Antes de que todo esto se convirtiera en realidad, los científicos tuvieron que estudiar los fenómenos físicos que surgen en la región de las temperaturas cercanas al cero absoluto. ¿Qué los obligó a dedicarse a tal actividad? En la primera etapa no fueron consideraciones de utilidad práctica. Y en realidad, ¿quién se atrevería a afirmar que Heike Kamerlingh Onnes quería obtener helio líquido para enfriar sistemas magnéticos superconductores, si en aquel tiempo nadie conocía la superconductividad? La fuerza motriz fue la curiosidad, y la recompensa, el sentimiento de satisfacción de llegar a conocer algo que antes nadie conocía.
¿Por qué las bajas temperaturas atraen la atención de los investigadores?
Pues por el hecho de que la región cerca del cero absoluto resultó no tan "muerta" como se pensaba cien años atrás: todo movimiento se interrumpe, todo se congela, y se puede poner punto final. Es completamente al revés, en cuanto a la abundancia de fenómenos físicos que se observan al enfriar las sustancias hasta la temperatura del helio liquido y aún más, la física de las bajas temperaturas puede competir audazmente con cualquier otra rama de las ciencias naturales. Los líquidos que nunca se congelan, la superconductividad (y simplemente la electroconductividad de los metales), la superfluidez, el magnetismo (que, como resultó, es propio de casi todas las sustancias de la naturaleza), cada uno de esos fenómenos oculta decenas de sus problemas.
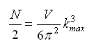
Y todas estas propiedades que se manifiestan en los cuerpos macroscópicos que contienen miríadas de partículas, pueden ser descritas solamente por las leyes de la mecánica cuántica, es decir, por las leyes del micromundo. Pero antes es necesario aprender a aplicarlas a los sistemas grandes y obtener teóricamente las respuestas que la naturaleza nos sugiere en los experimentos. Entonces, los conocimientos obtenidos en la física de las bajas temperaturas pueden ser aplicados tanto al micromundo como a escalas astronómicas: existe, por ejemplo, el modelo de los núcleos superfluyentes y el de las estrellas superconductoras.
¿Pero qué es, en realidad, "la física de las bajas temperaturas"? ¿Se puede delimitar con precisión este campo? Más bien, no, y la causa es muy simple: los fenómenos de la naturaleza obedecen a sus escalas internas y no las que les ofrecen las personas. Para cada fenómeno existen bajas temperaturas, tales a las que la energía del movimiento térmico equivale o es comparable con la energía que determina el curso del proceso. Por ejemplo, los millones de grados hasta los que hoy se logra calentar el plasma, constituyen aún una temperatura muy baja para el reactor termonuclear. Por el contrario, la temperatura de ebullición del helio líquido, de 4,2 °K, a menudo resulta demasiado alta. Por eso se guían por la tradición, según la cual, a la categoría de bajas temperaturas pertenecen las comprendidas entre el cero absoluto y algunos grados Kelvin.
Claro está que en un libro tan pequeño es imposible hablar de todo lo que estudia la física de las bajas temperaturas. Por eso fueron elegidos los fenómenos cuya naturaleza puede ser interpretada de manera relativamente sencilla. Quizás sólo la superconductividad constituya una excepción, pero es imposible pasar en silencio tal fenómeno trascendental. El material del libro presupone que el lector conoce el curso escolar de física, y toda lo que sale de sus límites se describe según la necesidad. Parte de los cálculos se hallan formulados en forma de problemas cuyas soluciones se dan al final del libro. Algunas partes en éste pueden parecer difíciles de entender, pero el esfuerzo mental es inevitable si se quiere penetrar en la esencia del asunto y no limitarse simplemente a la creencia de lo dicho.
Capítulo 1
UNA LEY PARA EL CAOS
"...Ola y roca,
Versos y prosa,
hielo y llama
No difieren tanto entre sí".
A. S. Pushkin
Cualquiera que mire el termómetro dirá qué temperatura hay en la calle y sabrá qué ropa ponerse para salir de su casa. Y tal nivel de conocimiento es suficiente en la vida cotidiana. Pero si a usted le interesa cómo está constituida la naturaleza, entonces lo más probable es que tendrá que pensar en lo que encierran las palabras "calor" y "temperatura". Y caerá en la cuenta de que desconoce eso casi por completo, claro está, si usted no es especialista en la materia (pero entonces no vale la pena que lea este capítulo).
Naturalmente, en los manuales escolares se habla algo de la temperatura. Citemos lo siguiente: "La temperatura es la medida de la energía cinética media del movimiento caótico de las moléculas en los cuerpos macroscópicos". Eso difiere evidentemente, por ejemplo, de tal definición: "La velocidad es la distancia recorrida por un cuerpo en la unidad de tiempo". Aquí todo es comprensible y sencillo, existe una fórmula mediante la cual se pueden hacer cálculos. El hecho consiste en que no es nada fácil definir exactamente la temperatura, concepto corriente que todos conocen. Este tema merece un libro especial. (Por suerte, éste ya fue escrito, es el libro de Ya. Smorodinski "La Temperatura", editado por Mir en 1983, de la serie "Física al alcance de todos"). Pero si queremos hablar de las bajas temperaturas, tratando de entender la esencia de los fenómenos físicos, es imposible hacerlo sin conocer las leyes generales del movimiento térmico, las cuales establecen la relación cuantitativa de este último con la temperatura.
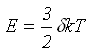
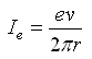
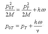
Es sabido que para los átomos de los gases, a la temperatura T , el movimiento de traslación se halla relacionado con la energía
(1.1)

![]()
| He | 1,50 k |
| Ar | 1,50 k |
| Xe | 1,50 k |
o sea, equivale precisamente a 3k/2 . Por consiguiente, el experimento atestigua que en los gases monoatómicos, el movimiento térmico se reduce exclusivamente al movimiento de traslación de los átomos como un todo único.
Pero, el caso analizado no es el único tipo posible de movimiento térmico. He aquí un ejemplo evidente: en los cuerpos sólidos, sus moléculas integrantes están fijas en los vértices o nudos de la red cristalina y no pueden realizar movimiento de traslación. Sin embargo, el movimiento térmico en las mismas existe, y la demostración de ello es muy simple: su gran capacidad calorífica. Recuerden, por lo menos, cuánto tiempo conserva el calor una sartén después de apartarla del fogón.
El movimiento térmico de los átomos en los gases tiene una propiedad que salta a la vista: dicho movimiento no depende de las características de los propios átomos. El átomo de helio tiene una masa (en unidades atómicas) igual a 4, el de argón a 40, y el de xenón a 131. Pero tal diferencia de masa no se refleja en la energía del movimiento térmico.
Los átomos difieren no sólo por sus masas, sino también por el número de partículas que entran en su composición. Alrededor del núcleo de helio gira solamente un electrón, del núcleo de argón, 18, y del núcleo de xenón, ¡un total de 54!
Cada electrón es miles de veces más ligero que el núcleo, pero si la masa no influye sobre la energía del movimiento térmico, ¿por qué entonces cada electrón no agrega nada a la capacidad térmica de su átomo? ¿Será que existe alguna ley de la naturaleza que prohíbe en general el movimiento térmico de los electrones? ¡Nada de eso! Se sabe perfectamente que si un gas se calienta mucho, él empieza a irradiar luz. He aquí un ejemplo clásico: precisamente gracias a este fenómeno, el helio fue por primera vez descubierto en el Sol. La causa también es conocida y encontró su explicación en la mecánica cuántica. Los electrones en el átomo sólo pueden ocupar determinados estados cuánticos que difieren con arreglo a sus energías. Si el átomo recibe del exterior una porción suficiente de energía, éste puede excitarse, o sea, el electrón pasa de un estado estable inferior a un estado donde su energía es mayor. Pero el átomo no puede permanecer mucho tiempo en estado de excitación, y cuando regresa al estado estable emite un cuanto de luz que es precisamente el que vemos. ¿Cuál es aquí la misión de la temperatura del gas? Por lo visto, consiste en que el movimiento térmico debe ser bastante enérgico para que, por ejemplo, al chocar dos átomos, la energía total de su movimiento térmico de traslación resulte suficiente para que se excite aunque sea uno de los átomos.
Así pues, la irradiación de luz por un gas caliente es una manifestación del movimiento térmico de los electrones. Pero para que eso comience se necesita una temperatura alta, y ello está relacionado con la naturaleza discreta del movimiento de los electrones en el átomo. Sin embargo, el movimiento de traslación de los átomos puede ocurrir con cualquier velocidad y, por consiguiente, con cualquier energía. Eso no se cuantifica y tiene, según se dice, un espectro continuo. Precisamente en esto, desde el punto de vista del movimiento térmico, el átomo se diferencia radicalmente de los electrones que entran en su composición.
Resulta que en uno y otro caso el movimiento térmico puede ser descrito por una misma ley, descubierta por Ludwig Boltzmann más de cien años atrás. El conocimiento de cómo varía la presión atmosférica en función de la altura sobre el nivel del mar, ayuda, por extraño que sea, a deducir esa ley.
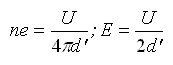
La atmósfera de la Tierra es una formación muy compleja, su composición, temperatura y presión dependen de la altura h , las horas del día y las estaciones del año, así como del lugar en la Tierra, cambiando caóticamente casi de modo impronosticable. Pero si prescindimos de las oscilaciones climatológicas y geográficas, que relativamente no son tan grandes, entonces solamente queda un factor: la altura. La causa de la disminución de la presión con la altura es evidente: cuanto mayor sea la altura, tanto menor será la masa de la columna restante de aire que crea la presión gracias a la fuerza de la gravedad. Y no es tan difícil averiguar cómo debe variar la presión de un gas ideal (el aire a la temperatura T » 300 °K es ideal), si su temperatura es constante.
Problema 1.
Obtener la fórmula (1.2) a partir de la ecuación de estado de un gas ideal.
Figura 1.1. Variación de la presión atmosférica en función de la altura. La curva corresponde a la fórmula (1.2).
(1.2)
La fórmula (1.2), llamada barométrica, describe bastante bien la variación real de la presión. Pero es necesario tener en cuenta que la temperatura de la atmósfera no es constante. Al principio la misma disminuye con la altura, cuya confirmación evidente de ello son los glaciares y la nieve en las montañas. A la altura de 10 a 20 km, donde vuelan los aviones modernos, T » 220 °K. Al seguir aumentando la altura, la temperatura crece de nuevo, regresando a T » 300 °K a la altura de 100 km.
Si en (1.2), en calidad de temperatura se introduce el valor medio de ésta según la altura, es decir, T = 250 °K, entonces se puede esperar que la diferencia entre la dependencia teórica y la real no sea muy grande. Y, como atestigua la figura 1.1, eso es precisamente así.
La fórmula barométrica es el resultado de la solución de un problema particular. Pero su sentido es mucho más profundo. A fin de demostrarlo, hagamos ciertos cambios en ella. Para un gas ideal,
P = NkT
(N es el número de partículas en la unidad de volumen), por eso P(h)/P (0) puede sustituirse por N(h)/N (0). En vez de mgh escribamos la energía E y al mismo tiempo sustituyamos el argumento de h por E , ya que entre N y E hay una correspondencia biunívoca. Entonces obtendremos
(1.3)
(1.4)
La fórmula (1.4), que describe el movimiento térmico, fue obtenida por primera vez por Boltzmann más de cien años atrás y lleva su nombre.
¡Y ahora veamos qué ha resultado! Al hablar del movimiento térmico, nos hemos acostumbrado al epíteto "caótico". Es cierto que ya el hecho de que exista una energía media del movimiento, obliga a sospechar que no hay un caos total.
Y ahora podemos deducir que en el movimiento térmico se observa cierto orden. Claro, si examinamos el comportamiento de una molécula aislada, veremos cambios continuos de su dirección, velocidad y estado interior, y cada cambio inmediato en el "camino de su vida" será casual e impronosticable. Pero si calculamos cuánto tiempo ella logra permanecer en cada uno de sus posibles estados de energía E , resultará que, si hemos observado bastante tiempo la molécula, dicha permanencia es proporcional a
![]()
Antes de pasar a un nuevo tema es necesario contestar a una pregunta más: ¿hasta qué punto es universal la fórmula de Boltzmann?, ¿siempre es aplicable? No, sólo en los casos cuando entre las partículas no existe interacción. ¿Verdad que es una combinación extraña de palabras? "Radiación negra"...Podía pensarse que no hay nada menos natural. La radiación es luz: solar, lunar, de un foco, de una llama. Lo negro es la ausencia de luz: la noche, "que no se ve nada". Pero dejemos las emociones aparte y juzguemos sensatamente las cosas, como deben hacerlo los científicos.
¿Qué significa pintura: roja, verde, negra? Un cuadro no se ve en la oscuridad, es preciso iluminarlo. Y entonces, los lugares de éste que reflejan los rayos rojos y absorben todos los demás componentes de la luz visible, serán rojos, mientras que los azules serán azules. Pero la luz no se refleja de la pintura negra: la misma se absorbe y "se pierde". Dicha pintura suele hacerse de carbón o grafito. Por cierto, ¿no recuerda usted la historia de la creación de esa misma bombilla que tiene sobre la mesa y que alumbra las páginas del libro? Yo recuerdo una de las etapas. Edison buscó mucho tiempo el material para su espiral y descubrió que el hilo de carbón calentado alumbra bastante bien. ¿Pero deja éste de ser negro al calentarse? No y no, él continúa absorbiendo toda la radiación que incide sobre él, pero ahora emite su propia radiación, la cual precisamente se llama radiación del cuerpo negro o, a menudo, simplemente radiación negra.
Para el físico, un cuerpo negro es aquel que absorbe toda la radiación que incide sobre él. Ahora bien, el hecho de que el cuerpo negro brille o no y cómo brilla, depende de su temperatura:
| 600 a 700 °C | luz es roja |
| 1.000 °C | luz es amarilla |
| 1.500 °C | luz es blanca |
Pero recordemos que la luz no es otra cosa, sino oscilaciones electromagnéticas de longitud de onda desde ~0,4 hasta μm.
Fuera de los límites de esta "ventana" el ojo no percibe la radiación. Sin embargo, ¿qué le importa a la naturaleza nuestro ojo? El cuerpo negro irradia ondas electromagnéticas, independiente de si lo observamos o no, de si vemos esa radiación o si no estamos en condiciones de verla. Acerquen la mano a una plancha caliente, ésta todavía no emite luz, pero ustedes sienten claramente el flujo de calor. Es la radiación térmica, o sea, aquellas mismas ondas electromagnéticas, pero su longitud de onda es tan grande que el ojo no las puede percibir. Y, estimando que las propiedades de la naturaleza no dependen del hombre, nos vemos obligados a deducir que la radiación siempre existe y que la temperatura del cuerpo determina la composición y la intensidad de dicha radiación. Por consiguiente, la tarea de la ciencia es enlazar tales magnitudes mediante relaciones cuantitativas.
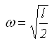
Y ahora nos dedicaremos precisamente a eso, pero empezaremos tanteando el terreno y sin ir derecho al asunto, es decir, comenzaremos por un simple péndulo: un peso suspendido de un hilo de longitud l . Si empujamos el peso, el péndulo comenzará a oscilar con frecuencia

Por onda electromagnética se entiende el flujo de cuantos de radiación, la energía de cada uno de los cuales es igual a h ω (recuerden, por lo menos, las leyes del efecto fotoeléctrico). Por eso, es evidente que la porción mínima de energía que puede ceder el péndulo también constituye h ω . Esta no depende de la cantidad de carga eléctrica, de lo cual se puede deducir que, incluso sin carga, el péndulo puede ceder energía solamente en porciones de magnitud h ω . Compárenlo con el átomo: éste puede emitir cuantos de luz de frecuencia determinada, ya que posee niveles discretos de energía. En cuanto al péndulo, ocurre exactamente lo mismo, sólo que la fórmula de los niveles tiene un aspecto más sencillo:
(2.1)
Problema 2.
Calcular la amplitud de oscilación y la energía en grados Kelvin, que posee un péndulo con m = 1 g y l = 1 m en estado fundamental, o sea, cuando i = 0 (la energía en grados Kelvin es igual a T = E/k)
Si en esta fórmula sustituimos los parámetros de un péndulo común (por ejemplo, m = 1 gramo y l = 1 metro), podemos ver que ya con una amplitud despreciable de oscilación (digamos, 1 Å), el número i, es astronómicamente grande, por eso la cuantificación no se manifiesta en absoluto, aunque, en principio, existe. Señalemos, por cierto, que cualquier movimiento periódico, ya sea en el mundo normal o en el micromundo, se cuantifica obligatoriamente y siempre obedece la regla siguiente: si el movimiento ocurre con frecuencia ω, la distancia entre los niveles cu ánticos de energía es igual a h ω.
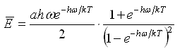
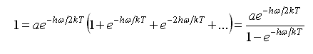
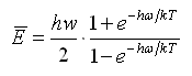
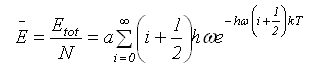
En realidad, cualquier péndulo forma parte de cierto sistema con temperatura T ≠ 0 (puede ser un péndulo más el aire que lo rodea). Y, al igual que el movimiento browniano, ha de producirse el movimiento térmico del péndulo como un todo único. Para calcular la energía de tal movimiento, supongamos que tenemos muchos ( N →∞) péndulos absolutamente idénticos y que no interaccionan entre si. En este caso, de acuerdo con la fórmula de Boltzmann (1.4),

Entonces, la energía total del movimiento térmico resultará, evidentemente, igual a
(2.2)
(2.3)
(2.4)
Realicen estos cálculos
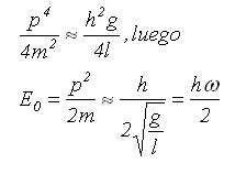
Esta fórmula se simplifica considerablemente cuando la frecuencia de oscilación es pequeña, o sea, cuando h ω/ kT « 1. De las matemáticas es sabido que e x » 1 + x , cuando x « 1. Teniendo eso en cuenta, después de realizar cálculos sencillos, obtenemos
Problema 4.
Demuestren que cuando x « 1, e x » 1+x
Esta es la primera etapa en el camino hacia la radiación negra. ¿No es verdad que es un buen resultado? En general, podíamos haberlo escrito incluso sin realizar cálculos, partiendo de la analogía con el gas ideal: el átomo del gas posee una energía de movimiento de traslación igual 3/2 kT . Este se mueve en dirección arbitraria, así que, al movimiento por cada una de las tres direcciones ortogonales del sistema de coordenadas, que, naturalmente, son equivalentes, le corresponde kT/2 . El péndulo no tiene tres direcciones de movimiento, sino sólo una. Por lo tanto, a su energía cinética media le corresponde kT/2 .
En el proceso de oscilación, su energía cinética se transforma periódicamente en energía potencial y viceversa. Además, la energía potencial media también constituye kT/2 . En total resultará kT , como precisamente lo afirma la fórmula (2.5).
Compliquemos nuestro sistema oscilatorio, y en vez de un péndulo tomemos una cuerda. ¿En qué consiste su diferencia principal? En que la cuerda posee muchas oscilaciones diferentes; algunas de ellas se muestran en la figura 2.1. Su característica común es que los extremos fijos siempre permanecen inmóviles. Todas esas oscilaciones se denominan naturales, ya que, independientemente de cómo se tire de la cuerda, en ella sólo surgirán oscilaciones de longitud de onda
o su combinación. Si designamos por c la velocidad de propagación de la onda a lo largo de la cuerda, las frecuencias naturales de oscilación serán
Y cada una de dichas oscilaciones participa en el movimiento térmico, así que cuando h ω i « kT , su energía media constituye simplemente kT. ¿Cuántas, pues, oscilaciones de este tipo hay en el intervalo de frecuencias desde 0 hasta la frecuencia ω que corresponde a la onda de longitud λ « L ?
De la fórmula (2.6) es fácil deducir que el número de tales oscilaciones constituye

Figura 2.1. Posibles oscilaciones propias de una cuerda con los extremos fijos.
Cualesquiera oscilaciones tienen mucho de común. Si en lugar de una cuerda comenzamos a estudiar, por ejemplo, la luz que transita entre dos espejos paralelos, surgirán oscilaciones electromagnéticas naturales, es decir, ondas estacionarias cuya amplitud de campo eléctrico debe ser igual a cero en los límites de los espejos. Y su dependencia respecto a la coordenada será exactamente igual a la de la amplitud de desplazamiento de la cuerda. El número total de oscilaciones en el intervalo de frecuencias de 0 a ω se expresará por la fórmula (2.8).
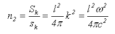
Al describir la propagación de ondas se introduce una magnitud muy útil, el llamado vector de onda k . Es un vector cuya dirección coincide con la de propagación de onda, y su longitud constituye 2π/λo, de otra forma, ω/c. En el caso de una cuerda, ese vector se halla dirigido a lo largo de ésta, pues otra dirección simplemente no existe. Y para las oscilaciones naturales, k adquiere los valores π/ l , 2π/ l ... n π/ l
Si tomamos una membrana cuadrada, es necesario introducir las coordenadas k x y k y . Y cada una de ellas puede adquirir esos mismos valores naturales.
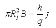
Tracémoslos en el plano k x , k y (figura 2.2). Obtendremos una red y la superficie de cada una de las celdas en ella es igual a
Si establecemos cualquier valor k ≥ π /l , todas las oscilaciones naturales, cuyas frecuencias son menores que ω , caerán en el sector sombreado que tiene una superficie igual a



Figura 2.2 Para el cálculo del número de oscilaciones propias de una membrana (están indicadas con puntos).
(2.10)
Ahora, ya tenemos todo preparado para estudiar la radiación negra. Solamente falta construir un cuerpo absolutamente negro y comenzar los cálculos. Uno de los modelos probables de un cuerpo negro se muestra en la figura 2.3. Es un orificio pequeño, tras el cual se halla una cavidad cerrada, cuyas paredes reflejan los rayos igual que un espejo.
El rayo que cae en esa cavidad comienza a "peregrinar" dentro de ella, perdiendo poco a poco su energía después de cada reflexión, hasta consumirse totalmente sin salir al exterior. Y esto es precisamente lo que necesitamos, ya que tal hecho significa que la radiación ha sido absorbida por completo.
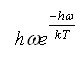
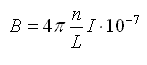
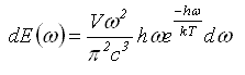
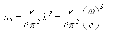
Ahora recordemos que en el movimiento térmico participa todo lo que puede moverse. Los cuantos de radiación electromagnética, es decir, los fotones, no son una excepción en este sentido. Y así como se excita térmicamente el movimiento de traslación de los átomos de un gas, igualmente deben excitarse las oscilaciones electromagnéticas térmicas. Si su frecuencia es ω, entonces, cuando h ω « kT , la amplitud de oscilación en cada frecuencia natural será tal que su energía media constituya kT. Las ondas electromagnéticas no interaccionan entre si. Por eso, los fotones forman un gas ideal que difiere del ordinario por el hecho de que su número depende de la temperatura.
¿Qué energía térmica posee este gas? Con arreglo a los fotones para los cuales h ω « kT , la misma será simplemente igual a kT multiplicado por su número total, obtenido mediante la fórmula (2.10). Es cierto que para respetar el orden debemos multiplicar n 3 por dos, ya que la luz tiene dos polarizaciones.

Figura 2.3. Esquema de la estructura de un cuerpo absolutamente negro y recorrido de un rayo en él.
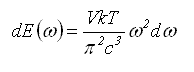
(2.11)
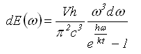
Hay que saber cuánta energía dE (ω) de radiación térmica puede captar un receptor de este tipo, o sea, en realidad es necesario hallar la derivada de la expresión (2.11) con respecto a la frecuencia. Por consiguiente, la fórmula requerida adquiere el aspecto siguiente:
(2.12)

(2.13)
(2.14)
Pero la radiación que existe dentro de una cavidad cerrada, es una cosa por sí misma. Por eso, para saber qué es lo que ocurre dentro de esa cavidad, en la pared de nuestro modelo (véase figura 2.3) se ha practicado un orificio pequeño, a través del cual la radiación natural sale al exterior. Si la superficie del orificio es S , entonces, del referido volumen sale, por unidad de tiempo y en dirección normal a la superficie, una radiación igual a Sc (esto es evidente si las dimensiones de la cavidad son infinitas). Por lo tanto, la intensidad de radiación del cuerpo negro constituye
(2.15)
(2.16)


Figura 2.4 Variación de la densidad espectral de intensidad de radiación de un cuerpo absolutamente negro, en función de hω/kT dada por la fórmula de M. Planck.
Con arreglo a la radiación térmica natural se efectuaron mediciones de la temperatura de los planetas y la Luna. ¡Y ésta coincidió perfectamente con las mediciones realizadas directamente por el hombre o mediante estaciones automáticas! Y hace relativamente poco tiempo fuimos testigos de cómo, a base de la radiación negra del espacio cósmico, fue determinada la temperatura de sectores sumamente alejados del Universo, a donde no anhelan penetrar los narradores de fantasías más audaces.
Capítulo 3
LA TEMPERATURA DEL UNIVERSO
Para dichas investigaciones, sin tener en cuenta los estudios de los planetas del Sistema Solar, del radar, en realidad, hace falta sólo una parte. Claro está que se puede hacer el intento de transmitir radioimpulsos al espacio, con la esperanza de que alguien los reciba y envíe una respuesta. Pero la estrella más cercana a nosotros se encuentra a la distancia de cinco años luz aproximadamente, y es poco probable que cerca de ella haya algún planeta civilizado, así que antes de diez años no sería posible esperar alguna respuesta. Los hombres de ciencia del siglo veinte saben que el tiempo apremia, son impacientes y calculan bien. Y de los cálculos resulta que si en este impulso se invierte incluso la energía de todas las centrales eléctricas del mundo, hasta que el mismo regrese, a través del enorme espacio cósmico, al remitente, se debilitará tanto que se perderá sin remedio en el fondo de otras fuentes de radioseñales. Por eso, el emisor, por regla general, no hace falta y, por lo tanto, quedan la antena y el receptor sensible. Tal aparato se denomina radiotelescopio.
Cuando los científicos dirigieron el radiotelescopio al cielo, inmediatamente empezaron a obtener resultados sorprendentes. Resultó que en el Universo ocurren muchos procesos que conducen al surgimiento de radioseñales, lo cual pudo ser revelado gracias a la radioastronomía. Aquí no hablaremos de tales procesos (ya que tendríamos que cambiar el título del libro), pero uno de ellos fue descrito en el capítulo anterior: es la radiación térmica.
¿Por qué esta última presenta tanto interés para los astrónomos? Porque, por ejemplo, permite medir la temperatura. Hay muchos objetos que de por sí no emiten luz en la zona visible, ya que son demasiado fríos. Los ejemplos abundan: tales son la Luna, los planetas Marte y Venus. Ahora el hombre aprendió a llegar con sus aparatos a las superficies de los referidos cuerpos celestes y medir la temperatura directamente. Pero antes de hacerlo era necesario saber el valor aproximado de esa temperatura para diseñar correctamente las estaciones cósmicas. Y aquí prestó ayuda la radioastronomía.
¿Quieren saber qué radiotemperaturas tienen los planetas? Por favor:
| Venus | 560 ± 58 °K; |
| Marte | 218 ± 76 °K; |
| Júpiter | 145 ± 16 °K; y |
| Saturno | 110 °K |
¿Fue fácil determinarlas? Pues resultó no muy fácil.
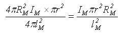
Tomemos, por ejemplo, a Marte. Durante la oposición, su distancia hasta la Tierra constituye aproximadamente l M = 80 millones de kilómetros. ¿Qué cantidad de radiación térmica llega hasta nosotros en ese periodo? No es difícil apreciarla. Consideremos que la radiación es emitida por una esfera de radio R M = 3400 km (el radio de Marte), y que nuestra antena tiene dimensiones razonables, por ejemplo, es un disco de radio r = 10 m.
Si en la superficie de Marte la densidad del flujo de energía total irradiadada por éste constituye
![]()

En el foco, la densidad del flujo de energía de radioemisión I , procedente de Marte, resulta igual a

El cuanto de energía para una radiación de longitud de onda igual a 3 cm, medido en grados Kelvin, como es fácil calcular, constituye » 0,5 °K.
Por consiguiente, en la superficie de Marte, para una radiación con tal frecuencia, hω/kT « 1. Por eso, para calcular la energía emitida es preciso utilizar la fórmula (2.12), de acuerdo con la cual I M ~ T M . Como vemos, al receptor llega muy poca energía.
Aproximadamente la misma que sería irradiada por un cuerpo absolutamente negro con temperatura T = 0,003 T M , si el mismo fuera colocado en el foco de la antena. Así pues, los astrónomos, deseando medir la temperatura de Marte (de ~ 200 °K), deberían construir aparatos que pudieran detectar la radiación de cuerpos a la temperatura de tan sólo ~ 0,6 °K.
¿Eso es mucho o poco? Hay que compararlo con la señal que actuará en la entrada del receptor cuando la antena permanece desconectada. A primera vista, no podemos proponer ningún valor determinado para esta señal. Hay muchos métodos de construcción de receptores basados en esquemas diferentes. Todos ellos serán distintos, unos mejores y otros peores. No en vano, por ejemplo, los radiorreceptores corrientes se diferencian por su sensibilidad: la de los de primera clase es más alta que la de los de segunda, y la de los de segunda, que la de los de tercera. Pero, ¡resulta que existe un límite de principio para el aumento de la sensibilidad!
¿Qué es un receptor? Un dispositivo en el que la radiación suministrada a la entrada dirige los procesos que ocurren en él, así que en la salida se produce una señal bastante considerable, proporcional a la potencia de la radiación de entrada. De este esquema se deduce que para que un receptor sea bueno, el mismo debe utilizar toda la energía de la señal recibida y ninguna parte de ésta ha de reflejarse hacia atrás, es decir, hacia la antena. Y eso significa que, para la radiación a recibir, ¡el receptor es un cuerpo negro! Pero, por lo general, éste tiene temperatura ambiente, o sea, ~ 300 °K. Por lo tanto, en el elemento receptor ya existen oscilaciones cuya potencia se determina por dicha temperatura. Estas oscilaciones, llamadas ruido térmico, nos molestan, y bastante: su potencia es ~ 300 °K / 0,6 °K » 500 veces mayor que la potencia de la radiación térmica procedente de Marte. Por eso, la adición proporcionada por este planeta es casi imperceptible en tal fondo.
¿Qué hacer? Hay dos vías. La primera es aumentar la superficie de la antena, pero en nuestro ejemplo ésta es bastante grande por si misma: imagínense un espejo de 20 m de diámetro, fabricado con una exactitud de ~ 1 mm, de lo contrario no será bien focalizada toda la radiación. Y ahora intentemos aumentar 100 veces la sensibilidad. Para esto es necesario tener un espejo con una superficie de 3 x 10 4 m 2 , o muchos espejos con esa misma superficie total. Prácticamente es imposible construir tal antena. El radiotelescopio más grande en el mundo, situado en el Cáucaso Septentrional, tiene un diámetro de 600 m, pero no es un espejo enterizo, sino muchos espejos: su superficie total constituye 6 x 10 3 m 2 . Y la antena reflectora RT-70 más grande del mundo (sobre la cual se puede leer en la revista "La ciencia y la vida", en el número 3 de 1982) tiene una superficie efectiva de 3 x 10 3 m 2 . Ambas obras son únicas, muy costosas y fueron construidas durante muchos años.
Hay otro método más barato: ¡es necesario reducir la temperatura del receptor! Esto no es difícil ya que su elemento de entrada es pequeño y, como ha resultado (de esto hablaremos un poco más tarde) es preciso enfriar sólo ese elemento. Si su temperatura alcanza, por ejemplo, el valor de 3 °K (lo cual ahora se logra fácilmente) entonces, he aquí el aumento de la sensibilidad en 100 veces: pues a nosotros nos interesa una sola magnitud, la relación señal/ruido, y en este caso es lo mismo aumentar la señal o disminuir el ruido. Y ahora ya no es tan difícil "ver' la adición de ~ 0,6 °K, que constituye un 20%, provocada por la radiación de Marte. Claro está que un receptor que trabaja a la temperatura ambiente, es poco probable que funcione en condiciones de un enfriamiento tan fuerte. Pero la ventaja es tan grande, que la creación de receptores de radiación que trabajen en condiciones de temperaturas cercanas al cero absoluto, hoy día es uno de los problemas más importantes planteados ante la física de las bajas temperaturas.
Uno de tales receptores de poco ruido es el máser, cuyo principio de funcionamiento es el mismo que el del láser, solamente que aquél funciona no en la zona visible, sino que amplifica la radiación en el intervalo de ondas centimétricas.
Así pues, los radioastrónomos tuvieron que recurrir a la física de las bajas temperaturas en su propósito de mejorar dichos aparatos. En 1963, los físicos norteamericanos Penzias y Wilson, que trabajaban en el laboratorio de la firma "Bell", se dedicaron al perfeccionamiento de un radiotelescopio provisto de una antena reflectora de cono invertido, de 20 pies de longitud.

Figura 3.1 Antena reflectora de cono invertido del radiotelescopio utilizado en los experimentos de A. Penzias y R. Wilson.
Ya para el inicio de los trabajos descritos, este radiotelescopio era un aparato bastante sensible. En calidad de receptor, en él se usaba un máser cuyo ruido correspondía a una temperatura de 7 ± 1 °K. La temperatura de ruidos de la propia antena constituía 2 ± 1 °K, y la de la línea que la unía con el máser, 7,6 ± 0,8 °K.
Puede surgir la pregunta: pero la antena y, por lo menos, una parte de la línea están templadas, ya que se encuentran en la "calle" y su temperatura constituye 300 °K. ¿Por qué, entonces, el ruido introducido por ellas se caracteriza por una temperatura tan baja?
Esto se entiende fácilmente. El hecho radica en que la antena no es un cuerpo absolutamente negro. Si la misma fuera ideal, entonces toda la radiación que incide sobre ella seria transmitida al receptor y no introduciría ningún ruido excesivo.

Figura 3.2 Esquema de la estructura de la antena
Estos razonamientos pueden repetirse para la línea que une la antena con el receptor, así como para la atmósfera de la Tierra, a través de la cual pasa la señal del cosmos.
Para la radiación con una longitud de onda de ~7 cm, la cual era captada por el radiotelescopio de la firma "Bell", la temperatura de ruido de la atmósfera fue calculada según la absorción de las radioondas, medida anteriormente, y constituyó 2,30 ± 0,3 °K. Todas estas señales de ruido se suman en el receptor, así que su temperatura de ruido total debe ser igual a la suma de las temperaturas de todas las fuentes.
Así pues, otra vez: la temperatura
| La temperatura del cielo | 2,3 ± 0,3 °K |
| La temperatura de la antena | 2,0 ± 1 °K |
| La temperatura de la línea de comunicación | 7,6 ± 0,8 °K |
| La temperatura del máser | 7,0 ± 1 °K |
| En total | 18,9±3 °K |
Todas estas magnitudes fueron calculadas o medidas al realizar experimentos diferentes. Cuando la antena estaba orientada hacia el cenit, la señal de ruido total constituía 22,2 ± 2,2 °K pero puede ser algo mayor, aproximadamente en ~3 °K, sin embargo, el error de medición es tan grande que no merece la pena darle importancia a tal circunstancia.
Penzias y Wilson decidieron que el aparato aún podía ser mejorado, por eso seleccionaron escrupulosamente todas las piezas en la línea que une la antena con el receptor y, realizando mediciones de laboratorio en maquetas de cada una de esas piezas, calcularon de nuevo el ruido de la propia antena. He aquí el resultado obtenido: la antena y la línea juntas tienen una temperatura de ruido T a + T l = 0,9 ± 0,3 °K, lo cual constituye diez veces menos que lo que había. También se logró disminuir el ruido del máser hasta 3,5 °K. Pero para que en el proceso de medición no fuera necesario tomar en consideración el error introducido por el hecho de que el ruido del receptor no se conoce muy exactamente, además, éste puede variar durante el experimento, se decidió calibrar periódicamente el receptor con arreglo a la señal procedente de una fuente patrón de radiación.
Tal fuente fue construida: el absorbedor (o sea, el cuerpo negro) se introdujo en helio líquido y así su temperatura resultó igual a 4,2 °K. Era posible variar algo la radiación de la fuente patrón, gracias a que entre ella y el receptor se instalaba un atenuador, es decir, un absorbedor de energía variable. Este tenía temperatura ambiente y si, por ejemplo, se instalaba de tal manera que se absorbiera el 1% de la energía, él agregaba un ruido correspondiente a 3 °K.
Por lo tanto, el procedimiento de medición era el siguiente. El receptor se conectaba consecutivamente a la antena y a la fuente patrón, y el atenuador se instalaba de tal manera que la señal en la salida del receptor fuera igual en ambos casos. Después de eso sólo quedaba leer las indicaciones de la escala del atenuador, traducirlas a la temperatura de la fuente patrón y podíamos ver que la temperatura de la antena era la misma.
Cuando fue hecho todo esto, resultó que la señal de la antena era igual que la de la fuente patrón a la temperatura de 6,7 ± 0,3 °K. Restemos de aquí la aportación de la propia antena y del cielo (recordemos que T a + T l = 0,9 ± 0,3 y T c = 2,3 ± 0,3 K), y quedarán 3,5 ± 1 °K. Otra vez tres grados Kelvin, igual que antes, pero fíjense que diferencia tan sustancial: ¡ahora el error de medición es mucho menor que aquella magnitud! Aquí ya es imposible eludir esos grados excedentes, debemos averiguar de donde aparecieron.
Se inició un registro minucioso. La primera sospecha: ¿Puede ser que la atmósfera produce un ruido más intenso? Pero, por fortuna, esto se puede averiguar.
Todos hemos observado más de una vez el siguiente fenómeno: cuando el Sol se encuentra cerca del cenit, el mismo es de color blanco deslumbrante, mientras que al despuntar el alba y, sobre todo, en el ocaso es de color rojo purpúreo. Ustedes probablemente también saben la explicación: en la atmósfera, los rayos azules se atenúan más intensamente que los rayos rojos. Mientras el Sol se encuentra en el cenit, el recorrido de la luz en la atmósfera es relativamente corto, y los rayos azules llegan hasta nosotros. Pero cuando el Sol se encuentra en el horizonte, el recorrido de los rayos aumenta muchas veces, y hasta nosotros sólo puede llegar la luz roja.
Así mismo ocurre con las radioondas: cuanto mayor es su recorrido en la atmósfera, tanto más intensamente son absorbidas. Ahora recordemos que la temperatura ordinaria de la atmósfera constituye 200 a 300 °K, mientras que la temperatura de ruido, solamente 2,3 °K. Esto está relacionado con el hecho de que las radioseñales con una frecuencia de ~4 GHz (a tal frecuencia se efectuaron las referidas mediciones) son absorbidas muy débilmente, y en todo el recorrido a través de la atmósfera se pierde aproximadamente el 1%. Por consiguiente, se puede considerar con bastante exactitud, que si el recorrido fuera dos veces mayor, también la absorción sería dos veces mayor, lo cual significa que también el ruido de la atmósfera crecería el mismo número de veces. Pero es fácil variar el espesor de la atmósfera controlada por la antena; basta con inclinar esta última de tal manera que capte la radiación no procedente del cenit. Si φ es el ángulo de inclinación con respecto al cenit, y h , el espesor de la atmósfera, entonces el recorrido de la radioseñal en ésta constituirá h/cos φ , y su ruido será proporcional a 1/ cos φ.
Dividamos entre dos toda la señal captada: una mitad de ésta no depende del ángulo, y la otra, el ruido de la atmósfera, varía como 1/ cos φ . Por lo tanto, se pueden realizar mediciones bajo diferentes ángulos φy restar de ellas lo que se observa bajo φ= 0°. El residuo debe variar como (1/ cos φ- 1), y el factor de ese valor es la temperatura de ruido de la atmósfera, la cual resultó precisamente como estimábamos, T c = 2,3 ± 0,3 °K. Así pues, aquí todo está en orden.
Problema 5.
La absorción de radioondas ocurre en una capa cuyo espesor es del orden de decenas de kilómetros. Demuestren que cuando la propagación de ondas es inclinada, su amortiguamiento crece como 1/cos φ
Causa siguiente. ¿Puede ser que la antena capte la radiación relacionada con la actividad del hombre? El laboratorio situado en el estado de New Jersey se encuentra no muy lejos de New York. La antena era dirigida hacia esta ciudad o hacia cualquier otro punto en el horizonte, sin embargo, no se notó ninguna diferencia considerable. ¿Puede ser que la antena capte la radiación del mismo suelo, cuya temperatura es de 300 °K? Pero tanto las mediciones como los cálculos mostraron que la señal máxima que puede llegar de la superficie de la Tierra al receptor no supera 0,1 °K.
Por consiguiente, los tres grados Kelvin excedentes aún permanecían enigmáticos. Los investigadores incluso introdujeron un par de palomas en la antena de cono invertido y, cuando las aves cubrieron la superficie interna de ésta con una capa blanca característica, repitieron las mediciones. ¡Otra vez lo mismo! Pues si las características de la antena hubieran sido mal calculadas y la misma introdujera un ruido no de 0,9 sino de 4 °K, entonces la suciedad, que conduce al crecimiento de las pérdidas, se manifestaría inmediatamente! Hubo que limpiar la antena y buscar otra explicación.
Mas no se logró encontrar nada. Quedaba sólo una cosa: de todas partes del cosmos llega una radioemisión correspondiente a la temperatura de 3 °K. Pero lo que eso significa quedaba sin aclarar. Así pasó un año, cuando una vez Penzias, conversando con uno de sus colegas de Massachussets, mencionó este ruido inexplicable. Su interlocutor recordó que un teórico de Princeton realizó un trabajo en el cual predijo que el Universo debe estar lleno de radiación electromagnética con una temperatura de ~10 °K. Estos científicos establecieron contacto, discutieron sus resultados y en seguida enviaron dos artículos que salieron en un mismo número de la "Revista Astrofísica". Uno experimental, del laboratorio "Bell", y otro teórico, de Princeton.
¿Cuál es, pues, la causa de dicha radiación? Los científicos que estudian los problemas relacionados con el origen del Universo consideran que en la etapa inicial de su existencia toda la sustancia contenida en él estaba fuertemente comprimida. Eso era así aproximadamente 13 mil millones de años atrás (para comparar, recordemos que la edad de la Tierra se estima igual a 4,5 miles de millones de años). A consecuencia de las reacciones entre las partículas elementales, dicha sustancia se calentó considerablemente y empezó a dispersarse rápidamente, y se dispersa hasta ahora. En la etapa de Universo caliente se formó la radiación electromagnética, la cual se propaga a velocidad de la luz. El volumen ocupado por ella crece continuamente y, al igual que un gas ideal, como resultado, se enfría. Esta teoría de evolución del Universo, que recibió el nombre de "gran explosión", fue propuesta por Gamow mucho antes de los sucesos descritos aquí. Diremos directamente que Penzias y Wilson tuvieron mucha suerte: ¡si sus antecesores en las observaciones mediante el radiotelescopio hubieran sabido sobre esta predicción, no tratarían a la ligera los tres grados Kelvin excedentes! Por lo tanto, los héroes de nuestro relato se convirtieron, con pleno derecho, en los descubridores de la radiación relicta (o sea, que se conserva desde el primer momento de la existencia del Universo). Su trabajo obtuvo reconocimiento mundial y a los autores se les otorgó el Premio Nobel en 1978.

Figura 3.3 Variación del logaritmo de intensidad de la radiación relicta en función de la longitud de onda. Los círculos, las flechas y la región punteada son los resultados de las mediciones realizadas por investigadores diferentes. La línea continua es el cálculo (mediante la fórmula de Planck) de la intensidad de radiación de un cuerpo negro con una temperatura de 3 °K
Sin duda, la teoría predice un valor cercano de la temperatura de radiación relicta. Según fue establecido, ésta llega de todos lados e, independientemente del punto del Universo hacia el que esté dirigida la antena, su temperatura varía no más que en ~0,1%. ¿Pero es esa radiación realmente negra? Para aclararlo fue necesario obtener su espectro, o sea, la variación de la intensidad de radiación en función de la longitud de onda, y convencerse de que la misma corresponde a la fórmula (2.15).
Tales mediciones se efectuaron en diferentes laboratorios del mundo, y todas ellas concordaron con el espectro esperado (véase fig. 3.3).
Los experimentos para medir la radiación con longitudes de onda desde 1 m hasta 2,5 mm, en principio no se diferenciaron de los descritos anteriormente. Pero fue más difícil alcanzar la región de ondas más cortas, donde la intensidad de radiación disminuye, ya que hω se vuelve mayor que kT . El hecho radica en que estas ondas cortas se absorben intensamente en la atmósfera y no llegan a la superficie de la Tierra, mientras que el ruido térmico de la propia atmósfera, sin duda, crece hasta ~300 °K. Fue necesario elevar los radiotelescopios en globos o en cohetes a alturas considerables. Así se pusieron los últimos puntos en el dibujo, y el problema se aclaró por completo.
Pero veamos ahora algo interesante..Resulta que en el cosmos hay un "termómetro" que mide la temperatura de éste. Ustedes probablemente saben que además del espectro de emisión de átomos también se puede observar el espectro de absorción. Este se manifiesta cuando la luz de un cuerpo caliente pasa a través de un gas frío. Entonces ese gas absorbe más intensamente los cuantos de luz cuya energía coincide con la diferencia de energías entre los niveles en el átomo. Precisamente tal espectro inverso (o sea, "invertido") se observó por primera vez en el Sol, y en el mismo se manifestaron líneas de helio, elemento desconocido hasta entonces en la Tierra.
Cualquier átomo o molécula tiene muchos niveles diferentes de energía. Pero si la energía de un cuanto coincide con la diferencia de energías entre tales niveles, en los que no hay electrones a una temperatura dada, entonces claro que tampoco habrá absorción. Por eso, si en el espectro inverso aparecen líneas que corresponden no sólo a transiciones de un estado básico a un estado de excitación, sino también de un estado de excitación a estados de energía aún mayor, entonces la temperatura del gas será distinta de cero. Esa temperatura se puede determinar a partir de la intensidad de las líneas de absorción, utilizando la fórmula de Boltzmann.
El espacio interestelar no está tan vacío. En él hay átomos de todos los elementos, pero principalmente de hidrógeno y helio. Además hay moléculas simples, por ejemplo, de CH y CN, así como moléculas más complejas. En cada centímetro cúbico hay aproximadamente una partícula (¡recuerden que en condiciones normales el número de éstas constituye 3 x 10 19 cm -3 !).
No es mucho, claro, ¡pero cuántos centímetros cúbicos! La molécula de CN tiene relación directa con nuestro tema. Su primer estado de excitación difiere del estado básico sólo en 5,4 °K (al igual que antes, en calidad de unidad de energía conviene utilizar el grado Kelvin). Y resultó que en la óptica se observan líneas de absorción para las cuales los estados iniciales del electrón son esos dos niveles. Y la relación de las intensidades de las líneas es tal que la temperatura de las moléculas constituye 2,3 °K. ¡Y esto fue establecido aún en 1941! Sólo ahora se aclaró que las moléculas de CN tienen la misma temperatura que precisamente debe existir a consecuencia de la radiación relicta. Claro está que se empezaron a comprobar los viejos resultados, y ellos se confirmaron, verdad es que para la temperatura fueron obtenidos valores más cercanos a 3 °K.
¿Por qué, en realidad, toda esta historia aquí fue descrita tan detalladamente? Sin duda, es muy interesante y sentenciosa. Ilustra muy bien el desarrollo del conocimiento científico. ¡Un descubrimiento casi casual que cambió las ideas sobre el mundo! Además, el propio efecto ya había sido pronosticado, pero nadie lo buscaba persiguiendo un propósito determinado; es más, ¡ya había sido descubierto antes de ser pronosticado! Y con todo esto, es evidente que si la radiación relicta no fuera descubierta en 1965, de todos modos sería revelada en seguida, ya que tanto el nivel de la técnica experimental, como el interés de los astrofísicos y la búsqueda planificada de cualquier tipo de radiación procedente del cosmos, todo eso conduciría al referido descubrimiento. Y la física de las bajas temperaturas desempeñó aquí un papel muy importante: pues sería imposible revelar una radiación de 3 °K si no hubiera sido recorrido el largo camino que condujo a la creación de la técnica de recepción de radioseñales en el fondo de un ruido cuyo valor constituye varios grados Kelvin.
Y ahora recordemos el comienzo de este libro, allí no hemos podido contestar a la pregunta, qué son, pues, "bajas temperaturas". Realmente, "bajo" y "alto" son conceptos relativos. Pero ahora tenernos un punto de referencia: en la naturaleza no hay ningún lugar con temperatura menor de 3 °K.
Tales temperaturas sólo pueden ser obtenidas en el laboratorio. Con derecho podemos considerar que el objeto de la física de las bajas temperaturas es todo lo que se halle a temperatura inferior a 3 °K. Todos los fenómenos que ocurren en esta zona de temperaturas, aunque están previstos por las leyes de la naturaleza, se realizaron por primera vez gracias al intelecto humano. Y esto hace que la física de las bajas temperaturas sea extraordinariamente atractiva.
Regresemos a la Tierra, ya que las bajas temperaturas existen sólo aquí, y veremos cómo se logra obtenerlas. Esto ocurre en dos etapas. La primera es la licuación del helio, cuya temperatura de ebullición a presión normal (de 760 mm Hg) es igual a 4,2 °K.
En nuestros tiempos los científicos tienen a su disposición la cantidad necesaria de helio líquido y parten de dicha temperatura ya bastante baja. ¿No es verdad que tal situación recuerda el asalto al Everest?: un grupo grande de sherpas transporta al pie de la montaña todo lo necesario para los escaladores, que, ahorrando fuerzas en la etapa preliminar, solamente desde aquí empiezan la conquista de la cumbre. Pero nosotros mostraremos no sólo el "asalto", sino también el "sendero de los sherpas", ya que éste no es tan sencillo y pocos son los que pueden recorrerlo, además, hace aún muy poco tiempo, pasar por él por primera vez era un objetivo elevado.

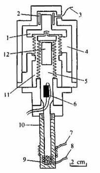
Figura 4.1 Esquema de un refrigerador doméstico: 1, compresor; 2, radiador; 3, cámara frigorífica vaporizadora; 4, válvulas.
La técnica de refrigeración ha recibido un gran desarrollo en la actualidad. Es suficiente recordar, por lo menos, que la industria produce millones de refrigeradores domésticos. ¿No se podrá utilizar una instalación semejante para la licuación del helio? Para esto tenemos que recordar cómo trabaja el refrigerador. El tipo más común de tales máquinas funciona así (figura 4.1): un compresor comprime el gas de trabajo hasta una presión de varias atmósferas. Mientras trabaja el compresor, el gas se calienta considerablemente y es necesario enfriarlo hasta la temperatura ambiente en un radiador especial donde, continuando enfriándose, pasa al estado líquido. Este líquido es conducido por un tubo capilar a la cámara frigorífica donde ese tubo desemboca en un tubo ancho, de tal manera que la presión sobre el líquido disminuye bruscamente. Este empieza a evaporarse de un modo intenso, los vapores son bombeados por el propio compresor, y el ciclo se cierra. El enfriamiento se produce gracias a la evaporación, ya que ese proceso transcurre con absorción de calor.
De este esquema se deduce que no cualquier gas sirve para el trabajo en un refrigerador. Lo principal que se exige de él que debe licuarse a presión moderada y a a la temperatura ambiente. Muchas sustancias poseen esta propiedad, por ejemplo, el freón-12 que, generalmente, se utiliza en la técnica y cuya fórmula química es CF 2 Cl 2 .
Y si, por ejemplo, comprimimos el helio más fuertemente, ¿también se volverá líquido a temperatura ambiente? Desgraciadamente, no. Recordemos que para cualquier sustancia existe una temperatura crítica T c por encima de la cual la fase líquida no existe. Para el helio T c = 5,2 °K, y mientras no lo enfriemos a una temperatura menor que ésta, el refrigerador, basado en el principio de evaporación, no trabajará.
¿No se podrá, entonces, utilizar el refrigerador por evaporación aunque sea para un enfriamiento preliminar? La temperatura que con él obtiene será tanto más baja cuanto menor sea la presión del vapor sobre el líquido (o sobre el cuerpo sólido). Pero, por desgracia, la presión del vapor saturado P sat de todas las sustancias disminuye rápidamente al bajar la temperatura. La ley de Boltzmann nos sugiere que

El destino de cualquier refrigerador es absorber calor del objeto que se enfría y compensar el flujo parásito de calor inevitable. Por eso, el rendimiento del refrigerador no debe ser demasiado pequeño. En nuestro caso es igual al calor de evaporación multiplicado por la cantidad de sustancia de trabajo bombeada por unidad de tiempo. Pero si la presión del gas es baja, no se podrá bombear mucha sustancia y, por consiguiente, la eficacia del refrigerador disminuirá como el e -qevap/kT .
Como q evap tiene el mismo orden de magnitud que kT c , por lo visto será muy difícil obtener un valor mucho inferior a T c .
Pues no importa, eso aún no es una catástrofe. Se puede intentar elegir otra sustancia para el refrigerador, tal que éste empiece a trabajar desde el nivel de temperatura alcanzado por el primer refrigerador, y con su ayuda obtener una temperatura más baja. Y así sucesivamente. En tal refrigerador en cascada (figura 4.2) se pueden, por ejemplo, utilizar las siguientes sustancias:
| amoniaco | NH 3 | hasta 230 °K |
| etileno | C 2 H 4 | 173 °K |
| metano | CH 4 | 112 °K |
| nitrógeno | N 2 | 63 °K |
Es un gran triunfo: ¡pues así se puede licuar el aire! Es cierto que para esto existen soluciones técnicas más eficientes, pero, sin profundizar en este tema, podemos considerar que la obtención de aire líquido ya no es un problema. Pero más adelante la cadena se rompe. La temperatura crítica del hidrógeno, que podría ser el siguiente eslabón, constituye solamente 33 °K. Más tampoco este gas salvaría la situación: absorbiendo los vapores de hidrógeno es posible obtener tan sólo 14 °K, lo cual aún se encuentra por encima de la temperatura crítica del helio. Por lo tanto, es necesario buscar otro método de enfriamiento.
Tal método existe y es extraordinariamente sencillo. Resulta que para eso basta con que el gas comprimido se expanda dejándolo pasar por un orificio estrecho, o sea, por una válvula de estrangulación en cuyo canal, gracias al rozamiento, la velocidad del flujo se reduce a cero. El hecho de que en el referido proceso, llamado proceso de Joule-Thomson, el gas se enfría, no es evidente ni mucho menos. Por ejemplo, para un gas ideal, en este caso no ocurre ningún cambio de temperatura en general.
Problema 6.
Demuestren esta afirmación.
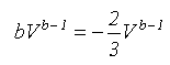
Sin embargo, cuando los parámetros de un gas son próximos a los parámetros críticos, comienza a manifestarse su calidad de gas no ideal, lo cual se debe a la atracción mutua de las moléculas. La existencia de atracción no se pone en tela de juicio, pues de lo contrario, el líquido no existiría. Por lo tanto, dejamos que el gas se expansione y, en este caso, la distancia media entre sus moléculas aumenta. Para esto se debe gastar trabajo, de manera análoga que al separarse una molécula del liquido (evaporación). Por eso, no es raro que también el efecto resulta análogo: la temperatura del gas disminuye. El enfriamiento en el proceso de Joule—Thomson será tanto más eficaz, cuanto más cerca se halle la temperatura a su valor critico. Pero si aumenta la temperatura del gas sometido a estrangulación, entonces, a partir de cierta temperatura, en vez de enfriamiento se observará calentamiento. El valor de dicha temperatura, o sea, de la temperatura de inversión T inv , a presiones bajas es aproximadamente igual a T c .
Mas para obtener un efecto térmico considerable, es necesario someter el gas a estrangulación y así la temperatura de inversión disminuirá. Resulta que el enfriamiento es máximo a una presión inicial varias veces mayor que la presión crítica, y en este caso T inv » 3 T c .
Así pues, podemos ir un poco más adelante en nuestro enfriamiento en cascada: sometiendo a estrangulación el hidrógeno enfriado por medio de aire líquido, podemos reducir su temperatura, ya que para H 2 , T inv » 100 °K.
Pero de esta manera aún no obtendremos hidrógeno líquido, puesto que el efecto de enfriamiento es demasiado pequeño. Hay que agregarle a la máquina una pieza más: un intercambiador de calor. En el caso más sencillo son dos tubos uno dentro de otro. Por uno de ellos el hidrógeno comprimido es conducido a la válvula de estrangulación, y por el otro, tras expandirse y enfriarse, el hidrógeno regresa al compresor y por el camino enfría el flujo inicial (véase figura 4.2).

Figura 4.2 Esquema de un licuador de gases en cascada. 1, compresor; 2, bomba; 3, colectores de H 2 y He líquidos; 4, válvulas de estrangulación
La temperatura de ebullición del hidrógeno líquido constituye 20,5 °K y es mayor que T inv del helio, que constituye 16 °K. Por eso es necesario absorber los vapores de hidrógeno hasta la presión de 54 mm Hg, a la cual ese gas se solidifica. Como resultado, su temperatura disminuirá hasta ~ 14 °K, y ahora se puede agregar una cascada más, análoga a la del hidrógeno, y obtener, por fin, helio líquido (véase figura 4.2). Precisamente usando ese esquema, Kamerlingh Onnes recibió por primera vez helio líquido.
Así pues, ya conocemos un método de obtención de helio líquido. Por desgracia, no es muy cómodo. Incluso si comenzamos directamente desde la temperatura del aire líquido, producido en grandes cantidades por la industria, es inevitable tener dos máquinas: una para el hidrógeno y otra para el helio. Y cada una de ellas debe poseer el equipo adecuado: un compresor, conductos y tanques de gas. Agreguemos a eso los medios para eliminar las impurezas contenidas por los gases, las cuales si no son evacuadas a tiempo pueden congelarse dentro del licuador, obstruir todos los tubos fríos e interrumpir el funcionamiento de este último. Además, el hidrógeno es peligroso: basta con que comience a fugarse y, combinándose con el aire, forma una mezcla detonante. En general, dicho método, aunque es sencillo, tiene ciertos defectos. Por suerte, hay un procedimiento que permite prescindir del hidrógeno.
A fin de enfriar el helio, no sólo hasta la temperatura de inversión, sino incluso hasta la de ebullición, es necesario obligarlo a trabajar. Para esto, comprimamos previamente el gas en el compresor hasta la presión P 1 , esperemos a que se enfríe (pues, al comprimirse, el gas se calienta, recuerden, por lo menos, cómo se calienta la bomba cuando inflan una cámara de bicicleta), y después dejémoslo pasar hacia el cilindro, donde el mismo, al igual que el vapor en una locomotora, empujará el émbolo. En la técnica de refrigeración, este dispositivo se denomina dilatador o válvula de expansión. Para calcular cómo en este caso varía la temperatura, imaginémonos que el émbolo del dilatador se mueve en un cilindro largo. Supongamos que en cierto momento, cuando el volumen ocupado por el gas es igual a V , su temperatura y presión son T y P . Entonces, si el recorrido del émbolo es pequeño, tal que el volumen aumente en δ V , el gas realizará un trabajo igual a P δ V .
Pero si el sistema se encuentra aislado térmicamente, entonces ese trabajo puede ser efectuado sólo a expensas de la reducción de la energía interna del gas. Recordemos que para un gas ideal monoatómico, como es el helio,

(4.1)
PV = NkT
De (4.1) obtenemos
(4.2)
Entonces, recordando las reglas de diferenciación, obtendremos una ecuación simple:
(4.3)
Hemos obtenido la relación entre la temperatura y el volumen de un gas ideal monoatómico en estado de expansión adiabática, o sea, sin suministrarle calor. Utilicemos una vez más la ecuación de estado de gas ideal y obtendremos
T ~ P 2/5 (4.4)
Por consiguiente, si en el dilatador queremos alcanzar una temperatura de ~10 °K expansionando el gas hasta la presión atmosférica, será necesario comprimirlo previamente hasta 5 mil atmósferas, problema dificilísimo para la técnica. Incluso si comenzamos desde la temperatura del aire líquido, también en este caso habrá que aplicar presiones de cientos de atmósferas, lo que para el helio no es tan sencillo. Quiere decir que es preciso perfeccionar la máquina frigorífica, lo cual se logra agregando un intercambiador de calor conectado entre el compresor y el dilatador. El esquema de tal máquina se muestra en la figura 4.3.
Figura 4.3 Esquema del ciclo cerrado para el enfriamiento de un gas por expansión en un dilatador. 1, compresor, 2, enfriamiento de flujo directo hasta la temperatura ambiente; 3. dilatador; 4, intercambiador de calor

Esquema de un licuador de helio. 1, 2, 1. 5. 6, 7, intercambiadores de calor, en los que el flujo directo es enfriado por los vapores de helio y nitrógeno (1 y 2), por el nitrógeno líquido (3); por el flujo contrario de helio después del dilatador y la válvula de estrangulación (5, 6) y por el flujo contrario después de la válvula de estrangulación (7); 4, dilatador; 8, válvula de estrangulación regulable; 9, colector de helio líquido; 10, tubo de evacuación del helio; 11, pantallas enfriadas con nitrógeno liquido; 12, cubierta en vacío herméticamente cerrada; 13, tubo para extraer el aire de la cubierta termoaisladora; 14, generador eléctrico; 15, sistema de transmisión de movimiento del dilatador al generador y caja de válvulas del dilatador.
Esto se hace para ahorrar el nitrógeno líquido capaz de enfriar el gas hasta 80 °K. El nitrógeno se utiliza por la siguiente razón: en primer lugar, su temperatura de ebullición es menor que la del aire, y en segundo lugar, si utilizásemos aire, al principio, de él se evaporaría el nitrógeno, y al final, en el recipiente quedaría oxigeno casi puro. Y trabajar con este gas, al igual que con el hidrógeno, no es muy agradable, pues se inflama fácilmente.
Todo eso era la etapa preliminar de enfriamiento. Después de ella el helio pasa otra vez por un intercambiador de calor, y posteriormente el flujo se divide en dos: una parte del gas se dirige al dilatador y después de éste, tras intercambiar calor con la otra parte, inicia su recorrido contrario. Mientras tanto, el helio comprimido y enfriado, luego de pasar el siguiente intercambiador de calor, se somete a estrangulación. Además, él se convierte parcialmente en líquido y se acumula en el colector, de donde puede ser trasegado a un recipiente externo y enviado al consumidor.
La fotografía de tal licuador, que produce 40 l de helio líquido por hora, se muestra en la figura 4.5. También se fabrican máquinas grandes que producen cientos de litros de líquido por hora, y las hay pequeñas, que se pueden instalar a bordo de los satélites artificiales, donde funcionan con éxito. La creación de todas estas máquinas bastante perfectas fue un acontecimiento importante. Con su ayuda se puede no sólo obtener helio líquido, sino también hacer eso sin grandes gastos. El precio de la licuación de un litro de helio constituye decenas de kopeks, lo cual hace que ese proceso sea prácticamente accesible para cualquier laboratorio de física.
Queríamos obtener helio líquido y lo obtuvimos, ahora hay que saber conservarlo el mayor tiempo posible.
Este problema tampoco es simple, ya que la diferencia entre la temperatura ambiente y la del líquido ¡constituye casi 300 °K.

Figura 4.5 Licuador de helio con un rendimiento de 40 l/h.
Para sentir mejor lo que representa esa magnitud, haremos la siguiente comparación. Es sabido que el hombre debe consumir al día una cantidad de comida tal que, al ser transformada en el organismo, de 3 x 10 3 kilocalorías al día, lo que corresponde a la potencia media de un flujo de calor de 150 w. Este calor es necesario para mantener la diferencia de temperaturas entre el cuerpo (36 a 37 °C) y el medio ambiente. A partir de estos datos obtenemos la siguiente estimación: si la diferencia de temperaturas es del orden de 10 °C (o sea, de 25 a 30°C, cuando se puede estar sin ropa largo tiempo), entonces, gracias a la convección natural del aire, entre el volumen de ~ 50 l (que es precisamente el volumen de una persona cuya masa constituye 50 kg) y el medio ambiente surge un flujo térmico de ~150 w.
Si tal potencia térmica se suministrara a un recipiente con cincuenta litros de helio líquido, ¡cada medio minuto se evaporaría un litro de líquido! Sin embargo, incluso para conservar el intercambio de calor a este nivel ya es preciso tomar medidas muy serias: recuerden cuánta ropa hay que ponerse al hacer heladas fuertes, a fin de no congelarse cuando la diferencia de temperaturas es de ~50 °K. Pero en lo que atañe al helio no ayudará ningún abrigo.
He aquí en qué consiste el hecho. Todos los materiales sólidos poseen termoconductividad. Peor que todas las demás sustancias conducen el calor el vidrio y los polímeros, que a T = 300 °K tienen una termoconductividad específica de ~10 w/cm·°K. La termoconductividad específica es una magnitud con cuya ayuda se puede escribir la siguiente ecuación para el flujo de calor Q :
(4.5)
Intentemos confeccionar una ropa, por ejemplo, de teflón con χ » 3·10 -3 w/cm·°K. De la ecuación (4.5) obtendremos que su espesor debe ser
(4.6)
Además, hemos realizado los cálculos para el verano y no para el invierno. En lo que concierne a la ropa, las personas hace tiempo que encontraron una salida puramente empírica de la situación, imitando la naturaleza y utilizando materiales porosos o fibrosos.
¿En qué consiste el sentido de tal solución? Examinemos, por ejemplo, la lana. Su densidad es igual a 100 g/dm 3 , pero la densidad de los pelos que la constituyen es diez veces mayor. Quiere decir que la lana, como material termoaislante, consta de 9/10 de aire. Y la termoconductividad del aire es pequeña: a T = 293 °K es igual a 2,5·10 -3 w/cm·°K.
Por consiguiente, la termoconductividad de la lana tiene aproximadamente ese mismo valor. La estimación (4.6) para el espesor de la ropa se conserva, pero ahora su masa es mucho menor, tan sólo alrededor de 2 kg. Y si el material no queda bien ajustado al cuerpo, entonces se agrega una capa más de aislamiento térmico: aire entre el cuerpo y la ropa, y entre las capas de la ropa interior. Esto permite disminuir varias veces más la masa de la ropa, reduciéndola a varios cientos de gramos. ¿No habrá aquí alguna contradicción?: ¿para qué necesita el hombre aislar térmicamente el aire mediante el propio aire? El hecho es que la transferencia de calor en el espacio libre se realiza por medio de la convección. Pero en las holguras estrechas, el rozamiento hace desaparecer la convección, y sin ésta, la transmisión de calor de los lugares calientes a los fríos es muy pequeña.
Ahora regresemos al helio. Es fácil darse cuenta que para él, el aislamiento poroso no sirve, ya que el aire de la atmósfera se condensa allí donde T < 80 °K, tapando todos los poros. Evidentemente, en este caso el aislamiento deja de actuar: es suficiente recordar que la ropa mojada no calienta. Es decir, por lo menos la parte del aislamiento térmico adyacente al helio debe ser de un material enterizo. Exijamos que el flujo de calor suministrado a nuestro volumen de 50 l no supere los 10 w, entonces el helio vertido en el recipiente se conservará no media hora, sino por lo menos cinco horas. Supongamos que nuestro recipiente está fabricado de teflón y que la temperatura de su pared exterior es igual a ~ 100 °K. El valor medio de χ, cuando 4,2 = T = 100 °K, es de ~ 10 -3 w/cm·°K. Utilicemos de nuevo la fórmula (4,6), y para el espesor de la pared obtendremos 10 -3 x 10 4 x 10 2 / 10 » 100 cm!
Tal recipiente tendrá una masa de varias toneladas, y para enfriarlo preliminarmente hasta la temperatura necesaria, se necesitarían cientos de miles de litros de helio líquido.
Así pues, nos queda una sola salida: para el aislamiento térmico utilizar el vacío. Es una salida excelente, pero su precio es muy alto, ya que la técnica de vacío impone exigencias muy severas a la estructura de los aparatos, a su fabricación y al trabajo con ellos. Por otra parte, un criostato elemental no es tan complejo. Su corte se muestra en la figura 4.6, a .
En él se puede reconocer fácilmente el termo de vidrio ordinario. A fines del siglo pasado tal criostato fue inventado por James Dewar, y se llama precisamente así: vaso Dewar .
Son dos recipientes de vidrio semejantes uno dentro de otro, entre los cuales se ha hecho el vacío. Como entre sus paredes no hay nada, el calor puede transmitirse de la pared caliente a la fría sólo a base de radiación.
Para saber cuánto calor puede ser transmitido por radiación, es necesario sumar dI(x) , que se obtiene mediante la fórmula (2.16), con arreglo a todos los valores posibles de x desde 0 hasta 8 y según todas las direcciones en las que puede propagarse la radiación (recordemos que la fórmula (2.16) ha sido escrita sólo para la dirección normal a la superficie). La suma de la función de x , conforme a todos los valores del argumento, proporcionará simplemente un número, o sea, la potencia total irradiada
I tot σ T 4 S (4.7)
donde ó es la llamada constante de Stefan-Boltzmann, igual a 5,6697·10 -8 w/m·°K 4 .Sustituyamos S = 400 cm 2 (consideramos que nuestro recipiente tiene forma de esfera, con un volumen de 1 litro) y T » 300 K, y obtenemos
I tot = 25 w.
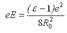
Esto todavía es mucho, y hay que tomar algunas medidas.Recordemos nuestro razonamiento acerca de la radiación de la antena (capítulo 3): en realidad irradia menos energía que la emitida por un cuerpo negro, absorbiendo la misma proporción de radiación que la que incide desde fuera. Esto nos sugiere una salida: es necesario que las paredes del vaso Dewar sean confeccionadas en forma de espejos para que se refleje casi toda la radiación. Entonces, si designamos por ε el grado de negrura de la pared, o sea, la porción de radiación absorbida por el espejo, la pared exterior templada irradiará una potencia de ε I tot y la pared interior absorberá , ε I tot /2 de dicha cantidad.
Problema 7.
Demuestren que el flujo de radiación de un espejo templado a uno frío y paralelo a aquél es ε/2 veces menor que entre dos paredes absolutamente negras (ε menor que 1).

Figura 4.6 Esquema de la estructura de un vaso Dewar de vidrio (a) y de un criostato doble (b); 1, orificio para introducir helio líquido, cerrado con un tapón de goma; 2, anillo de goma que sirve para el cierre hermético al vacío; 3, dispositivo sometido a enfriamiento.
Pero si sobre el vidrio se aplica una capa de plata, entonces ε » 0,1 y la evaporación de helio del vaso Dewar, cuyas paredes están cubiertas por dentro con tal capa, disminuye decenas de veces. En dicho recipiente el helio puede conservarse cerca de una hora.
Pero la evaporación de helio puede reducirse aún mucho más, colocando dos recipientes uno dentro de otro y vertiendo en el recipiente exterior nitrógeno líquido (figura 4.6, b).
En este caso el flujo de calor de las paredes disminuirá cien veces más, ya que la temperatura de la pared "templada" del recipiente con helio será ~3 veces más baja, y 3 4 » 100. El referido mejoramiento fue posible a costa del uso de nitrógeno líquido. Pero éste es mucho más barato que el helio líquido, puesto que los gastos relacionados con la licuación y la separación del aire constituyen kopeks por litro. La segunda circunstancia favorable es que su calor de evaporación es igual a ~2·105 J/l, o sea, cien veces mayor que el del helio. Por eso merece la pena aceptar complicaciones relacionadas con la adición de nitrógeno líquido.
Esto último también es necesario para el enfriamiento preliminar del aparato. Es muy desfavorable gastar helio líquido para enfriar la pared interna del criostato (y todo lo que éste contiene) desde la temperatura ambiente hasta la temperatura del helio. Pero si primero todo eso se enfría hasta 80 °K, entonces el gasto de helio se reduce, y no tres o cuatro veces, sino mucho más, ya que la capacidad térmica de los cuerpos sólidos disminuye considerablemente a medida que baja la temperatura.

Figura 4.7 Esquema de la estructura de un recipiente para conservar y transportar helio liquido: 1, tubo de acero inoxidable de paredes delgadas; 2, racor para practicar el vacío; 3, esferas de cobre pulidas, cada una de las cuales está soldada de dos semiesferas; 4, adsorbente; 5, tubos que unen entre si las cavidades al vacío y que al mismo tiempo sirven de riostras; 6, tubo para la salida del helio evaporado; 7, orificio para trasegar el helio líquido, cerrado con un tapón; 8. tubo para introducir nitrógeno liquido.
Los criostatos metálicos, en principio, no se diferencian de los de vidrio. La figura 4.7 ilustra cómo ellos están estructurados. Tal vez aquí no haya nada más que aclarar, a menos que algunos detalles. Los recipientes para el helio y el nitrógeno se hacen de cobre pulido, ya que este metal es uno de los más maleables. Pero el cobre tiene alta conductividad térmica, por eso toda la estructura se halla suspendida en tubos delgados de acero inoxidable, material que conduce mal el calor. Y una aclaración más: para que el vacío en la "camisa" se mantenga intacto largo tiempo, en los intervalos de vacío se coloca un adsorbente de gases, por ejemplo, carbón activado, usado en las caretas antigás.
De tal criostato, destinado especialmente al envase prolongado del helio, sólo se evaporan 100 cm 3 de helio líquido al día. Por consiguiente, después de llenarlo, si es necesario, puede ser enviado a cualquier lugar del país. A propósito, en la fotografía de la figura 4.5 se muestra el procedimiento de llenado precisamente de tal criostato. El helio líquido del colector del licuador se vierte en el aparato bajo la presión del gas que circula por un tubo Dewar, o sea, un tubo con paredes dobles, entre las cuales se ha hecho el vacío. Las partes internas del propio licuador también se hallan protegidas (de manera análoga) del flujo de calor exterior: están situadas dentro de una envoltura de vacío.
Pero resultó que el criostato metálico puede ser perfeccionado: reduciendo la evaporación del helio, aunque, a decir verdad, a costa de la complicación del sistema. Para esto es necesario instalar muchas pantallas en la holgura de vacío. Esto se hace así: en la parte interna del vaso Dewar se enrolla, en forma de muchas capas, una película fina de lavsán cubierto con aluminio, o una hoja fina de aluminio cubierta con un tejido de fibra de vidrio o con una película polímera. ¿Por qué ayuda esto? Veamos el efecto que produce una pantalla instalada entre el flujo de calor que se dirige de la pared templada a la fría. Para no complicar los cálculos, consideraremos que todos estos objetos tienen el mismo grado de negrura.
Cuando no está instalada la pantalla, el flujo de calor que se dirige hacia la pared fría (para simplificar los cálculos supongamos que su temperatura T = 0) es igual a Q 0 = ε T 4 /2 = σ T 4 .
Cuando aparece la pantalla, ésta empieza a interceptar el flujo Q 0 . Como consecuencia, ella misma se calienta e irradia calor, pero no hacia un lado, sino hacia dos: hacia la parte fría y hacia la parte templada, y en cada parte Q 1 . Pero la pantalla es un elemento pasivo, por eso no genera valor e irradia la misma cantidad que absorbe. Eso significa que 2 Q 1 = Q 0 , o sea, que el flujo de calor dirigido hacia la pared fría es dos veces menor. Si se instalan dos pantallas, el flujo de calor disminuye tres veces y si el número de pantallas es n , Q fr , = Q 0 /(n + 1).
Problema 8.
Demuestren que dos pantallas debilitan el flujo térmico tres veces, y n pantallas, (n + 1) veces.
Por eso, si en el espacio vacío del criostato se instalan unas 100 pantallas, entonces se puede prescindir del nitrógeno líquido. En realidad se deben instalar muchas más pantallas, ya que ellas rozan una con otra y hay fluencia de calor a lo largo de la película, pero, sin embargo, se ha logrado fabricar criostatos sin nitrógeno, los cuales no son peores que los que funcionan a base de nitrógeno líquido.
Y ahora, cuando ya hemos aclarado cómo se obtiene el helio líquido y cómo es posible conservarlo, podemos emprender el viaje siguiente en dirección del cero absoluto.
Capítulo 5
HELIO LÍQUIDO Y SÓLIDO

Figura 5.1 Diagrama de estado del agua.
Si T > T c , por mucho que se comprima el gas, nunca se obtendrá líquido. Al bajar la temperatura, cuando ésta se reduzca a 0°C, el agua se congelará. Y aquí la línea líquido-vapor pasará a la línea sólido (hielo)-vapor, y de este mismo punto se separará hacia arriba la línea sólido—líquido.
Así pues, ¿qué es lo que tenemos? En el diagrama de fases (véase figura 5.1) hay un punto singular llamado punto triple. Es el límite simultáneo de tres fases: la sólida, la líquida y la gaseosa, y las tres pueden ser observadas al mismo tiempo. Todas las sustancias tienen punto triple, por lo tanto, si se procede a extraer (con una bomba) los vapores de líquido, entonces, con una afluencia bastante pequeña de calor, su temperatura comenzará a bajar y finalmente la sustancia se endurecerá. Por lo visto, Kamerlingh Onnes esperaba que eso mismo ocurriera con el helio, cuando por primera vez en el mundo comenzó a extraer los vapores del nuevo líquido obtenido por él. Podemos describir exactamente lo que apareció ante sus ojos, ya que ese mismo cuadro desde entonces lo han visto centenares de veces todos los investigadores que trabajan con helio líquido. Pues bien, al principio la presión de los vapores es igual a la presión atmosférica, la temperatura constituye 4,2 °K y el líquido hierve tranquilamente, ya que, gracias a la radiación suministrada, surge inevitablemente calor. Se observan muchas pequeñas burbujas que se separan de las paredes y se acumulan en la superficie. Al comenzar la extracción de vapor, la ebullición se hace más intensa, ya que ahora, junto con el vapor se evacua la energía relacionada con la capacidad térmica del líquido. De pronto, a la presión de ~40 mm Hg (y a la temperatura de ~2,17 °K) la ebullición cesa instantáneamente, todas las burbujas desaparecen y el helio se vuelve completamente transparente. Algo ha ocurrido, pero el mismo se mantiene líquido. Se ve bien su superficie libre y el menisco en la pared. Si sacudimos el aparato, el helio comienza a ondularse y no se tranquiliza durante mucho tiempo.
Continuemos la extracción de vapor. Kamerlingh Onnes, en sus primeros experimentos logró alcanzar la temperatura de 4,4 °K, y dentro de diez años y pico, la de 0,8 °K, o sea, siete veces más baja que la temperatura crítica, pero el helio seguía siendo líquido. Sin embargo, para el hidrógeno, por ejemplo, el punto triple se manifiesta a ~14 °K, y la temperatura crítica, a T c ≈33 °K, es decir, la diferencia constituye un poco más del doble. Ahora los científicos ya han llegado a alcanzar milésimos de grado Kelvin, y el cuadro se mantiene igual, y no cabe la menor duda que incluso hasta el cero absoluto el líquido limita con los vapores de helio. Por consiguiente, el helio ¡no tiene punto triple! Es la única sustancia que posee tal propiedad. Dibujemos el diagrama de fases del helio, en el que ya podemos trazar la línea vapor-liquido (figura 5.2) e indicar en ella un punto singular, en el que cesó la ebullición a ~2,17 °K.

Figura 5.2 Diagrama de estado del helio (a lo largo del eje y, para evidenciar el diagrama, la escala en la parte superior del dibujo ha sido reducida).
Una de las principales características de cualquier cuerpo es su tamaño. El del átomo puede ser medido por muchos métodos. Uno de ellos se basa en el estudio de la dispersión de unos átomos en otros, ¡recuerden cómo Rutherford medía las dimensiones de los átomos! Solamente que en este caso la técnica es mucho más sencilla, ya que, gracias al movimiento térmico, los átomos en cualquier gas chocan e "informan" unos a otros acerca de sus diámetros. Por eso, midiendo, por ejemplo, la velocidad de difusión es posible calcular las dimensiones de los átomos. No detallaremos la esencia de tales mediciones, pero tomaremos de un manual los datos que nos interesan y los apuntaremos en una tabla.
Vemos que los diámetros de los átomos se diferencian, aunque no demasiado, unos de otros. Además es evidente que la variación de las dimensiones no está relacionada directamente ni con el número de electrones ni con la masa atómica.
Cualquier átomo consta de un núcleo muy pequeño y de electrones que se mueven alrededor de éste. Los electrones en su movimiento forman una especie de nube en el volumen del átomo, y son precisamente ellos los que determinan su diámetro. Cuanto mayor es el átomo, tanto más alejados del núcleo, por término medio, se encuentran los electrones. Se puede estimar que cuanto más lejos del centro se halle el electrón, menos energía es necesario agregar para separarlo del átomo. Este proceso, llamado ionización, está bien estudiado. Es absolutamente análogo al efecto fotoeléctrico y, al igual que el umbral de dicho efecto, el umbral de ionización E puede ser medido al aparecer corriente eléctrica a través de un gas iluminado por una luz visible o una luz ultravioleta. Hemos apuntado esos valores de la energía en la tabla y realmente es fácil notar que cuanto menor es E , tanto mayor es d .
| He | Li | Ne | Na | Ar | Cs | |
| d , Å | 2,25 | 3,20 | 2,20 | 4,10 | 3,10 | 6,8 |
| Número de electrones | 2 | 3 | 10 | 11 | 18 | 55 |
| Masa atómica relativa | 4 | 7 | 20 | 23 | 40 | 133 |
| Energía de ionización E i , eV | 24,6 | 5,4 | 21,6 | 5,1 | 15,8 | 3,9 |
| ( | 2,7 | 1,2 | 2,5 | 1,2 | 2,2 | 1,05 |
| d·p , 10 -34 J·s | 5,9 | 3,9 | 5,8 | 4,8 | 6,4 | 7,0 |
Resulta que se puede establecer una relación muy sencilla entre dichas magnitudes. Para esto utilizaremos la analogía con los satélites artificiales de la Tierra. Para que un satélite se encuentre en una órbita estacionaria de radio R , es necesario que la fuerza de la gravedad γ m sat ·M T / R 2 provoque una aceleración centrípeta v 2 / R. Esta condición también se puede escribir así:
¿Qué representa aquí el segundo miembro? Es simplemente la energía potencial U sat del satélite en el campo de gravitación de la Tierra, tomada con signo contrario, si consideramos que U sat = 0 cuando R → ∞. Por lo tanto, también se puede escribir así:
(5.2)
Precisamente a eso se reduce la analogía. El electrón se mueve en el átomo, y consideraremos que, por término medio, la energía cinética de tal movimiento es igual, según su módulo, a la energía de enlace. Entonces obtendremos inmediatamente que el electrón posee un impulso cuyo módulo es igual a
(5.3)
todos los átomos, este producto, con una exactitud de 10 a 20%, equivale, y es próximo al valor de una de las constantes mundiales fundamentales, la constante de Planck h = 6,062·10 -34 J·s.
Pero, ¿no será eso una coincidencia casual que no tiene sentido profundo? Podemos comprobarlo en los iones. He aquí, por ejemplo, el litio: si le extraemos un electrón, su radio se reduce a ~0,6 Å. Pero los electrones restantes se hallan enlazados con el átomo de un modo mucho más fuerte, para extraer el segundo electrón ya se necesita una energía de ~76 eV. Tomemos estos dos números y calculemos, a partir de ellos, d·p . ¡Obtendremos 5,8·10 -34 J·s! No citaremos otros ejemplos, ustedes pueden comprobar que para todos los iones y átomos el resultado es invariable: el producto
Esta relación conduce a una de las leyes fundamentales de la naturaleza, al famoso principio de incertidumbre de Heisenberg, el cual puede ser formulado de la siguiente manera: la limitación de la región donde puede permanecer la partícula, obligatoriamente conduce a que ésta adquiere un impulso y, junto con él, energía cinética. Las "paredes" en el micromundo son creadas por los campos de otras partículas. Para el átomo, por ejemplo, es el campo eléctrico del núcleo que atrae los electrones. Tal campo no posee obligatoriamente una simetría esférica, por eso la región donde se encuentra la partícula también puede tener dimensiones completamente distintas en direcciones diferentes. Eso obliga a hablar sobre las componentes x , y , z de la coordenada y el impulso, que éstas encuentran expresión en la forma matemática que presenta el principio de incertidumbre:
Además es necesario hacer que la fórmula (5.5) sea un poco más general. El hecho es que la región donde se encuentra la partícula puede moverse por sí misma. Por ejemplo, puede ser el movimiento del átomo a lo largo del eje x . Entonces la coordenada del átomo varía en función del tiempo, pero eso no significa que varían sus dimensiones. Por eso, en vez de x y p x es preciso hablar de su incertidumbre Δ x y Δ p x , que serán precisamente las dimensiones y el impulso que caracterizan el propio átomo, y entonces (5.5) adquiere la forma
Los campos que limitan la región donde se encuentra la partícula pueden tener una naturaleza física y una configuración completamente diferentes, por eso en (5.5), las igualdades aproximadas no pueden ser sustituidas por igualdades exactas, introduciendo algún factor numérico aplicable para todos los casos. Por consiguiente, la relación de incertidumbre no sirve para cálculos exactos, pero para estimaciones podemos utilizarla con seguridad, y en este caso no nos equivocaremos mucho.
Y otra vez: con arreglo al principio de incertidumbre no se puede decir exactamente dónde se encuentra el electrón. Pero eso significa que tampoco se puede decir exactamente qué dimensiones posee el átomo. Sus límites son "difusos" y, según el método de medición, los diámetros de los átomos resultarán algo diferentes. Se puede ir más adelante, del átomo a la molécula y de ésta al cuerpo sólido, y a cada paso es inevitable la conclusión lógica acerca de la incertidumbre de las dimensiones de cualquier cuerpo, ya que éste consta de partículas que no tienen dimensiones exactas.
Es fácil calcular la incertidumbre de las dimensiones de un cuerpo. La energía de enlace de sus partículas es igual al calor de evaporación.
Si suponemos que el valor de este último constituye q ≈10 3 °K/átomo, entonces, para un mol, la energía de enlace Q = q·N , y el impulso correspondiente
![]()
Es una magnitud muy pequeña, la cual supera a tal grado la exactitud con la que sabemos medir las dimensiones, que podemos prescindir de la incertidumbre de los cuerpos macroscópicos.
¿Por qué se obtuvo tal resultado? Lo fundamental que distingue un objeto grande de uno pequeño es su masa.
¿Y si la masa es aún menor que la del electrón? Tales cuerpos existen, son los fotones. Su masa se determina por la fórmula de Einstein
y el impulso
En el segundo capítulo hemos utilizado el vector de onda k = 2 π / λ= ω/c ( λ es la longitud de onda). Con su ayuda se puede escribir p = hk.
La única dimensión que posee la onda electromagnética es su longitud. Sustituyámosla en esta igualdad y obtendremos p λ = 2πh. ¡Pero esto es lo mismo que lo que proporciona la relación de las incertidumbres del átomo!
La coincidencia no es casual ni mucho menos, ella revela un sentido más, inculcado en concordancia con las incertidumbres: es una ley que borra la barrera infranqueable entre la ola y la roca, sustituyendo la diferencia cualitativa por la cuantitativa. Y al igual que escribimos p = hk para la onda, una partícula puede compararse con el vector de onda k = p/h . Esto no es simplemente una definición formal, ya que la difracción y la interferencia de electrones, como fenómeno característico de las ondas, es un hecho experimental bien conocido hace mucho tiempo.
De la relación de incertidumbres se puede hablar mucho, pero para nosotros es sobre todo importante el siguiente aspecto del asunto: de acuerdo con dicha ley, si la región de movimiento de la partícula está limitada, su impulso jamás puede reducirse a cero, o sea, nunca podrá ser alcanzado el reposo absoluto. Incluso cuando T = 0, existe movimiento, pero ya no es térmico, sino cuántico. En los átomos es el movimiento de los electrones en sus órbitas, y en los cuerpos macroscópicos, las oscilaciones de los átomos unos respecto a otros, que precisamente se llaman "oscilaciones nulas". Por lo común no es difícil apreciar su energía.
Como ejemplo calcularemos la energía de las oscilaciones nulas de un péndulo. Supongamos que su amplitud es Δ x , entonces la variación de la altura Δ h = (Δ x ) 2 / l (véase figura 5.2 en las soluciones), y la energía potencial máxima mg Δ h = mg ( Δ x ) 2 / l .
Esta es igual a la energía cinética máxima, y para la energía cinética media se puede escribir


Sin embargo, ¿qué relación tiene el principio de incertidumbre con el hecho de que el helio no se congela? Examinemos esta cuestión.
Se puede decir que la condensación de una sustancia es el proceso de limitación de la región del espacio que le pertenece a cada una de las partículas. Esto significa que en el proceso de condensación, la energía cinética de los átomos debe aumentar (!). ¿Cuán grande es ese aumento? Calculémoslo para el helio líquido: cuando T = 0 su densidad constituye 0,145 g/cm 3 , y su masa atómica, 4.
A cada átomo le corresponde un volumen
Por consiguiente, el diámetro de la región ocupada por el átomo d = (6 V/π ) 1/3 ≈4.5 Å.
Y como p·d ≈h , la energía de las oscilaciones nulas de los átomos de helio tiene un valor del orden de
(5.6)
En la escala de temperaturas esta energía corresponde a 10 °K. Para la fusión de los cuerpos sólidos da lo mismo qué causa provoca la oscilación de los átomos, el movimiento térmico o las leyes de la mecánica cuántica. Precisamente por eso el helio no se cristaliza: su enfriamiento desde la temperatura de ebullición hasta el cero absoluto casi no modifica la energía cinética. Esta circunstancia fue la causa de que el helio recibió el nombre de líquido cuántico, subrayando la gran influencia que ejercen sobre sus propiedades las leyes del micromundo.
La energía de las oscilaciones nulas del hidrógeno es aún mayor que la del helio, pero también es mucho más fuerte la interacción de sus moléculas, por lo cual el mismo ya se cristaliza. En cuanto a las demás sustancias, las oscilaciones nulas, por regla general, se reflejan débilmente en sus transformaciones de fase.
A pesar de todo, se logró obtener helio sólido. En principio esto resultó no muy complicado: solamente fue necesario someter el helio líquido a una presión de 30 atm y éste comenzó a cristalizarse. Por primera vez realizó tal experimento Keesom, quien trabajó mucho tiempo junto con Kamerlingh Onnes y continuó sus experimentos. El hizo mucho para concebir las propiedades del helio.

Figura 5.3 Modelo del átomo de helio: (a) y de ese mismo átomo en un campo eléctrico exterior (b). La región sombreada es donde se encuentra la carga negativa. Con sombreado doble se indica la parte de la nube electrónica que genera una fuerza de retorno.
Empezaremos por un esquema simple. El átomo de helio es simétricamente esférico. Eso significa que el electrón, en función del tiempo se halla "disperso" por término medio en una esfera cuyo centro coincide con la posición del núcleo. El hecho de que el electrón se encuentre en estado de movimiento continuo, por ahora no tiene importancia para el problema sometido a examen, y podemos considerar que el átomo está estructurado del siguiente modo: en el centro se encuentra una carga puntual positiva + 2 e , la cual está rodeada uniformemente por una carga negativa distribuida en una esfera de radio r (figura 5.3).
Situemos ese átomo en el campo eléctrico externo E . Este último tratará de separar las cargas, así que el centro de la nube electrónica se desplazará a una nueva posición, a una distancia x pequeña, si el campo E no es demasiado grande. El referido fenómeno se denomina polarización del átomo. Como la polarización perturbe la simetría de éste, surge una fuerza de atracción de Coulomb entre las cargas, entre el núcleo y la región del electrón dos veces rayada en la figura 5.3, que obstaculiza la deformación. No es difícil apreciar el orden de magnitud de tal fuerza.
Problema 9.
Aprecien la fuerza y la energía de interacción de las cargas positiva y negativa al separarse una de otra a la distancia x. Consideraremos que x es mucho menor que r, donde r es el radio del átomo.
Si la igualamos a la fuerza externa 2 eE , obtendremos el siguiente desplazamiento:
(5.7)
Ahora nos ocuparemos precisamente del cálculo de la energía de interacción de dos átomos (no obligatoriamente de átomos de helio). Tal interacción se denomina interacción de Van der Waals, y las fuerzas que atraen los átomos uno hacia otro se llaman fuerzas de Van der Waals.
Para este cálculo modificaremos un poco nuestro modelo. Es bien conocido que el campo eléctrico fuera de una esfera cargada coincide exactamente con el campo de una carga puntual. Por eso los átomos vecinos, que sólo reaccionan ante los campos eléctricos creados por ellos, pueden considerarse tales como se muestran en la figura 5.4: son cargas puntuales positiva y negativa situadas a distancias 2 x 1 (o 2 x 2 ) y unidas por medio de un resorte. Tales formaciones se llaman dipolos.

Figura 5.4 Para el cálculo de la energía de interacción de dos átomos
Problema 10.
Demuestren que la energía de interacción de dos dipolos se expresa por la fórmula (5.8).
(5.8)

(5.9)
(5.10)
Y ahora escribimos
y hallamos x 1 y la energía de Van der Waals:
(5.11)
Las fuerzas de Van der Waals, gracias a las cuales el helio se transforma en cristal, dependen de los valores de algunas constantes universales, por ejemplo, del valor de la carga elemental: recordemos que la polarizabilidad á ~ r 3 (véase la solución del problema 9). El propio radio de los átomos, como se determina fácilmente de la relación de incertidumbre, es
Así pues, U int ~ e -3 . La energía de las oscilaciones nulas no depende en absoluto del valor de la carga, y se determina únicamente por la masa del núcleo del átomo de helio. Por eso, si, por ejemplo, la carga del electrón fuera menor tan sólo en un pequeño porcentaje, de tal manera que U int /E 0 se incrementará en un 32%, al igual que al ejercer presión, entonces no existiría el milagro de la naturaleza: un líquido a temperatura de cero absoluto.
Regresemos al diagrama de estado del helio. En él ya tenemos la línea líquido-vapor, ahora también podemos trazar la línea liquido-sólido. Y aquí surge otra circunstancia interesante: ¡la tangente a dicha línea, cuando T = 0, es horizontal. Generalmente, la presión P t.f , bajo la cual ocurre la transición de fase, crece con el aumento de la temperatura. Al comienzo del cuarto capítulo hemos dicho que la presión del vapor saturado depende de la temperatura como P sal ~ e -q/kT , donde q es el calor de evaporación correspondiente a una molécula. Por consiguiente, cuanto mayor sea q , tanto más rápidamente se reducirá a cero P t.f , al disminuir la temperatura. Sin embargo, para el helio, P t.f , no se reduce a cero e, inevitablemente, debemos llegar a la conclusión de que ¡para el helio, cuando T →0, el calor de evaporación también tiende a cero! Pero, en este caso, q/T no crecerá infinitamente, y e -q/kT reducirá a cero.
A decir verdad, no se podía esperar otra cosa. Pues, si la energía interna, por ejemplo, del helio sólido a T = 0 y P = P t.f , fuera por lo menos un poco menor que la del helio líquido, entonces, de acuerdo con la fórmula de Boltzmann, sería imposible observar esas dos sustancias al mismo tiempo, ya que el número de átomos de helio en la fase líquida seria del orden de e -∞ , o sea, igual a cero.
La falta de calor de transición fue revelada hace mucho tiempo, y no sólo a consecuencia de la dependencia P t.f ( T ), sino también a base de mediciones calorimétricas directas. Y parecía que ya no se manifestarían más sorpresas. Pero resultó que no era así, ya que las propiedades cuánticas del helio, las cuales aseguraron la igualdad a cero del calor de transición, fueron la causa de otro fenómeno observado en la superficie de separación del helio líquido y el helio cristalino.
Comencemos otra vez hablando con rodeos. ¿Han pensado alguna vez en el hecho de por qué los cuerpos sólidos son sólidos?
"Sólido", en esencia, significa que el objeto conserva su forma largo tiempo en condiciones cuando eso no es ventajoso desde el punto de vista de obtención del mínimo de energía. Así, por ejemplo, las montañas no se convierten en "charcas", aunque tal proceso debería tener lugar, ya que así disminuiría su energía potencial. Pero las primeras siguen en su lugar ya millones de años, demostrando la falta de deseo de pasar a un estado más estable. ¿Qué ha de ocurrir para que la montaña forme una "charca"? Evidentemente, los átomos de la cúspide deben trasladarse a la base. Una de las vías posibles es su traslación en el seno de la montaña. No obstante, en los sólidos, los átomos se hallan dispuestos en los vértices de la red cristalina y por eso no pueden trasladarse unos respecto a otros. También hay otra vía: el átomo se evapora de la superficie de un lugar, recogiendo la energía prestada de sus vecinos, y se condensa en otro lugar, devolviendo con creces su deuda. Para este proceso no hay ningún tipo de prohibición, y el mismo transcurre, pero su velocidad es demasiado pequeña, ya que la densidad de los vapores de las rocas es insignificante, y es imposible notar cambios de la forma, relacionados con la evaporación.
Por consiguiente, la invariabilidad de la forma, en primer lugar está relacionada con la existencia de calor de transición de fase. Si ese calor es grande en comparación con la temperatura, entonces vemos los objetos de formas invariables, pero si es pequeño, entonces, en un tiempo completamente visible, pueden ocurrir cambios notables.
Pero aquí no se agota el asunto: los pedazos de hielo que flotan en el agua, a pesar de todo son sólidos, aunque el hielo, no obstante, se derrite. Mas ese proceso transcurre muy lentamente, y cuanto más baja sea la temperatura de transición de fase, tanto menor, por regla general, será la velocidad con la que ésta se produce. Para entenderlo, tracemos convencionalmente la línea de separación liquido-cristal (figura 5.5). La diferencia entre dichas sustancias consiste en lo siguiente: arriba, en el líquido, los átomos están dispuestos arbitrariamente, y abajo, en el cristal, en un orden estricto.

Figura 5.5 Esquema de la línea de separación liquido-cristal: a) frontera atómica lisa; b) frontera atómica rugosa.
Pero la cosa es diferente cuando se separan al mismo tiempo varios átomos dispuestos uno al lado de otro (los marcados con cruces). Entonces, los átomos del líquido que llegaron para sustituirlos, ya pueden situarse de modo desordenado, o sea, parte del cristal se fundirá. La única desgracia es que la probabilidad de tal acción coordinada de los átomos es demasiado pequeña, y los cristales crecen o se destruyen muy lentamente. Se necesita una alteración muy fuerte del equilibrio, por ejemplo, un calentamiento muy por encima de la temperatura de fusión, para que se produzcan cambios considerables en poco tiempo.
Es verdad que se dan casos cuando los cristales crecen más rápidamente incluso al manifestarse pequeñas alteraciones del equilibrio. Para esto es necesario que la línea de separación se diferencie de la mostrada en la figura 5.5,a, donde la misma es lisa a escala atómica, y que se parezca a la de la figura 5.5, b. En este caso su "rugosidad" es asegurada por la siguiente circunstancia. Si la energía excedente, relacionada con la formación de hoyos y salientes que aumentan la superficie de separación y, por lo tanto, también la energía superficial, no es muy grande en comparación con la energía kT entonces tales defectos de la referida superficie surgirán a consecuencia del movimiento térmico. Por consiguiente, de un escalón o de la "pared" de un hoyo ya se puede separar nada más que un átomo, suprimiéndose el obstáculo principal que evita el crecimiento o la desaparición del cristal. Pero, como pueden ver, para que la superficie de separación se vuelva rugosa, se requiere una temperatura alta.

Figura 5.6 Cristal de helio que ha crecido en la pared lateral de una ampolla con helio líquido (K. O. Keshishev, A. Ya. Parshin, A. V. Babkin. 1980).
Cuanto más cercana sea la temperatura al cero absoluto, tanto más rápidamente pueden crecer los cristales de helio, y la velocidad de su crecimiento está limitada por un sólo factor, la inercia, ya que no hay ni liberación ni absorción de calor. Y la inercia está relacionada con el hecho de que la densidad del helio sólido es mayor que la del helio líquido, por eso, la traslación de la superficie de separación va acompañada de la transferencia de sustancia, Supongamos que en la superficie plana de separación helio sólido-helio líquido surgió una abolladura. Como, debido a ella, el área de dicha superficie aumenta, las fuerzas de tensión superficial tratarán de nivelarla. Pero en el momento en que ella se vuelva plana, el movimiento no cesará y continuará por inercia. Se producirá una convexidad, las fuerzas de tensión superficial detendrán el movimiento, invirtiendo su dirección. Si el rozamiento es pequeño, tal movimiento oscilatorio continuará mucho tiempo. Se puede hacer la siguiente afirmación general: si hay una fuerza elástica (en nuestro caso es la tensión superficial), hay inercia y no hay grandes pérdidas de energía (o sea, rozamiento fuerte), es inevitable el surgimiento de oscilaciones después de alterarse el equilibrio. Y se logró observar tales oscilaciones en la superficie de separación liquido-cristal del helio.
He aquí cómo se efectuó el experimento. Los cristales de helio sólido se cultivaron en una ampolla de vidrio. Se eligió una presión tal, que la superficie de separación de las fases sólida y líquida pasara aproximadamente por el medio de la ampolla. Fue necesario enfriar el extremo inferior de ésta. Gracias a ello, a lo largo de la ampolla la temperatura variaba muy poco, y la presión, a la que debe producirse la cristalización, por abajo era un poco menor y por arriba un poco mayor que la presión aplicada.
Si la temperatura del helio en estos experimentos superaba 1 K, no se vela nada interesante, pero cuando la misma se redujo a <0,5 K, la superficie de separación resucitó, bastaba con sacudir un poco el aparato, y ésta empezaba a oscilar como si fuera la superficie entre dos líquidos no mezclables (figura 5.7).

Figura 5.7 Ondas en la frontera superior entre el helio sólido (área clara) y el helio liquido (K. O. Keshishev, A. Ya. Parshin, A. V. Babkin. 1980).
El helio sólido resultó una sustancia muy interesante, la cual se diferencia tanto de otros cuerpos sólidos, como el helio líquido se diferencia de otros líquidos, y por eso adquirió el nombre de "cristal cuántico". Llegó el momento de dedicarse al asunto acerca de lo que ocurre con el helio a temperaturas más bajas de 2,17 °C, o sea, cuando ese gas cesa de hervir. No se sabe si Kamerlingh Onnes prestó atención a tal fenómeno, ya que de eso él no escribió nada en sus trabajos. Pero, a pesar de todo, fue el primero quien indicó que a dicha temperatura las propiedades del helio poseen una singularidad. Tras obtener helio liquido, Kamerlingh Onnes se dedicó a la medición de sus parámetros y, en primer lugar, a la determinación de su densidad a temperaturas diferentes. El experimento lo realizó junto con su colega Boks.
El mismo consistía en lo siguiente. En un vaso Dewar con helio líquido se sumergía un pequeño recipiente de vidrio—probeta graduada, de volumen conocido, en cuya parte superior se hallaba soldado un tubo de vidrio graduado, de diámetro determinado (figura 6.1).

Figura 6.1. Esquema de urea instalación para medir la densidad del helio líquido: 1. volumen de medición: 2. Vaso Dewar con helio liquido; 3. Recipiente de volumen conocido; 4. Baño con hielo en estado de fusión 5. Manómetro de mercurio.
Durante el enfriamiento, parte del helio se condensaba en la probeta y, según la posición del menisco en el tubo capilar, se podía determinar el volumen del líquido. Con arreglo a la presión en el volumen que quedaba a temperatura ambiente, se determinaba la cantidad de helio que no se condensaba. Es evidente que estos datos eran suficientes para calcular la densidad del líquido. Extrayendo con una bomba los vapores de helio del vaso Dewar, se podía variar la temperatura del líquido y medir la dependencia &rho ;(T) representada en la figura 6.2.

Figura 6.2 Variación de la densidad del helio liquido en función de la temperatura. A lo largo del eje vertical se indica la relación entre la densidad del liquido y la densidad del gas en condiciones normales (0°C. 760 mm Hg). (H. Kamerlingh Onnes y J. D. A. Boks, 1924).

Figura 6.3 Elementos de la simetría de un cuadrado y un rombo. Las líneas de trazos son los planos de simetría.
l 2 = l 20 + α 2 T
Sea que
l 10 > l 20 pero α 2 > α 1 .
Entonces,
el rombo se convierte en un cuadrado. Pero es una variación cualitativa: la simetría de la red crece a saltos, el eje de segundo orden se convierte en eje de cuarto orden, y en lugar de dos planos de simetría aparecen cuatro (véase figura 6.3). Esto se reflejará inmediatamente en las propiedades físicas; en particular, ahora ya ambos coeficientes de expansión están obligados a ser iguales, puesto que las diagonales ya no son diferentes. Por eso, con el aumento ulterior de la temperatura, el cuadrado seguirá siendo cuadrado.
En nuestro modelo, el área de la celda varía continuamente al crecer T (y a esa área en un cristal unidimensional le corresponde el volumen que ocupa cada átomo, o su magnitud inversa, proporcional a la densidad ρ ). No obstante, cuando T < T t.f y cuando T > T t.f , los coeficientes térmicos de variación del área son diferentes, y a eso le corresponde la quebradura en la dependencia ρ (T).
Claro, nuestro modelo es imaginario, pero en la naturaleza, tales transiciones se observan verdaderamente. Pueden ser muy diferentes, ya que existen muchos métodos de variación de la simetría. Por ejemplo, un cubo puede convertirse en un romboedro si lo estiramos por los vértices opuestos: en un paralelepípedo si presionamos sus dos facetas opuestas; en un prisma tetraédrico si lo estiramos a lo largo de la diagonal de una de las facetas; y si tales transformaciones ocurren en la red de un cristal real al variar la temperatura, entonces todo eso serán transiciones de fase de segundo género.
Así pues, la quebradura en la dependencia ρ( T ) atestiguaba la presencia de tal transición, con la que una pequeña variación de cualquier magnitud conduce a una nueva cualidad, y los científicos tenían, en primer lugar, que comprobar si en realidad era una transición de segundo género. Para este fin deberían servir las mediciones calorimétricas. El hecho es que las transiciones de segundo género, exceptuando tan sólo el cristal cuántico, del que ya hemos hablado en el capítulo anterior, van acompañadas de absorción o liberación de calor. En las transiciones de segundo género, cuando una fase pasa a otra continuamente, falta el calor de transición.
A decir verdad, incluso independientemente de dichas ideas, era necesario medir las propiedades térmicas, del helio líquido y, precisamente, su capacidad térmica, ya que ésta caracteriza el movimiento térmico. Estas mediciones realizadas por primera vez por Keesom y Klusius, mostraron que no hay calor de transición, y confirmaron convincentemente la existencia de una anomalía, o sea, que a T » 2,2 °K, la capacidad térmica C crece bruscamente (figura 6.4). Por la forma de la curva que recuerda la letra griega λ, el punto de transición de fase recibió el nombre de punto λ.
Las mediciones posteriores del helio bajo presión mostraron que, mientras existe fase líquida, en ella siempre se observa tal transición y, por consiguiente, debemos hablar de la línea λ, la cual trazaremos ahora en el diagrama de estado del helio líquido (véase figura 5.2). Esta línea divide las regiones de existencia de helio líquido en dos, las cuales largo tiempo fueron llamadas helio I y helio II

Figura 6.4 Capacidad térmica del helio líquido (W. H. Keesom: y J. Klusius. 1932).
El hecho que con la termoconductividad ocurre algo extraordinario, fue aclarado en el proceso de medición de la capacidad térmica. ¿Cómo, en principio, se determina la capacidad térmica? Se toma un volumen térmicamente aislado, que contiene la sustancia sometida a estudio, y en él se instala un calentador y un termómetro de resistencia. A través del calentador se transmite un impulso de corriente I de duración t , que libera en aquél una cantidad de calor
y se mide el incremento de temperatura δ T . La capacidad térmica se determina como
Pero para medir χ correctamente hay que esperar mucho, ya que en el primer momento sólo se calienta un pequeño volumen de líquido en las cercanías del calentador, mientras que el calor, gracias a la conductividad térmica, sólo se propaga poco a poco por todo el volumen del calorímetro.

Figura 6.5 Variación de las indicaciones del termómetro (en unidades arbitrarias) en función del tiempo, obtenida al medir la capacidad térmica del helio líquido. Se evidencia bien el sobrecalentamiento del termómetro al suministrar los tres últimos impulsos de calor. Durante los impulsos anteriores, ese sobrecalentamiento no se observaba. (W. H. Keeson y miss A. P. Keesom, 1935)
Para medirla se armó el siguiente aparato: dos recipientes de cobre fueron unidos por un tubo delgado de 0,6 mm de diámetro y de ~20 a ~90 cm de largo (en distintos experimentos), hecho de un material de baja termoconductividad. Los recipientes se llenaban de helio líquido, así que la columna de líquido en el tubo servia de medio conductor de calor. En uno de los bloques se instalaba un calentador, y en ambos bloques se colocaban termómetros. Y de nuevo, al igual que en los experimentos anteriores, se formaba la impresión que el calor, incluso por este tubo largo y delgado de helio II, se transmitía prácticamente sin resistencia, y no se observa ninguna diferencia de temperaturas. Si examinamos la fórmula (4.5), veremos que eso puede ocurrir sólo con un coeficiente de termoconductividad χ muy grande, cientos de veces mayor que el del cobre. Sin embargo, la termoconductividad del helio I es baja, aproximadamente como la de los gases a temperaturas corrientes. Por eso, al pasar por el punto λ , la magnitud χ varía a saltos, según las mediciones realizadas por Keesom junto con su hija, ¡por lo menos 13 x 10 6 veces!
Este resultado explicaba por qué en el helio II no se observan burbujas de gas (véase el comienzo del quinto capítulo). Efectivamente, observen el agua hirviendo y se darán cuenta que las burbujas de vapor se separan del fondo. Pero la presión en este último es mayor que en la superficie, ya que a la presión atmosférica aquí se agrega la presión de la columna de líquido. Por eso es inevitable la conclusión que también la temperatura en el fondo es mayor que en la superficie. Eso es natural, ya que precisamente de abajo llega el calor. Pero si la termoconductividad del líquido es muy alta, en él es imposible crear un sobrecalentamiento suficiente para la aparición de burbujas, y la evaporación de tal líquido se producirá sólo de la superficie. Así precisamente ocurre en el helio II.
¿Pero cuál es, pues, la causa de la alta termoconductividad? ¿Puede ser que todo eso se deba a la convección, o sea, a la transferencia no de calor, sino de la propia sustancia y de su mezcla? Pero la convección tampoco conduce a la transmisión directa de calor, sobre todo por tubos capilares angostos y largos en los que ésta generalmente no surge. Durante la convección deben ponerse en movimiento las masas inertes de la sustancia, manteniendo todo el tiempo ese movimiento que tiende a amortiguarse a consecuencia del rozamiento interno que depende enteramente de la viscosidad. Con otras palabras, la convección sólo se origina cuando hay diferencia de temperaturas en el volumen de líquido (o de gas). Pero, ¿puede ser que la viscosidad del helio II se vuelve anormalmente pequeña?
Parecía que a esta pregunta se podía dar una respuesta negativa, ya que en aquel entonces Barton ya había realizado experimentos relacionados con la medición de la viscosidad del helio, y no halló señales de que ésta varíe millones de veces. No obstante, P. L. Kapitza decidió medir de nuevo la viscosidad del helio líquido, pero por otro método. El hecho es que existen dos métodos muy difundidos y cómodos de medición del rozamiento en el líquido. El primero consiste en trasegarlo de un recipiente a otro a través de un tubo, midiendo el tiempo en que transcurre ese proceso. Si la viscosidad del líquido es igual a η, y el diámetro y la longitud del tubo son d y l respectivamente, la hidrodinámica proporciona una fórmula simple para el volumen V de líquido que pasa durante el tiempo t bajo la acción de la diferencia de presiones δ P :
(6.1)

Figura 6.6. Esquema del aparato con el que fue descubierta la superfluidez del helio II. (P. L. Kapitza, 1936).
Así pues, la viscosidad del helio resultó realmente demasiado pequeña, por lo menos, decenas de miles de veces menor que la de cualquier otro medio. Por ahora era un resultado cualitativo, pero Kapitza comprendió su importancia e informó sobre él, llamando el fenómeno revelado, superfluidez, y exponiendo una hipótesis muy audaz, que la viscosidad no es simplemente pequeña, sino que no existe en absoluto. Este descubrimiento desempeñó un papel muy importante en toda la física contemporánea y colocó a la física soviética de las bajas temperaturas en uno de los primeros lugares en el mundo.
La palabra "superfluidez" apareció por primera vez en el trabajo de Kapitza, y ella dio un impulso para el entendimiento del fenómeno. En efecto, ¿a qué conduce el rozamiento al fluir el líquido por un tubo? A que la energía cinética del flujo se convierte en energía de movimiento térmico.
Sin embargo, es necesario precisar qué representa el movimiento térmico en un medio denso, en un líquido o en un sólido, a bajas temperaturas. A diferencia de los gases, en este caso las moléculas accionan intensamente entre si. Eso puede ser representado del siguiente modo: las partículas se hallan enlazadas entre sí por medio de resortes que no les permiten ni alejarse ni, al revés, acercarse demasiado una a otra. En un sólido, esos resortes están bien asegurados, mientras que en un líquido, algunas de ellos pueden romperse de vez en cuando, y en su lugar aparecen otros. El movimiento térmico en un medio continuo se produce de manera completamente distinta que en un gas: cada molécula es un sistema oscilatorio microscópico que no puede transformarse en movimiento de traslación. Resulta que a bajas temperaturas las moléculas tampoco pueden oscilar de modo completamente caótico, como le es propio al movimiento térmico, ya que las frecuencias de tales oscilaciones son demasiado grandes y, de acuerdo con la ley de Boltzmann, las moléculas no pueden excitarse.
Pero en un medio condensado también existen otros tipos de oscilaciones, por ejemplo, las ondas sonoras. Estas pueden excitarse artificialmente y, además, es fácil detectar que hay oscilaciones propias, correspondientes a ondas estacionarias. Por ejemplo, si el sonido se propaga por una barra delgada de longitud l , estas oscilaciones escogidas corresponden a la condición
Sustituyamos las palabras "ondas electromagnéticas" por "ondas sonoras", y todo lo dicho de la radiación negra en el segundo capítulo, con la misma razón puede atribuirse a las oscilaciones acústicas, sólo que en vez de la velocidad de la luz es necesario adoptar la velocidad del sonido. Es verdad que hay una diferencia más: las ondas electromagnéticas en el vacío pueden tener cualquier longitud. El sonido se propaga en la sustancia, y la longitud de onda, evidentemente, no puede ser menor que la distancia interatómica. Pero si se trata de bajas temperaturas, esa diferencia no es tan importante. Por ejemplo, para el helio liquido, la alta frecuencia límite es igual a
A temperatura T = 1°K la probabilidad de excitación de tales ondas es tan pequeña que, existan éstas o no, dicha excitación no se refleja de ningún modo en las propiedades del liquido.
Por lo tanto, la analogía con la radiación sugiere que en un líquido o en un sólido se deben excitar las oscilaciones acústicas térmicas. Tales oscilaciones existen realmente y se llaman fonones. Su número y energía obedecen las mismas leyes que los fotones en un cuerpo negro. Cuanto más baja sea la temperatura, menor será el número de fonones y mayores serán las longitudes características de ondas λ f . Así, en el helio liquido a T = 1°K, λ f = 10 -6 cm, o sea, el movimiento térmico real es el movimiento acorde de una gran cantidad de átomos.
La comprensión que el calentamiento de un líquido va acompañado del aumento del número de fonones, permitió explicar por qué el helio puede fluir sin rozamiento. Vamos a considerar que no es el flujo el que circula por el tubo, sino al contrario, que se mueve el propio tubo, y el líquido permanece inmóvil. Entonces, si hay rozamiento, la energía cinética del tubo debe transmitirse al líquido y provocar su calentamiento, o sea, han de aparecer nuevos fonones. Pero fue entonces cuando L. O. Landau, el creador de la teoría de la superfluidez, probablemente recordó que en la teoría de la relatividad hay un proceso que no puede ocurrir: la emisión de una onda electromagnética, es decir, de un fotón, por una partícula de masa en reposo. El hecho es que en este caso es imposible satisfacer al mismo tiempo las leyes de conservación de la energía y el impulso. Y aquí existe una analogía directa: el tubo es la partícula que tiene una masa en reposo M , un impulso p t = Mv t y una energía E = p t 2 /2M ; el fonón es el análogo del fotón, su energía es E = h ω y su impulso p = 2π/λ (el hecho de que su impulso debe tener tal aspecto se comprende fácilmente, ya que para un medio continuo, mientras no examinamos los fenómenos electromagnéticos, la velocidad del sonido es lo mismo que la velocidad de la luz en el vacío. Tomen la relación de incertidumbres y, tras recordar que las dimensiones de una onda se caracterizan por su longitud, en seguida obtendrán pλ » h ). ¿Puede el tubo generar un fonón? Escribamos la energía y el impulso del sistema antes (de la magnitud con índice 0) y después (recordemos que el líquido permanece en reposo) de la generación del fonón:
(6.2)
(6.3)

Veamos de nuevo esta situación desde otro punto de vista: al pasar del estado de reposo al estado de movimiento, la parte de energía que hemos comunicado a la pared, desapareció en algún lado, ya que mientras se producía el establecimiento de un estado estacionario, la energía se transmitía al sistema de fonones. Pero, al mismo tiempo, su estado energético no cambió. Quiere decir que debemos considerar que dicha energía pasó a formar parte de la energía cinética del sistema de fonones que se mueven como un todo único, atribuyéndoles una masa determinada o bien cierta densidad con arreglo a la unidad de volumen de líquido.
Así pues, el helio II parece como si constara de dos partes que atraviesan una a otra. Una de ellas es el sistema de fonones que posee todas las propiedades de líquido viscoso ordinario arrastrado por la pared móvil y cuya densidad es ρ n . Esta parte del liquido también se llama componente normal (de aquí precisamente surgió el índice de densidad). Y la parte restante, cuya densidad ρ s = ρ - ρ n , es el componente superfluyente que no interacciona con la pared, o sea, que tiene viscosidad nula. Es evidente que cuando T → 0, la densidad ρ, también disminuye hasta cero, ya que los fonones son el resultado del movimiento térmico. Por el contrario, al aumentar la temperatura, crece el número de fonones y, junto con ellos, ρ n , y cuando p n , se iguala a p , se produce la transición de fase: desaparece la superfluidez.
He aquí qué cuadro tan complejo y extraordinario ha resultado. Además, lo hemos simplificado en cierto grado, aunque describimos correctamente las principales particularidades del fenómeno. Esta teoría es muy lógica, sin embargo, ¿corresponderá a la realidad? Es necesario comprobar si interpreta fenómenos ya conocidos y si existen los fenómenos que pronostica.
El primer resultado: está claro por qué en los experimentos de trasiego, la viscosidad aparente es muy pequeña, sin embargo, para las oscilaciones de torsión su valor es normal. En el primer caso, a través de una rendija pasa el componente superfluyente. En el segundo caso, el disco oscilatorio comunica constantemente energía al componente normal que roza con aquél y con las paredes del recipiente.
De los otros experimentos ya descritos, a decir verdad, debemos presentar cómo transcurre el proceso de transferencia de calor. Supongamos que en cierto lugar se desprendió calor. La temperatura ahí debe crecer, y junto con ella también crece la densidad del componente normal. Por eso el componente superfluyente se dirige a este lugar para "diluir" el componente normal y restablecer la constancia de temperatura en todo el volumen. Es evidente que la densidad total del líquido no puede variar, por eso parte del componente normal debe salir del lugar templado. ¿Y si obstaculizamos ese proceso? No es difícil hacerlo, ya que el componente normal fluye con rozamiento.

Figura 6.7 (izquierda) Esquema del aparato con el que fue descubierto el efecto termomecánico (J. F. Allen y H. Jones, 1938). Figura 6.8 (derecha) Fuente de helio liquido (J. F. Allen, y H. Jones, 1938).
Dicho experimento puede realizarse de un modo más interesante: cerrar el extremo superior, dejando sólo un paso angosto, una boquilla. Entonces el helio saldrá de ésta en forma de surtidor, al igual que sale el agua de una manguera (figura 6.8). Claro está que eso no es nada más que una exhibición, y no es posible efectuar ninguna medición seria por este método. Pero el experimento recuerda una vez más que el componente superfluyente posee inercia.
¿Qué se deduce de ahí? Recordemos el mecanismo de propagación de la onda sonora: de la región de compresión, bajo la acción de una presión excesiva, la sustancia se dirige a la región enrarecida. Pero, a su vez, esa sustancia adquiere velocidad, y la energía cinética se transforma en energía potencial, creando una región de presión alta, pero ya en un lugar nuevo. En vez de la presión variable creada, por ejemplo, por una membrana oscilante, modificaremos periódicamente la temperatura, suministrando al calentador corriente alterna. Esto conducirá a la mezcla mutua de los componentes normal y superfluyente que se mueven al encuentro, y como ambos poseen inercia, surgirá una onda, pero no de compresión, enrarecimiento, sino de calentamiento, enfriamiento. Tal onda, que recibió el nombre de "segundo sonido", fue predicha por la teoría de Landau, y la misma realmente ha sido descubierta por V. P. Peshkov, cuyo hecho aseguró definitivamente el prestigio de la referida teoría.
Con esto podríamos terminar este capítulo, pero es difícil abstenerse de la tentación de explicar otro fenómeno más, relacionado con la superfluidez: la fluidez de una película de helio líquido.
Ustedes saben perfectamente que cualquier líquido vertido en un recipiente se acumula en el fondo de éste y su superficie permanece plana. Así su energía potencial en el campo gravitacional será mínima. Y sólo en las paredes se altera el plano de dicha superficie, se forma un menisco. Si el líquido humecta la pared, él se elevará por ella. ¿Qué es lo que le obliga a portarse así? Pues aquellas mismas fuerzas de Van der Waals que ya hemos examinado en el quinto capitulo. La energía de tal interacción de dos moléculas constituye
Es fácil apreciar aproximadamente esa magnitud si se trata de la interacción del átomo con una pared que se encuentra a la distancia R de él. La energía de interacción disminuye rápidamente al aumentar la distancia, por eso podemos, por ejemplo, despreciar la interacción con todos los átomos de la pared alejados a más de 2 R del átomo del liquido sometido a examen. Es fácil darse cuenta de que, desde ese punto de vista, la cantidad de átomos de la pared que participan eficazmente en la creación de la fuerza de Van der Waals, es proporcional a R 3 . Eso significa que la energía de interacción será, según el orden de magnitud, igual a
(6.4)

Figura 6.9 Para el cálculo de la variación de! espesor de la película en función de la altura.
(6.5)
(6.6)


¿A qué altura, pues, desaparecerá la película? Si consideramos que ésta desaparecerá cuando su espesor se reduzca al diámetro del átomo, o sea, cuando d » a , entonces, teniendo en cuenta que, cuando h = 1 cm, d » 100 a , es necesario subir a una gran altura: ¡h = 1 x (100) 3 » 10 6 cm = 100 km!
¿No habrá alguna contradicción con la experiencia cotidiana? Cojamos por ejemplo, un vaso de agua. Esta humecta el vidrio y, por consiguiente, todo lo que hemos dicho para ella es justo. Se pueden repetir todas las apreciaciones, adoptando para la energía de enlace un valor ~ 10 2 veces mayor, al igual que T cr para el agua es ~ 10 2 veces mayor que para el helio, y veremos que en este caso las paredes deben estar cubiertas por una película de agua cuyo espesor constituye cientos de angstroms. Evidentemente, la fórmula (6.5) es válida no sólo para la pared interior del vaso, sino también para la pared exterior, lo cual significa que poco a poco el agua debe derramarse por sí misma del vaso hacia la mesa donde este último se encuentra. Sin embargo, nadie lo notó.
En dicho razonamiento todo es cierto, pero no hemos tomado en consideración que, a consecuencia del rozamiento, ese flujo es muy lento y, prácticamente, la película de agua tiene tiempo para evaporarse antes de alcanzar la mesa. Pero tomen con las manos una botella de aceite de girasol y verán que por fuera está toda cubierta de aceite. Pueden lavarla escrupulosamente, pero dentro de algunas semanas otra vez se volverá aceitosa.

Figura 6.10 Experimento que muestra la transferencia de helio por una película superfluyente. En la parte exterior de la probeta (en su parte interior) se ve una gota de helio. (J. G. Daunt y K. Mendelssohn. 1938).
Antes escribíamos simplemente "helio", sin prestar atención al hecho de que hay distintos átomos de helio: existen varios isótopos de carga nuclear Z = 2. De ellos, para la física de las bajas temperaturas son importantes dos, y ambos son estables: el helio de número másico 3, designado por 3 He, y el helio de número másico 4, o sea, 4 He, del que hemos tratado más arriba y el cual de aquí en adelante, como regla, llamaremos, como antes, simplemente helio.
En la naturaleza hay poco helio-4, y en la atmósfera su cantidad constituye ~ 5x10 -4 %. Se obtiene del gas natural, donde su contenido alcanza un pequeño porcentaje. Según las estimaciones de los geólogos, la cantidad total de helio-4 en todos los yacimientos es de -7x10 10 m 3 . Y se forma a consecuencia de la desintegración radiactiva de los elementos pesados, por ejemplo, del uranio. Precisamente por eso se acumula en los depósitos subterráneos.
El helio-3 también se encuentra en la naturaleza, pero su concentración en la atmósfera aún es ~ 10 6 veces menor, y en las entrañas terrestres constituye 10 -9 %. Por eso es imposible extraer de las fuentes naturales alguna cantidad notable de éste, además, tal gas costaría mucho más que el radio obtenido por María Curie. Aquí prestó ayuda la "alquimia" moderna. En las reacciones nucleares que se producen en las centrales atómicas se usan un isótopo del hidrógeno, el tritio. Este se obtiene puesto que puede servir de "combustible" en las instalaciones termonucleares. Además, el tritio se usa para la fabricación de armamento nuclear. Pero acumularlo es un trabajo de Sísifo, ya que el tiempo de su semidesintegración radiactiva constituye tan sólo 12 años. Y se desintegra irradiando una partícula y transformándose así mismo en 3He. Separar este último del tritio no es difícil. De esta manera el 3 He llega a los laboratorios de física.
Así pues, tenemos 3 He y las bajas temperaturas. Aquí ya podemos decir: ¡el hombre es un creador "al cuadrado"! Naturalmente que esta sustancia interesó en sumo grado a los científicos, y éstos fueron recompensados por su curiosidad: el 3He resultó no muy parecido a su hermano algo más pesado.
El helio-3 es caro, cuesta 10 veces más que el 4 He, y no abunda mucho. Su cantidad total constituye algunos litros o decenas de litros, y es poco probable que en todos los laboratorios del mundo se encuentre una cantidad de 3 He como para llenar un vaso Dewar portátil de 10 litros. Pero a nuestra disposición tenemos 4 He líquido, el cual, después de absorber los vapores, puede ser enfriado hasta 1°K. Pero el 3 He hierve a 3,69°K. A 1,2°K la presión de sus vapores constituye 20 mm Hg. Por eso, en el aparato del tipo "vaso Dewar en vaso Dewar" mostrado en la figura 7.1, el 3 He, al penetrar en el tubo, cuya pared tiene una temperatura de 1,2°K, se volverá liquido y se derramará hacia abajo. Ahora, si empezamos a absorber sus vapores, éste, evaporándose, empezará a enfriarse y enfriará todo lo que se encuentre en contacto térmico con él.

Figura 7.1 Esquema de la parle inferior de un criostato con 3 He. El recipiente que contiene 3 He líquido posee aristas para mejorar el intercambio de calor.
Así pues, ¿qué representa el 3 He liquido? Es mucho menos denso que el 4 He líquido: 0,08 g/cm 3 en comparación con 0,145 g/cm 3 . Hierve a una temperatura más baja y su calor de evaporación, como ya dijimos, es mucho menor. Pero todo eso no es tan extraño, ya que sus átomos son más ligeros. Por lo tanto, la energía de las oscilaciones nulas, que se deduce del principio de incertidumbre, para el 3 He es mayor que para el 4 He (véase el quinto capitulo). El 3 He líquido es un líquido cuántico más, y los investigadores no se asombraron de que éste no se endurece incluso hasta T = 0.
Para obtener 3 He sólido es imprescindible, al igual que para obtener 4 He, someterlo a presión. Parecía que debíamos seguir un camino trillado, y de pronto, ¡una sorpresa! Vean qué aspecto tiene la curva de fusión en la figura 7.2; a primera vista es parecida a la del 4 He, solamente que a T = 0,3°K cuanto más baja sea la temperatura, tanto más alta será la presión de la transición de fase líquido-sólido. Leamos de nuevo lo escrito en el quinto capítulo sobre la relación del calor de fusión con la dependencia entre P t.f . y la temperatura. Resulta que ¡el calor de fusión del 3 He es negativo!

Figura 7.2 Curva de fusión del 3 He a bajas temperaturas.
El hecho es que cualquier partícula elemental es una especie de trompo microscópico que gira en dirección de las manecillas del reloj o al contrario, o no gira completamente, según sea su spin (la palabra inglesa "spin" significa giro).
¿Cómo caracterizar la rotación de un trompo común? Evidentemente, antes que nada debemos saber la dirección de su eje y si el mismo gira en dirección de las manecillas del reloj o en sentido contrario con respecto a ese eje. ¿Y cuantitativamente? Se puede, desde luego, hablar de la energía cinética de rotación, pero no es muy cómodo. El hecho es que dicha energía del trompo puede variar a expensas del trabajo de las fuerzas internas. Recuerde cómo los deportistas de patinaje artístico, abriendo los brazos, giran suavemente sobre el hielo y, de repente, este movimiento bastante lento se convierte en un torbellino enloquecido en cuanto el patinador junta las piernas y aprieta los brazos contra el cuerpo. Intenten describir eso a partir de consideraciones energéticas, y no olviden que el patinador, al contraerse, efectúa un trabajo. Pero existe una magnitud física llamada momento de impulso. Para un objeto pesado de masa M , cuyas dimensiones son mucho menores que el radio r de una circunferencia por la cual se mueve ese objeto con una velocidad angular ω, el momento de impulso constituye
donde p = Mv es el impulso ordinario. Para un cuerpo de dimensiones finitas, el momento de impulso es igual a la suma de los momentos de todos sus elementos. Esta magnitud es buena por el hecho que para un trompo aislado (por ejemplo, para un patinador) se conserva durante todo el tiempo de movimiento si, por supuesto, prescindimos del rozamiento. Precisamente por eso, cuando el "radio" del patinador disminuye, su rotación se acelera.
El momento de impulso, propio de las partículas elementales y que es una de las características que describen sus propiedades internas, se denomina spin. De la relación de incertidumbre ya sabemos que para las partículas microscópicas, el producto del impulso por la coordenada es ~ h . La medida de su "rotación", que también es el producto "impulso x dimensión", resulta del mismo orden. Por eso el momento de impulso en la mecánica cuántica se mide en fracciones de h . Y el spin resulta simplemente un número. Así, para los electrones, protones y neutrones, éste siempre es exactamente 1/2. Pase lo que pase con estas partículas, su spin siempre es invariable. Y cuando los neutrones y protones se unen en el núcleo, sus spines se suman. Pero debemos tomar en consideración que los spines de dos partículas vecinas pueden ser paralelos (los "trompos" giran en un mismo sentido) y la suma dará 1, o antiparalelos (un "trompo" gira en sentido de las manecillas del reloj, y el otro, en sentido contrario), y la suma es igual a cero.
Precisamente aquí se nota la diferencia radical entre 4 He y 3 He. El átomo del primero contiene 6 partículas y su spin total es 0, y el del segundo, 5 partículas y su spin es 1/2. Pero el carácter de las partículas de spin entero (incluidas las de spin nulo) o semientero es completamente diferente. Las primeras tienen muy desarrollado el "sentido gregal", mientras que las segundas se distinguen por su "aristocratismo", y su comportamiento obedece a la ley de la naturaleza, llamada "principio de Pauli". Esta ley estipula: " En cualquier estado puede haber no más de una partícula ".
Ya hemos tropezado con tal propiedad cuando se trataba de las capas electrónicas de los átomos: sólo los electrones de dos átomos, el hidrógeno y el helio, se encuentran en la capa más cercana al núcleo, donde su energía es mínima. Para el helio, dos electrones lograron hacer eso a la vez sólo porque sus spines son antiparalelos, o sea, sus estados resultaron diferentes. Pero en el átomo de litio, para el tercer electrón tal truco es imposible, y el mismo se ve obligado a situarse en una capa más alejada, donde su energía, según nuestra escala relacionada con la temperatura, es más alta en una magnitud enorme, en 10 5 °K. Pero ¡qué no se puede hacer por un principio! Y si no fuera por éste, la probabilidad que dicho electrón adquiriera tanta energía, sería, según la ley de Boltzmann, ínfima.
¿Cómo, pues, se manifiesta tal "aristocratismo" en el helio líquido, y por qué él conduce a la pérdida de la superfluidez? Cerca del cero absoluto el movimiento térmico es una serie de oscilaciones térmicas que se propagan por todo el volumen del cuerpo. Las mismas conducen a que algunos átomos reciben y pierden consecutivamente energía cinética, o sea, todo el tiempo hay átomos cuya energía, en una u otra magnitud, es mayor que la energía mínima posible. Y mientras no conocíamos el principio de Pauli, suponíamos que a medida que aumentaba el enfriamiento, esta dispersión de los valores de la energía de los átomos disminuye monótonamente hasta que desaparece por completo en el cero absoluto. Pero podemos considerar el helio líquido vertido en nuestro recipiente, como un "superátomo" gigantesco. Por eso la igualdad de energías de todos los átomos que lo componen significa que todos ellos se encuentran en una misma "capa" del superátomo, o sea, en un mismo estado. Para el 4 He, cuyos átomos poseen un spin igual a cero, eso es admisible por las leyes de la naturaleza. Es más, éstas exigen precisamente tal distribución, la cual asegura el mínimo de energía.
Pero para el 3 He tal orden no sirve, ya que solamente dos átomos de 3 He pueden tener una energía mínima en el "superátomo": eso lo exige el principio de Pauli. Por consiguiente, si en el volumen sometido a estudio se encuentran N átomos, entonces se deben llenar N /2 estados cuya energía es mayor que la energía máxima. Aquí existe una analogía absoluta con el átomo de muchos electrones, cuando las capas se llenan consecutivamente de electrones una tras otra.
¿Qué energía máxima pueden tener los átomos del 3 He líquido? Trataremos de resolver este problema no muy sencillo. ¿Qué significa, en realidad, que el átomo tiene una energía cinética excedente E ? Si eso ocurriera en un gas enrarecido, entonces todo sería sencillo: el átomo se mueve, durante bastante tiempo, más rápidamente que sus vecinos, hasta la colisión con otro átomo o con la pared. Pero en el liquido le es difícil moverse, se siente apretado (y tan sólo debe recorrer la distancia interatómica, e incluso menos), él entrega su energía excedente a su vecino, y éste la transmite más adelante. Todos los vecinos se parecen como dos gotas de agua, y esta porción excedente de energía pertenece a todos y a ninguno por separado. En el capitulo anterior ya hemos construido el cuadro: de nuevo llegamos a las oscilaciones. Eso significa que a un estado de energía excedente E le corresponde una oscilación con esa misma energía y de frecuencia ω = E / h . Ya hemos calculado el número de oscilaciones en el segundo capitulo, cuando hablábamos de la radiación electromagnética. Y ya tenemos preparada una fórmula, la (2.10).
Así pues, hay N/ 2 oscilaciones con vectores de onda desde 0 hasta k máx y podemos escribir
(7.2)
(7.3)
Pero la falta de superfluidez es una propiedad muy útil. Recuerden que cuando hablábamos de reducir la temperatura absorbiendo (mediante una bomba) los vapores de helio, aclaramos que la película superfluyente obstaculiza la obtención de T =1°K. Pero el 3 He no tiene tal película. Por eso, absorbiendo sus vapores, se puede llegar incluso hasta 0,3°K, ¡lo cual ya es un gran progreso! Pero cuando los físicos estudiaron lo que ocurría al mezclar 3 He y 4 He, ellos encontraron un método para bajar aún más la temperatura, reduciéndola hasta varias milésimas de grado Kelvin.
¿Para qué fue necesario mezclar esos isótopos? Una de las consideraciones evidentes es que el 4 He puro es superfluyente, y a esas mismas temperaturas el 3 He no lo es. ¿Cuánto 3 He es preciso agregar a 4 He para que desaparezca la superfluidez? De dichos isótopos se comenzaron a hacer mezclas de composición diferente, observando lo que resultaría, y al mismo tiempo estudiando sus propiedades físicas. Y aquí surgió la pregunta número uno: ¿y se mezclarán, en general, estos líquidos? La respuesta podía darla solamente el experimento, y también aquí se obtuvo un resultado inesperado. Si la temperatura es mayor de ~ 0,8°K, entonces, con cualquier proporción de las partes mezclables, ambos helios forman una solución homogénea. Pero si la temperatura es menor, entonces se puede preparar una solución débil de 3 He en 4 He, o una solución débil de 4 He en 3 He. La concentración límite depende de la temperatura.
Para mostrar esta dependencia construiremos un diagrama parecido al diagrama de estado de fase (figura 7.3). En el eje de las abscisas marcaremos la concentración relativa x de 3 He en 4 He. Evidentemente, x puede variar sólo en el intervalo de 0 a 1, por consiguiente, la superficie del diagrama está limitada. En el eje de las ordenadas indicaremos la temperatura. Ahora tracemos a la izquierda una línea que corresponda a la concentración máxima de 3 He en 4 He, y a la derecha, una línea que corresponda al caso contrario. Esas líneas se encuentran en un punto, a T » 0,8°K. En el diagrama se ha formado una especie de "campana" que limita la región de concentraciones y de temperaturas a las cuales no puede existir una solución homogénea de 3 He y 4 He.

Figura 7.3 Diagrama T - x para la mezcla de 3 He - 4 He.
¿Y qué ocurre con la superfluidez? Resulta que la fracción pesada es superfluyente, y la ligera no. Y allí donde se interrumpe la estratificación se puede trazar la línea que divide las regiones donde hay y donde no hay superfluidez. Claro está que cuando x = 0, ella choca con el eje de ordenadas en el punto T = T λ . Pero las impurezas de 3 He obstaculiza la superfluidez: conduce a la reducción de la temperatura de transición.
Estas soluciones poseen una propiedad excelente. Resultó que cuando T → 0, la concentración máxima posible de 3 He en 4 He no disminuye hasta cero, sino que se mantiene igual a ~ 6,5%. Esto permitió crear una máquina frigorífica muy efectiva, llamada criostato de disolución, con la cual se logra obtener temperaturas más bajas de 10 -2 °K. En efecto, ¿qué es lo que limita la posibilidad de reducir la temperatura del helio absorbiendo sus vapores? La disminución de la densidad del vapor, según la ley de Boltzmann, es


Figura 7.4 a) Esquema del aparato en el que se observó la estratificación de la mezcla de 3 He- 4 He: 1. vaso Dewar con 3 He; 2. ampolla de vidrio; 3. adaptador de cobre; 4. tubo capilar de acero ;5. menisco de líquido - vapor; 6. frontera de estratificación; b) fotografía de la estratificación de una solución con una concentración de ~ 50% de 3 He a T » 0.5°K (V. P. Peshkov y K. N Zinovieva, 1957).
Se puede objetar que tal máquina trabajará muy poco tiempo: en cuanto el 4 He pase tanto 3 He que se forme una solución saturada, ese proceso cesará. Hagamos entonces lo siguiente: de nuestra cámara, donde limitan 3 He y 4 He, dirijamos hacia arriba un tubo delgado y largo, por el cual el líquido puede penetrar en otra cámara que contiene un calentador eléctrico (figura 7.5). Si conectamos este último, el helio superfluyente, a causa del efecto termomecánico (del cual se habló en el capítulo anterior), pasará parcialmente a dicha cámara llamada "baño de evaporación".

Figura 7.5 Esquema de la parte interior de un criostato de disolución.
Resulta que al conectar el calentador en el baño de evaporación, podemos extraer el 3 He de la solución, o sea, depurar el 4 He liquido. Pero éste se encuentra en el baño de disolución en contacto con el 3 He líquido, y mientras este último no se termine, él pasará a la solución manteniendo en ella la concentración de 6,5% y enfriando el baño de evaporación y todo lo que permanece en contacto térmico con éste.
Dicho proceso tampoco puede durar mucho tiempo. Pues las reservas de 3 He son pequeñas. Sin embargo, nada nos molesta volver atrás el gas que se extrae con la bomba, haciéndolo pasar, claro está, por un sistema de intercambiadores de calor (véase figura 7.5). Uno de ellos se encuentra en el baño exterior de 4 He, en el que el 3 He que regresa se condensa y se enfría hasta ~ 1,2°K. El siguiente intercambiador de calor se halla en el baño de evaporación. Pero incluso después de éste, el 3 He no se enfría mucho, solamente hasta ~ 0,7 - 0,6°K. Es necesario hacerlo pasar por otro intercambiador de calor, ya que el 3 He que se dirige del baño de disolución al baño de evaporación lleva consigo el frío que precisamente ha de utilizarse para enfriar el flujo contrario. Y tan sólo después de esto, el 3 He penetra, por fin, en el baño de evaporación. El ciclo se cierra.
Como ven, el conocimiento de la física del helio permitió crear una máquina frigorífica singular. Esto ocurrió sólo diez años atrás y significó realmente una revolución en la técnica experimental de las bajas temperaturas. Antes también existían métodos para obtener temperaturas de centésimas y milésimas partes de grado Kelvin, pero sólo con la ayuda del criostato de disolución se logró mantener tales temperaturas durante largo tiempo. Esto también es necesario para realizar numerosos experimentos, así como para avanzar exitosamente en el mundo de temperaturas aún más bajas, que se miden ya no en milésimas, sino en millonésimas partes de grado Kelvin.
Capítulo 8
TERMÓMETRO MAGNÉTICO Y ENFRIAMIENTO MAGNÉTICO
Coloquemos un cuadro de alambre en un campo magnético y dejemos pasar por él una corriente I (figura 8.1).

Figura 8.1 a) Fuerzas que actúan sobre un cuadro con corriente en un campo magnético; b) posición de equilibrio estable y c) de equilibrio inestable en un campo externo; d) y e) respectivamente, en un campo engendrado por un solenoide.
A la posición de equilibrio estable siempre le corresponde la energía mínima, y no es difícil calcular que la energía del cuadro en el estado c) es realmente menor que en el estado b) en
Aquí S es la superficie del cuadro, y con la letra μ hemos denotado la magnitud llamada momento magnético.
Problema 11.
Calcular el trabajo efectuado al girar el cuadro de la posición c) a la posición b). Eso constituye precisamente la diferencia de energías del cuadro en estos dos estados.
Es una característica muy importante; momento magnético posee no sólo un cuadro con corriente, sino cualquier material magnético e incluso partículas elementales aisladas.
Sabiendo que el momento magnético del cuadro es igual a μ = S·I , resulta que también es posible apreciar su magnitud en cuanto a las partículas elementales. Retiremos el cuadro, pero dejemos la corriente. No piensen que estamos construyendo el gato de Cheshire de " Alicia en el País de las Maravillas ", el cual es una sola sonrisa. La corriente es un movimiento de electrones, así que imagínense el siguiente modelo: un electrón que tiene una velocidad v , retenido por la fuerza de Coulomb, "describe" una circunferencia de radio r alrededor del núcleo cargado. Es precisamente el modelo planetario del átomo. La corriente es una carga que se transmite a través de la sección transversal de un conductor por unidad de tiempo. En nuestro caso la corriente anular equivale a la carga del electrón multiplicada por el número de revoluciones que éste realiza por segundo, o sea,
(8.2)
(8.3)
(8.4)
Hemos recibido un resultado muy importante: si la partícula cargada posee momento mecánico, ella también posee, obligatoriamente, momento magnético. Es cierto que para las partículas elementales, el coeficiente de proporcionalidad no siempre es e/2m , pero, según el orden de magnitud, la relación (8.4) es cierta. Por ejemplo, si se trata del spin del electrón, esta relación es aproximadamente igual a e/m e . Si recordamos que el spin del electrón es igual a 1/2, o sea, que el momento angular es h /2, entonces el momento magnético propio del electrón constituye
(8.5)
Los electrones libres se encuentran no muy a menudo. Generalmente están enlazados con los átomos o las moléculas y pueden tener o no tener momento magnético. Así, el átomo de hidrógeno tiene un sólo electrón, y ese átomo tiene un momento magnético relacionado con el spin de dicho electrón. Sin embargo, en la molécula de hidrógeno, los momentos magnéticos de dos electrones se hallan dirigidos al encuentro uno de otro y se compensan mutuamente. El átomo de 3 He tampoco posee magnetismo, pero el litio sí tiene momento magnético, ya que tres electrones tienen obligatoriamente un spin total diferente de cero.
¿Y qué ocurrirá si las moléculas (o átomos) cuyo spin no es igual a cero, se unen en un cristal? Si la temperatura no es muy baja, todos los spines estarán orientados arbitrariamente, y el momento magnético total será igual a cero. Coloquemos ahora esa muestra en el campo magnético B . Entonces, la energía de los átomos cuyo momento magnético permanece orientado en dirección del campo, será menor que la energía de los átomos con el momento orientado en contra del campo. La diferencia de energías de esos dos estados es igual a ehB/m e . Pero, de acuerdo con la ley de Boltzmann, en estado de equilibrio, el número de partículas de menor energía ( N - ) debe ser mayor que el número de partículas de mayor energía ( N + ), así que ha de cumplirse la igualdad

Recurramos otra vez a la figura 8.1 para aclarar a qué conduce la presencia de momento magnético en la muestra. Para esto, coloquemos el cuadro de alambre dentro de un solenoide largo, cuyo campo interior, como se sabe, es homogéneo. Entonces, a la posición inestable b) le corresponde la figura d): la corriente en el cuadro fluye en dirección contraria a la corriente en el solenoide y por eso, las fuerzas que actúan sobre el cuadro se hallan dirigidas hacia el centro. La posición estable se establece cuando las corrientes fluyen en una dirección, lo cual corresponde al caso e). Además, naturalmente, el campo magnético de la corriente del cuadro dentro de éste, se suma con el campo del solenoide. Por lo tanto, dentro del cuadro, el campo magnético es más fuerte que sin aquél. Con otras palabras, el momento magnético orientado en dirección del campo, conduce al incremento de la inducción en la región interna. Asimismo, gracias a la orientación de los momentos magnéticos de los átomos, la inducción del campo magnético en la muestra se vuelve mayor que fuera de ésta.
Las sustancias, dentro de las cuales la inducción del campo magnético es mayor que fuera de ellas, pero que, cuando B = 0, no tienen momento magnético, se denominan sustancias paramagnéticas. Estas abundan mucho en la naturaleza y desempeñan un papel muy importante en la física de las bajas temperaturas.
¿Cómo determinar si la sustancia es paramagnética o no, y cuán grande es el paramagnetismo? Para esto se necesita un aparato bastante sensible, ya que la adición al campo en la sustancia paramagnética suele ser muy pequeña. A temperatura ambiente ésta constituye 10 -5 – 10 -6 de la inducción del campo externo.

Figura 8.2. Termómetro magnético. K 1 y K 2 , bobinas receptoras conectadas en oposición; en la bobina K 1 se encuentra la muestra paramagnética. G, solenoide que genera un campo alterno B 0 sen Ω t , cuyas líneas de fuerza se indican con flechas.
(8.6)
Metamos ahora en una de las bobinas una muestra paramagnética. Gracias al paramagnetismo, la inducción del campo magnético en dicha bobina se vuelve mayor que en la otra. Por consiguiente, la f.e.m engendrada en la bobina con la muestra también se volverá algo mayor que en la bobina vacía, y en la salida del aparato aparecerá una señal de diferencia que depende de la magnitud del momento magnético de la muestra.
Y ahora se puede decir que el aparato dibujado en la figura 8.2 ¡es un termómetro magnético!
Mostremos que es así. Un poco antes escribimos la igualdad
(8.7)
(8.8)
Así pues, como la señal de diferencia de las bobinas del termómetro magnético es proporcional al momento magnético de la muestra, basta con medir la señal de salida U(T 0 ) a cierta temperatura conocida T 0 , y la temperatura desconocida será igual a
Desgraciadamente, para cualquier sustancia paramagnética hay una temperatura de enfriamiento que al ser alcanzada, el aparato cesa de trabajar como termómetro. El hecho radica en que los momentos magnéticos de los átomos interaccionan unos con otros. Como resultado, a medida que aumenta el enfriamiento, tarde o temprano los mismos dejarán de permanecer dispuestos caóticamente, y tratarán de formar una estructura regular, por ejemplo, se situarán paralelamente uno respecto a otro, y la sustancia se volverá no "para", sino ferromagnética. La temperatura a que ocurre tal transición no es obligatoriamente baja. Por ejemplo, en cuanto al hierro, bien conocido, esa transición se produce a 760°C.
Para que el paramagnetismo se mantenga mucho tiempo, es necesario "separar" bastante los momentos magnéticos unos de otros. Para esto deben utilizarse cristales en los que los átomos magnéticos se hallan rodeados de átomos no magnéticos. Una de tales sustancias, con la temperatura de transición más baja (entre las temperaturas conocidas), que constituye sólo 0,002°K, es el nitrato de cerio y magnesio 2Ce(NO 3 ) 3 · 3Mg(NO 3 ) 2 x 24H 2 0. En éste, de toda la enorme cantidad de componentes, sólo el cerio (Ce) posee momento magnético. Por medio de dicha sal se puede medir con bastante exactitud una temperatura de hasta ~ 0,01°K, ya que a medida que nos acercamos a la temperatura de transición, la ley de Curie se cumple cada vez peor.
Las sustancias paramagnéticas se usan a menudo para medir temperaturas =1°K, aunque su límite inferior, del orden de ~ 0,01°K, ya no siempre satisface a los investigadores. Pero hay otro tipo más de magnetismo, el magnetismo nuclear. Este es mucho más débil que el magnetismo electrónico, por eso en la fórmula del momento magnético de los núcleos, en vez de m e , como en (8.5), debe figurar una magnitud del orden de la masa del protón m p , la cual es 10 3 veces mayor que m e . Por consiguiente, el paramagnetismo de los núcleos también resulta (véase la fórmula (8.8)) ~ (m e /m p ) 2 » 10 6 veces más débil que el paramagnetismo electrónico. Sin embargo, los spines nucleares se comportan como un gas ideal hasta temperaturas mucho más bajas, las cuales ya se miden en microgrados Kelvin. El hecho consiste en que los propios núcleos poseen dimensiones en muchos órdenes menores que la distancia interatómica, por eso ellos no interaccionan directamente entre si. El orden en el sistema de spines nucleares puede surgir solamente gracias a la interacción de los momentos magnéticos conforme a la siguiente cadena: núcleo – electrón - otro electrón - otro núcleo. Y en esta cadena, el eslabón núcleo - electrón siempre es muy débil.
Pero he aquí qué contrariedad: si los núcleos están bien aislados, eso es muy malo para el termómetro. ¿Será una paradoja? No, ya que el termómetro debe indicar la temperatura de otro cuerpo, y para esto es necesario que aquél permanezca en equilibrio termodinámico con este último. Pero si la interacción es muy débil, el tiempo de establecimiento del equilibrio resulta muy grande. Si se trata de bajas temperaturas y de un termómetro magnético, aquí puede suceder fácilmente que el equilibrio no se establezca durante toda la vida.
Por consiguiente, nos vemos obligados a buscar sustancias que proporcionen una interacción más fuerte. Para esto es necesario que el momento magnético del núcleo sea mayor, y que el propio núcleo sea más pesado; resulta que a consecuencia de esto aumenta la interacción del núcleo con los electrones. En esta dirección es imposible moverse demasiado lejos: los núcleos pesados son radiactivos, y la desintegración va acompañada de gran desprendimiento de calor. A esto debemos agregar que en el sistema de electrones no ha de establecerse orden magnético. Es una exigencia evidente, ya que de lo contrario el campo magnético que actúa sobre los núcleos no tendrá nada de común con el campo externo. Aparte de lo dicho, es deseable que la sustancia sea un metal. Esto último es necesario porque a temperaturas mínimas y a grandes distancias el calor sólo puede ser transferido por electrones de conducción, los cuales transitan por toda la muestra. Unos de los pocos candidatos al cargo de termómetro nuclear, después de todos esos "es necesario", siguen siendo el cobre y el platino. Pero no cualquier platino o cobre ni mucho menos. Estos deben ser muy puros, para que incluso las impurezas ínfimas de tales elementos como el hierro no estropeen la situación.
El material para el termómetro ya está elegido, ahora hay que construir el propio termómetro. Pero es inútil tratar de medir el magnetismo nuclear de la misma manera que el magnetismo electrónico. El primero es demasiado débil para captarlo por el método mostrado en la figura 8.2. Ahora existen magnetómetros mucho más sensibles, pero con su ayuda es muy difícil separar el magnetismo nuclear del fondo de los diversos efectos parásitos relacionados con el magnetismo electrónico, no sólo, digamos, de las impurezas en la muestra, sino también en todas las piezas del aparato. Sin embargo, hay una salida, la cual está relacionada con la posibilidad de medir la magnetización nuclear en forma selectiva, utilizando el método de resonancias.
La idea de este método, en esencia, es la misma que la del análisis espectral: hay que observar la interacción entre la onda electromagnética de frecuencia de resonancia y la sustancia. Sólo que, a diferencia de los espectros de moléculas y átomos, la frecuencia de resonancia de los núcleos depende del campo magnético y es igual a
ya que la diferencia de energías en el campo magnético es μ nucl · B . Tales frecuencias se hallan en el intervalo de radiofrecuencias.
Los núcleos pueden absorber fuertemente la señal de radio-frecuencia en el caso que su frecuencia Ω coincida con ωnuclo sea, si el cuanto de energía de radiación electromagnética es exactamente igual a la distancia entre los niveles de los núcleos en el campo magnético. La potencia de radiación se consume en el giro de los momentos magnéticos de los núcleos, lo cual contribuye al aumento de su energía. No obstante, siempre hay núcleos que ya poseen esa energía más alta. Ellos también interaccionan con la radiación, pero ya no pueden aumentar más su energía y, por el contrario, la emiten. Por eso, si N + = N _ , entonces se irradiaría la misma cantidad de energía que la que seria absorbida, y no se observaría ninguna resonancia. Y sólo a causa que N + > N _ , surge absorción de resonancia (figura 8.3). Y como ( N _ —N + ) ~ μ nucl · B/kT , la amplitud de la resonancia observada es proporcional a 1 / T y puede servir de medida de la temperatura.
Por lo general, el termómetro magnético trabaja con frecuencias que se encuentran en el intervalo de 100 kHz a 1 MHz, y en campos de 0,01 a 0,1 T . No se puede reducir el campo y, por lo tanto, tampoco la frecuencia, ya que la señal será demasiado débil. Esto es evidente, puesto que la energía absorbida es proporcional a h Ω multiplicado por la diferencia del número de núcleos con momento magnético orientado en dirección o en contra del campo B .

Figura 8.3. Señal de resonancia magnética nuclear para los núcleos de cobre (isótopos 63 Cu y 65 Cu) a T= 0.65°K. Al registrar la señal, el campo magnético B = 0,104 T era continuo, pero variaba la frecuencia de la señal del generador (D. J. Meredith, G. R. Pickett y O. G. Symko, 1973)
Así que ya ven ¡lo problemático que es medir la temperatura! Pero lo más agraviado es que, a pesar de todos los esfuerzos, con el termómetro nuclear se logra medir temperaturas no menores de ~ 1 mK. Y la causa es una: cuanto más baja sea la temperatura, tanto peor será el intercambio de calor entre los núcleos y la sustancia del termómetro, así como entre este último y aquel cuya temperatura ha de ser medida. Cuando T « 1 mK, por muy largo que sea el experimento, los momentos magnéticos nucleares simplemente no llegan a "enfriarse" del todo.
Sin embargo, estamos metiendo el pájaro en la cazuela antes de cazarlo: intentamos medir temperaturas que todavía no sabemos cómo obtener. Es cierto que ya conocemos un método: el criostato de disolución. Pero tampoco con su ayuda es posible obtener temperaturas menores de algunos miligrados Kelvin. La solución es sugerida por la analogía con un gas ideal.
En el cuarto capítulo fue descrito el método de obtención de bajas temperaturas a base de la expansión adiabática de un gas, es decir sin suministrarle calor o, con otras palabras, reduciendo su presión. Eso mismo también es cierto para los vapores de helio saturados: según su presión se puede determinar la temperatura o, variando su presión, es posible regular la propia temperatura.
Ha llegado la hora de examinar el paramagnetismo. Y aquí resulta que una misma propiedad de la sustancia se puede utilizar para la medición de la temperatura y para su variación.
Supongamos que tenemos un átomo libre situado en el campo magnético y provisto de momento magnético. Variemos el campo de la magnitud B 1 a la B 2 sin cambiar su dirección. ¿Podrá, en este caso, girar el momento magnético? Observemos de nuevo el cuadro de alambre con corriente (véase figura 8.1). Si el mismo se encuentra en una de las posiciones b ó c, el momento de fuerzas que actúa sobre él es igual a cero en el campo de cualquier magnitud, y el cuadro no girará al variar ese campo. Eso mismo también es cierto para el átomo.
En vez de un átomo aislado, situemos entre los polos de un imán una sustancia paramagnética, la cual se encuentra en un criostato y se halla enfriada por éste hasta la temperatura T 1 , y conectemos el campo magnético B 1 . Mientras no había campo, los spines permanecían orientados arbitrariamente. Pero acabamos de aclarar que también después de conectar el campo no ocurrirá nada con ellos y su cantidad en dirección y en contra de ese campo será exactamente igual. ¿Y qué hacer entonces con la fórmula (8.3)? Aquí hay una circunstancia muy importante: tanto dicha fórmula como la ley de Boltzmann a base de la cual ella fue obtenida, son válidas sólo cuando se ha establecido un equilibrio termodinámico. Pero inmediatamente después de conectar el campo no surge ningún equilibrio, es más, se puede decir que el "gas" de spines resulta calentado hasta una temperatura infinitamente alta. Para convencerse de esto es suficiente calcular el logaritmo de la fórmula (1.4) y obtendremos, para la temperatura de los spines o, que es lo mismo, para la temperatura de los momentos magnéticos,
(8.9)
o sea, T = 8 cuando N - =N +
Pero si esperamos un poco, con el tiempo el equilibrio se establecerá de nuevo, y los spines se enfriarán hasta la temperatura T 1 , o sea, una parte de ellos girará y surgirá su orientación predominante a lo largo del campo B . El tiempo que es preciso esperar depende de la sustancia: puede ser que el mismo constituya fracciones de segundo, y puede ser que una vida entera no sea suficiente. Consideraremos que, a pesar de todo, hemos logrado el equilibrio. Y ahora destruyamos el contacto térmico entre la muestra y el criostato, y disminuyamos el campo hasta la magnitud B 2 . Otra vez en el primer momento no pasará nada con los spines, y podemos escribir
![]()
(8.10)
Si partimos de la fórmula (8.10) para T 2 , parecerá que lo mejor de todo es desconectar el campo en general. Pero esto no es así, ya que la cantidad de calor que los spines pueden sacar de la muestra, es proporcional a la energía que ha de gastarse para girar cada uno de ellos, o sea, μ B 2 . Si el campo se desconecta absolutamente, a pesar que los momentos magnéticos se enfrían hasta temperaturas muy bajas, el enfriamiento de toda la muestra resulta insignificante. Por eso, para obtener las temperaturas más bajas posibles, es necesario que B sea lo mayor posible, y la temperatura T 1 a la cual se inicia la desmagnetización, lo menor posible.
Cuando se habló del termómetro paramagnético, fue aclarado que, a consecuencia de la interacción en el sistema de spines, tarde o temprano se establece orden. A la temperatura que esto ocurre es, evidentemente, la temperatura límite hasta la cual es posible enfriar la sal paramagnética. Lo que dijimos sobre los momentos magnéticos de los átomos, también es válido para los núcleos. Por eso, al igual que para medir la temperatura <1 mK se necesita un termómetro magnético, para obtener tales temperaturas es preciso desmagnetizar los núcleos. Aquí surge una circunstancia muy interesante. Si queremos enfriar algo desmagnetizando los núcleos, surge el mismo problema que en la termometría: la imposibilidad de intercambio de calor con los núcleos. Debido a esto, las temperaturas mínimas alcanzables constituyen sólo fracciones de miligrado Kelvin. Pero si el objetivo de la investigación son las propiedades magnéticas que deben su origen precisamente a los núcleos, entonces, basta con enfriar sólo estos últimos, y aquí el mal intercambio de calor es más bien una ayuda que un obstáculo. Por consiguiente, el límite de temperaturas alcanzables avanza hacia la región de los microgrados Kelvin.
He aquí la estructura de uno de los criostatos realmente creados (figura 8.4). Este aparato de cuatro etapas (considerando temperaturas inferiores a 4,2°K), se instala en un baño grande de 4 He. En su parte superior se encuentra un recipiente con 4 He, el cual tiene, gracias a la absorción de sus vapores, una temperatura de 1,1°K. Debajo de éste se encuentra un volumen lleno de 3 He enfriado hasta 0,3°K. A este volumen, a través de un dispositivo denominado llave térmica, se halla suspendida la etapa de enfriamiento paramagnético. La misma está estructurada así: un haz de finos alambres de cobre se introdujo en una solución de nitrato de cerio y magnesio, y directamente en él crecieron cristales que ocuparon todo el espacio entre los alambres. Gracias a tal estructura, el calor se transmite relativamente bien de la sal a los alambres de cobre, que por un extremo permanecen soldados a la llave térmica superior, y por el otro, a la inferior. A esta última también están soldados 12 mil alambres de cobre, aislados y pegados entre si, de 40 μm de diámetro, los cuales forman la etapa de desmagnetización nuclear y, al mismo tiempo, de termómetro nuclear.
De todos los elementos aquí nombrados, lo nuevo para nosotros son las llaves térmicas. Representan pedazos de metal superconductor, por ejemplo, de estaño, instalados dentro de solenoides. Si a través de estos últimos se transmite corriente el campo magnético engendrado destruye la superconductividad. Resulta que la conductividad térmica, a consecuencia de esto, crece (a bajas temperaturas) miles de veces (de esto hablaremos más detalladamente en el capitulo decimoprimero). Durante la magnetización de la sal y el cobre, las llaves térmicas garantizan un buen contacto térmico con la etapa anterior de enfriamiento, el cual puede ser destruido, aislándose térmicamente, con seguridad, la sal y el cobre tanto del baño de 3 He, como uno de otro.
Nos hemos detenido en el nivel de temperatura de 0,3°K. Desmagnetizando adiabáticamente la sal enfriada hasta 0,3°K y disminuyendo el campo de ~ 1 T hasta ~ 0,15 T, se logra reducir la temperatura hasta 10 - 15 mK. Y, por fin, en la última etapa, la disminuir el campo de 5,7 T hasta 0,025 T, la temperatura del bloque de cobre baja hasta 0,25 mK.

Figura 8.4. Estructura de un criostato con desimanación de los núcleos. 1, introducción de 3 He; 2, tubo de extracción de 3 He; 3, tubo de extracción de 4 He; 4, válvula que se abre cuando el 4 He penetra en la cámara interior 5 a temperatura de 1,1°K; 6, recipiente con 3 He a T=4,2°K; 7, pared del vaso Dewar con un aislamiento de protección al vacío de capas múltiples ;8, estrechamiento en el tubo capilar, que opone gran resistencia hidráulica al flujo de 3 He (eso es necesario para que, al extraer los vapores de 3 He, en el recipiente 9 se establezca baja presión, correspondiente a T = 0,3°K; 10 y 14, llaves térmicas con electroimanes; 11 y 17, electroimanes compensadores del campo magnético del solenoide 13 destinado a la desimanación del nitrato de cerio y magnesio 12 (la inducción del campo generado por el solenoide es igual a ~ 1 T; 15, dispositivo para medir la susceptibilidad magnética nuclear; 16, termoconductor de alambre de cobre; 18, cámara donde se encuentra la muestra sometida a estudio; 19. pantalla al vacío; 21 y 23, sistemas magnéticos para medir la resonancia magnética nuclear en el haz de alambres de cobre 20, en sus sectores diferentes; 22, imán (6 T) de la etapa de desimanación nuclear (D. L. Stolfa, 1973)
Con esto podríamos poner punto final en este capítulo. Pero nos queda una pequeña deuda: en el séptimo capitulo hemos hecho mención del comportamiento anómalo de la transición 3 He liquido - sólido, sin explicar en qué consiste el asunto. Ahora corregiremos tal negligencia.

Figura 8.5 Esquema de orientación mutua de los spines nucleares en el 3 He sólido a T= 0 (a), o sea, en estado antiferromagnético, y a T >> T t. f. » 0.002°K (b).
La energía de interacción correspondiente a una partícula ( E ), y la temperatura de transición de fase T t. f. en estado ordenado, ya sea la formación de átomos a base de iones y electrones, de un cuerpo sólido a base de vapor, o el ordenamiento magnético, siempre tienen el mismo orden de magnitud E » k T t.f . Cuando T t.f >> E , se observa un desorden absoluto (figura 8.5, b), ya que, de acuerdo con la ley de Boltzmann, todos los estados admisibles permanecen igualmente llenados, y la diferencia de sus energías se encuentra dentro de los límites de E . Además, por término medio, exactamente la mitad de los momentos se hallan dirigidos hacia abajo, y la misma cantidad, hacia arriba. A T = 0 también la mitad de los momentos permanecen dirigidos hacia arriba, y la otra mitad hacia abajo, pero ya están dispuestos de modo completamente distinto. Cualquiera que sea el átomo elegido, los momentos magnéticos de sus vecinos inmediatos estarán dirigidos en sentido contrario a su propio momento. La probabilidad de encontrar un vecino con la misma orientación del momento, es igual a cero.
Para destruir el orden magnético hay que calentar el 3 He sólido. No es difícil apreciar aproximadamente la cantidad requerida de dicho calor: si la energía de interacción es ~ T t. f ., para destruir completamente el orden se necesita, a razón de un átomo, suministrar aproximadamente esa misma energía. Y como 1 mol de 3 He sólido, que ocupa un volumen de ~ 40 cm 3 , contiene ~ 6·10 23 átomos, para calentar esta cantidad se requiere una energía de ~ 3·10 -26 x 6·10 23 » 2·10 -2 J. Con arreglo a las temperaturas medidas en miligrados Kelvin, el resultado obtenido ¡es una cantidad gigantesca de energía!
Así son las cosas en cuanto al 3 He sólido. Y con arreglo al liquido, cuando los átomos transitan de un lugar a otro y todo el tiempo cambian de vecinos, el orden máximo equivale a lo que para el 3 He sólido hemos llamado desorden absoluto: es imposible decir hacia donde mira un vecino, pero por término medio la mitad de ellos mira hacia un lado, y la otra mitad hacia otro.
Por consiguiente, a T > 0,002°K con movimiento térmico, o sea, con la alteración del orden en el sistema de spines, en el 3 He sólido se halla ligada más energía que en el 3 He a esa misma temperatura. Precisamente por esto durante la fusión, el calor se desprende, y durante la cristalización, se absorbe. ¿No es verdad que es un fenómeno excelente?: el efecto térmico (llamado efecto de Pomeranchuk en honor al científico que lo predijo) se observa por el hecho que la sustancia tiene que (!) sufrir una transición de fase a una temperatura mucho más baja de la que posee al aparato.
El efecto de Pomeranchuk sirvió de base para un método más de enfriamiento, el cual, en esencia, también es magnético, aunque para su realización no se requiere ningún campo magnético. He aquí cómo puede estar estructurado tal criostato (en la figura 8.6 sólo se muestra su parte más fría): éste contiene tres volúmenes separados uno de otro por silfones elásticos (tubos plisados de paredes delgadas que se comprimen fácilmente a lo largo del eje) de bronce; el volumen más interno está lleno de 3 He líquido, y los otros dos, de 4 He.
Al principio este aparato se enfría hasta ~ 0,3°K, y la presión del 4 He en ambas cámaras se eleva hasta 25 atm, es decir, adquiere un valor algo menor que la presión de solidificación del 4 He. Luego, el volumen exterior se cierra, y la presión del 3 He se eleva hasta 29 atm, que también es algo inferior a la presión de transición del 3 He a fase sólida.
Además, los silfones se distienden, gracias a lo cual el 4 He, en el volumen exterior, se vuelve sólido parcialmente. Después de esto, mediante un criostato de disolución, el aparato se enfría hasta 25 mK, y el 4 He del volumen intermedio se expulsa al exterior.

Figura 8.6. Estructura de la parte de bajas temperaturas del criostato que funciona a base del efecto de Pomeranchuk ; 1, placa superior transmisora de presión, 2, armadura anular del condensador (su otra armadura es parte de la placa 1 que, al ser desplazada, varía la capacidad del condensador, la señal, proporcional a la capacidad y, por lo tanto, también al desplazamiento de la placa 1, es transmitida por el conductor 3 al aparato medidor externo) 4 y 11, cámaras exteriores intermedia con 4 He: 5, cámara interior con 3 He, 6, resistencia de carbón utilizada para el control de la temperatura: 7 y 8, bobinas para medir la resonancia magnética nuclear en el 3 He y en la muestra de alambre de cobre 9; 10, cola del aparato, confeccionada de una mezcla epoxídica (el uso de un dieléctrico en este lugar permite situar la bobina 7 fuera del helio); 12, objeto auxiliar usado para reducir el volumen ocupado por el 3 He (D. D. Osheroff , R. C. Richardson y D. M Lee. 1972)
Capítulo 9
EL HELIO Y LOS ELECTRONES
¿Y si en el helio liquido introducimos electrones libres? Uno de los primeros que planteó tal idea fue A. I. Shalnikov. El introdujo en helio líquido una fuente β radiactiva y empezó a estudiar cómo los electrones que salen de la fuente se mueven bajo la acción del campo eléctrico. Este experimento está representado esquemáticamente en la figura 9.1, en el fondo de un recipiente con helio se encuentra un “blanco de tritio” en forma de una tableta de molibdeno. En uno de sus lados ésta tiene una capa blanda de óxido de molibdeno, cuyos poros están llenos de tritio. Este último se desintegra emitiendo partículas β con una energía de varios kiloelectrónvoltios, y se convierte en 3He. Esas partículas β chocan con los átomos de helio. Como su energía supera en mucho la energía de ionización del átomo de helio, ellas, al chocar con éste, lo dividen en un electrón y un ión He+. Antes que la partícula β consuma toda su energía y se detenga, permaneciendo separada del blanco a la distancia de varias fracciones de milímetro, ella logra generar 200 pares de tales partículas. Naturalmente que los electrones e iones separados se atraen uno hacia otro y de nuevo forman átomos. Pero como las partículas β son emitidas constantemente, cerca del blanco, no obstante, existirá una nube de electrones e iones.
Instalemos sobre el electrodo-blanco una malta metálica y suministrémosle una tensión de varias decenas o centenas de voltios.
Si su potencial es positivo con respecto al blanco, hacia la malla se dirigirán los electrones, y si es negativo, los iones. Al colarse por las aberturas de la malla, los mismos pasarán adonde aún no hay campo eléctrico, y aquí se quedarán las cargas de un solo signo (electrones o iones) Ahora se puede estudiar lo que representan los electrones y los iones en el helio líquido.
Antes que nada, por supuesto, es preciso comprobar si realmente sobre la malla hay cargas libres. Para esto, introduzcamos en nuestro recipiente una malla más (2), y entre las mallas 1 y 2 apliquemos tensión. Inmediatamente veremos que con una polaridad la corriente fluye, y con otra no, según el signo de las cargas sobre la malla 1. Por lo tanto, resultó que las cargas realmente pueden ser divididas en el espacio y pueden moverse en el helio. Pero, desgraciadamente, midiendo la corriente es muy difícil sacar conclusiones cuantitativas.

Figura 9. A la izquierda: esquema de la estructura del aparato para estudiar el movimiento de las cargas eléctricas en el helio: a la derecha: diagrama de las tensiones entre las mallas 1-2 y 1-3, que ilustra el método de medición de la movilidad de los electrones según el tiempo de su recorrido.
Estas últimas se encuentran en movimiento térmico continuo, pero por término medio no hay ninguna corriente. Para que ésta fluya es necesario aplicar fuerza a los electrones. Tal fuerza la crea el campo eléctrico E y es igual a eE. La aceleración de cada carga de masa m es igual a eE/m, y durante el tiempo τ, éstas adquieren velocidad de movimiento dirigido v = eEτ/m. ¿Qué tiempo τ ha de introducirse en la fórmula? La carga transita no en el vacío, sino en un medio denso que, desde el punto de vista microscópico, es heterogéneo, pues el mismo es un líquido y no un cristal. La carga, claro está, experimentará choques con los átomos de helio. Y después de cada choque, la dirección del movimiento cambiará de modo completamente eventual. Por consiguiente, la velocidad que la carga adquirió bajo la acción del campo, después del choque puede recibir cualquier dirección en el espacio. Hay que empezar todo desde el principio, es decir, ir aumentando la velocidad desde cero a lo largo de E, y así de choque a choque.
De dicha descripción se deduce que, por término medio, la velocidad del movimiento dirigido a lo largo del campo eléctrico es igual a

m = et/m (9.1)
conocido con el nombre de movilidad de las cargas. Y la corriente que pasa a través de un conductor con una sección transversal igual a 1 cm2, evidentemente, es igual aI = Ne · m.E (9.2)
Esa corriente puede ser medida, pero es muy difícil encontrar N y m por separado, ya que estas dos magnitudes son incógnitas.Sin embargo, se puede modificar un poco el experimento. Para concretizar vamos a hablar del movimiento de los electrones. Entre la malla 1 y la 2 (ánodo) introduzcamos la malla 3 que llamaremos malla de control. Le suministraremos una tensión negativa con respecto a la malla 1, la cual evita que los electrones penetren en el espacio entre la malla de control y el ánodo. Por eso en el circuito del ánodo no habrá corriente. Si durante un tiempo muy corto cambiamos el signo de la tensión en la malla de control, una pequeña porción de electrones pasará a través de ella y comenzará a moverse hacia el ánodo. Pero los alcanzarán no inmediatamente, sino sólo después de cierto tiempo t = d2-3 / v’. Precisamente después de este intervalo de tiempo, en el circuito del ánodo se registrará un impulso de corriente. Y como E2-3 = U2-3 / d2-3, se puede escribir
(9.3)

Figura 9.2. Movilidad de las cargas positivas (iones) y negativos (electrones) en el helio líquido; los puntos diferentes corresponden a las mediciones efectuadas en distintos laboratorios.
¿Y qué nos dice el experimento? Acabamos de convencernos que una movilidad tan baja como la que hemos medido, simplemente no puede existir. Y sin embargo, eso es un hecho. ¿Qué es, pues, lo que pasa? ¿Puede ser que los electrones no quieren moverse separadamente de los átomos de helio y los “arrastran” tras de sí? Además, evidentemente, la masa del portador de corriente será mayor. En cuanto más, es fácil hallarlo si en nuestra igualdad sustituimos la movilidad medida y utilizamos esa igualdad para calcular m. Obtendremos una cantidad enorme: m » 2·107, me » 3·103 mHe. ¿Cómo puede el electrón arrastrar tras de sí tanto helio?
Para contestar a esta pregunta debemos recordar la relación de incertidumbre. Empecemos por el cálculo de la energía de las oscilaciones nulas ω, que debe tener el electrón para situarse en el espacio entre los átomos de helio (o sea, si a ese electrón se le concede un lugar de dimensiones a). Entonces p ≥ 2ph/a » 1,5·10-24 kg·m/s y, según el orden de magnitud, W » p2 / 2me » 10-18 J » 6 eV. Dicha energía, llamada energía de implantación, ha sido medida y en realidad es igual a W = 1,0 eV. En comparación con la energía de enlace de los átomos de helio entre sí, ésta es una magnitud enorme.
¿Puede ser que los electrones destruyen el enlace entre los átomos, los separan y se “sitúan” en un lugar libre, formando una burbuja en el helio? Si el radio r de la burbuja es mucho mayor que a, la energía cinética del electrón disminuirá considerablemente. (La burbuja, por supuesto, debe ser esférica, ya que el líquido es homogéneo.) Pero, por otro lado, surgirá una energía potencial, ya que la burbuja tiene una superficie cuya área constituye S = 4pr2, la cual divide las regiones donde hay helio y donde no lo hay. Si no fuera por el electrón, esta burbuja se verla obligada a estallar bajo la acción de las fuerzas de tensión superficial.

Figura 9.3. Esquema del dispositivo para determinar la energía superficial de un liquido
Por eso, con arreglo a la energía potencial de la burbuja, podemos escribir Up = 4pr2s (para el helio s = 0,38 mJ/m2). Y la energía cinética, al igual que para el electrón en el átomo, constituye Wc = p2h2/2mr2 (véase el quinto capitulo). Falta sumar dichas energías y ver con qué radio de la burbuja la energía es mínima, lo cual corresponderá precisamente al llamado estado estable.
Por consiguiente, buscamos el mínimo de la expresión
4psr2 + p2h2/2mr2 (9.4)
Dibujemos su gráfico (figura 9.4) y veremos que el mínimo corresponde al valor de r con el que Up = W. Partiendo de esto obtenemosr = (ph2 / 8ms)1/4 » 1,8·10-7 cm » 4a (9.5)
Y de la burbuja de radio 4a serán desalojados 4/3p· .43 » 250 átomos de helio.Hablando del movimiento en un campo eléctrico, se puede decir que es lo mismo si el electrón arrastra tras de sí átomos o, al contrario, un hueco en el líquido: en ambos casos se produce el traslado de masa. Sólo que en un caso eso ocurre hacia donde se mueve el electrón, y en otro caso, en dirección contraria. Por eso, para apreciar la movilidad debemos utilizar no la masa del electrón, sino la de los átomos desalojados de la burbuja, o sea, 250 mHe. Esto sigue siendo ~10 veces menor que lo necesario para la concordancia con el experimento. Pero una burbuja tan grande puede tener un “recorrido” mucho menor que la distancia interatómica.

Figura 9.4 Variación de las energías cinética (línea de puntos y trazos), potencial (línea de trazos) y total (línea continua) de una burbuja con un electrón en función del radio de la burbuja.
¿Y qué hacer con el ión positivo? Pues también para él hay que exigir que su masa sea mucho mayor que la del helio, y las oscilaciones nulas aquí ya no ayudarán, ya que éstas no cambian cuando el átomo adquiere carga. Aquí es necesario tener en cuenta otro efecto. Alrededor del ión cargado positivamente existe un campo eléctrico cuya intensidad es igual a e/r2. Los átomos de helio vecinos se polarizan bajo su acción (véase el quinto capítulo) y, gracias a ello, son atraídos hacia el ión. La presión excesiva que surge lejos de este último a consecuencia de dicha fuerza, naturalmente que es pequeña, pero cerca de él resulta mayor que la presión a la que el helio se solidifica. Por eso, en torno al ión se forma una “bolita de hielo” cuyo radio, según muestran los cálculos, constituye ~2a, y la masa m+ » 50 mHe. Esa “bolita” es menor que la burbuja electrónica, y por eso su movilidad es mayor.
¿Pero todo eso no serán conjeturas? Pues son formaciones realmente raras: una burbuja cuyo radio constituye tan sólo ~18 Å, y una bolita de hielo aún menor. Todas nuestras suposiciones eran razonables, a excepción de una: ¿es posible aplicar los conceptos de tensión superficial y de presión de solidificación a “objetos” tan pequeños? En efecto, si se trata, por ejemplo, de dos átomos, ¿se puede, acaso, decir que los mismos forman helio líquido o sólido? ¿Y qué cantidad de ellos es preciso tener para que eso adquiera sentido? En general, para solucionar un problema confuso, la obtención de un solo resultado, la movilidad, aún es muy poco. Pero si se lograra pesar las cargas... ¡Se logró!
¿Cómo se efectuó eso? Fue necesario detener las cargas, lo cual es una tarea sencilla: basta con que en nuestro aparato hagamos descender (véase figura 9.1) el nivel del helio más abajo del segundo electrodo. Entonces, bajo la acción del campo, los electrones o iones llegarán hasta la superficie de separación y se detendrán. Para entender por qué se detuvieron, veamos qué fuerzas actúan sobre la carga cerca de la frontera entre el vacío y el dieléctrico que, en este caso, es el helio.
Ya hemos resuelto un problema semejante cuando se trataba de una película de helio y de las fuerzas de Van der Waals, sólo que ahora ese problema es más sencillo. Supongamos que el electrón no se encuentra dentro del helio, sino fuera, y que la distancia entre él y la frontera es R. El campo que actúa sobre los átomos situados en la superficie, del lado del dieléctrico, constituye E = e/R2. Este campo provoca la polarización de los átomos y, del mismo modo que hemos resuelto el problema 9, no es difícil calcular que la fuerza de atracción entre un átomo y un electrón constituye f = 2ae2/R5.
Problema 12.
Calcular la fuerza de atracción del electrón hacia el átomo, si la distancia entre ellos es mayor que el radio de este último.
Falta sumar todos los dipolos, y como la fuerza disminuye rápidamente con la distancia, tomaremos en consideración sólo los más cercanos, cuyo número, como en el caso de las fuerzas de Van der Waals, de nuevo es proporcional a R3/a3. Así pues, el electrón es atraído hacia el dieléctrico con una fuerza
(9.6)
Es un resultado excelente: hemos obtenido la misma ley de interacción que en el caso de dos cargas puntuales. Una de ellas es e, y la otra Nae. Recordemos que un dieléctrico se caracteriza por su permitividad e, equivalente a la unidad en el vacío y que es tanto mayor cuanto más alta es la polarizabilidad de las partículas dieléctricas integrantes y cuanto mayor es su número por unidad de volumen. La fórmula que enlaza e y a tiene el siguiente aspecto (por ahora e se diferencia poco de 1):
e = 1 + 4pNa (9.7)
Teniendo esto en cuenta, obtendremosF ~ (e - 1)·e2 / R2 (9.8)
Esta fórmula tiene un aspecto formidable, pero seria preferible sustituir el signo de proporcionalidad por el de igualdad. Además, la misma todavía no es del todo correcta: no hemos considerado el efecto pantalla de los propios dipolos, ya que los que se encuentran más cerca de la superficie actúan con su campo sobre las capas más alejadas en dirección contraria a la del electrón exterior. Y si e es grande, esta acción resulta considerable. Cuando hablábamos de las fuerzas de Van der Waals no hemos tomado en consideración dicho efecto, ya que allí, en realidad, sólo las capas más superficiales participan en la interacción. Pero ahora, con la distancia, las fuerzas decrecen más lentamente y es necesario tener en cuenta la ¡interacción de los dipolos, así que los cálculos exactos conducen a la fórmula
(9.9)
Demuestren que la fórmula (9.9) proporciona un resultado correcto para la fuerza con la que la carga es atraída por un metal Indicación: el metal es un dieléctrico con e = ¥ , ya que el campo eléctrico continuo externo no penetra en él, o sea, se debilita un número infinito de veces.
Pero como a nosotros nos interesa el helio líquido que tiene e = 0,057..., en vez de (9.9) utilizaremos una fórmula simple cuya exactitud es bastante alta:
(9.10)
Y, por fin, ya hemos llegado a la respuesta: el electrón (y también el ión) no puede separarse del helio, ya que sobre él, cerca de la frontera, actúa una fuerza de repulsión. Si el campo entre los electrodos es igual a E, la burbuja electrónica (o el ión) “se detendrá” a la distancia R0 de la superficie de separación. Esto se determina por la condición
(9.11)
Por supuesto que se han dado cuenta que la palabra “detenerse” fue escrita, no sin razón, entre comillas: la burbuja electrónica, a consecuencia del movimiento térmico, tiene energía cinética y por eso, la misma oscilará alrededor de la posición de equilibrio. La frecuencia de tales oscilaciones puede ser determinada de la misma manera que se calcula la frecuencia de oscilaciones de cualquier péndulo, y la respuesta es la siguiente
(9.12)
Calcular la frecuencia de oscilaciones de una carga en el helio, cerca de la superficie del líquido.

Figura. 9.5, Lineas de resononcia para una “bolita de hielo” iónica (a) y una “burbuja” electrónica (b) a frecuencia de 208 MHz y T = 07 K. La línea para los aniones corresponde d la condición 2𝜋𝜈ext,= 2𝜔 (J. Poitrenaud y F.I.B, Villiams, 1972)
En este caso podemos olvidarnos de las leyes cuánticas y considerar la burbuja como una partícula clásica, ya que ella es demasiado pesada y, por lo tanto, la energía de las oscilaciones nulas resulta muy pequeña. Para E = 1 CGSE y m_(+) » 10 mHe obtendremos ω = 109 s-1 o bien, para una frecuencia común, v = ω/2p = 200 MHz. Examinando la fórmula (9.12) se pone de manifiesto cómo ha de ser pesada la burbuja electrónica: es necesario aplicar a los electrodos 1 y 2, no sólo una diferencia de potenciales U1-2 que crea un campo E1-2 ,sino también un campo alterno complementario de frecuencia vext =100 MHz. Si ahora variamos lentamente el campo E1-2, con cierto valor de éste, la frecuencia de oscilaciones de la burbuja coincidirá con vext entonces (si la sensibilidad es suficiente) se manifestará una resonancia como la mostrada en la figura 9.5. Sólo queda sustituir, en la fórmula (9.12), todas las magnitudes ahora conocidas, y el asunto será resuelto. Precisamente así se logró determinar la masa de la burbuja electrónica, m- = (243 ± 5) mHe y de la “bolita de hielo” iónica m+ = (45 ± 2) mHe.
¿Y qué pasará si “invertimos” el experimento relacionado con los electrones, o sea, si acercamos el electrón al helio no por dentro, sino por fuera? Claro, si lo hacemos bruscamente, o sea, si dirigimos sobre la superficie del helio, por ejemplo, un haz de electrones de alta energía, engendrado por un cátodo común, estos últimos penetrarán en él y se dirigirán directamente al electrodo inferior. Pero si su energía es menor de 1 eV, ya hemos dicho que ésta es precisamente la energía de penetración en el helio líquido, entonces, los electrones no podrán penetrar en él. Pero tampoco podrán separarse de su superficie, ¡ya que serán atraídos por el dieléctrico! ¿Dónde ahora, pues, se encontrará el electrón?
Es fácil dar una respuesta cualitativa: otra vez hay que utilizar la relación de incertidumbres y, así cómo fue hecho para la burbuja electrónica en el helio, es necesario hallar la distancia media entre el electrón y la superficie de ese líquido. Realicen tales cálculos sencillos y verán que la referida distancia media, es decir, la incertidumbre de su coordenada, tiene una magnitud de 100 Å.
Problema 15.
Apreciar la distancia media entre un electrón situado sobre el helio líquido, y la superficie de este último.
Resulta un objeto completamente cuántico, con dimensiones ya más bien macro que microscópicas. Pero esto es sólo una dimensión, en dirección vertical. Sin embargo, en dirección horizontal, sobre el electrón no actúa en absoluto ninguna fuerza, y nada obstaculiza su movimiento en el plano de la superficie.

Figura 9.6. Aparato para observar los electrones levitantes.

Figura 9.7. a, esquema del aparato, y b .fotografía de la superficie de helio “pandeada” por las fuerzas que actúan sobre los electrones. El campo eléctrico que actúa sobre los electrones constituye 103 V/cm (R. S. Craudal y R. Williams, 1972).
neE = rgh (9.13)
No es difícil calcular n y E si tenemos en cuenta que antes de conectar la fuente de electrones, entre los electrodos inferior y superior actuaba un campo eléctrico igual a Ein = U/d (para simplificar, ahora despreciamos la pequeña diferencia entre e del helio y la unidad). Después hemos conectado el cátodo, y los electrones emitidos por éste, bajo la acción de dicho campo, se dirigieron hacia abajo y comenzaron a acumularse en la superficie del líquido, creando un campo que actúa sobre el helio al encuentro de Ein. Cuando tales campos se igualan con arreglo a su valor absoluto, no quedan fuerzas capaces de atraer nuevas porciones de electrones hacia el líquido, ya que el campo sobre éste se vuelve simplemente nulo. Eso significa que el potencial en la superficie se iguala con el potencial del electrodo superior y que podemos eliminarlo mentalmente, considerando que la diferencia de potencial U está aplicada entre el electrodo inferior y el “electrodo” separado del primero a la distancia d’ y formado sólo por electrones situados exactamente en la superficie del helio.Nos queda hacer unos cálculos sencillos y obtendremos
(9.14)
(9.15)
Problema 16.
Determinar la concentración de electrones en la superficie del helio, si entre los electrodos del condensador (véase figura 9.7) se aplica una diferencia de potencial U, y calcular la intensidad del campo que actúa sobre ellos.
¿Y si tomáramos U = 10 CGSE? Podría pensarse que en este caso el cambio de nivel se vería mucho mejor, ya que h aumentarla 100 veces. Pero el asunto es que hay un valor máximo de E, más arriba del cual el sistema de electrones en la superficie se vuelve inestable.
Imagínense el siguiente cuadro: supongamos que tenemos un condensador de extensión infinita, dentro del cual hay helio con una carga superficial. Mientras los electrones permanecen distribuidos de modo estrictamente uniforme, sobre el líquido actúa una presión P = neE. Pero si por alguna razón, por ejemplo, a consecuencia de una sacudida casual, en la superficie del líquido se forma una concavidad, entonces, la densidad de electrones en este lugar aumentará instantáneamente, ya que allí la distancia hasta el electrodo inferior resultará menor, y a los electrones les conviene pasar a ese lugar. El aumento de la densidad conduce al incremento de la presión de los electrones sobre el helio, o sea, los mismos actuarán de tal manera que elevarán aún más la perturbación inicial. También hay fuerzas que tratan de devolver al líquido su superficie plana, tales son la tensión superficial y la fuerza de la gravedad. Es decir, son las mismas fuerzas que ponen plana la superficie del líquido cuando no hay electrones. Pero a medida que aumentan n y E, crecen las fuerzas que contribuyen a la formación de concavidades. Si n llega a ser mayor de ~2·109 electrones/cm2 (a este valor de n, según la fórmula (9.14), le corresponde E » 2 kV/cm), la tensión superficial y la gravitación ya no podrán devolver al líquido la superficie plana, y la perturbación inicial crecerá rápidamente.
Se logró fotografiar ese cuadro con una cámara cinematográfica rápida, y varias imágenes que muestran el desarrollo de la inestabilidad, se ofrecen en la figura 9.8. La primera imagen es una superficie en calma, cargada y abollada hacia abajo, o sea, hacia dentro del condensador. La segunda imagen fue obtenida después que, a consecuencia de un pequeño aumento de la diferencia de potencial U, se produjo la transición al estado inestable. En la fotografía apareció una franja oscura, ya que ahora la luz se dispersa intensamente, reflejándose muchas veces de las ondas que surgen en la superficie. Si miramos no de un lado, sino bajo un pequeño ángulo respecto a la superficie, aproximadamente de la misma manera que el hombre contempla el mar admirando las olas, también en el helio se ven olas semejantes. Las mismas se “balancean” tan intensamente que se forman profundas hondonadas en las que se concentran muchos electrones. Y de esas hondonadas se separan burbujas llenas de electrones, y se hunden en el líquido (imágenes 3 y 4). Y como resultado, todos los electrones abandonan la superficie, y la carga desaparece.
Se puede hablar de la estabilidad no sólo de los electrones sobre el helio, sino también de los electrones (o iones positivos) bajo la superficie del helio.

Figura 9.8. Imágenes cinematográficas que ilustran el desarrollo de la inestabilidad y el engendramiento de burbujas cargadas que se hunden en el helio líquido. El tiempo de una imagen a otra es de ~0.1 ms (A. P. Volodin, M. S. Jaikin y B. C. Edelman, 1977).

Figura 9.9. Chorro de helio arrancado por el campo que actúa sobre la superficie cargada por dentro. El electrodo superior tiene forma de esfera para que la perforación se produzca en un mismo lugar: esto facilita la observación del cuadro. (A. P. Volodin y M. S. Jaikin. 1971).

Figura 9.10. Fotografía de un “cristal” bidimensional de hoyuelos de electrones múltiples (sectores claros) en la superficie de helio, tomada bajo un ángulo pequeño respecto a esa superficie (P. Leiderer y M. Wanner, 1975).
Pero queda la pregunta: ¿y es posible la formación de un cristal wigneriano en el que en cada vértice de la red haya tan sólo un electrón? Las estimaciones simples muestran que eso se puede lograr. Recordemos que, generalmente, para la cristalización es necesario que la energía de enlace Uen sea comparable con kT. Si se trata sólo de electrones, entonces Uen debe ser proporcional a la energía de interacción de Coulomb de los electrones vecinos e2/r » e2√n, constituyendo cierta fracción de ésta. Por consiguiente, para la formación de un cristal es necesario que
(9.16)

Figura 9.11. Variante del aparato de la figura 9.6, en el que se puede estudiar el movimiento de los electrones levitantes a lo largo de la superficie de helio.
Bajo la acción del campo variable, el electrón se mueve hacia atrás y hacia adelante con una frecuencia angular ω. Como él “roza” con el helio, excitará, indispensablemente en su superficie, oscilaciones de esa misma frecuencia; tales oscilaciones son conocidas con el nombre de ondas capilares. Según su naturaleza, las mismas son análogas a las cabrillas en el agua, solamente que, claro está, aquí se trata de dimensiones mucho menores, que constituyen no centímetros, sino ~10-4 cm. De cada electrón correrá por la superficie una onda cuya longitud l se determina por la frecuencia ω.

Figura 9.12. Amplificación de una onda superficial sometida a oscilación de resonancia por electrones dispuestos periódicamente: 1 a 4, ondas generadas por los electrones 1 a 4. Abajo se muestra la onda total.
Naturalmente que no habrá ninguna resonancia si no existe un estado ordenado, o sea, si las distancias entre los electrones son diferentes. Por eso, la desaparición de la resonancia al aumentar la temperatura significa que el cristal se ha fundido. Es interesante que en tal cristal sintético se pueda variar fácilmente la temperatura de fusión, para lo cual basta con modificar la concentración de electrones. Pero la relación


Figura 9.13. Registro del experimento que ilustra el surgimiento de resonancias de absorción de la onda electromagnética al formarse un cristal en el que los electrones están dispuestos de tal manera que forman una red triangular (C. C. Grimes y G. Adams, 1979).
Continuemos el relato sobre los electrones. Esta vez hablaremos de lo que ocurre con los electrones a bajas temperaturas en los cuerpos sólidos. Sin embargo, nos interesarán sólo las sustancias en las que los electrones pueden desplazarse engendrando así mismo una corriente eléctrica, o sea, los metales.
¿Y qué son, en realidad, los metales?
"Llamase metal un cuerpo claro que puede ser forjado", escribía Lomonosov en 1761. Consulten un libro de química y verán que los metales poseen un brillo característico ("un cuerpo claro") y que conducen bien la corriente eléctrica y el calor. Es cierto que ahí mismo leerán que existen elementos que manifiestan propiedades tanto de metales como de metaloides. Con otras palabras, no hay una frontera precisa que divida uno de otro. Al químico, que en primer lugar le interesan las reacciones químicas y para quien cada elemento es un mundo suyo particular, tal imprecisión no le preocupa mucho. Pero al físico eso no le conviene, ya que si los cuerpos se dividen en metales y metaloides, es preciso entender en qué consiste su diferencia principal. Por eso es necesario definir de tal modo lo que es un metal, que, al igual que en otros casos en el campo de las ciencias exactas, se satisfagan dos exigencias: todos los metales deben poseer todas, sin excepción, las propiedades que a ellos les atribuyen; y otros objetos no deben satisfacer por lo menos una de esas propiedades.
Dotados de tales consideraciones, veremos si todos los metales, sin excepción, poseen todas las propiedades que les atribuyen los libros de texto. Empecemos por el examen de las palabras "puede ser forjado", o sea, por la plasticidad, hablando en lenguaje moderno. Y aquí recordemos, por consonancia, los plásticos, que así fueron llamados no en vano, ya que a muchos de ellos les es propia la plasticidad, o sea, la facultad de cambiar de forma irreversiblemente sin destrucción. En efecto, el cobre, el hierro y el aluminio se forjan fácilmente, el plomo aún más fácil, el indio, que es un metal bastante raro y caro, es blando casi como la cera (¡y la cera no es un metal!), y los metales alcalinos son aún más blandos. Pero hagan la prueba de golpear fuertemente un pedazo de hierro fundido, ¡y éste se hará pedazos! Y en este caso los metalúrgicos dirán: eso ocurre porque el hierro fundido no es una sustancia. El consta de cristales de hierro separados por capas de carbón, es decir, de grafito. Y precisamente el mismo se rompe por dichas capas. Todo eso es justo. Pero el infortunio consiste en que la física moderna, no obstante, estima que el grafito, esa sustancia tan frágil, ¡es un metal! Además, no sólo él es frágil: entre los metales figuran, por ejemplo, el arsénico, el antimonio y el bismuto, sin embargo, ellos se forjan con el mismo éxito que el vidrio, ¡se quiebran en fragmentos diminutos!
Pues qué hacer, tendremos, por lo visto, que abandonar dicha propiedad, además, ella es típica de muchas sustancias. Incluso, ¡calienten el propio vidrio y hagan de él lo que quieran!
Así pues, abreviamos la formulación y seguimos avanzando. Le ha tocado el turno al "brillo" o, hablando en el lenguaje científico, a las propiedades ópticas. Hay muchos objetos brillantes: el agua, el vidrio, las piedras pulidas, etc. Por consiguiente, tampoco esa propiedad es suficiente, por eso dicen que los metales se caracterizan por su brillo metálico. Pues muy bien, resulta que un metal es un metal. Aunque intuitivamente sentimos que los metales deben brillar como el cobre, el oro, la plata y el hierro pulidos. ¿Y un mineral tan difundido como la pirita, acaso no brilla como los metales? ¿Y qué decir de tales semiconductores típicos como el germanio y el silicio? Por su aspecto exterior ellos no se diferencian en nada de los metales. Por otro lado, no hace mucho tiempo hemos aprendido a obtener buenos cristales de tales compuestos como el bióxido de molibdeno: son de color castaño-violeta y se parecen muy poco a un metal ordinario. ¡Resulta que dicha sustancia ha de ser considerada como metal! El porqué se aclarará un poco más adelante. Por eso el brillo, como propiedad característica de los metales, ha dejado de ser actual.
Ahora le ha llegado el turno a la conductividad térmica. Por lo visto, esta propiedad puede ser rechazada inmediatamente, ya que todos los cuerpos, sin excepción, conducen el calor. Es cierto que de los metales dicen: "conducen bien el calor". Pero he aquí una pregunta: "¿qué es bien y qué es mal?".
¿Conduce bien el calor el cobre? Simultáneamente surge la pregunta contraria: ¿qué cobre y a qué temperatura? Si tomamos un pedazo de cobre puro, por ejemplo, del que hacen los conductores para los aparatos de radio, y lo calentamos hasta el rojo vivo, o sea, lo recocemos, entonces, a temperatura ambiente, él, y también la plata pura, conducirán el calor mejor que cualquier otro metal. Pero doblen esa muestra, golpeándola o apretándola con una mordaza, y su conductividad térmica ¡empeorará decenas de veces! ¿Y qué ocurrirá si comenzamos a enfriar un pedazo de cobre recocido? Al principio su conductividad térmica crecerá, aumentando 20 a 30 veces a la temperatura de 20°K, después empezará a disminuir rápidamente (figura 10.1) y, al alcanzar el cero absoluto, ha de reducirse a cero.
Tomemos otro metal, el bismuto. El cuadro para éste es muy parecido al descrito para el cobre, sólo que el máximo de conductividad térmica se manifiesta a ~ 3°K y a temperatura ambiente el bismuto conduce mal el calor, un poco mejor que el cristal de cuarzo. ¡Pero el cuarzo no es un metal! No obstante, el mismo, como se deduce de la figura 10.1, en cuanto a sus propiedades de conductividad térmica, a veces resulta no peor que el cobre. Sin embargo, el cuarzo fundido, o sea, el vidrio de cuarzo, conduce mal el calor, aproximadamente como el acero inoxidable.

Figura 10.1. Variación de la conductividad térmica específica en función de la temperatura, para sustancias diferentes.
Rechazamos la conductividad térmica y no lo lamentamos. Y no sólo porque a base de esta propiedad no es tan fácil distinguir un metal de un metaloide, sino porque, como resulta, los rasgos específicos de la conductividad térmica de los metales son la consecuencia de su conductividad eléctrica, última propiedad que ha quedado.
Y de nuevo en la definición expuesta al principio del capitulo debemos precisar: no simplemente conductividad eléctrica, sino buena conductividad eléctrica. Sin embargo, cuando se trataba de la conductividad térmica, el epíteto "buena" nos causó indignación, y, como resultó, no fue en vano. ¿Resulta que también esta última propiedad inspira desconfianza? Es necesario salvarla sin falta, ya que de lo contrario nos quedaremos sin metales en general, y al mismo tiempo sin semiconductores y sin aislantes. Cualquier escolar, en la mayoría de los casos, sin pensar, dirá en qué consiste el asunto, pero, tras penetrar más profundamente en la cuestión, nos quedamos con la boca abierta.
Y he aquí el porqué. Tomemos las tablas de magnitudes físicas y observemos las cifras. Por ejemplo, a temperatura ambiente, la resistividad ρ (en W ·cm) del cobre constituye 1,55·10 -6 ; la del bismuto 10 -4 ; la del grafito 10 -3 , la del germanio y silicio puros 10 2 (pero agregando impurezas puede alcanzar 10 -3 ; la del mármol 10 7 a 10 11 , la del vidrio 10 10 , etc., y al final de la lista figura el ámbar con una resistividad de 10 19 . ¿Y dónde, pues, terminan los metales y comienzan los dieléctricos? Además no hemos citado los electrólitos. Incluso el agua marina común conduce bien la electricidad. Por consiguiente, ¿acaso también debemos considerarla como metal?

Figura 10.2. Variación de la resistividad de un metal puro (cobre) y un semiconductor (germanio puro) en función de la temperatura.
Y así, hemos llegado a la respuesta: los metales son sustancias que conducen la electricidad a cualquier temperatura. A diferencia de ellos, los dieléctricos dejan de conducir la electricidad al ser enfriados hasta el cero absoluto. Si utilizamos tal definición, tanto el grafito como el bióxido de molibdeno resultan metales. ¿Y cómo catalogar los semiconductores? Si se trata de cristales absolutamente puros, éstos, hablando en rigor, son dieléctricos, pero si ellos contienen muchas impurezas, pueden transformarse en metales, o sea, son capaces de, conservar la conductividad a temperaturas mínimas. ¿Y qué nos ha quedado al fin y al cabo? Logramos descubrir la única característica esencial, guiándonos por la cual podemos, si no en la práctica cotidiana, por lo menos en principio, distinguir siempre un metal de un metaloide. Y como esta característica es única, resultan automáticamente satisfechas ambas condiciones cuyo cumplimiento exigíamos al principio del capitulo.
Como ven, los metales han ocupado, con pleno derecho, un lugar en nuestro libro sobre la física de las bajas temperaturas, pues incluso la definición rigurosa de lo que es un metal resulta imposible sin acudir a dicha rama de la ciencia.
Pero, por otro lado, el propio hecho de conservación de la conductividad eléctrica a temperatura del cero absoluto, es sorprendente y exige una explicación. En efecto, ya más de ciento cincuenta años es conocida la ley de Dulong y Petit, la cual afirma que a temperatura ambiente los cuerpos sólidos poseen una capacidad térmica de ~ 25 J/mol o, a razón de una molécula, de 3 k . El sentido de esta ley es evidente: la molécula en la red cristalina puede oscilar, respecto a la posición de equilibrio, en todas las direcciones, y si la propia frecuencia de oscilaciones es bastante baja (generalmente corresponde a la temperatura de ~ 100°K), entonces, a temperatura ambiente, las oscilaciones están excitadas y la energía de su movimiento térmico, según la fórmula (2.5), constituye kT para las oscilaciones en cada una de las direcciones en el espacio, o sea, en total 3 kT , lo cual proporciona una capacidad térmica de 3 k . Los metales dieléctricos obedecen esa regla. Pero para explicar la conductividad eléctrica de un metal es necesario suponer que en él hay electrones libres capaces de transferir cargas eléctricas. La libertad, evidentemente, exige que cada uno de éstos tenga, al igual que los átomos de un gas ideal, una energía media de 3/2 kT , y todos ellos juntos deben agregar a la capacidad térmica 3 Nk ( N es el número de átomos en la muestra) además 3/2 N e kT , donde N e es el número de electrones libres. Pero ese peso complementario es insignificante, por eso los metales y dieléctricos tienen la misma capacidad térmica total. Esto puede significar solamente una cosa: que N e « N, así que 3/2 N e k « 3 Nk .
¿Cómo comprender esto? Todos los átomos en el cristal son idénticos. Por consiguiente, o todos ellos entregan por lo menos un electrón, el cual se vuelve libre, si ese hecho es energéticamente ventajoso, y entonces N = N e , o la aparición de electrones libres está relacionada con su excitación térmica. En el segundo caso es necesario considerar que existe cierta energía E e que debe ser asimilada por el electrón para que éste se separe del átomo, y entonces, el número de electrones libres, según Boltzmann, constituirá
![]()
Pero ya que se trata de la necesidad de aplicar las leyes del micromundo, al principio es natural tratar de establecer si las propiedades "metálicas" de las sustancias son predeterminadas por ciertas propiedades cualitativas de los átomos componentes. Para tales sospechas no existe ninguna razón.
En efecto, hace tiempo se ha notado que algunos elementos, tales como el cobre, el oro, la plata, el hierro, el plomo y el estaño, tanto puros como aleados uno con otro, forman metales. Otros, por ejemplo, el fósforo, el azufre, el cloro, el nitrógeno y el oxígeno, no sólo ellos mismos no son metales, sino que además, al ser aleados con metales, convierten estos últimos en dieléctricos. Un ejemplo de esto es la sal común NaCl. Por eso apareció la división de los átomos en metales y metaloides.
Sin embargo, tal clasificación no es más que una constatación de los hechos, aunque, a primera vista, ésta pretende explicar las propiedades de las sustancias a partir de la estructura de los átomos. En efecto, observemos la tabla de Mendeleev. Es bien sabido que los elementos situados en sus columnas verticales son muy parecidos por sus propiedades químicas. Pero examinando esta tabla es imposible decir si conducen la corriente las aleaciones y cristales hechos de tales elementos. Por ejemplo, todos los elementos del primer grupo, a excepción del primero, el hidrógeno, forman metales. Pero una ley que a alguien le está permitido violar, ya no es ley. Es cierto que en el segundo grupo la situación mejora, aquí todos son metales corrientes, pero en el tercer, otra vez se observa cierta interrupción: el boro es semiconductor, y el aluminio es un metal excelente. A continuación todo empeora aún más. El primer elemento del cuarto grupo es el carbono. Ya hemos dicho que el grafito, así se llama el cristal de carbono, es un metal. Sin embargo, el diamante, cristal integrado por átomos de carbono, pero dispuestos de otra manera que en el grafito, es un aislante. El silicio y el germanio son semiconductores clásicos, o sea, utilizando nuestra definición de metales, debemos catalogarlos como dieléctricos. El estaño podía pensarse que es un metal típico, sin embargo, si lo mantenemos largo tiempo a temperatura de -30°C, la estructura cristalina de este metal blanco y brilloso bien conocido por todos, cambia, adquiriendo superficialmente un color grisáceo. Y el referido estaño, precisamente llamado "estaño gris", es un semiconductor. Pero el plomo no se convierte en semiconductor, manteniéndose siempre metal.
Si ahora empezamos a mezclar distintos elementos, el cuadro se complicará del todo. Mezclemos, por ejemplo, dos metales, el indio y el antimonio, en proporción de uno a uno. Y obtendremos el semiconductor InSb ampliamente aplicado en la técnica. Por otro lado, ya hemos dicho que el bióxido de molibdeno Mo0 2 a T = 0 conduce la corriente eléctrica, es decir, es un metal (también son metales W0 2 , Re 2 O 3 , y algunos otros óxidos, así como tales compuestos tan complejos como el AuTe 2 Br y otros).
¡Parece que dividir los átomos en metales y metaloides no es un problema tan sencillo! Examinando algunos átomos no podemos decir si la sustancia integrada por ellos conducirá o no la corriente eléctrica, puesto que en este caso desempeñará un papel muy importante el hecho de cómo esos átomos estén dispuestos uno respecto a otro. Por consiguiente, también para contestar a la pregunta de por qué los metales conducen la corriente, es imprescindible estudiar cómo interaccionan los átomos entre sí, formando los cuerpos sólidos.
Veamos cómo son las cosas en cuanto a uno de los elementos más simples, el litio, que a ciencia cierta es un metal. Su número de orden es tres. Eso significa que su núcleo contiene tres protones cuya carga positiva se halla compensada por tres electrones dispuestos de tal manera que satisfacen el principio de Pauli (véase el séptimo capitulo). Dos de ellos se encuentran en la órbita más cercana al núcleo y permanecen fuertemente enlazados con él. De acuerdo con el principio de Pauli, en esta órbita no pueden situarse más electrones. El electrón restante ocupa la segunda órbita, en la que podría situarse un electrón más, pero el litio no lo tiene. Todos los demás estados de energía permitidos están libres, y los electrones caen en ellos sólo cuando el átomo se excita, por ejemplo, al calentar fuertemente los vapores de litio. El esquema de los niveles en el átomo de litio se muestra en la figura 10.1
Examinemos ahora el conjunto de átomos de litio que se encuentran en un volumen limitado. Estos, en principio, pueden formar un gas, un líquido o un cuerpo sólido, pero, a temperatura del cero absoluto, de todas las posibilidades se realiza sólo una: el cuerpo sólido. Al formarse un cristal de un gas, la energía de todo el sistema y, por consiguiente, de cada átomo, disminuye, y la medida de tal variación es el calor de evaporación.
La energía de los átomos en el cuerpo sólido disminuye a consecuencia de su interacción. Esta última, un ejemplo de ella son las fuerzas de Van der Waals, que tiene un carácter puramente eléctrico, o sea, afecta, en los átomos, antes que nada a sus electrones.

Figura 10.3. Esquema de los niveles de energía del litio y su transformación en zonas, al unirse los átomos en un cristal. Las líneas continuas indican los estados ocupados, y las líneas de trazos, los espacios libres.
Lo que ocurre con los niveles energéticos se puede comprender a partir de la analogía que existe entre el movimiento del electrón en el átomo y un sistema oscilatorio, por ejemplo, un péndulo. Supongamos que tenemos dos péndulos absolutamente idénticos. Mientras no interaccionen entre sí, la frecuencia de oscilación de ambos será igual. Introduzcamos ahora la interacción entre ellos: enlacémoslos, por ejemplo, mediante un resorte suave. E inmediatamente en vez de una frecuencia aparecerán dos. Observen la figura 10.4: los péndulos enlazados pueden oscilar sincrónicamente o al encuentro uno de otro.
Evidentemente, en el último caso su movimiento será más rápido, o sea, la frecuencia de oscilación será mayor. Por lo tanto, el enlace conduce a una división de frecuencias tanto mayor cuanto más fuerte sea el enlace. Si ahora enlazamos tres péndulos, ya tendremos tres frecuencias propias, para cuatro, cuatro, y así sucesivamente hasta el infinito.
El comportamiento de cualquier sistema oscilante es semejante. Si reemplazamos los péndulos, por ejemplo, por circuitos eléctricos oscilantes, entonces, como bien saben los radioaficionados, al introducir un enlace entre ellos, sus frecuencias propias también se dividirán. Los electrones en el átomo también son, de hecho, un sistema oscilante.

Figura 10.4 Tipos posibles de oscilaciones de dos péndulos enlazados.
Pero las propias frecuencias de movimiento de los electrones, como ya dijimos más de una vez son prácticamente lo mismo que sus propias energías E = h ω. Por eso es necesario esperar que, al acercarse dos átomos, cada uno de los niveles mostrados en la figura 10.3 se divida en dos. El par obtenido del nivel más inferior se llenará por completo de electrones. En efecto, en dos niveles de energía pueden situarse cuatro electrones, sin embargo, dos átomos de litio tienen seis. Quedan dos que ahora se situarán en el nivel inferior del segundo par. Fíjense qué salto cualitativo ha ocurrido: antes estos dos electrones ocupaban dos de los cuatro estados que tenían igual energía. Ahora que tienen posibilidad de elegir, se situaron de tal modo que su energía es lo menor posible. No es difícil figurarse lo que ocurrirá al agregar los átomos siguientes: para tres átomos cada nivel inicial se dividirá en tres (véase figura 10.3). Esos nueve electrones se distribuirán así: seis en la triada inferior de niveles, que surgen del nivel de la capa electrónica más cercana al núcleo del átomo; otros dos electrones, en el nivel inferior de la siguiente triada; y el electrón restante, en el nivel medio de esa misma triada. En este nivel queda libre un lugar más, mientras que el nivel superior permanece absolutamente vacío. Si tomamos N átomos ( N » 1), cada nivel se dividirá en N niveles dispuestos estrechamente y que forman, según se dice, una franja o zona de valores de energías admisibles. En la franja inferior todos los estados resultarán ocupados, y en la segunda, sólo la mitad, y precisamente aquellos cuya energía yace más abajo. La siguiente franja permanece completamente vacía.
¿Y qué hemos obtenido? Mientras los átomos permanecían de por sí aislados, todos los electrones ocupaban estados absolutamente determinados. Ahora los átomos se han agrupado en un cristal. Los propios átomos en él, evidentemente, se mantienen invariables, pero todos los electrones son diferentes. Esta contradicción puede ser superada de un solo modo: los electrones ya no pertenecen más a átomos aislados, sino que cada uno de ellos ha sido compartido entre todos los átomos o, mejor dicho, cada electrón se halla "difundido" por todo el cristal. Pero eso permite abordar el problema desde un nuevo punto de vista. Una partícula cuántica siempre posee una energía cinética igual a p 2 /2m . El valor mínimo posible de p se determina por la relación de incertidumbre, p » h/l , ( l es la dimensión característica). Precisamente por eso a los átomos les conviene unirse en un cristal grande, ya que en este caso se amplían los límites de la región para el movimiento de los electrones.
Pero el principio de Pauli no permite aprovechar del todo esa ventaja. Los electrones, cuyo spin constituye 1/2 se comportan como los átomos de 3 He: no desean ocupar estados iguales. A qué conduce esto desde el punto de vista de llenado de zonas, ya lo hemos visto en la figura 10.3. Recordando la relación entre la energía y el impulso, podemos clasificar los estados de los electrones con el mismo éxito tanto por sus impulsos como por sus niveles de energía. Y esto resulta, incluso, más cómodo.
La comodidad consiste en que es muy fácil indicar la medida cualitativa que determina qué impulsos deben considerarse diferentes. En efecto, sabemos que cualquier componente del impulso, por ejemplo, p x se determina con una exactitud de ± Δ p x , y | Δ p x | » h/l x ( l x es la longitud de la muestra en dirección x ). Por eso los estados de los electrones son distintos si por lo menos una componente del impulso se diferencia en no menos de 2Δ p = π h/l (hemos introducido π para reemplazar la igualdad aproximada por una exacta; el hecho que aquí ha de figurar π no se puede demostrar a partir solamente de razonamientos cualitativos, pero eso se deduce de una teoría exacta). Si la diferencia es menor, debemos considerar los impulsos equivalentes. Exactamente de la misma manera, en la práctica consideramos iguales dos segmentos cuyas longitudes difieren menos de una división de la regla; para los impulsos, el valor de una división no puede ser, en principio, menor de Δ p .
Así pues, hemos obtenido que sólo son posibles los siguientes valores de las componentes del impulso de la muestra en forma, digamos, de cubo con aristas l :
(10.1)
(10.2)
Pero conocemos la densidad de los electrones de conducción N/V : para el litio metálico es igual N a r / m Li , donde N a = 6,022·10 23 , ρ = 0,53 g/cm 3 es su densidad, y m Li = 7, su masa atómica. De aquí N e /V = 4,7·10 22 electrones/cm 3 . Por eso podemos considerar (10.2) como la fórmula para determinar el impulso máximo p F , llamado impulso de Fermi, que pueden tener los electrones en la zona de conducción:
(10.3)
(10.4)
El esquema de los niveles de energía en el litio lo hemos construido para la temperatura del cero absoluto. Si T ¹ 0, los electrones pueden abandonar sus lugares que yacen en energías inferiores a E F y, al adquirir excedente energía ~ kT pueden pasar a niveles donde su energía es mayor de E F . Eso constituye precisamente el llamado movimiento térmico en el sistema de electrones de conducción. Para calcular la energía relacionada con el referido movimiento, es necesario multiplicar por kT el número de electrones N(T) cuya energía resultó mayor de E F . De todos los electrones, sólo una pequeña parte, precisamente aquellos cuya energía es un poco menor que la de Fermi, puede contribuir a N(T) . En efecto, según la ley de Boltzmann, el número de electrones dotados de energía E = E F y E = E F - d E es igual a ~ e - d E/kT . Si d E » kT este número es muy pequeño, y cuando d E = kT , es del orden de la unidad. Aproximadamente se puede estimar que N(T) es casi igual al número de estados cuya energía se encuentra entre los límites E F - kT = E F . Utilicemos las fórmulas (10.2) y (10.4) y obtendremos que N(T) » N e T/T F . Por lo tanto, solamente N e T/T F electrones poseen energía térmica kT . A temperatura ambiente T/T F =10 -2 , y por eso no es nada extraño el hecho que los electrones contribuyen muy poco al incremento de la capacidad térmica.
Ahora, acerca de la conductividad eléctrica. Repitamos otra vez: los electrones están "difundidos" por toda la muestra, y en un cristal ideal nada les impide transitar dentro de la red cristalina. Resulta que ellos forman una especie de líquido que llena todo el volumen de la muestra, y la corriente eléctrica es el flujo de ese líquido, análogamente a como fluye el agua por los tubos.
Para que el agua fluya es necesario aplicar cierta diferencia de presiones a los extremos de los tubos. Entonces, bajo la acción de las fuerzas exteriores, las moléculas adquirirán una velocidad media dirigida, y el agua fluirá. Aquí es muy importante precisamente la aparición de una velocidad dirigida, ya que las moléculas de por sí se mueven caóticamente a velocidades enormes. A temperatura ambiente su velocidad media, o sea, la velocidad de movimiento térmico de las moléculas constituye 10 3 m/s. La energía complementaria que éstas adquieren en el flujo suele ser relativamente pequeña. No es difícil hacer una estimación semejante para los electrones. Mediante la fórmula (10.3) podemos determinar que su impulso es igual a ~ 10 -24 kg·m/s; eso corresponde a la velocidad relacionada con el movimiento cuántico v F = p F /m » 10 6 m/s. Supongamos que todos los electrones "participan" en la corriente, y su cantidad en 1 cm 3 de conductor constituye N e » 10 23 . Entonces, en un alambre de sección transversal S = 1 mm 2 y con una corriente I = 10 A (con mayor corriente el alambre se fundirá), la velocidad dirigida de los electrones es igual a I/eN e S » 10 -2 a 10 -3 m/s. Por lo tanto, cuando comenzó a fluir la corriente, la energía de cada electrón aumentó por término medio en 10 -8 a 10 -9 E F , o sea, en ~ 10 -4 °K.
Y aquí de nuevo tropezamos con el hecho que no todos los electrones son capaces de variar muy poco su energía. Además, si algún electrón aumenta su energía, eso significa que el mismo ha de pasar a otro nivel energético. Por eso, los electrones situados en la zona inferior, llamada frecuentemente zona de valencia, no pueden hacer esto, ya que para ellos todos los niveles vecinos ya están ocupados. Sólo hay lugares libres en la zona siguiente, pero para llegar a ella es necesario variar de repente la energía en muchos electrón-voltios. Así permanece el electrón en la zona de valencia y espera un pájaro en el cielo: un cuanto energético. Pero los cuantos de energía necesaria son propiedad única de las ondas electromagnéticas de alta frecuencia, es decir, de la luz visible o incluso de la luz ultravioleta. Así pues, hay líquido pero éste no puede fluir. Y si el litio tuviera sólo dos electrones en el átomo, o sea, si construyéramos nuestro cuadro para los átomos de helio, en este caso obtendríamos un aislante. Pero el helio sólido es realmente un aislante, así que ya podemos felicitarnos con motivo de cierto éxito: todavía no hemos explicado por qué en los metates puede fluir corriente, pero hemos entendido por qué los dieléctricos, donde hay muchísimos electrones, no conducen la corriente.
¿Y el litio? Pues su segunda zona está ocupada sólo hasta la mitad, es decir, hasta la energía de Fermi, y la misma divide los estados ocupados y vacantes. Pero ese límite es ficticio. Basta con que el electrón, situado en la zona cercana al nivel de Fermi, aumente un poco su energía, tan sólo en d E, y él se hallará en libertad, allí donde los estados no están ocupados. Por consiguiente, los electrones de la franja limítrofe pueden aumentar libremente su energía bajo la acción del campo eléctrico y adquirir velocidad dirigida. ¡Pero eso es precisamente lo que llamamos corriente eléctrica!
Parece que está claro por qué el helio es un aislante, y el litio, un conductor. Probemos aplicar nuestras ideas al siguiente elemento, el berilio. Y aquí surge un fallo, el modelo no funciona. El berilio tiene cuatro electrones, y podía pensarse que la primera y segunda zonas deberían estar del todo ocupadas, y la tercera, vacía obligatoriamente. Resulta un aislante, sin embargo, el berilio es un metal. El hecho consiste en lo siguiente. Los cálculos exactos muestran que la energía mínima en la tercera zona es menor que la energía máxima en la segunda zona. En este caso dicen que las zonas se cruzan. Por eso, resulta que a los electrones les es conveniente, desde el punto de vista energético, dejar vacía una parte de la segunda zona y ocupar los estados debajo de la tercera. Así resulta un metal.
¿Y qué pasará con los demás elementos? Es muy difícil decir de antemano si las zonas se cruzan o no, ya que para eso se requieren cálculos muy voluminosos en calculadoras electrónicas, y no siempre se pueden obtener resultados seguros. Pero he aquí algo curioso: de nuestro esquema se deduce que si tomamos elementos con un número impar de electrones, debe resultar un metal, pero sólo en el caso que la unidad estructural en el cristal sea un átomo aislado. Sin embargo, el hidrógeno, por ejemplo, el nitrógeno o el flúor no desean cristalizarse en tal red. Ellos prefieren primero unirse de par en par, y ya las moléculas que contienen un número par de electrones, se ordenan en el cristal. Y aquí, las leyes de la mecánica cuántica no le impiden ser un dieléctrico.
Así pues, ahora sabemos lo que es un metal desde el punto de vista físico, y entendimos por qué en principio existen aislantes y conductores. Por desgracia, no es fácil explicar por qué una sustancia concreta resulta dieléctrico o metal. Esto sólo se puede saber armándose de todos los logros de la mecánica cuántica moderna y de la técnica de cálculo.
¿Podemos afirmar que ya hemos entendido a fondo el por qué los metales conducen la corriente eléctrica? Por ahora no. Examinen otra vez nuestros argumentos y verán que la base de todo es la suposición que el cristal es ideal: todos los átomos en él son iguales, y el orden en la red cristalina no está perturbado por nada. Pero eso no existe en la naturaleza: en cualquier sustancia hay impurezas, y en cualquier cristal hay defectos estructurales. Por fortuna, mientras son pocos, no ocurre nada malo. En su interior siempre podemos separar mentalmente volúmenes pequeños, dentro de cuyos límites el cristal es perfecto, y para esos volúmenes, todo está en orden. Además, las fronteras entre ellos, cuyo espesor es del orden del tamaño del átomo, no constituyen un obstáculo serio para los electrones. Por eso las impurezas y los defectos son los lugares con los que estos últimos "tropiezan". Al chocar con ellos, los mismos pierden su dirección y deben comenzar de nuevo su aceleración a lo largo del campo eléctrico, de la misma manera que las cargas en el helio.
Podemos introducir la longitud media de recorrido libre l r (de choque a choque) y el tiempo de recorrido τ = l r /v F . Y justamente como hicimos antes, podemos determinar la movilidad m = e τ/ m . Para los metales puros a bajas temperaturas, τ puede ser bastante grande, alcanzando 10 -9 s. A tales tiempos les corresponde una longitud de recorrido l r » 1 mm (recordemos que v F » 10 6 m/s) y una movilidad m » 10 6 cm 2 /V·s. La longitud l r es mucho mayor que la distancia interatómica a , y los electrones permanecen realmente libres, aunque transitan dentro de la red cristalina.
Ya que empezamos a hablar de la movilidad, recordemos, de paso, que ésta determina la velocidad del movimiento dirigido de los electrones bajo la acción del campo eléctrico E , así que v d = m E . Por eso la corriente es igual a I = N e e m E·S . Si nuestra muestra es un alambre de longitud l , entonces E = U/l , (U es la tensión aplicada a los extremos del alambre) y I = U (N e e m )·S/l . Lo que está entre paréntesis es la magnitud inversa a la resistividad ρ, así que
(10.5)
¿Pero dónde se encuentra la frontera entre "pocos" y "muchos" defectos? Como hemos dicho hace un momento, en un cristal real, el papel de las dimensiones de la muestra, que determinaban los valores admisibles del impulso, pasa a la longitud de recorrido libre. Por eso, los defectos son insignificantes cuando l r » a .
Esta es una limitación no muy grande, ya que es necesario "ensuciar" considerablemente el metal antes de empezar a pensar en consecuencias serias. Ya sabemos lo que significa "considerablemente": que debe haber tantos átomos extraños como propios, o que realmente no debe haber red cristalina. En tal metal extremadamente "sucio", la longitud de recorrido libre será del orden de la distancia interatómica. No piensen que p F en él perderá todo sentido. El mismo también en este caso puede ser determinado, al fin y al cabo ya hemos hecho algo semejante para el 3 He líquido, y su magnitud permanecerá del mismo orden que en el metal puro, o sea, p F » π h/a , y v F » π h/ma . Por eso el tiempo de recorrido libre es simplemente τ = ma 2 /π h .
Calculemos la resistividad de este metal "sucio". Aprovechemos el hecho que N e = 1/a 3 , así como la fórmula (10.5), e inmediatamente determinamos que el metal "sucio" tiene una resistividad
(10.6)
Si la sustancia es tan heterogénea que en ella prácticamente no hay orden, entonces a los electrones ya no les es indiferente dónde encontrarse: cerca de unos átomos su energía es menor, y cerca de otros, mayor. Y si esto es así, entonces, a T = 0, los electrones están obligados a reunirse allí donde su energía es menor, "adhiriéndose" a los lugares correspondientes ea la muestra. Pero eso significa que han salido del juego y que dejaron de conducir la corriente. Si todos los electrones permanecen localizados, o sea, "adheridos", en vez de un metal resultará un dieléctrico.
¿Será posible predecir si una sustancia seguirá siendo metal al enfriarla hasta T = 0, o se convertirá en dieléctrico? La solución de este problema es muy difícil, pero la respuesta es muy sencilla. Fíjense que la fórmula (10.6) contiene una combinación de constantes universales h/e 2 . Esta magnitud posee dimensión de resistencia. Se puede esperar que no sea una magnitud casual, y que tenga un valor fundamental. Y resultó precisamente así: si la resistencia de un alambre delgado R < R 0 = 2π h/e 2 = 25,8 k W , éste siempre conducirá la corriente, pero si R > R 0 y T →0 su conductividad debe desaparecer.

Figura 10.5 Variación de la resistencia de una muestra de Au 0,6 Pd 0,4 , de dimensión transversal Ö S = 450 Å (S es el área de su sección transversal, en función de la temperatura, A T= 12°K su resistencia es igual a 360 k W (N. Giordano. 1980).
Cuando apareció tal predicción, hecha en 1977 por Thouless, suscitó incredulidad e interés. Y claro que se encontraron investigadores que trataron de comprobarla. Ellos aprendieron a hacer «alambres» finísimos, y vieron que su resistencia a bajas temperaturas empieza a aumentar (figura 10.5). Ese aumento, como se ve, por ahora es pequeño. Pero parece que la teoría es justa, y que el número 25,8 k W realmente desempeña un papel especial en la física de los sólidos.
Capítulo 11
SUPERCONDUCTIVIDAD
Los físicos siempre trataban y tratan de realizar los experimentos de tal modo que sea excluida la influencia que ejercen los fenómenos secundarios sobre los resultados. Por eso también Kamerlingh Onnes decidió medir la conductividad eléctrica del mercurio y no la de cualquier otra sustancia. ¿Por qué? Pues es muy sencillo. Ahora se han elaborado muchos métodos de obtención de metales superpuros, en los que el contenido de impurezas constituye un átomo por millón e incluso menos. Pero en aquellos tiempos, es decir, en 1911, como metal puro podía considerarse quizás tan sólo el mercurio, ya que éste se limpiaba bastante bien de las impurezas mediante destilación.
Pero el mercurio a temperatura ambiente, como se sabe, es líquido, y hacer un alambre de él es muy difícil. Se procedió del siguiente modo (figura 11.1): siete tubos de vidrio en forma de U ( a 1 - a 7 ), con una sección transversal de ~ 0,005 mm 2 , fueron unidos por sus extremos superiores con tubos en forma de Y, invertidos y llenos parcialmente de mercurio. Eso contribuía a que el mercurio se comprimiera o dilatara al enfriarse o fundirse, sin romper el vidrio y sin perturbar la continuidad del hilo de mercurio que pasaba a través de los tubos en U. A los tubos en Y ( b 0 y b 7 ) se hallaban unidos los tubos de alimentación Hg 1 , Hg 2 . Hg 3 y Hg 4 (sus extremos inferiores en la figura 11.1 están designados por Hg 0 ) llenos de mercurio; este último, al endurecerse, forma cuatro contactos sólidos de mercurio. A los puntos b 0 y b 7 , la corriente se suministraba a través del mercurio de los tubos Hg 1 y Hg 4 , los tubos Hg 2 y Hg 3 podían ser utilizados para medir la caída de tensión entre los extremos del hilo de mercurio. El aparato se llenaba de mercurio destilado al vacío a temperatura de 60 a 70 °C, además, la parte más fría del destilador permanecía sumergida en aire líquido.
Por fin todo estaba listo y se podía enfriar el aparato. El mercurio se congeló, y en la curva R(T) apareció el primer punto; el segundo se obtuvo a temperatura del aire líquido; y el tercer se registró a temperatura del hidrógeno líquido.

Figura 11.1. Esquema de una muestra de mercurio (a) y su aspecto externo (b) (Kamerlingh Onnes. 1912).
La esperanza que el objetivo estaba cerca, sobrevino cuando se manifestó la superfluidez del 4 He, y L. D. Landau propuso su explicación (véase el sexto capítulo). Exteriormente esos fenómenos son muy parecidos: en uno y otro caso se trata de un flujo sobre el cual no influye la fricción. La superconductividad es el flujo de la masa de electrones, y como éstos se hallan cargados, simultáneamente también se engendra corriente eléctrica.

Figura 11.2. Variación de la resistencia de una muestra de mercurio en función de la temperatura ((Kamerlingh Onnes. 1912).
La falta de una teoría no significaba que los científicos permanecían sentados con las manos cruzadas esperando una iluminación. Por el contrario, trabajaban obstinadamente tratando de hallar el extremo, tirando del cual sería posible desenrollar toda la madeja. La primen pregunta evidente que requería una respuesta era: ¿es la superconductividad una cualidad única del mercurio o la misma es propia de todos los metales? Otra vez fue Kamerlingh Onnes quien descubrió que el plomo también es un superconductor. En general, la lista de los superconductores resultó bastante grande, y el número de ellos aumentaba sucesivamente a medida que se lograba reducir la temperatura. He aquí esa lista para la fecha actual (véase la tabla siguiente).
Al igual que, observando la tabla de Mendeleev, no se puede decir qué es un metal y qué es un dieléctrico, tampoco con la ayuda de nuestra tabla se puede afirmar qué metal es superconductor y cuál no lo es, y a que temperatura se produce la transición.

Otra pregunta natural: pues bien, nosotros sabemos que a cierta temperatura, llamada temperatura crítica, la resistencia cae de repente hasta un valor muy pequeño. En los primeros experimentos de Kamerlingh Onnes, y en muchos otros, se veía que dicho valor era menor que lo que puede ser revelado con un aparato sensible. Pero, como ustedes saben del tercer capítulo, la sensibilidad de cualquier aparato está limitada por su ruido térmico. Por eso era imposible contestar a la pregunta de si la resistencia cae hasta cero o simplemente se vuelve muy pequeña. Había que hallar un método más sensible para medir resistencias muy pequeñas. Resultó que el propio superconductor permite hacer eso. Fue construido el siguiente aparato (figura 11.3): en una bobina se arrolló un alambre de plomo y ambos extremos se acoplaron mediante un puente de unión también hecho de plomo. En dicho puente se instaló un calentador, y por ambos lados de éste se conectaron conductores de alimentación. Después, la bobina fue enfriada de tal manera que el plomo pasó al estado de superconductor, excepto el puente de unión sometido a calentamiento, el cual permanecía normal. Cuando a los extremos de alimentación se conectó una fuente de corriente eléctrica, toda esa corriente se dirigió a la bobina, ya que ésta no tiene resistencia y se halla conectada en paralelo al puente de unión. Después de esto se desconectó el calentador y la fuente.

Figura 11.3 Esquema de un solenoide en cortocircuito con una llave térmica
La falta de resistencia interesó profundamente a muchos físicos no sólo como un fenómeno extraño e incomprensible, sino desde el punto de vista práctico. Ustedes sin duda recordarán que si por un conductor de resistencia R circula una corriente I , de él se desprende calor. En esto se consume una potencia W = R·I 2 . Aunque la resistividad de los metales es muy pequeña, eso a menudo limita las posibilidades técnicas de diversos dispositivos. Así, en particular, son las cosas en cuanto a los electroimanes. Los solenoides de cobre modernos, que crean campos magnéticos estacionarios con una inducción de 10—20 T , requieren para su alimentación fuentes de corriente eléctrica con una potencia de 1 MW, tal central eléctrica es suficiente para iluminar una ciudad con una población de varias decenas de miles de habitantes. El volumen de estos solenoides es pequeño, constituye en total decenas de litros, y si ellos no se enfriaran gastando para eso una enorme cantidad de agua, los mismos se fundirían instantáneamente.

Figura 11.4. Dependencia de B c (T) de algunos metales.
La figura 11.4 también puede considerarse como un diagrama donde la línea B(T) de cada metal divide las regiones de existencia de fases diferentes: debajo de esa línea se encuentra la fase de superconducción, y encima de ella, la fase normal. Y lo mismo que para la transición, digamos, liquido-vapor, se pueden estudiar los efectos térmicos que acompañan la transición al estado de superconducción. Pero, como resultó, a menudo para esto no es obligatorio efectuar mediciones calorimétricas complejas, sino que es absolutamente suficiente conocer la dependencia B c (T) . Eso está relacionado con el hecho que muchos superconductores, en particular, todos los metales puros, poseen el efecto de Meissner. Es un fenómeno muy interesante, y en él nos detendremos más detalladamente.
La destrucción de la superconductividad por el campo magnético fue descubierta por Kamerlingh Onnes aún en 1913. Sin embargo, durante veinte años más a nadie le vino a la cabeza investigar cómo precisamente se halla distribuido el campo magnético en el volumen del superconductor.

Figura 11.5. Distribución del campo magnético alrededor de un cilindro de estaño: a, estaño en estado normal, y en estado de superconducción (W Meissner, 1934).
Para estos experimentos se utilizó un monocristal de estaño de 10 mm de diámetro y 130 mm de longitud. La distribución del campo magnético se determinó de la siguiente manera. Cerca de la superficie de la muestra se colocó una bobina (de prueba) plana rectangular, con una sección de 10 x 1,5 mm 2 . La misma podía girar alrededor de su eje largo, paralelo al eje de la muestra. Durante ese giro, el flujo del campo magnético a través de la bobina varía en función del tiempo, por consiguiente, en ella se genera una f.e.m. U = - d Φ/ dt . Si la bobina se halla conectada a un galvanómetro, entonces, por el circuito en una resistencia R , circulará una corriente I(t) = -1/ R·d Φ/ dt . Los esfuerzos que actúan sobre el cuadro del galvanómetro son proporcionales a la corriente, por lo tanto, su aceleración angular d ω/ dt µ I(t) . Tomemos un galvanómetro con un período de oscilaciones naturales del marco, mucho mayor que el tiempo t g de giro de la bobina de prueba. Entonces, en ese tiempo el marco no logrará desplazarse mucho, pero adquirirá velocidad angular (y junto con ella, también energía cinética):


Figura 11.6. Distribución de las líneas de fuerza del campo magnético alrededor de un cilindro superconductor. Los segmentos indican las posiciones de la bobina de ensayo en las que la señal es máxima, y las cifras junto a ellos, la intensidad relativa del campo magnético (W. Meissner. 1934).
Ahora que el hecho ha sido establecido, se pueden hacer mediciones más exactas. Uno de los métodos, incluso más sencillo, es el siguiente. Introduzcamos una muestra en forma de cilindro largo de radio r 0 , en un solenoide largo de radio r 1 (figura 11.7). Si suministramos al solenoide una corriente continua I , la inducción B del campo engendrado por ella será igual a
(11.1)
Si ahora la muestra pasa del estado normal al estado de superconducción, entonces, la superficie a través de la cual pasa el flujo magnético, disminuye en p r 0 2 (con el efecto total de Meissner), y al variar el flujo magnético se realizará un trabajo
(11.2)
Problema 17.
Calcular el trabajo que se efectúa al desalojar el campo magnético de una muestra cilíndrica.
¿Cuáles) pues, la fuente de este trabajo? Es el hecho que la energía del superconductor es menor que la del propio metal en estado normal. Y la magnitud obtenida caracteriza esa diferencia. La superconductividad está relacionada con la transferencia de corriente eléctrica, o sea, este fenómeno también concierne a los electrones de conductividad. Un metal contiene ~ 10 23 cm 3 de estos últimos, y si calculamos la variación de la energía correspondiente a cada electrón, obtendremos, por ejemplo, para B c = 0,08 T (lo cual es próximo a B c del plomo a T = 0), en total ¡ -δ E / k » 0,022°K!
Esto es varias miles de veces menor que T s . Pero entonces, al parecer, no debería haber ningún tipo de transición, ya que cualquier paso de fase ocurre solamente cuando la ganancia de energía, correspondiente a una partícula, tiene aproximadamente el mismo valor que la temperatura.
Comprobemos con atención el curso de nuestros razonamientos. Hemos determinado correctamente el cambio de energía de 1 cm 3 de sustancia: eso lo demuestra no sólo la fórmula (11.2), sino también las mediciones directas de los efectos térmicos que concuerdan perfectamente con este resultado. Por consiguiente, en esta etapa se excluye la posibilidad de cualquier error. Queda el número de electrones. Si han leído atentamente el capítulo anterior, no les parecerá extraña la suposición que no con todos los electrones, ni mucho menos, ocurren cambios en el proceso de transición de superconducción. En efecto, en un metal normal sólo conducen corriente los electrones cuya energía es próxima a la de Fermi. Basta con hacer algo sólo con estos electrones para que la conductividad eléctrica cambie bruscamente. Ahora supongamos que dichos electrones pueden permanecer en estado normal o en cualquier otro estado nuevo, en el que su energía es menor en la magnitud Ä » kT . Entonces, cuando T < T s , de acuerdo con la ley de Boltzmann, este nuevo estado será enteramente poblado si, por supuesto, a ello no se opone el principio de Pauli. La acción de este último puede ser excluida por un solo método: en el nuevo estado los electrones deben estar unidos en grupos de dos (cuatro, seis, etc.), de tal manera que el spin total de cada nueva partícula se reduzca a cero o se convierta en un número entero.
Si eso es así, entonces, a T = 0 los estados en el intervalo de energías E F - Δ ≤ E ≤ E F se despueblan, y los electrones que se encontraban en ellos pasan a un nuevo estado con energía E F Δ, formando el llamado condensado. En esencia, este último es absolutamente análogo al 3 He liquido; el mismo también está integrado por "partículas" de spin cero, las cuales a T= 0 permanecen en estado energético básico. Y dicho condensado, al igual que el 4 He, es superfluyente, ya que cualquier movimiento en él se mantiene durante un tiempo ilimitado. Pero, a diferencia de los átomos de helio, los electrones portan cierta carga, y por eso su movimiento es una corriente eléctrica inmoderada. En particular, precisamente tal corriente conduce al efecto de Meissner: en el momento de transición al estado de superconducción, en la superficie de la muestra se excitan corrientes inmoderadas que apantallan por completo el campo externo dentro de la sustancia.
¿Qué les parece, logramos eliminar la contradicción entre la ganancia de energía de una partícula, la magnitud T y la variación de energía de la muestra? Claro, ya que ahora al nuevo estado pasa sólo una pequeña parte de todos los electrones, del orden de

La segunda dificultad resultó, en efecto, la salvación. He aquí la primera consecuencia agradable: si los electrones que forman una pareja están realmente tan alejados uno de otro, entonces desaparece la repulsión entre ellos, ya que la misma es compensada por los campos de todos los demás electrones e iones cargados positivamente y los cuales forman la red cristalina. Esto ya es bueno, puesto que la fuerte interacción de signo contrario resulta eliminada, y es suficiente una atracción muy débil para que surja un estado de enlace.
En los metales, además de los electrones en movimiento, sólo hay un tipo más de movimiento: las oscilaciones de los iones, que conducen a la propagación de fonones, es decir, de cuantos de ondas sonoras (véase el sexto capítulo). La onda sonora es una onda de deformación que se propaga en un sólido. Según las fórmulas (10.3), (10.4), la modificación de la densidad de la sustancia conduce a la variación de la energía de Fermi. Esto significa que cuando en el metal se propaga una onda sonora, en cualquiera de sus puntos ocurren cambios locales de la energía de los electrones, que, como se entiende fácilmente, conciernen antes que nada a los electrones situados cerca del nivel de Fermi. Por consiguiente, hay razones para esperar que, al producirse una combinación acertada de condiciones, la energía incluso de dos electrones, los cuales cayeron en el campo de la onda sonora, disminuya tanto que resulte ventajosa la formación del complejo de enlace electrón –fonón-electrón. En 1950, Fröhlich logró demostrar que la atracción de electrones existe realmente, pero tuvieron que transcurrir siete años más para que Bardeen, Cooper y Schrieffer, así como N. N. Bogoliubov, construyeran una teoría consecuente de la superconductividad, en la que ya no había lagunas lógicas. Y si decíamos que la dificultad número dos abrió el camino hacia el entendimiento de ¡a superconductividad, también ella contribuyó a que dicho camino resultara extremadamente difícil. Es imposible obtener un cuadro evidente de la formación de parejas, apoyándose, de todos los materiales de la mecánica cuántica, tan sólo en el principio de incertidumbre, por lo tanto, no trataremos de hacer eso.
Así pues, la superconductividad surge cuando parte de los electrones libres forman un condensado de parejas de electrones. Tal condensado es superfluyente. A T = 0 los estados electrónicos ocupados resultan separados de los estados libres mediante una "rendija" angosta lo cual también es una de las consecuencias de la teoría de la superconductividad. Por eso, a una temperatura distinta de cero, en el metal también aparecen electrones "normales" móviles, gracias a su excitación térmica. La densidad de éstos, según su orden de magnitud, constituye, por lo visto, N e -Δ/ kT . Mientras se trata de la conductividad de corriente continua, la presencia de tales electrones no se manifiesta de ninguna manera, ya que la resistencia de la muestra es igual a cero, y a lo largo de ella no hay caída de tensión, la cual es necesaria para poner en movimiento los electrones normales. Pero el asunto resulta completamente distinto si examinamos la conductividad a altas frecuencias o la conductividad térmica.
El estudio del comportamiento de un superconductor en un campo eléctrico alterno, en cierto grado es análogo al estudio de la viscosidad del helio según las oscilaciones de torsión, acerca de las cuales se habló en el sexto capitulo. Las parejas no experimentan fricción en la red del cristal, pero poseen inercia. Por eso, si el campo eléctrico fuera del superconductor varía rápidamente, dentro del metal (cerca de su superficie) sigue siendo campo eléctrico. Esto último también actúa sobre los electrones normales entregándoles su energía. Por eso en un campo alterno, los superconductores poseen una resistencia tanto mayor, cuanto más alta es la frecuencia (figura 11.8). Pero cuanto más baja es la temperatura, tanto menor es su resistencia gracias a la brusca reducción de la densidad de los electrones normales. Tal comportamiento se observa cuando la frecuencia no es demasiado grande o, mejor dicho, cuando h ω<2Δ . Pero cuando k ω > 2Δ, la energía de los cuantos de la onda electromagnética es suficiente para destruir la pareja, e incluso a T = 0°K la superconductividad prácticamente no se manifiesta.

Figura 11.8. Variación (en función de la temperatura) de la relación entre la resistencia del estaño a distintas frecuencias, y la resistencia correspondiente R 0 cuando T > T I ,. En este último caso la resistencia no depende de la temperatura en todas las frecuencias. La misma disminuye a saltos hasta cero al efectuar mediciones en corriente continua (1), varia mas suavemente a frecuencias de 1.2 GHz (2) y 9,4 GHz (3), y prácticamente no depende da la temperatura o 2·10 4 GHz (4) (A. B. Pippard. 1947).
Acerca de las propias parejas sabemos que se mueven sin rozamiento, o sea, que no pueden entregar o, por el contrario, adquirir energía excedente. Por consiguiente, tampoco pueden trasladar calor, ya que eso es un flujo de energía, y la conductividad térmica χ s de los superconductores a T = 0 es igual que la de los dieléctricos, o sea, es muy baja. Cuando T ≠ 0, ésta aumenta algo, pero, en comparación con la conductividad térmica de los metales en estado normal χ n , resulta igual a χ s » χ n · e -Δ/ kT , o sea, es proporcional a la densidad de los electrones normales. Si tomamos un monocristal puro que en estado normal tiene una conductividad térmica muy alta, a bajas temperaturas T« T s el mismo conduce el calor miles de veces peor. Esta propiedad es utilizada en los criostatos de desimanación adiabática, de lo cual ya hemos escrito: si unimos dos partes de tal aparato con un puente a base de un superconductor, cuando la superconductividad sea destruida por el campo magnético, ambas partes intercambiarán fácilmente su calor, pero después de desconectar el campo, dicho intercambio será interrumpido.
Todas las propiedades de los superconductores que hemos descrito (y muchas otras) confirman la existencia de un estado de enlace de energía algo menor que la de Fermi. ¿Puede ser que haya experimentos capaces de demostrar que los electrones transitan por el cristal en parejas relacionadas con las oscilaciones de la red? Resulta que si hay. Primero, acerca del papel de los fonones. Ustedes saben que muchos elementos tienen isótopos, también los tiene, por ejemplo, el estaño, típico superconductor. Estos isótopos pueden separarse uno de otro y es posible preparar muestras de isótopos diferentes. Las propiedades químicas de los isótopos son idénticas, así que la única diferencia de dichos cristales es la masa de los iones que forman la red. Y las fuerzas que actúan entre ellos son iguales si prescindimos de las adiciones absolutamente insignificantes, debidas a la diferencia de amplitud de oscilaciones nulas que para los átomos pesados desempeñan, en general, un papel insignificante. Por eso, al igual que para cualquier sistema oscilatorio, todas las oscilaciones propias, que en un sólido, recordemos, son las frecuencias de los fonones, de las muestras de composición isotópica diferente, serán proporcionales a y √1/ m is , donde m is es la masa atómica del isótopo. Si la superconductividad está relacionada con los fonones, evidentemente, los parámetros energéticos que la describen, es decir, Δ y T s , son proporcionales a las energías características de los fonones, o bien a √1/ m is . Si las ondas sonoras no tienen nada que ver con esto, entonces todos los isótopos deben tener un mismo valor de T s . Resultó que, por ejemplo, para el estaño, T s ≈ m is - (0,505 ± 0,019) , así que ya no podemos prescindir de los fonones. Es necesario decir que esas mediciones eran muy complicadas, pues había que medir muy exactamente temperaturas críticas cuya diferencia constituía tan sólo varias centésimas de grado.
El experimento con las parejas de electrones resultó aún más evidente. Veamos cómo se porta una carga eléctrica q que se mueve en un campo magnético. Si su velocidad es v , entonces sobre ella actúa una fuerza de Lorentz F = qvB dirigida perpendicularmente a v y B . Bajo la acción de esta fuerza, la carga describe una circunferencia de radio R = mv/qB y se mueve con una frecuencia angular Ω = qB/m . Ahora recordemos la mecánica cuántica: si hay movimiento de frecuencia Ω, a él le corresponden niveles de energía que distan h Ω uno de otro. Por analogía con el péndulo, para los valores discretos de energía podemos escribir E n = (j + 1/2)·h Ω. Por otro lado, la energía cinética de una partícula es mv 2 /2. Por lo tanto, la carga sólo puede moverse de tal modo que tenga valores de velocidad determinados por la condición

(11.3)
La igualdad (11.3) puede ser escrita de la forma ( h = h/2 p ) siguiente:
(11.4)
Este resultado también puede ser enunciado de una manera un poco diferente: si una carga en un campo magnético describe una órbita cerrada cuya área es igual a S , el campo dentro de ésta sólo puede adquirir valores que contribuyan a que el flujo de campo constituya un número entero de cuantos. Y la fórmula correspondiente adquiere el aspecto siguiente:
(11.4')

Figura 11.9. Esquema del dispositivo con el que fue descubierta la cuantificación del flujo magnético en películas anulares superconductoras (B. S. Deaver y W. M. Fairbank. 1961).
El experimento se realizó del siguiente modo. Al principio se calibró el aparato. Para esto, la muestra se enfrió hasta T < T s y se conectó el campo externo B 0 . Gracias a la aparición de corrientes superconductoras en la superficie de la muestra, el campo magnético no penetraba en la cavidad del cilindro. Se puede decir que el campo dentro de éste es la suma del campo externo B y el campo inverso B 0 . Este segundo campo se mueve junto con la muestra, gracias a lo cual el flujo que atraviesa las bobinas varía periódicamente. A su vez, en ellas se induce una f.e.m. variable, cuya magnitud es proporcional a la inducción del campo dentro del cilindro superconductor (equivalente, según su magnitud, a la inducción del campo externo) multiplicada por su área, o sea, es proporcional al flujo que pasa por dicho cilindro.

Figura 11.10. Variación del flujo magnético a través de una película cilíndrica de estaño superconductor (véase figura 11.9), en función de la inducción del campo externo en el que la muestra se enfriaba desde T > T s hasta T< T s (B. S. Deaver y W. M. Fairbank, 1961),
Así pues, podemos decir con seguridad que la naturaleza de la superconductividad ha sido completamente aclarada. Pero presten atención: al principio del capitulo hemos comparado un gas de electrones con el 3 He. ¿Y no podrían también "aparearse" los átomos de 3 He? Entonces también aquí desaparecerá el obstáculo para la superfluidez. Cuando a los científicos les vino a la cabeza esta idea, se iniciaron búsquedas intensas de la superfluidez del 3 He. Los físicos se acercaban cada vez más al cero absoluto, y por fin fue obtenido el primer resultado alentador.

Figura 11.11. Registro de la variación de la presión del 3 He. Los primeros 40 minutos la presión aumentaba (la temperatura disminuía), y después (punto C) disminuía. La variación de la inclinación en los puntos A, así como en el punto A' a esa misma presión durante la descarga y los saltos en B (y, respectivamente, en B') ocurren en las momentos cuando el 3 He pasa a las fases superconductoras A y B (D. D. Osheroff, W. J. Gully, R. C. Richardson y D. M. Lee, 1972).

Figura 11.12. Diagrama de fase del 3 He a bajas temperaturas. A y B son las fases del líquido superfluyente.
Capítulo 12
EL METAL BIDIMENSIONAL PIERDE RESISTENCIA
En el capítulo anterior ya hemos escrito que los electrones en el campo magnético se mueven de tal manera que dentro de su órbita entre un número entero de cuantos de flujo magnético, y para éstos existen valores discretos de energía
(12.1)
No, no ocurre nada de particular, y la principal causa de ello es la forma tridimensional de la sustancia: los electrones se mueven no sólo en un plano perpendicular al campo magnético, sino también a lo largo de él. Por lo tanto, la fuerza de Lorentz, cuando v || B , es igual a cero. Por eso, la expresión correcta de los niveles de Landau será no como la proporcionada por la fórmula (12.1), en ella aparecerá el sumando p z 2 /2 m (hemos elegido el eje z de tal modo que sea paralelo a B ). Así pues,
(12.2)
Pero también existen conductores bidimensionales, y uno de los ejemplos ya lo hemos descrito: son los electrones en la superficie del helio (véase el noveno capitulo). Otro ejemplo que nos interesará ahora, es la capa de electrones en la superficie de un semiconductor. Tomemos un cristal de un semiconductor, digamos, de silicio, y apliquemos sobre su superficie una capa delgada de dieléctrico, por ejemplo, de óxido de silicio SiO 2 . Instalemos por encima de ella un electrodo de metal, que llamaremos cierre (figura 12.1).

Figura 12.1. Esquema de la estructura de un transistor a efecto de campo (a) y de la forma de conectarle los electrodos de Hall (b).
No es difícil comprobar que tal capa conductora, conocida con el nombre de canal, surge realmente. Para esto es necesario hacer dos contactos más: uno de ellos se llama fuente, y el otro, sumidero (figura 12.1). Si entre la fuente y el sumidero ahora conectamos tensión, en este circuito circulará corriente eléctrica. Pero mientras la tensión en el cierre constituya U c = 0, en la superficie habrá pocas cargas, la resistencia será grande y la corriente pequeña. Al suministrar al cierre una tensión controlada, la corriente aumentará considerablemente, y cuanto mayor sea U c , más cargas habrá en la capa superficial y tanto mayor será la corriente. Lo que hemos obtenido se denomina transistor a efecto de campo: la corriente a través de él es controlada por la tensión en el cierre.
El transistor a efecto de campo resultó un aparato muy bueno, y una de sus ventajas ante otros aparatos es que puede trabajar a bajas temperaturas. Por lo tanto, puede utilizarse en los amplificadores sometidos a enfriamiento, cuya sensibilidad aumenta gracias a la reducción del ruido térmico (este problema fue analizado en el tercer capitulo). Los científicos empezaron a estudiar con gran interés las propiedades de los transistores a efecto de campo. A ellos les llamaba la atención el hecho que la capa conductora bidimensional de electrones es un metal bidimensional, o sea, que éste conserva su conductividad eléctrica al ser enfriado.
Al igual que para un metal común, en este caso se puede hablar de la energía y el impulso de Fermi. Pero en la capa superficial, el movimiento libre sólo es posible a lo largo de la superficie. Separarse de ésta es imposible, ya que eso lo impide el campo engendrado por la tensión en el cierre. Por consiguiente, si comenzamos, al igual que para un metal, a construir diversos estados a partir de la incertidumbre de impulso, entonces, en dirección perpendicular a la superficie (supongamos que otra vez es la dirección del eje z), el valor del impulso p = hk de todos los electrones debe ser el mismo. Si es así, en las expresiones (10.1) desaparecerá el tercer renglón, y la regla para calcular el número de estados posibles será la misma que para calcular el número de oscilaciones de una membrana (fórmula (2.9)). Teniendo en cuenta el spin, obtenemos
(12.3)
(12.4)
(12.5)
Ese metal bidimensional es muy sensible al campo magnético dirigido a lo largo del eje z. Su resistencia oscila, aumentando o disminuyendo, al variar la inducción (figura 12.2). Ahora estableceremos la causa de tal comportamiento.

Figura 12.2. Variación de la resistencia del canal cuando n e = 5 ·10 cm -2 , en función de la intensidad del campo magnético (K. von Klitzing. 1981).
(12.6)
(12.7)

Figura 12.3. Esquema del relleno del plano x, y con electrones del nivel de Landau de j = 0. Durante el máximo relleno, los electrones ocupan los círculos limitados por circunferencias a trozos (a). Durante el relleno parcial (b), los electrones ocupan sólo parte de esos lugares. En este caso ellos adquieren lo posibilidad de cambiar su posición pasando a los lugares libres.
Al deducir la fórmula (12.6), escribimos una igualdad aproximada, ya que el nivel de Landau no coincide obligatoriamente con el nivel de Fermi, e incluso el propio nivel de Fermi en un campo magnético no permanece constante. Pero el campo magnético no puede hacer nada con la densidad de los electrones n e . Por eso a temperatura del cero absoluto la situación es la siguiente: los electrones llenan por completo 0, 1,..., ( j- 1) niveles inferiores, pero el nivel j no se llena del todo, a fin de que se cumpla la igualdad
(12.8)
El caso x = 0 es especial, ya que en tales condiciones todos los estados se hallan ocupados en los niveles desde 0 hasta ( j- 1), mientras que el siguiente nivel, el j -ésimo, está completamente vacío. Todo eso se asemeja mucho a los dieléctricos, sólo que en vez de zonas energéticas divididas por una rendija, hay niveles de energías diferentes. Pero en el "dieléctrico" engendrado por el campo magnético puede circular corriente. La causa de esto es sencilla: en un dieléctrico verdadero, las zonas se forman gracias a los campos engendrados por los átomos del cristal. Por eso, con las zonas llenas, la corriente es imposible, o sea, no puede haber movimiento de electrones respecto al cristal. Pero los campos de los átomos no influyen sobre la formación de las zonas magnéticas, y por eso no importa si los círculos electrónicos se mantienen inmóviles en un lugar o se desplazan todos juntos respecto al cristal. Pero si la corriente comenzó a fluir, ya nada la detendrá, puesto que los electrones no pueden chocar con nada. Este fenómeno, extraño a primera vista, se debe a que ningún electrón puede cambiar su estado independientemente de otros, ya que eso se lo impide el principio de Pauli.
Otra cosa es si x ¹ 0. Entonces, en el nivel j parcialmente lleno, hay lugares vacíos, lo cual significa, si observamos la figura 12.3, que esos lugares vacíos se encuentran en el plano del conductor bidimensional. Y los electrones, al chocar con las heterogeneidades en la muestra, pueden saltar y caer en esos lugares vacíos. Pero tales saltos, cuando su dirección es contraria a la corriente, conducen a la reducción de la velocidad media de los electrones o, mejor dicho, a la disminución de la corriente. Por eso, si x ¹ 0, surge resistencia, y para mantener la corriente en el canal del transistor a efecto de campo, es necesario aplicar tensión entre la fuente y el sumidero. Si x se diferencia poco de 0 ó 1, hay pocas posibilidades de que se produzcan saltos de electrones, y la resistencia es pequeña. Esta es máxima cuando x » 1/2. x se reduce a cero muchas veces, y al variar el campo, la resistencia a menudo se vuelve pequeña (véase la figura 12.2), pero no se reduce a cero por la simple razón de que si la temperatura no es igual a cero, en el nivel ( j —1) aparecen lugares vacíos, y parte de los electrones van a parar al nivel j . Esa parte de electrones se determina por la fórmula de Boltzmann, por eso, las oscilaciones de la resistencia aumentan cuando h W / kT » 1. Así, en el campo de 15 T , la resistencia disminuía ~ 10 7 veces (figura 12.4).

Figura 12.4. Variación de la resistencia del canal y de la resistencia de Hall en función de la tensión en el cierre del transistor a efecto de campo; B=18,9 T; T= 1,5°K (K, von Klitzing, 1981).
Resulta que el hecho que la resistencia disminuya millones de veces, aún no es el fenómeno más interesante revelado por el transistor a efecto de campo, situado en un campo magnético. Recordemos que sobre la corriente en dicho campo actúa cierta fuerza. Para que la corriente de la fuente llegue al sumidero, esa fuerza debe ser compensada con algo, en este caso con el campo eléctrico E H que surge en dirección perpendicular a la corriente. Este campo (llamado campo de Hall) surge a consecuencia que el campo magnético, apretando el flujo de electrones contra los bordes del canal, engendra ahí una carga excesiva, así que el campo de Hall es un campo de Coulomb de electrones excedentes.
No es difícil calcular E H . Examinemos un electrón aislado que participa en la generación de la corriente I en un canal cuyo ancho es igual a d . La fuerza de Lorentz que actúa sobre él constituye IB/dn e , ya que su velocidad v = I/dn e . Dicha fuerza debe ser igual a eE H , y de aquí obtenemos
(12.9)
(12.10)
Para medir R H , a nuestro aparato es necesario agregarle un par de contactos más, llamados contactos de Hall, situados por ambos lados del canal (figura 12.1). Lo medido en el experimento, se muestra en la figura 12.4. Y he aquí una circunstancia excepcional: la resistencia de Hall no obedece la fórmula (12.9) según la cual aquélla debe ser inversamente proporcional a n e y también a la tensión en el cierre. La diferencia consiste en que aparecen sectores en los que R H es constante con alta exactitud y se determina por la expresión (12.10).

12.5 Esquema de variación de la energía del electrón en dirección transversal al canal, a consecuencia de la imperfección del transistor a efecto de campo: a, niveles de Landau; b a d, relieve de distribución de la densidad de carga en el canal para distintos grados de relleno del nivel. Están sombreadas las partes del canal donde la densidad de los electrones corresponde a la máxima densidad de carga. Toda la corriente circula dentro de los límites de dichas regiones.
Aumentemos la tensión en el cierre. Entonces, allí donde ya fue alcanzada la densidad máxima, ésta ya no crece más, ya que la energía se halla muy lejos del siguiente nivel de Landau. Por eso el dibujo adquiere el aspecto mostrado en la figura 12.5, c; aparecen bandas continuas en las que n e = (j+1)eB /π h . E inmediatamente toda la corriente que circula por el canal se dirige a esas bandas. La causa es evidente: estas últimas se vuelven como superconductoras, por ellas la corriente fluye sin resistencia, y las mismas derivan la resistencia de toda la muestra. La resistencia de Hall adquiere inmediatamente el valor de π h / e 2 (j + 1) , ya que la tensión de Hall se "acumulará" sólo donde circula corriente, o sea, donde n e se expresa a través de las constantes universales. Y tal situación ahora se mantendrá hasta que el nivel j se llene por completo en el área de todo el canal. Esta es la causa de la aparición de escalones en la dependencia R H (U c ) .
Los físicos siempre sienten gran interés por los fenómenos que sólo se caracterizan por las constantes universales. Eso da la posibilidad de comprobar muy exactamente las teorías existentes, estableciendo, con una precisión cada vez mayor, las propias constantes, que constituyen un gran interés para todos los que se dedican a las ciencias exactas. Por eso, cuando fue aclarada la naturaleza de los escalones en el efecto Hall, von Klitzing, Dorda y Pepper, descubridores de dichos escalones, en 1980, tras medir la resistencia de Hall, propusieron precisar el valor de la constante adimensional, llamada constante de estructura fina a , la cual desempeña un papel muy importante en la electrodinámica cuántica. Esta magnitud adquiere el aspecto más sencillo al ser escrita en el sistema de unidades CGSE:
Como se deduce de esta expresión, a contiene la misma combinación de constantes que la resistencia de Hall medida en el experimento; sólo que en el denominador ha sido agregada la velocidad de la luz c. Pero esta última es conocida con mejor exactitud que a.
No pasaron muchos años y se llevó a cabo un experimento en el que realmente se logró medir, según la relación entre la tensión en el escalón y la corriente en el conductor bidimensional, el valor de a con una exactitud más alta que nunca antes. Para tener una idea de qué magnitudes se trata, escribamos aquí ese número o, mejor dicho, la magnitud inversa a él, a -1
La medición de la constante de estructura fina no es el único ejemplo que las temperaturas bajas permitieron precisar las constantes universales. Aún antes apareció el valor más exacto del cuanto del flujo magnético, h/2e . Por consiguiente, ahora también podremos precisar el valor de la carga del electrón. Hace poco fue obtenido el valor más exacto del momento magnético del electrón, al realizar mediciones que exigieron el enfriamiento del aparato hasta la temperatura del helio liquido. Estos ejemplos datan de los últimos diez años, por eso podemos considerar que la penetración de las bajas temperaturas en el campo de la metrología de precisión, comienza tan sólo ahora, y contamos con nuevos éxitos en este campo.
Problema 1. Dibujemos una columna atmosférica que se eleva verticalmente, con una sección transversal S y una altura desde la superficie de la Tierra hasta el infinito (figura S1).

Figura S1.Para el cálculo de la variación de la presión del aire en la atmósfera en función de la altura.
Supongamos que a la altura h, la presión es igual a P. Entonces, si la altura aumenta en Δh (Δh « h), la cantidad de gas que ejerce presión sobre la superficie, disminuye en

(aquí hemos utilizado la ecuación de estado de un gas ideal). La fuerza con la que la columna “acortada” presionará sobre la superficie a la altura h + Δh, disminuirá, respectivamente, en gΔM, o sea, la presión a la altura h + Δh es igual a

Esta fórmula es aproximada, ya que no hemos tomado en consideración los cambios de la densidad de la capa Δh con arreglo a la altura. Sin embargo, su exactitud crece cuando Δh®0, y en este limite se vuelve absolutamente exacta. Pero

y podemos escribir

La función, cuya derivada es proporcional a ella misma, como ustedes saben, es una función exponencial. Por eso la respuesta buscada tiene la forma
P(h) = P(0)e-mgh/kT
Esta fórmula, conocida con el nombre de fórmula barométrica, fue deducida por Boltzmann más de cien años atrás.
Problema 2. La frecuencia angular de oscilaciones de un péndulo constituye w =Ög/l » 3s-1 Mediante la fórmula (2.1), de aquí obtenemos E0 = 1,5·10-34 J = 10-11 K. Cuando la desviación de la posición de equilibrio es máxima, el peso se eleva a la altura (figura S.2) h = E0/mg = 1.5·10-32 m, lo cual corresponde a A= Öl/h = 10-16 m. Ese mismo resultado también puede ser obtenido mediante la relación de incertidumbre.

Figura S2. Esquema de un péndulo.
Problema 3.
Partimos de la fórmula (2.3):

Esta fórmula puede ser escrita de una manera un poco diferente:

La suma entre paréntesis es una progresión geométrica infinita, por consiguiente, esa suma es igual a

y, por lo tanto,

Nos queda calcular a. Recordemos que

de donde tenemos

Así pues, definitivamente podemos escribir, para la energía media de oscilaciones de un péndulo (¡y de cualquier otro sistema oscilatorio!):

A bajas temperaturas, cuando hw/kT» 1, queda Ē » hw/2, que es la energía de oscilaciones cero de la mecánica cuántica, mientras que la fracción de energía correspondiente al movimiento térmico, es pequeña e igual a hwe-hw/kT.
Problema 4.
Cualquier número (excepto el cero) a la potencia de 0 es igual a 1. Por eso, cuando Δx« 1, tenemos

Pero para la función exponencial de base e, tenemos que d(ex/dx) = ex, por eso
(eΔx -1)/Δx = e0 = 1,
de donde precisamente resulta que eΔx = 1+ Δx o, sustituyendo las notaciones, ex= 1 + x cuando x « 1.
Problema 5.
Valiéndonos de la figura S.3, hallamos fácilmente que
l2 sen j + (l cos j + RT )2 = (RT + h)2
Aquí j es el ángulo medio a partir del cenit; h, el espesor de la atmósfera; y RT, el radio de la Tierra, igual a ~6400 km.

Figura S3. Para el cálculo del recorrido de las radioondas en la atmósfera cuando la propagación de la señal es inclinada.
La absorción de radioondas ocurre en una capa cuyo espesor es del orden de decenas de km, o sea, h « RT. Abramos paréntesis y, estimando que el ángulo no es muy próximo a 90°, o sea, que el recorrido de la señal no es demasiado grande en comparación con h, eliminemos el término l2 que es muy pequeño en comparación con
2lRT · cos j
y h2 «2RTh. Quedará 2lRT · cos j = 2RTh, o l = h/ cos j.
En vista de que, cuando la absorción de ondas en la atmósfera es relativamente débil, su magnitud es proporcional al trayecto recorrido por ellas, obtenemos que la absorción es precisamente proporcional a 1/ cos j.
Problema 6.
Supongamos que al principio del proceso, el gas permanecía a la izquierda de la válvula y ocupaba el volumen V1 (figura S4).

Figura S4. Para el cálculo del efecto térmico durante la estrangulación del gas.
Moviendo el émbolo de tal manera que la presión se mantenga constante e igual a P1, tras realizar el trabajo P1·V1, desplacemos el gas a la parte derecha, donde su presión es igual a P2, y su volumen, ocupado al terminar el proceso, constituye V2. Si prescindimos de las pérdidas de energía relacionadas con la fricción del gas, es posible obtener la siguiente ecuación de balance de energía:
E2 – E1 = (3/2)Nk(T2 – T1) = P1·V1 – P2·V2
donde en el segundo miembro figura el trabajo efectuado al comprimir el gas a la izquierda de la válvula, menos el trabajo realizado por el gas al empujar el émbolo derecho. Como el gas es ideal, P1V1 = NkT1 y P2V2 = NkT2.
Sustituyendo estos valores en la ecuación, veremos que T1 = T2 y que no ocurre ningún cambio de temperatura.
Problema 7.
Un espejo con temperatura T1 irradia un flujo de calor q1 = esT14; de ese flujo, el segundo espejo absorbe eq1 y refleja de nuevo (1 - e)q1 a su vez, el primer espejo absorbe parte del flujo devuelto, o sea, solamente e (1 - e)q1 y refleja (1 - e)2q1, etc. Por consiguiente, la energía total absorbida por el segundo espejo es igual a

Hagamos lo mismo para el flujo de radiación térmica del segundo espejo cuya temperatura constituye T2, y obtendremos el flujo total de energía del primer espejo al segundo:
We = e /2s(T14— T24).
Durante el intercambio de calor entre dos paredes completamente negras,
W = s·(T14— T24).
Comparando We con W podemos decir que ha sido demostrada la afirmación formulada en el problema.
Problema 8.
Sean Tc, Tf, T1, T2 las temperaturas de las paredes caliente y fría y de la primera y segunda pantallas respectivamente. Escribamos los flujos de calor hacia cada una de las pantallas (para simplificar la escritura omitiremos el factor e / 2sS delante de T4)
W1 = Tc4 + T24- T14
W2 = T14 + Tf4- T24
Como en estado estacionario las pantallas no emiten y no absorben calor, W1 = W2 = 0. Teniendo esto en cuenta y restando W2 de W1, obtenemos que Tc4 - Tf4 = 3(T14 – T24 .
De aquí se deduce que el flujo de calor de la primera pantalla a la segunda es igual a We/3. En un régimen estacionario este flujo, evidentemente, es igual al flujo de calar que alcanza la pared fría.
Demostremos esta afirmación para n pantallas, pero con arreglo a la inducción. Supongamos que n - 1 pantallas debilitan el flujo n veces. Coloquemos una pantalla más entre las pantallas anteriores y la pared fría.
Igualemos los flujos de calor del lado caliente a la pantalla y de ésta a la pared fría. Como resultado obtenemos
Wn = (Tc4 - Tn4)/n = Tn4 – Tc4
Expresemos de aquí Tn a través de Tc y Tf y sustituyámosla en cualquiera de las expresiones del flujo de calor. Entonces obtenemos que Wn = (Tc4 - Tn4)/(n+1). Como esta expresión es válida para n = 1, 2, podemos considerar que la misma ha sido demostrada también para un caso general.
Problema 9.
Tracemos una línea simétrica al limite izquierdo de una nube desplazada respecto a su núcleo (véase figura S.3) y sombreemos la región entre dicha línea y el límite derecho. Está claro que sólo la carga negativa que llena esa región puede proporcionar la fuerza capaz de hacer que el átomo regrese a su estado inicial. El volumen de la referida región, según estimaciones aproximadas, es igual a ~ x 4pr2, la carga contenida en ella constituye

y la fuerza

El trabajo invertido en el desplazamiento de las cargas constituye ∫F(x)dx integrado entre 0 y x. Sustituyendo aquí la expresión de la fuerza, obtenemos la energía potencial del átomo polarizado:

Problema 10.
La energía de interacción de los dipolos es igual a la suma de las energías de interacción de las cargas puntuales que constituyen esos dipolos:

Como la distancia entre los dipolos R»x1, x2 despreciando los términos que contienen x12 o x22 en el denominador, obtenemos la expresión (5.8).
Problema 11.
Supongamos que halamos el cuadro por uno de sus lados, y que la fuerza está aplicada tangencialmente a la circunferencia que describe el cuadro (figura S5). De la condición de equilibrio, esa fuerza
F1 = 2lBI sen j
(la cifra dos aquí apareció a consecuencia de que hay dos conductores).

Figura S5. Fuerzas que actúan sobre un cuadro con corriente en un campo magnético
Si bajo la acción de tal fuerza, el cuadro gira a un pequeño ángulo dj, ese recorrido constituirá ldj/2, y el trabajo
dA = l2IB sen j dj
Queda sumar estos “trocitos” al girar de 0 a p. Por consiguiente, el trabajo total, que precisamente es la diferencia de energías, constituye
Problema 12.
El campo del electrón E = e/R2 “distenderá” el átomo (véase fórmula (5.7)) en x = a/R2. Por eso la fuerza de atracción entre el átomo y el electrón será igual a

Problema 13.
Dibujemos las líneas de fuerza del electrón hacia la placa, recordando la regla que éstas deben apoyarse en el metal perpendicularmente a su’ superficie, de lo contrario, bajo la acción de las componentes tangenciales, fluirá corriente eléctrica (figura S.6). Pero nuestro problema es estático, por lo tanto, no puede haber corriente. Representemos todo el cuadro especularmente, y en el punto donde se reflejó el electrón situemos la carga positiva +e. Claro está que después de esto las líneas de fuerza dejarán de ser ficticias y, evidentemente, corresponderán con exactitud a las líneas de fuerza engendradas por la carga +e.
En cambio ahora podemos simplemente retirar la placa, ya que si ella es bastante delgada, la distribución de la carga por la superficie del metal, que creaba la carga -e, es compensada del todo por la distribución creada por la carga +e, o sea, el campo de la propia placa se reduce a cero.

Figura S6. Las líneas continuas son las líneas de fuerza en el sistema electrón-superficie del metal. Las líneas de trazos son las líneas de fuerza de lo imagen especular de la carga.
Las líneas de fuerza cerca de la carga -e se conservaron tales como eran. Por consiguiente, la sustitución del metal por una carga positiva situada a la distancia 2R no modifica la fuerza que actúa sobre el electrón. Esta fuerza, que por causas comprensibles recibió el nombre de fuerza de imagen electrostática, evidentemente, según la ley de Coulomb es igual a
Fim= e2/4R2
Este mismo resultado puede ser obtenido de la fórmula (9.9) si admitimos que en ella e = ∞, lo cual permite considerar que (e-1) (e+1).
Problema 14.
La fuerza que actúa sobre una burbuja cuyo radio R es próximo a R0 (fórmula (9.11 )), o sea, cerca de la posición de equilibrio, escribámosla de la forma siguiente:

sustituyamos

y obtendremos

Ahora es necesario escribir la ecuación de movimiento: la aceleración es igual a la fuerza dividida por la masa. Pero recordemos que para el péndulo, la ecuación es exactamente la misma. En efecto, la fuerza que actúa sobre la masa m del péndulo constituye, como es bien sabido, mg sen a » mg/lA (véase la figura 5.2), sólo que delante de A figura otra constante. La frecuencia de
oscilaciones del péndulo es

Examinando esta igualdad escribimos el resultado de la frecuencia de oscilaciones de una carga en el helio:

Problema 15.
La fuerza que actúa sobre el electrón se expresa por medio de la fórmula (9.10). Como su dependencia de R tiene exactamente el mismo aspecto que al reaccionar recíprocamente dos cargas puntuales, podemos escribir, al instante, para la energía potencial del electrón cerca del dieléctrico:
Up = (e - 1)e2/8R
Para un electrón que se encuentra en estado de enlace cerca de la superficie, la energía potencial media es aproximadamente igual a la energía cinética media, o sea,
(e - 1)e2/8R » p2/2m
Sustituyamos p » h/R y obtendremos
R = 4h2/ (e - 1)me2
Para el 4He liquido, e = 1,057 ... y R » 70rB, donde rB = 0,5·10-8 cm es el radio de Bohr, que caracteriza las dimensiones del átomo de hidrógeno. El cálculo exacto proporciona para R = 100 Å.
Problema 16.
Utilicemos la fórmula de la capacidad de un condensador plano: C = S/4pd’ (S es el área de las placas, y d’, la distancia entre ellas; hemos despreciado la diferencia entre e y la unidad). Como resultado obtenemos q = neS = CU y ne = U/4pd’. Supongamos que sobre los electrones actúa el campo E. Entonces, el campo sobre la superficie cargada es la diferencia de E y el campo engendrado por la capa de electrones E’, mientras que el campo más abajo de la superficie constituye la suma de dichos campos. Recordemos que el campo sobre la superficie es igual a cero, en tanto que el campo más abajo de ella se determina de la misma manera que para un condensador plano, o sea, por la fórmula Einf = U/d’. Así pues, tenemos
Esup = E – E’ = 0; Einf = E + E’ = U/d’
de donde obtenemos
E = (Esup + Einf)/2 = U/2d’
Problema 17.
Supongamos que la muestra se encuentra en un solenoide largo que tienen espiras (véase figura 11.7). Durante la transición que se produce en el campo Hc el campo dentro de la muestra se reduce a cero, o sea, ocurre la variación del flujo magnético F en función del tiempo. Por eso surgirá una f.e.m. de inducción U = - ndF/dt.
Si a través del solenoide se mantiene todo el tiempo una corriente de valor 1, esa f.e.m. efectuará un trabajo

donde t es el tiempo durante el cual ocurre la transición. Gracias al efecto de Meissner, la diferencia de flujos en los estados normal y de superconducción es igual a Bc·pr2. Sustituyendo I= 107BcL/4pr en la fórmula del trabajo (véase fórmula (11.1)), obtendremos

donde V es el volumen de la muestra.
Notas: