«Las mates siempre fueron mi asignatura más floja».
«Un millón de dólares, mil millones o un billón. No importa cuánto siempre y cuando hagamos algo por resolver el problema».
«Jerry y yo no iremos a Europa, con tantos terroristas…».
Este travieso enorgullecerse de la propia ignorancia matemática se debe, en parte, a que sus consecuencias no suelen ser tan evidentes como las de otras incapacidades. Por ello, y porque estoy convencido de que la gente responde mejor a los ejemplos ilustrativos que a las exposiciones generales, en este libro examinaremos muchos casos de anumerismo que se dan en la vida real: timos bursátiles, elección de pareja, las revistas de parapsicología, declaraciones de medicina y dietética, el riesgo de atentados terroristas, la astrología, los récords deportivos, las elecciones, la discriminación sexista, los OVNI, los seguros, el psicoanálisis, las loterías y la detección del consumo de drogas, entre otros.
He procurado no pontificar demasiado ni hacer demasiadas generalizaciones espectaculares acerca de la cultura popular o sobre el sistema educativo de los Estados Unidos, pero me he permitido hacer unas cuantas observaciones generales que espero sean suficientemente apoyadas por los ejemplos que aporto. En mi opinión, algunos de los bloqueos para el manejo de los números y las probabilidades con cierta desenvoltura se deben a una respuesta psicológica muy natural ante la incertidumbre y las coincidencias, o al modo en que se ha planteado el problema. Otros bloqueos son atribuibles a la ansiedad, o a malentendidos románticos acerca de la naturaleza y la importancia de las matemáticas.
Una consecuencia del anumerismo, de la que raramente se habla, es su conexión con la creencia en la pseudociencia. Aquí estudiaremos la interrelación entre ambas. En una sociedad en la que la ingeniería genética, la tecnología láser y los circuitos en microchip incrementan a diario nuestra comprensión del mundo, resulta especialmente lamentable que una parte importante de la población adulta crea aún en las cartas del Tarot, en la comunicación mediúmnica y en los poderes del Cristal.
Peor aún es el gran vacío que separa las valoraciones que hacen los científicos sobre determinados riesgos y la inquietud que estos despiertan en la mayoría de la gente, vacío que a la larga nos puede producir bien una ansiedad paralizante e infundada, bien unas demandas de seguridad absoluta económicamente inviables. Los políticos rara vez sirven de ayuda en este aspecto, por cuanto trafican con la opinión pública y están poco dispuestos a aclarar los probables riesgos y concesiones que conlleva cualquier política.
Como el libro se ocupa principalmente de varias insuficiencias, la falta de perspectiva numérica, la apreciación exagerada de coincidencias que no tienen otro significado, la aceptación crédula de la pseudociencia, la incapacidad de reconocer los convenios sociales, etc., en gran medida tiene un tono más bien demoledor. No obstante, espero haber sabido evitar el estilo excesivamente serio y el tono de reprimenda común a muchas tentativas semejantes.
De principio a fin, el enfoque es ligeramente matemático, y se echa mano de conceptos de la teoría de la probabilidad y la estadística que, a pesar de tener un significado profundo, se pueden captar con sólo una pizca de sentido común y un poco de aritmética. Es raro encontrar discusiones sobre muchas de las ideas que se presentan aquí en un lenguaje accesible para un público amplio, y pertenecen al tipo de cuestiones a las que mis estudiantes suelen contestar con la pregunta: «Bueno, pero ¿va para examen?». Como no habrá examen, el lector podrá disfrutar de ellas gratis, y saltarse impunemente aquellos párrafos que de vez en cuando le parezcan demasiado difíciles.
Una de las aseveraciones en la que se insiste en el libro es que las personas anuméricas tienen una marcada tendencia a personalizar: su imagen de la realidad está deformada por sus propias experiencias, o por la atención que los medios de comunicación de masas prestan a los individuos y a las situaciones dramáticas. De ello no se desprende que los matemáticos hayan de ser necesariamente impersonales o formales. No lo soy yo, ni tampoco lo es el libro. Al escribirlo, mi objetivo ha sido interesar a las personas que, aunque cultas, son anuméricas, o por lo menos a aquellas que, sintiendo temor ante las matemáticas, no experimenten un pánico paralizante. El esfuerzo de escribir el libro habrá valido la pena si sirve para empezar a aclarar cuánto anumerismo impregna nuestras vidas, tanto en su aspecto privado como en el público.
Capítulo 1
Ejemplos y principios
- Números grandes y probabilidades pequeñas
- Sangre, montañas y hamburguesas
- Los números colosales y los 400 de Forbes
- Arquímedes y los números prácticamente infinitos
- La regla del producto y los valses de Mozart
- Los helados de tres sabores y el truco de Von Neumann
- Julio César y tú
Dos aristócratas salen a cabalgar y uno desafía al otro a decir un número más alto que él. El segundo acepta la apuesta, se concentra y al cabo de unos minutos dice, satisfecho: «Tres». El primero medita media hora, se encoge de hombros y se rinde.1. Números grandes y probabilidades pequeñas
Un veraneante entra en una ferretería de Maine y compra una gran cantidad de artículos caros. El dueño, un tanto reticente y escéptico, calla mientras va sumando la cuenta en la caja registradora. Cuando termina, señala el total y observa cómo el hombre cuenta 1.528,47 dólares. Luego cuenta y recuenta el dinero tres veces. Hasta que el cliente acaba por preguntar si le ha dado la cantidad correcta, a lo que el de Maine contesta de mala gana: «Más o menos».
Una vez, el matemático G. H. Hardy visitó en el hospital a su protégé, el matemático hindú Ramanujan. Sólo por darle conversación, señaló que 1729, el número del taxi que le había llevado, era bastante soso, a lo que Ramanujan replicó inmediatamente: « ¡No, Hardy! ¡No! Se trata de un número muy interesante. Es el menor que se puede expresar como suma de dos cubos de dos maneras distintas».
La facilidad con que la gente se desenvuelve con los números va de la del aristócrata a la de Ramanujan, pero la triste realidad es que la mayoría está más próxima al aristócrata. Siempre me sorprende y me deprime encontrar estudiantes que no tienen la menor idea de cuál es la población de los Estados Unidos, de la distancia aproximada entre las costas Este y Oeste, ni de qué porcentaje aproximado de la humanidad representan los chinos. A veces les pongo como ejercicio que calculen a qué velocidad crece el cabello humano en kilómetros por hora, cuántas personas mueren aproximadamente cada día en todo el mundo, o cuántos cigarrillos se fuman anualmente en el país. Y a pesar de que al principio muestran cierta desgana (un estudiante respondió, simplemente, que el cabello no crece en kilómetros por hora), en muchos casos su intuición numérica acaba mejorando espectacularmente.
Si uno no tiene cierta comprensión de los grandes números comunes, no reacciona con el escepticismo pertinente a informes aterradores, como que cada año son raptados más de un millón de niños norteamericanos, ni con la serenidad adecuada ante una cabeza nuclear de un megatón, la potencia explosiva de un millón de toneladas de TNT.
Y si uno no posee cierta comprensión de las probabilidades, los accidentes automovilísticos le pueden parecer un problema relativamente menor de la circulación local, y al mismo tiempo pensar que morir a manos de los terroristas es un riesgo importante en los viajes a ultramar. Sin embargo, como se ha dicho menudo, las 45.000 personas que mueren anualmente en las carreteras norteamericanas son una cifra próxima a la de los norteamericanos muertos en la guerra del Vietnam. En cambio, los 17 norteamericanos muertos por terroristas en 1985 representan una pequeñísima parte de los 28 millones que salieron al extranjero ese año: una posibilidad de ser víctima en 1,6 millones, para ser precisos. Compárese esta cifra con las siguientes tasas anuales correspondientes a los Estados Unidos: una posibilidad entre 68.000 de morir asfixiado; una entre 75.000 de morir en accidente de bicicleta; una entre 20.000 de morir ahogado y una entre sólo 5.300 de morir en accidente de automóvil.
Enfrentada a estos grandes números y a las correspondientes pequeñas probabilidades, la persona anumérica responderá con el inevitable non sequitur: «Sí, pero ¿y si te toca a ti?», y a continuación asentirá con la cabeza astutamente, como si hubiera hecho polvo nuestros argumentos con su profunda perspicacia. Esta tendencia a la personalización es, como veremos, una característica de muchas personas que padecen de anumerismo. También es típica de esta gente la tendencia de sentir como iguales el riesgo de padecer cualquier enfermedad exótica rara y la probabilidad de tener una enfermedad circulatoria o cardíaca, de las que mueren semanalmente 12.000 norteamericanos.
Hay un chiste que en cierto modo viene al caso. Una pareja de ancianos, que andará por los noventa años, visita a un abogado para que le tramite el divorcio. El ahogado trata de convencerles de que sigan juntos. « ¿Por qué se van a divorciar ahora, después de setenta años de matrimonio? ¿Por qué no siguen como hasta ahora? ¿Por qué ahora precisamente?». Por fin, la ancianita responde con voz temblorosa: «Es que queríamos esperar a que murieran los chicos».
Para captar el chiste hace falta tener una idea de qué cantidades o qué lapsos de tiempo son adecuados a cada contexto. Por el mismo motivo, un patinazo entre millones y miles de millones, o entre miles de millones y billones debería hacernos reír también, y en cambio no es así, pues demasiado a menudo carecemos de una idea intuitiva de tales números. La comprensión que muchas personas cultas tienen de ellos es mínima, ni siquiera son conscientes de que un millón es 1.000.000, que mil millones es 1.000.000.000 y que un billón es 1.000.000.000.000.
En un estudio reciente, los doctores Kronlund y Phillips, de la Universidad de Washington, demostraban que la mayoría de apreciaciones de los médicos acerca de los riesgos de distintas operaciones, tratamientos y mediciones eran completamente erróneas (incluso en sus propias especialidades), y a menudo el error era de varios órdenes de magnitud. En cierta ocasión tuve una conversación con un médico que, en un intervalo de unos veinte minutos, llegó a afirmar que cierto tratamiento que estaba considerando:
- presentaba un riesgo de uno en un millón;
- era seguro al 99 por ciento; y
- normalmente salía a la perfección.
Para tratar con números muy grandes o muy pequeños, la notación científica suele resultar a menudo más fácil y clara que la normal, y por tanto echaré mano de ella algunas veces. La cosa no encierra gran dificultad. 10N representa un 1 seguido de N ceros, así 104 es 10.000 y 109 son mil millones. 10−N quiere decir 1 dividido por 10N, así por ejemplo, 10−4 es 1 dividido entre 10.000 ó 0,0001 y 10−2 es una centésima. 4 × 106 es 4 × 1.000.000 ó 4.000.000; 5,3 × 108 significa 5,3 × 100.000.000 ó 530.000.000; 2 × 10−3 es 2 × 1/1.000 ó 0,002; 3,4 × 10−7 significa 3,4 × 1/10.000.000 ó 0,00000034.
¿Por qué las revistas o los diarios no utilizan en sus relatos esta notación científica? No es ni con mucho tan misteriosa como muchos de los temas de que tratan esas publicaciones y resulta bastante más útil que el fracasado cambio al sistema decimal sobre el que se han escrito tantos artículos pesados. La expresión 7,39842 × 1010 es más legible y más fácilmente comprensible que setenta y tres mil novecientos ochenta y cuatro millones doscientos mil.
En notación científica, las respuestas a las preguntas que planteé al principio son las siguientes: el cabello humano crece aproximadamente a razón de 1,6 × 10−8 kilómetros por hora; cada día mueren en la tierra unas 2,5 × 105 personas y cada año se fuman aproximadamente 5 × 1011 cigarrillos en los Estados Unidos. Las expresiones de estos números en notación común son: 0,000000016 kilómetros por hora, 250.000 personas y 500.000.000.000 cigarrillos.
2. Sangre, montañas y hamburguesas
En una columna sobre anumerismo en Scientific American, el informático Douglas Hofstadter cita el caso de la Ideal Toy Company, que en el envoltorio del cubo de Rubik afirmaba que el cubo admitía más de tres mil millones de configuraciones distintas. Si uno lo calcula, obtiene que las configuraciones posibles son más de 4 × 1019, un 4 seguido de 19 ceros. La frase del envoltorio es cierta, las configuraciones posibles son, en efecto, más de tres mil millones. La subestimación que supone esa cifra es, sin embargo, un síntoma de un omnipresente anumerismo que encaja muy mal en una sociedad tecnológicamente avanzada. Es como si en la entrada del Lincoln Túnel hubiera un rótulo anunciando: Nueva York, más de 6 habitantes; o como si McDonald se vanagloriara de haber vendido más de 120 hamburguesas.
El número de 4 × 1019 no es lo que se dice frecuente, pero sí lo son cifras como diez mil, un millón o un billón. Para poder establecer comparaciones rápidamente, deberíamos disponer de ejemplos de conjuntos que constarán de un millón de elementos, de mil millones, etc. Por ejemplo, saber que un millón de segundos sólo duran aproximadamente once días y medio, mientras que para que pasen mil millones de segundos hay que esperar casi 32 años, nos permite formarnos una idea más clara de la magnitud relativa de dichos números. ¿Y los billones? La edad del homo sapiens moderno es probablemente menor que 10 billones de segundos, y la total desaparición de la variante Neandertal del primitivo homo sapiens ocurrió hace sólo un billón de segundos. La agricultura apareció hace unos 300 mil millones de segundos (diez mil años), la escritura hace unos 150 mil millones de segundos, y tenemos música rock desde hace tan sólo unos mil millones de segundos.
Otras fuentes más comunes de números grandes son el billón de dólares del presupuesto federal y nuestra creciente reserva de armamento. Dado que los Estados Unidos tienen unos 250 millones de habitantes, cada mil millones de dólares del presupuesto federal representa una carga de 4 dólares por cada norteamericano. Por tanto, un presupuesto anual de defensa de casi un tercio de billón de dólares significa aproximadamente 5.000 dólares anuales por cada familia de cuatro personas. ¿En qué se ha invertido este dineral (nuestro y suyo) al cabo de los años? El equivalente de TNT de todas las armas nucleares del mundo es de unos 25.000 megatones, 25 billones de kilos, que significan unos 5.000 kilos por cada persona humana del planeta. (A propósito, medio kilo basta para destruir un coche y matar a todos sus ocupantes). Las armas nucleares que puede llevar un solo submarino Trident tienen un poder explosivo ocho veces mayor que el empleado en toda la segunda guerra mundial.
Pasemos ahora a citar ejemplos más alegres de números pequeños. El modelo que suelo tomar para el humilde millar es una sección del Veterans Stadium de Filadelfia, que sé que tiene 1.008 asientos, y que uno puede representarse fácilmente. La pared norte de un garaje que hay cerca de mi casa tiene casi exactamente diez mil ladrillos. Para cien mil, suelo pensar en el número de palabras de una novela un poco gruesa.
Para hacerse una idea de la magnitud de los números grandes es útil proponer una o dos colecciones como las anteriores para cada potencia de diez, hasta la decimotercera o la decimocuarta. Y cuanto más personales sean, mejor. También es bueno practicar haciendo estimaciones de cualquier cantidad que pueda picarnos la curiosidad: ¿Cuántas pizzas se consumen anualmente en los Estados Unidos? ¿Cuántas palabras lleva uno dichas a lo largo de su vida? ¿Cuántos nombres de persona distintos salen cada año en el New York Times? ¿Cuántas sandías cabrían en el Capitolio?
Calculad aproximadamente cuántos coitos se practican diariamente en el mundo. ¿Varía mucho este número de un día a otro? Estimad el número de seres humanos en potencia, a partir de todos los óvulos y espermatozoides que han existido, y encontraréis que los que han convertido esta potencia en acto son, contra toda probabilidad, increíblemente afortunados.
En general estos cálculos son muy fáciles y a menudo resultan sugerentes. Por ejemplo: ¿cuál es el volumen total de la sangre humana existente en el mundo? El macho adulto medio tiene unos cinco litros de sangre, la hembra adulta un poco menos, y los niños bastante menos. Así, si calculamos que en promedio cada uno de los 5 mil millones de habitantes de la tierra tiene unos cuatro litros de sangre, llegamos a que hay unos 20 mil millones (2 × 1010) de litros de sangre humana. Como en cada metro cúbico caben 1.000 litros, hay aproximadamente 2 × 107 metros cúbicos de sangre. La raíz cúbica de 2 × 107 es 270. Por tanto, ¡toda la sangre del mundo cabría en un cubo de unos 270 metros de largo, un poco más de un dieciseisavo de kilómetro cúbico!
El área del Central Park de Nueva York es de 334 hectáreas, esto es unos 3,34 kilómetros cuadrados. Si lo rodeáramos con una pared, toda la sangre del mundo sólo alcanzaría para llenarlo hasta una altura de unos seis metros. El Mar Muerto, situado en la frontera entre Israel y Jordania, tiene una superficie de unos 1.000 kilómetros cuadrados. Si vertiéramos toda la sangre del mundo en el Mar Muerto, sus aguas sólo subirían dos centímetros. Estas cifras resultan del todo sorprendentes, incluso fuera de su contexto: ¡no hay tanta sangre en el mundo! Si comparamos su volumen con el de toda la hierba, todas las hojas o todas las algas del mundo, queda clarísima la posición marginal del hombre entre las demás formas de vida, por lo menos en lo que a volumen se refiere.
Cambiemos por un momento de dimensiones y consideremos la relación entre la velocidad supersónica del Concorde, que va a unos 3.000 kilómetros por hora, y la del caracol, que se desplaza a unos 7,5 metros por hora, es decir, a 0,0075 kilómetros por hora. La velocidad del Concorde es unas 400.000 veces mayor que la del caracol. Más impresionante aún es la relación entre la velocidad con que un ordenador medio suma diez dígitos y la de un calculador humano. El ordenador lo hace más de un millón de veces más rápido que nosotros, que, con nuestras limitaciones, nos parecemos un poco al caracol. Para los superordenadores la relación es de mil millones.
Y para terminar daremos otro ejemplo de cálculo terrenal que suele usar un asesor científico del MIT para eliminar aspirantes en las entrevistas de selección de personal: pregunta cuánto se tardaría en hacer desaparecer una montaña aislada, como el Fujiyama japonés, por ejemplo, transportándola con camiones. Supóngase que, durante todo el día, llega un camión cada 15 minutos, es cargado instantáneamente de tierra y piedras, y se va sin interrumpir al siguiente camión. Daremos la respuesta más adelante, anticipando que el resultado es un tanto sorprendente.
3. Los números colosales y los 400 de Forbes
El tema de los cambios de escala ha sido uno de los pilares de la literatura mundial, desde la Biblia hasta los liliputienses de Swift, y desde Paul Bunyan hasta el colosal Gargantúa de Rabelais. Siempre me ha chocado, sin embargo, la inconsistencia que han mostrado los distintos autores en su empleo de los números grandes.
Se dice que el niño Gargantúa se tomaba la leche de 17.913 vacas. De joven fue a estudiar a París montado en una yegua que abultaba como seis elefantes y llevaba colgadas del cuello las campanas de Nôtre Dame a modo de cascabeles. En el camino de vuelta a casa, fue atacado a cañonazos desde un castillo y se sacó las bombas del pelo con un rastrillo de 300 metros de longitud. Para hacerse una ensalada cortaba lechugas del tamaño de un nogal y devoraba media docena de peregrinos que se habían refugiado en la arboleda. ¿Pueden apreciar las inconsistencias internas de este cuento?
El Génesis dice que durante el Diluvio «quedaron cubiertos todos los montes sobre la faz de la tierra». Si se toma esto literalmente, resulta que la capa de agua sobre la tierra tendría entre 5.000 ó 6.000 metros de grosor, lo que equivale a más de 2.500 millones de kilómetros cúbicos de agua. Como según el relato bíblico del Diluvio duró 40 días con sus noches, es decir, sólo 960 horas, la tasa de caída de la lluvia ha de haber sido por lo menos de cinco metros por hora, suficiente para echar a pique un avión y con mayor motivo un arca cargada con miles de animales a bordo.
Darse cuenta de inconsistencias internas como esas es uno de los placeres menores de tener cierta cultura numérica. Lo importante, sin embargo, no es que uno esté analizando permanentemente la consistencia y la plausibilidad de los números, sino que, cuando haga falta, pueda recoger información de los puros datos numéricos, y que pueda refutar afirmaciones, basándose sólo en las cifras que las acompañan. Si la gente estuviera más capacitada para hacer estimaciones y cálculos sencillos, se sacarían (o no) muchas conclusiones obvias, y no se tendrían en consideración tantas opiniones ridículas.
Antes de volver a Rabelais, consideraremos dos alambres colgantes con la misma sección transversal. (Seguro que es la primera vez que se imprime esta frase). Las fuerzas que actúan sobre los alambres son proporcionales a sus masas y estas son proporcionales a sus respectivas longitudes. Como las áreas de las secciones transversales de los alambres son iguales, la tensión de cada uno, la fuerza dividida por el área de la sección transversal, varía en proporción directa a la longitud del alambre. Un alambre diez veces más largo que otro soportará una tensión diez veces mayor. Con un razonamiento análogo se demuestra que de dos puentes geométricamente semejantes, hechos del mismo material, el más débil es necesariamente el mayor.
Por la misma razón, no se puede aumentar de escala un hombre desde unos dos metros hasta diez. Al multiplicar por cinco la altura, su peso aumentará en un factor 53, mientras que su capacidad para sostener peso dada por el área de la sección transversal de sus huesos aumentará sólo en un factor 52. Los elefantes son grandes, a costa de tener unas patas muy gruesas, mientras que las ballenas son relativamente inmunes a este efecto por estar sumergidas en el agua.
Aunque en la mayoría de situaciones los aumentos y disminuciones de escala dan primeras aproximaciones razonablemente buenas, a menudo dan malos resultados, como lo prueban muchos ejemplos mundanos. Que el precio del pan suba un 6% no significa que los yates vayan a subir también un 6 por ciento. Si una empresa crece hasta un tamaño veinte veces mayor que el que tenía al empezar, las proporciones relativas a sus distintos departamentos no tienen por qué seguir siendo las mismas. Si la ingestión de mil gramos de cierta sustancia hace que una de cada cien ratas contraiga cáncer, no podemos concluir inmediatamente que la ingestión de sólo cien gramos hará que lo contraiga una de cada mil ratas.
En cierta ocasión escribí a una minoría importante de los 400 de Forbes, una lista de los cuatrocientos norteamericanos más ricos, pidiéndoles 25.000 dólares como subvención a un proyecto en el que estaba trabajando en aquel tiempo. La fortuna media de las personas con las que me puse en contacto era aproximadamente de unos 400 millones de dólares (4 × 108, un número de dólares verdaderamente colosal) y yo sólo pedía 1/16.000 de esta cantidad. Tenía la esperanza de que la proporcionalidad lineal valdría también en este caso, y me animaba pensando que si algún extraño me escribiera pidiendo una ayuda para un proyecto interesante y me solicitara 25 dólares, mucho más de 1/16.000 de mi propia fortuna, probablemente le contestaría afirmativamente. Pero ¡ay!, aunque recibí bastantes respuestas amables, no conseguí ni cinco.
4. Arquímedes y los números prácticamente infinitos
La arquimedianidad es una propiedad fundamental de los números (llamada así por el matemático griego Arquímedes), según la cual se puede rebasar cualquier número, por grande que sea, agregando repetidas veces cualquier número menor, por pequeño que este sea. Aunque esta propiedad sea en principio evidente, a veces la gente se resiste a aceptar sus consecuencias, como ese alumno mío que sostenía que el cabello humano no crece a razón de kilómetros por hora. Desgraciadamente, la agregación de los nanosegundos empleados en una operación simple de ordenador provoca largos embotellamientos en los problemas intratables, muchos de los cuales tardarían milenios en ser resueltos. No es sencillo acostumbrarse al hecho de que los tiempos y distancias minúsculos de la microfísica, y también la inmensidad de los fenómenos astronómicos, comparten las dimensiones de nuestro mundo a escala humana.
Está claro, pues, cómo la propiedad anterior llevó a Arquímedes a su famosa afirmación de que si le dieran un punto de apoyo, una palanca lo bastante larga y un lugar donde situarse, podría, él solo, levantar la tierra. La inconsciencia de la aditividad de las pequeñas cantidades es otro defecto de los anuméricos, que por lo visto no se acaban de creer que sus pequeños aerosoles de laca para el cabello puedan atacar en lo más mínimo la capa de ozono de la atmósfera, o que su automóvil particular contribuya al problema de la lluvia ácida.
Por impresionantes que resulten las pirámides, se construyeron piedra a piedra en un tiempo mucho menor que los cinco mil o diez mil años que harían falta para transportar con camiones el Fujiyama con sus 4.000 metros de altura. Se atribuye a Arquímedes un cálculo parecido, aunque más clásico. Calculó el número de granos de arena necesarios para llenar la tierra y los cielos. Aunque no disponía de la notación exponencial, inventó algo similar, y sus cálculos fueron en esencia equivalentes a lo que sigue.
Interpretando «la tierra y los cielos» como una esfera centrada en la tierra, empezamos por observar que el número de granos de arena que harían falta para llenarla depende tanto del radio de la esfera como del grosor de la arena. Suponiendo que quepan quince granos por pulgada lineal, cabrán 15 × 15 granos por pulgada cuadrada y 153 granos por pulgada cúbica. Como un pie son 12 pulgadas, hay 123 pulgadas en cada pie cúbico y por tanto habrá 153 × 123 granos en cada pie cúbico. Del mismo modo, habrá 153 × 123 × 5.2803 granos por milla cúbica. Teniendo ahora en cuenta la fórmula del volumen de la esfera: 4/3 × p × el radio al cubo, veremos que el número de granos de arena necesarios para llenar una esfera de un billón de millas de radio (más o menos la estimación hecha por Arquímedes) es 4/3 × p × 1000.000.0003 × 153 × 123 × 5.2803, que da aproximadamente 1054 granos de arena.
Esos cálculos llevan aparejada una sensación de poder que resulta difícil de explicar y que implica, en cierto modo, abarcar mentalmente el mundo. Una versión más moderna del problema es el cálculo del número aproximado de bits subatómicos necesarios para llenar el universo. Este número juega el papel del «infinito práctico» de los problemas de ordenador que se pueden resolver sólo teóricamente.
El universo es, siendo un poco generosos, una esfera de unos 40 mil millones de años luz de diámetro. A fin de simplificar el cálculo, seremos aún más generosos y supondremos que es un cubo de 40 mil millones de años luz de arista. El diámetro de los protones y neutrones es de unos 10−12 centímetros. La pregunta arquimediana que plantea el informático Donald Knuth es: ¿Cuántos cubitos de 10−13 centímetros de diámetro (una décima parte del diámetro de estos nucleones) cabrían en el universo? Un cálculo sencillo da que el resultado es menor que 10125. Así pues, un ordenador del tamaño del universo cuyas componentes elementales fueran menores que los nucleones constaría de menos de 10125 componentes. Los cálculos de problemas que precisaran de un número mayor de componentes serían imposibles. Aunque pueda parecer sorprendente, hay muchos de tales problemas, algunos de ellos son comunes y, además, tienen interés práctico.
Una unidad de tiempo comparablemente pequeña es el tiempo empleado por la luz, que va a 300.000 kilómetros por segundo, en recorrer los 10−13 centímetros de arista de uno de esos cubitos. Suponiendo que la edad del universo sea de 15 mil millones de años, tenemos que han pasado menos de 1042 de tales unidades desde el principio de los tiempos. Así pues, cualquier cálculo de ordenador que requiera más de 1042 pasos (y seguro que cada uno de ellos tardará más que una de esas pequeñas unidades de tiempo) ocupará en realizarse un tiempo mayor que la edad actual de este universo. Como antes, hay muchos problemas así.
Suponiendo que un ser humano tenga forma esférica y más o menos un metro de diámetro (piénsese en una persona en cuclillas), acabaremos con unas cuantas comparaciones biológicamente reveladoras que son más fáciles de imaginar. El tamaño de una célula es al de una persona como el de esta al de Rhode Island. Del mismo modo, un virus es a una persona como una persona a la tierra; un átomo es a una persona como esta a la órbita de la tierra alrededor del sol, y un protón es a una persona como una persona a la distancia a Alfa Centauro.
5. La regla del producto y los valses de Mozart
Este es quizás un buen momento para insistir en lo que dije al principio, que el lector anumérico puede saltarse tranquilamente los trozos más difíciles que vaya encontrando de vez en cuando. En las siguientes secciones puede que haya algunos. Del mismo modo, el lector anumérico puede saltarse tranquilamente los trozos triviales con que se encuentre. (Claro que cualquiera puede saltarse tranquilamente cualquier parte del libro, pero preferiría que esto sólo ocurriera con párrafos aislados).
La llamada regla del producto es engañosamente simple y muy importante. Según este principio, si una elección tiene M alternativas posibles y otra elección distinta tiene N, entonces la realización de ambas elecciones, una tras otra, admite M × N alternativas distintas. Así, si una mujer tiene cinco blusas y tres faldas, puede vestirse de 5 × 3 = 15 maneras distintas, pues puede llevar cualquier de sus cinco blusas (B1, B2, B3, B4, B5) con cualquiera de sus tres faldas (F1, F2, F3), para obtener una de las quince combinaciones siguientes:
| B1, F1 | B1, F2 | B1, F3 |
| B2, F1 | B2, F2 | B2, F3 |
| B3, F1 | B3, F2 | B3, F3 |
| B4, F1 | B4, F2 | B4, F3 |
| B5, F1 | B5, F2 | B5, F3 |
A partir de un menú de cuatro entrantes, siete segundos platos y tres postres, un comensal puede elegir 4 × 7 × 3 = 84 comidas distintas, siempre que pida los tres platos.
Análogamente, el número de resultados posibles al lanzar dos dados es 6 × 6 = 36; cualquiera de los seis números del primer dado se puede combinar con cualquiera de los seis del segundo. El número de resultados posibles con la condición de que el segundo dado no marque lo mismo que el primero es 6 × 5 = 30; cualquiera de los seis números del primer dado se puede combinar con cualquiera de los cinco números restantes del segundo. El número de resultados posibles al tirar tres dados es 6 × 6 × 6 = 216. Y el número de resultados posibles, con la condición de que los tres dados señalen un número diferente, es 6 × 5 × 4 = 120.
Este principio es sumamente útil para el cálculo de grandes números, como el número total de teléfonos con que se puede comunicar sin necesidad de marcar prefijo, aproximadamente 8 × 106. En primer lugar se puede marcar cualquiera de los ocho dígitos distintos de 0 ó 1 (que rara vez se usan en primera posición), en segundo lugar se puede elegir un dígito cualquiera entre los diez posibles, y así sucesivamente hasta marcar siete dígitos. (En realidad habría que tener en cuenta otras restricciones sobre los números y los lugares que pueden ocupar, y esto rebajaría el resultado a algo menos de los 8 millones). Del mismo modo, el número de matrículas de automóvil de una provincia que se pueden formar combinando dos letras seguidas de cuatro cifras es 262 × 104. Si se descartan las repeticiones, entonces el número posible de matrículas es 26 × 25 × 10 × 9 × 8 × 7.
Cuando los máximos dirigentes de ocho países occidentales celebran una reunión en la cumbre y posan juntos para una foto, pueden alinearse, de
8 × 7 × 6 × 5 × 4 × 3 × 2 × 1 = 40.320
maneras distintas. ¿Por qué? ¿En cuántas de estas 40.320 fotos posibles aparecerán juntos el presidente Reagan y la primera ministra Margaret Thatcher? Para contestar a esta pregunta, supóngase que Reagan y Thatcher están metidos en un gran saco de arpillera. Los siete objetos de que disponemos (los seis dirigentes restantes y el saco) se pueden alinear de7 × 6 × 5 × 4 × 3 × 2 × 1 = 5.040 maneras
(hemos vuelto a usar la regla del producto). Este número hay que multiplicarlo luego por dos, pues cuando saquemos a Reagan y a Thatcher del saco les podremos ordenar de dos maneras distintas. Hay pues 10.080 posibles fotos distintas en las que Reagan y Thatcher salen juntos. Por tanto, si los ocho dirigentes se alinean al azar, la probabilidad de que estos dos salgan el uno junto a la otra es 10.080/40.320 = 1/4.En cierta ocasión Mozart compuso un vals en el que especificaba once posibilidades distintas para catorce de los dieciséis compases y dos posibilidades para uno de los dos restantes. De este modo el vals admitía 2 × 1114 variaciones, de las cuales sólo se ha interpretado una ínfima parte. En una tesitura parecida, el poeta francés Raymond Queneau escribió un libro titulado Cent mille milliards de poèmes que tenía diez páginas, con un soneto en cada una. Las páginas del libro estaban cortadas de modo que se pudiera tomar un verso de cada soneto. Así, una vez escogido el primer verso, se podía elegir independientemente el segundo verso, luego el tercero, etc. Queneau decía que absolutamente todos los 1014 sonetos resultantes tenían sentido, aunque lo más probable es que nadie se haya entretenido en comprobarlo.
En general la gente no se hace idea del tamaño que pueden llegar a tener estas colecciones tan aparentemente ordenadas. En cierta ocasión un informador deportivo sugirió en un artículo a un entrenador de béisbol que probara cada una de las posibles combinaciones de los veinticinco jugadores que formaban su equipo hasta dar con el 9 ideal. La sugerencia admite muchas interpretaciones, pero en cualquier caso el número de partidos que habría que jugar es tan grande que los jugadores habrían muerto mucho antes de que se hubieran jugado todos.
6. Los helados de tres sabores y el truco de Von Neumann
Las heladerías Baskin-Robbins anuncian helados de treinta y un sabores distintos. El número de helados posibles de tres sabores distintos es por tanto
31 × 30 × 29 = 26.970
cualquiera de los treinta y un sabores puede estar encima, cualquiera de los treinta restantes puede estar en el centro y cualquiera de los veintinueve restantes debajo. Si no nos importa el orden en que están los sabores del helado, sino que sólo nos interesa saber cuántos posibles helados de tres sabores hay, dividiremos 26.970 entre 6, con los que obtendremos 4.495 helados distintos. El motivo de esta división es que hay 6 = 3 × 2 × 1 maneras distintas de ordenar los tres sabores en un helado de, por ejemplo, fresa, vainilla y chocolate:FVC, FCV, VFC, VCF, CVF y CFV.
Como la misma ley vale para todos los helados de tres sabores, el número de estos es:
(40 × 39 × 38 × 37 × 36 × 35) = 2.763.633.600
maneras distintas de escogerlos. Por el contrario, si sólo nos interesa la colección de seis números y no el orden en que se han escogido (como ocurre en esas loterías), entonces hemos de dividir 2.763.633.600 por 720 para determinar el número de apuestas distintas, y obtenemos 3.838.380. Es necesario dividir, pues hay720 = 6 × 5 × 4 × 3 × 2 × 1
maneras de ordenar los seis números que forman cada apuesta.Otro ejemplo, de importancia considerable para los jugadores de cartas, lo tenemos en el número de posibles manos de póker a cinco cartas. Si el orden de las cartas es importante, hay
52 × 51 × 50 × 49 × 48
posibles maneras de tener cinco cartas. Como en el juego no importa el orden, dividiremos el producto por (5 × 4 × 3 × 2 × 1) y obtenemos que hay 2.598.960 manos posibles. Conociendo este número podemos calcular varias probabilidades interesantes. La de tener cuatro ases, por ejemplo, es 48/2.598.960 (aproximadamente 1 entre 50.000) pues hay 48 manos distintas con cuatro ases, debido a que la quinta carta puede ser cualquiera de las 48 restantes en el mazo.Obsérvese que los números obtenidos en los tres ejemplos tienen la misma forma:



En el cálculo de probabilidades se puede emplear una variante de la regla del producto. Si dos acontecimientos son independientes, en el sentido de que el resultado de uno de ellos no influye en el del otro, la probabilidad de que ocurran ambos a la vez se calcula multiplicando las probabilidades de que ocurra cada uno de ellos por separado.
Por ejemplo, la probabilidad de que salgan dos caras al lanzar dos veces una moneda es


Como la probabilidad de que una ruleta se pare en rojo es 18/38, y como las distintas tiradas de una ruleta son independientes, la probabilidad de que salga rojo cinco veces seguidas es (18/38)5 (esto es, 0,024 ó 2,4 %). Del mismo modo, dado que la probabilidad de que alguien escogido al azar no haya nacido en julio es 11/12, y que los cumpleaños de las personas son independientes, la probabilidad de que de entre doce personas elegidas al azar ninguna haya nacido en julio es (11/12)12 (es decir 0,352 ó 35,2%). El concepto de independencia de los acontecimientos juega un papel muy importante en la teoría de la probabilidad, y cuando se da, la regla del producto simplifica considerablemente los cálculos.
El jugador Antoine De Gambaud, Chevalier de Mère, planteó al filósofo y matemático francés Pascal uno de los problemas más antiguos de la teoría de la probabilidad. De Gambaud quería saber cuál de los dos casos siguientes es más probable: sacar por lo menos un 6 al tirar cuatro veces un solo dado, o sacar un 12 en veinticuatro tiradas con dos dados. La regla del producto aplicada a las probabilidades basta para hallar el resultado si se tiene en cuenta también la probabilidad de que no se dé un caso es igual a 1 menos la probabilidad de que sí ocurra (si el riesgo de lluvia es de un 20%, la probabilidad de que no llueva es del 80%).
Como la probabilidad de que no salga ningún 6 en una tirada del dado es 5/6, la probabilidad de que no salga en ninguna de las cuatro tiradas es (5/6)4. Restando este número de 1 tendremos la probabilidad de que este caso (ningún 6) no ocurra, es decir, de que salga por lo menos un 6:


Si se usa condón, el riesgo de ser contagiado en un coito heterosexual con un portador reconocido de la enfermedad disminuye a uno sobre cinco mil, y una relación sexual diaria durante diez años con esa persona enferma (suponiendo que este sobreviva durante todo este tiempo) comportaría un riesgo del 50% de contagio. Si no se conoce el estado de salud del compañero (o compañera), pero se sabe que no está en ningún grupo de riesgo conocido, la probabilidad de contagio en un solo coito es de uno sobre cinco millones sin usar preservativo, y de uno sobre cincuenta millones en caso contrario. Es mayor el riesgo de morir en accidente de automóvil al volver a casa después de la cita.
A menudo dos partes contrarias deciden un resultado lanzando una moneda al aire. Cualquiera de las dos partes, o ambas, podrían sospechar que la moneda está cargada. Aplicando la regla del producto, el matemático John von Neumann ideó un truco que permite que los contendientes usen una moneda cargada y sin embargo se obtengan resultados limpios.
Se tira dos veces la moneda. Si salen dos caras o dos cruces, se vuelve a tirar otras dos veces. Si sale cara-cruz, gana la primera parte, y si sale cruz-cara, gana la segunda. La probabilidad de ambos resultados es la misma, aun si la moneda está cargada. Por ejemplo, si sale cara el 60 por ciento de las veces y cruz el 40 por ciento restante, la secuencia cruz-cara tiene una probabilidad de salir de
0,4 × 0,6 = 0,24
y la secuencia cara-cruz, una probabilidad de0,6 × 0,4 = 0,24
Así pues, ambas partes pueden estar seguras de la limpieza del resultado, a pesar de que la moneda sea defectuosa (a no ser que se hagan otro tipo de trampas).Un instrumento importante, íntimamente relacionado con la regla del producto y los números combinatorios, es la distribución binomial de probabilidad. Aparece siempre que consideramos una prueba o procedimiento que admite dos resultados, llamémosles «positivo» y «negativo», y pretendemos conocer la probabilidad de que al cabo de una serie de N intentos se obtenga «positivo» en R de ellos. Si el 20 por ciento de todos los refrescos servidos por una máquina expendedora se derraman del vaso, ¿cuál es la probabilidad de que en las próximas diez ventas se derramen exactamente tres? ¿Y tres como máximo? ¿Cuál es la probabilidad de que en una familia de cinco hijos exactamente tres sean chicas? Si una décima parte de las personas tienen cierto grupo sanguíneo, ¿cuál es la probabilidad de que entre cien personas escogidas al azar exactamente ocho de ellas pertenezcan a este grupo sanguíneo? ¿Y ocho como máximo?
Pasemos a resolver el problema de la máquina expendedora de refrescos que derrama líquido en el 20 por ciento de los vasos que sirve. La probabilidad de que el vaso se desborde en los tres primeros refrescos y no en los siete restantes es, aplicando la regla del producto para la probabilidad:
(0,2)3 × (0,8)7
Pero hay muchas maneras de que sean exactamente tres los vasos derramados en diez ventas, y la probabilidad de cada una de ellas es precisamente(0,2)3 × (0,8)7
Podría ser que sólo se vertieran los tres últimos, o sólo el cuarto, el quinto y el noveno, etc. Por tanto, como hay
Para determinar la probabilidad de que se derramen tres vasos como máximo, se calcula primero la probabilidad de que se derramen exactamente tres, cosa que ya hemos hecho, y se le suman las probabilidades de que se derramen dos, uno y cero, respectivamente. Estas probabilidades se determinan por el mismo procedimiento. Afortunadamente disponemos de tablas y de buenas aproximaciones que nos sirven para acortar este tipo de cálculos.
7. Julio César y tú
Para terminar, daremos otras dos aplicaciones de la regla del producto, la primera un tanto deprimente y la segunda, esperanzadora. La primera es la probabilidad de no sufrir ninguna enfermedad, accidente u otra desgracia de cierta lista que enumeraré. No morir en un accidente de automóvil es seguro en un 99 por ciento, mientras que un 98 por ciento de nosotros se salvará de morir en un accidente doméstico. Tenemos una probabilidad del 95 por ciento de librarnos de una enfermedad pulmonar; un 90 por ciento de la locura; un 80 por ciento del cáncer, y un 75 por ciento de una enfermedad del corazón. He tomado sólo estas cifras a modo de ejemplo, pero se pueden hacer estimaciones muy precisas para una amplia gama de posibles calamidades. Y aunque la probabilidad de librarse de cada una de estas enfermedades o accidentes por separado es alentadora, la de salvarse de todas no lo es. Si suponemos que, en general, estas desgracias son independientes, y multiplicamos todas las probabilidades citadas, el producto se hace en seguida inquietantemente pequeño: la probabilidad de no padecer ninguna desgracia de esta corta lista que he citado es menor del 50 por ciento. Resulta pues preocupante que algo tan inofensivo como la regla del producto pueda intensificar en tal medida nuestra mortalidad.
El segundo ejemplo, más esperanzador, trata de una especie de persistencia inmortal. Primero, apreciado lector, inspira profundamente. Supongamos que el relato de Shakespeare es exacto y que César dijo «Tú también, Bruto» antes de expirar. ¿Cuál es la probabilidad de que hayas inhalado por lo menos una de las moléculas que exhaló César en su último suspiro? La respuesta es sorprendentemente alta: más del 99 por ciento.
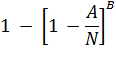
Por si no me crees, he supuesto que al cabo de más de dos mil años esas moléculas se han repartido uniformemente por el mundo y que la mayoría aún están libres en la atmósfera. Una vez aceptadas estas hipótesis tan razonables, el cálculo de la probabilidad que nos interesa es inmediato. Si hay N moléculas de aire en la atmósfera, de las cuales A fueron exhaladas por César, la probabilidad de que hayas inhalado una de estas últimas molécula es A/N. Por el contrario, la probabilidad de que cualquier molécula que hayas inhalado no proceda de César es 1 − A/N. Por la regla del producto, si inhalas tres moléculas, la probabilidad de que ninguna de ellas venga de César es



Capítulo 2
Probabilidad y coincidencia
No es ningún milagro que, en el largo transcurrir del tiempo, mientras Fortuna sigue su curso acá y acullá, hayan de ocurrir espontáneamente numerosas coincidencias.
Plutarco
«Tú también eres Capricornio. ¡Qué emoción!».
- Algunos cumpleaños y un cumpleaños determinado
- Encuentros fortuitos
- Un timo bursátil
- Valores esperados: de los análisis de sangre al juego del chuck-a-luck
- Eligiendo cónyuge
- Las coincidencias y la ley
- Monedas no trucadas y ganadores o perdedores en el juego de la vida
- La racha de suerte y el manitas
Un hombre que viajaba mucho estaba preocupado por la posibilidad de que hubiera una bomba en su avión. Calculó la probabilidad de que fuera así y, aunque esta era baja, no lo era lo suficiente para dejarlo tranquilo. Desde entonces lleva siempre una bomba en la maleta. Según él, la probabilidad de que haya dos bombas a bordo es infinitesimal.1. Algunos cumpleaños y un cumpleaños determinado
Sigmund Freud señaló en cierta ocasión que las coincidencias no existen. Carl Jung habló de los misterios de la sincronización. Y en general la gente habla de ironías por aquí e ironías por allá. Tanto si las llamamos coincidencias, sincronizaciones o ironías, resulta que son mucho más frecuentes que lo que la gente cree.
He aquí algunos ejemplos representativos: «¡Oh! Pues mi cuñado fue también a esa escuela, el hijo de mi amigo le cuida el césped al director, y además la hija de mi vecino conoce a una chica que había sido jefa de animadoras del equipo de la escuela». «La idea de pez ha salido en cinco ocasiones desde que ella me ha confesado esta mañana que le asustaba pescar en medio del lago. Pescado para comer, el motivo de los peces del vestido de Carolina, el…». Cristóbal Colón descubrió el Nuevo Mundo en 1492 y su compatriota Enrico Fermi descubrió el nuevo mundo del átomo en 1942. «Primero dijiste que querías seguirle la corriente a él, pero luego dijiste que querías seguirle la corriente a ella. Está clarísimo lo que te pasa». La razón entre las alturas de los edificios Sears de Chicago y Woolworth de Nueva York coincide en lo que respecta a las cuatro primeras cifras (1,816 frente a 1.816) con la razón entre las masas del protón y el electrón. Reagan y Gorbachov firmaron el tratado INF el 8 de diciembre de 1987, exactamente siete años después de que John Lennon fuera asesinado.
Una de las principales características de las personas anuméricas es la tendencia a sobrestimar la frecuencia de las coincidencias. Generalmente dan mucha importancia a todo tipo de correspondencias, y, en cambio, dan muy poca a evidencias estadísticas menos relumbrantes, pero absolutamente concluyentes. Si adivinan el pensamiento de otra persona, o tienen un sueño que parece que ha ocurrido, o leen que, pongamos por caso, la secretaria del presidente Kennedy se llamaba Lincoln y que la del presidente Lincoln se llamaba Kennedy, lo consideran una prueba de cierta armonía maravillosa y misteriosa que rige de algún modo su universo personal. Pocas experiencias me descorazonan más que encontrarme con alguien que parece inteligente y abierto, que de pronto me pregunta por mi signo del zodíaco y que luego empieza a encontrar características de mi personalidad que encajan en ese signo (independientemente de qué signo le haya dicho yo).
El siguiente resultado, bien conocido en probabilidad, es una buena ilustración de la sorprendente probabilidad de las coincidencias. Como el año tiene 366 días (incluimos el 29 de febrero), tendríamos que reunir 367 personas para estar seguros de que por lo menos dos personas del grupo han nacido el mismo día. ¿Por qué?
Ahora bien, ¿qué pasa si nos contentamos con tener una certeza de sólo el 50%? ¿Cuántas personas habrá de tener el grupo para que la probabilidad de que por lo menos dos de ellas hayan nacido el mismo día sea una mitad? A primera vista uno diría que 183, la mitad de 366. La respuesta sorprendente es que sólo hacen falta veintitrés. En otras palabras, exactamente la mitad de las veces que se reúnen veintitrés personas elegidas al azar, dos o más de ellas han nacido el mismo día.
Para aquellos lectores que no se acaban de creer el resultado, he aquí una breve deducción. Según la regla del producto, cinco fechas distintas se pueden elegir de (365 × 365 × 365 × 365 × 365) maneras distintas (si se permiten las repeticiones). De estos 3655 casos, en sólo 365 × 364 × 363 × 362 × 361 ocurre que no hay dos fechas repetidas; se puede escoger en primer lugar cualquiera de los 365 días, cualquiera de los 364 restantes en segundo, y así sucesivamente. Así pues, dividiendo este último producto (365 × 364 × 363 × 362 × 361) entre 3655, tendremos la probabilidad de que cinco personas escogidas al azar no celebren el cumpleaños el mismo día. Y si restamos esta probabilidad de 1 (o del 100% si trabajamos con porcentajes), tendremos la probabilidad complementaria de que al menos dos de las cinco personas hayan nacido el mismo día. Un cálculo análogo, tomando 23 en vez de 5, da 1/2, el 50% para la probabilidad de que por lo menos dos personas de entre 23 celebren el cumpleaños el mismo día.
Hace un par de años alguien trataba de explicar esto en el programa de Johnny Carson. Este no lo creyó y, como entre el público del estudio había unas 120 personas, preguntó cuántas de ellas habían nacido el mismo día, pongamos el 19 de marzo. Nadie se levantó y el invitado, que no era matemático, adujo algo incomprensible en su defensa. Lo que tendría que haber dicho es que hacen falta veintitrés personas para tener una certeza del 50% de que un par de ellas comparten algún cumpleaños, no uno concreto como el 19 de marzo. Se necesita un grupo mayor, 253 personas para ser exactos, para tener una seguridad del 50% de que una de ellas celebre su cumpleaños el 19 de marzo.
Vamos a deducir esto último en unas pocas líneas. Como la probabilidad de que uno no haya nacido el 19 de marzo es 364/365, y como los cumpleaños son independientes, la probabilidad de que dos personas no hayan nacido el 19 de marzo es 364/365 × 364/365. Y la probabilidad de que N personas no celebren el cumpleaños en este día es (364/365)N, lo que para N = 253 da aproximadamente 1/2. Por tanto, la probabilidad complementaria de que por lo menos una de estas 253 personas haya nacido el 19 de marzo es también 1/2, o el 50%.
La moraleja vuelve a ser que mientras es probable que ocurra algún hecho improbable, lo es mucho menos que se dé un caso concreto. El divulgador matemático Martin Gardner ilustra la distinción entre acontecimientos genéricos y acontecimientos concretos por medio de una ruleta con las veintiséis letras del alfabeto. Si se la hace girar cien veces y se apunta la letra que sale cada vez, la probabilidad de que salga la palabra GATO o FRÍO es muy baja, pero la probabilidad de que salga alguna palabra es ciertamente alta. Como ya he sacado a colación el tema de la astrología, el ejemplo de Gardner aplicado a las iniciales de los meses del año y de los planetas viene particularmente a cuento. Los meses EFMAMJJASOND nos dan JASON, y con los planetas MVTMJSUNP tenemos SUN. ¿Tiene esto alguna trascendencia? En absoluto.
La conclusión paradójica es que sería muy improbable que los casos improbables no ocurrieran. Si no se concreta con precisión cuál es el acontecimiento a predecir, puede ocurrir un suceso de tipo genérico de muchísimas maneras distintas.
En el próximo capítulo hablaremos de los curanderos y de los televangelistas, pero ahora viene a cuento observar que sus predicciones suelen ser lo suficientemente vagas como para que la probabilidad de que se produzca un hecho del tipo predicho sea muy alta. Son las predicciones concretas las que raramente se hacen realidad. Que un político de fama nacional vaya a someterse a una operación de cambio de sexo, como predecía recientemente una revista de astrología y parapsicología, es considerablemente más probable que el hecho de que este político sea precisamente Koch, el alcalde de Nueva York. Que algún telespectador sane de su dolor de estómago porque un predicador televisivo atraiga los síntomas es considerablemente más probable que el hecho de que esto le ocurra a un espectador determinado. Análogamente, las políticas de seguros de amplia cobertura, que compensan cualquier accidente, suelen ser a la larga más baratas que los seguros para una enfermedad o un accidente concretos.
2. Encuentros fortuitos
Dos extraños, procedentes de puntos opuestos de los Estados Unidos, se sientan juntos en un viaje de negocios a Milwaukee y descubren que la mujer de uno de ellos estuvo en un campo de tenis que dirigía un conocido del otro. Esta clase de coincidencias es sorprendentemente corriente. Si suponemos que cada uno de los aproximadamente 200 millones de adultos que viven en los Estados Unidos conoce a unas 1.500 personas, las cuales están razonablemente dispersas por todo el país, entonces la probabilidad de que cada dos tengan un conocido en común es del uno por ciento, y la de que estén unidos por una cadena con dos intermediarios es mayor que el noventa y nueve por ciento.
Podemos entonces estar prácticamente seguros, si aceptamos estas suposiciones, de que dos personas escogidas al azar, como los extraños del viaje de negocios, estarán unidos por una cadena de dos intermediarios como mucho. Que durante su conversación pasen lista de las 1.500 personas que conoce cada uno (así como de los conocidos de estas), y así sean conscientes de la relación y de los dos intermediarios, es ya un asunto más dudoso.
Las suposiciones en que basamos la deducción anterior se pueden relajar un tanto. Quizás el adulto medio conozca menos de 1.500 personas o, lo que es más probable, la mayoría de la gente que conoce vive cerca y no está dispersa por todo el país. Incluso en este caso, menos favorable, es inesperadamente alta la probabilidad de que dos personas escogidas al azar estén unidas por una cadena de como mucho dos intermediarios.
El psicólogo Stanley Milgrim emprendió un enfoque más empírico del problema de los encuentros fortuitos. Tomó un grupo de personas escogidas al azar, dio un documento a cada miembro del grupo y le asignó un «individuo destinatario» al que tenía que transmitir el documento. Las instrucciones eran que cada persona tenía que mandar el documento a aquel de sus conocidos que más probablemente conociera al destinatario, instruyéndole para que hiciera lo mismo, hasta que el documento llegara a su destino. Milgrim encontró que el número de intermediarios iba de dos a diez, siendo cinco el número más frecuente. Aunque menos espectacular que el argumento probabilístico anterior, el resultado de Milgrim es más impresionante. Aporta bastante a la explicación de cómo las informaciones confidenciales, los rumores y los chistes corren tan rápidamente entre cierta población.
Si el destinatario es un personaje conocido, el número de intermediarios es aún menor, sobre todo si uno está relacionado con uno o dos personajes célebres. ¿Cuántos intermediarios hay entre tú y el presidente Reagan? Pongamos que sean N. Entonces el número de intermediarios entre tú y el secretario general Gorbachov es menor o igual que (N + 1), pues Reagan y Gorbachov se conocen. ¿Cuántos intermediarios hay entre tú y Elvis Presley? Aquí tampoco pueden ser más de (N + 2), pues Reagan conoce a Nixon y este conoció a Presley. La mayoría de las personas se sorprenden al darse cuenta de lo corta que es la cadena que les une a cualquier personaje célebre.
Cuando era estudiante de primer año de universidad escribí una carta al filósofo y matemático inglés Bertrand Russell, en la que le contaba que había sido uno de mis ídolos desde el bachillerato y le preguntaba sobre algo que él había escrito referente a la teoría de la lógica del filósofo alemán Hegel. Además de contestarme, incluyó la respuesta en su autobiografía, entre cartas a Nehru, Jruschov, T. S. Eliot, D. H. Lawrence, Ludwig Wittgenstein y otras lumbreras. Me gusta decir que el número de intermediarios que me relaciona con esas figuras históricas es una: Russell.
Otro problema de probabilidad sirve para ilustrar lo corrientes que pueden llegar a ser las coincidencias en otro contexto. El problema se formula a menudo como sigue: un número grande de hombres dejan sus sombreros en el guardarropa de un restaurante y el encargado baraja inmediatamente los números de orden de los sombreros. ¿Cuál es la probabilidad de que, a la salida, por lo menos uno de los hombres recupere su propio sombrero? Lo natural es pensar que, al tratarse de un número grande de hombres, la probabilidad ha de ser muy pequeña. Sorprendentemente, el 63 por ciento de las veces por lo menos uno de los clientes recuperará su sombrero.
Planteémoslo de otro modo: si barajamos mil sobres con las direcciones escritas en ellos y mil cartas con las mismas direcciones también, y luego metemos cada carta en un sobre, la probabilidad de que por lo menos una carta vaya en el sobre que le corresponde es también del 63 por ciento. O bien tómense dos mazos de cartas completamente barajadas y puestas boca abajo. Si vamos destapando las cartas de dos en dos, una de cada mazo, ¿cuál es la probabilidad de que el par de cartas coincida por lo menos una vez? El 63 por ciento también. (Pregunta al margen: ¿Por qué sólo hace falta barajar completamente uno de los mazos?).
El ejemplo del cartero que ha de distribuir veintiuna cartas entre veinte buzones nos permitirá ilustrar un principio numérico que a veces sirve para explicar la certeza de un determinado tipo de coincidencias. Como 21 es mayor que 20, puede estar seguro, sin necesidad de mirar previamente las direcciones, que por lo menos uno de los buzones tendrá más de una carta. Este principio de sentido común, que se conoce a veces como principio del casillero o de los cajones de Dirichlet, puede servir a veces para llegar a conclusiones que no son tan obvias.
Ya lo hemos empleado más arriba al afirmar que si tenemos 367 personas juntas podemos estar seguros de que por lo menos dos de ellas han nacido en el mismo día del año. Más interesante es el hecho de que, de entre los habitantes de Filadelfia, hay por lo menos dos con el mismo número de cabellos. Consideremos todos los números hasta 500.000, cantidad que se toma generalmente como cota superior del número de cabellos de una persona, e imaginemos que numeramos medio millón de buzones con dichos números. Imaginemos también que cada uno de los 2,2 millones de habitantes de Filadelfia es una carta que hay que depositar en el buzón numerado con el número de cabellos de esa persona. Así, si el alcalde Wilson Goode tiene 223.569 cabellos, será depositado en el buzón correspondiente a dicho número.
Como 2.200.000 es considerablemente mayor que 500.000, podemos estar seguros de que por lo menos dos personas tienen el mismo número de cabellos; esto es, que alguno de los buzones recibirá por lo menos dos habitantes de Filadelfia. (De hecho, podemos estar seguros de que por lo menos cinco habitantes de Filadelfia tienen el mismo número de cabellos. ¿Por qué?).
3. Un timo bursátil
Los asesores de bolsa están en todas partes y es muy probable encontrar alguno que diga cualquier cosa que uno esté dispuesto a oír. Normalmente son enérgicos, parecen muy expertos y hablan una extraña jerga de opciones de compra y de venta, cupones de cero y cosas por el estilo. A la luz de mi humilde experiencia, la mayoría no tiene mucha idea de lo que está hablando, pero cabe esperar que algunos sí.
Si durante seis semanas seguidas recibieras por correo las predicciones de un asesor de bolsa acerca de cierto índice del mercado de valores y las seis fueran acertadas, ¿estarías dispuesto a pagar por recibir la séptima predicción? Supón que estás realmente interesado en hacer una inversión y también que te han planteado la pregunta antes de la crisis del 19 de octubre de 1987. Si estuvieras dispuesto a pagar por esa predicción (y si no, también), piensa en el siguiente timo.
Uno que se hace pasar por asesor financiero imprime un logotipo en papel de lujo y envía 32.000 cartas a otros tantos inversores potenciales en un cierto valor de la bolsa. Las cartas hablan del elaborado sistema informático de su compañía, de su experiencia financiera y de sus contactos. En 16.000 de las cartas predice que las acciones subirán y, en las otras 16.000, que bajarán. Tanto si suben las acciones como si bajan, envía una segunda carta pero sólo a las 16.000 personas que recibieron la «predicción» correcta. En 8.000 de ellas, se predice un alza para la semana siguiente, y en las 8.000 restantes, una caída. Ocurra lo que ocurra, 8.000 personas habrán recibido ya dos predicciones acertadas. Manda una tercera tanda de cartas, ahora sólo a estas 8.000 personas, con una nueva predicción de la evolución del valor para la semana siguiente: 4.000 predicen un alza y 4.000 una caída. Pase lo que pase, 4.000 personas habrán recibido tres predicciones acertadas seguidas.
Sigue así unas cuantas veces más, hasta que 500 personas han recibido seis «predicciones» correctas seguidas. En la siguiente carta se les recuerda esto y se les dice que para seguir recibiendo una información tan valiosa por séptima vez habrán de aportar 500 dólares. Si todos pagan, nuestro asesor les saca 250.000 dólares. Si se hace esto a sabiendas y con intención de defraudar, es un timo ilegal. Y sin embargo, se acepta si lo hacen involuntariamente unos editores serios pero ignorantes de boletines informativos sobre la bolsa, los curanderos o los televangelistas. El puro azar siempre deja lugar a una cantidad suficiente de aciertos que permiten justificar casi cualquier cosa a alguien predispuesto a creer.
Un problema totalmente distinto es el que tiene como ejemplo los pronósticos bursátiles y las explicaciones fantásticas del éxito en la bolsa. Como sus formatos son muy variados y a menudo resultan incomparables y muy numerosos, la gente no puede seguirlos todos. Generalmente, aquellas personas que prueban suerte y no les sale bien no airean su experiencia. Pero siempre hay algunas personas a las que les va muy bien. Estas harán una sonora propaganda de la eficacia del sistema que han seguido, sea cual fuere este. Otros harán pronto lo mismo y nacerá una moda pasajera que medrará durante una temporada a pesar de carecer de fundamento.
Hay una tendencia general muy fuerte a olvidar los fracasos y concentrarse en los éxitos y los aciertos. Los casinos abonan esta tendencia haciendo que cada vez que alguien gana un cuarto de dólar en una máquina tragaperras, parpadeen las lucecitas y la moneda tintinee en la bandeja de metal. Con tanta lucecita y tanto tintineo, no es difícil llegar a creer que todo el mundo está ganando. Las pérdidas y los fracasos son silenciosos. Lo mismo vale para los tan cacareados éxitos financieros frente a los que se arruinan de manera relativamente silenciosa jugando a la bolsa, y también para el curandero que gana fama con cualquier mejoría fortuita, pero niega cualquier responsabilidad si, por ejemplo, atiende a un ciego y este se queda cojo.
Este fenómeno de filtrado está muy extendido y se manifiesta de muchas maneras distintas. Para casi cualquier magnitud que uno elija, el valor medio de una gran colección de medidas es aproximadamente el mismo que el valor medio de un pequeño conjunto, y en cambio el valor extremo de un conjunto grande es considerablemente más extremo que el de una colección pequeña. Por ejemplo, el nivel medio de agua de cierto río tomado sobre un período de veinticinco años es, aproximadamente, el mismo que el nivel medio en un período de un año, pero seguro que la peor riada habida en el intervalo de veinticinco años será más intensa que la que haya habido en el período de un año. El científico medio de la pequeña Bélgica será comparable al científico medio de los Estados Unidos, aún cuando el mejor científico norteamericano será, en general, mejor que el belga (aquí no hemos tenido en cuenta factores que evidentemente complican el problema, como tampoco cuestiones de definición).
¿Y qué? Como la gente sólo suele prestar atención a los vencedores y a los casos extremos, ya sea en deportes, artes o ciencias, siempre hay una tendencia a denigrar a las figuras de hoy en día, tanto deportivas como artísticas o científicas, comparándolas con los casos extraordinarios. Una consecuencia de ello es que las noticias internacionales acostumbran a ser peores que las nacionales, que a su vez son peores que las estatales, las cuales son, por la misma regla, peores que las locales, que en última instancia son peores que las del entorno particular de cada uno. Los supervivientes locales de la tragedia acaban invariablemente diciendo en televisión algo así como: «No puedo entenderlo. Nunca había ocurrido nada parecido por aquí».
Y una opinión para acabar. Antes de la radio, la televisión y el cine, los músicos, los atletas, etcétera, podían hacerse un público local de leales, pues eran lo mejor que la mayoría de esas personas iba a ver en su vida. Los públicos de ahora nunca quedan satisfechos de las figuras locales, ni siquiera en las zonas rurales, y exigen talentos de primera línea. Se puede decir en este sentido que, con los grandes medios de comunicación, los públicos han salido ganando, y los artistas perdiendo.
4. Valores esperados: de los análisis de sangre al juego del chuck-a-luck
Aunque lo más llamativo sean los valores extremos y las coincidencias, lo que suele proporcionar más información son los valores medios o los valores «esperados». El valor esperado de una cantidad es la media de los valores que toma, pesados según sus probabilidades respectivas. Por ejemplo, si 1/4 de las veces la cantidad vale 2, 1/3 vale 6, otro 1/3 de las veces vale 15 y el 1/12 restante vale 54, el valor esperado de dicha magnitud es 12. En efecto,


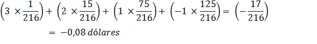
Y un ejemplo que no es ni mucho menos tan baladí. Consideremos una clínica que analiza sangre en busca de una enfermedad que se sabe afecta a una persona de cada cien. Los pacientes acuden a la clínica en grupos de cincuenta y el director se pregunta si en vez de analizar la sangre de cada uno por separado no le saldría más a cuenta mezclar las cincuenta muestras y analizar el conjunto. Si la muestra total da negativo, podría declarar sanos a los cincuenta, y en caso contrario habría de analizar la sangre de cada miembro del grupo por separado. ¿Cuál es el número esperado de análisis que habría que realizar en caso que se decidiera adoptar este procedimiento?
El director habrá de realizar o bien un análisis (si la muestra mezcla da negativo) o cincuenta y uno (si da positivo). La probabilidad de que una persona esté sana es 99/100, y por tanto la probabilidad de que lo estén las cincuenta que componen el grupo es (99/100)50. Así pues, la probabilidad de que haya de realizar un solo análisis es (99/100)50. Por otra parte, la probabilidad de que por lo menos una persona padezca la enfermedad es la probabilidad complementaria [1 − (99/100)50], y esta es también la probabilidad de que haya que realizar cincuenta y un análisis. Por tanto, el número esperado de análisis necesarios es (1 análisis × (99/100)50) + (51 análisis × [1−(99/100)50]) = aproximadamente 21 análisis.
Si el número de personas que ha de pasar el análisis de sangre es grande, será una sabia decisión por parte del director tomar una parte de cada muestra, mezclarla y analizar primero la muestra mezcla. Y si hace falta, analizará luego por separado los restos de las cincuenta muestras. En promedio, este procedimiento hará que basten veintiún análisis por cada cincuenta personas.
Entender bien el significado del valor esperado es útil en el análisis de la mayoría de juegos de casino, así como del no tan conocido juego del chuck-a-luck, que se juega en los carnavales del Medio Oeste e Inglaterra.
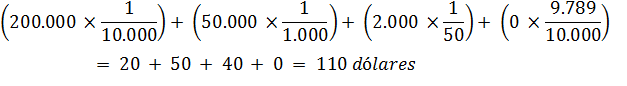
La explicación del chuck-a-luck que se da para atraer a la gente puede ser muy persuasiva. El que apuesta elige un número de 1 a 6 y el encargado lanza tres dados. Si el número elegido sale en los tres dados, el jugador cobra 3 dólares; si sale en dos de los dados, cobra 2 dólares y si sale en uno de los tres dados, sólo cobra 1 dólar. Únicamente en el caso de que el número escogido no salga en ninguno de los dados tendrá que pagar el jugador, y sólo 1 dólar. Con tres dados distintos, el apostador tiene tres posibilidades a su favor; además, a veces gana más de 1 dólar, que es lo máximo que puede perder cada vez.
Como diría Joan Rivers: «¿Podemos calcularlo?». (Si no tienes muchas ganas de calcular, sáltate lo que queda hasta el final de la sección). Está claro que la probabilidad de ganar es independiente del número escogido. Así pues, para concretar, supongamos que el jugador elige siempre el número 4. Como los dados son independientes, la probabilidad de que salga 4 en los tres dados es 1/6 × 1/6 × 1/6 = 1/216. Por tanto, aproximadamente 1/216 de las veces el jugador ganará 3 dólares.
La probabilidad de que salga 4 en dos de los dados es un poco más difícil de calcular, a no ser que se use la distribución binomial de probabilidad de la que hablamos en el Capítulo 1, y que volveré a deducir en el contexto que nos ocupa. Que salga un 4 en dos de los tres dados puede ocurrir de tres maneras distintas y mutuamente excluyentes: X44, 4X4 ó 44X, donde la X significa «no 4». La probabilidad del primero es 5/6 × 1/6 × 1/6 = 5/216. El mismo resultado vale para los otros dos modos restantes. La suma, 15/216, nos da la probabilidad de que salga 4 en dos de los tres dados, la cual nos da a su vez la probabilidad de que el apostador gane 2 dólares.
La probabilidad de sacar un 4 entre los tres dados se calcula de modo análogo, descomponiendo el suceso en los tres modos mutuamente excluyentes en los que este puede ocurrir. La probabilidad de que salga 4XX es 1/6 × 5/6 × 5/6 = 25/216, y esta es también la probabilidad de que salga X4X ó XX4. Sumándolas nos da 75/216 como probabilidad de sacar exactamente un 4 entre los tres dados, esto es, la probabilidad de ganar 1 dólar. Para hallar la probabilidad de que al tirar los dados no salga ningún cuatro, buscamos cuánta probabilidad queda. Es decir, restamos (1/216 + 15/216 + 75/216) de 1 (ó 100%), y obtenemos 125/216. Por tanto, de cada 216 jugadas al chuck-a-luck, el jugador pierde 1 dólar en 125 de ellas.
El valor esperado de las ganancias es pues

5. Eligiendo cónyuge
Hay dos maneras de enfocar el amor: con el corazón y con la cabeza. Por separado, ninguno de los dos da buenos resultados, pero juntos… tampoco funcionan demasiado bien. Sin embargo, si se emplean ambos a la vez, quizá las probabilidades de éxito sean mayores. Es muy posible que, al recordar amores pasados, alguien que enfoque sus romances con el corazón se lamente de las oportunidades perdidas y que piense que nunca jamás volverá a amar así. Otra persona más práctica, que se decida por un enfoque más realista, seguramente estará interesada por el siguiente resultado probabilístico.
Nuestro modelo supone que nuestra protagonista —a la que llamaremos María— tiene buenas razones para pensar que se encontrará con N potenciales cónyuges mientras esté en edad núbil. Para algunas mujeres N pueden ser dos, y para otras, doscientos. La pregunta que se plantea María es: ¿Cuándo habría de aceptar al señor X y renunciar a los otros pretendientes que vinieran después, aunque alguno de estos quizá fuera «mejor» que él? Supondremos que los va conociendo de uno en uno, valora la conveniencia relativa de cada uno de ellos y que, una vez que ha rechazado a uno, lo pierde para siempre.
Para concretar más, supongamos que María ha conocido ya a seis hombres y que los ha clasificado así: 3 5 1 6 2 4. Es decir, de los seis hombres, el primero que conoció ocupa el tercer lugar en el orden de preferencia, el segundo en aparecer ocupa el quinto lugar, prefiere el tercero a todos los demás, etc. Si ahora resulta que el séptimo de los hombres que conoce es mejor que todos los demás excepto su favorito, modificará así la clasificación: 4 6 1 7 3 5 2. Después de cada hombre, María reordena la clasificación relativa de sus pretendientes y se pregunta qué regla habría de seguir para maximizar la probabilidad de escoger al mejor de los N pretendientes que espera tener.
En la obtención del mejor sistema se emplea la idea de probabilidad condicional (que presentaremos en el próximo capítulo) y también hay que calcular un poco. El sistema en sí, no obstante, se describe muy fácilmente. Diremos que un pretendiente es un novio si es mejor que todos los candidatos anteriores. María debería rechazar aproximadamente el primer 37% de los candidatos que probablemente vaya a conocer y luego aceptar al primer novio que le salga de entre los pretendientes posteriores (si es que le sale alguno, claro).
Supongamos, por ejemplo, que María no es demasiado atractiva y que probablemente sólo espera encontrarse con cuatro pretendientes. Supongamos además que estos pueden llegar en cualquiera de las veinticuatro ordenaciones posibles (24 = 4 × 3 × 2 × 1).
Como el 37 por ciento está entre el 25 por ciento y el 50 por ciento, en este caso el sistema es un tanto ambiguo, pero las dos mejores estrategias son las siguientes: A) dejar pasar al primer candidato (el 25 por ciento de N = 4) y aceptar al primer novio que llegue después; y B) dejar pasar a los dos primeros candidatos (el 50 por ciento de N = 4) y aceptar al primer novio que venga luego. Si sigue el sistema A, María elegirá al mejor pretendiente en once de los veinticuatro casos, mientras que si sigue la estrategia B, acertará en diez de los veinticuatro casos.
A continuación mostramos una lista de los veinticuatro, casos posibles de este ejemplo. En cada secuencia el número 1 representa el pretendiente que María preferiría, el número 2 el que elegiría en segundo lugar, etc. De modo que la ordenación 3 2 1 4 indica que primero se encuentra el tercero en orden de preferencia, luego el segundo, después su preferido y finalmente el que menos le gusta de todos. Cada ordenación está indicada con una A o una B para distinguir aquellos casos en los que estas estrategias tendrían éxito y la llevarían a elegir a su preferido.
1234 — 1243 — 1324 — 1342 — 1423 — 1432 — 2134 (A) — 2143 (A) — 2314 (A, B) — 2341 (A, B) — 2413 (A, B) — 2431 (A, B) — 3124 (A) — 3142(A) — 3214 (B) — 3241 (B) — 3412 (A, B) — 3421 — 4123 (A) — 4132 (A) — 4213 (B) — 4231 (B) — 4312 (B) — 4321
Si María es muy atractiva y puede pensar que tendrá veinticinco pretendientes, su mejor estrategia sería también rechazar a los nueve primeros (el 37 por ciento de 25) y quedarse con el primer novio que conozca después. Podríamos comprobarlo también directamente, tabulando como antes todos los casos posibles, pero la tabla resultante sería inmanejable y más vale aceptar la demostración general. (Huelga decir que vale el mismo análisis si la persona que busca cónyuge es un Juan en vez de una María).Para grandes valores de N, la probabilidad de que aplicando esta regla del 37 por ciento María encuentre a su hombre ideal, es también aproximadamente del 37 por ciento. Luego viene lo más difícil: vivir con el hombre ideal. Hay otras variantes de este mismo modelo que incluyen otros condicionantes, razonables desde el punto de vista romántico.
6. Las coincidencias y la ley
En 1964 una mujer rubia peinada con una cola de caballo robó el bolso a otra mujer en Los Ángeles. La ladrona huyó a pie, pero posteriormente alguien la reconoció cuando montaba en un coche amarillo conducido por un negro con barba y bigote. Las investigaciones de la policía acabaron por encontrar a una mujer rubia con cola de caballo que regularmente frecuentaba la compañía de un negro de barba y bigote que tenía un coche amarillo. No había ninguna prueba fehaciente que relacionara a la pareja con el delito, ni testigos que pudieran identificar a ninguno de los dos. Se estaba de acuerdo, no obstante, en los hechos citados.
El fiscal basó sus conclusiones en que, como la probabilidad de que tal pareja existiera era tan baja, la investigación de la policía tenía que haber dado con los verdaderos culpables. Asignó las siguientes probabilidades a las características en cuestión: coche amarillo: 1/10; hombre con bigote: 1/4; mujer con cola de caballo: 1/10; mujer rubia: 1/3; hombre negro con barba: 1/10; pareja interracial en un coche: 1/1.000. El fiscal arguyó que como estas características eran independientes, la probabilidad de que todas ellas concurrieran en una pareja elegida al azar había de ser: 1/10 × 1/4 × 1/10 × 1/3 × 1/10 × 1/1.000 = 1/12.000.000, un número tan pequeño que la pareja había de ser culpable. El jurado les condenó.
Los condenados recurrieron ante el Tribunal Supremo de California, que anuló la sentencia sobre la base de otro razonamiento probabilístico. El abogado defensor de la pareja arguyó que 1/12.000.000 no era la probabilidad que había que considerar. En una ciudad de las dimensiones de Los Ángeles, con unos 2.000.000 de parejas, no era tan improbable, sostenía, que hubiera más de una que reuniera todas las características mencionadas, dado que ya había por lo menos una pareja: la condenada. Basándose en la distribución binomial de probabilidad y en el 1/12.000.000, se puede calcular dicha probabilidad, que resulta ser de aproximadamente el 8 por ciento, que, aunque pequeña, permite un margen de duda razonable. El Tribunal Supremo de California aceptó la argumentación del abogado y revocó la sentencia anterior.
Independientemente de las dudas que uno pueda tener con respecto a cómo se obtuvo la cifra de 12.000.000, la rareza por sí misma no prueba nada. Cuando le dan a uno una mano de bridge de trece cartas, la probabilidad de que le den precisamente esa mano concreta es menor que una seiscientos mil millonésima. Y a pesar de ello, será absurdo que, después de recoger las trece cartas, esa persona las examine detenidamente, calcule que la probabilidad de tener precisamente esas trece cartas es menor que una seiscientos mil millonésima y concluya que no puede ser que le hayan dado precisamente esa mano porque es muy improbable que esto ocurra.
En determinados contextos, la improbabilidad es algo que no sorprende. Cada mano de bridge es muy improbable. También lo son las manos de póker y los billetes de lotería. En el caso de la pareja californiana, la improbabilidad es más significativa. Sin embargo, el razonamiento correcto es el de su abogado defensor.
Y a propósito, si las 3.838.380 maneras de escoger seis números de entre cuarenta son todas igualmente probables ¿cómo es que la mayoría de la gente prefiere un billete de lotería con la combinación 2 13 17 20 29 36 a otro con la combinación 1 2 3 4 5 6? Esta es, me parece, una pregunta bastante interesante.
La siguiente anomalía deportiva tiene también implicaciones legales. Consideremos dos jugadores de béisbol, Babe Ruth y Lou Gehrig, pongamos por caso. Durante la primera mitad de la temporada, Babe Ruth tiene en el bateo una media de aciertos mayor que Lou Gehrig. Y en la segunda mitad de la temporada vuelve a ocurrir lo mismo. Pero considerando la temporada entera, ocurre que el promedio de aciertos de Lou Gehrig es mejor que el de Babe Ruth. ¿Puede ser cierto? A primera vista parece como si tal situación fuera totalmente imposible, aunque el mero hecho de haber planteado la pregunta pueda de por sí despertar algunas dudas.
Lo que podría haber ocurrido es que durante la primera mitad de la temporada Babe Ruth tuviera una media de aciertos de 0,300 y Lou Gehrig de sólo 0,290, pero que Ruth hubiera bateado doscientas veces y Gehrig sólo cien. Mientras que en la segunda mitad de la temporada las medias de aciertos fueran 0,400 para Ruth y sólo 0,390 para Gehrig, pero que Ruth hubiera salido a batear sólo cien veces y Gehrig, doscientas. El resultado global para toda la temporada sería un promedio de aciertos de 0,357 de Gehrig frente a 0,333 de Ruth. La moraleja es que no se pueden sacar promedios de promedios.
Hace ya unos años hubo un caso interesantísimo de discriminación en California que presentaba la misma estructura formal que este problema de los promedios de bateo. En vista de la proporción de mujeres en el tercer ciclo de una gran universidad, algunas plantearon un litigio reclamando que habían recibido un trato discriminatorio por parte de la universidad. Cuando los administradores intentaron determinar qué departamentos eran los más culpables, encontraron que en todos ellos el porcentaje de admitidas entre las aspirantes femeninas era mayor que el de admitidos entre los aspirantes masculinos. Sin embargo, las mujeres se presentaban en cantidades desproporcionadamente grandes a departamentos como literatura y psicología, que sólo admitían un reducido porcentaje de los candidatos, mientras que los hombres se presentaban en gran número a departamentos como matemáticas e ingeniería, que admitían un porcentaje de candidatos mucho mayor. El patrón de admisión de los hombres era semejante al patrón de bateo de Gehrig que salió a batear más a menudo en la segunda mitad de la temporada, en la que acertar resultó más fácil.
Otro problema en el que la intuición nos engaña, y en el que también intervienen probabilidades aparentemente desproporcionadas, es el de un hombre de Nueva York que tiene una novia en el Bronx y otra en Brooklyn. Siente el mismo cariño por ambas y por tanto le da lo mismo tomar el metro hacia el Bronx que en sentido contrario, hacia Brooklyn. Como durante todo el día pasan trenes en ambas direcciones, espera que el metro decida a cuál de las dos visitará, y toma siempre el primer tren que pasa. Pero al cabo de un tiempo, la novia de Brooklyn, que está enamorada de él, empieza a quejarse de que sólo ha acudido a una cuarta parte de las citas, mientras que la novia del Bronx, que se ha empezado a hartar de él, empieza a quejarse de que se ha presentado en tres cuartas partes de sus citas. Aparte de ser novato, ¿cuál es el problema de este hombre?
La respuesta es sencilla y viene a continuación, de modo que si quieres pensar un poco no sigas leyendo. El hecho de que los viajes al Bronx sean más frecuentes se debe a la forma particular del horario de trenes. Aunque pasen trenes cada veinte minutos en ambas direcciones, el horario podría ser más o menos como sigue: tren al Bronx, 7:00; tren a Brooklyn, 7:05; tren al Bronx, 7:20; tren a Brooklyn, 7:25; etc. El intervalo entre cada tren de Brooklyn y el siguiente tren del Bronx es de quince minutos, tres veces más largo que el intervalo de cinco minutos entre cada tren del Bronx y el siguiente a Brooklyn. Esto explica por qué se presenta a tres cuartas partes de las citas del Bronx y sólo a una cuarta parte de las de Brooklyn.
Hay un sinfín de otras rarezas semejantes que se derivan de nuestros modos convencionales de medir, expresar y comparar cantidades periódicas, tanto si se trata del cash flow de un gobierno como de las fluctuaciones diarias de la temperatura corporal.
7. Monedas no trucadas y ganadores o perdedores en el juego de la vida
Imaginemos que tiramos una moneda al aire varias veces seguidas y obtenemos una sucesión de caras (C) y cruces (c), por ejemplo:
CCcCccCCcCcccCccCCCcCccCCcCCccCcCCccCCcCcCCCCcCCCcc
Si la moneda no está trucada, en esas sucesiones ocurre una serie de cosas verdaderamente raras. Por ejemplo, si se está al tanto de la proporción de las veces en que el número de caras es mayor que el de cruces, se observa con sorpresa que raras veces es cercana a la mitad.Imaginemos a dos jugadores, Pedro y Pablo, que juegan a cara o cruz, tirando una moneda al aire una vez por día. En un momento dado, diremos que Pedro va ganando si hasta aquel momento han salido más caras que cruces, y en caso contrario es Pablo quien va ganando. En cualquier momento, tanto Pedro como Pablo tienen la misma probabilidad de ir ganando, pero sea quien sea el que vaya ganando, este es el que tiene mayor probabilidad de haber estado ganando más rato. Si han tirado la moneda cien veces y acaba ganando Pedro ¡es considerablemente mayor la probabilidad de que este haya estado por delante más del 90 por ciento del tiempo, pongamos, que la de que lo haya estado entre el 45 y el 55 por ciento! Y análogamente, si acaba ganando Pablo, la probabilidad de que este haya estado ganando más del 96 por ciento del tiempo es mucho menor que la de que lo haya estado entre el 48 y el 52 por ciento.
Quizás este resultado sea tan contrario a la intuición porque la mayoría de la gente suele pensar como si las desviaciones de la media estuvieran atadas a una banda elástica, de modo que, cuanto mayor fuera la desviación, mayor sería la fuerza recuperadora que tendiese a restaurar la media. La creencia errónea de que el hecho de que hayan salido varias caras seguidas hace más probable que la próxima vez salga cruz se conoce como «sofisma del jugador» (las mismas ideas valen para la ruleta y los dados).
La moneda no sabe nada, no obstante, de medias ni de bandas elásticas, y si ha salido cara 519 veces y cruz 481, es tan probable que la diferencia entre caras y cruces aumente como que disminuya. Y esto es cierto a pesar de que la proporción de caras tienda a 1/2 a medida que aumenta el número de tiradas. (No hay que confundir el sofisma del jugador con otro fenómeno, la regresión a la media, que sí se cumple. Si tiramos la moneda otras mil veces es más probable que el número de caras de la segunda tanda de mil tiradas sea menor de 519 que lo contrario).
En términos relativos, las monedas se comportan bien: el cociente entre el número de caras y el de cruces de una sucesión de tiradas tiende a 1 a medida que aumenta el número de estas. En cambio, se comportan mal en términos de cantidades absolutas: la diferencia entre el número de caras y el de cruces tiende a aumentar cuantas más veces tiramos la moneda al aire, y los cambios en el liderato, de caras a cruces o viceversa, tienden a hacerse cada vez más raros.
Si hasta las monedas no trucadas se portan tan mal en términos absolutos, no es, ni por asomo, sorprendente que algunas personas acaben ganándose fama de «perdedores» mientras que otras se la ganen de «ganadores», a pesar de que entre ellos no haya más diferencia real que la buena o mala suerte. Desgraciadamente quizá la gente es más sensible a las diferencias absolutas entre personas que a las igualdades aproximadas. Si Pedro y Pablo han ganado 519 y 481 veces, respectivamente, es muy probable que se etiquete a Pedro de ganador y a Pablo de perdedor. En mi opinión, los ganadores (y los perdedores) sólo son, a menudo, personas que se han quedado atascados en el lado bueno (o malo) del tanteador. En el caso de las monedas puede pasar mucho tiempo antes de que la suerte cambie, y a menudo mucho más que una vida medianamente larga.
La cantidad sorprendente de veces que salen series de caras o cruces consecutivas de distintas longitudes es la causa de más ideas contrarias a la intuición. Si todos los días Pedro y Pablo apuestan la comida tirando al aire una moneda no trucada, y consideramos un intervalo de tiempo de unas nueve semanas, es más probable que tanto Pedro como Pablo hayan ganado una serie de cinco comidas seguidas que lo contrario. Y si consideramos un período de entre cinco y seis años, es probable que tanto uno como otro hayan ganado diez comidas seguidas.
La mayoría de la gente no se da cuenta de que los sucesos aleatorios pueden presentar una apariencia completamente ordenada. He aquí una sucesión aleatoria de Xs y Os, obtenida mediante ordenador, en la que cada letra tiene probabilidad 1/2.
OXXXOOOXXXOXXXOXXXXOOXXOXX
OXOOXOXOOOOXOXXOOOXXXOXOXX
XXXXXXXOXXXOXOXXXXOXOOXXXO
OOXXXXXOOXXOOOXXOOOOOXXOOX
XXXXXOXXXXOOXXXXOOXXOXXOOX
XOXOXOOXXXOXXOXXXXOXXOXXXX
XXXXXOXXXXXOOOOOXOOXXXOOXX
XXOOXOOXOXXXOXXXXOOOOXOXOX
XOXXXOOXXOOOOXXXXXOOOOXXXX
OXXOOXXXXXXOXXOOOOOOOXOXXX
XXOOOXXOXXXOOOOXOXOXOOXXXX
OXOXXXOXXOOXXOXOOXOOXXXOXX
Teniendo esto presente, piénsese en algunas de las declaraciones de los analistas de la bolsa. Es cierto que las alzas y las caídas de un cierto valor, o de la bolsa en general, no son absolutamente aleatorias, pero no es descabellado pensar que el azar juega un papel muy importante en ellas. Sin embargo, uno nunca llegaría a pensar esto a partir de los pulcros análisis a posteriori, que siguen al cierre de cada sesión. Los comentaristas tienen siempre un reparto habitual de personajes a los que recurrir para explicar cualquier recuperación o cualquier descenso. Siempre tienen a mano la realización de las plusvalías, el déficit federal, o cualquier otra cosa para explicar los giros a la baja, y el aumento de los beneficios de las sociedades, el aumento de los tipos de interés o lo que sea para explicar los giros alcistas. Un comentarista casi nunca dice que la actividad de la bolsa de ese día o de tal semana ha obedecido, por lo general, a fluctuaciones aleatorias.
8. La racha de suerte y el manitas
Los grupos, series y pautas que presentan las sucesiones aleatorias son hasta cierto punto predecibles. Las sucesiones de caras y cruces de una longitud dada, pongamos veinte tiradas, tienen generalmente cierto número de series de caras consecutivas. Diremos que una sucesión de veinte tiradas de una moneda que diera diez caras seguidas y diez cruces
(CCCCCCCCCCcccccccccc)
tiene sólo una serie de caras, mientras que una sucesión de veinte tiradas que diera alternativamente cara y cruz(CcCcCcCcCcCcCcCcCcCc)
tiene diez series de caras. Es muy improbable que esas dos sucesiones hayan sido generadas al azar. Es más probable, sin embargo, que en una sucesión aleatoria de veinte tiradas se obtengan seis series de caras (por ejemplo,CCcCCcCccCCCccCCccCc)
Criterios parecidos nos pueden servir para determinar si cierta sucesión de caras y cruces, o de aciertos y fallos, es debida al azar. De hecho, los psicólogos Amos Tversky y Daniel Kahneman han analizado las sucesiones de aciertos y fallos de jugadores profesionales de baloncesto que tenían un porcentaje de realización del 50 por ciento y resultó que parecían ser completamente aleatorias; parece que en baloncesto no hay rachas de suerte. Las rachas que había eran, con toda probabilidad, debidas al azar. Si un jugador intenta veinte tiros por partido, por ejemplo, tiene una probabilidad de casi el 50 por ciento de meter por lo menos cuatro cestas seguidas en algún momento del partido. Tiene una probabilidad de entre el 20 y el 25 por ciento de conseguir una serie de cinco o más canastas seguidas, mientras que la probabilidad de que la serie sea de seis o más canastas es aproximadamente del 10 por ciento.Se puede pulir más el razonamiento para tratar el caso de que la media de aciertos del jugador sea distinta del 50 por ciento, y parece que valen resultados parecidos. Un jugador que marca el 65 por ciento de sus tiros, pongamos, marca tantos del mismo modo que «marca» caras en una moneda trucada que cae cara en el 65 por ciento de las veces que la tiramos; es decir, cada tiro es independiente del anterior.
Siempre he tenido la sospecha de que cosas como «rachas de suerte» o «manitas» o un «equipo que siempre remonta» no eran más que exageraciones de los periodistas deportivos, sin otra intención que tener algo de que hablar. Seguramente tales expresiones signifiquen algo, pero demasiado a menudo sólo son fruto de un intento mental por descubrir un significado donde no hay más que probabilidad.
En béisbol, una racha muy larga de aciertos constituye una especie de récord especialmente extraordinario, tan improbable que parece prácticamente inasequible y casi inmune a la predicción probabilística. Hace unos cuantos años, Pete Rose estableció un récord en la National League con tiros certeros en cuarenta y cuatro partidos seguidos. Si para simplificar suponemos que bateó al 0,300 (esto es, que acertó el 30 por ciento de las veces y falló el 70 por ciento restante), y que salió a batear cuatro veces por partido, su probabilidad de no acertar ninguna vez en un partido dado, suponiendo la independencia, era de (0,7)4 = 0,24. (Recordemos que independencia significa que acierta del mismo modo en que sale cara cuando tiramos una moneda trucada que da caras el 30% de las veces). Así pues, la probabilidad de que acertara por lo menos una vez en cualquier partido era de 1 − 0,24 = 0,76. Y por tanto, la probabilidad de que acertara por lo menos una vez en todos los partidos de una serie de cuarenta y cuatro era de (0,76)44 = 0,0000057. Muy pequeña, efectivamente.
La probabilidad de que hubiera acertado en una serie consecutiva de exactamente cuarenta y cuatro partidos de entre los 162 que componen la temporada es mayor: 0,000041, que se calcula sumando todas las posibles maneras en que podría haber conseguido tal serie de exactamente cuarenta y cuatro partidos, sin tener en cuenta el caso en que hubiera conseguido más de una de tales series, cuya probabilidad es despreciable. La probabilidad de que haya marcado aciertos en cuarenta y cuatro partidos o más es unas cuatro veces mayor. Si multiplicamos esta última cantidad por el número de jugadores de las Major Leagues (redondeando bastante a la baja para tener en cuenta que hay jugadores con promedios de bateo inferiores) y multiplicamos por el número aproximado de años en que se ha jugado al béisbol (haciendo los ajustes convenientes para reflejar que el número de jugadores varía de una temporada a otra), vemos que en realidad no es tan improbable que en algún momento un jugador de las Major Leagues haya acertado siempre en cuarenta y cuatro partidos seguidos o más.
Una última observación: he considerado la serie de cuarenta y cuatro partidos de Rose en vez de la serie aparentemente más impresionante aún de DiMaggio, de cincuenta y seis partidos, porque, dada la diferencia entre sus respectivos promedios de bateo, la serie de Rose fue una hazaña ligeramente más improbable (incluso teniendo en cuenta que las temporadas de Rose eran más largas, con 162 partidos).
Los acontecimientos raros, como las series de bateos, que son fruto del azar, no se pueden predecir individualmente. Lo que sí se puede describir en términos de probabilidad es la estructura de su aparición. Consideremos un tipo de hechos más prosaico. Durante un período de diez años, se hace un seguimiento de mil matrimonios que desean tener tres hijos. Supongamos que 800 de las parejas lo consiguen en dicho período. La probabilidad de que cualquiera de las parejas tenga tres hijas es 1/2 × 1/2 × 1/2 = 1/8; por tanto, aproximadamente cien de las 800 parejas tendrán tres hijas cada una. Por simetría, aproximadamente cien de las parejas tendrán tres chicos. Hay tres sucesiones distintas en las que cada familia puede tener dos hembras y un varón —HHV, HVH o VHH, donde el orden de las letras indica el orden de nacimiento— y cada una de estas sucesiones tiene una probabilidad de 1/8 o (1/2)3. Por tanto, la probabilidad de tener dos chicas y un chico es 3/8, con lo que aproximadamente 300 de las 800 parejas tendrán este tipo de descendencia. Y también por simetría, unas 300 parejas tendrán dos chicos y una chica.
Este último caso que acabamos de considerar no tiene nada de sorprendente, pero el mismo tipo de descripción probabilística (empleando unas matemáticas ligeramente más difíciles que la distribución binomial) se puede aplicar a los acontecimientos muy raros. El número de accidentes anuales en un cruce concreto, el número de aguaceros anuales que caen en un desierto determinado, el número de casos de leucemia en una comarca dada, el número de muertes anuales por coz de caballo en ciertos regimientos de caballería del ejército prusiano, etcétera, todos estos casos han sido descritos con gran precisión usando la distribución de probabilidad de Poisson. Primero hay que conocer aproximadamente la improbabilidad del hecho y, una vez conocida, se puede usar esta información junto con la fórmula de Poisson para tener una idea bastante aproximada de, por ejemplo, cuántos años pasarán sin que haya muertos por coz de caballo, en qué porcentaje de los años venideros habrá una de tales muertes, en qué porcentaje habrá dos, etc. De modo análogo, se puede predecir el porcentaje de los años en los que no habrá precipitaciones de lluvia en un desierto, una precipitación, dos, etcétera.
En este sentido, podemos decir que hasta los sucesos raros son completamente predecibles.
Cuando le preguntan por qué no cree en la astrología, el lógico Raymond Smullyan contesta que es Géminis y los Géminis no creen en la astrología.
Muestra de los titulares de una cartelera de supermercado: Una camioneta de reparto milagrosa cura enfermos. Bigfoot ataca una aldea. Una niña de siete años da a luz gemelos en una juguetería. Un swami se mantiene sobre una sola pierna desde 1969.
Examinad fragmentos de pseudociencia y encontraréis un manto de protección, un pulgar que chupar, unas faldas a las que agarrarse. ¿Y qué ofrecemos nosotros a cambio? ¡Incertidumbre! ¡Inseguridad!
Isaac Asimov en The Skeptical Inquirer.
Guiarse por precedentes absurdos y cerrar los ojos es más fácil que pensar.
William Cowper
- El anumerismo, Freud y la pseudociencia
- La parapsicología
- Los sueños proféticos
- Nosotros y las estrellas
- Vida extraterrestre, sí; visitantes en OVNI, no
- Tratamientos médicos fraudulentos
- La probabilidad condicionada, el blackjack y la detección del consumo de drogas
- Numerología
- Lógica y pseudociencia
El anumerismo y la pseudociencia suelen ir de la mano, debido en parte a lo fácil que es invocar la certidumbre matemática para obligar al anumérico a asentir estúpidamente ante cualquier afirmación. Es cierto que la matemática pura trata con certidumbres, pero la calidad de sus aplicaciones no es mejor que la de las suposiciones empíricas, las simplificaciones y las estimaciones que implícitamente llevan aparejadas.
Incluso verdades matemáticas tan fundamentales como «los iguales pueden ser sustituidos por iguales», o «1 y 1 son 2», pueden ser mal aplicadas: una taza de agua más una taza de palomitas de maíz no es igual a dos tazas de palomitas empapadas; ni el «niño médico Duvalier» es lo mismo que «Baby Doc». De modo análogo, puede que el presidente Reagan crea que Copenhague está en Noruega, pero aunque Copenhague sea la capital de Dinamarca, ello no implica que Reagan crea que la capital de Dinamarca está en Noruega. En contextos intencionales como el anterior, la regla de sustitución no siempre es válida.
Si se pueden malinterpretar principios básicos como estos, no debería sorprendernos que ocurra lo mismo con matemáticas más complejas. Si el modelo o los datos que uno tiene no son buenos, tampoco lo serán las conclusiones que se desprendan de ellos. De hecho, normalmente es más difícil aplicar la vieja matemática que descubrir otra nueva. Cualquier superchería es susceptible de ser tratada por ordenador —la astrología, los biorritmos, el I Ching—, pero no por ello dejan de ser supercherías. Las proyecciones estadísticas lineales, por citar un modelo del que se abusa con frecuencia, se invocan a menudo tan a la ligera, que no sería de extrañar que algún día alguien dijera que el plazo de espera proyectado para un aborto es de un año.
Este tipo de razonamiento poco riguroso no está limitado a las personas incultas. Uno de los amigos más próximos de Freud, el médico Wilhelm Fliess, inventó los análisis biorrítimicos, prácticas que se basan en la idea de que hay varios aspectos de la vida de la persona que siguen unos ciclos periódicos rígidos, que empiezan en el nacimiento. Fliess indicó a Freud que los números 23 y 28, que eran respectivamente los períodos de ciertos principios metafísicos masculino y femenino, tenían la especial propiedad de que sumando o restando múltiples de ellos formados convenientemente, se puede obtener cualquier otro número. En otras palabras: cualquier número se puede expresar en la forma 23X + 28Y siempre que X e Y se elijan convenientemente. Por ejemplo, 6 = (23 × 10) + (28 × −8). Freud quedó tan impresionado que durante años fue un ardiente defensor de la teoría de los biorritmos y creyó que moriría a los cincuenta y un años de edad, la suma de 23 y 28. Resulta, sin embargo, que no sólo el 23 y el 28 tienen la propiedad de que cualquier otro número se pueda expresar en función de ellos, sino que la comparten con todos los pares de números primos entre sí, es decir, de números que no tengan divisores comunes. O sea, que hasta Freud padecía de anumerismo.
La teoría freudiana padece también de un problema más serio. Consideremos la afirmación: «Lo que Dios quiere que sea, es». Puede que esto sirva de consuelo a mucha gente, pero está claro que esta afirmación no es falsable, y por tanto, si hacemos caso al filósofo inglés Karl Popper, no es científica. «Los accidentes de aviación siempre ocurren de tres en tres». Esto también se dice siempre y, naturalmente, si uno espera lo suficiente, cualquier cosa ocurre de tres en tres.
Popper ha criticado el freudismo por hacer predicciones y afirmaciones que, si bien son en un modo u otro sugerentes y reconfortantes, son generalmente no falsables, como las afirmaciones anteriores. Por ejemplo, supongamos que un psicoanalista ortodoxo predice cierto tipo de comportamiento neurótico. Si el paciente no reacciona según su predicción, sino de un modo completamente distinto, el analista puede atribuir este comportamiento contrario a lo pronosticado a que el paciente ha desarrollado una resistencia al análisis. Análogamente, si un marxista predice que la «clase dominante» actuará de un modo explotador y resulta que ocurre todo lo contrario, puede atribuir lo sucedido a un intento de la clase dominante de ganarse a la «clase obrera». Parece que siempre hay cláusulas de escapatoria que permiten explicar cualquier cosa.
Este no es el lugar idóneo para discutir si debemos considerar el marxismo y el freudismo como pseudociencias, pero hay una tendencia a confundir enunciados objetivos con formulaciones lógicas vacías que conduce a un modo de pensar nada sistemático. Por ejemplo, las frases «Los OVNI llevan visitantes extraterrestres» y «Los OVNI son objetos volantes no identificados», son dos afirmaciones completamente distintas. En cierta ocasión di una charla y uno de los asistentes creyó que yo suscribía la creencia en la existencia de visitantes extraterrestres, cuando lo único que había dicho era que no cabía la menor duda de que había muchos casos de OVNI. Molière satiriza una confusión parecida cuando su pomposo doctor anuncia que su poción para dormir es eficaz gracias a su poder somnífero. Como la matemática es el modo por excelencia de disfrazar de seriedad afirmaciones carentes de contenido objetivo («Los científicos descubren que en Plutón cien centímetros son un metro»), no ha de sorprendernos encontrarla como componente de cierto número de pseudociencias. Cálculos abstrusos, formas geométricas, términos algebraicos, correlaciones poco comunes… cualquier cosa sirve para adornar las insensateces más absurdas.
2. La parapsicología
El interés por la parapsicología viene de antiguo, pero lo único que hay de cierto es que no ha habido estudios reproducibles que hayan demostrado su validez, a pesar de Uri Geller y otros charlatanes. La ESP (percepción extrasensorial), en particular, nunca se ha probado en un experimento controlado y las pocas demostraciones que han salido «bien» corresponden a estudios fatalmente carentes de rigor. En vez de refundirlos, me gustaría hacer unas cuantas observaciones generales.
La primera resulta abrumadoramente obvia y es que la ESP está en conflicto con un principio lógico fundamental según el cual los sentidos normales tienen que tener algún tipo de participación para que haya comunicación. Cuando se filtra información confidencial de una organización, la gente sospecha que hay un espía y no alguien con poderes psíquicos. Por tanto, la ciencia y el sentido común nos hacen presuponer que los fenómenos de ESP no existen, con lo que la tarea de demostrar su existencia corresponde a quienes creen en ellos.
Esto plantea consideraciones probabilísticas. Dado el modo en que se define la ESP, comunicación sin la intervención de los mecanismos sensoriales normales, no hay manera de distinguir entre un fenómeno de ESP y un acierto casual. Presentan exactamente el mismo aspecto, del mismo modo que una sola respuesta correcta a una pregunta de un test de «verdadero o falso» no nos permite distinguir si quien pasa la prueba es un estudiante excelente o alguien que contesta cada pregunta al azar. Dado que no podemos pedir que los sujetos de los experimentos de ESP justifiquen sus respuestas, como en el caso de alguien que pasa un test de «verdadero o falso», y dado que por definición no hay ningún mecanismo sensorial a cuyo funcionamiento podamos recurrir, el único camino que nos queda para demostrar la existencia de la ESP es el método estadístico: realizar un número suficiente de ensayos y ver si el número de respuestas correctas es lo bastante grande para descartar el azar como explicación. Si el azar queda descartado y no hay otras explicaciones, entonces la ESP habrá quedado demostrada.
Hay naturalmente una tremenda voluntad de creer que explica por qué hay tantos experimentos sesgados (como los de J. B. Rhine) y tantos embustes declarados (como los de S. G. Soal), que parecen ser algo característico del campo de lo paranormal. Otro factor a tener en cuenta es el que se conoce como «efecto Jeane Dixon» (por el nombre de esta mujer, que se autopresentaba como dotada de poderes psíquicos), según el cual las relativamente pocas predicciones correctas son proclamadas a los cuatro vientos, y por tanto recordadas por mucha gente, mientras que las predicciones fallidas, mucho más numerosas, son convenientemente olvidadas y borradas. Los folletines de quiosco nunca dan una lista anual de las predicciones fallidas de quienes pretenden tener poderes psíquicos, ni tampoco las dan las revistas de mayor tirada de la New Age que, a pesar del barniz de sofisticación, son igualmente fatuas.
La gente suele tomar la abundancia y la prominencia de los relatos sobre personas con poderes psíquicos y sobre temas parapsicológicos como una especie de evidencia de su validez. Donde hay tanto humo, razonan, a la fuerza tiene que haber fuego. La chifladura de la frenología en el siglo diecinueve —continuando con una obsesión embriagadora un tanto distinta— pone de manifiesto lo baladí de este modo de pensar. Entonces igual que ahora, las convicciones pseudocientíficas no eran exclusivas de la gente inculta, y se había generalizado la creencia de que, examinando las protuberancias y el contorno de la cabeza de una persona, era posible determinar algunas de sus cualidades mentales y psicológicas. Muchas compañías exigían a sus futuros empleados que se sometieran a exámenes frenológicos como condición previa para acceder a un empleo, y muchas parejas que decidían casarse acudían a pedir consejos a los frenólogos. Salieron revistas especializadas en el tema y la literatura popular estaba llena de referencias a sus doctrinas. El renombrado educador Horace Mann consideraba la frenología como «guía de la filosofía y sirviente de la cristiandad»; Horace Greely, famoso por Go West, young man («Joven, ve al Oeste»), era partidario de que todos los maquinistas ferroviarios pasaran testes frenológicos.
Bajando a temas más pedestres, pensemos en la ceremonia de los que andan descalzos sobre brasas de madera ardiendo. Esta práctica se ha presentado a menudo como un ejemplo del «poder de la mente sobre la materia», y no hace falta ser anumérico para quedar de entrada impresionado ante tamaña proeza. Lo que hace que el fenómeno sea menos notable es el hecho relativamente poco conocido de que la madera deshidratada tiene una capacidad calorífica y una conductividad térmica muy bajas. Y del mismo modo que uno puede meter la mano en un horno caliente sin quemarse mientras no toque los estantes metálicos, también puede una persona andar aprisa sobre brasas de madera ardientes sin dañarse seriamente los pies. La justificación semirreligiosa que basa el fenómeno en el control mental es más atractiva que una explicación basada en la capacidad calorífica y la conductividad térmica, por supuesto. Esto, unido a que estas ceremonias se celebran por la noche, para subrayar más aún el contraste entre el frío aire nocturno y la oscuridad, y el calor de las brasas candentes, explica el impresionante efecto del espectáculo.
Muchos otros ejemplos de pseudociencia (las auras, el poder de la bola de cristal, las pirámides, el triangulo de las Bermudas, etc.) son desenmascaradas en The Skeptical Inquirer, una encantadora revista trimestral del CSICOP (Committee for the Scientific Investigation of Claims of the Paranormal) publicada por el filosofo Paul Kurtz, de Buffalo, Nueva York.
3. Los sueños proféticos
El sueño profético es otro supuesto tipo de percepción extrasensorial. Todo el mundo tiene una tía Matilde que soñó con un violento accidente de automóvil precisamente el día antes de que tío Miguel empotrara el coche contra una farola. Yo soy mi propia tía Matilde: cuando era chico soñé en cierta ocasión que daba un batazo que me permitía conseguir una carrera en el gran slam y dos días después logré tres bases seguidas. (Ni los defensores más recalcitrantes de las experiencias pre cognitivas esperan que la correspondencia sea exacta). Cuando uno sueña algo así y el suceso predicho ocurre, se hace difícil no creer en la precognición. Pero, como demostraremos a continuación, la coincidencia permite dar una explicación más racional de tales experiencias.
Supongamos que la probabilidad de que un sueño coincida en unos cuantos detalles claros con una secuencia de hechos de la vida real sea de 1 sobre 10.000. Queremos decir con ello que este es un hecho bastante poco frecuente, y que la probabilidad de que no se trate de un sueño profético es abrumadora, 9.999 sobre 10.000. Supongamos también que el hecho de que un sueño coincida o no con la realidad un día, es independiente de que esto ocurra con otro sueño otro día. Así, aplicando la regla del producto a las probabilidades, la probabilidad de tener dos sueños fallidos sucesivos es el producto de 9.999/10.000 por 9.999/10.000. Del mismo modo, la probabilidad de tener sueños que no se cumplen a lo largo de N noches seguidas es (9.999/10.000)N. Y para todo un año de sueños fallidos o no proféticos, la probabilidad es de (9.999/10.000)365.
Como (9.999/10.000)365 da aproximadamente 0,964, tendremos que, en un periodo de un año, el 96,4 por ciento de la gente que sueña todas las noches sólo tendrá sueños fallidos. Pero también observaremos que aproximadamente el 3,6 por ciento de la gente que sueña todas las noches tendrá por lo menos un sueño profético durante este mismo período. Y el 3,6 por ciento no es una cantidad tan pequeña: si la traducimos a un número de personas se convierte en millones de sueños aparentemente proféticos cada año. E incluso cambiando la probabilidad de tener un sueño profético a una millonésima, obtenemos un número enorme de tales sueños por puro azar en un país de las dimensiones de los Estados Unidos. No hace falta recurrir a ningún tipo de capacidades parapsicológicas; la frecuencia con que se dan los sueños aparentemente proféticos no necesita explicación. En cambio, sí que habría que buscar una explicación en el caso de que no ocurrieran.
Se podría decir lo mismo de una gran variedad de otros acontecimientos y coincidencias igualmente improbables. De vez en cuando, por ejemplo, se habla de una serie de coincidencias increíbles que relacionan a dos personas, fenómeno para el que se calcula una probabilidad de, pongamos, una billonésima (1 dividido entre 1012, ó 10−12). ¿Es ello impresionante? No necesariamente.
Como por la regla del producto en los Estados Unidos hay (2,5 × 108 × 2,5 × 108), esto es, 6,25 × 1016 pares de personas, y la probabilidad de que se dé tal conjunto de coincidencias hemos supuesto que era aproximadamente 10−12, el número medio de relaciones «increíbles» que podemos esperar es 6,25 × 1016 veces 10−12, es decir, unas 60.000. No ha de sorprendernos pues que, de vez en cuando, una de esas extrañas conexiones salga a la luz.
Una serie de coincidencias demasiado improbables para ser descartadas por este procedimiento la tenemos en el caso proverbial del mono que mecanografía el Hamlet de Shakespeare. La probabilidad de que esto ocurriera sería de (1/35)N, donde N es el número de símbolos del Hamlet, unos 200.000 más o menos, y 35 es el número de teclas de una máquina de escribir, entre letras, signos de puntuación y espacios en blanco. A efectos prácticos, el valor es infinitesimal-cero. Aunque algunos han tomado el valor pequeñísimo de esta probabilidad como un argumento en favor del creacionismo, lo único que demuestra claramente es que los monos rara vez son capaces de escribir grandes obras literarias. Y si quieren hacerlo, les sale más a cuenta evolucionar hasta un estadio en el que tengan más probabilidades de escribir Hamlet que intentar que les salga por casualidad. A propósito, ¿por qué nunca se plantea la pregunta inversa, es decir, cuál es la probabilidad de que Shakespeare, flexionando sus músculos al azar, se encontrara por casualidad columpiándose entre los árboles como un mono?
4. Nosotros y las estrellas
La astrología es una pseudociencia particularmente difundida. Los estantes de las librerías están atestados de libros sobre este tema y casi todos los periódicos publican diariamente un horóscopo. Según una encuesta Gallup de 1986, el 52 por ciento de los adolescentes norteamericanos cree en la astrología, y una inquietante cantidad de gente de todas las edades parece aceptar algunas de sus antiguas pretensiones. Y digo «inquietante» porque, si la gente cree en los astrólogos y la astrología, da miedo pensar en quién o en qué más puede llegar a creer. Y es particularmente inquietante cuando, como el presidente Reagan, tiene un inmenso poder para actuar sobre la base de estas creencias.
La astrología sostiene que la atracción gravitatoria de los planetas en el instante del nacimiento ejerce cierto efecto sobre la personalidad. Esto resulta muy difícil de tragar, por dos razones: a) no se indica, ni mucho menos se explica, por medio de qué mecanismo, físico o neurofisiológico, actúa esta atracción gravitatoria (o de la clase que sea); y b) la atracción gravitatoria del tocólogo que asiste al parto sobrepasa con mucho la de los planetas correspondientes. Recuérdese que la fuerza gravitatoria que ejerce un objeto sobre un cuerpo, un recién nacido por ejemplo, es proporcional a la masa del objeto e inversamente proporcional al cuadrado de la distancia entre objeto y cuerpo… en este caso el niño. ¿Significa esto que los niños nacidos de partos asistidos por tocólogos gordos tienen rasgos de personalidad claramente distintos de los nacidos en partos asistidos por tocólogos delgados?
Las personas anuméricas son menos sensibles a estas deficiencias de la teoría astrológica, pues seguramente no se entretendrán en preguntarse por sus mecanismos y raramente se preocuparán de comparar magnitudes. Pero, aunque no tuviera una base teórica comprensible, la astrología sería digna de respeto si funcionara, si sus pretensiones tuvieran alguna base empírica. Pero, ¡ay!, no hay ninguna correlación entre la fecha del nacimiento y la puntuación en un test de personalidad estándar.
Se han llevado a cabo experimentos (recientemente lo ha hecho Shawn Carlson, de la Universidad de California) en los que unos astrólogos recibían tres perfiles de personalidad anónimos, uno de los cuales correspondía al cliente. Este les daba todos los datos astrológicos significativos relacionados con su vida (por medio de un cuestionario, y no cara a cara), y se pedía al astrólogo que determinara el perfil de personalidad del cliente. Había 116 clientes y fueron presentados a treinta astrólogos de primera línea (según la opinión de sus colegas) europeos y norteamericanos. El resultado fue que los astrólogos escogieron el perfil de personalidad correcto de los clientes en uno de cada tres casos, es decir, el mismo que daría el puro azar.
John McGervey, físico de la Case Western Reserve University, examinó las fechas de nacimiento de una lista de 16.000 científicos de American Men of Science y las de una lista de 6.000 políticos de Who’s Who in American Politics y encontró que la distribución de sus signos era aleatoria, con las fechas de nacimiento distribuidas uniformemente a lo largo de todo el año. Bernard Silverman, de la Michigan State University, trabajó sobre una lista de 3.000 parejas casadas de Michigan y no encontró ninguna correlación entre sus signos y las predicciones de los astrólogos sobre compatibilidad de signos.
¿Por qué, entonces, tanta gente cree en la astrología? Una razón obvia es que las predicciones de los astrólogos son generalmente tan vagas que permiten que la gente interprete en ellas lo que quiera, otorgándoles así una veracidad no inherente a las propias predicciones. Es más probable que recuerden las «predicciones» verdaderas, que sobrevaloren las coincidencias y que se olviden de todo lo demás. Otras razones son su antigüedad (claro que el homicidio ritual y los sacrificios humanos son igualmente antiguos), la sencillez de sus principios y la consoladora complejidad de su práctica, además de su lisonjera insistencia en la relación entre la inmensidad estrellada de los cielos y el hecho de que uno vaya a enamorarse o no este mes.
Supongo que además, durante las sesiones individuales, las expresiones faciales de los clientes, sus gestos, su lenguaje corporal, etc., permiten al astrólogo captar datos sobre su personalidad. Recordemos el famoso caso de Clever Hans, el caballo que aparentemente sabía contar. Su domador lanzaba un dado y le preguntaba qué número había salido. Para sorpresa de los presentes, Hans piafaba lentamente tantas veces como puntos marcaba el dado. Lo que no se notaba tanto, sin embargo, era que el domador se estaba quieto como una estatua hasta que Hans no había piafado el número de veces correcto, y que en este preciso instante, consciente o inconscientemente, se movía ligeramente, con lo que Hans paraba de piafar. El caballo no era la fuente de la respuesta, sino un simple reflejo del conocimiento de la misma por el domador. Inconscientemente, la gente que consulta a un astrólogo juega a menudo el papel del domador, y aquel, como Hans, refleja las necesidades de sus clientes.
El mejor antídoto contra la astrología en particular y contra la pseudociencia en general es, como ha dicho Carl Sagan, la verdadera ciencia, cuyas maravillas son igualmente asombrosas y tienen la virtud adicional de que probablemente sean reales. Al fin y al cabo, no es lo estrafalario de las conclusiones lo que hace que una determinada doctrina sea pseudociencia: las conjeturas afortunadas, los descubrimientos fortuitos, las hipótesis atrevidas e incluso cierta credulidad inicial, también tienen su papel en la ciencia. El fallo de las pseudociencias estriba en que no someten sus conclusiones a ninguna prueba, en que no las relacionan de modo coherente con otros enunciados que han pasado el examen. Se me hace difícil imaginar a Shirley MacLaine, por ejemplo, negando la realidad de un suceso aparentemente paranormal, la comunicación a través de un médium, digamos, porque no hay pruebas suficientes del mismo, o porque hay una explicación alternativa mejor.
5. Vida extraterrestre, sí; visitantes en OVNI, no
Además de la astrología, las personas anuméricas están considerablemente más predispuestas que el resto de la gente a creer en visitantes procedentes del espacio exterior. Que haya habido o no ese tipo de visitas es una cuestión completamente distinta a si hay o no vida consciente en otros lugares del universo. Presentaré unos cálculos muy aproximados en apoyo de por qué, aunque es muy probable que haya otras formas de vida en nuestra propia galaxia, lo más probable es que no nos hayan hecho ninguna visita de cortesía (a pesar de las declaraciones de libros como The Intruders [«Los intrusos»], de Budd Hopkins, y Communion [«Comunión»] de Whitley Strieber). Las estimaciones nos dan un buen ejemplo de cómo sirve el sentido común numérico para mantener a raya los desvaríos pseudocientíficos.
Si la inteligencia se ha desarrollado de modo natural en la tierra, es difícil pensar que el mismo proceso no haya podido producirse en otros lugares. Lo que hace falta es un sistema de elementos físicos que admitan muchas combinaciones distintas, así como una fuente de energía que alimente dicho sistema. El flujo de energía hace que el sistema «explore» varias combinaciones de posibilidades, hasta que se produce un pequeño conjunto de moléculas estables y complejas, capaces de almacenar energía. Estas moléculas evolucionan luego químicamente hacia compuestos más complejos, como algunos aminoácidos, a partir de los cuales se forman las proteínas. Luego aparecen las formas de vida primitiva y así hasta llegar a las galerías comerciales.
Se estima que en nuestra galaxia hay aproximadamente 100 mil millones de estrellas (1011), de las que, pongamos, una décima parte tiene un planeta. De estos 10 mil millones de estrellas, aproximadamente una de cada cien, quizá, tiene un planeta en la zona viva de la estrella, ni tan cerca como para que hierva el disolvente, agua, metano, o lo que sea, ni tan lejos como para que solidifique. Nos quedan, pues, aproximadamente 100 millones de estrellas (108) de la galaxia que podrían tener vida en su sistema planetario. Como la mayoría son bastante menores que nuestro sol, sólo habría que considerar una décima parte de ellas como candidatas serias a tener planetas con vida. Esto nos deja aún con 10 millones (107) de estrellas, sólo en nuestra galaxia, susceptibles de tener vida, y quizás en una décima parte de ellas se haya producido ya. Supongamos que en nuestra propia galaxia haya efectivamente 106 —un millón— de estrellas con planetas que tienen vida. ¿Por qué no nos llega ninguna evidencia de ello?
En primer lugar, porque nuestra galaxia es un lugar muy grande, con un volumen de unos 1014 años luz cúbicos. Recuérdese que un año luz es la distancia que la luz recorre en un año a la velocidad de 300.000 kilómetros por segundo, es decir, aproximadamente 10 billones de kilómetros. Por tanto, cada una de este millón de estrellas tiene en promedio un volumen de 1014 dividido por 106 años luz cúbicos para ella sola; esto da unos 108 años luz cúbicos para cada estrella de las que se supone que tienen vida. La raíz cúbica de 108 es aproximadamente 500, con lo que la distancia media entre una estrella con vida y su vecina más próxima es de unos 500 años luz: ¡unos diez mil millones de veces la distancia de la tierra a la luna! La distancia entre los «vecinos» inmediatos, aun en el caso de ser muy inferior a esta media, parece lo bastante grande como para excluir la posibilidad de que las visitas de cortesía sean frecuentes.
La segunda razón por la que es del todo improbable que nos encontremos con algún «marcianito», es que las civilizaciones que puedan haber existido habrán estado dispersas en el tiempo, naciendo en una época y desapareciendo después. De hecho, podría muy bien ocurrir que la vida, después de haber alcanzado cierto estadio de complejidad, sea inherentemente inestable y se autodestruya al cabo de unos cuantos milenios. Incluso suponiendo que la duración media de tales formas de vida avanzada sea de 100 millones de años (el tiempo transcurrido desde los mamíferos primitivos hasta un posible holocausto nuclear en el siglo veinte), si distribuimos uniformemente estos intervalos de tiempo en la historia de nuestra galaxia, de unos 12-15 mil millones de años, encontraremos que la vida avanzada se da simultáneamente en menos de 10.000 estrellas de nuestra galaxia. En esta situación, la distancia media entre vecinos pasa a ser mayor de 2.000 años luz.
La tercera razón por la que no han venido turistas es que aunque se haya desarrollado vida en cierto número de planetas de la galaxia, es poco probable que les hayamos interesado lo suficiente. Esas formas de vida podrían consistir en grandes nubes de gas metano, en campos magnéticos auto orientados, grandes praderas con seres en forma de patata, grandes entes planetarios que se pasan la vida cantando sinfonías complejas o, más probablemente, una especie de espuma planetaria que se adhiere a las rocas iluminadas por su sol. No tenemos motivos para suponer que ninguna de las formas de vida citadas vaya a tener nuestras mismas aspiraciones ni nuestra misma psicología e intente llegar hasta nosotros.
En resumen, aunque probablemente hay vida en otros planetas de nuestra propia galaxia, las observaciones de OVNI, casi con absoluta certeza, no son más que eso: observaciones de objetos voladores no identificados. No identificados, pero no inidentificables ni extraterrestres.
6. Tratamientos médicos fraudulentos
La medicina es un terreno fértil para las pretensiones pseudocientíficas por una razón muy sencilla. La mayoría de enfermedades y estados físicos, a) mejoran por sí solos, b) remiten espontáneamente, o c) aun siendo fatales, rara vez siguen estrictamente una espiral descendente. En todo caso, cualquier tipo de intervención, por inútil que sea, puede parecer sumamente eficaz.
Esto resulta más claro si uno se pone en el lugar de alguien que practica a sabiendas una forma de falsa medicina. Para aprovechar los altibajos naturales de cualquier enfermedad (así como de cualquier efecto placebo), lo mejor es empezar el tratamiento inútil cuando el paciente está empeorando. Así, cualquier cosa que ocurra se podrá atribuir más fácilmente a la intervención, maravillosa y seguramente muy cara. Si el paciente mejora, uno atribuye todo el mérito a su tratamiento, y si permanece estacionario, el tratamiento ha detenido su curso descendente. Si por el contrario el paciente empeora, es porque la dosis o la intensidad del tratamiento no fueron suficientemente fuertes, y si muere, es porque tardaron demasiado en recurrir a uno.
De todos modos, los pocos casos en que la intervención tiene éxito probablemente serán recordados (y no serán tan pocos, si la enfermedad en cuestión es de remisión espontánea), mientras que la inmensa mayoría de fracasos serán olvidados y enterrados. El azar nos da una variación más que suficiente para explicar los pocos éxitos que se conseguirán casi con cualquier tratamiento. Y sería efectivamente un milagro que no hubiera «curas milagrosas».
Buena parte de todo lo anterior se aplica también a quienes curan por la fe, los psicomédicos y una surtida variedad de otros practicantes que va de los médicos homeópatas a los televangelistas. Su prominencia constituye una razón poderosa para introducir en nuestras escuelas una buena ración de saludable escepticismo. Este es un estado mental generalmente incompatible con el anumerismo. (Con esta actitud de rechazo hacia estos charlatanes, no obstante, no pretendo propugnar ningún tipo de cientificismo rígido y dogmático, ni ningún tipo de ateísmo ingenuo. Como dice un verso de Howard Nemerov, hay un largo trecho de «Adonai» a «Yo no sé» y a «Yo niego»1, y mucho lugar en medio para que las personas razonables puedan sentirse a gusto).
A menudo es difícil, incluso en los casos más estrafalarios, refutar concluyentemente un procedimiento o una curación propuesta. Imaginad el caso de un falso dietético que aconseje a sus pacientes que se tomen dos pizzas enteras, cuatro cervezas y dos trozos de tarta de queso en cada comida: desayuno, almuerzo y cena, además de una caja de higos secos y un litro de leche como tentempié para ir a la cama, basándose en que otras personas que han probado este régimen han perdido tres kilos por semana. Varios pacientes siguen el tratamiento durante tres semanas y al cabo de este lapso se encuentran con que han ganado cuatro kilos cada uno. ¿Refuta este resultado las afirmaciones del doctor? No necesariamente, pues siempre puede aducir que no se han respetado una serie de condiciones complementarias. Siempre podrá decir que las pizzas tenían demasiada salsa, que los pacientes durmieron dieciséis horas al día, o que la cerveza no era de la marca adecuada. El caso es que uno siempre puede encontrar escapatorias que le permitan sostener su teoría preferida, por muy fantasiosa que esta sea.
El filósofo Willard van Orman Quine va más lejos y afirma que la experiencia nunca puede obligar a rechazar ninguna creencia concreta. Considera que la ciencia es un tejido integrado de hipótesis, procedimientos y formalismos interconectados, y sostiene que cualquier impacto del mundo sobre este tejido se puede distribuir de muchos modos distintos. Si estamos dispuestos a introducir cambios lo suficientemente drásticos en el resto del tejido de nuestras creencias, razona, podemos mantener nuestra creencia en la eficacia de la dieta anterior o incluso en la validez de cualquier pseudociencia.
Menos controvertida es la aseveración de que no hay una separación clara ni algoritmos fáciles que nos permitan distinguir la ciencia de la pseudociencia. La frontera entre ambas es demasiado borrosa. Los temas que estamos tratando, el número y la probabilidad, nos dan, no obstante, la base de la estadística, que junto con la lógica constituye uno de los pilares del método científico, que a la larga servirá para separar la ciencia verdadera de la falsa, si es que hay algún método que pueda hacerlo. Sin embargo, al igual que la existencia del rosa no socava la distinción entre el blanco y el rojo, y al igual que el alba no significa que día y noche sean en realidad la misma cosa, esta franja problemática tampoco anula, a pesar de los argumentos de Quine, las diferencias fundamentales entre la ciencia y sus falsificaciones.
7. La probabilidad condicionada, el blackjack y la detección del consumo de drogas
No hace falta ser un seguidor de ninguna de las pseudociencias corrientes para hacer falsas afirmaciones o deducciones incorrectas. Muchos de los errores habituales en el método de razonamiento se deben a una mala comprensión del concepto de probabilidad condicional. A menos que A y B sean dos hechos independientes, la probabilidad de que ocurra A es distinta de la probabilidad de que ocurra A sabiendo que ha ocurrido B. ¿Qué significa esto?
Por poner un ejemplo sencillo, la probabilidad de que una persona elegida al azar en la guía telefónica pese más de ciento veinte quilos es muy pequeña. Sin embargo, si sabemos ya, de un modo u otro, que mide más de dos metros, la probabilidad condicional de que pese más de ciento veinte kilos es mucho mayor. La probabilidad de que al tirar dos dados la suma sea 12 es 1/36. La probabilidad de que haya salido 12 si se sabe que ha salido por lo menos 11 es 1/3. (Los resultados sólo pueden haber sido 6, 6; 6, 5; 5, 6, y hay por tanto una posibilidad de tres de que la suma sea 12, ya que por lo menos es 11).
También es muy frecuente cierta confusión entre la probabilidad de A condicionada a B y la probabilidad de B condicionada a A. Un ejemplo sencillo: la probabilidad de escoger un rey condicionada a que la carta escogida sea una figura —rey, reina o valet— es 1/3. Sin embargo, la probabilidad de que la carta escogida sea una figura condicionada a que sea un rey es 1, o sea, el 100 por ciento. La probabilidad condicionada de que alguien sea ciudadano norteamericano sabiendo que habla inglés es, pongamos, 1/5. La probabilidad condicionada de que alguien hable inglés sabiendo que es ciudadano norteamericano es, quizá, 19/20, ó 0,95.
Consideremos ahora una familia de cuatro miembros escogida al azar, de la que sabemos que tiene por lo menos una hija. Pongamos que se llama María. Con estos datos ¿cuál es la probabilidad condicional de que el hermano de María sea varón? Y si sabemos que María tiene un hermano menor, ¿cuál es la probabilidad condicional de que sea varón? Las respuestas son 2/3 y 1/2, respectivamente.
En general, hay cuatro combinaciones posibles y equiprobables en una familia con dos hijos VV, VH, HV y HH, donde el orden de las letras V (varón) y H (hembra) indica el orden de nacimiento. En el primero de los casos, la posibilidad VV queda descartada, por hipótesis, y en dos de las tres combinaciones restantes hay un chico, el hermano de María. En el segundo caso, hay que descartar las combinaciones VV y VH, pues María es una chica y es la mayor, y en una de las dos posibilidades restantes hay un chico. En el segundo caso tenemos más información, y esto explica que las probabilidades condicionales sean distintas.
Antes de pasar a una aplicación más seria, me gustaría hablar de otro timo que funciona gracias a la confusión que lleva asociada la probabilidad condicional. Imaginad un hombre que tiene tres cartas. Una de ellas es negra por ambas caras, otra roja por ambas caras, y la tercera tiene una cara roja y la otra negra. Mete las cartas en un sombrero y te pide que saques una, pero sólo te deja ver una de las caras. Supongamos que es roja. El hombre observa que como la carta escogida tiene una cara roja, no puede ser la que tiene las dos caras negras, con lo que ha de ser una de las otras dos, la roja-roja o la roja-negra. Y a continuación te ofrece apostar cierta suma de dinero contra la misma cantidad por su parte, apostando él a favor de la carta roja-roja. ¿Es una apuesta limpia?
Así parece a primera vista. Sólo pueden ser dos cartas, y él apuesta por una y tú por la otra. Pero el truco está en que mientras hay dos modos que le favorecen a él, solo uno juega a tu favor. La cara visible de la carta escogida podría ser la cara roja de la carta roja-negra, en cuyo caso ganas, podría ser una cara roja de la carta roja-roja, en cuyo caso gana él, o la otra cara roja de dicha carta, en cuyo caso vuelve a ganar él. Su probabilidad de ganar es 2/3. La probabilidad condicional de que la carta sea la roja-roja sabiendo que no es la negra-negra es 1/2, pero este no es el caso que nos ocupa. Sabemos algo más que esto. Sabemos que nos presenta una cara roja.
La probabilidad condicional explica también por qué el blackjack es el único juego de azar en el que tiene sentido recordar lo que ha salido antes. En la ruleta, los resultados previos no tienen influencia alguna sobre las tiradas posteriores. La probabilidad de que salga rojo en la tirada siguiente es 18/38, la misma que la probabilidad condicional de que salga rojo sabiendo que ya han salido cinco rojos consecutivos. Y lo mismo vale para los dados, la probabilidad de que salga un 7 al lanzar un par de dados es 1/6, igual que la probabilidad condicional de que salga 7 sabiendo que en las tres últimas tiradas anteriores ha salido 7. Cada tirada es independiente de las anteriores.
Una partida de blackjack, por el contrario, depende de lo que ha pasado antes. La probabilidad de sacar dos ases seguidos de un mazo de cartas no es (4/52 × 4/52) sino (4/52 × 3/51), siendo el segundo factor la probabilidad condicional de que salga otro as sabiendo que la primera carta lo era también. Asimismo, la probabilidad condicional de que una carta sea una figura, sabiendo que se han sacado ya treinta cartas y sólo dos eran figuras, no es 12/52, sino mucho mayor, 10/22. Este hecho —que las probabilidades (condicionales) cambian según la composición de lo que queda del mazo— es la base de varias estrategias de contado en el blackjack, que consisten en recordar cuántas cartas han salido de cada tipo y aumentar la apuesta cuando (de vez en cuando y ligeramente) se tiene la probabilidad a favor.
Yo mismo he ganado dinero en Atlantic City empleando una de dichas estrategias, y hasta pensé en hacerme con un anillo diseñado especialmente para facilitar el trabajo de contar. Pero lo dejé correr, pues, a menos que uno tenga un buen fajo de billetes, el ritmo al que se va ganando dinero es demasiado lento para el tiempo y la concentración necesarios.
Una elaboración interesante a partir del concepto de probabilidad condicional es el conocido teorema de Bayes, que fue demostrado por primera vez por Thomas Bayes en el siglo dieciocho, y constituye la base del siguiente resultado, un tanto sorprendente, con importantes consecuencias para los análisis de SIDA o la detección del consumo de drogas.
Supongamos que haya un análisis para detectar el cáncer con una fiabilidad del 98 por ciento; es decir, si uno tiene cáncer el análisis dará positivo el 98 por ciento de las veces, y si no lo tiene, dará negativo el 98 por ciento de las veces. Supongamos además que el 0,5 por ciento de la población, una de cada doscientas personas, padece verdaderamente cáncer. Imaginemos que uno se ha sometido al análisis y que su médico le informa con tono pesimista que ha dado positivo. ¿Hasta qué punto ha de deprimirse esa persona? Lo sorprendente del caso es que dicho paciente ha de mantenerse prudentemente optimista. El por qué de este optimismo lo encontraremos al determinar la probabilidad condicional de que uno tenga un cáncer sabiendo que el análisis ha dado positivo.
Supongamos que se hacen 10.000 pruebas de cáncer. ¿Cuántas de ellas darán positivo? En promedio, 50 de estas 10.000 personas (el 0,5 por ciento de 10.000) tendrán cáncer, y como el 98 por ciento de ellas darán positivo, tendremos 49 análisis positivos. Por otra parte, el 2 por ciento de las 9.950 personas restantes, que no padecen cáncer, también darán positivo, con un total de 199 análisis positivos (0,02 × 9.950 = 199). Así, del total de 248 positivos (199 + 49 = 248), la mayoría (199) son falsos positivos, y la probabilidad condicional de padecer el cáncer sabiendo que se ha dado positivo es sólo 49/248, ¡aproximadamente el 20 por ciento! (Hay que comparar este porcentaje relativamente bajo con la probabilidad condicional de dar positivo en el supuesto de que se tenga efectivamente el cáncer que, por hipótesis, es del 98 por ciento).
Este resultado inesperado en un test con una fiabilidad del 98 por ciento debería dar que pensar a los legisladores cuando se plantean instituir análisis obligatorios o generalizados para detectar el consumo de drogas, el SIDA o lo que sea. Muchos testes son menos fiables: según un artículo reciente de The Wall Street Journal, por ejemplo, el conocido test de Pap para la detección del cáncer de cuello de útero sólo es fiable al 75 por ciento. Los detectores de mentiras son notablemente imprecisos y con cálculos parecidos al anterior se demuestra por qué el número de personas veraces que no superan la prueba del detector de mentiras es normalmente mayor que el de los realmente mentirosos. Someter a las personas que dan positivo a un estigma, y en especial cuando puede que la mayoría sean falsos positivos, es contraproducente y dañino.
8. Numerología
Menos inquietante que los análisis poco fiables es la numerología, última de las pseudociencias que comentaré y mi favorita. Se trata de una práctica muy vieja, común a una serie de sociedades antiguas y medievales, que juega con la asignación de valores numéricos a las letras y la consiguiente interpretación de la igualdad numérica entre distintas palabras y frases.
Los valores numéricos de las letras de la palabra hebrea que significa «amor» (ahavah) suman 13, igual que las letras de «uno» (ehad). Como «uno» es la abreviación de «un Dios», muchos han pensado que la igualdad de ambas palabras era significativa, así como el hecho de que su suma, 26, iguale al equivalente numérico de Yahveh, el nombre divino de Dios.
El número 26 fue importante por otras razones: en el versículo 26 del Génesis, Dios dice: «Hagamos al hombre a nuestra imagen»; Adán y Moisés estaban separados por 26 generaciones, y la diferencia entre los equivalentes numéricos de Adán (45) y de Eva (19) es 26.
Los rabinos y los cabalistas que se dedicaron a la numerología (Gematriah) seguían además toda una variedad de sistemas, despreciando a veces las potencias de 10, tomando 1 en vez de 10, 2 en vez de 20, etc. Así, como la primera letra de Yahveh tenía asignado el valor 10, se le podía asignar también el valor 1 si la ocasión lo requería, y entonces el valor numérico de Yahveh era 17, igual al equivalente numérico de «bueno» (tov). Otras veces se utilizaban los cuadrados de los valores numéricos de las letras, en cuyo caso Yahveh daba 186, igual que la palabra que significa «lugar» (Maqqom), que era otro modo de referirse a Dios.
Los griegos se dedicaron también a la práctica numerológica (isopsefia) tanto en la antigüedad, con el misticismo numérico de Pitágoras y su escuela, como más adelante, con la introducción del cristianismo. En su sistema, la palabra griega que significa Dios (Theos) tenía un valor numérico de 284, al igual que las palabras que significaban «santo» y «bueno». El valor numérico de las letras alfa y omega, el principio y el fin, era 801, igual que el de peristera, que significa «paloma», cosa que se tomaba como una corroboración mística del misterio cristiano de la Trinidad. Los gnósticos griegos observaron que la palabra griega que significa «río Nilo» tenía un valor numérico de 365, y lo tomaban como una indicación de la periodicidad anual de sus inundaciones.
Los místicos cristianos invirtieron muchas energías en descifrar el número 666, que según san Juan Evangelista designaba el nombre de la Bestia del Apocalipsis, o Anticristo. Sin embargo, como no especificaba el método seguido para asignar números a las letras, no estaba del todo claro a quién se refería dicho número. «César Nerón», nombre del primer emperador romano que persiguió a los cristianos, valía 666 según el método hebreo, y lo mismo valía la palabra que significaba «latinos» según el sistema griego. Este mismo número se ha empleado muchas veces al servicio de la ideología: en el siglo dieciséis, un autor católico escribió un libro que en esencia venía a decir que Martín Lutero era el Anticristo, pues el valor de su nombre según el método latino era 666. Casi enseguida, algún partidario de Lutero replicó que las palabras que figuraban en la tiara papal, «Vicario del Hijo de Dios», daban también 666 si se sumaban los números romanos correspondientes a las letras de la frase. Más recientemente, la extrema derecha fundamentalista ha observado que cada palabra del nombre Ronald Wilson Reagan tiene seis letras.
Se pueden dar ejemplos parecidos de las prácticas numerológicas de los musulmanes. Tales interpretaciones numéricas (la judía, la griega, la cristiana y la musulmana) no sólo se usaron como vía de confirmación mística de las respectivas doctrinas religiosas, sino también en la adivinación, la interpretación de los sueños, la adivinación por números, etc. A menudo se encontraron con la oposición del clero, pero gozaron de gran popularidad entre los laicos.
Algunas de estas supersticiones numerológicas siguen vivas hoy en día. En cierta ocasión escribí una reseña para The New York Times acerca de From One to Zero («De uno a cero»), de George Ifrah (del que he tomado la mayor parte de los ejemplos de las líneas precedentes), y me referí en un tono completamente neutro al caso del número 666, Martín Lutero y la tiara papal. Como respuesta recibí una media docena de cartas desproporcionadas y antisemíticas, en algunas de las cuales me llamaban incluso Anticristo. Hace algunos años, Procter y Gamble tuvieron problemas parecidos, aunque más graves, debido a la naturaleza numérico-simbólica de su logotipo.
La numerología es en muchos sentidos una pseudociencia, en especial por su faceta adivinatoria. Hace predicciones y afirmaciones que prácticamente no admiten falsación, pues siempre es fácil inventar una formulación alternativa consistente con lo que haya ocurrido. Basada en el número, tiene una complejidad ilimitada que atrae la ingenuidad y la creatividad de sus seguidores, sin las molestias de tener que someterse a validaciones ni pruebas. Las igualdades que se obtienen sirven generalmente para corroborar alguna doctrina ya existente, y poco esfuerzo se hace, si es que se hace alguno, por encontrar contraejemplos. Es casi seguro que «Dios» es numéricamente equivalente a frases que niegan la fe, y a palabras sacrílegas, o simplemente cómicas. (Renunciaré a dar mis ejemplos). Como muchas otras pseudociencias, la numerología es antigua, y adquiere cierta respetabilidad por sus connotaciones religiosas.
Sin embargo, si se prescinde de todos los elementos supersticiosos, lo poco que queda tiene algo de atractivo. Su pureza (sólo números y letras) y su cualidad de tabula rasa (como un test de Rorschach) le permiten tener una esfera de acción muy amplia, para ver todo lo que uno quiera ver y relacionar todo lo que uno quiera relacionar, proporcionando por lo menos una fuente ilimitada de recursos mnemotécnicos.
9. Lógica y pseudociencia
Como los números y la lógica están entrelazados de modo inextricable, tanto en la teoría como en la opinión del vulgo, quizá no sea irse por las ramas decir que la lógica defectuosa es una forma de anumerismo. De hecho, esta idea ha estado implícita en buena parte de este capítulo. Para acabar, pues, presentaré un par más de falsas deducciones que evocan además el papel del anumerismo —aquí bajo la forma de lógica falaz— en la pseudociencia.
Es un error muy extendido confundir una proposición condicional —si A, entonces B— con su recíproca, si B, entonces A. Tenemos una variante poco habitual del mismo cuando la gente razona: si X cura Y, entonces la falta de X produce Y. Si la dopamina, por ejemplo, produce una disminución de los temblores del mal de Parkinson, entonces la falta de dopamina produce temblores. Si algún otro medicamento mitiga los síntomas de la esquizofrenia, entonces la ausencia del mismo ha de causar la esquizofrenia. No es probable que uno cometa este tipo de error cuando se enfrenta a una situación más conocida. No hay demasiada gente que piense que como la aspirina cura el dolor de cabeza, la falta de aspirina en la sangre produce dolor de cabeza.
De un bote de pulgas que tiene ante sí, el célebre experimentalista Van Dulmholtz toma una cuidadosamente, le arranca suavemente las patas traseras y le manda en voz alta que salte. Observa que la pulga no se mueve y lo vuelve a intentar con otra. Cuando se han acabado las pulgas del bote, hace su estadística y concluye satisfecho que las pulgas tienen el oído en las patas traseras. Aunque pueda parecer absurdo, otras variantes de esta explicación aplicadas en contextos menos transparentes pueden resultar muy convincentes para personas que partan de preconceptos suficientemente arraigados. ¿Es esta explicación más absurda que la que aceptan quienes creen a una mujer que sostiene que es el canal por el que se expresa un hombre de 35.000 años? ¿Es más forzado que la pretensión de que el escepticismo de los espectadores impide sistemáticamente que se produzcan ciertos fenómenos paranormales?
¿Qué falla en la siguiente lógica no del todo impecable? Sabemos que 36 pulgadas = 1 yarda. Por tanto, 9 pulgadas = 1/4 de yarda. Como 3 es la raíz cuadrada de 9 y 1/2 es la raíz cuadrada de 1/4, tenemos que 3 pulgadas = 1/2 yarda.
Refutar la afirmación de que algo existe es a menudo muy difícil. Y también a menudo se toma esta dificultad como prueba de que la afirmación es cierta. Pat Robertson, el televangelista que se presentó como candidato a las elecciones presidenciales, sostenía recientemente que no podía demostrar que no hubiera bases de misiles soviéticos en Cuba, con lo cual podría haberlas. Tiene razón, naturalmente, pero tampoco puedo yo probar que Big Foot no tenga un terrenito en las afueras de La Habana. Los seguidores de New Age hacen toda clase de afirmaciones sobre la existencia de esto y aquello: que existe la ESP, que se han dado casos de doblamiento de cucharas, que abundan los espíritus, que hay extraterrestres entre nosotros, etc. Cuando, como suele ocurrirme regularmente, me presentan afirmaciones fantásticas como estas y otras por el estilo, no puedo dejar de sentirme un poco como un abstemio en una orgía de borrachos, insistiendo en que el hecho de que yo no sea capaz de refutar de modo concluyente dichas afirmaciones no es ninguna prueba de que estas sean ciertas.
Se podrían citar muchas más historietas como ejemplo de este y otros errores lógicos, pero el caso parece ya bastante claro: tanto el anumerismo como la falsa lógica abonan un suelo fértil para el crecimiento de la pseudociencia. En el próximo capítulo trataré de las razones por las que ambas están tan extendidas.
Capítulo 4
¿A qué se debe el anumerismo?
- Evocación de anumerismos pasados
- La educación secundaria y la universitaria
- El anumerismo y la tendencia a personalizar
- La ubicuidad del filtrado y las coincidencias
- Toma de decisiones y planteo de problemas
- La angustia matemática
- El romanticismo mal entendido
- Digresión: un índice de seguridad logarítmico
Experiencia personal reciente en una cafetería suburbana: pido una hamburguesa, patatas fritas y una Coca Cola. La cuenta sube a 2,01 dólares y la cajera, que lleva varios meses trabajando allí, maneja torpemente una tabla donde, junto al precio marcado por la registradora, figura el impuesto que hay que añadir, el 6 por ciento, hasta encontrar la línea que dice 2,01 dólares 0,12 dólares. En atención al anumerismo de sus empleados, las grandes concesionarias tienen ya cajas registradoras con teclas que llevan dibujados los artículos y que añaden el impuesto.
Según un estudio reciente, que un departamento exija o no cierto nivel en matemática o estadística es determinante cuando una mujer elije donde matricularse en el tercer ciclo de ciencias políticas.
Cuando oí al sabio astrónomo, cuyas lecciones despertaban tanta admiración en el aula / Qué inexplicablemente pronto empecé a sentirme cansado y hastiado.
Walt Whitman
¿Por qué el anumerismo está tan extendido entre personas que, por otra parte, son instruidas? Siendo un tanto simplistas, diremos que las razones son una educación insuficiente, cierto bloqueo psicológico y falsas ideas románticas acerca de la naturaleza de las matemáticas. Mi propio caso es la excepción que confirma la regla. El recuerdo más antiguo que tengo de haber querido ser matemático corresponde a mis diez años de edad, cuando calculaba que determinado lanzador suplente de los Milwaukee Braves de aquella época tenía una media de carreras ganadas (MCG) de 135. (Para los aficionados al béisbol: dejaba que le marcaran cinco carreras y sólo eliminaba a un bateador). Impresionado con un MCG tan extraordinariamente malo, se lo expliqué tímidamente a mi maestro, que me pidió que lo explicara en clase. Como yo era muy tímido, lo hice con una vocecita temblorosa y rojo como un tomate. Cuando hube terminado, dijo que yo estaba completamente equivocado y que me sentara. Los MCG, dijo con autoridad, nunca pueden ser superiores a 27.
Al acabar la temporada, The Milwaukee Journal publicó las medias de todos los jugadores de las Major Leagues y, como aquel lanzador no había vuelto a jugar, su MCG era 135, el mismo que yo había calculado. Recuerdo que tuve la sensación de que las matemáticas eran un protector omnipotente. Con ellas uno podía demostrar cosas a otras personas y estas le habían de creer, tanto si les gustaba como si no. Así que, picado aún por la humillación que había sentido, llevé el periódico a la escuela para enseñárselo al maestro. Me echó una mirada horrible y me volvió a ordenar que me sentara. Al parecer, la idea que tenía él de impartir una buena educación consistía en asegurarse de que todo el mundo permaneciera sentado.
Aunque no esté dominada por ordenancistas como mi maestro, la enseñanza elemental de las matemáticas es generalmente pobre. Las escuelas primarias consiguen, por lo general, enseñar las operaciones elementales de sumar, restar, multiplicar y dividir, y también los métodos para manejar fracciones, decimales y porcentajes. Por desgracia, no son tan eficaces a la hora de enseñar cuándo hay que sumar o restar, cuándo multiplicar o dividir, o cómo convertir fracciones en decimales o porcentajes. Rara vez se trabajan los problemas aritméticos: cuánto, a qué distancia, cuántos años tiene, cuántos. En parte, el temor que sienten los estudiantes mayores ante ciertos problemas de enunciado se debe a que, cuando estaban en los niveles elementales, no les pidieron que encontraran la respuesta a preguntas cuantitativas como estas.
Muy pocos estudiantes aprueban la enseñanza básica sin saber las cuatro reglas de la aritmética, pero muchos pasan sin entender que si uno va a 50 km/h durante cuatro horas, recorrerá 200 kilómetros en total; que si los cacahuetes cuestan 40 centavos la onza y una bolsa cuesta 2,20 dólares, entonces la bolsa contiene 5,5 onzas de cacahuetes; que si 1/4 de la población mundial son chinos y 1/5 del resto son indios, entonces 3/20 o el 15 por ciento de los habitantes del mundo son indios. Esta clase de comprensión no es, naturalmente, tan simple como saber que 35 × 4 = 140, que (2,2)/(0,4) = 5,5, o que (1/5) × (1 − 1/4) = 3/20 = 0,15 = 15 por ciento. Y como muchos estudiantes de los niveles elementales no llegan a ello de un modo natural, hay que insistir planteándoles muchos problemas, algunos prácticos y otros imaginarios.
En general, aparte de unas pocas lecciones sobre redondeo de números, tampoco se enseña a hacer cálculos. Y raramente se enseña que el redondeo y las estimaciones razonables tengan algo que ver con la vida real. No se pide a los estudiantes de la escuela primaria que hagan un cálculo de cuántos ladrillos hay en una pared de la escuela, de la velocidad a que es capaz de correr el más rápido, del porcentaje de estudiantes cuyos padres son calvos, del cociente entre la circunferencia de la cabeza de alguien y su estatura, de cuántas monedas de cinco centavos hacen falta para hacer una torre de la altura del Empire State Building, o si dichas monedas cabrían en el aula de estudio.
Casi nunca se enseña a razonar inductivamente, ni se estudian los fenómenos matemáticos con vistas a captar las reglas y propiedades más relevantes. Las discusiones de lógica informal son tan frecuentes en los cursos de matemática elemental como las discusiones sobre las sagas de Islandia. No se comentan enigmas, juegos ni adivinanzas… y estoy convencido de que en muchos casos se debe a que los alumnos brillantes podrían superar muy fácilmente a sus maestros. En sus encantadores libros de divulgación matemática y en sus columnas de Scientific American, Martin Gardner ha explorado de un modo sumamente atractivo la íntima relación que hay entre esos juegos y las matemáticas. Dichos libros, lo mismo que How to Solve It («Cómo resolverlo») o Mathematics and Plausible Readings («Matemáticas y lectura posible»), del matemático George Polya, serían una lectura recomendada muy estimulante para los estudiantes de bachillerato o para los primeros cursos de universidad (bastaría que se los recomendaran). Un libro encantador con un sabor bastante parecido al de los anteriores, pero en un nivel más elemental, es I Hate Mathematics («Odio las matemáticas»), de Marilyn Burns. Está lleno de lo que no suele haber en los libros de texto de mates elementales: indicaciones heurísticas para la resolución de problemas e imaginación.
En cambio, demasiados libros de texto se dedican aún a presentar listas de nombres y palabras, y las ilustraciones, cuando las hay, son pocas. Señalan, por ejemplo, que la suma tiene la propiedad asociativa pues (a + b) + c = a + (b + c). Pero raramente se cita alguna operación que no lo sea, con lo que, en el mejor de los casos, la definición parece innecesaria. Y en cualquier caso, ¿qué se puede hacer con este fragmento de información? Parece también como si otros términos se introdujeran con la única razón fundamental de que, impresos en negrita y enmarcados en un recuadro en medio de la página, quedan bonitos. Satisfacen la idea que mucha gente tiene del conocimiento, como una especie de botánica general en la que hay un lugar para cada cosa y cada cosa tiene su lugar. La matemática como herramienta útil, como modo de pensar o como fuente de placer es algo completamente ajeno a la mayoría de programas de la educación elemental (incluso de aquellos que usan libros de texto adecuados).
Puede pensarse que a estas alturas ya tendríamos que disponer de material informático que facilitara la enseñanza de los fundamentos de la aritmética y sus aplicaciones (problemas de enunciado, estimaciones, etc.). Por desgracia, los programas que tenemos en la actualidad son, demasiado a menudo, simples transcripciones, a monitor de televisión, de listas poco imaginativas correspondientes a ejercicios rutinarios sacadas de los libros de texto. No sé de ningún problema que ofrezca un enfoque efectivo, coherente e integrado de la aritmética y sus aplicaciones en la resolución de problemas.
Parte de la culpa de la pobre instrucción que se recibe en la escuela primaria recae en los maestros poco competentes y que en el fondo sienten poco aprecio y tienen poco interés en las matemáticas. Y, a su vez, la culpa de que esto ocurra la tienen las escuelas de magisterio que en sus cursos de formación de profesorado insisten poco en la importancia de las matemáticas, si es que lo hacen. Según mi propia experiencia, los estudiantes que se preparan para enseñar mates en la escuela secundaria (contrariamente a lo que ocurre con los estudiantes de la licenciatura de matemáticas) son generalmente los peores que asisten a mis clases. El bagaje matemático de los futuros maestros de escuela primaria es peor aún y, en muchos casos, inexistente.
Una solución parcial podría consistir en contratar uno o dos matemáticos para cada escuela primaria, que fueran pasando por las distintas clases y reforzaran (o se hicieran cargo de) la enseñanza de las matemáticas. A veces pienso que podría ser una buena idea que los profesores de mates y los maestros de primaria cambiaran sus puestos durante unas semanas al año. Estar en manos de maestros de primaria no supondría ningún perjuicio para los futuros licenciados y doctores en matemáticas (de hecho, aquellos podrían aprender algo de estos) y en cambio, para los alumnos de los ciclos medio y superior de la primaria sería provechoso aprender acertijos y juegos matemáticos presentados por gente competente.
Y ahora una pequeña digresión. Esta conexión entre los acertijos y las matemáticas se mantiene incluso en el nivel universitario, tanto en la docencia como en la investigación, y lo mismo cabría decir del humor. En mi libro Mathematics and Humor («Matemáticas y humor») intenté demostrar que ambas actividades son formas de juego intelectual que a menudo confluyen en rompecabezas, acertijos, juegos y paradojas.
Tanto la matemática como el humor son combinatorios, uniendo y separando ideas por mera diversión: yuxtaponiendo, generalizando, iterando o invirtiendo (AIXELSID). ¿Qué pasa si se relaja esta condición y aquella se hace más restrictiva? ¿Qué tiene en común esta idea —los trenzados, por ejemplo— con aquella, que aparentemente pertenece a un campo muy dispar, las simetrías de cierta figura geométrica, por ejemplo? Naturalmente, esta faceta de la matemática no es muy conocida, ni siquiera para quienes tienen cierta cultura numérica, pues para poder jugar con los conceptos matemáticos hace falta tenerlos previamente muy claros. Son muy importantes también, tanto para la matemática como para el humor, la ingenuidad, cierto sentido de la economía en la expresión y capacidad para detectar lo absurdo.
Los matemáticos tienen, como se puede apreciar, un sentido del humor característico, que podría ser fruto de su preparación. Suelen tomar las expresiones al pie de la letra, y este sentido literal es a menudo incongruente con el corriente, y de ahí su comicidad. Encuentran placer en la reducción al absurdo, la práctica lógica de llevar una premisa a sus últimas consecuencias, y en diversas clases de juegos de combinación de palabras.
Si la formación matemática comunicara esta faceta lúdica del tema, ya sea formalmente a los niveles de enseñanza, primario, medio o universitario, o informalmente en libros de divulgación, no creo que el anumerismo estuviera tan extendido como está.
2. La educación secundaria y la universitaria
Cuando los estudiantes llegan al bachillerato, el problema de la capacidad del profesor es ya más crítico. La industria de los ordenadores, la banca u otros campos de la misma naturaleza absorben una parte tan importante de los pocos matemáticos bien preparados, que pienso que sólo se podrá evitar que empeore la situación en nuestros institutos con incentivos salariales sustanciosos para los profesores de matemáticas bien cualificados. Como en este nivel no es tan importante haber recibido un gran número de cursos pedagógicos como cierta maestría en las matemáticas esenciales, podría ser provechoso dejar la enseñanza de las matemáticas en manos de ingenieros retirados y otros profesionales científicos. En la situación actual, en muchos casos no se consigue que los estudiantes adquieran los elementos básicos de la cultura matemática. En 1579 Vieta empezó a usar las variables algebraicas —X, Y, Z, etc. — para simbolizar cantidades desconocidas. La idea es simple, y sin embargo muchos estudiantes de bachillerato de hoy son incapaces de seguir este método de razonamiento que ya ha cumplido los cuatrocientos años: siendo X una incógnita, encontrar la ecuación que ha de satisfacer X y despejarla para determinar el valor que buscamos.
Incluso cuando las incógnitas están representadas convenientemente y se puede plantear la ecuación, con demasiada frecuencia las manipulaciones necesarias para su resolución sólo se comprenden vagamente. Ojalá me dieran cinco dólares por cada estudiante que, teniendo aprobado el álgebra del bachillerato, escribe en una prueba de acceso a la universidad que
(X + Y)2 = X2 + Y2.
Aproximadamente cincuenta años después de que Vieta introdujera el uso de las variables algebraicas, Descartes ideó un modo de asociar a cada punto del plano un par ordenado de números reales y, de este modo, relacionar las ecuaciones algebraicas con las curvas geométricas. El campo de la matemática que resultó de esa idea tan fundamental es la geometría analítica, esencial para entender el cálculo; sin embargo, nuestros estudiantes salen de los institutos sin saber representar gráficamente rectas ni parábolas.En la escuela secundaria ni tan sólo se enseña eficazmente la idea griega (que ya tiene 2.500 años) de la geometría axiomática: partiendo de unos pocos axiomas evidentes que se dan por sentados, deducir los teoremas, con la única ayuda de la lógica. ¡Uno de los libros más usados en las clases de geometría de la escuela secundaria emplea más de cien axiomas para demostrar un número similar de teoremas! Con tantos axiomas, los teoremas son superficiales, carecen de profundidad, y bastan tres o cuatro pasos para demostrarlos.
Además de alcanzar cierto nivel de comprensión del álgebra, la geometría y la geometría analítica, los estudiantes de bachillerato deberían oír hablar de las ideas principales de lo que se conoce como matemática finita. La combinatoria (que estudia los diversos modos de contar las permutaciones y combinaciones de objetos), la teoría de grafos (que estudia redes de líneas y vértices, así como los fenómenos que se pueden modelizar con estas técnicas), la teoría de juegos (teoría matemática de los juegos de toda clase), y en especial la probabilidad, son cada vez más importantes. De hecho, la reforma consistente en enseñar cálculo en algunos institutos me parece perversamente equivocada si significa que los temas de matemática finita que he citado hayan de eliminarse. (Estoy refiriéndome ahora a un programa de estudios ideal para instituto. Según el último «Mathematics Report Card» del Educational Testing Service, la mayoría de los estudiantes norteamericanos de bachillerato apenas sí saben resolver los problemas elementales de que hablaba unas páginas atrás).
El instituto es el lugar idóneo para llegar a los estudiantes. Cuando han accedido a la universidad ya es demasiado tarde para muchos de ellos, pues carecen de la base adecuada en álgebra y geometría analítica. Y aun los estudiantes con una base matemática razonable no son siempre conscientes de hasta qué punto otros campos del conocimiento se están «matematizando», con lo que también ellos eligen un mínimo de matemáticas en la universidad.
Las mujeres, en particular, pueden ir a parar a campos poco provechosos porque hacen todo lo posible por ahorrarse un curso de química o de economía en los que se pida un nivel previo de matemáticas o estadística. He visto a demasiadas mujeres brillantes que iban a parar a sociología y a demasiados hombres mediocres que iban a económicas, y la única diferencia era que los hombres habían logrado aprobar por los pelos un par de asignaturas de matemáticas en la universidad.
Los estudiantes de la licenciatura de matemáticas, que reciben los cursos de fundamentos de ecuaciones diferenciales, cálculo superior, álgebra abstracta, álgebra lineal, topología, lógica, probabilidad y estadística, análisis real y complejo, etc., tienen muchas opciones, además de matemáticas e informática, en una variedad creciente de campos que emplean las matemáticas. Incluso en la prospectiva para empleos en campos que no tienen nada que ver con las matemáticas, muchas compañías piden licenciados en matemáticas, pues saben que la capacidad analítica será útil a cualquiera, en cualquier trabajo.
Los licenciados en matemáticas que continúan y realizan su tercer ciclo encontrarán que, contrariamente a lo que ocurre en los niveles inferiores, los estudios de posgrado en matemáticas son de los mejores del mundo. Lamentablemente, ya es demasiado tarde para la mayoría y esta excelencia no se filtra a los niveles inferiores, debido en buena parte a que los matemáticos norteamericanos no han sido capaces de llegar a un público más amplio que el reducido número de especialistas que leen sus artículos de investigación.
Descontando algunos autores de libros de texto, no pasan de un puñado los autores matemáticos que tienen un público no experto superior al millar de lectores. Dada esta triste realidad, no es sorprendente que pocas personas cultas se atrevan a admitir que no tienen la menor idea de quiénes fueron Shakespeare, Dante o Goethe, y en cambio la mayoría confiese abiertamente su ignorancia sobre Gauss, Euler o Laplace, que en cierto sentido son sus equivalentes matemáticos. (Newton no cuenta, pues es mucho más famoso por su contribución a la física que por haber inventado el cálculo).
Incluso en los estudios de posgrado y en la investigación se dan signos de mal agüero. Hay tantos estudiantes extranjeros que cursan el doctorado en los Estados Unidos y tan pocos estudiantes norteamericanos que siguen la licenciatura en matemáticas, que en muchos departamentos los licenciados norteamericanos son minoría. De hecho, de los 739 doctorados en matemáticas acabados en las universidades norteamericanas en el curso 1986-1987, sólo un poco menos de la mitad, 362, correspondieron a ciudadanos de los Estados Unidos.
Si las matemáticas son importantes (y lo son), lo ha de ser también la formación matemática. Los matemáticos que no se dignan comunicar sus conocimientos a un público más amplio son un poco como los millonarios que no dedican nada a caridad. Teniendo en cuenta los salarios relativamente bajos de muchos matemáticos, se podrían arreglar ambos desajustes si los multimillonarios financiaran a matemáticos que escribiesen obras de divulgación. (Sólo es una idea).
Uno de los argumentos que aducen los matemáticos para no escribir para un público más amplio es la naturaleza esotérica de su trabajo. Algo de esto hay, pero Martin Gardner, Douglas Hofstadter y Raymond Smullyan son tres claros contraejemplos. De hecho, algunas de las ideas que se discuten en este libro son bastante sofisticadas, pero los conocimientos matemáticos previos para comprenderlas son verdaderamente mínimos: un poco de soltura con la aritmética y entender los quebrados, los decimales y los porcentajes. Casi siempre es posible hacer una presentación atractiva e intelectualmente honesta de cualquier campo, con un mínimo de aparato técnico. Esto se hace raramente, sin embargo, porque la mayoría de sacerdocios (los matemáticos incluidos) tienden a ocultarse tras un muro de misterio, permitiendo sólo la comunicación entre miembros.
Resumiendo, hay una relación evidente entre el anumerismo y la pobre formación matemática recibida por tantísima gente. De ahí esta jeremiada. Sin embargo, la cuestión no se acaba aquí, pues hay muchas personas perfectamente numéricas que han recibido poca formación académica. Los factores psicológicos son más debilitadores, en lo que se refiere a las matemáticas, que una educación insuficiente o ineficaz.
3. El anumerismo y la tendencia a personalizar
Un factor importante de este tipo es el carácter impersonal de las matemáticas. Algunas personas personalizan excesivamente los hechos, resistiéndose a mirarlos desde una perspectiva exterior, y como los números están íntimamente ligados con una concepción impersonal del mundo, esta resistencia les lleva a un anumerismo prácticamente deliberado.
Cuando uno va más allá de sí mismo, su familia y sus amigos, las preguntas de tipo cuasi matemático se plantean de un modo natural. ¿Cuántos? ¿Cuánto hace? ¿A qué distancia? ¿A qué velocidad? ¿Qué relaciona esto con aquello? ¿Qué es más probable? ¿Cómo integra uno sus proyectos en el panorama local, nacional e internacional? ¿O con las escalas temporales histórica, biológica, geológica y astronómica?
Las personas demasiado arraigadas en el centro de sus propias vidas encuentran que tales preguntas son desagradables, en el mejor de los casos, o repugnantes, en el peor. Los números y la «ciencia» sólo les interesan si tienen que ver con ellas personalmente. Se sienten atraídas a menudo por las creencias de la New Age como las cartas del Tarot, el I Ching, la astrología y los biorritmos, porque les dan respuestas hechas a su medida personal. Conseguir que estas personas se interesen por un hecho numérico o científico por el hecho en sí, sólo porque sea curioso, intrigante o bello, es casi imposible.
Aunque pueda parecer que el anumerismo cae muy lejos de los problemas y preocupaciones reales de estas personas —el dinero, el sexo, la familia, los amigos, etc.—, les afecta directamente y de muchas maneras (como también a todos nosotros). Si uno se pasea por la calle principal de una ciudad populosa en una noche de verano cualquiera, por ejemplo, y ve personas felices, cogidas de la mano, tomando helados, riendo, etc., fácilmente puede empezar a pensar que la otra gente es más feliz, más cariñosa y más productiva que uno mismo, con lo que se puede deprimir innecesariamente.
Pero es precisamente en esas ocasiones cuando la gente exhibe sus buenas cualidades, mientras que cuando está deprimida tiende a hacerse «invisible». Deberíamos recordar que nuestras impresiones de los demás pasan por este filtro, con lo que nuestra muestra de la gente y sus estados de ánimo no es aleatoria. Resulta beneficioso preguntarse de vez en cuando cuál es el porcentaje, entre las personas que uno encuentra, que padece una enfermedad cualquiera, o tiene alguna incapacidad.
A menudo se confunde un grupo de individuos con un individuo ideal compuesto a partir de todos ellos. Tantos talentos, tantos atractivos distintos, tanto dinero, elegancia y belleza como se ve, pero— y es una trivialidad— esta multitud de desiderata está repartida inevitablemente entre un grupo amplio de personas. Cualquier individuo, por muy brillante, rico o atractivo que sea, tendrá defectos importantes. Si uno se preocupa demasiado de sí mismo, difícilmente se dará cuenta de esto, cosa que le llevará a la depresión y al anumerismo.
En mi opinión, demasiada gente tiene una actitud de «¿Por qué a mí?» ante sus infortunios. No hay que ser matemático para darse cuenta de que algo falla estadísticamente si la mayoría de la gente reacciona así. Es como el director de instituto, anumérico él, que se queja de que la mayoría de sus estudiantes sacan una puntuación inferior a la puntuación media de su centro. Las cosas desagradables ocurren de vez en cuando y le han de suceder a alguien. ¿Por qué no a ti?
4. La ubicuidad del filtrado y las coincidencias
En sentido amplio, el estudio del filtrado no es ni más ni menos que el estudio de la psicología. Qué impresiones dejamos que se filtren y cuáles nos reservamos determinan en buena medida nuestra psicología. Entendido en un sentido más estricto, como el fenómeno por el cual los sucesos vividos y personalizados se recuerdan más, con lo que se sobrevalora su incidencia, o lo que se conoce como efecto Jeane Dixon, a menudo parece apoyar las pretensiones de los curanderos, la falsa dietética, el juego, los poderes psíquicos y la pseudociencia. A menos que uno esté visceralmente al tanto de esta propensión psicológica al anumerismo, este tenderá a sesgar nuestras opiniones.
Como ya hemos señalado, una buena defensa contra esta tendencia consiste en echar una mirada a los puros números, para formarse una idea. Recordemos que la rareza, por sí misma, conlleva publicidad y esto hace que sucesos raros parezcan corrientes. Los secuestros por terroristas y los envenenamientos por cianuro reciben una cobertura excepcional, adornada con perfiles de las familias conmocionadas, etc., y sin embargo el número de muertos por el tabaco equivale aproximadamente a tres aviones Jumbo estrellándose cada día, más de 300.000 norteamericanos al año. El SIDA, por muy trágico que sea, palidece si lo comparamos con la más prosaica malaria, u otras enfermedades por el estilo. El alcoholismo, que en los Estados Unidos es la causa directa de 80.000 a 100.000 muertes al año e indirectamente provoca otras 100.000, es, por una serie de razones, considerablemente más costoso que la drogadicción. No es difícil pensar en otros ejemplos (hambrunas o incluso genocidios de los que escandalosamente se habla poco o nada), pero es necesario que periódicamente los vayamos recordando, para poder mantener la cabeza por encima de la nieve de las avalanchas de los medios de información.
Si uno descarta los sucesos triviales e impersonales, la mayor parte de lo que queda son unas aberraciones y coincidencias increíbles, y la mente de uno empieza a parecer un folleto de supermercado.
Hasta las personas que tienen filtros menos restrictivos y cierto sentido numérico observarán un número cada vez mayor de coincidencias. Ello se debe en buena medida a la cantidad y la complejidad de las convenciones humanas. Cuando el hombre primitivo se percató de las relativamente pocas coincidencias naturales que se producían a su alrededor, fue elaborando lentamente los simples datos de la observación, a partir de los cuales se desarrolló la ciencia. Sin embargo, el mundo natural no nos da una evidencia inmediata de muchas de tales coincidencias (no tiene calendarios, ni mapas, ni directorios, ni tampoco nombres). Pero en los últimos años la plétora de nombres, fechas, direcciones y organizaciones de un mundo complejo parece haber disparado la tendencia innata de mucha gente a descubrir coincidencias e improbabilidades, llevándola a postular conexiones, relaciones y fuerzas donde sólo hay coincidencias.
Nuestro deseo innato de encontrar significado y forma nos puede inducir a error si no nos esforzamos en tener presente la ubicuidad de la coincidencia, fruto de nuestra tendencia a olvidar lo vulgar e impersonal, de la complejidad creciente de nuestro mundo y, como demostramos con muchos de los ejemplos anteriores, de la inesperada frecuencia de las coincidencias de muchos tipos. La creencia en que las coincidencias son necesarias o probablemente significativas es una reminiscencia psicológica de un pasado más simple. Y es una clase de ilusión psicológica a la que las personas anuméricas son muy propensas.
La tendencia a atribuir un significado a fenómenos que están regidos por el azar, sencillamente, es omnipresente. Tenemos un buen ejemplo de ello en la regresión a la media, la tendencia a que un valor extremo de una cantidad aleatoria cuyos valores se agolpan alrededor de un valor medio sea seguido por otro valor más próximo a la media. Es de esperar que los hijos de las personas muy inteligentes sean también inteligentes, pero no tanto como sus padres. Una tendencia similar a la media vale también para los hijos de padres muy cortos, que probablemente serán cortos, pero menos que sus padres. Si lanzo veinte dardos contra un blanco y hago dieciocho dianas, probablemente la próxima vez que vuelva a lanzar veinte dardos no me saldrá tan bien.
Este fenómeno conduce a un absurdo cuando la gente atribuye esta regresión a la media a una especie de ley científica, y no al comportamiento natural de cualquier cantidad aleatoria. Si un piloto principiante consigue un aterrizaje perfecto, probablemente la próxima vez no le saldrá tan impresionantemente bien. Y análogamente, si aterriza con muchas sacudidas, la próxima vez, y por razón del mero azar, le saldrá mejor. Los psicólogos Amos Tversky y Daniel Kahneman estudiaron una situación de esas en las que, después de un buen aterrizaje, se elogiaba a los pilotos, mientras que, después de uno malo, se les regañaba. Los instructores de vuelo atribuían erróneamente el empeoramiento de los pilotos al hecho de haberles elogiado, así como sus mejoras al de haberles regañado; sin embargo, en ambos casos no había más que simples regresiones a la calidad media, que era la más probable. Como esta dinámica es de lo más general, Tversky y Kahneman concluyen, «lo más probable es que un castigo vaya seguido de una mejora del comportamiento y que una recompensa vaya seguida de un empeoramiento. En consecuencia, la condición humana es tal que… muy a menudo uno es recompensado por castigar a otros y castigado por haberles recompensado». Yo espero que no se deba necesariamente a la condición humana, sino a un anumerismo remediable, que produce esta desdichada tendencia.
La segunda parte de una gran película no suele ser tan buena como la primera. Y probablemente la razón no sea la codicia de la industria cinematográfica al intentar rentabilizar la popularidad de la película original, sino simplemente otro ejemplo de la regresión a la media. Una gran temporada de un jugador de béisbol en su mejor forma probablemente será seguida por otra temporada menos impresionante. Lo mismo puede decirse de la novela después del bestseller, del álbum que sigue al disco de oro o del proverbial patinazo del estudiante de segundo año. La regresión a la media es un fenómeno muy general, del que se pueden encontrar ejemplos allí donde se busquen. Sin embargo, como ya dije en el capítulo 2, hay que distinguirlo claramente de la falacia del jugador, con la que guarda un parecido superficial.
Aunque las fluctuaciones estadísticas juegan un papel muy importante en el precio de un valor determinado, o incluso de la bolsa en general, especialmente a corto plazo, la evolución del precio de un valor no es completamente aleatorio, con una probabilidad constante (P) de aumentar y una probabilidad complementaria (1 − P) de disminuir, independientemente de lo que haya ocurrido en el pasado. Hay algo de cierto en lo que se llama análisis fundamental, que estudia los factores económicos subyacentes al valor de ciertas acciones. Dado que hay una estimación económica aproximada de dicho valor, la regresión a la media se puede usar a veces como justificación de cierto tipo de estrategia contraria. Invierte en aquellos valores que en los dos últimos años se hayan cotizado por debajo de su precio estimado por medios económicos, pues es más probable que aumenten de precio, por regresión a la media, que aquellas acciones que últimamente se hayan cotizado por encima de su precio estimado y que, por regresión a la media también, es probable que bajen de precio. Hay una serie de estudios que sustentan esta estrategia esquemática.
5. Toma de decisiones y planteo de problemas
Judy tiene treinta y tres años y es una persona bastante enérgica. Estudió ciencias políticas y acabó entre los primeros de su promoción. Cuando era estudiante militó muy activamente en los movimientos sociales del campus, especialmente en la lucha antinuclear y contra la discriminación. ¿Cuál de las dos cosas siguientes es más probable?
a) Judy trabaja de cajera en un banco.
b) Judy trabaja de cajera en un banco y es una activa militante feminista.
Por sorprendente que parezca a algunos, la respuesta es que a es más probable que b, pues una afirmación sola siempre es más probable que la conjunción de dos afirmaciones. Sacar cara al lanzar una moneda es más probable que sacar cara al lanzar esa moneda y sacar un 6 al tirar un dado. A menos que tengamos una evidencia directa o un fundamento teórico acerca de un relato determinado, nos encontramos con que los detalles y las concreciones varían de modo inversamente proporcional a la probabilidad; cuantos más detalles concretos tengamos sobre cierto relato, menos probable es que ese relato sea cierto.
Volviendo a Judy y su empleo en el banco, puede ocurrir que desde un punto de vista psicológico, el preámbulo a la pregunta induzca al oyente a confundir la conjunción de afirmaciones b («Es cajera y es feminista») con la afirmación condicional («Dado que es cajera, probablemente sea también feminista»), que parece más probable que la alternativa a, pero que, naturalmente, no es lo que dice b.
Los psicólogos Tversky y Kahneman atribuyen el atractivo de la respuesta b al modo en que la gente aborda los juicios probabilísticos en situaciones mundanas. En vez de intentar descomponer cada hecho en todos los resultados posibles y contar luego los resultados favorables, se hacen un modelo mental representativo de la situación, en este caso de alguien como Judy, y sacan sus conclusiones por comparación con dicho modelo. De este modo, para mucha gente, la respuesta b parece más representativa de alguien con los antecedentes de Judy que la respuesta a.
Muchos de los resultados sorprendentes citados en este libro son trucos psicológicos semejantes al anterior, que pueden arrastrar a un anumerismo transitorio incluso a la persona más numérica. En su fascinante obra Judgement under Uncertainty («Discernimiento en la incertidumbre»), Tversky y Kahneman presentan una amplia variedad de casos parecidos de este anumerismo irracional, característico de muchas de nuestras decisiones más críticas. Plantean a una serie de personas la pregunta siguiente: Imagínese que es un general rodeado por una fuerza enemiga abrumadora que aniquilará su ejército de 600 hombres a menos que se decida por tomar una de las dos posibles vías de escape. Sus espías le dicen que si toma la primera salida salvará a 200 soldados, mientras que si se decide por la segunda hay una probabilidad de un tercio de que los 600 consigan salvarse y una probabilidad de 2/3 de que no lo consiga ninguno. ¿Qué camino elige usted?
La mayoría de la gente (tres de cada cuatro preguntados) elige el primer camino, pues de este modo es seguro que se salven 200 vidas, mientras que por el segundo camino hay una probabilidad de 2/3 de que haya más muertos.
De momento no hay nada que objetar. Pero ¿y este otro problema? Usted vuelve a ser el general que ha de decidir entre dos rutas de escape. Y le dicen que si elige la primera seguro que perderá 400 soldados, mientras que si toma la segunda hay una probabilidad de 1/3 de que ninguno muera y una probabilidad de 2/3 de que caigan todos. ¿Qué ruta elige usted?
La mayoría de la gente (cuatro de cada cinco preguntados) opta por la segunda ruta, justificando su elección en que la primera de ellas lleva a 400 muertes seguras, mientras que por la segunda hay una probabilidad de 1/3 de que todos se salven.
Las dos preguntas son idénticas, por supuesto, y el hecho de que las respuestas sean distintas depende del modo en que han sido planteadas: en términos de vidas salvadas o de vidas perdidas.
Y un ejemplo más de Tversky y Kahneman: Elija entre una ganancia segura de 30.000 dólares y una probabilidad del 80 por cien de ganar 40.000 y un 20 por ciento de no ganar nada. La mayoría de la gente escogerá los 30.000 dólares, aunque la ganancia media esperada en la segunda alternativa es de 32.000 dólares (40.000 × 0,8). Pero ¿qué pasa cuando la elección se plantea entre una pérdida segura de 30.000 dólares y una probabilidad del 80 por ciento de perder 40.000 y un 20 por ciento de no perder nada? Aquí la mayoría de la gente se decantará por el riesgo de perder 40.000 dólares, para reservarse la posibilidad (20 por ciento) de no tener pérdidas, aunque la pérdida media esperada sea en este segundo caso de 32.000 dólares (40.000 × 0,8). Tversky y Kahneman concluyen que, ante la posibilidad de ganancias, las personas tienden a evitar los riesgos, mientras que prefieren correr riesgos para evitar pérdidas.
Naturalmente, no hace falta recurrir a ejemplos tan finos para subrayar que la forma en que se presenta una pregunta o una afirmación tiene un papel decisivo en la respuesta obtenida. Si se pregunta a un contribuyente qué pensaría de un aumento del 6 por ciento en los servicios públicos, probablemente lo encontraría aceptable. Pero su reacción sería probablemente muy distinta si se le planteara una subida global de 91 millones en los servicios públicos. Causa más impresión decir que uno está clasificado en el tercio central de su clase que decir que lo está en el trigésimo séptimo percentil (esto es, que es mejor que el 37 por ciento de sus compañeros).
6. La angustia matemática
Una causa de anumerismo más común que las ilusiones psicológicas es lo que Sheila Tobias llama angustia matemática. En Overcoming Math Anxiety («Superando la angustia matemática») describe el bloqueo que tienen muchas personas (especialmente las mujeres) ante las matemáticas de cualquier tipo, incluso la aritmética. Las mismas personas que pueden entender los matices emocionales más sutiles de una conversación, las tramas más enrevesadas en literatura y los aspectos más intrincados de un asunto legal, parecen incapaces de captar los elementos básicos de una demostración matemática.
No parecen tener ningún marco de referencia matemático ni unos conocimientos fundamentales sobre los que construir. Tienen miedo. Un miedo que les han metido maestros autoritarios y a veces sexistas, y otras personas que probablemente padecen también a su vez de angustia matemática. Los infames problemas de términos les aterrorizan, y están convencidos de que son estúpidos. Tienen la sensación de que hay unas mentes bien dotadas para las matemáticas y otras que no lo están, y que, mientras las primeras siempre llegan enseguida a la respuesta correcta, las otras son irremediablemente impotentes.
No ha de sorprendernos pues que estos sentimientos constituyan un obstáculo formidable para el numerismo. Sin embargo, algo se puede hacer por aquellos que los padecen. Una técnica muy simple y que da unos resultados sorprendentes consiste en explicar claramente el problema a una tercera persona. Si el supuesto alumno escucha esta explicación, puede pensar sobre el problema un rato suficientemente largo para darse cuenta de que, pensando un poquito más, acabaría llegando a algunos resultados. Otras posibles técnicas son: usar números más pequeños, estudiar problemas más sencillos relacionados con el que nos ocupa; recoger información relacionada con el problema; recorrer el camino inverso a partir de la solución; hacer dibujos y pintar diagramas; comparar el problema o partes del mismo con problemas que ya se comprenden bien y, sobre todo, estudiar el mayor número posible de problemas y ejemplos. El tópico de que se aprende a leer leyendo y a escribir escribiendo vale también para aprender a resolver problemas matemáticos (y hasta para aprender a hacer demostraciones matemáticas).
Al escribir este libro he llegado a entender un modo en el que yo, y probablemente los matemáticos en general, podemos estar contribuyendo sin querer al anumerismo. Me resulta difícil escribir largas parrafadas sobre cualquier cosa. Ya sea por mi formación matemática o por mi temperamento innato, tiendo a destilar los puntos cruciales y a no entretenerme (quisiera decir «perder el tiempo») en temas o contextos colaterales, ni en los detalles biográficos. El resultado de ello es, me parece, una exposición nítida, que sin embargo puede ser intimidatoria para aquellas personas que preferirían un enfoque más pausado. La solución sería que personas con formación muy variada escribieran sobre matemáticas. Como se ha dicho ya, las matemáticas son demasiado importantes para dejárselas a los matemáticos.
Otro fenómeno, distinto de la angustia matemática y mucho más difícil de tratar, es el letargo intelectual extremado que afecta a un número pequeño, aunque cada vez mayor, de estudiantes, que parecen tan faltos de disciplina mental o de motivación que no les entra nada. Los caracteres obsesivo-compulsivos son susceptibles de desentumecerse y las personas que padecen de angustia matemática pueden aprender modos de aquietar sus miedos, pero ¿qué se puede hacer con los estudiantes que no se esfuerzan en concentrar ni una pizca de sus energías en cuestiones intelectuales? A veces les reconvienes: «La respuesta no es X sino Y. Te has olvidado de tener en cuenta esto o aquello». Y la única respuesta es una mirada vaga o un «Ah, sí» sin ningún interés. Sus problemas son de un orden más serio que la angustia matemática.
7. El romanticismo mal entendido
Me refiero a un romanticismo mal entendido acerca de la naturaleza de las matemáticas, alimentado por un entorno intelectual que acepta, e incluso estimula, una mala formación matemática y una aversión psicológica por el tema, y que constituye la base de buena parte del anumerismo reinante. El desprecio que Rousseau sentía por los ingleses, a los que tildaba de «nación de tenderos», persiste hoy bajo la forma de creencia de que el interés por los números y los detalles nos impedirán preocuparnos por los grandes temas, la grandiosidad de la naturaleza. A menudo se piensa que la matemática es algo mecánico, el trabajo de unos técnicos de baja categoría que no nos va a enseñar nada que no podamos saber por otra vía. O también, otras veces se dota a las matemáticas de un poder coactivo capaz, en cierto modo, de determinar nuestro futuro. Actitudes como estas predisponen ciertamente al anumerismo. Examinemos algunas de ellas.
Se cree que la matemática es fría porque trata de cosas abstractas, que no son de carne y hueso. Y en cierto modo es verdad, naturalmente. Hasta Bertrand Russell calificó de «fría y austera» la belleza de la matemática pura, y es precisamente esta belleza fría y austera el atractivo principal que el tema tiene inicialmente para los matemáticos, pues la mayoría de ellos son esencialmente platónicos y creen que los objetos matemáticos existen en determinado plano abstracto e ideal.
Sin embargo, la matemática pura sólo es una parte de las matemáticas. Casi tan importante como ella es la interacción entre esas formas platónicas ideales (o lo que sea) y sus posibles interpretaciones en el mundo real. Y tomada en este sentido amplio, la matemática no es nada fría. Recordemos que una verdad matemática tan simple como «1 + 1 = 2» puede ser mal aplicada si se hace sin pensar. Si añadimos una taza de palomitas de maíz a una taza de agua, el resultado no es dos tazas de palomitas de maíz remojadas. Tanto en los casos triviales como en los más difíciles, la aplicación de las matemáticas puede ser un asunto delicado, que precisa de tanto entusiasmo y matizaciones como cualquier otra empresa.
Hasta en sus dominios más puros y fríos, la actividad matemática es a menudo muy apasionada. Como los demás científicos, los matemáticos están motivados por un complejo de emociones entre las que hay dosis saludables de envidia, arrogancia y competitividad. Los matemáticos que investigan abordan sus problemas con una intensidad y una disciplina que parecen tener mucho que ver con la pureza de su investigación. La matemática está traspasada por una intensa vena romántica que se manifiesta muy claramente en sus dominios más fundamentales, la teoría de los números y la lógica. Este romanticismo se remonta por lo menos hasta Pitágoras, que creía que el secreto de la comprensión del mundo radicaba en la comprensión del número; encontró luego su expresión en la numerología y la cábala de la Edad Media, y persiste (ahora ya libre de superstición) en el platonismo del lógico moderno Kurt Gödel y otros. La existencia de esta tendencia romántica constituye por lo menos una pequeña porción del carácter emocional de la mayoría de matemáticos, y quizá resulte sorprendente para aquellos que piensan que los matemáticos son fríos racionalistas.
Otra impresión errónea bastante común es que los números despersonalizan o que, de un modo u otro, disminuyen la individualidad. Naturalmente, hay algo de legítimo en esa preocupación por lo que pueda implicar la reducción de fenómenos complejos a simples escalas numéricas o a la estadística. Ni los términos matemáticos vistosos, ni las grandes cantidades de correlaciones estadísticas, ni los largos listados de ordenador bastan por sí solos para entender una situación, a pesar de lo que pretendan los sociólogos. Reducir la complejidad de la inteligencia o la economía a una escala numérica, ya sea esta el CI o el PNB, es una miopía, en el mejor de los casos, y muchas veces, simplemente ridículo.
Una vez aclarado esto, la objeción a que, en determinadas situaciones (seguridad social, tarjetas de crédito, etc.), le identifiquen a uno con un simple número parece una tontería. En tales contextos un número refuerza la individualidad; no hay dos personas con el mismo número en la tarjeta de crédito, por ejemplo, mientras que muchas tienen nombres iguales, rasgos de personalidad parecidos o perfiles socioeconómicos semejantes. (Yo mismo uso mi segundo nombre —John Allen Paulos— para que la gente no me confunda con el Papa).
Siempre me han resultado divertidos los anuncios de bancos que pregonan su servicio personalizado, el cual se reduce a un cajero mal preparado, y peor pagado, que saluda con un amable «Buenos días» y a renglón seguido se arma un lío con la transacción que uno quiere hacer. Prefiero ir a una máquina que me reconoce por un número secreto y que funciona gracias a unos programas elaborados por un equipo de informáticos que ha trabajado laboriosamente durante varios meses.
Un inconveniente que en mi opinión tienen los números de identificación es su longitud excesiva. Si aplicamos la regla del producto podemos ver que un número de nueve dígitos o una secuencia de seis letras es más que suficiente para distinguir a cada persona del país (109 son mil millones, mientras que 266 es más de 300 millones). ¿Por qué los grandes almacenes o las compañías suburbanas de suministro de agua asignan números de cuenta con veinte símbolos o más?
Al escribir sobre los números y la individualidad me vienen a la memoria esas compañías que ponen tu nombre a una estrella a cambio de una cuota de 35 dólares. Para envolverse en una especie de manto de oficialidad, los nombres quedan escritos en libros que se registran en la Biblioteca del Congreso. Esas compañías suelen anunciarse generalmente cuando se avecina el día de San Valentín y, a juzgar por su longevidad, el negocio ha de ser bastante bueno. Se me ocurrió una idea similar, e igualmente tonta, consistente en asociar «oficialmente» un número a todo aquel que pagara una cuota de 35 dólares. Los suscriptores recibirían un certificado, y se registraría un libro en la Biblioteca del Congreso con sus nombres y los correspondientes números cósmicos. Podría incluso haber una escala móvil, donde los números perfectos tendrían mucha demanda, y los números primos irían más buscados que los números compuestos no-perfectos, etc. Podría hacerme rico vendiendo números.
Otra idea errónea que la gente se forma de la matemática es que implica una restricción a la libertad humana, y que en cierto modo se opone a ella. Si aceptan ciertas premisas y se demuestra que de ellas se desprenden ciertas conclusiones desagradables, asocian lo desagradable de estas con el vehículo de su expresión.
En este sentido tan amplio, la matemática es en efecto restrictiva, al igual que lo es la realidad misma, pero no tiene una fuerza coactiva independiente. Si uno acepta las premisas y las definiciones, ha de aceptar lo que se desprenda de ellas, pero a menudo se pueden desechar algunas premisas, afinar mejor las definiciones o elegir un enfoque matemático distinto. En este otro aspecto, la matemática es todo lo contrario de restrictiva; aumenta la libertad y está al servicio de cualquiera que tenga ganas de usarla.
Considérese el siguiente ejemplo, que ilustra el modo en que usamos la matemática sin que esta nos limite. Dos hombres apuestan sobre una serie de tiradas de una moneda. Acuerdan que el primero que acierte seis resultados ganará 100 dólares. Sin embargo, después de ocho tiradas han de interrumpir el juego, cuando el primero de los hombres va ganando 5 a 3. La pregunta es: ¿cómo habrían de repartir el premio? Una respuesta posible es que el primer hombre debería llevarse los 100 dólares, pues la apuesta era a todo o nada y él iba ganando en el momento de interrumpir la partida. Pero se podría razonar también que el primer hombre habría de llevarse 5/8 del premio y el segundo los 3/8 restantes, pues el marcador estaba 5 a 3. Por otra parte, se podría razonar que como la probabilidad de que ganara el primer hombre es 7/8 (el único modo en que el segundo hombre puede acabar ganando es acertando tres veces seguidas, y la probabilidad de tal proeza es 1/8 = 1/2 × 1/2 × 1/2), el primer hombre habría de cobrar 7/8 del premio y el segundo, 1/8. (Esta fue, a propósito, la solución de Pascal a este problema, uno de los primeros en la teoría de la probabilidad). Hay también otros modos de repartir el dinero con una base lógica similar.
El hecho importante es que los criterios para decidirse por una u otra de esas alternativas son no-matemáticos. Las matemáticas nos pueden ayudar a determinar las consecuencias de nuestras suposiciones y principios, pero el origen de estos somos nosotros, y no una divinidad matemática desconocida.
No obstante, a menudo se considera la matemática como un asunto carente de imaginación, de ánimo. Muchos creen que determinar la verdad o falsedad de un enunciado matemático es sólo cuestión de poner mecánicamente en marcha determinado algoritmo o cierta receta, que eventualmente ha de dar un sí o un no como respuesta, y que si se parte de una colección razonable de axiomas fundamentales, se puede demostrar la verdad o la falsedad de cualquier teorema matemático. Según esta concepción, la matemática es algo preparado de antemano y no requiere otra destreza que la de dominar el manejo de los algoritmos necesarios y una paciencia sin límite.
El lógico austro-norteamericano Kurt Gödel refutó brillantemente esta concepción tan superficial demostrando que cualquier sistema matemático, independientemente de su grado de elaboración, contendrá necesariamente enunciados que no puedan ser demostrados ni refutados dentro del mismo sistema. Este resultado y otros relacionados con él, obtenidos por los lógicos Alonzo Church, Alan Turing y otros, han hecho que nuestra comprensión de la matemática y sus limitaciones fuera más profunda. Pero, para lo que nos ocupa aquí, bastará con remarcar que, ni tan siquiera en un aspecto teórico, la matemática es algo mecánico o completo.
Aunque en el fondo esté relacionada con estas consideraciones abstractas, la creencia errónea en el carácter mecánico de la matemática se presenta generalmente bajo formas más prosaicas. A menudo se considera que la matemática es un tema reservado para los técnicos, y se confunde el talento matemático con la pericia para ejecutar operaciones rutinarias, la habilidad en programación elemental o la velocidad de cálculo. Es curioso, pero mucha gente ensalza y denuesta al mismo tiempo a los matemáticos y a los científicos por su actividad constante pero poco práctica. En consecuencia, se da frecuentemente el caso de que la industria corteja con fervor a matemáticos, ingenieros y científicos con experiencia para luego ponerlos a las órdenes de MBA de nuevo cuño y de contables.
Otro prejuicio de la gente hacia la matemática es que su estudio entorpece la capacidad para apreciar la naturaleza y los «grandes» temas. Esta postura es expresada con bastante frecuencia (por ejemplo, en la cita de Whitman del principio del capítulo), pero raramente se dan argumentos en su favor, por lo que resulta difícil de refutar. Tiene tanto sentido como creer que, por tener conocimientos técnicos sobre biología molecular, una persona será menos capaz de apreciar los misterios y complejidades de la vida. Demasiado a menudo, este interés por la concepción global sólo es oscurantismo, y sus proponentes son personas que prefieren la vaguedad y el misterio a las respuestas (parciales). La vaguedad es a veces necesaria, y misterios tampoco nos faltan, pero no creo tampoco que haya que venerarlos. La ciencia auténtica y la precisión matemática son más fascinantes que los «hechos verídicos» que publican los folletines de quiosco o que el anumerismo romántico que fomenta la credulidad, atrofia el escepticismo y enmascara los verdaderos imponderables.
8. Digresión: un índice de seguridad logarítmico
Hace varios años, los supermercados empezaron a unificar el modo de poner los precios (pesetas por kilogramo, por litro de líquido, etc.) para que los consumidores pudieran disponer de una referencia uniforme con la que medir el valor. Si la comida para perros y las tartas precocinadas pueden ser racionalizadas por este método, ¿por qué no habría de poder inventarse una especie de «índice de seguridad» aproximado que nos permitiera hacernos una idea de los peligros que entrañan determinadas actividades, procedimientos y enfermedades? Lo que pretendo sugerir es una especie de escala Richter que podría servir a los medios informativos para referirse abreviadamente a distintos grados de riesgo.
Al igual que la escala Richter, el índice que propongo sería de tipo logarítmico, y por ello, en atención a los lectores anuméricos, nos entretendremos un poco en repasar esos horribles monstruos del álgebra del instituto: los logaritmos. El logaritmo de un número es simplemente la potencia a la que hay que elevar el número 10 para obtener el número en cuestión. El logaritmo de 100 es 2 porque 102 = 100; el logaritmo de 1.000 es 3 porque 103 = 1.000; y el de 10.000 es 4, pues 104 = 10.000. El logaritmo de un número comprendido entre dos potencias de 10 tiene un valor comprendido entre la potencia inmediatamente anterior y la inmediatamente posterior. Así por ejemplo, el logaritmo de 700 está comprendido entre 2, que es el logaritmo de 100, y 3, que es el de 1.000; y resulta ser aproximadamente 2,8.
El índice de seguridad funcionaría del modo siguiente. Consideremos una actividad determinada en la que se produce un cierto número de muertos al año, conducir un automóvil, por ejemplo. Cada año muere un norteamericano de cada 5.300 en accidente de automóvil. El índice de seguridad correspondiente a viajar en automóvil sería, pues, un relativamente bajo 3,7, esto es, el logaritmo de 5.300. Y en general, si como resultado de cierta actividad muere al año una persona de cada X, el índice de seguridad de esa actividad será simplemente el logaritmo de X. Así pues, a mayor índice de seguridad, más segura será la actividad en cuestión.
(Como la gente y los medios informativos están más preocupados por el peligro que por la seguridad, una posibilidad alternativa podría consistir en definir un índice de peligrosidad igual a 10 menos el índice de seguridad. Un índice de peligrosidad 10 equivaldría a un índice de seguridad 0, la muerte segura, y un índice de peligrosidad bajo, por ejemplo 3, equivaldría a un índice de seguridad alto, 7 en este caso, es decir, una posibilidad entre 107 de morir).
Según estimaciones de los Centros de Control de Enfermedad, en los Estados Unidos se producen unas 300.000 muertes prematuras por fumar, lo que equivale a que un norteamericano de cada 800 muere del corazón, los pulmones u otras enfermedades producidas por el tabaco. El logaritmo de 800 es 2,9, con lo que el índice de seguridad de fumar es menor aún que el de conducir. Un modo más gráfico de ilustrar el número de tales muertes evitables es subrayar que el número de muertes causadas por el tabaco cada año es siete veces mayor que el número de muertos en toda la guerra de Vietnam.
Los índices de seguridad de conducir un automóvil y de fumar son 3,7 y 2,9, respectivamente. Compárense estos valores bajos con el índice de seguridad de ser secuestrado. Se estima que, cada año, menos de 50 niños norteamericanos son secuestrados por desconocidos, con lo que la incidencia de los secuestros es aproximadamente de uno entre 5 millones, de donde resulta un índice de seguridad de 6,7. Recuérdese que a mayor índice menor riesgo, y que por cada unidad que aumenta el índice de seguridad el riesgo disminuye en un factor 10.
La virtud de tal índice de seguridad aproximado está en que nos proporciona, y sobre todo a los medios informativos, un cálculo del orden de magnitud de los riesgos que comportan distintas actividades, enfermedades y procedimientos. Tiene, sin embargo, un posible inconveniente debido a que el índice no distingue claramente entre la incidencia y la probabilidad. Si una actividad es muy peligrosa pero rara, producirá pocas muertes y tendrá, por tanto, un índice de seguridad alto. Por ejemplo, el número de muertes por practicar el funambulismo entre rascacielos es pequeño, y en cambio se trata de una actividad nada segura.
Hay que introducir, por tanto, un pequeño refinamiento en la definición del índice, considerando sólo aquellas personas que probablemente emprenderán la actividad en cuestión. Si muere una de cada X de esas personas por realizar la actividad, el índice de seguridad de la misma será el logaritmo de X. Según esto, el índice de seguridad del funambulismo entre rascacielos podría ser sólo 2 (estimando que sólo uno de cada 100 de los osados acróbatas que lo intentan se queda en el camino). Análogamente, el índice de seguridad de la ruleta rusa (con un revólver que tenga cargada sólo una de las seis recámaras) es menos de 1, aproximadamente 0,8.
Las actividades o enfermedades con índices de seguridad mayores que 6 habrían de ser consideradas bastante seguras, correspondiendo la citada cifra a menos de una posibilidad de muerte entre un millón al año. Algo con un índice de seguridad inferior a 4 habría de tomarse con precaución, pues tal índice significa más de una posibilidad de muerte entre 10.000 al año. La publicidad, naturalmente, tiende a esconder estos números, pero, igual que el aviso de la Dirección General de Sanidad en las cajetillas de cigarrillos, esas cifras acabarían por filtrarse en la conciencia del público. Los reportajes sobre desgracias ocurridas a personas tendrían un impacto menos engañoso si se recordara claramente al público el índice de seguridad. Las situaciones dramáticas pero aisladas, en las que hay poca gente implicada, no deberían ocultarnos la existencia de multitud de actividades prosaicas que implican un grado de riesgo muy superior.
Veamos unos cuantos ejemplos más. Los 12.000 norteamericanos que semanalmente mueren por enfermedades cardíacas o circulatorias se traducen en una tasa anual de un muerto de cada 380, lo que da un índice de seguridad de 2,6. (Si uno no es fumador, el índice de seguridad correspondiente a las enfermedades cardíacas y circulatorias es considerablemente mayor, pero aquí sólo nos ocuparemos de aproximaciones grosso modo). El índice de seguridad correspondiente al cáncer es ligeramente mejor, 2,7. Una actividad de tipo marginal es montar en bicicleta. Cada año muere un norteamericano de cada 96.000 en accidente de bicicleta, lo que se traduce en un índice de seguridad de 5 aproximadamente (en realidad, es algo inferior, pues la gente que monta en bicicleta es relativamente poca). En la categoría de lo raro tenernos que, cada año, un norteamericano de cada 2.000.000 muere porque lo alcanza un rayo, lo que da un índice de seguridad de 6,3; mientras que uno de cada 6.000.000 muere de picadura de abeja, con lo que el índice de seguridad es de 6,8.
El índice de seguridad varía con el tiempo. En el período que va de 1900 a 1980, la muerte por gripe o pulmonía ha pasado de un índice de seguridad de aproximadamente 2,7 a 3,7. Durante el mismo período, el índice para la muerte por tuberculosis pasó de ser 2,7 a aproximadamente 5,8. Es de esperar también que varíe de un país a otro. Por ejemplo, el índice de seguridad para los homicidios es aproximadamente 4 en los Estados Unidos, mientras que en Gran Bretaña es entre 6 y 7. O también, el índice para la malaria en la mayor parte del mundo es varios órdenes de magnitud menor que en los Estados Unidos. Se tiene un ahorro de expresión semejante si se comparan el alto índice de seguridad correspondiente a la energía nuclear con el relativamente bajo índice de seguridad de quemar carbón.
Además de la perspectiva rápida que nos da sobre el riesgo relativo, el índice de seguridad subraya la realidad evidente de que cualquier actividad comporta cierto riesgo. Y además nos da una respuesta aproximada a la pregunta crucial: ¿cuánto?
Aparte de los méritos de este índice de seguridad, pienso que un paso importante y efectivo para combatir el anumerismo en los medios informativos sería que cada cadena de televisión, cada revista y cada uno de los principales diarios tuviera un ombudsman estadístico. La tarea de este consistiría en revisar los reportajes y las noticias, estudiar cualquier dato estadístico que se citara, comprobar que por lo menos fueran internamente coherentes e investigar a fondo y con detenimiento las afirmaciones que a priori parecieran inverosímiles. Quizá se podría dedicar una crónica regular, como la columna de William Shafire en el New York Times sobre el lenguaje, a comentar los anumerismos más destacados de la semana o del mes. Además, habría de estar escrita en un tono bastante ameno, pues, aunque felizmente hay un pequeño ejército de lectores interesados en la precisión verbal, son relativamente pocos los que se interesan por matices numéricos similares, que a veces son más importantes.
Estos temas no son meramente académicos, y esta predilección de los medios de comunicación de masas por los reportajes espectacularmente dramáticos favorece, de un modo directo, a los extremismos políticos e incluso a la pseudociencia. Como los políticos y científicos marginales son generalmente más fascinantes que los de la línea principal, atraen una porción desproporcionada de la publicidad, con lo que parecen más importantes y representativos de lo que son en realidad. Además, como las percepciones tienden a convertirse en realidades, la tendencia natural de los medios de comunicación a resaltar lo que es anómalo, unida al gusto por esos extremos de una sociedad anumérica, podría tener consecuencias calamitosas.
Capítulo 5
Estadística, compromiso y sociedad
- Prioridades: individuales versus sociales
- El laissez faire: Adam Smith o Thomas Hobbes
- Cumpleaños, defunciones y ESP
- Errores del Tipo I y errores del Tipo II: de la política a la apuesta de Pascal
- Haciendo encuestas fiables
- Obteniendo información personal
- Dos resultados teóricos
- Correlación y causalidad
- Cáncer de mama, timos y salarios: errores estadísticos simples
- Probabilidades y adenda
Hubo una vez un legislador del estado de Wisconsin que se oponía a que se estableciera el adelanto de la hora para ahorrar luz, a pesar de las buenas razones que dicha medida tenía en su favor. Sostenía sabiamente que la adopción de cualquier política implica siempre un compromiso, y que si se instituía el adelanto de la hora, las cortinas y otras telas se desteñirían más aprisa.1. Prioridades: individuales versus sociales
El sesenta y seis por ciento de los médicos consultados prefirieron X a Y. (No pudimos convencer a Jones).
Se estima que, debido al crecimiento exponencial de la población mundial, actualmente están vivos entre el 10 y el 20 por ciento de todos los seres humanos que han vivido en algún momento. Siendo así, ¿significa esto que no hay suficiente evidencia estadística para rechazar concluyentemente la hipótesis de la inmortalidad?
Este capítulo se concentrará en los efectos sociales nocivos del anumerismo, y se enfatizará especialmente el conflicto entre sociedad e individuo. La mayoría de los ejemplos consideran alguna forma de compromiso o equilibrio de los intereses en conflicto, y mostraremos cómo el anumerismo contribuye a hacer que tales compromisos sean relativamente imperceptibles, o a veces, como en el caso del legislador de Wisconsin, a verlos donde no los hay.
Examinemos para empezar una importante singularidad probabilística, que fue descubierta por el estadístico Bradley Efron. Imaginemos cuatro dados, A, B, C y D, con las caras numeradas así: A tiene un 4 en cuatro caras y un 0 en las otras dos; B tiene un 3 en las seis caras; C tiene un 2 en cuatro caras y un 6 en las dos restantes, y D tiene un 5 en tres caras y un 1 en las otras tres.
Si juegan A contra B, el dado A ganará —sacando un número mayor— dos terceras partes de las veces; análogamente, si juegan el dado B contra el C, B ganará dos terceras partes de las veces; si se hace jugar el dado C contra el D, aquel ganará dos terceras partes de las veces; sin embargo, y ahí viene lo más impresionante, si hacemos jugar D contra A, también D ganará dos terceras partes de las veces. A gana a B, que gana a C, que gana a D, que gana a A, y en los cuatro casos, dos terceras partes de las veces. Hasta podríamos aprovechar esto para desafiar a cualquiera a elegir el dado que prefiriera y entonces tomar el dado que le gana dos tercios de las veces. Si esa persona escoge B, entonces tomamos A; si elige A, tomamos D, etc.
Quizás haya que explicar un poco el hecho de que el dado C gane al D. La mitad de las veces saldrá un 1 en el dado D, y entonces seguro que C gana. La otra mitad de las veces, el dado D sacará un 5, con lo que C ganará un tercio de las veces. Así pues, como C puede ganar de estos dos modos distintos, gana a D exactamente 1/2 + (1/2 × 1/3) = 2/3 de las veces. Análogamente, se demuestra que el dado D gana al A dos tercios de las veces. Esta clase de violación de la transitividad (donde X gana a Y, Y gana a Z, Z gana a W, y sin embargo W gana a X) es la base de la mayoría de paradojas de votación, desde las del marqués de Condorcet en el siglo dieciocho a las de Kenneth Arrow en el veinte.
La siguiente variante del ejemplo original de Condorcet nos sugiere la posibilidad de cierta irracionalidad social basada, sin embargo, en la racionalidad individual. Consideremos tres candidatos que se presentan para un cargo público, a los que llamaré Dukakis, Gore y Jackson en conmemoración de las elecciones primarias de los demócratas en 1988. Supongamos que la preferencia de un tercio de los electores ordena los candidatos así: Dukakis, Gore, Jackson; que otro tercio los ordena: Gore, Jackson, Dukakis, y que el tercio restante los prefiere en el orden Jackson, Dukakis, Gore. Hasta aquí, nada que decir.
Pero si examinamos los posibles emparejamientos de los candidatos, nos encontraremos con una paradoja. Dukakis se jactará de que dos tercios del electorado le prefieren a Gore, a lo que Jackson contestará que dos tercios del electorado le prefieren a Dukakis. Finalmente, Gore podrá decir que dos tercios del electorado le prefieren a Jackson. Si las preferencias sociales se determinan por votación, «la sociedad» prefiere Dukakis a Gore, Gore a Jackson, y Jackson a Dukakis. Así pues, aun en el caso de que las preferencias de todos los votantes sean consistentes (es decir, transitivas: cualquier elector que prefiera X a Y e Y a Z, prefiere también X a Z), no se infiere necesariamente que las preferencias sociales, determinadas por la regla de la mayoría, hayan de ser también transitivas.
En la vida real, naturalmente, las cosas pueden ser muchísimo más complejas. Mort Sahl decía acerca de las elecciones presidenciales de 1980, por ejemplo, que la gente no votaba tanto a favor de Reagan como contra Carter y que, si Reagan se hubiera presentado solo, habría perdido. (No se me ocurre cómo hacer un modelo de esta situación).
No quisiera que se quedaran con la impresión equivocada de que la paradoja de Condorcet es tan inverosímil como el chiste de Sahl. El economista Kenneth Arrow ha demostrado una generalización muy potente según la cual todos los sistemas de votación se caracterizan por presentar alguna situación parecida a la anterior. En concreto, demostró que no hay ningún modo de derivar las preferencias colectivas a partir de las individuales que garantice plenamente las cuatro condiciones mínimas siguientes: las preferencias colectivas han de ser transitivas; las preferencias individuales y sociales se han de limitar a alternativas asequibles; si todos los individuos prefieren X a Y, entonces la colectividad también ha de preferir X a Y, y las preferencias colectivas no son determinadas automáticamente por las preferencias de un solo individuo.
2. El laissez faire: Adam Smith o Thomas Hobbes
Otra clase distinta de conflicto entre individuo y sociedad es el planteado en un dilema inventado por el lógico Robert Wolf, y que guarda relación con el más conocido dilema del preso, sobre el que volveremos en breve. Ambos prueban que moverse sólo en función de los propios intereses no siempre es la mejor manera de salir ganando.
Imagine que está con otras veinte personas, a las que sólo conoce superficialmente, en una habitación en la que les ha reunido un filántropo excéntrico. Suponga que no pueden hablar entre ustedes y que se les da la posibilidad de elegir entre apretar un botoncito que hay frente a cada uno de ustedes o no hacerlo.
Si ninguno de los presentes aprieta su botón, el filántropo dará 10.000 dólares a cada uno. Pero si algunos lo aprietan, quienes lo hayan hecho recibirán 3.000 dólares cada uno, y quienes no lo hayan apretado se irán con las manos vacías. La pregunta es: ¿aprieta usted el botón para asegurarse los 3.000 dólares o se abstiene, con la esperanza de que todos hagan lo mismo, para así poder ganar 10.000 dólares cada uno?
Sea cual fuere la decisión que hubiera tomado en el caso anterior, se puede variar la cuantía de los premios o el número de participantes para hacer que su decisión sea distinta. Así, si decidió apretar el botón, probablemente habría decidido lo contrario si los premios hubieran sido 100.000 dólares contra 3.000. Y si decidió no hacerlo, probablemente no se hubiera abstenido si los premios hubieran sido 10.000 contra 9.500.
Hay otras maneras de aumentar los premios. Cambiemos el filántropo por un sádico muy poderoso. Si nadie del grupo aprieta su botón, les deja marchar a todos sanos y salvos. Pero si alguien lo aprieta, aquellos que lo hayan hecho serán obligados a jugar a la ruleta rusa con una probabilidad de sobrevivir del 95 por ciento, mientras que los que no lo hayan hecho serán matados en el acto. ¿Aprieta el botón, con lo que tiene un 95 por ciento de probabilidades de salvarse y carga con la responsabilidad de ser la causa indirecta de la muerte de otros, o resiste sus temores y no lo aprieta, con la esperanza de que nadie se deje arrastrar por el miedo?
El dilema de Wolf se da a menudo en situaciones en las que, si uno no mira por sí mismo, corre el peligro de que le dejen plantado.
Consideremos ahora el caso de dos mujeres que han de hacer una transacción breve y apresurada (supongamos que son dos traficantes de droga). La operación tiene lugar en una esquina, y se intercambian dos bolsas de papel oscuro llenas, separándose inmediatamente después, sin tiempo para comprobar el contenido de la bolsa recogida. Antes del encuentro, cada una tiene la misma opción: meter en la bolsa el objeto de valor que la otra espera encontrar en ella (esta es la opción cooperativa) o llenarla con papeles de periódico (la opción individualista). Si ambas cooperan, cada una recibirá lo que quería por un precio justo. Si A llena su bolsa con papeles de periódico y B no, A obtendrá gratis lo que quería y B habrá sido timada. Finalmente, si las dos llenan sus respectivas bolsas con papeles de periódico, ninguna habrá conseguido lo que quería, pero tampoco habrá sido timada.
El mejor resultado para ambas mujeres, consideradas colectivamente, es el que se obtiene de cooperar. Sin embargo, A puede razonar del modo siguiente: si B decide cooperar, puedo obtener gratis lo que quiero eligiendo la opción individualista. Y si, por el contrario, B se decide por la opción individualista, por lo menos no me timará si yo hago lo mismo. Así pues, independientemente de lo que haga B, me sale más a cuenta tomar la alternativa individualista y dejarle una bolsa llena de papeles de periódico. Naturalmente, B puede razonar del mismo modo, y lo más probable es que acaben por intercambiarse dos bolsas llenas de tiras de papel de periódico.
Situaciones semejantes pueden darse en negocios perfectamente legales, o en cualquier tipo de intercambio.
El dilema del preso debe su nombre a una trama, formalmente idéntica a la anterior, en la que dos hombres, sospechosos de haber cometido un delito importante, son detenidos en el momento de cometer una falta menor. Les interrogan por separado, y se da a cada uno la posibilidad de confesar el delito mayor implicando a su socio, o permanecer callado. Si ambos permanecen callados, sólo les caerá un año de prisión. Pero si uno confiesa y el otro no, el primero saldrá libre, mientras que al segundo le caerá una condena de cinco años. Si confiesan los dos, pueden esperar que les caiga tres años de cárcel a cada uno. La opción cooperativa es permanecer callado y la individualista, confesar.
El dilema es, como antes, que la mejor opción para ambos como colectivo, o sea, permanecer callados y pasar un año en la cárcel, deja a cada uno a merced de la peor de las posibilidades, a quedar como un tonto y a pasar cinco años en la cárcel. En consecuencia, lo más probable es que ambos confiesen y les caiga una condena de tres años de cárcel.
¿Y qué? Lo interesante del dilema no tiene nada que ver, por supuesto, con ninguna clase de interés que podamos tener por las traficantes de droga ni por el sistema penal, sino más bien en que nos da un esquema de muchas situaciones a las que nos enfrentamos en la vida cotidiana. Ya seamos ejecutivos en un mercado competitivo, esposas en un matrimonio, o superpotencias en una carrera armamentista, nuestras opciones pueden formularse a menudo en forma parecida al dilema del preso. No siempre hay una respuesta buena, pero las partes implicadas saldrán ganando siempre como colectivo si cada una resiste la tentación de traicionar a la otra y coopera con ella o le permanece leal. Si cada parte persigue exclusivamente su propio beneficio, el resultado es peor que si ambas cooperan. En tales ocasiones, la mano invisible de Adam Smith, como garante de que la búsqueda del provecho individual produce el bienestar de la sociedad en su conjunto, está totalmente paralizada.
Una situación un poco distinta la tenernos en el caso de dos autores que han de hacer una reseña pública del libro de otro. Si ambos libros van dirigidos al mismo público limitado, se saca alguna ventaja de dejar mal el libro del otro mientras el propio recibe elogios, y esta ventaja individual es mayor que la que se obtiene si ambos libros reciben una buena crítica, que a su vez es mayor que en el caso de que ambas críticas sean malas. Así pues, volvemos a encontrarnos con una elección entre dos opciones, elogiar o dejar mal, que se parece en algo al dilema del preso. (Digo «en algo» porque habría que tener en cuenta otras razones de más peso, como el mérito real de los libros en cuestión).
Hay una extensa literatura sobre el tema de los dilemas del preso. El dilema del preso con dos partes se puede generalizar a situaciones en las que haya muchas personas implicadas, donde cada una tiene la opción de aportar una contribución minúscula al bien común u obtener unos beneficios privados exorbitantes. Este dilema del preso con muchas partes implicadas puede servir para modelar situaciones en las que están en juego el valor económico de «intangibles» tales como el agua limpia, el aire puro y el espacio.
En otra variante, el especialista en ciencias políticas Robert Axelrod ha estudiado la situación del dilema del preso iterado, en la que nuestras dos narcotraficantes (o nuestros ejecutivos, nuestras esposas, nuestras superpotencias, o quienes sean) se encuentran repetidas veces para llevar a cabo su transacción. En este caso hay razones poderosas para cooperar y no engañar al oponente, pues es probable que haya de tener negocios con él o ella más de una vez.
Como en general casi todas las transacciones sociales tienen algún elemento en común con el dilema del preso, el carácter de una sociedad queda reflejado en qué transacciones llevan a la cooperación entre las partes implicadas y cuáles no. Si los miembros de una «sociedad» nunca se comportan cooperativamente, es muy probable que sus vidas sean, en palabras de Thomas Hobbes, «solitarias, pobres, rudas, brutas y cortas».
3. Cumpleaños, defunciones y ESP
La teoría de la probabilidad empezó en el siglo diecisiete con problemas de apuestas y juego, y conserva aún hoy algo del sabor y del atractivo del juego de azar. La estadística empezó también en el mismo siglo con la recopilación de tablas mortuorias y conserva también algo de sus orígenes. La estadística descriptiva, que es la parte más antigua del tema y la que la gente conoce más, es a veces (aunque no siempre) una disciplina aburrida, que nos habla monótona e incesantemente de percentiles, medias y desviaciones típicas. El campo más interesante de la inferencia estadística se sirve de la teoría de la probabilidad para hacer predicciones, estimar características importantes de una población y contrastar la validez de las hipótesis.
El último concepto —el contraste estadístico de hipótesis— no es más que un principio. Se formula una suposición (que a menudo, un poco severamente, se llama hipótesis nula), se diseña un experimento y se realiza, y luego se calcula si los resultados del experimento son suficientemente probables, en el supuesto de que la hipótesis sea cierta. Si no lo son se desecha la hipótesis, a veces aceptando provisionalmente una hipótesis alternativa. En este aspecto, la estadística es a la probabilidad lo que la ingeniería a la física: una ciencia aplicada que se basa en una disciplina fundamental más estimulante desde el punto de vista intelectual.
Consideremos el siguiente ejemplo, en el que el resultado inesperado de un simple test estadístico es una justificación suficiente para rechazar una hipótesis común y aparentemente obvia: que el cumpleaños de las personas no guarda ninguna relación con el día de su muerte. Concretando, parece natural suponer que aproximadamente el 25 por ciento de las muertes que se producen en una comunidad determinada tienen lugar en el trimestre siguiente al cumpleaños del difunto (y el otro 75 por ciento en los tres trimestres restantes).
Sorprendentemente, sin embargo, una muestra al azar de 747 reseñas necrológicas aparecidas en los periódicos de Salt Lake City, Utah, en 1977 indicaba que el 46 por ciento de las defunciones consideradas se produjeron en los tres meses siguientes al cumpleaños. Dada la hipótesis nula en cuestión, que aproximadamente el 25 por ciento de las muertes se habrían producido en el intervalo de tres meses siguientes al cumpleaños del difunto, la probabilidad de que el 46 por ciento o más hayan muerto dentro de este intervalo de tres meses es tan baja que se puede considerar cero. (Hemos de considerar la hipótesis alternativa de que hayan muerto el 46 por ciento o más, y no la de que hayan muerto exactamente el 46 por ciento. ¿Por qué?).
Así pues, podemos rechazar la hipótesis nula y aceptar provisionalmente que, por el motivo que sea, parece que las personas esperan a cumplir años para morirse. Tanto si esto se debe al deseo de alcanzar otro hito o al trauma de cumplir años («¡Oh, Dios mío, ya tengo noventa y dos!»), parece claro que el estado psíquico de una persona es un factor determinante del momento de su muerte. Sería interesante ver qué resultados daría un estudio similar en otra ciudad. Intuyo que el fenómeno es más marcado entre gente muy mayor, para la que un último cumpleaños podría ser el único tipo de meta importante a su alcance.
Como ilustración del importantísimo modelo de probabilidad binomial, y como ejemplo numérico de test estadístico, imaginemos el siguiente test en miniatura para la ESP. (Este es uno de los párrafos que dije que podían saltarse sin demasiada preocupación). Supongamos que se elige al azar un símbolo de entre tres posibles, se tapa con una cartulina y se pregunta al sujeto del experimento que lo identifique. Al cabo de veinticinco realizaciones del experimento, el sujeto ha acertado el símbolo oculto diez veces. ¿Da esto evidencia suficiente para rechazar justificadamente la hipótesis de que el sujeto no tiene ESP?
La respuesta la tenemos determinando la probabilidad de que el resultado se deba simplemente a la suerte. La probabilidad de acertar por chiripa exactamente diez veces es (1/3)10 (que es la probabilidad de contestar correctamente a las diez primeras preguntas) × (2/3)15 (la probabilidad de contestar equivocadamente a las quince restantes) × el número de conjuntos de diez preguntas que se puedan formar con las veinticinco preguntas que constituyen el test. Este último factor es necesario porque nos interesa saber la probabilidad de que haya diez respuestas acertadas, y no de que estas sean precisamente las diez primeras. Nos vale cualquier conjunto de diez respuestas correctas y quince equivocadas, y todos ellos tienen la misma probabilidad, (1/3)10 × (2/3)15.
Como el número de modos en que podemos escoger diez preguntas de entre veinticinco es 3.628.800

4. Errores del Tipo I y errores del Tipo II: de la política a la apuesta de Pascal
Veamos ahora otro ejemplo más de test estadístico. Supongamos que formulo la hipótesis de que por lo menos el 15 por ciento de los coches de determinada región son Corvette, y que después de observar el paso de mil coches por unos cuantos cruces representativos de dicha región sólo he visto ochenta Corvette. Utilizando la teoría de la probabilidad, calculo que, en el supuesto de que mi hipótesis sea cierta, la probabilidad de este resultado es bastante inferior al 5 por ciento, cifra que comúnmente se usa como «nivel de significatividad». Así pues, rechazo mi hipótesis de que el 15 por ciento de los coches de la región son Corvette.
Hay dos tipos de errores que se pueden cometer al aplicar este test estadístico u otro cualquiera y se llaman, en un derroche de imaginación, errores del Tipo I y errores del Tipo II. Se produce un error del Tipo I cuando se acepta una hipótesis falsa, y uno del Tipo II, cuando se rechaza una hipótesis verdadera. Así, si una gran cantidad de Corvette procedentes de una exposición automovilística atravesara la región y esto nos llevara a aceptar la hipótesis falsa de que al menos el 15 por ciento de los coches de la región son Corvette, estaríamos cometiendo un error del Tipo I. Por el contrario, si no nos hubiéramos percatado de que la mayoría de los Corvette de la región no estaban en circulación, sino guardados en sus garajes, al rechazar la hipótesis verdadera estaríamos cometiendo un error del Tipo II.
Esta distinción admite también una presentación menos formal. Cuando se distribuye dinero, el liberal típico procura evitar como sea los errores del Tipo II (que el que ha hecho méritos no reciba su parte), mientras que el conservador típico se preocupa más por evitar los errores del Tipo I (que el que no lo merece reciba más de lo que le toca). Cuando se reparten castigos, el conservador típico se interesa más por evitar los errores del Tipo II (que el culpable no reciba el castigo que le toca), mientras que el liberal típico se preocupa más de evitar los errores del Tipo I (que el inocente reciba un castigo inmerecido).
Naturalmente, siempre hay gente que se quejará del exceso de rigor de la Federal Drug Administration al retardar la puesta en circulación del fármaco X que ahorraría tanto sufrimiento, y que se quejará también si el fármaco Y se pone en circulación prematuramente y como consecuencia de ello se derivan graves complicaciones. Al igual que la FDA, que ha de evaluar las probabilidades relativas de cometer un error del Tipo I (dando el visto bueno a un mal medicamento) o un error del Tipo II (negando la autorización a un buen fármaco), hemos de evaluar probabilidades similares para situaciones que nos afectan a nosotros directamente. ¿Hay que vender las acciones que están en alza y correr el riesgo de no beneficiarnos de que puedan subir más, o conservarlas y correr el riesgo de que vuelvan a bajar y perdamos lo que ya tenemos seguro? ¿Hemos de someternos a una operación o intentar arreglarnos con medicamentos? ¿Debería Henry pedirle a Myrtle que saliera con él arriesgándose a que le dijera que no, o no pedírselo y conservar su tranquilidad de ánimo, pero no enterarse de que ella le habría dicho que sí?
Consideraciones parecidas valen para los procesos de fabricación. Debido a que algún mecanismo fundamental se estropea por el fallo de alguno de sus componentes, o porque sale a la luz pública una anomalía de una serie de artículos que usualmente son de fiar (petardos, latas de sopa, chips informáticos, condones), a menudo se levantan voces reclamando unos controles más severos que garanticen que no se van a producir más fallos. Parece razonable, pero en la mayoría de los casos es sencillamente imposible o, lo que es equivalente, prohibitivamente caro. En los controles de calidad se analiza una muestra de cada lote de productos fabricados, para asegurarse de que la muestra no contiene artículos defectuosos o contiene muy pocos, pero no se analizan todos los artículos del lote (a veces estos ni tan siquiera son analizables).
Casi siempre hay un compromiso entre la calidad y el precio, entre los errores del Tipo I (aceptar una muestra con demasiados artículos defectuosos) y los de Tipo II (rechazar una muestra con muy pocos elementos defectuosos). Además, si no se reconoce explícitamente este compromiso, se tiende a negar o a encubrir los artículos defectuosos, que son inevitables, con lo que la tarea del control de calidad se hace mucho más difícil. A propósito de esto tenemos la Iniciativa de Defensa Estratégica, cuyos programas de ordenador, satélites, espejos, etc. serían tan tremendamente complejos que hay que ser un poco anuméricamente ingenuo para creer que funcionará sin llevar el tesoro a la bancarrota.
La Iniciativa de Defensa Estratégica trae aparejada una meditación sobre la destrucción y la salvación, pero incluso aquí los compromisos pueden jugar un papel importante. La apuesta de Pascal acerca de la existencia de Dios, por ejemplo, puede presentarse como una elección entre las probabilidades relativas de los errores de Tipo I y II, y sus posibles consecuencias. Deberíamos aceptar la existencia de Dios y actuar en consecuencia, arriesgándonos a cometer un error del Tipo I (que Dios no exista), o deberíamos negar su existencia y actuar también en consecuencia, corriendo el riesgo de cometer un error del Tipo II (que exista). Naturalmente, las frases anteriores se apoyan en un buen número de suposiciones sobreentendidas, y carecen de valor o de significado si no se aclaran estas primero. Pero lo que quiero señalar es que todas las decisiones se pueden presentar en estos términos y, de hecho, exigen una evaluación informal de las probabilidades. En ninguna parte dan duros por cuatro pesetas, y si los dieran, nadie nos asegura que no fueran falsos.
5. Haciendo encuestas fiables
Estimar las características de una población, como el tanto por ciento que prefiere a cierto candidato o a una marca concreta de comida para perros, es en principio simple, igual que el contraste de hipótesis. Se selecciona una muestra al azar (esto es más fácil decirlo que hacerlo) y luego se determina qué porcentaje de la muestra prefiere al candidato (pongamos, el 45 por ciento) o la marca de comida para perros (pongamos, el 28 por ciento), pero ¿qué porcentajes hemos de tomar como estimación de la opinión de la población total?
Sólo he trabajado efectivamente en una encuesta en una ocasión. Se trataba de una encuesta informal que pretendía resolver la cuestión candente: ¿qué proporción, entre las mujeres universitarias, se lo pasa bien viendo series con Los tres Stooge? Descartando aquellas que no conocían esa payasada tan poco culta de los Stooge, encontré que un sorprendente 8 por ciento de mi muestra confesaba tal satisfacción.
No se puso demasiado cuidado en la selección de la muestra, pero al menos el resultado, el 8 por ciento, tenía ciertos visos de credibilidad. Un problema evidente de afirmaciones tales como «el 67 por ciento (o el 75 por ciento) de los encuestados prefirieron la pastilla X» es que fácilmente podrían estar basadas en muestras pequeñas de tres o cuatro individuos. Más descarado aún es el caso en que una celebridad avala una dieta, un medicamento, o lo que sea, en tal caso tenemos una muestra de uno, que generalmente, además, ha cobrado por ello.
Así pues, más difícil que hacer cálculos estadísticos es decidir qué fiabilidad nos merecen los mismos. Si la muestra es grande, podemos confiar más en que sus características se aproximen a las de la población total. Si la distribución de la población no es demasiado dispersa ni variada, podemos también confiar más en que las características de la muestra sean representativas.
Con ayuda de unos pocos teoremas de teoría de la probabilidad y estadística, podemos sugerir lo que se conoce como intervalos de confianza para estimar la probabilidad de que una muestra característica sea representativa del conjunto de la población. Así, podríamos decir que un intervalo de confianza del 95 por ciento para el porcentaje de electores que votarán a favor del candidato X es el 45 por ciento más o menos el 6 por ciento. Es decir, que tenemos una seguridad del 95 por ciento de que el porcentaje de la población se desviará como mucho un 6 por ciento con respecto a la estimación realizada en la muestra; en este caso, entre un 39 y un 51 por ciento de la población votará por el candidato X. Análogamente, podríamos decir que el intervalo de confianza del 99 por ciento para la proporción de consumidores que prefieren la marca Y de comida para perro es del 28 por ciento más o menos el 11 por ciento; o sea que tenemos una seguridad del 99 por ciento de que la proporción de la población se desvía como mucho un 11 por ciento respecto de la muestra; en este caso, entre el 17 y el 39 por ciento de los consumidores prefieren la marca Y.
Como en el caso del contraste de hipótesis, sin embargo, en ninguna parte dan duros por cuatro pesetas. Para muestras de un tamaño dado, cuanto más estrecho es el intervalo de confianza —es decir, cuanto más precisa es la estimación—, menos fiable es. Y a la inversa, cuanto más ancho es el intervalo de confianza —esto es, cuanto menos precisa es la estimación—, más fiable es. Naturalmente, si aumentamos el tamaño de la muestra podemos afinar, al mismo tiempo, el intervalo de confianza y aumentar nuestra seguridad de que este contiene el porcentaje de la población (o cualquier parámetro o característica de la misma), pero tomar muestras mayores es más caro.
Los resultados de sondeos o de encuestas que no llevan los intervalos de confianza o márgenes de error son a menudo engañosos. Lo más frecuente es que los sondeos sí lleven tales intervalos de confianza, pero que estos no aparezcan en los reportajes de prensa. Las afirmaciones que no se comprometen demasiado y la incertidumbre rara vez son noticia periodística.
Si un titular dice que el desempleo ha disminuido del 7,1 al 6,8 por ciento, pero no dice que el intervalo de confianza es de más o menos 1 por ciento, uno puede llevarse la impresión equivocada de que algo bueno ha ocurrido. Sin embargo, dado el error del muestreo, esa «disminución» podría ser inexistente o, peor aún, podría haber habido un aumento. Si no se dan los márgenes de error, una buena regla empírica es que una muestra aleatoria de mil o más individuos da un margen suficientemente estrecho para la mayoría de fines, mientras que una muestra aleatoria de cien o menos da un margen demasiado ancho.
Mucha gente se sorprende de que el número de individuos que los encuestadores entrevistan para llegar a sus resultados sea tan pequeño. (La anchura del intervalo de confianza es inversamente proporcional a la raíz cuadrada del tamaño de la muestra). En realidad, el número de encuestados generalmente es mayor que el que sería necesario en teoría. Lo hacen así para compensar problemas relacionados con la dificultad de escoger una muestra aleatoria. Si la muestra aleatoria seleccionada consta de mil individuos, el intervalo de confianza teórico del 95 por ciento para la estimación de los votantes del candidato X o de quienes prefieren la comida para perro de marca Y es aproximadamente de más o menos el 3 por ciento. Los encuestadores toman a menudo más o menos el 4 por ciento en esta muestra, para corregir el efecto de los que no contestan y otros problemas.
Pensemos en los problemas que conlleva una encuesta telefónica. ¿Afectará al resultado el hecho de haber descartado de entrada las casas que no tienen teléfono? ¿Qué porcentaje de personas se negará a contestar o colgará sin más cuando se entere de que se trata de una encuesta? Como los números se seleccionan al azar, ¿qué pasa si el teléfono al que se llama es una oficina? ¿Qué pasa si no hay nadie en casa o si contesta un niño? ¿Cómo influye en las respuestas el sexo (la voz o los modales) del entrevistador telefónico? Cuando registra las respuestas, ¿el entrevistador es siempre cuidadoso? ¿Es siempre honesto? ¿Es aleatorio el método para escoger números y centrales telefónicas? ¿Sugieren las preguntas alguna de las posibles respuestas? ¿Son comprensibles? ¿Qué respuesta cuenta si hay más de un adulto en casa? ¿Qué método se sigue para ponderar los resultados? Si la encuesta se refiere a un tema respecto al cual las opiniones varían rápidamente, ¿cómo afecta a los resultados el hecho de que la realización de la encuesta haya durado cierto tiempo?
Las encuestas basadas en entrevistas personales presentan también dificultades parecidas. Entre los defectos más comunes de las encuestas basadas en entrevistas individuales tenemos el empleo de un tono insinuante o la influencia del tipo de preguntas sobre el encuestado. Por otra parte, una de las preocupaciones más importantes en las encuestas por correo es evitar que la muestra se autoseleccione, al ser más probable que contesten los individuos más comprometidos y estimulados, o los pertenecientes a cualquier otro grupo atípico. (Tales muestras autoseleccionadas reciben a veces el nombre más sincero de «grupo de presión»). La famosa encuesta de 1936 del Literary Digest que predijo que Alf Landon ganaría a Franklin Roosevelt por un margen de tres a dos estaba mal hecha, porque sólo el 23 por ciento de los que recibieron cuestionarios los contestaron, y estas personas eran generalmente de las clases más altas. Un error parecido sesgó la encuesta de 1948 que predijo que Thomas Dewey ganaría a Harry Truman.
Es escandalosa la inclinación de los diarios y revistas a publicar resultados sesgados basados en respuestas a cuestionarios que vienen en el mismo periódico. Estas encuestas informales rara vez van acompañadas de los intervalos de confianza u otros detalles de los métodos seguidos, con lo que el problema de las muestras autoseleccionadas no siempre está claro. Cuando autoras feministas como Shere Hite o la columnista Ann Landers informan que la proporción de sus encuestadas que tienen aventuras amorosas o que preferirían no haber tenido hijos es sorprendentemente alta, tendríamos que preguntarnos automáticamente quién va a contestar más probablemente a tales cuestionarios: una mujer que tenga una aventura o una que esté razonablemente satisfecha, una mujer desesperada por sus niños o una que esté contenta con ellos.
Las muestras autoseleccionadas no nos dan mucha más información que una lista de predicciones correctas hechas por alguien que supuestamente tiene poderes psíquicos. A menos que se tenga una lista completa de las predicciones, o un subconjunto escogido al azar, las predicciones correctas no significan nada. Es seguro que algunas de ellas son ciertas por casualidad. Del mismo modo, a menos que la muestra encuestada sea escogida al azar, y no autoseleccionada, los resultados de la encuesta no significarán gran cosa.
Además de ser consciente del problema de las muestras autoseleccionadas, el consumidor con cultura numérica debería comprender también el problema afín de los estudios autoseleccionados. Si una compañía Y encarga ocho estudios comparativos de las ventajas relativas de su producto y el de la competencia, y siete de los ocho señalan que el de la competencia es mejor, no hay que ser muy listo para adivinar cuál de los estudios citará la compañía Y en sus anuncios de televisión.
Como en los capítulos sobre las coincidencias y la pseudociencia, vemos que el deseo de filtrar y poner énfasis en la información está reñido con el de obtener una muestra aleatoria. Para los anuméricos especialmente, unas pocas predicciones o coincidencias vividas tienen a menudo más peso que una evidencia estadística que, aunque menos impresionante, es más concluyente.
Por todo ello, no comprendo por qué tan frecuentemente se llama encuesta a una colección de perfiles íntimos o de historias personales. Si se hace bien, tal colección es más atractiva (a pesar de que pueda ser menos convincente) que la típica encuesta, y pierde buena parte de su valor si se la envuelve en la mortaja de un sondeo científico.
6. Obteniendo información personal
La madre del cordero de la estadística está en deducir información sobre una población grande a partir de las características de una muestra pequeña seleccionada al azar. Todas las técnicas empleadas —desde la inducción enumerativa de Francis Bacon hasta las teorías del contraste de hipótesis y del diseño experimental de Karl Pearson y R. A. Fisher, padres fundadores de la estadística moderna— dependen de esta (ahora) evidente perspicacia. Siguen a continuación varias maneras de obtener información.
La primera de ellas, que quizá cobrará cada vez mayor importancia en una era inquisitiva que sin embargo proclama el valor de la intimidad, permite obtener información delicada de un grupo sin comprometer la intimidad de ninguno de sus miembros. Supongamos que tenemos un grupo grande de personas y queremos descubrir qué porcentaje de ellas ha mantenido cierto tipo de relación sexual, con objeto de determinar qué prácticas llevan al SIDA con mayor probabilidad.
¿Qué podemos hacer? Se pide al encuestado que tome una moneda del bolsillo o del monedero y que la lance al aire. Sin dejar que nadie vea el resultado, ha de mirar si ha salido cara o cruz. Si ha sido cara, ha de contestar con sinceridad a la pregunta: ¿ha mantenido tal relación sexual, sí o no? Y si sale cruz, simplemente ha de escribir sí. Así pues, una respuesta sí puede significar dos cosas, una totalmente inocua (que ha salido cruz), y la otra potencialmente embarazoso (haber mantenido esa relación sexual). Como el experimentador no puede saber qué significa el sí, es de esperar que los encuestados sean sinceros.
Supongamos que de 1.000 respuestas, 620 son afirmativas. ¿Qué nos dice esto acerca del porcentaje de personas que han mantenido la relación sexual? Aproximadamente 500 de los 1.000 encuestados habrán escrito sí porque les ha salido cruz. Quedan pues 120 personas que han contestado sí de entre las que contestaron con sinceridad a la pregunta (aquellas a las que les salió cara). Por tanto, la estimación del porcentaje de personas que han mantenido esa relación sexual es el 24 por ciento (120/500).
El método admite más refinamientos que pueden servir para conocer más detalles, por ejemplo, cuántas veces se ha tenido la relación sexual. También admite algunas variantes que se pueden realizar de modo informal, y podría servir a una agencia de espionaje para calcular el número de disidentes de cierta región, o a una agencia publicitaria para estimar el mercado de un producto cuyo atractivo la gente probablemente negará. Los datos en bruto para los cálculos se pueden obtener de fuentes públicas y, trabajados convenientemente, pueden llevar a conclusiones sorprendentes.
Otra manera un tanto poco común de obtener información es la que se conoce como método de pescar-repescar. Supongamos que queremos saber cuántos peces hay en cierto lago. Capturamos cien, los marcamos y los volvernos a soltar. Dejamos transcurrir un tiempo para que se dispersen por el lago, volvernos a pescar otros cien peces y miramos qué fracción de ellos están marcados.
Si los peces marcados son ocho, una estimación razonable es que el 8% de los peces de todo el lago están marcados. Y como este 8% lo forman los cien peces que pescamos y marcamos la primera vez, obtendremos el número de peces del lago resolviendo la siguiente regla de tres: 8 (peces marcados de la segunda muestra) es a 100 (el número de peces de la segunda muestra) igual que 100 (el número total de peces marcados) es a N (el número total de peces del lago). N es, aproximadamente, 1.250.
Hay que tener cuidado, naturalmente, de que el pez marcado no muera por el hecho de haber sido marcado, de que se distribuyan más o menos uniformemente por el lago, de que los marcados no sean sólo los más lentos o los más simplones de los peces, etc. Sin embargo, como manera de obtener una estimación aproximada, la pesca-repesca es un método eficiente, y más general de lo que pudiera sugerir el ejemplo de los peces.
Los análisis estadísticos de obras cuya autoría está en disputa (los libros de la Biblia, The Federalist Papers [«Documentos federalistas»], etc.) dependen también de métodos ingeniosos similares para recoger datos de fuentes que no están dispuestas a colaborar (porque han muerto).
7. Dos resultados teóricos
Buena parte del atractivo de la teoría de la probabilidad reside en la inmediatez y en el interés intuitivo de sus problemas prácticos y de los principios sencillos que nos permiten resolver muchos de ellos. Sin embargo, los dos resultados teóricos siguientes tienen una importancia tan fundamental que pecaría de negligencia si no dijera nada de ellos.
El primero es la ley de los grandes números, uno de los teoremas más importantes de la teoría de la probabilidad, a menudo mal entendido. Es un teorema que a veces se invoca para justificar todo tipo de conclusiones extrañas. Dice sencillamente que, a la larga, la diferencia entre la probabilidad de cierto suceso y la frecuencia relativa con la que este ocurre tiende a cero.
En el caso especial de una moneda no trucada, la ley de los grandes números —enunciada por primera vez por Jean Bernoulli en 1713— dice que la diferencia entre 1/2 y el cociente del número total de caras dividido por el número de tiradas se aproxima a cero tanto como queramos, a medida que aumenta el número de tiradas. Recuérdese, sin embargo, de cuando hablábamos sobre los perdedores y las monedas sin truco del capítulo 2, que esto no significa que la diferencia entre el número total de caras y cruces haya de disminuir a medida que aumenta el número de tiradas; generalmente sucede todo lo contrario. Las monedas sin truco se comportan bien en sentido relativo, pero no en sentido absoluto. Y, contrariamente a lo que se pueda decir en numerosas conversaciones de café, la ley de los grandes números no implica la falacia del jugador: que después de una larga serie de cruces es más probable que salga cara.
Entre otras cosas, esta ley justifica la creencia del experimentador de que la media de un conjunto de mediciones de la misma cantidad ha de aproximarse al verdadero valor de la misma a medida que aumentamos el número de mediciones. También proporciona una base racional a la observación lógica de que si se lanza un dado N veces, la probabilidad de que el número de veces que sale 5 difiera de N/6 es menor cuanto mayor es N.
Resumiendo: la ley de los grandes números proporciona una base teórica para la idea natural de que una probabilidad teórica es una especie de guía para el mundo real, para lo que realmente ocurre.
Según parece, la curva normal o campana describe muchos fenómenos naturales. ¿Por qué? Otro resultado muy importante de la teoría de la probabilidad, conocida como teorema del límite central, nos da la explicación teórica del predominio de esta distribución gaussiana normal (que debe su nombre a Carl Friedrich Gauss, uno de los más grandes matemáticos del siglo diecinueve y de todos los tiempos). El teorema del límite central dice que la suma o la media de un gran conjunto de mediciones sigue una curva normal, incluso en el caso de que cada medición por separado no lo haga. ¿Qué significa esto?
Imaginemos una fábrica que produzca pilas para juguetes, y supongamos que está dirigida por un ingeniero sádico que asegura que aproximadamente el 30 por ciento de las pilas se agota en sólo cinco minutos, y que el 70 por ciento restante tiene una duración de unas mil horas. Está claro que la distribución de las vidas de estas baterías no es descrita por una curva normal en forma de campana, sino más bien por una curva en U con dos picos, uno en los cinco minutos y el otro en las mil horas.
Supongamos ahora que estas pilas salen de la cadena de montaje ordenadas al azar y se empaquetan en cajas de treinta y seis. Si decidimos determinar la vida media de las pilas de una caja, encontraremos que nos da aproximadamente 700; pongamos 709. Si hacemos lo mismo con las pilas de otra caja de treinta y seis, veremos que da otra vez aproximadamente 700, quizá 687. De hecho, si examinamos muchas de estas cajas, la media de las medias será próxima a 700, y lo que es más impresionante, la distribución de dichas medias será aproximadamente normal (en forma de campana), con la proporción justa de paquetes con vidas medias entre 680 y 700, o entre 700 y 720, etcétera.
El teorema del límite central dice que, bajo una amplia variedad de circunstancias, siempre ocurre esto: las medias y las sumas de cantidades que no están distribuidas normalmente siguen sin embargo una distribución normal.
La distribución normal también aparece en los procesos de medida. Aquí el teorema nos proporciona la justificación teórica del hecho de que las medidas de cualquier cantidad tienden a seguir una «curva de error» normal en forma de campana centrada en el verdadero valor de la cantidad que estamos midiendo. Entre otras cantidades que tienden a seguir una distribución normal tenemos: los pesos y estaturas para una edad determinada, el consumo de agua de una ciudad en un día dado, el grosor de unas piezas mecanizadas, el CI (independientemente de lo que este signifique), el número de ingresos en un gran hospital en un día dado, las distancias de los dardos al blanco, el tamaño de las hojas, el tamaño del pecho o la cantidad de refresco servida por una máquina de venta automática. Todas estas cantidades pueden considerarse como suma o media de muchos factores (genéticos, físicos o sociales) y por tanto el teorema del límite central explica su distribución normal.
Resumiendo: las medias (o las sumas) de cantidades tienden a seguir una distribución normal, aun cuando las cantidades de las que son media (o suma) no la sigan.
8. Correlación y causalidad
Correlación y causalidad son dos palabras con significados completamente distintos, pero los anuméricos tienen una tendencia muy fuerte a confundirlas. Es muy frecuente que dos cantidades estén correlacionadas sin que una sea la causa de la otra.
Un modo bastante común de que esto pueda ocurrir es que los cambios en ambas cantidades sean consecuencia de un tercer factor. Tenemos un ejemplo bien conocido en la correlación moderada entre el consumo de leche y la incidencia del cáncer en distintas sociedades. La explicación de la correlación probablemente esté en la prosperidad relativa de dichas sociedades, que comporte tanto un mayor consumo de leche como más cáncer debido a una mayor longevidad. De hecho, cualquier práctica saludable, como beber leche, que tenga una correlación positiva con la longevidad probablemente la tenga también con la incidencia del cáncer.
En varias regiones del país hay una pequeña correlación negativa entre las defunciones por cada mil habitantes y las tasas de divorcio por cada cien matrimonios. A más divorcio, menos mortalidad. Aquí también un tercer factor, la distribución de edad de las distintas regiones, nos puede apuntar una explicación. Las parejas casadas de personas mayores tienen una probabilidad menor de divorciarse y una probabilidad mayor de morir que las parejas de jóvenes. De hecho, como el divorcio es una experiencia tan desgarradora y produce tanta tensión nerviosa, probablemente comporte un aumento del riesgo de muerte, con lo que en realidad ocurre algo completamente distinto de lo sugerido por esa correlación engañosa. Otro ejemplo en el que correlación se ha confundido con causa: en las islas Nuevas Hébridas, los piojos eran considerados causa de buena salud. Como muchas otras observaciones populares, esta se apoyaba en evidencias sólidas. Cuando la gente se ponía enferma, le subía la temperatura y esto hacía que los piojos buscaran un huésped más acogedor. Los piojos y la buena salud se marchaban con la llegada de la fiebre. Análogamente, la correlación entre la calidad de los programas de guarderías de un estado y la tasa de denuncias de abusos sexuales infantiles no es ciertamente causal, sino que simplemente indica que cuanto mejor es la supervisión, más diligentemente se denuncian unos incidentes que indudablemente ocurren.
Algunas veces dos cantidades correlacionadas tienen también una relación causal, pero esta es enmascarada por otros factores extraños. Una correlación negativa —por ejemplo, entre el grado académico alcanzado por una persona (licenciatura, master o doctorado) y su primer salario— se puede entender si se tiene en cuenta el factor enmascarante de las distintas clases de empleos. Es más probable que un doctor acepte un empleo académico relativamente mal pagado que personas con una licenciatura o un master, que seguramente irán a trabajar a la industria. De ahí que un grado académico más alto y este último factor expliquen que el primer salario sea inferior. Fumar es, sin la menor duda, una causa importante que contribuye al cáncer y a las enfermedades de pulmón y corazón, pero hay factores encubridores relacionados con el modo de vida y el entorno que enmascararon parcialmente este hecho durante algunos años.
Hay una pequeña correlación entre el hecho de que una mujer sea soltera y el haber ido a la universidad. Sin embargo, hay muchos factores enmascarantes, y no está claro si hay alguna relación causal entre ambos fenómenos y, de haberla, cuál de ellos es la causa y cuál el efecto. Podría ser que la tendencia de una mujer a la «soltería» sea una causa que contribuye a que vaya a la universidad, en vez de lo contrario. A propósito, en cierta ocasión Newsweek publicó que las probabilidades que tenía de casarse una mujer universitaria, soltera y con más de treinta y cinco años, eran menores que las de ser asesinada por un terrorista. Probablemente la observación era una hipérbole intencionada, pero la he oído también citada como una realidad por algunas personas que trabajan en los medios informativos. Si existiera el premio al «Anumerismo del año», la afirmación anterior sería una firme candidata.
Finalmente, hay muchas correlaciones puramente accidentales. Los estudios que dan pequeñas correlaciones no-nulas, lo que en realidad están dando en muchos casos son fluctuaciones del azar, y son poco más o menos tan significativas como el hecho de haber lanzado una moneda cincuenta veces y que no hayan salido exactamente veinticinco caras. Gran parte de la investigación que se hace en el campo de las ciencias sociales no es, en realidad, más que una recopilación estúpida de datos irrelevantes de este estilo. Si la propiedad X (por ejemplo, el sentido del humor) se define así (número de risas provocadas por una serie de chistes) y la propiedad Y (por ejemplo, el amor propio) se define asá (número de respuestas afirmativas a una lista de rasgos positivos), entonces el coeficiente de correlación entre el sentido del humor y el amor propio es 0,217. Paparruchas.
La regresión lineal, que tiene por objeto relacionar los valores de la cantidad X con los de la cantidad Y, es una herramienta muy importante en estadística, pero frecuentemente se emplea mal. Demasiado a menudo se obtienen resultados como los vistos en los ejemplos anteriores o algo por el estilo de Y = 2,3 X + R, donde R es una cantidad aleatoria con una variabilidad tan grande como para abrumar la supuesta relación entre X e Y.
Tales estudios defectuosos constituyen frecuentemente la base de los testes psicotécnicos para la prospección de empleo, las tarifas de las pólizas de seguros o el interés de un crédito. Uno puede ser un buen empleado, merecer primas bajas o ser digno de un crédito a bajo interés, pero sí de algún modo se nota que no hay correlativos, lo tendrá también difícil.
9. Cáncer de mama, timos y salarios: errores estadísticos simples
El contraste de hipótesis y las estimaciones de fiabilidad, la regresión lineal, y la correlación son susceptibles de ser mal interpretados, pero en los solecismos estadísticos más comunes no intervienen cosas más complicadas que fracciones y porcentajes. En esta sección presentaremos unas cuantas ilustraciones típicas.
Un dato muy citado es que una de cada once mujeres contraerá cáncer de mama. Sin embargo, esta cifra puede inducir a error, pues sólo vale para una muestra imaginaria de mujeres que vayan a llegar a los ochenta y cinco años y para las que la incidencia de contracción del cáncer de mama, a cualquier edad, coincida con la tasa de incidencia actual para esa edad. Sólo una minoría de mujeres llega a los ochenta y cinco años, y las tasas de incidencia son variables, siendo mayores con la edad.
A los cuarenta años, aproximadamente una mujer de cada mil contrae cáncer de mama anualmente, mientras que a los sesenta, la tasa aumenta a una de cada quinientas. Una mujer típica de cuarenta años corre un riesgo aproximado del 1,4 por ciento de coger la enfermedad antes de los cincuenta, y un 3,3 por ciento de contraerla antes de los sesenta. Exagerando un poco, la cifra «una de cada once» es un poco como decir que a nueve de cada diez personas les saldrán manchas en la piel con la edad, cosa que no ha de ser un motivo de preocupación importante para quienes tengan treinta años.
Otro ejemplo de dato estadístico correcto y sin embargo mal interpretado es el hecho de que las enfermedades cardíacas y el cáncer son los dos principales asesinos de los Estados Unidos. No cabe duda de que es verdad, pero según los Centros de Control de Enfermedad, las muertes accidentales —por accidente de tráfico, envenenamiento, caída, ahogo, incendio y accidente con armas de fuego— son la causa de más años de vida potencial perdidos, pues la media de edad de estas víctimas es considerablemente inferior a la de las víctimas del cáncer y las enfermedades cardíacas.
El de los porcentajes es un tema de la escuela elemental que constantemente se aplica mal. A pesar de que muchos opinen lo contrario, el precio de un artículo que ha sufrido un aumento del 50 por ciento y luego un recorte del 50 por ciento, ha experimentado una reducción neta del 25 por ciento. Un vestido cuyo precio se haya rebajado en un 40 por ciento y luego en otro 40 por ciento, habrá sido rebajado en total en un 64, no en un 80 por ciento.
La nueva pasta dentífrica que reduce las caries en un 200 por ciento probablemente será capaz de eliminar dos veces todas las caries que uno tenga, quizá primero las rellene y luego deje bultitos sobre los dientes allí donde había caries. La cifra del 200%, si es que significa algo, quizás indique que la nueva pasta dentífrica reduce las caries en, pongamos, un 30 por ciento, y se la compare con determinada pasta dentífrica estándar que las reduzca en un 10 por ciento (una reducción del 30 por ciento significa un aumento del 200 por ciento sobre la reducción del 10 por ciento). La última frase, aunque menos engañosa, es también menos impresionante, y por esta razón no se usa.
Es bueno adoptar el simple recurso de preguntarse siempre: «¿Porcentaje de qué?». Si los beneficios son el 12 por ciento, por ejemplo, ¿se trata del 12 por ciento de los costes, de las ventas, de los beneficios del año anterior, o de qué?
Las fracciones son otra fuente de frustración para muchas personas anuméricas. Se dijo que un candidato a la presidencia en las elecciones de 1980 preguntó a su séquito de prensa si alguien sabía convertir 2/7 a tanto por ciento, diciendo que era un problema de los deberes de su hijo. Tanto si la anécdota es verídica como si no lo es, estoy convencido de que una minoría importante de norteamericanos adultos no pasaría un examen sencillo sobre porcentajes, decimales, fracciones y las conversiones entre los mismos. A veces, cuando oigo que una cosa se vende a una fracción de su precio normal, comento que probablemente esa fracción sea 4/3, y me encuentro con una mirada perdida.
Un hombre es atracado en el centro de la ciudad y afirma que el atracador es negro. Sin embargo, cuando un juzgado que investiga el caso reconstruye varias veces la escena, bajo unas condiciones de iluminación parecidas, la víctima sólo identifica correctamente la raza del asaltante aproximadamente el 80% de las veces. ¿Cuál es la probabilidad de que el asaltante fuera efectivamente negro?
Mucha gente dirá, naturalmente, que dicha probabilidad es del 80 por ciento, pero la respuesta correcta, aceptando ciertas suposiciones razonables, es considerablemente menor. Nuestras suposiciones son que aproximadamente el 90 por ciento de la población es blanca y sólo el 10 por ciento negra, que la población del barrio en el que se ha producido el atraco tiene esta composición racial, que no hay una raza más atracadora que la otra y que es tan probable que la víctima cometa errores de identificación en un sentido (blanco por negro) como en el otro (negro por blanco). Dadas estas premisas, en cien asaltos cometidos en circunstancias parecidas, la víctima identificará como negros a veintiséis de los asaltantes, 80 por ciento de los diez que eran efectivamente negros, es decir ocho, más el 20 por ciento de los noventa que eran blancos, es decir dieciocho, que da un total de veintiséis. Por tanto, como sólo eran negros ocho del total de veintiséis identificados como negros, la probabilidad de que la víctima fuera realmente asaltada por un negro, habiéndolo identificado así, es sólo 8/26, o aproximadamente ¡el 31 por ciento!
El cálculo es similar al de los falsos resultados positivos en la detección del consumo de drogas y, como aquel, demuestra que interpretar mal las fracciones puede a veces ser cuestión de vida o muerte.
Según datos del gobierno estadounidense publicados en 1980, una mujer gana el 59 por ciento de lo que gana un hombre. Aunque la cifra se ha citado muchísimo desde entonces, la estadística no es lo bastante sólida como para sostener toda la carga que se ha depositado en ella. Sin más datos detallados, que el estudio no incluía, no está claro qué conclusiones estaban justificadas. ¿Significa esa cifra que desempeñando exactamente el mismo empleo que un hombre, el salario de una mujer es el 59 por ciento del de este? ¿Tiene esa cifra en cuenta el número creciente de mujeres en el mercado de trabajo, así como su edad y experiencia? ¿Tiene en cuenta los empleos relativamente mal pagados que tienen muchas mujeres (recepcionistas, maestras, enfermeras, etc.)? ¿Tiene en cuenta el hecho de que generalmente el empleo del marido determina el lugar de residencia de una pareja? ¿Tiene en cuenta el alto porcentaje de mujeres que trabajan para un objetivo a corto plazo? La respuesta a todas estas cuestiones es no. La pura cifra publicada decía, simplemente, que los ingresos medios de una mujer trabajando a jornada completa eran el 59 por ciento de los de un hombre en las mismas condiciones.
La intención de las preguntas anteriores no es negar que haya sexismo, que es ciertamente bastante real, sino señalar un ejemplo de dato estadístico que, por sí solo, no es demasiado informativo. Sin embargo, siempre se cita y se ha convertido en lo que el estadístico Darrell Huff ha llamado cifra «semiagregada», un número que se saca de contexto con poca o ninguna información acerca de cómo se ha obtenido o de cuál es su significado.
Cuando los datos estadísticos se presentan tan desnudos, sin ninguna información del tamaño y composición de la muestra, de los protocolos metodológicos y las definiciones, de los intervalos de fiabilidad, los niveles de significación, etc., casi lo único que podemos hacer es encogernos de hombros o, si tenemos ganas, tratar de determinar el contexto por nosotros mismos. Otro tipo de dato estadístico que a menudo se presenta sin más acompañamientos tiene la forma siguiente: el X por ciento de la población posee el Y por ciento de la riqueza del país, siendo X chocantemente pequeño e Y chocantemente grande. La mayoría de estadísticas de este tipo son chocantemente engañosas, aunque tampoco ahora pretenda yo negar que en este país hay muchísimas desigualdades económicas. Los capitales de las familias y de los individuos ricos raramente son líquidos, y tampoco tienen un valor o una relevancia puramente personales. Los procedimientos contables empleados para medir estos capitales son, con frecuencia, muy artificiosos, y la situación se complica por otros factores que resultan evidentes a poco que uno piense en ello.
Ya sea pública o privada, la contabilidad es una combinación peculiar de realidades y procedimientos arbitrarios que normalmente hay que descifrar. Las cifras del gobierno acerca del nivel de empleo experimentaron un salto importante en 1983, pero esto no reflejaba otra cosa que la decisión de contabilizar a los militares entre los empleados. Análogamente, los casos heterosexuales de SIDA crecieron espectacularmente cuando la categoría haitiana fue absorbida en la categoría heterosexual.
Aunque sea lo más fácil y agradable, sumar no es siempre lo más apropiado. Si cada uno de los diez artículos necesarios para la manufactura de cierto producto ha aumentado en el 8 por ciento, el precio total ha aumentado sólo un 8 por ciento y no el 80. Como he contado antes, en cierta ocasión el hombre del tiempo de un canal local informó que la probabilidad de que lloviera el sábado era del 50 por ciento y la de que lloviera el domingo, el 50 por ciento también, y por tanto, concluyó, «parece que la probabilidad de que llueva este fin de semana es del 100 por ciento». Otro hombre del tiempo anunció que el día siguiente iba a hacer el doble de calor, pues la temperatura pasaría de 5 a 10 grados.
Hay una demostración graciosa según la cual a los niños no les quedan días para ir a la escuela. Una tercera parte del tiempo la pasan durmiendo, lo que da unos 122 días. Durante una octava parte del tiempo están comiendo (unas tres horas al día), lo que representa unos 45 días. Las vacaciones de verano y las otras que hay a lo largo del año representan una cuarta parte del tiempo, unos 91 días. Y dos séptimas partes del año, 104 días, son fin de semana. La suma da aproximadamente un año, con lo que no les queda tiempo para asistir a la escuela.
Sumas fuera de lugar como estas ocurren todos los días, aunque generalmente en situaciones no tan obvias. Al determinar el coste total de una huelga o la cuenta anual por cuidado de animales domésticos, por ejemplo, siempre hay una tendencia a añadir todo lo que se le ocurre a uno, aunque ello tenga como consecuencia que algunas cosas se cuenten varias veces bajo distinto nombre, o que no se tengan en cuenta ciertos ahorros que se derivan de la situación. Si usted se cree todas esas cifras, es muy probable que también crea que a los niños no les quedan días para ir a la escuela.
Si quiere impresionar a la gente, y en particular a los anuméricos, con la gravedad de una situación, al hablar de un fenómeno raro que afecte a una base amplia de población siempre puede seguir la estrategia de hablar de los números absolutos y no de las probabilidades. Esta actitud se conoce a veces como la falacia de la «base extensa», y ya hemos citado un par de ejemplos de la misma. Qué cifra conviene destacar, si el número o la probabilidad, depende del contexto, pero es útil saber pasar rápidamente del uno a la otra para que titulares como «500 muertos en un puente de cuatro días» (es aproximadamente el mismo número de personas que se matan en cualquier período de cuatro días) no nos abrumen.
Otro ejemplo lo tenemos en el torrente de artículos publicados hace pocos años acerca de la pretendida relación entre el suicidio de adolescentes y el juego de Dungeons and Dragons. La idea consistía en que los adolescentes se obsesionaban con el juego y, de un modo u otro, perdían el contacto con la realidad y acababan por suicidarse. La prueba que se presentaba era que veintiocho adolescentes que solían jugar a menudo a ese juego se habían suicidado.
El dato estadístico parece bastante impresionante, pero sólo hasta que se tienen en cuenta otros dos hechos. En primer lugar, se vendieron millones de ejemplares del juego y se estima que jugaron a él unos tres millones de adolescentes. Y en segundo lugar, la tasa anual de suicidio para este grupo de edad es aproximadamente de 12 por cada 100.000. Los dos hechos juntos sugieren que el número esperado de adolescentes que jugaban al Dungeons and Dragons y podían suicidarse era ¡aproximadamente 360 (12 × 30)! No pretendo negar que el juego pudiera ser un factor influyente en alguno de esos suicidios, sino sólo dejar las cosas en su justa perspectiva.
10. Probabilidades y adenda
En esta sección incluimos varios apéndices a temas que hemos tratado ya en este capítulo.
La tentación de sacar promedios puede llegar a ser irresistible. Recuérdese el viejo chiste del hombre que dice que, aunque tiene la cabeza en el horno y los pies en la nevera, en promedio está bastante cómodo. O considérese una colección de bloques cúbicos cuyas aristas varíen entre una y cinco pulgadas. La arista del cubo medio de esta colección vale, podemos suponer, tres pulgadas. El volumen de estos mismos bloques cúbicos varía entre 1 y 125 pulgadas cúbicas. Por tanto, podemos suponer también que el bloque medio tendrá un volumen de 63 pulgadas cúbicas
[(1 + 125)/2 = 63]
Juntando las dos suposiciones, llegamos a la conclusión de que el bloque cúbico medio de la colección tiene la interesante propiedad de tener ¡tres pulgadas de lado y 63 pulgadas cúbicas de volumen!A veces un exceso de confianza en los promedios puede tener consecuencias más graves que unos cubos deformes. El doctor le dice que tiene usted una enfermedad espantosa, cuyas víctimas viven una media de cinco años. Si esto es todo lo que sabe, cabe aún alguna esperanza. A lo mejor dos tercios de los que padecen la enfermedad mueren en menos de un año y resulta que usted la contrajo hace ya un par de años. Quizás el tercio «afortunado» de las víctimas sobrevive de diez a cuarenta años. La cuestión es que, si usted sólo conoce el tiempo medio de supervivencia y no sabe nada de la distribución de tiempos de supervivencia, es difícil hacer planes inteligentemente.
Un ejemplo numérico: el hecho de que el valor medio de cierta cantidad sea 100 puede significar que todos los valores de la misma están comprendidos entre 95 y 105; que la mitad de ellos están alrededor de 50 y la otra mitad alrededor de 150; que un cuarto de los valores son 0, la mitad están cerca de 50 y el cuarto restante aproximadamente de 300; o cualquier otra distribución con la misma media que uno quiera imaginar.
La mayoría de cantidades no tienen una curva de distribución en forma de campana, y su valor medio tiene una importancia limitada si no va acompañado de alguna medida de la variabilidad de la distribución y de una apreciación de la forma aproximada de dicha curva de distribución. Hay algunas situaciones cotidianas en las que la gente se forma una buena idea intuitiva de las curvas de distribución en cuestión. Los restaurantes de comida rápida, por ejemplo, sirven un producto de una calidad media moderada en el mejor de los casos, pero cuya variabilidad es muy pequeña (aparte de la rapidez en el servicio, su característica más atractiva). Los restaurantes tradicionales generalmente sirven un producto de una calidad media superior, pero con una variabilidad mucho mayor también, especialmente a peor.
Alguien le ofrece elegir entre dos sobres y le dice que uno contiene el doble de dinero que el otro. Usted toma el sobre A, lo abre y encuentra 100 dólares. Por tanto, el sobre B ha de contener 200 dólares o 50. Cuando el proponente le permite cambiar de sobre, usted piensa que tiene 100 dólares que ganar y sólo 50 que perder si acepta el cambio. Así que lo hace. La pregunta es: ¿por qué no tomó directamente el sobre B en primer lugar? Está claro que independientemente de la cantidad de dinero contenida en el sobre escogido en primer lugar, si le dieran permiso para cambiar, siempre lo haría y tomaría el otro sobre. Si no se tienen más datos acerca de la probabilidad con que las distintas cantidades de dinero están en los sobres, la situación anterior es un callejón sin salida. Variantes de la misma explican en parte la mentalidad de que «la hierba del vecino siempre es más verde» y que frecuentemente acompaña la divulgación de estadísticas sobre ingresos.
Otro juego más. Láncese al aire continuamente una moneda hasta que salga cruz por primera vez. Si esto no ocurre hasta el vigésimo lanzamiento (o después), usted gana mil millones de dólares. Si la primera cruz sale antes, paga 100 dólares. ¿Jugaría?
Tiene una posibilidad entre 524.288 (219) de ganar los mil millones de dólares y 524.287 entre 524.288 de perder 100. Aunque es prácticamente seguro que va a perder cualquier apuesta particular, cuando gane (cosa que según la ley de los grandes números ocurrirá una vez de cada 524.288 aproximadamente), las ganancias le resarcirán con creces de sus pérdidas anteriores. En concreto, la ganancia media o esperada en este juego es de (1/524.288) × (+ mil millones) + (524.287/524.288) × (− cien), que da aproximadamente 1.800 dólares por apuesta. Sin embargo, mucha gente opta por no jugar a este juego (que es una variante de lo que se conoce como paradoja de San Petersburgo) a pesar de que las ganancias medias sean de casi 2.000 dólares.
¿Qué ocurriría si pudiera jugar tan a menudo y tan seguido como quisiera y no hubiera que ajustar cuentas hasta que hubiera acabado la partida? ¿Jugaría entonces?
Obtener muestras aleatorias es un arte difícil y el encuestador no siempre lo consigue. Ni tampoco el gobierno. Es casi seguro que el sorteo del reemplazo de 1970 en los Estados Unidos, para el que se metieron los números del 1 al 366 en capsulitas para determinar quiénes iban a ser reclutados, fue injusto. Las 31 cápsulas correspondientes a las fechas de nacimientos del mes de enero se metieron en un gran arcón, a continuación se metieron las 29 correspondientes a febrero, y así sucesivamente hasta las 31 cápsulas de diciembre. Luego se mezclaron las cápsulas en el arcón pero, a lo que parece, no lo suficiente, pues las fechas de diciembre estaban desproporcionadamente representadas entre las primeras extracciones, mientras que las fechas de los primeros meses del año salieron casi al final, en una proporción significativamente mayor que la que habría correspondido al puro azar. El sorteo de 1971 ya se hizo con tablas de números aleatorios generadas por ordenador.
Tampoco es fácil obtener la aleatoriedad cuando se juega a las cartas, pues barajar un mazo de cartas dos o tres veces no es suficiente para destruir cualquier orden que pudiera haber previamente. Como ha demostrado el estadístico Persi Diaconis, normalmente es necesario barajar por completo de seis a ocho veces. Si un mazo de cartas con una ordenación conocida se baraja sólo dos o tres veces, se extrae una carta y se devuelve a algún otro lugar del mazo, un buen mago puede, casi siempre, acertar de qué carta se trataba. La mejor manera, aunque poco práctica, de ordenar una baraja al azar sería usar un ordenador para generar un ordenamiento aleatorio de las cartas.
Un modo gracioso empleado por las loterías ilegales para obtener cada día números aleatorios accesibles al público consiste en tomar la cifra de las centésimas (la última y más volátil) de los índices Dow Jones de Industrias, Transportes y Servicios Públicos, y ponerlas una tras otra en este orden. Por ejemplo, si las acciones de Industrias cerraran a 2.213,27, las de Transportes a 778,31 y las de Servicios Públicos a 251,32, el número del día sería el 712. Debido a su volatilidad, estas últimas cifras son esencialmente aleatorias, y cualquier número comprendido entre 000 y 999 tiene la misma probabilidad de salir. Y nadie tiene tampoco por qué temer que los números vayan a ser falsificados, pues aparecen en el prestigioso Wall Street Journal, y también en otros periódicos de menos alcurnia.
Además de garantizar apuestas no trucadas, encuestas no sesgadas y un buen trabajo en el contraste de hipótesis, la aleatoriedad es esencial también cuando se trata de hacer un modelo de una situación que tenga una fuerte componente probabilística. Para este fin hacen falta millones de números aleatorios. ¿Durante cuánto tiempo tendrá uno que hacer cola en un supermercado bajo determinadas condiciones? Se diseña un programa adecuado que reproduzca la situación del supermercado con sus distintos condicionamientos y se manda al ordenador que realice el programa unos pocos millones de veces para ver con qué frecuencia se dan los diferentes resultados. Muchos problemas matemáticos son tan intratables, y los experimentos que implican tan caros, que esta clase de simulación estadística es la única alternativa a renunciar a su resolución. Incluso cuando el problema es más fácil y se puede resolver completamente, muchas veces la simulación es más fácil y barata.
En la mayoría de los casos, los números pseudoaleatorios generados por ordenador son suficientemente buenos. Pero, aunque son aleatorios para la mayoría de fines prácticos, en realidad son generados por una fórmula determinista que impone demasiado orden en ellos, cosa que hace que no nos sirvan para otras. Una de esas aplicaciones es la teoría de la codificación, que permite a los funcionarios del gobierno, los banqueros y otros, pasar información secreta delicada sin temor a que vaya a ser descifrada. En estos casos se mezclan números pseudoaleatorios procedentes de varios ordenadores, y luego se le añade la indeterminación física de la fluctuación aleatoria del voltaje suministrado por una fuente de «ruido blanco».
Poco a poco va emergiendo la extraña idea de que la aleatoriedad tiene valor económico.
La significación estadística y la significación práctica son dos cosas distintas. Un resultado es estadísticamente significativo si la probabilidad de que se haya producido por casualidad es suficientemente baja. Esto solo no significa gran cosa. Hace varios años se realizó un estudio en el que un grupo de voluntarios recibía un placebo y a otro grupo se le suministraban grandes dosis de vitamina C. La incidencia de los resfriados en los individuos del segundo grupo era ligeramente inferior que en los del grupo de control. El tamaño de la muestra era lo bastante grande para que fuera del todo improbable que el efecto resultara fruto de la casualidad, pero la diferencia no era impresionante ni significativa en el sentido práctico.
Un buen número de medicamentos tienen la propiedad de que son demostrablemente mejores que nada, pero no mucho. La medicina X, que prueba tras prueba alivia inmediatamente el 3 por ciento de los dolores de cabeza, es ciertamente mejor que nada, pero ¿cuánto pagaría usted por ella? Puede dar por seguro que la anunciarían como fuente de alivio de un porcentaje «significativo» de casos, pero aquí significativo sólo quiere decir en el sentido estadístico.
Normalmente nos encontramos con la situación contraria: el resultado tiene una gran importancia práctica potencial pero casi ninguna significación estadística. Si algún famoso avala una marca de comida para perros, o algún taxista desaprueba el modo en que el alcalde ha manejado un dilema, es evidente que no hay razón alguna para asignar significado estadístico a estas expresiones personales. Lo mismo vale para los cuestionarios de las revistas femeninas: ¿cómo saber si él está enamorado de otra? ¿Padece su hombre de complejo de Boecio? ¿Cuál de estos siete tipos de amante es su hombre? La puntuación de estos cuestionarios casi nunca lleva ninguna validación estadística: ¿por qué una puntuación de 62 indica que un hombre es infiel? Quizá simplemente está acabando de superar su complejo de Boecio. ¿De dónde han sacado esta tipología de siete clases de amantes? Aunque las revistas masculinas presentan a veces idioteces peores, relacionadas con la violencia y los asesinos a sueldo, raramente llevan cuestionarios necios de esta clase.
Los humanos tenemos una marcada tendencia a quererlo todo y a negar que normalmente los compromisos sean necesarios. Debido a su posición, los políticos a menudo están más tentados que la mayoría a condescender con este pensamiento mágico. Los compromisos entre calidad y precio, entre rapidez y perfección, entre dar por bueno un fármaco posiblemente malo y vetar uno que posiblemente sea bueno, entre libertad e igualdad, etc., frecuentemente se difuminan y se ocultan tras una cortina de humo. Esta disminución de la claridad acaba por costarnos más cara a todos.
Por ejemplo, cuando los grupos de seguridad se opusieron a las recientes decisiones de algunos estados norteamericanos de aumentar a 65 millas por hora el límite de velocidad en algunas autopistas y no imponer castigos más duros a quienes condujeran en estado de embriaguez, se les contestó con la afirmación manifiestamente falsa de que no aumentaría la tasa de accidentes, en vez de reconocer abiertamente los factores económicos y políticos, que pesaban más que las probables muertes de más que se fueran a producir. Se podría citar una larga lista de otros incidentes, que en su mayoría tienen que ver con el medio ambiente y los residuos tóxicos (dinero frente a vidas).
Significan una burla a los sentimientos normales de que la vida de un ser humano no tiene precio. Las vidas humanas no tienen precio en muchos sentidos, pero para llegar a compromisos razonables, a veces se les debe asignar, efectivamente, un valor económico finito. Al hacerlo, sin embargo, con demasiada frecuencia lo acompañamos de una sonora algarabía piadosa cuya única finalidad es ocultar lo bajo del precio fijado. Yo preferiría menos falsa piedad y que el valor económico asignado a las vidas humanas fuera considerablemente mayor. En una situación ideal, este valor debería ser infinito, pero cuando no puede ser, nos hemos de guardar los sentimientos empalagosos. Si no somos plenamente conscientes de entre qué opciones estamos eligiendo, difícilmente podremos hacerlo bien.
Navegamos en una inmensa esfera, llevados sin querer a la incertidumbre, empujados de un extremo a otro.
Pascal
El hombre es una cosa pequeña, y la noche es muy grande y llena de prodigios.
Lord Dunsany
No es sorprendente entonces que una apreciación de la probabilidad tarde bastante tiempo en desarrollarse. De hecho, dar la importancia debida a la naturaleza accidental del mundo es, en mi opinión, una señal de madurez y equilibrio. Los fanáticos, los creyentes auténticos y los fundamentalistas de toda clase, habitualmente no quieren tener nada que ver con algo tan débil como la probabilidad. Que se quemen en el infierno todos ellos por 1010 años (es una broma), o que les obliguen a tomar un curso sobre teoría de la probabilidad.
En un mundo cada vez más complejo, lleno de coincidencias sin sentido, lo que hace falta en muchas situaciones no son más hechos verídicos —ya hay demasiados—, sino un dominio mejor de los hechos conocidos, y para ello un curso sobre probabilidad es de un valor incalculable. Los testes estadísticos y los intervalos de confianza, la diferencia entre causa y correlación, la probabilidad condicional, la independencia y la regla del producto, el arte de hacer estimaciones y el diseño de experimentos, los conceptos de valor esperado y de distribución de probabilidad, así como los ejemplos y contraejemplos más comunes de todo lo anterior, deberían ser más conocidos y divulgados. La probabilidad, como la lógica, ya no es algo exclusivo de los matemáticos. Impregna nuestra vida.
Cualquier libro está motivado, por lo menos en parte, por la indignación, y este no es una excepción. Me angustia y aflige una sociedad, la mía, que depende tanto de la matemática y la ciencia y que, sin embargo, parece tan indiferente al anumerismo y al analfabetismo científico de tantísimos de sus ciudadanos; con un ejército que gasta más de un cuarto de billón de dólares anuales en armas cada vez más inteligentes para soldados cada vez peor instruidos; y con unos medios informativos que invariablemente se obsesionan con estos rehenes en un avión, o ese bebé que ha caído en un pozo, y que tratan con cierta tibieza problemas tales como la delincuencia urbana, el deterioro del medio ambiente o la pobreza.
Me duele también el falso romanticismo inherente a la manida frase «fríamente racional» (como si «cálidamente racional» fuera alguna especie de contrasentido); la estupidez rampante de la astrología, la parapsicología y otras pseudociencias; y la creencia de que la matemática es una disciplina esotérica poco relacionada con el mundo «real».
Sin embargo, la irritación con estos temas fue sólo una parte de mi motivación. Las discrepancias entre nuestras pretensiones y la realidad normalmente son bastante grandes, y como el número y el azar están entre nuestros principios de realidad últimos, los que tengan una idea clara de estos conceptos podrán ver estas discrepancias e incongruencias con mayor claridad, cosa que les hará más propensos al sentimiento de lo absurdo. En mi opinión, este sentimiento de lo absurdo de nosotros mismos tiene algo de divino, y por ello hay que mimarlo en vez de evitarlo. Nos da una perspectiva de nuestra, a la vez, insignificante y elevada posición en el mundo, y es lo que nos hace distintos de las ratas. Y hay que combatir cualquier cosa que nos rebaje al nivel de estas, incluido el anumerismo. Pero más que la indignación, la motivación principal del libro fue, sobre todo, el deseo de fomentar el sentido de la proporción numérica y la apreciación de la naturaleza irreduciblemente probabilística de nuestra vida.
Notas: