Este libro ha sido escrito por un notable especialista en el campo de la cinemática de las partículas elementales quien seleccionó hábilmente, de entre el abundante material disponible, el que tiene interés general y puede ser narrado sin necesidad de simplificar la esencia del asunto. El libro va destinado a un lector con un nivel de enseñanza media y requiere para su lectura solamente unos conocimientos elementales de álgebra y geometría.
Es muy difícil encontrar tal método de narración que, sin perder lo más mínimo de su esencia, una rama, una parte de la ciencia, resulte clara para una persona sin conocimientos especiales. Muy a menudo este problema se considera totalmente irrealizable. Parece, sin embargo, que este punto de vista extremo es, a pesar de todo, erróneo. En todo caso el autor del libro que proponemos al lector ha cumplido esta tarea.
En el prólogo a la primera edición fue expresada la esperanza que el libro «... atraerá la atención de un amplio círculo de lectores que e interesan por la física nuclear, en particular: escolares de los últimos grados, estudiantes y profesores». Así mismo fue, e inmediatamente después de su aparición, este libro se convirtió en una rareza bibliográfica Ahora G. I. Kopylov ya no se encuentra entre noSotros, por lo que se decidió, en esta segunda edición, limitarse únicamente a unas modificaciones mínimas necesarias, que reflejen, en cierto grado el desarrollo impetuoso de la física de las partículas elementales.
M. I. Podgoretski
Parte 1
Cinemática para líricos
Capítulo 1
De qué se tratará
Las partículas, cien mil veces menores que los átomos, pero es que el átomo a su vez, es tantas veces menor que una manzana, en cuantas veces, la manzana es menor que la Tierra (« ¿Cómo es posible tal cosa? ¿Qué se puede ver allí?»).
La velocidad de estas partículas, un poco menor que la de la luz (« ¿Cómo se puede percibir un movimiento tan rápido?»)
El tiempo de vida de éstas, pues algunas de tales partículas existen no más de 10-23 s. Otras, que desaparecen tras 10-8 s de vida (una cienmillonésima de segundo), se denominan en esta ciencia partículas de larga vida (« ¿Cómo se pueden apreciar tales partículas? ¿Con qué reloj se puede medir tal tiempo?»).
El carácter imperceptivo, pues existen partículas que no dejan casi ningún rasgo de su existencia en la Tierra, surgen de una manera desapercibida, pasan junto a los átomos como espíritus incorpóreos y desaparecen sin dar huella «¿Cómo es posible estudiar sus propiedades?»).
Y sin embargo, no sólo hemos visto todo eso, sino que hemos dividido todas las partículas en especies, hemos pesado las partículas de cada especie, hemos señalado el parentesco entre ellas; cuál de ellas, en qué y con qué frecuencia se transforma; cuál es, por todos los lados, igual y cuál no lo es y muchas, muchas cosas más. « ¿Cómo puede ser posible todo esto?», surge la pregunta legítima. «Y si esto es posible, y no hay motivos para no creer a las personas, que han extraído de la nada la energía atómica y el láser, ¡qué ingeniosidad, qué inventiva se necesitan, para convencerse de eso, qué mente se necesita para abarcar esto!»
Pues, en general esa admiración es natural. Y es comprensible el deseo de aclarar todos esos milagros. Por desgracia, muchas cosas en esta ciencia no es posible de explicar de una manera simple. No son muy singulares las ideas teóricas, no es posible explicar rápidamente el diseño de los aparatos de la física nuclear, que permiten advertir las partículas rápidas, determinar su dirección, velocidad, masa, cantidad de movimiento, energía.
Pero existe en esta ciencia una rama, la cual se puede intentar comprender. Es la rama, en la que las complicaciones del experimento ya se han terminado, mientras que las complicaciones teóricas todavía no han comenzado. La rama, en la cual se dedican a una elaboración inicial de los datos experimentales es la llamada cinemática de las transformaciones de partículas elementales. Es una rama muy curiosa. Ningún aparato es capaz de advertir la huella de una partícula sin carga y, sin embargo, la cinemática permite fácilmente advertir estas partículas. Ningún aparato por ahora puede medir directamente intervalos de tiempo menores de 10-18 s. Mientras que la cinemática permite valorar duraciones del orden de 10-23 s. Todo esto ella lo consigue sin la aplicación de hipótesis sabias, por medio de lápiz, papel y unos simples cálculos. En la cuenta de la cinemática se encuentran no pocas hazañas, entre otras el descubrimiento de tal maravilla de la naturaleza, como el neutrino, partícula que fácilmente atraviesa el Sol; de tales inquilinos de corta duración en la Tierra como el mesón π0: de unas partículas tan extrañas como los hiperones y los mesones κ; tales efímeras formaciones como los mesones ω0 y otras partículas-resonancias, en una palabra, todas las partículas elementales excepto el protón y ciertos mesones cargados[1].
Desde luego, no sólo la cinemática realizó estos descubrimientos, el papel principal pertenece a los originales aparatos de la física de altas energías. Pero también es evidente que sin la ayuda de la cinemática nosotros veríamos a través de estos aparatos mucho menos. Ella permite ver lo que no es posible ver mediante los aparatos, concluyendo dignamente la cadena de aceleradores, blancos, imanes giratorios, separadores electrostáticos, cámaras de burbujas y por chispas, objetivos fotográficos, enfocados a la partícula.
Se acentúa la palabra concluye: la cinemática no se plantea objetivos a largo plazo de adivinar los misterios de las interrelaciones de las partículas, de la simetría de la naturaleza; ella sólo trata de completar aquello que no ha sido visto por los aparatos, hacerlos más penetrantes, sin modificar y sin interesarse por su construcción. Como Sherlock Holmes, al mirar a una persona, veía diez veces más que las personas corrientes, de la misma manera el físico, armado de los conocimientos de la cinemática, ve muchas veces más.
Aquí, en verdad, no basta sólo con la imaginación. La base de la cinemática la forman los cálculos precisos, los cómputos exactos y no simplemente unas consideraciones del tipo: «La partícula dobló hacia aquí, lo que significa que de allí algo la desplazó. ¿Qué podría ser eso?» Y aunque estos cómputos suelen ser bastante complejos, en su base siempre se encuentra la misma condición, simple y de conocimiento general: en todas las transformaciones de las partículas elementales, su energía total y la cantidad sumaria de movimiento se mantienen invariables. Si los aparatos señalan que existe una insuficiencia de energía o de cantidad de movimiento después de la transformación, esto significa que existía una o varias partículas inadvertidas, que se llevaron consigo esta carencia. Después pueden entrar en acción otras leyes igualmente sencillas, que a veces permiten averiguar quién fue el culpable de esa carencia.
Muchas conclusiones muy importantes en la cinemática se obtienen, esencialmente, por medio del álgebra del curso escolar. Por eso existe la esperanza de que algún escolar de último año, ávido del saber, o una persona conocedora del álgebra en el volumen de la escuela secundaria, que tenga noción del vector y que haya oído alguna vez sobre las antipartículas y sobre el hecho que a grandes velocidades la masa de un cuerpo se hace tanto mayor cuanto mayor es su velocidad, podrán comprender la esencia de muchas predicciones de la cinemática.
Este libro precisamente tiene como objetivo introducir al lector en la «cocina» de muchos importantes descubrimientos de la física de las partículas elementales. Si usted se arma de paciencia y lo lee hasta el final, si hace el esfuerzo de adentrarse en la esencia de los cómputos y argumentos, descubrirá que ha comprendido la mecánica de muchos descubrimientos. En verdad, las leyes y las conclusiones de la cinemática son solamente el primer paso y el más sencillo en el mundo de las partículas elementales. Pero todo camino comienza por el primer paso.
Capítulo 2
El carácter del micromundo
Seguramente, la naturaleza actuó sabiamente, cuando introdujo tal orden, separando los distintos mundos por medio de fronteras invisibles y casi impenetrables, dando a cada uno sus leyes. Puede ser que de esta manera se consiga la sucesión, la continuidad del desarrollo: una catástrofe en uno de los mundos no es percibida en los otros, todo sigue su curso. O puede ser que la naturaleza simplemente quiso demostrar que no es trivial.
Pero los hombres de poca gana se disponen a reconocer esta ausencia de trivialidad en la naturaleza. Todos los demás mundos, el atómico, el estelar y otros, ellos los erigen según modelos conocidos. El imán lo llamaron aimant = amante; en los planetas vieron a los dioses. Luego siguieron asimilaciones más refinadas de unos mundos con otros: demostraban que el átomo se parece al sistema solar; el hombre, a una máquina térmica, las ondas de luz, a las olas marítimas; creían que las leyes de la caída del electrón sobre el núcleo pueden deducirse de las de la caída de la manzana a la Tierra, y todo el mundo en su conjunto, de la cabeza del filósofo.
Y aún ahora, cuando al parecer nosotros comprendemos que en cada mundo existen sus problemas, sus leyes, la inercia de la razón humana, en gran medida, obstaculiza una penetración concreta en los mundos concretos. El conocimiento se desarrolla a través de la superación de nociones habituales, a través del rechazo de lo evidente en favor de algo incomprensible e insólito (así se ven ciertas veces las nuevas leyes a primera vista).
Cuanto más lejos se encuentren uno del otro estos dos mundos, el mundo del sujeto y el del objeto de la ciencia, con tanta mayor dificultad se desarrollará esta ciencia, con tanta más fuerza deberá forzar la persona su imaginación y su lógica habitual. Desde este punto de vista, las ciencias más difíciles son la física de las partículas elementales y la astronomía. Por que en este caso, ellas, de todos modos, se adelantaron a las ciencias que estudian al hombre, es difícil decirlo.
O las ciencias humanitarias no pudieron aprovechar su situación privilegiada, o el mundo de un hombre se diferencia del mundo de otro mucho más que del mundo del átomo.
Un libro de divulgación científica dedicado a la cinemática de las transformaciones de las partículas elementales debe comenzar, por lo visto, por dar a conocer el mundo de estas partículas. Tal vez lo mejor sería seleccionar al representante más característico de este mundo y narrar sus costumbres y virtudes, con el fin de aclarar cuáles son las metamorfosis características que transcurren con las partículas elementales, cómo se puede, en principio, sin conocer las leyes de las transformaciones, y sólo apoyándose en la ley de la conservación de la energía y de la cantidad de movimiento, limitar el círculo de estas transformaciones. Una comprensión más detallada de las metamorfosis y de sus leyes generales vendrá después, a medida de la lectura del libro.
Uno de muchos
La posición más sólida en el micromundo le pertenece al protón. En primer lugar, él posee una gran masa. Antes, en general, el protón se consideraba la única partícula de masa considerable, pero después hubo de aceptarse que éste tenía una enorme cantidad de parientes. Todos ellos llevan un mismo apellido, barión, pero distintos nombres: neutrón, lambda, sigma, ksi, isobara, etc. Y aunque todos ellos tienen una masa mayor que el protón, la superioridad en cuanto a número le pertenece a él (y al neutrón). Si usted realiza un paseo por el micromundo, de los bariones, más que a otros, encontrará al protón y neutrón, mientras que al resto de los miembros de la familia los tropezará rara vez, Conjuntamente con el neutrón, el protón forma parte del núcleo atómico, o sea, forma la base de otros mundos más complejos.
En segundo lugar, el protón es estable. Esto significa que a él se le garantiza una inmortalidad particular. Si nos preocupamos que el resto del mundo no influya de ninguna manera (o actúe débilmente) sobre él, éste es capaz de existir eternamente, sobrevivir a las estrellas y las Galaxias. Todos sus compañeros, tarde o temprano mueren: el neutrón libre, como promedio, en 16 minutos; lambda y ksi, en 10-10 s; isobara llega incluso a morir en
10-23 s. Esto sucede así. Un miembro de la familia de los bariones desaparece inesperadamente y sin un motivo visible, y en su lugar surge otro barión, pero de menor masa. Esto va acompañado de la aparición de varios (uno o dos miembros de otras familias de partículas: mesones, leptones o fotones. El recién nacido barión también debe desintegrarse, siguiendo la misma regla. Puesto que el más ligero de los bariones es el protón, cualquier barión más pesado, tarde o temprano, se transforma en protón y en esta calidad por fin se tranquiliza y obtiene el derecho a la inmortalidad.
Pero es especialmente interesante el hecho que a todos los bariones en su conjunto les espera la inmortalidad del género. La naturaleza decidió que el número total de bariones en el mundo, tanto en el mundo entero como en cada transformación aislada, permanezca invariable por los siglos. Por eso, digamos, de la desintegración del propio barión debe surgir otro (y además algo que no es barión); de la colisión de dos bariones surgen otra vez dos bariones que pueden ser idénticos a los primeros o distintos a ellos (y, por ejemplo, algo más que no sea barión). Por otra parle, no: al chocar, digamos, dos protones, a veces surgen también tres protones pero en este caso, obligatoriamente acompañados de un antiprotón (u otro antibarión): también pueden surgir cuatro protones, pero con dos antiprotones. En una palabra, se conserva no simplemente el número de bariones, sino el número de bariones menos el número de antibariones; las partículas y antipartículas nacidas al mismo tiempo compensan unas a otras y lo dicho no se considera como infracción de la ley.
Por la tanto, al establecer la constancia del número de bariones en el mundo, la naturaleza no cerró ante ellos en lo más mínimo el camino hacia el enriquecimiento con nuevas reservas de sustancia; ella sólo impuso la condición de que en este caso debe crearse una cantidad igual de antibariones. Nuestro mundo no perece, en primer lugar, porque los bariones, que forman su principal material de construcción, no desaparecen. Pero de aquí no se deduce que nuestro Universo vaya a existir eternamente. Si algún día se abalanza sobre él un antiuniverso y todo se convierte en una nube de mesones o fotones, esto no será una contradicción con las leyes de la naturaleza.
Del mismo modo, de la ley de la constancia de los bariones no se desprende que nuestro Universo no surgió de la nada, que existió desde siempre. Se puede imaginar que en su lugar alguna vez existió un gran recipiente, digamos de mesones rápidos o de fotones enérgicos; a partir de él surgieron los pares mundo-antimundo, que después se disiparon hacia lados opuestos. Esta cuestión está todavía sin resolver; unos prefieren la idea que nuestra parte del Universo existe eternamente, mientras que a otros les agrada más la idea acerca de las catástrofes. La ley de conservación del número de bariones no se opone ni a una ni a otra idea; resolverán la cuestión otras leyes y otros hechos.
Volvamos a nuestros bariones. El protón se destaca de entre ellos, por el hecho que se somete fácilmente a influencias ajenas; en particular, es muy obediente al hombre. El protón es una partícula electrizada cuya tensión eléctrica (campo) es capaz de acelerarla, repelerla, girarla, proveerla de energía; en una palabra, el protón se puede manejar a nuestro parecer. Del mismo modo que sobre la corriente eléctrica ordinaria, sobre un haz de protones influye el campo magnético permanente. Él no puede acelerar al protón, pero puede desviar su trayectoria. Todo esto convierte a los protones en un arma valiosa para la investigación del micromundo. Acelerando los protones, por medio del campo eléctrico, se les puede suministrar una gran energía. El protón aparece en una nueva calidad, en calidad de transformador de la naturaleza. Al chocar, digamos, con otro protón, él puede engendrar bastantes partículas nuevas. Así surgen en nuestros días, nuevos tipos de mesones y bariones, partículas que viven no eternamente y hace mucho tiempo que habrían desaparecido, si los protones rápidos no los engendraran nuevamente.
Tal vez, aquí podamos detenernos y hacer el balance, de lo que en lo sucesivo nos puede ser necesario. Hemos conocido dos tipos de transformaciones de las partículas elementales. La primera, cuando las partículas de por sí solas se desintegran en varias partículas nuevas, la segunda, cuando de la colisión de dos partículas, éstas simplemente o se desvían de su anterior curso o engendran unas cuantas partículas nuevas.
Los físicos experimentadores conocen varios procedimientos para registrar tanto lo que chocó como lo que resultó, lo que se desintegró y en le que se desintegró. Ellos saben distinguir la dirección y la velocidad de movimiento de las partículas. Por otra parle la teoría se plantea la tarea de describir las secuencias de las transformaciones reveladas, descubrir su mecanismo, comprender los motivos que estimularon a las partículas a actuar de este modo y no de otro: aclarar las principales costumbres de las partículas y su lugar en el cuadro general del mundo.
La ley de la conservación del número de bariones, sobre la cual hemos tratado, es sólo una de las leyes más sencillas del micromundo. Otras leyes son más complejas y, lo principal, son insólitas. A menudo no se parecen a nada de lo que sucede en otros mundos: ni con nosotros, ni con las moléculas, ni con las estrellas.
La tarea del autor consiste en narrar acerca del mundo de las partículas elementales, sin decir casi nada acerca de las leyes incomprensibles. Resulta que esto es posible. Es posible debido a que una de las leyes, bien conocida por lodos nosotros, la ley de conservación de la energía y de lo cantidad de movimiento, en su totalidad se refiere también a los fenómenos del mundo de las partículas elementales. De partículas elementales es igualmente inconcebible construir un perpetuum mobile, como lo es construirlo por medio de bolas, cadenas y ruedas.
Si dos partículas antes de actuar la una sobre la otra poseían cierta reserva de energía, en el momento de su interacción esta reserva no puede ni agotarse, ni completarse. Lo mismo se puede decir de la cantidad de movimiento (recordaré que esto es el producto de la masa del cuerpo por su velocidad; la cantidad de movimiento se denomina también impulso). Su reserva en un cierto grupo aislado de partículas también es constante; si, por ejemplo, el centro de gravedad de dos partículas al principio descansa en un lugar, cualesquiera que sean las transformaciones de estas partículas, el centro de gravedad de lo que surgió de ellas también obligatoriamente permanecer en un mismo lugar.
Los «contables» del micromundo
Estas leyes de conservación fueron establecidas sobre grandes cuerpos, bien visibles. Ellas con tanta perfección y exactitud realizaban su labor, con tanta precisión establecían el balance de las ganancias y pérdidas, que no había motivos para negarles un lugar cuando llegó el momento de las partículas elementales. Las admitieron condicionalmente, hasta el primer error. Y ya más de tres decenas de años están en prueba y no hubo una sola vez motivo para ofenderse de su informal inscripción en «el libro maestro», ni una sola vez el débito y el crédito dejaron de coincidir. Ocurrió con ellas, en verdad, un percance al principio de su nueva carrera, en los años treinta. Pero ellas con brillantez demostraron su inocencia en el desbalance y ayudaron a «poner al descubierto» al verdadero culpable del escándalo, al joven, que en aquel entonces sólo comenzaba su carrera (de moscón y perillán), al neutrino.
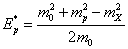
Las leyes de conservación de la energía en las transformaciones de las partículas elementales tienen un aspecto más sencillo que en nuestro mundo de fenómenos a gran escala. En nuestro mundo, la energía se presenta en muchos artículos del presupuesto: tanto en el de electricidad como en el de calor, en el de movimientos mecánicos, en el de elasticidad, en el de química. Pero en el micromundo, cuando el protón que se mueve libremente choca con una partícula, creando varias partículas nuevas, podemos conformarnos con tener en cuenta sólo dos formas de energía, la energía del movimiento o energía cinética y la llamada energía del reposo, o sea, la energía consumida para la creación de la propia partícula. En la energía total de las partículas es suficiente incluir solamente estos dos sumandos.
¿Por qué razón no se debe pensar en las otras formas de energía? En unas porque son pequeñas. Digamos, la energía mgh de las partículas rápidas, puede no mencionarse puesto que es muy pequeña, las partículas se atraen débilmente por la Tierra[2]. La energía del protón en el campo eléctrico hay que tenerla en cuenta sólo mientras éste se encuentre en este campo, o sea, mientras recorra el acelerador; pero en cuanto salga en vuelo libre, esta energía se incluirá en el balance en el artículo «energía cinética». Pero no se deben, claro está, olvidar las transiciones de la energía que acompañan las transformaciones propias de las partículas. Pero estas transformaciones de las partículas tienen lugar sólo durante un estrecho acercamiento entre ellas, transcurren muy rápido, y es superior a nuestras fuerzas, no nos da tiempo discernir los detalles del proceso y medir la energía de una interacción fuerte en pleno acontecimiento. Por esto, por fuerza, no escribimos el balance de la energía en aquel principal instante, cuando de un artículo al otro pasan grandes sumas. Y cuando todo haya terminado y las partículas se hayan dispersado, quedarán otra vez sólo dos artículos: la energía del reposo y la energía del movimiento, y será fácil hacer el balance. He aquí, aunque no vemos y en ocasiones no comprendemos, el mecanismo directo de acción de las fuerzas nucleares, de todos los modos podemos a veces predecir los resultados de su acción. Las leyes de conservación limitan la acción de cualesquiera otras leyes: todas las demás deben ubicarse dentro de sus fronteras y a veces éstas son tan estrechas que las otras leyes simplemente no tienen dónde desenvolverse.
Si conoces la masa, conoces la partícula.
Para una exitosa aplicación de la cinemática es muy importante otra propiedad de las partículas elementales, su indivisibilidad.
La masa de un cuerpo grande, como se sabe, puede ser de cualquier magnitud: los cuerpos están compuestos de átomos y se dividen en partes. Pero imagínense por un momento, que no existen átomos, y la energía elaborada por medio de un dispositivo especial se acumula en ciertos recipientes, permaneciendo impalpable y disforme, y después, de repente, al alcanzar cierta magnitud, instantáneamente se convierte en un objeto: en una sartén, en una plancha, en una pelota. Y todas las sartenes son idénticas y tienen una misma masa, las planchas no se diferencian unas de otras, etc. Estos objetos serian indivisibles: al golpear una sartén contra una plancha, la primera no se rompería, sino que o permanecería entera e intacta, o desaparecería sin dejar rasgo en el recipiente energético, o, digamos, se transformaría en dos pelotas, y el resto de la energía nuevamente llegaría al recipiente. Al poco tiempo nos acostumbraríamos a esto y no nos preguntaríamos « ¿qué aspecto tiene media sartén?», para nosotros esto sonaría como «dos leñadores y dos tercios».
Aproximadamente así está la cosa con las partículas elementales. No nacen de un embrión como los cristales, no se levantan de bloques como los edificios, no se dividen en partes como las pastillas de chocolate. Vienen al mundo acabadas, en su aspecto consumado, en su magnitud natural. Todas las partículas de una variedad se parecen una a la otra, se parecen tanto que es imposible diferenciar una de otra. La masa de todas ellas también es igual y por eso puede servir de señal, de tarjeta de visita de la partícula. He aquí a lo que conduce la indivisibilidad de las partículas.
Aquí sólo hay una dificultad: ¿cómo medir esa masa? Se podría, por ejemplo, pesar la partícula. Pero todavía no se han inventado tales balanzas y lo que es más importante, que para pesar la partícula es necesario primero detenerla, y ¿cómo lograr esto? Por lo tanto la masa de la partícula debe ser determinada en vuelo, mientras vuela entre átomos y moléculas. En este momento se consiguen medir su impulso por lo súbito del viraje de la partícula en el campo magnético, y la energía, por las destrucciones que causa y por otros fenómenos. Esto ya es suficiente, para conocer la partícula. A primera vista esto parece imposible, insólito. Cuando, mediante la energía de un cuerpo, determinan su velocidad o su temperatura o la altura de su ascensión, esto se comprende. Pero para que mediante la energía de un cuerpo se averigüe su naturaleza, esto es difícil de creer: ¡quién sabe qué cuerpos pueden tener la energía, la temperatura o la velocidad dadas! Pero de hecho esto no es tan imposible como insólito para qué juzgar sobre un objeto mediante su energía e impulso, si existen decenas de procedimientos mejores, si se puede simplemente pararlo y observarlo. Pero las partículas no siempre se pueden parar, por lo que hay que componérselas.
Cómo pesar una bala en pleno vuelo
Pero, si se quiere, la masa de una bala también puede determinarse en vuelo. Disparen de un fusil a quemarropa sobre un cajón con arena situado en un calorímetro. En el instante del disparo midan la cantidad de movimiento P, obtenido por la bala. Ésta puede ser determinada, por ejemplo, mediante el rechazo del fusil, o sea, multiplicando la masa del fusil por la velocidad de su retroceso en el instante del disparo (debido a la igualdad de la acción y de la reacción, la bala tendrá la misma cantidad de movimiento). La energía T obtenida por la bala durante el frenado en la arena, se convertirá en calor y puede ser medida por el calorímetro. ¿Cuál será la masa m de la bala? De la fórmula para la cantidad de movimiento P = mv se deduce que la velocidad de la bala v = P/m. Sustituyendo en la fórmula para la energía cinética T = mv2/2, obtenemos que T = P2/2m, de donde se desprende que la masa de la bala
m = P2 /2T
Esto significa que la masa de un cuerpo, que se encuentra en movimiento mecánico, puede determinarse por la reserva de la cantidad de movimiento y por la energía. Claro que si midiéramos sólo la energía o sólo el impulso, esto no se lograría.En la física del micromundo, donde los movimientos visibles son sólo mecánicos, existe también cierta relación entre la masa, la energía total y el impulso de la partícula. En este caso también el asunto se facilita por el hecho que las partículas pequeñas no pueden tener una masa cualquiera, cada variedad de partículas posee su masa y ninguna otra masa pueden tener estas partículas, así que si determinarnos la masa de una partícula invisible (mediante la energía y el impulso transportados por ella) inmediatamente conoceremos qué clase de partícula es. Es muy cómodo. Con la bala no resultaría así: ¿acaso puedes saber por el peso si se trata de una bala o de un perdigón?
Capítulo 3
La energía y el impulso de las partículas rápidas
Esta fórmula fue descubierta por Einstein. Gracias a él nosotros ahora conocemos cómo debe calcularse la energía de las partículas rápidas y conocemos que incluso una piedra en reposo contiene incalculables reservas no reclamadas aún de energía. Él dedujo esta fórmula mucho antes que la misma se hiciera necesaria en la práctica por primera vez (mucho antes del año 1919, cuando por primera vez fue advertida la transformación nuclear). Ya en el año 1905 Einstein demostró que la energía y el impulso de un cuerpo muy rápido no pueden calcularse según las fórmulas habituales T = mv2/2 ó P = mv
Él demostró muchas cosas más, dio la vuelta a nuestras concepciones habituales acerca de cosas tan importantes como: el movimiento, el espacio, el tiempo, la luz, la masa. Pero para nosotros, por ahora, es importante sólo lo que él decía sobre la energía y el impulso.
La esencia del descubrimiento de Einstein puede ser expuesta aproximadamente así.
La masa y la velocidad
No hay nada en el mundo más rápido que la luz. Y no puede una luz ser más rápida que otra. Cualquier luz (en el vacío) se desplaza siempre igual de rápido. Por esto es cómodo tomar la velocidad de la luz como unidad. Cualquier otro movimiento, por ejemplo, el movimiento de cierto cuerpo no puede ser más rápido que la difusión de la luz, o sea, la velocidad de cualquier cuerpo siempre es menor que la unidad. Pero ¿qué hacer entonces con un cuerpo, acelerado durante largo tiempo por cierta fuerza? Pero cualquier fuerza provoca aceleración y ésta aumenta la velocidad y ¿no llegará el instante cuando la velocidad del cuerpo acelerado sobrepase esa misma unidad? Pero esto es imposible, por lo tanto, con el aumento de la velocidad, la aceleración deberá disminuir gradualmente, con una rapidez tal, que no dé tiempo a aumentar la velocidad del cuerpo hasta la unidad, Pero ¿qué significa el hecho que con una fuerza permanente la aceleración disminuye? ¿Cómo puede ocurrir esto? Es conocida otra propiedad del movimiento, la aceleración es inversamente proporcional a la nasa del cuerpo, es decir, cuanto más pesado es el cuerpo, tanto más difícil es acelerarlo mediante una misma fuerza. Por consiguiente, se puede llegar a la conclusión que la aceleración disminuye debido a que la masa del cuerpo aumenta. En este caso todo coincide: con el crecimiento de la velocidad el cuerpo se hace más pesado y la fuerza anterior ya no puede proporcionarle la misma aceleración. Esta decrece y la velocidad casi no varía. Einstein dedujo la fórmula del crecimiento de la masa a medida de la aproximación de la velocidad del cuerpo o a la unidad:
(1)
La masa y la energía
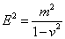
Ahora planteemos la cuestión del otro lado. Pero la fuerza que actuó durante tanto tiempo sobre el cuerpo, la hubo de aplicar cierta persona o motor. Sea, por ejemplo, un motor. Este funcionó cierto tiempo, consumió para ello combustible, es decir, energía. En tanto que la energía, como es sabido, no puede perderse, desaparecer sin dejar huella. Ella, por lo visto, se transmite al cuerpo impulsado, y cuanto más tiempo funcione el motor, tanta más energía absorberá el cuerpo. Pero ¿en qué absorberla, si la velocidad del cuerpo no puede sobrepasar la unidad? La respuesta es sencilla: la energía se consume en el incremento de la masa del cuerpo. El incremento de la masa es el reflejo del aumento de la energía. Otra vez, todo coincide: la fuerza realiza un trabajo sobre el cuerpo, aumentando su energía; la energía se acumula en el cuerpo, aumentando su masa. Se hace comprensible de dónde pudo aparecer la famosa fórmula E = Mc2, la cual escribiremos
E = M (2)
puesto que la velocidad de la luz c la hemos tomado igual a la unidad. Pero no piense que hemos deducido la fórmula E = Mc2. Ésta fue obtenida basándose en otras consideraciones y nosotros hemos aclarado su significado por un procedimiento muy sencillo.Concluyamos ahora lo dicho, pero expresémoslo de otra manera. ¿Por qué, para un movimiento rápido, se necesitan fórmulas nuevas de la masa y la energía? Si la masa del cuerpo durante su aceleración no creciera, aumentarla su velocidad, y al fin y al cabo el cuerpo se adelantaría a la luz, pero esto contradice las condiciones del ensayo. Si la energía del cuerpo no aumentase durante su aceleración, ¿a dónde fue a parar el trabajo consumido en la aceleración?
Respuestas a las preguntas
«Todo esto está bien, dirá usted, pero ¿por qué entonces nadie nunca advirtió que los cuerpos, al acelerarse, se hacen más pesados?»
Esto realmente es difícil de advertir; demasiado lento se mueve todo lo que nos rodea. Lento, comparado con la velocidad de la luz, con la unidad. Pues la acumulación de masa en un cuerpo se hace notable únicamente al aproximarse la velocidad de éste al límite, mientras que la velocidad del cohete más rápido es menor que 1/10000, así de grande es la velocidad de la luz. Si la velocidad de la luz, digamos, fuese 10 km/s, los constructores de cohetes tendrían que utilizar en sus cálculos las fórmulas de Einstein, tendrían que tener en cuenta el aumento de la inercia de los cohetes al aproximarse a esta velocidad. Mientras que si tomamos la velocidad de la luz aún menor, por ejemplo 1 km/s, no pocos fenómenos en el mundo transcurrirían de otra manera, y la mecánica de Einstein nos parecería tan natural, cono ahora nos parece la mecánica de Newton.
«Pero entonces, usted hará otra pregunta, ¿no se contradicen lo uno con lo otro en el caso de nuestras pequeñas, acostumbradas velocidades?» No, no se contradicen. Einstein razonaba de tal manera, que en el caso de pequeñas velocidades no se inquieten las, tantas veces probadas, leyes de Newton. Si la velocidad v es muy pequeña, el quebrado √1-v2 con buena precisión se transforma en 1+v2/2, (verifíquelo, sustituyendo, por ejemplo, v = 0,0001) y la fórmula de crecimiento de la masa, en la fórmula
M = m + mv2/2 (3)
Cuando un cohete vuela con una velocidad de 30 km/s esto significa que v = 0,0001, o sea, la masa aumenta aproximadamente en una doscientos millonésima parte. Observar tal cosa es prácticamente imposible.En lugar de la fórmula (3) se puede escribir una, equivalente a ésta, si recordamos que la masa de un cuerpo y su reserva de energía es lo mismo:
E = m + mv2/2 (4)
Por lo tanto, en el caso de velocidades pequeñas, la energía de cualquier cuerpo en libre movimiento consta de dos partes: la parte m, que no depende de la velocidad, y la parte m2/2, que crece igual que el cuadrado de la velocidad... Esperen, ¡pero m2/2 es la energía cinética de un cuerpo! Resulta que Einstein descubrió que la energía cinética (que nosotros, por regla general, consideramos como la energía del cuerpo, en libre movimiento, sin influencia de fuerzas algunas) es sólo una parte de la reserva total de energía que posee el cuerpo. Y, además, una parte muy pequeña. La energía principal se encuentra en el término m, en aquella masa que no está influida por la velocidad y está presente en el cuerpo, aún en el caso cuando éste se encuentra inmóvil. Esto es lo que se puede llamar energía de la existencia.Si en algún lugar surge una nueva partícula de sustancia, para su creación hubo de consumirse cierto trabajo, de cierto cuerpo hubo de arrancarse o de cierta fuente hubo de verterse una reserva de energía para la formación de esta partícula de sustancia y esta reserva ya se encuentra en ella, aún en el caso cuando la partícula no se mueve. Para los grandes cuerpos ordinarios, compuestos de átomos, esto suena poco serio: pues nosotros creamos siempre estos cuerpos de un material de construcción (átomos) ya preparado y no consumimos energía en la creación de estos átomos. Por lo tanto, en este caso la energía de la existencia no representa particular importancia: todo lo necesario ya existe de por sí. En este caso la cuestión acerca de la creación de la sustancia simplemente no surge.
Otra cosa son las transformaciones de las pequeñísimas partículas. Allí realmente se crean nuevas variedades de partículas a partir de las anteriores y de la energía acumulada por ellas, y a veces únicamente de la luz. Como en el caso del botonero de Ibsen, a la refundición va todo lo viejo y menospreciar la energía m nadie nos lo permitirá.
Cómo se puede no ver un burro a dos pasos
La presencia del término m en la fórmula para la energía es tan importante, que vale la pena hablar de él con más detalle ¿Por qué no nos fijamos en este sumando? ¿Por qué antes de Einstein nadie advirtió tales reservas «bajo los pies», que sobrepasaban millones y miles de millones de veces toda la energía accesible en aquel entonces? ¿Significa esto que Einstein no tenia razón? No, no lo significa. La cuestión reside en que advertimos no energía en sí, sino sus modificaciones. Si se transforma la energía cinética en energía potencial, lo advertimos de inmediato porque se reduce la velocidad. Si se transforma en energía térmica, otra vez lo advertimos: el cuerpo se calienta. Y si la energía no cambia, ¿cómo apreciarla? Por ejemplo, la Tierra, su energía cinética es enorme; gira alrededor del Sol con una velocidad de 30 km/s, su masa es de 6 x 1027 g, esto es una estupenda reserva de energía que sobrepasa nuestra imaginación. Pero ¿quién le percibe? ¿En qué se revela? ¿Hay que tenerla en cuenta e introducirla en el balance de las transformaciones que ocurren con los cuerpos terrestres? Claro que no: ella no cambia durante tales transformaciones, esto es un capital muerto; igual que entra en el balance, de la misma manera sale de él.
Lo mismo ocurre con la energía m; ella no cambia durante las transformaciones mecánicas, eléctricas, químicas; ella está presente silenciosamente en ambas partes de la ecuación de balance de la energía y a nadie le da frío ni calor su presencia. Pero si se lograsen hallar unas fuerzas, capaces de «pellizcar» de m aunque sea un pedacito, entonces m se haría notar. Pero, antes no se sabía nada acerca de tales fuerzas. Está bien que la fórmula
E = m + mv2/2
sugirió que vale la pena buscar tales fuerzas. Y las encontraron transcurridos muchos años, éstas eran las fuerzas nucleares. En las estaciones nucleares o en los barcos atómicos tales fuerzas se ocupan de pellizcar de m pequeñas partículas y transformarlas en energía eléctrica o mecánica.En las transformaciones de las partículas elementales las fuerzas semejantes por su carácter, pero incomparablemente mayores por su magnitud, ya no pellizcan de la masa m pedacitos. Su actividad reconstruye radicalmente unos ladrillos de la materia en otros, en ocasiones totalmente distintos a los primeros tanto por sus propiedades, como por su misión.
El impulso y la velocidad
Pero nos hemos apartado de nuestro objetivo directo. Así, sabemos cómo depende la masa de la velocidad:
![]()
![]()
Resulta que no. El impulso, igual que antes, se expresa mediante la fórmula
P = Mv
pero M en este caso es una magnitud que depende de la velocidad. Esto significa que el impulso, igual que la masa del cuerpo y la energía, a medida de la aceleración del cuerpo, puede aumentar tanto como se quiera. Y sigue vigente la afirmación de Newton acerca que el crecimiento del impulso de un cuerpo bajo la acción de una fuerza es proporcional a la magnitud de esta fuerza y a la duración de su acción [3]. Si la fuerza actúa un tiempo lo suficiente largo (y en el sentido necesario), el impulso puede alcanzar cualquier magnitud.Por lo tanto, la fórmula para el impulso se puede escribir de tres formas:
P = Mv
P = Ev
P = mv / √(1-v2) (5)
He aquí la forma alterada en que se debe tomar la energía y el impulso de cualquier cuerpo, si su velocidad en cierto modo es comparable con la velocidad de la luz, con la unidad.
Este es el momento preciso para adivinar las preguntas que pueden surgirle al lector ávido del saber. Usted puede preguntar ¿cómo calcular ahora la energía cinética sí la fórmula
T = mv2 / 2
resulta para el caso de grandes velocidades incorrecta?La respuesta es: se denomina energía cinética de una partícula la diferencia entre la energía total de la partícula, calculada según la fórmula
P = mv / √(1-v2)
y la energía en reposo m:T = mv / √(1-v2) - m
En los casos de valores pequeños de v los números calculados según esta fórmula, casi no se diferencian de los obtenidos según la fórmula corriente (1/2)mv2.Otra pregunta. ¿Cómo puede igualarse la masa a la energía, si la primera se mide en gramos y la segunda, por ejemplo, en kilovatios-hora?
Pero después que nos explicaron que la masa es equivalente a la energía, conociendo cuánta masa hay en el cuerpo, conocemos también sus reservas energéticas. Ahora es natural seleccionar tales unidades de la masa y de la energía que la equivalencia se vea de repente. Diferentes unidades de la masa y la energía son tolerables únicamente allí, donde esta equivalencia no es importante, o sea casi en todos los fenómenos a escala terrestre. Pero allí, donde la diferencia entre la energía y la masa es simplemente la diferencia entre dos aspectos del movimiento (en la palabra «energía» se matiza «la reserva de las fuerzas creadoras» de la partícula: en la palabra «masa», sus propiedades inertes, su tenacidad, y una cosa sin la otra no puede existir), sería un error medirlas de un modo distinto. Y por esto en el micromundo seleccionan las unidades de medición de tal manera, que la energía de la partícula sea numéricamente igual a su masa.
¿Pero esto es posible’? Desde luego. Si E = M siendo c = 1, es lógico medir E y M en las mismas unidades. Del mismo modo, si P = Ev, y hay que tener en cuenta que la velocidad de una partícula se toma según su relación respecto a la velocidad de la luz, el impulso P se puede medir también en las mismas unidades. Y mientras las transformaciones en el micromundo no afecten al mundo grande, este acuerdo, medir la energía, el impulso y la masa, con la misma unidad, no conllevará ninguna incomodidad. Más bien todo lo contrario.
¿Cuál es esta unidad?. La denominan electrón-voltio (eV). Al principio era sólo la unidad de energía y designaba la energía que adquiere un electrón bajo la acción de una tensión igual a un voltio. Mil millones de electronvoltio (109 eV) son iguales a 1 GeV. En estas unidades se mide también la masa y el impulso, pero, claro está, no de cuerpos grandes, sino de pequeñísimos. Esta unidad es cómoda, puesto que tanto la masa como la energía de las partículas se expresan con números pequeños. Por ejemplo, la masa de un protón es de 0,94 GeV, el impulso adquirido por los protones en el gran acelerador de Dubná, es 10 GeV, etc.
Y una última pregunta. ¿Es cierto que la nueva mecánica con las nuevas determinaciones de la masa, la energía, el impulso se necesita sólo para el micromundo mientras que para nuestro mundo corriente no es necesaria? No. entre las grandes máquinas disponemos también de algunas que son imposible de calcular, aplicando la mecánica de Newton. Son los aceleradores de partículas (figura 1).

Figura 1. El gran acelerador de Dubná
-¡Espere, espere!, exclamará un lector vigilante. ¿Qué resulta? Por una parte consumimos energía eléctrica y por otra en el acelerador surgen protones diez veces más pesados. ¿Quiere decir esto, según usted, que la energía se ha transformado en masa?
- Y ¿por qué le alarma esto?
- Porque, esto es una tesis filosófica errónea... Usted mismo ha dicho que la energía y la masa son simplemente dos matices distintos de una misma noción física.
- En la física, sí. Pero usualmente el aumento de la energía no significa el incremento de la masa. Por lo tanto, en el sentido cotidiano la diferencia entre la energía y la masa es enorme.
Y cuando, de repente, usted se convierta en testigo de cómo la alimentación, suministrada a la entrada del acelerador, se convierte a la salida en protones insólitamente pesados, tendrá el derecho a exclamar con asombro: «¡la energía eléctrica se transformó en masa del protón!»
- O en su energía...
- O en su energía, sí queremos subrayar no tanto la «intransigencia» del protón, como su «reserva de fuerzas», su «potencia creativa»... Nosotros debemos acostumbrarnos a que la «intransigencia» y la «reserva de fuerzas creativas» de las partículas son sinónimos. Y cuando nos acostumbremos a esto, nos surgirá obligatoriamente el deseo indestructible de expulsar una de las dos palabras, «energía» o «masa», y arreglárnoslas sólo con una. Hoy día, en los libros serios de física, tratan de hacerlo así. Pero en nuestro libro, donde la carencia de fórmulas habrá que compensarla con la expresión verbal, emplearemos los dos sinónimos: y la energía y la masa.
- Y ¿qué pasará con los filósofos?
- Hay filósofos de filósofos. Para qué buscar problemas donde no los hay, para qué velar por la utilización de las palabras, donde el sentido verdadero no lo representan ellas, sino las correlaciones precisas...
A las personas con mentalidad práctica les inquieta otra cosa: ¿es verdad que la energía, que se desprende durante la desintegración de partículas elementales, supera en mucho la energía nuclear?
—Sí. Por ejemplo, uno de los ciclos de las reacciones nucleares, que proporciona energía a las estrellas, se reduce a la transformación de cuatro protones en un núcleo de helio. La masa de los 4 protones es 0,94 x 4 = 3,16 GeV, mientras que la del helio es de 3,73 GeV, por lo tanto se liberan 0,03 GeV, menos de 1% de toda la energía. Por otra parte durante la desintegración del mesón π0 en fotones se convierte en energía toda la masa del mesón (100%).
- ¿Quiere decir que ante nosotros tenemos una fuente de energía más poderosa que la reacción termonuclear?
- De ningún modo. Como obstáculo tenemos la rareza e inestabilidad de tales mesones; es imposible acumularlos. Y lo que es más importante, es preciso crear los mesones, consumiendo para ello una cantidad de energía igual a la que se desprenderá en su desintegración: los protones, a su vez, siempre están disponibles, son los núcleos de hidrógeno. En las reacciones termonucleares nosotros derrochamos la reserva de energía, acumulada por la naturaleza; la desintegración del mesón π0, en el mejor de los casos, sólo nos devolverá la energía, consumida para su creación.
- ¿Qué provecho se tiene de ello?
- El provecho de los mesones, hiperones, etc., consiste en otra cosa: ellos nos proporcionan la solución de la organización del mundo...
![]()
![]()
![]()
Capítulo 4
Algo más acerca de la energía y el impulso
En este capítulo ante el lector aparecerán nuevos aspectos de las nociones introducidas. Sabremos que aunque, en el caso de la aceleración, tanto la masa, como el impulso y la energía de la partícula aumentan, esta última, de todos modos, conserva una (al menos una) característica cinemática que nada puede alterarla. Nos enteramos también de una cosa asombrosa: la masa depende también del modo con que se mueve el aparato que mide esta masa; tendremos conocimiento acerca de las partículas que no son capaces de permanecer inmóviles y otras muchas cosas.
Para comenzar recordemos un ensayo original, del cual tuvimos necesidad en el capítulo 2. En ese ensayo disparábamos a quemarropa sobre un cajón con arena para medir la masa de la bala y escribimos la fórmula m = P2/2T que vinculaba la masa de la bala con su energía e impulso.
La fórmula más importante
Veamos si se mantiene tal vínculo en el caso de movimientos rápidos. La esencia de los cálculos realizados en aquel caso consistía en que nosotros mediante una fórmula determinábamos la velocidad v y sustituíamos el resultado obtenido en otra fórmula; a consecuencia de ello, la magnitud v desaparecía de las fórmulas. Probemos en las fórmulas nuevas de E y P librarnos igualmente de v. Esto es más sencillo realizarlo así: elevando al cuadrado ambos miembros de la fórmula del impulso, obtenemos
![]()
![]()
![]()
E2 - P2 = m2
Este es el vínculo incógnito entre la energía, el impulso y la masa en reposo de una partícula. Se puede escribir también así:E2 = P2 + m2 (2)
y entonces ésta nos recordará el conocido teorema de Pitágoras. Si dibujamos en triángulo rectángulo (figura 2), en el cual el cateto horizontal es igual a la masa en reposo de la partícula m, y el cateto vertical, al impulso de la partícula P, la hipotenusa nos dirá la energía totalE.Mientras la partícula no se mueve, todo el triángulo se fusiona en el segmento horizontal m, el impulso es igual a cero y la energía es igual a la masa en reposo m. Con la aceleración de la partícula, comenzará a crecer su impulso, y junto con él, la energía. Al principio las variaciones de la energía son pequeñas, puesto que en los triángulos bajos, la hipotenusa es casi igual al cateto horizontal. Este es el caso de los movimientos lentos, el caso de la mecánica ordinaria de Newton. Y después la energía comienza a crecer cada vez más rápido.
En el caso de grandes velocidades, casi iguales a la de la luz, el triángulo se alarga mucho: en tal triángulo, la hipotenusa es casi igual al cateto vertical, o sea, en el caso de un movimiento muy rápido, la diferencia entre el impulso y la energía (y por lo tanto, y la masa) de la partícula desaparece:
E ≈ P (cuando v ≈ 1) (3)
Desaparece, pero nunca por completo.
Figura 2. Sentido relativista del teorema de Pitágoras
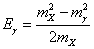
La fórmula m2 = E2 - P2 se puede utilizar para calcular su masa, conociendo la energía y el impulso de la partícula.
La masa en reposo de todas las partículas conocidas, junto con otras propiedades de estas partículas, se exponen en tablas especiales. Para saber si es la partícula, advertida en el ensayo, una formación nueva o pertenece al número de partículas ya estudiadas, hay que medir su energía E y (con independencia) el impulso P, después calcular la diferencia E2 - P2, extraer de ella la raíz cuadrada y mirar si existe tal número en la tabla. Si existe, muy bien, pero aún mejor si no existe: esto quiere decir que han descubierto una nueva partícula. Tal descubrimiento es un gran acontecimiento. Se considera que todo el surtido de partículas, que existen en la naturaleza, es la manifestación de ciertas propiedades fundamentales de ésta y por ello es importante saber si hemos visto todas las partículas o algo nos pasamos. Se hacen intentos de distribuir de distintas maneras las partículas conocidas, buscando en ellas determinado orden.
La magnitud de las masas de las partículas no varía mucho. Lo terrestre más pesado es la propia Tierra, aproximadamente es 1025 veces más pesada que una manzana. Una de las partículas elementales más pasadas es la omega-menos-hiperón con una masa 3300 veces mayor que una de las más ligeras, el electrón ordinario[4].
De la fórmula m2 = E2 - P2 se ve que la masa en reposo de cualquier partícula determina en cuánto el crecimiento del impulso de la partícula se retrasa respecto al del crecimiento de la energía. En las partículas pesadas, en el caso de energías no muy grandes, E y P se diferencian mucho; en las ligeras, casi no se diferencian. Con el crecimiento de la energía las tres características de la partícula se fusionan en una. Un protón con un impulso de 10 GeV posee una energía de 10,044 GeV y es natural, una masa también de 10,044 GeV. En este caso su masa en reposo es de 0,94 GeV, los restantes 9,104 GeV de la masa representan la masa del movimiento (pero se puede decir así: los restantes 9,104 GeV de la energía representan la energía cinética del protón).
Partículas imposibles de detener
Pero entre las partículas elementales existen también tales, cuya masa en reposo es igual a cero. Es el fotón y los dos tipos de neutrinos; el electrónico y el muónico[5]. Cuando la partícula tiene una masa en reposo igual a cero, se dice que la partícula, en realidad, no tiene masa: la partícula no tiene masa en reposo.
Veamos a qué consecuencias conduce esto. Comencemos por el fin. La relación E2 — P2 = m2 este taso se transforma en E2 — P2 = 0, lo que quiere decir que E = P. En tal partícula la energía coincide numéricamente tanto con el impulso, como con la energía cinética (pues no existe la masa en reposo) y con la masa. ¡Sí, y con la masa! La fórmulaE = M continúa brillando con toda su belleza pero la partícula sin masa en reposo, de todos modos, posee masa pero una masa de movimiento. No piense que esto es un juego de palabras, que nosotros por costumbre repetimos una noción que ya no tiene sentido. No, el fotón realmente posee masa, la que se revela como masa ordinaria; él posee inercia, se atrae según la ley de la gravitación universal hacia otros cuerpos, por ejemplo, volando cerca del Sol o de las estrellas, él gira y, al volar en la Tierra de arriba abajo, aumenta su energía como cualquier piedra. La energía del fotón es proporcional a su frecuencia; E =hv, donde h es la famosa constante de Planck, igual a 4,14 x 1024 GeV; esto quiere decir, que aumenta también la frecuencia. Y esta variación de la frecuencia se puede registrar mediante el ensayo. Mientras el fotón se mueve, posee todo, como las demás partículas, todo está en su lugar. Pero en cuanto intentáramos pararlo o solamente frenarlo o, al contrario, acelerarlo, se aclararía que con él no todo anda bien. Al fotón no se le puede frenar ni acelerar. Su velocidad siempre es igual a la unidad (al final del capítulo 3 vimos en la fórmula (5) que el impulso es igual a la energía multiplicada por la velocidad, de donde la velocidad v = P/E, pero para el fotón P = E) Él siempre se mueve con la velocidad de la luz, esto es simplemente una porción de irradiación electromagnética, una partícula de luz, que posee una energíaE y un impulso P. La velocidad de la luz, por esto comenzamos la narración en el capítulo 3, en el vacío es invariable, la tomamos igual a la unidad. En aquel caso tomamos la velocidad por la unidad, y ahora la obtuvimos igual a la unidad, debido a que m = 0. Otra vez coincide una cosa con otra, y esto es muy agradable.
Así pues, aparte de las partículas habituales, son imaginables (y se observan realmente) partículas con una masa en reposo igual a cero, las partículas imposibles de detener. Para ellas la fórmula
(4)
Pero no piense, que si los fotones y neutrinos no son capaces de pararse, frenar o adquirir velocidad, ellos no están expuestos a algunas influencias. Los fotones pueden o bien girar, o bien desaparecer, o bien surgir de nuevo, transformarse en fotones de energías menores, pero siempre de tal modo, que la magnitud de la velocidad no varía. La dirección de la velocidad puede variar y esto resulta suficiente para que en el movimiento el fotón no se distinga de entre las demás partículas. Y esto es poco, en el caso de energías súper altas, otras partículas comienzan a parecerse al fotón: su energía, como vimos en el ejemplo del protón con una energía de 10 GeV se aproxima a su impulso, la velocidad se diferencia en poco de la unidad y en este caso los aparatos dejan de distinguirlas del fotón y la una de la otra por estas características (por otras propiedades ellas pueden diferenciarse mucho).
En el capítulo 3 hemos tropezado con una noción poco común: la energía de la existencia del cuerpo m. Se decía, que cualquier cuerpo posee energía por el simple hecho de existir, de haber sido creado de algo. Ahora se aclara, que este término, energía de la existencia, no siempre es cómodo y puede inducirnos a error si lo entendemos demasiado al pie de la letra. Los fotones existen realmente (nosotros mismos, hablando con propiedad, existimos a cuenta de los fotones solares). Pero la energía de la existencia ni de éstos es igual a cero. Por eso es más cómodo, en lugar de esto, hablar de la energía en reposo.
El lector puede ofenderse: ¿valía la pena introducir una noción que no siempre tiene sentido? Valía la pena. El término vivió no mucho tiempo, pero cumplió su tarea, ayudó a depositar en nuestra conciencia la noción acerca de que, en primer lugar, para la creación de una partícula se necesita (o se necesitó en cierto tiempo) energía y, en segundo lugar, que cualquier cuerpo existente es una fuente potencial de energía, aún cuando se encuentra parado en un mismo lugar. El término «masa en reposo» aunque no despierta ilusiones nocivas, pero tampoco despierta fantasías. Mejor es no enfadarse, sino agradecer a la «energía de la existencia» por el buen servicio y permitirle tomar el retiro. El término cumplió su tarea y puede retirarse.
Una nueva noción
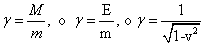
Para llenar el vacío, introduzcamos otra noción, ésta a menudo se nos presentará en el futuro. Se trata del factor relativista[6] y (también lo denominan Lorentz-factor). Él muestra en cuántas veces aumentó, para una velocidad dada, la masa de una partícula en comparación con el caso cuando ella se encontraba en reposo:
(5)
Aunque hemos determinado el factor relativista y mediante las características dinámicas de las partículas (su energía y su masa en reposo), pero en realidad, como muestra la tercera de las fórmulas escritas, y depende sólo de la velocidad del cuerpo. Por esto, mediante la magnitud y, se puede caracterizar no sólo el movimiento de la partícula, sino también el movimiento de objetivos, cuya esencia material no se especifica. Por ejemplo, muy a menudo en la física se plantea la cuestión acerca de la medición de las propiedades de un cuerpo en diferentes sistemas de referencia, móviles e inmóviles. Entonces, no tiene sentido hablar de la energía y el impulso de un sistema de referencia (sistema de coordenadas); sólo importa su velocidad. Pero junto con la velocidad del sistema se determina también y que caracteriza, al igual que la velocidad, el movimiento del sistema de referencia.
Con todo lo narrado aquí ya es suficiente para, habiendo anotado las leyes de la conservación, empezar el estudio de la propia cinemática de las transformaciones de las partículas elementales. Pero en la teoría de Einstein hay otra noción importante, la cual nos puede ser muy útil. Es el reflejo de la meditación de Einstein y de sus antecesores acerca del espacio y el tiempo; es la cuestión que trata acerca de la alteración del impulso y de la energía de un cuerpo al variar el movimiento del aparato que las mide; es la llamada transformación de Lorentz.
Una pregunta muy importante
He aquí que estamos mirando un cuerpo que se mueve con rapidez y de cierta manera medimos su impulso y su energía. Preguntémonos: ¿y si nosotros comenzáramos a desplazarnos tras el cuerpo, persiguiéndolo, variarían la energía y el impulso, que medimos? O si alguien nos advirtiera que no estamos parados, sino que nos desplazamos en el mismo sentido en que pasó, como una bala, el cuerpo que medimos, pero no hemos advertido esto, sin embargo, él, el observador objetivo, lo advirtió, se detuvo, midió la energía de ese mismo cuerpo y obtuvo un número totalmente distinto, ¿le creeríamos a él?
Por lo visto, sí, habría que creerle. ¿En qué es mejor la energía que la velocidad? Y la velocidad, sin ninguna duda, será distinta si el aparato que mide la velocidad se mueve de distinta manera. La energía de la partícula está ligada a su velocidad, y sin esto está claro que la partícula actúa sobre el aparato que mide su energía de distinto modo en dependencia de si este aparato se encuentra en reposo respecto a ella o se mueve y si este movimiento es lento o rápido. Y si actúa de distinto modo, las indicaciones del aparato serán diferentes. Cuando señalamos cuál es la energía de una partícula estamos obligados a precisar al principio, cómo, con qué velocidad y hacia dónde se movía el aparato, que descubrió esta energía en la partícula.

Figura 3. Transformación elemental de Lorentz. a) La partícula A, según el observador O, tiene un impulso P; el observador O, en opinión del observadorO', se desplaza con velocidad v, en el mismo sentido de la partícula. La partícula A, desde el punto de vista del observador O', posee el impulso P
Las transformaciones de Lorentz
Designemos los valores nuevos de la energía y del impulso de una partícula con E’ y P’ y el movimiento del sistema de referencia anterior respecto al nuevo lo caracterizaremos mediante la velocidad v y el factor γ = 1/√(1-v2). Resulta que E’ y P' se expresan linealmente mediante E y P, o sea, representan la suma de la energía y del impulso, anteriores, multiplicados por ciertos coeficientes:
E' = γE + γvP
P' = γP + γvE (6)

Figura 4. Transformación de Lorentz. A diferencia de la figura anterior, el observador O, según el observador O', se desplaza rápidamente con lavelocidad v, en el sentido contrario
E' = γE - γvP
P' = γP - γvE (7)

Figura 5. Caso general de la transformación de Lorentz. La dirección del desplazamiento del observador O y la de la partícula A, forman, visto por elobservador O', un ángulo υ; a la derecha puede verse el impulso P' de la partícula A, según el observador O.
Movimiento oblicuo
En este caso la regla también es sencilla. Hay que representar el impulso P en forma de un vector—flecha, que indique la dirección del movimiento de la partícula, y cuya longitud sea condicionalmente igual a la magnitud del impulso. Por ejemplo, si el impulso es de 5 GeV, entonces, tomado 1 cm igual a 1 GeV, dibujaremos una flecha de 5 cm de longitud. Cuanto mayor es el impulso, tanto (según la escala dada) más largo será el vector.

Figura 6. Transformación de Lorentz (primera fase)
Después, en el mismo dibujo, representamos por medio de otra flecha nuestra propia dirección y nuestra velocidad. Puesto que la velocidad y el impulso son magnitudes diferentes, la escala de la velocidad se puede tomar cualquiera. Ahora proyectemos el vector del impulso sobre el vector de velocidad: del final de la flecha del impulso tracemos una perpendicular sobre la flecha de la velocidad (o sobre su continuación) y otra, sobre la dirección, perpendicular a la velocidad (figura 6). Obtendremos dos nuevos vectores. Los denominan: componente longitudinal del impulso (se designa por P|| y es igual a P cos υ) y componente transversal (se designa por PĿ y es igual a P sen υ). Por lo tanto, resulta que la regla anterior (6) se refiere sólo a las componentes longitudinales del impulso (en ese caso el impulso P estaba dirigido según v y simplemente coincidía con su componente longitudinal), o sea, la regla de transformación de la componente longitudinal P|| y de la energíaE es la siguiente:E' = γE + γvP||
P'||= γP|| + γvE (8)

Figura 7. Transformación de Lorentz (segunda fase). El observador O, en este caso la componente transversal de un impulso cualquiera no cambia,mientras que la componente longitudinal varía según una fórmula de dos términos; al observador O' le queda solo reunir el impulso de las dos partes.
Así, el aspecto general de las transformaciones de Lorentz es el siguiente[7]:
E' = γE + γvP||
P'||= γP|| + γvE
P'Ŀ = PĿ (9)
Otra vez la fórmula más importante
No, esperen, no es todo. Entre la energía y el impulso anteriores de una partícula existía una unión rígida E2 - P2 = m2, la diferencia de sus cuadrados nos daba el cuadrado de la masa en reposo. Y ahora, en el nuevo sistema de referencia ¿se mantendrá esta igualdad?. Sería muy mal si desapareciera, pues quedaría claro que existe cierto sistema, el mejor, en el cual como resultado de la resta queda m2 y otros, los peores, donde como resultado no se obtiene m2, sino algo distinto. Pero Einstein señalaba que entre los sistemas de referencia reina la libertad y la igualdad; no hay preferencias de unos ante otros. Más preciso, él decía (basándose en la experiencia de los físicos) que en cualquier sistema de referencia, que se mueven uno respecto al otro de forma rectilínea y uniforme, todas las leyes de la naturaleza tienen el mismo aspecto. En particular, también la ley acerca que para una partícula en movimiento la diferencia no cambia y en todo momento es igual a m2 debe mantenerse estrictamente en cualquier lugar. Verifiquemos esto.
Es necesario calcular la diferencia E'2 - P'2. Según el teorema de Pitágoras (véase la figura 7)P'2 = P'2|| + PĿ'2. Sustituimos en lugar de E', P'|| y PĿ'sus expresiones (9) y comenzamos a calcular:

![]()
![]()
Así, hemos demostrado, que (vea el principio de los cálculos)
E'2 - P'2 = E2 - P2 (10)
Pero la última diferencia ya la conocemos: la encontramos al principio del capítulo y nos convencimos que es igual a m2, o sea,E'2 - P'2 = m2
Un resultado significativo. La diferencia de los cuadrados de la energía y el impulso de una partícula, por lo tanto, es una invariante, o sea, queda invariable no sólo en el caso de la aceleración de la partícula, sino también al variar el movimiento de los aparatos que miden la energía y el impulso, al variar el movimiento del observador. Diferentes observadores, habiendo pasado a gran velocidad junto a la partícula y hablando acerca de su energía o impulso, no coincidirán en sus opiniones: cada uno tendrá sus números, y éstos estarán unidos de dos en dos según las fórmulas (9). Pero todas las discusiones cesarán, en cuanto se les haga a los observadores la siguiente pregunta: ¿a qué es igual la diferencia de los cuadrados de la energía y el impulso de la partícula? Todos obtendrán una misma cosa: m2. ¿Está bien, verdad?Dominando las transformaciones de Lorentz, se puede resolver gran cantidad de problemas interesantes. Una parte de ellos será resuelta en los siguientes párrafos. Mientras tanto resuelva Ud. mismo dos fáciles problemas.
1. Es evidente que, aumentando nuestra velocidad desde cero hasta la velocidad de la partícula, veremos a ésta pararse, su impulso se hará igual a cero, y la energía, igual a la masa en reposo. Intente obtener esto a partir de las transformaciones de Lorentz. Vuestro propio movimiento a la velocidad de la partícula tómelo por el movimiento de un nuevo sistema de referencia. Entonces vuestro anterior estado inmóvil parecerá un movimiento hacia atrás con una velocidad, igual a la velocidad de la partícula. Pero la velocidad de la partícula es igual a la relación entre su impulso y la energía (esta fórmula también se expuso más arriba). Así pues, sustituya en las transformaciones de Lorentz v por el quebrado P/E. calcule γ y los nuevos energía e impulso. Al realizar el cálculo no olvide a qué es igual la combinación invariante E2 - P2.
2. Las transformaciones de Lorentz vinculan la energía y el impulso de la partícula en el nuevo sistema de referencia (E’, P’) y en el anterior (E, P). Se considera, que la velocidad del sistema anterior respecto al nuevo es igual a v. Las fórmulas expresanE’, P’ mediante E, P, las magnitudes E, P se consideran conocidas, y E’, P’ incógnitas.
Y ahora imagínese, que E’ y P' son conocidas, y E, P, incógnitas. Para las dos incógnitas obtendremos dos ecuaciones. Intente resolverlas y expresar E, P por medio de E’, P'. Convénzase, que nuevamente se obtendrán las fórmulas de las transformaciones de Lorentz, pero en ellas, en todas parles, en lugar de v tendremos -v. ¿Por qué resultó así? ¿Se podía prever con anticipación el resultado?
Capítulo 5
Conservación de la energía y del impulso
La prohibición como principio rector
Ya se habló acerca de que las leyes que regulan estos procesos, son muy confusas y no es fácil explicarlas. En todo caso, no es posible imaginarse las partículas como sacos de guisantes o como matrioshkas[9], los cuales bajo golpes (en el caso de dispersión) o por vejez (en el caso de desintegración) se deshacen y de ellos se derrama su contenido (los guisantes o las matrioshkas menores). Es mejor presentar esto de tal manera, como si en la sociedad de las partículas elementales reina un régimen policíaco y todas las relaciones entre sus ciudadanos, todas las modificaciones en la sociedad se regulan mediante una serie de prohibiciones. Los ciudadanos son muy conscientes y cumplen con rigurosidad todas las prohibiciones. Antes de realizar cualquier transformación, ellos aclaran si existe alguna ley, que la prohíba. Si existe, la conversación se da por terminada: la transformación no se lleva a cabo: si no existe, la transformación puede tener lugar.
Digamos, la desintegración del mesón pesado Κ0 neutro, con una masa de 0,498 GeV, en un mesón π+ positivo (con una masa de 0,140 GeV) y un mesón π0 neutro (con una masa de 0,135 GeV) no puede acontecer, puesto que la carga eléctrica sumaria de π+ y π 0 es positiva; el mesón inicial era neutro, y además existe una ley que prohíbe con rigurosidad cambiar la carga sumaria durante la desintegración. Por lo tanto la desintegración Κ0 → π+ + π0 es imposible. Sin embargo, la desintegración Κ0 → π+ + π- no está prohibida por esta ley, puesto que uno de los mesones π tiene la carga positiva, el otro negativa y en su conjunto el par π+, π- resulta neutro. No se prohíbe por esta ley la desintegración de Κ0 en mesón Κ+ y mesón Κ- (sus masas son algo menores que la del mesón Κ0), o sea, la desintegración Κ0 → Κ+ + Κ-; tampoco se prohíben las desintegraciones Κ0 → π+ + π- + π0; Κ0 → Κ+ + Κ- + π-; y otras muchas. Cuáles de ellas tendrá lugar depende de si no se infringen con estas desintegraciones otras prohibiciones. Resulta, por ejemplo, que las desintegraciones Κ0 → Κ+ + Κ- y Κ0 → Κ+ + Κ- + π- están prohibidas por la siguiente ley: la masa sumaria en reposo de las partículas, surgidas de la desintegración, no deberá superar la masa en reposo de la partícula primitiva, pues esto se desprende directamente de la ley de conservación de la energía.
En cuanto a las desintegraciones Κ0 → π+ + π- y Κ0 → π+ + π- + π 0 no infringen ningunas de las leyes que actúan en este mundo. En realidad, a veces acontece la primera desintegración, a veces la segunda. Cuál de ellas precisamente tendrá lugar en cada caso aislado no puede predecirse con anticipación y exactitud.
No hay fuerza mayor que la fuerza de la prohibición
Reflexione, lector, otra vez sobre la naturaleza de lo que se ha dicho. Se afirma, que el principio esencial, que regula las costumbres del micromundo, es el siguiente: todo, lo que no está prohibido, se permite. Esto no es un truismo, no es un juego vacío de palabras. Es que pudo haber sucedido de tal manera, que el proceso A, no prohibido por ninguna ley general, de todos modos no se observa sencillamente, porque es el proceso A.
En el micromundo, sí existe una ley, es para todos. Es fácil comprender que esto es precisamente el indicio de una verdadera ciencia, la ausencia de excepciones, hechos que se encuentran aislados, concesiones a las circunstancias, a las simpatías y antipatías incontrolables, etc., Mientras que los físicos, deseando presentar los procesos que tienen lugar en tal o cual caso, se ven obligados a examinar, revisar todas las posibilidades, no prohibidas por leyes conocidas. Otra cosa es, que la mayor parte de ellas son poco probables. Poco probable, pero no prohibida, y cualquier día, armados de paciencia, podremos ver cómo ella se realiza. La competencia de un físico consiste, en particular, en que dé los posibles procesos él, en primer lugar, escoja los más probables.
De la gran cantidad de prohibiciones, aceptadas en el micromundo, nos interesará sobre todo una. Seguramente usted se da cuenta cuál es: es la ley de conservación de la energía y del impulso. Se formula así: en todos los procesos de colisión (y desintegración) la energía inicial de las partículas, que chocaron (de la partícula que se desintegró) es igual a la energía sumaria final de las partículas surgidas. Lo mismo se refiere también al impulso .
En dicha forma esta ley parece no prohibir, sino sencillamente constatar el hecho. Pero que esto no le haga a usted inducir en el error. Acaso ¿no existen leyes, al parecer inofensivas, las cuales automáticamente se transforman en prohibiciones a causa de la imposibilidad de incumplirlas? Así sucede en este caso. Como hecho experimental, es una ley como otra cualquiera. Pero si usted, basándose en ella, pretende hacer ciertos pronósticos teóricos, ella inmediatamente enseña los dientes.
Es imposible que después del proceso de colisión (o desintegración) la energía sumaria final de las partículas, que quedaron, no resulte igual a la energía inicial de las partículas que chocaron (o de la partícula que se desintegró). Lo mismo se refiere también al impulso.
En dicha forma esta ley inmediatamente se transforma en un instrumento de investigación, prohibiendo unos procesos, abriendo las puertas a otros, pronosticando la aparición de partículas invisibles en unos terceros. Es más, no vamos a contraponer una formulación a la otra. A veces es suficiente, por decirlo así, una formulación positiva.
Nos espera trabajar con la ley de conservación de la energía y el impulso. Escribámosla mediante fórmulas, una para la desintegración de una, otra para la colisión de dos partículas. Se pudiera, lógicamente, pasar sin las fórmulas: tan sencillas son estas leyes, pero la matemática en cierto modo organiza el curso del pensamiento, y esto no se debe menospreciar.
La desintegración
Imagínese, que cierta partícula O, que posee la energía E0 y el impulso P0, se desintegró en varias partículas, por ejemplo en tres. Así mismo las numeraremos: 1, 2. 3; sus energías las designaremos E1, E2, E3, y los impulsos, P1, P2, P3: entonces la conservación de la energía se puede expresar mediante la igualdad
E1 + E2 + E3 = E0 (1)
y la conservación del impulso mediante otra igualdad,P1 + P2 + P3 = P0 (2)
«Pero, espere, dirá usted, aquí algo no es así. El impulso perdió su esencial rasgo, la dirección. El impulso es proporcional a la velocidad de la partícula, pero decir algo de su velocidad, sin mencionar la dirección, significa no decir nada. Está claro que P0 = P1 + P2 + P3 sólo en el caso cuando las partículas 1, 2 y 3 tengan la misma dirección que la partícula O. Bueno, ¿y si esto no es así? ¿Si, por ejemplo, la partícula 3 se movía al encuentro de las dos primeras? Entonces P0 = P1 + P2 - P3. Pero ¿qué hacer si la primera partícula se dirige hacia la derecha, la segunda hacia arriba y la tercera hacia la izquierda? ¿Otra vez escribir una nueva fórmula?»Simplemente nos hemos olvidado que el impulso es un vector, o sea, una magnitud, que se caracteriza por su dirección que se puede y se debe dibujar en forma de una flechita. Para no escribir cada vez una fórmula nueva, recordemos la regla de adición de vectores: aplicamos el origen de un vector al extremo de otro (en este caso el traslado del vector a su nueva posición debe realizarse con cuidado, sin cambiar su orientación) y trazamos una nueva flecha con su origen en el origen de la primera y con el extremo en el extremo de la segunda. De esta manera no será necesario cambiar en la fórmula, el signo más por el signo menos cada vez que los vectores giren a distintos lados. La sustracción se obtendrá de por si sola (figura 8).

Figura 8. Adición de vectores. El vector P es la suma de los vectores P1, P2 y P3
Esto quiere decir que si en la igualdad P0 = P1 + P2 + P3, la suma P1 + P2 + P3 nos la imaginamos calculada según la regla de adición de vectores, no será necesario escribir para cada grupo de P1, P2, P3 su fórmula.

Figura 9. Adición de vectores (la suma de los tres impulsos es igual a cero)
(3)
La colisión
Ahora no cuesta nada escribir las leyes de conservación para el segundo tipo importante de procesos, las colisiones. Imaginemos que, una vez impulsada en un acelerador, la partícula 1 chocó en el blanco con un protón inmóvil, la partícula 2, a causa de lo cual ambas desaparecieron. En lugar de éstas, aparecieron las partículas 3, 4, 5,..., que se disiparon cada una por su lado. La energía sumaria de las partículas 1 y 2 antes del encuentro era igual a E1 + E2 (el segundo sumando aquí, por cierto, es igual a la masa en reposo de la partícula 2); el impulso sumario era igual al impulso P1 de la partícula acelerada (en efecto el impulso de la partícula 2 era simplemente igual a cero). Las leyes de conservación de la energía y del impulso en este caso pueden escribirse así:
E3 + E4 + E5 +... = E1 + E2 (4)
(5)
(6)
Ahora es cuando tenemos un instrumento, con ayuda del cual pueden aclararse muchas cosas, de hecho todas con las que aún nos encontraremos en este libro. Hay que resolver estas ecuaciones en cada caso aislado y eso es todo. Pero tal salida sería demasiado sencilla. La física no sería la física, si sólo resolviese ecuaciones sin tratar de aclarar qué se encuentra tras ellas. Uno de los méritos de la física teórica consiste en que ella nos otorga la posibilidad de resolver las ecuaciones, sin resolverlas, o sea, ver la solución del problema al instante, sin utilizar cálculos complicados. Uno de los creadores de la mecánica cuántica, P. Dirac, dice sin rodeos: « Yo considero que he comprendido el sentido de la ecuación si puedo imaginarme las características de su solución, sin resolverla directamente». Nos convenceremos que aunque tengamos el sistema (4) - (6) en la cabeza, habrá que resolverlo una sola vez y además en la forma más sencilla de todas. Y el resto del tiempo trataremos de escribir una respuesta inmediata, transformando las ecuaciones de tal modo que cada transformación tenga sentido físico.
Nuevamente la desintegración
Comencemos por afirmar que las leyes de la conservación pueden escribirse de una manera más sencilla. Ellas están escritas en nuestro sistema inmóvil de referencia. Parados observamos cómo la partícula se desintegra, registramos su impulso, luego los impulsos de las partículas surgidas, calculamos las energías, sumamos todo y obtenemos la igualdad. Pero con razón se puede preguntar: ¿qué tenemos que ver nosotros aquí? ¿Cómo sería esta desintegración desde el punto de vista de esta misma partícula? ¿O, si se desea, vista por un observador que se desplaza junto a la partícula?
Responder a esta pregunta no es difícil. La partícula para él estaría en reposo, la energía seria igual a la masa en reposo y el impulso sería igual a cero. Midiendo la energía y el impulso de las partículas, surgidas de la desintegración, puede escribirse:
E'1 + E'2 +... = m0 (7)
(8)
¿Cuáles fórmulas son las exactas? ¿Las fórmulas (7) y (8) o las anteriores (1) y (3)? La respuesta es la siguiente: son correctos ambos sistemas de ecuaciones. Un sistema es más sencillo, el otro es más complejo, pero ambos son exactos. Uno está escrito en el sistema de referencia que se mueve junto con la partícula, el otro, en un sistema en reposo. Pueden escribirse también en cualquier otro sistema de referencia: digamos, en un sistema, que se mueve junto con una de las partículas surgidas o cualquier otro. Ellos se diferencian sólo por la comodidad de la escritura, pero la comodidad es una noción subjetiva; a uno le es más cómodo trabajar sentado a la mesa, pero a otro, puede ser, le es más cómodo trabajar volando, compitiendo con un mesón. Pero con objetividad todos los sistemas de referencia tienen el mismo valor puesto que existen fórmulas (las transformaciones de Lorentz) que permiten convertir E y E’ de un sistema a cualquier otro, siempre que se sepa cómo se mueven estos sistemas unos respecto a otros.
Con mayor frecuencia los físicos eligen dos sistemas de referencia:
- El sistema de laboratorio, cuando todas las energías, los impulsos, las direcciones de las partículas se toman tal como fueron registrados en la cámara, en la película fotográfica, o sea, en un aparato que se encuentra en reposo en el laboratorio;
- El sistema que se mueve junto con la partícula que se desintegra; es cómodo por el hecho que en él son fáciles de imaginar las regularidades de la desintegración, ya que la propia partícula en este caso se encuentra en reposo; este sistema de referencia suele denominarse condicionalmente «sistema de reposo»
Empezamos a razonar
Hemos escrito las leyes de la conservación. Para empezar veamos cómo deducir de ellas la mencionada prohibición sobre las masas.
No es posible que la masa sumaria en reposo de las partículas 1, 2,... supere la masa en reposo de lo partícula O:
m1 + m2 +.... £ mO(9)
Supongamos que esto no es así e imaginémonos que observamos la desintegración en un sistema de reposo. Advertimos que la partícula O se desintegró en partículas con tales masas quem1 + m2 +.... > mO
¿Puede suceder esto? No, puesto que la energía de una partícula siempre es mayor que la masa en reposo (la hipotenusa es mayor que el cateto, figura 1) o, en el peor de los casos, es igual a ella. Por lo tanto, con más razón aúnE1 + E2 +... > mO,
Se alteró la ley de conservación de la energía. Así pues, para una exitosa desintegración es necesario quem1 + m2 +.... ≤ mO
¿Pero es suficiente esta condición? ¿Puede que incluso observando esta condición (también en el caso de ausencia de cualquier otra prohibición) la desintegración no siempre sea posible? Resulta que no: esta condición es suficiente, pero la demostración la aplazaremos hasta los últimos capítulos.Aquí es donde puede oírse la voz de algún lector descontento «¿Para qué hemos pasado entonces al sistema de reposo para realizar la demostración? Mejor seria permanecer en nuestro habitual sistema de referencia, el de laboratorio, y allí el truco quedaría sin éxito. Repitiendo nuestros razonamientos en el sistema de laboratorio, demostraríamos que está prohibida la desigualdad m1 + m2 +.... > EO, pero la desigualdad m1 + m2 +.... > mO no podríamos prohibirla. La condición imprescindible de la desintegración tomaría el aspecto
m1 + m2 +.... ≤ EO (10)
y nada impedirla a las partículas 1, 2, etc., acumular tales energías que la ley E1 + E2 +... ≤ mO se cumpla con exactitud».Hemos elegido el sistema de reposo de la partícula O porque la condición (9), deducida en él, es más fuerte que la obtenida en el sistema de laboratorio. ¿Para qué negarse de una restricción más precisa? En el sistema de referencia de laboratorio, para obtener la condición (9), se requieren cálculos adicionales, es necesario considerar la exigencia de conservación del impulso durante la desintegración, mientras que en el sistema de reposo hemos pasado sin ello. En otras palabras, la condición (9) es necesaria y suficiente (aunque esto último no lo hemos demostrado), mientras que la condición (10) es sólo necesaria, pero no suficiente (esto último está claro debido a que ella no coincide con la condición (9))
Si usted se ha enredado con la expresión «necesaria» y «suficiente», he aquí una razón que no influye sobre el sentido común sino sobre la imaginación. Imagínese que en el sistema de laboratorio tiene lugar sólo la condición (10) y de acuerdo con ella surgieron varias partículas con una masa sumaria mayor que mO (aunque también menor que EO) ¿Quiere decir esto que en el sistema de reposo una parte de ellas desaparecerá para poder mantener la condición (9)?
«Las orejas no crecen por encima de la frente»
Vamos a considerar que usted ha sido convencido y pasemos a las consecuencias de la prohibición
m1 + m2 +.... ≤ mO
Así pues, a una partícula ligera le está prohibido desintegrarse en parricidas pesadas, cualquiera que sea su movimiento. Digamos, un mesón K° (cuya masa es 0,498 (GeV) puede desintegrarse en π+ y π-, puesto que la masa sumaria de dos mesones a es 0,280 GeV (cada uno tiene 0,140); puede desintegrarse igualmente en tres mesones π, (π+, π-, π0) debido a que su masa total en reposo es 0,415 GeV (la masa de π0 es igual a 0.135 GeV). Pero la desintegración en π+, π-, π0 y π0,nadie la vio ni la verá: la masa sumaria de cuatro mesones a es de 0,55 GeV, mientras que el mesón K° inicial tenía tan sólo 0,498 GeV de energía en reposo. Independientemente de la energía, hasta la cual acelerásemos el mesón K°, éste nunca se desintegraría en cuatro mesones. Lo que importa no es la energía del movimiento, sino la masa en reposo.Esto está claro y sin fórmulas. Pues ¿cómo transcurre la desintegración en reposo? La partícula (el mesón K) desaparece, la energía, oculta en su masa, se libera para otros fines y puede ser utilizada. Para que venga al mundo cada nuevo mesón π, es necesario, de la energía liberada, consumir por lo menos 0,140 (GeV en su constitución, para crear la energía necesaria para la existencia de este mesón. Cuando nacen tres partículas, en su creación se consumen 0,415 GeV de la reserva energética total de 0,498 GeV; los restantes 0,083 GeV se utilizarán para ponerlos en movimiento; cómo distribuyen entre sí esa masa, es cosa de ellos; se dispersan en distintos casos de un modo distinto, preocupándose sólo de que sus impulsos, sumados vectorialmente, den cero (véase figura 9), y las condiciones (7) y (8) serán observadas. El cuarto mesón no puede nacer, puesto que los restantes 0,083 GeV no alcanzan para ello.
Da pena, ¿verdad? A primera vista parece que si impulsamos un mesón en el acelerador hasta una energía igual a 7 a 10 GeV, de él se desprenderán protones, antiprotones, y hasta núcleos enteros. Sin embargo, al cuidado se encuentra la ley de la conservación de la energía y del impulso y ésta no permite a la humanidad desenvolverse. Pues de un plumazo el físico pasa de un sistema de referencia, donde el protón se hizo más pesado, a otro donde éste se encuentra en reposo, y resulta que la aceleración no proporcionó al protón ninguna propiedad nueva.
Salida de la situación creada
El asunto consiste en que al final del proceso de aceleración el blanco penetra en el acelerador (una fina película de aluminio o una pequeña barra de polietileno), o se lanza, transversalmente al haz de protones, un chorro de hidrógeno, y los protones a gran velocidad chocan con los protones o núcleos del blanco, por lo que en lugar de las leyes de conservación, para la desintegración, hay que escribir las fórmulas (4) y (5), es decir, las leyes de conservación de la energía y del impulso durante la colisión de dos partículas (los protones no chocan en grupos, sino de dos en dos). Nos preguntamos, ¿es verdad que en este caso tampoco se logrará obtener una partícula más pesada que el protón? veamos.
Admitamos que nacieron varias partículas. Escribimos que
E1 + E2 +... = E +m (11)
(12)
Imaginémonos, esto es un procedimiento muy corriente, que los protones, al chocar, primero formaron cierta partícula O nueva, con una energía E0 = m + E y un impulso P0 = P, de tal modo que ni de la energía, ni del impulso se perdió nada, y luego esta partícula se desintegró formando las partículas 1, 2. No hay necesidad de decir que en realidad nada de esto puede suceder. Pues las leyes de conservación que utilizamos son generales y no dependen del mecanismo concreto de transformaciones. Quiere decir esto que en cualquier mecanismo que nos imaginemos, el resultado que obtendremos no será incorrecto (desde luego, si nos interesamos sólo por las limitaciones que se deducen únicamente de las leyes de conservación).
El problema se reduce al anterior
Hemos reducido el problema acerca de la colisión al problema acerca de la desintegración de la partícula O.
Moviéndonos al lado de una partícula a punto de desintegrarse, antes nos henos aliviado fuertemente los cálculos. Hagamos esto en este caso también. Midamos la energía y el impulso de las partículas 1 y 2 en el sistema que se mueve junto con la partícula O, y escribamos la ley de conservación. La condición (12) ahora tomará el aspecto
(13)
E'1 + E'2 +... =
Hemos escrito el signo de igualdad y nos hemos detenido. ¿Qué escribir a la derecha? ¿Cuál será la energía de los dos protones juntos en el sistema de referencia, en el que reposa la partícula ficticia O? En el caso de desintegración de la partícula real O a la derecha pusimos su masa de reposo. ¿A qué es igual la masa en reposo de una partícula cuya energía es m + E y el impulso, P? Sabemos que el cuadrado de la masa en reposo es una invariante y que es igual a la diferencia de los cuadrados de la energía y el impulso. En nuestro casom02 = (m + E)2 - P2
Abrimos los paréntesis:m02 = m2 + 2mE + E2 - P2
Pero E2 - P2 es también una invariante, el cuadrado de la masa del protón que chocó, o sea, m2. Por consiguiente,m02 = 2m2 + 2mE
Por lo tanto, la ley de conservación de la energía puede escribirse en la forma
(15)
Entre la igualdad (15) y la ley de conservación de la energía durante la desintegración (7) existe una gran diferencia física. Antes se desintegraba la partícula real O con una masa m0 invariable, inherente sólo a las partículas de su clase. Ahora se desintegra la partícula condicional O, y la condicionalidad esta se expresa, en particular, en que la masa de la partícula m0 ya no es constante: ella es tanto mayor, cuanto mayor es la energía del protón acelerado E (es más, la invariabilidad en m0 respecto a la variación del movimiento del sistema de referencia se mantuvo). No se excluye, que E se convierta en una magnitud tan grande, que de la colisión puedan surgir incluso partículas pesadas. Veamos. Los protones, en el gran acelerador de Dubná, al final del ciclo de aceleración, reciben un impulso de 10 GeV. Quiere decir esto que su energía total E en el instante del golpe contra el blanco era igual a 10,044 GeV. Entonces la energía sumaria de todas las partículas nacidas es

A veces, por ejemplo, dos protones dan origen a un par de partículas semejantes a si mismas, un protón y un antiprotón. En total resultan cuatro partículas de una misma masa, a 0,940 GeV (no olvide que los dos protones iniciales como si prestaran toda su energía, incluyendo también la energía en reposo, a la partícula O y ahora como los demás exigen de la olla común 0.94 GeV cada uno para su resurrección). Para su creación se necesitan 0,94 x 4 = 3,76 GeV de energía. Quedan todavía 0,78 GeV, y este cuarteto, tres protones y un antiprotón, de cierta manera, dividirán este exceso y se disipará de inmediato, llevándoselo en forma de energía de movimiento.
En otros casos, además de los dos protones anteriores, surgen varios mesones. Calculemos cuál es la cantidad máxima de mesones que pueden surgir en este caso. Para su regeneración los protones consumirán 0,94 x 2 = 1,88 GeV de energía. Todo el resto (4,54- 1,88 = 2,66 GeV) ellos lo pueden entregar a sus descendientes. Para el nacimiento de un mesón cargado se necesita no menos de 0,14 GeV, esto quiere decir que en total pueden venir al mundo, 19 mesones. Verdad es que para el nacimiento de los mesones se consumirá toda la energía disponible, y la familia completa, 2 protones + 19 mesones) quedará inmovilizada, no dispondrá de la energía suficiente para dispersarse. Es más, hemos olvidado que todo el examen marcha en el sistema de referencia que se mueve junto con la partícula condicional O. Su velocidad respecto al acelerador es enorme:
v = 10/10,98 = 0,91
A esta misma velocidad, como un todo único, escapará del blanco nuestra familia.Resulta, que cuanto mayor sea la energía que los protones reciban en el acelerador, tanta más amplias serán sus posibilidades de dar origen a nuevas partículas, más pesadas y en mayor cantidad. (Posibilidades, pero no obligaciones. Ellas pueden no originar nada nuevo, sino simplemente disiparse). Pero si una de las partículas nacidas se desintegra luego espontáneamente, a ella no la salvará en esto ni la gran reserva de energía. Independientemente de la energía, con la que, a gran velocidad se desplace esta partícula, siempre habrá un sistema de referencia, en el cual ella se encuentre en reposo, y por lo tanto la masa total de las partículas surgidas después de su destrucción en ningún caso superará la masa de ésta.
Capítulo 6
La cinemática en el mundo de los aceleradores
A mí también me es difícil apartarme de este tema. Calculemos un poco más, para convencernos de qué es capaz un acelerador. Seguro que usted tiene una idea de su estructura. Es un canal anular (véase figura 1) situado entre los polos de un gran imán circular. En su interior se inyectan partículas cargadas eléctricamente. Bajo la acción del campo magnético éstas comienzan a describir circunferencias y bajo la acción del campo eléctrico adquieren velocidad y acumulan masa. Después en su camino se interpone un blanco, y lo que sucede más adelante usted ya lo sabe. Para empezar esto nos es suficiente.
¿De qué es capaz un acelerador?
Hemos visto que si la energía de un protón acelerado crece desde m hasta E (digamos, en un acelerador de 10 GeV, hasta 10 GeV), después del choque con el blanco, la masa total en reposo de todas las partículas que quedaron y surgieron de nuevo no puede superar la magnitud
![]()
Cuanto mayor es E, tanto más se puede esperar del acelerador. En las proximidades de Serpujov, allí donde el escudo continental se aproxima, más cerca que en otros sitios, a la superficie de la Tierra, hace tiempo funciona un acelerador, que comunica a los protones un impulso de 70 GeV [11] . Veamos, de qué es capaz este acelerador, Al final del ciclo de aceleración cada protón tendrá una masa 74 veces mayor que al principio (70 / 0,94 = 74). La magnitud m0 será igual a 11,6 GeV. Esta energía es suficiente para el nacimiento de aproximadamente siete protones y cinco antiprotones:
0,94 * (7 + 5) = 11,28.
Al igual que toda la sustancia de la Tierra, el Sol, la Galaxia está compuesta de protones y neutrones, del mismo modo no se excluye que en cierto lugar existen otras Galaxias, compuestas de antisustancia, de átomos de antihidrógeno, antideuterio, antihelio, antihierro, antiuranio, etc. Todos estos átomos de los antielementos están compuestos de antiprotones y antineutrones que forman antinúcleos, alrededor de los cuales giran los positrones (así se denominan los antielectrones).Es poco probable que alguna vez alcancemos estos extremos del Universo. Pero, en realidad, ¿qué es lo que nos molesta crear la antisustancia en nuestra Tierra? Si en el acelerador pueden surgir varios antinucleones de una vez (los protones y neutrones tienen el nombre común de nucleones, o sea, partículas del núcleo; de aquí está claro que son los antinucleones), ellos pueden unirse en antinúcleos. De un antiprotón y un antineutrón pueden obtenerse núcleos de antideuterio; de dos antiprotones y dos antineutrones se obtienen núcleos de antihelio, etc. Nada les prohíbe esto. Sabemos, además, que en la física todo lo que no está prohibido está permitido. Realmente, en el acelerador de Serpujov aparece la antisustancia: en el año 1970 fueron advertidos núcleos de antihelio-3, en 1974 se advirtieron núcleos de antitritio (anteriormente, en el año 1965, en uno de los aceleradores en EE.UU., descubrieron antideitrones). Ellos no pueden subsistir largo tiempo: chocan con los átomos de la sustancia, se producen explosiones atómicas minúsculas, que pueden ser observadas sólo mediante aparatos especiales, y todo se transforma en mesones, en radiación. Pero a los físicos les da tiempo a discernir y examinar todo esto. Así, la tabla de Mendeleiev comenzó a ampliarse del otro extremo, no del lado de los elementos transuráneos, sino que del lado de los prehidrógenos. (Si nos desplazamos desde el final de la tabla hacia el inicio de la misma, el número de bariones en los núcleos de los elementos se hace cada vez menor. En los núcleos de litio son 6; en el helio, 4; en el hidrógeno, 1. Parecería que esto es todo, que hemos llegado al límite. Pero, al igual que en el termómetro se trazan las temperaturas bajo cero, se puede convenir en trazar «el otro lado de la tabla de Mendeleiev» núcleos con -1, -4, -6, etc., barones. Estos serán núcleos con 1, 4. 6, etc., antibariones, es decir, núcleos de antihidrógeno, antihelio, antilitio...). Así comenzó a rellenarse la «antitabla» de Mendeleiev (figura 10).

Figura 10. Elementos y antielementos
De qué son capaces dos aceleradores
Otro gran acelerador funciona cerca de Ginebra (Suiza), en las proximidades de la frontera francesa. Cuando se estaba construyendo, era el más grande del mundo, de 25 GeV. Ahora ya no es el más grande. Los físicos del centro europeo de investigaciones nucleares (en abreviatura CERN; a este organismo pertenece el acelerador) no podían conformarse con esto. Así nació el proyecto de un acelerador de haces opuestos. Propusieron construir al otro lado de la frontera, junto al acelerador en funcionamiento, un canal circular mayor, llamado anillo acumulador (figura 11).

Figura 11. Esquema de reestructuración del acelerador del CERN. 1. Acelerador antiguo; 2. Lugar donde se produce el giro de partículas en órbita (anillo de almacenamiento); 3. Puntos (en total son ocho) donde se producen las colisiones.
Calculemos qué consecuencias pueden traernos estas «colisiones en la frontera franco-suiza». Otra vez, como antes, imaginémonos que en el instante de la colisión de dos protones cuyas energías son 25 GeV, al principio se forma la partícula ficticia O, que inmediatamente se desintegra. Acerca del número de partículas, que nacen como resultado de la desintegración se puede, como sabemos, juzgar a partir de la masa en reposo m0 de la partícula inicial (la masa sumaria de éstas no debe superarla). En este caso sólo tenemos que hallar m0. Escribamos las leyes de conservación en nuestro sistema de referencia, o sea, de laboratorio.
Los impulsos de los protones de las trayectorias opuestas en el instante del choque son iguales por su magnitud pero contrarios por su dirección. Entonces la suma de éstos, o sea, el impulso de la partícula ficticia O, sería igual a cero. Esto quiere decir que la partícula O se encuentra en reposo. Pues bien, su energía es su masa en reposo. ¿A qué es igual esta masa? A la suma de las energías de los dos protones que chocaron. Si son iguales sus impulsos, son también iguales las energías. Así, la masa de la partícula ficticia simplemente es dos veces mayor que la energía nominal del acelerador:
m0 = 50 GeV.
Ésta es una energía muy grande, que alcanzaría incluso para la creación de antioxígeno. En un acelerador de 70 GeV se crea una reserva de energía de 11.6 GeV, mientras que en el caso de dos haces opuestos, de 25 GeV, se crea una reserva de 50 GeV. ¿A qué acelerador ordinario corresponde tal «acelerador con suplemento»? Si la energía de uno ordinario es igual a x, la reserva creada por él de energía que se consume, como sabemos, es![]()
Igualando 2E a m0, hallamos que
2m2 + 2mx = 4E2
2mx = 4E2 - 2m2
x = 2E2/m - m
x = 2E2/m
Si E = 25 GeV, x = 2 ∙ 625 / 0,94 = 1330 GeV. Un acelerador de 25 GeV con suplemento es equivalente por sus posibilidades a un acelerador ordinario de 1330 GeV. Todos estos milagros se consiguen debido a que 1330 GeV es la energía que pasa con rapidez ante nosotros, mientras que la creación de dos haces opuestos nos permite obtener de una vez 50 GeV de energía, que puede consumirse íntegramente en la creación de nuevas partículas.Ahora el proyecto del CERN ya se ha realizado, los haces opuestos de protones, de 30 GeV cada uno, nos contaron muchas cosas interesantes acerca de las colisiones en la región de los 1500 GeV.
En Siberia
Observemos otra vea la fórmula x = 2E2/m. Está claro que cuanto menor sea la masa de las partículas que chocan, tanto mayor será la ganancia en energía. Por esto en distintos países se han construido aceleradores con haces opuestos electrón + electrón y electrón + positrón. Relataré aquí acerca de uno de estos aceleradores, el de Novosibirsk (figura 12).

Figura 12. Aspecto del acelerador de haces opuestos de Novosibirsk
x = 2 ∙ (0,132/0,00051) ≈ 68 GeV
Esto sería una obra enorme.En otro acelerador construido en Novosibirsk en el acumulador (figura 13), los electrones, con una energía de 0,7 GeV, chocan con positrones de energía igual que se desplazan en dirección opuesta. Un acelerador equivalente de tipo ordinario debería comunicar a los electrones 2000 GeV de energía [12] .

Figura 13. Esquema del acelerador
Capítulo 7
Cómo se descubren las partículas

Figura 14. Nacimiento de un par de partículas extrañas. Los tres rayos que salen del punto 1. es la llamada estrella; más abajo se ven tres tenedores, que apuntan a la estrella (es una fotografía moderna y no de los tiempos acerca de los cuales se habla en el texto)
Ejemplo primero: partículas inestables.
Al final de los años cuarenta y principio de los cincuenta del presente siglo los físicos que fijaban, en la cámara de Wilson las huellas de las partículas llegadas del cosmos a la Tierra, con mayor frecuencia empezaron a observar un fenómeno interesante (figura 14). Entre la gran cantidad de estrellas, es decir las huellas de partículas surgidas del choque de un protón rápido con un núcleo atómico a veces en las fotografías se veía un par de huellas que partía de un mismo punto y parecía planear en el vacío. Los físicos denominaron este fenómeno con el nombre de «tenedor». Si miramos al tenedor, da la impresión que en cierto lugar vacío de la nada surgió repentinamente un par de partículas cargadas que salieron volando en direcciones opuestas. Probablemente se desintegró una partícula neutral invisible. ¿De dónde apareció ésta? Se observó la siguiente particularidad: muy a menudo los tenedores surgían en las proximidades de las estrellas. Se imponía la idea: en la estrella junto con muchas partículas cargadas nacen también partículas neutrales invisibles, pero, por fortuna, ellas son inestables y después de cierto tiempo se desintegran en dos partículas cargadas: una con carga positiva, la otra, con negativa; ellas precisamente son las que forman el tenedor. Puede ser que de la desintegración surgen también partículas neutrales nuevas, pero no las vemos.
¿Cómo convencerse de la justeza de esta idea? Se necesitaban observaciones adicionales. Era necesario, en primer lugar, conocer qué partículas forman los trazos del tenedor. Resultó que a veces los trazos son las huellas de los mesones π+ y π-, en otros casos una huella pertenece a un protón mientras que el otro trazo del tenedor pertenece a un mesón π-. Así que, la partícula neutral, cuya existencia se sospechaba, se desintegraba siguiendo el esquema
V0→ π+ + π-
o siguiendo el esquemaV0→ p + π-
(la designaron con la letra V que hace recordar que esto es un tenedor). Pero si esto en realidad es la desintegración de cierta partícula, se puede poner en marcha el aparato de las invariantes de Einstein. ¿Recuerda Ud. qué significa esto? Como quiera que se mueva la partícula y a dondequiera que nos movamos nosotros, la diferencia de los cuadrados de la energía y el impulso de esta partícula permanecerá invariablemente igual al cuadrado de su masa. ¿Pero cómo averiguar la energía y el impulso de una partícula invisible? Este es el momento en que podemos aprovechar las leyes de la conservación.Para cada tenedor se determinaban: la energía E, el impulso P y la masa m de la partícula que provocó la huella. Cuando en la película fotográfica se encuentra fijada la huella de una partícula, podemos decir que cuanto más encorvada esté por el campo magnético, tanto menor es su impulso; cuanto más tiempo tarda ella en parar, tanto mayor es la energía que posee. Por consiguiente, por la longitud y la curvatura de la huella puede determinarse la energía, la masa en reposo y el impulso de la partícula fotografiada.
La energía de una partícula invisible se obtenía sumando las energías de las dos partículas visibles. El impulso de la partícula invisible se obtenía sumando los impulsos de ambas partículas visibles. Pero aquí había un detalle, ya conocido por nosotros: tanto las energías como los impulsos se sumaban entre si como vectores (figura 15); la suma de dos vectores depende no sólo de su magnitud, sino también del ángulo entre ellos, y el ángulo aquí es conocido, es igual al ángulo entre los trazos del tenedor.

Figura 15. Adición de vectores
(1)
¿Qué conclusión se deducía de esto? Fue demostrada la existencia no de una, sino de dos partículas neutrales Λ0 y Κ0 (lambda-cero y ka-cero). Una, pesada (la designaron con Λ0, girando el tenedor), se desintegra así:
Λ0→ p + π-
la otra más ligera, se desintegra siguiendo el esquemaΚ0→ π+ + π-
¿Qué sucedería, si no se obtuvieran los mismos valores de Mv? Esto muestra que una parte de la energía y el impulso V° es llevada por partículas invisibles nuevas. Por fortuna, no sucedió así.Ahora las partículas Λ0 y Κ0 son las más ordinarias y son los ejemplares, que con mayor frecuencia se ven, de las partículas llamadas extrañas. No son estables, o sea, al poco tiempo de surgir se desintegran espontáneamente. Por la distancia desde la estrella hasta el punto de la desintegración se puede saber el recorrido de Λ0 y Κ0; sabiendo su velocidad (v = P/E), averiguan también el tiempo de vida; la Λ0 vive, por término medio, cerca de 10-10 s (recorriendo durante este tiempo varios centímetros), los mesones Κ 0 viven aproximadamente otro tanto. Los mesones son uno de los cuerpos más interesantes en la naturaleza.
Aunque los mesones Λ0 y Κ0 hace tiempo que fueron descubiertos y aceptados en la familia de partículas elementales, aunque en distintos experimentos ante los físicos pasan decenas de miles de estas partículas, pero igual que antes cada partícula Λ0 o Κ0 se reconoce por medio de la cinemática. Pero ahora en ayuda acude la máquina computadora electrónica (el hombre ya no es capaz de realizar tal volumen de cálculo). Aparatos automáticos especiales miden la longitud, la curvatura y otras características de las huellas y calculan, basándose en estas mediciones, el impulso, la masa y la energía de la partícula Λ0. Lo mismo hace también con el supuesto mesón Κ0. Además, estos aparatos buscan la estrella más cercana al tenedor y miden las coordenadas del tenedor y de la estrella. Todos estos datos se transmiten (a veces directamente por medio de un cable) a la máquina computadora. ¿Qué verifica ella? En primer lugar ella, mediante la fórmula (1), se convence que lo que se obtiene es la masa de la partícula Λ0. Pero esto es poco. Ella calcula la dirección del vector P1 + P2 y la compara con la dirección del trazo entre la estrella y el tenedor, ya que según la ley de conservación del impulso estas direcciones deben coincidir. Sólo cuando todas las verificaciones coinciden, el tenedor puede considerarse como la huella de la desintegración de la partícula Λ0, desprendida de la estrella.
¿Bueno y luego qué? ¿Para qué hace falta todo esto?
Después es cuando comienza lo más interesante. Estudian las leyes del nacimiento de las partículas Λ0 y Κ0, tratan de adivinar las fuerzas que actúan sobre ellas en el instante de su venida al mundo; sobre todo con especial esmero investigan el mesón Κ0. Dentro de la familia de las partículas elementales los mesones Κ se mantienen, en cierto modo, aislados, poseen muchas extrañas singulares propiedades. En 1956 la determinación de una de ellas provocó una verdadera revolución en la ciencia... Ahora los mesones comenzaron otra revolución en la física y quizás más profunda que la anterior[14].
Ejemplo segundo: hiperones en cascada.
Los primeros hiperones Λ0 fueron descubiertos en el año 1950, pero los científicos durante largo tiempo siguieron descubriendo en su familia parientes, antes desconocidos. En el año 1964 apareció el hiperón Ω-.
La estrella de la pantalla
Medio año antes del descubrimiento, la existencia de la partícula Ω- fue predicha por el joven y prometedor físico soviético Tim Suvernev. Sobre él fue realizada la película «Calle Newton Nº 1», hoy día ya olvidada. Los espectadores podían ver, cómo el héroe, durante un concierto en el conservatorio, febrilmente escribía a vuela pluma en un bloc de notas la reacción, que le vino a la mente, Κ + p → Ω- + Κ+ + Κ0. La hoja del bloc de notas se mostraba a toda pantalla. Al poco tiempo de salir la película a las pantallas, en EE.UU. se realizaron ensayos para descubrir esta reacción. Todo se confirmó con exactitud: el procedimiento de nacimiento de la partícula, el de la desintegración, la masa pronosticada de antemano, e incluso el nombre de la partícula nueva, omega-menos.
Examinemos la fotografía en la cual por primera vez fue visto el hiperón omega-menos (figura 16).

Figura 16. Nacimiento y desintegración del hiperón Ω-
Esta fotografía fue obtenida el 31 de enero del año 1964 en Brookhaven, donde actúa un gran acelerador. Fue necesario examinar 50.000 fotografías de transformaciones que tuvieron lugar en una cámara de burbujas llena de hidrógeno líquido, antes de tropezar con la que aquí se expone. Por falta de costumbre es difícil orientarse en la telaraña de líneas, pero esto se debe sólo a que Ud. no ha visto las 49.999 fotografías anteriores: pero si Ud. tuviera la ocasión de examinarlas todas, inmediatamente vería lo que advirtieron los 33 físicos norteamericanos, que realizaron el ensayo* [15]. Ud vería una partícula nueva, no vista anteriormente.
El esquema de la desintegración
A la derecha, en la figura 16, se ha deslavado lo que en esta fotografía se considera esencial. Las líneas continuas representan lo que se ve también en la fotografía; las líneas discontinuas representan lo que se imaginaban. Vea: la línea 1 es la huella del mesón Κ- que salió del acelerador con un impulso de 5 Gev; en el punto A él chocó con un protón, el núcleo de hidrógeno (éste no se ve); tuvo lugar la transformación del par K- , p en las partículas Ω-, Κ- y Κ0. La partícula Κ0 salió desapercibida, sin desintegrarse, fuera de los limites de la fotografía; la huella de la partícula Κ+ ha sido marcada con la cifra 2, ella tuerce a la izquierda, puesto que la cámara se hallaba situada en un campo magnético muy fuerte, el cual hacia doblar a la izquierda todas las partículas con carga positiva y a la derecha, las partículas con carga negativa. La corta huella 3 es la huella del hiperón Ω- buscado. En el punto B él se desintegró en π- (la huella 4) y el hiperón Ξ0 (xi-cero) invisible. Aquél, habiendo recorrido algo más que el propio hiperónΩ- a su vez (en el punto C) se desintegró en dos partículas π0 y Λ0, nuevamente invisibles. El hiperón Λ 0 recorrió un camino relativamente largo, antes de desintegrarse (en el punto D) en un protón (la huella 6) y el mesón π- (la huella 5). En lo que se refiere al mesón π0, él vive, por regla general, no más de 10-16 s y durante este tiempo no logra, en realidad, abandonar el lugar de su nacimiento. (El recorre por término medio un trecho de c * 10-16 = 3 ∙ 1010 * 10-16 cm = 3 ∙ 10 -6 cm). El mesón pi-cero se desintegró en el punto C en dos fotones (las huellas 7 y 8); estos fotones son invisibles, pero, por fortuna, con cada uno de ellos sucedió un acontecimiento que se observa raras veces en el hidrógeno: al pasar muy cerca de cierto núcleo, ellos se transformaron en dos partículas cargadas, en un electrón y un positrón (las huellas 9, 10 son de un solo fotón, las huellas 11, 12 son de otro), los cuales fueron desviados con enorme fuerza (denominada fuerza de Lorentz) por el campo magnético. Esta cascada de transformaciones puede escribirse en forma de la siguiente cadena de reacciones:

Dersu Uzalá[16] trabajado
En primer lugar, según el carácter de las huellas visibles, observando todas las precauciones, se convencieron que las huellas 4 y 5, lo más probable, pertenecen a los mesones π-; la huella 2, al mesón Κ+, la huella 6, a un protón; las huellas desde la 9 hasta la 12, a electrones y positrones; por la curvatura de las huellas determinaron los impulsos de las partículas visibles.
Una vez calculada por la fórmula (1) la masa de la partícula invisible, que da aparición al tenedor 5 - 6, obtuvieron 1,116 GeV; esto precisamente es la masa del hiperón Λ0. Después de sumar los vectores de los impulsos p y π-, determinaron la magnitud y la dirección del impulso del hiperón Λ0. Luego, sumando (¡vectorialmente!) los impulsos de las partículas 9 y 10, obtuvieron el impulso del fotón γ1 invisible (resultó igual a 0,082 GeV) y, naturalmente, su dirección; del mismo modo determinaron el impulso del fotón γ2 (0,177 GeV); su dirección también fue definida. Y aquí surgió la primera comprobación; las flechas, que representaban los impulsos (DC), γ1 (7) y γ2 (8), concurrieron casi en un punto (difirieron sólo en 1 mm por la horizontal y 3 mm en el plano vertical. Todo lo acontecido en la fotografía tuvo lugar en 200 cm). Esto significó que en este punto realmente tuvo lugar la desintegración de cierta partícula invisible en un hiperón Λ0 y en algo más, que de inmediato se desintegró en dos fotones, γ1 y γ2. Era fácil darse cuenta que este «algo» no podía ser otra cosa más que el mesón π 0. Es más, esto debía verificarse por medio de cálculos.
Otra vez se pusieron en marcha las leyes de la cinemática y la invariabilidad de la masa en reposo; si se conocen la magnitud y la dirección de los impulsos de dos fotones, no cuesta nada hallar mediante esa misma fórmula (1) la masa en reposo de la partícula, que se ha desintegrado en esos dos fotones. Resultó 0,1351 ± 0,0015 GeV, lo que concuerda muy bien con la masa conocida del mesón π0 que es igual a 0,135 GeV.
Ahora quedaba por saber qué representaba de sí esa partícula invisible, la cual se desintegró en el punto C en un hiperón Λ0 y un mesón π 0. Nuevamente el candidato está presente: todos saben que el llamado hiperón de cascada Ξ0, cuya masa es 1,314 GeV, de buena gana se desintegra en un hiperón Λ0 y un mesón π0. ¿Existía la posibilidad de verificar esto? Sin duda, existía: sumando las energías obtenidas de las partículas Λ0 y π0, calcularon la energía del supuesto progenitor; sumando vectorialmente los impulsos Λ0 y π0 (el impulso π0 de por sí se obtuvo sumando los impulsos γ1 y γ2 los cuales, a su vez, se obtuvieron por adición de los impulsos de las partículas 9, 10, 11 y 12) calcularon el impulso del progenitor: otra vez se puso en marcha la fórmula (1), la cual nos dio como resultado 1.36 ± 0,004 GeV.
La concordancia era excelente. Para colmo el impulso Ξ0 con una exactitud casi absoluta llegó al punto B.
¿Valdrá la pena narrar detalladamente lo que sucedió después? El lector seguramente se da cuenta que el impulso calculado Ξ0 y el impulso medido π- sumados resultaron dirigidos a lo largo del rayo BA y permitieron (¡otra vez según la fórmula (1)!) hallar la masa de la partícula Ω-. Y aquí es cuando llegó el triunfo de la física teórica. El norteamericano Gell-Mann y el joven científico japonés Yukawa [17] dos años antes de esto pronosticaron que la partícula Ω- debía desintegrarse precisamente así como resultó en realidad y, lo que es más importante, declararon que su masa seria de 1,626 GeV. ¡El cálculo cinemático dio la magnitud (1,686± 0,012) GeV!
Los comentarios, como se dice, están de sobra. Pero con todo y eso examine una vez más los razonamientos y convénzase en qué lío más apretado están ligadas aquí las comprobaciones y suposiciones, cómo ni una sola suposición queda sin comprobación y cómo la conclusión final se deduce de todo lo expuesto como una necesidad férrea.
Intente también, antes de seguir adelante, ver lo que quedó en la reacción (2) sin demostrar y cómo demostrarlo.
Ejemplo tercero: ¿Cómo ver las partículas neutras que no se desintegran? En efecto, ¿cómo verlas? Acerca del nacimiento deL hiperón Λ0 se enteran por el hecho que al poco tiempo, a los 10-10 s se desintegra en partículas cargadas. ¿Y cómo percatarse del nacimiento de un neutrón? Él vive cerca de un cuarto de hora; la mayor parte de los neutrones se desplazan por la cámara sin desintegrarse; son muy raros también los choques entre neutrones y núcleos. O digamos: ¿qué hacer con el neutrino el cual en la práctica, por lo general, no actúa recíprocamente con nada? ¿Qué hacer con el mesón π0? Los mesones pi sin carga se desintegran al instante, pero otra vez en partículas neutras, los fotones, pero los fotones no siempre se pueden advertir.
¿Dónde se metieron los mesones neutros?
Para comprender cómo se hace esto, volvamos a la fotografía en la cual por primera vez fue advertido el hiperón Ω-. ¿De dónde, en resumidas cuentas, supieron que junto con el hiperón Ω- nació el par de mesones pesados Κ+ y Κ0? En realidad en la fotografía no hay ningún mesón Κ0. El pasó por la cámara, sin desintegrarse. ¿Debido a qué se adivinó su nacimiento?
Naturalmente, debido a la ley de conservación de la energía y el impulso. El impulso del mesón Κ+ inicial era conocido (5 Gev). El impulso del mesón Κ- surgido se midió por la curvatura de la huella. El impulso del hiperón Ω- nacido fue calculado de paso, en el momento en que se determinaba su masa (él era igual, simplemente, a la suma vectorial de los impulsos de todas las partículas, surgidas de la desintegración del hiperón Ω-: dos mesones π-, dos electrones, dos positrones y un protón). Junto con los impulsos se averiguó la energía de los mesones Κ- y Κ+ y del hiperón Ω-. Era natural observar si coincidía la suma de energías del mesón Κ+ del hiperón Ω - con la suma de energías de las partículas iniciales, es decir, del mesón K y del protón (el protón se encontraba en reposo y por eso su energía era igual a su masa) y si coincidía la suma vectorial de los impulsos del mesón Κ- y el hiperón Ω- con el impulso del mesón (el protón se encontraba en reposo y su impulso era igual a cero). Resultó que no había ninguna coincidencia. Por lo tanto, razón tenían los 33 físicos al decidir: allí habían, además del mesón Κ+ y del hiperón Ω-, ciertas partículas invisibles que se llevaron el «desbalance» (este término existe en la jerga de los físicos).
No resultó difícil determinar la energía y el impulso que se llevaron estas partículas invisibles). Pero tampoco fue difícil dar el siguiente paso: ver a qué es igual la diferencia de los cuadrados de esta energía y este impulso. Dicha diferencia es invariante: ella proporciona el cuadrado de la masa de reposo de la partícula que se llevó la energía y el impulso (pero si existieran varias partículas, el resultado sería la masa de una partícula ficticia que se desintegra en estas partículas invisibles).
El defecto de masa
El cálculo dio una magnitud de la masa en reposo de la partícula invisible de 0,5 GeV. Esto podía ser sólo el mesón cuya masa es 0,498 GeV. Pero si la energía y el impulso se las llevaran dos partículas, digamos Κ0 y π0, la masa de la partícula ficticia sería no menor que la suma de las masas de los mesones Κ0 y π0, o sea, no menor que 0,63 GeV, pero el cálculo dio sólo 0,5 GeV. Por esto se puede escribir:
Κ- + p → Ω- + Κ+ + Κ0
además, que Gell-Mann de antemano anunció que el hiperón Ω-, en general, no puede nacer de otro modo que no sea junto con dos mesones Κ.La masa de la partícula (ficticia o real), que se llevó consigo la energía y el impulso, se denomina defecto de masa. Si toda la energía inicial la designamos E (en nuestro caso ésta era la suma de las energías del mesón Κ- y del protón), el impulso inicial lo designamosP (en nuestro caso este era el impulso del mesón Κ-) y las energías y los impulsos de las partículas visibles al final las designamos E1, P1, E2, P2..., el defecto de masa Mx puede calcularse según la fórmula
(3)
Cuando el defecto de masa es igual a la de cierta partícula, esto significa que la energía y el impulso se las ha llevado esta partícula; cuando no existe una partícula con tal masa, esto significa que el rapto de la energía y el impulso es labor de varias partículas, tal es el principio por el que se guían los Sherlock Holmes de la física.
Por tal procedimiento casi en todos los casos se logra determinar el nacimiento de neutrones (¡aislados!) y mesones π0. Para ello sólo se requiere medir con exactitud los impulsos de todas las partículas visibles
Separación de las reacciones
Últimamente empezaron a construir cámaras tan grandes que los impulsos pueden determinarse con suficiente exactitud. Esto permitía inmediatamente conocer qué reacción había sido advertida en una u otra fotografía. Es que el principio «todo lo que no está prohibido está permitido» funciona intensamente en el caso de energías altas. Si choca un protón con un antiprotón, está permitido el nacimiento de un gran número de mesones π, con tal de que su carga sumaria sea igual a cero (la carga del protón es + y la del antiprotón, -), La naturaleza también utiliza esto. El número de mesones π nacidos varía fuertemente de colisión en colisión. Entremezcladas tienen lugar las más diversas reacciones, por ejemplo:

Cuando el defecto de masa es igual a cero, o, más exactamente, cuando son iguales a cero tanto el defecto de energía como el defecto de impulso, significa que no habían más partículas que las visibles, por lo que las reacciones observadas son: la (4) si hay dos huellas; la (8) si las huellas son cuatro; la (10) si son seis huellas. Si el defecto de masa es igual a cero, pero el defecto de energía y el defecto de impulso son distintos de cero, quiere decir que nació un fotón.
Cuando el defecto de masa es igual a 0,135 GeV, quiere decir que nació, además de los visibles, un mesón π0 (reacciones (5), (9), etc.). El defecto de impulso P - P1 - P2 - ... es su impulso. El defecto de energía E - E1 - E2 - ... es su energía. Quiere decir esto que el mesón invisible π0, con ayuda de la cinemática, lo vemos no peor que los mesones π+ y π-
Cuando el defecto de masa es mayor que 0,27 GeV, significa que nacieron dos mesones π0, o partículas neutras más pesadas. Aquí la cinemática, por regla general, ya deja de funcionar, puesto que no existen posibilidades directas de un ulterior análisis.
En todo caso, las leyes de la conservación permiten separar los casos cuando nacen sólo partículas cargadas de aquéllos cuando nace, además de éstas, una partícula neutra. Esto no es tan poco y en cuanto la exactitud de la medición del defecto de masa se hizo lo suficientemente alta, en la física de las partículas elementales se perfiló una época nueva de descubrimientos. Fueron descubiertas variedades de partículas totalmente inauditas, las cuales por una parte no se podían considerar como partículas, pero por otra, no obstante, poseían muchos síntomas de éstas. La lista de las partículas elementales comenzó a crecer con una velocidad amenazante. La física teórica, al principio, se desconcertó ante este torrente de partículas nuevas, pero luego contrapuso al torrente de partículas que se descubrían, otro, más potente, de partículas pronosticadas. Ahora este proceso está en pleno apogeo. Muchos confían en que estas dos corrientes opuestas eleven la física a un nivel superior.
Capítulo 8
Cómo descubren las resonancias

Figura 17. La aniquilación
El impulso de los antiprotones era 1.61 GeV, la masa m0 del sistema protón-antiprotón era 2,29 GeV (compruébelo por la fórmula (14) del capítulo 5), de manera que podían surgir hasta quince mesones π. Los investigadores decidieron seleccionar sólo aquellas fotografías en las que se veían sólo cuatro rayos.
De estas 2500 «estrellas de cuatro rayos» (figura 17) más adelante seleccionaron 800, de las cuales se podía decir con seguridad que, además de las cuatro partículas visibles en ellas se hallaba escondida una partícula invisible, el mesón π0. Para esto calculaban según la fórmula (3) del capítulo 7, el defecto de masa y obtenían 0,135 GeV, el número característico para el mesón π0. Investigaron, de este modo, el proceso
p ¯ + p →π+ + π- + π0 + π- + π+ (1)
¿Por qué razón interesó a los investigadores precisamente esta reacción? El hecho es que varios años antes, estudiando la estructura interior del protón y del neutrón, muchos físicos teóricos comprendieron que debía existir una partícula pesada sin carga, desconocida hasta ahora, capaz de desintegrarse en tres mesones π. El mejor procedimiento de obtener de una vez muchos mesones π era el de aniquilación; ésta es la razón por la que recurrieron a la reacción (1) en búsqueda de esta partícula.Se esperaba que la masa de la partícula fuera cerca de 0,67 GeV y existiera cerca de 10-23 s. Durante este tiempo ella se desplazaría desde el lugar de su nacimiento a una distancia no mayor que 10-13 cm y no existía ninguna esperanza de distinguir el punto de nacimiento (de la aniquilación) del punto de desintegración. Prácticamente los cuatro rayos en las fotografías partían de un punto.
La búsqueda de la perla
¿Cuáles eran realmente las esperanzas de advertir esta partícula? Admitamos, que a veces ella verdaderamente nacía y en el acto se desintegraba formando los mesones π+ + π- + π0, o sea, la aniquilación transcurría así:

![]()
- ¡Alto, en adelante todo esté claro!, podrá exclamar usted, la masa, obtenida por doquiera: en la primera fotografía, en la segunda, en la tercera... en la octingentésima, y será la masa de la partícula ω0. Todo coincidió maravillosamente bien, ¡que viva la cinemática!
Pero estoy obligado a recordarle acerca de aquel «si supiéramos», escrito por nosotros al empezar nuestros razonamientos... Si supiéramos cuáles de los mesones π+ y π- resultaron de la desintegración del mesón ω0. ¡Pero esto es lo que se ignora!... Supongamos que a veces los mesones ω0 nacían realmente... ¿Y si no? ¿Qué sucederá con la combinación (3)?
Ella no será igual a la masa del mesón ω0, esto está claro: ¿pero entonces a qué será igual? A la última pregunta es fácil de contestar: incluso si la partícula ω0 no naciera, de todos modos la reacción p¯ + p →π+ + π- + π0 + π - + π+ se podría escribir en la forma

![]()
mX = 2,29 - 0,14 - 0,14 = 2,01 GeV
Pero dentro de estos límites (de 0,415 a 2,01) ningún valor de la masa invariante está prohibido, ni está destacado, ninguno de ellos se encontrará con mayor frecuencia que los valores próximos por su magnitud (si es que la partícula X no es real, sino ficticia, inventada para mayor comodidad).Parece que todo comienza a aclararse. Reflexionemos con tranquilidad.
Si los mesones ω0 nacieran en cada caso (y si supiéramos qué mesones se obtuvieron de la desintegración del ω0), o sea, si siempre tuviera lugar la reacción (2), todas las masas invariantes mX de los tríos de mesones π+, π- y π0 en todas las fotografías resultarían iguales a una misma cifra, la masa del mesón ω0.
Si los mesones ω0 no nacieran, o sea, directamente tuviera lugar la reacción (1), en las diversas fotografías podrían verse prácticamente todos los valores de la masa invariante mX de cierto (cualquier) trío en el intervalo desde 0,415 basta 2,01 GeV.
Buscar la irregularidad
Bien, ¿y si en una mitad de los casos tiene lugar la reacción (2) y en la otra mitad, la reacción (1)? ¿Qué resultará? De la reacción (1) las masas invariantes resultarán cualesquiera; en cierto intervalo de cifras, digamos desde 0,5 hasta 0,6 GeV, resultará casi el mismo número de valores mX, que hay en el intervalo adyacente, desde 0,6 hasta 0,7; en el intervalo 0,6 - 0,7 aproximadamente los mismos que en el intervalo 0,7 - 0,8, etc.
¿Y de la reacción (2)? De ella todas las masas mX se concentrarán cerca de una cifra, de la masa del mesón ω0. Se puede hacer una tabla en la que se indique el número de veces que la masa invariante del trío de mesones cayó en el intervalo 0,5 - 0,6, el número de veces que cayó en el intervalo 0,6 - 0,7, etc. Y el intervalo de masas con el que coincide la masa del mesón ω0, se destacará inmediatamente, saltará a la vista. De intervalo a intervalo este «número de veces» cambiará paulatinamente, pero en un lugar surgirá un cambia brusco, allí se concentrarán demasiados tríos; esto quiere decir que en este intervalo de masas recae la masa del mesón ω0.
Así pues, veamos en qué consiste la idea de la búsqueda de la partícula invisible: cuando el mesón ω0 no existe no puede esperarse que cierto valor de mX se encuentre más a menudo que los demás. Claro está que si el mesón ω0 nace con poca frecuencia, entonces el exceso de casos cuando mX ≈ mω, sobre los otros valores de mX numéricamente no será importante y el cambio brusco puede no producirse; pero ¿qué nos molesta de todos modos probar? ¿Y si el mesón ω0 nace con frecuencia y la tabla inmediatamente lo revela?
- Sí, ¿pero qué hacer con lo que no sabemos, qué mesones π+ y π- resultaron de la desintegración del mesón ω0 y cuáles directamente del sistema p¯ + p?
- Bueno, entonces hay que probar todas las combinaciones de los mesones π+, π- y π0. De las cinco partículas
| π+ | π- | π0 | π- | π+ |
| 1 | 2 | 3 | 4 | 5 |
el trío neutral puede obtenerse mediante cuatro combinaciones de partículas: 1, 2, 3; 5, 2, 3; 1, 4, 3 y 5, 4, 3. Para no dejar pasar el trío que podría haber surgido del mesón ω0, hay que probar todas las combinaciones, o sea, calcular el valor mX de cada trío. Desde luego, ahora habrá que buscar el mesón ω0 de entre un número mucho mayor de acontecimientos innecesarios, pero no hay otra salida.
Una explicación al alcance de todos
No sé, si he expuesto lo suficientemente claro la idea de la búsqueda. Si no, alegaremos por si acaso a situaciones parecidas de la vida real. Un marciano (¡qué puede haber más real!), al alcanzar la Tierra, puede establecer la fecha exacta de la última guerra mundial, calculando el número de personas de distintas edades que habitan Europa: la edad de 35 - 38 años la encontrará mucho menos que otras edades. O, estudiando el número de certificados médicos por enfermedad, expedidos en cierta ciudad en los meses de enero, febrero, etc., establecerá la fecha en que por la ciudad pasó una ola ordinaria de gripe.
¿En qué se asemejan estos ejemplos, digamos el primero, a lo que nos hace falta? La masa invariante de los tríos de mesones es la edad. Los diversos intervalos de valores mX es la edad, redondeada hasta un número entero de años. El cálculo del número de personas de cierta edad es la determinación de la frecuencia de tales o cuales valores de mX. A una pequeña variación de la natalidad de año en año corresponde la certeza que en ausencia del mesón ω0) la frecuencia de los diversos valores de mX cambiará suavemente de intervalo a intervalo. Una brusca disminución de la natalidad durante la guerra es una analogía con el exceso de casos con el mesón ω0, con el predominio de un valor de mX sobre los demás.
No sabemos cómo razonaron los físicos que descubrieron el mesón ω0, pero actuaron precisamente así, como lo decimos. Ellos medían en cada fotografía el impulso y la dirección de cada uno de los cuatro mesones cargados, calculaban el defecto de impulso. Este les daba el impulso y la dirección del quinto mesón (π0).

Figura 18. Descubrimiento de la resonancia ω0. En el gráfico superior se puede ver con qué frecuencia se encontraban tales o cuales valores de la masa invariante de los tríos π+, π+, π- y π-, π-, π+ (curva A) y π+, π+, π0 y π-, π-, π0 (curva B); en la curva C se puede ver lo mismo pero para π+, π -, π0; la curva D muestra los datos sumarios
Cuando verificaron esto en las 800 fotografías, comenzaron a contar el número de veces que la masa invariante mX estaba presente en el intervalo 0,42 - 0,44 GeV, en el intervalo 0.44-0,46 GeV. etc., etc., y así cada 0,02 GeV. En lugar de componer una tabla, el resultado del cálculo lo presentaron en un gráfico (figura 18). En el eje horizontal pusieron los valores de mX en el vertical, el número de veces que se presentó cada uno de estos valores. En los gráficos superiores (A y B) esta curva ha sido trazada para los tríos de mesones π+, π+, π - y π+, π+, π0. Como puede ver, aunque la línea resulta quebrada, los saltos, de intervalo a intervalo, no son muy grandes; éstos son simplemente saltos casuales, ningún valor de mX se encuentra con mayor frecuencia que los demás.
Otra cosa es la curva C que representa las frecuencias de los distintos valores mX que encontraron al estudiar las combinaciones de los mesones π+, π+, π0. Aquí por doquier los saltos son pequeños, pero en varios intervalos, desde 0,76 hasta 0,82 GeV, la suavidad se infringe con evidencia. En la suave subida del gráfico surgió un pico. En este intervalo cayeron muchos tríos más (en 93) que los que debían haber si la subida fuese suave (tienen que haber aproximadamente 98 tríos). Este exceso reveló la existencia de aquella partícula, tras la cual andaban. Su masa, la correspondiente al punto medio del pico, resultó ser igual a 0,787 GeV. El cálculo de la altura del pico nos lleva a la conclusión que la reacción (2) sólo transcurre en el 10% de los casos; únicamente en esos casos el pico puede alcanzar la altura que tiene.
Desde el año 1961 ha transcurrido no poco tiempo. La partícula ω0 descubierta fue investigada desde entonces más de una vez, Ahora se sabe que en realidad la cumbre del pico coincide con la masa invariante 0,7828 GeV. Es muy interesante, que aunque el pico es muy estrecho, no es infinitamente estrecha.
Si retirásemos todas aquellas fotografías en las cuales los tríos de los mesones π+, π- y π0 no nacieron del mesón ω 0 y si para los tríos restantes, es decir, para aquellos, de los cuales se sabe a ciencia cierta que surgieron del mesón ω0, calculásemos la masa invariante, el número 0,7828 no se obtendría siempre. Y esto no es porque no se pueda medir con exactitud los impulsos de los mesones y determinar con precisión la masa. ¡No! Incluso en los casos de una precisión absoluta en la determinación de la masa de los tríos, de todos modos ésta resultará diferente en las distintas fotografías, aún cuando los tríos le deben las gracias por su aparición a esos mismos mesones ω0.

Figura 19. Distribución de las masas de resonancia. En el eje horizontal se han trazado los valores de la masa; en la vertical, la frecuencia con que pueden encontrarse estos valores (en unidades relativas); se muestra la anchura de la distribución
ω0 → π+ π- π0
un gráfico semejante al de la figura 18, o sea, si trazamos en la vertical el número de veces que se obtiene tal o cual valor de la masa (π+ π - π0), conseguiremos no una punta, sino un pico. Su cumbre corresponderá a 0,7828 GeV y su anchura a medio camino de la cumbre será 0.0094 GeV (figura 19).Este fenómeno es para nosotros completamente nuevo. ¿Resulta que la partícula no tiene una masa determinada? ¿Pero acaso esto es posible? ¿Es que la masa de la partícula no está fijada de una vez para siempre, acaso ella se somete a algunas influencias?
En el umbral de nuevos descubrimientos
¿Puede ser que hayamos descubierto la existencia de corpúsculos todavía más pequeños que las partículas elementales? ¿Y al igual que el átomo está compuesto de protones, neutrones y electrones, el mesón ω0 está compuesto de estos corpúsculos? ¿Y lo mismo que con la sartén que si le parten un pedazo, la masa disminuye, del mesón ω0 a veces se desprenden pedazos pequeños y su masa de cuando en cuando oscila? Por lo visto, la masa de los corpúsculos es mucho menor, digamos, en cien veces menor, que 0.0094 GeV, o sea, todavía menor que la del electrón. ¿Puede ser que el mesón ω 0 sea la primera golondrina del mundo sub-elemental nuevo?
- ¿O el asunto reside en que la energía y el impulso durante la desintegración no se conservan? Pero nosotros no medimos la energía del propio mesón ω 0, sino la energía y el impulso de tres mesones π. ¿Puede ser que de hecho haya que proclamar «la ley de violación de la conservación de la energía» en la desintegración y no asombrarse, en absoluto, de que la masa del mesón ω0 no se conserve?
- ¿O es culpable la teoría de la relatividad de Einstein? ¿Puede ser que aquello que denominamos invariante (la diferencia Eπ2 - P π2 de hecho no sea, en absoluto, una invariante? ¿Puede que esta diferencia cambie con la energía o de algún otro modo? Entonces nuevamente no hay de qué asombrarse.
El descubrimiento no tuvo lugar
Pero la realidad resulta mucho más cuerda y al mismo tiempo mucho más fantástica.
Aquí el asunto reside en otra cosa. No hay que llamar en ayuda a ningún corpúsculo. Habrá que dejar tranquila a la ley de conservación de la energía. La teoría de la relatividad como antes continúa su marcha triunfal.
Simplemente nos hizo recordar su existencia la mecánica cuántica, la mecánica de las transformaciones y movimientos de las partículas más pequeñas. Hasta ahora no hemos tropezado con ella. La idea inicial residía en narrar acerca de las partículas elementales aquello que no requiere el conocimiento de la teoría de sus movimientos y transformaciones; narrar cómo la conservación de la energía restringe el carácter del micromundo. Yo pensaba que conseguíamos pasar sin la mecánica cuántica.
Entrega de las posiciones
¡Pero no conseguimos pasar! Unas de sus leyes fundamentales, las correlaciones de las indeterminaciones, así explican nuestro efecto. Todo consiste en que el mesón ω0 vive tan poco tiempo que su masa «no consigue estabilizarse». La precisión con la que se determina la masa de una partícula inestable, depende del tiempo promedio de vida de esta partícula, y sólo las partículas estables (eternas, que no se desintegran) poseen una masa determinada e invariable. Si la partícula es capaz de desintegrarse, entonces su masa es capaz de oscilar dentro de ciertos límites. Cuanto más tiempo vive la variedad dada de partículas, cuanto más cerca esté ella de la estabilidad, tanto más fija será su masa. Por eso la masa de los mesones π+, que viven 10-8 s, y la de los hiperones Λ0, que viven por término medio 10-10 s, e incluso la de los mesones π0 , que viven sólo 10-16 s, son prácticamente invariables. Los instrumentos modernos no son capaces de advertir sus fluctuaciones.
Pero si Ud. logra ver las partículas, que viven por término medio 10-23 s, se sorprenderá de las diferencias en sus masas. Las diferencias alcanzarán los 0,005, los 0,010 GeV y más. De todos modos serán las mismas partículas con las mismas propiedades. Todas las propiedades serán iguales, excepto una, la magnitud de la masa.
Ud. preguntará, qué propiedades pueden tener objetos tan pequeños (Micromegas de Voltaire ya sabía que cuanto más pequeño es un cuerpo, tanto menos propiedades posee). Son muchas. Yo no las enumeraba antes, deseando no pronunciar palabras incomprensibles. Pero ahora las nombraré para demostrar cuántas propiedades tienen las partículas. Las partícula se diferencian unas de otras por el tiempo de vida (esto usted lo sabe), la carga eléctrica (también lo sabe), la carga bariónica, la carga leptónica, el espín, el isoespin, la paridad espacial, la paridad de carga, la rareza, el efecto de espiral, el modo de desintegración, el factor de forma, el momento magnético, la fuerza de interacción con otras partículas, etc. Como verá, no es poco. Y además ellas se caracterizan por su masa. Por ahora nadie ha observado que alguna de estas características dependa de la duración de la vida media de la partícula. Pero la masa depende de ella.
El hecho que esta dependencia debía existir se conocía de antemano. Desde hace tiempo los creadores de la mecánica cuántica advertían que esto sucedería. La correlación de las indeterminaciones pronosticaba que si la física se encuentra algún día con procesos de poca duración, la energía que se desprenda durante estos procesos, variará de cuando en cuando. En otros fenómenos esto ya se ha observado. La ley que vincula la duración del proceso t con la indeterminación en la energía Γ, se fórmula así
Γ(GeV) ∙ t (s) ≈ h/2π = 6,6 ∙ 10-25 GeV ∙ s (4)
donde h es la constante de Planck[18] .Para nuestro conocido, el mesón ω0, Γ es la indeterminación en la masa, es el ancho de la curva en la figura 19, o sea, 0,0094 GeV. Entonces de la fórmula (4) se puede calcular cuánto tiempo, por término medio, él existe desde el instante de su nacimiento hasta el instante de la desintegración. Obtendremos 7 ∙ 10-23 s.
Un reloj-balanza
Por consiguiente, hemos medido el tiempo de vida del mesón ω0, sin medir ningún tiempo. En nuestras manos tenemos un reloj muy original. Además de medir los intervalos de tiempo, mil millones de veces menores que los que mide cualquier otro reloj, él los mide sin medir el tiempo.
Observemos otra vez cómo actúa este reloj. Queremos aclarar cuánto tiempo vive, por término medio, la partícula X. Averigüemos en qué se desintegra ella, y midamos, con la mayor exactitud posible, la energía y el impulso de las partículas que surgen de esta desintegración. Cada vez calcularemos la masa invariante de este grupo de partículas, o sea, la masa de la propia partícula X. Trataremos de registrar la mayor cantidad posible de tales desintegraciones. Redondeando los valores de las masas con una precisión, digamos, de hasta 0,1 GeV, construimos una curva: por la horizontal trazamos estos valores redondeados, por la vertical, el número de veces que se nos han presentado. Resultará una curva, semejante a la de la figura 19. La situación de su cumbre nos dará (con una exactitud hasta 0,01) la masa media de la partícula X. Por otra parte la distancia, por la horizontal, entre los puntos de la curva, a media distancia de la cumbre, nos dará precisamente la magnitud Γ. Sustituyéndola en la fórmula (4), conoceremos la duración de vida media de la partícula X.
¿Se puede medir por medio de tal reloj la duración de la vida del hiperón Δ0? Juzgue usted mismo. El hiperón Δ0 vive 10-10 s, esto quiere decir que la diferencia de las masas de distintos hiperones será del orden
Γ = (6,6 ∙ 10-25)/(10-10) = 6,6 ∙ 10-15 GeV
Ningún instrumento es capaz de advertir tales diferencias en la energía. ¿Es posible medir, con ayuda de este reloj, cuánto tiempo vive el mesón π0? Tampoco se puede. Γ = (6,6 ∙ 10-25) / (1,8 ∙ 10-16) = 4 ∙ 10-9 GeV. Esto también está fuera de los límites de las posibilidades del experimento contemporáneo. La vida del mesón π 0 ha sido medida, pero por otro procedimiento.¿Qué tiempo puede medir este reloj? Aproximadamente 10-22 s y menos. Nuestro mesón ω0 se encuentra precisamente en el límite de las posibilidades experimentales. La dispersión en las energías del orden de 0,001 GeV todavía no sabemos medirla, sobre todo si tenemos en cuenta que el pico nunca resulta como en la figura 19, pero siempre tiene de fondo otros fenómenos (como en la figura 18).
¿Existen, además del mesón ω0, otras partículas que vivan tan poco tiempo? Sí. Ya antes del descubrimiento del mesón ω0 era conocido, digamos, el mesón ρ (se designa ro). El se desintegraba en dos mesones π. Su masa media es 0,763 y la dispersión media en las masas Γ es igual a 0,106 GeV. Quiere decir esto que él vive (sustituya en la fórmula (4)) aproximadamente diez veces menos tiempo que el mesón ω0 (6 ∙ 10-24 s). Se conocían también otras partículas, la γ-cero, la isobara, etc., que vivían igual de poco.
Pero su vida excesivamente corta condujo a que ni las consideraban como partículas. Se consideraba, por ejemplo, que el mesón ρ es un par de mesones π, los cuales en el instante de su nacimiento no se dispersaban, sino que cierto tiempo (cerca de 6 ∙ 10-24 s) seguían girando juntos y sólo después se separaban. Por esto a ellos los denominaron de otro modo, no partículas, sino resonancias: resonancia ρ, resonancia γ, subrayando con esta palabra el carácter efímero, inestable de tales formaciones, (Me veo obligado a mencionar aquí palabras que no tienen un sentido exacto: carácter efímero, girando juntos, etc. De hecho existe una teoría más o menos exacta de estos fenómenos, en la cual todas las nociones tienen un sentido determinado, y todas las inexactitudes se especifican. Pero ésta es una teoría matemática. Si intentamos traducir el lenguaje de las matemáticas a la lengua de las representaciones, no obtendremos nada, salvo palabras nebulosas. De estas palabras poco a poco cristalizan tales términos como « resonancias».)
Un diluvio de descubrimientos
El descubrimiento del mesón ω0 marcó un determinado cambio en el ánimo de los científicos.
El mesón ω0 era, sin duda, una «resonancia» pues él vivía demasiado poco tiempo. Y al mismo tiempo él ya se parecía en todo a una partícula; su masa oscilaba de cuando en cuando sólo en 1 a 1,5%. Se hizo evidente que entre las resonancias y las partículas no existe un abismo infranqueable, que las formaciones que viven 10-23 a 10-24 s son igualmente candidatos a partículas elementales, como el hiperón Δ0 el mesón π 0. Una gran impresión produjo la exactitud y lo demostrable del propio ensayo. Los físicos se lanzaron a descubrir resonancias. Se hacía esto, por lo general, del mismo modo que antes: seleccionaban cierta reacción, calculaban la masa invariante de todas las combinaciones de partículas que se presentaban en ella, y miraban si cierto valor de esta masa se encontraba más a menudo, que el resto de los valores.

Figura 20. Nacimiento y desintegración del mesón π0. Abajo, a la izquierda, se muestra a qué hay que prestar atención en la fotografía:γ1 y γ2 son fotones debidos a la desintegración: γ1 engendró el par e1e1 - electrón y protón, γ 2 provocó un verdadero chaparrón; las huellas rectas, abajo, son otras partículas que nacieron junto con el mesón π0
En último lugar quiero otra vez subrayar aquella diferencia entre la partícula-resonancia y la partícula-partícula que con mayor fuerza actúa sobre nuestra imaginación. Una resonancia de una partícula se distingue en que la fotografía, en la cual se puede ver la desintegración de la partícula, por regla general, se puede mostrar; pero la fotografía, en la cual haya sido fijada la desintegración de la resonancia, no se la puede mostrar nadie.
Si Ud. le pide a un físico: «Déme una fotografía, en la cual puede verse la desintegración del mesón π0 en dos fotones», él buscará y encontrará tal fotografía (figura 20). Verdad es que no verá allí el mesón π0, pero el físico sabe que allí estuvo dicho mesón, porque la masa invariante de dos fotones dio un número próximo al de la masa del mesón ω0». Y ahora pídale que le muestre la fotografía del proceso durante el cual nació y se desintegró el mesón. El físico quedará hecho una pieza. Él no podrá darle una fotografía. Puede darle a usted doscientas fotografías y decirle: «Entre ellas hay por lo menos cien que “pertenecen" al mesón ω0». ¿Pero cuáles? «Esto no lo sabe nadie». Y esto se puede comprender, puesto que las desintegraciones ω0 → π + π + π han sido halladas sobre un fondo de tríos da mesones π, cuya masa invariante casualmente resultó próxima a la masa del mesón ω0. Separar el mesón ω0 del fondo no podemos. En esto consiste la diferencia, el hiperón Ω- fue descubierto, habiendo encontrado una fotografía oportuna, mientras que el mesón ω0 se logró descubrir, sin tener en mano ni un solo caso fidedigno de la desintegración ω0 → π + π + π, en cambio teniendo gran cantidad de fotografías no auténticas.
Los físicos aquí se encuentran en la situación de los geólogos, a los cuales, entregándoles gran cantidad de muestras de cierto mineral, les dicen: «Una parte de estas muestras no son mineral, sino roca ordinaria. Pero dónde está el mineral y dónde está la roca nadie lo sabe. Las propiedades de la roca son desconocidas. Las propiedades del mineral también. Comuniquen las propiedades del mineral. Y no confíen que algún análisis químico les permita separar el mineral de la roca, ellos son inherentes...» Precisamente en condiciones como éstas trabajan los físicos, examinando las resonancias (véase también el capítulo 16).
Capítulo 9
El «erizo» de impulsos
Resolvemos un sistema de ecuaciones
Resolvamos este problema en el aspecto más general. Supongamos que la partícula inmóvil O, cuya masa es m, se desintegra formando las partículas 1 y 2; la masa en reposo de cada una de ellas la conocemos de antemano, son m1 y m2. ¿Qué se puede decir acerca de las energías E1 y E2 así como de las direcciones de estas dos partículas?
De las energías se puede decir que juntas deben componer la energía de la partícula inicial, su masa m:
E1 + E2 = m (1)
mientras que acerca de las direcciones se sabe que deben ser tales que la suma de los vectores de los impulsos P1 y P2 de ambas partículas de cero (precisamente tal era el impulso de la partícula O en reposo):P1 + P2 = 0 (2)
Además de esto, conocemos la siguiente propiedad de las partículas en movimiento: cualquiera que sean sus energías e impulsos, cierta combinación de éstas no varía con el movimiento:E12 - P12 = m12 (3)
E22 - P22 = m22 (4)
Este sistema de ecuaciones, el (1) - (4) es el que tendremos que resolver. Se resuelve bastante fácil. Observe la ecuación (2). Recuerde la regla de adición de vectores. Dos vectores, al ser aplicados uno al otro, dan cero sólo cuando el origen del primer vector coincide con el extremo del segundo.
Figura 21. Desintegración de una partícula en reposo (la suma de los dos impulsos es igual a cero)
P1 = P2 (5)
Los impulsos de las partículas 1 y 2 son iguales (pero están dirigidos en sentidos opuestos). Si sustraemos de la ecuación (3) la ecuación (4), entoncesE12 - E22 = m12 - m22 (6)
Dividamos la ecuación (6) por la igualdad (1) y obtenemosE1 - E2 = (m12 - m22) / m (7)
Ahora sumemos las igualdades (7) y (1). Queda sólo2E1 = m + {(m12 - m22) / m}
de dondeE1 = (m2 + m12 - m22) / 2m (8)
Si quiere determinar E2 conmute las masas 1 y 2:E2 = (m2 + m22 - m12) / 2m (9)
Hemos resuelto el sistema de manera algebraica. A los aficionados a la geometría les puedo comunicar que el problema de desintegración de una partícula, con una masa m, en dos partículas, cuyas masas son m1 y m2, coincide totalmente con el siguiente problema escolar (figura 22): en un triángulo la suma de los dos lados es igual a m, y sus proyecciones sobre la base son m1 ym2, resolver el triángulo.
Figura 22. Solución geométrica. Resolver el triángulo significa resolver el problema acerca de la desintegración en dos partículas
Vamos a tratar de comprender la solución obtenida. Hemos conocido una cosa interesante. Durante la desintegración de una partícula, que se encuentra en reposo, las energías de sus dos descendientes no pueden ser cualesquiera. Ellas dependen de las masas en reposo de las partículas, es decir, de m,m1, m2. El valor de las energías está predeterminado por estas masas, mientras que durante la desintegración en dos partículas iguales, sus energías se determinan sólo por la masa del progenitor:
E1 = E2= m/2 (10)
Digamos, cuando un mesón π0 inmóvil, cuya masa es 0,135 GeV, se desintegra formando dos fotones, su energía simplemente se divide en partes iguales: 0,0675 GeV para uno, otro tanto para el otro. Pero de las masas de los descendientes siempre depende su impulso (él es el mismo para ambos y es igual a √ E12- m12 ó √ E22- m22 .Cuanto más pesados son ellos, tanto menor es el impulso con el que se disipan. Cuando m1 = m2 = m/2, las partículas, que surgieron como resultado de la desintegración de la partícula O, se mantendrán en su lugar. Es más, así es no sólo cuando las masas son iguales, sino también cuando no lo son, siempre que m = m1 + m2. Imagínese, cuál será la altura del triángulo en la figura 22, siendo m = m1 + m2, y comprenderá por qué esto es así. Cuando m =m1 + m2 resulta no tanto una desintegración en partículas, como una descomposición en partes.
Así, sabemos calcular de antemano la energía con la que nacerán las partículas en uno u otro tipo de desintegración. Esto nos permite reconocer las partículas que poseen un tipo de desintegración, característico para ellas.
Es sabido, por ejemplo, que los mesones Κ+ (la masa es 0,494 GeV) y los mesones π+ (la masa es 0,140 GeV) viven aproximadamente el mismo tiempo y se desintegran en las mismas partículas μ+ (mesón mu, la masa es 0,1057 GeV) y el neutrino (la masa es 0)[19].
Conclusiones prácticas
Esta desintegración, a vuelo perdido, tiene el aspecto siguiente (figura 23): el rastro de un mesón Κ+ o π+, cada vez más sinuoso (debido a la pérdida de velocidad, la partícula va haciendo eses entre los átomos; cuanto menor es la velocidad de la partícula, tanto mayor es el ángulo al que puede ser desviada por un átomo casual, próximo a ella, y esto la hace perder todavía más su velocidad), de súbito se interrumpe (la partícula se paró) y se termina con cierto gancho, es decir, con el rastro de un mesón μ que salió volando. El neutrino no deja rastro.

Figura 23. Caso de la desintegración Κ+→ μ+ + ν. La huella que va desde la derecha de la figura, atravesando otras huellas, es la huella Κ+; donde el punto de viraje hacia abajo voló μ +; delante del viraje la huella Κ+ cambió de dirección; esto demuestra que la desintegración sucedió en reposo.
Κ+ → μ+ + ν
no es igual, en absoluto, al de la desintegraciónπ+ → μ+ + ν
En el primer caso él es igual (verifíquelo mediante la fórmula (8) y, después, mediante la fórmula (3)) a 0,236 GeV, en el segundo, nada más que a 0,0298 GeV.
Figura 24. Desintegración π+→ μ+ + ν . El propio π+, por lo visto, nació de la reacción π- + ρ → π- + π+ + n; el mesón μ+ se desintegró en e+ y el par ν
Del mismo modo, por el recorrido se puede distinguir la desintegración
Κ+ → μ+ + ν
de la desintegraciónΚ+ → π+ + π0
sólo si la desintegración sucedió en reposo (o sea, si a la aparición del gancho le precedió un rastro fuertemente sinuoso). El mesón π+ debe tener un impulso igual a 0,205 GeV, y no a 0,236, como lo tiene el mesón μ+ (figura 25).
Figura 25. Desintegración Κ+
→ π+ + π0. Al final del recorrido π+ se detiene y se desintegra en μ+ y ν. De la desintegración π 0 surgen dos fotones, uno de los cuales dio origen, cerca de cierto núcleo, al par e+e- que se puede ver en lafotografía.
El erizo de impulsos
Resolviendo el sistema de ecuaciones (1) - (4), hemos conocido cuáles son las energías de las partículas 1 y 2. Pero usted, posiblemente, haya observado que acerca de sus direcciones no se ha dicho ni palabra. El asunto consiste en que las direcciones pueden ser cualesquiera. Los vectores P1 y P2 son iguales por su longitud, y ésta se determina sólo por las masas m, m1, m2) y contrarios por su dirección; pero cuál es esta dirección, no tiene importancia: de todos modos la suma será igual a cero. Esto quiere decir que no hay prohibiciones sobre la dirección del movimiento de los descendientes de la partícula O. Pero sabemos quetodo lo que no está prohibido, está permitido. En efecto, de caso en caso, de fotografía en fotografía, la dirección del gancho del mesón μ+ (la desintegración Κ+ → μ+ + ν) resulta distinta. Cada nueva desintegración de la partícula O en las partículas 1 y 2 puede suceder en distintas direcciones. Esto es lo que nos permite crear el erizo de desintegración de los impulsos.
Imagínese que hemos acumulado una innumerable cantidad de fotografías de la desintegración Κ+ → μ+ + ν. ¿Qué sucederá si hacemos coincidir en ellas los puntos de las desintegraciones y dibujamos todos los vectores del impulso del mesón μ+? El punto de la desintegración se erizará con miles de flechas. La longitud de todas las flechas será igual, pero estarán dirigidas prácticamente en cualquier dirección.

Figura 26. El erizo de las desintegraciones de una partícula en reposo.
A aquellos lectores, a los que en un libro de física no le son necesarias las imágenes de la naturaleza viva, les diré simplemente: el lugar geométrico de los extremos del vector del impulso de la partícula 1 es una esfera de radio P con su centro en el punto de la desintegración. Los impulsos de la partícula 2 también caerán sobre la misma esfera.
Capítulo 10
¿De qué color son las partículas elementales?
La discordancia resultó increíble. Tanto más asombroso que acerca del protón las opiniones de muchos coincidieron: él, según opinión generalizada, sin duda alguna es negro (si no es rojo).
Es interesante, que se manifestaron sólo físicos-teóricos. Los físicos-experimentadores, como resultó, nunca ven las partículas en color. Sólo uno dijo acerca del electrón, que aquél era verde (y luego se aclaró que él tenía en cuenta el rastro del electrón en el oscilógrafo). Así que al mismo tiempo resultó un buen test, que permite distinguir a un teórico de un experimentador. Esto puede ayudar a un estudiante en la búsqueda de su vocación. Si no siente el color de las partículas, no se haga teórico.
El lector inexperto en la ciencia preguntará: «¡Qué procedimiento tan extraño de resolver cuestiones científicas por mayoría de votos! ¿Acaso la física desconoce los verdaderos colores de las partículas?»
Esta pregunta, sin lugar a dudas, está dentro de las posibilidades de la cinemática, y no puedo contenerme de examinarla. El color de un cuerpo está en función de la frecuencia de las ondas de luz que de é1 emanan. Si el cuerpo es autofluorescente, se trata de ondas emitidas por él, de lo contrario se trata de ondas reflejadas del cuerpo. El primer caso es más sencillo, y llamaremos color de la partícula el color de las ondas de luz que emite espontáneamente ella, color del átomo es igualmente el color de la luz emitida por él. Sea, para mayor sencillez, que las partículas se encuentren en reposo.
De la mecánica cuántica se conoce que la emisión de luz es un torrente de fotones, de cuantos de luz. La frecuencia de la luz, y está relacionada con la energía de los fotones E mediante la fórmula
E = hv (1)
donde h es la constante de Planck y es igual ah = 4,14 ∙ 10-24 (GeV) (2)
Quiere decir que si queremos determinar el color de la partícula X (o del átomo X) cuya masa es m, debemos conocer la energía de los fotones, emitidos por ella, y convertida en frecuencia. Esto es un problema de cinemática de la desintegración en dos partículas. Imaginémonos por un instante que una partícula lanza, uno tras otro, fotones, pero ella misma desde luego, permanece invariable. Este torrente de fotones de la partícula vamos a interpretarlo como su fluorescencia. Tiene lugar el procesoX → X + γ (3)
La masa m de la partícula inicial X no es menor que la suma de las masas en reposo (m + 0) de las partículas X y γ, así que nuestra condición necesaria y suficiente de la posibilidad de la desintegraciónm ≥ m1 + m2
está asegurada. Averigüemos la energía γ. ¡Sustituyamos en la fórmula (9) del capítulo 9, los valores m1 = m, m2 =0 y obtendremos...E2 =0!La respuesta es inesperada. Resulta que las energías de los fotones, y junto con ello los impulsos, son iguales a cero. Nuestros supuestos rayos de luz no se llevarán consigo ni la energía, ni el impulso. La emisión francamente no tendrá lugar.
Ahora comprendemos por qué los físicos se ven ante la necesidad de resolver la cuestión acerca del color de las partículas por procedimiento democrático, mediante el análisis de la opinión pública. Hemos demostrado el teorema acerca de que las partículas no tienen color. Por eso, probablemente, el protón a muchos les parece negro, y todos los átomos deben parecer negros. En efecto, digamos, cuando los átomos de sodio incandescente emiten fotones, ellos no dejan de ser átomos de sodio. Tiene lugar el mismo proceso (3)
Na → Na + γ
Entonces, los átomos de sodio y cualesquiera otros átomos no pueden emitir color....Removemos febrilmente nuestros conocimientos de física: ¿en qué lugar hemos tropezado? En efecto, el sodio, a consecuencia de la emisión, no deja de ser sodio. Pero son los átomos excitados de sodio los que emiten la luz.
¿Qué quiere decir excitados?
Que se han abastecido con anticipación de energía. Que tienen reserva de energía. El exceso de energía, significa exceso de masa. ¡He aquí el quid de la cuestión! Cuando en la llama de un quemador la sal común resplandece con luz amarilla, tiene lugar la reacción
Na* → Na + γ
(donde la masa Na* es mayor que la masa Na), y no la reacción (5). Si queremos averiguar el color de la partícula X, hay que buscar el procesoX = Y + γ (7)
donde la partícula γ debe ser más ligera que la partícula X. Entonces todo resultará muy bien: saldrá volando un fotón con la energía
(8)
Veamos por interés, cómo mediante esta fórmula se puede calcular la frecuencia de la luz que emite el sodio. El átomo excitado pesa sólo un poco más que el no excitado, o sea, durante la desintegración Na* → Na + γ se puede sustituir, en el denominador de la fórmula (8), 2mX por la suma mNa* + mNa. Después de la simplificación quedará
Eγ = mNa* - mNa
Ésta es la fórmula conocida para la frecuencia de la luz, que emite un átomo al pasar del estado excitado al normal. Sólo que, por lo general, la escriben en la formahv = E* - E
Pero sabemos que la energía del estado excitado y la masa del átomo, es una misma cosa, sólo que expresada con distintas palabras.De esta forma, todo se puso en su lugar, y queda buscar los procesos, en los cuales las partículas elementales emiten espontáneamente fotones. Por desgracia, estos procesos son extremadamente raros. He aquí algunas de las desintegraciones, mediante las cuales se puede determinar el color de las partículas:
| π0 → γ + γ | |
| η0 → γ + γ | η0 es una resonancia cuya masa es 0,550 GeV |
| >ω0 → π0 + γ | |
| Σ0 → Λ0 + γ | Σ0 es un hiperón cuya masa es 1,192 GeV |
Pero incluso aquí nos espera una sorpresa desagradable: la energía de los fotones es tan alta que el ojo no la percibe como luz. Resultará simplemente una emisión radiactiva.
Calculemos, por ejemplo, la frecuencia de los fotones de la desintegración Σ0 → Λ0 + γ. La substitución en la expresión (8) demΣ = 1,192, y mΛ = 1,115 dará E1 = 0,0745 GeV, lo que corresponde a la frecuencia γ = 1,8 ∙ 1022 s-1. Pero el ojo no percibe frecuencias superiores a 1015 s-1.
Así que con el color de las partículas no nos salió nada. ¿Cuál pues es la moraleja, como decían en el siglo XIX? ¿O el residuo seco, como dicen en el siglo XX? ¿Qué hemos averiguado?
En primer lugar, hemos averiguado que durante la emisión de luz los átonos se hacen más ligeros. Está claro: la luz se lleva la energía y la energía es equivalente a la masa.
En segundo lugar, ahora está claro, que el átomo antes de la emisión y el átomo después de la emisión son partículas distintas, al igual que los hiperones Σ0 y Λ0 en la reacción Σ0 → Λ0 + γ. Las diferencias, desde luego, no son tan grandes, porque la energía de los fotones también es menor, pero de todos modos ellas son reales. Digamos, el helio no excitado es un gas inerte. El helio excitado interviene en reacciones.
Ahora no nos asombraremos, si escuchamos como al hiperón Σ0 lo llaman estado excitado del hiperón Λ0. La noción acerca de que tales o cuales partículas pesadas representan los estados excitados de las más ligeras, a veces es muy útil y ayuda a establecer el parentesco entre partículas elementales.
Y además nos hemos convencido que la condición (4), es decir, la condición necesaria y suficiente que la desintegración 0 → 1 + 2 tendrá lugar, requiere cierta reserva. Si las partículas 1 y 2 tienen masas en reposo, entonces realmente m0 ≥ m1 + m2 si, por el contrario, digamos, la partícula 2 no tiene masa en reposo, la desigualdad se hace estricta:
m0 > m1
Ni qué decir: cuando m0 = m1 + m2, las partículas 1 y 2 nacen inmóviles, pero el fotón no puede estar parado.El efecto de Mössbauer
Y, por último, es necesario también retener en la memoria la quinta conclusión. Un fotón, al salir volando, se lleva consigo no sólo la energía, sino también el impulso, pues simplemente el impulso de un rosón es igual a la energía hv. La propia partícula γ recibe un impulso igual a hv en sentido contrario, pues durante la emisión de la luz el átomo experimenta una reacción. Ésta es pequeña; la energía de la luz visible es insignificante; digamos, durante la emisión de la luz amarilla, cuya frecuencia es γ = 5 ∙ 1014 s-1, el impulso de la reacción del átomo
hν ≈ 2 ∙ 10-9 GeV
Otra cosa es, cuando se desintegra una partícula elemental o se observa una desintegración radiactiva, en estos casos no se puede olvidar de esta reacción (en el ejemplo anterior, Preac = Eν = 0,0745 Gev).Durante la desintegración radiactiva tiene lugar la reacción
N* → N + γ
el núcleo excitado pasa del estado con mayor masa al estado con menor masa, lanzando un fotón y experimentando una reacción; la energía de la reacción es igual, como siempre, a
R = (0,0745)2/(2 ∙ 1,15) ≈ 2 ∙ 10-3 GeV
esto hace evidente por qué en la masa de sustancia el fotón no es atrapado en el acto por otro núcleo no excitado. Es que para la realización del proceso inversoN + γ → N*
es necesario que el núcleo N disponga exactamente del mismo (por su magnitud y dirección) impulso, la misma energía cinética R, que el núcleo N en la reacción de la desintegración[20]. Pero los núcleos N son casi estacionarios, más precisamente, sus velocidades y energías en el movimiento térmico ordinario son mucho menores que las velocidades y energías que se obtienen en la reacción. (La energía cinética del movimiento térmico de los núcleos puede hallarse de la relación E = (3/2)kT, donde k = 8,62 ∙ 10-14 GeV/grado es la constante de Boltzmann. A la temperatura ambiente esta energía E ≈ 2,5 ∙ 10-11 GeV; ella es mucho menor que la magnitudR necesaria.Cuando los fotones son emitidos por átomos, la energía de reacción del átomo es mucho menor que la energía del movimiento térmico, cuando la frecuencia de la luz emitida ν = 5 ∙ 1014 s-1 la energía de reacción del átomo de sodio (su masa es aproximadamente 22 GeV) es igual a

El físico alemán Mössbauer fue el primero en comprender que si los núcleos N* y N están ligados en los nudos de la red cristalina, el impulso del fotón durante la desintegración (9) a veces toma sobre sí el cristal entero. La masa del cristal es muy grande, y todo parece como si tanto N* como N fuesen «partículas» de masa increíblemente grande (igual a la masa del cristal). Es evidente que después de la emisión γ, semejante partícula seguirá inmóvil. Para absorber tal fotón es necesario igualmente que el impulso de éste sea asimilado por todo el cristal. Esto es posible, si la energía del cuanto γ no es demasiado alta. Y Mössbauer se dio cuenta que, durante la desintegración radiactiva γ de los núcleos en un cristal, tendrá lugar la absorción inversa de fotones en ese mismo cristal (o en otro, pero de la misma sustancia), del mismo modo, como sucede esto durante la emisión de luz por los átomos. Además, confirmó esto experimentalmente. La sensibilidad del efecto de Mössbauer es tan grande, que cuando levantan un cristal-emisor de fotones a varios metros sobre un cristal-absorbente, la absorción ya no tiene lugar: los fotones, al caer, pierden su energía potencial, aumentan la frecuencia y alcanzan los núcleos con una energía que no es la necesaria para el proceso N + γ → N*. Este ensayo demostró (una vez más) las ideas de Einstein acerca que los fotones poseen masa de movimiento que en nada se diferencia de la masa de movimiento de otras partículas.
Capítulo 11
Transformaciones relativistas del erizo impulsor
Para descubrir una partícula nueva, a veces es suficiente registrarla por lo menos una vez. Así sucedió, por ejemplo, con el hiperón Ω-. Pero para estudiar las propiedades de una partícula es insuficiente la simple observación. La mayoría de las propiedades se logran aclarar sólo después de haber estudiado gran cantidad de transformaciones de partículas de un mismo tipo. Estas propiedades actúan como cierta propiedad media del conjunto estudiado de partículas. Por ejemplo, suele ser interesante saber hacia dónde salen volando con mayor frecuencia estas partículas en tal proceso o qué reacción experimenta más a menudo un protón en tal reacción, y si es frecuente la propia reacción.
Por eso en la cinemática de las partículas elementales hay una singularidad que la distingue, digamos, de la cinemática de la caída de un carámbano del tejado o de la cinemática del vuelo de un cohete a la Luna, pues ella se interesa no sólo por el movimiento y la desintegración de partículas aisladas, sino también por las características medias de las desintegraciones de gran cantidad de partículas del mismo tipo; cuántas partículas se pueden encontrar, por término medio, con unas energías dadas o en una dirección dada, etc. La cinemática y la estadística de las transformaciones, las preguntas «¿cuál es la magnitud?» y «¿con qué frecuencia?» generalmente marchan de la mano.
Hasta ahora, en realidad, nos hemos dedicado a la cinemática de una transformación aislada. Al dibujar el erizo de desintegración, por primera vez nos pusimos a hablar acerca del aspecto que tendrán, digamos, mil desintegraciones Κ+ → μ+ + ν, si las reunimos en un punto. Nada interesante hemos visto un erizo redondo ordinario, que muestra, que son posibles cualesquiera direcciones del mesón μ. Pero cuando la desintegración sucede al vuelo el cuadro cambia por completo. El erizo de los impulsos se transformará: unas púas se acortarán, otras se harán más largas, en unos sitios su disposición será más espesa, en otros, más espaciada. Surgirán problemas interesantes.
Aclaremos qué aspecto tendrá una gran cantidad de desintegraciones de la partícula O en las partículas 1 y 2, si observamos estas desintegraciones, permaneciendo inmóviles. Vamos a considerar que todas las partículas O tienen los impulsos P de igual magnitud y dirección (y, naturalmente, una misma energía E).
Resolvemos, sin resolver
El problema puede resolverse de distinta manera. Se pueden escribir directamente las leyes de conservación
E1 + E2 = E
P1 + P2 = P (1)
Nos conducirán las transformaciones de Lorentz. Recordaremos su sentido y aspecto. Supongamos que en el sistema anterior de referencia (digamos, el que se mueve junto con la partícula O) el impulso de la partícula (digamos, la 1) era igual a P, la energía era E1*, la proyección longitudinal del impulso se designaba P||*, y la transversal[21], PĿ* Supongamos que en el nuevo sistema de referencia (digamos, en el de laboratorio) las mismas magnitudes se designan con letras sin asteriscos. Entonces la proyección transversal no variará:
PĿ = PĿ* (2)
y la longitudinal resultará una combinación lineal de las magnitudesP||* y E1*
P1 = γ P1* + γν E1* (3)
La energía también se expresa como una combinación linealE1 = γE*1 + γvP*|| (4)
Los coeficientes γ y γv, en las fórmulas (3) y (4), dependen sólo de la velocidad del sistema anterior respecto al nuevo, o sea, en nuestro caso, de la velocidad de la partícula O. Ellos son los siguientes:γ= E/m y γv = P/m
El primer quebrado es simplemente la definición del factor de Lorentz γ, el segundo se obtiene del primero, si recordamos que v = P/EY aquí, en lugar de resolver las ecuaciones (1) en un sistema inmóvil de referencia, se puede hacer así: resolverlas en el sistema de reposo de la partícula O (esto ya lo hemos aprendido en el capítulo 9), hallar los impulsos de las partículas 1 y 2, y luego trasladar estos impulsos al sistema inmóvil, según las fórmulas de Lorentz. Esto es una substitución algebraica sencilla, o sea, la solución del sistema (1) viene dado por las ecuaciones (3) y (4), en las que hay que sustituir E*1 y P*|| por sus valores del capítulo 9.
Pero, fieles a nuestro amor por la geometría, resolveremos esto gráficamente. En el sistema de reposo de la partícula O, todas las soluciones se representan mediante puntos en una esfera de radio P* (mediante los extremos de las púas del erizo de los impulsos). Por ahora nos es suficiente representar sólo una de las secciones de esta esfera, la circunferencia mayor (también de radio P*; las coordenadas de cualquier punto Q de esta circunferencia son iguales a la longitud de las componentes longitudinal y transversal P del vector del impulso cuya flecha se encuentra en el punto Q. Vea lo que hacen las transformaciones de Lorentz con esta circunferencia. Si tuvieran el aspecto
PĿ = P*Ŀ
P|| = γP*||
ellas simplemente se estirarían en sentido horizontal en γ veces (la coordenada vertical de cada punto permanecería invariable, y la horizontal se alargaría en γ veces). La figura que se obtiene al estirar la circunferencia es una elipse (figura 27).
Figura 27. Sentido geométrico del primer componente del segundo miembro de la fórmula (3). Una circunferencia de radio P*estirada hastaformar una elipse
P|| = γP*|| + γνE1*
Él incrementa cada coordenada horizontal estirada en γνE1*.Pero este número es igual para todos los puntos de la circunferencia: γ, v y E1dependen sólo de la masa de las partículasm, m1, m2 y de la energía de la partícula O, pero todos estos números los hemos fijado cuando dijimos que se va a tratar de una reacción determinada de desintegración y de partículas con un impulso determinado. Por lo tanto, el sumando γνE1* simplemente traslada todos los puntos de la elipse en γνE1* hacia la derecha, o sea, toda la elipse, como un todo, se desplaza en comparación con la circunferencia inicial hacia la derecha (figura 28).
Figura 28. Sentido geométrico de la fórmula (3). La elipse se desplaza en γνE1
La circunferencia se transformará en una esfera (el antiguo erizo de los impulsos), y la elipse se convertirá en un elipsoide de revolución (figura 29).

Figura 29. El erizo de las desintegraciones de una partícula en reposo (a la izquierda) y en movimiento (a la derecha)
El centro del elipsoide O está desplazado respecto al centro la esfera O’, como ya dijimos, en γνE1* en dirección del vector P
Puesto que
![]()
(6)
Convénzase ahora de que P viene dado por una fórmula, semejante a la que expresa la altura de un triángulo por medio de su área y base (resultado de la fórmula de Herón):
(7)
OB = (E/m) P* (8)
Por las fórmulas (6), (7), (8) es fácil trazar una elipse, es decir, la sección de nuestro elipsoide. Cada punto de la elipse es el extremo de cierto vector del impulso de la partícula 1.¿Pero qué hacer con la partícula 2? ¿Es que será preciso obligar a los erizos reproducirse? Se puede, desde luego, hacerlo así. Pero podemos contentarnos también con la elipse anterior (véase la figura 30).

Figura 30. Anatomía de los erizos de la figura 29
¿Cómo está dispuesta la elipse en relación a la esfera? ¿Se encontrará siempre su extremo izquierdo más a la derecha que el centro de la esfera, como en la figura 30? No, no siempre. Todo depende de la combinación de las magnitudes m1, m2, m, E (o P). ¡Siendo E lo suficientemente pequeño, después de las transformaciones de Lorentz, la esfera se desplazará y se alargará un poco, de manera que el punto A quedará a la izquierda del centro O'! El erizo se desplazará y se alargará un poco, pero nadie dudará que es un erizo (figura 31).

Figura 31. Caso de disposición muta de dos erizos. El sentido de las líneas verticales quedará claro más adelante

Figura 32. Otro caso de disposición mutua de los erizos.
Y muchas otras propiedades de las desintegraciones se logra representar clara y precisamente, dibujando los elipsoides de los impulsos. Construyamos la elipse para cierta desintegración O → 1 + 2, para un impulso determinado, convenido de antemano, de la partícula O (figura 33).
Figura 33. Erizo para la solución de problemas.
Problemas
Problema 1. La partícula 1 salió volando, debido a la desintegración, bajo un ángulo de 12° respecto a la dirección de la partícula O. ¿Cuál será su impulso?
Respuesta. Tracemos desde O’ un rayo bajo un ángulo de 12° (figura 33). El atravesará la elipse en dos puntos Q1 y Q2. Esto quiere decir que bajo un ángulo de 12° advertiremos tanto las partículas lentas con un impulso pequeño, numéricamente igual al segmento O’Q2, como las rápidas, con un impulso grande, numéricamente igual al segmento O’Q1. La misma cuestión durante la desintegración π0 → γ + γ (figura 34) se resuelve unívocamente: a cada ángulo corresponde sólo un impulso.

Figura 34. Erizo de las desintegraciones en vuelo del mesón π0
Respuesta. Desde el punto Q1 tracemos una horizontal hasta la intersección con la parte derecha de la circunferencia en el punto Q y desde el punto Q2, una horizontal hasta la intersección con la parte izquierda de la circunferencia en el punto Q. (Durante la transformación de la circunferencia en elipse, la parte derecha de la circunferencia pasó a la parte derecha de la elipse, la izquierda a la izquierda). Los vectores O'Q'1 y nos darán las direcciones que buscamos.
Problema 3. ¿Bajo qué ángulo, el más grande, pueden salir volando las partículas 1 durante la desintegración, representada por la elipse en la figura 33?
Respuesta. Tracemos una tangente a la elipse desde el punto O’. Su ángulo con el eje P es aproximadamente igual a 43°. Este será el ángulo, más grande posible, de vuelo de la partícula 1.
Problema 4. ¿En qué caso el ángulo de salida de la partícula 1 será el ángulo limite de vuelo?
Respuesta. Cuando el segmento O’O se haga mayor que AO.
Puesto que O'O = (E1*/m)P, y AO = (E/m)P*esto se reduce a E1*P ≥ EP*o a P*/ E1* ≤ P/E. Pero la relación entre el impulso y la energía es la velocidad. De esta forma, a la partícula 1 le surge el ángulo límite cuando la velocidad de la partícula O, en el sistema de referencia de laboratorio, supere la velocidad de la partícula 1 en el sistema de reposo de la partícula O:
v > v1* (9)
Cuanto mayores son las velocidades, tanto mayores son los factores de Lorentz, por eso la fórmula (9) puede sustituirse por la desigualdad equivalente (pero a menudo más cómoda)γ > γ1*
Al erizo de impulsos le es posible también otro tipo de problemas: ¿Cuántas partículas tiene tal o cual impulso? ¿tal o cual ángulo?» O: «¿Con qué frecuencia se encuentra tal o cual propiedad?» Sólo hay que recordar, que cuando preguntan, por ejemplo, «¿con qué frecuencia se encuentra el ángulo de 10°?», se tiene en cuenta «el ángulo próximo a 10°», o sea, por ejemplo, los ángulos desde 9° basta 11° o desde 9,9° hasta 10,1°.[23]Para resolver tales problemas hay que conocer las propiedades de la desintegración de la partícula O, que se encuentra en reposo. Hay que saber bajo qué ángulo, con más frecuencia, sale volando la partícula 1 cuando la partícula O se encuentra en reposo, o sea, cuál es la intensidad con que están dispuestas las púas en las distintas zonas de la superficie de un erizo redondo. Por ejemplo, el erizo puede ser isotrópico. El erizo isotrópico tiene en todas las direcciones el mismo número de púas. La palabra «isotrópico» significa «igual en todas las direcciones» Si, por el contrario, por un lado las púas crecen más densamente que por otro, éste ya no es un erizo isotrópico. La desintegración de una partícula inmóvil a menudo es isotrópica. Esto quiere decir que en su erizo en iguales áreas de su esfera hay igual número de púas, dondequiera que dibujemos, dentro de la esfera, estas áreas.
Si se conoce la distribución de las púas de un erizo redondo, es fácil calcular cómo se distribuirán las de un erizo alargado. Es que un erizo «que corre» (el erizo de los impulsos de una partícula en movimiento) se obtiene mediante la transformación de un erizo «que duerme». Cómo se transforma cada púa (cada impulso), nosotros lo sabemos, esto quiere decir que podremos imaginarnos cómo se dispondrán si las transformamos todas juntas, pues sólo se necesita saber cómo estaban colocadas antes de la transformación.
Veamos cómo se hace esto. Ante todo dibujemos un erizo redondo, el cual tenga las púas dispuestas en todas direcciones por igual. ¿Usted piensa que es la figura 35? No, ya que el erizo no es un círculo, sino una esfera sólo que lo dibujamos en forma de círculo. Los arcos AB y CD son de un mismo tamaño, pero si los hacemos girar alrededor del eje OO', las áreas de las franjas esféricas, circunscritas por ellos, resultarán distintas. Pero nosotros queremos, si la desintegración es isotrópica, que un número igual de púas caiga sobre unas áreas de franjas iguales. Para ello hay que cortar mentalmente la esfera, haciendo cortes paralelos a igual distancia una de otra.

Figura 35. Erizo isotrópico falso
Ahora traslademos todas estas flechas, siguiendo la regla anterior, sobre la elipse y obtendremos una impresión general acerca de la intensidad de las púas en el erizo que corre (véase figuras 31 y 32). ¿Se podrá calcular con exactitud, digamos, qué por ciento del total de partículas caerá hacia adelante, dentro del ángulo α? Esto es fácil de calcular: traslademos el punto M a la circunferencia (figura 36).
La relación entre la superficie del segmento esférico mAm y la superficie de la esfera nos dará el por ciento buscado:
![]()

Figura 36. Para a resolución del problema acerca del número de partículas que vuelan a un cono dado.
Solución. Se nos propone demostrar que si la partícula 1 tiene un ángulo límite, con más frecuencia, en el sistema de referencia de laboratorio, ella resultará volando a un ángulo, próximo al límite. Tracemos una tangente a la elipse (figura 37).

Figura 37. Para la resolución del problema acerca de las propiedades del ángulo límite
El primer cono es mucho más ancho que los otros dos simplemente porque la dirección de la secante O’R1Q1 está próxima a la dirección del arco R1QQ1 en el punto de tangencia. Hemos demostrado lo que nos proponíamos: en las desintegraciones, con más frecuencia, se encuentran las partículas que salieron volando a un ángulo próximo al límite.
Problema 6. Demostremos que, si en la reacción π + p → p + X, la partícula X es más pesada que el mesón π, cualquiera que sea la energía del mesón π, el protón p siempre tendrá un ángulo limite de vuelo en el sistema de referencia de laboratorio.
Demostración. Presentemos esta reacción en la forma π + p → O → p + X, o sea, vamos a considerar que al principio π y p convergen en una partícula O con una energía E0 = Eπ + mp, y un impulso Pπ y luego la partícula O con una masa
![]()
![]()


![]()
Si comparamos esto con los resultados del problema anterior, quedará claro que en la reacción π + p → p + X, la trampa de protones es mejor colocarla bajo el ángulo limite de vuelo. Precisamente hacia allí saltará mucho más a gusto, si mX > mπ. La magnitud del ángulo límite se determina por la energía del mesón π y la masa de la supuesta partícula X. En el capítulo 13 volveremos nuevamente a esta conversación.
Problema 7. La partícula 1 salió volando bajo el ángulo de 12°. ¿Cuál será el ángulo que esperamos obtener entre las partículas 1 y 2 (véase la figura 33)?
Respuesta. El ángulo que buscamos es igual al ángulo RQ1O'', o al ángulo Q1Q2O" (dos respuestas).
El descubrimiento del mesón π0
Problema 8. Los mesones π0 con un impulso P se desintegran en dos fotones. ¿Son posibles ángulos de cualquier magnitud entre los fotones?
Respuesta. La elipse de los impulsos para la desintegración π0 → γ + γ tiene la forma como la de la figura 34. En efecto (¡verifíquelo!), el radio de la circunferencia P* = mπ/2, el semieje mayor OB = (E/mπ) ∙ (mπ/2) = E/2; el vector O'O”, como siempre, es igual a P, así OO'' = O'O = P/2. El impulso P siempre es menor que la energía E, y por eso O’ y O” con toda seguridad caerán dentro del elipsoide (OO'' < OB)[25] . El ángulo RQO” es el ángulo α entre los fotones que nos interesa. Cuando el punto Q coincide con B, α = 180°. A medida que Q se desplaza hacia la izquierda, el ángulo α disminuye y en el punto C alcanza su mínimo. De esta forma, no cualquier ángulo (digamos, el ángulo 0°) entre los fotones, es posible.
¿De qué magnitud es el ángulo mínimo posible? Observe el triángulo O’CO”. Él es isósceles, su ángulo exterior junto al vértice es igual a la suma de los ángulos junto a la base. Por lo tanto el ángulo CO’O = αmin/2. Entonces
(10)
Intente obtener también la fórmula cos (αmin/2) = vπ, donde vπ es la velocidad del mesón π.

Figura 38. Descubrimiento del mesón π0. La línea punteada es un haz de fotones de lata energía; en el blanco B, nacían los mesones π 0: C1 y C2, son los contadores que registraban los fotones debidos a la desintegración del mesón π0; elplano de los dos contadores y del blanco es perpendicular al eje del haz.
Estos fotones se registraban mediante dos contadores. La señal simultánea de ambos contadores significaba que los dos fotones salieron volando al mismo tiempo, o sea, nacieron de un mesón π0. Cuando comenzaron a aproximar entre sí los contadores, a partir de cierto ángulo, las señales simultáneas disminuyeron bruscamente.
Por la magnitud de este ángulo, haciendo uso de la fórmula (10), calcularon la masa de una fuente invisible de pares de fotones. Ella resultó próxima a la masa de los mesones π+ y π-. Así, a los mesones π+ y π- , se unió el mesón π0.
Nuevo procedimiento en la solución de sistemas de ecuaciones
Problema 9. Resolver el sistema de ecuaciones
(11)
(12)
Este último problema muestra que, conociendo las transformaciones de Lorentz, se pueden solucionar también problemas escolares puramente algebraicos. De hecho, el procedimiento gráfico aquí no tiene que ver nada; el sistema (11)-(12) puede resolverse también sin él: realizar la transformación de Lorentz del sistema (11)-(12) al sistema de reposo de la panícula O, resolver la ecuación (1) en este sistema y realizar la transformación inversa de Lorentz.
De esta manera, basándonos en el ejemplo de la solución de un sistema ordinario de ecuaciones del curso escolar se ve cómo en la física teórica algunas veces se ingenian solucionar ecuaciones, sin necesidad de resolverlas. Para esto atribuirnos un sentido físico a los valores que figuran en el sistema (11), (12), luego recordarnos las propiedades de estas magnitudes (en el caso dado, cómo varían en las transformaciones de Lorentz) y escribimos inmediatamente la respuesta, apoyándonos en las leyes físicas conocidas por nosotros.
Intente usted mismo inventar unos sistemas de ecuaciones, semejantes a los anteriores, que se resuelvan sobre la base de consideraciones físicas. En los problemas, al final del libro, se presentan ciertos ejemplos más complejos de este tipo.
Capítulo 12
Relato acerca de cómo fue hallado el mesón π0 en los rayos cósmicos
Muchos físicos en aquel tiempo pusieron manos a la obra. Sin esperanza de ver el imperceptible mesón π0 con sus propios ojos, ellos trataban de hallar tales propiedades de las desintegraciones de éste en fotones, las cuales, con toda evidencia, condujeran a la conclusión que la fuente de los fotones es precisamente el mesón y casi al mismo tiempo varios grupos comunicaron acerca de los resultados de sus ensayos, después de los cuales no quedaron más dudas respecto de la existencia de los mesones π0. La idea cinemática de uno de los ensayos la expusimos en el problema 8 del capítulo 11.
Pero mucho más interesante es la idea cinemática de otro ensayo. Este fue realizado por tres físicos, los cuales elevaron a la altura de 21 km, en un aerostato, unas placas fotográficas que registraban los fotones debidos a la desintegración de los mesones π0. La existencia de los mesones π 0 en los rayos cósmicos se pudo demostrar midiendo sólo las energías de fotones aislados por separado. Si se lograra ver al mismo tiempo los pares de fotones, no costaría nada convencerse de la existencia de los mesones π0. Pero se necesitaba tener cierta dosis de humor, para descubrir el mesón π0, midiendo la energía de un solo fotón durante la desintegración π0 → γ + γ, sin saber, existe o no en alguna parte el segundo, y sin interesarse por las direcciones tanto del fotón advertido, como del mesón π0 invisible.
«Cinemática para pobres»
Tratemos de comprender esto. El relato será largo, ya que nos hemos adentrado en una rama nueva, para nosotros, de la cinemática, que denominaremos «cinemática para pobres». Si usted está en condiciones de medir los impulsos y las direcciones de todas las partículas que intervienen en la transformación, ella no le es necesaria. Pero si usted es capaz de advertir sólo una parle de las partículas que surgen, si puede medir sólo los ángulos, sin conocer las energías, o sólo la energía, sin conocer los ángulos, en tales condiciones es especialmente difícil descubrir algo, y aquí las leyes de la cinemática prestan un servicio inapreciable al físico. Esta es la parte más interesante de la cinemática, muchas cosas en ella todavía no las conocemos, y aquello que conocemos, siempre parece más bello[26].
La isotropía de la desintegración
Para empezar recordemos que por isotropía de la desintegración se entiende una desintegración igualmente frecuente en todas las direcciones. La isotropía de la desintegración, como sabemos, se expresa en que el impulso alcanza las capas de igual grosor (en la esfera de los impulsos) con una misma frecuencia (figura 39).

Figura 39. Para comprender la isotropía. Así se puede cortar una esfera en partes con superficies iguales
¿Qué sucederá si para todos los mesones π0 los impulsos son idénticos e iguales a P? En este caso, la energía de uno de los fotones (1) se expresará mediante la fórmula de Lorentz
E1 = γE1* + γvP1* (1)
En esta fórmula se pueden ver (véase el problema 8 del capítulo 11) los números fijadosγ = E/mπ, E1* = mπ/2, γv = P/mπ (2)
De una desintegración a otra varía sólo la componente longitudinal del impulso del fotón. Pero hemos visto su variación: cualquier valor admisible de ésta se presenta con la misma frecuencia. Esto quiere decir que cualquier valor de la energía E1 del fotón 1 debe igualmente verse con la misma frecuencia, ya que E se obtiene a partir de P||* multiplicándolo por un número constante y sumándole otro número constante:E1 = E/2 + (P/mπ)∙ P||* (3)

Figura 40. Desintegración isotrópica. El erizo de los impulsos ha sido cortado en partes. En cada una de ellas resultará igual número de impulsos; de la figura se ve que en una desintegración isotrópica, todos los valores de los componentes longitudinales de los impulsos se encuentran, en término medio, con la misma frecuencia
Hemos demostrado un teorema importante (exacto no sólo para la desintegración π0 → γ + γ): si las partículas en reposo se desintegran de una manera isotrópica y si las magnitudes de sus impulsos son iguales, entonces todas las posibles energías de las partículas que surgen durante la desintegración, tienen igual probabilidad. Los limites, dentro de los cuales varía la energía de los fotones, dependen de E y P, de la energía y el impulso de los mesones π0.
De aquí se deduce la siguiente receta práctica para la búsqueda del mesón π0: si el impulso P del mesón π0 está fijado, entonces medimos la energía de los fotones y acumulamos la mayor cantidad posible de mediciones de este tipo. Luego multiplicamos la energía del fotón más «enérgico» de los hallados (su valor esperado está cerca de (E + P)/2), por la energía del más «perezoso» (ella resultará próxima a ( E - P)/2) y obtendremos mπ/4, o sea, conoceremos la masa del mesón π0. Quiere decir que se puede descubrir el mesón π0 observando sólo un fotón de cada desintegración, sin interesarse por la dirección de éstos.
Por desgracia, durante la observación de los rayos cósmicos, no existen condiciones tan ideales. Allí no se puede confiar que todos los mesones π 0 tendrán la misma energía. ¿Qué hacer? Probemos cumplir con esto también.
Acabamos de decir que si todos los mesones cósmicos tuvieran la misma energía E, entre los fotones se encontrarían, con la misma frecuencia, cualesquiera valores de la energía desde (E - P)/2 hasta (E + P)/2. Si por la horizontal trazamos la energía de un fotón, por la vertical, el número de fotones con esta energía, las posibilidades de encontrar cualesquiera energías serán iguales. La dependencia del número de fotones de su energía se puede ver en la figura 41 (este gráfico recuerda una portería de fútbol).

Figura 41. Dependencia del número de fotones respecto de su energía. Todos los valores de la energía del fotón, desde (E - P)/2 hasta (E + P)/2, tienen igual probabilidad
Figura 42. Caso de energías distintas. Cuatro porterías correspondientes a cuatro grupos imaginarios de π0 (las áreas de dichas porterías son proporcionales a la cantidad de cada grupo)
Esto es muy importante. Con esto hemos demostrado que si nos cae una lluvia de mesones π0 de toda clase de energías, entre los fotones, con más frecuencia, se encontrarán ejemplares con la energía mπ/2. Otras energías se encontrarán no tan a menudo: siempre se puede indicar tales impulsos de los mesones π0, que no podrán aparecer fotones con estas energías[27]. Mientras que los fotones, cuya energía es mπ/2, pueden nacer de cualesquiera mesones π0, incluso de los que se encuentran en reposo (véase la fórmula (10) del capítulo 9). He aquí el primer procedimiento para demostrar que en los rayos cósmicos existen mesones π0, ver, qué energía se encuentra más a menudo en los fotones cósmicos. Resultó que esa energía es 0,07 GeV (figura 43). Esto significa que la masa de la fuente de fotones es 0.14, precisamente la masa del mesón π+ o del mesón π-.

Figura 43. Descubrimiento de los mesones π0 en la estratosfera. La línea escalonada muestra con qué frecuencia, a la altura de 21 km se encontraba fotones de una u otra energía. En el eje horizontal se ha trazado la energía de los fotones en MeV, millonésimos de GeV, en la vertical se ha trazado el número de casos, la línea curva es la escalonada suavizada, el máximo cayó en 0,07 GeV
Si las porterías son no cuatro, sino una gran cantidad, la pirámide se transformará en una montaña, en una curva suave y continua, su cumbre se encontrará en el punto E1 = mπ/2. Pero ahora nos interesan los extremos de esta montaña. Sabemos que la subida suave hacia la cumbre son los extremos desbastados oblicuamente de las porterías, amontonadas unas sobre otras. La situación de los bordes está vinculada con mπ/2 mediante la fórmula
(4)

Figura 44. Distribución sumaria de fotones en cuatro grupos de mesones π0. La pendiente de la subida a esta pirámide depende del número de mesones π0 con la energía correspondiente

Figura 45 Espectro límite de fotones al aumentar el número de grupos. La pendiente de la subida a esta montaña depende del número de mesones π 0 con la energía correspondiente
¿Y qué más se puede aclarar realizando un levantamiento topográfico de esta cumbre? Recuerde que la montaña resultó de una pirámide. Cada escalón de ésta surgió de los mesones π0 de determinada energía (más exactamente, de los fotones creados por los mesones π0 de una energía determinada). Unos escalones son altos, esto significa que hay muchos mesones π0 con tal energía. Otros son bajos, esto significa que hay pocos mesones π0 con esta energía. Esto quiere decir que en una pirámide (montaña) suavizada mediante la pendiente de su ladera, puede saberse el número de mesones π0 con tal energía. En efecto, una vez medida la pendiente de la montaña a intervalos iguales, los investigadores conocieron cuántos mesones π0 y con qué energía aparecen en los rayos cósmicos (figura 46). La energía fue calculada tranzando en el dibujo de la montaña la línea media: la media aritmética de las coordenadas de los bordes de cada escalón daba la mitad de la energía del mesón π, así como su media geométrica daba la mitad de la masa.

Figura 46. Espectro de energías de los mesones π0, en la estratosfera. Del mismo experimento en la estratosfera se ha tomado la curva que muestra cuántos mesones π0 de una u otra energía se encuentran a la altura de 21 km, los círculos son los resultados de la medición de la pendiente (véase la figura 43) con sus errores; en el eje horizontal se ha trazado la energía E de los mesones π0 en MeV; en el vertical , el número de casos N
El color de los átomos en movimiento
Todo lo que acabamos de decir acerca de los mesones π0 y los fotones, se puede atribuir también a los átomos y a la luz emitida por ellos. Allí este fenómeno, es decir, la dependencia entre la energía de un fotón y el lugar hacia dónde, en relación al movimiento del emisor, éste salió volando, se conoce desde hace mucho tiempo. Sólo que allí no hablan sobre la energía de un fotón, sino sobre la frecuencia de la luz, y el fenómeno lo denominan efecto de Doppler. Cuando la luz, debida a un átomo en movimiento, se emite hacia donde se mueve el propio átomo, su frecuencia, en el sistema de referencia inmóvil, parece más alta; si se mueve en sentido opuesto, más baja. El color de un átomo en movimiento (si utilizamos el lenguaje del capítulo 10) no es el mismo que el de un átomo inmóvil, y por delante es distinto a como es por detrás. Un átomo es como una hamadría (mono cercopitécido): por delante es violeta, por detrás rojo.
La fórmula de las transformaciones de Lorentz para los fotones
E1 = γE1* + γvP||* (1)
es la fórmula del efecto de Doppler. La energía de los fotones E, emitidos por un átomo que se encuentra en reposo, es igual a su impulsoP’. Además, la energía de un fotón está vinculada con la frecuencia de la luz mediante la fórmula E1* = P* = hv. Cuando un fotón sale volando (en el sistema de reposo del átomo) a un ángulo θ* respecto a la dirección del movimiento, P||* = P* cos θ* = hv*cos θ*. La fórmula para la frecuencia de la luz, que se ve en el sistema de referencia de laboratorio, tomará la forma v = v* (γ + γv cos Θ*)Recordemos qué es γ y obtendremos que por delante (Θ* = 0) un átomo parecerá emitir una luz de frecuencia
(5)
(6)
![]()
Aquello, que no está al alcance de un gas luminiscente, con facilidad lo realizan los cuantos y de los mesones π° cósmicos. En el gas las altas velocidades se alcanzan a cuenta del intercambio caótico de golpes de átomo contra átomo. Este es un procedimiento muy poco efectivo de incremento de la velocidad. La proximidad de las velocidades de las partículas cósmicas a la unidad demuestra que el mecanismo de su aceleración era otro, que en las profundidades del Universo funciona un acelerador cósmico. De lo contrario la frecuencia de los fotones en los rayos cósmicos (véase la fig. 43) no se difundiría en varias octavas.
Con todo y eso. para una luz visible, el efecto de Doppler de la amplitud de una octava también es bien conocido por los astrónomos. Pero esto no es una difusión del espectro a ambos lados acerca del cual hemos tratado hasta ahora, sino su desplazamiento a un lado. En los espectros de las estrellas lejanas y nebulosidades todas las líneas conocidas están desplazadas hacia el lado rojo. Estas estrellas, por lo visto, se alejan de nosotros con velocidades comparables con la velocidad de la luz. Miramos a la luz de los átomos de estas estrellas por detrás (Θ* = 180°), y es correcta la fórmula (6). De dónde extrae la energía el acelerador que acelera hasta v ≈ 1 no los protones sino las galaxias, aquí no vamos a hablar.
La resonancia Λη
Pero volvamos de las profundidades del cosmos a la Tierra. Marchemos a la ciudad Dubná, en los alrededores de Moscú, y veamos cómo la «cinemática para pobres» sugirió a los físicos la idea acerca de la posible existencia de una resonancia nueva, antes desconocida, una resonancia entre el hiperón Λº y el mesón η° (eta-cero). Igual que el mesón π°, este mesón η° puede desintegrarse en dos fotones, y es mejor narrar esto ahora, mientras de nuestra memoria aún no se borraron las propiedades de la desintegración en dos fotones.
En el Laboratorio de energías altas de Dubná fue realizado el siguiente ensayo: una cámara, llena de propano líquido, se irradiaba por mesones ϖ de alta energía, y entre la gran cantidad de reacciones que tenían lugar, se seleccionaban sólo los casos, cuando aparecía el hiperón Λº y por lo menos un fotón. Si se lograba descubrir tal fotografía, se medían las energías y la dirección del hiperón Λº y del fotón y se calculaba la masa efectiva mΛº del sistema Λγ Cuando acumularon más de cien fotografías de casos con las partículas Λ y γ y vieron qué valores de mΛγ2 se encuentran más a menudo, se puso en claro una particularidad interesante: en el intervalo 1,7 GeV2 ≤ mΛγ2 ≤ 1,9 GeV 2 los valores de mΛγ2, se encuentran demasiado a menudo, con más frecuencia, que les correspondería según las leyes del caso. Lo más sencillo, desde luego, era suponer que se había descubierto una resonancia en el sistema Λγ. Pero no se excluía también otra cosa: que de hecho lo que se observaba era la resonancia del hiperón Λ con cierta partícula, por ejemplo con el mesón ϖº, pero advertimos sólo uno de aquellos dos fotones que surgen de la desintegración del mesón ϖº:

Para convencerse de la justeza de tales razonamientos, hay que aclarar dentro de qué límites puede variar la masa efectiva del sistema Λγ en la reacción (7), si la masa de la partícula X está fijada. Hacer esto para nosotros no es complicado, ya que hace un momento que hemos examinado con todo detalle la cinemática de las desintegraciones πº Y γ1 + γ2 .

Por lo tanto, el valor mínimo (máximo) de mΛγ se obtendrá cuando en el sistema de reposo de la partícula X la energía del fotón γ 2 sea máxima (mínima). ¿En qué momento la energía del fotón, nacido del mesón π°, tiene su valor máximo (mínimo)? Acerca de esto ya hemos hablado al deducir la fórmula (3): la energía de un fotón está restringida por los límites (E — P)/2 y (E + P)/2, donde E y P son la energía y el impulso del mesón π°. En el sistema de reposo de la partícula X, éstos son números lo suficientemente determinados, ya que X se desintegra en las partículas Λ° y π°, y las energías de los productos de la desintegración, de una partícula en reposo, están fijadas. Así pues, se pueden continuar los cálculos en la fórmula (8);

mX - Eπ = EΛ y PΛ = Pπ
así que definitivamente
(9)
(10)

![]()



![]()
(13)
Tal partícula es conocida, es el mesón η° con una masa de 0.55 GeV. Así que, si el exceso de valores m2y en el intervalo 1,7-1,9 GeV2 debe su origen al proceso en dos escalones, del tipo (7), la partícula X deberá tener una masa √2,6 = 1,61 GeV, y la partícula, que tomamos por un mesón π°, es en realidad, un mesón η°.
Las apreciaciones obtenidas para las masas son poco exactas y aproximadas, ya que los propios límites 1,7-1,9 GeV2 fueron determinados a ojo de buen cubero. En todo caso, el cálculo realizado mostró que, tal vez, exista una partícula, no hallada hasta ahora, cuya masa apenas sobrepase la suma de las masas de Λ° y η°. y que se desintegre en un hiperón Λ° y un mesón η°. Esto no es una demostración rigurosa: demasiado indirectas son las pruebas, pero, en todo caso, la hipótesis fue expuesta, y comenzaron a buscar esta partícula, como es debido, en serio. En efecto, transcurrido año y medio unos físicos norteamericanos, al realizar unos ensayos nuevos, confirmaron la existencia de una resonancia, con una masa de 1,675 GeV, que se desintegra en un hiperón Λ° y un mesón η°. Hoy día sigue el estudio de esta resonancia. Suponen que éste es el primer miembro de toda una familia de resonancias de los bariones con el mesón η° y que puede ser descubierta también la resonancia sigma-eta (Ση), y puede ser, la resonancia xi-eta (Ξη). «¡Adelante, adelante con mi historial» Los erizos, las porteñas y los fotones: todo esto es etapa recorrida. ¿Pero no llegó el momento de plantearnos problemas más difíciles? Existe un tipo muy frecuente de desintegraciones, que no hemos tocado en absoluto. Son las desintegraciones en tres partículas.
Es sabido, por ejemplo, que los mesones Κ°, ω° y η° se desintegran en tres mesones π. En un protón, un electrón y un antineutrino se desintegran los neutrones, conocidos por todos. Los mesones μ+ en 10-6 s se desintegran en un positrón y un par neutrino—antineutrino. También suceden casos más complicados. Una de las resonancias se desintegra en un par de partículas, un mesón π y un mesón ω°, mientras que el mesón ω° se desintegra en tres mesones π. Y así sucesivamente.
Pero no vamos a precisar el tipo de desintegración. Supongamos que la partícula O se desintegra en otras tres partículas: 1, 2 y 3. Que ella además se encuentra en reposo. ¿Qué dicen acerca de esta desintegración las leyes de la conservación? Escribámoslas:
E1 + E2 + E3 = m (1)
P1 - P2 + P3 = 0 [28] (2)
Aquí hay que añadir además las correlaciones de invariabilidadE12 - P12 = m12, E22 - P22 = m 22, E32 - P32 = m32 (3)
e investigar las propiedades de las soluciones del sistema de ecuaciones obtenido, como lo hicimos en el caso de la desintegración en las partículas.En aquel caso descubrimos que la energía de la partícula 1 se determina totalmente por las masas de las partículas O, 1 y 2:
E1 = (m2 + m1- m22) / 2m (4)
luego aclaramos que no existen restricciones en cuanto a la dirección de la partícula 1, y nos enteramos además de otros muchos detalles de la desintegración.¿Pero qué nos molesta hacer pasar una desintegración en tres partículas por una desintegración en dos? Tomemos el par de las partículas 2 y 3 por una partícula con una energía E2 + E3 y un impulso P2 + P3. Designémosla 23, uniendo en este número el 2 y el 3. Para que ella realmente pase por una partícula, además hay que proveerla de masa. Por tal masa tomaremos la invariante
(5)
(6)
El descubrimiento del neutrino
La cinemática es la criada de la física. Cada observación suya, cada conclusión ella trata, en el acto, de proponerla en ayuda sea de la teoría, sea del experimento. E incluso la conclusión, que acabamos de señalar, también en su tiempo jugó un papel importante en la física. Un hecho de por sí poco complicado: la desintegración de una partícula en reposo en dos se diferencia de la desintegración en tres, en que en el primer caso las partículas nacen siempre con la misma energía, en el segundo nacen con distinta Pero él sirvió de base para el descubrimiento de la más increíble de todas las partículas elementales, el neutrino.
La cosa fue así: ya hace tiempo que observaban la desintegración β de núcleos. El fenómeno consistía en que algunas veces uno u otro núcleo, por sí mismo, de súbito, emitía electrones (la emisión β es un torrente de electrones o positrones), transformándose en otro núcleo con una carga eléctrica en una unidad superior o inferior. Transcurría, por lo visto, una reacción parecida a, la ya conocida por nosotros del capítulo 10, la desintegración γ:
N* → N + e- (7)
Pero si esto es así, todos los electrones en el tipo dado de desintegración resultarían con la misma energía. Mientras tanto resultó que las energías de los electrones, en la desintegración β, de cuando en cuando varían mucho. Cuando largo tiempo observas una desintegración β de núcleos de un mismo tipo, ves electrones de toda clase de energías, desde pequeñas hasta bastante considerables (fig. 47).Si este fenómeno fuese descubierto recientemente, después del descubrimiento de una gran cantidad de resonancias, no surgiría la pregunta de cómo explicarlo: es evidente, diríamos nosotros, en una desintegración β nace, por lo menos, una partícula invisible más. Algo así como un mesón π°, sólo que más ligero (más ligero porque la diferencia entre las masas N* y N no es grande).
No existirían dudas de que en efecto la reacción transcurre así:
N* → N + e- + X° (8)
y que para determinar la masa de la partícula X° hay que medir los vectores de los impulsos de las partículas N y e- y calcular el defecto de masa.
Figura 47. Espectro típico de energías de los electrones en desintegración. En la horizontal se han trazado las energías que se encuentran en desintegración de los electrones, en la vertical, la frecuencia con que se encuentran estas energías
¡Varios experimentos, para la verificación del balance de la energía durante choques de partículas elementales, fueron organizados en los años 20-30, y en algunos de ellos el balance se alteraba! Precisamente entonces los futuros académicos A. I. Alijanian, A. I. Alijanov y L. A. Artsimovich realizaron un experimento para verificar si se altera el balance de los impulsos durante las desintegraciones. ¡Qué gente más rara son estos físicos! ¡Ellos se permiten dudar de la firmeza de una ley tan sencilla, tan comprensible para los filósofos, que cabe fácilmente en las distintas construcciones filosóficas, la ley de conservación de la energía! ¡De nada, nada surge, para qué inventar más! ¿Qué más ensayos necesitan?
Me permitiré apartarme de las desintegraciones en tres partículas y detenerme más detalladamente en la diferencia en los enfoques de la conservación de la energía entre los físicos y los dogmáticos. Parecería que los últimos tienen razón: en efecto, no hay nada más sencillo, pues la energía se conserva por doquier, ¿cómo se puede dudar de esto? ¡Si no se conserva, que construyan una máquina de movimiento perpetuo! En realidad la ciencia contemporánea no puede explicar el porqué la energía debe conservarse, pues esto está por encima de sus posibilidades. «Hasta ahora se conservaba», es la única razón para la afirmación acerca de la conservación de la energía. En la teoría, la conservación de la energía la deducen de la invariabilidad de las leyes físicas en el tiempo. Pero esto último también es un hecho experimental, o sea, una ley del tipo «hasta el presente fue así». Y los físicos comprenden esto y tratan con la debida resignación la profundidad de sus conocimientos acerca de la conservación de la energía. Mientras que algunos filósofos tratan de hacer la vista gorda, dando a entender que saben algo, acerca de la conservación de la energía, desconocido para los físicos, ellos lo elevan a la altura «de principio», demuestran que la energía no puede no conservarse, ya que... y después siguen lindas generalizaciones ideológicas. Todo tiene un aspecto como si supiesen algo que para los simples mortales es ignoto. Ellos no comprenden que, si un buen día un ensayo muestra que en alguna parte la energía no se conserva o se conserva con exactitud limitada, ellos igual que todos nosotros, tendrán que tragar esta píldora y variar su concepción del mundo de tal manera que de ella se deduzca la no conservación de la energía.
De aquí no se deduce que los físicos creen en la ley de la conservación de la energía menos que los filósofos. De ningún modo. Pero unos simplemente creen, otros creen con precaución. O, sin bromas, esto es una creencia, que va mano con mano con el conocimiento.
Pero volvamos a la desintegración β. Nos queda sólo añadir que la suposición de Pauli, basada en la creencia de la conservación de la energía y el impulso y en una gran audacia de su inteligencia, resultó totalmente acertada. No hace tanto tiempo, cuando ya de por sí nadie tenía dudas, el neutrino fue advertido por un procedimiento más directo (y no en virtud nada más que de consideraciones cinemáticas). Ahora los físicos operan libremente con dos variedades de neutrino y dos variedades de antineutrino [29]
Nos hemos distraído hasta tal punto de la línea de nuestros razonamientos, que habrá que recordar por dónde se comenzó, y seguir adelante. Queríamos representar la desintegración en tres partículas en forma de una desintegración en dos. Esto no resultó difícil, pero se aclaró que debido a esto la masa de una de las dos partículas (23) se convertiría en variable y, como consecuencia, variable se haría también la energía de la partícula 1.
Veamos dentro de qué límites puede variar esta energía. Recordemos la fórmula deducida por nosotros:
![]()
![]()
(9 )

Figura 48. Desintegración en tres partículas. a) Configuración, para la cual d impulso de la panícula 1 es extremadamente grande, b) Configuración, para la cual el igual a cero.
m1 ≤ E1 ≤ E1 máx (10)
Qué valores, precisamente, de la energía se presentan con más frecuencia en este intervalo y cuáles con menos, no depende ya de las leyes de conservación, sino de las costumbres de estas variedades de partículas (las partículas O, 1, 2 y 3). Pero cualesquiera que sean las costumbres, la energía no pasará de los limites (10).El valor límite de la energía de cada una de las partículas depende de las masas de las partículas que encontramos en la desintegración. Entre ellas puede haber también algunas invisibles, cuya presencia sólo puede suponerse, pero por la energía máxima, advertida en una desintegración, se puede juzgar acerca de la masa de esta partícula invisible. (Así, por ejemplo, por la energía máxima de los electrones en la desintegración β se logró establecer que la masa del neutrino es muy pequeña. Algunos suponen que la masa del neutrino, como también la del fotón, es igual a cero).

Figura 49 Desintegración en cuatro partículas. En la imagen de arriba se da la configuración de cuatro partículas, para la cual el impulso de la partícula 1 es extremadamente grande, abajo se presenta el caso cuando el impulso de la partícula i es igual a cero.
El espectrómetro del defecto de masas
Ahora, puede que ya estemos en condición de comprender la idea de un ensayo, propuesto en el año 1965 en la Organización Europea de Investigación Nuclear. En este ensayo se hace la intención de aclarar qué partículas-resonancias cargadas nacen de los mesones π- enérgicos. Sea que un mesón π - choca con un protón. La interacción de éstos a veces conduce a que el protón salta hacia un lado, engendrando varias partículas ligeras. Como sabe, nace todo a lo que nacer no está prohibido; por eso a veces surge una partícula, digamos nuevamente un mesón π-, a veces dos, digamos los mesones π- y π0; algunas veces tres o cuatro, no obligatoriamente los mesones π, o sea, se forman también resonancias, ya de una en una, ya acompañadas por otras partículas. Si todo lo que surge lo designamos X- (el menos significa la carga total), todas estas reacciones pueden escribirse condicionalmente en forma de una sola reacción
π- + p → p + X0 11
Pero sólo hay que considerar que, a diferencia de π- y p, la masa en reposo de la partícula X0 no está fijada de antemano, ella de cuando en cuando, de un choque π- - p a otro varía: ella es igual a![]()
![]()
En todo esto no hay nada nuevo para nosotros, ya que precisamente así se descubren las resonancias (véase cap. 8). Lo nuevo en el ensayo, que estamos describiendo, es que en él se quiere pasar sin medir los valores de mx; advirtiendo sólo una magnitud, el ángulo, al cual saltará el protón, también pueden descubrirse las resonancias. Resultó que determinando cuáles de estos ángulos se presentan más a menudo, pueden conocerse las masas de la partícula X que se encuentran. Por qué esto es así tendremos que examinarlo.
Lo más sencillo seria dirigirse a los problemas 5 y 6 del capítulo 11, todo lo necesario allí ya se dijo. Pero mejor es recordar todo por orden. Empecemos por el problema 6. De él se deduce, que si la partícula X es más pesada que un mesón π, los protones tendrán un ángulo limite de salida: el protón, en el sistema de referencia de laboratorio, no podrá saltar hacia atrás. ¿De qué depende la desviación límite de un protón? Ella viene dada por la tangente a la elipse de los impulsos, es decir, depende de la forma y la disposición del erizo elíptico, o sea, al fin de cuentas, de la masa en reposo del sistema inicial π- p y de la masa de las dos partículas nacidas p y X. Si fijamos de antemano la energía del mesón π-, entonces también será invariable la masa m0 del sistema π- p. La forma y la disposición de la elipse, por lo tanto, se determinará unívocamente por la masa de la partícula X. Quiere decir que entre el ángulo limite de salida de un protón y la masa de la partícula habrá un enlace unívoco. Midiendo los ángulos límites, indirectamente medimos la masa de la partícula X.
- Bien, dirá usted, pero ¿de dónde sabemos que el protón saltó a un ángulo igual al límite? El salta como se le antoja, y no obligatoriamente bajo el ángulo máximo admisible...
- Usted tiene razón. Pero recuerde la propiedad que aclaramos en el problema 5 del capítulo II. El ángulo límite es el ángulo de vuelo más preferido de las partículas. Cerca de la dirección límite, ellas se acumulan más que en otras. Aquí no hay nada extraño, así son las propiedades de la elipse de los impulsos (pero más detalladamente mírelo en el problema). Así que aunque la dirección de un protón de antemano no esté condicionada, pero prácticamente en dirección del ángulo límite, ellas se acumularán más que en cualquier otra dirección.
Por tanto, parece que hemos comprendido por qué entre los ángulos de salida de un protón y la masa de la partícula X existe un enlace estrecho. Este enlace no es unívoco: no puede afirmarse, que conociendo cada vez el ángulo de salida de un protón, podamos, de este modo, conocer la masa de la partícula X. Pero puede afirmarse que muy a menudo un protón salta de tal manera que por su dirección puede juzgarse acerca de mx. Entre la dirección de un protón y mx existe, como se dice, una correlación, o sea, un enlace no completo, pero un enlace[30].
Y ahora ya podemos comprender la idea del experimento. Hay que medir el ángulo de salida del protón y, una vez examinadas varias decenas de miles de casos del proceso π- + p → p + X-, contar cuántas veces se encuentra tal o cual ángulo de salida. Ciertos ángulos se encontrarán más a menudo, tan a menudo que esto no podrá explicarse como una simple casualidad. Después hay que seleccionar las elipses, para las cuales los ángulos de inclinación de la tangente son iguales a estos ángulos, y averiguar de este modo mx, para la cual tales elipses surgen. Así se obtienen las masas de todas las partículas y las resonancias (de carga negativa), que nacen en pareja con el protón.
Realizar el experimento no es fácil. Para obtener un resultado fidedigno, hay que registrar una enorme cantidad de acontecimientos del tipo π- + p → p + X-, aclarar en cada caso la dirección del mesón π- proyectil, convencerse de que ha salido volando precisamente un protón y justamente en aquel instante, cuando el mesón π- dio en el blanco, medir el ángulo de salida del protón, etc. Para esto se requieren dispositivos electrónicos totalmente nuevos, conectados directamente con una máquina computadora. La recompensa por tal trabajo será la capacidad de descubrir automáticamente verdaderas series de resonancias, sin la intervención del hombre.
Pero el relato acerca de esto sale fuera de lo que ahora nos ocupa.
Ya quería terminar este capítulo, pero he recordado que tengo una deuda. En el capítulo 5 se ha demostrado que la condición
m ≥ m1 + m2 +...+ mn
es necesaria para que tenga lugar la desintegración en n partículas: 1, 2, etc. Pero la demostración de la suficiencia fue aplazada. Ahora es el momento más oportuno para realizarla.Aquí es bueno aplicar el método de la inducción matemática. La desintegración en dos partículas, cuando m > m1 + m2, siempre está permitida por las leyes de la conservación, puesto que (véase la fig. 22) para esta condición siempre puede trazarse un triángulo cuyas proyecciones de los lados laterales sean m1 y m2 y que a su vez la suma de éstos sea m. Así, para n = 2 la suficiencia está demostrada.
Supongamos que para n = 3 se ha cumplido la condición
m ≥ m1 + m2 +m3
Entonces puede hallarse tal número m23, que se cumplirán las siguientes dos desigualdades:m ≥ m1 + m23
m23 ≥ m2 + m3
(es suficiente tomar, por ejemplo, m23 = m2 + m3). Pero para estas condiciones, como acabamos de demostrar, se permiten las desintegraciones siguientes:O → 1 + 23
23 → 2 + 3
Pero esto precisamente es la desintegración O Y 1 + 2 + 3. La suficiencia está demostrada también para n = 3.Termine la demostración individualmente.
Capitulo 14
El cono de tres fotones
Así que, los físicos tenían la posibilidad de observar fotones de energías altas. Ellos decidieron aprovecharla para demostrar que el mesón ω° puede desintegrarse no sólo en tres mesones π (ω° → π+ + π- + π°), sino también en tres fotones (ω° -» γ + γ + γ). Esperaban que los rápidos mesones π-, al salir volando del acelerador, chocarían en la cámara con los protones (en cada molécula de propano hay ocho protones) y los transformarían en neutrones, pero ellos al mismo tiempo se transformarían en mesones ω°, los cuales a veces allí mismo, en el lugar del choque, se desintegrarían en un mesón π° y un fotón.
(1)
Exteriormente este proceso debía presentarse así; se ve el rastro de un mesón π-, él súbitamente se interrumpe, pero a lo lejos se ven tres tenedores e- e+, que con sus puntas miran hacia el lugar de interrupción del rastro del mesón π (fig. 50). En semejante fotografía, con gran exactitud, pueden medirse las direcciones de todos los fotones: son los vectores con su origen en el punto de interrupción y sus extremos en la confluencia de las puntas de los tenedores. Las direcciones de los fotones se determinaban con una exactitud de hasta 1°.

Figura 50. Investigación del proceso π- + p → n + ω0 (una de las fotografías).
Por desgracia, no puede decirse lo mismo acerca de la energía de los fotones: debido a diversas causas, en una cámara, llena de un líquido pesado, la energía de los fotones se determina de una forma muy aproximada. Y puesto que esto es así, tampoco hay posibilidad de calcular la masa invariante del trío de fotones, no es posible convencerse de que ella es igual a la masa del mesón ω°.
Ante los investigadores surgió un problema difícil: sin ver ni el neutrón ni el mesón ω° y conociendo sólo las direcciones de los propios fotones, demostrar que los tríos de fotones en tales fotografías tienen su origen de los mesones ω°. Vea qué solución más bonita le dieron.
¿Usted recuerda cómo en su tiempo descubrieron el mesón π° (cap. 11)? Entonces tenía lugar una reacción, parecida a la reacción (1):

(2)

Imaginemos, que los tres fotones, en los cuales se desintegró el mesón ω°, tienen unos impulsos iguales a P1, P2, P3. Pongamos que ellos estén dirigidos en el espacio de cualquier manera (fig. 51).

Figura 51. Cono de tres fotones
Demostremos esto. Tracemos OO, el eje del cono. El vector P es el impulso del mesón ω°. El no está obligado coincidir en absoluto con el eje del cono, en cambio, debe coincidir con el impulso sumario de los tres fotones
P1 + P2 + P3 = P (3)
Proyectemos los cuatro impulsos sobre el eje del cono. Recordemos que la longitud de la proyección de cualquier segmento sobre cierto eje es igual a la longitud del propio segmento, multiplicada por el coseno del ángulo entre el segmento y el eje. El eje del cono es, por definición, la recta que con todas las generatrices forma un mismo ángulo. Designemos este ángulo α/2 (teniendo en cuenta que el ángulo de abertura del cono es α). Supongamos que el impulso P forma con el eje del cono cierto ángulo φ.Ahora puede proyectarse. La longitud de la proyección del impulso P1 sobre el eje del cono será igual a P1 cos α/2; de la misma manera las proyecciones de los impulsos P2 y P3 serán iguales a P2 cos α/2 y P3 cos α/2. La proyección del impulso P es igual a P cos φ.
La suma de las proyecciones de los vectores P1, P2, P3 sobre cualquier eje debe ser igual a la proyección de la suma de éstos, del vector P, o sea,
(P1 + P2 + P3) cos α/2 = P cos φ
Entre paréntesis ya se encuentra no la suma vectorial, sino la aritmética de los impulsos de los tres fotones. Pero el fotón tiene el impulso igual a la energía, esto quiere decir que la suma entre paréntesis es igual simplemente a la energía del mesón ω0:E cos α/2 = P cos φ
Dividamos ambas partes de la igualdad por E y recordemos que P/E es la velocidad del mesón ω°:cos α/2 = v cos φ (4)
Hemos obtenido una fórmula simple que muestra cómo el ángulo de abertura de un cono de tres fotones depende de la dirección de los fotones y de la velocidad de su fuente. Ahora imaginemos que todos los mesones ω° tienen una misma velocidad, pero se disipan en todas las direcciones posibles y se desintegran también en tres fotones como sea. El ángulo φ entre el eje del cono y la dirección del mesón ω° puede resultar cualquiera, y junto con él variará el ángulo de abertura α. Pero el coseno de cualquier ángulo no puede ser mayor que la unidad. Por lo tanto el valor cos α/2, el cual se puede ver en cualquiera de las fotografías de las desintegraciones, no será mayor que v:(cos α/2)máx ≤ v (5)
Como vemos, esta fórmula realmente se parece a la fórmula (2) (no se olvide que al valor máximo del coseno de un ángulo responde el valor mínimo del ángulo). Sólo hay que demostrar que en ella el signo « ≤ » puede sustituirse por el signo « = ». Para esto es suficiente acudir a un ejemplo de desintegración, en el cualcos α/2 = v
Esto es fácil de hacer. Imagínese que el mesón ω°, una vez nacido, salió volando hacia adelante, hacia donde salió volando el mesón π. Supongamos que su desintegración en tres fotones sucedió en un plano, transversal a su movimiento. Tal desintegración en el sistema de referencia de laboratorio precisamente nos dará el cono necesario (fig. 52), Mire: el impulso de cada uno de los fotones, digamos P1* = O'A', se transformará en este caso en el impulso P1 = O'A.

Figura 52. Desintegración ω° → γ + γ +γ. El caso, cuando el plano de desintegración ABC del mesón ω° es perpendicular a la dirección OO' deldesplazamiento del mesón ω°. Los impulsos de los tres fotones en este caso forman con el eje OO' un mismo ángulo o, lo que es lo mismo, el impulso delmesón ω° es el eje del cono (en la figura todos los tres impulsos de los fotones son iguales, pero esto no es obligatorio).
- la proyección longitudinal OO' = P1|| = γvP1* (desapareció el término γP1*||);
- la energía (o el impulso) O'A = P1 = γP1* (desapareció el término γP1*||)
![]()
cos α/2 = v
lo que pretendíamos demostrar. ¿Cómo pues hacer uso de la fórmula (5)? Ella nos ayudará a descubrir la desintegración ω° → 3γ sólo en caso, si todos los mesones ω° nacidos tienen la misma velocidad, y, además, conocida de antemano. Pero en nuestro procesoπ- + p → n + ωº

Figura 53. El traslado de los impulsos de fotones del sistema de laboratorio al sistema de reposo de la panícula O. El segmento horizontal es ladirección del mesón π-, S es un plano perpendicular a esta dirección; los impulsos P1, P2, P3, las
transformaciones de Lorentz quedan en los planos que pasan a través de P1, P2, P3, y de la dirección del mesón π -, a través de los impulsos P1, P2, P3, queda por trazar el cono y medir el ángulo de su abertura
π- + p → n + ωº
transcurre en dos etapas: al principio π- y p se unen en la partícula ficticia O, y ya después O se desintegra en n y ω°, entonces en el sistema de reposo de la partícula O el erizo de los impulsos del mesón ω° se convertirá en redondo, como una esfera (véase el cap. 9), y esto es lo que nosotros necesitábamos.Ahora todo está preparado para comprender cómo transcurría el ensayo que demostró la existencia de la desintegración ω° → 3γ. Tomaron una gran cantidad de fotografías, semejantes a la de la fig. 50. En cada una de ellas los vectores de las direcciones de los fotones fueron proyectados sobre un plano, transversal al rastro del mesón π- (fig. 53), y fueron medidos los ángulos β entre los fotones y el rastro del mesón π-. Conociendo el impulso del mesón π-, no costó nada hallar la velocidad v0 de la partícula ficticia O. Después convirtieron los ángulos β en ángulos β*, ángulos, bajo los cuales están dirigidos los fotones en el sistema de reposo de la partícula O. La fórmula aquí es sencilla, escribamos las transformaciones de Lorentz en el sistema de reposo a partir del sistema de laboratorio:
P1* cos β* = γ0 P1 cos β - γ0 v0 P1
P1* = γ0 P1 - γ0 v0 P1 cos β
y dividamos una igualdad por la otra. Los impulsos P1 y P1* por sí, se simplificarán en ambos sistemas de referencia y quedará sólo la relación entre los ánguloscos β* = (cos β - v0)/(1 - v0 cos β)
Mediante esta fórmula calculaban la dirección de los fotones en el .sistema de reposo de la partícula O. Luego construían el cono, en el que las tres generatrices tenían precisamente tal dirección, y calculaban su ángulo de abertura[31].Resultó, que en realidad se encuentran principalmente los ángulos de gran abertura del cono, y los menores que la magnitud 2 arccos v, conocida de antemano, casi no se encuentran. Para convencerse de que esto no es casual, el ensayo lo realizaron varias veces, irradiando la cámara con mesones π- de distinta energía. En función de la magnitud de la energía del mesón π-, la velocidad de cálculo de los mesones ω° resultaba distinta. (A propósito, no cuesta nada calcularla; considerando dada la energía de un mesón π, hallamos la masa de la partícula O como se hacía en el capítulo 5, y luego, según la recta del capítulo 9. la energía del mesón ω° en el sistema de reposo de la partícula O. Conociendo la energía, hallaremos tanto el impulso como la velocidad). Resultó, que también los ángulos a cada vez, en cada ensayo, se interrumpen en el lugar necesario.
Así fue revelado un conducto nuevo de desintegración del mesón ω° en partículas más ligeras.
Capítulo 15
«...con un leve movimiento de la mano...»
...En un edificio en Dubná, donde se sitúa un sincrofasotrón, hay una sala enorme. Cuando entras en ella, no sabes dónde poner los ojos: cámaras, electroimanes, cables, tubos, bloques de hormigón, mallas protectoras, semáforos, rieles, grúas... Es el pabellón de mediciones. Aquí precisamente se realizan los experimentos para el estudio de las propiedades de las partículas elementales. En esta sala a veces durante un año, dos, ensamblan una instalación nueva, con la esperanza, en resumen, de elevar al doble la precisión en la medición de la masa o la probabilidad de la desintegración de una partícula cualquiera. Así es la física experimental de las energías altas, la base de los conocimientos actuales acerca de los ladrillitos del Universo.
Narremos acerca de una de estas instalaciones. En ella en el año 1967 observaban la desintegración de los mesones y las resonancias en fotones (cuantos γ). Estas desintegraciones en aquel entonces habían sido estudiadas insuficientemente. Las desintegraciones en mesones cargados se conocían mucho mejor. Los mesones cargados dejan tras sí un rastro, y esto facilita considerablemente su estudio.
Otra cosa es el fotón. Para que deje un rastro, se necesitan condiciones especiales: el medio, a través del cual pasa, debe estar lleno de una sustancia pesada (se tiene en cuenta una sustancia, los núcleos de los átomos de la cual son bastante pesados). Cuanto más pesados son los núcleos, tanto más a menudo, al pasar cerca de ellos, el fotón forma pares electrón + positrón, y los rastros de estos pares ya pueden verse (véase fig. 50).
Pero aquí, como ya sabemos, surge otra dificultad: aunque los fotones se hacen visibles (mediante los pares e+e-), su energía no se consigue medir con suficiente precisión. Todo esto molesta considerablemente estudiar las desintegraciones fotónicas de las resonancias.
En el capítulo 14 hemos narrado acerca de uno de los métodos, con ayuda del cual evitan esta dificultad. He aquí otro método.
En el camino de un haz de mesones π- colocaron un blanco, un recipiente con hidrógeno líquido. Los mesones π-, al chocar con los núcleos del hidrógeno, dan origen a partículas nuevas. Con mayor frecuencia, desde luego, el mesón π- simplemente salta a un lado:
π- + p → π- + p
pero a veces tiene lugar la, así llamada, recarga:π- + p → π0 + n
Todos estos procesos no están mal estudiados, pero sería interesante ver con qué frecuencia transcurre, por ejemplo, el procesoπ- + p → η0 + n
Aquí el mesón η0 (su masa, como recordará, es alrededor de 0,55 GeV) se desintegra en un instante, sea en el trío de mesones π+, π-, π0, sea en un par de fotones; el primer tipo de desintegración era ya bien conocido, pero la frecuencia con que sucede la segunda es lo que se quería conocer. No estaría mal aclarar también, si hay alguna otra partícula, que se desintegre en un par de fotones. Estos fotones saldrán volando aproximadamente de aquel lugar, donde surgió su procreadora, y después de saltar del blanco, se propagarán por el aire. ¿Cómo advertirlos? Para esto (fig. 54) a dos metros del blanco, aproximadamente, se colocan (simétricamente, a ambos lados del haz de mesones π-) dos cámaras de chispas C1 y C2. Son unos dispositivos, en los cuales cada fotón da origen a un pequeño haz de chispas, que permiten determinar con bastante exactitud por dónde pasa precisamente este fotón. Las cámaras había que colocarlas allí, donde se suponía que existiese la mayor cantidad de fotones. De otros ensayos conocemos que en transformaciones similares (por ejemplo, en la reacción π- + p → n + ωº descrita en el capitulo anterior) los mesones salen más a menudo en dirección casi directa hacia adelante. Sabiendo esto, puede calcularse qué energía, más a menudo, van a poseer los mesones η° en este experimento (problemas de éstos hemos resuelto en el cap. 11). Pero entonces ya podemos dibujar el erizo de desintegración de los impulsos para el proceso η°→ γ + γ (fig. 55) y colocar las cámaras, digamos, coincidiendo con las direcciones O'C' y O'C"; en estas direcciones volarán los fotones con energías iguales (O'C' = C'O"). Las cámaras son bastante anchas, ellas, desde luego, recogerán también pares de fotones de energías diferentes (por ejemplo, con las energías O'Q y QO"), pero puede demostrarse, que más que nada en esta disposición recogerá fotones con energías iguales.
Figura 54. Esquema de la instalación
Precisamente en eso consiste el experimento, en que cada vez que ambos centelladores se iluminan, se ponen en marcha las cámaras de chispas y se determina la dirección del fotón que produjo la luminiscencia. Se mide la energía y la dirección de dos fotones; queda sólo aclarar su procedencia. Usted sabe cómo se hace esto. Sumando las energías E1 y E2 de dos fotones, se obtiene la energía E de la partícula, la cual les dio origen;
E = E1 + E2
Sumando sus impulsos P1 y P2 (la magnitud del impulso de un fotón es igual a su energía, y la dirección de los fotones es conocida), se obtiene el impulso P de la partícula, que les dio origenP = P1 + P2
Restando del cuadrado de la energía el cuadrado del impulso, obtenemos el cuadrado de la masa de esta partículaM2 = (E1 + E2)2 - (P1 + P2)2 (1)

Figura 55. Elipse de los impulsos de fotones debidos a la desintegración η0 → γ + γ. La desintegración tiene lugar en el punto O', se muestran dos pares de fotones con energías iguales y desiguales.
La fórmula (1) puede simplificarse. Veamos la fig. 56. El segmento AB es el vector P1. La longitud AB (tales son las propiedades de cualquier fotón) es igual a la energía E1. Del punto B sale, en la dirección necesaria, el vector P2; él está representado por la flecha BC. Aquí también BC = E2, mientras que el vector AB da la magnitud y la dirección del vector P1 + P2. Por otra parte, E1 + E2 es la suma de dos lados, AB + BC. Por lo tanto, la magnitud que nos interesa
M2 = (AB + BC)2 — AC2
En el triángulo ABC se conocen los lados AB y BC y el ángulo B entre ellos (si se conocen los vectores P1 y P2, entonces también el ángulo entre ellos es conocido): pero hay que hallar (AB + BC)2 - AC2. Recordemos de la trigonometría el teorema de los cosenos;AC2 = AB2 + BC2 -2AB BC cos B
Sustituyendo, obtendremosM2 = 2AB BC(1 + cos B) - 4AB BC cos2 (B/2).
De esta manera la masa
(2)

Figura 56. Para el cálculo de la masa efectiva de un par de fotones.
![]()
Resulta que tal instalación no es tan buena: su poder separador (la habilidad para dividir, distinguir las partículas con masas próximas) no es superior al error con el cual en ella se miden las energías. Digamos, si hay dos partículas η y η' cuyas masas son 0,55 y 0,60 GeV, que se desintegran en dos fotones, en lugar de la masa 0,55 el cálculo por la fórmula (2) nos dará un verdadero surtido de números aproximadamente desde 0,5 hasta 0,6 no porque existan partículas con este surtido de masas, sino porque las energías no se logran medir con gran exactitud. Del mismo modo en lugar de 0,6 (la masa de la partícula imaginaria η') se obtendrá una gran cantidad de números dentro de los límites 0,55 - 0,65. Estos dos intervalos de números 0,55 - 0,65 se superpondrán ampliamente el uno al otro, y no lograremos advertir la existencia de los mesones: ellos tendrán el aspecto de ser una sola partícula con una masa muy indefinida.
Veamos, cómo, sin hacer nada con el instrumento, se puede aumentar su fuerza separadora.
Las leyes de la cinemática permiten en lugar de la fórmula (2) dar otra fórmula. Y esto será suficiente para que la calidad del aparato mejore considerablemente.
La idea de que la calidad de un instrumento puede ser elevada de un plumazo, a primera vista parece absurda. ¿Qué más le da al aparato qué manipulaciones realizamos con la pluma sobre un papel? El instrumento cumplió su tarea: suministró los datos necesarios, las energías y los ángulos, con la precisión de que es capaz, y no importa qué juego de manos hagamos con estos números, el instrumento por ello no mejorará. Tales razonamientos se le ocurrirán a cualquiera, quien oiga esto.
No obstante, realicemos lo siguiente: en lugar de la masa del mesón η° calculemos su factor de Lorentz. Usted recordará (véase el cap. 4. la fórmula (5)), que así se denomina la relación entre la energía de una partícula y su masa
γ = E/M
Y resulta que el factor de Lorentz de una partícula, con una misma precisión en la medición de la energía, se determina con mayor exactitud que la masa de la partícula. Desde luego, esto no ocurre siempre, sólo en este ensayo, en el que las cámaras están especialmente enfiladas a la captación de los pares de fotones con energías similares.En efecto, la energía del mesón η es igual a la suma de las energías de dos fotones, y la masa se expresa a través de estas energías mediante la fórmula (2). Por eso el factor de Lorentz es

(3)

Él también tendrá una desviación, pero en sentido opuesto, debido a que es igual a
, y si el denominador de un quebrado aumentó, el quebrado en sí disminuirá. Cuando el denominador es próximo a la unidad, en cuanto él aumente, en tanto aproximadamente, el quebrado en sí disminuirá. Por lo tanto, si los números E1 y E2 aproximadamente son iguales entre sí, en cuánto se desvíe

Pero, ¿qué provecho sacamos del factor de Lorentz? Para distinguir una partícula es preciso saber el valor de M y no el de γ, puesto que sólo por la masa, y no por el factor γ, se diferencian unos tipos de partículas de otros.
Sin embargo, a veces, en determinadas condiciones, las partículas pueden distinguirse por el factor γ. Por ejemplo, en nuestro caso, si buscamos no simplemente los mesones η°, sino los mesones η° nacidos de la reacción π- + p → n + η0, puede indicarse tal sistema de referencia, de manera que todos los mesones η°, nacidos de esta reacción, tengan un mismo factor de Lorentz. Esto no es un privilegio sólo del mesón η: esta misma propiedad, en el capítulo anterior, la poseía el mesón ω de la reacción π- + p → n + ω°. Así sucede siempre cuando al principio la energía del mesón π está fijada, pero al final de la reacción quedan sólo dos partículas. Imaginémonos, igual que antes, que al principio las partículas π- y p uniéndose, dan la partícula O, y ésta, como consecuencia de la desintegración, da origen a n y η°. Si la energía de todos los mesones n es la misma, la masa de la partícula O será en todas las colisiones igual
![]()
![]()

El de Lorentz está determinado en el sistema de reposo de la partícula O, pero la instalación funciona en el sistema de referencia de laboratorio; queda por aclarar sólo una pregunta; ¿se puede, sabiendo las indicaciones de esta instalación, averiguar y en el sistema de reposo de la partícula O? Sí, se puede, no tenemos más que hacer las transformaciones de Lorentz. Cómo se hace esto, ha sido narrado al final del capítulo anterior. Si trazamos mentalmente, por la dirección del mesón π- y de uno de los fotones, un plano, después de la transformación de Lorentz (al sistema de reposo O) el impulso del fotón permanecerá en este plano, sólo que el ángulo de salida del fotón nos parecerá distinto: en lugar de β él se hará β*, al mismo tiempo
![]()
![]()
El relato acerca de la punta de la pluma, en realidad, está concluido. Nos hemos convencido de que este procedimiento de mejorar la calidad de los aparatos también es posible. Acerca de las aplicaciones prácticas de esta idea no vamos a narrar nada, pues hemos convenido no tocar nada en este libro, excepto la cinemática.
Pero reflexionemos: ¿qué nos permitió, en realidad, elevar el poder separador de un aparato, sin tocarlo con un dedo? ¿Por qué al principio nos parecía que su poder separador no supera el error con el que mide la energía de los fotones, pero luego se aclaró que puede ser mejorado? ¿Puede ser que el asunto esté en la fórmula? Primeramente multiplicábamos las energías, debido a lo cual el error en M se hacía tan grande como el error en las energías. Y después nos pusimos a dividirlas, a extraer la raíz y sumarlas con la magnitud inversa, y el error descendió inmediatamente...
No, el asunto no reside en esto. Tener una fórmula así está bien, pero es poco. Ella es imprescindible, pero sola no es suficiente. El asunto reside en otra cosa: simplemente recordamos aquello, acerca de lo cual antes no pensábamos. Hemos considerado que el mesón η es sólo una de las dos partículas que surgen, mientras que al principio nos olvidábamos este aspecto del asunto. Nace un mesón, en el acto se desintegra, recogemos los productos de la desintegración y restablecemos su masa: he aquí nuestro primer impulso. Pero cómo nacía, con una partícula o con muchas, nos daba lo mismo. Luego, cuando recordamos que en el sistema de reposo de la partícula, desintegrada en dos, sus descendientes deben poseer determinado factor y, sólo después de esto obtuvimos la posibilidad de emplear con provecho las gratas propiedades de la combinación
Esto quiere decir que hemos mejorado la calidad del dispositivo, aprovechándonos de unos conocimientos nuevos, antes desconocidos. Mejoramiento de la calidad a cambio de la información, es la denominación que se le puede dar a esto.
La noción de información se ha introducido tan profundamente en la ciencia en los últimos años, que es difícil imaginarse aquel tiempo, en la memoria de una generación de científicos, cuando esta palabra como si no existiera. Existir existía, pero le daban otro sentido, más pobre que ahora. Por información sobreentendían aquello que llegaban a saber en una oficina de información o de las páginas de un periódico. Con la aparición de la cibernética el sentido de esta palabra se amplió, profundizó, creció enormemente, se ha difundido en todas las direcciones. Ella, de golpe, entró a formar parte del sistema de nociones más usadas por los investigadores; en ella sola resultaron abarcados muchos aspectos importantes de la actividad científica que antes, probablemente debido a la ausencia de una palabra adecuada, se escapaban de la atención de los físicos. La palabra fue pronunciada, y resultó que sin ella no se puede pasar Formulamos un problema, o tratamos de sacar las conclusiones de un experimento, o evaluamos la autenticidad de los resultados de muchas observaciones y cálculos: por doquier, aún sin evidencia, nos servimos de la noción de información. Algunas veces con un sentido cuantitativo, como en los problemas estáticos, pero más a menudo, simplemente, con un sentido cualitativo. Muchos físicos incluso no se dan cuenta de la profundidad y comodidad con que se ha ubicado en su cerebro la idea principal de la información de sentido física: sin una información nueva no puede obtenerse una conclusión nueva.
Es evidente que para un científico la cuestión acerca del camino de adquisición de conocimientos nuevos sobre la naturaleza es muy importante; esto no es una cuestión académica, sino un problema que surge a diario. Y en las ciencias no desarrolladas, o en las todavía oscuras regiones de las ciencias desarrolladas, la información nueva no siempre es necesaria para los conocimientos nuevos: allí a menudo no saben qué hacer con la información vieja, allí no alcanzan los caminos de asimilación de la información y de allí que a veces una mente clara, después de regocijarse en la pradera de los hechos conocidos hace tiempo, de súbito trae un montón de conocimientos, no advertidos por sus antecesores. Esto quiere decir que en tales ciencias la noción de información a menudo no tiene valor práctico (los científicos dicen heurístico), allí simplemente el asunto no reside en ella, allí no saben vencer la abundancia de datos.
Tampoco conmueve mucho esta noción al físico teórico de alto vuelo: para él la fuente principal de los conocimientos nuevos, de las ideas nuevas de trabajo no se encuentra fuera, sino dentro, es su propia mente; la más escasa información a veces le resulta suficiente para desarrollar una teoría exitosa. (Sin información, desde luego, no es posible ni para él. Él se apoya en los hechos, como un automóvil sobre el terreno, pero la dirección y el ritmo del movimiento se determinan, a pesar de todo, por sus fuerzas interiores.) Mientras que para un físico, cuyo apoyo es el experimento, en cuya ciencia los caminos de la elaboración de la información están desarrollados detalladísimamente, en cuyas manos se encuentra la posibilidad de realizar ensayos con un número limitado de influencias exteriores, para él la noción acerca de la reserva de la información le es muy connotada. La idea inconsciente, no expresada por nadie, acerca de que sin información nueva no hay conclusiones nuevas, funciona en la física al máximo. Imperceptiblemente, sin hacer gala, pero funciona.
¿Verdad que es interesante que nuestros conocimientos, o nuestra información acerca del mundo, no quieran surgir de la nada? Esto suena incluso trivial: es que si de cierta situación se extraen todas las consecuencias, para las conclusiones adicionales se necesitarán datos complementarios. Pero, en primer lugar, queda todavía la posibilidad de las construcciones mentales, del vuelo libre de la imaginación. En ciertas esferas de la actividad esto es una costumbre. Cuando un físico realiza ensayos, le son necesarios hechos y teorías probados, de ahí es que surge la necesidad de esta cosa no material, la información. En segundo lugar, en la vida real nunca se sabe, si se han hecho todas las conclusiones, y a veces parece, como si los conocimientos nuevos surgieran de la nada, y esto simplemente era una conclusión que no se sacó antes. Pero la física ha alcanzado tal grado de desarrollo, que en ciertas ramas todas las consecuencias imaginables de un ensayo nuevo en el día de hoy, por regla general, se extraen, y allí precisamente piara las conclusiones nuevas se necesita una información nueva. No obligatoriamente experimental, puede ser también teórica: se dieron cuenta de lo que antes no sospechaban, recordaron lo olvidado, y he aquí, el problema comenzó a resplandecer con nuevos colores, revelando ideas nuevas, etc. Digamos, en nuestro ensayo, para el estudio de la reacción π- + p → n + ηº, al lado de la información experimental acerca de la estructura del instrumento y de la precisión de las mediciones de las energías estaba la información teórica acerca de la constancia del factor y del mesón η. Esta última nos la suministra no el dispositivo, sino la cinemática, las leyes de conservación de la energía y del impulso. Y una forma de la información es equivalente a otra. Precisamente esta última información nos permitió mejorar la fuerza separadora de la instalación. Justamente a la equivalencia de ambas formas de información le estamos obligados por la posibilidad de perfeccionar el aparato, sin tocarlo. Se pudieran poner decenas de ejemplos de esta conmovedora unión de dos formas de información, la teórica y la experimental.
Capitulo 16
Por desgracia, es el último
E1 + E2 + E3 = m (1)
P1 + P2 + P3=0 (2)
E12 - P12 = m12 ; E22 - P22= m22; E32 - P32 = m32 (3)
Una nueva geometría del triángulo
Dibujemos el triángulo equilátero ABC con una altura m (fig. 57), tomemos dentro de él un punto arbitrario O y unamos éste con las vértices A. B, C. Las distancias desde el punto O hasta los lados del triángulo las designamos E1, E2, E3. El área del triángulo ABC es igual a la suma de las áreas de los triángulos OAB, OBC y OCA:
![]()
E1 + E2 + E3 = m (4)
el conocido teorema acerca de que en un triángulo equilátero la suma de las distancias desde cualquier punto dentro del triángulo hasta sus lados es una magnitud constante.
Figura 57. Ley de conservación de la energía
Aprendamos a dibujar los límites de esta región. (No se puede esperar que la región abarque consigo todo el triángulo, puesto que no hemos tenido en cuenta las limitaciones, dadas por la igualdad (2). Esto es un buen problema dedicado a las transformaciones de Lorentz.
¿Qué significa dibujar el límite? ¿Qué propiedad poseen los puntos en este límite? Supongamos que el límite tiene, digamos, una forma como la de la fig. 58. Tracemos varios segmentos, paralelos al lado BC del triángulo. Tomemos uno de ellos, digamos MN (M y N son los puntos de la intersección de éste con el límite).

Figura 58. Para la deducción de la ecuación del límite de la figura de Dalits.
Pero si la energía de la partícula 1 es igual a E1, y su impulso es -P1, la partícula 23 ficticia adquirirá la energía m - E 1 y el impulso -P1, (fig. 59). La masa invariante de esta partícula resultará igual a
(5)
Supongamos que la partícula 23 se desintegró formando las partículas 2 y 3. La energía de la partícula 2 en el sistema de reposo de la partícula 3 es
(6)

Figura 59. Desintegración en las partículas I. 2. 3 dentro del sistema de reposo de la partícula O.
(7)
(8)
(9)
De por sí el impulso P*2 está fijado, pero su proyección puede ser cualquiera. En dependencia de a dónde se movía la partícula 2, en el sistema de reposo de la partícula 23, el impulso P*2|| se hace ora mayor, ora menor. Pero junto con en la fórmula (7) varía E 2. El valor máximo de E2 tendrá lugar, cuando la partícula 2 se desplaza hacia donde indica el impulso -P1 de la partícula 23; el mínimo, cuando la partícula 2 se mueve en sentido contrario (fig. 60).

Figura 60. Desintegración en las partículas 2, 3 dentro del sistema de reposo de la partícula 23. Se muestra igualmente el impulso de partícula 1 en el sistema de reposo de la partícula 23. a) La energía de la partícula 2 en el sistema de reposo de la partícula O es próxima al valor mínimo (en la fig. 56 el punto, que representa tales acontecimientos, resultará para el caso a) próximo al punto M; para el caso b al punto N). b) La energía de la partícula 2 es próxima a la máxima posible para el valor dado de la energía de la partícula 1
(10)
(11)
Pero a pesar de todo, ¿qué línea es la correspondiente a las fórmulas (10) y (11)[32]?
En las matemáticas para ella no hay un nombre especial. Pero en la física si lo hay: la denominan figura de Dalits, por el nombre del científico que fue el primero en dibujarla. El aspecto de esta línea depende de cómo son m1, m2, m3, m. Si m1 = m2 = m3 = 0, la línea se transforma en un triángulo equilátero (fig. 62, a). Si m es sólo un poco mayor que la suma m1 + m2 + m 3, la línea no se diferenciará casi de una elipse (fig. 62, b); además, m1 = m2 = m3, será casi una circunferencia.
A los físicos les gusta mucho la figura de Dalits. Es cómodo representar en forma de un punto, el resultado del análisis de cierta fotografía, en la cual han advertido una desintegración en tres partículas Una fotografía, un punto. Una fotografía, un punto. Mil fotografías, mil puntos. El resumen de la observación de una gran cantidad de desintegraciones del mismo tipo se encuentra dentro de una figura trazada de antemano.

Figura 61. Valores límites de energía de la partícula 2.

Figura 62. Figura de Dalits. a) Para desintegraciones en tres fotones, b) Para desintegraciones en tres partículas pesadas del triángulo exterior debería trazarse mucho más grande que el interior.

Figura 63. Figura de Dalits.
El espín del mesón ωº
En el capítulo 8 hemos hablado acerca del descubrimiento del mesón ω°. Investigando los tríos π+, π-, π°, los físicos descubrieron que un número muy grande de tríos tienen la masa invariable m próxima a 0,787 GeV, y comprendieron que ante sí tenían la desintegración de una partícula, desconocida hasta entonces. Surgió la pregunta acerca de las propiedades de esta partícula. Aquí nos sirvió la figura de Dalits. Convirtieron las energías de todos los tríos de los mesones a cuyas masas eran próximas a 0,787, al sistema de reposo de la supuesta partícula ω°. Esto se hizo así. Sumando las energías E1, E2, E3, obtuvieron Eω; sumando los impulsos P1, P2, P 3, obtuvieron Pω. Proyectando P1 sobre Pω, hallaron P1||. Luego escribieron
![]()
![]()
![]()
![]()

Figura 64. Los casos de desintegración ω° -> π+ + π- + π°, marcados en la figura de Dalits. T+, T -, T0 son las energías cinéticas de los mesones π+, π-, π°.
Saber, cuál de las partículas tiene espín y cuál no lo tiene, es muy importante; de esto depende cuáles son sus parientes más próximos, cómo actúa sobre las partículas que se encontraron a corta distancia y muchas cosas más.
Pero esto es muy difícil de saber, sobre todo cuando, igual que el mesón ω°, la partícula vive 10-22 s. No obstante, se logró demostrar que ω° es una partícula con espín. Intentaremos exponer una idea general acerca de cómo fue realizado esto.
Esto se logró demostrar basándose en una regla, a la cual se somete la desintegración de las partículas con espín en mesones π. Si el esparcimiento reciproco de los mesones π es tal que determina de por sí cierto vector en el espacio, dice la regla, entonces con más frecuencia se observarán tales esparcimientos, cuando este vector se encuentre dirigido según el eje de rotación, es decir, según el vector del espín de la partícula primitiva. Ahora imagínense una desintegración de un mesón ω° que se encuentra en reposo. De los impulsos de tres mesones π puede componerse un triángulo, ya que la igualdad P1 + P2 + P3 = 0 se puede representar en forma de un triángulo (fig. 65).

Figura 65. Desintegración ω° -> π+ + π- + π°. Los planos, en los cuales se encuentran los impulsos de los tres mesones π por lo general debe ser perpendicular al vector del espín del mesón ω°
Esto, parece, imposible de comprobar. El eje de rotación no se ve, puede estar orientado a cualquier dirección, ¿y cómo entonces convencerse de que cierto plano de la desintegración es preferido por los mesones ω° a los restantes?
Pero de todos modos existe una salida. Hay que ver si existen entre las desintegraciones tales, para las cuales los triángulos de impulsos se estiran en una línea. Estos son los triángulos «obtusángulos límites» con un ángulo de 180°. Los vértices de tal triángulo ya no determinan por si el plano de desintegración. Ellos se encuentran en una línea recta, y a través de una recta pueden trazarse tantos planos como se quiera. Por consiguiente, en ellos no puede haber un plano predominante de desintegración. Pero debe existir, si se desintegra una partícula con espín. Por tanto, durante las desintegraciones de partículas con espín no deben observarse triángulos «obtusángulos limites», estirados en una línea. Cuanto más estirado esté un triángulo, tanto más raros serán tales triángulos en las desintegraciones.
Otra cuestión es la desintegración de una partícula sin espín. Aquí la situación del plano de desintegración no está definida por nada, tampoco importa si existe o no. Aquí las desintegraciones «obtusángulas» y «acutángulas» pueden verse con la misma frecuencia.
Y ahora eche una mirada a la figura de Dalits (véase la fig. 64). ¿Recuerda Ud., dónde se encuentra en ella el lugar concedido a los casos, cuando todas las partículas se mueven siguiendo una línea? A lo largo de su frontera. Lo desierto de la zona limítrofe del estado de las desintegraciones es una indicación evidente de que el mesón ω° no tolera que sus descendientes, los mesones π, se alejen del plano que él les ha prescrito. «Vuestro plano está predestinado, como si les dijera él, y hagan el favor de moverse de tal manera que esté claro hacia dónde dirigíamos la cabeza durante la vida».
Cuanto más inestable sea el plano que se apoya sobre los extremos de los impulsos de éstos como sobre un trípode, tanto menos casos de éstos hay. Nuestro mesón ω° es una partícula con espín.
Pero el lector atento ya está en guardia. Para él cada vez es más claro que aquí algo no va bien.
El engaño está descubierto
-Ah, ¡ya lo comprendo!-me interrumpirá usted-. ¿Usted dijo que el esparcimiento de los mesones π debe determinar de por sí cierto vector en el espacio?
-Sí...
- ¿Y que tal vector tiene que ser una perpendicular en el plano de desintegración?
-Sí...
-¿Y que, por cuanto los mesones π que se mueven por una línea, no tienen plano de desintegración, no tendrán tampoco vector en el espacio que pueda coincidir con la dirección del vector del espín.
-Supongamos.
-¡Pero esto no es verdad! Ellos también tienen una dirección escogida, la propia recta por la cual ellos se mueven. Ellos pueden simplemente esparcirse a lo largo del eje de rotación del mesón ω°, y la regla quedará cumplida. Por tanto también a estos tríos estirados nada les molesta nacer, que sólo ellos se orienten principalmente no transversal sino longitudinalmente al eje.
![]() | Figura 66. Desintegración ω° -> π+ + π- + π°. Los tres mesones π podrían, a primera vista, esparcirse a lo largo de la dirección del espín del mesón ωº sin embargo, el análisis de la fig. 64 muestra que no sucede así. Los vectores del espín S de la fig. 65 y 66 sí comportan de un modo distinto al reflejarse en un espejo. |
-Usted tiene razón-, estoy obligado a reconocerlo-, y estoy contento de que me haya cogido. Simplemente yo quería simplificar el verdadero estado de las cosas. Habrá que decir la verdad En realidad, si tres mesones forman un plano, el vector escogido será perpendicular a él. Si ellos forman una recta, se habrá escogido la dirección misma de esta recta (fig. 66). Pero también los vectores suelen ser de dos tipos. Unos, los vectores ordinarios que unen dos puntos en el espacio, después de reflejarse en un espejo cambian su dirección por la contraria (el espejo es perpendicular al vector). Otros, los que determinan la situación de un plano en el espacio, después de reflejarse de hecho no cambian, ya que el plano no tiene ni parte superior ni parte inferior.
Casi la total ausencia, en la figura de Dalits, de puntos que representan las desintegraciones con una línea escogida de movimiento de las partículas, demostró que el mesón ω° no es simplemente una partícula con espín, sino una partícula con determinadas propiedades respecto al reflejo en el espejo.
- ¿Cuáles precisamente?
- Esto precisamente yo no estoy en condiciones de exponerlo accesiblemente
Si al lector le interesa esta cuestión, debe dirigirse a libros nuevos de Física y más serios. Mientras que para nosotros nos ha llegado el momento de terminar ...
Pero, terminando, no puedo no mirar atrás y recordar: todo lo que las personas han conocido acerca del mesón ω°, y su masa, y el tiempo de su vida, y sus propiedades de espín, todo esto se logró descubrir, sin ver una sola vez, tanto el propio mesón ω°, como incluso alguna fotografía, en la cual a ciencia cierta se viera su desintegración. Nunca se supo dónde estaba el mesón ω° y donde una falsificación, y con todo esto el mesón ω0 no se ha estudiado peor, en absoluto, que otras partículas.
Y para terminar, he aquí varios problemas:
1. Demuestre que si dos partículas se mueven con iguales, por su magnitud y dirección, velocidades, en cualquier otro sistema de referencia sus velocidades también serán iguales.
2. Un problema similar, si en cierto sistema de referencia los impulsos de dos partículas se relacionan como sus masas, en cualquier otro sistema de referencia sucederá lo mismo.
3. Sirviéndose de las transformaciones de Lorentz, del resultado del problema 2 y de las figuras 48 y 49, resuelva el sistema de ecuaciones
![]()
x + y + z = P
x : y = m1 : m2
El problema con facilidad se generaliza a cualquier número de incógnitas.4. ¿Qué aspecto tiene la figura de Dalits cuando m2 — m3 = 0; m1 ≠ 0?
5. El sistema (I) del capítulo II nunca la hemos resuelto hasta el final, aunque él se reduce a una ecuación cuadrática. Resuélvalo por fin y escriba la fórmula que expresa el impulso de la partícula 1 a través de su ángulo de salida. De esta fórmula es fácil obtener la fórmula para el ángulo límite de salida de la partícula 1. La física de las partículas elementales se me asemeja a un país alpino, sobre el cual predominan dos enormes macizos montañosos; sus pies, entrelazándose y enredándose, envuelven todo este país, y las cumbres se pierden en las nubes y la niebla.
Un macizo representa los medios de descubrimiento y los resultados de las observaciones. Es el equipo experimental: instrumentos del tamaño de Luzhniki [34] y escalas de recuento a semiconductores; es la búsqueda de partículas con ayuda de los medios más habituales como la ebullición, chispeado, toma de fotografías, y con ayuda de medios tan singulares, como la irradiación de Vavílov - Cherenkov; es el estudio y la elaboración de cientos de miles y millones de fotografías con el fin de hallar una, que confirme la idea que se le ocurrió a un teórico; es un torrente de partículas y resonancias nuevas; es el descubrimiento de la violación de las leyes más indiscutibles, a nuestro parecer. Tal es una de las cumbres. Pero a uno, que no es especialista, le resulta bastante difícil abarcar con su mente todo este alboroto del equipo y de la ciencia del siglo XX.
El otro macizo representa los criterios teóricos y el aparato de cálculo. Son las teorías, las propias premisas de las cuales ponen de punta los pelos a un hombre razonable; es el aparato de cómputos, en los cuales un cálculo exacto ocupa a veces decenas de páginas y ante los cuales ceden cualesquiera computadoras electrónicas; es la habilidad de manipular con infinitos, con operaciones desprovistas de sentido para al final, obtener 4 ó 5 signos ciertos: es una lengua, más rica o, en todo caso, más lacónica y más exacta, que todas las lenguas terrestres en conjunto: cierta noción usual, al estilo de «partícula virtual», no puede explicar con ningunas palabras humanas, fuera de las fórmulas no tiene sentido; son las designaciones que se introducen al principio por comodidad, pero luego resultan ser las primeras palabras de esta nueva lengua; son las consecuencias de la teoría, que parecen increíbles o dudosas incluso para los que las dedujeron y, no obstante, confirmadas por un ensayo con inesperada exactitud; y es una ciencia, en la cual a partir de cierto momento la demanda de la belleza de las construcciones se ha convertido casi en lo principal y en ocasiones aparta los requisitos anticuados de la lógica, del carácter circunstanciado, de la fidelidad al ensayo en cada detalle. Pregunte a un teórico qué se encuentra tras las leyes de la naturaleza, la lógica o la belleza. La respuesta será, la belleza. Es más, ya Aurelio Augustinus sabía que «la belleza es el centelleo de la verdad».
Tal es la segunda cumbre. Pero para el hombre, que se encuentra lejos de todo esto, es muy difícil absorber incluso los más pobres extractos de la concepción del mundo de un físico-teórico.
Pero el interés hacia este «techo del mundo» es tan grande, que a cada instante se emprenden intentos de disipar la niebla, que se eleva sobre él, y mostrar al público sorprendido un precioso paisaje montañoso o la edificación de turno de asombrosa belleza, construida en él con el esfuerzo de sus moradores.
Yo trato con escepticismo estos intentos. De todos modos ellos no son capaces de dar una idea acerca de las verdaderas dificultades de los moradores de este país, de lo que en realidad los conmueve, de sus verdaderas alegrías. Porque es imposible comprender la alegría de un niño que se baña en el mar, si no te has bañado en la infancia, si a ti no te volteó nunca la alegre ola, si tus pies nunca se hundieron en la arena submarina. Al hombre moderno le es imposible comprender al primer agricultor, que por primera vez labró y sembró, según su parecer, un terreno, que a su debido tiempo con sus manos segó y trilló lo que creció, y que por primera vez olió el pan recién cocido. De la misma manera la popularización de aquello que el lector por sí mismo no puede realizar y comprobar, crea sólo la ilusión de comprensión Puede ser, que ella enriquezca su vocabulario y en cierto modo amplié el círculo de su pensamiento, pero al mismo tiempo ella misma siembra una ilusión innecesaria de comprensión allí, donde no se puede hablar de una verdadera comprensión.
Un clásico de la popularización, como Yakov Perelman, tenía un enfoque totalmente diferente. Era una explicación con cifras y fórmulas, una explicación hasta el final. El no se proponía explicar un círculo demasiado amplio de fenómenos, pero, en cambio, los problemitas que él quería explicar, los explicaba hasta tal punto que al lector no le costaba nada comprender por sí mismo algo parecido.
El autor trató de seguir el mismo camino A él le pareció que en la física de las partículas elementales hay una región, la cual puede ser asimilada hasta el final por cualquier hombre con la secundaria terminada, asimilarla hasta tal punto, que por su cuenta pueda deducir fórmulas nuevas, analizar casos particulares de las ya deducidas y comprender la marcha del pensamiento en muchos descubrimientos físicos. Entre los dos principales macizos, situados por encima de las nubes, de nuestro país montañoso traté de encontrar un desfiladero estrecho, escondido entre las cumbres, por el cual se pueda penetrar a lo más profundo de este país. La idea era la siguiente que un helicóptero nos traslade a la misma entrada del desfiladero; aceptaremos como dada las fórmulas de Einstein, las transformaciones de Lorentz y la capacidad de las partículas de desintegrarse y dispersarse. Pero después todo el camino por el desfiladero lo haremos solos, venciendo todas las dificultades que vence también un estudiante de física. Él, desde luego, va más rápido, posee un aparato veloz, el aparato matemático; nosotros, con nuestra álgebra escolar, nos movíamos mucho más lento, pero de todos modos nos movíamos por nuestra propia cuenta, caminábamos, pero no atravesábamos volando; nosotros, concienzudamente, paso a paso, avanzábamos por el desfiladero y sus bifurcaciones. Terminamos la ruta en el mismo corazón del país de las partículas elementales; no hemos subido a ninguna de aquellas cumbres, de las cuales este país está merecidamente orgulloso, pero nuestro camino lo hicimos honradamente.
En esto termina la ruta planificada. De usted depende: ora regresar de este lugar perdido al mundo civilizado, ora pasar del turismo al alpinismo y comenzar a trepar a esas cumbres en búsqueda de enigmas nuevos y de nuevas aventuras inauditas.
F I N
Notas:
mv2/2 =3/2 kT
donde k = 8,62 10-14 GeV/grado.