durante los primeros años, por ejemplo, la representación de números de manera posicional, la adición y sustracción con varias cifras, así como la multiplicación y la división. En los capítulos más avanzados se estudian el cálculo de proporciones, que hoy correspondería a operaciones con fracciones, y la solución de problemas del tipo 4x + 1 = 21, donde x es una cantidad desconocida. Y todo esto sin ninguna maquinaria algebraica, sino explicando las operaciones puramente de manera verbal. Es esto lo que más sorprende a un lector de la época moderna, la falta absoluta de fórmulas en un libro de matemáticas con cientos de páginas. Sólo hay palabras y más palabras, intercaladas con números y fracciones que representan los resultados parciales que van siendo obtenidos. Siguiendo a los árabes, Fibonacci utiliza una notación para las fracciones que coloca la parte fraccionaria antes de la entera. Donde hoy escribiríamos 3½, Fibonacci escribe ½3.
Los métodos del Liber abaci fueron estudiados en las escuelas donde se formaba a los maestros calculistas, scuole d’abaco. En Italia surgieron centros dedicados a este arte, como en Florencia y Venecia, es decir, en las metrópolis comerciales más avanzadas. Tan sólo en Florencia se establecieron 20 escuelas de calculistas entre el siglo XIV y el XVI. Se llegó incluso a la masificación de la educación en el cálculo y existían escuelas con ocho mil o diez mil alumnos.
Fibonacci logró hacerse famoso en vida. Los magistrados de Pisa le otorgaron una pensión anual de 20 liras por su “dedicación a la ciencia, como pago del trabajo que ha invertido [...] y para que siga apoyando a la ciudad de Pisa y a sus funcionarios en la práctica del cálculo”. Del Líber abaci sólo subsisten 12 ejemplares, algunos de ellos en el Vaticano. Sin embargo, con el paso de los siglos otros libros fueron sustituyendo la obra de Leonardo de Pisa. La imprenta de Gutenberg acabó por desplazar a la literatura manuscrita antigua y el nombre de Fibonacci retrocedió a los rincones de la leyenda. Ya en el siglo XVI pocos sabían en qué época exactamente había vivido. Y es que, habiendo adoptado todos los libros la notación y los métodos de Fibonacci, la obra original ya no era necesaria. El Líber abaci es uno de los libros que transformaron al mundo y paralelamente se disolvieron en el tiempo. A medida que el mercantilismo le abrió el paso al capitalismo otras obras se hicieron importantes, por ejemplo, la Summa de arithmetica, geometría, proportioni et proportionalita de Lúca Pacioli, quien en 1494 le dio su forma definitiva a la aritmética italiana y enseñó al mundo el sistema de contabilidad doble.
§. El alfabeto griego y sus predecesores
Las matemáticas no comienzan con los griegos, pero sí las matemáticas rigurosas. Otras culturas solían justificar o motivar el uso de técnicas matemáticas con extensas recopilaciones de problemas resueltos. Para ellas, las matemáticas eran más bien un método para hacer algo, un saber hacer. Los griegos fueron los primeros en poner el concepto de demostración en el centro del quehacer matemático; mostraron que se podía aspirar al conocimiento matemático por sí mismo, por la belleza intelectual de las estructuras teóricas que se pueden erigir. Para los griegos, las matemáticas eran un saber por qué.
α β γ δ ε ζ η θ ι κ λ μ ν ξ ο π ϖ ρ σ ς τ υ φ χ ψ ω
Figura II.3. Letras que conforman el alfabeto griego.
El lugar privilegiado que el alfabeto griego aún tiene en las matemáticas proviene precisamente de esa historia y esa tradición. No es exagerado decir que los primeros tratados importantes de ciencia matemática fueron escritos usando ese alfabeto; de hecho, ha sido utilizado sin interrupción desde hace más de veinticinco siglos y sus letras son los símbolos más antiguos que aún utilizamos en matemáticas. El alfabeto griego, sin embargo, no surgió completo y con armadura de la cabeza de Zeus, como la diosa Atenea. Sus letras tienen más bien una larga historia. Incluso, es más preciso hablar de los varios alfabetos griegos, puesto que en las diversas regiones helénicas se utilizaban variantes de cada símbolo; algunos incluso contaban con una o dos letras adicionales.
Consideremos algunos datos sobre sus precursores. El alfabeto griego que hoy conocemos desciende del fenicio, el famoso pueblo de navegantes y comerciantes del Mediterráneo. Ya en el cuarto milenio antes de nuestra era, en el Medio Oriente había surgido la escritura cuneiforme. Los sumerios la utilizaban grabando incisiones en piezas cerámicas, que lo mismo representaban texto que cálculos numéricos. Las tabletas sumerias eran una forma de documentar permanentemente todos los asuntos civiles y estatales en sociedades culturalmente complejas. Muchas de esas pequeñas tabletas, alojadas hoy en museos, contienen cálculos aritméticos e inventarios de bienes. Progresivamente, la escritura cuneiforme —al principio semijeroglífica—, con más de mil quinientos símbolos, fue haciéndose más abstracta y el número de pictogramas se redujo drásticamente. Hacia el primer milenio antes de nuestra era se había adaptado la escritura cuneiforme a muchas lenguas del área, y el principio fonético que posibilita los alfabetos comenzaba a ser utilizado. Uno de los primeros alfabetos fue el llamado protosinaítico, del cual se derivó el alfabeto fenicio.

Figura II.4. Ilustración del texto de David Sachs Letter Perfect: The Marvelous History of Our Alphabet From A to Z. Muestra la procedencia de los caracteres K, N y O de nuestro actual alfabeto, desde los jeroglíficos egipcios (hacia 2000 a.C.) de mano, serpiente y ojo, a los símbolos de kaph (mano), nun (pescado ¿o anguila?) y ayin (ojo) del alfabeto protosinaítico (hacia 1750 a.C.), y luego sus equivalentes en el alfabeto fenicio de los años 1000 y 800 a.C.
Así que el gran salto conceptual lo dieron los pueblos del Sinaí y los fenicios hacia el siglo XI a.C. En lugar de usar pictogramas y gran variedad de símbolos, el alfabeto fenicio se compone de 22 letras. Fue extraordinariamente exitoso, ya que se convirtió en la base para la escritura del arameo, del hebreo y, finalmente, también del griego. Aunque constituyen un alfabeto fonético, las letras fenicias son en cierta forma estilizados pictogramas de objetos: el primer sonido de su nombre corresponde al sonido de la letra en cuestión. Era éste un recurso mnemotécnico de los fenicios para recordar mejor el sonido asociado con cada letra.

Figura II.5. Letras de diversos alfabetos. Las columnas permiten comparar algunas letras antiguas con otras que nos resultan más conocidas e incluso que utilizamos hoy en día.
Basta ver una tabla de las letras fenicias para reconocer en ellas diversos objetos de la vida diaria.
En los territorios de lo que hoy es Grecia se llegaron a utilizar otros sistemas de escritura, como los llamados lineal A y lineal B, pero fueron abandonados una vez que el alfabeto fenicio se comenzó a extender por todo el Medio Oriente. Las primeras variantes del alfabeto griego datan de 800 a.C., o sea, cinco siglos antes de Euclides. La tabla de las letras griegas reproducida aquí muestra su relación con las letras fenicias.
Los griegos adoptaron y modificaron el alfabeto fenicio. Una variación muy importante consistió en cambiar la dirección de la escritura para mover la mano de izquierda a derecha en vez de derecha a izquierda, como todavía es el caso del árabe o del hebreo. Además, los griegos agregaron las vocales al alfabeto, ya que éste únicamente contenía consonantes, modificando para ello el significado o valor fonético de algunas de las letras. El historiador Heródoto atribuyó la difusión del alfabeto a los mercaderes fenicios, quienes en sus largos viajes lo diseminaron por muchas islas. Al principio, además, el alfabeto griego consistía sólo de mayúsculas. Las minúsculas fueron introducidas relativamente tarde, en el siglo IX o X d.C., para ayudar a la caligrafía.

Figura II.6. Transcripción al griego de un fragmento de los Elementos de Euclides (geometría euclidiana), ca. 300 a.C. (fuente: Wikimedia Commons).
Así que si hoy escribimos matemáticas con letras latinas y griegas es porque nuestros símbolos se remontan a casi 28 siglos atrás, a la alborada de los alfabetos fonéticos diseminados en el Mediterráneo por audaces navegantes.
§. El cero
No todos los sistemas numéricos que se han desarrollado en la historia incluyen el cero. La notación romana, por ejemplo, agrega y agrega símbolos, cada uno con un valor específico, como L para 50 y X para 10, pero no dispone del cero. Tan no lo tiene, que al empezar a contar los años de nuestra era comenzó con el año 1 d.C. Antes de eso tenemos el año 1 a.C., sin pasar por el cero, que simple y sencillamente no se podía escribir con la notación romana. Podría, quizá, decir que el cero introducido a Europa a través de traducciones de obras matemáticas árabes fue producto de una larga travesía histórica, desde Sumeria y Babilonia, donde se utilizó primero, pasando por Grecia y después por la India, hasta desembocar en el mundo árabe. Podría hacer hincapié en que fueron los sumerios los primeros en tener un sistema numérico posicional, de base 60, base por cierto que aún utilizamos para contar y medir las horas y los grados de los ángulos. La base 60 tiene la conveniencia de que se puede dividir fácilmente en mitades, tercios, cuartos, quintos, sextos y décimos. Aquello ocurrió miles de años antes de que este sistema numérico fuera adoptado por los babilonios, quienes lo utilizaron para realizar cálculos matemáticos muy precisos.
Pero no voy a comenzar por ahí. Voy a empezar con los mayas, que de manera totalmente independiente llegaron al concepto de cero y a un sistema numérico posicional, quizás hace más de dos mil años. Aunque aparentemente los mayas recibieron el sistema numérico de los olmecas, es más lo que sabemos de los mayas por la existencia de muchas inscripciones en estelas. En el sistema de base 20, que se difundió en Mesoamérica a partir del siglo tercero de nuestra era, se representa el 5 con una barra y el 1 con un punto. Tres barras y cuatro puntos, por ejemplo, representan el valor 19. Para seguir contando más allá del 20 se utilizan las potencias de esta base, es decir, 400, 8000, 160000, etc. Con este sistema se avanza demasiado rápido con la cuenta de los objetos, mucho más rápido que con nuestro parsimonioso sistema decimal con sus unidades, decenas y centenas. Un sistema numérico así es excelente para hacer largos cálculos astronómicos. Por eso el calendario maya está muy ligado a su notación matemática.

Figura II.7. Representación de los números mayas del 0 al 19 (fuente: Wikimedia Commons).

Figura II.8. Representaciones de los números mayas mediante glifos conforma de cabeza humana. Cada símbolo tiene un significado especial la mayoría ligados a los dioses representativos de dicha cultura.
Teniendo un sistema posicional, se requiere una convención para descartar las potencias de 20 que no son necesarias; es decir, se necesita el cero. Los mayas lo tenían y utilizaban diversos glifos para representarlo. La mayoría de estos glifos semejan un caracol o una concha. Para cada número del 1 al 19 también existía un glifo que se usaba para decorar las estelas de piedra indicando las fechas de sucesos importantes en la vida de los señoríos mayas. Algunos de dichos glifos estaban relacionados con la pronunciación de los diversos números.
No sabemos cómo calculaban los mayas, que nunca llegaron a tener algo como el ábaco. En China, al otro lado del mundo, se llegó a utilizar un sistema parecido al maya, pero de base 10. En el sistema chino, una barra tiene también el valor de 5 y un círculo el valor de 1. En la notación posicional china de base 10 se utilizaba un cuadriculado para desplegar las cifras, y donde se necesitaba un 0 simplemente se dejaba la posición vacía. Algunas de estas varitas de contar han sido encontradas en sitios arqueológicos chinos.
En el caso de los mayas no contamos con descubrimientos arqueológicos similares. Aunque el fraile Diego de Landa escribe en su Relación de las cosas de Yucatán que los mayas “cuentan en el suelo o cosa llana”, no indica cómo lo hacían; podemos imaginar que de alguna forma similar a la de los chinos, con piedras y varitas, pero utilizando un objeto para marcar una posición no ocupada. Lo que sí sabemos con certeza es que contaban con los dedos, porque algunos indígenas de Norteamérica aún lo hacen así. Además, un vaso encontrado en Guatemala contiene una inscripción de mercaderes, o quizá funcionarios, contando mercancías con los dedos, como se puede apreciar en la Figura II.9a y b.


Figura II.9a y b. Decoración de un vaso maya encontrado en Nebaj, Guatemala, que muestra mercaderes realizando cuentas manualmente, ca. 600-800 d.C. (fuente: The British Museum).
Sin embargo, en el resto del mundo se impuso otra notación, precisamente la que utilizamos hoy en día. Fueron los sumerios quienes comenzaron a hacer cálculos con la base 60 posicional, como se comentó arriba, escribiendo las diferentes cifras, comenzando por las mayores potencias de 60, yendo de izquierda a derecha.
Tenían un símbolo para el cero que consistía en una doble incisión:
.
En Babilonia se adoptó el sistema sexagesimal, pero dejando vacío el campo donde debería aparecer un cero (como harían los chinos siglos después). Dicho espacio vacío era precisamente la representación del cero. El hueco se podía percibir claramente al escribir una cifra sexagesimal tras otra, pero no al final de un número. En este caso, el cero faltante —en la posición de las unidades— se debía derivar del contexto.
No se sabe cómo llegó el concepto de cero a la India. Una de las hipótesis es que fueron los ejércitos triunfantes de Alejandro Magno los que, después de conquistar Persia y Babilonia, llevaron parte de las matemáticas de aquellas regiones al subcontinente indio.

Figura II.10. El cero más antiguo fue hallado en una inscripción india dentro del templo Chaturbhuj de la fortaleza Gwalior en Madhya Pradesh, India (fotografía: Bill Casselman) The Hindú).
El caso es que tanto los matemáticos griegos como los indios comenzaron a utilizar un círculo para representar el cero. En el caso de los primeros era, a veces, casi un punto con una raya horizontal encima y en el caso de los segundos era realmente un círculo. Se ha hablado mucho de esta representación. Algunos piensan que, en el caso de los griegos, el cero es la letra ómicron con la que comienza la palabra oumen, que significa nada. La Figura II.10 muestra cifras indias en una inscripción del siglo VII de nuestra era descubierta en un templo hindú. Es el cero con aspecto de círculo más antiguo que se ha encontrado. En el centro de la inscripción se puede leer el número 270.
Los árabes rescataron las matemáticas persas, babilónicas e indias, y hasta las matemáticas griegas, que así sobrevivieron “hibernando” durante la Edad Media europea; además adoptaron de los indios el sistema decimal posicional y la forma de las cifras, transformándolas ligeramente. El cero era denotado con la palabra árabe sifr, que es la raíz de donde provienen los vocablos cifra y cero. Ya introducido, el cero recibió distintos nombres en Europa. Los franceses lo llamaron aullé, del italiano aúlla, que en inglés se transformó en null o anught. Fibonacci, traduciendo a los matemáticos árabes, lo llamó zephirum en su Líber abaci de 1202.
Casi diecinueve siglos después de que los sumerios desarrollaron el concepto del cero posicional, éste fue adoptado en Europa con su representación indoarábiga, consistente en un círculo alargado, convirtiéndose así en la notación estándar en el mundo occidental.
De última hora
A fines de 2017, la biblioteca de la Universidad de Oxford anunció que se había efectuado el análisis de carbono 14 para datar el manuscrito Bakhshali proveniente de la India, un documento que contiene antiguos cálculos matemáticos. Se dijo que el manuscrito podía haber sido escrito en los siglos III o IV de nuestra era. En sus páginas se encuentran cientos de círculos que corresponden a ceros, como se aprecia en la última línea del facsímil mostrado en la Figura II.11. El círculo se utiliza aquí para “reservar” una posición decimal “no ocupada por un dígito” dentro de un número.
A pesar de que el manuscrito Bakhshali se conoce desde hace más de cien años, su edad precisa ha sido objeto de muchas controversias. Se le había ubicado entre los siglos III y XII de nuestra era, pero el análisis de carbono 14 arrojó tres diferentes edades para la pulpa de abedul en la que está escrito. Por eso, algunos expertos opinan que la fecha más probable de su creación es la más antigua detectada por el análisis, el siglo VII. Parece que el tipo de matemáticas expuesto en el manuscrito no surgió hasta esa época, especialmente el uso del cero como número, y no sólo para “rellenar” espacio en un número con varios dígitos. Otros expertos creen que el manuscrito es una copia de una obra más temprana y que el análisis de carbono 14 sólo proporciona una cota superior para la edad de su contenido. Como quiera que sea, la búsqueda del “primer cero” de la historia continuará y seguirá produciendo nuevas sorpresas.

Figura II.11. El manuscrito de Bakhshall, datado por carbono 14 entre 383 y 224 a. C., muestra el uso del “cero” escrito como un punto (fuente: The Bodleian Library, Universidad de Oxford).
§. La simetría de los símbolos
Un principio generativo muy importante para la creación de nuevos símbolos matemáticos prescribe utilizar todas las posibles simetrías, ya sean reflexiones o rotaciones de letras del alfabeto, para obtener nuevas vistas a un costo mínimo para un impresor. Nuestros dígitos arábigos ejemplifican este principio: el dígito 6 es la versión rotada del dígito 9. En el alfabeto latino la letra “b” es la versión verticalmente reflejada de la letra “d”. Varias letras latinas, sobre todo mayúsculas, se usan en diferentes variantes en las matemáticas. Las letras de las cuales utilizamos cuatro rotaciones son:
U, utilizada en la teoría de conjuntos para denotar

T, utilizada para denotar

V, utilizada en lógica y álgebra para denotar

En el caso de la V, si consideramos que los paréntesis usados, por ejemplo, en física al escribir <a|b> son rotaciones de esta letra, obtenemos un uso adicional. Esta clase de paréntesis es generalmente más grande que una V mayúscula. Algunos matemáticos, como Giuseppe Peano, también usaron la letra C con sus cuatro rotaciones, pero esta notación nunca alcanzó gran popularidad.
Hay dos letras que se usan invertidas en la lógica de predicados, una horizontalmente, la otra verticalmente. Se trata de

Por su parte, la M rotada 90 grados se transforma en sigma y rotada 180 grados, en W.
La letra L, rotada 90 grados y reflejada verticalmente, se puede identificar con el símbolo de negación en la lógica: ¬. El dígito 3, rotado 180 grados, puede ser utilizado como épsilon.
Rotar las letras era especialmente útil para las imprentas. Si el símbolo estaba en la caja de tipos, automáticamente se le podían dar hasta cuatro nuevos usos. El mismo principio fue empleado en los alfabetos para generar nuevas letras a partir de un número reducido de formas elementales. En el alfabeto latino y en los dígitos arábigos los siguientes símbolos conforman clusters de simetría:
M-W, P-b-d, 6-9, N-Z.
Letras con simetría de reflexión con respecto al eje vertical son las siguientes:
A, H, I, M, O, T, U, V, W, X, Y.
Las letras con simetría de reflexión con respecto al eje horizontal son:
E, I, O, H, X, C, B, D, K.
Las siguientes letras tienen simetría central:
I, O, X.
Las letras que pueden ser rotadas 180 grados son:
O, I, S, H, Z, X, N.
Pocas letras no tienen ninguna simetría:
F, G, J, L, Q, R.
Podría ser que la simetría hace más fácil recordar los símbolos, es decir, los hace más memorables.

Figura II.12. Giuseppe Perno y sus rotaciones de las letras M, E, C, Y, D para la creación de símbolos matemáticos (Arithmetices principia: nova methodo, Fratres Bocea, Roma, 1889; fuente: Internet Archive).
§. La variable x
Si alguien nos pide que solucionemos la ecuación ax + b = 0, ni lo pensamos, resolvemos para x, aunque bien pudiera ser que a o b representen la incógnita del problema. Y es que en las matemáticas nos hemos acostumbrado a utilizar la x para denotar la incógnita buscada. Pero ¿por qué es así?, ¿de dónde viene esta convención que se transmite en los colegios de generación en generación? Para entenderlo tendremos que atravesar la bruma de los tiempos y remontarnos a una ciudad legendaria: Alejandría.
Nuestras matemáticas se nutren de diversas tradiciones históricas: de las observaciones astronómicas de los babilonios, de los conocimientos geométricos de los egipcios, pero sobre todo de las investigaciones de los griegos, rescatadas por los árabes para regresar por ahí a Europa. Por eso el mundo helénico no sólo nos dejó el legado de un Platón o de un Aristóteles, sino también los resultados matemáticos de Pitágoras y Eratóstenes.
Mientras en la Antigüedad Atenas poseía la mayor proyección cultural en lo que sería el continente europeo, en el caso de las matemáticas y la astronomía hubo una ciudad que le pudo disputar la supremacía científica. Se trata de Alejandría, la urbe fundada por Alejandro Magno en el año 331 a.C. en la desembocadura del Nilo. Antes, el macedonio había conquistado Persia y Egipto. En su nueva ciudad, Alejandro instaló en el poder a la dinastía de los Ptolomeos, soberanos griegos que a partir de ahí y hasta la muerte de Cleopatra gobernaron el milenario reino de los faraones. También fue en Alejandría donde Euclides escribió, apenas cien años después de la instauración de la ciudad, sus 13 libros de los Elementos, el ejemplo más consumado de la aplicación del método axiomático en la antigüedad griega.
Alejandría era, si se quiere, una especie de “Silicon Valley” de la Antigüedad. En esta ciudad se encontraba una de las siete maravillas del mundo: el Faro marítimo que con sus 150 metros era superado en altura sólo por la gran pirámide de Guiza, otra de las maravillas antiguas. La biblioteca de Alejandría era especialmente célebre por su incomparable colección de manuscritos. Todos los tratados importantes se podían encontrar ahí. Cuando un barco atracaba en el puerto era inspeccionado para decomisar todos los libros (rollos y papiros) que llevara, que le eran devueltos después de haber sido copiados en la biblioteca. En su recinto se albergaba el Museion, que ha sido llamado la primera universidad del mundo y donde eruditos produjeron, por ejemplo, la primera traducción del Antiguo Testamento al griego sumergiéndose en profundos estudios filológicos. Hasta que Roma le arrebató la batuta, Alejandría fue la ciudad más grande y dinámica de la Antigüedad. Las ciencias y las matemáticas florecieron en ese theater mundi de la historia universal, la urbe donde Cleopatra, Julio César y Marco Antonio se despeñaron en un triángulo sentimental antes de la conversión de Egipto en provincia romana, material dramático que Shakespeare abordaría en su día.
Geometrización de las matemáticas
Los Elementos de Euclides son importantes para la historia de las matemáticas porque muestran un camino claro y sistemático para la solución de muchos problemas numéricos, camino consistente en la geometrización. En vez de resolver problemas numéricos manipulando sistemas de ecuaciones, se les puede transformar en un problema geométrico equivalente. Para ello, la variable cuyo valor hay que elucidar se puede identificar con la longitud de un segmento. El volumen de un cubo con ese canto representa entonces la tercera potencia de la incógnita, y el área de un cuadrado la segunda. Nuestro ingenio se invierte en encontrar una construcción geométrica que relacione todos los datos del problema y que nos permita encontrar así una solución con regla y compás.
Leer los Elementos, hoy en día, sobre todo en ediciones que reproducen los diagramas en color para que ciertas relaciones geométricas saltan a la vista, significa encontrarse con métodos de demostración que sorprenden por lo moderno. ¡Es asombroso que 22 siglos nos separen de Euclides y que podamos seguir resolviendo problemas exactamente con las mismas técnicas!
Sin embargo, la geometrización de las matemáticas, a pesar de todos sus éxitos, condujo a ciertos callejones sin salida. Algunos matemáticos, por ejemplo, el francés Viète, querían mantener la homogeneidad de los términos y rehuían sumar una variable con su cuadrado, ya que las longitudes no debían combinarse con superficies. Sobre todo, las cantidades negativas producían dolores de cabeza. A pesar de que algebraicamente fueran necesarias, como para encontrar la solución de x - 4 = 2x, la fantasía no alcanzaba para representarlas también como segmentos en diagramas. Parece extraño, pero hasta bien entrado el Renacimiento se vendían libros cuyo único objetivo era familiarizar a sus lectores con la aritmética de los números negativos.

Figura II.13. Manuscrito de 1296 de la Aritmética de Diofanto de Alejandría) Biblioteca Apostólica Vaticana) Codex Vaticanus graecus 191) fol. 388v) Roma (fuente: Wikimedia Commons).
Algebraización de las matemáticas
La alternativa a la geometrización es la reducción algebraica: los problemas matemáticos se escriben como ecuaciones, las que son transformadas paso a paso hasta que se despeja el valor de una variable desconocida, como se despeja el cielo al salir el sol. El álgebra es una disciplina que requirió siglos para madurar, y en realidad no se pudo algebraizar completamente a las matemáticas hasta el siglo XIX. Generaciones de matemáticos batallaron hasta llegar a la conceptualización y notación correctas.
Un par de ejemplos bastan para ilustrar este punto: un matemático del siglo XII no contaba con símbolos estándar para la adición, la sustracción o la multiplicación, y ni siquiera el símbolo de igualdad estaba a su disposición. Por eso al principio los problemas numéricos se planteaban en forma puramente verbal. Un libro de aquella época, leído hoy, sorprende por la ausencia de simbología. Sólo encontramos frases y más frases que nos hablan de la variable, su cuadrado o su cubo. Este tipo de descripción verbal de los problemas numéricos es lo que hoy llamamos álgebra vernácula o retórica.
Fue precisamente en Alejandría donde se dio el primer paso hacia una notación simbólica. Diofanto, un sabio local, ha sido llamado por algunos el padre del álgebra. La palabra álgebra, de origen árabe, no existía aún, por supuesto. Pero si de Euclides no sabemos mucho, de Diofanto sabemos menos. Se ha sospechado que Euclides, más que una persona, era un grupo de matemáticos que publicaban usando el mismo seudónimo, como hiciera el grupo Bourbaki en el siglo XX. Tan extensa, acabada y total se antoja la obra de Euclides como para ser de un solo individuo.
Sobre Diofanto existen pocas referencias históricas confiables. Se cree que vivió en el siglo III de nuestra era, aunque los relatos sobre su vida y obra fueron redactados siglos después de su muerte. Pero lo que nadie discute es que, después de los Elementos, la Aritmética es la obra matemática más famosa de la Antigüedad clásica. De sus 13 volúmenes originales subsisten seis en griego y cuatro en árabe (parcialmente redundantes). Algunos fragmentos han sido reeditados con notación moderna. La Aritmética de Diofanto sentó nuevas pautas, de entrada, por la dificultad de los problemas que aborda. Diofanto resuelve no sólo ecuaciones de segundo y tercer grado, con una o dos incógnitas, sino también formula conjeturas matemáticas muy generales. En el libro se muestra, por ejemplo, cómo reducir una suma de cuadrados, dada de antemano, a otra suma equivalente de cuadrados.
La segunda cuestión importante es que Diofanto ya presenta en la Aritmética una notación simbólica para ciertas expresiones matemáticas. Ya no es sólo álgebra platicadita o retórica, sino una forma híbrida intermedia, que en inglés se ha llamado sincopada —llamémosla nosotros algebra anotada—. El problema de Diofanto fue, sin embargo, que mientras el saber geométrico de Euclides no se perdió en los siglos posteriores, la Aritmética sí cayó en el olvido, hasta que los árabes en el siglo X y después los europeos comenzaron a redescubrirla.
En la notación de Diofanto las letras griegas se utilizaban para escribir palabras y también para representar números (α era el 1, β el 2, etc.). Además, los símbolos ΔΥ y Κγ representaban el cuadrado y el cubo, respectivamente, de la incógnita. La expresión KΥγΔΥβΜα, por ejemplo, representa lo que hoy escribimos como 3x3 +2x2 + 1. Los coeficientes de las potencias se escriben después del símbolo para el cuadrado y el cubo, respectivamente, mientras que la letra Μ anuncia un valor constante.
La Aritmética es un híbrido, pues Diofanto no tenía un símbolo de igualdad y sus desarrollos no son puramente simbólicos. Es un libro que consiste casi completamente en texto con símbolos intercalados ocasionalmente; por eso decimos que es álgebra anotada. Para nuestra historia es relevante que Diofanto utilizara una letra para la incógnita (álogos arithmós) y ésta fuera parecida a la letra sigma, en la variante que se utilizaba al final de las palabras (llamada sigma terminal). Es decir, todavía no era nuestra x, sino más bien una especie de ς.
Pasaron los siglos y persistió la necesidad de hablar de la variable desconocida. Los matemáticos italianos, para ayudarse, se referían a la cosa; por eso al álgebra se le llamaba arte cossista y los matemáticos que podían resolver las ecuaciones eran los cossistas.
Como vemos, cada vez era más urgente encontrar un nombre estándar para la incógnita de una ecuación. Hubo muchas estaciones en el trayecto: Fibonacci, por ejemplo, llegó a utilizar letras para denotar números; Michael Stifel usaba la q como abreviación de quantita, y en una traducción de la Aritmética de Diofanto se utilizó la N en vez de sigma. En 1585 el flamenco Simón Stevin propuso algo que me parece muy ingenioso: no le asignó nombre a la incógnita, sino que la representó con un círculo, con la potencia correspondiente en su interior, como se aprecia en el facsímil de su libro De Thiende, publicado en holandés y en francés. Ésa era la situación hasta que el segundo padre del álgebra entró en escena.
En 1591 el matemático francés François Viète (1540-1603) le dio otra vuelta a la tuerca de la notación con su obra Isagoge in artem analyticam.

Figura II.14. Representación de las expresiones 2x + 8 y 2x3 + 8x2 - 24x - 96 en el libro de Simon Stevin De Thiende, versión francesa de 1585 (fuente: Digitale Bibliotheek voor de Nederlandse letteren).
Ahí adoptó algunos símbolos que ya estaban en circulación y un símbolo para la igualdad, del que no disponía Diofanto. Y lo más importante de este relato: Viète decidió utilizar consonantes latinas para representar constantes y vocales para las variables. Como no tenía aún un símbolo para los exponentes, escribía A cubum o A quadratum cuando se quería referir a A3 o a A2, respectivamente. Con esa innovación Viète afirmaba no sólo poder trabajar con números (logistica numerosa), sino también con símbolos (logistica speciosa), que es la base del álgebra. Sin embargo, una revisión rápida de la Isagoge nos revela un texto que se antoja aún muy arcaico. La mayor parte de la argumentación sigue siendo retórica y los símbolos aparecen sólo donde se les necesita, de vez en cuando, sin que Viète se atreva a hilvanar transformaciones algebraicas sucesivas... Pero era un inicio.
La geometría analítica como nueva síntesis
Se necesitó una verdadera estrella filosófica para afianzar y popularizar la notación algebraica. En aquella época Europa estaba fragmentada en varias regiones de cultura matemática donde ahora tenemos a Italia, Alemania, Francia y el Reino Unido. Por eso fue muy importante la influencia de matemáticos célebres, quienes a veces lograban establecer una notación uniforme en una región. Otra vez es un francés, René Descartes (1596-1650), quien nos va a llevar de las vocales a las consonantes y al final de cuentas a la variable x, para desdicha de los británicos, que desearían ver en Thomas Harriot (1560-1621) al verdadero sucesor de Viète. La obra de Harriot Artis analyticae praxis fue publicada después de su muerte, pero antes de que apareciera el libro de Descartes. Harriot también utilizaba letras para denotar cantidades y representaba productos por concatenación. No utilizaba potencias, y por eso en vez de escribir ad3c3 escribía adddeee.
Nos parece increíble que algunos matemáticos famosos de aquella época no hayan recibido una instrucción especializada. François Viète era abogado y político, hasta que comenzó a adentrarse en las matemáticas.

Figura II.15. Primera página de la Geometría de René Descartes) publicada en 1637 (fuente: Wikimedia Commons).
Pierre de Fermat también era abogado y nunca publicó ningún trabajo sobre matemáticas, a pesar de que nos legó el principio de Fermat en la óptica, los números primos de Fermat y la conjetura de Fermat, hoy teorema.
Pero Descartes no llegaba ni siquiera a abogado: descendía de una familia noble, pero no adinerada, y atravesó Europa marchando como soldado hasta que conoció a Tycho Brahe en 1619 y decidió encontrar un método universal para acceder a la verdad. Por eso, a partir de 1620 se dedicó a la filosofía y las matemáticas, entablando correspondencia con los estudiosos de toda Europa. Su Discours de la Méthode apareció en 1637 y su Géométrie era sólo un apéndice de la obra principal.
Ahora sí, la Géométrie de Descartes se lee como un libro moderno de álgebra. Por un lado, Descartes utiliza más símbolos modernos que Viète y además la notación actual para las potencias. Ya no se necesita hablar de A cubas en un polinomio cuando se puede escribir simplemente A3. Asimismo, Descartes invirtió el uso de las letras latinas: decidió utilizar las primeras letras del alfabeto para las constantes y las últimas para las variables, es decir, x, y, z. Por este sinuoso camino finalmente arribamos a la variable x.
La Géométrie de Descartes es también notable porque disuelve de golpe la tensión teórica entre la geometrización y la algebraización de las matemáticas. Con la geometría analítica se pueden abordar problemas geométricos expresados algebraicamente y problemas algebraicos se pueden reducir a geometría. Podemos elegir la mejor opción. Con su Geometría, Descartes pudo por fin unificar el legado matemático de Alejandría, es decir, la obra de Euclides, con la de Diofanto. Algo del mérito le corresponde también al holandés Frans van Schooten, quien extendió el texto de Descartes con numerosos ejemplos y explicaciones de la geometría analítica en una nueva edición definitiva que se difundió por toda Europa. A pesar de que seguramente no es agradable que la Iglesia amenace con la excomunión y el cadalso, no hay nada más efectivo que eso para hacer famoso un libro. Así le ocurrió a Galileo y también a Descartes. Trece años después de la muerte de éste, el Vaticano añadió sus escritos al Index librorum prohibitorium argumentando que su racionalismo extremo no dejaba “ningún lugar para Dios” en el mundo.
El resto es la historia de un éxito. La geometría analítica, como síntesis de geometría y álgebra, potenció la investigación matemática y ya el descubrimiento del cálculo diferencial e integral estaba a la vuelta de la esquina. Al introducirse las coordenadas cartesianas, con ejes para (x, y), se apuntaló el lugar privilegiado de ambas consonantes latinas para representar variables. En estudios sobre la frecuencia del uso de identificadores se ha constatado que (x, y) son las dos letras más usadas.
De todo lo dicho podemos ver que nada en las matemáticas es capricho. Detrás del uso de la variable x hay una complicada historia que nos llevó a Alejandría, a Euclides y Diofanto, a los cossistas italianos y finalmente a abogados y filósofos franceses que transformaron el mundo.
§. El valor absoluto
No es precisamente una pieza de notación esencial para las matemáticas, pero utilizamos una x entre dos barras verticales para referirnos a la magnitud numérica de x sin considerar su signo. Por ejemplo, |-5| = 5. Si se trata de un número complejo, |x| denota la longitud del vector que representa a x.
Fue el gran matemático alemán Karl Weierstrass (1815-1897) quien propuso esta notación, primero en el pizarrón, durante sus clases en la Universidad de Berlín, y más tarde en un artículo de 1841 titulado “Zur Theorie der Potenzreihen” (Sobre la teoría de series de potencias). No está claro si este artículo fue publicado en su tiempo, pero en las obras completas de Weierstrass otro artículo, de 1876, introduce la notación con la breve frase: “Denoto la magnitud absoluta de un valor complejo por |x|”. En 1710 Leibniz había recomendado usar la abreviatura mol. x para referirse al valor absoluto de x, una iniciativa que no floreció. El término mol. nos remite a la palabra latina moles, es decir, a la masa de la variable.
Eso sería todo lo que habría que decir sobre |x| de no ser porque la propuesta fue hecha por Karl Weierstrass, y sobre este gigante de las matemáticas del siglo XIX sí hay mucho que comentar. La vida de Weierstrass es, como diríamos hoy, de película. Su padre lo envió a estudiar leyes y finanzas a las universidades de Bonn y Berlín, pero aparentemente el joven Karl le dedicó los primeros tres semestres demasiado tiempo a las cofradías estudiantiles y a las francachelas de cantina. Además, estaba más interesado en las ciencias que en las leyes. Estudió matemáticas por su cuenta y dejó de asistir a los cursos que debía tomar. Al cabo de siete semestres regresó a casa sin ningún título universitario y a sufrir la ira del padre. De alguna manera lo convenció de que le diera una segunda oportunidad, que obtuvo, y así fue como salió hacia la Universidad de Münster a prepararse para ser maestro. En esa ciudad tuvo a un gran profesor de matemáticas, quien lo tomó bajo su tutela al haber reconocido su gran talento para la disciplina. Ahora sí terminó con el grado de pedagogo, incluso con un reconocimiento especial.
Armado de su título de profesor de liceo, Weierstrass partió, con dos estaciones intermedias, hacia la ciudad de Braunsberg, situada en lo que fueron territorios alemanes hasta 1945 y que hoy pertenecen a Polonia. Ahí comenzó a enseñar matemáticas a estudiantes de preparatoria. Para todos los que han escuchado de los numerosos teoremas de Weierstrass, es difícil imaginarlo en una preparatoria dando clases de matemáticas elementales. No sólo eso, sino que cuando el maestro de gimnasia tuvo que ser sustituido, la labor recayó sobre él, quien era el único que de joven se había ejercitado y conocía las rutinas.
Eso sería todo lo que habría que reportar de Weierstrass, perdido como maestro de gimnasia en una escuela de provincia, si no hubiera sido tan perseverante y no hubiera pasado por su año mirabilis. En 1854 publicó su primer trabajo significativo, un artículo con el título “Sobre la teoría de las funciones abelianas”. El trabajo apareció en el llamado Journal de Crelle, una de las revistas matemáticas más influyentes. En Berlín, Ernst Kummer se dio cuenta de inmediato de que había surgido una nueva estrella en el firmamento matemático, pero para llevar a Weierstrass a Berlín había que conseguirle primero un doctorado. La Universidad de Königsberg se lo otorgó sólo seis meses después, honoris causa, por la publicación ya realizada. De Austria le ofrecieron una plaza en la universidad de su preferencia. Pero los prusianos fueron más rápidos, y ya en 1856 Weierstrass era profesor en la Escuela Técnica y en la Universidad de Berlín. Tenía cuarenta y un años. Todo ocurrió tan rápido que oficialmente Weierstrass se encontraba de licencia de la escuela en Braunsberg y sólo renunció a su empleo en el liceo meses después.
Y el resto es historia. Siguieron décadas de desarrollo de las matemáticas y de introducción de lo que se llamaba el rigor de Weierstrass en el análisis. Karl Weierstrass trabajaba despacio pero concienzudamente. Sus publicaciones eran escasas porque sus resultados los desarrollaba en clase. De semestre a semestre mejoraba la exposición y rellenaba los huecos teóricos. Algunos de sus resultados fueron conocidos a través de sus discípulos, quienes los preparaban para la imprenta como resúmenes de las lecciones.
Por todo lo que sabemos, Weierstrass no solamente fue un gran investigador, sino también un excelente pedagogo. Logró reunir a su alrededor a muchos jóvenes matemáticos que lo idolatraban y que posteriormente brillarían con luz propia. Quizás uno de los casos más interesantes sea el de Sofía Kovalevskaya, una estudiante rusa que salió de su país simulando su boda. En Berlín no logró ingresar a la universidad por ser mujer, pero Weierstrass accedió a darle clases particulares al reconocer su talento. Con su influencia consiguió que la universidad de Gotinga aceptara a Kovalevskaya para el doctorado. Más tarde la recomendó para que le dieran una plaza académica en Suecia. Fue la primera profesora universitaria de matemáticas en el mundo. Ambos mantuvieron correspondencia hasta la muerte de ella en 1891.
No todos saben que existe una genealogía académica de los matemáticos. Hay en internet una página donde se registran todas las personas que han obtenido el doctorado con un profesor específico. Los “nietos académicos” de este profesor son los doctorantes de los doctorantes, y así sucesivamente. Resulta que Karl Weierstrass tuvo 42 doctorantes. Uno de ellos, Hermann Schwarz, fue después su sucesor en Berlín y tuvo a su vez 22 doctorantes. Sumando todos los descendientes de todos sus estudiantes, podemos constatar que Weierstrass tenía 30.952 descendientes académicos hasta 2017. Además, el número seguirá creciendo en los próximos años. En honor de Karl Weierstrass, el Instituto de Análisis de Berlín lleva hoy su nombre. La fundación Alexander von Humboldt de Alemania instituyó, ya hace años, el premio Sofía Kovalevskaya para investigadores jóvenes en todas las áreas de la ciencia.
Y aunque haber propuesto la notación para el valor absoluto sea una parte insignificante de la obra de Weierstrass, nos ha dado un muy buen pretexto para examinar la vida de uno de los pilares de las matemáticas en el siglo XIX.
§. Las potencias como superíndice
Hoy en día nos referimos al cuadrado y al cubo de x usando las abreviaturas x2 y x3, respectivamente. Es una notación efectiva y elegante, pero llegar a ésta tomó muchos siglos de pesquisas, experimentos y extravíos.
El desarrollo de una notación para las potencias de variables numéricas está íntimamente ligado con la solución de ecuaciones polinomiales. Además, cuando tenemos una sola variable, un problema geométrico se puede transformar muchas veces en un polinomio del que hay que encontrar sus raíces. Diofanto de Alejandría fue el primero en proponer una notación para el cuadrado y el cubo de la incógnita en un problema. El cuadrado lo representaba con ΔΥ y el cubo con Κγ. Para representar otras potencias se podían usar combinaciones de estos operadores básicos; ΔyΔy, por ejemplo, representaba la cuarta potencia de la variable. Desgraciadamente, la notación de Diofanto cayó en el olvido y no sirvió de punto de partida para algo más avanzado.
Durante los siglos siguientes, en algunos textos europeos de álgebra se utilizaron anotaciones sobre las letras: por ejemplo, una tilde o pequeños círculos para hacer más prominentes los símbolos. Siguiendo a los matemáticos árabes, sin embargo, en Europa se continuó hablando del cuadrado o del cubo de la incógnita o cosa, sin tener un símbolo especial para ello, como serían después x2 y x3. El supuesto implícito cuando no se tiene una notación general es que al referirnos al cuadrado o al cubo estamos hablando de la misma variable. Del contexto se deduce a qué variable o cosa nos referimos. Además, las potencias de constantes pueden ser recalculadas para evitar escribir potencias de números.
Una de las primeras ocasiones en que se utilizaron exponentes elevados sobre la línea del renglón fue en la notación del matemático Chuquet para denotar las raíces cuadrada y cúbica.
Pero fue aparentemente el italiano Rafael Bombelli quien, en su Álgebra de 1572, comenzó a especificar las potencias de las variables usando números arriba del coeficiente constante. Por ejemplo, 4x2 lo escribía Bombelli como ![]()
En este esquema, la base de la potencia (x en el ejemplo) está implícitamente dada por el contexto. Años después el belga Simón Stevin mejoró la notación escribiendo los exponentes dentro de pequeños círculos arriba de la constante. La base que está siendo exponenciada se mantiene implícita, en parte porque a Stevin realmente le interesaba la representación de números en expansión decimal; en este caso la base es siempre 10. Para propósitos algebraicos, un círculo que encerraba un entero a se interpretaba como la enésima potencia de la variable. Sin embargo, Stevin utilizó la misma notación para otros fines, con lo que su uso resultaba, a fin de cuentas, inconsistente. El círculo en su notación es la función exponencial, pero la base se deduce del contexto, como se mencionó arriba. En Francia y Holanda hubo mejoras a la notación de Stevin y Bombelli en los cincuenta años que siguieron a la muerte del primero. El francés Hérigone o Herigonus (1580-1643), por ejemplo, escribía el coeficiente, el nombre de la variable y el exponente uno tras otro, al mismo nivel en una línea.
Casi encontramos la notación moderna con el escocés James Hume, quien vivía en París y editó un libro de álgebra en 1636 para popularizar el estilo algebraico de François Viète: L’Algébre de Viète) d’une methode nouvelle, claire et facile (El álgebra de Viète, un método nuevo, claro y sencillo), esto es, denotando variables con letras. Hume, sin embargo, mejoró la notación de Viète al usar exponentes elevados para las potencias. Aunque Viète había sido un pionero del uso de letras para denotar variables, no utilizaba exponentes, sino abreviaciones textuales, como A cub en vez de A3.

Figura II.16. Facsímil de la obra del matemático y astrónomo inglés Thomas Harriot, publicada post mortem auctoris en 1631 con el nombre latino Artis Analyticae Praxis ad Aequationes Algebraicas Resolvendas (fuente digital: Max Planck Institute for the History of Science, Library).
A pesar de que el inglés Thomas Harriot también se propuso explicar el álgebra de Viète, y al hacerlo logró crear algunos nuevos símbolos, nunca utilizó la notación exponencial, como se puede apreciar en la Figura II.16. Tal era el estado del arte hasta que llegó Hume.
La única diferencia con nuestra notación sería que en la de Hume los exponentes se escribían usando números romanos, por ejemplo, 3III. Sólo un año después de que apareciera el libro de Hume, René Descartes (1596-1650) publicó su famosa Geometría, escrita mientras vivía en Holanda y en la que ya utiliza exponentes con números escritos como superíndices, excepto los cuadrados, que prefería escribir repitiendo la letra: xx en vez de x2. El éxito de la obra de Descartes garantizó que la notación exponencial con superíndices se propagara por toda Europa. Un bestseller matemático puede acelerar el proceso de adopción de un trozo de notación, y eso es precisamente lo que ocurrió con el libro de Descartes. Newton, por el contrario, escribió los Principia, donde describe su teoría de la gravitación en el lenguaje geométrico de Euclides, y no en el del cálculo diferencial. Tal vez fuera ésta una de las razones por las que la notación de Leibniz, y no la de Newton, se pudo difundir en el continente europeo.
En cierto sentido era casi inevitable que Descartes, quien en obras anteriores había usado abreviaturas para referirse a las potencias de las variables, tuviera que recurrir a exponentes como superíndices.

Figura II.17. Un párrafo de la Geometría (Géométrie) de Descartes, donde se muestran símbolos modernos, como el de la raíz cuadrada; edición de 1637 (fuente: Wikimedia Commons).
Su nueva geometría requería muchas variables, es decir, muchas letras. Sería muy confuso referirse a x3 o y3 en ambos casos como al cubus, sin indicar la base. Con la innovación de Hume era más simple y fácil escribir el coeficiente, la variable, y la potencia como superíndice.

Figura II.18. Retrato de René Descartes (1596-1650) con la leyenda: “Seigneur de Perron naquit Van 1596 et mourut Van 1652) en Suede) la Royne l’ayantfait uenir aupres d’elle a cause de son exellent scauoir dans les Sciences” (Señor de Perron nacido en el año 1596 y muerto en el año 1652) en Suecia; la reina lo hizo acudir a ella a causa de su excelente sabiduría en las ciencias) (fuente: Biblioteca Nacional de Austria).
Leer la Geometría de Descartes implica constatar lo cerca que está de la notación moderna. En la Figura II.17 encontramos los operadores matemáticos básicos (con concatenación para indicar productos, como en ab) e incluso el símbolo moderno de raíz cuadrada. Las potencias son ahora superíndices. Pero lo que no encontramos aún en la obra de Descartes son los subíndices para variables.
Dado el corto tiempo transcurrido entre las publicaciones de Hume y Descartes, es posible que la notación ya se utilizara en forma manuscrita y que en cierta manera estuviera en el aire cuando tanto Hume, con números romanos en los exponentes, como Descartes la adoptaron. Investigaciones futuras podrían despejar esa incógnita.
§. Los subíndices
Las expresiones matemáticas ocasionalmente necesitan expandirse en dos dimensiones. Mantenerse al nivel del renglón no basta y ya Diofanto había utilizado superíndices en su famosa Aritmética. Los colocaba donde ahora escribimos las potencias, a la derecha de alguna letra.
Además de superíndices o potencias, los matemáticos frecuentemente utilizan subíndices para simplificar las referencias a las constantes o variables. Es más fácil hablar de la ecuación
a0 + a1x1 + ... anxn = 0
donde las n variables se distinguen sólo por su subíndice y las constantes también, que si tuviéramos que utilizar distintas letras para todas ellas. Ésas son las honduras en las que se sofoca Pascal, por ejemplo, al describir el famoso triángulo que lleva su nombre en el Traité du triangle arithmétique.
En los siglos posteriores a Diofanto se experimentó con superíndices y subíndices, lo mismo a la derecha de una variable que a la izquierda o de plano sólo con índices y sin mencionar la letra de la constante. Así es como escribía Leibniz un sistema de tres ecuaciones lineales en una carta al marqués de L’Hôpital en 1693:

Aquí los números 10, 11 y 12, que Leibniz llama pseudonúmeros, representan en realidad las constantes a10, a11, a12. Los pseudonúmeros son los dos índices que hoy en día utilizamos para referirnos a los componentes de matrices.

Figura II.19. Dibujo en una carta de Leibniz a Bernoulli del 16 de junio de 1696 (fuente: Alberto Rojo y Anthony Bloch) The Principie of Least Action: History and Physics, Cambridge University Press [RU]) 2018).
Resulta curioso que Leibniz no utilizara aquí verdaderos subíndices, ya que en el caso de figuras geométricas lo hacía al menos desde 1676, como se puede apreciar en la Figura II.19, que proviene de una carta a Johann Bernoulli. Aquí los subíndices son de tamaño reducido, pero están a la izquierda de la letra usada para indicar la posición de un punto. Ya Van Schooten había usado en 1649 índices al frente de letras, como en 1C, 2C y 3C, y quizá Leibniz lo estaba siguiendo con sus subíndices a la izquierda.
Más tarde, en 1710, en un artículo para la revista Miscellania Berolinensia, Leibniz seguía abogando por el uso de los pseudonúmeros como índices y proponía escribir dos ecuaciones simultáneas como
10xx + 11x + 12 = 0 y 20xx + 21x + 22 = 0
que tendrían la interpretación moderna
a10xx + a11x + a12 = 0 y a20xx + a21x + a22 = 0
respectivamente. Es algo extraño que Leibniz, a pesar de haber empleado subíndices en construcciones geométricas, nunca las hubiera utilizado para el álgebra.

Figura II.20. Gabriel Cramer, Introduction á l’analyse des lignes courbes algébriques, Hnos. Cramer & C. L. Philibert, Ginebra, 1750 (fuente: Wikiwand).
Todavía en 1750, el matemático francés Gabriel Cramer (1704-1752) usaba superíndices para denotar el número de una ecuación y diferentes letras mayúsculas para diferenciar los coeficientes de cada variable en sistemas de ecuaciones lineales. En su célebre Introduntion á l’analyse des lignes combes algébriques, del cual proviene el facsímil mostrado (Figura II.20), Cramer propuso la famosa regla que lleva su nombre y que nos sirve para resolver sistemas de ecuaciones. La convención de utilizar las letras A, B, C, etc., o Z, Y, X, en lugar de variables con subíndices, como serían a1, a2 y a3, estaba muy difundida en aquella época y era respetada incluso por el gran Leonhard Euler. En el facsímil Cramer utiliza la letra mayúscula como coeficiente y la minúscula como variable, otra convención también seguida por Euler.
Parece que ni siquiera Gauss utilizó subíndices. Para diferenciar variables y constantes recurría a las comillas, como en a, a’ y a”. En las Obras completas de Gauss se encuentran muchos ejemplos del uso de comillas, pero ninguno del uso de subíndices.
Adrien-Marie Legendre, escribiendo en 1795 sobre el método de mínimos cuadrados, tampoco emplea subíndices y sigue la notación de Gauss.
De pronto, ya en el siglo XIX encontramos ejemplos del uso de subíndices en la notación matemática, señaladamente en los manuscritos de Charles Babbage (1791-1871). Babbage luchó aun como estudiante en Cambridge por la adopción de la notación de Leibniz y logró congregar a su alrededor a los integrantes de lo que se llamó la Sociedad Analítica. En las Memoirs of the Analytical Society de 1813 ya encontramos subíndices en coeficientes y en funciones, a veces en la forma convencional, como A., pero a veces también con el subíndice debajo de la letra, una notación que Euler había utilizado con otro propósito. Pocos años después Babbage comenzó a soñar con máquinas para hacer cálculos numéricos y se familiarizó con la notación para planos de instrumentos mecánicos, en los cuales un componente se puede repetir muchas veces. Babbage utilizaba subíndices profusamente, lo mismo en sus dibujos mecánicos que en sus fórmulas matemáticas. Es posible que a principios del siglo XIX las imprentas hayan puesto a disposición de los autores esta nueva forma de anotar variables. Lo que originalmente era una notación geométrica, usada también por dibujantes de planos, habría pasado a las matemáticas, especialmente cuando se difundió el uso de series infinitas y de matrices.
§. El punto decimal
Hoy en día parece la cosa más natural del mundo escribir números utilizando fracciones decimales, por ejemplo, cuando decimos que 3.14159 es el valor aproximado de π. Durante siglos, sin embargo, los cálculos más precisos se realizaban con fracciones de base 60, un legado de los sabios babilonios que los astrónomos siguieron utilizando mucho tiempo. De hecho, nuestras unidades angulares actuales, como son el grado, el minuto de arco y el segundo de arco, nos remiten aún a esas épocas remotas. La posterior transición a cómputos basados en fracciones decima les fue paulatina, y posible en Europa sólo gracias a conocimientos adquiridos de la civilización árabe.

Figura II.21. Fragmento del libro de aritmética árabe más antiguo) escrito por Al-Uqlidisi. El separador decimal es visible en la décima línea del texto) después de un 4.
Aparentemente, fueron los matemáticos indios quienes primero experimentaron con las fracciones decimales. No obstante, la referencia más antigua que se ha podido rastrear de su origen fue producida por un matemático que trabajó en Damasco y Bagdad traduciendo y copiando las obras del gran Euclides. Se trata de Abu’l-Hasan Ahmad ibn Ibrahim Al-Uqlidisi, quien en su libro Kitab al-Fusulfi al-Hisab al-Hindi (Capítulos de aritmética india), compuesto en Damasco alrededor del año 952, nos legó las primeras ilustraciones concretas del uso de fracciones decimales. A este libro corresponde además la distinción de ser el más viejo que existe con una descripción de la aritmética árabe, aunque la única copia que se conoce es de 1186. Con Al-Uqlidisi estamos hablando de mediados del siglo X de nuestra era, cuando en Europa no se trabajaba aún con el sistema posicional.
Sorprendentemente, la notación empleada por Al-Uqlidisi es casi la misma que la moderna. El matemático árabe escribía una secuencia de cifras y marcaba la posición del punto decimal con una especie de acento sobre la primera cifra de la parte decimal. Al-Uqlidisi escribiría el valor de π como
A pesar de ser ésta, desde nuestro punto de vista moderno, una innovación muy notable, Al-Uqlidisi no le dedica muchas páginas a las fracciones decimales. Los copistas de textos de épocas posteriores llegaron, incluso, a olvidar colocar las pequeñas líneas que indican la posición del punto decimal, maltratando así el contenido de la obra. Es un hecho que Al-Uqlidisi podía operar correctamente con fracciones decimales; por ejemplo, para dividir un número por 10, desplazaba simplemente la representación decimal una posición hacia la derecha. Desgraciadamente, es poco lo que sabemos acerca de Al-Uqlidisi; sólo conocemos en qué región probablemente habitó entre los años 920 y 980 de nuestra era.
En las matemáticas a veces hay que inventar lo mismo varias veces. El problema histórico con la obra de Al-Uqlidisi es que, aparte de algunos matemáticos árabes que también utilizaron su notación, ésta cayó en desuso y pasó inadvertida en Europa aun después de la adopción ahí de la notación decimal. Ésta es la razón por la que representaciones alternativas fueron apareciendo a lo largo de los años.
Una convención muy sencilla es realizar todos los cálculos con números enteros, recordando la posición final del punto decimal. Si queremos sumar 32.50 y 15.10 pesos en nuestra notación moderna, podemos expresar las cantidades en centavos y sumar 3250 y 1510 centavos. El resultado son 4760 centavos o 47.60 pesos. Una notación empleada en el pasado expresaría las dos cantidades como 3250 (2) y 1510 (2), donde el 2 entre paréntesis nos indica la posición del punto decimal. El valor de ir, para dar otro ejemplo, puede ser expresado como 314159 señalando que tenemos cinco cifras después del punto al agregarle un 5 entre paréntesis al final: 314159 (5). Otra posibilidad es usar una línea que separe la parte entera de la parte fraccionaria, como en 3| 14159. El matemático francés François Viète, entre otros, utilizó esta convención hasta 1579. El famoso Kepler empleaba para sus cálculos, no una línea, sino un paréntesis, como en 3(14159. El inglés Oughtred utilizaba como separatrix decimal una línea vertical que delimitaba la parte entera de la fraccionaria.

Figura II.22. Fragmento de la obra De Thiende de Stevin del siglo XVI, en holandés. Este manuscrito introdujo una nueva notación para fracciones decimales (Simón Stevin) De Thiende, Ter Govde, Pieter Rammaseyn) 1626).
Pero seguramente la notación más curiosa y creativa fue la de Simón Stevin (1548-1620), quien en su libro De Thiende de 1585, un manual para aprender a operar con números decimales, escribía el número 32.57 como el entero 3257 y arriba de cada cifra, de izquierda a derecha, el exponente 0,1,2 y 3, correspondiente al peso decimal 1, 0.1 y 0.01, como se puede apreciar en la parte derecha de la Figura II.22, donde se expone la multiplicación de 32.57 por 89.46. El resultado es 2913.7122, y aquí Stevin indica las potencias de 1/10 escribiendo los dígitos del 1 al 4 debajo de las cifras respectivas. La parte entera del resultado se encuentra a la izquierda del cero.
Es Stevin a quien frecuentemente se le ha reconocido como el inventor del punto decimal, aunque estrictamente hablando, él no utilizaba un punto entre las unidades y la parte fraccionaria. Lo que en la notación de Stevin es muy transparente es la potencia de la fracción 1/10, que proporciona el peso correspondiente a la posición de cada cifra en la expansión decimal.
Después de Stevin fue aparentemente John Napier, el inventor de los logaritmos, quien propuso simplificar la notación separando la parte entera de la fraccionaria por medio de un punto o de una coma. En su Rhabdologia de 1617, Napier utilizó una notación así, y como el libro fue tan influyente en la historia de las matemáticas, fue ésta, quizás, una contribución mayor para arribar a una notación estándar. Aunque Napier no lo sabía, estaba regresando prácticamente a la misma notación utilizada por Al-Uqlidisi ¡seiscientos años antes! De todas maneras, la notación de Stevin no desapareció de la noche a la mañana: algunos autores la seguían usando aún en el siglo XVIII.
Hubo una complicación adicional que evitó la adopción universal del punto decimal. Resulta que, en el continente europeo, Gottfried von Leibniz había popularizado el uso del punto para indicar la multiplicación de dos números. Por eso, para evitar confusiones, en Alemania se utilizaba la coma como separatrix decimal. A la larga, en Inglaterra y en otros países el punto se estandarizó como el separador decimal, mientras en Alemania, Francia e Italia se utilizó la coma.

Figura II.23. Fragmento de Rhabdologia en una traducción al inglés. Se pueden apreciarlos números decimales 10000000.04 y 25.803. En The construction of the wonderful canon of logarithms. Translated from Latin into English with notes and a catalogue of the various editions of Napier’s works de William Rae Macdonald, 1889 (fuente: Internet Archive).
Hoy el mundo se divide entre los países que escriben π como 3.14159 y los que lo escriben como 3,14159. La mayor parte de Europa utiliza la coma. En el mundo anglosajón, en Latinoamérica, en Japón y en China se usa el punto.
Las computadoras modernas trabajan con fracciones en la representación que se llama de punto flotante. En la representación de punto fijo se opera con enteros y se fija de antemano cuántos dígitos representan la parte fraccionaria, como en el ejemplo anterior donde sumamos 3250 con 1510 centavos, y tenemos dos dígitos fraccionarios si expresamos el resultado en pesos. En la notación de punto flotante la computadora ajusta automáticamente la posición del punto o coma, según el país, en el resultado. El punto no está fijo, se desliza a su posición correcta. Por eso en alemán esta representación se llama Gleitkomma, es decir, la coma deslizante.
Capítulo III
Operadores aritméticos
§. La cruz griega de la adición
§. La sustracción y los números absurdos
§. Según Adam Ries
§. La cruz de la multiplicación
§. La barra de la división
§. Homero, el obelo y la división
§. La cruz griega de la adición
Quizá no hay otro operador matemático más fundamental que la cruz que representa la adición. Contamos agregando: los números naturales se construyen comenzando con el uno y añadiendo sucesivamente una unidad. La adición es una de las cuatro operaciones aritméticas elementales y el fundamento de las otras tres, ya que sustracción, multiplicación y división se pueden reducir a operaciones con aquella operación fundamental. La multiplicación de 3 por 5, por ejemplo, se puede concebir como la adición de un 3 repetida cinco veces. La sustracción es la operación inversa a la adición.
No se puede decir que en la Europa medieval hubiera habido escasez de cruces: parecía que sólo estaban esperando ser utilizadas como símbolos tipográficos. Nuestro símbolo de adición corresponde a la llamada cruz griega, con lados iguales, pero también existen la cruz latina o crux immissa, la cruz de Malta, la cruz de san Andrés y muchas otras. Tanto la cruz latina como la cruz de Malta se llegaron a utilizar para representar la adición en algunos libros, antes de que la cruz griega lograra preeminencia absoluta.
A pesar de tener tantas cruces al alcance del tipógrafo, nuestro símbolo de adición entró relativamente tarde en escena. En las matemáticas retóricas de la Antigüedad no era común utilizar símbolos más que para los números; todo lo demás se expresaba de manera verbal.

Figura III.1. Diversas cruces cristianas) inspiración para símbolos matemáticos.
Curiosamente y por excepción, los egipcios sí contaban con un par de jeroglíficos para representar la adición y la sustracción: si dos piernas dibujadas caminaban hacia la derecha, se trataba de representar una adición; si caminaban hacia la izquierda, se trataba de una sustracción. Es una coincidencia que la dirección positiva de estos jeroglíficos sea la misma dirección positiva que utilizamos hoy en un eje de coordenadas horizontal.
Para el siglo XV de nuestra era, dos escuelas de simbolismo matemático para la adición habían cristalizado. En el área itálica se utilizaban las abreviaturas p y m para expresar piu y meno, mientras que en el área cultural germánica se comenzaban a utilizar + y - en manuscritos. Parece que se llegó a la cruz griega para representar la adición porque se parece a la abreviatura de la palabra latina et (al fundir la e con la t), un vocablo muy apropiado si lo que queremos es añadir o agregar algo. Todavía el escolástico francés Nicolás de Oresme (1323-1382) utilizó et para simbolizar la adición en su libro Algorismus proportionum. Por otro lado, algunos paleógrafos han desenterrado ejemplos de et abreviada como una cruz en manuscritos latinos de principios del siglo XV que no eran textos matemáticos, así que la transición en la caligrafía ocurrió antes de que la cruz pasara a las matemáticas.
El honor de haber utilizado por primera vez + y - en un libro impreso (y no caligráfico) corresponde a Johann Widmann von Eger, profesor de matemáticas en la Universidad de Leipzig, Alemania. Se sabe que Widmann consultó manuscritos anónimos en la biblioteca de Dresde que ya contenían la notación y utilizaba el simbolismo en sus clases en Leipzig, como muestran algunas transcripciones de sus cursos de 1486. Llegar a profesor fue ciertamente una hazaña para Widmann, quien se matriculó como estudiante haciendo valer un certificado de indigente. Obtuvo su grado universitario en 1485, y sólo cuatro años después apareció su libro sobre aritmética comercial con el rimbombante título Mercantile Arithmetic oder Behende und hüpsche Rechenung auff allen Kauffmanschafft) que se podría traducir como “Aritmética mercantil con admirables cálculos para todos los comerciantes”. No hay que olvidar que en aquella época los europeos aún estaban aprendiendo a operar con los números decimales y sustituyendo el ábaco por el papel y el lápiz, o más bien la pluma con tinta. El mismo Widmann publicó en 1490 su libro Algorithmus linealis, que detalla en 12 páginas el uso del ábaco (en su forma europea, como mesa de calcular con líneas para mover monedas como si fueran las cuentas del ábaco, de ahí el nombre “algoritmos para líneas”). Recordemos también que apenas unos cincuenta años antes Gutenberg había inventado la imprenta en Europa. Se estaba pasando apenas de unos pocos libros copiados a mano por artesanos a la publicación masiva de información, una innovación tan radical como lo es hoy internet. En aquella época, como ahora, se lamentó el desboque del information overflow que la nueva tecnología traía consigo. La invención de la imprenta fue tan importante que con ella, entre otros acontecimientos, se declara concluida la Edad Media.
Pero los símbolos de adición y sustracción, tal y como los usaba Widmann, no eran totalmente generales. Widmann los usaba para señalar un exceso o un déficit, como cuando escribe que un barril pesa 4 quintales y 5 libras, que expresa como 4 + 5, o bien, 4 quintales con déficit de 17 libras, que escribe como 4-17.

Figura III.2. Página de la Aritmética mercantil de Johannes Widmann von Eger) de 1498, con los símbolos de adición y sustracción (fuente: Wikimedia Commons).
Estos ejemplos los vemos en el facsímil del libro de Widmann (figura III.2). Widmann utilizaba además la cruz griega como abreviación de y en el texto, que corresponde a identificar + con la palabra et.
Aunque el uso que hizo Widmann de los símbolos es limitado, el éxito de sus libros popularizó los símbolos de adición (exceso) y sustracción (déficit). Los símbolos se extendieron primero por el área germánica, mientras en Italia p y m continuaron siendo utilizados hasta el siglo XVI. En otros países más eclécticos se usaban ambas notaciones. En 1518 un seguidor de Widmann, Henricus Grammateus, publicó Ayn new Kunstlich Buech, donde se decidió por + y - como símbolos de adición y sustracción. El título del libro de Grammateus en alemán se puede leer como un “nuevo libro de arte”, con el que su autor hace referencia directa al magno arte de computar. Aun así, los símbolos + y - siguieron siendo utilizados, sobre todo en matemáticas mercantiles, y no fue hasta mucho después cuando se les comenzó a interpretar como operadores que se pueden aplicar en el álgebra simbólica.
El libro de aritmética comercial de Widmann lo hizo célebre. La obra fue reimpresa en 1508,1519 y 1526. Widmann dio en el clavo con una exposición clara y pedagógica, adaptada a las necesidades de los mercaderes. El libro llenaba un hueco educativo al abordar la aritmética con enteros y fracciones, problemas de proporciones y, en su tercera parte, la geometría.
Pasaron siglos para que la cruz griega de Widmann se impusiera como notación estándar. En otros libros publicados en Europa hasta bien entrado el siglo XVII se utilizaban a veces las variantes latinas y maltesas de la cruz cristiana. Finalmente, la simplicidad de la cruz simétrica convirtió a ésta en nuestro símbolo para la adición. ¿Quién hubiera pensado que el cisma de la Iglesia de 1054 llevaría con el tiempo a la aparición de variantes de la cruz, a diferentes formas de construir las naves de las iglesias (unas basadas en la cruz latina, otras en la griega) y a nuestro símbolo de la adición?
§. La sustracción y los números absurdos
Nuestro moderno símbolo de sustracción fue introducido casi al mismo tiempo que el de la adición. Se trata de operaciones inversas, y por eso tiene sentido adoptar, simultáneamente, una notación para los dos operadores.

Figura III.3. Los números chinos arcaicos (a la izquierda) y su interpretación moderna.
Ya mencionábamos antes que Johannes Widmann fue el primero en utilizar + y - en una obra matemática impresa, en su libro Behende und hüpsche Rechenung auff allen Kauffmanschafft de 1489, aunque, como siempre sucede, algunos símbolos habían sido usados ya en la caligrafía antes que en la imprenta. Es notable que Widmann utilizara el símbolo de sustracción no tanto para especificar aquella operación como para denotar déficits, es decir, cantidades negativas.
Algo que a la distancia de los siglos resulta extraño es que los matemáticos europeos no lograran aceptar operaciones con cantidades negativas hasta relativamente tarde. En otras culturas, como la china, los números negativos aparecieron y fueron utilizados muy temprano. En los “Nueve capítulos del arte matemático” (Jiu zhang suan-shu), quizás el primer libro sobre problemas aritméticos, que data del siglo m antes de nuestra era, se representaban los números positivos con múltiples barras rojas y los negativos con barras negras, al contrario de lo que hoy hacemos en la contabilidad.
El verdadero problema de los números negativos no es poder entender que si tenemos ocho unidades y retiramos diez nos quedamos con una deuda de dos unidades. En contabilidad el principio de los números negativos es sencillo de explicar. Las dificultades aparecen cuando comenzamos a operar con estos números de manera algebraica. Si aceptamos que x puede ser un número negativo, ¿qué sucede si multiplicamos x por -3? ¿El resultado sigue siendo negativo o no? La dificultad conceptual aquí es entender que una deuda se pueda multiplicar por otra deuda.
Algunos matemáticos, incluso hasta el siglo XIX, trataron muchas veces de reorganizar los cálculos algebraicos para evitar la aparición de los números negativos. Es el caso del inglés Augustas de Morgan. No es casual que en la literatura inglesa a los números negativos se les conociera como surd numbers, término que nos remite a la raíz latina que significa absurdo.
El de Morgan no era un caso aislado. Antes de él, Viète había rechazado los números negativos y Descartes no aceptaba que pudieran ser soluciones de ecuaciones polinomiales; de hecho, las llamaba soluciones imaginarias. Hasta la época de Leibniz continuó la discusión sobre la interpretación de expresiones como

que son algebraicamente correctas pero difíciles de interpretar como proporciones, ya que “1 es a -1 como -1 es a 1”; sin embargo, en el primer caso 1 es mayor que -1 y, en el segundo, -1 es menor que 1.
En cierto sentido, la primera dificultad conceptual y notacional es la siguiente: si bien podemos escribir una expresión como (8 - 10) y podemos interpretar el resultado como una deuda, escribir simplemente -2 significa que el operador de sustracción, que tiene dos argumentos, ahora sólo tiene un argumento. La utilización del símbolo se antoja inconsistente. Y la inconsistencia es real. Estamos empleando el mismo símbolo para dos cosas distintas: por un lado, para operar con dos números; por el otro, para señalar que el resultado es un déficit.
El problema es menor con el símbolo de adición, porque no necesitamos escribir +5 para indicar que el resultado es positivo y 5. Pero si el resultado es negativo y 5, debemos escribir -5. Uno de los primeros algebristas que tuvieron la osadía de escribir números negativos por sí solos, en el lado derecho de una ecuación, fue el inglés Thomas Harriot. Sin embargo, todavía en 1712 Leibniz continuaba enfrascado en una disputa con el teólogo Antoine Arnauld para convencerlo de la realidad de los números negativos.
La segunda dificultad conceptual es la relación de los números negativos con el cero y con infinito. Si en el cociente 1/x hacemos la x positiva cada vez más pequeña, hasta llegar a 0, el resultado tiende a infinito. Pero si de 0 pasamos a -1 o a -2, el valor de x es ahora menor que 0 y el resultado de 1/x, negativo por las reglas de signos, debería ser mayor que infinito (así se argumentaba, de manera inconsistente). Este tipo de paradojas “lógicas” (que no son más que extravíos del sentido común) es precisamente lo que se trataba de evitar al evadir el uso de números negativos. La manipulación algebraica de estos números no estaba nada clara.
Cuando decimos en el álgebra que un valor x es una deuda de valor 2 (o sea, x = -2), parecería que en cualquier operación algebraica posterior habría que llevar nota de esa deuda. Pero si multiplicamos x por y perdemos la pista, aparentemente dejamos de saber si el resultado es una deuda o no. Hoy sabemos que la regla de los signos nos saca de apuros y que la manipulación algebraica de números negativos no es más complicada que la de números positivos, siempre y cuando nos ocupemos de los signos de los resultados. Pero como al principio el uso de números negativos en el álgebra era controvertido, no se entendía cómo en manipulaciones algebraicas con números positivos pudieran aparecer soluciones negativas, por ejemplo, para raíces de polinomios. Grandes algebristas, como Cardano, las consideraban soluciones “falsas”.
Lo que se requiere para evitar todas estas aparentes contradicciones es un modelo de los números negativos basado en los números naturales (que son incontrovertidos). Quien pudo proporcionar el primer modelo de los números negativos fue el inglés John Wallis, que propuso utilizar lo que ahora llamamos la línea de los números.

Figura III.4. Párrafos de la obra de álgebra de John Wallis A Treatise of Algebra. Fragmento que muestra la representación de la línea de los números (John Playford, Londres) 1685; fuente: Linda Hall Library).
Hoy en día, cuando dibujamos en el plano con coordenadas cartesianas, no tenemos ninguna dificultad en hablar de coordenadas positivas y negativas. Pero Descartes mismo, creador con Fermat de la geometría analítica, no utilizaba coordenadas negativas. Vaya, no utilizaba ni un sistema de coordenadas propiamente dicho. Eso fue obra de Van Schooten, traductor de la obra de Descartes al latín, quien en sus comentarios a la Géométrie esclarece el concepto de sistemas de coordenadas y da muchos ejemplos donde x es la coordenada vertical y, y la horizontal (al contrario de lo que hoy hacemos).
La figura III.4 muestra un ejemplo de una persona que saliendo de A avanza cinco unidades hacia la derecha y regresa ocho hacia la izquierda, para así terminar en el punto D = -3. Aunque parezca increíble, es ésta la primera línea de los números, incluyendo números positivos y negativos, que aparece impresa. Estamos hablando del año 1685, ¡casi cincuenta años después de la Geometría de Descartes! A veces lo más obvio es lo que más tarda en desarrollarse.
No sería hasta la alborada del siglo XIX cuando se postularían modelos más formales y algebraicos de los números negativos. Siguiendo a la contabilidad, se puede pensar en los números enteros como pares (x, y) de haber y deuda. Por ejemplo, -2 puede ser representado por el par (2, 4) o también por el par (0, 2). En ambos casos la deuda supera al haber por dos unidades. Nótese que no necesitamos simplificar la contabilidad; el saldo es el mismo en ambos casos, y eso es lo que le importa al banco (y a mí como cliente).
Un número entero positivo, como 5, se puede representar por (5,0) o por (10,5). El saldo es 5 en ambos casos. A pesar de que la representación de los números no es única, como vemos en los ejemplos anteriores, el álgebra funciona perfectamente. Haberes se suman con haberes y deudas con deudas. Por ejemplo, (5, 0) + (0, 5) = (5,5), es decir, un haber de 5 sumado a una deuda de 5 nos da un saldo 0, representado por el par (5,5). Convencionalmente, expresaríamos esto como 5 + (-5) = 0, pero con la representación de pares no necesitamos definir saldos negativos de antemano: éstos surgen de la representación.
Este tipo de construcción rigurosa de los enteros, positivos y negativos, tuvo que esperar a la formalización axiomática de Giuseppe Peano de los números naturales. De ahí en adelante no sólo los números negativos, sino también los números racionales, quedaron bien fundamentados y no nos volveríamos a sorprender de ver el símbolo de sustracción como operador bivalente entre dos números (como en 5 - 7), o bien, como operador monovalente al frente de un número, como en -3.
Pero nos deberíamos sorprender porque en el primer caso el símbolo es un operador aritmético con dos argumentos y en el segundo es una extensión de la notación numérica para expresar resultados negativos. Una computadora sí se asombra, ya que sólo sabe hacer lo que está perfectamente especificado. Le tenemos que decir de antemano que el símbolo puede aparecer como operador binario o como prefijo de un número. Si lo hacemos, no se confundirá nunca y la contabilidad será exacta y precisa al centavo. En Alemania, cuando alguien quiere enfatizar que un cálculo es correcto y se ha realizado de acuerdo con todas las reglas del arte, dice que se ha calculado según Adam Ries, un famoso calculista del siglo XVI. Este personaje es para nosotros de interés porque, a pesar de no haber sido un matemático original, sí fue un educador público del calibre de Fibonacci en Italia. Uno de sus libros de cálculos aritméticos llegó a ser editado ¡120 veces!
No se sabe con precisión cuándo nació Adam Ries, pero es posible que haya sido en 1492, pocos años después de que Johann Widmann von Eger propusiera los símbolos modernos de adición y sustracción. Menciono esto porque a pesar de que la propuesta de Widmann fue adoptada por algunos matemáticos (sobre todo en Alemania), en Italia y en otras partes de Europa se utilizaban la p y la m como operadores de adición y sustracción, respectivamente. La confrontación entre ambas formas de escribir habría de durar más de cien años. Reputados matemáticos en ambos bandos se inclinaban por +, - o por las dos letras latinas. Adam Ries fue uno de los que adoptaron la notación de Widmann, y a través de su éxito como autor de libros de texto pudo ayudar a difundir los nuevos signos aritméticos. Es ésta una constante en la historia de la notación matemática: no basta inventar el símbolo, se requieren también uno o varios aliados famosos que con su renombre puedan darle a la notación la difusión requerida. Un nuevo símbolo se convierte en irreversible una vez que se alcanza una masa crítica de matemáticos que lo adoptan.
En 1518 Adam Ries abrió una escuela de calculistas en Erfurt, en la que enseñaba a realizar intrincados cálculos con el ábaco. En 1522 se mudó a la no muy lejana ciudad de Annaberg, donde trabajaba de calculista para las minas, pero siguió desarrollando su material didáctico. Su libro de 1522 Cálculos con las líneas y pluma fue un éxito casi inmediato. Las líneas hacen alusión a las mesas de calcular con hileras de monedas, como las cuentas del ábaco, y la pluma se refiere a cálculos con cifras indoarábigas en el papel. El libro se reimprimió 47 veces mientras Ries vivió y más de setenta después de su muerte. Además, escribió un texto llamado Coss que no publicó completo en vida, donde resumió el álgebra de su época.
El libro de 1522 de Ries es notable por su enfoque didáctico; contiene no sólo decenas de ejercicios prácticos, sino que además formula las reglas aritméticas rimando las oraciones como si fueran versos. Era más fácil memorizar una regla escrita de esa manera, como se hace aún en las escuelas. Además, Ries siempre verifica los resultados, sumando el sustraendo al resultado de una sustracción para obtener el minuendo, o bien multiplicando el resultado de una división por el denominador para reproducir el numerador. La multiplicación la verifica utilizando los residuos de 9, como se aprendía en las escuelas primarias antes de que llegaran las computadoras a las aulas. Por lo demás, Ries hizo algo similar a lo que realizó Martín Lutero, quien tradujo la Biblia del latín al alemán: escribió en el lenguaje del pueblo para hacer accesible el texto a cualquier persona.
En el momento en que en otros países autores de la talla de Harriot y Viète decidieron utilizar símbolos como + y -, la resistencia de notaciones alternativas cesó. La p y la m, así como el símbolo de igualdad de Descartes, desaparecieron en pocos años del mapa matemático. Pero fueron obras de divulgación, como el libro de Adam Ries, las que prepararon el camino y dieron la difusión necesaria a ciertos elementos de notación. En ese sentido, siempre ha habido una retroalimentación entre la teoría y la práctica matemáticas.
Cabe mencionar que Ries le resolvió un problema de cálculo importante al gobierno de la ciudad de Annaberg. En los Estados alemanes de aquellos tiempos, cuando el precio del trigo subía o bajaba no se modificaba el precio del pan —el cual se vendía en piezas que valían una, dos o tres monedas—, sino que se ajustaba el tamaño de las piezas. Si el precio del trigo subía, bajaba el peso de la pieza de pan, pero seguía costando lo mismo que antes. Era ésta una forma algo sui generis de darle estabilidad al presupuesto familiar. A petición de las autoridades y para evitar que los consumidores fueran timados, Ries elaboró la tabla oficial de correspondencias entre el precio del trigo y el tamaño de los panes, lo que se llamó el Brotordnung o reglamento del pan) que tuvo enormes consecuencias sociales en aquella época.
Por eso hay otro dicho en alemán que quizá tuviera conexión con Adam Ries.

Figura III.5. Portada de una reimpresión del famoso libro de Adam Ries Rechnung nach der lenge auff den Linihen und Feder (Cálculo con lineas y pluma).
A veces emprendemos grandes proyectos, pero en ocasiones hacemos cosas más sencillas y de poca monta. En este último caso, los alemanes dicen que llegó la hora de hornear pequeños panes. Como esta sección, por ejemplo, que en sólo tres páginas nos informa sobre la batalla centenaria entre los símbolos de adición y sustracción, italianos y alemanes.
§. La cruz de la multiplicación
La multiplicación de dos números a y b se ha representado a lo largo de la historia de muy diversas maneras: con un punto (a·b), por simple yuxtaposición (ab) y como en la actualidad, con la llamada cruz decusata, es decir, como en a×b.
El cristianismo nos heredó el Nuevo Testamento, pero también diversos tipos de cruces, que además tienen un referente histórico arcaico. La cruz decusata, en particular, tiene una estructura muy simple. Es lo que llamaríamos un arquetipo, un patrón elemental que aparece y reaparece en muchas culturas. En la tradición persa la cruz decusata representaba al Sol. Quizá por eso los emperadores romanos también adornaban sus vestimentas con pequeñas cruces. No sorprende entonces que una religión incipiente, como lo era el cristianismo durante el Imperio romano, se hubiera apropiado con el tiempo de elementos iconográficos asociados con la divinidad. Sin embargo, durante los primeros dos siglos de nuestra era el símbolo de los cristianos era aún el llamado ichtys:
. Tuvieron que transcurrir otros cien años, hasta la conversión del emperador romano Constantino el Grande, para que la cruz se convirtiera en el símbolo fundamental del cristianismo.
Fue un matemático y pedagogo inglés, William Oughtred (1574-1660), quien utilizó la cruz de la multiplicación por primera vez en su afamado libro Clavis mathematicae (La llave de las matemáticas), publicado en 1631. En su época aquella obra fue muy usada como libro de texto para difundir los métodos algebraicos. Oughtred había sido traductor de John Napier, el inventor de los logaritmos, y aparentemente ya había utilizado una cruz en 1618 en una de sus traducciones para denotar la multiplicación, pero escrita como X mayúscula y no como x. Curiosamente, Oughtred también inventó una regla de cálculo circular para operar con logaritmos.

Figura III.6. Algunos símbolos de William Oughtred que presento en su manuscrito Clavis mathematicae.
Como muestra el facsímil de Clavis mathematicae (figura III.6), si Oughtred necesitaba un símbolo, simplemente lo inventaba. Sus símbolos relacionales (mayor, menor, mayor o igual, etc.) son verdaderas obras de arte tipográfico, pero casi imposibles de reproducir en las imprentas. De todos los símbolos que Oughtred creó, sólo el de la multiplicación y los cuatro puntos de proporcionalidad (::) se utilizan hoy en día (también empleó la tilde ~, pero para expresar diferencia).
La cruz, como símbolo de la multiplicación, tiene por ello una historia fascinante: es un recorrido por los tiempos que conecta leyendas, el surgimiento de naciones y las matemáticas en un solo relato. Y es que la cruz que utilizamos actualmente para la multiplicación es también llamada cruz de san Andrés. Fue popularizada por primera vez como símbolo aritmético en la Inglaterra del siglo XVII. San Andrés, el hermano de san Pedro, vivió, según la leyenda, en el primer siglo de nuestra era. Andrés y Pedro, ambos pescadores, se convirtieron en apóstoles cuando Jesús los convocó a convertirse en pescadores de hombres. Se dice que san Andrés predicó en Asia, en los alrededores de Constantinopla; atrapado y torturado por los romanos, fue crucificado en Patras, Grecia. De acuerdo con una narración del siglo XIV, pidió ser crucificado en una cruz distinta a la de Cristo, por considerar que no merecía tal honor. Fue martirizado en una cruz decusata, la que al paso de los siglos se convirtió en la llamada cruz de san Andrés.
Es aquí donde la historia de este santo y su cruz toma un giro extraño. Resulta que en la Edad Media las diversas ciudades europeas competían por poseer reliquias de santos y apóstoles (reliquia en latín quiere decir restos, es decir, parte de los huesos o de la vestimenta). En Colonia, Alemania, se dice que en un lujoso relicario del siglo XII se encuentran los restos de los Tres Reyes Magos de Oriente. Llegaron incluso a venerarse varios cráneos de san Juan, distribuidos por toda Europa, como relata con sarcasmo Umberto Eco en Baudolino (y es que san Juan fue decapitado a petición de la infame Salomé, una escena inmortalizada en una pintura de Caravaggio). Durante las cruzadas (del siglo XI al XIII), el tráfico de reliquias de dudoso origen tuvo su auge, y hoy día algunas iglesias europeas están repletas de ellas. Tan sólo de la cruz de Cristo existen astillas de madera regadas por todo el mundo y pesan, en conjunto, varias toneladas.
Pues bien, se dice que parte de los restos de san Andrés fueron llevados a lo que hoy es Saint Andrew, en Escocia, para así protegerlos de los infieles. En aquella época Escocia era católica y, según una leyenda, la cruz de san Andrés apareció en el cielo antes de una victoriosa batalla de un rey escocés. Por eso y por otras razones, san Andrés fue venerado durante siglos y se convirtió en el santo patrono de Escocia en 1320. La cruz de san Andrés fue incorporada en los emblemas y, finalmente, en la bandera escocesa, donde todavía la podemos encontrar. Más aún, la cruz de san Andrés fue incorporada en la Union Jack de 1801, la bandera del Reino Unido, que reúne tres cruces: la escocesa, la cruz de san Patricio de los irlandeses (en rojo y superpuesta a la cruz de san Andrés) y la inglesa cruz de san Jorge, el que mató al dragón. Tres santos patronos, tres cruces y un sinnúmero de problemas nacionales a partir de entonces.
No sabemos cómo la cruz de san Andrés encontró un lugar en las cajas de tipografía de las imprentas británicas. Podría ser por la influencia cristiana, por su origen en la Antigüedad o simplemente porque es un elemento gráfico arquetípico. No había hecho aún acto de presencia en las matemáticas. Pero los actores de la disciplina, al ir necesitando nuevos símbolos, se han dedicado desde siempre a saquear las arcas de los impresores. La letra U, por ejemplo, se utiliza en la teoría de conjuntos con todas sus rotaciones. Obviamente, es más fácil utilizar un símbolo que ya existe, dándole una nueva interpretación, que crear uno de la nada.

Figura III.7. Las tres cruces fusionadas en la Union Jack británica; éstas representan a tres de los cuatro países que forman el Reino Unido.
Ése fue el motivo de Oughtred para adoptar la cruz como símbolo de la multiplicación, ya que quería utilizar símbolos fáciles de reconocer y sin una connotación matemática previa. Había competencia: en el mismo siglo en el que el pedagogo inglés escribió su Clavis mathematicae, otros matemáticos usaban símbolos distintos para la misma operación. Leibniz, por ejemplo, prefería una C rotada 90 grados; rotada en la dirección contraria representaba la división. Tuvieron que pasar décadas antes de que los matemáticos europeos adoptaran la notación de Oughtred. Leibniz, terco, se siguió oponiendo a la cruz porque se podía confundir con la letra x latina; por eso su propuesta, hacia fines del siglo XVII, de utilizar un punto. Otros matemáticos, como Viète, simplemente concatenaban los símbolos de variables. El cubo de la variable “a” se representaba por la secuencia “aaa”.
Finalmente, la cruz decusata o de san Andrés se popularizó en toda Europa y se convirtió en uno de los símbolos más reconocibles en aritmética y álgebra. Cada vez que usamos la cruz de la multiplicación estamos atravesando, inconscientemente, siglos de historia, desde los persas y los romanos hasta el cristianismo, las batallas por Escocia y la Union Jack británica.

Figura III.8. El nuevo símbolo para la multiplicación es visible en la página 10 de Clavis mathematicae (William Oughtred, Oxoniӕ, 1667; fuente: Bayerische Staatsbibliothek digital).La barra de la división
§. Maravillas de la digitalización.
Hasta hace pocos años, para consultar un libro teníamos que ponernos en marcha hacia la biblioteca, más aún si se trataba de una obra de la que había pocos ejemplares. Sin embargo, ahora podemos admirar en una computadora la caligrafía de libros de exóticos títulos, como Kitab al-Bayan wa al-tidhkar fi san at 'amal al-ghubar, un manual de aritmética escrito por el matemático Abu Bakr Muhammad ibn Abda- llah ibn Ayyash Al-Hassar, quien vivió en el siglo XII en lo que hoy es Marruecos. Todo esto viene a cuento porque es precisamente Al-Hassar a quien se le da crédito por haber introducido nuestra barra horizontal de la división (por ejemplo, en 3/4) en aquel libro de largo título y que hoy es posible admirar en línea en la biblioteca de la Universidad de Pensilvania. Ahí nos enteramos también de la fecha de edición, 1194, y del nombre del escriba que lo copió en la fabulosa Bagdad: Muhammad ibn Abd Alláh ibn al-Mujill al-Baghdádí. Este calígrafo produjo 86 páginas de aritmética vernácula, es decir, platicadita y utilizando un mínimo de simbolismo. Para los que no dominamos la escritura árabe saltan a la vista en el texto las cifras arábigas y, claro, las fracciones escritas en nuestra notación moderna. Con una excepción: el número 5½ sería ½5 en la notación de Al-Hassar. Pero los árabes escriben de derecha a izquierda, así que en algún momento en Occidente se invirtió el orden de los enteros y las fracciones.
Muchos siglos antes, desde la época babilónica, los escribas, los contadores y los astrónomos tenían que operar con fracciones. Los babilonios inventaron para ello el sistema sexagesimal, es decir, de base 60, que aún usamos para medir el tiempo al dividir una hora en minutos y los minutos en segundos. Los babilonios introdujeron la notación posicional, esto es, sólo escribían el numerador de las fracciones mientras el denominador estaba implícitamente dado por la disposición de los números uno tras otro, como es el caso en nuestros números decimales, por ejemplo, en 0.235. Los numeradores son aquí 2, 3 y 5, mientras los denominadores 10,100 y 1000 están implícitos en la secuencia.
Los griegos, herederos de las matemáticas babilónicas y egipcias, experimentaron después con notaciones muy variadas. Algunos autores colocaban una barra sobre el numerador, seguido inmediatamente del denominador de la fracción. Otros autores le agregaban un apóstrofo al numerador y dos apóstrofos al denominador, que le seguía en la misma línea. El gran teórico de los números, Diofanto, escribía el denominador arriba del numerador, sin separación. Después, en la época bizantina, algunos utilizaban el denominador como si fuera un exponente del numerador. Otros más empleaban algo cercano a nuestra notación, con el numerador arriba del denominador, pero sin la línea de separación.
Fueron por eso los árabes quienes aparentemente introdujeron la línea para separar el numerador escrito arriba del denominador. Se piensa que los matemáticos de la India usaban también el posicionamiento bizantino, pero sin la línea de división, y que eso influyó sobre los árabes. En su manuscrito de 1194, del que reproducimos un fragmento (figura III.9), podemos ver cómo Abú Bakr Al-Hassar, utilizando las cifras arábigas, dispone las fracciones en una forma muy similar a la que hoy usamos. Al Hassar escribió dos libros, el manual de aritmética mencionado y Kitab al-kamil fi siacat al-adad (Compendio del arte de los números).
Aunque no está claro si Al-Hassar fue realmente el inventor de la convención de la barra horizontal de división o si hubo otros matemáticos árabes antes de él, lo cierto es que fue a través del Líber abad de Leonardo de Pisa, mejor conocido como Fibonacci, como la notación árabe llegó a Europa. El Liber abad, recordemos, fue el primer libro que popularizó la notación decimal basada en las cifras arábigas y la manera de realizar cálculos con ellas en el papel.
A pesar de la popularidad del libro de Fibonacci en el siglo XIII, diferentes notaciones para las fracciones subsistieron por siglos en Europa. Y es que en aquella época las innovaciones simbólicas no viajaban aún a la velocidad de la imprenta. Los libros tenían que ser copiados a mano por dedicados frailes en sus conventos o en talleres especializados en el copiado en serie. Además, cada país tenía sus propias convenciones, y la notación italiana se diferenciaba de la inglesa o la alemana.

Figura III.9. Fragmento del libro Kitáb al-Bayán, de Al-Hassar, que contiene las fracciones 8/4 y 8/11. Nótese el tipo de matemáticas vernáculas, carente casi de simbología.
Hubo que esperar a la imprenta y hasta el siglo XVI para que la barra horizontal finalmente se hiciera dominante y el cálculo de quebrados pasara a ser el flagelo de los escolares. Aun así, los ingleses adoptaron el llamado óbelo para escribir el cociente de a sobre b como a + b en el siglo XVII, una innovación que hay que relatar por separado.

Figura III.10. Las anotaciones marginales de Aristarco de Samotracia en un texto griego donde se pueden apreciar los símbolos de la división, algunos con una ligera inclinación.
§. Homero, el obelo y la división
Mientras en la Europa continental la barra horizontal o inclinada se popularizó para denotar la división, en el área cultural inglesa un nuevo símbolo hizo su aparición en el siglo XVII. Se trata del obelo, que nos permite expresar “a dividido por b” simplemente como a : b. Este símbolo tiene una larga historia, que transcurrió al margen de las matemáticas hasta que un matemático suizo decidió utilizarlo para denotar el cociente de dos números. El símbolo “:”, así como el asterisco, fueron inventados por el griego Aristarco de Samotracia para anotar las obras del poeta Homero. Aristarco, nacido en el año 216 a.C., fue director de la biblioteca de Alejandría, una de las siete maravillas de la Antigüedad. Como ya mencionamos, cualquier libro que llegara por barco a la ciudad era decomisado para ser copiado por los escribas de la biblioteca, pues todos los conocimientos de la humanidad debían quedar almacenados ahí. Con tanto acervo bibliográfico, no sorprende que de los textos de Homero hubiera más de una copia. Desafortunadamente, la Ilíada y la Odisea se transmitieron por tradición oral durante siglos y eso derivó en diversas versiones escritas de la epopeya greco-troyana. Aristarco y otros filólogos comenzaron a recopilar la versión “definitiva” del poema homérico y para ello tuvieron que hacer anotaciones marginales en los textos existentes, a fin de llamar la atención sobre añadiduras de dudoso origen, así como sobre párrafos importantes y secciones faltantes. Un trabajo editorial de este tipo se facilita si se usan marcas especiales. Aristarco creó y comenzó a utilizar el obelo, cuya función era indicar errores en el texto o partes que se podían suprimir. En el facsímil (figura III.10) se pueden apreciar los nuevos símbolos en el margen izquierdo.
Los matemáticos se han dedicado desde siempre a saquear las cajas de los tipógrafos, tratando de encontrar algún símbolo que otros matemáticos aún no han pillado. Es el caso del suizo Johann Heinrich Rahn, quien nació en Zúrich en 1622. En su libro de texto de 1659 titulado Teutsche Algebra) oder algebraische Rechenkunst, zusamt ihrem Gebrauch (Álgebra alemana, o el arte y uso del cálculo algebraico) introdujo el obelo como el operador de la división. El obelo permite escribir fracciones de manera más compacta, en un solo renglón. Aunque Rahn no produjo contribuciones importantes en las matemáticas, su libro ayudó a difundir los métodos algebraicos de Viète, Descartes, Van Schooten, Diofanto y Clavius. Su gran fortuna fue haber sido discípulo del inglés John Pell, quien se encontraba en misión diplomática secreta en Zúrich. Pell era un matemático de Cambridge que seguramente se aburría en Suiza y comenzó a impartir una vez por semana clases privadas a Rahn. Éste era en realidad un político local que estaba a cargo de la artillería y el equipo militar de la ciudad. El discípulo superó al maestro, ya que plasmó sus nuevos conocimientos en su libro de álgebra alemana. Pell llevó el libro de Rahn a Inglaterra y lo tradujo al inglés en 1668, expandiéndolo. Fue esta versión la que realmente popularizó la notación de Rahn.
Si no hubiera sido porque Oliver Cromwell logró deponer y ejecutar al rey Carlos Estuardo, Pell jamás hubiera viajado a Suiza. Cromwell se convirtió en el Lord Protector de Inglaterra de 1650 a 1658 cuando se proclamó la república por primera y única vez en la historia de la isla. Para consolidar el reino, Cromwell combatió a los católicos en Irlanda y Escocia. Trató también de difundir el protestantismo en la Europa continental. Por eso John Pell fue enviado por Cromwell a Suiza, ya que llevaba la misión expresa de formar una liga de cantones protestantes opuestos a los cantones católicos. Pell no tuvo éxito alguno, languideció en Zúrich y se dedicó a las matemáticas. Regresó a Inglaterra poco antes del fallecimiento de Cromwell. A la muerte del Lord Protector la república se vino abajo. El nuevo rey hizo exhumar a Cromwell, se juzgó a su cadáver y se le decapitó por traición al rey. Pell, por su parte, logró mantener su cabeza sobre sus hombros y pudo continuar su carrera científica. No volvería a asumir cargos diplomáticos, sobre todo después de ver lo que había ocurrido con el desafortunado Lord.
Todavía hubo un escollo que Pell logró salvar para preservar los símbolos de Rahn. Cuando el impresor propuso sustituir los símbolos, Pell se negó y salvó al obelo para la historia matemática. Podría ser, incluso, que Pell le hubiera sugerido el uso del obelo a Rahn, pero eso ya nunca lo sabremos. Con el patrocinio de Pell el libro se hizo muy conocido; la autoría se le llegó a atribuir al inglés, quien no agregó su nombre como coautor a pesar de haber extendido el material original de la obra.

Figura III.11. La regla de los signos aplicada a la división en la página 10 del manuscrito alemán Teutsche Algebra, de Johann Heinrich Rahn (Bodmer) Zúrich) 1659; fuente: Bayerische Staatsbibliothek digital).
Habría que agregar que una contrincante notable del símbolo de Rahn fue la notación propuesta por Leibniz para el cociente de dos números a y b) es decir, a : b. De hecho, esta notación con dos puntos aún se utiliza para expresar proporción, o sea, la “razón entre a y b”.
En el Doctor Faustas, de Christopher Marlowe, Fausto dice al distinguir a Helena de Troya: “¿Es ésta la cara que lanzó mil navíos al mar, la que calcinó las derruidas torres de Troya?” Así es, y el efecto colateral fue la creación de algunos símbolos que utilizamos en las matemáticas. Esto sí que es theatrum mundi: desde el rapto de Helena, pasando por la guerra civil en Inglaterra hasta la Reforma en Suiza, con matemáticos de incógnito en misión secreta.
Capítulo IV
Operadores de relación y agrupamiento
§. No hay dos cosas más iguales
§. Los símbolos de desigualdad
§. El (paréntesis) contra el viaeulum
§. La coma y el punto
§. No hay dos cosas más iguales
Una igualdad matemática se manipula como los pesos en una balanza: para mantener el equilibrio, lo que agregamos o retiramos del lado derecho lo tenemos que agregar o retirar del lado izquierdo. Durante siglos este tipo de operaciones aritméticas se describió de manera verbal. En toda ecuación hay que balancear, como en la contabilidad doble, los activos con los pasivos, es decir, activos = pasivos. Pero curiosamente el hombre que nos legó el moderno signo de igualdad numérica, las dos líneas paralelas, murió endeudado y en bancarrota. Hacia el final de su vida no logró conseguir el equilibrio financiero.
Ese hombre fue Robert Recorde, médico y matemático galés, escritor prolífico de vida complicada y nada típica de un académico. Recorde estudió en la Universidad de Oxford y en la Universidad de Cambridge. En esta última se graduó como médico en 1545, tal vez a la edad de treinta y cinco años —su fecha de nacimiento no se puede corroborar—, Al parecer, estudió teología, leyes y música, pero también medicina en Oxford. A pesar de esa trayectoria académica tan diversa, desde muy joven debió de tener mucho interés por las matemáticas, como el también médico Pierre de Fermat, puesto que enseñó matemáticas tanto en Oxford como en Cambridge antes de practicar la medicina en Londres.
Antes de Recorde, matemáticos como Regiomontanus y Luca Pacioli separaban los dos lados de una ecuación con una sola línea. Después de Recorde, René Descartes popularizó el símbolo ∝, ya que la igualdad de dos magnitudes se expresaba diciendo que eran aequales. El símbolo aparentemente es una contracción de las letras a y e, o bien, el símbolo astrológico de Tauro rotado 90 grados. Recorde propuso el símbolo =, con líneas mucho más largas que las que hoy usamos, en su libro de 1557 con el extenso título The Whetstone of Witte, whiche is the seconde parte of Arithmeteke: containing the extraction of rootes; the cossike practise, with the rule of equation; and the workes of Surde Nombers, que podríamos traducir “Afilando el ingenio, segunda parte de la aritmética incluida la extracción de raíces, el álgebra, con reglas para ecuaciones y el uso de números negativos”. Si el título es poco convencional, el texto del libro lo es menos: es un diálogo entre un maestro que lleva de la mano a un discípulo y le explica las reglas aritméticas y algebraicas. Galileo hizo algo parecido con su Diálogo sobre los dos sistemas máximos) donde expuso el sistema copernicano. Sin embargo, Galileo se estaba protegiendo de la Iglesia y del papa, pues escribía atribuyendo sus opiniones a terceros.

Figura IV.1. Primer uso del símbolo de igualdad por Robert Recorde en The Whetstone of Witte, John Kyngstone, Londres, 1557, p. 238; fuente: Internet Archive).
En el Whetstone, Recorde escribe que decidió utilizar las dos líneas paralelas para expresar igualdad porque “Noe 2 thynges can be moare equalle” (no hay dos cosas más iguales). Recordemos que Recorde vivió en una época cuando apenas se estaba enseñando al público a resolver problemas algebraicos sencillos y a trabajar con el ábaco. Publicó una serie de libros que podrían constituir el canon de enseñanza de las matemáticas en Inglaterra, desde la aritmética hasta el álgebra, pasando por la geometría euclidiana y la astronomía. Su símbolo de igualdad se popularizó en Inglaterra, mientras que en el continente se usaba la notación cartesiana. El símbolo de Recorde fue adoptado finalmente por Wallis, Newton, Isaac Barrow e incluso Leibniz, por lo que hacia 1700 el símbolo preferido para expresar igualdad eran ya las dos líneas paralelas.
Sin embargo, Recorde fue encerrado en la prisión de deudores, quizás el mismo año en que apareció su Whetstone. Resulta que en 1549 fue nombrado jefe de la Casa de Moneda de Bristol, donde estaba a cargo de las minas y de la acuñación de dinero. En ese puesto se negó a entregarle fondos a un importante militar y político ocupado en apagar una rebelión: William Herbert, posteriormente conde de Pembroke, un aventurero que de paje ascendió a confidente de la reina María. En 1556 Recorde, como comisionado de acuñación, acusó a Herbert de fraude, pero perdió el juicio por difamación y, al no pagar la multa de mil libras que le fue impuesta, fue recluido en la prisión de deudores, Kings Bench en Southwark, donde murió en 1558. Fue el mismo año en que la reina María fracasó en su intento de restaurar la fe católica en Inglaterra.
Aunque Recorde no hizo ningún descubrimiento importante, sus libros de texto fueron reimpresos varias veces y contribuyeron notablemente a la difusión de las técnicas algebraicas y numéricas en Inglaterra, que al parecer tomó de otros expositores famosos, como Stifel y Scheubel, quien publicó en París un compendio de álgebra en 1551.
Casi un siglo después de Recorde, el matemático John Pell, quien contribuyó a difundir el signo de división en Inglaterra, también ingresó a la misma prisión de deudores en Southwark. ¿Habrá ocupado la misma mazmorra que Recorde, quizá decorada de grafitis matemáticos?
§. Los símbolos de desigualdad
El siguiente paso en la historia del álgebra, después de que se logró dominar la solución de igualdades, fue considerar las desigualdades. Más difícil que resolver una expresión como x2 - x = 0 es encontrar todos los valores de x para los cuales la desigualdad x2 - x > 0 es válida. Ese paso se dio en Inglaterra, pero antes había que tener una notación adecuada.
Los símbolos mayor que y menor que (x > y o bien x < y) han sido atribuidos al británico Thomas Harriot (1560-1621), quien los introdujo en su obra Artis analyticae praxis ad aequationes algebraicas resolvendas (Las artes analíticas aplicadas a resolver ecuaciones algebraicas). Sin embargo, el libro fue publicado de manera póstuma y por eso algunos han sugerido que la notación podría haber sido modernizada por los editores. El facsímil de la obra de Harriot (figura IV.2) exhibe todas las huellas de una notación incipiente e insegura, que se esfuerza por darse a notar, alargando el símbolo de igualdad excesivamente y también los símbolos de mayor y menor (definidos en la página 10 de la obra). Mientras que el símbolo de igualdad ya había sido usado por Recorde, los símbolos de relación eran nuevos.
Quienes han podido examinar los manuscritos sueltos de Harriot reportan que el símbolo de igualdad lo escribía en realidad como dos líneas verticales paralelas, mientras que los símbolos de desigualdad eran curvos, como cuernos de la abundancia:
y
.

Figura IV.2. Los símbolos de desigualdad de Thomas Harriot presentes en la página 10 de su manuscrito Artis analyticae praxis, Robertum Barker, 1631; fuente: Max Planck Institute for the History of Science, Library.
Desafortunadamente, ya nunca sabremos si los ejecutores de su testamento literario realmente adaptaron algunos símbolos o si Harriot ya había pensado en tales modificaciones.
En el Artis analyticae, Harriot trabaja con igualdades y también con desigualdades, y muestra cómo simplificarlas. Su libro, que es de álgebra, retoma muchas de las técnicas desarrolladas por Viète en Francia, al mismo tiempo que introduce nuevos métodos. El primer capítulo del libro se basa, de hecho, en las definiciones adoptadas por Viète en su Artem analyticem isagoge. Es sorprendente que Thomas Harriot no haya publicado ningún trabajo matemático durante su vida, como fue el caso también del gran Pierre de Fermat. Harriot era un astrónomo y matemático de gran reputación, pero sus descubrimientos los comunicaba a círculos reducidos de personas.
La vida de Harriot fue en parte la de un aventurero. De haberlo conocido, seguramente Gabriel García Márquez le hubiera asignado un lugar de honor en Macondo. Apenas graduado de Oxford en 1580, Harriot fue involucrado en los planes para colonizar Norteamérica urdidos nada menos que por sir Walter Raleigh, militar y explorador que posteriormente introduciría el tabaco en Europa. Para crear colonias, la reina Isabel I le otorgó a Raleigh la patente real a fin de explorar la región donde se encuentran ahora Virginia y Carolina. Pocos años antes, Raleigh había enviado a dos de sus capitanes para explorar la región, y de regreso a Inglaterra la expedición llevó a dos indígenas de la isla Roanoke. Raleigh le encomendó a Thomas Harriot la tarea de aprender su lengua y costumbres para poder servir de traductor en futuras expediciones. En 1585 Harriot por fin se embarcó hacia Norteamérica, mientras que sir Walter partió hacia Sudamérica, a la Guayana, para buscar la legendaria ciudad de El Dorado. De regreso en Inglaterra, en una nave nada menos que del pirata Francis Drake, Harriot escribió su informe Briefe and True Report of the New Round Land of Virginia, que provocó mucho interés en Londres cuando apareció en 1588. Aunque los marineros ingleses y los españoles ya conocían el tabaco, este documento fue uno de los primeros en describir la nueva droga.
Thomas Harriot nunca fue prisionero real por largo tiempo, pero sus benefactores sí que lo fueron. A la muerte de Isabel I, el nuevo rey acusó a Raleigh de traición y lo arrojó a la Torre de Londres por 13 años, sólo para mandarlo de nuevo a buscar minas de oro en Sudamérica al dejarlo en libertad. Atacado en la Guayana por los españoles y después de haber perdido gran parte de sus hombres, Raleigh regresó a Inglaterra, donde, ahora sí, fue ejecutado en 1618.
Antes de la prisión de Raleigh, Harriot ya había pasado al servicio de Henry Percy, barón de Northtumberland, con quien compartía diversos intereses científicos. Pero el barón tenía un pariente lejano, Thomas Percy, quien estuvo involucrado en el fallido atentado fraguado por católicos contra el Parlamento inglés conocido como la Conspiración de la Pólvora. Culpable o no, el barón Henry Percy fue confinado a la Torre de Londres, donde podía pasar las horas discutiendo con Walter Raleigh (antes de que éste saliera a buscar El Dorado por segunda ocasión)y jugando boliche. Además, Thomas Harriot vivía en una casa cerca de la torre, así que el círculo de eruditos pudo seguir funcionando a pesar de la prisión. En 1621 el barón fue liberado, pero Harriot había muerto pocos días antes. Dejó 7 000 páginas de manuscritos sin terminar y sus ejecutores literarios pudieron publicar el Artis analyticae sólo después de pasados diez años, afortunadamente para las matemáticas, que a partir de entonces tendrían los dos símbolos de desigualdad que ahora usamos.
Fue tal la reputación de Thomas Harriot y lo estrecho de sus vínculos con sir Walter Raleigh y el barón Percy, que se ha tratado de ver en ellos a los constituyentes de la Escuela de la Noche, mencionada aparentemente por Shakespeare. Es una interpretación probablemente apócrifa, pero que nos da una idea de la influencia de este círculo, que lo mismo practicó la alquimia, la astrología y partió a buscar El Dorado, que se interesó por las matemáticas, la astronomía y la poesía. Es el realismo mágico radicando en Londres y no en Macondo.
§. El (paréntesis) contra el vinculum
Es difícil de creer, pero símbolos tan comunes y corrientes como los paréntesis son un invento relativamente reciente en la historia de la escritura y de las matemáticas. Es paradójico porque, después del símbolo de igualdad en ecuaciones, los dos signos que aparecen más frecuentemente en las matemáticas son precisamente los paréntesis. Es claro, porque se utilizan para delimitar subexpresiones en expresiones matemáticas complejas, impidiendo así ambigüedades. Los paréntesis son pequeñas jaulas para capturar y retener objetos matemáticos.
La palabra paréntesis es de origen griego y significa poner a un lado. Si consultamos antiguos manuscritos griegos o latinos podemos constatar que hasta la Edad Media se escribía de manera continua, una letra tras otra, prácticamente sin símbolos para delimitar las oraciones o para introducir pausas. Los manuscritos estaban hechos para ser leídos en voz alta, para que el oído reforzara a los ojos, dándole así sentido a la avalancha de letras del texto.
Poco a poco, en la Edad Media se fueron introduciendo tremendas innovaciones ortográficas (aunque hoy parezcan triviales), por ejemplo, la separación de las palabras con espacios, el punto al final de una oración, la coma y el punto y coma. De esa manera, al leer algún pasaje se percibe de inmediato dónde introducir pequeñas pausas mentales para entenderlo mejor. También los signos modernos de interrogación y de exclamación son inventos que se consolidaron una vez que la imprenta fue introducida por Gutenberg.
Los primeros paréntesis de los que se tiene noticia fueron utilizados por el italiano Coluccio Salutati en 1399, en pleno camino hacia el Renacimiento. No eran redondos, parecían más bien paréntesis angulares como éstos “>”. Pero la idea estaba clara: proporcionar información adicional, como una especie de digresión sobre la marcha.
Después de Salutati surgieron muchas variantes. Los paréntesis redondos, por ejemplo, se utilizaban a veces en el orden inverso al actual, es decir, )así (. En otras ocasiones se utilizaban paréntesis y además se subrayaban las palabras que había dentro de ellos, lo cual era redundante. Aparentemente, fue en Venecia donde Nicolás Jenson, impresor e inventor de tipos, introdujo los paréntesis redondos en 1470. Erasmo los llamaría después pequeñas lunas.

Figura IV.3. Los paréntesis de Salutati en 1399.
Y si los paréntesis llegaron tarde a los libros, más se tardaron en llegar a las matemáticas, no sólo porque había que cambiar su semántica, sino además porque había otras posibilidades para agregar expresiones.

Figura IV.4. Fragmento del texto de Eusebi de Cesárea titulado De praeparatione evangélica (Venecia) 1470), en el cual se utiliza la tipografía romana de Nicolás Jenson y se aprecia el uso de paréntesis (fuente: digitalización de la Biblioteca de Cataluña).
Cuando todavía la mayor parte de un texto matemático consistía en álgebra retórica no eran necesarios los paréntesis, ya que un cálculo se puede desmenuzar verbalmente; por ejemplo, (3 + 4) x 2 se convierte en “suma 3 y 4; multiplica el resultado por 2”. Así que los paréntesis, en su versión redonda o cuadrada, aparecen sólo ocasionalmente en algunos textos. En 1550 Rafael Bombelli utilizó los paréntesis cuadrados en su Álgebra para agrupar los términos a los que se quería extraer raíz cuadrada o cúbica. Pero Bombelli va a lo seguro: también subraya los términos entre paréntesis y de esa manera nos remite al vinculum y su titánica trifulca con los paréntesis.
Históricamente, se subrayan subexpresiones antes de agruparlas con paréntesis. Ya en 1487 el francés Nicolás Chuquet había agrupado subrayando. Esa línea horizontal es lo que se ha llamado el vinculo inferior y resulta efectiva para agrupar términos. Más tarde se pasó a agrupar con una línea superior, una especie de suprarrayado. Ambas notaciones, paréntesis y supra-rrayado, subsistieron paralelamente hasta que llegaron François Viète, Thomas Harriot y René Descartes, a fines del siglo XVI y principios del XVII. Viète, por ejemplo, no empleó los paréntesis como hoy los usamos, sino uno solo de ellos, como en

La parte izquierda de la expresión se debe entender como un producto de cada renglón por el que sigue. De esa manera, se puede agrupar por renglones y con un solo paréntesis. Más tarde, en nuevas ediciones de la obra de Viète, este tipo de construcciones fueron reescritas usando paréntesis normales. El inglés Thomas Harriot, por su parte, prefirió agrupar con un corchete horizontal para indicar el alcance de un radical. René Descartes hizo algo muy similar, aunque siempre negó haber conocido la obra de Harriot, y nos heredó nuestro símbolo para radicales, como en √(2 + 3), donde el principio es el símbolo radix y la línea horizontal es el vínculo superior. En nuestra notación funcional de paréntesis esto debería escribirse como √(2 + 3).
Como vemos, lo único que hoy subsiste del vínculo es su uso en los radicales (y de vez en cuando se utiliza para enfatizar). Pero el vinculum no se retiró del campo de batalla sin dar la lucha. Como en tantas otras ocasiones, la disputa se desarrolló entre regiones culturales, los ingleses contra el continente y, más específicamente, Newton contra Leibniz.
En Inglaterra, influyentes matemáticos y físicos prefirieron el vínculo durante muchos años. Matemáticos tan prestigiosos como Wallis, Maclaurin y el mismísimo Newton lo popularizaron en sus obras. Hasta el siglo XVIII el vínculo era preferido por muchos a los paréntesis. En el continente eso cambió cuando Leibniz adoptó el uso del paréntesis y logró que una de las primeras revistas científicas, el Acto eruditorium, lo aceptara como notación preferida en 1708. Después de 30 años otras academias científicas de Inglaterra y Francia siguieron el ejemplo del Acto. Leibniz fue tan consecuente en el uso de paréntesis que los utilizaba incluso para los radicales, sin seguir a Descartes.

Figura IV.5. Ejemplos del uso del vinculum en Geometria Orgánica de Colin Maclaurin) 1720.
La rebelión más reciente contra los paréntesis fue la de Giuseppe Peano, quien propuso agregar expresiones utilizando una jerarquía de puntos simples, puntos dobles y puntos triples. Aunque ese tipo de notación se utiliza a veces en la lógica, una vez que el uso de los paréntesis se popularizó, llegaron para quedarse, mientras el vínculo subsiste hoy en día sólo como fósil, enganchado a los radicales.

Figura IV.6. Apoteosis de la notación con puntos en Principia mathematica (Fuente: Wikimedia Commons).
§. La coma y el punto
¿Quién diría que las comas representan casi 2.5% de los símbolos usados en los libros de ingeniería? Es sorprendente porque prácticamente no ocupan espacio, así que no saltan a la vista, pero son elementos de puntuación tan imprescindibles como el punto que cierra una oración y, a veces, terminan también una expresión matemática. ¿Quién diría asimismo que la palabra coma viene del griego κομμα y significa porción? Hoy en día usamos comas para separar elementos en una tupia, como (x, y, z); para separar sucesiones de valores, como a1, a2,..., etc.; para separar índices y muchas otras cosas más. Al punto lo usamos menos, pero Giuseppe Peano, por ejemplo, lo quería utilizar para sustituir los paréntesis enmarcando expresiones, aventurada propuesta que tuvo su desafortunada continuación en Principia mathematica de Whitehead y Russell.
Como ya el nombre griego lo indica, fueron los helénicos quienes “inventaron” la coma o, más bien, su primera variante. Fue un bibliotecario de Alejandría llamado Aristófanes quien, desesperado por los errores cometidos por los lectores al tratar de entender los textos, decidió hacer algo al respecto. Basta ver algunas inscripciones griegas de la Antigüedad, e incluso romanas, para constatar que la puntuación no existía y que los textos se escribían como alud de letras, una tras otra, sin separación entre las palabras. La idea de Aristófanes fue marcar los textos con puntos: uno intermedio, uno bajo y uno alto. Estos puntos, llamados comma, colon y periodos, indicaban pausas de diferente duración, siendo la coma la pausa más corta. Todo esto ocurrió en el tercer siglo antes de nuestra era. En la época romana se experimentó separando palabras con puntos, pero la innovación de Aristófanes cayó en el olvido hasta que se comenzaron a editar libros eclesiásticos para propagar la fe cristiana. Los monjes en sus talleres producían copia tras copia de libros sacros. Ya nos habíamos encontrado algunos santos al revisar otros símbolos matemáticos (a san Andrés, a santo Tomás), y en la historia de la coma encontramos a san Isidoro de Sevilla, quien fuera obispo de aquella ciudad hispana en el siglo VII. San Isidoro retomó los puntitos de Aristófanes, pero los reorganizó: el punto bajo sería ahora la pausa más corta y el punto alto el distinctio finalis, es decir, el punto final. Una revisión de algunos textos de san Isidoro revela que nunca fue muy consistente y que adoptó diferentes sistemas de puntuación, a veces con puntos bajos, con dos puntos, con punto y coma o incluso incluyendo al óbelo. Por eso, el siguiente avance consistió en la fusión de la tipografía medieval con el sistema de rayas diagonales, utilizado por eruditos y copistas italianos. Se atribuye a Boncompagno da Signa haber propuesto en el siglo XII utilizar una pequeña diagonal para marcar una pausa y sustituir el punto bajo. Esa diagonal con el tiempo se convirtió en nuestra coma actual, que estuvo disponible cuando se inventó la imprenta y pasó a ser un signo de puntuación fundamental. El punto final de Aristófanes quedaría también engranado en la tipografía moderna.
Contenido:§. La guerra de las galaxias: Leibniz contra Newton
§. La derivada parcial
§. Nabla, el arpa de Asiria
§. John Wallis y el infinito
§. Delta
§. La notación f(x) y el concepto de función
§. Épsilons, deltas y la invención de los números reales
§. Llegar al límite
§. El dardo matemático
§. La guerra de las galaxias: Leibniz contra Newton
Nuestra notación moderna para el cálculo diferencial e integral proviene del gran matemático alemán Gottfried Wilhelm von Leibniz (1646-1716) y es muy intuitiva. Si queremos hablar del cambio de una variable, es decir, de su diferencial, utilizamos la letra d, como en dx. Claro que aquí se trata de cambios infinitesimales, esto es, en el límite. Si ahora queremos agregar estas diferencias en una suma (infinita) utilizamos la letra S, pero en la versión de Leibniz, una S estilizada y alargada. En la notación de Leibniz podemos escribir, por ejemplo:

En Inglaterra, sin embargo, el gran Isaac Newton (1643-1727) ya había desarrollado las bases del cálculo diferencial diez años antes que Leibniz, pero sin haber publicado sus métodos. Por eso utilizaba su propia notación. A la derivada de una función y le ponía un punto para convertirla simplemente en y. Para la integral Newton tenía diversas formas de expresarla, pero una muy idiosincrática era enmarcando la función a integrar en un cuadrado, como en
![]()
De la notación de Newton conservamos el punto para las derivadas de funciones, sobre todo, en la física. La notación newtoniana para integrales nunca se extendió.
No ocurre a menudo que podamos rastrear paso a paso el descubrimiento y fortalecimiento gradual de una nueva teoría matemática, además del desarrollo de su notación, pero éste fue el caso del símbolo de Leibniz para calcular integrales. Leibniz desarrolló su versión del cálculo diferencial e integral en la segunda mitad del siglo XVII y los vestigios de este proceso creativo quedaron plasmados en cartas, en esbozos y en publicaciones.
El símbolo de integral (una S alargada para denotar suma) fue utilizado por Leibniz en 1675, en el manuscrito titulado “Analyseos Tetragonisticae pars Secunda”. Ahí sustituye la abreviatura “omn. l.” (es decir, omnes linea, que quiere decir todas las líneas) por el símbolo de integral. La abreviatura “omn. l.” había sido usada por Cavalieri en su método de descomposición de áreas en franjas infinitesimales (o “líneas”) para indicar que había que agregar todas (omnes). La figura V.1 muestra el contexto en el que se introdujo el nuevo símbolo (el símbolo n es el que usaba Leibniz para indicar igualdad).

Figura V.1. Notación de Leibniz para el símbolo de integral) Utilizada en Analyseos Tetragonisticae pars Secunda (1675), que semeja una “S” alargada. Por otra parte, la “cuña” (señalada con círculos rojos) corresponde al símbolo de igualdad.
La variable “l” en la expresión “omn. l” es, entonces, un infinitesimal, una cantidad menor que cualquier otra, como se argumentaba en el cálculo al principio. En el facsímil Leibniz concluye que
![]()
La elección de la letra S fue natural. En 1686 Leibniz se había ocupado del cálculo de áreas en su De geometría recóndita, donde utilizaba el método de exhaución de Cavalieri. En éste, se divide un área en infinidad de pequeños cortes cuyas áreas respectivas hay que agregar al final. Por eso Leibniz llamaba al método de calcular sumas infinitas caleulus summatorius, o sea, cálculo de sumas. Nótese en el facsímil que, en la notación temprana de Leibniz, el símbolo diferencial (dx) se omitía. Nuestra notación actual es
(además de que falta la constante de integración).
Leibniz llegó al cálculo trabajando sobre dos problemas íntimamente relacionados: la cuestión de encontrar tangentes a una curva y el problema de la cuadratura, es decir, encontrar el área enmarcada por aquella curva. La relación inversa entre ambos problemas ya había sido postulada por matemáticos en Cambridge, especialmente Isaac Barrow (1630-1677) y más tarde su discípulo Isaac Newton.
La notación alternativa de Newton para indicar integrales nunca tuvo mucha resonancia fuera del área cultural inglesa. La notación era de difícil impresión. Newton utilizaba dos maneras de expresar la integral: una variable con una barra vertical arriba denota (como en
) la integral de x. Dos barras denotan una integral doble, tres una integral triple (de volumen), etc. En expresiones más complicadas o para mejorar la visibilidad de la expresión, como mencionamos arriba, Newton a veces enmarcaba el integrando, como en [x]. Los términos en la “cajita” corresponden a los que hoy colocamos dentro del símbolo de integral. Me parece que la pequeña caja es otra forma de expresar que se está calculando un área, es decir, una cuadratura. La figura V.2 es del libro de Newton The Method of Fluxions and Infinite Series: With Its Application to the Geometry of Curve-lines. Este libro apareció relativamente tarde, para mostrar sobre todo lo que Newton había desarrollado antes que Leibniz.

Figura V.2. La notación de Isaac Newton para la integración en The Method of Fluxions and Infinite Series: With Its Application to Geometry of Curve-lines (Henry Woodfall, Londres, 1736, p. 91; fuente: Internet Archive).
No se puede negar que la notación de Newton es muy expresiva, pero era probablemente una pesadilla para las imprentas. A pesar de que Newton desarrolló su versión del cálculo integral primero, fue la notación de Leibniz la que triunfó en la Europa continental. Después de 1675 sólo había que completar la notación para integrales de Leibniz con límites superiores e inferiores. Aparentemente, fue Fourier, en 1819, uno de los primeros en agregar este tipo de precisión adicional a las integrales (para pasar así de las integrales indefinidas a las definidas).
Narrada así, toda esta cuestión parece un asunto de poca monta. La mejor notación se impone a la larga. Pero no fue así: la disputa por la prioridad en la invención del cálculo diferencial e integral fue encarnizada, y los matemáticos continentales e ingleses tomaron partido a través de la adopción de una u otra notación..., hasta que llegaron Charles Babbage y sus aliados, quienes en Cambridge iniciaron la llamada Sociedad Analítica.
Inglaterra se mantuvo casi doscientos años firmemente del lado de la notación de Newton, mientras el resto del mundo utilizaba la notación de Leibniz.
Hoy sabemos, a través del estudio de la correspondencia entre Leibniz y Newton y de éstos con otras personas, que probablemente ambos científicos llegaron al cálculo diferencial e integral de manera independiente. Newton fue el primero en elucubrar sobre el cálculo. Su profesor y mentor Isaac Barrow ya había investigado en Cambridge la forma de encontrar tangentes de curvas. La erupción de una epidemia de peste en Inglaterra obligó a cerrar la universidad, y así Newton pasó su año mirabilis 1665-1666 meditando sobre física y matemáticas en la casa de su abuelo. Leibniz tuvo la idea del cálculo diferencial e integral diez años más tarde, en 1775, dos años después de haber estado de visita en Londres y de ser admitido como miembro de la Royal Society. Ese viaje a Londres fue el que los partidarios de Newton mencionarían después como el momento en que Leibniz habría obtenido alguna información sobre los métodos de Newton, lo cual demostraría que Leibniz había cometido un plagio.
Newton y Leibniz llegaron al cálculo diferencial e integral por dos caminos opuestos: Newton llegó por el camino de las derivadas y de ahí pasó a las integrales. Leibniz arribó a la inversa, por las integrales, y de ahí pasó a las derivadas. La primera referencia escrita que se tiene de la notación de Newton para derivadas aparece en una página suelta fechada en 1665. Newton marcaba la primera derivada con un punto arriba del nombre de la variable. Las derivadas subsecuentes (segunda, tercera, etc.) las indicaba con dos o tres puntos, y así sucesivamente. Al principio Newton estaba más interesado en derivadas respecto al tiempo, y por eso la notación i: x corresponde a nuestra moderna

A la derivada de una variable Newton la llamaba fluxión, en inglés, una palabra que seguramente no tiene traducción al español pero que se podría interpretar como cambio.
Antes del cálculo ya existían partes del cálculo. El francés Pierre de Fermat había desarrollado un método para calcular máximos y mínimos de funciones, que consistía básicamente en encontrar una aproximación a la derivada (la tangente) de una función y postular la igualdad a cero, como hacemos ahora al proponer f'(x) = 0.
Después de Fermat, Isaac Barrow desarrolló una técnica para encontrar tangentes, la cual fue publicada y era conocida por muchos matemáticos en Inglaterra y en la Europa continental. Además, Barrow se interesaba por problemas de cuadratura y de óptica; por eso no hay que ir muy lejos para descubrir en él a la persona que inspiró a Newton para investigar por su cuenta esos temas.
La disputa entre Newton y Leibniz llevó a la escisión del continente europeo. En la zona cultural inglesa se siguieron utilizando las fluxiones y los fluyentes, es decir, la notación de Newton, hasta la primera mitad del siglo XIX. La disputa fue atizada por los respectivos partidarios, y en 1712 la Royal Society nombró una comisión que finalmente decidió a favor de Newton, declarándolo el verdadero inventor del cálculo. Esa decisión fue empañada al saberse después que la comisión había estado en contacto con Newton y no era totalmente imparcial. En la actualidad tanto a Leibniz como a Newton se les considera padres del cálculo diferencial e integral, pero no hay que olvidar que muchos otros, como Arquímedes, Fermat y Barrow, contribuyeron a darle forma a los conceptos que culminarían en el trabajo del físico-matemático inglés y del erudito alemán. Casi trescientos cincuenta años después de Leibniz y Newton seguimos usando los puntos de Newton para las derivadas (en la física) y la notación de Leibniz para las derivadas e integrales.
El nombre cálculo integral fue inventado por Johan Bernoulli. En 1695, Leibniz trató de convencerlo, en “aras de la uniformidad y armonía”, de que hablara en el futuro de cálculo sumatorio y no de cálculo integral. Bernoulli accedió, pero era ya tarde: las nuevas matemáticas comenzaron a difundirse por Europa con la denominación ideada por Bernoulli. El símbolo de integral, por su parte, la S alargada, aún nos remite a la idea de sumatoria.
§. La derivada parcial
Poco imaginaba el obispo Ulfilas, cuando en el siglo IV de nuestra era se puso a diseñar un nuevo alfabeto (el más tarde llamado alfabeto gótico), que una de las letras de su creación desempeñaría siglos después un papel muy importante en la notación matemática. Estamos hablando de la d gótica que utilizamos hoy para denotar derivadas parciales. Es esta letra uno de los pocos ejemplos de operadores y a los símbolos matemáticos tomados de alfabetos distintos al latino y al griego. La d gótica y el aleph hebreo son las dos excepciones más notables.
Ulfilas (cuyo nombre significa lobezno en godo) se hubiera sorprendido de lo anterior, puesto que su misión era la de evangelizar a los paganos, a los bárbaros godos que estaban inundando por oleadas el Imperio romano. ¿Qué mejor manera de civilizarlos que traducir el Nuevo Testamento del griego a la lengua de los godos, perteneciente a la familia de idiomas germánicos? Así lo hizo Ulfilas y de esa manera creó lo que sería el primer libro escrito en una lengua germánica.
La tarea de Ulfilas, evangelizar a los godos, no era sencilla, ya que habría que precisar primero qué versión del cristianismo era la que se quería propagar. Aparentemente, Ulfilas era partidario del arrianismo, que básicamente negaba la concepción del Dios cristiano como una sagrada trinidad de Padre, Hijo y Espíritu Santo; en cambio, hacía hincapié en la noción de un Dios único e indivisible. Esta disputa, que ocupó buena parte del siglo IV, no quedó saldada sino hasta el Concilio de Constantinopla, que reafirmó la ortodoxia cristiana respecto a la Trinidad. Curiosamente, siglos después Isaac Newton, trabajando en el Trinity College de Cambridge, se uniría a los no trinitarios, que básicamente negaban que pudiera haber un Dios hijo y un Dios padre.
Mientras tanto, alrededor del año 341, Ulfilas estaba ocupado en el diseño de su nuevo alfabeto, que además reflejaría también el estilo germánico. Ulfilas bosquejó las mayúsculas siguiendo el alfabeto griego y tomando símbolos adicionales de las letras latinas e incluso de las rúnicas. Las minúsculas llegaron más tarde para hacer más legibles los textos y más fáciles de transcribir.
Al principio el alfabeto de Ulfilas no tenía seguidores; más bien, tenía detractores. El nombre mismo del alfabeto, gótico, le fue impuesto por los humanistas italianos para subrayar su pertenencia a la lengua y la escritura de las tribus bárbaras. Pero el alfabeto gótico evolucionó a lo largo de los siglos y se plasmó en diferentes tradiciones de la escritura usada por los monjes para copiar los libros eclesiásticos. La figura V.3 muestra el tipo de impresión llamado Textualis, el cual se asocia preferentemente con el tipo gótico. Con la invención de la imprenta llegó también la apoteosis del alfabeto de Ulfilas: la impresión de la biblia de Gutenberg precisamente en una variante del Textualis.

Figura V.3. El alfabeto gótico en la tipografía Textualis de Klaus-Petter Schäffel.
Examinando todos los símbolos del alfabeto gótico, se puede constatar que solamente la d gótica fue incorporada a las matemáticas, aunque se le llame la d redondeada o delta de Jacobi en el contexto de la disciplina. Y es que fue el matemático alemán Carl Gustav Jacobi quien apenas en 1841 logró cimentar la notación para derivadas parciales que utilizamos hoy.
El conflicto fundamental para poder llegar a una notación estándar en el cálculo fue, por supuesto, la disputa entre Leibniz y Newton, que llevó a dos sistemas de notación distintos, uno para el Reino Unido y otro para el resto de Europa. En el caso de las derivadas parciales y remitiéndonos a la notación de Leibniz, al principio no se distinguía entre una derivada de una función con una o con varias variables. Se utilizaba el mismo operador diferencial, la d latina, redonda o cursiva.
Una derivada parcial, sin embargo, se refiere a la variación de una función respecto a sólo una de las variables. Si esto no se hace explícito en el operador, se tiene que obtener esta información del contexto. No es lo mismo df/dx cuando tenemos f(x), que df/dx cuando hablamos de f(x, y). Fue el matemático francés Adrien-Marie Legendre (1752-1833) quien introdujo primero el símbolo para derivadas parciales en 1786, a pesar de que utilizó otras variantes en años posteriores. La d gótica ya había sido utilizada por otros matemáticos, entre ellos Euler, pero como sustituto completo de la d de Leibniz. Quien sugirió mantener la d de Leibniz para derivadas totales y la d gótica para las parciales fue precisamente Legendre.
Pasaron muchos años antes de que la sugerencia de Legendre se extendiera. Uno de los primeros que la adoptaron fue William Hamilton, aunque posiblemente no conocía el trabajo original de Legendre. Hamilton usó la notación moderna en artículos que escribió de 1824 a 1834. Pero el verdadero éxito de la nueva notación vino, como dijimos, con Jacobi, quien publicó en 1841 su muy influyente “De determinantibus functionalibus”, en el cual separaba claramente las derivadas parciales de las totales. En la figura V.4 Jacobi explica la nueva notación y la contrasta con la de Euler. El operador diferencial total queda definido en función de las derivadas parciales.

Figura V.4. El símbolo de derivada parcial en la obra de Carl Gustav Jacobi De determinantibus functionalibus, De Gruyter, Berlín, 1841 (fuente: Niedersachsische Staats-und Universitatsbibliothek Göttingen).
De los primeros artículos sobre cálculo, de 1786, transcurrieron más de cincuenta años, hasta 1841, para que el símbolo de Legendre y Jacobi se convirtiera en la notación estándar en el cálculo.
Curiosamente, hasta 2008 no contábamos con pintura o dibujo alguno de la cara de Legendre. Resulta que su retrato se confundió durante doscientos años con el de un político francés también apellidado Legendre. Una búsqueda multinacional culminó con el descubrimiento de una caricatura del sobrio Legendre junto al risueño Fourier.

Figura V.5. Caricatura en acuarela de los matemáticos franceses Adrien-Marie Legendre y Joseph Fourier, de Julien-Léopold Boilly, 1820, Bibliotheque de l'Institut de France (fuente: Wikimedia Commons).
Legendre es también célebre por haber propuesto el llamado método de los mínimos cuadrados, que se puede plantear en términos de derivadas parciales para funciones lineales.

Figura V.6. El método de los mínimos cuadrados expuesto por Legendre en Nouvelles méthodes pour la détermination des orbites des cometes, F. Didot, París, 1805) p. 72.
No podríamos concluir este capítulo sin mencionar el desarrollo posterior de las letras góticas. Con el tiempo se diseñaron muchas variantes tipográficas en las que los arcos redondeados se aproximan con segmentos de cantos afilados. Estos tipos son llamados Fraktursehrift (arcos fracturados) y se difundieron en Alemania y Austria en los siglos XIX y XX. Los matemáticos, siempre a la caza de nuevas letras con las cuales ampliar su repertorio simbólico, comenzaron a utilizar las letras fracturadas para representar variables. Muchos libros de matemáticas de la primera mitad del siglo XX utilizaron Fraktursehrift para las variables. Sin embargo, en 1941 el gobierno nacionalsocialista de Alemania declaró a esta tipografía indeseable por ser supuestamente de origen judío, a pesar de que años antes la había fomentado por ser inmaculadamente germánica. De golpe desaparecieron los libros con esta tipografía y con el tiempo se dejarían de usar las letras góticas en trabajos matemáticos, con excepción de la d, firmemente engranada en el arsenal simbólico de las matemáticas modernas.
§. Nabla, el arpa de Asiria
El llamado operador nabla es claramente una delta mayúscula invertida. Ésa ha sido una manera tradicional de introducir nuevos símbolos en las matemáticas: sencillamente se les pone de cabeza. Con este operador vectorial podemos denotar el gradiente de una función. Se utiliza siempre que se trabaja con campos vectoriales y su variación espacial o temporal, por ejemplo, en el caso de los campos eléctrico y magnético. No en balde aparece nabla al principio de las cuatro ecuaciones de Maxwell para el electromagnetismo, cuando se expresan en forma diferencial:

El operador nabla fue inventado por el matemático irlandés William Rowan Hamilton (1805-1865), a quien recordamos todos los días cuando hablamos en la física del hamiltoniano. Nabla hizo su aparición en 1853, en el libro Lectures on Quaternions) que describe otro de los descubrimientos importantes de Hamilton.
Hamilton nació en la alborada del siglo XIX, en 1805, en Dublín. Fue un niño prodigio: bajo la tutela de su tío, un lingüista, se dice que logró dominar 13 idiomas cuando apenas tenía trece años. Aprendió matemáticas en gran parte como autodidacta, leyendo directamente las obras clásicas. Su carrera universitaria fue vertiginosa. Como estudiante del Trinity College, en Dublín, era excelente en todos los campos y ¡fue nombrado profesor de astronomía con escasos veintidós años!
Hamilton transformó profundamente la física clásica al reformularla en términos de los métodos variacionales. Los procesos físicos se pueden interpretar como optimizadores de funciones; por ejemplo, la luz se mueve a lo largo de una línea recta porque ésta nos da la conexión más directa entre dos puntos y minimiza el tiempo de vuelo. Pero cuando la luz atraviesa un medio donde avanza más despacio (por ejemplo, el vidrio) se refracta, cambia de dirección, y ahora el camino más rápido entre dos puntos puede estar dado por dos segmentos conectados. Todo eso se puede expresar como un problema variacional o de optimización.
Un problema consumía la atención de Hamilton alrededor de 1843. Se trataba de la posibilidad de extender el alcance de los conjuntos de números más allá de los reales y complejos. Hoy en día concebimos un número complejo como un par escrito en la forma (o, b) o bien a + ib, donde i2 = -1. Por eso es natural preguntar si se podría tener triples de la forma a + ib + jc con alguna definición apropiada para el nuevo imaginario j, para tener así triples con los que pudiéramos sumar, restar, dividir y multiplicar. Por más vueltas que Hamilton le daba al asunto, durante mucho tiempo no encontró la extensión apropiada de los números complejos.

Figura V.7. La primera propuesta de Hamilton para la notación del operador nabla (fuente: Internet Archive).
Según un relato del matemático irlandés, se le ocurrió la solución del problema paseando una vez por el puente de Brougham, que cruza el Canal Real de Dublín. En vez de introducir sólo un imaginario más, la j, introduciría dos, j y k, para definir nuevos números de la forma a + ib + jc + kd bajo la restricción i2 = j2 = k2 = -1 y además con ijk = -1. Hamilton se detuvo y grabó con su navaja estas restricciones en el puente. Ésta es quizá la inscripción matemática y acto de vandalismo con más repercusiones en la historia. Lo único que tuvo que sacrificar Hamilton, para generalizar los números complejos, fue la conmutatividad de la multiplicación, ya que ij = k pero ji = -k.
Es irónico que con el operador nabla Hamilton le haya proporcionado munición simbólica al análisis vectorial, ya que durante años estuvo propagando el cálculo de cuaterniones como alternativa al cálculo con producto interno y producto vectorial (ahí aparecen también i, j y k, pero como vectores unitarios ortonormales). Hacia fines del siglo XIX todavía había más físicos trabajando con cuaterniones que con análisis vectorial. Pero poco a poco el cálculo de cuaterniones fue desplazado, a pesar de que en muchos casos proporciona expresiones físicas más compactas. Por ejemplo, las cuatro ecuaciones de Maxwell se convierten en una sola cuando se expresan con cuaterniones. El cálculo vectorial, sin embargo, es más intuitivo y fácil de relacionar directamente con los fenómenos físicos. El operador nabla interviene, entonces, en la definición de lo que se llama el gradiente, el divergente y el rotacional.
Hamilton no bautizó a su operador con el nombre que hoy lo conocemos. Fue más bien un asistente, llamado William Robertson Smith, en la Universidad de Edimburgo, Escocia, quien le sugirió el nombre nabla a Peter Guthrie Tait, físico matemático de aquella universidad. Tait se refirió así al operador en su correspondencia con James Clerk Maxwell, quien en 1870 le preguntó si habría un mejor apelativo que el usado por él: inclinación, que empleó hasta 1873.
Maxwell dedujo, quizá correctamente, que Hamilton había decidido rotar la delta inspirándose en Leibniz, quien utilizaba esta letra como operador diferencial. A partir de 1890, Tait comenzó a referirse a nabla en sus publicaciones y otros matemáticos adoptaron también el símbolo. A su asistente Smith se le ocurrió llamarla así porque nabla es el nombre de una antigua arpa asiria de forma triangular.

Figura V.8. Moneda conmemorativa de Irlanda (2005) en honor de sir William Rowan Hamilton) cuyo aporte a la simbología matemática fue la incorporación de nabla, utilizada inicialmente en posición horizontal (fuente: Wikimedia Commons).
El operador nabla es sin duda la pieza de notación más popular creada por Hamilton. Los cuaterniones también han vivido un renacimiento por sus aplicaciones en geometría, para gráficas producidas por computadora y asimismo en la robótica. De hecho, la estrategia de Hamilton se puede extender a tuplos con 8, 16, 32 elementos, y así sucesivamente, las llamadas álgebras de Clifford, donde aparecen 7,15 o 31 unidades imaginarias.
§. John Wallis y el infinito
En las matemáticas se ha debatido sobre procesos con un número infinito de pasos intermedios desde la época del griego Zenón y sus famosas paradojas: Aquiles no podría alcanzar a la tortuga, porque para ello tendría que pasar antes por una cantidad infinita de puntos intermedios. Especular sobre procesos infinitos sin contar con el concepto de límite es difícil y lleva a muchas aporías.
Sorprende que hasta 1655 no se hubiera contado con un símbolo para representar el infinito. Fue el matemático inglés John Wallis (1616-1703) quien propuso utilizar el símbolo ∞, que tiene la forma de la curva llamada lemniscata, para representar un número infinito de objetos (lemniscos quiere decir moño en griego). Lo que Wallis estaba examinando era la cuadratura de algunas superficies, es decir, el cálculo de sus áreas, y para ello utilizó el llamado principio de Cavalieri y cantidades infinitesimales.
El libro De sectionibus conicis, en el que Wallis propuso el símbolo ∞, era uno dedicado a las secciones cónicas (la parábola, la elipse y la hipérbola). Antes de Wallis estas figuras se definían en tres dimensiones, utilizando cortes de un cono. Wallis las proyectó al plano y pudo aportar las fórmulas algebraicas para cada una de ellas. Hoy en día comenzamos con la fórmula y = kx2, porque sabemos que la ecuación representa una parábola; no tenemos que ir a la tercera dimensión a cortar un cono con el cuchillo.
El principio de Bonaventura Cavalieri, utilizado ya antes por Arquímedes en la Antigüedad, consiste en examinar cortes transversales de varias figuras, como en la página aquí reproducida del libro de Wallis (figura V.9).

Figura V.9. El método de Cavalieri en la obra de John Wallis Opera mathematica (Theatro Sheldoniano, Oxonice, 1695).
Los tres triángulos que ahí vemos, incluso el que tiene lados curvos, están formados por las mismas piezas rectangulares (para cada altura) y por eso tienen la misma área. Sólo cambia el arreglo de las partes. Es como cuando tomamos una pila de monedas y le damos a la pila la forma que queremos, de cilindro vertical o inclinado. En su libro Wallis considera dichos componentes rectangulares e introduce el concepto de infinitesimal, es decir, piezas de área infinitamente pequeñas. Además, tenemos un número infinito de ellas. Ese número infinito es y un rectángulo infinitamente pequeño tiene altura l/∞.
No se sabe realmente cómo concibió Wallis el nuevo símbolo. ¿Se trata de un ocho horizontal? Algunos piensan que la inspiración provino del uso del símbolo romano
, utilizado para representar el número mil. Los fenicios empleaban el símbolo 0 con el mismo propósito y existen inscripciones romanas con un símbolo muy parecido al de Wallis. Se sabe que Wallis estudió lenguas clásicas en Cambridge, y posiblemente estaba familiarizado con esta variante de los guarismos romanos.
Como quiera que sea, es obvio que el nuevo símbolo fue una muy buena elección. Euler y Bernoulli lo adoptaron de inmediato y ayudaron a popularizarlo. Otros libros de Wallis se hicieron muy influyentes, especialmente su Aritmetica infinitorum, donde analiza cómo calcular la longitud de ciertas curvas y el área de figuras. Este libro inspiró a Isaac Newton cuando comenzó sus estudios en Cambridge. Newton propondría pocos años más tarde el cálculo diferencial e integral para formalizar algebraicamente los métodos geométricos usados por Cavalieri y Wallis.
El gran matemático alemán David Hilbert escribió en 1925: “Desde siempre el infinito ha espoleado la imaginación de los humanos como ninguna otra incógnita. Ninguna otra idea ha movido y fructificado tanto a la razón. Sin embargo, no hay tampoco otro concepto que requiera mayor elucidación que el del infinito”.
§. Delta
Éste sí que es un símbolo sencillo de explicar, delta, la cuarta letra del alfabeto griego. Ya que d es la primera letra de nuestra palabra diferencia, es precisamente por eso que se utiliza delta para referirse a cualquier tipo de cambio de magnitud. Como sucede con todas las letras griegas, la letra delta se deriva de otra letra fenicia, daleth, que tenía aproximadamente la misma forma que la delta griega mayúscula. Daleth probablemente era el sonido inicial, en fenicio, de la palabra puerta.
Hasta la época de Newton y Leibniz, por lo menos, la lingua franca de las ciencias era el latín. Diferencia en ese idioma se escribe differentia, y por eso algunos consideran al matemático suizo Johann Bernoulli y a sus asociados los primeros en utilizar δ como abreviatura de differentia. En la correspondencia de Bernoulli con Leibniz hay muchos ejemplos de este hábito. Incluso el mismo Leibniz llegó a utilizar dx para referirse a cambios infinitesimales de una variable x, antes de optar por usar dx.
En el caso de la delta mayúscula parece que fue otro helvético, Leonhard Euler, quien la utilizó para denotar diferencias finitas. Si Leibniz utilizaba 8 para incrementos infinitesimales, es natural utilizar A para diferencias en sucesiones de números. En 1755 Euler publicó un trabajo (Institutiones calculi differentialis) que presentaba métodos de solución para ecuaciones de diferencias finitas. La figura V.10 muestra cómo, en su texto en latín, Euler utiliza Δy para representar la diferencia y' - y.
Con el desarrollo de las matemáticas formales en el siglo XIX, 𝛿 pasó a ocupar un lugar privilegiado y los argumentos con “épsilons y deltas” forman parte del folclor matemático ya tradicional. En los métodos llamados de diferencias finitas la delta mayúscula lleva la batuta.

Figura V.10. Uso de delta para denotar diferencias, en la página 5 del manuscrito de Leonhard Euler Institutiones calculi differentialis cum cius usu in analysu finitorum ac doctrina serierum, de 1755.
Pero hay algo más para lo que se utiliza delta. La famosa delta de Kronecker, escrita Δij es un operador igual a 1 cuando i = j, pero igual a 0 en caso contrario. La delta de Kronecker es uno de los primeros ejemplos de lo que después se conocería como una variable indicatoria, que es igual a 1 cuando algo sucede e igual a 0 en caso contrario. La utilidad de este tipo de construcciones es que nos permite operar numéricamente sin tener que escribir dos o más expresiones, dependiendo del número de casos que se tengan.
El matemático alemán Leopold Kronecker (1823-1891) es quizás el villano más famoso en la historia de las matemáticas. Fue quien impidió que Georg Cantor pudiera acceder a un puesto en la Universidad de Berlín. Lo atacó sin piedad y calificó de monstruosidad su teoría de conjuntos, a la que David Hilbert, por su parte, llamó un paraíso matemático. Kronecker estudió matemáticas en la Universidad de Berlín bajo la tutela de Ernst Kummer. Después de obtener su grado hizo una fortuna en los negocios y regresó en 1855 a la universidad como privatier sin siquiera cobrar un salario. Él, Kummer y Weierstrass, los tres astros, hicieron de Berlín el centro matemático por excelencia, hasta que David Hilbert y Félix Klein, en Gotinga, lograron disputarle la supremacía a la capital alemana después de la muerte de Weierstrass y Kronecker.
Kronecker pensaba que todas las matemáticas se podrían estructurar finalmente de manera constructiva y por eso recelaba del infinito, es decir, de cualquier argumento que no utilizara métodos constructivos finitos o que operara demostrando la existencia de un objeto solamente por contradicción. Por eso era quizá natural que las ideas de Cantor sobre diferentes tipos de infinitos y números transfinitos lo llevaran a chocar con el profesor de la Universidad de Halle. Sin embargo, Kronecker también se enemistó con Weierstrass, quien veía en la formalización de la teoría de conjuntos (a la que aspiraba Cantor) y en la teoría de funciones piedras angulares de las matemáticas modernas. Cantor, quien había sido discípulo de Weierstrass en Berlín, sufrió ataques nerviosos muy posiblemente atizados por estas controversias con Kronecker, las cuales iban dirigidas al corazón de su obra matemática.
La delta de Kronecker aparece por primera vez en las transcripciones de sus cursos de los años 1883-1891 (Lecciones sobre teoría de determinantes). Kronecker murió en 1891. Siete años antes, Cantor tuvo su primera fase maniaco-depresiva, y después de la muerte de su hijo en 1889 nunca volvió a ser el mismo. Ya no aspiró jamás a la vacante de Kronecker o de Weierstrass en Berlín. Un año después de la muerte de Kronecker, Félix Klein escribió en una carta:
Mi crítica se puede referir sólo a la unilateralidad con que Kronecker, desde un punto de vista filosófico, combatió corrientes científicas [...]. Esta unilateralidad no tiene que ver con su capacidad innata, sino con su carácter. Su meta era cada vez más el dominio absoluto sobre todas las matemáticas alemanas. Ese objetivo lo persiguió con todos los medios que su inteligencia y perseverancia le permitían. No me sorprende que al haber fallecido no exista [en Berlín] un sucesor equiparable.
Si Mozart tuvo un Salieri en la ficción un tanto controvertida de Amadeus, Cantor tuvo su Kronecker.
§. La notación f(x) y el concepto de función
Una de las primeras cosas que se aprenden en las matemáticas superiores es pasar a concebir funciones como conceptos más abstractos que lo que sería simplemente una fórmula que depende de una o más variables. Cuando decimos que x2 es una función cuadrática de x, lo que queremos realmente expresar es que dado un valor arbitrario de x poseemos una receta o método bien especificado para encontrar el valor correspondiente de aquella función cuadrática. Hoy en día, esta idea la resumimos escribiendo f(x) = x2.
La regla de correspondencia entre una variable x y el valor de una función f(x) puede ser expresada de cualquier forma, incluso con un diagrama que para cada x nos proporcione gráficamente el valor f(x). Una correspondencia tal es lo que se llama un mapeo de x a f(x). Por ejemplo, podíamos haber postulado que, dado un conjunto de personas, para cada persona x el valor f(x) corresponde a su altura en centímetros. En Alemania, el matemático Richard Dedekind fue uno de los que más hicieron notar el concepto de una función como Abbilduag (que podemos traducir como proyección), precisamente para expresar que a un elemento dado (una persona en el ejemplo anterior) lo proyectamos en el espacio de medidas (las alturas en centímetros). Y aunque hoy comenzamos los cursos de matemáticas por ahí, en realidad los matemáticos se tardaron siglos en concretizar el concepto mismo de función y en llegar a la notación canónica f(x), hoy tan usual.
En la Antigüedad, en Babilonia y en Grecia se operaba implícitamente con funciones, sobre todo, a través de tablas. Un listado de observaciones astronómicas, por ejemplo, puede poner en correspondencia cada día del año con la posición de la Luna en el firmamento. El Almagesto, el libro de astronomía más importante de la Antigüedad, contiene muchas tablas astronómicas o de longitudes de cuerdas en círculos (que son proporcionales a la función seno del ángulo), pero sin llegar a condensarlas en una fórmula matemática lista para ser usada.
Realmente hay que avanzar hasta la invención de la geometría analítica, en el siglo XVII, para encontrar representaciones más explícitas de funciones especificadas por un valor de entrada (la ordenada x) y uno de salida (la abscisa y) o, como diríamos hoy, el par (x, y). Sin embargo, como las matemáticas no surgen de la nada, y para cada idea brillante podemos encontrar a veces más de un innovador, también en el caso de la geometría analítica podemos encontrar predecesores al trabajo de René Descartes.
Uno de esos pioneros fue Nicolás Oresme (1320-1382), una especie de sabio universal quien además fue obispo de la ciudad de Lisieux en Francia. Oresme no sólo trabajó sobre problemas filosóficos y de dinámica, sino ponderó también problemas económicos y la devaluación de la moneda. Para sus estudios sobre dinámica propuso representar el movimiento de un objeto utilizando dos dimensiones, la longitud y la latitud del objeto en movimiento. Aquí Oresme se remitía a la manera como los navíos pueden determinar su posición sobre la Tierra utilizando aquellos dos parámetros. Según Oresme, lo mismo se podría hacer sobre un plano, y por eso para una curva de movimiento el problema sería encontrar la latitud de la curva para cada diferente longitud. Sin embargo, Oresme nunca llegó a plantear estas ideas en forma algebraica, como sí haría Descartes, pero argumentaba con diagramas de movimiento que hoy podríamos considerar, benevolentemente, la gráfica de una función.
Con el filósofo francés René Descartes y su célebre Geometría de 1637 arribamos a lo que sería una nueva etapa en la historia del concepto de función; es decir, encontramos ahora sí funciones expresadas como fórmulas algebraicas y de las que se puede derivar por cálculo directo f(x) para cada x. Sin embargo, Descartes estaba consciente de que no toda curva en el plano puede ser expresada con una fórmula algebraica, y por eso distinguió desde el principio entre las curvas algebraicas y las que llamó mecánicas, es decir, que corresponden a movimientos posibles (ya que las podemos dibujar), pero para las cuales una formulación algebraica no siempre se puede proporcionar. A partir de Descartes y con el posterior refinamiento de la geometría analítica, ya nadie hablaría de longitudes y latitudes, sino de ordenadas y abscisas. Por cierto, al valor x se le llama la ordenada porque se identifica con algún valor de la linea ordinata, esto es, un eje con valores sucesivos de x; al valor f(x) se le llama la abscisa porque su valor se representa en la linea abscissa, que quiere decir la línea separada en latín.
Pero no fue Descartes quien comenzó a llamar función a las funciones. Más bien eso ocurrió en la correspondencia que intercambiarían durante años el alemán Gottfried von Leibniz y el suizo Johann Bernoulli. En sus cartas ambos discutían problemas matemáticos de toda índole. Aparentemente fue Leibniz quien propuso usar el término función, pero fue Bernoulli quien comenzó a abreviar “función de x” con una phi seguida de x, como en φx.
El término función aparece por primera vez en un manuscrito de Leibniz de 1673. Al principio del manuscrito Leibniz utiliza el término relación refiriéndose a la conexión entre la ordenada y la abscisa de una función en su gráfica. Pero el título del manuscrito es ya “el método de tangentes inversas, o acerca de funciones”. En este manuscrito Leibniz relaciona el segmento tangente a una curva con la ordenada x estableciendo implícitamente una relación funcional.
Leibniz y Bernoulli experimentaron con diferentes maneras de referirse a la función de x que hoy se nos antojan curiosas. La figura V.11 muestra una de sus ideas: la función de x se representa por una línea sobre x, o (x, y) si la función es de dos variables, y un índice a la derecha que nos permite numerar las funciones. En la figura están representadas dos funciones de x y dos de (x, y).
Pero hay que esperar hasta 1718 para encontrar la primera referencia impresa al concepto de función: un informe escrito por Bernoulli para la Academia de Ciencias de París, donde escribió: “Definición. Llamamos función de una magnitud variable a una cantidad obtenida de cualquier manera que sea a partir de esta magnitud y de constantes”. En la actualidad una definición así nos parecería oscura, pero era un primer paso. También en ese informe es donde Bernoulli propone escribir φx para referirse a f(x).
Fue el suizo Leonhard Euler, discípulo de Johann Bernoulli, quien casi un siglo después de la Geometría de Descartes introdujo finalmente una notación más general para referirse a las funciones, es decir, una notación como f(x), g(x), h(x), etc.
![]()
Figura V.11. La notación de Leibniz para funciones.
Pero primero Euler precisó la definición de una función en su Introductio in analysin infinitorum (Introducción al análisis de infinitos), escribiendo: “Una función de una cantidad variable es una expresión analítica compuesta de cualquier manera utilizando aquella variable y números o constantes”.

Figura V.12. Símbolo de función utilizado por Euler en “Additamentum ad dissertationem de infinitis curvis eiusdem generis”, en Commentarii academiae scientiarum Petropolitanae, Leonhard Euler, 7, 1740, pp. 184-200.
En 1734, ya Euler había comenzado a utilizar la notación moderna en un trabajo sobre curvas, donde se refiere a la función f(x/a + c), como se ve en la figura V.12.
Sin embargo, la difusión de este tipo de notación no fue inmediata. El mismo Euler no utilizó para nada la notación f(x) en su libro de 1748 sobre el análisis y, más bien, empleó la convención de que Z mayúscula es una función de la variable z minúscula. A menudo, simplemente anuncia en el texto que y es función de z, o bien z función de x, y procede con sus cálculos. Aún más, hay en el libro de Euler de 1748 una inconsistencia con el concepto moderno de función. Euler acepta que una función de x pueda tener dos o más valores para cada x, por ejemplo, cuando cada x produce dos soluciones en una ecuación cuadrática. En este caso, el valor de la función sería un conjunto de valores, pero Euler no contaba todavía con el lenguaje de la teoría de conjuntos para poder expresar esta idea.

Figura V.13. Fragmento en el que se observa la notación funcional de Euler con dos puntos antes del paréntesis. En “Recherches sur l’intégration de l'équation”, en Melanges de philosophie et de la mathematique de la societe royale de Turin, Leonhard Euler, 3) 1766, pp. 60-91.
La notación tardó en difundirse; lo vemos en los mismos trabajos de Euler, por ejemplo, en un escrito de 1753 y en otro de 1766 donde el helvético escribe no f(x), sino f:(x), que en cierto sentido es una notación más precisa que la moderna porque impide confundir al producto de dos números/y x con la función f de x. En la figura V.13 vemos un ejemplo con la función gamma del trabajo E319 de 1766 del Archivo Euler.
Eso quiere decir que desde 1734 la notación f(x) estaba en el aire y que otros matemáticos comenzaron a usar una notación similar, como fue el caso de D'Alembert en 1747 y más tarde de Legendre, quien utilizó la notación f:(x) de Euler. Pero todavía en el siglo XIX Charles Babbage, en Inglaterra, escribía las funciones de x como fx, es decir, sin utilizar paréntesis.
Me parece que la notación f(x) sólo se pudo difundir cuando el concepto mismo de función fue clarificado. En el caso de Leibniz, Bernoulli, Euler y algunos de sus sucesores está implícita la idea de que una función posee una expresión analítica. Ésos serían los casos relevantes y a investigar. Por eso, hasta bien entrado el siglo XIX se pensaba que dos funciones continuas que son idénticas en un intervalo de su argumento deberían ser idénticas en todos lados. Sin embargo, armados con el concepto de límite y de integración, algunos matemáticos construyeron funciones que, a pesar de ser idénticas en un intervalo, diferían notablemente fuera de éste. Entonces Dirichlet, en 1829, propuso una definición más general de una función: “y es una función de la variable x, definida en el intervalo a < x < b, si a cada valor de x en el intervalo le corresponde un valor definido de la variable y. Es irrelevante cómo se determina esta correspondencia”.
Esa sola palabra, irrelevante, puso finalmente los puntos sobre las íes respecto al concepto de función. No sólo eso, Dirichlet pasó a dar un ejemplo de una función patológica por ser discontinua en todos lados. Se trata de la función D(x) con valor 0 cuando x es racional y 1 cuando x es irracional. Es así como culmina el cambio de perspectiva de Euler, que transformó a las funciones en el objeto privilegiado de las matemáticas.
Después de Euler, poco a poco la notación f(x) se fue difundiendo en el mundo académico, y fue tal vez por la disciplina que impusieron las primeras revistas matemáticas por lo que la notación se convirtió en estándar y es la que usamos en la actualidad.
§. Épsilons, deltas y la invención de los números reales
En las matemáticas modernas, casi lo primero que aprendemos al encontrarnos con el cálculo diferencial e integral en la universidad es a demostrar la existencia de límites, utilizando argumentos que emplean la épsilon y la delta, dos letras griegas destinadas desde hace más de cien años a aterrorizar a los estudiantes de ciencias en su primer semestre.
La figura V.14 muestra la intuición que necesitamos para entender el concepto de límite. Si una sucesión de valores a1 a2, a3,..., es tal que a partir de cierto índice N, la sucesión ya no sale del corredor de valores entre a - 𝜀 y a + 𝜀, y, además, 𝜀 se puede hacer tan pequeña como se desee (aumentando el índice N si es necesario), entonces podemos decir que la sucesión converge al valor a. Como muestra la imagen, si podemos meter la secuencia en un tubo de radio 𝜀 a partir de cierta N, y si además el tubo se puede hacer cada vez más delgado, esperamos que en el infinito la secuencia converja al valor a.

Figura V.14. Una sucesión convergente.
Este tipo de argumentación basada en definir un intervalo de convergencia (a - ε, a + ε) fue utilizada por el matemático francés Augustin Louis Cauchy (1789-1857), quien perteneció a la nueva generación de matemáticos nacidos después de la Revolución francesa para, con su obra, abrir el siglo XIX. Cuando Cauchy estaba escribiendo sobre límites decidió, aparentemente, utilizar la letra épsilon para denotar desviaciones o errores respecto al límite.
Cuando Cauchy realizó sus investigaciones matemáticas, el concepto mismo de número real no estaba todavía completamente desarrollado. Si pensamos otra vez en una secuencia infinita a1, a2, a3,...,an,... y se nos dice que a partir de cierto índice N la distancia entre an y todos los valores posteriores de la sucesión es menor que un épsilon positivo arbitrario, es claro que la secuencia va frenando, se va aproximando cada vez más a un valor único. Sucesiones de este tipo son llamadas sucesiones de Cauchy precisamente por el trabajo pionero del matemático francés. Una sucesión de Cauchy es, por ejemplo, la serie de valores descubierta por Leibniz que converge a π/4:
![]()
Supongamos por un momento que no supiéramos que la suma infinita converge a π/4 . ¿Cómo podemos saber para cada sucesión de Cauchy, es decir, para una sucesión que va frenando, que existe un número al cual converge? En otras palabras, ¿cómo podemos afirmar que existe un número que representa el límite de la suma infinita? ¡La respuesta rápida es que no podemos!, a menos que contemos con un modelo o definición de los números reales que nos permita demostrar que cualquier serie de Cauchy, por ejemplo, de racionales, converge a un número real. Eso fue precisamente lo que logró crear Richard Dedekind en Alemania, quien con sus célebres cortes de Dedekind proporcionó uno de los primeros modelos formales rigurosos de lo que entendemos por números reales. Nos podríamos imaginar, por ejemplo, una situación donde la línea de los números sólo contiene los números racionales, pero tendríamos numerosos agujeros que el modelo de Dedekind rellena.
En 1871 el matemático alemán Georg Cantor transformó la misma deficiencia de la teoría en una virtud. Si tenemos series de Cauchy que se acercan arbitrariamente la una a la otra, las llamamos equivalentes, es decir, que convergen al mismo punto. Un número real es, entonces, un conjunto infinito de series de Cauchy que son equivalentes. Para cada número real existe al menos una serie de Cauchy que lo representa. De hecho, basta que nos fijemos en las series de Cauchy definidas con números racionales, es decir, fracciones de enteros, y así podemos dar el salto de tener sólo los números racionales a tener ahora también todos los irracionales, como son π o la raíz de 2.
Para entender esta definición de los números reales imaginemos lo siguiente en un mapa: todas las carreteras que desembocan en el mismo punto son equivalentes precisamente por eso, porque terminan en el mismo lugar. Pero en el plano euclidiano no queremos tener agujeros; por eso podemos definir cada punto en el plano como el conjunto de todas las carreteras que desembocan en él.

Figura V.15. Argumentación de Cauchy con épsilons y deltas en Résumé des leçons données a l’École Royale Polytechnique sur le calcule infinitésimal (Augustin-Louis Cauchy, Chez Debure, París) 1823, p. 27).
Cuando se hace una definición de este tipo, hay todavía que demostrar que es una buena definición, es decir, que no contradice el resto de la teoría. Eso se ha hecho con la definición de Cantor, y es la que se utiliza con más frecuencia hoy en día para hablar de los números reales (no en el plano, sino sobre una línea, la línea de los números, que de esta manera no tiene huecos).
Nos faltan las deltas. Para hablar de que una función f es continua podemos examinar qué sucede si metemos al valor f(x) en una jaula, es decir, un intervalo (f(x – ε), f(x + ε)). Si para cada intervalo alrededor de f(x) podemos encontrar otra jaula, esto es, otro intervalo, alrededor de x de la forma (x - δ, x + δ) de tal manera que todos los puntos de este intervalo sean proyectados por f al interior del intervalo (f(x – ε), f(x + ε), entonces decimos que la función no da saltos, es decir, que es continua.
Pero aquí debemos parar, porque de otra manera pudiéramos desatar en el lector las mismas angustias que en los estudiantes de primer semestre.
§. Llegar al límite
En la historia del cálculo diferencial e integral hay una primera fase metafísica, donde se realizan cálculos algebraicos utilizando números infinitesimales, es decir, distintos de 0, pero más pequeños que cualquier otro número positivo. La derivada de una función y de x es el cociente Δy/Δx cuando los dos incrementos son infinitesimales, es decir, pequeñísimos.
Nadie fue más sarcástico que el filósofo George Berkeley (1685-1753) al criticar esta manera de proceder. Berkeley llamó a los infinitesimales los espectros de números que han sucumbido. En realidad, esta crítica afectaba quizá más a la argumentación de Leibniz que a la de Newton. Este último concebía derivadas como la velocidad de cambio de funciones. La noción de velocidad tiene mucha tradición en la física y es intuitivamente muy respetable.
Sin embargo, con el tiempo se comprendió que había una forma de argumentar rigurosamente utilizando el concepto de límite. En lugar de hablar de cantidades infinitamente pequeñas, como todavía había hecho el gran Leibniz, nos fijamos en la aproximación de una sucesión de valores a un punto límite. Por ejemplo, si tenemos la sucesión de valores 1, ½, ¼, ⅛,..., etc., podemos ver que la sucesión de números se aproxima al valor 0 cada vez más, ya que cada nuevo número es la mitad del anterior. Decimos entonces que 0 es el límite de la sucesión.
El concepto intuitivo de límite ya había aparecido desde las matemáticas griegas. De Arquímedes se dice que pudo calcular la suma infinita

cuyo valor, en el límite, es 1/3. La imagen siguiente nos muestra que este resultado es evidente desde el punto de vista geométrico. Si el cuadrado es de área 1, la esquina inferior izquierda (en negro) tiene área 1/4. El siguiente cuadrado negro tiene área 1/16, el siguiente 1/64, y así sucesivamente. Es fácil ver que el área gris es igual al área negra en la figura, e igual al área blanca. Por tanto, el área negra tiene superficie igual a 1/3.

Éste es un ejemplo del método exhaustivo utilizado por Arquímedes, que es en realidad un cálculo en el límite.
Esta idea de puntos límites es importante para formalizar las matemáticas, porque es también la manera de definir todos los llamados números reales. El valor de √2, por ejemplo, no puede ser escrito como un cociente de enteros, es decir, como un número racional, pero sí como el límite de una sucesión infinita de valores. La aproximación decimal, si tuviéramos un oráculo que nos proporcionara todas las cifras, nos da una sucesión infinita de valores cada vez más cercanos a √2, por ejemplo: 1.4, 1.41, 1.414, 1.4142, etc. Otra forma de aproximar √2 es utilizando un cociente infinito. Al ir agregando más y más términos en el cociente de abajo, se va obteniendo una mejor aproximación a √2:

En el inicio de la teoría de límites a veces sólo se aceptaban aproximaciones al límite por abajo o por arriba, es decir, con números siempre menores o siempre mayores que el límite. Con el tiempo esa restricción desapareció.
La argumentación típica en el caso de los infinitesimales era la siguiente: si nos fijamos en la función y = x2, un ligero incremento Δx de la variable x produce un incremento Δy = (x + Δx)2 - x2 = 2xΔx + (Δx)2 de la función. La razón de los dos incrementos es
![]()
Como se ve en el ejemplo, para realizar la reducción algebraica operamos como si Δx fuera diferente de 0. Terminamos haciendo Δx = 0 y obtenemos la derivada final, 2x. Eso era precisamente lo que le molestaba a Berkeley. ¿Cómo se puede argumentar primero como si Δx no fuera 0 y a continuación resulta que sí es igual a 0? Leibniz eliminaba Δx porque, tratándose de un infinitesimal, su valor es despreciable respecto al valor de 2x.
Obviamente hay aquí un problema conceptual, ya que no está bien definido qué es un infinitesimal. El concepto de límite es la solución: pensamos en 2x + Δx como una expresión donde el incremento Δx es cada vez más pequeño y se aproxima a 0. Es decir, el límite de Δx es 0 y el de 2x + Δx es 2x . Para todo esto necesitamos un álgebra de límites que nos permita calcular rápidamente qué pasa cuando sumamos, sustraemos o multiplicamos variables que están acercándose a ciertos límites.
Por todo esto, en 1784, casi cien años después de la invención del cálculo por Leibniz y Newton, las dudas y paradojas aún subsistían, aunque los matemáticos ya habían comenzado a trabajar implícitamente con límites de sucesiones y de funciones. Para esclarecer todas estas dudas, el matemático francés Joseph-Louis Lagrange, quien era presidente de la Academia Prusiana de Ciencias, propuso un concurso de ensayos matemáticos con objeto de obtener una teoría más precisa. La academia pidió “una teoría clara y rigurosa de lo que se llama el infinito en matemáticas”. Y continuaba:
[...] la geometría superior frecuentemente manipula cantidades infinitamente grandes o pequeñas [...] algunos famosos analistas contemporáneos admiten que las palabras magnitud infinita son contradictorias. Por eso la Academia demanda que se explique cómo se pueden obtener tantos teoremas correctos partiendo de un supuesto erróneo y que se desarrolle una base conceptual que pueda asumir el lugar del infinito sin hacer los cálculos muy difíciles o muy extensos.
Entre los trabajos que fueron enviados a la academia se encontraba el de Simón Antoine Jean L’Huillier (1750-1840), a quien le fue otorgado el premio en 1786. Fue L’Huillier quien introdujo la abreviatura lím. o bien Lím. para referirse al límite de una sucesión de valores. L’Huillier no contaba aún con un formalismo libre de errores, pero pudo derivar la mayoría de las reglas que usamos hoy para trabajar con límites de expresiones algebraicas. La figura V.16 es un extracto del texto de L’Huillier, donde formula claramente que la derivada de una función P de x es el límite de ΔP/Δx.

Figura V.16. La notación de L’Huillier en Exposition élémentaire des principes des calculs supérieurs: qui a remporté le prix proposé par l’Académie royale des Sciences et belles-lettres pour l’année 1786, Simón L’Huillier, G.-I. Decker, Berlín, 1890-1910).
Hoy en día utilizamos la notación lím Δx sin el punto, que todavía L’Huillier anotaba para indicar la abreviatura. No debemos creer, sin embargo, que la obra de L’Huillier terminó rápidamente con la metafísica de los infinitesimales. Eso sucedió más adelante, cuando se desarrollaron los métodos algebraicos con épsilons y deltas para formalizar por otro camino la noción de límite.
El famoso Karl Weierstrass sería quien contribuiría de manera fundamental a lo que se llamó después la algebraización del análisis. Weierstrass eliminó todos los conceptos inseguros y, utilizando la notación Lím para denotar límite, indicaba debajo de las tres letras el valor numérico del límite de la variable independiente, como en la expresión
![]()
Se le atribuye al matemático inglés John Gastón Leathem (1871-1923) haber sustituido la igualdad usada por Weierstrass con la flecha, que es más común hoy en día, como en
![]()
Esto ocurrió en su libro Volume and Surface Integrals Used in Physics. En la figura V.17 podemos ver un facsímil de esa obra.

Figura V.17. Uso de la notación con flechas en la obra de Gastón, Volume and Surface Integráis Used in Physics (John Gastón Leathem) Cambridge University Press, Londres, 1922; fuente: Internet Archive)
§. El dardo matemático
La flecha es un símbolo difícil de rastrear en la historia de las matemáticas y, de hecho, también en la historia de la tipografía, aunque se trata del primer ejemplo de ingeniería humana. Las puntas de flecha más antiguas que se han encontrado datan de hace 64.000 años y fueron halladas en África, cuna de la humanidad. Con la flecha, el Homo sapiens pasó de emboscar animales a atacarlos directamente, a distancia pero de frente.
Hoy en día utilizamos flechas en matemáticas para todo. Para indicar que una función f toma argumentos reales y produce argumentos también reales, escribimos f: R → R. Cuando queremos indicar que un elemento a se transforma en un elemento b, escribimos a → b. Incluso, cuando queremos afirmar que de una premisa A se concluye un resultado B, escribimos A → B) es decir, A implica B. En textos matemáticos la flecha representa 2.3% de los símbolos en expresiones matemáticas, lo cual muestra su utilidad.

Figura V.18. Diagrama de un molino de agua que muestra el uso simbólico de flechas, en Architecture hydraulique, ou L’art de conduire, delever et de ménager les eaux pour les différens besoins de la vie (Bernard Forest de Belidor) Biblioteque Royale, París, 1737, encarte consecutivo a lap. 320; fuente: Bibliotheque nationale de France, département Réserve des livres rares, V-9867).
La flecha no tiene una larga historia en la tipografía. Se comenzó a utilizar en diagramas técnicos y mapas para indicar la dirección del flujo del agua o del vapor. Todavía en la Enciclopedia de Diderot, de 1751, todas las láminas y diagramas hacen uso profuso de letras para referirse a porciones de los dibujos, pero no hay flecha alguna. En la figura V.18, de 1737, la flecha indica el movimiento del agua, pero es una flecha completa, hasta con las plumas que la estabilizan. El mismo tipo de representación se usaba en mapas para anotar la dirección del flujo de los ríos.
Y aquí es donde comenzamos a adentrarnos en la espesa bruma de la historia. Aparentemente, las primeras flechas tipográficas simplificadas se comenzaron a utilizar en el siglo XIX, y ya Riemann en 1856-1857 las emplearía para indicar transiciones entre soluciones de ecuaciones, como se puede ver en la figura V.19, que es la transcripción de una clase en el pizarrón.

Figura V.19. Transcripción de un curso de Bernhard Riemann de 1856-1857: The Collected Works of Bernhard Riemann: The Complete German Texts, Dove Publications, Nueva York, 2017, p. 27.
Sin embargo, éste no es el uso privilegiado de la saeta matemática, porque se trata sólo de transiciones de un elemento a otro. Cuando escribimos algo como f: A → B estamos indicando que una función f toma argumentos en un conjunto A y produce resultados que pertenecen al conjunto B. La flecha tipográfica es precisamente un dardo que de un dominio, en este caso A, nos lanza directamente a otro dominio, B, es decir, representa transiciones de conjunto a conjunto. El conjunto A podrían ser todas las personas de una ciudad y el B el conjunto de sus posibles estaturas en metros y centímetros. Y, como mencionamos en otra sección, la notación con dos puntos, f: (x), la utilizaba Leonhard Euler para referirse a la aplicación de funciones antes de que se simplificara la notación a f(x), como la escribimos hoy.
Esta interpretación de una función como mapeo de un conjunto a otro es algo que se desarrolló gradualmente en las matemáticas, y fue Richard Dedekind, en Brunswick, uno de los que más insistieron en este significado. Así define Dedekind una función en su incomparable estudio de 1887 sobre la construcción de los números reales (“Was sind uns was sollen die Zahlen?”): “Entendemos un mapeo 𝜑 de un conjunto S como una ley que a cada elemento s en S le asigna un objeto específico que llamamos la imagen 𝜑(s) de s”. Sin embargo, en ninguna parte de este trabajo de Dedekind encontramos la flecha que podría representar los mapeos.
Los primeros ejemplos que se antojan más modernos del uso de la flecha matemática ocurren hacia fines del siglo XIX y principios del XX, pero comencemos por la lógica, ya que es más sencillo. Giuseppe Peano propuso utilizar la C rotada 180 grados para indicar implicación lógica en su famoso Formulario matemático. En Principia mathematica, Norbert Whitehead y Bertrand Russell suavizaron la C invertida y la transformaron en la notación p ⊃ q, para indicar que el enunciado p implica al enunciado q. En Alemania, el célebre David Hilbert, tan interesado en fundamentar las matemáticas de manera rigurosa, publicó su propio libro de lógica junto con Wilhelm Ackermann en 1928. El libro resume los cursos de Hilbert del periodo 1917-1922 y propone una notación lógica muy similar a la de Whitehead y Russell, pero en el caso de la implicación, Hilbert decidió utilizar la flecha (p ↔ q), que empleamos hoy en día. Es más, Hilbert propone la doble flecha para indicar que dos aseveraciones son equivalentes. Si p implica q y q implica p, escribimos p ↔ q. Así que en el caso de la lógica la situación parece muy clara, y fue David Hilbert quien redondeó el lenguaje de lo que ahora llamamos la lógica de predicados.
En el caso de las funciones, parece que el uso de la flecha para representar un mapeo fue madurando lentamente. Fue utilizada por Félix Hausdorff en 1933 en sus trabajos sobre topología, y es casi natural que así sea. Por más abstracta que sea la topología (cuyos cursos pueden infundir pavor en los estudiantes de matemáticas más aguerridos), una buena parte de lo que se hace en esta área de las matemáticas es investigar las llamadas transformaciones topológicas. Una pregunta clásica es si podemos transformar un cubo en una esfera de manera continua, como si fuera de plastilina, pero sólo apretando y alargando la masa plástica sin romperla para producir agujeros. Una esfera no se puede transformar en una dona (que en términos más elegantes se llama un toroide) sin producir una ruptura. Por eso, si estamos transformando un objeto de A a B y de B a C, parece natural utilizar flechas para indicar las transformaciones. Gracias a esta idea de que podemos transformar algunos objetos en otros de manera continua se hace el chiste de aquellos matemáticos que, atrapados en una jaula con un león que los acecha desde afuera, resuelven el problema transformando la jaula topológicamente para que sea el león el que ahora quede adentro de la jaula, mientras ellos quedan libres.
En la literatura sobre topología se pueden encontrar numerosos ejemplos del uso notacional de la flecha a partir de fines de 1920 (como en el facsímil de 1930 de un libro de álgebra de Van der Waerden que vemos en la figura V.20), aunque a veces se menciona un artículo de 1940 de Hurewicz y Steenrod (“On duality theorems”) como el trabajo donde no queda lugar a dudas sobre el uso moderno de la notación. A mí me parece que el uso, durante el siglo XIX, de la flecha para representar transiciones entre elementos de conjuntos hizo trivial, hasta cierto punto, utilizar la flecha para representar transiciones entre los conjuntos mismos, por lo que no me sorprendería que con el tiempo se vayan descubriendo nuevos ejemplos de este tipo de uso en vetusta literatura matemática.

Figura V.20. Uso de la flecha para denotar transformaciones en un facsímil de Álgebra moderna, B. L van der Waerden, 1930.
Milenios atrás, en alguna cueva africana, un Homo sapiens dio un pequeño paso al crear la primera flecha. Fue un gran paso para la humanidad y posteriormente para las matemáticas, que pudieron expandir su instrumental simbólico con la flecha que hoy aparece en todos los libros.
Capítulo VI
Conjuntos y funciones
§. Existencia: una ventana para ver variables
§. El cuantificador universal
§. ∈ es para pertenencia
§. El conjunto de los números racionales
§. Las matemáticas y la Nada
§. Unión e intersección
§. El Aleph y el paraíso de los infinitos
§.Existencia: una ventana para ver variables
En el caso de algunos símbolos matemáticos no tenemos absoluta certeza acerca de su primer uso. En ocasiones no podemos establecer de manera inequívoca si un autor tomó un símbolo o no de la obra de otro matemático. Sin embargo, no es así en el caso del símbolo de existencia: ∃, la E invertida. Si sabemos que existe alguna x tal que x + 1 = 0, lo podemos expresar utilizando el símbolo de existencia de la siguiente manera:
∃x (x + 1 = 0).
Sabemos, sin lugar a dudas, que el matemático italiano Giuseppe Peano (1858-1932) utilizó esta notación por primera vez en su Formulario matemático, libro que editó y reeditó de 1895 a 1908 en diferentes idiomas. Y es que Peano se había embarcado, desde 1892, en un proyecto para expulsar el lenguaje común y corriente del paraíso matemático, como si se tratara de Eva, Adán y el pecado original. Peano escribió en 1915 que el simbolismo lógico fue el último en sumarse al arsenal de las matemáticas:
“El simbolismo de las matemáticas, el cálculo lógico, también llamado álgebra lógica, fue el último en aparecer. Pero ya en su desarrollo actual no es nada inferior a los simbolismos que le precedieron para la aritmética, el álgebra y la geometría [...].
La utilidad principal de los símbolos de la lógica es que facilitan el razonamiento”.
Peano tiene razón. Hemos visto en estas páginas que los símbolos de las operaciones aritméticas y algebraicas tienen una historia centenaria. Sin embargo, los símbolos lógicos apenas comienzan a aparecer en el siglo XIX como parte de un programa para reducir las matemáticas a la lógica, un esfuerzo que aún continúa hoy en día y que iniciaron autores como Frege, Boole y Peano.
Desde la introducción a su Formulario, Peano ya nos presenta el nuevo símbolo de existencia, muy distinto a la oscura notación que todavía utilizara Gottlob Frege hasta pocos años antes. La figura VI.1 muestra la definición del símbolo de existencia en el texto (en francés) de Peano. Pero si Peano creó el símbolo, quienes realmente lo difundieron y popularizaron fueron los británicos Alfred N. Whitehead y Bertrand Russell, quienes en su opus magnum, los inescrutables volúmenes de Principia mathematica, se dieron a la tarea de reescribir todo teorema usando exclusivamente símbolos lógicos. Russell se encontró con Peano en 1900, en el Congreso de Filosofía de París, y ahí conoció su notación, la cual decidió adoptar con algunas variantes. La siguiente ilustración resume los principales símbolos de lo que posteriormente se ha llamado la notación de Peano-Russell.

Figura VI.1. Definición del símbolo de existencia en la obra Formulaire de Mathématiques, de Giuseppe Peano (Georges Carré et C. Naud Editeurs, París,1901; fuente: Internet Archive).
Para la existencia de variables que pueden hacer que una fórmula sea verdadera se utiliza ∃, mientras que para expresar que una fórmula es válida para toda variable x Russell utilizaba la notación (x) en vez de la notación más moderna ∀x.

Figura VI.2. Símbolos de la notación lógica de Peano y Russell.
En el capítulo 1 de Principia, Whitehead y Russell rinden tributo a Peano: “La notación adoptada en esta obra está basada en la de Peano, y las explicaciones siguientes se ajustan a las que él antepone a su Formulario matemático. Utilizamos los puntos como paréntesis y muchos otros de sus símbolos”.
Como se ve en la lista de operadores, utilizando la notación de Peano-Russell se pueden combinar fórmulas lógicas de manera conjuntiva o disyuntiva; se puede expresar la implicación, o bien, que dos fórmulas son equivalentes. Se pueden negar fórmulas y se puede partir de aseveraciones iniciales. Es decir, con esta notación es posible desarrollar toda la lógica de predicados.
Lo más engorroso y peculiar de la notación de Peano, y después de la de Whitehead y Russell, es el uso de puntos en lugar de paréntesis. Por ejemplo, la fórmula
![]()
se puede escribir utilizando paréntesis en una forma más legible:
![]()
que se puede simplificar a
![]()
y que se puede leer “si la fórmula p o la fórmula p son verdaderas, la fórmula p es verdadera”.
Como se puede ver en la tabla de símbolos, el símbolo de conjunción y el símbolo para todo fueron posteriormente sustituidos por ⋀ y por ⋁, pero en su conjunto la publicación de Principia marca un hito en las matemáticas modernas, que ya prácticamente habían alcanzado su notación lógica definitiva.
Peano no la tuvo fácil con su formalización logicista de las matemáticas. Utilizaba borradores de su Formulario como libro de texto para sus cursos de ingeniería en la Universidad de Turín y se enfrentaba a las quejas de los estudiantes, que avanzaban muy lentamente en la aplicación de las matemáticas, lo que realmente les interesaba como aspirantes a ingenieros. Sus colegas le llegaron a prohibir a Peano dar ciertos cursos debido a su formalismo extremo.
Irónicamente, lo que no imaginaba Peano cuando volteó la E es que de esa manera llevaba la épsilon mayúscula griega de regreso a sus orígenes. En el alfabeto fenicio la E era la letra he, que se escribía así:
. Los griegos invirtieron algunas de las letras al pasar a escribir de izquierda a derecha y no de derecha a izquierda, como los fenicios. El grafismo de he representaba el primer sonido del vocablo ventana en el alfabeto de los mercaderes y navegantes del Mediterráneo. No es necesario esforzarse mucho para poder percibir en la imagen la ventana que representa la letra E.
La versión invertida ∃ representa por eso las rendijas a través de las cuales el voyeur matemático puede vislumbrar que algo existe. En su búsqueda incesante de nuevos símbolos con los cuales aumentar el instrumental gráfico de las matemáticas, de vez en cuando los corifeos de esta ciencia han tomado alguna letra latina y la han invertido. Es el caso del símbolo ⩝, que es sencillamente una A mayúscula puesta de cabeza, y que en expresiones como ⩝x F(x) leemos así: “para toda x, F(x) es válida”. Este símbolo es de reciente creación: tiene menos de cien años de antigüedad, ya que fue propuesto en 1933 por el matemático alemán Gerhard Gentzen, famoso por sus investigaciones en el campo de la lógica.

Figura VI.3. Fragmento de la disertación de Gentzen donde propone el cuantificador universal) en Untersuchungen über das logische Schliessen, Mathematisch Zeitschrift (Geliard Karl Erich Gentzen, 39 [1], 1935),pp. 176-210).
Lo primero que habría que aclarar es por qué se utiliza una A invertida para referirse a todo. En alemán la palabra Alte quiere decir todos. Tiene su origen en alguna raíz indogermánica, y por eso también en inglés se utiliza el vocablo all con el mismo significado. Si el italiano Giuseppe Peano decidió en 1897 utilizar la E rotada para denotar una variable que existe (3x), es decir, lo que llamamos el cuantificador existencial) es claro que Gentzen no se quiso quedar atrás al invertir la A para crear el nuevo símbolo de cuantificador universal. Esto ocurrió en su tesis doctoral, titulada Investigaciones sobre injerencia lógica y defendida en la Universidad de Gotinga. Ahí, a pie de página, Gentzen confiesa que para crear el nuevo símbolo simplemente se dejó guiar por Peano.
Cuando se estudia lógica se aprende a trabajar primero con los operadores de verdad, como la conjunción, la disyunción y la negación. El siguiente paso es analizar proposiciones que contienen variables (los llamados predicados), por ejemplo, el predicado “x = x + 0”, que es válido para toda x numérica. Otros predicados, como “x = 1 + 1”, son válidos sólo para una x particular. De ahí la necesidad de especificar, ya sea que al menos una x existe, o bien que la expresión es válida para toda x. Los símbolos ⩝ y V cumplen esa función como cuantificadores de la lógica de predicados porque especifican de cuántas x estamos hablando.
El primero en esclarecer de manera rigurosa el uso de los cuantificadores fue el matemático Gottlob Frege en su obra de 1879 titulada Begriffssehrift) que se puede traducir literalmente como “Notación conceptual”. Su notación lógica no se emplea hoy en día porque utiliza las dos dimensiones del papel con diagramas que parecen más bien circuitos electrónicos. En sus esquemas, la expresión para toda x se representa con una x arriba de una pequeña concavidad a lo largo de la línea que conecta con el predicado a cuantificar:
![]()
El Begriffssehrift fue sin duda fundacional y le trajo celebridad a su autor, aunque la notación diagramática nunca ganó adeptos debido a que es más fácil escribir matemáticas renglón por renglón, anotando las expresiones de izquierda a derecha, que dibujarlas como circuitos. Otros matemáticos, como el norteamericano Charles Sanders Peirce, propusieron sus propios símbolos para los cuantificadores. Peirce, en particular, utilizó en 1885 las letras griegas II y Z como los cuantificadores universal y existencia!, respectivamente, especificando las variables como subíndices:
![]()
donde cada expresión a la izquierda utiliza la notación de Peirce y la expresión equivalente a la derecha emplea la notación moderna. La notación de Peirce perduró hasta los años treinta, como lo atestigua el hecho de que Kurt Gödel la empleara en sus famosos trabajos sobre la consistencia y la suficiencia de los axiomas de la aritmética.
Aparentemente, Peirce influyó sobre Peano, pero éste decidió utilizar otra notación: la 3 para el cuantificador universal y (x) para expresar para toda x. No lo sabemos a ciencia cierta, pero es posible que la notación del cuantificador universal, es decir, una x entre paréntesis, haya sido también inspirada por Frege, y es que tanto el bache de Frege como los paréntesis de Peano circundan la variable de la que estamos hablando.
Hay que tener en cuenta que todas estas investigaciones fueron inspiradas por el llamado programa de Hilbert es decir, la idea de que un problema central de las matemáticas es el de demostrar que sus axiomas son suficientes y además no albergan contradicciones. Para hacerlo, hay que ir hasta el fondo de la argumentación lógica creando modelos cada vez más computacionales) como diríamos hoy en día. Si los axiomas son simples y las reglas de inferencia claras, entonces verificar un teorema es algo mecánico pero muy fastidioso, ya que hay que ir paso por paso, corroborando cada inferencia lógica por pequeña que sea.
La culminación de este esfuerzo logicista fue la obra monumental Principia mathematica) un verdadero tour de force) publicada por Russell y Whitehead entre 1910 y 1913.
En ese contexto, Gentzen comenzó a trabajar en lógica con la intención de mejorar el programa de Hilbert, de quien además era asistente en Gotinga. De Gentzen se dice que era un matemático genial, retraído de todo lo mundano pero dispuesto a cerrar pactos fáusticos con tal de avanzar en su profesión. Para garantizar una ocupación académica o de docente de matemáticas, Gentzen se registró en la organización nazi llamada Sturmabteiluag (un pavoroso grupo paramilitar) sólo meses después del acceso de Hitler al poder. A pesar de no haber mostrado ningún interés real por la política, Gentzen ratificó ese pecado original con su ingreso al Partido Nacional Socialista Alemán de los Trabajadores (NSDAP, por sus siglas en alemán) en 1937, y a la asociación nazi de profesores un año antes. En 1943 decidió aceptar una plaza académica en la ocupada Praga, donde una de sus tareas consistió en dirigir parte de los trabajos de cálculo numérico requeridos para el proyecto V2, el proyectil alemán desarrollado por Wernher von Braun (quien, irónicamente, sería después director de la NASA).
Las investigaciones lógicas de Gentzen rindieron frutos mucho antes de la guerra. Pudo demostrar la ausencia de contradicciones en los axiomas de la aritmética de Peano, utilizando una demostración metateórica, esto es, basada en otro modelo del que se presume su consistencia. Estaba seguro de que podría lograr algo similar para el análisis (es decir, incluyendo el concepto de límite), pero falleció poco después de la capitulación de Alemania. No huyó de Praga a pesar de las recomendaciones de otros académicos alemanes, ya que, ingenuamente, se sentía libre de culpa personal. Fue capturado después de la liberación de Praga, sometido a trabajos forzados y murió de desnutrición en una celda en esa ciudad en agosto de 1945.
A veces pienso que el símbolo de Gentzen nos remite a los horrores de la segunda Guerra Mundial, a la destrucción de tantas vidas y destinos, a crímenes inenarrables, pero también al programa de Hilbert y a la escuela de Gotinga. Por eso se parece a una lágrima cubista que Picasso podría haber pintado brotando de un ojo.
§. ∈ Es para pertenencia
Cuando queremos decir que x es un elemento del conjunto A escribimos simplemente x ∈ A. La e estilizada griega la podemos pensar como la primera letra de está o esti en griego (est en latín). Este símbolo formó parte de la notación de Whitehead y Russell en Principia mathematica. No podía haber sido otro sino Giuseppe Peano, de quien Whitehead y Russell tomaron mucho de su notación, quien propusiera usar la épsilon para denotar pertenencia a un conjunto o clase (véase en la figura VI.4b la parte de la edición francesa de su Formulario matemático donde relaciona épsilon con la primera letra de la palabra esti). Algunos años antes, en 1888, en su libro Arithmetices principia: nova methodo) Peano utilizó la épsilon estilizada (£) con el mismo propósito.
Menos suerte tuvo la épsilon invertida que Peano utilizó para expresar “x satisface la fórmula p”, escrito como se ve en la figura VI.5. Esta notación no se extendió, y de hecho la épsilon misma quedó separada de la notación lógica al haber creado Whitehead y Russell una versión estilizada de la letra griega.

Figura VI.4a. Definición del símbolo de pertenencia en el Formulaire de Mathématiques de Giuseppe Peano, Georges Carré et C. Naud Editeurs, París, 1901 (fuente: Internet Archive).

Figura VI.4b. Peano adopto la epsilon por ser la primera letra de ¿orí, que significa pertenece en griego.

Figura VI.5. Epsilon invertida en la notación de Peano.
Si Peano fue un formalista, Whitehead y Russell lo fueron aún más: la lista completa de definiciones de la notación usada ¡llena ocho páginas al final del volumen 1 de la segunda edición de 1925!
§. El conjunto de los números racionales
Mientras los biólogos se dedican a clasificar especies, los matemáticos se dedican a la taxonomía numérica, como si los números estuvieran vivos. Así, distinguen entre los números naturales, los enteros con cualquier signo, los números que se pueden escribir como una fracción de dos enteros (o como se dice en la escuela, un quebrado) y también aquellos que no se pueden representar por una fracción, por ejemplo, el afamado número π. A los números que se pueden expresar como fracción se les llama racionales, y a aquellos que se resisten a ser reducidos a una división de enteros se les llama irracionales. Si ustedes son como yo, cuando aprendí esta distinción no reparé de inmediato en su verdadero significado. Intuitivamente, racional suena a comprensible, mientras que irracional sería lo contrario. Algo así como los números impenetrables. Pero ése no es el significado correcto.
Los matemáticos congregan los diversos números en conjuntos, y para los racionales la tradición es representarlos con la letra Q, pero en su variante de pizarrón, es decir, ℚ. Los enteros se representan frecuentemente con la letra Z, mientras que para los irracionales no existe una notación estándar. Son el patito feo de la aritmética.
Resulta que el vocablo racional se deriva del latín ratio, que, entre otras cosas, quiere decir razón) es decir, nos referimos a la relación entre dos números a y b (el cociente a/b). Así explicado, es más sencillo entender la terminología: lo que queremos decir es que los números racionales son aquellos que se pueden expresar como una proporción de números enteros. Sin embargo, la palabra latina ratio también se puede traducir en sentido cognitivo, como cuando decimos que algo es razonable. De ahí la ambigüedad del término.
Los números que le dieron un susto a los matemáticos griegos fueron los irracionales, por ejemplo, √2, ya que se salían del esquema de poder representar a todos los números como cocientes de enteros. Los irracionales son números que nos complican la vida, aparentemente. El gran Euclides de Alejandría llamaba a los números irracionales asymmetra, que se puede traducir como inconmensurable. Dado un segmento como patrón de referencia o unidad, no se le puede dividir en un número finito de partes iguales que puedan cubrir a un segmento de longitud irracional. Por eso, filósofos como Aristóteles les negaban la calidad de números, ya que no se pueden expresar como múltiplos o submúltiplos de la unidad en un número finito de pasos.
Hoy, con la herramienta de los números decimales a nuestra disposición, podemos decir simplemente que los irracionales son aquellos números que requieren una cantidad infinita de dígitos decimales después del punto, sin que la secuencia se repita nunca. Los podemos aproximar con 10, con 20, con 30 o más dígitos, sin poder alcanzar nunca su valor exacto. Esos números albergan en sus entrañas al infinito, tan problemático en la alborada de las matemáticas.
Los primeros en tropezar con los números irracionales fueron Pitágoras y sus discípulos, quienes pudieron demostrar que s¡2 no corresponde a ningún cociente de enteros. El descubrimiento era tan importante (y angustiante) que juraron guardar el secreto. Los pitagóricos eran seguidores de la numerología, es decir, la idea de que la realidad se deriva de los números y de que los números, a su vez, reflejan la realidad. Para esta secta, por ejemplo, los números impares eran números masculinos mientras que los pares eran los números femeninos. Encontrar números que se salían del sistema establecido era por eso completamente desconcertante. La leyenda cuenta, incluso, que el pitagórico Hípaso fue asesinado por sus cofrades por haber revelado la existencia de los números irracionales a los no iniciados.
Otro vocablo que usaban los griegos para referirse a los números irracionales era alogos) que quiere decir inexpresable. Es claro por qué: en un mundo matemático basado en operaciones con fracciones era imposible hablar de ellos. La palabra logos en griego quiere decir palabra o también razón. Por eso los romanos utilizaron el vocablo ratio para traducir logos. Esta palabra latina tiene su origen en calcular pero también en razón en el sentido cognitivo. Por eso el rey francés Luis XIV decoró su escudo con el lema “Ultima ratio regum”, que alude a la guerra como el último argumento del rey.
Toda esta larga y complicada historia etimológica pasó al olvido, y a la larga el vocablo asymmetra dejó de usarse. Autores como Magnus Aurelius Cassiodorius (490-566) comenzaron a hablar de los números racionales y de los irracionales, que no es un problema si se recuerda la acepción de ratio como relación.

Figura VI.6. El conjunto de los racionales ℚ contiene a los enteros (ℤ) y éstos a los naturales (ℕ).
Pero los griegos sabían también que existía una conexión de los números racionales con la música y el cálculo de tonos armónicos. Si se combinan tonos con frecuencias relativas racionales, la combinación es periódica. Si la frecuencia relativa es irracional, la combinación es aperiódica, fluctúa de manera aparentemente imprevisible. Por eso el concepto de número irracional fue cobrando cada vez más la acepción de absurdo o irrealizable. Curiosamente, fue el filósofo cristiano san Agustín el primero en rehabilitarlos declarándolos números de Dios. Todavía en la época de Gottfried Wilhelm Leibniz (1646-1716) se mantenía el debate sobre la relación entre los irracionales y el infinito. Y es que no se había desarrollado aún el concepto de límite.
En las matemáticas modernas se construyen los números como si sus componentes fueran piezas de Lego. Partiendo de los números naturales (incluyendo el cero), denotados por ℕ, y que son todos los números 0, 1, 2, 3, etc., se puede definir el conjunto de los enteros positivos o negativos. Para ello se forman pares: el entero positivo +2, por ejemplo, se representa con el par (2, 0). El entero negativo -2 se representa con el par (0, 2). La adición de los dos números se hace elemento por elemento y entonces el resultado de 2 + (-2) es simplemente el par (2, 2). Por convención, cualquier par que contenga dos naturales iguales representa al cero. Ya habiendo definido los enteros y sus operaciones pasamos a los números racionales, que son, a su vez, pares de enteros. El racional a/b lo representamos por el par (a, b). Definimos las operaciones aritméticas tradicionales y de esa manera hemos construido el conjunto de los números racionales. De ahí pasamos a construir los números reales, utilizando el concepto de límite, y más tarde los números complejos, que se representan como pares de números reales.
Pero volviendo a la notación: fue apenas en el siglo XX cuando el conjunto de números racionales recibió su nombre actual, ℚ. Antes, a fines del XIX, el italiano Giuseppe Peano había usado la letra R para referirse a los racionales positivos. A la Q la reservó para referirse a Quantitas, los reales positivos. Otros autores utilizaban la inicial r de racional, pero en griego, utilizando la rho mayúscula (que es nuestra P latina). Fueron los integrantes del famoso grupo Bourbaki los que decidieron utilizar Q (la inicial de quotient en francés) para denotar el conjunto de los racionales y la letra Z para el conjunto de los números enteros. En la figura VI.6 se muestra cómo cada conjunto abarca al que sigue en el proceso de construcción de los números.
El grupo Bourbaki comenzó con una chacota: un estudiante se hizo pasar por un matemático visitante e impartió una conferencia sin sentido en la Escuela Normal Superior de París. Se le anunció como Nicolás Bourbaki, cuyo apellido corresponde al de un general francés de la guerra franco-prusiana de 1871. Concluyó su charla demostrando el “teorema de Bourbaki”. Poco después, en 1934, los matemáticos André Weil y Henri Cartan, insatisfechos con el poco rigor de los libros de texto, convocaron a otros colegas a redactar libros de matemáticas más rigurosos. Varios matemáticos se asociaron y, continuando la broma, decidieron llamarse Asociación de Colaboradores de Nicolás Bourbaki. El núcleo central se organizó alrededor de futuras luminarias, como Henri Cartan, Claude Chevalley, Jean Delsarte, Jean Dieudonné y André Weil, que siguieron firmando con el pseudónimo colectivo.
El grupo Bourbaki, tan temido hoy por estudiantes de matemáticas superiores, fue quizás el intento más logrado en el siglo XX de organizar todo el conocimiento matemático. Al contrario de Peano y del binomio Russell-Whitehead, no comenzaron con la lógica, sino con una división temática de las matemáticas en seis libros para consolidar los Elementos de las matemáticas) evocando así directamente a Euclides y su sistematización de la geometría griega. Durante su existencia, el grupo Bourbaki publicó 40 volúmenes de espesos desarrollos, rigurosamente formales y redactados en interminables sesiones en las que se escrudiñaba el texto línea por línea. A veces el material publicado pasaba por seis o siete redacciones completas. En 1983 el grupo publicó su último volumen; pero, aun desaparecido, la notación que había creado continuó siendo patrimonio de las matemáticas. Qué ironía: el relato de quien identificó el símbolo <0 con el conjunto de los números racionales comienza con una broma estudiantil.
§. Las matemáticas y la Nada
En 1939, poco antes de que estallara la segunda Guerra Mundial, un concepto matemático alcanzó la mayoría de edad y conquistó su nombre simbólico definitivo: se trata del conjunto vacío, representado hoy con el símbolo 0, una letra de los alfabetos danés y noruego. El nuevo símbolo se convirtió de golpe en la notación estándar de la teoría de conjuntos. Fue propuesto por André Weil (1906-1998), científico de Estrasburgo y uno de los miembros más importantes del grupo Bourbaki, aquella banda de matemáticos confabulados que se echó a los hombros la tarea de reformular toda su ciencia de manera absolutamente rigurosa. De entrada, en el primer volumen de los Éléments de Mathématique (Elementos de matemáticas), que está dedicado al análisis, en la exposición de la teoría de conjuntos se define ya 0 como la parte vacía de un conjunto, para así precisar la notación de una vez y para siempre. Desde entonces batallan los estudiantes en las universidades contra lo seco y estricto de los demasiados libros del grupo Bourbaki.
En nuestro siglo XXI todo esto parecería pertenecer a la prehistoria. Pero a pesar de que actualmente desde muy temprano se trabaja en las escuelas con la teoría de conjuntos, la definición y el lugar del conjunto vacío en las matemáticas y en la filosofía llevó durante siglos a grandes controversias. No hay nada más complicado que la Nada desde el punto de vista de la filosofía.
Por algún lado comenzamos a contar. Si hablamos de los números naturales, partimos del 1 y llegamos por incrementos sucesivos a los naturales 2, 3, 4, etc. El valor inicial podía haber sido el cero, pero el concepto de cero en cuanto número no necesariamente estaba disponible en todas las culturas. En la notación romana, por ejemplo, no hay símbolo para el cero, por eso contamos los años de nuestra era comenzando por el año uno. No es hasta que aparecen sistemas numéricos posicionales (como el de los indios y el de los mayas) cuando resulta imprescindible un símbolo para el cero (que incluimos en la figura VI.6 junto con N).
Regresemos a la teoría de conjuntos. Cuando hablamos de ellos hay dos caminos para construirlos. Por un lado, está el camino predicativo) en el que establecemos de manera verbal qué contiene el conjunto (como cuando decimos “el conjunto de palabras de este libro”). Por otro, está el camino constructivo, en el que articulamos conjuntos usando otros conjuntos como componentes, como si fueran piezas de Lego. Históricamente, primero se siguió el camino predicativo, que maduró en el siglo XIX hasta su inesperada implosión: la llamada paradoja de Russell entró en escena. En esta paradoja consideramos el conjunto M de todos los conjuntos que no se contienen a sí mismos como elementos. La definición de M parece completamente legítima desde el punto de vista puramente verbal. Pero entonces preguntamos si M es elemento de sí mismo. De ser así tendríamos una contradicción, ya que siendo M elemento de M, por definición no debería contenerse como elemento. Sin embargo, si M no es elemento de sí mismo, entonces debería ser elemento de M, otra vez una contradicción que revela una inconsistencia en la ciencia de las estructuras abstractas.
En 1901 el matemático y filósofo británico Bertrand Russell le propinó con esto el golpe de muerte a la hoy llamada teoría de conjuntos ingenua. En realidad, el teórico alemán Ernest Zermelo ya había descubierto la inconsistencia el año anterior, y Georg Cantor en Halle aun antes, pero ambos se quedaron callados mientras buscaban una solución al problema (así como en la historia del cálculo se toleraron las aporías de los infinitesimales hasta que se algebraizó el cálculo). El fondo de la paradoja de Russell es que verbalmente podemos cubrir demasiado terreno y hablar de conjuntos que se devoran a sí mismos, como la serpiente uróboros de la mitología egipcia. Es parecida a la paradoja del barbero que sólo les corta el cabello a todos aquellos que no se lo cortan a sí mismos. El barbero no sabe entonces si debe o no cortar su propio pelo.
Pero quizá nadie quedó más sorprendido con el descubrimiento de Russell que Gottlob Frege, el padre de la lógica en Alemania, quien en 1903 acababa de darle punto final a la segunda edición de su libro Las leyes de la aritmética. Frege le escribió a Russell: “Su descubrimiento de la contradicción me ha sorprendido totalmente y, casi querría decir, afligido, ya que con ello se tambalea el fundamento [...] sobre el que quería erigir la aritmética [...]. Debo reflexionar sobre la materia. Es muy grave ya que con el derrumbe de mi ley V se hunde aparentemente no sólo la base de la mía, sino la de cualquier otra posible aritmética”.
George Boole y el primer conjunto vacío
De tal manera, a pesar de que los matemáticos habían operado por siglos con conjuntos, a finales del siglo XIX no existía ninguna formalización realmente correcta. Frege mismo estaba sólo preparando el camino, ya que él creó el lenguaje apropiado (la lógica de predicados) con el que a partir de ese momento se podría argumentar de manera matemáticamente pulcra. El competidor de Frege en Inglaterra era George Boole, quien hoy es conocido como uno de los pioneros de la computación por haber concebido la lógica booleana. Él fue aparentemente el primero que le otorgó un símbolo al conjunto vacío en su libro Mathematical Analysis of Logic de 1847.
Dar el paso hacia un símbolo explícito para el conjunto vacío no es trivial. De manera verbal podemos siempre hablar de la nada) pero cuando comenzamos a combinar conjuntos queremos obtener otros conjuntos como resultado. Si queremos computar la unión de los conjuntos {1, 2} y {3, 4} queremos obtener otro conjunto que contenga todos los números del 1 al 4. Pero si los intersecamos, es decir, si examinamos qué elementos tienen en común, el resultado es vacío. Podemos argumentar verbalmente pero no simbólicamente. Por eso, mucho más simple que decir “A y B no tienen elementos comunes” es escribir A ⋂ B = Ø, es decir, la intersección de A y B es el conjunto vacío. No decimos que el resultado está vacío, sino que el resultado es el conjunto vacío.
George Boole utilizó para denotar el conjunto vacío el símbolo 0. Con eso estaba utilizándolo para dos cosas simultáneamente: por un lado, para denotar un conjunto sin elementos y, por otro, para denotar el valor lógico falso. Muchos matemáticos adoptaron la notación de Boole, es decir, casi la de hoy, con un 0, pero no la O cruzada danesa.
En toda esta discusión se enganchó el matemático italiano Giuseppe Peano, quien quería desarrollar la aritmética sin palabras, sólo con símbolos. Peano ambicionaba liberar las matemáticas de prejuicios lingüísticos y de intuiciones erróneas. La notación de Peano para el conjunto vacío era genial, lástima que no se haya difundido. Al igual que Cantor, utilizaba la O mayúscula (y no el 0, como Boole) como símbolo para el conjunto vacío, mientras que para el conjunto universal utilizaba un círculo completamente negro (en 1888).

Figura VI.7. Los símbolos para los conjuntos universal y vacio en Calcólo geométrico, de Giuseppe Peano, Fratelli Bocea Editori, Turín, 1888.
Probablemente Peano no encontró impresores dispuestos a usar estos símbolos, y un año después cambió el símbolo para el conjunto vacío por una lambda mayúscula invertida. El valor que Peano le asignaba al lenguaje lo ilustra el hecho de que también caviló intensamente acerca de un lenguaje universal para la humanidad. Así, propuso interlingua) una especie de latín sin declinaciones que debería servir para posibilitar la comunicación sin fronteras.
El programa matemático de Peano lo continuaron White- head y Russell en el Reino Unido. Por eso adoptaron el símbolo de Peano para el conjunto vacío (la lambda invertida) en su grandiosa obra Principia mathematica) la cual quizá ningún matemático vivo ha leído de principio a fin. Y es que el lector avanza a paso de tortuga por una jungla de notación matemática para, después de cientos de páginas, encontrar la demostración de que 1 + 1=2.
Zermelo y la teoría de conjuntos axiomática
El berlinés Ernst Friedrich Ferdinand Zermelo (1871-1953) obtuvo su doctorado con un trabajo sobre cálculo de variaciones y después fue asistente nada más y nada menos que del gran Max Planck. Pero David Hilbert pudo atraerlo hacia la lógica y Zermelo se mudó a Gotinga para trabajar con él. Allí Zermelo trató de demostrar que los conjuntos poseen un buen orden) y para ello necesitaba una teoría de conjuntos libre de contradicciones y con una axiomatización completa. En 1908 publicó la primera versión de sus axiomas. Con contribuciones hechas por otros matemáticos —sobre todo la de Abraham Fraenkel— se afinó el sistema. Al final surgió un edificio axiomático consistente.
La diferencia fundamental en la aproximación de Zermelo a la teoría es que los conjuntos se construyen de otros conjuntos, paso a paso, utilizando solamente operaciones permitidas. Zermelo se valía, como Boole, del 0 para denotar el conjunto vacío. Con esta convención, además del 0 como objeto inicial, en el sistema de Zermelo se puede confeccionar un nuevo conjunto {0}, es decir, un conjunto que sólo contiene al conjunto vacío. Así ya tenemos un conjunto con un elemento.
Podemos ahora proceder a construir un conjunto con dos elementos, por ejemplo, {0,{0}}. A través de operaciones como agregar un elemento a un conjunto o mediante la creación de pares de objetos, o bien, con la unión, la intersección de conjuntos y con algunas reglas adicionales se pueden crear más y más conjuntos, todos aquellos con los que deseemos trabajar. Pero afortunadamente no se puede ahora crear el conjunto de Russell que tanto afligiera a Frege.

Figura VI.8. Ernst Zermelo, matemático alemán nacido en 1871 en la actual capital Berlín. Uno de sus aportes más reconocidos en el ámbito de las matemáticas fue la axiomatización de la teoría de conjuntos (fuente: Wikimedia Commons).
Con esta teoría de conjuntos reparada se puede ahora fundamentar la teoría de los números y la aritmética, y con ésta el resto de las matemáticas. Es éste el cielo de los filósofos: las matemáticas se reducen a pura lógica, como se había propuesto Gottlob Frege.
Sorprendentemente, en la teoría de Zermelo-Fraenkel no necesitamos muchos individuos de un conjunto inicial. No necesitamos comenzar hablando del conjunto de las letras, por ejemplo. Sólo se habla de conjuntos y conjuntos de conjuntos creados a través de las operaciones permitidas. El inicio lo da el conjunto vacío. Fas letras del alfabeto a, b, c, etc., no contienen elementos y son lógicamente equivalentes al conjunto vacío (!). Por eso, además de las operaciones permitidas la única ancla que tenemos es el conjunto vacío. El universo de discurso comienza con un solo elemento, ese conjunto vacío, y ensanchamos nuestros horizontes construyendo conjuntos adicionales. Podemos identificar los nuevos conjuntos con un contexto específico, por ejemplo, la letra a con el conjunto {0} y la letra b con {0,{0}}, etc. Es como en las computadoras, en las cuales las letras están representadas por cadenas de ceros y unos (el código ASCII), y por eso no se necesitan símbolos para letras adentro de la computadora: en sus chips todo trabaja con el sistema binario.
Es maravilloso que toda la teoría de conjuntos pueda partir de un solo elemento fundacional) que puede ser el conjunto vacío. Con la Nada como ladrillo básico se erige el resto del palacio teórico. Las reglas son sólo el cemento que afianza todas las partes y el monstruo urobórico de Russell ya no tiene cabida.
El miedo a la nada
Siguiendo la apasionante historia del conjunto vacío, resulta extraño constatar el miedo que se le tenía al vacío al inicio del pensamiento matemático, mientras hoy resulta que el conjunto vacío es el ladrillo de la teoría de conjuntos.
En la antigua Grecia, Parménides de Elea llegó a negar que el cambio o movimiento fuera posible. Según Parménides, el Ser es y el No-Ser no es. Cualquier tipo de cambio o movimiento supondría que el Ser se transforma en algo que no era antes, pero eso sería una contradicción, porque el Ser es. Zenón extendió la argumentación de Parménides y formuló sus propias paradojas, que niegan el movimiento jugueteando con los conceptos de vacío y con el infinito. Todo esto lo refutaba el cínico de Diógenes de Sinope dando vueltas alrededor de los filósofos.
Antes, en la física, los fenómenos se explicaban a través del horror vacui, es decir, la idea de que la naturaleza trabaja activamente contra la creación de un vacío. El agua subiría entonces en un tubo, que ha sido desprovisto de aire, para llenar el hueco y evitar ese vacío (no por la presión de la atmósfera). Pero en este siglo los físicos han descubierto que el vacío no está tan desierto como creíamos antes. Está hirviendo de partículas virtuales que gracias al principio de incertidumbre aparecen un instante para aniquilarse en otro. El vacío está colmado de campos de energía que podrían aclarar el origen y el destino del universo. Por eso la cosmología converge hoy con el estudio de las partículas elementales y también con el estudio del vacío. En esta investigación se rozan la relatividad general y la mecánica cuántica, y quizás es ahí donde está la oportunidad de llegar a una teoría más general.
También en la filosofía se han discutido las nuevas posibilidades de la Nada, como hizo Sartre, quien veía en los humanos burbujas de nada capaces de transformar el mundo, porque es precisamente de la Nada de donde surgen nuevos universos.
§. Unión e intersección
Hacia fines del siglo XIX se estaba consolidando la teoría de conjuntos y la formalización de las matemáticas. En el caso del análisis, Cauchy, Weierstrass y Bolzano pusieron orden e hicieron rigurosas las demostraciones de los teoremas. Sin embargo, quedaban muchos cabos sueltos. Una teoría de conjuntos efectiva y libre de contradicciones, así como la lógica formal asociada, eran aún obras en construcción que sólo hasta el siglo XX habrían de ser completadas.
El matemático italiano Giuseppe Peano fue uno de los iniciadores del movimiento hacia un mayor rigor en la forma de expresarse matemáticamente, es decir, la forma de escribir demostraciones. Entonces, no es extraño que, con el hincapié que Peano siempre hizo en el lenguaje y el simbolismo correctos, él haya introducido personalmente varios símbolos matemáticos, entre éstos el de unión e intersección de conjuntos, nuestras U y H. Al principio estos símbolos parecían más bien una C rotada 90 grados, una en dirección contraria a las manecillas del reloj y la otra en dirección de las manecillas. Éste era el viejo truco de Peano, tomar letras latinas de la caja de tipos para rotarlas o invertirlas y asignarles un nuevo significado. Lo hizo con la C, con la E y con algunas más.
Antes de Peano, el inglés George Boole (1815-1864) había propuesto una notación para la unión e intersección de conjuntos. La unión de dos conjuntos a y b la denotaba Boole por a + b y la intersección por ab. Aquí el inglés estaba extendiendo la notación que utilizaba en su lógica a la teoría de conjuntos. En Alemania algunos matemáticos, como Ernst Schröder (1841 - 1902), adoptaron esta notación.
Peano publicó sobre teoría de conjuntos escribiendo sobre la teoría de vectores. Propuso los nuevos símbolos en su Calcólo geometrico secondo l’Ausdehnungslehre di H. Grassmann de 1888. La teoría a la que se refiere el libro, la Ausdehaungslehre, fue desarrollada por Grassmann para formalizar el concepto de espacio vectorial y para introducir el concepto de tensores, tan importante para la física en años posteriores. Hay quien ha sugerido que Peano tomó el símbolo de unión de conjuntos de Grassmann, pero éste aparece en otro contexto y sólo para indicar que una sucesión corre de 1 a a. Peano indicó, en el prólogo de su libro, que sustituye los símbolos de Schröder por los propios para evitar confusiones entre símbolos matemáticos y símbolos lógicos.

Figura VI.9. Definición de los símbolos de unión e intersección de conjuntos en el Calcólo geométrico de Giuseppe Peano, Fratelli Bocea Editori, Turín, 1888.
La figura VI.9 muestra cómo Peano contrapone sus símbolos a los de Schröder, incluido el círculo negro para representar el conjunto universal y el círculo blanco para representar el conjunto vacío. En el capítulo 1 del libro, Peano indicó que el símbolo de unión se debe leer como “o” (en el sentido de disyunción) y el símbolo de intersección se debe leer como “y”, en el sentido de conjunción de elementos. La lectura de los símbolos es, como vemos, una lectura lógica.
En 1915, Peano comentaba:
“La primera ventaja de los símbolos lógicos es la brevedad que producen. Así es que mi Formulario contiene un tratamiento completo de la aritmética, el álgebra, la geometría, el cálculo infinitesimal, definiciones, teoremas y demostraciones, todo en un pequeño volumen, de extensión mucho menor que la de volúmenes que expresan lo mismo con el lenguaje común”.
Aunque Peano tuvo éxito con sus colegas en las matemáticas con esta línea de trabajo, aparentemente no lo tuvo como educador: su formalismo extremo provocó su despido como docente de la escuela militar de Turín. Elegancia y brevedad extrema no siempre son el pan de cada día con el que se puede conquistar el favor de los estudiantes.
Los símbolos de unión e intersección se pueden usar, como el símbolo de sumatoria, con índices que corren de un valor inicial a uno final. Aparentemente, fue Peano también el primero en utilizar esta convención.
§. El Aleph y el paraíso de los infinitos
El aleph es la primera letra del alfabeto hebreo y la única de este alfabeto que se usa habitualmente como símbolo en las matemáticas. Al aleph se le agregan subíndices para producir no sólo un símbolo, sino toda una sucesión de la forma ℵ 0, ℵ1 ℵ2, etc. Fue el alemán Georg Cantor (1845-1918) quien propuso esta notación alrededor de 1893 para poder referirnos a toda una jerarquía de infinitos, uno cada vez más grande que el otro. Resulta, por ejemplo, que el conjunto N de los números enteros positivos (1, 2, 3, etc.) es infinito, pero el conjunto R de todos los números reales es aún más grande, es decir, R tiene más elementos que N. A los matemáticos, tan acostumbrados a pensar en procesos infinitos o que van al límite, les costó comprender el trabajo de Cantor y sus muchos infinitos, lo que llevó a enconadas disputas. El principal crítico de Cantor durante todo ese tiempo fue Leopold Kronecker, quien llegó a afirmar que no sabía si su teoría era “filosofía o teología”, pero sí sabía que no contenía matemáticas. David Hilbert, por el contrario, defendió a Cantor afirmando que ya nadie nos podría expulsar del paraíso que éste había creado.
En la teoría de Cantor los diferentes alephs denotan el tamaño, lo que se llama la cardinalidad, de conjuntos cada vez más extensos. Decir aleph, cualquiera de ellos, es invocar el infinito. Jorge Luis Borges nos remite a esa inmensidad en su famoso cuento sobre el Aleph: “[...] vi el Aleph, desde todos los puntos, vi en el Aleph la tierra, y en la tierra otra vez el Aleph y en el Aleph la tierra, vi mi cara y mis vísceras, vi tu cara, y sentí vértigo y lloré, porque mis ojos habían visto ese objeto secreto y conjetural, cuyo nombre usurpan los hombres, pero que ningún hombre ha mirado: el inconcebible universo”.
A pesar de lo místico que pudiera parecer el aleph, la idea inicial es sencilla; las complicaciones aparecen después. Si pensamos en los números naturales, los podemos poner uno detrás de otro, comenzando con el 1. El conjunto de los números naturales es infinito, como lo es también el conjunto de todos los números pares. Pero se puede definir una correspondencia entre cada natural a y cada número par de la forma 2n, lo cual quiere decir que los dos conjuntos tienen una cantidad equiparable de elementos. Como vemos abajo, para cada número natural hay un número par correspondiente, y viceversa.

Como los dos conjuntos se pueden poner en correspondencia uno a uno) decimos que tienen la misma cardinalidad o tamaño. Ésta es una característica de cualquier conjunto infinito: una porción de éste se puede poner en correspondencia uno a uno con todo el conjunto. Pues bien, Cantor bautizó como Ns0 a la llamada cardinalidad de todos los conjuntos equiparables a los naturales, es decir, todos aquellos que se pueden poner en correspondencia, elemento por elemento, con los naturales.
Para entender mejor la elección del nuevo símbolo, es necesario saber que los antepasados de Cantor fueron judíos de diversas partes de Europa. Georg Cantor nació en San Petersburgo, Rusia, pero aparentemente una de las ramas de sus antepasados se remontaba a los Países Bajos y quizás a España. Por eso el apellido Cantor podría ser de origen castellano, y tal vez alude al oficio de aquel antepasado, quien probablemente fue un cantor en una sinagoga. Como quiera que sea, es claro que Cantor, por su origen judío, estaba familiarizado con el alfabeto hebreo. Explicando su elección del símbolo escribió: “Los alfabetos usuales me parecieron muy trillados como para ser usados con este propósito. Por otra parte, no quería inventar un nuevo símbolo, así que escogí el aleph, que en hebreo tiene además el valor numérico 1. En cierto modo, ℵ1 es una nueva unidad”.
En 1895 le escribió a Félix Klein: “Durante muchos años me pareció indispensable establecer el poder transfinito de los números cardinales con algún símbolo, y después de mucho vacilar me decidí a utilizar la primera letra del alfabeto hebreo, aleph = ℵ. Espero que el público pronto se acostumbre a él”. En el mismo año, Cantor decidió modificar el subíndice y comenzar a contar los distintos infinitos empezando por ℵ0. Es éste el primer aleph que corresponde a los conjuntos llamados numerables. La figura VI.10 muestra la primera mención impresa de la nueva notación, de 1895.
La teoría de la jerarquía de infinitos de Cantor es un verdadero Kraftakt como se dice en alemán: un manotazo en la mesa, con un solo protagonista, Cantor mismo. Para llegar a los alephs, Cantor se adentró en la teoría de conjuntos y en una multitud de problemas todavía abiertos. Uno de éstos era la definición estricta de los números naturales, así como el de comprender la estructura del continuo. Si nos imaginamos un segmento de línea recta y todos los puntos que contiene, no pareciera haber mucha estructura ahí dentro. Sin embargo, Cantor pudo demostrar que en un segmento tenemos tantos puntos como en un cuadrado o como en un cubo. Lo demostró estableciendo una correspondencia uno a uno entre los diferentes objetos: el segmento, el cuadrado y el cubo. Obviamente, la estructura del continuo no es de ninguna manera trivial, y Cantor dedicó el resto de su vida a tratar de intuir precisamente esa estructura.

Figura VI.10. Definición del aleph cero en “Beitrage zur Begründung der transfiniten Mengenlehre”, Mathematische Annalen, 7, noviembre de 1895, vol. 46, núm. 4, p. 492.
En 1874 sorprendió al mundo matemático con la demostración de que existían más números reales que naturales. Es decir, los números reales no son numerables. A lo largo de los años Cantor demostró esto de diferentes maneras, pero la demostración más famosa fue su argumento por diagonalización.
La tabla (figura VI.11), que utiliza números en código binario, muestra el meollo del argumento. Supongamos que es posible poner todos los números reales mayores que 0 y menores que 1 en una tabla, ordenados como los naturales, uno después de otro en el renglón 1, el renglón 2, etc. Supongamos que conocemos la expansión binaria infinita de cada real y escribimos un bit por columna. Ahora procedemos a construir un nuevo real entre 0 y 1 que no está en la tabla. Para ello comenzamos por el primer renglón y nos fijamos en el primer bit. Escogemos uno distinto para el número que estamos formando. Procedemos al renglón 2 y tomamos un bit distinto al que tenemos en la columna 2. Seguimos así, es decir, moviéndonos a lo largo de la diagonal de la tabla, y cada vez tendremos un dígito distinto al del renglón k en la posición binaria k —de izquierda a derecha, después del punto decimal—. Continuando hasta el infinito, es claro que el número que acabamos de formar no puede estar en la tabla porque difiere al menos por un dígito/fiú de cualquier número de la tabla. Es ésta una contradicción que indica que los números reales no son numerables.
Hoy en día esto se aprende en cursos introductorios de teoría de conjuntos. En su época fue muy controvertido, sobre todo porque mostraba que un conjunto infinito, como el de los reales, es más infinito que el de los naturales.
Desde 1882 Cantor ya utilizaba regularmente el concepto de conjuntos numerables para denotar conjuntos que son equivalentes a los números naturales. Podemos pasar de un infinito a otro más grande cuando comenzamos a considerar el conjunto potencia de otro conjunto, esto es, el conjunto de todos sus subconjuntos. Es fácil demostrar que el conjunto potencia de otro conjunto es siempre más grande, en el sentido de que no se puede equiparar elemento por elemento con el conjunto original.

Figura VI.11. Tabla de los números reales para explicar el método de diagonalizacion de Cantor.
Eso ya ocurre con conjuntos finitos, como {1,2}. El conjunto potencia contiene los subconjuntos {}, {1}, {2} y {1,2}, es decir, consiste en cuatro elementos y no en dos, como el conjunto de partida. En general, un conjunto con a elementos tiene 2" subconjuntos.
Utilizando el concepto de conjunto potencia de Cantor, y si llamamos ℵ0 a la cardinalidad de los naturales, la cardinalidad del conjunto potencia de los naturales se representa como 2ℵ0 y corresponde a la cardinalidad de los reales. Uno de los problemas abiertos hasta la mitad del siglo XX era si entre la cardinalidad del conjunto de los números naturales y la cardinalidad de los reales (ℵ1 = 2ℵ0 ) existía algún otro conjunto infinito diferente al que se le pudiera asignar un aleph entre el O de los naturales y el 1 de los reales.
Es pertinente una última palabra sobre el origen del aleph. El aleph era la primera letra del llamado alfabeto protocanaanita, del cual surgieron otros alfabetos, como el fenicio, el sirio, el griego y el árabe. En el alfabeto canaanita el aleph era ’álep, que representa a un símbolo atónico. En el alfabeto griego se transformó en la letra alfa y por último en la letra latina a. El aleph es la primera letra del alfabeto cabalístico, en el cual Cantor estaba interesado. Algunos ven una conexión con su teoría de conjuntos, pero eso es mera especulación.
El aleph y la letra griega alfa son los bueyes de las matemáticas) ya que el símbolo del alfabeto fenicio remitía al primer fonema de la palabra buey. La forma de representarlo era precisamente con la cabeza de un vacuno.

Capítulo VII
La imaginación al poder
§. La imaginación al poder
§. Pi, constante de Arquímedes y número ludolfino
§. El número de Euler y el crecimiento exponencial
§. La constante de Planck y el cuanto de acción
§. La velocidad de la luz c
§. La imaginación al poder
La historia de las matemáticas está colmada de imposibles. Cuando los estudiantes franceses reclamaban el acceso de la imaginación al poder en 1968, seguramente no ponderaban que en la teoría de los números eliminar imposibles ha sido siempre un hecho revolucionario. Los números negativos, por ejemplo, fueron difíciles de conceptualizar durante muchos siglos, porque es más fácil pensar sobre algo que poseemos que sobre algo de lo que carecemos. Por eso los matemáticos ingleses los llamaron números surd) palabra que nos remite a la raíz latina de absurdo. Posteriormente, los números irracionales pusieron en aprietos a los filósofos, porque es complicado entender cómo hacer cálculos exactos con ellos, puesto que sólo se pueden representar de forma aproximada con una expansión decimal finita. San Agustín, quizá por ser santo, los pudo salvar conceptualmente al declararlos números de Dios. Los modelos rigurosos para todos los números reales, tanto racionales como irracionales, sólo surgieron hasta bien entrado el siglo XIX.
También los números complejos fueron al principio considerados números imposibles. Hoy en día escribimos un número complejo en la forma
a + ib
donde a y b son números reales y la letra i representa la raíz cuadrada de menos uno. Raíces de números negativos aparecen de manera natural cuando tratamos de resolver ecuaciones tan simples como x2 + 1 = 0. La solución está dada por el resultado complejo x = √-1. Tales raíces de números negativos fueron rechazadas durante muchos años como resultados ilógicos o que se podían descartar. Sin embargo, en muchos casos la parte imaginaria de una expresión desaparece, como cuando sumamos el número complejo 1 + √-1 con 1 -√-1. El resultado es 2 y la parte imaginaria se cancela.
Resulta que este tipo de cálculos intermedios, donde dos complejos de la forma a + ib y a - ib (es decir, dos complejos conjugados) se combinan para producir un resultado real, aparecen frecuentemente en la solución de ecuaciones cúbicas. Los matemáticos operaban con ellos, como Cardano —por ejemplo, en su Ars magna—, sin comprender realmente cómo interpretarlos de manera aislada. La parte imaginaria de un número complejo era aceptada con tal de que desapareciera en la maquinaria del cálculo para producir un resultado real correcto y además interpretable.
Lúe el gran matemático suizo Leonhard Euler quien decidió utilizar la letra i para denotar la raíz cuadrada de -1. En su Álgebra) de 1770, calificó las raíces de números negativos como números imposibles o imaginarios. Así escribe Euler: “Es evidente que no podemos incluir la raíz cuadrada de un número negativo entre los números posibles, y por eso debemos decir que es una cantidad imposible [... ] se les llama cantidades imaginarias, porque sólo existen en la imaginación”. Pero a continuación reinterpreta la noción de algo que es imaginario: “Estos números existen en nuestra imaginación [...] por eso nada impide que los podamos usar en cálculos”.
Lo que Euler dice aquí es que esos entes abstractos, producto de la imaginación del matemático, son objetos de cálculo legítimos. Mientras la forma de operar con ellos esté bien definida, no importa la interpretación que les asignemos. Así ocurre en muchas áreas de las matemáticas: la esencia de un objeto está dada por las manipulaciones algebraicas posibles, no por la representación mental intuitiva que les podamos dar.

Figura VII.1 As utilizaba Euler el símbolo i en 1777 en De formulis differentialibus angularibus máxime irrationalibus, quas tamen per logarithmos et arcus circulares integrare licet (fuente: The Eider Archive).
Para efectos operacionales, es más sencillo trabajar con múltiplos de un símbolo, en este caso i que andar arrastrando raíces de números negativos. En 1777, el nuevo símbolo hace su aparición en un trabajo que no fue publicado hasta 1794. Euler dice ahí que “la letra i designa a la fórmula √-1 en lo que sigue” (véase la figura VII.1). Lo que siguió fueron dos siglos en los que se cimentó la notación introducida en aquel escrito.
Pero no hay que creer que el padrinaje de Euler hizo efecto de inmediato. Todavía en 1831 el gran matemático inglés Augustas de Morgan consideraba V-l como un número imposible y un artificio computacional. Pero fue Carl Friedrich Gauss, otro gigante, quien pudo finalmente esclarecer la potencia aritmética de los números complejos, aunque ya antes de él otros habían logrado darles una interpretación geométrica como vectores en el plano, sometidos a ciertas reglas, sobre todo para la multiplicación.
Fue precisamente Gauss quien retomó, en 1801, la notación de Euler y la popularizó a través de sus escritos. Ésta es una constante en la historia de la notación matemática e incluso de la física: los científicos más prolíficos y de mayor impacto pueden a veces inclinar la balanza hacia el tipo de terminología que finalmente se impone. Euler tuvo un efecto decisivo en ese sentido, ya que fue quien propuso parte de nuestra notación moderna, basado en símbolos como e, i, π y Σ (para las sumatorias). En el caso de Gauss, fue él quien resolvió definitivamente un problema que había plagado a otros. Fue con su demostración del teorema fundamental del álgebra en 1799, es decir, que una ecuación polinomial de grado a tiene exactamente a soluciones (en el campo de los números complejos), como los números imposibles lograron obtener su carta de ciudadanía en las matemáticas. Hoy en día operamos con números como con entes abstractos, y lo importante es que se les puede sumar, sustraer, multiplicar y dividir en una forma consistente, con la ayuda de un cero y de la unidad. Lo que importa es que el conjunto de números sea cerrado bajo operaciones algebraicas, incluyendo la potenciación y extracción de raíces.
Como vemos, la teoría de los números ha operado históricamente ampliando su campo de acción para cerrar todas las fugas, primero integrando los números negativos, luego los irracionales y, finalmente, los números complejos. Un siglo después de Gauss, Hamilton propuso los cuaterniones y después de él las álgebras de Clifford ampliaron el espacio de números posibles. La imaginación tomó el poder.
§. Pi, constante de Arquímedes y número ludolfino
¿Quién no conoce el número π? Es quizá la constante más famosa de las matemáticas: representa la proporción invariable entre el perímetro de un círculo y su diámetro. Aparece por todos lados en las fórmulas de la física, y es que π tiene que ver con la estructura del espacio que nos rodea. Su valor numérico aproximado de 3.14159 es lo que los matemáticos llamarían un invariante del círculo —lo memorizamos desde la primaria—. Cada 14 de marzo (o sea el 3/14), a las 15 horas, se celebra el “Día de π” en todo el mundo. En los Estados Unidos se hace con un pay, que corresponde a la pronunciación de la letra π en inglés.
Los primeros que se dieron cuenta de la constancia de la proporción entre el diámetro de un círculo y su perímetro fueron los babilonios y los egipcios, hace ya más de tres mil seiscientos años. Como no se utilizaban aún las expansiones decimales, no quedaba otra alternativa que aproximar a π con una división de números enteros. El famoso papiro de Rhind, un manuscrito conservado en el Museo Británico, propone la aproximación 256/81, que en números decimales corresponde a 3.160. Nada mal para la época.
Pero fue el legendario Arquímedes de Siracusa, casi doscientos cincuenta años antes de nuestra era, el primero que logró inventar un método sistemático para calcular π de manera cada vez más precisa. Lo que hizo el sabio griego fue aproximar al círculo con polígonos inscritos y circunscritos, cada vez con más lados. Si pasamos de un pentágono, cuyos vértices tocan el círculo, a un hexágono y después a un octágono, cada vez el perímetro del polígono se aproxima más y más a la forma de un círculo. Podemos, por ejemplo, inscribir un hexágono con lados de longitud 1 en un círculo de radio también 1. El perímetro del hexágono es de longitud 6 y el diámetro del círculo tiene longitud 2. La razón de ambos es 3. Como el hexágono inscrito tiene menor perímetro que el círculo, esto nos dice que π no puede ser menor que 3.

Figura VII.2. Aproximaciones sucesivas al circulo usando polígonos inscritos y circunscritos.
Duplicando sucesivamente el número de lados del polígono, Arquímedes obtuvo una fórmula que permite calcular el perímetro del nuevo polígono con el doble de lados en función del perímetro del polígono anterior. Así nos aproximamos, paso a paso, a la forma de un círculo y al valor de π. Por este resultado extraordinario, que ya anticipa desde los griegos el proceso de calcular límites, a π también se le llama a veces constante de Arquímedes.
La importancia de π en las matemáticas se manifiesta en la verdadera carrera que se desató desde entonces para ver quién podía producir mayores y mejores aproximaciones al valor exacto. Era ésta una competencia de proeza matemática que continúa hasta la actualidad. Ya en el siglo sexto de nuestra era, en la India, se utilizaba la aproximación 62832/20000, que equivale a 3.1416. Los cálculos eran intrincados al tener que trabajar con cocientes de enteros.
Uno de los adalides más renombrados en esta competencia titánica para aproximar a π fue el erudito Ludolph van Ceulen (1540-1610), nacido en Hildesheim, Alemania, quien logró calcular 35 decimales de π a principios del siglo XVII. Tan importante fue ese acontecimiento que a la constante se le comenzó a llamar número ludolfino en algunas partes de Europa, incluso hasta el siglo XIX. Van Ceulen invirtió muchos años de su vida en realizar el cálculo. Para ello utilizó el método de Arquímedes mencionado arriba, que desgraciadamente converge muy lentamente al valor exacto de π.
Van Ceulen tenía dos especialidades: daba clases de matemáticas en Delft y operaba una academia de esgrima. Las universidades de entonces no eran como las actuales. Se aprendía lo mismo teología que geometría, pero también las artes marciales de la época. Fue por esa doble especialidad que a Van Ceulen le fue ofrecida en 1600 la cátedra de matemáticas en la Universidad de Leiden, en Holanda. Para entonces su trabajo nocturno ya le había permitido publicar 20 decimales de π en su libro titulado El circulo.

Figura VII.3. Reproducción de la lápida de Ludolph van Ceulen en el Math Institut de Leiden. Otra réplica se encuentra en la Pieterskerk de Leiden (la original se extravió).
Ya en Leiden, Van Ceulen continuó su safari personal para poder literalmente acorralar a π. Después de su muerte, para llamar la atención sobre su hazaña, la lápida de su tumba fue decorada con un círculo que proporciona una cota superior e inferior para el verdadero valor de π, un número irracional, con 35 decimales.
Sorprende, entonces, que apenas hasta los siglos XVII y XVIII fuera cristalizando una notación estándar para la constante de Arquímedes, o bien, el número ludolfino. El matemático inglés William Oughtred (1574-1660) siempre estuvo muy interesado en la enseñanza de las matemáticas y escribió uno de los primeros libros de álgebra, su célebre Clavis mathematicae (La llave de las matemáticas), donde también propuso muchas innovaciones simbólicas. Una de ellas fue denotar la constante de Arquímedes con la combinación de letras δ : π, que representa el diámetro del círculo con δ y el perímetro con π. Tiene sentido, pues son las iniciales de esas palabras en griego.
Casi setenta años más tarde el autodidacta inglés William Jones simplificó la notación. Jones, quien sería aliado de Isaac Newton en su disputa con Leibniz, llegó a formar parte de la Royal Society a pesar de haber iniciado su carrera dando cursos de matemáticas en las cafeterías de Londres, los co-working spaces de la primera Revolución industrial. Jones publicó en 1706 un libro basado en sus cursos, Synopsis Palmariorum Matheseos (Nueva introducción a las matemáticas), donde simplificó la notación de Oughtred eliminando la delta y conservando sólo a π. A partir de entonces esta letra griega ocuparía su lugar de honor en el firmamento matemático.
Además, la obsesión con obtener más y más dígitos de π contaba para esta época con mejor maquinaria. El profesor de astronomía John Machin (1686-1751) logró inventar en 1706 un método de aproximaciones sucesivas distinto al de Arquímedes. La idea es la misma que han utilizado desde entonces muchos matemáticos: se puede representar a π como una suma infinita de sumandos que van disminuyendo en magnitud. La sorprendente fórmula deducida por Leibniz, por ejemplo,

es muy elegante, pero converge muy lentamente. La fórmula de Machin es más eficiente y el astrónomo inglés logró obtener 100 decimales de π, además, sin tener que dedicarle media vida al cálculo, como en el caso de Van Ceulen. El éxito de la nueva notación para el valor de π sólo quedó cimentado hasta que matemáticos importantes adoptaron la nueva notación, especialmente Euler y Legendre, que llegaron a poner orden. Con sus muchos escritos matemáticos ambos forzaron la balanza a favor del nuevo símbolo.
Pero la competencia continúa, y es motivo de orgullo para cualquier matemático proponer fórmulas elementales que pueden aproximar a π con varios decimales. Es el caso del gran matemático indio Srinivasa Ramanujan (1887-1920), quien propuso la fórmula
![]()
que es exacta para los primeros nueve dígitos de π. Ramanujan tenía una intuición matemática fabulosa y muchos de sus resultados los obtenía sin poder dar una explicación. Era además muy religioso. En el caso de la fórmula para π escribió que la diosa Namagiri, venerada en la India, se le apareció en un sueño y le reveló el valor exacto de la constante.
Umberto Eco relata, en El nombre de la rosa, que un santo de la cristiandad, en su desesperación por terminar su obra maestra —de la cual había ya escrito la mitad—, le rezaba afligido a una Virgen, quien al escuchar sus oraciones apareció en la iglesia y le entregó el resto del libro. ¡Qué no hubiera dado Van Ceulen por haber tenido la misma suerte de aquel santo o un sueño como el de Ramanujan! Pero aun así Van Ceulen seguramente estaría muy satisfecho de ver cómo se celebra hoy el número que alguna vez llegó a portar su nombre.
§. El número de Euler y el crecimiento exponencial
Hay algunas constantes célebres. Son aquellas que han podido apropiarse de una letra latina o griega para siempre. Son las “jugadoras más valiosas” de las matemáticas, aquellas que conservan su número de camisola, como en el balompié, aunque se cambien de equipo. Entre ellas encontramos a π, la razón del perímetro de un círculo a su diámetro; a la letra i, que representa la raíz cuadrada de -1, y también a φ, la razón dorada.
El número que ahora denotamos con la letra e es tan famoso que su paternidad se la disputan los británicos y los suizos. En la Europa continental y buena parte del mundo e es simplemente el número de Euler, mientras que en Gran Bretaña e es llamada la constante de Napier. La importancia de este número radica en que nos permite capturar matemáticamente el llamado crecimiento exponencial, por ejemplo, de un cultivo de bacterias, pero también del dinero invertido en un banco con una tasa de interés compuesto, e incluso del índice de precios sometido a inflación. El crecimiento exponencial se describe con la función
y = ex
la cual tiene propiedades muy peculiares. Es ésta, por ejemplo, la única función (incluidos sus múltiplos) cuya tasa de crecimiento es igual al valor de la función misma. La constante e es un número de los llamados irracionales: aunque la podemos aproximar con 2.718, su expansión decimal exacta requiere un número infinito de dígitos que no se repiten periódicamente.
Sin embargo, no fueron Napier ni Euler los primeros en describir explícitamente el número e. Ese honor corresponde al matemático suizo Jakob Bernoulli (1654-1705), quien junto con su hermano Johann (1667-1748) nos legó importantes descubrimientos matemáticos. Los Bernoulli venían de una familia de patricios y mercaderes, y el ejemplo que Jakob utilizó para llegar a la constante e fue, muy apropiadamente, el interés compuesto. Era ésta la época de desarrollo del cálculo diferencial y el análisis de procesos dinámicos estaba apenas iniciándose. Curiosamente, Jakob y Johann, que comenzaron a estudiar simultáneamente cálculo diferencial e integral en la versión de Leibniz, más adelante se convertirían en implacables enemigos científicos y estarían en competencia permanente.
El problema planteado (y resuelto) en 1683 por Jakob Bernoulli fue el de analizar el crecimiento de una deuda. Si la deuda es de un peso y la tasa de interés de 100%, al final de un año la deuda es de dos pesos. Pero, a veces, los bancos exigen una capitalización semestral del interés: la deuda crece entonces 50% en el primer semestre y otro 50% en el segundo semestre. El resultado no es el mismo que antes. Bajo este esquema la nueva deuda al final de un año es 1.5 x 1.5. Si el cálculo de los intereses es trimestral, el interés se capitaliza cada tres meses. La tasa de interés trimestral es de 25% (es decir, la cuarta parte de 100%) y la nueva deuda al final del año es de 1.254. Parece algo injusto: el banco capitaliza los intereses cada tres meses para obtener lo que se llama el interés compuesto, pero ésta es la forma en que operan los créditos.
Jakob Bernoulli se preguntó entonces: ¿qué pasaría si se capitalizaran los intereses cada mes?, ¿o cada día?, ¿o cada segundo? Sorprendentemente, la deuda no diverge al infinito, sino que converge precisamente al número e. Si un banco agiotista capitalizara el interés instantáneamente, un peso de deuda se transforma al final del año en e pesos, cuando la tasa anual de interés nominal es de 100%. El llamado interés real está dado por el factor e.
Expresado en el lenguaje moderno de las matemáticas, el número e es el límite de la expresión
![]()
cuando a tiende a infinito. En esta expresión, a es la cantidad de capitalizaciones de interés compuesto, en un año, para una tasa de interés anual de 100%. Si el interés se capitaliza instantáneamente, una deuda de un peso se transforma en e pesos al final de un año.
Ahora bien, los británicos reclaman la paternidad de la constante e para John Napier (1550-1617), barón de Merchiston, porque fue este matemático escocés quien inventó los llamados logaritmos. El logaritmo es la operación inversa de y = ex. Dicho de otra manera, en esta fórmula x es el logaritmo de y. Lo importante de los logaritmos es que nos permiten reducir una multiplicación a una suma, ya que log(a×b) = log a + log b. Lo único que se requiere para operar con esta reducción son tablas de logaritmos. Para multiplicar dos números basta entonces con sumar sus respectivos logaritmos (tomados de las tablas). Otra consulta a la tabla nos revela cuál número ab posee ese logaritmo. Antes de que cada escolar tuviera su calculadora y su celular, en las escuelas secundarias se aprendía a usar las tablas de logaritmos inventadas por Napier. Las llamadas reglas de cálculo) que ya nadie conoce, eran una versión manual de una calculadora analógica para trabajar con los logaritmos.
El libro de Napier sobre los logaritmos, publicado en 1614, ostentaba el rimbombante título Mirifici logarithmorum canonis descriptio (Descripción del maravilloso canon de los logaritmos). En esa obra mostró cómo reducir la multiplicación y la división a la suma (o sustracción) de logaritmos. Ahora bien, Napier se interesaba sobre todo por los logaritmos decimales; es decir, la expresión que él analizó era realmente
y = 10x.
En este caso llamamos al exponente x el logaritmo base 10 de y. Es claro a qué se debe esto: en la vida diaria operamos con números decimales. Por eso los logaritmos de base 10 los usamos para medir los terremotos en la escala de Richter, o bien el ruido con los llamados decibeles.
Pero si queremos analizar procesos de crecimiento, la base e es más natural que la base 10. En un cultivo, las bacterias se comportan como el interés compuesto: cada nueva bacteria puede comenzar a reproducirse de inmediato, así como cada peso de interés capitalizado comienza a generar nuevo interés de inmediato. Ahí radica la importancia de la función exponencial: en su universalidad, porque nos permite describir cualquier proceso de crecimiento en el que la tasa de cambio instantánea es proporcional a la población, sea de bacterias como de billetes.
Pero ahí no termina la historia. Napier mismo nunca habló de la constante e y aparentemente nunca utilizó logaritmos con esa base. Después de su muerte apareció la traducción inglesa de su obra en latín Mirifici logarithmorum) y ahí alguien extendió el contenido con un apéndice que contiene una tabla de logaritmos de base e) lo que ahora llamamos logaritmos naturales. Se cree hoy que esa persona fue el matemático William Oughtred, quien además inventó la regla de cálculo.
Resulta entonces que, efectivamente, John Napier fue el primero en definir los logaritmos, y que la traducción inglesa de su obra contiene una tabla de logaritmos naturales, pero sin definir al número e de manera explícita.
El privilegio de asignarle una letra a la base de los logaritmos naturales le correspondió al matemático suizo Leonhard Euler (1707-1783), quien difundió el uso de la letra e. El helvético fue tan prolífico y tan estudiado que sus escritos ayudaron a establecer una notación estándar para las matemáticas. La figura VII.4 muestra el texto de una carta de Euler a su amigo Goldbach, del 25 de noviembre de 1731, donde define e como el número con logaritmo hiperbólico igual a 1. Lo que en esta carta Euler define como logaritmo hiperbólico es lo que ahora llamamos logaritmo natural.

Figura VII.4. En este texto, Euler define e como el “número cuyo logaritmo hiperbólico es = 1” (“Carta de Euler para Christian Goldbach.” del 29 de noviembre de 1731; fuente: The Euler Archive).
Antes se le decía hiperbólico, porque el área bajo la hipérbola y = 1/x, entre los límites 1 y z, es exactamente el logaritmo natural de 2. Esto fue notado primero por los matemáticos Grégoire de Saint-Vincent y Antonio de Sarasa, a quienes se les atribuye la invención de los logaritmos hiperbólicos.
Así que, recapitulando: Bernoulli fue quien proporcionó la explicación más intuitiva del significado de la constante e, sin asignarle un nombre. Napier inventó los logaritmos, pero utilizando la base 10, y fueron sus traductores los que extendieron las tablas a la base e, sin definir la base de una manera explícita. Leonhard Euler fue quien la integró en nuestra notación matemática moderna. La disputa sobre el número de Euler o la constante de Napier es por ello una de las últimas reverberaciones de las añejas escaramuzas en las trincheras matemáticas europeas.
§. La constante de Planck y el cuanto de acción
Max Planck, el fundador de la mecánica cuántica, contribuyó con el descubrimiento de una constante universal al desarrollo de la física moderna. Nos referimos a h, la llamada constante de Planck o también cuanto elemental de acción.
La constante h fue postulada por el físico alemán como parte de una heurística para derivar la ley de radiación del cuerpo negro, la cual no admite una fundamentación clásica. Un cuerpo negro es un sistema en equilibrio térmico donde fotones de muy diversas frecuencias coexisten a una temperatura dada. Un cuerpo negro se puede modelar como una cavidad que absorbe energía por un orificio hasta llegar a adquirir una cierta temperatura de equilibrio. Si se hace un histograma de la energía emitida en cada banda de frecuencia por el cuerpo negro, la forma del histograma sólo depende de la temperatura del objeto. Es decir, el espectro de radiación del cuerpo negro es universal, dada la temperatura, sin importar el material. La figura VII.5 muestra las curvas de radiación para 6 000, 5 000, 4 000 y 3 000 grados Kelvin. El eje horizontal nos muestra la longitud de onda mientras el eje vertical representa la intensidad de la radiación. La radiación del cuerpo negro es importante porque las estrellas, por ejemplo, también se pueden modelar de esta manera, a pesar de ser tan brillantes. Aquí el nombre del concepto no se ajusta tan intuitivamente al objeto.
La concepción clásica que Planck debió superar en su nueva teoría fue la de la continuidad de la emisión y absorción de energía.

Figura VII.5. Espectro del cuerpo negro para diferentes temperaturas.
Resulta que la energía no es un fluido que podamos verter de un recipiente a otro en cantidades arbitrarias. Al contrario, el fluido viene embotellado en lo que se llama cuantos de energía. Planck postuló un modelo del cuerpo negro en el que para cada frecuencia f de la emisión existe un cierto número de osciladores que sólo pueden emitir o absorber energía en paquetes de tamaño hf. Entonces, cada oscilador puede tener una energía total de hf, 2hf, 3hf, etc., pero no valores intermedios.
Con la hipótesis cuántica Planck revolucionó la física, sin ser él, en lo personal, un insurgente. A pesar de haber fundado la mecánica cuántica, Planck pasó años tratando de encontrar una derivación clásica de la radiación del cuerpo negro hasta que se rindió a la evidencia, sobre todo porque nuevos descubrimientos reforzaron la teoría cuántica, por ejemplo, la explicación del efecto fotoeléctrico publicada por Einstein en 1905. No sorprende, entonces, saber que la constante h fue elegida por Planck por ser la inicial de la palabra alemana Hilfsvariable, que quiere decir variable auxiliar. Curiosamente, h también es la inicial de la palabra heurística. Y es que así pensaba Planck en ese momento, en tomar un atajo con una simplificación, la hipótesis cuántica, que más tarde quizá se podría eliminar.
La constante h se utiliza en otra variante que simplifica algunas ecuaciones. La constante “h barra” es igual a h dividida por 2π. Esta variante fue ideada por Niels Bohr para poder escribir la frecuencia de partículas en radianes por segundo en lugar de en Herz, conectándola así con el momento angular de los electrones en un átomo.
Planck y Einstein se ocuparon de los fotones, y gracias a ellos leemos la expresión
E = hf
de derecha a izquierda: la constante de Planck multiplicada por su frecuencia es la energía de un fotón.

Figura VII.6. Fragmento del texto de Max Planck Sobre la ley de la distribución de energía en el espectro normal, 1901 (fuente: Von Kirchhoff bis Planck: Theorie d. Warmestrahlung in histor.-krit. Darstellung, Hans-Georg Schopf, Vieweg, Braunschweig, 1978).
Louis de Broglie nos enseñó, en 1924, a leer la misma expresión de izquierda a derecha: una partícula con energía E tiene la frecuencia f. De esta manera quedó establecida la que ahora llamamos la dualidad entre partículas y ondas, esencial en la mecánica cuántica.
§. La velocidad de la luz c
Una de las constantes más famosas de la física es c, la velocidad de la luz. Ésta es una de las cinco constantes universales a las que el físico Max Planck propusiera asignarles el valor 1.0, con el fin de obtener unidades naturales para el resto de los fenómenos físicos. Por eso se les llama también unidades de Planck. Cada una de las constantes está asociada con una teoría física esencial, específicamente:
- c, la velocidad de la luz, aparece en la relatividad especial.
- G, la constante de gravitación, es parte de la relatividad general.
- h, la constante de Planck, aparece en la mecánica cuántica.
- ∈0, la constante de Coulomb 1/(4π∈0), aparece en el electromagnetismo.
- kb, la constante de Boltzmann, aparece en la termodinámica.
Con estas unidades podemos imaginar un mundo donde no necesitemos definir el metro o el segundo. Estas dos unidades arcaicas se podrían expresar combinando las unidades naturales algebraicamente. Cuando hacemos esto se obtiene la unidad de longitud de Planck o el intervalo de Planck, que son algo así como las dimensiones de los pequeños tabiques de espacio y tiempo que constituyen el armazón del mundo.
Pero más allá de su valor numérico, ¿por qué denotamos la velocidad de la luz con e en la actualidad? ¿De dónde viene esta convención? En el caso de una constante como G está claro, es la primera letra de la palabra gravitación. En el caso de la h también, ya que Planck introdujo esta constante universal discutiendo osciladores armónicos cuantizados, y para él la h era una Hilfsvariable (variable auxiliar).
Sólo el conocido autor de ciencia ficción Isaac Asimov no tenía ninguna duda. Según él, la e fue adoptada porque velocidad en latín se escribe celeritas. Así es como Galileo, por ejemplo, nombraba a la velocidad de un objeto. Sin embargo, muchos físicos dudan de esta explicación, porque durante muchos años la velocidad de la luz se representó simplemente con v, especialmente por el inglés James Clerk Maxwell, quien escribió sus famosas ecuaciones para el electromagnetismo usando v y no c. El mismo Einstein, quien nos heredó la famosa ecuación E = mc2, utilizó la letra v en su famoso trabajo de 1905, en el que propuso la teoría de la relatividad especial. Era claro que así debía hacerlo, ya que aquel artículo era una discusión crítica de la teoría de Maxwell del electromagnetismo. Sin embargo, ya para 1907 Einstein había pasado de la v a la c.
Hay dos caminos para explicar la transición de v a c, uno que pasa por Leonhard Euler y otro que pasa por la teoría del electromagnetismo. Respecto a Euler, habría que mencionar que en algunos de sus trabajos se ocupó de funciones de onda, por ejemplo, de sonido, y en ese caso se puede considerar la posición x del emisor, pero también su velocidad y el tiempo transcurrido t. La posición del emisor en el tiempo es x - ct o x + ct, donde c denota la velocidad del sonido en el aire. Resulta que Euler escribía, precisamente, estas expresiones utilizando c porque abreviaba así celeritas.
Pero los físicos no necesariamente leen todo lo que escriben los matemáticos. Además, nos falta todavía un ingrediente en la época de Euler. Y es que los físicos no sabían, hasta los experimentos de los norteamericanos Michelson y Morley de 1886, que la velocidad de la luz en el vacío es una constante. No importa si la luz es emitida contra el movimiento tangencial de la Tierra alrededor del Sol o a favor de esa dirección, en ambos casos la velocidad de la Tierra no se suma ni se resta a la velocidad de la luz, es decir, esta última permanece constante. Esto fue una gran sorpresa para los físicos a fines del siglo XIX, ya que acababa de un plumazo con la idea de que la velocidad relativa de la luz respecto a un marco de referencia en movimiento, como la Tierra, se podía sumar a la velocidad del marco de referencia. Nada puede viajar más rápido que la velocidad de la luz c, vaya ¡ni la luz misma!
Puede parecer que llamar c a la velocidad de la luz es una feliz coincidencia, ya que la palabra constante comienza con c. Pero debido a que los primeros que utilizaron la c eran físicos alemanes, habría que preguntarse por qué no utilizaron la k, puesto que constante en alemán se dice Konstante. Sin embargo, nos informan los diccionarios de la época —principios del siglo XIX—, en aquellos años en alemán se utilizaba la palabra Constante) así que salvamos este escollo.
Existe otra explicación del nombre de c, que si no es la adecuada, por lo menos es la más profunda e interesante. Tiene que ver con la llamada constante de Weber, que efectivamente se abreviaba con c. El físico alemán Wilhelm Weber trabajó en Gotinga y era colaborador nada menos que de Carl Friedrich Gauss. Se ocupó durante muchos años de depurar las mediciones de fenómenos electromagnéticos, y tuvo una idea muy interesante. Resulta que las cargas eléctricas se pueden atraer o repeler siguiendo la ley de Coulomb, la cual postula que la fuerza entre las cargas es proporcional a su producto e inversamente proporcional al cuadrado de la distancia. El factor de proporcionalidad k depende de las unidades que se utilicen. Pero además, las corrientes de cargas a través de dos alambres paralelos pueden atraer o repeler a los alambres, según la ley de Ampère. Si las corrientes van en la misma dirección se repelen. Si van en dirección contraria se atraen. La constante de proporcionalidad para la fuerza de atracción es k'. Dependiendo de si se miden cargas utilizando la ley de Coulomb o la ley de Ampere, se obtienen valores distintos, pero la relación entre ambas unidades tiene dimensiones de velocidad.
La idea de Weber fue investigar la relación entre k y k' haciendo que una carga fluyera por alambres. Si una carga negativa fluye de un condensador (una botella de Leiden), ¿cómo se relaciona la repulsión electrostática con la atracción magnética? ¿Se pueden neutralizar? Eso depende de la relación k/k'. El resultado experimental de Weber fue que la relación entre las unidades de carga medidas por la ley de Coulomb y las medidas por la ley de Ampère era constante. Al principio llamó a esa constante o, pero a partir de 1846 la llamó c. Como Weber calculó e a través de dos leyes de la física, el número obtenido debería ser una constante, y por eso pasó a ser llamada constante de Weber. Dicha constante era igual a √2c, algo que fue notado por el físico alemán Kirchhoff en 1856. Por eso, todavía hasta Maxwell se hablaba, por un lado, de la velocidad de la luz v y, por otro, de la velocidad de fenómenos electromagnéticos, dada por la constante de Weber, la cual hoy escribiríamos como √2c. Pero en 1873 el mismo Maxwell ajustó las constantes en la expresión usada por Weber y convirtió así la constante de Weber simplemente en c. Nótese, sin embargo, que no fue hasta décadas después cuando se demostró que la velocidad de la luz en el vacío era constante. Así que, por un lado, teníamos la constante de Weber y, por otro, algo quizá variable, como sería la velocidad de la luz en el vacío.
Ahora sabemos que lo profundo del resultado de Weber fue haber demostrado que una corriente es una onda electromagnética en el conductor, y lo que hizo Maxwell fue generalizar el resultado al caso del vacío, usando v para la velocidad de la luz y e para la constante de Weber, que, sin embargo, al final de cuentas eran lo mismo en las expresiones de Maxwell. El físico Paul Drude en 1894 fue quien aparentemente hizo la conexión explícita. Él comenzó a utilizar e para denotar la velocidad de la luz y fue después imitado por Hendrick Lorenz y Max Planck. Aparte de Maxwell, no había nadie con más autoridad que aquellos dos físicos para fijar la notación al respecto.
Cuando Einstein escribió su trabajo sobre la relatividad especial, en 1905, estaba tratando de resolver una paradoja: en las ecuaciones de Maxwell se obtenían resultados distintos en el campo magnético inducido dependiendo de cuál bobina, la inductora o la inducida, estaba en movimiento respecto al éter. De acuerdo con Einstein, lo que importaba era el movimiento relativo de las bobinas y el éter era una entelequia inexistente. Cuando dos años después Einstein mostró que la relatividad especial nos permitía afirmar que E = mc2, quedó santificada la letra e como una de las cinco constantes universales que hoy constituyen las unidades de Planck.
Contenido:§. El factorial
§. Sigma: sumatorias con colmillo
§. Un suelo y un techo para los números
§. El símbolo binomial
§. El factorial
El factorial de n, o simplemente n!, es una de aquellas funciones que han recibido dos o más nombres distintos en diferentes regiones culturales. En alemán al factorial se le llama la función Fakultät (facultad), mientras que en inglés, en español y en casi cualquier otro idioma se le llama factorial.
Esta función aparece de manera natural cuando consideramos todas las permutaciones posibles de a números, al sacarlos uno por uno de una urna. El primero de n números lo podemos seleccionar precisamente de n maneras distintas y lo ponemos fuera de la urna. Para el siguiente número quedan (n - 1) posibilidades distintas en la urna. El tercer número lo podemos seleccionar de (n-2) maneras distintas, puesto que los dos primeros números ya han sido seleccionados, y así sucesivamente. El número total de posibles extracciones, es decir, las permutaciones de los a números es precisamente la definición de n!, o sea:
n! = n × (n - 1) × (n – 2) ×... ×1
que se puede también escribir utilizando una definición recursiva, como 0! = 1, y de ahí en adelante n! = n(n - 1)!. Nótese que éste es un ejemplo de notación funcional con un sufijo, es decir, un símbolo que sigue al argumento. En vez de escribir la función siguiendo el esquema usual f(x), la escribimos como (x)f Hay pocas funciones que utilizamos de esta forma.
Nadie sabe por qué Christian Kramp (1760-1826), matemático de Colonia, Alemania, le asignó el nombre faculté a esta función en 1798. Él fue definitivamente quien propuso utilizar el signo de admiración después de n para denotar la función. Kramp propuso este nombre tal vez porque facultades es un sinónimo de posibilidades y n! indica precisamente el número de posibles permutaciones de n números. Después, en su libro Elements d'arithmétique universelle, de 1808, Kramp decidió adoptar el término factorielle que el matemático francés Arbogast propuso casi en paralelo por considerarlo más agradable y más francés.
Es aquí donde una vez más la geopolítica interviene en la historia de las matemáticas. Resulta que Kramp nació en Estrasburgo, donde estudió medicina. Después de la Revolución francesa, a partir de 1794, las tropas revolucionarias ocuparon la ribera del Rin y una de las ciudades que tomaron fue Colonia. En 1801, el mismo año en que Kramp llegó ahí, los franceses les otorgaron la ciudadanía francesa a todos los habitantes de esa ciudad. Kramp regresó a ser profesor de matemáticas en Estrasburgo en 1809. Esa ciudad durante mucho tiempo fue libre, y aunque Francia se la anexó desde 1681, siguió siendo una ciudad multicultural y tolerante en lo religioso. Así que Christian Kramp, con sus obras escritas en Colonia (en alemán) y después en Estrasburgo (en francés), operaba en la frontera de dos regiones culturales, Alemania y Francia. Mientras que su uso del símbolo de admiración se generalizó en ambas regiones, una de esas áreas siguió hablando de la función facultad, en tanto que la otra hablaba de la función factorial Es decir, todos adoptaron el mismo símbolo, pero con diferentes nombres.
Kramp decidió utilizar el símbolo de admiración para simplificar el trabajo del impresor. Hasta esa época la notación alternativa más frecuente para al era ⌊n, muy difícil de realizar con los tipos convencionales. Kramp se interesó por la función factorial porque existen diversas maneras de generalizarla, por ejemplo, cuando los factores decrecen no por una unidad, sino por dos o tres unidades. Él estaba interesado en factores que decrecen sustrayendo diversos enteros. En notación moderna hoy escribimos, por ejemplo:
n!! = n(n - 2)(n - 4) ...
n!!! = n(n - 3)(n - 6)...
Hasta Kramp, nadie se había atrevido a utilizar el símbolo de admiración o de interrogación en la notación matemática. Dichos símbolos son de creación mucho más reciente que los alfabetos latino y griego. Recordemos que hasta bien avanzada la Edad Media se utilizaban pocos símbolos de puntuación, situación que comenzó a cambiar al aumentar el número de lectores. Fue así como aparecieron y se difundieron el punto, la coma, el punto y coma, etc.

Figura VIII.1. Primer uso del símbolo de admiración en De nobilitate legum et medicine, de Coluccio Salutati, 1399.
El símbolo de admiración fue introducido por Iacopo Alpoleio da Urbisaglia en su libro Ars punctandi y Coluccio Salutati lo repopularizó en 1399. En realidad, el símbolo ! (punto exclamativo) era al principio un punto seguido por una coma (.,), que al ser escritos uno sobre el otro nos conduce directamente a !.
Sin embargo, no debemos creer que el símbolo de Kramp se impuso de inmediato. Cuatro décadas después de la propuesta original, el matemático Augustus de Morgan aún se burlaba por escrito de la notación de Kramp: “Entre los peores barbarismos tenemos la introducción de símbolos, nuevos para las matemáticas, pero perfectamente inteligibles en el lenguaje diario. Algunos escritores han tomado de los alemanes la abreviatura n! para representar 1 × 2 × 3 × ... × (n - 1) × n, lo que les da a sus páginas la apariencia de estar expresando sorpresa de que el 2, 3, 4, etc., puedan aparecer en resultados matemáticos”.
§. Sigma: sumatorias con colmillo
Los matemáticos siempre se han interesado en estudiar sucesiones de números que obedecen alguna regla generativa simple, por ejemplo, la sucesión de naturales hasta el infinito, o sea, 1, 2, 3, 4, 5,..., o bien, la sucesión de sus cuadrados 1,4, 9,16, 25,... Si además queremos sumar algunos de esos números, es conveniente contar con una abreviación para la llamada sumatoria. Para ello utilizamos una letra griega, la sigma mayúscula. Fue el matemático suizo Leonhard Euler quien propuso la sigma como el símbolo para abreviar sumatorias, por ejemplo, en la expresión

que denota la suma de todos los números naturales desde el 1 hasta el 10. Aquí la notación es realmente densa: además de sigma, se indica el inicio y principio de la suma y se utiliza i como el llamado índice de la sumatoria. Todos esos embellecimientos de Σ fueron innovaciones posteriores a Euler.
Euler planteó utilizar sigma para abreviar sumatorias en su trabajo de 1755, de largo título: “Fundamentos del cálculo diferencial con aplicaciones al análisis finito y series”. En latín anotó escuetamente: “Summam indicabimus signo Sigma”. Se le ocurrió introducir Σ como la operación inversa a Δ, es decir, al cálculo de diferencias finitas en una sucesión numérica. En su libro los límites de la sumatoria no se escriben, se deducen del contexto y del texto asociado. Curiosamente, en aquella obra de Euler el tipógrafo muchas veces utilizó una M rotada 90 grados en dirección opuesta a las manecillas del reloj en lugar de la sigma mayúscula, como se puede apreciar en la figura VII.2, un facsímil de una parte del capítulo I, donde Euler propone la nueva notación. Algunos de los símbolos de esa página son sigmas y otros son emes rotadas.
Pero Euler no llegó a la sigma por casualidad: le enmendó la plana a Leibniz.

Figura VIII.2. Euler y el símbolo de sumatoria. En Institutiones calculi differentialis cum eius usu in analysi finitorum ac doctrina serierum, 1755 (fuente: The Archive Euler).
Euler nació en Basilea en 1707, momento para el cual ya Gottfried Leibniz e Isaac Newton habían inventado el cálculo diferencial e integral. Leibniz utilizaba una S mayúscula estilizada como símbolo de integración (es decir, ∫) lo mismo para sumar cantidades diferenciales que para sumatorias de números. Por eso la notación de Leibniz en realidad era inconsistente, al mezclar infinitesimales con diferencias finitas.
Las ecuaciones que utilizan diferencias finitas son muy importantes en la actualidad para realizar cálculos estructurales en computadoras. Hoy día, todos los ingenieros civiles se entrenan en ese tipo de métodos, por ejemplo, para calcular puentes o estructuras de metal. La solución de ecuaciones de diferencias finitas fue precisamente uno de los campos en los que Euler produjo contribuciones notables, y por eso no sorprende que haya sido él quien fijara la notación que hoy usamos para la sumatoria. En otras palabras, los símbolos d de diferencial y ∫ de integral de Leibniz para variables continuas son lo que Δ y Σ representan para variables discretas en la obra de Euler.
El camino para llegar a la sigma de sumatoria es interesante por lo rebuscado. Como sabemos, el alfabeto griego se deriva del alfabeto fenicio. En este último, la letra sin se escribía como nuestra W latina. Aparentemente, el sonido asociado a esta letra era el comienzo de la palabra diente en fenicio (y si se mira bien, una W semeja un molar). Los griegos adoptaron la letra fenicia como una fricativa más, pero la rotaron 90 grados. En regiones del territorio griego, por ejemplo, en Jonia, se escribía la letra como la sigma mayúscula que hoy conocemos, Σ. Sin embargo, en Atenas se utilizaba una variante de sólo tres segmentos, o sea
que con el tiempo se convertiría en nuestra S latina. Más adelante Leibniz utilizó una S estilizada, o sea ∫, para denotar la integral, que es un proceso de suma de infinitesimales. Euler, al considerar diferencias finitas y al enmendar la notación, recorrió el camino de regreso: de Leibniz a la S latina y de ahí a la sigma jónica, Σ. De ahí que podamos decir que esta notación fue posible por el colmillo matemático de Euler, que curiosamente nos remite ¡al diente fenicio!
No fue hasta el siglo XIX cuando la notación de Euler se difundió en Europa, aunque Lagrange la adoptó pocos años después de su introducción. Pero así sucede, a veces, con innovaciones que hacen época: maduran y sólo se imponen a lo largo de décadas.
§. Un suelo y un techo para los números
El siglo XX nos legó nuevos y variados símbolos matemáticos, pero es raro que un símbolo venga de otra disciplina. La computación, que existe desde 1945 más o menos, ha producido algunas innovaciones simbólicas a través de los lenguajes de programación.
Una de las más notables fue la creación de los símbolos para denotar la parte entera de un número fraccionario x y también el entero más pequeño que es mayor o igual a x. A estas funciones se les llama en inglés floor y ceiling, de notación ⌊x⌋ y ⌈x⌉, respectivamente, que en español se podrían traducir como suelo y techo) aunque generalmente decimos simplemente parte entera de x cuando nos referimos a ⌊x⌋.
La función parte entera es muy útil en diversos contextos. Ya Gauss había usado, en 1808, una notación con paréntesis cuadrados para denotar la parte entera de un número. Aquella notación se usó intermitentemente hasta que Kenneth Iverson (1920-2004) creó el lenguaje de programación APL (A Programming Language), lleno de símbolos para denotar operaciones matriciales y algebraicas.
Iverson era empleado de IBM y diseñó su lenguaje de programación de 1957 a 1962 (en el papel). Fue un esfúerzo heroico, puesto que en esos años todavía no existía un lenguaje estándar de programación. Los lenguajes más populares de los años sesenta, Fortran, Cobol y Lisp, se encontraban en desarrollo en la década de 1950 y, en cierto sentido, eran competidores de APL.

Figura VIII.3. Teclado que muestra todos los símbolos del lenguaje apl (fuente: Wikimedia Commons).
Pero mientras Fortran estaba orientado a la ingeniería, Cobol a los negocios y Lisp a la inteligencia artificial, APL estaba pensado como un lenguaje muy conciso apropiado para las matemáticas aplicadas y los cálculos científicos. Para programar en APL había que utilizar un teclado especial; una mirada a los símbolos del teclado nos muestra la libertad gráfica que Iverson se tomó para crear sus operadores. Oprimiendo una tecla especial se podían seleccionar los símbolos de APL en el teclado o las letras latinas.
Llama la atención, sin embargo, que en el APL maduro la función parte entera utilice solamente el primer paréntesis, es decir, la parte entera de x se escribe como ⌊x. Por consistencia, el valor absoluto de x se escribe en APL como ⌊x. Como función de dos argumentos, la expresión A[B denota al mayor de dos números. A pesar de que en las primeras versiones teóricas de APL aún se cerraban los paréntesis de las funciones floor y ceiling en las versiones ya ejecutables se dejó de hacerlo para que las funciones de un argumento (monádicas) tuvieran una sintaxis uniforme.
El APL quiso ser, en parte, lo que Matlab o el lenguaje R representan hoy en día. Pero a diferencia de estos lenguajes, los programas escritos en APL tienen una apariencia funcional. Todo se hace con operadores y funciones actuando sobre matrices, para evitar lo más posible los loops, es decir, largos ciclos de operaciones. Un programa escrito en APL es, después de unos días, ininteligible, pues se pueden apilar funciones una sobre otra en un solo renglón. Iverson primero desarrolló APL en Harvard para dar cursos de cálculo científico y sólo más tarde fue llamado a IBM para escribir una implementación para esa compañía. A APL se le nota haber nacido en la torre de marfil.
Curiosamente, en IBM se utilizaba al principio APL, no para calcular, sino para especificar sistemas y su funcionamiento esperado. Por ejemplo, parte de la descripción del sistema de computadoras 360 de IBM se hizo en APL. Y a pesar de que APL ha estado descontinuado durante décadas, todavía hay reuniones y conferencias de nostálgicos usuarios.
La notación monódica de floor y ceiling, sin cerrar los paréntesis, nunca se pudo imponer en la academia. Una vez que los primeros libros sobre algoritmos y cálculo científico comenzaron a aparecer, la notación de Iverson fue adoptada, pero en su forma original, cerrando los paréntesis truncados.
En 1979 Ken Iverson recibió el Premio Turing, algo así como el Premio Nobel de la computación. En su discurso de aceptación hizo hincapié en que una notación correcta y elegante puede ser un instrumento del pensamiento. No solamente se trata, en sistemas notacionales, de especificar algo, sino, sobre todo, de poder manipular expresiones y poder visualizar todas sus extensiones y vericuetos. En este sentido, adoptar una notación efectiva no es tomar pincel y pintura, sino, más bien, trabajar con desarmador y pinzas. Se trata de construir y de-construir estructuras teóricas, que es la esencia del quehacer matemático.
§. El símbolo binomial
El famoso teorema del binomio fue planteado de manera algebraica por Isaac Newton en 1665, generalizado para exponentes racionales. Para exponentes enteros el teorema del binomio se escribe de la siguiente manera:

Esta expresión nos permite calcular rápidamente los sumandos de la expansión de la enésima potencia de x + a. En la expresión aparecen una sumatoria, potencias y además el símbolo binomial. El binomial
nos proporciona el número de combinaciones de n objetos cuando tomamos k a la vez.
El símbolo binomial fue propuesto por el matemático y físico alemán Andreas Freiherr von Ettingshausen, en 1826, en su libro Die combinatorische Analysis (Análisis combinatorio). El símbolo también aparece en su libro de texto Vorlesungen über die höhere Mathematik) de 1827. Von Ettingshausen nació en Heidelberg —en 1796—, pero pasó la mayor parte de su vida profesional trabajando en Austria (Innsbruck y Viena). Es posible que Leonhard Euler (1707-1783) le haya proporcionado la inspiración para proponer su propio símbolo. Euler utilizaba una notación para binomiales muy parecida a la actual, pero con una línea horizontal divisoria. En su trabajo “De evolutione potestatis polynomialis cuiuscunque (1 + x + x2 + x3 + x4 + etc.)"”, leído en la Academia de San Petersburgo en 1778, Euler mostró cómo desarrollar la enésima potencia de expresiones con más de dos sumandos. El facsímil (figura VIII.4) muestra la notación de Euler. Sin embargo, este trabajo no fue publicado hasta 1801, en Nova Acta Academias Scientarum Imperialis Petropoliticae. Debido al prestigio de Euler, es posible que su notación se haya extendido en Europa hasta que Von Ettingshausen la simplificó.

Figura VIII.4. Notación para el binomial en 1801) en De evolutione potestatis polynomialis cuiuscunque (1 + x + x2 + x3 + x4 + etc.)", Leonhard Euler) Nova Acta Academiae Scientarum Imperialis Petropolitinae) 1801) 12: 47-57 (fuente: The Archive Euler).
El procedimiento empírico para generar los coeficientes de la enésima potencia de x + a era conocido en muchas culturas. La lista de matemáticos con técnicas para generar los coeficientes binomiales es larga e ilustre: Chia Hsien en China (1050), al-Karaji (alrededor de 1100), Ornar al-Khayyami (1080), Bhas- kara Acharya (1150), al-Samaw’al (1175), Yang Hui (1261), Tshu shi Kih (1303), Shih-Chieh Chu (1303).
Los matemáticos europeos comenzaron a escribir sobre los coeficientes binomiales en el siglo XVI. Michael Stifel publicó en su Aritmética integra) de 1544, una de las primeras versiones conocidas en Europa del llamado triángulo de Pascal Cada renglón del triángulo de Stifel corresponde a la mitad de cada renglón del triángulo de Pascal y sin incluir el 1. Los chinos y los árabes también contaban con sus propias versiones del triángulo mucho antes de que apareciera Pascal en escena. Pero el método de generación de los coeficientes es evidente en la representación de Pascal, y quizá por eso pudo imprimir su nombre al método de generación de los coeficientes. Pascal escribió numerosos y breves tratados sobre las propiedades del triángulo y sus generalizaciones, que sólo fueron publicados póstumamente, en 1665, con el título Traité du Mangle arithmétique) avec quelques autres petits traiteés sur la méme matière. En estos escritos Pascal mostró que los coeficientes binomiales correspondían a permutaciones de a objetos tomados k a la vez, y de qué manera esto se podía utilizar en el aún incipiente cálculo de probabilidades.


Figura VIII.5 a y b. El triángulo de Pascal. La imagen derecha proviene del manuscrito original de Blaise Pascal titulado Traite du triangle arithmétique, de 1654.

Figura VIII.6. El símbolo binomial de Freiherr von Ettingshause) en Die combinatorische Analysis ais Vorbereitungslehre zum Studium der theoretischen hohern Mathematik, Andreas von Ettingshausen, Druck und Verlagvon I. B. Wallishausser, Viena, 1826.
§. El símbolo invisible: la convención de Einstein
§. La cajita de Halmos
§. El seno de teta y la trigonometría
§. El símbolo de congruencia y aritmética en miniatura
§. Las matrices: la estructura madre
§. Publicar o morir. Las primeras revistas científicas
§. El símbolo invisible: la convención de Einstein
En 1916 Albert Einstein era profesor de física en Berlín, y se encontraba en plena carrera para lograr condensar su teoría general de la gravitación en una sola ecuación basada en los llamados tensores. Fue entonces cuando hizo su mayor contribución al simbolismo matemático, lo que ahora denominamos la convención de Einstein. En expresiones con símbolos de sumatoria, por ejemplo, en la expresión

los productos de variables requieren la repetición de un índice (j en este caso). Resulta más económico escribir simplemente
aij bjk
y el símbolo de sumatoria lo consideramos implícitamente dado por la presencia de los subíndices j repetidos. La suma se extiende sobre todos los componentes del vector, matriz o tensor involucrado en la operación.
Cuando se utiliza la convención, los índices empleados para la sumatoria sólo pueden aparecer dos veces; de lo contrario, habría una ambigüedad.

Figura IX.1. Fragmento de “Die Grundlage der allgemeinen Relativitätstheorie” (Fundamentos de la Teoría General de la Relatividad) de Albert Einstein) Annalen der Physik, IV vol. 49, núm. 7, 1916.
Einstein escribió años después a su amigo Kollros:
“He hecho un gran descubrimiento matemático; he suprimido el símbolo de sumatoria cada vez que la suma se hace sobre un índice que aparece dos veces”.

Figura IX.2. Albert Einstein en 1947, The Library of Congress (fuente: Wikimedia Commons).
Una demostración matemática es a veces un paseo bucólico, pero muchas otras es un verdadero maratón. Por eso los matemáticos proclaman, al final del arduo trayecto, que se ha llegado a la meta, como aquellos corredores que agotados elevan los brazos al cielo al romper el listón que marca el final del martirio. Para pregonar la meta alcanzada, los matemáticos utilizan al final de sus demostraciones la abreviatura Q. E. D. (o simplemente qed), que en latín significa quod erat demonstrandum) es decir, como teníamos que demostrar. Para hacer más ameno el asunto, el matemático húngaro-estadunidense Paul Halmos introdujo hace algunas décadas una abstracción tipográfica que tiene el mismo significado. Se trata simplemente de un cuadrito, llamado caja de Halmos) que se coloca al final de una demostración. Es como un punto final sobredimensionado, casi un signo de admiración para los iniciados, un desafiante “¿no qué no?”, un portazo con el que nos despedimos. Es como ahora, cuando el artista tira el micrófono. ■
Esta compulsión a proclamar el final de una demostración es muy arcaica. Ya desde Euclides de Alejandría se utilizaba alguna frase especial para marcar el final del razonamiento. Los matemáticos de Babilonia y la India nunca necesitaron realmente una expresión similar, puesto que rara vez escribían una demostración. Ese privilegio, el de ser los primeros matemáticos rigurosos y con un método axiomático, les pertenece a los griegos y a nadie más. Pero la frase que Euclides y posiblemente otros de sus contemporáneos usaban era hóper édei deixai) que se puede traducir como precisamente aquello que había que demostrar. Ésta se abreviaba con las letras griegas OEA. Además, si la demostración era constructiva, como cuando se monta una figura geométrica con regla y compás, terminaban diciendo como había que hacer.
Pero llegaron los traductores europeos y cambiaron ligera-mente las expresiones y sus abreviaturas. La primera impresión de la traducción del griego al latín de los Elementos de Euclides fue preparada por Bartholomew Zamberti en 1505, en Venecia. En esa misma ciudad ya se había impreso una traducción del árabe en 1482 (o sea, una doble traducción, primero del griego al árabe y de ese idioma al latín). Por eso se cree que las tres letras qed se utilizaron por primera vez en la edición de Zamberti. En las viejas traducciones dobles a veces se escribía Et hoe est quod demónstrate iateadimus, que suena menos contundente que qed, ya que significa y esto es lo que nos proponíamos demostrar. Por otro lado, para el quod erat faciendum) de las pruebas constructivas, se utilizaba qef.
Después de Euclides muchos otros matemáticos adoptaron también la costumbre de cerrar con qed. En el caso de los científicos se explica, pero no tanto en el del filósofo Baruch de Spinoza (1632-1677), quien para su formalización cuasimatemática de la filosofía adoptó algo similar al método axiomático. Ya el título de uno de sus libros más célebres anuncia lo que viene: Ética: demostrada por el método geométrico. El libro comienza con definiciones, axiomas metafísicos, y continúa proposición tras proposición, cerrando muchas de ellas con qed. Este asalto a la razón comienza probando cosas como que dos sustancias de naturaleza diferente no tienen nada en común, y termina con la proposición 42, que habla de la virtud y la define. Después de Spinoza, sólo Ludwig Wittgenstein se atrevería a seguir tan estrictamente el modas mathematicus en un texto filosófico, su Tractatus logico-philosophicus de 1921, que renuncia al qed pero numera todas las proposiciones en el texto siguiendo un esquema de varios niveles.
Galileo Galilei, quien vivió en lo que ahora es Italia y escribió en latín, fue mucho más prolífico para promulgar el final de sus demostraciones. Lo mismo escribía quod erat probandum que quod erat ostendendum) o bien, quod erat faciendum, quod erat determinandum, y hasta quod eratpropositum, expresiones que en español se entienden por sí solas (ostendendum significa aclarar).
Algunos matemáticos son más atrevidos: no sólo se anuncian al llegar, sino desde que salen. Para ello escriben quod esset demonstrandum) es decir, como tenemos que demostrar. Que una demostración matemática es algo así como una galopada o persecución a campo traviesa nos lo muestra también el famoso símbolo que representa una curva peligrosa (es decir, una parte difícil del texto), introducido por el grupo Bourbaki en las matemáticas y canonizado por Donald Knuth en su sistema tipográfico TeX. Se ve así:
.
Paul Halmos introdujo su ahora famosa caja en su libro sobre teoría de la medida, de 1950, para sustituir al qed. Después explicó en su autobiografía: “El símbolo, definitivamente, no es invención mía. Se usaba en revistas populares (no revistas matemáticas) antes de que yo lo adoptara. Creo que yo fui quien lo introdujo en las matemáticas [...]. Al símbolo a veces se le llama la lápida) pero un autor generoso lo llegó a llamar el halmos”.
La cajita de Halmos es quizás uno de los símbolos más famosos en matemáticas, aún más que el bourbakiano de virago dangereux. Es algo así como la celebración de la llegada agitando la bandera de cuadros negros y blancos. ■
§. El seno de teta y la trigonometría
Me encontré con la trigonometría en la escuela secundaria, pero en esa época nadie me explicó el origen de este vocablo que tanta aprensión produce en los escolares. Proviene del griego trigónos) que significa triángulo, compuesto de la raíz indoeuropea trei) que quiere decir tres, y la partícula gónia) que se refiere a un ángulo. O sea, trigónos quiere decir inicialmente tres ángulos. Métron, por su parte, es la palabra griega que significa medir, como en geometría) que se puede traducir como medición de la tierra (geó). Así que cuando decimos que estudiamos trigonometría, lo único que estamos afirmando es que nos dedicamos a medir triángulos. Suena menos espectacular y misterioso.
La trigonometría nos remite a las matemáticas de regla y compás, al estudio de figuras elementales y sus propiedades. Aún recuerdo las enormes escuadras y compases que manipulaban los profesores de matemáticas con gran destreza sobre el pizarrón. Alguien con ese dominio de la trigonometría se puede decir que es un graduado de la vida.
Otra cosa que nunca me explicaron es por qué en la trigonometría aparecen términos técnicos como las funciones seno, coseno y tangente. El seno de teta es una expresión matemática irreprochable, pero claro que es objeto de la hilaridad estudiantil. Resulta, sin embargo, que la terminología tiene su origen en una desafortunada traducción del árabe. Pero expliquemos.
Se puede trabajar con triángulos rectángulos inscribiéndolos en círculos de radio 1 para que así la hipotenusa tenga longitud también 1, como se puede apreciar en la figura IX.3. La longitud del lado opuesto al ángulo 0 es lo que llamamos entonces el seno de θ, y la longitud del lado adyacente a θ es el coseno del mismo ángulo. Del diagrama es claro que el seno de θ representa la mitad del largo del corte en color rojo, que es lo que llamamos una cuerda del círculo. El seno de θ es la mitad de la cuerda, es decir, lo podríamos llamar la semicuerda correspondiente al ángulo θ.

Figura IX.3. Construcción geométrica del seno) el coseno y la tangente (a la derecha) de un ángulo θ.
El lado adyacente al ángulo θ tiene una longitud que se denomina coseno de θ. Co-seno, por ser el complemento del seno de θ.
Con una construcción así no es necesario definir el seno de 0 como la razón entre el lado opuesto al ángulo y la hipotenusa (que en esta construcción siempre tiene longitud 1). El seno de θ es simplemente la longitud mostrada en el diagrama. Lo mismo se puede hacer para definir la llamada tangente de 0. En la parte derecha del diagrama hemos amplificado el triángulo original preservando sus ángulos, para que así el lado horizontal tenga ahora longitud 1. En ese caso, la llamada tangente de θ es la longitud del lado vertical del triángulo gris. Es claro por qué se le llama tangente a este segmento, ya que toca el círculo en un solo punto. Resulta, entonces, que las palabras sinus, co-sinus y tangeas (tocar) nos remiten al latín y a este tipo de construcciones geométricas de triángulos construidos con un círculo como referencia.
Pero sabiendo todo esto, ¿por qué decimos seno de θ y no semicuerda de θ? Ha habido muchas controversias al respecto, pero la teoría que parece más plausible traza el origen de la palabra a sus raíces árabes. Los árabes absorbieron la trigonometría de los indios, añadieron sus propias contribuciones y reexportaron el resultado a Europa. Hace ya más de quince siglos el matemático indio Áryabhata elaboró tablas de semicuerdas) que sabemos son equivalentes al seno de un ángulo en un círculo de radio 1. El vocablo utilizado por Áryabhata para identificar la semicuerda fue jya) que los árabes pronunciaban como jiba. Recordemos que en el idioma árabe no se escriben las vocales, sólo las consonantes, y por eso jifia se convirtió en algo así como jfi. Cuando los primeros frailes y matemáticos europeos se dieron a la tarea de traducir el legado científico de los árabes, no interpretaron correctamente lo que leían y de esa manera (alrededor de 1150 d.C.) confundieron la palabra original con jaib, que significa seno (sinus en latín). Los causantes de esta confusión fueron Gerardo de Cremona y Robert de Chester, quienes no supieron adivinar las vocales correctas. El vocablo sinus se refiere a una curva cóncava, una cavidad o una bahía, o sea, a algo curvo, ya que la palabra tiene muchas acepciones. La idea original, la del diagrama de la semicuerda, quedó sepultada bajo el detritus de la nueva traducción y contribuyó indirectamente a oscurecer el concepto mismo del seno de un ángulo.
Lo que siguió fueron muchas décadas sin una notación realmente estandarizada. Durante el siglo XVII se utilizaron las abreviaciones sin, sin. y sine para denotar el seno de un ángulo. Algunos autores comenzaron a utilizar cos y también tan, con o sin punto, para denotar el coseno y la tangente de un ángulo. Fue apenas con el extenso tratado de Leonhard Euler Introductio in analysin infinitorum, de 1748 —con el que el matemático suizo pudo presentar una definición de las funciones trigonométricas basadas en series—, como se comenzó a extender la notación sin., cos, tang. y cot. para el seno, el coseno, la tangente y la cotangente de un ángulo. Con el tiempo se omitiría el punto, y la g en la tangente.
Curiosamente, en muchas ocasiones se utiliza la letra θ para hablar de un ángulo variable, así como generalmente utilizamos la letra x para denotar la incógnita de una ecuación. Esta letra griega fue tomada del alfabeto fenicio. Aparentemente, el símbolo fenicio representa una rueda; es parecido al símbolo ⊗. Los griegos simplificaron la escritura conservando una sola línea y así se llegó a θ. La pronunciación en griego de th es similar a la que se utiliza en inglés, es una fricativa. Y es aquí donde la etimología conspira para confundirnos. El vocablo griego theta, por lo explicado, no tiene nada que ver con la raíz indoeuropea de donde se deriva la palabra española teta. Tiene una pronunciación muy distinta. Pero los senos son también sinus en latín porque su perfil es el de una curva o bahía (recordemos el puerto de Ensenada). Y así llegamos a la desafortunada locución seno de teta que tanta hilaridad produce en el salón de clases.
§. El símbolo de congruencia y aritmética en miniatura
Los matemáticos lo mismo construyen objetos matemáticos infinitos, de gran complejidad, que mundos en miniatura, en los cuales podemos recrearnos experimentando con las mismas propiedades algebraicas que cuando operamos con conjuntos numéricos infinitos. Un ejemplo de estos mundos miniatura son los llamados campos numéricos finitos. En un campo tenemos algunos números y dos operaciones. En el campo de los números racionales, por ejemplo, tenemos todas las fracciones de enteros y dos operaciones: la adición y la multiplicación. Además, tenemos el 0 para la adición y el 1 para la multiplicación como números de referencia. Cada número racional tiene una inversa aditiva (la inversa aditiva de -5 es el 5) y una inversa multiplicativa (la inversa multiplicativa de 3 es 1/3). Sólo el 0 carece de inversa multiplicativa. Estas y otras propiedades, como la conmutatividad y la asociatividad de las operaciones, definen a un campo.
Un campo finito de números podría ser, por ejemplo, la secuencia de cinco números 0,1, 2, 3,4, que son todos los posibles residuos en la división de enteros positivos con el divisor 5. Para estos números, el 5 es el módulo que los genera. Si pensamos que los cinco residuos están organizados en una línea numérica circular, es decir, que después del 4 regresamos al 0, entonces podemos definir la adición fácilmente.
Si calculamos 4+1 regresamos al 0, si calculamos 4 + 2 llegamos al 1, y así sucesivamente. Como 4 + 1 = 0, resulta que la inversa aditiva de 4 es 1. Es fácil ver que 2 es la inversa aditiva de 3, y viceversa.

Algo parecido sucede con la multiplicación. Una manera de definirla es multiplicar los números de la forma usual y calcular el residuo que se obtiene al dividir por 5. Por ejemplo, el residuo de 4 × 4 módulo 5 es 1. O sea que 4 × 4 = 1 en este campo finito y el 4 es su propia inversa multiplicativa. Es fácil ver que cualquiera de los números del 1 al 4 tiene una inversa multiplicativa de la manera en que la hemos definido (y que el 0 no la necesita).
Parece extraño, pero un mundo en miniatura como éste, con sólo los dígitos del 0 al 4, exhibe casi todas las propiedades de los números racionales. En las computadoras, que tienen recursos limitados, se utilizan estos campos modulares para operar con números y realizar muchos cálculos interesantes. La base de todo es el arreglo en un anillo de los números, que tiene su origen en la idea de congruencia. Se dice que dos números enteros a y b son congruentes, módulo a, si el residuo de la división por a es el mismo en ambos casos. Escribimos a = b mod n, o simplemente a = b, si el módulo es conocido del contexto. En el ejemplo de arriba, resulta que 6 = 1 mod 5.
El símbolo de congruencia aritmética (módulo algún número entero) fue introducido por el gran matemático alemán Carl Friedrich Gauss (1777-1855) en su obra Disquisitiones arithmeticae) publicada en Leipzig en 1801, aunque ya lo había usado en escritos personales. Las Disquisitiones son notables, porque es éste el primer estudio sistemático de lo que se llama la aritmética modular. Como se mostró arriba, en este tipo de aritmética fijamos un entero k (el módulo) y los únicos números que utilizamos son todos los enteros del 0 a k- 1. Un entero (n módulo k) es el residuo entero de la división de n por k.
La aritmética modular es muy importante en el álgebra y en la teoría de los números porque, a pesar de que manejamos un número finito de números (al fijar el módulo k), las operaciones aritméticas están bien definidas y nos permiten trabajar con las operaciones inversas.

Figura IX.4. Párrafo de Disquisitiones Arithmeticae de Gauss con la definición del símbolo de congruencia (Gerhard Fleischer Verlag) Leipzig, 1801, p. 2).
En la criptografía el tipo de matemáticas que se utiliza es precisamente modular, y algoritmos criptográficos, como el algoritmo RSA, hacen amplio uso de las propiedades de la aritmética en campos finitos.
Antes de Gauss, el matemático francés Adrien-Marie Legen- dre (1752-1833) había utilizado el símbolo de igualdad para denotar congruencia. Pero si no se cuenta con el contexto de las fórmulas, con esa notación se podría confundir una congruencia con una igualdad verdadera. La figura IX.4 muestra cómo anuncia Gauss la definición del símbolo = en sus Disquisiciones: “A partir de aquí denotaremos la congruencia por el símbolo ≡, agregando el módulo entre paréntesis cuando sea necesario, por ejemplo, en -16 ≡ 9 (mod 5)”. Habría que agregar que Leibniz tenía su propia notación para congruencia, la cual consistía en una tilde arriba del signo de igualdad. No sabemos si la notación de Leibniz influyó sobre Gauss, pero la notación de Leibniz es aún usada, como cuando escribimos 5 ≅ 0 (mod 5)
Una última reflexión sobre el origen del nombre campo para los números racionales y para los campos finitos es apropiada aquí. En alemán se utiliza la palabra Körper (cuerpo) para referirse a lo que en inglés se llama fields y en español campos. El alemán Richard Dedekind fue quien introdujo este concepto y explicó en su libro sobre teoría de los números, de 1871, por qué llamaba cuerpos a estas estructuras numéricas: “Esta designación debe denotar, de manera similar a lo que sucede en las ciencias naturales, en la geometría y en la sociedad humana, un sistema que es hasta cierto grado completo, perfecto y cerrado, por lo que se nos presenta como un todo orgánico, como una unidad natural”. Cómo se transformó este concepto en un field en la literatura inglesa es algo que los historiadores de matemáticas aún deben esclarecer.
§. Las matrices: la estructura madre
Las matrices, arreglos rectangulares de números, surgen de manera natural cuando se consideran sistemas de a ecuaciones lineales con m incógnitas y métodos para encontrar una solución. Escribiendo los coeficientes de las ecuaciones en el orden de las variables y abstrayendo del signo de adición obtenemos una matriz.
Los matemáticos no se conforman con definir objetos; están siempre a la búsqueda de lo que llaman estructura en los entes matemáticos que postulan. Lo interesante de las matrices es, precisamente, que exhiben muchas de las propiedades algebraicas a las que estamos acostumbrados. Si A y B representan matrices cuadradas con el mismo número de renglones y columnas, las podemos sumar, sustraer y multiplicar (A + B, A - B, AB). Si la matriz A tiene una inversa A-1, entonces AA1 = I, donde I representa la matriz identidad. Podemos calcular potencias de matrices y proponer ecuaciones matriciales para resolverlas. Lo más diferente de las propiedades algebraicas usuales es que el producto de matrices no es, en general, conmutativo.
Al concepto de matriz se llegó por las ecuaciones lineales y la teoría de determinantes, ya estudiadas en el siglo XVI por Cardano, quien investigó determinantes para dos ecuaciones con dos incógnitas. Leibniz, un siglo después, mostró cómo utilizarlos para la solución de ecuaciones lineales, hasta que Cramer, en 1750, pudo dar una fórmula general para la solución de sistemas de ecuaciones en términos de determinantes. Como vemos, el concepto de determinante se remonta a los siglos XVI y XVII, mientras que la moderna teoría de matrices surge apenas en el siglo XIX como área de conocimiento cuidadosamente organizada.
James Joseph Sylvester (1814-1897), matemático inglés y el primer judío practicante aceptado para estudiar en Cambridge, fue quien le dio su nombre a las matrices. Esto es lo que escribió Sylvester, en 1850, en su trabajo “Additions to the articles ‘On a new class of theorems’ and ‘On Pascal's theorern “Con este fin comenzamos, no con un cuadrado, sino con un arreglo rectangular de términos, que consiste en m renglones y n columnas. Esto no representa al determinante, sino a una matriz de la cual podemos formar varios sistemas de determinantes [...]”. Aquí Sylvester utiliza el término matriz en su acepción latina, que nos remite etimológicamente a la palabra mater (madre), de donde se generó el vocablo que de manera genérica se puede interpretar también como molde. Una matriz sería, en matemáticas, algo así como una estructura madre para organizar los coeficientes de sistemas de ecuaciones.
Pero fue otro matemático británico quien introdujo la notación moderna para las matrices, como un arreglo de números entre paréntesis. Se trata de Arthur Cayley (1821-1895), quien unificó y sistematizó el estudio de las matrices.

Figura IX.5. Definición de matriz en “Additions to the articles ‘On a new class of theorems' and ‘On Pascal’s theorem’”) en The Collected Mathematical Papers of James Joseph Sylvester, vol. I (1837-1853), American Mathematical Society, Rhode Island, 2000) p. 150.
En dos trabajos, “Remarques sur la notation des fonctions algébriques” de 1855 y “A Memoir on the Theory of Matrices” de 1857, propuso una representación como la que se puede apreciar en las figuras IX.6 y IX.7. En el texto en francés, Cayley utilizó líneas verticales para delimitar la matriz. En el segundo trabajo, el primer renglón de la matriz está contenido entre paréntesis y el resto entre líneas verticales. Es en la Memoria donde Cayley desarrolla un álgebra para el conjunto de matrices, definiendo su adición y multiplicación. Por la forma en que está escrita la Memoria, es evidente que muchas de estas propiedades no son nuevas, pero Cayley resume y sistematiza todo el conocimiento de sus contemporáneos relativo al álgebra matricial.
Sin embargo, no fue en Europa donde por primera vez se operó con arreglos de números. En las matemáticas chinas existían técnicas para resolver sistemas de ecuaciones lineales. En Los nueve capítulos sobre arte matemático o Jiûzhang Suànshü, escritos entre los años 200 y 300 de nuestra era, se utilizan arreglos con el nombre de Fangcheng (Td fü).

Figura IX.6. La notación de Cayley para matrices en “Remarques sur la notation des fonctions algébriques”, Journal für die reine und angewandte Mathematik, vol. 1855, núm. 50, De Gruyter, Berlín, 1855, p. 282.
El manuscrito muestra cómo emplear la llamada reducción gaussiana, y en el capítulo 7 se utilizan los determinantes. Este texto fue desconocido en el resto de Asia y en Europa, y por eso en Europa se tuvo que redescubrir toda esa teoría.

Figura IX.7. Ejemplo de una matriz de acuerdo con los escritos de Cayley. Esta ejemplificaáon se encuentra en su texto “A Memoir on tile Theory of Matrices”) Philosophical Transactions of the Royal Society of London, vol. 148 (1858), p. 17.

Figura IX.8. Tabla de fangcheng en el antiguo manuscrito Jiüzháng Suánshú, conocido en español como Los nueve capítulos sobre arte matemático, que data de la época de la dinastía Zhoii. En ella se representan problemas con múltiples variables para su resolución, lo cual nos presenta un principio similar al de Gauss.
§. Publicar o morir. Las primeras revistas científicas
En la física se estudia un fenómeno llamado cambio de fase. Por ejemplo, cuando enfriamos agua existe una temperatura crítica en la que pasa de ser un fluido a ser un sólido (es decir, se congela). Otro ejemplo son los grafos aleatorios: si tenemos un conjunto de nodos y comenzamos a conectarlos con cantos seleccionados al azar, se van formando grumos poco a poco, es decir, subgrupos de nodos en los que se puede pasar de uno a otro siguiendo los cantos que hemos añadido, como si fueran carreteras, aunque los grumos aún estén aislados entre sí. Pero si se siguen agregando cantos, de pronto el grafo pasa a estar completamente conectado. Es decir, podemos viajar de un nodo a cualquier otro dentro del grafo. Es esto un cambio de la fase desconexión a la fase conexión total.
Siguiendo con el ejemplo de los grafos, podemos pensar en la colaboración científica como una red social donde dos autores están conectados si interactúan de alguna manera. Los matemáticos del siglo XVII más conectados, por ejemplo, Gottfried von Leibniz, son nodos centrales de un grafo así, ya que sabemos que Leibniz dejó más de veinte mil cartas dirigidas a mil trescientos científicos europeos. Esos nodos centrales o conectores (hubs en inglés) sirven para enlazar a todos con todos con un número mínimo de pasos intermedios. Pues bien, es precisamente en el siglo XVII cuando las ciencias, en particular las matemáticas, atraviesan por un cambio de fase intelectual con la creación de nuevos hubs) que ya no son tanto personas famosas, sino revistas y sociedades científicas que ahora sí van a conectar a cada matemático con cualquier otro a través de órganos centrales de difusión. Ya no será posible mantener tradiciones matemáticas regionales en las diversas zonas culturales de Europa, cada una con su peculiar notación.
Este cambio de calidad se produce alrededor de la época en la que Newton y Leibniz están más activos y el cálculo diferencial e integral está surgiendo. Si hasta esa época muchos resultados matemáticos se comunicaban a través de libros o por correspondencia, es en este siglo cuando se pasa a escribir papers, es decir, trabajos para revistas especializadas. Ello estableció un nuevo tipo de conector en la comunidad matemática que hasta hoy prevalece.
Siguiendo el ejemplo clásico de la Academia de Platón, en el siglo XVII se forman sociedades con el propósito de fomentar las ciencias y la erudición en todos los campos. Las primeras agrupaciones científicas importantes son por eso las academias de los diferentes países europeos, como la Royal Society (fundada en 1660), la Academia Prusiana (fundada por Leibniz en 1700) y la Academia de París (fundada en 1666).
La primera revista científica del mundo se publicó sólo algunos años en Francia, pero la segunda fue la famosa Philoophical Transactions of the Royal Society) fundada en 1665. En aquella época aún había que convencer a los científicos de que publicaran sus resultados, ya que no existía la costumbre. Al mismo Newton hubo que persuadirlo de que comunicara su diseño de un telescopio parabólico para poder proteger la prioridad de la invención. Progresivamente, las revistas fueron adquiriendo más autores y más lectores, así como competidores en otros países.
Una revista muy relevante en la región cultural alemana fue el Acta Eruditorum) fundada por Leibniz en 1682, en Leipzig. Ésta era una revista para todo tipo de temas científicos. Ahí Leibniz publicó decenas de trabajos que dieron forma a la notación matemática en la Europa continental. En 1684, por ejemplo, introdujo la notación dx para la diferencial de x, precisamente en un artículo publicado en el Acta. En los primeros años de su existencia, una sexta parte de los artículos publicados por este órgano fueron trabajos matemáticos. El Acta fue muy importante para difundir notaciones para el cálculo. Una pequeña mués- tra del poder de los editores de la revista fue un aviso de 1708 para colaboradores potenciales:
En el futuro usaremos en esta Acta los símbolos de Leibniz [...]. Preferimos los paréntesis a las líneas que abarcan expresiones, y para la multiplicación simplemente la coma [...]. La división se indica con dos puntos [...] por eso a : b = f [...] en lo referente a las potencias [...] las designamos por (aa + bb)m [...]. No dudamos que todos los geómetras que lean el Acta reconocerán la excelencia de los símbolos de Leibniz y estarán de acuerdo con nosotros.
Si buscáramos la primera revista fundada exclusivamente para las matemáticas, sería difícil seleccionar una. Los primeros intentos de publicación al margen de las academias desaparecieron rápidamente, sin dejar huella, como fue el caso de la revista Beyträge zur Aufnahme der theoretischea Mathematik) que sólo sobrevivió tres años.

Figura IX.9. Annales de mathématiques pures et appliquées (Anales de matemáticas puras y aplicadas), revista publicada en Francia de 1810 a 1831 (fuente: Wikimedia Commons).
Otro intento, también efímero, fue la revista Leipziger Magazin für reine und angewandte Mathematik) fundada en 1786 por Carl Friedrich Hindenburg y Jean Bernoulli. Sin embargo, Hindenburg no bajó las velas y comenzó a publicar en 1795 el Archiv der reinen und angewandten Mathematik) del que se editaron 11 volúmenes hasta 1800.
En el siglo XIX surgieron las primeras revistas de matemáticas de gran impacto, por ejemplo, los Annales des mathematiques pures et appliquées (figura IX.9), que se editaron durante 22 años en París, comenzando en 1810. Pero el verdadero campeón en longevidad es el Journal für die Reine und Angewandte Mathematik) fundado en 1826 por August Leopold Crelle y que ¡subsiste hasta la actualidad! Esta revista, que era llamada simplemente el Journal de Crelle) atrajo a los más renombrados matemáticos de Alemania para que reportaran resultados originales en sus páginas.

Figura ix.10. Acta Erditorum, fundada en 1682 en Leipzig (fuente: Wikimedia Commons).
El ejemplo se extendió a otros países, y en 1836 Joseph Liouville encabezó el Journal des mathématiques pures et appliquées en Francia.
Muchas otras revistas matemáticas fueron establecidas en los años siguientes y la misma comunidad comenzó a organizarse en sociedades profesionales: en Inglaterra en 1865, en Francia en 1872, en los Estados Unidos en 1888 y en Alemania en 1890. Así, en el espacio de dos siglos se pasó del Acta Eruditorium y de la Philosophical Transactions of the Royal Society a organizaciones profesionales especialmente dedicadas a organizar congresos de matemáticas y ocupadas en publicar nuevos resultados.
La red social de los matemáticos quedaba así completamente conectada.
Toda ciencia es un periplo argumental en el que al final regresamos al punto de partida, como en la dialéctica de Hegel. En estas páginas hemos cubierto la historia de muchos símbolos matemáticos y nos faltarían aún más, pero los símbolos que hemos rastreado representan quizá 95% de los símbolos más importantes usados en textos universitarios de matemáticas. Símbolos que nos han faltado, como el asterisco y las variaciones de símbolos, como ≤, ≥, ∓, ≪, ≫, ≠, ∄, ℛ, ⋞, +, •, etc., son muy especiales o es mucho más difícil situarlos históricamente de manera precisa. Quedan, pues, para futuras ampliaciones y revisiones de este libro. El amable lector debe entender este texto como una obra en construcción, como una de esas catedrales medievales que estuvieron cientos de años sin terminar. En pleno siglo XXI aún no pueden completar la Sagrada Familia de Gaudí en el centro de Barcelona.
En las últimas dos décadas se han digitalizado numerosos libros clásicos de matemáticas. Eso abre la posibilidad de seguir investigando el primer uso o propuesta de símbolos y conceptos matemáticos echándoles montón, lo que en inglés se expresa más elegantemente con el término crowd sourcing. En tiempos recientes han surgido también diversos foros donde se discute el origen de las varias áreas de las matemáticas, por ejemplo, la estadística y la topología. Paulatinamente iremos subsanando las deficiencias que aún tenemos en las distintas áreas.
La dificultad para ubicar algunos símbolos en el tiempo radica también en el hecho de que algunos se difundieron, no de boca en boca, sino más bien de pizarrón en pizarrón, es decir, como tradición didáctica que se plasmó en escritos sólo muchos años más tarde. Es el caso de las matemáticas renacentistas e incluso de épocas más recientes. Matemáticos como Hilbert y Weierstrass garrapatearon muchos de sus trabajos en la pizarra, y era tarea de un asistente ir transcribiendo todo, corregir errores y producir un manuscrito decoroso. Muchos símbolos matemáticos deben de haberse difundido lentamente entre la comunidad matemática antes de aparecer en trabajos impresos, así que, de cuando en cuando, quizá le estaremos atribuyendo un símbolo a la persona equivocada.
Más allá de todas las dificultades técnicas e historiográficas, espero que estas breves historias de los símbolos y de las personas de carne y hueso que los propusieron motiven a estudiantes de ingeniería, matemáticas y de las ciencias en general a reflexionar siempre sobre el origen de las abstracciones que utilizamos cotidianamente. Detrás de cada concepto hay, a veces, décadas o incluso siglos de lucha constante para darle forma, para comprenderlo mejor y para poder transmitirlo. Las matemáticas son la ciencia de las estructuras abstractas: entes vivos sujetos a revisión continua, que tienen una historia, pero sobre todo un futuro: el que sepamos forjar. Atrás quedan Al-Khuwarizmi, Descartes, Leibniz, Lagrange, Gauss, Cauchy, Weierstrass y Hilbert. Cada nueva generación puede y debe hacer avanzar la disciplina, porque, como dijera Newton, encaramados en los hombros de gigantes podemos ver cada vez más lejos.
Generales
- Boyer, Carl, y Uta Merzbach, A History ofMathematics, Wiley, Nueva lersey, 1968.
- Cajori, Florian, A History of Mathematical Notations, 2 vols., Open Court Company, Chicago, 1928.
- Katz, Víctor J., A History ofMathematics, Essex Pearson, Harlow, 2014. Moritz, Cantor, Vorlesungen über Geschichte der Mathematik, B. G. Teubner Verlag, Leipzig, 1913.
I. Prolegómena
§. El nacimiento del álgebra
- Gandz, Solomon, “The Origin of the Term ‘Algebra ”, The American Mathematical Monthly, 33(9), 1926, pp. 437-440. “The Sources of Al-Khowarizmi’s Algebra”, Osiris, 1, 1936, pp. 263-277.
- Heeífer, Albrecht, “A Conceptual Analysis of Early Arabic Algebra”, en S. Rahman, T. Street y H. Tahiri (eds.), The Unity of Science in the Arabic Tradition, Springer-Verlag, Berlín, 2008, pp. 89128.
- Katz, Víctor J. (ed.), The Mathematics ofEgypt, Mesopotamia, China, India, and Islam: A Sourcebook, Princeton University Press, Princeton, 2007.
§.¿Cómo usamos los símbolos matemáticos?
- So, Clare M., An Analysis of Mathematical Expressions Used in Prac- tice, tesis de maestría, University of Western Ontario, 2005.
- Watt, Stephen, “Mathematical Document Classification via Symbol Frequency Analysis”, Ontario Research Centre for Computer Algebra, manuscrito, 2008.
§. Las fórmulas matemáticas más bellas
- Kondratieva, Natasha, “Three most beautiful mathematical formulas”, manuscrito, 2006.
- Lakatos, Imre, Proofs and Refutations, Cambridge University Press (RU), 1976.
- Loomis, Elisha S., The Pythagorean Proposition: Its Demonstration Analyzed and Classified and Bibliography of Sources for Data of the Four Kinds of “Proofs”, National Council of Teachers of Math- ematics, Washington, 1968.
- Nahin, Paul, Dr. Euler’s Famous Formula: Cures many Mathematical Ills, Princeton University Press, Princeton, 2006.
§.¿Por qué extraemos raíces?
- Datta, Bibhutibhusan, “On Muía, the Hindú Term for Root”, The American Mathematical Monthly, 1927, 34(8), pp. 420-423.
- Gandz, Solomon, “On the Origin of the Term ‘Root’ ”, The American Mathematical Monthly, 33(5), 1926, pp. 261-265.
II. Números y variables
§. Las cifras indoarábigas y el mercantilismo
- De Pisa, Leonardo, Líber Abad (1202), a book on calculations (traducción al inglés), Springer-Verlag, Nueva York, 2002.
- Devlin, Keith, The Man of Numbers: Fibonacci’s Arithmetic Revolu- tion, Walker Books, Londres, 2012.
- Ifrah, Georges, A Universal History of Numbers: From Prehistory to Computers, Wiley, Nueva York, 2000.
§. El alfabeto griego y sus predecesores
- Daniels, Peter T., y William Bright (comps.), The World’s Writing Systems, Nueva York, Oxford University Press, 1996.
- Sacks, David, Letter Perfect: The Marvelous History ofOur Alphabet From A to Z, Broadway Books, Nueva York, 2003.
§. El cero
- Kaplan, Robert, The Nothing that Is - A Natural History of Zero, Oxford University Press, Nueva York, 1999.
- Seife, Charles, Zero: The Biography ofa Dangerous Idea, Nueva York, Princeton University Press, 2000.
§. La simetría de los símbolos
- Nakanishi, Akira, Writing Systems of the World, Charles Tuttle, Tokio, 1980.
§. La variable x
- Descartes, René, La Géometrié, Librairie Scientifique A. Hermán, París, 1886.
- Heath, Thomas, Diophantus of Alexandria, Cambridge University Press, Londres, 1910.
§. El valor absoluto
- König, Wolfgang, y Jürgen Sprekels, Karl Weierstrass (1815-1897): Aspekte seines Lebens und Werkes, Springer-Spektrum, Berlín- Wiesbaden, 2016.
- Manning, Kenneth, “The emergence of the Weierstrassian approach to complex analysis”, Arch. History Exact Sciences, 14(4), 1975, pp. 297-383.
- Weierstrass, Karl, “Zur Theorie der eindeutigen analytischen Funk- tionen”, Werke, 5, 1876, pp. 189-195.
§. Las potencias como superíndice
- Descartes, René, La Géometrié, Librairie Scientifique A. Hermán, París, 1886.
§. Los subíndices
- Cajori, Florian, A History of Mathematical Notations, 2 vols., Open Court Company, Chicago, 1928.
§. El punto decimal
- Devreese, Jozef T., y Guido Vanden Berghe, “Magic is No Magic.” The Wonderful World of Simón Stevin, wit Press, Boston, 2008. Stevin, Simón, De Thiende, 1585, B. De Graaf, Nieuwkoop, 1965.
II. Operadores aritméticos
§. La cruz griega de la adición
- Cajori, Florian, A History of Mathematical Notations, 2 vols., Open Court Company, Chicago, 1928.
- Moritz, Cantor, Vorlesungen über Geschichte der Mathematik, B. G. Teubner Verlag, Leipzig, 1913.
- Róttel, Karl, “lohannes Widmann: Am Wendepunkt der Mathematik geschichte”, en Rainer Gebhardt et al., Schatzkammer der Re- chenkunst, Historische Rechenbücher im Adam-Ries-Museum An- naberg-Buchholz, Adam-Ries-Bund, Annaberg-Buchholz, 2008.
§. La sustracción y los números absurdos
- Martínez, Alberto, Negative Math: How Mathematical Rules can be Positively Bent, Princeton University Press, Princeton, 2006.
§. Según Adam Ries
- Deschauer, Stefan (ed.), Rechenung auffder linihen undfedern in zal, mafi und gewicht auff allerley handierung gemacht und zusamen gelesen durch Adam Riesen von Staffelstein Rechenmeyster zu Er- ffurdt im 1522 Jar, Instituí für Geschichte der Naturwissenschaf- ten, Múnich, 1991.
- Deubner, Fritz, Nach Adam Ries. Beben und Wirken des grofien Re- chenmeisters, Urania-Verlag, Leipzig, 1959.
- Gebhardt, Rainer (ed.), Die Annaberger Brotordnung von Adam Ries, facsímil del reglamento de 1536, Adam-Ries-Bund, Annaberg- Buchholz, 2004.
§. La cruz de la multiplicación
- Cajori, Florian, William Oughtred:A Great Seventeenth-Century Teach- er of Mathematics, Open Court, Chicago, 1916.
- Stedall, Jacqueline Anne, “Ariadne’s Thread: The Life and Times of Oughtred’s Clavis”, Annals of Science, 57(1), 2000, pp. 27-60.
§. La barra de la división
- Kunitzsch, Paul, “Al-Hassár’s Kitáb al-Bayán and the Transmission of the Hindu-Arabic Numeráis”, Muslim Heritage, s. f.
§. Homero, el óbelo y la división
- Acampora, Renato, “Johann Heinrich Rahn und seine Teutsche Algebra”, en R. Gebhardt (ed.), Visier- und Rechenbücher der friihen Neuzeit, Adam-Ries-Bundes, Annaberg-Buchholz, 2008, pp. 163-178.
- Canfora, Luciano, The Vanished Library, University of California Press, Los Ángeles, 1990.
- Ludwich, Arthur, Aristarchs homerische Textkritik, B. G. Teubner, Leipzig, 1885.
III. Operadores de relación y agrupamiento
§. No hay dos cosas más iguales
- Gareth, Roberts, y Fenny Smith (eds.), The Life and Times ofa Tudor Mathematician, University of Wales Press, Cardiíf, 2012.
- Recordé, Robert, The Whetstone ofWitte, whiche is the seconde parte of Arithmetike: containyng thextraction ofRootes: The Cofiike practise, with the rule ofEquation: and the woorkes ofSurde Nombers, facsímil, Lheatrum Orbis Terrarum, University of California, 1969.
- Williams, Jack, “The Whetstone of Witte”, en Robert Recordé, Tudor Polymath, Expositor and Practitioner of Computation, History of Computing, Springer, Londres, 2011, pp. 173-196.
§. Los símbolos de desigualdad
- Seltman, Muriel, y R. Goulding, Thomas Harriot’s Artis analyticae praxis, Sources and Studies in the History of Mathematics and Physical Sciences, Springer-Verlag, Nueva York, 2007.
- Shirley, John W., Thomas Harriot: A Biography, Clarendon Press, Oxford, 1983.
§. El (paréntesis) contra el vinculum
- Parkes, Malcolm B., Pause and Effect: An Introduction to The History of Punctuation In The West, Ashgate Publishing, Nueva York, 1992.
§. La coma y el punto
- Parkes, Malcolm B., Pause and Effect: An Introduction to The History of Punctuation In The West, Ashgate Publishing, Nueva York, 1992.
IV. Cálculo / Análisis
§. La guerra de las galaxias: Leibniz contra Newton
- Hall, Rupert, Philosophers at War: The Quarrel between Newton and Gottfried Leibniz, Cambridge University Press, Nueva York, 1980.
- Cajori, Florian, “The History of Notations of the Calculus”, The An- nals of Mathematics, Second Series, 25(1), 1923, pp. 1-46.
- Newton, Isaac, The method of fluxions and infinite series: with its application to the geometry of curve-lines, Henry Woodfall, Londres, 1736.
- Rickey, Fred, “The Integral Sign”, manuscrito inédito.
§. La derivada parcial
- Haarmann, Harald, Universalgeschichte der Schrift, Campus Frank- furt, 1991.
§. Nabla, el arpa de Asiria
- Gilston, Cargill, Life and Scientific Work ofPeter Guthrie Tait, Cambridge University Press, Cambridge (RU), 1911.
§. John Wallis y el infinito
- Clegg, Brian, A briefhistory ofinfinity, Constable & Robinson, Londres, 2013.
- Scott, Joseph Frederick, The mathematical work ofjohn Wallis (16161703), Taylor and Francis, Wisconsin, 1938.
- Wallis, John, De sectionibus conicis nova methodo expositis tractatus, facsímil [1655].
§. Delta
- Euler Archive, Institutiones calculi differentialis cum eius usu in analysi finitorum ac doctrina serierum, E212, Opera Omnia, Serie 1, V. 10, 1755.
- Harold, M. Edwards, “An Appreciation of Kronecker”, The Mathematical Intelligencer, 9(1), 1987, pp. 28-35.
§. La notación f(x) y el concepto defunción
- Kleiner, Israel, “Evolution of the Function Concept: A Brief Survey”, The College Mathematics Journal, 20(4), 1989, pp. 282-300.
- Riithing, Dieter, “Some Definitions of the Concept of Function from Joh. Bernoulli to N. Bourbaki”, The Mathematical Intelligencer, 6(4), 1984, pp. 72-77.
- Youschkevitch, Adolf Pavlovitch, “The Concept of Function up to the Middle of the 19th Century”, Archive for History of Exact Sciences, 16(1), 1976, pp. 37-85.
§. Épsilons, deltas y la invención de los números reales
- Bolzano, Bernand, Beytrage zu einer begründeteren Darstellung der
- Mathematik, Caspar Widtmann, Praga, 1810.
- Grabiner, Judith V., “Who Gave You the Epsilon? Cauchy and the Origins of Rigorous Calculus”, The American Mathematical Monthly, 90(3), 1983, pp. 185-194.
§. Llegar al límite
- Felscher, Walter, “Bolzano, Cauchy, Epsilon, Delta”, The American Mathematical Monthly, 107(9), 2000, pp. 844-862.
§. El dardo matemático
- Hilbert, David, y Wilhelm Ackermann, Grundzüge der theoretischen Logik [Principios de lógica matemática], Springer-Verlag, Berlín, 1938.
V. Conjuntos y funciones
§. Existencia: una ventana para ver variables
- Knott, R. P, “A History of Set Theory Notation”, Mathematics in School, 6(2), 1977, pp. 17-20.
§. El cuantificador universal
- Gente, Gerhard Karl Erich, “Untersuchungen ueber das logische Schliessen”, Mathematisch Zeitschrift, 39(1), 1935, pp. 176210.
- Menzler-Trott, Eckart, Gentzens Problem. Mathematische Logik im nationalsozialistischen Deutschland, Spring Basel, Berlín, 2001.
§. GE es para pertenencia
- Gillies, Douglas A., Frege, Dedekind, and Peano on the foundations of arithmetic, Van Gorcum, Assen, 1982.
§. El conjunto de los números racionales
- Borel, Armand, “Twenty-Five Years with Nicolás Bourbaki, 19491973”, Notices ofthe AMS, 45(3), 1998, pp. 373-380.
§. Las matemáticas y la Nada
- Grattan-Guinness, Ivor, The Search for Mathematical Roots 18701940, Princeton University Press, Princeton, 2000.
- Weil, André, The Apprenticeship of a Mathematician, Birkhaeuser Verlag, Basilea-Boston-Berlín, 1992.
§. Unión e intersección
- Knott, R. R, “A History of Set Theory Notation”, Mathematics in School, 6(2), 1977, pp. 17-20.
- Peano, Giuseppe, Formulario mathematico, Cremonense, Roma, 1960.
- Roegel, Denis, “A brief survey of 20th century logical notations”, 2002.
§. El Aleph y el paraíso de los infinitos
- Aczel, Amir, The Mistery of the Aleph, Four Walls Eight Windows, Londres, 2000.
- Cantor, Georg, “Über eine Eigenschaít des Ingebriífes aller reelen al- gebraischen Zahlen”, Journal für die Reine und Angewandte Ma- thematik, 77,1874, pp. 258-262.
- Meschkowski, Elerbert, Probleme des Unendlichen, Springer, Berlín, 1967.
VII. Constantes
§. La imaginación al poder
- Nahin, Paul, Dr. Euler’s Famous Formula: Cures many Mathematical Ills, Princeton University Press, Princeton, 2006.
§. Pi, constante de Arquímedes y número ludolfino
- Beckmann, Petr, A History ofPi, The Golem Press, Boulder, 1970. Bolzano, Bernard, Beytrage zu einer begründeteren Darstellung der Mathematik, Caspar Widtmann, Praga, 1810.
§. El número de Euler y el crecimiento exponencial
- Maor, Eli, “e”: The Story of a Number, Princeton University Press, Princeton, 2009.
§. La constante de Planck y el cuanto de acción
- Gearhart, Clayton A., “Planck, the Quantum, and the Elistorians” Physics in Perspective, 4(2), 2002, pp. 170-215.
- Kangro, Hans (ed.), Planck’s Original Papers in Quantum Physics, Taylor & Francis, Londres, 1972.
- Planck, Max, “Ueber das Gesetz der Energieverteilung im Normal- spectrum”, Annalen der Physik, 309(3), 1901, pp. 553-563.
§. La velocidad de la luz c
- Mendelson, Kenneth S., “The story of‘c’”, American Journal of Physics, 74(11), 2006, pp. 995-997.
VIII. Combinatoria
§. El factorial
- Cajori, Florian, “History of symbols for n = factorial”, Isis, 3(3), 1921, pp. 414-418.
§. Sigma: sumatorias con colmillo
- Calinger, Ronald, Leonhard Euler: Mathematical Genius in the En- lightenment, Princeton University Press, Princeton, 2016.
- Euler Archive, Institutiones calculi differentialis cum eius usu in analysifinitorum ac doctrina serierum, E212, Opera Omnia, Serie 1, V. 10, 1755.
§. Un suelo y un techo para los números
- Iverson, Kenneth E., “A Programming Language”, Research División, ibm Corporation, Proceedings of the afips Spring Joinl Computer Conference, San Francisco, 1962.
- “1979 Turing Award lecture”, Communications of the acm, 23(8), 1980, pp. 444-465.
§. El símbolo binomial
- Euler, Leonhard, “De evolutione potestatis polynomialis cuiuscun- que (1 + x + x2 + x3 + x4 + etc.)"”, Archivo Euler E709, Nova Acta Academiae Scientarum Imperialis Petropolitinae, 12, 1801, pp. 47-57.
- Von Ettingshausen, Andreas, Die kombinatorische Analysis ais Vorbereitungslehre zum Studium der theoretischen hohern Mathema- tik, Wallishauser, Viena, 1826.
IX. Áreas varias
§. El símbolo invisible: la convención de Einstein
- Einstein, Albert, “Die Grundlagen der allgemeinen Relativitatstheorie”, Annalen derPhysik, 49 (7), 1916, pp. 769-822.
§. La cajita de Halmos
- Halmos, Paul R., I Want to Be a Mathematician: An Automathography, Springer, Nueva York, 1985.
§. El seno de teta y la trigonometría
- Brummelen, Glen van, The Mathematics of the Heavens and the Earth - The Early History of Trigonometry, Princeton University Press, Princeton, 2009.
§. El símbolo de congruencia y aritmética en miniatura
- Gauss, Carl F., Disquisitiones Añthmeticae, Yale University Press, New Haven, 1966.
§. Las matrices: la estructura madre
- Cayley, Arthur, “A Memoir on the Theory of Matrices”, Philosophical Transactions of the Royal Society of London, 148,1858, pp. 17-37.
- Hart, Roger, The Chínese Roots of Linear Algebra, John Hopkins University Press, Baltimore, 2010.
- Higham, Nicholas J., “Cayley, Sylvester, and Early Matrix Theory”, informe, School of Mathematics, University ofManchester, 2008.
- Kansheng, Shen, et al. (eds.), The Nine Chapters on the Mathematical Art, Oxford University Press, Oxford, 1999.
- Straffin, Philip D., Jr., “Liu Hui and the First Golden Age of Chinese Mathematics”, Mathematics Magazine, 71(3), 1998, pp. 163-181.
§. Publicar o morir. Las primeras revistas científicas
- Gérini, Christian, “Le premier journal de mathématiques”, Pour la Science, 332, junio de 2005, pp. 10-15.
- Bullynck, Maarten, “Stages Towards a Germán Mathematical Journal”, Archives Internationales d’Histoire des Sciences, 63(170-171), 2013,pp. 237-251.
- Bartle, Robert, “A brief history of the mathematical literature”, Publishing Research Quarterly, 11(2), 1995, pp. 3-13.
Tabla de símbolos y expresiones


Notas: