El jazz de la física
Stephon Alexander
Quiero dar especialmente las gracias a mi editor T.J. Kelleher, el mago, y a Lara Heimert. Gracias al personal de Basic Books y Perseus —Helene Barthelemy, Sandra Beris, Cassie Nelson, Liz Tzetzo— por hacer realidad este libro. Estaré eternamente agradecido a Dagny Kimberly Yousuf por ayudarme a dar forma al manuscrito original, y por toda su inspiración y apoyo desde el primer día en que comencé a escribir este libro. Gracias a Max Brockman y al personal de Brockman Inc. por ayudarme a convertir este libro en una realidad.
También quiero dar las gracias a mis amigos, familiares y colegas que me han prestado horas de inspiración, intercambio, ideas y ánimo: Rome Alexander, Steven Beckerman, Robert Caldwell, Will Calhoun, Steve Canon, Michael Casey, K.C. Cole, Ornette Coleman, Diego Cortez, François Dorias, Brian Eno, Everard Findlay, Edward Frenkel, Margaret Geller, Indradeep Ghosh, Melvin Gibbs, Marcelo Gleiser, Rebecca Goldstein, Mark Gould, Rick Granger, Daniel Grin, Sam Heydt, Chris Hull, Chris Isham, Beth Jacobs, Clifford Johnson, Brian Keating, Jaron Lanier, Yusef Lateef, Harry Lennix, Arto Lindsa, Joao Magueijo, Brandon Ogbunu, Steve Pinker, Sanjaye Ramgoolam, Erin Rioux, Tristan Smith, Lee Smolin, David Spergel, Greg Tate, Greg Thomas, Spencer Topel, Gary Weber y Eric Weinstein. Mi gratitud a Salvador Almagro-Moreno por sus brillantes diagramas a medida a lo largo del libro.
Dedicado a mis padres, Felician y Keith, y a mi hija Kolka
Se me ocurrió por intuición, y la música fue la fuerza que la impulsó. Mi descubrimiento fue el resultado de la percepción musical.
Albert Einstein (sobre cómo concibió su teoría de la relatividad)
Y valoro por encima de todo las analogías, mis maestras más fiables. Conocen todos los secretos de la naturaleza, y donde menos deberían ignorarse es en geometría.
Johannes Kepler
Los seres humanos somos especiales. Once mil millones de años después del nacimiento del universo, las condiciones fueron las adecuadas para que los océanos que borboteaban ricos en minerales del planeta que llamamos Tierra generaran vida: una superviviente hambrienta que muta y evoluciona. En el último suspiro de la vida en el universo, hemos aprendido a cultivar la Tierra y observar impertérritos los cielos para entender de dónde venimos.
La gente de todas las culturas se ha interrogado sobre sus orígenes y los orígenes del cosmos. ¿Qué es este espacio que nos rodea? ¿De dónde hemos venido? No cabe duda de que estas preguntas (que muchos nos hicimos de niños) siguen siendo de las más apremiantes de la ciencia. Estas cuestiones entroncan con nuestra curiosidad innata acerca de nuestros orígenes y con los límites de nuestro conocimiento. Durante milenios sólo pudimos responderlas a base de mitos. Pero desde la revolución científica hemos procurado prescindir del mito y dejar la exploración de los orígenes de la humanidad y del universo a los científicos y sus metodologías de hechos puros y duros. Los cosmólogos modernos, aunque armados de ecuaciones complejas y experimentos de alta tecnología, pueden verse como los creadores de mitos de nuestro tiempo. A pesar de la precisión de nuestras matemáticas y nuestros experimentos, la física y la cosmología modernas han proporcionado nuevas sorpresas que llevan a algunos de los físicos más capaces a recurrir al mito para intentar explicar la pasmosa información sobre la naturaleza del universo que han desvelado.
Ha habido esfuerzos heroicos para explicar los conceptos subyacentes tras la cosmología moderna al público lego, pero es demasiado fácil que los libros no lleguen a cumplir lo que prometen. Explicar sólo con palabras temas como la relatividad general o la mecánica cuántica, para cuya comunicación natural se emplea el lenguaje matemático, es una tarea ingente. Esas ecuaciones tan complejas pueden nublar incluso a los propios físicos, quienes se las ven y se las desean para comprender plenamente o visualizar lo que dicen sus fórmulas, un hecho que pone de manifiesto la necesidad de encontrar otras maneras de conceptualizar la estructura del universo, a través de imágenes o analogías físicas claras. He descubierto que los libros que mejor han resuelto este problema de comunicación son los que recurren a las mejores analogías para reflejar la física. De hecho, el razonamiento analógico será un motor clave en este texto.
El presente libro transportará a los lectores en un viaje de primera mano por el proceso de descubrimiento en la investigación en física teórica. Veremos que, a diferencia de la estructura lógica innata de la ley física, en nuestros intentos de revelar nuevos panoramas de comprensión a menudo debemos adoptar un proceso irracional, ilógico, a veces plagado de errores e improvisación. Aunque tanto los músicos de jazz como los físicos deben llegar a dominar la técnica y la teoría de sus respectivas disciplinas, la innovación demanda ir más allá de lo aprendido. El poder del razonamiento analógico es clave para la innovación en física teórica. En este libro mostraré que el arte de encontrar las analogías correctas puede ayudarnos a abrir nuevos caminos para atravesar el mundo cuántico oculto hasta llegar a la vasta superestructura de nuestro universo.
En estas páginas, la música será la analogía que nos ayudará a entender buena parte de la física moderna y la cosmología, y también a desvelar algunos misterios recientes a los que se han enfrentado los físicos. Incluso mientras lo escribía, este pensamiento analógico me permitió descubrir un nuevo enfoque para un viejo problema no resuelto de la cosmología del universo primordial. Una de las preguntas principales, y una gran cuestión abierta en cosmología, es cómo surgieron las primeras estructuras de un universo recién nacido vacío y uniforme. La intrincada interacción entre las leyes fundamentales de la física para crear y sustentar la estructura global del universo, responsable de nuestra propia existencia, parece cosa de magia (algo no muy diferente de cómo el esqueleto de la teoría musical ha dado lugar a todo, desde «Estrellita dónde estás» hasta el Interstellar Space de Coltrane). Adoptando un enfoque interdisciplinario, inspirado por tres grandes mentes (John Coltrane, Albert Einstein y Pitágoras), podemos comenzar a vislumbrar que el comportamiento «mágico» de nuestro floreciente cosmos se basa en la música.
Hace alrededor de una década, estaba sentado solo en un oscuro café de la calle principal de Amherst, Massachusetts, preparando una presentación para un empleo en la facultad de física, cuando de pronto sentí una urgencia. Encontré un teléfono público con una guía telefónica local y me armé de valor para llamar a Yusef Lateef, un músico de jazz legendario que acababa de retirarse del departamento de música de la Universidad de Massachusetts. Tenía algo que decirle.
Como un adicto después de un chute, mis dedos recorrieron ansiosamente las páginas en busca del número. Allí estaba. El enérgico viento del otoño de Nueva Inglaterra refrescaba mi cara mientras le llamaba. A riesgo de importunarle, dejé que el teléfono sonara durante un buen rato.
—¿Diga? —contestó finalmente una voz masculina.
—Hola, ¿está el profesor Lateef? —pregunté.
—No, no está —dijo la voz lacónicamente.
—Podría dejarle un mensaje sobre el diagrama que John Coltrane le dio como regalo de cumpleaños en el año 61? Creo que he averiguado lo que significa.
Hubo una larga pausa.
—Soy yo el profesor.
Hablamos durante cerca de dos horas sobre el diagrama que aparecía en su aclamado libro Repository of Scales and Melodic Patterns, que es la compilación de una miríada de escalas musicales de Europa, Asia, África y el resto del mundo.[1] Le transmití mi impresión de que el diagrama tenía que ver con otro campo de estudio sin ninguna relación aparente: la gravedad cuántica (una grandiosa teoría que pretendía unificar la mecánica cuántica y la teoría de la relatividad general de Einstein). Había advertido, le dije a Lateef, que el mismo principio geométrico que motivaba la teoría de Einstein se reflejaba en el diagrama de Coltrane. Einstein era uno de mis héroes, como también lo eran Coltrane y Lateef.
El profesor Lateef compartió conmigo una información importante, y es que el diagrama representaba ciclos de cuartas y quintas. Él también tenía un interés profundo en la filosofía y la física y me inculcó su concepto de música autofisiopsíquica: música que emana del yo físico, mental y espiritual.[2] Este concepto tendría un impacto trascendental en mi investigación subsiguiente de la relación entre la música y el cosmos. Lateef me animó y defendió mi idea de que había una conexión profunda entre la música y la estructura del universo. Aquel día, como una imagen estereoscópica que se enfoca, mis vidas paralelas en la física y en el jazz se fundieron ante mis ojos, creando una nueva dimensión.
Coltrane sentía fascinación por Einstein y sus ideas. Einstein es famoso por el que quizá sea su mayor don: la capacidad de trascender las limitaciones de las matemáticas mediante la intuición física. Improvisaba recurriendo a Gedankenexperimente (experimentos mentales, en alemán) que le proporcionaban una imagen mental del resultado de experimentos irrealizables. Por ejemplo, Einstein imaginó qué se sentiría cabalgando un rayo de luz. Hace falta intuición para conseguir esto. También solía recurrir a la música. Aunque es un hecho poco conocido, Einstein tocaba el piano. Elsa, su segunda mujer, contó que
«la música le ayuda cuando está pensando en sus teorías. Se va a su estudio, vuelve, toca unos cuantos acordes en el piano, anota algo y vuelve a su estudio».
Por un lado, Einstein aplicaba el rigor matemático, y por otro la creatividad y la intuición. Era un improvisador por naturaleza, igual que su héroe Mozart. Como dijo una vez: «La música de Mozart es tan pura y bella que la contemplo como un reflejo de la belleza intrínseca del universo».
Lo que me hizo ver el mandala de Coltrane fue que la improvisación es una característica tanto de la música como de la física. Como hacía Einstein con sus experimentos mentales, algunos improvisadores de jazz construyen pautas y formas mentales cuando ejecutan sus solos. Sospecho que era el caso de Coltrane.
John Coltrane falleció en 1967, dos años después de que Arno Penzias y Robert Wilson descubrieran el fondo de microondas cósmico, una reliquia del propio big bang. Este descubrimiento demolió la idea de un universo estático y confirmó la expansión predicha por la teoría de la gravedad de Einstein. Entre los últimos discos de Coltrane estaban estos tres títulos: Stellar Regions [Regiones estelares], Interstellar Space [Espacio interestelar] y Cosmic Sound [Sonido cósmico]. Coltrane jugaba con la física en su música y, por increíble que parezca, comprendió correctamente que la expansión cósmica es una forma de antigravedad. En los conjuntos de jazz, la fuerza «gravitatoria» emana de la sección rítmica: el bajo y la batería. Los temas de Interstellar Space son una majestuosa exhibición de los solos expandidos de Coltrane liberándose de la atracción gravitatoria de la sección rítmica. Fue un innovador en la música, con la física en la yema de los dedos. No obstante, aquello no era nuevo. Estaban volviendo a representar la conexión entre música y física establecida milenios antes, cuando Pitágoras —el Coltrane de su tiempo— desveló por primera vez la matemática de la música. La filosofía de Pitágoras se sintetizaba en que «el número lo es todo», y la música y el cosmos no eran más que manifestaciones de este principio. En la matemática de las órbitas planetarias sonaba «la música de las esferas», con una armonía constituida por los tonos de una cuerda vibrante.
Siguiendo los pasos de Coltrane y Einstein, en este libro nosotros también revisitaremos el mundo antiguo donde la música, la física y el cosmos eran una sola cosa. Veremos que Pitágoras y otros empezaron a comprender el sonido, y cómo sus ideas y prácticas, en las mentes de grandes pensadores como Kepler y Newton, se desarrollaron en nuestra actual comprensión de la dinámica de cuerdas y ondas. Veinticinco siglos después, los autores de la teoría de cuerdas están atareados investigando cómo emplear cuerdas fundamentales para unificar las cuatro fuerzas de la naturaleza. Pero ¿cuántos de ellos recuerdan o reconocen la importancia de que una de las ecuaciones centrales de su teoría, la ecuación de onda, hunde sus raíces en la búsqueda de la conexión universal con la música?
Este libro también es un ejercicio sobre la potencia de las analogías. Al reconectar las disciplinas de la física y la música a través de la analogía, podemos comenzar a entender la física a través del sonido. Veremos que la armonía y la resonancia son fenómenos universales que pueden servir para explicar la dinámica del universo primordial. Descubriremos que un cúmulo de datos cosmológicos revela que hace alrededor de 14.000 millones de años un conjunto relativamente simple de pautas sonoras dio lugar a estructuras como las galaxias y los cúmulos de galaxias, lo que en última instancia permitió la formación de planetas y la aparición de la vida misma.
También consideraremos los orígenes cuánticos de la vida. En casi todas las músicas, la gama de tonos en una escala se limita a vibraciones discretas. El dominio subatómico también está constituido por paquetes discretos, conocidos como cuantos (de ahí el nombre de mecánica cuántica). Tras la reciente confirmación de la existencia del bosón de Higgs en el Gran Colisionador de Hadrones, ha quedado verificado que el paradigma subyacente tras buena parte de la realidad física es la teoría cuántica de campos. Éste es un dominio de la física matemáticamente intimidante. Por fortuna para nosotros, puede entenderse bastante en los términos de los elementos de la música. Por ejemplo, las rupturas de simetrías cuánticas son vitales para la generación de nuestras fuerzas y partículas fundamentales, del mismo modo que las rupturas de simetría en las estructuras musicales, como una escala en modo mayor, crean un sentido de resolución composicional. La improvisación nos ayudará en nuestra exploración, proporcionándonos una herramienta para entender la estrafalaria dinámica del mundo cuántico, sus incertidumbres inherentes y la idea de que cada resultado es de hecho la suma de todos los resultados posibles.

Figura Int. 1. El diagrama que John Coltrane le dio a Yusef Lateef como regalo de cumpleaños en 1961. Ayesha Lateef. (Prohibida cualquier otra reproducción de esta imagen.)
Junto con las matemáticas, he aprendido que una de las herramientas más poderosas a la hora de desvelar los secretos de las ciencias teóricas consiste en simplificar el sistema y tomar prestada una analogía de una disciplina que a primera vista no parece guardar ninguna relación. En los límites de estas analogías, donde se requiere más investigación, es donde encontramos nuevas vías de descubrimiento. Es como el salto interdisciplinario de la orilla de la ignorancia a la orilla del conocimiento, mientras el ancho río de la vida sigue discurriendo.
Si bien la física ha alcanzado un éxito sin precedentes en el desentrañamiento de los secretos de la naturaleza, desde las más pequeñas hasta las mayores distancias imaginables, no es ningún secreto que la disciplina se encuentra en un estado de crisis. Los físicos están atascados con problemas fundamentales, como el aparente «ajuste fino» del universo, un ejemplo del cual es el delicado ajuste de las intensidades relativas de las cuatro fuerzas de la naturaleza que son relevantes para la vida basada en el carbono. Quiero promover la idea de que la física puede entrar en una nueva era más abarcadora e interdisciplinaria: una física improvisativa. Basada en las analogías cruzadas, la física improvisativa empuja las fronteras disciplinarias hasta los límites de la analogía.
Éste es mi viaje. Cuando era un adolescente, hijo de un taxista neoyorquino originario de Trinidad, me enamoré perdidamente de un libro titulado The Privilege of Being a Physicist [El privilegio de ser físico], de Victor Weisskopf. Mi familia esperaba que el objeto de mi deseo fuera la música. «Hay dos cosas que hacen que la vida valga la pena», decía el autor del libro y premio Nobel Victor Weisskopf, «Mozart y la mecánica cuántica». Mozart me encantaba, pero de mecánica cuántica no sabía nada. Aquello resultó ser el comienzo de una larga historia de amor que se convertiría en mi futuro y luego incluiría también la cosmología y John Coltrane, que acabarían situándose en el corazón de esta pasión. Pero convertirme en físico me ha llevado por derroteros que ni siquiera aquellos nombres podrían haber predicho. Para llegar a ser un físico teórico profesional he recorrido un camino no convencional de fusión del jazz y la física. Esto sólo ha sido posible porque a lo largo de los últimos veinte años he contado con muchos profesores y amigos que me han dado fuerza, y con mentores de la talla del premio Nobel Leon Cooper, pionero de la superconductividad y amante de la música, además de músicos con pasión por la física, como Ornette Coleman y Brian Eno. Ellos me enseñaron la importancia del pensamiento interdisciplinario y del uso de las analogías para expandir las fronteras del conocimiento.
Conocer a estas figuras influyentes es parte del viaje. Sacar partido de los compases y ritmos de la teoría musical es parte del viaje. Seguir la evolución de la estructura de nuestro universo es parte del viaje. Crear una analogía entre la física y la música es parte del viaje. No disponer de una analogía adecuada y necesitar cálculos rigurosos para aclarar las cosas es parte del viaje.
Cómo leer este libro
Vamos a explorar una buena cantidad de física moderna, cosmología relativista y teoría musical, pero todo ello no requiere un conocimiento previo de estos campos; todo está autocontenido. A lo largo de los años he descubierto que aprender a través de narraciones es un recurso ameno y efectivo para transmitir ideas complejas en física, y en este libro hay muchas narraciones que contienen conceptos profundos. De vez en cuando aparecerán algunas ecuaciones bonitas, pero no es necesario entenderlas para captar la idea. Si alguna ecuación no se entiende, recomiendo saltársela y seguir leyendo. Por propia experiencia sé que, una vez se tiene una comprensión cualitativa de un concepto, es más fácil entender la ecuación en retrospectiva. No obstante, las ecuaciones de este libro se derivarán y explicarán con palabras.
Te invito, lector o lectora, a un baile donde la física y la música danzan juntas. Te invito a investigar y hacerte preguntas conmigo. Te invito a tomar en serio la analogía musical y preguntarte si podemos aprender algo nuevo sobre el universo a través de ella. Improvisemos.
La música es el placer que experimenta la mente humana de contar sin ser consciente de que está contando.
Gottfried Leibniz
En un soleado día de verano, Ruby Farley —«Mam» para sus nietos— estaba sentada en su mecedora, con un floreado pañuelo caribeño liado en la cabeza. Los otros niños estaban jugando al béisbol delante de su casa de piedra arenisca en el Bronx. Con su melodioso acento de Trinidad, Mam gritó: «Ah, no importa que tengas que sentarte a practicar con el piano durante horas, no te irás hasta que aprendas esa canción». A su nieto de ocho años le resultaba difícil colocar los dedos correctamente sobre las teclas. Estaba a punto de romper a llorar porque la única música que podía oír eran los alegres sonidos de sus amigos jugando fuera. Entonces la expresión adusta de la abuela se ablandó. Sonrió y canturreó para sí misma: «Ah, puedo ver el nombre de mi nieto escrito con luces en Broadway». Había ahorrado dinero trabajando como ayudante de enfermería en el Bronx durante treinta años con la esperanza de que yo llegara a ser concertista de piano, pero nunca me convertí en el pianista de sus sueños.
Ruby Farley, la madre de mi padre, creció en Trinidad en los años cuarenta, cuando la isla aún era colonia británica, y emigró a Nueva York en los sesenta. En aquel tiempo había un dinámico intercambio musical entre el Caribe y Nueva York, y la música que Mam llevaba consigo no se limitaba a su acento. Cada vez que volvía a Nueva York desde Trinidad traía discos de los grandes del calipso, como Mighty Sparrow o Lord Kitchener, y a través de estos álbumes me empapé de la fusión de la música soul con el calipso indígena de Trinidad. Esta música «soca» era una fusión de raíces africanas e índicas. Surgió en los sesenta y alcanzó su forma moderna (que incluía influencias del soul, la música disco y el funk) en los setenta, cuando artistas de Trinidad acudieron a grabar a Nueva York.
Para Mam, y muchos afrocaribeños de su generación, la música era una de las pocas profesiones que permitían alguna movilidad social y económica. Los grandes planes de mi abuela para que yo estudiara música clásica y me convirtiera en concertista de piano se habían gestado incluso antes de que mis padres y hermanos dejaran Trinidad para irse a vivir con ella por un tiempo, cuando yo tenía ocho años. Era su manera de comprarme un billete a la libertad económica que ni ella ni mis padres habían conocido. Mi profesora de piano, la señora Di Dario, una italiana que ya había cumplido los setenta, era estricta. Para un niño de mi edad, los cinco años de estudios memorizando escalas con ella habrían resultado inevitablemente arduos, pero lo que me oprimía era la presión implícita de tener que triunfar. Aun así, aunque no disfruté las tediosas prácticas bajo el ojo vigilante de Mam, los compositores clásicos cuya música estaba aprendiendo a tocar suscitaron mi curiosidad adolescente. ¡Eran capaces de juntar escalas para crear música! La idea de que pudieran surgir tantas melodías a partir de sólo doce teclas me fascinaba y absorbía. Mientras practicaba me distraía con pensamientos que derivaron en cuestiones profundas. ¿Cómo llegó la humanidad a inventar eso que llamamos música? ¿Por qué cuando tocaba algo en tono mayor me sentía alegre? Las notas Do, Mi y Sol, todas en clave de Do mayor, eran alegres. Éstas son las tres primeras notas de la primera frase de la canción de Elvis Presley Can’t Help Falling in Love: «Wise (Do) men (Sol) say (Mi)». Pero cuando mi dedo pasaba de la tecla blanca del Mi natural a la tecla negra del Mi bemol, el sonido se tornaba triste. ¿Por qué?
Me interesaba más cómo funcionaba la música que aprender a tocar las composiciones de otros. Este interés me acompañó hasta la edad adulta, pero entonces me impidió concentrar mi atención en la práctica regular. Al final mi melodiosa abuela caribeña se convenció de que todo su dinero no bastaría para nutrir mi talento, así que alzó la bandera blanca y las lecciones de piano tocaron a su fin.
Por entonces yo era alumno del Colegio Público 16, y estaba en la clase de tercero de la señora Handler. Mi escritura era deficiente, y mi naturaleza tímida e inquisitiva se interpretó como «lentitud». Estuve en un tris de acabar en una clase para niños con problemas, porque los maestros dudaban de lo que mis padres tenían claro. Pero me libré, y un día me encontré en una salida que me cambió la vida. En aquellos días la escuela pública organizaba visitas programadas a teatros de Broadway y museos. La clase de la señora Handler fue a ver los dinosaurios del Museo de Historia Natural. Íbamos en fila todos de la mano a lo largo de los grandes pasillos de criaturas disecadas que parecían a punto de saltar, echarse a dormir, darse un festín o bramar.
De camino a la sala principal reparé en un pasillo más pequeño a la izquierda. Al final de la fila, como un gato curioso, lo bastante atrevido e ingenuo para arriesgarse a sacrificar una de sus siete vidas, me tomé la libertad de escabullirme para ver qué había allí. Me encontré mirando unos documentos protegidos por una gruesa luna de vidrio. La escritura era jeroglífica y claramente manuscrita. A mis ojos de ocho años, no parecía de este planeta. Luego vi el retrato del autor de aquel rompecabezas. Su pelo hirsuto formaba un halo grisáceo despeinado. Su mirada penetrante era tranquila, pero con un toque de travesura. Lo dibujé encorvado sobre un escritorio, trazando garabatos en clave, quizá tarareando para sí de satisfacción o gruñendo de frustración. Fue la primera vez que vi a Albert Einstein y sus ecuaciones que describían la teoría de la relatividad. La magia había comenzado.
Yo no sabía que aquellos subyugantes garabatos presentaban el tiempo y el espacio como una entidad única e intercambiable. Pero sentí como si aquellos momentos de contemplación se extendieran hasta la intemporalidad. Mis ojos iban y venían de la imagen de Einstein a los símbolos que había escrito. Tuve la sensación de que yo era como él, y no sólo porque mi pelo afro se pareciera a sus greñas, sino porque veía a un solitario al que le gustaba jugar con símbolos e ideas igual que a mí me gustaba jugar con notas musicales sobre un papel para crear mis propias melodías e intentar responder las preguntas que me hacía. Quería saber más. Quería averiguar el significado de aquellos trazos. Algo en mi interior me decía que, quienquiera que fuera Einstein, quería ser como él. En aquel momento supe que había algo más allá de mi realidad en la clase de tercer grado de la señora Handler, más allá del Bronx, quizá más allá de este mundo, y que tenía que ver con aquellos enigmáticos símbolos escritos hace tiempo por Albert Einstein, ahora resguardados tras una luna de vidrio.
Adelantemos cuatro años. A principios de los ochenta, los adolescentes del Bronx, yo incluido, estaban en su mayoría absorbidos por el hip-hop, una música que reflejaba nuestras experiencias y circunstancias. Fusionaba el funk de James Brown y Parliament con las extemporáneas formas líricas de la música caribeña y latina. Unos cuantos amigos del vecindario se convertirían en productores y artistas de hip-hop de éxito. Mi amigo Randy, luego Vinny Idol, es de quien tengo mejor recuerdo. Era un músico alto y bien parecido de doce años, fanático de la herencia jamaicana, que vivía en un edificio situado en la ruta de mi reparto de periódicos. Nos unió nuestra pasión compartida por la comprensión de la música. Solía detenerme en el apartamento de Randy, y él me ponía música soul de su colección de discos, a menudo improvisando sobre ella con su bajo eléctrico. Sí, improvisando, no sólo reproduciendo. Aquél fue mi primer contacto con la improvisación genuina.
Yo tenía una habitación en la buhardilla de nuestra casa que se convirtió en mi «laboratorio de científico loco», mi taller de experimentación. Estaba lleno de radios desmontadas, proyectos de juguete electrónico fallidos, y una colección de cómics de Marvel. Casi todas las noches, antes de irme a dormir, sintonizaba las emisoras de radio populares entre los escolares de séptimo: Kiss FM o WBLS. Pero una noche decidí buscar otra emisora. Mientras giraba el dial, medio esperando encontrar un nuevo ritmo que compartir con mis amigos, mis oídos se autoenfocaron en un sonido que al principio confundí con el ruido blanco que se oye entre emisoras. Pero era otra cosa. Al cabo de unos segundos reconocí un saxofón. Al principio la música parecía caótica y aleatoria, pero me llenó de una misteriosa energía que me hizo mantener la sintonía. Quedé hechizado por aquel sonido, y me quedé escuchándolo hasta el final. Luego el presentador dijo: «Acaban de escuchar el free jazz de Ornette Coleman». Ahí estaba otra vez. Improvisación.
Mi padre era un gran aficionado al saxo y notó mi creciente interés por el instrumento. Él y mi madre me consiguieron un saxo alto de segunda mano que compraron en una subasta de objetos usados de la mujer del jugador de béisbol Tim Teufel, de los New York Mets. Mis padres pagaron cincuenta dólares por él, y a pesar de que estaba deslucido y tenía alguna que otra abolladura, sonaba bien. Luego me uní a la banda de mi colegio, el instituto John Philip Sousa Junior, cuyo director era Paul Piteo, un trompetista de jazz profesional. Él me enseñó a extraer notas del saxo y fabricarme mis propias boquillas. «Al fin», pensé para mis adentros, «ya no tendré que seguir practicando.» Armado con las herramientas de la independencia musical, podía tocar free jazz, como mi amigo Randy, como Ornette Coleman. Podía dedicarme a improvisar sin más. Aquello sí era divertido. Aquello era música para mí. Nada que ver con practicar el piano.
Yo no tenía ni idea de lo malo que era. Me divertía imitando e improvisando con las canciones populares que sonaban en mi transistor, pero en el free jazz no todo vale. En el jazz tradicional hay temas melódicos bien definidos y movimientos armónicos a lo largo de la pieza. En mis primeros días como estudiante de jazz, pensaba que tocar free jazz significaba que cualquiera podía agarrar un instrumento e improvisar con sentido sin ninguna formación ni práctica. A medida que fui madurando musicalmente y comencé a entender las reglas de la armonía y las formas básicas de la tradición jazzística estándar (que trataré más adelante), descubrí que el free jazz tiene su propia estructura interna y es una extensión del jazz estándar. Un músico de free jazz tiene muy poca estructura para apoyarse, y su desafío es improvisar algo que emocione a la audiencia. Pero ¿qué es eso que llamamos música?
La música es algo profundamente humano.[3] Cada cual tiene sus propios gustos y preferencias musicales. Tengo amigos que sólo escuchan música electrónica, y otros para los que el jazz es lo único que vale la pena escuchar. También conozco gente que cree que la única música «auténtica» es la clásica. Y cada vez hay más seguidores de lo que se conoce como ruidismo. Dada la dificultad de encontrar una definición de música que valga para todo el mundo, restringiré nuestra discusión de la música a la tradición occidental clásica. Lo hago así porque buena parte de la música de la que trata este libro se basa en el sistema occidental clásico de doce notas. En general, una pieza de música puede representarse como una forma compleja de onda sonora que evoluciona con el tiempo. Dentro de esta forma de onda se perciben elementos como el modo, el compás, el ritmo, la tonalidad, la melodía y la armonía.[4]
Definir los diversos elementos de la música occidental es una cuestión sutil. En aras de la brevedad, ofreceré una descripción simplificada. Imaginemos una melodía que comienza pulsando una tecla de piano. Ese sonido discreto es un ejemplo de nota musical. Cada nota puede percibirse con una frecuencia definida (o tono) que pertenece a una escala musical específica con un conjunto finito de frecuencias. Una melodía es una sucesión de notas que suele ser el tema principal de una pieza musical. Todos tenemos una melodía favorita (la mía es la de My Favorite Things. Los bailarines prestan especial atención al compás, que es la pauta coherente y recurrente de acentos que proporciona los pulsos o tiempos, y es importante para el ritmo de la pieza. Los tiempos de un compás se agrupan en barras. Por ejemplo, el compás de un vals tiene tres tiempos por barra, mientras que un ritmo tecno tiene cuatro tiempos recurrentes. La armonía tiene que ver con la consonancia o disonancia entre notas simultáneas, y estos acordes crean un movimiento de tensión musical y liberación.
La música es un suceso físico, y como la mayoría de los sistemas físicos no triviales tiene una estructura o, como dicen los músicos, forma. Así como el esqueleto determina la forma de un animal, la forma musical proporciona el armazón para que la melodía, el ritmo y la armonía se desplieguen de manera coherente. En muchos casos, al principio de una composición se introduce un motivo o tema. Lo vemos a menudo en la música clásica y barroca. Uno de los motivos más famosos es el que forman las cuatro primeras notas de la quinta sinfonía de Beethoven: ta ta ta taaaa. Este motivo puede agruparse en una frase, que es el equivalente musical de una oración, un agrupamiento de notas con un sentido musical coherente.
Las frases pueden encajar en una clave o tonalidad dada. En muchas formas de la música popular, la tonalidad cambia y luego vuelve a la inicial. Muchas composiciones comienzan con una tonalidad de la que luego se van desviando para finalmente volver a la clave de inicio, que suele designarse con el numeral romano I. Un movimiento en la mayor parte de la música occidental es la progresión II-V-I. En la clave de Do, esto corresponde a Re-Sol-Do. Una de mis canciones favoritas con este movimiento es Night and Day, compuesta por Cole Porter y popularizada por Frank Sinatra. Otra forma común es el blues, que emplea doce barras con movimientos de I a IV que se repiten unas cuantas veces y vuelta a I. Para apreciar esta progresión escúchese cualquier tema de B.B. King.
Todas estas formas crean una progresión: se generan tensiones y resoluciones que explotan el sentimiento humano y la narrativa. Nuestra descripción de la música ha comenzado con una sola nota, luego acordes, frases, ritmos y formas: una estructura compleja que parte de una onda con su frecuencia y su longitud de onda características. Todo esto abre las puertas de la emoción y la creatividad humanas. Podemos usar las notas musicales para expresar temas personales y conectar el yo con la naturaleza. Y esto surge casi por arte de magia. Sin duda, la música es algo profundamente humano. Aunque las canciones más populares del rock, el pop y el jazz se basan en formas sencillas como la de la figura 1.1, los compositores modernos, como György Ligeti, han basado algunas de sus estructuras musicales en formas autosimilares más intrincadas, como los fractales. En estas formas, las partes más pequeñas reflejan la forma de la estructura mayor. Muchas estructuras naturales, como los copos de nieve, las hojas o las costas, tienen propiedades fractales.[5] La investigación ha revelado esta misma estructura fractal en algunas composiciones de Bach.[6] En música, las estructuras fractales se dan cuando líneas musicales más cortas se reflejan en pasajes más largos.
Para mí, tocar el saxo era como jugar al baloncesto. Lo hacía por pura diversión. Era un pasatiempo, una pasión de adolescente. Pero escondida en alguna parte de la profundidad de mi ser estaba esa comezón por saber más, no sólo de cómo crear música, sino de sus orígenes, de su vínculo con nuestras emociones, de cómo obtener eso que llamamos «música» de los sonidos que llamamos «notas». ¿Qué eran las notas en definitiva? Lo que aún no sabía es que la ciencia me ayudaría a encontrar estas respuestas. La ciencia se convertiría en mi auténtica pasión.
El instituto John Philip Sousa Junior estaba situado en el complejo Edenwald, enfrente de Baychester Avenue. Unos años antes de matricularme allí, estaba catalogado como uno de los centros de enseñanza más peligrosos y con más criminalidad del país. Eso duró hasta que el doctor Hill Brindle tomó las riendas. Brindle, como le llamábamos, era una figura imponente de porte militar, con una elocuente voz de barítono. Su presencia paternal evocaba una mezcla de admiración, respeto y miedo tanto en los alumnos como en los matones que merodeaban por la vecindad. Sousa era un colegio público, pero Brindle lo regía como una escuela militar privada. Siendo cadete en la academia militar de West Point, Brindle prometía como atleta olímpico en la prueba de 400 metros lisos. Pero un día, mientras entrenaba en la pista, un sujeto no identificado le disparó alcanzándole en un muslo, y sus sueños olímpicos se fueron a pique. Sus energías necesitaban canalizarse por otra vía, y quizá por eso se unió al movimiento por los derechos civiles del doctor Martin Luther King, y acabó dedicándose a la educación en barrios marginales. Cada mañana, Brindle y su personal docente se situaban en las dos entradas del colegio para comprobar que todo el mundo trajera sus cuadernos y libros de texto. Y cada miércoles, el propio Brindle daba una charla-sermón a todo el alumnado, a la que asistíamos con atuendo semiformal.

Figura 1.1. Esquema de la estructura de doce barras del blues. El compás suele ser de cuatro tiempos por barra. En clave de Do, la forma comienza con la tónica: la primera nota de la escala (I) se repite en cuatro barras y luego asciende a la cuarta (IV), que es Fa. En las últimas cuatro barras, la armonía se resuelve hacia la tónica.
En una de aquellas congregaciones de los miércoles, Brindle, sereno como siempre, nos informó de que teníamos un invitado especial, y luego abandonó el estrado. Yo estaba en octavo, y nunca he olvidado aquel día. De detrás de las cortinas salió un hombre mayor vestido con un mono anaranjado y un radiocasete al hombro, que emitía un ritmo familiar de hip-hop. Algunos alumnos comenzaron a reírse como si tomaran al hombre por un payaso; otros estaban confundidos. Pero la mayoría meneaba con entusiasmo la cabeza al ritmo de la música. El tipo ciertamente captó nuestra atención. Luego apagó la música y se presentó. Era Fredrick Gregory, un astronauta afroamericano. Gregory, hablando con su acento de Washington, preguntó: «¿A cuántos os ha gustado este ritmo? ¿No era guay?». Todos aplaudimos con una sonrisa en la cara. «¡Sí, ese ritmo era guay!», continuó. La congregación se había convertido en una fiesta. Luego el astronauta preguntó: «Pero ¿sabéis cómo esta radio ha podido producir esa música». Y luego añadió: «Es potente tener una radio y escuchar esta música, pero lo verdaderamente potente es la capacidad de construir una radio así. Saber cómo funciona esta radio me ayudó a convertirme en astronauta. Estudié ciencias. Fui a la universidad y me hice ingeniero». Era un mensaje poderoso. Alguien como él había venido a nuestro colegio para contarnos a nosotros por qué la ciencia era importante. Y era una persona como nosotros, desde el punto de vista cultural, social, económico y geográfico. Lo expresó de manera simple: «¡Vengo del mismo entorno que todos vosotros, y si yo pude hacerlo, vosotros también!». La ciencia. No era la primera vez que me había planteado estudiar ciencias, pero aquella vez fue diferente.
Pero no comencé mi andadura científica pensando en hacerme físico para describir la física de la música o descifrar las ecuaciones de Einstein. Al principio quería dedicarme a la robótica. Junto a mi radio, mi saxo de segunda mano y mis experimentos de dormitorio amontonados estaba mi pila de cómics de Marvel. Tony Stark, el superhéroe que se hizo su propio traje de Hombre de Acero, fue una gran inspiración. Después de aquel miércoles en el colegio, aunque continué tocando el saxo en la banda escolar, la ciencia se convirtió en mi principal fascinación.
Un día, poco antes de acabar mis estudios primarios, el señor Piteo me apartó a un lado y me dijo: «Hijo, eres uno de los dos estudiantes de música con más talento que he tenido. El otro es el director de la banda del Apollo Theater. Puedo meterte en el Instituto de Artes Escénicas sin ningún problema».
Poder entrar en la escuela de música más importante de Nueva York era una oportunidad tremenda que habría llenado de orgullo a mi abuela. Pero nunca se lo dije, porque tenía otras ideas. Había decidido tomar el camino de la ciencia, y elegí ingresar en el instituto DeWitt Clinton.
Mi primer día en el DeWitt Clinton, que tenía unos seis mil alumnos, me desconcertó. Estaba en mi clase de inglés, discutiendo sobre Hamlet, cuando nos distrajeron las voces de unos jóvenes que competían a base de rimas. Fuera había un mar de estudiantes latinos jugando al balonmano, practicando break dance y enzarzándose en una «lucha libre de rap». Se trataba de improvisar rimas con cierta complejidad rítmica, y los entusiasmados espectadores juzgaban la competencia de los contendientes. La señorita Bambrick, nuestra jovial profesora irlandesa de inglés shakespeariano, interrumpió la clase con un entusiasta «¡Eso sí que es dominio del inglés!».
Mi vida dio un giro. Si las clases me aburrían, hacía novillos y tomaba el bus que iba a las pistas de baloncesto. Allí jugábamos al béisbol, y cuando nos cansábamos nos dedicábamos a rapear y bailar break dance sobre cajas de cartón de embalaje de frigoríficos aplastadas. En el bus me encontraba con otros que también se saltaban clases. De vez en cuando alcanzaba a oír las conversaciones de unos tipos que se hacían llamar «los del cinco por ciento», que debatían sobre alienígenas humanoides venidos del espacio para encontrarse con «el hombre negro asiático primigenio». No es broma. Escuché retazos de otros temas de ciencia ficción y constaté que realmente creían en lo que decían. Mi instituto era una de las mecas de la Nación del Cinco por Ciento, y nadie se metía con ellos. Aquellos tipos no tenían nada de endebles y apenas sonreían. Yo pensaba que los del cinco por ciento eran una banda callejera más, pero me equivocaba. Eran muy disciplinados y estaban entregados a sus estudios espirituales e intelectuales independientes. También teníamos algo en común (y no sólo saltarnos clases y jugar con ideas «científicas»). Una práctica habitual de los del cinco por ciento era el «goteo de conocimiento», similar a un debate intelectual, que a veces tomaba la forma de una competición de rap. Ellos también buscaban una vía de escape de la sombría perspectiva de futuro que teníamos ante nosotros. Yo la busqué en los cómics, los videojuegos y mi recién encontrado amor por la ciencia. Ellos adoptaron la visión del mundo de su líder Clarence 13X, un discípulo de Malcolm X, quien tras una iluminación espiritual se dedicó a difundir el siguiente evangelio por las calles de Nueva York:
- El 85 por ciento de la gente sigue ciegamente la religión.
- El 10 por ciento de la gente engaña deliberadamente a las masas.
- El 5 por ciento es gente iluminada y consciente de que son «dioses» de su propio destino.
- Las matemáticas son el lenguaje de la realidad, y todo miembro del cinco por ciento debe entender las regularidades matemáticas que subyacen tras la naturaleza para llegar a dominarla. A esto lo llamaban matemática suprema.
Obviamente, los del cinco por ciento pertenecían a ese 5 por ciento de iluminados. Así que cuando aquellos «dioses» me vieron una y otra vez en el bus abstraído con ecuaciones que me había enseñado mi profesor de matemáticas, el señor Daniel Feder, me invitaron a participar en sus debates sobre alienígenas que se habían comunicado con el hombre negro asiático primigenio. Al final me propusieron unirme a ellos. La verdad es que sus especulaciones me fascinaban, pero preferí continuar con mis deberes de precálculo. Aunque nunca me uní formalmente al grupo del cinco por ciento, me admiraban y protegían de los matones que a menudo la tomaban con los débiles o los empollones. Y yo también los admiraba a ellos, porque M.C. Rakim, un devoto cincoporcentista, acababa de lanzar su álbum de debut, Eric B is President, que había tomado por asalto Nueva York y el mundo entero. Rakim era, y sigue siendo, mi rapero favorito, y a diferencia del hip-hop actual, sus letras promovían el autoconocimiento e improvisaba con un enfoque científico. Rakim ha pasado a la historia como el más grande competidor de rap por su ingeniosa capacidad de improvisación y la cadencia polirrítmica única de sus rapeos. A veces me gusta pensar que el gran matemático Leibniz profetizó a Rakim con su cita: «La música es el placer que experimenta la mente humana de contar sin ser consciente de que está contando». Rakim equipara sus rimas a un «goteo de ciencia». Su éxito My Melody decía algo así:
Eso es lo que estoy diciendo, destilo ciencia como un científico.
Mi melodía es un código, el episodio subsiguiente.
Con el micro a menudo distorsionando, a punto de explotar.
Mantengo el micro en Fahrenheit; congelo raperos para dejarlos helados.
El sistema del Oyente patea como el solar...[i]
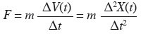
Tuve mi primera clase de física un año después, ya en segundo curso. Estaba inquieto. Y no era el único. Todos los empollones sentados en primera fila también estaban nerviosos. Un hombre enjuto con lentes y greñudo entró en el aula y escribió una ecuación simple en la pizarra. Tres caracteres y un signo igual: F = ma. Fuerza igual a masa por aceleración. Un objeto se acelerará cuando se le aplique una fuerza externa. Cuanto mayor sea la masa del objeto, menos acelerará con la misma fuerza externa. Nunca habíamos visto una ecuación así. El señor Kaplan caminó hasta el centro del aula, se sentó sobre un pupitre vacío y se sacó del bolsillo una pelota de tenis. A continuación la lanzó hacia arriba y luego la atrapó cuando bajaba. Vio que todo el mundo estaba tan atento que no consideró necesario repetir la jugada, y tras un momento de pausa preguntó: «¿Cuál es la velocidad de la pelota cuando ha vuelto a mi mano?». Silencio. Nadie sabía qué decir. Y en ese lapso de uno o dos minutos, comenzó a surgir la magia. Dibujé la pelota de tenis subiendo, parándose en el aire por encima de nuestras cabezas y aterrizando de nuevo en las manos de Kaplan. Volví a contemplar la escena. Y luego otra vez. Me convertí en la pelota. Mis manos temblaban y temía que, de algún modo, mis ojos me engañasen. Kaplan se fijó en mí.
—¿Cómo te llamas? —preguntó.
—Stephon —respondí.
—Y bien, Stephon, ¿qué piensas?
Y para mi asombro a posteriori, las palabras simplemente fluyeron: «La pelota tendrá la misma velocidad que tenía al salir de su mano».
En el rostro de Kaplan se dibujó una amplia sonrisa:
—¡Exacto! Éste es un principio sagrado de la naturaleza que se llama conservación de la energía.
Kaplan continuó en la pizarra y, sin más que sumar y multiplicar y haciendo uso de los símbolos de la ecuación, F, m y a, mostró cómo se conservaba la energía. Ahí teníamos un principio «sagrado», visualizado e intuido con una pelota de tenis. Por primera vez en mi vida, ciertos hechos cuadraban y adquirían sentido. Entendí algo sobre el mundo de un modo nuevo para mí. Las ecuaciones de la pizarra me hicieron rememorar mi cara a cara con Einstein siete años antes y la atracción que me inspiró aquel misterioso jeroglífico detrás del cristal. Aquí, el poder de cuatro símbolos, alineados de manera precisa, componía una ecuación que revelaba el funcionamiento de la pelota. Aprendí que podrían describir casi cualquier objeto del mundo, incluso los planetas en el espacio exterior. Al terminar la clase, el señor Kaplan se acercó a mí y me dijo:
—Los mejores físicos están bendecidos con el don de la intuición. Tú lo tienes. Ven a mi despacho luego.
La influencia cincoporcentista en el fondo de mi cerebro me hizo preguntarme si estaba a punto de ser captado por una sociedad secreta.
Daniel Kaplan había sido compositor de música e intérprete de saxo barítono antes de ser llamado a filas para servir en la guerra de Corea. Durante la guerra trabajó en la tecnología del radar. A Kaplan le entró el gusanillo de la física y al volver se graduó en física, sin dejar de tocar el saxofón y componer.
Él sería la persona que consolidaría mi pasión por la física. Kaplan era el director de los departamentos de música y de ciencias. Cuando entré en su despacho, vi un gran retrato de Albert Einstein y, enfrente, otro retrato del saxofonista de jazz John Coltrane. Fue la primera vez que los vi juntos, y me pregunté por qué el señor Kaplan tendría un retrato de un músico de jazz junto con el de un físico. Coltrane se convertiría en mi músico de jazz favorito, por nuestra admiración compartida por Einstein.
—Tienes una gran intuición física, pero para llegar a ser un físico tienes que aprender muchas matemáticas. Son el lenguaje de la física —dijo Kaplan.
Le comenté que había leído algo sobre Einstein y la idea de que la materia puede transformarse en energía. Nunca olvidaré su respuesta.
—¿Ves ese libro? —me dijo señalando un libro enorme titulado Gravitation—.[7] Trata de la teoría de la relatividad general de Einstein. Revela los secretos del espacio, el tiempo y la gravedad. Si quieres ser físico tienes que ir a la universidad, y cuando te hayas graduado puedes especializarte en relatividad general. —Y añadió—: Ven a mi despacho siempre que quieras a leer estos libros, o si tienes cualquier pregunta que hacerme.
Visité el despacho de Kaplan siempre que tenía un poco de tiempo libre. Además de leer sus libros, hablábamos de física y de música. Me saltaba el almuerzo para estar allí. Un día Kaplan me dio un disco, Giant Steps, de John Coltrane. Este innovador álbum de 1960 es, en retrospectiva, una demostración de las «láminas de sonido» de Coltrane, y un equivalente sónico de la curvatura del tejido espacio-temporal concebida por Einstein. Acabé uniéndome a la banda de jazz del instituto y estudié cálculo en el City College de Nueva York, ambas cosas con el estímulo de Kaplan. Y luego casi todo empezó a cambiar.
A mediados de los ochenta, Norteamérica pasó de los pantalones acampanados a la licra, de Jimmy Carter a Ronald Reagan, y el Bronx bullía de creatividad artística. Uno de mis mejores amigos, Harvey Ferguson, sabiendo que yo tocaba el saxo, me invitó a unirme a su nueva banda de hip-hop, Timbukk 3, que tenía como mentores a dos pioneros del género, Africa Bambaataa y Jazzy Jay. El primero es conocido por difundir el hip-hop por todo el mundo y por haber fundado la Nación Zulú Universal, que se valía de la cultura hip-hop para ofrecer alternativas pacíficas a los miembros de bandas. Timbukk 3 pretendía ser la sucursal en el Bronx de un colectivo de «artistas de hip-hop concienciados» llamado Lengua Nativa. Los grupos A Tribe Called Quest, The Jungle Brothers y De La Soul, entre otros, fueron miembros notables de este colectivo. Strong City era el estudio de grabación de Bambaataa, al norte del Bronx. Allí sampleé ritmos, y mi saxo fue sampleado por Jazzy Jay. Me entusiasmaba estar en la cabina de grabación. Con mi saxo alto apuntando al micro, miraba cómo Jazzy Jay y Harvey, meneando sus cabezas sobre la mesa de mezclas, grababan las frases de Coltrane modificadas rítmicamente que querían de mí, y que luego cortaban en trozos que distribuían por todo su rap. Todo marchaba: la colaboración parecía elevar la creatividad, y en pocos meses Timbukk 3 tuvo una oferta de grabación. Corría el año 1989. La aceptación internacional y la influencia del hip-hop estaban creciendo rápidamente, y las puertas para convertirme en creador y productor de música se me abrieron de par en par. Pero en lo profundo de mi ser sabía que aún tenía que crecer como músico, sobre todo como saxofonista. Y sentía el tirón aún más profundo de la física. La importancia de las ecuaciones y del funcionamiento de las cosas pesaba mucho más que la vía del hip-hop. Así que decidí continuar con mis estudios universitarios.
Crecer en el Bronx, a pesar de sus retos y absurdos, fue un campo fértil para que me convirtiera en físico. Aunque mi entorno estaba lleno de oportunidades para acabar siendo músico profesional, la energía creativa expresada por la gente de mi edad (los competidores de rap, los bailarines de break dance, los sampleadores y los del cinco por ciento) y mis devotos profesores (en particular el señor Kaplan y el doctor Brindle) me inspiraron para seguir mi auténtica pasión. Tener un modelo como el señor Kaplan, quien me mostró que podía identificarme como músico y físico a la vez, me animó a emprender una carrera como físico. No obstante, mi conflicto interior sobre si había elegido bien seguía ahí. Para silenciar mis dudas, sabía que tendría que encontrar una manera de hacer que mi física y mi música se hablaran la una a la otra. Merodeando en el fondo de mi mente estaban las imágenes enfrentadas de Albert Einstein y de John Coltrane en el despacho del señor Kaplan, representando el diálogo entre la física y la música que iba a ser mi vida.
En la universidad las cosas dieron otro giro. Me especialicé en física y me preparé para el ejercicio profesional. Asistí a unos cuantos cursos de teoría musical, pero lo cierto es que mi dedicación a la música en el colegio universitario fue mínima. No fue hasta después de graduarme cuando mi búsqueda de la conexión entre la música y la física despegó de verdad.
Capítulo 2
Las lecciones de Leon
El profesor Leon Cooper era neoyorquino como yo y premio Nobel, por ser coinventor del par de Cooper. Y ahí estaba de pie al frente de mi clase, un genio de la física con un elegante traje italiano y el pelo ondulado perfectamente arreglado. Los estudiantes de su curso avanzado de mecánica cuántica miraban embobados mientras improvisaba diagramas de Feynman en la pizarra. La mecánica cuántica describe nuestro universo a la escala más pequeña, subatómica, donde la «sustancia» de nuestro universo adquiere características tanto de onda como de partícula. La materia y la energía tienen una naturaleza dual de partícula y de onda. ¿Se entiende? ¿No? No pasa nada, la mayoría de los físicos tampoco lo entienden. Es una teoría abstracta y contraintuitiva, y las ecuaciones enseguida resultan peliagudas y engorrosas. En 1948, Richard Feynman, que luego sería premio Nobel, buscaba una manera mejor de manejar la mecánica cuántica. El resultado fueron sus simples y visualmente atrayentes diagramas de Feynman, que cambiaron completamente el modo de abordar las interacciones complejas entre partículas. Feynman era conocido por la inmensa variedad de sus intereses, su genuina joie de vivre, y una ética pedagógica basada en la simplificación y claridad de los conceptos. Podía hacer que las ideas más complicadas resultaran atrayentes hasta para los estudiantes más jóvenes. Pero sus diagramas se demostraron capaces de cautivar también a los físicos de más renombre.
Leon Cooper estaba frente a la pizarra, con su carismática sonrisa en la cara, trazando un diagrama. Las líneas rectas, onduladas y espirales, las flechas en ambos sentidos, los símbolos de una multitud de partículas tales como electrones, positrones y quarks aparecían y desaparecían rápidamente de la pizarra. Gradualmente surgió el diagrama de Feynman de la figura 2.2, que describe la dinámica cuántica de la aniquilación mutua de un electrón y su antipartícula. Prácticamente podía ver la energía y la materia, blanca como la tiza, aparecer y desaparecer, cambiando de una forma a otra, sobre el fondo negro de nuestro universo. Cooper era un maestro. Poder hacer física con él era como ser un fan del baloncesto que juega a pasarse la pelota con Michael Jordan.

Figura 2.1. La estructura a gran escala del universo. Cada punto corresponde a una galaxia. Aquí se representan unos mil millones de galaxias. Cortesía de Jamie Bock/ Caltech.
En 1957, cuando tenía veintisiete años, Leon Cooper y sus colegas John Bardeen y Robert Schrieffer resolvieron un rompecabezas que había durado cuarenta años, al explicar el origen mecanocuántico de un fenómeno conocido como superconductividad, lo que les valió el Premio Nobel.

Figura 2.2. Un diagrama de Feynman de un electrón (e-) y un antielectrón o positrón (e+) que se aniquilan mutuamente para producir un fotón de luz (γ).
La historia de la superconductividad comenzó en 1911. El físico experimental neerlandés Heike Kamerlingh Onnes había descubierto que cuando enfriaba un metal hasta cerca del cero absoluto (–273,15 °C, la temperatura más baja posible, a la que un sistema tiene energía nula) los electrones fluían por el metal enfriado sin resistencia alguna. Esta observación era chocante. La electricidad que encontramos en los circuitos corrientes es un flujo de electrones contra una resistencia inherente al conductor. Esta resistencia es similar a la fricción que frena una rueda en una carretera. Un superconductor es un material que puede ser atravesado por un flujo de electrones sin ninguna restricción. Es como si de pronto la carretera se hiciera perfectamente lisa, de manera que la rueda pudiera deslizarse sin ninguna fricción. Desde entonces los superconductores han encontrado numerosas aplicaciones tecnológicas útiles, muchas de ellas basadas en la relación íntima entre las corrientes eléctricas y los campos magnéticos generados por ellas.
Tras la irrupción de la mecánica cuántica a principios del siglo XX, muchos grandes teóricos, Albert Einstein entre ellos, intentaron encontrar el fundamento teórico microscópico de la superconductividad, pero sin éxito. No existía una descripción mecanocuántica de la superconductividad. Fue la ingeniosa intuición física de Cooper, plasmada en lo que se conoce como par de Cooper, la que permitió desvelar los secretos cuánticos de la superconductividad. En circunstancias típicas, los electrones individuales que circulan por un alambre de metal experimentan resistencia porque se repelen mutuamente, de modo parecido a los defensas de rugby que interfieren con los movimientos del jugador que lleva la pelota. Pero Cooper demostró que, en virtud de sus propiedades ondulatorias, los electrones pueden «aparearse», y al hacerlo desaparece su repulsión mutua y pueden circular sin resistencia.

Figura 2.3. El profesor Leon Cooper, Universidad Brown. Cortesía de AIP Emilio Segre Visual Archives, W.F. Meggers Gallery of Nobel Laureates.
Desde que se comprobó que la superconductividad es un fenómeno cuántico, lo que significa que sólo existen paquetes de energía discretos en vez de un flujo continuo, su importancia no ha hecho más que aumentar. Una vez Cooper, Bardeen y Schrieffer averiguaron cómo funcionaba, otros pudieron encontrarle aplicaciones útiles. La superconductividad está en la base de las imágenes por resonancia magnética, una técnica empleada para el reconocimiento médico de la forma y función de estructuras anatómicas. Algunas situaciones, como el diagnóstico de tumores, requieren mucha más precisión que una radiografía con rayos X. Se requieren campos magnéticos potentes y uniformes. Las corrientes eléctricas eficientes en un superconductor pueden generar dichos campos magnéticos, con lo que se optimiza el procedimiento de escáner por resonancia magnética. También se usan dispositivos superconductores de interferencia cuántica para detectar campos magnéticos increíblemente débiles. Esta técnica se emplea en biología para medir, por ejemplo, la actividad neuronal en el cerebro, u otros campos magnéticos débiles generados por minúsculos cambios fisiológicos, como en el corazón de un bebé en gestación.
Los trenes de levitación magnética se basan en el efecto Meissner, que es consecuencia directa de la superconductividad. La influencia mutua entre campos magnéticos y corrientes eléctricas implica que los campos magnéticos ejercen una fuerza sobre los electrones que se opone a su circulación. Los superconductores, con su flujo de electrones sin restricciones, repelen cualquier campo magnético presente que ofrezca alguna resistencia a la corriente. En consecuencia, si se coloca un imán por encima de un material superconductor, la supercorriente genera un poderoso campo magnético que es la imagen especular del campo magnético del imán, haciéndolo levitar. Las vías hechas de material superconductor y las «ruedas» imantadas inducirán el efecto Meissner, haciendo que el tren levite. Este efecto tuvo un papel clave en el descubrimiento del bosón de Higgs. Esta partícula no es más que una forma de superconductividad, sólo que el medio superconductor es el propio espacio vacío. Estos avances, que se derivaron del descubrimiento revolucionario de Cooper y sus colegas, son sólo una de las razones por las que Cooper era mi héroe.
Hacia el final de mis estudios secundarios, había leído un libro de Werner Heisenberg sobre mecánica matricial. Heisenberg es uno de los padres de la mecánica cuántica, conocido sobre todo por su principio de incertidumbre, fundamental para la teoría. También había leído Historia del tiempo, de Stephen Hawking, un cosmólogo famoso por su investigación de la radiación emitida por los agujeros negros, y me lo pasé muy bien leyendo ¿Está usted de broma, Sr. Feynman?, un libro hecho de retazos de la vida del polifacético Feynman. Leer todo lo que caía en mis manos sobre física me proporcionaba una evasión perfecta mientras crecía en una parte del Bronx donde la realidad, para muchos, era deprimente.
Llegué al colegio universitario armado con la ilusión de hacerme físico, pero me sentía completamente falto de preparación para el rigor de un curso superior. Pasaba horas mirando páginas sueltas, leyendo y releyendo un párrafo o un sistema de ecuaciones hasta que los conceptos penetraban lentamente en mi cerebro. Soporté largos exámenes y trabajos de laboratorio, alimentándome a base de litros de café, mi sustento básico. Buena parte de mis años de estudiante los pasé sintiéndome un negado fuera de lugar, un rastafari de Trinidad criado en el Bronx.
Pero estaba dispuesto a aguantar años de dudas y subestimación por parte de mis iguales, mientras me esforzaba en adquirir competencia como investigador en física. En el colegio universitario aprendí a manipular ecuaciones empleadas para describir el mundo que me rodea. Las ideas eran fascinantes, aunque la dificultad de comprensión resultara descorazonadora. La pregunta de fondo que me hacía era: «¿Por qué hay algo en vez de nada?». Tenía la misma curiosidad persistente que en aquellos días de mi niñez delante del piano, cuando mi atención se desviaba de las notas en el pentagrama a interrogarme por la existencia misma de la música y los sentimientos que me provocaba. Con los años, la teoría cuántica me fue proporcionando las claves para sondear esta cuestión fundamental en física.
Y ahora, como por un capricho de la suerte, después de dos años de posgrado, Leon, aquel espectacular malabarista cuántico, me aceptó en su grupo de investigación como doctorando. Fue impactante. Era un sueño hecho realidad. A medida que fui conociendo a Leon, me quedó claro que era un físico teórico que no estaba limitado ni definido por ninguna subdisciplina. Tenía aquel sentido del juego y la maravilla que caracterizaban a Feynman. Ponía tal entusiasmo cuando daba cursos con profesores de otras disciplinas que resultaba obvio que la colaboración y el intercambio de ideas era su savia vital. Una de las lecciones más valiosas que aprendí de Leon es que trasladar conceptos de una disciplina a otra es un arte. Mediante una analogía entre una idea conocida en un campo y un problema no resuelto en otro campo pueden hacerse nuevos descubrimientos y abrir nuevas vías de exploración, tal como se demostró ya en el primer proyecto que emprendí en el grupo de Cooper.
Leon disfrutaba trabajando en problemas interesantes y aparentemente insolubles, con independencia de la subdisciplina. No temía abordar las cuestiones más difíciles y hasta se permitía corregir equívocos o paradigmas perpetuados en campos ajenos al suyo, como la fisiología de la radiación, la neurología y la filosofía. Durante el tiempo que pasé en el grupo de Cooper, él estaba trabajando en el campo de la neurología. Fue por eso por lo que mi vida de posgraduado en física empezó con estudios del cerebro. ¿Quién habría pensado que la redes neuronales me convertirían en cosmólogo?
Cooper estaba intentando construir una teoría coherente de la memoria, basada en las redes neuronales. Un ejemplo clásico de red neuronal es el modelo de Hopfield, que ilustra cómo funciona la memoria asociativa. Lo sorprendente es que la idea en la que se basa el modelo de Hopfield no procede de la neurología, sino de la física cuántica del magnetismo, en particular el modelo de Ising, llamado así por el físico alemán Ernst Ising.[8]
Consideremos una imagen simplificada de un imán: una matriz de átomos separados por espacios iguales de un metal como el hierro. Cada átomo de la matriz vendrá definido por una magnitud llamada espín. El espín cuántico es muy parecido al giro de una peonza. La diferencia es que el espín de una partícula elemental sólo puede tener uno de dos valores, hacia arriba o hacia abajo, porque está cuantizado. Los átomos no pueden tener valores de espín arbitrarios, sino sólo esos dos valores discretos: arriba o abajo.
En este modelo, cualquier partícula con carga, sea positiva o negativa, puede generar un campo magnético si tiene espín. Esto vale para un átomo individual. Pero si los átomos se combinan en un grupo organizado, de sus interacciones surge una nueva física. Algunos científicos describirían esto como un fenómeno emergente. Si todos los átomos tienen el mismo espín, generarán un campo magnético neto. Esto es improbable que ocurra en circunstancias normales, porque a temperatura ambiente los átomos están lo bastante agitados para que sus espines oscilen de un valor a otro aleatoriamente, de modo que el conjunto no exhibirá ningún magnetismo neto.
El efecto de un átomo sobre los que le rodean se llama energía de interacción, un tipo de energía almacenada, o energía potencial. Como todas las formas de energía potencial, ésta es una magnitud que la naturaleza tiende a minimizar. Por ejemplo, cuando estiramos una goma elástica, su energía potencial aumenta, pero en cuanto la soltamos vuelve a su forma original, consumiendo o convirtiendo esa energía potencial en energía cinética o movimiento. Este proceso minimiza la energía potencial.
Los diagramas de Feynman aclaran las interacciones entre partículas cuánticas. Para ayudarnos a entender situaciones complicadas en física, recurrimos a otra herramienta: las matemáticas. Porque las matemáticas son como un nuevo sentido, más allá de nuestros sentidos físicos, que nos permite comprender cosas no inteligibles sólo a través de nuestras percepciones o intuiciones. De hecho, muchos dominios de la física, como ocurre con algunos aspectos de otras ciencias como la química o la biología, son altamente contraintuitivos. Obedecen a leyes que, aunque coherentes y comprensibles, no pueden captarse sin matemáticas que amplíen nuestra percepción. En el caso de los átomos, el espín y la magnetización, las matemáticas sirven para entender el comportamiento de sistemas complejos de átomos. Es útil formular primero las ideas intuitivamente, y luego formalizar las intuiciones matemáticamente. Echemos un vistazo más matemático al modelo del magnetismo de Ising. Dedicaremos algún tiempo a estos detalles porque muchas de estas ideas volverán a aparecer en otros contextos a lo largo de este libro.
Las matemáticas del espín muestran cómo se comporta la energía de interacción (E) entre los átomos del modelo. Si el espín de un átomo cambia, queremos saber cómo afecta esto a los átomos vecinos. Tomemos un átomo arbitrario i. El índice i puede tomar valores enteros positivos: 1, 2, etcétera. Por ejemplo, i = 1 designa el átomo 1, mientras que i = 3 designa el átomo 3. Podemos designar el espín del átomo i como Si. Entonces i = 1 especifica S1, el espín del átomo 1, y así sucesivamente. El espín del vecino más próximo del átomo i es Si+1. Así pues, i = 1 determina el espín S1 del átomo 1 y también el espín S2 de su vecino, el átomo 2.
Cuando los espines vecinos coinciden, i e i + 1 son ambos arriba o ambos abajo. Podemos intuir que, dada la coincidencia, la energía de interacción entre ellos será menor. Por otro lado, cuando los espines de átomos vecinos discrepan, de manera que o bien Si es arriba y Si+1 es abajo o bien Si es abajo y Si+1 es arriba, entonces la tensión entre los espines discrepantes hace que la energía de interacción sea mayor. Podemos imaginar dos personas conversando. Si están de acuerdo, habrá menos que discutir, menos interacción. Si discrepan, interactuarán más, cada una intentando cambiar el punto de vista de la otra.
Matemáticamente, si tratamos un espín arriba como un +1 y un espín abajo como un –1, al combinar los dos espines podemos multiplicar Si por Si+1 para obtener +1 o –1. Sólo hay cuatro resultados posibles: ambos arriba (1 × 1 = 1), ambos abajo (–1 × –1 = 1), el primero arriba y el segundo abajo (1 × –1 = –1) o el primero abajo y el segundo arriba (–1 × 1 = –1). Para cualquier par de partículas, si ambos espines apuntan en el mismo sentido, entonces el producto es Si × Si+1 = 1, y si apuntan en sentidos opuestos, Si × Si+1 = –1. Así pues, el valor 1 o –1 nos dice si ambos átomos tienen el mismo espín o tienen espines opuestos. Dos números revelan una información física definitiva, con lo que tenemos una primera representación matemática de nuestro modelo de espín atómico.
Al crear el modelo de Ising del magnetismo, hemos intuido que cuando los espines de átomos vecinos concuerdan, habrá menos energía de interacción, y cuando no concuerdan habrá más. Pero aún está por determinar cuánto aumentará o disminuirá dicha energía para la matriz entera de átomos. Antes de escribir la ecuación, revisemos los elementos de nuestro modelo.
- La muestra es un metal, por ejemplo hierro, con todos sus átomos dispuestos en una matriz.
- Cada átomo de la muestra tiene espín arriba (1) o abajo (–1).
- Si los átomos vecinos tienen espines iguales, la energía de interacción E es baja (y su valor numérico es 1, porque 1 × 1 = 1 y –1 × –1 = 1).
- Si los átomos vecinos tienen espines opuestos, la energía de interacción E es alta (y su valor numérico es –1, porque 1 × –1 = –1 y –1 × 1 = –1).
Sumando todos los espines concordantes y discordantes en nuestro sistema, ahora podemos escribir la ecuación entera que describe el cálculo de la energía de interacción entre todas las partículas.

E es la energía de interacción entre partículas, y es igual a Si × Si+1, que es 1 para espines concordantes y –1 para espines discordantes.

Figura 2.4a. Orientación del espín cuántico para los estados arriba y abajo.
El símbolo ∑ (sigma) indica la suma de todas estas concordancias o discordancias para todos los valores de i, que genera el valor numérico de la concordancia o discordancia general. Nótese que si todos los espines concuerdan, la suma será un número positivo grande; si ninguno concuerda, el resultado será un número negativo grande. La J especifica cuánta energía de interacción hay, dependiendo de la suma de estas concordancias y discrepancias. Cuanto mayor sea J, mayor será la energía de interacción entre espines. Por ejemplo, si J es 0,1 y si la suma de pares resulta ser 400, entonces la cantidad de energía será 40. Por último, el signo menos indica que tratamos las concordancias como decrementos de la energía de interacción y las discordancias como incrementos de la misma, así que en este ejemplo la energía de interacción sería –40.
Cuando la energía de interacción es elevada debido a espines discrepantes, los pequeños campos magnéticos generados por átomos individuales concordantes quedan anulados, y el metal no tendrá ningún comportamiento magnético. Pero si la energía de interacción es baja porque hay muchos espines concordantes, el efecto acumulativo de los campos magnéticos individuales se suma. En general, la energía más baja corresponde a configuraciones de espines predominantemente alineados, y en ese caso la sustancia exhibirá un campo magnético. Se convierte en un imán. La energía potencial se ha minimizado, lo que es equivalente a nuestra goma elástica sin estirar. Cuando los átomos de hierro se alinean, la sustancia se magnetiza y se convierte en un material ferromagnético. El modelo matemático que describe el ferromagnetismo se conoce como modelo de Ising.
Lo importante del modelo de Ising es que especifica la física cuántica que dicta que un metal se convierta o no en un imán. Naturalmente, hay condiciones adicionales que pueden imponerse, como la presencia de un campo magnético externo, pero el objetivo aquí no es hurgar en los detalles internos del magnetismo, sino ilustrar cómo el modelo de Ising del ferromagnetismo conduce al modelo neurológico de Hopfield. Para mí fue sorprendente que un modelo físico sin ninguna relación aparente proporcionara una inspiración directa para el modelo de redes neuronales de Hopfield. La analogía era bella.
El modelo de Hopfield es un modelo clásico de circuito neural. Su autor reinterpretó el modelo de interacción de espines atómicos en un metal como un escenario de interacciones comunicativas entre neuronas cerebrales. El resultado fue una red neuronal que obedecía reglas extremadamente simples con una matemática sencilla para almacenar información aprendida que pudiese recuperarse o recordarse. Para hacernos una idea aproximada, podemos pensar en las formas de islas locales de espines correlacionados como las configuraciones que serían responsables de la memoria.
Los experimentos han revelado que las neuronas se comunican mediante «disparos», o liberando neurotransmisores en las uniones que las conectan. Estas conexiones se denominan «sinapsis». John Hopfield simplificó esta complicada transmisión entre neuronas asignando una «fuerza» a la interacción entre dos neuronas, el equivalente a la J en el modelo de Ising. Pero en este modelo las cosas no son tan simples. En el modelo de Ising, los espines sólo interactuaban con sus vecinos inmediatos, pero en nuestro cerebro las neuronas están intrincadamente conectadas. La analogía clave es entre el espín del modelo de Ising y el disparo de una neurona en el modelo de Hopfield. Si el estado de la neurona es «arriba», entonces ha disparado una señal electroquímica, y si el estado es «abajo», entonces no ha disparado.

Figura 2.4b. Orientación del espín S en el modelo de Ising.
Hopfield propuso una ecuación para el «estado» general de la trama de neuronas conectadas, análoga a la ecuación de la energía de interacción de una matriz de átomos de hierro. Las mismas matemáticas que rigen el modelo de Ising valen también para el modelo de Hopfield: dos neuronas que disparan o no disparan al unísono incrementan el estado de conexión, mientras que las neuronas que actúan de manera opuesta reducen el estado de conexión. Los modelos son casi idénticos: basta con reemplazar la variable espín, S (Si, Si+1,...), por la variable neurona, n (ni, ni+1,...).

En lugar de un único término J para el cambio del estado de cada par, se ha introducido un término separado con un valor distinto para cada par, debido a la interconexión de las neuronas en el cerebro. La nueva variable del modelo es el peso, wij, entre las neuronas i y j. Este número dicta la intensidad con la que una neurona concreta, i, se comunica con su vecina, j (la eficacia de la sinapsis entre ambas). Establecer estas fuerzas de conexión resulta ser fundamental para el modelo de Hopfield. La matriz puede caer en un conjunto de estados distintos, dictado matemáticamente por el patrón de fuerzas de conexión en la matriz.
Esta analogía tiene sus límites: está claro que la memoria humana es más compleja que un metal magnetizado.[9] Las personas están vivas y pueden ejercer control. Pero las redes neuronales basadas en estos modelos son capaces de recordar. Mi trabajo en el laboratorio de Cooper consistía en estudiar redes neuronales sin supervisión, una extensión del modelo de Hopfield. Mientras que a las redes de Hopfield se les muestra lo que tienen que aprender con objeto de entrenar sus sinapsis para la identificación de pautas, las redes no supervisadas pueden entrenarse por sí solas para aprender nuevos recuerdos. Una aplicación típica de esta clase de redes neuronales es el tratamiento de gran número de datos sin categorías preexistentes obvias. La red adquiere una inteligencia que identifica clases naturales en las que encuadrar los datos. Fotos de satélite, pautas de cotizaciones de bolsa y entradas de Twitter son ejemplos de grandes volúmenes de datos que pueden «sondearse» mediante el aprendizaje no supervisado. El modelo de Hopfield es un ejemplo clásico de traslación de conceptos de un campo a otro (y también explica por qué yo estaba investigando en neurología mientras completaba una titulación en física).
Trabajando en el grupo de Cooper extraje dos importantes lecciones. La primera es que nunca olvidaré el valor y la belleza de ver y aplicar pautas similares de un campo a otro. Aprendí que establecer analogías entre campos dispares es más un arte que ciencia pura. Esto también ocurre en la música cuando se funden tradiciones musicales diferentes, como cuando Coltrane tomó prestados recursos musicales de otras culturas y los fundió con la tradición jazzística. Coltrane integró habilidosamente aspectos del sistema raga indio en su repertorio de improvisaciones,[10] que es especialmente interesante por las similitudes entre algunas escalas de la música india y el jazz modal. Esta fusión puede apreciarse en uno de los temas más famosos de Coltrane, My Favorite Things. La segunda lección que aprendí es que estas analogías siempre serán limitadas, pero esta misma limitación es la semilla de nuevas intuiciones y descubrimientos. En el caso del modelo de Hopfield, contemplar el estado de una neurona como un espín cuántico en un imán fue una analogía útil para proporcionar a los neurólogos las herramientas computacionales que empleaban los físicos para calcular la magnetización. La analogía tenía un límite, por supuesto. Las neuronas están interconectadas de una manera mucho más complicada que los átomos de un metal. Pero el conocimiento de esta limitación permitió a los neurólogos centrarse en incorporar la complejidad del circuito en el modelo análogo para mejorarlo. Como investigador neófito en el laboratorio de Cooper, buscaba una nueva analogía para una clase especial de redes neuronales. No tenía ni idea de que la analogía vendría del espacio exterior.
Capítulo 3
Todos los ríos llevan a la estructura cósmica
Providence, donde estaba la escuela de doctorado de la Universidad Brown, era una ciudad pequeña en el estado más pequeño de la Unión. Era un cambio respecto del Nueva York donde me crié. Pero tenía su ambiente, sobre todo en el club AS220 de Empire Street. Cuando buscaba una pausa de mis trabajos de curso e investigaciones me escapaba a este club de jazz experimental en el centro de Providence. Había una banda llamada The Fringe, liderada por el gran trombonista Hal Crook, cuyos solos de trombón de vuelo libre eran una perfecta combinación del free jazz de Ornette Coleman y los endiablados algoritmos composicionales de cosecha propia. Aquello fue más que suficiente para animarme a tomar mi saxo y comenzar un estudio autodidacta del jazz. Durante el día hacía mis cálculos, y durante la noche tocaba en sesiones improvisadas. Esto me preparaba para los veranos, cuando volvía a Nueva York y me sumaba a las sesiones del Smalls Jazz Club, en West Village, o me iba al Wally’s Café Jazz Club de Boston. Las sesiones en el Smalls resultaban especialmente impactantes, porque tenían muy poco que ver con estar en un laboratorio científico. El Smalls, un acogedor tugurio regentado por Mitch, ex enfermero y maestro, albergaba los mejores músicos de Nueva York. Luego estaban las sesiones que se prolongaban toda la noche, junto con lecciones gratis de músicos legendarios. Uno de mis profesores allí fue Sacha Perry, quien me enseñó modos alternativos de hacer solos sobre inflexiones.[11] A menudo Perry me decía: «Bud Powell nos enseñó a hacer esto, pero los gatos de hoy no quieren practicar». La señora Di Dario tenía razón después de todo.
Durante aquellos seis años en la escuela de doctorado, mi pasión por el jazz llegó a igualar mi pasión por la física. Con este interés dual, comenzó a desarrollarse algo nuevo y poderoso. Sacaba energía de tocar con mi recién formada banda de jazz fusión, The Collective, no sólo cuando lo hacíamos en el AS220 y otros bares musicales urbanos frecuentados por habituales, sino también ante otra clase de audiencia. Los conciertos en la cafetería del campus se convirtieron en una vía natural para atraer a una multitud interdisciplinaria. Algunos de los asistentes ignoraban la música, y otros hasta se daban la vuelta fastidiados. Pero un buen porcentaje de ellos captaba las vibraciones. La música hacía que sus mentes tomaran nota de algo nuevo, algo sincopado, algo que, para mí, a menudo continuaba siendo un misterio. Tal como yo lo veía, cada miembro de la banda tenía una perspectiva única que ofrecer. Advertí que en mi ejecución había un doble impulso: me sentía inspirado para improvisar, y me sentía inspirado para crear nuevas conexiones basadas en la interacción con la audiencia. Ambas fuentes de inspiración eran vías para la experimentación mental.
No me vino mal que mi nuevo mentor, el cosmólogo Robert Brandenberger, fuera un amante del jazz. Me animó a continuar con mis dos investigaciones, la física y la jazzística, y me dio absoluta libertad para formular mis propias ideas físicas, lo que solía ocurrir mientras escuchaba a Hal Crook los miércoles. Me llevaba mi cuaderno de notas a las actuaciones de Hal e improvisaba con ecuaciones y diagramas mientras los miembros de la sección rítmica, sumergidos en el océano de las intrincadas líneas de trombón de Hal, creaban estructuras espontáneas en sus exploraciones jazzísticas. Allí donde yo tocaba, Robert asistía a la actuación, trayendo consigo un montón de artículos de física y cálculos inacabados para leer.
Robert era experto en teoría cuántica de campos constructiva, y tenía un conocimiento sin precedentes de cuestiones técnicas (como Thelonious Monk de la teoría musical) tales como la geometría diferencial, las matemáticas que están detrás de la teoría de la relatividad general de Einstein. Pero no se limitaba a las herramientas matemáticas. Como hacía Monk con sus temas melódicos angulares, Robert componía sus teorías a partir de ideas, sin importar lo extrañas que pudieran parecer a primera vista. Sus reuniones con sus discípulos se parecían a una sesión de improvisación en Smalls. Entablaba un cruce de improvisaciones libres con sus estudiantes. Alguien presentaba una idea, que podía no tener sentido, pero Robert se la devolvía en una forma más estructurada. Los estudiantes aprendíamos del maestro tocando con él en tiempo real. Imitando al maestro, adquiríamos las habilidades intuitivas y técnicas para expresar nuestras ideas de manera más completa.

Figura 3.1. El profesor Robert Brandenberger. Fotografía de Christina Buchmann.
Por entonces yo asistía al curso de Robert sobre relatividad general: por fin estaba descifrando el mensaje de aquellos símbolos misteriosos tras la gruesa luna de vidrio escritos por la mano de Einstein, y los secretos que contenía en sus páginas aquel enorme volumen en el despacho de Kaplan titulado Gravitation.
Robert era admirado por sus estudiantes y tenía fama de ser el profesor al que uno podía acudir con cualquier cuestión, por idiota que pareciera, esperando que él la dotara de sentido. Robert y yo éramos adictos al café, y un día que estábamos en nuestra cafetería favorita de Providence, Ocean Coffee, le pregunté cuál era la pregunta más importante en cosmología. Yo estaba buscando ejemplos de datos tratables con los mecanismos de aprendizaje sin supervisión en los que estaba trabajando con Cooper. Esperaba oír algo como «¿Qué causó el big bang?» o «¿Cuáles son las piezas de construcción fundamentales de la materia?». Robert permaneció en un estado de intensa contemplación que duró casi dos minutos. Tuve tiempo de observarle mientras pensaba, y le recuerdo sentado con la espalda derecha, la cabeza inclinada en una posición un tanto forzada, pero perfectamente meditativa, con sus manos largas y delgadas sobre las rodillas. Unas muñequeras rellenaban el hueco entre los puños de su camisa y sus manos, cubriendo sus huesudas muñecas. Y de pronto vino la respuesta. Sus ojos se levantaron para encontrarse con los míos, y respondió como si el tiempo no hubiera pasado para él: «¿Cómo surgió y evolucionó la estructura a gran escala del universo?». «¡¿Qué?!», pensé. Pero ya debería haberme esperado algo así.
Por entonces mi educación en física se había limitado a cuestiones terrenales como la física cuántica y la electrodinámica clásica. Hasta ese momento nunca se me había ocurrido que las galaxias y los supercúmulos de galaxias fueran estructuras organizadas, y menos aún que pudieran decirnos algo profundo sobre la naturaleza del universo, como de qué está hecho y cómo surgió. Es más, ni siquiera sabía que los cosmólogos estudiaran estas vastas estructuras. Me senté a meditar sobre la propuesta de Robert durante unas cuantas semanas, y entonces lo vi. Si hubo un tiempo en el pasado del universo en que no había ninguna estructura (en las frenéticas y turbulentas condiciones del universo primitivo, por ejemplo), entonces comprender cómo surgió su estructura actual y qué hizo que se organizara debería interconectar las galaxias con las estrellas, los planetas y, en última instancia, los seres humanos.
Ya en el segundo milenio antes de Cristo, los astrólogos buscaban pautas en las distribuciones aleatorias de las estrellas en el cielo nocturno con el deseo de encontrar orden y sentido en el cosmos. En Mesopotamia, China, Babilonia, Egipto, Grecia, Roma y Persia se quiso encontrar un orden aparente en las constelaciones. Pero había más de lo que se veía a simple vista. Los primeros telescopios, construidos en los Países Bajos en 1608 y enseguida adoptados y mejorados por Galileo Galilei, permitieron detectar luz hasta entonces invisible. Los telescopios mejoraron la visión humana ampliando y enfocando la luz de las estrellas mediante lentes. Lo que siguió fue una empresa de cuatro siglos para construir telescopios cada vez más grandes capaces de ver en mayor medida detalles de nuestro universo, que culminó en parte con el descubrimiento por Edwin Hubble de la existencia de otras galaxias además de la nuestra. Una galaxia típica es una colección en forma de torta de cientos de miles de millones de estrellas, con un diámetro aproximado de diez mil parsecs, girando alrededor de un centro, como un plato volador.
En 1920, unos años antes del revolucionario descubrimiento de Hubble, dos eminentes astrónomos, Harlow Shapley y Heber Curtis, entablaron un «gran debate» sobre la escala del universo. En esta coyuntura de la historia de la cosmología, la evidencia acerca del tamaño del universo no era concluyente. Los astrónomos veían unos objetos espirales enigmáticos que llamaban nebulosas. Para Shapley, estas nebulosas no eran más que nubes de gas giratorias dentro de nuestra galaxia. Creía que la nuestra era la única galaxia en el universo. Curtis, en cambio, sostenía que las nebulosas eran en realidad otras galaxias más allá de la Vía Láctea.
El descubrimiento de Hubble zanjó el debate al probar que había otras galaxias aparte de la nuestra, pero lo que los cosmólogos de la época habían ignorado era que las galaxias estaban agrupadas. La extensión de estas agrupaciones era del orden de un millón de parsecs, pero este hecho no se consideró particularmente relevante. Incluso después de muchos años cartografiando la distribución espacial de las galaxias a escalas cada vez mayores, seguía habiendo astrónomos que dudaban de que hubiese alguna organización interesante o agrupación de mayor escala en la distribución de las galaxias.[12]
Pero Margaret Geller no pensaba lo mismo. Desde muy joven, a Geller le fascinaron los patrones. Cuando aún era una niña, su padre, Seymour Geller, un experto en cristalografía de rayos X que estudiaba la relación entre la estructura atómica de los materiales y sus propiedades físicas, le mostró la relación entre los patrones naturales y la física. Más tarde, estando en el Centro Smithsoniano de Astrofísica de Harvard, Margaret se puso a buscar patrones en la distribución a gran escala de las galaxias, atreviéndose a escudriñar el cosmos con su telescopio hasta distancias insondables. En 1989 publicó los revolucionarios resultados de su trabajo con John Huchra: un mapa de galaxias que abarcaba distancias del orden de ¡cien millones de parsecs! Descubrieron que las galaxias se agrupaban en una estructura filamentosa que se popularizó como «el Gran Muro», la mayor estructura observada en el universo.[13] Esta estructura era el primer indicio de que las galaxias se ordenaban de alguna manera. Pero, como me había dicho Brandenberger, la cuestión era cómo.
Cuando me encontré con el trabajo de Geller y Huchra por primera vez, de pronto tuve la visión de que el universo entero era un colosal entramado autoorganizado. El tema de la estructura a gran escala también resonaba en mi mente porque una lección que había aprendido de la biología era que las estructuras tridimensionales a menudo revelan la función de un sistema biológico. Un importante ejemplo es la estructura en doble hélice del ADN, que nos informa de la función codificadora de los genomas y la interacción entre genes y proteínas. ¿Acaso esta estructura galáctica a gran escala nos está indicando, en toda su gloria, por qué las cosas son como son?
Los cosmólogos han recurrido a la tecnología moderna para buscar, como los antiguos, orden dentro del caos aparente, y no sólo en los cientos de millones de estrellas de nuestra propia galaxia, sino en la distribución de galaxias del universo entero. Una empresa humilde. Para ello se han dedicado a buscar nuevas galaxias y cartografiar sus posiciones con objeto de investigar su «correlación».
Además de confeccionar y estudiar sus mapas cósmicos, los cosmólogos también han considerado la dinámica de las galaxias. Las galaxias muy masivas se atraen mutuamente por su inmenso empuje gravitacional, lo que afecta a su movimiento en el espacio. Los cosmólogos y astrofísicos han visto que nuestro universo se está expandiendo: las galaxias se están separando mutuamente a medida que nuestro espacio-tiempo se expande, igual que las pasas de un bizcocho se separan a medida que la masa sube. La tasa de expansión del universo ha cambiado a lo largo de su historia y ha tenido un papel esencial en la formación y evolución de las galaxias, en cómo han tomado forma y se han organizado en una estructura a gran escala. De hecho, esta estructura no se habría desarrollado si el universo no se hubiera expandido. Este hecho no es nada trivial. No obstante, cuando los cosmólogos comenzaron a dar sentido a la estructura supergaláctica no observada hasta entonces, no se pusieron de acuerdo en cuanto a la naturaleza de la propia estructura. Después de analizar los datos, unos se convencieron de que esas colecciones de galaxias estaban organizadas en una estructura filamentosa, parecida a una telaraña. Otros adujeron que el tejido del espacio-tiempo se organizaba en estructuras semejantes a burbujas, y que las galaxias se distribuían en la superficie de dichas burbujas. Determinar qué tipo de estructura prevalece en el cosmos es fundamental: nos diría algo de la física subyacente que sembró las semillas de las primeras estrellas, galaxias y cúmulos de galaxias durante las primeras etapas del universo.

Figura 3.2. El Gran Muro descubierto por Geller y Huchra. Imagen de Margaret Geller.
Estos dos argumentos motivaron la respuesta de Robert a mi pregunta, porque la falta de acuerdo entre los cosmólogos le parecía lamentable. Por primera vez me puse a meditar sobre la expansión del cosmos e imaginé el nacimiento y desarrollo de sus estructuras más grandes como un colosal entramado galáctico autoorganizado. Menos como discípulo que como potencial colaborador, se me ocurrió sugerirle a Robert que podríamos dejar que la nueva red neuronal concebida por Leon procesara los datos de la estructura a gran escala y decidiera cuál de las dos opciones era la buena. El enfoque interdisciplinario de Leon Cooper se demostró contagioso, y al cabo de un mes yo estaba trabajando en un proyecto conjunto con Leon y Robert para examinar la estructura a gran escala mediante una red neuronal no supervisada. En los meses subsiguientes continué haciéndole preguntas y más preguntas a Robert. Él también era un experto en los diagramas de Feynman. Yo estaba atascado en el punto donde un electrón y un positrón se aniquilan mutuamente y se genera luz. Me preguntaba si concentrarnos en ese punto requeriría una energía infinita, y seguía sin dar con la solución del problema.[14] Un día Robert intuyó la dirección a la que me llevaban todas mis preguntas, y me dijo: «Ahhh... Tú quieres encontrar una teoría cuántica de la gravedad, ¿a que sí?». Como luego veremos, la unificación de la mecánica cuántica y la gravedad se hace necesaria a la escala de las partículas elementales que interactúan, y se considera uno de los santos griales de la investigación en física fundamental. Al final del semestre me convertí en doctorando de Robert y comencé a trabajar en la frontera entre la gravedad cuántica y la cosmología, con la cuestión del origen y evolución de la estructura cósmica como motor de mi investigación.

Figura 3.3. La cosmóloga Margaret Geller. Fotografía de Scott Kenyon.
El proyecto de la red neuronal nunca se completó por dos razones. Para dar sentido a los tremendos volúmenes de datos sobre galaxias, las redes no supervisadas dependían en extremo de los algoritmos de computación y la programación. Y cuanto más me ponía a estudiar la formación de estructuras con la teoría de la relatividad de Einstein, más me seducía el poder del uso de lápiz y papel como única herramienta para manipular aquellas bonitas ecuaciones junto a tazas de café, en vez de escribir miles de líneas de programa en un superordenador. Hoy las cosas están cambiando: en el mundo de la física actual los ordenadores son cada vez más esenciales para la investigación. Por fortuna, la programación también es un ejercicio más divertido ahora. Y resultó que, después de mí y de manera independiente, a otros también se les ocurrió emplear redes neuronales para estudiar estructuras a gran escala, así que el proyecto quizá llegue a completarse algún día después de todo.
De la mecánica cuántica y los imanes a las redes neuronales y los agrupamientos galácticos: aún no era plenamente consciente de la aventura que había emprendido. Iba a continuar mi carrera como físico, con mi cabeza puesta en la trama cósmica tejida con galaxias. Volvería a la mecánica cuántica al estudiar el mar subatómico de partículas que llenaba el universo primigenio antes de que hubiera galaxias, antes de que hubiera planetas, antes de que hubiera personas, pero entonces no tenía ni idea. La conexión estaba allí, pero necesitaba otro puente, quizás otra analogía, para determinar cómo la física cuántica podía generar la estructura cósmica. Iba a tener que dar pasos de gigante. Después de todo, Robert había identificado el problema como el mayor misterio no resuelto en cosmología. Sí, eso requería pasos de gigante.
Giant Steps (Pasos de gigante) es el título de la renombrada pieza de improvisación del saxofonista de jazz John Coltrane, cuya investigación única de las progresiones de acordes cambió el jazz para siempre. ¿Qué pensaría Coltrane, uno de mis grandes ídolos musicales, de la estructura universal que ha revelado la tecnología actual? Él mismo contempló el cosmos y experimentó con estructuras en sus composiciones e improvisaciones. Llegaremos ahí. Pero antes, la otra cara de la historia. La historia de los científicos que se han inspirado en la música para explicar el universo. Filósofos de la antigüedad como Pitágoras, o el primer astrofísico, Johannes Kepler: estos notables matemáticos intuyeron que la armonía y el sonido están detrás de la creación de la materia y la evolución de la estructura del universo. Sus teorías prepararon el terreno para la ciencia tal como la concebimos hoy, pero sus analogías musicales estaban lejos de la realidad, y se pararon ahí. Pero yo no, y no estoy solo en esta búsqueda.
En mis últimos años de posgrado, la teoría de supercuerdas estaba en pleno auge, y todos los teóricos que conocía en la escuela de doctorado estaban leyendo los últimos artículos del gran Edward Witten, el genio de este campo. Al igual que Paul Dirac, el físico teórico inglés que hizo contribuciones fundamentales a la teoría cuántica, Witten era un matemático de talla mundial con unos fundamentos rigurosos. Ganó la Medalla Fields y poseía una intuición física einsteiniana. Cuando uno pensaba que podía lidiar con uno de sus artículos de investigación, salía un nuevo artículo revolucionario (en el contexto de una teoría que ya había pasado por dos revoluciones, con una tercera a la vuelta de la esquina). Nos torturábamos para mantenernos al corriente, porque la teoría de cuerdas era apasionante, con mucho sitio para nuevas ideas creativas.
La teoría de cuerdas puede parecer contraintuitiva de entrada. En la física clásica, la vibración de una cuerda genera ondas estacionarias de frecuencias enteras. Si miramos de cerca la cuerda vemos que está hecha de átomos. Pero, según la teoría de cuerdas, si miramos de cerca una partícula elemental, veremos una cuerda de energía vibrante. En el mundo de las cuerdas, éstas son las entidades fundamentales. Sólo parecen partículas cuando las miramos de lejos. La teoría de cuerdas es aún más musical que la teoría cuántica de campos. Michio Kaku lo expresa de manera inmejorable: «Las partículas subatómicas que vemos en la naturaleza, como los quarks o los electrones, no son más que notas musicales en una minúscula cuerda vibrante [...]. La física no es más que las leyes de armonía que podemos escribir sobre cuerdas vibrantes [...]. El universo es una sinfonía de cuerdas vibrantes».[15]
Entonces, ¿qué es lo que hay en la mente de Dios, aquello sobre lo que Albert Einstein escribió elocuentemente en los treinta últimos años de su vida? Ahora, por primera vez en la historia, tenemos una candidatura a la mente de Dios: la música cósmica.
Dada la naturaleza musical de la teoría de cuerdas, mi conocimiento de la música y la sonoridad me facilitó su comprensión intuitiva. Además, casaba perfectamente con mi anhelo de combinar mis dos pasiones. Si el acorde encaja, tócalo. Los diversos modos de vibración de una cuerda fundamental producen tonos diferentes, que se traducen en propiedades como la carga, la masa o el espín de una partícula. Es más, una vibración particular de la cuerda proporciona el cuanto del campo gravitatorio, el gravitón. Ahí estaba, finalmente, la gravedad enmarcada en la física cuántica. Como Einstein, muchas de las mentes más preclaras en física habían intentado unificar la mecánica cuántica con la gravitación, sin conseguirlo, pero una simple cuerda vibrante lo hizo de manera elegante.
La teoría de cuerdas se presentó de manera natural como una teoría de todo, en el sentido de que la física de dicha cuerda vibrante proporciona todas las partículas transportadoras de fuerzas y el resto de las partículas elementales. Pero esta elegancia tenía un precio. Cuando los teóricos comenzaron a explorar esta nueva física de cuerdas, se llevaron algunas sorpresas. Una cuerda moviéndose en una región de espacio pequeña obedece a la misma física que una cuerda en un espacio grande. Es lo que se conoce como dualidad-T. La teoría de cuerdas no da por sentado que vivimos en un mundo de cuatro dimensiones; de hecho, propone que el mundo tiene diez dimensiones. Aún hoy, multitud de ingeniosos experimentos con colisionadores de partículas y rayos cósmicos intentan vislumbrar estas dimensiones adicionales ocultas. Pero en este nuevo y rico mundo de unificación, resultó que no había una formulación única de la teoría de cuerdas, sino que había cinco teorías de cuerdas diferentes.
En mi último año de posgrado, tuvimos una reunión de grupo con Brandenberger. Él era uno de los teóricos que a principios de los ochenta defendían la viabilidad de la teoría cuántica de campos para abordar los enigmas del universo primigenio. Durante aquella reunión, Robert nos dijo que le parecía que la teoría de cuerdas se había desarrollado lo bastante para empezar a resolver algunos problemas de la cosmología del universo primigenio. Todavía le recuerdo diciendo: «Sería estupendo que la teoría de cuerdas nos proporcionara una confirmación de la inflación, o una alternativa». Entonces vi con claridad a qué me dedicaría en los siguientes dos años: aprendería lo suficiente de teoría de cuerdas para averiguar si la inflación cósmica podía derivarse de ella.
Justo antes de dejar la Universidad Brown, entré en el despacho del experto en teoría de cuerdas Antal Jevicki y, tras cerrar la puerta, le pregunté:
—Antal, ¿me aconsejas estudiarla en mi posdoctorado?
Él, con su sonrisa húngara, me dijo:
—Levántate y empieza a correr.
Los ganadores de la carrera obtendrían un contrato como investigador de posdoctorado, hasta que fueran a parar a un puesto permanente remunerado. Como posdoctorado, se supone que uno se establece como investigador independiente y causa un gran impacto en su campo. En física teórica, conseguir una beca de posdoctorado es clave para optar a un puesto facultativo. Pero no es infrecuente que un científico pase hasta una década en el purgatorio de los becarios antes de conseguir un empleo fijo. La competencia por estas plazas de investigación es feroz, y las posibilidades de acabar en una institución puntera son muy remotas. Luego supe que, de los más de trescientos candidatos que solicitaron una plaza de becario en el Imperial College de Londres, sólo dos fueron los escogidos. Por fortuna, gracias al trabajo independiente que hice durante mi último año en la escuela de doctorado, yo fui uno de los elegidos.
Así que finalmente dejé el nido de Robert Brandenberger y crucé el Atlántico hasta el Imperial College, una de las mecas europeas de la física teórica. En aquella coyuntura, yo pensaba ingenuamente que el fomento del pensamiento improvisativo y más allá de los límites por Brandenberger y Cooper era una práctica corriente en física. Pero en el Imperial me encontré todo lo contrario. El miedo al fracaso y el sentimiento de ser un impostor que todavía se escondían en mi subconsciente salieron a la luz cuando me estrené como posdoctorado. Aunque estaba acostumbrado a sentirme algo aislado de mis colegas, habiendo sido el único negro doctorado en física por la Universidad Brown (y uno de los únicos tres en Estados Unidos), ahora me enfrentaba a la realidad de ser también uno de los dos únicos norteamericanos en la red europea de posdoctorados en física teórica. Y tampoco me ayudó conocer a los otros posdoctorados, en particular mi compañero de despacho, Jussi Kalkkinen, un finlandés imponente y monacal que se encerraba para entregarse a sesiones de cálculo maratonianas, manipulando las ecuaciones de once dimensiones de la supergravedad. Cualquier intento por mi parte de imitar aquella práctica pronto me conducía a quedarme dormido en mi despacho tras apenas dos horas de cálculo.
Preocupado por lo que hacía falta para tener éxito como posdoctorado, me preguntaba cuál sería mi camino en un campo que parecía consistir mayormente en «callar y calcular».[16] Pronto me di cuenta de que iban a pasarme por encima, ya que los otros posdoctorados poseían unos fundamentos técnicos y matemáticos mucho mejores que los míos. Entonces, ¿qué es lo que cuenta en la investigación teórica? ¿Es la técnica o la intuición? En retrospectiva, ahora veo que mis frustraciones eran sintomáticas del actual debate sobre la estética misma de la investigación en física teórica (un tema que no había estudiado en clase).
En su libro El sueño de una teoría final, Steven Weinberg, premio Nobel y pionero de la unificación del electromagnetismo y la fuerza nuclear débil, recuerda una charla de Dirac:
En 1974, Paul Dirac vino a Harvard a hablar de su trabajo histórico como uno de los fundadores de la moderna electrodinámica cuántica. Hacia el final de su charla se dirigió a nuestros graduados y les aconsejó que se preocuparan sólo de la belleza de sus ecuaciones, no de su significado. No era un buen consejo para los estudiantes, pero la búsqueda de la belleza en física era un tema que recorría toda la obra de Dirac y, desde luego, buena parte de la historia de la física.[17]
Podemos entender por qué Weinberg estaba de acuerdo en parte con Dirac. Él mismo fue capaz de emplear la teoría de los fibrados, que tenía fórmulas geométricas muy elegantes, para descubrir que la fuerza electromagnética y la fuerza débil son en realidad una misma fuerza, la fuerza electrodébil. Pero no creía que los estudiantes debieran seguir al pie de la letra el consejo de no interrogarse sobre el significado de las ecuaciones. En el descubrimiento que le valió el Premio Nobel, las ecuaciones y cálculos en los que Weinberg trabajó intensamente no le habrían conducido a su resultado revolucionario si no se hubiera parado a pensar en su significado. Resulta que Weinberg estaba aplicando sus ecuaciones al sistema físico equivocado, la interacción nuclear fuerte. En su discurso del Nobel, Weinberg dice: «En algún momento del otoño de 1967, creo que mientras conducía hacia mi despacho del MIT, se me ocurrió que había estado aplicando las [ecuaciones] correctas al problema equivocado [...]. Las interacciones débil y electromagnética podían describirse entonces de manera unificada como [una ruptura espontánea de simetría]».[18]
¿En qué consiste esta belleza de la física matemática a la que alude Dirac? Muchos físicos asocian la belleza de una teoría física con su elegancia. Busquemos elegante en el diccionario y encontraremos que denota refinamiento, buen gusto, gracia y sencillez. Una ecuación elegante es refinada, en el sentido de reducida a lo esencial, simple y concisa. Una ecuación elegante está escrita con buen gusto en el lenguaje matemático de números, letras y símbolos. Una ecuación elegante es sencilla porque sintetiza otras ecuaciones que pueden derivarse de ella. Una ecuación elegante posee belleza.
Un buen ejemplo de elegancia en física son las ecuaciones que describen el movimiento planetario. Johannes Kepler formuló tres leyes de precisión impecable que explicaban el movimiento elíptico de todos los planetas alrededor del sol. Pero les faltaba un elemento clave: la gravedad. Luego vino Isaac Newton con su ley de la gravitación universal, y mostró que las tres ecuaciones de Kepler podían derivarse de una sola ecuación. De modo parecido, las ecuaciones de Maxwell que describen la electricidad y el magnetismo, otra colección de ecuaciones de una precisión impresionante, se reunieron en una sola ecuación «madre» después de que Einstein mostrara que el espacio y el tiempo podían unificarse en un espacio-tiempo tetradimensional. Estas unificaciones nos gustan porque simplifican las ecuaciones.
En los años subsiguientes se vio que la mayoría de las partículas tienen una antipartícula, un descubrimiento que tuvo una gran influencia sobre una de las más grandiosas teorías de la física actual: la teoría de cuerdas. Con su meta de proporcionar un marco para la unificación de las cuatro fuerzas fundamentales de la naturaleza conocidas, la teoría de cuerdas se ha descrito modestamente como la «teoría de todo». Aunque no es la única teoría que pretende dicha unificación, porque surge de la física de las partículas elementales, hasta ahora la simetría desvelada por Dirac no se ha visto corroborada experimentalmente. No obstante, su éxito ha suscitado un debate acerca de la concepción de la belleza en física.
Una teoría matemáticamente bella es atractiva porque proporciona un terreno para explorar realidades virtuales que simulan el mundo físico real. La elegancia de la teoría de cuerdas no reside sólo en su propósito de unificar la gravedad y la mecánica cuántica, sino también en su modo de hacerlo. Partiendo de la ecuación de una cuerda vibrante unidimensional, se pueden derivar las ecuaciones de todas las fuerzas: gravedad, electromagnetismo y las fuerzas nucleares débil y fuerte. Una gran hazaña a partir de un comienzo simple. Y hay un rasgo adicional que encuentro muy bello, y es que proporciona una sugerente descripción de la existencia de las cuatro fuerzas y de la materia basada en la geometría de dimensiones extra, más allá de nuestras cuatro dimensiones espacio-temporales.
Por bonita que sea una teoría, tiene que ajustarse a la verdad, y el debate reside a menudo en las predicciones inesperadas que se derivan de ella. La teoría de cuerdas, rica en simetrías que le confieren su elegancia, depende de dimensiones añadidas para su consistencia matemática, y se ha argumentado que la teoría de cuerdas predice la existencia de una infinidad de mundos (una idea que más adelante discutiremos). Naturalmente, a algunos físicos esto no les parece bonito, porque su comprobación está más allá de lo que podemos observar, y fuera de lo que la mayoría de los físicos encuentra concebible. No obstante, la tendencia estética, la búsqueda de la simetría y la elegancia matemática, ha seguido influyendo en el proceso de descubrimiento de la física moderna.
Por pura reverencia ante su genio y sus contribuciones a la física, yo fui uno de los físicos jóvenes que se tomaron el consejo de Steven Weinberg y Paul Dirac al pie de la letra. Pero mi orientación diraciana se exacerbó por la presión de mis colegas y mi deseo de encajar con los otros físicos en mi nueva casa. Después de todo, habiendo dejado la comodidad de seis años de estrecha camaradería en Providence, dependía de mis colegas de posdoctorado en el Imperial para tener vida social y amistades. Recuerdo que, en un taller de física teórica en el Instituto Henri Poincaré, me acerqué a un grupo de posdoctorados que debatían sobre un tema de teoría de cuerdas. Me animé a introducir un pensamiento especulativo, y observé cómo los otros continuaban hablando entre ellos como si yo no existiera. Lección: muéstrame tus fundamentos. ¿Dónde están tus ecuaciones? Para jugar en esta cancha, tenía que aprender los movimientos, lo que implicaba hacer gimnasia matemática. Esto me recordaba mucho las sesiones de jazz a las que había asistido, donde la fijación de todo el mundo era quién podía «tocar» mejor en las modulaciones.
El mensaje de Dirac era claro: afila tus herramientas técnicas, calla y calcula, y tendrás éxito en el campo de la física teórica. Así que decidí aparcar mis improvisaciones de vuelo libre y mi razonamiento analítico y adoptar el método de Dirac para ver lo que los físicos sacaban de las ecuaciones (qué realidad predecían las elegantes matemáticas). No era el único; de hecho, la mayoría de mis colegas seguían estrictamente este método diraciano de exploración. Mis compañeros de posdoctorado se encerraban para encorvarse sobre sus escritorios mientras se oía el tictac del reloj. Incontables horas de cálculos esperando descifrar algo que condujera a un descubrimiento revolucionario (o al menos un artículo digno de publicarse).
Me tomaba mi café exprés doble y me marchaba a mi despacho para continuar con el cálculo de supergravedad. La gran meta de la investigación cosmológica en mis primeros años de posdoctorado era seguir la instrucción de Brandenberger de encontrar una conexión profunda con la física del universo primigenio para explicar cómo surgió la estructura a gran escala del universo actual. Se consideraba que la supergravedad era esa conexión, en particular una versión de once dimensiones. La supergravedad habría sido el sueño de Dirac, porque de manera elegante, en una línea, la ecuación combina las otrora separadas ecuaciones de la gravitación y de la interacción electrodébil. Todo el mundo estaba convencido de que la supergravedad de once dimensiones tenía los ingredientes adecuados para buscar más fórmulas matemáticas bellas y simples todavía ocultas. Yo estaba buscando un patrón oculto en el micromundo de la supergravedad que tuviera la clave de la estructura macroscópica de nuestro universo.
La supergravedad es una versión de la teoría einsteiniana de la relatividad general, arreglada con una supersimetría, una simetría que establece una conexión entre bosones y fermiones, apareando cada fermión con un bosón en «superpares». Los bosones son las entidades encargadas de transmitir fuerzas, como el fotón, que transmite la fuerza electromagnética. Los fermiones, por otro lado, son las partículas materiales, como los electrones y los quarks, y sus correspondientes antipartículas. Un ejemplo de cómo funciona la simetría es nuestro reflejo en el espejo. La imagen que vemos se parece mucho a cómo nos ven los demás en virtud de nuestra simetría bilateral, aunque el espejo cambie izquierda y derecha. Piénsese en la supersimetría como un espejo que cambia bosones por fermiones sin variar el comportamiento del sistema físico.
La supergravedad tenía una profundidad conceptual fascinante, pero también me seducía el acto mismo de calcular: los elementos visuales sobre el papel eran preciosos en sí mismos. Aquel momento de maravilla que tuve veinte años atrás en el Museo de Historia Natural, mirando los símbolos escritos por Einstein, se había convertido en mi realidad. Sin más que subir o bajar el índice en una variable, estaba manipulando mundos geométricos virtuales a golpe de bolígrafo. Los hallazgos afortunados parecían dignos de cualquier cantidad de trabajo. A veces numerosos términos se cancelaban mutuamente, lo que permitía simplificar las ecuaciones a mano y aclarar en un instante la página y la mente. Otras veces las pautas encontradas en las ecuaciones coincidían inesperadamente con una verdad conocida del cosmos, lo que me hacía recordar que, en medio de todo aquel esfuerzo diraciano, las ecuaciones no dejaban de ser un reflejo de nuestro universo. Aunque inmensamente gratificante a ratos, era un trabajo duro. Los posdoctorados hacían una pausa para tomar café y refunfuñar sobre la futilidad de sus esfuerzos, o compartir entusiasmados sus momentos de aleluya, o simplemente repostar cafeína para inyectar más potencia de cálculo en sus cerebros.
A pesar de mi objetivo de dominar la supergravedad y aquellos momentos de deleite manipulando ecuaciones, los meses pasaban volando y mi «reloj de arena» de dos años de posdoctorado se estaba vaciando. Me parecía que no me estaba acercando en absoluto a averiguar cómo la supergravedad y su prima mayor, la teoría de supercuerdas, podía revelar los secretos de la estructura del universo. Aunque yo no tenía nada que enseñar de los callejones sin salida a los que me conducían mis cálculos, parecía que todos los demás estaban publicando exquisitos artículos que revelaban estructuras matemáticas ocultas en el supermundo. A pesar de mi duro trabajo, estaba en un remolino dentro de un pozo oscuro cada vez más lleno de dudas. Puede que Robert y Leo se hubieran apiadado de mí y me hubieran librado de entrar en aquel laberinto matemático, necesario para dominar los fundamentos técnicos requeridos para progresar en mi investigación.
Una tarde, al volver de una pausa para el café, encontré un mensaje de la administradora del grupo de teoría, Graziela. El jefe del grupo, el doctor Isham, quería verme. Yo me asusté. «Se ha dado cuenta de que no soy más que un impostor», pensé. Dejé mis cálculos en el escritorio, me levanté lentamente y me dirigí al despacho de Isham, resignado ante la posibilidad de que me dijera que era un bufón y me invitara a abandonar su prestigioso grupo.
Encontré por primera vez a Chris Isham en A Brief History of Time, un documental sobre Stephen Hawking, donde aparecía él junto a Roger Penrose. Isham, Penrose y Hawking eran colegas y físicos matemáticos de talla mundial. Chris tenía un aura mitológica, y estaba agraciado con una rara combinación de pensamiento independiente y creativo junto con unos fundamentos matemáticos sobrehumanos. Hizo contribuciones clave a las teorías de la gravedad cuántica, que intentan unificar la mecánica cuántica y la gravedad (las llamadas teorías de «todo»). En los años sesenta era un joven prodigio, y su director de tesis doctoral era el premio Nobel Abdus Salam, conocido sobre todo por su teoría de gran unificación de dos de las cuatro fuerzas fundamentales (sin incluir la gravedad).
Por desgracia, y al igual que Hawking, Chris sufre una rara condición neurológica que le ha provocado dolores insoportables casi toda su vida. Es un hombre alto a quien se podía ver en los largos pasillos del Imperial College, detrás de las masas de estudiantes que salían de clase. Tenía una inconfundible cojera, una inclinación de costado que recordaba lejanamente la interpretación de un comediante. Una persona admirable, en tantos aspectos, con un sentido del humor ingenioso, que siempre tenía una sonrisa y sabios consejos para todos los que acudían a él. Un estudiante del Imperial me contó la siguiente anécdota sobre Chris. Una vez, en un plomizo día de invierno en Londres, uno de esos días en los que la oscuridad le hace a uno preguntarse si es realmente necesario levantarse de la cama, Isham decidió despertar a sus estudiantes de golpe. Siempre ocurrente, anunció brevemente que leería la parte escrita de su lección al revés: «Es una convención. ¿Por qué leer de izquierda a derecha si se puede leer de derecha a izquierda?», preguntó retóricamente, con una sonrisa de oreja a oreja. La sorprendida clase se despertó y no perdió el tiempo en tomar apuntes. La lección que tocaba era sobre fibrados, uno de los temas favoritos de Isham por entonces. Hizo que pareciera fácil en la pizarra. La matemática estaba en cada célula de su cuerpo, así que no le importaba demasiado en qué sentido fluyera, de delante atrás, de arriba abajo, como fuera.
Entré en su espacioso despacho y vi al doctor Isham en actitud relajada, reclinado en su sillón con los pies sobre la mesa. Sus brazos temblaban ligeramente. Notas sobre teoría de topos (manipulaciones algebraicas increíblemente complicadas de reglas en espacios topológicos) decoraban la pizarra detrás de él, tan extensas que posiblemente no cabrían en un folio tamaño A4. Me recibió con una sonrisa cálida. No perdió tiempo y fue directo al grano.
—¿Por qué estás aquí? —me preguntó.
Yo respondí, con cierto nerviosismo en la voz:
—Quiero ser un buen físico.
Su réplica me sorprendió:
—Entonces deja de leer todos esos libros de física. Tienes que desarrollar tu mente inconsciente; ésa es la fuente de un gran físico teórico.
Como si su repertorio científico no fuera ya lo bastante impresionante, luego supe que tenía inquietudes espirituales y filosóficas. Con calma y seriedad me dijo que había entrenado su mente para hacer cálculos tediosos mientras soñaba. Continuó aquella notable revelación con otra pregunta:
—¿Cuáles son tus aficiones?
Atónito por sus hazañas durante el sueño (yo me limitaba a dormir por la noche), repliqué distraídamente:
—Toco jazz por las noches.
Hubo una pausa.
—Deberías dedicar más tiempo a la música. Yo canto. Me parece que la música es una actividad ideal para la participación del inconsciente.
Otra pausa.
—¿Ves esos libros de ahí? —Señaló las obras completas de Carl Jung, el fundador de la psicología analítica—. Tengo quince años de formación en psicología jungiana. Lee el volumen nueve, parte dos, Aion: Contribuciones al simbolismo del sí-mismo. La física tiene un aspecto místico. ¿Sabías que Pauli y Jung colaboraron?
Esta posibilidad me sorprendió. Wolfgang Pauli fue nominado por Einstein para el Premio Nobel por su obra como uno de los arquitectos de la mecánica cuántica. Pauli, conocido por su facilidad para detectar errores matemáticos y tenaz objetor del pensamiento carente de rigor, era famoso por su frase: «Su teoría ni siquiera es errónea». Era un auténtico diraciano. También predijo la existencia de una partícula muy esquiva, el neutrino, y se le consideraba una fuerza técnica que había que tener en cuenta. Me resultaba difícil de creer que Pauli se hubiera interesado por la psicología barata, pero mi perspectiva estaba a punto de dar un giro. Chris señaló otro libro, Atom and Archetype, una colección de cartas entre Pauli y Jung que abarcaba más de dos décadas.
—Se puede ver que Pauli concibió sus matrices de espín a partir de un símbolo que se le aparecía en sueños. ¿Quieres llevártelo prestado?
No sólo lo tomé prestado: lo traté como si hubiera descubierto una preciosa fuente de intuiciones. Era un nuevo ritmo que demandaba nuevas exploraciones. Dejé de rezongar cálculos numéricos en la cafetería del grupo de teoría bebiendo café solo, y me sumergí en la lectura de la colección de cartas junto a una pinta de cerveza en un pub de Portobello Road.
Sintiéndome privilegiado de estar bajo sus alas, me reuní con Chris semanalmente para discutir problemas de fundamentación en la física teórica y seguí su consejo como un discípulo. Me uní a un trío de jazz con el que tenía dos actuaciones regulares en locales de Notting Hill. Leía a Jung y le contaba a Chris los sueños que había tenido. Al cabo de unos meses, mis nuevos hábitos dieron fruto. Había estado atascado en un proyecto, intentando conectar la teoría de cuerdas con la inflación cosmológica, la idea de que el universo recién nacido atravesó una fase de expansión rápida, o inflacionaria. Una noche, en medio de un solo de saxo sobre el tema de Coltrane Mr. PC, surgió una imagen en mi mente que sabía que tenía que ver con la resolución de mi proyecto. Al día siguiente me levanté con esta nueva intuición y corrí a mi escritorio para anotar unas ecuaciones relativas a una rama de las matemáticas llamada geometría no conmutativa, cuya propuesta era que la velocidad de la luz en el universo primigenio podía variar. Junto con el cosmólogo João Magueijo, publicamos un artículo sobre esta nueva conexión, que ha sido citado más de un centenar de veces. Esto no me acercó al sueño de mi estructura cósmica basada en la supergravedad, pero comencé a ver que el sistema de Chris me funcionaba.
Entre el estímulo para tocar música que me infundieron Brandenberger e Isham, y el respecto por la excelencia y la elegancia matemática de las que ambos eran capaces, mi método diraciano comenzó a transformarse. «Jugar» con las ecuaciones era ahora una tarea polifacética. Aunque en el jazz es esencial practicar escalas y técnicas, también es importante salir a tocar con otros. La improvisación se ejecuta en el acto, y la única manera de prepararla es salir y tocar. Comencé a darme cuenta de lo que me faltaba en mi investigación. Estaba aplicando el método de Dirac demasiado al pie de la letra. Al llevarme las cuestiones pendientes de mi investigación a mis sesiones de jazz, me encontré como un niño jugando en un cajón de arena, sin que me importara caer en el error o la estupidez. Tras tantos años de pasión compartida por el jazz y la física, pero por separado, ahora la música me ayudaba a desarrollar mi musculatura matemática inconsciente. Lo que antes consideraba psicología barata se había convertido en una fuente de productividad. Después de todo, las conversaciones de Pauli con Jung habían llevado al primero a descubrir una nueva propiedad de la materia y una nueva ley de la naturaleza. Desde mis primeros cursos en la universidad, las ideas que conectaban la música con la cosmología habían estado dando vueltas en el fondo de mi cerebro, y ahora estaba sacándolas de mi inconsciente, examinándolas y pensando que no eran tan descabelladas como me habían parecido antes.
Tocar música con otros se convirtió en una parte de mi práctica científica, y también me proporcionaba mucha diversión. Durante las sesiones de jazz nocturnas en los veranos de Nueva York, me llevaba mis cálculos físicos. En los descansos, cuando los músicos se dedicaban a conversar, yo sacaba mi investigación física y hacía conexiones con el jazz. Seguía aplicando el método de Dirac; lo único que cambiaba era mi entorno. En las sesiones comencé a jugar más con los nuevos formalismos que estaba explorando en mi investigación. Contemplaba el intercambio entre los solos de trompeta y saxo como dos superpares que experimentaban una inversión supersimétrica. Nunca olvidaré cuando le dije a un pianista ahora bien conocido que su manera de tocar era geométrica. Otro saxofonista entró en la conversación y dijo: «No sé de qué hablas. Lo suyo suena bien, y punto».
Un concepto geométrico clave es la isometría, que es la conservación de las distancias entre un conjunto de puntos. Un caso simple de lo que entiendo por «geométrico» en el solo del pianista es análogo a tomar un cuadrado en una superficie bidimensional y deslizarlo por ella. El cuadrado desplazado es isométrico del cuadrado original porque la distancia entre los cuatro lados se conserva. Ciertas superficies están tan combadas que al desplazar el cuadrado por ellas no se conservan las distancias entre los cuatro lados. A menudo un solista de jazz repite una pauta melódica y rítmica, o frase, y la practica en las doce claves. Estos cambios de clave conservan la distancia tonal entre las notas de la pauta melódica.
Al cabo de los años, descubrí que no estaba tan loco al asociar el razonamiento geométrico y la simetría con la música cuando tocaba en el Smalls. Y vale la pena comentar una notable similitud del uso de la simetría y el razonamiento geométrico en la música y en la improvisación. Fijémonos en dos composiciones: You Are the Sunshine of My Life, de Stevie Wonder, y Voiles, de Claude Debussy. Estas piezas tienen algo poderoso en común (aparte de ser preciosas). Ambas emplean una escala simétrica, llamada así porque se ve simétrica cuando la dibujamos. Consideremos las doce notas escritas en un círculo: si partimos de la nota Do y vamos subiendo en secuencias de medio paso doce veces, acabamos en Do. Ésta es una representación geométrica (un círculo de puntos) de las doce notas musicales.
Podemos trazar líneas que conecten las notas entre sí. Así como un triángulo equilátero es el objeto de tres lados más simétrico en dos dimensiones, el hexágono es el objeto más simétrico de seis lados en dos dimensiones. Las notas que caen en el hexágono en la figura 4.1a (Do, Re, Mi, Fa sostenido, La bemol y Si bemol) comprenden una escala simétrica conocida como escala tonal. ¿Cómo suena? Podemos oírla al comienzo de You Are the Sunshine of My Life cuando el piano eléctrico toca etéreas notas ascendentes antes de que entre la voz. En el Voiles de Debussy esta escala tonal es descendente.
Podemos construir otras escalas simétricas, como un cuadrado perfecto, o escalas disminuidas. Pat Martino, considerado uno de los más grandes guitarristas de jazz vivos, tuvo un aneurisma cerebral funesto en 1980. La cirugía le salvó la vida, pero como secuela sufrió una amnesia que le obligó a volver a aprender a tocar la guitarra. De paso concibió un nuevo sistema basado en la simetría de sólo dos «formas parentales» que son innatas a la estructura geométrica del mástil de la guitarra. Estas formas o acordes parentales no son más que la tríada aumentada y la séptima disminuida. Martino hizo muchas presentaciones para mostrar la potencia de los acordes parentales a la hora de generar una amplia variedad de acordes derivados.
Como pronto examinaremos con algún detalle, también John Coltrane empleó escalas simétricas como base de su álbum Giant Steps. Cuando le contó a David Amran que se inspiró en Einstein para encontrar una idea musical simple, esa idea, extraída de los libros de Einstein sobre relatividad, era la simetría. Cuando estudié el mandala de Coltrane, me di cuenta de que clamaba simetría. Considérese la simetría espacio-temporal entre observadores inerciales que condujo a Einstein a la relatividad especial y la versión tetradimensional de la electrodinámica. Luego aplicó la simetría del espacio-tiempo curvo para demostrar la equivalencia entre un observador acelerado y un observador estático. A partir de la idea unificadora y simplificadora de la simetría, Einstein pudo expresar ideas físicas dispares y complicadas de un plumazo.
Tuve la gran fortuna de hablar con Martino, un hombre amable que hablaba con una lógica insondable. Me dijo que quería encontrar un sistema que agilizara sus ideas y su técnica de improvisación. No pude sino sonreír. «Muchos físicos también intentan encontrar la teoría más eficiente que dé cuenta de muchos fenómenos de una tacada», le dije. Se da la coincidencia de que tanto Martino como Coltrane aprendieron del difunto guitarrista de jazz de Filadelfia Dennis Sandole, quien les introdujo en las escalas simétricas, o lo que él describía como «divisiones iguales de las relaciones octava y tercera».[19] Pero lo que ni Coltrane ni Martino vieron era la profunda conexión entre las escalas simétricas, su ruptura de simetría y la física. En la ruptura de las escalas simétricas podemos escuchar la física de la ruptura de simetría.

Figura 4.1a. La simetría hexagonal de la escala tonal.
Los acordes suelen referirse a un «centro tonal». Por ejemplo, un acorde de Do mayor, formado por las notas Do, Mi y Sol, tiene Do como centro tonal. Si tocamos ese acorde, Do será la nota más prominente, mientras que Sol y Mi sirven para añadir armonía y embellecer el centro tonal. Pero un acorde simétrico tiene más de un centro tonal, lo que le confiere un sonido ambiguo: las notas están igualmente espaciadas y se refieren a varias tonalidades. Por ejemplo, en el acorde tonal de Do, las seis notas (Do, Re, Mi, Fa sostenido, La bemol y Si bemol) ejercen de centro tonal. Por su sonido incierto, las escalas simétricas tienen un papel especial en la música. Durante cientos de años, compositores como Ravel o Bach las han empleado para crear tensión o una sensación de ambivalencia, usualmente cuando viene un cambio armónico. Otra escala simétrica ubicua es la escala disminuida, ampliamente empleada en el jazz y en las composiciones de Gershwin y Cole Porter para generar movimiento entre dos acordes con centros tonales.
La figura 4.1b muestra el acorde simétrico disminuido a la izquierda y un acorde mayor a la derecha. Si nos fijamos, veremos que la escala disminuida puede convertirse en una escala mayor con sólo cambiar dos de las cuatro notas. En una escala simétrica no hay jerarquía entre los diversos centros tonales. Una escala mayor, en cambio, rompe esa simetría y establece una jerarquía que se traduce en un centro tonal —el acorde mayor— que adquiere más importancia que las otras notas de la escala. Volveremos sobre esta importante analogía musical cuando exploremos cómo la asimetría en el universo primigenio estableció jerarquías similares en las estructuras cósmicas.

Figura 4.1b. Una demostración de la ruptura de simetría de la escala disminuida simétrica (izquierda) a la escala mayor (derecha).
Todos estos años que he pasado trabajando en mi tesis doctoral, luego como posdoctorado y ahora como profesor dedicado a la investigación independiente, otros músicos de jazz los han pasado en el conservatorio, dedicando miles de horas a dominar la teoría musical y sus instrumentos. Cuando estaba entre físicos, solía guardarme mi curiosidad acerca de la relación entre música y física para mí mismo. Pero no podía sacudirme mi compulsión. Después de todo, el método de Dirac decía que las matemáticas, y en particular la simetría, llevó al progreso de la física fundamental, y yo había experimentado por mí mismo la geometría y simetría de la música en aquellas sesiones de jazz improvisadas en el Smalls. Además, los fogonazos de intuición física que me asaltaban a veces cuando hacía solos con mi saxo tenor eran muy reales. Años más tarde, me sentí confortado al saber que la misma génesis de lo que conocemos como física fue encendida por un grupo de personas que buscaban la elegancia, y la encontraron en la unión entre música y matemáticas: los pitagóricos. Parece que me hubiera picado el bicho pitagórico.
Durante todos mis años de instrucción formal como científico, me encontré intentando reconciliar mi pasión por la música con la física. Comencé a ver no sólo que la investigación física podría beneficiarse del recurso a analogías musicales, sino que nuestro mundo físico mismo tenía un carácter musical. Aparte de los escasos mentores que me animaron a aunar ambas pasiones, como Chris Isham y Robert Brandenberger, me sentí presionado para mantener ambos mundos separados. Para algunos la física tiene que ver con verdades absolutas codificadas en una matemática rígida, y la música es un lenguaje para la emoción. Puede que esta tensión no hubiera sido tan grande de haber conocido que en los albores de la ciencia, la música y la astronomía eran inseparables. Para el músico y el científico de hoy, esto puede parecer ridículo, pero para los antiguos, que carecían de las herramientas científicas de las que disponemos ahora, la música se convirtió en una analogía de la ordenación y la estructura del cosmos.
Como nosotros ahora, los antiguos también se preguntaban de dónde venían y cuál era su lugar en el universo. La fascinación de la gente, antigua y moderna, por las cuestiones del nacimiento y de la muerte, y por los desafíos del entorno natural, su prodigalidad y sus adversidades, inspiró a los antiguos a personificar la naturaleza y rendir culto a aquellas fuerzas naturales para intentar apaciguarlas. El salto de los mitos de la creación al razonamiento deductivo y científico comenzó muy probablemente con los pitagóricos, hace más de veinticinco siglos. Buscaban una combinación de matemática y mística para entender los movimientos de los cuerpos celestiales y su relación con los asuntos humanos.[20] Aunque podría aducirse que la idea de que el universo tiene carácter matemático se originó en Babilonia o Egipto, a Pitágoras le corresponde el mérito de postular que «el universo consiste en la armonía que emana de los números». Si hubiera conocido esta historia cuando me dedicaba a investigar en teoría de cuerdas, habría respaldado lo que mis profesores de entonces me animaban a hacer: combinar la ciencia y la música. Pero, en vista de que la interdisciplinariedad intensiva era una práctica poco habitual, yo dudaba de la validez de su consejo. En retrospectiva, los del cinco por ciento habían ido más allá de lo que yo aprecié en su momento.
Pitágoras es conocido sobre todo por su famoso teorema, que permite determinar la hipotenusa h de cualquier triángulo rectángulo si conocemos las longitudes de los otros dos lados a y b.
Aunque la atribución a Pitágoras de la fórmula a2 + b2 = h2 es cuestionable, éste no es el único motivo de su fama. A muchos quizá les sorprenda saber que también es el responsable de nuestra escala musical occidental. Aplicó la deducción matemática para comprender el mundo físico y preparó el escenario para los enormes avances de la astronomía y la física un milenio más tarde.
La leyenda dice que Pitágoras dejó su hogar en busca del conocimiento divino. Desde la isla de Samos, en la costa oriental del mar Egeo, viajó a Egipto y Babilonia, y regresó al cabo de dos décadas con la convicción de que toda la creación existía en una perfecta armonía de números. Propuso que las órbitas planetarias encarnaban notas musicales, que llamó tonos, cuya altura venía dictada por la velocidad del planeta y su distancia del sol. En la época se conocían cinco planetas, que según Pitágoras componían juntos una bella armonía. Las posiciones y movimientos de las estrellas también contribuían a la melodía cósmica, y la leyenda dice que Pitágoras podía oír esta «música de las esferas». Para los pitagóricos, la verdad misma estaba en los números y sus relaciones mutuas. Las matemáticas eran la manera de desvelar los secretos del universo, y la armonía del cosmos era, simplemente, una manifestación de las relaciones entre los números.
Se cuenta que el momento eureka de Pitágoras tuvo lugar en una herrería. Con el golpeo repetitivo de los martillos, metal contra metal, Pitágoras captó lo que ahora conocemos como consonancia. Su sensible oído y su mente matemática fueron capaces de detectar las vibraciones sonoras, o notas, que resultaban agradables de oír, vibraciones sonoras que resonaban, o vibraban en sincronía, con la propia estructura física del oído. Pitágoras inquirió a los herreros, y éstos le revelaron que los pesos de los martillos diferían según una razón de 1:2.
Con su corazón inmerso en la posible naturaleza armónica del cosmos, se puso a trabajar en la aplicación de estas razones a sus observaciones y postulados. Preparó un experimento con cuerdas suspendidas que generaban notas cuando se hacían vibrar. Se dio cuenta de que las razones entre los pesos de los martillos eran equivalentes a las razones entre las longitudes de las cuerdas. A pesar de ser objetos diferentes en medios diferentes, las matemáticas y las armonías eran las mismas. Estaba detrás de algo grande. Cuando hacía vibrar una cuerda que era la mitad de larga que la original, obtenía una nota similar pero de mayor frecuencia (lo que ahora conocemos como octava). Repitiendo este proceso con longitudes divididas sucesivamente por la mitad, Pitágoras descubrió nuestra escala musical occidental. Dividir por dos la longitud de una cuerda equivalía a duplicar su frecuencia. La razón 1:2 sería equivalente, por ejemplo, a la relación entre una nota La de 220 Hz de frecuencia y otra nota La de 440 Hz. En la música occidental, esta duplicación de la frecuencia equivale a subir una octava, o un intervalo de ocho teclas en un piano clásico. Percibimos una octava como una nota idéntica a la original, pero de tono más alto.
Luego Pitágoras hizo vibrar una cuerda con un tercio de la longitud original y escuchó una quinta perfecta, que en clave de Do es la nota Sol. Ésa es la segunda nota en la canción de Elvis Presley Can’t Help Falling in Love: «Wise (Do) men (Sol) say (Mi)». Cuando la longitud de la cuerda se reduce a una cuarta parte de la original, obtenemos una nota Fa en clave de Do. Esta pauta continúa para todos los enteros de uno a cinco. El hecho de que las notas consonantes se generaran por razones enteras de la longitud de la cuerda convenció a Pitágoras de que «todo es número», y de que la música de las esferas era una realidad.
Aunque Pitágoras fue capaz de demostrar que las razones enteras de la longitud de una cuerda generaban notas consonantes, el porqué de este hecho siguió siendo un misterio, y dedicaremos un capítulo entero a esta cuestión. Sus descubrimientos no sólo pusieron los cimientos de buena parte de la imponente música que vendría luego, desde Bach y Mozart hasta The Beatles, sino que también constituyeron una importante contribución a las matemáticas puras y la astrofísica. La creencia pitagórica fundamental de que todo es número se ha convertido, al cabo de casi tres milenios, en el mantra de la física teórica moderna. Dirac era un pitagórico.
Los filósofos y astrónomos griegos de la antigüedad creían que la Tierra era el centro del universo (en otras palabras, creían en un universo geocéntrico). Después de todo, la fuerza de gravedad estaba por descubrir, y parecía que todo caía hacia la Tierra. Rodeando la Tierra había esferas perfectas que gobernaban el movimiento de los cuerpos celestes esféricos; de ahí que se hable de la música de las esferas. Equivalente a lo divino, la forma circular se reconocía como la esencia de la estructura y de la dinámica del universo, y todo en él se encaminaba a mantener este canon.
El reverenciado modelo de perfección cósmica de Aristóteles (384-322 a.C.) se aprecia aún hoy por su belleza, si bien no por su corrección. Los planetas, las estrellas y la luna estaban insertados en esferas cristalinas que giraban alrededor de la Tierra; las esferas estaban hechas de un quinto elemento llamado éter. Aristóteles fue discípulo de Platón, que era un pitagórico. Platón había ampliado la base numérica de la música de las esferas a otras formas geométricas, celebrando los sólidos platónicos que llevan su nombre. Los cinco sólidos platónicos, junto con la esfera, eran las formas geométricas más especiales por su simetría, regularidad y precisión. De acuerdo con la filosofía pitagórico-platónica, estas formas geométricas perfectas tenían una existencia autónoma, independiente de la esfera de la existencia humana, igual que la perfección musical.[21] Cada uno de estos sólidos convexos está formado por un tipo de polígono regular, con el mismo número de polígonos convergiendo en cada vértice. El cubo quizá sea el sólido platónico más simple y más conocido. Se compone de seis cuadrados, con tres compartiendo cada vértice. Los otros son el tetraedro (cuatro triángulos), el octaedro (ocho triángulos), el icosaedro (veinte triángulos) y el dodecaedro (doce pentágonos).

Figura 5.1. Vibración de una cuerda.
Platón asociaba estas formas con los cuatro elementos: tierra (cubo), fuego (tetraedro), aire (octaedro) y agua (icosaedro). Como ningún elemento se asociaba con el dodecaedro, es discutible que el propio Platón descubriera los cinco sólidos platónicos. La fascinación de los antiguos griegos por la belleza del dominio cósmico, y su intento de encontrarle una descripción matemática precisa, marcó el nacimiento de lo que conocemos como ciencia moderna.
Cuatrocientos años después de Aristóteles, observaciones astronómicas más precisas llevaron a una revisión del viejo modelo cosmológico, y las antiguas esferas cristalinas comenzaron a hacerse añicos. Ptolomeo (ca. 100-ca. 170) concibió su famoso modelo ptolemaico para explicar el movimiento retrógrado aparente de los planetas a medida que se desplazaban por el cielo nocturno. Ahora sabemos que los planetas, tal como se ven desde la Tierra, exhiben ocasionalmente una desaceleración y marcha atrás debido a su movimiento alrededor del sol en relación con nuestro planeta. Pero en los modelos geocéntricos de la época, de círculos perfectos, era casi imposible justificar movimientos como aquéllos. Ptolomeo, un genio creativo, hizo lo que pudo para arreglar las cosas con su modelo cosmológico. La divinidad cósmica y sus círculos de perfección no eran ajustables, así que tuvo que introducir ciclos circulares dentro de otros ciclos, o epiciclos, para explicar no sólo el movimiento planetario retrógrado, sino también las trayectorias ligeramente elípticas que parecían exhibir algunos planetas. Era un modelo terriblemente complejo y nada intuitivo, pero necesario para mantener antiguas creencias.
Hicieron falta quince siglos para que la creencia en una geometría divina comenzara a dar paso a la confianza en la percepción humana. Para un simple mortal no era fácil contestar lo divino, y algunos sufrirían las consecuencias. Pensemos en la supernova del año 1054. Fue la explosión increíblemente brillante de una estrella, responsable de la espectacular nebulosa del Cangrejo que vemos hoy en el cielo. Registrada por los astrónomos chinos y árabes, apareció de pronto en el cielo nocturno entre las estrellas fijas. ¿Una novedad en el universo perfecto e inmutable de Dios? ¡Una cacofonía en la música de las esferas! La supernova era una obvia anomalía, pero aún tuvieron que pasar siglos antes de que alguien echara por tierra los estándares antiguos. Nicolás Copérnico, un matemático y astrónomo polaco nacido a finales del siglo XV, arrojó la piedra que destrozó las esferas de cristal, los epiciclos y (para algunos) también a Dios, de una vez por todas.
Copérnico cambió la Tierra por el sol, y el universo pasó a ser heliocéntrico, con todos los planetas, incluido el nuestro, en órbita alrededor del centro solar. El movimiento retrógrado de los planetas era producto de nuestra perspectiva terrestre, y el movimiento inconstante del sol a través del cielo se debía a la revolución anual de la Tierra alrededor de aquél. El movimiento diario de las estrellas a través del cielo se explicaba ahora por la rotación de la Tierra sobre su eje. ¡Qué gran idea! Copérnico no sólo describió todos estos puntos con precisión, sino que también infirió que las estrellas estaban mucho más lejos de la Tierra que los planetas o el sol, lo que explicaba su movimiento diferente. El heliocentrismo ha sido justamente ensalzado como la revolución copernicana. Quizá por suerte para él, quizá por el estrés, Copérnico falleció el mismo año que publicó su teoría del universo con el sol en el centro. No vivió para ver las consecuencias de su degradación de Dios a un mero espectador en un cosmos más humano y cerebral.
Galileo Galilei (1564-1642), el padre de la astronomía moderna, hizo algunas de las observaciones más llamativas de la astronomía. Las manchas solares, los cráteres lunares y las fases de Venus fueron fenómenos minuciosamente observados e identificados por él. También se deleitó observando la Vía Láctea, esa mágica banda densa de estrellas y nubes de polvo interestelar que parte en dos nuestros cielos nocturnos cuando miramos hacia el centro de nuestra galaxia. Pero su descubrimiento más significativo quizá fuera el de las cuatro lunas mayores de Júpiter, ahora conocidas como las galileanas. Registrando meticulosamente, noche tras noche, hora tras hora, la oscilación aparente de estos cuerpos delante y detrás de Júpiter, pudo probar que eran lunas que giraban alrededor del planeta gigante. Esta observación sola bastaba para descartar el geocentrismo y proporcionaba un poderoso respaldo al heliocentrismo copernicano. A diferencia de Copérnico, Galileo vivió para defender sus tesis y, como era de esperar, fue acusado de subvertir el orden divino y puesto bajo arresto domiciliario para el resto de su vida. Aunque censurados por meterse con Dios, Galileo y su predecesor Copérnico habían abierto un camino que permanecería abierto para los teóricos futuros que quisieran encontrar explicaciones físicas, y no sólo divinas, de la belleza que contemplaban.
Comparable con Galileo en cuanto a logros observacionales, pero más conservador en su elección de creencias, fue Tycho Brahe (1546-1601), un astrónomo y noble danés que dedicó buena parte de su carrera a inventar los instrumentos que le permitieron efectuar medidas cada vez más precisas de las posiciones de los cuerpos celestes. Sin duda tenía los datos astronómicos más precisos de la época. Aunque respetaba los argumentos geométricos de Copérnico, no estaba dispuesto a abandonar el geocentrismo, y se mantuvo fiel al modelo ptolemaico.

Figura 5.2. Imagen del modelo ptolemaico. Wikipedia.
En diciembre de 1599 hizo una invitación informal a un joven ayudante, Johannes Kepler, para que le ayudara a catalogar sus datos. Pero un año después falleció repentinamente, legando su extensa colección de registros astronómicos detallados a su familia. No sin renuencia, finalmente los herederos de Brahe consintieron en ceder su preciada obra a su asistente, el joven Kepler.
Johannes Kepler (1571-1630) posiblemente fue el primer astrofísico, el primero que buscó una causa física, y no divina, del movimiento de los planetas. Tuvo una vida trágica. Su madre estuvo a punto de ser quemada en la hoguera por bruja, a los cinco años vio por última vez a su padre, un mercenario, y, más tarde, perdió a su mujer y sus tres hijos por culpa de la peste y otras enfermedades. Él mismo padeció viruela de niño, lo que le dejó con problemas de visión y artritis en las manos. Con todas las tragedias de la Tierra, fue desde su superficie desde donde Kepler, siendo aún un muchacho, observó fenómenos cósmicos grandiosos e inspiradores. El sufrimiento y la tristeza no hicieron más que acelerar su anhelo de abrazar los cielos. El primer acontecimiento significativo fue el gran cometa de 1577. Pasó cerca de la Tierra y fue observado en toda Europa (el mismo Brahe lo estudió con precisión y concluyó, correctamente, que los cometas no eran un efecto atmosférico, sino un fenómeno que estaba más allá de nuestro planeta). Más adelante Kepler observó un eclipse lunar. A pesar de su visión defectuosa, quedó impactado por el color rojizo de la luna, lo que le hizo dirigir permanentemente lo que le quedaba de vista, y su corazón, hacia los cielos. Resultó que los ojos de Brahe eran el complemento perfecto de los de su infortunado asistente.
Kepler, matemático brillante, astrónomo apasionado, experimentador creativo, y lo bastante osado para cuestionar el geocentrismo y la perfección esférica, siguió una carrera estrictamente académica e hizo justicia al legado de Brahe.

Figura 5.3. La nebulosa del Cangrejo, un remanente de la explosión de una estrella (supernova). NASA, ESA, J. Hester, A. Loll (ASU).
Un día que estaba dando una lección de astronomía, Kepler tuvo un deslumbrante fogonazo de intuición. Al explicar los movimientos planetarios, Kepler cayó en la cuenta de que las distancias entre los planetas no eran accidentales, sino que reflejaban la visión pitagórica de un orden racional divino. Por ejemplo, la órbita de Marte, que estaba a la mitad de la distancia de Júpiter, sería una octava superior. Estaba convencido de que los planetas se movían al son de la música de las esferas, pero como haría un científico moderno, siguió haciéndose preguntas. Quería saber por qué había seis planetas, y no veinticinco, o tres (Urano y Neptuno aún estaban por descubrir). Tras días de trabajo frustrante, Kepler tuvo una sensacional revelación que le acompañaría el resto de su vida: el universo debe obedecer a alguna armonía geométrica profunda en sus razones matemáticas. Se convenció de que los cinco sólidos platónicos eran la razón de que hubiera seis planetas, y también dictaban la separación y los movimientos de los mismos.
Piénsese en una muñeca rusa construida a partir de los sólidos platónicos. Cada sólido puede colocarse dentro de una carcasa esférica de modo que cada vértice del sólido toca la superficie interna de la esfera. De manera similar, dentro de cada sólido puede colocarse una esfera que esté en contacto con cada una de las caras internas del sólido. Así, Kepler pudo construir un modelo que postulaba seis esferas imaginarias que asoció con la localización de los seis planetas. Arriesgándose a correr la misma suerte que Galileo, colocó el sol en el centro, y a su alrededor Mercurio, Venus, la Tierra, Marte, Júpiter y Saturno. Los movimientos planetarios se confinaban a las órbitas esféricas separadas por los sólidos platónicos. Describió estos resultados en su libro Mysterium Cosmographicum (El misterio cósmico), publicado en 1596. Fue un logro notable que Kepler, valiéndose de la simetría y la geometría, fuera capaz de resolver dos problemas fundamentales que se habían cernido sobre las cabezas de filósofos y astrónomos durante dos milenios. Con veintiséis años, Kepler había averiguado por qué había seis y sólo seis planetas, y había determinado sus órbitas (o casi).

Figura 5.4. El modelo platónico del sistema solar de Kepler, expuesto en su Mysterium Cosmographicum (1596). Wikipedia.
Pero Kepler aún no estaba satisfecho. Agraciado con una increíble intuición y la inclinación matemática para no dejar de refinar sus ecuaciones y modelos, Kepler aún tenía una pregunta profunda por responder: ¿cuál era la causa física de que los planetas giraran alrededor del sol? Se trataba de una nueva categoría de pregunta. Como hombre religioso que era, al principio Kepler buscó una explicación en la Santísima Trinidad: Dios, el sol, estaba en el centro de todo, el Hijo eran las estrellas fijas, y la fuerza necesaria para generar el movimiento de todos los cuerpos celestes emanaba del Espíritu Santo. Pero esta explicación no le bastaba. Kepler escribió: «O las almas que mueven los planetas son menos activas cuanto más lejos del Sol, o sólo hay un alma motora en el Sol, que impulsa los planetas tanto más vigorosamente cuanto más cerca está el planeta».[22] Más adelante razonó que la fuerza «disminuye en proporción inversa a la distancia, tal como lo hace la fuerza de la luz». Era la primera vez en la historia que se aplicó el razonamiento físico a la astronomía. Lo que Kepler estaba desentrañando lentamente no era trivial. Tras estas incógnitas persistentes subyacía la física de la gravedad y de la luz. Similares en su acción, Kepler no se equivocaba al pensar que ambas se disipaban a medida que se alejaban de su fuente. También tuvo la intuición correcta de que el «alma» del sol era una fuerza que impulsaba los movimientos planetarios (de hecho, la fuerza que luego se conocería como gravedad). Pero necesitaba más información, que en realidad ya tenía a su alcance. Garabateados con mano atareada y atenta estaban los registros de Brahe del movimiento del planeta Marte.

Figura 5.5. La segunda ley de Kepler.
Kepler, que no pasaba por alto ningún detalle, advirtió enseguida que los datos de Brahe de la órbita de Marte no se ajustaban a su modelo con la precisión deseada. Pensó que el rigor matemático plancharía las arrugas, lo que quizá le llevaría días. Pero no se arredró. Al final necesitó casi ocho años para completar la tarea. El problema era que la órbita de Marte se desviaba tanto del círculo que era imposible reconciliarla con un modelo de esferas perfectas concéntricas. Pues bien, a diferencia de otros astrónomos anteriores, Kepler finalmente desechó su modelo idealizado de sólidos platónicos, en línea con lo que ahora se considera el método científico moderno de contraste de hipótesis para adquirir nuevos conocimientos. En la época ya se sabía que de la Tierra emanaba una fuerza magnética, lo que por analogía llevó a Kepler a reemplazar el Espíritu Santo por una fuerza magnética emanada del sol. En 1605 escribió:
Estoy muy ocupado con la investigación de las causas físicas. Mi objetivo es mostrar que la máquina celestial es equiparable no con un organismo divino, sino más bien con un mecanismo de relojería [...] en la medida en que casi todos los múltiples movimientos se producen en virtud de una única, y bastante simple, fuerza magnética, así como en un mecanismo de relojería todos los movimientos [son causados] por un peso simple. Es más, mostraré que esta concepción física puede presentarse a través del cálculo y la geometría.[23]
Aunque era cierto que el sol tenía una fuerza magnética, responsable de las manchas solares observadas por Galileo, no era la fuerza gravitatoria que Kepler andaba buscando.
Continuando con sus investigaciones, decidió volver a sus ideas pitagóricas y su fe en la armonía de las esferas. Kepler había estado bien expuesto a la belleza derivada de dichas ideas. Después de todo, la matemática pitagórica había definido la música occidental, y compositores renacentistas famosos como Monteverdi o Byrd fueron contemporáneos suyos. Kepler razonó que si los planetas describieran una órbita perfectamente circular, el tono se mantendría constante a lo largo de toda la órbita. Pero dado que en el caso de Marte la órbita parecía ser oblonga, Kepler conjeturó que cuando el planeta está más cerca del sol, se desplaza más deprisa y el tono aumenta. Estos cambios de tono contribuían a la armonía cósmica pitagórica de una nueva manera. Mientras que los pitagóricos creían que las razones enteras daban notas consonantes, como la octava (2:1) o la quinta perfecta (3:2), que es la quinta nota en «do re mi fa sol la si do», la clave de la versión kepleriana de la armonía celestial fue tomar la razón entre las velocidades orbitales máxima y mínima.
Es fascinante cómo el razonamiento geométrico y musical condujo a Kepler a sus famosas tres leyes del movimiento planetario, ecuaciones no triviales que dictan el movimiento preciso de los planetas en órbitas elípticas. Hacia 1605 había determinado que los planetas describen órbitas elípticas, no otra forma oblonga, y que la línea recta del planeta al sol barría áreas iguales en tiempos iguales (véase la figura 5.5). Pero no fue hasta 1620, quince años después, cuando publicó sus tres leyes planetarias con validez no sólo para Marte, sino para todos los planetas. La última ley establecía una relación precisa entre el periodo orbital de un planeta y el tamaño de su órbita.
Fue un largo camino hasta el triunfo, pero Kepler pudo finalmente materializar la legendaria música celestial de Pitágoras y hasta escribir la partitura para compartirla con el mundo. Hace poco tuve el placer de escuchar un disco con la música celestial de Kepler titulado The Harmony of the World: A Realization for the Ear of Johannes Kepler’s Astronomical Data from Harmonices Mundi 1619, de los compositores Willie Ruff y John Rodgers, de la Universidad de Yale.[24] La grabación ofrece una representación audible de las inquietantes e hipnóticas armonías de los planetas viajando alrededor del sol en sus órbitas elípticas. Un aspecto sorprendente es cómo las melodías se combinan para crear un ritmo unificado correspondiente a los periodos de las órbitas planetarias. Por ejemplo, el planeta Saturno tocaba una tercera mayor (una razón tonal de 5:4), Júpiter una tercera menor (6:5) y Marte la quinta (3:2). En la visión de Kepler, todos los planetas cantaban juntos en una armonía celestial para el placer de la divinidad.[25]
Al final, hizo falta un genio de otra clase para desentrañar la física correcta que había detrás de las leyes de Kepler. Isaac Newton (finales del siglo XVII) —indiscutiblemente, uno de los físicos matemáticos más influyentes de todos los tiempos— comprendió que se requería una nueva fuerza, la gravedad, para atraer los planetas hacia el sol y mantenerlos en sus órbitas elípticas. En su libro Principios matemáticos de la filosofía natural, publicado en 1687, Newton explicó el movimiento de los cuerpos celestes y de los objetos terrestres por la acción de la gravedad.

Figura 5.6. Las notas musicales que Kepler calculó para cada órbita planetaria. En cada caso, la nota más baja corresponde a la distancia más larga del sol (la velocidad orbital más baja), y la nota más alta corresponde a la distancia más corta (la velocidad orbital más elevada).
Es más, fue capaz de derivar las tres leyes del movimiento de Kepler de su propia ley universal de la gravitación, las mismas leyes a las que Johannes Kepler, picado por el bicho pitagórico, había llegado a través del análisis de la geometría y la armonía del cosmos.
Está claro que Kepler, saltando de un dominio a otro, reconoció los beneficios del pensamiento analógico: desde la divinidad esférica, pasando por las matemáticas de la proporción armónica y geométrica, hasta la fuerza magnética de la Tierra y los desconocidos bamboleos de los cuerpos astronómicos, Kepler sigue siendo una inspiración para cualquier investigador. Para los físicos teóricos en particular, su dedicación, creatividad y rigor matemático ponen de manifiesto la vía definitiva hacia el descubrimiento.
Hoy, lejos de los tiempos del sueño pitagórico de la armonía de las esferas, la idea de que los planetas entonan notas puede contemplarse como una especulación irrelevante. No obstante, podemos imaginar el éxtasis divertido de Pitágoras si accediera al conocimiento actual de la existencia de tantos planetas más allá de nuestro sistema solar. Desde octubre de 2012, la misión Kepler ha descubierto más de ochocientos planetas extrasolares (se estima que su número en nuestra galaxia es del orden de un billón), por no hablar de todos los objetos nuevos descubiertos desde Newton: las galaxias, los cúmulos de galaxias y la esquiva materia oscura. También está, por supuesto, todo el dominio subatómico de los quarks y los neutrinos, y toda la simetría que incorpora en la unificación de las diferentes partículas y fuerzas. ¿Qué diría Pitágoras de la posibilidad de que las cuerdas estén detrás de todo lo que hay en la naturaleza? Para él, el universo de hoy sería un sueño de infinitas posibilidades geométricas y armónicas. ¿Y para nosotros?
Los físicos de la actualidad son muy conscientes de que sus preciosos modelos matemáticos están lejos de describir lo que ven. El trabajo de un físico nunca se acaba. Siempre hay alguna discrepancia, algún desacuerdo, algún elemento o condición inicial sin justificar, alguna anomalía y, desde luego, más preguntas sin respuesta. Mientras que algunos físicos ven esto como una oportunidad de descubrir una verdad matemática más profunda, otros creen que hemos llegado a un límite de nuestro conocimiento. A la hora de afrontar estos límites, las ideas pitagóricas podrían demostrarse útiles. En vista de lo que sabemos hoy, me he preguntado si la intuición de la naturaleza musical del universo podría aplicarse a los enigmas actuales para proporcionarnos una nueva perspectiva de la física moderna. ¿Podría ser que el cosmos fuera una vasta realización armónica de vibraciones? ¿Y cuál es el papel de la disonancia en nuestro universo? Ciertamente, cualquier analogía que ideemos tropezará con un límite, pero, en la búsqueda del conocimiento, la potencia de la analogía reside precisamente en sus limitaciones. Saber que las analogías tienen límites, por definición, abre nuevas vías de descubrimiento, siempre que uno sea lo bastante osado y creativo a la hora de afrontar las preguntas que nos dejan. La elegancia y la belleza no sólo residen en la forma de las ecuaciones, sino también en el método de descubrimiento mismo. Leon Cooper, Robert Brandenberger y Chris Isham fueron maestros inmensamente influyentes en mi educación por sus métodos de descubrimiento.
Los discípulos de los filósofos antiguos ponderaban la música de las esferas, la perfección de la forma geométrica, el dinamismo y el ser humano orgánico frente a las matemáticas del universo. Los estudiantes de hoy se forman en los cálculos precisos derivados del legado de aquellos filósofos antiguos: las órbitas elípticas de Kepler, las leyes de la gravitación de Newton, y los cálculos espacio-temporales más complejos de Einstein. Lo que estudiarán los alumnos del futuro es algo que desconocemos por completo. La educación, la tecnología y la interconexión global se están desarrollando a enorme velocidad. Para que el estudiante no se quede atrás, para que el investigador descubra nuevas verdades, y para que el profesor proporcione guías y nuevas percepciones, puede que haga falta una combinación de ideas de la filosofía antigua y moderna, así como creatividad e improvisación, con una atrevida disposición a equivocarse.
Para mí no había vuelta atrás.
Capítulo 6
Eno, el cosmólogo sonoro
Es intuitivo pensar que cualquier cosa compleja tiene que ser producto de algo más complejo, pero la teoría de la evolución dice que la complejidad surge de la simplicidad. Es un cuadro de abajo arriba. Como recurso composicional, me gusta la idea de que uno pueda establecer ciertas condiciones y dejar que se desarrollen. Esto hace que la composición se parezca más a la jardinería que a la arquitectura.
Brian Eno
Todo el mundo tenía su bebida favorita en la mano. Había burbujas y rojos intensos, y el sonido del hielo en los vasos de cóctel acompañaba el murmullo del parloteo animado. Agraciando la sala había esbeltas mujeres de larga cabellera y hombres vestidos de negro, con destellos de collares y gemelos dorados. Pero no era ningún convite de Gatsby, sino el cóctel anual de gravedad cuántica en el Imperial College.
El anfitrión iba vestido de negro de arriba abajo: cuello de cisne, vaqueros y trinchera, todo del mismo color. En mi primer día como posdoctorado en el Imperial College, le había visto al final de un largo pasillo en el ala de física teórica del Blackett Lab. Con el pelo alborotado, de color negro azabache, barba y gafas, ciertamente destacaba. Le dije «Hola» cuando pasó junto a mí. Curioso como era, y con un «¿Cómo va?» como respuesta, capté su atención. «¿De Nueva York?», pregunté. Lo era.
Mi nuevo amigo era Lee Smolin, uno de los padres de una teoría conocida como gravedad cuántica de lazos, y estaba en la ciudad considerando aceptar un puesto permanente en el Imperial. Junto con la teoría de cuerdas, la gravedad cuántica de lazos es una de las aproximaciones más convincentes para unificar la teoría de la relatividad general de Einstein con la mecánica cuántica. A diferencia de la teoría de cuerdas, que dice que la sustancia del universo consiste en cuerdas vibratorias fundamentales, la gravedad cuántica de lazos postula que el espacio mismo es una trama entrelazada de bucles del mismo tamaño que las cuerdas fundamentales de la teoría de cuerdas. Lee acababa de escribir su tercer libro, Three Roads to Quantum Gravity, y estaba loco por enviar el manuscrito a su editor. Le acompañé bajo la llovizna hasta la oficina de correos y a tomar un café para celebrarlo, el primero de los cientos de cafés que íbamos a compartir en el futuro.
Aquella tarde Lee había ofrecido su apartamento de West Kensington para el cóctel de gravedad cuántica, dando así un descanso a la anfitriona habitual, Faye Dowker. A Faye le encantó ser la oradora invitada para la ocasión. Delgada, con gafas y brillante, también era una pionera de la gravedad cuántica. Estudió como posdoctorada bajo la tutela de Stephen Hawking, trabajando sobre agujeros de gusano y cosmología cuántica, pero acabó especializándose en teoría de conjuntos causales. Al cabo de un par de horas, el parloteo animado dejó paso a Faye con su siempre diáfana exposición de los conjuntos causales como alternativa a las cuerdas y los lazos. Como la gravedad cuántica de lazos, los conjuntos causales no tienen que ver tanto con la sustancia del universo como con la estructura del propio espacio-tiempo. Pero en vez de consistir en bucles entrelazados, aquí el espacio-tiempo se describe como una estructura discreta con una organización causal. En el enfoque de conjuntos causales, la estructura del espacio se contempla como la arena de una playa. Si miramos la playa desde lejos, vemos una superficie uniforme. Pero a medida que nos acercamos, podemos discernir los granos de arena individuales. En un conjunto causal, el espacio-tiempo, como la playa, está compuesto de «gránulos».
Dispersos en la mezcolanza de físicos teóricos estaban los que trabajaban principalmente en teoría de cuerdas, como el teórico norteamericano Kellogg Stelle, pionero de las p-branas, y también uno de mis tutores de posdoctorado. En matemáticas, una membrana es un objeto bidimensional con extensión (esto es, que ocupa espacio). Una p-brana es un objeto similar con más dimensiones. Las cuerdas de la teoría de cuerdas pueden ser un caso particular de las p-branas. Y volviendo a la gravedad cuántica desde otra ruta estaba Chris Isham, el filosófico experto en teoría de topos que jugaba con entidades matemáticas que sólo «existen en parte». Los posdoctorados que estudiaban todas las variantes de la gravedad cuántica llenaban los huecos entre los grandes cerebros presentes. No era precisamente una congregación de intelectos mediocres. Eran escenas como ésta las que me hacían sentir que no daba la talla ni tenía la concentración para sentarme detrás de un escritorio en un húmedo despacho manipulando símbolos matemáticos durante horas como los otros. Por fortuna, Chris me había demostrado que creía en mi capacidad para hacer alguna contribución a la cosmología animándome a salir del despacho y dedicarme más a mi música. Trabajando en ideas y cálculos de física entre actuación y actuación, durante las inmersiones de jazz de Camden Town, al principio me resultó difícil creer que aquello me proporcionaría el aspecto creativo que le faltaba a mi investigación. Hasta que las ideas comenzaron a fluir. Pero algo más estaba a punto de cambiar.
Mientras Faye daba su charla de salón, me fijé en otro individuo al que había visto durante la velada. Vestido de negro como Lee Smolin, de rostro recio, tenía un diente de oro que brillaba cada vez que alguien conversaba con él. Por el modo en que escuchaba a Faye, mirándola tan fijamente, supuse que era un teórico ruso acérrimo. Resultó que había venido con Lee. Cuando éste vio que yo todavía rondaba por allí tras la charla, me invitó a unirme a ellos mientras Lee acompañaba a su amigo del diente de oro de vuelta a su estudio en Notting Hill Gate. Tenía curiosidad por saber qué investigación tenía entre manos aquel amigo y en qué escuela de gravedad cuántica se encuadraba. Tenía que esforzarme para mantener el paso del animado dúo mientras caminábamos a lo largo de calles principales bien iluminadas que daban a oscuras callejuelas. Pronto me di cuenta de que aquel tipo no era un físico profesional. Su conversación no era convencional. Comenzó con la estructura del espacio-tiempo y la relatividad del tiempo y el espacio según Einstein. Pero ésa no fue la parte rara. Luego empezaron a hablar de las matemáticas de las ondas, y de algún modo la conversión siempre iba a parar a la música. El extraño del diente de oro se estaba volviendo más interesante a cada minuto que pasaba.
Fue mi primer encuentro con Brian Eno. Cuando llegamos a su estudio intercambiamos números de teléfono, y generosamente me prestó una de sus bicicletas, indefinidamente. Por entonces yo no sabía quién era Brian Eno, pero eso cambió una semana más tarde, cuando le hablé de él a un amigo y miembro de mi banda. Tayeb, un talentoso bajista británico-argelino e intérprete de ooud (un instrumento de cuerda árabe), se quedó estupefacto ante mi vergonzante ignorancia: «Maldita sea, Stephon..., conociste al maestro».
Brian Eno, antiguo miembro de la banda de rock inglesa Roxy Music, se estableció pronto como un gran innovador de la música. Tomó parte en los movimientos del art rock y del glam, cuando el rock adoptó un nuevo sonido incorporando influencias clásicas y de vanguardia. En sus tiempos de rockero vestía de manera extravagante, con cresta y maquillajes llamativos (piénsese en Lou Reed, Iggy Pop o David Bowie). En la banda Brian era el gurú de los sintetizadores, capaz de programar sonidos exquisitos. El atractivo de los sintetizadores en aquellos años residía en su complejidad. Entonces había que programarlos (a diferencia de los sintetizadores actuales, con sonidos prefijados sin más que tocar un botón). Roxy Music pegó fuerte y enseguida se hizo muy popular, pero Eno pronto se cansó de la fama y dejó el grupo. No obstante, su carrera siguió floreciendo. Fue productor de los Talking Heads y U2, y continuó colaborando con grandes como Paul Simon, David Bowie y Coldplay, por citar unos pocos. Nunca dejó de explorar los sintetizadores, hasta convertirse en el programador número uno del mundo del legendario Yamaha DX7.
Me preguntaba por qué un artista como Brian se interesaría por cuestiones como la estructura del espacio-tiempo o la relatividad. Cuanto más lo iba conociendo, más veía que no se trataba de un pasatiempo o una afición saludable. Como estaba a punto de descubrir durante mis dos años en Londres, Brian Eno era lo que yo describiría como un «cosmólogo sonoro». Estaba investigando la estructura del universo, no inspirándose en la música, sino con la música. Muchas veces hacía un comentario de pasada que incluso iba a tener un impacto en mi propia investigación. Comenzamos a encontrarnos regularmente en el estudio de Brian en Notting Hill. Se convirtió en una parada obligada camino del Imperial. Tomábamos un café e intercambiábamos ideas sobre cosmología y diseño de instrumentos, o simplemente nos relajábamos escuchando canciones de algunos de los artistas favoritos de Brian, como Marvin Gaye o Fela Kuti. Su estudio se convirtió en el lugar de nacimiento de mis ideas más creativas. Después me iba al Imperial, con la cabeza zumbando y el espíritu elevado, motivado para continuar con mis cálculos o discusiones sobre investigaciones y publicaciones con los colegas.
Uno de los momentos más memorables e influyentes de mi investigación tuvo lugar una mañana que había ido al estudio de Brian. Normalmente, Brian trabajaba en los detalles de una nueva melodía, organizando los bajos adecuados para una pista, colocando una línea ligeramente retrasada respecto del ritmo. Era un pionero de la música ambiental y un prolífico artista de instalaciones.
Eno describió su trabajo en los créditos de su disco Ambient 1: Music for Airports: «La música ambiental debe ser capaz de acomodarse a muchos niveles de atención sin imponer ninguno en particular; debe ser tan ignorable como interesante». Lo que buscaba era una música de tono y atmósfera, más que una música que demandara una escucha activa. Pero crear una música de fondo fácil de escuchar no tiene nada de fácil, así que a menudo tenía la cabeza inmersa en meticulosos análisis sonoros.
Aquella mañana Brian estaba manipulando formas de onda en su ordenador con una intimidad que le hacía sentirse como si estuviera hablando sonírico (la lengua nativa de las ondas sonoras). Lo que me llamó la atención es que Brian estaba jugando con el que seguramente es el concepto más fundamental en el universo: la física de la vibración. Para los físicos cuánticos, las partículas se describen mediante la física de la vibración; y para los cosmólogos cuánticos, las vibraciones de entidades fundamentales como las cuerdas podrían ser la clave de la física del universo entero. Por desgracia, las escalas cuánticas a las que vibran estas cuerdas son muy intangibles, mental y físicamente, pero ante mí tenía una manifestación tangible de la vibración: el sonido. No estaba estableciendo una conexión nueva, desde luego, pero me hizo comenzar a pensar en su efecto sobre mi investigación y la pregunta que me había planteado Robert Brandenberger: ¿cómo se generó la estructura del universo?
El sonido es una vibración que empuja un medio, como el aire o un sólido, para crear ondas de presión viajeras. Sonidos diferentes crean vibraciones diferentes, que a su vez crean ondas de presión diferentes. Podemos dibujar gráficas de estas vibraciones, llamadas formas de onda. Un punto clave en la física de las vibraciones es que cada onda tiene una amplitud y una longitud de onda mensurable. En lo que respecta al sonido, la longitud de onda dicta el tono, alto o bajo, y la amplitud el volumen.
Si algo es medible, como la amplitud y la longitud de onda, entonces se le puede asignar un número. Y si se le puede asignar un número, entonces se le puede sumar más de lo mismo sin más que sumar esos números. Y eso es lo que estaba haciendo Brian: sumando formas de onda para obtener otras nuevas. Estaba mezclando formas de onda simples para crear sonidos intrincados.
Para los físicos, este procedimiento de sumar ondas se conoce como transformación de Fourier. Es una idea intuitiva que se puede visualizar dejando caer piedras en un estanque. Si dejamos caer una piedra en el estanque, desde el punto de contacto con la superficie se propaga una onda circular de frecuencia definida. Si dejamos caer otra piedra cerca de la primera, se propaga una segunda onda circular, y las ondas generadas por ambas piedras comienzan a interferir, creando un patrón más complicado. Lo increíble del método de Fourier es que cualquier forma de onda puede construirse sumando ondas simples. Estas «ondas puras» simples se caracterizan por repetirse regularmente, y las trataremos en el próximo capítulo.
Unidos por la física de la vibración, Brian y yo nos hicimos amigos. Comencé a contemplar las transformaciones de Fourier en física desde la perspectiva de un músico mezclando sonidos, como una fuente de creatividad. La bicicleta que me prestó Brian se convirtió en el vehículo necesario para transportar más deprisa mi cerebro de un sitio a otro. Durante meses, la potencia del pensamiento interdisciplinario fue mi adrenalina. La música dejó de ser sólo una inspiración, una manera de calentar mis circuitos cerebrales, para convertirse en un complemento indispensable y profundo de mi investigación. Me fascinaba la idea de descifrar lo que yo veía como la piedra Rosetta de la vibración: estaba el lenguaje conocido de las ondas creadoras de sonido y música, que Eno obviamente dominaba, y estaba el confuso mensaje vibratorio del comportamiento cuántico en el universo primigenio, que de alguna manera ha creado estructuras a gran escala. Las ondas y la vibración son el hilo conductor, pero el desafío era conectar todo eso para obtener una imagen más clara de cómo surgió la estructura cósmica y, en última instancia, nosotros mismos.
Entre los muchos proyectos en los que estaba trabajando Brian por entonces había uno llamado «música generativa». En 1994, Brian presentó su música generativa ante una audiencia de periodistas perplejos, y al mismo tiempo sacó al mercado el primer programa para crearla. La idea de música generativa que iba a fructificar al cabo de una década era una versión audible de un patrón de Moiré. Recordemos nuestras ondas en el estanque que creaban patrones de interferencia complejos. Pues bien, se trata de patrones de Moiré, creados por la superposición de pautas repetitivas idénticas, y hay una infinidad de ellos. En vez de dos piedras generadoras de ondas, la música generativa se basaba en la idea de dos ritmos reproducidos a diferente velocidad. De este modo, unos ritmos simples de entrada conducían a una complejidad preciosa e impresionante, un paisaje impredecible e inacabable de patrones audibles. Es «la idea de que es posible concebir un sistema o conjunto de reglas que una vez puestos en marcha crearán música para uno [...] una música nunca oída antes».[26] El primer experimento de Brian con patrones de Moiré fue Discreet Music, lanzado en 1975. Estos patrones siguen estando presentes en gran parte de sus composiciones de música ambiental más largas, como Lux, un álbum de estudio lanzado en 2012. La música se vuelve incontrolable, irrepetible e impredecible, algo muy diferente de la música clásica. La cuestión pasa a ser qué patrones de entrada se escogen. ¿Qué ritmos? ¿Qué sonidos?
Lo que comencé a apreciar fue un estrecho vínculo entre la física de los primeros momentos del cosmos (cómo un universo vacío y uniforme maduró para dar las ricas estructuras que vemos hoy) y la música generativa de Brian. Comencé a preguntarme si la estructura cósmica podría haberse originado a partir de un único patrón ondulatorio, como los sonidos generados por Brian. Necesitaba las transformaciones de Fourier y la inspiración del cerebro musical de Brian. Después de todo, él estaba jugando con la idea de Fourier con una intuición que trascendía la de la mayoría de los físicos. Quería desarrollar esa intuición para poder ser creativo con él. Cuando aquella mañana fui a verle manipular las formas de onda, me miró con una sonrisa y me dijo: «Mira, Stephon, estoy intentando diseñar un sistema simple que generará una composición entera cuando se active». Se me encendió una bombilla en el cerebro. ¿Y si había un patrón vibratorio en el universo primigenio capaz de generar la estructura compleja actual en la que vivimos, las estructuras complejas que somos nosotros mismos? ¿Y si estas estructuras tienen una naturaleza improvisativa? Pero primero tenía que aprender algunas lecciones de improvisación.
Capítulo 7
Edificar sobre una frase
En los veranos me tomaba un paréntesis del Imperial y visitaba el grupo de Brian Greene en el Instituto de Cosmología de Cuerdas y Astrofísica de la Universidad de Columbia, para trabajar en un nuevo proyecto, intentando aportar alguna idea clave de la teoría de cuerdas aplicable a la cosmología. Pero entonces no tenía ni idea de que la conexión vendría de un encuentro fortuito con una leyenda del jazz. Aunque al final decidí aceptar la plaza en el Imperial College, Brian Greene fue la primera persona que me ofreció un puesto, después de cinco meses rechazando cartas de posdoctorados. Brian era conocido por su revolucionario trabajo sobre cambio de topología en teoría de cuerdas, pero lo que motivó mi visita fue su apasionada investigación sobre la aplicación de la teoría de cuerdas al universo primigenio. El instituto, fundado en el año 2000 con Greene como codirector, fue una evolución natural de su programa de investigación, la aplicación de las supercuerdas a cuestiones cosmológicas. Estos programas han ofrecido oportunidades a muchos cosmólogos jóvenes de mi generación, que les estarán eternamente agradecidos. Sigo estando en deuda con Brian por aquella oferta de trabajo. Por fortuna, después de irme al Imperial, amplió una plaza de posdoctorado visitante para mí, de modo que en verano viajaba de Londres a Nueva York a visitar el Instituto para hacer cálculos y tocar en mis locales de jazz favoritos.
Pero yo no era el único físico neoyorquino expatriado que volvía a casa en busca de su dosis de arraigo. Lee Smolin también estaba en Nueva York haciendo sus propios cálculos sobre una apasionante idea que tenía que ver con la energía oscura y la gravedad cuántica. Convinimos en contactar para compartir ideas y nos citamos en el loft de uno de sus mejores amigos, Jaron Lanier. Lee decía de él que era un genio, y si Lee considera a alguien un genio, no debe tomarse a la ligera. Me monté en el segundo tren del Bronx a Tribeca y llegué a un enorme loft donde, en una esquina, vi cientos de instrumentos exóticos (literalmente). En la otra esquina había toda clase de dispositivos electrónicos y ordenadores. Lee me saludó, y al cabo de unos minutos apareció un grandullón ataviado con una camiseta negra que parecía un pijama, calzones negros y sandalias, con gruesas rastas rubias. Caminó hacia mí y me dio un gran abrazo de oso como si fuera mi amigo del alma. Era el informático y compositor de talla mundial Jaron Lanier, pionero de la realidad virtual. Un vistazo por la habitación reveló la primera portada de la revista Wired dedicada al melenudo Jaron, con anteojos y guantes, como si se hubiera teletransportado desde otro planeta.
Ayudó que por entonces yo también llevara rastas. Con el paso de los años, Jaron se convirtió en uno de mis mejores amigos. Describirlo como polifacético es quedarse corto: artista, científico, compositor, multiinstrumentista y escritor. Pero lo que realmente me sorprendió de Jaron era su modo improvisativo de hacer ciencia y música. Tomaba ideas de una rama de la ciencia y de la música y las convertía en un avance tecnológico o científico. Como el señor Kaplan, Jaron me motivó para tomarme en serio la conexión de los mundos de la física y de la música.
Cuando nos conocimos en el año 2000, Jaron mencionó que le fascinaba una red neuronal del sistema visual de la mosca del vinagre. Dada su rapidez de reproducción, estos insectos son buenos sujetos experimentales tanto en genética como en neurobiología. En consecuencia, hay mucha información biológica disponible sobre la circuitería cerebral de la mosca del vinagre. Jaron y su grupo estaban interesados en confeccionar algoritmos que simularan estos programas cerebrales. Pero entonces no supe ver las implicaciones del proyecto y me dije: «¿Y qué?». Nueve años más tarde, Jaron se compró una bonita casa en lo alto de un monte desde donde se veía toda la bahía de San Francisco. Yo iba a visitarle de vez en cuando, y un día, mientras dábamos un paseo por Berkeley Hills, Jaron me dijo despreocupadamente:
—Stephon, ¿recuerdas aquello de la mosca del vinagre? Bueno, unos colegas convirtieron la técnica en un proyecto y me enviaron un cheque. Así es como compré esta casa.
No está mal para alguien que nunca fue al instituto. Bueno, para ser justos, hay que decir que, con trece años, Jaron montaba y vivía en su propia tienda geodésica en Nuevo México mientras iba a estudiar matemáticas a la universidad.
Jaron también tocaba el saxofón, así que en algún momento de aquel primer encuentro en Nueva York salió el tema:
—¿Sabes, Stephon? Mi colega Ornette Coleman vive más arriba. ¿Qué te parece si le hacemos una visita?
Me quedé con la boca abierta. El mismo Ornette Coleman que escuché de niño en el Bronx, mi primera exposición afortunada a la improvisación jazzística. Lee respondió antes de que yo saliera de mi ensueño: «Oh, eso sería fantástico». Jaron hizo una llamada, y tras un paseo en un taxi amarillo nos plantamos en la residencia de Ornette en el centro.
Ornette Coleman se formó en la tradición del blues y del folk de Texas, y es uno de los mayores innovadores del free jazz. Por entonces yo estaba (y sigo) estudiando lo que algunos músicos consideran el jazz clásico convencional. Como ocurre con la física teórica, primero hay que dominar todo un cuerpo de conocimiento para tocar como está mandado. Por ejemplo, si uno está en una sesión de improvisación y alguien saca una melodía, digamos Autumn Leaves, se espera que uno conozca el encabezamiento (la melodía inicial) y la forma remanente (la estructura armónica y rítmica). Por lo tanto, en el jazz clásico un solo improvisado está constreñido por la estructura o forma del tema de turno. Pero mis conversaciones y lecciones con Ornette cambiarían mi manera de entender la improvisación y su conexión con la física teórica.
Ornette era un hombre amable y tranquilo que a menudo se expresaba con parábolas. La primera vez que nos encontramos me llevó a su estudio y me mostró su quintaesencial saxo alto de color blanco. Luego me lo alcanzó y dijo: «Prueba». Imagínese: una leyenda del jazz pidiéndole a uno que toque su instrumento. Por un lado, era más que halagador; por otro, muy intimidante. Me dio una boquilla limpia, y comencé a tocar una escala ascendente y descendente. Luego, amablemente, él dijo: «Es asombroso que sólo haya doce notas, y que uno pueda tener una conversación con ellas». A Ornette no le costó mucho inspirarme. Empezamos a hablar más de su concepto de la improvisación (es conocido por una nueva «actitud» o estrategia improvisativa que llamó «harmolódica»). En una entrevista describió así el proceso:
Se toman las notas básicas y en vez de considerarlas de manera restrictiva y diciendo que si se toca tal nota no se puede dar tal paso, uno piensa en el sonido y en lo que puede hacer con él. Eso es todo lo que hago con la harmolódica: pensar de otra manera la melodía, el ritmo y la armonía. Se basa más en escuchar y responder, en el sonido y la reacción, que en cualquier tipo de pauta fija que pudiera escribir. La música no tiene nada que ver con muchas de las cosas con las que a la gente le gusta pensar que tiene que ver.[27]
Para mí esta filosofía era absolutamente radical, dado que siempre había dado por sentado que había una manera correcta de tocar jazz: tener todas tus escalas memorizadas y bajo los dedos. Practicar duro y pulir la técnica para poder ejecutar transiciones coherentes e imaginativas a través de los cambios de acorde. Transcribir y analizar los solos de los grandes de tu instrumento, que en mi caso eran John Coltrane, Sonny Rollins, Dexter Gordon, Charlie Parker, Wayne Shorter y Miles Davis. Pero mi primera lección con Ornette me retrotrajo a un consejo inesperado que me dieron en mis años de posgrado. Estaba en el oscuro sótano de una tienda de música de Providence mirando partituras antiguas cuando oí una voz rasposa detrás de mí. Me volví y vi a un hombre alto y viejo con una chaqueta de cheviot, que se identificó como un compositor clásico: «Pierdes el tiempo. Si quieres ser un gran músico, tienes que saber tres cosas. Primero, debes dominar las reglas antes de intentar romperlas. Segundo, la música va de tensión y resolución. Tercero, practica, practica, practica, pero cuando estés tocando, olvídalo todo». Nunca volví a ver a aquel hombre, pero sus palabras se me quedaron grabadas, y a menudo cuento esta historia a mis estudiantes de física.
Al igual que la forma fija de un paisaje montañoso, como el de donde vive Jaron, la estructura de las piezas de jazz clásico proporciona un armazón armónico, melódico y rítmico para el despliegue de la improvisación. Por ejemplo, muchas tonadas de jazz proceden de temas antiguos de Tin Pan Alley, Broadway y Hollywood, que los músicos de jazz emplean como base para despegar y hacer solos. El padre del saxo tenor, Coleman Hawkins, era un maestro improvisando sobre la armonía de una canción. La brillante improvisación melódica de Lester «Pres» Young, cuyo estilo ligero, vaporoso pero intenso, contrastaba con la manera de tocar cortante de Hawking, era digna de estudio. El padre del jazz, Louis Armstrong, y el genio del bebop Charlie Parker eran grandes maestros de la improvisación a todos los niveles, melódico, armónico y rítmico.
Pero en la harmolódica, Ornette cambiaba deliberadamente de acordes en su improvisación. A diferencia del jazz clásico, en el que, por norma general, el movimiento armónico a través de centros tonales guía la música, en la harmolódica la armonía, la melodía y el sonido tienen igual papel en la improvisación. Como un principio de simetría, todos los elementos de la música están al mismo nivel. El sonido es una noción difícil de reducir a un conjunto de conceptos bien definido. Es más que una metáfora, y se refiere a que cada músico de jazz tiene su propia «voz». Ornette Coleman y Charlie Parker tocan los dos el saxo alto, pero cada uno tiene su propio sonido o signatura, una cualidad tonal y una sonoridad distintivas, el modo en que las notas se desdoblan y se sitúan rítmicamente. Un auténtico aficionado al jazz puede escuchar un solo e identificar al intérprete.
Cuando Ornette lleva a cabo cambios espontáneos, la reacción de la banda genera nuevas estructuras musicales. El guitarrista de jazz Marc Ribot observó que Ornette basaba estas estructuras en motivos:
Aunque estaban liberando ciertas estructuras del bebop, de hecho cada uno estaba desarrollando nuevas estructuras de composición [...]. Los conjuntos de reglas para la música harmolódica de Ornette [...] está claro que se basan en tomar motivos y liberarlos para hacerlos politonales, melódica y rítmicamente, estando estrechamente ligados a los motivos de la [melodía principal].[28]
Un motivo es una melodía corta que a menudo se repite o aparece de manera recurrente en una composición. El motivo más famoso puede que sean las tres notas del comienzo de la quinta sinfonía de Beethoven. A lo largo de la sinfonía el motivo reaparece en diferentes claves, interpretado con diferentes instrumentos. Este enfoque también tiene reminiscencias de la música generativa de Brian Eno. En ambos casos se juega con la idea de que la estructura y la complejidad pueden derivarse de reglas o pautas simples. Una escucha detenida de uno de los temas de Ornette revela que sus solos a menudo se crean modulando tanto su sonido como la altura.
Tras mi corta lección de saxofón, Ornette me preguntó en qué estaba trabajando. Le dije que en vórtices. Aunque los vórtices son comunes en la teoría cuántica de campos, yo los estaba manejando en el contexto de la teoría de supercuerdas (más adelante volveré sobre este asunto). Los vórtices son regiones tubulares de energía atrapada que son muy corrientes en la naturaleza. El movimiento espiral del agua a través de un desagüe es un vórtice. Un tornado y el ojo de un huracán también son vórtices. Incluso en el dominio cuántico, los campos magnéticos pueden formar una celosía de vórtices en los superconductores, una idea merecedora de un Premio Nobel. Tomé una hoja de papel y dibujé un vórtice para Ornette. Me respondió diciendo que él creaba patrones parecidos en sus solos. Tras este encuentro, siempre que escuchaba la música de Ornette quedaba claro para mi oído que no sólo improvisaba notas, sino que también generaba patrones geométricos del estilo de los vórtices.

Figura 7.1. Cubierta del álbum coproducido por el autor en 2014, aclamado por la crítica: Here Comes Now. Erin Rioux y Brandon Sanchez.
Aquel encuentro con Ornette influyó en mí años más tarde, cuando coproduje mi primer álbum con el músico electrónico Rioux. El disco, titulado Here Comes Now, era un tributo a Brian Eno y Ornette Coleman. Tenía elementos de la maestría de Brian con la modulación de frecuencia, y yo toqué un montón de impresiones de free jazz sobre ritmos electrónicos generativos. Uno de los mejores temas del álbum, en mi humilde opinión, es el Vórtex, de Ornette.
Tanto Jaron como Ornette me proporcionaron una perspectiva fresca de cómo ser científico y músico a la vez. Jaron también era un músico que establecía analogías útiles entre música y ciencia sin ningún esfuerzo. Una vez le vi dar una charla sobre informática avanzada en la que comenzó con un antiguo instrumento chino que describió como el primer ordenador digital. En cuanto a Ornette, aunque no era científico, conversaba conmigo sobre mis ideas en física y su posible relación con la música. Un día me dijo: «Tengo una pauta para darte». Escribió seis anotaciones en una hoja de papel y añadió: «Mantén esto bajo tus dedos, y te ayudará a tocar a través de los cambios de acorde». ¡Habla de teoría de la relatividad! Por desgracia, no puedo revelar estos seis puntos secretos (todavía).
Como físico teórico joven, a pesar del respaldo de mis mentores, todavía sentía la presión de permanecer en el redil y seguir al rebaño. Progresar y ascender escalones se basaba mayormente en ser respetado por los colegas. Si uno daba cualquier indicio de que le faltaban los mimbres de un teórico con la formación debida, se arriesgaba a que le echaran a patadas del club. Yo era muy consciente de mi tendencia a proponer ideas que algunos de mis colegas consideraban motivo de rechazo hasta en un manicomio. Pero, aunque hice todo lo que pude para dominar las técnicas tradicionales que se esperaban de cualquier teórico, quería tener en la cabeza mi propio cuadro de la física. Y quería lo mismo para mi música: una representación mental de mis improvisaciones que me liberara del formalismo que había practicado e internalizado. Mi encuentro inicial con Ornette encendió una revolución en mi relación con la física teórica. Me sentí libre y confiado para apartarme del rebaño.
Ornette asumió un gran riesgo al romper con el bebop y las tradiciones del jazz clásico. Su pasión por las ideas nuevas le proporcionó el coraje para traspasar las fronteras creadas por la tradición. Y esto condujo a una música nueva y realmente genial. Con el mismo espíritu, me convencí de que yo podía ser un teórico que generara ideas buscando la belleza. Podía manipular estos mundos teóricos virtuales del mismo modo que Ornette cambió las pautas melódicas constreñidas por la armonía occidental en aras de la búsqueda y expresión de nuevas ideas sonoras. Era consciente de que muchas, si no la mayoría, de las proposiciones científicas especulativas de cosecha propia estarían equivocadas, pero quizás una o dos podrían representar un avance en mi campo.
Influido por los años que había pasado escuchando a Ornette y sus conversaciones conmigo, refiné mi analogía entre el jazz y la cosmología. Como me enseñó Leon Cooper, las mejores analogías pueden permitirnos decir algo nuevo de la física que de otro modo no habríamos llegado a conocer.
Capítulo 8
La ubicuidad de la vibración
Antes de los sintetizadores y la música generativa, antes del debate acerca de la estructura cósmica, estaba Isaac Newton. Con un mecanismo intuitivo y universal, Newton juntó las obras de tres de sus grandes predecesores matemáticos: Pitágoras, Galileo y Kepler. En el año 500 a.C., Pitágoras de Samos se empeñó en reproducir las armonías que había oído en una herrería. Escuchando detenidamente la música de los martillos que golpeaban el metal, fue capaz de reproducir las razones matemáticas entre los pesos de los martillos valiéndose de cuerdas tensadas de distintas longitudes. Pero poco sabían Pitágoras y los investigadores de los milenios subsiguientes que un secreto universal escondido incluso tras las vibraciones más complejas podía sintetizarse en la forma de una útil y elegante ley matemática: la transformación de Fourier.
Unos dos mil años más tarde, hacia 1600, Galileo y Kepler se apasionaron por el descubrimiento de Pitágoras. Aunque no podían alcanzar una comprensión física de cómo las cuerdas producían tonos armoniosos, la obra de su vida dio frutos que representaron peldaños cruciales hacia esta meta. La creencia de Kepler en una geometría divina y una armonía cósmica se tradujo en sus leyes del movimiento planetario. Pero lo que ni Galileo ni Kepler vieron era que los fenómenos que estudiaban eran manifestaciones directas de una única fuerza aún no identificada. Ahí entró en escena Sir Isaac Newton.
Isaac Newton nació en 1642 en Inglaterra, y se convirtió en uno de los físicos matemáticos más influyentes de todos los tiempos. Sus talentos eran múltiples, pero su obsesión era el movimiento. Contribuyó a la invención del cálculo diferencial, a la óptica y, quizá lo más importante, puso los cimientos de la mecánica clásica. Los movimientos de los objetos en la superficie de la Tierra, como la maquinaria, las trayectorias de los proyectiles y las masas en caída libre, se describían mediante la mecánica galileana. Newton demostró que los objetos se mueven en respuesta a fuerzas, pero su visión alcanzaba aún más lejos. Quería comprender el movimiento de todos los objetos, tanto en la Tierra como en el espacio. Su determinación para lograrlo se tradujo en la publicación de sus Principia en 1686, donde identificaba una fuerza subyacente que dictaba los movimientos tanto terrenales como cósmicos: la gravedad. Esta fuerza de gravedad causaba la caída de los objetos hacia la Tierra, y también mantenía los planetas en sus órbitas alrededor del sol. Su éxito culminante fue el empleo de sus nuevas «leyes universales» para derivar las leyes de Kepler del movimiento planetario.
La armonía de las cuerdas siguió mostrándose esquiva, pero Newton, al descubrir sus leyes del movimiento, sin saberlo estableció las bases para la comprensión de la física de las cuerdas. Con el tiempo, sus sucesores encajarían las demás piezas del rompecabezas para completar el cuadro del movimiento de las cuerdas. De aquí se derivaría una descripción del movimiento ondulatorio, lo que a su vez demostraría ser el adhesivo que une la física cuántica, la cosmología y la música.
El secreto del descubrimiento de Newton residía en un fenómeno que gobernaba todos los objetos de la naturaleza. Era el hilo que entrelazaba todos los movimientos, y él lo llamó principio de inercia. Newton percibió que los objetos no giran ni se aceleran ni se paran por su cuenta. La inercia de un objeto es una propiedad inherente que se opone a cualquier cambio en el movimiento.
Primera ley del movimiento de Newton: un objeto en reposo permanecerá en reposo, y un objeto en movimiento permanecerá en movimiento con la misma velocidad y dirección, a menos que se ejerza una fuerza sobre él.
El principio de inercia nos obliga a hacernos una nueva pregunta: ¿qué es una fuerza? Para responderla, Newton formuló una segunda ley. Definió «fuerza» precisamente como el cambio de velocidad, donde la velocidad de un objeto especifica tanto su rapidez como su dirección. Si un objeto cambia de velocidad —si acelera, si frena, o cambia de dirección— se dice que acelera. Ésta es la esencia de la segunda ley del movimiento de Newton. Una fuerza sobre un objeto hace que se acelere. Y al revés, observar la aceleración de un objeto permite determinar las características de la fuerza. Lo que Newton encontró fue que la fuerza ejercida sobre un objeto y su aceleración tenían una relación directa que, por lo general, dependía de la masa del objeto.
Segunda ley del movimiento de Newton: la fuerza F que actúa sobre un objeto es igual a su masa, m, multiplicada por su aceleración, a.
F = ma
La intuición de Newton de la inercia, la fuerza y el cambio de velocidad puede parecer bastante obvia a primera vista, pero es muy profunda. Esta ecuación tan simple es capaz de dictar la posición de una partícula en el futuro cuando se le somete a una fuerza. De hecho, la magia de esta ecuación reside en su poder de predicción.
La segunda ley de Newton era la ecuación que mi profesor de física, el señor Kaplan, había escrito en la pizarra el primer día de clase. Cuando lanzó hacia arriba la pelota de tenis, su mano le aplicó una fuerza, y la pelota se aceleró hacia arriba. La gravedad aportaba otra fuerza que imprimía a la pelota una aceleración hacia abajo. La pelota subía, se frenaba, se paraba en el aire y bajaba, y todo ello descrito por una sola fórmula: F = ma.
Para establecer una comprensión visceral de lo que es la aceleración, pongamos a Newton en el asiento del conductor de un fórmula uno Maserati 250F de 1958. Imagínese lo que se hubiera deleitado este hombre, obsesionado con el movimiento, participando en una de las carreras más bonitas de la historia. Al arrancar el motor, Newton está parado y la velocidad del vehículo es nula, pero al apretar el acelerador se siente presionado contra su asiento. Nervioso, Newton pisa el freno y nota una sacudida hacia el volante. Tras un poco de práctica, se hace con el vehículo y en un santiamén se pone a la modesta velocidad de crucero de 250 km/h. A velocidad constante no hay aceleración, y nuestro fascinado conductor no nota ninguna fuerza empujándole. Newton concluye que sólo el cambio de velocidad le hace sentir una fuerza, que lo empuja hacia atrás contra su asiento o hacia delante. Similarmente, los cambios de dirección, cuando el 250F traza las curvas, causan una fuerza lateral perceptible, que los conductores experimentados anticipan y contrarrestan.
Matemáticamente, el «cambio» suele representarse mediante el símbolo Δ. Si denotamos la posición como X, entonces un cambio de posición es ΔX. El hecho de que la velocidad es un cambio de posición se expresa como V = ΔX, y la aceleración es ΔV = ΔΔX = Δ2X. Podemos escribir la aceleración en términos de la posición reescribiendo la ecuación de Newton, F = ma, como F = m Δ2X.
El poder predictivo de la ecuación de Newton comienza a emerger al mostrar que una fuerza ejercida sobre un objeto crea un cambio definitivo en la posición del objeto a lo largo del tiempo. La velocidad es un cambio en la posición a lo largo del tiempo; y la aceleración es un cambio en la velocidad a lo largo del tiempo. Para ser precisos, la posición se expresa como función del tiempo, X(t). Similarmente, la velocidad y la aceleración también son funciones del tiempo, V(t) y A(t). Así pues, para ser precisos, la ecuación anterior debería escribirse como un cambio en función del tiempo, y la ecuación de Newton se convierte en:

Esta versión de la ecuación de Newton (la fuerza en función de la aceleración, la velocidad, la posición y el tiempo) permite extraer mucha información.
Consideremos una serie de cuatro ejemplos que nos llevarán a entender los principios básicos de las cuerdas.
Caso 1: Ninguna fuerza externa. Si no hay fuerza externa, F = 0. Suponiendo que la masa del objeto no sea nula, F = ma nos dice que A = ΔV = 0. Ésta es la ley de la inercia de Newton (si no hay fuerza, la velocidad de un objeto no cambia). Es el caso de Newton conduciendo a velocidad de crucero. A medida que el vehículo avanza, su posición cambia a una tasa constante y puede representarse mediante una línea recta.
Las gráficas son lo que un físico entiende por bellas artes: un complemento visual a una ecuación de valor incalculable, que revela propiedades de las funciones que de otra manera no serían obvias. La gráfica misma puede leerse. Por ejemplo, la gráfica de la velocidad en la figura 8.1 tiene pendiente nula, lo que de inmediato nos dice (con un poco de práctica) que la función no cambia con el tiempo, es decir, que es constante. La pendiente de la gráfica de la posición, X(t), en cualquier punto es la tasa de cambio, dada por el valor de V(t) en ese punto (una útil delación visual). Cuanto más inclinada sea la pendiente, mayor la tasa de cambio, y viceversa.
Caso 2: Fuerza constante. La ecuación de Newton para un objeto sometido a una fuerza constante es:

Si Newton, fiándose de su talento para la precisión, mantiene su pie con una presión fija sobre el pedal del 250F, estaría aplicando una fuerza constante. Aquí F = ma nos dice que el bólido acelera a una tasa constante. Este fenómeno de aceleración constante debida a una fuerza constante es precisamente lo que Galileo observó al dejar caer objetos desde lo alto de la torre de Pisa. En este caso la fuerza constante era la gravedad.
Gráficamente, A(t) es como V(t) en el caso anterior, porque es constante, y V(t) es como antes X(t), porque aumenta con una tasa de cambio fija. El reto ahora es averiguar qué aspecto tendrá la gráfica de X(t). Ésta es una cuestión fascinante porque pondrá de manifiesto el poder predictivo de la ecuación: la posición del bólido en cualquier instante t, bajo la influencia de una fuerza constante. Podemos servirnos de las gráficas para hacernos una idea, teniendo en cuenta que la pendiente de una función en un punto es su tasa de cambio. Por ejemplo, en t = 1, vemos que V = 1, y sabemos que la tasa de cambio, o pendiente, de la función X(t) es 1. Similarmente, en t = 2 tenemos V = 2, de modo que la pendiente de X(t) es 2, y así sucesivamente. Extendiendo la función obtenemos la forma que se muestra en la gráfica de la figura 8.2.
La cuestión sigue siendo cómo obtener una forma precisa de la función X(t). Al abordar este problema, Newton se dio cuenta de que necesitaba más potencia matemática. Lo que necesitaba era algo que le dijera cómo se estaba moviendo un objeto en cualquier instante, no sólo en un intervalo de tiempo. En Alemania, Gottfried Leibniz, un hombre cuya obra contiene contribuciones a campos tan variados como la física, la lingüística y la política, tenía lo mismo en mente.

Figura 8.1. Gráficas de los cambios en la velocidad y la posición del bólido.
Por increíble que parezca, como herramienta para entender el movimiento de objetos a la escala del mínimo cambio medible, ambos inventaron de manera independiente lo que llamamos cálculo diferencial, la rama de las matemáticas que se ocupa del cambio.
Para denotar una tasa de cambio instantánea, el viejo símbolo Δ se reemplazó por la derivada, lo que equivalía a reducir el intervalo de tiempo t a una duración infinitesimal. Con la derivada disponemos de un nuevo constructo matemático llamado ecuación diferencial, y la ecuación de Newton para un objeto bajo la influencia de una fuerza externa constante se convierte en:

Gráficamente, la primera derivada de una función en un punto es su pendiente en ese punto, mientras que la segunda derivada (como en la ecuación de arriba) se traduce en la curvatura aparente de la función en ese punto. La ecuación nos está pidiendo encontrar una función de la posición X(t) tal que su segunda derivada sea constante para todo t. En este punto, la mayoría de los matemáticos y físicos se aventurarían a adivinar la forma de X(t) basándose en su conocimiento previo de las funciones y sus gráficas. A continuación la «enchufarían» a la ecuación para ver si encaja, la retocarían si fuese necesario y, voilà!, ya tenemos una solución. En este caso se trata de la parábola, cuya forma más básica viene dada por X(t) ~ t2. Con la práctica, forma y función se acaban relacionando intuitivamente. Si tomamos la derivada, o pendiente, de X(t) en cualquier punto, obtendremos la función velocidad, que es continuamente creciente. Tomando la derivada de la velocidad obtenemos una aceleración fija, A(t) = constante, lo que es congruente con una fuerza constante.
La gran trascendencia del cálculo diferencial es que una función puede derivarse de otra, de ahí la denominación de derivada. Las derivadas se han convertido en una de las herramientas más poderosas en física, ingeniería y, como veremos, también en acústica. La ventaja esencial de las gráficas es que nos proporcionan las derivadas sin necesidad de calcularlas, porque la forma de la función (su curvatura, su pendiente —tasa de cambio— y su concavidad, todo ello relacionado con las derivadas) nos da información sobre la dinámica sin ni siquiera mirar las ecuaciones.
Caso 3: Fuerza no constante. El ejemplo clásico aquí es una masa ligada a un muelle. Imaginemos que tiramos de la masa ligeramente y la soltamos. La masa se acelerará desde cero. Ahora imaginemos que estiramos el muelle mucho más antes de soltar. La masa acelerará más deprisa. Resulta que hay una relación lineal entre la aceleración, donde la aceleración es proporcional al alargamiento del muelle, X. En su forma más simple, la ecuación de Newton nos dice que F α X, y se convierte en:

donde la constante de proporcionalidad incorpora la masa m y la rigidez del muelle, k. La ecuación nos dice que hay una función, X(t), cuya segunda derivada vuelve a ser la función original.
El movimiento de una masa ligada a un muelle, sea colgando o sobre una superficie plana horizontal sin fricción, será un movimiento oscilatorio, o vibración, en torno a una posición central de equilibrio. Si imaginamos la gráfica de este movimiento a lo largo del tiempo, veremos que describe una curva en forma de onda. Lo mismo ocurre para cualquier sistema cuya fuerza sea proporcional al desplazamiento de un objeto de su posición de reposo. Todos estos casos satisfacen la forma anterior de la ecuación de Newton. La curva ondulada es una función sinusoidal, o seno, para abreviar, y se escribe X(t) = sen(t). Si derivamos dos veces la función seno, obtenemos la misma función.[29]

Figura 8.2. Una gráfica parabólica de X(t) con pendientes en t = 1, 2 y 3 sería mejor.
La ecuación anterior describe, esencialmente, la oscilación de una partícula aislada, lo que nos lleva un paso más cerca de entender el enigma que intrigó a Pitágoras, Galileo, Kepler e incluso Newton: la vibración de las cuerdas. También nos lleva un paso más cerca de entender las ondas sonoras y el sintetizador de Brian Eno. Intuitivamente, podemos apreciar que la gráfica de la función seno podría describir el movimiento ondulatorio puro, pero, para entender exactamente cómo, extendamos el ejemplo de una partícula oscilante a la vibración de un objeto continuo.
Caso 4: Otra fuerza no constante. Supongamos que tañemos una cuerda de guitarra y ampliamos una minúscula región de la misma. Un modelo simplificado, pero preciso, de la cuerda consiste en imaginar que los átomos que la componen (masas individuales microscópicas) están conectados mutuamente mediante muelles. En esta cadena de átomos uniforme cada átomo oscilará independientemente arriba y abajo en torno a una posición de equilibrio, igual que en el ejemplo anterior. Llamemos u a la amplitud de la oscilación.
Lo diferente aquí es que cada masa individual tira de sus vecinas, distribuidas a lo largo de la dirección X, a través de los muelles que las unen, y entonces comienza a suceder algo fantástico.
A medida que una masa tira de otra, y ésta de la siguiente, y la siguiente de la siguiente, se propaga por la cuerda una onda que hace que cada masa oscile, de modo que la oscilación se transfiere de una partícula a otra (una perturbación que viaja). Por supuesto, las cuerdas no están tan fragmentadas como la cadena de masas que hemos descrito, así que tenemos que recurrir a la derivada, que nos permite encoger la distancia entre las masas individuales para describir una entidad esencialmente continua. Piénsese en los aficionados que hacen la ola en un estadio de fútbol. Desde lejos, los individuos son apenas discernibles, y vemos una onda humana que recorre las gradas del estadio. Aquí el alejamiento, que minimiza las distancias entre individuos hasta hacerlas inapreciables, es una analogía de la derivación. Así, en este caso, la ecuación de Newton describe la amplitud de la oscilación de la cuerda entera en función del tiempo y de la posición, u(x, t), que adopta la maravillosa forma:

Dado que ahora hay dos variables, x y t, hay derivadas respecto de ambas. La ecuación cuenta su propia historia. Nos dice que la curvatura de la cuerda en un punto (la segunda derivada respecto de x) hará que la cuerda se acelere en ese punto (la segunda derivada respecto del tiempo).

Figura 8.3. Una función seno que describe la vibración de un objeto ligado a un muelle en torno a la posición de equilibrio.
Ésta es la ecuación que describe el movimiento de una cuerda vibrante. ¡Cómo disfrutaría Pitágoras si pudiera verlo!
La solución de esta ecuación es, una vez más, una función sinusoidal, caracterizada por su amplitud y su longitud de onda (la distancia entre cresta y cresta). La función sinusoidal tiene dos formas puras: la función seno y su derivada, la función coseno, que no es más que la anterior desplazada. Un hecho sorprendente es que la suma de cualquier número de funciones sinusoidales da otra función sinusoidal. Las amplitudes y longitudes de onda se suman de manera que se preserva la naturaleza de la onda, de modo que la suma sigue siendo una solución de la ecuación de onda. Esta propiedad aditiva de las ondas puras es la misma idea de Fourier que subyace tras las composiciones de Brian Eno, y nos dice que cualquier forma que adopte la vibración de una cuerda puede obtenerse sumando vibraciones puras. Esto significa que la ecuación de u(x, t) no sólo describirá una onda pura, sino cualquier suma de ondas.
Idea de Fourier: Cualquier forma de onda compleja que cambia con el tiempo (como una onda sonora compleja) puede descomponerse en ondas sinusoidales puras de distintas frecuencias y amplitudes.
En este sentido, las ondas sinusoidales puras pueden usarse para confeccionar cualquier forma de onda compleja a medida: pura magia.

Figura 8.4. Amplificación de un sector de una cuerda.
Como se ha descrito en el capítulo 6, cuando se dejan caer dos piedras en un estanque, crean ondas separadas que acaban encontrándose. Las ondas pueden interferir unas con otras de manera constructiva o destructiva. Si las crestas de las ondas coinciden, se sumarán constructivamente, y la onda resultante tendrá mayor amplitud con la misma frecuencia. Pero las ondas pueden cancelarse mutuamente si las crestas de una coinciden con los valles de la otra.
Así pues, la interferencia de las ondas está en el núcleo de la transformación de Fourier. La multitud de gotas de lluvia sobre un estanque creará ondas que interaccionarán para crear patrones preciosos (y a veces caóticos) en la superficie del agua. Ahora estamos preparados para expresar matemáticamente la idea de Fourier. En palabras, la ecuación dice:
Una onda compleja evolucionando en el tiempo = una suma de ondas sinusoidales
Dado que puede evolucionar en el tiempo, llamemos F(t) a la señal no trivial (complicada). La poderosísima, bella y ubicua transformación de Fourier es una ecuación matemática que descompone F(t) en sus ondas componentes, especificadas por sus amplitudes, A, y sus frecuencias. La ecuación se escribe entonces como:[30]

En la figura 8.5 B vemos que la función de onda F(t), representada por la curva sólida bajo el signo igual, surge de la suma de las ondas sinusoidales puras de arriba, usando la propiedad de que las ondas pueden interferir de manera constructiva o destructiva, como se muestra en la figura 8.5 A. Podemos ver cómo puede explotarse esta idea mediante dispositivos electrónicos para crear sonidos sintéticos a partir de osciladores, la idea central del moderno sintetizador electrónico.
La transformación de Fourier es una operación matemática que toma una función compleja y la descompone en sus ondas puras componentes especificando las frecuencias y amplitudes presentes. Esto se aclara gráficamente. La transformación de Fourier inversa es la operación matemática recíproca, que toma las amplitudes y frecuencias de entrada y da la forma de onda compleja como función del tiempo. La transformación de Fourier es una de las herramientas más utilizadas en física, ingeniería e informática. Puede encontrarse implementada en circuitos electrónicos y es el fundamento de los sistemas de envío y recepción de señales entre satélites y la Tierra mediante ondas electromagnéticas. Y también es esencial para entender cómo surge la estructura del universo.
Ahora tenemos las herramientas necesarias para entender el fenómeno universal conocido como resonancia. El sonido, la música y muchas de las maravillas del universo cuántico no serían posibles sin resonancia. La física de la resonancia gobierna la generación de una nota concreta por un saxofón y las condiciones para la creación de una partícula concreta en un acelerador de partículas. De hecho, es uno de los fenómenos más extendidos de toda la física. En pocas palabras, la resonancia es el medio por el que la energía de vibración puede transferirse de una entidad física a otra con gran eficiencia. Muchos objetos, en particular los instrumentos musicales (y, como veremos, los campos cuánticos), están dotados de una frecuencia natural tal que al perturbarse el objeto oscilará con una frecuencia (o conjunto de frecuencias) particular, dependiendo de las propiedades del material de que está hecho el objeto. El ejemplo más simple de frecuencia natural es una masa conectada a un muelle. Los dos únicos parámetros relevantes son la masa y la rigidez del muelle.

Figura 8.5. El diagrama de la izquierda (A) muestra las interferencias constructiva y destructiva. El diagrama de la derecha (B) representa la idea de Fourier sumando ondas sinusoidales puras de distintas frecuencias, que se suman para dar una forma de onda compleja.[31]
Si aplicamos la segunda ley de Newton a una masa conectada a un muelle obtenemos una relación matemática para la frecuencia «natural» del sistema, ω = √k/m. Esto nos dice de inmediato que un muelle más rígido oscilará más deprisa (porque su vector de onda, k, es mayor) y que una masa más pesada (m más grande) hará que el sistema oscile más despacio. Si hay una fuerza externa que hace oscilar la masa con una frecuencia arbitraria distinta de la frecuencia natural, el muelle continuará oscilando, pero con una amplitud (la distancia recorrida por la masa) menor. Pero si la frecuencia externa coincide con la natural, ocurre algo notable, y es que la amplitud de la oscilación aumenta rápidamente. Ésta es la clave del funcionamiento de los instrumentos musicales y hasta de los aceleradores de partículas.

Figura 8.6. Síntesis mediante modulación de frecuencia empleada por Brian Eno en sus composiciones.
Puesto que las cuerdas pueden verse como una cadena lineal de numerosas masas conectadas mediante muelles, una cuerda tendrá múltiples frecuencias de resonancia. Ya hemos derivado estos conjuntos de frecuencias a partir de la idea de Fourier. De hecho, los instrumentos musicales están diseñados para resonar a un conjunto discreto de frecuencias correspondientes a las notas de la escala musical. Aquí el truco consiste en tomar una o varias frecuencias impulsoras (generadas por una boquilla vibrante, o por el aire insuflado en una flauta) y controlar qué frecuencia resonará en el cuerpo del instrumento. En los instrumentos de viento de madera, por ejemplo, esto se hace tapando un agujero tonal en la caña del instrumento.

Figura 8.7. La gráfica de la izquierda representa la forma de onda del acorde de Re mayor. La gráfica de la derecha, la transformación de Fourier, muestra la descomposición de las amplitudes y frecuencias componentes. Nótese que para reconstruir la señal de la izquierda sólo se requieren cuatro frecuencias, correspondientes a las cuatro notas del acorde de Re mayor.
La ley del movimiento de Newton desveló los secretos de la vibración y la resonancia que nos permiten, a través de la idea de Fourier, entender y construir formas de onda complejas a partir de otras más simples. Como pronto veremos, la idea de Fourier se aplica a las cuatro fuerzas fundamentales, y servirá de clave para comprender la estructura del universo. Termino con una pista: si la estructura del universo es producto de un patrón de vibración, entonces, ¿qué causó la vibración? ¿Se comporta el universo como un instrumento?
Capítulo 9
Los físicos rebeldes
El físico teórico Jim Gates, uno de mis mentores más cercanos y pionero de la teoría de la supergravedad, tema sobre el que yo estaba trabajando en el Imperial, me dijo una vez que dedicarse a la física teórica es como ser un compositor que ha crecido en un planeta sin sonido y tiene que componer una pieza de música. Así es como uno puede sentirse investigando los hechos precisos del universo hace catorce mil millones de años. A veces, lo único que me ayudaba a evaluar mi progreso y afianzar mi asidero en la investigación era el saludable sentido de rebelión y aventura que había aprendido de mi director de tesis Robert Brandenberger. De vez en cuando, revolucionarlo todo y abrazar lo nuevo era el secreto para revivir lo antiguo.
Curiosamente, la teoría cuántica de campos no captó mi atención hasta el día que «dejé» la facultad de física como graduado. Estaba en una de esas fases descritas por Gates: pensar en la causa del big bang se parecía mucho a intentar componer música en un planeta sin sonido, y me sentía perdido. Quería algún fundamento, algo más conectado con la realidad. En 1946, Erwin Schrödinger, el padre de la ecuación de onda que está en el centro de la mecánica cuántica, escribió ¿Qué es la vida?, un libro que puso en marcha la investigación del papel de la mecánica cuántica en los seres vivos. Después de leer el libro, me fascinó el campo de la biofísica. Al fin y al cabo, los seres vivos y los no vivos están hechos de moléculas, y las moléculas se rigen por la mecánica cuántica.
La materia no viva puede autoorganizarse en redes de átomos con una repetición periódica, como los espines electrónicos periódicos que dan lugar a diferentes formas de magnetismo en el modelo de Ising. Schrödinger llegó a la ingeniosa conclusión de que el código genético de la vida debía ser un cristal cuasiperiódico (como una hélice). Si miramos una hélice en la dirección de su eje vertical, veremos un círculo, que es una estructura periódica (como una onda). Pero si la miramos lateralmente, la periodicidad se pierde. Watson, Crick y Wilkins se inspiraron en Schrödinger para encontrar la estructura en doble hélice del ADN, y compartieron el Premio Nobel por su descubrimiento. Aquí hay una fascinante conexión entre la estructura y su formación: la estructura helicoidal refuerza la estabilidad mecánica necesaria para almacenar el material genético durante la vida del organismo.
Con todo eso, mi ánimo estaba dispuesto a abandonar la física. Tenía que decírselo a alguien. Gerry Guralnik es conocido sobre todo por ser uno de los descubridores del bosón de Higgs. Con su aspecto de oso mimoso y su acento del medio oeste, Gerry era inusualmente accesible para un físico de su talla, y se preocupaba por nuestro éxito. Como Julian Schwinger, uno de sus mentores, le encantaba conducir coches veloces y charlar ante una pinta de cerveza. Sus clases siempre estaban casi llenas porque contaba grandes historias.
—Desde luego, Stephon, está bien que dejes la física..., pero no dejes la ciencia —me dijo Gerry, con aire de preocupación genuina—. ¿Qué otra cosa te apasiona?
Le dije que quería entender el origen cuántico de la vida. Tras un momento contemplativo, replicó:
—Tengo una idea. ¿Te he contado alguna vez que dejé escapar el Premio Nobel de Química?
Siendo él un físico teórico de partículas, estaba seguro de que bromeaba. Pero resulta que su antiguo supervisor de tesis doctoral, Wally Gilbert, se había involucrado en un asunto de biología molecular con Watson y quería que él se les uniera. Wally acababa de dejar la física de partículas, y como biólogo converso quería que Gerry siguiera su camino.

Figura 9.1. Estructura cuasiperiódica de la doble hélice del ADN.
—¡De ningún modo! —replicó Gerry—. Pero ¡quién hubiera pensado que iba a ganar el Premio Nobel por su trabajo en la secuenciación del ADN! ¿Sabes qué?, déjame llamar a Wally ahora.
Descolgó el teléfono, marcó y se oyó el tono de llamada.
—Hola Wally, soy Gerry. Tengo un estudiante que deberías conocer. Está pensando en pasarse a la biofísica. La última vez que miré, tú eras el presidente del programa de Harvard.
Escuché el murmullo de una voz al otro lado de la línea. «De acuerdo, irá a verte la semana que viene».
La semana siguiente, Wally pasó tres generosas horas explicándome su trayectoria científica. Estaba claro que empatizaba con mi situación, y me encontró un puesto en la Escuela Médica de Harvard para trabajar en cristalografía de rayos X, que se emplea para determinar la estructura tridimensional de los virus. Era hora de empacar mis libros y dejar el departamento de física de Brown.
Estaba listo para trasladarme a los «verdes pastos» de las salas marmóreas de la escuela de medicina de Harvard. Los graduados de Brown estábamos acostumbrados a espacios pequeños saturados de olor a estudiante sin duchar y café cargado. Ventanas pequeñas, noches largas y montones de problemas eran la norma. Años más tarde, no nos sorprendió demasiado el rumor de que el edificio de física había sido diseñado por un arquitecto de prisiones.
Cuando me disponía a salir del despacho 122 del edificio Barus & Holley con una caja llena de libros, reparé en un libro de texto, que nunca volví a ver, titulado en parte Quantum Field Theory, en el escritorio de un compañero. Como el dueño no estaba, le eché un vistazo. Recuerdo que el prefacio empezaba así: «La teoría cuántica de campos, la unificación entre la relatividad especial y la mecánica cuántica, establece que toda la materia y sus interacciones se componen de vibraciones armónicas de campos. Uno se queda con la visión de que el universo entero es una orquesta sinfónica de dichos campos».
¿Cómo pude descubrir aquella gema justo el día que iba a dejar la física? Casi podía sentir nuevas conexiones neuronales formándose en mi cerebro a medida que me entusiasmaba. El libro era voluminoso y lo dejé donde estaba, pero la imagen se me quedó grabada. El cebo estaba dispuesto.
Pasé un estimulante verano en el laboratorio Hogle, entre compuestos químicos letales. Jim Hogle, mi supervisor, había sido el primero en desentrañar la estructura tridimensional de un virus animal, el poliovirus, aplicando los principios de simetría que había aprendido en las clases de teoría de grupos de la Universidad de Wisconsin. Era ingenioso y tenía un historial de éxito, a pesar de lo cual siempre recibía bien mis ideas especulativas. Lo cierto es que el hombre me impactó. Un día, como quien no quiere la cosa, pero con seriedad, Hogle me dijo: «Mira, Stephon, me gustan los físicos que intentan hacer contribuciones a la biología, pero los físicos tienen que respetar la complejidad de los sistemas biológicos. El mundo no está hecho de vacas esféricas». Estaba burlándose amablemente de todas las simplificaciones que hacen los físicos al intentar entender lo complejo. Encontrar simetrías en las ecuaciones es un gran método, y desde luego una vaca esférica es mucho más fácil de bosquejar que el irregular objeto real. Imaginémonos viviendo en la superficie de una esfera perfecta: con independencia de nuestra posición, siempre veríamos lo mismo.

Figura 9.2. La simetría icosaédrica del poliovirus. Las subunidades etiquetadas con las letras A, B y C son proteínas que se organizan en cápsides triangulares. Veinte cápsides triangulares se juntan en doce vértices, dando la simetría icosaédrica tridimensional.[32]
Antes de mi noviazgo con la biología, pensaba que la potencia de la simetría era exclusiva de la física, pero me equivocaba. Luego supe que los virus estaban dotados de diversos grados de simetría. Como las piezas de Lego, las proteínas individuales se autoensamblan en una estructura icosaédrica característica. Según mi amigo Brandon Ogbunu, un biofísico del MIT, en los sistemas biológicos la simetría puede persistir desde el nivel molecular hasta el del organismo para maximizar su aptitud evolutiva. Un ejemplo obvio es la simetría bilateral de nuestras piernas: deben tener la misma longitud si queremos correr y cazar con éxito en la jungla. Las diversas simetrías de los virus, por ejemplo, proporcionan estabilidad mecánica y una fijación eficiente a la célula huésped. Es más, los virus están formados por cientos de miles de átomos, y conocer sus posiciones precisas en el espacio tridimensional dificulta la determinación de la estructura. Su estructura nos recuerda que los virus y sus moléculas constituyentes son un fenómeno cuántico.
La simetría parecía una conexión clave entre la física de partículas y las funciones de la vida, pero en el trasfondo de mi mente se escondía el debate acerca del reduccionismo científico. Este debate salió a relucir de manera sucinta y vigorosa en un artículo corto titulado «More is Different», del premio Nobel Phil Anderson, que leí mientras trabajaba en el laboratorio de Hogle. Trataba sobre simetría y física fundamental. Cuando los físicos de partículas han sondeado escalas más pequeñas y energías mayores, han descubierto nuevas simetrías que simplifican las interacciones fundamentales. El marco subyacente viene descrito por la teoría cuántica de campos. En contraste, Anderson argumentaba que «cuanto más nos dicen los físicos de partículas de la naturaleza de las leyes fundamentales, menos relevante parece para los problemas bien reales del resto de la ciencia, y mucho menos para los de la sociedad». Estaba señalando un punto clave, y es que el alto grado de simetría encontrado en la física de las partículas elementales deja de ser funcional a la escala de los fenómenos complejos:
Resulta que el comportamiento de los agregados de partículas elementales grandes y complejos no es comprensible como una extrapolación simple de las propiedades de unas pocas partículas. En vez de eso, a cada nivel de complejidad aparecen propiedades enteramente nuevas, y la comprensión de los nuevos comportamientos requiere una investigación que, pienso, es tan fundamental en su naturaleza como cualquier otra.[33]
En otras palabras, los sistemas biológicos, como los virus de Jim, están compuestos por las mismas partículas fundamentales descritas por la teoría cuántica de campos, pero el todo no es igual a la suma de las partes, ya que hay una reducción de simetría inherente a los grandes números de átomos y moléculas, de complejidad creciente. Pero quedaba una cuestión pendiente. Aunque los virus complejos posean menos simetría, aún tienen alguna simetría. Era la interrelación entre simetría y ruptura de simetría lo que parecía mantenerse entre fenómenos aparentemente desconectados, desde las partículas elementales hasta la vida y el cosmos mismo (y la música).
Hogle me dejó claro que la biología requiere los fundamentos de la física para desarrollarse más, porque algún día evolucionará lo bastante para abordar cuestiones como el papel de la mecánica cuántica en el funcionamiento de los virus, pero admitía que «aún no hemos llegado a eso». Era su elegante manera de decirme que yo no estaba hecho para ser un bioquímico de laboratorio, y en retrospectiva, y con gratitud, tengo que decir que tenía razón.
Felizmente, Gerry se alegró de mi retorno. Volví a la escuela de doctorado fortalecido para entender por qué la teoría cuántica de campos era el lenguaje fundamental de la física, y el papel de la simetría y la ruptura de simetría. Puede que algún día averigüe cómo surge la vida. Robert Brandenberger ya estaba en ello. Con su incursión en la teoría de la inflación cósmica de Alan Guth, había dado pistas de cómo el dominio cuántico podía proporcionar las semillas de la actual estructura a gran escala del universo. No hablamos de la vida, pero la vida necesita de planetas y estrellas para existir. Robert había encontrado un renovado interés por la teoría cuántica de campos, igual que yo, pero a través de la biofísica. Como correspondía a mi formación física, siempre había estado convencido de que la belleza y la elegancia residían en la simetría, pero la biología me había enseñado que hay algo muy profundo y bello en las simetrías rotas. Robert y yo estábamos embarcados en la búsqueda de simetrías sutiles en el universo primigenio que, en última instancia, condujeron a nosotros.
Me había arriesgado. Había sido un poco como advertir, en medio de un solo de jazz, que el momento demandaba una nota deliberadamente disonante. Como me dijo una vez uno de mis maestros de jazz: «Practica todas esas escalas, ejercicios y tonos largos de manera que, en medio de un solo, cuando toques esa nota equivocada, como un acróbata, sepas cómo caer». Había decidido tocar unas cuantas notas equivocadas en mi investigación, caí, y en el proceso aprendí muchísimo.
Capítulo 10
El espacio en el que vivimos
A la vez que comenzaba a considerar lo que Brian Eno, el cosmólogo sonoro, me estaba mostrando sobre la estructura del universo, también trabajaba en el problema a la antigua usanza, con la teoría de la relatividad general de Einstein. Desde aquel día en que el señor Kaplan me habló de la revolucionaria teoría del espacio-tiempo de Einstein, me había propuesto llegar a dominarla. Finalmente lo conseguí al cabo de dos décadas, ya graduado, cuando por fin fui capaz de manipular las ecuaciones de Einstein para entender la estructura espacio-temporal del universo. Aquello fue muy diferente de las colecciones de problemas y los exámenes rutinarios que había soportado en los cursos de doctorado. Ahora podía recrearme en las ecuaciones del campo gravitatorio de Einstein, igual que hacía con mi saxo cada vez que conseguía dominar una nueva escala. Era un cosmólogo jugando con el universo, con el espacio y el tiempo, y la materia que contiene.
El espacio exterior es el mismo espacio que hay entre usted y este libro. Durante siglos, filósofos y astrónomos habían dado por sentado que el espacio está vacío, que es un medio inerte en el que se mueven las cosas sustanciales, como la materia. Pero después de milenios sin que ningún gran filósofo viera lo equivocado de esta idea, Einstein (cuyo genio residía en parte en su coraje a la hora de cuestionar los supuestos básicos de las tesis físicas aceptadas) nos mostró que el espacio es aún más interesante que la materia que se desplaza por él.
La primera idea que Einstein puso en solfa fue la de la gravedad. El experimento de Galileo en Pisa había puesto de manifiesto que dos bolas de masa diferente en caída libre experimentaban la misma aceleración. Einstein llevó este experimento fuera de la Tierra y el sistema solar, y al hacerlo cambió para siempre las descripciones newtonianas de la gravedad y del movimiento. Comenzó con un experimento mental. Veamos una versión moderna del mismo.
Consideremos una persona dentro de un cohete en reposo aquí en la Tierra, y otra dentro de un cohete en el espacio exterior. La persona en la Tierra experimenta la atracción gravitatoria del planeta y tiene la percepción de no moverse.[34] La persona en el espacio exterior, mientras el cohete no se mueva, flotará en ausencia de gravedad. No obstante, si el cohete acelera, la persona en su interior tendrá la impresión de adquirir peso, porque se verá atraída por el suelo del cohete. Einstein concluyó que no hay manera de discernir si uno está en reposo en el seno de un campo gravitatorio constante o acelerando en el espacio vacío. Ambas situaciones son físicamente equivalentes, dependiendo sólo de los estados de movimiento relativos. Este «principio de equivalencia» es el meollo de la teoría de la relatividad general de Einstein.
Las consecuencias de esta reflexión tan simple, casi infantil, llevaron a que una de las ramas más bellas de las matemáticas, la geometría diferencial, se pusiera en vanguardia de la física de la gravitación. La geometría diferencial describe un sistema de coordenadas. Einstein generalizó su teoría —de ahí el nombre de teoría de la relatividad general— animando el sistema de coordenadas mismo. La estructura misma del espacio y del tiempo, argumentó, viene dictada por la estructura de la materia. Einstein unificó el espacio y el tiempo en una única entidad, el espacio-tiempo, y describió su curvatura en presencia de materia y energía, y cómo la materia a su vez se mueve según la deformación del espacio-tiempo. Como dijo sucintamente el gran físico John Archibald Wheeler: «La materia le dice al espacio-tiempo cómo curvarse, y el espacio-tiempo curvado le dice a la materia cómo moverse».
Así, en el caso de los cohetes de Einstein, un pasajero experimenta aceleración porque la Tierra curva el espacio, creando una fuerza gravitatoria. En cuanto al otro, la energía aplicada por los propulsores del cohete curva el espacio, lo que a su vez acelera el cohete.
En la época en que Einstein estaba concibiendo sus experimentos mentales, uno de los grandes enigmas de la física era la órbita de Mercurio, que no se ajustaba a la trayectoria predicha por la teoría de Newton. En 1915, Einstein comprobó que su teoría del espacio-tiempo curvado explicaba la órbita anormal de Mercurio. Lo que ocurre es que Mercurio está tan cerca del sol que su órbita kepleriana teórica se distorsiona por el inmenso efecto gravitatorio del astro rey. Einstein estaba convencido de que la órbita de Mercurio revela el modo en que la masa del sol comba el espacio y el tiempo a su alrededor. Pero en 1919 la vida de todos los cosmólogos cambió al confirmarse otra predicción de Einstein, quien había conjeturado que durante un eclipse solar, una estrella situada detrás del sol podría resultar visible porque su luz seguiría una trayectoria curvada en torno a la masa solar. La predicción resultó ser correcta. Pero esto era sólo la punta del iceberg. Más allá de nuestro sistema solar, las ecuaciones de Einstein podían servir para describir el espacio-tiempo del universo entero.
Tan bella y sobrecogedora como es, la relatividad general también resulta ser una teoría extremadamente difícil de manejar en la práctica. Proporciona ecuaciones tanto para el movimiento de objetos como para la curvatura del campo gravitatorio, lo que dificulta la determinación de soluciones exactas. A diferencia de la teoría de la gravitación de Newton, que viene definida por una sola ecuación, la teoría de la relatividad general tiene diez ecuaciones diferenciales interdependientes que deben resolverse conjuntamente. Pero esto no disuadió a Einstein y sus contemporáneos de buscar soluciones.
Su teoría funcionaba bien para el sistema solar y había resuelto la anomalía del movimiento de Mercurio, pero cuando quiso aplicarla al universo entero, Einstein se quedó perplejo. Y es que la teoría predecía que el universo debería expandirse. Pero hasta entonces las observaciones siempre habían mostrado un universo estático. Einstein, ingenioso como siempre, «fijó» el problemático comportamiento del universo introduciendo un término en sus ecuaciones, la llamada constante cosmológica, que podía ajustarse para detener la expansión.
Más adelante, en 1927, el astrónomo Edwin Hubble mostró sus datos a Einstein, quien se dio cuenta de que la introducción de la constante cosmológica había sido su mayor error. Por primera vez en la historia, Hubble, mediante fotografías de las galaxias, fue capaz de calcular sus velocidades y distancias. Si el universo fuera estático, las velocidades de las galaxias no dependerían de su localización. Pues bien, para sorpresa de todos, en particular de Einstein, los resultados de Hubble mostraban que todas las galaxias se alejaban de nosotros tanto más deprisa cuanto más lejos estaban. Einstein enseguida vio que eso significaba que el universo se estaba expandiendo.
El caso es que la expansión favorece el hallazgo de soluciones de las ecuaciones de Einstein, porque permite aplicar el mismo principio que Copérnico hizo valer para nuestro sistema solar hacia 1500: que no somos el centro del universo. Al aplicar este principio al universo entero, cuatro físicos encontraron, cada uno por su lado, soluciones exactas de las ecuaciones de Einstein que describían un espacio en expansión perfectamente simétrico.
Para ver cómo funciona aquí el principio copernicano, tenemos que viajar hacia atrás en el tiempo. Dado que el universo se está expandiendo, en teoría podemos invertir la película de su historia y encogerlo. A medida que el universo se contrae, la materia de estrellas, planetas y galaxias se condensa en un espacio cada vez más pequeño. Si retrasamos el reloj lo bastante, los átomos de toda esta materia comienzan a cambiar. A nuestra escala usual, a bajas energías, los electrones están ligados al núcleo de un átomo. Pero a densidades elevadas la energía térmica se dispara y saca a los electrones de sus órbitas. Esto significa que justo después del big bang el universo primigenio estaba lleno de una mezcla caliente de electrones libres, núcleos atómicos y fotones. En su infancia, nuestro universo consistía en una distribución uniforme de materia excitada y radiación. Era un plasma hirviente carente de estructura, una «bola de fuego primigenia», un cosmos copernicano. Este universo puede que no parezca terriblemente interesante, pero al menos permite encontrar soluciones de las ecuaciones de Einstein. Esta visión del universo primigenio planteó el problema en el que yo acabaría trabajando en última instancia: ¿qué fue responsable de convertir aquel plasma incipiente en todas las estrellas, galaxias y planetas que vemos cuando miramos el cielo nocturno?
Alguien podría pensar que una buena teoría física no debería tener ninguna carencia (especialmente algunos de mis colegas en busca de la teoría de todo). Yo no creo que lleguemos a tener nunca esa teoría perfecta. La naturaleza, como gran improvisadora que es, siempre nos vendrá con nuevas sorpresas que nuestras teorías estarán lejos de explicar o predecir. Además, una buena teoría física suele señalar las raíces de su propia destrucción. Es el caso de la hipótesis del universo en expansión, que hace bonitas predicciones de las tasas observadas de elementos ligeros en las galaxias, así como la ley de Hubble de la recesión galáctica, pero que por sí sola no puede decirnos cómo se estructuró el universo. El truco consiste en preservar las predicciones precisas de la teoría, pero librarla de sus defectos. Busquemos, pues, al hacedor cósmico.
La que quizá sea la predicción más importante de la hipótesis del universo en expansión concierne a la formación de los primeros elementos. A medida que los electrones calientes desbocados se fueron dispersando y enfriando, su movimiento se fue haciendo menos frenético. Los protones estaban esperando para capturarlos, lo que daría lugar al primer elemento ligero, el hidrógeno. Las condiciones para la formación de los primeros átomos de hidrógeno comenzaron a darse unos 380.000 años después del big bang, cuando el universo se había enfriado hasta unos suaves 3000 grados Kelvin, unos balsámicos 2730 grados Celsius. A esta temperatura la energía de las partículas era lo bastante baja para que la fuerza de Coulomb (la atracción eléctrica entre cargas de signo opuesto) se impusiera y ligara los protones de carga positiva y los electrones de carga negativa para formar átomos de hidrógeno. Pero estos electrones todavía eran demasiado energéticos para que los átomos de hidrógeno formados fueran estables. Para eso hacía falta que los electrones cayeran al nivel de energía más bajo posible, lo que implica que el exceso de energía se liberaría en forma de fotones con una temperatura característica de 3000 grados Kelvin. El universo se encendió, literalmente.
George Gamow, Ralph Alpher y Robert Herman fueron los primeros en formular estas predicciones en 1948. Las ecuaciones de Einstein estaban diciendo algo preciso sobre hechos ocurridos en el universo hace miles de millones de años. Era ciertamente sobrecogedor. Pero aún más inspirador sería el hallazgo de la huella de esta época, el remanente de aquel brillo del universo primigenio. La búsqueda de esta reliquia era una gran prueba para el paradigma del big bang, así como la predicción de que el universo primigenio lleno de plasma era tan uniforme —y copernicano— como todo el mundo suponía.
Durante años, los cosmólogos buscaron la radiación residual que se esperaba que llenase todo el espacio. La expansión del universo habría hecho que la longitud de onda de la luz original se hubiera multiplicado por mil. Esto se traduciría en una radiación omnipresente con longitudes de onda situadas en el espectro de las microondas (las mismas que usa un horno de microondas). En 1967, los ingenieros Arno Penzias y Robert Woodrow Wilson, que trabajaban en el laboratorio Bell de Nueva Jersey, detectaron «por error» el fondo cósmico de microondas, un hallazgo que les valió el Premio Nobel de Física. Al probar un radiotelescopio diseñado para detectar señales de radio discretas, se vieron importunados por una interferencia persistente. Para intentar eliminarla, aislaron su radiotelescopio de una variedad de señales parásitas que incluían otras radioondas, el calor emitido por el propio mecanismo y, en su desesperación, incluso el calor de los excrementos de las palomas. Aun así, no pudieron eliminar un zumbido de fondo concreto que parecía provenir de todas partes uniformemente. Al final se convencieron de que la fuente de aquella radiación había que buscarla más allá de su mecanismo, y hasta más allá de la Tierra misma. Pero eso era justo lo que se disponían a buscar los cosmólogos Robert Dickie, Jim Peebles y David Wilkinson en la Universidad de Princeton, bajando por la misma carretera. El grupo de Princeton había construido un instrumento, el radiómetro de Dickie, para buscar dicha radiación de fondo. Y lo que es más importante, también tenían el conocimiento necesario para evaluar el hallazgo.
Ahí estaba el fondo cósmico de microondas, en toda su sutil gloria, rodeándonos todo el tiempo, la huella de la formación de los primeros átomos estables. La uniformidad de la radiación cósmica de fondo confirmaba el principio cosmológico y el paradigma del universo en expansión, pero esta impronta fósil del universo primigenio escondía un serio problema. El reconocimiento de este problema abriría la caja de Pandora, revelando el defecto de la visión einsteiniana del universo en expansión.
La versión estándar de la cosmología del big bang predice que los fotones de la radiación cósmica de fondo tendrán todos la misma temperatura. Ahora bien, si cada partícula de un gas tiene la misma temperatura, eso significa que tendrán que haber interactuado en algún momento para poder alcanzar ese equilibrio térmico, esa uniformidad. Deberían haber tenido una conexión causal en el pasado. Consideremos la radiación de fondo que nos llega desde dos direcciones opuestas. La radiación electromagnética —ya se trate de luz visible, microondas o radioondas— viaja a la velocidad de la luz, la máxima que permite la física. Podemos rebobinar la expansión del universo y ver cómo la radiación viaja al pasado a la velocidad de la luz hasta 380.000 años después del big bang. La radiación de una dirección se remonta a una región particular del universo, mientras que la de la dirección opuesta se remonta a otra región diferente. Esto cubre el tiempo que le ha llevado alcanzarnos a la luz procedente de ambas regiones, pero para que ambas regiones estén en contacto tenemos que ir aún más atrás, ya que se encuentran en direcciones opuestas. Teniendo en cuenta lo que sabemos de la tasa de expansión del universo, estimada a partir de las velocidades de recesión de las galaxias distantes, surge una conclusión perturbadora: para que esas dos regiones de la radiación de fondo hayan estado en contacto causal, se requiere un tiempo mayor que la edad estimada del universo. Esto se conoce como el «problema del horizonte». El mismo éxito del paradigma del big bang, la predicción del equilibrio térmico observado en el plasma del fondo cósmico de microondas, apunta a su propia destrucción.
Poco después del descubrimiento del fondo cósmico de microondas, un joven graduado, Bruce Partridge, y su profesor, David Wilkinson, diseñaron un detector para ver si la radiación de 380.000 años después del big bang era tan homogénea como se esperaría de la uniformidad copernicana. Esperaban encontrar cierta anisotropía, es decir, irregularidades que permitieran entender el origen de estructuras como los cúmulos estelares y las galaxias.
La idea era que si existían minúsculas ondulaciones en la bola de fuego primordial, se habrían amplificado con la expansión del universo en fluctuaciones de densidad a gran escala, variaciones que causarían inestabilidades gravitacionales que estarían en el origen del colapso gravitatorio de la materia en estructuras cósmicas. Era una bonita teoría: la anisotropía como semilla de la estructura a gran escala. Encontrar irregularidades arrojaría luz sobre la evolución del universo desde un principio copernicano hasta el bien diferente cosmos actual. Por desgracia para Partridge y Wilkinson, su dispositivo fue incapaz de detectar ninguna anisotropía. Aun así, la búsqueda continuó.
No supe nada de este asunto hasta muchos años después. Para entonces Partridge —o Bruce, como solían llamarle sus alumnos— era profesor en el Haverford College de Pensilvania. Era un caballero en todos los sentidos del término, famoso entre los estudiantes por la formalidad, organización y claridad meridiana de sus clases. Con su generosa calidez, era accesible incluso para los alumnos más tímidos e intimidados. Yo era uno de ellos.

Figura 10.1. Las regiones A y B representan fuentes de radiación de microondas con la misma temperatura, procedentes de regiones que no pudieron haber interactuado. El modelo clásico del big bang carece de un medio causal para que estas regiones alcancen el equilibrio térmico, a menos que dispusieran de un tiempo mayor que la vida del propio universo.
Wilkinson también había sido saxofonista antes que cosmólogo, como yo, pero al final fue Bruce quien más me influyó en mis años de estudiante. En mi segundo año, Bruce hizo venir a Alan Guth, su colega del MIT, a Haverford para darnos una charla. En aquel periodo de mi vida la física era un interés principal para mí, pero yo era un tanto rebelde. Con mis medallones africanos, mis camisetas de Malcolm X y mis rastas, me sentaba en el fondo de la clase y apenas participaba, con los auriculares puestos escuchando el rap pro-negro de Public Enemy. Corría el año 1990, y un satélite de la NASA iba a llevar a cabo un experimento a bordo para buscar las irregularidades del fondo cósmico de microondas que Bruce y Wilkinson habían intentado detectar por primera vez en 1967.
Alan Guth fue el proponente de la teoría de la inflación cósmica, que solucionó el problema del horizonte y proporcionó nuevas intuiciones acerca de la anisotropía. Alan propuso que la distancia recorrida por la radiación habría aumentado explosivamente en virtud de una expansión rápida. Esto podría explicar la conexión causal entre regiones aparentemente desconectadas porque la edad del universo no era lo bastante larga para unirlas. Se trataba de una megateoría en concordancia con las observaciones de la radiación cósmica de fondo. Además, dado que la teoría de la inflación era de naturaleza cuántica, permitía predecir la naturaleza y el origen de la presunta anisotropía del fondo cósmico de microondas. Este aspecto cuántico del universo primigenios era lo que Robert Brandenberger tenía tanto interés en explorar, y poco sabía yo entonces que la inflación iba a convertirse en una parte fundamental de mi futura investigación.
Puede que mis auriculares me apretaran demasiado, pero en aquel momento no era consciente de la significación de la visita de Alan a Haverford. No obstante, sabía que era alguien importante, así que estaba dispuesto a aparcar mi rebelión por un rato. Después de todo, era la primera vez que oía hablar de la teoría de Einstein desde aquella vez con el señor Kaplan. Aquello iba más allá de la física y las matemáticas mundanas que estaba aprendiendo en mi segundo año de carrera. Aquello era cosmología. Era la evolución del universo como un todo, cuyo despliegue reflejaba la brillantez matemática de Einstein. El fondo cósmico de microondas era grandioso, la teoría de la estructuración cósmica era igualmente grandiosa, y ahora esa idea de la inflación. Era difícil de digerir.

Figura 10.2. El resumen del artículo de Partridge y Wilkinson, publicado en Physical Review Letters (3 de abril de 1967), un primer intento de detectar la anisotropía intrínseca del fondo cósmico de microondas.[ii]
Cosmólogos famosos de Penn y Princeton vinieron a nuestra aula para escuchar a Alan hablar de la inflación, lo que dejó a los estudiantes demasiado intimidados para atreverse a hacer preguntas. No obstante, al acabar la charla Bruce dijo:
—Primero escuchemos las preguntas de los estudiantes.
Mi mano hizo un amago de levantarse antes de retraerse instintivamente.
—Stephon, veo que tiene usted una pregunta —saltó Bruce.
Me conocía demasiado bien. Yo tenía esa sensación de hundimiento acompañada de una mezcla de estupidez e ingenuidad. Las palabras salieron de mi boca antes de que mi mente consciente tuviera tiempo de interferir.
—¿La inflación realiza trabajo?
En la clase introductoria de Bruce aprendimos que se realiza trabajo siempre que se aplica una fuerza para mover un objeto a lo largo de una distancia. Dado que la inflación hace que el universo se expanda, me preguntaba qué fuerza inflaba el universo. ¿Es posible que el universo se expanda sin que se realice ningún trabajo? Lo maravilloso de la física son esos momentos en los que las «leyes» que consideramos inmutables se quebrantan. Yo quería saber. Alan respondió:
—Es una gran pregunta... La inflación trabaja para poner en marcha la expansión del universo. Al agente que hace ese trabajo lo llamamos campo inflatón.
Bruce no tenía ni idea del impacto positivo sobre mí de su insistencia y de la seriedad con que Alan respondió a mi pregunta. Aún hoy, pido a mis estudiantes que me hagan «preguntas tontas», que suelen ser las difíciles de responder.
Finalmente, tres décadas después de que Bruce y Wilkinson comenzaran a buscar la anisotropía del fondo cósmico de microondas, el satélite COBE (Cosmic Background Explorer) la registró directamente. Tras cuatro años de sondeo del fondo de microondas desde el espacio, un instrumento a bordo del COBE —el radiómetro diferencial de microondas— detectó la sutil variación. Por fin, después de tantos años buscando pistas de nuestros orígenes, los cosmólogos entraron en la era dorada de la ciencia de precisión.

Figura 10.3. Las regiones A y B representan fuentes de radiación de microondas con la misma temperatura, procedentes de regiones que no pudieron haber interactuado, según el modelo estándar del big bang. Un periodo de expansión exponencial, o inflación, en el universo primigenio proporciona la conexión causal necesaria para explicar la uniformidad del fondo cósmico de microondas.
El descubrimiento no hizo más que acrecentar la importancia de la inflación: sin ella, aquellas imperfecciones tan perfectas agravaban la amenaza del horizonte, porque entonces había que explicar tanto la uniformidad casi perfecta de la radiación térmica como las minúsculas ondulaciones en el fondo de microondas. La inflación podía ofrecer una solución a este problema. Pero aún hay más.
Cada descubrimiento parecía suscitar preguntas profundas. Se confirmó la existencia del mar de microondas, así como las irregularidades en su interior. Y mientras tanto, sector por sector, los astrónomos estaban cartografiando meticulosamente las mayores estructuras de nuestro universo. El telescopio espacial Hubble se convirtió en el ojo de la Tierra para escudriñar el universo y fotografió objetos gloriosos y variables de nuestra vecindad, como nebulosas y galaxias en colisión. Pero los avances tecnológicos proporcionaron nuevas perspectivas. Los telescopios sensibles a las radioondas, las microondas, los rayos infrarrojos y los rayos gamma podían generar imágenes solos o en colaboración. Enfocándose a las mayores distancias observables, estos telescopios proporcionaron un mapa del universo observable y revelaron una sorpresa. Como mostraron Geller y Huchra con su mapa de la estructura cósmica a gran escala, las galaxias se agrupan y alinean en bloques y filamentos. Resulta que las mayores formaciones de nuestro universo tienen una distribución homogénea e isotrópica. Esto se conoce formalmente como el principio cosmológico. Tantos años de investigación científica y avances tecnológicos han permitido al ingenio humano desentrañar los numerosos niveles de estructura que impregnan nuestro universo.
El origen de la jerarquía estructural de nuestro universo sigue mostrándose esquivo, pero la inflación ha representado un paso de gigante hacia la comprensión de cómo las fluctuaciones cuánticas en el universo primigenio pudieron crear asimetrías en la distribución de la por lo demás uniforme bola de fuego primordial, que se amplificaron por la expansión inflacionaria del espacio-tiempo. Las observaciones subsiguientes iban a revelar armonías en la anisotropía del universo primigenio, que no podrían haberse creado sin la existencia de un horizonte cósmico. Pero, para entender mejor los horizontes, volvamos al sonido.
Capítulo 11
Agujeros negros sónicos
Escondido en cada galaxia activa de nuestro cosmos se encuentra el objeto más denso y esquivo de la física conocida: el agujero negro. Era uno de los primeros sistemas resolubles con exactitud en la relatividad general, y al principio se pensó que era una construcción puramente teórica. Pero los agujeros negros están ocultos tras un horizonte, similar al horizonte cósmico. Aquí exploraremos el inesperado papel de los horizontes en el sonido, lo que nos proporcionará una intuición más profunda en nuestra búsqueda de la conexión entre la música y la estructura cósmica.
En comparación con la ecuación única de Newton, las dificultades del manejo de las diez ecuaciones acopladas de Einstein son enormes. Imagínese una serie de masas conectadas mediante muelles y en movimiento. La ecuación diferencial de Newton puede aplicarse al movimiento de una masa independiente. Pero al estar ligadas las masas, el movimiento de una influirá en el de sus vecinas, y por lo tanto afectará a las ecuaciones de su movimiento. Para determinar su movimiento general se requiere un sistema de ecuaciones diferenciales. Y para resolver una ecuación, hay que resolverlas todas. Ya hemos visto una situación similar en el modelo de Ising del magnetismo examinado en el capítulo 2, donde los espines de los átomos vecinos se influían mutuamente, lo que también influía en la energía de interacción general del sistema. Las dificultades se agravan si recordamos que las ecuaciones de Einstein no sólo acoplan las masas, sino las masas con el espacio.
Para apreciar la magia que hay detrás de las diez ecuaciones diferenciales acopladas de Einstein es útil comenzar por una solución de las mismas. Pero, dada su complejidad, concebir una configuración física espacio-temporal que las satisfaga no es tarea fácil. Ya no se trata de estudiar una gráfica y adivinar la forma de la función, como hemos hecho con las ecuaciones de Newton. Aún hoy, con la ayuda de poderosos ordenadores, seguimos sin encontrar soluciones exactas del campo gravitatorio para sistemas astrofísicos interesantes. No obstante, en cuanto Einstein presentó su teoría, los físicos se sintieron atraídos por su nueva concepción del espacio-tiempo y se afanaron en encontrar soluciones. Para empezar, se armaron con el fiable método de Dirac: valerse del poder de la simetría.
La gran potencia de la simetría matemática es que permite reducir la complejidad de las ecuaciones. Imaginemos que hay dos ecuaciones separadas que describen la oscilación de dos partículas, la partícula X y la partícula Y. Un ejemplo de situación «simétrica» sería que los comportamientos de X y de Y fueran exactamente iguales. Esto permitiría reducir las dos ecuaciones diferenciales a una sola, y una vez se tenga una solución, valdrá para ambas partículas.
A veces la naturaleza ofrece estas situaciones afortunadas de alta simetría, y los físicos pueden deleitarse en encontrar soluciones. En el caso de las ecuaciones de Einstein, la simetría esférica era un buen punto de partida. Las esferas podían servir de modelo de la estructura de las estrellas como nuestro sol. La geometría esférica permitía reducir la gravedad a un campo gravitatorio radialmente uniforme alrededor de un centro compacto. Era una idea tan natural y simple que apenas unos meses después de que Einstein publicara su teoría, Karl Schwarzschild, un físico y astrónomo alemán, encontró una solución de las ecuaciones con simetría esférica. Pero había una pega. Al ir reduciendo el radio considerado, se llegaba a un valor, ahora conocido como radio de Schwarzschild, donde las ecuaciones revelaban lo que se conoce como una singularidad (que matemáticamente equivale a dividir algo por cero). Los físicos detestan las singularidades, porque suelen implicar regiones de energía o fuerza infinita, y lo cierto es que la mayoría de las singularidades nos dicen que algo no marcha con nuestra teoría allí donde surgen. Pero esta singularidad en particular apuntaba a algo nuevo y directamente asombroso acerca de nuestras amigas esféricas las estrellas.
Cuando las inmensas nubes de polvo interestelar se aglomeran, se condensan y comienzan a emitir radiación, ha nacido una estrella. Al cabo de unos miles de millones de años desde su nacimiento, todas las estrellas envejecen y acaban muriendo. Pero su vida después de la muerte es muy interesante. Tras una vida ardiendo, las estrellas agotan su combustible y, en ausencia de la presión de radiación, acaban colapsando por su propio empuje gravitatorio. En 1931, el físico indio y premio Nobel Subrahmanyan Chandrasekhar mostró que cuando toda la masa de una estrella se comprime en un volumen lo bastante pequeño, se forma un objeto encantador llamado enana blanca, un tranquilo vestigio de la antigua estrella cuya gravedad se mantiene a raya por la presión de sus propios electrones constituyentes. Algún día nuestro sol se convertirá en una enana blanca, encogiéndose hasta un tamaño parecido al de la Tierra. En 1939, Robert Oppenheimer y George Volkoff, a partir del trabajo de Richard Tolman, mostraron que las estrellas mayores que el sol, aunque sólo superaran su tamaño en un 50 por ciento, tendrían una gravedad demasiado grande para que sus electrones constituyentes pudieran contenerla. En tal caso la estrella se comprime aún más, hasta que los neutrones se encargan de detener el colapso. El resultado son las estrellas de neutrones. Cuando las estrellas son aún mayores, a partir de tres veces más voluminosas que el sol, ni siquiera los neutrones pueden con la gravedad. Los núcleos atómicos colapsan, y nuestras teorías se tambalean en el filo de nuestro conocimiento: aquí entran los agujeros negros.
Los agujeros negros se convirtieron en una posibilidad teórica con la solución de Schwarzschild de las ecuaciones de Einstein, y pasaron a ser una posibilidad física cuando se entendió la evolución estelar. En 1958 (por la época en que Leon Cooper encontró sus soluciones al problema de la superconductividad) uno de mis héroes de la física, David Finkelstein, descubrió algo realmente notable que hacía de los agujeros negros unos objetos aún más interesantes de lo que ya eran.
David Finkelstein es un personaje sereno y sabio, que irradia genialidad, como si el cosmos entero estuviera dentro de su cabeza. Es tan inspirador que no sorprende en absoluto que haya sido mentor de los pioneros de las dos principales teorías de la gravitación cuántica rivales, Lee Smolin y Lenny Susskind. De hecho, me hice tan admirador de David que en 2014 presidí un simposio en Dartmouth para celebrar lo que ha sido el logro de su vida.
David quería entender cómo se movía un haz de luz en el espacio-tiempo combado en torno a un agujero negro. Después de todo, fue la observación del desvío de la luz de una estrella distante en torno a nuestro sol lo que confirmó la idea de Einstein de que la gravedad era, de hecho, la curvatura del espacio-tiempo alrededor de un objeto masivo. Pero, como descubrió David, el movimiento de la luz en torno a un agujero negro es aún más extraño. Mediante una ingeniosa reordenación de las ecuaciones que rigen el espacio-tiempo, David encontró que había una región esférica, como una burbuja, rodeando la singularidad de Schwarzschild, de manera que todo lo que entraba en esa región, incluida la luz, nunca podía escapar. De hecho, es por esto por lo que John Wheeler acuñó la denominación «agujero negro» para estos objetos. Si la luz no puede escapar de la región de Schwarzschild que rodea la singularidad, nunca podremos verla. Cualquier cosa que entre en esta región desaparecerá en la negrura. Lo que David había descubierto era una superficie esférica invisible de ida sin vuelta, que llamó horizonte. Era un horizonte en el sentido de que no se podía ver más allá, no muy diferente de nuestro horizonte visual del pasado del universo, lo que hacía que su estudio resultara de lo más interesante.
Cuando David hizo sus cálculos, los agujeros negros todavía eran un tema de novela de ciencia ficción, un campo abonado para la imaginación, pero los físicos estaban comenzando a entenderlos. Cuando Lee Smolin especuló que los agujeros negros daban lugar a universos hijos en sus singularidades, también supimos que los agujeros negros pueden incrementar su masa consumiendo materia, y que pueden emitir radiación en virtud de los efectos cuánticos cerca del horizonte de sucesos. La obra de David concretó el estudio de la física del agujero negro. El horizonte de sucesos era un elemento matemático bien definido, aunque intangible, con el que trabajar, que incluso podía arrojar luz sobre la estructura de nuestro universo y el horizonte cósmico. Para entender mejor esta cuestión, tenemos que fijarnos en el sonido, concretamente en la propagación del sonido dentro del agua.
El físico canadiense Bill Unruh encontró una brillante analogía sonora que captura buena parte de la física de los agujeros negros. Bill es uno de los físicos teóricos más renombrados de Canadá y del mundo entero. Pasé un año con él en la Universidad de Columbia Británica en Vancouver para trabajar en mi tesis doctoral. Bill es un hombretón barbudo, y suele llevar bata. Tiene tendencia a intimidar a sus colegas, y está presto a saltar sobre cualquier desliz que pueda presentarse, pero siempre fue amable conmigo, incluso cuando decía tonterías. Su maestría en el arte de encontrar analogías de conceptos físicos me habló fuerte y claro en el primer seminario que di en la universidad, cuando detectó un error y procedió a sugerirme una corrección. Al año siguiente, su propuesta funcionó impecablemente.
Podemos calcular la velocidad del sonido en el agua aplicando la mecánica ondulatoria básica. Consideremos la siguiente ecuación:

Esta ecuación relaciona la velocidad del sonido, c, con la rigidez del medio, k, y su densidad, ρ. La ecuación nos dice que la velocidad del sonido aumenta con la rigidez del material, y disminuye con la densidad. El sonido viajará más despacio en un material más denso, como oxígeno en vez de helio, pero viajará más deprisa a través de materiales más rígidos, como los sólidos. Así, aunque los sólidos son más densos que los gases, también son mucho más rígidos, de manera que el sonido se propagará más deprisa a través de un sólido que a través de un gas.
Para entender el horizonte de un agujero negro, Bill imaginó dos peces en un río, uno aguas abajo y otro aguas arriba. (Véase la figura 11.2.) En algún punto, el pez situado aguas abajo cae por una cascada. La velocidad del agua en la cascada excede la velocidad de la corriente aguas arriba porque la gravedad la acelera. Mientras cae, el pez grita, esperando que su amigo le oiga: «¡Eh, estoy cayendo!». Pero el sonido es una onda y, como indica la ecuación anterior, viaja a una velocidad fija en un medio uniforme. Si la velocidad del agua que cae es mayor que la velocidad de la onda sonora generada por el pez de abajo, entonces el sonido emitido nunca llegará hasta su amigo que se encuentra aguas arriba. Una batalla perdida cuesta arriba. Para el pez de abajo el sonido es perfectamente audible, mientras que para el de arriba sólo hay silencio. El borde de la cascada es un horizonte sónico. Para el pez que está aguas arriba, su amigo simplemente ha desaparecido (de la vista, del oído y, en el caso del pez, de la mente). Naturalmente, si fuera él quien llamara a su amigo perdido, el sonido viajaría sin trabas corriente abajo y llegaría hasta su destinatario, ayudado por el flujo de agua. La luz se comporta de la misma manera en la vecindad del horizonte de sucesos de un agujero negro: puede entrar en el agujero negro con facilidad, pero salir es otra historia.
La solución del agujero negro en el marco de la relatividad general tenía una potencia predictiva que pocos físicos anticiparon: la sorprendente realidad del horizonte de sucesos. Volviendo a nuestra analogía sonora, si el pez atravesara el horizonte de sucesos, por mucho que intentara comunicarse con el otro pez que está fuera del agujero negro, su mensaje nunca podría llegar al otro lado del horizonte. Y lo que es aún más triste, en cuanto el pez atraviesa el horizonte de sucesos, no tiene ninguna esperanza de volver a salir del agujero negro. Ni siquiera un salmón podría conseguirlo.

Figura 11.1. El físico teórico canadiense Bill Unruh. Fotografía cedida por Bill Unruh.
Los horizontes de los agujeros negros no sólo tienen una cualidad sónica, sino que recientemente se ha descubierto que algunos agujeros negros emiten un zumbido parecido al de un zángano. La figura 11.3 muestra la onda generada por un agujero negro en el centro de una galaxia del cúmulo de Perseo. La nota del sonido del agujero negro se identificó como un Si bemol, quince octavas por debajo del Do central en un piano.

Figura 11.2. Un horizonte sónico puede entenderse mediante un salto de agua. El pez que está abajo emite un sonido, pero si la velocidad del sonido es menor que la velocidad de caída del agua, el sonido nunca llegará al pez de arriba.
La existencia de horizontes es un rasgo general de la relatividad general de Einstein, y tiene importantes consecuencias para la cuestión de la estructura espacio-temporal de nuestro universo. Esto vale tanto para los agujeros negros como para el horizonte cósmico. No obstante, este último es un tanto diferente de un horizonte de sucesos, porque es una vía de doble sentido, por donde la luz y la materia salen y entran, dependiendo de la interacción entre la expansión del universo y el paso del tiempo.

Figura 11.3. Las regiones blancas y negras representan ondas generadas por un agujero negro en el cúmulo de Perseo.[35]
Aunque los horizontes de los agujeros negros sean distintos por las inmensas fuerzas gravitatorias implicadas, nos han ayudado a entender cómo un horizonte puede hacer de frontera. La existencia de una frontera representada por el horizonte cósmico en el momento en que se emitió la radiación cósmica de fondo, cuando se formaron los primeros átomos estables, es lo que creó resonancias en la anisotropía del fondo cósmico de microondas. Así como los puentes de una guitarra proporcionan las fronteras necesarias para que una cuerda resuene y genere notas, el horizonte cósmico permite la generación de notas discretas en las perturbaciones de la materia del universo. ¿Qué causa estas vibraciones fijadas por el mástil del horizonte cósmico? Aquí es donde entra la mecánica cuántica.
Capítulo 12
La armonía de la estructura cósmica
Mi búsqueda del vínculo entre la música y la estructura del universo me llevó a tomarme un año sabático en 2011, para trabajar en la Universidad de Princeton con David Spergel, uno de los líderes del equipo científico del Wilkinson Microwave Anisotropy Probe (WMAP), una sonda espacial que llevó a cabo algunas de las mediciones más precisas del fondo cósmico de microondas. Justo enfrente de mi despacho estaba el de Jim Peebles, uno de los primeros cosmólogos que confirmaron mi esperanza de que la manera correcta de contemplar el fondo cósmico de microondas no era a través de la óptica de la anisotropía, sino de las oscilaciones.
Peebles y su discípulo Jer Yu fueron de los primeros en validar las intuiciones de Pitágoras y Kepler de un cosmos musical.[36] Descubrieron que el universo primigenio generó oscilaciones con longitudes de onda que se extendían hasta 300.000 años luz (el tamaño del universo cuando se formaron los primeros átomos estables y se liberó la radiación cósmica de fondo). Estas ondas contribuyeron a la generación de estructuras a gran escala en el universo. En el resumen de su revolucionario artículo de 1970, titulado «Perturbación adiabática primordial en un universo en expansión», Peebles y Yu decían que «el posible descubrimiento de la radiación procedente de la bola de fuego primordial abre una senda prometedora hacia una teoría del origen de las galaxias».[37]
El plasma de electrones, fotones y protones estrechamente acoplados se movió con la perfecta sincronía de una cuadrilla de danzarines, y de no haber mediado ninguna perturbación habría permanecido liso como la superficie del más calmado de los océanos. Pero una perturbación primordial debida a la incertidumbre cuántica hizo que el plasma vibrara de manera que regiones de mayor densidad de energía transfirieron energía a regiones de menor densidad, lo que se tradujo en la propagación de ondas de presión.

Figura 12.1. Una instantánea del universo de hace 13.700 millones de años, que revela la luz emitida cuando los electrones se combinaron con los protones (recombinación). Equipo científico del WMAP.
La constatación revolucionaria fue que, para que evolucionara la estructura a gran escala a partir del universo primigenio, tendría que haber contenido irregularidades del orden de una diezmilésima. En otras palabras, si la temperatura media hubiera sido de diez grados, entonces las irregularidades se desviarían de la media en una milésima de grado. En 1992, la tan buscada anisotropía había sido detectada finalmente por el satélite COBE.
Los puntos blancos, negros y grises en el mapa del fondo cósmico de microondas representan las fluctuaciones por encima y por debajo de la energía (o temperatura) media. Éstas son las ondulaciones del universo primigenio, la música del universo, y los primeros estadios de su evolución estructural. Las ondas lumínicas son producidas por la aceleración de partículas cargadas y no requieren ningún medio de propagación. Las ondas sonoras, en cambio, no pueden existir sin un medio que tiemble: no les gusta el vacío.
Las ondas sonoras son mecánicas. Transportan palabras, música y ruido hasta nuestros oídos. Son las vibraciones del medio, alcancen o no nuestros oídos. Cuando hay una perturbación inicial (como un golpe de tambor) las vibraciones hacen que las partículas vecinas oscilen adelante y atrás.

Figura 12.2. Transformación de Fourier de la anisotropía del fondo cósmico de microondas, que revela las ondas y frecuencias resonantes en las fluctuaciones de la radiación. Equipo científico del WMAP.
Estas partículas a su vez hacen oscilar a sus vecinas, lo que conduce a una serie de compresiones y rarefacciones que propagan la onda a través del medio. Cuando estas oscilaciones de la presión del aire alcanzan nuestros oídos, nuestro cerebro las interpreta como sonido.
Las diferentes fluctuaciones no parecen tener rasgos interesantes, pero aplicando la transformación de Fourier podemos descomponer el mapa del fondo cósmico de microondas en ondas puras. En la figura 12.2 vemos una llamativa característica de las ondas sonoras. El eje X representa la frecuencia de la onda sonora, y el eje Y su amplitud. Los picos representan las frecuencias resonantes. Como más adelante veremos, estas frecuencias resonantes tienen un papel dominante en la siembra de estructuras cósmicas. Los instrumentos musicales generan sonidos, y podemos entender buena parte de la física del fondo cósmico de microondas mediante una analogía con el funcionamiento de dichos instrumentos.
Para concretar, consideremos cómo generan su sonido los instrumentos. Por ejemplo, al soplar por la boquilla de un saxofón se generan ondas de presión que las moléculas del aire transportan al interior del instrumento. La lengüeta vibra con un amplio rango de frecuencias y constituye la fuente del sonido. También se requiere cierta energía inicial para establecer una diferencia de presión en el aire. Hay muchas ondas posibles que pueden encajar en el tubo. En el caso de una guitarra, su frecuencia fundamental, la más baja que puede producir, es la forma de onda más larga que encaja entre los extremos de una cuerda. Otra manera de describir la frecuencia fundamental —o la fundamental, sin más— es como aquella cuya longitud de onda correspondiente es el doble de la longitud de la cuerda, lo que nos lleva a la siguiente relación útil entre la longitud del instrumento, L, y la longitud de onda λ:
λ = 2L
Hay otra fórmula útil que relaciona la velocidad de la onda con su periodo, T, que es el tiempo que tarda en completar un ciclo. Podemos deducir rápidamente esta fórmula aplicando el razonamiento newtoniano. Sabemos que la distancia cubierta no es más que el producto de la velocidad por el tiempo transcurrido, lo que nos da esta potente relación:
λ = νT
Esta ecuación determina la longitud de onda del tono fundamental si conocemos la velocidad de la onda y su periodo de oscilación. Multiplicando la frecuencia fundamental por un número entero, obtenemos los armónicos superiores, o parciales, que también tienen un papel importante en la cualidad única del sonido de un instrumento conocida como timbre.

Figura 12.3. Ondas estacionarias en una cuerda fijada por ambos extremos. El enésimo armónico representa una longitud de onda igual a 2/n de la longitud de la cuerda, que en esta convención es L = x.
El timbre es un concepto muy importante. Consideremos dos instrumentos, una flauta y un clarinete. Ambos pueden tocar la misma nota, pero cada uno retiene su sonido distintivo que nos permite diferenciarlos. Esta firma única es lo que llamamos timbre. Cuando un instrumento genera una nota, no produce una frecuencia única. Recordemos que una cuerda puede verse como una secuencia de masas unidas por muelles. La frecuencia natural viene dictada por un conjunto infinito de muelles. Cuando se tañe una cuerda, vibra con una amplia gama de frecuencias resonantes a caballo de la fundamental. Dependiendo del material de la cuerda, los armónicos superiores específicos quedarán más o menos amortiguados. Algunos se apagarán porque ciertas frecuencias naturales pierden energía debido a la fricción, y en consecuencia pierden amplitud. Lo que queda se traduce en una signatura única de diferentes amplitudes para los armónicos superiores y, por ende, en un sonido propio.

Figura 12.4. Las propiedades físicas de los distintos instrumentos dan una signatura única que resulta del amortiguamiento característico de armónicos superiores.
El timbre es una energía de vibración característica de un objeto particular, transmitida por el aire. Piénsese en una masa que transmite su movimiento característico a la masa contigua a través de un muelle. Pero así como un muelle no oscila eternamente, debido a efectos amortiguadores como la fricción o la disipación de calor, la eficiencia del acoplamiento de un instrumento con el aire es imperfecta y depende de la frecuencia. En el piano, las frecuencias más altas se acoplan mejor con el aire que las frecuencias bajas. Aplicando la idea de Fourier, la suma total de las frecuencias producidas por un instrumento es el espectro sonoro de una nota individual. Nuestro sistema auditivo capta la frecuencia fundamental como el «tono» e interpreta los armónicos de orden superior como el timbre de un instrumento.[38] Es interesante señalar que, aunque un diapasón genera una onda sinusoidal perfecta, el sonido no es tan rico musicalmente como el de un violín, que tiene un espectro de armónicos superiores más completo.
No hay ninguna ley de la física que requiera la existencia de ondas sonoras en el universo primigenio. Pero si contemplamos el universo joven en su época de plasma como un instrumento musical, la acústica puede arrojar luz sobre el origen de la estructura. Lo que Peebles y Yu descubrieron es que la bola de fuego primordial era un medio donde hubo ondas de presión sostenidas durante 300.000 años. De ser así, entonces podemos aplicar todos los conceptos que acabo de describir para entender la impronta de la propagación de ondas sonoras en el fondo de microondas. Poco después del big bang, la energía inyectada en el plasma en una época anterior (seguramente la inflación cósmica) generó ondas sonoras.
Estas ondas sonoras se sustentaban en dos fuerzas: la gravedad y la radiación. La gravedad hacía que la materia se aglomerara y creaba un exceso de densidad, que de no mediar freno alguno simplemente habría conducido a un colapso demasiado rápido para formar estructuras interesantes a escala cósmica. Por fortuna para nosotros, la luz ejerce una fuerza compensatoria, igual que un muelle, y el plasma primordial estaba repleto de fotones. Cuando un fotón colisiona con un electrón, su momento cinético cambia y ejerce una fuerza en consonancia con la segunda ley de Newton. Los choques de los fotones con los electrones en el plasma primordial ejercían suficiente presión para frenar el colapso gravitatorio. Como resultado, la onda plasmática se expandía, y la presión decrecía. Aquí es donde la gravedad vuelve a entrar en acción para comprimir de nuevo el plasma, y esta danza armónica se convirtió en el primer sonido del universo. De acuerdo con el modelo cosmológico estándar, el universo produjo estos sonidos en secuencia armónica durante los primeros 300.000 años tras el big bang, como un perfecto instrumento musical cósmico.
Las partículas del plasma primordial son altamente interactivas, y la velocidad del sonido en ese medio cercana a la de la luz. Armados con este conocimiento, podemos aplicar la fórmula asombrosamente simple de la longitud de onda para hallar la frecuencia fundamental de la bola de fuego primordial.
Dado que la onda viajaba a una velocidad cercana a la de la luz, y estuvo propagándose durante 300.000 años, podemos aplicar la fórmula anterior para una onda sonora:
λ = νT = 3 × 108 × 300.000 años ≈ 1 Mpc
Vemos que la distancia cubierta por la onda sonora fundamental en la bola de fuego primordial fue del orden de ¡un millón de parsecs! Sorprendentemente, cuando miramos la distribución de los agrupamientos de galaxias catalogados por Geller y Huchra, vemos que ocupan islas precisamente de este tamaño. Las minúsculas ondulaciones descubiertas por Peebles se amplificaron a lo largo de miles de millones de años en las estructuras a gran escala que observamos hoy, y todo partió de ondas sonoras. Pero si el sonido no es más que una combinación de oscilaciones estacionarias, ¿cómo dio lugar a las galaxias y estrellas?
Muchos musicólogos creen que la música no es más que sonido estructurado. Entonces, si la estructura sonora inicial se tradujo en estructura cósmica, ¿significa eso que el universo es musical? En la recombinación, cuando los electrones se ligan a los protones para formar átomos de hidrógeno, la gravedad vence, y los tonos se transmutan en ritmos. Estos ritmos representan el colapso del hidrógeno gaseoso en regiones centrales para formar las primeras estrellas y las protogalaxias. Discutiremos el proceso de formación de estrellas con más detalle en el próximo capítulo.
En resumen, tenemos un cuadro de los primeros momentos del universo, cuando surgió una estructura a partir de un estadio inicial uniforme. Los primeros patrones resultaron de la combinación de ondas sonoras de diversas frecuencias. En un resonador ideal, como una cuerda idealizada, todas las frecuencias se generarían con la misma amplitud o intensidad. Pero cuando analizamos los datos del fondo cósmico de microondas en función de sus frecuencias componentes, vemos que hay un pico más alto (el llamado pico acústico). Esto es similar a lo que ocurre en los instrumentos musicales, donde el pico acústico suele corresponder a la nota que uno oye. Los otros picos revelan el timbre del instrumento y dependen de otros factores físicos, como el material de que está hecho. Igualmente, podemos esperar que los otros picos en el fondo de microondas den información sobre la estructura física del universo. Y, oh maravilla, así es. Por ejemplo, nos hablan de la materia oscura que debe haber existido en el universo primigenio.
Volviendo a lo que aprendí de Leon Cooper, cuando una analogía se desmorona, surge la posibilidad de descubrir algo nuevo. En primer lugar, mientras el plasma cósmico estuvo interpretando su música, el universo se fue expandiendo desde el big bang hasta la formación de los primeros elementos ligeros. Esto implica que las ondas generadas al principio se estiraron con la expansión. Para entenderlo, imaginemos que trazamos una línea en la superficie de un globo. A medida que el globo se hincha y se expande, la línea dibujada se expande con él. Similarmente, las ondas lumínicas se estiran a medida que el espacio se expande.
En segundo lugar, un cálculo simple revela que las ondas sonoras en el plasma primordial habrían viajado a velocidades cercanas a la de la luz. Pero ¿a qué suena el fondo cósmico de microondas? Algunos cosmólogos han transformado las frecuencias de la radiación cósmica de fondo en sonido, y aunque el resultado no es muy musical, tampoco es puro ruido. Lo fascinante es que hubo un sonido cuántico original, que causó las vibraciones primordiales del plasma, y aunque este sonido se ha descrito como ruido blanco, su belleza está en los ojos del observador.
Si las estructuras del universo se derivaron de ondas sonoras, ¿es también musical la naturaleza de estas estructuras? ¿Podemos encontrar en nuestro universo musical análogos del tono, la melodía, la armonía y el ritmo? Así lo creo yo.
Ciento cincuenta millones de años después del big bang, las ondas en el hidrógeno cósmico derivaron en estrellas, y las estrellas se aglomeraron en galaxias, pero esto no es tan simple. A medida que las oscilaciones de densidad aumentan de amplitud con la agregación de la materia, las ecuaciones de onda inicialmente simples se vuelven altamente no lineales. Además, la energía de la atracción gravitatoria en las ondas sonoras primordiales, que afecta únicamente a la materia bariónica ordinaria, es demasiado débil para dar lugar a la red de galaxias que vemos hoy. Se requiere alguna otra forma desconocida de materia para amplificar la atracción gravitatoria: la llamada materia oscura. Esta clase de materia no interactúa directamente con la luz y la materia visible. Observando la rotación de las estrellas en las galaxias, los cosmólogos han reunido pruebas de la existencia de materia oscura. Esta materia oscura proporciona el timbre en la armonía del universo en expansión.
De acuerdo con la mecánica newtoniana, la velocidad de rotación de una estrella en una galaxia será menor cuanto más lejos se sitúe del centro galáctico. Pero Vera Rubin descubrió que las velocidades de las estrellas no decrecían, sino que se aproximaban a un valor constante. La materia oscura, la materia bariónica y los fotones son campos cuánticos, y sus partículas asociadas se crearon del vacío en las primeras fases del universo. Una de las principales vías de investigación en cosmología concierne a la física correcta responsable de la creación de los elementos en el plasma cósmico primordial.
Si se introduce la cantidad justa de materia oscura, las simulaciones por ordenador revelan la formación de grandes redes filamentosas de materia oscura y gas hidrógeno. En los nodos de estos filamentos el gas se densifica, algo parecido a las gotitas de rocío en una tela de araña. Es en estas regiones, llamadas protogalaxias, donde el hidrógeno se compacta gravitacionalmente para dar lugar a las primeras estrellas. A través de la fusión nuclear, la inmensa presión gravitatoria en la estrella convierte el hidrógeno en elementos más pesados. Estas estrellas de primera generación pueden ser hasta un millón de veces más masivas que nuestro sol, y tienen una vida del orden de cien millones de años, antes de morir en forma de supernovas explosivas.

Figura 12.5. Diagrama que abarca diez mil millones de años, centrado en la época de inestabilidad gravitatoria tras la recombinación, hasta la estructura a gran escala en el presente.
En el curso de la historia cósmica ha habido tres generaciones de estrellas, con importantes diferencias entre ellas. Las primeras estrellas, que forman la población III, se componen de hidrógeno y helio. Las estrellas de la segunda generación, la población II, son pobres en metales y más pequeñas que las de la población III. Las estrellas contemporáneas de la población I, como nuestro sol, son ricas en metales y mucho más pequeñas.

Figura 12.6. Gráfica de la velocidad con la que gira una estrella en una galaxia en función de su distancia al centro galáctico. La línea discontinua representa la predicción a partir de la ley de Newton. La línea continua representa la distribución de velocidades observada, lo que requiere la existencia de algún tipo de materia oscura (no radiante).
Las primeras estrellas comenzaron a formarse unos 250 millones de años después del big bang y sólo duraron unos pocos millones de años. Se estima que en nuestro universo observable hay alrededor de diez mil trillones de estrellas.
En el invierno de 2015 estaba dando una charla en el colegio universitario de las islas Caimán sobre cosmología y música. Suelo recurrir a mi saxofón para ilustrar algunas de las ideas que he tratado hasta ahora en este libro. Entre los asistentes a la conferencia estaba el astrofísico Ed Guinan, conocido por ser el codescubridor de los anillos de Neptuno. Ante un vaso de la cerveza local Caybrew, Ed me dijo que debería hacer una incursión en el campo de la heliosismología, que es el estudio de las ondas sonoras en la superficie de las estrellas.
El sol es una bola casi perfecta con una superficie de plasma caliente. La turbulencia crea ondas sonoras en la superficie del sol, similares a los patrones de onda de una campana. Se me puso una sonrisa de oreja a oreja en la cara al enterarme de que todas las estrellas del universo emiten una nota musical. El sonido inicial generado por el plasma primordial se convirtió en estrellas, que a su vez generan sonidos. Descubrí que unos cuantos astrónomos habían comenzado a aplicar la heliosismología para obtener información de la estructura interna de las estrellas a partir de las ondas superficiales. Entonces comprobé que mi visión de un universo musical era más que una analogía, y que se estaba convirtiendo en algo literal.

Figura 12.7. Las estructuras filamentosas en la distribución a gran escala de las estrellas. Los nodos en las intersecciones de los filamentos son protogalaxias.
Las formas de onda en el universo primigenio crearon estrellas. Y las estrellas, en su tumultuosa fusión de elementos químicos, producen sonidos a toneladas. Se organizan en estructuras de orden superior, como sistemas binarios o cúmulos (el equivalente de frases «musicales»). Es más, los millones de estrellas en las galaxias se organizan en estructuras fractales autosimilares, como la estructura fractal hallada en las composiciones de Bach y Ligeti. Me asombró el grado en que la organización de la estructura cósmica imitaba la estructura musical. Cuando una analogía va más allá de las propias expectativas, uno no puede sino preguntarse si la analogía es algo más que eso.
Acabo este capítulo con una cita del revolucionario compositor John Cage:
Definiciones: La estructura en la música es su divisibilidad en partes sucesivas, desde las frases hasta las secciones largas. La forma es el contenido, la continuidad. El método son los medios de controlar la continuidad entre nota y nota. El material de la música es el sonido y el silencio. Componer consiste en integrar todo esto.[39]
Capítulo 13
Un viaje al cerebro cuántico de Mark Turner
Una noche en el Village Vanguard, durante el intermedio, no podía creer las palabras que escuché en boca de uno de los más excelsos saxofonistas de jazz de Nueva York: «Cuando estoy en medio de un solo, cuanto más seguro estoy de la siguiente nota que tengo que tocar, más posibilidades se abren a las notas que siguen». Quien decía esto era Mark Turner, uno de mis héroes vivos del saxo tenor. Era la primavera de 2002, y tras pasar años buscando una relación más profunda entre la improvisación jazzística y la física, las palabras de Turner me confirmaban que no estaba alucinando. Su frase se impuso sobre todos los desaires de otros músicos y científicos con quienes había intentado discutir la relación de la música con conceptos físicos. La intuición de Turner sobre las posibilidades que se abren en medio de una improvisación se relacionan directamente con las incertidumbres mecanocuánticas en el universo primigenio. Su frase me proporcionó un modo de enfocar la cuestión de cómo surgió toda la materia y todos los campos, y la estructura cósmica asociada, a partir de un estado de vaciedad inicial. Después de todo, tuvo que haber alguna clase de magia en nuestro universo primigenio uniforme que diera lugar a las primeras estructuras.
Mark Turner tenía una trayectoria interesante para un músico de jazz. Comenzó a tocar el clarinete en la escuela primaria. En la universidad tuvo un corto romance con el arte comercial, hasta que encontró su verdadero amor, el saxo tenor, y fue a la prestigiosa Escuela de Música de Berklee antes de trasladarse finalmente a Nueva York. Durante unos años trabajó en Tower Records, en Manhattan, antes de dedicarse exclusivamente al jazz, principalmente como colaborador. Durante todo ese tiempo estuvo trabajando en su música, y al final, en opinión de muchos instrumentistas de viento, consiguió convertirse en la reencarnación de John Coltrane.
Muchos músicos de jazz tienen complejo de inferioridad respecto de Coltrane. Además de su talento musical natural, Coltrane practicaba más de lo que la mayoría de nosotros consideraría humanamente posible: como Charlie Parker, a menudo dedicaba hasta catorce horas diarias a practicar su instrumento. Pero una de las cualidades que contribuyeron a su canonización fue su versatilidad estilística, pues dejó pocas piedras musicales sin levantar. Tras Giant Steps, su obra maestra de hard-bop, que estableció su maestría armónica, Coltrane exploró el sistema microtonal de la música india y diversos géneros polirrítmicos africanos. Y no se detuvo aquí. Hacia el final de su vida delineó los sonidos cósmicos del free jazz, ejemplificados por la pieza A Love Supreme. También ideó sus armónicamente exuberantes «capas de sonido»: una rápida ráfaga de arpegios[40] que se percibe como un acorde. Naturalmente, cualquier maestro del saxo tenor contemporáneo que quiera dejar huella vivirá a la sombra de Coltrane.
Turner es uno de los pocos intérpretes de saxo tenor posteriores a Coltrane que ha sido capaz de crear su propio estilo. Lo consiguió mediante la práctica de la transcripción, un método que le permitió diseccionar analíticamente y amalgamar las obras de varios grandes, sobre todo John Coltrane, Joe Henderson y Dexter Gordon.[41] Esto no es hacer trampa: es completamente legítimo y esencial para los músicos dedicarse a dominar la obra de los grandes, y la mayoría lo hace (yo también). Pero lo que le dio a Turner su voz única fue su exploración de Warne Marsh (un saxofonista conocido por los aficionados, pero no tanto por el gran público). El gran avance de Turner llegó cuando consiguió combinar el estilo «pirado» de Marsh con las capas de sonido de Coltrane.[42]
Marsh era discípulo del compositor y pianista Lennie Tristano. Nacido en Chicago, Illinois, en 1919, Tristano se quedó completamente ciego a los seis años. A pesar de ello fue al prestigioso conservatorio de Chicago, donde su tía tomaba apuntes para él. Tras trasladarse a Nueva York, Tristano concibió una versión altamente armónica e improvisativa del bebop, que se resume en una declaración suya en una entrevista: «No compongo nada [...] ésa es la diferencia entre las otras formas de música y el jazz. La música ya está en tu cabeza, y lo que haces es dejar que tus manos reproduzcan lo que oyes mientras lo oyes. Así que el resultado es algo completamente espontáneo».[43]
No nos dejemos engañar. Hacer eso no es tan simple como suena, y menos si se piensa en el significado del término «espontáneo» en el contexto de la improvisación. Volviendo a mis primeros encuentros con el free jazz, al principio interpreté ingenuamente el modo de tocar espontáneo como algo aleatorio: «Simplemente toca lo que te venga a la mente, aprieta clavijas y sopla». Superficialmente puede parecer que es así como tocan estos tíos, pero esa espontaneidad es producto de años de práctica, memorización y errores al tocar notas «equivocadas». La magia de la improvisación se expresa en la frase de Tristano: «La música ya está en tu cabeza». Ahora bien, ¿cómo mete la música en su cabeza un buen improvisador? Para conseguir esta hazaña, el método de Tristano requería una comprensión profunda de la teoría musical y la armonía, y luego había que plasmar ese conocimiento teórico. Para ello hacía que sus alumnos memorizaran y cantaran solos completos de maestros del jazz. Este repertorio adiestraba el oído interno del músico y le permitía crear más música con sentido de manera espontánea.
Con las palabras de Turner en mente, me preguntaba si había una ciencia detrás de la improvisación. Puede que esto fuera un intento de racionalizar la improvisación, pero de hecho, a lo largo de 2002 aprendí que no se trata tanto de que la música sea científica como de que el universo sea musical. La música y la improvisación, que me había inspirado a tocar el saxo en mi adolescencia, habían estado ahí siempre para ayudarme a entender el funcionamiento interno de la mecánica cuántica y, por extensión, la estructura del universo. Pero me hizo falta un catalizador —Mark Turner— para verlo.
Permítaseme repetir la cita de Turner: «Cuando estoy en medio de un solo, cuanto más seguro estoy de la siguiente nota que tengo que tocar, más posibilidades se abren a las notas que siguen». El recíproco es que cuanto más dudaba de la siguiente elección, menos posibilidades se le abrían. En cuanto escuché esto, me di cuenta de que me hubiera beneficiado de haberlo oído mucho antes. Se me puso una sonrisa de oreja a oreja en la cara y le di las gracias. Todavía sigue sin tener idea de lo importante que fue aquella conversación para mí, y de cómo me hizo sacudirme de encima mi confusión sobre uno de los principios más sagrados de la mecánica cuántica, necesario para entender de qué manera el universo podía haberse servido de esta magia cuántica para crear las estrellas, las galaxias y nosotros: el principio de incertidumbre de Heisenberg. Ya va siendo hora de que se lo cuente.
El mundo está lleno de incertidumbre, pero no así el mundo ideal de la física macroscópica clásica. De acuerdo con las leyes físicas y las ecuaciones que gobiernan el mundo macroscópico, como las del electromagnetismo o la mecánica newtoniana, en principio podemos conocer el comportamiento futuro de los objetos con independencia de lo complejos que sean o del número de partículas interactivas que los constituyan. El gran matemático francés Pierre-Simon Laplace formalizó esta filosofía: de acuerdo con su análisis, una vez se especifican la posición y la velocidad iniciales de los objetos en un sistema físico, sus trayectorias futuras pueden conocerse con toda certidumbre. Pero he añadido «en principio» porque cuando vamos más allá del dominio clásico y entramos en el dominio cuántico, la incertidumbre adquiere un papel fundamental.
La mecánica cuántica fue fruto de los esfuerzos por explicar un puñado de hechos experimentales que inicialmente se catalogaron como anomalías menores. Uno era el experimento de Ernest Rutherford con láminas de oro, que estableció que los átomos eran mayormente espacio vacío, con un núcleo masivo de carga eléctrica positiva, rodeado de una nube difusa de carga negativa. Se pensaba que dicha nube consistía en electrones orbitantes, lo cual planteaba un problema. En el mundo macroscópico, los objetos orbitantes están necesariamente acelerados hacia el centro de un círculo. Pero cuando una partícula cargada tal como un electrón se acelera, pierde energía al liberar radiación en forma de ondas electromagnéticas. Esta pérdida de energía haría que el electrón se precipitase rápidamente en espiral hacia el núcleo, lo que imposibilitaría la existencia de átomos estables. Y sin átomos estables no habría moléculas estables ni posibilidad alguna de vida, lo cual es una mala noticia. Ahora bien, está claro que hay átomos y moléculas estables, lo cual es una noticia aún peor para la física convencional.
Para hacerle las cosas aún más difíciles a la física clásica, otros experimentos demostraban que cuando un rayo de luz atraviesa un gas compuesto de átomos de hidrógeno, sólo emerge un conjunto discreto de colores del espectro. Es como apretar todas las teclas de un órgano esperando oír una mezcla de sonidos, pero en vez de eso sólo se oyen dos notas. La teoría electromagnética clásica era incapaz de explicar este resultado. De algún modo, la nube continua de electrones orbitantes debía reemplazarse por algo así como «teclas sueltas».
Hicieron falta unos cuantos descubrimientos para resolver estos dos enigmas. Fueron Max Planck y Albert Einstein quienes mostraron que la luz, que se consideraba un fenómeno puramente ondulatorio, también podía comportarse como un haz de partículas. Lo que propusieron es que la luz podía venir en paquetes de energía llamados fotones, los cuales podían golpear un electrón como una bola de billar y expulsarlo de un metal (el llamado efecto fotoeléctrico). Pero esto lo trastocó todo. Hasta entonces los físicos habían dado por sentado que un haz de luz era como agua saliendo de una manguera. Si el caudal de agua aumenta, el momento cinético del agua aumenta. Se esperaba que las ondas lumínicas se comportaran igual, pero lo que se veía en el efecto fotoeléctrico era otra cosa. El número de electrones que salían despedidos del metal era independiente de la intensidad de la luz. Sin embargo, al incrementar la frecuencia de la luz (esencialmente, hacerla más azul) aumentaba el número de electrones desprendidos. Las conclusiones de este experimento fueron:
- Dependiendo de la situación, la luz podía comportarse como una onda o como una partícula.
- La energía cinética que un haz de luz transfiere a un electrón depende de la frecuencia de la luz y no de su intensidad.
Estas conclusiones eran increíbles. Muchos físicos de la época pensaban que el fotón era intrínsecamente una onda, y que su comportamiento análogo al de una partícula sólo surgía cuando las ondas se empaquetaban (algo muy parecido al empleo que hacía Eno de la idea de Fourier para sumar ondas y producir pulsos de sonido). Pero esta explicación era demasiado ingenua. Einstein llegó a decir: «Hoy día todo hijo de vecino piensa que sabe lo que es el fotón, pero se equivoca».[44]
Me sigue asombrando el genio de Einstein para ir al meollo del asunto. En su búsqueda de una explicación del efecto fotoeléctrico, Einstein encontró una relación elegante y fundamental para la energía de la luz:
E = hf
Esta ecuación relaciona la energía de un fotón, E, con su frecuencia, f, y con h, la famosa constante de Planck (que Einstein heredó del físico Max Planck), y refleja que los fotones son paquetes de energía discretos y no continuos, como normalmente concebimos la luz. Planck había estudiado la radiación emitida por objetos en equilibrio térmico con su entorno, los llamados cuerpos negros, y determinó que, para explicar las observaciones, la luz debía cuantizarse según la relación E = hf. Einstein recurrió a esta ecuación para dar cuenta del carácter discreto de la energía lumínica en el efecto fotoeléctrico, y explicó satisfactoriamente los resultados.
Hizo falta un destello de genio por parte del joven doctorando y violinista Louis de Broglie para que el trabajo de Einstein sobre el efecto fotoeléctrico sirviera para resolver el problema de la estabilidad de los electrones orbitantes. De Broglie sugirió que si, como nos había dicho Einstein, las ondas pueden comportarse como partículas, ¿por qué las partículas no pueden comportarse como ondas? Lo que hizo De Broglie fue asociar una propiedad de las partículas, el momento, con las ondas, e imaginar los electrones no como miniplanetas girando alrededor del núcleo atómico, sino como ondas estacionarias en una cuerda.
Como hemos visto, una cuerda puede vibrar con oscilaciones periódicas. Fijada por ambos extremos, la cuerda resonará a ciertas frecuencias. La resonancia se deriva de que las ondas en la cuerda viajan en ambos sentidos, sumándose o cancelándose mutuamente. Se crean ondas estacionarias, cuyos nodos permanecen fijos mientras las crestas suben y bajan periódicamente. De Broglie conjeturó que el momento de un electrón podía asociarse con la longitud de la onda estacionaria orbital, de modo similar a la relación entre la energía de un fotón y la frecuencia, lo que describió matemáticamente como:

En esta ecuación, p es el momento del electrón en su movimiento alrededor del núcleo, y λ es la longitud de onda. Es asombroso que esta ecuación sea una realidad física, porque establece que la longitud de onda «orbital» de un electrón, una propiedad de las ondas, está relacionada con la rapidez con la que gira alrededor del núcleo, su momento. Cuanto mayor sea la longitud de onda, más lenta y ligera será la partícula (recuérdese que el momento es el producto de la masa por la velocidad de una partícula).
La ecuación de De Broglie vale no sólo para los electrones, sino para cualquier forma de materia cuantizada. La constante de Planck establece la escala para la manifestación ondulatoria de las partículas. Es un número muy pequeño, lo que significa que no percibimos el carácter ondulatorio de la materia macroscópica porque nos movemos muy despacio en comparación con las veloces partículas cuánticas. Si fuéramos lo bastante pequeños captaríamos nuestra propia naturaleza ondulatoria. La conexión de De Broglie entre la longitud de onda de una partícula y su momento está en el núcleo del famoso principio de incertidumbre. Y fue Werner Heisenberg quien lo formuló con precisión matemática.
Una buena manera de entender el principio de incertidumbre es considerar una onda de la que conocemos con certeza su frecuencia, como un tono puro. La pregunta ahora es: ¿dónde está la onda? Con sus numerosas oscilaciones periódicas, la onda se distribuye a lo largo de una gran distancia, lo que significa que una onda de frecuencia definida tendrá una posición arbitraria. Ahora consideremos un pulso de onda, que sólo existe durante un lapso de tiempo corto, como un golpe de tambor. Puedo localizar el pulso, pero su frecuencia no está bien definida, porque determinarla requiere muchos ciclos repetitivos, y un pulso es demasiado corto. Esto es lo que dice el principio de incertidumbre de Heisenberg: cuanto más podemos precisar la posición, menos podemos precisar la frecuencia, y viceversa. Pero acabamos de ver que la frecuencia es proporcional al momento, de modo que cuanto más precisa es la posición, más impreciso es el momento, y viceversa, lo que puede formularse matemáticamente así:

Aquí Δx es la incertidumbre de la posición, y Δp es la incertidumbre del momento.
Esto es increíblemente profundo. Cuando los científicos quieren comprender la naturaleza, emplean instrumentos para sondearla y medirla. Lo que nos dice el principio de incertidumbre es que, con independencia de lo minuciosos que seamos y de la precisión de nuestros instrumentos, nunca podremos determinar a la vez las propiedades de partícula y las propiedades de onda de una entidad cuántica, ya sea un fotón, un electrón, un quark o un neutrino. El principio de incertidumbre es una ley fundamental de la naturaleza, del universo, tanto si estamos ahí para hacer mediciones como si no.
Entonces, ¿qué tiene la visión de Mark Turner de la improvisación que cambió mi concepción del principio de incertidumbre? Turner decía que cuanto más seguro estaba de la nota que iba a tocar, más posibilidades se le abrían para las notas subsiguientes. Reformulemos el principio de incertidumbre en consonancia con esta idea: cuanto más seguros estemos del momento de una partícula, más posibilidades hay para la posición en la que puede encontrarse. Esto nos lleva al meollo de la mecánica cuántica: nuestra incertidumbre no es más que el reflejo de la libertad de una partícula cuántica para un atributo físico particular.
Lo que de verdad refleja el principio de incertidumbre es el hecho de que una entidad cuántica no es ni una onda ni una partícula, sino que posee ambos atributos simultáneamente. La esencia de este principio es la idea de Fourier. Se puede crear un pulso de onda sumando un puñado de ondas puras con frecuencias definidas. Similarmente, la propiedad de partícula (un pulso) puede emanar de la propiedad ondulatoria, y viceversa.
La teoría pitagórica de la armonía de las esferas se ha visto finalmente realizada en la mecánica cuántica, pero al nivel microscópico, no macroscópico. En la hipótesis de De Broglie, cada «órbita» de un electrón es una onda correspondiente a un tono puro. La materia y las ondas son una y la misma cosa. Niels Bohr llamó «complementariedad» a esta idea de que la materia cuántica tiene propiedades de onda y de partícula. Pero para entender de verdad el origen de esta complementariedad tuvo que venir Erwin Schrödinger con la que quizá sea la ecuación más importante de toda la física, y quizá de toda la ciencia: la ecuación de Schrödinger.
Aunque la versión de la mecánica cuántica que acabo de describir —el principio de incertidumbre— tiene casi todo lo que hace falta para ayudarnos a entender el origen de la estructura cósmica, tenemos que hacerla compatible con la teoría de la relatividad general de Einstein, donde se enmarca el universo en expansión. Cuando lo hagamos, la mecánica cuántica tendrá dos rasgos que serán esenciales para entender la estructura del universo: el vacío y las antipartículas.
Tras el descubrimiento de la mecánica cuántica y la teoría de la relatividad de Einstein a finales de la década de 1920, Paul Dirac quería entender la teoría cuántica de los electrones que giran alrededor de los núcleos atómicos casi a la velocidad de la luz. Dirac acudió a la relatividad porque la mecánica cuántica ordinaria sólo era válida para la mecánica newtoniana no relativista, y dejaba de serlo en el dominio relativista. Por lo general, las partículas subatómicas no alcanzan velocidades cercanas a la de la luz, pero el universo primigenio era increíblemente energético. Las partículas iban lanzadas como un atleta atiborrado de esteroides (esteroides cuánticos).
Cuando los electrones se mueven a velocidades próximas a la de la luz, hay marcos de referencia donde parecen tener energías negativas. Las partículas con energía negativa son problemáticas, y los físicos suelen tratarlas como entes no físicos. Dirac abandonó este enfoque tradicional y, con un golpe de genio, identificó los electrones de energía negativa como partículas nuevas con carga positiva y energía positiva. Era la primera propuesta teórica de una antipartícula. Un año más tarde, la existencia del positrón, la antipartícula del electrón predicha por Dirac, se confirmó experimentalmente, lo que le valió el Premio Nobel. La unificación entre relatividad y mecánica cuántica asociaba cada partícula con su antipartícula. De aquí nació una teoría concreta del vacío.

Figura 13.1. Diagrama de Feynman de un electrón (e–) y un antielectrón o positrón (e+) aniquilándose mutuamente para producir un fotón de luz (γ). Las líneas punteadas representan el movimiento del electrón y del positrón. Las líneas onduladas representan el movimiento de la luz.
Si un electrón y un positrón colisionan, la carga total es cero. se aniquilan mutuamente, y la energía contenida en sus masas se disipa en forma de fotones.
La reacción inversa sería que dos fotones con una energía igual a dos veces la masa del electrón colisionaran, con lo que se crearían un electrón y un positrón del vacío.
Resulta que estas cosas pasan continuamente de manera espontánea. Por eso, a pesar de nuestra concepción intuitiva del vacío, en virtud del principio de incertidumbre de Heisenberg, el vacío en sí, a la escala más pequeña, no está vacío. Así como la posición y el momento están íntimamente conectados a través del principio de incertidumbre, hay una formulación equivalente que relaciona el tiempo y la energía:

Lo que nos dice esta fórmula es que cuanto más corta sea la duración de un proceso cuántico, más amplia es la gama de energías a las que puede acceder el sistema cuántico, y viceversa. Cuando seres macroscópicos como nosotros observamos el espacio vacío, la escala temporal es demasiado grande para que notemos alguna incertidumbre energética. No vemos nada más que espacio-tiempo vacío. Pero si nuestros ojos tuvieran la capacidad de sondear escalas de tiempo más cortas, como una cámara cuántica de alta velocidad, veríamos surgir constantemente partículas y antipartículas, con sus correspondientes colisiones. Este rasgo de la teoría cuántica de campos es equivalente a entender el origen de los primeros sonidos que condujeron a los tonos del plasma primordial. En el universo primigenio estamos tratando con escalas temporales insondablemente pequeñas. El principio de incertidumbre nos dice que, en correspondencia, la energía del universo sería altamente incierta y fluctuante. Estas fluctuaciones perturbadoras del espacio-tiempo al principio de la vida del universo habrían generado un caos de partículas en colisión, justo la clase de situación que habría creado la anisotropía del fondo cósmico de microondas descubierta por los físicos del siglo XX. El cosmos infantil no era uniforme porque el principio de incertidumbre no permite esa uniformidad a tales energías y escalas de tiempo tan cortas. La uniformidad y simetría del cosmos copernicano quedó rota por la física cuántica y las escalas relativistas.
———Mensaje original———
De: <donharmusi>
Fecha: viernes 1 de junio de 2012 8:42
Para: <salexand>
Asunto: Saxofón jazz
Querido Dr. Alexander, mi nombre es Donald Harrison, y también toco el saxofón. Grabé un tema titulado «Salto cuántico», que es lo que me ha llevado a escribirle hoy. Adjunto la pieza y alguna información sobre lo que críticos, músicos y yo mismo pensamos de este concepto. Permítame decir que, aunque no estoy a la altura de su comprensión de este asunto, me encantaría oír sus reflexiones sobre esta música. Mi aproximación a este concepto es más desde el corazón, porque mi formación es limitada. Pero, a pesar de mis limitaciones, espero que tenga un momento para escuchar mi pieza. También espero que tenga un momento para enviarme un comentario. Le deseo lo mejor.
Gracias,
Donald Harrison
Parecía un día corriente en el Haverford College, donde yo tenía una plaza de profesor, pero entonces recibí este mensaje por correo electrónico del legendario saxofonista Donald Harrison.
Donald y yo mantuvimos unas cuantas conversaciones largas, y sus intuiciones me ayudaron a llevar la analogía entre la mecánica cuántica y las improvisaciones jazzísticas aún más lejos de lo que había ido con Turner. En este caso, la aparición de la estructura cósmica requiere una comprensión de la estructura del vacío y el movimiento cuántico de partículas y campos en el espacio-tiempo. Y la graciosa sorpresa es que el movimiento cuántico según Feynman se parece mucho a un solo de jazz.
Imaginemos que estamos en el escenario con nuestro instrumento de elección en la mano, digamos una trompeta. La batería se balancea al unísono con el contrabajo a lo largo de una línea de blues. El tema es All Blues, de Miles Davis. El saxofonista acaba de terminar su solo, y ahora es nuestro turno. No hay tiempo para pensar: simplemente hay que tocar. Habremos comprobado qué notas irán bien con la armonía (la clave en la que se toca la pieza). Nuestro oído captará la métrica y el ritmo (los tiempos por barra). Si se trata de blues, la armadura será distintiva, reconocible, de modo que si tocamos cualquiera de las notas de la escala del blues, al menos tendremos un sonido que armonizará con el del resto de la banda.
Un improvisador más experimentado que se haya aprendido todas las notas de la escala de memoria entenderá la importancia armónica relativa entre las notas. Por ejemplo, la escala de blues contiene sólo seis de las doce notas de la escala occidental. Para la escala basada en La, las notas son La, Do, Re, Mi bemol, Mi y Sol. Un improvisador inexperto podría tocar al azar cualquiera de estas notas y la cosa sonaría bien, pero un improvisador experimentado habría adquirido un «vocabulario» con estas notas. Wynton Marsalis lo expresa inmejorablemente:
En el jazz, la improvisación no consiste sólo en tocar y a ver qué sale. El jazz, como cualquier lenguaje, tiene su propia gramática y su propio vocabulario. No hay nada correcto o incorrecto, simplemente unas elecciones son mejores que otras.[45]

Figura 14.1. Las notas de la escala de blues basada en Do.
El vocabulario del jazz es análogo a las frases del lenguaje hablado. Empleamos letras para componer palabras, y luego las juntamos en frases o enunciados. Las notas son como las letras, las escalas y los acordes son como las palabras, y los «licks» o pautas del jazz son como las frases. Así pues, aunque limitarse a tocar una escala o acorde arriba y abajo pueda no sonar mal durante un solo, un músico experimentado ha memorizado muchas frases de la tradición jazzística, que luego puede desplegar con facilidad durante un solo. De manera similar, podemos aprender a escribir bien emulando a los grandes de la lengua, como un Shakespeare o un Toni Morrison. Después de todo, ¿por qué reinventar la rueda? El saxofonista Eric Alexander me pasó una larga frase que a su vez le había pasado George Coleman, y me dijo que la aprendiera en las doce claves. Aunque la improvisación tiene que ver con la novedad, también tiene que ver con la cantidad de frases de los maestros del pasado que se han internalizado, lo que yo llamo fraseología. Pero lo que he descrito aquí no es más que una estrategia de improvisación. Porque, a un nivel más fundamental, la improvisación es mucho más.
Hay muchas estrategias para improvisar una línea de jazz coherente. Aplicada con cuidado, hasta la repetición funciona. El libro de Hal Crook sobre la improvisación, Ready, Aim, Improvise!, es una joya. Pero el punto principal es que la improvisación en el jazz no es un proceso aleatorio, sino una función de la memoria, de la creatividad y, para los mortales como yo, del número de horas dedicadas a practicar.
Uno de los más grandes improvisadores de todos los tiempos es Sonny Rollins. Y una de sus técnicas es lo que el crítico Gunther Schuller ha llamado improvisación temática.[46] Schuller introdujo este concepto en un artículo histórico donde analizaba un famoso solo incluido en un blues titulado Blue 7. Rollins comienza su solo con un tema de tres notas, que emplea como armazón para construir un solo más complejo. A medida que el solo continúa, Rollins transforma el tema simple inicial en variaciones intrincadas sobre el ritmo y la armonía. El tema era como un esqueleto que guiaba la evolución del solo. Otra importante estrategia de improvisación temática consiste simplemente en embellecer la melodía del tema en el curso del solo. Es habitual perderse en medio de un solo, y volver a la melodía o tocar en torno a la misma le hará a uno recuperar el hilo.
Fui bendecido con la oportunidad de mantener unas cuantas conversaciones largas con Sonny Rollins en el invierno de 2015. Cuando le pregunté sobre la improvisación temática, me respondió: «Stephon, aprecio el artículo de Gunther Schuller, pero practico sin parar, y cuando toco no toco lo que practico. No puedes pensar y tocar al mismo tiempo. Cuando toco, no quiero tocar la música, quiero que la música me toque».
Ahora imaginémonos en medio de nuestro solo. En mecánica cuántica, el acto mismo de la observación perturba el sistema: si un electrón no es observado, describirá muchas trayectorias al mismo tiempo. En el estado de improvisación pura, según los comentarios de Sonny Rollins y Donald Harrison, y por experiencia propia, hay momentos en los que el intérprete no «observa» las notas que está tocando, y como el electrón cuántico, las notas parecen efectuar una danza cósmica. Si uno no toca nada, el ritmo sigue, como el inevitable flujo del tiempo cuando uno se sienta sin hacer nada. Cada improvisación es una experiencia nueva, no una reiteración de experiencias pasadas, sino algo nunca antes realizado. Una línea de bajo puede resultar familiar, pero más allá de eso es una paleta fresca.

Figura 14.2. Sonny Rollins. Fotografía de John Abbott.
Como hace la mayoría cuando afronta algo nuevo, procedes con precaución, limitándote a las siete notas de la escala del blues. Primero las tocas con lentitud, pero pronto ves que el resultado no es demasiado malo. La confianza asciende un escalón. Los miembros de la banda, como buenos jazzistas, te respaldan y no te juzgan; te dan espacio para hacerte con las notas. Y comienzas a divertirte.
En la siguiente actuación, vuelves a esa escala de blues internalizada, y hasta algunas pautas de un solo favorito de Charlie Parker que guardaste en tu memoria. Encuentras algunas frases en su solo que te gustan y aprendes a tocarlas en las doce claves. Constatas en cualquier momento de tu solo que eres consciente de las siete notas al mismo tiempo. Es más, esta familiaridad significa que eres bien consciente del hecho de que la siguiente nota que toques depende de las notas previas que has tocado. Las posibilidades de tocar una de esas siete notas están condicionadas por la memoria y el repertorio, y esto ocurre en tiempo real. La intuición de Mark Turner se hace realidad.
Esta expresión improvisativa está en el núcleo de la formulación de Richard Feynman de la mecánica cuántica. En la física newtoniana clásica, una partícula parte de un instante inicial y viaja por el espacio para acabar en reposo en un momento posterior, describiendo una trayectoria determinista, continua y unidimensional. Feynman vio que cuando una partícula cuántica se mueve entre dos puntos, hay que considerar todas las trayectorias entre ambos puntos, todas las trayectorias son una posibilidad mecanocuántica, si bien no igualmente probables, lo que se parece mucho a un músico que considera todas las notas de una escala antes de decidir cuál tocar en un solo improvisado. Sustituyamos las notas por partículas cuánticas y la improvisación por la probabilidad, y la analogía está completa.
Cuando se me ocurrió esta analogía entre la improvisación jazzística y la integral de caminos de Feynman pensé que estaba perdiendo la chaveta, así que cuando Donald Harrison me propuso por correo electrónico una idea similar, me resultó confortador encontrar a alguien tan chalado como yo. Por el lado jazzístico, Harrison intentaba comunicar la idea clave de conocer sólo las notas inicial y final, sin nada entre ambas aparte de tiempo. El músico improvisa entonces una trayectoria musical que conecta esas dos notas. La nota final o «diana» es fundamental para el camino que toma el improvisador. En Playing in the Yard, el solo de Sonny Rollins comienza en Re, y la nota diana es Sol, siendo la relación armónica entre ambas notas una quinta perfecta. Las otras notas de la escala trazan una trayectoria a lo largo del tiempo que conecta las notas inicial y final.
Un momento antes de tocar una línea, el improvisador experimentado considera de manera subconsciente todas las notas —o trayectorias— posibles. Se está tocando una trayectoria de notas que de hecho es una integración de todas las posibilidades.
¿Cómo «considera» el universo todas estas posibilidades? Cada trayectoria tiene una probabilidad en relación con las otras. Sólo cuando se suman todas las probabilidades para todas las trayectorias se obtiene la trayectoria real más probable, que es la que se observa. Igualmente, el experimentador improvisado «integrará» la probabilidad relativa de cada nota.

Figura 14.3. Una trayectoria clásica describe un camino único. A la derecha se muestra una trayectoria cuántica, que considera todos los caminos posibles entre dos puntos.[47]
En la realidad cuántica, la trayectoria que resulte de sumar todas las probabilidades será vaga, representando la incertidumbre inherente a un sistema cuántico identificada por Heisenberg. ¿Cómo es posible este comportamiento aparentemente mágico? El truco es que cada trayectoria potencial corresponde a una onda cuántica, y las ondas tienen una propiedad única que no tienen las partículas: pueden interferirse unas a otras de manera constructiva o destructiva (la vieja idea de Fourier en acción). La mayoría de las trayectorias alejadas de la trayectoria real se interferirán destructivamente y no se observarán. Otras trayectorias, en cambio, se realzarán unas a otras constructivamente, lo que se traduce en un incremento de la probabilidad de que se manifieste la trayectoria clásica observada. Esto refuerza la analogía y saca a relucir una cuestión fascinante. Dado que las notas también son ondas, ¿podría ser que se diera una suerte de interferencia en los cerebros de improvisadores «cuánticos» como Coltrane, Rollins, Turner y Harrison, al decidir qué notas tocar de entre todas las posibilidades? Sólo un elaborado escáner cerebral lo dirá. El caso es que mi colega Michael Casey está estudiando escáneres cerebrales de músicos y no músicos cuando piensan en ideas musicales.

Figura 14.4. Una trayectoria descrita por Sonny Rollins durante un solo improvisado.
La integral de caminos de Feynman es una parte importante de la conceptualización mecanocuántica, que facilita a los físicos la visualización y organización matemática de la trayectoria de una partícula, igual que algunos músicos de jazz han ideado maneras de conceptualizar la línea que van a tocar. La integral de caminos de Feynman fue el salto conceptual clave que permitió a los físicos entender cómo las propiedades ondulatorias y de partícula intrínsecas de la materia cuántica pueden juntarse para explicar el movimiento cuántico. Feynman y sus colaboradores descubrieron que, a altas energías, las partículas y sus ondas asociadas debían reemplazarse por campos. La integral de caminos también se convirtió en el entramado de los campos cuánticos, lo que significaba que no sólo podía describirse el movimiento de las partículas cuánticas, sino también su creación y destrucción a partir del vacío. Entender cómo funciona la naturaleza improvisativa de los campos cuánticos en el vacío es esencial para entender la generación de las piezas de construcción de la materia en el universo, que dieron lugar al plasma que comprende el océano cósmico de fotones, electrones y protones en el fondo cósmico de microondas. Lo que veremos a continuación es otro aspecto musical de la estructura del universo.
A medida que ahondemos en la naturaleza sónica de nuestro universo y el origen de su estructura, veremos que buena parte de la materia de nuestro universo emanó de la resonancia de campos cuánticos, de modo parecido a las notas musicales que surgen de la resonancia de cuerdas vibrantes. La teoría cuántica de campos es en la actualidad el paradigma unificador fundamental de nuestro universo. Un ejemplo de campo familiar para la mayoría es el campo magnético. A diferencia de las fuerzas de contacto ordinarias, los imanes ejercen una fuerza a distancia porque de ellos emana un campo magnético invisible. Las líneas de campo son invisibles a los ojos, pero pueden visualizarse colocando limaduras de hierro sobre un papel alrededor de un imán de barra. Las limaduras se alinearán de un polo magnético al otro, poniendo de manifiesto las líneas de campo. Cuanto más se curven las líneas, más intensa es la fuerza magnética. Uno de los misterios de la cosmología es la existencia de campos magnéticos que abarcan distancias galácticas, y todavía no sabemos ni cómo ni por qué están ahí.[48]
Una inspección más de cerca revela que las líneas de campo se concentran en los polos norte y sur del imán, lo que sugiere que parten de ellos, de modo que un campo magnético puede caracterizarse matemáticamente mediante una función que a cada punto del espacio le asigna una dirección (para la curvatura) y un número (para la intensidad). Este tipo de función se denomina campo vectorial, y en el caso del campo magnético le colocamos una flecha en lo alto para significar su direccionalidad. A diferencia de una partícula, que se describe como un punto, los campos son entidades que se distribuyen de manera continua por el espacio.
Cuando se descubrió la mecánica cuántica, los físicos ya conocían campos continuos como la electricidad y el magnetismo. De hecho, James Clerk Maxwell fue capaz de combinar la electricidad y el magnetismo en una sola entidad, otro campo vectorial al que a menudo nos referimos como potencial vectorial. Para que los electrones den saltos cuánticos de un nivel de energía a otro en los átomos tienen que interaccionar con fotones y emitirlos. Y la física para cuantizar cualquier campo (incluyendo el potencial vectorial del electromagnetismo, el fotón) es similar a la obtención de las vibraciones sinusoidales simples de una cuerda que hemos visto en el capítulo 8. Igual que hemos aplicado la idea de Fourier para expresar cualquier vibración complicada de una cuerda, podemos aplicarla al potencial vectorial y expresarlo como una suma infinita de ondas que difieren en una frecuencia entera. Por ejemplo, un fotón de una frecuencia dada sería una onda sinusoidal pura del potencial vectorial con una frecuencia cuantizada. El campo fotónico (el potencial vectorial cuantizado) sería, por lo tanto, una colección infinita de fotones de valores enteros. Así como los espines cuánticos en el modelo de Ising pueden interactuar para controlar la cantidad de magnetismo, diferentes campos cuánticos pueden interactuar para dar la plétora de comportamientos que observamos en nuestro mundo.
Después de sondear la estructura de la materia con aceleradores de partículas, ahora sabemos que toda la materia y los portadores de las cuatro fuerzas fundamentales emanan de campos. En lo que respecta a la materia visible del universo, hay dos tipos básicos de campos: fermiones y bosones. Los bosones son los campos que transportan las fuerzas, y los fermiones constituyen la materia. En el caso del átomo, el fermión es el electrón, y el bosón es el fotón. Ambos interactúan para hacer que el electrón emita un fotón y dé un salto cuántico hacia abajo, o absorba un fotón y dé un salto cuántico hacia arriba. Además del electrón y del fotón hay unos cuantos fermiones y bosones más. Los cuantos, o vibraciones armónicas de los campos, son las partículas. Tres de los campos bosónicos son responsables de las fuerzas gravitatoria, electrodébil y fuerte. Pero aún más pasmoso es que todos los electrones (los de nuestro cuerpo, los de las estrellas, y los que se distribuyen por todo el universo) surgen como vibraciones de un campo electrónico universal que impregna el vacío. Entonces, si este cuadro es verdadero, ¿por qué el universo no está repleto de electrones, fotones y demás partículas por todas partes? Bueno, una sorpresa inmediata es que el universo puede estar lleno de campos y no contener partícula alguna. Algo tiene que inducir la conversión de la energía potencial de los campos en partículas, igual que un empujón puede hacer rodar una pelota cuesta abajo para que acumule energía cinética.

Figura 15.1. Las líneas representan la dirección del campo vectorial magnético de un imán de barra. La intensidad del campo magnético, similar a la gravedad, decae con el cuadrado de la distancia.
Cuando miramos el fondo cósmico de microondas, vemos que está lleno de partículas. Pero el estado de más baja energía en el universo es el vacío, y también es la situación más simétrica en la que puede encontrarse. Si nos remontamos en el tiempo hasta antes de que existiera el fondo cósmico de microondas, vemos que el universo era un vacío, y de algún modo surgieron partículas de este vacío. Ya hemos visto que la incertidumbre de tiempo y energía creó partículas del vacío en los primeros estadios del universo. Pero estas fluctuaciones del vacío habrían creado partículas y antipartículas, que se habrían aniquilado mutuamente. Las fluctuaciones del vacío no bastan para que nuestras partículas sigan existiendo durante largo tiempo.
Para que las partículas existentes (presentes en las galaxias y en nuestros propios huesos) llegaran a existir, las fluctuaciones del vacío tenían que crear más materia que antimateria. Y para que ocurriera esto se requería una bariogénesis: un proceso hipotético que generó una asimetría cósmica tal que hemos acabado con más materia que antimateria.
Como ya hemos visto, la inflación cósmica precedió a la época dominada por la radiación, cuando surgió el fondo cósmico de microondas. La inflación es un lapso de tiempo fugaz en el que no existía ninguna partícula del modelo estándar. Si la hipótesis de la inflación es válida, entonces debe tener un papel crucial en la generación de las partículas observadas que constituyen la estructura del universo actual. Como he escrito, no hay consenso acerca de la explicación correcta de la bariogénesis ni el momento en que tuvo lugar. Hay unas cuantas propuestas sobre la mesa, que pueden clasificarse en tres categorías básicas:
- La bariogénesis tiene lugar durante la inflación.
- La bariogénesis tiene lugar justo después de la inflación.
- La bariogénesis tiene lugar en la época de dominancia de la interacción electrodébil.
En cualquier caso, con independencia del momento de la bariogénesis, hay unas cuantas condiciones que, si se satisfacen, darán lugar a la materia observada en el universo. Estas condiciones llevan el nombre del gran físico ruso Andréi Sájarov, uno de los actores principales del programa de armas nucleares ruso, a menudo citado como el padre de la bomba de hidrógeno rusa. Pero luego se rebeló contra la proliferación de armas nucleares y se convirtió en un abanderado del pacifismo y la defensa de los derechos humanos en la Unión Soviética, lo que le valió el Premio Nobel de la Paz. Cuando abandonó la investigación de armas nucleares, Sájarov centró su atención en el origen de la materia en el universo, y fue el primero en proponer las condiciones necesarias para la generación de materia a partir del vacío en el universo primigenio. Un punto esencial de su argumentación era la violación de tres tipos de simetría. Antes de examinar las condiciones de Sájarov, es útil volver a una importante analogía musical que ayudará a clarificar la física de la bariogénesis: la resonancia.
Recordemos que para obtener resonancia se aplica una fuerza externa oscilante a un material con una frecuencia de vibración natural. La amplitud de la vibración del material aumenta rápidamente cuando la frecuencia de la oscilación externa coincide con su frecuencia natural. Objetos más complicados como las cuerdas y los instrumentos musicales admiten una amplia gama de frecuencias naturales, lo que permite generar una amplia variedad de frecuencias resonantes con una fuerza externa. Los campos cuánticos son como un material extendido y, al igual que una cuerda, pueden vibrar con numerosas frecuencias resonantes. Dado que todos los campos cuánticos pueden interaccionar unos con otros, un campo cuántico puede actuar como fuerza externa, y otro puede resonar en consonancia. Un campo cuántico instalado en un vacío puede hacerse oscilar a una frecuencia que iguale su masa-energía en reposo. Si aplicamos la relación de Einstein
E = hf = mc2
vemos que la frecuencia impulsora f de un campo cuántico sobre otro de masa m puede resonar con un cuanto de vibración si la frecuencia impulsora es f = mc2/h. Así pues, las partículas son vibraciones resonantes de campos cuánticos, y su materialización es similar a la creación de notas musicales al tañer una cuerda de guitarra. La pulsación de la cuerda es la fuerza externa ejercida por un campo cuántico impulsor, y la nota generada es un análogo de la partícula creada. Ahora bien, para aplicar esta analogía musical al universo real, el instrumento (el vacío) debe trucarse un poco para excluir ciertas vibraciones, como las antipartículas, y esto se conecta con la ruptura de ciertas simetrías en el vacío.
Ahora veamos qué simetrías del vacío nos dice Sájarov que deben romperse. Cuando nos fijamos bien en las simetrías del modelo estándar de las interacciones fundamentales (es decir, todas las interacciones entre bosones y fermiones) vemos algo llamativo: todas estas interacciones son simétricas bajo una combinación de inversión del tiempo, cambio de la orientación espacial de la interacción (como la imagen especular) e inversión de las cargas de las partículas. Consideremos el caso del par electrón-positrón en el diagrama de Feynman. Primero cambiemos el signo de la carga de cada partícula, luego invirtamos el tiempo y, por último, tomemos el reflejo del diagrama de derecha a izquierda (la imagen especular). Sorprendentemente, el diagrama describe la misma física, salvo que el electrón y el positrón retroceden en el tiempo para producir fotones. Esto se ha comprobado en aceleradores de partículas con suma precisión. Lo que Sájarov comprendió es que se requería la ruptura de una combinación de estas simetrías en el universo primigenio. Y lo que es aún más apasionante, para romper estas simetrías se requiere una nueva física.
La primera simetría que debe romperse es lo que se conoce como corriente bariónica (similar a la corriente eléctrica en un alambre, sólo que la corriente bariónica puede existir en el espacio). En el vacío del modelo estándar, la corriente bariónica es exactamente cero. En otras palabras, la probabilidad de corrientes de salida y de entrada es la misma. Hay simetría entre ambos procesos. Sin embargo, algún otro campo que entre en resonancia con el campo de corriente bariónica podría violar esta simetría (que denotaremos como B). Pero esto no basta para que haya bariogénesis. Cualquier violación de la simetría de la corriente bariónica también violará la corriente antibariónica (la simetría entre materia y antimateria descubierta por Dirac). Si se produjeran antibariones, aniquilarían los bariones creados y nos quedaríamos sin nada. Así pues, también debe violarse la simetría entre partículas y antipartículas (llamémosla C). Finalmente, si en virtud de esa nueva física se violan simultáneamente las simetrías B y C, debe evitarse que los bariones supernumerarios creados alcancen el equilibrio térmico con la radiación de fondo y se fundan en el baño de calor. Hay un puñado de modelos de bariogénesis disponibles en el mercado, pero todos proponen que tuvo lugar después de la inflación. Un universo sonoro quizá pueda inspirar un mecanismo bariogenético que surgiera de un campo impulsor de una resonancia, lo que satisfaría todas las condiciones de Sájarov de una sola tacada.

Figura 15.2. Diagrama de Feynman.
Un día de 2005 me dirigía caminando hacia el trabajo, sin mucho entusiasmo, en el Acelerador Lineal de Stanford, donde estaba continuando con mis estudios posdoctorales, frustrado por la sequía de nuevas ideas que ya hacía meses que duraba, cuando me vino a la memoria un sueño que había tenido un año antes, cuando aún estaba en el Imperial, y que le había contado a Chris Isham. En el sueño, un anciano vestido de blanco en el espacio exterior estaba escribiendo ecuaciones con la velocidad de un relámpago. Frustrado, me lamenté de ser demasiado torpe para entender las ecuaciones. Entonces la pizarra desapareció, y el anciano arremolinó lentamente sus manos en espiral en cierta dirección. En aquel momento no pensé mucho en el sueño, pero Chris había seguido preguntándome por detalles como, por ejemplo, hacia dónde había dirigido el anciano sus manos. El grupo de teoría de Stanford estaba centrado en la inflación cósmica y sus posibles simetrías inherentes. Aquel día me di cuenta de que la orientación de las manos espiraladas del hombre de mi sueño proporcionaba una pista de cómo romper la simetría de la inflación cósmica y generar la asimetría bariónica. Mientras bajaba por Palm Drive, mi mueca de disgusto se transformó en una amplia sonrisa. Estaba viendo una oportunidad de obtener la bariogénesis de la propia inflación cósmica.
Me sentía tan feliz que me fui a tomar una cerveza en un café enfrente del departamento de informática. Entonces Michael Peskin, mi mentor posdoctoral y jefe del grupo de física teórica, vino caminando con uno de sus discípulos estrella. Me deslicé hasta Michael y le dije que había establecido una conexión entre las simetrías rotas del vacío y la bariogénesis. El otro posdoctorado sonrió con suficiencia y comentó: «Otra de tus ideas locas». Pero Michael siempre le daba a uno la oportunidad de hacerse la cama y dormir en ella, así que quedamos en reunirnos para hablar del tema.
En la comunidad de físicos teóricos, Michael Peskin es conocido como el Oráculo. Es un hombre modesto, con bigote y gafas, que posee un conocimiento enciclopédico de la física, en particular la teoría cuántica de campos y la supersimetría. La mayoría de los posdoctorados, yo incluido, teníamos miedo de hablar con él, no porque fuera odioso, sino porque las discusiones con él siempre acababan con una empanada mental. Le conocí durante mi primer año de posgrado, en un curso de verano de teoría de cuerdas donde dio unas cuantas charlas sobre el modelo estándar de la física de partículas. Entre algunos teóricos circula el chiste de que Michael es el teniente Colombo de la física. Para los lectores demasiado jóvenes, Colombo fue una popular serie policiaca de los ochenta. El desaliñado detective se mostraba educado con el sospechoso de asesinato y se hacía pasar por ingenuo, pero todo era una maniobra de distracción. Colombo hacía preguntas que parecían estúpidas hasta el punto de irritar al sospechoso y pillarle en algún desliz inconsciente que le obligara a confesar.
El Acelerador Lineal de Stanford es famoso por ser uno de los peores sitios del mundo para dar un seminario teórico. A menudo fui testigo de cómo este hombre humilde levantaba educadamente la mano en medio del seminario y decía, con un tono de voz agudo y sincero: «Perdón, pero estoy un poco confundido». El ponente mordía el anzuelo, sintiéndolo por el pobre Peskin. Y entonces —bam— el ánimo del ponente pasaba de la compasión al terror cuando comprobaba que aquella pobre alma «confundida» había destrozado toda su argumentación. Imagínese, pues, ser un discípulo de Peskin y tener un despacho al lado del suyo durante tres años.
Cuando le hablé a Michael de mi idea, le gustó y me dijo que me pusiera a hacer un largo cálculo: calla y calcula. Luego me di cuenta de que el cálculo me llevaría meses. Hice equipo con otro posdoctorado de Stanford, Shahin Sheikh-Jabbari, un brillante teórico de cuerdas iraní. Yo estaba buscando una plaza de facultad permanente aquel año, así que estaba desesperado por acabar el proyecto. Cada vez que Shahin y yo acudíamos a Michael para contarle algún progreso, convencidos de que el proyecto finalmente se acercaba a su conclusión, él salía con aquello de «Oh, lo siento Stephon, pero estoy confundido». Así estuvimos once meses. El tiempo se estaba acabando.
Tras meses de trabajo demostramos que el inflatón, para agradable sorpresa nuestra, rompía la simetría C del vacío. Y en el núcleo de esta ruptura de simetría estaba la resonancia. Dado que el espaciotiempo puede curvarse y estirarse, Einstein mostró que una perturbación del espacio-tiempo puede generar una onda gravitatoria que se propaga a la velocidad de la luz. La inflación cósmica produce una onda gravitatoria genérica porque el inflatón perturba el tejido del espacio-tiempo como una piedra que cae en un estanque.
En la mayoría de los modelos inflacionarios se generan dos tipos de ondas gravitatorias, una con espín a la izquierda y otra con espín a la derecha (igual que una pelota gira de manera diferente si se lanza con la mano derecha o con la izquierda). Pero lo que descubrimos nosotros es que, durante la inflación, la onda gravitatoria resonante de espín zurdo tiene una amplitud mucho mayor que la de espín diestro. Y resulta que las ondas zurdas interaccionan únicamente con la materia, mientras que las diestras lo hacen sólo con la antimateria. Esto se traduce en la resonancia de la materia sobre la antimateria, y esta situación crea simultáneamente las condiciones para la violación de la simetría partícula-antipartícula y la bariogénesis a partir de la generación de ondas gravitatorias, satisfaciendo así dos de las tres condiciones de Sájarov a través de un mismo agente: el inflatón. Finalmente, la última condición de Sájarov —un estado de no equilibrio— se cumple de manera natural porque, durante la inflación, la expansión del espacio es mucho más rápida que la creación de bariones.

Figura 15.3. El mentor de posdoctorado del autor en el Acelerador Lineal de Stanford, el físico teórico de partículas elementales Michael Peskin. Fotografía cedida por Michael Peskin.
Hablando de practicar los propios fundamentos y tropezar de vez en cuando para al final ejecutar un gran solo, la constante y a menudo frustrante confusión de Michael nos forzó a Shahin y a mí a profundizar más. Michael conocía perfectamente los puntos débiles de nuestro trabajo, lo que nos permitió desvelar el mecanismo de la bariogénesis durante la inflación cósmica. Nuestro nuevo mecanismo bariogenético estaba ligado al papel de las fluctuaciones cuánticas del inflatón en el origen de la estructura cósmica y de la supremacía de la materia sobre la antimateria. La ejecución de esta danza cósmica por la inflación requiere una clase especial de música y abre una caja de Pandora.
Capítulo 16
La belleza del ruido
Las estructuras complejas como las estrellas, las galaxias y los planetas han surgido de ondas de presión en el plasma primordial. Al producir estas resonancias, el universo se comportó como un instrumento. ¿Se acaba aquí nuestra analogía musical? Después de todo, parece intuitivamente obvio que la música es algo más que sonido: para el oído humano, las ondas periódicas son las más musicales y agradables. No obstante, algunos compositores, como John Cage, discrepan:
Pienso que es cierto que los sonidos son, en su naturaleza, armoniosos [...] y yo haría extensivo esto al ruido. No hay ruido, sólo sonido. No he escuchado ningún sonido que considere indeseable de volver a escuchar, con la excepción de sonidos que nos asustan o nos hacen conscientes del dolor. No me gusta el sonido con sentido. Si el sonido carece de sentido, me arrebata.[49]
El ruido suele percibirse como una señal no deseada, un sonido que hay que eliminar. Los buenos auriculares son los que más reducen el ruido. El ruido no deseado se da incluso en la ciencia: Penzias y Wilson estaban locos por librarse del ruido de fondo que distorsionaba sus preciadas señales de radio. Irónicamente, aquel ruido «sin sentido» que intentaban eliminar era nada menos que la radiación cósmica de fondo. Quizá, como John Cage, deberían haber escuchado la música que hay en el ruido.
Podemos entender cómo surge el ruido aplicando una vez más la idea de Fourier. No hay más que sumar ondas de todas las frecuencias e idéntica amplitud, y tendremos una señal de ruido blanco monótono. Nuestros oídos percibirán este ruido como un siseo porque no hay ninguna frecuencia dominante: todas contribuyen de la misma manera al resultado. Se puede decir, pues, que el ruido blanco es el sonido más democrático.
Resulta que los cosmólogos van en busca de una teoría del universo primigenio que permita generar ruido como fundamento de su estructura. El problema es que no sabemos cómo surgieron de la nada esas primeras vibraciones que condujeron al plasma primordial. No tenemos una confirmación experimental completa del origen del «primer sonido». Hay unas cuantas teorías persuasivas en el mercado, pero todas necesitan muchos arreglos para siquiera ajustarse a los resultados experimentales vigentes, por no hablar de hacer predicciones. Considérese el llamado problema del ajuste fino, que en esencia es nuestro desconocimiento de por qué las constantes universales toman los valores que toman. ¿Por qué la velocidad de la luz es la que es y no otra? ¿Por qué las constantes de acoplamiento, que dictan las intensidades de las interacciones entre partículas, son las que son? Nuestro universo parece un instrumento delicadamente afinado. Las observaciones van por delante de la teoría. Por ejemplo, las mediciones de la rotación galáctica nos han proporcionado una evidencia indirecta de la existencia de la materia oscura, de naturaleza esquiva, pero sin la cual no se habrían formado las galaxias. A raíz de ello hemos concebido modelos de la materia oscura, pero ¿cuál es el correcto? Y lo que es aún más importante, ¿cuál es la teoría correcta del universo primigenio?
Hoy por hoy, la inflación cósmica es nuestra mejor teoría del universo primigenio, porque de un solo golpe resuelve dos problemas importantes que socavaban la teoría del big bang estándar. El primero, que ya hemos tratado, es el problema del horizonte: cómo los fotones del fondo cósmico de microondas podían tener la misma temperatura sin haber tenido tiempo de interactuar lo suficiente en el pasado. Como hemos visto, la inflación resuelve el problema introduciendo una época en la que partes del universo ahora harto separadas podían interactuar. El segundo problema es encontrar la física correcta para generar la energía de vibración necesaria como fuente de las ondas del plasma primordial.
Podemos comenzar a buscar la respuesta escarbando en el funcionamiento de la inflación. En relatividad general, el campo gravitatorio, o espacio-tiempo, puede verse como un medio elástico. Cuando la materia interactúa con el campo gravitatorio, puede alterar su elasticidad. Alan Guth, el padre de la inflación, propuso que si una sustancia extraña con presión negativa (esencialmente, energía que crea una gravedad repulsiva en vez de atractiva) dominara el espacio-tiempo, entonces el universo primigenio habría experimentado una expansión tan rápida que superaría la velocidad de la luz. Hay que decir que esta hipótesis no viola la relatividad einsteiniana porque, si bien la relatividad prohíbe que los objetos viajen a mayor velocidad que la luz en el espacio-tiempo, no impone ninguna limitación sobre la tasa de expansión del propio espacio-tiempo.
La inflación es fascinante: aunque es una teoría de la expansión cósmica, se edifica sobre la teoría cuántica de campos y los argumentos de simetría. Alan vio que un universo primigenio altamente simétrico no sería estable. Es como un lápiz de pie, con la punta hacia abajo, sobre una mesa. En esta situación el lápiz tiene simetría rotacional, pero la más mínima perturbación lo hará caer en una dirección u otra, con lo que se rompe la simetría rotacional de la condición inicial. Esta idea, conocida como ruptura espontánea de simetría, es ubicua en todos los campos de la física. Recordemos el modelo de Ising del magnetismo, sobre el que trabajé en el laboratorio de Leon Cooper. A cualquier temperatura del metal por encima de cero, los espines individuales se orientan en direcciones aleatorias, y la magnetización es nula. La orientación del campo magnético promedio tiene simetría esférica. Pero en un material ferromagnético los vecinos más próximos prefieren que sus campos magnéticos se alineen en la misma dirección. Así, cuando la temperatura desciende hasta el cero absoluto, la energía se minimiza cuando los espines apuntan en una dirección dada, y se rompe la simetría. La pérdida de simetría al descender la temperatura es un ejemplo de ruptura de simetría.
En la teoría cuántica de campos se da un fenómeno similar, solo que en este caso no es la temperatura la que controla la ruptura de simetría, sino un campo que los cosmólogos llaman inflatón, lo que me describió Alan Guth en el colegio universitario cuando le pregunté si la inflación podía realizar trabajo. En las regiones del espacio donde este inflatón no es nulo, se rompe la simetría y la presión negativa del campo hace que dicha región del espacio se «infle» exponencialmente. En esto consiste la inflación de Alan.
A medida que el universo se expande exponencialmente, ocurre algo mágico. Hemos visto que, por el principio de incertidumbre, el oscilador cuántico nunca descansa. El cuanto del inflatón se comporta como una colección de gran número de osciladores, de modo muy parecido a una cuerda vibrante. Pero hay una gran diferencia que debemos tener en mente: al friccionar una cuerda de violín se genera una serie de armónicos, pero no todos tendrán la misma amplitud. La inflación convierte el universo en un tipo especial de instrumento musical, donde la mayoría de los modos cuánticos del inflatón se crean (o excitan) a partir del vacío con la misma intensidad. Esto ocurre porque la inflación actúa democráticamente como una fuente para todos los modos. El problema es que esto no basta para generar la estructura inicial del universo, porque aún es demasiado simétrico. Necesitamos librarnos de parte de la simetría.
Imaginemos una orquesta de un centenar de violines, cada uno tocando una nota diferente. Si todos los violinistas tocaran con exactamente el mismo volumen, el resultado sonaría como el ruido que se oye entre dos emisoras de radio. La versión extrema de esta clase de sonido es el ruido blanco. Así es como sonarían las ondas cuánticas durante la inflación si estuviéramos allí para oírlas. Pero la inflación hace algo aún más notable. Cada onda tiene una fase, que es un número asociado a un cambio de posición o una demora de tiempo en la forma de onda. En principio, no hay motivo para que todas las ondas tengan la misma fase. Es como lanzar aleatoriamente un manojo de piedras en diferentes puntos de un estanque: las fases serán aleatorias, de modo que las ondas interferirán unas con otras y se cancelarán mutuamente. Pues bien, la inflación sincroniza las fases. Es como si todos esos violines, que comenzaron tocando una cacofonía de notas desfasadas, convergieran para tocar exactamente la misma nota porque algún campo —el «directrón»— les marca el ritmo. En este sentido, el inflatón es nuestro director de orquesta cósmico.
En los años ochenta, los cosmólogos demostraron que la inflación predecía que las ondas iniciales tenían las características adecuadas para iniciar las ondas sonoras en el plasma primordial: un espectro de potencia de las fluctuaciones cuánticas del inflatón casi invariante con la escala. El espectro de potencia no es más que una curva que caracteriza la amplitud de un rango continuo de frecuencias, no diferente de la construcción de una función compleja como una colección de ondas puras de distintas frecuencias (la idea de Fourier). Entonces no había observaciones que permitieran confirmar o refutar esta predicción. Pero en 1992, poco después de que Alan Guth visitara mi clase de segundo año en Haverford, el satélite COBE midió las fluctuaciones del plasma primordial y encontró el espectro predicho por el modelo inflacionario. Después de más de veinte años de mediciones aún más precisas del fondo cósmico de microondas, como las de la sonda WMAP (un proyecto codirigido por mi colega de Princeton David Spergel) y las del observatorio espacial Planck, hasta ahora todas las observaciones confirman las predicciones de la teoría de la inflación.
En el modelo inflacionario, el big bang se reemplaza por una pequeña región de espacio dominada por el inflatón. Este miniverso se hace enorme en unos pocos segundos alucinantes. Comparado con el universo actual, que tiene 14.000 millones de años, o 14 × 109, el miniverso del que hablamos es inconcebiblemente pequeño. La rapidísima expansión del espacio estira las vibraciones cuánticas del inflatón, lo que proporciona las semillas de las ondulaciones del plasma primordial. Finalmente el inflatón pierde energía y comienza a aplacarse. Como un muelle oscilante que se va parando con pequeñas oscilaciones residuales alrededor de su punto de reposo, el inflatón continúa vibrando con la energía que le queda. Estas oscilaciones excitan los campos de materia con los que el inflatón interactúa en esta fase y se generan partículas. De hecho, Robert Brandenberger y Jennie Traschen estuvieron entre los primeros cosmólogos que demostraron que en esta fase, que llamaron «precalentamiento», tuvo lugar la producción explosiva del modelo estándar.
Así pues, la inflación se vale de efectos relativistas y cuánticos para generar el ruido blanco que impregna el universo primigenio, que es la semilla de la estructura cósmica. Cuando la inflación acaba, este ruido, como si de una boquilla cósmica se tratara, se transforma en ondas sonoras dentro del plasma primordial, que inducen la producción de partículas. Han pasado más de treinta años desde que se introdujo la inflación, y sorprende lo difícil que ha resultado construir teorías alternativas para la generación de ruido cósmico. Y se necesitan teorías alternativas porque, con todos sus éxitos, la teoría de la inflación no es perfecta.
El primer gran problema de la inflación tiene que ver con la intensidad del sonido primordial. Cuando se examinan las mediciones de la amplitud de las ondas sonoras cósmicas en el espectro de potencia del fondo cósmico de microondas, vemos que se desvía de la energía media del plasma en una diezmilésima. Cualquier mínima discrepancia con esta amplitud observada haría del universo un lugar inhabitable, ya que las estructuras se formarían demasiado deprisa, sin dar tiempo a la evolución de la vida, o no se formarían en absoluto. Por desgracia, en su versión más simple, el modelo inflacionario (que aplica la teoría cuántica de campos a un inflatón de espín nulo) no puede dar el valor correcto de la intensidad del ruido blanco,[50] como tampoco puede el inflatón por sí mismo. Los teóricos se han visto obligados a introducir un parámetro libre que controla el acoplamiento del inflatón consigo mismo.[51] En el modelo inflacionario más simple, el autoacoplamiento debe ajustarse a mano en una billonésima. Cualquier desviación de esta fracción ridículamente pequeña da lugar a un universo inhabitable. Hay centenares de modelos de inflación, literalmente, y a pesar de su diversidad, todos adolecen de ajustes finos similares. Aún más problemático es que la teoría no ofrezca ninguna pista de por qué este ajuste debería ser tan minúsculo. La teoría cuántica de campos, que describe las tres interacciones fundamentales del modelo estándar (electromagnética, nuclear fuerte y nuclear débil) también tiene problemas de ajuste fino. Uno interesante concierne a los parámetros que controlan las intensidades relativas de la fuerza electromagnética y la interacción nuclear fuerte. Si estos parámetros fueran diferentes de los observados, las estrellas no podrían producir carbono en su interior, un elemento central para la vida.
Un segundo gran problema de la inflación tiene que ver con su inicio. Una vez más, es una cuestión de ajuste fino. ¿Qué conjunto de condiciones permitieron que el inflatón tuviera las propiedades adecuadas (entre ellas, un universo primigenio dominado por una presión negativa y campos con los potenciales correctos) para iniciar la cantidad correcta de inflación? Poco después de que se descubriera la inflación, Alexander Vilenkin mostró que si el universo quedara completamente descrito por la mecánica cuántica, entonces la inflación podría surgir de la energía del vacío puro, o como lo llamó él, un estado de nada. El estado cuántico inicial del universo sería un vacío sin espacio-tiempo que experimentaría espontáneamente un fenómeno conocido como efecto túnel, que conduciría a un espacio-tiempo inflado. De acuerdo con los resultados de Vilenkin y otros físicos, este efecto túnel podría ocurrir más de una vez, lo que da al estado cuántico inicial del universo de Vilenkin la oportunidad de explorar muchos espacio-tiempos diferentes, cada uno con sus propias constantes «finamente ajustadas». En este escenario, resulta que hemos acertado a vivir en uno de los mayores universos con un acoplamiento correcto de sus constantes físicas (simplemente porque estamos vivos para medirlas). Esta línea de razonamiento se conoce como principio antrópico. Muchos físicos perciben la invocación de este principio como acientífica, porque no es comprobable. No podemos observar ningún otro universo (o así lo cree la mayoría). Algunos cosmólogos, como Matt Kleban, de la Universidad de Nueva York, han postulado que nuestro universo primigenio podría haber colisionado con otro universo burbuja, lo que habría dejado una huella en la radiación cósmica de fondo que quizá sea detectable.
La teoría de cuerdas, que propone unificar las cuatro fuerzas fundamentales, tiene los ingredientes para asignar los valores de las constantes acopladas a base de añadir dimensiones extraespaciales. Mi colega Lee Smolin relata en su libro The Life of the Cosmos que, tras varias discusiones con el físico teórico de Harvard Andy Strominger, vislumbró que el desafío de la teoría de cuerdas era determinar unívocamente los acoplamientos de la naturaleza, dada la multiplicidad de maneras en que las diez dimensiones que maneja la teoría pueden desenrollarse para dar lugar a un espaciotiempo tetradimensional. Lee argumentaba que estas posibilidades incontables que ofrece la teoría de cuerdas proporcionarían un enorme «paisaje» de constantes acopladas, lo que haría casi imposible para un teórico predecir por qué vivimos en un universo con las constantes de la naturaleza observadas.
En 2003, cuando yo estaba como posdoctorado en el Acelerador Lineal de Stanford, Leonard Susskind publicó un artículo que cambiaría por entero el programa de la teoría de cuerdas. Se titulaba «The Anthropic Landscape of String Theory» [El paisaje antrópico de la teoría de cuerdas], y el resumen dice: «Nos guste o no, ésta es la clase de comportamiento que da crédito al Principio Antrópico». Lenny se refiere a su observación de que, en vez de ofrecer una solución única con nuestras constantes acopladas observadas, la teoría de cuerdas admite muchos mundos tetradimensionales con su propio acoplamiento de constantes (lo que es coherente con la expectativa de Smolin). Lenny razonó que la teoría de cuerdas podía generar muchas burbujas inflacionarias poblando el paisaje, con diferentes constantes acopladas. Tras oír al maestro, enseguida capté las consecuencias para los investigadores jóvenes como yo. Nuestros sueños diracianos se convirtieron de la noche a la mañana en una pesadilla. ¿Qué nos quedaba por calcular, si la búsqueda de esa solución única correspondiente a nuestro mundo, derivada de una teoría de todo, parecía fútil?

Figura 16.1. Proliferación de universos inflados a partir de la energía del falso vacío. Allí donde exista un falso vacío se formarán universos burbuja. El proceso continuará eternamente.
Como Lenny siempre había sido amable conmigo y me había apoyado a lo largo de mi carrera, me sentía lo bastante cómodo para preguntarle:
—Lenny, ahora que tenemos delante el paisaje, ¿qué queda por hacer?
Su respuesta fue:
—Somos afortunados de estar en uno de esos universos, pero todavía tenemos que encontrar un ejemplo en la teoría de cuerdas donde haya inflación.
A pesar de mi respeto y adoración por uno de mis grandes héroes de la física, simplemente no podía aceptar la idea del multiverso. Una de mis principales objeciones era la incapacidad de hacer predicciones en teoría de cuerdas sobre cuáles deberían ser los valores de las constantes de ajuste fino. Así que, en el espíritu de Ornette Coleman, dejé las cuerdas y comencé a trabajar en otros enfoques de la cosmología del universo primigenio.
He pasado los últimos quince años trabajando tanto en modelos inflacionarios como en teorías alternativas. Todos estos modelos tienen algún tipo de ajuste fino, así que cualquier intuición de la física correcta del universo primigenio pasa por resolver esta cuestión. Si la inflación, o cualquier teoría alternativa, tenía alguna esperanza de éxito, entonces parecía necesario entender cómo surgen las constantes de la naturaleza.
Por una afortunada casualidad, participé en un intenso campamento de tres meses sobre teoría M, en el Instituto Henri Poincaré de París. Era el año 2000, y a pesar de la impopularidad de la política norteamericana en Europa hice muchos amigos entre los físicos europeos, en particular Chris Hull, uno de los principales ponentes en el taller y pionero de la teoría M. Junto con Paul Townsend, Chris constató que la teoría de cuerdas poseía aún más simetrías, o automorfismos, que las teorías de campos ordinarias que describen las partículas puntuales. En 1995, Edward Witten dio una charla histórica en la Universidad del Sur de California. Basándose en los cálculos de Chris, conjeturó que las cinco teorías de cuerdas son manifestaciones diferentes de una teoría de once dimensiones subyacente. Otra idea clave de la teoría M es que no sólo maneja cuerdas, sino otros objetos vibrantes de más dimensiones llamados D-branas.

Figura 16.2. Una D-brana de especial interés es la 3D-brana, una membrana tridimensional. Dentro de esta 3D-brana están confinados los campos del modelo estándar, relacionados con las oscilaciones de las cuerdas que acaban en la brana. Así, una 3Dbrana bien arreglada puede ser una buena candidata para nuestro universo. Esta idea no es nueva, pues ya había sido formulada por Lisa Randall y Raman Sundrum.[52]
Joe Polchinski descubrió que las cuerdas podían desembocar colectivamente en esas superficies llamadas branas de dimensión variable. El caso más fácil de visualizar es una superficie bidimensional, o 2-brana. Esto es posible porque los puntos extremos de las cuerdas pueden fluctuar sobre la superficie de la brana, a diferencia de los extremos fijos de una cuerda de guitarra. Para deleite de todos, Joe vio que estas superficies son objetos físicos, porque resuelven dos viejos problemas de la teoría de cuerdas. En primer lugar, las cuerdas pueden abrirse o cerrarse en un bucle, y sólo las cuerdas cerradas poseen dualidad-T. Al incluir las D-branas, Joe demostró que las cuerdas abiertas también tenían dualidad-T. En segundo lugar, la teoría de cuerdas cuánticas incluía una carga diferente de la eléctrica, la carga de Ramond-Ramond, sin ningún objeto portador identificable. Pues bien, Joe demostró que las D-branas eran los objetos portadores de la carga de Ramond-Ramond, igual que las partículas puntuales (0-branas) son las portadoras de la carga eléctrica.
Por entonces yo estaba intentando encontrar un modo intuitivo y matemático de obtener la inflación en la teoría de cuerdas, pero, obviamente, no era el único. A pesar de que me empapé de la teoría de cuerdas, los otros posdoctorados tenían una preparación intimidantemente mejor que la mía. Poco a poco comencé a escaparme de los seminarios y las discusiones de física y me encontré introduciéndome de manera más natural en la escena jazzística parisina. Al final desaparecí del prestigioso taller de teoría-M. Me figuré que, si no iba a hacer física a la manera tradicional, entonces tendría que encontrar mi propio método. Cuando no estaba tocando, garabateaba diagramas y esbozaba ecuaciones en servilletas de papel manchadas de Nutella. Luego pasaba a escribir trucos mnemotécnicos para tocar a través de los cambios de acorde de un estándar en el que estaba trabajando. Acompañaba mis descansos musicales con el barato pero agradable tinto de la casa y crepes de Nutella y plátano.
Y entonces sucedió. Estaba haciendo un solo con mi ecuación de las D-branas sobre una servilleta, con jazz de fondo, cuando me interrumpieron unos aplausos. En tiempo real, el movimiento de las manos aplaudiendo se fundió con las D-branas, y tuve una feliz ocurrencia: ¿y si la colisión de D-branas podía inducir un big bang? A veces los cosmólogos confunden el big bang con la inflación cósmica.
No era casualidad que en aquel momento yo estuviera esforzándome en entender el último artículo del prodigioso teórico de cuerdas indio Ashoke Sen, sobre branas en colisión. Cuando una partícula colisiona con su antipartícula, se aniquilan mutuamente y se transforman en radiación. Pero Sen demostró que cuando una brana y una antibrana colisionan, se aniquilan mutuamente, pero para dar branas de dimensión inferior. En particular, cuando una 5D-brana y una anti-5D-brana se aniquilan una a otra, producen una 3D-brana. Yo estaba explorando la física de las D-branas porque parecían prometedoras para encarar el problema de los ajustes finos de la inflación. Las D-branas también son poderosas porque las cuerdas abiertas en movimiento que desembocan en las D-branas generan campos cuánticos en su interior, de manera que nuestro universo, y los campos del modelo estándar, podrían existir dentro de una D-brana con tres dimensiones espaciales, una 3D-brana. Aún más interesante es que las constantes acopladas están controladas por la torsión y el estiramiento de la D-brana. Tras unas cuantas copas de vino más, acudí a quien entonces era mi mejor amigo en teoría de cuerdas, Sanjaye Ramgoolam, un avanzado de su disciplina. Podía reírse, pero no me juzgaría. Éramos compadres.
Nos encontramos en una brasería en el Odeón.
—Sanjaye..., creo que tengo una manera de obtener la inflación de la teoría de cuerda —le dije.
Le conté la idea a medio cocinar a base de dibujos. Sanjaye tiene una manera característica de mirarte con sus penetrantes ojos cuando se muestra escéptico pero te toma en serio.
—Mira, siempre tienes estas ideas. Pues bien, es hora de sacarlas o callar... Muéstrame ecuaciones, y podremos hablar.
Me lo tomé como una buena señal. A Sanjaye se le daba muy bien demoler enseguida mis ideas con amorosa dureza, y así lo intentó en este caso, pero yo insistí. Estaba claro que mis años de forcejeo con mi mentor en teoría de cuerdas me habían hecho más fuerte. Volví corriendo a mi café-despacho con un fajo de papeles para hacer mis cálculos. Estaba en un estado de excitación tácita, levantado durante casi toda la noche. En un frenesí extático, improvisé mis cálculos con la certeza de que las ecuaciones funcionarían. Al cabo de unos meses, el trabajo estaba terminado. Cuando presenté mis cálculos a Sanjaye, simplemente me dijo: «¡Has dado en el clavo!». En pocas palabras, podía presentar el primer modelo de inflación basado en la aniquilación de D-branas.
La intuición clave, como descubrió Sen, es que un observador que viva en la 5D-brana ve la 3D-brana creada como un vórtice, igual que un observador tridimensional ve un objeto unidimensional como una cuerda. En ambos casos la diferencia es de dos dimensiones. Así pues, un vórtice puede generalizarse a cualquier dimensión siempre que la diferencia de dimensiones sea dos. Antes de la teoría de cuerdas, los cosmólogos intentaban construir modelos inflacionarios donde la inflación tenía lugar en el centro de vórtices, pero no funcionaban por culpa del ajuste fino. Yo fui capaz de abordar el problema del ajuste fino con unos cuantos supuestos «saludables» y mostrar que la inflación podía verificarse en una 3D-brana. Recordemos que uno de los problemas del ajuste fino era que la teoría no podía determinar a priori el acoplamiento de las constantes. En mi modelo, el acoplamiento viene determinado por una magnitud intrínseca a la teoría de cuerdas: su tensión. Pude encontrar una solución matemática de un universo tridimensional inflado con un ajuste fino reducido, y con la ventaja de que el acoplamiento de constantes puede venir determinado por la teoría.
Cuando volví a Londres compartí el borrador de mi artículo con uno de los teóricos de cuerdas más eminentes del planeta, Arkady Tseytlin, a quien sus colegas se refieren como «el computador humano». Si había alguna parte del trabajo que no fuera lo bastante rigurosa, Arkady lo vería, y yo estaba seguro de que una teoría sin fisuras era algo demasiado bonito para ser cierto. Su moderado juicio fue: «Publica el artículo». ¡Aleluya! Dos semanas después de que se publicara mi artículo, un grupo de teóricos de Cambridge, McGill y Princeton publicó una idea similar de inflación a partir de la interacción brana-antibrana. Finalmente, después de tantos años soñando con componer mi propia invención teórica, lo había conseguido. El artículo, titulado «Inflation from D-Anti-D Brana Annihilation» [Inflación a partir de la aniquilación D-anti-D brana] se publicó en 2001, y se ha citado más de doscientas veces.
Mi artículo supuso una gran contribución a un subcampo de la teoría de cuerdas y la cosmología, pero tanto a mí mismo como a otros teóricos de cuerdas más curtidos nos quedó claro que los ajustes finos habían sido reemplazados por otros ajustes finos (la necesidad de un multiverso del que se seleccionan antrópicamente las constantes acopladas creadas en las numerosas realizaciones de la inflación). Comencé a pensar que mi modelo era una inquietante versión de los epiciclos de Ptolomeo. Continúo siendo un seguidor de la teoría de cuerdas y los modelos de inflación más sofisticados que se han inspirado en mi trabajo, pero el afortunado encuentro con otro físico jazzístico me hizo tomar un nuevo rumbo.
Conocí a David Spergel durante mi posdoctorado en el Acelerador Lineal de Stanford. Como ya he dicho, es uno de los líderes del proyecto de la sonda WMAP, y uno de los artículos que publicó en este marco figura como el más citado de toda la física. David es el jefe del departamento de astrofísica de Princeton y, en pocas palabras, es uno de los gigantes de nuestro campo. Aunque nadie lo diría. Cuando me encontré con él por primera vez, parecía un tipo cualquiera de los que se cruza uno por la calle. Por entonces David lucía perilla a la moda y vestía una coloreada camisa hawaiana, pantalones cortos y sandalias. Los posdoctorados lo venerábamos, y a la mayoría nos daba miedo hablar con él. Yo me sentía un paria en nuestro grupo de teoría, y un día que David estaba departiendo con algunos profesores y posdoctorados me acerqué a él nervioso. No sabía qué decir, y algo especulativo y risible salió de mi boca (una idea loca a la que le estaba dando vueltas en la cabeza). Para sorpresa de los otros, David me tomó en serio y me animó a perseverar en el proyecto. Tenía esa capacidad de «ver» resultados antes de hacer los cálculos, algo parecido a los Gedankenexperimente de Einstein.
Años más tarde contacté de nuevo con David, y volvió a suceder lo mismo. Le expresé mi insatisfacción con los cada vez más complicados modelos inflacionarios. Entablamos una conversación informal sobre la posibilidad de que la inflación pudiera derivarse de la física conocida. ¿Y cuál es la física más establecida a la que se podría recurrir? Estuvimos dándole vueltas a esta cuestión y entonces, ¡eureka!, teníamos la respuesta delante nuestro. ¡La luz! El campo electromagnético transporta energía. ¿Y si el universo antes de la inflación estaba lleno de radiación electromagnética? ¿Podría esta energía hacer que el espacio se inflara? David me invitó como profesor visitante en Princeton, aprovechando mi año sabático de Haverford, y junto con mi discípulo Antonino Marciano elaboramos un modelo de inflación muy simple, estilo navaja de Occam, basado en la interacción de la luz con los electrones. No se requería ninguna física exótica más allá del modelo estándar, pero el universo tenía que partir de una situación inusualmente plana. Este modelo representa una nueva generación de modelos inflacionarios basado en la física que ya conocemos como verdadera. Queda mucho trabajo por hacer, pero el modelo es la prueba de que la inflación no tiene por qué derivarse de teorías exóticas de gravedad cuántica.
Capítulo 17
El universo musical
El problema del ajuste fino es omnipresente en todos los dominios de la física. Cuando pienso en el arquetipo del físico jazzístico, me viene a la mente la imagen de João Magueijo. Su adiestramiento improvisativo fue temprano, como pianista-compositor clásico de vanguardia y cinturón negro de kárate en la modalidad Shotokan. Conocí a João cuando Robert le invitó a venir a Brown para dar un seminario. Como preparación, nuestro grupo tenía que discutir lo que a primera vista parecía un artículo iconoclasta escrito por João y el pionero de la inflación Andy Albrecht. El artículo se titulaba «A Time Varying Speed of Light as a Solution to Cosmological Puzzles» [Una velocidad de la luz variable con el tiempo como solución a enigmas cosmológicos]. Pero, vamos a ver, ¿acaso Einstein no dejó claro que nada podía viajar más deprisa que la luz? ¿Quién era ese individuo que osaba desafiar al gran Einstein? João y Andy argumentaban que si la velocidad de la luz tendía a infinito en el universo primigenio, los fotones del fondo cósmico de microondas habrían tenido tiempo de interactuar, lo que resuelve el problema del horizonte. En tal caso habría un mecanismo para que la velocidad de la luz descendiera hasta el valor constante que observamos en el universo actual, similar a la influencia de la temperatura en la manifestación del magnetismo por un material magnético. Esto significaba que había una solución alternativa al problema del horizonte que no requería la inflación. Además, tenía el potencial de eliminar el ajuste fino, ya que abrazaba la idea de que una teoría podía considerar acoplamientos entre campos que cambian con el tiempo, en vez de distribuirse aleatoriamente en un multiverso.
Naturalmente, surgió la cuestión de si otras constantes de la naturaleza también podían variar con el tiempo. ¿Por qué limitarse a la velocidad de la luz? En una reunión del grupo, Brandenberger, con su habitual mente abierta a las teorías alternativas, sugirió que, en una teoría cuántica de la gravedad, las constantes fundamentales no tenían por qué ser siempre universales. Tenía razón. La teoría de Einstein dice que la luz viaja a una velocidad máxima constante en el espacio vacío. Es la simetría matemática de la relatividad especial, llamada simetría de Lorentz, la que preserva la velocidad de la luz en marcos de referencia que se mueven a velocidades constantes. La idea de la relatividad especial es que hay muchos marcos de referencia, cada uno con observadores vivos dentro. La velocidad de la luz en cada uno de estos marcos de referencia debe ser la misma, con independencia de lo rápido que sea su movimiento relativo. En otras palabras, si un observador contempla otro marco de referencia (como un tren en movimiento), verá que la velocidad de la luz es la misma a pesar del movimiento relativo del marco de referencia. Es por esta simetría por lo que la teoría estándar de la luz, o el electromagnetismo, no admite una velocidad de la luz variable en el espacio vacío. Pero cuando una onda de luz viaja en un medio diferente, como el vidrio, la simetría de Lorentz no se conserva, de modo que la luz puede cambiar de velocidad en relación con el espacio vacío. Esto era la esencia del argumento de João. Podía ser que algún efecto cuántico en el espacio-tiempo violara la intocable simetría de Lorentz, lo que se traduciría en una variación de la velocidad de la luz en el universo primigenio. El caso es que la forma de las dimensiones extra en la teoría de cuerdas puede hacer que ciertas constantes, incluida la velocidad de la luz, varíen a través del tejido del espacio-tiempo.[53]
Mientras caminábamos hacia el aula donde iba a dar su charla, João iba por delante con una sonrisa traviesa en la cara, vestido con una camiseta negra y unos vaqueros del mismo color. Parecía haber algunos seguidores esperando para ver al guapo chico malo latino de pelo negro azabache debatir con sus colegas trajeados de más edad. Los profesores se sentaron en su mayoría en primera fila, preparados para plantarle batalla en su intento de contestar la preciada idea de la constancia de la velocidad de la luz. Pero, para sorpresa de todos, y probablemente para diversión suya, el muy embaucador no habló de su desafío a la teoría de Einstein.
La charla de João era sobre cosmología cuántica, y llevaba por título «Fotografiar la función de onda del universo». ¿La función de onda de qué? La mecánica cuántica suele asociarse con la materia a la escala subatómica. Pero hemos visto que las leyes clásicas del mundo macroscópico emanan de la mecánica cuántica (las fluctuaciones cuánticas proporcionaron las ondas de presión en el universo primigenio que fueron la semilla de toda la estructura que vemos hoy). La filosofía de la cosmología cuántica, pues, es aplicar la mecánica cuántica al universo entero. Esto significa que en la época inflacionaria no sólo se cuantiza el inflatón, sino el espaciotiempo mismo. Así pues, la cosmología cuántica no hace más que abarcar el dominio de cualquier teoría de la gravitación cuántica.
Tras la charla, João y yo pasamos unas cuantas horas discutiendo algunas ideas nuevas para enmarcar su velocidad de la luz variable en la teoría de cuerdas. Me recordó a Sonny, Trane, Miles y Ornette, músicos que primero dominaron el jazz tradicional y luego emplearon esas herramientas para llevar la tradición a un nuevo nivel, sin miedo de lo que pensaran las autoridades o las posibles repercusiones profesionales. A veces los cambios fueron deliberados, y a veces surgieron de la improvisación. Con ese espíritu, abracé la velocidad de la luz variable, y allí mismo en el café nos dedicamos a improvisar física juntos. Entablamos una relación que duraría largo tiempo, porque cuando João volvió al Imperial College de Londres hizo equipo con el teórico de cuerdas Kellogg Stelle y me contrató como posdoctorado para trabajar con él en la extensión de su velocidad de la luz variable al dominio de la gravedad cuántica.
Los actos de abrazar una idea e improvisar me han hecho quien soy en física. Son dos valores que aprendí de maestros en ambos: Kaplan, Cooper, Brandenberger, Jaron y Coleman. Entretejer música y física en una vía de pensamiento me ha mostrado cómo usar conceptos musicales como puntos de acceso a diversos campos de la física moderna y la cosmología. Las analogías me han ayudado a hacer la física más accesible y estimulante.
Es maravilloso pensar en seguir los pasos de nuestros antecesores, los grandes pensadores antiguos que buscaban entender la física a través del sonido, y el sonido a través de la física. Pitágoras experimentó con martillos y cuerdas para intentar entender de dónde procedían los placeres de la música, mientras que Kepler se valió de su intuición de que el universo era musical para hacer avances trascendentales en los campos de la astronomía, la física y las matemáticas.
La música y el sonido han persistido, les hayamos prestado atención o no. Son parte integrante del universo. La simetría de las composiciones musicales es un reflejo de la simetría de los campos cuánticos, y la ruptura de estas simetrías en ambos casos conduce a una bella complejidad. En física obtenemos las distintas fuerzas de la naturaleza mediante rupturas de simetría, y en música tenemos tensión y resolución.
La incertidumbre de conocer a la vez dónde está una partícula y hacia dónde se dirige es un bonito reflejo de la improvisación jazzística. ¿Y no es alucinante que el espectro de las vibraciones amplificadas por la inflación, aquellas que condujeron a la estructura del universo actual, sea el mismo que el espectro del ruido? El fundamento de todo es la suma de ondas de Fourier. La estructura armónica del fondo cósmico de microondas emana del ruido cuántico, así como cadencias y ritmos diferentes emanan de una forma de onda fundamental, una oscilación, una repetición uniforme, un círculo.

Figura 17.1. El físico teórico João Magueijo.
Hay una razón por la que los violines Stradivarius son tan codiciados por los instrumentistas: ya no se hacen violines así. Cada instrumento tiene su sonido, su carácter, y el universo no es diferente. Por esta razón observan los físicos las oscilaciones del fondo cósmico de microondas en busca de las huellas características de la materia o la energía oscura. Y estas oscilaciones persisten en los patrones de agregación de los cúmulos y supercúmulos de galaxias.
Contémosles a los niños que las primeras estrellas y galaxias del universo fueron creadas por el sonido del plasma primordial, justo después del nacimiento del universo, y que esas ondas crearon galaxias con estructuras complejas y estrellas que cantan con frecuencias resonantes propias. Y contémosles que en el universo hay mucho más que eso. Todas las analogías acaban desbaratándose. Pero como me enseñó Leon Cooper, una analogía poderosa puede decirnos algo nuevo que no habríamos extraído de la teoría por sí sola. Enseñémosles estas analogías a los niños, y ellos las llevarán al límite más adelante.
¿Qué ocurre si llevamos más lejos la analogía entre música y física? Así como la explicación de Mark Turner de la improvisación me ayudó a entender la mecánica cuántica, ¿qué más puede enseñarnos la música? ¿Y si convertimos esta analogía entre la música y el cosmos en un isomorfismo —una correspondencia uno a uno— y especulamos que el universo es musical, para ver qué nos enseña esto? ¿Podría generar una nueva física, o indicar una opción preferente en un debate cosmológico controvertido? Exploremos estas nuevas ideas juntos.
Una fuente de controversia principal en relación con la idea de que el universo pueda ser musical es el uso de la palabra música en este contexto. La música se concibe como una creación humana, basada en nuestra percepción sonora y la organización de los sonidos según la armonía, el ritmo y la melodía. Pero la música también tiene que ver con el uso del ruido y la disonancia para crear ritmo y tensión, o cambiar una orientación armónica esperada de una pieza musical. Cuando hablo de un universo musical, me refiero precisamente a esos elementos, pero generalizados a cualquier medio que sustente fenómenos ondulatorios, lo que vale para toda la física y todo el universo. Si el universo es musical, entonces es fundamentalmente ondulatorio, y puede representarse como una evolución temporal de formas de onda sonoras. O como dice el compositor moderno Spencer Topel:
Si bien es casi imposible definir la música, debido a todas las variantes de lo que la gente piensa que es, puede representarse como una forma de onda compleja y caótica que también contiene estructuras hermosas. Igualmente, cuando miramos al cielo, vemos belleza y caos. Tanto el cosmos como la música se mueven por las relaciones y la estructura de las ondas. Ambos contienen una complejidad casi incomprensible, pero podemos discernir estructuras y dar sentido a lo que vemos y oímos.[54]
Quedémonos con esto: si no hay nada fuera del universo, y si el universo funciona como un instrumento, con todos los elementos musicales que posee, entonces el instrumento musical puede tocar por sí solo. En otras palabras, el sonido cósmico es el instrumento, y el instrumento es el sonido cósmico. Todo lo que hay en el universo, incluyendo el espacio-tiempo, debe vibrar u oscilar.
Es posible convertir esta intuición en una idea física sin más que hacer oscilar un parámetro: la tasa de expansión del universo. Si dicha tasa oscila con la frecuencia de un tono puro, entonces tenemos lo que llamaré un universo rítmico, eso que también se conoce como cosmología cíclica. Resulta que las ecuaciones de la relatividad general de Einstein admiten un universo cíclico como solución exacta. Este tipo de universo nos permite responder esa turbadora pregunta: «¿Qué ocurrió antes del big bang?». La respuesta es que el universo experimenta una sucesión de contracciones y expansiones. No hubo ningún comienzo. No hay ninguna singularidad, y el tiempo siempre ha existido. Éste es el tono más puro que puede tocar el universo. El tono mismo es la oscilación a la escala del universo entero.
En realidad, esta solución cíclica es una idea antigua. Una de las primeras versiones de cosmología cíclica procede de la filosofía hindú. En este caso el universo era eterno, y se creaba y destruía en ciclos que duraban 8640 millones de años.
El estudio de Coltrane de la música y la filosofía orientales le llevó más cerca de la cosmología actual de lo que probablemente habría podido imaginar. Es tentador suponer que la improvisación de Coltrane en Giant Steps, que tenía una estructura cíclica, plasmaba la danza cósmica de la expansión y contracción de un universo cíclico. Albert Einstein se dio cuenta de que su teoría de la relatividad general admitía un universo oscilante. En tal caso, el espacio-tiempo experimentaba una sucesión infinita de expansiones y contracciones. Nuestro big bang era uno de una infinidad. Como la inflación, el universo cíclico tiene sus virtudes y debilidades, y sigue siendo objeto de investigación activa en cosmología. Uno de los principales desafíos del universo cíclico tiene que ver con un campo amenazador conocido como fantasma.
Para obtener un universo cíclico, el universo en contracción del pasado tiene que resurgir como un universo en expansión. Los cosmólogos llaman a este fenómeno rebote cósmico. Pensemos en una pelota que bota. Para que el movimiento de la pelota se invierta, tiene que golpear el suelo, decelerar, pararse y cambiar el sentido de su velocidad. Esto ocurre de manera natural debido a la conservación del momento y la elasticidad de la pelota. Similarmente, el universo en contracción acabará parándose fugazmente y rebotando en un estado expansivo. Para que esto ocurra, necesitamos un campo que haga que el espacio-tiempo se comporte como una pelota «elástica». Este campo fantasma, como se le llama, es un depósito infinito de energía negativa. A los físicos no les gustan los campos fantasmas, porque por efectos cuánticos pueden transformarse espontáneamente en una cantidad infinita de energía electromagnética. Esto ocurre porque, de acuerdo con el diagrama de intercambio de Feynman, el fotón, la partícula más ligera de la naturaleza, puede robar energía negativa del campo fantasma para crear una cantidad explosiva de radiación. No vemos tales signaturas explosivas de los campos fantasmas por ningún sitio, así que si los universos cíclicos son una posibilidad real y dependen de campos fantasmas, entonces dichos campos han encontrado una manera ingeniosa de no desintegrarse en fotones. Nima Arkani-Hamed y sus colegas del Instituto de Estudios Avanzados de Princeton propusieron una posible solución: el campo fantasma se condensa, lo que acota la energía negativa en valores finitos y previene la desintegración fotónica.[55]
Tanto si el campo fantasma resulta ser el agente del renacer del universo de su muerte cósmica cual ave fénix como si no, aún podría requerirse algo tanto o más extraño. En cualquier caso, sigue siendo increíble que la teoría de Einstein admita un universo que vibra como una nota pura, un universo que superficialmente funciona de manera simple, dejando a la vez sitio para toda la complejidad que contiene. No obstante, los cosmólogos necesitaron siete décadas para admitir la posibilidad de un universo cíclico. Ya en la década de 1920, Albert Einstein consideró la posibilidad de un universo oscilante como alternativa a la expansión perpetua. Sin embargo, en 1934 Richard Tolman señaló una inconsistencia del modelo cíclico debida a la segunda ley de la termodinámica (la que dice que la entropía siempre aumenta con el tiempo). A medida que el universo vaya de ciclo en ciclo, la entropía seguirá aumentando y los ciclos se alargarán.[56] Extrapolando hacia atrás, los ciclos se acortan hasta llegar a una singularidad tipo big bang. Adiós a los ciclos eternos, y de vuelta a la pizarra. Pero los problemas de ajuste fino de la inflación han hecho que algunos cosmólogos ingeniosos reúnan el coraje necesario para reconsiderar el universo cíclico.

Figura 17.2. Una ilustración del universo rítmico (cíclico).
A pesar de la reticencia de muchos cosmólogos a tocar algo tan extraño como un universo cíclico, la idea, junto con una solución al problema de Tolman, fue desarrollada por Paul Steinhardt y Neil Turok, y retomada hace unos años por John Barrow, Dagny Kimberly y João Magueijo, quienes estudiaron si la fuerza de acoplamiento entre dos electrones podía variar a medida que el universo se contraía hasta un «big bang». Así era.
El problema con la hipótesis del multiverso es que para un teórico es muy difícil efectuar un cálculo matemático sólido que describa la creación efectiva de un universo burbuja. En el caso del universo rítmico, la solución exacta de una expansión y contracción sinusoidal nos permite sortear las dificultades matemáticas y conceptuales de la creación de universos en ciernes, que parece requerir una teoría de la gravitación cuántica plenamente acabada, algo que aún no tenemos. La analogía musical llevada al límite prepara un nuevo terreno para resolver el problema del ajuste fino. Y es magnífico que se asiente sobre una oscilación, un círculo.
Mientras escribía este libro me impuse el reto de encontrar un isomorfismo entre el jazz y la cosmología. Este ejercicio me condujo a un nuevo mecanismo cosmológico para resolver el problema del ajuste fino y librarse de la hipótesis del multiverso. Comencé estableciendo una analogía con el Giant Steps de Coltrane, que luego convertí en un isomorfismo. Coltrane era famoso por ejecutar solos desusadamente largos (que a veces se prolongaban durante horas). La estructura de un tema como Giant Steps contiene dos ciclos. El primero es un ciclo armónico, y el segundo es un ciclo rítmico. Hay tres centros tonales que van girando, como un triángulo en rotación alrededor del círculo de quintas. Y esta rotación armónica se repite en el tiempo. Éste es el entramado sobre el que Coltrane improvisaba en temas como Giant Steps. Así que imaginé que cada vez que el ciclo del tema se repite en el tiempo, el improvisador ejecuta nuevos solos, o incluso permutaciones de solos previos. ¿Y si hacíamos corresponder las notas a los valores de las constantes acopladas y los ciclos rítmicos a las expansiones y contracciones cíclicas?
Para que las constantes acopladas puedan cambiar en el contexto de un universo cíclico, los acoplamientos mismos debían comportarse como campos, y estos campos tenían que interactuar con la gravedad misma. Resultó que la teoría de cuerdas proporcionaba de manera natural estos campos acoplantes que interactuaban con la gravedad. Y tales campos pueden cambiar durante el rebote. Tan pronto como constaté que los acoplamientos cambian al pasar de la fase de contracción a la de expansión, hablé con mi colega Marcelo Gleiser, y se quedó atónito. «Escribamos un artículo sobre esta idea», me propuso Marcelo. Después de jugar con las ecuaciones de la relatividad general para un universo cíclico en presencia de constantes variables, encontramos un bonito cuadro que nos proporcionaba una manera de resolver el problema del ajuste fino. El campo acoplante no cambia cuando el universo se expande; su energía permanece latente como energía potencial porque está ahí, lista para usarse (aunque no se use). Pero cuando el universo experimenta una oscilación y pasa de la contracción a la expansión, los campos acoplantes adquieren un montón de energía cinética. Cuando eso ocurre, esos campos, que son como una pelota al pie de una cuesta, reciben una patada que les permite saltar el pozo de potencial y cambiar sus valores. Pero esta patada hace que adquieran valores improvisados que dependen hasta cierto punto de los ciclos previos. Cuando el universo vuelve a expandirse, los campos pierden energía y vuelven a caer en el pozo. Pudimos demostrar que el cambio del acoplamiento es aleatorio en cada rebote. Imaginemos que el universo haya pasado por miles de millones de sucesiones de rebotes en el pasado remoto. Durante cada rebote, los acoplamientos han cambiado aleatoriamente. Por lo tanto, se da la circunstancia de que vivimos en la época en que los acoplamientos han resultado adecuados para la existencia de vida. De acuerdo con esta teoría, dentro de miles de millones de años, el universo se contraerá y los acoplamientos cambiarán, y podría ser que las leyes futuras no permitan la vida tal como la conocemos.

Figura 17.3. Un enfoque de universo cíclico para el problema del ajuste fino.[iii]
Pero, de algún modo, es bonito y satisfactorio que nuestras vidas y todo lo que las ha posibilitado (nuestras fluctuaciones cuánticas particulares, nuestro espacio-tiempo, nuestras estrellas y planetas) puedan formar parte de un ciclo de una totalidad más grande. Nuestro universo puede no ser más que otra vuelta del círculo, a la espera de una nueva improvisación.

Figura 17.4. Una solución numérica de la evolución de los campos acoplantes a través del rebote cíclico del universo. El eje Y representa el valor del acoplamiento, y el eje X representa el tiempo cósmico.
Capítulo 18
Espacio interestelar
Es el conocimiento [...] de las verdades eternas lo que nos distingue de los animales y nos da la razón en las ciencias, elevándonos al conocimiento de nosotros mismos [...] Las verdades necesarias y eternas son los primeros principios de todo conocimiento racional. Son innatas. Son los principios mismos de nuestra naturaleza tanto como del universo, porque es nuestra esencia para la representación del universo entero.
Gottfried Leibniz
Desde los patrones simétricos de los quarks que se organizan para formar la materia de los núcleos atómicos hasta la estructura helicoidal del ADN, y hasta la organización de las galaxias en supercúmulos, el universo está repleto de estructura. Hasta las leyes físicas que rigen la creación de esta miríada de estructuras tienen su propia estructura, gobernada por una danza continua entre principios de simetría y sus violaciones. En este libro hemos emprendido un viaje a través del sonido para defender la tesis de que el despliegue de estas estructuras cósmicas tiene un carácter musical. En esa danza entre armonía, simetría, inestabilidad y los huecos de improvisación, todo coopera para sustentar la estructura cósmica. Es como si el cosmos se desplegara como un solo de John Coltrane. Los catalizadores de la estructura cósmica son los campos cuánticos, con su proclividad a la armonía a través de los ciclos de expansión y contracción del espacio-tiempo. La vibración inicial de estos campos resonó a través del escenario espacio-temporal, como el cuerpo vibrante de un instrumento que plantó la semilla de la primera estructura de nuestro universo. Es a través de la vibración, la resonancia y la interacción como el micromundo conecta con el macromundo.
Albert Einstein dijo con razón: «Lo más incomprensible del universo es que sea comprensible». ¿Cómo es que, a través de las leyes de la física, surgieron estrellas, planetas y, en última instancia, formas de vida capaces de averiguar dichas leyes? Cuando pensamos en la conexión entre el sonido, la improvisación y la estructuración, y en la conexión causativa con la estructura más interesante de todas, la vida misma, uno no puede sino preguntarse: ¿se creó la estructura del universo con un propósito? Cuando los físicos comenzamos a hablar de propósito, nos metemos en aguas turbias. Pero aquí estoy escribiendo este capítulo, y aquí estás tú ahora leyendo estas palabras. ¿No forma parte del ser humano buscar propósitos? Después de todo, somos el producto de miles de millones de años de evolución estructural. La música quizá sea el mejor ejemplo de empresa humana con raíces físicas y matemáticas que, a otro nivel, tiene la capacidad de evocar emociones poderosas y un sentido del propósito. Es divertido especular que la razón de que la música tenga la capacidad de conmovernos tan profundamente es que constituye una alusión auditiva a nuestra conexión básica con el universo. Si nuestros orígenes cósmicos se asientan sobre pautas sonoras, quizá no sea tan descabellado pensar que la música nos permite acceder de manera visceral a dichos orígenes.
Hemos visto que el espectro sonoro tras el big bang depende de unas «constantes» de la naturaleza sintonizadas con precisión, y ajustar dichas constantes es como intentar mantener un lápiz en equilibrio sobre la punta. Este ajuste fino corre a cargo de leyes desconocidas que posibilitan la estructura cósmica conducente a la vida. La analogía de nuestro universo funcionando como un instrumento capaz de autoafinarse para tocar la composición cósmica de las estrellas, las galaxias y finalmente la vida requiere un modo de conseguir este autoafinamiento. Tomando la analogía del universo musical en serio, he propuesto un universo armónico o cíclico como solución potencial al problema del ajuste fino. Hemos visto que si el universo ha experimentado una sucesión infinita de expansiones y contracciones, como un tono puro, entonces las constantes de la naturaleza pueden autoajustarse a base de improvisar nuevos valores durante el rebote entre una fase de contracción y una fase de expansión. Cuando el universo vuelve a entrar en una época de expansión (como la presente), los campos acoplantes se fijan en el valor final que alcanzaron durante el rebote. Si nuestro universo ha experimentado muchos de estos ciclos en el pasado, entonces los campos acoplantes improvisarán nuevos valores que acabarán siendo adecuados para la vida basada en el carbono. Pero nuestra pregunta sigue ahí: más allá de la aparición de la vida, ¿cuál es el propósito subyacente tras el desarrollo estructural de nuestro universo? En lo que resta de capítulo voy a proponer un experimento mental para responder esta pregunta. Y el tema de este experimento mental será John Coltrane y su mandala.
John Coltrane tenía fama de practicar tanto que llegaba a dormirse con la boquilla en la boca. Esta práctica estaba guiada y alimentada por una insaciable búsqueda de sentido en el cosmos. En sus últimos años, Coltrane empleó su instrumento como una herramienta para buscar conexiones entre la música y el universo mismo (algo muy parecido al uso que hacen los físicos de sus instrumentos experimentales). Por ejemplo, Coltrane exploró miríadas de maneras de tocar a través de la progresión de acordes II-V-I, como quedó sólidamente demostrado en su álbum Giant Steps. Como Eno, usaba el sonido y la música para desvelar verdades eternas acerca del universo. Expandió el espacio bidimensional del tono y el ritmo en un hiperespacio que incluía manipulaciones sónicas tales como los multifónicos —armónicos tocados simultáneamente— y las capas de sonido.
Uno de los grandes ídolos de Coltrane era Albert Einstein, y se embarcó en una investigación pluridisciplinaria que le llevó a una ferviente búsqueda de conexiones entre la física moderna, el tiempo cíclico de la filosofía oriental, la armonía occidental y los polirritmos africanos. Como Einstein, cuyos descubrimientos en física vinieron influidos en gran medida no sólo por otros físicos, sino por otras disciplinas, Coltrane comprendió que para hacer que su música fuera cósmica y expresar lo cósmico a través de su música, tenía que ir más allá del idioma musical occidental y del jazz clásico. Coltrane debería servir de inspiración especialmente a los científicos. Voy a defender que, a través del estudio independiente, Coltrane adquirió una lección fundamental del principio de invariancia de Einstein y la integró en su música. Lo que veremos en el mandala de Coltrane está en el núcleo del jazz de la física: un músico de jazz aplicando la metodología de un físico teórico como Gedankenexperiment y estrategia de improvisación.
Los últimos tres álbumes grabados en estudio de Coltrane fueron Cosmic Music, Stellar Regions y, finalmente, Interstellar Space. La inspiración de este último fue el estudio de Coltrane de la teoría de la relatividad general de Einstein y la hipótesis del universo en expansión. Interpretó correctamente que la expansión es una forma de antigravedad. En los conjuntos de jazz, la gravedad la ponen el bajo y la batería. Los temas de Interstellar Space son un majestuoso despliegue de los solos de Coltrane expandiéndose y liberándose de la atracción gravitatoria de la sección rítmica. Coltrane creía que la complejidad del cosmos fluye en las acciones humanas, y practicó incontables horas para convertirse en un canal de esta fuerza cósmica. En su tema Jupiter se puede oír a Coltrane canalizando literalmente las órbitas de las lunas del planeta gigante en su improvisación.

Figura 18.1. La geometría espacio-temporal de la hipersuperficie tetradimensional del espacio de Minkowski. Las transformaciones de los puntos de la superficie de los conos dejan invariante la velocidad de la luz.
Recuerdo una conversación con Ravi Coltrane, hijo de John, hace unos años, en la fiesta del setenta y cinco cumpleaños de Wayne Shorter. Le comenté que estaba explorando una conexión entre la música de su padre y la teoría de la relatividad de Einstein. Ravi me miró con gesto serio y me dijo: «Mi padre profundizó en las matemáticas y la física». ¿Qué había conducido la intuición de Coltrane a su fijación en el cosmos?
Tuve la buena fortuna de entrevistar al renombrado compositor y multiinstrumentista David Amram, quien había conversado más de una vez con Coltrane acerca de su interés en las teorías de la relatividad especial y general de Einstein. En 1956 se encontraron en el exterior del café Bohemia de Barrow Street, en West Willage. David acababa de actuar con Dizzy Gillespie y se unió a Coltrane, que estaba sentado comiendo un tentempié.
Me dijo: «¿Cómo estás?». Le dije «Todo bien». Luego me preguntó: «¿Qué piensas de la teoría de la relatividad de Einstein?». No creo que le interesara tanto lo que yo sabía del tema como compartir lo que sabía él. Me quedé en blanco, y comenzó aquel increíble discurso sobre la simetría del sistema solar, hablando de agujeros negros en el espacio, de constelaciones y de la estructura del sistema solar, y de cómo Einstein fue capaz de reducir toda esa complejidad a algo muy simple. Luego me explicó que estaba intentando hacer algo así en música, algo que proviniera de fuentes naturales, las tradiciones del blues y del jazz, pero que había una manera totalmente diferente de ver lo que era natural en la música.[57]
Incluso para quienes entienden los entresijos matemáticos de la teoría de Einstein es fácil pasar por alto el meollo del asunto: la elegancia de una teoría física que contiene y relaciona leyes más complicadas a partir de un principio simple. En el caso de la relatividad especial lo «simple» es la invariancia de la velocidad de la luz. Por invariancia se entiende una transformación que no cambia una magnitud. Por ejemplo, con un giro puedo pasar de un punto de la rueda de una bicicleta a otro punto, pero el radio no cambiará de longitud. Hay una conexión profunda entre la invariancia y la simetría. La rueda tiene simetría circular; por lo tanto, una transformación rotacional de la rueda preserva el aspecto de la misma. Similarmente, la invariancia de la velocidad de la luz también refleja una simetría subyacente del espacio-tiempo. No importa lo complicado que sea el estado de movimiento de un observador en relación con otro en el espacio-tiempo: la velocidad de la luz tiene que ser invariante (constante).
Una vez que este principio se implementa matemáticamente, se sigue de manera natural la unificación de la electricidad y el magnetismo. Toda la aparente complejidad de las ecuaciones separadas se unifica en un sistema de ecuaciones simple que respeta la invariancia de la velocidad de la luz. Vale la pena mostrarlo. Consideremos las cuatro ecuaciones de Maxwell:

Figura 18.2. Las cuatro ecuaciones de Maxwell de los campos eléctrico y magnético.
Pero una vez que se invoca la invariancia de la velocidad de la luz, las cuatro ecuaciones pueden escribirse como una sola ecuación maestra:

Es interesante que me extienda un poco sobre esto. La unificación del espacio y el tiempo en un continuo espacio-temporal de cuatro dimensiones permitió a Einstein construir un campo en un marco tetradimensional. Este campo se conoce como potencial gauge, que describe el fotón y se denota como Aμ. A partir de este campo potencial tetradimensional podemos definir los campos eléctrico y magnético tomando derivadas. Esto también nos permite definir una derivada del potencial gauge: dνAμ – dμAν = Fμν.
Los índices μ y ν denotan las cuatro coordenadas del espaciotiempo, es decir: μ = (t, x, y, z). A partir de aquí podemos definir la derivada en cuatro dimensiones,

El lado izquierdo de la ecuación maestra contiene información de los campos eléctrico y magnético, pero agrupados en un objeto singular, Fμν, que se conoce como tensor de fuerza del campo. El lado derecho, Jν, es lo que se llama corriente tetradimensional, y es similar a la corriente eléctrica tridimensional en las ecuaciones de Maxwell ordinarias (ecuación 1). Así pues, la ecuación dice simplemente que el tensor de fuerza tetradimensional se deriva de la corriente tetradimensional. Las proyecciones tridimensionales de estos objetos tetradimensionales dan las tres ecuaciones de Maxwell. En tres dimensiones, donde la invariancia de la velocidad de la luz no es evidente, las ecuaciones de Maxwell son proyecciones (sombras) de un objeto tetradimensional con una invariancia manifiesta de la velocidad de la luz. Es como la sombra de una rueda de bicicleta en el suelo, que puede llegar a verse como una línea (en tal caso no se manifiesta la simetría circular). Pues bien, ¡Coltrane entendió esto! Por lo que le dijo a Amran, creo que quería hacer lo mismo con su música. Y voy a ofrecer pruebas de lo que digo.
Einstein se valió de la simetría para restringir la interacción de los campos en el espacio-tiempo. Por ejemplo, en el caso del electromagnetismo, sólo los campos tetradimensionales cuyo movimiento está limitado a un cono de luz tetradimensional pueden interaccionar, tal como se muestra en la figura 18.1. Una buena manera de visualizar esto es imaginar que nuestro movimiento está limitado a la superficie de una esfera de radio r. Si empleamos el sistema de coordenadas (x, y, z) para designar un punto de la esfera, sólo están permitidos los valores de x, y y z que satisfacen z2 + y2 + x2 = r2. Podemos pensar que las interacciones de los campos se rigen por ecuaciones similares que restringen su existencia a un cono de luz tetradimensional. Las interacciones que se sitúan fuera del cono de luz no están permitidas.
Einstein también se valió de la simetría espacio-temporal para dictar relaciones entre fenómenos que antes se tomaban por no relacionados. Antes de la relatividad, el espacio y el tiempo (como la electricidad y el magnetismo) se consideraban independientes. Una partícula puede cambiar de posición a lo largo del tiempo, pero la relatividad einsteiniana relaciona la longitud del espacio con la duración del tiempo, dependiendo del movimiento intrínseco del observador. Lo que para un observador estático es un campo eléctrico, para un observador en movimiento es un campo magnético.
A continuación argumentaré que Coltrane implementó estas ideas relativistas en su música. Una revelación de su mandala que discutí con Yusef Lateef nos da una pista. Como el cono de luz de Einstein, el mandala de Coltrane era una estructura geométrica que unificaba las relaciones entre algunas escalas clave y los recursos armónicos que empleaba en su repertorio. Dado que la práctica musical estaba en el centro de la maestría de Coltrane, el mandala podría haber funcionado como una herramienta geométrica que revelaba una multitud de pautas en el universo musical. Constatado esto, comencé a usar el mandala como herramienta para practicar relaciones entre escalas, dejándome guiar por las pautas del mandala.
En relatividad especial, el hecho de que la velocidad de la luz sea fija hace que otras magnitudes se distorsionen para mantener dicha invariancia en distintos marcos de referencia. Por ejemplo, la longitud de un tren en movimiento se acorta en relación con la longitud del mismo tren en reposo para un observador.
Igualmente, si tocamos las mismas notas en dos claves diferentes, esas notas idénticas no nos parecerán las mismas. No sólo las percibiremos como diferentes, sino que ocuparán posiciones distintas. Las notas La-Si-Do en clave de Do suenan como sexta, séptima y octava, con resolución final en una tónica. Si toco las mismas notas en clave de Si, por ejemplo, entonces empiezo con una séptima, paso por la tónica y acabo en una segunda menor por encima de la tónica. Sus relaciones con los puntos fijos (octavas, quintas) de la clave son enteramente diferentes en cada caso. Pensamos que esas notas, como la longitud de un tren, son sonidos fijos (un La es un La y un Si es un Si), pero cuando se tocan en el contexto de una clave dada, resultan diferentes, se distorsionan, debido a los valores fijos de la tónica y los intervalos dentro de la clave. El diagrama de Coltrane es una representación más elegante de esta idea, donde las relaciones entre las quintas, el tritono y los tetracordes son estructuras fijas que sirven de base para establecer relaciones entre escalas.
A primera vista el mandala parece intimidante, así que para identificar la estructura subyacente lo reduciremos a un esqueleto que permita caracterizar la invariancia. Y como en el ejemplo de la relatividad especial, una vez tengamos la estructura invariante podremos generar la dinámica compleja a partir de las interacciones dictadas por la invariancia. El primer paso es identificar esta invariancia, o la geometría que nos invita a ignorar las notas. Enseguida vemos un reloj donde cada hora viene representada por un grupo de tres notas. Por ejemplo, en las doce vemos un grupo de tres notas (Si, Do, Do sostenido) marcado con el número 1. Los grupos de tres notas pueden simplificarse si identificamos cada grupo con un punto. Ahora tenemos un reloj con doce horas, correspondientes al ciclo de doce semitonos de la escala musical occidental. Otra peculiaridad del diagrama es que Coltrane conecta cinco notas Do mediante una estrella de cinco puntas. Lo que tenemos es una geometría cíclica, en el sentido de que, si contamos las notas, encontraremos que a lo largo del ciclo se repiten sesenta notas. Pero dentro de ese ciclo de sesenta notas hay doce notas que generan cinco notas Do (la estrella del mandala). Así pues, el mandala de Coltrane es un ciclo dentro de otro ciclo.
Cuando identificamos todas las notas Do en la estrella de cinco puntas, obtenemos el sistema de doce semitonos de la música occidental. Sin embargo, al hacerlo así se pierde información. Por información entiendo la geometría del objeto pentagonal dentro del ciclo de sesenta notas. Si intentamos preservar el pentágono en nuestro ciclo de doce notas, obtenemos una escala muy interesante: la escala pentatónica. Uno no puede sino especular, a raíz del comentario de Coltrane a Amran, que «estaba intentando hacer algo así [reducir la complejidad a algo simple] en música, algo que proviniera de fuentes naturales, las tradiciones del blues y del jazz». La escala pentatónica es conocida por culturas de todo el mundo, y ya existía en China y Grecia hace veinticinco siglos. Se emplea profusamente en el canto gregoriano, los espirituales negros (Nobody Knows the Trouble I’ve Seen), la música escocesa (Auld Lang Syne), la música india, el jazz estándar (I Got Rhythm, Sweet Georgia Brown) y el rock (Stairway to Heaven). Coltrane estaba buscando lo que era universal en la música, y el punto de partida era determinar qué aspecto de la música era común a todas las culturas humanas. También se proponía buscar en las fuentes naturales. Pues bien, la escala pentatónica puede generarse a partir de cinco quintas perfectas. Recordemos que la quinta perfecta se genera de manera natural como el segundo armónico de la serie de Fourier, con lo que satisface la aspiración de Coltrane de buscar «algo que proviniera de fuentes naturales».
Pero la evidencia más convincente es el hecho de que los dos álbumes más renombrados de Coltrane, A Love Supreme e Interstellar Space, se basan en la escala pentatónica. Stacy Dillard, amigo mío y uno de los saxofonistas más celebrados de Nueva York en la actualidad, dice que la escala pentatónica es el esqueleto de la improvisación jazzística. En otras palabras, como la invariancia de Einstein, la escala pentatónica es una base sobre la que edificar la complejidad en una improvisación de jazz. Esto no quiere decir que sea la única base posible, pero plantea preguntas como por qué esta escala relativamente simple posee tal potencialidad musical.
El mandala de Coltrane también contiene otras bonitas relaciones determinadas por la geometría cíclica. Y hay resonancias con Schönberg y Messiaen, quienes también aplicaron ideas de la teoría de conjuntos en sus composiciones. Un recurso importante en la improvisación jazzística es la sustitución de tritonos. Lo que esto significa es que, al pasar de un acorde a otro, es posible reemplazar el acorde subsiguiente por otro más sencillo. Ya hemos visto que la progresión II-V-I es una de las más comunes tanto en el jazz como en la música clásica occidental. El tritono no es más que una simetría especular en el ciclo de doce semitonos (véase la figura 18.5). Así, en clave de Do, el acorde de quinta es uno de Sol dominante, y su imagen especular (tritono) es el acorde de Re bemol dominante. Por lo tanto, cuando pasamos de Sol dominante a Do, podemos sustituir el acorde de Sol por el de Re bemol. Esto es genial, porque el Re bemol dominante está a medio camino de la segunda, que es Re. El ciclo de sesenta notas de Coltrane también contiene una simetría de reflexión que incluye el tritono.

Figura 18.3. El mandala de Coltrane, que revela la geometría pentagonal dentro del ciclo de sesenta notas. Ayesha Lateef.
Los grupos de tres notas enmarcadas por óvalos generan el misterioso tetracordio armónico. Por ejemplo, donde vemos el número 1 en la figura 18.3, comenzamos por la nota Do (C en el diagrama) y seguimos las siguientes cuatro notas en el grupo de óvalos. De este modo obtenemos Do, Do sostenido, Mi, Fa y Fa sostenido, que forman un tetracordio armónico. El pianista australiano Sean Wayland ha argumentado que el tetracordio armónico puede emplearse como herramienta para tocar a través de los cambios de acorde de Giant Steps.[58] Pero aún hay más. Nótese que Coltrane enmarca con un cuadrado ciertas notas dentro de cada grupo de tres. Esas notas definen precisamente el ciclo de quintas, que genera la escala pentatónica. Por último, Coltrane enmarca una de las escalas simétricas más usadas, la escala tonal, que son las notas que ocupan los anillos interno y externo. Así pues, el mandala es una asombrosa creación geométrica que relaciona todas estas escalas importantes y generales entre sí, igual que el espacio-tiempo relativista relaciona la contracción de la longitud con la dilatación del tiempo, y los campos eléctricos con los campos magnéticos.

Figura 18.4. La simetría pentagonal de la escala pentatónica de Do mayor.
Este libro no trata sólo de la analogía entre música y cosmología, sino también de la importancia del pensamiento musical e improvisativo a la hora de hacer física. Los físicos teóricos aplicamos el enfoque musical de Coltrane. Empleamos una batería de herramientas conceptuales y matemáticas que practicamos con ejemplos resueltos por maestros del pasado, como Einstein y Feynman. Igualmente, los músicos de jazz como Coltrane aprenden a dominar su tradición a través de incontables horas de práctica. Pero tanto para el físico teórico como para el improvisador de jazz, no basta con dominar el material del pasado: hay que hacer descubrimientos.

Figura 18.5. Una simetría por reflexión relaciona cada nota con su tritono. Por ejemplo, el tritono de Do es Sol bemol, y el tritono de Sol bemol es Do.
Los seres humanos son las únicas criaturas que pueden descubrir la matemática avanzada, y las únicas que pueden crear y formalizar la música. Si la belleza y la física del universo y la belleza y la física de la música están ligadas, la conexión existe únicamente en el cerebro humano. Neurólogos como Rick Granger, György Buzsáki y Ani Patel están intentando entender cómo los cerebros pueden percibir, aprender y recordar, planear y predecir. Pero los perros, los osos y hasta las ratas son capaces de hacer todo eso. ¿Qué es lo que diferencia al cerebro humano, entonces? ¿Qué nos hace capaces de aquello que no pueden hacer los cerebros no humanos: apreciar la música y entender la matemática? ¿Y de crear cosas nuevas bajo el sol: componer, improvisar, descubrir nuevas realidades matemáticas acerca del universo?
Unos pocos músicos, como Coltrane, tienen una rara habilidad para improvisar, para encontrar las pautas y regularidades subyacentes tras las formas armónicas, y emplear esas intuiciones para generar secuencias melódicas de nuevo cuño. Y unos pocos científicos, como Einstein, pueden encontrar regularidades que han eludido a otros grandes científicos, como tomar las ecuaciones de Maxwell y reducirlas a una sola formulación unificadora.
Puede que todos tengamos la aptitud inmanente de hacer matemáticas como Einstein o improvisar como Coltrane. Puede que su singularidad resida en la capacidad de llevar estas aptitudes mucho más allá de lo normal. Cuando el campo de la neurología haya captado con éxito los fundamentos de la percepción y el pensamiento, puede que el próximo paso sea intentar entender lo que todos los cerebros comparten y aquello que los diferencia, y si se necesita una nueva física para entender qué hay en los cerebros de Coltrane y de Einstein que llevó su pensamiento hasta sus elevadas intuiciones y descubrimientos. Se están comenzando a investigar cuestiones como lo que ocurre en el cerebro cuando percibimos las complejidades de la música, o cómo consiguen los cerebros humanos procesar la información de nuestro entorno de manera tan diferente de los otros animales y proporcionarnos las matemáticas, la improvisación musical y el lenguaje.[59]
Parafraseando al infame cerdo de Rebelión en la granja, aparentemente algunos cerebros humanos son más únicos que otros. Einstein y Coltrane nos mostraron cosas que el resto de nosotros no habríamos descubierto por nosotros mismos. Cuando lleguemos a entender nuestros cerebros, en general y en particular, quizá la neurología comience a mostrarnos no sólo las posibles conexiones entre la forma musical y la forma física, sino cómo nosotros, seres físicos únicos, podemos llegar a captarlas y entenderlas.
Puede que las respuestas a estas cuestiones requieran avances fundamentales en las fronteras limítrofes de la física, las artes y la neurología. Los vínculos profundos entre la forma musical y la forma física podrían quedar desvelados cuando entendamos cómo surgieron ambas formas de conocimiento —la música y la física— en el cerebro humano. Después de todo, los cerebros, con independencia de los misterios que albergan, son las estructuras más complejas del universo.
Uno de los padres del cálculo, Gottfried Leibniz, conjeturó que el elemento irreducible del universo, la mónada, tenía la capacidad de contener la esencia del universo entero. Sigue siendo un misterio que el cerebro humano, que es un producto de las leyes de la física y se rige por ellas, pueda llegar a entender esas mismas leyes. Si, como he argumentado, una de las funciones fundamentales del universo es improvisar su propia estructura, puede que Coltrane esté haciendo lo mismo al improvisar sus solos. Y lo que hizo el universo fue crear una estructura que llegaría a conocer el universo mismo.
Detrás de todo descubrimiento científico hay personas con su propia historia. Mi viaje, improvisativo y ecléctico, fue guiado por mis mentores en física y música. A lo largo de los últimos treinta años he tenido el honor de aprender secretos del arte de la física teórica de la mano de Jim Gates. En 1969 era un joven alto y delgado que lucía pantalones acampanados y peinado afro, y se disponía a entrar en el infausto corredor infinito del MIT persiguiendo su sueño de convertirse en físico y astronauta. El joven James Gates Jr. pronto haría buenas migas con Ronald McNair, un astronauta que luego estaría entre las víctimas de la tragedia de la explosión del Challenger. En aquellos años el MIT admitió a un grupo de estudiantes negros de física, entre los que estaban Shirley Jackson y Ronald McNair. Esto ocurría sólo cuatro años después de que el presidente John F. Kennedy abogara por una legislación que concediera a todos los norteamericanos el derecho de ser atendidos en establecimientos abiertos al público (hoteles, restaurantes, teatros, tiendas y similares) y garantizara «una mayor protección del derecho de voto». Estos pioneros prepararon el camino para los científicos de mi generación.
Jim continuó en el MIT y se doctoró en física teórica, con la primera tesis doctoral sobre supersimetría presentada en la institución. Luego escribió un libro monstruoso, A Thousand and One Lessons in Supersymmetry. Fue admitido como miembro de la Sociedad de Harvard, donde compartía despacho con Michael Peskin (quien, dicho sea de paso, fue mi asesor posdoctoral), Edward Witten y Warren Siegel. Eran la crème de la crème de la especialidad. A lo largo de los años, Jim y yo hablábamos principalmente de física. Mientras escribía este libro le pregunté por su experiencia en Harvard, y me dijo que hizo amistad con sus compañeros de despacho, una amistad que se ha manteniendo hasta hoy. Pero ya entonces se sintió abrumado por la suma brillantez de sus colegas Witten, Peskin y Siegel.
En 1977, cuando aún estaba en Harvard, Jim recibió una inesperada carta de Abdus Salam, reciente premio Nobel por su descubrimiento de la unificación de la interacción nuclear débil y el electromagnetismo. Los teóricos de la generación de Jim veneraban al para ellos legendario Salam, así que imagínese la reacción de sus colegas cuando se enteraron de que Salam le había invitado a colaborar con él y su grupo. Por entonces Salam estaba trabajando en la supergravedad, y Jim era un joven pionero del tema, así que tenía sentido que diera un seminario. Tras ganar el Premio Nobel, Salam fundó el Centro Internacional de Física Teórica, cuya misión era «desarrollar programas científicos de alto nivel, teniendo en mente las necesidades de los países en desarrollo, y proporcionar un foro internacional de intercambio para científicos de todos los países». Allí, por primera vez en su carrera, Jim conoció a físicos de todos los rincones del globo: África, China, Europa y Oriente Medio. Entonces se dio cuenta de que la física realmente era una empresa global, no limitada a Europa y América, una idea errónea corriente promulgada por los medios de comunicación.
Después del seminario, Salam se llevó a Jim a comer. Él tenía un montón de preguntas e ideas que compartir con el gurú. Y entonces, así por las buenas, Salam le dijo: «Algún día, cuando los tuyos hagan física, será como el jazz».
Qué gran cumplido, como afirmación y reconocimiento de las contribuciones improvisativas, inclusivas, culturales e intelectuales de esa música llamada jazz. El sentido de la frase de Salam es que el genio de una gente que ha creado una cultura musical tan dinámica en sonido y rica en metáforas como el jazz puede hacer una gran contribución a la empresa misma de la física.
Aprender a tocar esa música que llamamos jazz es un proceso que lleva toda una vida. Es una música que ha evolucionado a lo largo de los casi cien años de su existencia registrada para convertirse en un sistema intelectual y artísticamente exigente.

Figura Epi. 1. Izquierda: Jim Gates Jr. cuando aún era estudiante en el MIT. Derecha: Jim con Stephen Hawking.
Por ejemplo, el bebop se desarrolló en un 99,9 por ciento fuera del entorno académico, durante los ensayos y las sesiones de improvisación de los cuarenta, por grandes como Charlie Parker, Dizzy Gillespie, Bud Powell, Max Roach y Thelonious Monk, por citar unos pocos. Estos artistas vivieron en una época en que las leyes de Jim Crow se aplicaban de facto y aún había linchamientos. Entonces, ¿cómo llegó esta música a hacerse tan grande, hasta el punto de que se dice que es la música clásica norteamericana, y probablemente la forma de arte más representativa creada en los Estados Unidos de América? En el clásico The Hero and the Blues, uno de los mentores de Wynton Marsalis, Albert Murray, defiende que la «cooperación antagonista» está detrás de la grandeza de la tradición jazzística. En una conversación con Marsalis, incluida en el libro Murray Talks Music, recién publicado por la Universidad de Minnesota, Murray dice:
Traigamos aquí otro concepto de mi librito The Hero and the Blues, que es el concepto de cooperación antagonista. Esta manera de llamarlo puede parecer contradictoria, pero es como una regla mnemotécnica, lo cual es muy útil. Si no tienes una oposición adecuada, no te desarrollas. Para ser un gran campeón debes tener grandes contendientes. Para ser un gran héroe debes tener dragones que matar.
Pero aunque hubiera una competencia feroz, que permitía el desarrollo, los músicos de jazz también eran inclusivos. Cualquiera podía incorporarse a la banda y expresarse.[60] Si eras bueno, te volvían a llamar para tocar. La tradición también era protectora. Recuerdo cuando yo era el músico menos virtuoso, y aun así me invitaban a tocar con grandes como Will Calhoun, Marc Cary y John Benitez, todos ellos ganadores de un Grammy. Aunque mis solos no fueran los más brillantes, Will tomaba nota de los momentos afortunados, cuando afloraba una frase interesante, a veces extraña, y a veces las incorporaba en otro tema.
Así pues, cuando me contaron lo que dijo Salam de que algún día la física podría parecerse al jazz, lo interpreté como que el día en que la comunidad de la física, como el jazz, incluya contribuciones de todos los grupos humanos, con independencia de sus credos, alcanzará nuevas alturas, lo que nos permitirá resolver problemas otrora considerados inabordables. Mi viaje personal para reconciliar el jazz con la física sirve de ejemplo vivo de cómo un pequeño grupo de físicos, en el espíritu de la tradición jazzística, me aceptó y me permitió improvisar física con ellos, a la vez que me desafiaba a ir más allá de mis límites.
Notas:
Notas al fin del libro:
ISOTROPÍA Y HOMOGENEIDAD DEL UNIVERSO A PARTIR DE LAS MEDICIONES
DEL FONDO CÓSMICO DE MICROONDAS
R.B Partridge y David T. Wilkinson
Laboratorio de Física Palmer, Princeton, Nueva Jersey
(recibida el 2 de marzo de 1967).
Se utilizó un radiómetro de Dicke (con una longitud de onda de 3,2 cm) para efectuar barridos diarios cerca del ecuador celeste en busca de una posible anisotropía en la radiación cósmica de cuerpo negro. Después de más o menos un año de operación intermitente no encontramos ninguna asimetría de 24 h con una amplitud mayor que ± 0,1% (de 3 ºK). No obstante, hay una anisotropía de 12 h posiblemente significativa, con una amplitud de aproximadamente un 0,2%. (N. del T.)
Presentamos un modelo de universo cerrado rebotante donde el valor de las constantes de acoplamiento viene establecido por la dinámica de un campo escalar dilatónico tipo fantasma. Demostramos que la adición de un potencial periódico para el campo escalar conduce a un universo cíclico de Friedman donde los valores acoplados se fijan durante el rebote, y dentro de cada ciclo su dependencia del tiempo permanece dentro de los límites observacionales presentes para los valores de los parámetros del modelo físicamente motivados. Nuestro modelo presenta una alternativa a las soluciones del problema del ajuste fino basadas en escenarios de paisajes de cuerdas. (N. del T.)