De la máquina de vapor al cero absoluto
Leopoldo García-Colin
El material contenido en este libro tiene un carácter que podría calificarse de elemental. Su lectura no requiere conocimientos superiores al nivel de secundaria. Su objetivo primordial es informar al lector, de manera accesible pero seria, la evolución y aplicación de los conceptos fundamentales de la llamada termodinámica clásica (o, más exactamente, termostática). Debido a este carácter de obra de divulgación se ha empleado un lenguaje simple y, en lo posible, ameno. No obstante, también es necesario tener presente que la física requiere de la simbología y el lenguaje de la matemática. Es necesario, entonces, acostumbrarnos a traducir resultados de una relación entre símbolos. Esto no quiere decir que para lograrlo sea necesario utilizar todas las técnicas de la matemática para realizar operaciones con aquellos símbolos. En las veintiuna ecuaciones incluidas hasta la Sección B del Capítulo 3 sólo tres son fundamentales, las numeradas (3), (7) y (10) que expresan los tres conceptos esenciales que constituyen el núcleo de esta obra. Las restantes son formas equivalentes de las mismas, aplicadas a situaciones diversas. Se encuentra también una que otra ecuación adicional que define conceptos auxiliares. Debemos perder el temor a tal simbología pues su fin principal es economizar frases. Las operaciones que se realizan con ellas no pasan de sumas, restas, multiplicaciones y divisiones.
La única sección que requiere de la matemática en mayor grado es la C del Capítulo 3, que está dedicada al lector que quiere profundizar un poco más en la materia. Una persona que haya pasado por la preparatoria no encontrará ninguna dificultad en seguirla. Por otra parte, su omisión no resta continuidad a la lectura del resto del libro.
En pocas palabras lo que se pide al lector interesado es que emprenda la lectura sin prejuicios ni temores respecto al fantasma de la matemática, que aquí no aparece por ningún sitio.
En nuestra vida cotidiana tenemos innumerables contactos con dispositivos que transforman una forma de energía en otra. Ejemplos típicos lo son el encender una luz, utilizar un refrigerador, poner en marcha el motor de un automóvil, encender un calentador de agua, gas u otro combustible y muchos más. En el primer ejemplo de esta lista, la energía eléctrica que consumimos se transforma por el foco en energía luminosa; en el refrigerador la energía eléctrica pone a operar un motor que a través de un proceso mecánico enfría su interior; en el caso de un motor de combustión, como el de un automóvil, la energía mecánica que permite a un vehículo ponerse en movimiento y, en un calentador, la energía química, del combustible sirve para calentar la estancia donde está ubicado. El lector puede pensar en muchísimos ejemplos más y finalmente preguntarse si existen reglas o leyes generales, como decimos los físicos, que rijan la forma en que deben ocurrir todos estos procesos y transformaciones. En este libro hablaremos extensivamente de ellas y de otras posibles aplicaciones. En lenguaje llano diríamos que vamos a estudiar las leyes de un área de la ciencia correctamente llamada la termostática, aunque por razones prácticas se le denomina comúnmente la termodinámica.
Hoy en día es común pensar que en el complejo proceso de creación, asimilación y aplicación del conocimiento científico, la tecnología es la última etapa que emana de la investigación científica. Si bien es cierto que existe una complicada interrelación entre la ciencia y la tecnología, al grado que es difícil pensar que ésta última sea ajena al quehacer científico, no siempre fue así. Cierto es que por ejemplo las comunicaciones, alámbricas e inalámbricas, surgen de la comprensión del comportamiento del campo electromagnético a través de los estudios de Faraday, Maxwell y Hertz en la segunda mitad del siglo pasado. Así, una tecnología emanó de los resultados de la investigación científica. Pero en el caso de los dispositivos que transforman energía y en particular energía térmica en trabajo mecánico, la situación fue completamente la opuesta. Estos últimos dispositivos, que ahora llamaremos máquinas térmicas se desarrollaron desde su forma más incipiente, en el siglo XVIII, hasta prácticamente la forma en que las conocemos hoy en día, lo que ocurrió ya hacia mediados del siglo XIX, sin que hubiese existido la menor comprensión sobre las causas teóricas, esto es, la explicación científica de su funcionamiento. Hagamos pues un poco de historia.
La primera máquina térmica de que tenemos evidencia escrita fue descubierta por Herón de Alejandría (~ 130 a.C.) y llamada la eolípila. Es una turbina de vapor primitiva que consiste de un globo hueco soportado por un pivote de manera que pueda girar alrededor de un par de muñones, uno de ellos hueco. Por dicho muñón se puede inyectar vapor de agua, el cual escapa del globo hacia el exterior por dos tubos doblados y orientados tangencialmente en direcciones opuestas y colocados en los extremos del diámetro perpendicular al eje del globo. Al ser expelido el vapor, el globo reacciona a esta fuerza y gira alrededor de su eje.
En la misma obra de Herón se describe también el primer prototipo de una máquina de presión, que después fue motivo de varios estudios por Matthesuis en Alemania en 1571, de Caus en Francia en 1615 y en Italia por Ramelli en 1588, della Porta en 1601 y Branca en 1629.

La eolípila de Herón de Alejandría.
Posteriormente, en 1663, Edward Somerset, el segundo marqués de Worcester, en su obra Un siglo de invenciones describe un método para elevar un volumen de agua usando vapor. Su descripción es obscura y carece de dibujos; y subsiste la duda de si construyó o no la máquina. No fue sino hasta los años de 1698 a 1725 cuando la idea de Somerset fue puesta en práctica y utilizada para satisfacer diversas necesidades. En 1698 Thomas Savery obtuvo una patente para una máquina utilizada para elevar cantidades considerables de agua. Su funcionamiento consistía esencialmente en inyectar vapor a un recipiente lleno de agua hasta vaciar su contenido por un tubo vertical a través de una válvula de seguridad. Cuando el recipiente se vacía cesa el suministro de vapor y el vapor contenido se condensa por medio de un chorro de agua fría que cae sobre las paredes exteriores de dicho recipiente y que proviene de una cisterna colocada en su parte superior. Esto produce un vacío y permite que otro tubo, controlado por otra válvula de seguridad, aspire agua del pozo distribuidor a cualquiera que sea la fuente. Entre tanto, una operación paralela se lleva a cabo en otro recipiente semejante al primero. El vapor se suministra de un horno que consiste de una caldera principal que tiene una alimentación continua de agua caliente la cual proviene de otro horno que calienta agua fría por el fuego encendido en su hoguera. Los niveles de agua en las calderas se controlan por sendas válvulas de presión.
Esta máquina, que puede considerarse como la primera máquina de vapor, encontró un uso considerable en la extracción de agua de las minas de carbón y en la distribución de agua para casas habitación y pequeñas comunidades. Esta máquina fue subsecuentemente modificada de diversas maneras, todas ellas destinadas a mejorar la cantidad de agua y la altura a que ésta podía elevarse, ya que estas características estaban limitadas por la presión que podían soportar las calderas. Ya en 1690 Denis Papin había sugerido que la condensación de vapor se debería usar para producir un vacío debajo de un pistón que previamente se había elevado por la acción del vapor.

Figura 1a. Figura esquemática de una máquina o planta de vapor. El agua es bombeada a un calentador donde hierve y se evapora al aumentar la presión del cilindro para empujar al pistón hasta enfriarse a la temperatura y presión del condensador en el cual condensa y vuelve a ser bombeada para completar el ciclo.
Ésta fue la primera versión de una máquina de vapor usando un cilindro y un pistón. En 1705 Thomas Newcomen y John Cawley, su asistente, mejoraron la operación del pistón al forzar su caída por acción de la presión atmosférica. Al hacerlo producía trabajo mecánico sobre una bomba que introducía el agua por bombear. Después de varios ajustes técnicos estas máquinas fueron producidas en gran tamaño y en serie por John Smeaton hasta que en 1770 fueron superadas por las innovaciones debidas a James Watt. (Figs. 1)

Figura 1b. Diagrama simplificado de una locomotora de vapor mostrando el principio básico utilizado.
En 1763 este notable fabricante de instrumentos escocés, al reparar una de las máquinas de Newcomen se sorprendió de ver el enorme desperdicio de vapor que ocurría durante el proceso de calentamiento y enfriamiento del cilindro, dentro del cual operaba el pistón. El remedio, en sus propias palabras, consistiría en mantener al cilindro tan caliente como el vapor de entrada. Después de seis años sus experimentos lo llevaron a patentar, en 1769, una máquina que superaba a las de su antecesor por su mayor rapidez en la carrera del pistón y por ser mucho más económica en cuanto al consumo de combustible, sin embargo estaba reducida al bombeo y adolecía de otras limitaciones técnicas.
La forma en que estas limitaciones fueron superadas queda fuera de contexto, pero vale la pena subrayar que el propio Watt en 1781 ideó la forma de usar la máquina para hacer girar un eje y por lo tanto, abrir sus aplicaciones a muchos otros usos además del bombeo.

Figura 1c. Turbina de vapor.
En manos de inventores notables como Trevitchik y Woolf en Inglaterra, Evans en los EUA , Cugnot en Francia y otros, esta máquina llegó a un estado de perfección tal que en 1829 George Stephenson fue el primero en adaptarla a una locomotora esencialmente en la misma forma usada por las más pesadas locomotoras actuales. También, en 1802 fue usada por vez primera por W. Symington para navegar el remolque Charlotte Dundas. Posteriormente, en 1807, el norteamericano Robert Fulton hizo navegar un barco en el río Hudson con máquinas de vapor diseñadas por Boulton y Watt.
Entre esos años y las postrimerías del siglo pasado, con mejoras en el diseño y la construcción, la máquina de vapor se transformó en la máquina habitual para la navegación marina lográndose alcanzar presiones de vapor muy altas y velocidades de pistón considerables. Con la invención de la turbina de vapor la navegación marina adquirió su máximo grado de desarrollo, sólo superado posteriormente por el advenimiento de los combustibles nucleares. En la turbina de vapor, desarrollada por Parsons en 1884 y perfeccionada por Laval en 1889, la presión del vapor se utiliza para poner directamente al fluido en movimiento y no al pistón.
En todo este proceso de invenciones e innovaciones los inventores difícilmente tuvieron una teoría, como la electromagnética en el caso de la radio, que les guiara en su camino. Los termómetros producto de la obra de Gabriel Fahrenheit en 1717, eran reproducibles con un alto grado de precisión y surgieron de la necesidad de subsistir con un instrumento más preciso las sensaciones de frío y caliente que al tacto son difíciles de cuantificar. De hecho, mucho antes de su construcción, científicos como Leonardo da Vinci, Galileo y otros sabían que al contacto con un tercer cuerpo, usualmente el aire, dos o más cuerpos en contacto con él "se mezclaban de una manera apropiada" hasta alcanzar una misma "condición". De ahí la palabra temperatura que proviene del latín temperare que significa "mezclar apropiadamente" o templar. Pero para nadie era claro qué mecanismo estaba implícito en ese mezclado.
En 1620, sir Francis Bacon en su célebre obra Novum Organum propuso un método para estudiar e interpretar la naturaleza y eligió la naturaleza del calor para ilustrarlo. El método consiste de tres pasos: el primero, listar todas las "instancias asociadas a la ‘naturaleza’" que se desea investigar; el segundo es una revisión crítica de la lista y el tercero un proceso de inducción para formular la interpretación fundamental del fenómeno. Aplicada al calor es ilustrativo, pues pone de relieve las ideas que al respecto prevalecían en ese entonces: la forma o verdadera definición de calor es como sigue: calor es un movimiento, expansivo, restringido y actuando en su contienda sobre las partículas más pequeñas de los cuerpos.
Aunque se realizaron muchos esfuerzos para explicar los procesos que se pensaban ocurrían al experimentar con la ayuda de termómetros, fue Joseph Black un médico y químico escocés, quien a mediados del siglo XVIII aclaró la distinción entre calor y temperatura. En sus Lecciones sobre los elementos de la química, publicada póstumamente en 1803 y editada por su alumno y colega John Robison, Black distingue con toda precisión la diferencia entre calor y temperatura e introduce por primera vez los conceptos de calor específico y calor latente. De esta obra vale la pena citar al pie de la letra:
Un avance en nuestro conocimiento sobre el calor, que puede lograrse mediante el uso de termómetros, es la noción mucho más clara que hoy tenemos sobre la distribución del calor en cuerpos diferentes. Aun sin la ayuda de termómetros podemos percibir la tendencia del calor a difundirse de cualquier cuerpo caliente hacia otros más fríos en sus alrededores, hasta que el calor se distribuye entre ellos de una manera tal que ninguno es capaz de tomar más que los restantes. Así pues, el calor alcanza un estado de equilibrio.
La naturaleza de este equilibrio no se comprendía bien hasta que discerní un método para investigarlo. Se han adoptado muchos puntos de vista al respecto, todos un tanto apresurados, como es imaginarse que en dicho equilibrio hay una misma cantidad de calor en cada volumen igual del espacio, independientemente de cómo se llene éste con cuerpos diferentes. Esto es confundir la cantidad de calor en diferentes cuerpos con su intensidad (temperaturas), aunque es claro que ambas cosas son diferentes.
En términos contemporáneos no sólo apunta Black al hecho de que calor y temperatura son dos conceptos estrictamente diferentes, sino que además apunta al bien conocido hecho de que los calores específicos de substancias diferentes, son diferentes. De sus experimentos al mezclar agua y mercurio a diferentes temperaturas iniciales cita:
Se pone de manifiesto que la cantidad de calor requerida para hacer 2 volúmenes de agua más caliente, digamos por 25 grados, es suficiente para hacer a 3 volúmenes de mercurio más calientes por el mismo número de grados. Esto es, el mercurio tiene una menor capacidad para el calor[1] (si se me permite usar la expresión) que el agua...
Sobre los calores latentes sus observaciones fueron no menos agudas. Citamos:
"La opinión que me he formado de una observación minuciosa de los hechos y fenómenos es como sigue: Cuando el hielo u otra sustancia sólida se funde, soy de la opinión que recibe una cantidad de calor mayor que la perceptible a través del termómetro inmediatamente después de la fusión... Este calor debe agregarse para darle la forma de un líquido; cuando congelamos un líquido, este emite una gran cantidad de calor... En los procesos ordinarios de la congelación del agua, la extracción y surgimiento de calor latente, si se me permite usar el término, se lleva a cabo por etapas diminutas... que muchos pueden encontrarse difíciles de comprender..."
Pero hasta el momento nada se ha dicho sobre la naturaleza misma del calor. En 1783 el famoso químico Henry Cavendish al referirse al frío generado por la fusión del hielo y el calor producido por la congelación de agua observó:
Se me ha dicho que el Dr. Black explica estos fenómenos de la misma manera, sólo que en lugar de usar la expresión, calor se genera o produce, él habla de la liberación o emisión del calor latente. Sin embargo como esta expresión es una hipótesis que depende de la suposición de que el calor de los cuerpos es debido a su mayor o menor contenido de una substancia llamada la materia del calor, y compartiendo yo la opinión de sir Isaac Newton de que el calor consiste del movimiento interno de las partículas que forman los cuerpos, con mucho lo más probable, yo elijo usar la expresión, el calor es generado...
El texto de Cavendish no sólo arroja luz sobre las controversias existentes en aquella época acerca de la naturaleza del calor, sino que además exhibe claramente la idea que el gran Newton tenía sobre el calor, muy cercana a la interpretación moderna basada en la teoría molecular de la materia. ¿Y Black mismo? Aunque mucho se dice que él nunca sostuvo con convicción una teoría específica sobre el calor, sus escritos muestran que estaba consciente de la polémica acerca de la naturaleza del calor. Dicha polémica originada desde el tiempo de los griegos y suscrita por Robert Boyle en su obra Ensayos sobre efluvios sugería que el calor era una substancia material que se comportaba como un fluido elástico, sutil, que llenaba todos los cuerpos y cuya densidad aumentaba con la temperatura.
Este fluido se concebía como formado por partículas que se repelen entre sí pero son atraídas a las partículas de materia ordinaria. Cada partícula de materia está entonces rodeada de una atmósfera de calórico de manera que dos partículas materiales se repelen entre sí a cortas distancias, aunque a distancias grandes la atmósfera se atenúa y predomina la fuerza atractiva de la gravedad; así existe un punto de equilibrio intermedio en el cual la fuerza neta es cero. Si la temperatura aumenta y se agrega fluido a la sustancia, el punto de equilibrio se desplaza hacia el exterior aumentando la distancia promedio entre las partículas y produciendo así una expansión del cuerpo. Bajo una compresión el fluido se comprime y aparece en la superficie como calor emitido. Esta teoría aunque opuesta al concepto de movimiento propuesto por Bacon y sostenido por Newton y otros filósofos ingleses, llegó a tener una aceptación general al grado que en 1787 el célebre químico Lavoisier y otros científicos franceses, al hacer una revisión de la terminología química, llamaron a este fluido el "calórico".
Antes de volver a nuestra pregunta inicial acerca de la teoría inexistente sobre el funcionamiento de las máquinas térmicas conviene mencionar algunas anécdotas adicionales.
De acuerdo con la teoría de Black cuando un cuerpo se licúa o se congela (solidifica) el calor latente emitido o absorbido resultaba de la combinación de una cantidad definida del calórico con cada partícula material de la sustancia en cuestión. Al concebir al calor como el calórico surgió de manera natural la pregunta acerca de cómo medir su peso. Esta cuestión fue abordada por Benjamin Thomson, más tarde el conde Rumford, en 1798 y en 1799 por el notable químico H. Davy. Después de una serie de experimentos que más tarde se reconocieron como una evidencia clara para desechar la existencia del calórico, concluyeron que el peso de dicho fluido nunca podría determinarse.
En su época, estos experimentos no se estimaron como objeciones serias a la teoría del calórico porque sus ejecutantes, Davy y Rumford, no propusieron una teoría alternativa coherente; no explicaron cómo si el calor es movimiento de partículas (moléculas) puede transferirse de una substancia a otra. Por otra parte, el calor radiante se usaba en todas sus manifestaciones como un fuerte apoyo a la teoría del calórico: como el calor podía atravesar el vacío sin provocar ningún movimiento de materia, debía ser una substancia y no una propiedad de la materia.
No obstante estas controversias, no existía evidencia conclusiva y contundente para descartar la teoría del calórico, hasta que a fines del siglo XVIII el conde Rumford, que fungía entonces como superintendente del arsenal de Münich, percibió una cantidad de calor muy considerable que se producía al horadar un cañón y el calor aún más intenso de las astillas metálicas que se producían en dicha operación. Citando su propio texto publicado en 1798:
Cuanto más meditaba sobre estos fenómenos más me parecían curiosos e interesantes. Una investigación más exhaustiva sobre ellos parecería justo que arrojara un mayor entendimiento acerca de la naturaleza oculta del calor y permitirnos así formar juicios más certeros con respecto a la existencia o inexistencia de "un fluido ígneo"; un tema sobre el cual las opiniones de los filósofos de todas las épocas han estado muy divididas. ¿De dónde proviene todo el calor producido en las operaciones mecánicas arriba mencionadas?
Inspirado en estas ideas, Rumford decidió llevar a cabo varios experimentos para responder a estas cuestiones. Construyó un cilindro de bronce que pudiera ajustarse a un taladro de acero filoso. Este taladro se forzaba en contra de la parte inferior del cilindro y al cilindro se le hacía girar sobre su eje por medio de una máquina taladradora operada con caballos. En su experimento más espectacular todo el cilindro y el taladro se ponían dentro de una caja hermética llena con agua inicialmente a una temperatura normal (18° C) y la máquina se ponía en movimiento. El cilindro se hacía girar a 32 vueltas por minuto. Al poco tiempo de operar. Rumford percibió un calentamiento del cilindro y del agua. Citando:
Al cabo de una hora encontré, introduciendo un termómetro en el agua, que su temperatura había aumentado no menos de 9° C y al cabo de dos horas con 20 minutos era de 94° C, y a las dos horas y media ¡el agua hervía! Sería difícil describir la sorpresa y aturdimiento reflejado en el semblante de los espectadores al ver una cantidad de agua fría, calentarse y hervir, sin nunca haber encendido un fuego.
De estos experimentos, Rumford concluyó que la fuente generada por la fricción es inagotable y señaló que cualquier cosa que uno o varios cuerpos puedan generar sin límite alguno no puede ser substancia material.
Por consiguiente, de los experimentos realizados es difícil, si no imposible, identificar al calor generado con otra cosa que no sea el movimiento. Aunque el efecto de estos experimentos fue debilitar seriamente las bases en que se sustentaba la teoría del calórico, tuvieron que pasar otros cincuenta años antes de que estos puntos de vista fueran totalmente aceptados.
La discusión anterior exhibe con cierto detalle el escenario en que evolucionó la tecnología de las máquinas térmicas, en la medida, como dijimos antes, de tener a la mano una teoría que guiara su desarrollo. En efecto, tal teoría, hasta 1840 no existió y la evolución de la tecnología fue casi empírica.
La primera persona que planteó la interrogante esencial del problema, a saber, conocer el principio o los principios que rigen el funcionamiento de estas máquinas, fue el brillante ingeniero francés N. Sadi Carnot (1796-1832). En 1824 publicó su famosa memoria Reflexiones sobre la potencia motriz del calor y sobre las máquinas apropiadas para desarrollar esta potencia, en donde se dedicó a razonar sobre la pregunta general de cómo producir trabajo mecánico (potencia motriz) a partir de fuentes que producen calor. Citamos de su obra:
Todo el mundo sabe que el calor puede causar movimiento, que posee una gran fuerza motriz: las máquinas de vapor tan comunes en estos días son una prueba vívida y familiar de ello... El estudio de estas máquinas es de gran interés, su importancia es enorme y su uso aumenta cada día. Parecen destinadas a producir una gran revolución en el mundo civilizado...
A pesar de estudios de todos los tipos dedicados a las máquinas de vapor y a pesar del estado tan satisfactorio que han alcanzado hoy en día, su teoría ha avanzado muy poco e intentos para mejorarlos están basados casi en el azar.
A menudo se ha planteado la cuestión sobre si la potencia motriz del calor es limitada o infinita; el que si mejoras posibles a estas máquinas de vapor tienen un límite asignable, un límite que, en la naturaleza de las cosas, no pueda excederse por medio alguno, o si, por lo contrario, estas mejoras pueden extenderse indefinidamente.
Para visualizar en su forma más general el principio de la producción de trabajo a partir del calor debemos pensar en ello independientemente de cualquier agente; debemos establecer argumentos aplicables no sólo a las máquinas de vapor sino a cualquiera que sea su forma de operar.
Es realmente a partir de estas ideas de las cuales surgió toda la teoría moderna de las máquinas térmicas y, como veremos más adelante, se llegó a la formulación del no siempre muy claro segundo principio de la termostática. Pero volvamos con Carnot para comprender mejor sus ideas concebidas todavía durante la época en que la teoría del calórico era, inclusive para él mismo, muy aceptada. El punto clave consiste en reconocer que una máquina térmica (o de vapor) requiere de una diferencia de temperaturas para poder operar. Citamos:
La producción de movimiento en una máquina de vapor va siempre acompañada por una circunstancia a la que debemos poner atención. Esta circunstancia es el re-establecimiento del equilibrio en el calórico, esto es, su flujo desde un cuerpo cuya temperatura es más o menos elevada a otro cuya temperatura es menor.
En otras palabras, cuando la máquina opera entre dos cuerpos y extrae el calor del más caliente, cede una cantidad de calor al cuerpo más frío hasta igualar las temperaturas de ambos, esto es, hasta restaurar el equilibrio térmico.

Figura 2. Una máquina térmica extrae |Q2| unidades de calor de una fuente a temperatura T2 y desecha una cantidad menor - |Q1| a la fuente fría. Ésta, usualmente el medio ambiente, se encuentra a una temperatura T1 menor que T2. Por la conservación de la energía, el trabajo neto realizado por la máquina, si ésta es ideal (no hay fricción) es - W = |Q2| - |Q1|
Más aún, señala que cuando la restauración del equilibrio ocurre sin producir trabajo, éste debe considerarse como una pérdida real (Fig. 2). En el lenguaje más moderno diríamos que las diferencias de temperatura entre dos o más cuerpos tienden a desaparecer espontáneamente al fluir el calor de los más calientes a los más fríos sin producir trabajo útil.
De aquí entonces se le ocurre a Carnot pensar que una máquina térmica eficiente debe diseñarse de manera que no existan flujos de calor desaprovechables durante su operación. Para ello se le ocurre idear un proceso cíclico en el cual sólo aparecen la fuente térmica de la cual la máquina extrae calor para operar y la fuente fría a la cual se le suministra el calor no aprovechable. Citamos:
Imaginemos un gas, aire atmosférico por ejemplo, encerrado en un recipiente cilíndrico abcd (ver figura 3) que tiene un pistón movible cd; además sean A y B dos cuerpos cada uno mantenido a una temperatura constante, la de A mayor que la de B; e imaginemos las siguientes operaciones:
- Ponemos en contacto al cuerpo A con el aire encerrado en el espacio abcd a través de una de sus caras, ab digamos, que suponemos conduce calor fácilmente. A través de este contacto el aire alcanza la misma temperatura que la del cuerpo A; cd es la posición presente del pistón.

Figura 3. Diagrama de la Máquina de Carnot (según Carnot) - El pistón se eleva gradualmente hasta tomar la posición ef. Se mantiene el contacto con el cuerpo A y el aire, el cual por lo tanto se mantiene a una temperatura constante durante la expansión. El cuerpo A suministrará calor necesario para mantener dicha temperatura constante.
- El cuerpo A se retira de manera que el aire no esté ya en contacto con cualquier cuerpo que pueda suministrar calor: el pistón, sin embargo, continúa moviéndose y pasa de la posición ef hasta la posición gh. El gas se expande sin recibir calor y su temperatura disminuye. Imaginemos que disminuye en esta forma hasta que alcanza un valor igual a la temperatura del cuerpo B. En este punto el pistón se para y ocupa la posición gh.
- El aire se pone en contacto con el cuerpo B; se comprime por el regreso del pistón a medida que se mueve de la posición gh a la posición cd. No obstante, el aire se mantiene a una temperatura constante por su contacto con el cuerpo B al cual le cede su calor.
- Se retira el cuerpo B y continuamos la compresión del aire el cual, ahora aislado, aumenta su temperatura. La compresión se continúa hasta que el aire alcance la temperatura del cuerpo A. Durante este proceso el pistón pasa de la posición cd a la posición ik.
- El aire se pone de nuevo en contacto con el cuerpo A; el pistón regresa de la posición ik a la posición ef; la temperatura permanece constante.
La operación descrita en 3, se repite y sucesivamente 4, 5, 6, 3, 4, 5, 6, 3, 4, 5,... y así sucesivamente.
Sobre este proceso cíclico Carnot hace ver que la substancia operante (el aire) realiza una cantidad de trabajo neta y además que este trabajo se produce de la manera más ventajosa posible. Los dos procesos 3 y 5 en que el aire está aislado cambian su temperatura sin remover o ceder calor. En esta forma el aire siempre se pone a la temperatura deseada, la del cuerpo A y B respectivamente, antes de ponerlo en contacto con ellos; se elimina pues cualquier flujo de calor espurio entre cuerpos a diferentes temperaturas. También, hace notar que la secuencia de operaciones arriba descrita puede llevarse a cabo en el sentido opuesto, lo cual implica que al terminar el paso 6) se llevan a cabo las operaciones en el orden 5, 4, 3, 6, 5, 4, etc. En este caso el resultado es el de consumir una cierta cantidad de trabajo igual a la producida en el ciclo inicial y regresar todo el calor del cuerpo B al cuerpo A. Finalmente, Carnot demuestra que no puede concebirse una máquina térmica más eficiente operando entre dos temperaturas prescritas que la suya y anuncia una de sus proposiciones fundamentales:
La fuerza motriz del calor es independiente de los agentes usados en producirla; su cantidad está determinada unívocamente por las temperaturas de los dos cuerpos entre los cuales ocurre, finalmente, el transporte del calórico.
Así se veían los procesos subyacentes a las máquinas térmicas, incluyendo las de vapor durante la tercera década del siglo XIX. El porqué no tuvo mayor impacto el trabajo de Carnot, que contiene el reconocimiento claro entre la equivalencia entre calor y trabajo así como la imposibilidad de construir una máquina de movimiento perpetuo, principio ahora conocido como la segunda ley de la termodinámica, fue debido a que sus colegas franceses lo ignoraron por completo. Sólo Emile Clapeyron, un colega de Carnot de la École Polytéchnique, publicó un escrito en 1834 mencionando su trabajo. Fue sólo en Alemania y en Inglaterra que sus ideas fueron apreciadas e incorporadas en la teoría moderna del calor, y fueron la fuente esencial de donde emanaron las leyes de la termostática.
Capítulo 2
El principio de la conservación de la energía
Los estudios decisivos que condujeron a establecer la equivalencia entre el trabajo mecánico y el calor fueron realizados en 1840 por James Joule en la Gran Bretaña. Tales estudios estuvieron inspirados en los trabajos que Rumford había llevado a cabo casi cincuenta años antes y que describimos en el capítulo anterior. En un trabajo intitulado EI equivalente mecánico de calor, que data de 1843 y que fue publicado en 1850, Joule presentó evidencia inequívoca justificando las conclusiones de Rumford. Al respecto escribió:
Durante mucho tiempo ha sido una hipótesis favorita que el calor consiste de una fuerza o potencia perteneciente a los cuerpos, pero le fue reservado al conde Rumford llevar a cabo los primeros experimentos decididamente en favor de esta idea. El justamente famoso filósofo natural demostró por sus ingeniosos experimentos que la gran cantidad de calor excitada por la horadación de un cañón no puede asociarse a un cambio que tiene lugar en la capacidad calorífica del metal, por lo tanto él concluye que el movimiento del taladro se transmite a las partículas del metal, produciéndose así el fenómeno del calor.
Hizo ver también que si en el experimento de Rumford (ver capítulo 1) se supone que la rapidez con que se suministra el trabajo (potencia) es, como indica Rumford, de un caballo de fuerza se puede estimar que el trabajo requerido para elevar una libra (454 g) de agua, 1° F (18° C) es aproximadamente igual a 1 000 ft. lb (1 356 julios) lo cual no es muy diferente del valor obtenido en sus propios experimentos, 772 ft-lb (1 046 julios).
El experimento de Joule fue una verdadera proeza de precisión y de ingenio considerando los medios de que se disponían en esa época. El aparato (ver Fig. 4) consistía esencialmente en un eje rotatorio dotado de una serie de paletas, de hecho ocho brazos revolventes, girando entre cuatro conjuntos de paletas estacionarias. El propósito de estas paletas era agitar el líquido que se colocaba en el espacio libre entre ellas. El eje se conectaba mediante un sistema de poleas y cuerdas muy finas a un par de masas de peso conocido. El experimento consistía en enrollar la cuerda sujetando la masa sobre la polea hasta colocarlas a una altura determinada del suelo. Al dejar caer la masa, el eje giraba lo cual a su vez generaba una rotación de los brazos revolventes agitando el líquido contenido en el recipiente.

Figura 4. Aparato empleado por Joule en la medición del equivalente mecánico del calor. La masa conocida m se enrolla por medio de la manivela sobre el cilindro. La cuerda pasa por una polea perfectamente bien engrasada. La altura de la masa sobre el suelo es conocida, y la temperatura del agua se controla mediante el termómetro.
Este proceso se repetía veinte veces y se medía la temperatura final del líquido agitado. Las paredes del recipiente que contenía el líquido eran herméticas y estaban fabricadas de una madera muy gruesa adecuadamente tratada para minimizar cualquier pérdida de calor por convección y por radiación. Después de una repetición muy cuidadosa de estos experimentos Joule concluyó lo siguiente:
1. La cantidad de calor producida por la fricción entre cuerpos, sean líquidos o sólidos siempre es proporcional a la cantidad de trabajo mecánico suministrado.
2. La cantidad de calor capaz de aumentar la temperatura de 1 libra de agua (pesada en el vacío y tomada a una temperatura entre 55° y 60° F) por 1.8° C (1° F) requiere para su evolución la acción de una fuerza mecánica representada por la caída de 772 lb (350.18 kg) por la distancia de 1 pie (30.48 cm).
Entre 1845 y 1847 repitió estos experimentos usando agua, aceite de ballena y mercurio, obteniendo que por cada libra de estos compuestos, los equivalentes mecánicos eran respectivamente iguales a 781.5, 782.1 y 787.6 lb, respectivamente. De ahí concluyó lo siguiente:
Estos resultados, coincidiendo entre sí tan estrechamente y con otros previamente obtenidos con fluidos elásticos y una máquina electromagnética, no dejaron duda en mi mente respecto a la existencia de una relación equivalente entre fuerza y trabajo.
Los resultados obtenidos por Joule son de hecho la base de lo que se conoce en la actualidad como la primera ley de la termostática. En efecto, lo que hacen ver es que aislados de su exterior, y a los que se suministra la misma cantidad de energía mecánica de maneras diferentes, el cambio observado en el sistema es el mismo. En el caso del experimento de Joule este cambio se registra por la variación de la temperatura del sistema. Sistemas aislados de su exterior, son aquellos que se encuentran encerrados en recipientes cuyas paredes impiden totalmente la interacción térmica con los alrededores; a estas paredes ideales se les llama paredes adiabáticas. Obsérvese que en estos experimentos el sistema no se mueve, su energía cinética es cero, ni se desplaza respecto al nivel del suelo, su energía potencial permanece constante y sin embargo ¡el sistema ha absorbido una cierta cantidad de energía! La clave de la respuesta a esta interrogante es que si creemos en el principio de la conservación de la energía, la energía suministrada debe convertirse en otro tipo de energía. A esta energía la llamamos la energía interna del sistema. Las experiencias de Joule sirvieron para extender esta observación a todo sistema termodinámico y postular que si a cualquier sistema aislado, esto es, que no intercambie ni calor ni masa con sus alrededores, le suministramos una cierta cantidad de energía mecánica W, ésta sólo provoca un incremento en la energía interna del sistema U, por una cantidad ΔU de manera tal que:
ΔU = Wad (1)
Esta igualdad, en donde el índice "ad" en W sólo sirve para puntualizar que la energía mecánica suministrada al sistema debe hacerse sólo cuando este se encuentre aislado de sus alrededores, constituye la definición de la energía interna U. La existencia de esta cantidad para cualquier sistema, es el postulado conocido como la primera ley de la termostática.
Es importante insistir en que la ecuación (1) que ahora proponemos sea válida para cualquier sistema, agua, aceite, un metal, un gas, un trozo de imán, etc. constituye una extrapolación de los experimentos de Joule, quien la verificó, como hemos visto, sólo para unas cuantas substancias.
Más aún, la hemos podido escribir invocando el principio de la conservación de la energía, que en esencia nos permite definir lo que entenderemos por DU. Vale la pena aclarar que DU es un símbolo que representa al cambio en la energía interna entre el estado inicial (e.g. el agua a 55° F en el experimento de Joule) que podemos llamar Ui y la energía interna en el estado final (e.g. el agua a la temperatura final) que designaremos por Uf. Entonces, ΔU = Uf — Ui.
Por otra parte, hemos visto ya en el capítulo 1 que si el sistema sobre el cual estamos realizando nuestros experimentos está a una temperatura diferente que la del medio ambiente habrá una tendencia natural a establecerse un flujo de calor entre ambos. En pocas palabras si los experimentos de Joule u otros similares sobre otros sistemas se llevaran a cabo sin tomar la precaución de aislar el sistema de sus alrededores, observaríamos que:
ΔU = W1 = 0 (2)
El ejemplo más simple al que el lector puede recurrir es el de calentar la misma masa de agua usada por Joule, pero poniéndola directamente al fuego hasta obtener la misma variación en la temperatura. Tomando las precauciones necesarias para que ni el volumen, ni la presión ni otra propiedad del agua cambien, debemos concluir que la misma energía W que produjo el cambio en U en los experimentos de Joule, fue ahora suministrada por el fuego, i.e, es una cantidad de calor Q. Y en el caso de que la energía mecánica sea suministrada en las condiciones que exhibe la ecuación (2), es claro que la energía faltante, según Carnot, debe tomarse en cuenta por las "pérdidas" de calor provocadas por el flujo de calor del cuerpo o sistemas al exterior. Combinando estos resultados podemos escribir que:
ΔU - W = Q (3)
esto es, la energía se conserva en todo proceso si se toma en cuenta el calor. Esta simple ecuación que no es otra cosa más que la expresión del principio de conservación de la energía para procesos termostáticos requiere de varios comentarios importantes que ponen de manifiesto, tanto su relevancia como su naturaleza misma. El primer comentario se refiere a la concepción de Q en la ecuación (3). Según las experiencias de Rumford y de Joule corresponde a una forma no mecánica de energía, precisamente aquella que se libera por fricción. De hecho, las propias experiencias de Joule muestran que la cantidad de calor Q definida en (3) sólo difiere por un factor numérico de la definición tradicional. Una caloría se define como la cantidad de calor requerido para elevar 1 g de agua de 15.5° C a 16.5° C. Pero según Joule, esa cantidad de calor es equivalente a un trabajo mecánico de 4.187 julios en unidades MKS[2]. Entonces, una caloría es igual a 4.187 julios y al factor de conversión de unas unidades a otras se conoce como el equivalente mecánico del calor, a menudo representado por J. Así,
J = 4,187 julios/caloría
El segundo comentario concierne al origen de la ecuación (3). Para llegar a ella hemos invocado la validez universal del principio de conservación de la energía. Así pues esta ecuación sólo resume las experiencias de Rumford, Joule y Carnot. No es la primera ley de la termostática como suele afirmarse a menudo. Pero insistimos, para hablar de conservación de energía se requiere de una definición operativa de energía para cualquier sistema. Esta definición, dada por la ecuación (1) y que extiende las experiencias de Joule a cualquier sistema, es la primera ley de la termostática.
El tercer comentario concierne a la naturaleza de los términos que aparecen en la ecuación (3). Por una parte, ΔU corresponde, por definición, a una cantidad que no depende de la naturaleza del proceso usado para medirla. En este sentido tiene una jerarquía similar a otras variables como la presión p, el volumen V, la temperatura T, etc. Decimos entonces que es una variable capaz de describir el estado de un sistema o, simplemente, una variable de estado. Es pues una cantidad intrínseca a la naturaleza del sistema que se escoge para estudiarlo. Nótese que la definición (1) sólo nos permite medir diferencias de energía interna lo cual indica que análogamente al caso de la energía potencial en mecánica o el potencial electrostático, podemos escoger arbitrariamente un punto de referencia, i.e, un estado arbitrario al cual podemos asignar un valor determinado a U y que puede ser cero. Los otros dos términos Q y W son de naturaleza totalmente diferente a U. Sólo intervienen en un sistema cuando lo llevamos por un proceso determinado en el cual puede realizar o recibir trabajo y absorber o ceder calor. Claramente los valores de Q y W dependerán del proceso en cuestión y por consiguiente ni uno ni otro es una variable de estado.
Una analogía pedestre puede ayudar a comprender esta situación. En términos de una cuenta bancaria, la solvencia económica de una persona sólo puede determinarse por los fondos que tiene en ella, esto es, el dinero depositado en el banco. Esa cantidad describe o indica el estado financiero por lo que a sus fondos disponibles concierne, de esa persona. Cuando ocurre un proceso éste puede concebirse como al girar o depositar cheques bancarios y sacar o depositar dinero en efectivo. Al final del proceso el cambio en sus fondos será igual a la suma neta de las cantidades involucradas en el manejo de cheques y en efectivo.
Estas dos juegan el papel de W y Q en tanto que el dinero en la cuenta es U. (Aquí el estado de referencia es obvio pues U = 0 corresponde a tener la cuenta en cero.)
Así que, en pocas palabras, U es una variable de estado, Q y W sólo tienen sentido y aparecen en escena si ocurre un proceso. A menudo, aun después de todas estas consideraciones, es frecuente escuchar la pregunta: ¿Y qué es el calor? La respuesta es ahora obvia: es una forma de energía que aparece en un proceso y cuyo origen no es mecánico. El frotamiento continuo entre dos cuerpos, como observó Rumford, genera "calor".
Cierto es que para producir ese frotamiento requerimos de un agente externo, sea el esfuerzo muscular de quien los frota, el caballo que daba vueltas al taladro en el experimento de Rumford, etc. Pero la acción misma de frotamiento produce una energía que como mostró Carnot no puede convertirse íntegramente en trabajo útil. Sin embargo su inclusión en la descripción global de un proceso, en cuanto a un balance de energía concierne, es imprescindible para estar en concordancia con el principio de conservación de la energía.
Calor es, pues, una forma de energía en tránsito. A pesar de esto es frecuente usar el término calor en modos que aparentan estar en contradicción con lo arriba expuesto. Decimos que el calor "fluye" de un cuerpo caliente a uno frío como si se tratara de un fluido. Esto es incorrecto y justamente lo que debemos descartar para entender correctamente la ecuación (3). Como en el caso del mechero discutido en conexión con los experimentos de Joule, ΔU = Q representa el cambio en la energía interna del sistema formado por los dos (o más) cuerpos cuando por diferencias en las temperaturas entre ellos ocurre un intercambio de energía de naturaleza no mecánica.
Antes de llevar a su final esta discusión sobre la conservación de la energía y la primera ley de la termostática conviene señalar que a pesar de sus brillantes experiencias y el hecho casi obvio de que la ecuación (3) estaba por detrás de todos sus resultados no fue Joule el primero en llegar a esta conclusión. La ecuación (3) fue en realidad producto del análisis más profundo que sobre las experiencias de Joule, Carnot y otros realizaron sir William Thomson, más tarde lord Kelvin, y Rudolf Clausius a principio de la segunda mitad del siglo XIX. Pero todavía es más curioso que un año antes que Joule diera a conocer sus resultados en Inglaterra, un joven médico nativo de Heilbronn, Alemania. Julius Robert Mayer en 1842 sugirió una equivalencia general entre la conservación de todas las formas de energía. En su ensayo intitulado Comentarios sobre las energías de la naturaleza inorgánica usando lo que ahora llamamos "experimentos pensados" hizo ver que partiendo del principio que establece que una causa es igual a su efecto y considerando que las energías son causas capaces de asumir varias formas, las energías son entidades indestructibles e interconvertibles. A pesar de que el método de Mayer es enteramente diferente al de Joule, pues no tuvo la oportunidad de realizar experimentos, sus conclusiones son muy parecidas. Mayer hace notar que existen formas de energía en la naturaleza que no están asociadas necesariamente con el movimiento (energía cinética) ni con la elevación o descenso de un cuerpo (energía potencial) y plantea, con base en su primera proposición, el problema sobre otras formas que la energía puede asumir. Hace ver que, como el calor se puede generar por fricción, debe ser una forma de movimiento y por lo tanto equivalente a una energía cinética o potencial.
Finalmente, se plantea la pregunta acerca de cómo calcular la cantidad de calor correspondiente a una cantidad dada de energía cinética o potencial (¡El equivalente mecánico del calor!). En este punto crucial, Mayer plantea un "experimento pensado" y esboza un cálculo mediante el cual muestra que J = 4 200 julios/Kcal, el cual considerando la imprecisión de un método, es muy razonable si lo comparamos con la ecuación (4). Sin embargo, su trabajo pasó desapercibido y no recibió crédito alguno en los 20 años subsecuentes.
Para completar la lista de los distinguidos y notables investigadores que reclaman la paternidad del contenido físico de la ecuación (3) no podemos dejar de citar a H. von Helmholtz quien el 23 de julio de 1847 leyó ante la Sociedad de Física de Berlín un trabajo intitulado "La conservación de la fuerza". En este trabajo, de naturaleza estrictamente matemática, hace ver que la energía (fuerza en su trabajo) se conserva y que el calor es una forma de energía, una vez más, las proposiciones básicas detrás de la ya familiar ecuación (3).
Es así como para 1847-1850, cuando las locomotoras recorrían grandes distancias, los ríos y lagos eran surcados por buques de vapor y la máquina de vapor era de uso común, apenas se establecían las bases teóricas de la equivalencia entre calor y trabajo mecánico, en tanto se desterraban los últimos resquicios de la teoría del calórico y se asentaba el concepto de "energía interna" como un postulado ahora llamado la primera ley de la termostática. Sin embargo, subsistía sin responderse una segunda pregunta planteada por Sadi Carnot en 1824: ¿Qué fracción del calor cedido a una máquina térmica es aprovechable? Su respuesta condujo a los físicos de la época por el sendero de la segunda ley de la termostática y el todavía controvertido y escurridizo concepto de la entropía.
Capítulo 3
El camino hacia la segunda ley. La entropía
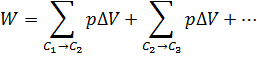
En el capítulo 2 hemos discutido con bastante detalle el trabajo que realizó Carnot para formular la teoría subyacente al funcionamiento de las máquinas térmicas. Sus resultados fundamentales son que para operar una máquina térmica eficientemente, basta utilizar sólo dos cuerpos a temperaturas tales que la de un cuerpo sea mayor que la del otro y operar la máquina, con cualquiera que sea la substancia operante, en ciclos de manera que en sólo dos de los procesos de cada ciclo dicha substancia intercambie calor con dichos cuerpos. Cuando está en contacto con el de temperatura mayor, absorbe de él una cierta cantidad de calor y cuando está en contacto con el de temperatura menor le cede otra cantidad de calor. Esta operación minimiza las pérdidas de calor por diferencias de temperatura espurias y además, como al final del ciclo Uf = Ui, la energía interna de la substancia operante es la misma que cuando empezó. Por lo tanto el trabajo neto realizado en el ciclo es

donde Q2 es el calor absorbido del cuerpo caliente y Q1 es el calor cedido al cuerpo frío con la convención (¡arbitraria!) de que Q es positivo para un sistema cuando absorbe calor y negativo si lo cede. La ecuación (5) es pues una consecuencia directa de la (3). La representación gráfica de este proceso se da en la Fig. 2 donde los cuerpos están representados por rectángulos con las paredes estriadas y la máquina térmica por un círculo con la letra C, si pensamos que es una máquina de Carnot.
El segundo resultado importante que obtuvo Carnot, y cuya demostración está basada en la concepción errónea sobre el calor (pensaba en él como el calórico), fue demostrar que ninguna máquina operando entre dos cuerpos a temperaturas diferentes puede ser más eficiente que la máquina concebida por él (véase Fig. 3).
Sin embargo, a pesar de que planteó la cuestión de cómo calcular la fracción de calor que es aprovechable para convertirse en trabajo mecánico y de expresarla en términos de las temperaturas de los cuerpos entre los cuales opera la máquina, nunca obtuvo su expresión matemática. Como hicimos notar al final del capítulo 1 Carnot mostró que el trabajo W sólo depende de las temperaturas de ambos cuerpos pero, repetimos, no obtuvo la relación explícita entre estas cantidades. Este problema fue resuelto en 1854 por R. Clausius a quien, además, puede considerarse como el hombre que realmente concibió en forma matemática las dos primeras leyes de la termostática. Pero antes de estudiar el trabajo de Clausius hablemos más del ciclo que sufre una substancia en una máquina de Carnot, así entenderemos mejor la discusión subsecuente.
Pensemos en los procesos numerados del 1) al 6) que describen la máquina de Carnot y al aire, la substancia operante que él eligió, como un gas ideal. Puesto que un gas ideal obedece la ecuación de estado, esto es la relación entre las variables p, V y T, bien conocida por todos

donde n es el número de moles y R una constante conocida como la constante universal de los gases[3], podemos visualizar el ciclo que sufre el aire en el ciclo de Carnot si graficamos los diferentes procesos en un sistema de ejes cartesianos donde p es la ordenada y V la abscisa (espacio de estados termodinámicos). Sea V1 el volumen del aire cuando el pistón está en su posición inicial cd ocupando el volumen abcd del cilindro. Denotemos por p1 la presión correspondiente. Esta pareja determina un punto en el plano p-V que denotaremos por C1[4]. Después de la primera expansión que ocurre en contacto con el cuerpo A a la temperatura TA durante el cual el aire absorbe de dicho cuerpo una cantidad de calor que denotaremos por +QA, alcanza el volumen abef en el cilindro. A este volumen lo llamaremos V2; a la presión correspondiente p2 y C2 al punto que definen en el plano PV. Ahora podemos determinar la forma de la curva que une C1 con C2, pues durante todo este proceso TA es constante y de acuerdo con la ecuación (6)
pV = nRTA = constante
La curva PV = constante, determina una hipérbola equilátera que pasa por C1 y C2 (ver Fig. 5).

Figura 5. La representación geométrica del ciclo de Carnot en un plano p-V cuando la sustancia operante es un gas ideal. QA es el calor absorbido y QB el calor cedido. (Los puntos C1, C2, C3 y C4 corresponden a los señalados en el diagrama de la derecha.)
Subsecuentemente (paso 3) el cuerpo A se retira de su contacto con el gas, pero éste procede a expandirse hasta ocupar el volumen marcado por ghab en el cilindro y que denotaremos por V3; p3 es la presión correspondiente y C3 el punto en el plano. La curva que une los puntos C2 y C3 representa un proceso en el cual la sustancia operante no absorbe (ni cede) calor en los alrededores, lo que se conoce como un proceso adiabático. La curva correspondiente tiene una ecuación un poco más complicada que la ecuación de las isotermas (curvas sobre las cuales T = cte) pero que no necesitamos aquí. Sólo basta con saber que C2 y C3 están sobre una de ellas. En el proceso subsecuente, el aire se pone en contacto con el cuerpo B a la temperatura TB < TA y se comprime hasta ocupar el volumen abik. Al igual que en el primer proceso, TB es ahora constante pero como el gas se comprime tiene que ceder al cuerpo B una cantidad de calor QB para mantener su temperatura constante. Llamemos V4 al volumen abik, p4 la presión correspondiente y C4 el punto que estas dos coordenadas definen en el plano. En el último proceso se remueve el cuerpo B de su contacto con el aire y éste se continúa comprimiendo hasta regresar al punto de partida C1. En esta última etapa, el aire no absorbe ni cede calor; esto es, el proceso es adiabático y con ello se completa el ciclo.
De acuerdo con la ecuación (5) el trabajo neto realizado por el gas (la sustancia operante es aire en este caso) es
W = QA - QB.
Es ahora muy fácil hacer ver que este trabajo neto es igual al área cerrada por el ciclo C1 C2 C3 C4, esto es, el área delimitada por las dos isotermas y las dos adiabáticas en la Fig. (5). En efecto, veamos qué ocurre con el gas en el cilindro durante cada etapa. Consideremos, por ejemplo el inicio de la expansión de C1 a C2. En C1 el gas ocupa el volumen abcd. Si efectuamos un desplazamiento inicial muy pequeño por una distancia dx medida sobre la pared lateral del cilindro, la fuerza ejercida por el gas (aire) sobre el pistón es la presión p1 por el área del cilindro A, esto es p1A. El trabajo realizado, fuerza por distancia, es
p1 = Adx
pero
Adx = dV
el incremento en el volumen del gas, el trabajo es p1dV. Si queremos obtener el trabajo total ejercido por el aire sobre el pistón tenemos que sumar todas las contribuciones pidV donde pi denotaría la presión en un punto i sobre la curva y cuyo valor no es el mismo en cada punto pues depende del volumen Vi de acuerdo con la ecuación (5), esto es Pi Vi = constante.
Pero esto es irrelevante para el resto del argumento puesto que si aplicamos el mismo razonamiento sobre los cuatro procesos que constituyen el ciclo, vemos que el trabajo total W es la suma algebraica de las contribuciones sobre cada trayectoria,

Figura 6. Cada vez que realizamos un desplazamiento Dx del pistón, la fuerza es P*A y el trabajo es p*A*Dx = pDV * DV = ADx es el volumen del gas comprimido.
W = Wc1→c2 + Wc2→c3 + Wc3→c4 + Wc4→c1
Esta cantidad puede escribirse como[5]

y obviamente

donde la última igualdad proviene de suponer que los incrementos en el volumen DV son muy pequeños. En este caso la sumatoria se puede reemplazar por una integral y finalmente recurrir a la interpretación geométrica de una integral que representa el área bajo una curva. Si denotamos por el símbolo§ ésta integral alrededor del ciclo, finalmente tenemos que

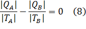
Esta fórmula tan sencilla nos dice que el trabajo neto realizado por la sustancia operante, el aire en este caso, es igual al área encerrada por las curvas que definen los procesos constituyendo el ciclo que en este caso es el ciclo de Carnot. Con la ayuda de esta discusión podemos volver ahora a la respuesta que dio Clausius respecto a la obtención de una fórmula que permita calcular la fracción máxima de calor Q que es aprovechable como trabajo mecánico. Claramente, cualquiera que sea la respuesta, debe ser consistente con el principio de la energía, que en este caso, está expresado por la ecuación (5) con Q2 = QA y Q1= QB. La hipótesis crucial de la cual partió Clausius fue suponer que el proceso a que está sujeta la substancia operante en una máquina térmica, v.g., una máquina de Carnot, es un proceso "ideal". Por ideal Clausius entendía de hecho lo mismo que Carnot, esto es, que el proceso pudiese realizarse en los dos sentidos.
En la terminología moderna esto quiere decir que el proceso es "reversible" y la idealidad realmente estriba en que la reversibilidad implica que se lleve a cabo muy lentamente para que en cada estado intermedio por el que pasa el sistema, alcance un estado de equilibrio y además no haya pérdidas de energía por fricción. Esta última consideración es la más importante, pues si existen estas pérdidas en una dirección las hay en el sentido opuesto en cuyo caso el proceso no es reversible pues algún agente externo tendrá que compensar la energía perdida en sobreponerse a dicha fricción. En seguida, Clausius hizo notar que para un proceso "ideal", el calor Q que recibe o cede la substancia operante de un cuerpo a una temperatura T, permanece constante durante todo el proceso. Si ahora, definimos la eficiencia de una máquina térmica como el trabajo que produce dividido entre el calor que recibe de un cuerpo u otra fuente cualquiera, y convenimos en asignarle un signo positivo al trabajo recibido por un sistema y un signo negativo al trabajo realizado por el sistema sobre sus alrededores, la eficiencia n del ciclo de Carnot está dada por

Por otra parte, por construcción, el ciclo de Carnot es "reversible" esto es, ideal según Clausius, luego

pues en los dos procesos adiabáticos el sistema (aire) no intercambia calor con sus alrededores. Además la suma total es cero puesto que el cociente de Q entre T para cada proceso es independiente del proceso y, como U, sólo depende de los estados de la substancia operante. Como el proceso es cíclico y el aire regresa a su estado inicial el cambio neto de Q /T al final del proceso debe ser cero. Substituyendo la ecuación (8) en (7) obtenemos la famosa y deseada expresión para la eficiencia máxima de una máquina térmica operando entre dos cuerpos,

Es preciso subrayar que la definición (7) es completamente general en tanto que la ecuación (8) sólo es aplicable a procesos reversibles, de ahí que la ecuación (9) constituye la eficiencia máxima. Como TA < TB, hmax < 1, esto es, aun para procesos ideales no hay máquinas cien por ciento eficientes operando entre dos temperaturas. Este resultado se aclara si reconocemos que a pesar de la idealidad, el calor QB que se desecha al cuerpo frío representa una energía no aprovechada. Además, la ecuación (9) representa la expresión matemática de la proposición fundamental de Carnot enunciada al final del capítulo 2 e.g. El trabajo aprovechable sólo depende de la temperatura de los dos cuerpos entre los cuales funciona la máquina y no de los agentes encargados de producirlo.
Pero veamos una cuestión que indudablemente no podemos pasar por alto, a saber, el significado de la hipótesis de Clausius. Él afirma que en todo proceso reversible e isotérmico (temperatura constante) el cociente de Q/T no depende del proceso sino sólo depende de los estados final e inicial, ambos forzosamente de equilibrio, pues el proceso es reversible, y ambos estados referidos a la substancia operante. Precisamente, como en el caso de la energía interna, esta aseveración implica que dicho cociente es una propiedad inherente del sistema, un atributo que está en la misma jerarquía que p, V, T, U, etc. Si acordamos en designar a este atributo con la letra S, su cambio entre dos estados, el final y el inicial i, está dado por

donde el símbolo Qrev pone énfasis en el hecho de que la ecuación (10) se cumple sólo en procesos reversibles.
Es por ello que en el ciclo de Carnot ΔS = 0 y de ahí se extrae la ecuación (8). En este punto, conviene señalar que contrario al significado físico de U, que es por lo menos intuitivamente obvio por nuestro contacto cotidiano con la energía, el significado de S dista mucho de manifestarse, ni siquiera vagamente. Todo lo que podemos decir, hasta el momento, es que es una función útil en el estudio de la eficiencia de las máquinas térmicas. Sobre esto y cuestiones relacionadas, seguiremos insistiendo a lo largo del texto.
Por el momento, regresemos a la ecuación (10) para abordar una pregunta que seguramente ya está en la mente del lector: ¿Qué pasa si el proceso no es ideal, e.g., no es reversible? (¡esto implica que no podemos descartar la fricción!). Lo que observó Clausius es que en estos casos, que corresponden a los procesos reales, el cambio en la función S es mayor que el cociente Qrev/T. Esto lo llevó a proponer que para cualquier proceso que tenga lugar entre dos estados de equilibrio de un sistema dado, la relación

donde Q es el calor transferido entre el sistema y el cuerpo o el medio ambiente, con el cual esté en contacto y se encuentra a la temperatura T[6]. Esta relación, quizás la más controvertida, mal comprendida y abusada de toda la termostática, y cuya validez dentro de un contexto perfectamente bien definido ha sido incuestionablemente establecida, es una forma de expresar la segunda ley de la termostática. Obviamente, el signo igual en (11) se cumple cuando el proceso es uno ideal y reversible.
Antes de pasar a discutir y analizar a fondo el significado y dominio de validez de la ecuación (11), así como de intentar buscar una interpretación de esta función S, veamos algunas de las consecuencias más inmediatas y notables de estos conceptos propuestos por Clausius.
El primero de ellos concierne a la utilidad de la definición de la eficiencia n y su conexión con la aseveración manifestada por Carnot acerca de que no existe otra máquina térmica que, operando en ciclos reversibles entre dos cuerpos a diferentes temperaturas, sea más eficiente que la máquina de Carnot. En efecto, usando la definición propuesta h y dada por la ecuación (7) es relativamente fácil probar esta afirmación, si antes reconocemos otra forma de enunciar la segunda ley de la termostática también debida a Clausius.
Recordemos que el ciclo por el cual se lleva al aire (u otra sustancia operante) en el ciclo de Carnot, es reversible; esto es, puede operar en una dirección para producir trabajo o en la dirección opuesta, como refrigerador, para transferir calor del cuerpo frío al cuerpo caliente. Pero esta última operación requiere forzosamente de la participación de un agente externo que proporcione el trabajo necesario. Clausius hizo notar que sin el concurso de este agente externo la operación es imposible y propuso un axioma:
Es imposible construir una máquina, que operando en ciclos no haga otra cosa que extraer una cierta cantidad de calor y llevarlo de un cuerpo frío a otro más caliente.
Note el lector la frase "no haga otra cosa" la cual implica que al final del ciclo la sustancia operante haya regresado a su estado inicial y cualquier otro cuerpo, máquina o dispositivo que participe en esta operación, no haya sufrido cambio alguno. La máquina a que se hace referencia en el axioma de Clausius se conoce como un perpetuum mobile de segunda clase y el axioma mismo, que constituye el enunciado de la segunda ley de la termostática, lo que hace es prohibir su existencia. Hasta hoy en día la validez del axioma es incuestionable.
El principio de Carnot es fácil de probar. Sólo es necesario mostrar que de existir una máquina reversible operando entre dos cuerpos a temperaturas dadas, una mayor que la otra, con eficiencia mayor que la de una máquina de Carnot operando entre dichos cuerpos, constituye una violación al axioma de Clausius. El detalle de la demostración la encuentra el lector en el Apéndice A al final del libro.
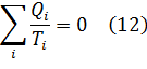
A estas alturas nos encontramos con que tenemos ya dos formulaciones, aparentemente independientes, una expresada por la desigualdad (11) y otra por el axioma de Clausius. La conexión entre ambas es también relativamente fácil de establecer de manera cualitativa y dicha conexión se conoce como el teorema de Clausius. Si incluimos el signo algebraico que le corresponde a cada valor de Q en la ecuación (8) podemos reescribir esta ecuación como

donde QB = - (QA TB)/TA. Imagine ahora el lector un ciclo reversible arbitrario representado por la línea sólida cerrada en el diagrama p-V de la Fig. 7. En este diagrama consideremos que dicho ciclo puede aproximarse por la suma de un número arbitrariamente grande de ciclos Carnot de manera que cada porción del ciclo y su porción opuesta correspondan a las dos trayectorias adiabáticas de uno de los ciclos de Carnot. Como la ecuación (8) vale para cada ciclo de Carnot que sólo involucra la absorción de calor a la temperatura mayor y la emisión de calor a la temperatura fría, al sumar sobre todos los pasos isotérmicos de ciclos tenemos que

aquí Σ es una operación que indica que es necesario sumar sobre todas las isotermas que describen a los ciclos de Carnot usados para imitar al ciclo original. Como esta imitación puede ser arbitrariamente precisa, cuanto más fina sea la subdivisión en isotermas y adiabáticas, utilizando de nuevo el símbolo ∲ para indicar esta sumatoria cuando tomamos porciones infinitesimales, tenemos que


Figura 7. Un ciclo reversible en el cual cada porción está aproximada por una adiabática comprendida entre dos isotermas vecinas de manera que esa porción y su parte opuesta formen parte de un ciclo de Carnot (ej. el ciclo C1, C2, C3, C4).
La ecuación (13), válida sólo para un ciclo reversible y de ahí la notación đQrev, es una parte del teorema de Clausius. Este argumento tan simple y poderoso muestra entonces que la cantidad


es tal que para cualquier ciclo reversible, ya no sólo uno de Carnot, su valor al iniciarse el ciclo es igual al finalizar el ciclo y por lo tanto esa función S no depende del proceso cíclico. Si el ciclo es uno arbitrario y no necesariamente reversible, Clausius mostró que, si el axioma arriba enunciado debe satisfacerse, entonces

lo cual establece la conexión entre dicho axioma y la ecuación (8). La demostración de la ecuación (14) está fuera de los alcances de esta exposición pero el lector interesado puede encontrarla en prácticamente cualquier texto sobre los principios de la termodinámica clásica. Para finalizar con esta discusión sobre cómo la debatida cuestión acerca de la conversión de calor en trabajo útil llevó a Carnot a discutir su máquina ideal y cómo de ella Clausius formuló la segunda ley, es necesario mencionar un enfoque independiente del problema que en 1851 llevó a William Thomson, lord Kelvin, a proponer una tercera versión de la segunda ley de la termostática. Regresando a la máquina de Carnot y en particular a la fórmula para su eficiencia dada por la ecuación (7), Kelvin hizo notar que de no existir pérdidas de calor algunas en el proceso, incluyendo la transferencia de calor de la máquina al cuerpo frío, esto es |QB| |↲| 0 se tendría una máquina perfecta, o sea una máquina para la cual su eficiencia sería 1 (η = 1). ¡Esto sería fantástico! Podríamos operar toda la maquinaria de un trasatlántico con sólo extraer calor de las aguas del océano sin nunca afectar su temperatura. Y una situación similar para un vehículo aéreo que sólo extrajera calor de la atmósfera. Más tales dispositivos no existen. De ahí el enunciado de Kelvin:
Es imposible construir una máquina que operando en ciclos no haga otra cosa más que extraer calor de un cuerpo y convertirlo íntegramente en trabajo.
Este enunciado es completamente equivalente al enunciado de Clausius, pues es posible demostrar que si uno supone la violación de uno de ellos, automáticamente se viola el otro, y recíprocamente. Puesto que esta demostración sólo requiere del uso de la lógica elemental, la hemos incluido en el Apéndice B.
En términos más llanos, la primera ley prohíbe la existencia de máquinas de movimiento perpetuo de primera clase, esto es, máquinas cuya única función sea la de crear o aniquilar energía; la segunda ley prohíbe la existencia de máquinas de movimiento perpetuo de segunda clase, esto es, cien por ciento eficientes. Por tanto, el mundo de los procesos en que están involucradas transformaciones de energía está regido por dos leyes las cuales podemos ahora resumir en términos todavía más simples:
Primera ley: En los procesos que involucran transformación de energía, sólo podemos salir a mano.
Segunda ley: En tales procesos, ni siquiera podemos salir a mano, o en pocas palabras, nunca podemos ganar ni salir a mano.
Capítulo 4
El concepto de entropía
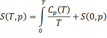
Este capítulo está dedicado a la discusión de la ecuación (11), la cual, como hicimos notar en el párrafo siguiente a su planteamiento, es la ecuación más controvertida de toda la termostática. En dicha ecuación aparece la variable S la cual, como hemos precisado e insistido en el capítulo anterior, desempeña un papel primordial en la teoría de las máquinas térmicas y en particular en dar una respuesta a una pregunta de índole estrictamente práctica, la máxima fracción de calor convertible en trabajo útil.
Así pues, es preciso reconocer el origen estrictamente utilitario de S cuyo significado, es además, por el momento totalmente misterioso. En 1865, casi once años después de haberla introducido a la termodinámica, Clausius escribió un trabajo en el cual estudió esta función para varios sistemas. En dicho estudio pudo apreciar el papel importante de S en las transformaciones de diferente naturaleza y de ahí la llamó "entropía" (del griego tropos, que significa cambio, transformación). Como último párrafo del trabajo, Clausius escribió:
Por el momento me limitaré a mencionar el siguiente resultado: si imaginamos la misma cantidad, que en el caso de un sólo cuerpo he llamado su entropía, compuesta en forma consistente para todo el Universo (tomando en cuenta todas las condiciones), y si al mismo tiempo usamos al otro concepto, energía, con su significado más simple, podemos formular las leyes fundamentales del Universo correspondientes a las dos leyes de la teoría mecánica del calor en la forma simple siguiente:
1. La energía del Universo es constante.
2. La entropía del Universo tiende a un máximo.
Con esto termina su trabajo sin que jamás explicara ni en él, ni en otro trabajo posterior, el significado de las frases "en forma consistente" ni "tomando en cuenta todas las condiciones". El abuso y mal uso que se le ha asociado a la entropía, proviene, en opinión del autor, de una concepción equivocada y extralimitada de esta ambiciosa versión universal de las leyes de la termostática.
Por último, los divulgadores y muchos profesionales de la ciencia, a falta de una concepción clara del concepto fenomenológico de S han recurrido a modelos moleculares de la materia para interpretar S como una medida del "desorden" molecular, en muchos casos sin precisar antes cual es, a este nivel, el concepto de orden. Aunada a esta versión ajena al mundo macroscópico, también suele asociarse a la desigualdad (11) una dirección en el tiempo de los procesos reales (¡no reversible!). Así pues la bibliografía abunda en por lo menos tres versiones sobre la "conceptualización" de la entropía:
1. Una medida de la "disponibilidad" de convertir calor en trabajo. (Versión muy socorrida en ingeniería.)
2. Una medida del "desorden".
3. Una medida de la dirección de los procesos naturales.
Emprendamos pues un largo, pero ameno, camino para ver en qué forma la ecuación (11) realmente arroja luz sobre el significado físico de la función S. Omitimos el punto 1 pues ya está ampliamente discutido en el capítulo anterior. Recordemos primero que cuando se cumple la igualdad

nos estamos refiriendo al cambio en la entropía entre dos estados de un sistema, ambos estados de equilibrio, entre los cuales ocurre un proceso tal que cada estado intermedio es también uno de equilibrio. Es decir, el proceso es reversible y durante dicho proceso el sistema sólo intercambia calor DQ con un sólo cuerpo a la temperatura T, que es la misma durante todo el proceso. En otras palabras estamos hablando de un sistema que sólo intercambia calor con otro cuerpo, que bien pueden ser sus alrededores, esto es, el aire que lo rodea, y de un proceso infinitamente lento, para garantizar que en cada estado intermedio el sistema alcance el equilibrio y además, isotérmico. Por estas razones decimos que el proceso isotérmico es también ideal. Veamos un ejemplo muy simple.
Si queremos evaporar una cierta cantidad de agua y la ponemos en un recipiente metálico, hay que calentarla. A la presión de 1 atmósfera, v.g. el nivel del mar, la temperatura de ebullición es de 100°C y se mantiene constante durante toda la ebullición. Por otra parte es sabido que para evaporar 1 g de H20 hay que suministrarle una cantidad de calor igual a 540 calorías y por lo tanto, si concebimos la evaporación de un gramo de agua a 100 °C como un proceso ideal, el cambio en la entropía del agua será:

Pero éste no es el único cambio de entropía. El cuerpo a 100°C que suministró el calor para hervir el agua y cuya temperatura es de 100°C, también cambia su entropía pues como pierde 5.4 cal por cada gramo de agua que se evapora, ese cambio será:

Por lo tanto sumando ambas contribuciones vemos que

Sin embargo, cuando el proceso no es ideal entonces

pero no obstante ΔSH2O sigue siendo 5.4 cal/g° C pues la entropía del agua en sus estados inicial (líquido) y final (gas) no depende de la naturaleza del proceso; la entropía es una función de estado. Luego en este caso ya no podemos afirmar algo concreto respecto al cuerpo o los alrededores excepto que el cambio en su entropía debe ser tal que la suma total sea positiva.
Hasta este momento hemos dejado a la imaginación y a la intuición del lector la conceptualización de los estados de equilibrio y por lo tanto de los procesos reversibles. Vale la pena tomar unos minutos para precisar ambos. Un estado de un sistema está definido por ciertos atributos medibles del sistema. Atributos ya conocidos son:

Cuántos atributos es necesario conocer para determinar el estado depende, como veremos más adelante, de la elección del sistema. Para un fluido simple, por ejemplo, bastan 2 usualmente elegidos como la presión y la temperatura. En el caso en que los valores numéricos de estas variables no cambien con el tiempo, esto es permanezcan constantes, por lo menos durante un intervalo de tiempo suficientemente grande comparado con la duración de una observación del sistema, decimos que el estado es uno de equilibrio. Por ello es que un proceso ideal o reversible debe ser muy lento, para garantizar que en cada estado intermedio las variables de estado no cambien con el tiempo. Además, para poder invertir el proceso la fricción debe ser estrictamente igual a cero. Ni una ni la otra condición ocurre en la práctica.
Volviendo a la interpretación de la ecuación (11) es posible ahora intentar explicar la desigualdad como una contribución de la fricción y otros factores no presentes en los procesos ideales. Aunque esta idea es correcta en principio, su discusión pertenece al dominio de la termodinámica de procesos irreversibles que veremos subsecuentemente en el capítulo 5.
De nuestro ejemplo para la evaporación del agua y obviamente su condensación, donde todo el razonamiento es válido cambiando de signo a las respectivas cantidades de calor, vemos que para procesos ideales e isotérmicos, se obtiene la igualdad en la ecuación (11). Esto se debe a que la ganancia (o pérdida) de entropía del sistema se compensa por la pérdida (o ganancia) de entropía de los alrededores (cuerpo, atmósfera, etc.). Este resultado suele escribirse como, entendiendo por universo, (¡una palabra muy desafortunada!) al conjunto formado por el sistema y aquel (o aquellos) cuerpo (o cuerpos) que intervienen en el proceso. En el caso en que el proceso no sea ideal, la ecuación anterior suele escribirse como

sin que este resultado sea extensivo a connotaciones cosmológicas de la palabra universo. Cuando el proceso es además adiabático, esto es, ocurre en condiciones totales de aislamiento de manera que no pueda intercambiar ninguna forma de energía con sus alrededores, entonces

y si más aún, el proceso es reversible o ideal, la entropía es constante. Éste es precisamente el caso de los dos procesos C2C3 y C4C1 del ciclo de Carnot (Fig. 5). El gas pasa de un estado inicial a P2 y volumen V2 a un estado final a presión p3 y volumen V3 pero la entropía en C2 digamos S2 es igual a la entropía en C3; análogamente, S4 = S1. Sin embargo, si los procesos fueran irreversibles S3 >S2 y en la expansión C1C4 del proceso inverso a C4C1 S4> S1.
Generalizando este argumento a la expansión indefinida de un gas, aislado de sus alrededores, cuanto mayor sea la expansión mayor será el incremento de S y obviamente para su punto terminal, S alcanzará un valor máximo. Estos resultados guardan cierta semejanza con el enunciado (2) de Clausius pues en ambos casos aquí discutidos, el universo es el sistema termodinámico y el máximo de la entropía se refiere a procesos adiabáticos y aislados, esto es a situaciones muy bien definidas.
Podemos resumir esta discusión de la manera siguiente: tomamos un sistema para su estudio, lo caracterizamos a través de las variables termodinámicas adecuadas y lo aislamos del medio ambiente que lo rodea. Esto quiere decir que las paredes del recipiente que lo contiene (¡o bien su superficie si es un sólido!) son impermeables, esto es, no permiten intercambio de materia para garantizar que la masa permanece constante. Además, esas paredes se cubren de un aislante perfecto para evitar intercambio de calor y por último no se permite que el sistema intercambie energía mecánica, eléctrica, magnética, etc., con el exterior. Si en ese sistema ocurre un proceso cualquiera su entropía no puede disminuir. Esto es, consistentemente con el valor constante de su energía interna U, la entropía alcanza un máximo. Hasta este momento, ésta es la única interpretación, legítima y justa que podemos dar de la desigualdad (11) para sistemas aislados. Además, hay que agregar que la influencia de la fuerza provocada por la aceleración de la gravedad local, en el sitio del experimento, es despreciable o nula. Esto es válido para sistemas de dimensiones pequeñas comparadas con aquellas para las cuales las variaciones de la aceleración de la gravedad no es despreciable. Si exactamente el mismo proceso ocurre para el sistema descrito en las mismas condiciones, excepto que las paredes del recipiente no son aislantes y puede intercambiar calor con sus alrededores, los cuales se supone se encuentran a temperatura constante, entonces la ecuación (11) adopta la interpretación descrita por las ecuaciones (15a, b). Si el proceso es ideal, la entropía del universo formado por el sistema y sus alrededores, se conserva.
De aquí se desprende que cualquier aplicación de la ecuación (11), o sus formas (15 a, b), a sistemas termodinámicos abiertos, esto es, con paredes o superficies permeables a la materia y que permitan el intercambio de masa y/o en presencia de campos externos (en particular el campo gravitatorio ya no despreciable a nivel interplanetario, intragaláctico o cosmológico) requiere forzosamente de hipótesis adicionales que deben establecerse con toda claridad. Por ejemplo, en el caso de la termostática simple, las ecuaciones (11) y (15 a, b) en forma de desigualdades no son enteramente válidas para sistemas abiertos. Eso no implica que no pueda calcularse la entropía de un sistema abierto, lo que implica es que de hacerlo hay que introducir una hipótesis adicional que en este caso se limita a suponer que tanto la energía interna U, el volumen V, la entropía S como otras variables que dependan del tamaño del sistema, sean funciones aditivas. Esto es, la entropía total es la suma de las entropías, etc. Por lógico y simple que esto parezca no deja de ser una hipótesis cuyas consecuencias sólo pueden cuantificarse al comparar los resultados teóricos que de ellas emanen, con los resultados del experimento. Por ejemplo, si en un recipiente mezclamos agua y aceite y lo agitamos veremos que los dos componentes se separan de nuevo para formar dos sistemas homogéneos, pero entre ellos hay una interfase formada por una mezcla de agua y aceite. Esta interfase desempeña un papel muy importante en múltiples problemas de aplicación práctica de la termostática y bajo la hipótesis anterior por ejemplo, el que la energía total del sistema sea la suma de las energías del agua y del aceite, implica que la interfase queda excluida del sistema. Si se le quiere incluir entonces es necesario decir bajo qué hipótesis adicionales, pues no deja de ser una mezcla (emulsión, suspensión, etc.) de los dos componentes puros.
En síntesis, el cálculo de S, U, etc., puede hacerse a expensas de mayor información pero ésta ya es ajena a las ecuaciones (11) y (15a, b). Sobra decir que en el caso del universo cosmológico la situación es más delicada pues no sólo los diversos sistemas son abiertos sino que la presencia de la gravitación es ineludible. Volveremos a este punto después.
Si bien es cierto que hemos hecho un esfuerzo relativamente grande en aclarar el dominio de validez y el significado físico de la ecuación (11), todavía subsiste la pregunta acerca de la concepción física de lo que es entropía. Esta cuestión la vamos a tratar aquí desde un punto de vista estrictamente fenomenológico. Es más, la idea esencial que se desea esgrimir es que el significado físico de S surge de una manera tan simple y tan espontánea como surge el concepto de temperatura; ambos son una necesidad inherente a lo que entendemos por un sistema en termostática y no es necesario recurrir a conceptos moleculares para interpretar a una y a otra. El aspecto molecular lo dejaremos para otro volumen de esta serie que versa sobre la teoría molecular de la materia.[7]
Repasemos entonces el origen del concepto de temperatura. Para eso, imagine el lector que tiene a su disposición un conjunto de cuerpos macroscópicos que arbitrariamente etiquetaremos con las letras A, B, C, D,.... etc. (Fig. 8). Se sobreentiende que estos cuerpos tienen propiedades en grueso, medibles en el laboratorio y cuyo valor es insensible al número de moléculas que contienen. Ésta es la conceptualización más elemental de un sistema macroscópico. Ahora preguntamos si es posible establecer una relación de orden entre dichos cuerpos en base a su grado relativo de calentamiento ordenándolos de los más fríos a los más calientes, o viceversa. Lo más natural es que se recurra al sentido del tacto para realizar la operación con el grave peligro de que si alguno de ellos no está en polos opuestos (hielo, agua hirviendo, un metal al rojo vivo, etc.) nuestro sentido no sea suficientemente preciso para distinguir entre uno y otro.

Figura 8. Sistemas microscópicos arbitrarios como pueden ser un líquido A, un gas B, un trozo de metal C, un trozo de hule D, un bulbo de luz E, etc.
¡Cuántas veces apreciamos lo subjetivo de esta medición al discutir con otra persona si un objeto dado se "siente más caliente o más frío" que otro! Así pues, tenemos que recurrir a un método más preciso el cual está basado en un hecho común y corriente. Si tomamos dos de estos cuerpos y los ponemos en contacto entre sí, llega un momento en que uno estará igual de caliente (o frío) que el otro, esto es, su grado relativo de calentamiento es el mismo. Si un tercero del conjunto inicial resulta estar igualmente frío o caliente que cualquiera de los primeros dos, estará también igualmente frío o caliente con el tercero. En un lenguaje más técnico decimos que los tres están en "equilibrio térmico " entre sí. Esta proposición elevada a la categoría de axioma se conoce como la ley cero de la termostática: "Si de tres cuerpos A, B y C, A está en equilibrio térmico con B e independientemente A está en equilibrio térmico con C, entonces B y C están en equilibrio térmico entre sí."
Este axioma que constituye en esencia la racionalización de las ideas subyacentes a las mediciones de temperatura que datan del siglo XVIII, no fue apreciado y planteado sino hasta principios de este siglo, después de que las dos primeras leyes ya habían sido enunciadas. De ahí que se le haya bautizado como ley cero. Pero volvamos a nuestro experimento: una vez que dos o más cuerpos están en equilibrio térmico entre sí debemos buscar qué propiedad tienen en común y establecer un método para medirla. Esa propiedad, que debe ser inherente al sistema, se conoce como temperatura. De ahí que la ley cero puede también enunciarse diciendo que dos o más cuerpos están en equilibrio térmico entre sí, cuando tienen la misma temperatura. El mercurio de un termómetro de bulbo alcanza la temperatura de 36.8°C cuando el mercurio metálico está en equilibrio térmico con la temperatura del cuerpo humano.
Una vez identificada la existencia de la propiedad, sólo hay que adoptar una serie de reglas arbitrarias para medirla. Ese conjunto de reglas basadas en la adopción de un patrón de comparación o un estado estándar se conoce como "termometría". Así pues, como las "reglas sirven para medir longitudes, los relojes, tiempo, etc., basados en ciertas unidades adoptadas empírica, pero convenientemente, los termómetros miden temperaturas (Fig. 9). Y si disponemos de uno suficientemente sensible somos capaces de responder a la pregunta planteada, es decir, si A está más o menos caliente que B, éste que C, etc. La cuestión original v.g. lograr ordenar la secuencia de cuerpos en base a su grado relativo de calentamiento surge como una necesidad inherente a las propiedades de estos cuerpos y su respuesta depende de identificar la variable apropiada, en este caso la temperatura.
La tesis que vamos a esgrimir aquí, por cierto un tanto novedosa y poco discutida en la bibliografía establecida, es que la entropía, como la temperatura, surge de una necesidad misma planteada por la definición de lo que es un sistema termodinámico. Empecemos pues por definir un sistema. En la literatura convencional se dice que un sistema es una "porción del universo físico que se aísla para su estudio". En la práctica es algo más. Si nosotros queremos "aislar esa porción" sólo lo podemos hacer a través de las restricciones que nosotros le imponemos para su aislamiento. En efecto, queremos un sistema finito, manejable, perceptible, etc., luego sus "dimensiones" deben quedar especificadas, ya sea porque su volumen, área o longitud queden determinadas por el recipiente que lo contiene, si ese es el caso, o por las superficies que limitan al volumen (si es un sólido tridimensional), o por la curva que encierre una área (si es bidimensional como una película delgada). Así pues, el sistema empieza por tener restricciones geométricas. Estas restricciones tienen asociadas un parámetro medible, el volumen (V), el área (A) o la longitud (L).

Figura 9. Un termómetro de gas a volumen constante. El bulbo B se llena con un gas, de preferencia helio, y se pone en contacto con agua en su punto triple. La altura de la columna de mercurio ht permite calcular la presión del gas a la temperatura del agua en dicho punto. En seguida, el bulbo se pone en contacto con el cuerpo cuya temperatura se desea medir. La nueva altura de la columna hc permite calcular la presión del gas. La temperatura T del cuerpo se obtiene de la fórmula T =273,16 Pc/Pt
Otro tipo de restricción que podemos imponer al sistema es, justamente, de carácter térmico: si queremos que esté en equilibrio térmico con sus alrededores hay que permitir que esté en contacto térmico con él a través de paredes conductoras (metálicas en general) y con ello su temperatura T será la misma que la de sus alrededores. O bien, podemos rodearlo de un material aislante y con ello garantizar que no haya transferencia de calor entre él y sus alrededores. Si en un caso u otro las paredes son permeables o impermeables al paso de materia, tendremos restricciones de carácter químico y de ellas dependerá si el sistema es abierto o cerrado y, en el primer caso, en qué medida. Finalmente podemos imponer restricciones mecánicas permitiendo que, si está en contacto con la atmósfera, su presión sea igual a la atmosférica o fijando el valor de esa presión por medios mecánicos, un pistón si es un fluido, una prensa si es un sólido, etc. Una vez que hemos definido nosotros, el observador, el sistema que queremos estudiar, hemos consciente o inconscientemente determinado el número de restricciones a que está sometido el sistema y cada una está caracterizada por el valor numérico asignado a un atributo medible. El número de restricciones determina el número de grados de libertad y, automáticamente, el número de variables independientes necesarias para describir los estados del sistema en esas condiciones. Estas consideraciones responden a una pregunta formulada con anterioridad en conexión con el número de variables requeridas para especificar los estados de un sistema. Un gas encerrado en un recipiente con paredes conductoras sólo tiene dos restricciones, la térmica y la geométrica, luego sólo son necesarias dos variables independientes que podemos escoger, al gusto, entre p. V, T u otras.
Si el gas es paramagnético y queremos especificar su magnetización es necesario introducir otra restricción especificando el valor de la magnetización, o el del campo magnético externo a que está sujeto. Hay tres restricciones, por lo tanto hay tres grados de libertad y se requieren tres variables independientes. Si el gas está formado además por una mezcla de dos gases inertes y es cerrado, esto es si la masa total es constante, hay que especificar el número de moles, o la cantidad de materia de cada gas y por lo tanto se requieren dos variables adicionales, pues la mezcla gaseosa, paramagnética e inerte, tiene cinco restricciones; y así sucesivamente.
El lector puede ahora concebir los sistemas que le vengan a la mente en este lenguaje y le será fácil identificar el número de variables independientes. Nótese que el problema de elegir a esas variables es diferente pues en general, como ilustramos en el caso del gas, hay un número de las elegibles, mayor que el requerido y la elección se hace estrictamente con base en la convivencia.
Una vez definido lo que es un sistema y de insistir en que hay una correspondencia uno a uno entre el número de restricciones, de grados de libertad y de variables independientes llegamos al punto crucial de nuestra discusión. Sí consideramos a un sistema aislado y cerrado (y suponemos que la acción del campo gravitacional es despreciable o nula) siempre es posible remover una restricción sin afectar el estado del sistema. Más aún, en el instante en que se remueve dicha restricción se induce un proceso durante el cual el sistema realiza trabajo útil sobre sus alrededores. Al llegar a su estado final, éste se caracteriza por las restricciones restantes, que suman una menos que en el estado inicial. Así pues, tenemos un estado de equilibrio menos restringido que el estado inicial. Vamos a ilustrar esta secuencia con dos ejemplos de índole diferente. En el primero pensemos en un recipiente: de paredes rígidas impermeables y aislantes (ver Fig. 10) que contiene una pared montada sobre ruedas u otro dispositivo que permita su deslizamiento sobre un riel. La pared se encuentra inicialmente en un punto tal que divide al recipiente en dos partes cada una conteniendo a un gas (si son iguales o diferentes es irrelevante), de manera que el gas que ocupa la porción de volumen V1 tenga una presión p1 mayor que la del gas que ocupa el volumen V2 y que designaremos por p2. En este sistema hay tres restricciones, a saber, el volumen total es constante, la energía total es constante (aislamiento) y las presiones de los dos gases son diferentes p1 > p2. El sistema tiene tres grados de libertad y por lo tanto hay tres variables independientes que pueden escogerse a voluntad de la lista p1, p2, V1, V2, V, U, T1, T2, etc.
Si ahora removemos el seguro que mantiene a la partición, ésta se moverá al principio hacia la derecha, oscilará por un rato y finalmente se detendrá en una posición que corresponderá al estado en que haya equilibrio mecánico, esto es, cuando p1 = p2 (¡tal como en el émbolo de una bomba de mano para inflar llantas!). Véase que la acción de remover el seguro no afecta el estado del sistema e induce un proceso.
Al final de este proceso el sistema alcanza otro estado de equilibrio en el cual se ha perdido la restricción p1 > p2 y sólo quedan dos restricciones disponibles, V= constante y U = constante.

Figura 10. Dos gases encerrados en un recipiente aislado están separados por una partición tal que p1 > p2. Al remover el seguro la partición oscila hasta alcanzar un estado de equilibrio que corresponde a p1 = p2.
El sistema tiene ahora un grado de libertad menos que en su estado inicial. Además de haber atado una cuerda a un cuerpo dado o a la manivela de un generador, podríamos haber utilizado la diferencia inicial de presiones a través del movimiento de la pared para elevar dicho cuerpo a una altura determinada, o a través de la rotación de la manivela del generador producir una corriente eléctrica. Esto es, en el proceso inducido (¡no espontáneo!) se genera una cierta cantidad de trabajo útil. Es más, si quisiéramos restaurar la restricción inicial o regresar la partición a su posición original, forzosamente tendríamos que realizar trabajo sobre el sistema (¡comprimir un gas!).
En el segundo ejemplo, que es de naturaleza completamente diferente al anterior, supongamos que en un cilindro de vidrio pyrex, cuyas paredes estén bien forradas con asbesto, tenemos inicialmente una cierta cantidad de tetróxido de nitrógeno N2O4. Éste se encuentra a una presión menor que una atmósfera y mezclado con una cantidad pequeña de NO2, de manera que no exista una reacción química entre ellos. La presión se controla mediante un pistón fijo como el que se ilustra en la figura. El sistema tiene entonces cuatro restricciones, una mecánica que mantiene el volumen V = const., la energía U = const. y las dos concentraciones de los óxidos de nitrógeno que podemos llamar C1 y C2 respectivamente. Hay pues cuatro variables independientes que pueden escogerse arbitrariamente entre p, V, T, U, C1, C2, etc. Si ahora, sin perturbar la condición de aislamiento agregamos un catalizador al sistema, se establece el equilibrio químico de acuerdo con la reacción
N2O4 ⟷ 2 NO2
y por consiguiente en el estado final, también de equilibrio, las concentraciones de ambos gases ya no son independientes pues por cada gramo mol que haya de N2O4 hay 2 gramos mol de NO2. El sistema tiene sólo tres restricciones y por lo tanto sólo requiere tres variables independientes. Hay, sin embargo, una sola diferencia aparente con el ejemplo anterior pues el trabajo realizado por el sistema no es tan palpable como en la remoción del seguro de la pared separadora entre los dos gases. La naturaleza de la restricción removida es mucho más sutil en este caso pues la presencia del catalizador lo que hace es "activar" la energía de las moléculas de N2O4 para que al chocar entre sí, aquellas que sean suficientemente energéticas transformen su estructura electrónica y se conviertan, por lo menos una de ellas, en dos moléculas de NO2. La energía liberada en este proceso y que se manifiesta en calor de la reacción, es desde luego de naturaleza química y, en principio, podría aprovecharse en trabajo útil. El lector puede apreciar también si quisiéramos restaurar al sistema a su estado inicial, habría que realizar trabajo externo, requerido para desplazar el equilibrio hacia la izquierda según la reacción
2 NO2 |↲| N2O4
hasta restituir la concentración inicial de N2O4.

Figura 11. La presencia de un catalizador en la mezcla de N2O4 y NO2 activa la reacción N2O4⟷2 NO2 y libera al sistema de una restricción.
Aunque podríamos continuar con una larga lista de ejemplos similares, estos dos bastan para ilustrar nuestro propósito, a saber, en todo sistema aislado es posible, mediante la remoción de una restricción, inducir un proceso y en ese proceso inevitablemente el sistema realiza trabajo externo. Con este arsenal de ideas podemos ahora dar una interpretación clara y concisa sobre el papel que juega la entropía en clasificar a los sistemas termodinámicos en función de una característica inherente a su construcción. Para mayor claridad, plantearemos ahora una cuestión de manera completamente similar a como lo hicimos con el concepto de temperatura. De toda la exposición anterior, se desprende que una faceta ineludible en la caracterización de un sistema la constituye el número de restricciones que se le imponen en su construcción o definición. Piense ahora el lector de nuevo en el conjunto de cuerpos o sistemas macroscópicos que etiquetamos con las letras A, B, C, D... al empezar nuestra discusión sobre el concepto de temperatura (Figura 8).
Ahora bien, en vez de establecer una relación de orden entre ellos en base a su mayor o menor grado de calentamiento, pensemos en si es posible o no establecer entre ellos una relación en base a lo que llamaremos su "grado de restricción". Nótese que el número de restricciones no es suficiente para hacerlo, pues hay muchos de este conjunto que poseerán, digamos dos restricciones, otros tres, otros cuatro, etc.
Esto es tan burdo y tan inútil como haber pensado en un grado de calentamiento etiquetado en base a los números enteros positivos. Así como el grado de calentamiento es la base para establecer el concepto de equilibrio térmico y de ahí extraer la existencia de un atributo inherente a cada sistema que después bautizamos como su temperatura, la pregunta aquí es similar. ¿Existe un atributo inherente a los sistemas macroscópicos capaz de medirse por métodos rigurosos y aplicables a todo sistema, susceptible de cuantificar su grado de restricción? O en términos diferentes, así como cuando dos o más cuerpos están en equilibrio térmico entre sí afirmamos que tienen una propiedad en común que se define como temperatura, ¿es posible establecer un método experimental irrefutable que nos permita cuantificar el grado de restricción de un sistema termodinámico? Nótese claramente que aquí en cierto modo partimos de la hipótesis de que dicho grado de restricción es un atributo medible y queremos asignarle un número que lo caracterice como hace la termometría con la temperatura. Así pues, nuestro punto de partida es el siguiente:
1. Suponemos que es posible cuantificar el grado de restricción de un sistema. A este lo llamaremos C.
2. Si C existe, entonces por construcción debe ser un atributo del sistema ya que las restricciones impuestas se caracterizan por tales atributos: p, V,... T, etc., y C sólo puede ser función de ellos.
3. En un sistema aislado, C sólo puede depender de los atributos asociados a variables extensivas, esto es a las variables como U, V, M (la masa), etc., que dependen del tamaño o extensión del sistema. En efecto si queremos imponer restricciones sobre variables intensivas como T, p, etc., no podemos aislar al sistema de sus alrededores, pues para fijar T se requiere tenerlo en contacto con otro cuerpo a dicha temperatura, para fijar p hay que mantenerlo en contacto mecánico con una atmósfera a dicha presión a través de un émbolo o pistón movible, etc.
4. Si removemos una restricción de un sistema aislado, lo cual es posible sin alterar al sistema, se induce un proceso a otro estado menos restringido durante el cual el sistema realiza trabajo.
A partir de las cuatro premisas, se busca ahora una forma de cuantificar C como una función de las variables extensivas, C = C (U, V,...). A este efecto observemos primero que si quitamos una restricción en un sistema aislado general el proceso inducido correspondiente es uno irreversible y como tal, difícil de utilizar para realizar una medición de alguna cantidad que varíe en su transcurso, aunque el trabajo realizado surge como un candidato razonable. Pero pensemos en el estado final de equilibrio menos restringido al que llega el sistema después de la remoción de la restricción y en el proceso que tendríamos que realizar para restaurarla. Este proceso, lo podríamos llevar a cabo cuasiestática y reversiblemente tomando especial cuidado de no alterar las condiciones en que ocurrió el proceso original para garantizar que en cada etapa infinitesimal del proceso inverso al original, el cambio en el grado de restricción, llamémosle dC, sea el mismo en ambos. Con esta idea en mente es posible mostrar[8] que independientemente de la naturaleza del sistema que se emplee para realizar la operación

En otras palabras, la variación en el grado de restricción para cualquier sistema en una porción infinitesimal de una trayectoria, que corresponde a un proceso reversible inverso al proceso que se realiza al remover una restricción, es igual a menos el calor reversible que el sistema intercambia con un cuerpo con el que debe estar en contacto y que se encuentra a una temperatura T, dividido entre la temperatura de dicho cuerpo. Más aún, como el calor es una propiedad extensiva, C resulta ser, como se requiere, una cantidad extensiva. El cambio total en C entre el estado inicial y el final, ambos estados de equilibrio pero el segundo ahora con una restricción más que el primero, se obtiene simplemente sumando todas las contribuciones infinitesimales indicadas por la ecuación[9] (16). Estos resultados constituyen la conclusión medular de esta discusión. En efecto, si tomamos a un sistema aislado es posible inducir uno o varios procesos removiendo una o varias restricciones de manera que el grado de restricción disminuya continuamente. Desde este punto de vista, a medida que un sistema va perdiendo sus restricciones, el sistema se va "desorganizando" cada vez más. Como esta desorganización ocurre cuando el sistema se mantiene aislado de sus alrededores, y por consiguiente su energía interna es constante, los cambios inducidos a energía constante siempre ocurren en una dirección en la cual la desorganización del sistema aumenta. Recíprocamente, si a energía constante el grado de restricción aumenta, la organización también aumenta. Así pues, en sistemas aislados, los procesos inducidos ocurren al reducir el número de restricciones y por consiguiente como Ci > Cf donde i y f representan los estados inicial y final respectivamente.
ΔC < 0 (17)
Si ahora comparamos esta desigualdad con la expresada por la ecuación (11) que constituye un corolario de la segunda ley de la termodinámica, también válido para sistemas aislados, ambos son iguales entre sí al identificar
S = -C (18)
Esto establece de una manera clara y concisa el significado de entropía: es una medida de la "falta de grado de restricción" en un sistema o si se quiere, en términos más pedestres, es una medida de la desorganización. Ciertamente, la cantidad S = C hubiera sido más satisfactoria desde el punto de vista físico, pues es más en la organización que en la falta de ella, pero el origen de la función S, como vimos anteriormente, le impuso el signo positivo.
Para ilustrar el significado de las ecuaciones (16) y (17) tomemos un ejemplo de la vida cotidiana: el cajón de un archivo en el cual la correspondencia, o documentación archivada alfabéticamente y separada por separadores etiquetados desde la A hasta la Z. Esta disposición corresponde a la de un sistema en su grado máximo de organización, en este caso por medio de veintisiete restricciones. La remoción de un separador "induce" un proceso mediante el cual, en el transcurso del tiempo ocurre que la correspondencia entre los dos separadores próximos más cercanos empieza a entremezclarse hasta alcanzar un "estado final" en el cual sea imposible saber a cuál de las dos letras afectadas pertenece. Este estado final es uno con una restricción menos y por lo tanto menos organizado.
De acuerdo con las fórmulas anteriores C disminuyó pero S aumentó. La entropía es pues mayor en el estado menos organizado de manera que si continuamos removiendo separadores, C continuará disminuyendo y S continuará aumentando.
Volviendo al caso de los sistemas termodinámicos podemos también afirmar que un sistema está mejor organizado cuanto mayor es el número de restricciones sobre él impuestas. Piense el lector, por analogía con el archivero, en un conjunto arbitrario de gases, todos diferentes y separados entre sí por particiones impermeables. Al remover restricciones, particiones en el caso de los gases, se inducen procesos en los cuales el número de restricciones disminuye y la entropía aumenta. Al estar los n gases mezclados entre sí la desorganización es máxima así como su entropía. En sistemas aislados y cerrados, la entropía es una medida del grado de desorganización, entendida ésta como la carencia de restricciones. Y en este sentido la entropía, como dijimos al enunciar esta larga discusión, surge como una necesidad de la definición misma de lo que es un sistema.
Para terminar con este capítulo falta sólo esbozar la idea de cómo puede medirse la entropía. Esto es lo que finalmente nos permitirá establecer la relación de orden buscada entre el conjunto de cuerpos A, B,... en términos de su "grado de restricción". Como lo indica la ecuación (15) que define el cambio en el grado de restricción para un proceso infinitesimal, lo que se requiere medir es đQrev y T. Con respecto a la temperatura no hay problema, pues disponemos de termómetros para medirla. En cuanto al calor transferido entre el sistema y el cuerpo a la temperatura T tenemos dos métodos para medirlo, uno directo recurriendo a la calorimetría y otro indirecto, que es usual y que hace uso de la definición de Q dada por la ecuación (3)

En efecto, dU la sabemos medir según la ecuación (1) y el trabajo mecánico es también medible específicamente en un proceso reversible. Así pues las dos cantidades involucradas con la definición de C son accesibles al observador y por lo tanto C es calculable. En el caso más difícil hay que sumar todas las contribuciones infinitesimales que: componen al proceso en cuestión y de ahí obtener DC[10]. Con ello concluimos que los cuerpos A, B, C, D,... quedarán ordenados de manera tal que los menos "organizados" tendrán una mayor entropía.
Capítulo 5
Procesos irreversibles. Sistemas abiertos
En toda la discusión que hemos hecho en los capítulos anteriores para establecer el contenido de la segunda ley de la termostática y aclarar el concepto de entropía, nos hemos limitado a la consideración de sistemas cerrados (masa total constante) en ausencia de la acción de campos de fuerza externos, en particular, el campo gravitacional. También hemos hablado de la invalidez de la definición de entropía según la desigualdad marcada con la ecuación: (11) en sistemas que no cumplen con estas condiciones. Por otra parte, señalamos en el capítulo anterior que el concepto de entropía va asociado, en algunas interpretaciones, a una dirección en que ocurren los procesos naturales. Sin embargo, es necesario reconocer, aun en una obra tan elemental como ésta, que los problemas actuales de mayor interés en termostática son precisamente aquellos que involucran sistemas abiertos (biología, ingeniería, físico-química, cosmología, etc.), en presencia de campos externos (plasmas, cosmología, biofísica, etc.) y que por lo tanto merecen una atención especial. En conexión con el problema de la dirección de los procesos, su origen proviene del estudio de procesos irreversibles, los cuales son los que ocurren en la vida cotidiana, esto es, son los que percibimos en el mundo natural que nos rodea; no podemos olvidarnos de ellos. De aquí el título de este capítulo. Aunque conscientes del grado de dificultad involucrado en el estudio de estos problemas, intentaremos desglosar algunas de sus facetas más interesantes evitando el uso de un pesado arsenal matemático.
Comencemos primero por hablar de los sistemas abiertos, que brevemente tocamos en el capítulo anterior. Su importancia fue reconocida hace más de cien años por el gran físico norteamericano J. W. Gibbs. En su monumental obra sobre varios tópicos de matemáticas, física y físico-química se encuentra un capítulo, que de hecho es todo un texto, sobre un trabajo desarrollado esencialmente entre los años de 1875 y 1878 intitulado "Sobre el equilibrio de sustancias heterogéneas". En él Gibbs estudia no sólo los efectos químicos, esto es, provenientes de intercambios de masa entre sistemas en equilibrio, sino también los efectos que sobre el equilibrio tienen fenómenos tan complicados como la fuerza de la gravedad, la capilaridad y los esfuerzos tensiles inhomogéneos. La complejidad matemática involucrada en este tratamiento lo pone fuera de los alcances de esta obra, pero es conveniente y necesario hablar aquí sobre las implicaciones del trabajo de Gibbs en función de los resultados que hemos obtenido, tanto para la formulación matemática de la segunda ley, la ecuación (11), como para el significado de la función entropía, ampliamente discutido en el capítulo anterior.
Un sistema heterogéneo según Gibbs, es el formado por una colección de sistemas homogéneos que están separados entre sí por paredes, superficies u otros medios que permiten el paso de materia de un sistema homogéneo a otro. Cada sistema homogéneo, o fase como los llamó Gibbs, está constituido por una o varias sustancias constituyentes cuyas propiedades termostáticas, presión, temperatura, densidad, etc. son las mismas en cada uno y todos los puntos del sistema, de ahí la calificación de homogeneidad. Un ejemplo ilustra mejor estas ideas. Imaginemos que en un matraz cerrado herméticamente por su boca (Fig. 12) colocamos sal de cocina (cloruro de sodio) en agua de manera que no toda la sal se disuelva en ella, esto es, a modo de obtener una solución de cloruro de sodio, y dejar un remanente sólido en el fondo del matraz. Si tenemos el matraz digamos a 40° C, en la parte superior de solución existirá un poco de agua como vapor. Así obtenemos un sistema heterogéneo formado por tres fases, una fase sólida homogénea formada por la sal no disuelta, otra fase líquida homogénea formada por la solución de la sal en agua y otra formada por el vapor de agua. La separación entre las fases está proporcionada en este caso por dos interfases, la superficie líquida que separa al vapor de la solución y las superficies de los cristales de cloruro de sodio que separan al sólido de la solución. Claramente hay un intercambio de materia entre las fases pues el agua de la fase vapor se puede condensar sobre el líquido al mismo tiempo que el agua del líquido se evapora y las moléculas de la sal en la solución pueden pasar a la fase sólida en tanto que otras de ésta pueden pasar a la fase líquida.
Como la solubilidad de una sal en el agua es función de la temperatura, así como lo es también la rapidez de evaporación de un líquido, podemos variar las proporciones de sal que hay en las fases sólida y líquida, y de agua en las fases líquida y vapor, calentando o enfriando el contenido del matraz.

Figura 12. Ejemplo de un sistema heterogéneo formado por sal, solución de sal en agua y vapor de agua.
Pero a una temperatura constante el contenido de sustancias en cada fase permanece constante. Esto no implica que cese la evaporación del agua o la disolución de la sal, lo que implica es que la rapidez con que el agua se evapora es la misma con que se condensa y que, análogamente, la rapidez con que se disuelve la sal es igual a la rapidez con que cristaliza. La función que exhibe este comportamiento a un nivel macroscópico se conoce como el "potencial químico". Como en este ejemplo una fase, la líquida, tiene dos componentes, agua y sal, para que exista el equilibrio termostático es necesario que:
1. El potencial químico del agua en la fase vapor sea igual al del agua en la fase líquida.
2. El potencial químico de la sal en la fase líquida sea igual al potencial químico de la sal en la fase sólida.
Estos enunciados (1) y (2) constituyen la expresión matemática de las igualdades entre las velocidades con que deben ocurrir los procesos arriba señalados. En una forma completamente general, para un sistema formado por F fases en las cuales existe un número arbitrario C de substancias componentes, el resultado de que en equilibrio todos los potenciales químicos de la misma substancia en cada una de las fases, deben ser iguales entre sí es uno de los más grandes logros del trabajo de Gibbs. De hecho, de aquí surge uno de los resultados más ricos de toda la termostática clásica conocido como la famosa regla de las fases de Gibbs. Veamos su deducción para el sistema descrito en la Fig. 12. Aparte de las concentraciones de agua y sal en cada una de las fases, que suman cuatro, dos del agua y dos para la sal, el sistema tiene 2 grados de restricción adicionales, una térmica (T = const) y otra geométrica (V = Cte). Luego hay seis grados de restricción en total. Las seis variables independientes las tomaremos aquí como las cuatro concentraciones, T y p, la presión.
Si queremos determinar unívocamente el estado de equilibrio, según un teorema bien conocido del álgebra, necesitamos seis ecuaciones que relacionen estas variables entre sí. Veamos cuantas tenemos: hay dos expresadas por las igualdades entre potenciales químicos [enunciados (1) y (2)] y dos más que provienen de la conservación de la masa, la masa total del agua y de la sal dentro del matraz son constantes. Sólo tenemos cuatro ecuaciones que relacionen estas variables, dos que provienen de las dos componentes y que expresan la conservación de la masa y dos que expresan la condición de equilibrio. Si definimos al exceso en el número de variables sobre el número de ecuaciones como el grado de variación y lo llamamos f, vemos que en este caso
F = N° de variables - N° ecuaciones = 6 - 4 = 2
Esto es, en este sistema tenemos a nuestra disposición 2 de los 6 grados de libertad que corresponden a las 6 restricciones inherentes al sistema, para determinar sus estados de equilibrio. El sistema de la Fig. 12 es entonces un sistema bivariante. En un sistema formado por F fases con C constituyentes en ellas hay obviamente C(F-l) ecuaciones del tipo (1) y (2), F ecuaciones de conservación de la masa y CF+2 variables si el sistema, como el del ejemplo, está contenido dentro de un recipiente cerrado a temperatura constante. Entonces,
f = CF + 2 - [C(F - 1) + F] = C - F +2 (19)
que es la famosa regla de las fases de Gibbs: el número de grados de variación en un sistema heterogéneo con F fases y C constituyentes, es igual al número de constituyentes menos el número de fases más dos.
El ejemplo más conocido de la ecuación (19) es el punto triple de una sustancia pura (C = 1) definido como aquel donde coexisten simultáneamente las tres fases sólida, líquida y gaseosa (F = 3). En este caso f = 0, esto es el punto es uno invariante; el equilibrio está determinado por un solo valor de la presión y de la temperatura. Para el agua este punto ocurre a una temperatura de 273.16 K y una presión de 4.58 mm de mercurio.
Sin embargo donde la ecuación (19) encuentra un campo fecundo de aplicaciones es en toda la teoría de soluciones multicomponentes pues permite determinar el número de variables independientes f, disponibles para determinar los estados de equilibrio. Los correspondientes diagramas que se obtienen son los llamados diagramas de fase.
Cuando las soluciones son sólidas, en particular entre metales, se utilizan para determinar las temperaturas y composiciones a las que existe el equilibrio entre las diferentes fases. Esto, como el lector puede inferir, tiene una importancia enorme en la metalurgia. Veamos un ejemplo muy simple: el plomo Pb y el antimonio Sb son miscibles en todas proporciones en la fase fundida, líquida. En la fase sólida cristalizan y son insolubles. El punto de fusión del Sb es de 630° C y el del Pb es de 326° C. En la Fig. 13 el punto A es el punto de fusión del antimonio y B es del plomo. La curva AE representa aquellos estados en que coexisten en equilibrio la solución sólida de Sb y Pb, el Pb sólido y la fase vapor. Como F = 3 y C = 2, f = 1, sólo hay una variable independiente; esto es el equilibrio entre estas fases sólo puede ocurrir a las temperaturas y composiciones correspondientes a los puntos sobre AE.
Lo mismo, la curva BE representa las temperaturas y composiciones a las cuales las tres fases, vapor, solución y Pb sólido coexisten en equilibrio. Pero en el punto E hay cuatro fases presentes, la solución, el vapor, el Sb sólido y el Pb sólido, luego f=O. El punto E se conoce como el punto eutéctico y la mezcla como mezcla eutéctica, formada en este caso por 87% de Pb y 13% de Sb a 246° C.
Este punto desempeña un papel similar al del punto triple en el caso de una sustancia pura, para soluciones sólidas sólo hay uno. La región bajo las curvas AEC, es aquella donde el Sb sólido y la solución pueden coexistir en equilibrio en tanto que la solución y el Pb sólido pueden coexistir en los puntos dentro de la región EBD.

Figura 13. Diagrama de fase para el eutéctico de antimonio y plomo.
El diagrama de fases entre el hierro y el carbono, que es mucho más complicado que el anterior por la formación de algunos compuestos entre ambos elementos, es de vital importancia en la fabricación de aceros pues las diferentes regiones de coexistencia corresponden a los varios tipos y calidades de los aceros.
Pero volvamos al tema de la validez e interpretación de la segunda ley de la termostática en particular de la ecuación (11) en el caso de los sistemas abiertos. Consideremos el ejemplo ilustrado en la Fig. 12 donde la temperatura se mantiene constante permitiendo que el contacto con un cuerpo (baño de agua, trozo de hielo, etc.) a la temperatura deseada. Si ahora identificamos al universo termodinámico como el cuerpo y el matraz, este último concebido como un solo sistema sin importar su contenido, en tanto que esté en equilibrio, podemos hacer uso de la interpretación dada en la ecuación (15a) para establecer el cambio de entropía en el universo en un proceso reversible, o por la ecuación (15b) si es irreversible. Desde este punto de vista no hay problema alguno. Las dificultades aparecen cuando intentamos calcular el término (DS)sist y reconocemos que el sistema está formado por una colección de fases, esto es, que tenemos un sistema heterogéneo. Si ahora queremos calcular el cambio en la entropía de cada fase durante el proceso, es necesario establecer la forma en que depende de las variables independientes y esta dependencia no está contenida en la formulación anterior de la segunda ley. Pero como hicimos notar en discusiones anteriores, tampoco sabemos calcular la energía interna de cada fase pues la definición dada en la ecuación (1) sólo es válida para sistemas cerrados. Entonces, aunque partamos de la hipótesis de que sepamos cual es la energía de cada fase, aislada del resto, en el momento de ponerlas en contacto entre sí no sabemos, a priori, si sus valores van a cambiar o no. Como ya también hicimos notar, la solución a esta cuestión requiere de una hipótesis adicional no requerida hasta ahora. Dicha hipótesis es que todas las variables extensivas en un sistema heterogéneo son aditivas, esto es, la energía interna es la suma de las energías de cada fase, la entropía total es la suma de las entropías, etc.
Bajo estas condiciones, entonces, el cálculo de (DS)sist es muy simple, se reduce a sumar las contribuciones de cada fase. Pero insistimos una vez más, el cambio en la entropía de cada fase como un sistema independiente no satisface una desigualdad de la forma exhibida por las ecuaciones (11) o (15a) si el proceso es reversible. Estas son aplicables, exclusivamente a un sistema o un universo termodinámico cerrado en el primer caso, cerrado y aislado en el segundo, independientemente de que como parte de dicho universo existan sistemas abiertos. Es posible que una concepción de esta índole haya estado en la mente de Clausius cuando dijo que la entropía del universo tiende a un máximo. Si así es y el universo es el cosmológico, tendrá que ser concebido a fortiori como cerrado y aislado.
Para ejemplificar estos razonamientos volvamos al sistema de la Fig. 12. Si concebimos al matraz con su contenido y al baño que lo rodea como el universo, para todo proceso reversible
(ΔS)univ. = (ΔS) sist. + (ΔS)alred.
donde
(ΔS)alred. = ± Δ Qrev /T
y
(ΔS) sist. = (ΔS) sal + (ΔS) solución + (ΔS) vapor
donde el signo ± en el segundo renglón depende de si el baño recibe o cede una cantidad de calor ΔQrev. Cómo (ΔS) univ. = 0,
— (ΔS) sist. = (ΔS) alred.
por ser el proceso reversible.
Pero el signo particular de cada una de las contribuciones a (ΔS)sist. dependerá de la naturaleza específica del proceso que se lleva a cabo. Y por último, insistimos en que en esta prescripción para calcular (ΔS)sist. se están ignorando las posibles contribuciones de las interfases, las cuales, como hicimos notar en el capítulo anterior, no son siempre a priori despreciables. Es así como en la termodinámica de sistemas abiertos se han resuelto, hasta ahora, los problemas conceptuales derivados de la extensión de las leyes de la termostática al dominio de ellos.
Pasemos ahora a considerar el caso de los procesos irreversibles. Si un proceso irreversible tiene lugar en un sistema cerrado y aislado su entropía forzosamente aumenta. Este es el caso de la remoción de una restricción y por lo tanto del correspondiente proceso inducido. Si el sistema no es aislado pero es cerrado, y si todavía suponemos que la acción de un campo externo es nula o despreciable, entonces la entropía del universo es la que debe ser positiva. Este resultado está expresado por la ecuación (15b). Insistimos en recordar al lector que esta ecuación contiene dos términos, uno que proviene del cambio de la entropía del sistema y otro del cambio de entropía del cuerpo con quien está en contacto. Entonces, la variación de la entropía de una, por ejemplo, del cuerpo, puede disminuir, a expensas de que la variación de la entropía del cuerpo aumente, y este aumento debe ser de tal magnitud que la suma sea mayor que cero. Un ejemplo muy simple ayuda a comprender este efecto. Imagine el lector un gas encerrado en un cilindro con paredes metálicas dotado de un pistón. El cilindro está en contacto con la atmósfera del recinto donde está ubicado y en equilibrio térmico con ella. Supongamos que inicialmente el gas se encuentra comprimido a una presión mucho mayor que la atmosférica, digamos 10 atm. Si soltamos el pistón el gas se expande bruscamente (¡proceso irreversible!) hasta alcanzar el equilibrio con la presión atmosférica. En este caso, si la temperatura se mantiene constante, el gas debe ceder una cierta cantidad de calor Q a la atmósfera, la cual consecuentemente, varía su entropía por Q/T. La suma de Q/T y la variación de la entropía del gas tiene que ser positiva. Así pues, para sistemas cerrados y aislados, la ecuación (15b) puede interpretarse fácilmente.
Para un cambio infinitesimal y reversible,

Si el cambio no es reversible,

que de hecho no es más que una forma conveniente escribir la ecuación (11), la igualdad cumpliéndose para procesos reversibles. De esta fórmula tan simple ha surgido toda la inquietud y, subsecuentemente, la termodinámica de procesos irreversibles. En efecto, salta, a la vista una pregunta inmediata ¿Cómo podemos escribir la diferencia entre estos dos términos cuando un proceso es irreversible? El lector que haya pensado esencialmente en una contribución que provenga de la fricción, habrá acertado. En efecto en 1850 Clausius mismo propuso que esta diferencia fuese igual a un término que él llamó el "calor no compensado" y que llamó dQ'. Entonces,

Sin embargo, nunca dio una descripción más precisa del término fuera de asociarlo con una medida del grado de irreversibilidad de un proceso. Fue W. Thomson, lord Kelvin, quien en 1854 se dio cuenta por primera vez de efectos irreversibles en sistemas termodinámicos y obtuvo resultados concretos a partir de una fórmula de la naturaleza de la ecuación (20).
Esto ocurrió cuando se puso a estudiar dos efectos de la termoelectricidad descubiertos, uno en 1821 por el físico alemán T. J Seebeck y el otro por el relojero francés J. C. A. Peltier, en 1836. Dada la simplicidad de esos fenómenos y su relevancia en conexión con el esclarecimiento de la ecuación (20) vamos a estudiarlos con cierto detalle.
Consideremos un termopar que consiste de dos alambres conductores diferentes que llamaremos A y B, respectivamente, y cuyas juntas están en contacto con dos cuerpos que se encuentran a temperaturas diferentes T y Tr, siendo Tr la temperatura de la junta que se toma como referencia. (Fig. 14). Supongamos ahora que Tr se mantiene constante, en tanto que la temperatura del cuerpo T se hace variar (T ¹ T,) y los extremos b y b' del conductor B se conectan al voltímetro como se ilustra en la figura.

Figura 14. Termopar AB con juntas en los cuerpos a temperaturas T y Tr.
Lo que se observa es que el voltímetro registra una lectura que corresponde a una fuerza electromotriz EAB generada en el circuito cuyo valor depende de T. A este efecto se le conoce como el efecto Seebeck y a la razón de cambio de EAB se le conoce como la fuerza o potencia termoeléctrica del termopar.
Ahora supongamos que en el dispositivo ilustrado en la figura, hacemos las dos temperaturas T y Tr iguales y conectamos los extremos b y b' con a una batería que genera una cierta corriente i a través del circuito. Lo que se observa es que en las juntas de los termopares la temperatura aumenta por una cantidad que excede en valor al calentamiento provocado por el calor de Joule y que es igual a i2R donde R es la resistencia eléctrica del circuito. Recuerde el lector que este calor es generado precisamente por la fricción interna en el circuito, esto es, la resistencia que opone el conductor al paso de la corriente. El cambio en la temperatura no acreditable al efecto Joule se conoce como el efecto Peltier.
La cantidad que puede medirse experimentalmente, es la rapidez con la cual se produce este calor, cantidad que resulta proporcional a la corriente i (¡no a i2!).
Al coeficiente de proporcionalidad se le conoce como el coeficiente de Peltier. En su estudio de este problema donde aparecen dos efectos irreversibles, la conducción de calor por los conductores y el calor de Joule, lord Kelvin supuso que éstos podían ignorarse sobre las bases de que son aparentemente independientes de los efectos de Peltier y el efecto Thomson. Más aún, este último es el efecto Seebeck excepto por que lo que se observa es la distribución de temperatura a lo largo de los alambres cuando no circula corriente eléctrica, que son efectos reversibles. Bajo esta hipótesis y sumando todos los cambios de entropía, suma que es cero para procesos reversibles, obtuvo fórmulas explícitas para los coeficientes de Peltier y de Thomson que han sido ampliamente verificadas experimentalmente y por lo tanto consideradas como correctas. Sin embargo esos efectos, Seebeck, Peltier y Thomson están indudablemente conectados de una manera obviamente intrincada con los efectos irreversibles y por lo tanto con el calor dQ' introducido por Clausius. La forma en que esta conexión ocurre está muy lejos de los alcances de este texto y fue dada por el gran químico noruego Lars Onsager en 1931, trabajo que le valió el premio Nobel de química en 1968. Sin embargo la idea medular es un tanto simple de explicar. Veamos primero la idea en un sistema cerrado pero en contacto térmico con un medio ambiente a una temperatura T. Entonces, la entropía total S puede variar por dos posibles mecanismos, uno es el intercambio de calor con sus alrededores, el medio ambiente, a la temperatura T. Este cambio es externo y lo designamos por (dS)e. Pero, por otra parte, dentro del sistema pueden generarse fenómenos irreversibles provenientes precisamente de "la fricción" inherente a los procesos mismos que generan un cambio en la entropía. Este cambio usualmente denominado "producción de entropía" lo llamamos (dS)i. Entonces,

pero como además


de acuerdo con la interpretación habitual de la ecuación (20). El calor no compensado de Clausius es ahora substituido específicamente por la producción de entropía, asociada a los mecanismos de fricción internos, inherentes al sistema mismo.
Si el sistema es abierto, por sus fronteras puede fluir no sólo calor, sino materia la cual, a su vez, puede ser portadora de una cierta cantidad de entropía que proviene de efectos como el de difusión, conducción de calor, etc., y en ese caso (dS)e ya no tiene una expresión tan simple como en el caso anterior. El gran mérito de Onsager es haber proporcionado una teoría que permite deducir las ecuaciones diferenciales (usualmente no lineales) que gobiernan estos fenómenos y cuya solución es en principio posible bajo condiciones preestablecidas.
Llegamos a nuestra pregunta final de este capítulo, a saber, ¿qué conexión hay entre la ecuación (20) y la flecha o dirección en los procesos irreversibles? El lector muy cauteloso ya se habrá percatado de lo general y complejo de esta pregunta. Es muy posible que por su mente se cruce una respuesta que es inmediata y además correcta: si en un sistema cerrado y aislado removemos una restricción, inducimos un proceso que ocurre siempre en la dirección en que la entropía aumenta.
Así pues, para estos sistemas, la dirección de un proceso inducido (mal llamado espontáneo) está bien determinada. Pero si el proceso ocurre en un sistema cerrado pero no aislado o abierto la respuesta ya no es tan inmediata y de hecho no involucra a la entropía.
Por ejemplo, si tomamos un sistema en el cual en lugar de conservarlo aislado, mantenemos la presión y la temperatura constantes, en cuyo caso, como insistimos en el capitulo anterior, el sistema no puede permanecer aislado por ser ambas variables intensivas. Entonces ya no es la entropía la función cuyo cambio dicta o determina la dirección del proceso, sino otra función. Y es más, dependiendo de qué variables (restricciones) mantengamos fijas en el proceso, serán diferentes las funciones que determinen la dirección en que el proceso inducido ocurra. Esta colección de funciones, una para cada proceso diferente de acuerdo con las restricciones impuestas, se conocen como potenciales termodinámicos. La entropía es un potencial termodinámico sólo para aquellos procesos inducidos que tienen lugar en sistemas aislados y cerrados. Es pues un error grave el tratar de singularizarla como función privilegiada y de darle u otorgarle un criterio de universalidad como una directriz de un cambio. De aquí la respuesta a la primera parte de la pregunta: sólo en sistemas aislados y cerrados el cambio en la entropía constituye un criterio para decidir si un proceso inducido es o no factible.
La segunda parte de la pregunta es mucho más complicada de responder y en opinión del autor corresponde más a un buen deseo que a un hecho bien establecido. Esta parte concierne con asociar en alguna forma una dirección en el tiempo a la entropía como una medida de la irreversibilidad. Es cierto que los procesos irreversibles, en especial aquellos asociados con el concepto de "envejecimiento" van inevitablemente acompañados de una evolución en el tiempo que siempre apunta hacia el futuro y nunca hacia el pasado. Esta dirección en el tiempo se refleja de muchas maneras en el sistema que estamos observando, dependiendo de su complejidad.
Si se analiza un proceso irreversible simple como el flujo de calor en un conductor metálico rígido cuyos extremos están en contacto con dos cuerpos a temperaturas diferentes, una mayor que la otra, la irreversibilidad en el flujo de calor se manifiesta en que podemos escribir una ecuación que nos dice cómo varía la temperatura en cada punto, digamos x, del conductor a cada tiempo t. (Ver Fig. 15.) Esta ecuación tiene una estructura tal que si cambiamos t por -t no permanece igual, esto es, no es invariante frente a esta transformación. Si el contacto se establece entre el metal y los cuerpos a un cierto instante, llamémosle t=0 entonces, el flujo de calor que observamos a todo t > 0, es siempre en la dirección de T2 a T1. El flujo de calor es un efecto irreversible y sólo se observa para tiempos mayores que cero. Por lo que hemos visto con la ecuación (20) esto corresponde a una producción de entropía (dS)i >0. ¿Puede este argumento extenderse con toda libertad a cualquier sistema en el que ocurran procesos de nacimiento, vida y muerte, como los seres vivos, las galaxias, el universo, etc.? Varios autores muy distinguidos como Schrödinger, Von Bertalanffy y más recientemente Prigogine, Haken, Eigen y otros han hecho esfuerzos en esta dirección y los resultados obtenidos por ellos son muy discutibles.

Figura 15. Conductor metálico rígido de longitud L colocado entre dos cuerpos a diferentes temperaturas, T2 > T1
La pregunta misma sobre si las leyes de la termostática y la termodinámica de procesos irreversibles son aplicables en su forma convencional a estos sistemas, no está claramente establecida. Ni en el caso de sistemas biológicos donde no estamos tratando con materia inerte, ni en el caso cosmológico donde el efecto de los campos externos y la curvatura del espacio no son despreciables. El problema es en sí muy atractivo, pero existe un consenso bastante diseminado entre los físicos de hoy en día expresando dudas serias acerca de su posible descripción con ideas tan primitivas. Así, la respuesta a esta segunda parte de la pregunta todavía no está bien comprendida.
Capítulo 6
Aplicaciones selectas
Los primeros capítulos de este libro se han dedicado a exponer y a discutir los conceptos más importantes de la termostática. Esto lo hemos llevado a cabo dentro de un marco de referencia histórico con objeto de presentar al lector, no sólo el concepto en sí, sino su evolución a través de diferentes épocas del pensamiento humano. Con ello no sólo hemos aclarado, sino enriquecido el contenido de las leyes de la termostática. Simultáneamente, esto nos ha llevado a minimizar el número de ejemplos específicos de sistemas macroscópicos que ilustran la versatilidad y la operatividad de estas leyes. A pesar de que el libro está enfocado fundamentalmente a la clarificación de los aspectos conceptuales de las leyes de la termostática, no queremos que el lector se quede con la impresión de que únicamente constituyen un bello y completo ejercicio del intelecto humano. O bien, que resumen un conjunto enorme de experiencias y que fuera de las aplicaciones obvias a la teoría y diseño de las máquinas térmicas, de la cual esencialmente se originaron, no tienen mayor relevancia. La situación es precisamente la opuesta. Es la única rama de la física que no se vio afectada por las dos grandes revoluciones científicas de principio de siglo, la teoría de la relatividad y la mecánica cuántica. Ello singulariza a la termostática y pone de relieve la universalidad de su contenido. Vale entonces la pena mostrar al estudioso de ella algunos de los múltiples sistemas donde es aplicable.
Por razones de espacio, y especialmente de uso de herramientas matemáticas sofisticadas, los ejemplos aquí vertidos se eligieron tratando de que las operaciones matemáticas involucradas no requieran más de los que una persona adquiere al nivel de sus estudios medios, secundaria y preparatoria. Al mismo tiempo se buscó una representatividad de las varias disciplinas en las cuales es de utilidad la termostática. Con ello invitamos al lector a consultar la extensa bibliografía que hay sobre la materia si desea profundizar en estos temas.
A)algunas aplicaciones a la ingeniería
1. Consideremos una máquina térmica que opera en ciclos. Estos ciclos son arbitrarios (no necesariamente reversibles) y la substancia operante es también arbitraria. Esta máquina M, como se ilustra en la Figura 16, opera entre una fuente de calor a una temperatura dada, digamos Tc y cede parte del calor extraído de ella a otro cuerpo a menor temperatura Tf. En el proceso, realiza una cierta cantidad de trabajo W que de acuerdo con la ecuación (5), la primera ley de la termostática es igual a:
—W = |Q|c — |Q|f
y recordamos que —W es la convención adoptada para el trabajo cuando éste es realizado por el sistema sobre sus alrededores. Como la sustancia operante, después de cada ciclo tiene un cambio neto en la entropía que es igual a cero,
Sf = Si,
el único cambio de entropía es el que sufren los dos cuerpos entre los cuales opera M que constituyen los alrededores.

Figura 16. Una máquina térmica M operando entre dos cuerpos a temperaturas Tf, Tc y Tc, donde Tc > Tf.
De esta manera, (DS) sist. = 0 y por lo tanto

de acuerdo con la ecuación (15b) pues, por hipótesis, los cuerpos no varían su temperatura (en el lenguaje habitual se consideran como fuentes térmicas). Despejando -W de esta desigualdad, se obtiene que

o sea que el trabajo máximo que podemos obtener de M, que ocurre cuando el proceso cíclico por el cual se lleva la sustancia operante es ideal, es igual a,

El lector ahora puede mirar la ecuación (9) y encontrar que justamente la eficiencia máxima con que puede operar una máquina térmica

ecuación (7), es igual a la de una máquina de Carnot operando entre los dos cuerpos. Este pequeño cálculo da una demostración alternativa de este importantísimo principio[11], consecuencia inmediata de la ecuación (15b)
2. Esta segunda aplicación ilustra de una manera clara y concisa la connotación habitual que se hace de la entropía como una medida de la "energía no disponible" para ser convertida en trabajo mecánico, v.gr., trabajo útil cuando un proceso irreversible tiene lugar en la naturaleza.
Imaginemos a nuestro medio ambiente, un recinto a una temperatura media determinada, o una bodega para almacenamiento de víveres, un frigorífico, o lo que sea. El problema consiste en tomar un cuerpo de masa finita a una temperatura dada, llamémosla T2, y enfriarlo a la temperatura de ese recinto que llamaremos T0. Para ello usamos un refrigerador, esto es una máquina térmica operando en ciclos que a expensas de un trabajo W suplido por una fuente externa (un motor, etc.), extraiga calor del cuerpo dado y ceda otra cantidad de calor al recinto, el cual por su extensión, funciona como una fuente térmica. (T0 no se altera.) (Fig. 17.)

Figura 17. El refrigerador R calor |Qc| del cuerpo caliente y mediante el trabajo W lleva una cantidad de calor |Qo| al cuerpo frío To <T2.
En este caso, la primera ley expresada por la ecuación (5) establece que,
W + |Qc| = |Q0|
Como el cuerpo se enfría a la temperatura T0 su entropía cambiará por una cantidad DSc que es igual a su entropía a la temperatura final T0, llamémosla S0, menos su entropía en el estado inicial a la temperatura T2, llamémosla S2. El cambio en S en la sustancia operante en R es cero y el cambio en T0 es

De acuerdo entonces con la ecuación (15 b)

o bien que
W ≥ To (S2 - S0) - |Qc|
Por lo tanto, el valor mínimo posible de W, esto es, el refrigerador más económico que obviamente es uno ideal (reversible) se logra si
Wmin = To (S2 - S0) - |Qc|
lo cual permite estimar el costo de operación de una planta de refrigeración. Los valores de S2 y S0 se pueden consultar, para el refrigerante usado, en tablas donde los valores de S están tabulados como funciones de la temperatura.
Ahora combinemos las situaciones descritas en los dos anteriores e imaginemos a una máquina térmica operando en ciclos entre una fuente térmica a una temperatura T2 y la fuente más fría disponible (una tonelada de hielo, un tanque de aire líquido, etc,). De acuerdo con el resultado del inciso 1) la máxima cantidad de energía disponible como trabajo es igual a

En este sentido, podemos afirmar que cualquiera energía contenida en la fuente térmica fría T0 y que pueda extraerse solamente en la forma de calor, no puede ser transformada en trabajo mecánico, esto es, no es una energía útil.
Imaginemos ahora un proceso irreversible simple como la conducción del calor, descrito en la Fig. 15 donde el calor fluye por un conductor metálico entre dos cuerpos a temperaturas diferentes, T2 > T1. Llamemos Q a la cantidad de calor que se ha transferido al cuerpo frío después de un tiempo determinado. Si tomamos entonces al cuerpo frío a la temperatura T1 y ponemos a nuestra máquina a operar entre dicho cuerpo y la fuente a la temperatura T0, el trabajo máximo que podemos obtener es:

Pero si no hubiese tenido lugar la conducción de calor, esto es el cuerpo a la temperatura T2 hubiese estado aislado del cuerpo a T1, el trabajo máximo que M podría producir operando entre T2 y T1 sería

Esto es suponiendo que la máquina M extrae del cuerpo a T2 la misma cantidad de calor que hubiera transferido al cuerpo frío por conducción. Si restamos estas ecuaciones,

Como el único cambio de entropía en esos procesos es la del universo y ella es precisamente igual al término entre paréntesis hemos obtenido un resultado muy ilustrativo. El miembro izquierdo de la ecuación nos dice que si operamos la máquina M entre la fuente fría T1 y la fuente auxiliar T0 después de que el proceso irreversible ha ocurrido, esto es, |Q| unidades de calor se transfirieron del cuerpo caliente al frío, se obtiene una cantidad de trabajo útil que es menor que la cantidad que se obtiene si la operación de M es entre el cuerpo T2 y la fuente auxiliar T0 antes de que el primero pierda por conducción el calor |Q|. Esto es, tal diferencia es una medida de la energía que no está disponible para convertirse en trabajo útil. Si la llamamos E, obtenemos que
E = T0(ΔS)univ (21)
esto es, que la energía no disponible es el producto de la temperatura de la fuente térmica más fría que se tenga a la mano multiplicada por el cambio en la entropía del universo producida por el proceso irreversible, en este caso la conducción de calor. Aquí hemos demostrado este resultado haciendo uso de un proceso irreversible en particular pero puede hacerse, mediante un ejercicio más profundo de abstracción, de manera completamente general. La consecuencia primordial de esta ecuación es que cada vez que ocurre un proceso irreversible, se obtiene una cierta cantidad de energía que no es aprovechable como trabajo útil. Como los procesos irreversibles ocurren continuamente en la naturaleza, hay una cierta cantidad de energía derivada de ellos que no es convertible en trabajo útil. A este fenómeno, estudiado por primera vez por lord Kelvin se le conoce como el principio de la degradación de la energía. Nótese que aquí la ley de la conservación de la energía no se viola. Sólo se dice que al incrementarse la entropía, hay una cierta cantidad de energía que se transforma en otra forma, en la cual ya no es aprovechable. En términos más llanos diríamos que la energía "corre cuesta abajo".
B)Algunas aplicaciones a la química
Las reacciones químicas constituyen uno de los capítulos más importantes de la físico-química contemporánea, no sólo por su naturaleza misma, sino porque tienen una cantidad enorme de aplicaciones que abarcan desde procesos industriales múltiples y variados hasta los complejos mecanismos de reproducción de las células vivas.
Una de las características más familiares de estos procesos es que su ocurrencia va acompañada siempre por una cantidad de energía conocida como "el calor de la reacción". Hay una clase de reacciones químicas a las cuales hay que suministrarles energía para que puedan ocurrir y se les llama "endotérmicas". La otra clase es la que produce energía en forma de calor cuando tienen lugar y se les llama "exotérmicas", se llevan a cabo en recipientes que están a la temperatura ambiental y en contacto con la atmósfera, es usual referir esta energía (calor) liberada como cedida a la reacción a una temperatura de 25° C (298 °K) y 1 atm de presión.
La fase en que participa la substancia en la reacción puede variar de manera que si A participa en una reacción en fase gaseosa, se representa por A(g), si lo hace en la fase líquida por A(1) y en fase sólida por A(s). De esta manera en la formación del agua a partir de sus elementos, escribimos que
H2 (g) + ½O2 (g) ⟶ H2O (g)
Q298 = -57,8 kcal/mol
En esta reacción por cada dos átomos de hidrógeno en fase gaseosa que se combinan con un átomo de oxígeno, en fase gaseosa, se produce una molécula de agua en fase gaseosa. Además en la reacción, por cada mol de agua que se forma a 25 °C se liberan (Q es negativo si el sistema cede calor) 57,8 kilocalorías.
En el año de 1840, el químico alemán G. H. Hess enunció una regla empírica, conocida como la ley de Hess, la cual establece que el calor absorbido o cedido por una reacción química es el mismo, independientemente de que la reacción ocurra en uno o varios pasos.
Esta regla tiene, desde luego, la enorme ventaja de que es posible calcular calores de reacción de reacciones químicas que no puedan estudiarse en el laboratorio. Un ejemplo típico es la combustión incompleta del carbono sólido para formar monóxido de carbono:
C(s) + ½ O2 ⟶ CO(g)
Q298 = ? kcal/mol
De acuerdo con la regla de Hess, podemos conocer el calor de esta reacción a partir de otras por simple adición y substracción entre ellas. En este caso, el calor de formación del bióxido de carbono es conocido,
C(s) + O2 ⟶ CO2 (g)
Q298 = -94,052 kcal/mol
y el calor de oxidación del monóxido de carbono, también es conocido,
CO (g) + ½O2 (g) ⟶ CO2
Q298 = —67,636 kcal/mol
Si ahora reescribimos estas reacciones en la forma:
C (s) + O2 (g) → CO2 (g)
Q = -94,052 kcal/mol
CO2 (g) ⟶ CO (g) + ½O2(g)
Q = + 67.636 kcal/mol
y las tratamos como si fueran ecuaciones algebraicas, las fórmulas de los compuestos jugando el papel de variables algebraicas sumarlas obtenemos que
C (s) + ½O2 (g) → CO (g)
Q298 = -94,052 + 67,636 = 27,416 kcal/mol
Nótese que en la segunda reacción que usamos, hicimos tácitamente la hipótesis de que es reversible y al invertirla le cambiamos el signo a Q. Si una reacción es exotérmica en una dirección opuesta y recíprocamente.
Vamos ahora a mostrar que la regla de Hess no es otra cosa que el resultado de aplicar la ecuación (5), la expresión algebraica de la primera ley de la termostática, a las reacciones químicas concebidas como procesos reversibles. Para ello comenzaremos por definir una nueva función termostática, la "entalpía" de un sistema, que denotaremos por H. En efecto,
H = U + pV (22)
Nótese que, en virtud de que la energía interna U, así como la presión p y el volumen V, son todas ellas variables o atributos medibles de un sistema también lo es H. Esta función, como U, es una propiedad en un proceso ideal reversible, entre dos estados de equilibrio de un sistema que ocurre manteniendo la presión constante, esto es un proceso isobárico. Si llamamos D la variación de la correspondiente función termodinámica entre ambos estados,
ΔH = ΔU + pDV
y de acuerdo con la ecuación (5),
ΔU = ΔQrev + ΔWrev.
Pero en este proceso el único trabajo presente es debido a un cambio en el volumen, el cual como ya mostramos en el cap. V (ver fig. 6) es igual a — pΔV, el signo menos debido a que una expansión (ΔV positivo) implica trabajo realizado por el sistema contra los alrededores. Así pues, ΔU + pΔV = ΔQrev y por lo tanto, igualando ambas expresiones,
ΔH = (ΔQrev)p (23)
Esta ecuación indica que en cualquier proceso isobárico y reversible, el cambio en la entalpía es igual al calor transferido entre el sistema y sus alrededores. En este caso particular (DQrev)p no depende del proceso, por ser igual al cambio de la función H, que es una función inherente al estado de un sistema. Por ser las reacciones químicas procesos isobáricos concebidos idealmente como reversibles, la ecuación (23) es la expresión matemática de la regla de Hess. Esta ecuación (23) no es más que una combinación de la definición de H y del principio de conservación de la energía, o si se quiere, es la expresión de este principio para procesos isobáricos y reversibles.
La ecuación (23) es la razón por la cual en la mayoría de las obras sobre termodinámica química se encuentra que el calor de una reacción se expresa con el símbolo ΔH25°C con la convención antes mencionada para el signo correspondiente. Veamos un par de ejemplos más.
1. El calor de formación de una substancia a partir de su calor de combustión, esto es la descomposición de una substancia en bióxido de carbono y agua es relativamente fácil de medir, pero es de mucho mayor utilidad conocer el calor de formación, esto es la energía necesaria para formar una sustancia a partir de sus elementos. Como ejemplo calculemos el calor del alcohol etílico C2H5OH a partir de su calor de combustión.
Entonces.
C2H5OH (l) + 3O2(g) → 2CO2 (g) + 3H2O (l)
ΔH298 = -326,7 kcal/mol
Además, sabemos que el calor de descomposición del agua es
3H2O (l) → 3H2 (g) + 3/2 O2 (g)
ΔH298 = 204,95 kcal/mol
y el del CO2 es,
2CO2(g) → 2C (grafito) + 2O2 (g)
ΔH298 = 188,10 kcal/mol
Si sumamos las tres reacciones algebraicamente, obtenemos que
C2H5OH (l) → 3H2 (g) + ½O2 (g) + 2C (grafito)
ΔH298 = — 66.36 kcal/mol
y si invertimos esta reacción,
3H2 (g) + ½O2 (g) + 2C (grafito) = C2H5OH(l)
ΔH298 = + 66.36 kcal/mol
lo cual implica que si queremos formar una mol de alcohol etílico a partir de sus elementos, tomando al carbono como grafito el estado más estable de este elemento tenemos que suministrar al sistema, hidrógeno, oxígeno y carbono, 66,36 kilocalorías de energía (en forma de calor).
2. El cálculo del calor de una reacción dada, a partir del calor de la reacción de otras reacciones conocidas. De nuevo este procedimiento es muy utilizado cuando la reacción en cuestión no es manejable o accesible en el laboratorio. Por ejemplo, tomemos el calor de reacción de la hidrogenación de un hidrocarburo olefínico como el eteno CH2 = CH2, para formar un hidrocarburo saturado como el etano CH3 - CH3 de acuerdo con la reacción
C2H4 (g) + H2 (g) → C2H6 (g)
ΔH298 = ?
Como los calores de combustión de los correspondientes hidrocarburos así como el calor de formación del agua son conocidos, usamos las reacciones respectivas:
H2(g) + ½O2 (g) → H2O (g)
ΔH298 = -68.3 kcal/mol
C2H4(g) + 3O2(g) → 2CO2 (g) + 2H2O (l)
ΔH298 = -337,3 kcal/mol
C2H6 (g) + ½O2 (g) → 2CO2(g) + 3H2O(l)
ΔH298 = -372,8 kcal/mol
Si ahora sumamos algebraicamente las dos primeras reacciones y al resultado le restamos la tercera, obtenemos que la reacción química resultante es la reacción buscada y su calor de reacción es
ΔH298 = -68.3 - 337.3 + 372.8 = -32.8 kcal/mol
que es la respuesta deseada.
Vale la pena hacer notar que en el uso cotidiano de la termoquímica se hacen uso de tablas de calores de formación de muchas substancias, calculados bajo la convención de asignar el valor cero al calor de formación de cada elemento (H2, 02, C, etc.). El lector interesado en este tema puede consultar la vasta bibliografía al respecto.
C. La termostática de un gas ideal[12]
A lo largo de la exposición presentada en este texto hemos omitido totalmente manipulaciones matemáticas de cualquier índole. Cierto, hemos recurrido al lenguaje simbólico de las matemáticas para expresar ciertos resultados, pero con ellos no hemos usado otras operaciones que las comprendidas en la aritmética elemental. Sólo en el uso del símbolo ∲ hemos recurrido al significado del concepto de integral como un proceso límite ejecutado sobre áreas cada vez más pequeñas. Pero no hemos pasado de ahí y lo hemos dejado como tal, como un símbolo que representa una operación elemental bien definida. Pero la física, para utilizarse en la solución de problemas concretos no sólo recurre al lenguaje de las matemáticas para expresar conceptos a través de símbolos, sino que, además, usa de las operaciones dictadas por la propia matemática para llegar a resultados concretos. El propósito de esta sección es de llevar al lector, cuyos conocimientos de matemáticas estén al nivel de lo que se espera en un buen estudiante de preparatoria, esto es que sepa los rudimentos del cálculo diferencial e integral, por un camino sobre el cual aprenda la forma de emplear las leyes de la termostática.
Para ello hemos escogido a los sistemas ideales por ser los más simples de tratar a nivel operativo pero que, conceptualmente, ejemplifican sin restricción alguna los alcances y limitaciones de la termostática. Una vez que el lector más interesado por estas disciplinas capte la belleza y simplicidad de la teoría, seguramente se sentirá estimulado para proseguir con lecturas más técnicas. Además tendrá la seguridad de que conceptualmente, el contenido físico de los problemas que estudie es similar, sino es que idéntico, al de los casos simples aquí presentados y que sólo difieren de ellos por las dificultades técnicas de las operaciones matemáticas involucradas.
Comencemos por definir el concepto de capacidad calorífica de una sustancia o material dado. Si tomamos una masa conocida de dicho material y en un proceso infinitesimal y reversible le suministramos una cantidad de calor đQrev para elevar su temperatura por una magnitud dT, al "cociente" đQrev/dT se le conoce como capacidad calorífica de dicho material y se denota por la letra C. Como además, por la primera ley de la termostática đQrev = dU - đWrev, ecuación (3)

La capacidad calorífica definida así es claramente dependiente del tipo de proceso que se utilice para suministrar el calor. Si pensamos en un fluido o un sólido de manera que, como ya mostramos con anterioridad, đWrev (el signo es debido a la convención de que đW es negativo si el sistema realiza trabajo y eso ocurre en una expansión en la cual dV > 0), la ecuación (24) se transforma en

Si durante el proceso de adición del calor, el volumen V se mantiene constante, dV = 0, entonces la capacidad calorífica que se obtiene es aquella a volumen constante Cv, donde

El índice V fuera del paréntesis circular denota que el proceso ocurrió a volumen constante.
Por otra parte, si usamos un proceso a presión constante para ceder el calor, y utilizamos la ecuación (22) notando que
dH = dU + pdV
si p = const., dp = 0, obtendremos que la ecuación (25) se transforma en ese caso en

Las ecuaciones (26) y (27) son dos de las fórmulas más importantes de la termostática pues Cv y Cp son cantidades relativamente fáciles de medir por métodos calorimétricos, especialmente la segunda. Nótese que Cv y Cp no son independientes entre sí, pues basta conocer una para determinar la otra. Imaginemos un gas para el cual Cp es medible y además resulta ser sólo una función de la temperatura, Cp = Cp(T). Entonces,

donde Ho es una constante. Conocida H, si conocemos también la ecuación de estado de gas esto es pV = f(T,V) donde f (T,V) es una función conocida de T y V, por la definición de H,

que por diferenciación respecto a T nos da el valor de Cv. Si el gas es monatómico e ideal, Cp= 5/2 nR, donde R es la constante universal de los gases. Como
f(T,V) = nRT
U = (5/2 RT - RT) n + H0 = 3/2 v (28)
esto es, la energía interna de un gas monatómico ideal es una función lineal de la temperatura y Cv = 3/2 nR. Aquí, como antes, n denota el número de moles del gas en cuestión. Véase entonces que
Cp - Cv = nR (29)
una relación muy útil y bien conocida en la termostática clásica de un gas ideal. Es muy importante señalar que en estos cálculos simples la energía interna U y la entalpía H han quedado indeterminadas hasta una constante aditiva H0 cuyo valor no es obtenible de las leyes termostáticas mismas. Este hecho lo expresamos con todo cuidado desde la definición de U, ecuación (5), lo único que conocemos o podemos medir es DU.
Si ahora queremos conocer la entropía de un gas monoatómico usamos la definición de Clausius, esto es, la ecuación (10) en forma diferencial, esto es,

Pero
đQrev = dU + pdV
y por consiguiente

Pero de la ecuación (28),
dU = 3/2 n RdT
y de la ecuación de estado,
p = nRT/V
por lo tanto,

la cual por integración directa[13] nos conduce al resultado

donde S0 es la suma de las dos constantes que aparecen cada una en las respectivas integraciones logarítmicas. La ecuación (32) representa la entropía de n moles de un gas monoatómico e ideal escrita como función de los dos grados de libertad independientes, escogidos aquí para ser representados por las variables T y V. Sin embargo de la ecuación de estado

y
ln V = ln nR + ln T - ln p
que substituida en (32) conduce de inmediato a la expresión

que es ahora la forma de la entropía cuando se escogen T y p como variables independientes.
Invitamos ahora al lector a verificar que si de la ecuación (32) eliminamos T en lugar de p, a través de la ecuación de estado, obtenemos que

donde S'0 es una constante igual a S'0- 3/2 n R ln nR.
Las ecuaciones, (32), (33) y (34) tienen múltiples aplicaciones, una de las cuales consideramos importante señalar aquí por su conexión con los ciclos, como el de Carnot, por los cuales se lleva a una sustancia operante en una máquina térmica.
Hemos repetido innumerables veces a lo largo del texto que es un proceso adiabático si a lo largo de todo el proceso el calor transferido entre el sistema y los alrededores es cero. En términos algebraicos, si el proceso es además reversible đQrev = 0 y por lo tanto dS = 0, esto es la entropía es constante. Apliquemos esta restricción a la ecuación (34) en la cual S(p,V) es por hipótesis constante, por lo tanto S- S'0 es también constante y hagamos uso de una simple operación algebraica llamando a ésta constante ln B donde B es otra constante.[14]
Entonces,

o bien

y llamando

elevamos ambos miembros de la ecuación a la potencia (2/3)nR obtenemos finalmente que
pV5/3 = B' const
Como en el caso del gas monatómico ideal, Cp = (5/2)nR, Cv = (3/2)nR y el cociente entre ambas

que es un caso particular de otra ecuación más general,

donde g es la relación entre las capacidades caloríficas y que es válida sólo cuando éstas son constantes. La ecuación (35) establece la llamada ecuación de las "adiabáticas" para un gas ideal (g =5/3 si el gas es monatómico) y determina la forma de la curva correspondiente en el plano p-V.
Como Cp > Cv siempre, g >1, en cualquier punto del plano pV una adiabática tiene una pendiente mayor que la isoterma que pase por dicho punto, pues para esta última pV = cte. Esto explica cualitativamente el porqué de la forma del ciclo de Carnot descrito en la fig. (5) si se piensa que la sustancia operante es un gas monatómico ideal.
El lector puede ahora verificar que si en lugar de haber comenzado con la ecuación (34), lo hubiéramos hecho con las ecuaciones (32) o (33), los resultados serían

y

que pueden obtenerse también como casos particulares de las ecuaciones.

y

si de la ecuación (35) se eliminan p y V, respectivamente, usando la ecuación de estado. (B1 ≠ B2)
El lector debe en este punto distinguir con toda claridad entre la ecuación pV = nRT que representa una relación entre las tres variables independientes p, V y T para cualquier gas ideal en estado de equilibrio y la ecuación (35) o sus semejantes arriba escritas, que establecen la relación entre dos variables independientes, cualesquiera que se escojan de la terna p, V y T, cuando el gas sufre un proceso adiabático (đQ = 0) entre dos estados de equilibrio. O sea, estas ecuaciones definen los puntos sobre la adiabática y no a cualquier punto del plano p-V que corresponde a un estado de equilibrio.
Como un último resultado que pone de manifiesto el poder de la termostática, volvamos a la ecuación (30) que ahora escribimos como
TdS = dU + pdV
Para un gas ideal en general, dU = CvdT (de hecho se define un gas ideal como aquel para el cual U es sólo una función de la temperatura T) donde, Cv = 3/2nR si el gas es monatómico, pero es una cantidad desconocida si no lo es. Entonces,
TdS = CvdT + pdV = đQrev
Si dividimos cada miembro entre dT, y especificamos que el proceso de ceder el calor đQrev es a presión constante,

Pero por la ecuación (27), el miembro izquierdo es precisamente Cp luego,

esto es, para un gas ideal la diferencia de calores específicos no es arbitraria. Si examinamos el miembro derecho, nos damos cuenta además que su conocimiento depende sólo de conocer la ecuación de estado que nos describe cómo depende la presión p de T y V. En efecto, como en este caso pV = nRT y
especifica una variación en el volumen con la temperatura si p es constante, despejando V de esta ecuación, V = nR/p T y derivando tenemos
= nR/p que substituido en la ecuación (36) reproduce la ecuación (29). Ésta, como ya dijimos, es válida para cualquier gas ideal definido como aquel para el cual U = CvT + cte y pV = nRT. Además, en este cálculo hemos aprendido que de la expresión que antecede a la ecuación (36),

El lector puede verificar que si derivamos la ecuación (33) con respecto a la temperatura a presión constante, Cp = (5/2)nR. Este pequeño ejercicio muestra también el valor práctico de la función entropía. Si conocemos su forma explícita como es el caso de la ecuación (33) para un gas monoatómico ideal, como función de dos variables independientes, en este caso p y T, por simple diferenciación se pueden obtener las capacidades caloríficas. Veamos el otro caso:

donde la serie de igualdades provienen de las ecuaciones (10), (25) y 26). Si ahora diferenciamos la ecuación (32) a volumen constante, vemos que Cv = (3/2) nR
Bien podría hacerse la pregunta ahora, y posiblemente el lector ansioso ya la tenga en mente, sobre el significado del resultado de tomar por ejemplo la derivada de la entropía respecto a la presión a temperatura constante, digamos en la ecuación (33). Veamos,

es una función de p. De nuevo, de acuerdo con la ecuación de estado el miembro derecho no es otra cosa más que —(dV/dT)p de manera que obtenemos un resultado sorprendente,
El cambio en la entropía respecto a la presión a temperatura constante es igual a menos el cambio en el volumen con la temperatura a presión constante, la entropía y el volumen, con signo menos, juegan un papel simétrico con respecto a cambios en la presión y la temperatura. De ahí que estas relaciones, descubiertas en el siglo XIX por J.C. Maxwell, se les llame de reciprocidad o relaciones de Maxwell. Desempeñan un papel crucial en la formulación y el uso de la termostática.
No es posible profundizar más a lo largo de estas líneas por estar dicho material fuera del contexto de esta obra, sin embargo deseamos que aquél que haya seguido estos argumentos hasta este punto, no titubee en consultar obras más extensas para penetrar en la materia. El camino difícil ya lo ha recorrido.
Capítulo 7
Diagrama de estado de una substancia real
Para una sustancia pura, con una masa constante digamos 1 mol (n = 1) encerrada en un recipiente cuyo volumen es V y su temperatura T, se tienen dos restricciones. Consecuentemente, se requieren dos variables independientes para describir sus estados de equilibrio que usualmente se escogen, por razones estrictamente de conveniencia experimental, de entre la terna p, V y T. Pero que sólo dos sean independientes implica que si se fijan sus valores, el de la tercera queda automáticamente determinado y eso, matemáticamente, se expresa diciendo que hay una relación funcional entre estas variables de manera que
p = f (V, T)
Aquí f es símbolo que denota una operación que genera un valor de p conocidos los valores de V y T. En el caso de un gas ideal la operación es muy simple pues
p = RT/V
y f es la división de T entre V multiplicada por la constante R (para 1 mol de gas). A estas relaciones entre las variables V y T se les conoce como "ecuaciones de estado". En un espacio euclidiano de tres dimensiones caracterizado por tres ejes mutuamente perpendiculares entre sí, al graficar los valores de p, V y T se obtiene una superficie muy complicada, que se conoce como superficie p-V-T y que por consiguiente, es muy difícil de analizar. Cuando se proyecta esta superficie sobre los planos p-V y p-T, los dos más utilizados en la práctica, se obtienen en primer caso un conjunto de curvas T = T(p, V) que para cada valor de T representan las isotermas del fluido del que se trata. En el segundo caso, se obtienen las curvas a lo largo de las cuales el volumen V es constante. Ambos diagramas que, repetimos, se construyen a partir de mediciones experimentales de las variables p, V y T, contienen toda la información que uno desea sobre dicha sustancia, información que es mucho más fácil y eficiente de asimilar al amparo del contenido físico de las leyes de la termostática. Nuestra intención es ilustrar aquí algunos fragmentos, los más importantes, de un análisis de este tipo.
Empecemos con un ejemplo trivial, el del gas ideal. Como ya hemos indicado con anterioridad en el plano p-V, las isotermas (T = cte) son curvas que satisfacen la ecuación pV = cte, esto es, son hipérbolas equiláteras como se muestra en la Fig. 16a. En el plano p-T las curvas V = cte (curvas isométricas) satisfacen la ecuación
p = T R/V = const.
T, i.e, son rectas convergentes en el origen cuya pendiente depende del valor de la constante R/V. A medida que V aumenta, la pendiente disminuye (Fig. 16b)

Figura 16. (a) Isotermas para un gas ideal. (b) Isométricas para un gas ideal V1 > V2 > V3, etc.
Para una sustancia pura, la situación es completamente diferente. Históricamente, fue el físico escocés T. Andrews quien en 1869, por vez primera, reportó los datos p-V-T obtenidos a partir de la experimentación llevada a cabo con un gas real. La sustancia empleada por Andrews fue el CO2 que tiene una densidad de 1.977 g/l en la fase gaseosa a 20°C, de 1.101 g/l en la fase líquida a -37°C y de 1.56 g/l a 79°C, en la fase sólida. El CO2 tiene también un punto de fusión -56.6°C y una presión de 5.2 atmósferas en tanto que el líquido hierve a -78.5°C en el punto de sublimación. Andrews en sus experimentos tomó una masa conocida de este gas y en un tubo de ensayo, herméticamente cerrado y mantenido a una temperatura fija, midió los volúmenes que ocupa el gas a presiones diferentes. Graficando los resultados en un diagrama p-V, obtuvo los resultados que se muestran en la Fig. 17.
La temperatura más baja empleada por Andrews fue de 13.1°C. A bajas presiones observó que el CO2 es gaseoso; hasta el punto en que la presión alcanza el valor de aproximadamente 50 atmósferas el volumen disminuye en la porción de la curva AB más o menos de acuerdo con la ley de Boyle. En el punto B comienza la licuefacción y el volumen disminuye hasta convertirse en líquido a presión constante. Esta licuefacción está representada por la porción BC de la curva en la Fig. 17. En C, todo el bióxido de carbono es líquido y la pendiente tan pronunciada exhibida por la porción CD, es sólo muestra de la mayor dificultad que existe para comprimir el líquido. La fase sólida sólo se obtiene a presiones muy altas y no es representable en éste diagrama.

Figura 17. Isotermas del CO2 en grados centígrados. (1 amagat = volumen ocupado por el gas a 0°C y 1 atm. de presión) PC es el punto crítico del fluido. Los puntos A, B, C y D están indicados sobre la isoterma a 29.93°C. J. Michaels et al. Proc. Roy. Soc. (Londres) A 160, 367, (1937)
Si repetimos este proceso incrementando la temperatura, el esquema se repite como lo muestra la isoterma a 29.93°C en la Fig. 17 excepto porque la parte horizontal que describe la etapa en que ocurre la licuefacción, es más corta. Esto es común a todas las isotermas hasta llegar a la que corresponde a la temperatura de 31.1 °C en la cual esta porción horizontal se reduce a un solo punto. A temperaturas mayores de 31.1 °C Andrews encontró que el CO2 no puede licuarse aún sometiéndolo a presiones de algunos cientos de atmósferas, esto es, sigue comportándose como un gas que no puede licuarse.
Así pues el diagrama p-V para este fluido tiene toda una región a la derecha y arriba de la porción BPc de la curva punteada de la Fig. 17 en la cual se comporta como un gas. A la izquierda de la curva CPc es un líquido, y en todos los puntos dentro de la curva BPcC el gas coexiste en equilibrio con el líquido, razón por la cual se llama la región heterogénea. La curva BPcC que separa a las dos regiones que representan a las fases gaseosa y líquida, respectivamente recibe el nombre curva de coexistencia y consta de la envolvente gaseosa BPc y la envolvente liquida CPc. Ambas se unen en el punto Pc que tiene la propiedad de señalar los valores de la temperatura y la presión arriba de los cuales cesa la coexistencia entre las dos fases.
A este punto se le conoce como el punto crítico.
En el caso del CO2 los valores de Tc y Pc que definen a dicho punto son de 31.1 °C y de 73 atm respectivamente, llamadas la temperatura y presión críticas respectivamente. La isoterma a 31.1° es la isoterma crítica. Arriba del punto crítico solo existe una sola fase, situación que para muchas personas es difícil de entender. Si se imaginan el recipiente en que Andrews hizo sus experimentos, lo que observarían es que arriba de Pc jamás podrían detectar el menisco que caracteriza la frontera entre las dos fases. También debemos advertir en este punto al lector sobre el uso del término "vapor" de una sustancia, muy utilizado en los ámbitos de la ingeniería. Se emplea para designar la fase gaseosa de una sustancia en aquella región de temperatura y presión donde la sustancia es licuable. Pero no representa una fase diferente, ni mucho menos, a la fase gaseosa: un vapor es el término empleado para describir a un gas que puede licuarse. Por último, queremos añadir que el diagrama p-V para el CO2 es característico de todas las sustancias puras que pueden licuarse a presiones no muy elevadas como los gases nobles Xe, Ar, Ne y otras como el N2, el O2, el CH4, CO, NH3, etc. Hay dos características inescapables que se desprenden de la configuración de las isotermas y la separación respectiva de fases que exhibe la Fig. 17. La primera es que las sustancias reales difieren notablemente en su comportamiento al de un gas ideal cuya ecuación de estado es PV = nRT. De hecho ésta sólo se cumple a presiones muy grandes comparadas con la presión crítica y en regiones donde la densidad es muy pequeña, que para una masa constante de gas, corresponden a volúmenes muy grandes (r =M/V). La ecuación que describe a la presión como función de V y T en el intervalo de valores de la presión y la temperatura que abarquen una región significativa del plano p-V debe ser, pues, mucho más complicada. De hecho en la actualidad no hay una sola sustancia para la cual se haya determinado esa ecuación. Una medida de cuánto se desvía el comportamiento de un gas real de un gas ideal lo da el llamado factor de compresibilidad definido como

El valor de esta cantidad sería uno si hubiese un gas ideal, licuable aunque éste no licua y por tanto no tiene un punto crítico (ver Fig. 16a) En la Tabla I listamos los valores de las variables termodinámicas en el punto crítico así como el valor de Zc para algunas sustancias.
Como se ve en esta tabla, el helio que posee la presión crítica más pequeña y el valor de Zc también más pequeño, dista mucho de poder concebirse como un gas ideal. Así pues, un criterio (no el único!) que debe imponerse a una ecuación de estado que pretenda describir el comportamiento de un fluido real es que dé lugar a un factor Zc que numéricamente concuerde con los resultados experimentales.
A este respecto, vale la pena señalar que una de las áreas de la termofísica que mayores sorpresas ha proporcionado en los últimos veinticinco años ha sido precisamente el estudio de la materia en la vecindad de "puntos críticos", que como, Pc en la Figura 17, marcan el punto terminal de una región de coexistencia de fases.

Las ideas clásicas que se tenían al respecto y que se originaron en 1872 debido al trabajo de J. D. van der Waals, consisten esencialmente en representar a estos puntos como aquellos en los cuales las funciones termodinámicas, presión, energía, etc. pueden expresarse en series de potencias de T-Tc, donde Tc es la temperatura crítica[15]. Debido a ello predicen un cierto comportamiento de otras variables termodinámicas como los calores específicos, la compresibilidad, la diferencia de densidades entre el líquido y el gas, etc. Pero se ha visto que este comportamiento no concuerda con el experimento. Consecuentemente, nuevas hipótesis al respecto nos han demostrado que estos puntos son "singulares" esto es las funciones termodinámicas no son desarrollables en series de potencias enteras alrededor de Tc, con lo cual surge el problema de visualizar y explicar cómo una función de T y V que genera curvas suaves y continuas como las que se exhiben en la Fig. 17 en todo el plano p-V puede cambiar su naturaleza y convertirse en una función "singular" en la vecindad del punto crítico. Este es uno de los tantos problemas asociados con un diagrama p-V, hoy en día no resueltos del todo.
Aunque es importante e interesante per se, el diagrama p-V no es la proyección de la superficie pVT que mejor se preste para discutir cómo esta información experimental puede analizarse con la ayuda de las leyes de la termostática, entre otras cosas, porque el papel de la fase sólida queda descartado. Para ello, es mejor usar la proyección en el plano p-T cuya forma para un fluido normal, esto es uno cuyo volumen disminuya al solidificar y está ilustrado en la Fig. 18.

Figura 18. Diagrama p-T para una sustancia que se contrae al solidificar.
Sobre este diagrama se proyectan tres superficies que dan lugar a tres curvas, las cuales se intersecan en un punto común Pt llamado el punto triple. Como ya vimos este punto triple es invariante y lo determina la temperatura Tt[16] y Pt, la presión del punto triple. Los valores de estas variables para algunas sustancias están dados en la Tabla II.
Las curvas OPt, Pt Pc y PtM se conocen, respectivamente, como las curvas de sublimación, de evaporación (o de ebullición) y de fusión. OPt, la curva de sublimación, representa el conjunto de todos los puntos, esto es, parejas de valores de p y T en los cuales coexisten en equilibrio el sólido y el gas. Por ejemplo, un trozo de iodo metálico encerrado en un tubo en equilibrio con un gas.

La curva Pt Pc es de hecho la proyección de cada porción horizontal de las isotermas en la Fig. 17 en este plano, que corresponden a los valores de p y T a los cuales coexisten en equilibrio las fases líquida y gaseosa. Por ello es la curva ebullición. PtM, la curva de fusión, es aquella que corresponde a los valores de p y T para los cuales la fase líquida y la sólida coexisten en equilibrio, por ejemplo hielo en equilibrio con el agua líquida a 4 °C. Las pendientes de las curvas de sublimación y de ebullición son siempre positivas, no así la pendiente de la curva de fusión. Para una sustancia que se expande al congelarse como el caso del agua la pendiente es negativa, que correspondería al caso opuesto del ilustrado en la Fig. 18.
Iniciemos una pequeña travesía a lo largo de la recta A1 A2 A3 A4 de la Fig. 18 pensando que en el punto inicial tenemos una muestra sólida de la sustancia a la temperatura correspondiente TA1. Nótese que la presión va a permanecer constante y será mayor a la presión del punto triple pt. Durante la porción A1 A2 de esta trayectoria, en la cual, como el lector puede percibir, se aumenta la temperatura, el calor empleado en hacerlo se gasta, para hablar en términos burdos, en ablandar al sólido. Al llegar al punto A2 sucede una cosa interesante, muy similar a la observada en la porción horizontal de las isotermas en la Fig. 17
En efecto A2 representa el punto para el cual a esa presión y la temperatura TA2 las fases sólida y líquida coexisten. Así pues nos encontramos en este punto que si seguimos suministrando calor, la temperatura no se eleva hasta que todo el sólido se haya convertido en líquido. Para describir el fenómeno, nos imaginamos que el proceso es reversible y recurrimos a la ecuación (11),
ΔQrev = TΔS
Si llamamos DS = Sliq - Ssol, la diferencia entre las entropías del estado final (líquido) y del estado inicial (sólido),
ΔQrev = T (Sliq — Ssol.) |↲| λls
esto es, el calor transferido que se emplea en licuar al sólido es igual a la temperatura a la cual ocurre la transición multiplicada por la diferencia en las entropías de las dos fases. A este calor lls se le conoce como el "calor latente", en este caso, el calor latente de fusión. Si continuamos con nuestro proceso, ya habiendo fundido al sólido, a lo largo de la porción A2 A3 el calor transferido al líquido, se emplea en elevarse su temperatura hasta llegar a A3. Obsérvese que A3 es ahora un punto a lo largo de la curva CPc de la Fig. 17. Si ahora suministramos más energía, ésta no aumenta la temperatura del líquido, sino que se gasta en su ebullición (curva CB Fig. 17), hasta convertir al líquido en vapor (gas). Suponiendo de nuevo que el proceso es reversible,
ΔQrev = T (Sliq — S sol. ) |↲| λgl
donde lgl es el calor latente de ebullición (o evaporación). El final de viaje es monótono pues de A3 hasta alcanzar A4, de nuevo, cualquier suministro de energía sólo sirve para aumentar la temperatura del gas.
En ambos cambios de fase, de sólido a líquido y de líquido a gas, hemos suministrado calor al sistema y por lo tanto, ambos lls y lgl son cantidades positivas. En la tabla III mostramos algunos valores de ellos para varias sustancias. Esto implica que, en general, Sliq> Ssol. y Sgas > Sliq, o sea Sgas > Sliq > Ssol y este resultado merece cierta consideración. Si adoptamos el criterio discutido en el Cap. 5 que le asocia a S una medida del grado de desorganización de un sistema, diríamos que un gas está menos organizado que un líquido y éste que un sólido, lo cual incide con el hecho de que es más difícil, confinar un gas que un líquido y éste a su vez que un sólido. El grado de restricción es más pequeño en el gas que en el sólido (¡hay que comprimir para pasar de una fase a otra!). Pero también, la desigualdad Sgas > Sliq> Ssol. se utiliza para ilustrar el concepto de entropía como una medida del "desorden molecular", argumentando que en un sólido hay más orden (o menos desorden) que en un líquido y en éste a su vez más orden que en un gas.

En tanto que el grado de restricción es un concepto que podemos cuantificar macroscópicamente, como ya discutimos con amplitud, la primera interpretación no está sujeta a vaguedades. Por otra parte, la segunda depende de un criterio un tanto subjetivo (¡y no definido!) sobre qué se entiende y cómo se mide "el orden o el caos molecular". Por ello es que preferimos la primera interpretación.
Vale la pena hacer notar también que como el camino A1 → A4 es reversible, si lo recorremos en sentido contrario, todo ocurre en sentido inverso a como hemos hecho el relato original y en este caso los calores latentes llg (de condensación) y lsl (de solidificación) son liberados por la sustancia y numéricamente iguales a los de evaporación y fusión, respectivamente.
Finalmente, queremos hacer notar que hay otras características de las curvas que forman este diagrama que pueden ser obtenidas haciendo uso de las leyes de la termostática. Por ejemplo, se pueden obtener cuáles son las condiciones que deben satisfacer algunas de las funciones termodinámicas a lo largo de las curvas OPt, Pt, Pc y PtM, con objeto de establecer la condición de que las correspondientes fases coexistan en equilibrio, gas-sólido, líquido-gas y líquido-sólido, respectivamente. Ello permite calcular la pendiente de cada punto a lo largo de dichas curvas en función de los calores latentes, las densidades de ambas fases y la temperatura. Si además se conoce la dependencia de los calores latentes con la temperatura y de las densidades con la temperatura y la presión, se pueden obtener las ecuaciones explícitas de estas curvas, usualmente bajo la forma
log10 p = A — B/T — C log10 T + DT
A, B, C, y D son constantes características de la sustancia de que se trata. Esta forma es típica para las curvas de sublimación (OPt) y de evaporación (PtPc). La curva de fusión (PtM) es la más difícil de obtener sobre todo, como lo indica el signo de interrogación en la Fig. 18, que el comportamiento de los sólidos a muy altas presiones todavía no es un fenómeno totalmente esclarecido. Ello implica que la forma de esta curva en su porción final es aún desconocida, tanto teórica como experimentalmente. Su entendimiento constituye todavía un reto a la física de la materia condensada.
Capítulo 8
La búsqueda del cero absoluto
El principio de Nernst
Un libro de esta naturaleza, no estaría completo si en alguna forma, por elemental que sea, no se toca uno de los temas aparentemente más complejos, atractivos y controvertidos, como es la llamada "búsqueda del cero absoluto", o sea, el dominio de las regiones más frías alcanzada en la actualidad por los seres humanos. Debemos advertir al lector que la relación que existe entre el concepto tradicional de frío y el hecho de que lo asociamos con temperaturas continuamente decrecientes es una mera coincidencia. En efecto, recordemos que en el Capítulo 4 establecimos la analogía entre la entropía y la temperatura como variables que surgen de la necesidad misma, involucrada en la especificación de atributos asociables a sistemas termodinámicos. Hablamos entonces de la necesidad de establecer ciertas relaciones de orden. En el caso de la temperatura, dicha relación está asociada a ordenar sistemas basados en grados relativos de enfriamiento o calentamiento. La termometría, que es la técnica que se adopta para realizar estas mediciones, tiene entre sus funciones establecer una unidad de medición, el grado centígrado, el grado Fahrenheit, etc. y determinar asimismo la "escala de temperaturas". Cuando un cuerpo se calienta o se enfría alguna de sus propiedades varía con este proceso y esta variación, referida a un estándar, sirve para determinar dicha escala.
Por razones estrictamente prácticas, de conveniencia, confiabilidad, reproducibilidad, facilidad, etc., se ha escogido una escala termométrica que es una función lineal de la variación de alguna propiedad y además, se ha escogido asociar una temperatura mayor con un mayor grado de calentamiento. Insistimos, ésta es nuestra elección, no un dictado de la naturaleza, y es debido a ella que las temperaturas más bajas están asociadas con los cuerpos más fríos. De haber procedido en otra forma estaríamos hablando de otro "número absoluto" y no del cero para designar el estado más frío del universo. Como por siglos hemos vivido bajo esta convención ya no nos sorprende correlacionar "frío" con "baja temperatura".
Después de este preámbulo, volvamos a nuestro tema, ¿por qué nos ha interesado la búsqueda del cero absoluto? Hagamos un poquito de historia. De nuestras discusiones en la última sección del capítulo anterior, puede apreciarse que la obtención de bajas temperaturas está íntimamente relacionada con el problema de la licuefacción de los gases y la solidificación de los líquidos, por lo menos hasta un cierto punto. Ya a principios del siglo pasado mediante la aplicación simultánea de altas presiones y cambios en la temperatura, varios gases como el CO2, el SO2, NH3 y otros, habían podido licuarse. El llamado "hielo seco" o CO2 sólido se obtenía permitiendo la evaporación del gas altamente comprimido y disminuyendo la temperatura. Cuando el CO2 sólido se mezcla con éter, se llega a obtener temperaturas tan bajas como -110°C, procedimiento que permitió a M. Thilovier (1835) licuar gases como el etileno. Los experimentos de Andrews en 1869 constituyeron las bases sólidas detrás de los criterios necesarios para licuar un gas y de ahí surgieron los principios y las técnicas que permitieron a los químicos polacos Wroblewski y Olszewski en 1883 obtener oxígeno líquido a -136°C y posteriormente licuar el N2 y el CO2 a -152°C. En 1886 Dewar (inventor de los famosos frascos que hoy llevan su nombre) logró la producción continua de oxígeno líquido basándose en las ideas de Olszewski usando un método, llamado en cascadas en el cual cada paso se lleva a cabo por un licuefactor que esencialmente opera como un refrigerador doméstico.
El siguiente paso significativo en las técnicas de bajas temperaturas lo constituyó el famoso experimento de la pared porosa ideado por Joule y perfeccionado por Kelvin se le conoce como el efecto Joule-Kelvin. Este proceso fue la base de la licuefacción del aire llevada a cabo, casi simultáneamente por C. Linde en Alemania en 1895 y por W. Hampson en Inglaterra en 1896. En estos años, Dewar logró también licuar el hidrógeno alcanzando temperaturas cercanas a los -180°C. Así es que a fines del siglo pasado las técnicas de licuefacción de gases permitían llegar cerca de los -200°C, o sea 73 K, muy lejos del cero absoluto.
Pero en el año de 1908, usando también el efecto Joule-Kelvin, el gran físico holandés Heike Kammerlingh Onnes licuó el gas de helio alcanzando entonces la temperatura récord de 5.2 K (-267.8° C) y abrió con ello brecha para el desarrollo contemporáneo de la criogenia ( o ingeniería de bajas temperaturas) y de la física de bajas temperaturas. También fue el descubridor de la llamada "superconductitividad", esto es, la propiedad que exhiben varios metales puros y cientos de otros compuestos, de conducir la corriente eléctrica sin presentar prácticamente ninguna resistencia interna. Usando la técnica de K. Onnes para el mes de julio de 1926 todas las sustancias conocidas hasta entonces habían sido licuadas y solidificadas, incluyendo el helio. Decimos esto porque el helio es el único elemento conocido en la naturaleza que se mantiene líquido, a presión atmosférica, aun a temperaturas de 1°K.
Para solidificarlo hay que someterlo a una presión de 25 atmósferas, a temperaturas menores a 1 K. Este descubrimiento se debió a H. Keesom, quién igualmente esclareció el diagrama de fases (el diagrama p-T) de este sorprendente elemento. En efecto, en 1932 Keesom y sus colaboradores descubrieron que a 2.19 K el helio (isótopo 4) sufre una transición de fase pero no a la fase sólida, sino a otra fase líquida. Entre las muchas propiedades, sorprendentes y fascinantes de esta fase líquida, le ha valido el nombre de "superfluido", se encuentra la de poder circular sin dificultad alguna por los capilares más estrechos concebibles, por donde el agua misma no lo puede hacer. En términos más llanos, es un fluido cuya viscosidad es prácticamente igual a cero.
Volviendo a nuestro tema principal, además del estudio de estos fascinantes fenómenos como la superfluidez y la superconductividad, la física de bajas temperaturas se enfrenta al reto de esclarecer el comportamiento de la materia a medida que la enfriamos más y más. Hoy en día la temperatura más baja que se ha alcanzado en un laboratorio es de 0.00005 K (5 x 10-5 K) pero durante periodos de tiempo muy cortos, insuficientes para llevar a cabo experimentos. La temperatura más baja estable por un periodo de horas se ha obtenido en el hoy llamado Laboratorio de Bajas Temperaturas Kammerlingh Onnes de la Universidad de Leyden, Holanda, en el grupo que dirige el profesor G. Fosatti y es de 1.9 x 10-3 K (0.0019 K). La búsqueda de la temperatura más baja alcanzable en el laboratorio, sea cual fuere su valor, es la que ha desatado controversias sobre, primero la posibilidad de llegar al cero absoluto y segundo, cuál es el valor de la entropía a esa temperatura. Discutamos estas cuestiones en un orden más lógico que cronológico.
Es muy común asociar, a la búsqueda del cero absoluto, la determinación del valor de la entropía a esa temperatura. ¿Por qué la entropía y no la energía o la entalpía u otra función termodinámica?, ¿por qué es justamente el valor de la entropía en el cero absoluto el que aparece como un factor preponderante en este tema? Permítame dar un par de razones para ello. Por una parte, está claro de la discusión histórica acerca de la obtención de bajas temperaturas, que por medio de algún dispositivo debemos extraer calor de un sistema, el que estamos enfriando para disminuir su temperatura. En otras palabras, retornando a nuestros primeros encuentros con máquinas térmicas, estamos haciendo uso de refrigeradores, lo que hizo precisamente la entropía con la variable asociada de manera natural con los procesos involucrados. Así por ejemplo, a lo largo de un proceso adiabático, como el proceso C2 C3 del ciclo Carnot (Fig. 5) la entropía permanece constante, en tanto que la temperatura disminuye. Si pensamos (¡idealmente!) en una secuencia de procesos que cada vez reduzcan más la temperatura, en cada uno de ellos la entropía será constante, pero no necesariamente la misma. Luego, esta constante, ¿tiende a un valor determinado a medida que nos aproximamos cada vez más al cero absoluto?
Por otra parte, en el último ejemplo sobre las aplicaciones termostáticas que mencionamos en el capítulo anterior, vimos, al estudiar el diagrama p-T de una sustancia pura que al pasar de la fase gaseosa de la sustancia a la fase sólida, (trayectoria A4 → A1 de la Fig. 18) la entropía disminuye. Si ahora nos ubicamos en el punto A1 de la Fig. 18 y nos desplazamos a lo largo de la misma recta, la isóbara correspondiente, hacia la izquierda, esto es la región de bajas temperaturas, podríamos preguntarnos si la entropía sigue disminuyendo y finalmente tiende a un valor constante (¡que podría ser cero!) cuando la temperatura se aproxima al cero absoluto. Con estos dos argumentos el lector apreciará por qué es la entropía la variable natural para asociar el comportamiento de un sistema a medida que se le enfría continuamente.
A fines del siglo pasado y principios de éste surgieron además otras cuestiones, más técnicas para ser abordadas aquí, que llevaron a muchos científicos a plantear seriamente la posibilidad de determinar el valor absoluto de la entropía cuando un sistema, cualquiera que éste sea, se lleva al cero absoluto. Entre otras cosas, si se llegara a determinar este valor, quedaría resuelto el problema de conocer la constante indeterminada que aparece en las definiciones, no sólo de la entropía sino, como ya señalamos oportunamente, de la energía interna y la entalpía. Haciendo uso de los datos experimentales disponibles, así como de las predicciones teóricas que surgieron de la revolución cuántica, derivada de los trabajos de Max Planck en 1900 y de Albert Einstein en 1905, otro físico alemán, Walther Nernst propuso, en los albores de este siglo, que la entropía debería comportarse de una manera determinada, cerca del cero absoluto. Más específicamente, si llevamos a un sistema, cualquiera que éste sea, a las vecindades del cero absoluto a lo largo de un proceso caracterizado por una variable, como la presión en la Fig. 18, que permanece constante en todo el proceso, entonces, en el límite cuando T tiende a cero la diferencia de las entropías entre dos estados cualesquiera caracterizados por la misma temperatura pero por diferentes valores de la variable, e.g. la presión en nuestro ejemplo, tiende a cero.

donde p1 y p2 son dos presiones arbitrarias.
Esta afirmación, conocida como el principio de Nernst, difiere totalmente de la que podría inferirse de los procesos ejemplificados en la Fig. 18 para los cuales la conclusión más lógica sería aceptar que a lo largo de cada trayectoria S disminuye hasta alcanzar un valor finito quizás cero, al llevar al sistema cerca del cero absoluto. Esto implicaría que

La diferencia entre ambas conclusiones está claramente exhibida en las Figuras 19 y 20 en las cuales, arbitrariamente hemos tomado a la presión como la variable que está parametrizando el proceso y hemos graficado en un diagrama T-S, las dos posibilidades.
Vale la pena mencionar, aunque sea sin dar la demostración, que el caso mostrado en la Fig. 19 se cumple si la capacidad calorífica a presión constante se hace cero cuando T tiende a cero. Dado que esta cantidad es medible en el laboratorio se ha podido corroborar que esto ocurre en todos los sistemas conocidos. En el segundo caso, Fig. 20, no basta con que esta propiedad se satisfaga para que DS = O en T = 0°K. En este sentido el postulado de Nernst es más fuerte que la sola condición de que Cp tienda a cero cuando T se aproxima al cero absoluto.

Figura 19. Curvas para un sistema parametrizadas por p mostrando el caso en que ΔS es finito en el cero absoluto.
Todavía en el año de 1911, Max Planck intentó darle un carácter universal a la constante S0 que aparece en la Fig. 20 postulando que la entropía de todo sistema tiende al valor cero cuando T tiende a cero, v.gr. S0 = 0.
Es importante señalar en este momento, que cualquiera que sea el caso, la única forma de comprobar cuál es la situación correcta es mediante el experimento. Varios modelos microscópicos de la materia corroboran el hecho de que a medida que nos acercamos al cero absoluto, la capacidad calorífica pertinente tiende a cero, lo cual está de acuerdo hasta el momento, con las mediciones experimentales que se han logrado hacer a las temperaturas más bajas, del orden de los milikelvins 10-30K).
Como la entropía no puede medirse directamente, su conocimiento se obtiene a partir de dicha capacidad calorífica. Por ejemplo, en el caso de Cp,
(37)
de ahí entonces que hasta hoy en día este es el único método confiable disponible para conocer la entropía a bajas temperaturas.

Figura 20. Curvas para un sistema, parametrizadas por la presión p mostrando el postulado de Nernst ΔS = 0 en el cero absoluto (¡pero no S!).
Todo parece coincidir con el principio de Nernst que establece la condición adicional de que S(0, p) debe ser igual a una constante S0 , pero no necesariamente cero. Esta "entropía residual" en el cero absoluto, cuyo valor es diferente para cada sistema, se interpreta como proveniente de algún grado de libertad que se quedó congelado en el proceso de enfriamiento y consecuentemente impidió la formación de un verdadero estado de equilibrio. Estos estados, llamados "metaestables", son frecuentes en materiales muy viscosos como por ejemplo los varios tipos de vidrios. Pero, lo importante de esta discusión es apreciar que cualquiera que sea la razón, su explicación está fuera del dominio de la termostática, es necesario recurrir a los modelos microscópicos de sistemas formados por muchas moléculas, i.e., a la llamada mecánica estadística cuántica.
Con base en esto F. Simon en 1937 propuso modificar el enunciado original de Nernst para llegar a lo que ahora se conoce como principio de Nernst-Simon:
El límite del cambio de la entropía para un sistema termodinámico en cualquier proceso reversible e isotérmico entre estados de equilibrio tiende a cero cuando T tiende a cero.
Llegamos así al final de nuestra discusión planteando la pregunta: ¿tiene sentido hablar de una tercera ley de la termostática? Obsérvense dos cosas: hemos evitado hablar del principio de Nernst como una ley y segundo, las leyes primera y segunda son manifestaciones claras y concisas sobre imposibilidades de la materia. En este sentido el principio de Nernst-Simon no expresa una imposibilidad similar. Por estas razones Nernst mismo en 1912 y después muchos otros investigadores de la física de bajas temperaturas dieron un enunciado diferente al principio de Nernst que tiene, por lo menos en cuanto a semántica, la forma de una imposibilidad y que ahora se le conoce como la inalcanzabilidad del cero absoluto: "Es imposible reducir la temperatura de un sistema termostático al cero absoluto en un número finito de operaciones."
El debate actual radica precisamente sobre si este enunciado debe elevarse a la jerarquía de una ley y consecuentemente adoptarlo como la Tercera Ley de la Termostática.
Para sostener la candidatura se ha buscado demostrar que este principio es equivalente al principio de Nernst-Simon. Los oponentes arguyen que la afirmación es una tautología, esto es, demostrar que una verdad es equivalente a otra.
No podemos entrar aquí en los detalles técnicos pero la imagen gráfica del argumento es muy simple y está basado en las Figuras 19 y 20. En efecto, si el principio de Nerst-Simon no se cumple, Fig. 19, el cero absoluto es un número finito de operaciones. En efecto, en la Fig. 21 vemos que a partir de un estado inicial dado S(Ti, pi) una sucesión de procesos, uno adiabático AB, seguido de otro isotérmico BC, etc., nos conduce al cero absoluto. Esto es claramente consecuencia de que DS es finita en T = 0°K. Recíprocamente, si el cero es alcanzable sólo puede hacerse si DS es finita.

Figura 21. A partir de un estado inicial arbitrario S(Ti, pi) el cero absoluto es alcanzable a través de la sucesión de proceso A,B,C,D,F,G,H,O.
En cambio, si se satisface el principio de Nernst-Simon, independientemente de cuál sea el valor de S0, para llegar al cero necesitamos de un número infinito de operaciones como se ilustra en la Fig. 22. A medida que nos vamos acercando al cero los escalones isotérmicos se van haciendo cada vez más pequeños pero se necesita una infinidad de ellos para llegar al cero.
Estos argumentos lógicos, coherentes y simples convencen a los partidarios de la Tercera Ley y la aceptan como tal. Pero hay una objeción que consiste en definir los peldaños adiabáticos A B, C D, etc. Para que el proceso reversible AB sea posible la entropía del estado B tiene que ser mayor o igual que la entropía del estado A y por consiguiente para definir dicho proceso necesitamos conocer las entropías, a priori, que sólo las podemos obtener de la ecuación (37).
Para ello tenemos que poseer información extratermodinámica, esto es, conocer los valores teóricos o experimentales de Cp en este caso y de S0. Una vez que los tenemos, todo lo que estamos probando es que si el proceso AB puede ocurrir entre dos temperaturas finitas, también ocurre a 0 K con valor ΔS = 0.

Figura 22. A partir del punto A a la presión Pi, el cero absoluto es inalcanzable en un número finito de operaciones.
Las otras dos leyes están totalmente libres de este tipo de objeciones por lo cual muchos autores, incluyendo al de esta obra, no consideran que la inalcanzabilidad del cero absoluto deba ser elevada a la jerarquía de una ley. Además insistimos, el cero mismo es producto de una escala arbitraria para medir temperaturas, no es una propiedad universal de la materia.

El conde de Rumford (1753-1814). Grabado de Joseph Rauchmayer hecho en 1797.

Sadi Carnot.

James Joule.

Josiah Willard Gibbs.

Lord Kelvin, en una fotografía tomada en 1902.

R. J. E. Clausius.

Max Planck.

Hermann von Helmholtz.

Julio Roberto Mayer.

Jaime Watt.
En este apéndice queremos probar que ninguna máquina térmica operando entre dos cuerpos o fuentes térmicas puede tener una eficiencia mayor que la de una máquina de Carnot operando entre dichas fuentes. Es muy importante que el lector aprecie que la afirmación sólo es válida para la operación entre dos cuerpos o fuentes térmicas. Llamemos C a la máquina de Carnot y M a la otra. Como C es reversible por ser de Carnot suponemos que absorbe el trabajo generado por M, WM (Fig. 23). Esto es, M opera a C como un refrigerador. Sea QM el calor que M toma del cuerpo a temperatura T2 y Qc el calor que le regresa C. Las eficiencias de M y C como máquinas térmicas son:

Si suponemos que ηM > ηc cómo los numeradores son iguales, forzosamente |QM| < |Qc|, esto es, el calor absorbido por M es menor que el cedido por C. Como además por la ecuación (5)
— WM = |QM| - |QM| = |Qc| - x|Q'c|
el conjunto de las dos máquinas M y C, operando en ciclos, no hacen otra cosa más que extraer una cantidad de calor |Q'c| - |Q'M| del cuerpo frío y llevarlo al cuerpo caliente (puesto que es igual a |Qc| - |QM| ). Esto viola el enunciado de Clausius para la segunda ley y por lo tanto
ηM ≤ ηc q.e.d.
Esto es válido para cualquier máquina térmica M ¡sea o no reversible! Dejamos al lector probar que si es reversible entonces ηM = ηc.

Figura 23. El principio de Carnot afirma que si C es una máquina de Carnot y M otra máquina cualquiera, ambas operando entre dos temperaturas T1 y T2, T2 > T1 entonces ηM ≤ ηc
Queremos mostrar que los enunciados de Clausius (C) y de Kelvin (K) son equivalentes. Para ello recordamos al lector de una simple proposición de la lógica aristotélica. Sean A y B dos frases o juicios que aceptamos como verdades, i.e. decimos que son verdaderos (eg "el Sol es una estrella", "Marte es un planeta", etc.) Entonces, si la negación de A, que se representa como A' ("no A es un juicio falso") implica que se cumple B', esto es que B es un juicio falso y recíprocamente, entonces A y B son dos juicios equivalentes. En el lenguaje de la lógica simbólica abreviamos todo esto por medio de el uso de Þ y Û, escribiendo:
Si A' ⇒ B' y B' ⇒ B' entonces A ⇔ B
Ahora identificamos a los enunciados de Clausius (C) y de Kelvin (K ) como los dos juicios verdaderos. Mostremos primero que K' ⇒ C'.
Negar K quiere decir que sí es posible encontrar un dispositivo que, operando en ciclos no haga otra cosa más que extraer una cantidad de calor de un cuerpo, o fuente, a una temperatura T y convertirlo íntegramente en trabajo. Como este trabajo es convertible íntegramente en calor (¡por fricción!) podemos ceder dicho calor a otro cuerpo a una temperatura T' mayor que T y al final del proceso no habremos hecho otra cosa más que transferir una cantidad de calor de un cuerpo frío a otro caliente mediante un dispositivo que opera en ciclos. Esto constituye una violación al enunciado de Clausius y la afirmación queda demostrada.
Recíprocamente, supongamos que C' es válido. Esto quiere decir que existe un dispositivo que operando en ciclos, no hace otra cosa más que transferir una cantidad de calor, llamémosla Q, de un cuerpo frío, digamos a temperatura T1, a otro más caliente, digamos a T2. Pongamos a operar entre ambos cuerpos una máquina de Carnot que le regrese al cuerpo frío precisamente la cantidad Q. De acuerdo con la ecuación (5), el trabajo que realiza esta máquina es
— W = |Q'| — |Q|
Siendo |Q'| el calor extraído de la fuente caliente. Al final del proceso, el dispositivo violatorio y la máquina de Carnot, ambos, constituyen un dispositivo que operando en ciclos no hace otra cosa (¡la fuente a T1 queda inalterada!) que extraer una cantidad de calo |Q'| — |Q| de un cuerpo y transformarlo íntegramente en trabajo. Esto es, C' Þ K' y por nuestra proposición, C ⟺ K q.e.d.
Dado que el material que contiene esta obra no es de ninguna manera original, a continuación listamos, por temas, algunos libros que fueron de suma utilidad en la elaboración de esté y que el lector podrá consultar si desea ampliar algunos de los temas de su interés.
Historia de la termostática
Enciclopedia Britannica, Chicago University Press. 1958.
Desiderio Papp, Historia de la física, Espasa Calpe Argentina, Buenos Aires, 1945.
Stephen G. Brush. Kinetic Theory, Vol. 1, The Nature of Gases and of Heat, Pergamon Press, Oxford, 1965. (Contiene algunos de los trabajos originales de Mayer, Joule, Von Helmholtz y Clausius.)
G. Holton y D. H. D. Roller, Foundations of Modern Physical Science, Addison-Wesley Publ. Inc, Reading, Mass. E. U. A.1958 La parte V de esta obra, que versa sobre los principios de conservación es particularmente valiosa.
Generales
J. S. Dugdale, Entropy and Low Temperature Physics, Hutchinson University Library, Londres, 1966. La Parte l de este libro es particularmente valiosa por su exposición simple y amena
L. García- Colín, "¿Es tan misterioso el concepto de entropía"? Memoria de El Colegio Nacional, tomo X, Núm. 2, 29 (1983).
L. García Colín, Introducción a la termostática clásica, Editorial Trillas, México D. F., 3a Ed., 1986. Esta referencia y la anterior son las únicas obras en castellano, donde se subraya la importancia del papel de las restricciones en termostática y se demuestra cómo la entropía cuantifica el grado de restricción en un sistema.
M.W. Zemansky y R. Dittman, Heat and Thermodynamics, Mc Graw Hill Book Co., Nueva York, 6a Ed., 1981. Una obra valiosa por la diversidad de sistemas que estudia y el acopio de tablas y gráficas ilustrando sus propiedades termostáticas. Contiene además una introducción elemental a los procesos irreversibles.
E. Piña Garza, Termodinámica, Limusa-Wiley, México D. F. 1978. Un tratamiento matemático y elegante de la termostática.
Procesos irreversibles
L. García Colín S., "Procesos irreversibles", en La física contemporánea, colección Las ciencias en el siglo XX, UNAM, México, 1983. Guillermo Aguilar, compilador.
México D. F. 1983. Una versión no matemática de lo que son los procesos irreversibles tanto desde el punto de vista fenomenológico como corpuscular, acompañado de una lista exhaustiva de otras referencias.
S. R. De Groot La termodinámica de procesos irreversibles, Editorial Alhambra, México D. F. 1976. Traducción al castellano de una monografía clásica pero no elemental.
El principio de Nernst y el cero absoluto
Walther Nernst, The New Heat Theorem, Dover Publications Inc., Nueva York E. U. A., 1969. La obra clásica sobre el tema.
K. Mendelssohn, The Quest for the Absolute Zero, Mc Graw Hill Book Co., Nueva York, 1966. Una obra accesible, escrita por un pionero del campo de la criogenia.
Notas:
(4)
