Introducción
Cuántas veces nos hemos preguntado ¿Cómo funciona esto?... y más de alguna vez, especialmente en nuestra niñez, en que la curiosidad va más allá de la prudencia, con herramientas en mano, hemos desarmado el artefacto que teníamos en las manos. Demás está recordar que pocas veces volvían todas las piezas a su logar correcto.

La curiosidad mató al gato. Esta frase, proviene de una expresión inglesa del siglo XVI "La preocupación mató al gato" (ya que los gatos son muy cautelosos), y advertía de que preocuparse en exceso es malo para la salud. Transcurrido el tiempo, la palabra "preocupación" se convirtió en "curiosidad".
La curiosidad es cualquier comportamiento inquisitivo natural, evidente por la observación en muchas especies animales, y es el aspecto emocional en seres vivos que engendra la exploración, la investigación, y el aprendizaje. Esencialmente, describe un número desconocido de mecanismos del comportamiento psicológico que tienen el efecto de impulsar a los seres a buscar la información y la interacción con su ambiente natural y con otros seres en su vecindad. En otras palabras, es el poderoso motor que ha movido los seres vivos desde el inicio de los tiempos hacia la investigación y aprovechamiento de la naturaleza en bien propio.
Nosotros, para satisfacer la curiosidad por saber cómo funcionan algunos artefactos de uso común, y otros no tanto, ponemos a disposición de los navegantes, estas notas con explicaciones sencillas e ilustradas.
1. Anteojos
Se suele decir que los anteojos «amplían» o «acercan» los objetos alejados; sin embargo, su efecto consiste propiamente en aumentar el ángulo visual, y lo que ocurre es que en realidad estamos acostumbrados a apreciar el tamaño o distancia de los objetos observados por el ángulo bajo el que éstos aparecen a los ojos (figura 1.1). 
Figura 1.1 Ampliación del ángulo visual
En principio, todos los anteojos de lentes (refractores) constan de un objetivo situado en el extremo que mira hacia el objeto y de un ocular en el que mira hacia el ojo. Los rayos procedentes de un objeto que esté muy alejado inciden en el objetivo aproximadamente paralelos y después de atravesarlo, pasan a concentrarse en su foco posterior. El foco del ocular está situado precisamente en este punto; por lo tanto, los rayos vuelven a salir del ocular paralelos entre sí y el objeto se sigue viendo en el infinito, pero bajo un ángulo mayor. El aumento resultante es igual a, la relación:
distancia focal del objetivo f 1 / distancia focal del ocular f 2 .
En el anteojo de Galileo (figura 1.2) el ocular es una lente divergente. Este sistema proporciona una imagen derecha y se emplea sobre todo en los gemelos de teatro de poca ampliación (de 2,5 aumentos, por regla general). 
Figura 1.2 Anteojo de Galileo
El anteojo astronómico o de Kepler (figura 1.3) tiene como ocular un sistema convergente y presenta la ventaja de que la imagen intermedia que se forma sea real, pues todo lo que se halla en el plano de la misma aparece al ojo bien enfocado y, además, situado en el límite; por esta última razón se dispone aquí un diafragma que limita claramente el campo del infinito que no puede abarcar el instrumento. 
Figura 1.3 Anteojo astronómico
En casos especiales se instalan también en dicho plano cruces reticulares, escalas graduadas, etc., de acuerdo con el empleo que se quiera dar al anteojo. La imagen invertida que se obtiene no molesta para las observaciones astronómicas, pero cuando se trata de observar objetos terrestres es preciso enderezarla a base de obtener una segunda imagen intermedia. 
Figura 1.4 Anteojo terrestre
El llamado «anteojo terrestre» dispone para ello de otra lente convergente situada entre el ocular y el objetivo (figura 1.4). Con una relación 1:1 las distancias del objeto y de la imagen a la lente son ambas iguales al doble de la distancia focal que tiene esta última y el anteojo resulta así muy largo, a saber, de una longitud igual a
1 - f 1 + 4f u + f 2 .
Para facilitar su manejo, los anteojos de este tipo se construyen con tubos retráctiles que se pueden introducir unos en otros; los prismáticos han venido a reemplazar esté sistema. 
Figura 1.5 Telescopio de reflexión
Dado que sólo se pueden construir lentes de hasta 1 m de diámetro, en los grandes anteojos astronómicos se emplea como objetivo un espejo cóncavo (en el telescopio del monte Palomar el diámetro del espejo es de 5 m). 
Figura 1.6 Telescopio de reflexión con espejo receptor y lentes de corrección
En la figura 1.5 se muestra el funcionamiento de un telescopio de reflexión y en la figura 1.6 un ejemplo con una combinación de un espejo principal cóncavo y otro receptor convexo que permite acortar notablemente la longitud del instrumento. Para realizar fotografías de la bóveda celeste, la placa fotográfica se dispone directamente en el plano correspondiente a la imagen que suministra el objetivo. 
Figura 1.7 Objetivo de espejo 1:4.5 y f = 500 mm para cámara fotográfica de pequeño formato 24 x 36
La corta longitud del telescopio de reflexión ha hecho que este sistema hallara también aplicación en los aparatos fotográficos corrientes. En la figura 1.7 se muestra un objetivo de reflexión con distancia focal de 500 mm y luminosidad 1:4,5 formado por dos espejos de vidrio y cuatro lentes débilmente refractantes, que se emplea en las cámaras fotográficas de pequeño formato de película.
2. Prismáticos
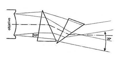
Los prismáticos (larga vistas, gemelos de campaña) constan, como el anteojo astronómico, de un ocular y un objetivo; para poner derecha la imagen invertida se emplean aquí prismas. 
Figura 2.1 Doble reflexión total del prisma
Cuando el haz de rayos luminosos procedente de un objeto atraviesa un prisma óptico (figura 2.1), es desviado dos veces en ángulo recto por reflexión total y se invierte, por tanto, la posición relativa que pie y cabeza del objeto guardan entre sí; este efecto es el que se utiliza en los prismáticos para enderezar la imagen obtenida. 
Figura 2.2 Inversión de la imagen por medio de dos prismas
Ahora bien, como en la imagen que da el anteojo astronómico también las posiciones derecha e izquierda del objeto están giradas entre sí, los rayos han de atravesar, además, un segundo prisma (figura 2.2) para corregir asimismo el giro lateral. 

Figura 2.3 Luminosidad en el anteojo y en el ojo (ejemplo con unos gemelos de noche). Arriba: Las dos pupilas se adaptan una a otra. Abajo: De día, la luminosidad de los gemelos de noche sólo se aprovecha parcialmente
En comparación con el anteojo terrestre, la disposición basándose en prismas no sólo permite ahorrar la longitud de tubo que en aquél se requiere para girar la imagen invertida, sino que, además, acorta también substancialmente el aparato por el hecho de que ahora los rayos siguen una trayectoria quebrada, a base de tres ramas paralelas.
Por otra parte, la separación que tienen entre sí los dos objetivos, mayor que la existente entre los ojos, resulta ventajosa para poder ver los objetos en relieve.
En la sección de la figura 2.4 el lugar en que se forma la imagen invertida está localizado en el punto de reunión del haz de rayos, poco antes de llegar al ocular; en este plano se halla también el diafragma de campo, el cual puede verse en la imagen con toda nitidez como marco limitador del campo panorámico que está en el infinito.
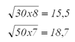
En los prismáticos se da siempre su aumento: por ejemplo, 8 x (ocho aumentos); además, ello vale asimismo para todos los tipos de anteojos). El hecho de que esta cifra se suela acompañar de la magnitud que le sigue en interés, a saber, el diámetro del objetivo expresado en mm, por ejemplo, 8x30, puede dar lugar a confusiones, pues en principio ello parece indicar que debe realizarse aquí algún producto entre las dos. Sin embargo, el valor que realmente interesa conocer se obtiene por el contrario del cociente:
30/8=3,75,
el cual indica que el haz de rayos sale de la pupila de salida con un diámetro de 3,75 mm; dicha pupila de salida es a su vez la imagen de la pupila de entrada, que en este caso sería pues ocho veces mayor. Ambas pupilas se pueden distinguir mirando a través del ocular o el objetivo desde unos 30 cm de distancia.
También en el ojo es la pupila la encargada de regular la luminosidad; su diámetro varía de 8 mm cuando la luz es muy débil, a 1,5 mm cuando trabaja a pleno sol. Por consiguiente, la luminosidad de unos prismáticos se aprovechará al máximo cuando el haz de rayos que parten hacia el ojo tenga exactamente el mismo diámetro que la pupila de este último. Unos gemelos para la visión nocturna de 7 x 50, por ejemplo, tienen una ampliación de siete aumentos y una pupila de entrada de 50 mm de diámetro, de modo que hasta a la luz de la luna todo el haz de rayos luminosos va a parar al ojo enteramente (figura 2.3 a); sin embargo, si estos gemelos se emplean a la luz del mediodía, la pupila del ojo tiene entonces unos 2 mm (figura 2.3 b) y sólo se aprovecha 1/13 de la luminosidad del instrumento. Ya que la cantidad de luz que sale de este último es proporcional a la superficie de la abertura que ha de atravesar, la luminosidad de unos gemelos se define por el cuadro del diámetro que tiene su pupila de salida (por ejemplo, en este caso: 7,14 x 7,14 = 51,5. 
Figura 2.4
En la penumbra los objetos se pueden reconocer tanto mejor cuanto mayores y más claros aparezcan. Experimentalmente se comprueba que la facultad de distinción aumenta con la raíz cuadrada del diámetro del objetivo y del aumento; por ello en ocasiones se da el valor de la raíz cuadrada del producto de ambas magnitudes como «coeficiente de penumbra»; por ejemplo:

* * *
Para mayores detalles puede consultar: "http://www.librosmaravillosos.com/binoculares/index.html>"
3. Aparatos fotográficos
Los aparatos fotográficos son dispositivos que en forma de una cámara opaca con un orificio delantero proyectan una imagen real del objeto a fotografiar sobre una película sensible a la luz, situada frente al orificio de la cámara. Una cámara moderna (en las figuras se muestra una selección de los sistemas más corrientes) se compone de la caja, con los órganos de soporte y arrastre de la película, el objetivo, el obturador, la escala de distancias (eventualmente también un telémetro) y el visor para determinar el encuadre de la foto. 
Figura 3.1 Cámara de agujero
A fin de que la imagen corresponda a las proporciones y forma del objeto en todos sus detalles, se hace que sólo una pequeña parte de la luz que procede de él llegue a actuar sobre la capa sensible que lleva la película. Para lograr este efecto basta con disponer simplemente un orificio de unos 0,4 mm de diámetro (llamado diafragma de agujero) en la cara anterior de una cámara opaca; de este modo se puede obtener una cámara de agujero del modelo más sencillo (figura 3.1). El haz de rayos luminosos que parte de cada punto del objeto va a parar a la placa situada frente al orificio y reproduce allí el punto en cuestión. 
Figura 3.2 Cámara de cajón
Sin embargo, como en este caso los distintos puntos del objeto son reproducidos formando elipses diminutas, ocurre que éstas se llegan a confundir unas con otras y la imagen resultante es muy borrosa; además, una cámara de este tipo es poco luminosa, es decir, que se deben emplear largos tiempos de exposición para obtener un oscurecimiento suficiente de la placa. Si se quiere lograr una imagen más precisa, se han de emplear objetivos compuestos de una serie de lentes agrupadas. En este caso la luz procedente del objeto forma en cada punto de él un cono de rayos luminosos cuyo vértice está situado en dichos puntos y cuya base lo está en el objetivo de la cámara; el objetivo se encarga entonces de reunir los rayos que le llegan y reproduce los puntos del objeto de modo que también sobre la foto se vean puntiformes. En la cámara de cajón (figura 3.2) el diafragma y por lo tanto la luminosidad de la cámara es fija. Los aparatos de este tipo suelen tener objetivos de una o dos lentes y constituyen en el desarrollo de las máquinas fotográficas la etapa siguiente a la de las cámaras de agujero ya descritas; también aquí se trabaja con tiempos de exposición del orden de medio segundo, por lo que resulta imposible fotografiar objetos que se muevan muy aprisa. Por esta razón han pasado a diseñarse más adelante cámaras fotográficas en las que tanto la abertura del diafragma como el tiempo de exposición se pudieran graduar; en estos aparatos los objetivos son de varias lentes. 
Figura 3.3 Cámara de fuelle
Por regla general las cámaras para los formatos mayores se fabrican plegables con fuelle de piel (cámaras de fuelle, figura 3.3), y en cambio para los formatos más pequeños se utilizan las de tubo (figura 3.4). 
Figura 3.4 Cámara de tubo
Empleando formatos de película pequeños, las cámaras de tubo proporcionan ventajas ópticas de carácter decisivo, derivadas de su más corta distancia focal y de un mayor angular. Los modelos más perfectos disponen de telémetro acoplado, velocidades de obturación de hasta 1/250 segundos y objetivo cambiable. 
Figura 3.5 Cámara réflex binocular
La cámara de reflexión (o cámara réflex) binocular (figura 3.5) consta de un órgano visor y otro de toma. 
Figura 3.6 Cámara réflex monocular
El enfoque está acoplado en ambos órganos de tal modo que cuando la imagen que se forma en la placa esmerilada del visor resulta clara, queda también enfocada al mismo tiempo la que se proyecta en la película.
Los objetivos de ambos órganos tienen exactamente la misma distancia focal, pero por regla general el del visor es más luminoso que el de toma porque así se puede obtener un enfoque más rápido y preciso.
Todas las cámaras de este tipo trabajan con película de tamaño 6 x 6. La cámara réflex monocular (figura 3.6) sólo tiene un objetivo mediante el cual se realiza primero el enfoque del objeto sobre una placa esmerilada o un visor de prisma y luego, rebatiendo hacia arriba el espejo deflector que está a 45º, se proyecta la imagen del objeto en la película. Antes de hacer la foto se ha de graduar el diafragma, el cual reacciona poco antes de que tenga lugar la exposición. Al disparar se levanta el espejo, y el obturador de cortinilla que en general está situado inmediatamente antes del filme da paso libre a los rayos que van del objetivo a la película. Al correr de nuevo la película y cargar al mismo tiempo el obturador, el espejo vuelve a descender a su posición inicial y se puede enfocar ahora un nuevo cuadro.
4. Cámara cinematográfica
En principio una cámara cinematográfica sólo se diferencia de un aparato fotográfico normal por el hecho de que en ella las imágenes se toman a un ritmo muy veloz, a fin de que al proyectarlas luego sobre la pantalla produzcan la sensación de movimiento. 
4.1 Esquema de una cámara cinematográfica
Recorrido de la película en la cámara cinematográfica (figura 4.1): La película almacenada en el tambor superior es arrastrada por el rodillo de transporte y se hace deslizar frente a la ventanilla de la cámara; el rodillo de transporte está accionado por un pequeño motor eléctrico o de cuerda. Las placas de presión cuidan de que la película se adapte bien a la superficie del rodillo; otra placa análoga situada frente a la ventanilla oprime la película contra el marco de la ventana para que al quedar iluminada no se arrugue. 
4.2 Funcionamiento de la garra de transporte
Después de cada exposición, la garra de transporte arrastra el filme una longitud correspondiente al paso de las imágenes de éste; como el transporte del filme se realiza a sacudidas y el rodillo de transporte gira en cambio a velocidad uniforme, se han de disponer bucles de compensación en la película. Mientras la garra arrastra la película, un obturador rotativo cubre la ventanilla de la cámara; acto seguido, el obturador vuelve a descubrir la ventana (por espacio de 1/32 a 1/50 s aproximadamente) para iluminar la nueva imagen. Por lo tanto, la garra y el obturador han de trabajar sincronizados.
Funcionamiento de la garra de transporte (figura 4.2): Debido a la articulación de la palanca oscilante del sistema, y al movimiento de excéntrica que anima al extremo inferior de la garra, el extremo superior penetra alternativamente en las perforaciones de la cinta y la va arrastrando a sacudidas; en las cámaras de película estrecha el filme se mantiene entonces detenido tanto tiempo como requiere su exposición. 
4.3 Obturador rotativo
Por su parte, el obturador rotativo que tiene por misión cubrir el filme durante la fase de transporte, consta de un disco con uno o más sectores recortados en él (figura 4.3) de abertura variable (por ello se llama a menudo obturador de sectores). Trabajando con un sector de 180º y a un ritmo de 16 imágenes por segundo, se tendría pues una velocidad de filmación de 1/32 s. La figura 4.4 muestra las distintas fases de cubrición de la ventanilla de la cámara y de transporte del filme. 
4.4 Trabajo combinado de los sistemas de exposición y transporte de película
La velocidad de filmación se puede graduar mediante un pequeño regulador (figura 4.5) en cuyo eje están situadas masas centrífugas desplazables que actúan sobre un plato. En estado de reposo (figura 4.5 a) el resorte obliga al plato a permanecer en la posición extrema del eje, pero en cambio al girar éste (figura 4.5 b) las masas son impulsadas entonces hacia fuera y va a apretar el plato contra la zapata de freno que tiene el mecanismo; la posición de la zapata determina así la velocidad de rotación que anima al eje: dicha velocidad es tanto mayor cuanto más a la izquierda se sitúe la zapata.
Para realizar tomas con cámara lenta o acelerada sólo se ha de graduar debidamente la relación que guardan entre sí las velocidades de filmación y proyección. Por ejemplo, si la película se filma a una velocidad menor que aquella a la que luego se habrá de proyectar, circulan entonces por la cámara menos metros de cinta por unidad de tiempo de los que circularán por el proyector al exhibirse la película, y por lo tanto los movimientos se proyectan sobre la pantalla acelerados. 
4.5 Regulador de velocidad de filmación
En cambio cuando se trabaja a cámara lenta la película ha de circular ahora por el proyector más despacio de lo que antes lo había hecho por la cámara, y los movimientos se ven, por tanto, más lentos de lo que son en realidad.
5. Convertidor de imagen
El convertidor de imagen es un aparato que sirve para transformar las imágenes procedentes de una radiación que no sea perceptible ópticamente en otras que lo sean (figura 5.1). 
Figura 5.1 Principio del convertidor de imagen
En esencia, el convertidor consta de un fino fotocátodo que reaccionando a la radiación invisible genera una imagen electrónica, y ésta, al ser proyectada sobre una pantalla fluorescente mediante lentes magnéticas o eléctricas (figuras 5.2 y 5.3), produce allí la imagen visible que se quiere obtener del aparato. 
Figura 5.2 Lente eléctrica
Para convertir los rayos X se emplea un convertidor de imagen con una fina lámina de aluminio (figura 5.4) que por una cara lleva la pantalla Röntgen luminiscente y por la otra el fotocátodo. Con ayuda del convertidor de rayos X se pueden reforzar electrónicamente los claros y oscuros de las radiografías originales, obteniéndose una imagen suficientemente clara con una dosis de radiación menos intensa y protegiendo así al paciente.
El funcionamiento del convertidor de imagen se basa en las propiedades que tienen las lentes magnéticas y eléctricas de reunir y volver a concentrar en otros puntos los rayos de electrones procedentes de los distintos puntos de la imagen electrónica. El concepto de lente se aplica aquí por analogía con la Óptica y se refiere a dispositivos que sólo tienen de común con las lentes ópticas la ya mencionada propiedad de concentrar en un punto los rayos procedentes de determinadas radiaciones (que desde el punto de vista físico son distintas de las que se emplean en la óptica, pues mientras que en ésta se trata de rayos luminosos, en el caso de las lentes magnéticas y eléctricas se trabaja en cambio con rayos electrónicos). En las lentes eléctricas la concentración de los rayos electrónicos se obtiene a base de producir un campo eléctrico (por ejemplo, entre dos electrodos cilíndricos coaxiales a distinto potencial) cuyas superficies equipotenciales (superficies de potencial constante) (figura 5.2), comparables a las superficies de curvatura de una lente óptica, sean curvas. En ellas, cada electrón oscila con una amplitud que se va amortiguando a medida que aquél avanza en la dirección de los ejes que tienen los cilindros, y de este modo el rayo electrónico, que consta de un elevado número de dichos electrones, adquiere en la lente una forma tubular que se va estrechando cada vez más (como o por ejemplo en una tromba de aire) hasta quedar debidamente concentrado. 
Figura 5.3 Lente magnética
El funcionamiento de las lentes magnéticas (figura 5.3) se puede comparar menos aún al de una lente óptica. En las lentes magnéticas los electrones describen trayectorias helicoidales en el interior de un campo magnético longitudinal (es decir, aproximadamente paralelo a la dirección en la que aquellos se desplazan), y el efecto de concentración se obtiene aquí por el hecho de que después de una o varias rotaciones, los electrones que habían partido de un punto común siguiendo distintas trayectorias se vuelven a reunir en la lente en otro punto. 
Figura 5.4 Convertidor de rayos X (esquema)
Las lentes magnéticas se prefieren a las eléctricas porque con ellas se puede obtener el mismo efecto empleando tensiones más pequeñas y por lo tanto menos peligrosas; sin embargo, exigen que la intensidad de corriente sea mayor.
6. Distancia focal y tamaño de la imagen
En una cámara fotográfica el tamaño de la imagen viene determinado por la distancia que hay entre el objetivo y la película. 
Figura 6.1 Distintas distancias focales para un mismo formato en la foto
La figura 6.1 a ilustra las condiciones que se tienen trabajando con un objetivo normal, y la figura 6.1 b empleando uno de gran angular; en este segundo caso el ángulo bajo el que se proyecta la imagen es mayor y abarca un campo más extenso, pero sobre un mismo formato de película lo reproduce correspondientemente más pequeño. De la figura 6.1 c se puede deducir que el tamaño de la imagen B y del objeto G están en la misma relación que las distancias del objetivo a la imagen y al objeto, respectivamente b y g:

Teniendo en cuenta que cuando se fotografían objetos muy distantes la distancia b entre el objetivo y la imagen es aproximadamente igual a la distancia focal f el tamaño de la imagen suele resultar pues proporcional a este último valor; por consiguiente, una distancia focal corta da una imagen reducida, y una que por ejemplo fuera triple de otra, daría también una imagen también triple (figuras 6.3 a y b) tomas con objetivo de gran angular y con teleobjetivo).
El tamaño de la imagen se ha de considerar también en relación con el formato de la foto. En los objetivos normales la distancia focal es aproximadamente igual a las diagonales del formato. Así, pues, tanto una cámara de formato pequeño como una cámara de placas que estén equipadas con objetivos normales, abarcarán el mismo campo, y las diagonales de este último serán también aproximadamente iguales a la distancia que lo separa de la cámara; ello corresponde a un angular medido sobre la diagonal de 53º. En los objetivos normales este ángulo es en realidad de 45º a 60º, al que corresponden distancias focales de 45 – 50 m mm para el formato pequeño de 24 x 36 mm (diagonal, 43 mm), 75-85 mm para el formato de 6 x 6 cm (diagonal, 85 mm) y 135-150 mm para el de 9 x 12 cm (diagonal, 150 mm). 
Figura 6.2 La misma distancia focal para distintos formatos de foto
El conocer para qué ángulo está corregido el sistema de lentes de la cámara sólo es importante en las cámaras de fuelle, ya que en éstas la misma distancia focal se puede instalar bien sea como teleobjetivo para un formato de carrete, bien como objetivo normal con margen de regulación, o bien como objetivo de gran angular para un formato de placa ya mayor, siempre qué la construcción del aparato proporcione desde luego un angular de abertura suficiente (figura 6.2).
En las cámaras pala pequeño formato de película, los objetivos están alojados en tubos de la correspondiente longitud y corregidos precisamente para el ángulo que se aprovecha en el formato para tipos y disposición de objetivos intercambiables.
Empleando distancias focales diferentes a partir de un punto fijo, se modifica el tamaño de la imagen pero no la perspectiva; así, pues, una foto hecha con teleobjetivo no se puede distinguir de otra ampliada que se haya tomado con un objetivo de gran angular (figuras 3 a y 3 b). Para modificar la perspectiva lo más práctico es hacer que a la vez que se varía la distancia focal, varíe también la distancia que separa a los objetos de la cámara. En las figuras 3 b y 3 c se muestra cómo procediendo de este modo se invierte la relación de tamaños entre los planos anterior y posterior. 
Figura 6.3 Distancia focal y perspectiva
En ambos ejemplos la separación hasta el motivo anterior V está ajustada a la distancia focal del objetivo de modo que la imagen V' conserve su tamaño; ahora bien, la distancia que separa a los dos planos del objeto permanece en realidad invariable y, por consiguiente, el cambio de objetivo influye así en efecto sobre la perspectiva de la foto.
7. Efecto doppler
Con el nombre del físico austríaco Christian Doppler (1803-1853) se denomina el efecto por el cual al acercarse una fuente vibratoria en movimiento a un observador fijo, la frecuencia de las vibraciones que éste percibe pasa a ser mayor que la que percibiría si entre la fuente y él no hubiera ningún desplazamiento relativo; análogamente, al acercarse la fuente vibratoria, la frecuencia percibida disminuye. 
Figura 7.1
Las figuras 7.1 y 7.2 aclaran el proceso: Si una fuente sonora (por ejemplo, el silbato de una locomotora) se aproxima a un observador que está en reposo (figura 7.1) llegan entonces a éste más oscilaciones por unidad de tiempo de las que llegarían si la fuente sonora fuera fija, y como el tono de un sonido depende de la frecuencia que éste tiene (es decir, de su número de oscilaciones por unidad de tiempo) el pitido se oye con un tono más agudo que el que se percibiría si la locomotora y el observador no experimentaran ningún desplazamiento relativo; análogamente, si la locomotora se aleja del observador, éste percibirá entonces un tono más grave que el que oiría si la locomotora estuviera detenida. A menudo percibimos también el efecto Doppler como transición de un tono más agudo a otro más grave, cuando por ejemplo un coche pasa a nuestro lado muy aprisa tocando la bocina. El mismo efecto se da también para un observador en movimiento (por ejemplo, un motorista; figura 7.2) que se aproxime a una fuente vibratoria fija (una sirena) o bien se aleje de ella. 
Figura 7.3
El efecto Doppler ha ganado especial interés en la Astrofísica, donde se ha podido observar que en estrellas muy alejadas de nosotros (nebulosas espirales), los espectros de los elementos químicos constitutivos de la estrella aparecen con sus bandas de frecuencia desplazadas hacia la zona de frecuencias más pequeñas es decir, hacia las longitudes de onda superiores, correspondientes al extremo rojo del espectro. 
Figura 7.3
Explicando como efecto Doppler, este desplazamiento hacia el rojo denota que en tal caso las fuentes vibratorias (las nebulosas espirales) se están alejando sin cesar del observador que las estudia. Suponiendo que esta explicación sea correcta (lo que algunos investigadores ponen en duda actualmente) ello significaría que el Universo se dilata sin cesar. El fenómeno se ha representado en forma esquemática en la figura 7.3: como es lógico, una estrella que sin participar de la fuga colectiva se moviera acercándose a un observador situado en la Tierra, presentaría un espectro corrido hacia el azul.
8. Efecto estroboscópico
Los efectos estroboscópicos se deben a causas fisiológicas. En efecto, el ojo humano es tan lento de reflejos que no puede distinguir entre sí dos impulsos luminosos que se hayan sucedido en un corto intervalo de tiempo (de menos de 1/10 s), y por lo tanto al recibir una serie de ellos a un ritmo de sucesión que sea rápido, los percibe superpuestos como si formaran parte de un movimiento continuado (principio en que se fundan el cine y la televisión; figuras 8.2 y 8.3). 
Figura 8.1
En un sentido más preciso, los efectos estroboscópicos tienen lugar siempre que se superpongan dos sucesos periódicos cuyos desarrollos sean sincrónicos o sólo estén ligeramente desfasados. 
Figura 8.2 Estroboscopio
En el ejemplo de la figura 8.1 se ha representado una lámpara de efluvios alimentada con corriente alterna que ilumina un disco giratorio en el que se han pintado dos sectores más oscuros; la intensidad luminosa de la lámpara oscilará así al mismo ritmo (100 impulsos/s) a que lo hace la corriente (frecuencia de 50 Hz, es decir, 100 máximos/s). 
Figura 8.3
Como entre cada dos máximos de luz consecutivos (figuras 8.1 a y 8.1 c), el disco gira durante la pausa oscura (figura 8.1 b) un ángulo que es justamente de 180º (media revolución), al observador le parece que las aspas pintadas sobre el disco no se mueven. En este caso, la velocidad de rotación del disco sería por lo tanto de 50 revoluciones por segundo. Se comprende claramente que si este número de revoluciones se hace algo menor, parecerá entonces que las capas oscuras giran en sentido contrario al de rotación del disco, pues en este caso al producirse el siguiente máximo de luz aquéllas no habrán llegado aún a la posición que tenían en el máximo anterior; análogamente, si el número de revoluciones se hace algo mayor, parece entonces que las aspas giren en el mismo sentido en que lo hace el propio disco, pues ahora ya habrán rebasado su posición inicial al producirse el máximo siguiente. Efectos estroboscópicos de esta naturaleza se pueden observar, por ejemplo, cuando se pasa una película, siempre que la frecuencia a que se suceden las imágenes coincide con la velocidad de rotación de una rueda de radios o de la cadena de un vehículo tractor que aparezcan en la escena; en este caso parece que la rueda o la cadena giren al revés, a pesar de que el vehículo se mueve hacia delante.
El efecto estroboscópico halla aplicación en los estroboscopios giratorios que se emplean como juguetes infantiles (figura 8.2) o en los blocs de dibujos animados (figura 8.3). Igual que en una película de cine, las distintas fases de desarrollo de un suceso están ilustradas en una banda de papel, y las imágenes correspondientes se proyectan a través de las rendijas del tambor giratorio -o en los cuadernos de dibujos animados, pasando rápidamente las páginas del bloc a un ritmo tal que provocan la impresión de que la imagen se halla en movimiento. En la técnica, el estroboscopio se emplea para controlar velocidades de rotación (por ejemplo, de los ejes de las máquinas) y también para reproducir sucesos periódicos de modo que nuestros ojos los perciban como si se desarrollaran a un ritmo más lento que el real.
9. Eidóforo
El eidóforo, diseñado por Fischer (Zürich), sirve para proyectar a gran tamaño emisiones televisadas. En la imagen normal de televisión, la luminosidad proviene de la fluorescencia que produce el material de la pantalla al ser bombardeado por los electrones que inciden sobre él; en el eidóforo se utiliza en cambio la señal televisada para gobernar el flujo de luz de un foco luminoso muy potente. 
Figura 9.1 Esquema de proyección con el eidóforo
La luz procedente de una lámpara de arco (en la televisión en colores, después de atravesar una rueda de filtrado) es dirigida a través de dos diafragmas de retículo (figura 9.1), que se pueden sustituir por un espejo reticular con el reverso plateado (figura 9.2), de una película de aceite y de un objetivo proyector, a la pantalla.
Según sea la intensidad luminosa que corresponde a la señal televisada, el chorro de electrones gobernado por ella carga más o menos la película de aceite v ésta, debido a las fuerzas de repulsión electrostáticas, se curva de modo variable. La ondulación que adquiere la película pasa a influir a su vez en la imagen óptica del haz de rayos luminosos que se reflejan o refractan sobre ella. En efecto, la luz reflejada por las barricas del espejo va a reflejarse entonces en la película de aceite y de acuerdo con el relieve de esta última pasa luego a través de las rendijas de aquél con mayor o menor intensidad; este sistema de gobierno se denomina de estrías de Toepler en honor de su inventor, August Toepler. Así pues, al ser barrida por el chorro de electrones, la película adquiere un relieve que corresponde al estado de carga recibido -y por lo tanto a los claros y oscuros de la imagen emitida- cuyo efecto óptico sobre el haz de rayos del foco luminoso hace aparecer la imagen televisada en la pantalla con gran intensidad de luz y proyectada a gran escala. Los rayos que no resultan afectados por el relieve superficial de la película son retenidos por el diafragma reticulado superior (figura 9.1) o por el espejo de rejilla (figura 9.2).
El dispositivo representado esquemáticamente en la figura 9. 2 se ha de situar en el interior de un recipiente de alto vacío, pues en caso contrario no sería posible gobernar electrónicamente la emisión. Como la carga de la película de aceite va disminuyendo poco a poco, se hace girar ésta, asimismo muy despacio, bajo el chorro de electrones de gobierno. 
Figura 9.2 Equipo del eidóforo
Una cuchilla aplanadora cuida de proporcionar una superficie fresca, plana y totalmente descargada, antes de que la película vuelva a penetrar en el chorro de electrones.
10. Electrofotografía
La fotografía corriente se basa en aprovechar la sensibilidad que los halogenuros de plata presentan a la luz y la foto se revela a través de procesos químicos que tienen lugar en fase líquida. 
Figura 10.1
En cambio en la electrofotografía se recurre a aplicar efectos electrostáticos y fotoeléctricos, y el revelado de la foto se hace en seco; como capa sensible a la luz se emplea aquí la superficie externa de un fotoelemento semiconductor. 
Figura 10.2
A oscuras, los semiconductores tienen una resistencia eléctrica muy alta (de hasta 10 14 ohmios), pero en cambio al ser iluminados ésta llega a hacerse del orden de 5 a 7 potencias decimales inferior; esta propiedad la tienen por ejemplo el selenio (Se), el sulfuro de cadmio (CdS) y el óxido de cinc (ZnO). En la electrofotografía se han acreditado sobre todo finas capas de selenio sobre un soporte metálico con derivación a tierra. La capa de selenio se sensibiliza rociándola con iones positivos procedentes de una descarga en corona, a base de situar sobre la capa una red de finos alambres paralelos y muy poco separados entre sí, que se hallan a un potencial de unos +8000 voltios (figura 10.1 a). De este modo la superficie exterior de la capa se carga a unos +600 voltios con respecto a la interior, en la que por influencia se crea una carga negativa equivalente (figura 10.1 b). Al iluminar ahora la capa de selenio, su resistencia disminuye en las zonas que quedan iluminadas y se producen entonces en ellas una descarga que hace igualar las cargas de las dos superficies de la capa en dichas zonas. En la figura 10. 2 a se supone que la luz incide sólo a derecha e izquierda del conductor, sin que el centro llegue a quedar iluminado (en la figura se ha representado también el campo que se origina en este caso). 
Figura 10.3 I = Relieve de carga. II = imagenes/figuran que da el tonificador
La «imagen» se forma pues aquí en estado latente como relieve de la carga electrostática de los distintos puntos de la capa, y para «revelarla» se emplea un polvo muy fino cargado eléctricamente llamado tonificador (por ejemplo, resina artificial coloreada) cuyas partículas tienen aproximadamente 1/1000 mm de diámetro; en la figura se ha representado también el movimiento de las mismas. Eligiendo convenientemente el signo de la carga eléctrica que tienen las partículas, se pueden hacer así visibles un positivo o bien un negativo del relieve invisible de carga citado anteriormente. Por procedimientos eléctricos, el relieve de carga se puede trasladar prácticamente tantas veces como se desee a otras superficies que sean aislantes (por ejemplo, de papel), donde luego se revela. El fijado tiene lugar calentando la foto hasta hacer fundir los gránulos de resina, con lo que éstos ya no deben recurrir al concurso de las fuerzas electrostáticas para permanecer adheridas al papel. La conductibilidad eléctrica se origina por fotoionización, por obra del efecto fotoeléctrico (figura 10.2 b): un cuanto de luz hv arranca un electrón de un átomo y produce así un par de portadores de carga, a saber, el electrón --que por ser negativo pasa a neutralizar una carga elemental positiva en la superficie externa de la capa-- y el núcleo atómico cargado positivamente que, desplazándose hacia la superficie interna de la capa, neutraliza allí una carga negativa. En las figuras 10.3 a y 3 b se ha ilustrado en un ejemplo la formación de la imagen visible en el proceso negativopositivo (figura 10.3 a) y en el positivo-positivo (figura 10.3 b).
11. Espejos
La reflexión tiene lugar en superficies lisas, las cuales no dispersan la luz que incide sobre ellas sino que la devuelven concentrada. La dirección que adquiere el rayo reflejado se deriva de la ley de reflexión: El rayo incidente, el rayo reflejado y la normal a la superficie del espejo se hallan situados en un plano; además, el ángulo de incidencia es igual al ángulo de reflexión (figura 11.1) 
Figura 11.1 Espejo plano
Espejos planos
De un objeto cualquiera parten rayos luminosos en todas direcciones. Cuando un haz de rayos de esta clase es reflejado por un espejo plano, después de la reflexión los rayos siguen tendiendo a separarse; en consecuencia ya no se vuelven a reunir y no dan, por tanto, ninguna imagen real, sino que se ven como si procedieran de un lugar situado detrás del espejo, a saber, de la imagen virtual del objeto en cuestión. La distancia que hay entre dicha imagen virtual y el plano del espejo es la misma que, simétricamente, separa a éste del objeto.
Espejos esféricos
Si imaginamos la superficie de una esfera dividida en minúsculas porciones casi planas, el radio resulta entonces perpendicular a estas porciones; por consiguiente, la ley de reflexión que vale para los espejos planos se puede aplicar también a un espejo cuya superficie sea esférica. Así, pues, un rayo que pase por el centro de curvatura M se reflejará coincidiendo con su dirección original. Además, después de reflejados, todos los rayos tienden a reunirse formando siempre con el radio un mismo ángulo. En particular, los rayos que inciden paralelos al eje principal van a reunirse en un punto de éste situado exactamente en el punto medio de la distancia que hay entre el centro de curvatura y el espejo; dicho punto constituye el foco F del espejo. Por lo tanto, la distancia focal es igual a la mitad del radio de curvatura. Recíprocamente, los rayos que pasan por el foco se reflejan paralelos al eje principal. En la figura 11. 2 se muestra la construcción de imágenes en un espejo cóncavo (espejo convergente). Para el cálculo se aplica la fórmula:

(g = distancia del objeto al espejo; b = distancia de la imagen al espejo; f distancia focal =1/2 del radio de curvatura r).
En los espejos convexos (espejos divergentes) se forma una imagen virtual situada detrás de ellos; en la fórmula, la distancia focal y la de la imagen al espejo son en este caso negativas. 
Figura 11.2 Espejo esférico (construcción de la imagen)
Aplicaciones de los espejos:
Los espejos retrovisores de los coches (ejemplo 1) son espejos divergentes que dan una imagen virtual y reducida de una parte del panorama que se halla detrás del conductor. Los espejos para el afeitado (ejemplo 2) son cóncavos y el sujeto se sitúa frente a ellos dentro de la distancia focal, de modo que puede observar en el espejo su imagen virtual, derecha y ampliada. 
Figura 11.3
Para la construcción de las imágenes se han escogido en las figuras dos rayos especialmente indicados para ello, a saber, uno paralelo al eje principal y otro que pasa por el foco. Sin embargo, el efecto resultante es en realidad producto de todo el haz de rayos que va a parar al ojo. Respecto a la aplicación de los espejos en el telescopio de reflexión.
12. Flash de bombilla
El flash ha de suministrar una luz lo más intensa posible (medida en lúmenes), y, por tanto, en total una gran cantidad de luz (en lúmenes por segundo), durante la breve fracción de segundo en que está abierto el obturador del aparato fotográfico. La luz se genera por combustión de un ovillo de hilo de aluminio magnesio o circonio en una atmósfera de oxígeno (figura 12.1). 
Figura 12.1 Bombilla de flash
Un impulso de corriente recibido a través del contacto de la cámara hace poner incandescente un filamento de volframio, encendiéndose entonces las píldoras que éste lleva en sus extremos -de composición análoga a la de las cabezas de los fósforos-, las cuales pasan a encender a su vez el ovillo de hilo metálico del flash. 
Figura 12.2 Curva de luz-tiempo de distintas lámparas de flash
El oxígeno que llena la bombilla se halla a una presión de menos de 1 atmósfera para que aquélla no llegue a estallar por efecto del aumento de presión que se origina durante la combustión explosiva del ovillo. Además, la bombilla está recubierta interior y exteriormente con una laca transparente que en caso de que se produzca la rotura mantiene adheridas a ella las astillas del cristal; para fotografías en color existen modelos de flash con laca azul que tiene una composición espectral análoga a la de la luz diurna. Las fugas que se puedan haber originado en la bombilla durante la fabricación o transporte de la misma son puestas de manifiesto por una perla indicadora de sal de cobalto (de color azul) situada en el interior de la bombilla, que al entrar en contacto con la humedad atmosférica adquiere un color rosa. 
Figura 12.3 Sincronización de destello trabajando con obturador central
Las curvas luz-tiempo (figura 12.2) dan información sobre el rendimiento lumínico y las características de empleo de los distintos flashs de bombilla que existen actualmente. Para sincronizar el flash con el obturador del aparato fotográfico es muy importante conocer la duración del llamado tiempo punta, es decir, del tiempo que media entre el cierre del contacto y la máxima intensidad luminosa que da el flash; en las bombillas normales del tipo M este tiempo es de 18 milisegundos.
La mayoría de los obturadores centrales trabajan, sin embargo, con la llamada sincronización X y en este caso el contacto se produce en cuanto el obturador se ha abierto por completo (figura 12.3 a); para que la combustión del filamento tenga toda ella lugar mientras el objetivo de la cámara está abierto, se requiere entonces un tiempo de obturación de por lo menos 30 ms » 1/30 s. Para tiempos de obturación más cortos muchas cámaras disponen del contacto M que actúa 16 ms antes de alcanzarse la máxima abertura; así pues, en este caso el obturador no se abre hasta poco antes de producirse la cresta de la curva y, por consiguiente, sólo se aprovecha el período de máxima intensidad luminosa del proceso de combustión (figura 12.3 b). En los diagramas se ha representado, además, la curva luz-tiempo de un flash electrónico para poderla comparar con la del flash de bombilla. Trabajando con flash electrónico y sincronización X se pueden emplear obturadores centrales para tiempos de exposición de hasta 1/500 s; ahora bien, si por descuido se ha puesto en la cámara la sincronización M no llega entonces la más mínima cantidad de luz a la película.
En las cámaras con obturador de cortinilla el proceso de apertura y obturación dura de 1/20 a 1/60 s, y sólo se puede acelerar reduciendo el ancho de la ventana que forman las cortinas por lo tanto se han de emplear entonces bombillas de flash con una curva de combustión muy dilatada.
Si el tiempo de obturación es más largo que el de combustión de la bombilla, la intensidad de iluminación de la película sólo depende entonces del diafragma que se ha puesto, el cual se puede calcular (de acuerdo con la sensibilidad de la película) a partir del «número base» resultante de la fórmula:

Para comprender el concepto de número base se ha de tener presente que la intensidad de iluminación disminuye con el cuadrado de la distancia hasta la fuente luminosa, y que, además, la luminosidad de un objetivo disminuye a su vez con el cuadrado del número de diafragma que se emplee. Así pues, ambos valores se relacionan a través de una magnitud, el número base, cubo cuadrado es proporcional a la cantidad de luz que incide sobre el filme. Por ejemplo, la intensidad luminosa a una distancia de 5 m es sólo un cuarto de la que corresponde a 2,5 m, pero por otra parte la luminosidad del objetivo, trabajando verbigracia, con diafragma 4, es cuatro veces menor que con diafragma 8, y, por lo tanto, el diafragma 4 a 5 m da en definitiva la misma intensidad de iluminación que el 8 a 2,5 m; ambas combinaciones se pueden aplicar trabajando con un flash de número base igual a 20. 

Figura 12.4 Esquema de conexiones de un flash de bombilla, a) con encendido directo por la batería. b) A través de un condensador
En los modelos más antiguos, para encender la lámpara se ponía la batería en cortocircuito directamente a través de la bombilla (figura 12.4 a). Hoy se emplean pequeñas baterías de pilas secas, por lo general de 22,5 voltios, que al colocar la bombillita cargan un condensador a través del filamento de encendido de la lámpara (figura 12.4 b); una alta resistencia intercalada en el circuito de carga impide que la corriente de carga llegue a producir por sí que sola el encendido.
13. Flash electrónico
El flash electrónico, que se emplea en la fotografía como fuente luminosa para alumbrar brevemente los objetos con gran intensidad, tiene analogía con el destello de un rayo o un relámpago. 
Figura 13.1 Flash electrónico (esquema)
Los rayos se originan durante las tormentas cuando una nube queda cargada de electricidad respecto a la Tierra; una y otra pasan a constituir entonces las placas de un inmenso condensador y si la tensión que se establece entre las dos llega a rebasar un cierto límite, los gases de la atmósfera se hacen conductores y acaba por producirse a través de ellos la descarga, en forma de un breve y poderoso golpe de corriente que equilibra la diferencia de cargas existente. En la fotografía este efecto se aprovecha haciendo descargar asimismo un condensador a través de una atmósfera gaseosa. 
Figura 13.2 Válvula de flash para tensiones elevadas
El flash electrónico ha de construirse de manera que pueda generar la alta tensión necesaria y producir el destello en el instante deseado (figura 13.1). Los modelos más antiguos trabajaban con tensiones de algunos miles de voltios; en cambio actualmente la tensión de trabajo suele ser de 500 voltios nada más. Sin embargo las fuentes portátiles de electricidad que se utilizan en la práctica (pilas secas o acumuladores); suministran corriente continua de sólo algunos voltios y por lo tanto la tensión de ésta se ha de transformar. Ahora bien, como por otra parte la transformación sólo es posible trabajando con corriente alterna, en el flash electrónico la corriente continua suministrada por la fuente de electricidad se ha de convertir pues primero en alterna mediante un vibrador que invierte mecánicamente su polaridad unas doscientas veces por segundo, o bien más modernamente con un circuito de transistores que producen un efecto semejante. Un transformador se encarga luego de transformar la corriente alterna a la alta tensión necesaria para el flash, y por último un rectificador la convierte de nuevo en continua. 
Figura 13.3 Válvulas de flash de modernos aparatos para aficionados (muy ampliadas con respecto a la figura 2
Con esta alta tensión rectificada se carga un condensador cuyos dos polos están conectados a los electrodos de la válvula del flash; la válvula y el dispositivo de encendido se hallan alojados en el cuerpo de la lámpara. En la actualidad existen también aparatos muy pequeños para aficionados en los que el elemento generador y el de destello están construidos formando una unidad. La válvula se llena con un gas noble, en general xenón, que no es conductor. Al cabo de un tiempo de carga de 3 a 15 s se alcanza en el condensador de destello, y por lo tanto también en los electrodos de la válvula, la tensión final de carga; sin embargo, dicha tensión no llega a ser tan alta que, a través de la válvula, pueda producirse automáticamente la descarga. Al oprimir ahora el disparador de la cámara fotográfica, el contacto de sincronización del obturador pone en cortocircuito un pequeño condensador (condensador de encendido), que pasa a descargarse a través de uno de los dos arrollamientos de la bobina de encendido, y se induce así en el otro arrollamiento una alta tensión, de unos 10000 voltios, que queda aplicada entre el electrodo de encendido y el electrodo, negativo de la válvula. Este impulso de alta tensión ioniza entonces el gas noble de relleno, el cual se vuelve conductor y permite que el condensador de destello pueda descargarse a través de él; en el transcurso de 1/1000 s la energía eléctrica almacenada en dicho condensador pasa ahora a circular en forma de una corriente de 100 o más amperios a través de la válvula del flash, y hace que el gas se ponga incandescente por el breve espacio de tiempo que dura la descarga.
La luz del flash electrónico tiene aproximadamente la misma composición espectral que la diurna; así pues, cuando el flash se usa para hacer fotos en color, debe emplearse la misma película que para hacer fotografías en color con luz diurna.
Respecto al sistema de sincronización con el obturador de la cámara fotográfica y al cálculo del diafragma a partir del «número base».
14. Fotografía en color
Los numerosos procedimientos existentes para hacer fotografías en color se basan en un principio común a todos ellos, consistente en elaborar tres imágenes unicolores del objeto, con los colores que se hayan elegido como básicos, que al superponerse pasan a producir una imagen policroma de él.
En algunos de los sistemas empleados se hacen sucesivamente tres fotografías del objeto, a saber, una de color amarillo, otra de color verde o azul verdoso y por último otra de color rojo o rojo púrpura; en otros sistemas la cámara dispone de un equipo de lentes o espejos que permite impresionar simultáneamente tres películas; en otros, en fin, se emplea una película que contiene tres capas sensibles al color. También varía de unos sistemas a otros el proceso de formación de la foto en color a partir de las tres imágenes unicolores obtenidas. A continuación pasamos a describir aquí los, procedimientos negativo-positivo y de inversión (ambos pertenecientes al grupo de métodos llamados de filtrado, que trabajan por mezcla sustractiva), bajo cuya denominación, se comprenden en realidad sistemas muy diversos; el hecho de que existan tantos métodos distintos para resolver idénticos problemas denota ya cuán variados son los obstáculos y también las posibilidades que la fotografía en color presenta actualmente. 
Figura 14.1
En el llamado procedimiento de inversión se emplea una película sensible a los colores que consta de un mínimo de cuatro capas superpuestas a saber: una capa de halogenuro de plata sensible a los azules, que contiene un germen del color amarillo; una capa para filtrar los amarillos; una capa de halogenuro de plata sensible a los verdes que contiene un germen del color púrpura; y, por último, otra capa de halogenuro de plata sensible a los rojos, que contiene un germen del color verde azulado.
Al hacer la fotografía, los distintos colores componentes de la luz van a impresionar las respectivas capas de halogenuro de plata de esta película especial. Concluida la exposición, se procede el revelado; en las zonas que han sido iluminadas se forman entonces en las distintas capas del filme corpúsculos de plata procedentes del halogenuro que durante la exposición ha sido activado por la luz del color correspondiente al de la capa, y se generan también al mismo, tiempo materias colorantes derivadas de los productos de oxidación del revelador y de los gérmenes de color antes citados. Dichas materias colorantes tienen en cada capa el color complementario de aquél para el que está sensibilizada dicha capa; así, pues, la luz azul suministra colores amarillos, la luz verde da colores púrpura y la luz roja da en fin color azul verdoso. 
Figura 14.2
De este modo se obtiene el negativo. Si a continuación pasamos a reproducir los colores negativos en una segunda película en color y revelamos luego ésta siguiendo el mismo método, a partir del amarillo negativo obtendremos entonces el azul, y así sucesivamente.
Así, pues, el cielo azul que en el negativo aparece de color amarillo, pasa a dar púrpura y azul verdoso en el positivo y por lo tanto en definitiva se ve de nuevo azul. De este modo --a través del negativo y del segundo ciclo de exposición y revelado-- se obtiene sobre la película, diapositiva o papel fotográfico la imagen policroma del objeto con sus colores naturales.
En el proceso de inversión el material fotográfico se revela primero en blanco y negro. En este revelado el halogenuro de plata de la capa sensible a los azules -que por ejemplo ha sido impresionado por el cielo azul captado en el motivo- se transforma en plata metálica sin que el revelador en blanco y negro genere en ella colores amarillos. A continuación vuelve a iluminarse la película, resultando ahora activadas las capas de halogenuro de plata sensibles a los verdes y rojos que aún no habían sido impresionadas. El revelado subsiguiente produce así color púrpura y azul verdoso en las capas impresionadas en la segunda exposición; la superposición de ambos colores reproduce finalmente el cielo azul captado en el motivo.
La complicación de estos sistemas se puede deducir del siguiente programa de revelado de una película en color, trabajando según el procedimiento negatio-positivo :
Después de iluminar el filme (vigilando cuidadosamente el tiempo de exposición y los valores de color), el negativo se ha de revelar (12 minutos), tratar en baño de paro (4 minutos), templar (4 minutos), lavar (4 minutos), decolorar (6 minutos), lavar (4 minutos), fijar (8 minutos), lavar (8 minutos), tratar con medio humectante (1 minuto) v por último secar. A continuación el negativo se transporta a una película para positivos en color. A su vez, el positivo se ha de revelar (12 minutos), tratar en baño de paro (2 minutos), fijar (2 minutos), lavar (2 minutos), decolorar (4 minutos), lavar (2 minutos), decolorar (2 minutos), lavar (8 minutos), templar (3 minutos), lavar (2 minutos), sacudir (3 minutos) y por último secar. Las concentraciones y temperaturas de los distintos baños especiales, así como los tiempos de tratamiento en cada uno de ellos, se han de mantener entre límites estrechos para que los colores de la foto correspondan a los que el objeto tiene en realidad. Por consiguiente, la fotografía en color es también desde el punto de vista técnico un arte muy difícil.
Las ilustraciones esquemáticas aclaran los procesos de iluminación del filme y de generación de los colores, y muestran cómo la mezcla de estos últimos produce la imagen en color. Debido a sus peculiaridades biofísicas, los ojos suministran siempre una impresión de color de carácter aditivo; así, al observar por ejemplo un conjunto de gránulos azules y amarillos íntimamente mezclados entre sí, vemos en realidad una mancha de color verde, resultante de la mezcla aditiva del amarillo y el azul. Sin embargo, en los sistemas de fotografía en color descritos hasta aquí se emplean capas unicolores superpuestas que al ser parcialmente translúcidas modifican (filtran) la luz blanca que incide sobre ellas de tal modo que sólo la que no es absorbida por las capas puede llegar a nuestros ojos; por lo tanto dichos sistemas suministran una mezcla de colores sustractiva.
Película en color Polaroid-Land
El nuevo procedimiento de difusión del Dr. Land se distingue de los sistemas ya clásicos de fotografía en color descritos hasta aquí. 
Figura 14.3 Iluminación del negativo. La luz (de distintos colores) incide en la película de 8 capas
Como ya hemos citado anteriormente, en dichos sistemas el negativo se debe someter a un ciclo de operaciones muy complejo antes de poder darlo por listo (revelar, tratar en baño de paro, templar, lavar, decolorar, volver a lavar, fijar, volver a lavar, tratar con medio humectante y por último secar). En el método de Land se desarrolla en cambio un proceso que apenas sí se puede comparar con el descrito, si acaso sólo por lo que respecta al principio físico en que se basan uno y otro, pues, por así decirlo, tiene lugar sobre las capas del filme (cuyo espesor es del orden de centésimas de milímetro) sin el concurso de acciones exteriores y en el espacio de segundos. En los procedimientos clásicos antes de que el positivo de la foto pudiera darse por listo debían realizarse en laboratorios especiales no menos de veinte operaciones, exactamente al segundo y entre márgenes de temperatura muy estrechos. 
Figura 14.4 La cinta positiva de tres capas y la cinta negativa se pegan una con otra por efecto de la pasta de activación aplastada entre las cintas
En cambio el sistema Land suministra las fotos en color al cabo de un minuto, trabajando con una película negativa muy delgada compuesta de tres capas sensibles al color, tres capas de color y revelador, dos capas intermedias y el soporte. Al iluminar la película, la luz azul activa los cristales de halogenuro de, plata de la capa I sensible a los azules y en cambio la luz verde puede legar libremente hasta los cristales de la capa IV, sensible al color verde; si el objeto de la foto irradia además luz de color rojo, ésta pasa a través del objetivo de la cámara y de las capas del filme sensibles a los azules y a los verdes, y va a incidir sobre el halogenuro de la capa VII sensible W a la luz roja. A continuación el negativo se extrae de la cámara y se superpone a una cinta positiva mediante un tren de rodillos de acero que al mismo tiempo exprimen la masa viscosa activadora (revelador) contenida en una cápsula, esparciéndola entre las cintas negativa y positiva. La cinta positiva está compuesta a su vez por una capa receptora del color, una capa intermedia, una capa ácida para neutralizar y estabilizar la imagen coloreada, y por último el soporte. La pasta de activación se difunde muy aprisa en la cinta negativa: llega primero a los granos de halogenuro de plata de la capa I sensible a los azules, donde revela dichos granos; libera después el amarillo de la capa II a partir de las moléculas compuestas de revelador/amarillo latente que genera en esta capa; alcanza luego a través de la capa intermedia III los granos de halogenuro de plata de la capa IV sensible al color verde, revelándolos; libera seguidamente en la capa V el color púrpura a partir de las moléculas de revelador/color latente que genera en dicha capa; se difunde a continuación a través de la capa intermedia VI en la capa de halogenuro VII sensible al color rojo, revelando allí los gránulos de halogenuro que habían sido activados por la luz roja incidente; y por último alcanza la capa VIII, donde libera el color azul verdoso al quedar éste activado por el revelador correspondiente. Las moléculas de color liberadas de este modo se difunden ahora libremente en todas direcciones y alcanzan los gránulos de plata más cercanos, procedente del halogenuro que ha quedado impresionado al hacer la exposición, en los que el color se queda retenido. Si las moléculas de color procedentes de la capa VIII no inciden allí sobre ningún gránulo de plata, atraviesan entonces sin obstáculos todas las demás hasta llegar a la capa positiva, donde quedan definitivamente retenidas y fijadas. Veamos ahora cómo se forma la imagen en color: donde había incidido la luz roja, el color azul verdoso de la capa VIII es retenido por los gránulos de plata de la capa VII sensible al color rojo; sin embargo, ya que la luz roja no ha podido impresionar las capas IV y I sensibles a los colores verde y azul respectivamente, los colores púrpura y amarillo excitados por la pasta de activación y liberados por el revelador correspondiente pueden pasar ahora, sin obstáculos a la capa positiva retenedora del color, sobre la que el amarillo y púrpura mezclados vienen a dar el color rojo. Por su parte, la luz azul sólo ha impresionado la capa I sensible a los azules, y el color amarillo que se forma en dicha capa es adsorbido allí por los gránulos de plata; pero ahora el color púrpura procedente de la capa V y el azul celeste procedente de la VIII penetran libremente a través de ella hasta la capa positiva, donde ambos colores son retenidos y mezclados, y pasan a formar juntos el azul. Análogamente, donde el negativo ha sido impresionado por luz verde, los cristales de plata sólo retienen el color púrpura procedente de la capa sensible al color verde, y en cambio el azul celeste y el amarillo pasan libremente hasta la capa positiva, donde la mezcla de los dos genera el color verde. En las zonas que han sido impresionadas por luz blanca la película retiene todos los colores, pues dicha luz impresiona igualmente las tres capas y genera así en las tres los gránulos de plata retenedores del color. En las zonas que son de color negro no queda retenido allí ningún color y por consiguiente los tres colores básicos van a incidir sobre la capa positiva, donde al mezclarse entre sí dan en conjunto el color negro. Por último, se procede a neutralizar el componente alcalino del activador y del revelador de gránulos de plata III del positivo; en el transcurso de esta operación se forma agua que penetra hasta la capa negativa a través de las capas I y II del positivo, eliminando de paso las sales contenidas en la mezcla de colores de este último. De este modo los colores quedan sólidamente unidos entre sí y a la capa de soporte y la foto, sensibilizada y limpia, puede darse ya por lista.
15. Fotómetro
Los fotómetros se emplean en la fotografía para medir el tiempo de exposición necesario, de acuerdo con la abertura de diafragma puesta en la cámara y la sensibilidad de la película. Junto a los fotómetros ópticos se utilizan sobre todo los fotómetros eléctricos. Mediante un fotoelemento, el fotómetro eléctrico transforma la luz reflejada por el motivo a fotografiar en una débil corriente eléctrica que hace desviar más o menos una aguja indicadora, según sea la intensidad luminosa procedente del objeto. Un pequeño mecanismo de conversión permite leer en el instrumento el tiempo de exposición que se requiere, de acuerdo con la sensibilidad de la película y la abertura del diafragma. 
Figura 15.1 Disposición esquemática de un fotómetro eléctrico
Los dos elementos más importantes de un fotómetro eléctrico (figura 15.1) son el fotoelemento y el mecanismo medidor; el fotómetro lleva, además, un dispositivo colector de luz que sirve para aumentar la exactitud del instrumento, y otro de lectura que facilita su manejo. La luz incide sobre el fotoelemento a través de una lente globular y un diafragma de celdillas que se encargan de limitar el ángulo de luz incidente a un valor que corresponda al angular de una cámara fotográfica normal.
El fotoelemento consta de una lámina de hierro sobre la que se ha depositado una fina capa de selenio, recubierta a su vez con otra de platino de 1/100 000 mm de espesor que es transparente. Al incidir sobre la capa de selenio, la luz libera allí electrones que van a incidir a su vez sobre la capa de platino, y se origina así una débil corriente que pasa a circular a través de un fino hilo conductor entre la capa de platino y la lámina de hierro. Así, pues, la acción de la luz sobre la capa de selenio genera una corriente que es proporcional a la cantidad de luz que incide sobre ella; es decir, que si el objeto está fuertemente iluminado, la intensidad de la corriente es elevada, y si lo está débilmente la intensidad es entonces reducida. Un pequeño mecanismo medidor que intercalado en el circuito, se ha de graduar previamente de acuerdo con la sensibilidad de la película, permite medir dicha intensidad por la desviación que experimenta su aguja indicadora; a través de un dispositivo de conversión que trabaja en concordancia con la aguja, se pueden leer entonces los tiempos de exposición correspondientes a las distintas aberturas de diafragma. 
Figura 15.2 Fotómetro eléctrico (para medir hacia el objeto)
En la figura 15.2 se ha representado un fotómetro en sección. Para medir la luz se gira el botón regulador hasta que la curva del rodillo fijo a él vaya a pasar por el punto de intersección de la aguja indicadora y la línea de referencia (un hilo tenso). A través de un engranaje cónico el giro se transmite a la banda con los tiempos y números de exposición (valores de luz), y ésta se desplaza entonces más o menos respecto a la escala fija de números de diafragma situada frente a ella. Actuando sobre el botón regulador, el rodillo con la curva se puede hacer girar a voluntad respecto a la rueda cónica que lleva fija a él para graduar la posición relativa de los dos de acuerdo con la sensibilidad de la película. 
Figura 15.3 Resistencia fotoeléctrica (esquema)
En vez de los fotómetros de selenio se emplean también hoy resistencias fotoeléctricas (figura 15.3), las cuales no transforman la luz en energía eléctrica directamente sino que bajo la acción de dicha luz pasan a modificar su conductibilidad eléctrica y por lo tanto su resistencia eléctrica interior. Así, pues, es preciso disponer en este caso de una fuente auxiliar de electricidad tal como, por ejemplo, una batería. 
Figura 15.4 Fotómetro eléctrico para medir junto al objeto
Ya que la conductibilidad de la resistencia fotoeléctrica crece al aumentar la intensidad luminosa que recibe, crecerá también entonces la intensidad de la corriente que circula. Con este tipo de fotómetros se pueden llegar a medir luces muy débiles (por ejemplo, la luz de la luna).
Los fotómetros se hacen trabajar según los dos métodos siguientes:
- Medición hacia el objeto (la más corriente): La luz se mide dirigiendo el fotómetro hacia el objeto a fotografiar, de modo que el instrumento recoge entonces dentro de un determinado ángulo espacial (o ángulo sólido) la luz que el objeto reenvía.
- Medición junto al objeto: En este caso se mide junto al objeto la luz que lo ilumina. Como el motivo de la foto también resulta iluminado por la luz que recibe de los objetos circundantes, se coloca entonces frente ala lente (normal o globular) del fotómetro un difusor plano, abovedado o semiesférico que permite captar la luz procedente de un mayor ángulo espacial (figura 15.4). (Respecto ala aplicación de los fotómetros incorporados para regular automáticamente el tiempo de exposición.)
16. Fotomultiplicador
El fotomultiplicador sirve para multiplicar, y por lo tanto reforzar, la emisión del fotocátodo, aprovechando para ello la emisión secundaria de electrones que se origina al bombardear ciertos cuerpos con otros electrones. 
Figura 16.1 Multiplicador de rejillas
El número de electrones secundarios que se libera de este modo, depende de la energía cinética de los electrones incidentes; las capas de óxido de magnesio u óxido de cesio presentan una emisión secundaria especialmente intensa. 
Figura 16.2 Sistema de un multiplicador de campo magnético
Como ya se ha citado anteriormente, el número de electrones liberados depende de la energía de los electrones primarios que inciden sobre el cuerpo, y por lo tanto, de la tensión con que estos últimos han sido acelerados; así, con tensiones bajas se libera por término medio menos de un electrón secundario por cada electrón primario que se hace incidir. Sin embargo, para poder hablar con propiedad de una multiplicación de la emisión, el factor de la emisión secundaria ha de ser mayor de 1; ello suele ocurrir siempre que la tensión de aceleración de los electrones primarios sea superior a los 100 voltios. Para las capas de óxido de magnesio y cesio ya citadas, dicho factor alcanza valores superiores a 10 y se puede elevar aún notablemente sustituyendo el electrodo de emisión secundaria por un grupo de ellos instalados en serie. 
Figura 16.3 Proceso de deflexión
Haciendo incidir el chorro primario de electrones liberados fotoeléctricamente sobre un conjunto adecuado de electrones de choque portadores de una capa de emisión secundaria, se pueden obtener multiplicaciones de la radiación primaria de factor igual a hasta 109. A partir de este valor, el incremento del factor de multiplicación está limitado por la irregularidad que presenta entonces el chorro de electrones (zumbido térmico) debido a los fenómenos de calentamiento que influyen en el mismo. Los electrones de choque se pueden disponer bien sea como electrodos de rejilla (figura 16.1), o bien como electrodos huecos (figura 16.2). En caso necesario se emplea un deflector magnético (figura 16.3). El fotomultiplirador desempeña un papel importante en la Física nuclear para registrar los centelleos' generados por partículas energéticas; además, se utiliza mucho como fotómetro de extrema sensibilidad. En la televisión, el fotomultiplicador se emplea para proyectar películas de cine y constituye asimismo un elemento importante de las cámaras de toma que trabajan según el principio Orthikon.
17. Gafas
En un ojo humano que goce de vista normal la imagen de un objeto situado en el infinito se forma justamente en la retina; por lo tanto, el foco del ojo se halla situado sobre ésta (figura 17.1). 
Figura 17.1 Ojo con vista normal
Como la distancia de la imagen al cristalino viene dada por la medida del globo ocular, un objeto que se halle muy cercano sólo podrá proyectarse sobre la retina si la distancia focal del cristalino se reduce, es decir, si aumenta la convergencia que éste tiene. 
Figura 17.2 Acomodación a corta distancia
En la práctica ello se realiza mediante un músculo que hace aumentar la curvatura que tiene el cristalino; en caso de observar un objeto situado en el infinito, el radio de curvatura de la superficie anterior del cristalino es de 10 mm, y en cambio para poder ver bien a una distancia de 10 cm ha de disminuir a 5,33 mm. Esta facultad de ajustar el ojo a la distancia se llama acomodación (figura 17.2). 
Figura 17.3 Ojo corto de vista (miope)
Sin embargo no todos los ojos se comportan como el que está ilustrado en las figuras 17.1 y 17.2. Así, si la distancia entre el cristalino y la retina es demasiado grande, la imagen de un objeto lejano se formará antes de esta última (figura 17.3) y sólo los puntos que se hallen relativamente próximos al ojo aparecerán claros en la imagen; es decir, que en este caso el ojo sólo podrá distinguir bien puntos cercanos, pues es corto de vista (miope). El efecto se puede corregir con unas gafas provistas de lentes divergentes (figura 17.3); entonces los rayos luminosos que proceden del infinito son desviados ligeramente al atravesar los cristales, separándose del eje de los mismos, y prosiguen después como si procedieran del punto remoto del ojo, más cercano. Esto se puede expresar también de otra manera: Anteponiendo una lente de convergencia negativa, las gafas y el cristalino del ojo pasan a formar un sistema combinado cuyo foco está situado en la retina. 
Figura 17.4 Ojo largo de vista (hipermétrope)
Si el globo ocular es demasiado corto, el ojo es largo de vista (hipermétrope) (figura 17.4) y ha de forzar la acomodación incluso para ver objetos alejados. Con ayuda de una lente convergente se puede acortar en este caso la distancia focal, de modo que también aquí el foco vaya a situarse en la retina.
Sin embargo, las gafas no sólo son necesarias para corregir estos defectos de la vista, sino también para compensar la reducción que con la edad experimenta el campo de acomodación que tiene el ojo. En efecto, dicho campo de acomodación, es decir, la zona en la que el ojo puede enfocar con claridad a base de aumentar su convergencia va disminuyendo con los años porque, poco a poco, el cristalino se endurece hasta tal punto que al fin ya no se deja curvar a voluntad. Por ejemplo, una persona de 55 años que goce de vista normal ya sólo puede enfocar correctamente hasta 1 m de distancia y por lo tanto necesita unas gafas para leer o de vista cansada, con lentes convergentes (compárense las figuras 17.5 y 17.2). En los miopes este defecto tarda más en presentarse, pero en cambio han de llevar antes gafas para ver de lejos, con lentes de convergencia negativa. Un remedio eficaz para compensar el poder de acomodación que se ha perdido lo brindan las gafas bifocales, las cuales influyen poco cuando se mira a lo lejos en línea recta y en cambio dan una convergencia superior al mirar hacia abajo, para leer o trabajar. El campo de acomodación del ojo y la convergencia de las gafas se dan en dioptrías. 
Figura 17.5 Ojo con vista cansada (présbita) con gafas para ver de cerca
Si el cristalino no es esférico, dos trazos que sean perpendiculares entre sí no se pueden ver a la vez con la misma nitidez. Para corregir este defecto del ojo, llamado astigmatismo, se emplean cristales cuya curvatura se compone de una superficie esférica y otra cilíndrica, que complementan ópticamente el cristalino haciéndolo trabajar como si tuviera una forma esférica perfecta. Además de las gafas existen hoy en día las lentes de contacto, que se asientan directamente sobre la córnea de los ojos y desde lejos no se notan. Su efecto se basa también en los principios indicados.
18. Iconoscopio
El iconoscopio constituye el primer dispositivo totalmente electrónico empleado en las cámaras de televisión para transformar en señales eléctricas las imágenes ópticas que se desea transmitir. El elemento principal del iconoscopio es la llamada placa de mosaico, que sirve para descomponer la imagen en un conjunto de puntos entramados parecido a la trama que se emplea para confeccionar una autotipia. 
Figura 18.1 Vista de un iconoscopio
En la placa de mosaico los puntos de la trama están ocupados por células fotoeléctricas de cesio (Cs) sobre base de óxido de plata (Ag 2 O), que son de tamaño microscópico.
El objeto se proyecta sobre dicha placa a través de un objetivo y genera en ella cargas eléctricas cuya magnitud depende en cada punto de la intensidad luminosa recibida por la placa pues el ánodo se encarga de absorber los electrones emitidos. A continuación, el relieve de carga (dependiente de los claros y oscuros de la imagen) que se origina sobre la placa de mosaico (figura 18.1), es barrido en zigzag y descargado por un chorro de electrones que genera un tubo auxiliar. En este proceso, cada una de las bases de óxido de plata constituye un electrodo de un condensador cuya segunda placa metálica, separada de aquéllas por una fina lámina de mica, pasa a constituir por su parte el electrodo común de señales de las células (figura 18.2). Las descargas se propagan como impulsos (figura 18.3) y generan así las señales que se conducen después a un amplificador y, a continuación, a un emisor. Según las normas internacionales de televisión, la imagen normal de 625 líneas consta de unos 500 000 puntos de imagen, para transmitir los cuales se necesitan frecuencias de sucesión de impulsos del orden de 10 megahercios.
La descomposición de los agrupamientos simultáneos de puntos de la trama en una sucesión en el tiempo, y su recomposición a partir de los puntos luminosos que van apareciendo en la pantalla fluorescente del tubo de Braun que lleva el aparato receptor, ha de tener lugar en menos de 1/25 s, tiempo máximo durante el que el ojo puede simultanear aún las sensaciones que le llegan y transformar así la serie de puntos luminosos en un conjunto de claros y oscuros que le parece simultáneo.
 Figura 18.2 Placa del mosaico |
El ulterior perfeccionamiento de los tubos emisores de televisión ha conducido a sustituir la placa de mosaico por una fina capa semiconductora (por ejemplo, de trisulfuro de arsénico) con la que, a causa de su limitada conductibilidad, se puede eliminar el entramado. Además, los tubos se combinan actualmente con un convertidor de imagen o también con un multiplicador de electrones secundarios, a fin de alcanzar así una sensibilidad más acusada. En el transcurso de este proceso de perfeccionamiento, se han impuesto sobre todo los modelos siguientes:
- Resistron = tubo con capa de resistencia semiconductora
- Orthikon = ídem, con multiplicador de electrones secundarios
- Superorthikon (imagenes/figuran-Orthikon) = ídem, con un convertidor de imagen previo.
Otro tubo que también se emplea en las cámaras de televisión es el llamado Vidikon , cuyo funcionamiento se basa en el efecto fotoeléctrico interno. El Vidikon reacciona despacio en cambios rápidos de escena (por ejemplo, cuando se trata de pasar láminas fijas); además, es de diseño muy sencillo y se usa por ello sobre todo en la televisión industrial, en la de control de tránsito, etc. 
Figura 18.3 Esquema de conexión del iconoscopio
En el Vidikon el objeto se proyecta ópticamente sobre una placa de vidrio, cuya cara posterior está recubierta con una capa transparente de aluminio, que, a través de la resistencia de señales, adquiere un potencial positivo reducido. Sobre el recubrimiento de aluminio está depositada una fina capa de un cuerpo semiconductor (por ejemplo, selenio), que cuando no se halla iluminada es casi aislante, pero que, en cambio, al iluminarla se hace conductora. Un chorro de electrones que barre la capa de selenio va comunicando a ésta sucesivamente en cada punto el potencial catódico cero, de modo que dicha capa pasa a formar entonces junto con la de metal un condensador cargado. En caso de repetirse el barrido el reparto de carga no varía, pues el selenio, al no estar iluminado, es aislante. Sin embargo, cuando se vuelve a iluminar una zona determinada de la imagen, la carga desaparece entonces lentamente y al siguiente barrido la zona iluminada pasa a adquirir de golpe el potencial que tiene el cátodo. Este impulso de corriente es el que origina la señal eléctrica de imagen qué se desea transmitir.
19. Impresión en color
Los colores han encontrado aplicación práctica en la imprenta mucho antes que en la fotografía. En su forma más simple, la operación de imprimir en color consiste en elaborar renglones de texto, superficies o figuras coloreadas sobre un impreso unicolor; sin embargo, en un sentido más preciso entendemos por impresión en color la confección a tres o más tintas de un impreso, o de una reproducción de un original multicolor. 
Figura 19.1

Figura 19.4
Si cubrimos una superficie con puntos de los tres colores fundamentales (amarillo, rojo y azul) que formen un mosaico (figura 19.1 c ) y la observamos después desde una distancia conveniente, de modo que no se puedan distinguir los puntos entre sí, se tiene la impresión de que es de color gris; si los puntos corresponden a sólo dos de los colores fundamentales ya citados, se crea entonces en el observador la sensación de un color mixto (figura 19.1 c ). Esta superposición de colores que realiza el ojo humano constituye uno de los principios básicos para la impresión en color.
De la lámina policroma que se desea reproducir, se realizan ante todo extracciones de color mediante un procedimiento fotográfico, empleando para ello filtros que tengan el color complementario del que corresponde ala extracción. Las figuras 19.1 b , 19.2 a -2 b y 19.3 a -3 b muestran emparejados el color del filtro y el de la extracción correspondiente. Ya se ha mencionado anteriormente que las superficies recubiertas con puntos de los colores fundamentales se ven de color gris. Ello se debe a que en muchas zonas sobresale el color blanco del papel, y por esta razón a las extracciones de color se les superpone, además, una reproducción en blanco y negro (figura 19.4) que elimina las superficies blancas y sirve para realzar al mismo tiempo los contrastes del dibujo. En el proceso de impresión propiamente dicho, y de acuerdo con el método empleado (por ejemplo, impresión tipográfica, huecograbado o impresión offset) las extracciones ya descritas se utilizan para atacar planchas o cilindros de impresión que después reciben el color y lo transportan al papel. 
Figura 19.5
Las figuras 19.2 c , 3 c y 19.5 muestran cómo se forma la reproducción en color mediante la impresión superpuesta con las cuatro planchas empleadas. El detalle de la figura 19.6 (ampliación de la parte recuadrada de la figura 19.5) permite distinguir no sólo los cuatro colores correspondientes a las planchas de impresión, sino también los colores mixtos que de ellos se derivan al superponerse los puntos de las tramas. La figura 19.6 corresponde por tanto a la figura 19.5 observada con la lupa; si observamos esta última a simple vista, o la anterior desde una distancia suficiente, se puede apreciar que los distintos puntos de colores fundamentales o mixtos (en total 8 colores) pasan a confundirse formando superficies coloreadas homogéneas. 
Figura 19.6
Para obtener una impresión en color que sea buena, se han de tener en cuenta muchos puntos. Así, las tintas empleadas han de ser puras y transparentes, y en determinadas condiciones, cuando se trata de obtener reproducciones especialmente delicadas, se han de usar, además, colores auxiliares. Por otra parte, es importante imprimir con h máxima exactitud y evitar asimismo fluctuaciones de los tonos e intensidades de color cuando se confecciona una edición. En la práctica, las distintas extracciones (que se realizan aún sin trama) se han de retocar a mano con frecuencia para hacer resaltar bien los detalles.
20. Lentes
Al atravesar un prisma, los rayos luminosos se desvían siempre apartándose de la arista superior. Como se ilustra en la figura 20.1 a, podemos imaginar una serie de prismas dispuestos de tal modo que hacia el centro sus caras laterales vayan siendo cada vez menos convergentes entre sí; en este caso los rayos que atraviesan los prismas exteriores serán desviados fuertemente hacia el eje del conjunto y en cambio los que pasen por la pieza central no experimentarán ninguna desviación. 
Figura 20.1 Lente convergente (a) y lente divergente (b)
Por lo tanto, si un haz de rayos paralelos atraviesa este conjunto, los rayos resultan desviados hacia el eje y reunidos en un punto ( F '); de él también los rayos que parten de un punto P cualquiera son desviados por los prismas de tal modo que vuelven a reunirse en otro punto P' . 
Figura 20.2 Lentes convergentes (a) y lentes divergentes (b)
Si disponemos un elevado número de prismas de manera que estén muy próximos los unos de los otros, las pequeñas caras inclinadas de los mismos acabarán por formar una superficie esférica y el conjunto se habrá transformado en una lente; por el hecho de que al atravesarla los rayos se reúnen, se habla en este caso de una lente convergente. Las lentes convergentes son, por tanto, más gruesas en el centro que en el borde (o sea, son convexas).
Si por el contrario la lente es más gruesa en el borde que en el centro (es decir, cóncava), ya podemos suponer (figura 20.1 b) que en este caso los rayos luminosos, después de atravesarla, se separan de su eje; las lentes de esta clase se llaman divergentes. 
Figura 20.3 Construcción de imágenes
Después de la refracción que experimentan, los rayos que habían incidido paralelos parece que vengan en realidad de un punto F (figura 20.3 b) y los que procedían ya de un punto se ven como si procedieran de otro punto diferente. En la figura 20.2 se muestran las distintas formas de lentes convergentes y divergentes usadas en la práctica. La última lente de cada grupo, con las dos caras curvadas en el mismo sentido pero de distinta curvatura, recibe el nombre de menisco; esta forma es la que se prefiere sobre todo para las lentes de las gafas.
Las propiedades de las lentes se pueden deducir de la ley de refracción. Después de refractados, los rayos que habían incidido paralelos al eje de la lente se reúnen en un punto F llamado foco, e inversamente, los rayos que pasan por el foco salen de la lente paralelos; en cambio los rayos que pasan por el centro de la lente no sufren ninguna desviación. En las lentes divergentes los rayos que inciden paralelos se desvían de modo que después de la refracción parece como si procedieran del foco de la lente. Sólo dos de los tres enunciados anteriores bastan ya para construir la imagen de un punto G cualquiera (figuras 20.3 a y 20.3 b). Las lentes convergentes dan una imagen real que se puede hacer visible proyectándola sobre un cristal esmerilado, una pantalla o una placa fotográfica situados en el plano de reunión de los rayos que salen de la lente. En cambio, en el caso de una lente divergente ello no es posible, pues sólo se origina entonces una imagen virtual -es decir, aparente- de la que parece que procedan los rayos luminosos y que, por lo tanto, no se puede proyectar.
La formación de imágenes en una lente delgada se calcula mediante la fórmula:

( g = distancia del objeto ala lente, en metros; b = distancia de la imagen a la lente, en metros; f = distancia focal, en metros). En vez de la distancia focal, en las lentes se suele dar también su convergencia D expresada en dioptrías. La distancia focal y la convergencia de una lente son inversamente proporcionales entre sí; así, pues, una lente de, por ejemplo, f = 20 cm = 0,2 m, tiene una convergencia de 5 dioptrías. En las lentes divergentes f y D son negativos; por lo tanto, en éstas también b resulta negativo, ya que la imagen virtual está en efecto situada al mismo lado de la lente que el objeto.
Las lentes presentan a veces defectos de naturaleza física que impiden a los rayos reunirse de modo absolutamente puntiforme después de atravesarlas. En tales casos la imagen se puede mejorar asociando lentes que presenten defectos de características opuestas.
21. Luminosidad de un objetivo
El concepto de luminosidad de un objetivo se puede comprender más fácilmente imaginándonos el aparato fotográfico como un cuarto cerrado provisto de una única abertura (figura 21.1). 
Figura 21.1
La pared que está situada frente a la ventana recibirá tanta más luz cuanto mayor sea la abertura y menor la distancia que media entre la ventana y la pared. 
Figura 21.2 Aberturas relativas
Para una persona que se halle junto a dicha pared posterior, el conjunto de rayos que inciden en su ojo forma un cono cuyo contenido reproduce el marco que limita la ventana; cuanto mayor sea este marco, tanto más ancho es el embudo luminoso y, por consiguiente, tanto mayor es también la cantidad de luz que abarca en él. La abertura del cono se puede definir por la relación existente entre el diámetro del orificio y la distancia que va de éste al observador situado en la pared.
En un aparato fotográfico, la película colocada en la parte trasera de la cámara recibe sobre cada uno de sus puntos una cantidad de luz proporcional a la distancia que la separa del orificio de la máquina, distancia que por lo común es aproximadamente igual a la distancia focal del objetivo. Por otra parte, cuanto mayor sea la lente, tanta más luz puede ésta captar y proyectar. En consecuencia, la luminosidad de un objetivo se define por la relación existente entre el diámetro de la abertura eficaz y la distancia focal que tiene aquél; esta magnitud se denomina abertura relativa (figura 21.2). Por ejemplo, para un objetivo fotográfico normal con una abertura de 25 mm de diámetro y una distancia focal de 50 mm, la abertura relativa vale 25:50-1:2; la cifra 2 constituye el llamado número de diafragma, que se suele denominar simplemente diafragma (diafragma 2). Si reducimos la abertura a 12,5 mm de diámetro, la relación será entonces 12,5:50=1:4, es decir, que el diafragma será 4. Como el diámetro de la abertura se ha reducido a la mitad, la superficie de ésta es ahora la cuarta parte de la que tenía anteriormente y por lo tanto deja pasar a su través una cantidad de luz que es también igual a la cuarta parte de la que pasaba con el diámetro mayor (figura 21.2 b). Los diafragmas de los objetivos están graduados de modo que para cada número de diafragma la luminosidad correspondiente sea la mitad de la que tiene el número anterior. Ejemplo:
| Diafragma | 1,4 | 2 | 2,8 | 4 | 5,6 | 8 | 11 | 16 |
| Luminosidad relativa | 1 | ½ | ¼ | ⅛ | 1/16 | 1/32 | 1/64 | 1/128 |
Así, pues, un objetivo con diafragma 2,8 es 16 veces más luminoso que con diafragma 11 y por lo tanto si con el primero bastaba un tiempo de exposición de por ejemplo 1/500 s, con el segundo la exposición ha de ser 16 veces más larga, es decir, de 1/30 s. 
Figura 21.3 Lentes de igual luminosidad
En consecuencia, para que un objetivo cuya distancia focal sea de por ejemplo 100 mm (es decir, el doble de la que tiene el objetivo de los ejemplos anteriores) reciba la misma intensidad luminosa que el normal, el diámetro de sus lentes ha de ser también doble del que tienen las lentes de este último (figura 21.3); en efecto, aunque entonces las lentes del objetivo dejan pasar cuatro veces más luz, la superficie de la imagen resulta al mismo tiempo duplicada y por lo tanto la luz se debe repartir sobre una superficie que es asimismo cuatro veces mayor que la que tenía la imagen anterior, de modo que de hecho la luminosidad de ambos objetivos es la misma. 
Figura 21.4 Reducción de la luminosidad en fotos de cerca
En fotos de cerca (figura 21.4) la distancia que hay entre el objetivo y la película (distancia de la imagen) es mucho mayor que la focal; debido a ello el cono de luz se hace más estrecho y por lo tanto la luminosidad real disminuye a pesar de que no se ha modificado para nada la abertura. En cambio empleando lentes adicionales se reduce la distancia focal pero no la que va del objetivo a la película, y por lo tanto la luminosidad real no disminuye. En un objetivo compuesto, la abertura eficaz, llamada también pupila de entrada, no se puede deducir con sólo conocer el diámetro de las lentes y el del diafragma mecánico que tiene el aparato; dicha abertura depende, empero, efectivamente del valor del diafragma y limita el haz de rayos que va a concentrarse sobre el filme.
22. Lupa y microscopio
La bondad con que se pueden distinguir los detalles de un objeto depende del ángulo bajo el que aparecen al ojo que los mira. 
Figura 22.1 La lupa aumenta el ángulo visual desde el cual el ojo ve al objeto
Los objetos que se hallan alejados aparecen muy pequeños y por esta razón para verlos mejor se emplea un anteojo, que aumenta el ángulo visual. Cuando se trata de objetos que ya en sí son de reducidas dimensiones, el ángulo visual resulta pequeño incluso observándolos de cerca; dicho ángulo se puede incrementar desde luego acercando más los ojos al objeto, pero existe siempre el limite impuesto por el poder de acomodación que tiene el ojo (facultad de enfocar con claridad), poder que desaparece a partir de una distancia de 40 a 15 cm entre los ojos y el objeto. Sin embargo, con ayuda de la lupa y el microscopio es posible obtener la imagen del objeto de modo que tanto situado a esta distancia mínima como en el infinito el ojo lo vea con un ángulo visual mucho mayor. Para dar la medida del aumento se ha fijado una distancia mínima de visión distinta igual a 25 cm; así, pues, una lupa de ocho aumentos muestra el objeto ocho veces mayor de como lo vería el ojo desnudo situado a 25 cm de él.
La lupa (figura 22.1) consta de una lente convergente (o de un sistema de lentes que sea convergente) de corta distancia focal. Para observar con ella un objeto, éste se ha de situar dentro de la distancia focal que tiene la lente de la lupa, de modo que se forme así una imagen virtual, ampliada y derecha a una distancia del ojo que corresponda aproximadamente a la de visión distinta citada más arriba. La lupa se puede comparar también a una lente de monóculo que, mejor aún que unas gafas para leer, permite observar con nitidez objetos próximos a pesar de que el ojo permanece acomodado a una distancia mayor que la que le separa del objeto.
En el microscopio (figura 22.2) la ampliación se realiza en dos etapas. Así como en el anteojo el objeto está muy alejado y la imagen real que da el objetivo -de larga distancia focal- queda situada aproximadamente en el foco posterior, en el microscopio la distancia focal del objetivo es en cambio muy corta (de 46 a 1,6 mm) y, además, el objeto se sitúa tan cerca del foco anterior que la distancia del objetivo a la imagen resulta mucho mayor que la focal; ya que dicha distancia del objetivo hasta la imagen viene dada por la longitud que tiene el tubo -en general, de unos 160 mm- la imagen real intermedia que se forma es, pues, para aquellos valores de la distancia focal, de 2,5 a 100 veces mayor que el propio objeto (por regla general en los objetivos de microscopio se da directamente el aumento en vez de la distancia focal). 
Figura 22.2 Microscopio: a) disposición esquemática. b) formación de la imagen
En el plano de la imagen intermedia se halla situado un diafragma de campo; en casos especiales se disponen, además, en él escalas, retículos, etc. La imagen intermedia es observada ahora a través de la lupa que constituye el ocular y vuelve a sufrir así una nueva ampliación. Si por ejemplo se emplea un microscopio con un objetivo 40:1 y un ocular de 10 x, el aumento total será pues de 400:1; análogamente, un objetivo 100:1 y un ocular de 25 x darían un aumento de 2 500:1 que, sin embargo, ya no es práctico, porque debido a la naturaleza ondulatoria de la luz sólo se pueden llegar a reproducir detalles del objeto que como mínimo sean de tamaño parecido a la longitud de onda de los rayos luminosos (de 0,4 a 0,7 milésimas de milímetro). Si se tiene una gran abertura (es decir, una fuerte luminosidad, con lo que la difracción se mantiene reducida), el limite admisible del aumento impuesto por el efecto citado anteriormente es de 1000:1. Un aumento superior se puede conseguir con el microscopio electrónico, gracias a la menor longitud de onda que tienen los rayos de electrones. En el funcionamiento del microscopio desempeña también un papel importante el condensador, que tiene por función la de iluminar el diminuto objeto intensa y regularmente, de modo que la luz vaya a parar al objetivo sin sufrir pérdida alguna.
23. Microscopio electrónico
Ya que el poder separador del microscopio óptico está limitado por la longitud de onda de los rayos luminosos, se han debido buscar radiaciones de longitud de onda más corta que se pudieran asimismo desviar y por lo tanto emplear para la formación de las imágenes. 

Figura 23.1 Electrón en campo eléctrico y Figura 23.2 "Refracción" del rayo de electrones
Esta propiedad la poseen los rayos electrónicos, es decir, electrones libres llevados a altas velocidades al atravesar un campo eléctrico, que pasan a adquirir longitudes de onda fijas según la velocidad a que se mueven y se comportan, en determinadas condiciones, como una radiación ondulatoria. 

Figura 23.3 Lente electrónica de doble capa y Figura 23.4 Lente electrónica de tubo, comparada con un sistema de lentes ópticas análogo
Dado que los electrones poseen una carga negativa, al atravesar el campo eléctrico son acelerados por él cuando se dirigen a la placa positiva de un condensador o, en general, a un lugar del espacio de potencial más elevado (figura 23.1), y en. cambio son frenados cuando se desplazan en sentido opuesto; en la representación gráfica de un campo eléctrico todos los puntos que se hallan al mismo potencial están unidos por las llamadas líneas equi-potenciales.
Por lo tanto, cuando un electrón se desplaza por el interior de un campo eléctrico (por ejemplo, entre dos retículas metálicas cargadas; figura 23.2), experimenta una aceleración suplementaria hacia las líneas de mayor potencial y modifica así su dirección. Basándose en este efecto de refracción se han construido lentes electrostáticas para rayos electrónicos, análogas a las de vidrio para los rayos luminosos, formadas por retículas metálicas con curvatura esférica (figura 23.3) que se intercalan en la trayectoria de los rayos.
Sin embargo dichas retículas presentan tales inconvenientes que han venido a ser reemplazadas por otros tipos de lentes de forma tubular (figura 23.4) o de diafragma (figura 23.5); en éstas el efecto de convergencia o divergencia de los rayos no desaparece a pesar de la simetría que las líneas de potencial guardan en ellas, porque como los electrones atraviesan la zona divergente a mayor velocidad la dispersión resulta amortiguada. 

Figura 23.5 Lente electrónica de diafragma, comparada con un sistema de lentes ópticas análogo y Figura 23.6 Bobina con funda de hierro, una lente magnética.
Junto a las lentes electrostáticas existen asimismo las magnéticas. Sabido es que un electrón en movimiento constituye la forma elemental de una corriente eléctrica y tiene por tanto un campo magnético a su alrededor que lo acompaña; las fuerzas que se ejercen sobre la corriente por la acción recíproca de este campo propio con otro exterior constituyen precisamente el fundamento de todas las máquinas eléctricas. 
Figura 23.7 a) Microscopio óptico. b) Microscopio electrónico electrostático, con lentes de diafragma. c) Microscopio electrónico magnético, con lentes de bobina
Así, pues, al atravesar un campo magnético el electrón experimenta una desviación determinada. Este efecto es el que se aprovecha en las lentes magnéticas; para que la intensidad del campo sea alta, se emplean carretes con una funda de hierro que está provista de una rendija muy estrecha (figura 23.6).
En principio, la disposición de un microscopio electrónico ya sea electrostático o magnético- es muy parecida a la de los microscopios ópticos usados para registros fotográficos (figuras 23.7 a 23.7 b ). Los electrones que emite el cátodo de incandescencia son acelerados y reunidos a través del condensador sobre el objeto que se ha de examinar, el cual descansa a su vez sobre una película de colodión sumamente delgada. Al atravesar el objeto -bacteria, virus, huella de carbón (funda de carbón depositada sobre un micro-cristal «opaco» que se extrae después de ella), etc, los rayos electrónicos se debilitan más o menos, de acuerdo con el espesor y la composición que tiene aquél, y a continuación el objetivo los reúne en la imagen intermedia, ya ampliada; a partir de ésta, el sistema óptico de proyección pasa a generar otra más ampliada todavía, que se hace visible sobre una pantalla fluorescente o una placa fotográfica sensible a los rayos electrónicos.
Tomando como referencia la luz verde, cuya longitud de onda es de unos 1/2000 mm, la longitud de onda correspondiente a electrones que hayan sido acelerados con una tensión de 50000 voltios resulta 100000 veces menor. La abertura del aparato es desde luego 1000 veces más pequeña que la del microscopio óptico y por lo tanto el índice de difracción es 1000 veces mayor, pero así y todo se tiene un aumento del poder separador de factor igual a 100. Incluida la ampliación que se puede hacer posteriormente de la placa fotográfica, con los microscopios electrónicos se llegan a alcanzar aumentos de 1:100000 hasta 1:500000.
24. Objetivos fotográficos
El elemento más importante de un aparato fotográfico es el objetivo, el cual tiene por función proyectar sobre todo el formato de la foto una imagen enfocada, plana, semejante y clara del objeto. 
Figura 24.1 Cámara de agujero
El objetivo más simple se reduce a un orificio muy pequeño que proporciona una imagen gracias a la propagación rectilínea de la luz (figura 24.1). Sin embargo, las fotografías realizadas con la cámara de agujero no son claras, ya que en ella los puntos del objeto se ven reproducidos como discos que en ningún caso pueden llegar a ser menores que el propio orificio de la cámara. Además, como su abertura es muy pequeña, también su luminosidad resulta en extremo reducida. 
Figura 24.2 imagenes/figuran obtenida mediante una lente
Debido a su propiedad de reunir en un punto los rayos de un haz, son las lentes los elementos adecuados para obtener una imagen del objeto que resulte clara y nítida. En la figura 24.2 se muestra esquemáticamente el proceso de formación de la imagen según las leyes ópticas que rigen en las lentes.
Sin embargo, tanto en el aire como en el vidrio de la lente los distintos rayos luminosos -sobre todo si proceden de puntos que estén muy alejados del eje de la lente- recorren caminos muy diferentes que dependen del punto de la lente en el que el rayo va a incidir y del ángulo de incidencia sobre ella; este hecho tiene por efecto que a la salida de la lente los rayos ya no se pueden volver a reunir en un punto único, es decir, idealmente.
Las desviaciones que entonces aparecen respecto a la imagen ideal, se denominan aberraciones de la lente. Las aberraciones más importantes son: aberración esférica o defeco de abertura (figura 24.3), cuando los rayos periféricos se reúnen en un punto situado más próximo a la lente que el punto ideal de reunión; astigmatismo y curvatura de campo (figura 24.4), cuando dos haces de rayos perpendiculares entre sí que atraviesan inclinados una lente, van a reunirse en dos superficies de distinta curvatura, como cuando aparecen puntos alargados en forma de cometa fuera del centro de la imagen; distorsión (figura 24.5); y por último, aberración cromática (figura 24.6), debida a que la luz de longitud de onda mayor se refracta menos que la de longitud de onda menor. 

Figura 24.3 Aberración esférica y Figura 24.4 Astigmatismo y curvatura de campo
Si combinamos una lente convergente con otra divergente cuya convergencia (negativa), determinada por su forma, sólo sea la mitad de la que tiene la primera, y que además esté fabricada con un vidrio cuya dispersión resulte doble, la convergencia del sistema sé reduce a la mitad pero la aberración cromática queda eliminada por completo (figura 24.7). 

Figura 24.5 Distorsiones y Figura 24.6 Aberración cromática
Un objetivo de esta clase se llama acromático ; por regla general se fabrica disponiendo las lentes pegadas entre sí y se emplea con aberturas de hasta 1:9 en las cámaras llamadas de cajón (figura 24.8). 
Figura 24.7 Corrección a la aberración cromática
Para fabricar estos objetivos se dispone de varios centenares de clases de vidrios diferentes, que presentan índices de refracción y dispersión muy variados. Modificando el número de lentes, su espesor o las separaciones entre ellas, o bien la clase de vidrio o los radios de curvatura de las mismas, las aberraciones se pueden reducir prácticamente.
En todos los objetivos que sean luminosos, aparte de las demás aberraciones se ha de corregir sobre todo el astigmatismo que presentan; los objetivos en los que este defecto ya está corregido, se llaman anastigmáticos . A este respecto se han acreditado ciertas formas básicas, tales como el Triplett (figura 24.9) que con aberturas de 1:3,5 ó 1:2,8 y una distancia focal de 45 a 50 mm se emplea hoy como objetivo normal en casi todas las cámaras fotográficas de precio medio (por ejemplo: Agnar, Apotar, Cassar Lanthar, Novar, Pantar, Radionar, Reomar, Triotar). 
Figuras 24.8 24.9 24.10 y 24.11 Formas básicas de objetivos fotográficos. En cada figura el objeto de la foto se ha de imaginar a la izquierda del dibujo
Se ha de destacar especialmente el Triplett pegado de cuatro lentes (figura 24.10), que en general tiene 1:2,8/50 y para formatos de película mayores, 1:3,5/75 o incluso 1:4,5/105-300 mm (por ejemplo: Elmar Skopar, Solinar, Tessar Xenar, Ysarex). Además, existen variantes de cinco lentes (Apo-Lanthar, Elmarit, Heliar) y también los distintos tipos de Sonnar, de cuatro a siete lentes, que apenas se pueden reconocer ya como tripletts. Para grandes angulares, los sistemas simétricos permiten compensar más fácilmente las aberraciones de las lentes. La mayor parte de objetivos luminosos para formato de película pequeña con abertura del orden 1:2 corresponde al tipo Gauss doble-anatigmático (figura 24.11) (Biotar, Heligon, Pancolar y en parte Planar, Auto-Quinon, Solagon, Ultro, Xenon); en los objetivos Planar y Xenotar de cinco lentes para formatos de 6 x 6 a 9 x 12 se ha unido un elemento pegado a una de las lentes. Para los objetivos de luminosidad más elevada (de 1:2 a 1:1,4) se ha podido alcanzar en parte una buena corrección añadiendo al sistema una o dos lentes más hasta hacer un total de siete u ocho, respectivamente (Nokton y en parte Planar, Septon, Summicron, Summilux).
25. Objetivos intercambiables
Para ajustar la escala de la imagen al tamaño del objeto y también para influir en la perspectiva de la foto hay cámaras que permiten variar la distancia focal a voluntad.
Los sistemas de cambio y los distintos tipos de objetivos intercambiables empleados, se exponen aquí para cada una de las tres distancias focales más corrientes en las cámaras de pequeño formato de película (a saber, de gran angular, de aprox. 35 mm; de objetivo normal, de aprox. 50 mm y semilarga [para retrato], de aprox. 85 mm). 
Figura 25.1 Objetivos intercambiables de uso universal. Objetivos Leitz para cámaras Leica
Una ilimitada libertad para cambiar el objetivo la brinda el obturador de cortinilla (figura 25.1); el objetivo normal es en este ejemplo un Triplett con elemento pegado posterior (1 b ).
Como corresponde a su corta distancia focal, el objetivo de gran angular (1 a ) queda más cerca de la película que el normal; en cambio el teleobjetivo (1 c ), con la distancia focal mayor, tiene un tubo más largo que los otros. Para cámaras con obturador de cortinilla existen objetivos con una distancia focal de 21 a 600 mm, e incluso objetivos especiales en los que ésta varía de 8 a 2000 mm (proporcionando así una gama de distancias focales que son entre 0,16 y 40 veces la de un objetivo normal).
En las cámaras réflex monoculares se precisa disponer detrás del objetivo de un cierto espacie libre para el espejo rebatible, de modo que cuando se instalen en ellas objetivos intercambiables, éstos no deben penetrar en dicho espacio libre en ningún caso. Limitaciones análogas presentan también las cámaras equipadas con obturador central ya que en este caso el obturador se ha de situar en la cámara inmediatamente detrás del objetivo, en vez de estar entre sus lentes, para que aún con cortos tiempos de exposición el oscurecimiento de las esquinas de la foto sea reducido.
Suponiendo que esta exigencia se satisfaga para un objetivo normal (2 b ), queda entonces prefijada para todos los demás la magnitud de la distancia prohibida. Sin embargo, es posible construir -aunque con más complicación-un objetivo de gran angular cuya distancia focal sea menor que la distancia prohibida (2 a ); simplificándolo mucho, se puede describir como un objetivo normal cuyo haz de rayos queda ensanchado por obra del elemento divergente. También los objetivos con las distancias focales superiores han de estar situados inmediatamente delante de las laminillas del obturador; esto se consigue con un llamado «teleobjetivo puro» (2 c ). 
Figura 25.2 Objetivos Rodenstock para obturador central situado tras las lentes y cámaras réflex o distintas
El «telepositivo» convergente y el «telenegativo» divergente proporcionan aquí en conjunto un sistema de larga distancia focal del tipo de un anteojo de Galileo, aunque con la diferencia de que en éste la distancia focal resultantes infinita (pues los rayos abandonan su ocular paralelos entre sí y es el propio ojo el que se encarga de reunirlos en una imagen puntual). Esta construcción suele preferirse por su corta longitud (2 c y 1 c ). 
Figura 25.3 Objetivo combinado. Solo la lente o elemento anterior se sustituye por un sistema de lentes adecuado para cada caso
Una tercera posibilidad la brinda el objetivo combinado; en este caso, el objetivo está unido fijamente a la caja junto con el obturador y el diafragma (es decir, como en las cámaras sin dispositivo de cambio de objetivo) y sólo se cambia en él su elemento delantero. En las combinaciones de las figuras 25.3 a y 25.3 c se repiten aproximadamente las disposiciones de gran angular y teleobjetivo de las 2 a y 2 c . En este principio se basan asimismo los variadores continuos de distancia focal («Zoom-Lens», «Gummi-Linsen» o variobjetivos) de los que en la figura 25.4 se muestra un ejemplo en la disposición de teleobjetivo. En dicho ejemplo, el grupo anterior de lentes es en conjunto positivo y el posterior es en cambio negativo; así, pues el objetivo en cuestión muestra en líneas generales la misma disposición que el 2 c . Al desplazar hacia atrás los dos elementos móviles, queda ahora delante la gran lente divergente mientras detrás el grupo posterior pasa a actuar con efecto convergente (el elemento y central permanece siempre casi neutro), realizándose así en forma continua el paso a la disposición de gran angular ilustrada en la figura 25.2 a . 
Figura 25.4 Objetivo con variación continua de la distancia focal para cámaras réflex con obturador central o de cortinilla situado tras las lentes
Actualmente se construyen variobjetivos con variación de la distancia focal entre límites muy amplios (por ejemplo, de 8 a 48 mm para película estrecha de 8 mm) que se usan sobre todo en las cámaras de televisión y de cine de película estrecha, donde a causa del pequeño formato de la imagen las dificultades constructivas se pueden superar más fácilmente; además, se aprovecha aquí el atractivo efecto del «zoom» durante la filmación de las escenas.
26. Obturador central
El obturador de las cámaras fotográficas tiene por objeto dar paso libre hasta la película a los rayos luminosos durante un espacio de tiempo que se pueda regular. Los obturadores centrales suelen estar situados entre las lentes del objetivo, en el mismo plano en que se halla el diafragma; en casos especiales se disponen también directamente detrás del objetivo. 
Figura 26.1 Movimiento de un sector de obturador
El obturador central funciona haciendo girar alrededor de puntos fijos una serie de finas láminas de acero denominadas laminillas o sectores (en general 5), las cuales desenvolviéndose gradualmente a partir del eje óptico (es decir, del centro) abren así el orificio de la cámara; después de transcurrido el tiempo de exposición, los sectores vuelven a cerrar el orificio recogiéndose hacia el centro. La energía necesaria para accionar el obturador se almacena antes de hacer la foto tensando un resorte que suele estar acoplado a la palanca de transporte que mueve la película (obturadores de resorte); los obturadores automáticos sencillos (de 1/30 a 1/125 s aprox.) se cargan en cambio oprimiendo el propio disparador del aparato. Las figuras 26.1 a a 26.1 d muestran de forma simplificada (para un solo sector) el desarrollo del proceso. En la figura 26.1 a el obturador está todavía cerrado. A continuación el trinquete de accionamiento gira en el sentido de la flecha (figura 26.1 b ) y actuando sobre la espiga de apertura, hace girar el anillo de sectores en sentido contrario a las agujas del reloj; dicho anillo lleva a su vez otras espigas alojadas en las ranuras de las láminas, que hacen girar éstas sobre sus ejes respectivos. En la figura 26.1 c el obturador está abierto por completo; para impedir que el trinquete pueda proseguir su rotación, existe un dispositivo de bloqueo compuesto por un mecanismo de relojería cuya áncora oscilante regula el movimiento de las ruedas dentadas que tiene el mecanismo. Una vez transcurrido el tiempo de exposición (hasta 1 s) y descargado con ello el mecanismo de relojería citado anteriormente, el trinquete vuelve a proseguir su rotación en el mismo sentido un diente de arrastre situado en él presiona ahora contra la espiga superior de cierre que lleva el anillo de sectores, y obligando a éste a girar en sentido contrario, hace que los sectores se vuelvan a cerrar. 
Figura 26.2 Diagrama "flujo luminoso-tiempo" de un obturador central
Los procesos de cierre y apertura duran por sí solos unas 2 ms cada uno (es decir, 2/1000 s; figura 26.2 a ); durante este tiempo penetra a través del objetivo tanta luz como lo haría en 1 ms si el obturador estuviera abierto por completo. Por lo tanto, el tiempo de apertura regulado por el mecanismo de bloqueo es prácticamente unas 2 ms más corto que el tiempo de exposición puesto en la máquina. Cuando se emplean tiempos de exposición muy cortos (del orden de 1/500 s; figura 26.2 b ) este mecanismo está desconectado y un resorte auxiliar acelera entonces el proceso.
Cuando se trabaja con disparador automático, al disparar se pone primero en marcha el mecanismo retardador y éste acciona después al cabo de 5 a 10 s la rotación de los sectores.
Si se desean hacer fotos con flash, el destello de éste ha de estar sincronizado con la apertura del obturador. La mayor parte de los obturadores poseen el llamado contacto X, que da el contacto al alcanzarse la máxima abertura (para flash electrónico). Los obturadores totalmente sincronizados tienen, además, un contacto M auxiliar que hace encender la lámpara con 16 ms de adelanto, a fin de lograr que cuando se trabaja con flash de bombilla, el destello algo más lento que da éste alcance ya su máximo flujo luminoso antes de que empiece a, abrirse el orificio.
27. Obturador de cortinilla
Si se desea que una cámara fotográfica permita intercambiar en ella objetivos de distancias focales variables, o bien emplearla con anillos intermedios y aparato de fuelle o acoplada a un microscopio, la cámara en cuestión ha de estar equipada con un obturador que se mueva muy acercado a la película. Por tal razón estas cámaras tienen todas un obturador de cortinilla. 
Figura 27.1 Esquema de un obturador de cortinilla
Los obturadores de este tipo constan de dos cortinas opacas que se desplazan sobre una misma trayectoria (figura 27.1). Al disparar, la primera cortinilla se suelta y es arrollada por la acción de un resorte en un tambor; al cabo de un cierto tiempo, la segunda cortinilla le sigue a la misma velocidad y vuelve a cubrir de nuevo la película. 
Figura 27.2 Movimientos de las cortinillas para largos tiempos de exposición (1/25 seg)
Entre las dos cortinillas se forma, por tanto, una ventana que se desplaza sobre el filme. Si se ha puesto en la máquina un largo tiempo de exposición (figura 27.2), la segunda cortinilla esperará más hasta salir en persecución de la primera y la ventana resultante será ancha; en cambio con tiempos de exposición cortos, se apresura en seguida a perseguirla y la ventana resulta muy estrecha (figura 27.3).
Por lo que respecta al sentido de desplazamiento que tienen las cortinas, existen dos posibilidades, a saber, atravesando el campo de la foto en el sentido longitudinal (36 mm) (figura 27.1) o bien, según la disposición de la figura 27.4, cruzando sobre el lado ancho del formato, en cuyo raso la carrera sólo importa 24 mm. 
Figura 27.3 Movimientos de las cortinillas para cortos tiempos de exposición (1/200 seg)
Por regla general los obturadores de cortinilla se construyen para tiempos de exposición de hasta 1/1000 s. Sin embargo, siendo constante la velocidad de desplazamiento que anima a las cortinas, estos cortos tiempos sólo se pueden alcanzar, como ya se ha citado anteriormente, a base de reducir el ancho de la ventana que se forma entre las dos, con lo que en conjunto el proceso de obturación dura mucho más. 
Figura 27.4 Disposición constructiva de un obturador de cortinilla
Por lo tanto, si el objeto a fotografiar se mueve frente a la cámara a gran velocidad, puede ser que mientras se desplaza la ventana su imagen corra algo y ésta resulte así acortada o alargada según que los sentidos de desplazamiento de la ventana y el objeto sean opuestos o por el contrario coincidan. En las antiguas cámaras de gran formato se apreciaban realmente estos defectos; sin embargo, en las modernas cámaras miniatura la ventana necesita menos de 1/50 s para atravesar el campo de la foto, y por lo tanto un coche de carreras se alargaría por ejemplo un 10 %, suponiendo que llegara a atravesar dicho campo en 1/5 s (con el objetivo normal de 50 mm y a 50 m de distancia, ello supondría que el coche en cuestión cubre 36 m en 1/5 s o bien que viaja a 648 km/h).
El hecho de que el tiempo de desplazamiento del obturador sea muy breve, reviste gran importancia en la técnica del flash. En este caso, aún trabajando con cortos tiempos de exposición la claridad del destello que da el flash se ha de mantener aproximadamente constante durante todo el tiempo que la ventana necesita para atravesar el campo de la foto, pues de lo contrario, sobre todo en lámparas de flash de destello muy corto y especialmente en los flashs electrónicos, sólo quedaría iluminada la estrecha tira de película que se halla frente a la ventana en el momento del destello. Para sincronizar estos flashs se ha de tener pues un tiempo de obturación al que corresponda una ventana que sea algo mayor aún que el ancho de la foto; en las cámaras más modernas, este tiempo es del orden de 1/50 s.
28. Ojo mágico
El ojo mágico es una válvula de control que se emplea en los aparatos de radio para indicar el grado de sintonización del receptor con respecto a la emisora que se está sintonizando, o en los magnetofones para señalar la intensidad de la potencia del micrófono y con ello el grado de ajuste de la grabación hecha en la cinta. 
Figura 28.1 a) Esquema de ojo mágico. b) Estado antes de sintonizar. c) Estado después de sintonizar
El ojo mágico consta de dos elementos electrónicos, a saber, un tríodo (válvula electrónica compuesta de cátodo, ánodo y rejilla de gobierno) y un tubo de Braun cuyo órgano más peculiar es su pantalla fluorescente. 
Figura 28.2 Imágenes de una válvula de doble sintonización
En el tubo de Braun los electrones que emite el cátodo de incandescencia van a incidir sobre la pantalla, después de ser acelerados por el ánodo y regulados por el electrodo que constituye la rejilla de control, y la hacen brillar con mayor o menor intensidad. Los dos elementos de la válvula tienen un cátodo común calentado indirectamente y rejillas separadas; la tensión anódica es también común para los dos. El ánodo del elemento indicador consta de dos vástagos de gobierno que se comunican con el ánodo del tríodo. La pantalla está centrada con el cátodo y la luz rojo oscuro que éste da la oculta con un casquete protector. En la figura 28.1 b se muestra la imagen que arroja la pantalla inicialmente: amplios sectores oscuros están separados por otros más estrechos, luminosos. Al sintonizar una estación (figura 28.1 c) los ángulos de sombra se reducen y en cambio los luminosos se dilatan.
Un perfeccionamiento del ojo mágico lo constituye la válvula de doble sintonización, que permite realizar en sí misma una sintonización basta y otra precisa (para emisoras de alta y mediana potencia, respectivamente). Esta válvula contiene dos triodos y en correspondencia dos pares de vástagos anódicos. En las figuras 28.2 a, 28.2 b y 28.2 c se ha representado la pantalla en el estado inicial y en las situaciones de sintonización precisa y basta.
29. Pantalla cinemascope
Los sistemas de filmación y proyección que pasamos a describir tienen su origen en el hecho de que cuando se trabaja con el procedimiento de rodaje primitivo la imagen presenta una relación ancho/altura que corresponde de modo muy imperfecto a la que el ojo humano puede realmente percibir, y por lo tanto espera ver en la pantalla. Por otra parte también ha influido en la creación de dichos sistemas la necesidad de mejorar las cualidades del sonido, sobre todo por lo que se refiere a una mayor definición del mismo en el sentido de ajustarlo al desarrollo de la acción. 
Figura 29.1 a) Medidas normalizadas de una película corriente. b) Medidas de la película en Cinemascope con registro magnético de sonido (de cuatro bandas). c) Medidas de la película en Cinemascope con registro de imagen y sonido.
Cinemascope es la marca registrada de un sistema de filmación y proyección que con ayuda de una óptica especial permite reproducir escenas de gran ancho sobre una pantalla panorámica. 
Figura 29.2 Funcionamiento de un anamorfoto de lentes
El sistema trabaja con un grupo reproductor de imagen y sonido de una banda, o mejor aún con uno de reproducción magnética de varios canales que reproduce el sonido (a través de altavoces situados detrás de la pantalla) de modo que su procedencia se ajusta en todo momento ala acción de la escena proyectada. El ancho de película empleado en el Cinemascope es el mismo de una película normal, es decir, de unos 35 mm (figura 29.1). Al introducirse en el cine las películas sonoras, hubo que ampliar notablemente los espacios intermedios entre las imágenes del filme porque debido a la banda sonora añadida a la película, la relación entre el ancho y la altura de la imagen sólo se podía mantener reduciendo ambas medidas a la vez. 
Figura 29.3 Funcionamiento de un anamorfoto de espejos
En la película en Cinemascope se aprovecha la superficie perdida por esta causa entre las imágenes del filme y, además, se vuelve a dar a éstas la altura que tenían antiguamente en las películas mudas. Las cuatro bandas de sonido del sistema Cinemascope con reproducción magnética se derivan del deseo de ofrecer al espectador una impresión sonora que sea realista, es decir, estereofónica; al recibir los sonidos con ambos oídos a la vez, las diferencias de sonoridad y tiempo de recorrido de los mismos crean así en el espectador impresiones de dirección y de distancia. 
Figura 29.4 Funcionamiento de un anamorfoto de prismas
Para este fin, la grabación se realiza con tres micrófonos que captan separadamente los sonidos procedentes de la escena, diferenciados según su sonoridad y tiempo de recorrido, y los van a registrar en una cinta magnética apropiada. Análogamente, para proyectar la película se colocan tres grupos de altavoces situados a la izquierda, a la derecha y en el centro, detrás de la pantalla; por su parte, la banda de efectos sonoros especiales (con los sonidos que acuerdo con el desarrollo de la acción no proceden directamente de la imagen proyectada) se reproduce a través de altavoces dispuestos en la sala de proyección. Las cámaras empleadas para filmar películas en Cinemascope están equipadas con un sistema óptico suplementario llamado anamorfoto , que tiene por objeto comprimir el ancho de la imagen a base de reducir la escala horizontal de ésta con respecto a su escala vertical. Al proyectarse la película el fenómeno tiene lugar inversamente, pues el anamorfoto que lleva el proyector rectifica las imágenes del filme en el sentido de alargarlas, y hace aparecer así sobre la pantalla panorámica la imagen fiel de la escena filmada en la película. Los anamorfotos pueden estar formados por lentes (figura 29.2), espejos (figura 29.3) o prismas (figura 29.4). En la figura 29.2 se pueden ver frente al objetivo de proyección las dos lentes cilíndricas del sistema anamorfoto. El efecto óptico del sistema (semejante al de un anteojo) tiene lugar en el plano horizontal (factor de alargamiento igual a 2); en cambio en el plano vertical las lentes cilíndricas actúan como placas planas de caras paralelas, prácticamente sin efecto. Los anamorfotos de espejos funcionan igual que los de lentes, sólo que en este caso los espejos ocasionan un cierto desplazamiento vertical del haz de rayos. Por su parte, los anamorfotos de prismas tienen la ventaja de que girando los prismas de modo conveniente, se puede variar la escala de ampliación que da el sistema.
Por razones fisiológicas y geométricas, la pantalla de proyección para películas en Cinemascope ha de ser curva; dicha curvatura es sobre todo necesaria cuando la pantalla es de reflexión.
30. Pantalla Todd-AO y cinerama
Otro moderno sistema de pantalla panorámica es el Todd-AO ; lo mismo que el sistema Cinerama el Todd-AO comunica al espectador la sensación de que se halla realmente presente en el desarrollo de la acción. 
Figura 30.1 a) Medidas de la película positiva en el sistema Todd-AO, con registro magnético de sonido a seis bandas. b) Comparación de una película normal con una copia de Todd-AO
El sistema trabaja con una película de unos 65 mm de ancho (con copias de 70 mm; figuras 30.1 a y 30.1 b ). El hecho de haber ampliado así el formato de las imágenes del filme (respecto al de una película normal) permite ampliar algo la imagen proyectada en la pantalla, pero sobre todo se incrementa su detalle. 
Figura 30.2 a) La pantalla curva reduce la deformación aparente de la imagen vista de lado. b) Iluminación mutua de los distintos puntos de la imagen en una pantalla curva de un material que refleje la luz difusamente. c) Perfil de una nueva pantalla de Todd-AO (sección horizontal)
El sonido se capta con seis micrófonos y se graba en otras tantas bandas magnéticas; cinco de ellas corresponden a distintas direcciones de registro y la sexta contiene los efectos sonoros especiales. En el sistema Todd-AO la cámara de filmación es especial, ya que debido al mayor ancho de película y al efecto que con ello se persigue, las películas se filman aquí con objetivos de gran angular con ángulos de toma de hasta 128º. El elemento más característico del sistema -y uno de los más importantes lo constituye la pantalla de protección, que es alargada y muy curvada. Precisamente a esta curvatura se debe sobre todo que el espectador tenga la impresión de participar directamente en el desarrollo de la acción; las razones de este hecho radican en fenómenos fisiológicos y físicos que atañen al sentido de la vista.
Para un espectador que ocupe un asiento lateral y cercano a la pantalla, los objetos proyectados en el extremo opuesto de una pantalla plana panorámica aparecen comprimidos (figura 30.2 a ); esta deformación se corrige en parte dando a la pantalla una fuerte curvatura. 
Figura 30.3 Modelo de instalación de cinerama
Lo mismo cabe decir para las deformaciones que proceden del propio sistema de proyección. Además, la curvatura de la pantalla evita, o por lo menos atenúa, la necesidad de tener que ajustar los cristalinos de los ojos a las distancias variables que les separan de los distintos elementos de la imagen cuando la pantalla de proyección es grande y plana. Si la pantalla está confeccionada con un material blanco que refleja de modo difuso la luz que incide sobre él, las distintas fajas curvas de la superficie de proyección pasan a irradiar luz de unas a otras (figura 30.2 b ) y se originan con ello notables perturbaciones el contraste de la imagen. Este defecto se puede corregir empleando una pantalla cuya sección sea como la representada en la figura 30.2 c (con surcos verticales y de material plástico blanco), que tiene por efecto hacer que la luz que incide sobre ella se refleje prácticamente por entero hacia el espectador de la película.
Así como el sistema Todd-AO se trabaja con una sola cámara y un solo proyector, en el sistema Cinerama se emplean en cambio tres cámaras y tres proyectores para película de 35 mm de ancho. Las tres películas filmadas sincrónicamente desde distintas direcciones abarcan en conjunto un ángulo de hasta 146º, de modo que el campo abarcado por la imagen corresponde así aproximadamente al campo visual del ojo humano. Al proyectarlas en la pantalla semicircular, las tres películas pasan a componer sobre ella la imagen de conjunto (figura 30.3). En el sistema Cinerama se emplea también un registro magnético de sonido con seis bandas sonoras (cinco bandas principales y una de efectos especiales), igual que el empleado en el Todd-AO; sin embargo, la reproducción se realiza aquí a través de un cuarto proyector, independiente de los que proyectan las tres películas de imagen (mediante una película ciega que sólo lleva las grabaciones de sonido). Para evitar o reducir el ya citado efecto de reflexión mutua entre las distintas zonas de la pantalla curva panorámica, ésta se descompone en fajas estrechas, aproximadamente perpendiculares a la dirección en que las ve el espectador.
31. Película en blanco y negro
La película en blanco y negro es un material fotográfico muy sensible a la luz que se expende en el comercio en forma de hojas, placas o carretes para hacer o reproducir fotografías en blanco y negro. 
Figura 31.1
La película consta de un soporte de nitrocelulosa, acetilcelulosa o metal, que suele ser muy fino. Sobre una capa intermedia de color, en general oscura y fina (capa antihalo), se dispone la emulsión sensible a la luz formando una capa muy delgada compuesta por un 40 % de cristalitos de bromuro de plata, un 50 % de gelatina como medio aglutinante y un 10 % de agua; el bromuro de plata emulsionado en la solución de gelatina con adiciones de otros cuerpos se deposita a máquina sobre la película o placa fotográfica en un recinto totalmente a oscuras. El tamaño del grano de los cristales de bromuro determina la sensibilidad a la luz y el poder separador, es decir, detallador, que tiene el filme; un material de grano grueso resulta muy sensible (es decir, que con él se pueden hacer fotos casi en plena oscuridad) pero en cambio su poder separador es reducido y, por consiguiente, las fotos hechas con una película de este material no pueden ampliarse demasiado, pues de lo contrario se ven muy «granuladas». La emulsión original de bromuro de plata no es igualmente sensible a los distintos colores de la luz; así por ejemplo, el verde amarillento, el amarillo, el naranja y el rojo no impresionan la película. Por esta razón se recurre a sensibilizar químicamente la capa sensible a la luz añadiendo al bromuro de plata cantidades mínimas de iones de oro, mercurio y otros metales pesados, y haciéndolo reaccionar débilmente con iones de sulfuros. La capa se sensibiliza, además, físicamente adicionándole sensibilizadores de color para hacerla sensible a una gama de colores más extensa. Las películas ortocromáticas son sensibles a los colores comprendidos entre el azul y el amarillo pasando por el verde, las ortopancromáticas lo son del azul, pasando por verde y amarillo, hasta el naranja, y por último las pancromáticas lo son por su parte a toda la gama de colores, incluido el color rojo. Además, existen también películas especiales para investigaciones científicas cuya sensibilidad presenta las propiedades más variadas.
La imagen fotográfica se forma porque a través del sistema de lentes de la cámara, los rayos luminosos que parten del objeto van a incidir sobre la capa sensible a la luz de la película y chocan allí contra los cristalitos de bromuro, que de este modo resultan activados. Al revelar la foto, el revelador disuelto en el baño (que actúa químicamente) pasa a entrar en contacto con los cristales de bromuro que han sido activados y los reduce a plata negra. El bromuro que no ha sido iluminado no queda reducido y puede eliminarse a continuación en el baño de fijado (constituido por un disolvente complejo del bromuro).
Después de proceder al lavado (para eliminar las soluciones del revelador y fijador) y al secado, se tiene por fin el negativo de la foto, sobre el que naturalmente se puede influir mucho mediante baños e iluminaciones intermedios, tratamientos térmicos, etc. En el negativo las sombras que arrojan los objetos se ven blancas y el sol en cambio negro. Si a través de dicho negativo iluminamos ahora un papel fotográfico, (o en general, material fotográfico positivo), la luz atravesará las zonas claras pero no podrá atravesar en cambio las oscuras, y, por consiguiente, el papel fotográfico sólo quedará iluminado en las primeras. Durante el revelado las zonas del positivo que habían quedado iluminadas se oscurecen y las no iluminadas quedan claras. Por lo tanto, en el positivo las zonas claras del negativo pasan a adquirir el tono oscuro que el objeto tiene realmente en dichas zonas; en cambio el sol, negro en el negativo, se vuelve a ver aquí muy claro.
32. Profundidad de campo
En la técnica fotográfica se denomina profundidad de campo al espacio comprendido entre las distancias máxima y mínima a que ha de estar situado el objeto para que su imagen se vea en la foto sin desenfoques apreciables. 
Figura 32.1 Formación del círculo de desenfoque
Según la ley de formación de las imágenes:

el plano (Be) de la imagen sólo se reproduce enfocado un único plano (Ge) del objeto (figura 32.1). 
Figura 32.2 Profundidad de campo con la máxima apertura del diafragma
En efecto, si consideramos un punto tal como el (Gn) que visto desde el objetivo está situado delante de (Ge), su imagen (Bn) se formará más lejos que la de los puntos situados en (Ge); por lo tanto, el cono de rayos procedente de (Gn) que iría a reunirse detrás del plano (Be) -donde se forma la imagen del plano exactamente enfocado del objeto- es interceptado por dicho plano (Be) y va a proyectarse sobre él dando un disco en vez de una imagen puntual. 
Figura 32.3 Aumento de la profundidad de campo al cerrar el diafragma.
Análogamente, el haz de rayos que procede de un punto tal como el (Gw) situado detrás del plano exactamente enfocado del objeto, tiene su punto de reunión (Bw) delante de (Be); después de dicho punto, el haz se vuelve a ensanchar y se proyecta sobre la película dando asimismo una imagen circular. 
Figura 32.4 Profundidad de campo para una distancia focal larga (a) y otra corta (b)
Como el poder de enfoque que tiene el ojo humano es limitado, el «círculo de difusión», llamado también círculo de desenfoque, puede adquirir un cierto diámetro sin que lleguemos a percibir que el punto correspondiente está desenfocado o que las aristas de la imagen son borrosas. La magnitud admisible del círculo de desenfoque depende de lo que se quiera ampliar después la foto y también de la finura de detalle que se desee conseguir. Para fotos de aficionado se toma actualmente como límite un diámetro de 1/20 mm para el formato 6 x G cm y de 1/30 mm para el formato pequeño de 24 x 36 mm. La magnitud del círculo de desenfoque depende de tres factores:
- La distancia: Cuanto mayor sea la distancia existente entre el punto considerado del objeto y el plano (Ge) de éste que se enfoca, tanto más varía también la separación entre las imágenes del punto y de (Ge) (figura 32.2). Además, dicha separación aumenta proporcionalmente tanto más cuanto menor sea la distancia desde la que se quiere hacer la foto, y por consiguiente la profundidad de campo es mayor desde el plano enfocado hacia atrás (por ejemplo, de Ge = 20 m hasta ¥ que desde él hacia delante (en este caso, de 20 m hasta 10 m); en fotos de cerca, la profundidad de campo es del orden de centímetros o milímetros.
- El diafragma: Al cerrar el diafragma, el cono de rayos luminosos se estrecha y por consiguiente los círculos de desenfoque se hacen entonces más pequeños (figura 32.3). Cerrando el diafragma se logra por ejemplo que los círculos de desenfoque de los puntos III y IV (muy desenfocados en la figura 32.2) se hagan ahora tan pequeños como lo crin antes los de los puntos I' y II' Análogamente, los círculos de I' y II' también se han reducido.
- La distancia focal (figuras 32.4 a y 4 b) para la construcción de las imágenes. Como ya se ha citado anteriormente en las fotos de cerca la distancia que va de la imagen al objetivo varía proporcionalmente mucho al modificarse la que hay entre éste y el objeto. Así, por ejemplo, si el objeto está situado a una distancia de 5 m, un objetivo de gran angular de 35 mm de distancia focal lo ve ya casi en el infinito; en cambio un teleobjetivo de por ejemplo 500 mm de distancia focal lo tiene prácticamente situado en la zona de fotos de cerca, pues en este caso la separación existente entre el objetivo y el objeto es sólo diez veces mayor que la distancia focal del objetivo. Así, pues, los objetivos de corta distancia focal y gran angular tienen una mayor profundidad de campo que los otros. Sin embargo esta ventaja se reduce si para conservar el tamaño de la imagen, la foto se ha de ampliar después mucho o bien se ha de ir a tomar más cerca del objeto.
De acuerdo con estas consideraciones se pueden confeccionar tablas que dan el valor de la profundidad de campo en cada caso. Por regla general las cámaras fotográficas llevan acoplado al objetivo un anillo de profundidad de campo (figura 32.5), situado frente al anillo de distancias, con los números de diafragma grabados simétricamente a izquierda y derecha de la marca de distancias; si trabajando con una cámara de formato pequeño se ha previsto por ejemplo un diafragma igual a 11, podemos leer en dicho anillo (véase figura) que enfocando a 3,3 m la profundidad de campo va de 2,2 a 6,8 m. 
Figura 32.5 Anillo de profundidad de campo
Cuando el motivo tiene un cierto espesor o profundidad se hace girar entonces el anillo de distancias hasta que las distancias del punto más alejado y el más próximo queden situadas frente al mismo número de diafragma, y éste es el que se pone luego en el aparato fotográfico.
33. Proyector cinematográfico
El proyector cinematográfico trabaja según el mismo principio que la cámara, aunque con la diferencia de que así como en ésta son los rayos luminosos procedentes del objeto los que a través del objetivo se hacen incidir sobre la película a filmar, iluminándola, en el proyector son en cambio los rayos procedentes de una fuente luminosa los que a través de la película y del objetivo se van a proyectar en la pantalla. 
Figura 33.1 Esquema de un proyector cinematográfico
En la figura 33.1 se ha presentado esquemáticamente la disposición de un proyector. La proyección se realiza de modo que cada una de las imágenes parciales de la cinta es proyectada durante un corto tiempo, transcurrido el cual se transporta de nuevo la película; durante el tiempo de transporte, la ventanilla dé proyección queda obturada. 

Figura 33.2 Mecanismo de transporte con garra de arrastre y Figura 33.3 Mecanismo de transporte mediante cruz de Malta
Para compensar la diferencia existente entre el movimiento del rodillo de arrastre, que gira a velocidad constante, y el del mecanismo de transporte, que trabaja a sacudidas, ha de existir entre dicho rodillo y la ventana un bucle suficientemente largo de película.
El mecanismo que realiza el transporte de la cinta puede tener la forma de una garra (figura 33.2). El extremo inferior de la garra está unido excéntricamente a un disco que gira a velocidad uniforme, y la articulación central obliga a la cabeza a describir el movimiento señalado en la figura 33.2: las uñas de la cabeza penetran en las perforaciones de la cinta y la arrastran hacia abajo una longitud igual al paso de las imágenes del filme; mientras se realiza luego la proyección de la imagen correspondiente, la cabeza de la garra retrocede a su posición inicial. 
Figura 33.4 Esquema de trabajo de un obturador rotativo de dos palas
Otro mecanismo de transporte empleado en estas máquinas trabaja con una cruz de Malta (figura 33.3) que está situada junto al bucle inferior de la película; en el mismo eje de la cruz gira un rodillo dentado cuyos dientes penetran en las perforaciones de la cinta y se encargan de arrastrarla. La cruz es accionada por un disco que gira sin parar, dotado de una espiga excéntrica en una de sus caras. En la figura 33.3 a se ha representado la posición que la cruz guarda inicialmente; a continuación (figura 33.3 b) la espiga penetra en una de las gargantas de la cruz y hace girar ésta a sacudidas junto con el rodillo dentado que arrastra la película.
Mientras dura el transporte de la cinta, la ventanilla de proyección queda cubierta por un obturador rotativo cuyo funcionamiento se ha ilustrado en la figura 33.4. Las sucesivas obturaciones y aperturas originan sobre la pantalla fenómenos de centelleo que son tanto más acusados cuanto menor es la frecuencia con que se intercepta el haz de rayos luminosos. A fin de evitar en lo posible el centelleo, se recurre a cubrir parcialmente la parte del filme que queda libre para ser proyectada al abrirse la ventana, y, además (sobre todo para pequeños formatos de película) a emplear; un obturador de tres paletas.
A la salida del mecanismo de transporte y después de intercalar un bucle de la debida longitud, la película va a parar a un rodillo (rodillo de recuperación) que se encarga de conservar el bucle a pesar de la tensión que el tambor de rebobinado, con accionamiento propio, origina sobre el filme. 
Figura 33.5 Trayectoria de los rayos luminosos en un proyector (esquema)
Las figuras 33.1 y 33.5 muestran la marcha de los rayos en el interior del aparato. En el proyector se ha de aprovechar al máximo la luz que la lámpara irradia uniformemente en todas direcciones; para ello existe un condensador que concentra la luz irradiada hacia delante y un espejo cóncavo que se encarga de desviar, hacia delante también, la luz irradiada hacia atrás, de modo que la imagen del filamento incandescente vaya a formarse en el plano de la lámpara donde precisamente está situado el filamento. Así se logra que la imagen quede uniformemente iluminada. Los objetivos de los proyectores suelen ser de sencilla construcción (de larga distancia focal y pequeño angular). El proyector está accionado por un motor eléctrico en cuyo árbol de accionamiento suele instalarse un ventilador que se encarga de refrigerar la lámpara y la guía de película.
34. Proyectores
El episcopio es un aparato proyector para láminas planas y opacas (postales, páginas de libro, etc.); su funcionamiento se ha representado esquemáticamente en la figura 34.1. 
Figura 34.1 Episcopio (esquema)
El rendimiento lumínico del episcopio, relación entre la luminosidad de la imagen proyectada sobre la pantalla y la energía luminosa emitida por la lámpara de proyección, es relativamente malo, en primer lugar porque sólo una pequeña parte de los rayos que el filamento incandescente de la lámpara emite en todas direcciones va a incidir directamente sobre la lámina a proyectar (pues la mayoría de ellos han de reflejarse antes varias veces en los elementos reflectores que lleva el aparato) y en segundo lugar porque, análogamente, de entre los rayos que parten de los distintos puntos de la lámina en todas direcciones sólo unos pocos llegan a través del objetivo y del espejo deflector directamente a la pantalla (pues la mayor parte vuelven a ser desviados hacia la lámina por los elementos reflectores). 
Figura 34.2 Epidiascopio dispuesto como episcopio
El rendimiento lumínico se puede mejorar disponiendo dichos reflectores de modo adecuado y empleando objetivos de gran angular que sean luminosos. El aparato que se muestra en la figura 34.2 puede emplearse también para proyectar ilustraciones transparentes (es decir, como epidiascopio ); sin embargo, la marcha de rayos representada en la figura corresponde a la disposición para trabajar como episcopio. 
Figura 34.3 Diascopio con condensador doble (esquema)
El diascopio es un aparato proyector para láminas transparentes (diapositivas o negativos) y consta en esencia de una fuente luminosa con un espejo cóncavo, un condensador y un objetivo de proyección (figura 34.3). 
Figura 34.4 Epidiascopio dispuesto como diascopio
La luz emitida en todas direcciones por la fuente luminosa (casi siempre una lámpara de incandescencia con filamento en espiral) va a incidir en parte sobre el espejo, el cual la refleja reenviándola al plano del filamento luminoso; esta luz reflejada incide luego junto con el resto de los rayos emitidos en sentido opuesto, es decir, hacia delante, sobre el llamado condensador, que en los proyectores mayores consta de dos lentes planoconvexas (condensador doble), el cual abarca un gran ángulo del haz y lo hace converger sobre la lámina a la vez que por otra parte reproduce la imagen del filamento incandescente en el interior del objetivo de proyección, trabajando así también él como objetivo. El condensador hace que toda la superficie de la diapositiva quede uniformemente iluminada. El rendimiento lumínico de un proyector es tanto más elevado cuanto mayor sea el ángulo del haz luminoso abarcado por el condensador del aparato. Dicho ángulo puede aumentarse por ejemplo acercando el condensador a la fuente luminosa, pero en este caso se ha de aumentar al mismo tiempo su poder refractarte, ya que la distancia entre dicha fuente y el objetivo proyector debe mantenerse invariable; para ello se antepone al condensador doble una lente de menisco (figura 34.5). De este modo el rendimiento lumínico se eleva y, además, el filamento incandescente aparece ahora ampliado en el interior del objetivo. Sin embargo, al estar ahora más cerca del foco luminoso, el condensador recibe asimismo más calor (procedente del filamento de la lámpara) y sus lentes lo absorben en parte, dilatándose; por consiguiente, dichas lentes han de estar fijadas de tal modo que se puedan dilatar con toda libertad. 
Figura 34.5 Diascopio con conjunto triple de lentes de condensación (esquema)
El resto del calor emitido por la lámpara, llega en parte a la diapositiva y para protegerla se instala en el condensador una placa de vidrio buen absorbente de los rayos caloríficos, que hace las veces de filtro de calor; la placa protectora puede calentarse hasta tal punto que las tensiones internas de origen térmico que en ella se producen llegarían a ocasionar la rotura del cristal; para limitar dichas tensiones a un valor que no sea peligroso, la placa se confecciona a base de tiras sueltas unidas entre sí. En la figura 34.4 se muestra el epidiascopio, dispuesto ahora para trabajar como diascopio.
35. Radar
Con el nombre de radar (abreviatura de la denominación inglesa ( Radio Detecting and Ranging ) se designa un sistema de sonda de eco que sirve para explorar el espacio con ayuda de una radiación electromagnética de alta frecuencia. 
Figura 35.1
Allí donde dicha radiación tropieza con obstáculos, éstos la reflejan más o menos y la onda reflejada proporciona entonces, de acuerdo con su intensidad y dirección, informes sobre ellos tales como, por ejemplo, datos sobre su extensión o sobre la distancia y altura a que se hallan situados (técnica de radiolocalización). 
Figura 35.2
Para obtener una visión de conjunto de la zona del espacio que se desee someter a exploración, se empieza por emitir, por ejemplo, desde un avión (figura 35.1), una onda giratoria de radar que barre un espacio circular sobre el que en cada instante ella incide en un sector determinado; según sea la naturaleza de los objetos que la reflejan (en este caso, la superficie de la Tierra), la onda reflejada tendrá mayor o menor intensidad (figura 35.2). La emisión y recepción de estas ondas de alta frecuencia se realiza con el aparato de radar (figura 35.3). En dicho aparato las ondas de radar las genera el emisor, que está equipado con válvulas electrónicas de tipo especial (klystrones, magnetrones, etc. 
Figura 35.3 Esquema de una estación de radar
Las ondas reflejadas se captan por regla general mediante la propia antena emisora (por conmutación periódica de ésta) y se hacen llegar a través del aparato receptor hasta un tubo de Braun, donde el rayo es desviado de tal modo que barre radialmente la pantalla, desde el centro hacia el borde periférico, mientras va girando, con la misma velocidad de rotación que anima a la antena. 
Figura 35.4 Imagen de un huracán sobre la pantalla de un radar
El eco recibido produce una amplificación del chorro de electrones en el tubo, y en la pantalla de éste aparece entonces un punto luminoso que sigue brillando en ella hasta que se reciban nuevos ecos. De este modo los diversos puntos luminosos que van apareciendo pasan a dar una imagen del espacio sometido a exploración cuyos claros y oscuros dependen de la intensidad con que los accidentes del terreno reflejan las oscilaciones de alta frecuencia recibidas. Una imagen del radar tiene por lo tanto un aspecto muy distinto de la correspondiente imagen óptica pero por regla general ambas presentan en cambio la misma silueta (figura 35.4). La interpretación de las imágenes de radar exige una preparación intensiva y una especial habilidad.
El radar debe su desarrollo al impulso, que recibió durante la última guerra mundial, pero desde entonces ha conquistado ya un amplio campo de aplicaciones pacíficas como por ejemplo en los servicios de control del tráfico aéreo, en la navegación marítima y en las observaciones meteorológicas.
36. Tiempo de exposición y diafragma
Los distintos sistemas de regulación automática usados hoy se basan todos en hacer uso de un fotómetro montado en la cámara que se encarga de determinar la intensidad luminosa procedente del objeto. La fuerza generada por la corriente de fotones del fotómetro sólo se aplica directamente en algunas cámaras de cine de película estrecha (de 8 mm) para graduar el ligero diafragma oscilante que éstas llevan; en las cámaras fotográficas normales para regular el diafragma (que es de iris) y el tiempo de exposición se precisa en cambio el concurso de una fuerza auxiliar. 
Figura 36.1 Regulación del diafragma
Así, pues, mientras el fotógrafo enfoca su motivo la aguja indicadora del fotómetro instalado en la cámara se desvía más o menos, de acuerdo con la luz que llega a ésta; al oprimir el disparador, la aguja queda entonces bloqueada contra su base por la acción de una palanca y la posición que haya adoptado viene a dar una medida de la luminosidad procedente del objeto. 
Figura 36.2 Regulación programada del diafragma y el obturador
Acto seguido se pone en movimiento un palpador retroactivo, el cual gira hasta que su extremo superior va a chocar contra la aguja indicadora que estaba bloqueada; en el extremo opuesto, el palpador lleva los dispositivos encargados de regular el tiempo de exposición y el diafragma. Veamos los tres sistemas de regulación automática usados:
1. Regulación del diafragma: Para acomodar la cámara a la luminosidad procedente del objeto, sólo se varía en este caso la abertura del diafragma. Antes de hacer la foto, el diafragma se abre al máximo. Al disparar, el anillo regulador del diafragma gira entonces hasta que, al cabo de un giro más o menos largo (de acuerdo con la posición que haya adquirido la aguja indicadora), el sector dentado de bloqueo penetra en el trinquete que lleva el palpador y determina así la abertura del diafragma. El palpador puede actuar también sobre el diafragma directamente. 
Figura 36.3 Elección del tiempo de exposición y regulación del diafragma
En este sistema de regulación el tiempo de exposición no se ha de variar, pues al graduar el anillo correspondiente a la sensibilidad de la película queda ya regulado automáticamente el tiempo necesario para la clase de película empleada; así, por ejemplo, partiendo del supuesto que a una película de 18 DIN le correspondiera un tiempo de exposición de 1 /125 s, si se empleara una película de 15 DIN, cuya sensibilidad es la mitad de la que tiene la anterior, ésta sólo quedaría iluminada durante 1 /60 s. Una vez graduada la sensibilidad de la película, el tiempo de exposición se regula pues de modo automático en toda la zona de diafragmas que va de 2,2 a 22. Un filme de gran sensibilidad no se puede aprovechar aquí para trabajar con peor luz, pero permite en cambio hacer por ejemplo fotografías deportivas (es decir, rápidas; así, el tiempo de exposición con 24 DIN 1/500 s.
2. Regulación combinada del diafragma y el tiempo de exposición: La medición y palpado de la luz se realizan como en el sistema, descrito anteriormente. A continuación se hace girar aquí un anillo programador que a través de ranuras de guiado y varillas de regulación gradúa de modo continuo el tiempo de exposición y el diafragma; por ejemplo:
| 2,8 | 2,8 | 4 | 5,6 | 5,6 | 8 | 8 | 11 | 11 | 16 | 22 |
| 1/30 | 1/60 | 1/60 | 1/60 | 1/125 | 1/125 | 1/250 | 1/250 | 1/500 | 1/500 | 1/500 |
Estos valores seleccionados de entre todos los posibles (pues el sistema de regulación es prácticamente continuo), indican que el anillo programador va cortando sucesivamente el tiempo de exposición y reduciendo la abertura del diafragma, esto último para ampliar la profundidad de campo a un valor que sea conveniente. Por regla general se toma un diafragma igual a 8; sin embargo, para hacer por ejemplo fotografías deportivas se suelen emplear tiempos más cortos. En el palpado de la aguja indicadora ya se ha tenido en cuenta la sensibilidad de la película.
3. Elección del tiempo de exposición y regulación automática del diafragma: Este sistema permite al fotógrafo experto graduar por sí mismo ambos valores. También en este caso la sensibilidad de la película se tiene en cuenta haciendo girar el mecanismo medidor del fotómetro de acuerdo con aquélla. Además, el anillo de tiempos está acoplado con el de sensibilidades de tal modo que al girar origina a su vez un giro suplementario del mecanismo medidor. La punta de la aguja indicadora del fotómetro aparece proyectada-sobre la escala de diafragmas, cuyas zonas rojas señalan los campos de la misma que ya no se pueden regular automáticamente. Para elegir el diafragma a voluntad, basta con modificar el tiempo de exposición puesto en la máquina; el diafragma se acomoda siempre a la luz que llega, al aparato.
37. Resonancia y eco
La resonancia se produce cuando dos o más cuerpos pasan a oscilar a la vez bajo la acción de fuerzas exteriores relativamente débiles, las cuales actúan de modo periódico sobre los cuerpos oscilantes con un periodo de oscilación que coincide con el de ellos. En estado de resonancia los cuerpos acumulan una energía tal que en determinadas condiciones incluso puede llegar a tener efectos destructivos. 
Figura 37.1 a y b
El ejemplo más sencillo de un cuerpo que puede entrar en resonancia es el columpio (figura 37.1 a ), imaginándolo como un péndulo que cada vez que alcanzara la máxima desviación se volviera a impulsar de nuevo en la dirección del movimiento; el incremento de energía que en este caso experimentaría el cuerpo oscilante, es decir, el efecto de resonancia, se puede deducir directamente del hecho de que el péndulo en cuestión se desplazaría en sus oscilaciones con una desviación siempre creciente. Otro ejemplo de resonancia es el que se puede observar en una columna de liquido contenida en un tubo en forma de U (figura 37.1 b ) al soplar rítmicamente sobre una de las bocas; de este modo la columna de liquido queda cada vez desplazada de su posición de equilibrio y adquiere así un movimiento oscilatorio en el que, si seguimos impulsándola periódicamente, se verá obligada a adoptar amplitudes de oscilación siempre crecientes. 
Figura 37.2 a y b
Sin embargo, las oscilaciones de resonancia quedan amortiguadas por las pérdidas de energía que el cuerpo experimenta (en especial, las debidas al rozamiento); en el caso de la columna de liquido, estas pérdidas se deben al rozamiento existente entre el líquido y las paredes del tubo acodado en que dicho liquido se mueve. En la figura 37.2 a se muestra el efecto de resonancia en un muelle de lámina imantado, al actuar sobre él el campo magnético (alterno) de un electroimán excitado por una corriente que sea alterna; este efecto de resonancia se aplica por ejemplo en los frecuencímetros. El concepto de resonancia tiene su origen en la Acústica (ya que en realidad resonar significa sonar conjuntamente). En la figura 37.2 b se ha representado un resonador acústico, el llamado tubo de Kundt, que sirve para medir la longitud de una onda sonora. El tubo de vidrio lleva en uno de sus extremos una varilla de metal fija por su punto medio de modo que pueda oscilar libremente. 
Figura 37.3
Frotando la varilla con un paño en el que se ha espolvoreado colofonia, se excitan en ella oscilaciones longitudinales que el disco de la punta se encarga de propagar al aire del tubo en forma de contracciones y dilataciones, o sea, de sonidos; el disco opuesto al que lleva la varilla refleja entonces las oscilaciones recibidas y en caso de que haya resonancia (para ello la distancia a entre ambos discos ha de ser un múltiplo impar de un cuarto la longitud de onda del sonido originado; se forman en el interior del tubo vientres y nodos de oscilación, y el polvo de corcho alojado en él pasa a ser expulsado de los vientres y acumulado en cambio en las zonas de reposo de los nodos. La separación existente entre los nodos y los vientres es fácil de medir y suministrar la medida (en el aire) de la semionda del sonido investigado. 
Figura 37.4 El eco consiste en la reflexión de las ondas sonoras al chocar contra un obstáculo
También se pueden obtener efectos de resonancia en el terreno de los fenómenos electromagnéticos; el más conocido e importante es el que se produce en un circuito oscilante compuesto de una autoinducción L y una capacidad C , al aplicarle una tensión alterna (figura 37.3). En un circuito de este tipo la energía pasa periódicamente de su estado eléctrico en el condensador (figura 37.3 a ) a su estado magnético en el campo magnético creado por la autoinducción (figura 37.3 b ), y si el período de oscilación propio del circuito (y con ello su frecuencia) coincide con el de la tensión alterna excitatriz, se produce resonancia; el circuito oscilante absorbe un máximo de energía de la fuente excitatriz. Este efecto de resonancia se emplea en la técnica de radio para sintonizar las emisoras en el aparato receptor para impedir que la energía generada llegue a alcanzar valores destructivos, se intercalan resistencias óhmicas que ocasionan una pérdida de energía en forma de calor.
Otro fenómeno común a las oscilaciones acústicas y eléctricas es el eco, que consiste en la reflexión de las ondas sonoras o electromagnéticas al chocar contra un obstáculo (figura 37.4).
38. Ruido y sonoridad
Denominamos ruido a todo sonido compuesto de una mezcla de vibraciones neumáticas cuya sonoridad, frecuencia y fase es completamente irregular. El ruido suele causar una sensación molesta y con sonoridades muy altas puede llegar a ocasionar lesiones del oído. 
Figura 38.1 a y b
Un ruido molesto es el que por ejemplo se produce golpeando con un martillo contra una chapa fina (figura 38.1 a ); si en este caso representamos gráficamente la variación de la sonoridad del ruido en función del tiempo, se obtiene una curva irregular con zigzags muy acusados (figura 38.1 b ). 
Figura 38.2
La necesidad de eliminar los ruidos se tiene muy presente al construir un edificio. Así por ejemplo, las oficinas con máquinas de escribir -cuyo golpeteo, al reflejarse en las paredes, llegaría a producir un ruido insoportable- se proveen de elementos insonorizantes (figura 38.2) formados por un relleno de esteras aisladoras (por ejemplo, lana de vidrio o mineral) que se colocan entre el techo o pared y el revestimiento exterior de paneles perforados dispuesto a una distancia conveniente. De este modo el ruido que penetra a través de las placas perforadas es absorbido por las esteras aislantes y queda extraordinariamente amortiguado. 
Figura 38.3 Ilustración de la ley Weber-Fechner
La intensidad variable de los sonidos produce en el oído una sensación que se llama sonoridad. Según la ley de Weber-Fechner, dicha sensación es aproximadamente proporcional al logaritmo de la intensidad del estímulo (presión del sonido) que la haya provocado; como unidad de medida se emplea el fon. De acuerdo con esta ley el número de Eones de un sonido se define por el logaritmo de la relación existente entre la presión del sonido percibido y la que corresponde al umbral de percepción (cuya frecuencia es de 1 000 Hz). En la tabla siguiente se da el valor en fones de la sonoridad para una serie de ruidos:
Fuente sirena de alarma avión al despegar martillo neumático bocina nave de fábrica «metro» camión motocicleta ciclomotor oficina tráfico urbano transformador rumor de hojas sala aislada acústicamente | Fones 135 130 120 110 100 95 90 85 80 75 70 60 30 10 |
Si la sonoridad del ruido es de más de 130 fones, la sensación que éste produce es dolorosa; además, un ruido superior a 100 fones que sea persistente puede ocasionar ya lesiones del oído. La escala de 1 a 140 fones corresponde a una relación de presiones de sonido igual a 1:10 14 . 
Figura 38.4 Medida de la presión del sonido
La presión del sonido se puede medir prácticamente con ayuda del disco de Rayleigh (figura 38.4), consistente en un pequeño disco muy delgado que cuelga de un hilo de torsión formando un ángulo de 45º con la dirección en que el sonido se propaga. Al penetrar en el campo de presión de la onda sonora, el disco intenta ponerse perpendicular a la dirección de propagación de dicha onda y el giro que entonces realiza da una medida de la presión que actúa sobre él.
39. Telémetro
Cuando se fotografía un objeto desde una distancia reducida y con una gran abertura de diafragma, la profundidad de campo (distancias máxima y mínima entre las que ha de estar situado el objeto para que en la foto se vea suficientemente enfocado; es en este caso muy pequeña, y por consiguiente la simple apreciación a ojo de la distancia que media hasta el objeto resulta entonces demasiado imprecisa para que la foto salga bien. 
Figura 39.1
Por este motivo en las cámaras de precisión la distancia hasta el objeto a fotografiar se mide con ayuda de un telémetro incorporado al aparato. El principio en que se basan los telémetros es el mismo que el de la visión con ambos ojos a la vez: cuando observamos un objeto que se halla muy distante los dos ojos tienen sus ejes paralelos entre sí, pero si nos acercamos a él éstos han de girar entonces en sentido convergente, tanto más cuanto más cerca vayamos a situarnos del objeto. 
Figura 39.2 Telémetro de espejo basculante
La abertura del ángulo que pasan a formar los ejes de los ojos constituye pues una medida de la distancia que nos separa del objeto (figura 39.1).
De modo análogo a como se tiene en el sentido de la vista, en el telémetro acoplado existen también dos oculares, el uno constituido por el visor normal cuyo eje óptico es exactamente paralelo al del objetivo de la cámara, y el otro, situado en el extremo opuesto de la llamada base del telémetro, que se encarga de suministrar una imagen parcial del motivo como imagen de contraste; los rayos de esta imagen parcial discurren a través de un espejo hasta el visor y mediante otro espejo que es translúcido van a superponerse allí a la imagen directa del objeto (figura 39.2 a). Por lo tanto, al mirar a través del orificio del telémetro ambas imágenes aparecen superpuestas; de ahí la denominación de imagen conjunta que se da a la resultante de las dos (figura 39.2 b). Si los rayos correspondientes a ambas imágenes discurren paralelos fuera de la cámara, al visar ahora un objeto que se halle muy distante dichas imágenes se cubrirán entre sí perfectamente; en cambio si el objeto está cercano, se ven entonces dos imágenes distintas (corridas una de otra por la misma razón que se ve doble el dedo índice cuando con el brazo extendido visamos a través de él un punto que esté más alejado) y para que en este caso se puedan llegar a ver también exactamente superpuestas hemos de desviar los rayos de la imagen parcial el ángulo debido. 
Figura 39.3 Telémetro de cuña basculante
Como la abertura de este ángulo depende directamente de la distancia que hay hasta el objeto, el elemento desviados puede acoplarse a una escala graduada en metros o bien directamente al regulador del objetivo. La desviación puede realizarse mediante un espejo basculante (figura 39.2 a); ahora bien, en este caso el espejo sólo gira un ángulo mitad del de desviación y, por consiguiente, el telémetro ha de ser entonces muy preciso. 
Figura 39.4 Telémetro de cuñas giratorias
En el telémetro de cuña basculante (figura 39.3) se emplean en cambio dos lentes cilíndricas que pueden girar una en otra formando en conjunto un prisma de poder refractante variable; en este caso, la lente móvil del par ha de girar un ángulo doble del que exige la desviación. En la figura 39.3 la base con los dos espejos fijos está construida en forma de una placa de vidrio, para hacerla más estable; en otros modelos, el par de lentes, o también una sola lente cilíndrica basculante, está dispuesto entre los espejos del telémetro. En el telémetro de cuñas giratorias (figura 39.4) dos cuñas circulares pueden girar entre sí de modo diferencial hasta 180, formando una doble cuña con sentidos de desviación opuestos entre sí; sin embargo, a causa de la complicación que encierra el mecanismo, este sistema ha venido a ser reemplazado por otros más simples con juegos de palancas.
Por la misma razón apenas sí existen aún telémetros del sistema llamado de imagen partida (figura 39.5 a), que por otra parte proporcionan una imagen de visor muy clara y contrastada. En vez de comparar la imagen directa con la pequeña imagen de contraste, se comparan aquí las mitades superior e inferior de la imagen general, haciéndolas desplazar entre sí a lo largo de la línea divisoria (figura 39.5 b) hasta que sus aristas de corte coinciden. 
Figura 39.5 Telémetro de imagen partida
Actualmente casi todas las cámaras réflex van equipadas con un enfoque auxiliar que por la analogía de su efecto se puede designar como telémetro de imagen partida, compuesto por dos cuñas de vidrio claro pegadas una a otra de tal modo que su punto de cruce se halla exactamente situado sobre la placa esmerilada del visor. Cuando la imagen que se proyecta sobre dicha placa está bien enfocada las cuñas no ejercen prácticamente efecto alguno sobre ella, pero si en cambio se forma delante o detrás del plano de la placa, las imágenes pardales del enfoque auxiliar aparecen entonces en los dos semicírculos de éste tanto más desviadas entre sí, debido al efecto desviados de las dos cuñas, cuanto más separada quede de la placa la imagen del objeto que se visa.
40. TV en blanco y negro
El funcionamiento de la televisión se basa en principio en el del cine, pues también en ella se transmite un mínimo de 25 imágenes por segundo que, debido a la lentitud de reacción del ojo humano, producen en el observador la impresión de que la imagen se halla en movimiento. 
Figura 40.1 Entramado de imagen
De modo análogo a como se hace en las imprentas para reproducir los claros y oscuros de los grabados (por ejemplo, de tomas fotográficas; también aquí se empieza por descomponer la imagen en un elevado número de puntos de trama mediante un sistema de entramado (figura 40.1). 
Figura 40.2 Registro de imagen y sonido (iconoscopio y micrófono)
En la cámara de televisión (un iconoscopio, figura 40.2; la placa de entramado consta de unos 500000 puntos que constituyen un número por lo menos igual de diminutos fotocátodos cuyas células pasan a cargarse positivamente más o menos, en correspondencia con la luminosidad de las imágenes (figura 40.3). Un chorro de electrones que barre la placa en zigzag en 1/25 de segundo descarga dichas células, y los impulsos eléctricos (señales de imagen) que se forman puya intensidad depende pues en cada punto de la luminosidad de la imagen emitida, se conducen al electrodo de gobierno del tubo de imagen (tubo de Braun,) existente en el aparato receptor (figura 40.4); en dicho tubo los impulsos eléctricos pasan a regular la intensidad de otro chorro de electrones que incide sobre la pantalla fluorescente, también en zigzag y al mismo ritmo, modificándola de acuerdo con la luminosidad variable de la imagen emitida. 
Figura 40.3 Esquema con una instalación de iconoscopio (emisor) y tubo de Braun (receptor)
De este modo, a base de una construcción puntual y una rápida sucesión de las imágenes, se forma en la pantalla otra construcción asimismo puntual que es la que percibimos como imagen televisada. Eligiendo adecuadamente el material luminiscente que recubre la pantalla (la parte delantera del tubo de imagen del aparato receptor), se tiene la impresión de que la imagen se reproduce en blanco y negro. 
Figura 40.4 Reproducción de imagen y sonido (altavoz y tubo de Braun)
El contenido de las señales de imagen (figura 40.5) se transmite por radio a los receptores al mismo tiempo que el sonido. 
Figura 40.5 Barrido de una imagen y señales eléctricas correspondientes
La retransmisión desde los estudios hasta la emisora de radio de la localidad se realiza también por radio o bien por cable (cable coaxial o de tubo). Como las ondas de televisión -que son de alta frecuencia- se propagan en línea recta, su alcance («casi óptico») queda limitado por la curvatura de la Tierra; así pues para obtener una buena retransmisión (figura 40.6) se han de disponer estaciones emisoras cada 80 km aproximadamente. 
Figura 40.6 El enlace "casi óptico" de las ondas de la televisión hace necesario instalar estaciones relevadoras y emisoras intermedias
Los receptores recogen el contenido de imagen transmitido por el campo electromagnético (es decir, por las ondas de televisión) con ayuda de antenas adecuadas, que pueden ser del tipo de las antenas de tejado o bien, en caso de que la intensidad de campo sea suficiente (a partir de unos 5 mV/m), antenas interiores.
41. TV en color
La televisión en color tiene por objeto reproducir imágenes móviles o fijas sobre la pantalla del aparato receptor, de modo que aparezcan en sus colores originales y sin retraso perceptible respecto a la emisión televisada. 
Figura 41.1 Esquema del sistema simultáneo.
El principio de funcionamiento comprende tres etapas:
- Transformación de los matices de color («colores») y de su grado de saturación («intensidades») en señales eléctricas (corrientes o tensiones);
- Transmisión eléctrica de las señales por conductores o sin ellos, hasta el aparato receptor;
- Retransformación de las señales en una imagen en color.
La primera etapa se realiza a base de elaborar un mínimo de tres extracciones de color - con los colores básicos rojo (R), verde (V) y azul (A), como se hace por ejemplo en la impresión en color- mediante tres cámaras de televisión y empleando filtros apropiados (figura 41.1) Las cámaras son parecidas a las que se usan en la televisión en blanco y negro, sólo que aquí las capas sensibles de sus tubos están ajustadas a los filtros de color correspondientes. 
Figura 41.2
Las tramas de barrido de los tres tubos han de cubrirse exactamente (es decir, han de poseer una buena «convergencia») para evitar que se formen ribetes de color; por la misma razón se usa aquí un único objetivo con formación de imagen intermedia. La intensidad de las señales eléctricas E R , E V y E A , depende de la saturación que tengan los colores en las extracciones realizadas.
Mediante un sistema eléctrico de transmisión, las señales de color E R , E V y E A se llevan simultáneamente a tres tubos de imagen, donde son entonces retransformadas en las primitivas extracciones R, V y A de tal modo que a través de los espejos selectivos de color (o dicroíticos), el observador percibe las tres imágenes confundidas en una sola imagen policroma, originada por la mezcla aditiva de colores. Tanto la transmisión como la retransformación (recepción) originan en realidad graves problemas. En los EE.UU., la URSS y los países de Europa Occidental se ha impuesto la solución de compromiso patrocinada por el Nacional Television System Committee (sistema NTSC) de Norteamérica.
En el sistema NTSC un órgano especial llamado codificador genera (según un código especial ajustado a la curva de sensibilidad del ojo humano) una señal de luminosidad E Y (señal de «luminancia») derivada de las señales E R - E V - E A , la cual es transmitida con todo el ancho de banda de 5 MHz y aparece en el receptor normal de televisión como imagen en blanco y negro del original coloreado (figura 41.2). Sin embargo, la banda de frecuencia no está continuamente ocupada por dicha señal, sino que presenta vacíos regulares, distribuidos de acuerdo con la frecuencia de líneas de la imagen, en los que se introduce luego la información correspondiente a las señales de color (señal de « crominancia»). 
Figura 41.3 Tubo de imagen en color
Para ello se hace uso de un portador de colores auxiliar cuya frecuencia es un múltiplo impar de la semifrecuencia de líneas de la imagen, y está, además, situada en el extremo superior del campo ir de frecuencias que se utiliza en la emisión; en el sistema CCIR (Comité consultatif international de radiodiffusion), dicha frecuencia es de 4,4296875 (4,43) MHz. De este modo la ligera distorsión en forma de perlas diminutas que el portador de color origina en la imagen en blanco y negro transmitida, puede llegar a eliminarse casi totalmente gracias a la lentitud de reacción del ojo humano, porque así en cada dos líneas de una semiimagen que vayan a proyectarse sucesivamente una sobre otra, las zonas de máxima y mínima luminosidad de las perlitas quedan también exactamente superpuestas. Por consiguiente, el sistema NTSC se puede emplear asimismo (es decir, es «compatible») con los receptores corrientes de televisión en blanco y negro. Para transmitir la información de color basta con crear en el codificador dos señales diferenciales (tales como por ejemplo E R - E Y y E A = E Y ) y, transmitirlas a través del portador auxiliar, que se modula doblemente en amplitud (para la saturación de color) y en fase (para el tono). La señal E V - E Y correspondiente al color verde se puede recuperar fácilmente en el aparato receptor a partir de las dos señales anteriores.
En la práctica, en vez de las señales E R - E Y y E A - E Y se emplean en el sistema NTSC dos nuevas combinaciones E 1 , y E Q que se pueden transmitir mejor que aquéllas. Para E 1 , basta una banda de 1,5 MHz y para E Q de 0,6 MHz; la razón de esta diferencia estriba en el hecho de que el ojo puede apreciar transiciones de color naranja-verde azulado (E 1 ) mejor que las verde-púrpura E Q (y ambas peor que los contrastes claroscuro). E Y , E 1 , y E Q modulan la frecuencia del portador de imagen de un emisor de televisión.
En el receptor, la señal de luminosidad E Y se forma inmediatamente después de la primera demodulación, y E 1 , E Q se recuperan por su parte en una segunda demodulación mediante el portador auxiliar de color que se les incorpora con la fase debida en el aparato receptor. Un descodificador genera a partir de E 1 , y E Q las señales diferenciales E R - E Y , y E V - E Y , E A - E Y y después de extraer de ellas la señal de luminosidad E Y se vuelve a disponer así de las tres señales de color E R , E V y E A , originales (figura 41.2).
El tubo de imagen en color (Color cinescope) de la RCA (abreviatura de Radio Corporation of America) es el corazón del sistema NTSC. Como se muestra en la figura 41.3 , dicho tubo contiene tres generadores de rayos electrónicos dispuestos de tal modo que sus rayos van a incidir juntos a través de uno de los 357 000 orificios (de 0,35 mm de ø ) de la placa diafragma (o máscara de sombras, en inglés shadow mask ) sobre una de las tríadas de, discos fosforescentes (de 0,43 mm de ø , que brillan con los colores rojo, verde y azul) constitutivos de la pantalla para la imagen en color. Dicha pantalla contiene dispuestos regularmente sobre ella un total de
3 x 357 000=1.071.000 puntos de color
La separación entre la pantalla y la máscara de sombras es de 11,5 mm, y la de las tríadas de discos (o tripels ) entre sí, de 0,74 mm. Las dificultades que acompañan a la fabricación de los tubos de imagen en color con máscaras de sombras, parecieron al principio casi insuperables; en la actualidad dicha fabricación se cuenta entre los logros más sobresalientes de la técnica de alto vacío. El sistema de deflexión magnética conjunta para los tres rayos electrónicos ha de trabajar de modo que incluso en la periferia de la imagen los rayos incidan agrupados sobre la tríada debida y a través del orificio debido de la máscara, pues de lo contrario se forman allí ribetes de color. La señal de luminosidad E Y . se conduce conjuntamente a los tres cátodos de los generadores de rayos electrónicos las tres señales diferenciales de color se llevan en cambio separadas a las correspondientes rejillas de gobierno (cilindros de Wehnelt). La intensidad de los rayos electrónicos y con ello la luminosidad de los disquitos de las tríadas; pasa a depender pues así únicamente de E R , E V , y E A , y en consecuencia las tres extracciones de color R, V y A se proyectan entonces de modo simultáneo sobre la pantalla receptora. En comparación con un aparato de televisión en blanco y negro, un receptor de televisión en color posee, además, dos botones de mando suplementarios que sirven para regular el tono y la saturación de los colores. Dado que la imagen en color contiene aproximadamente tres veces más información que una en blanco y negro, el equipo técnico y con ello el precio de un televisor en color es más o menos el triple del de un aparato equivalente para la televisión en blanco y negro. En los orígenes de la televisión en color se había empleado también el llamado sistema secuencia) (con las extracciones de color sucesivas en vez de simultáneas) en el que frente a la cámara de toma y a la pantalla receptora se hacían girar unos discos apropiados con sectores R-V-A. Este procedimiento presenta la ventaja de que de él se pueden emplear las cámaras y tubos de imagen de la televisión en blanco y negro, y de que, además, da una imagen de muy buena calidad; ahora bien, tiene el inconveniente de ser «incompatible» con los receptores usuales, y por lo tanto se hace necesario añadir a éstos un número considerable de elementos constructivos.
42. Tubo de Braun
El tubo de Braun (tubo de rayos catódicos) tiene un cátodo de incandescencia cuya emisión de electrones, concentrada en forma de rayo y dirigida a través de un sistema deflector, se hace visible como punto luminoso sobre una pantalla fluorescente. 
Figura 42.1 Concentración y deflexión electrostáticas en el tubo de Braun
La concentración tiene lugar por medio de electrodos adecuados que actúan como una lente eléctrica, o bien mediante bobinas de concentración que hacen el efecto de una lente magnética (figura 42.2). 
Figura 42.2 Órganos de concentración y deflexión magnéticas
La deflexión del rayo se puede realizar, bien sea electrostáticamente con ayuda de dos pares de placas perpendiculares entre sí (figura 42.1), o bien magnéticamente, por medio de una bobina deflectora (figura 42.2). La deflexión magnética se prefiere a la electrostática porque con ella se pueden obtener mayores ángulos de deflexión trabajando a tensiones inferiores; por este motivo se la suele emplear en los tubos de Braun de los receptores de televisión, a fin de acortar así la longitud del aparato. En el tubo de Braun, el rayo de electrones que avanza en zigzag al mismo ritmo de barrido a que trabaja la emisora, proyecta la imagen televisada en la pantalla fluorescente de modo que durante los retrocesos no da luz. La pantalla contiene una sustancia fluorescente finamente repartida (cuyo componente principal es, por ejemplo, sulfuro de cinc); añadiendo a ésta compuestos especiales se puede influir sobre la coloración que adquiere el brillo. Por lo demás, en las lentes eléctricas la concentración del rayo de electrones se realiza por efecto del campo eléctrico que se forma entre el cilindro de Wehnelt, que tiene derivación a tierra (potencial cero), y el ánodo de placa (de potencial positivo); las líneas de campo atraviesan el orificio del ánodo, formándose superficies equipotenciales análogas a las superficies de curvatura de las lentes ópticas. En la concentración magnética, los electrones se desplazan por trayectorias helicoidales. La desviación electrostática que los electrones experimentan al atravesar el campo existente entre los dos pares de placas, se puede comparar a la caída de un cuerpo en el campo gravitatorio; cada electrón describe una trayectoria parabólica. En la deflexión magnética se obtiene el mismo efecto a base de hacer recorrer parcialmente a los electrones una trayectoria helicoidal. Las tensiones e intensidades deflectoras son suministradas por oscilaciones basculantes cuyas características se ajustan en cada caso al empleo a que se quiera destinar el aparato.