
¿Por qué, al pasar por la superficie de separación de dos medios diferentes, el haz luminoso cambia su dirección? ¿Por qué el Sol poniente parece estar aplastado? ¿A qué se debe la aparición de los espejismos? ¿Por qué razón el prisma descompone la luz solar en distintos colores? ¿Cómo pueden calcularse las dimensiones angulares del arco iris? ¿Por qué los objetos alejados parecen ser cercanos si se les observa a través del anteojo de Galileo? ¿Cuál es la estructura del ojo humano? ¿Por qué el haz luminoso, penetrando en un cristal, se desdobla en dos? ¿Es posible girar el plano de polarización del haz? ¿Se puede encorvar de modo arbitrario los haces luminosos? ¿Existe la posibilidad de controlar el índice de refracción?
En el presente libro el lector hallará las respuestas a los problemas planteados. También conocerá de qué modo ha sido descubierta la ley de refracción de la luz; cómo, por un tris, no se perdió para siempre la teoría newtoniana de refracción de la luz en la atmósfera; de qué manera, merced a los experimentos de Newton, fueron derribadas las nociones seculares sobre el origen de los colores; cómo fue inventado el anteojo de larga vista y se formaron poco a poco, en el transcurso de veinte siglos las nociones sobre el mecanismo de la vista humana y con qué dificultad transcurría el descubrimiento de la polarización de la luz.
Los autores del libro han completado el texto con problemas, escogidos intencionadamente (con resoluciones detalladas), construcciones geométricas, esquemas ópticos de aparatos y dispositivos concretos para que los argumentos históricos y físicos estuviesen al unísono.
Sin duda alguna, el lector percibirá ya de otra manera las citas de las obras clásicas de los fundadores de la óptica física (por ejemplo, de las "Conferencias de óptica" de Isaac Newton o de "Traité de la lumiére" de Christiaan Huygens) después de que estos fragmentos sean "decodificados" mediante esquemas, construcciones y problemas concretos.
Así, pues, en el transcurso de su viaje por el mundo de los haces luminosos refractados, el lector podrá no sólo familiarizarse con la esencia física de los problemas en cuestión, sino que también con la historia de la formación de las nociones físicas y su presentación práctica en las tareas, construcciones y esquemas ópticos. Los autores confían en que todo esto hará que el "viaje" sea lo suficientemente fácil y útil.
Los autores consideran el agradable deber de expresar el más profundo agradecimiento al profesor V. A. Fabrikant por la redacción científica y numerosos consejos que contribuyeron al mejoramiento del libro.
Los Autores
Contenido:
- Anillo en el fondo de un recipiente lleno de agua
- Experimento de Tolomeo
- Determinación de la ley de refracción por Snell
- Explicación de la ley de refracción por Descartes; el error de Descartes
- Principio de Huygens
- Principio de Huygens y ley de refracción
- Principio de Fermat (principio de extremal o de mínimo)
- Deducción de la ley de refracción.
- Partiendo del principio de Fermat
- Reflexión interna total; ángulo límite de reflexión
- Método gráfico de construcción de rayos refractados
- Radiación de Vavílov-Cherenkov leyes de refracción y reflexión de la luz
Anillo en el fondo de un recipiente lleno de agua
Tomemos cierto recipiente no muy profundo con paredes opacas; puede ser un jarro, bote de hojalata o simplemente una cacerola. Pongamos un anillo en el fondo del recipiente y lo contemplamos bajo un ángulo que no se pueda ver el anillo, sino que sólo una parte del fondo. Pidamos que alguien llene de agua el recipiente, sin moverlo del sitio. Después de que el nivel de agua en el recipiente llegue a cierta altura, veremos el anillo que se halla en el fondo. Este sencillo experimento siempre proporciona gran impresión y muestra claramente el fenómeno de refracción de haces luminosos en la superficie de separación agua-aire (Figura 1.1).
El experimento descrito de la refracción de la luz ya se conocía en los tiempos más remotos.
En 1557, en París, se publicó la traducción del libro de Euclides "Catóptrica" (III siglo antes de nuestra era), en el cual hallamos la siguiente afirmación:
"Si se coloca algún objeto en el fondo de un recipiente y se aleja este último de la vista del observador a una distancia que el objeto no se vea, entonces, al llenar el recipiente de agua, a esa misma distancia comenzará a verse de nuevo dicho objeto".

Figura 1.1
Verdad es que el experimento en cuestión no tiene relación directa con los problemas que se investigan en el libro de Euclides, el cual está dedicado a la catóptrica, como se denominaba en aquellos lejanos tiempos el apartado de la óptica, referente a la reflexión de la luz; mientras que la refracción se estudiaba en la dióptrica. Se emitía una hipótesis de que el experimento con el anillo en el fondo del recipiente fuese añadido, probablemente, por el traductor.
Sin embargo, no existe duda alguna que dicho experimento cuenta con unos veinte siglos. Su descripción se encuentra en otras fuentes antiguas, por ejemplo, en el libro de Cleomedes (año 50 de nuestra era) "Teoría de los movimientos de los cuerpos celestes" (en aquel entonces el término ''meteoro" abarcaba todos los fenómenos celestes). Cleomedes escribía:
"¿Acaso es posible que el haz luminoso se curve, al pasar a través de las capas húmedas del aire...? Esto sería un fenómeno semejante al del anillo que en el fondo del recipiente no se ve, estando éste vacío y se hace visible, después de llenar el recipiente de agua".
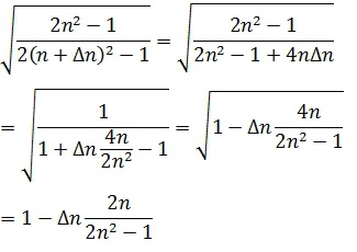
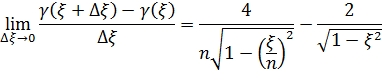
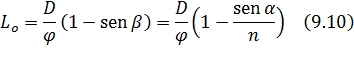
Haciendo uso del antiguo experimento, examinemos el siguiente problema bien actual. La altura de las paredes de un recipiente cilíndrico es igual al diámetro del fondo. En el centro del fondo se encuentra un disco, cuyo diámetro es dos veces menor que el del fondo del recipiente. El observador ve justamente sólo el extremo del fondo (y. como es natural, no ve el disco, yacente en el fondo). ¿Qué volumen del recipiente es necesario cubrir de agua, para que el experimentador pueda observar por lo menos el extremo del disco? El índice de refracción del agua es n = 4/3.
Designemos el diámetro del fondo del recipiente por D, y por H, la altura del nivel de agua en el recipiente cuando el observador comienza a ver el extremo del disco (Figura 1.2).

Figura 1.2
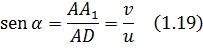
La ley de refracción de los haces luminosos se describe por la siguiente relación

Escribamos de nuevo la igualdad
AB + BC = AC
de la forma
(D - H) tan α + H tan β = 3D/4
tomando en consideración que según la condición del problema, tan α = 1, tenemos

Pasando de tan α sen β y empleando (1.1), obtenemos

Sustituyendo (1.3) por (1.2), hallamos

Por cuanto n = 4/3, H/D = 0,67. De esta manera el observador podrá ver el extremo del disco, siendo el volumen de agua el 0,67 del volumen total.
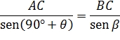
Experimentos de Tolomeo
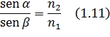
En el problema analizado se ha aplicado la ley de refracción (1.1). Largas investigaciones han precedido al descubrimiento de esta ley. El comienzo de estas investigaciones se remonta al siglo II de nuestra era, cuando Tolomeo intentó establecer de modo experimental, la dependencia entre los ángulos formados por el rayo incidente y el refractado con la perpendicular a la superficie de separación de los medios.
Tolomeo empleó un disco, cuya circunferencia estaba dividida en 360 partes. En el centro del disco se aseguraban los extremos de dos reglas que podían girar alrededor del punto de fijación. La mitad del disco se sumergía en agua (Figura 1.3) y las reglas se colocaban de modo que, al mirar a lo largo de la superior, pareciese que ambas reglas formaban una recta.

Figura 1.3
Tolomeo colocaba la regla superior en distintas posiciones (correspondientes a diferentes valores del ángulo α) y luego, buscaba de una manera experimental la posición respectiva de la regla inferior (el correspondiente ángulo β).
De las mediciones de Tolomeo se desprendía que la relación (sen α / sen β) se encontraba en un intervalo de valores entre 1,25 y 1,34, o sea, no era del todo constante.
Así, pues, Tolomeo no logró hallar la ley correcta de refracción de la luz.
Determinación de la ley de refracción por Shell.
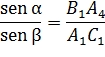
Más de catorce siglos transcurrieron hasta que, por fin, se determinase la ley de refracción. En 1626 falleció el matemático holandés Willebrord Snellius. Entre sus papeles se encontró un trabajo que de hecho era la enunciación de la ley de refracción. Con fin de explicar las deducciones del trabajo de Snell, dirijámonos a la figura 1.4.

Figura 1.4
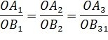
Sea FO la superficie de separación de dos medios; los rayos inciden sobre dicha superficie en el punto O. En la figura se examinan tres rayos (1, 2, 3); α1, α2, α3 son los ángulos de incidencia de estos rayos y β1, β2, β3, son los ángulos de refracción. Del punto F, elegido arbitrariamente, de la superficie de separación de los medios levantemos una perpendicularFG. Los puntos de intersección de los rayos refractados 1,2,3 con la perpendicular los designaremos por A1, A2 y A3 y por B1, B2 y B3, los puntos de la intersección de las continuaciones de los rayos incidentes 1,2, 3 con dicha perpendicular (en la figura estas continuaciones de los rayos se muestran por líneas rectas a trazos). Snell determinó experimentalmente que

De esta manera la relación entre la longitud del rayo refractado desde el punto O hasta el punto de intersección con la recta FG y la longitud de la continuación del rayo incidente desde el punto O hasta la intersección con FG, resulta ser la misma para todos los rayos, incidentes sobre la superficie de separación de los medios:

(el índice i determina un haz luminoso u otro).
De (1.4) se deduce de una forma inmediata la enunciación común de la ley de refracción. Ya que OAi sen βi = FO y OBi sen αi = FO, basándose en (1.4), obtenemos sen α.

Así, pues, para cualquier rayo que incide sobre la superficie de separación de dos medios, la relación entre el seno del ángulo de incidencia y el seno del ángulo de refracción es una magnitud constante para los medios en cuestión.
Explicación de la ley de refracción por Descartes; el error de Descartes
Sin embargo, por causas desconocidas, Snell no promulgó su trabajo. La primera publicación que contiene la enunciación de la ley de refracción no pertenece a Snell, sino al célebre científico francés René Descartes (1596-1650).
A Descartes le apasionaban la física, las matemáticas y la filosofía. Era, sin duda alguna, una persona original y brillante que provocaba muchas opiniones contradictorias. Algunos contemporáneos de Descartes lo acusaban de apropiarse del trabajo citado de Snell, no publicado. Independientemente de si viera o no Descartes el trabajo de Snell, dicha acusación debe considerarse injustificada y es que Descartes llegó a la formulación de la ley de refracción, partiendo de sus propias nociones sobre las propiedades de los haces luminosos. Él dedujo esta ley desde el punto de pisto teórico-, basándose en las suposiciones sobre la diferencia de la velocidad de la luz en distintos medios.
Es curioso que Descartes formulara dicha ley, empleando la suposición errónea de que la velocidad de la luz crece al pasar del aire a un medio más denso. Hoy día las nociones del científico francés acerca de la naturaleza de la luz nos parecen muy confusas e ingenuas. Él consideraba la propagación de la luz como un proceso de transmisión de la presión de una materia de éter que rodea todos los cuerpos y penetra en ellos. En su trabajo, titulado "Dioptrique", puede leerse:
"Por cuantas en la naturaleza no existe vacío y por cuantas todos los cuerpos tienen poros, por eso es indispensable que todos esos poros estén rellenos de una materia bastante enrarecida y fluida, propagándose continuamente desde los astros celestes hacia nosotros... La luz no es más que cierto movimiento o influencia, obtenido en una materia bastante enrarecida que rellena los poros de otros cuerpos".
Al examinar la refracción de la luz, Descartes usaba la analogía con una pelota tirada al agua. Afirmaba que "la acción de los rayos de la luz se somete a las mismas leyes que el movimiento de la pelota".
La figura 1.5 ilustra las ideas de Descartes respecto a la refracción de la luz. Sea v1 la velocidad con que se transmite la presión de la luz en el primer medio y
v2, en el segundo.

Figura 1.5
El científico descomponía ambos vectores en dos componentes: paralelamente a la superficie de separación de los medios (componentes x) y perpendicularmente a dicha superficie (componentes y). Suponía que al pasar la luz de un medio a otro, varía sólo el componente y del vector v, con la particularidad de que en un medio más denso este componente es mayor que en el menos denso. En otras palabras,

De la figura se ve que

El error principal de Descartes consiste en que suponía que la luz se propaga con mayor velocidad en un medio más denso que en el menos denso, mientras que en realidad es todo lo contrario.
"Cuanto más sólidas sean las partículas del cuerpo transparente, -citaba Descartes sus razonamientos bastante confusos- , tanto con mayor facilidad dejan pasar la luz, ya que ésta no debe expulsar partícula alguna de su sitio, del mismo modo que cuando la pelota empuja las partículas de agua con fin de abrirse camino a través de ellas...".
El error de Descartes lo han corregido Huygens y Fermat.
Principio de Huygens.
El famoso físico y matemático holandés Christiaan Huygens (1629—1695) consideró la propagación de la luz como un proceso ondulatorio. Suponía que la luz era en sí ondas en la materia de éter.
El científico analizaba el proceso de propagación de las ondas luminosas del siguiente modo: supongamos que la onda luminosa es plana; la sección de su frente (o, en otras palabras, de su superficie ondulatoria) es una recta.
Sea AA esa recta en la figura 1.6. La luz llega simultáneamente a todos los puntos de la recta AA y, conforme a la hipótesis de Huygens, todos esos puntos comienzan a actuar al mismo tiempo, como fuentes puntuales de las ondas esféricas secundarias.
Como subrayó Huygens en su "Traité de la lumiére", ... "la luz se propaga mediante ondas esféricas sucesivas". Al cabo de cierto lapso Δ t los frentes de estas ondas crearán un cuadro, mostrado en la figura 1.6 con semicircunferencias a trazos.
Tracemos una envolvente de los frentes indicados. Será la recta BB, correspondiente a la nueva posición del frente de la onda luminosa plana. Puede decirse que en el transcurso del tiempo Δt el frente de la onda luminosa se trasladó de la posición AA a la BB.

Figura 1.6
Es natural que todos los puntos de la recta BB también pueden considerarse como fuentes de ondas luminosas secundarias. Las flechas en la figura muestran los haces luminosos. En cada punto del espacio el haz luminoso es perpendicular al frente de onda que pasa por ese punto.
En la historia de la ciencia este método de construcción de posiciones sucesivas del frente de onda (de la superficie ondulatoria) entró como método de Huygens. También se denomina principio de Huygens y se enuncia del siguiente modo:
cada punto hasta el que llega la excitación luminosa, se convierte a su vez en un centro de ondas secundarias; la superficie que contornea estas ondas secundarias en determinado momento de tiempo, indica para dicho momento la posición del frente de la onda que se propaga en realidad.
Principio de Huygens y ley de refracción
Huygens dedujo la ley de refracción de la luz, aplicando el principio indicado anteriormente (Figura 1.7).
Supongamos que sobre la superficie A1A4 que divide dos medios, por ejemplo, el aire y agua, incide una onda luminosa plana, la cual se caracteriza por el ángulo de incidencia α. Designemos la velocidad de la luz en el primer medio (en el aire) por v1, y en el segundo medio (agua) por v2.

Figura 1.7
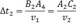
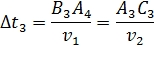
Según la suposición correcta de Huygens, v1 > v2. En la figura las flechas indican los cuatro haces luminosos y la recta de trazos A1B1, la posición del frente de onda, cuando el rayo l alcanza la superficie de separación de los medios. En ese mismo momento el punto A1 se convierte, según Huygens, en una fuente de onda esférica secundaria. Señalemos que esta onda se propaga tanto en el primer medio, como en el segundo, engendrando haces luminosos refractado y reflejado respectivamente. Nos limitaremos a examinar sólo el rayo refractado.
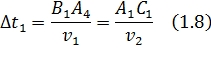
En la figura la semicircunferencia a trazos con el centro en A1 muestra el frente de la onda esférica en cuestión, transcurrido un lapso Δt, durante el cual el rayo 4 pasa de B1 a A4.
Es obvio que

En el momento en que el rayo 2 alcanza la superficie de separación de los medios, el punto A2 se convierte en fuente de onda secundaria. La semicircunferencia a trazos con el centro en A2 es el frente de esta onda al cabo del lapso Δt2, durante el cual el rayo 4 pasa de B2 a A4;

En cuanto el rayo 3 alcance la superficie de separación, el punto A3 se transformará en un frente de la onda secundaria. La semicircunferencia a trazos con el centro en A3 es el frente de esta onda al cabo del tiempo Δt3, en el transcurso del cual el rayo 4 pasa de B3 a A4;

La envolvente de las semicircunferencias mostradas en la figura es la recta C1A4; ésta corresponde al frente de onda del haz luminoso refractado para el momento de tiempo en que el rayo 4 alcanza la superficie de separación de dos medios.
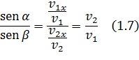
De la figura se ve que

y, por consiguiente,

Empleando (1.8),obtenemos

A diferencia de (1.7), aquí tenemos la relación de velocidades correcta.
Así, pues, un mismo hecho experimental - la determinación de la constancia de la relación (sen a/sen β) por Snell - resultó ser explicado, partiendo de las premisas teóricas contrarias: la suposición errónea de Descartes acerca de que la velocidad de la luz en un medio denso es mayor que en el aire y la correcta hipótesis de Huygens.
De esta manera vemos que un mismo experimento puede aprovecharse para explicar diversos conceptos teóricos. Está claro que la teoría siempre se basa en el experimento y se verifica mediante éste. Sin embargo, no se debe intentar de plantear una teoría nueva, fundamentándose sólo en experimentos aislados.
El ejemplo de Descartes no es el único en la historia de la física, cuando se intentó, partiendo de un material experimental insuficiente, formular teorías que no resistían la posterior verificación en la práctica. La creación de una nueva teoría exige un sistema de experimentos bien meditado, el cual permitirla comprobar los diversos aspectos de la teoría, verificándola en "solidez interna" y en la concordancia con otros hechos y teorías conocidos.
Respecto a esto se puede citar un excelente ejemplo; el sistema de experimentos con prismas bien pensado, realizados por el eminente Newton. Esto le permitió al sabio crear su famosa teoría del origen de los colores. En adelante (en la quinta charla) trataremos especialmente esta cuestión, pero ahora volvamos de nuevo a la ley de refracción.
Introduzcamos el índice de refracción n para dicho medio. Conforme a las representaciones modernas

donde c es la velocidad de la luz en el vacío (esta constante física fundamental es igual a 2,9979 x 108 m/s) y v, la velocidad de la luz en el medio en cuestión. Mediante (1.10) y (1.9), escribiremos de nuevo la ley de refracción de la luz

donde n1 y n2 son índices de refracción del primer medio y del segundo, respectivamente.
Si la luz pasa del aire a un medio denso, por ejemplo, agua o vidrio, en la ley de refracción puede considerarse que la velocidad de la luz en el aire es c, o sea, suponerse que el índice de refracción del aire es igual a la unidad. En este caso dicha ley adquiere la forma

donde n es el índice de refracción del medio denso.
Principio de Fermat (principio de extremal o de mínimo)
Volvamos de nuevo al siglo XVII y relatemos sobre las investigaciones del famoso matemático francés Pierre de Fermat (1601-1665). Este científico, un poco antes que Huygens, se interesó por la refracción de la luz. Propuso un principio general que permitía explicar el recorrido de los haces luminosos en distintas situaciones, en particular, al pasar a través de la superficie de separación de dos medios. Hoy día este principio se conoce por el nombre de principio de Fermat o principio de extremal (principio de mínimo). Este se enuncia de la siguiente manera:
el camino real de la propagación de la luz (el trayecto del haz luminoso) es el que recorre la luz en el tiempo más corto respecto a los tiempos en que recorrería otros caminos imaginarios entre dichos puntos.
Por lo visto las meditaciones acerca de la afirmación de Herón de Alejandría (siglo II antes de nuestra era) de que la luz al reflejarse, iba de un punto a otro por el camino más corto, provocaron a Fermat la idea sobre el mencionado principio.
En efecto, como es fácil cerciorarse, examinando la figura 1.8 correspondiente a la ley de reflexión, de que el trayecto ABC del punto A al punto C es el más corto de todos, por ejemplo, de ADC. Y es que la longitud del trayecto ABC es igual á la longitud del segmento de la recta AC1, mientras que la longitud del trayecto ADC es igual a la de la línea quebrada ADC1
(el punto C1 es la imagen especular del punto O.

Figura 1.8
Es obvio que la refracción de la luz no se someta al principio del camino más corto. Reflexionando sobre este hecho, Fermat propuso sustituir el principio del camino más corto por el del tiempo mínimo. El principio de Fermat explica de un modo evidente la reflexión de la luz. En este caso (a diferencia del principio del camino más corto), el científico explica también la refracción de la luz.
En las famosas "Conferencias de Física de Feynman" ("The Feynman Lectures on Physics") puede hallarse el párrafo siguiente:
"Para cerciorarse de que el camino por una recta aquí (o sea, para la refracción en la superficie de separación de dos medios) no es el más corto, imaginémonos la siguiente situación. Una muchacha muy guapina cae de una lancha al agua en el punto B y grita, clamando ayuda. La línea X es la orilla (Figura 1.9). Usted se encuentra en tierra firme en el punto A y ve lo que ha sucedido. Vd. sabe nadar y correr. Pero corre más rápido que nada. ¿Qué hará Usted? ¿Correr por la recta hacia la orilla? Reflexionando un poco, Vd. comprenderá que mejor será correr un poco más por la orilla para reducir su camino en el agua, ya que en ésta Usted se moverá con mucha más lentitud".

Figura 1.9
Deducción de la ley de refracción. Partiendo del principio de Fermat.
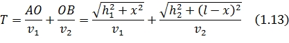
Ahora haremos la prueba de razonar de modo estricto. Supongamos que el plano S es la superficie de separación de los medios 1 y 2 con índices de refracción n1 = c/v1 y n2 = c/v2 (Figura 1.10, a); como de costumbre consideraremos que n1 < n2.
Se han elegido dos puntos: sobre el plano S (punto A) y bajo el plano S (punto B). Están prefijadas las distancias: AA1 = h1, BB1 = — h2, A1B1, = l.
Hay que hallar el trayecto de A a B de modo que el tiempo que requiere la luz para recorrer dicho camino, sea el mínimo en comparación con todos los caminos imaginarios.
Queda claro que este camino debe constar de dos segmentos rectos: AO en el medio 1 y OB en el medio 2. Deberá hallarse el punto O en el plano S.
Lo primero que se deduce del principio de Fermat es que el punto O debe encontrarse en la línea de intersección del plano S con el plano P, perpendicular a S y que pasa por los puntos A y B. En efecto, supongamos que el punto indicado no se halle en el plano P, que sea el punto O, en la figura 1.10, b.

Figura 1.10
Bajemos una perpendicular de O1 al plano P. Está claro que como AO2 < AO1, y BO2 < BO1, para recorrer el trayecto AO2B se requiere menos tiempo que para recorrer el camino AO1B.
Así, valiéndonos del principio de Fermat, nos cercioraremos de que se cumple la primera ley de refracción: los rayos reflejado y refractado se encuentran en un mismo plano con la perpendicular levantada a la superficie del punto de refracción del rayo. Este plano es precisamente el plano P en la figura 1.10, b, el cual se denomina plano de incidencia.
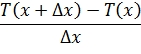
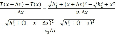
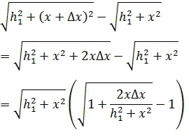
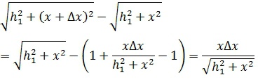
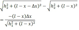
En lo sucesivo examinaremos los rayos en el plano de incidencia (Figura 1.10, c). Designemos A1O por x, entonces OB1 = l - x. El tiempo T necesario para recorrer la distancia de A a O y luego de O a B, es

Este tiempo depende de x. De acuerdo con el principio de Fermat, la magnitud x debe elegirse de modo que el tiempo T resulte mínimo.
Para este x la relación

en el límite cuando Δx tiende a cero, debe convertirse en cero:

En efecto, la relación mencionada es la pendiente (respecto a x) de la cuerda, trazada por los puntos de la gráfica de la función T, correspondientes a los valores x y (x + Δx) de su argumento.
Cuando Δx → 0, el límite de esta relación es una pendiente de la tangente hacia la gráfica de la función T en el punto de ésta, correspondiente al valor de x del argumento de la función. Si en el punto x la función T alcanza el mínimo (o máximo), la tangente resulta ser una recta horizontal, o sea, su pendiente con respecto al eje x se hace nula, por eso nos aproximamos a la relación (1.14).
Teniendo en cuenta (1 13), escribiremos

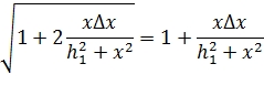
Aprovecharemos la conocida relación aproximada

válida para ξ « 1.
Puesto que Δx/x « 1,
(x + Δx)2 + x2(1 + Δx/x)2 =
x2 (1 + 2Δx/x) = x2 + 2xΔx.
Utilizando esto, representemos

Tomando en consideración que 2x Δx(h12 +
x2) « 1, emplearemos de nuevo la relación aproximada, mencionada anteriormente; entonces obtendremos

Por lo tanto,

Del mismo modo hallamos que

Asi pues,

Vemos que en este caso la relación

no depende totalmente de Δx. Así, en el límite, cuando Δx →0, permanecerá sin cambio alguno, de manera que podemos escribir conforme a (1.14):

Ya que

entonces,

De este modo, nos aproximamos a la ley de refracción que se describe mediante la relación (1.9).
Reflexión interna total; ángulo limite de reflexión.
Hasta ahora hemos examinado la refracción de la luz en la superficie de separación de dos medios, sin prestar de hecho atención a que, por lo general, a la par con la refracción se observa también, simultáneamente, la reflexión de la luz desde la superficie de separación. Hablando, estrictamente, ambos fenómenos (reflexión y refracción de la luz) deben analizarse al mismo tiempo.
Esto lo demostró de manera convincente el eminente científico Augustin Jean Fresnel (1788-1827). El obtuvo las relaciones para la intensidad de los rayos luminosos reflejado y refractado, teniendo en cuenta la intensidad del rayo incidente, el valor del ángulo de incidencia, asi como la polarización de la luz. Estas relaciones se conocen hoy en día como fórmulas de Fresnel y han conservado su aspecto en la óptica moderna.
Las fórmulas de Fresnel no entran en el margen del libro, ya que para explicarlas, se necesitaría aplicar la teoría electromagnética de la luz. Además, tal característica de la luz como su polarización, exige una discusión especial.

Figura 1.11
Por eso nos limitaremos a objeciones puramente cualitativas acerca de la interacción de la intensidad de los rayos luminosos reflejado y refractado y examinaremos el paso de la menor (dicho de otra manera: de un medio ópticamente más denso a otro, menos denso). Este caso representa un interés peculiar ya que conduce al fenómeno de reflexión interna total.
La figura 1.11 nos presenta cuatro casos que corresponden a diversos valores del ángulo de incidencia a del rayo luminoso. La luz cae sobre la superficie de separación de los medios con índices de refracción n1 y n2, pasando del medio con n1 al medio con n2, con la particularidad de que n2 > n1.
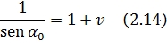
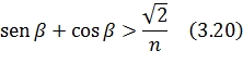
A medida de que el ángulo de incidencia vaya aumentando, la intensidad del rayo refractado disminuirá, mientras que la intensidad del reflejado, crecerá. Cuando el ángulo de incidencia, aumentando, alcance el valor

el ángulo de refracción β tomará el valor de 90", lo que se desprende directamente de la ley de refracción sen α/sen β = n1 /n2. El ángulo α0 se denomina ángulo límite. A medida que α se aproxime a α0, la intensidad del rayo refractado disminuye, convirtiéndose en cero para α = α0.
Siendo α = α0, el rayo luminoso se refleja por completo de la superficie de separación (figura 1.11, d). En este caso se habla de la reflexión interna total.
Subrayemos que no se puede afirmar que el rayo refractado, alcanzando el ángulo limite, se "convierte" a salto en rayo reflejado.
En realidad aquí no tiene lugar ningún salto. A medida que el ángulo a se aproxima al límite, la intensidad del rayo refractado, disminuyendo continuamente, se convierte en cero, y a su vez, la intensidad del rayo reflejado, aumentando continuamente, alcanza el valor de la intensidad del rayo incidente. Con vista a esto, prestemos de nuevo atención a la necesidad de examinar en conjunto los fenómenos de refracción y reflexión de la luz.
Indiquemos que la reflexión interna total es más absoluta (más completa) que la reflexión, producida por espejos metálicos ejecutados de modo especial, en los cuales siempre ocurre cierta absorción de la energía del rayo incidente.
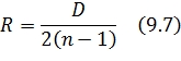
El buzo sumergido en agua, choca inevitablemente con el fenómeno de reflexión interna total de la luz. Analicemos el siguiente problema. El buzo de una estatura h, está de pie en el fondo del estanque a una profundidad H. Hallar la distancia mínima desde el punto en que se encuentra el buzo hasta los puntos del fondo que podrá ver éste a causa de la reflexión interna total de la superficie del agua. El índice de refracción del agua es
n = 4/3.
Designemos la distancia incógnita por L; A es el punto del fondo más próximo al buzo que puede observar éste merced a la reflexión interna total. El recorrido del rayo luminoso desde el punto A al ojo del buzo se muestra en la figura 1.12.

Figura 1.12
El ángulo límite a0 se determina por la relación

De la figura vemos que

Teniendo en cuenta que

y usando (1.17), transformemos (1.18), la cual adquirirá la forma

Así pues,

Método gráfico de construcción de rayos refractados.
En la práctica existe un método bastante sencillo de trazar los rayos refractados.

Figura 1.13
La figura 1.13 ilustra este método: su parte superior se refiere al caso cuando la luz se propaga de un medio con índice de refracción n1 más bajo, a otro que posee un índice mayor, n2 mientras que la parte superior de la misma muestra el caso contrario. En la figura se han elegido n1 = 1,4 y n2 = 1,8.
Comencemos por la parte superior de la figura. En ella se muestran dos circunferencias con el centro común en el punto O en la superficie de separación de dos medios; los radios de las circunferencias se relacionan como los índices de refracción de los medios. Sea que la circunferencia 1 es la que tiene el radio proporcional a n1 y la 2, tiene el radio proporcional a n2. Tracemos-el rayo luminoso incidente con ángulo de incidencia; se intersecan con la circunferencia 1 en el punto A. Tracemos de A una recta horizontal y hallamos el punto B, en el cual se intersecan dicha recta y la circunferencia 1. Luego bajemos de B una perpendicular hasta la intersección con la circunferencia 2 (en el punto C). El rayo refractado incógnito pasará a través del punto C. Para cerciorarse de lo expuesto es suficiente escribir las siguientes correlaciones:

Semejantes razonamientos se llevan a cabo para la parte inferior de la figura. En ésta se representan las mismas circunferencias 1 y 2, sólo que los puntos A y B ahora no se hallan en la circunferencia 1, sino en la 2, mientras que el punto C se encuentra en la circunferencia 1 y no en la 2. Supongamos que el rayo incidente se propaga bajo cierto ángulo (ángulo α0), para el cual el segmento desde el punto de intersección del rayo con la circunferencia 2 hasta la perpendicular OO1, (segmento A1 O2), es igual al radio de la circunferencia 1. En este caso el rayo refractado tendría que pasar por el punto C1. El ángulo α0 es el ángulo límite:
sen α = A1O2/A1O = n1/n2
Radiación de Vavílov-Cherenkov: leyes de refracción y reflexión de la luz
Al final dediquémonos aúna analogía bastante interesante entre las leyes de refracción y reflexión de la luz, por una parte y la regularidad a que se somete la radiación de Vavilov-Cherenkov, por la otra. Como se sabe, el efecto de Vavilov-Cherenkov, descubierto en 1934, consiste en que el electrón, moviéndose en cierto medio con una velocidad que supera a la de la luz en dicho medio, engendra una radiación especifica (la radiación Vavilov-Cherenkov).

Figura 1.14
El frente de ésta puede confeccionarse empleando el principio de Huygens. En la figura 1.14 se dan cuatro posiciones consecutivas del electrón en movimiento: A, B, C, D (AB = BC = CD).
El electrón se mueve a una velocidad u y cubre la distancia de A a D durante Δt = AD/u. Cada punto del trayecto del electrón puede considerarse como una fuente de onda luminosa esférica que comienza a funcionar en el momento en que el electrón pasa por dicho punto. Las ondas luminosas, engendradas por el electrón, se propagan a una velocidad v. (Recordemos que en este caso v < u).
En la figura los frentes de estas ondas, fijadas cuando el electrón alcanza el punto D, se dan en forma de circunferencias. Los radios de las circunferencias en cuestión son:
AA
1
= v Δt
BB
1
= 2v Δt/3
CC
1
= v Δt/3
las envolventes de los frentes de las ondas esféricas son en sí líneas rectas (A1D y A2D) que forman un ángulo α con la dirección del movimiento del electrón. Es fácil ver que este ángulo satisface la relación:

Así, pues, la radiación examinada se realiza en forma de dos ondas planas que se propagan bajo un ángulo θ = 90° - α respecto a la dirección del movimiento del electrón.
Es interesante que la condición de la radiación de Vavilov-Cherenkov (1.19) puede aplicarse no sólo al electrón que se mueve con rapidez en el medio, sino que también a cualquier otra fuente "superluminosa''.
Supongamos que una onda plana incide bajo un ángulo α sobre la superficie de separación de dos medios con índices de refracción n1 = c/v1
y n2 = c/v2, (figura 1.15). En punto A es la huella de la línea de intersección del frente de la onda luminosa incidente con el plano que separa los medios. Este punto se desplaza a lo largo del eje x (a lo largo de la superficie de separación de los medios) a una velocidad

La velocidad v' es mayor que la de la luz, ya que tanto en el medio 1 como también en el 2 (lo último no se cumple sólo cuando n1 > n2, en este caso el ángulo de incidencia es mayor que el ángulo límite). Por eso la radiación en cuestión está proporcionada tanto en el medio 1, como también en el medio 2.
Los frentes de esta radiación forman los ángulos α1 (en el medio 1) y α2 (en el medio 2) con el eje x; estos ángulos son distintos puesto que las velocidades de la luz en los medios en cuestión son diferentes. Conforme a (1.19) podemos escribir

Sustituyendo (1.20) en (1.21), recibimos sen α1 = sen α, o sea, obtenemos la ley de refracción de la luz.
Poniendo (1.20) en (1.22), tenemos sen α2 = (v2/v1) sen α, lo que corresponde a la ley mencionada. De esta manera se revela una curiosa analogía entre el fenómeno de la radiación de Vavílov-Cherenlcov y los fenómenos de reflexión y refracción de la luz en la superficie de separación de dos medios (el académico I. M. Frank prestó atención a esta analogía).

Figura 1.15
Las ondas luminosas reflejada y refractada pueden examinarse en calidad de la radiación mencionada, engendrada en medios limítrofes por una fuente "superluminosa" que es en sí una línea de intersección del frente de la onda luminosa incidente con la superficie de separación de los medios que se desplaza con rapidez.
En caso de n2 < n1, y, además, si el ángulo de incidencia de la luz sobre la superficie de separación de los medios satisface la condición sen α > n2/n1, la velocidad v' determinada por la relación (1.20), resulta ser inferior a la de la luz en el medio 2. Entonces tenemos v1 < v' < v2. Por lo tanto, la radiación de Vavilov-Cherenkov se engendrará sólo en el medio 1, lo que corresponde, como es fácil de comprender, al fenómeno de reflexión interna total.
Contenido:
- Refracción de la luz en la atmósfera; ángulo de refracción
- Conceptos antiguos sobre la refracción de la luz en la atmósfera
- Refracción de la luz según Kepler
- Restauración de la teoría de refracción de newton a través de su correspondencia con John Flamsteed
- Ley exponencial del decremento de la densidad de la atmósfera en función de la altura
- Particularidad de la puesta del sol; aparición de una "franja borrosa"
- Centelleo de las estrellas
- Desviación del rayo luminoso en un medio ópticamente no homogéneo
- Espejismos
Refracción de la luz en la atmósfera: ángulo de refracción.
En la charla anterior habíamos supuesto que la velocidad de la luz en el aire es la misma que la de la luz en el vacío, es decir, considerábamos que el índice de refracción del aire era igual a la unidad.
Pero en realidad esta suposición es aproximada. Está justificada si se examina la transición del rayo luminoso a través de la superficie de separación entre el aire y el agua o el aire y el vidrio. Sin embargo, es inicuo cuando se trata de la propagación de la luz a través de la atmósfera terrestre. En este caso es necesario no sólo tener en cuenta el valor del índice de refracción que supera la unidad, sino que también el cambio de éste desde un punto a otro de acuerdo con la variación de la densidad del aire. La atmósfera es en sí un medio ópticamente no homogéneo, por eso el camino del rayo luminoso en la atmósfera es siempre, en cierto grado, curvilíneo. La desviación de los rayos luminosos, al pasar por la atmósfera, se denomina refracción de la luz en la atmósfera.
Se distingue la refracción astronómica y terrestre. En el primer caso se examina la desviación de los rayos luminosos que llegan al observador terrestre de los cuerpos celestes (del Sol, la Luna y estrellas). En el segundo caso se analiza la desviación de los rayos que se aproximan al observador de los objetos terrestres. En ambos casos, debido a la desviación de los rayos luminosos, el observador no puede ver el objeto en dirección que corresponde a la realidad; el objeto puede dejarse ver desfigurado. Incluso es posible observarlo cuando éste se halla de hecho fuera del horizonte. Así, pues, la refracción de la luz en la atmósfera terrestre puede conducir a ilusiones ópticas peculiares.
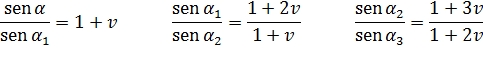
Supongamos por un momento que la atmósfera consta de un conjunto de capas horizontales, ópticamente homogéneas, de un mismo grosor. El índice de refracción varía a saltos de una capa a otra, aumentando de una manera paulatina en dirección de las capas superiores a las inferiores.

Figura 2.1
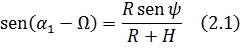
Semejante situación, totalmente especulativa, se muestra en la figura 2.1,a en la cual la atmósfera se da en forma de tres capas con índices de refracción 1 + v, 1 + 2v y 1 + 3v, donde v « 1.
El camino del rayo luminoso que llega al observador terrestre de un cuerpo celeste, es en este caso una línea quebrada, con la particularidad que

En realidad la densidad de la atmósfera, y, como consecuencia, también su índice de refracción, no varían a saltos respecto a la altura, sino que paulatinamente. Por lo tanto el camino del haz luminoso no es una línea quebrada, sino curva. La figura 2.1,b muestra ese trayecto.
Supongamos que el rayo de la figura llega de cierto objeto celeste al observador. De no haber refracción de la luz en la atmósfera, el objeto seria visto por el espectador bajo un ángulo α (el ángulo α se considera con relación a la perpendicular y se denomina distancia cenital del objeto). A causa de la refracción, el observador no ve el objeto bajo el ángulo α, sino bajo un ángulo Ψ. Puesto que Ψ < α, el objeto parece estar más arriba del horizonte de lo que está en realidad. Con otras palabras, la distancia cenital del objeto es inferior a la real. La diferencia
Ω = α — Ψ
se denomina ángulo de refracción.
Conceptos antiguos sobre la refracción de la luz en la atmósfera.
Las primeras menciones sobre la refracción de la luz en la atmósfera se refieren, por lo visto, al siglo I de nuestra era. En la obra de Cleomedes, citada antes, "Teoría de los movimientos circulares de los cuerpos celestes", leemos:
"¿Acaso no es posible que el rayo luminoso, pasando las capas húmedas del aire, se desvíe y otra cosa, ¿por qué el Sol parece hallarse sobre el horizonte cuando en realidad ya se ha ocultado?"
En el siglo II de nuestra era Tolomeo señalaba equitativamente que para los rayos que parten de un objeto en zenit, no hay refracción, ésta debe aumentar de una forma paulatina a medida de que el objeto se aproxime al horizonte (es decir, a medida que vaya creciendo la distancia cenital). El eminente científico árabe del siglo XI Alhazen (Ajaytam) también se interesaba por la refracción de la luz en la atmósfera. Señalaba que merced a dicho fenómeno, la duración de la parte diurna del día aumentaba en cierto grado. Alhazen intentó calcular la altura de la atmósfera terrestre, empleando el alargamiento del día, acondicionado por la refracción.
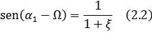
Refracción de la luz según Kepler.
![]() Figura 2.2 |
Johannes Kepler (1571-1630), famoso científico alemán en su obra titulada modestamente "Ad vitellionem paralipomena quibus astronomiæ pars optica traditur" elaboró una teoría de la refracción de la luz, suponiendo que la atmósfera era una capa homogénea de cierto grosor H que posee la misma densidad en todas las alturas. Esta suposición no tiene que asombramos, ya que en los tiempos de Kepler el aire se consideraba imponderable. Pasará casi más demedio siglo antes que Torricelli demuestre que la presión del aire disminuye con la altura.
La refracción de la luz en la atmósfera según Kepler se expone en la figura 2.2, en la cual R es el radio de la Tierra; H, la altura de la capa de aire que forma la atmósfera. El ángulo Ω = α1 - α2 es el ángulo de refracción. El rayo luminoso de la figura, se refracta sólo al entrar en la capa de atmósfera (en el punto A). Aplicando el teorema de los senos al triángulo O1OA, obtenemos

otra manera

Teniendo en cuenta que α2 = α1 — Ω, hallamos

Partiendo de las estimaciones hechas por Alhazen, Kepler tomó H/R = 0,014 y, aplicando la fórmula (2.1), calculó el ángulo α1 - Ω para Ψ = 90°.
Éste resultó ser 80°29', o sea, bastante menos de lo que se debía esperar, basándose en datos experimentales conocidos en aquel entonces. Con fin de obtener una concordancia con los datos experimentales, era preciso en la fórmula (2.1) tomar el valor H/R mucho más pequeño (aproximadamente igual a 0,001).
De este hecho Kepler dedujo que la refracción de la luz está acondicionada sólo por aquella parte de la atmósfera que se acerca directamente a la superficie terrestre y tiene una altura de no más de 5 km. Puede decirse que Kepler tenía en manos la clave del descubrimiento de la disminución de la densidad del aire respecto a la altura, sin embargo, el científico no dio el paso decisivo.
Conforme a los recientes datos, el ángulo máximo de refracción (el ángulo de refracción para Ψ = 90°) es de 35'.
![]() Figura 2.3 |
Al contemplar la puesta del Sol en la orilla del mar, vemos como el borde inferior del astro roza el horizonte y no nos damos cuenta que, en realidad, este extremo en dicho momento ya se halla 35' más bajo del horizonte. Es interesante que la refracción solevanta menos el extremo superior del disco solar: sólo 29' (pues la refracción disminuye con el decremento de la distancia cenital) Por eso el Sol poniente parece un poco achatado respecto de la perpendicular (figura 2.3).
Imaginémonos por un momento que vivimos en los tiempos de Kepler; además, sabemos que, siendo Ψ = 90º, el ángulo de refracción Ω = 35'. Supongamos también que conocemos el índice de refracción del aire cerca de la superficie terrestre: n = 1 + v, donde v = 2,92 x 10-4. Este resultado corresponde a la temperatura de 15 °C y presión atmosférica normal.
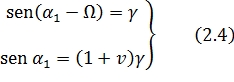
Luego, haciendo uso del modelo de Kepler de la atmósfera homogénea, hallaremos la relación H/R de la altura de la atmósfera respecto al radio del globo terrestre. Con otras palabras, resolveremos el siguiente problema; suponiendo la atmósfera ópticamente homogénea y con índice de refracción 1 + v = 2,92 x 10-4 , hallar la relación de la atmósfera respecto al radio del globo terrestre, si se sabe que el ángulo de refracción máximo es de 35'.

Figura 2.4
La figura 2.4 ilustra la situación expuesta en el problema. Introduciendo la designación H/R = ξ y poniendo Ψ = 90°, escribimos de nuevo la fórmula (2.1):

Completemos esta relación con la ley de refracción en el límite de la atmósfera

En resumidas cuentas llegamos a un sistema de ecuaciones:

donde γ = 1/(1 + ξ).
Aplicando la fórmula de los senos de la resta de ángulos, transformemos la primera ecuación del sistema (2.4) en la siguiente forma:

Sustituyendo aquí sen α1 de la segunda ecuación del sistema (2.4), obtenemos

Dado que el ángulo Ω es muy pequeño, consideremos aproximadamente que

después de lo que (2.5) se convertirá en

al mismo tiempo hemos tenido en cuenta que v « 1, por lo tanto (1 + v)2 = 1 + 2v
Subrayemos que en (2.6) el ángulo Ω no debe medirse en grados y minutos, sino que en radianes. Para transformar 35' = (7/12)° en radianes, es necesario hacer uso de la proporción

de donde se desprende que Ω = 1,02 x 10-2 rad.
Elevando ambos miembros de la igualdad (2.7) al cuadrado, y ejecutando luego simples transformaciones algebraicas, hallamos que

Tomando en consideración que

obtenemos definitivamente

Al sustituir v = 2,92 x 10-4 y Ω = 1,02 x 10-2 en (2.10), encontramos
ξ = 5,7 x 10-4
Tomemos el radio del globo terrestre igual a R = 6.380 km. De aquí se deduce que la altura de la atmósfera (en los márgenes del modelo de Kepler) sólo debe ser igual a
ξ R = 3,64 km.
El resultado obtenido no debe desalentarnos ya que en realidad la densidad del aire y al mismo tiempo también el índice de refracción, disminuyen poco a poco con relación a la altura. Eso lo comprendió perfectamente el gran científico inglés Isaac Newton (1643-1727).
Restauración de la teoría de refracción de newton a través de su correspondencia con John Flamsteed
Newton hizo una gran aportación en el desarrollo de la teoría de la refracción astronómica de la luz. Por desgracia, el científico no incluyó sus investigaciones en esta rama ni en "Lectiones opticae" ni en "Opticks". Siendo extremadamente exigente en lo que se refería a las publicaciones científicas, Newton, por lo visto, subestimaba el significado de las tablas de la refracción de la luz, calculadas por él. En una de sus cartas, datadas de 1695, puede leerse el siguiente renglón:
"No tengo intención de escribir sobre la refracción y no deseo que la tabla de refracción sea propagada".
Hoy día podemos conocer las investigaciones sobre la refracción de la luz, realizadas por Newton, sólo merced a una dichosa casualidad: más de 100 años después de la muerte del eminente sabio, en 1832, en el desván de una de las casas de Londres, se encontraron 27 cartas escritas por Newton a Flamsteed. Este último realizaba investigaciones astronómicas en el observatorio de Greenwich: era "astrónomo real", título concedido por el rey inglés Carlos II. La correspondencia entre ambos sabios comenzó en 1680, año en que se observó un cometa-grande. Dicha correspondencia se hizo aún más frecuente a principios de los años 90, cuando Newton desarrollaba una teoría más precisa del movimiento de la Luna; aplicando los resultados de las observaciones astronómicas.
A mediados de los años noventa, en las cartas a Flamsteed, Newton expuso ciertos teoremas, referentes a la teoría de la refracción de la luz en la atmósfera, asimismo las tablas de refracción inicial y la más precisa, en las cuales fueron calculados los ángulos de refracción para distintos valores de la distancia cenital.
En 1835 el Almirantazgo inglés publicó la correspondencia entre Newton y Flamsteed. El libro no se puso a la venta: fue enviado a varios establecimientos científicos y a famosos astrónomos. En los años 30 de nuestro siglo XX, A. N. Krilov, eminente científico soviético en construcción naval, compró, por mera casualidad, ese libro a un librero de viejo en Londres por dos chelines y medio. El académico A. N. Krilov conocía bien las obras del gran sabio inglés; había traducido de una forma perfecta al ruso "Philosophiæ naturalis principia mathematica" (Principios matemáticos de la filosofía de naturaleza) de éste. Empleando las cartas de Newton a Flamsteed y aplicando sólo aquellos procedimientos matemáticos de los que disponía en su tiempo Newton, el académico soviético restituyó las demostraciones y deducciones del eminente científico inglés y las expuso en la obra " Teoría de la refracción de Newton", publicada en 1935. En la parte final de dicho trabajo, A. N. Krilov escribió:
"Entré en todos los detalles para mostrar cuán completa y general es la teoría de - la refracción astronómica que creó Newton a finales de 1694-principios de 1695, pero la cual, por desgracia, no se dio a la publicidad. Si se desarrolla la teoría de Newton por los mismos métodos elementales de análisis que conocía Newton, y se compara con las teorías modernas, se podrá sentir al momento lo simple y natural que resulta la exposición y qué poco se le añadió, en realidad, en el transcurso de 240 años".
Para pasar a la teoría newtoniana de la refracción astronómica leamos la carta datada del 24 de octubre de 1694, escrita por Newton al astrónomo real. En ésta Newton escribe, en particular:
"Opino que la refracción... varia en cierto modo a la par con el peso del aire que muestra el barómetro, ya que cuando el aire es más pesado y, como consecuencia, más denso, éste refracta más que cuando es más ligero y rarefacto".
Primero Newton supuso que la densidad del aire decrece de un modo uniforme a partir de la superficie de la Tierra hasta el límite superior de la atmósfera. Partiendo de estas conclusiones, el científico calculó su primera tabla de refracción. Al encontrar cierta diferencia entre los resultados de cálculo y los datos de observación, llevados a cabo por Flamsteed, Newton comenzó a componer una nueva tabla de refracción. Renunció de la hipótesis sobre el decremento lineal de la densidad del aire respecto a la altura y supuso que la densidad disminuye proporcionalmente al bajar la presión. Respecto a lo dicho, el científico escribía que
"la densidad del aire en la atmósfera terrestre es proporcional al peso de todo el aire cubriente" (carta del 16 de febrero de 1695).
Así, pues, de hecho Newton llegó a la deducción de que la densidad de la atmósfera disminuye en función de la altura según la ley exponencial.
Ley exponencial del decremento de la densidad de la atmósfera en función de la altura.
En la física moderna esta ley se escribe en forma de la denominada fórmula barométrica de la altura:

Aquí ρ(h) es la densidad del aire a la altura h, T, la temperatura absoluta del aire que, en este caso, se supone constante en todas las alturas; g, la aceleración de la caída libre (9,81 m/s2); k, la constante de Boltzmann (1,38 x 10-23 J/K); la masa de la molécula se designa por m.
Por lo tanto, en rigor, la fórmula (2.11) sólo describe la variación de la densidad en función de la altura de un gas determinado que forma parte del aire, por ejemplo, el oxigeno (nitrógeno, hidrógeno, etc.). Cuanto más ligero es el gas, tanto con mayor lentitud disminuye su densidad respecto a la altura. La fórmula barométrica de la altura describe el decremento de la densidad de la atmósfera en función de la altura, ya que en ella no se toman en consideración el viento, las corrientes de convección y los cambios de temperatura. Además, la altura no debe ser muy grande (no debe superar 100... 200 km), para que se pueda menospreciar la dependencia entre la aceleración g y h.
La fórmula barométrica de la altura está vinculada (merecidamente) con el nombre del famoso físico austríaco Luis Boltzmann (1844-1906). Vale recordar que de hecho las investigaciones de Newton sobre la refracción de la luz en la atmósfera contenían las primeras indicaciones respecto al carácter exponencial del decremento de la densidad del aire en función de la altura. El eminente sabio inglés las empleó al componer la tabla precisada de la refracción.

Figura 2.5
La figura 2.5 muestra de qué modo, al investigar la refracción astronómica, se especificaban las nociones sobre el carácter común de la variación del índice de refracción con respecto a la altura. El caso a) corresponde a la teoría de Kepler, b) a la teoría inicial de refracción, perteneciente a Newton y c) a la teoría precisada de la refracción de la luz en la atmósfera de Newton y a la moderna.
Particularidad de la puesta del sol; aparición de una "franja borrosa"
Al analizar la refracción de la luz, a la par con la variación sistemática de la densidad respecto a la altura, es necesario también tomar en consideración ciertos hechos complementarios, muchos de los cuales poseen un carácter bastante aleatorio. Se trata de la influencia sobre el índice de refracción de las corrientes de convección y el viento, del grado de la humedad y de la temperatura del aire en distintos puntos de la atmósfera en diversos sectores de la superficie terrestre.
En sus cartas a Flamsteed, Newton indicaba la importancia de tomar en consideración semejantes hechos al comparar la tabla de refracción compuesta por él con los resultados de las observaciones. El científico escribía:
"La causa del diverso valor de la refracción a una misma altura en la cercanía del horizonte, yo la percibo en la diferencia del calentamiento del aire en sus capas bajas, puesto que cuando el aire se rarifica, debido al calor, refracta con menor intensidad, mientras que debido al frío, el aire se comprime y refracta con mayor intensidad. Esta diferencia debe ser más sensible si el rayo se propaga por las capas bajas de la atmósfera, puesto que sólo estas capas se enrarecen o bien se comprimen mediante el calor y frío, mientras que las capas superiores y medianas siempre permanecen frías".
Las particularidades del estado de la atmósfera y, ante todo, las del calentamiento de la atmósfera en sus capas bajas sobre diversos sectores de la superficie terrestre conducen a la originalidad de las puestas del Sol a observar. Asi, pues, a veces el Sol no aparenta desaparecer bajo el horizonte, sino que desaparece bajo cierta línea invisible que se halla sobre el horizonte (figura 2.6, d). Es interesante que dicho fenómeno se observe en ausencia de cualquier nebulosidad en el horizonte. Si en el transcurso de ese tiempo se sube a la cumbre de una colina (o al piso superior de un edificio, o bien a la cubierta superior de una motonave grande), puede verse un cuadro aún más raro: ahora el Sol desaparece bajo el horizonte, pero el disco solar resulta cortado por una "franja borrosa" horizontal, cuya posición se conserva invariable con relación al horizonte (figura 26, b).
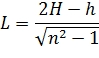
Este cuadro se deja ver en caso cuando el aire en las inmediaciones de la Tierra está frio, y la capa de aire relativamente templada se sitúa más arriba. Entonces, como muestra, de modo aproximado, la figura 2.7, α el índice de refracción del aire varia respecto a la altura.

Figura 2.6
El traspaso de la capa de aire fría inferior a la templada, yacente a ella, puede conducir a una reducción bastante intensa del índice de refracción. Para mayor simplicidad admitamos que esta disminución se efectúa a salto y que por eso entre las capas templada y fría existe una superficie de separación, bien marcada, que se halla a cierta altura h sobre la superficie de la Tierra (figura 2.7, b). En la figura el índice de refracción del aire en la capa fría se designa por nf y en la capa templada en las inmediaciones del límite con la fría, por nt.
El modelo dado en la figura 2.7, b, se utiliza en la figura 2.8 donde se muestra una parte de la superficie del globo terrestre y la capa del aire fría de una altura h1, yacente a él. (Las escalas en la figura están alteradas por necesidad: ya que en realidad la altura h es 100.000 veces aproximadamente inferior al radio R de la Tierra.)

Figura 2.7
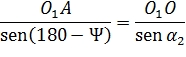
El observador se encuentra en el punto O. En el punto C de la superficie de separación del aire templado y frío el rayo luminoso CO, que llega al experimentador desde un objeto celeste, experimenta refracción; en este caso

donde v = {nf - nt)/nt (es obvio que v « 1). La relación entre el ángulo Ψ (distancia cenital) y el de refracción α1 la establece el teorema de los senos, aplicado al triángulo O1OC :
O1O/sen α2 = O1C/sen (180° - Ψ)
o de otra forma

donde ξ = h1 /R. (Señalemos que el resultado de (2.13) se desprende directamente de (2.1).)
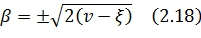
Examinando (2.13) vemos que a medida que aumenta la distancia cenital Ψ desde 0 hasta 90°, el ángulo α, crece, alcanzando su valor máximo para Ψ = 90°.
Vamos a incrementar paulatinamente Ψ empezando desde cero; al mismo tiempo, el ángulo α2 también aumentará. Supongamos que cuando el ángulo Ψ alcance cierto valor Ψ', α2 resultará igual al ángulo limite α0, que caracteriza la reflexión interna total en el límite de las capas templada y fría.
En este caso sen α1 = 1. En la figura 28 al ángulo α0 le corresponde el rayo BO, el cual forma con la horizontal el ángulo β = 90° - Ψ'. Está claro que el observador no verá los rayos que penetran en la capa fría en los puntos cuya altura angular sobre el horizonte será inferior a la del punto B, o sea, inferior al ángulo β. De este modo se explica el cuadro de la puesta del Sol, mostrado en la figura 2.6, a.

Figura 2.8
Es fácil calcular la anchura angular de la "franja borrosa" en la figura 2.6, a (es decir, el ángulo β en la figura 2.8). Respecto a esto, examinemos el siguiente problema. Hallar la anchura angular de la
"franja borrosa" que se observa al ponerse el Sol (figura 2.6, a)si la altura de la capa fría del aire ht =
50 my la relación de la diferencia de los índices de refracción de las capas templada y fría al índice de refracción de la capa templada es igual a v = 10-5.
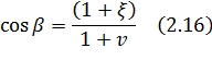
Para resolver el problema utilizaremos la figura 2.8. Ya que el rayo B1B forma con O1B el ángulo 90º, (2.12) puede escribirse de nuevo de la siguiente forma

El teorema de los senos para el triángulo O1OB nos da
O
1
O /sen α0 = O1B/sen Ψ
Teniendo en cuenta que β = 90° - Ψ', y h1/R = ξ escribiremos de nuevo la última igualdad:

De (2.14) y (2.15) obtenemos

Luego, aprovecharemos el hecho de que el ángulo β es muy pequeño, de modo que cos β = 1 - β2/2; además, ξ y v son pequeños, por eso puede considerarse que
(1 + ξ/(1 + v) = (1 + ξ)(1 — v) = 1 — (v — ξ)
Así, pues, la relación (2.16) adquirirá el aspecto

De esta manera

La existencia de dos signos significa que la "franja borrosa" se halla tanto sobre el horizonte (signo +), como bajo el horizonte (signo -). Para cerciorarse de la existencia de la "franja borrosa" bajo el horizonte, el observador no tiene más que subirse a una colina. Hablaremos de esto un poco más tarde; ahora examinaremos sólo la "franja borrosa", a la cual en (2.18) corresponde el signo +. Siendo h1 = 50 m y R = 6.380 km, tenemos ξ = 0,78 x 10-5. Sustituyendo este valor de ξ en (2.18) hallamos que β = 2,1 x 10-3 rad = 7,2'.
Ahora será fácil explicar el cuadro de la puesta del Sol, que ofrece la figura 2.6, b. Si el investigador se halla a cierta altura, en principio, puede observar los rayos que se caracterizan por la distancia cenital Ψ superior a 90º + β (figura 2.9).

Figura 2.9
En este caso él verá una parte del disco solar que se sitúa por debajo de la "franja borrosa" y de una anchura angular de 2β. Suponiendo que el ángulo β = T, obtenemos que la "franja borrosa" que interseca el disco solar tiene una anchura de 14'. El disco solar se ve bajo un ángulo de 32', de aquí se deduce que la anchura de dicha franja en este caso es un poco menor que la mitad del diámetro del disco solar.
Centelleo de las estrellas
Indiquemos otro fenómeno, relacionado con la refracción astronómica de la luz: el centelleo de las estrellas. Los flujos de aire en la atmósfera conducen a que el ángulo de refracción para una u otra estrella que se observa desde la Tierra, varía, en cierto grado respecto al tiempo. Esto es precisamente lo que lleva al observador terrestre a considerar que la estrella centellea. El centelleo se nota más en las estrellas que se encuentran más próximas al horizonte, ya que las vemos a través de una capa gruesa de la atmósfera. Es natural que los cosmonautas no observen ningún centelleo de estrellas.
Desviación del rayo luminoso en un medio ópticamente no homogéneo.
Hasta el momento nos hemos dedicado sólo a la refracción astronómica de la luz (desviación de los rayos luminosos que llegan al observador en la Tierra de los objetos extraterrestres). También presenta interés la refracción terrestre de la luz, en caso de la desviación de los rayos que llegan al observador desde los objetos situados en la Tierra. Entonces pueden ocurrir fenómenos muy impresionantes, que recibieron el nombre de espejismos.
Comenzaremos la charla sobre los espejismos por estudiar el siguiente experimento simple. Cojamos un recipiente con paredes transparentes que tiene forma de un acuario ordinario (para la comodidad de las observaciones) y llenémoslo de agua; luego disolvamos en éste cierta cantidad de azúcar. El índice de refracción de la solución disminuirá de una manera constante en dirección del fondo del recipiente hacia su parte superior. Dirijamos al recipiente un estrecho haz luminoso a través de la pared lateral.
Primero dirijamos el haz de modo que éste se propague desde abajo hacia arriba bajo cierto ángulo α a la perpendicular (figura 2.10, a). A medida de que el haz pase a las capas del líquido con un índice de refracción más bajo, el ángulo entre el haz y la perpendicular crecerá. El haz luminoso se desviará en el interior del recipiente. La dirección del haz se aproximará a la horizontal.

Figura 2.10
Después dirijamos el haz desde arriba hacia abajo bajo un ángulo α a la perpendicular (figura 2.10, b). Al pasar a las capas de líquido con mayor índice de refracción, el ángulo entre el haz y la perpendicular disminuirá. El haz luminoso se curvará de modo que su dirección se desviara más y más de la línea horizontal.
El cuadro que se observa en ambos casos examinados es bien comprensible: es suficiente recordar los ejemplos de la refracción astronómica, discutidos anteriormente.
Ahora examinemos un caso más interesante. Supongamos que el haz luminoso entre en el recipiente a través de la pared lateral de modo estrictamente horizontal (figura 2.10, b) Serla de esperar que en este caso el haz deberla propagarse dentro del recipiente también horizontalmente No obstante, como muestra el experimento, el haz luminoso, al propagarse en el liquido, se desviará más y más hacia abajo, o sea, en dirección de las capas ópticamente más densas.
No es difícil explicarlo si se tiene en cuenta que el haz luminoso infinitamente estrecho es una idealización, mientras que en efecto los haces luminosos son de una anchura finita (de una apertura finita). Supongamos que se investiga un haz luminoso planoparalelo ideal que penetra en el recipiente de modo estrictamente horizontal. La figura 2.11 nos ofrece la imagen de semejante haz; las líneas de trazo muestran las secciones del frente de onda del haz en diversos puntos a lo largo del eje del haz y las flechas, los rayos luminosos.

Figura 2.11
Recordemos que en cada punto el frente de onda y el rayo luminoso son mutuamente perpendiculares. Examinemos el frente del haz luminoso AB, cuando el haz acaba de penetrar en el liquido. Sea vA la velocidad de la luz en el punto A y vB, en el puntoB. Por cuanto el índice de refracción del liquido en el punto A es inferior al índice en el punto B entonces vA > vB. De esto se desprende directamente que el frente de onda del haz, siendo primero vertical (frente AB], se inclinará cada vez más a medida de propagarse el haz en el liquido.
El experimento en cuestión permite hacer la siguiente conclusión: si la luz se propaga en un medio, cuyo índice de refracción disminuye continuamente en dirección desde abajo hacia arriba, el rayo siempre se curvará, de una forma independiente de la dirección inicial, con la particularidad de que su trayecto está dirigido con la convexidad hacia arriba (véase la figura 2.10, d).
Si el índice de refracción disminuyese de arriba hacia abajo, en este caso la parte convexa del rayo luminoso desviado estarla dirigida hacia abajo. Generalizando lo dicho, podemos enunciar la siguiente regla:
el rayo luminoso en un medio ópticamente no homogéneo se curva de modo que su trayecto siempre está dirigido con la convexidad hacia la parte de la disminución del índice de refracción del medio.
Espejismos.
Aplicando esta regla, no es difícil comprender el origen de ciertos tipos de espejismo. La figura 2.12 muestra de qué modo surge el denominado espejismo superior. Para que surja éste es indispensable que el índice de refracción de la capa de aire sobre la superficie disminuya con bastante rapidez en función de la altura, lo que se obtiene cuando, por ejemplo, abajo se ubica una capa de aire frió y sobre ésta se encuentra la capa de aire más templado.

Figura 2.12
Sobre una superficie intensamente recalentada (por ejemplo, en el desierto, así como en un día caluroso sobre un camino de asfalto) pueden surgir los denominados espejismos inferiores. Entre éstos hay que destacar los espejismos de lago: las visiones de los lagos con vegetación ribereña que se refleja en ellos, que surgen en el desierto (figura 2.13). El agua en estos "lagos" no es más que el reflejo del firmamento.

Figura 2.13
Las formas de los espejismos son muy diversas, lo que está relacionado con la singularidad de la región, donde se observa el espejismo, y con la del estado de la atmósfera durante las observaciones. Esto se puede comprender si nos dirigimos a la figura 2.14, en la que se muestra el camino de uno de los rayos que llega al observador desde un objeto en caso de que la capa de aire sobre la superficie muy caliente (siendo el índice de refracción relativamente bajo) esté cubierta por otra capa de aire suficientemente (rio (con un índice de refracción bastante más elevado).

Figura 2.14
Antes de llegar al observador, el rayo luminoso describe (en nuestro caso) un trayecto muy complejo, lo que puede servir de causa para proporcionar un espejismo peculiar.
Prestemos atención al hecho de que el trayecto del rayo en la figura 2.14 en todos los puntos tiene la convexidad hacia la dirección de la disminución del índice del medio aéreo. Dividamos este trayecto en tres sectores. En el sector AB y CO éste tiene la convexidad vuelta hacia abajo, puesto que en los márgenes de la capa inferior de altura h el índice de refracción disminuye desde arriba hacia abajo. En el sector BC el trayecto del rayo tiene la convexidad hacia arriba, ya que en las alturas que rebasan h, el índice de refracción disminuye desde abajo hacia arriba.
Los espejismos se describen en muchos libros, tanto científicos, como de bellas letras. A los espejismos más impresionantes la gente les dio nombres e inventó leyendas y los rodeó de creencias. Así, pues, existen leyendas del "Holandés errante" (barco fantasma que se presenta a los marineros durante la tempestad, condenados a naufragar); "Fata Morgana" (palacios fantasmas que crecen en el horizonte y desaparecen a medida que se aproxima a ellos) y "Fantasmas de Broken" (figuras gigantescas de personas y animales en movimiento que surgen en el firmamento).
Muchos espejismos, sobre todo los más distantes, cuando la imagen se traslada a miles de kilómetros, son en sí fenómenos ópticos muy complejos. Para explicarlos es insuficiente examinar sólo la refracción de la luz en la atmósfera; el mecanismo físico de estos espejismos es mucho más complicado. Es posible que a determinadas condiciones en la atmósfera se formen enormes lentes aéreas -conductos de luz peculiares-, espejismos secundarios, o sea, espejismos que surgen de los espejismos. Es posible también que un papel definitivo en la aparición de los espejismos lo desempeña la ionosfera (la capa de gases ionizados a una altura de 100 km, aproximadamente) que puede reflejar las ondas luminosas.
Contenido:
- Refracción del rayo luminoso en el prisma; ángulo de desviación del rayo
- Caso de un recorrido simétrico y asimétrico del rayo en el prisma
- Refractómetros
- Explicación de cómo aparecen en el cristal de ventana imágenes dobles de objetos alejados
- Prismas reflectantes
- Fotómetro Zummer - Brodhun
- Prisma reflectante en lugar de un espejo de reflexión en el resonador de laser
Refracción del rayo luminoso en el prisma; ángulo de desviación del rayo.
Al atravesar el prisma, el rayo de la luz solar no sólo se refracta, sino que se descompone en diversos colores. Aplacemos la discusión sobre la descomposición de la luz en distintos colores hasta la siguiente charla, en ésta estudiaremos sólo la refracción del rayo en el prisma. En rigor, esto significa que el rayo luminoso se considera monocromático (palabra de origen griego: "cromos" significa color y "mono", uno).
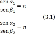
La figura 3.1 muestra el rayo luminoso que atraviesa el prisma con un ángulo de refracción θ e índice de refracción n. El índice de refracción del medio ambiente (aire) se supone igual a la unidad. El rayo, representado en la figura, incide sobre la cara izquierda del prisma bajo el ángulo α1. Aplicando la ley de refracción en los puntos A y B, escribiremos


Figura 3.1
Como consecuencia del paso a través del prisma, el rayo luminoso se desvía de su dirección inicial en un ángulo C1CB, el cual designaremos por δ y en lo sucesivo denominaremos ángulo de desviación del rayo. Tomando en consideración que ∠C1CB = ∠ CAB + + ∠CBA, deducimos que

Luego veremos que ∠D1DB = ∠DAB + ∠ABC = β1 + β2. Ya que ∠D1 DB = ∠AOB, por lo tanto

Teniendo en cuanta (3.3), escribamos de nuevo (31) y (3.3):

Caso de un recorrido simétrico y asimétrico del rayo en el prisma.
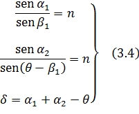
Resolvamos un problema. Hallar el ángulo de desviación del rayo δ en el prisma siendo θ el ángulo de refracción y n el índice de refracción cuando el rayo dentro del prisma es perpendicular a la bisectriz del ángulo de refracción.
En este caso el cuadro del paso del rayo a través del prisma es simétrico con relación a la bisectriz del ángulo de refracción (figura 3.2,a).

Figura 3.2
Por lo tanto,

Teniendo en cuenta estas igualdades, escribamos de nuevo la ley de refracción

en la siguiente forma:

De aquí hallamos

En definitiva:

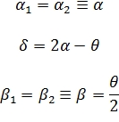
Examinemos un problema más. Hallar el ángulo de desviación del rayo δ' en el prisma siendo θ el ángulo de refracción y n el índice de refracción, si el rayo luminoso incide sobre la cara de salida del prisma de modo normal.
Si en el problema anterior nos encontramos con un recorrido simétrico del rayo a través del prisma (el rayo se refracta de la misma manera en ambas caras del prisma), ahora la situación resultó ser la más asimétrica: el rayo refracta intensamente en la cara de salida y no se refracta del todo en la de entrada (figura 3.2,b).
La ley de refracción en el punto B tiene el aspecto sen α'/sen θ = n. De aquí hallamos

Es útil cerciorarse de que δ' > δ. Conforme a (3.6) y (3.7),
δ' - δ = arcsen (n sen θ)- 2 arcsen (n sen (θ/2)) ≡ φ - Ψ
Por lo tanto es suficiente mostrar que
sen φ - sen Ψ > 0.
Ya que

entonces

La primera raíz en la expresión que está en los corchetes es superior a la segunda raíz y, por lo tanto, la desigualdad requerida está demostrada. En dicho ejemplo vemos que al pasar de un cuadro simétrico de la refracción del rayo luminoso en el prisma al asimétrico, el ángulo de desviación del rayo aumenta.
En ''Lecciones opticae" Newton demuestra mediante razonamientos geométricos que
"al refractarse rayos homogéneos en el prisma el ángulo que forman los rayos incidente y saliente, resulta máximo cuando en ambos casos la refracción es igual".
Newton comprendía bajo el término rayos homogéneos los rayos monocromáticos y bajo el ángulo "formado por los rayos incidente y saliente", el ángulo ACB (véase la figura 3.1), o sea, el ángulo igual a 180° - δ.
Así, pues, el ángulo de desviación del rayo luminoso al atravesar el prisma resulta ser el mínimo siendo simétrico el recorrido del rayo.
Refractómetros
En la práctica la refracción de los rayos en el prisma se utiliza en algunos tipos de refractómetros. Así se denominan los instrumentos ópticos que se emplean para medir el índice de refracción de la luz. En este caso la sustancia a investigar debe tener la forma de un prisma con superficies refractantes pulidas y muy precisas. El líquido se vierte en una cubeta prismática vacía con paredes planoparalelas. El prisma se ubica en una mesita giratoria del goniómetro provisto de un anteojo de larga vista y un colimador: dispositivo para obtener un haz luminoso estrecho dirigido.
Dando vueltas a la mesita, se encuentra una posición, en la que el estrecho haz de luz incidente sobre el prisma, experimenta la mínima desviación al atravesar el prisma. Nosotros ya sabemos que dicha posición corresponde al recorrido simétrico del rayo a través del prisma.

Figura 3.3
Midiendo en esta posición el ángulo de desviación δ, se calcula el índice de refracción n de la sustancia del prisma mediante la fórmula (3.5). A pesar de que parezca todo tan sencillo, este procedimiento de medición del índice de refracción es muy preciso.
Siendo igual a varios segundos angulares la precisión de la medición de los ángulos δ y θ, el índice de refracción se determina con una exactitud de hasta 10-5.
Supongamos que es necesario medir la diferencia n1- n2 de los índices de refracción de dos líquidos cuando esta diferencia es muy pequeña. En este caso puede emplearse la refracción sucesiva del rayo luminoso en dos recipientes prismáticos con paredes planoparalelas, uno de los cuales contiene un liquido y el segundo, otro. La figura 3.3 expone el sistema de prismas y el recorrido del rayo. El rayo experimenta la refracción en los puntos A y B; a su vez, sen α/sen θ = n1/n2, sen δ/sen β = n2. De estas expresiones se desprende que

y, de esta manera,

Luego, tomaremos en consideración que a = β + θ y por consiguiente,
sen α = sen β cos θ + sen θ cos β.
Por cuantas el ángulo β es muy pequeño (recordemos que los índices de refracción n1 y n2 son próximos el uno al otro), supongamos en la última igualdad que cos β = 1, después de eso (3.9) tomará el

En la práctica sen δ se halla, midiendo l y h (véase la figura). Utilizando la pequeñez de δ, tomemos que sen δ = tan δ = h/l.
Asi, pues,

La exactitud de la medición de la diferencia de los índices de refracción de este método alcanza 10-7
Explicación de cómo aparecen en el cristal de ventana imágenes dobles de objetos alejados
La refracción de los rayos luminosos en el prisma con pequeño ángulo de refracción permite explicar el fenómeno que observamos a menudo (aunque no siempre reflexionamos sobre éste). Si miramos en el cristal de ventana el reflejo de una farola, por ejemplo, o de la Luna, podremos observar que con frecuencia dicho reflejo resulta doble. Al desplazarse el individuo, las dos imágenes en el cristal se desplazan de distinto modo el uno con respecto al otro.

Figura 3.4
Semejante imagen doble se explica con que la lámina de vidrio es en cierto grado coniforme una imagen surge al reflejarse la luz del plano delantero del cristal y la segunda, del plano posterior. La figura 3.4 explica todo lo expuesto.
El rayo SA de una fuente luminosa alejada se refleja parcialmente en el punto A y, llegando al observador, participa en la formación de la primera imagen. El mismo rayo refractándose de una manera parcial en el punto A, experimenta luego en parte el reflejo en el punto B y refracción en C. En resumen el observador verá una imagen más. El ángulo entre los rayos AA1 y CC1 puede denominarse ángulo de bifurcación. Cuanto más grande es, tanto con mayor intensidad están separadas en el espacio las imágenes en cuestión.
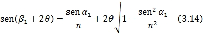
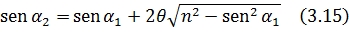
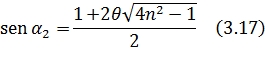
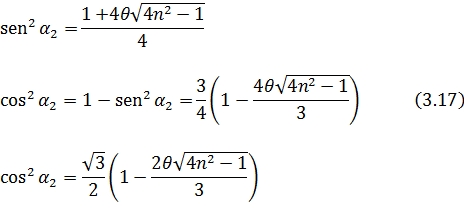
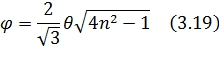
Resolvamos un problema. Hallar el ángulo de bifurcación de la imagen en la lámina de nidrio coniforme con el ángulo de refracción θ e índice de refracción n si el rayo desde el objeto incide sobre el plano delantero de la lámina bajo un ángulo α1 = 30°.
Designemos el ángulo que buscamos por φ. De la figura 3.4 se deduce que φ = α2 — α1. donde α2
es el ángulo, bajo el cual el rayo CC1 sale de la lámina. La refracción del rayo en los puntos A y C se describe mediante las fórmulas (3.1). Los ángulos β1 y β2 están relacionados mutuamente por una relación evidente (véase la figura):
β1 + θ = γ = β2 - θ
de modo que
β2 = β1 + 2θ (3.12)
Teniendo en cuenta (3.12), escribimos de nuevo la fórmula (3.1):

Tomando en consideración la pequeñez del ángulo θ, representemos
sen (β1 + 2θ) = sen β1 + 2θ cos β1
Usando la primera ecuación de (3.13), conforme a la cual sen β1 = sen α1/n, hallamos

Sustituyendo (3.14) en la segunda ecuación de (3.13), obtenemos

El ángulo buscado φ es, a ciencia cierta, muy pequeño, por eso podemos considerar que

y, por lo tanto,

cuando α1 = 30°, el resultado de (3.15)

Teniendo en consideración la pequeñez del ángulo θ, hallamos sucesivamente: 1

Sustituyendo (3.17) y (3.18) en (3.16), obtenemos en definitiva

Prismas reflectantes
Un grupo peculiar de prismas lo componen los denominados prismas reflectantes, en los cuales se emplea el fenómeno de la reflexión interna total. El rayo luminoso, al penetrar en el prisma, experimenta una o varias reflexiones internas y sólo después sale de éste. El ángulo que se forma entre el rayo de salida y la cara de salida del prisma es igual al ángulo formado entre el rayo de entrada y la cara de entrada. Los rayos de entrada y salida son, con frecuencia, perpendiculares respecto a las caras correspondientes del prisma. Todo lo dicho conduce a que en los prismas reflectantes no se observa la descomposición de la luz blanca en diversos colores (lo mismo que ésta no se observa, al pasar la luz blanca a través de una lámina planoparalela). Por eso la condición de monocromaticidad del haz luminoso inicial, planteada al comienzo de la charla, pierde su importancia, al estudiar los prismas reflectantes.
En la figura 3.5 están expuestos algunos tipos de prismas reflectantes. Se ve que dichos prismas pueden aplicarse para variar la dirección del haz luminoso, el desplazamiento paralelo de un haz y la vuelta de la imagen.
En la figura, los casos a), b), c) muestran el mismo prisma, cuya sección tiene la forma de un triángulo rectángulo isósceles. En los primeros dos casos el prisma varía la dirección del haz luminoso (en 90º y 180º, respectivamente); en el tercer caso éste no cambia la dirección del haz, pero da vuelta a la imagen.

Figura 3.5
Señalemos que en los casos a), b), c) y d) de la figura los rayos no experimentan refracción, en general, sino que sufren la reflexión interna total. Por lo tanto en los casos mencionados no tiene lugar la descomposición de la luz blanca en colores. En el caso c) los rayos luminosos, a la par con la reflexión interna total, experimentan la refracción. Entonces, si sobre el prisma incidiese un haz luminoso blanco, del prisma saldría un conjunto de rayos de diferentes colores. Es interesante que todos estos rayos saldrán del prisma siendo paralelos mutuamente, por eso no se observará de hecho la descomposición de la luz blanca en colores (debido a lo que el haz luminoso posee cierta anchura, los rayos de color se compensarán el uno al otro). Esta cuestión la analizaremos en la siguiente charla.
Supongamos que el prisma posee el índice de refracción n y se halla en un medio aéreo. En la figura 3.5, a) y b) el ángulo de incidencia de los rayos sobre la cara reflectiva es igual a α = 45°. Para que tenga lugar la reflexión interna total, es necesario que se cumpla la condición sen α > l/n, o sea, es indispensable que n > l/2. Es interesante que en el caso c) para cualquier n>
l ocurre la reflexión interna total de la cara AB. Demostrémoslo, utilizando la figura 3.6.

Figura 3.6
Emplearemos la igualdad ∠FCD+ ∠CDF = ∠CFA. Volvamos a escribirlo en forma de β + (90° - α) = 45° ó α = 45° + β
En este caso la condición de la reflexión interna total sen α > l/n se da sen (45° + β) > l/n ó

La ley de refracción en el punto C es sen 45°/sen β = n ó

Aplicando (3.21), transformemos (3.20)

De esta manera,

de donde se desprende inmediatamente que n > 1, lo que se necesitaba demostrar.
Los prismas reflectantes se emplean a gran escala en la práctica como elementos ópticos que permiten girar el haz luminoso en cierto ángulo, reflejarlo hacia atrás y desplazar éste paralelamente. Estos prismas se utilizan en los periscopios, gemelos, fotómetros, aparatos fotográficos, sistemas ópticos de comunicación y localización por radar láser, en resonadores de láser, etc.
Fotómetro Lummer-Brodhum
Expondremos de ejemplo el fotómetro Lummer-Brodhum. El elemento principal de éste es el sistema de dos prismas de vidrio rectangulares que están juntos, formando un cubo de vidrio (figura 3.7).

Figura 3.7
La cara de uno de los prismas está pulida por los bordes, por eso el contacto óptico con el otro prisma se efectúa sólo en la parte central de la cara (en la figura es el sector ab). La luz pasa la zona de contacto sin reflejarse ni refractarse. Fuera de la zona de contacto los rayos luminosos experimentan la reflexión interna total. Las cifras 1 y 2 en la figura señalan los haces luminosos cuya intensidad hay que comparar. Se supone que la intensidad de cada haz por su sección transversal es constante. El observador examina la cara cd. En la parte central a1b1 de esta cara él verá la luz del haz 1 y en la sección circular (entre c y a1, así como b1
y d), la luz del haz 2. Siendo diferente la intensidad de los haces, la iluminancia del campo central se diferenciará de la iluminancia de la zona circular, lo que sentirá el observador.
Prisma reflectante en lugar de un espejo de reflexión en el resonador de laser.
Como otro ejemplo, señalemos el láser, en el cual uno de los espejos del resonador ha sido sustituido por el prisma reflectante. Este láser se muestra de modo esquemático en la figura 3.8.

Figura 3.8
Aquí 1 es el elemento activo, 2, sistema de excitación del láser destinado para excitar los centros en el elemento activo, los cuales engendran la radiación de láser (en las transiciones del estado de excitación al normal), 3, el espejo de salida del resonador, 4, prisma reflectante que sustituye el segundo espejo del resonador, 5, radiación de láser.
El prisma reflectante se utiliza en los resonadores de láser cuando se necesita obtener una radiación en forma de cortos impulsos luminosos intensos. En este caso se hace girar el prisma con rapidez alrededor de su eje, perpendicular al del resonador. En todas las posiciones del prisma, a excepción de la mostrada en la figura, el prisma no devuelve atrás la radiación al elemento activo. En estos intervalos de tiempo el prisma como si aportase grandes pérdidas, cuya consecuencia es la ausencia de generación de la radiación de láser. En ausencia de la generación el número de centros activos, pasados al estado de excitación, crece a medida de suministrar energía de excitación al elemento activo. Tan pronto como el prisma giratorio resulte en la posición, mostrada en la figura, comenzará rápida e impetuosamente la generación, los centros activos se desexcitarán todos a la vez y se engendrará un potente impulso luminoso de corta duración. Mientras el prisma, siguiendo la rotación, realizará la siguiente vuelta, en el elemento activo se acumulará la energía para un nuevo impulso luminoso, el cual se desexcitará tan pronto como el prisma resulte otra vez en la posición que ilustra la figura. Siendo la velocidad de rotación del prisma del orden de 1000 rps, se engendran cortos impulsos luminosos de una duración de 10-7 s. La potencia de cresta de un impulso aislado alcanza 107 W.
Contenido:
- Dispersión de la luz
- Primeros experimentos con los prismas; nociones sobre las causas de la aparición de colores en la época antes de Newton
- Experimentos con los prismas realizados por Newton; teoría newtoniana del surgimiento decolores
- Trabajos de Euler; comparación de los colores y diferentes longitudes de ondas
- Descubrimiento de la dispersión anómala de la luz; experimentos de Kundt
- Observaciones acerca del prisma reflectante
- Prismas de dispersión; dispersión angular
- Dispositivos espectrales: monocromadores y espectrómetros; esquema de Fuchs- Wordsworth
- Goethe contra Newton
Dispersión de la luz
En un día claro de sol cerremos la ventana en la habitación con una cortina tupida, dejando en ésta un pequeño orificio. A través de dicho orificio a la habitación penetrará un estrecho rayo solar que formará una mancha clara en la pared opuesta.
Si se pone un prisma de vidrio en el camino del rayo, la mancha en la pared se convertirá en una banda policroma, en la cual se verán todos los colores del arco iris: desde el violeta hasta el rojo (figura 4.1: V significa violeta; Añ, añil; A, azul; Ve, verde; Am, amarillo; N. naranja; R, rojo). El fenómeno de descomposición de la luz solar en diferentes colores se denomina dispersión de la luz. La banda policroma en la figura 4.1 es el espectro solar.

Figura 4.1
Primeros experimentos con los prismas: nociones sobre las causas de la aparición de colores en la época antes de Newton
El experimento descrito, en realidad es muy antiguo. Ya en el siglo I de nuestra era se sabía que los grandes monocristales (prismas hexagonales de origen natural) poseen la propiedad de descomponer la luz en colores. Las primeras investigaciones de la dispersión de la luz en los experimentos con un prisma triangular de vidrio las realizó el científico inglés Thomas Harriot (1560-1621). Independientemente de éste, pruebas análogas fueron realizadas por el naturalista checo Jan Marci von Kronland (1595-1667), el cual estableció que a cada color le corresponde su ángulo de refracción. Sin embargo, antes de Newton, semejantes observaciones no se sometían a un análisis suficientemente serio, y las deducciones que se hacían, basándose en ellas, no se comprobaban de nuevo por experimentos complementarios. Como resultado, en la ciencia de aquellos tiempos gobernaban las nociones que daban una explicación incorrecta a la aparición de los colores.
Comenzaremos a examinar estas nociones por la teoría de los colores de Aristóteles (IV siglo antes de nuestra era). Aristóteles afirmaba que la diferencia en el color se debe a la diferencia de la cantidad de oscuridad que se "mezcla" a la luz solar (blanca). Según el sabio griego, el color violeta aparece al añadir la mayor cantidad de oscuridad a la luz, mientras que el color rojo, la menor cantidad. Así, pues, los colores del arco iris son colores compuestos y el principales la luz blanca.
Es curioso que la aparición de prismas de vidrio y los primeros experimentos en observar la descomposición de la luz mediante los prismas no dieron comienzo a dudas de la exactitud de la mencionada teoría. Tanto el científico inglés Harriot, como el checo Jan Marci, permanecían siendo adeptos a esta teoría. Pero no hay que sorprenderse, puesto que, a primera vista, la descomposición de la luz por el prisma en diferentes colores como si afirmase las nociones sobre el surgimiento de colores, al mezclarse la luz y la oscuridad.
Del hecho que dentro del prisma el rayo violeta recorre el máximo camino en comparación con otros rayos de color, es fácil deducir que el color violeta está proporcionado cuando la luz blanca pierde en grado máximo su "blancura", al atravesar el prisma. Con otras palabras, en el camino más largo transcurre la mayor mezcla de la oscuridad y la luz blanca.
Es fácil demostrar el error de semejantes deducciones, efectuando correspondientes pruebas con los mismos prismas. No obstante, nadie lo ha hecho hasta Newton.
Experimentos con los prismas realizados por Newton; teoría newtoniana del surgimiento de colores
El eminente científico inglés Isaac Newton ha realizado toda una serie de experimentos ópticos con prismas, describiéndolos de una manera detallada en sus obras "Opticks", "New theory about light and colours" (Nueva teoría de la luz y los colores), así como en "Lectiones opticae" publicadas por primera vez ya después de la muerte del sabio. Newton demostró fehacientemente el error de las nociones sobre la aparición de los colores como resultado de la mezcla de la oscuridad y la luz blanca. A base de las pruebas efectuadas pudo declarar:
"No surge ningún color de la blancura y negrura mezclados entre sí, excepto los colores oscuros intermedios; la cantidad de luz no cambia el tipo de color".
El científico ha mostrado que la luz blanca no es la principal, sino hay que considerarla compuesta (según Newton, "heterogénea", empleando la terminología moderna, diremos "policromática"). Los diferentes colores son de un modo preciso los básicos (rayos "homogéneos" o, en otros términos, "monocromáticos"). El surgimiento de colores en los experimentos con los prismas es el resultado de la descomposición de la luz compuesta (blanca) en componentes principales (en diferentes colores). La causa de dicha descomposición es que a cada color le corresponde su grado de refringencia. Estas son las principales deducciones hechas por Newton, las cuales concuerdan perfectamente con los conceptos científicos modernos.
Las investigaciones ópticas, efectuadas por el famoso sabio, presentan gran interés no sólo desde el punto de vista de resultados obtenidos, sino desde el punto de vista metodológico. La metodología de las investigaciones con los prismas, elaborada por Newton (por ejemplo, el método de los prismas cruzados) ha sobrevivido siglos, formando parte del arsenal de la física moderna.
Comenzando las investigaciones ópticas, el científico inglés no se proponía " explicar las propiedades de la luz con hipótesis, sino exponer y demostrarlas mediante razonamientos y experimentos". Al comprobar una tesis u otra, el sabio, por lo general, ideaba varios experimentos diferentes y los ejecutaba. Subrayaba que era indispensable utilizar diversos procedimientos, " comprobar lo mismo, ya que al investigador no le molesta la abundancia".
Examinemos algunos experimentos más interesantes con los prismas de vidrio, llevados a cabo por Newton, y las deducciones, a las que llegó el científico, basándose en los resultados obtenidos. Una serie grande de experimentos fue dedicada a la verificación de la correspondencia entre el color de los rayos y el grado de su refringencia (o, de otra manera, entre el color y el índice de refracción). Indiquemos tres semejantes experimentos.
Experimento 1.
Examen de la banda policroma a través del prisma. Tomemos una tira de papel, cuya mitad está pintada de un color rojo vivo y la otra, de un color añil vivo (figura 4.2, a: R, rojo; Añ, añil). Esta tira se observa a través de un prisma de vidrio, cuyas caras refractorias están orientadas paralelamente a la tira. Newton escribía:
"Observé que cuando el ángulo de refracción del prisma está vuelto hacia arriba, de modo que el papel parece como si estuviese alzado, a causa de la refracción, la parte añil se solevanta más debido a la refracción, que la roja. Mas si el ángulo de refracción está hacia abajo y el papel parece bajarse, merced a la refracción, entonces la parte añil se hallará un poco más abajo que la roja".
Ambas situaciones, remarcadas por el sabio, las ilustra la figura 4.2: en el caso b) el prisma tiene el ángulo de refracción orientado hacia arriba, y en c) orientado hacia abajo. Newton deduce:
"En ambos casos la luz que llega de la mitad añil de la tira de papel a través del prisma al ojo, en las mismas circunstancias experimenta mayor refracción que la luz que emite la mitad roja y, por lo tanto, se refracta más".

Figura 4.2
Experimento 2.
El paso de la luz a través de los prismas cruzados. Ante el orificio A que deja pasar a la habitación sombría un estrecho haz de rayos solares, se ubica un prisma, cuya arista refractante está orientada de modo horizontal (figura 4.3,a). En la pantalla aparecerá una banda policroma RV, alargada por la perpendicular, cuyo extremo inferior es de color rojo y el extremo superior, violeta.

Figura 4.3
Tracemos los contornos de la banda en la pantalla con un lápiz. Después coloquemos entre el prisma en cuestión y la pantalla otro prisma semejante, pero cuya arista debe estar orientada perpendicularmente a la arista refractante del primer prisma.
El haz luminoso que sale del orificio A, pasa de una manera sucesiva a través de dos prismas cruzados. En la pantalla aparece la banda del espectro R'V', desplazada con respecto al contorno RV por el eje x. Al mismo tiempo el extremo violeta de la banda resulta ser desplazado mucho más que el rojo, de modo que la banda del espectro parece estar inclinada hacia la perpendicular. Newton saca su deducción: si el experimento con el prisma unitario permite afirmar que los rayos de diverso grado de refringencia corresponde a distintos colores, el experimento con los prismas cruzados demuestra también la tesis inversa: los rayos de diferente color poseen diverso grado de refringencia. En efecto, el rayo que refracta con mayor fuerza en el primer prisma es el rayo violeta; al atravesar luego el segundo prisma, este rayo violeta experimenta la máxima refracción. Discutiendo los resultados de las pruebas con los prismas cruzados Newton indicaba:
"De este experimento se desprende también que las refracciones de rayos aislados transcurren por las mismas leyes estén éstos en mezcla con otros tipos de rayos, como ocurre en la luz blanca, o se refractan por separado, o bien estando la luz "convertida" previamente en colores".
La figura 4.4 representa otra variante más del experimento con los prismas cruzados: dos haces luminosos iguales atraviesan los prismas.

Figura 4.4
Ambos haces forman en la pantalla semejantes bandas del espectro, a pesar que en el primer prisma los rayos de un mismo color (pero de diferentes haces) recorren un camino de diferente longitud: esto refuta la suposición, mencionada arriba, de que el color depende de la longitud del recorrido del rayo dentro del prisma.
Experimento 3.
Paso de la luz a través de un sistema que consta de dos prismas y un espejo de refracción (figura 4.5). El haz de rayos solares, al salir del orificio A, atraviesa el prisma 1 y luego llega al espejo 2. Orientemos el espejo de modo que se envíe al prisma 3 sólo aquella parte de rayos que se refractan en mayor grado.

Figura 4.5
Después de refractarse en el prisma 3, estos rayos alcanzan la pantalla en la proximidad del punto B. Luego desplacemos el espejo 2, ubicándolo de modo que emita al prisma 3 los rayos que se refractan lo mínimo posible (véase la imagen de trazos). Al refractarse en el prisma 3, estos rayos incidirán sobre la pantalla en las inmediaciones del punto C. Se ve claramente que los mismos rayos, refractados en mayor grado en el primer prisma, también se refractarán con máxima intensidad en el segundo prisma.
Todos estos experimentos permitieron a Newton hacer la conclusión:
"Los experimentos muestran que los rayos, diversamente refractados, tienen distintos colores; se demuestra también lo inverso que los rayos de diferente color, son los que se refractan de distinto modo".
En lo sucesivo Newton plantea una pregunta: "¿Es posible, mediante la refracción, variar el color de los rayos de cualquier género por separado?". Efectuando una serie de pruebas, minuciosamente meditadas, el sabio llegó a una respuesta negativa al problema planteado. Consideremos uno de estos experimentos.
Experimento 4 . Paso de la luz a través de los prismas y pantallas con rendijas (figura 4.6). El haz de rayos solares se descompone en colores mediante el prisma 1. Una cantidad de rayos de cierto color determinado, pasa, a través del orificio B, a la pantalla, situada detrás del prisma. Estos rayos pasan después a través del orificio C en la segunda pantalla, alcanzando luego el prisma 2. Con ayuda de las pantallas con rendijas se puede, girando el prisma 1, separar del espectro los rayos de un color u otro e investigar su refracción en el prisma 2. El experimento mostró que la refracción en el prisma 2 no conduce a la variación del color de los rayos.
Newton enunció la conclusión definitiva de la siguiente manera:
"El tipo de color y el grado de refringencia, propios a cada especie de rayos, no varían ni al refractarse, ni reflejarse, ni tampoco por cualquier otra causa que pudiese observar. Si cierta especie de rayos estaba bien separada de los rayos de otra especie, conservaba obstinadamente su tono, a pesar de todos mis esfuerzos de cambiarlo".
Señalemos que esta conclusión se desprende de hecho del experimento con los prismas cruzados examinado anteriormente.

Figura 4.6
Siendo la distancia entre los prismas, no muy pequeña, se puede considerar que sobre el segundo prisma inciden rayos monocromáticos, cuyo color varía suavemente a lo largo de la arista refractante. El espectro que se ve en la pantalla, muestra que este prisma no hace más que desviar cada uno de los rayos monocromáticos, sin cambiar su color.
Conviene subrayar que al investigar la refracción de la luz monocromática, Newton ha inventado y confeccionado el primer monocromador de la luz (el monocromador de la luz es un instrumento para la separación de la radiación óptica con longitudes de onda en un intervalo determinado de valores). Para visar el haz luminoso, incidente sobre el prisma, Newton propuso usar una lente convergente, ubicándola entre el prisma y el orificio que envía el haz de rayos solares de modo que el foco de la lente se hallase ante el orificio. Entonces un haz de luz, débilmente divergente (colimado) alcanzaba el prisma (figura 4.7).

Figura 4.7
El investigador contemporáneo de la composición espectral de la radiación, en realidad repite las mismas manipulaciones hechas primeramente por Newton, ya que del mismo modo instala el prisma que éste posee el ángulo de desviación mínima, regula y enfoca de la misma manera la rendija del colimador, como lo hacía en aquel entonces Newton, cambiando la posición de la lente auxiliar.
Es en sumo grado interesante también la serie de pruebas de la mezcla de colores, realizada por el sabio inglés. Analicemos dos de estos experimentos.
Experimento 5.
Observación de la mezcla de colores por medio de una lente convergente (figura 4.8). El haz de rayos solares del orificio A atraviesa el prisma y luego la lente convergente.
El observador coloca una hoja de papel blanco en el trayecto de los rayos que han pasado la lente.

Figura 4.8
Colocando de una manera sucesiva la hoja en las posiciones, designadas en la figura por las cifras 1, 2, 3, 4, el individuo puede ver "como convergen paulatinamente los colores, desapareciendo en la blancura. Al intersecarse en el lugar, donde se compone la blancura, ellos de nuevo se dispersan y se dividen, conservando los mismos colotes, pero en orden inverso, que tenían antes de mezclarse''. Newton señala también que "si algunos, colores se retienen por la lente, la blancura varia en otros colores".
Experimento 6.
Observación de la mezcla de colores, al emplear prismas invertidos. En el camino del haz luminoso coloquemos sucesivamente dos prismas, cuyas aristas refractantes están orientadas en direcciones contrarias.

Figura 4.9
En la figura 4.9 el prisma 1 tiene la arista hacia abajo y el prisma 2, hacia arriba; el ángulo de refracción del prisma 2 debe ser mayor que el del prisma 1, para que el haz luminoso después del prisma 2 sea convergente. El experimento muestra que el prisma 2 mezcla los colores obtenidos, al descomponer el prisma 1 la luz solar, a consecuencia de lo cual surge de nuevo la luz blanca.
Así, pues, es posible no sólo descomponer la luz solar en colores, sino que efectuar también la operación inversa, a saber: mezclando los colores, obtener la luz solar. Lo expuesto permitió a Newton hacer la siguiente conclusión: "La luz solar consiste de rayos de diversa refringencia".
Para hacer el resumen de los resultados de las investigaciones ópticas con los prismas, llevadas a cabo por Newton, citemos un fragmento de sus " Lecciones opticae":
"La luz consiste de rayos de todos los colores no sólo a la salida del prisma, sino que incluso sin llegar a éste, antes de cualquier refracción. Por lo tanto no es de extrañar que la luz se descompone en colores merced a la propiedad del prisma de no refractar los rayos idénticamente, y de nuevo se mezcla de los colores por medio de una lente o cualquier otro procedimiento, componiendo otra vez la blancura".
El significado de las investigaciones de Newton es enorme. Uno de los físicos soviéticos más destacados, el académico L. I. Mandelshtam (1879-1944) que hizo gran aportación en el desarrollo de la óptica, señaló en su informe "Trabajos de óptica de Newton":
"Newton fue el primero en la formulación de la teoría efectiva de los colores, a base de la cual él mismo encontró un número enorme de nuevos hechos relacionados de una forma cuantitativa el uno con el otro, y descubrió el camino para hallar otros nuevos... En los márgenes de la óptica geométrica antes de Newton, se omitían todas las cuestiones sobre los colores. Newton mostró la validez de la ley de refracción para cada uno de los colores por separado. De esta manera, sólo merced al descubrimiento de Newton la óptica geométrica obtuvo la presente forma cuantitativa consumada. Ahora una clase entera de fenómenos se ha hecho accesible al estudio cuantitativo".
Como subrayaba L. I. Mandelshtam. " los trabajos de Newton, además de su enorme valor real, significan un giro, en principio, de la dirección de la ciencia física en general". No será exageración si decimos que antes de Newton todos los investigadores, incluyendo a Galileo, partían de las nociones a priori, al comenzar la exploración del problema físico. Para ellos el experimento servía para la verificación o, en el mejor de los casos, para introducir las correcciones. Newton ha roto esta tradición: él consideraba que los métodos del conocimiento son la observación, el experimento y la generalización de tas resultados obtenidos y que " el mejor método y el más fiable del razonamiento abstracto, por lo visto, consiste en que primero hay que estudiar de manera celosa las propiedades de las cosas y luego, pasar con cuidado a las hipótesis con fin de explicarlas ".
Otro eminente físico óptico soviético, el académico S. I. Vavilov (1891-1951) que nos ha regalado su perfecta traducción al ruso de las obras newtonianas "Lectiones opticae" y "Opticks", escribía:
"A diferencia de todos sus predecesores (incluso personas como Leonardo da Vinci, Galileo, Gilberl), Newton comprendió el arte del experimento racional que contesta a las preguntas determinadas y, al contrario, plantea otras nuevas. En sus manos la combinación de los experimentos se convierte en un potente y flexible procedimiento del razonamiento científico, lo mismo que la lógica y las matemáticas"
Trabajos de Euler; comparación de los colores y distintas longitudes de ondas.
EI posterior desarrollo de la teoría de la dispersión de la luz se basaba en las investigaciones ópticas de Newton como sobre un fundamento. Se comprendió bien claro el hecho de que cada "color" en el espectro había que compararlo con la onda luminosa de determinada longitud. Respecto a esto citemos las obras del gran matemático ruso Leonardo Euler [1]
(1707-1783).
Siguiendo las palabras de S. I. Vavilov,
"analizando el recorrido del haz luminoso, Euler escribe, posiblemente, por primera vez en la historia de la teoría de la luz, la ecuación de la onda harmónica, plana, a la que estamos acostumbrados hoy en día; es decir, él ha creado el instrumento de la óptica ondulatoria elemental".
Tabla
Color | Longitud de la onda luminosa, μm |
Violado | 0,40 - 0,45 |
Añil | 0,45 - 0,50 |
Azul | 0,50 - 0,53 |
Verde | 0,53 - 0,57 |
Amarillo | 0,57 - 0,59 |
Anaranjado | 0,59 - 0,62 |
Rojo | 0, 62 - 0,75 |
La tabla ofrece la comparación de diversos colores y sus respectivas longitudes de onda de la luz en el aire (1 μm = 10-6 m). Analizando esta tabla, se puede prestar atención a dos circunstancias bastante importantes: la primera consiste en que el paso de un color a otro sucede de modo continuo y paulatinamente. A cada color le corresponde no una determinada longitud de onda de la luz, sino que longitudes de ondas que entran en cierto intervalo de valores. Así, pues, para el color violeta la tabla da un intervalo de 0,40 a 0,45 μm aproximadamente. Decimos "aproximadamente" porque los propios márgenes de los intervalos de color no son precisos. Los pintores saben cuántos matices diferentes puede tener un color u otro; todos ellos se diferencian por la longitud de onda de la luz (o combinación de longitudes de ondas). En rigor, la separación precisamente de siete colores (violeta, añil, azul, verde amarillo, naranja y rojo) es muy condicional y no tiene una exacta argumentación física. Por lo tanto, cuando se trata de la luz monocromática, conviene no recurrir al color (como lo hacía Newton), sino que a la longitud de onda de la luz (como se considera en la óptica moderna). A propósito, el propio concepto de luz monocromática también requiere precisión, puesto que no existen rayos luminosos con una longitud de onda estrictamente determinada Cualquier rayo está presentado por un conjunto de longitudes de ondas en el intervalo de valores, diremos, desde λ hasta λ + Δλ. En la práctica se considera que los rayos son monocromáticos si Δλ/λ « 1.
Cuanto menos es Δλ/λ, tanto mayor es el grado de la monocromaticidad de la luz. El grado máximo de la monocromaticidad pertenece a la radiación de láser, en este caso Δλ/λ puede ser del orden de 10-6 e incluso menor.
La segunda circunstancia importante que se desprende de la tabla es que a medida de pasar de la parte violeta del espectro a la roja, la longitud de onda de la luz aumenta de un modo paulatino. Los experimentos de Newton y otros investigadores mostraron que en el transcurso de dicho paso, el índice de refracción disminuye. De esto se desprendía la siguiente deducción: la dependencia entre el índice de refracción y la longitud de onda se describe mediante una función decreciente, o de otra manera, al aumentar la longitud de onda de la luz el índice de refracción disminuye.
Descubrimiento de la dispersión anómala de la luz; experimentos de Kundt.
Antes de la segunda mitad del siglo XIX se consideraba que esta deducción siempre es válida, mas en 1860 el físico francés Leroux, midiendo el índice de refracción de algunas sustancias, descubrió inesperadamente que los vapores de iodo refractan los rayos añiles en mayor grado que los rojos. El científico denominó este fenómeno, revelado por él, dispersión anómala de la luz. Si durante la dispersión ordinaria (normal) el índice de refracción disminuye, al aumentar la longitud de onda, para la dispersión anómala (extraordinaria) el índice de refracción, al contrario, crece. En los años 1871-1872 el físico alemán Kundt investigó detalladamente el fenómeno de la dispersión anómala, empleando el método de los prismas cruzados, propuesto a su tiempo por Newton.
La figura 4.10.a nos ofrece el cuadro ya conocido por lector: al atravesar los dos prismas de vidrio cruzados, la luz da en la pantalla una banda del espectro inclinada. Ahora supongamos que uno de los prismas de vidrio se sustituye por una cubeta prismática vacía que se llena de una solución de una composición orgánica, cianina, precisamente este prisma empleó Kundt en uno de sus experimentos. El esquema del experimento de Kundt se muestra en la figura 4.10,b, donde 1 es el prisma de vidrio, 2, el prisma lleno de la solución de cianina.
El prisma de vidrio da la dispersión normal. Puesto que su arista refractante está dirigida hacia abajo, el eje de las longitudes de ondas para el haz de rayos que salen de dicho prisma, también se orienta hacia abajo (eje X en la pantalla).

Figura 4.10
En la pantalla a lo largo de la dirección perpendicular tracemos (a lo largo del eje n) los valores del índice de refracción de la sustancia con que está lleno el segundo prisma. En la pantalla se observará un cuadro muy original del espectro que se diferencia cualitativamente del que observó Newton en sus experimentos. Se ve que n(λ1) < n(λ2), a pesar de que λ1 < λ2.
El mérito de Kundt consiste en que él no sólo demostró de forma convincente el fenómeno de la dispersión anómala, sino que, además, indicó la relación entre este fenómeno y la absorción de la luz en la sustancia. La longitud de onda λ0, mostrada en la-figura, es la longitud de onda, en cuyas inmediaciones se observa una intensa absorción de la luz en la solución de cianina.
Las posteriores investigaciones de la dispersión anómala de la luz han mostrado que los resultados experimentales más interesantes se obtienen, si en lugar de dos prismas cruzados se emplean, por ejemplo, un prisma y un interferómetro. Semejante metodología experimental fue utilizada por el famoso físico ruso D.S. Rozhdestvenski a principios del siglo XX.
La figura 4.11, reproducida de la fotografía obtenida por D.S. Rozhdestvenski, enseña el fenómeno de la dispersión anómala en los vapores de sodio. Introduciendo perfeccionamientos esenciales en la metodología empleada, el científico ha elaborado el denominado "método de gancho" que se usa en gran escala en la óptica experimental moderna.

Figura 4.11
De acuerdo con las nociones actuales tanto la dispersión normal, como la anómala se examinan como fenómenos de la misma naturaleza que se describen en los márgenes de la teoría única.

Figura 4.12
Ésta se fundamenta en la teoría electromagnética de la luz, por una parte, y por la otra, en la teoría electrónica de la sustancia. Hablando en rigor, el término "dispersión anómala" conserva sólo el sentido histórico. Desde el punto de vista de hoy día, la dispersión normal es la que se halla lejos de las longitudes de ondas, para las cuales la sustancia dada absorbe la luz, mientras que la dispersión anómala es la dispersión en la zona de la banda de absorción de la sustancia. La figura 4.12 nos expone la dependencia característica entre el índice de refracción y la longitud de onda de la luz para cierta sustancia que absorbe intensamente cerca de λ0. En la zona sin trazar se observa la dispersión normal y en la de trazos, la anómala.
Observaciones acerca del prisma reflectante
Antes de pasar a las cuestiones de la aplicación práctica de la dispersión de la luz en los prismas y dispositivos prismáticos, recordemos las objeciones acerca del prisma reflectante en la figura 3.5,c, hechas en la charla anterior. Este prisma se denomina prisma Dove. Hemos dicho que en la práctica no se observa la descomposición de la luz en colores en este prisma debido a que todos los rayos salen del prisma de forma paralela el uno al otro y el haz inicial posee cierta anchura.

Figura 4.13
Supongamos por un instante que el haz luminoso es infinitamente estrecho y contiene (para mayor simplicidad) sólo dos longitudes de onda: en las zonas roja y violeta del espectro, respectivamente. Como vemos de la figura 4.13,a, los rayos rojo y violeta, al salir del prisma paralelamente el uno al otro, resultan desplazados recíprocamente a cierta distancia Δl.
Este desplazamiento depende de la longitud a de la arista del prisma y de los índices de refracción para los rayos violeta y rojo. Está claro que el haz luminoso real siempre tiene cierta anchura que designaremos por d. Es obvio que el observador puede distinguir (corrientemente se dice: resolver) los rayos violeta y rojo en la salida del prisma sólo cuando Δl > d. En caso contrario los rayos (mejor dicho, los haces) mencionados se cubrirán mutuamente y se mezclarán.
Analicemos el siguiente problema. Hallar la anchura máxima admisible del haz luminoso d, que permita resolver en la salida del prisma Dove los rayos luminosos cuyos índices de refracción son: n = 1,33 (rayo rojo) y n + Δn = 1,34 (rayo viólela). La longitud de la arista del prisma
a = 4 cm.
El problema se resuelve de una manera muy sencilla si sustituimos el prisma Dove por un cubo de vidrio (véase la figura 4.13,b). No es difícil ver que semejante sustitución, simplificando el examen, al mismo tiempo no cambia la esencia del caso. La anchura buscada d del haz la hallaremos, partiendo de la condición d = Δl = ΔL/√2. De la figura se ve que

Basándonos en la ley de refracción, obtenemos para los rayos violeta y rojo respectivamente:

Usando (4.2), transformemos (4.1):

Después aprovecharemos que Δn « n y efectuaremos las siguientes transformaciones:

Así, pues,

Sustituyendo en (4.3) los valores numéricos de la condición del problema, obtenemos Δl = 0,02 cm. Por lo tanto, el haz luminoso debe tener una anchura menos de una quinta de milímetro, para que el observador pueda distinguir los rayos violeta y rojo en la salida del prisma.
Prismas de dispersión; dispersión angular.
El problema examinado muestra de forma evidente por qué en los prismas de dispersión (y también en las láminas planoparalelas) no observamos en la práctica la dispersión de la luz proporcionada por la refracción. Los prismas en los que la dispersión de la luz se manifiesta claramente se denominan, por lo general, prismas de dispersión. Los rayos de distinto color salen del prisma mencionado bajo diversos ángulos, lo que permite resolverlos. Supongamos que la longitud de la onda de dos rayos se diferencia en una magnitud Δλ y el ángulo de desviación de estos rayos en el prisma, en una magnitud Δδ. La relación Δδ / Δλ se denomina dispersión angular del prisma. Cuanto mayor es esta relación, tanto mayor es el poder de separación del prisma para resolver diversas longitudes de ondas. Puede decirse que los prismas reflectantes poseen la dispersión angular nula.
Examinemos un problema. Hallar la expresión para la dispersión angular del prisma con el ángulo de refracción θ,siendo simétrico el recorrido de los rayos. Sabemos que al pasar de la longitud de onda λ a la longitud de onda λ + Δλ, el índice de refracción varía desde n a n + Δn.
Utilizando la fórmula (3.5), escribiremos la correspondiente expresión para el índice de refracción del rayo con longitud de onda de λ - Δλ:

Teniendo en cuenta la pequeñez del ángulo Δδ transformemos (4.4) a la siguiente forma

De aquí hallamos (tomando en consideración (3.5))

De esta manera

Con bastante frecuencia se emplea 8 = 60°. En este caso la dispersión angular del prisma se describe mediante la expresión

Supongamos, lo mismo que en el problema anterior, n = 1,33, Δn =0,01 y también que el ángulo de reflexión es igual a 60°, y utilizando en este caso la relación

hallamos que Δδ = 0,013 (o, de otro modo, 45'). Esto significa que en la pantalla alejada del prisma, digamos a 1 m, el desplazamiento relativo de los centros de los rayos violeta y rojo es Δl = Δδ x 100 cm = 1,3 cm. En dicho caso es fácil resolver estos rayos; sólo es necesario que la anchura del haz luminoso no rebase 1 cm.
Dispositivos espectrales: monocromadores y espectrómetros: esquema de Fuchs-Wordsworth.
Los prismas de dispersión se usan a gran escala en distintos tipos de instrumentos espectrales. Semejantes dispositivos están destinados para separar cierta parte del espectro de radiación (monocromadores) o para investigar el espectro de radiación ( espectroscopios, espectrógrafos, espectrómetros). Señalemos que la exploración del espectro (análisis espectral) tiene gran importancia práctica y científica, puesto que los espectros de los gases constan de conjuntos de líneas aisladas y a cada elemento químico, incluido en la composición del gas en cuestión, le corresponden sus rayas espectrales determinadas. Así se puede juzgar acerca de la composición química de dicha sustancia según las rayas presentadas en el espectro a investigar.
Los instrumentos espectrales prismáticos se diferencian, ante todo según el tipo de esquemas ópticos que se utilizan en ellos.
A título de ejemplo examinaremos el esquema de Fuchs-Wordsworth. La figura 4.14 muestra una de las variantes de este esquema. El prisma de dispersión con ángulo de refracción θ = 60° está acoplado rígidamente junto con un espejo plano, cuya superficie reflectora en esta variante del esquema coincide con la base del prisma.

Figura 4.14
El prisma junto con el espejo se puede mover alrededor del punto O1, cambiando de dicho modo el ángulo φ que está formado por la cara de entrada del prisma y el haz luminoso no monocromático (policromático) inicial que se propaga a lo largo de una dirección fija MC1. El haz luminoso primero atraviesa el prisma y luego se refleja del espejo. Después de refractarse en el prisma, el haz policromático inicial se desintegra en rayos monocromáticos que salen del prisma en distintas direcciones. Del dispositivo, a través del colimador de salida N, saldrá sólo el rayo monocromático que se propaga, después de reflejarse del espejo, paralelamente al haz policromático inicial. Cerciorémonos que en efecto éste es el rayo luminoso que atraviesa el prisma de modo simétrico; o con otras palabras, demostraremos que siendo el recorrido del rayo que atraviesa el prisma, simétrico, el rayo reflejado GN es paralelo a MC1. El rayo en cuestión se da en la figura 4.14, a. Puesto que éste pasa por el prisma de una manera simétrica, ∠ MCO1 = ∠ O1CG.
Ya que O1O || GH, ∠ O1CG= ∠ CGH, además, ∠ CGH = ∠ HGN (el ángulo de incidencia es igual al de reflexión). De esa manera,
∠
MCO
1 = ∠ O1CG = ∠ CGH - ∠ HGN,
de donde se desprende que ∠ MCG = ∠ CGH, lo que significa que GN || MC1.
Así, el rayo luminoso, cuya longitud de onda es tal que éste se propaga dentro del prisma paralelamente a su base, después de reflejarse del espejo, alcanza la rendija del colimador N y sale del dispositivo.
Los demás rayos (correspondientes a otras longitudes de ondas) no pasarán a través del colimador N. La longitud de onda λ del rayo luminoso que sale de N, se determina por el valor de n(λ) del índice de refracción que satisface la condición (recordemos (3.5)).

Si girando un poco el prisma junto con el espejo alrededor de O1
(las rendijas M y N quedan fijas), variamos el ángulo σ, la condición (4.7) estará satisfecha ya a otra longitud de onda. Ahora el rayo luminoso con la otra longitud de onda tendrá el recorrido simétrico a través del prisma; precisamente este rayo pasará por el colimador N.
La figura 4.14, b expone respectivamente mediante las líneas de trazos y continuas las dos posiciones del prisma junto con el espejo y para cada una de las posiciones su rayo luminoso que sale de N. La primera posición (líneas continuas) corresponde al ángulo σ = σ1 y la segunda (líneas de trazos), al ángulo σ = σ2.
Por cuantas σ2 < σ1 entonces de acuerdo con (4.7), n(λ1) < n(λ2) y, por lo tanto, λ1 > λ2 Haciendo girar el prisma con el espejo alrededor de O1 en la salida de N puede obtenerse una haz monocromático con una u otra longitud de onda (de la banda de longitudes de ondas que caracterizan el haz inicial).
Subrayemos que en el esquema examinado (por otra parte, lo mismo que en otros esquemas llevados a cabo en la práctica) el haz inicial debe estar bien colimado; otro sí, es necesario que sólo el haz dirigido, reflejado de un modo determinado del espejo, tenga la posibilidad de salir del instrumento.

Figura 4.15
Con este fin pueden emplearse espejos esféricos cóncavos, como se muestra en la figura 4.15, donde 1 es el orificio de entrada, 2, el espejo esférico cóncavo, cuyo foco coincide con el orificio de entrada (este espejo forma de un modo determinado un haz colimado dirigido que incide sobre el prisma), 3, el prisma, 4, el espejo plano, 5, el espejo esférico cóncavo que refleja determinadamente el haz dirigido 6 al orificio de salida 7 (el foco del espejo coincide con el orificio de salida).
Está claro que el esquema en cuestión es sólo uno de los muchos que se utilizan en tos dispositivos espectrales prismáticos: por ejemplo, se usan esquemas de multiprismas, con combinación de prismas y lentes, etc.
Goethe contra Newton
Terminando la charla, volvamos otra vez al científico inglés Newton y relatemos sobre la oposición aleccionadora: Goethe contra Newton. El eminente poeta alemán Johann Wolfgang von Goethe (1749-1832) que se interesaba mucho por la teoría del surgimiento de los colores e incluso escribió un libro dedicado a este tema, no compartía los conceptos científicos de Newton y no estaba de acuerdo con sus deducciones, referentes a la descomposición de la luz solar en colores. Sin molestarse en comprender la esencia de los experimentos de Newton, sin intentar repetirlos, Goethe rechazaba de un golpe la teoría newtoniana de los colores.
El poeta escribía:
"Las afirmaciones de Newton son suposiciones monstruosas. Además, ¿cómo puede ser que el color más limpio, más transparente, el blanco, resulte una mezcla de rayos de color?"
Goethe indicaba que todavía ninguno de los pintores logró obtener la pintura blanca, mezclando pinturas de diferentes colores. De una forma inevitable obtenían sólo matices grises, sucios. Goethe reprochaba a Newton de que su teoría no era capaz de explicar el azul del cielo. Antes de aparecer Newton, decía Goethe, todo estaba claro: el cielo nocturno negro, apareciendo el Sol se colorea de azul merced a la mezcla de la luz solar blanca y la negrura del cielo. Si se toma el punto de vista de Newton, continuaba, y se supone que el color azul es independiente, en este caso deberíamos explicar dicho color del cielo con el color del propio aire. Pero entonces surge una pregunta incomprensible: ¿por qué las alejadas cumbres de las montañas no parecen ser azules, sino rosadas y por qué el Sol poniente nos parece rojo?
Claro está que Goethe y Newton eran personas muy diferentes, tanto por su mentalidad, como por su actitud en cuanto a la naturaleza y al proceso de conocimiento de sus leyes. Newton era una persona con una mentalidad analítica extraordinariamente desarrollada, que trataba de comprobar de nuevo y fundamentar con experimentos y cálculos cada paso hacia adelante. Era un investigador meticuloso que exigía de sí mismo y de los otros "no mezclar lo inventado con lo cierto". Goethe, por su parte, era, en un grado mucho mayor un filósofo y soñador inspirado que físico. Percibía el mundo como algo entero, indivisible en partes, prefiriendo la invención, fantasía e inspiración al experimento y cálculos precisos.
No es de extrañar que Goethe no haya comprendido a Newton y no haya compartido su opinión. Es obvio que el poeta no tenía razón, criticando calurosamente los resultados, obtenidos por el científico. En esta oposición de las dos eminentes personalidades, nosotros tomamos, claro está, el lado de Newton. Sin embargo, en la actualidad (precisamente hoy día), no podemos rechazar las observaciones de Goethe, puesto que independientemente de sus intenciones, vemos en ellas un grano racional.
Lo principal en sus observaciones puede reducirse a la afirmación de que las propiedades de la luz, reveladas en los experimentos de Newton, no son las propiedades de la verdadera luz, con la que trata la naturaleza, sino que las propiedades de la luz " martirizada por diferentes tipos de instrumentos de tortura, a saber: rendijas, prismas y lentes". A esto prestaba atención el académico L. I. Mandelshtam, el cual, según el profesor de la Universidad de Moscú, G. S. Gorelik. " veía en esto cierta anticipación, por ingenua y unilateral que fuese, del punto de vista moderno acerca del papel del equipo de medición".
La física del siglo XX, mejor dicho, una de sus ramas más interesantes que investiga las leyes del comportamiento de los microobjetos (la denominada mecánica cuántica), mostró que realizando una u otra medición en el micromundo, inevitablemente y además sin pronosticar falseamos lo que medimos. Resulta ser que investigando la naturaleza a nivel de microfenómenos, el hombre de una manera inevitable introduce alteraciones irreversibles en ella. Así, midiendo el impulso del electrón, introducimos las alteraciones que excluyen la medición simultánea de su coordenada. Y al contrario, al medir la coordenada del electrón, introducimos las alteraciones que imposibilitan al mismo tiempo la medición del impulso.
La anticipación genial de los futuros problemas de la física, he aquí el grano racional en los reproches de Goethe, el cual no podemos pasar en silencio hoy en día. Por supuesto, Goethe con su crítica se había equivocado de señas, pues está más que claro que su crítica no menoscaba de ninguna manera el enorme papel que desempeñó Newton en el desarrollo de la física. Sin embargo, las cuestiones filosóficas, expuestas en la crítica, son interesantes, sin duda, además, son muy actuales hoy día. Y, quizás, estas cuestiones han sido planteadas por el poeta mucho mejor en su "Fausto" inmortal que en la "Teoría de los colores":
"En ello reconozco al hombre docto.
Lo que no se palpa, os es extraño.
Lo que no puede asirse, os falta por completo.
Lo que no se cuenta, no lo creáis verdad"
En lo que se refiere al reproche concreto que hizo Goethe a Newton sobre que este último no pudo explicar el color azul del cielo y el color rojo del Sol poniente, en este caso no podemos replicar nada. La refracción y dispersión de la luz no explican, en efecto, los fenómenos en cuestión. La explicación de éstos fue hallada mucho más tarde, como resultado del estudio de la difusión de la luz mediante las moléculas del aire, fundamentándose en la denominada óptica molecular, en cuyo desarrollo hizo una aportación decisiva el académico soviético L. I. Mandelshtam, pero todo esto ya rebasa los márgenes de nuestra charla.
Contenido:
- El arco iris visto con los ojos de un observador atento
- Desarrollo de las nociones sobre la física del surgimiento del arco iris: desde Fletcher. De Dominis y Descartes hasta Newton
- Explicación del surgimiento del arco iris en "Lectiones opticae" de Newton
- Recorrido del rayo luminoso en la gota de lluvia
- Ángulo máximo entre las direcciones de los rayos incidentes sobre la gota y los que salen de ella
- Explicación de la alteración de los colores en los arcos iris primario y secundario
- El arco iris en otros planetas
- Causas del surgimiento de halo; halo y arco iris
No habrá persona en el mundo que no se haya admirado, viendo el arco iris. Desde los tiempos más remotos este bello fenómeno de colores en el firmamento atraía la atención de todos. El arco iris se consideraba como precursora bondadosa, le atribulan propiedades mágicas. Existe una vieja creencia inglesa: en el pedestal del arco iris puede encontrarse una bolsa de oro.
Hoy día todos saben que el arco iris posee propiedades mágicas sólo en los cuentos, ya que en realidad es un fenómeno óptico, relacionado con la refracción de los rayos luminosos en numerosas gotitas de la lluvia. En cambio, no son muchos los que saben de qué modo la refracción de la luz en las gotitas de lluvia proporciona la aparición de un gigante arco iris multicolor en el firmamento. Por eso sería útil detenernos en la explicación física más detallada de este fenómeno óptico impresionante.
El arco iris visto con los ojos de un observador atento.
Ante todo señalemos que el arco iris puede observarse sólo en el lado opuesto al Sol Si uno se pone de cara al arco iris, el Sol resultará detrás de la persona. El arco iris surge cuando el Sol alumbra la cortina de lluvia. A medida de que la lluvia cesa, y luego se acaba, el arco iris palidece y desaparece paulatinamente. Los colores que se ven en el arco iris se alternan en la misma sucesión que en el espectro que se obtiene cuando el haz de rayos solares atraviesa el prisma. En dicho caso el extremo interior (dirigido hacia la superficie de la Tierra) del arco iris es de color violeta y el extremo inferior, es rojo. Con frecuencia sobre el arco iris principal aparece otro arco iris (secundario), más ancho y difuso. Los colores en el arco iris secundario se turnan en orden inverso: desde el rojo (el extremo interior del arco) hasta el violeta (el extremo inferior).
Para el observador que se halla en una superficie terrestre, relativamente plana, el arco iris aparecerá con la condición de que la altura angular del Sol sobre el horizonte rebasa unos 42º. Cuanto más bajo esté el Sol, tanto mayor será la altura angular de la cumbre del arco iris y tanto mayor será, por lo tanto, el sector del arco iris para observar. El arco iris secundario puede verse si la altura del Sol sobre el horizonte no supera unos 52°.
El arco iris puede considerarse como una "rueda" gigantesca, "puesta" en el eje de una línea recta imaginaria que pasa a través del Sol y el observador.
En la figura 5.1 esta recta se designa por OO1; O es el observador, OCD, el plano de la superficie terrestre, ∠ AOO1 = Ψ es la altura angular del Sol sobre el horizonte. Para hallar tan φ es suficiente dividir la estatura del observador por la longitud de su sombra. El punto O, se denomina punto de antihelio; se encuentra más bajo del horizonte (línea CD).
De la figura vemos que el arco iris es en sí una circunferencia de la base de un cono, cuyo eje es OO1; γ es el ángulo formado entre el eje del cono y cualquiera de sus generatrices (ángulo de abertura del cono).
Está claro que el observador no verá toda la circunferencia mencionada, sino que sólo aquella parte de ésta (en la figura es el segmento CBD) que se halla sobre el horizonte.
Señalemos que ∠ AOB = Φ es el ángulo bajo el cual el observador ve la cumbre del arco iris y ∠ AOD = α es el ángulo, bajo el cual el observador ve cada una de las bases del arco iris, donde según la creencia inglesa está enterrada la bolsa de oro. Es obvio que

De ese modo, la posición del arco iris con respecto al paisaje circundante depende de la posición del observador respecto al Sol y las dimensiones del arco iris se determinan por la altura del Sol sobre el horizonte.

Figura 5.1
El observador es la cumbre del cono, cuyo eje está dirigido por una línea que une al observador con el Sol; el arco iris es la parte de la circunferencia de la base de este cono, la cual se encuentra sobre el horizonte. Al moverse la persona, dicho cono y por lo tamo, el arco iris, se desplazan de modo correspondiente; por eso es inútil tratar de encontrar la bolsa de oro prometida.
Aquí conviene hacer dos aclaraciones: primero, cuando mencionamos la línea recta que une al observador y el Sol, no tomamos en consideración la verdadera dirección hacia el Sol, sino que la observada. Dicha dirección se diferencia de la verdadera en la magnitud del ángulo de refracción. Segundo, cuando hablamos del arco iris sobre el horizonte, tenemos en cuenta el arco iris relativamente lejano, es decir, cuando la cortina de lluvia está distanciada de nosotros a varios kilómetros. También puede verse el arco iris cercano, por ejemplo, el que surge en los contornos de una grande fuente. En este caso los extremos del arco iris parecen tragarse por la Tierra. Por lo visto, el grado de alejamiento del arco iris en cuanto al observador no influye sobre sus dimensiones angulares.
De la fórmula (5.1) se desprende que

Para el arco iris γ principal es igual a 42°, aproximadamente (para el segmento amarillo del arco iris) y para el secundario dicho ángulo es de 52°. De esto queda claro el porqué el observador terrestre no puede admirar el arco iris principal si la altura del Sol sobre el horizonte rebasa 42° y no verá el arco iris secundario cuando la altura del astro supere 52°. Si el investigador se encuentra en un avión, las observaciones respecto a la altura del Sol requieren un nuevo examen; a propósito, el observador, estando en el avión, puede ver el arco iris en forma de la circunferencia completa. En cambio en qué lugar no se hallase el observador (en la superficie de la Tierra o por encima de ella), siempre será el centro del cono orientado hacia el Sol, cuyo ángulo de apertura es de 42° (para el arco iris principal) y de 52° (para el secundario). ¿Por qué son precisamente los ángulos 42° y 52°? A esta pregunta contestaremos más tarde.
Analicemos un problema. Hallar los ángulos bajo los cuales se ven la cumbre y la base del arco iris si la altura del Sol sobre el horizonte es φ = 20º.
La distancia angular de la cumbre del arco iris se determina directamente de (5.1):

Con fin de encontrar la distancia angular de la base del arco iris α, examinemos la figura 5.1. Del examen del triángulo BOO1 se desprende: OO1/OB = cos γ.
Del triángulo AOO1: OO1 / OA = cos Ψ; del triángulo AOD: OA/OD = cos α. Puesto que

por lo tanto, cos γ = cos Ψ cos α. De esta manera

De aquí se deduce que α = 38º
Desarrollo de las nociones sobre la física del surgimiento del arco iris desde Fletcher, De Dominis y Descartes hasta Newton
Observando múltiplemente el arco iris, es natural que la gente intentase comprender el mecanismo físico de su aparición. En 1571 Fletcher de Breslau publicó su obra en la cual afirmaba que el observador veía el arco iris como resultado de que los rayos luminosos, cada uno de los cuales experimentó la refracción doble en una gota de lluvia y la siguiente reflexión de la otra gota de lluvia, alcancen los ojos del individuo (figura 5.2, a).

Figura 5.2
El italiano Antonius De Dominis (1566-1624) supuso otra variante (debemos señalar que era correcta) del recorrido del rayo luminoso hacia el observador. El afirmaba que el rayo luminoso que participa en la formación de la imagen del arco iris, experimenta doble refracción y una reflexión en una misma gota de lluvia (figura 5.2, b).
El rayo solar inicial A1A, al penetrar en la gota, se refracta en el punto A, refractándose en el punto C. El ojo del observador alcanzará el rayo CC1, el cual forma el ángulo γ con el rayo inicial A1A; a consecuencia de esto el observador ve el arco iris bajo el ángulo γ hacia la dirección de los rayos solares incidentes.
Desarrollando las nociones de De Dominis, René Descartes explicó la aparición del arco iris secundario. Él partía de que en cada uno de los puntos A, B y C (véase la figura 5.2, b) el rayo luminoso experimenta tanto la refracción, como la reflexión. Es verdad que los rayos reflejados en el punto A, así como refractados en el punto B, no participan en la formación de la imagen del arco iris, por tanto, no representan interés para el caso en cuestión.
En lo que se refiere al rayo, reflejado en el punto C, éste puede, después de refractarse en el punto D, salir de la gota con tal de formar otra imagen del arco iris (figura 5.2, c). Si la primera imagen el observador la ve bajo un ángulo γ = 42°, la segunda la verá bajo el ángulo γ1 = 52°. Es natural que el arco iris secundario resulta más pálido que el principal: una parte de la energía del rayo CD se pierde, al reflejarse en el punto O.
Sin embargo, ni De Dominis ni Descartes no supieron explicar el porqué el observador ve el arco iris precisamente bajo el ángulo de 42° (ó 52°). Lo principal es que ellos no fueron capaces de explicar el surgimiento de los colores en el arco iris.
Así, De Dominis suponía que los rayos luminosos que recorren dentro de la gota el mínimo camino y por lo tanto en menor grado se mezclan con la oscuridad, dan el color rojo, mientras que los rayos que recorren el máximo camino en la gota, y en mayor grado se mezclan con la oscuridad, toman como resultado el color violado. El lector ya trabó conocimiento de la charla anterior con las ideas ingenuas antenewtonianas acerca de la aparición de los colores durante la refracción.
Explicación del surgimiento del arco iris en "Lectiones Opticae"-de Newton.
La teoría de colores del científico inglés permitió explicar por completo el mecanismo físico de la formación del arco iris. En su obra "Lectiones opticae' pueden hallarse el siguiente renglón, en el cual de hecho se da una explicación a fondo del surgimiento del arco iris:
"Entre los rayos que penetran en la esfera, algunos salen después de la primera reflexión, otros, después de dos reflexiones; hay rayos que salen después de reflejarse tres e incluso mayor número de veces. Ya que las gotas de lluvia son pequeñas en comparación con la distancia hasta el ojo del observador, de modo que desde el punto de vista físico pueden considerarse como puntos, no merece la pena examinar sus magnitudes, mas los ángulos que se forman entre los rayos incidentes y los de salida, hay que tenerlos presente". Allí, donde estos ángulos son máximos o mínimos, los rayos de salida están más concentrados. Puesto que diferentes tipos de rayos forman diversos ángulos máximos o mínimos, los rayos que se reúnen con mayor densidad en distintos lugares, tienden a revelar sus propios colores". [2]
La información fundamental en forma muy lacónica, se halla en las líneas que hemos puesto en cursiva. Estas líneas requieren cierta explicación. Todo lo restante de esta charla, está dedicado en realidad, a la explicación de las líneas en cursiva de "Lectiones opticae" de Newton.
Recorrido del rayo luminoso en la gota de lluvia
Primero supongamos que todos los rayos que inciden sobre una gota de lluvia, poseen la misma longitud de onda. Esto significa que al principio se examina sólo la refracción (y reflexión) de los rayos, sin tomar en consideración la dispersión de la luz. Supongamos que sobre una gota de radio R incide un haz paralelo de rayos luminosos monocromáticos. Denominemos la relación ξ = ρ/R, parámetro de impacto; ρ es la distancia desde el rayo en cuestión hasta la recta paralela a éste que pasa por el centro de la gota. A causa de la simetría de la gota, todos los rayos que poseen el mismo parámetro de impacto (estos rayos se muestran en la figura 5.3), en el interior de la gota describen semejantes trayectos y salen de la gota bajo el mismo ángulo con relación a la dirección inicial.

Figura 5.3
La simetría esférica de la gota conduce a que el trayecto de cada rayo yace en el plano que pasa a través de dicho rayo y una recta paralela a éste trazada por el centro de la gota. Por eso vamos a estudiar un problema bidimensional mostrando el recorrido de los rayos luminosos en el plano mencionado (será precisamente el plano de la figura).

Figura 5.4
La figura 5.4 ilustra el recorrido del rayo luminoso que posee un parámetro de impacto ρ/R. El ángulo de incidencia del rayo en la gota lo designaremos por α; es fácil ver que sen α = ρ/R = ξ.
Por cuantas los triángulos AOB y BOC son isósceles, ∠ OAB = ∠ ABO y ∠ OBC = ∠ BCO. El ángulo de incidencia es igual al de reflexión, por eso ∠ ABO = ∠ OBC. Designemos todos estos ángulos por β (véase la figura).
El ángulo formado por los rayos incidente y de salida lo designaremos por γ. Puesto que el cuadro del recorrido del rayo es simétrico con respecto a la recta OO1, entonces ∠ OO1C = γ/2.
Tracemos a través del punto C una recta MN || OO1; está claro que ∠ MCC1 = ∠ O1CN = ∠ OO1C = γ/2. Tendremos en cuenta luego que ∠C1 CP = α y ∠ QCP = β.
Del hecho que MN || OO1, se desprende que ∠ MCQ = ∠ OBC = 0.
En resumidas cuentas obtenemos ∠MCC1 = ∠ MCQ-(∠ C1CP- ∠ QCP) = β - (α - β). De este modo, γ/2 = β - (α - β), o de otra manera,

Expresemos el ángulo γ a través del parámetro de impacto del rayo. La ley de refracción en el punto A tiene el aspecto sen α/sen β = n. Empleando (5.2), de aquí obtenemos

o de otro modo,

Así, pues,

o, tomando en consideración que sen α = ρ/R = ξ,

Recordando la observación de Newton de que las dimensiones de la gota son menospreciables y ésta puede "considerarse como punto", señalemos: las relaciones (5.3) y (5.4) que son básicas para el ulterior examen, contienen sólo los ángulos (γ y α), así como, claro está, el índice de refracción del agua n.
Analicemos un problema. ¿Para qué valores del parámetro de impacto el rayo luminoso saldrá de la gota estrictamente hacia atrás? Así, pues, se necesita hallar los valores de ξ para los cuales γ = 0.

Figura 5.5
Suponiendo que en (5.5) γ = 0, obtenemos

ó, de otra manera

Teniendo en cuenta que sen

hallamos

La ecuación (5.6) tiene dos raíces. La primera de éstas es evidente: ξ1 = 0 y la segunda raíz tiene la forma

Sustituyendo n = 4/3 en (5.7) obtenemos ξ = 0,994.
Notemos al mismo tiempo que el índice de refracción n = 4/3 que por lo común se usa para el agua, corresponde a los rayos que alcanzan la parte amarilla del espectro.
Angulo máximo entre las direcciones de los rayos incidentes sobre la gota y los que salen de ella.
Así, pues, a medida del aumento del parámetro de impacto de los rayos desde cero hasta la unidad, el ángulo γ crece desde cero hasta cierto valor máximo y luego desciende, alcanzando el valor cero para ξ = 0,994 (para los rayos amarillos). Es muy importante encontrar el valor máximo del ángulo γ, ya que, según Newton, "allí, donde estos ángulos son máximos o mínimos, los rayos de salida están más concentrados".
Analicemos con relación a esto un problema. Hallar el valor máximo del ángulo entre el rayo que incide sobre la gota y el que sale de ésta. ¿Para qué parámetro de impacto se realiza este ángulo? El índice de refracción se toma igual a 4/3 (rayos amarillos). El valor máximo ξ puede encontrarse de la relación

(recordemos los razonamientos citados en la charla primera; véase (1.14)). Usando (5.5) puede demostrarse (para la simplicidad omitiremos los cálculos), que

De aquí obtenemos

Para n = 4/3 obtenemos ξ = 0,861. Sustituyendo (5.8) en (5.5), hallamos la expresión para el ángulo máximo entre el rayo incidente sobre la gota y el que sale de ésta:

Siendo n = 4/3 recibimos γmáx
= 42º 2'.
En la figura 5.5 da la dependencia entre el ángulo γ y el parámetro de impacto ξ obtenida para los rayos amarillos. Sobre cada gota de lluvia caen rayos con todo un conjunto (desde 0 hasta 1) de parámetros de impacto.
Estos rayos salen de la gota bajo diferentes ángulos γ. Es natural que el observador vea los rayos que poseen menor divergencia, más brillantes. Así son los rayos que alcanzan la región del máximo de la curva, mostrada en la figura 5.5, o sea, los rayos, para los cuales γ = 42°. Según la expresión de Newton, precisamente estos rayos están "más concentrados".

Figura 5.6
La "concentración" de los rayos que salen de la gota, en la proximidad del ángulo γ = 42°, muestra bien la figura 5.6, en la cual se dan los trayectos, calculados minuciosamente, de los rayos luminosos que se caracterizan por diferentes parámetros de impacto (los trayectos se obtuvieron para n = 4/3).
Ahora es fácil comprender el porqué el arco iris tiene forma de arco que se observa bajo un ángulo de 42° respecto a la recta que atraviesa al observador y el Sol. Para simplificar, supondremos que el Sol se halla en el mismo horizonte y que la cortina de lluvia tiene forma de una pared abrupta, cuyo plano es perpendicular con respecto a la dirección de los rayos incidentes.

Figura 5.7
La figura 5.7 ilustra el corte de la situación a examinar por el plano de la superficie terrestre; MN es la línea de la lluvia, O, la posición del observador. O1 es el punto de antihelio.
La zona de trazos es aquella, en los márgenes de la cual al observador le llegan los rayos, cada uno de los cuales experimentó en la gota de lluvia la reflexión y doble refracción; fuera de esta zona dichos rayos no llegan al nuestro observador. Los rayos que alcanzan al observador, saliendo de las gotas de lluvia que se hallan a la derecha de C y a la izquierda de D, están debilitados notoriamente, debido a una divergencia relativamente grande. Los rayos más brillantes son los que llegan al observador del límite de la zona de trazos, es decir, de las gotas en las inmediaciones de los puntos C y D, ya que la divergencia de estos rayos es mínima. Así, pues, si en el espectro del Sol figurase sólo una longitud de onda, el observador vería el arco iris en forma de un estrecho arco luminoso.
Explicación de la alteración de los colores en los arcos iris principal y secundario.
En realidad el espectro solar está representado por diferentes longitudes de ondas, por lo que el verdadero fenómeno que se observa es muy pintoresco. Haremos el siguiente paso: tomemos en consideración la policromaticidad de la luz solar.
Supongamos para la simplicidad que se examinan sólo dos longitudes de onda; sea que ellas se caractericen por los índices de refracción nr = 1,331 (rayo rojo) y nv = 1,344 (rayo violeta). Sustituyendo en la fórmula (5.8) y (5.9) los valores nr y nv
- obtenemos para el rayo rojo: ξr = 0,862, γr = 42°22';
- para el rayo violado: ξv = 0,855, γv = 40º36'
La figura 5.8 expone el trayecto de los rayos violado y rojo para el caso cuando cada uno de dichos rayos forma, al salir de la gota, un ángulo máximo con la dirección inicial.

Figura 5.8
Pues, los valores del ángulo máximo entre las direcciones del rayo que incide sobre la gota y el que sale de ésta resultan diferentes para los rayos de distintas longitudes de onda. Recordemos lo dicho por Newton:
"Puesto que diferentes tipos de rayos forman diversos: ángulos máximos, los rayos qué se reúnen con mayor densidad en distintos lugares, tienden a revelar sus propios colores".
El observador verá el arco rojo bajo el ángulo de 42°22' y el violeta bajo el ángulo de 40º40' (recordemos que estos ángulos se examinan entre las direcciones desde el observador al arco iris al punto antihelio). De esto queda claro por qué el extremo inferior del arco iris tiene color
rojo y el interior, violado.
Hablando sobre los colores del arco iris, indiquemos otra circunstancia más. Reproduzcamos en la figura 5.9 la situación análoga a la mostrada en la figura 5.7, limitándonos como antes con dos colores.

Figura 5.9
Los rayos rojos relativamente intensos llegan hacia el observador por las direcciones CO y DO, los rayos violados no se propagan por dichas direcciones. Al observador le llegan por las direcciones C1O y D1O los rayos violados relativamente intensos y los rayos rojos debilitados mediante la divergencia. En estas direcciones el observador verá el color violado, al que se mezcla en cierto grado el rojo. En direcciones de los puntos yacentes entre C1 y D1, al observador le llegarán los rayos violado y rojo debilitados (divergentes); éstos se mezclarán entre si y en resumidas cuentas darán (teniendo en cuenta los otros colores) la luz blanca.
De esta manera, el surgimiento del arco iris de colores en el firmamento no se explica sólo con que para cada color existe su ángulo máximo y, sino también porque en las inmediaciones de este ángulo el recubrimiento (mezcla) de los colores transcurre en menor grado.

Figura 5.10
De lo dicho puede hacerse otra deducción más: la parte coja del arco iris parece más expresiva y saturada, mientras que su parte violada está mezclada con tonos rojos. Observemos que los prismas permiten obtener tonos de color más puros en comparación con el arco iris. Puede decirse que el espectro del arco iris es semejante al del prisma si éste se mira a través de un vidrio débilmente rojizo transparente.
Hasta el momento hemos hablado sobre el arco iris principal. Los mismos razonamientos son aplicables, por lo visto, al arco iris secundario, sólo hay que tener en cuenta que el arco iris secundario es proporcionado a causa de la doble refracción y doble reflexión de los rayos luminosos en la gota de lluvia (acordémonos de la figura 5.2, c). Puede mostrarse que el ángulo máximo entre las direcciones del rayo que incide sobre la gota y el que sale de ésta, es igual a 52°. No ejecutaremos los correspondientes cálculos, sólo adjuntaremos la figura 5.10 de la cual se ve el porqué la alteración de los colores en el arco iris secundario es inverso al orden de alteración de los colores en el arco iris principal.
El arco iris en otros planetas
El lector que siguió atentamente todos nuestros razonamientos, debe cerciorarse de la enorme distancia que hay entre la corriente noción habitual de que "el arco iris es un fenómeno muy simple: son los rayos solares que se refractan en las gotas de lluvia" y la compresión real del mecanismo físico del surgimiento del arco iris. Después de comprender lo esencial en este mecanismo, podemos permitirnos un poco de fantasía. Planteemos una pregunta: ¿cómo sería el arco iris, si el índice de refracción de repente aumentase, por ejemplo, 1,25 veces para todas las longitudes de ondas? (imaginémonos de que nos encontrásemos en algún planeta, donde el papel de agua lo desempeñase otro líquido cualquiera.)
Esto significa que ahora para el rayo rojo nr = 1,66 y violado nv= 1,68. Utilizando (5.9), obtenemos en este caso γr = 11° y γv = 10°. De esta manera, las dimensiones angulares del arco iris disminuyeron cuatro veces. Ahora para el observador es necesario que la altura del Sol sobre el horizonte no supere 10°. Si el índice de refracción se aproxime a n = 2, el arco iris se concentra en una mancha brillante que se halla en dirección del punto antihelio.
Causas del surgimiento de halo; halo y arco iris.
Al final de la charla hablaremos un poco sobre otro fenómeno óptico: el halo. Este se observa, en comparación con el arco iris, con mucho menos frecuencia, puede ser que incluso muchos de los lectores ni hayan oído sobre el halo. Citemos un pequeño fragmento del libro de M. Minnart " Luz y color en la naturaleza":
"Después de varios días de un tiempo formidable, el barómetro cae y comienza a soplar el viento del Sur. En el oeste aparecen nubes altas, transparentes y veloces, el cielo se-hace paulatinamente blanco láctico. Parece que el Sol alumbra a través de un cristal opaco, sus contornos se hacen derrubiados. El paisaje está alumbrado por una luz vaga, peculiar. ¡"Siento" que alrededor del Sol tiene que aparecer el halo! Y casi siempre tengo razón. Alrededor del Sol vemos un brillante anillo de unos 22° de radio. Lo mejor de todo es ponerse a la sombra de una casa o sostener la mano contra el Sol para no quedarse cegado. ¡Es un espectáculo excelente! Cada uno que ve este fenómeno por primera vez le parece que el anillo es grandioso, sin embargo, esto es sólo el "halo pequeño"; otros fenómenos de halo tienen una escala mucho mayor... También Ud. puede ver semejante cerco cerca de la Luna".
Así, pues, halo tiene forma de un anillo iluminante alrededor del Sol o la Luna; el radio angular del anillo es de unos 22°. Esto es el denominado halo pequeño, también se observa el halo grande: un anillo de unos 46° de radio angular.
El fenómeno de halo por su naturaleza es familiar al arco iris, que surge como resultado de las refracciones y reflexiones de la luz en las gotas de lluvia, mientras que halo aparece, al refractarse la luz en los cristales de hielo de los que consisten las nubes superiores. Estos cristales tienen con frecuencia la forma de prismas regulares hexagonales (figura 5.11, a). La refracción del rayo luminoso en semejante prisma puede considerarse como refracción en un prisma triangular corriente que posee un ángulo de refracción de 60° (figura 5.11, b) o bien de 90° (figura 5.11, c).
Todos estos prismas están orientados de distinto modo con relación a los rayos solares incidentes. Por eso, al pasar a través de los prismas, los rayos se desviarán en diferentes ángulos. Es importante que de todos los rayos, que al refractarse, alcanzan el ojo del observador, los más brillantes serán los que atraviesen el prisma de un modo simétrico. Recordemos que este caso corresponde al ángulo mínimo de desviación de los rayos en el prisma, y como señalaba Newton, "allí donde estos ángulos (los ángulos entre los rayos incidentes y de salida. Al.de/ A.) son máximos o mínimos, los rayos de salida están más concentrados".

Figura 5.11
Es curioso que el observador ve el arco iris bajo el ángulo máximo de desviación del rayo (además, en la parte opuesta al Sol), mientras que el halo lo ve bajo el ángulo mínimo de desviación del rayo (con la particularidad de que tiene que estar de cara al Sol). La figura 5.12 explica el surgimiento del halo tanto del pequeño, como del grande.

Figura 5.12
El ángulo δ1 = 22° es el ángulo de la desviación mínima del rayo en el caso ilustrado en la figura 5.11, b, y el ángulo δ2 = 46° es el ángulo de la desviación mínima en el caso mostrado en la figura 5.11, c. Estos ángulos pueden hallarse de la relación (3.6). Poniendo n = 1,31 y θ = 60°, obtenemos δ = 22° y para θ = 90°, encontramos que δ = 46°.
Debido a la dispersión de la luz, los anillos de halo tienen siempre los tonos de arco iris (la zona interior de los anillos es roja). Puesto que el prisma con el ángulo de refracción de 90° se caracteriza por una mayor dispersión angular que el prisma con ángulo de refracción de 60°, el halo grande tiene los colores más saturados qué el pequeño.
Si los ejes de los prismas de hielo hexagonales que provocan el fenómeno de halo están orientados desordenadamente, la intensidad de la luminosidad del anillo de halo será la misma por toda su circunferencia. Al haber una orientación preferida de los ejes de los hexaedros, algunas partes del anillo le parecerán al observador más brillantes en comparación con las otras.

Figura 5.13
En estos casos el fenómeno de halo puede adquirir una forma bastante específica, por ejemplo, puede parecerse a una cruz. " Y es un augurio cuando el Sol está en un cerco, y en el medio del cerco se halla una cruz"-leemos en una de las crónicas de la antigua Rusia (siglo XII). Esta visión en el cielo hacía estremecerse a la gente religiosa, que les parecía ser un "augurio divino'' terrible que predecía numerosas desgracias y muertes.
Supongamos que los ejes de los hexaedros de hielo están orientados de modo estrictamente vertical. Entonces el halo no tendrá forma de anillo, sino que de dos brillantes imágenes, semejantes al Sol que se hallan en una recta horizontal con el Sol real (figura 5.13).
Este fenómeno tiene su nombre especial: soles falsos (parhelios). El observador ve como si fuesen tres Soles. La distancia angular entre cada par de estos soles es de 22°. A veces puede observarse semejante cuadro cuando el tiempo es muy tranquillo y la posición del Sol es baja.
Contenido:
- Obtención de la imagen en cámara oscura
- Obtención de la imagen en un sistema de lentes
- Deducción de la formula de la lente fina a base del principio de Fermat
- Aberraciones cromática y esférica
- Imágenes reales y virtuales
- Lentes divergentes y convergentes
- Lente en un medio ópticamente denso
- Breve historia maturina del desarrollo de los sistemas de lentes
- Invención del anteojo de larga vista
- Recorrido de los rayos en el anteojo de Galileo: aumento angular
- Las observaciones astronómicas de Galileo
- "Dioptrice" de Kepler y los trabajos posteriores
- Lente acromática de Dollond
- Placa de zonas de Fresnel
Supongamos que es menester obtener la imagen-de cierto objeto en la pantalla (o en una placa fotográfica). Todos comprenden que para esto no es suficiente ubicar él objeto iluminado ante la pantalla, ya que en este caso los rayos luminosos, reflejados de uno u otro punto de la superficie del objeto, "iluminarán" toda la superficie de la pantalla (figura 6.1, a)
Para obtener la imagen del objeto en la pantalla es necesario tomar medidas con fin de "ordenar" el sistema de rayos que inciden sobre la pantalla. Es indispensable que los rayos de cada uno de los puntos de la superficie del objeto alcancen el correspondiente punto de la pantalla.
Obtención de la imagen en cámara oscura.
Lo más fácil es colocar entre el objeto y la pantalla un tabique impenetrable con pequeño orificio (figura 6.1, b). Sólo los rayos que puedan pasar por el orificio alcanzarán la pantalla; los demás se retendrán por el tabique. Como consecuencia de esto en la pantalla aparecerá la imagen invertida del objeto.
![]() Figura 6.1 |
Semejante método de obtener la imagen es el principio de funcionamiento de la cámara oscura. Puesto que sólo una parte insignificante de rayos reflejados del objeto, participa en la formación de la imagen, para observar ésta hay que colocar la pantalla dentro del volumen oscurecido.
Obtención de la imagen en un sistema de lentes
En la cámara oscura, la imagen se forma a causa de que todos los rayos "inconvenientes" simplemente se interceptan. Una variante más interesante es cuando estos rayos no se cortan, sino que de modo correspondiente se curvan (por ejemplo, debido a la refracción) y por lo tanto, también participan en la creación de la imagen. Esto se puede hacer, en principio, utilizando un sistema de lentes elegidas y situadas de modo especial En la práctica esto se logra si en lugar del sistema de prismas se utiliza una lente, o sea, un cuerpo transparente acotado por dos superficies esféricas (véase la imagen de trazos en la figura 6.1, c). Es bien conocido el hecho de que precisamente los sistemas de lentes hallan una aplicación de gran escala en la técnica moderna para obtener imágenes ópticas.
Así, pues, utilizando una lente, se puede un haz de rayos que salen del punto A, unir de nuevo en un punto: el punto A1 (figura 6.2, a). ¿No contradice esto al principio de Fermat (el principio de extrema)), con el que trabamos conocimiento en la primera charla? Pues, en el caso, ilustrado por la figura 6.2. a, la luz se propaga de A a A1 por diferentes trayectos, mientras que, al parecer, debería "elegir" aquel trayecto para pasar por el cual se necesita un tiempo mínimo.

Figura 6.2
Sin ninguna duda el caso que se examina no contradice de ninguna manera el principio de Fermat, ya que,
· primero, para pasar todos los trayectos mostrados en la figura 6.2, a se requiere el mismo tiempo, y
· segundo, este tiempo realmente es menos del que se necesita para pasar cualquier otro trayecto que no entra en dicha familia de trayectos, por ejemplo, por cualquier trayecto que se da en la figura 6.2, b mediante una línea de trazos.
Deducción de u fórmula de la lente fina. A base del principio de Fermat
El principio de Fermat no sólo no contradice la acción convergente de la lente, sino que permite obtener la fórmula de la lente fina, sin utilizar la ley de refracción. Como esta fórmula se toma la relación que une los radios de curvatura R1 y R2 de la superficie de la lente que posee un índice de refracción n y distancias d y f desde la lente hasta el objeto y su imagen, respectivamente. Por lente fina se comprende una lente, cuyo grosor es mucho menos que R1 y R2. Señalemos que para establecer la fórmula de la lente fina es suficiente utilizar la condición de igualdad del tiempo que se requiere para pasar por cualesquiera dos trayectos de los que se dan en la figura 6.2, a.

Figura 6.3
En calidad de uno de estos trayectos, elijamos la recta que une los puntos A y A1, y en calidad de otro, el trayecto que pasa por el mismo bordo de la lente (los rayos AOA1y ACA1 en la figura 6.3).
El tiempo del recorrido de la luz por el camino AOA1 es

mientras que por ACA, es

Igualando T1 y T2, obtenemos

Supongamos que es válida la denominada aproximación paraxial, lo que significa que los ángulos entre los rayos luminosos y el eje óptico de la lente AA1 pueden considerarse muy pequeños. Por eso

y por lo tanto

Hallamos correspondientemente que

Sustituyendo los resultados obtenidos en (6.1), encontramos que

Teniendo en cuenta que en la lente fina Δ1 « d y Δ2 « f, escribamos (6.2) en otra forma

Después tomaremos en consideración que

y, respectivamente,

después de lo que (6.3) se transforma en la fórmula de la lente fina:

La magnitud

se denomina vergencia de la lente (poder óptico); F es la distancia focal de la misma. Los puntos en el eje óptico a ambas partes de la lente, que se hallan a una distancia F de ella, se denominan focos.
Sustituyendo (6.5) en (6.4), recibimos la fórmula que sin duda alguna, le es conocida al lector:

Si la fuente puntual de los rayos luminosos se encuentra en el foco de la lente (d = F), entonces de acuerdo con (6.6), 1/f = 0; en este caso la lente forma un haz de rayos paralelos, los cuales como si trasladasen la imagen del punto luminoso al infinito (figura 6.4, a).

Figura 6.4
Partiendo de la invertibilidad del recorrido de los rayos luminosos, puede concluirse que el haz luminoso paralelo, que se propaga a lo largo del eje óptico, estará enfocado, mediante la lente, en un punto que se halla en el foco (efectivamente, conforme a (6.6) de la condición d = ∞, se desprende que f - F, figura 6.4, b).
Prestemos atención al hecho que la magnitud h no entra en la fórmula (6.4), es decir, la distancia entre los rayos en cuestión en el plano de la lente no influye. Precisamente por eso se puede afirmar que cualquier otro rayo que salga de A y pase a través de la lente, llegará sin falta al punto A1. No es difícil comprender que la ausencia de la magnitud h en la fórmula de la lente fina es consecuencia de la aplicación de la aproximación paraxial y del hecho que la lente es fina, puesto que precisamente en este caso

Es natural que la aproximación paraxial es simplemente una aproximación: cuanto más amplio es el haz luminoso, tanto menos efectiva es. También queda claro que cualquier lente posee cierto grosor. Todo lo dicho conduce a que el cuadro ilustrado en la figura 6.4 resulta ser idealizado.
Aberraciones cromática y esférica
En realidad, la lente no puede, en rigor, enfocar el haz luminoso en un punto. Esto es imposible, incluso si se admite que el haz que incide sobre la lente es estrictamente paralelo (mientras que en la vida real no existen semejantes haces, como tampoco existen fuentes puntuales de la luz). Puede mostrarse que cuanto más lejos está el rayo luminoso del eje óptico de la lente, tanto menor es la distancia focal para éste (figura 6.5).

Figura 6.5
En otras palabras, los bordes de la lente desvían los rayos con mayor intensidad que se necesita para que éstos pasen a través de la imagen formada por los rayos que atraviesan la zona central de la lente. Debido a esto la definición de la imagen obtenida empeora. El fenómeno examinado lleva el nombre de aberración esférica.
En el caso general, el término "aberración" se utiliza para toda clase de empeoramientos y distorsiones de las imágenes, que se forman en los sistemas ópticos, en particular, en las lentes. La aberración esférica es sólo un ejemplo de las aberraciones. A titulo de otro ejemplo señalemos la aberración cromática. Este tipo de aberración está relacionado con la dispersión de la luz. El rayo luminoso policromático, al pasar por la lente, se descompone en rayos de diferentes colores; en este caso el rayo violado se desvía en mayor medida que el rojo. De esa manera la distancia focal de la lente depende, en rigor, de la longitud de onda de la luz: aumenta a medida de que pasa de la zona violada del espectro a la roja. La aberración cromática empeora la calidad de la imagen, conduciendo a la manifestación de una orladura irisada.
En los márgenes de dicho libro no podemos estudiar con más detalle las aberraciones de las lentes, señalemos sólo que se han creado procedimientos bastante eficaces para contrarrestarlas; más tarde citaremos algunos ejemplos. Mientras tanto dejemos la aberración a un lado y vamos a suponer que las lentes y sistemas de lentes que examinamos son sin aberración, o como se dice en estos casos, son ideales. Para que esta suposición tenga base, analizaremos haces luminosos monocromáticos que pasan en las inmediaciones del eje, siendo además, suficientemente estrechos.
Así pues, volvamos a las fórmulas (6.4 - 6.6).
Imágenes reales y virtuales
En la figura 6.6, a se da la construcción de la imagen B1 del punto B por medio de dos rayos. El rayo BC que pasa paralelamente al eje óptico AA1, después de refractarse en la lente, pasa por el foco D. El rayo BO que pasa a través del centro de la lente, en general, no se refracta. La imagen B1 buscada la da la intersección de los rayos CD yBO. Utilizando la construcción analizada, no es difícil deducir la fórmula (6.6). De la semejanza de los triángulos ABO y OA1B1 se desprende que AO/OA1 = AB/A1B1 y de la semejanza de los triángulos OCD y DA1B1 obtenemos que OD/DA1 = OC/A1B1 .

Figura 6.6
Puesto que AB = OC, los segundos miembros de las proporciones escritas son iguales; de aquí resulta que AO/OA1 = OD/DA1 ó de otra manera, d/f=F/(f - F). Es fácil cerciorarse de que la última igualdad puede escribirse de nuevo en forma de (6.6).
Ahora supongamos que el objeto se coloca entre la lente y su foco, como se muestra en la figura 6.6, b.
Confeccionando del mismo modo la construcción de la imagen del punto B por dos rayos, descubrimos dos momentos nuevos: primero, la imagen se forma no a causa de la intersección de los mismos rayos que atravesaron la lente, sino que merced a la de sus continuaciones (las líneas de trazos en la figura 6.6, b). Segundo, la posición de esta imagen en el eje óptico de la lente ya no se determina por la fórmula (6.6), sino que (como no será difícil para el lector verificar esto independientemente), mediante la fórmula

Es fácil ver que la imagen obtenida ahora, se diferencia cualitativamente de la imagen del caso anterior. Para el caso mostrado en la figura 6.6, a, teniendo deseo, podría obtenerse la fotografía del objeto, colocando la lámina fotográfica en el lugar donde se ha formado la imagen, o sea, en el punto A1. Mas en el caso mostrado en la figura 6.6, b es inútil ubicar la lámina fotográfica en la zona donde se forma la imagen (en el punto A2), ya que no obtendríamos ninguna fotografía del objeto. Se puede imaginar una situación muy curiosa. Supongamos que entre los puntos A2 y A (es decir, entre la imagen y el objeto) se halla una pared impenetrable. Entonces la imagen se formará detrás de la pared, por eso es inútil, a ciencia cierta, colocar allí la placa fotográfica.
Puede surgir la pregunta ¿acaso es posible dar el nombre de imagen a lo que de hecho se forma al intersecarse no los propios rayos, sino sus continuaciones? ¿Es real semejante imagen? A pesar de las dudas que surgen, la respuesta a esta pregunta es positiva: puesto que esta imagen puede verse (incluso al existir la pared mencionada antes). Si el observador quiere ver la imagen, tiene que en este caso ocupar la correspondiente posición con relación al objeto y lente. Esto significa que en el caso en cuestión es necesario incluir también el ojo del observador al sistema óptico.
Nosotros volveremos a esta cuestión en la siguiente charla, dedicada especialmente al ojo como un sistema óptico. Aquí sólo indicaremos que la imagen que se forma como resultado de la intersección de los propios rayos, se denomina real y la que se forma al intersecarse sus continuaciones, se llama virtual. Si la imagen real puede fijarse en la placa fotográfica (pantalla) y luego también en la retina del ojo del observador, la virtual se "fija" sólo en la retina del ojo. A propósito, cada vez que nos miramos a un espejo corriente, chocamos con las imágenes virtuales.
En lo que se refiere a las fórmulas (6.7) y (6.6), éstas pueden considerarse como dos variantes de una misma fórmula

donde d y F son magnitudes positivas, y f es positiva para las imágenes reales y negativa para las virtuales. La designación de f en (6.7) y en la figura 6.6, b. es por lo tanto el módulo de la magnitud negativa; por eso la fórmula (6.7) es necesario escribirla de nuevo en forma de

Lentes divergentes y convergentes
Los resultados obtenidos son válidos no sólo para la lente biconvexa, mostrada en la figura 6.3, sino, en general, para todas las lentes, pertenecientes a la, clase de convergentes. Todas estas lentes se hacen más gruesas desde los bordes de la lente hacia su centro. El haz luminoso plano que incide en esta lente, se reúne en el foco (claro está si prescindimos de la aberración).

Figura 6.7
Existen tres tipos de lentes convergentes esféricas, ilustradas en la figura 6.7:
- biconvexas,
- planoconvexas y
- convexo-cóncavas.
Todas pueden describirse mediante la fórmula (6.5), si se acuerda que el radio de la superficie convexa de la lente es positivo y el de la cóncava, negativo.
![]() Figura 6.8 |
A la par con las lentes convergentes, se usan también las divergentes. El haz luminoso plano, al incidir en semejante lente, se dispersa, reuniéndose las continuaciones de los rayos refractados en el foco de la lente (en ausencia de la aberración) (figura 6.8).
La figura 6.9 muestra los tipos de las lentes divergentes: u) bicóncavas, b) planocóncavas y c) cóncavo-convexas. Todas las lentes divergentes se hacen más gruesas desde el centro de la lente hacia su borde.

Figura 6.9
Como ya hemos quedado de acuerdo, al emplear la fórmula (6.5) es necesario tomar el radio de la superficie cóncava negativo, y el de la superficie convexa, positivo. Es fácil cerciorarse que la distancia focal (y por lo tanto, la vergencia) de las lentes divergentes siempre es negativa. La imagen que forma la lente divergente siempre es virtual (figura 6.10).

Figura 10
La fórmula (6.6) puede aplicarse a las lentes divergentes, si se toma en consideración que ahora F < 0 y f< 0. Para las lentes divergentes la fórmula (6.6) debe escribirse de la forma

Empleando la figura 6.10, el lector sin dificultad alguna podrá obtener la fórmula (6.9). Para ello, será suficiente que use la semejanza de los triángulos ABO y A2B2O, así como de los triángulos DCO y DB2A2.
Lente en un medio ópticamente denso
Como una observación adicional, señalemos que todo lo dicho sobre los tipos de las lentes convergentes y divergentes se refiere a cuando la sustancia de la lente posee mayor índice de refracción que el medio donde se encuentra. Las formulas (6.1) - (6.5) se han obtenido, suponiendo que la lente con índice de refracción n se halla en un medio aéreo, cuyo índice de refracción es, como siempre en semejantes casos, igual a la unidad. Ahora supongamos que la lente con índice de refracción n, se encuentra en un medio, cuyo índice de refracción es n2.
Volviendo a la situación que muestra la figura 6.1, vemos que

así que en vez de (6.1) tendremos la igualdad

Esta se diferencia de (6.1) con que n esta sustituido por la relación n1/n2. Tomando en consideración dicha sustitución, volvamos a escribir (6.4) y (6.5) de la siguiente forma

si n1 > n2 (por ejemplo, una lente de vidrio con n1 = 1,5 se halla en el agua), entonces ( n1/n2) - 1 > 0, por eso todas las observaciones hechas anteriormente sobre los tipos de las lentes convergentes y divergentes quedan válidas. Si la lente se coloca en un medio ópticamente más denso que la propia lente (n1 < n2) entonces (n1/n2) - 1 < 0, el signo de la distancia focal cambia al opuesto, por consiguiente, la lente que en las condiciones normales era convergente, se hace divergente (y viceversa). Esto significa, en particular, que la lente biconvexa se transforma en divergente y la bicóncava, al contrario, se hace convergente.
Así pues, una misma lente puede ser tanto convergente como divergente, en dependencia de la relación entre los índices de refracción de la lente y del medio en el que se halla la lente.
Breve historia maturina del desarrollo de los sistemas de lentes
¿Cuándo aparecieron las primeras lentes? Es difícil dar una contestación determinada. Puede afirmarse sólo que ya Alhazen (siglo XI) conocía la capacidad de la lente planoconvexa de aumentar la imagen. El famoso naturalista inglés Roger Bacon (1214-1292) por primera vez intentó examinar la refracción de la luz en una superficie esférica. Siendo egresado de la Universidad de Oxford, de una cultura elevada para su época, gran conocedor de los manuscritos árabes y antiguos, Bacon propagaba de una manera muy activa el método experimental de investigaciones. Contribuyó enormemente en el desarrollo de la óptica experimental ejecutando varias investigaciones con los espejos esféricos, cámara oscura, asimismo con las lentes planoconvexas (en aquellos tiempos éstas se denominaban lentejas).
En las obras del científico pueden hallarse consejos a las personas que tienen mala la vista, de poner una lenteja planoconvexa sobre la imagen que se mira.
"Si la persona, escribía Bacon, examina las letras u otros objetos diminutos con ayuda de un vidrio u otro cuerpo transparente, situado sobre las letras, y si este cuerpo es un segmento esférico, cuya convexidad está dirigida hacia el ojo, las letras se verán mejor y parecerán más grandes... Por lo tanto este instrumento será útil a las personas que tienen la vista débil".
Justamente al final del siglo XIII aparecieron las gafas y comenzó a desarrollarse con rapidez la producción de las lentes (primero, las convexas y luego, las cóncavas). No conocemos al inventor de las gafas. Puede ser que las han descubierto los artesanos que pulían cristales. No es por casualidad de que la palabra lente procede del pueblo "lenteja" (lenticchia). A mediados del siglo XIV las gafas han obtenido gran divulgación. Para "los ancianos" las gafas se producían de lentes biconvexas (corregían la presbicia) y "las gafas para los jóvenes" de las lentes bicóncavas (éstas corregían la miopía).
Invención del anteojo de larga vista
La invención del anteojo de larga vista la relacionan con los nombres de los pulidores de cristales holandeses Jansen, Metius y Luopersheim. Por lo visto, puliendo los cristales, casualmente notaron el efecto de aumento de las imágenes alejadas en un sistema que constaba de dos lentes. A propósito, los anteojos de larga vista, fabricados por los artesanos holandeses, eran bastante imperfectos.
El primer anteojo de larga vista perfeccionado fue inventado y confeccionado en 1609 por el famoso sabio italiano Galileo Galilei (1564-1642).
Este, de hecho, era el primer telescopio del mundo. En sus obras Galileo describió detalladamente de qué modo llegó a la creación del telescopio.
"Sabemos a ciencia cierta, escribía en su obra, titulada "Balanza de ensayo", que el holandés, el primer inventor del anteojo de larga vista, era un simple artesano que producía corrientes gafas. Casualmente, revisando los cristales de diversas especies, de repente miró por dos cristales, uno de los cuales era convexo y el otro, cóncavo, que se encontraban a distinta distancia del ojo y vio, entonces, el efecto surgido, descubriendo de esta manera dicho instrumento. Y yo, movido por la noticia susodicha, llegué al instrumento mediante razonamientos..."
Describiendo su anteojo de larga vista en "Sidereus nucius", Galileo señalaba:
"Cuando inventé mi tubo de plomo, en cuyos extremos, coloqué dos cristales ópticos, ambos planos de una parte y de la otra, un cristal convexo esférico y el otro, cóncavo. Mirando desde él cristal cóncavo, vi los objetos bastante grandes y cercanos que parecían ser diez veces más grandes que a simple vista".
Recorrido de los rayos en el anteojo de Galileo. Aumento angular
El anteojo de larga vista, inventado por Galileo, hoy día se conoce como anteojo de Galileo.

Figura 6.11
Examinemos con más detalle su mecanismo y el recorrido de los rayos luminosos en el anteojo de Galileo. Éste último tiene dos lentes: convergente y divergente: La lente convergente se halla en el extremo del anteojo, dirigido hacia el objeto a investigar, y se denomina objetivo. La lente divergente se encuentra en el extremo opuesto del anteojo, el ojo del observador resulta en una cercanía inmediata de esta lente y se denominaocular. Designemos la distancia focal del objetivo por F1 y la del ocular, por |F2|; es esencial que F1 > |F2|.
Las lentes se colocan en el anteojo a una distancia tal que coincidan sus focos posteriores, entonces la longitud del anteojo l = F1 - |F2|. Analizando e| recorrido de los rayos luminosos en el anteojo de Galileo, examinaremos dos situaciones por separado. Primero supongamos que el observador mira mediante el anteojo un objeto cercano de pequeñas dimensiones: esta situación la ilustra la figura 6.11.
Después nos referiremos a la situación que explica la figura 6.12, cuando el observador mira por el anteojo un objeto muy alejado, por ejemplo, la Luna.
Comencemos por el examen del objeto relativamente cercano. La figura 6.11, a se da el recorrido de dos rayos que van desde el punto A del objeto hacia el objetivo. El rayo AO atraviesa el centro del objetivo O y alcanza el ocular en el punto N. Para hallar el recorrido sucesivo de este rayo tracemos a través del centro del ocular O1 el rayo

Figura 6.12
LO1 || ON. El rayo LO1 interseca el plano focal EE del ocular en un punto P. Puede afirmarse que el rayo luminoso NN1, al salir del ocular, estará dirigido de modo que su continuación pase precisamente por el punto P. Esta afirmación se desprende de la regla conocida: el haz de rayos paralelos se refracta en una lente ideal de modo que bien los propios rayos, bien sus continuaciones se intersecan en un punto que se halle en el plano focal de la lente. En este caso los rayos paralelos son precisamente LO1 y ON. Está claro que el primero de ellos atraviesa el ocular, sin variar la dirección. Ahora dirijámonos al segundo rayo luminoso que sale del punto A del objeto y alcanza el objetivo del anteojo.
En la figura 6.11, a, es el rayo AD. Este pasa a través del foco D del objetivo; por eso detrás del objetivo este rayo se propaga paralelamente al eje óptico de la lente y se refracta en el ocular de modo que su continuación atraviesa el foco Q del ocular. La intersección de las continuaciones de los rayos NN1 y MM1 fija el punto A1 que es precisamente la imagen del punto A en el anteojo de Galileo. El punto B1 que es la imagen del punto B, se halla de un modo simétrico al punto A.
Así, vemos que el anteojo de Galileo forma una imagen virtual no invertida (directa) del objeto. Comparando las dimensiones de la imagen A1B1 y del objeto AB, el lector puede deducir que el anteojo de Galileo no aumenta, sino que, al contrario, disminuye. En cambio, esta conclusión es incorrecta. A pesar de que el segmento A1B1 es más corto que el segmento AB, pero sin embargo, está bastante más cerca del ojo del observador. Como muestra la figura 6.11, b, el observador (él se halla en el punto O') ve la imagen A,B, bajo un ángulo α2 que es notoriamente mayor que el ángulo α1, bajo el cual el observador vería el objeto en ausencia del anteojo de larga vista.
Subrayemos que el anteojo aumenta el ángulo, bajo el cual el observador ve el objeto; el anteojo aumenta las dimensiones angulares del objeto. La relación

se denomina aumento angular. En la charla siguiente nos convenceremos de que al examinar el objeto, lo esencial es precisamente el aumento angular (y no el lineal).
Luego supongamos que el objeto que se observa a través del anteojo de Galileo, se halla tan tejos de observador que los rayos que alcanzan el objetivo de un punto u otro del objeto, pueden considerarse como rayos paralelos. Dirijamos el anteojo de Galileo hacia la Luna. A simple vista el disco de la Luna se ve bajo el ángulo α1 = 0,5° (en rigor, a causa de la refracción de la luz en la atmósfera, el ángulo α1 depende de la altura de la Luna sobre el horizonte, lo que en este caso carece de importancia). Admitamos que los rayos paralelos AO y A'D, mostrados en la figura 6.12, a, se propagan al objetivo del anteojo desde el borde superior del disco lunar; éstos forman un ángulo α1/2 con el eje óptico del anteojo, dirigido al centro del disco lunar.
El lector puede con facilidad cerciorarse independientemente de que los rayos en cuestión, después de refractarse en el ocular, serán de nuevo recíprocamente paralelos (NN1 || MM1). No obstante, el ángulo formado entre estos rayos y el eje óptico del anteojo ya será distinto; designémoslo por α2/2. Es fácil ver que α2 > α1 (véase la figura 6.12, b ).
No es difícil hallar la relación α2 / α1. Al examinar el triángulo DOC en la figura 6.12, a se ve que tan (α1/2) = OC/DO, y del triángulo QO1M hallamos que tan(α2/2) = OM1/QO1. Puesto que OC = O1M,

Aprovechándonos de la pequeñez de los ángulos α1 y α2 (en la figura, para mayor claridad, éstos se dan extremadamente grandes), sustituyamos la relación de las tangentes por la de los ángulos, y teniendo en cuenta (6.12) escribamos de nuevo (6.13) en la siguiente forma

Así, pues, al examinar los objetos alejados el anteojo de Galileo asegura un aumento angular en F1 / |F2| veces.
Si, por ejemplo F1 / |F2| = 10, el observador ya no ve el disco lunar bajo el ángulo α1 = 0,5°, sino bajo el ángulo α2 = α1 F1 / |F2| = 5°. Señalemos que bajo este ángulo se ve la página de este libro a una distancia de 1,5 m.
Las observaciones astronómicas de Galileo
El mayor mérito científico de Galileo consiste no sólo en que creó el anteojo de larga vista, sino también fue el primero que empleó este anteojo para mirar el cielo. "Dejando los asuntos terrestres, me dediqué a los celestes",-escribía el sabio en "Sidereus necius".
Con ayuda de su anteojo, observó el paisaje de la Luna, descubrió las fases de Venus y las manchas en el Sol. Vio con sus propios ojos en cielo la encarnación del sistema de Copérnico: los cuatro satélites (lunas) de Júpiter, y más tarde, descubrió la existencia de los satélites de Saturno. El científico comprendía perfectamente qué golpe significaba el descubrimiento de los satélites de los planetas para los enemigos del sistema de Copérnico, y ante todo para el dogma eclesiástico, ya que conforme a la Sagrada Escritura, la Tierra se consideraba el centro del Universo.
Después de ejecutar las minuciosas y largas observaciones, Galileo con seguridad escribía:
"Sin la menor duda, decidí que existen cuatro astros que giran alrededor de Júpiter, lo mismo que Venus y Mercurio giran alrededor del Sol. Hoy día tenemos un argumento evidente para disolver las dudas de los que estando de acuerdo en admitir que los planetas giran alrededor del Sol, se desconciertan en cambio, de la cuestión: de qué modo la Luna se mueve alrededor de la Tierra, trazando al mismo tiempo con ella un circulo anual alrededor del Sol... Ahora sabemos que existen planetas que giran uno alrededor del otro y al mismo tiempo se mueven alrededor del Sol. Sabemos que en las inmediaciones de Júpiter no se mueve una luna, sino cuatro que lo siguen en el transcurso de su circulación de doce años alrededor del Sol".
Por eso no debe sorprender que después de estos descubrimientos sensacionales empezó la persecución enfurecida del sabio por parte de los eclesiásticos.
En la actualidad el anteojo de Galileo se sustituye por sistemas de telescopios más perfeccionados que permiten obtener un aumento angular mucho mayor, manteniendo al mismo tiempo la alta calidad de la imagen. Sin embargo, este precursor modesto de los telescopios modernos sirve a la gente hasta hoy día. Recuérdense siempre de él, al coger unos: simples gemelos de teatro, ya que son en sí ni más ni menos que una combinación de dos pequeños anteojos de Galileo.
"Dioptrice" de Kepler y los trabajos posteriores
En los tiempos de Galileo vivía y trabajaba el célebre físico alemán Johannes Kepler. Él inventó su variante de telescopio, en el cual empleó las lentes convergentes no solo para el objetivo, sino también para el ocular. En 1611 Kepler publicó su obra principal respecto a la óptica, titulada " Dioptrice". En este libro se da la descripción de las propiedades de diversas lentes, asimismo sus combinaciones, definición de los focos, las regularidades, que relacionan la posición del objeto y la imagen.
Por primera vez se explica de qué modo es necesario construir la imagen, utilizando el recorrido de dos rayos luminosos y buscando la intersección de estos rayos o de sus continuaciones. También el libro contiene la descripción cualitativa de la aberración esférica de las lentes. Es verdad que el libro no tiene ni una fórmula exacta. El autor en lugar de las relaciones numéricas, nos da sólo la descripción cualitativa de las regularidades observadas, lo que era propio para su tiempo. Pero no se debería criticar por eso esta obra fundamental, puesto que no debemos olvidar en el momento que se ha escrito " Dioptrice" de Kepler aún no había sido enunciada la ley de refracción de la luz.
Al final del siglo XVI y al principio de XVII, aparecieron al mismo tiempo que los primeros telescopios, los primeros microscopios que empezaron a perfeccionarse aceleradamente. A mediados del siglo XVII el famoso naturalista holandés Leeuwenhoek logra un perfeccionamiento, extraordinario para su tiempo, en la producción de los microscopios, mediante los cuales descubre el mundo de los microbios.
Una vez descubierta la ley de refracción de la luz se intentó calcular los sistemas de lentes. En 1646 el matemático italiano Cavalieri estableció para la lente biconvexa la fórmula:

Es fácil convencerse de que la fórmula de Cavalieri se desprende de la fórmula (65), si se toma n = 3/2.
La fórmula para la lente fina en forma general la estableció el investigador inglés Galen en 1693. Isaac Newton en sus "Lectiones opticae" analiza la refracción de la luz en una superficie esférica, divide de una forma clara la óptica paraxial y la óptica de los rayos con una inclinación suficientemente manifestada. Newton calcula también las aberraciones esférica y cromática para la superficie esférica pero supone erróneamente que la aberración cromática en principio es insuperable en los sistemas refractantes.
Lente acromática de Dollond
En 1746 se publicó la obra del famoso científico ruso Leonardo Euler "Nueva teoría de la luz y los colores", en la cual la diferencia de los colores se relaciona con las diferencias de las longitudes de ondas luminosas. En esta obra Euler demostró la posibilidad de eliminar la aberración cromática de las lentes.
![]() Figura 6.13 |
Más tarde, en 1758, el óptico inglés Jhon Dollond, aplicando las ideas de Euler, pudo hacer una lente sin aberración cromática. Dichas lentes empezaron a denominarse lentes acromáticas. Su aparición contribuyó, en un grado considerable, al perfeccionamiento de los telescopios, microscopios y de otros dispositivos ópticos.
La lente acromática de Dollond es en sí una conexión de dos lentes, una de las cuales se produce de una clase de cristal (crown-glass) y la otra, de otra clase (flint-glass).
La figura 6.13 muestra esta lente: aquí 1 es la lente de crown-glass, 2, lente de flint-glass. La vergencia de dos lentes finas unidas es igual a la suma de las vergencias de dos lentes por separado. Tomando en consideración (6.5) y el hecho de que la distancia focal de la lente plana cóncava es negativa, representemos la vergencia de la lente acromática en forma de

Aquí los índices 1 y 2 se refieren a las lentes de crown-glass y flint-glass, respectivamente; R es el radio de curvatura de la superficie esférica de la lente. Pueden elegirse las clases de cristal de modo que 1/F prácticamente no dependa de la longitud de onda luminosa, a pesar de que 1 /F1 y 1/F2 por separado dependen de ésta.
Resolvamos el siguiente problema, relacionado a lo dicho. Cerciorarse de que la vergencia de la lente acromática, eligiendo correspondientemente los cristales (la lente se muestra en la figura 6.13), es la misma para las longitudes de ondas λ
añ
= 0,49 μm (color añil) y λr = 0,66 μm (color rojo)
Escribamos (6.15) de nuevo

Los índices de refracción para λañ
los designaremos por el índice "añ" y para λr, por el indice "r". Según la fórmula (6.16) vemos que conviene elegir tal clase de cristal que se cumpla la igualdad

o de otro modo

Dirijámonos al prontuario "Tablas de magnitudes Físicas", bajo la redacción del académico I. K. Kikoin (Moscú, Atomizdat, 1976, en ruso) y obtenemos de éste que para flint-glass de la marca Φ2

y para crown-glass de la marca K19

De este modo, para los cristales de las marcas indicadas la igualdad (6.17) se cumple. También se cumple para flint-glass de la marca Φ6

y para crown-glass de la marca K19

En la actualidad la óptica de lente encuentra una aplicación extremadamente grande. Los sistemas telescópicos, microscopios, aparatos fotográficos y cinematográficos, espectrómetros, líneas de telecomunicaciones ópticas, técnica de láser, es difícil incluso enumerar todos los instrumentos y dispositivos en los que se emplean las lentes. Las lentes modernas son con frecuencia elementos ópticos bastante complejos, que permiten obtener imágenes cualitativas en las cuales las aberraciones se reducen al mínimo.
Placa de zonas de Fresnel
A la par con el posterior perfeccionamiento de las lentes hechas de cristal u otros materiales (por ejemplo, de polímeros transparentes), hoy día se desarrolla una orientación cualitativamente nueva de obtención de las imágenes. El origen de esta dirección se distingue ya a principios del siglo XIX en los trabajos de la óptica ondulatoria del célebre físico francés Augustin Jean Fresnel. Como se deduce de estos trabajos, no es necesario por completo de producir la lente del cristal, es suficiente "dibujarla" en una hoja transparente.

Figura 6.14
La conversación sobre esta lente extraordinaria comenzaremos por la explicación del concepto "zonas de Fresnel", tan difundido en la óptica ondulatoria. Supongamos que a lo largo de la dirección O'O se propaga un haz luminoso monocromático y paralelo; el plano S es el frente de onda de este haz (figura 6.14).
Elijamos en O'O cierto punto D, cuya distancia hasta el plano S la designaremos por F (OD = F). Representemos mentalmente en el plano S el lugar geométrico de puntos; la distancia desde éstos hasta el punto D es F1 = F + λ/2, donde λ es la longitud de la onda luminosa; esto será una circunferencia de radio r1 = OO1.
Está claro que

Luego representaremos las circunferencias que son los lugares geométricos de los puntos, alejados de D en F2 = F + λ, F3 = F + 3λ/2, … Fm = F +
mλ/2, respectivamente.
Como resultado, en el plano S aparece un sistemas de circunferencias con el centro común O y radios

No es difícil de ver que

(el sumando (mλ/2)2 puede menospreciarse, puesto que (mλ/2)2« mλF, siendo m no muy grande). Teniendo en cuenta (6.18), trazaremos minuciosamente este sistema de circunferencias (circunferencias de trazos en la figura 6.15). Vamos a considerar estas circunferencias como líneas centrales de las zonas anulares alternadas, a cada una de las cuales corresponde su valor del número m.
La zona central es un circulo (m = 0). El radio de la circunferencia que demarca las zonas (m - 1)y m, se determina de la fórmula

donde Φm
= Fm — λ/4. De esta manera

Las zonas que ilustra la figura 6.15 (están rayadas una sí, otra no) se denominan conos de Fresnel.
Tomemos una hoja de un material transparente y representemos en ella el dibujo que ilustra las zonas de Fresnel; haremos no transparentes todas las zonas con m impares, es decir, todas las zonas que en la figura 6.15 están rayadas.

Figura 6.15
Así obtendremos la denominada placa de zonas de Fresnel. Para F = 1 m y λ = 0,64 μm, recibimos que √(λF) = 0,8 mm. Es relativamente fácil en principio, fabricar dicha placa.
Coloquemos la placa de zonas, de Fresnel en el trayecto del haz luminoso paralelo. Para comprender de qué modo, influirá esta placa a la siguiente propagación de la luz, recordemos el principio de Huygens discutido en la charla primera. Cuando el frente de onda plano del haz luminoso alcance el plano de la placa, todos los puntos en el círculo central y en .las zonas dé los anillos transparentes (pares) se convierten simultáneamente en fuentes de ondas esféricas secundarias; los puntos de la placa en la zona de los anillos opacos (impares), por lo visto, no engendran, ondas secundarias. Por cuántas la placa de zonas ésta hecha de modo que las distancias de los centros de diversos anillos transparentes hasta el punto D en el eje del haz se diferencian en un número entero de longitudes de ondas, por eso todas las ondas luminosas secundarias llegarán al punto D en la misma fase; a causa de esto la intensidad de la luz en el punto D aumentará considerablemente, como si el haz luminoso inicial resultase enfocado en este punto.
Así pues, la placa de zonas de Fresnel funciona como una lente convergente y puede examinarse como un análogo bidimensional (dibujado) de la lente. La placa, cuya estructura de los anillos corresponde a las fórmulas (6.18) y (6.19), reúne el haz luminoso paralelo incidente con longitud de onda λ en un punto, situado en el eje del haz a una distancia F de la placa.
La lente en forma de placa de Fresnel, no refracta la luz: aquí nos encontramos con otro fenómeno óptico que es la difracción de la luz. La placa de zonas es un ejemplo de la red de difracción. La discusión de la difracción rebasa los márgenes de dicho libro. Por eso nos limitaremos a decir que en la actualidad, mejor dicho, después de aparecer el láser, los "cuadros", semejantes al de la placa de zonas, hallan gran aplicación para controlar los campos luminosos y, en particular, para obtener imágenes ópticas. Estos "cuadros" se denominan hologramas, en caso general, son redes de difracción con un cuadro muy complejo de bandas que no se parece en nada al cuadro sencillo de los anillos en la placa de zonas de Fresnel. Apareció y se desarrolla con éxito la nueva dirección en la óptica moderna que es la holografía óptica.
Contenido:
- Dos grupos de dispositivos ópticos
- Estructura y esquema óptico del ojo humano
- Sistema que consta de una lupa y el ojo
- Desarrollo de la teoría sobre la vista desde Demócrito y Galenus hasta Alhazen y Leonardo da Vinci
- Comparación del ojo con la cámara oscura en las obras de Leonardo da Vinci
- Kepler acerca del papel del cristalino en el ojo; explicación del mecanismo de acomodación por Huygens
- Hipermetropía y miopía
- El ojo como un dispositivo óptico perfecto
- Gafas
- Empleo de sistemas de lentes para aumentar el ángulo visual
- Ojos compuestos de los insectos
Dos grupos de dispositivos ópticos
Los dispositivos ópticos que forman la imagen, pueden dividirse en dos grupos. Los del primer grupo (dispositivos de proyección) forman la imagen real del objeto que se proyecta a la pantalla o la placa fotográfica. Dicha imagen la pueden observar al mismo tiempo muchos espectadores. Un ejemplo característico es la presentación pública de una película: todos los espectadores en la sala perciben simultáneamente la imagen real, proyectada a la pantalla.
Los dispositivos del segundo grupo forman la imagen virtual del objeto. Esta imagen percibe, por regla general, sólo un observador, aunque no se excluye la situación cuando la imagen virtual se examina a través de la lupa al mismo tiempo por varias personas. Es importante que la imagen virtual es de por sí una ficción, convección (puesto que sólo se puede hablar para la forma sobre la intersección no de los rayos, sino de sus continuaciones), sin embargo esta ficción se convierte en realidad en cuanto se incluye en el sistema óptico el ojo del observador. La imagen virtual que se forma por el dispositivo, se transforma por el ojo en una imagen real que se proyecta en la retina (pared posterior) del ojo.
No por casualidad los dispositivos ópticos que forman la imagen virtual se los denomina dispositivos para los ojos. A éstos pertenecen, en particular, la lupa, las gafas, microscopios, anteojos de larga vista (telescopios). En rigor, en todos estos casos al examinar el recorrido de los rayos luminosos al circuito óptico es menester incluir también el ojo del observador. Esta necesidad ya se señaló en la charla anterior, al discutir los aumentos angulares obtenidos aplicando el anteojo de Galileo.
¿Qué papel desempeña el ojo del observador en un experimento óptico u otro? ¿Existe un límite que separa la ciencia de la vista de la ciencia de la luz, y en este caso qué se comprende bajo el término óptica?
Desde hace mucho a los científicos les interesaban estas preguntas. Al comienzo del desarrollo de las investigaciones ópticas el papel del ojo se exageraba evidentemente, la óptica era de hecho una ciencia de la vista. No hay que olvidar que en algunos tiempos consideraban que de los ojos salían rayos de luz y se hablaba en serio de la "luz de los ojos". Sólo con el tiempo se comprendió que el ojo desempeña el papel de receptor de los rayos luminosos que parten del objeto; más tarde comenzó la división de la ciencia en dos partes; la de la vista y la óptica, la última se consideraba como ciencia de la luz. En la actualidad estamos preparados para valorar realmente el papel del ojo del observador en la óptica experimental. Pero es interesante que como contrapeso a la exageración existente del papel del ojo, hoy día subestimamos muchas veces este papel. En muchos libros y manuales modernos de la óptica no se destaca el papel principal del ojo del observador, al percibir las imágenes virtuales.
Es útil, aunque sea de una forma breve, seguir el camino del cambio paulatino de la noción sobre el mecanismo de la vista y el papel del ojo. Naturalmente, esto sucedía a medida de que se precisaba la estructura del propio ojo. Por eso es conveniente, antes de "partir" a la historia lejana, comunicar los datos modernos de la estructura del ojo humano.
Estructura y esquema óptico del ojo humano.
El ojo humano tiene una forma esferoidal casi regular (globo del ojo).

Figura 7.1
La figura 7.1 muestra el corte del ojo en esquema. El ojo posee una membrana exterior suficientemente sólida, denominada esclera (1); la parte frontal de la esclera es más convexa y transparente, se denomina córnea (2). Por la parte interior la esclera está cubierta de una membrana vascular (3) que consta de vasos sanguíneos que alimentan el ojo. El nervio óptico (4), al llegar al ojo, se ramifica, formando en la pared posterior de la membrana vascular una capa fotosensible: membrana reticular o simplemente retina (5). La retina consiste de varias capas de células-receptores de diverso tipo y desempeña el papel del receptor de la radiación luminosa. En la parte frontal del ojo inmediatamente detrás de la córnea se encuentra el humor acuoso (6) y siguiente a éste, el iris (7) Distintas personas tienen el iris de diferente color, por lo que se diferencia el color de los ojos. En el iris hay un orificio circular (pupila), cuyo diámetro D puede, variar. El iris, con la pupila, desempeña el papel del diafragma que regula el acceso de la luz en el interior del.ojo. Inmediatamente después, del iris se halla el cristalino (8), una lente biconvexa fabricada por la propia naturaleza. El cristalino se abarca por el músculo ciliar (9), bajo cuya acción la curvatura de las superficies del cristalino: (por lo tanto, también su vergencia) puede variar. El volumen del ojo entre el cristalino y la retina está lleno de una sustancia gelatinosa transparente que se denomina cuerpo vítreo, (10).
Los rayos luminosos que llegan del objetivo al ojo, se refractan al pasar por el humor acuoso, el cristalino y cuerpo vítreo. Los índices de refracción del humor acuoso y del cuerpo vítreo son; aproximadamente los mismos que el del agua; el índice de refracción del cristalino es 1,4 aproximadamente. En la retina se forma una imagen real del objeto a observar, pero invertida. El cerebro, al obtener la señal mediante el nervio óptico, introduce las correspondientes "correcciones", y, como resultado, percibimos los objetos en posiciones naturales y no invertidas.
Sistema que consta de una lupa y el ojo
En calidad de ejemplo, en la figura 7.2 se muestra el recorrido de los rayos luminosos en el esquema óptico formado de una lupa y el ojo. El ojo se halla en una proximidad inmediata de la lente convergente. El objeto AB se coloca detrás de la lente a una distancia inferior a la focal de la tente F. Examinemos uno de los rayos que salen de B, precisamente el rayo que pasa cerca del borde e de la pupila. Este rayo, después de refractarse en el ojo, llega a la retina en el punto B2.

Figura 7.2
El rayo correspondiente que sale de A, alcanza la retina en el punto A2. Puesto que el rayo de B, antes de llegar al ojo, se refracta en el punto b de la lente y el rayo A se refracta en el punto a de la lente, el ojo percibirá no el mismo objetoAB, sino su imagen virtual A1B2; ya que be se encuentra en la misma recta con B1e y ac, en la misma recta con A1c (no tomamos en consideración en este caso la refracción en el humor acuoso que se encuentra delante del cristalino). Señalemos que los rayos BO1 y BG-GD, así como AO1 y AH-ID, mostrados en la figura 7.2, tienen en este caso un carácter auxiliar: ayudan a construir la imagen A1B1 del objeto AB en la lente. Entonces, el ojo percibe la imagen virtual A1B1 y lo transforma en una imagen real invertida A1B1 en la retina. El punto O es el centro óptico del ojo (indiquemos que en realidad éste se halla más a la izquierda de lo que se muestra en la figura, o sea, se encuentra en la superficie posterior del cristalino). El ángulo α es el ángulo bajo el cual el observador ve la imagen, se le denomina ángulo visual. Cuanto mayor es el ángulo visual, tanto mayor es el tamaño visible del objeto.
La superficie de la retina está llena de numerosas células fotosensibles, entre las cuales se diferencian los conos y bastoncillos. Para que el ojo pueda resolver dos puntos a observar, es necesario, evidentemente, que la distancia entre las imágenes de estos puntos en la retina sea mayor que el tamaño de las células fotosensibles. Resulta que el ángulo visual en este caso debe ser no menos de un minuto angular.
Desarrollo de la teoría de la vista desde Demócrito de Abdera y Galenus hasta Alhazen y Leonardo da Vinci.
Ahora, cuando ya conocemos en rasgos generales la estructura del ojo y el recorrido de los rayos luminosos dentro de éste, pongamos la vista en los tiempos antiguos.
En el siglo VI antes de nuestra era, los precursores de Pitágoras consideraban que del ojo humano sale un flujo invisible el cual como si "palpase " el objeto observable. En el siglo V antes de nuestra era Empédocles de Agrigento suponía que a la par con el flujo del ojo existe también el flujo del objeto luminoso. El eminente materialista de la antigüedad Demócrito de Abdera (460-370 años antes de nuestra era),negaba la existencia de cualesquier flujo del ojo, explicando la sensación visual cómo acción de los átomos que emiten los cuerpos luminosos sobre el ojo. Sin embargo, en las obras de la óptica de Euclides, creadas alrededor del año 300 antes de nuestra era, puede encontrarse la afirmación: " Los rayos emitidos por los ojos, se propagan por una recta".
Hubo de pasar cuatro siglos y medio, cuando aparece en las obras de Galenus (130-200), por lo visto, la primera descripción de la estructura del ojo humano. Esta descripción aún no es muy perfecta, pero ya se menciona en ella el nervio visual, la retina y el cristalino. Verdad que aquí mismo se encuentra la afirmación de que la "luz de los ojos" que elabora el cerebro, se propaga por el nervio visual, se disipa en el cuerpo vítreo y luego se reúne en el cristalino que, según Galenus, es el órgano de percepción.
Aproximadamente dentro de nueve siglos, las obras de Galenus atraen la atención del famoso científico árabe Alhazen (siglo XI) que tomó la descripción anatómica de Galenus, pero retiró decididamente la "luz de los ojos". " La imagen visual, escribía Alhazen, se obtiene por medio de rayos que-emiten los cuerpos visibles y que llegan al ojo".

Figura 7.3
Lo más importante es que él por primera vez intentó comprender el mecanismo de formación de la imagen visual, lo que no hizo nadie antes de Alhazen, puesto, que consideraban simplemente: que la imagen visual surge de repente y por entero, como un proceso entero, indivisible por partes.
Alhazen enunció una suposición genial: a cada punto de la superficie visible del objeto le debe corresponder su punto dentro del ojo y, por consiguiente, el proceso de formación de la imagen del objeto: en el ojo se compone de un conjunto de procesos elementales de formación de la imagen de puntos separados del objeto. Es verdad que el científico consideraba que los puntos de percepción no se hallan en la retina, sino que se encuentran en la superficie frontal del cristalino. El escribía: "La imagen visual se obtiene mediante una pirámide, cuya cima está en el ojo y la base, en el cuerpo visible".
La idea de Alhazen la ilustra la figura 7.3. Los rayos luminosos de los puntos A, B, C del objeto, según Alhazen, se concentran en el centro del ojo. A los puntos mencionados les corresponden los puntos de percepción A1, B1, C1, en la superficie frontal del cristalino.
Comparación del ojo con la cámara oscura en las obras de Leonardo da Vinci.
El eminente pintor y naturalista italiano Leonardo da Vinci (1452 1519) corrigió la falta de Alhazen, trasladando los puntos de percepción desde la superficie del cristalino a la retina. Más aún, describiendo detalladamente la cámara oscura, señalaba directamente: " Lo mismo sucede también dentro del ojo". Así, por primera vez, se dio la estructura que es necesario considerar como el análogo óptico del ojo humano. El académico S. I. Vavilov prestaba una atención peculiar a este hecho:
"Antes de aparecer la cámara oscura, la imagen se conocía sólo en el ojo y en los cuadros creados por seres humanos. La cámara dividió decididamente la luz de la vista, he aquí su papel teórico cognoscitivo histórico. Desde que se ha descubierto la cámara, la interrogante acerca de la estructura del ojo, que hasta ese momento ocupaba el lugar principal en la óptica, se convirtió en una cuestión especial, principalmente fisiológica y médica. En rigor, en el siglo XVI la óptica (el significado exacto de la palabra es ciencia de la vista) cesó de ser lo que era, convirtiéndose en ciencia de la luz".
Sin embargo, conviene señalar que Leonardo da Vinci se equivocaba en algunos detalles esenciales, al comparar el ojo humano y la cámara oscura. Él suponía que el cristalino tiene la forma de esfera y se halla en el medio del globo del ojo.

Figura 7.4
La figura 7.4 muestra el recorrido de los rayos para este "ojo". El pintor italiano veía que en la cámara oscura se obtiene la imagen invertida, mientras, como consideraba él, en la retina del ojo tiene que haber una imagen directa. El científico suponía que el cristalino esferoidal dentro del ojo está destinado precisamente para dar de nuevo la vuelta a la imagen, para que en resumidas cuentas se obtuviese una imagen directa (véase la figura). El error de Leonardo da Vinci se explica no sólo por el deseo de tener una imagen directa en la retina, sino también por la imperfección de la metodología experimental de la investigación anatómica del ojo, empleada por el científico.
"Durante la disección del ojo, escribía Leonardo da Vinci, para ver bien lo de adentro, sin verter su humor acuoso, es necesario poner el ojo en la clara de huevo y hervirla".
El científico no sabía que al hervir el cristalino, toma la forma esférica y su posición real dentro del ojo se deteriora.
Así, pues, el ojo humano en realidad es parecido a la cámara oscura. Pero en el interior de su cuerpo vítreo no hay ningún otro cuerpo esférico que pudiese a causa de la refracción, dar una vuelta complementaria a la imagen. El cristalino tiene la forma de una lente biconvexa y se halla pegado al orificio de la "cámara oscura". Debido a esto la imagen en la retina del ojo resulta invertida lo mismo que en una cámara oscura corriente.
Es curioso que un modelo real del ojo, o sea, una cámara oscura con la lente convergente en el orificio, mostró, sin darse cuenta, el italiano Porta a finales del siglo XVI. En la pared posterior de su cámara perfeccionada, observó la imagen invertida. Porta utilizó su construcción de la cámara más bien para diversión, ya que incluso no le surgió la idea de que el cristalino en el ojo puede semejarse a la lente, instalada en el orificio de la cámara oscura.
Kepler acerca del papel del cristalino en el ojo: explicación del mecanismo de acomodación por Huygens.
A principios del siglo XVII Johannes Kepler por primera vez enunció la idea de que la imagen que se forma en la retina del ojo es invertida. Comprendió también que el cristalino es necesario para la acomodación del ojo, es decir, para su autorregulación a los objetos cercanos o alejados con fin de obtener una imagen precisa en la retina. No obstante, comprendía erróneamente el mecanismo de acomodación, suponiendo que la autorregulación del ojo para el contraste se efectúa mediante la variación de la distancia entre el cristalino y la retina.
Sólo a comienzos del siglo XIX, el célebre físico inglés, famoso médico, metalurgo, egiptólogo, oceanógrafo, y botánico, Thomas Young (1773-1829) demostró que el mecanismo de acomodación no consiste en el desplazamiento del cristalino, sino en la variación de la curvatura de sus superficies, en otras palabras, en la variación de la vergencia del cristalino.
Antes ya hemos mencionado que el cristalino está abarcado por un músculo ciliar. Cuando éste debilitado, la vergencia del cristalino es mínima. En este caso en la retina de un ojo normal se forma una imagen clara de los objetos alejados: se dice que el ojo está acomodado al infinito. A medida de que la persona comienza a examinar los objetos cada vez más cercanos, sucede de un modo automático la acomodación del ojo: el músculo ciliar se tensa cada vez más, el cristalino se oprime por los bordes con mayor intensidad, se hace más convexo y su vergencia aumenta. De este modo se realiza la autorregulación del ojo para el contraste, por lo tanto, la persona puede ver con claridad los objetos que se hallan a diferente distancia de él.
Observe a una persona muy pensativa. Tendrá, como suele decirse, una mirada enajenada, le mira a Ud., pero se ve claramente que no nota su presencia, mira a lo lejos, como si mirase a través de Usted. Sus ojos están acomodados al infinito, y Ud. lo siente muy bien. Otra forma por completo tiene la persona que lee con la atención concentrada en el libro. En todo su aspecto no hay debilitamiento. Su mirada es tensa (incluso si él no le mira a la cara). Sus ojos están acomodados a un objeto muy cercano, al libro, por eso los músculos ciliares del ojo están en tensión máxima.
Es natural que después de leer un largo tiempo, la persona siente que se le cansaron los ojos.
Hipermetropía y miopía
La capacidad del ojo es limitada. Por eso se habla de los puntos lejanos y cercanos que fija el ojo. El ojo normal no tiene punto alejado y el punto cercano se encuentra a unos 20 cm. La distancia mínima L, a la que el ojo puede ver claramente los objetos, sin cansarse mucho, se denomina distancia de la mejor vista, que para el ojo normal es de 25 cm. Con frecuencia se encuentran los ojos con límites anormales de acomodación. Se diferencian los ojos miopes y présbites.
El ojo miope tiene L < 25 cm, el punto cercano puede hallarse sólo a varios centímetros del ojo; entonces el punto alejado no resulta en el infinito (como lo tiene el ojo normal) sino que a una distancia próxima que puede ser de varios metros. Los objetos más o menos alejados estas personas los perciben sin precisión, de manera borrosa. El ojo présbite posee L > 25 cm, el punto cercano puede hallarse a una distancia del ojo hasta un metro y más. Estos individuos no ven "en propias narices", sin embargo, ven muy bien los objetos alejados. El músculo ciliar con los años se debilita de una manera inevitable, por eso la distancia hasta el punto cercano aumenta a la vejez incluso a la gente con la vista normal ( presbiopía).
El ojo como un dispositivo óptico perfecto
A pesar de ciertas desviaciones de lo normal que puede tener el ojo humano, éste debe considerarse como el perfecto dispositivo óptico. Antes señalamos su capacidad de autorregulación para el contraste mediante la variación de la vergencia del cristalino. Añadiremos a lo dicho, la capacidad del ojo de cambiar el diámetro de la pupila, lo que permite regular el acceso de la luz dentro del ojo y variar la profundidad del enfoque (lo mismo que al cambiar el diafragma de apertura del objetivo de la cámara fotográfica). Sin embargo, los méritos del ojo como instrumento óptico no se agotan con esto.
La aberración del ojo no le impide percibir la imagen del objeto. Esto está relacionado, en particular, con una estructura especial de la membrana reticular. Es que la capacidad de la retina de distinguir bien los detalles del objeto en cuestión y los colores es máxima, sólo en los márgenes de una zona relativamente pequeña que decrece con rapidez al alejarse de ella.
Esta zona se denomina mácula lútea. En su centro se ve una fóvea característica: lugar de la mayor cantidad de células receptoras (conos retinales en su mayoría).

Figura 7.5
En la figura 7.5 la zona de la mácula lútea está rayada; se ve bien la mencionada fóvea. La recta AA que atraviesa el centro de la mácula lútea (fóvea) y el centro óptico del ojo se denomina eje visual del ojo. Este forma con el eje óptico OO del ojo un ángulo φ ≈ 5° . Las dimensiones angulares de la mácula lútea no rebasan 5° y las de la fóvea, constituyen sólo 1... 1,5°.
La peculiaridad descrita de la estructura de la retina conduce a que el ojo percibe principalmente un haz luminoso paraxial estrecho que se propaga a lo largo del eje visual. De este modo disminuye de una forma brusca la posibilidad de la aberración. Más con el aumento de la iluminación del objeto, esta posibilidad incrementa; pero en este caso la situación se mejora reduciendo el diámetro de .la pupila.
Sería de esperar que la pequeña dimensión angular de la mácula lútea deberla disminuir el campo visual, puesto que el ángulo lútea no debe superar en grado considerable la dimensión angular de la mácula. Sería así, si el ojo fuese inmóvil. Sin embargo, la naturaleza "ha previsto" una buena movilidad del ojo, la cual, compensa perfectamente las pequeñas, dimensiones angulares de la zona más eficaz de la retina.
Al examinar un objeto u otro, nosotros mismos, sin querer, cambiamos a grandes saltos la dirección del eje visual del ojo, pasando de este modo la vista de un punto del objeto a otra. Como resultado, a la superficie de la mácula lútea y, en particular, en la fóvea, caerán en distintos momentos diversas partes de la superficie del objeto, sus detalles diferentes. En algunos puntos del objeto el ojo como si se retuviese, mientras que los demás los pasa de largo, sin retenerse. La imagen visual del objeto en total se crea a consecuencia de semejantes exámenes sucesivos. Después de todo, podemos concentrar la atención en unos detalles o en otros, sin fijarse al mismo tiempo en la restricción del campo visual preciso. Debido a la movilidad del ojo, el campo visual nos parece muy grande: hasta 120° por la vertical y 150°, por la horizontal.
Señalaremos una capacidad importante del ojo de ver un detalle u otro en el transcurso de cierto tiempo después que este detalle haya desaparecido del campo de vista. Este tiempo es de 0,1 s, aproximadamente y es óptimo. Imaginémonos que este tiempo se hiciese 100 veces menor o, al contrario, 100 veces mayor. En el primer caso la imagen visual del objeto se "descompondría" en detalles incoherentes separados. En el segundo caso, los detalles se cubrirían mutuamente sin crear una sola imagen visual. Señalemos que en ambos casos ya no podríamos ver la película o teletransmisión.
Mencionemos aquí sólo cinco "perfeccionamientos'', con los que la naturaleza gratificó nuestro órgano visual:
- capacidad de autorregulación para el contraste,
- regulación del diámetro de la pupila,
- alta sensibilidad de la retina en las inmediaciones del eje visual del ojo,
- buena movilidad del ojo y
- duración óptima de la sensación visual.
Esto es suficiente para valorar el alto grado de perfección de nuestro dispositivo óptico natural. Si quisiéramos reproducir artificialmente el ojo humano, necesitaríamos inventar una cámara oscura que diese vueltas con rapidez, con un diámetro variable del orificio de entrada, con una lente, al lado del orificio, capaz de cambiar su vergencia, y con un sistema complicado de receptores de luz en la pared posterior de la cámara. Además chocaríamos con el problema de la concordancia reciproca de los movimientos de la cámara, variaciones del diámetro del orificio y variaciones de la vergencia de la lente, así como la concordancia entre lo mencionado ahora y la iluminancia de los objetos observados, su alejamiento de los ojos y la forma concreta. Y de todos los modos esto no podría considerarse como modelo del ojo humano, ya que nuestra cámara extraperfecta no puede concentrar la atención en uno u otro detalle. Pues, en resumidas cuentas, la vista está relacionada de una manera más estrecha con el proceso de razonamiento.
El académico S. I. Vavilov en su libro "Ojo y Sol" (les recomendamos con encarecimiento a los lectores que lean este libro) analiza detalladamente las propiedades y peculiaridades del ojo humano. Comparando las propiedades del ojo con las de la luz solar, muestra que
"el ojo es el resultado de un proceso extremadamente largo de la selección natural, el resumen de las variaciones del organismo bajo la acción del medio ambiente y la lucha por la existencia, por la mejor acomodación a) mundo exterior".
Hablando de las excelentes propiedades del ojo humano, el académico subraya que
"Todo esto es el resultado de la acomodación del ojo a la luz solar en la Tierra. No se puede comprender el ojo sin tener nociones del Sol, y viceversa, por las propiedades del Sol se puede, en rasgos generales, trazar de modo teórico las peculiaridades del ojo, cuales deben de ser, sin saberlas de antemano".
Por lo visto, no sólo ahora, sino también en un futuro próximo, el hombre no podrá crear un ojo artificial. En cambio, ya desde los tiempos lejanos puede corregir algunos defectos del ojo vivo, así como ampliar sus posibilidades.
Gafas.
Así pues, desde hace bastante tiempo las gafas se utilizan para corregir las miopías y presbiopía (véase la charla anterior). La figura 7.6 ilustra el recorrido de los rayos que llegan al ojo del observador de objetos muy alejados.

Figura 7.6
Se examinan tres casos:
- vista normal;
- miopía;
- presbiopía.
Los rayos dentro del ojo (se muestran con flechas continuas) se realizan al debilitarse por completo el músculo ciliar del ojo, y los rayos en forma de flechas de trazos, para el músculo tenso. Se ve que siendo la vista normal, la acomodación de la vista al infinito ocurre para el músculo debilitado; para la miopía, la acomodación al infinito es, prácticamente imposible; para la presbiopía la acomodación es posible, pero con la condición de que el músculo angular esté tenso. La figura 7.7 muestra de qué modo las gafas pueden eliminar los defectos de la miopía y presbiopía.

Figura 7.7
Habiendo miopía, se usan gafas con una lente divergente (figura 7.7, a) y para la presbiopía, con lente convergente (figura 7.7, b). Como vemos de la figura, las gafas permiten obtener el mismo, recorrido de los rayos en el ojo, como se observa en un ojo normal (compárese con la figura 7.6, a). Ahora tanto para el ojo miope, como para el présbite, la acomodación al infinito tiene lugar siendo debilitado el músculo ciliar.
Empleo de sistemas de lentes para aumentar el ángulo visual
Al comienzo de la charla, hemos acentuado que los dispositivos ópticos que forman una imagen virtual, se denominan dispositivos para los ojos. La esencia de esta denominación consiste en que estos dispositivos aumentan el ángulo visual. Supongamos que estamos examinando a simple vista cierto objeto pequeño, por ejemplo, una letra en el texto que tiene la altura l; la página del libro se encuentra a distancia de la vista mejor L del ojo. El ángulo visual α1 se determina por la formula evidente (figura 7.8, a):

Para l = 2 mm y L = 25 cm, obtenemos α1 = 0,008, lo que compone 27'. Supongamos ahora que delante del ojo se halla directamente una lente convergente con una distancia focal F; estamos examinando la imagen virtual aumentada de la página del libro (la lente se usa en lugar de lupa). El libro debe hallarse entonces a una distancia d de la lente (o en este caso del ojo), para que la distancia | f| de la imagen a la lente (al ojo) sea igual a la distancia de la vista mejor L Suponiendo que |f| = F y empleando la fórmula (6.8), hallamos que

En la figura 7.8, b está expuesta la imagen virtual del objeto (letra) en la lente convergente.

Figura 7.8
Se ve por la figura que la dimensión lineal l' de la imagen de la letra está relacionada con su dimensión real l mediante la relación

Al acercar el ojo muy cerca a la lente y mirando esta imagen, veremos la letra bajo un ángulo visual α2 que se determina por medio de la fórmula (véase la figura 7.8, c):

Sustituyendo (7.3) en (7.4), hallamos

o teniendo en cuenta (7.1),

Sea que F = 10 cm. Entonces de (7.5) obtenemos α2 = 3,5, α1 = 0,028 lo que corresponde a 1,5°. De esta manera, el empleo de la lupa permite aumentar 3,5 veces el ángulo visual, bajo el cual se forma la imagen de la letra del texto en la retina del ojo. Al mismo tiempo según (7.2) conviene tener el libro a una distancia d 7 cm del ojo.
En la charla anterior ya hemos hablado sobre el aumento de las dimensiones angulares de la imagen (y, por lo tanto, del ángulo visual) al usar el telescopio, discutiendo el recorrido de los rayos en el anteojo de Galileo.
Ojos compuestos de los insectos
Al terminar nuestra charla hablaremos un poco sobre las peculiaridades de la estructura del ojo de los insectos. Este es en sí una formación muy compleja, ya que se compone de una cantidad muy grande de hexaedros: facetas. El número de ellas en el ojo es muy grande; así, por ejemplo, la hormiga posee 100 facetas y las libélulas, más de 20 000.
La dimensión lineal de una faceta en la superficie del ojo es de 0,01 mm, aproximadamente. Cada faceta desempeña el papel de lente (cristalino) para cada elemento fotosensible separado, omatidio.

Figura 7.9
La figura 7 9 muestra esquemáticamente la estructura del ojo compuesto. Se ha separado una faceta; se muestra el cono, en cuyos límites los rayos luminosos pueden alcanzar el omatidio de dicha faceta. En total el ojo del insecto se caracteriza por un ángulo de observación muy grande. Sin embargo, diversos objetos se representan en diferentes omatidios. A causa de esto se forma una imagen de mosaico, bastante aproximada. Pero, no obstante, esta estructura del ojo tiene sus méritos; permite sentir muy fuerte los objetos en movimiento, puesto que estos últimos, al pasar por delante del ojo del insecto, se percibirán sucesivamente por diferentes omatidios. En este caso, en principio es posible que el insecto valore de una forma inconsciente la velocidad de desplazamiento del objeto.
Contenido:
- Descubrimiento de la refracción doble de la luz en el cristal de espato de Islandia efectuado por Bartholin
- Cristal como medio ópticamente anisótropo
- Explicación de la birrefringencia en "Traité de la Lumière" de Huygens; ondas luminosas ordinarias y extraordinarias
- Construcciones de Huygens; velocidad de la onda luminosa y velocidad radial
- Ensayos de Huygens con dos cristales (muy próximo al descubrimiento de la polarización de la luz)
- Explicación de Newton de los resultados de los ensayos de Huygens
- Investigaciones de Malus y Brewster
- Polarización de la luz
- Placas dicroicas y prismas de polarización
- Giro del plano de polarización de la luz en la placa de media onda
Descubrimiento de la refracción doble de la luz en el cristal de espato de Islandia efectuado por
Bartholin.
"De Islandia, isla en el Mar del Norte, que se halla en la latitud de 66°, traen una clase especial de cristal, o una piedra transparente que es extraordinaria por sus propiedades y por su forma, principalmente por sus refracciones extrañas de la luz".
Estas palabras se han cogido del libro de Christiaan Huygens "Traité de la lumière", editado en Leiden en 1690. Unos veinte años antes de aparecer este libro, en 1669 se publicó la obra del científico danés E. Bartholin titulada " Ensayos con los cristales de espato calizo de Islandia que manifiestan una asombrosa y extraña refracción". En esta obra se comunicaba sobre el descubrimiento de un fenómeno físico nuevo: la refracción doble de la luz (también se usa el término birrefringencia)
Examinando la refracción de la luz en el cristal de espato de Islandia (calcita: CaCO3), Bartholin, muy asombrado, descubrió que el rayo dentro del cristal se descompone en dos rayos. El primero de estos rayos satisface la ley de refracción de la luz, mientras que el otro, no se sometía a ésta. Entonces comenzaron a denominar el primer rayo como rayo ordinario y el segundo, extraordinario (Bartholin lo denominó "móvil"). La figura 8.1, a muestra el fenómeno de birrefringencia para el ángulo de incidencia de la luz sobre el cristal igual a α. Los ángulos de refracción para los rayos ordinario y extraordinario se designan por βo y βe respectivamente ("o", ordinario, "e", extraordinario).

Figura 8.1
La relación de sen α/sen βo es una magnitud constante, igual a 5/3 para el espato de Islandia. En lo que se refiere a la relación de sen α/sen βo como muestra el experimento, se manifiesta una inconstancia asombrosa. Primero, esta relación depende del ángulo de incidencia; segundo, siendo permanente el ángulo de incidencia, depende de la elección de la cara refractante del cristal. No es por casualidad que Bartholin diese el nombre de "móvil" al rayo extraordinario.
El científico reveló que la refracción doble se observa incluso cuando el rayo luminoso incidente es perpendicular a la superficie del cristal (figura 8.1, b). En este caso el rayo ordinario no se refracta, mientras que el rayo extraordinario forma con este cierto ángulo γ. Es curioso que al salir del cristal, los rayos resultan ser mutuamente paralelos. Bartholin descubrió también que el cristal del espato tiene una dirección a lo largo de la cual el rayo luminoso no se bifurca.
El fenómeno de la refracción doble les parecía a los contemporáneos de Bartholin, muy misterioso e incomprensible. También quedaba en tela de juicio el comportamiento asombroso del rayo extraordinario como si desafiase la ley de refracción. Sin embargo, pronto se encontró la explicación de este fenómeno misterioso. La halló el eminente físico y matemático holandés Christiaan Huygens, contemporáneo de Bartholin. Huygens se interesó por el descubrimiento de Bartholin e investigó independientemente la refracción doble en el espato de Islandia, así como también en el cuarzo. La explicación, propuesta por Huygens, hasta hoy día está en los manuales de óptica modernos.
Cristal como medio ópticamente anisótropo
Recordemos previamente al lector una verdad muy conocida: el cristal es un medio anisótropo. Esta palabra (anisótropo) significa que las propiedades del cristal dependen de la dirección elegida en él.

Figura 8.2
Hasta ahora suponíamos tácitamente que todos los medios eran isótropos; esto era válido ya que se examinaban vidrios, el agua, el aire, dejando aparte los cristales transparentes. Diferentes cristales poseen diverso grado de anisotropía de las propiedades. Existe un grupo grande de cristales (el espato de Islandia es uno de numerosos representantes de este grupo) que tienen una dirección interesante, al girar alrededor de la cual la anisotropía de las propiedades del cristal no se manifiesta. Esta dirección se denomina eje óptico del cristal y el grupo de cristales en cuestión, cristales uniaxiales. Las propiedades ópticas de éstos permanecen invariables a lo largo de todas las direcciones que forman un mismo ángulo con el eje óptico. Estas direcciones se muestran mediante flechas en la figura 8.2, a, donde OO, es el eje óptico y el ángulo mencionado se designa por θ. Al variar θ, cambian las propiedades ópticas del cristal; las variaciones de θ son diferentes en las direcciones mostradas en la figura 8.2, b.
La noción (y el mismo término) del eje óptico la introdujo Huygens, así como el término "sección principal" que se usa mucho en la óptica moderna. La sección principal es un plano que pasa a través del eje óptico. Por lo general.se examina la sección principal que pasa a través del eje óptico y el rayo luminoso.
Explicación de la birrefringencia en "Traité de la Lumière" de Huygens; ondas luminosas ordinarias y extraordinarias
La explicación de la refracción doble se encuentra, en realidad, en las siguientes palabras, citadas de la famosa Obra de Huygens:
"Como en este caso había dos refracciones diferentes, creí que existían también dos categorías diferentes de ondas luminosas que se propagan...; Las ondas con refracción correcta son de una forma esférica corriente, en lo que se refiere a la otra categoría, que debe realizar la refracción incorrecta, ya quería probar qué es lo que darán las ondas elípticas, o mejor dicho, las esferoidales. Me pareció que la disposición regular de las partículas en el cristal podría contribuir a la formación de ondas esferoidales, para lo que se necesitaba sólo que el movimiento de la luz fuese un poco más acelerado en una dilección que en otra..."
Así pues, supongamos que en cierto punto O del cristal se encuentra una fuente luminosa. Según Huygens (asimismo según las representaciones modernas), dicha fuente engendrará dos ondas luminosas diferentes, las cuales se distinguen por la forma de las superficies ondulatorias.
Recordemos que la superficie ondulatoria es el lugar geométrico de los puntos, hasta los cuales llegará la luz de la fuente puntual dada en el transcurso de cierto lapso. Esta superficie en una de las ondas es esfera (onda ordinaria), y en la otra, elipsoide de rotación alrededor del eje óptico del cristal, trazado a través del punto O (onda extraordinaria). [3]

Figura 8.3
En la sección principal estas superficies ondulatorias parecerán una circunferencia y elipse, respectivamente (figura 8.3). El cristal puede considerarse como medio isótropo para la onda ordinaria que puede propagarse en todas las direcciones con una misma velocidad. La velocidad de la onda ordinaria la designaremos por v0, ésta se determina por el radio de la circunferencia de la figura 8.3. De la figura se deduce que al propagarse la luz a lo largo del eje óptico OO1, la onda extraordinaria tiene la misma velocidad v0 que la onda ordinaria, mientras que al propagarse la luz en dirección perpendicular al eje óptico, la velocidad de la onda extraordinaria es otra. Ésta se mide por la longitud del segmento OA; la designaremos por v0.
Señalemos que en este caso vc > v0. Semejantes cristales uniaxiales se denominan negativos (el espato de Islandia es de los cristales uniaxiales negativos). Existen también cristales uniaxiales, para los cuales vc > v0; se les denomina cristales positivos.
Avisaremos al lector de que no haga una conclusión que parece natural, de que el segmento OB (véase la figura 8.3) es la velocidad de la onda extraordinaria, al propagarse la haz bajo un ángulo θ al eje óptico. Es que el concepto "dirección de propagación de la luz" pierde su sentido homónimo, a excepción de los casos cuando θ = 0º (180°) ó θ = 90°, y exige una precisión complementaria. A propósito, esto está relacionado directamente con el fenómeno de refracción doble. Más tarde daremos las explicaciones indispensables; entonces mostraremos que para θ = 0 (180°) y 90° .no aparece la refracción doble.
Construcciones de Huygens: velocidad de la onda luminosa y velocidad radial.
Volvamos a Huygens.
"Admitiendo, de esta manera, que existen además de las ondas esféricas, las ondas esferoidales, -escribe el científico-, comencé a investigar de si pudiesen éstas explicar el fenómeno de la refracción incorrecta, en lo que he logrado, por fin, el éxito deseado".
Se trata del empleo del principio de Huygens (véase la charla primera), tomando en consideración dos tipos de ondas luminosas. Supongamos que el haz luminoso paralelo de una anchura d incide de modo normal sobre la superficie del cristal MN (figura 8.4).
Figura 8.4
Las superficies ondulatorias de las ondas elípticas están orientadas de un modo correspondiente con respecto a la cara refractante del cristal MN. La recta l en la figura es la sección de la envolvente de las superficies de las ondas esféricas al cabo de cierto intervalo de tiempo Δt ; esta envolvente es en sí un frente plano de la onda ordinaria que se propaga de la frontera MN hacia el cristal. La recta 4' es la envolvente de las superficies de ondas elípticas al cabo del mismo intervalo de tiempo Δt después de que el frente del haz incidente alcance la frontera MN; esta envolvente representa en sí un frente plano de la onda extraordinaria.
Todos los puntos del segmento A1B1 de la recta l pueden considerarse, a su vez, como fuentes de ondas secundarias, con la particularidad de que sólo de las esféricas. Por lo tanto, todos los puntos del segmento C1D1; de la recta 4 son fuentes de las ondas elípticas secundarias. En la figura los segmentos A1B1, A2B2, A3B3 de las rectas 1, 2, y 3 muestran las posiciones sucesivas del frente de la onda secundaria, y los segmentos C1D1, C2D2 y C3D3 de las rectas 4, 5, y 6, el frente de la onda extraordinaria.
Examinando la figura, se puede llegar a varias conclusiones importantes. Primero, vemos que el haz luminoso en el cristal se descompone, en realidad, en dos haces: ordinario y extraordinario.
El haz ordinario se propaga normalmente a la frontera MN y el extraordinario, bajo cierto ángulo. Las direcciones de estos haces se muestran en la figura por los vectores Ŝ0 y Ŝ1; los vectores forman entre sí un ángulo γ.
No es difícil comprender que el valor del ángulo γ depende del grado del alargamiento de la elipse de la superficie ondulatoria de las ondas secundarias que engendran el haz extraordinario (en otras palabras.de la relación vc / v0), así como de la orientación de esta elipse con respecto a la superficie de refracción del cristal.
Segundo, vemos que el frente de las ondas tanto ordinaria como extraordinaria, permanece siempre paralelo a la frontera MN (los segmentos A1B1, A2B2 y A3B3, asimismo C1D1, C2D2 y C3D3 ).
De esto se desprende en particular, que después de alcanzar la cara de salida del cristal (la cual suponemos paralela a la cara de entrada), cada haz excitará simultáneamente ondas secundarias por toda su anchura. Además si se tiene en cuenta que las ondas secundarias se excitan en el aire y por eso para los dos haces son esféricas, es fácil comprender el porqué al salir del cristal ambos haces se propagan perpendicularmente a su superficie.
Tercero, nos convencemos de que el concepto "dirección de la propagación de la luz en el cristal" exige, en efecto, una precisión. Cuando se habla de la velocidad de propagación de la luz en un medio, se comprende, por lo general, la velocidad de propagación de una onda luminosa, que es en sí la velocidad de traslado del frente de onda. El vector de dicha velocidad es en cada punto perpendicular a la superficie del frente. En el caso que se da en la figura 8.4 las velocidades de propagación de las ondas ordinaria y extraordinaria tienen la misma dirección, a saber: perpendicularmente a la superficie del cristal MN; mientras que los valores de dichas velocidades son distintas: si la primera se mide por el segmento AA1 (es v0), la segunda se mide por el segmento BF.
A la par con las velocidades de las ondas ordinaria y extraordinaria, es necesario examinar en este caso las denominadas velocidades radiales que caracterizan la propagación de la energía luminosa (cantidad de luz). Las direcciones de estas velocidades coinciden con los haces luminosos correspondientes (en la figura los vectores Ŝ0 y Ŝ1). La velocidad radial del haz luminoso extraordinario se mide por el segmento BD1. En lo que se refiere a la velocidad radial del haz ordinario, ésta coincide con la velocidad v0 de la onda ordinaria.
Así pues, al tratar la propagación de la luz en el medio, es menester distinguir (en caso general) la velocidad de onda y la velocidad radial. La primera está relacionada con la propagación del frente de onda por el cristal, es decir, de una superficie de fase constante (precisamente por eso la denominan velocidad de fase) y la segunda está relacionada con la propagación de la energía del campo luminoso por el cristal. En un medio ópticamente isótropo estas velocidades coinciden [4]
. En el cristal uniaxial estas velocidades coinciden para el haz ordinario. En lo que sé refiere al haz extraordinario, éstas coinciden sólo al propagarse la luz a lo largo del eje óptico o bien perpendicularmente a él. Ahora el lector comprenderá las advertencias hechas antes respecto a la figura 8.3: El segmento OB en esta figura es la velocidad radial del haz luminoso extraordinario y no la de la onda extraordinaria. Sólo para θ = 0º (180°) y 90°, la velocidad radial del haz extraordinario coincide con la velocidad
de la onda extraordinaria.
Empleando la figura 8.4, hemos analizado el caso cuando el eje OO1
está inclinado a la cara de refracción y el haz luminoso incide en esta cara de modo normal. Supongamos ahora que el haz incide bajo un ángulo α, mientras que la orientación del eje óptico respecto a la cara de refracción queda la misma. En la figura 8.5 se muestra de qué manera se puede construir en este caso los rayos ordinario y extraordinario. La construcción que se lleva a cabo en la figura, es semejante a la que se hizo antes (en la charla primera) en la figura 1.7.

Figura 8.5
La diferencia consiste sólo en que ahora en el punto O se excita, además de la onda secundaria esférica, la elíptica. La superficie ondulatoria de la onda elíptica está orientada de la correspondiente manera con respecto a la superficie refractora MN. La figura muestra dos rayos paralelos (EO y FN) que inciden sobre la frontera del cristal MN; OP es el frente plano del haz luminoso incidente. La posición del centro N se elige de manera que se cumpla la relación PN/OR = c/v0, donde c es la velocidad de la luz en el aire. Del punto N tracemos una tangente NC hacia la superficie ondulatoria esférica y la tangente ND hacia la superficie elíptica. La recta NC es el frente de la onda ordinaria y ND, de la onda extraordinaria. El rayo trazado desde O a través del punto de tangencia C es el rayo ordinario, el rayo, trazado desde O a través del punto de tangencia D, es el extraordinario.
Comparando las figuras 8.4 y 8.5 con la figura 8.1, nos convencemos de que la idea de Huygens acerca de la existencia de dos tipos de onda en el cristal (ondas esféricas y elípticas) en combinación con el principio de construcción de los frentes de ondas como envolventes de las superficies ondulatorias de las ondas secundarias, que elaboró el científico, explica en realidad el fenómeno de refracción doble, descubierto por Bartholin.

Figura 8.6
La figura 8.6 ilustra dos importantes casos particulares. En ambos casos la luz incide normalmente sobre la superficie refractora del cristal. El eje óptico del cristal en uno de los casos es perpendicular a la superficie del cristal MN (figura 8.6, a) y en el otro caso, es paralelo a ésta (figura 8.6, b). Si el eje óptico es perpendicular a la superficie MN, la luz se propaga a lo largo del eje; ambas ondas, la ordinaria y extraordinaria, tendrán la misma velocidad v0. Pero cuando el eje óptico es paralelo a la superficie MN, la luz se propaga perpendicularmente al eje.
Es fácil ver que en este caso el haz luminoso tampoco se bifurca, en cambio, las velocidades de las ondas ordinaria y extraordinaria resultan diferentes ( v0 y vc) respectivamente).
Si el haz luminoso incide inclinadamente sobre la cara de refracción del cristal, la refracción doble se observará incluso cuando el eje óptico es perpendicular a esta cara o bien es paralelo a ésta (figura 8.7).

Figura 8.7
Prestemos la atención a que en todas las tres figuras (figuras 8.5, 8.7, a y 8.7, b) el ángulo de refracción del rayo ordinario β0 es el mismo si en las tres figuras es el mismo el ángulo de incidencia α. Esto es completamente natural ya que la orientación del eje óptico no influye sobre el rayo ordinario (pues, para la onda ordinaria el cristal es un medio ópticamente isótropo). En otras palabras, el rayo ordinario, a diferencia del extraordinario, se somete a la ley de refracción: para él la relación del seno del ángulo de incidencia al seno del ángulo de refracción es una magnitud constante.
Ensayos de Huygens con dos cristales (muy próximo al descubrimiento de la polarización de la luz)
A pesar del éxito evidente al explicar el fenómeno de refracción doble, Huygens consideró necesario realizar unos experimentos complementarios. En resumidas cuentas resultó estar muy próximo a un descubrimiento más.
"Relataré sobre otro fenómeno sorprendente más que descubrí después de lo que escribí todo lo anterior, -escribe Huygens en su
"Traite de la lumière"-.
A pesar de que hasta ahora no encontré-su causa, quisiera indicarlo, para ofrecer a otros la posibilidad de hallar esta causa. Por lo visto hay que tomar otras suposiciones además' de las hechas por mi"
Y es que a Huygens le surgió una pregunta muy interesante ¿Qué pasará si dos-haces luminosos que se han obtenido mediante la refracción doble en el cristal del espato de Islandia; pasan a través del segundo cristal semejante? Primero- Huygens razonaba aproximadamente de esta manera.

Figura 8.8
Al incidir el haz luminoso sobre el cristal, en el último se excitan ondas secundarias esféricas y elípticas que condicionan las refracciones correcta e incorrecta, respectivamente. Como consecuencia de lo dicho, del cristal saldrán dos haces luminosos, en vez de uno. Incidiendo en el segundo cristal, cada uno de estos haces debe excitar también ondas secundarias esféricas y elípticas. Por eso del segundo cristal deben salir ya cuatro haces luminosos. Esto significa que debe observarse el cuadro que se da en la figura 8.8, a (para mayor simplicidad examinamos la incidencia normal de la luz en el cristal; entonces de repente se ve cuál de los rayos en el cristal es ordinario y cuál es el extraordinario). El experimento con dos cristales de espato de Islandia, confeccionado por Huygens, mostró que el cuadro, dado en la figura 8.8, a, se observa efectivamente. Pero no siempre.
El científico descubrió que si las secciones principales de ambos cristales son mutuamente paralelos, se observa el cuadro que ilustra la figura 8.8, b. Esto era sorprendente.
"Es muy raro, -escribía Huygens- que los rayos CE y DG, incidiendo del aire al cristal inferior, no se dividan como el primer rayo AB. Podría decirse que el rayo DG, pasando por el cristal superior, pierde la propiedad, necesaria para poner en movimiento la materia que sirve para la refracción incorrecta, y el rayo CE ha perdido su propiedad, necesaria para poner en movimiento la materia que sirve para la refracción correcta. Pero, existe otra circunstancia que refuta este razonamiento".
La nueva circunstancia estaba relacionada con los resultados del experimento cuando las secciones principales de los cristales son recíprocamente perpendiculares. El cuadro de refracción que se observa en dicho caso, se muestra en la figura 8.8, c.
"Si se sitúan ambos cristales de modo que los planos que forman las secciones principales, se intersequen bajo un ángulo recto, escribía Huygens, el rayo que se obtiene de la refracción correcta, se somete ya sólo a una refracción incorrecta en el cristal inferior, y, viceversa, el rayo, obtenido de la refracción incorrecta, se somete ya sólo a la refracción correcta".
Haciendo girar el cristal inferior con respecto al superior, Huygens descubrió que incluso cuando ambos rayos que salen del primer cristal se bifurcan en el segundo, la cosa no está muy clara. Resultó que en función del ángulo de revolución del cristal inferior, varia la relación de las intensidades de los rayos ordinario y extraordinario que surgen en este cristal.
Meditando sobre los resultados del experimento, Huygens llega a una deducción muy importante. Si el cuadro de refracción depende de la orientación mutua de los cristales,
"por lo visto es necesario hacer la conclusión de que las ondas luminosas, atravesando el primer cristal, adquieren una forma o disposición conocida, merced a lo cual encontrando el tejido del segundo cristal en una posición, pueden poner en movimiento las ambas materias diferentes, que sirven a los dos tipos de refracción; encontrando este segundo, cristal en otra posición, pueden poner en movimiento sólo una de estas materias".
Hoy día, dejando aparte los razonamientos de Huygens, que no tienen valor científico, sobre ciertas "materias diferentes que se ponen en movimiento", destacamos las palabras proféticas de que a causa de atravesar el cristal, las ondas luminosas " adquirieron, una forma o disposición conocidas". Estas palabras incluyen te anticipación de la polarización de luz.
Así pues, Huygens estaba próximo a descubrir la polarización de la luz. Es verdad, que estando en el umbral.de éste, no pudo pasarlo. Mas esto, tiene explicación ya que Huygens era partidario de la teoría ondulatoria de la luz y, por analogía con las ondas sonoras, suponía que las ondas luminosas también eran longitudinales. Los estados de polarización son propios, como se sabe, sólo de las ondas transversales. Por eso precisamente Huygens, que se distinguía por una consciencia científica extraordinaria, tuvo que terminar la frase citada anteriormente, con las palabras:
"Pero para explicar de qué manera sucede todo eso, no encontré nada que me satisfaga".
Explicación de Newton de los resultados de los ensayos de Huygens
El umbral, mencionado antes, lo pasó de hecho Isaac Newton. Analizando los experimentos de Huygens de la refracción doble en dos cristales, Newton llegó a una conclusión decisiva: si el rayo luminoso ordinario posee simetría axial, los rayos que han atravesado el cristal, ya no poseen esta simetría. En la "Opticks" de Newton se habla de que "el rayo puede considerarse como poseedor de cuatro partes o cuartos" y que al girar el rayo alrededor de su propio eje, estas partes cambian su posición respecto al cristal. Newton señaló directamente que:
"El mismo rayo se refracta a veces de modo ordinario, y otras, de modo extraordinario, en dependencia de la posición de sus partes con relación al cristal". ¿Cómo se puede comprender la ausencia de la simetría axial en el rayo luminoso? Newton contestó a esta pregunta, partiendo no de la concepción ondulatoria, sino de la corpuscular. Él suponía que de una manera precisa las corpúsculas luminosas pueden poseer "diferentes partes".
Investigaciones de Malus y Brewster
Unos cien años resultó estar desatendida la idea planteada por Newton sobre la polarización de la luz. En 1808 la Academia de Ciencias de París sacó concurso a la mejor teoría matemática de la refracción doble. El premio lo recibió la obra del ingeniero francés Étienne Louis Malus (1775-1812) titulada " De la doble refracción de la luz en las substancias cristalinas".
Malus se interesó por la doble refracción después de que, observando a través del cristal de espato de Islandia, la reflexión del Sol en las ventanas del Palacio de Luxemburgo, notó que en lugar de dos imágenes del Sol se vela sólo una. Esto recordaba los resultados de los ensayos famosos de Huygens con dos cristales de espato. Malus realizó un experimento especial y descubrió que la luz solar, reflejada de la superficie del agua, bajo un ángulo de 53º, posee la misma propiedad que la luz que ha atravesado el cristal de espato de Islandia; la superficie del agua resultaba ser idéntica al plano de la sección principal del cristal. Con fin de explicar su descubrimiento y el fenómeno de doble refracción en el cristal, Malus empleó la concepción corpuscular de Newton. Supuso que las corpúsculas luminosas en la luz solar tienen una orientación caótica, mientras que atravesando el cristal o reflejándose de modo correspondiente, ellas se orientan de un modo determinado. El rayo luminoso, cuyas corpúsculas poseen una orientación definida, Malus lo denominó polarizado. Desde ese momento el término "polarización de la luz" se estableció sólidamente en la óptica.
Las investigaciones de Malus las continuó el científico inglés David Brewster (1781-1868). Él estableció una ley, conocida hoy día como la ley de Brewster: si el ángulo de incidencia del rayo es tal, que los rayos reflejado y refractado resultan mutuamente perpendiculares, en este caso el rayo reflejado está completamente polarizado y el refractado posee la polarización máxima con la particularidad de que las polarizaciones de ambos rayos son contrarias. Este ángulo de incidencia del rayo se acostumbra denominarlo ángulo de Brewster.
Polarización de la luz.
Hoy en día la polarización encuentra explicación tanto en la teoría corpuscular (cuántica), como también en la teoría ondulatoria. Se sabe que las ondas electromagnéticas y, en particular, las ondas luminosas, son transversales. Por eso la polarización de estas ondas resulta completamente natural.
Recordemos que las ondas-luminosas son ondas hertzianas, cuyas longitudes entran en el intervalo óptico de valores. En la onda hertziana oscilan el vector de la intensidad del campo eléctrico E (vector, de campo eléctrico) y el vector de inducción magnética B (vector de campo magnético). Son recíprocamente perpendiculares y ambos son perpendiculares a la dirección de la velocidad radial. En la óptica moderna la polarización de la luz la relacionan con la dirección del vector del campo eléctrico E. Si las oscilaciones de este vector se realizan en un plano determinado, se habla de la luz planamente polarizada; el plano mencionado se lo denomina plano de polarización. La figura 8.9 ilustra dos casos, correspondientes a esta polarización; se muestran los planos de polarización para los casos en cuestión. Estos planos son mutuamente perpendiculares. Además de la polarización en el plano, existen también tipos de polarización de la luz mucho más complicados. No hay necesidad aquí de detenemos en ellos; señalemos sólo que la polarización supone siempre cierta ordenación de las direcciones del vector E (y por la tanto, del vector B). Si no existe ordenación, se dice que la luz no está polarizada.
Tomando en consideración la polarización de la luz, el cuadro de la doble refracción en el cristal se hace más preciso.

Figura 8.9
El haz luminoso no polarizado, penetrando en el cristal, se transforma en dos haces planamente polarizados: ordinario y extraordinario. El haz ordinario está polarizado perpendicularmente al plano de la sección principal del cristal, mientras que el haz extraordinario está polarizado en el plano de la sección principal.
Los rayos salen del cristal con estas propiedades. De este modo, del cristal salen dos haces luminosos planamente polarizados, cuyos planos de polarización son mutuamente perpendiculares. Empleando la expresión de Huygens, se puede decir que, al pasar a través del cristal, estos haces en efecto " han adquirido una forma o disposición conocidas".
Usando la fraseología de Newton, diremos que estos haces se caracterizan por "diferente posición de las partes" con relación a la sección principal del cristal.

Figura 8.10
Lo dicho lo explica la figura 8.10, donde OO1 es el eje óptico del cristal, S, el plano de la sección principal, AB, el haz luminoso incidente, BD, el haz ordinario, BS, el haz extraordinario, DG y CE son los haces planamente polarizados que salen del cristal. La dirección de la polarización de los haces se muestra por medio de flechas cortas, debidamente orientadas.
Ahora es fácil explicar los resultados del experimento de Huygens con dos cristales. En el caso de la figura 8.8, b, la sección principal del segundo cristal es paralela a la sección principal del primero. Por eso el rayo que experimentó una refracción corriente en el primer cristal, pasando al segundo, resulta como antes polarizado perpendicularmente al plano de la sección principal. Está claro que este rayo será también ordinario en el segundo cristal. Lo mismo se puede decir sobre el rayo extraordinario. Este está polarizado en el plano de la sección principal del primer cristal y sigue siendo el mismo también con relación al plano de la sección principal del segundo cristal.
En el caso que se muestra en la figura 8.8, c, la sección principal del segundo cristal es perpendicular a la sección principal del primero. Por consiguiente, el rayo polarizado perpendicularmente al plano de la sección principal del primer cristal, en el segundo resulta ser polarizado en el plano de la sección principal, y viceversa. Esto significa que el rayo, ordinario en el primer cristal, resulta ser extraordinario al penetrar en el segundo cristal, mientras que el rayo extraordinario del primer cristal se convierte en el ordinario en el segundo.
Examinemos un caso general cuando los planos de las secciones principales de los cristales forman entre sí cierto ángulo φ. Vamos a mirar a lo largo del haz luminoso incidente; entonces los planos de los secciones principales nos parecerán en forma de rectas.

Figura 8.11
En la figura 8.11 la sección principal del primer cristal se muestra por la recta AB y del segundo cristal, por la recta CD. Los vectores de campo eléctrico Eo1, y Ee2 pertenecen a los rayos ordinario y extraordinario, respectivamente, que salen del primer cristal. Prestemos atención a que el vector E o1 es perpendicular a la recta AB, mientras el vector Ee1 es paralelo a ésta.
Al pasar por el otro cristal, cada uno de estos rayos, hablando en general, otra vez se descomponen en los rayos ordinario y extraordinario. Para hallar los vectores de campo eléctrico de los nuevos rayos es necesario descomponer los vectores Eo1, y Ee1 por la dirección de la recta CD y por la dirección perpendicular a ésta (véase la figura).
Designemos por Eo2', y Ee2' los vectores de campo eléctrico de los rayos ordinario y extraordinario, en los que se descompone el rayo con Eo1 en el segundo cristal, y por Eo2', y Ee2' los mismos vectores pero para el rayo con Ee1. Como se ve de la figura,

La relación entre los vectores de campo eléctrico de los rayos que salen del segundo cristal cambiarán en función de la magnitud del ángulo φ. Por lo tanto, cambiará también la relación entre las intensidades de estos rayos. De esta manera se explica la variación de la intensidad de los rayos, observada por Huygens, al girar un cristal respecto al otro. De (8.1) se ve que para φ ―› 0º y para φ ―› 90°, los vectores de campo eléctrico (y por consiguiente, también las intensidades) varían de modo que en lugar de tener cuatro rayos en la salida del segundo cristal, quedan sólo dos. Para φ = 0º, las relaciones (8.1) toman la forma

y para φ = 90° se transforman de modo

Estos dos casos se examinaron detalladamente más arriba.
Placas dicroicas y prismas de polarización
La doble refracción de la luz en los cristales se usa mucho en la práctica para obtener haces luminosos polarizados. Los polarizadores de la luz se dividen en varios tipos. Nos detendremos sólo en dos de ellos: placas dicroicas (polaroides) y prismas de polarización.
La placa dicroica se fabrica de una muestra cristalina birrefringente, en la cual uno de los rayos, por ejemplo, el ordinario, se absorbe con mayor intensidad que el otro. La dependencia entre la absorción de la luz y la polarización se llama dicroísmo, de aquí proviene la denominación de esta placa. Como ejemplo de una placa dicroica puede servir una placa de turmalina. Siendo el grosor de la placa de 1 mm, el rayo ordinario se absorbe totalmente. Al enviar un haz luminoso no polarizado a la placa, obtenemos en su salida un haz planamente polarizado; su plano de polarización coincide con la sección principal de la placa.

Figura 8.12
A título de ejemplo de un prisma de polarización, examinemos el prisma de Nicol, propuesto por el físico inglés William Nicol en 1820. Este prisma se recorta del cristal de espato de Islandia de la misma manera que se muestra en la figura 8.12 (OO¡ es el eje óptico del cristal). El cristal se corta por la línea AA1 y luego los dos pedazos obtenidos se encolan con bálsamo de Canadá por el lugar de corte. La geometría del prisma y la sustancia para encolar se eligen de modo que el rayo extraordinario atraviese el prisma y el rayo ordinario experimente la reflexión interna total en la superficie de separación del cristal y el bálsamo de Canadá.
Existen muchos tipos diferentes de prismas de polarización. En calidad de otro ejemplo, citemos el prisma de Glan-Foucault (figura 8.13).

Figura 8.13
Constituye dos prismas de espato de Islandia, separados uno del otro por un espacio de aire. Los ejes ópticos de los dos prismas son perpendiculares al rayo incidente y al plano de la figura; φ = 38° 30'. El rayo extraordinario pasa a través del prisma, mientras que el rayo ordinario se refleja en la superficie de separación del cristal y el espacio de aire.
Giro del
plano
de polarización de la luz en la placa de media onda
Empleando la doble refracción puede obtenerse no sólo la luz planamente polarizada, sino que controlar también la polarización de la luz. Analicemos el ejemplo más sencillo de control de la polarización: giro del plano de polarización del haz luminoso planamente polarizado en cierto ángulo α.
Supongamos que el haz luminoso inicial incide de modo normal a la placa cristalina, cuyo eje óptico es perpendicular al haz.

Figura 8.14
La figura 8.14 ilustra el corte de semejante placa por el plano de la sección principal; OO1 es el eje óptico; AB, el haz luminoso incidente. La placa tiene que estar orientada de modo que el eje óptico OO1 y el vector de campo eléctrico
E1 el haz incidente formen un ángulo α/2.
Descompongamos el vector E1, en componentes Eo1 y Ee1 que corresponden a los rayos ordinario y extraordinario. En el caso que se examina ambos rayos coinciden, pero las velocidades de las ondas ordinaria y extraordinaria son diferentes: vo para la onda ordinaria y vc, para la extraordinaria (recordemos al lector, con respecto a esto, la figura 8.6, b).
Por consiguiente las longitudes de ondas para los rayos ordinario y extraordinario serán diferentes. La longitud de onda λ es la distancia, a la que se desplaza el frente de onda durante un lapso, igual a su periodo T= 1/ν (ν es la frecuencia de radiación). Entonces para las ondas ordinaria y extraordinaria dentro de la placa podemos escribir

Supongamos luego que el grosor L de la placa se elige de modo que el número de longitudes de ondas ordinarias L/λo que caben en ella, sea mayor que el número de longitudes de ondas extraordinarias L/λe que caben en ella, en 1/2:

En este caso (como se ve de la figura 8.14) la orientación mutua de los vectores Eo2 y Ee2 en la salida de la placa será tal que el vector vectores E2 = Eo2 + Ee2 resulte invertido respecto al eje óptico en un mismo ángulo α/2 pero hacia otra parte que el vector E1. En resumidas cuentas el vector E2 resulta invertido en el ángulo α requerido con relación al vector E1.
La placa en cuestión se denomina de media onda, puesto que en ella las ondas ordinaria y extraordinaria se desplazan la una con respecto a la otra en la mitad de la longitud de onda; las ondas mencionadas se desplazan mutuamente por la fase en una magnitud igual a π. Sustituyendo (8.4) en (8.5), obtenemos la siguiente fórmula para el grosor ten la placa de media onda:

Sea que v = 4,5 x 1014 Hz (rayo rojo). A esta frecuencia para el espato de Islandia tenemos vo = 1,81 x 10 8 m/s, vc = 2,02 x 108 m/s. Poniendo estos números en (8.6), recibimos L = 2 μm.
El resultado obtenido corresponde al grosor mínimo de la placa de media onda, de espato de Islandia; El grosor de la placa de media onda real puede ser en 2N + 1 veces mayor que L, donde N es número enteró.
Examinemos una placa de media onda hecha de cuarzo. El cuarzo, a diferencia del espato de Islandia, es un cristal .uniaxial positivo y no negativo. Para él ve < vo por eso la fórmula (8.6) hay que sustituirla por la fórmula

Siendo v = 4.5 x 1014 Hz para el cuarzo tenemos v0 = 1,945 x 108 m/s y ve = 1,934 x 108 m/s. Sustituyendo estos números en (8.7), hallamos que L = 37 μm.
Contenido:
- Chorro de agua luminoso
- Rayos luminosos en las fibras cilíndricas recta y curvada
- Rayos en una fibra cónica
- Influencia de la curvatura de la fibra
- Fibras de gradiente ópticas
- Fibras finas
- Transmisión de las imágenes ópticas por la trenza de fibra
- Compensador de fibra del campo luminoso
- Disector de fibra de la imagen en la fotografía ultrarrápida
- Retina del ojo como dispositivo óptico de fibra
Esta charla está dedicada a una de las orientaciones nuevas de la óptica que se formó en la segunda mitad de nuestro siglo. Esta orientación recibió el nombre de "óptica de fibras". Su desarrollo intenso en nuestros días está relacionado en gran medida con el ritmo avanzado de las líneas ópticas de telecomunicaciones, sistemas óptico-electrónicos de tratamiento de información, aparatos para la medicina, etc.
Estamos acostumbrados a que la luz se propaga rectilíneamente. Verdad es que sabemos que en un medio con un índice de refracción, suavemente variable, por ejemplo, en la atmósfera terrestre, el rayo luminoso se curva (véase la charla segunda). A pesar de esto, la imagen del rayo luminoso para nosotros es una recta o, en un caso más general, una línea quebrada que consta de segmentos rectos. Entonces ¿acaso es posible enrollar el rayo luminoso en la mano, como si fuese éste un cordón o cordel? La pregunta puede parecer extraña, sin embargo esto puede hacerse realmente si se "encuentra" la radiación lumínica en una transparente fibra óptica flexible.
Chorro de agua luminoso.
Puede obtenerse la noción sobre la propagación de la luz por una fibra curvada si hacemos el siguiente experimento, cuyo esquema ilustra la figura 9.1. En la parte inferior de la pared lateral de un recipiente, lleno de agua, hay un orificio, a través del cual sale el agua. Enfrente del orificio se encuentra una fuente luminosa; los rayos luminosos se enfocan precisamente en el orificio. La luz llega al interior del chorro de agua y como si corriese por éste.

Figura 9.1
Da la impresión que el agua, como si atrajese la luz; el chorro de agua se ilumina desde adentro.
Todos nosotros muchas veces nos hemos admirado el espectáculo brillante cuando por la tarde se iluminan los surtidores; por debajo. Al instalar de manera correspondiente el alumbrado, los chorros de agua de este surtidor se iluminan desde adentro, lo mismo que en el experimento descrito antes.
El chorro de agua iluminado es el prototipo de la fibra óptica. En ambos casos tenemos presente la reflexión interna, total de la luz. Precisamente este fenómeno es el que "obliga" correr a la luz por la fibra, siguiendo con resignación todas sus curvaturas.
Rayos luminosos en las fibras cilíndricas, rectas y curvadas
Analicemos varios problemas no complejos que nos darán la noción
de cómo se propaga la luz por la fibra óptica. Para simplificar, examinaremos sólo los rayos, yacentes en el plano que pasa a través del eje de la fibra; estos rayos se denominan meridionales. El recorrido del rayo luminoso en la fibra depende de la magnitud del ángulo de incidencia del rayo en el extremo frontal de la fibra. Los rayos que inciden en éste bajo un ángulo demasiado grande, no se retendrán en el interior de la fibra: ellos saldrán por la superficie lateral.
Resolvamos el siguiente problema. Hallar el ángulo de incidencia α máximamente admisible, del rayo sobre el extremo frontal (tope) de la fibra recta que tiene el índice de refracción n.
La figura 9.2 muestra el aspecto de la fibra desde el extremo frontal o tope, así como el recorrido del rayo en el interior de la fibra.

Figura 9.2
Para que la luz se retenga en la fibra, el ángulo θ no debe superar el ángulo límite de la reflexión interna total. Ya que en el problema se analiza la situación límite, igualaremos el ángulo θ al ángulo mencionado, o sea, suponemos (véase la charla primera), que

La ley de refracción en el punto A lo escribiremos en la forma sen α/sen β = n. o (ya que β = 90° - θ)

Utilizando (9.1), escribiremos (9.2) de nuevo:

De aquí se desprende que

Por ejemplo, si n = 1,3, α = 56°.
Es obvio que la fibra recta no representa gran interés, mucho más interesante es la libra curvada. Es natural que surge la pregunta: ¿en qué medida el conducto de luz acepta las curvaturas? Resolvamos un problema relacionado con esto.Se dan el diámetro D y el índice de refracción n de la fibra que tiene forma de una partede la circunferencia. El rayo luminoso entra en el extremo frontal bajo un ángulo α. Hallar el radio mínimo admisible R (desde el punto de vista de la condición de la reflexión interna total) de la curvatura de la fibra.
Apliquemos el teorema de los senos al triángulo OAB (figura 9.3) Obtendremos la siguiente proporción:

Teniendo en cuenta que AO = R, OB = R + D/2 escribamos de nuevo (9.4) en forma de


Figura 9.3
Después tomaremos en consideración que

y que el ángulo θ debe ser igual al ángulo limite de reflexión interna total: sen θ = 1/n. Como resultado, la relación (9.5) tendrá el aspecto

De esta manera,

Supongamos que α = 0 (el rayo luminoso penetra en la fibra estrictamente por su eje). En este caso (9.6) se convierte en

Para n = 1,5, obtenemos R = D.
Así pues, en el caso a examinar ¡el radio mínimo admisible de la curvatura de la fibra puede ser igual al diámetro de la propia fibra! Claro está que en la práctica no se realizan curvaturas tan fuertes, puesto que además, conviene tomar en consideración la elasticidad y resistencia de la fibra real. Sin embargo, está claro que la fibra óptica, a título de conducto de luz, acepta las curvaturas, esto, a su vez, es muy importante.
Rayos en una fibra cónica
Hasta ahora hemos examinado una fibra, cuyo diámetro era constante por toda su longitud. ¿Qué pasará si cogemos una fibra no cilíndrica, sino cónica, o sea, con un diámetro decreciente paulatinamente? ¿Existe la posibilidad de emplear semejante fibra para aumentar la, densidad de la energía luminosa, o sea, para la concentración de la luz?
Las fibras de este tipo existen, pueden emplearse, en efecto, para la recolección de la luz. Sin embargo no se puede, en principio, obtener grandes concentraciones de la energía luminosa. Y es que a medida de que se propaga la luz a lo largo de esta fibra, el ángulo θ bajo el cual el rayo incide en la superficie lateral de la fibra, aumenta de una reflexión a otra, hasta que no se infrinja la condición de la reflexión interna total, a consecuencia de la cual el rayo saldrá de la fibra (la figura 9.4, a)
Resolvamos el siguiente problema. La luz incide bajo un ángulo α en el extremo frontal de una fibra cónica estrechada con el ángulo de aberturadel cono φ; el índice de refracción de la fibra es n y el diámetro del extremo frontal de entrada es D. Hallar la longitud L, en la cual el rayo se retiene dentro de la fibra.

Figura 9.4
El problema parece, a primera vista, muy difícil, ya que el ángulo de incidencia del rayo en la superficie lateral de la fibra cambia de una reflexión a otra. Sin embargo, existe un procedimiento ingenioso que simplifica bastante el examen. El procedimiento se basa en la igualdad de los ángulos de incidencia y de reflexión; es fácil comprenderlo si se mira la figura 9.4, b. Vemos que el trayecto real del rayo que tiene forma de línea quebrada, puede "desenvolverse" en una recta (en la figura es la recta AB) que corta las fibras cónicas situadas en forma de abanico. La distancia incógnita L = FB se determina de la condición que la perpendicular hacia FC, trazado de B, debe formar con la rectaAB el ángulo θ, igual al ángulo de reflexión interna total (sen θ = 1/n. Debido a la pequeñez del ángulo φ se puede considerar que AC = FC = D/φ. Escribamos el teorema de los senos para el triángulo ABC:

o, de otro modo,

Tomando en consideración que sen θ = 1/n, escribamos (9.8) de nuevo

de donde hallamos la longitud buscada:

Nos hemos convencido de que es imposible retener la radiación en una fibra cónica estrechada. Tampoco se consigue retenerla, recubriendo incluso la superficie lateral de la fibra con un recubrimiento especularmente reflejante. El recorrido del rayo en esta fibra se muestra en la figura 9.4, c. El rayo penetra en la fibra a una profundidad Lo y luego retoma. La distancia Lo es fácil hallar, si nos referimos a la figura 9.4, b. Puesto que el triángulo AB1C es rectángulo, B1C = (D/φ) sen β y de esa manera,

Notemos que (9.10) se obtiene de (9.9), si se toma n » 1.
Supongamos ahora que α1 es el ángulo de incidencia del rayo sobre el extremo frontal del conducto de luz cónico y α2 es el ángulo, bajo el cual el rayo sale del conducto por su extremo frontal de salida. No es difícil comprender que en el conducto de luz estrechado α2 > α1 y en el ampliado, al contrario, α2 < α1.
Influencia de la curvatura de la fibra.
En los problemas examinados se suponía que el camino del rayo luminoso dentro de la fibra consta de segmentos de rectas, pero esta suposición es sólo la primera aproximación. En la práctica, resulta con frecuencia inútil.
Ante todo es necesario tener en cuenta que al curvarse la fibra, su zona de la parte interior de la curvatura se somete a compresión y la zona de la parte exterior de la curvatura, a la tracción. Como resultado, el índice de refracción de la fibra por la parte interior de la curvatura resulta mayor que el de la exterior. Esto conduce a la curvatura del rayo luminoso que transcurre de modo que la convexidad del trayecto esté orientada hacia la parte del valor menor del índice de refracción, en otras palabras, la dirección de la curvatura del rayo corresponderá a la dirección de la curvatura de la fibra.
De ese modo, el trayecto del rayo luminoso en una fibra curvada no consta de rectas, sino de secciones curvas, como se muestra en la figura 9.5.

Figura 9.5
Fibras de gradiente ópticas
Con fin de detener con mayor eficacia la luz dentro de la fibra, esta última se fabrica frecuentemente de modo que el índice de refracción sea máximo por el eje de la fibra y disminuya suavemente hacia los bordes. La figura 9.6 muestra la variación del índice de refracción por la sección transversal de la fibra y al lado se da el trayecto del rayo luminoso en dicha fibra.

Figura 9.6
En la figura se adjuntan las dimensiones características para semejante fibra. Siendo el diámetro de la fibra de 200 μm, su zona central (portadora de la luz) tiene un diámetro de unos 50 μm; la reducción relativa del índice de refracción al pasar del eje de la fibra a su borde es un poco más del 1% para el caso en cuestión. En la actualidad se ha elaborado una tecnología bastante perfecta de fabricación de fibras ópticas con el índice de refracción variable por la sección. Estas fibras se denominan de gradiente.
Fibras finas
Todo lo dicho hasta ahora se refería a las fibras, cuyo diámetro era mucho mayor que la longitud de onda luminosa, es decir, a las llamadas fibras gruesas. Pero también se utilizan las fibras finas, cuyo diámetro es comparable con la longitud de onda luminosa e incluso es inferior a ésta. El diámetro de la fibra fina puede alcanzar hasta 0,1 - 1 μm.
Es obvio que al examinar la propagación de la luz por dicha fibra es imposible en principio, hablar de cualquiera que fuese el trayecto del rayo luminoso. En este caso sólo puede emplearse la representación ondulatoria. El campo de onda luminosa que se propaga a lo largo de la fibra fina, llena todo el volumen de la fibra, más aún, ocupa también una parte del espacio en las inmediaciones de la fibra.
Las observaciones hechas permiten en cierta medida comprender el grado de complejidad de los problemas que se debe resolver, durante el diseño, fabricación y empleo de los conductos de luz de fibra. Estos últimos se utilizan, hoy día para transmitir señales a una distancia de unos metros hasta varios kilómetros, Está claro que las fibras largas deben caracterizarse por una absorción muy pequeña de luz, así como por una disipación ínfima de la luz a través de la superficie lateral. Conforme a las exigencias modernas que se plantea a los conductos de luz largos, las pérdidas de la energía luminosa no deben rebasar unos decibelios por kilómetro de longitud del conducto de luz. Las exigencias planteadas a los conductos de luz que se utilizan para transmitir las señales a pequeñas distancias que se miden en metros y decenas de metros, son, en efecto, menos rígidas.
Transmisión de las imágenes ópticas por la trenza de fibra
Las fibras ópticas se usan a gran escala para la transmisión no sólo de señales luminosas, sino también imágenes ópticas (cuadros bidimensionales). Para este fin, las fibras se componen en trenza.

Figura 9.7
La figura 9.7 muestra el corte transversal de semejante trenza con un número relativamente pequeño de fibras. En la práctica se usan trenzas con un número de fibras que puede alcanzar un millón. Cada una de las fibras que forma la trenza, tiene un revestimiento que obstaculiza la penetración de la energía luminosa de dicha fibra a las vecinas.
El principio de transmisión de la imagen por la trenza de fibras es bastante sencillo. Puede decirse que los rayos luminosos, reflejados (o emitidos) por un elemento u otro de la imagen transmisible, se captan por la fibra correspondiente en la trenza, pasan por toda la longitud de la trenza y en la salida reproducen el elemento dado de dicha imagen.
Hablando pintorescamente, nosotros como si "captásemos" cada rayo por separado que va del objeto o de la imagen inicial y con ayuda de la fibra dirigimos este rayo adonde se necesite. Conservando la misma disposición mutua de las fibras en la salida de la trenza, como en la entrada, podemos reproducir la imagen que se suministraba en la entrada, es decir, de esta manera podemos realizar la transmisión de la imagen a distancia.
En particular, podemos recibir las imágenes de los objetos que se hallan en cavidades poco asequibles, en aquellos lugares donde nosotros mismos (junto con nuestra óptica corriente) no podemos penetrar.
Esto resulta importante al investigar las vísceras del hombre; la óptica de fibra abre grandes posibilidades de examinar (por decir así) por dentro del organismo humano.
Compensador de fibra del campo luminoso.
La óptica de fibra permite, en cambio, no sólo transmitir las imágenes, sino que realizar algo más. Pues cada rayo que va del objeto como si estuviese en nuestras manos: según el deseo, podemos amplificar la luminancia del rayo (se amplifica la luminancia de la imagen que se transmite), podemos corregir la dirección de los rayos separados (disminuirán las aberraciones de la imagen observable).
La figura 9.8 muestra el denominado compensador de fibra del campo luminoso que permite eliminar las aberraciones, creadas por el sistema de lentes.

Figura 9.8. 1 es el sistema de lentes; 2, dispositivo de corrección de óptica de fibra; 3, placa fotográfica .
En ausencia de este dispositivo los rayos luminosos llegarían a la placa fotográfica de modo que se muestra en la figura por las flechas de trazos; ahora llegan como muestran las flechas continuas. La corrección del recorrido de los rayos está premeditada para eliminar las aberraciones del sistema de lentes.
Disector de fibra de la imagen en la fotografía ultrarrápida
En calidad de otro ejemplo concreto examinemos la aplicación de la óptica de fibra en la fotografía ultrarrápida. Supongamos que se necesita fotografiar cierto proceso muy veloz; para esto se debe de desplazar rápidamente la película fotográfica en la cámara cinematográfica. Es natural que surjan restricciones, relacionadas con ciertas posibilidades técnicas del desplazamiento rápido de la película, así como con la necesidad guardar cierto intervalo de tiempo para la exposición. En este caso puede emplearse el dispositivo óptico de fibra que se denomina disector de la imagen.
Este transforma elemento por elemento el cuadro bidimensional en una línea (figura 9.9). El cuadro bidimensional como si se cortase en un conjunto de líneas y todas estas se exponen en línea única.
La película fotográfica se desplaza con relación a la imagen en dirección, señalada por la flecha en la figura. Está claro, que, en la misma longitud de la película pueden colocarse mucho más imágenes si éstas tienen forma de líneas y no de cuadros bidimensionales.

Figura 9.9
En lo sucesivo, la imagen fotografiada en forma de dichas líneas puede transformarse con ayuda del mismo disector en la imagen bidimensional corriente y fotografiada en una película nueva. Para eso, la primera película debe desplazarse con mucha más lentitud. Para la velocidad ordinaria de desplazamiento de la segunda película, veremos el proceso fotografiado pero en una variante retardada.
Retina del ojo como dispositivo óptico de fibra.
Al terminar nuestra charla, citaremos un ejemplo del sistema óptico de fibra natural, como en realidad es la retina del ojo humano.

Figura 9.10
En la figura 9.10 se destaca y se muestra esquemáticamente la zona de la retina en la región de la mácula lútea. Al llegar a la retina, la luz primero pasa a través de la capa 1 que consta de neurócitos y fibras y luego se percibe por los elementos fotosensibles que se encuentran en la capa 2, semejante al dispositivo óptico de fibra.
Contiene fibras de dos tipos (se distinguen en la figura): las fibras más finas 3 y las más gruesas 4. Las primeras se denominan bastones y las segundas, conos retinales. En los últimos años crece la convicción de que en la naturaleza dispositivos y elementos ópticos de fibra se encuentran con mucho más frecuencia que se solía considerar.
Contenido:
- Observaciones generales
- Efectos electro-ópticos
- Deflector electro-óptico de desviación continua
- Deflector electro-óptico de acción discreta
- Deflector de difracción acusto-óptico
- Deflector de refracción acusto-óptico
- Desviación de los rayos luminosos en un medio calentado irregularmente
- Control del índice de refracción, variando la concentración de los electrones de conducción
- Consejo al lector que haya llegado hasta la última página
Observaciones generales
Somos testigos del acelerado desarrollo y de la aplicación que se amplía continuamente de diversos sistemas ópticos que funcionan a base del láser. Al utilizar estos sistemas, surge la necesidad de variar la orientación del haz de láser en el espacio. Claro que es bastante fácil desviar un haz luminoso, a saber: con ayuda de espejos y prismas, elegidos de la manera correspondiente. Sin embargo, en la práctica se necesita con frecuencia no desviar simplemente el rayo láser, sino que desviarlo con elevada rapidez, además con bastante precisión. Más aún, se exige muchas veces variar de un modo determinado y rápido la dirección o posición del rayo en el espacio (realizar la exploración del rayo). El tiempo característico del cambio de orientación del rayo puede ser sólo de 1 μs. En este caso no sirve el giro mecánico de los espejos o prismas, puesto que éste se efectúa muy lentamente y, otro sí, no, se distingue por una alta precisión. En casos semejantes se aplican los métodos no mecánicos de control del haz de láser en el espacio.
Se han creado a base de estos métodos dispositivos especiales para la desviación y exploración del rayo luminoso, que recibieron el nombre de deflectores (del latín "deflecto"). Se distinguen los deflectores de desviación discreta y continua.
Los segundos se utilizan para la exploración continua del rayo en el espacio y los primeros, para la discreta. Aplicando los últimos se puede orientar sucesivamente el rayo en diversas direcciones determinadas o variar de modo discreto la posición del rayo en el espacio, permaneciendo su dirección invariable.
La mayoría de los deflectores ópticos se basa en el control de las propiedades refractantes de la sustancia. Hay muchos procedimientos de controlar el índice de refracción de la sustancia. Por ejemplo, se puede colocar la sustancia en un campo eléctrico exterior, cuya intensidad varía de una manera determinada. Pueden crearse dentro de la sustancia tensiones mecánicas, excitando en ella una onda ultrasonora. Puede variarse del modo necesario la temperatura en distintos puntos dentro de la sustancia. Se puede cambiar orientadamente la concentración de los electrones de conducción en la sustancia. Más abajo nos detendremos con más detalle en todos estos procedimientos de control del índice de refracción.
Efectos electro-ópticos
Cuando se habla de la dependencia del índice de refracción de la sustancia en función de la intensidad del campo eléctrico exterior, se tienen en cuenta los denominados efectos electro-ópticos. Son dos. En los líquidos y gases se observa el efecto electro-óptico, llamado cuadrático (el otro nombre es efecto Kerr), en estas sustancias la variación del índice de refracción es proporcional al cuadrado de la intensidad del campo eléctrico. En los cristales se observa el denominado efecto electro-óptico lineal (el otro nombre es efecto Pokkets); en este caso el índice de refracción varía según la ley lineal, o sea, proporcionalmente a la primera potencia de la intensidad del campo eléctrico.
Examinemos con más detalle el efecto Kerr (electro-óptico) en cierto líquido. Como se sabe el líquido es un medio ópticamente isótropo. No obstante, si el líquido se coloca en un campo eléctrico exterior, se convierte en ópticamente anisótropo. Entonces el medio se hace parecido a un cristal uniaxial, cuyo eje óptico coincide según la dirección con el vector de la intensidad del campo eléctrico exterior. En la charla octava hemos hablado de los cristales uniaxiales, de los dos tipos de ondas luminosas que se propagan en estos (ondas ordinaria y extraordinaria); en la figura 8.3 se mostraron las secciones de las superficies ondulatorias de las ondas ordinaria y extraordinaria para el cristal uniaxial negativo. Todas esas nociones nos serán útiles ahora, al analizar las propiedades ópticas del líquido, ubicado en un campo eléctrico.

Figura 10.1
La figura 10.1 explica de modo evidente el efecto Kerr. Una cubeta con líquido, o, de otra manera, la célula Kerr (sus contornos se muestran en la figura con línea de trazos) se halla entre las placas del condensador. La luz se propaga a lo largo del eje z, es decir, perpendicularmente al vector de la intensidad del campo eléctrico. La figura muestra las secciones de las superficies ondulatorias para las ondas ordinaria y extraordinaria por la superficie S; OO1 es el eje óptico, vo, la velocidad de la onda ordinaria, ve la velocidad de la onda extraordinaria. Conforme a (1.10), escribiremos

donde no y ne son los índices de refracción de las ondas ordinaria y extraordinaria, respectivamente.
La anisotropía del medio en este caso es artificial ya que está condicionada por el campo eléctrico exterior. Por lo tanto, es obvio que el índice de refracción de la onda extraordinaria ne debe depender de la intensidad del campo E (siendo E = 0, el índice de refracción no debe coincidir con no). Como ya se mencionó, esta dependencia tiene carácter cuadrático.
(ne - no) ~ E2
De esta manera, cambiando la intensidad del campo eléctrico E, puede controlarse el índice de refracción de la onda luminosa extraordinaria. Pero para que la onda luminosa sea extraordinaria, es menester preocuparse previamente de su polarización: la onda debe ser polarizada en el plano de la sección principal (en el plano S en la figura 10.1).
Por ejemplo, se puede elegir un valor de la intensidad E, para el cual, siendo L la longitud dada de la célula Kerr, se cumple la condición (8.5). Entonces la célula Kerr será análoga a la placa de media onda birrefringente; lo mismo que esta última, la célula podrá hacer girar el plano de polarización del haz luminoso que la atraviesa.
Señalemos que en la práctica no es el liquido el que se coloca en el campo eléctrico, sino los cristales, ya que en el efecto Pokkels la dependencia entre el índice de refracción y la intensidad del campo resulta más sensible que en el efecto Kerr. Sin embargo, nos limitaremos al efecto Kerr, para no complicar más el examen de los detalles relacionados con la anisotropía de los cristales, puesto que el cristal se caracteriza por su propia anisotropía (natural). Conectando un campo eléctrico exterior, introducimos una anisotropía complementaria (artificial).
Deflectores electro-ópticos de desviación continua
El deflector más simple es un prisma triangular corriente, en cuyos extremos frontales se hallan electrodos metálicos. A estos electrodos se les suministra voltaje de control. La figura 10.2 explica el deflector en cuestión, la línea de trazos destaca los electrodos de control.

Figura 10.2
Con fin de simplificar suponemos que el rayo luminoso incide sobre la cara de entrada del prisma de modo normal; en este caso el ángulo de desviación del rayo de la dirección inicial (el ángulo 0) se determina mediante la siguiente fórmula:

donde Φ es el ángulo de refracción del prisma, n, el índice de refracción del material del prisma. Como consecuencia del efecto electro-óptico, el valor del índice de refracción depende de la intensidad del campo eléctrico exterior. Cambiando la tensión en los electrodos, puede variarse de una manera suave el índice de refracción n y, por lo tanto, también el ángulo de desviación del rayo, θ.
Colocando en el camino del rayo dos deflectores de prisma, orientados bajo un ángulo de 90° el uno respecto al otro, puede ejecutarse la exploración bidimensional del rayo.
En los deflectores de prisma electro-ópticos se emplean materiales que poseen alto grado de transparencia (en la gama de longitudes de ondas necesarias de la radiación) y revelan un efecto electro-óptico considerable. Por ejemplo, los cristales de tantalato-niobato de potasio se caracterizan por un intervalo grande de variación del índice de refracción bajo el efecto del campo eléctrico (a estos cristales también se les denomina cristales KTN; la fórmula química es K Tax Nb1-x O3, donde x puede variar de 0 hasta 1) y titanato de bario ( Ba Ti O3).
Se utilizan también cristales denominados convencionalmente cristales KDP y DKDP (sus fórmulas químicas: K H2 P O4 y K H2(1-x) D2x P O4
La velocidad de los deflectores examinables que se determina por el tiempo mínimo requerido para trasladar el rayo de una posición extrema a otra, tiene el orden de
1 μs.
Deflector electro-óptico de acción discreta.
La figura 10.3 ilustra un esquema óptico del deflector electro-óptico que permite durante 1 μs, variar la posición del rayo luminoso en el espacio, conservando su
dirección.

Figura 10.3
Aquí C1 y C2 son cristales birrefringentes, orientados del mismo modo, 1 y 2, las células Kerr, es decir, cubetas con líquido ubicadas en el campo eléctrico; la dirección del campo es perpendicular a la dirección del haz luminoso inicial.
Los haces luminosos se muestran en la figura mediante flechas. Supondremos que el haz luminoso inicial es planamente polarizado y además, que al suministrar la tensión a la célula Kerr, ésta funciona como una placa de media onda que hace girar el plano de polarización del haz en 90°. Para asegurar semejante ángulo de giro del plano de polarización, conviene orientar la dirección del campo en ambas células bajo un ángulo de 45° a la dirección de la polarización del haz luminoso inicial (notemos que las direcciones de los campos en ambas células son iguales). Sea que la orientación de los cristales C1 y C2 es tal que el haz inicial es para ellos ordinario, que está polarizado perpendicularmente al plano de la sección principal de los cristales.
Supongamos que a ambas células no les aplica tensión (están desconectadas). En este caso el rayo luminoso atravesando los cristales C1 y C2 no experimenta desviación alguna, es decir, se comporta como un rayo ordinario; como resultado, el rayo saldrá del deflector en la posición A (véase la figura). Supongamos que ambas células están conectadas. Ahora al pasar por la célula 1, el plano de polarización del rayo gira en 90°, este rayo se convierte en extraordinario para el cristal C1 y, por lo tanto, como consecuencia, se desvía en él. Después de girar el plano de polarización en 90° en la célula 2, el rayo llega al cristal C2 ya como ordinario, sin desviarse por eso en dicho cristal. Como resultado, el rayo luminoso saldrá del deflector en la posición B. No es difícil comprender que estando la célula 1 desconectada y la célula 2, conectada, el rayo luminoso saldrá del deflector en la posición C, mientras que estando conectada la célula 1 y desconectada la célula 2, saldrá en la posición D.
Aquí con fin de simplificar, se examina un circuito de dos etapas que tiene sólo cuatro posiciones en la salida. Al haber n etapas, el número de posiciones en la salida es igual a 2n. En los deflectores modernos se realizan con garantía las 1024 posiciones, lo que corresponde a diez etapas.
Deflector de difracción acusto-óptico
En la charla anterior hemos señalado que el índice de refracción en una fibra curvada varía de punto a punto bajo la influencia de las tensiones mecánicas heterogéneas que surgen en esta fibra. Esto es válido para cualquier sustancia, en la cual surgen o se crean especialmente tensiones mecánicas. Las últimas pueden crearse, por ejemplo, enviando una onda ultrasonora a través de la sustancia. Así se puede controlar el índice de refracción de la sustancia mediante ondas ultrasonoras. A base de esto surgió y se está desarrollando a grandes pasos una dirección especial en la óptica moderna, denominada acusto-óptica.
Supongamos que en cierto medio (sólido o líquido) se excita una onda ultrasonora plana. Ésta se propaga de la fuente (del convertidor piezoeléctrico) al absorbedor, como se muestra en la figura 10.4, donde las rectas de trazos son las secciones de los frentes de onda que corresponden a la misma fase (la onda se propaga a lo largo del eje y).

Figura 10.4
A la onda ultrasonora le corresponden capas alternadas de compresión y enrarecimiento (expansión) del medio que se desplaza a lo largo del eje y con velocidad del sonido. Las capas de compresión y enrarecimiento tienen diferentes índices de tracción. Puede decirse que en dicho medio se propagan las capas alternas a velocidad del sonido con diferentes índices de refracción, o, con más precisión, se trata de la dependencia del índice de refracción del medio en función del tiempo t y la coordenada y

Aquí n, es el índice de refracción del medio en ausencia del ultrasonido, Δn, la amplitud de variación del índice de refracción (depende de las propiedades del medio y la intensidad del ultrasonido). Λ, la longitud de la onda ultrasonora, v', la frecuencia del ultrasonido.
Luego supongamos que un haz luminoso alcanza el medio en cuestión. Este haz experimentará una difracción en el medio en la estructura espacialmente periódica, formada por el cambio periódico del índice de refracción.
En la figura 10.4 el haz luminoso incidente se designa por la cifra 1; el haz luminoso que surge a causa de la difracción (haz difractado) se designa por la cifra 2. Para que se observe la difracción, la dirección de la propagación del haz 1 debe formar un ángulo θ con el plano del frente de la onda ultrasonora; dicho ángulo está relacionado con la longitud de la onda ultrasonora Λ y la longitud de la onda luminosa en dicho medio por la siguiente relación:

Al realizarse esta condición, el haz luminoso monocromático se desvía (como consecuencia de la difracción) en un ángulo 2θ de su dirección inicial, véase la figura 10.4.
Cambiando la frecuencia del ultrasonido, y por lo tanto, la longitud de onda Λ, es posible, conforme (10.3), variar suavemente el ángulo de desviación 2θ.
Para los deflectores acusto-ópticos se usan materiales transparentes con un índice de refracción relativamente elevado y buenas propiedades fotoelásticas relacionadas con la dependencia de la variación del índice de refracción en función de la intensidad de la onda ultrasonora. Por ejemplo, son materiales de perspectiva el molibdato de plomo (Pb Mo O4 y paratelurita (Te O2).
La velocidad de los deflectores en cuestión es limitada por el tiempo τ = D/v, donde D es el diámetro de la sección transversal del haz luminoso y v, la velocidad del sonido en dicho medio. Si, por ejemplo, D = 1 cm, v = 2000 m/s, r = 5 μs.
Finalmente señalaremos otra circunstancia bastante importante. En los deflectores acusto-ópticos del tipo examinado (deflectores de difracción) el diámetro del haz luminoso D debe ser mucho mayor que la longitud de la onda ultrasonora Λ, o sea, debe cumplirse la desigualdad D » Λ (véase la figura 10.5).

Figura 10.5
Si se cumple la desigualdad contraria (D « Λ) en este caso la difracción de la luz en el sonido no tiene lugar, entonces tendremos un deflector de otro tipo, denominado de refracción.
Deflector de refracción acusto-óptico
Si el diámetro del haz luminoso es mucho menor que la longitud de la onda ultrasonora, el haz luminoso se comportará dentro del deflector como en un medio ópticamente heterogéneo: se curvará de modo que su línea axial esté dirigida con la convexidad hacia el decremento del índice de refracción.
Conocemos ya esta regla: se discutió al examinar la refracción de la luz en la atmósfera terrestre (véase la Charla 2). Añadiremos, sólo que el grado de la curvatura del haz luminoso (el grado de su. desviación) será mayor, mientras más brusca sea la variación del índice de refracción.
El deflector de este tipo se muestra en la figura 10.6. En este deflector no se excita una onda progresiva, sino la onda ultrasonora estacionaria (por eso en lugar del absorbedor se emplea el reflector del sonido).

Figura 10.6
La longitud del deflector L en este caso rebasa sólo 1,5 veces la longitud de la onda ultrasonora Λ. Los puntos A, B, C en la figura corresponden a los nudos de la onda estacionaria. Indiquemos que en la onda estacionaria el índice de refracción del medio varía según la fórmula:

El resultado de (10.4) es fácil obtener, empleando (10.2) La onda estacionaria se forma como resultado de la adición de dos ondas progresivas que van al encuentro la una de la otra. Para la onda que se mueve en dirección positiva del eje y, puede usarse la fórmula (10.2); para la onda contraria hay que sustituir y/Λ por-y/Λ en (10.2). Así,

Luego aplicando la fórmula trigonométrica conocida

llegamos a la relación (10.4).

Figura 10.6
En la figura 10.6 por el eje horizontal se trazan los valores n - n1. La figura muestra la dependencia de n(y) - n1 , para dos momentos de tiempo (0 y t1) divididos por el intervalo l/2v'; véanse las curvas continua y de trazos. Supongamos que el haz luminoso relativamente estrecho (haz, para el cual D « Λ) incide normalmente en la superficie lateral del deflector en el punto B.
De acuerdo con la regla conocida del comportamiento de los rayos luminosos en un medio ópticamente heterogéneo, el haz luminoso en el momento de tiempo t = 0, se desvía hacia arriba (en cierto ángulo θ), y en el momento t = l/2v' se desvía hacia abajo (en el mismo ángulo θ). Las correspondientes desviaciones de los haces luminosos se muestran en la figura 10.6 por flechas continuas y de trazos.
En el intervalo desde t = 0 hasta t = l/2v' el haz luminoso que sale del deflector varia continuamente su dirección desde BB1 hasta BB2. (Por ejemplo, en el momento t = l/4v' el haz luminoso, atravesando el deflector, no se desvía en general.)
De esta manera se realiza la exploración continua del haz luminoso a lo largo del eje y; el paso del haz de la posición superior extrema a la inferior extrema (sería más justo hablar de la dirección y no de la posición de un haz) se efectúa durante un lapso l/2v', donde recordemos que v' es la frecuencia del ultrasonido. Según muestra la teoría, la magnitud del ángulo de desviación máximo del haz luminoso en el caso, representado en la figura 10.6, se determina por la relación:

Aquí I es la longitud del camino, recorrido por la luz en la sustancia del deflector.
Desviación de los rayos luminosos en un medio calentado irregularmente.
EI índice de refracción del medio depende también de su temperatura. Si el medio se calienta irregularmente, es decir, si la temperatura del medio es diferente en distintos puntos de éste, semejante medio resulta ópticamente heterogéneo. Al variar de una manera continua en el espacio la temperatura, el índice de refracción cambiará también de modo continuo de un punto a otro. El comportamiento de los rayos luminosos en los medios con índices de refracción que varían ininterrumpidamente, acabamos de discutirlo.
Además, también hemos hablado de esto en la charla segunda.
Notemos que en unas sustancias al crecer la temperatura, el índice de refracción aumenta, mientras que en otras sustancias, al contrario, disminuye. Supongamos, para mayor definición, lo primero y examinaremos un cuerpo de forma cilíndrica, a lo largo de cuyo eje se propaga un haz luminoso. Supongamos también que en el cuerpo se absorbe la energía que llega de cualquier fuente exterior, merced a lo cual, el cuerpo se calienta. Esta situación la tenemos en los láseres de sólidos, donde el papel del cuerpo en cuestión lo desempeña un elemento activo cristalino (por ejemplo, el rubí ó el granate de itrio y aluminio, activado por iones de neodimio): .El elemento activo es irradiado por una luz intensa de la lámpara de bombeo ubicada paralelamente (tubo-relámpago de descarga de gases). Tiene lugar un calentamiento bastante fuerte del elemento activo. A causa de la evacuación natural del calor a través de la superficie lateral del elemento activo, se observa un enfriamiento principal de su zona periférica.
La temperatura máxima del elemento activo se halla en las inmediaciones del eje y disminuye de una forma paulatina en dirección del eje del elemento a su superficie lateral. Como consecuencia, la región próxima al eje del elemento activo resulta ópticamente más densa en comparación con la periférica. Por eso este elemento activo es semejante a una lente convergente peculiar que enfoca la radiación luminosa generada en el elemento activo.
Los rayos luminosos en el elemento activo que se examina se curvarán de modo que su trayecto tenga la convexidad hacia la periferia, de acuerdo con la regla bien conocida. Este efecto se denomina efecto de la lente térmica, el cual es necesario tomar en consideración al analizar el funcionamiento de los láseres de sólidos.
Prestemos atención a la analogía con el ejemplo de fibra óptica de gradiente que discutimos en la charla novena (véase la figura 9.6). A diferencia de la fibra de gradiente, el índice de refracción, variable por la sección, se crea debido al calentamiento irregular.
El ejemplo del elemento activo de láser ilustra la aparición de una lente térmica por vía natural, sin tomar cualesquiera medidas especiales. Sin embargo, pueden ocurrir situaciones, cuando se toman las medidas especiales para proporcionar el salto necesario de temperaturas con el fin de efectuar la desviación requerida del haz luminoso. En este caso obtenemos un deflector tipo térmico.
Control del índice de refracción variando la concentración de los electrones de conducción
Últimamente se desarrolla de modo impetuoso la nueva dirección en óptica moderna, denominada óptica integral. Esta dirección surgió en la frontera de unión de la óptica y microelectrónica. En la óptica integral se usa el paso de la luz por unas películas finas dieléctricas (así como semiconductoras). El uso de guías de ondas ópticas de películas finas abre el camino a la creación de láseres en miniatura, amplificadores ópticos, moduladores, deflectores, filtros y otros elementos para los sistemas de comunicación de gran capacidad informativa modernos, dispositivos electrónicos de cómputo de alta velocidad, sistemas de tratamiento óptico de información.
Trabemos conocimiento con los análogos de película fina de las lentes y deflectores ópticos, basados en el control de las propiedades refractantes de la película dieléctrica fina. Pero primero hay que hacer tres observaciones de carácter puramente físico.
Primero, recordemos al lector, que en los cristales los electrones de las capas atómicas exteriores se hacen "propiedad" de todo el cristal por entero (se hace parte integrante del cristal) y se agrupan por varias bandas de energía. Mejor sería decir que se agrupan por las bandas la energía, de los electrones (para que no surja la noción errónea de la agrupación de los electrones en el espacio). En los márgenes de cada banda la energía de los electrones puede variar de modo continuo, mientras al pasar de una banda a otra, la energía del electrón cambia a salto. Más abajo nos limitaremos a examinar el dieléctrico y separaremos sólo dos bandas de energía que representan interés para nosotros.

Figura 10.7
Ambas bandas se muestran en la figura 10.7 por líneas de trazos. La banda inferior se denomina de valencia y la superior, de conducción. Las bandas se dividen por un intervalo de valores "prohibidos" de energía de una anchura de ΔE. En los dieléctricos ésta es de unos 5 - 10 eV. A cada banda le corresponde cierto número (aunque enorme, pero finito) de estados electrónicos referente a la unidad de volumen del cristal; en cada estado puede hallarse no más de un electrón. Es decir, todos los estados de la banda de valencia están habitados por lo tanto se dice que la banda de valencia del dieléctrico prácticamente está llena por completo. Más en la banda de conducción los estados en realidad están vacíos. La aparición de una corriente eléctrica en el cristal (bajo la acción de la diferencia de potencial suministrada a éste) está relacionada con el paso de los electrones de unos estados en la banda a otros. Estos pasos deben transcurrir de modo ordenado y exigen que en la banda haya estados libres. Está claro el porqué el dieléctrico prácticamente no conduce la corriente eléctrica: en la banda de valencia hay muchos electrones, pero Faltan estados libres, mientras que en la banda de conducción hay muchos estados libres, pero casi no hay electrones.
Segundo, indiquemos que se puede iniciar el salto de los electrones- de la banda de valencia a la de conducción, por ejemplo, al radiar el dieléctrico con la luz de frecuencia v, que satisfaga la desigualdad hv > ΔE
(h es la constante de Planck). Al absorber el fotón de una energía hv, el electrón de la banda de valencia obtiene una energía, suficiente para saltar a la banda de conducción y, como consecuencia, en la banda de conducción aparece un electrón (el denominado electrón de conducción) y un estado libre en la banda de valencia
(tiene el nombre de hueco).
Cuantos más saltos sucedan hacia la banda de conducción, tanto mayor será la concentración de los electrones de conducción y huecos y tanto mayor será, por lo tanto, la electroconductibilidad del cristal. Así, pues, la radiación del dieléctrico por la luz de elevada frecuencia permite controlar la concentración de los electrones de conducción y, por consiguiente, la electroconductibilidad. Al terminar la irradiación, los electrones de conducción retornan espontáneamente a la banda de valencia, pasando el dieléctrico a su estado inicial, en el que se hallaba antes de la irradiación por la luz. El tiempo característico del retorno al estado inicial es de unos 10 μs para un dieléctrico sin impurezas.
Tercero, señalemos que la variación de la concentración de los electrones de conducción conduce al cambio del índice de refracción del dieléctrico. Al aumentar la concentración de los electrones de conducción, el índice de refracción disminuye.
Después de las observaciones físicas hechas, volvamos a los análogos de película fina de las lentes y los deflectores ópticos antes mencionados. Imaginémonos una película dieléctrica fina, a lo largo de la cual se propaga la luz con una frecuencia inferior a ΔE/h.

Figura 10.8
Al irradiar unas u otras partes de la película por la luz con una frecuencia superior a ΔE/h, y disminuyendo de este modo el índice de refracción de estas partes, pueden obtenerse unas peculiares variantes "planas" de las lentes y los prismas para el haz luminoso que se propaga a lo largo de la película. La figura 10.8 explica lo dicho: las partes irradiadas de la película están rayadas y las flechas muestran la dirección de los rayos luminosos que se propagan a lo largo de la película. En la figura se dan cuatro situaciones: a) la desviación del haz luminoso, b) desplazamiento paralelo del haz, c) enfoque del haz y d) desenfoque del haz.
Señalemos que al terminar de irradiar la película, la restitución de la homogeneidad óptica de la película transcurre con mucha rapidez (en el transcurso del tiempo del orden de 10-5 s); los prismas y lentes "planos" que se han formado mediante la irradiación, desaparecen.
* * *
Aquí se termina nuestro viaje por el mundo de los rayos luminosos refractantes o, en otras palabras, por el mundo de la óptica geométrica. La presentación de la emisión óptica en forma de rayos luminosos permitió examinar muchos fenómenos interesantes. No obstante conviene recordar que esta presentación es nada más que un caso límite del enfoque más general de la naturaleza de la luz, basado en la aplicación del concepto de onda luminosa. Este concepto también puede encontrarse en nuestro libro, aunque como huésped poco frecuente. Nos hemos limitado conscientemente a examinar el círculo de fenómenos que permitiesen evitar él empleo continuo del concepto de onda luminosa.- Puesto que dé otra manera, nuestro viaje se harta muy largo…hubiésemos teñido que pasar del mundo de la óptica geométrica a otro mundo más extenso de la óptica ondulatoria.
Consejo al lector que haya llegado hasta la última página
Estimado lector: por lo visto, te has convencido de que el libro se lee en unas partes con bastante facilidad, mientras que en otras, con dificultad. Lo fácil es cuando se trata de la historia, experimentos y de la Física de los fenómenos, mientras que la lectura del examen de los problemas concretos (se dan con letras pequeñas para distinguirlos), así como del recorrido de los rayos luminosos en unas u otras situaciones concretas, en unos u otros dispositivos, es más difícil.
Es posible que los lugares más pesados, los hayas dejado sin leer, en todo caso, los has leído superficialmente. En esto no hay nada malo. Pero ahora te recomendamos que cojas un lápiz y cuaderno y, empezando por las primeras páginas del libro, sin darte prisa, analices todos los problemas y esquemas ópticos que se encuentran en el presente libro.
F I N
Notas:
[1] Nació en Basilea, Suiza, 1707 y murió en San Petersburgo, 1783 (Nota PB)
[2] La cursiva es nuestra. (N. del A.)
[3] A titulo de explicación: el eje óptico no se debe comprender como una recta que pasa a través de determinados puntos en el cristal. El eje óptico sólo es una dirección determinada, por eso puede trazarse tácitamente a través de cualquier punto.
[4] Hablando en rigor, ellas siempre coinciden por su dirección; sin embargo, pueden no coincidir por la magnitud.