Dirac: La belleza matematica
Sergio Baselga Moreno
Para Pedro, que al igual que un libro en blanco tienes todo por escribir: hazlo siempre con la pluma de la ilusión.
Quizá sorprenda a alguno de nuestros lectores encontrar en una colección de personajes matemáticos a alguien como Dirac. De Paul Dirac suele decirse que es conocido por ser uno de los fundadores de la mecánica cuántica y, con un poco de suerte, por haber predicho de un modo teórico la existencia de la antimateria. Sin embargo, ahondando un poco más, uno pronto descubre cuál es la clave de su éxito y la razón de que lo consideremos en esta colección: la matemática. La fuerte creencia de Dirac en la necesidad de que el Universo esté descrito en un lenguaje matemático, que debe por necesidad ser bello y elegante, impregna toda su obra;-una obra que frecuentemente se desarrolla en la frontera entre lo que se suele llamar física teórica y lo que se suele llamar matemática aplicada, y que, no obstante, incluye también algunas contribuciones importantes tanto a la física experimental como a la matemática pura. Es imposible, por tanto, separar la física de Dirac de la matemática con la que la construye, y sucede algunas veces que es el mismo Dirac quien se ve en la necesidad de construir sus herramientas matemáticas -como en el caso de la función delta que lleva su nombre- para expresar mejor sus ideas físicas. Podemos compararlo con Newton, sin temor a que nadie se ofenda, en cuanto a la creación de herramientas matemáticas útiles para la formulación de las leyes físicas. Podemos compararlo, además de Newton, con Maxwell y Einstein, como uno de los genios de todos los tiempos que más ha contribuido a que avanzara nuestro conocimiento del Universo.Este libro pretende ser una biografía de Dirac en la que se entrelacen sus vivencias personales con los logros científicos, unos logros a los que Dirac llegó guiado por la búsqueda de la belleza en la matemática. De esta manera, se intentará hacer partícipe al lector de la emoción vivida en la obtención de cada resultado y, especialmente, de la belleza y simplicidad que encierra. Encontraremos, por tanto, un relato cronológico en el que se van desgranando, junto a sus experiencias vitales, sus teorías, explicadas en un lenguaje y una formulación tan accesibles como se pueda, de un modo que permita al lector apreciar qué es esa belleza en las ecuaciones cuya búsqueda continua caracteriza a Dirac más que a ningún otro científico. Así llegaremos a su famosa ecuación del electrón, de cuya formulación dedujo el llamado espín del electrón, que además le permitió predecir la existencia de antimateria, con el consiguiente asombro de sus contemporáneos; asistiremos a su consagración como científico y el reconocimiento mundial, pero también a su decepción posterior con el exitoso rumbo que toma la física moderna, alejándose de la belleza matemática, y su imposibilidad de restaurarla.
Además, se dedicará un capítulo a escuchar de palabras del mismo Dirac qué es lo que él entiende por belleza matemática y cómo dejarse guiar por ella en la ciencia y, en otro capítulo, nos centraremos en el personaje singular que fue Dirac: hombre de una extremada concisión y a la vez profundidad, protagonista de numerosas anécdotas pese a que -o mejor dicho, justamente porque- la economía en el lenguaje alcanzaba en él la máxima expresión.
Por último, en los capítulos finales se abordarán otras de sus ideas geniales -algunas aceptadas universalmente, otras consideradas por algunos como mera especulación-, que no se introdujeron en su contexto cronológico para facilitar la lectura, pero que aquí serán tratadas con detalle para que, cuanto menos, puedan ser apreciadas su belleza y trascendencia. Este es el caso, por ejemplo, de la estadística Fermi-Dirac, el monopolo magnético o la ley cosmológica de los grandes números.
Espero que esta biografía sea agradable para el lector y contribuya a un mayor conocimiento de uno de los grandes científicos del siglo XX así como a la comprensión del significado de sus principales logros. Si consigo alguno de estos objetivos me daré por satisfecho. Deseo, por último, agradecer a la Editorial N1VOLA la oportunidad brindada en la confección de la biografía de un personaje para mí tan admirado, así como a mi familia, en especial a María, por todo el apoyo prestado de una u otra manera.
Capítulo 1
Primeros años (1902-1925)
La sonoridad francesa de su nombre viene explicada por el origen suizo de su padre, Charles Dirac, quien se ganaba la vida en Bristol ejerciendo como profesor de francés, su lengua nativa. Su madre, hija de un capitán de navío, era doce años más joven que su marido. La pareja tuvo tres hijos: Paul, Reginald Charles Félix, dos años mayor que Paul, y Beatrice Isabelle Marguerite, cuatro años menor.
La vida de toda la familia estuvo muy influenciada por la tiranía del padre y su obsesiva personalidad. Su falta de afecto, su extremada dureza y el aislamiento impuesto a la familia dejaron hondas cicatrices en los hijos. Reginald, el hermano mayor, acabaría suicidándose en 1924. Paul relata un ejemplo de cómo era la convivencia diaria:
Mi padre impuso la regla de que yo debería dirigirme a él siempre en francés. Pensaba que sería bueno para mí aprender francés de ese modo. Yo sentía que no podía expresarme en francés, como consecuencia encontré que era mejor para mí quedarme callado que pretender hablar en inglés. Así que me volví muy silencioso ya por aquel entonces.De este modo, a la hora de comer se sentaban en la mesa únicamente el padre y el silencioso Paul, mientras la madre, incapaz de hablar francés, se quedaba comiendo en la cocina con los otros dos hijos.

Una plaza cualquiera de Inglaterra a comienzos del siglo XX.
las cosas se concibieron desde muy pronto de un modo que hicieron de mí un profundo introvertido.El joven Paul que así crecía era muy tímido y rechazaba cualquier contacto social. No participaba en los juegos con los niños y sólo deseaba estar en la biblioteca. Para su fortuna, encontró una interesante válvula de escape para su difícilmente soportable existencia: pensar en los problemas que la naturaleza planteaba. La falta de vida social y emocional fue compensada, al menos parcialmente, con una dedicación y entrega casi exclusivas al estudio de la física y las matemáticas.
La escuela a la que Paul asistía no tenía prácticamente ningún interés en fomentar la formación clásica y humanista de los alumnos, sino que se concentraba en explicar materias científicas, lenguas modernas y materias prácticas. Paul encontró muy de su agrado esta formación tan práctica y se alegró de no tener que verse confrontado con el estudio del latín, el griego o la poesía. Sus notas eran buenas, pero no excepcionales, salvo en matemáticas, donde sus intereses y habilidades excedían en mucho a los normales en un chico de su edad.
Eran los años de la Primera Guerra Mundial y todos los hombres jóvenes habían sido forzados a salir de las universidades para servir en el ejército. De este modo, las aulas universitarias estaban casi vacías y al gobierno se le ocurrió subir de nivel a los jóvenes para hacerlos entrar en las universidades tan pronto como su mente les permitiera absorber los conocimientos.
Según el padre de Paul había decidido, sus hijos debían ser ingenieros. Si bien el hermano mayor pretendía estudiar medicina, al final tuvo que claudicar ante la presión paterna y acabar siendo un ingeniero con notas mediocres. Ante este panorama, Paul ni siquiera se concedió a sí mismo la opción de pensar qué le gustaría ser en la vida y entró, con 16 años, en la misma escuela de ingeniería en que estudiaba su hermano con el fin de cursar estudios de ingeniería eléctrica. Años después reconocería, sin embargo, que aquellos estudios tuvieron un efecto muy beneficioso sobre él:
acostumbrarle a trabajar no sólo con ecuaciones exactas sino a tolerar también aproximaciones y aprender que también las teorías basadas en éstas pueden tener un grado de belleza.Fue de esta manera como entró en contacto con materias que encontró muy de su interés, como el estudio de circuitos eléctricos, el electromagnetismo en general y, especialmente, las matemáticas necesarias para dominar estos temas. En concreto, disfrutaba con el estudio teórico, mientras que no sentía ninguna inclinación hacia la parte aplicada con la que un ingeniero supuestamente debería ganarse la vida.
Durante esos difíciles años de guerra un hecho científico saltó de modo inusitado a la primera página de todos los periódicos, promoviendo todo tipo de especulaciones y comentarios en un país que estaba ansioso de soñar y olvidar los sufrimientos de la depresión en que estaba sumido: en 1919 una observación astronómica dirigida por los británicos Eddington y Dyson confirmaba la teoría de la relatividad generalizada de Einstein. Dicha expedición había determinado durante un eclipse solar que los rayos procedentes de estrellas lejanas que pasaban próximos al Sol se curvaban, y que además lo hacían según la magnitud predicha por el mismo Einstein. Dirac quedó fascinado al instante por dicha teoría. Necesitaba saber mucho más de lo que decían los periódicos. Necesitaba información precisa, no las meras especulaciones filosóficas que todo el mundo se atrevía a formular. Necesitaba saber el lenguaje de la relatividad, su formulación matemática al detalle. Tras meses de búsqueda sólo pudo encontrar una primera fuente satisfactoria en el libro de Eddington Espacio, tiempo y gravedad, de 1920.
Mientras tanto, sus estudios de ingeniería tocaron a su fin y Paul se vio en la necesidad de encontrar trabajo. Sus notas no eran las mejores y además la crisis económica del momento no favorecía las cosas. Después de un tiempo sin hacer nada, al final encontró una salida mucho más que satisfactoria: una beca para estudiar matemáticas en la Universidad de Bristol.
En sus estudios de matemáticas encontró la horma de su zapato. El tipo de razonamiento matemático puro le agradaba especialmente, si bien su primera base ingenieril le hacía orientarse hacia cuestiones más aplicadas. En 1923 finalizó sus estudios con la especialización en matemática aplicada y además fue capaz de conseguir una ayuda para completar su formación en Cambridge.
Cambridge supuso un cambio radical en su carrera: dejar atrás su ciudad natal y la vida con sus padres, y trasladarse a una ciudad cuyo espíritu científico se palpaba en el ambiente causó en él una muy favorable impresión. Figuras de la talla de Thomson, Rutherford o Eddington trabajaban allí. Además, la existencia de numerosos clubs académicos promovía una transmisión fluida de conocimientos entre sus miembros. El club Kapitza, fundado por el físico soviético Peter Kapitza, entonces aún en sus tiempos de estudiante, fue muy del agrado de Paul, quien probablemente asistió a unas 300 de sus reuniones.

Universidad de Cambridge.
Por lo que respecta al rumbo de su investigación, en principio, y de acuerdo a su primer enamoramiento con la teoría de la relatividad, deseaba profundizar más en este campo y, de este modo, se dirigió a Cunningham, experto de Cambridge en la materia. No tuvo fortuna, al menos aparentemente, pues Cunningham rehusó la supervisión de su carrera investigadora. Fue asignado a Ralph Fowler, hombre con intereses en la nueva física cuántica que se estaba gestando en la Europa continental y con muchos contactos. Para Paul, sin embargo, el hecho de abandonar su idea de profundizar en la teoría de la relatividad y adentrarse en una teoría cuántica para él completamente desconocida supuso inicialmente una gran decepción. Además Fowler era un director problemático en opinión de sus estudiantes: era bastante indisciplinado y muy difícil de encontrar cuando se le quería hacer una consulta. Dado el carácter profundamente independiente y autónomo de Paul, esto no supuso mucho problema, y al poco tiempo de comenzar a estudiar lo que Fowler le había encomendado como preparación encontró que la materia era cualquier cosa menos falta de interés:
Previamente no había oído nada acerca de la teoría de Bohr, fue como abrirme los ojos. Me sorprendió mucho que uno pudiera hacer uso de las ecuaciones de la electrodinámica clásica dentro del átomo. Para mí los átomos habían sido siempre considerados como unas cosas muy hipotéticas, y he aquí que había gente que trabajaba con ecuaciones para estudiar la estructura del átomo.La sorpresa de Paul debe ser entendida, puesto que en el año 1923 en que nos encontramos la física cuántica era una teoría que había supuesto una revolución total en la forma de entender la física, pero que por otra parte tenía muchos problemas y además proporcionaba muy pocos resultados. Los físicos de todo el mundo estaban abrumados frente a una teoría que no comprendían, una teoría que era medio destreza y medio arte, una teoría que suponía que los primeros principios de antaño eran inválidos mientras que los nuevos primeros principios estaban en gran medida por descubrir. De resultas de ello, muchos físicos se amarraron a los conocimientos clásicos y decidieron que no querían dedicarle su tiempo, otros decidieron que quizá sí valiera la pena y se embarcaron en una empresa de rumbo incierto. Como veremos en el próximo capítulo, serán sobre todo los físicos de la nueva generación -Dirac entre ellos- los que harán que la teoría avance espectacularmente.
Regresando al período de formación de Paul vemos cómo en muy poco tiempo será capaz de convertirse de estudiante a científico reconocido.

Paul Dirac
Este fue el resultado de un período en que, como él mismo dice, sólo la investigación ocupaba su mente. Así, se concentró en exclusiva en el trabajo científico día tras día, salvo los domingos, en que un solitario paseo por las montañas le servía para recuperarse del estudio intenso semanal y quizá para que se le ocurrieran nuevas ideas que desarrollar la semana siguiente.
En los dos años siguientes, hasta 1925 en que concluye su etapa de formación y de anonimato internacional, publicó siete artículos científicos. El primero de ellos sobre un problema de mecánica estadística sugerido por Fowler, pero sin un especial interés ni una especial repercusión. Además de éste, el resto de sus artículos iniciales versan sobre una variedad de temas -relatividad, mecánica estadística, astrofísica y teoría cuántica- que hacen difícil intuir con claridad cuál será su inclinación futura.
Sin embargo, Paul ha desarrollado ya las maneras científicas que le caracterizarán en sus contribuciones más destacadas: concisión, claridad conceptual y presentación técnica precisa, además de desarrollar lo que para él es una diversión, que consiste en tomar unas ecuaciones de cualquier teoría no relativista e intentar transcribirlas de modo que sean compatibles con la relatividad especial. Esta habilidad para trabajar con las ecuaciones es sin duda la mayor virtud de este científico medio físico medio matemático. Nadie se le puede comparar, ni por la destreza con que lo hace ni por la diversión que encuentra en ello. Él mismo, recordando estos primeros tiempos como investigador, reconoce
Era más bien como un juego, al cual me dedicaba a la menor oportunidad, y a veces el resultado era lo suficientemente interesante para mí como para ser capaz de escribir un pequeño artículo sobre él.Tiempo después resume de un modo similar su forma de trabajo
Gran parte de mi trabajo consiste enjugar con las ecuaciones y ver qué es lo que dan.En cualquier caso, hasta 1925 Dirac ha demostrado, especialmente a sus colegas de Cambridge y a sí mismo, ser un físico prometedor, con unas habilidades matemáticas destacadas y de especial aplicación a la resolución de problemas teóricos, pero cuyas contribuciones no han sido especialmente notorias ni originales, y con un futuro completamente incierto, tanto por lo que respecta al campo en que se especializará como a la altura que será capaz de alcanzar en el mundo de la investigación científica. Como veremos a continuación, los últimos meses de 1925 serán cruciales, tanto para la vida de Paul Dirac como para el desarrollo de la mecánica cuántica.
Capítulo 2
La física en 1925: Dirac entra en escena

Max Planck
E = hv
donde, proponía Planck, h era una nueva constante de la naturaleza.Esta aventurada consideración permitió obtener unos resultados teóricos que concordaban perfectamente con los datos de las observaciones y respondían, aunque de un modo ciertamente inquietante, al misterio del espectro del cuerpo caliente o, hablando con más propiedad y considerando dicho cuerpo como emisor ideal, al cálculo del espectro del cuerpo negro.
Pocos años después, en 1905, Einstein, en su annus mirabilis, asentó no sólo las bases de la teoría de la relatividad, sino que también proporcionó un sólido fundamento para el desarrollo de la física cuántica que tanto le disgustaría posteriormente (según él era una teoría incompleta y provisional). Afirmó que “no sólo los objetos calientes emiten energía en forma de paquetes sino que la radiación misma debe consistir en múltiplos de paquetes de energías de Planck”. Esto es, ampliaba la cuantización de la energía a toda la naturaleza.
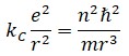
Bohr, en 1913, partiendo del modelo atómico de Rutherford, que imaginaba al átomo como un sistema planetario en que la carga positiva estaba localizada en el centro (todavía faltan dos décadas para que se descubra el neutrón) y en el que las cargas negativas orbitaban a su alrededor, propuso la siguiente regla de cuantización: las únicas órbitas estables son aquéllas cuyo momento angular, L = mvr, es múltiplo de la constante de Planck racionalizada ћ = h/2π.
L = nћ
Puede así despejar la velocidad:v = m ћ /mr
Por otra parte obtiene, al igualar la fuerza de atracción electrostática y la fuerza centrífuga del electrón en su órbita circular de radio r,cuya aceleración es v2/r




Louis de Broglie, aristócrata francés que con el tiempo llegará a heredar el título de duque a la muerte de su hermano, dará una vuelta de tuerca más a la teoría. Si bien Louis de Broglie estudió historia, animado por su hermano se decide a estudiar física y propone en su tesis doctoral de 1924 el que será el primer gran avance desde la presentación del modelo atómico de Bohr: sugiere la hipótesis de que al igual que la radiación electromagnética tiene una naturaleza dual onda-partícula (la existencia de las partículas o cuantos de luz, llamados fotones, ya ha sido firmemente admitida tras las explicaciones del efecto fotoeléctrico o del efecto Compton) cualquier cuerpo en movimiento tiene una onda asociada.
De este modo se extiende así la naturaleza dual onda-partícula no sólo a toda la radiación sino también a toda la materia.Niels BohrNació en Copenhague en 1885. Se dedicó desde sus comienzos a la física cuántica, en una época en que sus principios eran vagos y contradictorios y el número de practicantes escaso.Tras completar su formación en Manches- ter bajo la supervisión de Ernst Rutherford, publica en 1913 su modelo atómico, que parte del de Rutherford pero incluye el concepto de cuantifícación. El éxito del modelo de Bohr para explicar el espectro del átomo de hidrógeno-puede verse como fruto de la casualidad; sin embargo, para muchos como Einstein el razonamiento cuidadoso de Bohr a partir de los inestables principios de la primera física cuántica es una joya: “la forma más sublime de musicalidad en la esfera del pensamiento".
Su forma de hacer ciencia era muy particular: se basaba en la conversación. La exposición oral de sus ideas, a menudo de un modo lento y dubitativo, era su forma principal de avanzar en ellas. Una vez abordó al joven Heisenberg y pese a encontrarse éste enfermo y con fiebre le hizo entablar un debate durante horas sobre una cuestión teórica: Heisenberg desde la cama y Bohr junto a ésta. Con Einstein tanto su amistad como sus conversaciones fueron profundas y duraderas por más de veinte años.
Sus importantes logros científicos le hicieron merecedor del premio Nobel en 1922, pero su influencia personal fue quizás todavía más importante: el Instituto Bohr, creado en Copenhague en 1921, aglutinó en torno a su persona a algunos de los científicos más importantes del momento: Pauli, Heisenberg, Dirac, Landau, Teller, Gamow...
Bohr se dirigía siempre a sus alumnos, a sus colegas e incluso a ministros y presidentes en un tono muy directo y con total sinceridad, lo que causaba una honda impresión en ellos. En palabras de Rosenfeld, uno de sus colaboradores, los visitantes acudían en masa al Instituto “a ver al científico, pero encontraban al hombre, en el pleno sentido de la palabra Por otra parte, pese a ser un hombre de tal influencia y de una personalidad tan penetrante, tenía pocas de las cualidades que se le podrían suponer en cuanto a su oratoria. Sus presentaciones "no eran completamente inteligibles, ni acústicamente ni de la otra forma".
Durante la Segunda Guerra Mundial participó como asesor científico en el proyecto Manhattan de construcción de la bomba atómica. En una de sus visitas Niels Bohr, quien debido a las medidas de seguridad pasó a ser Nicholas Baker, conoció a un joven veinteañero con quien podía discutir sobre cualquier cuestión sin que necesariamente le diera la razón -tal y como hacía la mayoría abrumada por su renombre mundial-, su nombre era Richard Feynman.
Niels Bohr era de complexión atlética y en su juventud practicó deportes con cierto éxito. Su hermano menor Harald fue todavía un poco más lejos que él, en lo que a deporte se refiere, y ganó una medalla de plata en los Juegos Olímpicos de 1908 con la selección de fútbol danesa.
Niels Bohr murió en 1962. Su hijo Aage siguió sus pasos en física y logró también el premio Nobel, en 1975.
La Editorial NTVOLA le ha dedicado una obra de la colección Científicos para la Historia titulada De la teoría atómica a la física cuántica. Bohr, escrita por Jesús Lahera Claramonte.
Werner HeisenbergNació en Würzburgo (Alemania) a finales de 1901. Desde muy joven mostró talento para la música si bien decidió finalmente que las creaciones de Einstein le impresionaban mucho más que las de Mozart o Beethoven y se decidió a estudiar física en la Universidad de Münich.Allí conoció a Wolfgang Pauli, con quien trabaría una amistad que duraría toda su vida, a! igual que la colaboración científica entre ambos.
Bajo la dirección de Arnold Sommerfeld completó su tesis doctoral y, junto con Pauli, siguió estudiando en la Universidad de Gotinga bajo la supervisión de Max Born. El hecho de que tanto Sommerfeld como Born fueran figuras punteras en la nueva física cuántica, lo mismo que Niels Bohr con quien tiene la suerte de poder dialogar en sus numerosas visitas, provocó que el joven Heisenberg -tal como él mismo reconoció posteriormente- fuera confrontado con la nueva física cuántica antes incluso de conocer los fundamentos de la física clásica. Tanto es así que en su presentación de tesis doctoral se mostró extremadamente brillante para responder a las preguntas teóricas, pero incapaz para responder a las cuestiones experimentales que un miembro del tribunal le planteó. El resultado, tras fuertes discrepancias en el tribunal, fue un aprobado mediocre. Esta confrontación directa con los primeros principios cuánticos fue, no obstante, enormemente provechosa para el imaginativo Heisenberg quien, en 1925, se toma un descanso de quince días para recuperarse de una fuerte fiebre del heno en la isla de Helgoland, situada en el Mar del Norte, y regresa de ella con el germen de una nueva teoría: la mecánica cuántica. Esta teoría, en la versión que se conocerá como mecánica matricial, será desarrollada por él mismo junto con Jordán y Born.
En 1927 formula el famoso principio de indeterminación o de incertidumbre que lleva su nombre y cinco años después recibe el premio Nobel de física por su formulación de la mecánica cuántica.
Durante la Segunda Guerra Mundial participó en el fallido proyecto alemán de construcción de la bomba atómica.
Con Paul Dirac mantendrá también una relación de amistad y colaboración científica, al igual que con Pauli, lo que no deja de ser curioso pues Pauli siempre se mostrará un feroz crítico de las ideas de Dirac.
Falleció en Münich el 1 de febrero de 1976.
La Editorial NIVOLA le ha dedicado una obra de la colección Científicos para la Historia titulada Ciencia, incertidumbre y conciencia. Heisenberg, escrita por Antonio Fernández-Rañada.
Visto de otra manera, puede entenderse que la propuesta de De Broglie es que no sólo lo que oscila existe como paquetes dados de energía (cuantos) sino que todo lo que tiene energía debe comportarse como una onda en alguna región del espacio y oscilar en función de su frecuencia obedeciendo la ley de Planck. Ahora bien, ¿cuál es esa frecuencia? De Broglie obtiene:
![]()
§. La mecánica cuántica
Llegamos a 1925 y la física cuántica comienza su transformación en una teoría que permitirá realizar cálculos con precisiones asombrosas y en aplicaciones muy diversas. Hasta el momento el mayor éxito de la nueva teoría era su aplicación al átomo de hidrógeno que con tanta maestría había desarrollado Bohr (con colaboración posteriormente de Sommerfeld, entre otros). Sin embargo, la aplicación a átomos más pesados proporcionaba resultados descorazonadores.
Tendría que ser una nueva generación de físicos, salvo excepciones como la de Schrödinger, todos menores de treinta años, quien realizara el nuevo salto conceptual: Heisenberg, Schrödinger, Dirac, Pauli y Jordán, entre otros, fueron algunos de estos artífices.
Retomemos el hilo cronológico en la vida de Dirac en el año 1925 y asistamos a su transformación -en el breve plazo de unos años, si no meses- de físico prometedor a figura histórica de renombre universal.
En el verano de 1925 Werner Heisenberg, físico alemán sólo 8 meses mayor que Dirac, impartió una ponencia en Cambridge sobre una materia sin trascendencia. Sin embargo, a través de conversaciones informales, Ralph Fowler (recordemos, el director académico de Dirac) puede intuir que el joven alemán ha sido capaz de obtener reglas espectroscópicas, tal y como Bohr hiciera para el átomo de hidrógeno, de una manera totalmente novedosa. En efecto, en agosto Fowler recibe un borrador previo de un asombroso artículo de Heisenberg y se apresura a ofrecérselo a Dirac para que lo estudie con detalle: “¿Qué opinas de esto? Estaré encantado de saberlo” escribe en el margen superior de la copia que le pasa a Dirac.
En un primer momento, Dirac no reconoce la genialidad del artículo. De hecho, lo encuentra poco interesante. Los primeros contactos de Dirac con la teoría cuántica fueron a través de la teoría encuadrada en el modelo Bohr-Sommerfeld, que hacía uso extensivo de las variables de acción y ángulo. Sin estos conceptos en el artículo, Dirac pensaba que no podía haber grandes expectativas de cálculo en él. Tal y como explicará años después, en un reconocimiento de los grandes pioneros que le honra, su visión era muy limitada:
Estaba muy impresionado por las variables de acción y ángulo. Ahí se encuadraban la mayor parte de mis trabajos, estaba muy limitado. Ahora puedo ver que era un error; sólo pensando en variables de acción y ángulo nunca habría llegado a la nueva mecánica. Así que, sin Heisenberg y Schrödinger nunca lo habría hecho por mí mismo.Sólo después de dos semanas de estudiar el artículo fue capaz de ver el enfoque revolucionario que sugería Heisenberg en el mismo.
Para comenzar, Heisenberg proponía que se debía construir una teoría que sólo hiciera intervenir magnitudes observables, como la frecuencia (o la energía), y no que hiciera uso, tal y como las reglas de cuantificación, de relaciones entre las magnitudes inobservables, como la posición o el momento.
Así, si todos los intentos por adscribir al electrón una posición concreta habían resultado infructíferos, pues el proceso de medida directa era imposible, se debía de prescindir del uso de tal cantidad en la nueva teoría. Heisenberg argumentaba que dado que en la física clásica para estudiar la energía por unidad de tiempo que emite un electrón oscilante había que realizar un desarrollo en serie de Fourier de la posición del electrón x(n), en la teoría cuántica debían regir las mismas expresiones siguiendo el principio de correspondencia-(o la búsqueda de analogía entre las ecuaciones de movimiento clásicas y cuánticas) si bien abandonando los significados clásicos de posición o momento:

Sin embargo, x(n) no es directamente observable y Heisenberg busca reemplazarlo por una expresión que tenga un significado medible. Propone así que se reemplacen las frecuencias v(n, α) por v(n, n - α), de interpretación mucho más sugerente: v(n,n - α) es la frecuencia correspondiente a la transición del estado estacionario n al n - α. Los coeficientes x(n, α) se sustituyen de un modo análogo por x(n, n - α), con la interpretación de ser las amplitudes de cada transición, de modo que las intensidades de las radiaciones emitidas en cada transición n → n - α, que sí son observables, serán |x(n, n - α)|2.
De este modo, las componentes individuales del desarrollo de Fourier serán las “cantidades”:
![]()

Para nosotros, con esta perspectiva del cálculo matricial en mente, resulta totalmente evidente (pero no lo fue para Heisenberg) que el resultado del producto de dos de tales cantidades “análogas a las magnitudes clásicas de posición” x e y se obtenga por:


Volviendo a Dirac, recordemos que inicialmente no fue consciente de las enormes posibilidades que abría la nueva formulación, si bien la situación cambió tras unos días. En particular le preocupaba, al igual que a Heisenberg, la extraña aparición de variables no conmutativas y se esforzó por encontrar -siguiendo el espíritu del principio de correspondencia- un equivalente clásico para la cantidad xy - yx, que él mismo bautizó como “conmutador”. Su intenso trabajo y concentración dio sus frutos justamente en un día de descanso.
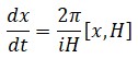
Fue en una de mis excursiones de domingo en octubre de 1925 cuando estaba pensando mucho en esa uv - vu, a pesar de mi intención de relajarme, que pensé en los corchetes de Poisson. Recordé algo que había leído alguna vez en libros avanzados de dinámica acerca de estas extrañas cantidades, los corchetes de Poisson, y por lo que podía recordar parecía haber una estrecha semejanza entre el corchete de Poisson de dos cantidades, u y v, y el conmutador uv - vu. [...] Era una situación muy inquietante y resultó imperativo para mí revisar mi conocimiento sobre los corchetes de Poisson y en particular encontrar la definición de corchete de Poisson. Los libros que tenía en casa eran todos demasiado elementales y no los mencionaban. No podía hacer nada más pues era domingo por la tarde y todas las bibliotecas estaban cerradas. Tuve que aguardar impacientemente a lo largo de aquella noche sin saber si aquella idea era realmente buena o no, pero aun así mí confianza creció gradualmente durante el curso de la noche. A la mañana siguiente me apresuré a ir a una biblioteca tan pronto como abrieron y busqué los corchetes de Poisson en el “Dinámica analítica" de Whittaker. Allí encontré justo lo que buscaba.Resulta curioso que una de las primeras aportaciones de Dirac a la nueva mecánica cuántica fuera el establecimiento de la analogía entre el clásico corchete de Poisson y el cuántico conmutador. La justificación de la validez de la nueva teoría cuántica por medio del principio de correspondencia (esto es, de la búsqueda de la analogía existente en la física clásica) será el primer resultado importante de Dirac, y a la vez será algo contra lo que años después luchará él mismo: el recurso extensivo al principio de correspondencia para la construcción de la nueva teoría será considerado posteriormente por él un recurso fútil y obsoleto.
Los corchetes de PoissonEn 1809, el físico matemático francés Siméon-Denis Poissonintroduce los corchetes que llevan su nombre. Dadas dos funciones de n variables expresadas en coordenadas canónicas x(q1, q2,…, qn) e y(p1, p2,…, pn) se define el paréntesis o corchete de Poisson como:
Es un operador de uso fundamental en mecánica analítica, en especial para estudiar la evolución temporal de un sistema dinámico en la formulación hamiltoniana. Así las constantes del movimiento (las cantidades invariantes y que, por tanto, lo caracterizan) cumplen
{x,H} = 0
siendo H el hamiltoniano.
De hecho, aunque la idea de la conexión con la mecánica cuántica fue una ocurrencia casual, es obvio que el formalismo de la dinámica hamiltoniana trasladado al mundo cuántico puede ser formulado mediante el álgebra de los corchetes de Poisson.
Aquella mañana de un lunes de octubre Dirac conjetura que la relación entre el conmutador [x, y] que aparece en la teoría cuántica y el corchete de Poisson {x, y} es:

![]()
![]()


A partir de estas ideas comienza a escribir su famosísimo artículo “Las ecuaciones fundamentales de la mecánica cuántica”. Con la mediación de Fowler, sólo tres semanas después de su recepción el artículo se publica en los Proceedings of the Royal Society. Sin embargo, desafortunadamente, fue demasiado tiempo, pues en el otoño de 1925 varios físicos descubrieron las relaciones de conmutación: Born y Jordán fueron los primeros en publicar un artículo con ellas, a continuación otro artículo de Born, Jordán y Heisenberg hizo uso de las mismas, Weyl y Pauli las propusieron aunque no las publicaron y Slater, en los Estados Unidos, las obtuvo independientemente un poco después que Dirac. En cualquier caso el artículo del desconocido Dirac causa un gran revuelo en la física cuántica del momento, tal y como reflejan los comentarios de algunos de sus pioneros.
Así, el mismo día en que recibe el artículo, Heisenberg escribe a Bohr:
“Hoy he recibido un trabajo de Dirac en el que desarrolla la parte matemática de la nueva mecánica cuántica sobre la base de mi trabajo (independientemente de Born y Jordán)... en su estilo de escritura algunas partes de él me agradan más que las de Born y Jordán”.
Sólo unos días después, el mismo Heisenberg escribe a su amigo Pauli:
“Un inglés que trabaja con Fowler, Dirac, ha rehecho de modo independiente las matemáticas de mi trabajo (esencialmente lo mismo que en la “Parte I” del artículo Born-Jordan). Born y Jordán quizá estén un poco disgustados por ello, pero en cualquier caso ellos lo hicieron primero y ahora sabemos realmente que la teoría es correcta”.
Y no es menos llamativo el modo en que Born describe su reacción al recibir el artículo:
“Fue -lo recuerdo bien- una de las mayores sorpresas de mi vida científica, pues el nombre Dirac era completamente desconocido para mí, el autor parecía ser un joven, y aun así todo estaba perfectamente en su lugar de un modo admirable”.
Heisenberg escribe al ahora famoso Paul Dirac en los siguientes términos:
“Espero que no esté molesto por el hecho de que partes de sus resultados hayan sido ya encontrados y publicados aquí independientemente en dos artículos -uno de Born y Jordán, y otro de Born, Jordán y yo mismo- en Zeitschrift für Physik. Sin embargo, esto no hace que sus resultados sean menos importantes; por una parte, sus resultados, especialmente en lo que concierne a la definición general del cociente diferencial y la conexión de las condiciones cuánticas con los corchetes de Poisson, van considerablemente más allá que los trabajos mencionados y, por otra parte, su artículo está escrito mejor y más concisamente que nuestra formulación allí dada”.En estos comentarios se observa que, como decíamos, la enorme capacidad de Dirac para abstraer ideas de un modo conciso y ofrecerlas en un marco consistente es una habilidad matemática muy valorada por sus colegas.
Max Born y Pascual JordánMax Born nació en 1882 en Breslau (Alemania), actualmente Wroclaw (Polonia). Estudió en diversas universidades antes de recalaren Gotinga, donde entra en estrecho contacto con Klein, Hilbert y Minkowsky. En particular, Hilbert se convertirá en su mentor tras reconocer sus excepcionales habilidades para las matemáticas. Born comienza su carrera docente en Gotinga, si bien pasa por las universidades de Berlín y Frankfurt antes de regresar a Gotinga en 1921 a ocupar tanto el puesto de profesor de física teórica como el de director del nuevo Instituto de Física Teórica.
Por su parte, Pascual Jordán nació en Hannover (Alemania) en 1902, si bien su bisabuelo paterno había sido un noble español de apellido Jordá. Comenzó sus estudios en la universidad técnica de esta ciudad pero la abandonó sin terminarlos en 1923 para trasladarse a Gotinga a estudiar primero matemáticas bajo la tutela de Richard Courant y después física con la dirección de Max Born.
A mediados de 1925 Born recibe un artículo de Heisenberg con el fin de que lo revise y, si lo considera oportuno, solicite su publicación. Notemos como el proceso actual de revisión de artículos científicos era bien distinto en aquella época: el modo habitual de publicar era enviar el artículo a un personaje de renombre quien, si lo consideraba correcto y de importancia, era el encargado de solicitar a una revista su publicación. Born admite la genialidad de la aportación de Heisenberg y envía el artículo para su publicación. Además, reconoce en él la aparición de esas entidades matemáticas conocidas como matrices-algo que Heisenberg no había sabido ver- y, junto con Jordán, que ya había dejado de ser su alumno, reescribe las ideas de Heisenberg utilizando el álgebra matricial. Al contrario de lo que sucede para la mayoría de físicos del momento, para ambos resultan ser las matrices unas herramientas bastante conocidas: Born las aplicó años antes en su teoría de redes de difracción y Jordán las utilizó con cierta frecuencia en sus trabajos matemáticos bajo la dirección de Courant. De esta manera, puede decirse que la mecánica cuántica, en su formulación matricial, fue creada por Heisenberg, Born y Jordán en 1925. Pese a ello será Heisenberg el único que recibirá el premio Nobel en 1932. Born tendrá que esperar hasta 1954, para un reconocimiento con un retraso difícil de explicar y Jordán, en una actitud todavía más complicada de entender, nunca será galardonado con dicho premio.En cualquier caso, los trabajos de Born seguirán encaminados a un mejor entendimiento de la mecánica cuántica, de entre los que es especialmente importante su interpretación estadística de la mecánica cuántica, publicada en 1926, y que proporciona significado a la función de onda, algo elusivo hasta entonces para la comunidad física: el cuadrado de la función de onda es, salvo un factor de proporcionalidad, la función de densidad de probabilidad de encontrar a la partícula en un entorno diferencial. Tuvo que emigrar a Gran Bretaña al ser clasificado como judío, siendo no obstante luterano, y tomó una clara posición pacifista: frente a la proliferación de armamento nuclear firmó el manifiesto Russell-Einstein. Regresará finalmente a Alemania, donde en 1970, fallecerá. De sus descendientes, resultará ser el más famoso su nieta la cantante y actriz australiana Olivia Newton-John.
Jordán, por su parte, continuó con la mecánica cuántica durante la década de los treinta, introduciendo ideas pioneras de la teoría cuántica de campos, y además, en matemáticas, junto con Wigner y Von Neumann, introdujo lo que se conoce como álgebra de Jordán (o de Von Neumann). Sus colegas siempre lo vieron más como matemático que como físico. Se alistó en las filas del partido nazi y por ello perdió su plaza de profesor tras el final de la guerra, hasta 1953 en que la recuperó. Sus intereses, sin embargo, fueron alejándose cada vez más de la física y, utilizando sus conocimientos matemáticos, prefirió dedicarse sucesivamente a la meteorología, la biología y la geología. En 1980 falleció, a la edad de 78 años, mientras llenaba de fórmulas un manuscrito en su mesa de cocina.
En particular, Heisenberg y Dirac iniciarán entonces un intercambio científico de ideas, además de una amistad que durará toda la vida. Es interesante ver la profunda admiración que Dirac confesó profesar a Heisenberg desde aquellos días. Muchos años después recordará:
Tengo las mejores razones para ser admirador de Werner Heisenberg. Él y yo éramos jóvenes investigadores en la misma época, de la misma edad, trabajando en el mismo problema. Heisenberg tuvo éxito donde yo fallé. Había una gran cantidad de datos espectroscópicos acumulados en aquel momento y Heisenberg encontró el modo adecuado de manejarlos. Al hacerlo inició la era dorada de la física teórica, y durante unos pocos años después era fácil para cualquier estudiante de segunda hacer un trabajo de primera fila.La humildad de Dirac le impidió añadir que él mismo fue de aquéllos que ayudó a crear aquella era dorada y que sus propias contribuciones permitieron futuras extensiones de la teoría, de modo que un tiempo después de su creación las ecuaciones de campo de Heisenberg eran modeladas a partir de la ecuación del electrón de Dirac de 1928.
Pocos meses después, un nuevo personaje entra en la escena de la nueva era cuántica: Erwin Schrödinger. En diciembre de 1925 Schrödinger finaliza una teoría atómica completamente novedosa en que los fenómenos cuánticos se expresan como un tipo de fenómenos ondulatorios, siguiendo los trabajos previos de Louis de Broglie. El primero de sus artículos verá la luz en marzo de 1926.
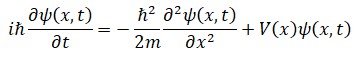
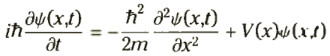
Según Schrödinger, toda la información del sistema está contenida en la llamada función de onda ψ(x, t), por simplicidad suponemos aquí una única dimensión espacial, de forma que el comportamiento de una partícula de masa m sujeta a un potencial V(x) es descrito mediante la siguiente ecuación diferencial:
![]()

![]()
Si se puede separar la parte espacial de la temporal
![]()

![]()
![]()
A partir de entonces cada grupo siguió trabajando con su teoría acostumbrada, si bien, ocasionalmente, se utiliza para algunos cálculos particulares la teoría rival por ser más sencilla. A este respecto Dirac comenta
me sentí al principio un poco hostil hacia ella [la teoría de Schrödinger]lo cual persistió hasta que se demostró la equivalencia matemática de ambas teorías, si bien aun así mantuvo el desagrado por algunas de sus cuestiones de base, cuya ontología se negó siquiera a plantearse. Así reconoce que
la cuestión de si las ondas ψ son reales o no, no es una cuestión que me preocupe pues pienso que únicamente pertenece al terreno de la metafísica.En el verano de 1926 Dirac concluye el importante artículo “Sobre la teoría de la mecánica cuántica”. En él aporta su particular visión sobre la fusión de la mecánica ondulatoria de Schrödinger y la mecánica matricial de Heisenberg, además de otras ideas muy valiosas, que veremos próximamente, como las que darán lugar a la conocida como estadística Fermi-Dirac. Su artículo no causa sorpresa porque ya no es un desconocido, tal y como había pasado sólo unos meses antes con su artículo “Las ecuaciones fundamentales de la mecánica cuántica”, pues Dirac ya tiene fama mundial.
Erwin SchrödingerNació en 1887 en la Viena entonces perteneciente al imperio austro-húngaro. Estudió con un tutor privado hasta los diez años, en que ingresó en la escuela secundaria y después realizó estudios universitarios en la misma Viena. Durante la Primera Guerra Mundial fue llamado por el ejército austríaco y enviado al frente en la frontera italiana. En esos años se dedica especialmente a la meteorología. En 1920, tras un breve paso por Jena, donde será asistente de Max Wien, consigue un puesto en Stuttgart y poco después en Breslau. Sus movimientos por las universidades europeas serán numerosos: Zúrich, Berlín, Oxford, Graz, Berlín y finalmente Viena, serán sus destinos más duraderos.
A principios de 1926, a raíz del trabajo realizado en las navidades durante una escapada con su amante a los Alpes, formuló de un modo completamente nuevo la titubeante mecánica cuántica con una innegable explosión de creatividad. Su “mecánica ondulatoria” fue mucho mejor aceptada por la comunidad física que la teoría rival de Heisenberg, Born y Jordán conocida como mecánica matricial.
Recibió el premio Nobel en 1933, junto con Dirac, con quien compartía la idea de que la belleza matemática debía regir en las teorías físicas. En sus últimos años se mostró reticente a aceptar muchos de los logros de la física moderna. Como muestra, en la década de los cincuenta se negó a realizar una presentación sobre física nuclear por considerarla, más que una ciencia, pura conjetura.
Por el contrario, realizó publicaciones en áreas muy dispares de la ciencia: su libro de 1944, ¿Qué es la vida?, es una sorprendente exposición de principios biológicos realizada (¡por un físico!) en un momento en que algunas de sus propuestas -especialmente, las relativas a la herencia biológica- no estaban muy claras. Según dice James Watson, uno de los descubridores del ADN, la lectura de este libro le inspiró en su investigación de los genes y en su búsqueda de la estructura de esta molécula.
Erwin Schrödinger murió en 1961 a los 73 años de edad.
La sorpresa viene por la enorme profundidad de sus ideas, que le hace ser considerado por sus colegas como un genio. El mismo Heisenberg reconoce a Bohr sus grandes limitaciones al leer el artículo de Dirac:
“Pienso que el trabajo de Dirac es extremadamente valioso, puesto que traslada su interesante conjunto de ideas, al menos parcialmente, a un lenguaje que uno puede entender. Sin duda hay todavía mucho en su artículo que encuentro oscuro [...] Dirac tiene un modo de pensar totalmente único y original, que -precisamente por ese motivo- proporcionará los resultados más valiosos, ocultos para el resto de nosotros. Pero él no tiene idea de cuán difíciles son sus artículos para los seres humanos normales”.Una muestra de la fascinación que ejercía sobre los jóvenes estudiantes (¡quizá de su misma edad!) es la siguiente:
“Dirac era casi misterioso. Todavía recuerdo la emoción con que nosotros, los jóvenes estudiantes de aquellos años, mirábamos en cada nuevo número de los Proceedings of the Royal Society para ver si incluía un artículo de Dirac. [...] A menudo él se sentaba sólo en una estancia de la biblioteca en una posición de lo más incómoda y quedaba tan absorto en sus pensamientos que apenas nos atrevíamos a entrar en la habitación temerosos de poder distraerlo. Podía pasarse el día entero en la misma posición escribiendo lentamente el artículo entero”.En 1926 Dirac reorganiza algunos de sus trabajos y con ellos finaliza su tesis doctoral. Mientras tanto Fowler le encarga que dé un curso sobre mecánica cuántica en Cambridge. De esta manera, por primera vez en toda Gran Bretaña la mecánica cuántica se enseña en un curso reglado.
Sus aportaciones científicas siguen siendo de importancia. A finales de agosto de 1926 descubre que para distribuciones de varias partículas es posible tener dos estadísticas cuánticas: una con funciones de onda simétricas para el caso de partículas que no obedecen el principio de exclusión de Pauli -es decir que se pueden superponer en un mismo estado cuántico- y otra con funciones de onda antisimétricas si rige el citado principio de exclusión. Para su sorpresa, Dirac recibe inmediatamente una carta de Enrico Fermi en los siguientes términos:
“En su interesante artículo “Sobre la teoría de la mecánica cuántica” (Proc. Roy. Soc. 112, 661, 1926) ha sacado adelante una teoría sobre el gas ideal basada en el principio de exclusión de Pauli. Una teoría del gas ideal prácticamente idéntica a la suya fue publicada por mí a principios de 1926 (Zs. f. Phys. 36, 902, Lincei Rend., febrero 1926). Puesto que supongo que no ha visto mi artículo le ruego le preste su atención”.Dirac se disculpa inmediatamente por no haber incluido referencia alguna a un trabajo que, realmente sí vio en su momento pero que olvidó por completo a la hora de desarrollar su teoría. Pretendiendo reclamar la prioridad para Fermi, Dirac propondrá que las partículas con funciones antisimétricas se denominen fermiones, si bien la distribución estadística asociada pasará a reconocerse por la comunidad internacional como estadística Fermi-Dirac, mientras que aquéllas con funciones simétricas se llamen bosones, si bien la distribución estadística asociada se conocerá como estadística Bose-Einstein, esto es, con el nombre del joven indio que descubre como una distribución de fotones se asemeja a la que tendría si fuera un gas y el nombre del famoso físico que, tras ser consultado por el joven, aporta sus ideas a la teoría.
Es en 1926 cuando Dirac decide que su formación ha de ser completada mediante visitas a los principales centros académicos en que se está desarrollando la mecánica cuántica: principalmente Gotinga, donde están, entre otros, Heisenberg, Born y Jordán, y el Instituto Bohr en Copenhague. Tras el consejo de Fowler decide empezar por Copenhague, lo cual fue una sabia decisión, pues allí además de Bohr se encuentra a Heisenberg y Pauli (quienes acostumbran a estar por allí de visita mucho tiempo), Klein, Ehrenfest y un largo etcétera de figuras de primera fila.
§. Estancia en Copenhague
El Instituto Bohr, oficialmente el Instituto Universitario de Física Teórica, atrajo rápidamente desde su creación en 1921 a jóvenes talentos de Alemania, Gran Bretaña, Rusia, Holanda, Suecia, Hungría, América e incluso India. El instituto les ofrecía un lugar para vivir y trabajar en un momento en que las ofertas académicas eran muy difíciles de encontrar, especialmente para los físicos teóricos. Por otra parte, el ambiente en el mismo era de lo más animado: partidas de ping-pong (¡en la biblioteca!), películas de indios y vaqueros y un sinfín de pasatiempos hacían que trabajo y diversión se mezclaran en una atmósfera que resultó ser extremadamente creativa.
Dirac, sin embargo, no rectificó sus hábitos de aislamiento y siguió realizando su trabajo sin involucrarse en las tareas en grupo del instituto.

El Instituto Niels Bohr.
En unas semanas tuvo lista su llamada teoría de la transformación, motivada por la cuestión de cuáles son las preguntas acerca de las cuales puede darse una respuesta sin ambigüedad en la mecánica cuántica. Este trabajo, surgido de un prolongado razonamiento encadenado lógicamente sin hipótesis a priori adicionales, fue, según sus propias palabras, el que más satisfacción le produjo de entre todos los realizados en su vida. En un capítulo posterior esbozaremos dicha teoría de la transformación, que estuvo a punto de llevarle a formular el que poco después se llamaría principio de indeterminación de Heisenberg, pues fue al final su colega el que lo dedujo.
Por otra parte, y de modo simultáneo e independiente, Pascual Jordán obtuvo su particular teoría de transformación que, nuevamente, resultó totalmente equivalente a la de Dirac. No obstante, en la formulación de Dirac se presenta una nueva herramienta, una innovación que llamará función 6, y que supone una aportación extraordinaria de Dirac a la matemática pura, pues es la precursora de la teoría de funciones generalizadas que Schwartz desarrollará en 1945. Una “función” así (la notación formal y elegante de Dirac no cuadra con la idea clásica de función y por tanto, hablando con propiedad, no se le podía dar tal nombre) parece que ya fue sugerida en su momento por Heaviside, si bien no cabe ninguna duda de que Dirac la sugiere de modo independiente y de que es él quien la utiliza de modo extenso, con gran utilidad, y la populariza rápidamente como herramienta usual para la física.

El Instituto Matemático de Gotinga.
“De entre todos los físicos, Dirac tiene el alma más pura”.§. Estancia en Gotinga
Llega a Gotinga en tren y allí se encuentra, entre otros, con Born, Jordán, Oppenheimer, Weyl y, por supuesto, Heisenberg (cuando éste no se halla en Copenhague).
La universidad, en la que Carl Friedrich Gauss había sido profesor el siglo anterior, y en el momento de la llegada de Dirac lo es David Hilbert, es el primer centro de investigación matemática del mundo, al menos hasta la purga nacionalsocialista que en 1933 expulsará o hará que huyan muchas de sus figuras. Así, lo primero que hace Dirac al llegar es completar su formación en algunos métodos matemáticos para la física cuyo conocimiento no le fue aportado en Cambridge.
Tal es el caso, por ejemplo, de la teoría de grupos. Esta fue introducida en la mecánica cuántica especialmente en los años 1927 a 1929 por Weyl y Wigner. Dirac tiene la suerte de encontrar allí a uno de esos pioneros: el matemático alemán Hermann Weyl, y de él recibe clases de esa complicada materia. Pese a tener una gran facilidad para la abstracción Dirac encuentra ardua la materia y se ve poco interesado por encuadrar en ella los resultados que ha obtenido en la mecánica cuántica. Una muestra de los sentimientos de Dirac hacia su profesor de teoría de grupos se tiene en una entrevista que concedió meses después a un periodista americano en la que a la pregunta de si había alguna persona en el mundo que ni siquiera él comprendiera, Dirac contestó: Sí, Weyl.
Durante su estancia en Gotinga, Dirac continuó con su producción científica -en concreto, realizó una aportación importante a la teoría cuántica de la radiación- y fortaleció sus contactos. Así, tuvo ocasión de debatir a menudo con su amigo Heisenberg acerca de las relaciones de incertidumbre, que no le convencían demasiado, y Heisenberg pudo incluso presentarle cómo en un trabajo junto con Bohr habían sido capaces de confirmar experimentalmente la imposibilidad de medir simultáneamente la posición y la velocidad de un electrón. También trabó amistad con el americano J. Robert Oppenheimer (posteriormente director científico del proyecto Manhattan). Ambos viajarán a la Universidad de Leiden invitados por Ehrenfest, allí se le ofrecerá un puesto para los dos años siguientes que Dirac rechazará.
De vuelta a Cambridge, con su contrato a punto de expirar y tras la lógica preocupación por su futuro, Dirac consigue una plaza de profesor en el St. John’s College.
§. La ecuación relativista del electrón
Tras su regreso a Cambridge, Dirac retoma uno de sus trabajos favoritos: tratar de transcribir determinadas ecuaciones de modo que sean compatibles con la relatividad especial. Esta vez el objeto de tal investigación es ni más ni menos que las ecuaciones de la mecánica cuántica.
Tanto la mecánica matricial de Heisenberg como la mecánica ondulatoria de Schrödinger (que, recordemos, son totalmente equivalentes) son manifiestamente no relativistas: así, la ecuación de Schrödinger:
![]()

Muchos trataron de encontrar una ecuación de ondas relativista, si bien el primero en publicar fue Oskar Klein, en la primavera de 1926, la que hoy se conoce como ecuación de Klein-Gordon, que obtenemos a continuación.
Ciñéndonos nuevamente al caso de una dimensión espacial, en una simplificación que no resta nada esencial a la deducción, supongamos que se desea obtener una ecuación diferencial de la que sean solución todas las ondas planas de la forma:
![]()






E2 = m2c4 + p2c2
se puede sustituir en la ecuación diferencial anterior:-E2 + p2c2 = -m2c4


A modo anecdótico comentaremos que Schrödinger obtuvo esta ecuación antes incluso que su famosa ecuación de onda, pero no la publicó y siguió investigando hasta llegar a su formulación porque la ecuación hoy conocida como de Klein-Gordon ¡no está de acuerdo con las observaciones sobre el espectro del átomo de hidrógeno! Klein y Gordon (y otros de los muchos que llegaron a ella en el lapso de unos pocos meses) no se preocuparon en exceso por este hecho y publicaron sus respectivos artículos.
Dirac, por su parte, en su búsqueda de una ecuación que describiera el comportamiento de un electrón, rechazó la idea de tener una derivada de segundo orden para el tiempo con un argumento sutil. Si, dice Dirac, la ecuación de Klein-Gordon sólo permite obtener la derivada segunda temporal, entonces la derivada primera es desconocida y, por tanto, también la densidad de carga eléctrica, pues depende de y de su primera derivada temporal según la formulación que se deduce de la ecuación de Klein-Gordon:

Valga decir aquí que la ecuación de Klein-Gordon demostró a la larga ser válida para bosones pero no para fermiones, por lo que Dirac estaba en el camino correcto para encontrar su teoría del electrón. Veamos cómo consiguió hacerlo.
Recuperemos la ecuación de Schrödinger dependiente del tiempo para una dimensión:



Hψ = Eψ
Ahora bien, ¿por qué ha de tener esta expresión el hamiltoniano H? Bueno, esto es sólo consecuencia de la expresión que Schrödinger le adscribió a la función de onda. Es decir, suponiendo una partícula libre (o sea, no sujeta a ningún potencial V) el hecho de que su observable energía quede definido mediante:

Pero ya sabemos que Dirac está más preocupado en principio con la estética de las ecuaciones que con la posible concordancia con los datos observacionales disponibles. Para él, el objetivo es conseguir una teoría relativista, y para ello las derivadas temporales y espaciales deberán ser del mismo orden, pues el encuadre dentro del espacio-tiempo minkowskiano (o einsteiniano si se prefiere) así lo requiere. Habiendo concluido que la derivada temporal ha de ser de primer orden, intenta formular una ecuación en que también las derivadas espaciales sean de primer orden.
Para ello, y puesto que la energía relativista para un electrón libre se escribe:
![]()


De este modo, Dirac propone la linealización siguiente:
![]()




iγ ∙ ∂ψ = mψ
que es tal y como se encuentra cincelada en la placa memorial a P A. M. Dirac que se halla en la abadía de Westminster de Londres. En esta notación se ha designado mediante el producto escalar γ∙∂:
![]()

![]()
![]()
§. La deducción del espín: “Dirac tiene más de lo que merece”
Desde hacía unos cuantos años eran conocidas ciertas anomalías espectroscópicas que sucedían en presencia de campos magnéticos. Las diferencias respecto del desdoblamiento de líneas espectrales esperado (llamado efecto Zeeman) eran inexplicables y pasaron a llamarse simplemente efecto Zeeman anómalo.
En 1922 Stern y Gerlach realizan un experimento que permite deducir que los electrones tienen un momento magnético intrínseco con sólo dos valores posibles. Cuatro años después, en 1926, los jóvenes físicos Goudsmit y Uhlenbeck proponen la atrevida idea de que el electrón tiene un momento angular intrínseco, es decir, que la partícula gira de alguna manera sobre sí misma de modo que produce precisamente ese momento magnético anómalo. Tanto la desmesurada velocidad de giro necesaria para producir el momento esperado, como la imposibilidad de explicar qué es una rotación sobre sí mismo si se considera, como todas las observaciones muestran, que el electrón es puntual, parecen ser ideas completamente absurdas. Sin embargo, publican su teoría. En palabras de su mentor, Ehrenfest,
“es una bonita idea, aunque puede que incorrecta. Pero vosotros todavía no tenéis una reputación, así que no tenéis nada que perder.”La introducción de un número cuántico adicional para explicar ese momento angular intrínseco del electrón o espín, con sólo dos valores posibles, +½ћ y -½ћ, resulta finalmente la explicación a los dilemas surgidos de la experimentación, pero durante un tiempo no se sabe cómo incluir ese espín en la ecuación de ondas. Pauli y Darwin (nieto del famoso naturalista autor de El origen de las especies) obtienen independientemente teorías equivalentes que explican el espín pero que no son relativistas.
Dirac, por su parte, utiliza su ecuación (cuya formulación obtuvimos para un electrón libre) para estudiar qué le pasa a un electrón en un campo electromagnético. De modo totalmente asombroso, encuentra que dicho electrón tiene justamente el mismo campo magnético que surge del modelo de electrón con espín. De esta manera, trabajando para construir una teoría relativista del electrón ha conseguido, sin preocuparse por el espín, no sólo dicha teoría sino además la deducción del espín. En sus propias palabras
No me interesaba incluir el espín del electrón en la ecuación de onda, ni siquiera consideré esa cuestión [...] La razón es que mi interés principal era obtener una teoría relativista de acuerdo con mí interpretación física general y mí teoría de la transformación [...] Fue una gran sorpresa para mí descubrir después que el caso posible más simple ya implicaba el espín.Al hablar del “caso posible más simple” se refiere a las matrices 4×4 que ha utilizado, las de más bajo orden que cumplen los condicionantes que se ha impuesto para obtener una ecuación relativista. Sin embargo, no olvidemos que la ecuación que Dirac ha obtenido son realmente 4 ecuaciones: dos reflejan al electrón en sus dos posibles estados de espín, pero qué representan las otras dos sigue siendo un misterio.
Aun así, las noticias de la obtención de una ecuación que, partiendo de primeros principios, permite deducir el espín, resuenan con enorme expectación entre sus colegas en las navidades de 1927, antes de su publicación en los Proceedings of the Royal Society a principios de 1928. El carácter de ecuación con derivadas de primer orden exclusivamente, también sorprende muy favorablemente a la comunidad física y, por supuesto, el hecho de que proporcione los niveles esperados para el átomo de hidrógeno.
En la construcción de su teoría del electrón, Dirac muestra cómo hacer física sólo a través de las matemáticas. La elaboración de una teoría únicamente mediante unos primeros principios, y simplemente jugando con las ecuaciones de modo que finalmente se pueden deducir nuevos efectos (como el espín del electrón), es algo que Dirac hace como nadie. El asombro de sus contemporáneos puede imaginarse si vemos algunas de sus reacciones a la ecuación de Dirac. Uno de sus colegas de Cambridge comenta:
“Todos los descubrimientos de Dirac aparecieron de repente y allí estaban. Nunca le oí hablar de ellos ni nadie del lugar le oyó comentar nada acerca de ellos. Salieron de la nada”.Jordán, trabajando también en una teoría del espín del electrón, comenta con resignación:
“Habría sido mejor que hubiéramos encontrado nosotros la ecuación, pero la deducción es tan bella y la ecuación tan concisa que debemos estar felices de tenerla”.Por su parte, Rosenfeld, desde Gotinga, se expresa en los siguientes términos:
“La deducción del espín fue considerada como un milagro. El sentir general era que Dirac había obtenido más de lo que merecía. ¡Hacer física de esa manera nunca se había hecho! [...] La ecuación de Dirac fue vista inmediatamente como ‘la solución’. Fue considerada como una maravilla absoluta”.Dirac consigue así por primera vez publicar algo totalmente original, algo que nadie había formulado anteriormente de una manera equivalente. Algo que es un verdadero descubrimiento, probablemente el mayor de su vida, especialmente por lo que está por llegar, como veremos a continuación.
§. Un hecho todavía más asombroso: la predicción de la antimateria
Hemos visto que la ecuación del electrón de Dirac describe satisfactoriamente un electrón en sus dos estados de espín pero que, sin embargo, existen otras dos componentes que se desconoce a qué hacen referencia. Así, su ecuación fue durante un tiempo también una fuente de gran desconcierto.
El propio Dirac diagnostica correctamente la fuente de estos dos estados adicionales del electrón: además de los estados del electrón con energía positiva, existen dos estados con energía negativa, y no sólo para el electrón sino para cualquier partícula cuántica, puesto que su ecuación de ondas relativista deberá formularse teniendo en cuenta la definición de energía relativista:
E2 = m2c4 + p2c2
o bien:![]()
Uno soluciona la dificultad en la teoría clásica simplemente excluyendo de modo arbitrario las soluciones de energía negativa. Pero uno no puede hacer esto en la teoría cuántica puesto que, en general, una perturbación puede causar una transición de un estado con energía positiva a un estado con energía negativa.Así que especuló que las soluciones de energía negativa estarían asociadas con partículas de carga opuesta a la del electrón. Le costará más de año y medio apreciar con exactitud qué es lo que está proponiendo realmente con esta idea. Mientras tanto ideas tan contradictorias como las siguientes se suceden en algunas de sus exposiciones de la nueva teoría.
La mitad de las soluciones deben ser rechazadas al referirse a la carga +e del electrónUnos meses después ya no habla de rechazo sino, dice que,
consecuentemente, la teoría presente es una aproximación.Y en una carta a Klein confiesa:
no he encontrado el éxito en mis intentos para resolver la dificultad ±e. Heisenberg (a quien me encontré en Leipzig) piensa que el problema no se resolverá hasta que se tenga una teoría conjunta del electrón y el protón.Y es que lo que va apareciendo como más plausible es que el electrón con carga positiva sea el protón. Así que, con el fin de hacer que las transiciones electrón-protón sean posibles de un modo razonable, Dirac concibe un mundo de estados negativos de energía uniformemente ocupados por un número infinito de electrones. Asumamos, dice Dirac, que todos los estados de energía negativa están ocupados -salvo quizá unos pocos- por electrones, uno por cada estado, según el principio de exclusión de Pauli. E imaginemos que uno de esos electrones de energía negativa es extraído, dejando un agujero en la distribución inicial. Este vacío actúa como una partícula con carga positiva, en palabras de Dirac:
llegamos a la asunción de que los huecos en la distribución de electrones de energía negativa son los protones.La identificación de los huecos en el mar de electrones como partículas es muy sugerente pero ¿por qué habrían de ser protones? Recordemos que en el año en que nos encontramos, 1929, las únicas partículas subatómicas conocidas son el protón y el electrón; ni siquiera el neutrón ha sido descubierto (lo será en 1932 por Chadwick), así que la introducción de nuevas partículas elementales desconocidas para los experimentalistas era, desde luego, una opción muy poco atractiva para Dirac. Al menos hasta que en 1930, Tamm y Oppenheimer, de modo independiente, mostraron que con ese modelo propuesto todos los átomos serían inestables mediante el proceso: protón + electrón → fotón. Y especialmente cuando Heisenberg, Pauli y Weyl, todos de modo independiente, obtienen que según la teoría de Dirac la masa de la partícula de carga positiva debía ser exactamente la misma que la del electrón (mientras que la masa del protón es unas 1836 veces la del electrón). Como el mismo Heisenberg escribe a Dirac:
“Pienso que tu teoría está muy lejos de cualquier correspondencia con las leyes clásicas y los hechos experimentales”.Sin embargo, una de las máximas de Dirac es que si la teoría es buena se ha de confiar en ella, así que, Dirac se atreve a dar un pequeño paso adelante-según sus palabras- y propone en mayo de 1931:
Un hueco, sí lo hubiera, sería una nueva clase de partícula, desconocida para la física experimental, que tendría la misma masa que el electrón y carga opuesta. [...] Podemos llamar a esa partícula anti-electrón.Será el año siguiente cuando Blackett, trabajando en el Laboratorio Cavendish, en el mismo Cambridge, le comenta que él y Occhialini han obtenido evidencias de la existencia de dicha partícula en la cámara de niebla (básicamente un dispositivo que permite seguir los trazos de partículas cargadas -que se mueven en un campo magnético siguiendo direcciones distintas según su carga- mediante la ionización producida en el gas).

Representación esquemática del mar de electrones de Dirac: infinito e inobservable.

Un hueco se vería como un antielectrón, tal que un electrón cercano podría interaccionar con él "ocupando su lugar", de modo que se desintegren ambos y se libere gran cantidad de energía.
El descubrimiento de Anderson de la primera antipartícula, realizado según él sin conocer la predicción de Dirac, le valdrá el premio Nobel en 1936. A Blackett y Occhialini les proporcionará el coraje que en su momento no tuvieron para publicar todos sus resultados, que no hicieron más que confirmar el hallazgo de Anderson y la predicción de Dirac.
Para Dirac, la observación del positrón, tal y como su ecuación del electrón predecía, es una confirmación espectacular, si bien dice que le produjo mucho más agrado encontrar la ecuación con la que éste encaja. Para la comunidad internacional la observación de antimateria resulta lo más asombroso, mientras se sigue mirando con recelo la teoría de Dirac, especialmente en cuanto a su idea de los huecos en un mar de energía negativa, que al final acabaría abandonándose.
Según reconoce Heisenberg retrospectivamente en 1972:
“Creo que el descubrimiento de la antimateria fue quizá el salto más grande de todos los grandes saltos de la física de nuestro siglo”.
§. Honores merecidos. El premio Nobel
En la década de los treinta los honores le llueven a Dirac. Ya no es un estudiante prometedor, sino más bien un genio que pronto será comparado con Newton, Maxwell y Einstein. Las ofertas de trabajo le llegan de universidades de todo el mundo, si bien él decidirá quedarse en Cambridge todavía muchos años más.
En 1930 publica Los principios de la mecánica cuántica, libro donde con gran profundidad ofrece en un formalismo conjunto los trabajos previos de Heisenberg de mecánica matricial, los de Schrödinger de mecánica ondulatoria y su teoría de la transformación, función delta, notación bra-ket, y un largo etcétera de ideas estimulantes, por medio de una formulación de operadores actuantes sobre los vectores del espacio de Hilbert que describen el estado del sistema. El libro se convertirá rápidamente en una referencia obligada, y lo seguirá siendo durante muchos años.
La cátedra lucasianaLa que es probablemente la cátedra más famosa en el ámbito mundial fue fundada en 1663 por donación de Henry Lucas, parlamentario por la Universidad de Cambridge, quien dejó escrito en su testamento que se compraran tierras por un valor tal que proporcionaran beneficios anuales para financiar una cátedra de matemáticas en la Universidad de Cambridge que llevara su nombre. El rey Carlos II firmó la carta de aceptación de dicha cátedra el 18 de enero de 1664, de modo que el famoso matemático Isaac Barrow pasó a ser el primero de sus ocupantes.
El sucesor de Barrow será, sin ninguna duda, el más conocido de todos los catedráticos lucasianos: Isaac Newton. Con él comienza la diversificación de conocimientos que caracterizará a los ocupantes de dicha cátedra: no sólo matemáticas sino física, química, astronomía, geofísica y un largo etcétera de disciplinas cultivadas, además de la continua preocupación por los fundamentos de la ciencia.
Además de Newton han sido ocupantes de dicha cátedra otros muchos científicos ilustres. El astrónomo, físico y geodesta George Airy será conocido, entre otras cosas, por sus estudios de difracción, en especial el llamado disco de Airy, y por establecer el actual meridiano de Greenwich. Charles Babbage, matemático, filósofo e ingeniero, concebirá la idea de un ordenador programable ya en el siglo XIX. Otro ilustre, sir George Gabriel Stokes, hará contribuciones fundamentales a la dinámica de fluidos (especialmente las conocidas como ecuaciones de Xavier-Stokes), óptica y matemáticas, donde el teorema de Stokes es su resultado más famoso. El físico, matemático y político sir Joseph Larmor será el primero en publicar las hoy conocidas por transformaciones de Lorentz (dos años antes que Lorentz) en que Einstein basará su teoría de la relatividad especial ocho años después. Paul Dirac le sucederá y, tras James Lighthill, encontramos a su actual ocupante: el físico teórico y cosmólogo Stephen Hawking, popular sobre todo por sus trabajos sobre agujeros negros y sus obras de divulgación.
Ese mismo año es elegido miembro de la Royal Society y en 1932 pasa a ocupar la cátedra lucasiana de matemáticas de Cambridge. Al año siguiente, en 1933, será galardonado con el premio Nobel de física junto con Schrödinger (Heisenberg recibió el de 1932 en esa misma ceremonia, pues el año anterior no pudo entregarse). Sin embargo el tímido Dirac no era alguien a quien fama y honores le agradaran demasiado, así que, en un primer momento pensó en no aceptarlo. Sólo tras meditar y concluir que el rechazarlo le otorgaría todavía más publicidad se decidió, con resignación, a aceptar el preciado galardón. Desde aquél momento los periodistas -que tan poco le gustaban- lo buscarían a menudo, mientras Dirac desarrollaba nuevas habilidades para esquivarlos. Dirac recibió el premio en Estocolmo el 11 de diciembre, acompañado en su viaje por su madre. Su padre, que aún vivía, no fue invitado a la ceremonia.
Por otra parte, también su vida personal cambió de un modo importante cuando el 2 de enero de 1937 se casó con Margit Wigner, la hermana de su amigo Eugene Wigner, famoso físico húngaro que también recibirá el premio Nobel de física en 1963.
Esta decisión necesitó de gran coraje por su parte, puesto que Dirac no estaba nada acostumbrado a tratar con cuestiones sentimentales, pero -salvando sus incompatibilidades- la pareja vivió junta el resto de sus días.

Los fundadores de la mecánica cuántica y los premios NobelNo siempre es fácil apreciar la importancia de las contribuciones que realiza a la ciencia cada uno de sus actores, y mucho menos hacerlo con poco tiempo de perspectiva.En el caso de los premios que concede la Academia Real de Ciencias Sueca esto no es una excepción: además de “olvidos" notables, hay “retrasos" a veces de más de veinte años, los cuales se justifican diciendo que el galardón "se otorga por toda la vida científica”, si bien, en realidad, siempre se indica el motivo exacto de su otorgamiento y bastantes ganadores tenían treinta y pocos años cuando lo recibieron (¡incluso Bragg sólo veinticinco!) y se encontraban, al menos en principio, al comienzo de su vida científica.
Un buen ejemplo es la consideración dispar que la Academia Sueca dispensó a esos hombres que fundaron la mecánica cuántica. No nos referimos aquí a quienes formularon los fundamentos de la titubeante primera física cuántica, a saber: Planck, galardonado en 1918; Einstein en 1921 “especialmente por el efecto fotoeléctrico", no por la teoría de la relatividad; Bohr, premiado en 1922 por “cuantizar” el modelo atómico de su maestro Rutherford (quien sorprendentemente había recibido en 1908 el premio Nobel ¡de Química!); y De Broglie, que obtuvo su premio en 1929. Nos referimos más bien a quienes otorgan a esa nueva física cuántica un marco sólido y coherente en que trabajar, es decir, a los que construyen, a mediados de los años veinte, lo que se conocerá como mecánica cuántica y los cuales recibirán, como veremos, un trato muy diferente. Recordemos cuáles son los nombres de estos actores principales: Heisenberg, Born, Jordán, Schrödinger, Dirac y Pauli. No deseamos, sin embargo, olvidar por completo a otros muchos que contribuyeron a ella, bien sea de modo teórico o experimental, algunos de los cuales sí fueron galardonados por la Academia. La historia, sin embargo, no los elevó al Olimpo de “los creadores de la mecánica cuántica”. Klein, Kramers, Ehrenfest, Compton, Wigner, Von Neumann y otros muchos sólo suelen ser recordados porque contribuyeron a su desarrollo.
Tres años después de la aparición de los artículos de Heisenberg, Born y Jordán que desarrollan el formalismo matricial de la mecánica cuántica, Albert Einstein hace uso del privilegio de nominar que le otorga el haber sido premiado con anterioridad y propone a los tres como ganadores del premio de 1928. La Academia niega el reconocimiento a la mecánica cuántica propuesto por el gran científico.De un modo similar sucederá al año siguiente, cuando Hans Thirring, invitado a nominar por la Academia, propone como primera opción a Heisenberg y Schrödinger, y como siguientes opciones a De Broglie y Dirac. Según el comité, las teorías de Heisenberg y Schrödinger “no han dado lugar por el momento a ningún nuevo descubrimiento fundamental", así que concede el premio a De Broglie en solitario.
Auditorio de Estocolmo, lugar de entrega de los Nobel de física, en los años treinta del siglo pasado.
En 1933 debían ser concedidos dos premios, el de 1932, que no se había podido entregar, y el de 1933. William Bragg (galardonado en 1915) propone que los premios se concedan a Schrödinger, Heisenberg y Dirac, quienes según él tienen una prioridad muy difícil de distinguir en la creación de la mecánica cuántica. La Academia esta vez asiente y concede el de 1932 en solitario a Heisenberg y el de 1933, compartido, a Schrödinger y Dirac. Et mismo Heisenberg escribe a Born lamentándose de recibir él solo el premio por un trabajo hecho en colaboración con él y con Jordán. En sus propias palabras, la contribución de Born y Jordán a la mecánica cuántica no podrá ser cambiada “por una decisión externa equivocada".
Y es que de los cinco miembros del comité que concede el premio sólo dos tienen contacto con la teoría cuántica que están valorando. Además este comité no tiene la obligación de tomar en consideración el número de nominaciones recibidas para cada candidato y, en cualquier caso, la decisión ha de ser finalmente adoptada por la Academia Real de Ciencias Sueca en sesión plenaria.
Esto posibilita que, sorprendiendo a muchos, Dirac obtenga el galardón pese a obtener sólo dos nominaciones, de Bragg y Bialobrzeski, y en ninguno de los dos casos como primera opción. Sommerfeld, Bridgmann, Davisson y Paschen recibirán todos ellos más nominaciones que Dirac pero no se les concederá el premio. Por su parte, Schrödinger, con quien comparte el premio, será recomendado por figuras de la talla de Bohr, Einstein y De Broglie. Al menos en este caso, vemos que la Academia contradijo las indicaciones de algunas de sus fuentes para acabar honrando, tal y como era merecido, al fundador Dirac. Especialmente llamativo es que esto sucediera después de que Oseen, encargado de hacer la memoria de Dirac para el comité, escribiera de él cosas como que “su trabajo no es fundamental, como lo es el de Heisenberg que “Dirac es un sucesor y se ha limitado a desarrollar las ideas de Heisenberg” y que esto “¡no le ha dejado tiempo para hacer un trabajo realmente innovador!’’. Observamos perplejos como la ecuación del electrón, que explicaba el espín y predecía la existencia de la antimateria (ya descubierta cuando se redacta esta memoria), no era para algunos -de visión indudablemente limitada- un trabajo innovador.
¿Que hay del resto de los protagonistas? Pauli tendrá que esperar aún doce años más, hasta 1945, para recibir su reconocimiento, aunque éste se limitará, tal y como juzga la Academia Sueca, al descubrimiento del principio de exclusión que lleva su nombre, dejando de lado sus muchas otras aportaciones, como el modelo de electrón con espín o la propuesta del neutrino. Por su parte, Born recibirá el premio en 1954 por un trabajo realizado ¡veintiocho años atrás!
Jordán, desafortunadamente, nunca será reconocido con el preciado galardón. Para algunos será un error imperdonable, pues según ellos Jordán es el miembro de la tríada Heisenberg-Born-Jordan que dio mayor profundidad y consistencia a los fundamentos de la mecánica cuántica propuestos. Pudo pesar, quizá, su clara condición de militante nacionalsocialista, si bien ello nunca le impidió referirse con admiración a ¡as obras de los colegas perseguidos como Einstein, a pesar de que ello iba en clara contradicción con la propaganda de su partido. Quizá pesara su consideración más como matemático que como físico (recordemos que Alfred Nobel no quiso instaurar un premio de matemáticas). En cualquier caso, tan tarde como en 1979, Eugene Wigner propone su nombre, una vez más, al comité del premio Nobel de física. La respuesta de la Academia dará sólo en parte la razón a Wigner: honrará a Glashow, Salam y Weinberg, herederos todos ellos de la ciencia de Jordán.
Capítulo 4
Renormalización: el gran desengaño de Dirac
Realmente me he pasado la vida tratando de encontrar mejores ecuaciones para la electrodinámica cuántica, y hasta ahora sin éxito, pero sigo trabajando en ello.§. Electrodinámica cuántica
P. A. M. Dirac (a la edad de 77 años).
A partir de 1933, la creación y aniquilación de pares electrón- positrón (según el proceso fotón/es → electrón + positrón o bien electrón + positrón → fotón/es) comienza a ser un fenómeno ampliamente considerado en diversos campos de la física, como en el estudio de los rayos cósmicos, tal y como hizo Anderson, o en los aceleradores de partículas. Los fenómenos en que el número de partículas no se conserva y existe creación o destrucción de ellas comienzan a ser cada vez más numerosos. En la llamada desintegración beta sucede el proceso de desintegración de un neutrón en un protón, un electrón y un antineutrino (la antipartícula del neutrino, propuesto por Pauli en 1930):
n→p + e + v
Tal y como muy acertadamente propone Fermi, no puede entenderse que el electrón exista como tal en el neutrón antes del proceso de desintegración, sino que más bien adquiere su existencia en el momento preciso en que se produce dicho proceso.Por otra parte, según el propio Dirac, el simple efecto Compton, disminución de la energía de un fotón al interaccionar con un electrón- ya ha de ser concebido como un proceso en el que no existen sólo dos partículas, sino que es posible la creación por un cortísimo periodo de tiempo de pares electrón-positrón (es posible la violación de la conservación de la energía en una cantidad ΔE lo suficientemente alta como para permitir la creación del par, y la posterior destrucción en un tiempo Δt tan pequeño que el producto ΔEΔt no supere el límite ћ/2 dado en la relación de indeterminación de Heisenberg). Esto convierte al problema, que inicialmente era de sólo dos partículas, en uno en que además pueden existir infinitas partículas virtuales.
De esta manera, la creación de pares virtuales electrón-positrón comienza a ser la forma aceptada de interacción de la radiación con la materia y empiezan a desarrollarse las teorías que dan cuenta de ello -teorías cuánticas de campos-, cuya representante más exitosa es la llamada electrodinámica cuántica.
Sin embargo, las dificultades que se encuentran en la formulación de la nueva teoría son gigantescas. La complejidad de tratar incluso las interacciones más simples es manifiesta. Así, la formulación no puede hacerse sino por medio de una serie de sucesivas aproximaciones. Las aproximaciones más groseras, esto es, las que incluyen correcciones sólo de primer orden, dan resultados que concuerdan bastante bien con las observaciones. Sin embargo, al utilizar aproximaciones con un mayor número de términos ¡se obtiene un resultado infinito!
La mayoría de físicos piensan, ya en 1934, que la teoría está en crisis, y que para altas energías es falsa o cuanto menos únicamente aproximada. Durante más de una década los resultados serán más que desalentadores, tal y como se refleja en algunos comentarios de los protagonistas de la época:
“Con respecto a la electrodinámica cuántica estamos en la fase en que estábamos en 1922 respecto a la mecánica cuántica: sabemos que todo está mal” (Heisenberg, 1935).Esta crisis profunda hará que muchos físicos queden enormemente frustrados y abandonen dicho campo. Alguno tan importante como lo había sido Jordán, incluso abandona la física por completo y se dedica a la biología primero y a la geofísica después. Einstein y Schrödinger, nunca muy favorables a la teoría cuántica de campos, se muestran ahora más críticos que nunca. Bohr, Pauli, Heisenberg, Born y el mismo Dirac claman por una nueva revolución que sustituya a la teoría presente, y que nunca llegará (al menos hasta el momento). Por su parte, Paul Ehrenfest, con una severa depresión en parte por “haber sido cada vez más difícil para mí seguir los desarrollos de la física con comprensión” y “finalmente haber sucumbido a la desesperación”, se suicida en 1933, tal y como había hecho años antes su maestro Ludwig Boltzmann.
“Dada su extrema complejidad [de la electrodinámica cuántica], muchos físicos estarán felices de ver su fin” (Dirac, 1937).
“Tal y como se formula por el momento, la electrodinámica cuántica no tiene ningún sentido” (Bethe y Oppenheimer, 1946).
Infinitos en el electrónUn ejemplo de la aparición de infinitos surge en el estudio de la autoenergía del electrón. Ya en la teoría electromagnética clásica se conocía que un electrón que se considerara de dimensión puntual tenía asociada una energía infinita. Esto es, si la energía electrostática, que aquí llamaremos W por no confundirla con el campo electrostático E, tiene por expresión:i>y sustituimos:
tenemos que:
Si el electrón se considera puntual, los límites de integración (todo el espacio exterior al electrón) son O e infinito y, por tanto, se obtiene una integral linealmente divergente:
Clásicamente, se supuso que el electrón podía tener cierta estructura, por ejemplo ser una esfera de radio R con la carga distribuida en la superficie. De este modo, al integrar entre R e infinito la energía resultaba finita:
aunque no se explicaba cómo podía mantener el electrón dicha estructura. Se podía entender que el electrón tenía así una masa de origen electromagnético, siguiendo la relación de Einstein:
que contribuía a su masa “mecánica ” m para formar la masa observable de modo experimental:
mobs = m + mem
De esta manera se tiene que a la masa mecánica del electrón se le ha de añadir la masa de origen electromagnético para dar cuenta de la masa que se observa de modo experimental.
La suposición de un electrón de tamaño finito, como por ejemplo la esfera de radio R que acabamos de considerar, resultó ser insostenible en el marco de la mecánica cuántica, pero la idea de una masa observada, que se obtiene mediante modificación de la masa teórica del electrón por la masa resultante de los efectos del campo, resultaría también una necesidad.
De esta manera, la masa desnuda o teórica del electrón m, y del mismo modo la carga desnuda o teórica del electrón e, se tienen que modificar para dar lugar a la masa (o respectivamente carga) vestida, física, efectiva u observada m0bs (o como consecuencia de los efectos del campo, que en el caso de la electrodinámica cuántica se representa como una nube de infinidad de partículas virtuales que se crean y se destruyen y en el entreacto interactúan con el electrón:mobs = m + δm
eobs = e + δe
Dirac es de los primeros en atacar el problema y en agosto de 1933 escribe a Bohr:
“Peierls y yo hemos estado estudiando la cuestión del cambio en la distribución de positrones producido por un campo electrostático. Hemos obtenido que ese cambio causa una neutralización parcial de la carga que produce el campo.[...]Si despreciamos las perturbaciones que produce el campo en positrones de energías todavía menores que -137mc2 entonces la neutralización de la carga producida [...] es pequeña y del orden de 1/137. Tenemos entonces una imagen en que todas las partículas cargadas de la física, electrones, núcleos atómicos, etc., tienen cargas efectivas ligeramente menores que sus cargas reales, siendo el ratio entre ambas aproximadamente 136/137”.
Dirac y Peierls acaban de obtener una primera aproximación de = -1/137. Sin embargo, el valor obtenido se logra tras eliminar algunos términos divergentes de los cálculos, de ahí la advertencia de que el valor obtenido sólo es válido para bajas energías. Para electrones por encima de 137mc2 o positrones por debajo de -137mc2 Dirac reconoce que "debemos suponer que la teoría no es válida".
La aproximación de Dirac es, en cualquier caso, de primer orden, es decir considera sólo la primera potencia de la constante de estructura Una a o, lo que es lo mismo, considera únicamente que la interacción del electrón con el campo se efectúa únicamente con dos acoplamientos, es decir a la manera de “el electrón emite un fotón (virtual) e instantes después lo absorbe". Pero también las potencias superiores (los casos con más acoplamientos) deberían considerarse para dar cuenta de un modo correcto de la interacción del electrón con el campo, es decir, puede suceder que “el electrón emita un fotón que llamaremos I, instantes después emita un fotón 2, absorba el fotón 2 y después el fotón I” o bien que “el electrón emita un fotón 1, y después un fotón 2, que el fotón 1 se transforme en un par electrón-positrón mientras que el fotón 2 es reabsorbido por el electrón y que tiempo después se aniquile el par electrón-positrón formando un nuevo fotón que es absorbido por el electrón". Como vemos, las posibilidades de formación, destrucción e interacción con partículas virtuales pueden ser muy numerosas, aun en el escaso tiempo permitido por la relación de indeterminación energía-tiempo, y todas ellas han de ser consideradas para realizar el cálculo de un modo correcto. Dirac y sus coetáneos pensaban que estos términos de órdenes α2 y superiores supondrían, tal y como suele suceder en un desarrollo en serie, correcciones cada vez menores. Sin embargo, el hecho de que tuvieran que considerar que cada uno de esos procesos de emisión, absorción, creación o aniquilación puede suceder en cualquier punto les llevó a integrales divergentes. Es decir, como pronto se vio, los coeficientes eran pequeños... ¡pero multiplicaban a infinito!
De esta manera se obtuvo que las correcciones, en principio supuestas pequeñas, δm y δe eran infinitas, y que, por tanto, y ya que los únicos valores que se pueden observar son la masa experimental u observada mobs y la carga experimental u observada eobs, resulta que la masa teórica o desnuda del electrón m y la carga teórica o desnuda del electrón son ambas infinitas.
Analizando el problema con un poco más de cuidado, podríamos argumentar que no se puede asegurar que si sumamos los términos de los infinitos órdenes en que se desarrollan δm y δe, y que son cada uno de ellos infinito, no se obtenga una cantidad finita. Parece una posibilidad poco probable, pero esto sigue siendo una incógnita hoy en día.
En cualquier caso, se pone de manifiesto que la validez de algunos de los pocos resultados de la teoría es consecuencia de la relativa pequeñez de la llamada constante de estructura fina:


Según piensan los pioneros de la electrodinámica cuántica, el hecho de que la constante de acoplamiento sea mucho menor que 1 permite el desarrollo en potencias de a de cualquier observable que se pretenda estudiar, de modo que las potencias mayores de α serán cada vez menos y menos importantes. Todo correcto... salvo que las integrales asociadas a las potencias mayores resultarán ser divergentes (esto es, darán un resultado infinito). Por ello, en muchos casos sólo pueden calcular con éxito el primer término de la aproximación, e incluso así, con algunas simplificaciones.
§. Renormalización
Tal y como hemos dicho, los infinitos encontrados en el cálculo de cualquier observable mediante una teoría, por otra parte tan complicada, como la electrodinámica cuántica hacen que muchos de los físicos que contribuyeron a su creación, como el mismo Dirac, ansíen ahora la llegada de una teoría revolucionaria que venga a reemplazarla. Una nueva generación de jóvenes físicos dará sin embargo una solución conservadora al problema. Una solución operativa, consistente en una serie de reglas de cálculo que, sin añadir o quitar nada de los fundamentos teóricos de la electrodinámica cuántica, permita extraer de sus ecuaciones resultados finitos. La llamada “renormalización” se puede entender de un modo muy simplificado como la absorción de los infinitos mediante otras cantidades infinitas, o bien como el conjunto de reglas operativas que permiten hacer desaparecer infinitos.
A nivel operativo, la renormalización supone que uno no se preocupa, por ejemplo, del momento magnético del electrón teórico o desnudo, sino que simplemente trabaja con el electrón experimental de un modo que permite que se cancelen todos los infinitos.
En 1947 y 1948 será Julián Schwinger quien desarrolle un método de cálculo en el que el mantenimiento sistemático de la invariancia relativista en todos los términos del desarrollo permita descartar integrales divergentes, que se refieren a magnitudes no observables (sino relacionadas con la carga y masa del electrón desnudo), de modo que los resultados obtenidos sean finitos. El método de renormalización de Schwinger ya había sido desarrollado de modo independiente por el japonés Sinitiro Tomonaga unos pocos años antes, pero el aislamiento en que la guerra y la posguerra habían sumido a Japón impidió la difusión de sus resultados hasta un tiempo después.
Simultáneamente a Schwinger, y de un modo completamente distinto, Richard R Feynman resuelve también los problemas de la divergencia. Mantiene la invariancia relativista en todos los términos, no descartando integrales sino evitando llegar hasta distancias infinitamente pequeñas, es decir, estableciendo una distancia mínima de corte. Obtiene así, además de valores experimentales que concuerdan perfectamente con los datos disponibles (y con los valores de Schwinger), valores para la masa y la carga teóricas o desnudas del electrón. Estos valores muestran ser muy sensibles respecto a dónde se fije el límite a la distancia de corte. Sin embargo, no sucede así con los valores experimentales, que prácticamente se muestran independientes de dónde se fije ese corte. Por otra parte, Feynman utiliza en sus cálculos unas poderosas herramientas propias muy visuales -con el tiempo se conocerán como los diagramas de Feynman- que por el momento nadie entiende. Será una costosa labor, que llevará a cabo el también joven Freeman Dyson, demostrar que los enfoques de Schwinger (prácticamente idéntico al de Tomonaga) y Feynman son equivalentes.
Además, Dyson demostrará en un bello teorema que son necesarias tres y sólo tres renormalizaciones para cada orden del desarrollo: renormalización de masa (δm), renormalización de carga (δe) y renormalización de la función de onda (δψ).
La renormalización de la electrodinámica cuántica permite obtener con extraordinaria precisión, por ejemplo, que el momento magnético del electrón clásicamente obtenido mediante la ecuación de Dirac ha de ser modificado en un factor de 1,00115965246, lo que concuerda con la determinación experimental de 1,00115965221 dentro de los límites de incertidumbre que ambos valores tienen. En cualquier caso, todas las anomalías observadas respecto de los resultados de la teoría de Dirac han podido ser explicadas satisfactoriamente con una precisión “inhumana” (en palabras de Feynman) a partir de la electrodinámica cuántica renormalizada. Tomonaga, Schwinger y Feynman recibirán el premio Nobel de física en 1965; Dyson, debido al dictamen de la Academia de Ciencias Sueca de conceder el premio a un máximo de tres personas, quedará excluido de un reconocimiento que sin duda mereció.
Dirac, por su parte, quedará enormemente decepcionado al asistir al modo -para él tan desagradable- en que se solucionan los problemas de la electrodinámica cuántica. Cuando el mismo Dyson le pregunta acerca de su opinión sobre la renormalización contesta:
Podría haber pensado que las nuevas ideas eran correctas si no fueran tan feas.Y es que la “solución” propuesta por la renormalización no es más que un conjunto de reglas operativas y dista mucho de ser una teoría consistente. Para Dirac, acostumbrado a valorar las teorías por su grado de belleza matemática, la renormalización será una solución claramente inaceptable, por más que consiga los mayores éxitos predictivos. Insatisfecho, Dirac dedicará mucho tiempo del resto de su vida a encontrar una teoría autoconsistente. De 1938 hasta finales de la década de los cuarenta intenta construir una teoría en la que aparecen incluso masas teóricas negativas. En los cincuenta da un giro radical y propone como base para construir su nueva teoría:
La teoría de los electrones debe ser construida a partir de una teoría clásica del movimiento de un fluido eléctrico continuo en lugar del movimiento de cargas puntuales. Uno entonces considerará los electrones discretos como un fenómeno cuántico.También este intento resultará baldío. Aún así, seguirá pensando en alternativas a un método que, pese a no contentar a muchos, produce unos resultados tan asombrosos que acaba siendo aceptado por la comunidad internacional. Dirac insiste en 1951:
Trabajos recientes de Lamb, Schwinger, Feynman y otros han logrado mucho éxito... pero la teoría resultante es fea e incompleta.Una visión que comparte el mismo Feynman y que expresa diciendo:
“Sospecho que la renormalización no es matemáticamente legítima”.A partir de los años 70 la renormalización se extiende a campos de la física distintos de la electrodinámica cuántica y obtiene también excelentes resultados. Dirac, claramente contracorriente, sigue manteniendo sus críticas y exclama en 1975:
Muchos físicos están satisfechos con la situación. Dicen "la electrodinámica cuántica es una buena teoría y ya no tenemos que preocuparnos por ella”. Yo debo decir que estoy muy insatisfecho con la situación, porque esa llamada "buena teoría" implica despreciar los infinitos que aparecen en sus ecuaciones, despreciarlos de un modo arbitrario. Esto no son matemáticas razonables. Las matemáticas razonables suponen despreciar una cantidad cuando es pequeña, ¡no porque sea infinitamente grande y no la queramos!Dirac sigue en busca de una teoría que restaure la belleza que originalmente tenía la electrodinámica cuántica. Según algunos, “su intuición le falló en este caso”. Esta búsqueda infructuosa de Dirac recuerda el destino de Einstein, quien dedicó sus últimos años a un intento sin éxito por construir una teoría conjunta de la gravitación y el electromagnetismo.-En palabras aplicables a cualquiera de ellos: uno de los científicos más grandes del siglo, siempre trabajando a su estilo, sin hacer escuela, impulsado por la necesidad de la belleza y simplicidad en la teoría física, en sus últimos años más adicto a las matemáticas de lo que era bueno para su teoría y continuando sus actividades de investigación pura hasta el final de sus días.*
De esta manera, en el último de sus artículos, escrito en 1984, poco antes de morir, y sin haber conseguido su objetivo, mantiene su juicio negativo sobre la teoría unánimemente aceptada:
Esas reglas de renormalización proporcionan, sorprendentemente, un acuerdo excesivamente bueno con los experimentos. Muchos físicos dicen que esas reglas operativas son, por lo tanto, correctas. Yo opino que ésa no es una razón adecuada. Sólo el hecho de que los resultados se muestren de acuerdo con las observaciones no prueba que la teoría de uno sea correcta.
Capítulo 5
De Cambridge a Florida
En los años siguientes se suceden las visitas a la URSS, donde su amigo el joven físico Igor Tamm hace de anfitrión, a los Estados Unidos, donde su amigo Eugene Wigner acaba de mudarse para casarse con una americana, y a Hungría, donde conocerá a la familia de éste, que pasará a ser su cuñado al casarse con su hermana Margit Wigner. Además, por supuesto, de Gotinga. También visitará Mongolia y China, donde quedará enormemente sorprendido por las diferencias de este país con el cercano Japón.
En particular, se encuentra muy a gusto junto a sus colegas soviéticos Kapitza y Tamm, de forma que incluso escribe algunos artículos en revistas soviéticas. Tal es el caso de “El lagrangiano en la mecánica cuántica”, que aparece en el Phys. Zeits. der Sowjetunion en 1933, y que Richard Feynman utilizará como punto de partida años después para desarrollar su propia versión de la mecánica cuántica.
Por otra parte, en 1937 realiza una incursión en la cosmología y presenta en la revista Nature (volumen 139, pág. 323) su artículo Las constantes cosmológicas, un modelo altamente especulativo que pretende encontrar relaciones hasta el momento inadvertidas entre las constantes fundamentales que operan en el Universo. Según Dirac, la constante de gravitación universal G, por ejemplo, deja de ser un valor constante para disminuir con la edad del Universo. Muchos científicos tacharán su trabajo de vana numerología. Otros, los menos, verán en él algo más que meras coincidencias y lo tomarán como fuente de inspiración para sus teorías.
En los años de la Segunda Guerra Mundial, gran parte de los recursos se dedican a la investigación militar, también en lo que se refiere a la investigación en física. Dirac rechaza participar de un modo directo en el proyecto Manhattan estadounidense de construcción de la bomba atómica; no tanto por objeciones morales como porque prefiere dedicarse a los problemas físicos que más le interesan. Como el propio Dirac comenta una vez, exagerando la situación: su departamento es el único de toda Gran Bretaña en el que se realiza física teórica. Aun así, ha de reconocerse que dedicó cierto tiempo a cuestiones más prácticas y que ello le produjo también una gran satisfacción, pues recuperó parte del espíritu de ingeniero eléctrico que, recordemos, fue su primera titulación. Dirac propuso, por ejemplo, un método de separación de isótopos mediante centrifugación que, si bien fue estudiado por los físicos del proyecto Manhattan, nunca se llevó a la práctica dada su limitada eficiencia.
Los años de la guerra fría son tiempos difíciles: Dirac no sólo no viaja a la URSS sino que incluso se le llega a impedir viajar a los Estados Unidos por sospechas basadas en sus numerosos viajes anteriores a la URSS. India, Japón, Canadá, Francia, Polonia, Irlanda, Italia, Suiza, Australia, Nueva Zelanda e Israel serán, sin embargo, destinos del viajero y trabajador infatigable Dirac. Sus visitas serán siempre de carácter temporal, usualmente para dar algunas conferencias y contactar con los físicos locales, pero Dirac mantiene su base en Cambridge, de donde las numerosas plazas de trabajo ofrecidas no logran sacarle... al menos hasta 1969.
§. La etapa americana
En 1969, a la edad de sesenta y siete años, Dirac decide jubilarse de su cátedra lucasiana de matemáticas en Cambridge, ocupada durante treinta y siete años, y comenzar una aventura al otro lado del océano. Tras ocupar algunos puestos temporales en diversas universidades, se establecerá de modo definitivo en la Universidad Estatal de Florida en Tallahassee, donde es contratado permanentemente en 1971. El motivo por el que finalmente abandona Cambridge y decide comenzar en otra universidad no es otro que su intención de acompañar a una de sus hijas, que se ha casado con un estadounidense. Margit, su mujer, dirá de él que siempre se mostró poco preocupado y distante con sus hijos, reflejo sin duda de la dura infancia vivida. Quizá, sin embargo, le importaran mucho... pero a su manera: única y difícil de comprender.
Durante su etapa americana, Dirac mantendrá su alta producción científica, si bien encontrará también tiempo para la memoria histórica de la ciencia vivida. De este modo, no duda en participar en los actos que se realizan para conmemorar los cien años del nacimiento de Albert Einstein y publica varios artículos acerca de la vida y resultados obtenidos por el genial científico.
En Tallahassee encontrará un entorno muy propicio para los paseos que tanto le agradan y para nadar frecuentemente en los lagos próximos e incluso en el mar. Al contrario de su costumbre arraigada, desde sus primeros años del matrimonio, de ir a la universidad (de Cambridge) sólo para las clases y seminarios, y trabajar en casa, en Tallahassee acudirá todo el día, comerá con los compañeros, descansará una breve siesta tras la comida y trabajará hasta tarde, cuando su mujer pasa a recogerlo.
Se le tratará con familiaridad, como a uno más, y eso al humilde Dirac le agradará especialmente.

Universidad Estatal, de Florida.
En el simposio organizado para conmemorar su octogésimo aniversario presenta Pretty mathematics(Matemáticas bellas) y al año siguiente escribe el artículo “Mi vida como físico”. En ellos reflexiona sobre su propio estilo de hacer ciencia y sobre los resultados que ha conseguido. El 20 de octubre de 1984, a la edad de ochenta y dos años, fallece, dejando un legado de ciencia y maestría para hacerla. Por expreso deseo suyo rechazó ser enterrado en la abadía de Westminster -donde únicamente hay una placa conmemorativa- y prefirió descansar en Tallahassee.
Capítulo 6
El principio de belleza matemática
Tal y como hemos apreciado en los capítulos precedentes, Dirac tiene una percepción especial de cuál es el camino a seguir, de qué es lo importante en la construcción de una teoría. Puede decirse, sin ninguna duda, que el fundamento de la calidad casi mágica de sus contribuciones teóricas £& el papel que las matemáticas juegan en él. En el otoño de 1955, impartiendo una conferencia en la Universidad de Moscú, se le pide que resuma brevemente su filosofía. Tras pensar unos instantes escribe en la pizarra:
Las leyes físicas deben ser matemáticamente bellas.Ese credo, que de un modo u otro impregna toda su producción, será manifestado por Dirac de diversas formas a lo largo de su vida. Así a los treinta y seis años dice:
Uno puede describir la situación diciendo que el matemático juega a un juego en el que él mismo inventa las reglas, mientras que el físico juega a otro en que las reglas vienen fijadas por la naturaleza, pero con el transcurrir del tiempo se hace cada vez más evidente que las reglas que los matemáticos encuentran interesantes son las mismas que ha elegido la naturaleza.El puente entre ambas disciplinas, física y matemáticas, está claro para Dirac. Desde él extenderá sus pasos haciendo incursiones muy productivas a un lado y a otro, pues Dirac entiende perfectamente cómo es la ciencia a la que quiere contribuir:
Uno quizá pueda describir la situación diciendo que Dios es un matemático del máximo nivel y que usó unas matemáticas muy avanzadas para construiré Universo.Así crea, ya desde sus primeros años, una manera peculiar de hacer ciencia al estilo “jugar con las ecuaciones”. Rememorando su vida, dice a los sesenta años:
Creo que es una de mis peculiaridades el que me gusta jugar con las ecuaciones, simplemente buscando relaciones matemáticas bellas que quizá no tengan ningún significado... Algunas veces sí lo tienen.Y de un modo similar a los setenta y ocho años:
Una gran cantidad de mis investigaciones en física ha consistido no en ponerme a resolver algún problema particular, sino en examinar cantidades matemáticas del tipo que usamos los físicos e intentar relacionarlas de un modo interesante, al margen de cualquier aplicación que pueda tener dicho trabajo. Es simplemente una búsqueda de las matemáticas bellas. Puede suceder después que dicho trabajo tenga alguna aplicación. Entonces uno tiene buena suerte.De un modo muy interesante, en términos de belleza y elegancia, expresa Dirac lo que podríamos entender como su particular versión del principio de correspondencia de Bohr:
La mecánica clásica tiene muchas características elegantes que cuando son trasladadas a la mecánica cuántica reaparecen con una belleza engrandecida.La fe en la belleza matemática es tan grande para Dirac que le otorga confianza ciega en la validez de una teoría y sus predicciones. Dice así al respecto frases como las siguientes:
El formalismo [de la mecánica cuántica] es tan natural y bello como para hacernos estar seguros de su corrección.Ahora bien, ¿qué clase de matemáticas considera Dirac bellas? Su respuesta es:
Uno debe estar preparado para asumir las consecuencias de la teoría... sin importar a donde le lleven.
La belleza matemática es una cualidad que no puede ser definida, tal y como sucede con la belleza en el arte, pero que la gente que estudia matemáticas no suele tener dificultad en apreciar.La explicación no parece muy aclaratoria, si bien en otros de sus comentarios menciona que un ingrediente que frecuentemente adorna la belleza es la simplicidad:
La física debe ser elegante. Sí las ecuaciones no son simples y elegantes entonces son probablemente incorrectas.En cualquier caso, la simplicidad es para Dirac una cualidad inferior a la belleza:
El investigador, en sus esfuerzos por expresar las leyes fundamentales de la naturaleza en forma matemática, debe luchar principalmente por la belleza matemática. Debe tomar en consideración la simplicidad, pero de un modo subordinado a la belleza... Sucede a menudo que los requerimientos de simplicidad y belleza son los mismos, pero cuando entran en contradicción, la última debe tener la preferencia.Como ejemplo al respecto, Dirac cita la teoría de la gravitación de Newton, que es simple, pero que se ve superada por la de Einstein, no tan simple pero matemáticamente más bella:
Einstein introdujo la idea de que algo que es bello es, con mucha probabilidad, valioso para describir los fundamentos de la física. [...] Pienso que debemos a Einstein, más que a cualquier otro, el requerimiento de tener belleza en las ecuaciones matemáticas que describen las teorías físicas. Cualquiera que aprecie la armonía fundamental que conecta el modo en-que funciona la naturaleza con los principios matemáticos generales, debe sentir que una teoría con la belleza y elegancia de la de Einstein debe ser sustancialmente correcta. Cuando Einstein trabajaba en la construcción de su teoría de la gravitación no estaba intentando dar cuenta de ningún resultado observacional. Lejos de su intención. Su único proceder consistía en la búsqueda de una teoría bella, una teoría del tipo que la naturaleza hubiera elegido. Estaba guiado así únicamente por el requerimiento de que su teoría tuviera la belleza y elegancia que uno esperaría fuera proporcionada por cualquier descripción fundamental de la naturaleza.En sus últimos años compara también su concepto de la belleza con el de Schrödinger:
De todos los físicos que conocí creo que Schrödinger era el más parecido a mí. En muchas ocasiones el acuerdo con Schrödinger era mucho más rápido que con nadie más. Creo que el motivo es que Schrödinger y yo teníamos una gran apreciación de la belleza matemática, y esta consideración de la belleza matemática dominó todo nuestro trabajo. Era como un acto deje para nosotros el que cada ecuación que describe ¡as leyes fundamentales de la naturaleza debía tener un alto grado de belleza matemática en ella. Era como nuestra religión, una religión muy provechosa, la cual puede ser considerada como la razón de muchos de nuestros éxitos.Sin embargo, Dirac demuestra estar muy por encima de Schrödinger en cuanto a la fe en los resultados de una teoría bella, si recordamos que Dirac publicó su ecuación del electrón aun sin saber qué representaban dos de sus cuatro componentes, mientras que Schrödinger obtuvo la primera ecuación relativista de la mecánica cuántica -que después obtendrían Klein y Gordon- pero, tal como veíamos, no la publicó por la falta de acuerdo con los resultados experimentales (recordemos que tiempo después se verá que esa ecuación, que no funciona para fermiones, sí lo hace para bosones). Tal y como el mismo Dirac reconoce refiriéndose a la que fue la primera ecuación de Schrödinger:
Una teoría que era tan bella, tan prometedora, simplemente no funcionaba en la práctica. ¿Qué hizo Schrödinger? Tal y como me dijo, entristeció y abandonó la teoría meses... Schrödinger había sido demasiado tímido para mostrar su primera ecuación relativista... Klein y Gordon publicaron la ecuación relativista, que era la misma que Schrödinger había descubierto previamente. La única contribución de Klein y Gordon a este respecto fue ser lo suficientemente atrevidos para no verse preocupados por la falta de acuerdo de la ecuación con ¡as observaciones.Podemos ver también que si bien la percepción de la belleza de Dirac puede comparase a la de Einstein o Schrödinger, por el contrario, existe un marcado contraste con otro de los fundadores de la mecánica cuántica: Heisenberg. Para éste, eran las ideas físicas las que debían ser bellas, a pesar incluso de que su representación matemática pudiera parecer tosca. Heisenberg utilizará -pese a su menor belleza estética, según Dirac- ecuaciones de segundo orden en la búsqueda de una solución consistente frente a los infinitos de la electrodinámica cuántica.
Por otra parte, y aunque pueda sorprender muy desagradablemente a algunos de sus colegas matemáticos, el rigor matemático y la estructura axiomática no son ingredientes principales que conformen el concepto de belleza según lo entiende Dirac. Así, expresa:
El matemático puro que desea formular todo su trabajo con precisión absoluta es probable que no llegue muy lejos en física.Las matemáticas son sólo una herramienta para él. Con este único propósito, siguiendo sus palabras, introdujo su famosa función delta para expresar de una manera concisa ciertas relaciones que podríamos, si fuera necesario, escribir de una forma que no utilizara funciones impropias, pero sólo de un modo engorroso que tendería a oscurecer el razonamiento.
Al entender las matemáticas sólo como herramienta, no se preocupa en demasía por las ecuaciones exactas y las pruebas rigurosas. Esto, como el mismo reconoce, es una consecuencia de su formación como ingeniero:
La formación ingenieril que recibí me enseñó a tolerar aproximaciones, y fui capaz de apreciar que incluso teorías basadas en aproximaciones pueden tener a veces un considerable grado de belleza. Creo que sí no hubiera tenido tal formación no habría tenido éxito en los trabajos que realicé posteriormente, pues se mostró realmente necesario abandonar el punto de vista de que uno debía trabajar exclusivamente con resultados deducidos lógicamente de leyes exactas conocidas.Aunque, mostrando que es humano y se equivoca, reconoce que a veces este enfoque también falla:
Creo que se pueden apreciar los resultados de mi formación como ingeniero. Sólo quería obtener resultados rápidamente, resultados en que yo pensaba uno podía confiar, incluso aunque no surgieran de la estricta lógica. Estaba usando las matemáticas de los ingenieros, no las matemáticas rigurosas... Ésta era quizá la actitud más adecuada que se podía tomar para un desarrollo rápido de la teoría, pero me llevó a cometer algunos errores.Acerca de la “visualización” de los procesos en la nueva física cuántica el mensaje de Dirac es claro:
El principal objetivo de la ciencia física no es proporcionar imágenes, sino formular las leyes que gobiernan los fenómenos así como aplicar estas leyes al descubrimiento de nuevos fenómenos. Sí una imagen existe, mejor que mejor; pero si una imagen existe o no, es sólo un asunto secundario.Dirac distinguía frecuentemente entre el método inductivo, que pretende construir una teoría a partir de los resultados de la experimentación, y el método deductivo, que mediante el uso fundamental de la matemática construye teorías más exitosas. Éste, siguiendo con sus palabras permite inferir resultados sobre experimentos que aún no se han realizado y debe su superioridad a alguna cualidad matemática de la naturaleza, una cualidad que el observador casual no sospecharía pero que, sin embargo, juega un papel esencial en el esquema de la misma.
En esta línea de razonamiento, expresa a los veintiocho años su receta para tener probabilidades de éxito en la investigación futura, una receta que mantiene toda su vigencia:
Hay en el momento presente problemas fundamentales de la física teórica, la solución de los cuales requerirá presumiblemente una revisión más drástica de nuestros conceptos fundamentales de las que se han llevado a cabo hasta ahora. Con bastante probabilidad, estos cambios serán tan grandes que irán mucho más allá del poder de la inteligencia humana para obtener las ideas necesarias simplemente formulando bs datos experimentales en términos matemáticos. El investigador teórico del futuro tendrá, por tanto, que proceder de un modo mucho más directo. El método más poderoso de avance que puede ser sugerido hoy en día es emplear todos los recursos de la matemática pura en un intento de perfeccionar y generalizar el formalismo matemático que conforma la base existente de la física teórica y, tras cada éxito en esa dirección, intentar interpretar las nuevas características matemáticas en términos de entidades físicas.Dirac aboga con total convicción por la inspección meticulosa de las ecuaciones que conforman una teoría. Como él dice:
Cada fórmula, sí se entiende adecuadamente, tiene un significado.Y, por otra parte, sentencia que uno no puede decir que comprende una ecuación si no es capaz de figurarse cómo serán sus soluciones sin haber hecho los cálculos.
Wigner dirá que los resultados de Dirac son una prueba de “la irrazonable efectividad de las matemáticas en las ciencias de la naturaleza”. Darwin, por su parte, que “el éxito de Dirac en encontrar las ecuaciones precisas muestra la gran superioridad del principio teórico sobre los métodos empíricos previos”.
Capítulo 7
Más sobre su persona
§. Aficiones
Aparte de la ciencia, que ocupa casi siempre sus pensamientos, su afición preferida es dar largos paseos por la montaña -normalmente en solitario- en los que nunca parece conocer el cansancio. A veces incluso asciende picos de entidad, como el monte Elbruz en el Cáucaso, que con 5642 m es la montaña más alta de Europa. Según dice su mujer, y ratificarían muchos de los que alguna vez osan acompañarle, su resistencia es demasiado para la mayoría de los mortales.
También le agradan la jardinería y horticultura, en las que su afán por tratar con ellas “a partir de sus primeros principios” no le ofrece siempre los resultados deseados. No le gusta demasiado la lectura, pues según dice “distrae la mente” y, en particular le desagrada la poesía. Cuando se le pregunta por ella ofrece la siguiente explicación de su aversión:
En ciencia uno trata de explicar a la gente, de un modo que pueda ser entendido por cualquiera, algo que nadie sabía antes. En poesía es exactamente lo contrario.Otro ejemplo de su desagrado por el estilo poético se tiene en su comentario a la novela Crimen y castigo:
Está bien, pero en uno de los capítulos el autor cometió un error. Describe el sol saliendo dos veces en el mismo día.
Una prueba de su personalidad y de los gustos que manifiesta tener se muestra en una entrevista improvisada y en tono desenfadado que le realizó un periodista americano en 1929. Dice el periodista del Wisconsin State Journal en un memorable artículo periodístico publicado el 31 de abril de 1929:
La otra tarde llamo a la puerta del despacho del Dr. Dirac en Sterling Hall y una voz agradable dice: “Adelante”. Me gustaría decir en este momento que ese “adelante” fue una de las frases más largas emitidas por el doctor durante la entrevista. Seguramente es todo por la eficiencia en la conversación. Me gusta. Odio los tipos charlatanes.
Encontré que el tal doctor Dirac era un hombre alto de apariencia juvenil y en cuanto vi el brillo de sus ojos supe que me iba a agradar. Sus amigos de la universidad dicen que es un buen tipo y una buena compañía para las excursiones por la montaña, si no lo pierdes de vista, quiero decir.
Lo que me impresionó fue que parecía no estar para nada ocupado. Porque si hubiera ido a entrevistar a un científico americano de su clase -suponiendo que pudiera encontrar alguno- debería haber estado esperando una hora antes. Luego él habría llegado con un enorme maletín y mientras habláramos habría estado sacando notas de conferencias, pruebas, separatas, libros, manuscritos o lo que tengan, de dicho maletín. Pero Dirac es diferente. Parece tener todo el tiempo del mundo y que su trabajo más duro sea echar un vistazo por la ventana. Si él es un típico inglés seguro que Inglaterra es mi próximo destino de vacaciones.
Entonces nos sentamos y comenzó la entrevista.
“Profesor" digo yo, “he notado que tiene bastantes letras delante de su apellido. ¿Significan algo en particular?”
“No”, contesta él.
“¿Quiere decir que puedo escribir mi propia versión?”
“Sí”, dice él.
“¿Puedo decir entonces que P. A. M. significa Poincare Aloysius Mussolini?”
“Sí”, dice él.
“Bien” digo “¡esto va progresando! Ahora, ¿podría decirme en pocas palabras lo fundamental de sus investigaciones?”
“No", dice él.
“Bien”, contesto. “¿Estaría bien si lo pongo así: el profesor Dirac resuelve todos los problemas de la física matemática pero es incapaz de encontrar una mejor forma de calcular el promedio de bateo de Babe Ruth ¡un famoso jugador de béisbol de los años veinte!”?
“Sí”, dice él.
“¿Qué le gusta más en América?", digo yo.
“Las patatas”, dice él.
“A mí también” digo yo, “¿cuál es su deporte favorito?”
“El ajedrez chino”, dice él.
¡Esto me impacta! ¡Para mí es un deporte nuevo! Entonces continúo: “¿va al cine?”
“Sí", contesta él.
“¿Cuándo?”, digo yo.
“En 1920, quizá también en 1930” dice él.
“¿Le gusta leer los tebeos del domingo?”
“Sí”, dice él animándose un poco más de lo usual.
“Esa es la cuestión más importante, doctor” digo yo. “Resulta que usted y yo somos más parecidos de lo que pensaba. Y ahora quiero preguntarle algo más: dicen que usted y Einstein son los únicos en realidad sumamente inteligentes y los únicos que realmente pueden entenderse el uno al otro. No le preguntaré si esta información es cierta pues sé que usted es demasiado modesto para admitirlo. Pero quiero saber lo siguiente: ¿alguna vez se encuentra con algún tipo que incluso usted no pueda entender?”
“Sí”, dice él.
“Esto tendrá gran interés para los chicos de la oficina” digo yo. “¿Le importaría revelarme quién es él?
“Weyl”, dice él.
La entrevista llegó a su fin de un modo repentino, pues el doctor miró el reloj y yo me apresuré a tomar la puerta de salida. Pero él dejó escapar una sonrisa al despedirnos y yo supe que todo el tiempo que estuvo hablando conmigo estaba en realidad resolviendo un problema que nadie más podía abordar.
Sin embargo, si alguna vez ese tal profesor Weyl viene a esta ciudad a dar una conferencia, ¡estoy seguro de que iré a intentar entenderlo! Uno debe poner a prueba su inteligencia de vez en cuando.
§. Relaciones personales
El Dirac adulto tiene pocos pero muy buenos amigos, con quienes disfrutará de su compañía, muchas veces junto con su mujer, Margit. Entre ellos está, por supuesto, su cuñado Eugene Wigner y también, de modo especial, el soviético Kapitza. Éste será especialmente admirado por Paul y Margit Dirac por ser el único capaz de enfrentarse a Stalin y negarse a participar en el proyecto de construcción de la bomba de hidrógeno, lo que le valdría un arresto domiciliario de cinco años en su dacha, aislado lejos de Moscú.
También el físico ruso Igor Tamm llegará a ser íntimo amigo suyo, al igual que otros compatriotas entre los que, según parece, Dirac se encuentra como en casa. Tamm demuestra su más profunda admiración al conocer a Dirac en una carta a su familia escrita desde el extranjero:
“Lo que más me gustó fue el acercamiento con Dirac. Él y yo fuimos compañeros durante tres meses y nos hicimos íntimos. Dirac es un verdadero genio. No sonriáis si suena rimbombante, realmente lo es. Sé que cuando envejezca le hablaré con orgullo a mis nietos sobre esa amistad”.Entre sus compañeros de la cumbre de la física cuántica, destaca especialmente su buena relación con Werner Heisenberg, con quien compartiría amistad y ciencia, además de admiración recíproca. También la admiración sería mutua entre él y Niels Bohr. Una anécdota curiosa relata que se encontraba Bohr redactando un artículo, con muchas dudas y rectificaciones, tal y como era su costumbre, y en un determinado momento se lamentó ante Dirac de no saber cómo terminar una frase. Sorprendentemente para Bohr, la respuesta de Dirac fue:
Me enseñaron desde pequeño a no comenzar nunca una frase sin saber su final.Además de su famoso comentario acerca de que Dirac es el alma más pura entre los físicos, Bohr también dirá de él que “no tiene un solo hueso trivial en su cuerpo”.
Con Richard Feynman la relación será siempre de clara admiración de éste, quien adopta a Dirac como su “héroe”. Uno de los asistentes al Congreso Solvay de 1961 relata cómo, mientras esperaban a que empezara la sesión, se produjo el primer encuentro entre ambos:
“Feynman llegó y se sentó con Dirac. Tendiéndole la mano dijo: “Soy Feynman”. Dirac extendió su mano y dijo: “Soy Dirac”.
Hubo un silencio, lo que por lo que respecta a Feynman era bastante llamativo. Entonces Feynman, como un alumno en presencia del maestro, dijo a Dirac: “Debió de ser emocionante inventar esa ecuación”, y Dirac contestó: “Pero eso fue ya hace mucho tiempo”. Nuevamente se hizo el silencio. La pregunta de Dirac a Feynman lo rompió: “¿En qué estás trabajando?”. Feynman contestó: “Teorías de mesones", y Dirac dijo: “¿Estás intentando inventar una ecuación similar?”. Feynman dijo: “Eso sería muy difícil”. Y Dirac, con cierto entusiasmo: “Pero uno lo debe intentar”. En ese momento finalizó la conversación, pues la sesión había dado comienzo”.
Por otra parte, con su mujer Margit, si bien el cariño siempre estuvo presente entre ambos, la relación no fue nunca fácil debido al extraño carácter de Dirac. Por ejemplo, tal y como lo describe Margit: “las comidas no eran importantes para él, pero sí para mí. Esa incompatibilidad nos acompañó toda la vida”. Es famosa una anécdota en que un físico, sin saber del matrimonio de Paul Dirac con Margit Wigner, va a visitar a Dirac a su casa y se encuentra a una mujer que les sirve el té y después se sienta cómodamente en el sofá. “¡Qué tal está!”, saluda el hombre a la mujer, sin duda preguntándose quién será. Enseguida Dirac se da cuenta de la situación y contesta: “¡Oh!, lo siento, olvidé presentarles. ¿Conoce usted a la hermana de Wigner?”. Así es como frecuentemente se relata la anécdota. Aunque parece ser que la siguiente frase de Paul fue “Ahora es mi mujer”, quienes escriben acerca de la vida del científico prefieren enfatizar la forma tan llamativa en que surgen las ideas de su cabeza.
§. Más sobre su filosofía
Ciertamente Dirac es un personaje de pocas palabras. Él mismo justifica del siguiente modo esta actitud suya:
Siempre hay más gente dispuesta a hablar que dispuesta a escuchar.Por otra parte, Dirac es manifiestamente ateo. Pauli resume así el credo de Dirac: “No hay ningún Dios y Dirac es su profeta”.
Las exigencias que Dirac se impone a sí mismo en su trabajo son realmente muy altas. En sus últimos años, una vez que fue invitado por una universidad a impartir una conferencia respondió:
¡No! No tengo nada de qué hablar. Mi vida ha sido un fracaso...Y continuó hablando de los infinitos que plagaban la electrodinámica cuántica. Está claro que el propio Dirac no cumplió su regla dorada de que:
Se debe valorar la valía de un hombre por el mayor de sus éxitos, no por sus fracasos.En sus últimos años, en la Universidad Estatal de Florida, tal y como les sucede a las figuras consagradas de la ciencia -relata uno de sus compañeros- podía verse su mesa llena de cartas de gente preguntándole su opinión acerca de sus ideas. Dirac lamentaba que esa gente no tuviera el coraje y la determinación para desarrollar sus propias ideas ellos mismos.
§. Anécdotas varias
Paul Dirac poseía una muy buena memoria, prueba de ello es la siguiente anécdota que sucedió en su visita a la Universidad de Michigan en abril de 1978. Dirac recuerda a sus anfitriones que cuando visitó Michigan por última vez, ¡hacía 49 años!, el profesor Randall tenía un muy buen espectroscopio, y le gustaría volverlo a ver. Nadie conoce dónde se encuentra dicho espectroscopio y ni siquiera si existe, pero Dirac se ofrece a llevarles a su ubicación. Así, les conduce hasta el segundo sótano del laboratorio de Randall donde, en efecto, se encuentra la cámara aislada frente a vibraciones en que se ubicaba el espectroscopio, pero desgraciadamente ya no hay rastro del aparato. Sólo encontraron a un estudiante durmiendo sobre una mesa del laboratorio. La expresión de éste al despertar y encontrarse a Dirac observándolo fue, según dicen, “interesante”.
Para Dirac no hay nunca dobles sentidos, lo que se dice ha de ser tomado siempre al pie de la letra. Hay un buen número de anécdotas que ilustran bien esta característica suya. Una de ellas dice que, según parece, una vez Dirac cometió un error en una ecuación en la pizarra (algo verdaderamente infrecuente) y un valiente estudiante levantó la mano y dijo: “Profesor Dirac, no entiendo la ecuación número dos”. Al ver que Dirac seguía escribiendo, el estudiante pensó que no había sido oído y repitió la frase, pero Dirac siguió escribiendo como si nada. Finalmente otro estudiante se alzó y dijo: “Profesor, este compañero está haciéndole una pregunta”. “¡Oh!,” contestó Dirac, “creía que era una afirmación.” Otra anécdota nos sitúa a Dirac comiendo con un visitante cuando éste, ansioso por iniciar una conversación, dice “¡vaya día de viento, eh!”. Se dice que Dirac, sin mediar palabra, abandonó la mesa dejando al hombre preocupado por si le habría ofendido con su comentario, se asomó por la puerta y a su regreso a la mesa replicó con un simple: “Sí”. Otra vez, en una reunión en un castillo, alguien relató que una de las estancias estaba encantada y que a las doce de la noche se aparecía un fantasma. Dirac, aparentemente interesado por vez primera en cuestiones paranormales, se animó a preguntar algo: “¿Eran las doce hora oficial u hora local?"
Sus compañeros de Cambridge, como por ejemplo Thomas, le consideran un hombre de pocas palabras que preguntado por una duda técnica contestará simplemente: “¡Oh!, eso es muy difícil” y volverá al cabo de una semana con la respuesta detallada completamente calculada.
Anécdotas como éstas pueden sucederse y nos ofrecen, en todo caso, una imagen de un científico genialmente conciso, profundo y cuyas ideas, sin ninguna duda, inspiraron e inspiran a muchos posteriormente.
Capítulo 8
Otras ideas de Dirac... que han sido aceptadas
Incluimos aquí ideas y teorías cuya validez e interés han sido universalmente aceptadas, pero sin la pretensión de ofrecer un recuento exhaustivo de ellas -algunas, como por ejemplo la notación bra-ket, que Dirac introdujo tan exitosamente en la mecánica cuántica, quedarán fuera de nuestra exposición-, sino más bien de presentarlas al lector de un modo en que pueda apreciar su elegancia y utilidad.
Por otra parte, veremos en el capítulo siguiente como, sin embargo, la búsqueda de teorías matemáticamente bellas llevó también a Dirac a otras consecuencias que, por el momento, no han sido aceptadas por la comunidad internacional, al menos de un modo generalizado.
§. La estadística Fermi-Dirac
Desde finales del siglo XIX era conocida la llamada distribución estadística de Maxwell-Boltzmann. Ésta se aplica a un sistema en equilibrio térmico a temperatura T en que existe una densidad de partículas lo suficientemente pequeña como para que sus interacciones sean despreciables, por ejemplo el llamado gas ideal. De esta manera, se puede calcular el número de partículas en el estado de energía Ei como:



Un joven estudiante indio, Satyendra Nath Bose, descubre a principios de la década de los veinte cómo describir un gas de fotones lo suficientemente denso como para que las interacciones entre ellos no sean despreciables, y a partir de su descripción es capaz de derivar la ley de radiación de Planck. Tras enviar el artículo a Albert Einstein, éste reconoce su importancia y lo traduce al alemán. La estadística resultante, una de las dos estadísticas cuánticas posibles, se conocerá como de Bose-Einstein y en ella se calcula para un sistema en equilibrio térmico a temperatura T la probabilidad de que una partícula (fotón, en principio) se encuentre en el estado de energía Ei como:

En 1925 Pascual Jordán envía un artículo para la consideración de Max Born en que deriva las dos estadísticas cuánticas: la estadística Bose-Einstein, válida para los llamados bosones, y la aún desconocida estadística Fermi-Dirac, válida para los llamados fermiones. Una vez más la fortuna no sonrió a Jordán, pues Born perdió su artículo durante unos meses, tiempo suficiente para que Fermi y, de modo independiente un poco más tarde, Dirac publicaran estos resultados. La estadística cuántica aún no conocida pasará a llamarse, en reconocimiento a estos últimos, estadística Fermi-Dirac.

Satyendra Nath Bose en 1925.


ψ = ψI + ψII
La forma de representar esa interacción que existe ahora entre las partículas es mediante una combinación de las funciones de onda (se dice que las funciones de onda solapan). Por supuesto, podríamos haber escrito coeficientes que multiplicaran a cada onda contribuyente y decir que, por ejemplo, el sistema con interacción entre las dos partículas queda representado por:ψ = ¾ ψI + 4/5 ψII
Sin embargo, como las dos partículas son iguales, no hay ningún motivo para que haya que considerar una alternativa con más peso que la otra, y los coeficientes deberán ser, en todo caso, iguales. Con el fin de que la norma de la función resultante ψ sea unitaria (si ψI y ψII tienen también norma unidad) se necesita que la suma de los cuadrados de los coeficientes sea la unidad, por lo tanto, la combinación entre las dos funciones de onda se escribe más convenientemente como:ψ = (1/√2) ψI + (1/√2)ψII
Notemos, y éste es un punto crucial de la presentación de Dirac, que la combinación de las funciones de onda no tiene porque ser con la función suma, de modo que, de alguna manera, una función de onda “refuerce” a la otra. También la función diferencia puede relacionarlas, de forma que, de alguna manera, una función de onda “cancele” parte de la otra. La combinación de estados puede ser también de la forma:ψ = ψI + ψII
O bien, con los coeficientes necesarios para conseguir una norma unidad:ψ = (1/√2) ψI + (1/√2)ψII
Hay, dice Dirac simplemente desde su lógica matemática, dos alternativas posibles, si bien cabe todavía la duda de cuál de ellas se presenta en la naturaleza o, si es que lo hacen las dos, cuándo se presenta cada una de ellas. Las alternativas, que denotaremos adelantando la notación final por, ψBE + ψFD se escriben:
ψMB = ψa(1) + ψa(2)
Y la probabilidad, que se obtiene realizando el producto del conjugado de la función de onda con la función de onda (o calculando el valor absoluto de la función de onda y después su cuadrado) resulta:![]()

![]()
Por otra parte, en el segundo caso -interacción al modo “resta de funciones de onda”-, que viene definido por ψFD, se tiene una probabilidad nula de que ambas estén en el mismo estado α:
![]()
Dirac reconoció que la primera de las alternativas de interacción, es decir, aquélla definida por la función:

Por otra parte, supo ver que el resultado de la segunda alternativa:

Vemos que la sencillez con que Dirac, armado con su lógica, descubre esta nueva estadística es palpable. Resumiendo el planteamiento de Dirac: ¿cómo pueden interaccionar dos funciones de onda que representan a dos partículas iguales? O del modo ψI + ψIIo del modo ψI - ψII, no hay más. No se pueden tener coeficientes distintos que multipliquen a cada función pues las partículas son iguales y no se puede utilizar otra función que las relacione, pues, en todo caso si se utilizan estas dos estadísticas para el caso en que la densidad de partículas sea muy baja se ha de obtener la estadística Maxwell-Boltzmann.
Veamos que así sucede, pues si ψIy ψII se localizan en zonas muy distintas, la suma de ellas en el entorno de ψI(o ψII)será simplemente ψI(o ψII respectivamente) y la resta en el entorno de ψI (o ψII) será simplemente ψI(o ψII respectivamente), donde no nos preocupa el signo pues el cálculo de la probabilidad lo hará desaparecer).
Por último, puede encontrarse una expresión análoga a las de Maxwell-Boltzmann y Bose-Einstein para la probabilidad de que un fermión se encuentre en el estado de energía Ej en un sistema en equilibrio termodinámico a temperatura T:

Finalmente diremos, como curiosidad, que tanto Dirac como Fermi sostuvieron en sus respectivos artículos que las moléculas deberían parecerse a los electrones más que a los fotones y poderse describir, por tanto, mediante funciones antisimétricas (es decir, con la función resta, como los fermiones). La naturaleza quiso en este caso que la lógica no les sirviera de mucho y erraran en su creencia: las funciones apropiadas para un gas molecular son las simétricas, esto es, con la función suma, como para los fotones.
§. Teoría de la transformación
Este trabajo me complació en su ejecución más que cualquier otro artículo que hubiera escrito de mecánica cuántica antes o después.Así se refiere el propio Dirac a la construcción de su teoría de la transformación. Este trabajo, de gran dificultad conceptual, se presentó en 1926 y será el resultado de un proceder lógico y razonado de principio a fin, sin ningún salto conceptual ni hipótesis previa. Supone uno de los mejores exponentes del modo en que Dirac construía la física con las matemáticas.
En el presente apartado haremos únicamente un breve comentario acerca de dicha teoría, pues su dificultad y enorme amplitud nos impiden hacer mucho más. Téngase en cuenta que incluso colegas de la más alta talla, como Oskar Klein, se veían abrumados ante sus propias dificultades para seguir las matemáticas de esta teoría cuando el propio Dirac se la explicaba en sus seminarios. Klein reconoce:
“Nos costó algún tiempo entender las cosas puesto que él [Dirac] hizo varias presentaciones en las que escribía con gran esmero en la pizarra las expresiones añadiéndoles unas pocas palabras, pero éstas eran muy, muy difíciles de entender”.Para comenzar, el propósito de Dirac era tan ambicioso como proporcionar una teoría que trate únicamente con las cuestiones a las que se les puede dar respuesta sin ambigüedad en la mecánica cuántica, que reemplace todas las asunciones previamente utilizadas y que quizá vaya más allá. Dirac se ocupa especialmente del hamiltoniano, el cual contiene toda la información acerca de la energía del sistema, es decir, representa el observable energía. En forma matricial, designando al hamiltoniano por la matriz H, Dirac explora las relaciones del tipo:
H’ = AHA-1
donde A es una matriz de transformación A-1 su inversa) y H' el hamiltoniano obtenido tras la transformación, o tal y como lo diríamos en lenguaje moderno, H' es el hamiltoniano en la nueva base. Dirac encuentra que existe una transformación para la que el hamiltoniano H' que se obtiene es una matriz diagonal y se pregunta por el significado de la particular matriz de transformación A que produce este resultado.Dirac concluye que las autofunciones de la ecuación de onda de Schrödinger son justamente las funciones de transformación que permiten transformar el esquema inicial en uno en que el hamiltoniano es una matriz diagonal. Dicho de otra manera, denotando la matriz diagonal H' mediante E se tiene que:
H = A-1EA
donde, además, como reconoce Dirac, A-1 = ÁT, es decir, la inversa de la matriz de transformación es su traspuesta conjugada A-1= AT en el caso de que la matriz sea de números reales). En cualquier caso, el punto de partida de Dirac no es más que el hoy en día bien conocido teorema de la descomposición espectral, que se suele escribir (intercambiando la notación de A y A-1 respecto a la que utilizó Dirac) como:H = AEA-1
Y que permite afirmar que las columnas de la matriz A son los autovectores de la matriz H y los elementos de la matriz diagonal E sus autovalores. Esto, en cualquier caso, posibilita “entender” mucho mejor el hamiltoniano H (matriz completa, no diagonal, que contiene la información acerca de la energía del sistema) puesto que si lo expresamos en otra base -cuya matriz de cambio es A-1- nos ofrece directamente las energías que pueden ser observadas: los valores de la diagonal de E.E=A-1HA

p’ = ApA-1
q’ = AqA-1
concluye que no se pueden obtener a la vez valores numéricos definidos para las p y para las q.El trabajo realizado resultará especialmente complicado para los físicos de la época, al ser presentado más como una teoría matemática que física. No obstante, Heisenberg exclamará que supone una “extraordinariamente grandiosa generalización” de la mecánica matricial, mientras que un encantado Jordán dirá de una de sus presentaciones: “Encuentro este artículo muy bello, pues para mí las matemáticas son tan interesantes como la física.”
§. La función delta de Dirac
En 1926 Dirac introduce, en un alarde de creatividad matemática, una poderosa herramienta en su formulación de la mecánica cuántica: la “función” delta. Esta “función” delta, así llamada por él, no es una función en el sentido usual de la palabra, pues no asigna un valor y definido a cada x a la que se aplica. Más bien, asigna un valor cero a todo punto, salvo a uno (el cero normalmente), en que el valor asignado es infinito; pero un infinito tal que el área del rectángulo de base el entorno en que la función tiene valor distinto de cero y altura el valor de la función en ese punto sea 0 ∞ = 1 (esperamos que al lector no le moleste demasiado que hayamos representado el área con este producto formalmente incorrecto; deberíamos haber dicho más bien que para un entorno diferencial del cero, que designaremos por dx, se verifica dxδ(x) = 1). Recordemos que, en general, el producto de cero por infinito es una indeterminación. Dirac propone, sin embargo, que la definición de su “función” ya resuelva, por principio, esa indeterminación. Una idea visual de la delta de Dirac la puede dar el siguiente gráfico:

Su definición formal puede darse a partir de sus propiedades:

Lo mismo sucede con las abstracciones que muchas veces realizamos sobre la física a escala macroscópica y que nos son tan cómodas para realizar nuestros cálculos, al estilo: “en el instante t se proporciona un impulso al objeto”. Esto no es cierto: el impulso no se puede proporcionar en un instante determinado t sin extensión temporal, sino durante un período de tiempo determinado Δt, es decir, entre t y t + Δt. ¡Incluso quienes exhiben sus habilidades rompiendo ladrillos con el canto de la mano no pueden evitar contactar con el ladrillo un tiempo Δt distinto de cero! Dirac propone que consideremos que esa abstracción de impulsos con una duración temporal nula implica más bien impulsos con una duración temporal tan pequeña que ningún aparato de medida la puede resolver, y de forma que el hacerlos todavía un poco más breves [y consiguientemente más intensos] no cambia el resultado observable. Es, dicho de otro modo, cambiar el concepto de que cero por infinito proporciona determinado resultado observable por el más manejable de que una cantidad extremadamente pequeña por una extremadamente grande proporciona ese resultado observable.
Por otra parte, la particular forma que adopte ese impulso no es importante, pues está más allá de la resolución de cualquier aparato de medida.

Escribiremos así:

Por otra parte, la función tiene otras muchas propiedades de interés. Por ejemplo, es la derivada de la función escalón de Heaviside, H(x), que se representa en la siguiente gráfica:


También tiene la propiedad de que aplicada a la integral de una función cualquiera, f(x), extrae su valor central:



Q = ρV
Sin embargo, si lo que se desea es que la densidad de carga no sea un mero promedio, sino una función que describa qué sucede en cada punto interior de la esfera, hemos de integrar para todo el volumen encerrado por ésta y escribir la última expresión como:

Dirac, con su herramienta, nos permite soslayar esta dificultad: veamos que podemos escribir la densidad de carga como:

Expresando de este modo la densidad en el cálculo del flujo, se tiene:

“extrae sólo los valores centrales” (qj en cualquier caso); esto es, con la notación que utilizábamos anteriormente:

§. El lagrangiano en la mecánica cuántica
A mediados del siglo XVIII Leonhard Euler y, un poco después, Joseph Louis Lagrange introducen lo que se acabará conociendo como cálculo de variaciones. En éste el objetivo no es determinar un valor o conjunto de valores, tal y como hacemos, por ejemplo, al resolver un sistema de ecuaciones lineales, sino una curva o función que haga mínima o máxima una integral. En palabras del mismo Euler, según el título de su artículo de 1744, es el: “Método para encontrar curvas planas que muestran algunas propiedades de máximo y mínimo para la resolución de problemas isoperimétricos”.
El llamado problema isoperimétrico no es más que encontrar la curva plana que encierra la máxima área para un perímetro dado. Por otra parte, entre esas propiedades de máximo y mínimo Euler presenta también lo que tiempo después pasará a conocerse como principio de mínima acción. El carácter del trabajo de Euler, frecuentemente más intuitivo que riguroso desde el punto de vista matemático, hace que su método de cálculo variacional no sea aceptado con gusto hasta la aportación de Lagrange una década después. Las ecuaciones que resumen la teoría conjuntamente construida por ambos serán llamadas ecuaciones de Euler- Lagrange.
Veamos un ejemplo de aplicación del principio de mínima acción a un sencillo problema físico: cómo se mueve un objeto en un campo gravitatorio. Pensemos, por ejemplo, en una pelota lanzada al aire con un cierto ángulo respecto de la horizontal, que acabará cayendo al suelo por efecto de la gravedad terrestre. Ocupémonos en primer lugar de cómo sería su solución mediante la utilización de fuerzas (y en especial la segunda ley de Newton), tal y como hoy se explica en el bachillerato, para descubrir después cómo se puede resolver de un modo totalmente distinto mediante la aplicación de las ecuaciones de Euler-Lagrange en un planteamiento en que obtendremos la solución mediante la utilización de energías.
Supongamos que la pelota se lanza inicialmente formando un ángulo de, digamos, 60° con la horizontal y con una velocidad de 11,3 m/s (unos 41 km/h, algo no muy difícil de conseguir) en un punto llamado A, tal y como muestra la siguiente figura.

vx=v cos 60° = v/2 = 5,65 m/s
que permanecerá invariable, y la verticalvy = v sen 60° = √3/2v ≈ 9,8 m/s
que disminuirá con el paso del tiempo por efecto de la fuerza de gravedad hasta hacer que la pelota llegue a un punto situado a la misma altura que el punto de partida, y que llamaremos C. Por el camino, la pelota habrá alcanzado un punto de altura máxima, que llamaremos B. Para obtener las coordenadas de los puntos B y C, y de cualquier otro que nos pudiera interesar a lo largo de la trayectoria, simplemente podemos hacer uso de la segunda ley de Newton. Ésta dice que la fuerza existente se emplea en hacer variar la velocidad con el tiempo -y considerando la masa del objeto- según:F = m dvy/dt
Estamos, recalquémoslo, siguiendo un planteamiento con fuerzas y la segunda ley de Newton. En nuestro ejemplo, la fuerza actuante es la de gravedad F = mg, donde g ≈ -9,8 m/s2 es la aceleración de la gravedad en puntos próximos a la superficie terrestre. Igualando las expresiones anteriores, queda:m dvy/dt = mg
o bien:dvy = g dt
Esto es, en nuestro instante inicial t0 la velocidad vertical es vy0 = 9,8 m/s, y en un instante posterior t0 + Δt será:
y = y0 + vym Δt
Observemos, no obstante, que si la aceleración g es constante (o mejor dicho, la estamos considerando constante al suponer que no nos alejamos mucho de la superficie terrestre) la velocidad no lo es, sino que varía linealmente, recordémoslo, en la forma:vy = vy0 + gΔt
Sólo debido a que esta variación es lineal, es decir, con aceleración constante, está justificado el uso de una velocidad promedio vym de la velocidad inicial vy0 y la velocidad final:vy0 + gΔt
es decir:

![]()
De esta manera podríamos ir calculando las alturas de puntos intermedios entre A y el C, de forma que finalmente podríamos tener una representación gráfica de la trayectoria que sigue la pelota entre ambos.
Esta es sólo una forma de ver las cosas, la forma que hemos derivado a partir del uso de las fuerzas y la ley de Newton. Existe, sin embargo, una alternativa muy poderosa, que es el uso de un principio que llamaremos de mínima acción (también conocido como principio de Hamilton) y cuyos antecedentes pueden rastrearse hasta Maupertuis; e incluso derivarse por generalización del principio de Fermat, quien propuso que la luz sigue siempre la trayectoria que une dos puntos con el mínimo tiempo.
¿Qué es la acción, que designaremos por S, para una trayectoria determinada que une dos puntos A yC? La integral a lo largo del tiempo invertido en ir de A a C de una cantidad que designaremos por L y llamaremos lagrangiano:

![]()
δS = 0











Volviendo al problema de la pelota lanzada al aire, cuyo lagrangiano, según veíamos, era:
![]()

![]()
Recapitulando, digamos que podemos estudiar el movimiento de la pelota en el campo gravitatorio de dos maneras: la primera utilizando el concepto de fuerza, que es tal y como se suele enseñar en el instituto a los jóvenes a resolver los problemas de la mecánica clásica, y la segunda utilizando el concepto de energía, mediante las ecuaciones de Euler-Lagrange (o el principio de mínima acción) aplicadas al lagrangiano. En nuestro sencillo ejemplo no parece haber demasiada diferencia, pues con el uso del lagrangiano en las ecuaciones de Euler-Lagrange se llega pronto al resultado de la segunda ley de Newton, que es el punto de partida de la primera alternativa. Sin embargo, pensemos que en general las fuerzas tendrán varias componentes -no sólo una como en el ejemplo- y serán así magnitudes vectoriales, mientras que la energía será siempre una magnitud escalar, esto es, con una sola componente. Hay en la actualidad algunos proyectos educativos (por ejemplo el comandado por Edwin F. Taylor) que pretenden enseñar ¡toda la física! dejando de un lado el uso de vectores y fuerzas y utilizando únicamente magnitudes escalares (como la energía) y principios de mínimo.
En cualquier caso, llegó el momento, después de esta larga -pero esperemos provechosa- introducción, de volver con Dirac y sus contribuciones a la mecánica cuántica. Dirac era sin duda conocedor de las sugerentes alternativas que proporcionaba el tratamiento de un problema clásico mediante el lagrangiano y el principio de mínima acción. Así en 1932 se pregunta cómo proceder para introducir el lagrangiano en la mecánica cuántica.
Dirac procede sólo para el caso diferencial y argumenta muy brevemente que la transición de la posición x en tiempo t a la posición x' en tiempo t + dt “se corresponde” con En otras palabras, dice,
No debe preocuparse el lector si no ha entendido la aportación de Dirac... ¡a sus colegas científicos les sucedió más o menos lo mismo! La intuición de Dirac era a veces tan grande, y sus ideas tan profundas, que sólo resultaban inteligibles para la gente de su nivel intelectual, esto es, prácticamente nadie.
De esta manera, la aportación de Dirac pasó, si no inadvertida, sí sin ninguna utilidad durante casi una década. Así fue hasta 1941, en que un joven físico estadounidense de veintitrés años llamado Richard Feynman pregunta casualmente a un colega llamado Jehle si sabía cómo se podía trasladar la acción clásica (recordemos: la integral del lagrangiano con el tiempo) a la mecánica cuántica. Este responde que hacía unos años Dirac había expuesto en un breve artículo cómo trasladar el lagrangiano a la mecánica cuántica. Al día siguiente ambos estudian cuidadosamente dicho artículo, y Feynman muestra que su capacidad es lo suficientemente grande como para entender lo que Dirac quiso decir e incluso ir más allá.
A partir de la oscura idea de Dirac de que

![]()
![]()


A partir de aquí, Feynman llevará la idea de Dirac mucho más lejos de lo que quizá éste jamás pudo suponer, hasta construir su propia versión de la mecánica cuántica: la que se suele designar como formulación de la integral de camino o, de modo más familiar, como formulación de suma de historias. Según ésta, la probabilidad de que una partícula cuántica vaya de (x, t) a (x', t’) se calcula no considerando un camino único, como en la mecánica clásica, sino los infinitos caminos que unen (x, t) y (x', t'). Cada camino tiene una contribución a la probabilidad total que es proporcional a
siendo Ldt = S su acción correspondiente, de forma que se suman las contribuciones de cada uno de los infinitos caminos posibles y se eleva al cuadrado dicha suma para obtener la probabilidad total.
Resulta curioso como la enorme intuición de Dirac a menudo le sorprendía incluso a él mismo. Cuando en 1946 Feynman y Dirac se encuentran, el estadounidense pregunta a Dirac acerca del significado del oscuro término “análogo” de su artículo:
-¿Sabías que eran proporcionales? -inquirió Feynman.
-¿Lo son? -respondió Dirac.
-Sí -dijo Feynman.
-¡Oh, es interesante! -fue el comentario final de Dirac.
Richard FeynmanNació en 1918 en Far Rockaway, una población a las afueras de Nueva York. Desde muy pequeño aprendió de su padre a mantener una actitud curiosa ante la vida, y crítica y reflexiva ante todo proceso de adquisición de conocimiento. Así, dice en uno de sus libros, mientras los demás niños de su edad enumeraban los nombres de todos los pájaros que sus respectivos padres les habían enseñado en sus excursiones al campo, el pequeño Feynman les razonaba que su saber era más acerca del idioma (de cómo han acordado llamarlos los individuos que hablan la misma lengua) que de verdadero conocimiento de los pájaros, pues nada sabían, por ejemplo, acerca de su alimentación y costumbres. La educación recibida de su padre, indudablemente, le sirvió como primer entrenamiento para su futura dedicación a la física teórica. De su madre aprendió, especialmente, el gran sentido del humor que impregnaría toda su vida.
En los años de la Gran Depresión el joven Feynman disfrutaba ganándose un poco de dineroarreglando las radios de los vecinos que le requerían. Para gran asombro de todos, el chico conseguía arreglar la radio tras observar el aparato y ¡sentarse a pensar! Sorprendentemente, al acabar sus estudios en el instituto, Feynman no sabía qué estudiar y, como él mismo dice, eligió física sólo por eliminación. Tras su paso por el Instituto Tecnológico de Massachusetts (MIT) decide continuar sus estudios de doctorado en Prince- ton, donde será asignado a un joven profesor, Wheeler, con quien rápidamente congeniará. Será en estos tiempos cuando presente la formulación lagrangiana de la mecánica cuántica. También serán tiempos difíciles, pues a su novia Arlene se le diagnostica tuberculosis, enfermedad por la que acabará muriendo después de que ambos decidieran contraer matrimonio.
Participó en el proyecto Manhattan de construcción de la bomba atómica. Allí, en Los Álamos, jugó ciertamente un papel secundario -como él dice, cuando entró en el proyecto todavía era un mero estudiante de doctorado- Sin embargo, aprendió mucho de algunas de las más grandes figuras del momento: Compton, Bethe, Oppenheimer, Fermi, Bohr, etc. Además pudo dar rienda suelta a su creatividad y enorme sentido del humor: así, se ganó pronto unapreocupante reputación al ser capaz de abrir, por simple diversión, muchas de las cajas fuertes del lugar, donde se encontraban documentos secretos de enorme valor. En otra de sus bromas también puso en evidencia la seguridad del recinto militar: entró en él, sometiéndose a las enormes medidas de seguridad, y salió por un orificio que los obreros habían abierto en la verja para no tener que dar tanto rodeo; y repitió la acción tantas veces como pudo hasta que al personal de control le extrañó que una misma persona pudiera haber entrado tantas veces al recinto ¡sin haber salido ninguna!
Al final de la guerra, Bethe lo recomienda para la Universidad de Cornell, donde pasará cinco años y donde, especialmente, trabajará en la renormalización de la electrodinámica cuántica e introducirá los famosos diagramas que llevan su nombre. En 1965 recibirá el premio Nobel de física, junto a Schwinger y Tomonaga, por haber conseguido convertir la electrodinámica cuán tica en una teoría cuya concordancia con los resultados experimentales es asombrosamente “inhumana ”, en palabras del mismo Feynman.
En 1951 abandona Cornell por Caltech, donde permanecerá el resto de sus días. Se casó en 1952 con Mary Lou, si bien su matrimonio fue un fracaso por las incompatibilidades entre ambos. Años después conocería a Gweneth, una inglesa cuyo carácter comprensivo era justo lo que necesitaba el excéntrico Feynman. Se casaron y formaron una feliz familia con dos hijos: Carl, hijo de ambos, y Michelie, adoptada.
El resto de su vida científica sería igualmente muy activa: dedicado, entre muchos otros temas, a la teoría de la fuerza nuclear débil y a los parlones (su particular versión de los quarks), no dudó en participaren la comisión que investigaba el desastre del Challenger. Su enorme independencia de pensamiento y acción volvieron a ser patentes cuando, tras recibir presiones para que avalara la buena actuación de la NASA, no hizo sino demostrar todas las irregularidades y señales de alarma sucedidas con anterioridad al lanzamiento, y acabó realizando un experimento en una sesión televisada de la comisión de investigación en el que mostró que los anillos de caucho utilizados para sellar los depósitos de combustible eran muy sensibles a los cambios bruscos de temperatura en cuanto a la pérdida de elasticidad, tanto que si se sumergían en un vaso de agua con hielo -cosa que hizo ante las cámaras- se deformaban visiblemente.
Richard Feynman destacó, además de cómo científico de enorme producción, como orador y docente: sus presentaciones son interpretaciones llenas de vitalidad, imaginación, sorpresa, humor y elocuencia. Sus Feynman Lectures, libro de texto en tres volúmenes para los estudiantes de física de los primeros cursos, es todavía hoy una fuente de inspiración para las nuevas generaciones. Hombre de extraordinaria curiosidad, pasó un año sabático en Brasil, donde además de hacer física aprendió a tocar los bongos y desfiló en el carnaval de Río con sus compañeros de una escuela de samba; años después se tomaría otro año sabático para dedicarse a la biología en Caltech. Además se adentró en el nuevo mundo de la nanotecnología (el premio Feynman de nanotecnología, que anualmente se entrega en sus dos categorías, experimental y teórica, es un reconocimiento a su labor pionera).
En 1988, tras una larga lucha contra un cáncer abdominal, falleció habiendo visto cumplido su deseo: no dejar a su hija Michelle mientras ésta aún fuera una niña.
La Editorial NIVOLA le ha dedicado una obra de la colección Científicos para la Historia titulada Los caminos cuánticos. Feynman, escrita por Jesús Navarro Faus.
Capítulo 9
Otras ideas de Dirac…algo más controvertidas
§. El monopolo magnético
En 1931 Dirac publica un trabajo en el que argumenta que la mecánica cuántica posibilita la existencia de monopolos magnéticos. Estos no son más que partículas hipotéticas que podríamos entender -tal y como su nombre indica- como un imán con un solo polo. Es bien sabido que si se parte un imán -con sus dos polos, que podemos llamar norte y sur- por la mitad, lo que surge invariablemente son dos imanes, cada uno de los cuales tiene a su vez un polo norte y un polo sur. Nunca se ha observado, por tanto, una carga magnética norte o sur aislada. ¿Cuál es entonces la justificación de Dirac para su propuesta?
En primer lugar, la creencia en que todo lo que puede existir, existe bajo algunas condiciones -quizá desconocidas y en algún momento- y, en segundo lugar, ¡cómo no!, un resultado obtenido bajo su máxima de la belleza matemática. Así, Dirac comienza con las ecuaciones clásicas que describen el campo electromagnético (con su componente eléctrica E y su componente magnética B, esto es, con las bien conocidas ecuaciones de Maxwell:

Sin embargo, Dirac observa que en el vacío, esto es si no hay densidad ni corriente eléctrica (ρe = 0 y Je = 0), las ecuaciones muestran una simetría dual asombrosa entre E y B:


No obstante, el paso de los años, y la infructuosa búsqueda del monopolo en rayos cósmicos y aceleradores de partículas, hará que la teoría vaya siendo olvidada incluso por su mismo creador. Dirac la abandona durante más de una década, hasta finales de los cuarenta en que la retoma con el deseo de que pueda explicar los infinitos tan molestos que surgen en la electrodinámica cuántica.
La obstinación de Dirac en aferrarse a la teoría del monopolo magnético sin tener confirmación experimental de su existencia provocará incluso la burla de algunos de sus colegas; así, en una ocasión, Pauli se refiere a él despectivamente como “Monopoleón”.
A pesar de ello, Dirac volverá sobre el asunto en numerosas ocasiones hasta el final de sus días. En los años setenta del siglo XX otros, como Gerard ‘t Hooft y Alexander Polyakov, retomarán la idea del monopolo en el contexto de las teorías de gran unificación (de las fuerzas de la naturaleza). En cualquier caso el monopolo -si existe- seguirá mostrándose elusivo. Algunos dicen haberlo detectado, como por ejemplo P. B. Price, pero siempre se encuentran fallos o defectos en el proceso de observación. Así sucede, una vez tras otra, con todas las reivindicaciones de su observación... excepto con la de Blas Cabrera -físico español en la Universidad de Stanford, sobrino-nieto del famoso físico español de principios del siglo XX del mismo nombre-, quien en la noche del 14 de febrero de 1982 registró un cambio de flujo magnético en un anillo superconductor que interpretó como el resultado del paso de un monopolo a través de dicho anillo. Su experimento nunca pudo ser explicado en términos de otros factores, ni se demostró su falsedad, pero tampoco pudo reproducirse y confirmarse. Aquel evento pasó a considerarse como un mero hecho inexplicado, para algunos, y para otros como “el monopolo de San Valentín”.

Edwin Hubble con su telescopio de Monte Palomar y su característica pipa.
§. Las constantes del Universo
En 1929 el astrónomo Edwin Hubble publica un artículo en el que muestra un espectacular resultado obtenido tras más de diez años de observaciones astronómicas realizadas junto a su compañero Milton Humason: ¡el Universo no es estático sino que está en expansión! Poco tiempo antes Alexander Friedman y el abad George Lemaître habían obtenido para las ecuaciones de la relatividad generalizada soluciones con un Universo en expansión, así que esta observación, aunque enormemente sorprendente, podía conjugarse bien con la teoría física aceptada.
Hubble observa que las galaxias se alejan de nosotros, y lo hacen con tanta más velocidad cuanta mayor es la distancia a la que se encuentran. ¿Cómo fue capaz de medir la velocidad y la distancia de una galaxia con respecto a la Tierra? La distancia fue medida a través de la observación de las estrellas que se denominan Cefeidas, cuya luminosidad varía con un período muy regular, y de modo que la comparación de la luminosidad aparente con la luminosidad teórica proporciona una muy buena estimación de la distancia.
Edwin HubbleNació en Marshfield (Estados Unidos) en 1889 pero creció en un barrio a las afueras de Chicago. Desde su infancia dio tempranas muestras de una despierta inteligencia, pero destacó especialmente por sus capacidades como deportista: estando todavía en el instituto estableció el record estatal de Illinois en salto de altura, practicó el baloncesto (jugó en la liga universitaria y tiempo después ejercería como entrenador) e incluso el boxeo.
Cuando ingresa en la Universidad de Chicago florece su interés por la astronomía y las matemáticas, si bien al graduarse en 1910, este hombre de tanto talento decide cambiar de ámbito del conocimiento y estudiar derecho al otro lado del Atlántico, en la Universidad de Oxford. Allí se dedicaría también al estudio del español. Tras unos meses de indefinición acerca del rumbo que desea dar a su carrera profesional, decide regresar a la astronomía y logra ser admitido en el Observatorio Astronómico de Yerkes, adscrito a la Universidad de Chicago, donde finaliza su tesis doctoral en 1917, justo el mismo día en que es requerido por el ejército estadounidense para participar en la Primera Guerra Mundial.
Al finalizar la guerra se incorpora al Observatorio de Monte Wilson por invitación de! gran astrónomo George Hale. Será allí donde realice sus principales descubrimientos. Así, al poco tiempo de llegar descubre que no todas las nebulosas pertenecen a la Vía Láctea, como así se creía en un principio, y que no son meras acumulaciones de poleo o gases sino auténticos conglomerados de estrellas muy lejanas que, a partir de entonces, se denominarán galaxias. La nebulosa de Andrómeda será la primera de las cerca de cuarenta galaxias que identificará Hubble. Además ideó un sistema para clasificarlas que aún sigue vigente hoy en día.
En 1929 propone la conocida como ley de Hubble a partir de los datos observacionales recogidos en los últimos años, si bien comete un error en la estimación de la constante, el cual será corregido por otros astrónomos. Tras la Segunda Guerra Mundial -para la que también prestó servicio en el ejército- se le solicitó la participación en el comité asesor para la construcción del observatorio de Monte Palomar, en el cual también trabajaría hasta 1953, en que una trombosis cerebral acabó con su vida. Edwin Hubble recibió muchos honores: algunos en vida, como la medalla de la Royal Astronomical Society en 1939, y otros póstumamente. Así, en reconocimiento suyo, se impuso su nombre al famoso telescopio espacial, a un cráter de la Luna y a un asteroide.
Desgraciadamente, el premio Nobel nunca estuvo a su alcance, pues el comité consideraba que la astronomía debía quedar fuera de valoración para el Nobel de física; hasta que en 1953, unos meses después de la muerte de Hubble, fue también aceptada. Con el paso de los años resultarían premiados bastantes astrónomos, desde Penzias y Wilson en 1978 o Chandrasekhar en 1983, hasta Mathery Smooth en 2006.
Por otra parte, la velocidad la pudo determinar a partir de los datos obtenidos por Slipher, en los que se ve que las estrellas de un mismo tipo muestran su distintivo patrón espectroscópico, pero con un desplazamiento de éste hacia longitudes de onda mayores o, como se dice en astronomía, hacia el rojo. Es como si el conocido sonido del claxon de nuestro coche -suponiendo que lo condujera otra persona- es oído cuando éste se aleja de nosotros: el sonido será más grave, esto es con una frecuencia menor y una longitud de onda mayor. La representación de las velocidades deducidas frente a las distancias estimadas a cada galaxia proporcionó a Hubble una nube de puntos que se ajustaba bastante bien a una recta con origen en el cero: velocidad y distancia eran directamente proporcionales.
La expresión:
v = H∙d
donde v es la velocidad de alejamiento, H una constante y d la distancia a la galaxia, pasó a llamarse ley de Hubble, y pronto la constante H recibió también su nombre y fue conocida como constante de Hubble. Si la Tierra no ocupa ningún lugar privilegiado en el Universo (salvo para nosotros, moradores de ésta) es lógico pensar que lo mismo le sucede a cualquier otro punto desde el que se observen las galaxias: éstas se alejan respecto de él. Así, dos puntos cualesquiera del Universo se alejan entre sí con el paso del tiempo, o, en otras palabras, el Universo está en expansión. Frecuentemente se cita la siguiente analogía para explicar este concepto: supongamos que nuestro Universo no es de tres dimensiones espaciales sino sólo de dos, en concreto, que es la superficie de un globo que se está hinchando. Dos marcas cualesquiera realizadas en dicha superficie se alejarán cada vez más al irse hinchando dicho globo. Así es nuestro Universo en expansión, sólo que de tres dimensiones espaciales.Es sabido que Einstein reconoció entonces lo que según él fue “el mayor error de mi vida” y eliminó la llamada constante cosmológica que había introducido en sus ecuaciones de la relatividad generalizada para forzar a que el Universo fuera estable y no se contrajera o expandiera, según le decía su lógica que debía suceder. El Universo se encuentra, como así se ha observado, en continua expansión. Viendo la película al revés lo que se ve es una continua contracción que obviamente tiene que acabar en un punto de densidad infinita. Este evento, ocurrido aquí hace unos catorce mil millones de años es el llamado Big Bang, suceso en el que se creó nuestro Universo.
Desde la década de los treinta la llamada hipótesis del Big Bang fue mayoritariamente aceptada, si bien otras alternativas, como la teoría del estado estacionario de Fred Hoyle, Herman Bondi y Thomas Gold, recibirán posteriormente cierta consideración paralela. En cualquier caso, lo que sí resultaba indudable era la expansión del Universo.
El descubrimiento de Hubble, y su perfecta descripción dentro de la teoría de la relatividad generalizada por el modelo de Friedman-Lemaître -¡desarrollado con anterioridad a este descubrimiento!- fueron un enorme estímulo para el desarrollo de la cosmología. Grandes mentes como Eddington se vuelcan en ella. Cansado de la electrodinámica cuántica y sus resultados descorazonadores, también Dirac decide dejar por un momento la física fundamental y dedicarle un tiempo.
Aparentemente, la cosmología no había interesado demasiado a Dirac anteriormente, o por lo menos no había publicado ningún artículo al respecto. Es en 1937 cuando publica el primero de ellos: un breve artículo en la revista Nature, “The cosmological constants” (Nature, 139,5 de febrero, 323), en el que examina la posibilidad de que las constantes del Universo no sean tales sino que varíen con la evolución del mismo.
Examinando las constantes fundamentales de la naturaleza, combinadas con su particular lógica en un nuevo juego matemático, Dirac obtiene tres resultados curiosos, y para él representativos de algo más allá de la pura casualidad. En primer lugar, calcula el cociente entre la edad del Universo t y el tiempo que tarda la luz en recorrer el llamado radio clásico del electrón re. Éste se obtiene igualando la energía en reposo del electrón mec2 con la energía potencial electromagnética que tendría si fuera una esfera de radio re. El radio que así surge es el que debería tener un electrón si toda su masa fuera de origen electromagnético (recordemos lo que se decía a este respecto en el cuadro “Infinitos en el electrón”) y no existieran efectos cuánticos:

c = re/te
entonces:![]()

En segundo lugar, Dirac examina el cociente entre la fuerza de atracción electrostática entre un electrón y un protón (cuya masa designaremos por mp) y la fuerza gravitatoria de atracción entre ambos. Así, la fuerza electrostática es:



La masa del Universo la obtiene simplemente mediante el producto de la densidad del Universo ρ por el volumen d3 donde:
d = c/H
que surge de la ley de Hubble aplicando la velocidad límite c, es el radio del Universo visible. Para la densidad media, Dirac tomó el valor ρ = 5 × 10-25 kg/m3, y para la constante de Hubble H = 2×10-17 s-1. Así obtuvo como masa del Universo:

Los grandes números arriba mencionados deben ser considerados no como constantes, sino como simples funciones de nuestra época presente, expresadas en unidades atómicas. Podemos tomar como principio general que todos los grandes números del orden de 1039, 1078... que aparecen en la teoría física general son, más allá de los coeficientes numéricos, simplemente iguales a t, t2... donde t es la época presente expresada en unidades atómicas.Dirac matiza posteriormente su hipótesis diciendo que dos números grandes adimensionales cualesquiera que surgen en la naturaleza a través de las llamadas “constantes universales” están siempre conectados por una relación matemática simple en la que los coeficientes son de un orden de magnitud unidad (esto es, se puede esperar que aparezca un 4×1078 pero no un 569×1078, pues éste ya se aleja del valor esperado en más de una cifra significativa). Esta es la que el mismo Dirac bautizará como hipótesis de los grandes números.
Sin embargo, Dirac llevó el razonamiento todavía más lejos y observó que, como el coeficiente r es directamente proporcional a la edad del Universo t y el coeficiente y es inversamente proporcional a la constante de gravitación universal G, suponiendo que τ y γ deban ser siempre iguales, o al menos del mismo orden de magnitud, resulta que la edad del Universo y la constante de gravitación universal son inversamente proporcionales, es decir, la constante de gravitación universal no es constante sino que va disminuyendo de modo lineal con el tiempo, o sea:
![]()
N ∝ t2
Finalmente, unos meses después, Dirac da una vuelta de tuerca más a su teoría y llega a proponer incluso que la edad del Universo t y la constante de Hubble H pueden relacionarse mediante:![]()
Tanto los problemas teóricos de la propuesta -por ejemplo que la teoría de la relatividad generalizada necesita una constante de gravitación universal, no un valor variable con el tiempo-, como aquéllos derivados de la inadecuación a los resultados experimentales -por ejemplo, según deduce Dirac en función de la constante de Hubble, la edad del Universo es sólo de unas centenas de millones de años, mientras que las dataciones del registro fósil terrestre indican que la vida en la Tierra apareció incluso hace más tiempo- harán que la cosmología de Dirac (y las muy similares de Jordán y Eddington) reciba cada vez críticas más duras y sea designada más bien como “cosmonumerología”.
Dirac retoma y abandona casi periódicamente durante décadas su interés por la cosmología, añadiendo o reformulando algunas de sus hipótesis. Finalmente cede ante la presión de las evidencias observacionales y concede que su modelo es bastante remoto respecto de la realidad física, pero hacerlo más compatible con la física destruiría su simplicidad.
Si bien actualmente es prácticamente nula la credibilidad que la comunidad científica otorga a esta hipótesis cosmológica de los grandes números, no es menos cierto que en su formulación y refinamiento a lo largo de los años Dirac ofreció algunas ideas de gran utilidad. Así sucedió, por ejemplo, con las ideas de cuantización del campo gravitatorio y con la aceptación de la propuesta de Dirac de que las partículas mediadoras del campo gravitatorio se llamaran gravitones.
Capítulo 10
A modo de epílogo: la física después de Dirac
Sin embargo, ninguno de estos personajes pensó que la física teórica estaba completamente explicada: cuestiones como ¿qué es lo que mantiene al núcleo unido? o ¿quién es el responsable de las desintegraciones radioactivas? estaban todavía sin resolver. El descubrimiento del neutrón y la fuerza nuclear fuerte serán ingredientes para dar una respuesta a la primera de estas preguntas. La fuerza nuclear débil y el elusivo neutrino aparecerán pronto en relación con la segunda.
Por otra parte, Dirac y sus contemporáneos encontraron la antimateria en su camino -el asombroso descubrimiento de que cada partícula tiene su antipartícula-, de modo que el número de constituyentes elementales se multiplica. Las décadas siguientes verán llegar nuevos neutrinos (además del neutrino electrónico predicho por Pauli, el neutrino muónico y el tauónico), el muón, el tauón, piones, kaones, partículas lambda y sigma, la omega-menos, todas ellas con sus antipartículas, y además quarks, gluones, bosones W y Z, etc. En fin, un zoo llamado modelo estándar de la física de partículas, en el que algunas incluso comienzan a referirse más como resonancias que como partículas, pues su observación directa no es posible y sólo se puede tener constancia de su existencia de un modo indirecto. Especialmente preocupante es el elusivo bosón de Higgs, cuya observación aún no ha sido posible, pero cuya existencia es necesaria si es correcto el modelo estándar aceptado, pues según él, es su campo asociado quien se encarga de dotar a las partículas de su correspondiente masa. Todo un escenario que, sin ninguna duda, no agradó a pioneros como Dirac.
Además, el programa de renormalización, aborrecido por Dirac debido a su fealdad matemática, no sólo consigue los mayores éxitos de precisión conocidos en la física para el caso de la electrodinámica cuántica, sino que comienza a aplicarse a las nuevas interacciones y participa en la construcción de teorías de fuerzas unificadas, como la fuerza electrodébil. La “teoría del todo” sigue resistiéndose, pero surgen nuevos enfoques prometedores para su construcción. Así, la teoría de cuerdas, a partir de una idea que Dirac sin duda entendería como matemáticamente bella, pero con una extremada dificultad de cálculo, se postula como una candidata. Su principal virtud, según sus numerosos seguidores -muchos de ellos matemáticos- es la innegable belleza de la teoría. Su principal defecto, según sus detractores, que no existe evidencia observacional que la respalde. Podríamos sostener incluso que la teoría no es falsable, esto es, que cualquier dato observado puede acomodarse siempre dentro de la teoría, de modo que nunca se podría demostrar que ésta es falsa, pero eso ya nos llevaría mucho más lejos. En cualquier caso, y recordando a Dirac, siempre cabe objetar que una teoría matemáticamente bella pueda no ser cierta en el mundo real.A continuación se cita la bibliografía principal consultada para la elaboración de este libro junto con algún otro texto relacionado. Confío en que si algún lector desea profundizar más en alguno de los aspectos abordados, tanto biográficos como más técnicos, pueda encontrar en los siguientes títulos, y a través de las someras descripciones que con esta idea les acompañan, un comienzo para sus futuras lecturas.
Sobre la vida de Dirac
Dirac, P. A. M. (1977). “Recollections of an exciting era”, pp. 109-146 en Weiner, C. (Ed.) History of the twentieth century physics. Academic Press.
Reflexiones del propio Dirac acerca de su vida, sus contribuciones y su filosofía de la belleza matemática.
Kragh, H. S. (1990). Dirac. A Scientiñc Biography. Cambridge University Press.
Excelente biografía de Dirac en que además se exponen muchos de sus logros científicos.
Kursunoglu, B. N. and Wigner, E. P. (Eds.) (1987). Paul Adrien Maurice Dirac. Reminiscences about a great physicist. Cambridge University Press.
Libro muy completo en el que 24 de sus amigos o colegas -algunos tan ilustres como Wigner, Hoyle o Salam- recuerdan al hombre y al científico a través de las anécdotas vividas junto a él, y donde además se exponen sus aportaciones más importantes a la física moderna.
Pais, A.; Jacob, M.; Olive, D. I. and Atiyah, M. F. (1998). Paul Dirac. The man and his work. Cambridge University Press.
Volumen que contiene cuatro presentaciones que los autores hicieron acerca de Dirac el 13 de noviembre de 1995 con motivo de la colocación en su honor de una placa conmemorativa en la abadía de Westminster.
Además, en diversas entradas de la Enciclopedia Británica puede seguirse muy bien tanto la vida de Dirac y sus colegas más afines como el desarrollo de la mecánica cuántica.
Sobre la física de su tiempo
Cropper, W. H. (2001). Great physicists. The Ufe and times of leading physicists from Galileo to Hawking. Oxford University Press. Texto que relata la vida de treinta físicos excepcionales (Dirac, Heisenberg, Schrödinger, de Broglie, Einstein, Bohr, Planck, Pauli y Feynman, de entre aquéllos que más nos interesaron) junto con algunos de sus desarrollos, explicados de un modo técnico y a la par sencillo.
Fernández-Rañada, A. (2004). Ciencia, incertidumbre y conciencia. Heisenberg. NIVOLA libros y ediciones, S. L.
Biografía de su compañero, amigo y, como Dirac, pionero de la mecánica cuántica.
Icaza, J. J. (1991). La construcción de la mecánica cuántica. Editorial de la Universidad del País Vasco.
Interesante relato de la historia de la construcción de la mecánica cuántica, tanto en su versión matricial como en la ondulatoria. Además del encuadre biográfico de los personajes, se dedica con cierto detalle a los desarrollos teóricos.
Moore, P. (2003). E = mc2. Las grandes ideas que formaron nuestro mundo. Lisma ediciones, S.L.
Libro en el que, junto a otros muchos, pueden encontrarse breves biografías de los científicos que construyeron la mecánica cuántica.
Navarro, J. (2007). Los caminos cuánticos. Feynman. NIVOLA libros y ediciones, S. L.
Interesante relato de la vida y obra de uno de los físicos que tomará el testigo de Dirac.
Pais, A. (1986). Inward bound. Of matter and torces in the physical world. Oxford University Press.
Extensa, completa e interesante narración de la historia de la física atómica realizada magistralmente por un físico reconvertido a historiador de la física.
Schweber, S. S. (1994). QED and the men who made it: Dyson, Feynman, Schwinger and Tomonaga. Princeton University Press. Excepcional relato de la historia de este campo de la física: sus antecedentes, con la ecuación de Dirac y las primeras ideas sobre campos cuánticos, y su desarrollo en los años cuarenta con el programa de la renormalización. Todo ello acompañado de desarrollos teóricos, información biográfica y reflexiones de los protagonistas (también de los fundadores de la mecánica cuántica como Dirac).
Libros y artículos de Dirac
Dalitz, R. H. (Ed.) (1995). The collected Works of P. A. M, Dirac. 1924-1948. Cambridge University Press.
Recopilación cronológica de los artículos de Dirac en el período de sus contribuciones más importantes. De interés especial para seguir la evolución de sus ideas.
Dirac, P. A. M. (1996). General Theory of Relativity. Princeton University Press.
Breve texto (de sólo 69 páginas) que presenta de un modo conciso pero completo la teoría de la relatividad generalizada. Recomendado para quien pretenda comprender esta teoría con detalle (las matemáticas son complicadas) y no con las meras explicaciones literales con que muchas veces se presenta de un modo superficial.
Dirac, R A. M. (1958). The Principies of Quantum Mechanics. 4a edición. Oxford University Press.
Clásico texto en el que Dirac presenta la mecánica cuántica de un modo profundo y riguroso, y que desde su primera edición en 1930 se convirtió en una de las principales fuentes de estudio de esta rama de la física. De nivel avanzado.
Libros divulgativos
Feynman, R. R (1998). Electrodinámica cuántica. La extraña teoría de la luz y la materia. Alianza Universidad.
Presentación magistral, dirigida al gran público de los fundamentos de esta complicada teoría en un lenguaje sencillo y muy visual, realizada por uno de los autores que más han contribuido a su desarrollo y como sólo él sabe hacerlo. Muy recomendable para quien desee tener una idea de cómo interaccionan la luz y la materia sin recurrir a complicadas fórmulas matemáticas.
Hooft, G. ‘t (1997). In search of the ultimate building blocks. Cambridge University Press.
Relato de la historia de la física en las últimas décadas de la mano de uno de sus principales teóricos. Proporciona detalladas explicaciones literales tratando de huir de formulaciones matemáticas.
Penrose, R. (2006). El camino a la realidad: una guía completa de las leyes del Universo. Editorial Debate.
Excepcional obra en la que un físico matemático de primera fila presenta, con lenguaje y formulación matemática detallados pero asequibles, un compendio de las leyes de la física aceptadas en el momento actual, así como teorías más vanguardistas que todavía son sólo una posibilidad.
Beiser, A. (2002). Concepts of modern physics. McGraw-Hill. Introducción técnica accesible a los conceptos de la física moderna.
McMahon, D. (2005). Quantum mechantes demystifíed. McGraw-Hill. Libro técnico enfocado como guía para el autoestudio de la mecánica cuántica. Con numerosos ejemplos para tratar los aspectos técnicos esenciales de la materia.
Wichmann, E. H. (1991). Física cuántica. Curso de física de Berkeley. Tomo IV. Editorial Reverté, S. A.
Uno de los clásicos textos técnicos introductorios de esta rama de la física, de lectura relativamente amena.
F I N
Tras completar su formación en Manches- ter bajo la supervisión de Ernst Rutherford, publica en 1913 su modelo atómico, que parte del de Rutherford pero incluye el concepto de cuantifícación. El éxito del modelo de Bohr para explicar el espectro del átomo de hidrógeno-puede verse como fruto de la casualidad; sin embargo, para muchos como Einstein el razonamiento cuidadoso de Bohr a partir de los inestables principios de la primera física cuántica es una joya: “la forma más sublime de musicalidad en la esfera del pensamiento".
Allí conoció a Wolfgang Pauli, con quien trabaría una amistad que duraría toda su vida, a! igual que la colaboración científica entre ambos.
introduce los corchetes que llevan su nombre. Dadas dos funciones de n variables expresadas en coordenadas canónicas x(q1, q2,…, qn) e y(p1, p2,…, pn) se define el paréntesis o corchete de Poisson como:
En cualquier caso, los trabajos de Born seguirán encaminados a un mejor entendimiento de la mecánica cuántica, de entre los que es especialmente importante su interpretación estadística de la mecánica cuántica, publicada en 1926, y que proporciona significado a la función de onda, algo elusivo hasta entonces para la comunidad física: el cuadrado de la función de onda es, salvo un factor de proporcionalidad, la función de densidad de probabilidad de encontrar a la partícula en un entorno diferencial. Tuvo que emigrar a Gran Bretaña al ser clasificado como judío, siendo no obstante luterano, y tomó una clara posición pacifista: frente a la proliferación de armamento nuclear firmó el manifiesto Russell-Einstein. Regresará finalmente a Alemania, donde en 1970, fallecerá. De sus descendientes, resultará ser el más famoso su nieta la cantante y actriz australiana Olivia Newton-John.
Nació en 1887 en la Viena entonces perteneciente al imperio austro-húngaro. Estudió con un tutor privado hasta los diez años, en que ingresó en la escuela secundaria y después realizó estudios universitarios en la misma Viena. Durante la Primera Guerra Mundial fue llamado por el ejército austríaco y enviado al frente en la frontera italiana. En esos años se dedica especialmente a la meteorología. En 1920, tras un breve paso por Jena, donde será asistente de Max Wien, consigue un puesto en Stuttgart y poco después en Breslau. Sus movimientos por las universidades europeas serán numerosos: Zúrich, Berlín, Oxford, Graz, Berlín y finalmente Viena, serán sus destinos más duraderos.
En el caso de los premios que concede la Academia Real de Ciencias Sueca esto no es una excepción: además de “olvidos" notables, hay “retrasos" a veces de más de veinte años, los cuales se justifican diciendo que el galardón "se otorga por toda la vida científica”, si bien, en realidad, siempre se indica el motivo exacto de su otorgamiento y bastantes ganadores tenían treinta y pocos años cuando lo recibieron (¡incluso Bragg sólo veinticinco!) y se encontraban, al menos en principio, al comienzo de su vida científica.






arreglando las radios de los vecinos que le requerían. Para gran asombro de todos, el chico conseguía arreglar la radio tras observar el aparato y ¡sentarse a pensar! Sorprendentemente, al acabar sus estudios en el instituto, Feynman no sabía qué estudiar y, como él mismo dice, eligió física sólo por eliminación. Tras su paso por el Instituto Tecnológico de Massachusetts (MIT) decide continuar sus estudios de doctorado en Prince- ton, donde será asignado a un joven profesor, Wheeler, con quien rápidamente congeniará. Será en estos tiempos cuando presente la formulación lagrangiana de la mecánica cuántica. También serán tiempos difíciles, pues a su novia Arlene se le diagnostica tuberculosis, enfermedad por la que acabará muriendo después de que ambos decidieran contraer matrimonio.